US20090169716A1 - Coating solutions comprising surface active segmented block copolymers - Google Patents
Coating solutions comprising surface active segmented block copolymers Download PDFInfo
- Publication number
- US20090169716A1 US20090169716A1 US12/335,794 US33579408A US2009169716A1 US 20090169716 A1 US20090169716 A1 US 20090169716A1 US 33579408 A US33579408 A US 33579408A US 2009169716 A1 US2009169716 A1 US 2009169716A1
- Authority
- US
- United States
- Prior art keywords
- medical device
- hydrophilic
- block copolymer
- surface active
- methacrylate
- Prior art date
- Legal status (The legal status is an assumption and is not a legal conclusion. Google has not performed a legal analysis and makes no representation as to the accuracy of the status listed.)
- Abandoned
Links
- 229920001400 block copolymer Polymers 0.000 title claims abstract description 84
- 238000000576 coating method Methods 0.000 title description 22
- 239000011248 coating agent Substances 0.000 title description 13
- 238000000034 method Methods 0.000 claims abstract description 58
- -1 catheters Substances 0.000 claims abstract description 37
- 239000007943 implant Substances 0.000 claims abstract description 9
- 230000002792 vascular Effects 0.000 claims abstract description 4
- 239000000178 monomer Substances 0.000 claims description 95
- 230000002209 hydrophobic effect Effects 0.000 claims description 46
- XUIMIQQOPSSXEZ-UHFFFAOYSA-N Silicon Chemical compound [Si] XUIMIQQOPSSXEZ-UHFFFAOYSA-N 0.000 claims description 36
- 229910052710 silicon Inorganic materials 0.000 claims description 36
- 239000010703 silicon Substances 0.000 claims description 36
- WHNWPMSKXPGLAX-UHFFFAOYSA-N N-Vinyl-2-pyrrolidone Chemical compound C=CN1CCCC1=O WHNWPMSKXPGLAX-UHFFFAOYSA-N 0.000 claims description 29
- 238000010560 atom transfer radical polymerization reaction Methods 0.000 claims description 26
- 239000003795 chemical substances by application Substances 0.000 claims description 26
- 239000000463 material Substances 0.000 claims description 25
- 239000000017 hydrogel Substances 0.000 claims description 24
- 229920001296 polysiloxane Polymers 0.000 claims description 22
- 239000000203 mixture Substances 0.000 claims description 21
- 150000003254 radicals Chemical group 0.000 claims description 21
- 239000003999 initiator Substances 0.000 claims description 18
- CERQOIWHTDAKMF-UHFFFAOYSA-M methacrylate group Chemical group C(C(=C)C)(=O)[O-] CERQOIWHTDAKMF-UHFFFAOYSA-M 0.000 claims description 17
- 125000002813 thiocarbonyl group Chemical group *C(*)=S 0.000 claims description 17
- GMSCBRSQMRDRCD-UHFFFAOYSA-N dodecyl 2-methylprop-2-enoate Chemical compound CCCCCCCCCCCCOC(=O)C(C)=C GMSCBRSQMRDRCD-UHFFFAOYSA-N 0.000 claims description 13
- 229910052736 halogen Inorganic materials 0.000 claims description 11
- NIXOWILDQLNWCW-UHFFFAOYSA-M Acrylate Chemical compound [O-]C(=O)C=C NIXOWILDQLNWCW-UHFFFAOYSA-M 0.000 claims description 10
- LVLANIHJQRZTPY-UHFFFAOYSA-N vinyl carbamate Chemical class NC(=O)OC=C LVLANIHJQRZTPY-UHFFFAOYSA-N 0.000 claims description 10
- 239000012987 RAFT agent Substances 0.000 claims description 9
- 239000012986 chain transfer agent Substances 0.000 claims description 9
- 229920001577 copolymer Polymers 0.000 claims description 9
- 239000012634 fragment Substances 0.000 claims description 9
- AISZNMCRXZWVAT-UHFFFAOYSA-N 2-ethylsulfanylcarbothioylsulfanyl-2-methylpropanenitrile Chemical compound CCSC(=S)SC(C)(C)C#N AISZNMCRXZWVAT-UHFFFAOYSA-N 0.000 claims description 8
- VAYTZRYEBVHVLE-UHFFFAOYSA-N 1,3-dioxol-2-one Chemical compound O=C1OC=CO1 VAYTZRYEBVHVLE-UHFFFAOYSA-N 0.000 claims description 7
- NIXOWILDQLNWCW-UHFFFAOYSA-N acrylic acid group Chemical group C(C=C)(=O)O NIXOWILDQLNWCW-UHFFFAOYSA-N 0.000 claims description 7
- 125000004149 thio group Chemical group *S* 0.000 claims description 7
- BESKSSIEODQWBP-UHFFFAOYSA-N 3-tris(trimethylsilyloxy)silylpropyl 2-methylprop-2-enoate Chemical compound CC(=C)C(=O)OCCC[Si](O[Si](C)(C)C)(O[Si](C)(C)C)O[Si](C)(C)C BESKSSIEODQWBP-UHFFFAOYSA-N 0.000 claims description 6
- 239000007795 chemical reaction product Substances 0.000 claims description 6
- WOBHKFSMXKNTIM-UHFFFAOYSA-N Hydroxyethyl methacrylate Chemical compound CC(=C)C(=O)OCCO WOBHKFSMXKNTIM-UHFFFAOYSA-N 0.000 claims description 5
- 229910052757 nitrogen Inorganic materials 0.000 claims description 5
- HRPVXLWXLXDGHG-UHFFFAOYSA-N Acrylamide Chemical compound NC(=O)C=C HRPVXLWXLXDGHG-UHFFFAOYSA-N 0.000 claims description 4
- CERQOIWHTDAKMF-UHFFFAOYSA-N Methacrylic acid Chemical compound CC(=C)C(O)=O CERQOIWHTDAKMF-UHFFFAOYSA-N 0.000 claims description 4
- LNCPIMCVTKXXOY-UHFFFAOYSA-N hexyl 2-methylprop-2-enoate Chemical compound CCCCCCOC(=O)C(C)=C LNCPIMCVTKXXOY-UHFFFAOYSA-N 0.000 claims description 4
- SMZOUWXMTYCWNB-UHFFFAOYSA-N 2-(2-methoxy-5-methylphenyl)ethanamine Chemical compound COC1=CC=C(C)C=C1CCN SMZOUWXMTYCWNB-UHFFFAOYSA-N 0.000 claims description 3
- 210000000481 breast Anatomy 0.000 claims description 3
- RWEUKWCZWYHIQA-UHFFFAOYSA-N ethenyl 3-trimethylsilylpropyl carbonate Chemical compound C[Si](C)(C)CCCOC(=O)OC=C RWEUKWCZWYHIQA-UHFFFAOYSA-N 0.000 claims description 3
- NDXTZJDCEOXFOP-UHFFFAOYSA-N ethenyl 3-tris(trimethylsilyloxy)silylpropyl carbonate Chemical compound C[Si](C)(C)O[Si](O[Si](C)(C)C)(O[Si](C)(C)C)CCCOC(=O)OC=C NDXTZJDCEOXFOP-UHFFFAOYSA-N 0.000 claims description 3
- BHBDVHVTNOYHLK-UHFFFAOYSA-N ethenyl 3-tris(trimethylsilyloxy)silylpropylsulfanylformate Chemical compound C[Si](C)(C)O[Si](O[Si](C)(C)C)(O[Si](C)(C)C)CCCSC(=O)OC=C BHBDVHVTNOYHLK-UHFFFAOYSA-N 0.000 claims description 3
- ILHMPZFVDISGNP-UHFFFAOYSA-N ethenyl n-[3-tris(trimethylsilyloxy)silylpropyl]carbamate Chemical compound C[Si](C)(C)O[Si](O[Si](C)(C)C)(O[Si](C)(C)C)CCCNC(=O)OC=C ILHMPZFVDISGNP-UHFFFAOYSA-N 0.000 claims description 3
- 210000003709 heart valve Anatomy 0.000 claims description 3
- FQPSGWSUVKBHSU-UHFFFAOYSA-N methacrylamide Chemical compound CC(=C)C(N)=O FQPSGWSUVKBHSU-UHFFFAOYSA-N 0.000 claims description 3
- WFKDPJRCBCBQNT-UHFFFAOYSA-N n,2-dimethylprop-2-enamide Chemical compound CNC(=O)C(C)=C WFKDPJRCBCBQNT-UHFFFAOYSA-N 0.000 claims description 3
- 210000000626 ureter Anatomy 0.000 claims description 3
- 229920002554 vinyl polymer Polymers 0.000 claims description 3
- QRIMLDXJAPZHJE-UHFFFAOYSA-N 2,3-dihydroxypropyl 2-methylprop-2-enoate Chemical compound CC(=C)C(=O)OCC(O)CO QRIMLDXJAPZHJE-UHFFFAOYSA-N 0.000 claims description 2
- OMIGHNLMNHATMP-UHFFFAOYSA-N 2-hydroxyethyl prop-2-enoate Chemical compound OCCOC(=O)C=C OMIGHNLMNHATMP-UHFFFAOYSA-N 0.000 claims description 2
- VZCYOOQTPOCHFL-OWOJBTEDSA-N Fumaric acid Chemical compound OC(=O)\C=C\C(O)=O VZCYOOQTPOCHFL-OWOJBTEDSA-N 0.000 claims description 2
- 125000005250 alkyl acrylate group Chemical group 0.000 claims description 2
- SYMQKIMAAKYQFY-UHFFFAOYSA-N ethenyl hexyl carbonate Chemical compound CCCCCCOC(=O)OC=C SYMQKIMAAKYQFY-UHFFFAOYSA-N 0.000 claims description 2
- 125000001495 ethyl group Chemical group [H]C([H])([H])C([H])([H])* 0.000 claims description 2
- 125000003976 glyceryl group Chemical group [H]C([*])([H])C(O[H])([H])C(O[H])([H])[H] 0.000 claims description 2
- RQAKESSLMFZVMC-UHFFFAOYSA-N n-ethenylacetamide Chemical compound CC(=O)NC=C RQAKESSLMFZVMC-UHFFFAOYSA-N 0.000 claims description 2
- 229920000233 poly(alkylene oxides) Polymers 0.000 claims description 2
- 229920001223 polyethylene glycol Polymers 0.000 claims description 2
- VZCYOOQTPOCHFL-UHFFFAOYSA-N trans-butenedioic acid Natural products OC(=O)C=CC(O)=O VZCYOOQTPOCHFL-UHFFFAOYSA-N 0.000 claims description 2
- 125000000391 vinyl group Chemical group [H]C([*])=C([H])[H] 0.000 claims description 2
- 229920003171 Poly (ethylene oxide) Polymers 0.000 claims 1
- 235000013870 dimethyl polysiloxane Nutrition 0.000 claims 1
- FXPHJTKVWZVEGA-UHFFFAOYSA-N ethenyl hydrogen carbonate Chemical class OC(=O)OC=C FXPHJTKVWZVEGA-UHFFFAOYSA-N 0.000 claims 1
- 125000005843 halogen group Chemical group 0.000 claims 1
- 230000002452 interceptive effect Effects 0.000 claims 1
- 229920000435 poly(dimethylsiloxane) Polymers 0.000 claims 1
- 239000000758 substrate Substances 0.000 abstract description 21
- 238000004381 surface treatment Methods 0.000 abstract description 3
- 229920000642 polymer Polymers 0.000 description 35
- 239000000243 solution Substances 0.000 description 34
- RTZKZFJDLAIYFH-UHFFFAOYSA-N Diethyl ether Chemical compound CCOCC RTZKZFJDLAIYFH-UHFFFAOYSA-N 0.000 description 26
- 238000006243 chemical reaction Methods 0.000 description 20
- 239000004094 surface-active agent Substances 0.000 description 19
- 238000012712 reversible addition−fragmentation chain-transfer polymerization Methods 0.000 description 17
- OKKJLVBELUTLKV-UHFFFAOYSA-N Methanol Chemical compound OC OKKJLVBELUTLKV-UHFFFAOYSA-N 0.000 description 15
- 150000002367 halogens Chemical group 0.000 description 12
- 238000004806 packaging method and process Methods 0.000 description 12
- OZAIFHULBGXAKX-UHFFFAOYSA-N 2-(2-cyanopropan-2-yldiazenyl)-2-methylpropanenitrile Chemical compound N#CC(C)(C)N=NC(C)(C)C#N OZAIFHULBGXAKX-UHFFFAOYSA-N 0.000 description 10
- OZAIFHULBGXAKX-VAWYXSNFSA-N AIBN Substances N#CC(C)(C)\N=N\C(C)(C)C#N OZAIFHULBGXAKX-VAWYXSNFSA-N 0.000 description 10
- 238000006116 polymerization reaction Methods 0.000 description 10
- 230000009466 transformation Effects 0.000 description 10
- ROSDSFDQCJNGOL-UHFFFAOYSA-N Dimethylamine Chemical compound CNC ROSDSFDQCJNGOL-UHFFFAOYSA-N 0.000 description 9
- 230000015572 biosynthetic process Effects 0.000 description 9
- 125000004432 carbon atom Chemical group C* 0.000 description 9
- VOZRXNHHFUQHIL-UHFFFAOYSA-N glycidyl methacrylate Chemical compound CC(=C)C(=O)OCC1CO1 VOZRXNHHFUQHIL-UHFFFAOYSA-N 0.000 description 9
- XLYOFNOQVPJJNP-UHFFFAOYSA-N water Substances O XLYOFNOQVPJJNP-UHFFFAOYSA-N 0.000 description 9
- 0 *OC(=O)C(=C)C.*OC(=O)NC=C.*OC(=O)OC=C Chemical compound *OC(=O)C(=C)C.*OC(=O)NC=C.*OC(=O)OC=C 0.000 description 8
- RYHBNJHYFVUHQT-UHFFFAOYSA-N 1,4-Dioxane Chemical compound C1COCCO1 RYHBNJHYFVUHQT-UHFFFAOYSA-N 0.000 description 8
- XKRFYHLGVUSROY-UHFFFAOYSA-N Argon Chemical compound [Ar] XKRFYHLGVUSROY-UHFFFAOYSA-N 0.000 description 8
- 238000003786 synthesis reaction Methods 0.000 description 8
- 125000000217 alkyl group Chemical group 0.000 description 7
- 238000010526 radical polymerization reaction Methods 0.000 description 7
- 150000001336 alkenes Chemical class 0.000 description 6
- 150000001412 amines Chemical class 0.000 description 6
- 239000001257 hydrogen Substances 0.000 description 6
- 229910052739 hydrogen Inorganic materials 0.000 description 6
- 239000002244 precipitate Substances 0.000 description 6
- 125000003396 thiol group Chemical class [H]S* 0.000 description 6
- 239000003921 oil Substances 0.000 description 5
- 238000000425 proton nuclear magnetic resonance spectrum Methods 0.000 description 5
- 239000012745 toughening agent Substances 0.000 description 5
- 239000000080 wetting agent Substances 0.000 description 5
- LYCAIKOWRPUZTN-UHFFFAOYSA-N Ethylene glycol Chemical compound OCCO LYCAIKOWRPUZTN-UHFFFAOYSA-N 0.000 description 4
- UFHFLCQGNIYNRP-UHFFFAOYSA-N Hydrogen Chemical compound [H][H] UFHFLCQGNIYNRP-UHFFFAOYSA-N 0.000 description 4
- 150000001298 alcohols Chemical class 0.000 description 4
- 150000001335 aliphatic alkanes Chemical class 0.000 description 4
- 150000001345 alkine derivatives Chemical class 0.000 description 4
- 150000001350 alkyl halides Chemical class 0.000 description 4
- 125000000129 anionic group Chemical group 0.000 description 4
- 229910052786 argon Inorganic materials 0.000 description 4
- 150000001540 azides Chemical class 0.000 description 4
- 230000000295 complement effect Effects 0.000 description 4
- 125000003700 epoxy group Chemical group 0.000 description 4
- 229920001477 hydrophilic polymer Polymers 0.000 description 4
- 150000002734 metacrylic acid derivatives Chemical class 0.000 description 4
- 125000002496 methyl group Chemical group [H]C([H])([H])* 0.000 description 4
- 125000005496 phosphonium group Chemical group 0.000 description 4
- 230000008569 process Effects 0.000 description 4
- 239000002904 solvent Substances 0.000 description 4
- 238000003756 stirring Methods 0.000 description 4
- 239000000126 substance Substances 0.000 description 4
- DBGVGMSCBYYSLD-UHFFFAOYSA-N tributylstannane Chemical compound CCCC[SnH](CCCC)CCCC DBGVGMSCBYYSLD-UHFFFAOYSA-N 0.000 description 4
- 102100026735 Coagulation factor VIII Human genes 0.000 description 3
- JOYRKODLDBILNP-UHFFFAOYSA-N Ethyl urethane Chemical compound CCOC(N)=O JOYRKODLDBILNP-UHFFFAOYSA-N 0.000 description 3
- YCKRFDGAMUMZLT-UHFFFAOYSA-N Fluorine atom Chemical compound [F] YCKRFDGAMUMZLT-UHFFFAOYSA-N 0.000 description 3
- 101000911390 Homo sapiens Coagulation factor VIII Proteins 0.000 description 3
- 239000004743 Polypropylene Substances 0.000 description 3
- QTBSBXVTEAMEQO-UHFFFAOYSA-N acetic acid Substances CC(O)=O QTBSBXVTEAMEQO-UHFFFAOYSA-N 0.000 description 3
- KRKNYBCHXYNGOX-UHFFFAOYSA-N citric acid Chemical compound OC(=O)CC(O)(C(O)=O)CC(O)=O KRKNYBCHXYNGOX-UHFFFAOYSA-N 0.000 description 3
- 239000003431 cross linking reagent Substances 0.000 description 3
- 229910052731 fluorine Inorganic materials 0.000 description 3
- 239000011737 fluorine Substances 0.000 description 3
- 125000000524 functional group Chemical group 0.000 description 3
- 229930195733 hydrocarbon Natural products 0.000 description 3
- 150000002430 hydrocarbons Chemical class 0.000 description 3
- 238000004519 manufacturing process Methods 0.000 description 3
- 230000004048 modification Effects 0.000 description 3
- 238000012986 modification Methods 0.000 description 3
- 238000000655 nuclear magnetic resonance spectrum Methods 0.000 description 3
- 239000005022 packaging material Substances 0.000 description 3
- 229920003229 poly(methyl methacrylate) Polymers 0.000 description 3
- 239000004926 polymethyl methacrylate Substances 0.000 description 3
- 229920001155 polypropylene Polymers 0.000 description 3
- 230000005855 radiation Effects 0.000 description 3
- 239000011541 reaction mixture Substances 0.000 description 3
- 238000001228 spectrum Methods 0.000 description 3
- 230000001954 sterilising effect Effects 0.000 description 3
- 238000004659 sterilization and disinfection Methods 0.000 description 3
- LENZDBCJOHFCAS-UHFFFAOYSA-N tris Chemical compound OCC(N)(CO)CO LENZDBCJOHFCAS-UHFFFAOYSA-N 0.000 description 3
- 239000012989 trithiocarbonate Substances 0.000 description 3
- JZUCDZZFJRODNS-UHFFFAOYSA-N (4-tert-butyl-2-hydroxycyclohexyl) 2-methylprop-2-enoate Chemical compound CC(=C)C(=O)OC1CCC(C(C)(C)C)CC1O JZUCDZZFJRODNS-UHFFFAOYSA-N 0.000 description 2
- SJHPCNCNNSSLPL-CSKARUKUSA-N (4e)-4-(ethoxymethylidene)-2-phenyl-1,3-oxazol-5-one Chemical compound O1C(=O)C(=C/OCC)\N=C1C1=CC=CC=C1 SJHPCNCNNSSLPL-CSKARUKUSA-N 0.000 description 2
- 125000003903 2-propenyl group Chemical group [H]C([*])([H])C([H])=C([H])[H] 0.000 description 2
- UURVHRGPGCBHIC-UHFFFAOYSA-N 3-(ethenoxycarbonylamino)propanoic acid 4-[[[[[[[[[[[[[[[[[[[[[[[[[[[4-ethenoxycarbonyloxybutyl(dimethyl)silyl]oxy-dimethylsilyl]oxy-dimethylsilyl]oxy-dimethylsilyl]oxy-dimethylsilyl]oxy-dimethylsilyl]oxy-dimethylsilyl]oxy-dimethylsilyl]oxy-dimethylsilyl]oxy-dimethylsilyl]oxy-dimethylsilyl]oxy-dimethylsilyl]oxy-dimethylsilyl]oxy-dimethylsilyl]oxy-dimethylsilyl]oxy-dimethylsilyl]oxy-dimethylsilyl]oxy-dimethylsilyl]oxy-dimethylsilyl]oxy-dimethylsilyl]oxy-dimethylsilyl]oxy-dimethylsilyl]oxy-dimethylsilyl]oxy-dimethylsilyl]oxy-dimethylsilyl]oxy-dimethylsilyl]oxy-dimethylsilyl]butyl ethenyl carbonate 1-ethenylpyrrolidin-2-one ethenyl N-[3-tris(trimethylsilyloxy)silylpropyl]carbamate Chemical compound C=CN1CCCC1=O.OC(=O)CCNC(=O)OC=C.C[Si](C)(C)O[Si](CCCNC(=O)OC=C)(O[Si](C)(C)C)O[Si](C)(C)C.C[Si](C)(CCCCOC(=O)OC=C)O[Si](C)(C)O[Si](C)(C)O[Si](C)(C)O[Si](C)(C)O[Si](C)(C)O[Si](C)(C)O[Si](C)(C)O[Si](C)(C)O[Si](C)(C)O[Si](C)(C)O[Si](C)(C)O[Si](C)(C)O[Si](C)(C)O[Si](C)(C)O[Si](C)(C)O[Si](C)(C)O[Si](C)(C)O[Si](C)(C)O[Si](C)(C)O[Si](C)(C)O[Si](C)(C)O[Si](C)(C)O[Si](C)(C)O[Si](C)(C)O[Si](C)(C)O[Si](C)(C)CCCCOC(=O)OC=C UURVHRGPGCBHIC-UHFFFAOYSA-N 0.000 description 2
- IJGRMHOSHXDMSA-UHFFFAOYSA-N Atomic nitrogen Chemical compound N#N IJGRMHOSHXDMSA-UHFFFAOYSA-N 0.000 description 2
- 239000007989 BIS-Tris Propane buffer Substances 0.000 description 2
- 239000004215 Carbon black (E152) Substances 0.000 description 2
- 239000004971 Cross linker Substances 0.000 description 2
- VMQMZMRVKUZKQL-UHFFFAOYSA-N Cu+ Chemical compound [Cu+] VMQMZMRVKUZKQL-UHFFFAOYSA-N 0.000 description 2
- IAYPIBMASNFSPL-UHFFFAOYSA-N Ethylene oxide Chemical compound C1CO1 IAYPIBMASNFSPL-UHFFFAOYSA-N 0.000 description 2
- PEDCQBHIVMGVHV-UHFFFAOYSA-N Glycerine Chemical compound OCC(O)CO PEDCQBHIVMGVHV-UHFFFAOYSA-N 0.000 description 2
- 239000002841 Lewis acid Substances 0.000 description 2
- TWRXJAOTZQYOKJ-UHFFFAOYSA-L Magnesium chloride Chemical compound [Mg+2].[Cl-].[Cl-] TWRXJAOTZQYOKJ-UHFFFAOYSA-L 0.000 description 2
- BAPJBEWLBFYGME-UHFFFAOYSA-N Methyl acrylate Chemical compound COC(=O)C=C BAPJBEWLBFYGME-UHFFFAOYSA-N 0.000 description 2
- ZKGNPQKYVKXMGJ-UHFFFAOYSA-N N,N-dimethylacetamide Chemical compound CN(C)C(C)=O.CN(C)C(C)=O ZKGNPQKYVKXMGJ-UHFFFAOYSA-N 0.000 description 2
- 229910019142 PO4 Inorganic materials 0.000 description 2
- WCUXLLCKKVVCTQ-UHFFFAOYSA-M Potassium chloride Chemical compound [Cl-].[K+] WCUXLLCKKVVCTQ-UHFFFAOYSA-M 0.000 description 2
- XBDQKXXYIPTUBI-UHFFFAOYSA-M Propionate Chemical compound CCC([O-])=O XBDQKXXYIPTUBI-UHFFFAOYSA-M 0.000 description 2
- UIIMBOGNXHQVGW-UHFFFAOYSA-M Sodium bicarbonate Chemical compound [Na+].OC([O-])=O UIIMBOGNXHQVGW-UHFFFAOYSA-M 0.000 description 2
- 239000007983 Tris buffer Substances 0.000 description 2
- CIUQDSCDWFSTQR-UHFFFAOYSA-N [C]1=CC=CC=C1 Chemical compound [C]1=CC=CC=C1 CIUQDSCDWFSTQR-UHFFFAOYSA-N 0.000 description 2
- 239000000654 additive Substances 0.000 description 2
- 125000002877 alkyl aryl group Chemical group 0.000 description 2
- 125000005119 alkyl cycloalkyl group Chemical group 0.000 description 2
- 238000007098 aminolysis reaction Methods 0.000 description 2
- 125000003118 aryl group Chemical group 0.000 description 2
- OWMVSZAMULFTJU-UHFFFAOYSA-N bis-tris Chemical compound OCCN(CCO)C(CO)(CO)CO OWMVSZAMULFTJU-UHFFFAOYSA-N 0.000 description 2
- HHKZCCWKTZRCCL-UHFFFAOYSA-N bis-tris propane Chemical compound OCC(CO)(CO)NCCCNC(CO)(CO)CO HHKZCCWKTZRCCL-UHFFFAOYSA-N 0.000 description 2
- 239000003618 borate buffered saline Substances 0.000 description 2
- 239000000872 buffer Substances 0.000 description 2
- 239000006172 buffering agent Substances 0.000 description 2
- 239000003638 chemical reducing agent Substances 0.000 description 2
- 229920001688 coating polymer Polymers 0.000 description 2
- 239000000470 constituent Substances 0.000 description 2
- 238000001816 cooling Methods 0.000 description 2
- 238000007334 copolymerization reaction Methods 0.000 description 2
- 125000000753 cycloalkyl group Chemical group 0.000 description 2
- 230000000694 effects Effects 0.000 description 2
- 238000007337 electrophilic addition reaction Methods 0.000 description 2
- 239000003480 eluent Substances 0.000 description 2
- 238000010828 elution Methods 0.000 description 2
- 230000002708 enhancing effect Effects 0.000 description 2
- 238000001914 filtration Methods 0.000 description 2
- 239000012467 final product Substances 0.000 description 2
- 230000006870 function Effects 0.000 description 2
- 238000010438 heat treatment Methods 0.000 description 2
- WGCNASOHLSPBMP-UHFFFAOYSA-N hydroxyacetaldehyde Natural products OCC=O WGCNASOHLSPBMP-UHFFFAOYSA-N 0.000 description 2
- 150000007517 lewis acids Chemical class 0.000 description 2
- 150000002632 lipids Chemical class 0.000 description 2
- 239000007788 liquid Substances 0.000 description 2
- AMXOYNBUYSYVKV-UHFFFAOYSA-M lithium bromide Chemical compound [Li+].[Br-] AMXOYNBUYSYVKV-UHFFFAOYSA-M 0.000 description 2
- 229920006030 multiblock copolymer Polymers 0.000 description 2
- 229940088644 n,n-dimethylacrylamide Drugs 0.000 description 2
- YLGYACDQVQQZSW-UHFFFAOYSA-N n,n-dimethylprop-2-enamide Chemical compound CN(C)C(=O)C=C YLGYACDQVQQZSW-UHFFFAOYSA-N 0.000 description 2
- 238000010534 nucleophilic substitution reaction Methods 0.000 description 2
- 238000006053 organic reaction Methods 0.000 description 2
- NBIIXXVUZAFLBC-UHFFFAOYSA-K phosphate Chemical compound [O-]P([O-])([O-])=O NBIIXXVUZAFLBC-UHFFFAOYSA-K 0.000 description 2
- 239000010452 phosphate Substances 0.000 description 2
- 230000035484 reaction time Effects 0.000 description 2
- 229920006395 saturated elastomer Polymers 0.000 description 2
- 238000007789 sealing Methods 0.000 description 2
- 125000005401 siloxanyl group Chemical group 0.000 description 2
- 239000007787 solid Substances 0.000 description 2
- 238000010301 surface-oxidation reaction Methods 0.000 description 2
- 238000001149 thermolysis Methods 0.000 description 2
- YLGRTLMDMVAFNI-UHFFFAOYSA-N tributyl(prop-2-enyl)stannane Chemical compound CCCC[Sn](CCCC)(CCCC)CC=C YLGRTLMDMVAFNI-UHFFFAOYSA-N 0.000 description 2
- HIZCIEIDIFGZSS-UHFFFAOYSA-L trithiocarbonate Chemical compound [S-]C([S-])=S HIZCIEIDIFGZSS-UHFFFAOYSA-L 0.000 description 2
- 239000012991 xanthate Substances 0.000 description 2
- GVYHLYQWXHOJGV-UHFFFAOYSA-N (1-propan-2-ylcyclopentyl) prop-2-enoate Chemical compound C=CC(=O)OC1(C(C)C)CCCC1 GVYHLYQWXHOJGV-UHFFFAOYSA-N 0.000 description 1
- RWCHFQMCWQLPAS-UHFFFAOYSA-N (1-tert-butylcyclohexyl) 2-methylprop-2-enoate Chemical compound CC(=C)C(=O)OC1(C(C)(C)C)CCCCC1 RWCHFQMCWQLPAS-UHFFFAOYSA-N 0.000 description 1
