US20090291134A1 - Endoxifen methods and compositions in the treatment of psychiatric and neurodegenerative diseases - Google Patents
Endoxifen methods and compositions in the treatment of psychiatric and neurodegenerative diseases Download PDFInfo
- Publication number
- US20090291134A1 US20090291134A1 US12/470,219 US47021909A US2009291134A1 US 20090291134 A1 US20090291134 A1 US 20090291134A1 US 47021909 A US47021909 A US 47021909A US 2009291134 A1 US2009291134 A1 US 2009291134A1
- Authority
- US
- United States
- Prior art keywords
- endoxifen
- composition
- acid
- disease
- tamoxifen
- Prior art date
- Legal status (The legal status is an assumption and is not a legal conclusion. Google has not performed a legal analysis and makes no representation as to the accuracy of the status listed.)
- Abandoned
Links
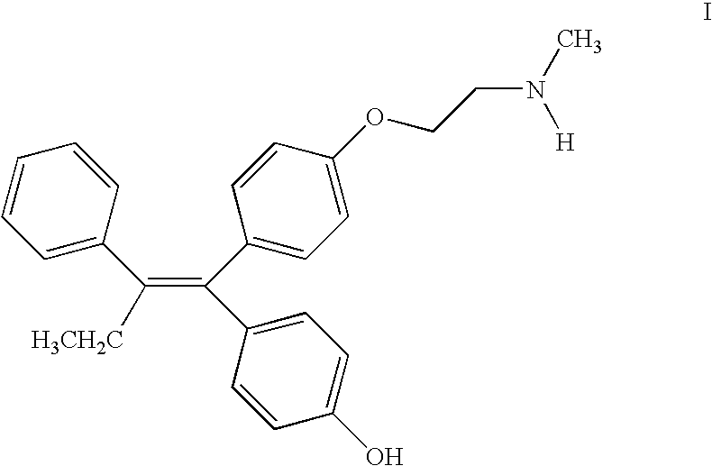
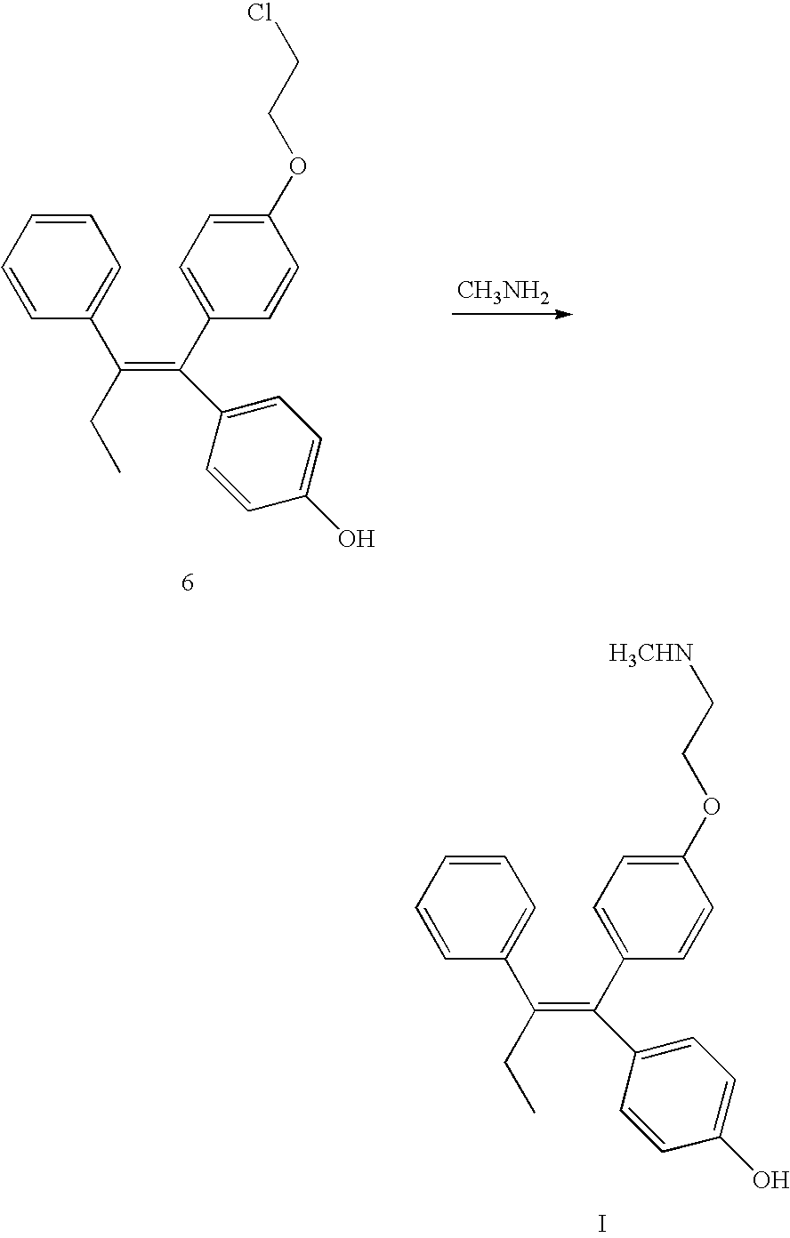
- MHJBZVSGOZTKRH-IZHYLOQSSA-N 4-Hydroxy-N-desmethyltamoxifen Chemical compound C=1C=CC=CC=1C(/CC)=C(C=1C=CC(OCCNC)=CC=1)/C1=CC=C(O)C=C1 MHJBZVSGOZTKRH-IZHYLOQSSA-N 0.000 title claims abstract description 213
- 239000000203 mixture Substances 0.000 title claims abstract description 200
- 238000000034 method Methods 0.000 title claims abstract description 67
- 238000011282 treatment Methods 0.000 title abstract description 51
- 208000020016 psychiatric disease Diseases 0.000 title abstract description 18
- 208000015122 neurodegenerative disease Diseases 0.000 title abstract description 16
- 230000004770 neurodegeneration Effects 0.000 title abstract description 13
- 239000003795 chemical substances by application Substances 0.000 claims abstract description 50
- 208000020925 Bipolar disease Diseases 0.000 claims abstract description 36
- 201000000980 schizophrenia Diseases 0.000 claims abstract description 21
- 201000006417 multiple sclerosis Diseases 0.000 claims abstract description 19
- 208000018737 Parkinson disease Diseases 0.000 claims abstract description 13
- 208000024827 Alzheimer disease Diseases 0.000 claims abstract description 11
- 206010002026 amyotrophic lateral sclerosis Diseases 0.000 claims abstract description 9
- 206010015037 epilepsy Diseases 0.000 claims abstract description 7
- 208000023105 Huntington disease Diseases 0.000 claims abstract description 6
- 239000002502 liposome Substances 0.000 claims abstract description 4
- 208000037265 diseases, disorders, signs and symptoms Diseases 0.000 claims description 46
- 150000002632 lipids Chemical class 0.000 claims description 42
- 201000010099 disease Diseases 0.000 claims description 38
- WTJKGGKOPKCXLL-RRHRGVEJSA-N phosphatidylcholine Chemical compound CCCCCCCCCCCCCCCC(=O)OC[C@H](COP([O-])(=O)OCC[N+](C)(C)C)OC(=O)CCCCCCCC=CCCCCCCCC WTJKGGKOPKCXLL-RRHRGVEJSA-N 0.000 claims description 33
- LFQSCWFLJHTTHZ-UHFFFAOYSA-N Ethanol Chemical compound CCO LFQSCWFLJHTTHZ-UHFFFAOYSA-N 0.000 claims description 31
- 150000003839 salts Chemical class 0.000 claims description 30
- 239000000243 solution Substances 0.000 claims description 30
- -1 phosphatdylinositol Chemical compound 0.000 claims description 25
- HVYWMOMLDIMFJA-DPAQBDIFSA-N cholesterol Chemical compound C1C=C2C[C@@H](O)CC[C@]2(C)[C@@H]2[C@@H]1[C@@H]1CC[C@H]([C@H](C)CCCC(C)C)[C@@]1(C)CC2 HVYWMOMLDIMFJA-DPAQBDIFSA-N 0.000 claims description 24
- HEMHJVSKTPXQMS-UHFFFAOYSA-M Sodium hydroxide Chemical compound [OH-].[Na+] HEMHJVSKTPXQMS-UHFFFAOYSA-M 0.000 claims description 21
- 239000003349 gelling agent Substances 0.000 claims description 19
- 150000003904 phospholipids Chemical class 0.000 claims description 18
- 230000003472 neutralizing effect Effects 0.000 claims description 17
- 229920001223 polyethylene glycol Chemical class 0.000 claims description 17
- 239000002202 Polyethylene glycol Chemical class 0.000 claims description 14
- 235000012000 cholesterol Nutrition 0.000 claims description 14
- 239000000839 emulsion Substances 0.000 claims description 14
- LGJMUZUPVCAVPU-UHFFFAOYSA-N beta-Sitostanol Natural products C1CC2CC(O)CCC2(C)C2C1C1CCC(C(C)CCC(CC)C(C)C)C1(C)CC2 LGJMUZUPVCAVPU-UHFFFAOYSA-N 0.000 claims description 12
- JYGXADMDTFJGBT-VWUMJDOOSA-N hydrocortisone Chemical compound O=C1CC[C@]2(C)[C@H]3[C@@H](O)C[C@](C)([C@@](CC4)(O)C(=O)CO)[C@@H]4[C@@H]3CCC2=C1 JYGXADMDTFJGBT-VWUMJDOOSA-N 0.000 claims description 12
- 239000008135 aqueous vehicle Substances 0.000 claims description 11
- 239000002775 capsule Substances 0.000 claims description 11
- 150000001841 cholesterols Chemical class 0.000 claims description 11
- 229960005160 dimyristoylphosphatidylglycerol Drugs 0.000 claims description 11
- BPHQZTVXXXJVHI-AJQTZOPKSA-N ditetradecanoyl phosphatidylglycerol Chemical compound CCCCCCCCCCCCCC(=O)OC[C@H](COP(O)(=O)OC[C@@H](O)CO)OC(=O)CCCCCCCCCCCCC BPHQZTVXXXJVHI-AJQTZOPKSA-N 0.000 claims description 11
- KWYUFKZDYYNOTN-UHFFFAOYSA-M Potassium hydroxide Chemical compound [OH-].[K+] KWYUFKZDYYNOTN-UHFFFAOYSA-M 0.000 claims description 9
- 229930006000 Sucrose Natural products 0.000 claims description 9
- CZMRCDWAGMRECN-UGDNZRGBSA-N Sucrose Chemical compound O[C@H]1[C@H](O)[C@@H](CO)O[C@@]1(CO)O[C@@H]1[C@H](O)[C@@H](O)[C@H](O)[C@@H](CO)O1 CZMRCDWAGMRECN-UGDNZRGBSA-N 0.000 claims description 9
- 239000005720 sucrose Substances 0.000 claims description 9
- WQZGKKKJIJFFOK-GASJEMHNSA-N Glucose Natural products OC[C@H]1OC(O)[C@H](O)[C@@H](O)[C@@H]1O WQZGKKKJIJFFOK-GASJEMHNSA-N 0.000 claims description 8
- AWUCVROLDVIAJX-UHFFFAOYSA-N alpha-glycerophosphate Natural products OCC(O)COP(O)(O)=O AWUCVROLDVIAJX-UHFFFAOYSA-N 0.000 claims description 8
- WQZGKKKJIJFFOK-VFUOTHLCSA-N beta-D-glucose Chemical compound OC[C@H]1O[C@@H](O)[C@H](O)[C@@H](O)[C@@H]1O WQZGKKKJIJFFOK-VFUOTHLCSA-N 0.000 claims description 8
- 239000000693 micelle Substances 0.000 claims description 8
- 239000002245 particle Substances 0.000 claims description 8
- 239000003961 penetration enhancing agent Substances 0.000 claims description 8
- 241000124008 Mammalia Species 0.000 claims description 7
- ATBOMIWRCZXYSZ-XZBBILGWSA-N [1-[2,3-dihydroxypropoxy(hydroxy)phosphoryl]oxy-3-hexadecanoyloxypropan-2-yl] (9e,12e)-octadeca-9,12-dienoate Chemical compound CCCCCCCCCCCCCCCC(=O)OCC(COP(O)(=O)OCC(O)CO)OC(=O)CCCCCCC\C=C\C\C=C\CCCCC ATBOMIWRCZXYSZ-XZBBILGWSA-N 0.000 claims description 7
- 238000001727 in vivo Methods 0.000 claims description 7
- 239000000843 powder Substances 0.000 claims description 7
- 239000003826 tablet Substances 0.000 claims description 7
- 239000003981 vehicle Substances 0.000 claims description 7
- MUBZPKHOEPUJKR-UHFFFAOYSA-N Oxalic acid Chemical compound OC(=O)C(O)=O MUBZPKHOEPUJKR-UHFFFAOYSA-N 0.000 claims description 6
- 230000001476 alcoholic effect Effects 0.000 claims description 6
- QYIXCDOBOSTCEI-UHFFFAOYSA-N alpha-cholestanol Natural products C1CC2CC(O)CCC2(C)C2C1C1CCC(C(C)CCCC(C)C)C1(C)CC2 QYIXCDOBOSTCEI-UHFFFAOYSA-N 0.000 claims description 6
- 150000001720 carbohydrates Chemical class 0.000 claims description 6
- 235000014633 carbohydrates Nutrition 0.000 claims description 6
- WLNARFZDISHUGS-MIXBDBMTSA-N cholesteryl hemisuccinate Chemical compound C1C=C2C[C@@H](OC(=O)CCC(O)=O)CC[C@]2(C)[C@@H]2[C@@H]1[C@@H]1CC[C@H]([C@H](C)CCCC(C)C)[C@@]1(C)CC2 WLNARFZDISHUGS-MIXBDBMTSA-N 0.000 claims description 6
- 239000002577 cryoprotective agent Substances 0.000 claims description 6
- 229960000890 hydrocortisone Drugs 0.000 claims description 6
- 239000000463 material Substances 0.000 claims description 6
- 239000002674 ointment Substances 0.000 claims description 6
- 235000000346 sugar Nutrition 0.000 claims description 6
- 150000008163 sugars Chemical class 0.000 claims description 6
- WDXRGPWQVHZTQJ-UHFFFAOYSA-N trans-guggulsterone Natural products C1CC2=CC(=O)CCC2(C)C2C1C1CC(=O)C(=CC)C1(C)CC2 WDXRGPWQVHZTQJ-UHFFFAOYSA-N 0.000 claims description 6
- HDTRYLNUVZCQOY-UHFFFAOYSA-N α-D-glucopyranosyl-α-D-glucopyranoside Natural products OC1C(O)C(O)C(CO)OC1OC1C(O)C(O)C(O)C(CO)O1 HDTRYLNUVZCQOY-UHFFFAOYSA-N 0.000 claims description 5
- BIABMEZBCHDPBV-MPQUPPDSSA-N 1,2-palmitoyl-sn-glycero-3-phospho-(1'-sn-glycerol) Chemical compound CCCCCCCCCCCCCCCC(=O)OC[C@H](COP(O)(=O)OC[C@@H](O)CO)OC(=O)CCCCCCCCCCCCCCC BIABMEZBCHDPBV-MPQUPPDSSA-N 0.000 claims description 5
- HIQIXEFWDLTDED-UHFFFAOYSA-N 4-hydroxy-1-piperidin-4-ylpyrrolidin-2-one Chemical compound O=C1CC(O)CN1C1CCNCC1 HIQIXEFWDLTDED-UHFFFAOYSA-N 0.000 claims description 5
- KRKNYBCHXYNGOX-UHFFFAOYSA-K Citrate Chemical compound [O-]C(=O)CC(O)(CC([O-])=O)C([O-])=O KRKNYBCHXYNGOX-UHFFFAOYSA-K 0.000 claims description 5
- 229920002307 Dextran Polymers 0.000 claims description 5
- JZNWSCPGTDBMEW-UHFFFAOYSA-N Glycerophosphorylethanolamin Natural products NCCOP(O)(=O)OCC(O)CO JZNWSCPGTDBMEW-UHFFFAOYSA-N 0.000 claims description 5
- AFVFQIVMOAPDHO-UHFFFAOYSA-N Methanesulfonic acid Chemical compound CS(O)(=O)=O AFVFQIVMOAPDHO-UHFFFAOYSA-N 0.000 claims description 5
- FVJZSBGHRPJMMA-IOLBBIBUSA-N PG(18:0/18:0) Chemical class CCCCCCCCCCCCCCCCCC(=O)OC[C@H](COP(O)(=O)OC[C@@H](O)CO)OC(=O)CCCCCCCCCCCCCCCCC FVJZSBGHRPJMMA-IOLBBIBUSA-N 0.000 claims description 5
- HDTRYLNUVZCQOY-WSWWMNSNSA-N Trehalose Natural products O[C@@H]1[C@@H](O)[C@@H](O)[C@@H](CO)O[C@@H]1O[C@@H]1[C@H](O)[C@@H](O)[C@@H](O)[C@@H](CO)O1 HDTRYLNUVZCQOY-WSWWMNSNSA-N 0.000 claims description 5
- DSNRWDQKZIEDDB-GCMPNPAFSA-N [(2r)-3-[2,3-dihydroxypropoxy(hydroxy)phosphoryl]oxy-2-[(z)-octadec-9-enoyl]oxypropyl] (z)-octadec-9-enoate Chemical compound CCCCCCCC\C=C/CCCCCCCC(=O)OC[C@H](COP(O)(=O)OCC(O)CO)OC(=O)CCCCCCC\C=C/CCCCCCCC DSNRWDQKZIEDDB-GCMPNPAFSA-N 0.000 claims description 5
- HDTRYLNUVZCQOY-LIZSDCNHSA-N alpha,alpha-trehalose Chemical compound O[C@@H]1[C@@H](O)[C@H](O)[C@@H](CO)O[C@@H]1O[C@@H]1[C@H](O)[C@@H](O)[C@H](O)[C@@H](CO)O1 HDTRYLNUVZCQOY-LIZSDCNHSA-N 0.000 claims description 5
- 239000006071 cream Substances 0.000 claims description 5
- 239000002702 enteric coating Substances 0.000 claims description 5
- 238000009505 enteric coating Methods 0.000 claims description 5
- 239000006210 lotion Substances 0.000 claims description 5
- 150000008104 phosphatidylethanolamines Chemical class 0.000 claims description 5
- 229950005143 sitosterol Drugs 0.000 claims description 5
- BQPPJGMMIYJVBR-UHFFFAOYSA-N (10S)-3c-Acetoxy-4.4.10r.13c.14t-pentamethyl-17c-((R)-1.5-dimethyl-hexen-(4)-yl)-(5tH)-Delta8-tetradecahydro-1H-cyclopenta[a]phenanthren Natural products CC12CCC(OC(C)=O)C(C)(C)C1CCC1=C2CCC2(C)C(C(CCC=C(C)C)C)CCC21C BQPPJGMMIYJVBR-UHFFFAOYSA-N 0.000 claims description 4
- OILXMJHPFNGGTO-UHFFFAOYSA-N (22E)-(24xi)-24-methylcholesta-5,22-dien-3beta-ol Natural products C1C=C2CC(O)CCC2(C)C2C1C1CCC(C(C)C=CC(C)C(C)C)C1(C)CC2 OILXMJHPFNGGTO-UHFFFAOYSA-N 0.000 claims description 4
- IZVFFXVYBHFIHY-UHFFFAOYSA-N (3alpha, 5alpha)-Cholest-7-en-3-ol, 9CI Natural products C1C(O)CCC2(C)C(CCC3(C(C(C)CCCC(C)C)CCC33)C)C3=CCC21 IZVFFXVYBHFIHY-UHFFFAOYSA-N 0.000 claims description 4
- CHGIKSSZNBCNDW-UHFFFAOYSA-N (3beta,5alpha)-4,4-Dimethylcholesta-8,24-dien-3-ol Natural products CC12CCC(O)C(C)(C)C1CCC1=C2CCC2(C)C(C(CCC=C(C)C)C)CCC21 CHGIKSSZNBCNDW-UHFFFAOYSA-N 0.000 claims description 4
- WDXRGPWQVHZTQJ-OSJVMJFVSA-N (8r,9s,10r,13s,14s,17z)-17-ethylidene-10,13-dimethyl-1,2,6,7,8,9,11,12,14,15-decahydrocyclopenta[a]phenanthrene-3,16-dione Chemical compound C1CC2=CC(=O)CC[C@]2(C)[C@@H]2[C@@H]1[C@@H]1CC(=O)\C(=C/C)[C@@]1(C)CC2 WDXRGPWQVHZTQJ-OSJVMJFVSA-N 0.000 claims description 4
- CITHEXJVPOWHKC-UUWRZZSWSA-N 1,2-di-O-myristoyl-sn-glycero-3-phosphocholine Chemical compound CCCCCCCCCCCCCC(=O)OC[C@H](COP([O-])(=O)OCC[N+](C)(C)C)OC(=O)CCCCCCCCCCCCC CITHEXJVPOWHKC-UUWRZZSWSA-N 0.000 claims description 4
- PORPENFLTBBHSG-MGBGTMOVSA-N 1,2-dihexadecanoyl-sn-glycerol-3-phosphate Chemical compound CCCCCCCCCCCCCCCC(=O)OC[C@H](COP(O)(O)=O)OC(=O)CCCCCCCCCCCCCCC PORPENFLTBBHSG-MGBGTMOVSA-N 0.000 claims description 4
- TZCPCKNHXULUIY-RGULYWFUSA-N 1,2-distearoyl-sn-glycero-3-phosphoserine Chemical compound CCCCCCCCCCCCCCCCCC(=O)OC[C@H](COP(O)(=O)OC[C@H](N)C(O)=O)OC(=O)CCCCCCCCCCCCCCCCC TZCPCKNHXULUIY-RGULYWFUSA-N 0.000 claims description 4
- XYTLYKGXLMKYMV-UHFFFAOYSA-N 14alpha-methylzymosterol Natural products CC12CCC(O)CC1CCC1=C2CCC2(C)C(C(CCC=C(C)C)C)CCC21C XYTLYKGXLMKYMV-UHFFFAOYSA-N 0.000 claims description 4
- FPTJELQXIUUCEY-UHFFFAOYSA-N 3beta-Hydroxy-lanostan Natural products C1CC2C(C)(C)C(O)CCC2(C)C2C1C1(C)CCC(C(C)CCCC(C)C)C1(C)CC2 FPTJELQXIUUCEY-UHFFFAOYSA-N 0.000 claims description 4
- IZVFFXVYBHFIHY-SKCNUYALSA-N 5alpha-cholest-7-en-3beta-ol Chemical compound C1[C@@H](O)CC[C@]2(C)[C@@H](CC[C@@]3([C@@H]([C@H](C)CCCC(C)C)CC[C@H]33)C)C3=CC[C@H]21 IZVFFXVYBHFIHY-SKCNUYALSA-N 0.000 claims description 4
- OQMZNAMGEHIHNN-UHFFFAOYSA-N 7-Dehydrostigmasterol Natural products C1C(O)CCC2(C)C(CCC3(C(C(C)C=CC(CC)C(C)C)CCC33)C)C3=CC=C21 OQMZNAMGEHIHNN-UHFFFAOYSA-N 0.000 claims description 4
- GUBGYTABKSRVRQ-XLOQQCSPSA-N Alpha-Lactose Chemical compound O[C@@H]1[C@@H](O)[C@@H](O)[C@@H](CO)O[C@H]1O[C@@H]1[C@@H](CO)O[C@H](O)[C@H](O)[C@H]1O GUBGYTABKSRVRQ-XLOQQCSPSA-N 0.000 claims description 4
- VHUUQVKOLVNVRT-UHFFFAOYSA-N Ammonium hydroxide Chemical compound [NH4+].[OH-] VHUUQVKOLVNVRT-UHFFFAOYSA-N 0.000 claims description 4
- SGNBVLSWZMBQTH-FGAXOLDCSA-N Campesterol Natural products O[C@@H]1CC=2[C@@](C)([C@@H]3[C@H]([C@H]4[C@@](C)([C@H]([C@H](CC[C@H](C(C)C)C)C)CC4)CC3)CC=2)CC1 SGNBVLSWZMBQTH-FGAXOLDCSA-N 0.000 claims description 4
- FEWJPZIEWOKRBE-JCYAYHJZSA-N Dextrotartaric acid Chemical compound OC(=O)[C@H](O)[C@@H](O)C(O)=O FEWJPZIEWOKRBE-JCYAYHJZSA-N 0.000 claims description 4
- BKLIAINBCQPSOV-UHFFFAOYSA-N Gluanol Natural products CC(C)CC=CC(C)C1CCC2(C)C3=C(CCC12C)C4(C)CCC(O)C(C)(C)C4CC3 BKLIAINBCQPSOV-UHFFFAOYSA-N 0.000 claims description 4
- ZWZWYGMENQVNFU-UHFFFAOYSA-N Glycerophosphorylserin Natural products OC(=O)C(N)COP(O)(=O)OCC(O)CO ZWZWYGMENQVNFU-UHFFFAOYSA-N 0.000 claims description 4
- BTEISVKTSQLKST-UHFFFAOYSA-N Haliclonasterol Natural products CC(C=CC(C)C(C)(C)C)C1CCC2C3=CC=C4CC(O)CCC4(C)C3CCC12C BTEISVKTSQLKST-UHFFFAOYSA-N 0.000 claims description 4
- GUBGYTABKSRVRQ-QKKXKWKRSA-N Lactose Natural products OC[C@H]1O[C@@H](O[C@H]2[C@H](O)[C@@H](O)C(O)O[C@@H]2CO)[C@H](O)[C@@H](O)[C@H]1O GUBGYTABKSRVRQ-QKKXKWKRSA-N 0.000 claims description 4
- LOPKHWOTGJIQLC-UHFFFAOYSA-N Lanosterol Natural products CC(CCC=C(C)C)C1CCC2(C)C3=C(CCC12C)C4(C)CCC(C)(O)C(C)(C)C4CC3 LOPKHWOTGJIQLC-UHFFFAOYSA-N 0.000 claims description 4
- CAHGCLMLTWQZNJ-UHFFFAOYSA-N Nerifoliol Natural products CC12CCC(O)C(C)(C)C1CCC1=C2CCC2(C)C(C(CCC=C(C)C)C)CCC21C CAHGCLMLTWQZNJ-UHFFFAOYSA-N 0.000 claims description 4
- LGJMUZUPVCAVPU-JFBKYFIKSA-N Sitostanol Natural products O[C@@H]1C[C@H]2[C@@](C)([C@@H]3[C@@H]([C@H]4[C@@](C)([C@@H]([C@@H](CC[C@H](C(C)C)CC)C)CC4)CC3)CC2)CC1 LGJMUZUPVCAVPU-JFBKYFIKSA-N 0.000 claims description 4
- HZYXFRGVBOPPNZ-UHFFFAOYSA-N UNPD88870 Natural products C1C=C2CC(O)CCC2(C)C2C1C1CCC(C(C)=CCC(CC)C(C)C)C1(C)CC2 HZYXFRGVBOPPNZ-UHFFFAOYSA-N 0.000 claims description 4
- JZVFJDZBLUFKCA-FXIAWGAOSA-N alpha-Spinasterol Chemical compound C1[C@@H](O)CC[C@]2(C)[C@@H](CC[C@@]3([C@@H]([C@H](C)/C=C/[C@@H](CC)C(C)C)CC[C@H]33)C)C3=CC[C@H]21 JZVFJDZBLUFKCA-FXIAWGAOSA-N 0.000 claims description 4
- 239000000908 ammonium hydroxide Substances 0.000 claims description 4
- 229940076810 beta sitosterol Drugs 0.000 claims description 4
- NJKOMDUNNDKEAI-UHFFFAOYSA-N beta-sitosterol Natural products CCC(CCC(C)C1CCC2(C)C3CC=C4CC(O)CCC4C3CCC12C)C(C)C NJKOMDUNNDKEAI-UHFFFAOYSA-N 0.000 claims description 4
- SGNBVLSWZMBQTH-PODYLUTMSA-N campesterol Chemical compound C1C=C2C[C@@H](O)CC[C@]2(C)[C@@H]2[C@@H]1[C@@H]1CC[C@H]([C@H](C)CC[C@@H](C)C(C)C)[C@@]1(C)CC2 SGNBVLSWZMBQTH-PODYLUTMSA-N 0.000 claims description 4
- 235000000431 campesterol Nutrition 0.000 claims description 4
- BHYOQNUELFTYRT-DPAQBDIFSA-N cholesterol sulfate Chemical compound C1C=C2C[C@@H](OS(O)(=O)=O)CC[C@]2(C)[C@@H]2[C@@H]1[C@@H]1CC[C@H]([C@H](C)CCCC(C)C)[C@@]1(C)CC2 BHYOQNUELFTYRT-DPAQBDIFSA-N 0.000 claims description 4
- QBSJHOGDIUQWTH-UHFFFAOYSA-N dihydrolanosterol Natural products CC(C)CCCC(C)C1CCC2(C)C3=C(CCC12C)C4(C)CCC(C)(O)C(C)(C)C4CC3 QBSJHOGDIUQWTH-UHFFFAOYSA-N 0.000 claims description 4
- 229960003724 dimyristoylphosphatidylcholine Drugs 0.000 claims description 4
- 239000012458 free base Substances 0.000 claims description 4
- 239000008103 glucose Substances 0.000 claims description 4
- FZWBNHMXJMCXLU-BLAUPYHCSA-N isomaltotriose Chemical compound O[C@@H]1[C@@H](O)[C@H](O)[C@@H](CO)O[C@@H]1OC[C@@H]1[C@@H](O)[C@H](O)[C@@H](O)[C@@H](OC[C@@H](O)[C@@H](O)[C@H](O)[C@@H](O)C=O)O1 FZWBNHMXJMCXLU-BLAUPYHCSA-N 0.000 claims description 4
- 239000008101 lactose Substances 0.000 claims description 4
- 229940058690 lanosterol Drugs 0.000 claims description 4
- CAHGCLMLTWQZNJ-RGEKOYMOSA-N lanosterol Chemical compound C([C@]12C)C[C@@H](O)C(C)(C)[C@H]1CCC1=C2CC[C@]2(C)[C@H]([C@H](CCC=C(C)C)C)CC[C@@]21C CAHGCLMLTWQZNJ-RGEKOYMOSA-N 0.000 claims description 4
- KZJWDPNRJALLNS-VJSFXXLFSA-N sitosterol Chemical compound C1C=C2C[C@@H](O)CC[C@]2(C)[C@@H]2[C@@H]1[C@@H]1CC[C@H]([C@H](C)CC[C@@H](CC)C(C)C)[C@@]1(C)CC2 KZJWDPNRJALLNS-VJSFXXLFSA-N 0.000 claims description 4
- LGJMUZUPVCAVPU-HRJGVYIJSA-N stigmastanol Chemical compound C([C@@H]1CC2)[C@@H](O)CC[C@]1(C)[C@@H]1[C@@H]2[C@@H]2CC[C@H]([C@H](C)CC[C@@H](CC)C(C)C)[C@@]2(C)CC1 LGJMUZUPVCAVPU-HRJGVYIJSA-N 0.000 claims description 4
- 229940032091 stigmasterol Drugs 0.000 claims description 4
- HCXVJBMSMIARIN-PHZDYDNGSA-N stigmasterol Chemical compound C1C=C2C[C@@H](O)CC[C@]2(C)[C@@H]2[C@@H]1[C@@H]1CC[C@H]([C@H](C)/C=C/[C@@H](CC)C(C)C)[C@@]1(C)CC2 HCXVJBMSMIARIN-PHZDYDNGSA-N 0.000 claims description 4
- 235000016831 stigmasterol Nutrition 0.000 claims description 4
- BFDNMXAIBMJLBB-UHFFFAOYSA-N stigmasterol Natural products CCC(C=CC(C)C1CCCC2C3CC=C4CC(O)CCC4(C)C3CCC12C)C(C)C BFDNMXAIBMJLBB-UHFFFAOYSA-N 0.000 claims description 4
- 230000000699 topical effect Effects 0.000 claims description 4
- 150000003626 triacylglycerols Chemical class 0.000 claims description 4
- BHQCQFFYRZLCQQ-UHFFFAOYSA-N (3alpha,5alpha,7alpha,12alpha)-3,7,12-trihydroxy-cholan-24-oic acid Natural products OC1CC2CC(O)CCC2(C)C2C1C1CCC(C(CCC(O)=O)C)C1(C)C(O)C2 BHQCQFFYRZLCQQ-UHFFFAOYSA-N 0.000 claims description 3
- QYIXCDOBOSTCEI-QCYZZNICSA-N (5alpha)-cholestan-3beta-ol Chemical compound C([C@@H]1CC2)[C@@H](O)CC[C@]1(C)[C@@H]1[C@@H]2[C@@H]2CC[C@H]([C@H](C)CCCC(C)C)[C@@]2(C)CC1 QYIXCDOBOSTCEI-QCYZZNICSA-N 0.000 claims description 3
- XIIAYQZJNBULGD-UHFFFAOYSA-N (5alpha)-cholestane Natural products C1CC2CCCCC2(C)C2C1C1CCC(C(C)CCCC(C)C)C1(C)CC2 XIIAYQZJNBULGD-UHFFFAOYSA-N 0.000 claims description 3
- OWEGMIWEEQEYGQ-UHFFFAOYSA-N 100676-05-9 Natural products OC1C(O)C(O)C(CO)OC1OCC1C(O)C(O)C(O)C(OC2C(OC(O)C(O)C2O)CO)O1 OWEGMIWEEQEYGQ-UHFFFAOYSA-N 0.000 claims description 3
- HCXVJBMSMIARIN-ZETWWWAOSA-N 24alpha-Ethyl-koprostanol Natural products CC[C@H](C=C[C@H](C)[C@H]1CC[C@@H]2[C@H]3CC=C4C[C@@H](O)CC[C@]4(C)[C@@H]3CC[C@]12C)C(C)C HCXVJBMSMIARIN-ZETWWWAOSA-N 0.000 claims description 3
- QTBSBXVTEAMEQO-UHFFFAOYSA-M Acetate Chemical compound CC([O-])=O QTBSBXVTEAMEQO-UHFFFAOYSA-M 0.000 claims description 3
- CPELXLSAUQHCOX-UHFFFAOYSA-M Bromide Chemical compound [Br-] CPELXLSAUQHCOX-UHFFFAOYSA-M 0.000 claims description 3
- VEXZGXHMUGYJMC-UHFFFAOYSA-M Chloride anion Chemical compound [Cl-] VEXZGXHMUGYJMC-UHFFFAOYSA-M 0.000 claims description 3
- 239000004380 Cholic acid Substances 0.000 claims description 3
- OMFXVFTZEKFJBZ-UHFFFAOYSA-N Corticosterone Natural products O=C1CCC2(C)C3C(O)CC(C)(C(CC4)C(=O)CO)C4C3CCC2=C1 OMFXVFTZEKFJBZ-UHFFFAOYSA-N 0.000 claims description 3
- JVTAAEKCZFNVCJ-UHFFFAOYSA-M Lactate Chemical compound CC(O)C([O-])=O JVTAAEKCZFNVCJ-UHFFFAOYSA-M 0.000 claims description 3
- GUBGYTABKSRVRQ-PICCSMPSSA-N Maltose Natural products O[C@@H]1[C@@H](O)[C@H](O)[C@@H](CO)O[C@@H]1O[C@@H]1[C@@H](CO)OC(O)[C@H](O)[C@H]1O GUBGYTABKSRVRQ-PICCSMPSSA-N 0.000 claims description 3
- RJECHNNFRHZQKU-UHFFFAOYSA-N Oelsaeurecholesterylester Chemical class C12CCC3(C)C(C(C)CCCC(C)C)CCC3C2CC=C2C1(C)CCC(OC(=O)CCCCCCCC=CCCCCCCCC)C2 RJECHNNFRHZQKU-UHFFFAOYSA-N 0.000 claims description 3
- 229910019142 PO4 Inorganic materials 0.000 claims description 3
- GSEJCLTVZPLZKY-UHFFFAOYSA-N Triethanolamine Chemical compound OCCN(CCO)CCO GSEJCLTVZPLZKY-UHFFFAOYSA-N 0.000 claims description 3
- MECHNRXZTMCUDQ-UHFFFAOYSA-N Vitamin D2 Natural products C1CCC2(C)C(C(C)C=CC(C)C(C)C)CCC2C1=CC=C1CC(O)CCC1=C MECHNRXZTMCUDQ-UHFFFAOYSA-N 0.000 claims description 3
- JZVFJDZBLUFKCA-UTQQLQBSSA-N alpha-spinasterol Natural products CC[C@H](C=C[C@H](C)[C@H]1CC[C@H]2C3=CC[C@@H]4C[C@@H](O)CC[C@]4(C)[C@H]3CC[C@]12C)C(C)C JZVFJDZBLUFKCA-UTQQLQBSSA-N 0.000 claims description 3
- CBTVGIZVANVGBH-UHFFFAOYSA-N aminomethyl propanol Chemical compound CC(C)(N)CO CBTVGIZVANVGBH-UHFFFAOYSA-N 0.000 claims description 3
- GUBGYTABKSRVRQ-QUYVBRFLSA-N beta-maltose Chemical compound OC[C@H]1O[C@H](O[C@H]2[C@H](O)[C@@H](O)[C@H](O)O[C@@H]2CO)[C@H](O)[C@@H](O)[C@@H]1O GUBGYTABKSRVRQ-QUYVBRFLSA-N 0.000 claims description 3
- XIIAYQZJNBULGD-LDHZKLTISA-N cholestane Chemical compound C1CC2CCCC[C@]2(C)[C@@H]2[C@@H]1[C@@H]1CC[C@H]([C@H](C)CCCC(C)C)[C@@]1(C)CC2 XIIAYQZJNBULGD-LDHZKLTISA-N 0.000 claims description 3
- RJECHNNFRHZQKU-RMUVNZEASA-N cholesteryl oleate Chemical class C([C@@H]12)C[C@]3(C)[C@@H]([C@H](C)CCCC(C)C)CC[C@H]3[C@@H]1CC=C1[C@]2(C)CC[C@H](OC(=O)CCCCCCC\C=C/CCCCCCCC)C1 RJECHNNFRHZQKU-RMUVNZEASA-N 0.000 claims description 3
- 235000019416 cholic acid Nutrition 0.000 claims description 3
- BHQCQFFYRZLCQQ-OELDTZBJSA-N cholic acid Chemical compound C([C@H]1C[C@H]2O)[C@H](O)CC[C@]1(C)[C@@H]1[C@@H]2[C@@H]2CC[C@H]([C@@H](CCC(O)=O)C)[C@@]2(C)[C@@H](O)C1 BHQCQFFYRZLCQQ-OELDTZBJSA-N 0.000 claims description 3
- 229960002471 cholic acid Drugs 0.000 claims description 3
- QYIXCDOBOSTCEI-NWKZBHTNSA-N coprostanol Chemical compound C([C@H]1CC2)[C@@H](O)CC[C@]1(C)[C@@H]1[C@@H]2[C@@H]2CC[C@H]([C@H](C)CCCC(C)C)[C@@]2(C)CC1 QYIXCDOBOSTCEI-NWKZBHTNSA-N 0.000 claims description 3
- OMFXVFTZEKFJBZ-HJTSIMOOSA-N corticosterone Chemical compound O=C1CC[C@]2(C)[C@H]3[C@@H](O)C[C@](C)([C@H](CC4)C(=O)CO)[C@@H]4[C@@H]3CCC2=C1 OMFXVFTZEKFJBZ-HJTSIMOOSA-N 0.000 claims description 3
- KXGVEGMKQFWNSR-UHFFFAOYSA-N deoxycholic acid Natural products C1CC2CC(O)CCC2(C)C2C1C1CCC(C(CCC(O)=O)C)C1(C)C(O)C2 KXGVEGMKQFWNSR-UHFFFAOYSA-N 0.000 claims description 3
- 229960002061 ergocalciferol Drugs 0.000 claims description 3
- 150000002334 glycols Chemical class 0.000 claims description 3
- XMBWDFGMSWQBCA-UHFFFAOYSA-N hydrogen iodide Chemical compound I XMBWDFGMSWQBCA-UHFFFAOYSA-N 0.000 claims description 3
- NBIIXXVUZAFLBC-UHFFFAOYSA-K phosphate Chemical compound [O-]P([O-])([O-])=O NBIIXXVUZAFLBC-UHFFFAOYSA-K 0.000 claims description 3
- 239000010452 phosphate Substances 0.000 claims description 3
- 238000007920 subcutaneous administration Methods 0.000 claims description 3
- KDYFGRWQOYBRFD-UHFFFAOYSA-L succinate(2-) Chemical compound [O-]C(=O)CCC([O-])=O KDYFGRWQOYBRFD-UHFFFAOYSA-L 0.000 claims description 3
- LENZDBCJOHFCAS-UHFFFAOYSA-N tris Chemical compound OCC(N)(CO)CO LENZDBCJOHFCAS-UHFFFAOYSA-N 0.000 claims description 3
- 229960004418 trolamine Drugs 0.000 claims description 3
- 229960000281 trometamol Drugs 0.000 claims description 3
- MECHNRXZTMCUDQ-RKHKHRCZSA-N vitamin D2 Chemical compound C1(/[C@@H]2CC[C@@H]([C@]2(CCC1)C)[C@H](C)/C=C/[C@H](C)C(C)C)=C\C=C1\C[C@@H](O)CCC1=C MECHNRXZTMCUDQ-RKHKHRCZSA-N 0.000 claims description 3
- 235000001892 vitamin D2 Nutrition 0.000 claims description 3
- 239000011653 vitamin D2 Substances 0.000 claims description 3
- IXRAQYMAEVFORF-UTLNTRLCSA-N (3S,8S,9S,10R,13S,14S,17R)-10,13-dimethyl-17-[(2R)-6-methylheptan-2-yl]-2,3,4,7,8,9,11,12,14,15,16,17-dodecahydro-1H-cyclopenta[a]phenanthrene-3,16-diol Chemical class C1C=C2C[C@@H](O)CC[C@]2(C)[C@@H]2[C@@H]1[C@@H]1CC(O)[C@H]([C@H](C)CCCC(C)C)[C@@]1(C)CC2 IXRAQYMAEVFORF-UTLNTRLCSA-N 0.000 claims description 2
- JZMCDCPYPRKPRX-CCDZVGGQSA-N (3s,8s,9s,10r,13r,14s,17r)-17-[(2r)-7-amino-6-methylheptan-2-yl]-10,13-dimethyl-2,3,4,7,8,9,11,12,14,15,16,17-dodecahydro-1h-cyclopenta[a]phenanthren-3-ol Chemical class C1C=C2C[C@@H](O)CC[C@]2(C)[C@@H]2[C@@H]1[C@@H]1CC[C@H]([C@H](C)CCCC(CN)C)[C@@]1(C)CC2 JZMCDCPYPRKPRX-CCDZVGGQSA-N 0.000 claims description 2
- 239000004475 Arginine Substances 0.000 claims description 2
- BHYOQNUELFTYRT-UHFFFAOYSA-N Cholesterol sulfate Natural products C1C=C2CC(OS(O)(=O)=O)CCC2(C)C2C1C1CCC(C(C)CCCC(C)C)C1(C)CC2 BHYOQNUELFTYRT-UHFFFAOYSA-N 0.000 claims description 2
- BDAGIHXWWSANSR-UHFFFAOYSA-M Formate Chemical compound [O-]C=O BDAGIHXWWSANSR-UHFFFAOYSA-M 0.000 claims description 2
- WDXRGPWQVHZTQJ-NRJJLHBYSA-N Guggulsterone E Chemical compound C1CC2=CC(=O)CC[C@]2(C)[C@@H]2[C@@H]1[C@@H]1CC(=O)C(=CC)[C@@]1(C)CC2 WDXRGPWQVHZTQJ-NRJJLHBYSA-N 0.000 claims description 2
- ODKSFYDXXFIFQN-BYPYZUCNSA-P L-argininium(2+) Chemical compound NC(=[NH2+])NCCC[C@H]([NH3+])C(O)=O ODKSFYDXXFIFQN-BYPYZUCNSA-P 0.000 claims description 2
- QAOWNCQODCNURD-UHFFFAOYSA-L Sulfate Chemical compound [O-]S([O-])(=O)=O QAOWNCQODCNURD-UHFFFAOYSA-L 0.000 claims description 2
- DTQVDTLACAAQTR-UHFFFAOYSA-M Trifluoroacetate Chemical compound [O-]C(=O)C(F)(F)F DTQVDTLACAAQTR-UHFFFAOYSA-M 0.000 claims description 2
- MWEZHNCHKXEIBJ-RWFZIKKDSA-N [(3s,8s,9s,10r,13r,14s,17r)-10,13-dimethyl-17-[(2r)-6-methylheptan-2-yl]-2,3,4,7,8,9,11,12,14,15,16,17-dodecahydro-1h-cyclopenta[a]phenanthren-3-yl] 2-(trimethylazaniumyl)ethyl phosphate Chemical class C1C=C2C[C@@H](OP([O-])(=O)OCC[N+](C)(C)C)CC[C@]2(C)[C@@H]2[C@@H]1[C@@H]1CC[C@H]([C@H](C)CCCC(C)C)[C@@]1(C)CC2 MWEZHNCHKXEIBJ-RWFZIKKDSA-N 0.000 claims description 2
- AVTXVDFKYBVTKR-DPAQBDIFSA-N [(3s,8s,9s,10r,13r,14s,17r)-10,13-dimethyl-17-[(2r)-6-methylheptan-2-yl]-2,3,4,7,8,9,11,12,14,15,16,17-dodecahydro-1h-cyclopenta[a]phenanthren-3-yl] dihydrogen phosphate Chemical compound C1C=C2C[C@@H](OP(O)(O)=O)CC[C@]2(C)[C@@H]2[C@@H]1[C@@H]1CC[C@H]([C@H](C)CCCC(C)C)[C@@]1(C)CC2 AVTXVDFKYBVTKR-DPAQBDIFSA-N 0.000 claims description 2
- ODKSFYDXXFIFQN-UHFFFAOYSA-N arginine Natural products OC(=O)C(N)CCCNC(N)=N ODKSFYDXXFIFQN-UHFFFAOYSA-N 0.000 claims description 2
- 229960003121 arginine Drugs 0.000 claims description 2
- OGBUMNBNEWYMNJ-UHFFFAOYSA-N batilol Chemical class CCCCCCCCCCCCCCCCCCOCC(O)CO OGBUMNBNEWYMNJ-UHFFFAOYSA-N 0.000 claims description 2
- 238000007912 intraperitoneal administration Methods 0.000 claims description 2
- 238000001990 intravenous administration Methods 0.000 claims description 2
- 239000007937 lozenge Substances 0.000 claims description 2
- 239000002662 enteric coated tablet Substances 0.000 claims 1
- 150000004675 formic acid derivatives Chemical class 0.000 claims 1
- 238000002360 preparation method Methods 0.000 abstract description 22
- 238000009472 formulation Methods 0.000 abstract description 21
- NKANXQFJJICGDU-QPLCGJKRSA-N Tamoxifen Chemical compound C=1C=CC=CC=1C(/CC)=C(C=1C=CC(OCCN(C)C)=CC=1)/C1=CC=CC=C1 NKANXQFJJICGDU-QPLCGJKRSA-N 0.000 description 128
- 239000002253 acid Substances 0.000 description 84
- 229960001603 tamoxifen Drugs 0.000 description 64
- 150000001875 compounds Chemical class 0.000 description 52
- 239000003814 drug Substances 0.000 description 50
- 229940079593 drug Drugs 0.000 description 35
- 102000003923 Protein Kinase C Human genes 0.000 description 34
- 108090000315 Protein Kinase C Proteins 0.000 description 34
- 206010028980 Neoplasm Diseases 0.000 description 32
- 239000002904 solvent Substances 0.000 description 31
- 206010006187 Breast cancer Diseases 0.000 description 30
- 208000026310 Breast neoplasm Diseases 0.000 description 30
- 230000000694 effects Effects 0.000 description 26
- 229940011871 estrogen Drugs 0.000 description 25
- 239000000262 estrogen Substances 0.000 description 25
- 210000001519 tissue Anatomy 0.000 description 25
- 230000001225 therapeutic effect Effects 0.000 description 24
- 210000004027 cell Anatomy 0.000 description 22
- VLKZOEOYAKHREP-UHFFFAOYSA-N n-Hexane Chemical class CCCCCC VLKZOEOYAKHREP-UHFFFAOYSA-N 0.000 description 22
- XLYOFNOQVPJJNP-UHFFFAOYSA-N water Substances O XLYOFNOQVPJJNP-UHFFFAOYSA-N 0.000 description 22
- 235000010469 Glycine max Nutrition 0.000 description 21
- OKKJLVBELUTLKV-UHFFFAOYSA-N Methanol Chemical compound OC OKKJLVBELUTLKV-UHFFFAOYSA-N 0.000 description 21
- YMWUJEATGCHHMB-UHFFFAOYSA-N Dichloromethane Chemical compound ClCCl YMWUJEATGCHHMB-UHFFFAOYSA-N 0.000 description 20
- KFZMGEQAYNKOFK-UHFFFAOYSA-N Isopropanol Chemical compound CC(C)O KFZMGEQAYNKOFK-UHFFFAOYSA-N 0.000 description 20
- 208000024891 symptom Diseases 0.000 description 20
- XEKOWRVHYACXOJ-UHFFFAOYSA-N Ethyl acetate Chemical compound CCOC(C)=O XEKOWRVHYACXOJ-UHFFFAOYSA-N 0.000 description 18
- 241000699670 Mus sp. Species 0.000 description 17
- WYURNTSHIVDZCO-UHFFFAOYSA-N Tetrahydrofuran Chemical compound C1CCOC1 WYURNTSHIVDZCO-UHFFFAOYSA-N 0.000 description 17
- 210000000481 breast Anatomy 0.000 description 17
- 235000019441 ethanol Nutrition 0.000 description 17
- 201000011510 cancer Diseases 0.000 description 16
- CSCPPACGZOOCGX-UHFFFAOYSA-N Acetone Chemical compound CC(C)=O CSCPPACGZOOCGX-UHFFFAOYSA-N 0.000 description 15
- 241001465754 Metazoa Species 0.000 description 15
- 239000000499 gel Substances 0.000 description 15
- 238000002560 therapeutic procedure Methods 0.000 description 14
- 230000007170 pathology Effects 0.000 description 13
- 208000019901 Anxiety disease Diseases 0.000 description 12
- 230000036506 anxiety Effects 0.000 description 12
- 230000005764 inhibitory process Effects 0.000 description 12
- 239000003921 oil Substances 0.000 description 12
- 235000019198 oils Nutrition 0.000 description 12
- 238000006243 chemical reaction Methods 0.000 description 11
- 210000003491 skin Anatomy 0.000 description 11
- 229940124597 therapeutic agent Drugs 0.000 description 11
- QTBSBXVTEAMEQO-UHFFFAOYSA-N Acetic acid Chemical compound CC(O)=O QTBSBXVTEAMEQO-UHFFFAOYSA-N 0.000 description 10
- HEDRZPFGACZZDS-UHFFFAOYSA-N Chloroform Chemical compound ClC(Cl)Cl HEDRZPFGACZZDS-UHFFFAOYSA-N 0.000 description 10
- 108010015742 Cytochrome P-450 Enzyme System Proteins 0.000 description 10
- 102000003849 Cytochrome P450 Human genes 0.000 description 10
- 239000002585 base Substances 0.000 description 10
- 239000000333 selective estrogen receptor modulator Substances 0.000 description 10
- VOXZDWNPVJITMN-ZBRFXRBCSA-N 17β-estradiol Chemical compound OC1=CC=C2[C@H]3CC[C@](C)([C@H](CC4)O)[C@@H]4[C@@H]3CCC2=C1 VOXZDWNPVJITMN-ZBRFXRBCSA-N 0.000 description 9
- WEVYAHXRMPXWCK-UHFFFAOYSA-N Acetonitrile Chemical compound CC#N WEVYAHXRMPXWCK-UHFFFAOYSA-N 0.000 description 9
- 102000004218 Insulin-Like Growth Factor I Human genes 0.000 description 9
- 108090000723 Insulin-Like Growth Factor I Proteins 0.000 description 9
- 239000013543 active substance Substances 0.000 description 9
- 229930182833 estradiol Natural products 0.000 description 9
- 229960005309 estradiol Drugs 0.000 description 9
- 239000003112 inhibitor Substances 0.000 description 9
- IAZDPXIOMUYVGZ-UHFFFAOYSA-N Dimethylsulphoxide Chemical compound CS(C)=O IAZDPXIOMUYVGZ-UHFFFAOYSA-N 0.000 description 8
- PEDCQBHIVMGVHV-UHFFFAOYSA-N Glycerine Chemical compound OCC(O)CO PEDCQBHIVMGVHV-UHFFFAOYSA-N 0.000 description 8
- IMNFDUFMRHMDMM-UHFFFAOYSA-N N-Heptane Chemical class CCCCCCC IMNFDUFMRHMDMM-UHFFFAOYSA-N 0.000 description 8
- 150000007513 acids Chemical class 0.000 description 8
- 239000010410 layer Substances 0.000 description 8
- 108010001237 Cytochrome P-450 CYP2D6 Proteins 0.000 description 7
- 102100021704 Cytochrome P450 2D6 Human genes 0.000 description 7
- LYCAIKOWRPUZTN-UHFFFAOYSA-N Ethylene glycol Chemical compound OCCO LYCAIKOWRPUZTN-UHFFFAOYSA-N 0.000 description 7
- 230000009471 action Effects 0.000 description 7
- 239000007864 aqueous solution Substances 0.000 description 7
- 239000000872 buffer Substances 0.000 description 7
- 230000007423 decrease Effects 0.000 description 7
- 235000014113 dietary fatty acids Nutrition 0.000 description 7
- 208000035475 disorder Diseases 0.000 description 7
- 239000000328 estrogen antagonist Substances 0.000 description 7
- 229930195729 fatty acid Natural products 0.000 description 7
- 239000000194 fatty acid Substances 0.000 description 7
- 206010020718 hyperplasia Diseases 0.000 description 7
- 239000002207 metabolite Substances 0.000 description 7
- 238000002156 mixing Methods 0.000 description 7
- 239000012044 organic layer Substances 0.000 description 7
- 229940124834 selective serotonin reuptake inhibitor Drugs 0.000 description 7
- 239000000725 suspension Substances 0.000 description 7
- RTZKZFJDLAIYFH-UHFFFAOYSA-N Diethyl ether Chemical compound CCOCC RTZKZFJDLAIYFH-UHFFFAOYSA-N 0.000 description 6
- VEXZGXHMUGYJMC-UHFFFAOYSA-N Hydrochloric acid Chemical compound Cl VEXZGXHMUGYJMC-UHFFFAOYSA-N 0.000 description 6
- WTDRDQBEARUVNC-LURJTMIESA-N L-DOPA Chemical compound OC(=O)[C@@H](N)CC1=CC=C(O)C(O)=C1 WTDRDQBEARUVNC-LURJTMIESA-N 0.000 description 6
- WTDRDQBEARUVNC-UHFFFAOYSA-N L-Dopa Natural products OC(=O)C(N)CC1=CC=C(O)C(O)=C1 WTDRDQBEARUVNC-UHFFFAOYSA-N 0.000 description 6
- WHXSMMKQMYFTQS-UHFFFAOYSA-N Lithium Chemical compound [Li] WHXSMMKQMYFTQS-UHFFFAOYSA-N 0.000 description 6
- BAVYZALUXZFZLV-UHFFFAOYSA-N Methylamine Chemical compound NC BAVYZALUXZFZLV-UHFFFAOYSA-N 0.000 description 6
- 241000700159 Rattus Species 0.000 description 6
- UIIMBOGNXHQVGW-UHFFFAOYSA-M Sodium bicarbonate Chemical compound [Na+].OC([O-])=O UIIMBOGNXHQVGW-UHFFFAOYSA-M 0.000 description 6
- QAOWNCQODCNURD-UHFFFAOYSA-N Sulfuric acid Chemical compound OS(O)(=O)=O QAOWNCQODCNURD-UHFFFAOYSA-N 0.000 description 6
- YXFVVABEGXRONW-UHFFFAOYSA-N Toluene Chemical compound CC1=CC=CC=C1 YXFVVABEGXRONW-UHFFFAOYSA-N 0.000 description 6
- 238000010521 absorption reaction Methods 0.000 description 6
- 238000003556 assay Methods 0.000 description 6
- 210000003169 central nervous system Anatomy 0.000 description 6
- 238000011260 co-administration Methods 0.000 description 6
- VYFYYTLLBUKUHU-UHFFFAOYSA-N dopamine Chemical compound NCCC1=CC=C(O)C(O)=C1 VYFYYTLLBUKUHU-UHFFFAOYSA-N 0.000 description 6
- 230000006872 improvement Effects 0.000 description 6
- 229960004502 levodopa Drugs 0.000 description 6
- 229910052744 lithium Inorganic materials 0.000 description 6
- XGZVUEUWXADBQD-UHFFFAOYSA-L lithium carbonate Chemical compound [Li+].[Li+].[O-]C([O-])=O XGZVUEUWXADBQD-UHFFFAOYSA-L 0.000 description 6
- 230000000626 neurodegenerative effect Effects 0.000 description 6
- 230000000324 neuroprotective effect Effects 0.000 description 6
- 229920000642 polymer Polymers 0.000 description 6
- 230000003389 potentiating effect Effects 0.000 description 6
- 230000002265 prevention Effects 0.000 description 6
- 229960004622 raloxifene Drugs 0.000 description 6
- GZUITABIAKMVPG-UHFFFAOYSA-N raloxifene Chemical compound C1=CC(O)=CC=C1C1=C(C(=O)C=2C=CC(OCCN3CCCCC3)=CC=2)C2=CC=C(O)C=C2S1 GZUITABIAKMVPG-UHFFFAOYSA-N 0.000 description 6
- 235000011121 sodium hydroxide Nutrition 0.000 description 6
- 239000000126 substance Substances 0.000 description 6
- 235000021122 unsaturated fatty acids Nutrition 0.000 description 6
- AHOUBRCZNHFOSL-YOEHRIQHSA-N (+)-Casbol Chemical compound C1=CC(F)=CC=C1[C@H]1[C@H](COC=2C=C3OCOC3=CC=2)CNCC1 AHOUBRCZNHFOSL-YOEHRIQHSA-N 0.000 description 5
- ZAFNJMIOTHYJRJ-UHFFFAOYSA-N Diisopropyl ether Chemical compound CC(C)OC(C)C ZAFNJMIOTHYJRJ-UHFFFAOYSA-N 0.000 description 5
- 102000004190 Enzymes Human genes 0.000 description 5
- 108090000790 Enzymes Proteins 0.000 description 5
- 229920002153 Hydroxypropyl cellulose Polymers 0.000 description 5
- 206010026749 Mania Diseases 0.000 description 5
- 206010060862 Prostate cancer Diseases 0.000 description 5
- 208000000236 Prostatic Neoplasms Diseases 0.000 description 5
- 208000028017 Psychotic disease Diseases 0.000 description 5
- FAPWRFPIFSIZLT-UHFFFAOYSA-M Sodium chloride Chemical compound [Na+].[Cl-] FAPWRFPIFSIZLT-UHFFFAOYSA-M 0.000 description 5
- 229930182558 Sterol Natural products 0.000 description 5
- 230000001833 anti-estrogenic effect Effects 0.000 description 5
- 230000009286 beneficial effect Effects 0.000 description 5
- 230000008901 benefit Effects 0.000 description 5
- 230000015572 biosynthetic process Effects 0.000 description 5
- 208000011803 breast fibrocystic disease Diseases 0.000 description 5
- 229920002678 cellulose Polymers 0.000 description 5
- 239000001913 cellulose Substances 0.000 description 5
- 238000002425 crystallisation Methods 0.000 description 5
- 230000008025 crystallization Effects 0.000 description 5
- 230000001419 dependent effect Effects 0.000 description 5
- 238000011161 development Methods 0.000 description 5
- 230000018109 developmental process Effects 0.000 description 5
- 238000001704 evaporation Methods 0.000 description 5
- 150000004665 fatty acids Chemical class 0.000 description 5
- 235000010977 hydroxypropyl cellulose Nutrition 0.000 description 5
- 239000001863 hydroxypropyl cellulose Substances 0.000 description 5
- 230000002401 inhibitory effect Effects 0.000 description 5
- 230000004060 metabolic process Effects 0.000 description 5
- 229960002296 paroxetine Drugs 0.000 description 5
- 230000035515 penetration Effects 0.000 description 5
- 239000000546 pharmaceutical excipient Substances 0.000 description 5
- 230000002062 proliferating effect Effects 0.000 description 5
- 230000009467 reduction Effects 0.000 description 5
- 229940095743 selective estrogen receptor modulator Drugs 0.000 description 5
- AEQFSUDEHCCHBT-UHFFFAOYSA-M sodium valproate Chemical compound [Na+].CCCC(C([O-])=O)CCC AEQFSUDEHCCHBT-UHFFFAOYSA-M 0.000 description 5
- 235000003702 sterols Nutrition 0.000 description 5
- 238000003786 synthesis reaction Methods 0.000 description 5
- YLQBMQCUIZJEEH-UHFFFAOYSA-N tetrahydrofuran Natural products C=1C=COC=1 YLQBMQCUIZJEEH-UHFFFAOYSA-N 0.000 description 5
- 150000004670 unsaturated fatty acids Chemical class 0.000 description 5
- 229940102566 valproate Drugs 0.000 description 5
- DODQJNMQWMSYGS-QPLCGJKRSA-N 4-[(z)-1-[4-[2-(dimethylamino)ethoxy]phenyl]-1-phenylbut-1-en-2-yl]phenol Chemical compound C=1C=C(O)C=CC=1C(/CC)=C(C=1C=CC(OCCN(C)C)=CC=1)/C1=CC=CC=C1 DODQJNMQWMSYGS-QPLCGJKRSA-N 0.000 description 4
