US20090130127A1 - Adjuvant or Pharmaceutical Preparation for Transdermal or Transmucousal Administration - Google Patents
Adjuvant or Pharmaceutical Preparation for Transdermal or Transmucousal Administration Download PDFInfo
- Publication number
- US20090130127A1 US20090130127A1 US11/997,413 US99741306A US2009130127A1 US 20090130127 A1 US20090130127 A1 US 20090130127A1 US 99741306 A US99741306 A US 99741306A US 2009130127 A1 US2009130127 A1 US 2009130127A1
- Authority
- US
- United States
- Prior art keywords
- adjuvant
- fatty acid
- antigen
- pharmaceutical preparation
- present
- Prior art date
- Legal status (The legal status is an assumption and is not a legal conclusion. Google has not performed a legal analysis and makes no representation as to the accuracy of the status listed.)
- Abandoned
Links
- 239000002671 adjuvant Substances 0.000 title claims abstract description 142
- 239000000825 pharmaceutical preparation Substances 0.000 title claims description 41
- 235000014113 dietary fatty acids Nutrition 0.000 claims abstract description 50
- 239000000194 fatty acid Substances 0.000 claims abstract description 50
- 229930195729 fatty acid Natural products 0.000 claims abstract description 50
- 150000004665 fatty acids Chemical class 0.000 claims abstract description 18
- 235000021588 free fatty acids Nutrition 0.000 claims abstract description 14
- 239000000126 substance Substances 0.000 claims abstract description 11
- 125000000217 alkyl group Chemical group 0.000 claims abstract description 4
- 125000004432 carbon atom Chemical group C* 0.000 claims abstract description 4
- 125000004122 cyclic group Chemical group 0.000 claims abstract description 4
- 102000036639 antigens Human genes 0.000 claims description 96
- 108091007433 antigens Proteins 0.000 claims description 96
- 239000000427 antigen Substances 0.000 claims description 95
- -1 aliphatic alcohols Chemical class 0.000 claims description 58
- LQZZUXJYWNFBMV-UHFFFAOYSA-N dodecan-1-ol Chemical compound CCCCCCCCCCCCO LQZZUXJYWNFBMV-UHFFFAOYSA-N 0.000 claims description 46
- 238000002360 preparation method Methods 0.000 claims description 46
- 210000003491 skin Anatomy 0.000 claims description 26
- WNWHHMBRJJOGFJ-UHFFFAOYSA-N 16-methylheptadecan-1-ol Chemical compound CC(C)CCCCCCCCCCCCCCCO WNWHHMBRJJOGFJ-UHFFFAOYSA-N 0.000 claims description 17
- 238000011282 treatment Methods 0.000 claims description 15
- 210000004400 mucous membrane Anatomy 0.000 claims description 13
- 229940055577 oleyl alcohol Drugs 0.000 claims description 13
- XMLQWXUVTXCDDL-UHFFFAOYSA-N oleyl alcohol Natural products CCCCCCC=CCCCCCCCCCCO XMLQWXUVTXCDDL-UHFFFAOYSA-N 0.000 claims description 13
- ALSTYHKOOCGGFT-KTKRTIGZSA-N (9Z)-octadecen-1-ol Chemical compound CCCCCCCC\C=C/CCCCCCCCO ALSTYHKOOCGGFT-KTKRTIGZSA-N 0.000 claims description 12
- 208000035874 Excoriation Diseases 0.000 claims description 11
- POULHZVOKOAJMA-UHFFFAOYSA-N dodecanoic acid Chemical compound CCCCCCCCCCCC(O)=O POULHZVOKOAJMA-UHFFFAOYSA-N 0.000 claims description 10
- 239000007788 liquid Substances 0.000 claims description 10
- 229940053200 antiepileptics fatty acid derivative Drugs 0.000 claims description 8
- BTFJIXJJCSYFAL-UHFFFAOYSA-N arachidyl alcohol Natural products CCCCCCCCCCCCCCCCCCCCO BTFJIXJJCSYFAL-UHFFFAOYSA-N 0.000 claims description 8
- MWKFXSUHUHTGQN-UHFFFAOYSA-N decan-1-ol Chemical compound CCCCCCCCCCO MWKFXSUHUHTGQN-UHFFFAOYSA-N 0.000 claims description 8
- IPCSVZSSVZVIGE-UHFFFAOYSA-N hexadecanoic acid Chemical compound CCCCCCCCCCCCCCCC(O)=O IPCSVZSSVZVIGE-UHFFFAOYSA-N 0.000 claims description 8
- 238000002347 injection Methods 0.000 claims description 8
- 239000007924 injection Substances 0.000 claims description 8
- 229920006395 saturated elastomer Polymers 0.000 claims description 8
- 229940035044 sorbitan monolaurate Drugs 0.000 claims description 8
- LEACJMVNYZDSKR-UHFFFAOYSA-N 2-octyldodecan-1-ol Chemical compound CCCCCCCCCCC(CO)CCCCCCCC LEACJMVNYZDSKR-UHFFFAOYSA-N 0.000 claims description 7
- XZIIFPSPUDAGJM-UHFFFAOYSA-N 6-chloro-2-n,2-n-diethylpyrimidine-2,4-diamine Chemical compound CCN(CC)C1=NC(N)=CC(Cl)=N1 XZIIFPSPUDAGJM-UHFFFAOYSA-N 0.000 claims description 7
- WRIDQFICGBMAFQ-UHFFFAOYSA-N (E)-8-Octadecenoic acid Natural products CCCCCCCCCC=CCCCCCCC(O)=O WRIDQFICGBMAFQ-UHFFFAOYSA-N 0.000 claims description 6
- LQJBNNIYVWPHFW-UHFFFAOYSA-N 20:1omega9c fatty acid Natural products CCCCCCCCCCC=CCCCCCCCC(O)=O LQJBNNIYVWPHFW-UHFFFAOYSA-N 0.000 claims description 6
- QSBYPNXLFMSGKH-UHFFFAOYSA-N 9-Heptadecensaeure Natural products CCCCCCCC=CCCCCCCCC(O)=O QSBYPNXLFMSGKH-UHFFFAOYSA-N 0.000 claims description 6
- 239000005642 Oleic acid Substances 0.000 claims description 6
- ZQPPMHVWECSIRJ-UHFFFAOYSA-N Oleic acid Natural products CCCCCCCCC=CCCCCCCCC(O)=O ZQPPMHVWECSIRJ-UHFFFAOYSA-N 0.000 claims description 6
- 230000015572 biosynthetic process Effects 0.000 claims description 6
- 230000008859 change Effects 0.000 claims description 6
- 239000006071 cream Substances 0.000 claims description 6
- QXJSBBXBKPUZAA-UHFFFAOYSA-N isooleic acid Natural products CCCCCCCC=CCCCCCCCCC(O)=O QXJSBBXBKPUZAA-UHFFFAOYSA-N 0.000 claims description 6
- 239000006210 lotion Substances 0.000 claims description 6
- 239000002674 ointment Substances 0.000 claims description 6
- ZQPPMHVWECSIRJ-KTKRTIGZSA-N oleic acid Chemical compound CCCCCCCC\C=C/CCCCCCCC(O)=O ZQPPMHVWECSIRJ-KTKRTIGZSA-N 0.000 claims description 6
- 210000000434 stratum corneum Anatomy 0.000 claims description 6
- ZORQXIQZAOLNGE-UHFFFAOYSA-N 1,1-difluorocyclohexane Chemical compound FC1(F)CCCCC1 ZORQXIQZAOLNGE-UHFFFAOYSA-N 0.000 claims description 5
- 239000005639 Lauric acid Substances 0.000 claims description 5
- 238000004520 electroporation Methods 0.000 claims description 5
- 239000011159 matrix material Substances 0.000 claims description 5
- QIQXTHQIDYTFRH-UHFFFAOYSA-N octadecanoic acid Chemical compound CCCCCCCCCCCCCCCCCC(O)=O QIQXTHQIDYTFRH-UHFFFAOYSA-N 0.000 claims description 5
- 235000011069 sorbitan monooleate Nutrition 0.000 claims description 5
- 239000001593 sorbitan monooleate Substances 0.000 claims description 5
- 229940035049 sorbitan monooleate Drugs 0.000 claims description 5
- OYHQOLUKZRVURQ-NTGFUMLPSA-N (9Z,12Z)-9,10,12,13-tetratritiooctadeca-9,12-dienoic acid Chemical compound C(CCCCCCC\C(=C(/C\C(=C(/CCCCC)\[3H])\[3H])\[3H])\[3H])(=O)O OYHQOLUKZRVURQ-NTGFUMLPSA-N 0.000 claims description 4
- RZRNAYUHWVFMIP-KTKRTIGZSA-N 1-oleoylglycerol Chemical compound CCCCCCCC\C=C/CCCCCCCC(=O)OCC(O)CO RZRNAYUHWVFMIP-KTKRTIGZSA-N 0.000 claims description 4
- FLPJVCMIKUWSDR-UHFFFAOYSA-N 2-(4-formylphenoxy)acetamide Chemical compound NC(=O)COC1=CC=C(C=O)C=C1 FLPJVCMIKUWSDR-UHFFFAOYSA-N 0.000 claims description 4
- BHIZVZJETFVJMJ-UHFFFAOYSA-N 2-hydroxypropyl dodecanoate Chemical compound CCCCCCCCCCCC(=O)OCC(C)O BHIZVZJETFVJMJ-UHFFFAOYSA-N 0.000 claims description 4
- HIQIXEFWDLTDED-UHFFFAOYSA-N 4-hydroxy-1-piperidin-4-ylpyrrolidin-2-one Chemical compound O=C1CC(O)CN1C1CCNCC1 HIQIXEFWDLTDED-UHFFFAOYSA-N 0.000 claims description 4
- OKTJSMMVPCPJKN-UHFFFAOYSA-N Carbon Chemical compound [C] OKTJSMMVPCPJKN-UHFFFAOYSA-N 0.000 claims description 4
- 235000021314 Palmitic acid Nutrition 0.000 claims description 4
- 235000021355 Stearic acid Nutrition 0.000 claims description 4
- DTOSIQBPPRVQHS-PDBXOOCHSA-N alpha-linolenic acid Chemical compound CC\C=C/C\C=C/C\C=C/CCCCCCCC(O)=O DTOSIQBPPRVQHS-PDBXOOCHSA-N 0.000 claims description 4
- 235000020661 alpha-linolenic acid Nutrition 0.000 claims description 4
- 229910052799 carbon Inorganic materials 0.000 claims description 4
- 229940074979 cetyl palmitate Drugs 0.000 claims description 4
- VZCCETWTMQHEPK-UHFFFAOYSA-N gamma-Linolensaeure Natural products CCCCCC=CCC=CCC=CCCCCC(O)=O VZCCETWTMQHEPK-UHFFFAOYSA-N 0.000 claims description 4
- VZCCETWTMQHEPK-QNEBEIHSSA-N gamma-linolenic acid Chemical compound CCCCC\C=C/C\C=C/C\C=C/CCCCC(O)=O VZCCETWTMQHEPK-QNEBEIHSSA-N 0.000 claims description 4
- 235000020664 gamma-linolenic acid Nutrition 0.000 claims description 4
- 229960002733 gamolenic acid Drugs 0.000 claims description 4
- RZRNAYUHWVFMIP-HXUWFJFHSA-N glycerol monolinoleate Natural products CCCCCCCCC=CCCCCCCCC(=O)OC[C@H](O)CO RZRNAYUHWVFMIP-HXUWFJFHSA-N 0.000 claims description 4
- PXDJXZJSCPSGGI-UHFFFAOYSA-N hexadecanoic acid hexadecyl ester Natural products CCCCCCCCCCCCCCCCOC(=O)CCCCCCCCCCCCCCC PXDJXZJSCPSGGI-UHFFFAOYSA-N 0.000 claims description 4
- 229940074928 isopropyl myristate Drugs 0.000 claims description 4
- 229960004488 linolenic acid Drugs 0.000 claims description 4
- KQQKGWQCNNTQJW-UHFFFAOYSA-N linolenic acid Natural products CC=CCCC=CCC=CCCCCCCCC(O)=O KQQKGWQCNNTQJW-UHFFFAOYSA-N 0.000 claims description 4
- WQEPLUUGTLDZJY-UHFFFAOYSA-N n-Pentadecanoic acid Natural products CCCCCCCCCCCCCCC(O)=O WQEPLUUGTLDZJY-UHFFFAOYSA-N 0.000 claims description 4
- OQCDKBAXFALNLD-UHFFFAOYSA-N octadecanoic acid Natural products CCCCCCCC(C)CCCCCCCCC(O)=O OQCDKBAXFALNLD-UHFFFAOYSA-N 0.000 claims description 4
- 235000021313 oleic acid Nutrition 0.000 claims description 4
- BARWIPMJPCRCTP-UHFFFAOYSA-N oleic acid oleyl ester Natural products CCCCCCCCC=CCCCCCCCCOC(=O)CCCCCCCC=CCCCCCCCC BARWIPMJPCRCTP-UHFFFAOYSA-N 0.000 claims description 4
- BARWIPMJPCRCTP-CLFAGFIQSA-N oleyl oleate Chemical compound CCCCCCCC\C=C/CCCCCCCCOC(=O)CCCCCCC\C=C/CCCCCCCC BARWIPMJPCRCTP-CLFAGFIQSA-N 0.000 claims description 4
- 229940026235 propylene glycol monolaurate Drugs 0.000 claims description 4
- 239000008117 stearic acid Substances 0.000 claims description 4
- LFQSCWFLJHTTHZ-UHFFFAOYSA-N Ethanol Chemical compound CCO LFQSCWFLJHTTHZ-UHFFFAOYSA-N 0.000 claims description 3
- 239000003513 alkali Substances 0.000 claims description 3
- 230000005684 electric field Effects 0.000 claims description 3
- 238000004299 exfoliation Methods 0.000 claims description 3
- 230000036571 hydration Effects 0.000 claims description 3
- 238000006703 hydration reaction Methods 0.000 claims description 3
- 229940040145 liniment Drugs 0.000 claims description 3
- 239000000865 liniment Substances 0.000 claims description 3
- 239000011148 porous material Substances 0.000 claims description 3
- 239000000843 powder Substances 0.000 claims description 3
- 239000000829 suppository Substances 0.000 claims description 3
- 235000019441 ethanol Nutrition 0.000 claims description 2
- DNIAPMSPPWPWGF-GSVOUGTGSA-N (R)-(-)-Propylene glycol Chemical compound C[C@@H](O)CO DNIAPMSPPWPWGF-GSVOUGTGSA-N 0.000 abstract description 6
- 239000000243 solution Substances 0.000 description 20
- 230000000694 effects Effects 0.000 description 19
- 230000005847 immunogenicity Effects 0.000 description 18
- 210000001015 abdomen Anatomy 0.000 description 12
- 239000000839 emulsion Substances 0.000 description 12
- 239000002562 thickening agent Substances 0.000 description 12
- 230000028993 immune response Effects 0.000 description 11
- 239000000499 gel Substances 0.000 description 10
- CSCPPACGZOOCGX-UHFFFAOYSA-N Acetone Chemical compound CC(C)=O CSCPPACGZOOCGX-UHFFFAOYSA-N 0.000 description 9
- 239000004372 Polyvinyl alcohol Substances 0.000 description 9
- 206010040880 Skin irritation Diseases 0.000 description 9
- 229920002451 polyvinyl alcohol Polymers 0.000 description 9
- 231100000475 skin irritation Toxicity 0.000 description 9
- 230000036556 skin irritation Effects 0.000 description 9
- 239000004094 surface-active agent Substances 0.000 description 9
- 239000000463 material Substances 0.000 description 8
- 238000011725 BALB/c mouse Methods 0.000 description 7
- 208000026062 Tissue disease Diseases 0.000 description 7
- 210000004369 blood Anatomy 0.000 description 7
- 239000008280 blood Substances 0.000 description 7
- 238000010586 diagram Methods 0.000 description 7
- 210000002664 langerhans' cell Anatomy 0.000 description 7
- 238000000034 method Methods 0.000 description 7
- 150000003839 salts Chemical class 0.000 description 7
- 229960005486 vaccine Drugs 0.000 description 7
- XLOMVQKBTHCTTD-UHFFFAOYSA-N Zinc monoxide Chemical compound [Zn]=O XLOMVQKBTHCTTD-UHFFFAOYSA-N 0.000 description 6
- 239000011248 coating agent Substances 0.000 description 6
- 238000000576 coating method Methods 0.000 description 6
- 150000001875 compounds Chemical class 0.000 description 6
- 230000002708 enhancing effect Effects 0.000 description 6
- 239000002184 metal Substances 0.000 description 6
- 229910052751 metal Inorganic materials 0.000 description 6
- 235000010482 polyoxyethylene sorbitan monooleate Nutrition 0.000 description 6
- 229920000053 polysorbate 80 Polymers 0.000 description 6
- 238000002965 ELISA Methods 0.000 description 5
- PEDCQBHIVMGVHV-UHFFFAOYSA-N Glycerine Chemical compound OCC(O)CO PEDCQBHIVMGVHV-UHFFFAOYSA-N 0.000 description 5
- 239000002202 Polyethylene glycol Substances 0.000 description 5
- DNIAPMSPPWPWGF-UHFFFAOYSA-N Propylene glycol Chemical compound CC(O)CO DNIAPMSPPWPWGF-UHFFFAOYSA-N 0.000 description 5
- 210000001744 T-lymphocyte Anatomy 0.000 description 5
- 239000003655 absorption accelerator Substances 0.000 description 5
- 238000010521 absorption reaction Methods 0.000 description 5
- 229910052782 aluminium Inorganic materials 0.000 description 5
- 210000003128 head Anatomy 0.000 description 5
- 229920001495 poly(sodium acrylate) polymer Polymers 0.000 description 5
- 229920001223 polyethylene glycol Polymers 0.000 description 5
- 231100000245 skin permeability Toxicity 0.000 description 5
- NNMHYFLPFNGQFZ-UHFFFAOYSA-M sodium polyacrylate Chemical compound [Na+].[O-]C(=O)C=C NNMHYFLPFNGQFZ-UHFFFAOYSA-M 0.000 description 5
- 241000894006 Bacteria Species 0.000 description 4
- 241001465754 Metazoa Species 0.000 description 4
- 108010058846 Ovalbumin Proteins 0.000 description 4
- 229920003171 Poly (ethylene oxide) Polymers 0.000 description 4
- 229920002125 Sokalan® Polymers 0.000 description 4
- 229920002472 Starch Polymers 0.000 description 4
- 0 [3*]/C(C(C)=O)=C(\[4*])C(C)=O Chemical compound [3*]/C(C(C)=O)=C(\[4*])C(C)=O 0.000 description 4
- 239000002585 base Substances 0.000 description 4
- 210000004027 cell Anatomy 0.000 description 4
- 238000006243 chemical reaction Methods 0.000 description 4
- 239000003431 cross linking reagent Substances 0.000 description 4
- 210000001165 lymph node Anatomy 0.000 description 4
- 229920002521 macromolecule Polymers 0.000 description 4
- 239000000203 mixture Substances 0.000 description 4
- 239000004006 olive oil Substances 0.000 description 4
- 235000008390 olive oil Nutrition 0.000 description 4
- 229940092253 ovalbumin Drugs 0.000 description 4
- 239000002504 physiological saline solution Substances 0.000 description 4
- 239000004584 polyacrylic acid Substances 0.000 description 4
- 239000008107 starch Substances 0.000 description 4
- 235000019698 starch Nutrition 0.000 description 4
- 108010010803 Gelatin Proteins 0.000 description 3
- 206010020751 Hypersensitivity Diseases 0.000 description 3
- WMFOQBRAJBCJND-UHFFFAOYSA-M Lithium hydroxide Chemical compound [Li+].[OH-] WMFOQBRAJBCJND-UHFFFAOYSA-M 0.000 description 3
- 102000043131 MHC class II family Human genes 0.000 description 3
- 108091054438 MHC class II family Proteins 0.000 description 3
- 206010028980 Neoplasm Diseases 0.000 description 3
- 230000000240 adjuvant effect Effects 0.000 description 3
- 230000002009 allergenic effect Effects 0.000 description 3
- 230000007815 allergy Effects 0.000 description 3
- AZDRQVAHHNSJOQ-UHFFFAOYSA-N alumane Chemical class [AlH3] AZDRQVAHHNSJOQ-UHFFFAOYSA-N 0.000 description 3
- 230000002238 attenuated effect Effects 0.000 description 3
- 229920001577 copolymer Polymers 0.000 description 3
- 238000011156 evaluation Methods 0.000 description 3
- 239000000945 filler Substances 0.000 description 3
- 239000008273 gelatin Substances 0.000 description 3
- 229920000159 gelatin Polymers 0.000 description 3
- 235000019322 gelatine Nutrition 0.000 description 3
- 235000011852 gelatine desserts Nutrition 0.000 description 3
- 230000005965 immune activity Effects 0.000 description 3
- 206010022000 influenza Diseases 0.000 description 3
- 230000001404 mediated effect Effects 0.000 description 3
- XJRBAMWJDBPFIM-UHFFFAOYSA-N methyl vinyl ether Chemical compound COC=C XJRBAMWJDBPFIM-UHFFFAOYSA-N 0.000 description 3
- 229920005615 natural polymer Polymers 0.000 description 3
- 238000006116 polymerization reaction Methods 0.000 description 3
- 235000013855 polyvinylpyrrolidone Nutrition 0.000 description 3