- XPEMPJFPRCHICU-UHFFFAOYSA-N (1-tert-butylcyclohexyl) prop-2-enoate Chemical compound C=CC(=O)OC1(C(C)(C)C)CCCCC1 XPEMPJFPRCHICU-UHFFFAOYSA-N 0.000 description 1
- PSGCQDPCAWOCSH-UHFFFAOYSA-N (4,7,7-trimethyl-3-bicyclo[2.2.1]heptanyl) prop-2-enoate Chemical compound C1CC2(C)C(OC(=O)C=C)CC1C2(C)C PSGCQDPCAWOCSH-UHFFFAOYSA-N 0.000 description 1
- SADSZVISBKSAKG-UHFFFAOYSA-N (4-tert-butyl-2-hydroxycyclopentyl) 2-methylprop-2-enoate Chemical compound CC(=C)C(=O)OC1CC(C(C)(C)C)CC1O SADSZVISBKSAKG-UHFFFAOYSA-N 0.000 description 1
- PHPRWKJDGHSJMI-UHFFFAOYSA-N 1-adamantyl prop-2-enoate Chemical compound C1C(C2)CC3CC2CC1(OC(=O)C=C)C3 PHPRWKJDGHSJMI-UHFFFAOYSA-N 0.000 description 1
- ZNJXRXXJPIFFAO-UHFFFAOYSA-N 2,2,3,3,4,4,5,5-octafluoropentyl 2-methylprop-2-enoate Chemical compound CC(=C)C(=O)OCC(F)(F)C(F)(F)C(F)(F)C(F)F ZNJXRXXJPIFFAO-UHFFFAOYSA-N 0.000 description 1
- DVMSVWIURPPRBC-UHFFFAOYSA-N 2,3,3-trifluoroprop-2-enoic acid Chemical compound OC(=O)C(F)=C(F)F DVMSVWIURPPRBC-UHFFFAOYSA-N 0.000 description 1
- CWWYEELVMRNKHZ-UHFFFAOYSA-N 2,3-dimethylbut-2-enamide Chemical compound CC(C)=C(C)C(N)=O CWWYEELVMRNKHZ-UHFFFAOYSA-N 0.000 description 1
- PRAMZQXXPOLCIY-UHFFFAOYSA-N 2-(2-methylprop-2-enoyloxy)ethanesulfonic acid Chemical class CC(=C)C(=O)OCCS(O)(=O)=O PRAMZQXXPOLCIY-UHFFFAOYSA-N 0.000 description 1
- HZAXFHJVJLSVMW-UHFFFAOYSA-N 2-Aminoethan-1-ol Chemical compound NCCO HZAXFHJVJLSVMW-UHFFFAOYSA-N 0.000 description 1
- NPPNUGUVBUJRAB-UHFFFAOYSA-N 2-[tert-butyl(dimethyl)silyl]oxyethyl ethenyl carbonate Chemical compound CC(C)(C)[Si](C)(C)OCCOC(=O)OC=C NPPNUGUVBUJRAB-UHFFFAOYSA-N 0.000 description 1
- WHNPOQXWAMXPTA-UHFFFAOYSA-N 3-methylbut-2-enamide Chemical compound CC(C)=CC(N)=O WHNPOQXWAMXPTA-UHFFFAOYSA-N 0.000 description 1
- BVKZGUZCCUSVTD-UHFFFAOYSA-M Bicarbonate Chemical compound OC([O-])=O BVKZGUZCCUSVTD-UHFFFAOYSA-M 0.000 description 1
- BTBUEUYNUDRHOZ-UHFFFAOYSA-N Borate Chemical compound [O-]B([O-])[O-] BTBUEUYNUDRHOZ-UHFFFAOYSA-N 0.000 description 1
- NHARPDSAXCBDDR-UHFFFAOYSA-N C=C(C)C(=O)OCCC Chemical compound C=C(C)C(=O)OCCC NHARPDSAXCBDDR-UHFFFAOYSA-N 0.000 description 1
- DWMSVLWLDGKDBX-UHFFFAOYSA-N C=C(C)C(=O)OCCOCCC[Si](C)(C)O[Si](C)(C)O[Si](C)(C)CCCC.C=COC(=O)NCCC[Si](O[Si](C)(C)C)(O[Si](C)(C)C)O[Si](C)(C)C Chemical compound C=C(C)C(=O)OCCOCCC[Si](C)(C)O[Si](C)(C)O[Si](C)(C)CCCC.C=COC(=O)NCCC[Si](O[Si](C)(C)C)(O[Si](C)(C)C)O[Si](C)(C)C DWMSVLWLDGKDBX-UHFFFAOYSA-N 0.000 description 1
- JIGUQPWFLRLWPJ-UHFFFAOYSA-N C=CC(=O)OCC Chemical compound C=CC(=O)OCC JIGUQPWFLRLWPJ-UHFFFAOYSA-N 0.000 description 1
- DFBXGZZPCZVJKQ-UHFFFAOYSA-N C=COC(=O)OCCCC[Si](C)(C)O[Si](C)(C)O[Si](C)(C)CCCCOC(=O)OC=C Chemical compound C=COC(=O)OCCCC[Si](C)(C)O[Si](C)(C)O[Si](C)(C)CCCCOC(=O)OC=C DFBXGZZPCZVJKQ-UHFFFAOYSA-N 0.000 description 1
- UQEAIHBTYFGYIE-UHFFFAOYSA-N C[Si](C)(C)O[Si](C)(C)C Chemical compound C[Si](C)(C)O[Si](C)(C)C UQEAIHBTYFGYIE-UHFFFAOYSA-N 0.000 description 1
- OYPRJOBELJOOCE-UHFFFAOYSA-N Calcium Chemical compound [Ca] OYPRJOBELJOOCE-UHFFFAOYSA-N 0.000 description 1
- KRKNYBCHXYNGOX-UHFFFAOYSA-K Citrate Chemical compound [O-]C(=O)CC(O)(CC([O-])=O)C([O-])=O KRKNYBCHXYNGOX-UHFFFAOYSA-K 0.000 description 1
- 239000012988 Dithioester Substances 0.000 description 1
- WQZGKKKJIJFFOK-GASJEMHNSA-N Glucose Natural products OC[C@H]1OC(O)[C@H](O)[C@@H](O)[C@@H]1O WQZGKKKJIJFFOK-GASJEMHNSA-N 0.000 description 1
- DGAQECJNVWCQMB-PUAWFVPOSA-M Ilexoside XXIX Chemical compound C[C@@H]1CC[C@@]2(CC[C@@]3(C(=CC[C@H]4[C@]3(CC[C@@H]5[C@@]4(CC[C@@H](C5(C)C)OS(=O)(=O)[O-])C)C)[C@@H]2[C@]1(C)O)C)C(=O)O[C@H]6[C@@H]([C@H]([C@@H]([C@H](O6)CO)O)O)O.[Na+] DGAQECJNVWCQMB-PUAWFVPOSA-M 0.000 description 1
- 239000005058 Isophorone diisocyanate Substances 0.000 description 1
- 239000004698 Polyethylene Substances 0.000 description 1
- GOOHAUXETOMSMM-UHFFFAOYSA-N Propylene oxide Chemical compound CC1CO1 GOOHAUXETOMSMM-UHFFFAOYSA-N 0.000 description 1
- BLRPTPMANUNPDV-UHFFFAOYSA-N Silane Chemical compound [SiH4] BLRPTPMANUNPDV-UHFFFAOYSA-N 0.000 description 1
- 239000004809 Teflon Substances 0.000 description 1
- 229920006362 Teflon® Polymers 0.000 description 1
- 229920002359 Tetronic® Polymers 0.000 description 1
- GSEJCLTVZPLZKY-UHFFFAOYSA-N Triethanolamine Chemical compound OCCN(CCO)CCO GSEJCLTVZPLZKY-UHFFFAOYSA-N 0.000 description 1
- 229920006311 Urethane elastomer Polymers 0.000 description 1
- AOEJEPXMIDZGDD-UHFFFAOYSA-N [(4-tert-butyl-2-hydroxycyclohexyl)amino] 2-methylprop-2-enoate Chemical compound CC(=C)C(=O)ONC1CCC(C(C)(C)C)CC1O AOEJEPXMIDZGDD-UHFFFAOYSA-N 0.000 description 1
- PODDNPJWQAULFB-UHFFFAOYSA-N [1-(2-methylbutan-2-yl)cycloheptyl] 2-methylprop-2-enoate Chemical compound CC(=C)C(=O)OC1(C(C)(C)CC)CCCCCC1 PODDNPJWQAULFB-UHFFFAOYSA-N 0.000 description 1
- PXUKGSMOLCOWIX-UHFFFAOYSA-N [1-(4-methylpentyl)cyclopentyl] prop-2-enoate Chemical compound CC(C)CCCC1(OC(=O)C=C)CCCC1 PXUKGSMOLCOWIX-UHFFFAOYSA-N 0.000 description 1
- PISMUIKNTLPALX-UHFFFAOYSA-N [5-hydroxy-2-(3-methylbutyl)cyclohexyl] 2-methylprop-2-enoate Chemical compound CC(C)CCC1CCC(O)CC1OC(=O)C(C)=C PISMUIKNTLPALX-UHFFFAOYSA-N 0.000 description 1
- NXSPLICBQVJDGV-UHFFFAOYSA-N [[2-hydroxy-5-(4-methylpentyl)cyclopentyl]amino] 2-methylprop-2-enoate Chemical compound CC(C)CCCC1CCC(O)C1NOC(=O)C(C)=C NXSPLICBQVJDGV-UHFFFAOYSA-N 0.000 description 1
- 238000009825 accumulation Methods 0.000 description 1
- 150000003926 acrylamides Chemical class 0.000 description 1
- 230000002411 adverse Effects 0.000 description 1
- 230000004075 alteration Effects 0.000 description 1
- XAGFODPZIPBFFR-UHFFFAOYSA-N aluminium Chemical compound [Al] XAGFODPZIPBFFR-UHFFFAOYSA-N 0.000 description 1
- 229910052782 aluminium Inorganic materials 0.000 description 1
- 150000001408 amides Chemical class 0.000 description 1
- 150000001413 amino acids Chemical class 0.000 description 1
- 239000002518 antifoaming agent Substances 0.000 description 1
- 239000004599 antimicrobial Substances 0.000 description 1
- 239000003963 antioxidant agent Substances 0.000 description 1
- 230000003078 antioxidant effect Effects 0.000 description 1
- 238000013459 approach Methods 0.000 description 1
- 239000007864 aqueous solution Substances 0.000 description 1
- QVGXLLKOCUKJST-UHFFFAOYSA-N atomic oxygen Chemical compound [O] QVGXLLKOCUKJST-UHFFFAOYSA-N 0.000 description 1
- 230000010065 bacterial adhesion Effects 0.000 description 1
- 230000008901 benefit Effects 0.000 description 1
- WQZGKKKJIJFFOK-VFUOTHLCSA-N beta-D-glucose Chemical compound OC[C@H]1O[C@@H](O)[C@H](O)[C@@H](O)[C@@H]1O WQZGKKKJIJFFOK-VFUOTHLCSA-N 0.000 description 1
- 239000000560 biocompatible material Substances 0.000 description 1
- 229910021538 borax Inorganic materials 0.000 description 1
- KGBXLFKZBHKPEV-UHFFFAOYSA-N boric acid Chemical compound OB(O)O KGBXLFKZBHKPEV-UHFFFAOYSA-N 0.000 description 1
- 239000004327 boric acid Substances 0.000 description 1
- 235000010338 boric acid Nutrition 0.000 description 1
- 125000000484 butyl group Chemical group [H]C([*])([H])C([H])([H])C([H])([H])C([H])([H])[H] 0.000 description 1
- 239000001110 calcium chloride Substances 0.000 description 1
- 229910001628 calcium chloride Inorganic materials 0.000 description 1
- 125000001951 carbamoylamino group Chemical group C(N)(=O)N* 0.000 description 1
- 125000003178 carboxy group Chemical group [H]OC(*)=O 0.000 description 1
- 125000002091 cationic group Chemical group 0.000 description 1
- 230000008859 change Effects 0.000 description 1
- 238000001311 chemical methods and process Methods 0.000 description 1
- 235000015165 citric acid Nutrition 0.000 description 1
- 238000004140 cleaning Methods 0.000 description 1
- 239000003086 colorant Substances 0.000 description 1
- 239000012141 concentrate Substances 0.000 description 1
- 238000010276 construction Methods 0.000 description 1
- 210000004087 cornea Anatomy 0.000 description 1
- 239000007822 coupling agent Substances 0.000 description 1
- 239000008367 deionised water Substances 0.000 description 1
- 229910021641 deionized water Inorganic materials 0.000 description 1
- 239000008121 dextrose Substances 0.000 description 1
- 238000000502 dialysis Methods 0.000 description 1
- ZBCBWPMODOFKDW-UHFFFAOYSA-N diethanolamine Chemical compound OCCNCCO ZBCBWPMODOFKDW-UHFFFAOYSA-N 0.000 description 1
- 125000005442 diisocyanate group Chemical group 0.000 description 1
- 238000003618 dip coating Methods 0.000 description 1
- KPUWHANPEXNPJT-UHFFFAOYSA-N disiloxane Chemical class [SiH3]O[SiH3] KPUWHANPEXNPJT-UHFFFAOYSA-N 0.000 description 1
- 239000002270 dispersing agent Substances 0.000 description 1
- 239000006185 dispersion Substances 0.000 description 1
- 238000009826 distribution Methods 0.000 description 1
- 125000005022 dithioester group Chemical group 0.000 description 1
- 239000003995 emulsifying agent Substances 0.000 description 1
- KZJNAICCMJTRKF-UHFFFAOYSA-N ethenyl 2-trimethylsilylethyl carbonate Chemical compound C[Si](C)(C)CCOC(=O)OC=C KZJNAICCMJTRKF-UHFFFAOYSA-N 0.000 description 1
- KRAZQXAPJAYYJI-UHFFFAOYSA-N ethenyl trimethylsilylmethyl carbonate Chemical compound C[Si](C)(C)COC(=O)OC=C KRAZQXAPJAYYJI-UHFFFAOYSA-N 0.000 description 1
- ZOOODBUHSVUZEM-UHFFFAOYSA-N ethoxymethanedithioic acid Chemical compound CCOC(S)=S ZOOODBUHSVUZEM-UHFFFAOYSA-N 0.000 description 1
- 238000003682 fluorination reaction Methods 0.000 description 1
- 125000003709 fluoroalkyl group Chemical group 0.000 description 1
- 229920001973 fluoroelastomer Polymers 0.000 description 1
- 239000011888 foil Substances 0.000 description 1
- 238000007429 general method Methods 0.000 description 1
- 239000011521 glass Substances 0.000 description 1
- 235000011187 glycerol Nutrition 0.000 description 1
- 150000002431 hydrogen Chemical group 0.000 description 1
- 125000004435 hydrogen atom Chemical group [H]* 0.000 description 1
- 230000005660 hydrophilic surface Effects 0.000 description 1
- 230000010354 integration Effects 0.000 description 1
- 230000007794 irritation Effects 0.000 description 1
- 229940119545 isobornyl methacrylate Drugs 0.000 description 1
- IQPQWNKOIGAROB-UHFFFAOYSA-N isocyanate group Chemical group [N-]=C=O IQPQWNKOIGAROB-UHFFFAOYSA-N 0.000 description 1
- NIMLQBUJDJZYEJ-UHFFFAOYSA-N isophorone diisocyanate Chemical compound CC1(C)CC(N=C=O)CC(C)(CN=C=O)C1 NIMLQBUJDJZYEJ-UHFFFAOYSA-N 0.000 description 1
- 239000000644 isotonic solution Substances 0.000 description 1
- 210000001542 lens epithelial cell Anatomy 0.000 description 1
- 239000000314 lubricant Substances 0.000 description 1
- 229910001629 magnesium chloride Inorganic materials 0.000 description 1
- 238000003760 magnetic stirring Methods 0.000 description 1
- 239000011159 matrix material Substances 0.000 description 1
- 229940127554 medical product Drugs 0.000 description 1
- 125000001570 methylene group Chemical group [H]C([H])([*:1])[*:2] 0.000 description 1
- 230000000813 microbial effect Effects 0.000 description 1
- 239000001301 oxygen Substances 0.000 description 1
- 229910052760 oxygen Inorganic materials 0.000 description 1
- 230000035699 permeability Effects 0.000 description 1
- 230000000704 physical effect Effects 0.000 description 1
- 229920001983 poloxamer Polymers 0.000 description 1
- 229920000573 polyethylene Polymers 0.000 description 1
- 230000000379 polymerizing effect Effects 0.000 description 1
- 239000001103 potassium chloride Substances 0.000 description 1
- 235000011164 potassium chloride Nutrition 0.000 description 1
- 239000001508 potassium citrate Substances 0.000 description 1
- 229960002635 potassium citrate Drugs 0.000 description 1
- QEEAPRPFLLJWCF-UHFFFAOYSA-K potassium citrate (anhydrous) Chemical compound [K+].[K+].[K+].[O-]C(=O)CC(O)(CC([O-])=O)C([O-])=O QEEAPRPFLLJWCF-UHFFFAOYSA-K 0.000 description 1
- 235000011082 potassium citrates Nutrition 0.000 description 1
- 238000002360 preparation method Methods 0.000 description 1
- 238000012545 processing Methods 0.000 description 1
- 239000000047 product Substances 0.000 description 1
- 239000008213 purified water Substances 0.000 description 1
- 230000009257 reactivity Effects 0.000 description 1
- 230000000717 retained effect Effects 0.000 description 1
- 238000007151 ring opening polymerisation reaction Methods 0.000 description 1
- 150000003839 salts Chemical class 0.000 description 1
- 229910000077 silane Inorganic materials 0.000 description 1
- 150000003376 silicon Chemical class 0.000 description 1
- 150000003377 silicon compounds Chemical class 0.000 description 1
- 229920002379 silicone rubber Polymers 0.000 description 1
- 125000004469 siloxy group Chemical group [SiH3]O* 0.000 description 1
- 235000017557 sodium bicarbonate Nutrition 0.000 description 1
- 229910000030 sodium bicarbonate Inorganic materials 0.000 description 1
- 239000011780 sodium chloride Substances 0.000 description 1
- FAPWRFPIFSIZLT-UHFFFAOYSA-M sodium chloride Inorganic materials [Na+].[Cl-] FAPWRFPIFSIZLT-UHFFFAOYSA-M 0.000 description 1
- 235000010339 sodium tetraborate Nutrition 0.000 description 1
- 239000011343 solid material Substances 0.000 description 1
- 241000894007 species Species 0.000 description 1
- 238000005507 spraying Methods 0.000 description 1
- 238000003860 storage Methods 0.000 description 1
- 238000012360 testing method Methods 0.000 description 1
- 239000002562 thickening agent Substances 0.000 description 1
- UHUUYVZLXJHWDV-UHFFFAOYSA-N trimethyl(methylsilyloxy)silane Chemical compound C[SiH2]O[Si](C)(C)C UHUUYVZLXJHWDV-UHFFFAOYSA-N 0.000 description 1
- USFMMZYROHDWPJ-UHFFFAOYSA-N trimethyl-[2-(2-methylprop-2-enoyloxy)ethyl]azanium Chemical class CC(=C)C(=O)OCC[N+](C)(C)C USFMMZYROHDWPJ-UHFFFAOYSA-N 0.000 description 1
- 125000000026 trimethylsilyl group Chemical group [H]C([H])([H])[Si]([*])(C([H])([H])[H])C([H])([H])[H] 0.000 description 1
- BSVBQGMMJUBVOD-UHFFFAOYSA-N trisodium borate Chemical compound [Na+].[Na+].[Na+].[O-]B([O-])[O-] BSVBQGMMJUBVOD-UHFFFAOYSA-N 0.000 description 1
- 229960000281 trometamol Drugs 0.000 description 1
- 239000006097 ultraviolet radiation absorber Substances 0.000 description 1
- 150000003673 urethanes Chemical class 0.000 description 1
- 238000009736 wetting Methods 0.000 description 1
Images
Classifications
-
- G—PHYSICS
- G02—OPTICS
- G02B—OPTICAL ELEMENTS, SYSTEMS OR APPARATUS
- G02B1/00—Optical elements characterised by the material of which they are made; Optical coatings for optical elements
- G02B1/04—Optical elements characterised by the material of which they are made; Optical coatings for optical elements made of organic materials, e.g. plastics
- G02B1/041—Lenses
- G02B1/043—Contact lenses
-
- A—HUMAN NECESSITIES
- A61—MEDICAL OR VETERINARY SCIENCE; HYGIENE
- A61L—METHODS OR APPARATUS FOR STERILISING MATERIALS OR OBJECTS IN GENERAL; DISINFECTION, STERILISATION OR DEODORISATION OF AIR; CHEMICAL ASPECTS OF BANDAGES, DRESSINGS, ABSORBENT PADS OR SURGICAL ARTICLES; MATERIALS FOR BANDAGES, DRESSINGS, ABSORBENT PADS OR SURGICAL ARTICLES
- A61L27/00—Materials for grafts or prostheses or for coating grafts or prostheses
- A61L27/28—Materials for coating prostheses
- A61L27/34—Macromolecular materials
-
- A—HUMAN NECESSITIES
- A61—MEDICAL OR VETERINARY SCIENCE; HYGIENE
- A61L—METHODS OR APPARATUS FOR STERILISING MATERIALS OR OBJECTS IN GENERAL; DISINFECTION, STERILISATION OR DEODORISATION OF AIR; CHEMICAL ASPECTS OF BANDAGES, DRESSINGS, ABSORBENT PADS OR SURGICAL ARTICLES; MATERIALS FOR BANDAGES, DRESSINGS, ABSORBENT PADS OR SURGICAL ARTICLES
- A61L31/00—Materials for other surgical articles, e.g. stents, stent-grafts, shunts, surgical drapes, guide wires, materials for adhesion prevention, occluding devices, surgical gloves, tissue fixation devices
- A61L31/08—Materials for coatings
- A61L31/10—Macromolecular materials
-
- C—CHEMISTRY; METALLURGY
- C08—ORGANIC MACROMOLECULAR COMPOUNDS; THEIR PREPARATION OR CHEMICAL WORKING-UP; COMPOSITIONS BASED THEREON
- C08F—MACROMOLECULAR COMPOUNDS OBTAINED BY REACTIONS ONLY INVOLVING CARBON-TO-CARBON UNSATURATED BONDS
- C08F130/00—Homopolymers of compounds having one or more unsaturated aliphatic radicals, each having only one carbon-to-carbon double bond, and containing phosphorus, selenium, tellurium or a metal
- C08F130/04—Homopolymers of compounds having one or more unsaturated aliphatic radicals, each having only one carbon-to-carbon double bond, and containing phosphorus, selenium, tellurium or a metal containing a metal
- C08F130/08—Homopolymers of compounds having one or more unsaturated aliphatic radicals, each having only one carbon-to-carbon double bond, and containing phosphorus, selenium, tellurium or a metal containing a metal containing silicon
-
- C—CHEMISTRY; METALLURGY
- C08—ORGANIC MACROMOLECULAR COMPOUNDS; THEIR PREPARATION OR CHEMICAL WORKING-UP; COMPOSITIONS BASED THEREON
- C08F—MACROMOLECULAR COMPOUNDS OBTAINED BY REACTIONS ONLY INVOLVING CARBON-TO-CARBON UNSATURATED BONDS
- C08F230/00—Copolymers of compounds having one or more unsaturated aliphatic radicals, each having only one carbon-to-carbon double bond, and containing phosphorus, selenium, tellurium or a metal
-
- C—CHEMISTRY; METALLURGY
- C08—ORGANIC MACROMOLECULAR COMPOUNDS; THEIR PREPARATION OR CHEMICAL WORKING-UP; COMPOSITIONS BASED THEREON
- C08F—MACROMOLECULAR COMPOUNDS OBTAINED BY REACTIONS ONLY INVOLVING CARBON-TO-CARBON UNSATURATED BONDS
- C08F293/00—Macromolecular compounds obtained by polymerisation on to a macromolecule having groups capable of inducing the formation of new polymer chains bound exclusively at one or both ends of the starting macromolecule
- C08F293/005—Macromolecular compounds obtained by polymerisation on to a macromolecule having groups capable of inducing the formation of new polymer chains bound exclusively at one or both ends of the starting macromolecule using free radical "living" or "controlled" polymerisation, e.g. using a complexing agent
-
- C—CHEMISTRY; METALLURGY
- C08—ORGANIC MACROMOLECULAR COMPOUNDS; THEIR PREPARATION OR CHEMICAL WORKING-UP; COMPOSITIONS BASED THEREON
- C08J—WORKING-UP; GENERAL PROCESSES OF COMPOUNDING; AFTER-TREATMENT NOT COVERED BY SUBCLASSES C08B, C08C, C08F, C08G or C08H
- C08J7/00—Chemical treatment or coating of shaped articles made of macromolecular substances
- C08J7/04—Coating
- C08J7/056—Forming hydrophilic coatings
-
- A—HUMAN NECESSITIES
- A61—MEDICAL OR VETERINARY SCIENCE; HYGIENE
- A61M—DEVICES FOR INTRODUCING MEDIA INTO, OR ONTO, THE BODY; DEVICES FOR TRANSDUCING BODY MEDIA OR FOR TAKING MEDIA FROM THE BODY; DEVICES FOR PRODUCING OR ENDING SLEEP OR STUPOR
- A61M25/00—Catheters; Hollow probes
- A61M25/0043—Catheters; Hollow probes characterised by structural features
- A61M25/0045—Catheters; Hollow probes characterised by structural features multi-layered, e.g. coated
-
- C—CHEMISTRY; METALLURGY
- C08—ORGANIC MACROMOLECULAR COMPOUNDS; THEIR PREPARATION OR CHEMICAL WORKING-UP; COMPOSITIONS BASED THEREON
- C08F—MACROMOLECULAR COMPOUNDS OBTAINED BY REACTIONS ONLY INVOLVING CARBON-TO-CARBON UNSATURATED BONDS
- C08F2438/00—Living radical polymerisation
- C08F2438/03—Use of a di- or tri-thiocarbonylthio compound, e.g. di- or tri-thioester, di- or tri-thiocarbamate, or a xanthate as chain transfer agent, e.g . Reversible Addition Fragmentation chain Transfer [RAFT] or Macromolecular Design via Interchange of Xanthates [MADIX]
-
- C—CHEMISTRY; METALLURGY
- C08—ORGANIC MACROMOLECULAR COMPOUNDS; THEIR PREPARATION OR CHEMICAL WORKING-UP; COMPOSITIONS BASED THEREON
- C08J—WORKING-UP; GENERAL PROCESSES OF COMPOUNDING; AFTER-TREATMENT NOT COVERED BY SUBCLASSES C08B, C08C, C08F, C08G or C08H
- C08J2343/00—Characterised by the use of homopolymers or copolymers of compounds having one or more unsaturated aliphatic radicals, each having only one carbon-to-carbon double bond, and containing boron, silicon, phosphorus, selenium, tellurium or a metal; Derivatives of such polymers
- C08J2343/04—Homopolymers or copolymers of monomers containing silicon
-
- C—CHEMISTRY; METALLURGY
- C08—ORGANIC MACROMOLECULAR COMPOUNDS; THEIR PREPARATION OR CHEMICAL WORKING-UP; COMPOSITIONS BASED THEREON
- C08J—WORKING-UP; GENERAL PROCESSES OF COMPOUNDING; AFTER-TREATMENT NOT COVERED BY SUBCLASSES C08B, C08C, C08F, C08G or C08H
- C08J2383/00—Characterised by the use of macromolecular compounds obtained by reactions forming in the main chain of the macromolecule a linkage containing silicon with or without sulfur, nitrogen, oxygen, or carbon only; Derivatives of such polymers
-
- Y—GENERAL TAGGING OF NEW TECHNOLOGICAL DEVELOPMENTS; GENERAL TAGGING OF CROSS-SECTIONAL TECHNOLOGIES SPANNING OVER SEVERAL SECTIONS OF THE IPC; TECHNICAL SUBJECTS COVERED BY FORMER USPC CROSS-REFERENCE ART COLLECTIONS [XRACs] AND DIGESTS
- Y10—TECHNICAL SUBJECTS COVERED BY FORMER USPC
- Y10T—TECHNICAL SUBJECTS COVERED BY FORMER US CLASSIFICATION
- Y10T428/00—Stock material or miscellaneous articles
- Y10T428/31504—Composite [nonstructural laminate]
- Y10T428/31536—Including interfacial reaction product of adjacent layers
-
- Y—GENERAL TAGGING OF NEW TECHNOLOGICAL DEVELOPMENTS; GENERAL TAGGING OF CROSS-SECTIONAL TECHNOLOGIES SPANNING OVER SEVERAL SECTIONS OF THE IPC; TECHNICAL SUBJECTS COVERED BY FORMER USPC CROSS-REFERENCE ART COLLECTIONS [XRACs] AND DIGESTS
- Y10—TECHNICAL SUBJECTS COVERED BY FORMER USPC
- Y10T—TECHNICAL SUBJECTS COVERED BY FORMER US CLASSIFICATION
- Y10T428/00—Stock material or miscellaneous articles
- Y10T428/31504—Composite [nonstructural laminate]
- Y10T428/31652—Of asbestos
- Y10T428/31663—As siloxane, silicone or silane
Definitions
- This invention relates to coating solutions comprising a new class of tailored polymers useful as surface coatings for ophthalmic devices.