- FERIUCNNQQJTOY-UHFFFAOYSA-N Butyric acid Natural products CCCC(O)=O FERIUCNNQQJTOY-UHFFFAOYSA-N 0.000 description 4
- WWZKQHOCKIZLMA-UHFFFAOYSA-N Caprylic acid Natural products CCCCCCCC(O)=O WWZKQHOCKIZLMA-UHFFFAOYSA-N 0.000 description 4
- 102000004328 Cytochrome P-450 CYP3A Human genes 0.000 description 4
- 108010081668 Cytochrome P-450 CYP3A Proteins 0.000 description 4
- BUDQDWGNQVEFAC-UHFFFAOYSA-N Dihydropyran Chemical compound C1COC=CC1 BUDQDWGNQVEFAC-UHFFFAOYSA-N 0.000 description 4
- 241000282412 Homo Species 0.000 description 4
- 102000006386 Myelin Proteins Human genes 0.000 description 4
- 108010083674 Myelin Proteins Proteins 0.000 description 4
- AHOUBRCZNHFOSL-UHFFFAOYSA-N Paroxetine hydrochloride Natural products C1=CC(F)=CC=C1C1C(COC=2C=C3OCOC3=CC=2)CNCC1 AHOUBRCZNHFOSL-UHFFFAOYSA-N 0.000 description 4
- PMZURENOXWZQFD-UHFFFAOYSA-L Sodium Sulfate Chemical compound [Na+].[Na+].[O-]S([O-])(=O)=O PMZURENOXWZQFD-UHFFFAOYSA-L 0.000 description 4
- DTQVDTLACAAQTR-UHFFFAOYSA-N Trifluoroacetic acid Chemical compound OC(=O)C(F)(F)F DTQVDTLACAAQTR-UHFFFAOYSA-N 0.000 description 4
- XSQUKJJJFZCRTK-UHFFFAOYSA-N Urea Chemical compound NC(N)=O XSQUKJJJFZCRTK-UHFFFAOYSA-N 0.000 description 4
- 229960000583 acetic acid Drugs 0.000 description 4
- 239000000935 antidepressant agent Substances 0.000 description 4
- 229940005513 antidepressants Drugs 0.000 description 4
- 210000004556 brain Anatomy 0.000 description 4
- 230000001684 chronic effect Effects 0.000 description 4
- 229940126214 compound 3 Drugs 0.000 description 4
- 239000003599 detergent Substances 0.000 description 4
- 239000008121 dextrose Substances 0.000 description 4
- 238000009826 distribution Methods 0.000 description 4
- 239000003623 enhancer Substances 0.000 description 4
- 230000007613 environmental effect Effects 0.000 description 4
- 102000015694 estrogen receptors Human genes 0.000 description 4
- 108010038795 estrogen receptors Proteins 0.000 description 4
- 239000012530 fluid Substances 0.000 description 4
- 230000006870 function Effects 0.000 description 4
- 238000003304 gavage Methods 0.000 description 4
- 230000002068 genetic effect Effects 0.000 description 4
- MNWFXJYAOYHMED-UHFFFAOYSA-N heptanoic acid Chemical compound CCCCCCC(O)=O MNWFXJYAOYHMED-UHFFFAOYSA-N 0.000 description 4
- 229940088597 hormone Drugs 0.000 description 4
- 239000005556 hormone Substances 0.000 description 4
- WGCNASOHLSPBMP-UHFFFAOYSA-N hydroxyacetaldehyde Natural products OCC=O WGCNASOHLSPBMP-UHFFFAOYSA-N 0.000 description 4
- 238000000338 in vitro Methods 0.000 description 4
- 239000000543 intermediate Substances 0.000 description 4
- 230000002503 metabolic effect Effects 0.000 description 4
- RONZAEMNMFQXRA-UHFFFAOYSA-N mirtazapine Chemical compound C1C2=CC=CN=C2N2CCN(C)CC2C2=CC=CC=C21 RONZAEMNMFQXRA-UHFFFAOYSA-N 0.000 description 4
- 239000004050 mood stabilizer Substances 0.000 description 4
- 210000005012 myelin Anatomy 0.000 description 4
- 239000002687 nonaqueous vehicle Substances 0.000 description 4
- 210000000056 organ Anatomy 0.000 description 4
- 239000003960 organic solvent Substances 0.000 description 4
- 239000000047 product Substances 0.000 description 4
- 239000003223 protective agent Substances 0.000 description 4
- 230000001681 protective effect Effects 0.000 description 4
- 108090000623 proteins and genes Proteins 0.000 description 4
- 238000000746 purification Methods 0.000 description 4
- 239000011541 reaction mixture Substances 0.000 description 4
- 230000002829 reductive effect Effects 0.000 description 4
- 230000004044 response Effects 0.000 description 4
- 239000012896 selective serotonin reuptake inhibitor Substances 0.000 description 4
- 229910052938 sodium sulfate Inorganic materials 0.000 description 4
- 235000011152 sodium sulphate Nutrition 0.000 description 4
- 239000007787 solid Substances 0.000 description 4
- 230000003381 solubilizing effect Effects 0.000 description 4
- 230000003637 steroidlike Effects 0.000 description 4
- 150000003432 sterols Chemical class 0.000 description 4
- 238000012360 testing method Methods 0.000 description 4
- ZDPHROOEEOARMN-UHFFFAOYSA-N undecanoic acid Chemical compound CCCCCCCCCCC(O)=O ZDPHROOEEOARMN-UHFFFAOYSA-N 0.000 description 4
- GBBSUAFBMRNDJC-MRXNPFEDSA-N (5R)-zopiclone Chemical compound C1CN(C)CCN1C(=O)O[C@@H]1C2=NC=CN=C2C(=O)N1C1=CC=C(Cl)C=N1 GBBSUAFBMRNDJC-MRXNPFEDSA-N 0.000 description 3
- RTHCYVBBDHJXIQ-MRXNPFEDSA-N (R)-fluoxetine Chemical compound O([C@H](CCNC)C=1C=CC=CC=1)C1=CC=C(C(F)(F)F)C=C1 RTHCYVBBDHJXIQ-MRXNPFEDSA-N 0.000 description 3
- ZEUITGRIYCTCEM-KRWDZBQOSA-N (S)-duloxetine Chemical compound C1([C@@H](OC=2C3=CC=CC=C3C=CC=2)CCNC)=CC=CS1 ZEUITGRIYCTCEM-KRWDZBQOSA-N 0.000 description 3
- ZWEHNKRNPOVVGH-UHFFFAOYSA-N 2-Butanone Chemical compound CCC(C)=O ZWEHNKRNPOVVGH-UHFFFAOYSA-N 0.000 description 3
- GZFGOTFRPZRKDS-UHFFFAOYSA-N 4-bromophenol Chemical compound OC1=CC=C(Br)C=C1 GZFGOTFRPZRKDS-UHFFFAOYSA-N 0.000 description 3
- XKFPYPQQHFEXRZ-UHFFFAOYSA-N 5-methyl-N'-(phenylmethyl)-3-isoxazolecarbohydrazide Chemical compound O1C(C)=CC(C(=O)NNCC=2C=CC=CC=2)=N1 XKFPYPQQHFEXRZ-UHFFFAOYSA-N 0.000 description 3
- QGZKDVFQNNGYKY-UHFFFAOYSA-N Ammonia Chemical compound N QGZKDVFQNNGYKY-UHFFFAOYSA-N 0.000 description 3
- 208000023275 Autoimmune disease Diseases 0.000 description 3
- VMIYHDSEFNYJSL-UHFFFAOYSA-N Bromazepam Chemical compound C12=CC(Br)=CC=C2NC(=O)CN=C1C1=CC=CC=N1 VMIYHDSEFNYJSL-UHFFFAOYSA-N 0.000 description 3
- HEYVINCGKDONRU-UHFFFAOYSA-N Bupropion hydrochloride Chemical compound Cl.CC(C)(C)NC(C)C(=O)C1=CC=CC(Cl)=C1 HEYVINCGKDONRU-UHFFFAOYSA-N 0.000 description 3
- IELOKBJPULMYRW-NJQVLOCASA-N D-alpha-Tocopheryl Acid Succinate Chemical compound OC(=O)CCC(=O)OC1=C(C)C(C)=C2O[C@@](CCC[C@H](C)CCC[C@H](C)CCCC(C)C)(C)CCC2=C1C IELOKBJPULMYRW-NJQVLOCASA-N 0.000 description 3
- HCYAFALTSJYZDH-UHFFFAOYSA-N Desimpramine Chemical compound C1CC2=CC=CC=C2N(CCCNC)C2=CC=CC=C21 HCYAFALTSJYZDH-UHFFFAOYSA-N 0.000 description 3
- 206010071602 Genetic polymorphism Diseases 0.000 description 3
- 208000033830 Hot Flashes Diseases 0.000 description 3
- 206010060800 Hot flush Diseases 0.000 description 3
- FYYHWMGAXLPEAU-UHFFFAOYSA-N Magnesium Chemical compound [Mg] FYYHWMGAXLPEAU-UHFFFAOYSA-N 0.000 description 3
- NPPQSCRMBWNHMW-UHFFFAOYSA-N Meprobamate Chemical compound NC(=O)OCC(C)(CCC)COC(N)=O NPPQSCRMBWNHMW-UHFFFAOYSA-N 0.000 description 3
- 206010054949 Metaplasia Diseases 0.000 description 3
- 241000699666 Mus <mouse, genus> Species 0.000 description 3
- PHVGLTMQBUFIQQ-UHFFFAOYSA-N Nortryptiline Chemical compound C1CC2=CC=CC=C2C(=CCCNC)C2=CC=CC=C21 PHVGLTMQBUFIQQ-UHFFFAOYSA-N 0.000 description 3
- 229930012538 Paclitaxel Natural products 0.000 description 3
- 235000019483 Peanut oil Nutrition 0.000 description 3
- OFBQJSOFQDEBGM-UHFFFAOYSA-N Pentane Chemical compound CCCCC OFBQJSOFQDEBGM-UHFFFAOYSA-N 0.000 description 3
- RMUCZJUITONUFY-UHFFFAOYSA-N Phenelzine Chemical compound NNCCC1=CC=CC=C1 RMUCZJUITONUFY-UHFFFAOYSA-N 0.000 description 3
- PPTYJKAXVCCBDU-UHFFFAOYSA-N Rohypnol Chemical compound N=1CC(=O)N(C)C2=CC=C([N+]([O-])=O)C=C2C=1C1=CC=CC=C1F PPTYJKAXVCCBDU-UHFFFAOYSA-N 0.000 description 3
- 229920002125 Sokalan® Polymers 0.000 description 3
- 229940123445 Tricyclic antidepressant Drugs 0.000 description 3
- ZMANZCXQSJIPKH-UHFFFAOYSA-N Triethylamine Chemical compound CCN(CC)CC ZMANZCXQSJIPKH-UHFFFAOYSA-N 0.000 description 3
- NIJJYAXOARWZEE-UHFFFAOYSA-N Valproic acid Chemical compound CCCC(C(O)=O)CCC NIJJYAXOARWZEE-UHFFFAOYSA-N 0.000 description 3
- 230000004913 activation Effects 0.000 description 3
- 230000002411 adverse Effects 0.000 description 3
- 150000001298 alcohols Chemical class 0.000 description 3
- VREFGVBLTWBCJP-UHFFFAOYSA-N alprazolam Chemical compound C12=CC(Cl)=CC=C2N2C(C)=NN=C2CN=C1C1=CC=CC=C1 VREFGVBLTWBCJP-UHFFFAOYSA-N 0.000 description 3
- 230000003561 anti-manic effect Effects 0.000 description 3
- 239000000427 antigen Substances 0.000 description 3
- 108091007433 antigens Proteins 0.000 description 3
- 102000036639 antigens Human genes 0.000 description 3
- 239000002246 antineoplastic agent Substances 0.000 description 3
- 229940049706 benzodiazepine Drugs 0.000 description 3
- 208000026555 breast adenosis Diseases 0.000 description 3
- 208000030270 breast disease Diseases 0.000 description 3
- QWCRAEMEVRGPNT-UHFFFAOYSA-N buspirone Chemical compound C1C(=O)N(CCCCN2CCN(CC2)C=2N=CC=CN=2)C(=O)CC21CCCC2 QWCRAEMEVRGPNT-UHFFFAOYSA-N 0.000 description 3
- 239000003153 chemical reaction reagent Substances 0.000 description 3
- ANTSCNMPPGJYLG-UHFFFAOYSA-N chlordiazepoxide Chemical compound O=N=1CC(NC)=NC2=CC=C(Cl)C=C2C=1C1=CC=CC=C1 ANTSCNMPPGJYLG-UHFFFAOYSA-N 0.000 description 3
- 238000004440 column chromatography Methods 0.000 description 3
- 239000006184 cosolvent Substances 0.000 description 3
- 208000031513 cyst Diseases 0.000 description 3
- 230000006378 damage Effects 0.000 description 3
- 238000010586 diagram Methods 0.000 description 3
- AAOVKJBEBIDNHE-UHFFFAOYSA-N diazepam Chemical compound N=1CC(=O)N(C)C2=CC=C(Cl)C=C2C=1C1=CC=CC=C1 AAOVKJBEBIDNHE-UHFFFAOYSA-N 0.000 description 3
- POULHZVOKOAJMA-UHFFFAOYSA-N dodecanoic acid Chemical compound CCCCCCCCCCCC(O)=O POULHZVOKOAJMA-UHFFFAOYSA-N 0.000 description 3
- 229960003638 dopamine Drugs 0.000 description 3
- ODQWQRRAPPTVAG-GZTJUZNOSA-N doxepin Chemical compound C1OC2=CC=CC=C2C(=C/CCN(C)C)/C2=CC=CC=C21 ODQWQRRAPPTVAG-GZTJUZNOSA-N 0.000 description 3
- 239000003937 drug carrier Substances 0.000 description 3
- 230000008406 drug-drug interaction Effects 0.000 description 3
- 150000002148 esters Chemical class 0.000 description 3
- OAYLNYINCPYISS-UHFFFAOYSA-N ethyl acetate;hexane Chemical compound CCCCCC.CCOC(C)=O OAYLNYINCPYISS-UHFFFAOYSA-N 0.000 description 3
- 238000002474 experimental method Methods 0.000 description 3
- 229960002464 fluoxetine Drugs 0.000 description 3
- SAADBVWGJQAEFS-UHFFFAOYSA-N flurazepam Chemical compound N=1CC(=O)N(CCN(CC)CC)C2=CC=C(Cl)C=C2C=1C1=CC=CC=C1F SAADBVWGJQAEFS-UHFFFAOYSA-N 0.000 description 3
- 239000011888 foil Substances 0.000 description 3
- 238000004108 freeze drying Methods 0.000 description 3
- 238000007710 freezing Methods 0.000 description 3
- 230000008014 freezing Effects 0.000 description 3
- 230000014509 gene expression Effects 0.000 description 3
- 235000011187 glycerol Nutrition 0.000 description 3
- 201000000079 gynecomastia Diseases 0.000 description 3
- CKDDRHZIAZRDBW-UHFFFAOYSA-N henicosanoic acid Chemical compound CCCCCCCCCCCCCCCCCCCCC(O)=O CKDDRHZIAZRDBW-UHFFFAOYSA-N 0.000 description 3
- KEMQGTRYUADPNZ-UHFFFAOYSA-N heptadecanoic acid Chemical compound CCCCCCCCCCCCCCCCC(O)=O KEMQGTRYUADPNZ-UHFFFAOYSA-N 0.000 description 3
- FUZZWVXGSFPDMH-UHFFFAOYSA-N hexanoic acid Chemical compound CCCCCC(O)=O FUZZWVXGSFPDMH-UHFFFAOYSA-N 0.000 description 3
- 238000002347 injection Methods 0.000 description 3
- 239000007924 injection Substances 0.000 description 3
- 208000014674 injury Diseases 0.000 description 3
- 210000004379 membrane Anatomy 0.000 description 3
- 239000012528 membrane Substances 0.000 description 3
- 229960004815 meprobamate Drugs 0.000 description 3
- 230000015689 metaplastic ossification Effects 0.000 description 3
- BDAGIHXWWSANSR-UHFFFAOYSA-N methanoic acid Natural products OC=O BDAGIHXWWSANSR-UHFFFAOYSA-N 0.000 description 3
- 229940127237 mood stabilizer Drugs 0.000 description 3
- KJONHKAYOJNZEC-UHFFFAOYSA-N nitrazepam Chemical compound C12=CC([N+](=O)[O-])=CC=C2NC(=O)CN=C1C1=CC=CC=C1 KJONHKAYOJNZEC-UHFFFAOYSA-N 0.000 description 3
- ISYWECDDZWTKFF-UHFFFAOYSA-N nonadecanoic acid Chemical compound CCCCCCCCCCCCCCCCCCC(O)=O ISYWECDDZWTKFF-UHFFFAOYSA-N 0.000 description 3
- FBUKVWPVBMHYJY-UHFFFAOYSA-N nonanoic acid Chemical compound CCCCCCCCC(O)=O FBUKVWPVBMHYJY-UHFFFAOYSA-N 0.000 description 3
- 229960001592 paclitaxel Drugs 0.000 description 3
- 239000000312 peanut oil Substances 0.000 description 3
- 239000000825 pharmaceutical preparation Substances 0.000 description 3
- 150000003905 phosphatidylinositols Chemical class 0.000 description 3
- 230000036470 plasma concentration Effects 0.000 description 3
- 230000001105 regulatory effect Effects 0.000 description 3
- 208000022610 schizoaffective disease Diseases 0.000 description 3
- VGKDLMBJGBXTGI-SJCJKPOMSA-N sertraline Chemical compound C1([C@@H]2CC[C@@H](C3=CC=CC=C32)NC)=CC=C(Cl)C(Cl)=C1 VGKDLMBJGBXTGI-SJCJKPOMSA-N 0.000 description 3
- 150000003384 small molecules Chemical class 0.000 description 3
- 229910000030 sodium bicarbonate Inorganic materials 0.000 description 3
- 235000017557 sodium bicarbonate Nutrition 0.000 description 3
- 239000011780 sodium chloride Substances 0.000 description 3
- 210000000434 stratum corneum Anatomy 0.000 description 3
- RCINICONZNJXQF-MZXODVADSA-N taxol Chemical compound O([C@@H]1[C@@]2(C[C@@H](C(C)=C(C2(C)C)[C@H](C([C@]2(C)[C@@H](O)C[C@H]3OC[C@]3([C@H]21)OC(C)=O)=O)OC(=O)C)OC(=O)[C@H](O)[C@@H](NC(=O)C=1C=CC=CC=1)C=1C=CC=CC=1)O)C(=O)C1=CC=CC=C1 RCINICONZNJXQF-MZXODVADSA-N 0.000 description 3
- JOXIMZWYDAKGHI-UHFFFAOYSA-N toluene-4-sulfonic acid Chemical compound CC1=CC=C(S(O)(=O)=O)C=C1 JOXIMZWYDAKGHI-UHFFFAOYSA-N 0.000 description 3
- 231100000331 toxic Toxicity 0.000 description 3
- 230000002588 toxic effect Effects 0.000 description 3
- XEZVDURJDFGERA-UHFFFAOYSA-N tricosanoic acid Chemical compound CCCCCCCCCCCCCCCCCCCCCCC(O)=O XEZVDURJDFGERA-UHFFFAOYSA-N 0.000 description 3
- SZHOJFHSIKHZHA-UHFFFAOYSA-N tridecanoic acid Chemical compound CCCCCCCCCCCCC(O)=O SZHOJFHSIKHZHA-UHFFFAOYSA-N 0.000 description 3
- 210000004881 tumor cell Anatomy 0.000 description 3
- 230000004614 tumor growth Effects 0.000 description 3
- NQPDZGIKBAWPEJ-UHFFFAOYSA-N valeric acid Chemical compound CCCCC(O)=O NQPDZGIKBAWPEJ-UHFFFAOYSA-N 0.000 description 3
- 235000015112 vegetable and seed oil Nutrition 0.000 description 3
- 239000008158 vegetable oil Substances 0.000 description 3
- PNVNVHUZROJLTJ-UHFFFAOYSA-N venlafaxine Chemical compound C1=CC(OC)=CC=C1C(CN(C)C)C1(O)CCCCC1 PNVNVHUZROJLTJ-UHFFFAOYSA-N 0.000 description 3
- 229960000820 zopiclone Drugs 0.000 description 3
- IGLYMJRIWWIQQE-QUOODJBBSA-N (1S,2R)-2-phenylcyclopropan-1-amine (1R,2S)-2-phenylcyclopropan-1-amine Chemical compound N[C@H]1C[C@@H]1C1=CC=CC=C1.N[C@@H]1C[C@H]1C1=CC=CC=C1 IGLYMJRIWWIQQE-QUOODJBBSA-N 0.000 description 2
- DIWRORZWFLOCLC-HNNXBMFYSA-N (3s)-7-chloro-5-(2-chlorophenyl)-3-hydroxy-1,3-dihydro-1,4-benzodiazepin-2-one Chemical compound N([C@H](C(NC1=CC=C(Cl)C=C11)=O)O)=C1C1=CC=CC=C1Cl DIWRORZWFLOCLC-HNNXBMFYSA-N 0.000 description 2
- FJIKWRGCXUCUIG-HNNXBMFYSA-N (3s)-7-chloro-5-(2-chlorophenyl)-3-hydroxy-1-methyl-3h-1,4-benzodiazepin-2-one Chemical compound O=C([C@H](O)N=1)N(C)C2=CC=C(Cl)C=C2C=1C1=CC=CC=C1Cl FJIKWRGCXUCUIG-HNNXBMFYSA-N 0.000 description 2
- YWWVWXASSLXJHU-AATRIKPKSA-N (9E)-tetradecenoic acid Chemical compound CCCC\C=C\CCCCCCCC(O)=O YWWVWXASSLXJHU-AATRIKPKSA-N 0.000 description 2
- 125000004178 (C1-C4) alkyl group Chemical group 0.000 description 2
- LKJPYSCBVHEWIU-KRWDZBQOSA-N (R)-bicalutamide Chemical compound C([C@@](O)(C)C(=O)NC=1C=C(C(C#N)=CC=1)C(F)(F)F)S(=O)(=O)C1=CC=C(F)C=C1 LKJPYSCBVHEWIU-KRWDZBQOSA-N 0.000 description 2
- WSEQXVZVJXJVFP-HXUWFJFHSA-N (R)-citalopram Chemical compound C1([C@@]2(C3=CC=C(C=C3CO2)C#N)CCCN(C)C)=CC=C(F)C=C1 WSEQXVZVJXJVFP-HXUWFJFHSA-N 0.000 description 2
- GVJHHUAWPYXKBD-UHFFFAOYSA-N (±)-α-Tocopherol Chemical class OC1=C(C)C(C)=C2OC(CCCC(C)CCCC(C)CCCC(C)C)(C)CCC2=C1C GVJHHUAWPYXKBD-UHFFFAOYSA-N 0.000 description 2
- ZUVNHKQPUCOXAA-UHFFFAOYSA-N 1-[4-(2-chloroethoxy)phenyl]-2-phenylbutan-1-one Chemical compound C=1C=CC=CC=1C(CC)C(=O)C1=CC=C(OCCCl)C=C1 ZUVNHKQPUCOXAA-UHFFFAOYSA-N 0.000 description 2
- PZNPLUBHRSSFHT-RRHRGVEJSA-N 1-hexadecanoyl-2-octadecanoyl-sn-glycero-3-phosphocholine Chemical compound CCCCCCCCCCCCCCCCCC(=O)O[C@@H](COP([O-])(=O)OCC[N+](C)(C)C)COC(=O)CCCCCCCCCCCCCCC PZNPLUBHRSSFHT-RRHRGVEJSA-N 0.000 description 2
- CXBDYQVECUFKRK-UHFFFAOYSA-N 1-methoxybutane Chemical compound CCCCOC CXBDYQVECUFKRK-UHFFFAOYSA-N 0.000 description 2
- RZRNAYUHWVFMIP-KTKRTIGZSA-N 1-oleoylglycerol Chemical compound CCCCCCCC\C=C/CCCCCCCC(=O)OCC(O)CO RZRNAYUHWVFMIP-KTKRTIGZSA-N 0.000 description 2
- LXCFWFXRQOXBHW-UHFFFAOYSA-N 17,20-Hexacosadienoic acid Natural products CCCCCC=CCC=CCCCCCCCCCCCCCCCC(O)=O LXCFWFXRQOXBHW-UHFFFAOYSA-N 0.000 description 2
- SVUOLADPCWQTTE-UHFFFAOYSA-N 1h-1,2-benzodiazepine Chemical compound N1N=CC=CC2=CC=CC=C12 SVUOLADPCWQTTE-UHFFFAOYSA-N 0.000 description 2
- LQJBNNIYVWPHFW-UHFFFAOYSA-N 20:1omega9c fatty acid Natural products CCCCCCCCCCC=CCCCCCCCC(O)=O LQJBNNIYVWPHFW-UHFFFAOYSA-N 0.000 description 2
- FHVDTGUDJYJELY-UHFFFAOYSA-N 6-{[2-carboxy-4,5-dihydroxy-6-(phosphanyloxy)oxan-3-yl]oxy}-4,5-dihydroxy-3-phosphanyloxane-2-carboxylic acid Chemical compound O1C(C(O)=O)C(P)C(O)C(O)C1OC1C(C(O)=O)OC(OP)C(O)C1O FHVDTGUDJYJELY-UHFFFAOYSA-N 0.000 description 2
- STQGQHZAVUOBTE-UHFFFAOYSA-N 7-Cyan-hept-2t-en-4,6-diinsaeure Natural products C1=2C(O)=C3C(=O)C=4C(OC)=CC=CC=4C(=O)C3=C(O)C=2CC(O)(C(C)=O)CC1OC1CC(N)C(O)C(C)O1 STQGQHZAVUOBTE-UHFFFAOYSA-N 0.000 description 2
- 206010001233 Adenoma benign Diseases 0.000 description 2
- USFZMSVCRYTOJT-UHFFFAOYSA-N Ammonium acetate Chemical compound N.CC(O)=O USFZMSVCRYTOJT-UHFFFAOYSA-N 0.000 description 2
- 239000005695 Ammonium acetate Substances 0.000 description 2
- 208000031295 Animal disease Diseases 0.000 description 2
- 206010006298 Breast pain Diseases 0.000 description 2
- 241001092081 Carpenteria Species 0.000 description 2
- 240000007311 Commiphora myrrha Species 0.000 description 2
- 235000006965 Commiphora myrrha Nutrition 0.000 description 2
- 206010010144 Completed suicide Diseases 0.000 description 2
- GHVNFZFCNZKVNT-UHFFFAOYSA-N Decanoic acid Natural products CCCCCCCCCC(O)=O GHVNFZFCNZKVNT-UHFFFAOYSA-N 0.000 description 2
- 206010012289 Dementia Diseases 0.000 description 2
- AOJJSUZBOXZQNB-TZSSRYMLSA-N Doxorubicin Chemical compound O([C@H]1C[C@@](O)(CC=2C(O)=C3C(=O)C=4C=CC=C(C=4C(=O)C3=C(O)C=21)OC)C(=O)CO)[C@H]1C[C@H](N)[C@H](O)[C@H](C)O1 AOJJSUZBOXZQNB-TZSSRYMLSA-N 0.000 description 2
- 208000012661 Dyskinesia Diseases 0.000 description 2
- 239000001856 Ethyl cellulose Substances 0.000 description 2
- ZZSNKZQZMQGXPY-UHFFFAOYSA-N Ethyl cellulose Chemical compound CCOCC1OC(OC)C(OCC)C(OCC)C1OC1C(O)C(O)C(OC)C(CO)O1 ZZSNKZQZMQGXPY-UHFFFAOYSA-N 0.000 description 2
- 208000007659 Fibroadenoma Diseases 0.000 description 2
- 206010016654 Fibrosis Diseases 0.000 description 2
- UGJMXCAKCUNAIE-UHFFFAOYSA-N Gabapentin Chemical compound OC(=O)CC1(CN)CCCCC1 UGJMXCAKCUNAIE-UHFFFAOYSA-N 0.000 description 2
- 239000004354 Hydroxyethyl cellulose Substances 0.000 description 2
- 229920000663 Hydroxyethyl cellulose Polymers 0.000 description 2
- 102100037850 Interferon gamma Human genes 0.000 description 2
- 108010074328 Interferon-gamma Proteins 0.000 description 2
- 108010020437 Ki-67 Antigen Proteins 0.000 description 2
- 102000009875 Ki-67 Antigen Human genes 0.000 description 2
- 208000008839 Kidney Neoplasms Diseases 0.000 description 2
- OYHQOLUKZRVURQ-HZJYTTRNSA-N Linoleic acid Chemical compound CCCCC\C=C/C\C=C/CCCCCCCC(O)=O OYHQOLUKZRVURQ-HZJYTTRNSA-N 0.000 description 2
- 206010058467 Lung neoplasm malignant Diseases 0.000 description 2
- OFOBLEOULBTSOW-UHFFFAOYSA-N Malonic acid Chemical compound OC(=O)CC(O)=O OFOBLEOULBTSOW-UHFFFAOYSA-N 0.000 description 2
- 208000006662 Mastodynia Diseases 0.000 description 2
- 229940123685 Monoamine oxidase inhibitor Drugs 0.000 description 2
- 108010063737 Myristoylated Alanine-Rich C Kinase Substrate Proteins 0.000 description 2
- 102000015695 Myristoylated Alanine-Rich C Kinase Substrate Human genes 0.000 description 2
- 229940121985 Non-benzodiazepine hypnotic Drugs 0.000 description 2
- 208000001132 Osteoporosis Diseases 0.000 description 2
- 208000031816 Pathologic Dilatation Diseases 0.000 description 2
- NBIIXXVUZAFLBC-UHFFFAOYSA-N Phosphoric acid Chemical compound OP(O)(O)=O NBIIXXVUZAFLBC-UHFFFAOYSA-N 0.000 description 2
- 229920001213 Polysorbate 20 Polymers 0.000 description 2
- JUJWROOIHBZHMG-UHFFFAOYSA-N Pyridine Chemical compound C1=CC=NC=C1 JUJWROOIHBZHMG-UHFFFAOYSA-N 0.000 description 2
- 206010038389 Renal cancer Diseases 0.000 description 2
- 229940121991 Serotonin and norepinephrine reuptake inhibitor Drugs 0.000 description 2
- CDBYLPFSWZWCQE-UHFFFAOYSA-L Sodium Carbonate Chemical compound [Na+].[Na+].[O-]C([O-])=O CDBYLPFSWZWCQE-UHFFFAOYSA-L 0.000 description 2
- SEQDDYPDSLOBDC-UHFFFAOYSA-N Temazepam Chemical compound N=1C(O)C(=O)N(C)C2=CC=C(Cl)C=C2C=1C1=CC=CC=C1 SEQDDYPDSLOBDC-UHFFFAOYSA-N 0.000 description 2
- KJADKKWYZYXHBB-XBWDGYHZSA-N Topiramic acid Chemical compound C1O[C@@]2(COS(N)(=O)=O)OC(C)(C)O[C@H]2[C@@H]2OC(C)(C)O[C@@H]21 KJADKKWYZYXHBB-XBWDGYHZSA-N 0.000 description 2
- YYQRGCZGSFRBAM-UHFFFAOYSA-N Triclofos Chemical compound OP(O)(=O)OCC(Cl)(Cl)Cl YYQRGCZGSFRBAM-UHFFFAOYSA-N 0.000 description 2
- 108060008682 Tumor Necrosis Factor Proteins 0.000 description 2
- 102000000852 Tumor Necrosis Factor-alpha Human genes 0.000 description 2
- SJDMTGSQPOFVLR-UHFFFAOYSA-N [10,13-dimethyl-17-(6-methylheptan-2-yl)-2,3,4,7,8,9,11,12,14,15,16,17-dodecahydro-1h-cyclopenta[a]phenanthren-3-yl] tetradecanoate Chemical class C12CCC3(C)C(C(C)CCCC(C)C)CCC3C2CC=C2C1(C)CCC(OC(=O)CCCCCCCCCCCCC)C2 SJDMTGSQPOFVLR-UHFFFAOYSA-N 0.000 description 2
- 235000011054 acetic acid Nutrition 0.000 description 2
- 239000012790 adhesive layer Substances 0.000 description 2
- 229940072056 alginate Drugs 0.000 description 2
- 235000010443 alginic acid Nutrition 0.000 description 2
- 229920000615 alginic acid Polymers 0.000 description 2
- DTOSIQBPPRVQHS-PDBXOOCHSA-N alpha-linolenic acid Chemical compound CC\C=C/C\C=C/C\C=C/CCCCCCCC(O)=O DTOSIQBPPRVQHS-PDBXOOCHSA-N 0.000 description 2
- 229960004538 alprazolam Drugs 0.000 description 2
- 230000004075 alteration Effects 0.000 description 2
- 229960000836 amitriptyline Drugs 0.000 description 2
- KRMDCWKBEZIMAB-UHFFFAOYSA-N amitriptyline Chemical compound C1CC2=CC=CC=C2C(=CCCN(C)C)C2=CC=CC=C21 KRMDCWKBEZIMAB-UHFFFAOYSA-N 0.000 description 2
- 229940043376 ammonium acetate Drugs 0.000 description 2
- 235000019257 ammonium acetate Nutrition 0.000 description 2
- 229960002519 amoxapine Drugs 0.000 description 2
- QWGDMFLQWFTERH-UHFFFAOYSA-N amoxapine Chemical compound C12=CC(Cl)=CC=C2OC2=CC=CC=C2N=C1N1CCNCC1 QWGDMFLQWFTERH-UHFFFAOYSA-N 0.000 description 2
- 238000010171 animal model Methods 0.000 description 2
- 230000001093 anti-cancer Effects 0.000 description 2
- 230000001430 anti-depressive effect Effects 0.000 description 2
- 229940046836 anti-estrogen Drugs 0.000 description 2
- 230000001028 anti-proliverative effect Effects 0.000 description 2
- 229940041181 antineoplastic drug Drugs 0.000 description 2
- 239000002249 anxiolytic agent Substances 0.000 description 2
- 230000000949 anxiolytic effect Effects 0.000 description 2
- 125000004429 atom Chemical group 0.000 description 2
- 230000002238 attenuated effect Effects 0.000 description 2
- JKOSHCYVZPCHSJ-UHFFFAOYSA-N benzene;toluene Chemical compound C1=CC=CC=C1.C1=CC=CC=C1.CC1=CC=CC=C1 JKOSHCYVZPCHSJ-UHFFFAOYSA-N 0.000 description 2
- WPYMKLBDIGXBTP-UHFFFAOYSA-N benzoic acid group Chemical group C(C1=CC=CC=C1)(=O)O WPYMKLBDIGXBTP-UHFFFAOYSA-N 0.000 description 2
- 239000002876 beta blocker Substances 0.000 description 2
- 229940097320 beta blocking agent Drugs 0.000 description 2
- 229960000997 bicalutamide Drugs 0.000 description 2
- 239000000090 biomarker Substances 0.000 description 2
- 208000028683 bipolar I disease Diseases 0.000 description 2
- 201000003149 breast fibroadenoma Diseases 0.000 description 2
- 229960002729 bromazepam Drugs 0.000 description 2
- 239000007853 buffer solution Substances 0.000 description 2
- 239000008366 buffered solution Substances 0.000 description 2
- SNPPWIUOZRMYNY-UHFFFAOYSA-N bupropion Chemical compound CC(C)(C)NC(C)C(=O)C1=CC=CC(Cl)=C1 SNPPWIUOZRMYNY-UHFFFAOYSA-N 0.000 description 2
- 229960001058 bupropion Drugs 0.000 description 2
- 229960002495 buspirone Drugs 0.000 description 2
- 239000004202 carbamide Substances 0.000 description 2
- 201000007455 central nervous system cancer Diseases 0.000 description 2
- 230000008859 change Effects 0.000 description 2
- RNFNDJAIBTYOQL-UHFFFAOYSA-N chloral hydrate Chemical compound OC(O)C(Cl)(Cl)Cl RNFNDJAIBTYOQL-UHFFFAOYSA-N 0.000 description 2
- 229960002327 chloral hydrate Drugs 0.000 description 2
- 229960004782 chlordiazepoxide Drugs 0.000 description 2
- WORJEOGGNQDSOE-UHFFFAOYSA-N chloroform;methanol Chemical compound OC.ClC(Cl)Cl WORJEOGGNQDSOE-UHFFFAOYSA-N 0.000 description 2
- OAIVIYSBZFEOIU-UHFFFAOYSA-N chloroform;propan-2-one Chemical compound CC(C)=O.ClC(Cl)Cl OAIVIYSBZFEOIU-UHFFFAOYSA-N 0.000 description 2
- 229940080277 cholesteryl sulfate Drugs 0.000 description 2
- 229960001653 citalopram Drugs 0.000 description 2
- 229960004362 clorazepate Drugs 0.000 description 2
- XDDJGVMJFWAHJX-UHFFFAOYSA-N clorazepic acid Chemical compound C12=CC(Cl)=CC=C2NC(=O)C(C(=O)O)N=C1C1=CC=CC=C1 XDDJGVMJFWAHJX-UHFFFAOYSA-N 0.000 description 2
- 208000010877 cognitive disease Diseases 0.000 description 2
- 230000001149 cognitive effect Effects 0.000 description 2
- 230000003920 cognitive function Effects 0.000 description 2
- 208000029742 colonic neoplasm Diseases 0.000 description 2
- 239000012141 concentrate Substances 0.000 description 2
- 235000008504 concentrate Nutrition 0.000 description 2
- 210000002808 connective tissue Anatomy 0.000 description 2
- STQGQHZAVUOBTE-VGBVRHCVSA-N daunorubicin Chemical compound O([C@H]1C[C@@](O)(CC=2C(O)=C3C(=O)C=4C=CC=C(C=4C(=O)C3=C(O)C=21)OC)C(C)=O)[C@H]1C[C@H](N)[C@H](O)[C@H](C)O1 STQGQHZAVUOBTE-VGBVRHCVSA-N 0.000 description 2
- 229960003914 desipramine Drugs 0.000 description 2
- 230000001627 detrimental effect Effects 0.000 description 2
- 229960003529 diazepam Drugs 0.000 description 2
- 229940061607 dibasic sodium phosphate Drugs 0.000 description 2
- WGLUMOCWFMKWIL-UHFFFAOYSA-N dichloromethane;methanol Chemical compound OC.ClCCl WGLUMOCWFMKWIL-UHFFFAOYSA-N 0.000 description 2
- 238000009792 diffusion process Methods 0.000 description 2
- 108010037444 diisopropylglutathione ester Proteins 0.000 description 2
- XBDQKXXYIPTUBI-UHFFFAOYSA-N dimethylselenoniopropionate Natural products CCC(O)=O XBDQKXXYIPTUBI-UHFFFAOYSA-N 0.000 description 2
- BNIILDVGGAEEIG-UHFFFAOYSA-L disodium hydrogen phosphate Chemical compound [Na+].[Na+].OP([O-])([O-])=O BNIILDVGGAEEIG-UHFFFAOYSA-L 0.000 description 2
- UKMSUNONTOPOIO-UHFFFAOYSA-N docosanoic acid Chemical compound CCCCCCCCCCCCCCCCCCCCCC(O)=O UKMSUNONTOPOIO-UHFFFAOYSA-N 0.000 description 2
- 239000000221 dopamine uptake inhibitor Substances 0.000 description 2
- 229960005426 doxepin Drugs 0.000 description 2
- 238000001035 drying Methods 0.000 description 2
- 229960002866 duloxetine Drugs 0.000 description 2
- 238000005516 engineering process Methods 0.000 description 2
- WSEQXVZVJXJVFP-FQEVSTJZSA-N escitalopram Chemical compound C1([C@]2(C3=CC=C(C=C3CO2)C#N)CCCN(C)C)=CC=C(F)C=C1 WSEQXVZVJXJVFP-FQEVSTJZSA-N 0.000 description 2
- 229960004341 escitalopram Drugs 0.000 description 2
- 150000002170 ethers Chemical class 0.000 description 2
- 235000019325 ethyl cellulose Nutrition 0.000 description 2
- 229920001249 ethyl cellulose Polymers 0.000 description 2
- 230000008020 evaporation Effects 0.000 description 2
- 239000003925 fat Substances 0.000 description 2
- 235000019197 fats Nutrition 0.000 description 2
- 150000002191 fatty alcohols Chemical class 0.000 description 2
- 230000004761 fibrosis Effects 0.000 description 2
- 239000000706 filtrate Substances 0.000 description 2
- 229960002200 flunitrazepam Drugs 0.000 description 2
- 229960003528 flurazepam Drugs 0.000 description 2
- 239000006260 foam Substances 0.000 description 2
- 235000010382 gamma-tocopherol Nutrition 0.000 description 2
- 239000012362 glacial acetic acid Substances 0.000 description 2
- 210000004907 gland Anatomy 0.000 description 2
- 230000000762 glandular Effects 0.000 description 2
- KWIUHFFTVRNATP-UHFFFAOYSA-N glycine betaine Chemical compound C[N+](C)(C)CC([O-])=O KWIUHFFTVRNATP-UHFFFAOYSA-N 0.000 description 2
- 230000012010 growth Effects 0.000 description 2
- 230000009036 growth inhibition Effects 0.000 description 2
- 230000009931 harmful effect Effects 0.000 description 2
- 230000036571 hydration Effects 0.000 description 2
- 238000006703 hydration reaction Methods 0.000 description 2
- 229930195733 hydrocarbon Natural products 0.000 description 2
- 150000002430 hydrocarbons Chemical class 0.000 description 2
- 150000004679 hydroxides Chemical class 0.000 description 2
- 125000002887 hydroxy group Chemical group [H]O* 0.000 description 2
- 235000019447 hydroxyethyl cellulose Nutrition 0.000 description 2
- 235000010979 hydroxypropyl methyl cellulose Nutrition 0.000 description 2
- 239000001866 hydroxypropyl methyl cellulose Substances 0.000 description 2
- 229920003088 hydroxypropyl methyl cellulose Polymers 0.000 description 2
- UFVKGYZPFZQRLF-UHFFFAOYSA-N hydroxypropyl methyl cellulose Chemical compound OC1C(O)C(OC)OC(CO)C1OC1C(O)C(O)C(OC2C(C(O)C(OC3C(C(O)C(O)C(CO)O3)O)C(CO)O2)O)C(CO)O1 UFVKGYZPFZQRLF-UHFFFAOYSA-N 0.000 description 2
- BCGWQEUPMDMJNV-UHFFFAOYSA-N imipramine Chemical compound C1CC2=CC=CC=C2N(CCCN(C)C)C2=CC=CC=C21 BCGWQEUPMDMJNV-UHFFFAOYSA-N 0.000 description 2
- 229960004801 imipramine Drugs 0.000 description 2
- 230000000984 immunochemical effect Effects 0.000 description 2
- 230000001771 impaired effect Effects 0.000 description 2
- 230000001965 increasing effect Effects 0.000 description 2
- 238000011835 investigation Methods 0.000 description 2
- 229960002672 isocarboxazid Drugs 0.000 description 2
- 150000002576 ketones Chemical class 0.000 description 2
- 201000010982 kidney cancer Diseases 0.000 description 2
- 229940001447 lactate Drugs 0.000 description 2
- JVTAAEKCZFNVCJ-UHFFFAOYSA-N lactic acid Chemical compound CC(O)C(O)=O JVTAAEKCZFNVCJ-UHFFFAOYSA-N 0.000 description 2
- PYZRQGJRPPTADH-UHFFFAOYSA-N lamotrigine Chemical compound NC1=NC(N)=NN=C1C1=CC=CC(Cl)=C1Cl PYZRQGJRPPTADH-UHFFFAOYSA-N 0.000 description 2
- 230000000670 limiting effect Effects 0.000 description 2
- 239000007788 liquid Substances 0.000 description 2
- 230000007774 longterm Effects 0.000 description 2
- UTEFBSAVJNEPTR-RGEXLXHISA-N loprazolam Chemical compound C1CN(C)CCN1\C=C/1C(=O)N2C3=CC=C([N+]([O-])=O)C=C3C(C=3C(=CC=CC=3)Cl)=NCC2=N\1 UTEFBSAVJNEPTR-RGEXLXHISA-N 0.000 description 2
- 229960003019 loprazolam Drugs 0.000 description 2
- 229960004391 lorazepam Drugs 0.000 description 2
- 229960004033 lormetazepam Drugs 0.000 description 2
- 201000005202 lung cancer Diseases 0.000 description 2
- 208000020816 lung neoplasm Diseases 0.000 description 2
- 229910052749 magnesium Inorganic materials 0.000 description 2
- 239000011777 magnesium Substances 0.000 description 2
- 230000003211 malignant effect Effects 0.000 description 2
- 229960004090 maprotiline Drugs 0.000 description 2
- QSLMDECMDJKHMQ-GSXCWMCISA-N maprotiline Chemical compound C12=CC=CC=C2[C@@]2(CCCNC)C3=CC=CC=C3[C@@H]1CC2 QSLMDECMDJKHMQ-GSXCWMCISA-N 0.000 description 2
- 230000001404 mediated effect Effects 0.000 description 2
- 201000001441 melanoma Diseases 0.000 description 2
- 229960001785 mirtazapine Drugs 0.000 description 2
- 239000002899 monoamine oxidase inhibitor Substances 0.000 description 2
- 229940045641 monobasic sodium phosphate Drugs 0.000 description 2
- 229910000403 monosodium phosphate Inorganic materials 0.000 description 2
- 235000019799 monosodium phosphate Nutrition 0.000 description 2
- 230000035772 mutation Effects 0.000 description 2
- WQEPLUUGTLDZJY-UHFFFAOYSA-N n-Pentadecanoic acid Natural products CCCCCCCCCCCCCCC(O)=O WQEPLUUGTLDZJY-UHFFFAOYSA-N 0.000 description 2
- 229960001454 nitrazepam Drugs 0.000 description 2
- 239000002767 noradrenalin uptake inhibitor Substances 0.000 description 2
- 229960001158 nortriptyline Drugs 0.000 description 2
- ZQPPMHVWECSIRJ-KTKRTIGZSA-N oleic acid Chemical compound CCCCCCCC\C=C/CCCCCCCC(O)=O ZQPPMHVWECSIRJ-KTKRTIGZSA-N 0.000 description 2
- 150000007524 organic acids Chemical class 0.000 description 2
- 230000027758 ovulation cycle Effects 0.000 description 2
- 229940039748 oxalate Drugs 0.000 description 2
- ADIMAYPTOBDMTL-UHFFFAOYSA-N oxazepam Chemical compound C12=CC(Cl)=CC=C2NC(=O)C(O)N=C1C1=CC=CC=C1 ADIMAYPTOBDMTL-UHFFFAOYSA-N 0.000 description 2
- 229960004535 oxazepam Drugs 0.000 description 2
- CTRLABGOLIVAIY-UHFFFAOYSA-N oxcarbazepine Chemical compound C1C(=O)C2=CC=CC=C2N(C(=O)N)C2=CC=CC=C21 CTRLABGOLIVAIY-UHFFFAOYSA-N 0.000 description 2
- SECPZKHBENQXJG-FPLPWBNLSA-N palmitoleic acid Chemical compound CCCCCC\C=C/CCCCCCCC(O)=O SECPZKHBENQXJG-FPLPWBNLSA-N 0.000 description 2
- 230000001575 pathological effect Effects 0.000 description 2
- 230000007310 pathophysiology Effects 0.000 description 2
- 239000008194 pharmaceutical composition Substances 0.000 description 2
- 229960000964 phenelzine Drugs 0.000 description 2
- 239000008363 phosphate buffer Substances 0.000 description 2
- 238000000053 physical method Methods 0.000 description 2
- 239000000902 placebo Substances 0.000 description 2
- 229940068196 placebo Drugs 0.000 description 2
- 229920001983 poloxamer Polymers 0.000 description 2
- 235000010486 polyoxyethylene sorbitan monolaurate Nutrition 0.000 description 2
- 239000000256 polyoxyethylene sorbitan monolaurate Substances 0.000 description 2
- 239000003755 preservative agent Substances 0.000 description 2
- 230000008569 process Effects 0.000 description 2
- BWPIARFWQZKAIA-UHFFFAOYSA-N protriptyline Chemical compound C1=CC2=CC=CC=C2C(CCCNC)C2=CC=CC=C21 BWPIARFWQZKAIA-UHFFFAOYSA-N 0.000 description 2
- 229960002601 protriptyline Drugs 0.000 description 2
- 238000010992 reflux Methods 0.000 description 2
- 229920006395 saturated elastomer Polymers 0.000 description 2
- 150000004671 saturated fatty acids Chemical class 0.000 description 2
- MEZLKOACVSPNER-GFCCVEGCSA-N selegiline Chemical compound C#CCN(C)[C@H](C)CC1=CC=CC=C1 MEZLKOACVSPNER-GFCCVEGCSA-N 0.000 description 2
- 238000000926 separation method Methods 0.000 description 2
- QZAYGJVTTNCVMB-UHFFFAOYSA-N serotonin Chemical compound C1=C(O)C=C2C(CCN)=CNC2=C1 QZAYGJVTTNCVMB-UHFFFAOYSA-N 0.000 description 2
- 229960002073 sertraline Drugs 0.000 description 2
- 210000002966 serum Anatomy 0.000 description 2
- 230000011664 signaling Effects 0.000 description 2
- 210000000813 small intestine Anatomy 0.000 description 2
- 239000001509 sodium citrate Substances 0.000 description 2
- NLJMYIDDQXHKNR-UHFFFAOYSA-K sodium citrate Chemical compound O.O.[Na+].[Na+].[Na+].[O-]C(=O)CC(O)(CC([O-])=O)C([O-])=O NLJMYIDDQXHKNR-UHFFFAOYSA-K 0.000 description 2
- AJPJDKMHJJGVTQ-UHFFFAOYSA-M sodium dihydrogen phosphate Chemical compound [Na+].OP(O)([O-])=O AJPJDKMHJJGVTQ-UHFFFAOYSA-M 0.000 description 2
- ZDQYSKICYIVCPN-UHFFFAOYSA-L sodium succinate (anhydrous) Chemical compound [Na+].[Na+].[O-]C(=O)CCC([O-])=O ZDQYSKICYIVCPN-UHFFFAOYSA-L 0.000 description 2
- 239000008347 soybean phospholipid Substances 0.000 description 2
- 239000007921 spray Substances 0.000 description 2
- 239000003381 stabilizer Substances 0.000 description 2
- 238000010561 standard procedure Methods 0.000 description 2
- 230000004936 stimulating effect Effects 0.000 description 2
- 239000000758 substrate Substances 0.000 description 2
- 230000009469 supplementation Effects 0.000 description 2
- 239000000829 suppository Substances 0.000 description 2
- 230000009885 systemic effect Effects 0.000 description 2
- 229960003188 temazepam Drugs 0.000 description 2
- QZZGJDVWLFXDLK-UHFFFAOYSA-N tetracosanoic acid Chemical compound CCCCCCCCCCCCCCCCCCCCCCCC(O)=O QZZGJDVWLFXDLK-UHFFFAOYSA-N 0.000 description 2
- TUNFSRHWOTWDNC-UHFFFAOYSA-N tetradecanoic acid Chemical compound CCCCCCCCCCCCCC(O)=O TUNFSRHWOTWDNC-UHFFFAOYSA-N 0.000 description 2
- 231100000041 toxicology testing Toxicity 0.000 description 2
- VZCYOOQTPOCHFL-UHFFFAOYSA-N trans-butenedioic acid Natural products OC(=O)C=CC(O)=O VZCYOOQTPOCHFL-UHFFFAOYSA-N 0.000 description 2
- 229960003741 tranylcypromine Drugs 0.000 description 2
- 230000008733 trauma Effects 0.000 description 2
- 229960003991 trazodone Drugs 0.000 description 2
- PHLBKPHSAVXXEF-UHFFFAOYSA-N trazodone Chemical compound ClC1=CC=CC(N2CCN(CCCN3C(N4C=CC=CC4=N3)=O)CC2)=C1 PHLBKPHSAVXXEF-UHFFFAOYSA-N 0.000 description 2
- 229960001147 triclofos Drugs 0.000 description 2
- 239000003029 tricyclic antidepressant agent Substances 0.000 description 2
- ZSCDBOWYZJWBIY-UHFFFAOYSA-N trimipramine Chemical compound C1CC2=CC=CC=C2N(CC(CN(C)C)C)C2=CC=CC=C21 ZSCDBOWYZJWBIY-UHFFFAOYSA-N 0.000 description 2
- 229960002431 trimipramine Drugs 0.000 description 2
- RYFMWSXOAZQYPI-UHFFFAOYSA-K trisodium phosphate Chemical compound [Na+].[Na+].[Na+].[O-]P([O-])([O-])=O RYFMWSXOAZQYPI-UHFFFAOYSA-K 0.000 description 2
- 230000001836 utereotrophic effect Effects 0.000 description 2
- 210000004291 uterus Anatomy 0.000 description 2
- 229960004688 venlafaxine Drugs 0.000 description 2
- 238000005303 weighing Methods 0.000 description 2
- MVWVFYHBGMAFLY-UHFFFAOYSA-N ziprasidone Chemical compound C1=CC=C2C(N3CCN(CC3)CCC3=CC=4CC(=O)NC=4C=C3Cl)=NSC2=C1 MVWVFYHBGMAFLY-UHFFFAOYSA-N 0.000 description 2
- ZAFYATHCZYHLPB-UHFFFAOYSA-N zolpidem Chemical compound N1=C2C=CC(C)=CN2C(CC(=O)N(C)C)=C1C1=CC=C(C)C=C1 ZAFYATHCZYHLPB-UHFFFAOYSA-N 0.000 description 2
- 229960001475 zolpidem Drugs 0.000 description 2
- 150000003785 γ-tocopherols Chemical class 0.000 description 2
- LSPHULWDVZXLIL-UHFFFAOYSA-N (+/-)-Camphoric acid Chemical compound CC1(C)C(C(O)=O)CCC1(C)C(O)=O LSPHULWDVZXLIL-UHFFFAOYSA-N 0.000 description 1
- SFLSHLFXELFNJZ-QMMMGPOBSA-N (-)-norepinephrine Chemical compound NC[C@H](O)C1=CC=C(O)C(O)=C1 SFLSHLFXELFNJZ-QMMMGPOBSA-N 0.000 description 1
- GKJZMAHZJGSBKD-UHFFFAOYSA-N (10E,12E)-Octadeca-9,11-dienoic acid Natural products CCCCCC=CC=CCCCCCCCCC(O)=O GKJZMAHZJGSBKD-UHFFFAOYSA-N 0.000 description 1
- GKJZMAHZJGSBKD-BLHCBFLLSA-N (10e,12e)-octadeca-10,12-dienoic acid Chemical compound CCCCC\C=C\C=C\CCCCCCCCC(O)=O GKJZMAHZJGSBKD-BLHCBFLLSA-N 0.000 description 1