- 239000001267 polyvinylpyrrolidone Substances 0.000 description 3
- 229920000036 polyvinylpyrrolidone Polymers 0.000 description 3
- 230000003381 solubilizing effect Effects 0.000 description 3
- 239000002904 solvent Substances 0.000 description 3
- 239000003381 stabilizer Substances 0.000 description 3
- 238000010561 standard procedure Methods 0.000 description 3
- 229920001059 synthetic polymer Polymers 0.000 description 3
- 238000002255 vaccination Methods 0.000 description 3
- XLYOFNOQVPJJNP-UHFFFAOYSA-N water Substances O XLYOFNOQVPJJNP-UHFFFAOYSA-N 0.000 description 3
- 229920003169 water-soluble polymer Polymers 0.000 description 3
- 239000011787 zinc oxide Substances 0.000 description 3
- NOOLISFMXDJSKH-KXUCPTDWSA-N (-)-Menthol Chemical compound CC(C)[C@@H]1CC[C@@H](C)C[C@H]1O NOOLISFMXDJSKH-KXUCPTDWSA-N 0.000 description 2
- LVYLCBNXHHHPSB-UHFFFAOYSA-N 2-hydroxyethyl salicylate Chemical compound OCCOC(=O)C1=CC=CC=C1O LVYLCBNXHHHPSB-UHFFFAOYSA-N 0.000 description 2
- 230000005730 ADP ribosylation Effects 0.000 description 2
- 206010002091 Anaesthesia Diseases 0.000 description 2
- 206010003210 Arteriosclerosis Diseases 0.000 description 2
- 208000023275 Autoimmune disease Diseases 0.000 description 2
- 102000009016 Cholera Toxin Human genes 0.000 description 2
- 108010049048 Cholera Toxin Proteins 0.000 description 2
- NOOLISFMXDJSKH-UHFFFAOYSA-N DL-menthol Natural products CC(C)C1CCC(C)CC1O NOOLISFMXDJSKH-UHFFFAOYSA-N 0.000 description 2
- 229920002085 Dialdehyde starch Polymers 0.000 description 2
- 229920000084 Gum arabic Polymers 0.000 description 2
- XEEYBQQBJWHFJM-UHFFFAOYSA-N Iron Chemical class [Fe] XEEYBQQBJWHFJM-UHFFFAOYSA-N 0.000 description 2
- 239000004820 Pressure-sensitive adhesive Substances 0.000 description 2
- 241000700159 Rattus Species 0.000 description 2
- 235000010489 acacia gum Nutrition 0.000 description 2
- 239000000205 acacia gum Substances 0.000 description 2
- WNLRTRBMVRJNCN-UHFFFAOYSA-N adipic acid Chemical compound OC(=O)CCCCC(O)=O WNLRTRBMVRJNCN-UHFFFAOYSA-N 0.000 description 2
- 150000001299 aldehydes Chemical class 0.000 description 2
- 208000026935 allergic disease Diseases 0.000 description 2
- WNROFYMDJYEPJX-UHFFFAOYSA-K aluminium hydroxide Chemical compound [OH-].[OH-].[OH-].[Al+3] WNROFYMDJYEPJX-UHFFFAOYSA-K 0.000 description 2
- 229940024545 aluminum hydroxide Drugs 0.000 description 2
- 230000037005 anaesthesia Effects 0.000 description 2
- 230000002421 anti-septic effect Effects 0.000 description 2
- 239000007864 aqueous solution Substances 0.000 description 2
- 208000011775 arteriosclerosis disease Diseases 0.000 description 2
- 230000004888 barrier function Effects 0.000 description 2
- OSGAYBCDTDRGGQ-UHFFFAOYSA-L calcium sulfate Chemical compound [Ca+2].[O-]S([O-])(=O)=O OSGAYBCDTDRGGQ-UHFFFAOYSA-L 0.000 description 2
- 201000011510 cancer Diseases 0.000 description 2
- 239000004359 castor oil Substances 0.000 description 2
- 235000019438 castor oil Nutrition 0.000 description 2
- 208000010247 contact dermatitis Diseases 0.000 description 2
- 239000002537 cosmetic Substances 0.000 description 2
- DOIRQSBPFJWKBE-UHFFFAOYSA-N dibutyl phthalate Chemical compound CCCCOC(=O)C1=CC=CC=C1C(=O)OCCCC DOIRQSBPFJWKBE-UHFFFAOYSA-N 0.000 description 2
- 229940079593 drug Drugs 0.000 description 2
- 239000003814 drug Substances 0.000 description 2
- 239000000428 dust Substances 0.000 description 2
- 239000003995 emulsifying agent Substances 0.000 description 2
- 210000002615 epidermis Anatomy 0.000 description 2
- 150000002148 esters Chemical class 0.000 description 2
- 239000004744 fabric Substances 0.000 description 2
- 210000001035 gastrointestinal tract Anatomy 0.000 description 2
- ZEMPKEQAKRGZGQ-XOQCFJPHSA-N glycerol triricinoleate Natural products CCCCCC[C@@H](O)CC=CCCCCCCCC(=O)OC[C@@H](COC(=O)CCCCCCCC=CC[C@@H](O)CCCCCC)OC(=O)CCCCCCCC=CC[C@H](O)CCCCCC ZEMPKEQAKRGZGQ-XOQCFJPHSA-N 0.000 description 2
- LEQAOMBKQFMDFZ-UHFFFAOYSA-N glyoxal Chemical compound O=CC=O LEQAOMBKQFMDFZ-UHFFFAOYSA-N 0.000 description 2
- 230000003308 immunostimulating effect Effects 0.000 description 2
- XMGQYMWWDOXHJM-UHFFFAOYSA-N limonene Chemical compound CC(=C)C1CCC(C)=CC1 XMGQYMWWDOXHJM-UHFFFAOYSA-N 0.000 description 2
- 210000002751 lymph Anatomy 0.000 description 2
- 238000002483 medication Methods 0.000 description 2
- 239000001525 mentha piperita l. herb oil Substances 0.000 description 2
- 150000002736 metal compounds Chemical class 0.000 description 2
- OSWPMRLSEDHDFF-UHFFFAOYSA-N methyl salicylate Chemical compound COC(=O)C1=CC=CC=C1O OSWPMRLSEDHDFF-UHFFFAOYSA-N 0.000 description 2
- 210000000214 mouth Anatomy 0.000 description 2
- 239000002736 nonionic surfactant Substances 0.000 description 2
- RGOVYLWUIBMPGK-UHFFFAOYSA-N nonivamide Chemical compound CCCCCCCCC(=O)NCC1=CC=C(O)C(OC)=C1 RGOVYLWUIBMPGK-UHFFFAOYSA-N 0.000 description 2
- 210000001331 nose Anatomy 0.000 description 2
- 239000003002 pH adjusting agent Substances 0.000 description 2
- 235000019477 peppermint oil Nutrition 0.000 description 2
- 239000012466 permeate Substances 0.000 description 2
- 229920000642 polymer Polymers 0.000 description 2
- 239000012985 polymerization agent Substances 0.000 description 2
- 238000011160 research Methods 0.000 description 2
- 230000029058 respiratory gaseous exchange Effects 0.000 description 2
- 230000004044 response Effects 0.000 description 2
- 229910052709 silver Inorganic materials 0.000 description 2
- 150000003384 small molecules Chemical class 0.000 description 2
- 208000024891 symptom Diseases 0.000 description 2
- 230000008719 thickening Effects 0.000 description 2
- CWERGRDVMFNCDR-UHFFFAOYSA-N thioglycolic acid Chemical compound OC(=O)CS CWERGRDVMFNCDR-UHFFFAOYSA-N 0.000 description 2
- MGSRCZKZVOBKFT-UHFFFAOYSA-N thymol Chemical compound CC(C)C1=CC=C(C)C=C1O MGSRCZKZVOBKFT-UHFFFAOYSA-N 0.000 description 2
- 239000010936 titanium Substances 0.000 description 2
- 229910052719 titanium Inorganic materials 0.000 description 2
- 239000003053 toxin Substances 0.000 description 2
- 231100000765 toxin Toxicity 0.000 description 2
- 229920002554 vinyl polymer Polymers 0.000 description 2
- 239000000080 wetting agent Substances 0.000 description 2
- LNAZSHAWQACDHT-XIYTZBAFSA-N (2r,3r,4s,5r,6s)-4,5-dimethoxy-2-(methoxymethyl)-3-[(2s,3r,4s,5r,6r)-3,4,5-trimethoxy-6-(methoxymethyl)oxan-2-yl]oxy-6-[(2r,3r,4s,5r,6r)-4,5,6-trimethoxy-2-(methoxymethyl)oxan-3-yl]oxyoxane Chemical compound CO[C@@H]1[C@@H](OC)[C@H](OC)[C@@H](COC)O[C@H]1O[C@H]1[C@H](OC)[C@@H](OC)[C@H](O[C@H]2[C@@H]([C@@H](OC)[C@H](OC)O[C@@H]2COC)OC)O[C@@H]1COC LNAZSHAWQACDHT-XIYTZBAFSA-N 0.000 description 1
- TUSDEZXZIZRFGC-UHFFFAOYSA-N 1-O-galloyl-3,6-(R)-HHDP-beta-D-glucose Natural products OC1C(O2)COC(=O)C3=CC(O)=C(O)C(O)=C3C3=C(O)C(O)=C(O)C=C3C(=O)OC1C(O)C2OC(=O)C1=CC(O)=C(O)C(O)=C1 TUSDEZXZIZRFGC-UHFFFAOYSA-N 0.000 description 1
- IXPNQXFRVYWDDI-UHFFFAOYSA-N 1-methyl-2,4-dioxo-1,3-diazinane-5-carboximidamide Chemical compound CN1CC(C(N)=N)C(=O)NC1=O IXPNQXFRVYWDDI-UHFFFAOYSA-N 0.000 description 1
- HBTAOSGHCXUEKI-UHFFFAOYSA-N 4-chloro-n,n-dimethyl-3-nitrobenzenesulfonamide Chemical compound CN(C)S(=O)(=O)C1=CC=C(Cl)C([N+]([O-])=O)=C1 HBTAOSGHCXUEKI-UHFFFAOYSA-N 0.000 description 1
- 244000215068 Acacia senegal Species 0.000 description 1
- 241000238876 Acari Species 0.000 description 1
- 108010042708 Acetylmuramyl-Alanyl-Isoglutamine Proteins 0.000 description 1
- 229920001817 Agar Polymers 0.000 description 1
- 239000005995 Aluminium silicate Substances 0.000 description 1
- 208000006820 Arthralgia Diseases 0.000 description 1
- 241000588832 Bordetella pertussis Species 0.000 description 1
- BVKZGUZCCUSVTD-UHFFFAOYSA-L Carbonate Chemical compound [O-]C([O-])=O BVKZGUZCCUSVTD-UHFFFAOYSA-L 0.000 description 1
- KRKNYBCHXYNGOX-UHFFFAOYSA-K Citrate Chemical compound [O-]C(=O)CC(O)(CC([O-])=O)C([O-])=O KRKNYBCHXYNGOX-UHFFFAOYSA-K 0.000 description 1
- 241000193449 Clostridium tetani Species 0.000 description 1
- 102000008186 Collagen Human genes 0.000 description 1
- 108010035532 Collagen Proteins 0.000 description 1
- 208000035473 Communicable disease Diseases 0.000 description 1
- 241000186227 Corynebacterium diphtheriae Species 0.000 description 1
- 208000019736 Cranial nerve disease Diseases 0.000 description 1
- 102000004127 Cytokines Human genes 0.000 description 1
- 108090000695 Cytokines Proteins 0.000 description 1
- 241000701022 Cytomegalovirus Species 0.000 description 1
- FBPFZTCFMRRESA-FSIIMWSLSA-N D-Glucitol Natural products OC[C@H](O)[C@H](O)[C@@H](O)[C@H](O)CO FBPFZTCFMRRESA-FSIIMWSLSA-N 0.000 description 1
- FBPFZTCFMRRESA-JGWLITMVSA-N D-glucitol Chemical compound OC[C@H](O)[C@@H](O)[C@H](O)[C@H](O)CO FBPFZTCFMRRESA-JGWLITMVSA-N 0.000 description 1
- RGHNJXZEOKUKBD-SQOUGZDYSA-M D-gluconate Chemical compound OC[C@@H](O)[C@@H](O)[C@H](O)[C@@H](O)C([O-])=O RGHNJXZEOKUKBD-SQOUGZDYSA-M 0.000 description 1
- 108010041986 DNA Vaccines Proteins 0.000 description 1
- 229940021995 DNA vaccine Drugs 0.000 description 1
- 206010012438 Dermatitis atopic Diseases 0.000 description 1
- FEWJPZIEWOKRBE-JCYAYHJZSA-N Dextrotartaric acid Chemical compound OC(=O)[C@H](O)[C@@H](O)C(O)=O FEWJPZIEWOKRBE-JCYAYHJZSA-N 0.000 description 1
- BRLQWZUYTZBJKN-UHFFFAOYSA-N Epichlorohydrin Chemical compound ClCC1CO1 BRLQWZUYTZBJKN-UHFFFAOYSA-N 0.000 description 1
- 239000004593 Epoxy Substances 0.000 description 1
- GXBYFVGCMPJVJX-UHFFFAOYSA-N Epoxybutene Chemical compound C=CC1CO1 GXBYFVGCMPJVJX-UHFFFAOYSA-N 0.000 description 1
- 206010015150 Erythema Diseases 0.000 description 1
- 239000001856 Ethyl cellulose Substances 0.000 description 1
- ZZSNKZQZMQGXPY-UHFFFAOYSA-N Ethyl cellulose Chemical compound CCOCC1OC(OC)C(OCC)C(OCC)C1OC1C(O)C(O)C(OC)C(CO)O1 ZZSNKZQZMQGXPY-UHFFFAOYSA-N 0.000 description 1
- 239000001263 FEMA 3042 Substances 0.000 description 1
- SXRSQZLOMIGNAQ-UHFFFAOYSA-N Glutaraldehyde Chemical compound O=CCCCC=O SXRSQZLOMIGNAQ-UHFFFAOYSA-N 0.000 description 1
- 206010018691 Granuloma Diseases 0.000 description 1
- 229920002907 Guar gum Polymers 0.000 description 1
- 229920000569 Gum karaya Polymers 0.000 description 1
- 241000711549 Hepacivirus C Species 0.000 description 1
- 241000700721 Hepatitis B virus Species 0.000 description 1
- 241000701085 Human alphaherpesvirus 3 Species 0.000 description 1
- 241000701806 Human papillomavirus Species 0.000 description 1
- VEXZGXHMUGYJMC-UHFFFAOYSA-N Hydrochloric acid Chemical compound Cl VEXZGXHMUGYJMC-UHFFFAOYSA-N 0.000 description 1
- 229920001479 Hydroxyethyl methyl cellulose Polymers 0.000 description 1
- 206010022941 Iridocyclitis Diseases 0.000 description 1
- 241000589242 Legionella pneumophila Species 0.000 description 1
- 239000000232 Lipid Bilayer Substances 0.000 description 1
- 102000004895 Lipoproteins Human genes 0.000 description 1
- 108090001030 Lipoproteins Proteins 0.000 description 1
- 229920000161 Locust bean gum Polymers 0.000 description 1
- CERQOIWHTDAKMF-UHFFFAOYSA-M Methacrylate Chemical compound CC(=C)C([O-])=O CERQOIWHTDAKMF-UHFFFAOYSA-M 0.000 description 1
- 241000699666 Mus <mouse, genus> Species 0.000 description 1
- 241000588650 Neisseria meningitidis Species 0.000 description 1
- 208000012902 Nervous system disease Diseases 0.000 description 1
- 208000025966 Neurological disease Diseases 0.000 description 1
- 229910019142 PO4 Inorganic materials 0.000 description 1
- LRBQNJMCXXYXIU-PPKXGCFTSA-N Penta-digallate-beta-D-glucose Natural products OC1=C(O)C(O)=CC(C(=O)OC=2C(=C(O)C=C(C=2)C(=O)OC[C@@H]2[C@H]([C@H](OC(=O)C=3C=C(OC(=O)C=4C=C(O)C(O)=C(O)C=4)C(O)=C(O)C=3)[C@@H](OC(=O)C=3C=C(OC(=O)C=4C=C(O)C(O)=C(O)C=4)C(O)=C(O)C=3)[C@H](OC(=O)C=3C=C(OC(=O)C=4C=C(O)C(O)=C(O)C=4)C(O)=C(O)C=3)O2)OC(=O)C=2C=C(OC(=O)C=3C=C(O)C(O)=C(O)C=3)C(O)=C(O)C=2)O)=C1 LRBQNJMCXXYXIU-PPKXGCFTSA-N 0.000 description 1
- 102000007079 Peptide Fragments Human genes 0.000 description 1
- 108010033276 Peptide Fragments Proteins 0.000 description 1
- 201000005702 Pertussis Diseases 0.000 description 1
- 229920001213 Polysorbate 20 Polymers 0.000 description 1
- 229920001214 Polysorbate 60 Polymers 0.000 description 1
- 102000002067 Protein Subunits Human genes 0.000 description 1
- 108010001267 Protein Subunits Proteins 0.000 description 1
- 241000589517 Pseudomonas aeruginosa Species 0.000 description 1
- 229940022005 RNA vaccine Drugs 0.000 description 1
- 208000033464 Reiter syndrome Diseases 0.000 description 1
- 241000710799 Rubella virus Species 0.000 description 1
- 206010070834 Sensitisation Diseases 0.000 description 1
- VYPSYNLAJGMNEJ-UHFFFAOYSA-N Silicium dioxide Chemical compound O=[Si]=O VYPSYNLAJGMNEJ-UHFFFAOYSA-N 0.000 description 1
- 229910021607 Silver chloride Inorganic materials 0.000 description 1
- 206010067868 Skin mass Diseases 0.000 description 1
- 241000934878 Sterculia Species 0.000 description 1
- 241000193998 Streptococcus pneumoniae Species 0.000 description 1
- 241001505901 Streptococcus sp. 'group A' Species 0.000 description 1
- 229930006000 Sucrose Natural products 0.000 description 1
- QAOWNCQODCNURD-UHFFFAOYSA-L Sulfate Chemical compound [O-]S([O-])(=O)=O QAOWNCQODCNURD-UHFFFAOYSA-L 0.000 description 1
- 239000005844 Thymol Substances 0.000 description 1
- GWEVSGVZZGPLCZ-UHFFFAOYSA-N Titan oxide Chemical compound O=[Ti]=O GWEVSGVZZGPLCZ-UHFFFAOYSA-N 0.000 description 1
- RTAQQCXQSZGOHL-UHFFFAOYSA-N Titanium Chemical compound [Ti] RTAQQCXQSZGOHL-UHFFFAOYSA-N 0.000 description 1
- 229920001615 Tragacanth Polymers 0.000 description 1
- 241000589884 Treponema pallidum Species 0.000 description 1
- 241000607626 Vibrio cholerae Species 0.000 description 1
- 241000700605 Viruses Species 0.000 description 1
- YKTSYUJCYHOUJP-UHFFFAOYSA-N [O--].[Al+3].[Al+3].[O-][Si]([O-])([O-])[O-] Chemical compound [O--].[Al+3].[Al+3].[O-][Si]([O-])([O-])[O-] YKTSYUJCYHOUJP-UHFFFAOYSA-N 0.000 description 1
- DPXJVFZANSGRMM-UHFFFAOYSA-N acetic acid;2,3,4,5,6-pentahydroxyhexanal;sodium Chemical compound [Na].CC(O)=O.OCC(O)C(O)C(O)C(O)C=O DPXJVFZANSGRMM-UHFFFAOYSA-N 0.000 description 1
- 239000002253 acid Substances 0.000 description 1
- NIXOWILDQLNWCW-UHFFFAOYSA-N acrylic acid group Chemical group C(C=C)(=O)O NIXOWILDQLNWCW-UHFFFAOYSA-N 0.000 description 1
- 230000009471 action Effects 0.000 description 1
- 239000013543 active substance Substances 0.000 description 1
- 239000001361 adipic acid Substances 0.000 description 1
- 235000011037 adipic acid Nutrition 0.000 description 1
- 239000008272 agar Substances 0.000 description 1
- 235000010419 agar Nutrition 0.000 description 1
- 229940023476 agar Drugs 0.000 description 1
- 239000000556 agonist Substances 0.000 description 1
- 235000010443 alginic acid Nutrition 0.000 description 1
- 229920000615 alginic acid Polymers 0.000 description 1
- 239000000783 alginic acid Substances 0.000 description 1
- 229960001126 alginic acid Drugs 0.000 description 1
- 150000004781 alginic acids Chemical class 0.000 description 1
- 229910052783 alkali metal Inorganic materials 0.000 description 1
- XAGFODPZIPBFFR-UHFFFAOYSA-N aluminium Chemical compound [Al] XAGFODPZIPBFFR-UHFFFAOYSA-N 0.000 description 1
- ILRRQNADMUWWFW-UHFFFAOYSA-K aluminium phosphate Chemical compound O1[Al]2OP1(=O)O2 ILRRQNADMUWWFW-UHFFFAOYSA-K 0.000 description 1
- 235000012211 aluminium silicate Nutrition 0.000 description 1
- 229940024546 aluminum hydroxide gel Drugs 0.000 description 1
- SMYKVLBUSSNXMV-UHFFFAOYSA-K aluminum;trihydroxide;hydrate Chemical compound O.[OH-].[OH-].[OH-].[Al+3] SMYKVLBUSSNXMV-UHFFFAOYSA-K 0.000 description 1
- 125000000129 anionic group Chemical group 0.000 description 1
- 201000004612 anterior uveitis Diseases 0.000 description 1
- 230000003110 anti-inflammatory effect Effects 0.000 description 1
- 210000000612 antigen-presenting cell Anatomy 0.000 description 1
- 239000003963 antioxidant agent Substances 0.000 description 1
- 230000003078 antioxidant effect Effects 0.000 description 1
- 206010003246 arthritis Diseases 0.000 description 1
- 239000000305 astragalus gummifer gum Substances 0.000 description 1
- 201000008937 atopic dermatitis Diseases 0.000 description 1
- 239000000440 bentonite Substances 0.000 description 1
- 229910000278 bentonite Inorganic materials 0.000 description 1
- SVPXDRXYRYOSEX-UHFFFAOYSA-N bentoquatam Chemical compound O.O=[Si]=O.O=[Al]O[Al]=O SVPXDRXYRYOSEX-UHFFFAOYSA-N 0.000 description 1
- 229910021538 borax Inorganic materials 0.000 description 1
- 229910052796 boron Inorganic materials 0.000 description 1