- These polymers can be specifically tailored using controlled radical polymerization processes and contain a number of functional domains. Controlled radical polymerization allows the facile synthesis of segmented block copolymers with tunable chemical composition that, as a result, show different chemical properties than those prepared via conventional free radical polymerization. Surface active segmented block copolymers show good surface properties when associated with substrates.
- Medical devices such as ophthalmic lenses are made from a wide variety of materials.
- materials are broadly categorized into conventional hydrogels or silicone hydrogels.
- silicone-containing materials silicone hydrogels
- These materials can vary greatly in water content.
- silicone materials tend to be relatively hydrophobic, non-wettable, and have a high affinity for lipids.
- Methods to modify the surface of silicone devices by increasing their hydrophilicity and improving their biocompatibility are of great importance.
- U.S. Pat. No. 6,958,169 discloses providing a medical device formed from a monomer mixture comprising a hydrophilic device-forming monomer including a copolymerizable group and an electron donating moiety, and a second device-forming monomer including a copolymerizable group and a surface active functional group; and, contacting a surface of the medical device with a wetting agent including a proton donating moiety reactive with the functional group provided by the second lens-forming monomer and that complexes with the electron donating moiety provided by the hydrophilic lens-forming monomer.
- U.S. Pat. No. 6,858,310 discloses a method of modifying the surface of a medical device to increase its biocompatibility or hydrophilicity by coating the device with a removable hydrophilic polymer by means of reaction between reactive functionalities on the hydrophilic polymer with functionalities that are complementary on or near the surface of the medical device.
- U.S. Pat. No. 6,599,559 discloses a method of modifying the surface of a medical device to increase its biocompatibility or hydrophilicity by coating the device with a removable hydrophilic polymer by means of reaction between reactive functionalities on the hydrophilic polymer which functionalities are complementary to reactive functionalities on or near the surface of the medical device.
- U.S. Pat. No. 6,428,839 discloses a method for improving the wettability of a medical device, comprising the steps of: (a) providing a medical device formed from a monomer mixture comprising a hydrophilic monomer and a silicone-containing monomer, wherein said medical device has not been subjected to a surface oxidation treatment; (b) contacting a surface of the medical device with a solution comprising a proton-donating wetting agent, whereby the wetting agent forms a complex with the hydrophilic monomer on the surface of the medical device in the absence of a surface oxidation treatment step and without the addition of a coupling agent.
- block copolymers can now be prepared from a wide variety of vinyl based monomers. This opens up the toolbox for polymer chemists to synthesize countless number of block copolymer compositions.
- surfactants there is a lot of chemical diversity in the selection of both the hydrophobic moieties and the hydrophilic moieties.
- Surfactants or “surface active agents” lower the surface tension of water or other liquids and concentrate at the surface of the liquid.
- Surfactants have a common structural feature in which one portion of the surfactant molecule is highly polar or even ionic (hydrophilic or water loving) and the other portion is largely non-polar (hydrophobic or water fearing). The relationship of these two structural parts of the molecule with respect to each other controls the properties of the surfactant.
- a block copolymer surfactant is prepared via RAFT polymerization that contains a hydrophilic block (NVP or DMA), and a silicone containing hydrophobic block (TRIS-VC or M1-MCR-C12), where the surfactant is used to treat a silicone containing substrate (i.e. silicone hydrogel or a silicone elastomer).
- RAFT polymerization that contains a hydrophilic block (NVP or DMA), and a silicone containing hydrophobic block (TRIS-VC or M1-MCR-C12), where the surfactant is used to treat a silicone containing substrate (i.e. silicone hydrogel or a silicone elastomer).
- a surface modified medical device comprising a medical device and a surface active segmented block copolymer comprising a hydrophobic unit block comprising vinylically unsaturated polymerizable monomers and a hydrophilic block comprising vinylically unsaturated polymerizable monomers applied to the surface of the medical device.
- the invention relates generally to coating solutions comprising surface active segmented block copolymers for forming coatings in the manufacture of medical devices.
- suitable devices include of heart valves, intraocular lenses, intraocular lens inserter, contact lenses, intrauterine devices, vessel substitutes, artificial ureters, vascular stents, phakic intraocular lenses, aphakic intraocular lenses, corneal implants, catheters, implants, endoscopic instruments, artificial breast tissue and the like.
- polymers with allyl end groups can be prepared.
- the terminal halogen can also be displaced by nucleophilic substitution, free-radical chemistry, or electrophilic addition catalyzed by Lewis acids to yield a wide variety of telechelic derivatives, such as alkenes, alkynes, alcohols, thiols, alkanes, azides, amines, phosphoniums, or epoxy groups, to mention a few.
- RAFT Reversible addition-fragmentation chain transfer polymerization
- R 1 is a radical forming residue of a RAFT agent or free radical initiator
- A is a hydrophobic unit block
- B is a hydrophilic unit block
- m is 1 to 10,000
- n is 1 to 10,000
- p and q are natural numbers
- R 2 is a thio carbonyl thio fragment of the chain transfer agent.
- RAFT agents based upon thio carbonyl thio chemistry are well known to those of ordinary skill in the art and would include, for example, xanthates, trithiocarbonates and dithio esters. It should be noted that there are many processes for the post polymerization removal or transformation of the thio carbonyl thio fragment of the chain transfer agent which are known to one of ordinary skill in the art.
- polymers prepared using RAFT agent according to the invention herein would include those where R 2 is a thio carbonyl thio fragment of the chain transfer agent and those polymers that have undergone post polymerization removal or transformation of the thio carbonyl thio fragment of the chain transfer agent (i.e., a derivatized reaction product).
- R 2 is a thio carbonyl thio fragment of the chain transfer agent
- a transformation is the use of free radical reducing agents to replace the thio carbonyl thio group with hydrogen.
- Others include thermolysis of the end group or conversion of the thio carbonyl thio groups to thiol groups by aminolysis.
- a wide variety of telechelic derivatives can be prepared, such as alkenes, alkynes, alcohols, thiols,
- RAFT reversible addition-fragmentation chain transfer polymerization
- R1 is a radical forming residue of a RAFT agent or free radical initiator
- A is a hydrophobic unit block
- B is a hydrophilic unit block
- m is 1 to 10,000
- n is 1 to 10,000
- p and q are natural numbers
- R2 is a thio carbonyl group.
- the order of the block units is not critical and the surface active segmented block copolymer can contain more than two blocks. Therefore the surface active segmented block copolymers can be multiblock copolymers and include repetition of one or more blocks.
- the nonlimiting representations below each of which is intended to fall within generic formula I, II and III:
- FIG. 1 is a schematic example of atom-transfer radical polymerization (ATRP) used to make a segmented block copolymer in which there is an oligomeric block of the hydrophobic unit at one end of the polymer followed by a large hydrophilic block;
- ATRP atom-transfer radical polymerization
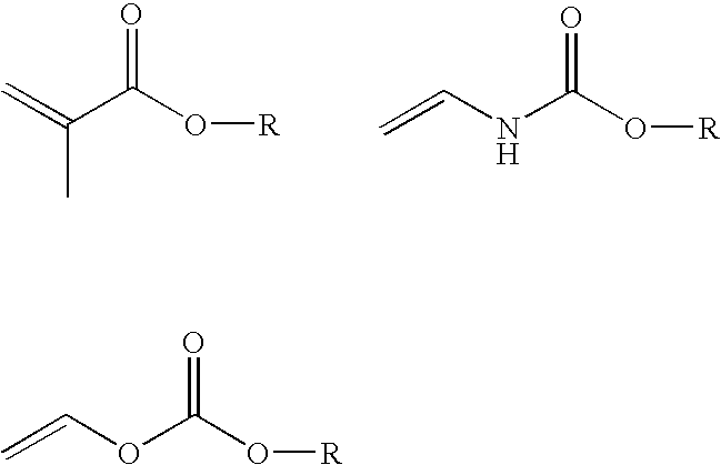
- FIG. 2 is the structural formula of various monomers which may be used to provide the hydrophobic unit of the segmented block copolymers of the invention herein;
- FIG. 3 is a reaction schematic showing how RAFT polymerization can be used to polymerize block copolymers with surface active domains.
- the present invention relates generally to coating solutions comprising surface active segmented block copolymers.
- Compositions comprising the surface active segmented block copolymers are useful in providing surface bound coatings in the manufacture of medical devices.
- the present invention relates to medical devices surface coated with surface active segmented block copolymers.
- surface as used to describe surface coating is not to be limited to meaning “at least one complete surface”. Surface coverage does not have to be even or complete to be effective for surface functionality.
- the surface active segmented block copolymers of the present invention are useful as coatings for biocompatible materials including both soft and rigid materials commonly used for ophthalmic lenses, including contact lenses.
- a method of forming a surface modified medical device comprising providing a medical device having at least one surface; providing a surface modifying agent comprising a surface active segmented block copolymer; and contacting the at least one surface of the medical device with the surface modifying agent to form a surface modified medical device.
- a surface modified medical device comprising a medical device; and a surface active segmented block copolymer comprising a hydrophobic unit block and a hydrophilic block applied to the surface of the medical device.
- the invention relates generally to coating solutions comprising surface active segmented block copolymers for forming coatings in the manufacture of medical devices.
- suitable devices include of heart valves, intraocular lenses, intraocular lens inserter, contact lenses, intrauterine devices, vessel substitutes, artificial ureters, vascular stents, phakic intraocular lenses, aphakic intraocular lenses, corneal implants, catheters, implants, endoscopic instruments, artificial breast tissue and the like.
- R 1 is the reactive residue of a moiety capable of acting as an initiator for Atom Transfer Radical Polymerization
- A is a hydrophobic unit block
- B is a hydrophilic unit block
- m is 1 to 10,000
- n is 1 to 10,000
- p and q are natural numbers
- X is a halogen capping group of the initiator for Atom Transfer Radical Polymerization.
- polymers prepared using ATRP according to the invention herein would include those where X is a halogen capping group of the initiator for Atom Transfer Radical Polymerization and those polymers that have undergone post polymerization removal or transformation of the halogen capping group of an initiator for Atom Transfer Radical Polymerization (i.e., derivatized reaction product).
- the polymers which contain halogen end-groups can be utilized in a host of traditional alkyl halide organic reactions.
- the addition of tributyltin hydride to the polymeric alkyl halide in the presence of a radical source (AIBN, or Cu(I) complex) leads to a saturated hydrogen-terminated polymer.
- polymers with allyl end groups can be prepared.
- the terminal halogen can also be displaced by nucleophilic substitution, free-radical chemistry, or electrophilic addition catalyzed by Lewis acids to yield a wide variety of telechelic derivatives, such as alkenes, alkynes, alcohols, thiols, alkanes, azides, amines, phosphoniums, or epoxy groups, to mention a few.
- RAFT Reversible addition-fragmentation chain transfer polymerization
- R 1 is a radical forming residue of a RAFT agent or free radical initiator
- A is a hydrophobic unit block
- B is a hydrophilic unit block
- m is 1 to 10,000
- n is 1 to 10,000
- p and q are natural numbers
- R 2 is a thio carbonyl thio fragment of the chain transfer agent with the proviso that when A is an ionic block, B will be a nonionic block.
- polymers prepared using RAFT agent according to the invention herein would include those where R 2 is a thio carbonyl thio fragment of the chain transfer agent and those polymers that have undergone post polymerization removal or transformation of the thio carbonyl thio fragment of the chain transfer agent (i.e., a derivatized reaction product).
- R 2 is a thio carbonyl thio fragment of the chain transfer agent
- a transformation is the use of free radical reducing agents to replace the thio carbonyl thio group with hydrogen.
- Others include thermolysis of the end group or conversion of the thio carbonyl thio groups to thiol groups by aminolysis.
- a wide variety of telechelic derivatives can be prepared, such as alkenes, alkynes, alcohols, thiols,
- RAFT reversible addition-fragmentation chain transfer polymerization
- R1 is a radical forming residue of a RAFT agent or free radical initiator
- A is a hydrophobic unit block
- B is a hydrophilic unit block
- m is 1 to 10,000
- n is 1 to 10,000
- p and q are natural numbers
- R2 is a thio carbonyl thio group.
- the order of the block units is not critical and the surface active segmented block copolymer can contain more than two blocks. Therefore the surface active segmented block copolymers can be multiblock copolymers and include repetition of one or more blocks.
- the nonlimiting representations below each of which is intended to fall within generic formula I, II and III:
- the present invention provides materials useful for surface modifying contact lenses and like medical devices through the use of surface active functionality. Although only contact lenses will be referred to hereinafter for purposes of simplicity, such reference is not intended to be limiting since the subject method is suitable for surface modification of other medical devices such as phakic and aphakic intraocular lenses and corneal implants as well as contact lenses.
- the preferred surface active segmented block copolymers in the present invention are selected based on the polymeric material to be coated.
- the surface active segmented block copolymer comprises a hydrophobic unit block.
- the hydrophobic unit block can be made of vinylically unsaturated polymerizable monomers.
- Examples of hydrophobic vinylically unsaturated polymerizable monomers would include alkyl acrylates such as hexyl methacrylate and lauryl methacrylate, fluoroacrylates such as octofluoropentamethacrylate and 3,3,4,4,5,5,6,6,7,7,8,8-tridecafluorooctyl methacrylate (TDFM) and polysiloxanylalkyl(meth)acrylic monomers such as TRIS-VC and M1-MCR-C12.
- alkyl acrylates such as hexyl methacrylate and lauryl methacrylate
- fluoroacrylates such as octofluoropentamethacrylate and 3,3,4,4,5,5,6,6,7,7,8,8-tridecafluorooctyl
- the hydrophobic unit block can be varied and is selected based upon the intended use of the surface active segmented block copolymers. That is, the hydrophobic unit block of the surface active segmented block copolymers is selected to provide a composition that is complementary with the surface of the device.
- Selection of the hydrophobic unit monomer of the block copolymer is determined by the surface of the device.
- a monomer containing fluoroalkyl substituents i.e. octafluoropentyl methacrylate
- silicone containing monomers i.e. TRIS-methacrylate or TRIS-VC
- TRIS-VC silicone containing monomers
- R can consist of alkyl, fluoroalkyl, siloxy, or branched silicone.
- Non-limiting examples would include methacryloxypropyl tris(trimethylsiloxy)silane or tris(trimethylsiloxy)silylpropyl methacrylate, 3-(trimethylsilyl)propyl vinyl carbonate; 3-(vinyloxycarbonylthio)propyl-[tris(trimethylsiloxy)silane]; 3-[tris(trimethylsiloxy)silyl]propyl vinyl carbamate; 3-[tris(trimethylsiloxy)silyl]propyl allyl carbamate; 3-[tris(trimethylsiloxy)silyl]propyl vinyl carbonate; hexyl methacrylate, dodecyl methacrylate, lauryl methacrylate, hexyl vinyl carbamate, hexyl vinyl carbonate, octafluoropentamethacrylate, and octafluoropenta vinyl carbamate.
- the hydrophobic unit block of the surface active segmented block copolymers is oligomeric or polymeric and is sized to provide suitable association with the surface of the medical device to be coated. Therefore the variable m of formula I, II or III can be between 1 and about 1000, preferably between 1 and about 100, most preferably between 1 and about 30.
- the surface active segmented block copolymers of the invention herein will also contain hydrophilic domain(s) showing good surface properties when the block copolymer is coated onto the substrates.
- the hydrophilic domain(s) can be made of vinylically unsaturated polymerizable monomers such as, HEMA, glycerol methacrylate, methacrylic acid (“MAA”), acrylic acid (“AA”), methacrylamide, acrylamide, N,N′-dimethylmethacrylamide, or N,N′-dimethylacrylamide; copolymers thereof; hydrophilic prepolymers, such as ethylenically unsaturated poly(alkylene oxide)s, cyclic lactams such as N-vinyl-2-pyrrolidone (“NVP”), or derivatives thereof.
- Hydrophilic monomers can be nonionic monomers, such as 2-hydroxyethyl methacrylate (“HEMA”), 2-hydroxyethyl acrylate (“HEA”), 2-(2-ethoxyethoxy)ethyl(meth)acrylate, glyceryl(meth)acrylate, poly(ethylene glycol(meth)acrylate), tetrahydrofurfuryl(meth)acrylate, (meth)acrylamide, N,N′-dimethylmethacrylamide, N,N′-dimethylacrylamide(“DMA”), N-vinyl-2-pyrrolidone (or other N-vinyl lactams), N-vinyl acetamide, and combinations thereof.
- HEMA 2-hydroxyethyl methacrylate
- HOA 2-hydroxyethyl acrylate
- glyceryl(meth)acrylate poly(ethylene glycol(meth)acrylate),
- hydrophilic monomers are the vinyl carbonate and vinyl carbamate monomers disclosed in U.S. Pat. No. 5,070,215, and the hydrophilic oxazolone monomers disclosed in U.S. Pat. No. 4,910,277. The contents of these patents are incorporated herein by reference.
- the hydrophilic monomer also can be an anionic monomer, such as 2-methacryloyloxyethylsulfonate salts.
- Substituted anionic hydrophilic monomers such as from acrylic and methacrylic acid, can also be utilized wherein the substituted group can be removed by a facile chemical process.
- Non-limiting examples of such substituted anionic hydrophilic monomers include trimethylsilyl esters of (meth)acrylic acid, which are hydrolyzed to regenerate an anionic carboxyl group.
- the hydrophilic monomer also can be a cationic monomer selected from the group consisting of 3-methacrylamidopropyl-N,N,N-trimethyammonium salts, 2-methacryloyloxyethyl-N,N,N-trimethylammonium salts, and amine-containing monomers, such as 3-methacrylamidopropyl-N,N-dimethyl amine.
- Other suitable hydrophilic monomers will be apparent to one skilled in the art.
- the hydrophilic monomer block will be sized to provide the desirable surface coating property of the surface active segmented block copolymer.
- the size of the hydrophilic oligomeric or polymeric block may vary depending upon the substrate to be coated and the intended use. Therefore the variable n of formula I, II or III can be between 1 and about 10000, preferably between about 10 and about 1000, and more preferably between about 20 and about 300.
- Atom-transfer radical polymerization can be used to prepare segmented block copolymers in which the molecular weight of each of the blocks and the entire polymer can be precisely controlled.
- atom-transfer radical polymerization can be used to make a surface active segmented block copolymer in which there is a block of the hydrophobic unit at one end of the polymer followed by a large hydrophilic block.
- the order of addition of the monomer comprising the hydrophobic unit domain and the monomer comprising the hydrophilic domain is not critical. A large number of monomers are available for the assembly of polymers (For example, see FIG. 2 ).
- the surface active segmented block copolymers of the invention herein are useful in providing coatings for substrates.
- substrate materials useful with the present invention are taught in U.S. Pat. No. 5,908,906 to kunzler et al.; U.S. Pat. No. 5,714,557 to kunzler et al.; U.S. Pat. No. 5,710,302 to kunzler et al.; U.S. Pat. No. 5,708,094 to Lai et al.; U.S. Pat. No. 5,616,757 to Bambury et al.; U.S. Pat. No. 5,610,252 to Bambury et al.; U.S. Pat. No.
- the present invention contemplates the use of surface active segmented block copolymers with medical devices including both “hard” and “soft” contact lenses.
- the invention is applicable to a wide variety of materials.
- Hydrogels in general are a well-known class of materials that comprise hydrated, cross-linked polymeric systems containing water in an equilibrium state. Silicon containing hydrogels generally have water content greater than about 5 weight percent and more commonly between about 10 to about 80 weight percent. Such materials are usually prepared by polymerizing a mixture containing at least one silicon containing monomer and at least one hydrophilic monomer.
- either the silicon containing monomer or the hydrophilic monomer functions as a crosslinking agent (a crosslinker being defined as a monomer having multiple polymerizable functionalities) or a separate crosslinker may be employed.
- a crosslinker being defined as a monomer having multiple polymerizable functionalities
- Applicable silicon containing monomeric units for use in the formation of silicon containing hydrogels are well known in the art and numerous examples are provided in U.S. Pat. Nos. 4,136,250; 4,153,641; 4,740,533; 5,034,461; 5,070,215; 5,260,000; 5,310,779; and 5,358,995.
- Examples of applicable silicon-containing monomeric units include bulky polysiloxanylalkyl(meth)acrylic monomers.
- An example of bulky polysiloxanylalkyl(meth)acrylic monomers are represented by the following Formula IV:
- each R′ 2′ independently denotes a lower alkyl or phenyl radical; and h is 1 to 10.
- Some preferred bulky monomers are methacryloxypropyl tris(trimethyl-siloxy)silane or tris(trimethylsiloxy)silylpropyl methacrylate, sometimes referred to as TRIS.
- silicon containing vinyl carbonate or vinyl carbamate monomers such as: 1,3-bis[4-vinyloxycarbonyloxy)butyl]tetramethyl-disiloxane; 3-(trimethylsilyl)propyl vinyl carbonate; 3-(vinyloxycarbonylthio)propyl-[tris(trimethylsiloxy)silane]; 3-[tris(tri-methylsiloxy)silyl]propyl vinyl carbamate; 3-[tris(trimethylsiloxy)silyl]propyl allyl carbamate; 3-[tris(trimethylsiloxy)silyl]propyl vinyl carbonate; t-butyldimethylsiloxyethyl vinyl carbonate; trimethylsilylethyl vinyl carbonate; and trimethylsilylmethyl vinyl carbonate.
- silicon containing vinyl carbonate or vinyl carbamate monomers such as: 1,3-bis[4-vinyloxycarbonyloxy)butyl]tetramethyl-disi
- Y′ denotes —O—, —S— or —NH—
- R Si denotes a silicon containing organic radical
- R 3 denotes hydrogen or methyl
- d is 1, 2, 3 or 4; and q is 0 or 1.
- Suitable silicon containing organic radicals R Si include the following:
- p′ is 1 to 6;
- R 5 denotes an alkyl radical or a fluoroalkyl radical having 1 to 6 carbon atoms
- Formula VI An example of a particular species within Formula V is represented by Formula VI.