- BITHHVVYSMSWAG-KTKRTIGZSA-N (11Z)-icos-11-enoic acid Chemical compound CCCCCCCC\C=C/CCCCCCCCCC(O)=O BITHHVVYSMSWAG-KTKRTIGZSA-N 0.000 description 1
- XSXIVVZCUAHUJO-AVQMFFATSA-N (11e,14e)-icosa-11,14-dienoic acid Chemical compound CCCCC\C=C\C\C=C\CCCCCCCCCC(O)=O XSXIVVZCUAHUJO-AVQMFFATSA-N 0.000 description 1
- YZOUYRAONFXZSI-SBHWVFSVSA-N (1S,3R,5R,6R,8R,10R,11R,13R,15R,16R,18R,20R,21R,23R,25R,26R,28R,30R,31S,33R,35R,36R,37S,38R,39S,40R,41S,42R,43S,44R,45S,46R,47S,48R,49S)-5,10,15,20,25,30,35-heptakis(hydroxymethyl)-37,39,40,41,42,43,44,45,46,47,48,49-dodecamethoxy-2,4,7,9,12,14,17,19,22,24,27,29,32,34-tetradecaoxaoctacyclo[31.2.2.23,6.28,11.213,16.218,21.223,26.228,31]nonatetracontane-36,38-diol Chemical compound O([C@@H]([C@H]([C@@H]1OC)OC)O[C@H]2[C@@H](O)[C@@H]([C@@H](O[C@@H]3[C@@H](CO)O[C@@H]([C@H]([C@@H]3O)OC)O[C@@H]3[C@@H](CO)O[C@@H]([C@H]([C@@H]3OC)OC)O[C@@H]3[C@@H](CO)O[C@@H]([C@H]([C@@H]3OC)OC)O[C@@H]3[C@@H](CO)O[C@@H]([C@H]([C@@H]3OC)OC)O3)O[C@@H]2CO)OC)[C@H](CO)[C@H]1O[C@@H]1[C@@H](OC)[C@H](OC)[C@H]3[C@@H](CO)O1 YZOUYRAONFXZSI-SBHWVFSVSA-N 0.000 description 1
- KTGRHKOEFSJQNS-BDQAORGHSA-N (1s)-1-[3-(dimethylamino)propyl]-1-(4-fluorophenyl)-3h-2-benzofuran-5-carbonitrile;oxalic acid Chemical compound OC(=O)C(O)=O.C1([C@]2(C3=CC=C(C=C3CO2)C#N)CCCN(C)C)=CC=C(F)C=C1 KTGRHKOEFSJQNS-BDQAORGHSA-N 0.000 description 1
- LNAZSHAWQACDHT-XIYTZBAFSA-N (2r,3r,4s,5r,6s)-4,5-dimethoxy-2-(methoxymethyl)-3-[(2s,3r,4s,5r,6r)-3,4,5-trimethoxy-6-(methoxymethyl)oxan-2-yl]oxy-6-[(2r,3r,4s,5r,6r)-4,5,6-trimethoxy-2-(methoxymethyl)oxan-3-yl]oxyoxane Chemical compound CO[C@@H]1[C@@H](OC)[C@H](OC)[C@@H](COC)O[C@H]1O[C@H]1[C@H](OC)[C@@H](OC)[C@H](O[C@H]2[C@@H]([C@@H](OC)[C@H](OC)O[C@@H]2COC)OC)O[C@@H]1COC LNAZSHAWQACDHT-XIYTZBAFSA-N 0.000 description 1
- MZOFCQQQCNRIBI-VMXHOPILSA-N (3s)-4-[[(2s)-1-[[(2s)-1-[[(1s)-1-carboxy-2-hydroxyethyl]amino]-4-methyl-1-oxopentan-2-yl]amino]-5-(diaminomethylideneamino)-1-oxopentan-2-yl]amino]-3-[[2-[[(2s)-2,6-diaminohexanoyl]amino]acetyl]amino]-4-oxobutanoic acid Chemical compound OC[C@@H](C(O)=O)NC(=O)[C@H](CC(C)C)NC(=O)[C@H](CCCN=C(N)N)NC(=O)[C@H](CC(O)=O)NC(=O)CNC(=O)[C@@H](N)CCCCN MZOFCQQQCNRIBI-VMXHOPILSA-N 0.000 description 1
- UNSRRHDPHVZAHH-WYTUUNCASA-N (5e,8e,11e)-icosa-5,8,11-trienoic acid Chemical compound CCCCCCCC\C=C\C\C=C\C\C=C\CCCC(O)=O UNSRRHDPHVZAHH-WYTUUNCASA-N 0.000 description 1
- YEBDWAHEIMUJQT-JOFGQBEXSA-N (5z)-icosa-5,8,11,14-tetraenoic acid;(5z,8z,11z,14z)-icosa-5,8,11,14-tetraenoic acid Chemical compound CCCCCC=CCC=CCC=CC\C=C/CCCC(O)=O.CCCCC\C=C/C\C=C/C\C=C/C\C=C/CCCC(O)=O YEBDWAHEIMUJQT-JOFGQBEXSA-N 0.000 description 1
- KBGYPXOSNDMZRV-UHFFFAOYSA-N (7Z,10Z,13Z)-hexadecatrienoic acid Natural products CCC=CCC=CCC=CCCCCCC(O)=O KBGYPXOSNDMZRV-UHFFFAOYSA-N 0.000 description 1
- RVEKLXYYCHAMDF-UHFFFAOYSA-N (9Z,12Z)-9,12-hexadecadienoic acid Natural products CCCC=CCC=CCCCCCCCC(O)=O RVEKLXYYCHAMDF-UHFFFAOYSA-N 0.000 description 1
- WRIDQFICGBMAFQ-UHFFFAOYSA-N (E)-8-Octadecenoic acid Natural products CCCCCCCCCC=CCCCCCCC(O)=O WRIDQFICGBMAFQ-UHFFFAOYSA-N 0.000 description 1
- KWTSXDURSIMDCE-QMMMGPOBSA-N (S)-amphetamine Chemical compound C[C@H](N)CC1=CC=CC=C1 KWTSXDURSIMDCE-QMMMGPOBSA-N 0.000 description 1
- KSDMISMEMOGBFU-UHFFFAOYSA-N (all-Z)-7,10,13-Eicosatrienoic acid Natural products CCCCCCC=CCC=CCC=CCCCCCC(O)=O KSDMISMEMOGBFU-UHFFFAOYSA-N 0.000 description 1
- WSLDOOZREJYCGB-UHFFFAOYSA-N 1,2-Dichloroethane Chemical compound ClCCCl WSLDOOZREJYCGB-UHFFFAOYSA-N 0.000 description 1
- LZLVZIFMYXDKCN-QJWFYWCHSA-N 1,2-di-O-arachidonoyl-sn-glycero-3-phosphocholine Chemical compound CCCCC\C=C/C\C=C/C\C=C/C\C=C/CCCC(=O)OC[C@H](COP([O-])(=O)OCC[N+](C)(C)C)OC(=O)CCC\C=C/C\C=C/C\C=C/C\C=C/CCCCC LZLVZIFMYXDKCN-QJWFYWCHSA-N 0.000 description 1
- KILNVBDSWZSGLL-KXQOOQHDSA-N 1,2-dihexadecanoyl-sn-glycero-3-phosphocholine Chemical compound CCCCCCCCCCCCCCCC(=O)OC[C@H](COP([O-])(=O)OCC[N+](C)(C)C)OC(=O)CCCCCCCCCCCCCCC KILNVBDSWZSGLL-KXQOOQHDSA-N 0.000 description 1
- ZQBULZYTDGUSSK-KRWDZBQOSA-N 1,2-dioctanoyl-sn-glycerol Chemical compound CCCCCCCC(=O)OC[C@H](CO)OC(=O)CCCCCCC ZQBULZYTDGUSSK-KRWDZBQOSA-N 0.000 description 1
- SNKAWJBJQDLSFF-NVKMUCNASA-N 1,2-dioleoyl-sn-glycero-3-phosphocholine Chemical compound CCCCCCCC\C=C/CCCCCCCC(=O)OC[C@H](COP([O-])(=O)OCC[N+](C)(C)C)OC(=O)CCCCCCC\C=C/CCCCCCCC SNKAWJBJQDLSFF-NVKMUCNASA-N 0.000 description 1
- NRJAVPSFFCBXDT-HUESYALOSA-N 1,2-distearoyl-sn-glycero-3-phosphocholine Chemical compound CCCCCCCCCCCCCCCCCC(=O)OC[C@H](COP([O-])(=O)OCC[N+](C)(C)C)OC(=O)CCCCCCCCCCCCCCCCC NRJAVPSFFCBXDT-HUESYALOSA-N 0.000 description 1
- HDMUXVXYOCZZDB-UHFFFAOYSA-N 1-[2-(2-chloroethoxy)phenyl]-1-phenylbutan-2-one Chemical compound C=1C=CC=C(OCCCl)C=1C(C(=O)CC)C1=CC=CC=C1 HDMUXVXYOCZZDB-UHFFFAOYSA-N 0.000 description 1
- WSEQXVZVJXJVFP-UHFFFAOYSA-N 1-[3-(dimethylamino)propyl]-1-(4-fluorophenyl)-1,3-dihydro-2-benzofuran-5-carbonitrile Chemical compound O1CC2=CC(C#N)=CC=C2C1(CCCN(C)C)C1=CC=C(F)C=C1 WSEQXVZVJXJVFP-UHFFFAOYSA-N 0.000 description 1
- GYSCBCSGKXNZRH-UHFFFAOYSA-N 1-benzothiophene-2-carboxamide Chemical compound C1=CC=C2SC(C(=O)N)=CC2=C1 GYSCBCSGKXNZRH-UHFFFAOYSA-N 0.000 description 1
- IIZPXYDJLKNOIY-JXPKJXOSSA-N 1-palmitoyl-2-arachidonoyl-sn-glycero-3-phosphocholine Chemical compound CCCCCCCCCCCCCCCC(=O)OC[C@H](COP([O-])(=O)OCC[N+](C)(C)C)OC(=O)CCC\C=C/C\C=C/C\C=C/C\C=C/CCCCC IIZPXYDJLKNOIY-JXPKJXOSSA-N 0.000 description 1
- OQCDKBAXFALNLD-UHFFFAOYSA-N 10-Methyl-heptadecanoic acid Chemical compound CCCCCCCC(C)CCCCCCCCC(O)=O OQCDKBAXFALNLD-UHFFFAOYSA-N 0.000 description 1
- FRPZMMHWLSIFAZ-UHFFFAOYSA-N 10-undecenoic acid Chemical compound OC(=O)CCCCCCCCC=C FRPZMMHWLSIFAZ-UHFFFAOYSA-N 0.000 description 1
- PARCICAYFORNPH-UHFFFAOYSA-N 12-tridecenoic acid Chemical compound OC(=O)CCCCCCCCCCC=C PARCICAYFORNPH-UHFFFAOYSA-N 0.000 description 1
- HVGRZDASOHMCSK-AVQMFFATSA-N 13,16-docosadienoic acid Chemical compound CCCCC\C=C\C\C=C\CCCCCCCCCCCC(O)=O HVGRZDASOHMCSK-AVQMFFATSA-N 0.000 description 1
- QHQZEEGNGSZBOL-UHFFFAOYSA-N 2-(aminomethyl)-2-(hydroxymethyl)propane-1,3-diol Chemical compound NCC(CO)(CO)CO QHQZEEGNGSZBOL-UHFFFAOYSA-N 0.000 description 1
- KISWVXRQTGLFGD-UHFFFAOYSA-N 2-[[2-[[6-amino-2-[[2-[[2-[[5-amino-2-[[2-[[1-[2-[[6-amino-2-[(2,5-diamino-5-oxopentanoyl)amino]hexanoyl]amino]-5-(diaminomethylideneamino)pentanoyl]pyrrolidine-2-carbonyl]amino]-3-hydroxypropanoyl]amino]-5-oxopentanoyl]amino]-5-(diaminomethylideneamino)p Chemical compound C1CCN(C(=O)C(CCCN=C(N)N)NC(=O)C(CCCCN)NC(=O)C(N)CCC(N)=O)C1C(=O)NC(CO)C(=O)NC(CCC(N)=O)C(=O)NC(CCCN=C(N)N)C(=O)NC(CO)C(=O)NC(CCCCN)C(=O)NC(C(=O)NC(CC(C)C)C(O)=O)CC1=CC=C(O)C=C1 KISWVXRQTGLFGD-UHFFFAOYSA-N 0.000 description 1
- ABFPKTQEQNICFT-UHFFFAOYSA-M 2-chloro-1-methylpyridin-1-ium;iodide Chemical compound [I-].C[N+]1=CC=CC=C1Cl ABFPKTQEQNICFT-UHFFFAOYSA-M 0.000 description 1
- 229940080296 2-naphthalenesulfonate Drugs 0.000 description 1
- HQSBWLQFLLMPKC-BNFZFUHLSA-N 2E,4E-Dodecadienoic acid Chemical compound CCCCCCC\C=C\C=C\C(O)=O HQSBWLQFLLMPKC-BNFZFUHLSA-N 0.000 description 1
- ZRPLANDPDWYOMZ-UHFFFAOYSA-N 3-cyclopentylpropionic acid Chemical compound OC(=O)CCC1CCCC1 ZRPLANDPDWYOMZ-UHFFFAOYSA-N 0.000 description 1
- WDBQJSCPCGTAFG-QHCPKHFHSA-N 4,4-difluoro-N-[(1S)-3-[4-(3-methyl-5-propan-2-yl-1,2,4-triazol-4-yl)piperidin-1-yl]-1-pyridin-3-ylpropyl]cyclohexane-1-carboxamide Chemical compound FC1(CCC(CC1)C(=O)N[C@@H](CCN1CCC(CC1)N1C(=NN=C1C)C(C)C)C=1C=NC=CC=1)F WDBQJSCPCGTAFG-QHCPKHFHSA-N 0.000 description 1
- BWGRDBSNKQABCB-UHFFFAOYSA-N 4,4-difluoro-N-[3-[3-(3-methyl-5-propan-2-yl-1,2,4-triazol-4-yl)-8-azabicyclo[3.2.1]octan-8-yl]-1-thiophen-2-ylpropyl]cyclohexane-1-carboxamide Chemical compound CC(C)C1=NN=C(C)N1C1CC2CCC(C1)N2CCC(NC(=O)C1CCC(F)(F)CC1)C1=CC=CS1 BWGRDBSNKQABCB-UHFFFAOYSA-N 0.000 description 1
- AVKOENOBFIYBSA-GUTOPQIJSA-N 4,7,10,13,16-Docosapentaenoic acid Chemical compound CCCCC\C=C\C\C=C\C\C=C\C\C=C\C\C=C\CCC(O)=O AVKOENOBFIYBSA-GUTOPQIJSA-N 0.000 description 1
- AVKOENOBFIYBSA-UHFFFAOYSA-N 4,7,10,13,16-Docosapentaenoic acid Natural products CCCCCC=CCC=CCC=CCC=CCC=CCCC(O)=O AVKOENOBFIYBSA-UHFFFAOYSA-N 0.000 description 1
- OSWFIVFLDKOXQC-UHFFFAOYSA-N 4-(3-methoxyphenyl)aniline Chemical compound COC1=CC=CC(C=2C=CC(N)=CC=2)=C1 OSWFIVFLDKOXQC-UHFFFAOYSA-N 0.000 description 1
- CYDQOEWLBCCFJZ-UHFFFAOYSA-N 4-(4-fluorophenyl)oxane-4-carboxylic acid Chemical compound C=1C=C(F)C=CC=1C1(C(=O)O)CCOCC1 CYDQOEWLBCCFJZ-UHFFFAOYSA-N 0.000 description 1
- MHJBZVSGOZTKRH-OCOZRVBESA-N 4-[(e)-1-[4-[2-(methylamino)ethoxy]phenyl]-2-phenylbut-1-enyl]phenol Chemical compound C=1C=CC=CC=1C(/CC)=C(C=1C=CC(OCCNC)=CC=1)\C1=CC=C(O)C=C1 MHJBZVSGOZTKRH-OCOZRVBESA-N 0.000 description 1
- IDPUKCWIGUEADI-UHFFFAOYSA-N 5-[bis(2-chloroethyl)amino]uracil Chemical compound ClCCN(CCCl)C1=CNC(=O)NC1=O IDPUKCWIGUEADI-UHFFFAOYSA-N 0.000 description 1
- GBSVAUZPMIQVJE-OSWCZRQLSA-N 6,10,14,18-eicosatetraenoic acid Chemical compound C\C=C\CC\C=C\CC\C=C\CC\C=C\CCCCC(O)=O GBSVAUZPMIQVJE-OSWCZRQLSA-N 0.000 description 1
- OKBAWLHHZWRDBE-UHFFFAOYSA-N 6,9,12,15-hexadecatetraenoic acid Natural products OC(=O)CCCCC=CCC=CCC=CCC=C OKBAWLHHZWRDBE-UHFFFAOYSA-N 0.000 description 1
- UNSRRHDPHVZAHH-UHFFFAOYSA-N 6beta,11alpha-Dihydroxy-3alpha,5alpha-cyclopregnan-20-on Natural products CCCCCCCCC=CCC=CCC=CCCCC(O)=O UNSRRHDPHVZAHH-UHFFFAOYSA-N 0.000 description 1
- KBGYPXOSNDMZRV-IUQGRGSQSA-N 7,10,13-hexadecatrienoic acid Chemical compound CC\C=C\C\C=C\C\C=C\CCCCCC(O)=O KBGYPXOSNDMZRV-IUQGRGSQSA-N 0.000 description 1
- FJHBVJOVLFPMQE-QFIPXVFZSA-N 7-Ethyl-10-Hydroxy-Camptothecin Chemical compound C1=C(O)C=C2C(CC)=C(CN3C(C4=C([C@@](C(=O)OC4)(O)CC)C=C33)=O)C3=NC2=C1 FJHBVJOVLFPMQE-QFIPXVFZSA-N 0.000 description 1
- ZCYVEMRRCGMTRW-UHFFFAOYSA-N 7553-56-2 Chemical compound [I] ZCYVEMRRCGMTRW-UHFFFAOYSA-N 0.000 description 1
- SGTUDMPUJCDZHD-RDQFZKTJSA-N 8,12,16,19-Docosatetraenoic acid Chemical compound CC\C=C\C\C=C\CC\C=C\CC\C=C\CCCCCCC(O)=O SGTUDMPUJCDZHD-RDQFZKTJSA-N 0.000 description 1
- SKXYWXJIOLLVCT-UHFFFAOYSA-N 8-methyl lauric acid Chemical compound CCCCC(C)CCCCCCC(O)=O SKXYWXJIOLLVCT-UHFFFAOYSA-N 0.000 description 1
- RVEKLXYYCHAMDF-AOSYACOCSA-N 9,12-Hexadecadienoic acid Chemical compound CCC\C=C\C\C=C\CCCCCCCC(O)=O RVEKLXYYCHAMDF-AOSYACOCSA-N 0.000 description 1
- QSBYPNXLFMSGKH-UHFFFAOYSA-N 9-Heptadecensaeure Natural products CCCCCCCC=CCCCCCCCC(O)=O QSBYPNXLFMSGKH-UHFFFAOYSA-N 0.000 description 1
- YWWVWXASSLXJHU-UHFFFAOYSA-N 9E-tetradecenoic acid Natural products CCCCC=CCCCCCCCC(O)=O YWWVWXASSLXJHU-UHFFFAOYSA-N 0.000 description 1
- NIXOWILDQLNWCW-UHFFFAOYSA-N Acrylic acid Chemical compound OC(=O)C=C NIXOWILDQLNWCW-UHFFFAOYSA-N 0.000 description 1
- 241000251468 Actinopterygii Species 0.000 description 1
- 206010067484 Adverse reaction Diseases 0.000 description 1
- 235000019489 Almond oil Nutrition 0.000 description 1
- 229930183010 Amphotericin Natural products 0.000 description 1
- QGGFZZLFKABGNL-UHFFFAOYSA-N Amphotericin A Natural products OC1C(N)C(O)C(C)OC1OC1C=CC=CC=CC=CCCC=CC=CC(C)C(O)C(C)C(C)OC(=O)CC(O)CC(O)CCC(O)C(O)CC(O)CC(O)(CC(O)C2C(O)=O)OC2C1 QGGFZZLFKABGNL-UHFFFAOYSA-N 0.000 description 1
- 244000144730 Amygdalus persica Species 0.000 description 1
- 206010002091 Anaesthesia Diseases 0.000 description 1
- 208000031873 Animal Disease Models Diseases 0.000 description 1
- IMXSFYNMSOULQS-UHFFFAOYSA-N Arachidonsaeure-cholesterylester Chemical class C12CCC3(C)C(C(C)CCCC(C)C)CCC3C2CC=C2C1(C)CCC(OC(=O)CCCC=CCC=CCC=CCC=CCCCCC)C2 IMXSFYNMSOULQS-UHFFFAOYSA-N 0.000 description 1
- CEUORZQYGODEFX-UHFFFAOYSA-N Aripirazole Chemical compound ClC1=CC=CC(N2CCN(CCCCOC=3C=C4NC(=O)CCC4=CC=3)CC2)=C1Cl CEUORZQYGODEFX-UHFFFAOYSA-N 0.000 description 1
- BFYIZQONLCFLEV-DAELLWKTSA-N Aromasine Chemical compound O=C1C=C[C@]2(C)[C@H]3CC[C@](C)(C(CC4)=O)[C@@H]4[C@@H]3CC(=C)C2=C1 BFYIZQONLCFLEV-DAELLWKTSA-N 0.000 description 1
- 230000007351 Aβ plaque formation Effects 0.000 description 1
- 238000011725 BALB/c mouse Methods 0.000 description 1
- 241000894006 Bacteria Species 0.000 description 1
- 108010006654 Bleomycin Proteins 0.000 description 1
- 241000283690 Bos taurus Species 0.000 description 1
- MXDQGXMBJCGRCB-UHFFFAOYSA-N BrC1=CC=C(OC2CCCCO2)C=C1 Chemical compound BrC1=CC=C(OC2CCCCO2)C=C1 MXDQGXMBJCGRCB-UHFFFAOYSA-N 0.000 description 1
- IGMNXVUGNSKTGY-UHFFFAOYSA-N BrC1=CC=C(OC2CCCCO2)C=C1.C1=COCCC1.O=S(=O)(O)O.OC1=CC=C(Br)C=C1 Chemical compound BrC1=CC=C(OC2CCCCO2)C=C1.C1=COCCC1.O=S(=O)(O)O.OC1=CC=C(Br)C=C1 IGMNXVUGNSKTGY-UHFFFAOYSA-N 0.000 description 1
- DJLUKMSXOMSIIE-UHFFFAOYSA-N BrC1=CC=C(OC2CCCCO2)C=C1.CCC(C(=O)C1=CC=C(OCCCl)C=C1)C1=CC=CC=C1.CCC(C1=CC=CC=C1)C(O)(C1=CC=C(OCCCl)C=C1)C1=CC=C(OC2CCCCO2)C=C1 Chemical compound BrC1=CC=C(OC2CCCCO2)C=C1.CCC(C(=O)C1=CC=C(OCCCl)C=C1)C1=CC=CC=C1.CCC(C1=CC=CC=C1)C(O)(C1=CC=C(OCCCl)C=C1)C1=CC=C(OC2CCCCO2)C=C1 DJLUKMSXOMSIIE-UHFFFAOYSA-N 0.000 description 1
- COVZYZSDYWQREU-UHFFFAOYSA-N Busulfan Chemical compound CS(=O)(=O)OCCCCOS(C)(=O)=O COVZYZSDYWQREU-UHFFFAOYSA-N 0.000 description 1
- FERIUCNNQQJTOY-UHFFFAOYSA-M Butyrate Chemical compound CCCC([O-])=O FERIUCNNQQJTOY-UHFFFAOYSA-M 0.000 description 1
- SBWOBDPSUGPTBU-DFBNTAAVSA-N CC/C(C1=CC=CC=C1)=C(\C1=CC=C(O)C=C1)C1=CC=C(OCCCl)C=C1.CC/C(C1=CC=CC=C1)=C(\C1=CC=C(O)C=C1)C1=CC=C(OCCNC)C=C1.CN.I Chemical compound CC/C(C1=CC=CC=C1)=C(\C1=CC=C(O)C=C1)C1=CC=C(OCCCl)C=C1.CC/C(C1=CC=CC=C1)=C(\C1=CC=C(O)C=C1)C1=CC=C(OCCNC)C=C1.CN.I SBWOBDPSUGPTBU-DFBNTAAVSA-N 0.000 description 1
- JLPDVTZVYPKUKW-OZIVRJDSSA-N CC/C(C1=CC=CC=C1)=C(\C1=CC=C(O)C=C1)C1=CC=C(OCCCl)C=C1.CCC(C1=CC=CC=C1)C(O)(C1=CC=C(OCCCl)C=C1)C1=CC=C(OC2CCCCO2)C=C1 Chemical compound CC/C(C1=CC=CC=C1)=C(\C1=CC=C(O)C=C1)C1=CC=C(OCCCl)C=C1.CCC(C1=CC=CC=C1)C(O)(C1=CC=C(OCCCl)C=C1)C1=CC=C(OC2CCCCO2)C=C1 JLPDVTZVYPKUKW-OZIVRJDSSA-N 0.000 description 1
- WVLCYVMIHVOJET-UHFFFAOYSA-N CCC(C1=CC=CC=C1)C(O)(C1=CC=C(OCCCl)C=C1)C1=CC=C(OC2CCCCO2)C=C1 Chemical compound CCC(C1=CC=CC=C1)C(O)(C1=CC=C(OCCCl)C=C1)C1=CC=C(OC2CCCCO2)C=C1 WVLCYVMIHVOJET-UHFFFAOYSA-N 0.000 description 1
- KLWPJMFMVPTNCC-UHFFFAOYSA-N Camptothecin Natural products CCC1(O)C(=O)OCC2=C1C=C3C4Nc5ccccc5C=C4CN3C2=O KLWPJMFMVPTNCC-UHFFFAOYSA-N 0.000 description 1
- 241000282472 Canis lupus familiaris Species 0.000 description 1
- OKTJSMMVPCPJKN-UHFFFAOYSA-N Carbon Chemical group [C] OKTJSMMVPCPJKN-UHFFFAOYSA-N 0.000 description 1
- 229920002134 Carboxymethyl cellulose Polymers 0.000 description 1
- DLGOEMSEDOSKAD-UHFFFAOYSA-N Carmustine Chemical compound ClCCNC(=O)N(N=O)CCCl DLGOEMSEDOSKAD-UHFFFAOYSA-N 0.000 description 1
- 108010001857 Cell Surface Receptors Proteins 0.000 description 1
- 241000282693 Cercopithecidae Species 0.000 description 1
- 229920001661 Chitosan Polymers 0.000 description 1
- 208000028698 Cognitive impairment Diseases 0.000 description 1
- 206010009944 Colon cancer Diseases 0.000 description 1
- 240000003890 Commiphora wightii Species 0.000 description 1
- 241000238424 Crustacea Species 0.000 description 1
- 244000303965 Cyamopsis psoralioides Species 0.000 description 1
- 229920000858 Cyclodextrin Polymers 0.000 description 1
- UHDGCWIWMRVCDJ-CCXZUQQUSA-N Cytarabine Chemical compound O=C1N=C(N)C=CN1[C@H]1[C@@H](O)[C@H](O)[C@@H](CO)O1 UHDGCWIWMRVCDJ-CCXZUQQUSA-N 0.000 description 1
- FBPFZTCFMRRESA-FSIIMWSLSA-N D-Glucitol Natural products OC[C@H](O)[C@H](O)[C@@H](O)[C@H](O)CO FBPFZTCFMRRESA-FSIIMWSLSA-N 0.000 description 1
- FBPFZTCFMRRESA-KVTDHHQDSA-N D-Mannitol Chemical compound OC[C@@H](O)[C@@H](O)[C@H](O)[C@H](O)CO FBPFZTCFMRRESA-KVTDHHQDSA-N 0.000 description 1
- FBPFZTCFMRRESA-JGWLITMVSA-N D-glucitol Chemical compound OC[C@H](O)[C@@H](O)[C@H](O)[C@H](O)CO FBPFZTCFMRRESA-JGWLITMVSA-N 0.000 description 1
- WEAHRLBPCANXCN-UHFFFAOYSA-N Daunomycin Natural products CCC1(O)CC(OC2CC(N)C(O)C(C)O2)c3cc4C(=O)c5c(OC)cccc5C(=O)c4c(O)c3C1 WEAHRLBPCANXCN-UHFFFAOYSA-N 0.000 description 1
- UCTLRSWJYQTBFZ-UHFFFAOYSA-N Dehydrocholesterol Natural products C1C(O)CCC2(C)C(CCC3(C(C(C)CCCC(C)C)CCC33)C)C3=CC=C21 UCTLRSWJYQTBFZ-UHFFFAOYSA-N 0.000 description 1
- 206010012239 Delusion Diseases 0.000 description 1
- 206010013486 Distractibility Diseases 0.000 description 1
- 229940094659 Dopamine reuptake inhibitor Drugs 0.000 description 1
- 238000008157 ELISA kit Methods 0.000 description 1
- 241000196324 Embryophyta Species 0.000 description 1
- 201000009273 Endometriosis Diseases 0.000 description 1
- 241000283086 Equidae Species 0.000 description 1
- IAYPIBMASNFSPL-UHFFFAOYSA-N Ethylene oxide Chemical compound C1CO1 IAYPIBMASNFSPL-UHFFFAOYSA-N 0.000 description 1
- 241000282326 Felis catus Species 0.000 description 1
- GHASVSINZRGABV-UHFFFAOYSA-N Fluorouracil Chemical compound FC1=CNC(=O)NC1=O GHASVSINZRGABV-UHFFFAOYSA-N 0.000 description 1
- VZCYOOQTPOCHFL-OWOJBTEDSA-N Fumaric acid Chemical compound OC(=O)\C=C\C(O)=O VZCYOOQTPOCHFL-OWOJBTEDSA-N 0.000 description 1
- 108010010803 Gelatin Proteins 0.000 description 1
- 208000004547 Hallucinations Diseases 0.000 description 1
- 102100039869 Histone H2B type F-S Human genes 0.000 description 1
- 101001035372 Homo sapiens Histone H2B type F-S Proteins 0.000 description 1
- 101000945496 Homo sapiens Proliferation marker protein Ki-67 Proteins 0.000 description 1
- XSXIVVZCUAHUJO-UHFFFAOYSA-N Homo-gamma-linoleic acid Natural products CCCCCC=CCC=CCCCCCCCCCC(O)=O XSXIVVZCUAHUJO-UHFFFAOYSA-N 0.000 description 1
- DGAQECJNVWCQMB-PUAWFVPOSA-M Ilexoside XXIX Chemical compound C[C@@H]1CC[C@@]2(CC[C@@]3(C(=CC[C@H]4[C@]3(CC[C@@H]5[C@@]4(CC[C@@H](C5(C)C)OS(=O)(=O)[O-])C)C)[C@@H]2[C@]1(C)O)C)C(=O)O[C@H]6[C@@H]([C@H]([C@@H]([C@H](O6)CO)O)O)O.[Na+] DGAQECJNVWCQMB-PUAWFVPOSA-M 0.000 description 1
- 206010061218 Inflammation Diseases 0.000 description 1
- CKLJMWTZIZZHCS-REOHCLBHSA-N L-aspartic acid Chemical compound OC(=O)[C@@H](N)CC(O)=O CKLJMWTZIZZHCS-REOHCLBHSA-N 0.000 description 1
- FBOZXECLQNJBKD-ZDUSSCGKSA-N L-methotrexate Chemical compound C=1N=C2N=C(N)N=C(N)C2=NC=1CN(C)C1=CC=C(C(=O)N[C@@H](CCC(O)=O)C(O)=O)C=C1 FBOZXECLQNJBKD-ZDUSSCGKSA-N 0.000 description 1
- 239000004166 Lanolin Substances 0.000 description 1
- 235000021353 Lignoceric acid Nutrition 0.000 description 1
- CQXMAMUUWHYSIY-UHFFFAOYSA-N Lignoceric acid Natural products CCCCCCCCCCCCCCCCCCCCCCCC(=O)OCCC1=CC=C(O)C=C1 CQXMAMUUWHYSIY-UHFFFAOYSA-N 0.000 description 1
- FYMCIBHUFSIWCE-UHFFFAOYSA-N Linolensaeure-cholesterylester Natural products C12CCC3(C)C(C(C)CCCC(C)C)CCC3C2CC=C2C1(C)CCC(OC(=O)CCCCCCCC=CCC=CCC=CCC)C2 FYMCIBHUFSIWCE-UHFFFAOYSA-N 0.000 description 1
- NAACPBBQTFFYQB-UHFFFAOYSA-N Linolsaeure-cholesterylester Natural products C12CCC3(C)C(C(C)CCCC(C)C)CCC3C2CC=C2C1(C)CCC(OC(=O)CCCCCCCC=CCC=CCCCCC)C2 NAACPBBQTFFYQB-UHFFFAOYSA-N 0.000 description 1
- DIWRORZWFLOCLC-UHFFFAOYSA-N Lorazepam Chemical compound C12=CC(Cl)=CC=C2NC(=O)C(O)N=C1C1=CC=CC=C1Cl DIWRORZWFLOCLC-UHFFFAOYSA-N 0.000 description 1
- 208000002720 Malnutrition Diseases 0.000 description 1
- 229930195725 Mannitol Natural products 0.000 description 1
- 102000005741 Metalloproteases Human genes 0.000 description 1
- 108010006035 Metalloproteases Proteins 0.000 description 1
- 241000045365 Microporus <basidiomycete fungus> Species 0.000 description 1
- VFKZTMPDYBFSTM-KVTDHHQDSA-N Mitobronitol Chemical compound BrC[C@@H](O)[C@@H](O)[C@H](O)[C@H](O)CBr VFKZTMPDYBFSTM-KVTDHHQDSA-N 0.000 description 1
- 206010027951 Mood swings Diseases 0.000 description 1
- 208000019430 Motor disease Diseases 0.000 description 1
- 241000699660 Mus musculus Species 0.000 description 1
- 102000047918 Myelin Basic Human genes 0.000 description 1
- 102000055324 Myelin Proteolipid Human genes 0.000 description 1
- 101710107068 Myelin basic protein Proteins 0.000 description 1
- 101710094913 Myelin proteolipid protein Proteins 0.000 description 1
- 235000007265 Myrrhis odorata Nutrition 0.000 description 1
- ZMXDDKWLCZADIW-UHFFFAOYSA-N N,N-Dimethylformamide Chemical compound CN(C)C=O ZMXDDKWLCZADIW-UHFFFAOYSA-N 0.000 description 1
- LKJPYSCBVHEWIU-UHFFFAOYSA-N N-[4-cyano-3-(trifluoromethyl)phenyl]-3-[(4-fluorophenyl)sulfonyl]-2-hydroxy-2-methylpropanamide Chemical compound C=1C=C(C#N)C(C(F)(F)F)=CC=1NC(=O)C(O)(C)CS(=O)(=O)C1=CC=C(F)C=C1 LKJPYSCBVHEWIU-UHFFFAOYSA-N 0.000 description 1
- ZDZOTLJHXYCWBA-VCVYQWHSSA-N N-debenzoyl-N-(tert-butoxycarbonyl)-10-deacetyltaxol Chemical compound O([C@H]1[C@H]2[C@@](C([C@H](O)C3=C(C)[C@@H](OC(=O)[C@H](O)[C@@H](NC(=O)OC(C)(C)C)C=4C=CC=CC=4)C[C@]1(O)C3(C)C)=O)(C)[C@@H](O)C[C@H]1OC[C@]12OC(=O)C)C(=O)C1=CC=CC=C1 ZDZOTLJHXYCWBA-VCVYQWHSSA-N 0.000 description 1
- GIYXAJPCNFJEHY-UHFFFAOYSA-N N-methyl-3-phenyl-3-[4-(trifluoromethyl)phenoxy]-1-propanamine hydrochloride (1:1) Chemical compound Cl.C=1C=CC=CC=1C(CCNC)OC1=CC=C(C(F)(F)F)C=C1 GIYXAJPCNFJEHY-UHFFFAOYSA-N 0.000 description 1
- RTHCYVBBDHJXIQ-UHFFFAOYSA-N N-methyl-3-phenyl-3-[4-(trifluoromethyl)phenoxy]propan-1-amine Chemical compound C=1C=CC=CC=1C(CCNC)OC1=CC=C(C(F)(F)F)C=C1 RTHCYVBBDHJXIQ-UHFFFAOYSA-N 0.000 description 1
- PVNIIMVLHYAWGP-UHFFFAOYSA-N Niacin Chemical compound OC(=O)C1=CC=CN=C1 PVNIIMVLHYAWGP-UHFFFAOYSA-N 0.000 description 1
- GRYLNZFGIOXLOG-UHFFFAOYSA-N Nitric acid Chemical compound O[N+]([O-])=O GRYLNZFGIOXLOG-UHFFFAOYSA-N 0.000 description 1
- 208000008589 Obesity Diseases 0.000 description 1
- 239000005642 Oleic acid Substances 0.000 description 1
- ZQPPMHVWECSIRJ-UHFFFAOYSA-N Oleic acid Natural products CCCCCCCCC=CCCCCCCCC(O)=O ZQPPMHVWECSIRJ-UHFFFAOYSA-N 0.000 description 1
- 206010030312 On and off phenomenon Diseases 0.000 description 1
- 206010033128 Ovarian cancer Diseases 0.000 description 1
- 206010061535 Ovarian neoplasm Diseases 0.000 description 1
- 208000012868 Overgrowth Diseases 0.000 description 1
- 208000002193 Pain Diseases 0.000 description 1
- BBJQPKLGPMQWBU-UHFFFAOYSA-N Palmitinsaeurecholesterylester Chemical class C12CCC3(C)C(C(C)CCCC(C)C)CCC3C2CC=C2C1(C)CCC(OC(=O)CCCCCCCCCCCCCCC)C2 BBJQPKLGPMQWBU-UHFFFAOYSA-N 0.000 description 1
- 235000021319 Palmitoleic acid Nutrition 0.000 description 1
- 206010033864 Paranoia Diseases 0.000 description 1
- 208000027099 Paranoid disease Diseases 0.000 description 1
- 241001494479 Pecora Species 0.000 description 1
- 108091000080 Phosphotransferase Proteins 0.000 description 1
- RVGRUAULSDPKGF-UHFFFAOYSA-N Poloxamer Chemical compound C1CO1.CC1CO1 RVGRUAULSDPKGF-UHFFFAOYSA-N 0.000 description 1
- 102100034836 Proliferation marker protein Ki-67 Human genes 0.000 description 1
- XBDQKXXYIPTUBI-UHFFFAOYSA-M Propionate Chemical compound CCC([O-])=O XBDQKXXYIPTUBI-UHFFFAOYSA-M 0.000 description 1
- KNAHARQHSZJURB-UHFFFAOYSA-N Propylthiouracile Chemical compound CCCC1=CC(=O)NC(=S)N1 KNAHARQHSZJURB-UHFFFAOYSA-N 0.000 description 1
- 235000006040 Prunus persica var persica Nutrition 0.000 description 1
- 241000283984 Rodentia Species 0.000 description 1
- 206010041243 Social avoidant behaviour Diseases 0.000 description 1
- VMHLLURERBWHNL-UHFFFAOYSA-M Sodium acetate Chemical compound [Na+].CC([O-])=O VMHLLURERBWHNL-UHFFFAOYSA-M 0.000 description 1
- UIIMBOGNXHQVGW-DEQYMQKBSA-M Sodium bicarbonate-14C Chemical compound [Na+].O[14C]([O-])=O UIIMBOGNXHQVGW-DEQYMQKBSA-M 0.000 description 1
- DBMJMQXJHONAFJ-UHFFFAOYSA-M Sodium laurylsulphate Chemical compound [Na+].CCCCCCCCCCCCOS([O-])(=O)=O DBMJMQXJHONAFJ-UHFFFAOYSA-M 0.000 description 1
- ZSJLQEPLLKMAKR-UHFFFAOYSA-N Streptozotocin Natural products O=NN(C)C(=O)NC1C(O)OC(CO)C(O)C1O ZSJLQEPLLKMAKR-UHFFFAOYSA-N 0.000 description 1
- 208000006011 Stroke Diseases 0.000 description 1
- KDYFGRWQOYBRFD-UHFFFAOYSA-N Succinic acid Natural products OC(=O)CCC(O)=O KDYFGRWQOYBRFD-UHFFFAOYSA-N 0.000 description 1
- 230000006052 T cell proliferation Effects 0.000 description 1
- 229930186949 TCA Natural products 0.000 description 1
- FEWJPZIEWOKRBE-UHFFFAOYSA-N Tartaric acid Natural products [H+].[H+].[O-]C(=O)C(O)C(O)C([O-])=O FEWJPZIEWOKRBE-UHFFFAOYSA-N 0.000 description 1
- ZMZDMBWJUHKJPS-UHFFFAOYSA-M Thiocyanate anion Chemical compound [S-]C#N ZMZDMBWJUHKJPS-UHFFFAOYSA-M 0.000 description 1
- 241000700605 Viruses Species 0.000 description 1
- 229930003427 Vitamin E Chemical class 0.000 description 1
- 208000027418 Wounds and injury Diseases 0.000 description 1
- BKPRVQDIOGQWTG-ICOOEGOYSA-N [(1s,2r)-2-phenylcyclopropyl]azanium;[(1r,2s)-2-phenylcyclopropyl]azanium;sulfate Chemical compound [O-]S([O-])(=O)=O.[NH3+][C@H]1C[C@@H]1C1=CC=CC=C1.[NH3+][C@@H]1C[C@H]1C1=CC=CC=C1 BKPRVQDIOGQWTG-ICOOEGOYSA-N 0.000 description 1
- 230000002159 abnormal effect Effects 0.000 description 1
- 230000005856 abnormality Effects 0.000 description 1
- 239000003070 absorption delaying agent Substances 0.000 description 1
- DPXJVFZANSGRMM-UHFFFAOYSA-N acetic acid;2,3,4,5,6-pentahydroxyhexanal;sodium Chemical compound [Na].CC(O)=O.OCC(O)C(O)C(O)C(O)C=O DPXJVFZANSGRMM-UHFFFAOYSA-N 0.000 description 1
- 239000003929 acidic solution Substances 0.000 description 1
- 230000002378 acidificating effect Effects 0.000 description 1
- 230000003213 activating effect Effects 0.000 description 1
- 239000004480 active ingredient Substances 0.000 description 1
- 239000000654 additive Substances 0.000 description 1
- WNLRTRBMVRJNCN-UHFFFAOYSA-L adipate(2-) Chemical compound [O-]C(=O)CCCCC([O-])=O WNLRTRBMVRJNCN-UHFFFAOYSA-L 0.000 description 1
- 239000002671 adjuvant Substances 0.000 description 1
- TWSWSIQAPQLDBP-UHFFFAOYSA-N adrenic acid Natural products CCCCCC=CCC=CCC=CCC=CCCCCCC(O)=O TWSWSIQAPQLDBP-UHFFFAOYSA-N 0.000 description 1
- 230000006838 adverse reaction Effects 0.000 description 1
- TXUZVZSFRXZGTL-QPLCGJKRSA-N afimoxifene Chemical compound C=1C=CC=CC=1C(/CC)=C(C=1C=CC(OCCN(C)C)=CC=1)/C1=CC=C(O)C=C1 TXUZVZSFRXZGTL-QPLCGJKRSA-N 0.000 description 1
- 230000032683 aging Effects 0.000 description 1
- 239000000556 agonist Substances 0.000 description 1
- 125000001931 aliphatic group Chemical group 0.000 description 1
- 229910052783 alkali metal Inorganic materials 0.000 description 1
- 150000001340 alkali metals Chemical class 0.000 description 1
- 229910052784 alkaline earth metal Inorganic materials 0.000 description 1
- 150000001342 alkaline earth metals Chemical class 0.000 description 1
- 125000002947 alkylene group Chemical group 0.000 description 1
- JAZBEHYOTPTENJ-JLNKQSITSA-N all-cis-5,8,11,14,17-icosapentaenoic acid Chemical compound CC\C=C/C\C=C/C\C=C/C\C=C/C\C=C/CCCC(O)=O JAZBEHYOTPTENJ-JLNKQSITSA-N 0.000 description 1
- TWSWSIQAPQLDBP-DOFZRALJSA-N all-cis-docosa-7,10,13,16-tetraenoic acid Chemical compound CCCCC\C=C/C\C=C/C\C=C/C\C=C/CCCCCC(O)=O TWSWSIQAPQLDBP-DOFZRALJSA-N 0.000 description 1
- AHANXAKGNAKFSK-PDBXOOCHSA-N all-cis-icosa-11,14,17-trienoic acid Chemical compound CC\C=C/C\C=C/C\C=C/CCCCCCCCCC(O)=O AHANXAKGNAKFSK-PDBXOOCHSA-N 0.000 description 1
- JIWBIWFOSCKQMA-LTKCOYKYSA-N all-cis-octadeca-6,9,12,15-tetraenoic acid Chemical compound CC\C=C/C\C=C/C\C=C/C\C=C/CCCCC(O)=O JIWBIWFOSCKQMA-LTKCOYKYSA-N 0.000 description 1
- 230000000172 allergic effect Effects 0.000 description 1
- ZOJBYZNEUISWFT-UHFFFAOYSA-N allyl isothiocyanate Chemical compound C=CCN=C=S ZOJBYZNEUISWFT-UHFFFAOYSA-N 0.000 description 1
- 239000008168 almond oil Substances 0.000 description 1
- OBETXYAYXDNJHR-UHFFFAOYSA-N alpha-ethylcaproic acid Natural products CCCCC(CC)C(O)=O OBETXYAYXDNJHR-UHFFFAOYSA-N 0.000 description 1
- 235000020661 alpha-linolenic acid Nutrition 0.000 description 1
- 229910000147 aluminium phosphate Inorganic materials 0.000 description 1
- 229940024606 amino acid Drugs 0.000 description 1
- 235000001014 amino acid Nutrition 0.000 description 1
- 229910021529 ammonia Inorganic materials 0.000 description 1
- 229940025084 amphetamine Drugs 0.000 description 1
- 229940009444 amphotericin Drugs 0.000 description 1
- APKFDSVGJQXUKY-INPOYWNPSA-N amphotericin B Chemical compound O[C@H]1[C@@H](N)[C@H](O)[C@@H](C)O[C@H]1O[C@H]1/C=C/C=C/C=C/C=C/C=C/C=C/C=C/[C@H](C)[C@@H](O)[C@@H](C)[C@H](C)OC(=O)C[C@H](O)C[C@H](O)CC[C@@H](O)[C@H](O)C[C@H](O)C[C@](O)(C[C@H](O)[C@H]2C(O)=O)O[C@H]2C1 APKFDSVGJQXUKY-INPOYWNPSA-N 0.000 description 1
- 230000037005 anaesthesia Effects 0.000 description 1
- 229940035676 analgesics Drugs 0.000 description 1
- 239000012491 analyte Substances 0.000 description 1
- 229960002932 anastrozole Drugs 0.000 description 1
- YBBLVLTVTVSKRW-UHFFFAOYSA-N anastrozole Chemical compound N#CC(C)(C)C1=CC(C(C)(C#N)C)=CC(CN2N=CN=C2)=C1 YBBLVLTVTVSKRW-UHFFFAOYSA-N 0.000 description 1
- UIERETOOQGIECD-ARJAWSKDSA-N angelic acid group Chemical group C(\C(\C)=C/C)(=O)O UIERETOOQGIECD-ARJAWSKDSA-N 0.000 description 1
- 238000011558 animal model by disease Methods 0.000 description 1
- 150000001450 anions Chemical class 0.000 description 1
- 239000005557 antagonist Substances 0.000 description 1
- 239000000730 antalgic agent Substances 0.000 description 1
- 230000003288 anthiarrhythmic effect Effects 0.000 description 1
- 239000003242 anti bacterial agent Substances 0.000 description 1
- 230000003178 anti-diabetic effect Effects 0.000 description 1
- 230000003276 anti-hypertensive effect Effects 0.000 description 1
- 230000002959 anti-hypotensive effect Effects 0.000 description 1
- 230000002141 anti-parasite Effects 0.000 description 1
- 239000003416 antiarrhythmic agent Substances 0.000 description 1
- 229940088710 antibiotic agent Drugs 0.000 description 1
- 229940125681 anticonvulsant agent Drugs 0.000 description 1
- 239000001961 anticonvulsive agent Substances 0.000 description 1
- 229940121375 antifungal agent Drugs 0.000 description 1
- 229940125715 antihistaminic agent Drugs 0.000 description 1
- 239000000739 antihistaminic agent Substances 0.000 description 1
- 229940124572 antihypotensive agent Drugs 0.000 description 1
- 239000000228 antimanic agent Substances 0.000 description 1
- 239000003963 antioxidant agent Substances 0.000 description 1
- 235000006708 antioxidants Nutrition 0.000 description 1
- 229940125687 antiparasitic agent Drugs 0.000 description 1
- 239000003096 antiparasitic agent Substances 0.000 description 1
- 239000003443 antiviral agent Substances 0.000 description 1
- 229940121357 antivirals Drugs 0.000 description 1
- 239000011260 aqueous acid Substances 0.000 description 1
- 239000007900 aqueous suspension Substances 0.000 description 1
- 206010003246 arthritis Diseases 0.000 description 1
- 229940009098 aspartate Drugs 0.000 description 1
- 238000011717 athymic nude mouse Methods 0.000 description 1
- 229940072698 ativan Drugs 0.000 description 1
- 239000012298 atmosphere Substances 0.000 description 1
- 208000010668 atopic eczema Diseases 0.000 description 1
- VSRXQHXAPYXROS-UHFFFAOYSA-N azanide;cyclobutane-1,1-dicarboxylic acid;platinum(2+) Chemical compound [NH2-].[NH2-].[Pt+2].OC(=O)C1(C(O)=O)CCC1 VSRXQHXAPYXROS-UHFFFAOYSA-N 0.000 description 1
- 229940077388 benzenesulfonate Drugs 0.000 description 1
- SRSXLGNVWSONIS-UHFFFAOYSA-M benzenesulfonate Chemical compound [O-]S(=O)(=O)C1=CC=CC=C1 SRSXLGNVWSONIS-UHFFFAOYSA-M 0.000 description 1
- SRSXLGNVWSONIS-UHFFFAOYSA-N benzenesulfonic acid Chemical compound OS(=O)(=O)C1=CC=CC=C1 SRSXLGNVWSONIS-UHFFFAOYSA-N 0.000 description 1
- 229940092714 benzenesulfonic acid Drugs 0.000 description 1
- 229940050390 benzoate Drugs 0.000 description 1
- 150000001557 benzodiazepines Chemical class 0.000 description 1
- GONOPSZTUGRENK-UHFFFAOYSA-N benzyl(trichloro)silane Chemical compound Cl[Si](Cl)(Cl)CC1=CC=CC=C1 GONOPSZTUGRENK-UHFFFAOYSA-N 0.000 description 1
- 229960003237 betaine Drugs 0.000 description 1
- 230000005540 biological transmission Effects 0.000 description 1
- 208000025307 bipolar depression Diseases 0.000 description 1
- 229960001561 bleomycin Drugs 0.000 description 1
- OYVAGSVQBOHSSS-UAPAGMARSA-O bleomycin A2 Chemical compound N([C@H](C(=O)N[C@H](C)[C@@H](O)[C@H](C)C(=O)N[C@@H]([C@H](O)C)C(=O)NCCC=1SC=C(N=1)C=1SC=C(N=1)C(=O)NCCC[S+](C)C)[C@@H](O[C@H]1[C@H]([C@@H](O)[C@H](O)[C@H](CO)O1)O[C@@H]1[C@H]([C@@H](OC(N)=O)[C@H](O)[C@@H](CO)O1)O)C=1N=CNC=1)C(=O)C1=NC([C@H](CC(N)=O)NC[C@H](N)C(N)=O)=NC(N)=C1C OYVAGSVQBOHSSS-UAPAGMARSA-O 0.000 description 1
- 230000000903 blocking effect Effects 0.000 description 1
- 230000037396 body weight Effects 0.000 description 1
- 238000009835 boiling Methods 0.000 description 1
- 210000000988 bone and bone Anatomy 0.000 description 1
- 201000008275 breast carcinoma Diseases 0.000 description 1
- 210000000069 breast epithelial cell Anatomy 0.000 description 1
- RDHPKYGYEGBMSE-UHFFFAOYSA-N bromoethane Chemical compound CCBr RDHPKYGYEGBMSE-UHFFFAOYSA-N 0.000 description 1
- 229940015273 buspar Drugs 0.000 description 1
- KDYFGRWQOYBRFD-NUQCWPJISA-N butanedioic acid Chemical compound O[14C](=O)CC[14C](O)=O KDYFGRWQOYBRFD-NUQCWPJISA-N 0.000 description 1
- 239000006227 byproduct Substances 0.000 description 1
- MIOPJNTWMNEORI-UHFFFAOYSA-N camphorsulfonic acid Chemical compound C1CC2(CS(O)(=O)=O)C(=O)CC1C2(C)C MIOPJNTWMNEORI-UHFFFAOYSA-N 0.000 description 1
- VSJKWCGYPAHWDS-FQEVSTJZSA-N camptothecin Chemical compound C1=CC=C2C=C(CN3C4=CC5=C(C3=O)COC(=O)[C@]5(O)CC)C4=NC2=C1 VSJKWCGYPAHWDS-FQEVSTJZSA-N 0.000 description 1
- 229940127093 camptothecin Drugs 0.000 description 1
- 239000000828 canola oil Substances 0.000 description 1
- 235000019519 canola oil Nutrition 0.000 description 1
- KHAVLLBUVKBTBG-UHFFFAOYSA-N caproleic acid Natural products OC(=O)CCCCCCCC=C KHAVLLBUVKBTBG-UHFFFAOYSA-N 0.000 description 1
- 229960000623 carbamazepine Drugs 0.000 description 1
- FFGPTBGBLSHEPO-UHFFFAOYSA-N carbamazepine Chemical compound C1=CC2=CC=CC=C2N(C(=O)N)C2=CC=CC=C21 FFGPTBGBLSHEPO-UHFFFAOYSA-N 0.000 description 1
- 229960001631 carbomer Drugs 0.000 description 1
- 229960004562 carboplatin Drugs 0.000 description 1
- 125000003178 carboxy group Chemical group [H]OC(*)=O 0.000 description 1
- 239000001768 carboxy methyl cellulose Substances 0.000 description 1
- 229940097217 cardiac glycoside Drugs 0.000 description 1
- 239000002368 cardiac glycoside Substances 0.000 description 1
- 239000000969 carrier Substances 0.000 description 1
- 229940097647 casodex Drugs 0.000 description 1
- 239000004359 castor oil Substances 0.000 description 1
- 235000019438 castor oil Nutrition 0.000 description 1
- 150000001768 cations Chemical class 0.000 description 1
- 229940047493 celexa Drugs 0.000 description 1
- 230000005779 cell damage Effects 0.000 description 1
- 208000037887 cell injury Diseases 0.000 description 1
- 230000022534 cell killing Effects 0.000 description 1
- 230000001413 cellular effect Effects 0.000 description 1
- 230000005754 cellular signaling Effects 0.000 description 1
- 239000003610 charcoal Substances 0.000 description 1
- 230000002113 chemopreventative effect Effects 0.000 description 1
- XHRPOTDGOASDJS-UHFFFAOYSA-N cholesterol n-octadecanoate Chemical class C12CCC3(C)C(C(C)CCCC(C)C)CCC3C2CC=C2C1(C)CCC(OC(=O)CCCCCCCCCCCCCCCCC)C2 XHRPOTDGOASDJS-UHFFFAOYSA-N 0.000 description 1
- FYMCIBHUFSIWCE-WVXFKAQASA-N cholesteryl linolenate Chemical class C([C@@H]12)C[C@]3(C)[C@@H]([C@H](C)CCCC(C)C)CC[C@H]3[C@@H]1CC=C1[C@]2(C)CC[C@H](OC(=O)CCCCCCC\C=C/C\C=C/C\C=C/CC)C1 FYMCIBHUFSIWCE-WVXFKAQASA-N 0.000 description 1
- NAACPBBQTFFYQB-XNTGVSEISA-N cholesteryl octadeca-9,12-dienoate Chemical compound C([C@@H]12)C[C@]3(C)[C@@H]([C@H](C)CCCC(C)C)CC[C@H]3[C@@H]1CC=C1[C@]2(C)CC[C@H](OC(=O)CCCCCCCC=CCC=CCCCCC)C1 NAACPBBQTFFYQB-XNTGVSEISA-N 0.000 description 1
- BBJQPKLGPMQWBU-JADYGXMDSA-N cholesteryl palmitate Chemical class C([C@@H]12)C[C@]3(C)[C@@H]([C@H](C)CCCC(C)C)CC[C@H]3[C@@H]1CC=C1[C@]2(C)CC[C@H](OC(=O)CCCCCCCCCCCCCCC)C1 BBJQPKLGPMQWBU-JADYGXMDSA-N 0.000 description 1
- XHRPOTDGOASDJS-XNTGVSEISA-N cholesteryl stearate Chemical class C([C@@H]12)C[C@]3(C)[C@@H]([C@H](C)CCCC(C)C)CC[C@H]3[C@@H]1CC=C1[C@]2(C)CC[C@H](OC(=O)CCCCCCCCCCCCCCCCC)C1 XHRPOTDGOASDJS-XNTGVSEISA-N 0.000 description 1
- 230000001713 cholinergic effect Effects 0.000 description 1
- SECPZKHBENQXJG-UHFFFAOYSA-N cis-palmitoleic acid Natural products CCCCCCC=CCCCCCCCC(O)=O SECPZKHBENQXJG-UHFFFAOYSA-N 0.000 description 1
- 229960004316 cisplatin Drugs 0.000 description 1
- DQLATGHUWYMOKM-UHFFFAOYSA-L cisplatin Chemical compound N[Pt](N)(Cl)Cl DQLATGHUWYMOKM-UHFFFAOYSA-L 0.000 description 1
- 238000000576 coating method Methods 0.000 description 1
- 239000003086 colorant Substances 0.000 description 1
- 230000000052 comparative effect Effects 0.000 description 1
- 230000009918 complex formation Effects 0.000 description 1
- 229940125898 compound 5 Drugs 0.000 description 1
- 230000001010 compromised effect Effects 0.000 description 1
- 239000000356 contaminant Substances 0.000 description 1
- 239000002537 cosmetic Substances 0.000 description 1
- 229940029644 cymbalta Drugs 0.000 description 1
- 229960000684 cytarabine Drugs 0.000 description 1
- 229940099418 d- alpha-tocopherol succinate Drugs 0.000 description 1
- 229960000975 daunorubicin Drugs 0.000 description 1
- 230000007547 defect Effects 0.000 description 1
- 230000006735 deficit Effects 0.000 description 1
- 230000003412 degenerative effect Effects 0.000 description 1
- 230000018044 dehydration Effects 0.000 description 1
- 238000006297 dehydration reaction Methods 0.000 description 1
- 231100000868 delusion Toxicity 0.000 description 1
- 238000010520 demethylation reaction Methods 0.000 description 1
- 229940075925 depakote Drugs 0.000 description 1
- 238000010511 deprotection reaction Methods 0.000 description 1
- 238000001212 derivatisation Methods 0.000 description 1
- 210000004207 dermis Anatomy 0.000 description 1
- 238000013461 design Methods 0.000 description 1
- 230000006866 deterioration Effects 0.000 description 1
- HOBAELRKJCKHQD-QNEBEIHSSA-N dihomo-γ-linolenic acid Chemical compound CCCCC\C=C/C\C=C/C\C=C/CCCCCCC(O)=O HOBAELRKJCKHQD-QNEBEIHSSA-N 0.000 description 1
- 230000010339 dilation Effects 0.000 description 1
- MWRBNPKJOOWZPW-CLFAGFIQSA-N dioleoyl phosphatidylethanolamine Chemical compound CCCCCCCC\C=C/CCCCCCCC(=O)OCC(COP(O)(=O)OCCN)OC(=O)CCCCCCC\C=C/CCCCCCCC MWRBNPKJOOWZPW-CLFAGFIQSA-N 0.000 description 1
- QCHSEDTUUKDTIG-UHFFFAOYSA-L dipotassium clorazepate Chemical compound [OH-].[K+].[K+].C12=CC(Cl)=CC=C2NC(=O)C(C(=O)[O-])N=C1C1=CC=CC=C1 QCHSEDTUUKDTIG-UHFFFAOYSA-L 0.000 description 1
- LOKCTEFSRHRXRJ-UHFFFAOYSA-I dipotassium trisodium dihydrogen phosphate hydrogen phosphate dichloride Chemical compound P(=O)(O)(O)[O-].[K+].P(=O)(O)([O-])[O-].[Na+].[Na+].[Cl-].[K+].[Cl-].[Na+] LOKCTEFSRHRXRJ-UHFFFAOYSA-I 0.000 description 1