- 229910052791 calcium Inorganic materials 0.000 description 1
- 239000011575 calcium Substances 0.000 description 1
- 239000001506 calcium phosphate Substances 0.000 description 1
- 229910000389 calcium phosphate Inorganic materials 0.000 description 1
- 235000011010 calcium phosphates Nutrition 0.000 description 1
- 239000001768 carboxy methyl cellulose Substances 0.000 description 1
- 150000001733 carboxylic acid esters Chemical class 0.000 description 1
- 125000002057 carboxymethyl group Chemical group [H]OC(=O)C([H])([H])[*] 0.000 description 1
- 235000010418 carrageenan Nutrition 0.000 description 1
- 239000000679 carrageenan Substances 0.000 description 1
- 229920001525 carrageenan Polymers 0.000 description 1
- 229940113118 carrageenan Drugs 0.000 description 1
- 125000002091 cationic group Chemical group 0.000 description 1
- 229920002678 cellulose Polymers 0.000 description 1
- 239000001913 cellulose Substances 0.000 description 1
- 210000003679 cervix uteri Anatomy 0.000 description 1
- 229910052804 chromium Inorganic materials 0.000 description 1
- 229920001436 collagen Polymers 0.000 description 1
- 238000012790 confirmation Methods 0.000 description 1
- 229940028617 conventional vaccine Drugs 0.000 description 1
- 229910052802 copper Inorganic materials 0.000 description 1
- 238000004132 cross linking Methods 0.000 description 1
- DNTGGZPQPQTDQF-XBXARRHUSA-N crotamiton Chemical compound C/C=C/C(=O)N(CC)C1=CC=CC=C1C DNTGGZPQPQTDQF-XBXARRHUSA-N 0.000 description 1
- 229960003338 crotamiton Drugs 0.000 description 1
- 230000007547 defect Effects 0.000 description 1
- 230000008260 defense mechanism Effects 0.000 description 1
- 239000007933 dermal patch Substances 0.000 description 1
- 210000004207 dermis Anatomy 0.000 description 1
- 125000005442 diisocyanate group Chemical group 0.000 description 1
- 229940031578 diisopropyl adipate Drugs 0.000 description 1
- 125000005594 diketone group Chemical group 0.000 description 1
- 229960005097 diphtheria vaccines Drugs 0.000 description 1
- 201000010099 disease Diseases 0.000 description 1
- 208000037265 diseases, disorders, signs and symptoms Diseases 0.000 description 1
- 239000003937 drug carrier Substances 0.000 description 1
- 125000003700 epoxy group Chemical group 0.000 description 1
- 231100000321 erythema Toxicity 0.000 description 1
- 235000019325 ethyl cellulose Nutrition 0.000 description 1
- 230000001747 exhibiting effect Effects 0.000 description 1
- 238000000684 flow cytometry Methods 0.000 description 1
- MHMNJMPURVTYEJ-UHFFFAOYSA-N fluorescein-5-isothiocyanate Chemical compound O1C(=O)C2=CC(N=C=S)=CC=C2C21C1=CC=C(O)C=C1OC1=CC(O)=CC=C21 MHMNJMPURVTYEJ-UHFFFAOYSA-N 0.000 description 1
- 235000013305 food Nutrition 0.000 description 1
- 230000037406 food intake Effects 0.000 description 1
- 238000009472 formulation Methods 0.000 description 1
- LRBQNJMCXXYXIU-QWKBTXIPSA-N gallotannic acid Chemical compound OC1=C(O)C(O)=CC(C(=O)OC=2C(=C(O)C=C(C=2)C(=O)OC[C@H]2[C@@H]([C@@H](OC(=O)C=3C=C(OC(=O)C=4C=C(O)C(O)=C(O)C=4)C(O)=C(O)C=3)[C@H](OC(=O)C=3C=C(OC(=O)C=4C=C(O)C(O)=C(O)C=4)C(O)=C(O)C=3)[C@@H](OC(=O)C=3C=C(OC(=O)C=4C=C(O)C(O)=C(O)C=4)C(O)=C(O)C=3)O2)OC(=O)C=2C=C(OC(=O)C=3C=C(O)C(O)=C(O)C=3)C(O)=C(O)C=2)O)=C1 LRBQNJMCXXYXIU-QWKBTXIPSA-N 0.000 description 1
- 210000004392 genitalia Anatomy 0.000 description 1
- 229940050410 gluconate Drugs 0.000 description 1
- 229960002389 glycol salicylate Drugs 0.000 description 1
- 229940015043 glyoxal Drugs 0.000 description 1
- 230000033687 granuloma formation Effects 0.000 description 1
- 210000004013 groin Anatomy 0.000 description 1
- 235000010417 guar gum Nutrition 0.000 description 1
- 239000000665 guar gum Substances 0.000 description 1
- 229960002154 guar gum Drugs 0.000 description 1
- 229960002520 hepatitis vaccine Drugs 0.000 description 1
- XLYOFNOQVPJJNP-UHFFFAOYSA-M hydroxide Chemical compound [OH-] XLYOFNOQVPJJNP-UHFFFAOYSA-M 0.000 description 1
- 150000002440 hydroxy compounds Chemical class 0.000 description 1
- 230000002519 immonomodulatory effect Effects 0.000 description 1
- 230000001900 immune effect Effects 0.000 description 1
- 230000036737 immune function Effects 0.000 description 1
- 230000006698 induction Effects 0.000 description 1
- 230000001939 inductive effect Effects 0.000 description 1
- 208000015181 infectious disease Diseases 0.000 description 1
- 230000002757 inflammatory effect Effects 0.000 description 1
- 229960003971 influenza vaccine Drugs 0.000 description 1
- 210000001911 interdigitating cell Anatomy 0.000 description 1
- 238000007918 intramuscular administration Methods 0.000 description 1
- 238000011835 investigation Methods 0.000 description 1
- PNDPGZBMCMUPRI-UHFFFAOYSA-N iodine Chemical compound II PNDPGZBMCMUPRI-UHFFFAOYSA-N 0.000 description 1
- 229920000831 ionic polymer Polymers 0.000 description 1
- 239000002563 ionic surfactant Substances 0.000 description 1
- 229910052742 iron Inorganic materials 0.000 description 1
- NLYAJNPCOHFWQQ-UHFFFAOYSA-N kaolin Chemical compound O.O.O=[Al]O[Si](=O)O[Si](=O)O[Al]=O NLYAJNPCOHFWQQ-UHFFFAOYSA-N 0.000 description 1
- 235000010494 karaya gum Nutrition 0.000 description 1
- 239000000231 karaya gum Substances 0.000 description 1
- 229940039371 karaya gum Drugs 0.000 description 1
- 229940115932 legionella pneumophila Drugs 0.000 description 1
- 229940087305 limonene Drugs 0.000 description 1
- 235000001510 limonene Nutrition 0.000 description 1
- 229940006116 lithium hydroxide Drugs 0.000 description 1
- 235000010420 locust bean gum Nutrition 0.000 description 1
- 239000000711 locust bean gum Substances 0.000 description 1
- 150000004668 long chain fatty acids Chemical class 0.000 description 1
- 229940042470 lyme disease vaccine Drugs 0.000 description 1
- 210000001365 lymphatic vessel Anatomy 0.000 description 1
- 108700021021 mRNA Vaccine Proteins 0.000 description 1
- 229910052749 magnesium Inorganic materials 0.000 description 1
- 239000011777 magnesium Substances 0.000 description 1
- VTHJTEIRLNZDEV-UHFFFAOYSA-L magnesium dihydroxide Chemical compound [OH-].[OH-].[Mg+2] VTHJTEIRLNZDEV-UHFFFAOYSA-L 0.000 description 1
- 239000000347 magnesium hydroxide Substances 0.000 description 1
- 229910001862 magnesium hydroxide Inorganic materials 0.000 description 1
- 229940041323 measles vaccine Drugs 0.000 description 1
- 238000002844 melting Methods 0.000 description 1
- 230000008018 melting Effects 0.000 description 1
- QSHDDOUJBYECFT-UHFFFAOYSA-N mercury Chemical class [Hg] QSHDDOUJBYECFT-UHFFFAOYSA-N 0.000 description 1
- 229910052753 mercury Inorganic materials 0.000 description 1
- 150000002739 metals Chemical class 0.000 description 1
- WSFSSNUMVMOOMR-NJFSPNSNSA-N methanone Chemical compound O=[14CH2] WSFSSNUMVMOOMR-NJFSPNSNSA-N 0.000 description 1
- 229920000609 methyl cellulose Polymers 0.000 description 1
- 229960001047 methyl salicylate Drugs 0.000 description 1
- 235000010981 methylcellulose Nutrition 0.000 description 1
- 239000001923 methylcellulose Substances 0.000 description 1
- 229920003087 methylethyl cellulose Polymers 0.000 description 1
- 230000000813 microbial effect Effects 0.000 description 1
- 244000000010 microbial pathogen Species 0.000 description 1
- 230000005012 migration Effects 0.000 description 1
- 238000013508 migration Methods 0.000 description 1
- 238000002156 mixing Methods 0.000 description 1
- 229940095293 mumps vaccine Drugs 0.000 description 1
- BSOQXXWZTUDTEL-ZUYCGGNHSA-N muramyl dipeptide Chemical compound OC(=O)CC[C@H](C(N)=O)NC(=O)[C@H](C)NC(=O)[C@@H](C)O[C@H]1[C@H](O)[C@@H](CO)O[C@@H](O)[C@@H]1NC(C)=O BSOQXXWZTUDTEL-ZUYCGGNHSA-N 0.000 description 1
- 210000003928 nasal cavity Anatomy 0.000 description 1
- 229940105631 nembutal Drugs 0.000 description 1
- 239000007764 o/w emulsion Substances 0.000 description 1
- 229920001542 oligosaccharide Polymers 0.000 description 1
- 150000002482 oligosaccharides Chemical class 0.000 description 1
- 210000000056 organ Anatomy 0.000 description 1
- 210000004798 organs belonging to the digestive system Anatomy 0.000 description 1
- 244000052769 pathogen Species 0.000 description 1
- 230000001717 pathogenic effect Effects 0.000 description 1
- 239000001814 pectin Substances 0.000 description 1
- 229920001277 pectin Polymers 0.000 description 1
- 235000010987 pectin Nutrition 0.000 description 1
- UCUUFSAXZMGPGH-UHFFFAOYSA-N penta-1,4-dien-3-one Chemical compound C=CC(=O)C=C UCUUFSAXZMGPGH-UHFFFAOYSA-N 0.000 description 1
- WEXRUCMBJFQVBZ-UHFFFAOYSA-N pentobarbital Chemical compound CCCC(C)C1(CC)C(=O)NC(=O)NC1=O WEXRUCMBJFQVBZ-UHFFFAOYSA-N 0.000 description 1
- 230000035699 permeability Effects 0.000 description 1
- 150000002978 peroxides Chemical class 0.000 description 1
- NBIIXXVUZAFLBC-UHFFFAOYSA-K phosphate Chemical compound [O-]P([O-])([O-])=O NBIIXXVUZAFLBC-UHFFFAOYSA-K 0.000 description 1
- 239000010452 phosphate Substances 0.000 description 1
- 239000011505 plaster Substances 0.000 description 1
- 229920000768 polyamine Polymers 0.000 description 1
- 229920000223 polyglycerol Polymers 0.000 description 1
- 102000040430 polynucleotide Human genes 0.000 description 1
- 108091033319 polynucleotide Proteins 0.000 description 1
- 239000002157 polynucleotide Substances 0.000 description 1
- 229920005862 polyol Polymers 0.000 description 1
- 150000003077 polyols Chemical class 0.000 description 1
- 235000010486 polyoxyethylene sorbitan monolaurate Nutrition 0.000 description 1
- 239000000256 polyoxyethylene sorbitan monolaurate Substances 0.000 description 1
- 229920001282 polysaccharide Polymers 0.000 description 1
- 239000005017 polysaccharide Substances 0.000 description 1
- 150000004804 polysaccharides Chemical class 0.000 description 1
- 230000002265 prevention Effects 0.000 description 1
- 108090000765 processed proteins & peptides Proteins 0.000 description 1
- 102000004196 processed proteins & peptides Human genes 0.000 description 1
- 230000001737 promoting effect Effects 0.000 description 1
- RUOJZAUFBMNUDX-UHFFFAOYSA-N propylene carbonate Chemical compound CC1COC(=O)O1 RUOJZAUFBMNUDX-UHFFFAOYSA-N 0.000 description 1
- 229940023143 protein vaccine Drugs 0.000 description 1
- 102000004169 proteins and genes Human genes 0.000 description 1
- 108090000623 proteins and genes Proteins 0.000 description 1
- 230000001047 pyretic effect Effects 0.000 description 1
- 229960003127 rabies vaccine Drugs 0.000 description 1
- 208000002574 reactive arthritis Diseases 0.000 description 1
- 229940077082 red pepper extract Drugs 0.000 description 1
- 230000009467 reduction Effects 0.000 description 1
- 230000000241 respiratory effect Effects 0.000 description 1
- 230000008313 sensitization Effects 0.000 description 1
- DFEYYRMXOJXZRJ-UHFFFAOYSA-N sevoflurane Chemical compound FCOC(C(F)(F)F)C(F)(F)F DFEYYRMXOJXZRJ-UHFFFAOYSA-N 0.000 description 1
- 229960002078 sevoflurane Drugs 0.000 description 1
- HKZLPVFGJNLROG-UHFFFAOYSA-M silver monochloride Chemical compound [Cl-].[Ag+] HKZLPVFGJNLROG-UHFFFAOYSA-M 0.000 description 1
- 210000004927 skin cell Anatomy 0.000 description 1
- 229940083538 smallpox vaccine Drugs 0.000 description 1
- 235000010413 sodium alginate Nutrition 0.000 description 1
- 239000000661 sodium alginate Substances 0.000 description 1
- 229940005550 sodium alginate Drugs 0.000 description 1
- 229960004599 sodium borate Drugs 0.000 description 1
- 235000019812 sodium carboxymethyl cellulose Nutrition 0.000 description 1
- 229920001027 sodium carboxymethylcellulose Polymers 0.000 description 1
- 235000010339 sodium tetraborate Nutrition 0.000 description 1
- 239000000600 sorbitol Substances 0.000 description 1
- 229940031000 streptococcus pneumoniae Drugs 0.000 description 1
- 230000002739 subcortical effect Effects 0.000 description 1
- 238000007920 subcutaneous administration Methods 0.000 description 1
- 210000004304 subcutaneous tissue Anatomy 0.000 description 1
- 239000005720 sucrose Substances 0.000 description 1
- 150000005846 sugar alcohols Polymers 0.000 description 1
- 230000002195 synergetic effect Effects 0.000 description 1
- 239000000454 talc Substances 0.000 description 1
- 229910052623 talc Inorganic materials 0.000 description 1
- 229920002258 tannic acid Polymers 0.000 description 1
- 229940033123 tannic acid Drugs 0.000 description 1
- 235000015523 tannic acid Nutrition 0.000 description 1
- 238000012360 testing method Methods 0.000 description 1
- 229960000790 thymol Drugs 0.000 description 1
- 229910052718 tin Inorganic materials 0.000 description 1
- OGIDPMRJRNCKJF-UHFFFAOYSA-N titanium oxide Inorganic materials [Ti]=O OGIDPMRJRNCKJF-UHFFFAOYSA-N 0.000 description 1
- QORWJWZARLRLPR-UHFFFAOYSA-H tricalcium bis(phosphate) Chemical compound [Ca+2].[Ca+2].[Ca+2].[O-]P([O-])([O-])=O.[O-]P([O-])([O-])=O QORWJWZARLRLPR-UHFFFAOYSA-H 0.000 description 1
- BSVBQGMMJUBVOD-UHFFFAOYSA-N trisodium borate Chemical compound [Na+].[Na+].[Na+].[O-]B([O-])[O-] BSVBQGMMJUBVOD-UHFFFAOYSA-N 0.000 description 1
- 208000000143 urethritis Diseases 0.000 description 1
- 229910052720 vanadium Inorganic materials 0.000 description 1
- 229940021648 varicella vaccine Drugs 0.000 description 1
- 235000013311 vegetables Nutrition 0.000 description 1
- 229940118696 vibrio cholerae Drugs 0.000 description 1
- 125000000391 vinyl group Chemical group [H]C([*])=C([H])[H] 0.000 description 1
- 229920001285 xanthan gum Polymers 0.000 description 1
- 235000010493 xanthan gum Nutrition 0.000 description 1
- 239000000230 xanthan gum Substances 0.000 description 1
- 229940082509 xanthan gum Drugs 0.000 description 1
- 150000003751 zinc Chemical class 0.000 description 1
- UGZADUVQMDAIAO-UHFFFAOYSA-L zinc hydroxide Chemical compound [OH-].[OH-].[Zn+2] UGZADUVQMDAIAO-UHFFFAOYSA-L 0.000 description 1
- 229910021511 zinc hydroxide Inorganic materials 0.000 description 1
- 229940007718 zinc hydroxide Drugs 0.000 description 1
- UHVMMEOXYDMDKI-JKYCWFKZSA-L zinc;1-(5-cyanopyridin-2-yl)-3-[(1s,2s)-2-(6-fluoro-2-hydroxy-3-propanoylphenyl)cyclopropyl]urea;diacetate Chemical compound [Zn+2].CC([O-])=O.CC([O-])=O.CCC(=O)C1=CC=C(F)C([C@H]2[C@H](C2)NC(=O)NC=2N=CC(=CC=2)C#N)=C1O UHVMMEOXYDMDKI-JKYCWFKZSA-L 0.000 description 1
- 229910052726 zirconium Inorganic materials 0.000 description 1
Images
Classifications
-
- A—HUMAN NECESSITIES
- A61—MEDICAL OR VETERINARY SCIENCE; HYGIENE
- A61K—PREPARATIONS FOR MEDICAL, DENTAL OR TOILETRY PURPOSES
- A61K39/00—Medicinal preparations containing antigens or antibodies
- A61K39/39—Medicinal preparations containing antigens or antibodies characterised by the immunostimulating additives, e.g. chemical adjuvants
-
- A—HUMAN NECESSITIES
- A61—MEDICAL OR VETERINARY SCIENCE; HYGIENE
- A61K—PREPARATIONS FOR MEDICAL, DENTAL OR TOILETRY PURPOSES
- A61K39/00—Medicinal preparations containing antigens or antibodies
- A61K39/12—Viral antigens
- A61K39/145—Orthomyxoviridae, e.g. influenza virus
-
- A—HUMAN NECESSITIES
- A61—MEDICAL OR VETERINARY SCIENCE; HYGIENE
- A61K—PREPARATIONS FOR MEDICAL, DENTAL OR TOILETRY PURPOSES
- A61K9/00—Medicinal preparations characterised by special physical form
- A61K9/0002—Galenical forms characterised by the drug release technique; Application systems commanded by energy
- A61K9/0009—Galenical forms characterised by the drug release technique; Application systems commanded by energy involving or responsive to electricity, magnetism or acoustic waves; Galenical aspects of sonophoresis, iontophoresis, electroporation or electroosmosis
-
- A—HUMAN NECESSITIES
- A61—MEDICAL OR VETERINARY SCIENCE; HYGIENE
- A61K—PREPARATIONS FOR MEDICAL, DENTAL OR TOILETRY PURPOSES
- A61K9/00—Medicinal preparations characterised by special physical form
- A61K9/0012—Galenical forms characterised by the site of application
- A61K9/0014—Skin, i.e. galenical aspects of topical compositions
-
- A—HUMAN NECESSITIES
- A61—MEDICAL OR VETERINARY SCIENCE; HYGIENE
- A61K—PREPARATIONS FOR MEDICAL, DENTAL OR TOILETRY PURPOSES
- A61K9/00—Medicinal preparations characterised by special physical form
- A61K9/0012—Galenical forms characterised by the site of application
- A61K9/0019—Injectable compositions; Intramuscular, intravenous, arterial, subcutaneous administration; Compositions to be administered through the skin in an invasive manner
- A61K9/0021—Intradermal administration, e.g. through microneedle arrays, needleless injectors
-
- A—HUMAN NECESSITIES
- A61—MEDICAL OR VETERINARY SCIENCE; HYGIENE
- A61K—PREPARATIONS FOR MEDICAL, DENTAL OR TOILETRY PURPOSES