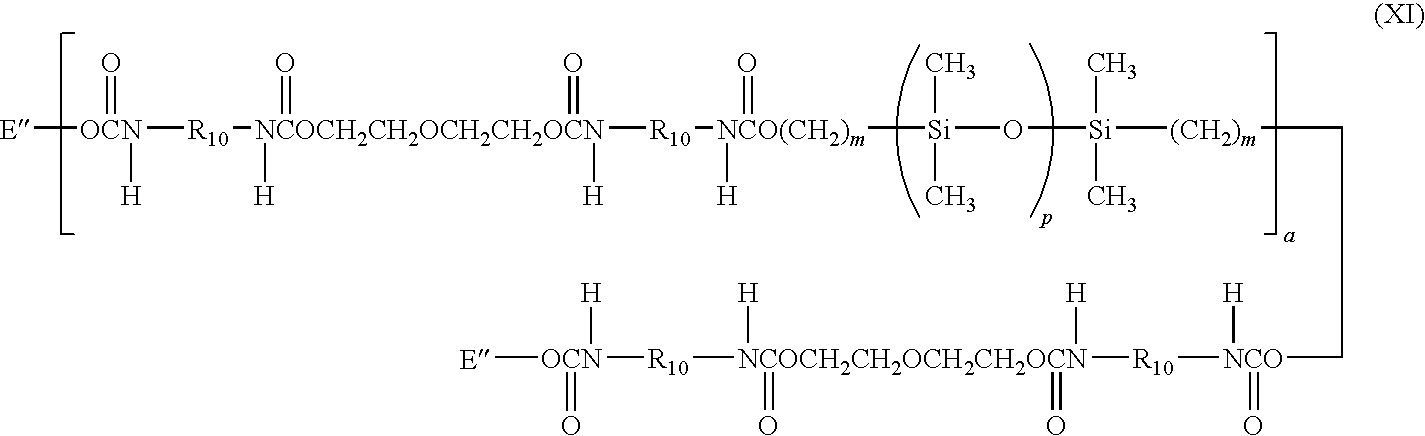
- silicon-containing monomers includes polyurethane-polysiloxane macromonomers (also sometimes referred to as prepolymers), which may have hard-soft-hard blocks like traditional urethane elastomers. They may be end-capped with a hydrophilic monomer such as HEMA.
- a hydrophilic monomer such as HEMA.
- Examples of such silicon containing urethanes are disclosed in a variety of publications, including Lai, Yu-Chin, “The Role of Bulky Polysiloxanylalkyl Methacrylates in Polyurethane-Polysiloxane Hydrogels,” Journal of Applied Polymer Science, Vol. 60, 1193-1199 (1996).
- PCT Published Application No. WO 96/31792 discloses examples of such monomers, which disclosure is hereby incorporated by reference in its entirety.
- Further examples of silicon containing urethane monomers are represented by Formulae VII and VIII:
- D denotes an alkyl diradical, an alkyl cycloalkyl diradical, a cycloalkyl diradical, an aryl diradical or an alkylaryl diradical having 6 to 30 carbon atoms;
- G denotes an alkyl diradical, a cycloalkyl diradical, an alkyl cycloalkyl diradical, an aryl diradical or an alkylaryl diradical having 1 to 40 carbon atoms and which may contain ether, thio or amine linkages in the main chain;
- a is at least 1;
- A denotes a divalent polymeric radical of Formula IX:
- R 6 is hydrogen or methyl
- R 7 is hydrogen, an alkyl radical having 1 to 6 carbon atoms, or a —CO—Y—R 9 radical wherein Y is —O—, —S— or —NH—;
- R 8 is a divalent alkylene radical having 1 to 10 carbon atoms
- R 9 is a alkyl radical having 1 to 12 carbon atoms
- X denotes —CO— or —OCO—
- Ar denotes an aromatic radical having 6 to 30 carbon atoms
- w is 0 to 6; x is 0 or 1; y is 0 or 1; and z is 0 or 1.
- m is at least 1 and is preferably 3 or 4
- a is at least 1 and preferably is 1
- p is a number which provides a moiety weight of 400 to 10,000 and is preferably at least 30
- R 10 is a diradical of a diisocyanate after removal of the isocyanate group, such as the diradical of isophorone diisocyanate
- each E′′ is a group represented by:
- a preferred silicon containing hydrogel material comprises (in the bulk monomer mixture that is copolymerized) 5 to 50 percent, preferably 10 to 25 percent, by weight of one or more silicon containing macromonomers, 5 to 75 percent, preferably 30 to 60 percent, by weight of one or more polysiloxanylalkyl(meth)acrylic monomers, and 10 to 50 percent, preferably 20 to 40 percent, by weight of a hydrophilic monomer.
- the silicon containing macromonomer is a poly(organosiloxane) capped with an unsaturated group at two or more ends of the molecule.
- the silane macromonomer is a silicon-containing vinyl carbonate or vinyl carbamate or a polyurethane-polysiloxane having one or more hard-soft-hard blocks and end-capped with a hydrophilic monomer.
- the monomer mix may, further as necessary and within limits not to impair the purpose and effect of the present invention, comprise various additives such as antioxidant, coloring agent, ultraviolet absorber and lubricant.
- the monomer mix may be prepared by using, according to the end-use and the like of the resulting shaped polymer articles, one or at least two of the above comonomers and oligomers and, when occasions demand, one or more crosslinking agents.
- the monomer mix may include additional constituents such as crosslinking agents, internal wetting agents, hydrophilic monomeric units, toughening agents, and other constituents as is well known in the art.
- the monomer mix may include toughening agents, preferably in quantities of less than about 80 weight percent e.g. from about 5 to about 80 weight percent, and more typically from about 20 to about 60 weight percent. Examples of suitable toughening agents are described in U.S. Pat. No. 4,327,203.
- This reference describes polycyclic acrylates or methacrylates such as: isobornyl acrylate and methacrylate, dicyclopentadienyl acrylate and methacrylate, adamantyl acrylate and methacrylate, and isopinocamphyl acrylate and methacrylate. Further examples of toughening agents are provided in U.S. Pat. No. 5,270,418. This reference describes branched alkyl hydroxyl cycloalkyl acrylates, methacrylates, acrylamides and methacrylamides.
- Representative examples include: 4-t-butyl-2-hydroxycyclohexyl methacrylate (TBE); 4-t-butyl-2-hydroxycyclopentyl methacrylate; methacryloxyamino-4-t-butyl-2-hydroxycyclohexane; 6-isopentyl-3-hydroxycyclohexyl methacrylate; and methacryloxyamino-2-isohexyl-5-hydroxycyclopentane.
- TBE 4-t-butyl-2-hydroxycyclohexyl methacrylate
- TBE 4-t-butyl-2-hydroxycyclopentyl methacrylate
- methacryloxyamino-4-t-butyl-2-hydroxycyclohexane 6-isopentyl-3-hydroxycyclohexyl methacrylate
- methacryloxyamino-2-isohexyl-5-hydroxycyclopentane methacryloxyamino-2-isohexyl-5-hydroxycyclopentane
- surface structure and composition determine many of the physical properties and ultimate uses of solid materials. Characteristics such as wetting, friction, and adhesion or lubricity are largely influenced by surface characteristics. The alteration of surface characteristics is of special significance in biotechnical applications where biocompatibility is of particular concern. Thus, it is desired to provide a silicon containing hydrogel contact lens with an optically clear, hydrophilic surface film that will not only exhibit improved wettability, but which will generally allow the use of a silicon containing hydrogel contact lens in the human eye for extended period of time.
- these surface enhancing coatings may be desirable to apply these surface enhancing coatings to implantable medical devices such as intraocular lens materials to reduce the attachment of lens epithelial cells to the implanted device and to reduce friction as the intraocular lens passes through an inserter into the eye. It may also be desirable to apply these surface enhancing coatings to surgical instruments such as intraocular lens inserters and endoscopic instruments.
- Methods of coating the substrate would include dip coating of the substrate into a solution containing the surface modifying agent.
- the solution containing the surface modifying agent may contain substantially the surface modifying agent in solvent or may contain other materials such as cleaning and extracting materials.
- Other methods could include spray coating the device with the surface modifying agent.
- the substrate and the other surface modifying agent may be subjected to autoclave conditions.
- the substrate and the surface modifying agent may be autoclaved in the packaging material that will contain the coated substrate. Once the contact between the substrate and the surface modifying agent has occurred, the remaining surface modifying agent could be substantially removed and packaging solution would be added to the substrate packaging material. Sealing and other processing steps would then proceed as they usually do.
- the surface modifying agent could be retained in the substrate packaging material during storage and shipping of the substrate device to the end user.
- the treated lenses are allowed to cool for a minimum of 3 hours, then removed from the vials and rinsed at least three times with deionized water.
- the rinsed lenses are then placed into new vials containing 4 ml of borate buffered saline (phosphate for samples undergoing bacterial adhesion testing) and autoclaved for one 30-minute cycle for sterilization.
- contact lenses such as those comprising other hydrogel materials can be treated with coating polymers, as disclosed above.
- PureVisionTM contact lenses comprising Balafilcon A hydrogel material disclosed in U.S. Pat. No. 5,260,000, which is incorporated herein by reference, are surface-treated with a coating polymer as disclosed above.
- PurVisionTM contact lenses are available from Bausch and Lomb Incorporated, Rochester, N.Y.
- PureVisionTM contact lenses are first treated with a plasma discharge generated in a chamber containing air.
- a packaging solution for surface treatment comprised segmented block poly(TRIS-b-DMA) is added to a blister package before the lens is placed in and sealed around the perimeter of the receptacle with lidstock, The blister containing the lens is then autoclaved for one 30-minute cycle for sterilization.
- the solution and the contact lens are sterilized while sealed in the package receptacle.
- sterilization techniques include subjecting the solution and the contact lens to thermal energy, microwave radiation, gamma radiation or ultraviolet radiation.
- a specific example involves heating the solution and the contact lens, while sealed in the package container, to a temperature of at least 100° C., more preferably at least 120° C., such as by autoclaving.
- the packaging solution is an aqueous solution that includes the surface active segmented block copolymer, preferably in an amount of 0.02 to 5.0 weight percent, based on total weight of the packaging solution.
- the specific amount of surface active segmented block copolymer will vary depending on the substrate and the copolymer, but generally, the surface active segmented block copolymer will be present in an amount within this range.
- the packaging solutions preferably have a pH of about 6.0 to 8.0, more preferably about 6.5 to 7.8, and most preferably 6.7 to 7.7.
- Suitable buffers include monoethanolamine, diethanolamine, triethanolamine, tromethamine (tris(hydroxymethyl)aminomethane, Tris), Bis-Tris, Bis-Tris Propane, borate, citrate, phosphate, bicarbonate, amino acids, and mixtures thereof.
- specific buffering agents include boric acid, sodium borate, potassium citrate, citric acid, Bis-Tris, Bis-Tris Propane, and sodium bicarbonate.
- buffers will generally be used in amounts ranging from about 0.05 to 2.5 percent by weight, and preferably from 0.1 to 1.5 percent by weight.
- the packaging solutions may further include a tonicity adjusting agent, optionally in the form of a buffering agent, for providing an isotonic or near-isotonic solution having an osmolality of about 200 to 400 mOsm/kg, more preferably about 250 to 350 mOsm/kg.
- a tonicity adjusting agent include sodium and potassium chloride, dextrose, glycerin, calcium and magnesium chloride. When present, these agents will generally be used in amounts ranging from about 0.01 to 2.5 weight percent and preferably from about 0.2 to about 1.5 weight percent.
- packaging solutions may include an antimicrobial agent, but it is preferred that the solutions lack such an agent.
- the surface active segmented block copolymers useful in certain embodiments of the present invention may be prepared according to syntheses well known in the art and according to the methods disclosed in the following examples. Surface modification of contact lenses using one or more surface modifying agents in accordance with the present invention is described in still greater detail in the examples that follow.
- AIBN (23.2 mgs; 1.41 ⁇ 10 ⁇ 4 mol) was added to a 100 mL Schlenk flask equipped with a magnetic stirring bar. To the flask was added 147 mgs (7.05 ⁇ 10 ⁇ 4 ) of ethyl- ⁇ -(O-ethylxanthyl) propionate (EEXP) dissolved in a small amount of dioxane. Dioxane (15 ml) and N-vinylpyrrolidone (NVP) [15 ml; 0.141 mol] were added to the Schlenk flask, which was then sealed and purged with N 2 for 30 minutes. The flask was placed in an oil bath (60° C.) for 24 hours.
- NDP N-vinylpyrrolidone
- the second block (TRIS-VC) was added to the PVP MacroRAFT agent in a second reaction.
- Ten grams of PVP MacroRAFT agent (approx. 1.67 ⁇ 10 ⁇ 3 mol) was added to a 100 mL Schlenk flask along with 20 mL of 1,4-dioxane and a stir bar.
- 14.127-g (3.3 ⁇ 10 ⁇ 2 mol) of TRIS-VC and 54.8 mgs of AIBN (3.33 ⁇ 10 ⁇ 4 mol) were then added to the flask which was sealed and purged with N 2 for 60 minutes.
- the reaction was then heated for 11 hours in a 60° C. oil bath.
- the reaction mixture was dissolved in methanol (creating a dispersion).
- Dialysis tubes (Spectra/por 6, MWCO 3500) were filled with the solution and submerged in 1 L of methanol solvent with slow stirring. The solvent was changed after 4 h, 19.5 h, and 41.5 h. The tubes were removed at 48 h and the methanol was removed with a rotary evaporator. The resulting polymer was dried in a vacuum oven.
- Both the PVP MacroRAFT agent and the block copolymer of NVP and TRIS-VC were characterized by proton NMR (CDC13) and GPC.
- the NMR spectrum of the block copolymer shows peaks present from the TRIS-VC block at 0.0 ppm and 0.3 ppm and distinct peaks from the PVP segments between 1.0-2.5 ppm and 3.0-4.0 ppm. From the integrations it is estimated that the ratio of NVP:TRIS-VC is approximated at 29:1 by NMR.
- NVP 10 ml; 0.09 mol.
- Xanthate 0.094 g, 4.5 ⁇ 10 ⁇ 4 mol.
- AIBN 15 mg, 9.0 ⁇ 10-5 mol.
- 1,4 dioxane 10 ml
- TRIS-VC 3.81 g, 8.99 ⁇ 10-3 mol.
- AIBN 15 mg, 9.0 ⁇ 10-5 mol.
- 1,4-dioxane 4 ml
- the second block may actually be a statistical copolymerization of the TRIS-VC and any remaining NVP that had not been polymerized at the time of the TRIS-VC addition.
- the second “block”, is therefore compositionally heterogeneous.
- a polymerization that yields a statistical copolymerization or compositionally heterogeneous block as the second block would also be considered to be a reactive segmented block copolymer according to the invention herein.
- Reaction 2748-152 is described below as an example of the procedure used.
- DMA N,N-Dimethylacrylamide
- TDFM 3,3,4,4,5,5,6,6,7,7,8,8-tridecafluorooctyl methacrylate
- both the first precipitate and the block copolymer of DMA and hydrophobic methacrylate were characterized by proton NMR (CDC13) and GPC (DMF as eluent).
- the GPC chromatograms all show a shift in the elution peaks to shorter times (higher MW) after the addition of the hydrophobic methacrylate blocks.
- the NMR spectra of the block copolymers for samples ⁇ 152, ⁇ 154, and ⁇ 156 above show a broad peak at around 4.5 ppm corresponding to the methylene group adjacent to the methacrylate of 3,3,4,4,5,5,6,6,7,7,8,8-tridecafluorooctyl methacrylate (TDFM).
- the NMR of the block copolymers for samples ⁇ 153, ⁇ 155, and ⁇ 157 show peaks for the —CH3 group (0.8 ppm) and —CH2- groups (1.3 ppm) of the alkyl chain of lauryl methacrylate
- Both the first precipitate and the block copolymer of DMA and GMA were characterized by proton NMR (CDC13) and GPC.
- the GPC shows a shift in the elution peak to shorter times (higher MW) after the addition of the GMA block.
- the NMR spectra of the block copolymer show peaks for the glycidol methacrylate contributions at 3.7 ppm and 4.3 ppm.
- GPC data for these polymers using DMF as an eluent are shown below, using both PMMA standards and PVP standards as calibrants. Although the trends in MW are the same, PMMA standards show MW's much closer to the theoretically expected value for polyDMA.
- aqueous packaging solution containing 1% by weight of the silicone-containing surfactant NVP-b-TRIS-VC of Example 1 dissolved in a borate buffered saline at a pH of 7.2 is placed in a polypropylene blister package.
- a balafilcon A contact lens is immersed in the aqueous packaging solution in the polypropylene blister package.
- the package is sealed with foil lidstock and then autoclaved for 30 minutes at 121° C.
Landscapes
- Health & Medical Sciences (AREA)
- Chemical & Material Sciences (AREA)
- Medicinal Chemistry (AREA)
- Organic Chemistry (AREA)
- Polymers & Plastics (AREA)
- Chemical Kinetics & Catalysis (AREA)
- General Health & Medical Sciences (AREA)
- Epidemiology (AREA)
- Life Sciences & Earth Sciences (AREA)
- Animal Behavior & Ethology (AREA)
- Physics & Mathematics (AREA)
- Public Health (AREA)
- Veterinary Medicine (AREA)
- Heart & Thoracic Surgery (AREA)
- Surgery (AREA)
- Vascular Medicine (AREA)
- Optics & Photonics (AREA)
- General Physics & Mathematics (AREA)
- Dermatology (AREA)
- Oral & Maxillofacial Surgery (AREA)
- Transplantation (AREA)
- Graft Or Block Polymers (AREA)
- Materials For Medical Uses (AREA)
Abstract
This invention is directed toward surface treatment of a device. The surface treatment comprises the placing of surface active segmented block copolymers to the surface of the substrate. The present invention is also directed to a surface modified medical device, examples of which include contact lenses, intraocular lenses, vascular stents, phakic intraocular lenses, aphakic intraocular lenses, corneal implants, catheters, implants, and the like, comprising a surface made by such a method.
Description
- This application claims the benefit of Provisional Patent Application No. 61/016,844 filed Dec. 27, 2007; Provisional Patent Application No. 61/016,845 filed Dec. 27, 2007; Provisional Patent Application No. 61/016,841 filed Dec. 27, 2007; and Provisional Patent Application No. 61/016,843 filed Dec. 27, 2007.
- This invention relates to coating solutions comprising a new class of tailored polymers useful as surface coatings for ophthalmic devices. These polymers can be specifically tailored using controlled radical polymerization processes and contain a number of functional domains. Controlled radical polymerization allows the facile synthesis of segmented block copolymers with tunable chemical composition that, as a result, show different chemical properties than those prepared via conventional free radical polymerization. Surface active segmented block copolymers show good surface properties when associated with substrates.
- Medical devices such as ophthalmic lenses are made from a wide variety of materials. In the contact lens field materials are broadly categorized into conventional hydrogels or silicone hydrogels. Recently, the use of silicone-containing materials (silicone hydrogels) has been preferred. These materials can vary greatly in water content. However, regardless of their water content, silicone materials tend to be relatively hydrophobic, non-wettable, and have a high affinity for lipids. Methods to modify the surface of silicone devices by increasing their hydrophilicity and improving their biocompatibility are of great importance.
- A number of copolymers for surface coatings have been investigated. U.S. Pat. No. 6,958,169 discloses providing a medical device formed from a monomer mixture comprising a hydrophilic device-forming monomer including a copolymerizable group and an electron donating moiety, and a second device-forming monomer including a copolymerizable group and a surface active functional group; and, contacting a surface of the medical device with a wetting agent including a proton donating moiety reactive with the functional group provided by the second lens-forming monomer and that complexes with the electron donating moiety provided by the hydrophilic lens-forming monomer.
- U.S. Pat. No. 6,858,310 discloses a method of modifying the surface of a medical device to increase its biocompatibility or hydrophilicity by coating the device with a removable hydrophilic polymer by means of reaction between reactive functionalities on the hydrophilic polymer with functionalities that are complementary on or near the surface of the medical device.
- U.S. Pat. No. 6,599,559 discloses a method of modifying the surface of a medical device to increase its biocompatibility or hydrophilicity by coating the device with a removable hydrophilic polymer by means of reaction between reactive functionalities on the hydrophilic polymer which functionalities are complementary to reactive functionalities on or near the surface of the medical device.
- U.S. Pat. No. 6,428,839 discloses a method for improving the wettability of a medical device, comprising the steps of: (a) providing a medical device formed from a monomer mixture comprising a hydrophilic monomer and a silicone-containing monomer, wherein said medical device has not been subjected to a surface oxidation treatment; (b) contacting a surface of the medical device with a solution comprising a proton-donating wetting agent, whereby the wetting agent forms a complex with the hydrophilic monomer on the surface of the medical device in the absence of a surface oxidation treatment step and without the addition of a coupling agent.
- Many copolymers are currently made using conventional free radical polymerization techniques with the structure of the polymer being completely random or controlled by the reactivity ratios of the respective monomers. By using controlled free radical polymerization techniques one is able to assemble copolymers in a controlled fashion and, in turn, they show completely different solution and coating properties than copolymers prepared using conventional free radical polymerization techniques. Controlled free radical polymerization can be conducted by a variety of methods, such as ATRP (atom transfer radical polymerization) and RAFT (Reversible addition-fragmentation chain transfer polymerization).
- There are a number of commercially available block copolymer surfactants that can function as antifoaming agents, wetting agents, dispersants, thickeners, and emulsifiers. One such surfactant class is the Pluronic® and Tetronic® block copolymers based on ethylene oxide and propylene oxide, available from BASF. Another class of surfactants is the Silwet® and Silsoft® block copolymers based on ethylene oxide and siloxane blocks, available from GE silicones. These block copolymers and a variety of others rely on ring opening polymerization methods to produce the blocks.
- With the advent and rapid growth of RAFT polymerization in the late 1990's, block copolymers can now be prepared from a wide variety of vinyl based monomers. This opens up the toolbox for polymer chemists to synthesize countless number of block copolymer compositions. In addition, for the construction of surfactants there is a lot of chemical diversity in the selection of both the hydrophobic moieties and the hydrophilic moieties.
- Surfactants or “surface active agents” lower the surface tension of water or other liquids and concentrate at the surface of the liquid. Surfactants have a common structural feature in which one portion of the surfactant molecule is highly polar or even ionic (hydrophilic or water loving) and the other portion is largely non-polar (hydrophobic or water fearing). The relationship of these two structural parts of the molecule with respect to each other controls the properties of the surfactant.
- This particular invention is related to the synthesis and preparation of specifically tailored block copolymer surfactants where both the lengths of the individual blocks, the chemical composition, and the sequence distribution are carefully controlled and the affinity of these surfactants for specific substrates can be guided by the “like prefers like” principle. For example, fluorocarbons interact with higher affinity to other fluorine-containing materials, as well as silicone containing blocks will interact with higher affinity to silicone containing materials. Therefore in one embodiment of this invention, a block copolymer surfactant is prepared via RAFT polymerization that contains a hydrophilic block (NVP or DMA), and a fluorine containing hydrophobic block (perfluoroacrylate), where the surfactant is used to treat a fluorine containing substrate (i.e. Teflon or a fluoroelastomer). In another embodiment, a block copolymer surfactant is prepared via RAFT polymerization that contains a hydrophilic block (NVP or DMA), and a silicone containing hydrophobic block (TRIS-VC or M1-MCR-C12), where the surfactant is used to treat a silicone containing substrate (i.e. silicone hydrogel or a silicone elastomer).
- In still another embodiment of this invention, a block copolymer surfactant is prepared via RAFT polymerization that contains a hydrophilic block (NVP or DMA), and a hydrocarbon containing hydrophobic block (Hexyl methacrylate or lauryl methacrylate), where the surfactant is used to treat a hydrocarbon based substrate (i.e. polyethylene or polypropylene). Disclosed in certain preferred embodiments herein is a method of forming a surface modified medical device, the method comprising providing a medical device having at least one surface; providing a surface modifying agent comprising a surface active segmented block copolymer; and contacting the at least one surface of the medical device with the surface modifying agent to form a surface modified medical device.
- Also disclosed herein is a surface modified medical device comprising a medical device and a surface active segmented block copolymer comprising a hydrophobic unit block comprising vinylically unsaturated polymerizable monomers and a hydrophilic block comprising vinylically unsaturated polymerizable monomers applied to the surface of the medical device.
- Further in accordance with the present disclosure, the invention relates generally to coating solutions comprising surface active segmented block copolymers for forming coatings in the manufacture of medical devices. Examples of suitable devices include of heart valves, intraocular lenses, intraocular lens inserter, contact lenses, intrauterine devices, vessel substitutes, artificial ureters, vascular stents, phakic intraocular lenses, aphakic intraocular lenses, corneal implants, catheters, implants, endoscopic instruments, artificial breast tissue and the like.
- Surface active segmented block copolymers prepared through Atom Transfer Radical Polymerization (“ATRP”) methods in accordance with the invention herein have the following generic formula (I):
-
R1-[(A)m]p-[(B)n]q—X (I) - wherein R1 is the reactive residue of a moiety capable of acting as an initiator for Atom Transfer Radical Polymerization, A is a hydrophobic unit block, B is a hydrophilic unit block, m is 1 to 10,000, n is 1 to 10,000, p and q are natural numbers, and X is a halogen capping group of the initiator for Atom Transfer Radical Polymerization. It should be noted that there are many processes for the post polymerization removal or transformation of the halogen capping group of an initiator for Atom Transfer Radical Polymerization which are known to one of ordinary skill in the art. Therefore polymers prepared using ATRP according to the invention herein would include those where X is a halogen capping group of the initiator for Atom Transfer Radical Polymerization and those polymers that have undergone post polymerization removal or transformation of the halogen capping group of an initiator for Atom Transfer Radical Polymerization (i.e., derivatized reaction product). The polymers which contain halogen end-groups can be utilized in a host of traditional alkyl halide organic reactions. In one example, the addition of tributyltin hydride to the polymeric alkyl halide in the presence of a radical source (AIBN, or Cu(I) complex) leads to a saturated hydrogen-terminated polymer. In another example, by replacing tributyltin hydride with allyl tri-n-butylstannane, polymers with allyl end groups can be prepared. The terminal halogen can also be displaced by nucleophilic substitution, free-radical chemistry, or electrophilic addition catalyzed by Lewis acids to yield a wide variety of telechelic derivatives, such as alkenes, alkynes, alcohols, thiols, alkanes, azides, amines, phosphoniums, or epoxy groups, to mention a few.
- Surface active segmented block copolymers prepared through Reversible addition-fragmentation chain transfer polymerization (“RAFT”) methods in accordance with the invention herein have the following generic formula (II):
-
R1-[(A)m]p-[(B)n]q—R2 (II) - wherein R1 is a radical forming residue of a RAFT agent or free radical initiator, A is a hydrophobic unit block, B is a hydrophilic unit block, m is 1 to 10,000, n is 1 to 10,000, p and q are natural numbers, and R2 is a thio carbonyl thio fragment of the chain transfer agent. RAFT agents based upon thio carbonyl thio chemistry are well known to those of ordinary skill in the art and would include, for example, xanthates, trithiocarbonates and dithio esters. It should be noted that there are many processes for the post polymerization removal or transformation of the thio carbonyl thio fragment of the chain transfer agent which are known to one of ordinary skill in the art. Therefore polymers prepared using RAFT agent according to the invention herein would include those where R2 is a thio carbonyl thio fragment of the chain transfer agent and those polymers that have undergone post polymerization removal or transformation of the thio carbonyl thio fragment of the chain transfer agent (i.e., a derivatized reaction product). One example of such a transformation is the use of free radical reducing agents to replace the thio carbonyl thio group with hydrogen. Others include thermolysis of the end group or conversion of the thio carbonyl thio groups to thiol groups by aminolysis. A wide variety of telechelic derivatives can be prepared, such as alkenes, alkynes, alcohols, thiols, alkanes, azides, amines, phosphoniums, or epoxy groups, to mention a few.