- WDRWZVWLVBXVOI-QTNFYWBSSA-L dipotassium;(2s)-2-aminopentanedioate Chemical compound [K+].[K+].[O-]C(=O)[C@@H](N)CCC([O-])=O WDRWZVWLVBXVOI-QTNFYWBSSA-L 0.000 description 1
- 239000002612 dispersion medium Substances 0.000 description 1
- VSJKWCGYPAHWDS-UHFFFAOYSA-N dl-camptothecin Natural products C1=CC=C2C=C(CN3C4=CC5=C(C3=O)COC(=O)C5(O)CC)C4=NC2=C1 VSJKWCGYPAHWDS-UHFFFAOYSA-N 0.000 description 1
- 229960003668 docetaxel Drugs 0.000 description 1
- MBMBGCFOFBJSGT-SFGLVEFQSA-N docosa-4,7,10,13,16,19-hexaenoic acid Chemical compound CC\C=C\C\C=C\C\C=C\C\C=C\C\C=C\C\C=C\CCC(O)=O MBMBGCFOFBJSGT-SFGLVEFQSA-N 0.000 description 1
- MBMBGCFOFBJSGT-KUBAVDMBSA-N docosahexaenoic acid Natural products CC\C=C/C\C=C/C\C=C/C\C=C/C\C=C/C\C=C/CCC(O)=O MBMBGCFOFBJSGT-KUBAVDMBSA-N 0.000 description 1
- HQSBWLQFLLMPKC-UHFFFAOYSA-N dodecadienoic acid Natural products CCCCCCCC=CC=CC(O)=O HQSBWLQFLLMPKC-UHFFFAOYSA-N 0.000 description 1
- MOTZDAYCYVMXPC-UHFFFAOYSA-N dodecyl hydrogen sulfate Chemical compound CCCCCCCCCCCCOS(O)(=O)=O MOTZDAYCYVMXPC-UHFFFAOYSA-N 0.000 description 1
- 229940043264 dodecyl sulfate Drugs 0.000 description 1
- 229940052760 dopamine agonists Drugs 0.000 description 1
- 239000003136 dopamine receptor stimulating agent Substances 0.000 description 1
- 210000005064 dopaminergic neuron Anatomy 0.000 description 1
- 239000002552 dosage form Substances 0.000 description 1
- 229960004679 doxorubicin Drugs 0.000 description 1
- 239000008298 dragée Substances 0.000 description 1
- 238000001647 drug administration Methods 0.000 description 1
- 239000013583 drug formulation Substances 0.000 description 1
- 230000004064 dysfunction Effects 0.000 description 1
- 229940098766 effexor Drugs 0.000 description 1
- JAZBEHYOTPTENJ-UHFFFAOYSA-N eicosapentaenoic acid Natural products CCC=CCC=CCC=CCC=CCC=CCCCC(O)=O JAZBEHYOTPTENJ-UHFFFAOYSA-N 0.000 description 1
- PRHHYVQTPBEDFE-UHFFFAOYSA-N eicosatrienoic acid Natural products CCCCCC=CCC=CCCCCC=CCCCC(O)=O PRHHYVQTPBEDFE-UHFFFAOYSA-N 0.000 description 1
- 229940108623 eicosenoic acid Drugs 0.000 description 1
- BITHHVVYSMSWAG-UHFFFAOYSA-N eicosenoic acid Natural products CCCCCCCCC=CCCCCCCCCCC(O)=O BITHHVVYSMSWAG-UHFFFAOYSA-N 0.000 description 1
- 230000005684 electric field Effects 0.000 description 1
- 230000002996 emotional effect Effects 0.000 description 1
- 229940071670 emsam Drugs 0.000 description 1
- 239000003995 emulsifying agent Substances 0.000 description 1
- 230000002124 endocrine Effects 0.000 description 1
- 230000002708 enhancing effect Effects 0.000 description 1
- 210000002615 epidermis Anatomy 0.000 description 1
- 230000001667 episodic effect Effects 0.000 description 1
- 210000000981 epithelium Anatomy 0.000 description 1
- 229940030384 equagesic Drugs 0.000 description 1
- CCIVGXIOQKPBKL-UHFFFAOYSA-M ethanesulfonate Chemical compound CCS([O-])(=O)=O CCIVGXIOQKPBKL-UHFFFAOYSA-M 0.000 description 1
- 230000007717 exclusion Effects 0.000 description 1
- 229960000255 exemestane Drugs 0.000 description 1
- 235000013861 fat-free Nutrition 0.000 description 1
- 210000002950 fibroblast Anatomy 0.000 description 1
- 239000012467 final product Substances 0.000 description 1
- 229940013317 fish oils Drugs 0.000 description 1
- 229960002949 fluorouracil Drugs 0.000 description 1
- 235000013305 food Nutrition 0.000 description 1
- 229960004421 formestane Drugs 0.000 description 1
- OSVMTWJCGUFAOD-KZQROQTASA-N formestane Chemical compound O=C1CC[C@]2(C)[C@H]3CC[C@](C)(C(CC4)=O)[C@@H]4[C@@H]3CCC2=C1O OSVMTWJCGUFAOD-KZQROQTASA-N 0.000 description 1
- 235000019253 formic acid Nutrition 0.000 description 1
- 239000012634 fragment Substances 0.000 description 1
- ZZUFCTLCJUWOSV-UHFFFAOYSA-N furosemide Chemical compound C1=C(Cl)C(S(=O)(=O)N)=CC(C(O)=O)=C1NCC1=CC=CO1 ZZUFCTLCJUWOSV-UHFFFAOYSA-N 0.000 description 1
- 229960002870 gabapentin Drugs 0.000 description 1
- WIGCFUFOHFEKBI-UHFFFAOYSA-N gamma-tocopherol Chemical class CC(C)CCCC(C)CCCC(C)CCCC1CCC2C(C)C(O)C(C)C(C)C2O1 WIGCFUFOHFEKBI-UHFFFAOYSA-N 0.000 description 1
- 229920000159 gelatin Polymers 0.000 description 1
- 239000008273 gelatin Substances 0.000 description 1
- 229940014259 gelatin Drugs 0.000 description 1
- 235000019322 gelatine Nutrition 0.000 description 1
- 235000011852 gelatine desserts Nutrition 0.000 description 1
- 229940003380 geodon Drugs 0.000 description 1
- RBNPOMFGQQGHHO-UHFFFAOYSA-N glyceric acid Chemical compound OCC(O)C(O)=O RBNPOMFGQQGHHO-UHFFFAOYSA-N 0.000 description 1
- 125000005456 glyceride group Chemical group 0.000 description 1
- RZRNAYUHWVFMIP-HXUWFJFHSA-N glycerol monolinoleate Natural products CCCCCCCCC=CCCCCCCCC(=O)OC[C@H](O)CO RZRNAYUHWVFMIP-HXUWFJFHSA-N 0.000 description 1
- ZEMPKEQAKRGZGQ-XOQCFJPHSA-N glycerol triricinoleate Natural products CCCCCC[C@@H](O)CC=CCCCCCCCC(=O)OC[C@@H](COC(=O)CCCCCCCC=CC[C@@H](O)CCCCCC)OC(=O)CCCCCCCC=CC[C@H](O)CCCCCC ZEMPKEQAKRGZGQ-XOQCFJPHSA-N 0.000 description 1
- 210000003714 granulocyte Anatomy 0.000 description 1
- 229940093915 gynecological organic acid Drugs 0.000 description 1
- 210000003780 hair follicle Anatomy 0.000 description 1
- 230000036541 health Effects 0.000 description 1
- 238000010438 heat treatment Methods 0.000 description 1
- PWDGZOJXLJLQTE-UHFFFAOYSA-N hexadeca-4,8,11,14-tetraenoic acid Chemical compound CC=CCC=CCC=CCCC=CCCC(O)=O PWDGZOJXLJLQTE-UHFFFAOYSA-N 0.000 description 1
- FSBJPVVVJGASBG-UHFFFAOYSA-N hexane pentane Chemical compound CCCCC.CCCCCC.CCCCCC FSBJPVVVJGASBG-UHFFFAOYSA-N 0.000 description 1
- 230000003054 hormonal effect Effects 0.000 description 1
- 208000027706 hormone receptor-positive breast cancer Diseases 0.000 description 1
- 238000002657 hormone replacement therapy Methods 0.000 description 1
- 229910052739 hydrogen Inorganic materials 0.000 description 1
- 239000001257 hydrogen Substances 0.000 description 1
- 125000004435 hydrogen atom Chemical class [H]* 0.000 description 1
- ZMZDMBWJUHKJPS-UHFFFAOYSA-N hydrogen thiocyanate Natural products SC#N ZMZDMBWJUHKJPS-UHFFFAOYSA-N 0.000 description 1
- QAOWNCQODCNURD-UHFFFAOYSA-M hydrogensulfate Chemical compound OS([O-])(=O)=O QAOWNCQODCNURD-UHFFFAOYSA-M 0.000 description 1
- 150000002433 hydrophilic molecules Chemical class 0.000 description 1
- 230000002209 hydrophobic effect Effects 0.000 description 1
- 230000033444 hydroxylation Effects 0.000 description 1
- 238000005805 hydroxylation reaction Methods 0.000 description 1
- 229920003063 hydroxymethyl cellulose Polymers 0.000 description 1
- 229940031574 hydroxymethyl cellulose Drugs 0.000 description 1
- QSMHRTSIMKYDTO-UHFFFAOYSA-N icosa-4,8,12,16-tetraenoic acid Chemical compound CCCC=CCCC=CCCC=CCCC=CCCC(O)=O QSMHRTSIMKYDTO-UHFFFAOYSA-N 0.000 description 1
- VKOBVWXKNCXXDE-UHFFFAOYSA-N icosanoic acid Chemical compound CCCCCCCCCCCCCCCCCCCC(O)=O VKOBVWXKNCXXDE-UHFFFAOYSA-N 0.000 description 1
- HOMGKSMUEGBAAB-UHFFFAOYSA-N ifosfamide Chemical compound ClCCNP1(=O)OCCCN1CCCl HOMGKSMUEGBAAB-UHFFFAOYSA-N 0.000 description 1
- 229960001101 ifosfamide Drugs 0.000 description 1
- XZZXIYZZBJDEEP-UHFFFAOYSA-N imipramine hydrochloride Chemical compound [Cl-].C1CC2=CC=CC=C2N(CCC[NH+](C)C)C2=CC=CC=C21 XZZXIYZZBJDEEP-UHFFFAOYSA-N 0.000 description 1
- 230000008105 immune reaction Effects 0.000 description 1
- 230000028993 immune response Effects 0.000 description 1
- 210000000987 immune system Anatomy 0.000 description 1
- 230000036039 immunity Effects 0.000 description 1
- 238000009169 immunotherapy Methods 0.000 description 1
- 239000007943 implant Substances 0.000 description 1
- 238000002513 implantation Methods 0.000 description 1
- 238000000099 in vitro assay Methods 0.000 description 1
- 238000010874 in vitro model Methods 0.000 description 1
- 239000005414 inactive ingredient Substances 0.000 description 1
- 230000001524 infective effect Effects 0.000 description 1
- 230000008595 infiltration Effects 0.000 description 1
- 238000001764 infiltration Methods 0.000 description 1
- 230000002757 inflammatory effect Effects 0.000 description 1
- 230000004054 inflammatory process Effects 0.000 description 1
- 230000002452 interceptive effect Effects 0.000 description 1
- 229960003130 interferon gamma Drugs 0.000 description 1
- 230000003834 intracellular effect Effects 0.000 description 1
- 210000003093 intracellular space Anatomy 0.000 description 1
- 229910052740 iodine Inorganic materials 0.000 description 1
- 239000011630 iodine Substances 0.000 description 1
- YAQXGBBDJYBXKL-UHFFFAOYSA-N iron(2+);1,10-phenanthroline;dicyanide Chemical compound [Fe+2].N#[C-].N#[C-].C1=CN=C2C3=NC=CC=C3C=CC2=C1.C1=CN=C2C3=NC=CC=C3C=CC2=C1 YAQXGBBDJYBXKL-UHFFFAOYSA-N 0.000 description 1
- SUMDYPCJJOFFON-UHFFFAOYSA-N isethionic acid Chemical compound OCCS(O)(=O)=O SUMDYPCJJOFFON-UHFFFAOYSA-N 0.000 description 1
- QXJSBBXBKPUZAA-UHFFFAOYSA-N isooleic acid Natural products CCCCCCCC=CCCCCCCCCC(O)=O QXJSBBXBKPUZAA-UHFFFAOYSA-N 0.000 description 1
- 239000007951 isotonicity adjuster Substances 0.000 description 1
- 238000003674 kinase activity assay Methods 0.000 description 1
- 239000004310 lactic acid Substances 0.000 description 1
- 235000014655 lactic acid Nutrition 0.000 description 1
- 229940072170 lamictal Drugs 0.000 description 1
- 229960001848 lamotrigine Drugs 0.000 description 1
- 229940039717 lanolin Drugs 0.000 description 1
- 235000019388 lanolin Nutrition 0.000 description 1
- 235000010445 lecithin Nutrition 0.000 description 1
- 239000000787 lecithin Substances 0.000 description 1
- 229940067606 lecithin Drugs 0.000 description 1
- 230000003902 lesion Effects 0.000 description 1
- 229960003881 letrozole Drugs 0.000 description 1
- HPJKCIUCZWXJDR-UHFFFAOYSA-N letrozole Chemical compound C1=CC(C#N)=CC=C1C(N1N=CN=C1)C1=CC=C(C#N)C=C1 HPJKCIUCZWXJDR-UHFFFAOYSA-N 0.000 description 1
- 208000032839 leukemia Diseases 0.000 description 1
- 229940054157 lexapro Drugs 0.000 description 1
- 235000020778 linoleic acid Nutrition 0.000 description 1
- OYHQOLUKZRVURQ-IXWMQOLASA-N linoleic acid Natural products CCCCC\C=C/C\C=C\CCCCCCCC(O)=O OYHQOLUKZRVURQ-IXWMQOLASA-N 0.000 description 1
- 229960004488 linolenic acid Drugs 0.000 description 1
- KQQKGWQCNNTQJW-UHFFFAOYSA-N linolenic acid Natural products CC=CCCC=CCC=CCCCCCCCC(O)=O KQQKGWQCNNTQJW-UHFFFAOYSA-N 0.000 description 1
- 229940089467 lithane Drugs 0.000 description 1
- 229910052808 lithium carbonate Inorganic materials 0.000 description 1
- 229940071264 lithium citrate Drugs 0.000 description 1
- WJSIUCDMWSDDCE-UHFFFAOYSA-K lithium citrate (anhydrous) Chemical compound [Li+].[Li+].[Li+].[O-]C(=O)CC(O)(CC([O-])=O)C([O-])=O WJSIUCDMWSDDCE-UHFFFAOYSA-K 0.000 description 1
- 229940089469 lithobid Drugs 0.000 description 1
- 230000004807 localization Effects 0.000 description 1
- 239000000314 lubricant Substances 0.000 description 1
- 210000004072 lung Anatomy 0.000 description 1
- VZCYOOQTPOCHFL-UPHRSURJSA-N maleic acid Chemical compound OC(=O)\C=C/C(O)=O VZCYOOQTPOCHFL-UPHRSURJSA-N 0.000 description 1
- 230000001071 malnutrition Effects 0.000 description 1
- 235000000824 malnutrition Nutrition 0.000 description 1
- 239000000594 mannitol Substances 0.000 description 1
- 235000010355 mannitol Nutrition 0.000 description 1
- MQXVYODZCMMZEM-ZYUZMQFOSA-N mannomustine Chemical compound ClCCNC[C@@H](O)[C@@H](O)[C@H](O)[C@H](O)CNCCCl MQXVYODZCMMZEM-ZYUZMQFOSA-N 0.000 description 1
- 229950008612 mannomustine Drugs 0.000 description 1
- 239000003550 marker Substances 0.000 description 1
- 229940110127 marplan Drugs 0.000 description 1
- 230000007246 mechanism Effects 0.000 description 1
- 230000010534 mechanism of action Effects 0.000 description 1
- 229960004961 mechlorethamine Drugs 0.000 description 1
- HAWPXGHAZFHHAD-UHFFFAOYSA-N mechlorethamine Chemical compound ClCCN(C)CCCl HAWPXGHAZFHHAD-UHFFFAOYSA-N 0.000 description 1
- 238000002483 medication Methods 0.000 description 1
- SGDBTWWWUNNDEQ-LBPRGKRZSA-N melphalan Chemical compound OC(=O)[C@@H](N)CC1=CC=C(N(CCCl)CCCl)C=C1 SGDBTWWWUNNDEQ-LBPRGKRZSA-N 0.000 description 1
- 229960001924 melphalan Drugs 0.000 description 1
- 102000006240 membrane receptors Human genes 0.000 description 1
- 230000009245 menopause Effects 0.000 description 1
- 210000001259 mesencephalon Anatomy 0.000 description 1
- 229940098779 methanesulfonic acid Drugs 0.000 description 1
- 229960000485 methotrexate Drugs 0.000 description 1
- 229920000609 methyl cellulose Polymers 0.000 description 1
- 235000010981 methylcellulose Nutrition 0.000 description 1
- 239000001923 methylcellulose Substances 0.000 description 1
- 230000004089 microcirculation Effects 0.000 description 1
- 208000027061 mild cognitive impairment Diseases 0.000 description 1
- 235000013336 milk Nutrition 0.000 description 1
- 239000008267 milk Substances 0.000 description 1
- 210000004080 milk Anatomy 0.000 description 1
- 150000007522 mineralic acids Chemical class 0.000 description 1
- 229960005485 mitobronitol Drugs 0.000 description 1
- KKZJGLLVHKMTCM-UHFFFAOYSA-N mitoxantrone Chemical compound O=C1C2=C(O)C=CC(O)=C2C(=O)C2=C1C(NCCNCCO)=CC=C2NCCNCCO KKZJGLLVHKMTCM-UHFFFAOYSA-N 0.000 description 1
- 229960001156 mitoxantrone Drugs 0.000 description 1
- 230000004048 modification Effects 0.000 description 1
- 238000012986 modification Methods 0.000 description 1
- 229940074096 monoolein Drugs 0.000 description 1
- 235000013919 monopotassium glutamate Nutrition 0.000 description 1
- LPUQAYUQRXPFSQ-DFWYDOINSA-M monosodium L-glutamate Chemical compound [Na+].[O-]C(=O)[C@@H](N)CCC(O)=O LPUQAYUQRXPFSQ-DFWYDOINSA-M 0.000 description 1
- 235000013923 monosodium glutamate Nutrition 0.000 description 1
- 239000004223 monosodium glutamate Substances 0.000 description 1
- 210000002200 mouth mucosa Anatomy 0.000 description 1
- 239000008164 mustard oil Substances 0.000 description 1
- 210000003007 myelin sheath Anatomy 0.000 description 1
- CHWMPPNDIBLYMB-UHFFFAOYSA-N n',n'-bis(prop-2-enyl)ethane-1,2-diamine Chemical compound NCCN(CC=C)CC=C CHWMPPNDIBLYMB-UHFFFAOYSA-N 0.000 description 1
- KVBGVZZKJNLNJU-UHFFFAOYSA-M naphthalene-2-sulfonate Chemical compound C1=CC=CC2=CC(S(=O)(=O)[O-])=CC=C21 KVBGVZZKJNLNJU-UHFFFAOYSA-M 0.000 description 1
- 229940087524 nardil Drugs 0.000 description 1
- 210000002850 nasal mucosa Anatomy 0.000 description 1
- 229920001206 natural gum Polymers 0.000 description 1
- 239000005445 natural material Substances 0.000 description 1
- 230000017066 negative regulation of growth Effects 0.000 description 1
- 230000001537 neural effect Effects 0.000 description 1
- 230000009251 neurologic dysfunction Effects 0.000 description 1
- 208000015015 neurological dysfunction Diseases 0.000 description 1
- 230000014511 neuron projection development Effects 0.000 description 1
- 230000000508 neurotrophic effect Effects 0.000 description 1
- 238000006386 neutralization reaction Methods 0.000 description 1
- 235000001968 nicotinic acid Nutrition 0.000 description 1
- 239000011664 nicotinic acid Substances 0.000 description 1
- 229910017604 nitric acid Inorganic materials 0.000 description 1
- 229960002748 norepinephrine Drugs 0.000 description 1
- SFLSHLFXELFNJZ-UHFFFAOYSA-N norepinephrine Natural products NCC(O)C1=CC=C(O)C(O)=C1 SFLSHLFXELFNJZ-UHFFFAOYSA-N 0.000 description 1
- 229940127221 norepinephrine reuptake inhibitor Drugs 0.000 description 1
- 229940087480 norpramin Drugs 0.000 description 1
- 210000001331 nose Anatomy 0.000 description 1
- 238000011580 nude mouse model Methods 0.000 description 1
- 208000015380 nutritional deficiency disease Diseases 0.000 description 1
- 235000020824 obesity Nutrition 0.000 description 1
- KVWDHTXUZHCGIO-UHFFFAOYSA-N olanzapine Chemical compound C1CN(C)CCN1C1=NC2=CC=CC=C2NC2=C1C=C(C)S2 KVWDHTXUZHCGIO-UHFFFAOYSA-N 0.000 description 1
- 239000004006 olive oil Substances 0.000 description 1
- 235000008390 olive oil Nutrition 0.000 description 1
- 239000006186 oral dosage form Substances 0.000 description 1
- 235000005985 organic acids Nutrition 0.000 description 1
- 230000008520 organization Effects 0.000 description 1
- 229960003552 other antineoplastic agent in atc Drugs 0.000 description 1
- 230000011599 ovarian follicle development Effects 0.000 description 1
- 210000001672 ovary Anatomy 0.000 description 1
- 235000006408 oxalic acid Nutrition 0.000 description 1
- 229960001816 oxcarbazepine Drugs 0.000 description 1
- 230000036542 oxidative stress Effects 0.000 description 1
- 230000036407 pain Effects 0.000 description 1
- 229940055692 pamelor Drugs 0.000 description 1
- 239000012188 paraffin wax Substances 0.000 description 1
- 229940087824 parnate Drugs 0.000 description 1
- GELRVIPPMNMYGS-RVXRQPKJSA-N paroxetine hydrochloride Chemical compound Cl.C1=CC(F)=CC=C1[C@H]1[C@H](COC=2C=C3OCOC3=CC=2)CNCC1 GELRVIPPMNMYGS-RVXRQPKJSA-N 0.000 description 1
- 239000004031 partial agonist Substances 0.000 description 1
- 239000006072 paste Substances 0.000 description 1
- 230000037361 pathway Effects 0.000 description 1
- 239000001814 pectin Substances 0.000 description 1
- 229920001277 pectin Polymers 0.000 description 1
- 235000010987 pectin Nutrition 0.000 description 1
- PMJHHCWVYXUKFD-UHFFFAOYSA-N penta-1,3-diene Chemical group CC=CC=C PMJHHCWVYXUKFD-UHFFFAOYSA-N 0.000 description 1
- NKZVILXYMBJHBC-UHFFFAOYSA-J pentacalcium hydroxide phosphate Chemical class P(=O)([O-])([O-])[O-].[Ca+2].[Ca+2].[Ca+2].[Ca+2].[OH-].[Ca+2] NKZVILXYMBJHBC-UHFFFAOYSA-J 0.000 description 1
- HWGNBUXHKFFFIH-UHFFFAOYSA-I pentasodium;[oxido(phosphonatooxy)phosphoryl] phosphate Chemical compound [Na+].[Na+].[Na+].[Na+].[Na+].[O-]P([O-])(=O)OP([O-])(=O)OP([O-])([O-])=O HWGNBUXHKFFFIH-UHFFFAOYSA-I 0.000 description 1
- JRKICGRDRMAZLK-UHFFFAOYSA-L peroxydisulfate Chemical compound [O-]S(=O)(=O)OOS([O-])(=O)=O JRKICGRDRMAZLK-UHFFFAOYSA-L 0.000 description 1
- 230000002085 persistent effect Effects 0.000 description 1
- 235000019271 petrolatum Nutrition 0.000 description 1
- 239000002831 pharmacologic agent Substances 0.000 description 1
- 230000000144 pharmacologic effect Effects 0.000 description 1
- 230000000079 pharmacotherapeutic effect Effects 0.000 description 1
- DYUMLJSJISTVPV-UHFFFAOYSA-N phenyl propanoate Chemical compound CCC(=O)OC1=CC=CC=C1 DYUMLJSJISTVPV-UHFFFAOYSA-N 0.000 description 1
- 239000002953 phosphate buffered saline Substances 0.000 description 1
- 150000008105 phosphatidylcholines Chemical class 0.000 description 1
- 102000020233 phosphotransferase Human genes 0.000 description 1
- 229940075930 picrate Drugs 0.000 description 1
- OXNIZHLAWKMVMX-UHFFFAOYSA-M picrate anion Chemical compound [O-]C1=C([N+]([O-])=O)C=C([N+]([O-])=O)C=C1[N+]([O-])=O OXNIZHLAWKMVMX-UHFFFAOYSA-M 0.000 description 1
- 239000006187 pill Substances 0.000 description 1
- 229950010765 pivalate Drugs 0.000 description 1
- IUGYQRQAERSCNH-UHFFFAOYSA-N pivalic acid Chemical compound CC(C)(C)C(O)=O IUGYQRQAERSCNH-UHFFFAOYSA-N 0.000 description 1
- 210000004180 plasmocyte Anatomy 0.000 description 1
- 229960000502 poloxamer Drugs 0.000 description 1
- 229920001987 poloxamine Polymers 0.000 description 1
- 229920000058 polyacrylate Polymers 0.000 description 1
- 239000004584 polyacrylic acid Substances 0.000 description 1
- 235000010482 polyoxyethylene sorbitan monooleate Nutrition 0.000 description 1
- 229920001451 polypropylene glycol Polymers 0.000 description 1
- 229920000136 polysorbate Polymers 0.000 description 1
- 229950008882 polysorbate Drugs 0.000 description 1
- 229920000053 polysorbate 80 Polymers 0.000 description 1
- 235000020777 polyunsaturated fatty acids Nutrition 0.000 description 1
- 239000011148 porous material Substances 0.000 description 1
- 239000013641 positive control Substances 0.000 description 1
- 230000001242 postsynaptic effect Effects 0.000 description 1
- 239000001508 potassium citrate Substances 0.000 description 1
- 229960002635 potassium citrate Drugs 0.000 description 1
- QEEAPRPFLLJWCF-UHFFFAOYSA-K potassium citrate (anhydrous) Chemical compound [K+].[K+].[K+].[O-]C(=O)CC(O)(CC([O-])=O)C([O-])=O QEEAPRPFLLJWCF-UHFFFAOYSA-K 0.000 description 1
- 235000011082 potassium citrates Nutrition 0.000 description 1
- 229920001592 potato starch Polymers 0.000 description 1
- 244000144977 poultry Species 0.000 description 1
- 239000002243 precursor Substances 0.000 description 1
- 230000035935 pregnancy Effects 0.000 description 1
- 230000003518 presynaptic effect Effects 0.000 description 1
- 229940002612 prodrug Drugs 0.000 description 1
- 239000000651 prodrug Substances 0.000 description 1
- 238000004393 prognosis Methods 0.000 description 1
- 230000000750 progressive effect Effects 0.000 description 1
- 230000002035 prolonged effect Effects 0.000 description 1
- 230000000069 prophylactic effect Effects 0.000 description 1
- 238000011321 prophylaxis Methods 0.000 description 1
- 235000019260 propionic acid Nutrition 0.000 description 1
- 235000018102 proteins Nutrition 0.000 description 1
- 102000004169 proteins and genes Human genes 0.000 description 1
- OGQDIIKRQRZXJH-UHFFFAOYSA-N protriptyline hydrochloride Chemical compound [Cl-].C1=CC2=CC=CC=C2C(CCC[NH2+]C)C2=CC=CC=C21 OGQDIIKRQRZXJH-UHFFFAOYSA-N 0.000 description 1
- 229940035613 prozac Drugs 0.000 description 1
- 239000008213 purified water Substances 0.000 description 1
- UMJSCPRVCHMLSP-UHFFFAOYSA-N pyridine Natural products COC1=CC=CN=C1 UMJSCPRVCHMLSP-UHFFFAOYSA-N 0.000 description 1
- 150000004040 pyrrolidinones Chemical class 0.000 description 1
- ZTHJULTYCAQOIJ-WXXKFALUSA-N quetiapine fumarate Chemical compound [H+].[H+].[O-]C(=O)\C=C\C([O-])=O.C1CN(CCOCCO)CCN1C1=NC2=CC=CC=C2SC2=CC=CC=C12.C1CN(CCOCCO)CCN1C1=NC2=CC=CC=C2SC2=CC=CC=C12 ZTHJULTYCAQOIJ-WXXKFALUSA-N 0.000 description 1
- 229960005197 quetiapine fumarate Drugs 0.000 description 1
- IUVKMZGDUIUOCP-BTNSXGMBSA-N quinbolone Chemical compound O([C@H]1CC[C@H]2[C@H]3[C@@H]([C@]4(C=CC(=O)C=C4CC3)C)CC[C@@]21C)C1=CCCC1 IUVKMZGDUIUOCP-BTNSXGMBSA-N 0.000 description 1
- 238000011552 rat model Methods 0.000 description 1
- 239000003087 receptor blocking agent Substances 0.000 description 1
- 102000005962 receptors Human genes 0.000 description 1
- 108020003175 receptors Proteins 0.000 description 1
- 238000011084 recovery Methods 0.000 description 1
- 230000011373 regulation of behavior Effects 0.000 description 1
- 229940023942 remeron Drugs 0.000 description 1
- 239000013557 residual solvent Substances 0.000 description 1
- 239000011347 resin Substances 0.000 description 1
- 229920005989 resin Polymers 0.000 description 1
- 235000003441 saturated fatty acids Nutrition 0.000 description 1
- 201000008662 sclerosing adenosis of breast Diseases 0.000 description 1
- 238000012216 screening Methods 0.000 description 1
- 210000001732 sebaceous gland Anatomy 0.000 description 1
- 229940125723 sedative agent Drugs 0.000 description 1
- 239000000932 sedative agent Substances 0.000 description 1
- 229960003946 selegiline Drugs 0.000 description 1
- 239000012056 semi-solid material Substances 0.000 description 1
- 230000035945 sensitivity Effects 0.000 description 1
- 229940035004 seroquel Drugs 0.000 description 1
- 229940076279 serotonin Drugs 0.000 description 1
- 239000003772 serotonin uptake inhibitor Substances 0.000 description 1
- 238000004904 shortening Methods 0.000 description 1
- 230000019491 signal transduction Effects 0.000 description 1
- 231100000161 signs of toxicity Toxicity 0.000 description 1
- 229920000260 silastic Polymers 0.000 description 1
- 230000037067 skin hydration Effects 0.000 description 1
- AWUCVROLDVIAJX-GSVOUGTGSA-N sn-glycerol 3-phosphate Chemical compound OC[C@@H](O)COP(O)(O)=O AWUCVROLDVIAJX-GSVOUGTGSA-N 0.000 description 1
- 239000011734 sodium Substances 0.000 description 1
- 229910052708 sodium Inorganic materials 0.000 description 1
- 239000001632 sodium acetate Substances 0.000 description 1
- 235000017281 sodium acetate Nutrition 0.000 description 1
- 229960004249 sodium acetate Drugs 0.000 description 1
- WXMKPNITSTVMEF-UHFFFAOYSA-M sodium benzoate Chemical compound [Na+].[O-]C(=O)C1=CC=CC=C1 WXMKPNITSTVMEF-UHFFFAOYSA-M 0.000 description 1
- 239000004299 sodium benzoate Substances 0.000 description 1
- 235000010234 sodium benzoate Nutrition 0.000 description 1
- 229910000029 sodium carbonate Inorganic materials 0.000 description 1
- 235000017550 sodium carbonate Nutrition 0.000 description 1
- 235000019812 sodium carboxymethyl cellulose Nutrition 0.000 description 1
- 229920001027 sodium carboxymethylcellulose Polymers 0.000 description 1
- 235000011083 sodium citrates Nutrition 0.000 description 1
- FQENQNTWSFEDLI-UHFFFAOYSA-J sodium diphosphate Chemical compound [Na+].[Na+].[Na+].[Na+].[O-]P([O-])(=O)OP([O-])([O-])=O FQENQNTWSFEDLI-UHFFFAOYSA-J 0.000 description 1
- 229940083608 sodium hydroxide Drugs 0.000 description 1
- 239000001540 sodium lactate Substances 0.000 description 1
- 235000011088 sodium lactate Nutrition 0.000 description 1
- 229940005581 sodium lactate Drugs 0.000 description 1
- 235000019333 sodium laurylsulphate Nutrition 0.000 description 1
- ZNCPFRVNHGOPAG-UHFFFAOYSA-L sodium oxalate Chemical compound [Na+].[Na+].[O-]C(=O)C([O-])=O ZNCPFRVNHGOPAG-UHFFFAOYSA-L 0.000 description 1
- 229940039790 sodium oxalate Drugs 0.000 description 1
- 229940079832 sodium starch glycolate Drugs 0.000 description 1
- 239000008109 sodium starch glycolate Substances 0.000 description 1
- 229920003109 sodium starch glycolate Polymers 0.000 description 1
- 229940074404 sodium succinate Drugs 0.000 description 1
- HELHAJAZNSDZJO-UHFFFAOYSA-L sodium tartrate Chemical compound [Na+].[Na+].[O-]C(=O)C(O)C(O)C([O-])=O HELHAJAZNSDZJO-UHFFFAOYSA-L 0.000 description 1
- 235000019832 sodium triphosphate Nutrition 0.000 description 1
- 239000012265 solid product Substances 0.000 description 1
- 230000007928 solubilization Effects 0.000 description 1
- 238000005063 solubilization Methods 0.000 description 1
- 238000000638 solvent extraction Methods 0.000 description 1
- 229940061368 sonata Drugs 0.000 description 1
- WSWCOQWTEOXDQX-MQQKCMAXSA-N sorbic acid group Chemical group C(\C=C\C=C\C)(=O)O WSWCOQWTEOXDQX-MQQKCMAXSA-N 0.000 description 1
- 239000000600 sorbitol Substances 0.000 description 1
- 239000003549 soybean oil Substances 0.000 description 1
- 235000012424 soybean oil Nutrition 0.000 description 1
- 238000007447 staining method Methods 0.000 description 1
- JIWBIWFOSCKQMA-UHFFFAOYSA-N stearidonic acid Natural products CCC=CCC=CCC=CCC=CCCCCC(O)=O JIWBIWFOSCKQMA-UHFFFAOYSA-N 0.000 description 1
- 229930002534 steroid glycoside Natural products 0.000 description 1
- 150000008143 steroidal glycosides Chemical class 0.000 description 1
- 150000003431 steroids Chemical class 0.000 description 1
- 230000000638 stimulation Effects 0.000 description 1
- 238000003756 stirring Methods 0.000 description 1
- 210000002784 stomach Anatomy 0.000 description 1
- 238000003860 storage Methods 0.000 description 1
- ZSJLQEPLLKMAKR-GKHCUFPYSA-N streptozocin Chemical compound O=NN(C)C(=O)N[C@H]1[C@@H](O)O[C@H](CO)[C@@H](O)[C@@H]1O ZSJLQEPLLKMAKR-GKHCUFPYSA-N 0.000 description 1
- 229960001052 streptozocin Drugs 0.000 description 1
- 231100000212 subchronic toxicity study Toxicity 0.000 description 1
- 210000003523 substantia nigra Anatomy 0.000 description 1
- BDHFUVZGWQCTTF-UHFFFAOYSA-M sulfonate Chemical compound [O-]S(=O)=O BDHFUVZGWQCTTF-UHFFFAOYSA-M 0.000 description 1
- 230000001629 suppression Effects 0.000 description 1
- 229940118176 surmontil Drugs 0.000 description 1
- 230000004083 survival effect Effects 0.000 description 1
- 210000000106 sweat gland Anatomy 0.000 description 1
- 230000008961 swelling Effects 0.000 description 1
- 230000000946 synaptic effect Effects 0.000 description 1
- 230000005062 synaptic transmission Effects 0.000 description 1
- 239000006188 syrup Substances 0.000 description 1
- 235000020357 syrup Nutrition 0.000 description 1
- 239000000454 talc Chemical class 0.000 description 1
- 229910052623 talc Inorganic materials 0.000 description 1
- 239000011975 tartaric acid Substances 0.000 description 1
- 235000002906 tartaric acid Nutrition 0.000 description 1
- 229940095064 tartrate Drugs 0.000 description 1
- WFWLQNSHRPWKFK-ZCFIWIBFSA-N tegafur Chemical compound O=C1NC(=O)C(F)=CN1[C@@H]1OCCC1 WFWLQNSHRPWKFK-ZCFIWIBFSA-N 0.000 description 1
- 229960001674 tegafur Drugs 0.000 description 1
- 229940090016 tegretol Drugs 0.000 description 1
- 229940127228 tetracyclic antidepressant Drugs 0.000 description 1
- 229940126585 therapeutic drug Drugs 0.000 description 1
- UIERETOOQGIECD-ONEGZZNKSA-N tiglic acid group Chemical group C(\C(\C)=C\C)(=O)O UIERETOOQGIECD-ONEGZZNKSA-N 0.000 description 1
- 229940041597 tofranil Drugs 0.000 description 1
- 229940035305 topamax Drugs 0.000 description 1
- 229960004394 topiramate Drugs 0.000 description 1
- 231100000167 toxic agent Toxicity 0.000 description 1
- 239000003440 toxic substance Substances 0.000 description 1
- 231100000419 toxicity Toxicity 0.000 description 1
- 230000001988 toxicity Effects 0.000 description 1
- 239000003204 tranquilizing agent Substances 0.000 description 1
- 230000002936 tranquilizing effect Effects 0.000 description 1
- APXSAEQXOXTDAM-AATRIKPKSA-N trans-10-pentadecenoic acid Chemical compound CCCC\C=C\CCCCCCCCC(O)=O APXSAEQXOXTDAM-AATRIKPKSA-N 0.000 description 1
- 230000037317 transdermal delivery Effects 0.000 description 1
- 238000002054 transplantation Methods 0.000 description 1
- 229940063648 tranxene Drugs 0.000 description 1
- 238000011277 treatment modality Methods 0.000 description 1
- 229940001496 tribasic sodium phosphate Drugs 0.000 description 1
- 229940061414 trileptal Drugs 0.000 description 1
- YDGHCKHAXOUQOS-BTJKTKAUSA-N trimipramine maleate Chemical compound [O-]C(=O)\C=C/C([O-])=O.C1CC2=CC=CC=C2[NH+](CC(C[NH+](C)C)C)C2=CC=CC=C21 YDGHCKHAXOUQOS-BTJKTKAUSA-N 0.000 description 1
- UMKFEPPTGMDVMI-UHFFFAOYSA-N trofosfamide Chemical compound ClCCN(CCCl)P1(=O)OCCCN1CCCl UMKFEPPTGMDVMI-UHFFFAOYSA-N 0.000 description 1
- 229960000875 trofosfamide Drugs 0.000 description 1
- 230000005740 tumor formation Effects 0.000 description 1
- 238000007514 turning Methods 0.000 description 1
- 238000002604 ultrasonography Methods 0.000 description 1
- 229960002703 undecylenic acid Drugs 0.000 description 1
- 229960001055 uracil mustard Drugs 0.000 description 1
- 229960005486 vaccine Drugs 0.000 description 1
- 210000001215 vagina Anatomy 0.000 description 1
- 229940072690 valium Drugs 0.000 description 1
- 229960000604 valproic acid Drugs 0.000 description 1
- 230000002792 vascular Effects 0.000 description 1
- QYRYFNHXARDNFZ-UHFFFAOYSA-N venlafaxine hydrochloride Chemical compound [H+].[Cl-].C1=CC(OC)=CC=C1C(CN(C)C)C1(O)CCCCC1 QYRYFNHXARDNFZ-UHFFFAOYSA-N 0.000 description 1
- OGWKCGZFUXNPDA-XQKSVPLYSA-N vincristine Chemical compound C([N@]1C[C@@H](C[C@]2(C(=O)OC)C=3C(=CC4=C([C@]56[C@H]([C@@]([C@H](OC(C)=O)[C@]7(CC)C=CCN([C@H]67)CC5)(O)C(=O)OC)N4C=O)C=3)OC)C[C@@](C1)(O)CC)CC1=C2NC2=CC=CC=C12 OGWKCGZFUXNPDA-XQKSVPLYSA-N 0.000 description 1
- 229960004528 vincristine Drugs 0.000 description 1
- OGWKCGZFUXNPDA-UHFFFAOYSA-N vincristine Natural products C1C(CC)(O)CC(CC2(C(=O)OC)C=3C(=CC4=C(C56C(C(C(OC(C)=O)C7(CC)C=CCN(C67)CC5)(O)C(=O)OC)N4C=O)C=3)OC)CN1CCC1=C2NC2=CC=CC=C12 OGWKCGZFUXNPDA-UHFFFAOYSA-N 0.000 description 1
- 229920002554 vinyl polymer Polymers 0.000 description 1
- QYSXJUFSXHHAJI-YRZJJWOYSA-N vitamin D3 Chemical compound C1(/[C@@H]2CC[C@@H]([C@]2(CCC1)C)[C@H](C)CCCC(C)C)=C\C=C1\C[C@@H](O)CCC1=C QYSXJUFSXHHAJI-YRZJJWOYSA-N 0.000 description 1
- 235000019165 vitamin E Nutrition 0.000 description 1
- 239000011709 vitamin E Chemical class 0.000 description 1
- 229940046009 vitamin E Drugs 0.000 description 1
- 229940045977 vivactil Drugs 0.000 description 1
- 239000000341 volatile oil Substances 0.000 description 1
- 239000001993 wax Substances 0.000 description 1
- 230000003442 weekly effect Effects 0.000 description 1
- 230000004584 weight gain Effects 0.000 description 1
- 235000019786 weight gain Nutrition 0.000 description 1
- 229940009065 wellbutrin Drugs 0.000 description 1
- 239000000080 wetting agent Substances 0.000 description 1
- 229940074158 xanax Drugs 0.000 description 1
- 229960000607 ziprasidone Drugs 0.000 description 1
- 229940020965 zoloft Drugs 0.000 description 1
Images
Classifications
-
- A—HUMAN NECESSITIES
- A61—MEDICAL OR VETERINARY SCIENCE; HYGIENE
- A61K—PREPARATIONS FOR MEDICAL, DENTAL OR TOILETRY PURPOSES
- A61K9/00—Medicinal preparations characterised by special physical form
- A61K9/06—Ointments; Bases therefor; Other semi-solid forms, e.g. creams, sticks, gels
-
- A—HUMAN NECESSITIES
- A61—MEDICAL OR VETERINARY SCIENCE; HYGIENE
- A61K—PREPARATIONS FOR MEDICAL, DENTAL OR TOILETRY PURPOSES
- A61K31/00—Medicinal preparations containing organic active ingredients
- A61K31/13—Amines
- A61K31/135—Amines having aromatic rings, e.g. ketamine, nortriptyline
- A61K31/138—Aryloxyalkylamines, e.g. propranolol, tamoxifen, phenoxybenzamine
-
- A—HUMAN NECESSITIES
- A61—MEDICAL OR VETERINARY SCIENCE; HYGIENE
- A61K—PREPARATIONS FOR MEDICAL, DENTAL OR TOILETRY PURPOSES
- A61K9/00—Medicinal preparations characterised by special physical form
- A61K9/08—Solutions
-
- A—HUMAN NECESSITIES
- A61—MEDICAL OR VETERINARY SCIENCE; HYGIENE
- A61K—PREPARATIONS FOR MEDICAL, DENTAL OR TOILETRY PURPOSES
- A61K9/00—Medicinal preparations characterised by special physical form
- A61K9/14—Particulate form, e.g. powders, Processes for size reducing of pure drugs or the resulting products, Pure drug nanoparticles
- A61K9/19—Particulate form, e.g. powders, Processes for size reducing of pure drugs or the resulting products, Pure drug nanoparticles lyophilised, i.e. freeze-dried, solutions or dispersions
-
- A—HUMAN NECESSITIES
- A61—MEDICAL OR VETERINARY SCIENCE; HYGIENE
- A61P—SPECIFIC THERAPEUTIC ACTIVITY OF CHEMICAL COMPOUNDS OR MEDICINAL PREPARATIONS
- A61P15/00—Drugs for genital or sexual disorders; Contraceptives
- A61P15/08—Drugs for genital or sexual disorders; Contraceptives for gonadal disorders or for enhancing fertility, e.g. inducers of ovulation or of spermatogenesis
-
- A—HUMAN NECESSITIES
- A61—MEDICAL OR VETERINARY SCIENCE; HYGIENE
- A61P—SPECIFIC THERAPEUTIC ACTIVITY OF CHEMICAL COMPOUNDS OR MEDICINAL PREPARATIONS
- A61P19/00—Drugs for skeletal disorders
- A61P19/08—Drugs for skeletal disorders for bone diseases, e.g. rachitism, Paget's disease
- A61P19/10—Drugs for skeletal disorders for bone diseases, e.g. rachitism, Paget's disease for osteoporosis
-
- A—HUMAN NECESSITIES
- A61—MEDICAL OR VETERINARY SCIENCE; HYGIENE
- A61P—SPECIFIC THERAPEUTIC ACTIVITY OF CHEMICAL COMPOUNDS OR MEDICINAL PREPARATIONS
- A61P25/00—Drugs for disorders of the nervous system
-
- A—HUMAN NECESSITIES
- A61—MEDICAL OR VETERINARY SCIENCE; HYGIENE
- A61P—SPECIFIC THERAPEUTIC ACTIVITY OF CHEMICAL COMPOUNDS OR MEDICINAL PREPARATIONS
- A61P25/00—Drugs for disorders of the nervous system
- A61P25/08—Antiepileptics; Anticonvulsants
-
- A—HUMAN NECESSITIES
- A61—MEDICAL OR VETERINARY SCIENCE; HYGIENE
- A61P—SPECIFIC THERAPEUTIC ACTIVITY OF CHEMICAL COMPOUNDS OR MEDICINAL PREPARATIONS
- A61P25/00—Drugs for disorders of the nervous system
- A61P25/14—Drugs for disorders of the nervous system for treating abnormal movements, e.g. chorea, dyskinesia
- A61P25/16—Anti-Parkinson drugs
-
- A—HUMAN NECESSITIES
- A61—MEDICAL OR VETERINARY SCIENCE; HYGIENE
- A61P—SPECIFIC THERAPEUTIC ACTIVITY OF CHEMICAL COMPOUNDS OR MEDICINAL PREPARATIONS
- A61P25/00—Drugs for disorders of the nervous system
- A61P25/18—Antipsychotics, i.e. neuroleptics; Drugs for mania or schizophrenia
-
- A—HUMAN NECESSITIES
- A61—MEDICAL OR VETERINARY SCIENCE; HYGIENE
- A61P—SPECIFIC THERAPEUTIC ACTIVITY OF CHEMICAL COMPOUNDS OR MEDICINAL PREPARATIONS
- A61P25/00—Drugs for disorders of the nervous system
- A61P25/28—Drugs for disorders of the nervous system for treating neurodegenerative disorders of the central nervous system, e.g. nootropic agents, cognition enhancers, drugs for treating Alzheimer's disease or other forms of dementia
-
- A—HUMAN NECESSITIES
- A61—MEDICAL OR VETERINARY SCIENCE; HYGIENE
- A61P—SPECIFIC THERAPEUTIC ACTIVITY OF CHEMICAL COMPOUNDS OR MEDICINAL PREPARATIONS
- A61P31/00—Antiinfectives, i.e. antibiotics, antiseptics, chemotherapeutics
- A61P31/04—Antibacterial agents
-
- A—HUMAN NECESSITIES
- A61—MEDICAL OR VETERINARY SCIENCE; HYGIENE
- A61P—SPECIFIC THERAPEUTIC ACTIVITY OF CHEMICAL COMPOUNDS OR MEDICINAL PREPARATIONS
- A61P31/00—Antiinfectives, i.e. antibiotics, antiseptics, chemotherapeutics
- A61P31/10—Antimycotics
-
- A—HUMAN NECESSITIES
- A61—MEDICAL OR VETERINARY SCIENCE; HYGIENE
- A61P—SPECIFIC THERAPEUTIC ACTIVITY OF CHEMICAL COMPOUNDS OR MEDICINAL PREPARATIONS
- A61P31/00—Antiinfectives, i.e. antibiotics, antiseptics, chemotherapeutics
- A61P31/12—Antivirals
-
- A—HUMAN NECESSITIES
- A61—MEDICAL OR VETERINARY SCIENCE; HYGIENE
- A61P—SPECIFIC THERAPEUTIC ACTIVITY OF CHEMICAL COMPOUNDS OR MEDICINAL PREPARATIONS
- A61P9/00—Drugs for disorders of the cardiovascular system
-
- A—HUMAN NECESSITIES
- A61—MEDICAL OR VETERINARY SCIENCE; HYGIENE
- A61K—PREPARATIONS FOR MEDICAL, DENTAL OR TOILETRY PURPOSES
- A61K9/00—Medicinal preparations characterised by special physical form
- A61K9/0012—Galenical forms characterised by the site of application
- A61K9/0014—Skin, i.e. galenical aspects of topical compositions
-
- Y—GENERAL TAGGING OF NEW TECHNOLOGICAL DEVELOPMENTS; GENERAL TAGGING OF CROSS-SECTIONAL TECHNOLOGIES SPANNING OVER SEVERAL SECTIONS OF THE IPC; TECHNICAL SUBJECTS COVERED BY FORMER USPC CROSS-REFERENCE ART COLLECTIONS [XRACs] AND DIGESTS
- Y02—TECHNOLOGIES OR APPLICATIONS FOR MITIGATION OR ADAPTATION AGAINST CLIMATE CHANGE
- Y02A—TECHNOLOGIES FOR ADAPTATION TO CLIMATE CHANGE
- Y02A50/00—TECHNOLOGIES FOR ADAPTATION TO CLIMATE CHANGE in human health protection, e.g. against extreme weather
- Y02A50/30—Against vector-borne diseases, e.g. mosquito-borne, fly-borne, tick-borne or waterborne diseases whose impact is exacerbated by climate change
Definitions
- the invention relates to the use of endoxifen in the treatment of mammalian diseases.