- A61K9/00—Medicinal preparations characterised by special physical form
- A61K9/0012—Galenical forms characterised by the site of application
- A61K9/0053—Mouth and digestive tract, i.e. intraoral and peroral administration
- A61K9/006—Oral mucosa, e.g. mucoadhesive forms, sublingual droplets; Buccal patches or films; Buccal sprays
-
- A—HUMAN NECESSITIES
- A61—MEDICAL OR VETERINARY SCIENCE; HYGIENE
- A61M—DEVICES FOR INTRODUCING MEDIA INTO, OR ONTO, THE BODY; DEVICES FOR TRANSDUCING BODY MEDIA OR FOR TAKING MEDIA FROM THE BODY; DEVICES FOR PRODUCING OR ENDING SLEEP OR STUPOR
- A61M37/00—Other apparatus for introducing media into the body; Percutany, i.e. introducing medicines into the body by diffusion through the skin
- A61M37/0092—Other apparatus for introducing media into the body; Percutany, i.e. introducing medicines into the body by diffusion through the skin using ultrasonic, sonic or infrasonic vibrations, e.g. phonophoresis
-
- A—HUMAN NECESSITIES
- A61—MEDICAL OR VETERINARY SCIENCE; HYGIENE
- A61N—ELECTROTHERAPY; MAGNETOTHERAPY; RADIATION THERAPY; ULTRASOUND THERAPY
- A61N1/00—Electrotherapy; Circuits therefor
- A61N1/18—Applying electric currents by contact electrodes
- A61N1/32—Applying electric currents by contact electrodes alternating or intermittent currents
- A61N1/325—Applying electric currents by contact electrodes alternating or intermittent currents for iontophoresis, i.e. transfer of media in ionic state by an electromotoric force into the body
-
- A—HUMAN NECESSITIES
- A61—MEDICAL OR VETERINARY SCIENCE; HYGIENE
- A61N—ELECTROTHERAPY; MAGNETOTHERAPY; RADIATION THERAPY; ULTRASOUND THERAPY
- A61N1/00—Electrotherapy; Circuits therefor
- A61N1/18—Applying electric currents by contact electrodes
- A61N1/32—Applying electric currents by contact electrodes alternating or intermittent currents
- A61N1/327—Applying electric currents by contact electrodes alternating or intermittent currents for enhancing the absorption properties of tissue, e.g. by electroporation
-
- A—HUMAN NECESSITIES
- A61—MEDICAL OR VETERINARY SCIENCE; HYGIENE
- A61P—SPECIFIC THERAPEUTIC ACTIVITY OF CHEMICAL COMPOUNDS OR MEDICINAL PREPARATIONS
- A61P37/00—Drugs for immunological or allergic disorders
- A61P37/02—Immunomodulators
- A61P37/04—Immunostimulants
-
- C—CHEMISTRY; METALLURGY
- C12—BIOCHEMISTRY; BEER; SPIRITS; WINE; VINEGAR; MICROBIOLOGY; ENZYMOLOGY; MUTATION OR GENETIC ENGINEERING
- C12N—MICROORGANISMS OR ENZYMES; COMPOSITIONS THEREOF; PROPAGATING, PRESERVING, OR MAINTAINING MICROORGANISMS; MUTATION OR GENETIC ENGINEERING; CULTURE MEDIA
- C12N7/00—Viruses; Bacteriophages; Compositions thereof; Preparation or purification thereof
-
- A—HUMAN NECESSITIES
- A61—MEDICAL OR VETERINARY SCIENCE; HYGIENE
- A61K—PREPARATIONS FOR MEDICAL, DENTAL OR TOILETRY PURPOSES
- A61K39/00—Medicinal preparations containing antigens or antibodies
- A61K2039/51—Medicinal preparations containing antigens or antibodies comprising whole cells, viruses or DNA/RNA
- A61K2039/53—DNA (RNA) vaccination
-
- A—HUMAN NECESSITIES
- A61—MEDICAL OR VETERINARY SCIENCE; HYGIENE
- A61K—PREPARATIONS FOR MEDICAL, DENTAL OR TOILETRY PURPOSES
- A61K39/00—Medicinal preparations containing antigens or antibodies
- A61K2039/54—Medicinal preparations containing antigens or antibodies characterised by the route of administration
-
- A—HUMAN NECESSITIES
- A61—MEDICAL OR VETERINARY SCIENCE; HYGIENE
- A61K—PREPARATIONS FOR MEDICAL, DENTAL OR TOILETRY PURPOSES
- A61K39/00—Medicinal preparations containing antigens or antibodies
- A61K2039/54—Medicinal preparations containing antigens or antibodies characterised by the route of administration
- A61K2039/541—Mucosal route
-
- A—HUMAN NECESSITIES
- A61—MEDICAL OR VETERINARY SCIENCE; HYGIENE
- A61K—PREPARATIONS FOR MEDICAL, DENTAL OR TOILETRY PURPOSES
- A61K39/00—Medicinal preparations containing antigens or antibodies
- A61K2039/555—Medicinal preparations containing antigens or antibodies characterised by a specific combination antigen/adjuvant
- A61K2039/55511—Organic adjuvants
-
- A—HUMAN NECESSITIES
- A61—MEDICAL OR VETERINARY SCIENCE; HYGIENE
- A61K—PREPARATIONS FOR MEDICAL, DENTAL OR TOILETRY PURPOSES
- A61K47/00—Medicinal preparations characterised by the non-active ingredients used, e.g. carriers or inert additives; Targeting or modifying agents chemically bound to the active ingredient
- A61K47/06—Organic compounds, e.g. natural or synthetic hydrocarbons, polyolefins, mineral oil, petrolatum or ozokerite
- A61K47/08—Organic compounds, e.g. natural or synthetic hydrocarbons, polyolefins, mineral oil, petrolatum or ozokerite containing oxygen, e.g. ethers, acetals, ketones, quinones, aldehydes, peroxides
- A61K47/10—Alcohols; Phenols; Salts thereof, e.g. glycerol; Polyethylene glycols [PEG]; Poloxamers; PEG/POE alkyl ethers
-
- A—HUMAN NECESSITIES
- A61—MEDICAL OR VETERINARY SCIENCE; HYGIENE
- A61K—PREPARATIONS FOR MEDICAL, DENTAL OR TOILETRY PURPOSES
- A61K47/00—Medicinal preparations characterised by the non-active ingredients used, e.g. carriers or inert additives; Targeting or modifying agents chemically bound to the active ingredient
- A61K47/06—Organic compounds, e.g. natural or synthetic hydrocarbons, polyolefins, mineral oil, petrolatum or ozokerite
- A61K47/08—Organic compounds, e.g. natural or synthetic hydrocarbons, polyolefins, mineral oil, petrolatum or ozokerite containing oxygen, e.g. ethers, acetals, ketones, quinones, aldehydes, peroxides
- A61K47/12—Carboxylic acids; Salts or anhydrides thereof
-
- A—HUMAN NECESSITIES
- A61—MEDICAL OR VETERINARY SCIENCE; HYGIENE
- A61K—PREPARATIONS FOR MEDICAL, DENTAL OR TOILETRY PURPOSES
- A61K47/00—Medicinal preparations characterised by the non-active ingredients used, e.g. carriers or inert additives; Targeting or modifying agents chemically bound to the active ingredient
- A61K47/06—Organic compounds, e.g. natural or synthetic hydrocarbons, polyolefins, mineral oil, petrolatum or ozokerite
- A61K47/26—Carbohydrates, e.g. sugar alcohols, amino sugars, nucleic acids, mono-, di- or oligo-saccharides; Derivatives thereof, e.g. polysorbates, sorbitan fatty acid esters or glycyrrhizin
-
- A—HUMAN NECESSITIES
- A61—MEDICAL OR VETERINARY SCIENCE; HYGIENE
- A61K—PREPARATIONS FOR MEDICAL, DENTAL OR TOILETRY PURPOSES
- A61K47/00—Medicinal preparations characterised by the non-active ingredients used, e.g. carriers or inert additives; Targeting or modifying agents chemically bound to the active ingredient
- A61K47/30—Macromolecular organic or inorganic compounds, e.g. inorganic polyphosphates
- A61K47/34—Macromolecular compounds obtained otherwise than by reactions only involving carbon-to-carbon unsaturated bonds, e.g. polyesters, polyamino acids, polysiloxanes, polyphosphazines, copolymers of polyalkylene glycol or poloxamers
-
- C—CHEMISTRY; METALLURGY
- C12—BIOCHEMISTRY; BEER; SPIRITS; WINE; VINEGAR; MICROBIOLOGY; ENZYMOLOGY; MUTATION OR GENETIC ENGINEERING
- C12N—MICROORGANISMS OR ENZYMES; COMPOSITIONS THEREOF; PROPAGATING, PRESERVING, OR MAINTAINING MICROORGANISMS; MUTATION OR GENETIC ENGINEERING; CULTURE MEDIA
- C12N2760/00—MICROORGANISMS OR ENZYMES; COMPOSITIONS THEREOF; PROPAGATING, PRESERVING, OR MAINTAINING MICROORGANISMS; MUTATION OR GENETIC ENGINEERING; CULTURE MEDIA ssRNA viruses negative-sense
- C12N2760/00011—Details
- C12N2760/16011—Orthomyxoviridae
- C12N2760/16034—Use of virus or viral component as vaccine, e.g. live-attenuated or inactivated virus, VLP, viral protein
-
- Y—GENERAL TAGGING OF NEW TECHNOLOGICAL DEVELOPMENTS; GENERAL TAGGING OF CROSS-SECTIONAL TECHNOLOGIES SPANNING OVER SEVERAL SECTIONS OF THE IPC; TECHNICAL SUBJECTS COVERED BY FORMER USPC CROSS-REFERENCE ART COLLECTIONS [XRACs] AND DIGESTS
- Y02—TECHNOLOGIES OR APPLICATIONS FOR MITIGATION OR ADAPTATION AGAINST CLIMATE CHANGE
- Y02A—TECHNOLOGIES FOR ADAPTATION TO CLIMATE CHANGE
- Y02A50/00—TECHNOLOGIES FOR ADAPTATION TO CLIMATE CHANGE in human health protection, e.g. against extreme weather
- Y02A50/30—Against vector-borne diseases, e.g. mosquito-borne, fly-borne, tick-borne or waterborne diseases whose impact is exacerbated by climate change
Definitions
- the present invention relates to a safe and efficient adjuvant for enhancing cutaneous immune activity, and to a pharmaceutical preparation for mainly transdermal or transmucosal administration.
- the skin is formed from the stratum corneum, which is the outermost layer, the epidermis, the dermis, and subcutaneous tissue connective tissue, and the stratum corneum, which is formed from a dead cell layer and a lipid bilayer, normally shows a strong barrier function toward many materials.
- stratum corneum which is the outermost layer, the epidermis, the dermis, and subcutaneous tissue connective tissue
- stratum corneum which is formed from a dead cell layer and a lipid bilayer, normally shows a strong barrier function toward many materials.
- antigen-presenting cells called Langerhans' cells are present and carry out an immune function.
- Mucous membranes which cover the oral cavity, the nasal cavity, respiratory organs, digestive organs, and genital organs, are also a boundary with the external environment and have the same structure as that of the skin except that there is no stratum corneum, which is the outermost layer of the skin.
- Mucous membranes are in contact with various types of foreign substances during food ingestion, breathing, etc., and are a main route for, for example, pathogenic microorganisms to enter the interior of a host body. Because of this, the immunological defense mechanism in the mucous membrane is also important as a biological barrier.
- Langerhans' cells capture a protein antigen that has entered the interior of the skin, decompose it internally, and express a peptide fragment on an MHC molecule.
- the MHC-peptide complex moves from an afferent lymphatic vessel to a subcortical layer of a regional lymph node and contacts a T cell via an interdigitating cell. Due to the Langerhans' cells moving in this way, the antigen is efficiently transmitted from the skin to TH cells present within the lymph node. Langerhans' cells have an abundance of MHC class II molecules, which are necessary for presenting an antigen to the TH cells.
- An adjuvant is a material that enhances immunogenicity, and when it is administered with an antigen, the response to the antigen increases.
- an adjuvant is useful from the viewpoint of reduction in the vaccine dose and the number of times of administration.
- an aluminum salt, an immune-stimulating complex (ISCOM), a bacteria-derived material, etc. are known.
- ISCOM immune-stimulating complex
- many of these adjuvants are directly administered subcutaneously or intramuscularly, and in such a case a tissue disorder such as contact hypersensitivity, subcutaneous nodules, or granuloma is induced. There is therefore a high demand for a safe and efficiently administrable adjuvant and preparation in immunostimulation such as human vaccination.
- the adjuvant With regard to the adjuvant, a large number of vaccine formulations that contain an attenuated pathogen or protein subunit antigen have been developed so far. In most cases, the conventional vaccine preparations contain an adjuvant for enhancing the immune response. For example, an adjuvant forming a depot (Depot) is well known. This adjuvant makes an administered antigen be absorbed or precipitated, thus forming a depot at the injection site.
- the depot-forming adjuvant include an aluminum compound such as aluminum phosphate or aluminum hydroxide gel and an oil-in-water emulsion.
- the depot-forming adjuvant enhances the antigenicity, since it causes a local tissue disorder such as erythema, contact hypersensitivity, or granuloma formation when it is administered subcutaneously or intramuscularly, there is a problem in terms of application. Furthermore, in transdermal administration, there is a problem with the absorbability of an aluminum salt. Such problems with transdermal absorbability of the adjuvant itself are also common problems for an immune-stimulating complex (ISCOM), a bacteria-derived material, or a cytokine as an adjuvant.
- ISCOM immune-stimulating complex
- muramyldipeptide causes, when injected, a pyretic reaction having symptoms similar to those of influenza, Reiter's syndrome, general joint pain, in some cases anterior uveitis, arthritis, or urethritis.
- adjuvants often cause severe local tissue disorder when subcutaneously or intramuscularly administered.
- transdermal administration has been considered, but conventional adjuvants are either macromolecules, for example, an immune-stimulating complex (ISCOM), a bacteria-derived material, etc., or an aluminum compound, etc., none of which are compounds that are suitable for transdermal administration.
- ISCOM immune-stimulating complex
- bacteria-derived material etc.
- aluminum compound etc.
- Patent Publication 1 discloses iontophoresis as a method for delivering a macromolecular antigen to the interior of a skin cell, but there is no description of an adjuvant.
- Patent Publication 2 discloses a skin patch having a microprojection array and a reservoir containing an antigen agonist and an immune response-enhancing adjuvant, and its application method for vaccination of an animal (e.g. man).
- the adjuvants described in this publication are limited to metal salts and macromolecules (peptides, etc.), and there is no description of an adjuvant having skin permeability.
- Patent Publication 3 discloses, as a low molecular weight adjuvant to be administered by injection, a long chain aliphatic alcohol, an ester thereof with a C 1 to C 6 alkanoic acid, and a specific ester of a long chain fatty acid, an alkanol, and a polyol, but there is no description of the immune response thereof toward an antigen by transdermal administration.
- Patent Publication 4 discloses a local administration method that includes a step of administering a mixture of an antigen and an oleophilic solvent, and a step of administering, after the above administration, a material for inducing migration of Langerhans' cells.
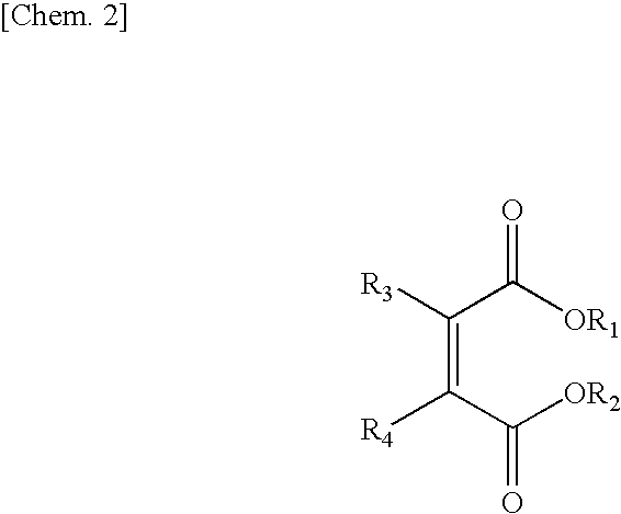
- the material for promoting the induction for Langerhans' cells is limited to a divalent unsaturated carboxylic acid ester, such as dibutyl phthalate, represented by the formula below.
- R 3 and R 4 may be bonded to form a cyclic ring, and R 1 and R 2 are independently an alkyl side chain containing 1 to 16 carbon atoms).
- Patent Publication 5 discloses a dry preparation containing cholera toxin or a related ADP-ribosylation toxin as an adjuvant. In such a preparation, it is thought that the cholera toxin or related ADP-ribosylation toxin as an adjuvant permeates the skin and induces an immune response. On the other hand, there is little information on the safety of such adjuvants, and there are the defects of the permeability toward skin being low due to them being macromolecules and the cost being high.
- transdermal absorption preparations are characterized by excellent safety and simplicity compared with an injection, but there are very few materials, in particular low molecular weight compounds, that efficiently exhibit the action of a transdermally administered adjuvant.
- an adjuvant that can be provided at low cost.
- the present invention relates to an adjuvant for transdermal or transmucosal administration, the adjuvant containing at least one selected from aliphatic alcohols, free fatty acids, and fatty acid derivatives but not containing one represented by the formula below.
- R 3 and R 4 may be bonded to form a cyclic ring, and R 1 and R 2 are independently an alkyl side chain containing 1 to 16 carbon atoms.
- the present invention relates to the adjuvant, wherein at least one of the aliphatic alcohols is a saturated or unsaturated straight-chain or branched alcohol having 8 to 20 carbons.
- the present invention relates to the adjuvant, wherein at least one of the aliphatic alcohols is lauryl alcohol, oleyl alcohol, isostearyl alcohol, octyldodecanol, or decanol.
- the present invention relates to the adjuvant, wherein at least one of the fatty acid derivatives is a fatty acid ester.
- the present invention relates to the adjuvant, wherein at least one of the fatty acid esters has a fatty acid carbon number of 10 to 20 and a degree of unsaturation of the fatty acid of 0 or 1.