- Surface active segmented block copolymers prepared through reversible addition-fragmentation chain transfer polymerization (“RAFT”) methods in accordance with the invention herein have the following generic formula (III):
-
R1-[(B)n]q-[(A)m]p-R2-[(A)m]p-[(B)n]q-R1 (III) - wherein R1 is a radical forming residue of a RAFT agent or free radical initiator, A is a hydrophobic unit block, B is a hydrophilic unit block, m is 1 to 10,000, n is 1 to 10,000, p and q are natural numbers, and R2 is a thio carbonyl group.
- For each of the polymers of generic formula I, II and III the order of the block units is not critical and the surface active segmented block copolymer can contain more than two blocks. Therefore the surface active segmented block copolymers can be multiblock copolymers and include repetition of one or more blocks. As examples please see the nonlimiting representations below, each of which is intended to fall within generic formula I, II and III:
-
-(A)m-(B)n— (1) -
—(B)n-(A)m- (2) -
-(A)m-(B)n-(A)m- (3) -
FIG. 1 is a schematic example of atom-transfer radical polymerization (ATRP) used to make a segmented block copolymer in which there is an oligomeric block of the hydrophobic unit at one end of the polymer followed by a large hydrophilic block; -
FIG. 2 is the structural formula of various monomers which may be used to provide the hydrophobic unit of the segmented block copolymers of the invention herein; -
FIG. 3 is a reaction schematic showing how RAFT polymerization can be used to polymerize block copolymers with surface active domains. - The present invention relates generally to coating solutions comprising surface active segmented block copolymers. Compositions comprising the surface active segmented block copolymers are useful in providing surface bound coatings in the manufacture of medical devices. In preferred embodiments, the present invention relates to medical devices surface coated with surface active segmented block copolymers. It should be understood that the term “surface” as used to describe surface coating is not to be limited to meaning “at least one complete surface”. Surface coverage does not have to be even or complete to be effective for surface functionality. The surface active segmented block copolymers of the present invention are useful as coatings for biocompatible materials including both soft and rigid materials commonly used for ophthalmic lenses, including contact lenses.
- Therefore, disclosed in certain preferred embodiments herein is a method of forming a surface modified medical device, the method comprising providing a medical device having at least one surface; providing a surface modifying agent comprising a surface active segmented block copolymer; and contacting the at least one surface of the medical device with the surface modifying agent to form a surface modified medical device.
- Also disclosed herein is a surface modified medical device comprising a medical device; and a surface active segmented block copolymer comprising a hydrophobic unit block and a hydrophilic block applied to the surface of the medical device.
- Further in accordance with the present disclosure, the invention relates generally to coating solutions comprising surface active segmented block copolymers for forming coatings in the manufacture of medical devices. Examples of suitable devices include of heart valves, intraocular lenses, intraocular lens inserter, contact lenses, intrauterine devices, vessel substitutes, artificial ureters, vascular stents, phakic intraocular lenses, aphakic intraocular lenses, corneal implants, catheters, implants, endoscopic instruments, artificial breast tissue and the like.
- Surface active segmented block copolymers prepared through Atom Transfer Radical Polymerization (“ATRP”) methods in accordance with the invention herein have the following generic formula (I):
-
R1-[(A)m]p-[(B)n]q—X (I) - wherein R1 is the reactive residue of a moiety capable of acting as an initiator for Atom Transfer Radical Polymerization, A is a hydrophobic unit block, B is a hydrophilic unit block, m is 1 to 10,000, n is 1 to 10,000, p and q are natural numbers, and X is a halogen capping group of the initiator for Atom Transfer Radical Polymerization. It should be noted that there are many processes for the post polymerization removal or transformation of the halogen capping group of an initiator for Atom Transfer Radical Polymerization which are known to one of ordinary skill in the art. Therefore polymers prepared using ATRP according to the invention herein would include those where X is a halogen capping group of the initiator for Atom Transfer Radical Polymerization and those polymers that have undergone post polymerization removal or transformation of the halogen capping group of an initiator for Atom Transfer Radical Polymerization (i.e., derivatized reaction product). The polymers which contain halogen end-groups can be utilized in a host of traditional alkyl halide organic reactions. In one example, the addition of tributyltin hydride to the polymeric alkyl halide in the presence of a radical source (AIBN, or Cu(I) complex) leads to a saturated hydrogen-terminated polymer. In another example, by replacing tributyltin hydride with allyl tri-n-butylstannane, polymers with allyl end groups can be prepared. The terminal halogen can also be displaced by nucleophilic substitution, free-radical chemistry, or electrophilic addition catalyzed by Lewis acids to yield a wide variety of telechelic derivatives, such as alkenes, alkynes, alcohols, thiols, alkanes, azides, amines, phosphoniums, or epoxy groups, to mention a few.
- Surface active segmented block copolymers prepared through Reversible addition-fragmentation chain transfer polymerization (“RAFT”) methods in accordance with the invention herein have the following generic formula (II):
-
R1-[(A)m]p-[(B)n]q—R2 (II) - wherein R1 is a radical forming residue of a RAFT agent or free radical initiator, A is a hydrophobic unit block, B is a hydrophilic unit block, m is 1 to 10,000, n is 1 to 10,000, p and q are natural numbers, and R2 is a thio carbonyl thio fragment of the chain transfer agent with the proviso that when A is an ionic block, B will be a nonionic block. It should be noted that there are many processes for the post polymerization removal or transformation of the thio carbonyl thio fragment of the chain transfer agent which are known to one of ordinary skill in the art. Therefore polymers prepared using RAFT agent according to the invention herein would include those where R2 is a thio carbonyl thio fragment of the chain transfer agent and those polymers that have undergone post polymerization removal or transformation of the thio carbonyl thio fragment of the chain transfer agent (i.e., a derivatized reaction product). One example of such a transformation is the use of free radical reducing agents to replace the thio carbonyl thio group with hydrogen. Others include thermolysis of the end group or conversion of the thio carbonyl thio groups to thiol groups by aminolysis. A wide variety of telechelic derivatives can be prepared, such as alkenes, alkynes, alcohols, thiols, alkanes, azides, amines, phosphoniums, or epoxy groups, to mention a few.
- Surface active segmented block copolymers prepared through reversible addition-fragmentation chain transfer polymerization (“RAFT”) methods in accordance with the invention herein have the following generic formula (III):
-
R1-[(B)n]q-[(A)m]p-R2-[(A)m]p-[(B)n]q-R1 (III) - wherein R1 is a radical forming residue of a RAFT agent or free radical initiator, A is a hydrophobic unit block, B is a hydrophilic unit block, m is 1 to 10,000, n is 1 to 10,000, p and q are natural numbers, and R2 is a thio carbonyl thio group.
- For each of the polymers of generic formula I, II and III the order of the block units is not critical and the surface active segmented block copolymer can contain more than two blocks. Therefore the surface active segmented block copolymers can be multiblock copolymers and include repetition of one or more blocks. As examples please see the nonlimiting representations below, each of which is intended to fall within generic formula I, II and III:
-
-(A)m-(B)n— (1) -
—(B)n-(A)m- (2) -
-(A)m-(B)n-(A)m- (3) - The present invention provides materials useful for surface modifying contact lenses and like medical devices through the use of surface active functionality. Although only contact lenses will be referred to hereinafter for purposes of simplicity, such reference is not intended to be limiting since the subject method is suitable for surface modification of other medical devices such as phakic and aphakic intraocular lenses and corneal implants as well as contact lenses. The preferred surface active segmented block copolymers in the present invention are selected based on the polymeric material to be coated.
- The surface active segmented block copolymer comprises a hydrophobic unit block. The hydrophobic unit block can be made of vinylically unsaturated polymerizable monomers. Examples of hydrophobic vinylically unsaturated polymerizable monomers would include alkyl acrylates such as hexyl methacrylate and lauryl methacrylate, fluoroacrylates such as octofluoropentamethacrylate and 3,3,4,4,5,5,6,6,7,7,8,8-tridecafluorooctyl methacrylate (TDFM) and polysiloxanylalkyl(meth)acrylic monomers such as TRIS-VC and M1-MCR-C12. The hydrophobic unit block can be varied and is selected based upon the intended use of the surface active segmented block copolymers. That is, the hydrophobic unit block of the surface active segmented block copolymers is selected to provide a composition that is complementary with the surface of the device.
- Selection of the hydrophobic unit monomer of the block copolymer is determined by the surface of the device. For example, if the surface active molecule on the surface of the device contains perfluorinated hydrocarbons, a monomer containing fluoroalkyl substituents (i.e. octafluoropentyl methacrylate) can be a hydrophobic unit monomer of the surface active segmented block copolymer. If the surface active molecule on the surface of the device contains siloxane functionality, silicone containing monomers (i.e. TRIS-methacrylate or TRIS-VC) can be a hydrophobic unit monomer of the surface active segmented block copolymer. A wide variety of suitable combinations of functional group containing monomers of the hydrophobic unit complementary to the surface of the device will be apparent to those of ordinary skill in the art.
- Generic structures of hydrophobic units would include the following:
- wherein R can consist of alkyl, fluoroalkyl, siloxy, or branched silicone.
- Non-limiting examples would include methacryloxypropyl tris(trimethylsiloxy)silane or tris(trimethylsiloxy)silylpropyl methacrylate, 3-(trimethylsilyl)propyl vinyl carbonate; 3-(vinyloxycarbonylthio)propyl-[tris(trimethylsiloxy)silane]; 3-[tris(trimethylsiloxy)silyl]propyl vinyl carbamate; 3-[tris(trimethylsiloxy)silyl]propyl allyl carbamate; 3-[tris(trimethylsiloxy)silyl]propyl vinyl carbonate; hexyl methacrylate, dodecyl methacrylate, lauryl methacrylate, hexyl vinyl carbamate, hexyl vinyl carbonate, octafluoropentamethacrylate, and octafluoropenta vinyl carbamate.
- The hydrophobic unit block of the surface active segmented block copolymers is oligomeric or polymeric and is sized to provide suitable association with the surface of the medical device to be coated. Therefore the variable m of formula I, II or III can be between 1 and about 1000, preferably between 1 and about 100, most preferably between 1 and about 30.
- In addition to the hydrophobic unit, the surface active segmented block copolymers of the invention herein will also contain hydrophilic domain(s) showing good surface properties when the block copolymer is coated onto the substrates. The hydrophilic domain(s) can be made of vinylically unsaturated polymerizable monomers such as, HEMA, glycerol methacrylate, methacrylic acid (“MAA”), acrylic acid (“AA”), methacrylamide, acrylamide, N,N′-dimethylmethacrylamide, or N,N′-dimethylacrylamide; copolymers thereof; hydrophilic prepolymers, such as ethylenically unsaturated poly(alkylene oxide)s, cyclic lactams such as N-vinyl-2-pyrrolidone (“NVP”), or derivatives thereof. Still further examples are the hydrophilic vinyl carbonate or vinyl carbamate monomers. Hydrophilic monomers can be nonionic monomers, such as 2-hydroxyethyl methacrylate (“HEMA”), 2-hydroxyethyl acrylate (“HEA”), 2-(2-ethoxyethoxy)ethyl(meth)acrylate, glyceryl(meth)acrylate, poly(ethylene glycol(meth)acrylate), tetrahydrofurfuryl(meth)acrylate, (meth)acrylamide, N,N′-dimethylmethacrylamide, N,N′-dimethylacrylamide(“DMA”), N-vinyl-2-pyrrolidone (or other N-vinyl lactams), N-vinyl acetamide, and combinations thereof. Still further examples of hydrophilic monomers are the vinyl carbonate and vinyl carbamate monomers disclosed in U.S. Pat. No. 5,070,215, and the hydrophilic oxazolone monomers disclosed in U.S. Pat. No. 4,910,277. The contents of these patents are incorporated herein by reference. The hydrophilic monomer also can be an anionic monomer, such as 2-methacryloyloxyethylsulfonate salts. Substituted anionic hydrophilic monomers, such as from acrylic and methacrylic acid, can also be utilized wherein the substituted group can be removed by a facile chemical process. Non-limiting examples of such substituted anionic hydrophilic monomers include trimethylsilyl esters of (meth)acrylic acid, which are hydrolyzed to regenerate an anionic carboxyl group. The hydrophilic monomer also can be a cationic monomer selected from the group consisting of 3-methacrylamidopropyl-N,N,N-trimethyammonium salts, 2-methacryloyloxyethyl-N,N,N-trimethylammonium salts, and amine-containing monomers, such as 3-methacrylamidopropyl-N,N-dimethyl amine. Other suitable hydrophilic monomers will be apparent to one skilled in the art.
- The hydrophilic monomer block will be sized to provide the desirable surface coating property of the surface active segmented block copolymer. The size of the hydrophilic oligomeric or polymeric block may vary depending upon the substrate to be coated and the intended use. Therefore the variable n of formula I, II or III can be between 1 and about 10000, preferably between about 10 and about 1000, and more preferably between about 20 and about 300.
- Atom-transfer radical polymerization (ATRP) can be used to prepare segmented block copolymers in which the molecular weight of each of the blocks and the entire polymer can be precisely controlled. As shown in
FIG. 1 , atom-transfer radical polymerization (ATRP) can be used to make a surface active segmented block copolymer in which there is a block of the hydrophobic unit at one end of the polymer followed by a large hydrophilic block. It should be understood that the order of addition of the monomer comprising the hydrophobic unit domain and the monomer comprising the hydrophilic domain is not critical. A large number of monomers are available for the assembly of polymers (For example, seeFIG. 2 ). Reversible addition-fragmentation chain transfer polymerization (RAFT) can also be used to prepare segmented block copolymers in which the molecular weight of each of the blocks and the entire polymer can be precisely controlled (seeFIG. 3 ). - The surface active segmented block copolymers of the invention herein are useful in providing coatings for substrates. Examples of substrate materials useful with the present invention are taught in U.S. Pat. No. 5,908,906 to Künzler et al.; U.S. Pat. No. 5,714,557 to Künzler et al.; U.S. Pat. No. 5,710,302 to Künzler et al.; U.S. Pat. No. 5,708,094 to Lai et al.; U.S. Pat. No. 5,616,757 to Bambury et al.; U.S. Pat. No. 5,610,252 to Bambury et al.; U.S. Pat. No. 5,512,205 to Lai; U.S. Pat. No. 5,449,729 to Lai; U.S. Pat. No. 5,387,662 to Künzler et al.; U.S. Pat. No. 5,310,779 to Lai and U.S. Pat. No. 6,891,010 to Künzler et al.; which patents are incorporated by reference as if set forth at length herein.
- The present invention contemplates the use of surface active segmented block copolymers with medical devices including both “hard” and “soft” contact lenses. As disclosed above, the invention is applicable to a wide variety of materials. Hydrogels in general are a well-known class of materials that comprise hydrated, cross-linked polymeric systems containing water in an equilibrium state. Silicon containing hydrogels generally have water content greater than about 5 weight percent and more commonly between about 10 to about 80 weight percent. Such materials are usually prepared by polymerizing a mixture containing at least one silicon containing monomer and at least one hydrophilic monomer. Typically, either the silicon containing monomer or the hydrophilic monomer functions as a crosslinking agent (a crosslinker being defined as a monomer having multiple polymerizable functionalities) or a separate crosslinker may be employed. Applicable silicon containing monomeric units for use in the formation of silicon containing hydrogels are well known in the art and numerous examples are provided in U.S. Pat. Nos. 4,136,250; 4,153,641; 4,740,533; 5,034,461; 5,070,215; 5,260,000; 5,310,779; and 5,358,995.
- Examples of applicable silicon-containing monomeric units include bulky polysiloxanylalkyl(meth)acrylic monomers. An example of bulky polysiloxanylalkyl(meth)acrylic monomers are represented by the following Formula IV:
- wherein:
- X denotes —O— or —NR—;
- each R1 independently denotes hydrogen or methyl;
- each R2 independently denotes a lower alkyl radical, phenyl radical or a group represented by
- wherein each R′2′ independently denotes a lower alkyl or phenyl radical; and h is 1 to 10. Some preferred bulky monomers are methacryloxypropyl tris(trimethyl-siloxy)silane or tris(trimethylsiloxy)silylpropyl methacrylate, sometimes referred to as TRIS.
- Another class of representative silicon-containing monomers includes silicon containing vinyl carbonate or vinyl carbamate monomers such as: 1,3-bis[4-vinyloxycarbonyloxy)butyl]tetramethyl-disiloxane; 3-(trimethylsilyl)propyl vinyl carbonate; 3-(vinyloxycarbonylthio)propyl-[tris(trimethylsiloxy)silane]; 3-[tris(tri-methylsiloxy)silyl]propyl vinyl carbamate; 3-[tris(trimethylsiloxy)silyl]propyl allyl carbamate; 3-[tris(trimethylsiloxy)silyl]propyl vinyl carbonate; t-butyldimethylsiloxyethyl vinyl carbonate; trimethylsilylethyl vinyl carbonate; and trimethylsilylmethyl vinyl carbonate.
- An example of silicon-containing vinyl carbonate or vinyl carbamate monomers are represented by Formula V:
- wherein:
- Y′ denotes —O—, —S— or —NH—;
- RSi denotes a silicon containing organic radical;
- R3 denotes hydrogen or methyl;
- d is 1, 2, 3 or 4; and q is 0 or 1.
- Suitable silicon containing organic radicals RSi include the following:
- wherein:
- R4 denotes
- wherein p′ is 1 to 6;
- R5 denotes an alkyl radical or a fluoroalkyl radical having 1 to 6 carbon atoms;
- e is 1 to 200; n′ is 1, 2, 3 or 4; and m′ is 0, 1, 2, 3, 4 or 5.
- An example of a particular species within Formula V is represented by Formula VI.
- Another class of silicon-containing monomers includes polyurethane-polysiloxane macromonomers (also sometimes referred to as prepolymers), which may have hard-soft-hard blocks like traditional urethane elastomers. They may be end-capped with a hydrophilic monomer such as HEMA. Examples of such silicon containing urethanes are disclosed in a variety of publications, including Lai, Yu-Chin, “The Role of Bulky Polysiloxanylalkyl Methacrylates in Polyurethane-Polysiloxane Hydrogels,” Journal of Applied Polymer Science, Vol. 60, 1193-1199 (1996). PCT Published Application No. WO 96/31792 discloses examples of such monomers, which disclosure is hereby incorporated by reference in its entirety. Further examples of silicon containing urethane monomers are represented by Formulae VII and VIII:
-
E(*D*A*D*G)a*D*A*D*E′; or (VII) -
E(*D*G*D*A)a*D*G*D*E′; (VIII) - wherein:
- D denotes an alkyl diradical, an alkyl cycloalkyl diradical, a cycloalkyl diradical, an aryl diradical or an alkylaryl diradical having 6 to 30 carbon atoms;
- G denotes an alkyl diradical, a cycloalkyl diradical, an alkyl cycloalkyl diradical, an aryl diradical or an alkylaryl diradical having 1 to 40 carbon atoms and which may contain ether, thio or amine linkages in the main chain;
- denotes a urethane or ureido linkage;
- a is at least 1;
- A denotes a divalent polymeric radical of Formula IX:
- wherein:
-
- each Rs independently denotes an alkyl or fluoro-substituted alkyl group having 1 to 10 carbon atoms which may contain ether linkages between carbon atoms;
- m′ is at least 1; and
- p is a number which provides a moiety weight of 400 to 10,000;
- each of E and E′ independently denotes a polymerizable unsaturated organic radical represented by Formula X:
- wherein:
- R6 is hydrogen or methyl;
- R7 is hydrogen, an alkyl radical having 1 to 6 carbon atoms, or a —CO—Y—R9 radical wherein Y is —O—, —S— or —NH—;
- R8 is a divalent alkylene radical having 1 to 10 carbon atoms;
- R9 is a alkyl radical having 1 to 12 carbon atoms;
- X denotes —CO— or —OCO—;
- Z denotes —O— or —NH—;
- Ar denotes an aromatic radical having 6 to 30 carbon atoms;
- w is 0 to 6; x is 0 or 1; y is 0 or 1; and z is 0 or 1.
- A more specific example of a silicon containing urethane monomer is represented by Formula (XI):
- wherein m is at least 1 and is preferably 3 or 4, a is at least 1 and preferably is 1, p is a number which provides a moiety weight of 400 to 10,000 and is preferably at least 30, R10 is a diradical of a diisocyanate after removal of the isocyanate group, such as the diradical of isophorone diisocyanate, and each E″ is a group represented by:
- A preferred silicon containing hydrogel material comprises (in the bulk monomer mixture that is copolymerized) 5 to 50 percent, preferably 10 to 25 percent, by weight of one or more silicon containing macromonomers, 5 to 75 percent, preferably 30 to 60 percent, by weight of one or more polysiloxanylalkyl(meth)acrylic monomers, and 10 to 50 percent, preferably 20 to 40 percent, by weight of a hydrophilic monomer. In general, the silicon containing macromonomer is a poly(organosiloxane) capped with an unsaturated group at two or more ends of the molecule. In addition to the end groups in the above structural formulas, U.S. Pat. No. 4,153,641 to Deichert et al. discloses additional unsaturated groups, including acryloxy or methacryloxy. Fumarate-containing materials such as those taught in U.S. Pat. Nos. 5,512,205; 5,449,729; and 5,310,779 to Lai are also useful substrates in accordance with the invention. Preferably, the silane macromonomer is a silicon-containing vinyl carbonate or vinyl carbamate or a polyurethane-polysiloxane having one or more hard-soft-hard blocks and end-capped with a hydrophilic monomer.
- Suitable hydrophilic monomers form hydrogels, such as silicon-containing hydrogel materials useful in the present invention. Examples of useful monomers include amides such as dimethylacrylamide, dimethylmethacrylamide, cyclic lactams such as n-vinyl-2-pyrrolidone and poly(alkene glycols) functionalized with polymerizable groups. Examples of useful functionalized poly(alkene glycols) include poly(diethylene glycols) of varying chain length containing monomethacrylate or dimethacrylate end caps. In a preferred embodiment, the poly(alkene glycol) polymer contains at least two alkene glycol monomeric units. Still further examples are the hydrophilic vinyl carbonate or vinyl carbamate monomers disclosed in U.S. Pat. No. 5,070,215, and the hydrophilic oxazolone monomers disclosed in U.S. Pat. No. 4,910,277. Other suitable hydrophilic monomers will be apparent to one skilled in the art.
- The monomer mix may, further as necessary and within limits not to impair the purpose and effect of the present invention, comprise various additives such as antioxidant, coloring agent, ultraviolet absorber and lubricant.
- The monomer mix may be prepared by using, according to the end-use and the like of the resulting shaped polymer articles, one or at least two of the above comonomers and oligomers and, when occasions demand, one or more crosslinking agents.
- Where the shaped polymer articles are for example medical products, in particular a contact lens, the monomer mix is suitably prepared from one or more of the silicon compounds, e.g. siloxanyl(meth)acrylate, siloxanyl(meth)acrylamide and silicon containing oligomers, to obtain contact lenses with high oxygen permeability.
- The monomer mix may include additional constituents such as crosslinking agents, internal wetting agents, hydrophilic monomeric units, toughening agents, and other constituents as is well known in the art.
- Although not required, the monomer mix may include toughening agents, preferably in quantities of less than about 80 weight percent e.g. from about 5 to about 80 weight percent, and more typically from about 20 to about 60 weight percent. Examples of suitable toughening agents are described in U.S. Pat. No. 4,327,203. These agents include cycloalkyl acrylates or methacrylates, such as: methyl acrylate and methacrylate, t-butylcyclohexyl methacrylate, isopropylcyclopentyl acrylate, t-pentylcycloheptyl methacrylate, t-butylcyclohexyl acrylate, isohexylcyclopentyl acrylate and methylisopentyl cyclooctyl acrylate. Additional examples of suitable toughening agents are described in U.S. Pat. No. 4,355,147. This reference describes polycyclic acrylates or methacrylates such as: isobornyl acrylate and methacrylate, dicyclopentadienyl acrylate and methacrylate, adamantyl acrylate and methacrylate, and isopinocamphyl acrylate and methacrylate. Further examples of toughening agents are provided in U.S. Pat. No. 5,270,418. This reference describes branched alkyl hydroxyl cycloalkyl acrylates, methacrylates, acrylamides and methacrylamides. Representative examples include: 4-t-butyl-2-hydroxycyclohexyl methacrylate (TBE); 4-t-butyl-2-hydroxycyclopentyl methacrylate; methacryloxyamino-4-t-butyl-2-hydroxycyclohexane; 6-isopentyl-3-hydroxycyclohexyl methacrylate; and methacryloxyamino-2-isohexyl-5-hydroxycyclopentane.
- In particular regard to contact lenses, the fluorination of certain monomers used in the formation of silicon containing hydrogels has been indicated to reduce the accumulation of deposits on contact lenses made therefrom, as described in U.S. Pat. Nos. 4,954,587, 5,079,319, 5,010,141 and 6,891,010. Moreover, the use of silicon containing monomers having certain fluorinated side groups, i.e. —(CF2)—H, have been found to improve compatibility between the hydrophilic and silicon containing monomeric units, as described in U.S. Pat. Nos. 5,387,662 and 5,321,108.
- As stated above, surface structure and composition determine many of the physical properties and ultimate uses of solid materials. Characteristics such as wetting, friction, and adhesion or lubricity are largely influenced by surface characteristics. The alteration of surface characteristics is of special significance in biotechnical applications where biocompatibility is of particular concern. Thus, it is desired to provide a silicon containing hydrogel contact lens with an optically clear, hydrophilic surface film that will not only exhibit improved wettability, but which will generally allow the use of a silicon containing hydrogel contact lens in the human eye for extended period of time. In the case of a silicon containing hydrogel lens for extended wear, it be further desirable to provide an improved silicon-containing hydrogel contact lens with an optically clear surface film that will not only exhibit improved lipid and microbial behavior, but which will generally allow the use of a silicon-containing hydrogel contact lens in the human eye for an extended period of time. Such a surface treated lens would be comfortable to wear in actual use and allow for the extended wear of the lens without irritation or other adverse effects to the cornea.
- It also may be desirable to apply these surface enhancing coatings to implantable medical devices such as intraocular lens materials to reduce the attachment of lens epithelial cells to the implanted device and to reduce friction as the intraocular lens passes through an inserter into the eye. It may also be desirable to apply these surface enhancing coatings to surgical instruments such as intraocular lens inserters and endoscopic instruments.