- the invention also relates to liposomes and other formulations such as complexes, vesicles, emulsions, micelles and mixed micelles of endoxifen, methods of preparation, and uses, e.g., in the treatment of human and animal breast diseases.
- the invention in particular relates to compositions comprising endoxifen-lipid complexes, methods of preparation, and their use for the treatment of breast diseases, in particular benign and malignant breast disease, enhancing disease regression and reducing risk of patients developing breast cancer.
- This invention further relates to the endoxifen and compositions comprising endoxifen in the treatment of psychiatric and neurodegenerative diseases.
- the present invention further relates to the use of compositions comprising endoxifen in the treatment of bipolar disease, schizophrenia, multiple sclerosis (MS), Alzheimer disease, Parkinson disease, Huntington's disease, amyotrophic lateral sclerosis (ALS), and epilepsy
- MS multiple sclerosis
- ALS amyotrophic lateral sclerosis
- the invention still further relates to methods of preparing endoxifen and use of endoxifen prepared by inventive method in the treatment of human and animal diseases.
- breast cancer Every year more than 210,000 women in the United States develop breast cancer. One in eight women in the US will develop breast cancer during their lives. Approximately 70 percent of breast cancers are fueled by estrogen, and many are treated with tamoxifen, a drug designed to block the effects of estrogen in breast tissue.
- Tamoxifen is an anti-estrogenic drug prescribed for long-term, low dose therapy of breast cancer. It has been widely used for more than 30 years for the endocrine treatment of all stages of hormone receptor-positive breast cancer (1, 2). Tamoxifen has also been approved for the prevention of breast cancer (3).
- one of the adverse events associated with tamoxifen is hot flashes. The risk of hot flashes is two to three-folds higher among women who take tamoxifen than it is for those who do not (4, 5).
- Selective serotonin-reuptake inhibitor (SSRI) antidepressants are prescribed to treat hot flashes.
- SSRIs such as paroxetine and fluoxetine
- cytochrome P450 (CYP) 2D6 an enzyme that is important for the metabolism of many drugs, including tamoxifen (5).
- CYP2D6 cytochrome P450
- CYP2D6 genetic polymorphism affecting its expression and function (7).
- the understanding of tamoxifen metabolism and effect has changed clinical practice through the wide spread recognition that the co-prescription of drugs that inhibit CYP2D6 may compromise tamoxifen efficacy.
- Bipolar disorder is a chronic mental illness that is associated with a substantial risk of suicide among those affected (8).
- Lithium and valproate are widely used as mood stabilizers in bipolar disorder, however, a substantial minority of patients fails to respond, or respond only partially, to these agents (8). Therefore, the development of novel therapeutic agents with a quicker, more potent, and more specific mode(s) of action with fewer side effects are required.
- Tamoxifen is a selective estrogen receptor modulator (SERM).
- SERM selective estrogen receptor modulator
- psychiatric diseases e.g., bipolar disorder, schizophrenia
- neurodegenerative conditions e.g., multiple sclerosis, Parkinson disease, Alzheimer disease, and stroke.
- PLC protein kinase C
- Tamoxifen use also showed improvement in manic symptoms in patients with schizoaffective disorder (12), and several neuroprotective effects of tamoxifen have been documented (13, 14).
- tamoxifen may have neurotrophic effects, e.g., by increasing synaptic density and stimulating neurite outgrowth (13).
- the efficacy of treatment using tamoxifen can be compromised by other drugs or by mutations that disrupt the metabolism of the drug.
- the present invention provides methods and compositions for the syntheses and use of active agents such as anticancer agents and agents for treatment of psychiatric and neurodegenerative conditions.
- the present invention relates to methods and compositions related to the formulations and uses of endoxifen, particularly in applications related to the treatment or prevention of cancer, and in the treatment and prevention of psychiatric and neurodegenerative disease.
- compositions of the present invention can be employed to treat psychiatric and neurodegenerative diseases.
- the compositions of the present invention may be administered to a patient diagnosed with bipolar disorder or manic disorder.
- the exemplary examples of psychiatric and neurodegenerative diseases treatable by the present inventive compositions include but not limited to bipolar disorder, Alzheimer's disease, Parkinson's disease, multiple sclerosis diseases, epilepsy, and the like.
- ENDOXIFEN (4-hydroxy N-desmethyl tamoxifen) is an active metabolite of the marketed drug tamoxifen for the treatment of breast cancer. Tamoxifen is extensively metabolized by cytochrome P450 (CYP) enzymes CYP3A4 and CYP2D6 into active metabolites including 4-hydroxy tamoxifen and 4-hydroxy-N-desmethyl tamoxifen (endoxifen) ( FIG. 3 ).
- CYP cytochrome P450
- endoxifen as a therapeutic agent e.g., for cancer, and psychiatric and neurodegenerative diseases has significant advantages compared to use of the mother compound tamoxifen, which requires metabolic activation by cytochrome P450 (CYP) enzymes whose actions are variable because of genetic polymorphism and inhibition via drug-drug interaction.
- CYP cytochrome P450
- the present invention provides a method of treating a disease, comprising, preparing a composition comprising a therapeutically active amount of endoxifen and administering the composition.
- the endoxifen is a free base, or is in the form of a salt.
- the endoxifen is in the form of a salt selected from the group of salts consisting of citrate, acetate, formate, sulfonate, oxalate, succinate, tartarate, trifluoroacetate, methane sulfonate, phosphate, sulfate, chloride, bromide, iodide, and lactate.
- the salt is in the form of citrate.
- the endoxifen is predominantly in a form selected from the group consisting of E-isomer, Z-isomer, and a mixture of E- and Z-isomer.
- method comprises preparing a complex comprising an anticancer or an psychiatric therapeutic drug and at least one lipid.
- the drug is endoxifen.
- the compounds of the invention are not complexed with a lipid.
- the compound is in the form of a free base or is in the form of a salt.
- the present invention provides methods of preparing endoxifen, comprising reacting a compound of Formula 5 with acid, wherein the compound of formula 5 has the structure:
- the compound of Formula 5 is prepared by reacting compound of formula 4
- the compound of Formula 3 is prepared by reacting compound of Formula 1
- the present invention provides methods of purifying the endoxifen as described above, comprising crystallizing the endoxifen and/or chromatographically treating said endoxifen to produce a purified preparation of endoxifen, wherein the purified preparation of endoxifen contains predominantly E-isomer, predominantly Z-isomer, or mixture of E- and Z-isomers of endoxifen.
- the invention provides endoxfen preparations comprising at least one lipid.
- the at least one lipid is selected from the group consisting of egg phosphatidylcholine (EPC), egg phosphatidylglycerol (EPG), soy phosphatidylcholine (SPC), hydrogenated soy phosphatidylcholine (HSPC), dimyristoylphosphatidylcholine (DMPC), dimyristoylphosphatidylglycerol (DMPG), dipalmitoylphosohatidylcholine (DPPC), disteroylphosphatidylglycerol (DSPG), dipalmitoylphosphatidylglycerol (DMPG), cholesterol (Chol), cholesterol sulfate and its salts (CS), cholesterol hemisuccinate and its salts (Chems), cholesterol phosphate and its salts (CP), cholesterylphosphocholine and other hydroxycholesterol or amino cholesterol
- a composition according to the present invention comprises endoxifen, cholesterol and/or cholesterol derivatives, and one or more phospholipids.
- the composition comprises a cholesterol derivative, and the cholesterol derivative is cholesteryl sulfate.
- at least one of the phospholipids is hydrogenated soy phosphatidylcholine or soy phosphatidylcholine.
- the composition comprises a form selected from the group consisting of powder, solution, emulsion, micelle, liposome, lipidic particle, gel, and paste form.
- the preparing of the composition comprising a complex comprises preparing said complex in a lyophilized form.
- the preparing the complex in a lyophilized form comprises using a cryoprotectant, wherein said cryoprotectant comprises one or more sugars selected from the group consisting of trehalose, maltose, lactose, sucrose, glucose, and dextran.
- the composition comprises a tablet or a filled capsule, wherein said tablet or filled capsule optionally comprises an enteric coating material.
- the disease is caused by cancer or by cancer-causing agents, while in some embodiments, the disease is benign breast disease.
- the administering comprises oral, intravenous, subcutaneous, percutaneous, parenteral, intraperitoneal, rectal, vaginal, and/or topical delivery said composition to said subject.
- the composition comprises a penetration enhancer, wherein said penetration enhancer comprises at least one saturated or unsaturated fatty acid ester.
- the composition comprising endoxifen is formulated in a hydroalcoholic gel, a hydroalcoholic solution, a patch, a cream, an emulsion, a lotion, an ointment, a powder or an oil.
- the composition comprising endoxifen is formulated in a hydroalcoholic composition containing a penetration enhancer, an aqueous vehicle, an alcoholic vehicle and a gelling agent.
- the hydroalcoholic composition comprises a neutralizing agent.
- the hydroalcoholic composition comprises endoxifen at about 0.01% to 0.20% by weight; isopropyl myristate at about 0.1% to 2.0%, preferably 0.5% to 2.0% by weight; alcohol at about 50.0% to 80.0%, preferably about 60.0% to 75.0% by weight; aqueous vehicle at about 20.0% to 60.0%, preferably 25.0% to 50.0% by weight; and gelling agent at about 1.0% to 10.0%, preferably about 0.5% to 5.0% by weight.
- the wherein the percentage of components is weight to weight of the composition.
- the alcohol is ethanol or isopropanol, and constitutes in absolute form.
- the aqueous vehicle is a phosphate buffered solution.
- the gelling agent is selected from the group consisting of polyacrylic acid, hydroxypropylcellulose and a cellulose derivative other than hydroxypropylcellulose.
- the hydroalcoholic composition further comprises a neutralizing agent, wherein said neutralizing agent is selected from the group consisting of sodium hydroxide, potassium hydroxide, ammonium hydroxide, aminomethylpropanol, arginine, trolamine, and tromethamine, and wherein said neutralizing agent exists at a neutralizing agent/gelling agent ratio of about 1:1 to about 4:1.
- a neutralizing agent selected from the group consisting of sodium hydroxide, potassium hydroxide, ammonium hydroxide, aminomethylpropanol, arginine, trolamine, and tromethamine
- the invention provides methods of delivering endoxifen, comprising: providing any of the above described compositions and delivering the composition so as to expose the composition to a cell.
- the cell is in vivo.
- the host is a mammal.
- the present invention also provides methods of inhibiting hormone-dependent breast carcinoma in a mammal comprising administering any of the above compositions to the mammal.
- the present invention further provides methods of inhibiting a cancer in a mammal, said cancer including, but not limited to, lung cancer, colon cancer, breast cancer, leukemia, renal cancer, melanoma, cancer or the central nervous system, and prostate cancer in a mammal; the method comprising administering any of the above compositions to said mammal (e.g., a human).
- a mammal e.g., a human
- compositions comprising a therapeutically active amount of a complex comprising endoxifen and at least one lipid, wherein said endoxifen is a free base or is in the form of a salt.
- the composition comprising endoxifen is formulated in a hydroalcoholic gel, a hydroalcoholic solution, a patch, a cream, an emulsion, a lotion, an ointment, a powder or an oil.
- the composition comprising endoxifen is formulated in a hydroalcoholic composition containing a penetration enhancer, an aqueous vehicle, an alcoholic vehicle and a gelling agent.
- the hydroalcoholic composition comprises a neutralizing agent.
- the hydroalcoholic composition comprises endoxifen at about 0.01% to 0.20% by weight; isopropyl myristate at about 0.1% to 2.0%, preferably 0.5% to 2.0% by weight; alcohol at about 50.0% to 80.0%, preferably about 60.0% to 75.0% by weight; aqueous vehicle at about 20.0% to 60.0%, preferably 25.0% to 50.0% by weight; and gelling agent at about 1.0% to 10.0%, preferably about 0.5% to 5.0% by weight.
- the wherein the percentage of components is weight to weight of the composition.
- the present invention provides methods of treating or preventing a condition in a subject (e.g., cancer, or a psychiatric or neurodegenerative condition) comprising administering a pharmaceutical preparation comprising a therapeutically effective amount of endoxifen.
- a condition in a subject e.g., cancer, or a psychiatric or neurodegenerative condition
- administering a pharmaceutical preparation comprising a therapeutically effective amount of endoxifen.
- endoxifen compositions for psychiatric and neurodegenerative therapy is not limited to a particular disease or route of administration.
- the invention provides methods and compositions for treating bipolar disorder, while in other embodiments, the invention provides methods and compositions for treating multiple sclerosis, schizophrenia, Alzheimers' disease, Parkinson's disease, Huntington's disease, amyotrophic lateral sclerosis, and epilepsy.
- a pharmaceutical preparation of the present invention further comprises a second therapeutic agent.
- the second therapeutic is a known therapeutic agent for treatment of the condition.
- the second therapeutic agent is a known therapeutic for the treatment of bipolar disorder, manic disorder, or depression, e.g., lithium, a selective serotonin reuptake inhibitor, a serotonin and norepinephrine reuptake inhibitor, a dopamine reuptake inhibitor, a tetracyclic antidepressant, a combined reuptake inhibitor, a receptor blocker, tricyclic antidepressant, and a monoamine oxidase inhibitor.
- the known therapeutic for the treatment of a psychiatric or neurodegenerative condition is selected from the group consisting of citalopram, escitalopram, fluoxetine, paroxetine, sertraline, duloxetine, venlafaxine, bupropion, mirtazapine, trazodone, tefazodone, maprotiline, amitriptyline, amoxapine, desipramine, doxepin, imipramine, nortriptyline, protriptyline, trimipramine, phenelzine, tranylcypromine, isocarboxazid, and selegilin.
- the second therapeutic is a known therapeutic agent for treatment of anxiety, such as a benzodiazepine, a beta-blocker, and a non-benzodiazepine hypnotic.
- the therapeutic for the treatment of anxiety is selected from the group consisting of diazepam, nitrazepam, alprazolam, bromazepam, chlordiazepoxide, chlorazepate, lorazepam, oxazepam, flunitrazepam, flurazepam, loprazolam, lormetazepam, and temazepam, buspirone, meprobamate, zalepon, zolpidem, zopiclone, chloral hydrate, triclofos, clomethizole, and meprobamate.
- FIG. 1 diagrams compound I.
- FIG. 2 diagrams embodiments for synthesis of compounds 3, 5, and I.
- FIG. 3 shows a schematic diagram of metabolism of tamoxifen into endoxifen (4-hydroxy-N-desmethyl tamoxifen).
- FIG. 4 shows a schematic representation of a PKC pathway.
- FIG. 5 shows a graph comparing inhibition of PKC activity by endoxifen and tamoxifen.
- the terms “host,” “subject” and “patient” refer to any animal, including but not limited to, human and non-human animals (e.g., dogs, cats, cows, horses, sheep, poultry, fish, crustaceans, etc.) that is studied, analyzed, tested, diagnosed or treated.
- human and non-human animals e.g., dogs, cats, cows, horses, sheep, poultry, fish, crustaceans, etc.
- the terms “host,” “subject” and “patient” are used interchangeably, unless indicated otherwise.
- subject at risk of cancer refers to a subject identified as being at risk for developing cancer, e.g., by prior health history, genetic data, etc.
- anticancer drug refers to an agent used to treat or prevent cancer.
- agents include, but are not limited to, small molecules, drugs, antibodies, pharmaceuticals, and the like.
- the terms “subject having depression” or “subject displaying signs or symptoms or pathology indicative of depression” or “subjects suspected of displaying signs or symptoms or pathology indicative of depression” refer to a subject that is identified as having or likely to have depression based on known depression signs, symptoms and pathology.
- the terms “subject at risk of displaying pathology indicative of depression” and “subject at risk of depression” refer to a subject identified as being at risk for developing depression.
- the terms “subject having bipolar disorder” or “subject displaying signs or symptoms or pathology indicative of bipolar disorder” or “subjects suspected of displaying signs or symptoms or pathology indicative of bipolar disorder” refer to a subject that is identified as having or likely to have bipolar disorder based on known depression signs, symptoms and pathology.
- the terms “subject at risk of displaying pathology indicative of bipolar disorder” and “subject at risk of bipolar disorder” refer to a subject identified as being at risk for developing bipolar disorder.
- anti-antidepressant refers to an agent used to treat or prevent depression.
- agents include, but are not limited to, small molecules, drugs, antibodies, pharmaceuticals, and the like.
- anxiolytic refers to an agent used to treat or prevent anxiety.
- agents include, but are not limited to, small molecules, drugs, antibodies, pharmaceuticals, and the like.
- the terms “subject having anxiety” or “subject displaying signs or symptoms or pathology indicative of anxiety” or “subjects suspected of displaying signs or symptoms or pathology indicative of anxiety” refer to a subject that is identified as having or likely to have anxiety based on known anxiety signs, symptoms and pathology.
- the terms “subject at risk of displaying pathology indicative of anxiety” and “subject at risk of anxiety” refer to a subject identified as being at risk for developing anxiety.
- cognitive function generally refers to the ability to think, reason, concentrate, or remember. Accordingly, the term “decline in cognitive function” refers to the deterioration of lack of ability to think, reason, concentrate, or remember.
- an effective amount refers to the amount of an active composition (e.g., a pharmaceutical compound or composition provided as a component in a lipid or other formulation) sufficient to produce a selected effect, e.g., to effect beneficial or desired results.
- an effective amount of a PKC inhibitor is an amount of the inhibitor sufficient to reduce PKC activity, as determined, e.g., by observation of an in vivo effect associated with reduced PKC activity, or by use of an in vitro assay.
- An effective amount can be administered in one or more administrations, applications or dosages and is not intended to be limited to a particular formulation or administration route.
- the administration may be in one or more administrations, applications or dosages and is not intended to be limited to a particular formulation or administration route. The term is not limited to any particular level of activity.
- agent and “compound” are used herein interchangeably to refer to any atom, molecule, mixture, or more complex composition having an attributed feature.
- an “active agent” or “active compound” refers to any atom, molecule, preparation, mixture, etc., that, upon administration or application, causes a beneficial, desired, or expected result.
- treating includes administering therapy to prevent, cure, or alleviate/prevent the symptoms associated with, a specific disorder, disease, injury or condition.
- treatment encompasses the improvement and/or reversal of the symptoms of disease (e.g., cancer, bipolar disorder, Parkinson's disease, etc.), or reduction of risk of occurrence of disease.
- a compound which causes an improvement in any parameter associated with disease when used in the screening methods of the instant invention may thereby be identified as a therapeutic compound.
- treatment refers to both therapeutic treatment and prophylactic or preventative measures.
- compositions and methods of the present invention include those already with a disease and/or disorder (e.g., cancer, psychiatric or neurodegenerative disease, or symptoms or pathologies consistent with these conditions) as well as those in which a disease and/or disorder is to be prevented (e.g., using a prophylactic treatment of the present invention).
- a disease and/or disorder e.g., cancer, psychiatric or neurodegenerative disease, or symptoms or pathologies consistent with these conditions
- a disease and/or disorder e.g., cancer, psychiatric or neurodegenerative disease, or symptoms or pathologies consistent with these conditions
- a disease and/or disorder e.g., cancer, psychiatric or neurodegenerative disease, or symptoms or pathologies consistent with these conditions
- the term “at risk for disease” refers to a subject (e.g., a human) that is predisposed to experiencing a particular disease.
- This predisposition may be genetic (e.g., a particular genetic tendency to experience the disease, such as heritable disorders), or due to other factors (e.g., age, weight, environmental conditions, exposures to detrimental compounds present in the environment, etc.).
- factors e.g., age, weight, environmental conditions, exposures to detrimental compounds present in the environment, etc.
- the term “suffering from disease” refers to a subject (e.g., a human) that is experiencing a particular disease. It is not intended that the present invention be limited to any particular signs or symptoms, nor disease. Thus, it is intended that the present invention encompasses subjects that are experiencing any range of disease (e.g., from sub-clinical manifestation to full-blown disease) wherein the subject exhibits at least some of the indicia (e.g., signs and symptoms) associated with the particular disease.
- disease and “pathological condition” are used interchangeably to describe a state, signs, and/or symptoms that are associated with any impairment of the normal state of a living animal or of any of its organs or tissues that interrupts or modifies the performance of normal functions, and may be a response to environmental factors (such as emotional trauma, physical trauma, malnutrition, industrial hazards, or climate), to specific infective agents (such as worms, bacteria, or viruses), to inherent defect of the organism (such as various genetic anomalies, or to combinations of these and other factors.
- environmental factors such as emotional trauma, physical trauma, malnutrition, industrial hazards, or climate
- specific infective agents such as worms, bacteria, or viruses
- inherent defect of the organism such as various genetic anomalies, or to combinations of these and other factors.
- the term “administration” refers to the act of giving a drug, prodrug, or other active agent, or therapeutic treatment (e.g., compositions of the present invention) to a physiological system (e.g., a subject or in vivo, in vitro, or ex vivo cells, tissues, and organs).
- a physiological system e.g., a subject or in vivo, in vitro, or ex vivo cells, tissues, and organs.
- exemplary routes of administration to the human body can be through the eyes (ophthalmic), mouth (oral), skin (transdermal), nose (nasal), lungs (inhalant), rectal, vaginal, oral mucosa (buccal), ear, by injection (e.g., intravenously, subcutaneously, intratumorally, intraperitoneally, etc.) and the like.
- Administration may be in one or more administrations, applications or dosages, and is not intended to be limited to a particular administration route.
- co-administration refers to the administration of at least two agent(s) (e.g., two separate lipid compositions, containing different active compounds) or therapies to a subject.
- endoxifen may be co-administered with a second therapeutic, e.g., a known therapeutic for the treatment of a disease or condition, e.g., depression.
- the co-administration of two or more agents or therapies is concurrent.
- a first agent/therapy is administered prior to a second agent/therapy.
- the appropriate dosage for co-administration can be readily determined by one skilled in the art.
- the respective agents or therapies are administered at lower dosages than appropriate for their administration alone.
- co-administration is especially desirable in embodiments where the co-administration of the agents or therapies lowers the requisite dosage of a potentially harmful (e.g., toxic) agent(s).
- a “known therapeutic” compound or agent includes a therapeutic compound that has been shown (e.g., through animal trials or prior experience with administration to humans) to have a particular therapeutic effect in a treatment.
- a known therapeutic compound is not limited to a compound having a particular level of effectiveness in the treatment or prevention of a disease (e.g., bipolar disorder, depression or anxiety).
- bipolar disorder therapeutic agents include but are not limited to lithium, including salts available under the generic names of lithium carbonate and lithium citrate (e.g., ESKALITH, LITHOBID, LITHANE, LITHONATE, LITHOTABS, CIBALITH-S), and anticonvulsants such as valproate or valproic acid (DEPAKOTE), lamotrigine (LAMICTAL), carbamazepine (TEGRETOL), and oxcarbazepine (TRILEPTAL).
- examples of other compounds also finding use in combination with endoxifen in the methods of the invention include gabapentin (NEUROTONIN) and topiramate (TOPAMAX).
- SSRIs selective serotonin reuptake inhibitors
- CELEXA citalopram
- LEXAPRO escitalopram
- fluoxetine PROZAC, PROZAC WEEKLY
- paroxetine PAXIL, PAXIL CR
- ZOLOFT sertraline
- serotonin and norepinephrine reuptake inhibitors SNRIs, e.g., duloxetine (CYMBALTA) and venlafaxine (EFFEXOR, EFFEXOR XR)
- NDRIs e.g., bupropion (WELLBUTRIN, WELLBUTRIN SR, WELLBUTRIN XL)
- tetracyclic antidepressants e.g., mirtazapine (REMERON, REMERON SOLTAB
- anxiolytic therapeutic agents include, but are not limited, benzodiazepines (e.g., diazepam (VALIUM), nitrazepam (MOGADON), alprazolam (XANAX), bromazepam (LEXOTAN), chlordiazepoxide (LIBRIUM), chlorazepate (TRANXENE), lorazepam (ATIVAN), oxazepam, flunitrazepam (ROHYPNOL), flurazepam (DALMANE), loprazolam, lormetazepam, and temazepam); non-benzodiazepine agents (e.g., buspirone (BUSPAR), beta-blockers, and meprobamate (EQUAGESIC)); and non-benzodiazepine hypnotics (e.g., zalepon (SONATA), zolpidem (STILLNOCT), zopiclone (ZIMOVANE), chloral hydrate,
- the term “toxic” refers to any detrimental or harmful effects on a subject, a cell, or a tissue as compared to the same cell or tissue prior to the administration of the toxicant.
- the term “pharmaceutically purified” refers to a composition of sufficient purity or quality of preparation for pharmaceutical use.
- the term “purified” refers to a treatment of a starting composition to remove at least one other component (e.g., another component from a starting composition (e.g., plant or animal tissue, an environmental sample etc.), a contaminant, a synthesis precursor, or a byproduct, etc.), such that the ratio of the purified component to the removed component is greater than in the starting composition.
- a starting composition e.g., plant or animal tissue, an environmental sample etc.
- a contaminant e.g., a synthesis precursor, or a byproduct, etc.
- composition refers to the combination of an active agent (e.g., an active pharmaceutical compound) with a carrier, inert or active (e.g., a phospholipid), making the composition especially suitable for diagnostic or therapeutic use in vitro, in vivo or ex vivo.
- an active agent e.g., an active pharmaceutical compound
- a carrier e.g., inert or active
- active e.g., a phospholipid
- compositions that do not substantially produce adverse reactions, e.g., toxic, allergic, or immunological reactions, when administered to a subject.
- topically refers to application of the compositions of the present invention to the surface of the skin and mucosal cells and tissues (e.g., alveolar, buccal, lingual, masticatory, or nasal mucosa, and other tissues and cells which line hollow organs or body cavities).
- mucosal cells and tissues e.g., alveolar, buccal, lingual, masticatory, or nasal mucosa, and other tissues and cells which line hollow organs or body cavities.
- the term “pharmaceutically acceptable carrier” refers to any of the standard pharmaceutical carriers including, but not limited to, phosphate buffered saline solution, water, emulsions (e.g., such as an oil/water or water/oil emulsions), and various types of wetting agents, any and all solvents, dispersion media, coatings, sodium lauryl sulfate, isotonic and absorption delaying agents, disintigrants (e.g., potato starch or sodium starch glycolate), and the like.
- the compositions also can include stabilizers and preservatives. For examples of carriers, stabilizers, and adjuvants.
- compositions of the present invention may be formulated for horticultural or agricultural use.
- Such formulations include dips, sprays, seed dressings, stem injections, sprays, and mists.
- the term “pharmaceutically acceptable salt” refers to any salt (e.g., obtained by reaction with an acid or a base) of a compound of the present invention that is physiologically tolerated in the target subject (e.g., a mammalian subject, and/or in vivo or ex vivo, cells, tissues, or organs). “Salts” of the compounds of the present invention may be derived from inorganic or organic acids and bases.
- acids include, but are not limited to, hydrochloric, hydrobromic, sulfuric, nitric, perchloric, fumaric, maleic, phosphoric, glycolic, lactic, salicylic, succinic, toluene-p-sulfonic, tartaric, acetic, citric, methanesulfonic, ethanesulfonic, formic, benzoic, malonic, sulfonic, naphthalene-2-sulfonic, benzenesulfonic acid, and the like.
- Other acids such as oxalic, while not in themselves pharmaceutically acceptable, may be employed in the preparation of salts useful as intermediates in obtaining the compounds of the invention and their pharmaceutically acceptable acid addition salts.
- bases include, but are not limited to, alkali metal (e.g., sodium) hydroxides, alkaline earth metal (e.g., magnesium) hydroxides, ammonia, and compounds of formula NW 4 + , wherein W is C 1-4 alkyl, and the like.
- alkali metal e.g., sodium
- alkaline earth metal e.g., magnesium
- W is C 1-4 alkyl
- salts include, but are not limited to: acetate, adipate, alginate, aspartate, benzoate, benzenesulfonate, bisulfate, butyrate, citrate, camphorate, camphorsulfonate, cyclopentanepropionate, digluconate, dodecylsulfate, ethanesulfonate, fumarate, flucoheptanoate, glycerophosphate, hemisulfate, heptanoate, hexanoate, chloride, bromide, iodide, 2-hydroxyethanesulfonate, lactate, maleate, methanesulfonate, 2-naphthalenesulfonate, nicotinate, oxalate, palmoate, pectinate, persulfate, phenylpropionate, picrate, pivalate, propionate, succinate, tartrate, thiocyanate, tosy
- salts include anions of the compounds of the present invention compounded with a suitable cation such as Na + , NH 4 + , and NW 4 + (wherein W is a C 1-4 alkyl group), and the like.
- a suitable cation such as Na + , NH 4 + , and NW 4 + (wherein W is a C 1-4 alkyl group), and the like.
- salts of the compounds of the present invention are contemplated as being pharmaceutically acceptable.
- salts of acids and bases that are non-pharmaceutically acceptable may also find use, for example, in the preparation or purification of a pharmaceutically acceptable compound.
- salts of the compounds of the present invention are contemplated as being pharmaceutically acceptable.
- salts of acids and bases that are non-pharmaceutically acceptable may also find use, for example, in the preparation or purification of a pharmaceutically acceptable compound.
- hydroalcoholic as used in reference to a substance or composition indicates that said substance or composition comprises both water and alcohol.
- gelling agent refers to a composition that, when dissolved, suspended or dispersed in a fluid (e.g., an aqueous fluid such as water or a buffer solution), forms a gelatinous semi-solid (e.g., a lubricant gel).
- a fluid e.g., an aqueous fluid such as water or a buffer solution
- gelling agents include but are not limited to hydroxyethyl cellulose, hydroxymethyl cellulose, hydroxypropyl guar, methyl cellulose, ethyl cellulose, hydroxypropyl cellulose, sodium carboxymethyl cellulose, carbomer, alginate, gelatin, and poloxamer.
- the term “dried” as used in reference to a composition refers to removing the solvent component or components to levels that no longer support chemical reactions.
- the term is also used in reference to a composition that has been dried (e.g., a dried preparation or dried composition).
- a composition may be “dried” while still having residual solvent or moisture content after, e.g., lyophilization, or that a dried composition may, after the end of a drying process, absorb moisture hygroscopically, e.g., from the atmosphere.
- the term “dried” encompasses a composition with increased moisture content due to hygroscopic absorption.
- the term “protective agent” refers to a composition or compound that protects the activity or integrity of an active agent (e.g., an anticancer drug or a psychiatric or neurodegenerative disease drug) when the active agent is exposed to certain conditions (e.g., drying, freezing).
- an active agent e.g., an anticancer drug or a psychiatric or neurodegenerative disease drug
- a protective agent protects an active agent during a freezing process (i.e., it is a “cryoprotectant”).
- protective agents include but are not limited to non-fat milk solids, trehalose, glycerol, betaine, sucrose, glucose, lactose, dextran, polyethylene glycol, sorbitol, mannitol, poly vinyl propylene, potassium glutamate, monosodium glutamate, Tween 20 detergent, Tween 80 detergent, and an amino acid hydrochloride.
- excipient refers to an inactive ingredient (i.e., not pharmaceutically active) added to a preparation of an active ingredient.
- the gelling and protective agents described herein may be referred to generally as “excipients.”
- kits refers to any delivery system for delivering materials.
- delivery systems include systems that allow for the storage, transport, or delivery of reaction reagents and/or supporting materials (e.g., buffers, written instructions for performing the assay etc.) from one location to another.
- enclosures e.g., boxes
- fragmented kit refers to delivery systems comprising two or more separate containers that each contains a subportion of the total kit components. The containers may be delivered to the intended recipient together or separately.
- a first container may contain an agent for use in an assay, while a second container contains standards for comparison to test compounds.
- fragment kit is intended to encompass kits containing Analyte Specific Reagents (ASR's) regulated under section 520(e) of the Federal Food, Drug, and Cosmetic Act, but are not limited thereto. Indeed, any delivery system comprising two or more separate containers that each contains a subportion of the total kit components are included in the term “fragmented kit.”
- a “combined kit” refers to a delivery system containing all of the components of a reaction assay in a single container (e.g., in a single box housing each of the desired components).
- kit includes both fragmented and combined kits.
- the present invention provides medical uses for compositions containing endoxifen.
- This invention further relates to endoxifen and compositions comprising endoxifen in the treatement of psychiatric and neurodegenerative diseases.
- the present invention relates to the use of compositions comprising endoxifen in the treatment of bipolar disease, schizophrenia, multiple sclerosis (MS), Alzheimer disease, Parkinson disease, Huntington's disease, amyotrophic lateral sclerosis (ALS), and epilepsy.
- the invention still further relates to methods of preparing endoxifen and use of endoxifen prepared by inventive method in the treatment of human and animal diseases.
- Endoxifen is generated via CYP3A4-mediated N-demethylation and CYP2D6 mediated hydroxylation of tamoxifen (see, e.g., FIG. 3 ).
- CYP3A4-mediated N-demethylation and CYP2D6 mediated hydroxylation of tamoxifen see, e.g., FIG. 3 .
- any drug that can be substrate of CYP3A4 or CYP2D6 e.g., SSRIs
- endoxifen has been shown to be anti-estrogenic in breast cancer cells and to be more potent than tamoxifen.
- endoxifen is present in higher concentration (12.4 ng/mL) than 4-OH-tamoxifen (1 ng/mL) in the human plasma.
- the majority of genes affected by endoxifen are estrogen-regulated genes (15, 16).
- Use of endoxifen e.g., in place of tamoxifen, avoids several metabolic steps that rely on CYP2D6.
- endoxifen inhibits PKC and thus finds use in the treatment of psychiatric and neurodegenerative diseases, e.g. in the treatment of bipolar disorder. While not limiting the invention to any particular mode or mechanism of action, the effects observed are consistent with the observation that lithium and valproate, the most commonly used treatments for bipolar disorder, are known to provide the therapeutic effect via attenuation of PKC activity.
- ENDOXIFEN (4-hydroxy N-desmethyl tamoxifen) is an active metabolite of the marketed drug tamoxifen for the treatment of breast cancer. Tamoxifen is extensively metabolized by cytochrome P450 (CYP) enzymes CYP3A4 and CYP2D6 into active metabolites including 4-hydroxy tamoxifen and 4-hydroxy-N-desmethyl tamoxifen (endoxifen) ( FIG. 1 ).
- CYP cytochrome P450
- endoxifen as a therapeutic agent for psychiatric and neurodegenerative diseases will have a significant advantage over the mother compound tamoxifen which requires metabolic activation by cytochrome P450 (CYP) enzymes whose actions are variable because of genetic polymorphism and inhibition via drug-drug interaction.
- CYP cytochrome P450
- Bipolar disorder is a chronic mental illness that is associated with a substantial risk of suicide among those affected (8).
- Lithium and valproate are widely used as mood stabilizers in bipolar disorder, however, a substantial minority of patients fails to respond, or respond only partially, to these agents (8). Therefore, the development of novel therapeutic agents with a quicker, more potent, and more specific mode(s) of action with fewer side effects are required.
- PKC Protein kinase C
- Tamoxifen is the only compound with documented and appreciable central nervous system (CNS) PKC inhibitory activity that can be administered peripherally and has been approved for human.
- CNS central nervous system
- tamoxifen attenuated amphetamine-induced manic behavior (9).
- PKC signaling may play an important role in the pathophysiology and treatment of bipolar disorder.
- a preliminary double-blind, controlled clinical trial showed greater antimanic effects with tamoxifen than with placebo (18). More recently two groups have convincingly confirmed in double-blind, placebo controlled studies that PKC inhibitor tamoxifen demonstrated antimanic properties and was well tolerated (10, 11).
- Schizophrenia is a mental illness characterized by episodic symptoms such as delusions, hallucinations, paranoia and psychosis and may include persistent symptoms such as flattened affect, impaired attention, social withdrawal and cognitive impairment (19).
- Epidemiologic and clinical evidence suggests an influence of estrogens on incidence and consity of schizophrenia. Although early studies suggested the incidence of schizophrenia in men and women was about equal more recent studies indicate incidence rates are higher in men (20).
- Estrogen acts as a protective factor in women; the age of onset of schizophrenia is significantly later in women than in men, with a second peak of onset larger and later in women after 40-45 years of age. Furthermore, levels of psychopathology fluctuate with phases of the menstrual cycle (21). In women with schizophrenia, relapse rates are higher when estrogen levels are low during the menstrual cycle, whereas relapse is low when estrogen levels are high (22). Higher rates of relapse in women with schizophrenia are also observed during the postpartum period (low estrogens), whereas relapse is low during pregnancy (high estrogens). On the other hand, men with schizophrenia have an earlier age of onset, are admitted to hospital earlier and demonstrate a more typical picture and poorer prognosis than women.
- adjunctive estradiol was associated with an improvement in symptoms of psychosis in a premenopausal woman with schizophrenia
- adjunctive raloxifene was associated with an improvement in cognitive functioning in a postmenopausal woman with schizophrenia
- adjunctive tamoxifen was associated with an improvement in symptoms of mania in a woman with schizoaffective disorder.
- MS Multiple sclerosis
- TNF- ⁇ tumor necrosis factor- ⁇
- IFN- ⁇ interferon- ⁇
- metalloproteinases mediate much of the immunopathology, resulting in the destruction of the myelin sheath and subsequent neurological dysfunction
- Selective estrogen receptor modulators could provide an alternative therapeutic strategy, because they behave as estrogen agonists in some tissues, but are either inert or behave like estrogen antagonists in other tissues (26).
- raloxifene a SERM that is approved for the treatment of osteoporosis, behaves as an estrogen in bone, whereas it acts as an estrogen antagonist in breast tissue and in the uterus (27).
- tamoxifen and raloxifene were investigated. Both tamoxifen and raloxifene suppressed myelin antigen specific T-cell proliferation.
- tamoxifen was more effective in this regard.
- Alzheimer disease is one of the most common neurodegenerative disorders and the most common form of dementia in the elderly. Estrogen appears possess a protective role in the prevention of Alzheimer disease. It may exert several neuroprotective effects on the aging brain, including inhibition of ⁇ -amyloid plaque formation, stimulation of cholinergic activity, reduction of oxidative stress-related cell damage, and protection against vascular risk. Post-menopausal hormone replacement therapy reduces the risk of developing dementia by approximately 30%. Likewise, patients on raloxifene for osteoporosis had a 33% reduction in risk of mild cognitive impairment and half the relative risk of developing Alzheimer disease, suggesting SERMs' role in prevention of age-related neurodegenerative disorders (29).
- Parkinson disease is another common degenerative disorder characterized by selective loss of dopaminergic neurons in the substantia nigra of the midbrain leading to depletion of dopamine (30).
- Normal dopamine transmission can be restored by the administration of pharmacological agents, levodopa or dopamine agonists.
- adverse motor complications eventually appear including motor fluctuations and dyskinesias.
- Protein kinase C may accelerate the onset of levodopa-associated motor changes (31).
- Tamoxifen could act as a PKC antagonist and in rats and non-human primates reverses the shortening of beneficial response of chronic levodopa therapy (32).
- tamoxifen co-administered with levodopa to Parkinsonian monkeys significantly attenuated levodopa-induced dyskinesias by 61% (32).
- tamoxifen In addition to its action via PKC, tamoxifen has multiple metabolic effects including a neuroprotective function (33). Tamoxifen has also been shown to stimulate dopamine release. Overall, this evidence suggests that tamoxifen may have a role in inhibiting the unwanted motor disorders seen with chronic levodopa administration in PD and possibly have a role in chemoprevention of neurodegenerative disorders.
- the present invention provides compositions and methods for delivering endoxifen of Formula I, e.g., to a mammalian host.
- endoxifen is an E-isomer, while in other embodiments, it is a Z-isomer, while it is still in other embodiments, it is a mixture of E- and Z-isomers
- An example of the present invention includes endoxifen, analogues of endoxifen, and derivatives of endoxifen, including but not limited to endoxifen, tamoxifen, and 4-hydroxytamoxifen.
- the present invention also find use with other antineoplastic agents such as paclitaxel, docetaxel, melphalan, chlormethine, extramustinephosphate, uramustine, ifosfamide, mannomustine, trifosfamide, streptozotocin, mitobronitol, mitoxantrone, methotrexate, fluorouracil, cytarabine, tegafur, idoxide, taxol, paclitaxel, daunomycin, daunorubicin, bleomycin, amphotericin, carboplatin, cisplatin, BCNU, vincristine, camptothecin, SN-38, doxorubicin, and etop
- Endoxifen of Formula I can be prepared by any desired method for use in the treatments of the present invention but, in some embodiments, the present invention provides particular methods for the preparation of endoxifen.
- One preferred method of the present invention is set forth in FIG. 2 .
- 4-bromophenol 1 is reacted with 3,4-dihydropyran 2 in the present of acid (e.g., sulfuric acid and the like), to give compound 3.
- acid e.g., sulfuric acid and the like
- Compound 3 is then reacted with magnesium turning in a suitable anhydrous solvent (e.g., tetrahydrofuran and the like).
- a mixture of E- and Z-isomers of endoxifen can be separated to provide the purified preparations of E- and Z-isomer of endoxifen.
- the separation of E- and Z-isomers of endoxifen in the present invention can be done, e.g., by crystallization, or purification by liquid column chromatography (LC), or high pressure liquid column chromatography (HPLC).
- Suitable solvents that can be employed in present invention for the separation of E- and Z-isomers of endoxifen include but are not limited to hexanes, heptanes, and the like, benzene; toluene; ethyl acetate; acetonitrile; chlorinating solvents such as methylene chloride, chloroform, 1,2-dichloromethane, and the like, ketones, (e.g., acetone, 2-butanone, and the like), ethers such as diethyl ether, diisopropyl ether, methyl butyl ether, and tetrahydrofuran, alcohols such as methanol, ethyl alcohol, and isopropyl alcohol, and the like, and water.
- chlorinating solvents such as methylene chloride, chloroform, 1,2-dichloromethane, and the like, ketones, (e.g., acetone, 2-butanone, and the like),
- a solvent for crystallization can be used as a single solvent, or as mixture of solvents such as hexane-ethyl acetate, chloroform-acetone, chloroform-methanol, dichloromethane-methanol, and the like.
- solvents such as hexane-ethyl acetate, chloroform-acetone, chloroform-methanol, dichloromethane-methanol, and the like.
- ratios of one solvent to another are e.g., in a range such as 9:1 to 1:9, (e.g., 8:2, 7:3; 6:4; 5:5; 4:6; 3:7; 2:8; 1:9, and the like.)
- mixtures for use in the present invention are not limited to these ratios, or to mixtures comprising only two solvents.
- Solvents that find use in the preparation of endoxifen according to the present invention include but are not limited to tetrahydrofuran, dichloromethane, chloroform, 1,2-dichloroethane, acetonitrile, N,N′-dimethylformamide, dimethylsulfoxide, toluene, pyridine, methanol, ethanol, isopropanol, acetone, 2-butanone, hexane, heptane, pentane, ethyl acetate, and the like.
- Acids that find use in the preparation of endoxifen according to the present invention include, but are not limited to, sulfuric acid, hydrochloric acid, acetic acid, trifluoroacetic acid, phosphoric acid, p-toluenesulfonic acid, methanesulfonic acid, nitric acid, and the like.
- Intermediates and final products of the present invention can be purified by column chromatography using a single or a mixture of common organic solvents such as hexane pentane, heptane, ethyl acetate, methylene chloride, chloroform, methanol, acetone, and the like.
- intermediates and final product of the present invention may, in some embodiments, be purified by crystallization.
- Solvents that find use in the crystallization of intermediates and products include but are not limited to hydrocarbons such as pentanes, hexanes, heptanes, and the like, benzene; toluene; ethyl acetate; acetonitrile; chlorinating solvents such as methylene chloride, chloroform, 1,2-dichloromethane, and the like; ketones, for example, acetone, 2-butanone, and the like; ethers such as diethyl ether, diisopropyl ether, methyl butyl ether, tetrahydrofuran; alcohols such as methanol, ethyl alcohol, isopropyl alcohol, and the like.
- a solvent for crystallization can be used as a single solvent or mixture of solvents.
- Exemplary mixtures include, e.g., hexane-ethyl acetate, chloroform-acetone, chloroform-methanol, dichloromethane-methanol, and the like.
- examples of ratios of one solvent to another are e.g., in a range such as 9:1 to 1:9, (e.g., 8:2, 7:3; 6:4; 5:5; 4:6; 3:7; 2:8; 1:9, and the like.)
- mixtures for use in the present invention are not limited to these ratios, or to mixtures comprising only two solvents.
- One object of the present invention is to provide E-endoxifen or Z-endoxifen with at least 80% purity, such as at least 90% pure or at least 95% pure or at least 98% pure or at least 99% pure or at least 100% pure.
- Another object of the present invention is to provide solubilized endoxifen in, e.g., aqueous acid.
- Suitable acids for solubilizing endoxifen include but are not limited to formic acid, acetic acid, propionic acid, butyric acid, trifluoroacetic acid, lactic acid, tartaric acid, oxalic acid, malonic acid, succinic acid, and the like.
- the pH of the acidic solution comprising endoxifen can be adjusted with suitable base or buffers.
- base and buffers include but are not limited to sodium hydroxide, sodium acetate, sodium lactate, sodium succinate, sodium monophosphate, sodium diphosphate, sodium triphosphate, sodium oxalate, sodium tartarate, ammonium hydroxide, ammonium acetate, and the like.
- a co-solvent can also be used to solubilize endoxifen.
- co-solvent include but are not limited to ethanol, isopropanol, detergents such as Tween 20 and Polysorbate, and the like
- the pH of a composition containing endoxifen according to the present invention are between about 4.0 and about 8.0, and preferably between about 5.0 and about 8.0, and most preferably between about 5.5 and about 7.5.
- the present invention relates to compositions and methods for delivery of endoxifen or endoxifen-lipid complexes to a mammalian host.
- Any suitable amount of endoxifen can be used in complex formation.
- Suitable amounts of endoxifen are those amounts that can be stably incorporated into the complexes of the present invention.
- the inventive composition comprises a lipid complex with endoxifen in which the complex desirably contains lipid or a mixture of lipids.
- Complexes can be in the form, e.g., of micelles, vesicles or emulsions without exclusion of other forms.
- the micelles of the present invention can be in the form of monomeric, dimeric, polymeric or mixed micelles.
- the complexes including micelles and emulsions are predominately in the size range of 50 nm-20 micron, preferably in size range of 50 nm-5 micron.
- the active agent can be bound to the lipid by covalent, hydrophobic, electrostatic, hydrogen, or other bonds, and is considered bound even where the drug is simply entrapped within the interior of lipid structures.
- Endoxifen-lipid complexes may contain e.g., cholesterols or cholesterol derivatives or a mixture of cholesterol and cholesterol derivatives.
- Cholesterol derivatives that find use in the present invention include cholesteryl hemisuccinate, cholesteryl succinate, cholesteryl oleate, cholesteryl linoleate, cholesteryl eicosapentenoate, cholesteryl linolenate, cholesteryl arachidonate, cholesteryl palmitate, cholesteryl stearate, cholesteryl myristate, polyethylene glycol derivatives of cholesterol (cholesterol-PEG), water soluble cholesterol (for example, cholesterol methyl- ⁇ -cyclodextrin), coprostanol, cholestanol, or cholestane, cholic acid, cortisol, corticosterone or hydrocortisone and 7-dehydrocholesterol.
- compositions also include ⁇ -, ⁇ -, ⁇ -tocopherols, vitamin E, calciferol, organic acid derivatives of ⁇ -, ⁇ -, ⁇ -tocopherols, such as ⁇ -tocopherol hemisuccinate (THS), ⁇ -tocopherol succinate and/or mixtures thereof.
- ⁇ -, ⁇ -, ⁇ -tocopherols vitamin E, calciferol, organic acid derivatives of ⁇ -, ⁇ -, ⁇ -tocopherols, such as ⁇ -tocopherol hemisuccinate (THS), ⁇ -tocopherol succinate and/or mixtures thereof.
- endoxifen-lipid complexes of the present invention contain sterols.
- Sterols that find use in the present invention include ⁇ -sitosterol, stigmasterol, stigmastanol, lanosterol, a-spinasterol, lathosterol, campesterol and/or mixtures thereof.
- Compositions of the present invention also include endoxifen complexes with free and/or salts or esters of fatty acid.
- Preferred fatty acids range from those with carbon chain lengths of about C 2 to C 34 , preferably between about C 4 and about C 24 , and include tetranoic acid (C 4:0 ), pentanoic acid (C 5:0 ), hexanoic acid (C 6:0 ), heptanoic acid (C 7:0 ), octanoic acid (C 8:0 ), nonanoic acid (C 9:0 ), decanoic acid (C 10:0 ), undecanoic acid (C 11:0 ), dodecanoic acid (C 12:0 ), tridecanoic acid (C 13:0 ), tetradecanoic (myristic) acid (C 14:0 ), pentadecanoic acid (C 15:0 ), hexadecanoic (palmatic) acid (C 16:
- fatty acids also can be employed in the compositions.
- saturated fatty acids such as ethanoic (or acetic) acid, propanoic (or propionic) acid, butanoic (or butyric) acid, hexacosanoic (or cerotic) acid, octacosanoic (or montanic) acid, triacontanoic (or melissic) acid, dotriacontanoic (or lacceroic) acid, tetratriacontanoic (or gheddic) acid, pentatriacontanoic (or ceroplastic) acid, and the like; monoethenoic unsaturated fatty acids such as trans-2-butenoic (or crotonic) acid, cis-2-butenoic (or isocrotonoic) acid, 2-hexenoic (or isohydrosorbic) acid, 4-decanoic (or obtusilic) acid
- endoxifen-lipid complexes contain phospholipids.
- Any suitable phospholipids or mixture of phospholipids can be used.
- phospholipids can be obtained from natural sources or chemically synthesized.
- Suitable phospholipids include but are not limited to phosphatidylethanolamine (PE), phosphatidylglycerol (PG), phosphatidylserine (PS), phosphatidylcholine (PC), phosphatidylinositol (PI), phosphatidic acid (PA), sphingomyelin and the like, either used separately or in combination.
- Phosphatidylglycerols may be having short chain or long chain, saturated or unsaturated such as dimyristoylphosphatidylglycerol, dioleoylphosphatidylglycerol, distearoylphosphatidylglycerol, dipalmitoylphosphatidylglycerol, diarachidonoylphosphatidylglycerol, short chain phosphatidylglycerol (C 6 -C 8 ), and mixtures thereof.
- phosphatidylcholines examples include dimyristoylphophatidylcholine, distearoylphosphatidylcholine, dipalmitoylphosphatidylcholine, dioleoylphosphatidylcholine, diarachidonoylphosphatidylcholine, egg phosphatidylcholine, soy phosphatidylcholine or hydrogenated soy phosphatidylcholine can be used, as can mixtures thereof.
- the present invention provides compositions comprising endoxifen and derivatives of mono-, di- and tri-glycerides.
- glycerides include 1-oleoyl-glycerol (monoolein) and 1,2-dioctanoyl-sn-glycerol.
- Another aspect of the invention provides forming complexes of endoxifen with functionalized phospholipids including but not limited to phosphatidylethanolamine, preferably dioleoylphosphatidylethanolamine, phosphatidylthioethanol, N-biotinylphosphatidylethanolamine and phosphatidylethylene glycol.
- phosphatidylethanolamine preferably dioleoylphosphatidylethanolamine, phosphatidylthioethanol, N-biotinylphosphatidylethanolamine and phosphatidylethylene glycol.
- Another aspect of the invention provides forming complexes of endoxifen with carbohydrate-based lipids.
- carbohydrate-based lipids include but are not limited to galactolipids, mannolipids, galactolecithin and the like.
- endoxifen-lipid complexes comprise sterols.
- Sterols finding use in the present invention include but are not limited to ⁇ -sitosterol, stigmasterol, stigmastanol, lanosterol, ⁇ -spinasterol, lathosterol, campesterol and/or mixtures thereof.
- Guggulipid is a natural substance derived from the mukul myrrh tree.
- the mukul myrrh gives off a sticky resin, which is processed to obtain guggulipid.
- This extract has been used for thousands of years in Aryuvedic medicine to treat arthritis and obesity.
- the guggulipid is a source of sterol compounds such as Z- and E-guggulsterones, generally present in an amount of at least 2.5% (10).
- Z and E-Guggulsterones can be synthesized chemically and thus can be used in drug formulations where the need is to have pure forms of these sterones. See, e.g., U.S. Application Ser. No. 60/856,952, filed Nov. 6, 2006, and PCT/US07/83832, filed Nov. 6, 2007, both incorporated herein by reference.
- Yet another aspect of the invention provides forming complexes of endoxifen with derivatives of phospholipids such as pegylated phospholipids.
- derivatives of phospholipids such as pegylated phospholipids.
- pegylated lipids finding use in the present invention include but are not limited to the polyethylene glycol (Pegylated, PEG) derivatives of distearoylphosphatidylglycerol, dimyristoylphosphatidylglycerol, dioleoylphosphatidylglycerol and the like.
- compositions comprising endoxifen and polyethyleneglycol (PEG) and one or more lipids.
- PEG polyethyleneglycol
- compositions comprising endoxifen complexes with one or more lipids.
- examples include but are not limited to compositions comprising endoxifen, cholesterol or cholesterol derivatives and one or more phospholipids.
- Other examples of compositions include endoxifen, ⁇ -sitosterol, and one or more phospholipids.
- compositions of the present invention comprise endoxifen, and hydrogenated soy phosphatidylcholine or soy phosphatidylcholine.
- Polyethylene glycol includes polymers of lower alkylene oxide, in particular ethylene oxide (polyethylene glycols) having an esterifiable hydroxyl group at least at one end of the polymer molecule, as well as derivatives of such polymers having esterifiable carboxy groups.
- Polyethylene glycols of an average molecular weight ranging from 200-20,000 are preferred; those having an average molecular weight ranging from 500-2000 are particularly preferred.
- Another aspect of the invention provides forming complexes of endoxifen with carbohydrate-based lipids.
- carbohydrate-based lipids include but are not limited to galactolipids, mannolipids, galactolecithin and the like.
- a complex comprising endoxifen and preferably endoxifen in water at a concentration of about 0.5 mg/mL to about 25 mg/mL, such as between 1 mg/mL and about 20 mg/mL or between 1 mg/mL and 10 mg/mL, more preferably between 1 mg/mL and 5 mg/mL.
- compositions of the present invention contain about 2.5% to about 90% of total lipid, preferably about 2.5 to about 50% weight of total lipid or more, preferably about 10% to about 50% weight of total lipid.
- compositions of the present invention preferably contain endoxifen, and lipid(s) in mole ratio between 1:1 to 1:100 such as in between 1:1 and 1:20 molar ratio or in between 1:1 and 1:30 molar ratio or in between 1:1 and 1:40 molar ratio or in between 1:1 and 1:50 molar ratio, in between 1:1 and 1:60 molar ratio, in between 1:1 and 1:70 molar ratios, and in between 1:1 and 1:80 molar ratios, and 1:90 molar ratios.
- Ratios recited herein e.g., mole ratios of components in a composition
- a range of ratios of about 1:10 to 1:90 encompasses not only 1:11, 1:25, 1:89, etc., but includes, without limitation, any ratio at or between about 1:10 to 1:90 (e.g., 1:53.637).
- compositions of the present invention preferably contain endoxifen and hydrogenated soy phosphatidylcholine, or soy phosphatidylcholine, and cholesterol or cholesterol derivative.
- Such composition includes endoxifen and cholesterol or cholesterol derivative preferably in from about 1:1-1:5 mole ratio, and more preferably at about 1:1 mole ratio to about 1:2 mole ratio.
- Yet another aspect of the invention is to form complexes of endoxifen with derivatives of phospholipids, such as pegylated phospholipids.
- derivatives of phospholipids such as pegylated phospholipids.
- examples include but are not limited to the polyethylene glycol (PEG) derivatives of distearoylphosphatidylglycerol, dimyristoylphosphatidylglycerol, dioleoylphosphatidylglycerol and the like.
- the mole ratio of endoxifen and hydrogenated soy phosphatidylcholine or soy phosphatidylcholine, in a composition containing endoxifen and hydrogenated soy phosphatidylcholine or phosphatidylcholine is between about 1:10 and 1:90, e.g., between about 1:10 and 1:80 or 1:10 and 1:70 or 1:10 and 1:60 or 1:10 and 1:50 or 1:10 and 1:40 and 1:10 and 1:30.