- the present invention relates to the adjuvant, wherein at least one of the fatty acid esters is a monovalent fatty acid ester.
- the present invention relates to the adjuvant, wherein at least one of the monovalent fatty acid esters is sorbitan monolaurate, propylene glycol monolaurate, isopropyl myristate, sorbitan monooleate, glycerol monooleate, cetyl palmitate, or oleyl oleate.
- the present invention relates to the adjuvant, wherein at least one of the free fatty acids is a saturated or unsaturated straight-chain or branched fatty acid having 8 to 20 carbons.
- the present invention relates to the adjuvant, wherein at least one of the free fatty acids is oleic acid, linoleic acid, ⁇ -linolenic acid, linolenic acid, lauric acid, stearic acid, or palmitic acid.
- the present invention relates to a pharmaceutical preparation that includes any of the adjuvants above.
- the present invention relates to the pharmaceutical preparation, wherein it further includes at least one type of antigen.
- the present invention relates to the pharmaceutical preparation, wherein it is used in transdermal or transmucosal administration.
- the present invention relates to the pharmaceutical preparation, wherein it is at least one type of an ointment, a cream, a powder, a gel, a suppository, a poultice, a patch preparation, a lotion, a liquid, and a liniment.
- the present invention relates to the pharmaceutical preparation, wherein it is a matrix type or layer type tape preparation or a reservoir type patch preparation.
- the present invention relates to the pharmaceutical preparation, wherein it is applied to intact skin or mucous membrane or physically or chemically treated skin or mucous membrane.
- the present invention relates to the pharmaceutical preparation, wherein the physical or chemical treatment involves at least one of laser irradiation, skin abrasion, and microneedle, thermal, ultrasonic, electric field, magnetic field, pressure, and alkali treatments.
- the present invention relates to the pharmaceutical preparation, wherein it is applied by at least one of skin abrasion, microneedle, and needle-free injection.
- the present invention relates to the pharmaceutical preparation, wherein part or the whole surface of a needle portion of a microneedle is coated with an antigen and/or an adjuvant.
- the present invention relates to the pharmaceutical preparation, wherein it is applied by at least one of hydration, denaturing, pore formation, exfoliation, bypass formation, and change in lamellar structure of the stratum corneum.
- the present invention relates to the pharmaceutical preparation, wherein it is applied by at least one of iontophoresis, sonophoresis, or electroporation.
- the present invention safely enhances the immunogenicity of an antibody by the use as an adjuvant of an aliphatic alcohol, a fatty acid, or a fatty acid derivative, which are not known to have adjuvant activity by transdermal administration.
- the adjuvant of the present invention generally has a lower molecular weight than that of conventional adjuvants, and can therefore be administered transdermally or transmucosally.
- the immunogenicity of an antibody can be enhanced efficiently and safely by transdermal or transmucosal administration of a low molecular weight adjuvant.
- the immunogenicity of an antibody can be enhanced more efficiently and safely.
- the immunogenicity of an antibody can be enhanced yet more efficiently and safely.
- the immunogenicity of an antibody can be enhanced more efficiently and safely.
- the adjuvants of the present invention in accordance with the adjuvant in which at least one of the fatty acid esters has a fatty acid carbon number of 10 to 20 and a degree of unsaturation of the fatty acid of 0 or 1, the immunogenicity of an antibody can be enhanced yet more efficiently and safely.
- the immunogenicity of an antibody can be enhanced still more efficiently and safely.
- the adjuvants of the present invention in accordance with one in which at least one of the monovalent fatty acid esters is sorbitan monolaurate, propylene glycol monolaurate, isopropyl myristate, sorbitan monooleate, glycerol monooleate, cetyl palmitate, or oleyl oleate, the immunogenicity of an antibody can be enhanced particularly efficiently and safely.
- the immunogenicity of an antibody can be enhanced more efficiently and safely.
- the immunogenicity of an antibody can be enhanced yet more efficiently and safely.
- the immunogenicity of an antibody can be enhanced more simply and efficiently.
- the immunogenicity of an antibody can be enhanced still more simply and efficiently.
- an adjuvant that has a strong immune enhancing effect in transdermal or transmucosal administration and that is safe without giving skin irritation or tissue disorder.
- the adjuvant and the preparation thereof of the present invention may be used together with an antigen, that is, it is also possible to enhance the immune activity of the antigen effectively in transdermal or transmucosal administration involving a method employing a device such as iontophoresis, electroporation, or sonophoresis (ultrasonic waves), or involving a microcannula, microneedles, etc.
- the adjuvant for transdermal or transmucosal absorption of the present invention has a low melting point and a low molecular weight, high transdermal or transmucosal absorbability is shown, it can be applied to various types of transdermal absorption preparations, for example, a liquid, a patch, an ointment, a gel, a cream, a lotion, etc., and it can be provided at low cost.
- One of the components that can be contained in the adjuvant of the present invention is selected from aliphatic alcohols.
- aliphatic alcohols straight-chain or branched aliphatic alcohols are preferable.
- the number of carbons and the molecular weight are not particularly limited, but from the viewpoint of skin permeability, they preferably have 8 to 20 carbons.
- such aliphatic alcohols may be either saturated or unsaturated.
- Such aliphatic alcohols are for example octyldodecanol, lauryl alcohol, oleyl alcohol, isostearyl alcohol, decanol, etc.; among them lauryl alcohol, octyldodecanol, and isostearyl alcohol are particularly preferably, and lauryl alcohol is most preferable.
- fatty acid derivatives Another component that can be contained in the adjuvant of the present invention is selected from fatty acid derivatives.
- the ‘fatty acid derivatives’ referred to in the present invention means compounds containing a fatty acid moiety, and typical examples thereof include fatty acid esters, fatty acid amides, and fatty acid halides. Among these fatty acid derivatives, fatty acid esters are preferable, and fatty acid esters and monovalent fatty acid esters having a fatty acid carbon number of 10 to 20 and a degree of unsaturation of the fatty acid of 0 or 1 are more preferable.
- fatty acid esters examples include sorbitan monolaurate, propylene glycol monolaurate, sorbitan monooleate, isopropyl myristate, polyethylene glycol, glycerol monooleate, cetyl palmitate, and oleyl oleate, and in particular sorbitan monolaurate is most preferable.
- Yet another component that can be contained in the adjuvant of the present invention is selected from free fatty acids.
- free fatty acids those having 8 to 20 carbons are preferable.
- Such fatty acids may be either saturated or unsaturated and either straight-chain or branched.
- Preferred examples of the free fatty acids include oleic acid, linoleic acid, ⁇ -linolenic acid, linolenic acid, lauric acid, stearic acid, and palmitic acid. Oleic acid and lauric acid are particularly preferable.
- the adjuvants of the present invention may be used either singly or in combination. In particular when there is a synergistic effect between the adjuvants, they may be used in combination. In other cases, they may be used singly or may be used in combination according to the intended purpose.
- the adjuvant of the present invention can exhibit an effect simply by transdermal or transmucosal administration. Therefore, by making a conventionally used transdermal administration preparation contain the adjuvant of the present invention, it becomes possible to carry out noninvasive internal administration with an external use form pharmaceutical preparation.
- a pharmaceutical preparation it is not particularly limited as long as it is a preparation form that contains the adjuvant of the present invention and the adjuvant can be administered transdermally, and it may be selected as necessary from a poultice, a patch preparation, an ointment, a cream, a liquid, a gel, a lotion, etc.
- the patch preparation includes a matrix type or layer type tape preparation and a reservoir type patch preparation.
- transdermally or transmucosally administered preparation may be produced by a standard method using the adjuvant of the present invention in combination with, as a base, any component such as a solubilizing agent, a solubilizing adjuvant, a pH adjusting agent, an antiseptic, an absorption accelerator, a stabilizer, a filler, a thickening agent, a pressure sensitive adhesive, or a wetting agent.
- a solubilizing agent such as sodium bicarbonate, sodium bicarbonate, sodium bicarbonate, sodium bicarbonate, sodium bicarbonate, sodium bicarbonate, sodium bicarbonate, sodium bicarbonate, sodium bicarbonate, sodium bicarbonate, sodium bicarbonate, sodium bicarbonate, sodium bicarbonate, sodium bicarbonate, sodium bicarbonate, sodium bicarbonate, sodium bicarbonate, sodium bicarbonate, sodium bicarbonate, sodium bicarbonate, sodium bicarbonate, sodium bicarbonate, sodium bicarbonate, sodium bicarbonate, sodium bicarbonate, sodium bicarbonate, sodium bicarbonate, sodium
- the thickening agent is preferably one that can stably retain 30% to 80% moisture and has water holding capacity.
- Water-soluble polymers, etc. are suitably used, and specific examples thereof include vegetable-based natural polymers such as guar gum, locust bean gum, carrageenan, alginic acid, sodium alginate, agar, gum arabic, tragacanth gum, karaya gum, pectin, and starch; microbial-based natural polymers such as xanthan gum and acacia gum; animal-based natural polymers such as gelatin and collagen; cellulose-based semisynthetic polymers such as methyl cellulose, ethyl cellulose, hydroxyethyl cellulose, and sodium carboxymethyl cellulose; starch-based semisynthetic polymers such as soluble starch, carboxymethyl starch, and dialdehyde starch; vinyl-based synthetic polymers such as poly
- Sodium polyacrylate is particularly preferable. This is because it has a high gel strength and excellent water holding capacity. Furthermore, a sodium polyacrylate having an average degree of polymerization of 20000 to 70000 is preferable. As the average degree of polymerization becomes less than 20000, a tendency is exhibited for the thickening effect to become poor and for a sufficient gel strength not to be obtained, and as the average degree of polymerization becomes greater than 70000, a tendency is exhibited for the thickening effect to become too strong and for the workability to be degraded, neither being desirable.
- a polymeric complex may be formed with the strongly ionic polymer sodium polyacrylate, thus giving an elastic gel having a higher gel strength.
- a polyhydric alcohol such as glycerol, propylene glycol, or sorbitol, etc.
- the filler kaolin, zinc oxide, talc, titanium, bentonite, aluminum silicate, titanium oxide, zinc oxide, aluminum metasilicate, calcium sulfate, calcium phosphate, etc.
- the solubilizing adjuvant or absorption accelerator propylene carbonate, crotamiton, l-menthol, peppermint oil, limonene, diisopropyl adipate, etc.
- methyl salicylate, glycol salicylate, l-menthol, thymol, peppermint oil, nonanoic acid vanillylamide, red pepper extract, etc. may be added.
- a stabilizer, an antioxidant, an emulsifier, a surfactant, etc. may be added as necessary.
- the surfactant in the present invention may be either a nonionic surfactant or an ionic surfactant (cationic, anionic, amphoteric), but from the viewpoint of safety is desirably a nonionic surfactant that is normally used as a pharmaceutical base.
- a sugar alcohol fatty acid ester such as a sucrose fatty acid ester, a sorbitan fatty acid ester, a glycerol fatty acid ester, a polyglycerol fatty acid ester, a propylene glycol fatty acid ester, a polyoxyethylene sorbitan fatty acid ester, a polyoxyethylene glycerol fatty acid ester, a polyethylene glycol fatty acid ester, a polyoxyethylene castor oil, and a polyoxyethylene hardened castor oil.
- a sugar alcohol fatty acid ester such as a sucrose fatty acid ester, a sorbitan fatty acid ester, a glycerol fatty acid ester, a polyglycerol fatty acid ester, a propylene glycol fatty acid ester, a polyoxyethylene sorbitan fatty acid ester, a polyoxyethylene glycerol fatty acid ester, a polyethylene glycol fatty acid ester,
- the transdermal administration preparation of the present invention may further contain a crosslinking agent, a polymerization agent, etc. as necessary.
- a plaster may be strengthened and made to have water holding capacity.
- the crosslinking agent or polymerization agent is selected as appropriate according to the type of thickening agent, etc.
- a compound having at least two epoxy groups in the molecule or a polyvalent metal compound is preferably used, examples of the polyvalent metal compound including an inorganic acid salt such as a hydrochloride, a sulfate, a phosphate, or a carbonate, or an organic acid salt such as a citrate, a tartarate, a gluconate, or a stearate of Ca, Mg, Al, etc., an oxide such as zinc oxide or silicic anhydride, and a hydroxide such as aluminum hydroxide or magnesium hydroxide.
- an inorganic acid salt such as a hydrochloride, a sulfate, a phosphate, or a carbonate
- an organic acid salt such as a citrate, a tartarate, a gluconate, or a stearate of Ca, Mg, Al, etc.
- an oxide such as zinc oxide or silicic anhydride
- a hydroxide such as aluminum hydroxide or magnesium hydrox
- polyvinyl alcohol is used as the thickening agent
- polyvinylpyrrolidone is used as the thickening agent
- a methylvinyl ether/maleic anhydride copolymer a polyacid compound (polyacrylic acid, tannic acid, or a derivative thereof) or an alkali metal salt thereof, etc.
- polyethylene oxide is used as the thickening agent
- a peroxide, a polysulfonazide, etc. are desirably used.
- a methylvinyl ether/maleic anhydride copolymer when used as the thickening agent, a polyfunctional hydroxy compound, a polyamine, iodine, gelatin, polyvinylpyrrolidone, an iron, mercury, lead salt, etc. are suitably used.
- an aldehyde such as formaldehyde, glutaraldehyde, or dialdehyde starch, glyoxal, a diepoxide such as butadiene oxide, a diketone such as divinyl ketone, a diisocyanate, etc. are suitably used.
- the thickening agent when sodium polyacrylate is used as the thickening agent, it is preferable to add as the crosslinking agent a polyvalent metal salt such as lithium hydroxide, zinc hydroxide, aluminum hydroxide, or sodium borate.
- a zinc salt and an aluminum salt are preferable. This is because a crosslinking reaction is promoted.
- the concentration of polyvalent metal salt added as the crosslinking agent is preferably 0.5 to 1.5 equivalents relative to 1 equivalent of the thickening agent (or the water-soluble polymer).
- the reaction is promoted and the gel strength increases, and by setting the concentration of a polyvalent metal salt so as to be no greater than 1.5 equivalents, the reaction proceeds at an appropriate speed, thus carrying out uniform gelling and thereby improving the workability.
- the amount thereof added is not particularly limited.
- the amount added may be such that a concentration of adjuvant sufficient for the effect of the adjuvant to be exhibited is noninvasively absorbed into the body.
- the adjuvant may be suitably used on its own, but it is also preferable to add it to the preparation at 0.1 to 99 wt %, more preferably 5 to 90 wt %, and particularly preferably 10 to 80 wt %. It is most preferably 15 to 75 wt %.
- the adjuvant of the present invention may be administered into the body together with an antigen.
- the antigen can be transdermally administered, it may be formed into a transdermal noninvasive preparation containing the adjuvant and the antigen.
- a poultice, a patch preparation, an ointment, a cream, a liquid, a gel, a lotion, etc. may be selected as necessary, and there are no particular limitations as long as it is a form containing an antigen and a low molecular weight adjuvant and can be administered transdermally.
- the patch preparation in the present specification includes matrix type and layer type tape preparations and a reservoir type patch preparation.
- transdermal preparations may also be produced by a standard method by using as a base any component such as a solubilizing agent, a solubilizing adjuvant, a pH adjusting agent, an antiseptic, an absorption accelerator, a stabilizer, a filler, a thickening agent, or a pressure sensitive adhesive, and by combining it with an antigen and the adjuvant of the present invention.
- the base may contain as the absorption accelerator one that enhances the skin permeability of the adjuvant and/or antigen, but even without such an absorption accelerator being contained, the adjuvant of the present invention can enhance the immunogenicity of the antigen.
- the adjuvant of the present invention may be transdermally administered, and the antigen used in combination may be non-transdermally administered.
- the amounts of antigen and adjuvant added in the combination preparation containing the antigen and the adjuvant may be determined as appropriate according to the combination of antigen and adjuvant.
- the content of the adjuvant in such a preparation is not particularly limited, and it may be an amount that induces a sufficient antigen immune response by a transdermal route. It is therefore preferable for the adjuvant of the present invention to be added at 0.1 to 99 wt % to the combination preparation containing the antigen and the adjuvant, more preferably 5 to 90 wt %, and particularly preferably 10 to 80 wt %.
- the most preferred content of the adjuvant in the preparation is 15 to 75 wt %.
- the antigen used here is not particularly limited, and examples thereof include polynucleotides (DNA vaccine, RNA vaccine) and protein-based vaccines. Specific examples thereof include proteins, polysaccharides, oligosaccharides, lipoproteins, attenuated or killed viruses such as cytomegalovirus, hepatitis B virus, hepatitis C virus, human papillomavirus, rubella virus, and varicella zoster virus, attenuated or killed bacteria such as Bordetella pertussis, Clostridium tetani, Corynebacterium diphtheriae , group A Streptococci, Legionella pneumophila, Neisseria meningitidis, Pseudomonas aeruginosa, Streptococcus pneumoniae, Treponema pallidum , and Vibrio cholerae , and mixtures thereof.
- viruses such as cytomegalovirus, hepatitis B virus, he
- a large number of commercially available vaccines containing an antigenically active substance may also be used in the present invention. These include influenza vaccine, Lyme disease vaccine, rabies vaccine, measles vaccine, mumps vaccine, chicken pox vaccine, smallpox vaccine, hepatitis vaccine, whooping cough vaccine, and diphtheria vaccine and, in addition, antigens used in vaccine treatments for cancer, arteriosclerosis, neurological disorders, Alzheimer's, etc. Furthermore, this antigen may be an allergenic substance having antigenicity (sensitization), and a large variety of metals and chemical substances correspond thereto.
- house dust such as dust or inactivated mites or various types of pollen may be used.
- examples also include antigens recognized by inflammatory T cells related to T cell-mediated autoimmune diseases or symptoms.
- transdermal administration is selected that is commensurate with the skin permeability of the antigen and the amount of antigen required to be administered.
- the adjuvant of the present invention By administering the adjuvant of the present invention by the same means as used for the antigen or by a different transdermal administration means, Langerhans' cells of the skin are activated and they are efficiently transmitted from the skin to TH cells present within the lymph node, thus accomplishing a high immune response.
- This makes possible a simple evaluation of the antigenicity of external medications, cosmetics, and allergenic substances, the prevention and treatment of infectious diseases, cancers, allergy, etc. by vaccine, and the treatment of T cell-mediated autoimmune diseases.
- the adjuvant preparation of the present invention or a preparation containing the adjuvant and an antigen at the same time may be subjected to a method involving application after a skin abrasion treatment or employing a device such as iontophoresis, electroporation, sonophoresis (ultrasonic waves) or involving a transdermal administration mode employing a device equipped with a microcannula, microneedles, etc., thus enabling a more useful and higher safety immune response toward an antigen to be accomplished.
- the above-mentioned administration modes are not particularly limited, and optimum administration means may be selected according to the skin permeability of the antigen or the amount of antigen required to be administered.
- a method in which part or the whole surface of a needle portion of a microneedle is coated with an antigen and/or an adjuvant together with a carrier it is not always necessary to apply the adjuvant by coating, and it may be applied to the skin in advance.
- coating of a needle portion of a microneedle is described in JP, A, (PCT) 2004-504120, JP, A, (PCT) 2004-528900, WO 2005/016440, etc.
- a low molecular weight adjuvant such as a free fatty acid (oleic acid), a fatty acid ester (sorbitan monolaurate, sorbitan monooleate), or an aliphatic alcohol (lauryl alcohol, oleyl alcohol, isostearyl alcohol)
- a low molecular weight free fatty acid, a fatty acid ester, and an aliphatic alcohol have a high adjuvant effect in transdermal administration.
- lauryl alcohol showed the most outstanding adjuvant effect.
- OVA was dissolved in physiological saline and adjusted to give 10 ug/head, and for an OVA-only group 25 uL of the OVA aqueous solution was intradermally administered.
- 25 uL of the adjuvant solution was transdermally administered (coated) via the skin surface of the abdomen.
- Administration was carried out at 0, 2, and 4 W, blood was collected at 2, 4, and 5 W, and the OVA-specific IgG antibody titer after 2, 4, and 5 W was measured by ELISA.
- the results of 5 W data are given in Table 2.
- the pre-shaved abdomen skin was punctured with 1 cm 2 of microneedles (needle length about 200 um, 400 needles/cm 2 ), and immediately after this 50 uL of the above-mentioned emulsion solution was applied.
- the skin abrasion treatment group instead of the microneedles, the skin was abraded 5 times with 3M RED DotTM 2236 and 50 uL of the emulsion solution was applied.