- Methods of coating the substrate would include dip coating of the substrate into a solution containing the surface modifying agent. The solution containing the surface modifying agent may contain substantially the surface modifying agent in solvent or may contain other materials such as cleaning and extracting materials. Other methods could include spray coating the device with the surface modifying agent. Alternatively, the substrate and the other surface modifying agent may be subjected to autoclave conditions. In certain embodiments, the substrate and the surface modifying agent may be autoclaved in the packaging material that will contain the coated substrate. Once the contact between the substrate and the surface modifying agent has occurred, the remaining surface modifying agent could be substantially removed and packaging solution would be added to the substrate packaging material. Sealing and other processing steps would then proceed as they usually do. Alternatively, the surface modifying agent could be retained in the substrate packaging material during storage and shipping of the substrate device to the end user.
- A general method of coating is now described. Medical devices, such as commercial SofLens59™ contact lenses, are removed from the packaging and soaked in purified water for at least 15 minutes prior to being placed in polymer solution. It should be recognized by persons skilled in the art that the quantities of a solution disclosed herein may be adjusted under specific circumstances to accommodate the size of the medical device. Glass vials are labeled and filled with about 4 ml of a polymer solution, and a lens is placed in each vial. When two polymer solutions are used for coating, they are mixed together immediately prior to placing in the vials. The vials are capped with silicone stoppers and crimped aluminum caps, then placed in an autoclave for one 30-minute cycle. The treated lenses are allowed to cool for a minimum of 3 hours, then removed from the vials and rinsed at least three times with deionized water. The rinsed lenses are then placed into new vials containing 4 ml of borate buffered saline (phosphate for samples undergoing bacterial adhesion testing) and autoclaved for one 30-minute cycle for sterilization.
- Other types of contact lenses, such as those comprising other hydrogel materials can be treated with coating polymers, as disclosed above. In one embodiment, PureVision™ contact lenses comprising Balafilcon A hydrogel material, disclosed in U.S. Pat. No. 5,260,000, which is incorporated herein by reference, are surface-treated with a coating polymer as disclosed above. (PureVision™ contact lenses are available from Bausch and Lomb Incorporated, Rochester, N.Y.) In one aspect, PureVision™ contact lenses are first treated with a plasma discharge generated in a chamber containing air. A packaging solution for surface treatment comprised segmented block poly(TRIS-b-DMA) is added to a blister package before the lens is placed in and sealed around the perimeter of the receptacle with lidstock, The blister containing the lens is then autoclaved for one 30-minute cycle for sterilization.
- In another method, a fluoro-silicone hydrogel contact lenses are packaged in a container that includes a receptacle portion to hold the contact lens and a sterile packaging solution comprising a segmented block poly(OFPMA-b-DMA). Examples of the container are conventional contact lens blister packages. This receptacle, containing the contact lens immersed in the solution, is hermetically sealed, for example, by sealing lidstock on the package over the receptacle. For example, the lidstock is sealed around a perimeter of the receptacle.
- The solution and the contact lens are sterilized while sealed in the package receptacle. Examples of sterilization techniques include subjecting the solution and the contact lens to thermal energy, microwave radiation, gamma radiation or ultraviolet radiation. A specific example involves heating the solution and the contact lens, while sealed in the package container, to a temperature of at least 100° C., more preferably at least 120° C., such as by autoclaving.
- The packaging solution is an aqueous solution that includes the surface active segmented block copolymer, preferably in an amount of 0.02 to 5.0 weight percent, based on total weight of the packaging solution. The specific amount of surface active segmented block copolymer will vary depending on the substrate and the copolymer, but generally, the surface active segmented block copolymer will be present in an amount within this range.
- The packaging solutions preferably have a pH of about 6.0 to 8.0, more preferably about 6.5 to 7.8, and most preferably 6.7 to 7.7. Suitable buffers include monoethanolamine, diethanolamine, triethanolamine, tromethamine (tris(hydroxymethyl)aminomethane, Tris), Bis-Tris, Bis-Tris Propane, borate, citrate, phosphate, bicarbonate, amino acids, and mixtures thereof. Examples of specific buffering agents include boric acid, sodium borate, potassium citrate, citric acid, Bis-Tris, Bis-Tris Propane, and sodium bicarbonate. When present, buffers will generally be used in amounts ranging from about 0.05 to 2.5 percent by weight, and preferably from 0.1 to 1.5 percent by weight.
- The packaging solutions may further include a tonicity adjusting agent, optionally in the form of a buffering agent, for providing an isotonic or near-isotonic solution having an osmolality of about 200 to 400 mOsm/kg, more preferably about 250 to 350 mOsm/kg. Examples of suitable tonicity adjusting agents include sodium and potassium chloride, dextrose, glycerin, calcium and magnesium chloride. When present, these agents will generally be used in amounts ranging from about 0.01 to 2.5 weight percent and preferably from about 0.2 to about 1.5 weight percent.
- Optionally, the packaging solutions may include an antimicrobial agent, but it is preferred that the solutions lack such an agent.
- The surface active segmented block copolymers useful in certain embodiments of the present invention may be prepared according to syntheses well known in the art and according to the methods disclosed in the following examples. Surface modification of contact lenses using one or more surface modifying agents in accordance with the present invention is described in still greater detail in the examples that follow.
- To a 100-mL 2-neck round bottom flask equipped with a magnetic stir bar, 2 septa and an SS sparging needle was added 44 mg of AIBN, 10.0-g (0.090 mol) of N-vinylpyrrolidone (NVP), 0.20-g (0.00090 mol) of ethyl-α-(O-ethylxanthyl) propionate (EEXP) and 20-mL of 1,4-dioxane. The solution was sparged with nitrogen for 30-min. at RT before heating the flask in an oil bath to 60° C. The solution was sparged throughout the entire course of the polymerization. After 6 hours at 60° C., a 1 mL aliquot was removed from the flask and precipitated in 50 mL of ethyl ether. A quantity of lauryl methacrylate (LMA) (2.64-mL, 0.0090 mol) was then added to the flask in one portion via pipette. The solution was maintained at 60° C. overnight. The now hazy solution was cooled to RT and was added dropwise into 2.5-L of stirred ethyl ether. The precipitate was isolated by filtration and dried in vacuo at RT affording 6.08-g (49%) of white solid. The 6-hour aliquot was isolated in similar fashion.
- The block copolymer product was characterized by proton NMR (CDC13) and GPC. Resonances attributable to the alkyl protons of LMA were observed at approximately 0.8 and 1.25 ppm (not present in spectrum of the PVP aliquot). GPC was performed using a PLgel RESIpore column and DMF+1.0 M LiBr as solvent with calibration using PVP standards. Mn for the PVP aliquot was determined to be 11,650 Daltons (target=11,340 Daltons) with a polydispersity of 1.44. Mn for the block copolymer was determined to be 18,650 Daltons (target=13,900 Daltons) with a polydispersity of 1.63.
- AIBN (23.2 mgs; 1.41×10−4 mol) was added to a 100 mL Schlenk flask equipped with a magnetic stirring bar. To the flask was added 147 mgs (7.05×10−4) of ethyl-α-(O-ethylxanthyl) propionate (EEXP) dissolved in a small amount of dioxane. Dioxane (15 ml) and N-vinylpyrrolidone (NVP) [15 ml; 0.141 mol] were added to the Schlenk flask, which was then sealed and purged with N2 for 30 minutes. The flask was placed in an oil bath (60° C.) for 24 hours. After cooling to RT, 20 ml of THF was added to the flask and the reaction was precipitated into diethyl ether while stirring vigorously. The precipitate was isolated by filtration and dried in vacuo yielding 14.148 grams of white solid (PVP MacroRAFT agent).
- The second block (TRIS-VC) was added to the PVP MacroRAFT agent in a second reaction. Ten grams of PVP MacroRAFT agent (approx. 1.67×10−3 mol) was added to a 100 mL Schlenk flask along with 20 mL of 1,4-dioxane and a stir bar. 14.127-g (3.3×10−2 mol) of TRIS-VC and 54.8 mgs of AIBN (3.33×10−4 mol) were then added to the flask which was sealed and purged with N2 for 60 minutes. The reaction was then heated for 11 hours in a 60° C. oil bath. The reaction mixture was dissolved in methanol (creating a dispersion). Dialysis tubes (Spectra/por 6, MWCO 3500) were filled with the solution and submerged in 1 L of methanol solvent with slow stirring. The solvent was changed after 4 h, 19.5 h, and 41.5 h. The tubes were removed at 48 h and the methanol was removed with a rotary evaporator. The resulting polymer was dried in a vacuum oven.
- Both the PVP MacroRAFT agent and the block copolymer of NVP and TRIS-VC were characterized by proton NMR (CDC13) and GPC. The calculated molecular weight of the block copolymer (MW=10,640 PD=1.30) is higher than the PVP MacroRAFT agent (MW=6,760). In addition, the NMR spectrum of the block copolymer shows peaks present from the TRIS-VC block at 0.0 ppm and 0.3 ppm and distinct peaks from the PVP segments between 1.0-2.5 ppm and 3.0-4.0 ppm. From the integrations it is estimated that the ratio of NVP:TRIS-VC is approximated at 29:1 by NMR.
- NVP (10 ml; 0.09 mol.), Xanthate (0.094 g, 4.5×10−4 mol.), AIBN (15 mg, 9.0×10-5 mol.), and 1,4 dioxane (10 ml) were added to Schlenk flask. The flask was sealed and purged with N2 for 1 hour. The flask was then heated at 60° C. for 22 hours. In a separate flask, TRIS-VC (3.81 g, 8.99×10-3 mol.), AIBN (15 mg, 9.0×10-5 mol.) and 1,4-dioxane (4 ml) were combined, and then the flask was sealed and purged with N2 for 1 hour. This solution was then carefully added to the PVP reaction under N2. The flask was then heated for another 21 hours. Conversion of TRIS-VC was measured to be 35% by NMR. After cooling, methanol was added and the solution dialyzed (Spectra/por 6, MWCO 3500). The tubes were removed at 40 h and the methanol removed. The polymer was dried in a vacuum oven. The 1 H NMR spectrum indicates a composition of approximately 4% of TRIS-VC, a similar value to the block copolymer in example B (ratio of NVP:TRIS-VC is approximated at 29:1).
- Note* This approach should yield a block copolymer that has the change from one segment to the other less well-defined as the first block copolymer discussed above The second block may actually be a statistical copolymerization of the TRIS-VC and any remaining NVP that had not been polymerized at the time of the TRIS-VC addition. The second “block”, is therefore compositionally heterogeneous. A polymerization that yields a statistical copolymerization or compositionally heterogeneous block as the second block would also be considered to be a reactive segmented block copolymer according to the invention herein.
-
-
Hydrophobic DMA DMA CTR CTR Methacrylate Reaction (mL) (mol) (mgs) (mol) (ml) HM (mol) 2748-152 10 0.097 175 0.00048 1.40 0.0049 2748-153 10 0.097 175 0.00048 2.12 0.0073 2748-154 10 0.097 350 0.00097 2.12 0.0073 2748-155 10 0.097 350 0.00097 2.80 0.0097 2748-156 10 0.097 88 0.00024 1.12 0.0039 2748-157 10 0.097 88 0.00024 1.70 0.0058 *For reactions-152, -154, and -156 the hydrophobic methacrylate was 3,3,4,4,5,5,6,6,7,7,8,8-tridecafluorooctyl methacrylate (TDFM). *For reactions-153, -155, and -157 the hydrophobic methacrylate was lauryl methacrylate (LMA). - Note: All reactions were carried out in a similar fashion using the amounts shown in the table above. Reaction 2748-152 is described below as an example of the procedure used. Weighed 175 mgs (0.48 mmol) of S-1-Dodecyl-S-(α,α′-dimethyl-α″-acetic acid) trithiocarbonate and 35 mgs of AIBN into a 250 ml round bottom flask. Added 10 ml (97 mmol) of N,N-Dimethylacrylamide (DMA) and 30 ml of dioxane to the flask, sealed flask with a septum and then purged with argon to deoxygenate for 30 mins. Placed flask in an oil bath (50° C.) for 6.0 hrs. In a separate container, 1.40 ml (4.9 mmol) of 3,3,4,4,5,5,6,6,7,7,8,8-tridecafluorooctyl methacrylate (TDFM) was bubbled with argon for 30 mins., then added to the flask after 6.0 hrs. *Note: A small aliquot was taken from the flask immediately before TDFM addition and precipitated into diethyl ether. The reaction was stopped 16 hours after TDFM addition (22 hrs total reaction time). The final product was precipitated out of the reaction mixture into diethyl ether. Precipitate contained a cloudy layer in the diethyl ether that was decanted off and a precipitate that settled that was collected and dried in the vacuum oven.
- For all of the reactions, both the first precipitate and the block copolymer of DMA and hydrophobic methacrylate (either TDFM or LMA) were characterized by proton NMR (CDC13) and GPC (DMF as eluent). The GPC chromatograms all show a shift in the elution peaks to shorter times (higher MW) after the addition of the hydrophobic methacrylate blocks. In addition, the NMR spectra of the block copolymers for samples −152, −154, and −156 above show a broad peak at around 4.5 ppm corresponding to the methylene group adjacent to the methacrylate of 3,3,4,4,5,5,6,6,7,7,8,8-tridecafluorooctyl methacrylate (TDFM). The NMR of the block copolymers for samples −153, −155, and −157 show peaks for the —CH3 group (0.8 ppm) and —CH2- groups (1.3 ppm) of the alkyl chain of lauryl methacrylate
-
-
TABLE 5 MW DMA MW GMA DMA DMA CTR CTR GMA GMA block block Reaction (mL) (mol) (mgs) (mol) (mL) (mol) (theoretical) (theoretical) 2748-114 20 0.194 350 0.00097 2.0 0.0146 19,800 2,140 2748-115 20 0.194 350 0.00097 4.0 0.0293 19,800 4,275 2748-116 20 0.194 350 0.00097 8.0 0.0586 19,800 8,550 2748-117 20 0.194 700 0.00194 2.0 0.0146 9,900 1,070 2748-118 20 0.194 700 0.00194 4.0 0.0293 9,900 2,140 2748-119 20 0.194 700 0.00194 8.0 0.0586 9,900 4,275 2748-120 10 0.097 700 0.00194 2.0 0.0146 4,950 1,070 2748-121 10 0.097 700 0.00194 4.0 0.0293 4,950 2,140 2748-122 10 0.097 700 0.00194 8.0 0.0586 4,950 4,275 *~33 mgs of AIBN were added to all of the reactions - *Note: All reactions were carried out in a similiar fashion using the amounts shown in the table above. Reaction 2748-1114 is described below as an example of the procedure used. Weighed 350 mgs (0.97 mmol) of S-1Dodecyl-S-(q α′-dimethyl-α″-acetic acid) trithiocarbonate and 33 mgs of AIBN into a 250 ml round bottom flask. Added 20 ml (194 mmol) of N,N-Dimethylacrylamide (DMA) and 60 ml of dioxane to the flask, sealed flask with a septum and then purged with argon to deoxygenate for 30 mins. Placed flask in an oil bath (50° C.) for 6.0 hrs. In a separate container, 2.0 ml (14.66 mmol) of glycidyl methacrylate (GMA) was bubbled with argon for 30 mins., then added to the flask after 6.0 hrs. *Note: A small aliquot was taken from the flask immediately before GMA addition and precipitated into diethyl ether. The reaction was stopped 15 hours after GMA addition (19.5 hrs total reaction time). The final product was precipitated out of the reaction mixture into diethyl ether.
- Both the first precipitate and the block copolymer of DMA and GMA were characterized by proton NMR (CDC13) and GPC. The GPC shows a shift in the elution peak to shorter times (higher MW) after the addition of the GMA block. In addition, the NMR spectra of the block copolymer show peaks for the glycidol methacrylate contributions at 3.7 ppm and 4.3 ppm. GPC data for these polymers using DMF as an eluent are shown below, using both PMMA standards and PVP standards as calibrants. Although the trends in MW are the same, PMMA standards show MW's much closer to the theoretically expected value for polyDMA.
-
TABLE 6 PMMA Standards PVP Standards Sample Mw Mn Mw Mn 2748-114 20,270 15,320 432,500 207,100 2748-115 — — 534,200 219,500 2748-116 — — 681,500 282,000 2748-117 8,950 6,430 147,800 71,700 2748-118 — — 182,400 74,100 2748-119 — — 245,900 72,300 2748-120 4,000 2,540 48,600 16,100 2748-121 — — 70,100 15,000 2748-122 — — 145,100 20,0 - An aqueous packaging solution containing 1% by weight of the silicone-containing surfactant NVP-b-TRIS-VC of Example 1 dissolved in a borate buffered saline at a pH of 7.2 is placed in a polypropylene blister package. Next, a balafilcon A contact lens is immersed in the aqueous packaging solution in the polypropylene blister package. The package is sealed with foil lidstock and then autoclaved for 30 minutes at 121° C.
- While there is shown and described herein certain specific structures and compositions of the present invention, it will be manifest to those skilled in the art that various modifications may be made without departing from the spirit and scope of the underlying inventive concept and that the same is not limited to particular structures herein shown and described except insofar as indicated by the scope of the appended claims.
Claims (29)
1. A method of forming a surface modified medical device, the method comprising:
providing a medical device having at least one surface;
providing a surface modifying agent comprising a surface active segmented block copolymer; and
contacting the at least one surface of the medical device with the surface modifying agent to form a surface modified medical device.
2. The method of claim 1 wherein the medical device comprises a silicon containing monomer.
3. The method of claim 2 wherein the silicon containing monomer comprises a silicon containing monomer selected from the group consisting of silicon containing vinyl carbonates, silicon containing vinyl carbamates, polyurethane-polysiloxanes having one or more hard-soft-hard blocks and end-capped with a hydrophilic monomer, fumarate containing silicon containing monomers, poly(organosiloxanes) capped with an unsaturated group at two or more ends of the molecule, polyurethane-polysiloxane macromonomers and mixtures thereof.
4. The method of claim 1 wherein the medical device comprises hydrogel materials.
5. The method of claim 2 wherein the medical device comprises silicon containing hydrogel materials.
6. The method of claim 1 wherein the medical device comprises vinyl functionalized polydimethylsiloxanes copolymerized with hydrophilic monomers.
7. The method of claim 1 wherein the medical device comprises a fluorinated monomer.
8. The method of claim 7 wherein the fluorinated monomer is selected from the group consisting of methacrylate functionalized fluorinated polyethylene oxides, fluoroalkylmethacrylates, and mixtures thereof.
9. The method of claim 1 wherein the medical device is selected from the group consisting of heart valves, intraocular lenses, intraocular lens inserter, contact lenses, intrauterine devices, vessel substitutes, artificial ureters, vascular stents, phakic intraocular lenses, aphakic intraocular lenses, corneal implants, catheters, implants, endoscopic instruments, and artificial breast tissue.
10. The method of claim 9 wherein the medical device formed is a soft contact lens.
11. The method of claim 10 wherein the medical device is a silicon containing hydrogel contact lens material.
12. The method of claim 1 wherein the reactive segmented block copolymer has the following generic formula (I):
R1-[(A)m]p-[(B)n]q-X (I)
R1-[(A)m]p-[(B)n]q-X (I)
wherein R1 is a reactive residue of a moiety capable of acting as an initiator for Atom Transfer Radical Polymerization, A is a hydrophobic unit block, B is a hydrophilic unit block, m is 1 to 10,000, n is 1 to 10,000, p and q are natural numbers, and X is a halogen capping group of an initiator for Atom Transfer Radical Polymerization or a derivatized reaction product.
13. The method of claim 1 wherein the reactive segmented block copolymer has the following generic formula (II):
R1-[(A)m]p-[(B)n]q-R2 (II)
R1-[(A)m]p-[(B)n]q-R2 (II)
wherein R1 is a radical forming residue of a RAFT agent or free radical initiator, A is a hydrophobic unit block, B is a hydrophilic unit block, m is 1 to 10,000, n is 1 to 10,000, p and q are natural numbers, and R2 is a thio carbonyl thio fragment of the chain transfer agent or a derivatized reaction product.
14. The method of claim 1 wherein the interactive segmented block copolymer has the following generic formula (III):
R1-[(B)n]q-[(A)m]p-R2-[(A)m]p-[(B)n]q-R1 (III)
R1-[(B)n]q-[(A)m]p-R2-[(A)m]p-[(B)n]q-R1 (III)
wherein R1 is a radical forming residue of a RAFT agent or free radical initiator, A is a hydrophobic unit block, B is a hydrophilic unit block, m is 1 to 10,000, n is 1 to 10,000, p and q are natural numbers, and R2 is a thio carbonyl thio group.
15. The method of claim 1 , wherein the hydrophobic unit of the surface active segmented block copolymer comprises a monomer selected from the group consisting of alkyl acrylates, hexyl methacrylate, lauryl methacrylate, fluoroacrylates, octofluoropentamethacrylate, 3,3,4,4,5,5,6,6,7,7,8,8-tridecafluorooctyl methacrylate, polysiloxanylalkyl(meth)acrylic monomers, M1-MCR-C12, methacryloxypropyl tris(trimethyl-siloxy)silane, tris(trimethylsiloxy)silylpropyl methacrylate, 3-(trimethylsilyl)propyl vinyl carbonate; 3-(vinyloxycarbonylthio)propyl-[tris(trimethylsiloxy)silane]; 3-[tris(tri-methylsiloxy)silyl]propyl vinyl carbamate; 3-[tris(trimethylsiloxy)silyl]propyl allyl carbamate; 3-[tris(trimethylsiloxy)silyl]propyl vinyl carbonate, dodecyl methacrylate, hexyl vinyl carbamate, hexyl vinyl carbonate, octafluoropentamethacrylate, octafluoropenta vinyl carbamate, and mixtures thereof.
16. The method of claim 1 , wherein the reactive segmented block copolymer comprises a hydrophilic unit monomer selected from the group consisting of 2-hydroxyethyl methacrylate, glycerol methacrylate, methacrylic acid, acrylic acid, methacrylamide, acrylamide, N,N′-dimethylmethacrylamide, N,N′-dimethylacrylamide; ethylenically unsaturated poly(alkylene oxide)s, cyclic lactams, N-vinyl-2-pyrrolidone, hydrophilic vinyl carbonate, hydrophilic vinyl carbamate monomers, 2-hydroxyethyl acrylate, 2-(2-ethoxyethoxy)ethyl(meth)acrylate, glyceryl(meth)acrylate, poly(ethylene glycol(meth)acrylate), tetrahydrofurfuryl(meth)acrylate, N-vinyl acetamide, copolymers, derivatives and combinations thereof.
17. The method of claim 1 , wherein the surface active segmented block copolymer has a hydrophobic unit comprises between 1 and about 1,000 units.
18. The method of claim 1 , wherein the surface active segmented block copolymer has a hydrophobic unit comprises between 1 and about 100 units.
19. The method of claim 1 , wherein the surface active segmented block copolymer has a hydrophobic unit comprising between 1 and about 30 units.
20. The method of claim 1 , wherein the surface active segmented block copolymer has a hydrophilic block comprising between 1 and about 10,000 units.
21. The method of claim 1 , wherein the surface active segmented block copolymer has a hydrophilic block comprising between about 10 and about 1,000 units.
22. The method of claim 1 , wherein the surface active segmented block copolymer has a hydrophilic block comprising between about 20 and about 300 units.
23. A surface modified medical device comprising:
a medical device; and
a surface active segmented block copolymer comprising a hydrophobic unit block comprising vinylically unsaturated polymerizable monomers and a hydrophilic block comprising vinylically unsaturated polymerizable monomers applied to the surface of the medical device.
24. The surface modified medical device of claim 23 wherein the medical device is a contact lens.
25. The surface modified medical device of claim 24 wherein the medical device is a hydrophilic contact lens.
26. The surface modified medical device of claim 24 wherein the medical device is a hydrogel contact lens.
27. The method of claim 12 wherein the hydrophobic unit block comprises vinylically unsaturated polymerizable monomers and the hydrophilic block comprises vinylically unsaturated polymerizable monomers.
28. The method of claim 13 wherein the hydrophobic unit block comprises vinylically unsaturated polymerizable monomers and the hydrophilic block comprises vinylically unsaturated polymerizable monomers.
29. The method of claim 14 wherein the hydrophobic unit block comprises vinylically unsaturated polymerizable monomers and the hydrophilic block comprises vinylically unsaturated polymerizable monomers.