- the mole ratio of endoxifen and hydrogenated soy phosphatidylcholine or soy phosphatidylcholine is between 1:10 and 1:60.
- compositions of the present invention preferably contain endoxifen and total lipids having weight to weight ratio between 1:1 to 1:100 ratio such as between 1:1 and 1:20 ratio or between 1:1 and 1:30 ratio or between 1:1 and 1:40 ratio or between 1:1 and 1:50 ratio, or between 1:1 and 1:60 ratio, or between 1:1 and 1:70 ratio, and between 1:1 and 1:80 ratio, or in between 1:1 and 1:90 ratio.
- the method of the present invention comprises solubilizing or suspending endoxifen and lipid(s) together in an aqueous solution, e.g., water.
- Endoxifen-lipid complex solution can be filtered through suitable filters to control the size distribution of the complexes.
- the method may comprise mixing lipid(s) together in water and then adding endoxifen.
- Endoxifen-lipid complex solution can be filtered through suitable filters to control the size distribution of the complexes.
- the method also comprises mixing endoxifen and lipid(s) in an organic solvent(s), such as chloroform or ethanol or any other pharmaceutically acceptable solvents, and evaporating the solvent(s) to form a lipid phase or lipid film.
- the lipid phase is then hydrated with water or an aqueous solution.
- aqueous solutions include but are not limited to 0.9% sodium chloride, solutions containing sugars such as dextrose, sucrose, and the like.
- the hydrated solution can be filtered through suitable filters to control the size distribution of the complexes.
- the method comprises mixing lipid(s) in an organic solvent(s) and evaporating the solvent(s) to form a lipid phase or lipid film.
- the lipid phase is then hydrated with aqueous solution containing endoxifen.
- the aqueous solution in addition to endoxifen may further contain sodium chloride or sugars such as dextrose, sucrose and the like.
- the hydrated solution can be filtered through suitable filters to control the size distribution of the complexes.
- the method of the present invention comprises mixing endoxifen, one or more lipids in any suitable order and in any suitable solvents such that the resulting composition of the present invention contains endoxifen, and one or more lipids.
- the method of preparation of the present invention comprises heating the composition comprising endoxifen, and the lipid(s) at temperatures ranging from 30-100° C. preferably between 30-80° C. and more preferably between 30-60° C.
- the pH of the composition of invention ranges from about 3 to about 11, while a pH between3.5 to about 8 is preferred and pH of between 4.0 to pH 7.5 are particularly preferred.
- Aqueous solutions having a particular pH can be prepared from water having comprising appropriate buffers.
- Preferred buffers include but are not limited to mixtures of monobasic sodium phosphate and dibasic sodium phosphate, tribasic sodium phosphate, disodium succinate.
- Other buffers that find use with the present invention include sodium carbonate, sodium bicarbonate, sodium hydroxide, ammonium acetate, sodium citrate, tris (hydroxy-methyl) aminoethane, sodium benzoate, and the like.
- the mole ratio of endoxifen and hydrogenated soy phosphatidylcholine or soy phosphatidylcholine in the composition containing endoxifen and hydrogenated soy phosphatidylcholine or soy phosphatidylcholine is in between 1:10 and 1:90 such as in between 1:10 and 1:80 or 1:10 and 1:80 or 1:10 and 1:60 or 1:10 and 1:50 or 1:10 and 1:40 and 1:10 and 1:30.
- the mole ratio of endoxifen and hydrogenated soy phosphatidylcholine or soy phosphatidylcholine is in between 1:5 and 1:60.
- compositions can be filtered to obtain a desired size range of complexes particle sizes from the filtrate.
- Filters that find use in the present invention include those that can be used to obtain the desired size range of the complexes from the filtrate.
- the complexes can be formed and thereafter filtered through a 5 micron filter to obtain complexes, each particle having a diameter of about 5 micron or less.
- 1 ⁇ m, 500 nm, 200 nm, 100 nm or other filters can be used to obtain complexes having diameters of about 1 ⁇ m, 500 nm, 200 nm, 100 nm or any suitable size range, respectively.
- the endoxifen-lipid complex can be dried, e.g., by evaporation or lyophilization.
- the endoxifen-lipid complex can be lyophilized with one or more cryoprotectants such as sugars.
- sugars include but are not limited to trehalose, maltose, lactose, sucrose, glucose, and dextran.
- trehalose and/or sucrose are used. Lyophilization is accomplished under vacuum and can take place either with or without prior freezing of the endoxifen lipid preparation.
- the complexes can be resuspended in any desirable solvent including water, saline, dextrose and buffer.
- compositions of the present invention include but are not limited to tablets, capsules, pills, dragees, suppositories, solutions, suspensions, emulsions, ointments, and gels.
- preferred forms of endoxifen or endoxifen lipid complex include tablets, capsules, lozenges, powders, syrups, aqueous solutions, suspensions and the like.
- endoxifen or endoxifen-lipid complex comprise gels, oils, and emulsions, such as are formed by the addition of suitable water-soluble or water-insoluble excipients, for example polyethylene glycols, certain fats, and esters, compounds having a higher content of polyunsaturated fatty acids and derivatives thereof.
- suitable excipients include mono-, di-, and triglycerides and their aliphatic esters (for example, fish oils, vegetable oils etc.) or mixtures of these substances.
- Suitable excipients are those in which the drug complexes are sufficiently stable to allow for therapeutic use.
- composition containing endoxifen or endoxifen-lipid complex can be encapsulated in enteric-coated capsules to protect it from acids in the stomach.
- enteric refers to the small intestine, and enteric coatings prevent release of medication before it reaches the small intestine. Most enteric coatings work by presenting a surface that is stable at acidic pH but breaks down rapidly at higher pH. Enteric coating of capsules filled with composition containing endoxifen or endoxifen-lipid complex can be done as methods known in the art.
- the endoxifen-lipid complex of the present invention can be of varying size or can be of substantially uniform size.
- the complex can have a mean diameter of about 1 mm or less, and more preferably are in the micron or sub-micron range.
- the complexes have an average diameter of about 5 ⁇ m or less, such as 0.2 ⁇ m or less or 0.1 ⁇ m or less.
- the technology outlined in the present invention may also be used for any other water-insoluble drugs.
- the methods and compositions of the present invention find use in conjunction with the methods and compositions disclosed in U.S. Application Ser. No. 60/850,446, filed Oct. 10, 2006, PCT Application Ser. No. PCT/US07/80984, filed Oct. 10, 2007, U.S. Application Ser. No. 60/856,952, filed Nov. 6, 2006, PCT Application Ser. No. PCT/US07/83832, filed Nov. 6, 2007, all of which are incorporated by reference herein in their entireties.
- compositions of the present invention can be employed to treat breast cancer and breast related diseases.
- the compositions of the present invention may be administered to a patient diagnosed with benign breast disease.
- benign breast disease refers to a constellation of non-malignant aberrations in breast tissue.
- the aberrations may be proliferative or non-proliferative in nature.
- the exemplary benign breast diseases treatable by the present inventive compositions include adenosis, cysts, duct ectasia, fibroadenoma, fibrosis, hyperplasia, metaplasia and other fibrocystic changes. Each of these diseases, referred as “changes” or “conditions” due to their prevalence, have well-defined histological and clinical characteristics.
- “Adenosis” refers to generalized glandular disease of the breast. It typically involves an enlargement of breast lobules, which contain more glands than usual. In “sclerosing adenosis,” or “fibrosing adenosis,” the enlarged lobules are distorted by scar-like fibrous tissue.
- Cysts are abnormal sacs filled with fluid or semi-solid material. Cysts in the breast are lined by breast epithelial cells, developing from lobular structures. They begin as excess fluid inside breast glands, but may grow to proportions that stretch surrounding breast tissue, causing pain. “Fibrocysts” are cystic lesions circumscribed by, or situated within, a conspicuous amount of fibrous connective tissue.
- Duct ectasia refers to a dilation of mammary ducts by lipid and cellular debris. Rupture of the ducts induces infiltration by granulocytes and plasma cells.
- Fibroadenoma refers to benign tumors that are derived from glandular epithelium and contain a conspicuous stroma of proliferating fibroblasts and connective tissue.
- Fibrosis simply refers to a prominence of fibrous tissue in the breast.
- “Hyperplasia” refers to an overgrowth of cells, where several layers of cells line the basal membrane, without tumor formation. Hyperplasia increases the bulk of mammary tissue. In “epithelial hyperplasia,” the cells lining breast ducts and lobules are involved, giving rise to the terms “ductal hyperplasia” and “lobular hyperplasia.” Based on a histological determination, hyperplasia may be characterized as “usual” or “atypical”.
- Metaplasia refers to a phenomenon in which a differentiated tissue of one type transforms into a differentiated tissue of another type. Metaplasia often results from an environmental change, and enables cells better to withstand the change.
- compositions of the present invention may be administered in any dosage form and via any system that delivers the active compound endoxifen to breast estrogen receptors in vivo.
- a composition of present invention is delivered by “percutaneous administration”, e.g., delivering the drug from the surface of patient's skin, through the stratum corneum, epidermis, and dermis layers, and into the microcirculations. This is generally accomplished by diffusion down a concentration gradient. The diffusion may occur via intracellular penetration (through the cells), intercellular penetration (between the cells), transappendageal penetration (through the hair follicles, sweat, and sebaceous glands), or any combination of the above.
- Percutaneous administration of the endoxifen composition of the present invention may be advantageous because this may reduce systemic drug exposure and the risks from non-specifically activating estrogen receptors throughout the body. This is because in topical application of endoxifen will absorb primarily into local tissues. When the composition of invention containing endoxifen will be percutaneously applied to breasts, high concentration will accumulate in the breast tissues presumably due to many estrogen receptors therein.
- the composition of endoxifen may be applied to any skin surface, preferably to one or both breasts.
- the daily doses to be administered can initially be estimated based upon the absorption coefficients of endoxifen, the breast tissue concentration that is desired, and the plasma concentration that should not be exceeded. The initial dose may be optimized in each patient, depending on individual responses.
- Percutaneous administration can be achieved in different ways, such as (i) by mixing the composition of endoxifen with suitable pharmaceutical carriers and, optionally, penetration enhancers to form ointments, emulsions, gel, lotion, creams or the like, where an amount of said preparation is applied onto a certain area of the skin, (ii) by incorporating the composition of endoxifen into patches or transdermal delivery systems according to the technology known in the art.
- compositions or complexes comprise penetration enhancers that improve percutaneous absorption by reducing the resistance of stratum corneum by reversibly altering its physicochemical properties, changing hydration in the stratum corneum, acting as co-solvent, or changing the organization of lipids or proteins in the intracellular spaces.
- Such enhancers include but are not limited to organic solvents such as alcohol, acetone, dimethylsulfoxide (DMSO), polyethylene glycol, propoylene glycol, fatty acids and fatty alcohol and their derivatives, hydroxyl acids, pyrrolidones, urea, vegetable oils, essential oils, and mixture thereof.
- organic solvents such as alcohol, acetone, dimethylsulfoxide (DMSO), polyethylene glycol, propoylene glycol, fatty acids and fatty alcohol and their derivatives, hydroxyl acids, pyrrolidones, urea, vegetable oils, essential oils, and mixture thereof.
- DMSO dimethylsulfoxide
- polyethylene glycol propoylene glycol
- fatty acids and fatty alcohol and their derivatives hydroxyl acids
- pyrrolidones urea
- vegetable oils essential oils, and mixture thereof.
- physical methods can increase percutaneous absorption. For example, occlusive bandages induce hydration of the skin.
- Other physical methods include
- the formulation or composition of the invention containing endoxifen may be delivered in the form of ointment, emulsion (lotion), cream, gel, powder, oil or similar formulation.
- the formulation comprises excipient additives, including but not limited to vegetable oils such as soybean oil, mustard oil, almond oil, olive oil, groundnut oil, peanut oil, peach kernel oil, groundnut oil, castor oil, canola oil, and the like, animal fats, DMSO, lanolin lipoids, phosphatides, hydrocarbons such as paraffin's, petroleum jelly, waxes, lecithin, detergent emulsifying agents, carotin, alcohols, glycerol, glycerol ether, glycerine, glycol, glycol ethers, polyethylene glycol, polypropylene glycol, non-volatile fatty alcohols, acids, esters, volatile alcoholic compounds, talc, urea, cellulose derivatives, coloring agents, antioxidants and preservatives
- excipient additives
- the formulation or composition of the invention containing endoxifen may be delivered as transdermal patch.
- the patch may comprise (i) a solution-impermeable backing foil, (ii) a layer like element having a cavity, (iii) a microporus or semipermeable membrane, (iv) a self-adhesive layer, and (v) optionally a removable backing film.
- the layer-like element having a cavity may be formed by the backing foil and the membrane.
- the patch may comprise (i) a solution-impermeable backing foil.
- an open-pored foam, a closed pore foam, a tissue like layer or a fibrous web-like layer as reservoir (iii) a self adhesive layer, and (iv) optionally a removable backing film.
- the composition of the invention containing endoxifen is formulated in hydro alcoholic gel and the amount of endoxifen may vary from 0.001001 to 1.0 gram per 100 grams of gel, most preferably in the range of 0.01-0.20 grams per 100 grams of gel.
- the composition of present invention comprises one or more fatty acid esters as a penetration enhancer.
- a fatty acid ester penetration enhancer is isopropyl myristate.
- the amount may range e.g., from 0.11 to 5.0 grams per 100 grams of gel, preferably from 0.5 to 2.0 grams per 100 grams of gel.
- the composition of invention containing endoxifen may also contain one or more nonaqueous vehicles, such as alcoholic vehicles.
- nonaqueous vehicles include ethyl acetate, ethanol, and isopropanol, preferably ethanol and isopropanol.
- These nonaqueous vehicles may be useful for dissolving both the active agent endoxifen and any other penetration enhancer used. They also preferably have a low boiling point, preferably less than 100° C. at atmospheric pressure, to permit rapid evaporation upon contact with skin.
- ethanol may effectively contribute to the percutaneous absorption of endoxifen by rapidly evaporating upon contact with skin.
- the amount of absolute nonaqueous vehicle in a gel formulation ranges from 35% to 99% by weight, preferably between 50% to 85% and more preferably between 60% to 75%.
- the composition or formulation of the invention comprises an aqueous vehicle that permits solubilization of hydrophilic molecules, and promotes moisturization of skin.
- An aqueous vehicle also can regulate pH.
- Aqueous vehicles include alkalinizing and basic buffer solutions, including phosphate buffer solutions, including phosphate buffer solutions (e.g., dibasic or monobasic sodium phosphate); citrate buffered solutions (e.g., sodium citrate or potassium citrate) and purified water.
- the amount of an aqueous vehicle preferably ranges between 0.1% to 65% by weight of the pharmaceutical composition, preferably between 15% to 50%, and more preferably between 25% to 40%.
- the composition of the invention comprises one or more gelling agents to increase the viscosity of the composition or formulation or to function as a solubilizing agent. It may constitute between 0.1% to 20% by weight of formulation depending on the nature of gelling agent, preferably between 0.5% to 10% and more preferably between 0.5% to 5%.
- the gelling agents may be carbomers, cellulose derivatives, poloxamers and poloxamines.
- the preferred gelling agents are chitosan, dextran, pectins, natural gums and cellulose derivatives such as ethyl cellulose, hydroxyethyl cellulose, hydroxypropyl cellulose, hydroxypropyl methyl cellulose (HPMC), carboxymethyl cellulose (CMC) and the like.
- the most preferred gelling agent is hydroxypropyl cellulose.
- the composition of invention may comprise a gelling agent as described above, in particular a non-preneutralized acrylic polymer and also comprise a neutralizing agent.
- the ratio of neutralizing agent/gelling agent varies in between 10:1 to 0.1:1, preferably between 7:1 to 0.5:1, and more preferably between 4:1 to 1:1.
- a neutralizing agent in the presence of polymer should form salts that are soluble in the vehicle.
- a neutralizing agent also should permit optimum swelling of polymer chains during neutralization of charges and formation of polymer salts.
- the neutralizing agents include ammonium hydroxide, potassium hydroxide, sodium hydroxide, aminomethylpropanol, trolamine, and tromethamine. Those skilled in the art will select a neutralizing agent according to the type of geling agent used in the composition or formulation. However, no neutralizing agent is required when a cellulose derivative will be used as geling agents.
- compositions of present invention are employed to treat other diseases, and the medication is selected from a lipophilic or a compound made lipophilic by derivatization of the group consisting of antiasthama, antiarrhythmic, antifungals, antihypertensive, anticancer, antibiotics, antidiabetics, antihistamines, antiparasitics, antivirals, cardiac glycosides, hormones, immunotherapies, antihypotensives, steroids, sedatives and analgesics, tranquilizers, vaccines, and cell surface receptor blockers.
- Endoxifen solution (1 mg/mL) was prepared by solubilizing endoxifen (10.3 mg) in 0.2% glacial acetic acid (10 mL). The pH ( ⁇ 5.75) of the solution was adjusted with 1N sodium hydroxide (300 ⁇ L).
- Endoxifen solution (5 mg/mL) was prepared by solubilizing endoxifen (100 mg) in 2% glacial acetic acid (8.6 mL). The solution was diluted with 5% dextrose (10.97 mL). The pH ( ⁇ 5.56) of the solution was adjusted with 5N sodium hydroxide (430 ⁇ L).
- a suspension of endoxifen, cholesteryl sulfate, and soy lecithin is produced by mixing the components together in water and homogenizing using. e.g., a high pressure homogenizer.
- the resulting suspension can be filtered through 0.2 ⁇ m filter and then mixed with 7.5% sucrose solution and lyophilized in either vials or in bulk.
- the particle size of the resulting complexes is determined using standard procedures, e.g., using a Nicomp particle sizer 380.
- a suspension of endoxifen and soy lecithin is produced by mixing the components together in water and homogenizing using, e.g., a high pressure homogenizer.
- the resulting suspension can be filtered through 0.2 ⁇ m filter and then mixed with 7.5% sucrose solution and lyophilized in either vials or in bulk.
- the particle size is determined using standard procedures, e.g., using a Nicomp particle sizer 380.
- Endoxifen was formulated according to Example 6 and was tested for toxicity in male Balb/c mice.
- a single test dose at 100 mg/kg or 50 mg/kg was intravenously administered to mice. All the mice died at the 100 mg/kg dose level whereas all animals survived at the 50 mg/kg dose level with no significant loss of body weight. The mice also survived in the control group with a vehicle control that lacked endoxifen.
- Repeat dose toxicity study was conducted with a dose of 25 mg/kg administered consecutively for 3 days with accumulated dose of 75 mg/kg. All the animals in this group survived. The results are reported in the table below as the number of mice surviving per total.
- Endoxifen was tested for antiproliferation activity against various cancer cell lines from Non Small Lung Cancer, Breast Cancer, Prostate Cancer, Melanoma Cancer, Ovarian Cancer, CNS Cancer, Renal Cancer and Colon Cancers. The cells were incubated for multiple days (3-6) with endoxifen (10 nM to 10 ⁇ M) and the inhibition of growth were measured by SRB or MTT staining method. The results indicated significant growth inhibition of cells in the presence of endoxifen ranging from 10 to 100%. Endoxifen induce growth inhibition or cell killing in different tumor cells indicates the usefulness of endoxifen in the treatment of cancers in humans.
- MCF-7 xenografts are developed by passage of transplantable tumor from a parent tumor established in oophorectomized athymic nude mice treated with estradiol (35).
- Randomly bred female athymic mice are bilaterally ovriectomized and allowed a 2-week recovery period before the implantation of tumor material.
- the s.c. transplantation of the MCF-7 tumor fragments (size, 1 ⁇ 1 ⁇ 1 mm 3 ) is done under anesthesia.
- the median volumes of each group are normalized to the initial tumor volume resulting in the relative tumor volume.
- estradiol valeriate (estradiol valeriate (E2D), 0.5 mg/kg once/wk i.m.].
- E2D estradiol valeriate
- This supplementation leads to physiologic levels of serum E2 (25-984 pg/mL) that are comparable to the human situation (25-600 pg/mL depending on the follicular phase).
- Substances The following substances are used: E2D, tamoxifen and endoxifen.
- All MCF-7 transplanted animals receive E2D (0.5 mg/kg) injections once a week. After 4 weeks, when hormone-supplemented tumors have grown to ⁇ 0.7-0.8 cm in diameter (180-250 mm 3 ), the mice are randomized into 4 treatment groups of 5-10 mice each. The 5-10 mice are sacrificed as baseline controls for E2D alone.
- the treatment groups are: (i) E2D support (0.5 mg/kg once/wk i.m); (ii) E2D support (0.5 mg/kg once/wk i.m) plus tamoxifen (0.5 mg-2 mg)/mouse per day, 5 days/week by gavage; (iii) E2D support (0.5 mg/kg once/wk i.m) plus endoxifen (0.5 mg-2 mg)/mouse per day, 5 days/week by gavage; (iv) withdrawal of E2D support.
- tamoxifen is a non-steroidal agent with potent anti-estrogenic effect in animal and in vitro models. This pharmacologic property is related to the drug's ability to compete with estrogen for estrogen receptors in breast tissues, and to inhibit the stimulatory effect of estrogen on the uterus, vagina and ovaries (36).
- Endoxifen (0.1 mg-2 mg) is administered orally once daily for 28 days to determine the reduction in utertrophic effect of estradiol;
- There will be three groups such as vehicle control, tamoxifen and endoxifen.
- the animals (5-10 mice) are randomly assigned to each group.
- Daily treatments of intact mice with a dose e.g., 0.1 mg-2 mg
- gavage of tamoxifen or endoxifen are expected to lead to progressive inhibition of uterine and vaginal weight.
- endoxifen has better minimizing uterotrophic effect of estrogen than tamoxifen, and that endoxifen finds use as an effective anti-estrogen.
- Endoxifen blocking of uterine weight gain stimulated by estrogen can also be demonstrated in immature rats.
- Endoxifen preparations showing the effects described above find use in the treatment of breast cancer as well as other estrogen-sensitive conditions, such as endometriosis, leiomyomata, and benign breast disease, as well as other estrogen-responsive conditions in men and women.
- Ki-67 is a nuclear non-histone protein. This antigen is absent in quiescent cells and is expressed in proliferating cells and is used as a biomarker (37, 38).
- Endoxifen base or endoxifen-citrate in oral or injectable form are given to xenograft breast cancer tumor models (e.g., as described above), as well as to breast cancer patients.
- Immunochemical determination of Ki-67 is done in tumor cells from breast cancer tissues from patients, as well as from mice bearing tumors as described in Example 11.
- the MIB-1 or similar antibody available from commercial sources such as DAKO, Carpenteria, Calif. is used for immunochemical localization of antigen. Decrease in Ki-67 antigen expression in animals and/or breast cancer patients demonstrate the applicability of endoxifen in treating breast cancers.
- IGF-1 insulin-like growth factor 1
- IGF-1 has been used as a surrogate biomarker and predicts the effectiveness of tamoxifen in treatments of breast cancer patients (39).
- endoxifen base or endoxifen-citrate are given orally or injected to experimental animals bearing breast cancer tumors.
- the concentration of IGF-1 levels in control and xenografted breast tumor is monitored by established assays (e.g., ELISA Kit from Diagnostics Systems Laboratories, London, UK or DAKO, Carpenteria, Calif.).
- Endoxifen is administered by gavages at 0.5 mg-2 mg per mouse per day, 5 days/week. Decrease of IGF-1 levels and tumor growth reduction indicates the usefulness of IGF-1 as a surrogate marker for breast cancer.
- Bicalutamide (Casodex®) is used for treating prostate cancer in men.
- IGF-1 may be involved in prostate cancer promotion and progression.
- anti-estrogen agents such as tamoxifen decrease IGF-1 levels and prevent biculatamide-induced gynecomastia in prostate cancer patients (40). Since, endoxifen is an active metabolite of the tamoxifen anti-estrogen, the silastic slow-release capsules containing endoxifen for implant or oral doses of endoxifen (1 mg-10 mg/day) with biculatamide are expected to prevent development of biclutamide-induced gynecomastia and breast pain.
- a PKC kinase activity assay kit (Assay Designs, Ann Arbor, Mich.) was used to test endoxifen PKC inhibitory activity 0.025, 0.05, 0.1, or 0.2 mM endoxifen was used in a reaction mix containing PKC 10 ng/well. Tamoxifen in same concentration was used as a positive control. Endoxifen inhibited PKC activity in concentration dependent manner. The percentage PKC inhibition ranged between 12 and 80 with endoxifen concentration between 0.025 and 0.2 mM, respectively.
- FIG. 5 shows endoxifen and tamoxifen induced PKC inhibition at 0.2 mM. The study demonstrated that endoxifen is at least four fold more potent PKC inhibitor than tamoxifen, and suggests its role in manic disorder.
- Endoxifen safety was evaluated in two rodent species.
- Endoxifen sub-chronic toxicity study was conducted in mice and rats. The results showed that oral administration of endoxifen up to 8 mg/kg in mice or up to 4 mg/kg in rats, daily for 28 days had no mortalities; gross pathological examination did not reveal any abnormality related to the treatment group and animals were free of clinical signs of toxicity.
Landscapes
- Health & Medical Sciences (AREA)
- Life Sciences & Earth Sciences (AREA)
- Medicinal Chemistry (AREA)
- Veterinary Medicine (AREA)
- General Health & Medical Sciences (AREA)
- Chemical & Material Sciences (AREA)
- Animal Behavior & Ethology (AREA)
- Pharmacology & Pharmacy (AREA)
- Public Health (AREA)
- Engineering & Computer Science (AREA)
- Bioinformatics & Cheminformatics (AREA)
- Chemical Kinetics & Catalysis (AREA)
- Organic Chemistry (AREA)
- General Chemical & Material Sciences (AREA)
- Nuclear Medicine, Radiotherapy & Molecular Imaging (AREA)
- Epidemiology (AREA)
- Neurology (AREA)
- Neurosurgery (AREA)
- Biomedical Technology (AREA)
- Communicable Diseases (AREA)
- Oncology (AREA)
- Physical Education & Sports Medicine (AREA)
- Reproductive Health (AREA)
- Orthopedic Medicine & Surgery (AREA)
- Rheumatology (AREA)
- Psychiatry (AREA)
- Heart & Thoracic Surgery (AREA)
- Gynecology & Obstetrics (AREA)
- Pregnancy & Childbirth (AREA)
- Hospice & Palliative Care (AREA)
- Endocrinology (AREA)
- Psychology (AREA)
- Pain & Pain Management (AREA)
- Virology (AREA)
- Cardiology (AREA)
- Pharmaceuticals Containing Other Organic And Inorganic Compounds (AREA)
- Acyclic And Carbocyclic Compounds In Medicinal Compositions (AREA)
- Medicinal Preparation (AREA)
Abstract
The present invention provides compositions containing endoxifen, formulations and liposomes of endoxifen, methods of preparation of such agents and formulations, and use of such agents and formulations for the treatment of a subject having or at risk for psychiatric and neurodegenerative diseases. Specifically, the present invention relates to the composition comprising endoxifen in the treatment of bipolar disorder, schizophrenia, multiple sclerosis (MS), Alzheimer disease, Parkinson disease, Huntington's disease, amyotrophic lateral sclerosis (ALS), and/or epilepsy by administrating formulations or compositions comprising an effective amount of endoxifen.
Description
- This application is a Continuation-in-Part of U.S. application Ser. No. 12/515,261, filed May 15, 2009, which is a 371 National Stage Application of International Application No. PCT/US07/85443, filed Nov. 21, 2007, which claims priority to U.S. Provisional Application Ser. Nos. 60/860,420, filed Nov. 21, 2006, and 60/860,788, filed Nov. 22, 2006, each of which is incorporated herein by reference.
- The invention relates to the use of endoxifen in the treatment of mammalian diseases. The invention also relates to liposomes and other formulations such as complexes, vesicles, emulsions, micelles and mixed micelles of endoxifen, methods of preparation, and uses, e.g., in the treatment of human and animal breast diseases. The invention in particular relates to compositions comprising endoxifen-lipid complexes, methods of preparation, and their use for the treatment of breast diseases, in particular benign and malignant breast disease, enhancing disease regression and reducing risk of patients developing breast cancer. This invention further relates to the endoxifen and compositions comprising endoxifen in the treatment of psychiatric and neurodegenerative diseases. In particular, the present invention further relates to the use of compositions comprising endoxifen in the treatment of bipolar disease, schizophrenia, multiple sclerosis (MS), Alzheimer disease, Parkinson disease, Huntington's disease, amyotrophic lateral sclerosis (ALS), and epilepsy The invention still further relates to methods of preparing endoxifen and use of endoxifen prepared by inventive method in the treatment of human and animal diseases.
- Every year more than 210,000 women in the United States develop breast cancer. One in eight women in the US will develop breast cancer during their lives. Approximately 70 percent of breast cancers are fueled by estrogen, and many are treated with tamoxifen, a drug designed to block the effects of estrogen in breast tissue.
- Tamoxifen is an anti-estrogenic drug prescribed for long-term, low dose therapy of breast cancer. It has been widely used for more than 30 years for the endocrine treatment of all stages of hormone receptor-positive breast cancer (1, 2). Tamoxifen has also been approved for the prevention of breast cancer (3). In women, one of the adverse events associated with tamoxifen is hot flashes. The risk of hot flashes is two to three-folds higher among women who take tamoxifen than it is for those who do not (4, 5). Selective serotonin-reuptake inhibitor (SSRI) antidepressants are prescribed to treat hot flashes. However, some SSRIs, such as paroxetine and fluoxetine, are known to inhibit cytochrome P450 (CYP) 2D6 (6), an enzyme that is important for the metabolism of many drugs, including tamoxifen (5). Furthermore, there is a large inter-individual and ethnic variability in tamoxifen metabolism due to CYP2D6 genetic polymorphism affecting its expression and function (7). Thus, the understanding of tamoxifen metabolism and effect has changed clinical practice through the wide spread recognition that the co-prescription of drugs that inhibit CYP2D6 may compromise tamoxifen efficacy.
- Bipolar disorder is a chronic mental illness that is associated with a substantial risk of suicide among those affected (8). Lithium and valproate are widely used as mood stabilizers in bipolar disorder, however, a substantial minority of patients fails to respond, or respond only partially, to these agents (8). Therefore, the development of novel therapeutic agents with a quicker, more potent, and more specific mode(s) of action with fewer side effects are required.
- Tamoxifen is a selective estrogen receptor modulator (SERM). Recent investigations strongly support a therapeutic role of estrogen/SERMs in psychiatric diseases (e.g., bipolar disorder, schizophrenia) and a neuroprotective effect in neurodegenerative conditions (e.g., multiple sclerosis, Parkinson disease, Alzheimer disease, and stroke). In a rat model of mania (9) and in two clinical trials with bipolar patients (10, 11). This is suggested to be attributed to attenuation of the actions of protein kinase C (PKC) (WO 2008/048194 to Yesilogluj). Tamoxifen use also showed improvement in manic symptoms in patients with schizoaffective disorder (12), and several neuroprotective effects of tamoxifen have been documented (13, 14). Furthermore, there is evidence that tamoxifen may have neurotrophic effects, e.g., by increasing synaptic density and stimulating neurite outgrowth (13). However, as noted in the discussion, above, the efficacy of treatment using tamoxifen can be compromised by other drugs or by mutations that disrupt the metabolism of the drug.
- A strong need exists for methods of using SERMs in therapy, with reduced adverse systemic side effects. In addition, there is a need for methods and compositions to treat and prevent diseases such as breast cancer and bipolar disorder with compositions having reduced interactive effect with other medications, and reduced sensitivity to patient genetics involving mutations in genes encoding key drug metabolizing enzymes.
- The present invention provides methods and compositions for the syntheses and use of active agents such as anticancer agents and agents for treatment of psychiatric and neurodegenerative conditions. The present invention relates to methods and compositions related to the formulations and uses of endoxifen, particularly in applications related to the treatment or prevention of cancer, and in the treatment and prevention of psychiatric and neurodegenerative disease.
- The compositions of the present invention can be employed to treat psychiatric and neurodegenerative diseases. For example, the compositions of the present invention may be administered to a patient diagnosed with bipolar disorder or manic disorder. The exemplary examples of psychiatric and neurodegenerative diseases treatable by the present inventive compositions include but not limited to bipolar disorder, Alzheimer's disease, Parkinson's disease, multiple sclerosis diseases, epilepsy, and the like.
- ENDOXIFEN (4-hydroxy N-desmethyl tamoxifen) is an active metabolite of the marketed drug tamoxifen for the treatment of breast cancer. Tamoxifen is extensively metabolized by cytochrome P450 (CYP) enzymes CYP3A4 and CYP2D6 into active metabolites including 4-hydroxy tamoxifen and 4-hydroxy-N-desmethyl tamoxifen (endoxifen) (
FIG. 3 ). The use of endoxifen as a therapeutic agent e.g., for cancer, and psychiatric and neurodegenerative diseases has significant advantages compared to use of the mother compound tamoxifen, which requires metabolic activation by cytochrome P450 (CYP) enzymes whose actions are variable because of genetic polymorphism and inhibition via drug-drug interaction. - In some embodiments, the present invention provides a method of treating a disease, comprising, preparing a composition comprising a therapeutically active amount of endoxifen and administering the composition. In some embodiments, the endoxifen is a free base, or is in the form of a salt. In some preferred embodiments, the endoxifen is in the form of a salt selected from the group of salts consisting of citrate, acetate, formate, sulfonate, oxalate, succinate, tartarate, trifluoroacetate, methane sulfonate, phosphate, sulfate, chloride, bromide, iodide, and lactate. In preferred embodiments, the salt is in the form of citrate. In some embodiments, the endoxifen is predominantly in a form selected from the group consisting of E-isomer, Z-isomer, and a mixture of E- and Z-isomer.
- In some embodiments, method comprises preparing a complex comprising an anticancer or an psychiatric therapeutic drug and at least one lipid. In some embodiments, the drug is endoxifen. In some embodiments, the compounds of the invention are not complexed with a lipid. In some embodiments, the compound is in the form of a free base or is in the form of a salt.
- In some embodiments, the present invention provides methods of preparing endoxifen, comprising reacting a compound of Formula 5 with acid, wherein the compound of
formula 5 has the structure: - and, after the reaction of the compound of
Formula 5 with acid, reacting the compound with methylamine. In some embodiments, the compound of Formula 5 is prepared by reacting compound offormula 4 - with a compound of Formula 3.
- In some embodiments, the compound of Formula 3 is prepared by reacting compound of Formula 1
- with a compound of Formula 2.
- In some embodiments, the present invention provides methods of purifying the endoxifen as described above, comprising crystallizing the endoxifen and/or chromatographically treating said endoxifen to produce a purified preparation of endoxifen, wherein the purified preparation of endoxifen contains predominantly E-isomer, predominantly Z-isomer, or mixture of E- and Z-isomers of endoxifen.
- As described above, in some embodiments, the invention provides endoxfen preparations comprising at least one lipid. In preferred embodiments, the at least one lipid is selected from the group consisting of egg phosphatidylcholine (EPC), egg phosphatidylglycerol (EPG), soy phosphatidylcholine (SPC), hydrogenated soy phosphatidylcholine (HSPC), dimyristoylphosphatidylcholine (DMPC), dimyristoylphosphatidylglycerol (DMPG), dipalmitoylphosohatidylcholine (DPPC), disteroylphosphatidylglycerol (DSPG), dipalmitoylphosphatidylglycerol (DMPG), cholesterol (Chol), cholesterol sulfate and its salts (CS), cholesterol hemisuccinate and its salts (Chems), cholesterol phosphate and its salts (CP), cholesterylphosphocholine and other hydroxycholesterol or amino cholesterol derivatives, cholesteryl succinate, cholesteryl oleate, polyethylene glycol derivatives of cholesterol (cholesterol-PEG), coprostanol, cholestanol, cholestane, cholic acid, cortisol, corticosterone, hydrocortisone, and calciferol, E-guggulsterone, Z-guggulsterone, mixture of E- and Z-guggulsterone, monoglycerides, diglycerides, triglycerides, carbohydrate-based lipids selected from a group consisting of galactolipid, mannolipid, galactolecithin, β3-sitosterol, stigmasterol, stigmastanol, lanosterol, α-spinasterol, lathosterol, campesterol, phosphatidylcholine, phosphatidylglycerol, phosphatidylethanolamine, phosphatidylserine, phosphatidylinositol, phosphatidic acid, and pegylated derivatives of distearoylphosphatidylglycerol, dipalmitoylphosphatidylglycerol, dimyristoylphosphatidylglycerol, and dioleoylphosphatidylglycerol.
- In some embodiments, a composition according to the present invention comprises endoxifen, cholesterol and/or cholesterol derivatives, and one or more phospholipids. In some preferred embodiments, the composition comprises a cholesterol derivative, and the cholesterol derivative is cholesteryl sulfate. In some embodiments, at least one of the phospholipids is hydrogenated soy phosphatidylcholine or soy phosphatidylcholine.
- In some embodiments of the methods and compositions of the present invention, the composition comprises a form selected from the group consisting of powder, solution, emulsion, micelle, liposome, lipidic particle, gel, and paste form. In some preferred embodiments, the preparing of the composition comprising a complex comprises preparing said complex in a lyophilized form. In some embodiments, the preparing the complex in a lyophilized form comprises using a cryoprotectant, wherein said cryoprotectant comprises one or more sugars selected from the group consisting of trehalose, maltose, lactose, sucrose, glucose, and dextran. In some embodiments, the composition comprises a tablet or a filled capsule, wherein said tablet or filled capsule optionally comprises an enteric coating material.
- In some embodiments of the treatment methods of the present invention, the disease is caused by cancer or by cancer-causing agents, while in some embodiments, the disease is benign breast disease.
- In some embodiments, the administering comprises oral, intravenous, subcutaneous, percutaneous, parenteral, intraperitoneal, rectal, vaginal, and/or topical delivery said composition to said subject.
- In some embodiments, the composition comprises a penetration enhancer, wherein said penetration enhancer comprises at least one saturated or unsaturated fatty acid ester.
- In some embodiments, the composition comprising endoxifen is formulated in a hydroalcoholic gel, a hydroalcoholic solution, a patch, a cream, an emulsion, a lotion, an ointment, a powder or an oil.
- In some embodiments, the composition comprising endoxifen is formulated in a hydroalcoholic composition containing a penetration enhancer, an aqueous vehicle, an alcoholic vehicle and a gelling agent.
- In some embodiments, the hydroalcoholic composition comprises a neutralizing agent.
- In some embodiments, the hydroalcoholic composition comprises endoxifen at about 0.01% to 0.20% by weight; isopropyl myristate at about 0.1% to 2.0%, preferably 0.5% to 2.0% by weight; alcohol at about 50.0% to 80.0%, preferably about 60.0% to 75.0% by weight; aqueous vehicle at about 20.0% to 60.0%, preferably 25.0% to 50.0% by weight; and gelling agent at about 1.0% to 10.0%, preferably about 0.5% to 5.0% by weight. In some embodiments, the wherein the percentage of components is weight to weight of the composition.
- In some embodiments, the alcohol is ethanol or isopropanol, and constitutes in absolute form.
- In some embodiments, the aqueous vehicle is a phosphate buffered solution.
- In some embodiments, the gelling agent is selected from the group consisting of polyacrylic acid, hydroxypropylcellulose and a cellulose derivative other than hydroxypropylcellulose.
- In some embodiments, the hydroalcoholic composition further comprises a neutralizing agent, wherein said neutralizing agent is selected from the group consisting of sodium hydroxide, potassium hydroxide, ammonium hydroxide, aminomethylpropanol, arginine, trolamine, and tromethamine, and wherein said neutralizing agent exists at a neutralizing agent/gelling agent ratio of about 1:1 to about 4:1.
- In some embodiments, the invention provides methods of delivering endoxifen, comprising: providing any of the above described compositions and delivering the composition so as to expose the composition to a cell.
- In some embodiments, the cell is in vivo.
- In some embodiments of the invention, the host is a mammal.
- The present invention also provides methods of inhibiting hormone-dependent breast carcinoma in a mammal comprising administering any of the above compositions to the mammal.
- The present invention further provides methods of inhibiting a cancer in a mammal, said cancer including, but not limited to, lung cancer, colon cancer, breast cancer, leukemia, renal cancer, melanoma, cancer or the central nervous system, and prostate cancer in a mammal; the method comprising administering any of the above compositions to said mammal (e.g., a human).
- The present invention further provides compositions comprising a therapeutically active amount of a complex comprising endoxifen and at least one lipid, wherein said endoxifen is a free base or is in the form of a salt.
- In some embodiments, the composition comprising endoxifen is formulated in a hydroalcoholic gel, a hydroalcoholic solution, a patch, a cream, an emulsion, a lotion, an ointment, a powder or an oil.
- In some embodiments, the composition comprising endoxifen is formulated in a hydroalcoholic composition containing a penetration enhancer, an aqueous vehicle, an alcoholic vehicle and a gelling agent.
- In some embodiments, the hydroalcoholic composition comprises a neutralizing agent.
- In some embodiments, the hydroalcoholic composition comprises endoxifen at about 0.01% to 0.20% by weight; isopropyl myristate at about 0.1% to 2.0%, preferably 0.5% to 2.0% by weight; alcohol at about 50.0% to 80.0%, preferably about 60.0% to 75.0% by weight; aqueous vehicle at about 20.0% to 60.0%, preferably 25.0% to 50.0% by weight; and gelling agent at about 1.0% to 10.0%, preferably about 0.5% to 5.0% by weight. In some embodiments, the wherein the percentage of components is weight to weight of the composition.
- In some embodiments, the present invention provides methods of treating or preventing a condition in a subject (e.g., cancer, or a psychiatric or neurodegenerative condition) comprising administering a pharmaceutical preparation comprising a therapeutically effective amount of endoxifen.
- Use of endoxifen compositions for psychiatric and neurodegenerative therapy is not limited to a particular disease or route of administration. In some preferred embodiments, the invention provides methods and compositions for treating bipolar disorder, while in other embodiments, the invention provides methods and compositions for treating multiple sclerosis, schizophrenia, Alzheimers' disease, Parkinson's disease, Huntington's disease, amyotrophic lateral sclerosis, and epilepsy.
- In some embodiments, a pharmaceutical preparation of the present invention further comprises a second therapeutic agent. In some preferred embodiments, the second therapeutic is a known therapeutic agent for treatment of the condition. For example, in some embodiments, the second therapeutic agent is a known therapeutic for the treatment of bipolar disorder, manic disorder, or depression, e.g., lithium, a selective serotonin reuptake inhibitor, a serotonin and norepinephrine reuptake inhibitor, a dopamine reuptake inhibitor, a tetracyclic antidepressant, a combined reuptake inhibitor, a receptor blocker, tricyclic antidepressant, and a monoamine oxidase inhibitor. In some embodiments, the known therapeutic for the treatment of a psychiatric or neurodegenerative condition is selected from the group consisting of citalopram, escitalopram, fluoxetine, paroxetine, sertraline, duloxetine, venlafaxine, bupropion, mirtazapine, trazodone, tefazodone, maprotiline, amitriptyline, amoxapine, desipramine, doxepin, imipramine, nortriptyline, protriptyline, trimipramine, phenelzine, tranylcypromine, isocarboxazid, and selegilin.
- In some embodiments in which a second therapeutic is co-administered with a composition comprising endoxifen, the second therapeutic is a known therapeutic agent for treatment of anxiety, such as a benzodiazepine, a beta-blocker, and a non-benzodiazepine hypnotic. In some preferred embodiments, the therapeutic for the treatment of anxiety is selected from the group consisting of diazepam, nitrazepam, alprazolam, bromazepam, chlordiazepoxide, chlorazepate, lorazepam, oxazepam, flunitrazepam, flurazepam, loprazolam, lormetazepam, and temazepam, buspirone, meprobamate, zalepon, zolpidem, zopiclone, chloral hydrate, triclofos, clomethizole, and meprobamate.
- Particular embodiments of the invention are described in this Summary, and below, in the Detailed Descriptions of the Invention. The present invention is not limited to the compositions and methods described above. Although the invention has been described in connection with specific embodiments, it should be understood that the invention as claimed should not be unduly limited to such specific embodiments, and that variations of the compositions and methods described herein, or that are understood by a skilled artisan in view of the present disclosure, are included within the invention.
-
FIG. 1 diagrams compound I. -
FIG. 2 diagrams embodiments for synthesis of 3, 5, and I.compounds -
FIG. 3 shows a schematic diagram of metabolism of tamoxifen into endoxifen (4-hydroxy-N-desmethyl tamoxifen). -
FIG. 4 shows a schematic representation of a PKC pathway. -
FIG. 5 shows a graph comparing inhibition of PKC activity by endoxifen and tamoxifen. - As used herein, the terms “host,” “subject” and “patient” refer to any animal, including but not limited to, human and non-human animals (e.g., dogs, cats, cows, horses, sheep, poultry, fish, crustaceans, etc.) that is studied, analyzed, tested, diagnosed or treated.
- As used herein, the terms “host,” “subject” and “patient” are used interchangeably, unless indicated otherwise.
- As used herein, the terms “subject at risk of cancer” refers to a subject identified as being at risk for developing cancer, e.g., by prior health history, genetic data, etc.
- As used herein, the term “anticancer drug” refers to an agent used to treat or prevent cancer. Such agents include, but are not limited to, small molecules, drugs, antibodies, pharmaceuticals, and the like.
- As used herein, the terms “subject having depression” or “subject displaying signs or symptoms or pathology indicative of depression” or “subjects suspected of displaying signs or symptoms or pathology indicative of depression” refer to a subject that is identified as having or likely to have depression based on known depression signs, symptoms and pathology.
- As used herein, the terms “subject at risk of displaying pathology indicative of depression” and “subject at risk of depression” refer to a subject identified as being at risk for developing depression.
- As used herein, the terms “subject having bipolar disorder” or “subject displaying signs or symptoms or pathology indicative of bipolar disorder” or “subjects suspected of displaying signs or symptoms or pathology indicative of bipolar disorder” refer to a subject that is identified as having or likely to have bipolar disorder based on known depression signs, symptoms and pathology.
- As used herein, the terms “subject at risk of displaying pathology indicative of bipolar disorder” and “subject at risk of bipolar disorder” refer to a subject identified as being at risk for developing bipolar disorder.
- As used herein, the term “antidepressant” refers to an agent used to treat or prevent depression. Such agents include, but are not limited to, small molecules, drugs, antibodies, pharmaceuticals, and the like.
- As used herein, “anxiolytic” refers to an agent used to treat or prevent anxiety. Such agents include, but are not limited to, small molecules, drugs, antibodies, pharmaceuticals, and the like.
- As used herein, the terms “subject having anxiety” or “subject displaying signs or symptoms or pathology indicative of anxiety” or “subjects suspected of displaying signs or symptoms or pathology indicative of anxiety” refer to a subject that is identified as having or likely to have anxiety based on known anxiety signs, symptoms and pathology.
- As used herein, the terms “subject at risk of displaying pathology indicative of anxiety” and “subject at risk of anxiety” refer to a subject identified as being at risk for developing anxiety.
- As used herein, the term “cognitive function” generally refers to the ability to think, reason, concentrate, or remember. Accordingly, the term “decline in cognitive function” refers to the deterioration of lack of ability to think, reason, concentrate, or remember.
- As used herein, the term “effective amount” refers to the amount of an active composition (e.g., a pharmaceutical compound or composition provided as a component in a lipid or other formulation) sufficient to produce a selected effect, e.g., to effect beneficial or desired results. For example, an effective amount of a PKC inhibitor is an amount of the inhibitor sufficient to reduce PKC activity, as determined, e.g., by observation of an in vivo effect associated with reduced PKC activity, or by use of an in vitro assay. An effective amount can be administered in one or more administrations, applications or dosages and is not intended to be limited to a particular formulation or administration route.
- As used herein, the terms “active” or “pharmaceutically active” as used in reference to an agent, drug, composition, or compound, refers to an agent that, upon administration or application, causes a beneficial, desired, or expected result. The administration may be in one or more administrations, applications or dosages and is not intended to be limited to a particular formulation or administration route. The term is not limited to any particular level of activity.
- The terms “agent” and “compound” are used herein interchangeably to refer to any atom, molecule, mixture, or more complex composition having an attributed feature. For example, an “active agent” or “active compound” refers to any atom, molecule, preparation, mixture, etc., that, upon administration or application, causes a beneficial, desired, or expected result.
- As used herein, the term “treating” includes administering therapy to prevent, cure, or alleviate/prevent the symptoms associated with, a specific disorder, disease, injury or condition.
- As used herein, the term “treatment” or grammatical equivalents encompasses the improvement and/or reversal of the symptoms of disease (e.g., cancer, bipolar disorder, Parkinson's disease, etc.), or reduction of risk of occurrence of disease. A compound which causes an improvement in any parameter associated with disease when used in the screening methods of the instant invention may thereby be identified as a therapeutic compound. The term “treatment” refers to both therapeutic treatment and prophylactic or preventative measures. For example, those who may benefit from treatment with compositions and methods of the present invention include those already with a disease and/or disorder (e.g., cancer, psychiatric or neurodegenerative disease, or symptoms or pathologies consistent with these conditions) as well as those in which a disease and/or disorder is to be prevented (e.g., using a prophylactic treatment of the present invention).
- As used herein, the term “at risk for disease” refers to a subject (e.g., a human) that is predisposed to experiencing a particular disease. This predisposition may be genetic (e.g., a particular genetic tendency to experience the disease, such as heritable disorders), or due to other factors (e.g., age, weight, environmental conditions, exposures to detrimental compounds present in the environment, etc.). Thus, it is not intended that the present invention be limited to any particular risk, nor is it intended that the present invention be limited to any particular disease.
- As used herein, the term “suffering from disease” refers to a subject (e.g., a human) that is experiencing a particular disease. It is not intended that the present invention be limited to any particular signs or symptoms, nor disease. Thus, it is intended that the present invention encompasses subjects that are experiencing any range of disease (e.g., from sub-clinical manifestation to full-blown disease) wherein the subject exhibits at least some of the indicia (e.g., signs and symptoms) associated with the particular disease.
- As used herein, the terms “disease” and “pathological condition” are used interchangeably to describe a state, signs, and/or symptoms that are associated with any impairment of the normal state of a living animal or of any of its organs or tissues that interrupts or modifies the performance of normal functions, and may be a response to environmental factors (such as emotional trauma, physical trauma, malnutrition, industrial hazards, or climate), to specific infective agents (such as worms, bacteria, or viruses), to inherent defect of the organism (such as various genetic anomalies, or to combinations of these and other factors.
- As used herein, the term “administration” refers to the act of giving a drug, prodrug, or other active agent, or therapeutic treatment (e.g., compositions of the present invention) to a physiological system (e.g., a subject or in vivo, in vitro, or ex vivo cells, tissues, and organs). Exemplary routes of administration to the human body can be through the eyes (ophthalmic), mouth (oral), skin (transdermal), nose (nasal), lungs (inhalant), rectal, vaginal, oral mucosa (buccal), ear, by injection (e.g., intravenously, subcutaneously, intratumorally, intraperitoneally, etc.) and the like. Administration may be in one or more administrations, applications or dosages, and is not intended to be limited to a particular administration route.
- As used herein, the term “co-administration” refers to the administration of at least two agent(s) (e.g., two separate lipid compositions, containing different active compounds) or therapies to a subject. For example, in some embodiments, endoxifen may be co-administered with a second therapeutic, e.g., a known therapeutic for the treatment of a disease or condition, e.g., depression. In some embodiments, the co-administration of two or more agents or therapies is concurrent. In other embodiments, a first agent/therapy is administered prior to a second agent/therapy. Those of skill in the art understand that the formulations and/or routes of administration of the various agents or therapies used may vary. The appropriate dosage for co-administration can be readily determined by one skilled in the art. In some embodiments, when agents or therapies are co-administered, the respective agents or therapies are administered at lower dosages than appropriate for their administration alone. Thus, co-administration is especially desirable in embodiments where the co-administration of the agents or therapies lowers the requisite dosage of a potentially harmful (e.g., toxic) agent(s).
- A “known therapeutic” compound or agent includes a therapeutic compound that has been shown (e.g., through animal trials or prior experience with administration to humans) to have a particular therapeutic effect in a treatment. However, a known therapeutic compound is not limited to a compound having a particular level of effectiveness in the treatment or prevention of a disease (e.g., bipolar disorder, depression or anxiety). Examples of known bipolar disorder therapeutic agents include but are not limited to lithium, including salts available under the generic names of lithium carbonate and lithium citrate (e.g., ESKALITH, LITHOBID, LITHANE, LITHONATE, LITHOTABS, CIBALITH-S), and anticonvulsants such as valproate or valproic acid (DEPAKOTE), lamotrigine (LAMICTAL), carbamazepine (TEGRETOL), and oxcarbazepine (TRILEPTAL). Examples of other compounds also finding use in combination with endoxifen in the methods of the invention include gabapentin (NEUROTONIN) and topiramate (TOPAMAX). Known antidepressant therapeutic agents that find use include, but are not limited to, selective serotonin reuptake inhibitors (SSRIs, e.g., citalopram (CELEXA), escitalopram (LEXAPRO), fluoxetine (PROZAC, PROZAC WEEKLY), paroxetine (PAXIL, PAXIL CR) and sertraline (ZOLOFT); serotonin and norepinephrine reuptake inhibitors (SNRIs, e.g., duloxetine (CYMBALTA) and venlafaxine (EFFEXOR, EFFEXOR XR); norepinephrine and dopamine reuptake inhibitors (NDRIs, e.g., bupropion (WELLBUTRIN, WELLBUTRIN SR, WELLBUTRIN XL); tetracyclic antidepressants (e.g., mirtazapine (REMERON, REMERON SOLTAB); combined reuptake inhibitors and receptor blockers (e.g., trazodone, tefazodone, maprotiline); tricyclic antidepressants (TCAs, e.g., amitriptyline, amoxapine, desipramine (NORPRAMIN), doxepin (SINEQUAN), imipramine (TOFRANIL), nortriptyline (PAMELOR), protriptyline (VIVACTIL), trimipramine (SURMONTIL)); monoamine oxidase inhibitors (MAOIs, e.g., phenelzine (NARDIL), tranylcypromine (PARNATE), isocarboxazid (MARPLAN), and selegiline (EMSAM)). Examples of known anxiolytic therapeutic agents include, but are not limited, benzodiazepines (e.g., diazepam (VALIUM), nitrazepam (MOGADON), alprazolam (XANAX), bromazepam (LEXOTAN), chlordiazepoxide (LIBRIUM), chlorazepate (TRANXENE), lorazepam (ATIVAN), oxazepam, flunitrazepam (ROHYPNOL), flurazepam (DALMANE), loprazolam, lormetazepam, and temazepam); non-benzodiazepine agents (e.g., buspirone (BUSPAR), beta-blockers, and meprobamate (EQUAGESIC)); and non-benzodiazepine hypnotics (e.g., zalepon (SONATA), zolpidem (STILLNOCT), zopiclone (ZIMOVANE), chloral hydrate, triclofos, and clomethizole, aripiprazole (ABILIFY), quetiapine fumarate (SEROQUEL), olanzapine (ZYPREXA), ziprasidone (GEODON), etc.
- As used herein, the term “toxic” refers to any detrimental or harmful effects on a subject, a cell, or a tissue as compared to the same cell or tissue prior to the administration of the toxicant.
- As used herein, the term “pharmaceutically purified” refers to a composition of sufficient purity or quality of preparation for pharmaceutical use.
- As used herein, the term “purified” refers to a treatment of a starting composition to remove at least one other component (e.g., another component from a starting composition (e.g., plant or animal tissue, an environmental sample etc.), a contaminant, a synthesis precursor, or a byproduct, etc.), such that the ratio of the purified component to the removed component is greater than in the starting composition.
- As used herein, the term “pharmaceutical composition” refers to the combination of an active agent (e.g., an active pharmaceutical compound) with a carrier, inert or active (e.g., a phospholipid), making the composition especially suitable for diagnostic or therapeutic use in vitro, in vivo or ex vivo.
- The terms “pharmaceutically acceptable” or “pharmacologically acceptable,” as used herein, refer to compositions that do not substantially produce adverse reactions, e.g., toxic, allergic, or immunological reactions, when administered to a subject.
- As used herein, the term “topically” refers to application of the compositions of the present invention to the surface of the skin and mucosal cells and tissues (e.g., alveolar, buccal, lingual, masticatory, or nasal mucosa, and other tissues and cells which line hollow organs or body cavities).
- As used herein, the term “pharmaceutically acceptable carrier” refers to any of the standard pharmaceutical carriers including, but not limited to, phosphate buffered saline solution, water, emulsions (e.g., such as an oil/water or water/oil emulsions), and various types of wetting agents, any and all solvents, dispersion media, coatings, sodium lauryl sulfate, isotonic and absorption delaying agents, disintigrants (e.g., potato starch or sodium starch glycolate), and the like. The compositions also can include stabilizers and preservatives. For examples of carriers, stabilizers, and adjuvants. (See e.g., Martin, Remington's Pharmaceutical Sciences, 15th Ed., Mack Publ. Co., Easton, Pa. (1975), incorporated herein by reference). Moreover, in certain embodiments, the compositions of the present invention may be formulated for horticultural or agricultural use. Such formulations include dips, sprays, seed dressings, stem injections, sprays, and mists.