- iontophoresis group For the iontophoresis group, after the shaven abdomen skin was coated with 50 uL of the emulsion solution, an iontophoresis preparation (nonwoven cloth preparation: Ag, Ag/AgCl 1 cm 2 ) formed by impregnating a nonwoven cloth with physiological saline was affixed to the coated site, and direct current (0.4 mA/patch) was applied for 1 hour. Administration was carried out at 0, 2, and 4 W, blood was collected at 2, 4, and 5 W, and the OVA-specific IgG antibody titer was measured by ELISA. The results of 4 W data are shown in FIG. 2 .
- OVA was adjusted to give 2 mg/patch, a needle portion of microneedles was coated with the antigen and 5% polyvinyl alcohol liquid, and for a microneedle group the abdomen of 7 to 8 W male hairless rats was punctured for 2 hours with physiological saline dropped onto the skin side.
- a microneedle+lauryl alcohol group LA was applied in advance, physiological saline was dropped onto the skin side, and it was punctured for 2 hours with microneedle needles coated with the antigen and 5% polyvinyl alcohol liquid.
- Administration was carried out at 0, 2, and 4 W, blood was collected at 2, 4, and 5 W, and the OVA-specific IgG antibody titer was measured by ELISA. The results are given in FIG. 3 .
- microneedles coated only with the antigen did not show a remarkable increase in the antibody titer, but when puncturing was carried out with microneedles coated with the antigen+lauryl alcohol or oleyl alcohol, the antibody titer increased remarkably. The usefulness of coating the microneedles with the emulsion of antigen+lauryl alcohol or oleyl alcohol was thereby confirmed.
- an antigen influenza H3N2: 1 ⁇ g/head
- an antigen influenza H3N2: 1 ⁇ g/head
- an intradermal administration group the abdomen was shaved under Nembutal anesthesia, and 50 ⁇ L of an antigen (influenza H3N2: 0.07 ⁇ g/head) was intradermally administered.
- 2 and 4 weeks after the initial administration boosting was carried out under the same conditions, blood was drawn from the fundus of the eye after 2, 4, and 5 weeks, and the antibody titer was measured. The results are shown in FIG. 6 .
- Boosting was carried out 1 week after the initial administration, blood was drawn from the fundus of the eye after 2 weeks, and the antibody titer was measured (in FIG. 7 , ⁇ denotes the average value of the antibody titer obtained for each treatment group).
- the antigen on its own or as two types of emulsions having varied LA concentrations were administered via the oral mucous membrane, in the case of the group with the antigen alone (0) the antibody titer did not increase, but in the case of the groups with the combined use of LA ((20) and (50)) the antibody titer increased in response to the LA concentration ( FIG. 7 ).
- the antigen, LA, and surfactant were absorbed via the mucous membrane of the gastrointestinal tract, and primarily the mucous membrane of the intestinal tract, thus exhibiting an effect.
- a safe and efficient low molecular weight adjuvant selected from a fatty acid derivative or an aliphatic alcohol, and a transdermal administration preparation for enhancing cutaneous immune activity
- the adjuvant and the preparation of the present invention are transdermally administered, etc. as they are or are applied after abrading the skin, or are transdermally administered using iontophoresis, microneedles, etc., and they are widely used in this way for the evaluation of external medications, cosmetics, allergenic substances, or vaccine treatments, etc. of infections, cancer, arteriosclerosis, cranial nerve diseases such as Alzheimer's, allergies, etc.
- the present invention is also used as an anti-inflammatory immunomodulating substance for the treatment of T cell-mediated disease. The present invention therefore makes a great contribution to the pharmaceutical industry and its related industries.
- FIG. 1 A diagram showing the effect of the adjuvant of the present invention on the intensity of expression of MHC-Class II molecules.
- FIG. 2 A diagram showing the effect of the adjuvant preparation of the present invention (containing lauryl alcohol) on the change in antigen-specific IgG of ovalbumin antigen (4W) in IP (iontophoresis), MN (microneedles), and Skin Prep (skin abrasion pretreatment).
- FIG. 3 A diagram showing the effect of the adjuvant of the present invention by the combined use of LA in antigen-coated microneedles.
- FIG. 4 A diagram showing the effect of the adjuvant of the present invention by coating microneedles with an emulsion of antigen+lauryl alcohol.
- FIG. 5 A diagram showing the effect of the adjuvant of the present invention by coating microneedles with an emulsion of antigen+lauryl alcohol or oleyl alcohol.
- FIG. 6 A diagram showing the effect of the adjuvant of the present invention by transnasal administration.
- FIG. 7 A diagram showing the effect of the adjuvant of the present invention by oral mucous membrane administration.
Landscapes
- Health & Medical Sciences (AREA)
- Life Sciences & Earth Sciences (AREA)
- Chemical & Material Sciences (AREA)
- General Health & Medical Sciences (AREA)
- Animal Behavior & Ethology (AREA)
- Veterinary Medicine (AREA)
- Public Health (AREA)
- Medicinal Chemistry (AREA)
- Pharmacology & Pharmacy (AREA)
- Epidemiology (AREA)
- Engineering & Computer Science (AREA)
- Dermatology (AREA)
- Immunology (AREA)
- Bioinformatics & Cheminformatics (AREA)
- Microbiology (AREA)
- Biomedical Technology (AREA)
- Virology (AREA)
- Mycology (AREA)
- Organic Chemistry (AREA)
- Nuclear Medicine, Radiotherapy & Molecular Imaging (AREA)
- General Chemical & Material Sciences (AREA)
- Chemical Kinetics & Catalysis (AREA)
- Genetics & Genomics (AREA)
- Radiology & Medical Imaging (AREA)
- Zoology (AREA)
- Wood Science & Technology (AREA)
- Nutrition Science (AREA)
- Physiology (AREA)
- Hematology (AREA)
- Biotechnology (AREA)
- Heart & Thoracic Surgery (AREA)
- Anesthesiology (AREA)
- Biochemistry (AREA)
- General Engineering & Computer Science (AREA)
- Biophysics (AREA)
- Medical Informatics (AREA)
- Pulmonology (AREA)
- Medicinal Preparation (AREA)
- Medicines Containing Antibodies Or Antigens For Use As Internal Diagnostic Agents (AREA)
Abstract
An adjuvant for transdermal or transmucosal administration which comprises at least one substance selected from an aliphatic alcohol, a free fatty acid and a fatty acid derivative but does not contain a substance represented by the following formula: wherein R3 and R4 may together form a cyclic ring, and R1 and R2 independently represent an alkyl side chain having 1 to 16 carbon atoms.
Description
- The present invention relates to a safe and efficient adjuvant for enhancing cutaneous immune activity, and to a pharmaceutical preparation for mainly transdermal or transmucosal administration.
- The skin is formed from the stratum corneum, which is the outermost layer, the epidermis, the dermis, and subcutaneous tissue connective tissue, and the stratum corneum, which is formed from a dead cell layer and a lipid bilayer, normally shows a strong barrier function toward many materials. In the epidermal layer, antigen-presenting cells called Langerhans' cells are present and carry out an immune function. Mucous membranes, which cover the oral cavity, the nasal cavity, respiratory organs, digestive organs, and genital organs, are also a boundary with the external environment and have the same structure as that of the skin except that there is no stratum corneum, which is the outermost layer of the skin. Mucous membranes are in contact with various types of foreign substances during food ingestion, breathing, etc., and are a main route for, for example, pathogenic microorganisms to enter the interior of a host body. Because of this, the immunological defense mechanism in the mucous membrane is also important as a biological barrier.
- Langerhans' cells capture a protein antigen that has entered the interior of the skin, decompose it internally, and express a peptide fragment on an MHC molecule. The MHC-peptide complex moves from an afferent lymphatic vessel to a subcortical layer of a regional lymph node and contacts a T cell via an interdigitating cell. Due to the Langerhans' cells moving in this way, the antigen is efficiently transmitted from the skin to TH cells present within the lymph node. Langerhans' cells have an abundance of MHC class II molecules, which are necessary for presenting an antigen to the TH cells.
- An adjuvant is a material that enhances immunogenicity, and when it is administered with an antigen, the response to the antigen increases. In vaccination, an adjuvant is useful from the viewpoint of reduction in the vaccine dose and the number of times of administration. There has been a large amount of research into adjuvants, and as some examples an aluminum salt, an immune-stimulating complex (ISCOM), a bacteria-derived material, etc. are known. However, many of these adjuvants are directly administered subcutaneously or intramuscularly, and in such a case a tissue disorder such as contact hypersensitivity, subcutaneous nodules, or granuloma is induced. There is therefore a high demand for a safe and efficiently administrable adjuvant and preparation in immunostimulation such as human vaccination.
- With regard to the adjuvant, a large number of vaccine formulations that contain an attenuated pathogen or protein subunit antigen have been developed so far. In most cases, the conventional vaccine preparations contain an adjuvant for enhancing the immune response. For example, an adjuvant forming a depot (Depot) is well known. This adjuvant makes an administered antigen be absorbed or precipitated, thus forming a depot at the injection site. Typical examples of the depot-forming adjuvant include an aluminum compound such as aluminum phosphate or aluminum hydroxide gel and an oil-in-water emulsion.
- However, although the depot-forming adjuvant enhances the antigenicity, since it causes a local tissue disorder such as erythema, contact hypersensitivity, or granuloma formation when it is administered subcutaneously or intramuscularly, there is a problem in terms of application. Furthermore, in transdermal administration, there is a problem with the absorbability of an aluminum salt. Such problems with transdermal absorbability of the adjuvant itself are also common problems for an immune-stimulating complex (ISCOM), a bacteria-derived material, or a cytokine as an adjuvant. For example, it is known that muramyldipeptide causes, when injected, a pyretic reaction having symptoms similar to those of influenza, Reiter's syndrome, general joint pain, in some cases anterior uveitis, arthritis, or urethritis.
- As hereinbefore described, adjuvants often cause severe local tissue disorder when subcutaneously or intramuscularly administered. In order to avoid this local tissue disorder, transdermal administration has been considered, but conventional adjuvants are either macromolecules, for example, an immune-stimulating complex (ISCOM), a bacteria-derived material, etc., or an aluminum compound, etc., none of which are compounds that are suitable for transdermal administration.
- Moreover, in recent years, as means for enhancing permeation, external administration employing iontophoresis or a device equipped with microneedles has been investigated, but if, in addition to an antigen, which is a macromolecule, the adjuvant also has poor absorbability, it is currently impossible to make the antigen and the adjuvant permeate efficiently.
- For example,
Patent Publication 1 discloses iontophoresis as a method for delivering a macromolecular antigen to the interior of a skin cell, but there is no description of an adjuvant. -
Patent Publication 2 discloses a skin patch having a microprojection array and a reservoir containing an antigen agonist and an immune response-enhancing adjuvant, and its application method for vaccination of an animal (e.g. man). However, the adjuvants described in this publication are limited to metal salts and macromolecules (peptides, etc.), and there is no description of an adjuvant having skin permeability. -
Patent Publication 3 discloses, as a low molecular weight adjuvant to be administered by injection, a long chain aliphatic alcohol, an ester thereof with a C1 to C6 alkanoic acid, and a specific ester of a long chain fatty acid, an alkanol, and a polyol, but there is no description of the immune response thereof toward an antigen by transdermal administration. - Moreover,
Patent Publication 4 discloses a local administration method that includes a step of administering a mixture of an antigen and an oleophilic solvent, and a step of administering, after the above administration, a material for inducing migration of Langerhans' cells. However, in accordance with this publication, the material for promoting the induction for Langerhans' cells is limited to a divalent unsaturated carboxylic acid ester, such as dibutyl phthalate, represented by the formula below. - (in the formula, R3 and R4 may be bonded to form a cyclic ring, and R1 and R2 are independently an alkyl side chain containing 1 to 16 carbon atoms).
-
Patent Publication 5 discloses a dry preparation containing cholera toxin or a related ADP-ribosylation toxin as an adjuvant. In such a preparation, it is thought that the cholera toxin or related ADP-ribosylation toxin as an adjuvant permeates the skin and induces an immune response. On the other hand, there is little information on the safety of such adjuvants, and there are the defects of the permeability toward skin being low due to them being macromolecules and the cost being high. - As described above, conventional adjuvants used for injection have problems such as local tissue disorders. Furthermore, transdermal absorption preparations are characterized by excellent safety and simplicity compared with an injection, but there are very few materials, in particular low molecular weight compounds, that efficiently exhibit the action of a transdermally administered adjuvant. Moreover, in the clinical field there is a strong desire for an adjuvant that can be provided at low cost.
- It is therefore an object of the present invention to provide a low molecular weight adjuvant that can be safely administered by transdermal or transmucosal administration without causing skin irritation, etc., and that efficiently enhances the immunogenicity of an antigen, and to provide a preparation thereof.
- While carrying out an intensive investigation in order to solve the above problems, it has surprisingly been found by the present inventors that some types of low molecular weight compound not only exhibit a strong immune enhancing effect in transdermal or transmucosal administration but also avoid skin irritation and tissue disorders, and as a result of further research, the present invention has been accomplished.
- That is, the present invention relates to an adjuvant for transdermal or transmucosal administration, the adjuvant containing at least one selected from aliphatic alcohols, free fatty acids, and fatty acid derivatives but not containing one represented by the formula below.
- (In the formula, R3 and R4 may be bonded to form a cyclic ring, and R1 and R2 are independently an alkyl side chain containing 1 to 16 carbon atoms.)
- Furthermore, the present invention relates to the adjuvant, wherein at least one of the aliphatic alcohols is a saturated or unsaturated straight-chain or branched alcohol having 8 to 20 carbons.
- Moreover, the present invention relates to the adjuvant, wherein at least one of the aliphatic alcohols is lauryl alcohol, oleyl alcohol, isostearyl alcohol, octyldodecanol, or decanol.
- Furthermore, the present invention relates to the adjuvant, wherein at least one of the fatty acid derivatives is a fatty acid ester.
- Moreover, the present invention relates to the adjuvant, wherein at least one of the fatty acid esters has a fatty acid carbon number of 10 to 20 and a degree of unsaturation of the fatty acid of 0 or 1.
- Furthermore, the present invention relates to the adjuvant, wherein at least one of the fatty acid esters is a monovalent fatty acid ester.
- Moreover, the present invention relates to the adjuvant, wherein at least one of the monovalent fatty acid esters is sorbitan monolaurate, propylene glycol monolaurate, isopropyl myristate, sorbitan monooleate, glycerol monooleate, cetyl palmitate, or oleyl oleate.
- Furthermore, the present invention relates to the adjuvant, wherein at least one of the free fatty acids is a saturated or unsaturated straight-chain or branched fatty acid having 8 to 20 carbons.
- Moreover, the present invention relates to the adjuvant, wherein at least one of the free fatty acids is oleic acid, linoleic acid, γ-linolenic acid, linolenic acid, lauric acid, stearic acid, or palmitic acid.
- Furthermore, the present invention relates to a pharmaceutical preparation that includes any of the adjuvants above.
- Moreover, the present invention relates to the pharmaceutical preparation, wherein it further includes at least one type of antigen.
- Furthermore, the present invention relates to the pharmaceutical preparation, wherein it is used in transdermal or transmucosal administration.
- Moreover, the present invention relates to the pharmaceutical preparation, wherein it is at least one type of an ointment, a cream, a powder, a gel, a suppository, a poultice, a patch preparation, a lotion, a liquid, and a liniment.
- Furthermore, the present invention relates to the pharmaceutical preparation, wherein it is a matrix type or layer type tape preparation or a reservoir type patch preparation.
- Moreover, the present invention relates to the pharmaceutical preparation, wherein it is applied to intact skin or mucous membrane or physically or chemically treated skin or mucous membrane.
- Furthermore, the present invention relates to the pharmaceutical preparation, wherein the physical or chemical treatment involves at least one of laser irradiation, skin abrasion, and microneedle, thermal, ultrasonic, electric field, magnetic field, pressure, and alkali treatments.
- Moreover, the present invention relates to the pharmaceutical preparation, wherein it is applied by at least one of skin abrasion, microneedle, and needle-free injection.
- Furthermore, the present invention relates to the pharmaceutical preparation, wherein part or the whole surface of a needle portion of a microneedle is coated with an antigen and/or an adjuvant.
- Moreover, the present invention relates to the pharmaceutical preparation, wherein it is applied by at least one of hydration, denaturing, pore formation, exfoliation, bypass formation, and change in lamellar structure of the stratum corneum.
- Furthermore, the present invention relates to the pharmaceutical preparation, wherein it is applied by at least one of iontophoresis, sonophoresis, or electroporation.
- The present invention safely enhances the immunogenicity of an antibody by the use as an adjuvant of an aliphatic alcohol, a fatty acid, or a fatty acid derivative, which are not known to have adjuvant activity by transdermal administration. The adjuvant of the present invention generally has a lower molecular weight than that of conventional adjuvants, and can therefore be administered transdermally or transmucosally.
- (1) In accordance with the adjuvant of the present invention, the immunogenicity of an antibody can be enhanced efficiently and safely by transdermal or transmucosal administration of a low molecular weight adjuvant.
- (2) Among the adjuvants of the present invention, in accordance with the adjuvant in which at least one of the aliphatic alcohols is a saturated or unsaturated straight-chain or branched alcohol having 8 to 20 carbons, the immunogenicity of an antibody can be enhanced more efficiently and safely.
- (3) Among the adjuvants of the present invention, in accordance with one in which at least one of the aliphatic alcohols is lauryl alcohol, oleyl alcohol, isostearyl alcohol, octyldodecanol, or decanol, the immunogenicity of an antibody can be enhanced yet more efficiently and safely.
- (4) Among the adjuvants of the present invention, in accordance with one in which at least one of the fatty acid derivatives is a fatty acid ester, the immunogenicity of an antibody can be enhanced more efficiently and safely.
- (5) Among the adjuvants of the present invention, in accordance with the adjuvant in which at least one of the fatty acid esters has a fatty acid carbon number of 10 to 20 and a degree of unsaturation of the fatty acid of 0 or 1, the immunogenicity of an antibody can be enhanced yet more efficiently and safely.
- (6) Among the adjuvants of the present invention, in accordance with one in which at least one of the fatty acid esters is a monovalent fatty acid ester, the immunogenicity of an antibody can be enhanced still more efficiently and safely.
- (7) Among the adjuvants of the present invention, in accordance with one in which at least one of the monovalent fatty acid esters is sorbitan monolaurate, propylene glycol monolaurate, isopropyl myristate, sorbitan monooleate, glycerol monooleate, cetyl palmitate, or oleyl oleate, the immunogenicity of an antibody can be enhanced particularly efficiently and safely.
- (8) Among the adjuvants of the present invention, in accordance with one in which at least one of the free fatty acids is a saturated or unsaturated straight-chain or branched fatty acid having 8 to 20 carbons, the immunogenicity of an antibody can be enhanced more efficiently and safely.
- (9) Among the adjuvants of the present invention, in accordance with one in which at least one of the free fatty acids is oleic acid, linoleic acid, γ-linolenic acid, linolenic acid, lauric acid, stearic acid, or palmitic acid, the immunogenicity of an antibody can be enhanced yet more efficiently and safely.
- (10) In accordance with the pharmaceutical preparation of the present invention, the immunogenicity of an antibody can be enhanced more simply.
- (11) Among the pharmaceutical preparations of the present invention, in accordance with one that further includes at least one type of antigen, the immunogenicity of an antibody can be enhanced more simply and efficiently.
- (12) Among the pharmaceutical preparations of the present invention, in accordance with one that is used in transdermal or transmucosal administration, the immunogenicity of an antibody can be enhanced yet more simply and efficiently.
- (13) Among the pharmaceutical preparations of the present invention, in accordance with one that is at least one type of an ointment, a cream, a powder, a gel, a suppository, a poultice, a patch preparation, a lotion, a liquid, and a liniment, the immunogenicity of an antibody can be enhanced still more simply and efficiently.
- (14) Among the pharmaceutical preparations of the present invention, in accordance with one that is a matrix type or layer type tape preparation or a reservoir type patch preparation, delivery of the adjuvant is carried out more efficiently and/or over a long period of time.
- (15) Among the pharmaceutical preparations of the present invention, in accordance with one that is applied to intact skin or physically or chemically treated skin or mucous membrane, delivery of the adjuvant is carried out more quickly.
- (16) Among the pharmaceutical preparations of the present invention, in accordance with one in which the physical or chemical treatment involves at least one of laser irradiation, skin abrasion, and microneedle, thermal, ultrasonic, electric field, magnetic field, pressure, and alkali treatments, delivery of the adjuvant is carried out yet more quickly.
- (17) Among the pharmaceutical preparations of the present invention, in accordance with one that is applied by at least one of skin abrasion, microneedle, and needle-free injection, the effects of the pharmaceutical preparation can be enhanced.