Priority Applications (3)
| Application Number | Priority Date | Filing Date | Title |
|---|---|---|---|
| US12/335,794 US20090169716A1 (en) | 2007-12-27 | 2008-12-16 | Coating solutions comprising surface active segmented block copolymers |
| PCT/US2008/087152 WO2009085817A1 (en) | 2007-12-27 | 2008-12-17 | Coating solutions comprising surface active segmented block copolymers |
| EP08867921A EP2231208A1 (en) | 2007-12-27 | 2008-12-17 | Coating solutions comprising surface active segmented block copolymers |
Applications Claiming Priority (5)
| Application Number | Priority Date | Filing Date | Title |
|---|---|---|---|
| US1684407P | 2007-12-27 | 2007-12-27 | |
| US1684107P | 2007-12-27 | 2007-12-27 | |
| US1684307P | 2007-12-27 | 2007-12-27 | |
| US1684507P | 2007-12-27 | 2007-12-27 | |
| US12/335,794 US20090169716A1 (en) | 2007-12-27 | 2008-12-16 | Coating solutions comprising surface active segmented block copolymers |
Publications (1)
| Publication Number | Publication Date |
|---|---|
| US20090169716A1 true US20090169716A1 (en) | 2009-07-02 |
Family
ID=40797822
Family Applications (6)
| Application Number | Title | Priority Date | Filing Date |
|---|---|---|---|
| US12/333,345 Abandoned US20090171049A1 (en) | 2007-12-27 | 2008-12-12 | Segmented reactive block copolymers |
| US12/334,615 Abandoned US20090171027A1 (en) | 2007-12-27 | 2008-12-15 | Segmented interactive block copolymers |
| US12/334,618 Expired - Fee Related US7942929B2 (en) | 2007-12-27 | 2008-12-15 | Coating solutions comprising segmented reactive block copolymers |
| US12/334,619 Expired - Fee Related US8100528B2 (en) | 2007-12-27 | 2008-12-15 | Coating solutions comprising segmented interactive block copolymers |
| US12/335,774 Abandoned US20090171050A1 (en) | 2007-12-27 | 2008-12-16 | Surface active segmented block copolymers |
| US12/335,794 Abandoned US20090169716A1 (en) | 2007-12-27 | 2008-12-16 | Coating solutions comprising surface active segmented block copolymers |
Family Applications Before (5)
| Application Number | Title | Priority Date | Filing Date |
|---|---|---|---|
| US12/333,345 Abandoned US20090171049A1 (en) | 2007-12-27 | 2008-12-12 | Segmented reactive block copolymers |
| US12/334,615 Abandoned US20090171027A1 (en) | 2007-12-27 | 2008-12-15 | Segmented interactive block copolymers |
| US12/334,618 Expired - Fee Related US7942929B2 (en) | 2007-12-27 | 2008-12-15 | Coating solutions comprising segmented reactive block copolymers |
| US12/334,619 Expired - Fee Related US8100528B2 (en) | 2007-12-27 | 2008-12-15 | Coating solutions comprising segmented interactive block copolymers |
| US12/335,774 Abandoned US20090171050A1 (en) | 2007-12-27 | 2008-12-16 | Surface active segmented block copolymers |
Country Status (1)
| Country | Link |
|---|---|
| US (6) | US20090171049A1 (en) |
Cited By (37)
| Publication number | Priority date | Publication date | Assignee | Title |
|---|---|---|---|---|
| WO2012047755A3 (en) * | 2010-10-06 | 2012-06-28 | Ast Products, Inc. | Functionalized hydrophilic and lubricious polymeric matrix and methods of using same |
| US8313527B2 (en) | 2007-11-05 | 2012-11-20 | Allergan, Inc. | Soft prosthesis shell texturing method |
| US8480227B2 (en) | 2010-07-30 | 2013-07-09 | Novartis Ag | Silicone hydrogel lenses with water-rich surfaces |
| US8487012B2 (en) | 2010-01-28 | 2013-07-16 | Allergan, Inc. | Open celled foams, implants including them and processes for making same |
| US8506627B2 (en) | 2008-08-13 | 2013-08-13 | Allergan, Inc. | Soft filled prosthesis shell with discrete fixation surfaces |
| US8546458B2 (en) | 2010-12-07 | 2013-10-01 | Allergan, Inc. | Process for texturing materials |
| US8679570B2 (en) | 2010-04-27 | 2014-03-25 | Allergan, Inc. | Foam-like materials and methods for producing same |
| US8679279B2 (en) | 2010-11-16 | 2014-03-25 | Allergan, Inc. | Methods for creating foam-like texture |
| US8685296B2 (en) | 2010-05-11 | 2014-04-01 | Allergan, Inc. | Porogen compositions, method of making and uses |
| US8801782B2 (en) | 2011-12-15 | 2014-08-12 | Allergan, Inc. | Surgical methods for breast reconstruction or augmentation |
| US8877822B2 (en) | 2010-09-28 | 2014-11-04 | Allergan, Inc. | Porogen compositions, methods of making and uses |
| US8889751B2 (en) | 2010-09-28 | 2014-11-18 | Allergan, Inc. | Porous materials, methods of making and uses |
| US8951596B2 (en) | 2009-10-16 | 2015-02-10 | Allergan, Inc. | Implants and methods for manufacturing same |
| US9005700B2 (en) | 2011-10-12 | 2015-04-14 | Novartis Ag | Method for making UV-absorbing ophthalmic lenses |
| US9044897B2 (en) | 2010-09-28 | 2015-06-02 | Allergan, Inc. | Porous materials, methods of making and uses |
| US9072821B2 (en) | 2010-02-05 | 2015-07-07 | Allergan, Inc. | Biocompatible structures and compositions |
| US9138308B2 (en) | 2010-02-03 | 2015-09-22 | Apollo Endosurgery, Inc. | Mucosal tissue adhesion via textured surface |
| US9138309B2 (en) | 2010-02-05 | 2015-09-22 | Allergan, Inc. | Porous materials, methods of making and uses |
| US9170349B2 (en) | 2011-05-04 | 2015-10-27 | Johnson & Johnson Vision Care, Inc. | Medical devices having homogeneous charge density and methods for making same |
| US9205577B2 (en) | 2010-02-05 | 2015-12-08 | Allergan, Inc. | Porogen compositions, methods of making and uses |
| US9244196B2 (en) | 2012-05-25 | 2016-01-26 | Johnson & Johnson Vision Care, Inc. | Polymers and nanogel materials and methods for making and using the same |
| US9297929B2 (en) | 2012-05-25 | 2016-03-29 | Johnson & Johnson Vision Care, Inc. | Contact lenses comprising water soluble N-(2 hydroxyalkyl) (meth)acrylamide polymers or copolymers |
| US9522980B2 (en) | 2010-05-06 | 2016-12-20 | Johnson & Johnson Vision Care, Inc. | Non-reactive, hydrophilic polymers having terminal siloxanes and methods for making and using the same |
| US9539086B2 (en) | 2014-05-16 | 2017-01-10 | Allergan, Inc. | Soft filled prosthesis shell with variable texture |
| US9612364B2 (en) | 2011-05-04 | 2017-04-04 | Johnson & Johnson Vision Care, Inc. | Medical devices having homogeneous charge density and methods for making same |
| US9688006B2 (en) | 2012-12-13 | 2017-06-27 | Allergan, Inc. | Device and method for making a variable surface breast implant |
| US9708087B2 (en) | 2013-12-17 | 2017-07-18 | Novartis Ag | Silicone hydrogel lens with a crosslinked hydrophilic coating |
| CN107118646A (en) * | 2017-06-09 | 2017-09-01 | 河北晨阳工贸集团有限公司 | Energy-saving durable automatically cleaning discoloration exterior wall sealing wax and preparation method thereof |
| US9848972B2 (en) | 2008-08-13 | 2017-12-26 | Allergan, Inc. | Dual plane breast implant |
| US10073192B2 (en) | 2012-05-25 | 2018-09-11 | Johnson & Johnson Vision Care, Inc. | Polymers and nanogel materials and methods for making and using the same |
| US10092392B2 (en) | 2014-05-16 | 2018-10-09 | Allergan, Inc. | Textured breast implant and methods of making same |
| US10222509B2 (en) | 2011-11-15 | 2019-03-05 | Novartis Ag | Silicone hydrogel lens with a crosslinked hydrophilic coating |
| US10338408B2 (en) | 2012-12-17 | 2019-07-02 | Novartis Ag | Method for making improved UV-absorbing ophthalmic lenses |
| US10449740B2 (en) | 2015-12-15 | 2019-10-22 | Novartis Ag | Method for applying stable coating on silicone hydrogel contact lenses |
| US10830923B2 (en) | 2017-12-13 | 2020-11-10 | Alcon Inc. | Method for producing MPS-compatible water gradient contact lenses |
| US11002884B2 (en) | 2014-08-26 | 2021-05-11 | Alcon Inc. | Method for applying stable coating on silicone hydrogel contact lenses |
| US11202853B2 (en) | 2010-05-11 | 2021-12-21 | Allergan, Inc. | Porogen compositions, methods of making and uses |
Families Citing this family (38)
| Publication number | Priority date | Publication date | Assignee | Title |
|---|---|---|---|---|
| US20090171049A1 (en) * | 2007-12-27 | 2009-07-02 | Linhardt Jeffrey G | Segmented reactive block copolymers |
| KR20100137520A (en) | 2008-03-20 | 2010-12-30 | 애버리 데니슨 코포레이션 | Acrylic polymer with controlled position of functional groups |
| WO2010077646A2 (en) * | 2008-12-30 | 2010-07-08 | Bausch & Lomb Incorporated | Method of applying renewable polymeric lens coating |
| US20100168851A1 (en) * | 2008-12-30 | 2010-07-01 | David Paul Vanderbilt | Surface Modified Biomedical Devices |
| HUE027398T2 (en) * | 2009-05-22 | 2016-10-28 | Novartis Ag | Actinically-crosslinkable siloxane-containing copolymers |
| RU2559893C2 (en) | 2010-05-19 | 2015-08-20 | Эйвери Деннисон Корпорейшн | Ordered structures in acryl polymers |
| CN105601930B (en) | 2010-07-30 | 2018-09-18 | 诺华股份有限公司 | Amphipathic siloxane prepolymer and application thereof |
| US9738740B2 (en) * | 2011-10-14 | 2017-08-22 | Avery Dennison Corporation | Controlled architecture polymers |
| BR112014029270A2 (en) * | 2012-05-25 | 2017-06-27 | Johnson & Johnson Vision Care | contact lenses comprising water-soluble n- (2-hydroxy alkyl) (meth) acrylamide polymers or copolymers |
| US9395468B2 (en) | 2012-08-27 | 2016-07-19 | Ocular Dynamics, Llc | Contact lens with a hydrophilic layer |
| US9486311B2 (en) | 2013-02-14 | 2016-11-08 | Shifamed Holdings, Llc | Hydrophilic AIOL with bonding |
| US10195018B2 (en) | 2013-03-21 | 2019-02-05 | Shifamed Holdings, Llc | Accommodating intraocular lens |
| EP4257359A3 (en) | 2013-03-21 | 2023-12-06 | Shifamed Holdings, LLC | Accommodating intraocular lens |
| TWI654440B (en) | 2013-11-15 | 2019-03-21 | 美商實體科學公司 | Contact lens with hydrophilic layer |
| US9701458B2 (en) * | 2013-12-19 | 2017-07-11 | Verily Life Sciences Llc | Packaging for an active contact lens |
| WO2015131160A1 (en) * | 2014-02-28 | 2015-09-03 | Functionalize, Inc. | Nano or macro material functionalization and self assembled construction mediated by tris(trimethylsilyl)silane |
| CN103952906B (en) * | 2014-03-26 | 2016-05-11 | 北京大学 | A kind of hydrogel-high-molecular porous film composite material and preparation method thereof |
| JP6267832B2 (en) | 2014-08-26 | 2018-01-24 | シファメド・ホールディングス・エルエルシー | Adjustable intraocular lens |
| US10159562B2 (en) | 2014-09-22 | 2018-12-25 | Kevin J. Cady | Intraocular pseudophakic contact lenses and related systems and methods |
| US11109957B2 (en) | 2014-09-22 | 2021-09-07 | Onpoint Vision, Inc. | Intraocular pseudophakic contact lens with mechanism for securing by anterior leaflet of capsular wall and related system and method |
| US10945832B2 (en) | 2014-09-22 | 2021-03-16 | Onpoint Vision, Inc. | Intraocular pseudophakic contact lens with mechanism for securing by anterior leaflet of capsular wall and related system and method |
| US11938018B2 (en) | 2014-09-22 | 2024-03-26 | Onpoint Vision, Inc. | Intraocular pseudophakic contact lens (IOPCL) for treating age-related macular degeneration (AMD) or other eye disorders |
| US12447007B2 (en) | 2014-09-22 | 2025-10-21 | Onpoint Vision, Inc. | Intraocular pseudophakic contact lens with mechanism for securing by anterior leaflet of capsular wall and related system and method |
| US10299910B2 (en) | 2014-09-22 | 2019-05-28 | Kevin J. Cady | Intraocular pseudophakic contact lens with mechanism for securing by anterior leaflet of capsular wall and related system and method |
| CN107206119B (en) | 2014-12-09 | 2021-01-29 | 实体科学公司 | Medical device coating with biocompatible layer |
| US11141263B2 (en) | 2015-11-18 | 2021-10-12 | Shifamed Holdings, Llc | Multi-piece accommodating intraocular lens |
| JP6934197B2 (en) | 2015-11-18 | 2021-09-15 | シファメド・ホールディングス・エルエルシー | Multiple pieces of adjustable intraocular lens |
| US10350056B2 (en) | 2016-12-23 | 2019-07-16 | Shifamed Holdings, Llc | Multi-piece accommodating intraocular lenses and methods for making and using same |
| JP6954679B2 (en) | 2016-12-23 | 2021-10-27 | シファメド・ホールディングス・エルエルシー | Multi-piece adjustable intraocular lens, and how to make and use it |
| WO2018222579A1 (en) | 2017-05-30 | 2018-12-06 | Shifamed Holdings, Llc | Surface treatments for accommodating intraocular lenses and associated methods and devices |
| AU2018279101B2 (en) | 2017-06-07 | 2023-07-13 | Shifamed Holdings, Llc | Adjustable optical power intraocular lenses |
| CN108285515A (en) * | 2018-01-10 | 2018-07-17 | 江苏利思德新材料有限公司 | A kind of preparation method of poly- N, N- dimethacrylamide-b- poly (glycidyl methacrylate) block copolymers |
| US11253625B2 (en) * | 2018-06-27 | 2022-02-22 | Bausch & Lomb Incorporated | Ophthalmic device packaging solutions comprising a poloxamine/erythritol mixture |
| US12521232B2 (en) | 2019-07-11 | 2026-01-13 | Shifamed Holdings, Llc | Accommodating intraocular lenses and associated methods |
| US11827804B2 (en) * | 2021-01-29 | 2023-11-28 | Ndsu Research Foundation | Curable coating compositions containing glycidyl carbamate resins and amphiphilic glycidyl-carbamate-functional prepolymers having fouling-release and anti-icing properties |
| CN115028872B (en) * | 2022-06-15 | 2023-05-09 | 金陵科技学院 | A kind of anti-protein adsorption hydrogel material and its preparation method and application |
| CN115433327B (en) * | 2022-11-08 | 2023-03-03 | 四川兴泰普乐医疗科技有限公司 | Artificial crystal material and preparation method and application thereof |
| US20240240047A1 (en) * | 2023-01-04 | 2024-07-18 | Bausch + Lomb Ireland Limited | Biomedical devices having a surface coating |
Citations (49)
| Publication number | Priority date | Publication date | Assignee | Title |
|---|---|---|---|---|
| US4136250A (en) * | 1977-07-20 | 1979-01-23 | Ciba-Geigy Corporation | Polysiloxane hydrogels |
| US4153641A (en) * | 1977-07-25 | 1979-05-08 | Bausch & Lomb Incorporated | Polysiloxane composition and contact lens |
| US4168112A (en) * | 1978-01-05 | 1979-09-18 | Polymer Technology Corporation | Contact lens with a hydrophilic, polyelectrolyte complex coating and method for forming same |
| US4327203A (en) * | 1981-02-26 | 1982-04-27 | Bausch & Lomb Incorporated | Polysiloxane with cycloalkyl modifier composition and biomedical devices |
| US4355147A (en) * | 1981-02-26 | 1982-10-19 | Bausch & Lomb Incorporated | Polysiloxane with polycyclic modifier composition and biomedical devices |
| US4740533A (en) * | 1987-07-28 | 1988-04-26 | Ciba-Geigy Corporation | Wettable, flexible, oxygen permeable, substantially non-swellable contact lens containing block copolymer polysiloxane-polyoxyalkylene backbone units, and use thereof |
| US4910277A (en) * | 1988-02-09 | 1990-03-20 | Bambury Ronald E | Hydrophilic oxygen permeable polymers |
| US4954587A (en) * | 1988-07-05 | 1990-09-04 | Ciba-Geigy Corporation | Dimethylacrylamide-copolymer hydrogels with high oxygen permeability |
| US5010141A (en) * | 1989-10-25 | 1991-04-23 | Ciba-Geigy Corporation | Reactive silicone and/or fluorine containing hydrophilic prepolymers and polymers thereof |
| US5034461A (en) * | 1989-06-07 | 1991-07-23 | Bausch & Lomb Incorporated | Novel prepolymers useful in biomedical devices |
| US5070215A (en) * | 1989-05-02 | 1991-12-03 | Bausch & Lomb Incorporated | Novel vinyl carbonate and vinyl carbamate contact lens material monomers |
| US5079093A (en) * | 1988-08-09 | 1992-01-07 | Toray Industries, Inc. | Easily-slippery medical materials and a method for preparation thereof |
| US5079319A (en) * | 1989-10-25 | 1992-01-07 | Ciba-Geigy Corporation | Reactive silicone and/or fluorine containing hydrophilic prepolymers and polymers thereof |
| US5260000A (en) * | 1992-08-03 | 1993-11-09 | Bausch & Lomb Incorporated | Process for making silicone containing hydrogel lenses |
| US5270418A (en) * | 1987-04-02 | 1993-12-14 | Bausch & Lomb Incorporated | Polymer compositions for contact lenses |
| US5310779A (en) * | 1991-11-05 | 1994-05-10 | Bausch & Lomb Incorporated | UV curable crosslinking agents useful in copolymerization |
| US5321108A (en) * | 1993-02-12 | 1994-06-14 | Bausch & Lomb Incorporated | Fluorosilicone hydrogels |
| US5358995A (en) * | 1992-05-15 | 1994-10-25 | Bausch & Lomb Incorporated | Surface wettable silicone hydrogels |
| US5616757A (en) * | 1993-04-08 | 1997-04-01 | Bausch & Lomb Incorporated | Organosilicon-containing materials useful for biomedical devices |
| US5708094A (en) * | 1996-12-17 | 1998-01-13 | Bausch & Lomb Incorporated | Polybutadiene-based compositions for contact lenses |
| US5710302A (en) * | 1995-12-07 | 1998-01-20 | Bausch & Lomb Incorporated | Monomeric units useful for reducing the modules of silicone hydrogels |
| US5714557A (en) * | 1995-12-07 | 1998-02-03 | Bausch & Lomb Incorporated | Monomeric units useful for reducing the modulus of low water polymeric silicone compositions |
| US5804318A (en) * | 1995-10-26 | 1998-09-08 | Corvita Corporation | Lubricious hydrogel surface modification |
| US6127507A (en) * | 1995-08-03 | 2000-10-03 | Santerre; Paul J. | Fluoroligomer surface modifiers for polymers and articles made therefrom |
| US6200626B1 (en) * | 1999-05-20 | 2001-03-13 | Bausch & Lomb Incorporated | Surface-treatment of silicone medical devices comprising an intermediate carbon coating and graft polymerization |
| US6274133B1 (en) * | 1998-12-22 | 2001-08-14 | Bausch & Lomb Incorporated | Method for treating extended-wear contact lenses in the eyes |
| US6323165B1 (en) * | 1996-05-13 | 2001-11-27 | Bausch & Lomb Incorporated | Composition and method for inhibiting of protein on contact lens |
| US6428839B1 (en) * | 2000-06-02 | 2002-08-06 | Bausch & Lomb Incorporated | Surface treatment of medical device |
| US20020120084A1 (en) * | 1999-05-20 | 2002-08-29 | Valint Paul L. | Surface treatment of silicone medical devices with reactive hydrophilic polymers |
| US6451871B1 (en) * | 1998-11-25 | 2002-09-17 | Novartis Ag | Methods of modifying surface characteristics |
| US20020155241A1 (en) * | 2001-02-26 | 2002-10-24 | Tarasevich Barbara J. | Surface modifications of medical devices to reduce protein adsorption |
| US6486213B1 (en) * | 1994-03-04 | 2002-11-26 | University Of Washington | Block and graft copolymers and methods relating thereto |
| US6599559B1 (en) * | 2000-04-03 | 2003-07-29 | Bausch & Lomb Incorporated | Renewable surface treatment of silicone medical devices with reactive hydrophilic polymers |
| US6793973B2 (en) * | 2000-02-04 | 2004-09-21 | Novartis Ag | Single-dip process for achieving a layer-by-layer-like coating |
| US6806320B2 (en) * | 2002-11-15 | 2004-10-19 | 3M Innovative Properties Company | Block copolymer melt-processable compositions, methods of their preparation, and articles therefrom |
| US20040236020A1 (en) * | 2001-07-16 | 2004-11-25 | Ryotaro Tsuji | Block copolymer |
| US6891010B2 (en) * | 2001-10-29 | 2005-05-10 | Bausch & Lomb Incorporated | Silicone hydrogels based on vinyl carbonate endcapped fluorinated side chain polysiloxanes |
| US6902812B2 (en) * | 1999-05-20 | 2005-06-07 | Bausch & Lomb Incorporated | Surface treatment for silicone hydrogel contact lenses comprising hydrophilic polymer chains attached to an intermediate carbon coating |
| US6926965B2 (en) * | 2002-09-11 | 2005-08-09 | Novartis Ag | LbL-coated medical device and method for making the same |
| US6958169B2 (en) * | 2002-12-17 | 2005-10-25 | Bausch & Lomb Incorporated | Surface treatment of medical device |
| US20060063904A1 (en) * | 2002-12-23 | 2006-03-23 | Ketelson Howard A | Compositions and methods for inhibiting protein on surfaces |
| US20060078587A1 (en) * | 2002-05-01 | 2006-04-13 | Koon-Wah Leong | Hydrophilic coatings for medical implements |
| US20060114409A1 (en) * | 2002-06-28 | 2006-06-01 | Kunzler Jay F | Lens with colored portion and coated surface |
| US20060154544A1 (en) * | 2004-12-10 | 2006-07-13 | Ruela Talingting-Pabalan | Method for durable hydrophilization of a hydrophobic surface |
| US20060251694A1 (en) * | 2002-12-20 | 2006-11-09 | Nielsen Bo R | Hydrophilic coating and a method for the preparation thereof |
| US20060292209A1 (en) * | 2003-09-26 | 2006-12-28 | 3M Innovative Properties Company | Reactive hydrophilic oligomers |
| US20070229758A1 (en) * | 2006-03-30 | 2007-10-04 | Yasuo Matsuzawa | Method for applying a coating onto a silicone hydrogel lens |
| US20080174035A1 (en) * | 2006-06-08 | 2008-07-24 | Lynn Cook Winterton | Silicone hydrogel contact lenses |
| US7473740B2 (en) * | 2003-10-22 | 2009-01-06 | Rhodia Chimie | Method for partial or total oxidation of one or several thiocarbonylthio ends of a polymer obtained by radical polymerisation controlled by reversible addition-fragmentation |
Family Cites Families (47)
| Publication number | Priority date | Publication date | Assignee | Title |
|---|---|---|---|---|
| US2034461A (en) * | 1935-05-14 | 1936-03-17 | Hugh W Davis | Plow |
| US4373009A (en) * | 1981-05-18 | 1983-02-08 | International Silicone Corporation | Method of forming a hydrophilic coating on a substrate |
| JPS63229061A (en) * | 1987-03-18 | 1988-09-22 | テルモ株式会社 | Membrane type artificial lung and its production |
| DE3935639A1 (en) * | 1989-02-01 | 1990-08-02 | Bayer Ag | POLYCARBONATE RESIN MIXTURES |
| US5302385A (en) * | 1990-08-20 | 1994-04-12 | Becton, Dickinson And Company | Polyurethane-polyvinylpyrrolidone block copolymer and iodine carrier therefrom |
| US5371147A (en) * | 1990-10-11 | 1994-12-06 | Permeable Technologies, Inc. | Silicone-containing acrylic star polymers, block copolymers and macromonomers |
| US5211108A (en) * | 1990-11-02 | 1993-05-18 | Truswal Systems Corporation | Truss assembly apparatus with vertically adjustable press roller |
| US5219945A (en) * | 1992-02-20 | 1993-06-15 | E. I. Du Pont De Nemours And Company | ABC triblock methacrylate polymers |
| US5670558A (en) * | 1994-07-07 | 1997-09-23 | Terumo Kabushiki Kaisha | Medical instruments that exhibit surface lubricity when wetted |
| US5760100B1 (en) | 1994-09-06 | 2000-11-14 | Ciba Vision Corp | Extended wear ophthalmic lens |
| US5512636A (en) * | 1994-09-06 | 1996-04-30 | Betz Laboratories, Inc. | Cationic graft polymer agglomeration agents for mineral bearing ores |
| US7468398B2 (en) * | 1994-09-06 | 2008-12-23 | Ciba Vision Corporation | Extended wear ophthalmic lens |
| US5576072A (en) * | 1995-02-01 | 1996-11-19 | Schneider (Usa), Inc. | Process for producing slippery, tenaciously adhering hydrogel coatings containing a polyurethane-urea polymer hydrogel commingled with at least one other, dissimilar polymer hydrogel |
| US5763548A (en) * | 1995-03-31 | 1998-06-09 | Carnegie-Mellon University | (Co)polymers and a novel polymerization process based on atom (or group) transfer radical polymerization |
| US5807944A (en) * | 1996-06-27 | 1998-09-15 | Ciba Vision Corporation | Amphiphilic, segmented copolymer of controlled morphology and ophthalmic devices including contact lenses made therefrom |
| US6294614B1 (en) * | 1996-07-29 | 2001-09-25 | K. K. Vayu | Modified polymers containing poly(2-hydroxyethyl(meth)acrylate segment in the molecule |
| US7125938B2 (en) * | 1997-03-11 | 2006-10-24 | Carnegie Mellon University | Atom or group transfer radical polymerization |
| US6849671B2 (en) * | 1998-03-02 | 2005-02-01 | Johnson & Johnson Vision Care, Inc. | Contact lenses |
| DE69902654T2 (en) * | 1998-05-05 | 2003-04-10 | Bausch & Lomb Inc., Rochester | SURFACE TREATMENT OF SILICONE HYDROGEL CONTACT LENSES BY MEANS OF A PLASMA |
| EP1100772B1 (en) * | 1998-07-31 | 2004-04-14 | Ciba SC Holding AG | Open chain alkoxyamine compounds and their use as polymerization regulators |
| WO2000011056A1 (en) * | 1998-08-20 | 2000-03-02 | Kaneka Corporation | Resin composition, polymer, and process for producing polymer |
| US6550915B1 (en) * | 1998-12-21 | 2003-04-22 | Bausch & Lomb Incorporated | Surface treatment of fluorinated contact lens materials |
| US6213604B1 (en) * | 1999-05-20 | 2001-04-10 | Bausch & Lomb Incorporated | Plasma surface treatment of silicone hydrogel contact lenses with a flexible carbon coating |
| BR0014738A (en) | 1999-10-12 | 2002-06-18 | Johnson & Johnson | Contact lens coating manufacturing and selection process |
| US6756449B2 (en) * | 2002-02-27 | 2004-06-29 | Medtronic, Inc. | AnB block copolymers containing poly (vinyl pyrrolidone) units, medical devices, and methods |
| FR2839723B1 (en) * | 2002-05-14 | 2004-07-23 | Rhodia Chimie Sa | POLYMER OBTAINED BY CONTROLLED RADICAL POLYMERIZATION COMPRISING AT LEAST ONE BORONATE FUNCTION, ASSOCIATION WITH A LIGAND COMPOUND AND USES |
| DE10227338B4 (en) * | 2002-06-19 | 2006-05-24 | Byk-Chemie Gmbh | Use of polyacrylate-modified polysiloxanes as flow control agents in coating compositions |