- As used herein, the term “pharmaceutically acceptable salt” refers to any salt (e.g., obtained by reaction with an acid or a base) of a compound of the present invention that is physiologically tolerated in the target subject (e.g., a mammalian subject, and/or in vivo or ex vivo, cells, tissues, or organs). “Salts” of the compounds of the present invention may be derived from inorganic or organic acids and bases. Examples of acids include, but are not limited to, hydrochloric, hydrobromic, sulfuric, nitric, perchloric, fumaric, maleic, phosphoric, glycolic, lactic, salicylic, succinic, toluene-p-sulfonic, tartaric, acetic, citric, methanesulfonic, ethanesulfonic, formic, benzoic, malonic, sulfonic, naphthalene-2-sulfonic, benzenesulfonic acid, and the like. Other acids, such as oxalic, while not in themselves pharmaceutically acceptable, may be employed in the preparation of salts useful as intermediates in obtaining the compounds of the invention and their pharmaceutically acceptable acid addition salts.
- Examples of bases include, but are not limited to, alkali metal (e.g., sodium) hydroxides, alkaline earth metal (e.g., magnesium) hydroxides, ammonia, and compounds of formula NW4 +, wherein W is C1-4 alkyl, and the like.
- Examples of salts include, but are not limited to: acetate, adipate, alginate, aspartate, benzoate, benzenesulfonate, bisulfate, butyrate, citrate, camphorate, camphorsulfonate, cyclopentanepropionate, digluconate, dodecylsulfate, ethanesulfonate, fumarate, flucoheptanoate, glycerophosphate, hemisulfate, heptanoate, hexanoate, chloride, bromide, iodide, 2-hydroxyethanesulfonate, lactate, maleate, methanesulfonate, 2-naphthalenesulfonate, nicotinate, oxalate, palmoate, pectinate, persulfate, phenylpropionate, picrate, pivalate, propionate, succinate, tartrate, thiocyanate, tosylate, undecanoate, and the like. Other examples of salts include anions of the compounds of the present invention compounded with a suitable cation such as Na+, NH4 +, and NW4 + (wherein W is a C1-4 alkyl group), and the like. For therapeutic use, salts of the compounds of the present invention are contemplated as being pharmaceutically acceptable. However, salts of acids and bases that are non-pharmaceutically acceptable may also find use, for example, in the preparation or purification of a pharmaceutically acceptable compound.
- For therapeutic use, salts of the compounds of the present invention are contemplated as being pharmaceutically acceptable. However, salts of acids and bases that are non-pharmaceutically acceptable may also find use, for example, in the preparation or purification of a pharmaceutically acceptable compound.
- As used herein, the term “hydroalcoholic” as used in reference to a substance or composition indicates that said substance or composition comprises both water and alcohol.
- As used herein, the term “gelling agent” refers to a composition that, when dissolved, suspended or dispersed in a fluid (e.g., an aqueous fluid such as water or a buffer solution), forms a gelatinous semi-solid (e.g., a lubricant gel). Examples of gelling agents include but are not limited to hydroxyethyl cellulose, hydroxymethyl cellulose, hydroxypropyl guar, methyl cellulose, ethyl cellulose, hydroxypropyl cellulose, sodium carboxymethyl cellulose, carbomer, alginate, gelatin, and poloxamer.
- As used herein, the term “dried” as used in reference to a composition refers to removing the solvent component or components to levels that no longer support chemical reactions. The term is also used in reference to a composition that has been dried (e.g., a dried preparation or dried composition). Those of skill in the art will appreciate that a composition may be “dried” while still having residual solvent or moisture content after, e.g., lyophilization, or that a dried composition may, after the end of a drying process, absorb moisture hygroscopically, e.g., from the atmosphere. The term “dried” encompasses a composition with increased moisture content due to hygroscopic absorption.
- As used herein, the term “protective agent” refers to a composition or compound that protects the activity or integrity of an active agent (e.g., an anticancer drug or a psychiatric or neurodegenerative disease drug) when the active agent is exposed to certain conditions (e.g., drying, freezing). In some embodiments, a protective agent protects an active agent during a freezing process (i.e., it is a “cryoprotectant”). Examples of protective agents include but are not limited to non-fat milk solids, trehalose, glycerol, betaine, sucrose, glucose, lactose, dextran, polyethylene glycol, sorbitol, mannitol, poly vinyl propylene, potassium glutamate, monosodium glutamate,
Tween 20 detergent,Tween 80 detergent, and an amino acid hydrochloride. - As used herein, the term “excipient” refers to an inactive ingredient (i.e., not pharmaceutically active) added to a preparation of an active ingredient. The gelling and protective agents described herein may be referred to generally as “excipients.”
- As used herein, the term “kit” refers to any delivery system for delivering materials. In the context of kinase activity or inhibition assays, such delivery systems include systems that allow for the storage, transport, or delivery of reaction reagents and/or supporting materials (e.g., buffers, written instructions for performing the assay etc.) from one location to another. For example, kits include one or more enclosures (e.g., boxes) containing the relevant reaction reagents and/or supporting materials. As used herein, the term “fragmented kit” refers to delivery systems comprising two or more separate containers that each contains a subportion of the total kit components. The containers may be delivered to the intended recipient together or separately. For example, a first container may contain an agent for use in an assay, while a second container contains standards for comparison to test compounds. The term “fragmented kit” is intended to encompass kits containing Analyte Specific Reagents (ASR's) regulated under section 520(e) of the Federal Food, Drug, and Cosmetic Act, but are not limited thereto. Indeed, any delivery system comprising two or more separate containers that each contains a subportion of the total kit components are included in the term “fragmented kit.” In contrast, a “combined kit” refers to a delivery system containing all of the components of a reaction assay in a single container (e.g., in a single box housing each of the desired components). The term “kit” includes both fragmented and combined kits.
- The present invention provides medical uses for compositions containing endoxifen. This invention further relates to endoxifen and compositions comprising endoxifen in the treatement of psychiatric and neurodegenerative diseases. In particular, the present invention relates to the use of compositions comprising endoxifen in the treatment of bipolar disease, schizophrenia, multiple sclerosis (MS), Alzheimer disease, Parkinson disease, Huntington's disease, amyotrophic lateral sclerosis (ALS), and epilepsy. The invention still further relates to methods of preparing endoxifen and use of endoxifen prepared by inventive method in the treatment of human and animal diseases.
- Endoxifen is generated via CYP3A4-mediated N-demethylation and CYP2D6 mediated hydroxylation of tamoxifen (see, e.g.,
FIG. 3 ). As is discussed above, it is well known that co-administration of tamoxifen with drugs that inhibit paroxetine decreases the plasma concentration of endoxifen (5). In addition, any drug that can be substrate of CYP3A4 or CYP2D6 (e.g., SSRIs), even if not an inhibitor of theses drug metabolizing enzymes, can decrease the serum level of endoxifen (5) and thus reduce the therapeutic benefits of tamoxifen. It is therefore advised that, to avoid such drug-drug interactions, one should not give them together. - Recently, endoxifen has been shown to be anti-estrogenic in breast cancer cells and to be more potent than tamoxifen. In patients treated with tamoxifen, endoxifen is present in higher concentration (12.4 ng/mL) than 4-OH-tamoxifen (1 ng/mL) in the human plasma. The majority of genes affected by endoxifen are estrogen-regulated genes (15, 16). Use of endoxifen e.g., in place of tamoxifen, avoids several metabolic steps that rely on CYP2D6.
- We have found that endoxifen inhibits PKC and thus finds use in the treatment of psychiatric and neurodegenerative diseases, e.g. in the treatment of bipolar disorder. While not limiting the invention to any particular mode or mechanism of action, the effects observed are consistent with the observation that lithium and valproate, the most commonly used treatments for bipolar disorder, are known to provide the therapeutic effect via attenuation of PKC activity.
- ENDOXIFEN (4-hydroxy N-desmethyl tamoxifen) is an active metabolite of the marketed drug tamoxifen for the treatment of breast cancer. Tamoxifen is extensively metabolized by cytochrome P450 (CYP) enzymes CYP3A4 and CYP2D6 into active metabolites including 4-hydroxy tamoxifen and 4-hydroxy-N-desmethyl tamoxifen (endoxifen) (
FIG. 1 ). We hypothesize that endoxifen will have beneficial effect in Bipolar disorder, Schizophrenia and neuroprotective role in Multiple Sclerosis, Parkinson disease, Alzheimer disease, Huntington disease, Amyotrophic Lateral Sclerosis, and Epilepsy. The use of endoxifen as a therapeutic agent for psychiatric and neurodegenerative diseases will have a significant advantage over the mother compound tamoxifen which requires metabolic activation by cytochrome P450 (CYP) enzymes whose actions are variable because of genetic polymorphism and inhibition via drug-drug interaction. - Bipolar disorder is a chronic mental illness that is associated with a substantial risk of suicide among those affected (8). Lithium and valproate are widely used as mood stabilizers in bipolar disorder, however, a substantial minority of patients fails to respond, or respond only partially, to these agents (8). Therefore, the development of novel therapeutic agents with a quicker, more potent, and more specific mode(s) of action with fewer side effects are required.
- While precise mechanisms of the disease pathophysiology is not clear, role of Protein kinase C (PKC) signaling pathways has also been implicated in bipolar disorder (17). PKC plays a major role in regulating both pre and postsynaptic neurotransmission. Thus, it is likely that variation in PKC activity causing cellular signaling changes in the brain results in mood swing, such as variation in motor, cognitive and psychological behavior. Animal studies data suggest that excessive PKC activation can disrupt regulation of behavior, possibly contributing to such dysfunctions as distractibility, impaired judgment, impulsivity, and disorganized thought disorder, all of which are characteristic of patients with bipolar disorder (9, 17). These preclinical findings strongly suggest that PKC signaling in the brain represents a highly plausible target for mood-stabilizing drugs (17). Most widely used mood stabilizers such as lithium and valproate are also known to impart pharmacotherapeutic action via alleviation of PKC activity either directly or through their action on PKC substrate Myristoylated alanine-rich C kinase substrate (MARCKS) (17) (
FIG. 4 ). - Tamoxifen is the only compound with documented and appreciable central nervous system (CNS) PKC inhibitory activity that can be administered peripherally and has been approved for human. In a recent study in rats, tamoxifen attenuated amphetamine-induced manic behavior (9). These results support the possibility that PKC signaling may play an important role in the pathophysiology and treatment of bipolar disorder. These findings have direct clinical implications as they offer a new avenue for attempts to develop more specific drugs for the disorder. A preliminary double-blind, controlled clinical trial showed greater antimanic effects with tamoxifen than with placebo (18). More recently two groups have convincingly confirmed in double-blind, placebo controlled studies that PKC inhibitor tamoxifen demonstrated antimanic properties and was well tolerated (10, 11). These findings encourage development of tamoxifen and its metabolites, such as endoxifen as potential antimanic or mood-stabilizing agents.
- Schizophrenia is a mental illness characterized by episodic symptoms such as delusions, hallucinations, paranoia and psychosis and may include persistent symptoms such as flattened affect, impaired attention, social withdrawal and cognitive impairment (19). Epidemiologic and clinical evidence suggests an influence of estrogens on incidence and enormity of schizophrenia. Although early studies suggested the incidence of schizophrenia in men and women was about equal more recent studies indicate incidence rates are higher in men (20).
- Estrogen acts as a protective factor in women; the age of onset of schizophrenia is significantly later in women than in men, with a second peak of onset larger and later in women after 40-45 years of age. Furthermore, levels of psychopathology fluctuate with phases of the menstrual cycle (21). In women with schizophrenia, relapse rates are higher when estrogen levels are low during the menstrual cycle, whereas relapse is low when estrogen levels are high (22). Higher rates of relapse in women with schizophrenia are also observed during the postpartum period (low estrogens), whereas relapse is low during pregnancy (high estrogens). On the other hand, men with schizophrenia have an earlier age of onset, are admitted to hospital earlier and demonstrate a more typical picture and poorer prognosis than women.
- Evidence supporting the psychotherapeutic effects of exogenous estrogen in schizophrenia has emerged through the findings of three, double-blind, randomized controlled clinical trials exploring hormone modulation in premenopausal woman with schizophrenia, who received adjunctive transdermal estradiol, in postmenopausal women with schizophrenia on adjunctive raloxifene, a SERM, and in women with schizoaffective disorder, in the manic phase, who received tamoxifen (12). The results showed that adjunctive estradiol was associated with an improvement in symptoms of psychosis in a premenopausal woman with schizophrenia; adjunctive raloxifene was associated with an improvement in cognitive functioning in a postmenopausal woman with schizophrenia; and adjunctive tamoxifen was associated with an improvement in symptoms of mania in a woman with schizoaffective disorder. These findings suggest that adjunctive hormone modulation with SERMs such as tamoxifen is a promising area of gender-specific treatment for schizophrenia.
- Multiple sclerosis (MS) is an autoimmune disease of the CNS in which the immune system mounts an inappropriate response to components of myelin, such as myelin basic protein or proteolipid protein. It is characterized by inflammation of the CNS and myelin damage. Autoreactive CD4+ T-helper-1 (Th1) cells and their products (for example, tumor necrosis factor-α (TNF-α), interferon-γ (IFN-γ), and metalloproteinases) mediate much of the immunopathology, resulting in the destruction of the myelin sheath and subsequent neurological dysfunction (23).
- Like other autoimmune diseases, the incidence of MS is higher (2 to 3 times) in females compared with males (24) attributing this to hormonal influences. The disease modulating effects of estrogens in MS have been described extensively (25). In both MS patients and animal disease models the protective effects of estrogens have been well documented. These findings suggest that the protective effect on the disease process may be due, at least in part, to modulation of the immune response by estrogens. However, the risks and side effects associated with steroidal estrogens may limit their usefulness for long-term MS therapy.
- Selective estrogen receptor modulators could provide an alternative therapeutic strategy, because they behave as estrogen agonists in some tissues, but are either inert or behave like estrogen antagonists in other tissues (26). For example, raloxifene, a SERM that is approved for the treatment of osteoporosis, behaves as an estrogen in bone, whereas it acts as an estrogen antagonist in breast tissue and in the uterus (27). In a more recent study, the ability of tamoxifen and raloxifene to regulate myelin specific immunity and EAE in mice was investigated. Both tamoxifen and raloxifene suppressed myelin antigen specific T-cell proliferation. However, tamoxifen was more effective in this regard. These findings support the notion that tamoxifen or related SERMs are potential agents that could be used in the treatment of inflammatory autoimmune disorders of the CNS such as MS (28).
- Alzheimer disease is one of the most common neurodegenerative disorders and the most common form of dementia in the elderly. Estrogen appears possess a protective role in the prevention of Alzheimer disease. It may exert several neuroprotective effects on the aging brain, including inhibition of β-amyloid plaque formation, stimulation of cholinergic activity, reduction of oxidative stress-related cell damage, and protection against vascular risk. Post-menopausal hormone replacement therapy reduces the risk of developing dementia by approximately 30%. Likewise, patients on raloxifene for osteoporosis had a 33% reduction in risk of mild cognitive impairment and half the relative risk of developing Alzheimer disease, suggesting SERMs' role in prevention of age-related neurodegenerative disorders (29). Investigation of tamoxifen (and its metabolite, 4-hydroxytamoxifen) in an in vitro neuronal model system suggests that this agent could act as a partial agonist in the brain to provide some neuroprotective benefit after the menopause (14).
- Parkinson disease (PD) is another common degenerative disorder characterized by selective loss of dopaminergic neurons in the substantia nigra of the midbrain leading to depletion of dopamine (30). Normal dopamine transmission can be restored by the administration of pharmacological agents, levodopa or dopamine agonists. After prolonged administration, adverse motor complications eventually appear including motor fluctuations and dyskinesias. Protein kinase C may accelerate the onset of levodopa-associated motor changes (31). Tamoxifen could act as a PKC antagonist and in rats and non-human primates reverses the shortening of beneficial response of chronic levodopa therapy (32). Similarly, tamoxifen co-administered with levodopa to Parkinsonian monkeys significantly attenuated levodopa-induced dyskinesias by 61% (32).
- In addition to its action via PKC, tamoxifen has multiple metabolic effects including a neuroprotective function (33). Tamoxifen has also been shown to stimulate dopamine release. Overall, this evidence suggests that tamoxifen may have a role in inhibiting the unwanted motor disorders seen with chronic levodopa administration in PD and possibly have a role in chemoprevention of neurodegenerative disorders.
- The present invention provides compositions and methods for delivering endoxifen of Formula I, e.g., to a mammalian host. In some embodiments of the present invention endoxifen is an E-isomer, while in other embodiments, it is a Z-isomer, while it is still in other embodiments, it is a mixture of E- and Z-isomers
- An example of the present invention includes endoxifen, analogues of endoxifen, and derivatives of endoxifen, including but not limited to endoxifen, tamoxifen, and 4-hydroxytamoxifen. The present invention also find use with other antineoplastic agents such as paclitaxel, docetaxel, melphalan, chlormethine, extramustinephosphate, uramustine, ifosfamide, mannomustine, trifosfamide, streptozotocin, mitobronitol, mitoxantrone, methotrexate, fluorouracil, cytarabine, tegafur, idoxide, taxol, paclitaxel, daunomycin, daunorubicin, bleomycin, amphotericin, carboplatin, cisplatin, BCNU, vincristine, camptothecin, SN-38, doxorubicin, and etopside. Also included are steroidal and non-steroidal inhibitors used in cancer treatment, such as bicautamide, exemestane, formestane, letrozole, anastrazole and their analogues.
- Endoxifen of Formula I can be prepared by any desired method for use in the treatments of the present invention but, in some embodiments, the present invention provides particular methods for the preparation of endoxifen. One preferred method of the present invention is set forth in
FIG. 2 . In this method, 4-bromophenol 1 is reacted with 3,4-dihydropyran 2 in the present of acid (e.g., sulfuric acid and the like), to givecompound 3.Compound 3 is then reacted with magnesium turning in a suitable anhydrous solvent (e.g., tetrahydrofuran and the like). This is followed by reaction with 1-[4-(2-chloroethoxy) phenyl]-2-phenyl-1-butanone 4 to providecompound 5 which, on dehydration/deprotection in presence of acid in a suitable solvent (e.g., methanol and the like), producescompound 6. Reaction of yieldedcompound 6 with methylamine in a suitable solvent (e.g., isopropanol and the like) provides endoxifen I. - In some embodiments of the present invention, a mixture of E- and Z-isomers of endoxifen can be separated to provide the purified preparations of E- and Z-isomer of endoxifen. The separation of E- and Z-isomers of endoxifen in the present invention can be done, e.g., by crystallization, or purification by liquid column chromatography (LC), or high pressure liquid column chromatography (HPLC).
- Suitable solvents that can be employed in present invention for the separation of E- and Z-isomers of endoxifen include but are not limited to hexanes, heptanes, and the like, benzene; toluene; ethyl acetate; acetonitrile; chlorinating solvents such as methylene chloride, chloroform, 1,2-dichloromethane, and the like, ketones, (e.g., acetone, 2-butanone, and the like), ethers such as diethyl ether, diisopropyl ether, methyl butyl ether, and tetrahydrofuran, alcohols such as methanol, ethyl alcohol, and isopropyl alcohol, and the like, and water. A solvent for crystallization can be used as a single solvent, or as mixture of solvents such as hexane-ethyl acetate, chloroform-acetone, chloroform-methanol, dichloromethane-methanol, and the like. When a mixture of two solvents is used in the present invention, examples of ratios of one solvent to another are e.g., in a range such as 9:1 to 1:9, (e.g., 8:2, 7:3; 6:4; 5:5; 4:6; 3:7; 2:8; 1:9, and the like.) However, mixtures for use in the present invention are not limited to these ratios, or to mixtures comprising only two solvents.
- Solvents that find use in the preparation of endoxifen according to the present invention include but are not limited to tetrahydrofuran, dichloromethane, chloroform, 1,2-dichloroethane, acetonitrile, N,N′-dimethylformamide, dimethylsulfoxide, toluene, pyridine, methanol, ethanol, isopropanol, acetone, 2-butanone, hexane, heptane, pentane, ethyl acetate, and the like.
- Acids that find use in the preparation of endoxifen according to the present invention include, but are not limited to, sulfuric acid, hydrochloric acid, acetic acid, trifluoroacetic acid, phosphoric acid, p-toluenesulfonic acid, methanesulfonic acid, nitric acid, and the like.
- Intermediates and final products of the present invention can be purified by column chromatography using a single or a mixture of common organic solvents such as hexane pentane, heptane, ethyl acetate, methylene chloride, chloroform, methanol, acetone, and the like.
- As noted above, intermediates and final product of the present invention, may, in some embodiments, be purified by crystallization. Solvents that find use in the crystallization of intermediates and products include but are not limited to hydrocarbons such as pentanes, hexanes, heptanes, and the like, benzene; toluene; ethyl acetate; acetonitrile; chlorinating solvents such as methylene chloride, chloroform, 1,2-dichloromethane, and the like; ketones, for example, acetone, 2-butanone, and the like; ethers such as diethyl ether, diisopropyl ether, methyl butyl ether, tetrahydrofuran; alcohols such as methanol, ethyl alcohol, isopropyl alcohol, and the like. A solvent for crystallization can be used as a single solvent or mixture of solvents. Exemplary mixtures include, e.g., hexane-ethyl acetate, chloroform-acetone, chloroform-methanol, dichloromethane-methanol, and the like. When a mixture of two solvents is used in the present invention, examples of ratios of one solvent to another are e.g., in a range such as 9:1 to 1:9, (e.g., 8:2, 7:3; 6:4; 5:5; 4:6; 3:7; 2:8; 1:9, and the like.) However, mixtures for use in the present invention are not limited to these ratios, or to mixtures comprising only two solvents.
- One object of the present invention is to provide E-endoxifen or Z-endoxifen with at least 80% purity, such as at least 90% pure or at least 95% pure or at least 98% pure or at least 99% pure or at least 100% pure.
- Another object of the present invention is to provide solubilized endoxifen in, e.g., aqueous acid. Suitable acids for solubilizing endoxifen include but are not limited to formic acid, acetic acid, propionic acid, butyric acid, trifluoroacetic acid, lactic acid, tartaric acid, oxalic acid, malonic acid, succinic acid, and the like. The pH of the acidic solution comprising endoxifen can be adjusted with suitable base or buffers. Examples of base and buffers include but are not limited to sodium hydroxide, sodium acetate, sodium lactate, sodium succinate, sodium monophosphate, sodium diphosphate, sodium triphosphate, sodium oxalate, sodium tartarate, ammonium hydroxide, ammonium acetate, and the like.
- In some embodiments, a co-solvent can also be used to solubilize endoxifen. Examples of co-solvent include but are not limited to ethanol, isopropanol, detergents such as
Tween 20 and Polysorbate, and the like - In certain preferred embodiments, the pH of a composition containing endoxifen according to the present invention are between about 4.0 and about 8.0, and preferably between about 5.0 and about 8.0, and most preferably between about 5.5 and about 7.5.
- In some embodiments, the present invention relates to compositions and methods for delivery of endoxifen or endoxifen-lipid complexes to a mammalian host. Any suitable amount of endoxifen can be used in complex formation. Suitable amounts of endoxifen are those amounts that can be stably incorporated into the complexes of the present invention.
- In some embodiments, the inventive composition comprises a lipid complex with endoxifen in which the complex desirably contains lipid or a mixture of lipids. Complexes can be in the form, e.g., of micelles, vesicles or emulsions without exclusion of other forms. The micelles of the present invention can be in the form of monomeric, dimeric, polymeric or mixed micelles. The complexes including micelles and emulsions are predominately in the size range of 50 nm-20 micron, preferably in size range of 50 nm-5 micron. In the complexes, the active agent can be bound to the lipid by covalent, hydrophobic, electrostatic, hydrogen, or other bonds, and is considered bound even where the drug is simply entrapped within the interior of lipid structures.
- Endoxifen-lipid complexes may contain e.g., cholesterols or cholesterol derivatives or a mixture of cholesterol and cholesterol derivatives. Cholesterol derivatives that find use in the present invention include cholesteryl hemisuccinate, cholesteryl succinate, cholesteryl oleate, cholesteryl linoleate, cholesteryl eicosapentenoate, cholesteryl linolenate, cholesteryl arachidonate, cholesteryl palmitate, cholesteryl stearate, cholesteryl myristate, polyethylene glycol derivatives of cholesterol (cholesterol-PEG), water soluble cholesterol (for example, cholesterol methyl-β-cyclodextrin), coprostanol, cholestanol, or cholestane, cholic acid, cortisol, corticosterone or hydrocortisone and 7-dehydrocholesterol.
- In some preferred embodiments, the compositions also include α-, β-, γ-tocopherols, vitamin E, calciferol, organic acid derivatives of α-, β-, γ-tocopherols, such as α-tocopherol hemisuccinate (THS), α-tocopherol succinate and/or mixtures thereof.
- In other some preferred embodiments, endoxifen-lipid complexes of the present invention contain sterols. Sterols that find use in the present invention include β-sitosterol, stigmasterol, stigmastanol, lanosterol, a-spinasterol, lathosterol, campesterol and/or mixtures thereof.
- Compositions of the present invention also include endoxifen complexes with free and/or salts or esters of fatty acid. Preferred fatty acids range from those with carbon chain lengths of about C2 to C34, preferably between about C4 and about C24, and include tetranoic acid (C4:0), pentanoic acid (C5:0), hexanoic acid (C6:0), heptanoic acid (C7:0), octanoic acid (C8:0), nonanoic acid (C9:0), decanoic acid (C10:0), undecanoic acid (C11:0), dodecanoic acid (C12:0), tridecanoic acid (C13:0), tetradecanoic (myristic) acid (C14:0), pentadecanoic acid (C15:0), hexadecanoic (palmatic) acid (C16:0), heptadecanoic acid (C17:0), octadecanoic (stearic) acid (C18:0), nonadecanoic acid (C19:0), eicosanoic (arachidic) acid (C20:0), heneicosanoic acid (C21:0), docosanoic (behenic) acid (C22:0), tricosanoic acid (C23:0), tetracosanoic acid (C24:0), 10-undecenoic acid (C15:1), 11-dodecenoic acid (C12:1), 12-tridecenoic acid (C13:1), myristoleic acid (C14:1), 10-pentadecenoic acid (C15:1), palmitoleic acid (C16:1), oleic acid (C18:1), linoleic acid (C18:2), linolenic acid (C18:3), eicosenoic acid (C20:1), eicosdienoic acid (C20:2), eicosatrienoic acid (C20:3), arachidonic acid (cis-5,8,11,14-eicosatetraenoic acid), and cis-5,8,11,14,17-eicosapentaenoic acid, among others. Other fatty acids also can be employed in the compositions. Examples of such include saturated fatty acids such as ethanoic (or acetic) acid, propanoic (or propionic) acid, butanoic (or butyric) acid, hexacosanoic (or cerotic) acid, octacosanoic (or montanic) acid, triacontanoic (or melissic) acid, dotriacontanoic (or lacceroic) acid, tetratriacontanoic (or gheddic) acid, pentatriacontanoic (or ceroplastic) acid, and the like; monoethenoic unsaturated fatty acids such as trans-2-butenoic (or crotonic) acid, cis-2-butenoic (or isocrotonoic) acid, 2-hexenoic (or isohydrosorbic) acid, 4-decanoic (or obtusilic) acid, 9-decanoic (or caproleic) acid, 4-dodecenoic (or linderic) acid, 5-dodecenoic (or denticetic) acid, 9-dodecenoic (or lauroleic) acid, 4-tetradecenoic (or tsuzuic) acid, 5-tetradecenoic (or physeteric) acid, 6-octadecenoic (or petroselenic) acid, trans-9-octadecenoic (or elaidic) acid, trans-1-octadecenoic (or vaccinic) acid, 9-eicosenoic (or gadoleic) acid, 11-eicosenoic (or gondoic) acid, 11-docosenoic (or cetoleic) acid, 13-decosenoic (or erucic) acid, 15-tetracosenoic (or nervonic) acid, 17-hexacosenoic (or ximenic) acid, 21-triacontenoic (or lumequeic) acid, and the like; dienoic unsaturated fatty acids such as 2,4-pentadienoic (or β-vinylacrylic) acid, 2,4-hexadienoic (or sorbic) acid, 2,4-decadienoic (or stillingic) acid, 2,4-dodecadienoic acid, 9,12-hexadecadienoic acid, cis-9, cis-12-octadecadienoic (or α-linoleic) acid, trans-9, trans-12-octadecadienoic (or linlolelaidic) acid, trans-10,trans-12-octadecadienoic acid, 11,14-eicosadienoic acid, 13,16-docosadienoic acid, 17,20-hexacosadienoic acid and the like; trienoic unsaturated fatty acids such as 6,10,14-hexadecatrienoic (or hiragonic) acid, 7,10,13-hexadecatrienoic acid, cis-6, cis-9-cis-12-octadecatrienoic (or γ-linoleic) acid, trans-8, trans-10-trans-12-octadecatrienoic (or 13-calendic) acid, cis-8, trans-10-cis-12-octadecatrienoic acid, cis-9, cis-12-cis-15-octadecatrienoic (or α-linolenic) acid, trans-9, trans-12-trans-15-octadecatrienoic (or α-linolenelaidic) acid, cis-9, trans-11-trans-13-octadecatrienoic (or α-eleostearic) acid, trans-9, trans-1-trans-13-octadecatrienoic (or β-eleostearic) acid, cis-9, trans-11-cis-13-octadecatrienoic (or punicic) acid, 5,8,11-eicosatrienoic acid, 8,11,14-eicosatrienoic acid and the like; tetraenoic unsaturated fatty acids such as 4,8,11,14-hexadecatetraenoic acid, 6,9,12,15-hexadecatetraenoic acid, 4,8,12,15-octadecatetraenoic (or moroctic) acid, 6,9,12,15-octadecatetraenoic acid, 9,11,13,15-octadecatetraenoic (or α- or β-parinaric) acid, 9,12,15,18-octadecatetraenoic acid, 4,8,12,16-eicosatetraenoic acid, 6,10,14,18-eicosatetraenoic acid, 4,7,10,13-docasatetraenoic acid, 7,10,13,16-docosatetraenoic acid, 8,12,16,19-docosatetraenoic acid and the like; penta- and hexa-enoic unsaturated fatty acids such as 4,8,12,15,18-eicosapentaenoic (or timnodonic) acid, 4,7,10,13,16-docosapentaenoic acid, 4,8,12,15,19-docosapentaenoic (or clupanodonic) acid, 7,10,13,16,19-docosapentaenoic, 4,7,10,13,16,19-docosahexaenoic acid, 4,8,12,15,18,21-tetracosahexaenoic (or nisinic) acid and the like; branched-chain fatty acids such as 3-methylbutanoic (or isovaleric) acid, 8-methyldodecanoic acid, 10-methylundecanoic (or isolauric) acid, 11-methyldodecanoic (or isoundecylic) acid, 12-methyltridecanoic (or isomyristic) acid, 13-methyltetradecanoic (or isopentadecylic) acid, 14-methylpentadecanoic (or isopalmitic) acid, 15-methylhexadecanoic, 10-methylheptadecanoic acid, 16-methylheptadecanoic (or isostearic) acid, 18-methylnonadecanoic (or isoarachidic) acid, 20-methylheneicosanoic (or isobehenic) acid, 22-methyltricosanoic (or isolignoceric) acid, 24-methylpentacosanoic (or isocerotic) acid, 26-methylheptacosanoic (or isomonatonic) acid, 2,4,6-trimethyloctacosanoic (or mycoceranic or mycoserosic) acid, 2-methyl-cis-2-butenoic(angelic) acid, 2-methyl-trans-2-butenoic (or tiglic) acid, 4-methyl-3-pentenoic (or pyroterebic) acid and the like.
- In some preferred embodiments, endoxifen-lipid complexes contain phospholipids. Any suitable phospholipids or mixture of phospholipids can be used. For example, phospholipids can be obtained from natural sources or chemically synthesized. Suitable phospholipids include but are not limited to phosphatidylethanolamine (PE), phosphatidylglycerol (PG), phosphatidylserine (PS), phosphatidylcholine (PC), phosphatidylinositol (PI), phosphatidic acid (PA), sphingomyelin and the like, either used separately or in combination. Phosphatidylglycerols may be having short chain or long chain, saturated or unsaturated such as dimyristoylphosphatidylglycerol, dioleoylphosphatidylglycerol, distearoylphosphatidylglycerol, dipalmitoylphosphatidylglycerol, diarachidonoylphosphatidylglycerol, short chain phosphatidylglycerol (C6-C8), and mixtures thereof. Examples of phosphatidylcholines includes dimyristoylphophatidylcholine, distearoylphosphatidylcholine, dipalmitoylphosphatidylcholine, dioleoylphosphatidylcholine, diarachidonoylphosphatidylcholine, egg phosphatidylcholine, soy phosphatidylcholine or hydrogenated soy phosphatidylcholine can be used, as can mixtures thereof.
- According to one aspect, the present invention provides compositions comprising endoxifen and derivatives of mono-, di- and tri-glycerides. Examples of the glycerides include 1-oleoyl-glycerol (monoolein) and 1,2-dioctanoyl-sn-glycerol.
- Another aspect of the invention provides forming complexes of endoxifen with functionalized phospholipids including but not limited to phosphatidylethanolamine, preferably dioleoylphosphatidylethanolamine, phosphatidylthioethanol, N-biotinylphosphatidylethanolamine and phosphatidylethylene glycol.
- Another aspect of the invention provides forming complexes of endoxifen with carbohydrate-based lipids. Examples of carbohydrate-based lipids include but are not limited to galactolipids, mannolipids, galactolecithin and the like.
- In other preferred embodiment, endoxifen-lipid complexes comprise sterols. Sterols finding use in the present invention include but are not limited to β-sitosterol, stigmasterol, stigmastanol, lanosterol, α-spinasterol, lathosterol, campesterol and/or mixtures thereof.
- Another aspect of the invention provides forming complexes of endoxifen with guggulipid and any suitable phospholipids. Guggulipid, or guggul, is a natural substance derived from the mukul myrrh tree. The mukul myrrh gives off a sticky resin, which is processed to obtain guggulipid. This extract has been used for thousands of years in Aryuvedic medicine to treat arthritis and obesity. The guggulipid is a source of sterol compounds such as Z- and E-guggulsterones, generally present in an amount of at least 2.5% (10). Z and E-Guggulsterones can be synthesized chemically and thus can be used in drug formulations where the need is to have pure forms of these sterones. See, e.g., U.S. Application Ser. No. 60/856,952, filed Nov. 6, 2006, and PCT/US07/83832, filed Nov. 6, 2007, both incorporated herein by reference.
- Yet another aspect of the invention provides forming complexes of endoxifen with derivatives of phospholipids such as pegylated phospholipids. Examples of pegylated lipids finding use in the present invention include but are not limited to the polyethylene glycol (Pegylated, PEG) derivatives of distearoylphosphatidylglycerol, dimyristoylphosphatidylglycerol, dioleoylphosphatidylglycerol and the like.
- In other aspects, the present invention provides compositions comprising endoxifen and polyethyleneglycol (PEG) and one or more lipids.
- According to yet other aspects, the present invention provides compositions comprising endoxifen complexes with one or more lipids. Examples include but are not limited to compositions comprising endoxifen, cholesterol or cholesterol derivatives and one or more phospholipids. Other examples of compositions include endoxifen, β-sitosterol, and one or more phospholipids. In some preferred embodiments, compositions of the present invention comprise endoxifen, and hydrogenated soy phosphatidylcholine or soy phosphatidylcholine.
- The term “Polyethylene glycol (PEG)” includes polymers of lower alkylene oxide, in particular ethylene oxide (polyethylene glycols) having an esterifiable hydroxyl group at least at one end of the polymer molecule, as well as derivatives of such polymers having esterifiable carboxy groups. Polyethylene glycols of an average molecular weight ranging from 200-20,000 are preferred; those having an average molecular weight ranging from 500-2000 are particularly preferred.
- Another aspect of the invention provides forming complexes of endoxifen with carbohydrate-based lipids. Examples of carbohydrate-based lipids include but are not limited to galactolipids, mannolipids, galactolecithin and the like.
- In some embodiments of compositions of the invention, a complex is formed comprising endoxifen and preferably endoxifen in water at a concentration of about 0.5 mg/mL to about 25 mg/mL, such as between 1 mg/mL and about 20 mg/mL or between 1 mg/mL and 10 mg/mL, more preferably between 1 mg/mL and 5 mg/mL.
- In some embodiments, compositions of the present invention contain about 2.5% to about 90% of total lipid, preferably about 2.5 to about 50% weight of total lipid or more, preferably about 10% to about 50% weight of total lipid.
- In certain embodiments, compositions of the present invention preferably contain endoxifen, and lipid(s) in mole ratio between 1:1 to 1:100 such as in between 1:1 and 1:20 molar ratio or in between 1:1 and 1:30 molar ratio or in between 1:1 and 1:40 molar ratio or in between 1:1 and 1:50 molar ratio, in between 1:1 and 1:60 molar ratio, in between 1:1 and 1:70 molar ratios, and in between 1:1 and 1:80 molar ratios, and 1:90 molar ratios.
- Ratios recited herein, e.g., mole ratios of components in a composition, are provided by way of example and do not limit the invention to the precise incremental ratios recited, e.g., to whole number ratios of the components in the composition. For example, a range of ratios of about 1:10 to 1:90 encompasses not only 1:11, 1:25, 1:89, etc., but includes, without limitation, any ratio at or between about 1:10 to 1:90 (e.g., 1:53.637).
- In certain embodiments, compositions of the present invention preferably contain endoxifen and hydrogenated soy phosphatidylcholine, or soy phosphatidylcholine, and cholesterol or cholesterol derivative. Such composition includes endoxifen and cholesterol or cholesterol derivative preferably in from about 1:1-1:5 mole ratio, and more preferably at about 1:1 mole ratio to about 1:2 mole ratio.
- Yet another aspect of the invention is to form complexes of endoxifen with derivatives of phospholipids, such as pegylated phospholipids. Examples include but are not limited to the polyethylene glycol (PEG) derivatives of distearoylphosphatidylglycerol, dimyristoylphosphatidylglycerol, dioleoylphosphatidylglycerol and the like.
- In some preferred embodiments, the mole ratio of endoxifen and hydrogenated soy phosphatidylcholine or soy phosphatidylcholine, in a composition containing endoxifen and hydrogenated soy phosphatidylcholine or phosphatidylcholine is between about 1:10 and 1:90, e.g., between about 1:10 and 1:80 or 1:10 and 1:70 or 1:10 and 1:60 or 1:10 and 1:50 or 1:10 and 1:40 and 1:10 and 1:30. Particularly preferred embodiments, the mole ratio of endoxifen and hydrogenated soy phosphatidylcholine or soy phosphatidylcholine is between 1:10 and 1:60.
- In some embodiments, compositions of the present invention preferably contain endoxifen and total lipids having weight to weight ratio between 1:1 to 1:100 ratio such as between 1:1 and 1:20 ratio or between 1:1 and 1:30 ratio or between 1:1 and 1:40 ratio or between 1:1 and 1:50 ratio, or between 1:1 and 1:60 ratio, or between 1:1 and 1:70 ratio, and between 1:1 and 1:80 ratio, or in between 1:1 and 1:90 ratio.
- In some embodiments, the method of the present invention comprises solubilizing or suspending endoxifen and lipid(s) together in an aqueous solution, e.g., water. Endoxifen-lipid complex solution can be filtered through suitable filters to control the size distribution of the complexes.
- In some embodiments, the method may comprise mixing lipid(s) together in water and then adding endoxifen. Endoxifen-lipid complex solution can be filtered through suitable filters to control the size distribution of the complexes.
- In some embodiments, the method also comprises mixing endoxifen and lipid(s) in an organic solvent(s), such as chloroform or ethanol or any other pharmaceutically acceptable solvents, and evaporating the solvent(s) to form a lipid phase or lipid film. The lipid phase is then hydrated with water or an aqueous solution. Examples of aqueous solutions include but are not limited to 0.9% sodium chloride, solutions containing sugars such as dextrose, sucrose, and the like. The hydrated solution can be filtered through suitable filters to control the size distribution of the complexes.
- In some embodiments, the method comprises mixing lipid(s) in an organic solvent(s) and evaporating the solvent(s) to form a lipid phase or lipid film. The lipid phase is then hydrated with aqueous solution containing endoxifen. The aqueous solution in addition to endoxifen may further contain sodium chloride or sugars such as dextrose, sucrose and the like. The hydrated solution can be filtered through suitable filters to control the size distribution of the complexes.
- In other embodiments, the method of the present invention comprises mixing endoxifen, one or more lipids in any suitable order and in any suitable solvents such that the resulting composition of the present invention contains endoxifen, and one or more lipids.
- In some embodiments, the method of preparation of the present invention comprises heating the composition comprising endoxifen, and the lipid(s) at temperatures ranging from 30-100° C. preferably between 30-80° C. and more preferably between 30-60° C.
- In some embodiments, the pH of the composition of invention ranges from about 3 to about 11, while a pH between3.5 to about 8 is preferred and pH of between 4.0 to pH 7.5 are particularly preferred. Aqueous solutions having a particular pH can be prepared from water having comprising appropriate buffers. Preferred buffers include but are not limited to mixtures of monobasic sodium phosphate and dibasic sodium phosphate, tribasic sodium phosphate, disodium succinate. Other buffers that find use with the present invention include sodium carbonate, sodium bicarbonate, sodium hydroxide, ammonium acetate, sodium citrate, tris (hydroxy-methyl) aminoethane, sodium benzoate, and the like.
- The mole ratio of endoxifen and hydrogenated soy phosphatidylcholine or soy phosphatidylcholine in the composition containing endoxifen and hydrogenated soy phosphatidylcholine or soy phosphatidylcholine is in between 1:10 and 1:90 such as in between 1:10 and 1:80 or 1:10 and 1:80 or 1:10 and 1:60 or 1:10 and 1:50 or 1:10 and 1:40 and 1:10 and 1:30. In preferred embodiments, the mole ratio of endoxifen and hydrogenated soy phosphatidylcholine or soy phosphatidylcholine is in between 1:5 and 1:60.
- As noted above, compositions can be filtered to obtain a desired size range of complexes particle sizes from the filtrate. Filters that find use in the present invention include those that can be used to obtain the desired size range of the complexes from the filtrate. For example, the complexes can be formed and thereafter filtered through a 5 micron filter to obtain complexes, each particle having a diameter of about 5 micron or less. Alternatively, 1 μm, 500 nm, 200 nm, 100 nm or other filters can be used to obtain complexes having diameters of about 1 μm, 500 nm, 200 nm, 100 nm or any suitable size range, respectively.
- When desired, the endoxifen-lipid complex can be dried, e.g., by evaporation or lyophilization. In certain embodiments of the invention, the endoxifen-lipid complex can be lyophilized with one or more cryoprotectants such as sugars. In preferred embodiments, sugars include but are not limited to trehalose, maltose, lactose, sucrose, glucose, and dextran. In particularly preferred embodiments, trehalose and/or sucrose are used. Lyophilization is accomplished under vacuum and can take place either with or without prior freezing of the endoxifen lipid preparation. When desired, the complexes can be resuspended in any desirable solvent including water, saline, dextrose and buffer.
- Pharmaceutical preparations that find use with the compositions of the present invention include but are not limited to tablets, capsules, pills, dragees, suppositories, solutions, suspensions, emulsions, ointments, and gels. For the oral mode of administration, preferred forms of endoxifen or endoxifen lipid complex include tablets, capsules, lozenges, powders, syrups, aqueous solutions, suspensions and the like. For topical application and suppositories, preferred forms of endoxifen or endoxifen-lipid complex comprise gels, oils, and emulsions, such as are formed by the addition of suitable water-soluble or water-insoluble excipients, for example polyethylene glycols, certain fats, and esters, compounds having a higher content of polyunsaturated fatty acids and derivatives thereof. Derivatives include mono-, di-, and triglycerides and their aliphatic esters (for example, fish oils, vegetable oils etc.) or mixtures of these substances. Suitable excipients are those in which the drug complexes are sufficiently stable to allow for therapeutic use.
- When desired, composition containing endoxifen or endoxifen-lipid complex can be encapsulated in enteric-coated capsules to protect it from acids in the stomach. The term “enteric” refers to the small intestine, and enteric coatings prevent release of medication before it reaches the small intestine. Most enteric coatings work by presenting a surface that is stable at acidic pH but breaks down rapidly at higher pH. Enteric coating of capsules filled with composition containing endoxifen or endoxifen-lipid complex can be done as methods known in the art.
- The endoxifen-lipid complex of the present invention can be of varying size or can be of substantially uniform size. For example, the complex can have a mean diameter of about 1 mm or less, and more preferably are in the micron or sub-micron range. In some preferred embodiments, the complexes have an average diameter of about 5 μm or less, such as 0.2 μm or less or 0.1 μm or less.
- The technology outlined in the present invention may also be used for any other water-insoluble drugs. The methods and compositions of the present invention find use in conjunction with the methods and compositions disclosed in U.S. Application Ser. No. 60/850,446, filed Oct. 10, 2006, PCT Application Ser. No. PCT/US07/80984, filed Oct. 10, 2007, U.S. Application Ser. No. 60/856,952, filed Nov. 6, 2006, PCT Application Ser. No. PCT/US07/83832, filed Nov. 6, 2007, all of which are incorporated by reference herein in their entireties.
- The compositions of the present invention can be employed to treat breast cancer and breast related diseases. For example, the compositions of the present invention may be administered to a patient diagnosed with benign breast disease. As used herein, the term “benign breast disease” refers to a constellation of non-malignant aberrations in breast tissue. The aberrations may be proliferative or non-proliferative in nature. The exemplary benign breast diseases treatable by the present inventive compositions include adenosis, cysts, duct ectasia, fibroadenoma, fibrosis, hyperplasia, metaplasia and other fibrocystic changes. Each of these diseases, referred as “changes” or “conditions” due to their prevalence, have well-defined histological and clinical characteristics.
- “Adenosis” refers to generalized glandular disease of the breast. It typically involves an enlargement of breast lobules, which contain more glands than usual. In “sclerosing adenosis,” or “fibrosing adenosis,” the enlarged lobules are distorted by scar-like fibrous tissue.
- “Cysts” are abnormal sacs filled with fluid or semi-solid material. Cysts in the breast are lined by breast epithelial cells, developing from lobular structures. They begin as excess fluid inside breast glands, but may grow to proportions that stretch surrounding breast tissue, causing pain. “Fibrocysts” are cystic lesions circumscribed by, or situated within, a conspicuous amount of fibrous connective tissue.
- “Duct ectasia” refers to a dilation of mammary ducts by lipid and cellular debris. Rupture of the ducts induces infiltration by granulocytes and plasma cells.
- “Fibroadenoma” refers to benign tumors that are derived from glandular epithelium and contain a conspicuous stroma of proliferating fibroblasts and connective tissue.
- “Fibrosis” simply refers to a prominence of fibrous tissue in the breast.
- “Hyperplasia” refers to an overgrowth of cells, where several layers of cells line the basal membrane, without tumor formation. Hyperplasia increases the bulk of mammary tissue. In “epithelial hyperplasia,” the cells lining breast ducts and lobules are involved, giving rise to the terms “ductal hyperplasia” and “lobular hyperplasia.” Based on a histological determination, hyperplasia may be characterized as “usual” or “atypical”.
- “Metaplasia” refers to a phenomenon in which a differentiated tissue of one type transforms into a differentiated tissue of another type. Metaplasia often results from an environmental change, and enables cells better to withstand the change.
- The compositions of the present invention may be administered in any dosage form and via any system that delivers the active compound endoxifen to breast estrogen receptors in vivo. In some embodiments, a composition of present invention is delivered by “percutaneous administration”, e.g., delivering the drug from the surface of patient's skin, through the stratum corneum, epidermis, and dermis layers, and into the microcirculations. This is generally accomplished by diffusion down a concentration gradient. The diffusion may occur via intracellular penetration (through the cells), intercellular penetration (between the cells), transappendageal penetration (through the hair follicles, sweat, and sebaceous glands), or any combination of the above.
- Percutaneous administration of the endoxifen composition of the present invention may be advantageous because this may reduce systemic drug exposure and the risks from non-specifically activating estrogen receptors throughout the body. This is because in topical application of endoxifen will absorb primarily into local tissues. When the composition of invention containing endoxifen will be percutaneously applied to breasts, high concentration will accumulate in the breast tissues presumably due to many estrogen receptors therein. The composition of endoxifen may be applied to any skin surface, preferably to one or both breasts. The daily doses to be administered can initially be estimated based upon the absorption coefficients of endoxifen, the breast tissue concentration that is desired, and the plasma concentration that should not be exceeded. The initial dose may be optimized in each patient, depending on individual responses.
- Percutaneous administration can be achieved in different ways, such as (i) by mixing the composition of endoxifen with suitable pharmaceutical carriers and, optionally, penetration enhancers to form ointments, emulsions, gel, lotion, creams or the like, where an amount of said preparation is applied onto a certain area of the skin, (ii) by incorporating the composition of endoxifen into patches or transdermal delivery systems according to the technology known in the art.
- The effectiveness of percutaneous drug administration depends on many factors, such as drug concentration, surface area of application, time and duration of application, skin temperature, skin hydration, previous irradiation, physicochemical properties of the drug, and partitioning of the drug between the formulation and the skin. In some embodiments, e.g., to enhance percutaneous effectiveness, the compositions or complexes comprise penetration enhancers that improve percutaneous absorption by reducing the resistance of stratum corneum by reversibly altering its physicochemical properties, changing hydration in the stratum corneum, acting as co-solvent, or changing the organization of lipids or proteins in the intracellular spaces. Such enhancers include but are not limited to organic solvents such as alcohol, acetone, dimethylsulfoxide (DMSO), polyethylene glycol, propoylene glycol, fatty acids and fatty alcohol and their derivatives, hydroxyl acids, pyrrolidones, urea, vegetable oils, essential oils, and mixture thereof. In addition to chemical enhancers, physical methods can increase percutaneous absorption. For example, occlusive bandages induce hydration of the skin. Other physical methods include iontophoresis and sonophoresis, which use electrical fields and high-frequency ultrasound, respectively, to enhance absorption of drugs that are poorly absorbed due to their size and ionic characteristics (12-13). Those who are in the pharmaceutical field can easily manipulate the various factors and methods to achieve right efficacious dosage for percutaneous delivery.
- For percutaneous administration, the formulation or composition of the invention containing endoxifen may be delivered in the form of ointment, emulsion (lotion), cream, gel, powder, oil or similar formulation. In some embodiments, the formulation comprises excipient additives, including but not limited to vegetable oils such as soybean oil, mustard oil, almond oil, olive oil, groundnut oil, peanut oil, peach kernel oil, groundnut oil, castor oil, canola oil, and the like, animal fats, DMSO, lanolin lipoids, phosphatides, hydrocarbons such as paraffin's, petroleum jelly, waxes, lecithin, detergent emulsifying agents, carotin, alcohols, glycerol, glycerol ether, glycerine, glycol, glycol ethers, polyethylene glycol, polypropylene glycol, non-volatile fatty alcohols, acids, esters, volatile alcoholic compounds, talc, urea, cellulose derivatives, coloring agents, antioxidants and preservatives.
- In some embodiments the formulation or composition of the invention containing endoxifen may be delivered as transdermal patch. The patch may comprise (i) a solution-impermeable backing foil, (ii) a layer like element having a cavity, (iii) a microporus or semipermeable membrane, (iv) a self-adhesive layer, and (v) optionally a removable backing film. The layer-like element having a cavity may be formed by the backing foil and the membrane. Alternatively, the patch may comprise (i) a solution-impermeable backing foil. (ii) an open-pored foam, a closed pore foam, a tissue like layer or a fibrous web-like layer as reservoir, (iii) a self adhesive layer, and (iv) optionally a removable backing film.
- In some preferred embodiments, the composition of the invention containing endoxifen is formulated in hydro alcoholic gel and the amount of endoxifen may vary from 0.001001 to 1.0 gram per 100 grams of gel, most preferably in the range of 0.01-0.20 grams per 100 grams of gel.
- In other embodiments, the composition of present invention comprises one or more fatty acid esters as a penetration enhancer. One of the highly preferred examples of a fatty acid ester penetration enhancer is isopropyl myristate. When isopropyl myristate is used in gel, the amount may range e.g., from 0.11 to 5.0 grams per 100 grams of gel, preferably from 0.5 to 2.0 grams per 100 grams of gel.
- In another preferred embodiment the composition of invention containing endoxifen may also contain one or more nonaqueous vehicles, such as alcoholic vehicles. Examples of nonaqueous vehicles include ethyl acetate, ethanol, and isopropanol, preferably ethanol and isopropanol. These nonaqueous vehicles may be useful for dissolving both the active agent endoxifen and any other penetration enhancer used. They also preferably have a low boiling point, preferably less than 100° C. at atmospheric pressure, to permit rapid evaporation upon contact with skin. In particular, ethanol may effectively contribute to the percutaneous absorption of endoxifen by rapidly evaporating upon contact with skin. The amount of absolute nonaqueous vehicle in a gel formulation ranges from 35% to 99% by weight, preferably between 50% to 85% and more preferably between 60% to 75%.
- In another preferred embodiment, the composition or formulation of the invention comprises an aqueous vehicle that permits solubilization of hydrophilic molecules, and promotes moisturization of skin. An aqueous vehicle also can regulate pH. Aqueous vehicles include alkalinizing and basic buffer solutions, including phosphate buffer solutions, including phosphate buffer solutions (e.g., dibasic or monobasic sodium phosphate); citrate buffered solutions (e.g., sodium citrate or potassium citrate) and purified water. The amount of an aqueous vehicle preferably ranges between 0.1% to 65% by weight of the pharmaceutical composition, preferably between 15% to 50%, and more preferably between 25% to 40%.
- In other embodiments, the composition of the invention comprises one or more gelling agents to increase the viscosity of the composition or formulation or to function as a solubilizing agent. It may constitute between 0.1% to 20% by weight of formulation depending on the nature of gelling agent, preferably between 0.5% to 10% and more preferably between 0.5% to 5%. The gelling agents may be carbomers, cellulose derivatives, poloxamers and poloxamines. The preferred gelling agents are chitosan, dextran, pectins, natural gums and cellulose derivatives such as ethyl cellulose, hydroxyethyl cellulose, hydroxypropyl cellulose, hydroxypropyl methyl cellulose (HPMC), carboxymethyl cellulose (CMC) and the like. The most preferred gelling agent is hydroxypropyl cellulose.
- The composition of invention may comprise a gelling agent as described above, in particular a non-preneutralized acrylic polymer and also comprise a neutralizing agent. The ratio of neutralizing agent/gelling agent varies in between 10:1 to 0.1:1, preferably between 7:1 to 0.5:1, and more preferably between 4:1 to 1:1. A neutralizing agent in the presence of polymer should form salts that are soluble in the vehicle. A neutralizing agent also should permit optimum swelling of polymer chains during neutralization of charges and formation of polymer salts. The neutralizing agents include ammonium hydroxide, potassium hydroxide, sodium hydroxide, aminomethylpropanol, trolamine, and tromethamine. Those skilled in the art will select a neutralizing agent according to the type of geling agent used in the composition or formulation. However, no neutralizing agent is required when a cellulose derivative will be used as geling agents.
- In some embodiments, the compositions of present invention are employed to treat other diseases, and the medication is selected from a lipophilic or a compound made lipophilic by derivatization of the group consisting of antiasthama, antiarrhythmic, antifungals, antihypertensive, anticancer, antibiotics, antidiabetics, antihistamines, antiparasitics, antivirals, cardiac glycosides, hormones, immunotherapies, antihypotensives, steroids, sedatives and analgesics, tranquilizers, vaccines, and cell surface receptor blockers.
- The use of terms “a” and “an” and “the” and similar referents in the context of describing the invention (especially in the context of the following claims) are to be construed to cover both the singular and the plural, unless otherwise indicated herein or clearly contradicted by context. The terms “comprising”, “including”, “having”, and “containing” are to be construed as open-ended terms (i.e. meaning “including but not limited to”) unless otherwise noted. The use of any and all examples, or exemplary language (e.g., “such as”) provided herein, is intended merely to better illuminate the invention and does not pose a limitation on the scope of the invention unless otherwise claimed. No language in the specifications should be constructed as indicating any non-claimed element as essential to the practice of the invention.
- Preferred embodiments of this invention are described, including the best mode known to the inventors for carrying out the invention. Variations of those preferred embodiments can become apparent to those of ordinary skilled artisans to employ such variations as appropriate, and the inventors intend for the inventions to be practiced otherwise than specifically described herein. Accordingly, this invention includes all modifications and equivalents of the subject matter recited in the claims appended hereto as permitted by applicable law. Moreover, any combination of the above-described elements in all possible variations thereof is encompassed by the invention unless otherwise indicated herein or otherwise clearly contradicted by context.