- Among the pharmaceutical preparations of the present invention, in accordance with one in which part or the whole surface of a needle portion of a microneedle is coated with an antigen and/or an adjuvant, it is possible to accomplish a more useful and highly safe immune response to an antigen.
- (18) Among the pharmaceutical preparations of the present invention, in accordance with one that is applied by at least one of hydration, denaturing, pore formation, exfoliation, bypass formation, and change in lamellar structure of the stratum corneum, transdermal absorption of the adjuvant is promoted, and the effect thereof, that is, enhancement of the immunogenicity of an antibody, can be exhibited more efficiently and safely.
- (19) Among the pharmaceutical preparations of the present invention, in accordance with one that is applied by at least one of iontophoresis, sonophoresis, and electroporation, absorption of the adjuvant is carried out more efficiently, and the effect thereof can be exhibited yet more efficiently and safely.
- As hereinbefore described, in accordance with the present invention, there is provided an adjuvant that has a strong immune enhancing effect in transdermal or transmucosal administration and that is safe without giving skin irritation or tissue disorder. Furthermore, the adjuvant and the preparation thereof of the present invention may be used together with an antigen, that is, it is also possible to enhance the immune activity of the antigen effectively in transdermal or transmucosal administration involving a method employing a device such as iontophoresis, electroporation, or sonophoresis (ultrasonic waves), or involving a microcannula, microneedles, etc. Moreover, since the adjuvant for transdermal or transmucosal absorption of the present invention has a low melting point and a low molecular weight, high transdermal or transmucosal absorbability is shown, it can be applied to various types of transdermal absorption preparations, for example, a liquid, a patch, an ointment, a gel, a cream, a lotion, etc., and it can be provided at low cost.
- One of the components that can be contained in the adjuvant of the present invention is selected from aliphatic alcohols. In such aliphatic alcohols, straight-chain or branched aliphatic alcohols are preferable. In such aliphatic alcohols, the number of carbons and the molecular weight are not particularly limited, but from the viewpoint of skin permeability, they preferably have 8 to 20 carbons. Furthermore, such aliphatic alcohols may be either saturated or unsaturated.
- Such aliphatic alcohols are for example octyldodecanol, lauryl alcohol, oleyl alcohol, isostearyl alcohol, decanol, etc.; among them lauryl alcohol, octyldodecanol, and isostearyl alcohol are particularly preferably, and lauryl alcohol is most preferable.
- Another component that can be contained in the adjuvant of the present invention is selected from fatty acid derivatives. The ‘fatty acid derivatives’ referred to in the present invention means compounds containing a fatty acid moiety, and typical examples thereof include fatty acid esters, fatty acid amides, and fatty acid halides. Among these fatty acid derivatives, fatty acid esters are preferable, and fatty acid esters and monovalent fatty acid esters having a fatty acid carbon number of 10 to 20 and a degree of unsaturation of the fatty acid of 0 or 1 are more preferable.
- Examples of such fatty acid esters include sorbitan monolaurate, propylene glycol monolaurate, sorbitan monooleate, isopropyl myristate, polyethylene glycol, glycerol monooleate, cetyl palmitate, and oleyl oleate, and in particular sorbitan monolaurate is most preferable.
- Yet another component that can be contained in the adjuvant of the present invention is selected from free fatty acids. Among such free fatty acids, those having 8 to 20 carbons are preferable. Such fatty acids may be either saturated or unsaturated and either straight-chain or branched. Preferred examples of the free fatty acids include oleic acid, linoleic acid, γ-linolenic acid, linolenic acid, lauric acid, stearic acid, and palmitic acid. Oleic acid and lauric acid are particularly preferable.
- The adjuvants of the present invention may be used either singly or in combination. In particular when there is a synergistic effect between the adjuvants, they may be used in combination. In other cases, they may be used singly or may be used in combination according to the intended purpose.
- The adjuvant of the present invention can exhibit an effect simply by transdermal or transmucosal administration. Therefore, by making a conventionally used transdermal administration preparation contain the adjuvant of the present invention, it becomes possible to carry out noninvasive internal administration with an external use form pharmaceutical preparation. With regard to the form of such a pharmaceutical preparation, it is not particularly limited as long as it is a preparation form that contains the adjuvant of the present invention and the adjuvant can be administered transdermally, and it may be selected as necessary from a poultice, a patch preparation, an ointment, a cream, a liquid, a gel, a lotion, etc. In the present specification, the patch preparation includes a matrix type or layer type tape preparation and a reservoir type patch preparation.
- Furthermore, such a transdermally or transmucosally administered preparation may be produced by a standard method using the adjuvant of the present invention in combination with, as a base, any component such as a solubilizing agent, a solubilizing adjuvant, a pH adjusting agent, an antiseptic, an absorption accelerator, a stabilizer, a filler, a thickening agent, a pressure sensitive adhesive, or a wetting agent. Moreover, among the pharmaceutical preparations of the present invention, another form of pharmaceutical preparation may be produced by a standard method.
- For example, among the base components in the transdermally or transmucosally administered preparation of the present invention, the thickening agent is preferably one that can stably retain 30% to 80% moisture and has water holding capacity. Water-soluble polymers, etc. are suitably used, and specific examples thereof include vegetable-based natural polymers such as guar gum, locust bean gum, carrageenan, alginic acid, sodium alginate, agar, gum arabic, tragacanth gum, karaya gum, pectin, and starch; microbial-based natural polymers such as xanthan gum and acacia gum; animal-based natural polymers such as gelatin and collagen; cellulose-based semisynthetic polymers such as methyl cellulose, ethyl cellulose, hydroxyethyl cellulose, and sodium carboxymethyl cellulose; starch-based semisynthetic polymers such as soluble starch, carboxymethyl starch, and dialdehyde starch; vinyl-based synthetic polymers such as polyvinyl alcohol, polyvinylpyrrolidone, and polyvinyl methacrylate; acrylic-based synthetic polymers such as polyacrylic acid and sodium polyacrylate; and other synthetic polymers such as polyethylene oxide and methylvinyl ether/maleic anhydride copolymer. Sodium polyacrylate is particularly preferable. This is because it has a high gel strength and excellent water holding capacity. Furthermore, a sodium polyacrylate having an average degree of polymerization of 20000 to 70000 is preferable. As the average degree of polymerization becomes less than 20000, a tendency is exhibited for the thickening effect to become poor and for a sufficient gel strength not to be obtained, and as the average degree of polymerization becomes greater than 70000, a tendency is exhibited for the thickening effect to become too strong and for the workability to be degraded, neither being desirable. Furthermore, by the use of the above-mentioned water-soluble polymers in a combination of two or more types, for example, a polymeric complex may be formed with the strongly ionic polymer sodium polyacrylate, thus giving an elastic gel having a higher gel strength.
- With regard to the wetting agent, a polyhydric alcohol such as glycerol, propylene glycol, or sorbitol, etc. may be added, and with regard to the filler, kaolin, zinc oxide, talc, titanium, bentonite, aluminum silicate, titanium oxide, zinc oxide, aluminum metasilicate, calcium sulfate, calcium phosphate, etc. may be added. Furthermore, with regard to the solubilizing adjuvant or absorption accelerator, propylene carbonate, crotamiton, l-menthol, peppermint oil, limonene, diisopropyl adipate, etc. may be added, and as a medicinal adjuvant, methyl salicylate, glycol salicylate, l-menthol, thymol, peppermint oil, nonanoic acid vanillylamide, red pepper extract, etc. may be added. Moreover, a stabilizer, an antioxidant, an emulsifier, a surfactant, etc. may be added as necessary.
- The surfactant in the present invention may be either a nonionic surfactant or an ionic surfactant (cationic, anionic, amphoteric), but from the viewpoint of safety is desirably a nonionic surfactant that is normally used as a pharmaceutical base. Specific examples thereof include a sugar alcohol fatty acid ester such as a sucrose fatty acid ester, a sorbitan fatty acid ester, a glycerol fatty acid ester, a polyglycerol fatty acid ester, a propylene glycol fatty acid ester, a polyoxyethylene sorbitan fatty acid ester, a polyoxyethylene glycerol fatty acid ester, a polyethylene glycol fatty acid ester, a polyoxyethylene castor oil, and a polyoxyethylene hardened castor oil.
- The transdermal administration preparation of the present invention may further contain a crosslinking agent, a polymerization agent, etc. as necessary. A plaster may be strengthened and made to have water holding capacity. The crosslinking agent or polymerization agent is selected as appropriate according to the type of thickening agent, etc. For example, when a polyacrylic acid or a polyacrylic acid salt is used as the thickening agent, a compound having at least two epoxy groups in the molecule or a polyvalent metal compound is preferably used, examples of the polyvalent metal compound including an inorganic acid salt such as a hydrochloride, a sulfate, a phosphate, or a carbonate, or an organic acid salt such as a citrate, a tartarate, a gluconate, or a stearate of Ca, Mg, Al, etc., an oxide such as zinc oxide or silicic anhydride, and a hydroxide such as aluminum hydroxide or magnesium hydroxide. Furthermore, when polyvinyl alcohol is used as the thickening agent, adipic acid, thioglycolic acid, an epoxy compound (epichlorohydrin), an aldehyde, an N-methylol compound, a complex such as a compound of Al, Ti, Zr, Sn, V, Cu, B, Cr, etc. are suitably used. Moreover, when polyvinylpyrrolidone is used as the thickening agent, a methylvinyl ether/maleic anhydride copolymer, a polyacid compound (polyacrylic acid, tannic acid, or a derivative thereof) or an alkali metal salt thereof, etc. are suitably used. Furthermore, when polyethylene oxide is used as the thickening agent, a peroxide, a polysulfonazide, etc. are desirably used.
- Furthermore, when a methylvinyl ether/maleic anhydride copolymer is used as the thickening agent, a polyfunctional hydroxy compound, a polyamine, iodine, gelatin, polyvinylpyrrolidone, an iron, mercury, lead salt, etc. are suitably used. When gelatin is used as the thickening agent, an aldehyde such as formaldehyde, glutaraldehyde, or dialdehyde starch, glyoxal, a diepoxide such as butadiene oxide, a diketone such as divinyl ketone, a diisocyanate, etc. are suitably used. Furthermore, when sodium polyacrylate is used as the thickening agent, it is preferable to add as the crosslinking agent a polyvalent metal salt such as lithium hydroxide, zinc hydroxide, aluminum hydroxide, or sodium borate. In particular, a zinc salt and an aluminum salt are preferable. This is because a crosslinking reaction is promoted. The concentration of polyvalent metal salt added as the crosslinking agent is preferably 0.5 to 1.5 equivalents relative to 1 equivalent of the thickening agent (or the water-soluble polymer). By setting the concentration of the polyvalent metal salt so as to be at least 0.5 equivalents, the reaction is promoted and the gel strength increases, and by setting the concentration of a polyvalent metal salt so as to be no greater than 1.5 equivalents, the reaction proceeds at an appropriate speed, thus carrying out uniform gelling and thereby improving the workability.
- When an adjuvant is added to the pharmaceutical preparation, the amount thereof added is not particularly limited. The amount added may be such that a concentration of adjuvant sufficient for the effect of the adjuvant to be exhibited is noninvasively absorbed into the body. With regard to the adjuvant of the present invention, the adjuvant may be suitably used on its own, but it is also preferable to add it to the preparation at 0.1 to 99 wt %, more preferably 5 to 90 wt %, and particularly preferably 10 to 80 wt %. It is most preferably 15 to 75 wt %.
- Furthermore, the adjuvant of the present invention may be administered into the body together with an antigen. In this case, if the antigen can be transdermally administered, it may be formed into a transdermal noninvasive preparation containing the adjuvant and the antigen. With regard to the form of the transdermal administration preparation, a poultice, a patch preparation, an ointment, a cream, a liquid, a gel, a lotion, etc. may be selected as necessary, and there are no particular limitations as long as it is a form containing an antigen and a low molecular weight adjuvant and can be administered transdermally. As described above, the patch preparation in the present specification includes matrix type and layer type tape preparations and a reservoir type patch preparation. Such transdermal preparations may also be produced by a standard method by using as a base any component such as a solubilizing agent, a solubilizing adjuvant, a pH adjusting agent, an antiseptic, an absorption accelerator, a stabilizer, a filler, a thickening agent, or a pressure sensitive adhesive, and by combining it with an antigen and the adjuvant of the present invention. The base may contain as the absorption accelerator one that enhances the skin permeability of the adjuvant and/or antigen, but even without such an absorption accelerator being contained, the adjuvant of the present invention can enhance the immunogenicity of the antigen.
- On the other hand, when the antigen used in combination does not have sufficient transdermal activity, the adjuvant of the present invention may be transdermally administered, and the antigen used in combination may be non-transdermally administered.
- The amounts of antigen and adjuvant added in the combination preparation containing the antigen and the adjuvant may be determined as appropriate according to the combination of antigen and adjuvant. The content of the adjuvant in such a preparation is not particularly limited, and it may be an amount that induces a sufficient antigen immune response by a transdermal route. It is therefore preferable for the adjuvant of the present invention to be added at 0.1 to 99 wt % to the combination preparation containing the antigen and the adjuvant, more preferably 5 to 90 wt %, and particularly preferably 10 to 80 wt %. The most preferred content of the adjuvant in the preparation is 15 to 75 wt %.
- The antigen used here is not particularly limited, and examples thereof include polynucleotides (DNA vaccine, RNA vaccine) and protein-based vaccines. Specific examples thereof include proteins, polysaccharides, oligosaccharides, lipoproteins, attenuated or killed viruses such as cytomegalovirus, hepatitis B virus, hepatitis C virus, human papillomavirus, rubella virus, and varicella zoster virus, attenuated or killed bacteria such as Bordetella pertussis, Clostridium tetani, Corynebacterium diphtheriae, group A Streptococci, Legionella pneumophila, Neisseria meningitidis, Pseudomonas aeruginosa, Streptococcus pneumoniae, Treponema pallidum, and Vibrio cholerae, and mixtures thereof. A large number of commercially available vaccines containing an antigenically active substance may also be used in the present invention. These include influenza vaccine, Lyme disease vaccine, rabies vaccine, measles vaccine, mumps vaccine, chicken pox vaccine, smallpox vaccine, hepatitis vaccine, whooping cough vaccine, and diphtheria vaccine and, in addition, antigens used in vaccine treatments for cancer, arteriosclerosis, neurological disorders, Alzheimer's, etc. Furthermore, this antigen may be an allergenic substance having antigenicity (sensitization), and a large variety of metals and chemical substances correspond thereto. For example, when an allergy test for clarifying an antigen for atopic dermatitis or a treatment is carried out, house dust such as dust or inactivated mites or various types of pollen may be used. Examples also include antigens recognized by inflammatory T cells related to T cell-mediated autoimmune diseases or symptoms.
- The route of administration of these antigens is not particularly limited, and examples thereof include oral and injection (intramuscular, subcutaneous, intradermal) methods of administration, and transmucosal or transdermal administration. In the case of transdermal administration, transdermal administration means is selected that is commensurate with the skin permeability of the antigen and the amount of antigen required to be administered.
- By administering the adjuvant of the present invention by the same means as used for the antigen or by a different transdermal administration means, Langerhans' cells of the skin are activated and they are efficiently transmitted from the skin to TH cells present within the lymph node, thus accomplishing a high immune response. This makes possible a simple evaluation of the antigenicity of external medications, cosmetics, and allergenic substances, the prevention and treatment of infectious diseases, cancers, allergy, etc. by vaccine, and the treatment of T cell-mediated autoimmune diseases.
- For the purpose of further improving the transdermal absorbability, the adjuvant preparation of the present invention or a preparation containing the adjuvant and an antigen at the same time may be subjected to a method involving application after a skin abrasion treatment or employing a device such as iontophoresis, electroporation, sonophoresis (ultrasonic waves) or involving a transdermal administration mode employing a device equipped with a microcannula, microneedles, etc., thus enabling a more useful and higher safety immune response toward an antigen to be accomplished. Moreover, the above-mentioned administration modes are not particularly limited, and optimum administration means may be selected according to the skin permeability of the antigen or the amount of antigen required to be administered.
- It is preferable to employ a method in which part or the whole surface of a needle portion of a microneedle is coated with an antigen and/or an adjuvant together with a carrier. In this case, it is not always necessary to apply the adjuvant by coating, and it may be applied to the skin in advance.
- For example, coating of a needle portion of a microneedle is described in JP, A, (PCT) 2004-504120, JP, A, (PCT) 2004-528900, WO 2005/016440, etc.
- The abdomen of 7 to 8 W male BALB/c mice was shaved, and 50 uL of an acetone solution (50%) of a candidate adjuvant was transdermally administered. On the other hand, for a group for which an antigen hapten was used in combination, 50 uL of a 1:1 mixture of an FITC solution (5 mg/mL in acetone) and a solution of the adjuvant was transdermally administered to the abdomen. 5 days later, lymph node (cervix, groin) was removed, and the intensity of expression of MHC Class II molecules by lymph cells was analyzed by flow cytometry (
FIG. 1 ). - As shown in
FIG. 1 , in transdermal administration with a low molecular weight adjuvant such as a free fatty acid (oleic acid), a fatty acid ester (sorbitan monolaurate, sorbitan monooleate), or an aliphatic alcohol (lauryl alcohol, oleyl alcohol, isostearyl alcohol), a remarkable increase in lymph cell count was observed. That is, it was confirmed that a low molecular weight free fatty acid, a fatty acid ester, and an aliphatic alcohol have a high adjuvant effect in transdermal administration. In particular, lauryl alcohol showed the most outstanding adjuvant effect. - A group for which the abdomen of 7 to 8 W male BALB/c mice was shaved and 25 uL of candidate adjuvant (undiluted) was intradermally administered and a group for which 50 uL of an acetone solution (50%) was transdermally administered were scored for skin irritation (Table 1).
- As shown in Table 1, it was confirmed that transdermal administration of low molecular weight adjuvants such as fatty acid esters (polyethylene glycol monolaurate, sorbitan monolaurate) and aliphatic alcohols (lauryl alcohol, oleyl alcohol, isostearyl alcohol, octyldodecanol) did not cause skin irritation, and compared with intradermal administration there was minimal skin irritation.
-
-
Skin irritation score Skin irritation evaluation Intradermal Transdermal Adjuvant administration administration Lauryl alcohol +++ − Oleyl alcohol +++ − Isostearyl alcohol ++ − Octyldodecanol + − Polyethylene glycol monolaurate ++ − Sorbitan monolaurate ++ − - The abdomen of 7 to 8 W male BALB/c mice was shaved, and the animals were divided into an untreated group and a group to which an antigen was intradermally administered. OVA was dissolved in physiological saline and adjusted to give 10 ug/head, and for an OVA-only group 25 uL of the OVA aqueous solution was intradermally administered. For groups in which there was combined use with various types of adjuvant, immediately after the OVA solution was intradermally administered, 25 uL of the adjuvant solution was transdermally administered (coated) via the skin surface of the abdomen. Administration was carried out at 0, 2, and 4 W, blood was collected at 2, 4, and 5 W, and the OVA-specific IgG antibody titer after 2, 4, and 5 W was measured by ELISA. The results of 5 W data are given in Table 2.
- As shown in Table 2, when the change in antigen-specific IgG was examined employing in combination intradermal administration of the antigen ovalbumin and transdermal administration of various types of adjuvants to intact skin, a high antigen IgG immune response was observed for all candidate adjuvants. Groups for which lauryl alcohol or oleyl alcohol was administered in combination showed the highest immune response. From these results, it was confirmed that the aliphatic alcohols not only enhance the transdermal absorbability of an antigen but they also have immunostimulatory activity as adjuvants.