| US7722808B2 (en) * | 2003-09-12 | 2010-05-25 | Novartis Ag | Method and kits for sterilizing and storing soft contact lenses |
| WO2005044881A1 (en) * | 2003-11-07 | 2005-05-19 | National Institute Of Advanced Industrial Science And Technology | Carrier for nucleic acid molecule delivery |
| US7261946B2 (en) * | 2003-11-14 | 2007-08-28 | Advanced Cardiovascular Systems, Inc. | Block copolymers of acrylates and methacrylates with fluoroalkenes |
| US20070026043A1 (en) * | 2003-11-20 | 2007-02-01 | Angiotech International Ag | Medical devices combined with diblock copolymer compositions |
| WO2005068571A1 (en) | 2004-01-15 | 2005-07-28 | Menicon Co., Ltd. | Coating agent applied onto eye lens surface |
| US20050205451A1 (en) * | 2004-03-18 | 2005-09-22 | Brown-Skrobot Susan K | Contact lens packages |
| WO2006088758A2 (en) * | 2005-02-14 | 2006-08-24 | Johnson & Johnson Vision Care, Inc. | A comfortable ophthalmic device and methods of its production |
| WO2007024500A1 (en) | 2005-08-25 | 2007-03-01 | Medtronic Vascular, Inc. | Controlled radical polymerization-derived block copolymer compositions for medical device coatings |
| US20070122540A1 (en) * | 2005-11-29 | 2007-05-31 | Bausch & Lomb Incorporated | Coatings on ophthalmic lenses |
| US20070132120A1 (en) * | 2005-12-08 | 2007-06-14 | Bausch & Lomb Incorporated | Preferential release of an ophthalmic lens using a super-cooled fluid |
| US7811555B2 (en) * | 2005-12-30 | 2010-10-12 | Cordis Corporation | Tri-branched biologically active copolymer |
| US20070155907A1 (en) * | 2005-12-30 | 2007-07-05 | Zhao Jonathon Z | Biologically active block copolymers |
| TW200730547A (en) * | 2006-01-03 | 2007-08-16 | Byk Chemie Gmbh | Copolymers comprising three segments of different ion density, processes for preparing them and use thereof |
| US7811659B2 (en) * | 2006-01-27 | 2010-10-12 | Arkema France | High optical purity copolymer film |
| JP4832910B2 (en) | 2006-01-31 | 2011-12-07 | 株式会社メニコン | Ophthalmic lens surface coating agent and ophthalmic lens obtained thereby |
| US7718432B2 (en) * | 2006-03-22 | 2010-05-18 | The University Of Southern Mississippi | Non-immunogenic, hydrophilic/cationic block copolymers and uses thereof |
| US20070264303A1 (en) * | 2006-05-12 | 2007-11-15 | Liliana Atanasoska | Coating for medical devices comprising an inorganic or ceramic oxide and a therapeutic agent |
| US20080234391A1 (en) * | 2007-03-21 | 2008-09-25 | Mccormick Charles L | Synthesis of Reversible Shell Crosslinked Nanostructures |
| US8466234B2 (en) * | 2007-04-04 | 2013-06-18 | The University Of Akron | Amphiphilic networks, process for producing same, and products made therefrom |
| US20090171049A1 (en) * | 2007-12-27 | 2009-07-02 | Linhardt Jeffrey G | Segmented reactive block copolymers |
-
2008
- 2008-12-12 US US12/333,345 patent/US20090171049A1/en not_active Abandoned
- 2008-12-15 US US12/334,615 patent/US20090171027A1/en not_active Abandoned
- 2008-12-15 US US12/334,618 patent/US7942929B2/en not_active Expired - Fee Related
- 2008-12-15 US US12/334,619 patent/US8100528B2/en not_active Expired - Fee Related
- 2008-12-16 US US12/335,774 patent/US20090171050A1/en not_active Abandoned
- 2008-12-16 US US12/335,794 patent/US20090169716A1/en not_active Abandoned
Patent Citations (55)
| Publication number | Priority date | Publication date | Assignee | Title |
|---|---|---|---|---|
| US4136250A (en) * | 1977-07-20 | 1979-01-23 | Ciba-Geigy Corporation | Polysiloxane hydrogels |
| US4153641A (en) * | 1977-07-25 | 1979-05-08 | Bausch & Lomb Incorporated | Polysiloxane composition and contact lens |
| US4168112A (en) * | 1978-01-05 | 1979-09-18 | Polymer Technology Corporation | Contact lens with a hydrophilic, polyelectrolyte complex coating and method for forming same |
| US4327203A (en) * | 1981-02-26 | 1982-04-27 | Bausch & Lomb Incorporated | Polysiloxane with cycloalkyl modifier composition and biomedical devices |
| US4355147A (en) * | 1981-02-26 | 1982-10-19 | Bausch & Lomb Incorporated | Polysiloxane with polycyclic modifier composition and biomedical devices |
| US5270418A (en) * | 1987-04-02 | 1993-12-14 | Bausch & Lomb Incorporated | Polymer compositions for contact lenses |
| US4740533A (en) * | 1987-07-28 | 1988-04-26 | Ciba-Geigy Corporation | Wettable, flexible, oxygen permeable, substantially non-swellable contact lens containing block copolymer polysiloxane-polyoxyalkylene backbone units, and use thereof |
| US4910277A (en) * | 1988-02-09 | 1990-03-20 | Bambury Ronald E | Hydrophilic oxygen permeable polymers |
| US4954587A (en) * | 1988-07-05 | 1990-09-04 | Ciba-Geigy Corporation | Dimethylacrylamide-copolymer hydrogels with high oxygen permeability |
| US5079093A (en) * | 1988-08-09 | 1992-01-07 | Toray Industries, Inc. | Easily-slippery medical materials and a method for preparation thereof |
| US5070215A (en) * | 1989-05-02 | 1991-12-03 | Bausch & Lomb Incorporated | Novel vinyl carbonate and vinyl carbamate contact lens material monomers |
| US5610252A (en) * | 1989-05-02 | 1997-03-11 | Bausch & Lomb Incorporated | Vinyl carbonate and vinyl carbamate contact lens material monomers |
| US5034461A (en) * | 1989-06-07 | 1991-07-23 | Bausch & Lomb Incorporated | Novel prepolymers useful in biomedical devices |
| US5079319A (en) * | 1989-10-25 | 1992-01-07 | Ciba-Geigy Corporation | Reactive silicone and/or fluorine containing hydrophilic prepolymers and polymers thereof |
| US5010141A (en) * | 1989-10-25 | 1991-04-23 | Ciba-Geigy Corporation | Reactive silicone and/or fluorine containing hydrophilic prepolymers and polymers thereof |
| US5310779A (en) * | 1991-11-05 | 1994-05-10 | Bausch & Lomb Incorporated | UV curable crosslinking agents useful in copolymerization |
| US5449729A (en) * | 1991-11-05 | 1995-09-12 | Bausch & Lomb Incorporated | UV curable crosslinking agents useful in copolymerization |
| US5512205A (en) * | 1991-11-05 | 1996-04-30 | Bausch & Lomb Incorporated | UV curable crosslinking agents useful in copolymerization |
| US5358995A (en) * | 1992-05-15 | 1994-10-25 | Bausch & Lomb Incorporated | Surface wettable silicone hydrogels |
| US5260000A (en) * | 1992-08-03 | 1993-11-09 | Bausch & Lomb Incorporated | Process for making silicone containing hydrogel lenses |
| US5321108A (en) * | 1993-02-12 | 1994-06-14 | Bausch & Lomb Incorporated | Fluorosilicone hydrogels |
| US5387662A (en) * | 1993-02-12 | 1995-02-07 | Bausch & Lomb Incorporated | Fluorosilicone hydrogels |
| US5616757A (en) * | 1993-04-08 | 1997-04-01 | Bausch & Lomb Incorporated | Organosilicon-containing materials useful for biomedical devices |
| US6486213B1 (en) * | 1994-03-04 | 2002-11-26 | University Of Washington | Block and graft copolymers and methods relating thereto |
| US6127507A (en) * | 1995-08-03 | 2000-10-03 | Santerre; Paul J. | Fluoroligomer surface modifiers for polymers and articles made therefrom |
| US5804318A (en) * | 1995-10-26 | 1998-09-08 | Corvita Corporation | Lubricious hydrogel surface modification |
| US5714557A (en) * | 1995-12-07 | 1998-02-03 | Bausch & Lomb Incorporated | Monomeric units useful for reducing the modulus of low water polymeric silicone compositions |
| US5710302A (en) * | 1995-12-07 | 1998-01-20 | Bausch & Lomb Incorporated | Monomeric units useful for reducing the modules of silicone hydrogels |
| US5908906A (en) * | 1995-12-07 | 1999-06-01 | Bausch & Lomb Incorporated | Monomeric units useful for reducing the modulus of silicone hydrogels |
| US6323165B1 (en) * | 1996-05-13 | 2001-11-27 | Bausch & Lomb Incorporated | Composition and method for inhibiting of protein on contact lens |
| US5708094A (en) * | 1996-12-17 | 1998-01-13 | Bausch & Lomb Incorporated | Polybutadiene-based compositions for contact lenses |
| US6451871B1 (en) * | 1998-11-25 | 2002-09-17 | Novartis Ag | Methods of modifying surface characteristics |
| US6274133B1 (en) * | 1998-12-22 | 2001-08-14 | Bausch & Lomb Incorporated | Method for treating extended-wear contact lenses in the eyes |
| US6200626B1 (en) * | 1999-05-20 | 2001-03-13 | Bausch & Lomb Incorporated | Surface-treatment of silicone medical devices comprising an intermediate carbon coating and graft polymerization |
| US6902812B2 (en) * | 1999-05-20 | 2005-06-07 | Bausch & Lomb Incorporated | Surface treatment for silicone hydrogel contact lenses comprising hydrophilic polymer chains attached to an intermediate carbon coating |
| US20020120084A1 (en) * | 1999-05-20 | 2002-08-29 | Valint Paul L. | Surface treatment of silicone medical devices with reactive hydrophilic polymers |
| US6793973B2 (en) * | 2000-02-04 | 2004-09-21 | Novartis Ag | Single-dip process for achieving a layer-by-layer-like coating |
| US6858310B2 (en) * | 2000-04-03 | 2005-02-22 | Bausch & Lomb Incorporated | Renewable surface treatment of silicone medical devices with reactive hydrophilic polymers |
| US6599559B1 (en) * | 2000-04-03 | 2003-07-29 | Bausch & Lomb Incorporated | Renewable surface treatment of silicone medical devices with reactive hydrophilic polymers |
| US6428839B1 (en) * | 2000-06-02 | 2002-08-06 | Bausch & Lomb Incorporated | Surface treatment of medical device |
| US20020155241A1 (en) * | 2001-02-26 | 2002-10-24 | Tarasevich Barbara J. | Surface modifications of medical devices to reduce protein adsorption |
| US20040236020A1 (en) * | 2001-07-16 | 2004-11-25 | Ryotaro Tsuji | Block copolymer |
| US6891010B2 (en) * | 2001-10-29 | 2005-05-10 | Bausch & Lomb Incorporated | Silicone hydrogels based on vinyl carbonate endcapped fluorinated side chain polysiloxanes |
| US20060078587A1 (en) * | 2002-05-01 | 2006-04-13 | Koon-Wah Leong | Hydrophilic coatings for medical implements |
| US20060114409A1 (en) * | 2002-06-28 | 2006-06-01 | Kunzler Jay F | Lens with colored portion and coated surface |
| US6926965B2 (en) * | 2002-09-11 | 2005-08-09 | Novartis Ag | LbL-coated medical device and method for making the same |
| US6806320B2 (en) * | 2002-11-15 | 2004-10-19 | 3M Innovative Properties Company | Block copolymer melt-processable compositions, methods of their preparation, and articles therefrom |
| US6958169B2 (en) * | 2002-12-17 | 2005-10-25 | Bausch & Lomb Incorporated | Surface treatment of medical device |
| US20060251694A1 (en) * | 2002-12-20 | 2006-11-09 | Nielsen Bo R | Hydrophilic coating and a method for the preparation thereof |
| US20060063904A1 (en) * | 2002-12-23 | 2006-03-23 | Ketelson Howard A | Compositions and methods for inhibiting protein on surfaces |
| US20060292209A1 (en) * | 2003-09-26 | 2006-12-28 | 3M Innovative Properties Company | Reactive hydrophilic oligomers |
| US7473740B2 (en) * | 2003-10-22 | 2009-01-06 | Rhodia Chimie | Method for partial or total oxidation of one or several thiocarbonylthio ends of a polymer obtained by radical polymerisation controlled by reversible addition-fragmentation |
| US20060154544A1 (en) * | 2004-12-10 | 2006-07-13 | Ruela Talingting-Pabalan | Method for durable hydrophilization of a hydrophobic surface |
| US20070229758A1 (en) * | 2006-03-30 | 2007-10-04 | Yasuo Matsuzawa | Method for applying a coating onto a silicone hydrogel lens |
| US20080174035A1 (en) * | 2006-06-08 | 2008-07-24 | Lynn Cook Winterton | Silicone hydrogel contact lenses |
Cited By (79)
| Publication number | Priority date | Publication date | Assignee | Title |
|---|---|---|---|---|
| US9138310B2 (en) | 2007-11-05 | 2015-09-22 | Allergan, Inc. | Soft prosthesis shell texturing method |
| US8313527B2 (en) | 2007-11-05 | 2012-11-20 | Allergan, Inc. | Soft prosthesis shell texturing method |
| US9393106B2 (en) | 2008-08-13 | 2016-07-19 | Allergan, Inc. | Soft filled prosthesis shell with discrete fixation surfaces |
| US10765501B2 (en) | 2008-08-13 | 2020-09-08 | Allergan, Inc. | Dual plane breast implant |
| US8506627B2 (en) | 2008-08-13 | 2013-08-13 | Allergan, Inc. | Soft filled prosthesis shell with discrete fixation surfaces |
| US9918829B2 (en) | 2008-08-13 | 2018-03-20 | Allergan, Inc. | Soft filled prosthesis shell with discrete fixation surfaces |
| US9848972B2 (en) | 2008-08-13 | 2017-12-26 | Allergan, Inc. | Dual plane breast implant |
| US10675144B2 (en) | 2008-08-13 | 2020-06-09 | Allergan, Inc. | Soft filled prosthesis shell with discrete fixation surfaces |
| US9138311B2 (en) | 2008-08-13 | 2015-09-22 | Allergan, Inc. | Soft filled prosthesis shell with discrete fixation surfaces |
| US8951596B2 (en) | 2009-10-16 | 2015-02-10 | Allergan, Inc. | Implants and methods for manufacturing same |
| US8487012B2 (en) | 2010-01-28 | 2013-07-16 | Allergan, Inc. | Open celled foams, implants including them and processes for making same |
| US9138308B2 (en) | 2010-02-03 | 2015-09-22 | Apollo Endosurgery, Inc. | Mucosal tissue adhesion via textured surface |
| US10391199B2 (en) | 2010-02-05 | 2019-08-27 | Allergan, Inc. | Porous materials, methods of making and uses |
| US9205577B2 (en) | 2010-02-05 | 2015-12-08 | Allergan, Inc. | Porogen compositions, methods of making and uses |
| US9138309B2 (en) | 2010-02-05 | 2015-09-22 | Allergan, Inc. | Porous materials, methods of making and uses |
| US10624997B2 (en) | 2010-02-05 | 2020-04-21 | Allergan, Inc. | Porogen compositions, methods of making and uses |
| US9072821B2 (en) | 2010-02-05 | 2015-07-07 | Allergan, Inc. | Biocompatible structures and compositions |
| US8679570B2 (en) | 2010-04-27 | 2014-03-25 | Allergan, Inc. | Foam-like materials and methods for producing same |
| US9522980B2 (en) | 2010-05-06 | 2016-12-20 | Johnson & Johnson Vision Care, Inc. | Non-reactive, hydrophilic polymers having terminal siloxanes and methods for making and using the same |
| US10301465B2 (en) | 2010-05-06 | 2019-05-28 | Johnson & Johnson Vision Care, Inc. | Non-reactive, hydrophilic polymers having terminal siloxanes and methods for making and using the same |
| US9815979B2 (en) | 2010-05-06 | 2017-11-14 | Johnson & Johnson Vision Care, Inc. | Non-reactive, hydrophilic polymers having terminal siloxanes and methods for making and using the same |
| US8685296B2 (en) | 2010-05-11 | 2014-04-01 | Allergan, Inc. | Porogen compositions, method of making and uses |
| US11202853B2 (en) | 2010-05-11 | 2021-12-21 | Allergan, Inc. | Porogen compositions, methods of making and uses |
| US9738813B2 (en) | 2010-07-30 | 2017-08-22 | Novartis Ag | Silicone hydrogel lens with a crosslinked hydrophilic coating |
| US8480227B2 (en) | 2010-07-30 | 2013-07-09 | Novartis Ag | Silicone hydrogel lenses with water-rich surfaces |
| US9816009B2 (en) | 2010-07-30 | 2017-11-14 | Novartis Ag | Silicone hydrogel lenses with water-rich surfaces |
| US9239409B2 (en) | 2010-07-30 | 2016-01-19 | Novartis Ag | Silicone hydrogel lens with a crosslinked hydrophilic coating |
| US8939577B2 (en) | 2010-07-30 | 2015-01-27 | Novartis Ag | Silicone hydrogel lenses with water-rich surfaces |
| US9244200B2 (en) | 2010-07-30 | 2016-01-26 | Novartis Ag | Silicone hydrogel lenses with water-rich surfaces |
| US8944592B2 (en) | 2010-07-30 | 2015-02-03 | Novartis Ag | Silicone hydrogel lens with a crosslinked hydrophilic coating |
| US8529057B2 (en) | 2010-07-30 | 2013-09-10 | Novartis Ag | Silicone hydrogel lens with a crosslinked hydrophilic coating |
| US9411171B2 (en) | 2010-07-30 | 2016-08-09 | Novartis Ag | Silicone hydrogel lenses with water-rich surfaces |
| US9507173B2 (en) | 2010-07-30 | 2016-11-29 | Novartis Ag | Silicone hydrogel lens with a crosslinked hydrophilic coating |
| US10781340B2 (en) | 2010-07-30 | 2020-09-22 | Alcon Inc. | Silicone hydrogel lenses with water-rich surfaces |
| US8877822B2 (en) | 2010-09-28 | 2014-11-04 | Allergan, Inc. | Porogen compositions, methods of making and uses |
| US9593224B2 (en) | 2010-09-28 | 2017-03-14 | Allergan, Inc. | Porogen compositions, methods of making and uses |
| US9522502B2 (en) | 2010-09-28 | 2016-12-20 | Allergan, Inc. | Porous materials, methods of making and uses |
| US9044897B2 (en) | 2010-09-28 | 2015-06-02 | Allergan, Inc. | Porous materials, methods of making and uses |
| US8889751B2 (en) | 2010-09-28 | 2014-11-18 | Allergan, Inc. | Porous materials, methods of making and uses |
| US10494458B2 (en) | 2010-10-06 | 2019-12-03 | Ast Products, Inc. | Functionalized hydrophilic and lubricious polymeric matrix and methods of using same |
| US10407520B2 (en) | 2010-10-06 | 2019-09-10 | Ast Products, Inc. | Functionalized hydrophilic and lubricious polymeric matrix and methods of using same |
| WO2012047755A3 (en) * | 2010-10-06 | 2012-06-28 | Ast Products, Inc. | Functionalized hydrophilic and lubricious polymeric matrix and methods of using same |
| US10005854B2 (en) | 2010-10-06 | 2018-06-26 | Ast Products, Inc. | Functionalized hydrophilic and lubricious polymeric matrix and methods of using same |
| US8679279B2 (en) | 2010-11-16 | 2014-03-25 | Allergan, Inc. | Methods for creating foam-like texture |
| US9155613B2 (en) | 2010-11-16 | 2015-10-13 | Allergan, Inc. | Methods for creating foam-like texture |
| US8546458B2 (en) | 2010-12-07 | 2013-10-01 | Allergan, Inc. | Process for texturing materials |
| US9612364B2 (en) | 2011-05-04 | 2017-04-04 | Johnson & Johnson Vision Care, Inc. | Medical devices having homogeneous charge density and methods for making same |
| US10386545B2 (en) | 2011-05-04 | 2019-08-20 | Johnson & Johnson Vision Care, Inc. | Medical devices having homogeneous charge density and methods for making same |
| US9599751B2 (en) | 2011-05-04 | 2017-03-21 | Johnson & Johnson Vision Care, Inc. | Medical devices having homogeneous charge density and methods for making same |
| US9170349B2 (en) | 2011-05-04 | 2015-10-27 | Johnson & Johnson Vision Care, Inc. | Medical devices having homogeneous charge density and methods for making same |
| US11067720B2 (en) | 2011-05-04 | 2021-07-20 | Johnson & Johnson Vision Care, Inc. | Medical devices having homogeneous charge density and methods for making same |
| US9005700B2 (en) | 2011-10-12 | 2015-04-14 | Novartis Ag | Method for making UV-absorbing ophthalmic lenses |
| US10222509B2 (en) | 2011-11-15 | 2019-03-05 | Novartis Ag | Silicone hydrogel lens with a crosslinked hydrophilic coating |
| US8801782B2 (en) | 2011-12-15 | 2014-08-12 | Allergan, Inc. | Surgical methods for breast reconstruction or augmentation |
| US10073192B2 (en) | 2012-05-25 | 2018-09-11 | Johnson & Johnson Vision Care, Inc. | Polymers and nanogel materials and methods for making and using the same |
| US11029539B2 (en) | 2012-05-25 | 2021-06-08 | Johnson & Johnson Vision Care, Inc. | Polymers and nanogel materials and methods for making and using the same |
| US10871595B2 (en) | 2012-05-25 | 2020-12-22 | Johnson & Johnson Vision Care, Inc. | Polymers and nanogel materials and methods for making and using the same |
| US9625617B2 (en) | 2012-05-25 | 2017-04-18 | Johnson & Johnson Vision Care, Inc. | Contact lenses comprising water soluble N-(2 hydroxyalkyl) (meth)acrylamide polymers or copolymers |
| US9726906B2 (en) | 2012-05-25 | 2017-08-08 | Johnson & Johnson Vision Care, Inc. | Polymers and nanogel materials and methods for making and using the same |
| US11782296B2 (en) | 2012-05-25 | 2023-10-10 | Johnson & Johnson Vision Care, Inc. | Polymers and nanogel materials and methods for making and using the same |
| US10502978B2 (en) | 2012-05-25 | 2019-12-10 | Johnson & Johnson Vision Care, Inc. | Polymers and nanogel materials and methods for making and using the same |
| US10502867B2 (en) | 2012-05-25 | 2019-12-10 | Johnson & Johnson Vision Care, Inc. | Polymers and nanogel materials and methods for making and using the same |
| US9297929B2 (en) | 2012-05-25 | 2016-03-29 | Johnson & Johnson Vision Care, Inc. | Contact lenses comprising water soluble N-(2 hydroxyalkyl) (meth)acrylamide polymers or copolymers |
| US9244196B2 (en) | 2012-05-25 | 2016-01-26 | Johnson & Johnson Vision Care, Inc. | Polymers and nanogel materials and methods for making and using the same |
| US9688006B2 (en) | 2012-12-13 | 2017-06-27 | Allergan, Inc. | Device and method for making a variable surface breast implant |
| US10864661B2 (en) | 2012-12-13 | 2020-12-15 | Allergan, Inc. | Device and method for making a variable surface breast implant |
| US10338408B2 (en) | 2012-12-17 | 2019-07-02 | Novartis Ag | Method for making improved UV-absorbing ophthalmic lenses |
| US9708087B2 (en) | 2013-12-17 | 2017-07-18 | Novartis Ag | Silicone hydrogel lens with a crosslinked hydrophilic coating |
| US9539086B2 (en) | 2014-05-16 | 2017-01-10 | Allergan, Inc. | Soft filled prosthesis shell with variable texture |
| US10350055B2 (en) | 2014-05-16 | 2019-07-16 | Allergan, Inc. | Textured breast implant and methods of making same |
| US9808338B2 (en) | 2014-05-16 | 2017-11-07 | Allergan, Inc. | Soft filled prosthesis shell with variable texture |
| US10092392B2 (en) | 2014-05-16 | 2018-10-09 | Allergan, Inc. | Textured breast implant and methods of making same |
| US11002884B2 (en) | 2014-08-26 | 2021-05-11 | Alcon Inc. | Method for applying stable coating on silicone hydrogel contact lenses |
| US10449740B2 (en) | 2015-12-15 | 2019-10-22 | Novartis Ag | Method for applying stable coating on silicone hydrogel contact lenses |
| CN107118646A (en) * | 2017-06-09 | 2017-09-01 | 河北晨阳工贸集团有限公司 | Energy-saving durable automatically cleaning discoloration exterior wall sealing wax and preparation method thereof |
| US10830923B2 (en) | 2017-12-13 | 2020-11-10 | Alcon Inc. | Method for producing MPS-compatible water gradient contact lenses |
| US11029446B2 (en) | 2017-12-13 | 2021-06-08 | Alcon Inc. | Method for producing MPS-compatible water gradient contact lenses |
| US11029447B2 (en) | 2017-12-13 | 2021-06-08 | Alcon Inc. | Method for producing MPS-compatible water gradient contact lenses |
| US11256003B2 (en) | 2017-12-13 | 2022-02-22 | Alcon Inc. | Weekly and monthly disposable water gradient contact lenses |
Also Published As
| Publication number | Publication date |
|---|---|
| US20090171459A1 (en) | 2009-07-02 |
| US20090171049A1 (en) | 2009-07-02 |
| US8100528B2 (en) | 2012-01-24 |
| US20090168012A1 (en) | 2009-07-02 |
| US20090171050A1 (en) | 2009-07-02 |
| US20090171027A1 (en) | 2009-07-02 |
| US7942929B2 (en) | 2011-05-17 |
Similar Documents
| Publication | Publication Date | Title |
|---|---|---|
| US20090169716A1 (en) | Coating solutions comprising surface active segmented block copolymers | |
| WO2009085817A1 (en) | Coating solutions comprising surface active segmented block copolymers | |
| CN101977972B (en) | Coating solutions comprising segmented reactive block copolymers | |
| WO2009085819A1 (en) | Surface active segmented block copolymers | |
| US8454689B2 (en) | Brush copolymers | |
| EP1572261B1 (en) | Surface treatment of medical device | |
| JP6250647B2 (en) | POLYMER AND NANOGEL MATERIAL AND METHOD FOR PRODUCING AND USING THE SAME | |
| EP2443482B1 (en) | Biomedical devices, polymeric materials and contact lenses comprising the same. | |
| EP2091585B1 (en) | Surface treatment of biomedical devices | |
| WO2008005752A2 (en) | Modification of surfaces of polymeric articles by michael addition reaction | |
| WO2009085759A1 (en) | Segmented reactive block copolymers | |
| US20100168851A1 (en) | Surface Modified Biomedical Devices | |
| US20070264509A1 (en) | Copolymer and Medical Device with the Copolymer | |
| US20070264503A1 (en) | Polymers comprising polyhydric alcohols, medical devices modified with same, and method of making | |
| WO2008005753A2 (en) | HYDROPHILIC MACROMONOMERS HAVING α, β -CONJUGATED CARBOXYLIC TERMINAL GROUP AND MEDICAL DEVICES INCORPORATING SAME | |
| WO2007047716A2 (en) | Surface-modified medical devices and method of making | |
| WO2007064565A1 (en) | Method for coating lens material | |
| US20090156745A1 (en) | Surface modified biomedical devices | |
| WO2025219304A1 (en) | Surface modified ophthalmic devices | |
| WO2024146878A1 (en) | Biomedical devices having a surface coating | |
| HK1204793B (en) | Contact lenses comprising water soluble n-(2 hydroxyalkyl) (meth) acrylamide polymers or copolymers | |
| HK1204793A1 (en) | Contact lenses comprising water soluble n-(2 hydroxyalkyl) (meth) acrylamide polymers or copolymers |
Legal Events
| Date | Code | Title | Description |
|---|---|---|---|
| AS | Assignment |
Owner name: BAUSCH & LOMB INCORPORATED, NEW YORK Free format text: ASSIGNMENT OF ASSIGNORS INTEREST;ASSIGNORS:LINHARDT, JEFFREY G.;SHIPP, DEVON A.;KUNZLER, JAY F.;REEL/FRAME:022175/0165;SIGNING DATES FROM 20081218 TO 20090109 |
|
| STCB | Information on status: application discontinuation |
Free format text: ABANDONED -- FAILURE TO RESPOND TO AN OFFICE ACTION |