- The following examples further illustrate the invention and are not to be construed as in any way as limiting its scope.
-
- 4-Bromophenol (1, 1 kg) and 3,4-dihydro-2H-pyran (2, 1.5 L) was mixed together in a round bottom flask and cooled to 0° C. Conc. Sulfuric acid (1 mL) was added drop wise while maintaining the temperature below room temperature. The solution was stirred at RT for 1 hr. The reaction solution was diluted with hexane and washed with water (1 L) followed by 5% sodium bicarbonate solution (1 L). The organic layer was dried over sodium sulfate, filtered and evaporated in vacuo at 50-55° C. to give an oil (1.55 Kg). Hexane (300 mL) was added to the oil and triturated to give white solid 3. The suspension was cooled to 0° C. and stirred for 30 min before it was filtered and washed with cold hexane (100 mL) and dried. Yield 1.32 Kg.
-
- Magnesium turnings (115 g) were added to a 10_L 4-neck round bottom flask containing anhydrous tetrahydrofuran (1 L). The mixture was heated to 55° C. Iodine chips (approx. 5) were added in one lot followed by ethyl bromide (5 mL). Compound 3 (1.1 kg) was dissolved in THF (2 L). 200 mL of this solution was added at once to Mg-THF suspension. The reaction was initiated after 30 mins and reflux started. Remaining solution of
compound 3 was added drop wise maintaining the reflux temperature over a period of 1.5 h. The reaction mixture was further refluxed for 2 hr and the cooled to RT. (2-Chloroethoxyphenyl) phenyl butanone (4, 870 g) in THF (1.5 L) was added drop wise over a period of 1 h maintaining the temperature between 30-35° C. The reaction mixture was refluxed for 4 h and cooled to RT. The reaction mixture was poured into ice cold 50% hydrochloric acid (3 L). The organic layer was separated and the aqueous layer was extracted with THF (3×500 mL). The organic layers were combined, dried over sodium sulfate, filtered and concentrated to give 5 as oil which was carried over to next step without further purification. Yield—1.57 kg. -
- Compound (5, 1.57 kg) was dissolved in methanol (6 L) and conc. hydrochloric acid (1.57 kg) was added. The solution was refluxed for 5 h. Methanol was removed in vacuo and dichloromethane (5 L) was added. The organic layer was separated. The aqueous layer was extracted with dichloromethane (2×500 mL). The organic layers were combined and washed with water (2 L), 5% aq. NaHCO3 (2 L), water (2 L), dried over sodium sulfate. Charcoal was added and filtered. The solvent was removed under vacuum to give oil (1.38 kg). The oil was triturated with hexane (5 L) with vigorous stirring to yield 6 as solid product which was filtered and dried. Yield 1.07 kg.
-
- To a solution of compound 6 (50 g) in isopropanol (500 mL), monomethyl amine (300 mL) was added and heated for 24 h maintaining the temperature between 70-75° C. The completion of reaction was monitored by TLC (toluene:triethylamine, 7:3). The solvent was removed in vacuo. Water (500 mL) was added to the residue and extracted with diisopropyl ether (DIPE, 500 mL). The organic layer was separated and the aqueous layer was back extracted with DIPE (200 mL). The organic layers were combined and washed with water (500 mL), 5% aq. sodium bicarbonate (500 mL), dried over sodium sulfate and filtered. The solvent was removed in vacuo to give a gummy residue. Ethyl acetate (50 mL) was added and heated to dissolve the residue completely. The solution was cooled to RT and hexane (50 mL) was added and stirred for 12 h. The solid was filtered and washed with cold ethyl acetate-hexane (1:1, 10 mL) mixture. Product I was dried overnight under high vacuum. Yield 25 g.
- Endoxifen solution (1 mg/mL) was prepared by solubilizing endoxifen (10.3 mg) in 0.2% glacial acetic acid (10 mL). The pH (˜5.75) of the solution was adjusted with 1N sodium hydroxide (300 μL).
- Endoxifen solution (5 mg/mL) was prepared by solubilizing endoxifen (100 mg) in 2% glacial acetic acid (8.6 mL). The solution was diluted with 5% dextrose (10.97 mL). The pH (˜5.56) of the solution was adjusted with 5N sodium hydroxide (430 μL).
- A suspension of endoxifen, cholesteryl sulfate, and soy lecithin, is produced by mixing the components together in water and homogenizing using. e.g., a high pressure homogenizer. The resulting suspension can be filtered through 0.2 μm filter and then mixed with 7.5% sucrose solution and lyophilized in either vials or in bulk. The particle size of the resulting complexes is determined using standard procedures, e.g., using a Nicomp particle sizer 380.
- A suspension of endoxifen and soy lecithin is produced by mixing the components together in water and homogenizing using, e.g., a high pressure homogenizer. The resulting suspension can be filtered through 0.2 μm filter and then mixed with 7.5% sucrose solution and lyophilized in either vials or in bulk. The particle size is determined using standard procedures, e.g., using a Nicomp particle sizer 380.
- Endoxifen was formulated according to Example 6 and was tested for toxicity in male Balb/c mice. A single test dose at 100 mg/kg or 50 mg/kg was intravenously administered to mice. All the mice died at the 100 mg/kg dose level whereas all animals survived at the 50 mg/kg dose level with no significant loss of body weight. The mice also survived in the control group with a vehicle control that lacked endoxifen. Repeat dose toxicity study was conducted with a dose of 25 mg/kg administered consecutively for 3 days with accumulated dose of 75 mg/kg. All the animals in this group survived. The results are reported in the table below as the number of mice surviving per total.
-
Treatment Dose (mg/kg) Survival/Total Single dose 100 0/2 50 4/4 Repeat dose 25 4/4 - Endoxifen was tested for antiproliferation activity against various cancer cell lines from Non Small Lung Cancer, Breast Cancer, Prostate Cancer, Melanoma Cancer, Ovarian Cancer, CNS Cancer, Renal Cancer and Colon Cancers. The cells were incubated for multiple days (3-6) with endoxifen (10 nM to 10 μM) and the inhibition of growth were measured by SRB or MTT staining method. The results indicated significant growth inhibition of cells in the presence of endoxifen ranging from 10 to 100%. Endoxifen induce growth inhibition or cell killing in different tumor cells indicates the usefulness of endoxifen in the treatment of cancers in humans.
- It is known that tamoxifen antagonizes estradiol-dependent breast cancer xenograft growth (34). Endoxifen base and endoxifen-citrate in oral dosage form can be similarly be tested for inhibition of estradiol dependent MCF-7 xenograft growth. For the animal experiments, female nude mice (Bom: NMRI-nu/nu) per xenograft experiment,
ages 4 to 6 weeks and weighing 20 to 24 g, are used according to standard protocols. An example of such a procedure is as follows: - MCF-7 xenografts are developed by passage of transplantable tumor from a parent tumor established in oophorectomized athymic nude mice treated with estradiol (35).
- Randomly bred female athymic mice are bilaterally ovriectomized and allowed a 2-week recovery period before the implantation of tumor material. The s.c. transplantation of the MCF-7 tumor fragments (size, 1×1×1 mm3) is done under anesthesia. The diameter of the tumors is measured regularly, e.g., once weekly, using a caliper-like mechanical instrument and the tumor volume (V) is calculated according to the empirical equation V=(length×width2)/2. The median volumes of each group are normalized to the initial tumor volume resulting in the relative tumor volume. In all the experiments, tumor-bearing mice receive estradiol supplementation [estradiol valeriate (E2D), 0.5 mg/kg once/wk i.m.]. This supplementation leads to physiologic levels of serum E2 (25-984 pg/mL) that are comparable to the human situation (25-600 pg/mL depending on the follicular phase).
- Substances: The following substances are used: E2D, tamoxifen and endoxifen.
- Treatment Modalities: All MCF-7 transplanted animals receive E2D (0.5 mg/kg) injections once a week. After 4 weeks, when hormone-supplemented tumors have grown to ˜0.7-0.8 cm in diameter (180-250 mm3), the mice are randomized into 4 treatment groups of 5-10 mice each. The 5-10 mice are sacrificed as baseline controls for E2D alone.
- The treatment groups are: (i) E2D support (0.5 mg/kg once/wk i.m); (ii) E2D support (0.5 mg/kg once/wk i.m) plus tamoxifen (0.5 mg-2 mg)/mouse per day, 5 days/week by gavage; (iii) E2D support (0.5 mg/kg once/wk i.m) plus endoxifen (0.5 mg-2 mg)/mouse per day, 5 days/week by gavage; (iv) withdrawal of E2D support.
- Suppression of tumor growth in this breast cancer tumor model is indicative of therapeutic effect in the treatment of breast cancer in humans (34).
- It is known that tamoxifen is a non-steroidal agent with potent anti-estrogenic effect in animal and in vitro models. This pharmacologic property is related to the drug's ability to compete with estrogen for estrogen receptors in breast tissues, and to inhibit the stimulatory effect of estrogen on the uterus, vagina and ovaries (36).
- Endoxifen (0.1 mg-2 mg) is administered orally once daily for 28 days to determine the reduction in utertrophic effect of estradiol; Female BALB/c mice approximately 50 days old and weighing 19-20 g are obtained (e.g., from Charles-River, Inc.) and housed four to five per cage at a temperature (23+—1 C) and light (12 h light/day). The atrophic changes are observed in the mice. There will be three groups such as vehicle control, tamoxifen and endoxifen. The animals (5-10 mice) are randomly assigned to each group. Daily treatments of intact mice with a dose (e.g., 0.1 mg-2 mg) by gavage of tamoxifen or endoxifen are expected to lead to progressive inhibition of uterine and vaginal weight.
- Such results will show that endoxifen has better minimizing uterotrophic effect of estrogen than tamoxifen, and that endoxifen finds use as an effective anti-estrogen. Endoxifen blocking of uterine weight gain stimulated by estrogen can also be demonstrated in immature rats. Endoxifen preparations showing the effects described above find use in the treatment of breast cancer as well as other estrogen-sensitive conditions, such as endometriosis, leiomyomata, and benign breast disease, as well as other estrogen-responsive conditions in men and women.
- Ki-67 is a nuclear non-histone protein. This antigen is absent in quiescent cells and is expressed in proliferating cells and is used as a biomarker (37, 38). Endoxifen base or endoxifen-citrate in oral or injectable form are given to xenograft breast cancer tumor models (e.g., as described above), as well as to breast cancer patients. Immunochemical determination of Ki-67 is done in tumor cells from breast cancer tissues from patients, as well as from mice bearing tumors as described in Example 11. The MIB-1 or similar antibody available from commercial sources such as DAKO, Carpenteria, Calif. is used for immunochemical localization of antigen. Decrease in Ki-67 antigen expression in animals and/or breast cancer patients demonstrate the applicability of endoxifen in treating breast cancers.
- It is known for humans that tamoxifen reduces the levels of circulating insulin-like growth factor I (IGF-1). IGF-1 has been used as a surrogate biomarker and predicts the effectiveness of tamoxifen in treatments of breast cancer patients (39). To test the effects of endoxifen preparations of the present invention, endoxifen base or endoxifen-citrate are given orally or injected to experimental animals bearing breast cancer tumors. The concentration of IGF-1 levels in control and xenografted breast tumor is monitored by established assays (e.g., ELISA Kit from Diagnostics Systems Laboratories, London, UK or DAKO, Carpenteria, Calif.). Endoxifen is administered by gavages at 0.5 mg-2 mg per mouse per day, 5 days/week. Decrease of IGF-1 levels and tumor growth reduction indicates the usefulness of IGF-1 as a surrogate marker for breast cancer.
- Bicalutamide (Casodex®) is used for treating prostate cancer in men. There is growing evidence that IGF-1 may be involved in prostate cancer promotion and progression. It is also known that anti-estrogen agents such as tamoxifen decrease IGF-1 levels and prevent biculatamide-induced gynecomastia in prostate cancer patients (40). Since, endoxifen is an active metabolite of the tamoxifen anti-estrogen, the silastic slow-release capsules containing endoxifen for implant or oral doses of endoxifen (1 mg-10 mg/day) with biculatamide are expected to prevent development of biclutamide-induced gynecomastia and breast pain.
- A PKC kinase activity assay kit (Assay Designs, Ann Arbor, Mich.) was used to test endoxifen PKC inhibitory activity 0.025, 0.05, 0.1, or 0.2 mM endoxifen was used in a reaction mix containing PKC 10 ng/well. Tamoxifen in same concentration was used as a positive control. Endoxifen inhibited PKC activity in concentration dependent manner. The percentage PKC inhibition ranged between 12 and 80 with endoxifen concentration between 0.025 and 0.2 mM, respectively. In comparison, tamoxifen, when tested, was found less potent PKC inhibitor at 0.1 and 0.2 mM resulting 35 and 25% PKC inhibition, respectively; lower concentrations of tamoxifen (0.025 and 0.05 mM) showed negligible PKC inhibition.
FIG. 5 shows endoxifen and tamoxifen induced PKC inhibition at 0.2 mM. The study demonstrated that endoxifen is at least four fold more potent PKC inhibitor than tamoxifen, and suggests its role in manic disorder. - Endoxifen safety was evaluated in two rodent species. Endoxifen sub-chronic toxicity study was conducted in mice and rats. The results showed that oral administration of endoxifen up to 8 mg/kg in mice or up to 4 mg/kg in rats, daily for 28 days had no mortalities; gross pathological examination did not reveal any abnormality related to the treatment group and animals were free of clinical signs of toxicity.
- A comparative pharmacokinetic study carried out in rats showed that orally administered endoxifen (10 mg/kg) resulted in 10 fold higher endoxifen plasma concentration as compared to endoxifen concentration after same dose (10 mg/kg) administration of tamoxifen.
- All references, including publications, patent applications, and patent cited herein, including those in the list below and otherwise cited in this specification, are hereby incorporated by reference to the same extent as if each reference was individually and specifically indicated to be incorporated by reference and were set forth in the entirely herein.
-
- 1. Furr, B. J., and V. C. Jordan. 1984. The pharmacology and clinical uses of tamoxifen. Pharmacol Ther 25:127-205.
- 2. Osborne, C. K. 1998. Tamoxifen in the treatment of breast cancer. N Engl J Med 339:1609-1618.
- 3. Fisher, B., J. P. Costantino, D. L. Wickerham, C. K. Redmond, M. Kavanah, W. M. Cronin, V. Vogel, A. Robidoux, N. Dimitrov, J. Atkins, M. Daly, S. Wieand, E. Tan-Chiu, L. Ford, and N. Wolmark. 1998. Tamoxifen for prevention of breast cancer: report of the National Surgical Adjuvant Breast and Bowel Project P-1 Study. J Natl Cancer Inst 90:1371-1388.
- 4. Stearns, V., L. Ullmer, J. F. Lopez, Y. Smith, C. Isaacs, and D. Hayes. 2002. Hot flushes. Lancet 360:1851-1861.
- 5. Stearns, V., M. D. Johnson, J. M. Rae, A. Morocho, A. Novielli, P. Bhargava, D. F. Hayes, Z. Desta, and D. A. Flockhart. 2003. Active tamoxifen metabolite plasma concentrations after coadministration of tamoxifen and the selective serotonin reuptake inhibitor paroxetine. J. Natl Cancer Inst 95:1758-1764.
- 6. Otton, S. V., S. E. Ball, S. W. Cheung, T. Inaba, R. L. Rudolph, and E. M. Sellers. 1996. Venlafaxine oxidation in vitro is catalysed by CYP2D6. Br J Clin Pharmacol 41:149-156.
- 7. Bijl, M. J., L. E. Visser, A. Hofman, A. G. Vulto, T. van Gelder, B. H. Stricker, and R. H. van Schaik. 2008. Influence of the CYP2D6*4 polymorphism on dose, switching and discontinuation of antidepressants. Br J Clin Pharmacol 65:558-564.
- 8. Manji, H. K., and R. H. Lenox. 2000. The nature of bipolar disorder. J Clin Psychiatry 61 Supp 13:42-57.
- 9. Einat, H., P. Yuan, S. T. Szabo, S. Dogra, and H. K. Manji. 2007. Protein kinase C inhibition by tamoxifen antagonizes manic-like behavior in rats: implications for the development of novel therapeutics for bipolar disorder. Neuropsychobiology 55:123-131.
- 10. Yildiz, A., S. Guleryuz, D. P. Ankerst, D. Ongur, and P. F. Renshaw. 2008. Protein kinase C inhibition in the treatment of mania: a double-blind, placebo-controlled trial of tamoxifen. Arch Gen Psychiatry 65:255-263.
- 11. Zarate, C. A., Jr., J. B. Singh, P. J. Carlson, J. Quiroz, L. Jolkovsky, D. A. Luckenbaugh, and H. K. Manji. 2007. Efficacy of a protein kinase C inhibitor (tamoxifen) in the treatment of acute mania: a pilot study. Bipolar Disord 9:561-570.
- 12. Kulkarni, J., C. Gurvich, H. Gilbert, F. Mehmedbegovic, L. Mu, N. Marston, E. Gavrilidis, and A. de Castella. 2008. Hormone modulation: a novel therapeutic approach for women with severe mental illness. Aust N Z J Psychiatry 42:83-88.
- 13. Dhandapani, K. M., and D. W. Brann. 2002. Protective effects of estrogen and selective estrogen receptor modulators in the brain. Biol Reprod 67: 1379-1385.
- 14. O'Neill, K., S. Chen, and R. D. Brinton. 2004. Impact of the selective estrogen receptor modulator, raloxifene, on neuronal survival and outgrowth following toxic insults associated with aging and Alzheimer's disease. Exp Neurol 185:63-80.
- 15. Lim, Y. C., Z. Desta, D. A. Flockhart, and T. C. Skaar. 2005. Endoxifen (4-hydroxy-N-desmethyl-tamoxifen) has anti-estrogenic effects in breast cancer cells with potency similar to 4-hydroxy-tamoxifen. Cancer Chemother Pharmacol 55:471-478.
- 16. Lim, Y. C., L. Li, Z. Desta, Q. Zhao, J. M. Rae, D. A. Flockhart, and T. C. Skaar. 2006. Endoxifen, a secondary metabolite of tamoxifen, and 4-OH-tamoxifen induce similar changes in global gene expression patterns in MCF-7 breast cancer cells. J Pharmacol Exp Ther 318:503-512.
- 17. DiazGranados, N., and C. A. Zarate, Jr. 2008. A review of the preclinical and clinical evidence for protein kinase C as a target for drug development for bipolar disorder. Curr Psychiatry Rep 10:510-519.
- 18. Kulkarni, J., K. A. Garland, A. Scaffidi, B. Headey, R. Anderson, A. de Castella, P. Fitzgerald, and S. R. Davis. 2006. A pilot study of hormone modulation as a new treatment for mania in women with bipolar affective disorder. Psychoneuroendocrinology 31:543-547.
- 19. Lindamer, L. A., J. B. Lohr, M. J. Harris, and D. V. Jeste. 1997. Gender, estrogen, and schizophrenia. Psychopharmacol Bull 33:221-228.
- 20. Salem, J. E., and A. M. Kring. 1998. The role of gender differences in the reduction of etiologic heterogeneity in schizophrenia. Clin Psychol Rev 18:795-819.
- 21. Hendrick, V., L. L. Altshuler, and V. K. Burt. 1996. Course of psychiatric disorders across the menstrual cycle. Harv Rev Psychiatry 4:200-207.
- 22. Chang, S. S., and D. C. Renshaw. 1986. Psychosis and pregnancy. Compr Ther 12:36-41.
- 23. Steinman, L. 2001. Multiple sclerosis: a two-stage disease. Nat Immunol 2:762-764.
- 24. Whitacre, C. C. 2001. Sex differences in autoimmune disease. Nat Immunol 2:777-780.
- 25. El-Etr, M., S. Vukusic, L. Gignoux, F. Durand-Dubief, I. Achiti, E. E. Baulieu, and C. Confavreux. 2005. Steroid hormones in multiple sclerosis. J Neurol Sci 233:49-54.
- 26. Riggs, B. L., and L. C. Hartmann. 2003. Selective estrogen-receptor modulators—mechanisms of action and application to clinical practice. N Engl J Med 348:618-629.
- 27. Shang, Y., and M. Brown. 2002. Molecular determinants for the tissue specificity of SERMs. Science 295:2465-2468.
- 28. Bebo, B. F., Jr., B. Dehghani, S. Foster, A. Kumiawan, F. J. Lopez, and L. S. Sherman. 2009. Treatment with selective estrogen receptor modulators regulates myelin specific T-cells and suppresses experimental autoimmune encephalomyelitis. Glia 57:777-790.
- 29. Yaffe, K., K. Krueger, S. R. Cummings, T. Blackwell, V. W. Henderson, S. Sarkar, K. Ensrud, and D. Grady. 2005. Effect of raloxifene on prevention of dementia and cognitive impairment in older women: the Multiple Outcomes of Raloxifene Evaluation (MORE) randomized trial. Am J Psychiatry 162:683-690.
- 30. Hornykiewicz, O. 1998. Biochemical aspects of Parkinson's disease. Neurology 51:S2-9.
- 31. Oh, J. D., A. I. Geller, G. Zhang, and T. N. Chase. 2003. Gene transfer of constitutively active protein kinase C into striatal neurons accelerates onset of levodopa-induced motor response alterations in parkinsonian rats. Brain Res 971:18-30.
- 32. Smith, C. P., J. D. Oh, F. Bibbiani, M. A. Collins, I. Avila, and T. N. Chase. 2007. Tamoxifen effect on L-DOPA induced response complications in parkinsonian rats and primates. Neuropharmacology 52:515-526.
- 33. O'Neill, K., S. Chen, and R. Diaz Brinton. 2004. Impact of the selective estrogen receptor modulator, tamoxifen, on neuronal outgrowth and survival following toxic insults associated with aging and Alzheimer's disease. Exp Neurol 188:268-278.
- 34. Johnston, S. R., I. M. Boeddinghaus, S. Riddler, B. P. Haynes, I. R. Hardcastle, M. Rowlands, R. Grimshaw, M. Jarman, and M. Dowsett. 1999. Idoxifene antagonizes estradiol-dependent MCF-7 breast cancer xenograft growth through sustained induction of apoptosis. Cancer Res 59:3646-3651.
- 35. Iino, Y., D. M. Wolf, S. M. Langan-Fahey, D. A. Johnson, M. Ricchio, M. E. Thompson, and V. C. Jordan. 1991. Reversible control of oestradiol-stimulated growth of MCF-7 tumours by tamoxifen in the athymic mouse. Br J Cancer 64:1019-1024.
- 36. Suh, N., A. L. Glasebrook, A. D. Palkowitz, H. U. Bryant, L. L. Burris, J. J. Starling, H. L. Pearce, C. Williams, C. Peer, Y. Wang, and M. B. Sporn. 2001. Arzoxifene, a new selective estrogen receptor modulator for chemoprevention of experimental breast cancer. Cancer Res 61:8412-8415.
- 37. Assersohn, L., J. Salter, T. J. Powles, R. A'Hern, A. Makris, R. K. Gregory, J. Chang, and M. Dowsett. 2003. Studies of the potential utility of Ki67 as a predictive molecular marker of clinical response in primary breast cancer. Breast Cancer Res Treat 82:113-123.
- 38. Kenny, F. S., P. C. Willsher, J. M. Gee, R. Nicholson, S. E. Pinder, I. O. Ellis, and J. F. Robertson. 2001. Change in expression of ER, bcl-2 and MIB1 on primary tamoxifen and relation to response in ER positive breast cancer. Breast Cancer Res Treat 65:135-144.
- 39. Nahta, R., G. N. Hortobagyi, and F. J. Esteva. 2003. Growth factor receptors in breast cancer: potential for therapeutic intervention. Oncologist 8:5-17.
- 40. Saltzstein, D., P. Sieber, T. Morris, and J. Gallo. 2005. Prevention and management of bicalutamide-induced gynecomastia and breast pain: randomized endocrinologic and clinical studies with tamoxifen and anastrozole. Prostate Cancer Prostatic Dis 8:75-83.
Claims (19)
1. A method of treating a cell, comprising exposing said cell to a composition comprising an effective amount of a complex comprising endoxifen, wherein said endoxifen is a free base or is in the form of a salt.
2. The method of claim 1 , wherein the cell is in vivo in a host.
3. The method of claim 2 , wherein said exposing comprises administering said composition to a subject, wherein said administering comprises oral, intravenous, subcutaneous, percutaneous, parenteral, intraperitoneal, rectal, vaginal, and/or topical delivery said composition to said subject.
4. The method of claim 2 , wherein said subject is a mammal.
5. The method of claim 4 , wherein said subject is human.
6. The method of claim 3 , wherein said subject is at risk for a disease or suffers from a disease.
7. The method of claim 6 , wherein said disease is bipolar disorder.
8. The method of claim 6 , wherein said disease is selected from the group consisting of multiple sclerosis, schizophrenia, Alzheimer disease, Parkinson disease, Huntington's disease, amyotrophic lateral sclerosis, and epilepsy.
9. The method of claim 1 , wherein said composition comprising endoxifen is formulated in a hydroalcoholic gel, a hydroalcoholic solution, a patch, a cream, an emulsion, a lotion, an ointment, a powder, a tablet, a capsule, an enteric-coated capsule, an enteric coated tablet, a lozenge, or an oil.
10. The method of claim 1 , wherein said composition comprising endoxifen is formulated in a hydroalcoholic composition containing a penetration enhancer, an aqueous vehicle, an alcoholic vehicle and a gelling agent.
11. The method of claim 10 , wherein said hydroalcoholic composition comprises a neutralizing agent, wherein said neutralizing agent is selected from the group consisting of sodium hydroxide, potassium hydroxide, ammonium hydroxide, aminomethylpropanol, arginine, trolamine, and tromethamine, and wherein said neutralizing agent exists at a neutralizing agent/gelling agent ratio of about 1:1 to about 4:1.
12. The method of claim 10 , wherein said hydroalcoholic composition comprises:
(i) endoxifen at about 0.01% to 0.20% by weight;
(ii) isopropyl myristate at about 0.1% to 2.0%, preferably 0.5% to 2.0% by weight;
(iii) alcohol at about 50.0% to 80.0%, preferably about 60.0% to 75.0% by weight
(iv) aqueous vehicle at about 20.0% to 60.0%, preferably 25.0% to 50.0% by weight; and
(v) gelling agent at about 1.0% to 10.0%, preferably about 0.5% to 5.0% by weight.
wherein the percentage of components is weight to weight of the composition.
13. The method of claim 1 , wherein in said composition, endoxifen is predominantly in a form selected from a group consisting of Z-isomer, E-isomer, and a mixture of Z- and E-isomer.
14. The method of claim 1 or claim 13 wherein said endoxifen is in the form of a salt selected from the group of salts consisting of citrate, acetate, formate, oxalate, succinate, tartarate, trifluoroacetate, methane sulfonate, phosphate, sulfate, chloride, bromide, iodide, lactate, and formate salts.
15. The method of claim 1 , wherein said composition comprising endoxifen comprises at least one lipid selected from the group consisting of egg phosphatidylcholine (EPC), egg phosphatidylglycerol (EPG), soy phosphatidylcholine (SPC), hydrogenated soy phosphatidylcholine (HSPC), dimyristoylphosphatidylcholine (DMPC), dimyristoylphosphatidylglycerol (DMPG), dipalmitoylphosohatidylcholine (DPPC), disteroylphosphatidylglycerol (DSPG), dipalmitoylphosphatidylglycerol (DMPG), cholesterol (Chol), cholesterol sulfate and its salts (CS), cholesterol hemisuccinate and its salts (Chems), cholesterol phosphate and its salts (CP), cholesterylphosphocholine and other hydroxycholesterol or amino cholesterol derivatives, cholesteryl succinate, cholesteryl oleate, polyethylene glycol derivatives of cholesterol (cholesterol-PEG), coprostanol, cholestanol, cholestane, cholic acid, cortisol, corticosterone, hydrocortisone, and calciferol, E-guggulsterone, Z-guggulsterone, mixture of E- and Z-guggulsterone, monoglycerides, diglycerides, triglycerides, carbohydrate-based lipids selected from a group consisting of galactolipid, mannolipid, galactolecithin, β-sitosterol, stigmasterol, stigmastanol, lanosterol, α-spinasterol, lathosterol, campesterol, phosphatidylcholine, phosphatidylglycerol, phosphatidylethanolamine, phosphatidylserine, phosphatdylinositol, phosphatidic acid, and pegylated derivatives of distearoylphosphatidylglycerol, dipalmitoylphosphatidylglycerol, dimyristoylphosphatidylglycerol, and dioleoylphosphatidylglycerol.
16. The method of claim 1 , wherein said composition comprises endoxifen, cholesterol and/or a cholesterol derivative, and one or more phospholipids.
17. The method of claim 16 , wherein at least one of said one or more phospholipids is hydrogenated soy phosphatidylcholine or soy phosphatidylcholine.
18. The composition of claim 1 , wherein said composition comprising endoxifen comprises a form selected from the group consisting of powder, solution, emulsion, micelle, liposome, lipidic particle, gel, paste form, a lyophilized form, and a tablet or a filled capsule, wherein said tablet or filled capsule optionally comprises an enteric coating material.
19. The method of claim 1 , wherein said composition is in a lyophilized form comprising a cryoprotectant, wherein said cryoprotectant comprises one or more sugars selected from the group consisting of trehalose, maltose, lactose, sucrose, glucose, and dextran.
Priority Applications (9)
| Application Number | Priority Date | Filing Date | Title |
|---|---|---|---|
| US12/470,219 US20090291134A1 (en) | 2006-11-21 | 2009-05-21 | Endoxifen methods and compositions in the treatment of psychiatric and neurodegenerative diseases |
| EP10778503.2A EP2432462A4 (en) | 2009-05-21 | 2010-05-21 | Endoxifen methods and compositions in the treatment of mammalian diseases |
| JP2012512075A JP2012527484A (en) | 2009-05-21 | 2010-05-21 | Endoxifen methods and compositions in the treatment of mammalian diseases |
| MX2011012409A MX2011012409A (en) | 2009-05-21 | 2010-05-21 | Endoxifen methods and compositions in the treatment of mammalian diseases. |
| CA2757838A CA2757838C (en) | 2009-05-21 | 2010-05-21 | Synthetic endoxifen for treating mammalian diseases |
| PCT/US2010/035852 WO2010135703A2 (en) | 2009-05-21 | 2010-05-21 | Endoxifen methods and compositions in the treatment of mammalian diseases |
| US13/321,767 US20120164075A1 (en) | 2006-11-21 | 2010-05-21 | Endoxifen methods and compositions in the treatment of mammalian diseases |
| US16/376,053 US20190231687A1 (en) | 2006-11-21 | 2019-04-05 | Endoxifen methods and compositions in the treatment of psychiatric and neurodegenerative diseases |
| US17/023,208 US11672758B2 (en) | 2006-11-21 | 2020-09-16 | Endoxifen methods and compositions for inhibition of protein kinase C |
Applications Claiming Priority (5)
| Application Number | Priority Date | Filing Date | Title |
|---|---|---|---|
| US86042006P | 2006-11-21 | 2006-11-21 | |
| US86078806P | 2006-11-22 | 2006-11-22 | |
| PCT/US2007/085443 WO2008070463A2 (en) | 2006-11-21 | 2007-11-21 | Endoxifen methods and compositions |
| US51526109A | 2009-05-15 | 2009-05-15 | |
| US12/470,219 US20090291134A1 (en) | 2006-11-21 | 2009-05-21 | Endoxifen methods and compositions in the treatment of psychiatric and neurodegenerative diseases |
Related Parent Applications (3)
| Application Number | Title | Priority Date | Filing Date |
|---|---|---|---|
| PCT/US2007/085443 Continuation-In-Part WO2008070463A2 (en) | 2006-11-21 | 2007-11-21 | Endoxifen methods and compositions |
| US12/515,261 Continuation-In-Part US9333190B2 (en) | 2006-11-21 | 2007-11-21 | Endoxifen compositions and methods |
| US51526110A Continuation-In-Part | 2006-11-21 | 2010-01-08 |
Related Child Applications (2)
| Application Number | Title | Priority Date | Filing Date |
|---|---|---|---|
| US13/321,767 Continuation-In-Part US20120164075A1 (en) | 2006-11-21 | 2010-05-21 | Endoxifen methods and compositions in the treatment of mammalian diseases |
| US16/376,053 Continuation US20190231687A1 (en) | 2006-11-21 | 2019-04-05 | Endoxifen methods and compositions in the treatment of psychiatric and neurodegenerative diseases |
Publications (1)
| Publication Number | Publication Date |
|---|---|
| US20090291134A1 true US20090291134A1 (en) | 2009-11-26 |
Family
ID=43126804
Family Applications (3)
| Application Number | Title | Priority Date | Filing Date |
|---|---|---|---|
| US12/470,219 Abandoned US20090291134A1 (en) | 2006-11-21 | 2009-05-21 | Endoxifen methods and compositions in the treatment of psychiatric and neurodegenerative diseases |
| US16/376,053 Abandoned US20190231687A1 (en) | 2006-11-21 | 2019-04-05 | Endoxifen methods and compositions in the treatment of psychiatric and neurodegenerative diseases |
| US17/023,208 Active US11672758B2 (en) | 2006-11-21 | 2020-09-16 | Endoxifen methods and compositions for inhibition of protein kinase C |
Family Applications After (2)
| Application Number | Title | Priority Date | Filing Date |
|---|---|---|---|
| US16/376,053 Abandoned US20190231687A1 (en) | 2006-11-21 | 2019-04-05 | Endoxifen methods and compositions in the treatment of psychiatric and neurodegenerative diseases |
| US17/023,208 Active US11672758B2 (en) | 2006-11-21 | 2020-09-16 | Endoxifen methods and compositions for inhibition of protein kinase C |
Country Status (6)
| Country | Link |
|---|---|
| US (3) | US20090291134A1 (en) |
| EP (1) | EP2432462A4 (en) |
| JP (1) | JP2012527484A (en) |
| CA (1) | CA2757838C (en) |
| MX (1) | MX2011012409A (en) |
| WO (1) | WO2010135703A2 (en) |
Cited By (20)
| Publication number | Priority date | Publication date | Assignee | Title |
|---|---|---|---|---|
| US20100112041A1 (en) * | 2006-11-21 | 2010-05-06 | Jina Pharmaceuticals, Inc. | Endoxifen Compositions And Methods |
| WO2010135703A3 (en) * | 2009-05-21 | 2011-01-13 | Jina Pharmaceuticals, Inc. | Endoxifen methods and compositions in the treatment of mammalian diseases |
| WO2013163228A1 (en) * | 2012-04-24 | 2013-10-31 | International Stem Cell Corporation | Derivation of neural stem cells and dopaminergic neurons from human pluripotent stem cells |
| WO2013178565A1 (en) | 2012-06-01 | 2013-12-05 | Bayer Technology Services Gmbh | Genotype- or phenotype-based drug formulation |
| WO2013184591A1 (en) * | 2012-06-05 | 2013-12-12 | International Stem Cell Corporation | Method of prevention of neurological diseases |
| CN104892918A (en) * | 2015-05-29 | 2015-09-09 | 吕常海 | Phosphatidyl ethanolamine-hydroxypolyethylene glycol derivative, preparation method thereof, lipidosome contrast agent and lipidosome diagnosis and treatment drug for treating tumors |
| CN106537139A (en) * | 2014-05-12 | 2017-03-22 | 奎斯特诊断投资公司 | Quantification of tamoxifen and its metabolites by mass spectrometry |
| US20170095489A1 (en) * | 2011-06-03 | 2017-04-06 | Signpath Pharma Inc. | Protective effect of dmpc, dmpg, dmpc/dmpg, lysopg and lysopc against drugs that cause channelopathies |
| WO2019051416A1 (en) | 2017-09-11 | 2019-03-14 | Atossa Genetics Inc. | Methods for making and using endoxifen |
| US10238602B2 (en) | 2011-06-03 | 2019-03-26 | Signpath Pharma, Inc. | Protective effect of DMPC, DMPG, DMPC/DMPG, LysoPG and LysoPC against drugs that cause channelopathies |
| US10258691B2 (en) | 2014-06-03 | 2019-04-16 | Signpath Pharma, Inc. | Protective effect of DMPC, DMPG, DMPC/DMPG, EGPG, LysoPG and LysoPC against drugs that cause channelopathies |
| US10349884B2 (en) * | 2011-06-03 | 2019-07-16 | Sighpath Pharma Inc. | Liposomal mitigation of drug-induced inhibition of the cardiac ikr channel |
| US10357458B2 (en) | 2011-06-03 | 2019-07-23 | Signpath Pharma Inc. | Liposomal mitigation of drug-induced long QT syndrome and potassium delayed-rectifier current |
| US10449193B2 (en) | 2011-06-03 | 2019-10-22 | Signpath Pharma Inc. | Protective effect of DMPC, DMPG, DMPC/DMPG, lysoPG and lysoPC against drugs that cause channelopathies |
| US20190320975A1 (en) * | 2011-06-03 | 2019-10-24 | Signpath Pharma, Inc. | Liposomal mitigation of drug-induced inhibition of the cardiac ikr channel |
| US10532045B2 (en) | 2013-12-18 | 2020-01-14 | Signpath Pharma, Inc. | Liposomal mitigation of drug-induced inhibition of the cardiac IKr channel |
| US20220031625A1 (en) * | 2020-07-31 | 2022-02-03 | Altaire Pharmaceuticals, Inc. | Ophthalmic compositions for delivering meibum-like materials |
| WO2022109602A1 (en) * | 2020-11-20 | 2022-05-27 | Academia Sinica | Use of crassocephalum rabens extract in the prevention and/or treatment of fatigue and/or depression |
| US11806401B2 (en) | 2016-04-27 | 2023-11-07 | Signpath Pharma, Inc. | Prevention of drug-induced atrio-ventricular block |
| US12201591B2 (en) | 2019-07-03 | 2025-01-21 | Atossa Therapeutics, Inc. | Sustained release compositions of endoxifen |
Families Citing this family (15)
| Publication number | Priority date | Publication date | Assignee | Title |
|---|---|---|---|---|
| HRP20240285T1 (en) | 2011-03-18 | 2024-05-24 | Alkermes Pharma Ireland Limited | PHARMACEUTICAL PREPARATIONS CONTAINING SORBITAN ESTERS |
| AU2013235519C1 (en) | 2012-03-19 | 2018-04-26 | Alkermes Pharma Ireland Limited | Pharmaaceutical compositions comprising fatty acid esters |
| EP2827866B1 (en) | 2012-03-19 | 2023-05-03 | Alkermes Pharma Ireland Limited | Pharmaceutical compositions comprising benzyl alcohol |
| ES2764383T3 (en) | 2012-03-19 | 2020-06-03 | Alkermes Pharma Ireland Ltd | Pharmaceutical compositions comprising glycerol esters |
| US20150174247A1 (en) * | 2012-06-29 | 2015-06-25 | Maruishi Pharmaceutical Co., Ltd. | Oral pharmaceutical preparation of aripiprazole |
| ES2792149T3 (en) | 2012-09-19 | 2020-11-10 | Alkermes Pharma Ireland Ltd | Pharmaceutical Compositions Having Improved Storage Stability |
| WO2014141292A2 (en) * | 2013-03-04 | 2014-09-18 | Intas Pharmaceuticals Limited | Endoxifen citrate polymorph and process for preparing the same |
| KR101493877B1 (en) * | 2013-03-29 | 2015-02-16 | 농업회사법인 주식회사 생명의나무 | pharmaceutical composition for preventing or treating bone diseases comprising spinasterol derivative sugar compound |
| MX376057B (en) | 2014-03-20 | 2025-03-07 | Alkermes Pharma Ireland Ltd | ARIPIPRAZOLE FORMULATIONS THAT HAVE HIGHER INJECTION RATES. |
| AU2019230014B2 (en) | 2018-03-05 | 2024-11-28 | Alkermes Pharma Ireland Limited | Aripiprazole dosing strategy |
| JOP20220084A1 (en) * | 2019-10-09 | 2023-01-30 | Novartis Ag | Derivatives of 5-oxa-2-azaspiro[3,4]octane as M4 agonists |
| US20210322342A1 (en) * | 2020-04-10 | 2021-10-21 | Jina Pharmaceuticals, Inc. | Endoxifen for the treatment of bipolar i disorder |
| EP4132497A4 (en) * | 2020-04-10 | 2024-04-24 | Jina Pharmaceuticals Inc. | ENDOXIFEN FOR THE TREATMENT OF BIPOLAR I DISORDER |
| US12245997B2 (en) | 2020-04-10 | 2025-03-11 | Jina Pharmaceuticals, Inc. | Endoxifen for the treatment of bipolar I disorder |
| WO2025137145A1 (en) * | 2023-12-18 | 2025-06-26 | Atossa Therapeutics, Inc. | Oral formulations of (z)-endoxifen and methods of use thereof |
Citations (4)
| Publication number | Priority date | Publication date | Assignee | Title |
|---|---|---|---|---|
| US4310523A (en) * | 1978-04-17 | 1982-01-12 | Schering Aktiengesellschaft | Combined antiestrogens and antigonadotropically effective antiandrogens for the prophylaxis and therapy of hyperplasia of the prostate |
| US6090407A (en) * | 1997-09-23 | 2000-07-18 | Research Development Foundation | Small particle liposome aerosols for delivery of anti-cancer drugs |
| US6290991B1 (en) * | 1994-12-02 | 2001-09-18 | Quandrant Holdings Cambridge Limited | Solid dose delivery vehicle and methods of making same |
| US6638767B2 (en) * | 1996-05-01 | 2003-10-28 | Imarx Pharmaceutical Corporation | Methods for delivering compounds into a cell |
Family Cites Families (10)
| Publication number | Priority date | Publication date | Assignee | Title |
|---|---|---|---|---|
| GB9824207D0 (en) * | 1998-11-04 | 1998-12-30 | Zeneca Ltd | Neurological disorders |
| SE0103839D0 (en) * | 2001-11-16 | 2001-11-16 | Astrazeneca Ab | Pharmaceutical formulation & product |
| US7968532B2 (en) | 2003-12-15 | 2011-06-28 | Besins Healthcare Luxembourg | Treatment of gynecomastia with 4-hydroxy tamoxifen |
| WO2005105063A1 (en) * | 2004-05-03 | 2005-11-10 | Universita' Degli Studi Di Firenze | Pharmaceutical compositions containing serms for the treatment of alzheimer's disease |
| EP2076244B1 (en) * | 2006-10-10 | 2016-12-07 | Jina Pharmaceuticals Inc. | Aqueous systems for the preparation of lipid-based pharmaceutical compounds; compositions, methods, and uses thereof |
| WO2008048194A1 (en) * | 2006-10-20 | 2008-04-24 | Yesilogluj Aysegul Yildiz | Use of the protein kinase c inhibitor tamoxifen for the treatment of bipolar disorder |
| WO2008058156A2 (en) | 2006-11-06 | 2008-05-15 | Jina Pharmaceuticals Inc. | Guggulphospholipid methods and compositions |
| JP2010510327A (en) | 2006-11-21 | 2010-04-02 | ジャイナ ファーマシューティカルズ,インコーポレーテッド | Endoxifen methods and compositions |
| US20120164075A1 (en) | 2006-11-21 | 2012-06-28 | Jina Pharmaceuticals, Inc. | Endoxifen methods and compositions in the treatment of mammalian diseases |
| US20090291134A1 (en) * | 2006-11-21 | 2009-11-26 | Jina Pharmaceuticals, Inc. | Endoxifen methods and compositions in the treatment of psychiatric and neurodegenerative diseases |
-
2009
- 2009-05-21 US US12/470,219 patent/US20090291134A1/en not_active Abandoned
-
2010
- 2010-05-21 WO PCT/US2010/035852 patent/WO2010135703A2/en not_active Ceased
- 2010-05-21 EP EP10778503.2A patent/EP2432462A4/en not_active Withdrawn
- 2010-05-21 MX MX2011012409A patent/MX2011012409A/en not_active Application Discontinuation
- 2010-05-21 JP JP2012512075A patent/JP2012527484A/en active Pending
- 2010-05-21 CA CA2757838A patent/CA2757838C/en active Active
-
2019
- 2019-04-05 US US16/376,053 patent/US20190231687A1/en not_active Abandoned
-
2020
- 2020-09-16 US US17/023,208 patent/US11672758B2/en active Active
Patent Citations (4)
| Publication number | Priority date | Publication date | Assignee | Title |
|---|---|---|---|---|
| US4310523A (en) * | 1978-04-17 | 1982-01-12 | Schering Aktiengesellschaft | Combined antiestrogens and antigonadotropically effective antiandrogens for the prophylaxis and therapy of hyperplasia of the prostate |
| US6290991B1 (en) * | 1994-12-02 | 2001-09-18 | Quandrant Holdings Cambridge Limited | Solid dose delivery vehicle and methods of making same |
| US6638767B2 (en) * | 1996-05-01 | 2003-10-28 | Imarx Pharmaceutical Corporation | Methods for delivering compounds into a cell |
| US6090407A (en) * | 1997-09-23 | 2000-07-18 | Research Development Foundation | Small particle liposome aerosols for delivery of anti-cancer drugs |
Non-Patent Citations (4)
| Title |
|---|
| Einat et al. Protein Kinase C Inhibition by Tamoxifen Antagonizes Manic-Like Behavior in Rats:Implications for the Development of Novel Therapeutics for Bipolar Disorder. Neurospsychobiology 2007:vol. 55: pages 123-131 * |
| Lim et al. Endoxifen, a Secondary Metabolite of Tamoxifen, and 4-OH-Tamoxifen Induce Similar Changes in Global Gene Expression Patterns in MCF-7 Breast Cancer Cells. (THE JOURNAL OF PHARMACOLOGY AND EXPERIMENTAL THERAPEUTICS VoI. 318, No. 2. pp 503-512. * |
| Manji et al. Bipolar disorder: leads from the molecular and cellular mechanisms of action of mood stabilisers . British Journal of Psychiatry, 2001, 178, s107-s119 * |
| Zeisiq et al. Reduction of tamoxifen resistance in human breast carcinomas by tamoxifen containingliposomes in vivo. Anticancer Drugs. 2004 Aug;15(7):707-14. (abstract only) * |
Cited By (42)
| Publication number | Priority date | Publication date | Assignee | Title |
|---|---|---|---|---|
| US10376479B2 (en) * | 2006-11-21 | 2019-08-13 | Jina Pharmaceuticals, Inc. | Endoxifen compositions and methods |
| US11672758B2 (en) | 2006-11-21 | 2023-06-13 | Jina Pharmaceuticals, Inc. | Endoxifen methods and compositions for inhibition of protein kinase C |
| US20100112041A1 (en) * | 2006-11-21 | 2010-05-06 | Jina Pharmaceuticals, Inc. | Endoxifen Compositions And Methods |
| US20160346230A1 (en) * | 2006-11-21 | 2016-12-01 | Jina Pharmaceuticals, Inc. | Endoxifen Compositions And Methods |
| US9333190B2 (en) | 2006-11-21 | 2016-05-10 | Jina Pharmaceuticals, Inc. | Endoxifen compositions and methods |
| WO2010135703A3 (en) * | 2009-05-21 | 2011-01-13 | Jina Pharmaceuticals, Inc. | Endoxifen methods and compositions in the treatment of mammalian diseases |
| US10117881B2 (en) * | 2011-06-03 | 2018-11-06 | Signpath Pharma, Inc. | Protective effect of DMPC, DMPG, DMPC/DMPG, LYSOPG and LYSOPC against drugs that cause channelopathies |
| US10349884B2 (en) * | 2011-06-03 | 2019-07-16 | Sighpath Pharma Inc. | Liposomal mitigation of drug-induced inhibition of the cardiac ikr channel |
| US10617639B2 (en) | 2011-06-03 | 2020-04-14 | Signpath Pharma, Inc. | Liposomal mitigation of drug-induced long QT syndrome and potassium delayed-rectifier current |
| US10449193B2 (en) | 2011-06-03 | 2019-10-22 | Signpath Pharma Inc. | Protective effect of DMPC, DMPG, DMPC/DMPG, lysoPG and lysoPC against drugs that cause channelopathies |
| US10357458B2 (en) | 2011-06-03 | 2019-07-23 | Signpath Pharma Inc. | Liposomal mitigation of drug-induced long QT syndrome and potassium delayed-rectifier current |
| US20170095489A1 (en) * | 2011-06-03 | 2017-04-06 | Signpath Pharma Inc. | Protective effect of dmpc, dmpg, dmpc/dmpg, lysopg and lysopc against drugs that cause channelopathies |
| US20190320975A1 (en) * | 2011-06-03 | 2019-10-24 | Signpath Pharma, Inc. | Liposomal mitigation of drug-induced inhibition of the cardiac ikr channel |
| US10238602B2 (en) | 2011-06-03 | 2019-03-26 | Signpath Pharma, Inc. | Protective effect of DMPC, DMPG, DMPC/DMPG, LysoPG and LysoPC against drugs that cause channelopathies |
| US12004868B2 (en) * | 2011-06-03 | 2024-06-11 | Signpath Pharma Inc. | Liposomal mitigation of drug-induced inhibition of the cardiac IKr channel |
| WO2013163228A1 (en) * | 2012-04-24 | 2013-10-31 | International Stem Cell Corporation | Derivation of neural stem cells and dopaminergic neurons from human pluripotent stem cells |
| CN104379732B (en) * | 2012-04-24 | 2018-08-17 | 国际干细胞公司 | Derivation of neural stem cells and dopaminergic neurons from human pluripotent stem cells |
| US9926529B2 (en) | 2012-04-24 | 2018-03-27 | International Stem Cell Corporation | Derivation of neural stem cells and dopaminergic neurons from human pluripotent stem cells |
| CN104379732A (en) * | 2012-04-24 | 2015-02-25 | 国际干细胞公司 | Derivation of neural stem cells and dopaminergic neurons from human pluripotent stem cells |
| WO2013178565A1 (en) | 2012-06-01 | 2013-12-05 | Bayer Technology Services Gmbh | Genotype- or phenotype-based drug formulation |
| AU2013271841B2 (en) * | 2012-06-05 | 2018-03-08 | International Stem Cell Corporation | Method of prevention of neurological diseases |
| US10258632B2 (en) | 2012-06-05 | 2019-04-16 | International Stem Cell Corporation | Method of prevention of neurological diseases |
| CN104379136A (en) * | 2012-06-05 | 2015-02-25 | 国际干细胞公司 | Method of prevention of neurological diseases |
| WO2013184591A1 (en) * | 2012-06-05 | 2013-12-12 | International Stem Cell Corporation | Method of prevention of neurological diseases |
| US10532045B2 (en) | 2013-12-18 | 2020-01-14 | Signpath Pharma, Inc. | Liposomal mitigation of drug-induced inhibition of the cardiac IKr channel |
| CN106537139A (en) * | 2014-05-12 | 2017-03-22 | 奎斯特诊断投资公司 | Quantification of tamoxifen and its metabolites by mass spectrometry |
| AU2023204389B2 (en) * | 2014-05-12 | 2025-05-22 | Quest Diagnostics Investments Llc | Quantitation of tamoxifen and metabolites thereof by mass spectrometry |
| CN110044998A (en) * | 2014-05-12 | 2019-07-23 | 奎斯特诊断投资公司 | Pass through mass spectrum standard measure tamoxifen and its metabolin |
| US10258691B2 (en) | 2014-06-03 | 2019-04-16 | Signpath Pharma, Inc. | Protective effect of DMPC, DMPG, DMPC/DMPG, EGPG, LysoPG and LysoPC against drugs that cause channelopathies |
| CN104892918A (en) * | 2015-05-29 | 2015-09-09 | 吕常海 | Phosphatidyl ethanolamine-hydroxypolyethylene glycol derivative, preparation method thereof, lipidosome contrast agent and lipidosome diagnosis and treatment drug for treating tumors |
| US11806401B2 (en) | 2016-04-27 | 2023-11-07 | Signpath Pharma, Inc. | Prevention of drug-induced atrio-ventricular block |
| US12275684B2 (en) | 2017-09-11 | 2025-04-15 | Atossa Therapeutics, Inc. | Methods for making and using endoxifen |
| WO2019051416A1 (en) | 2017-09-11 | 2019-03-14 | Atossa Genetics Inc. | Methods for making and using endoxifen |
| US11680036B1 (en) | 2017-09-11 | 2023-06-20 | Atossa Therapeutics, Inc. | Methods for making and using endoxifen |
| US11572334B2 (en) | 2017-09-11 | 2023-02-07 | Atossa Therapeutics, Inc. | Methods for making and using endoxifen |
| US12071391B2 (en) | 2017-09-11 | 2024-08-27 | Atossa Therapeutics, Inc. | Methods for making and using endoxifen |
| US11261151B2 (en) | 2017-09-11 | 2022-03-01 | Atossa Therapeutics, Inc. | Methods for making and using endoxifen |
| US12281056B2 (en) | 2017-09-11 | 2025-04-22 | Atossa Therapeutics, Inc. | Methods for making and using endoxifen |
| US12479790B2 (en) | 2017-09-11 | 2025-11-25 | Atossa Therapeutics, Inc. | Methods for making and using endoxifen |
| US12201591B2 (en) | 2019-07-03 | 2025-01-21 | Atossa Therapeutics, Inc. | Sustained release compositions of endoxifen |
| US20220031625A1 (en) * | 2020-07-31 | 2022-02-03 | Altaire Pharmaceuticals, Inc. | Ophthalmic compositions for delivering meibum-like materials |
| WO2022109602A1 (en) * | 2020-11-20 | 2022-05-27 | Academia Sinica | Use of crassocephalum rabens extract in the prevention and/or treatment of fatigue and/or depression |
Also Published As
| Publication number | Publication date |
|---|---|
| MX2011012409A (en) | 2012-03-14 |
| JP2012527484A (en) | 2012-11-08 |
| EP2432462A2 (en) | 2012-03-28 |
| US20210177752A1 (en) | 2021-06-17 |
| EP2432462A4 (en) | 2013-11-13 |
| WO2010135703A3 (en) | 2011-01-13 |
| CA2757838A1 (en) | 2010-11-25 |
| CA2757838C (en) | 2013-12-17 |
| US11672758B2 (en) | 2023-06-13 |
| WO2010135703A2 (en) | 2010-11-25 |
| US20190231687A1 (en) | 2019-08-01 |
Similar Documents
| Publication | Publication Date | Title |
|---|---|---|
| US11672758B2 (en) | Endoxifen methods and compositions for inhibition of protein kinase C | |
| US10376479B2 (en) | Endoxifen compositions and methods | |
| US20120164075A1 (en) | Endoxifen methods and compositions in the treatment of mammalian diseases | |
| FR2803516A1 (en) | INJECTABLE FORMULATION OF FULVESTRANT | |
| CA2595617C (en) | Formulations for injection of catecholic butanes, including ndga compounds, into animals | |
| RS54898B1 (en) | TESTOSTERON FORMULATIONS | |
| JP6433785B2 (en) | Trans-clomiphene metabolites and uses thereof | |
| CN111212635A (en) | Topical compositions | |
| JP7376105B2 (en) | Topical compositions and treatment methods | |
| CA2414584C (en) | 7-hydroxyepiandrosterone having neuroprotective activity | |
| WO2017057743A1 (en) | Transdermally absorbable composition | |
| JP2025510868A (en) | Mirabegron preparations | |
| CN1287773C (en) | A kind of Brucea javanica oil soft capsule preparation | |
| HK1136198B (en) | Endoxifen for use in the treatment of cancer | |
| HK1136198A (en) | Endoxifen for use in the treatment of cancer | |
| CN101480406B (en) | 24-methylene cycloartenyl ferulate composition and method for preparing the same | |
| CN1946387B (en) | Use of 4-hydroxy tamoxifen in treatment and prevention of benign breast disease | |
| CN109125318A (en) | Application of the butylphenyl phthaleine in preparation treatment dry eye drugs | |
| TW202448515A (en) | Taxol conjugate compounds, compositions and methods for their use | |
| HK1113970B (en) | Formulations for injection of catecholic butanes, including ndga compounds, into animals |
Legal Events
| Date | Code | Title | Description |
|---|---|---|---|
| AS | Assignment |
Owner name: JINA PHARMACEUTICALS, INC., ILLINOIS Free format text: ASSIGNMENT OF ASSIGNORS INTEREST;ASSIGNORS:AHMAD, ATEEQ;ALI, SHOUKATH M.;AHMAD, MOGHIS U.;AND OTHERS;REEL/FRAME:023064/0167 Effective date: 20090602 |
|
| STCV | Information on status: appeal procedure |
Free format text: NOTICE OF APPEAL FILED |
|
| STCB | Information on status: application discontinuation |
Free format text: ABANDONED -- FAILURE TO RESPOND TO AN OFFICE ACTION |