-
TABLE 2 Adjuvant Antibody titer (×104) Lauryl alcohol 2.1 Oleyl alcohol 2.1 Isostearyl alcohol 1.3 Octyldodecanol 0.6 Polyethylene glycol monolaurate 0.9 FCA(Freund's Complete Adjuvant) 1.3 None 0.3 - The abdomen of 7 to 8 W male BALB/c mice was shaved, and the animals were divided into an untreated group, a microneedle group, a skin abrasion pretreatment group, and an iontophoresis group. OVA (ovalbumin antigen) was adjusted to give 100 ug/head, for an OVA-only group an OVA aqueous solution was applied, and for a group in which lauryl alcohol (LA) was used in combination, an emulsified solution formed by mixing the OVA solution, LA and Tween 20 (emulsifier) at 1:1:0.01 was used. For the microneedle group, the pre-shaved abdomen skin was punctured with 1 cm2 of microneedles (needle length about 200 um, 400 needles/cm2), and immediately after this 50 uL of the above-mentioned emulsion solution was applied. For the skin abrasion treatment group, instead of the microneedles, the skin was abraded 5 times with 3M
RED Dot™ 2236 and 50 uL of the emulsion solution was applied. For the iontophoresis group, after the shaven abdomen skin was coated with 50 uL of the emulsion solution, an iontophoresis preparation (nonwoven cloth preparation: Ag, Ag/AgCl 1 cm2) formed by impregnating a nonwoven cloth with physiological saline was affixed to the coated site, and direct current (0.4 mA/patch) was applied for 1 hour. Administration was carried out at 0, 2, and 4 W, blood was collected at 2, 4, and 5 W, and the OVA-specific IgG antibody titer was measured by ELISA. The results of 4 W data are shown inFIG. 2 . - As shown in
FIG. 2 , when examining the change in antigen-specific IgG (4W) due to IP (iontophoresis), MN (microneedles), and Skin Prep (skin abrasion pretreatment) transdermal administration modes of the preparation containing ovalbumin antigen and/or lauryl alcohol, a high antigen IgG immune response was exhibited for all transdermal administration modes. Administering by means of iontophoresis showed the highest immune response. When lauryl alcohol was used in combination, a significant increase was observed for the antibody titer. - OVA was adjusted to give 2 mg/patch, a needle portion of microneedles was coated with the antigen and 5% polyvinyl alcohol liquid, and for a microneedle group the abdomen of 7 to 8 W male hairless rats was punctured for 2 hours with physiological saline dropped onto the skin side. For a microneedle+lauryl alcohol group, LA was applied in advance, physiological saline was dropped onto the skin side, and it was punctured for 2 hours with microneedle needles coated with the antigen and 5% polyvinyl alcohol liquid. Administration was carried out at 0, 2, and 4 W, blood was collected at 2, 4, and 5 W, and the OVA-specific IgG antibody titer was measured by ELISA. The results are given in
FIG. 3 . - As shown in
FIG. 3 , when antigen-coated puncturing was carried out, the antibody titer did not increase, but when LA was applied, it increased remarkably. The usefulness of the combined use of LA in antigen-coated microneedles was thus confirmed. - OVA was adjusted to give 2 mg/patch, and for a microneedle group (OVA+5% polyvinyl alcohol), the abdomen of 7 to 8 W male hairless rats was punctured for 2 hours with a needle portion of microneedles coated with antigen and 5% polyvinyl alcohol liquid [mixed at antigen solution:10% polyvinyl alcohol=1:1]. Furthermore, for microneedle groups (OVA+olive oil) or (OVA+lauryl alcohol), microneedle needles were coated with an emulsion [antigen solution:olive oil or lauryl alcohol:surfactant (Tween 80)=1:1:0.01], and puncturing was carried out for 2 hours. Administration was carried out at 0, 2, and 4 W, blood was collected at 2, 4, and 5 W, and the OVA-specific IgG antibody titer was measured by ELISA. The results are shown in
FIG. 4 . - As shown in
FIG. 4 , when puncturing was carried out with microneedles coated with the antigen on its own or an emulsion of the antigen+olive oil (OLV), the antibody titer did not increase, but in the case of microneedles coated with lauryl alcohol it increased remarkably. The usefulness of coating the microneedles with the emulsion of the antigen+lauryl alcohol was thereby confirmed. - OVA was adjusted to give 0.1 mg/patch, the abdomen of 7 to 8 W male BALB/c mice was shaved, and for a microneedle group (OVA) microneedle needles were coated with the antigen and 5% polyvinyl alcohol liquid [mixed at antigen solution:10% polyvinyl alcohol=1:1], and puncturing was carried out for 2 hours. Furthermore, for microneedle groups (OVA+lauryl alcohol or oleyl alcohol) microneedle needles were coated with an emulsion [antigen solution:olive oil or lauryl alcohol:surfactant (Tween 80)=1:1:0.01], and puncturing was carried out for 2 hours. Administering was carried out at 0, 2, and 4 W, blood was collected at 2, 4, and 5 W, and the OVA-specific IgG antibody titer was measured by ELISA. The results are given in
FIG. 5 . - As shown in
FIG. 5 , microneedles coated only with the antigen did not show a remarkable increase in the antibody titer, but when puncturing was carried out with microneedles coated with the antigen+lauryl alcohol or oleyl alcohol, the antibody titer increased remarkably. The usefulness of coating the microneedles with the emulsion of antigen+lauryl alcohol or oleyl alcohol was thereby confirmed. - 50 μL of an antigen (influenza H3N2: 1 μg/head) was administered dropwise to the nose of 7 to 8 W male BALB/c mice under inhalation anesthesia (sevoflurane) so as to match breathing. Antigen+LA [mixed at antigen solution:LA:surfactant (Tween 80)=9:1:0.05] was administered dropwise to the nose.
- Furthermore, for an intradermal administration group, the abdomen was shaved under Nembutal anesthesia, and 50 μL of an antigen (influenza H3N2: 0.07 μg/head) was intradermally administered. The antigen+LA [mixed at antigen solution:LA:surfactant (Tween 80)=1:1:0.01] was intradermally administered. 2 and 4 weeks after the initial administration, boosting was carried out under the same conditions, blood was drawn from the fundus of the eye after 2, 4, and 5 weeks, and the antibody titer was measured. The results are shown in
FIG. 6 . - When an emulsion of the antigen and LA was administered transnasally, compared with the antigen on its own, the antibody titer increased. In the case of intradermal administration, the adjuvant effect of LA was observed as above.
- 25 uL at a time was administered twice to the mouth cavity of 7 to 8 W male BALB/c mice (OVA 2500 ug/head; in
FIG. 7 , which shows the results, ‘0’ denotes a group of n=4 treated with a dosage of 50 uL [antigen solution], ‘20’ denotes a group of n=2 treated with a dosage of 50 uL [mixed at antigen solution:LA:surfactant (Tween 80)=8:2:0.05], and ‘50’ denotes a group of n=4 treated with a dosage of 50 uL [antigen solution:LA:surfactant (Tween 80)=5:5:0.05]). Boosting was carried out 1 week after the initial administration, blood was drawn from the fundus of the eye after 2 weeks, and the antibody titer was measured (inFIG. 7 , − denotes the average value of the antibody titer obtained for each treatment group). - When the antigen on its own or as two types of emulsions having varied LA concentrations were administered via the oral mucous membrane, in the case of the group with the antigen alone (0) the antibody titer did not increase, but in the case of the groups with the combined use of LA ((20) and (50)) the antibody titer increased in response to the LA concentration (
FIG. 7 ). In the present example, it is surmised that parts of the antigen, LA, and surfactant were absorbed via the mucous membrane of the gastrointestinal tract, and primarily the mucous membrane of the intestinal tract, thus exhibiting an effect. - As described above, in accordance with the present invention, a safe and efficient low molecular weight adjuvant, selected from a fatty acid derivative or an aliphatic alcohol, and a transdermal administration preparation for enhancing cutaneous immune activity can be provided. That is, the adjuvant and the preparation of the present invention are transdermally administered, etc. as they are or are applied after abrading the skin, or are transdermally administered using iontophoresis, microneedles, etc., and they are widely used in this way for the evaluation of external medications, cosmetics, allergenic substances, or vaccine treatments, etc. of infections, cancer, arteriosclerosis, cranial nerve diseases such as Alzheimer's, allergies, etc. Furthermore, the present invention is also used as an anti-inflammatory immunomodulating substance for the treatment of T cell-mediated disease. The present invention therefore makes a great contribution to the pharmaceutical industry and its related industries.
- [
FIG. 1 ] A diagram showing the effect of the adjuvant of the present invention on the intensity of expression of MHC-Class II molecules. - [
FIG. 2 ] A diagram showing the effect of the adjuvant preparation of the present invention (containing lauryl alcohol) on the change in antigen-specific IgG of ovalbumin antigen (4W) in IP (iontophoresis), MN (microneedles), and Skin Prep (skin abrasion pretreatment). - [
FIG. 3 ] A diagram showing the effect of the adjuvant of the present invention by the combined use of LA in antigen-coated microneedles. - [
FIG. 4 ] A diagram showing the effect of the adjuvant of the present invention by coating microneedles with an emulsion of antigen+lauryl alcohol. - [
FIG. 5 ] A diagram showing the effect of the adjuvant of the present invention by coating microneedles with an emulsion of antigen+lauryl alcohol or oleyl alcohol. - [
FIG. 6 ] A diagram showing the effect of the adjuvant of the present invention by transnasal administration. - [
FIG. 7 ] A diagram showing the effect of the adjuvant of the present invention by oral mucous membrane administration.
Claims (20)
1. An adjuvant for transdermal or transmucosal administration, the adjuvant comprising at least one selected from aliphatic alcohols, free fatty acids, and fatty acid derivatives but not comprising one represented by the formula below.
wherein R3 and R4 may be bonded to form a cyclic ring, and R1 and R2 are independently an alkyl side chain containing 1 to 16 carbon atoms.
2. The adjuvant according to claim 1 , wherein at least one of the aliphatic alcohols is a saturated or unsaturated straight-chain or branched alcohol having 8 to 20 carbons.
3. The adjuvant according to claim 2 , wherein at least one of the aliphatic alcohols is lauryl alcohol, oleyl alcohol, isostearyl alcohol, octyldodecanol, or decanol.
4. The adjuvant according to claim 1 , wherein at least one of the fatty acid derivatives is a fatty acid ester.
5. The adjuvant according to claim 4 , wherein at least one of the fatty acid esters has a fatty acid carbon number of 10 to 20 and a degree of unsaturation of the fatty acid of 0 or 1.
6. The adjuvant according to claim 4 , wherein at least one of the fatty acid esters is a monovalent fatty acid ester.
7. The adjuvant according to claim 6 , wherein at least one of the monovalent fatty acid esters is sorbitan monolaurate, propylene glycol monolaurate, isopropyl myristate, sorbitan monooleate, glycerol monooleate, cetyl palmitate, or oleyl oleate.
8. The adjuvant according to claim 1 , wherein at least one of the free fatty acids is a saturated or unsaturated straight-chain or branched fatty acid having 8 to 20 carbons.
9. The adjuvant according to claim 8 , wherein at least one of the free fatty acids is oleic acid, linoleic acid, γ-linolenic acid, linolenic acid, lauric acid, stearic acid, or palmitic acid.
10. A pharmaceutical preparation comprising the adjuvant according to claim 1 .
11. The pharmaceutical preparation according to claim 10 , wherein it further comprises at least one type of antigen.
12. The pharmaceutical preparation according to claim 10 , wherein it is used in transdermal or transmucosal administration.
13. The pharmaceutical preparation according to claim 12 , wherein it is at least one type of an ointment, a cream, a powder, a gel, a suppository, a poultice, a patch preparation, a lotion, a liquid, and a liniment.
14. The pharmaceutical preparation according to claim 13 , wherein it is a matrix type or layer type tape preparation or a reservoir type patch preparation.
15. The pharmaceutical preparation according to claim 10 , wherein it is applied to intact skin or mucous membrane or physically or chemically treated skin or mucous membrane.
16. The pharmaceutical preparation according to claim 15 , wherein the physical or chemical treatment involves at least one of laser irradiation, skin abrasion, and microneedle, thermal, ultrasonic, electric field, magnetic field, pressure, and alkali treatments.
17. The pharmaceutical preparation according to claim 10 , wherein it is applied by at least one of skin abrasion, microneedle, and needle-free injection.
18. The pharmaceutical preparation according to claim 17 , wherein part or the whole surface of a needle portion of a microneedle is coated with an antigen and/or an adjuvant.
19. The pharmaceutical preparation according to claim 10 , wherein it is applied by at least one of hydration, denaturing, pore formation, exfoliation, bypass formation, and change in lamellar structure of the stratum corneum.
20. The pharmaceutical preparation according to claim 19 , wherein it is applied by at least one of iontophoresis, sonophoresis, or electroporation.
Applications Claiming Priority (3)
| Application Number | Priority Date | Filing Date | Title |
|---|---|---|---|
| JP2005222749 | 2005-08-01 | ||
| JP2005-222749 | 2005-08-01 | ||
| PCT/JP2006/315103 WO2007015441A1 (en) | 2005-08-01 | 2006-07-31 | Adjuvant or pharmaceutical preparation for transdermal or transmucosal administration |
Related Parent Applications (1)
| Application Number | Title | Priority Date | Filing Date |
|---|---|---|---|
| PCT/JP2006/315103 A-371-Of-International WO2007015441A1 (en) | 2005-08-01 | 2006-07-31 | Adjuvant or pharmaceutical preparation for transdermal or transmucosal administration |
Related Child Applications (1)
| Application Number | Title | Priority Date | Filing Date |
|---|---|---|---|
| US13/367,679 Continuation US8858962B2 (en) | 2005-08-01 | 2012-02-07 | Adjuvant or pharmaceutical preparation for transdermal or transmucosal administration |
Publications (1)
| Publication Number | Publication Date |
|---|---|
| US20090130127A1 true US20090130127A1 (en) | 2009-05-21 |
Family
ID=37708721
Family Applications (3)
| Application Number | Title | Priority Date | Filing Date |
|---|---|---|---|
| US11/997,413 Abandoned US20090130127A1 (en) | 2005-08-01 | 2006-07-31 | Adjuvant or Pharmaceutical Preparation for Transdermal or Transmucousal Administration |
| US13/367,679 Active 2026-09-04 US8858962B2 (en) | 2005-08-01 | 2012-02-07 | Adjuvant or pharmaceutical preparation for transdermal or transmucosal administration |
| US14/444,149 Abandoned US20150071970A1 (en) | 2005-08-01 | 2014-07-28 | Adjuvant or pharmaceutical preparation for transdermal or transmucosal administration |
Family Applications After (2)
| Application Number | Title | Priority Date | Filing Date |
|---|---|---|---|
| US13/367,679 Active 2026-09-04 US8858962B2 (en) | 2005-08-01 | 2012-02-07 | Adjuvant or pharmaceutical preparation for transdermal or transmucosal administration |
| US14/444,149 Abandoned US20150071970A1 (en) | 2005-08-01 | 2014-07-28 | Adjuvant or pharmaceutical preparation for transdermal or transmucosal administration |
Country Status (5)
| Country | Link |
|---|---|
| US (3) | US20090130127A1 (en) |
| EP (1) | EP1917976B1 (en) |
| JP (1) | JP5006196B2 (en) |
| DE (1) | DE602006020738D1 (en) |
| WO (1) | WO2007015441A1 (en) |
Cited By (8)
| Publication number | Priority date | Publication date | Assignee | Title |
|---|---|---|---|---|
| US20100047327A1 (en) * | 2007-01-31 | 2010-02-25 | Tetsuji Kuwahara | Adjuvant for Transdermal or Transmucosal Administration and Pharmaceutical Preparation Containing the Same |
| US20110159035A1 (en) * | 2008-08-01 | 2011-06-30 | Masahiro Goto | S/o type transdermal immunizing agent |
| CN103402496A (en) * | 2011-03-07 | 2013-11-20 | 3M创新有限公司 | Microneedle devices and methods |
| US9498611B2 (en) | 2011-10-06 | 2016-11-22 | Hisamitsu Pharmaceutical Co., Inc. | Applicator |
| US9993549B2 (en) | 2013-10-31 | 2018-06-12 | Hisamitsu Pharmaceutical Co., Inc. | Adjuvant composition, adjuvant preparation containing same, and kit |
| US10076491B2 (en) | 2013-02-05 | 2018-09-18 | Nitto Denko Corporation | Vaccine composition |
| US10092641B2 (en) | 2011-08-31 | 2018-10-09 | Perosphere Technologies Inc. | Methods for effectively and rapidly desensitizing allergic patients |
| US11547676B2 (en) * | 2012-12-28 | 2023-01-10 | Teikoku Seiyaku Co., Ltd. | Extended buprenorphine transdermal delivery compositions and methods for using the same |
Families Citing this family (14)
| Publication number | Priority date | Publication date | Assignee | Title |
|---|---|---|---|---|
| US9486408B2 (en) | 2005-12-01 | 2016-11-08 | University Of Massachusetts Lowell | Botulinum nanoemulsions |
| WO2009044555A1 (en) * | 2007-10-04 | 2009-04-09 | Josai University Corporation | Preparation and method of administering vaccine and iontophoresis device using the preparation |
| CN102076357A (en) | 2008-06-30 | 2011-05-25 | 久光制药株式会社 | Microneedle device, and method for enhancing efficacy of influenza vaccine by using microneedle devive |
| KR101622738B1 (en) * | 2008-07-30 | 2016-05-19 | 히사미쓰 세이야꾸 가부시키가이샤 | Microneedle device and method for increasing the response of japanese encephalitis virus antigen with the microneedle device |
| JP2010037214A (en) * | 2008-07-31 | 2010-02-18 | Shiseido Co Ltd | Method for promoting penetration of medicine |
| JP5606683B2 (en) * | 2009-02-25 | 2014-10-15 | 帝國製薬株式会社 | Composition for transdermal absorption of ketorolac |
| EP2679242B1 (en) * | 2011-02-25 | 2020-09-09 | Hisamitsu Pharmaceutical Co., Inc. | Adjuvant for transdermal or transmucosal administration and pharmaceutical preparation containing same |
| EP2762157A1 (en) * | 2013-02-05 | 2014-08-06 | Nitto Denko Corporation | Vaccine composition for transdermal or mucosal administration |
| ES2878948T3 (en) | 2014-06-12 | 2021-11-19 | Biomerieux Deutschland Gmbh | Unmask endotoxins in solution |
| ES2662957T3 (en) * | 2014-06-12 | 2018-04-10 | Hyglos Invest Gmbh | Unmasking endotoxins in solution |
| SG11201707068XA (en) | 2015-03-02 | 2017-09-28 | Medlab Clinical U S Inc | Transmucosal and transdermal delivery systems |
| US12168070B2 (en) | 2015-03-02 | 2024-12-17 | Medlab Clinical U.S., Inc. | Transmucosal and transdermal delivery systems |
| CN117731591A (en) * | 2016-11-21 | 2024-03-22 | 艾里奥治疗公司 | Transdermal delivery of large agents |
| JP6482604B2 (en) * | 2017-06-22 | 2019-03-13 | 教裕 南郷 | Inner skin dissolution type needle and needle device |
Citations (2)
| Publication number | Priority date | Publication date | Assignee | Title |
|---|---|---|---|---|
| US4605670A (en) * | 1984-02-01 | 1986-08-12 | Nitto Electric Industrial Co., Ltd. | Method for percutaneously administering metoclopramide |
| US20050163787A1 (en) * | 2002-02-25 | 2005-07-28 | Lyfjathroun Hf, Biopharmaceutical | Immunological adjuvant |
Family Cites Families (22)
| Publication number | Priority date | Publication date | Assignee | Title |
|---|---|---|---|---|
| US4590190A (en) * | 1983-07-01 | 1986-05-20 | Nitto Electric Industrial Co., Ltd. | Method for percutaneously administering physiologically active agents using an alcohol adjuvant and a solvent |
| JP2913229B2 (en) * | 1991-10-21 | 1999-06-28 | 塩野義製薬株式会社 | Oil based adjuvant vaccine formulation |
| JPH05255112A (en) * | 1992-03-14 | 1993-10-05 | Kanebo Ltd | Adjuvant composition |
| BR9506885A (en) | 1994-02-24 | 1997-08-19 | Micro Pak Inc | Vaccines containing paucilamellar lipid vesicles as immunological adjuvants |
| AU6046198A (en) * | 1997-01-31 | 1998-08-25 | Kenneth Hoyt | Use of oil from emu or rhea birds as trans-membrane carriers for delivery of drugs, peptides and vaccines |
| US6818222B1 (en) | 1997-03-21 | 2004-11-16 | Chiron Corporation | Detoxified mutants of bacterial ADP-ribosylating toxins as parenteral adjuvants |
| IS4518A (en) | 1997-07-09 | 1999-01-10 | Lyfjathroun Hf, The Icelandic Bio Pharmaceutical Group | New vaccine formulation |
| EP1071411B1 (en) * | 1998-04-20 | 2007-03-14 | Torrey Pines Institute For Molecular Studies | Topical immunostimulation to induce langerhans cell migration |
| ATE256484T1 (en) | 1999-01-28 | 2004-01-15 | Cyto Pulse Sciences Inc | INTRODUCTION OF MACROMOLECULES INTO CELLS |
| AU765824B2 (en) | 1999-09-24 | 2003-10-02 | Smithkline Beecham Biologicals (Sa) | Vaccines |
| DE10019171A1 (en) * | 2000-04-07 | 2001-10-18 | Schering Ag | Compositions for use as penetration enhancers in transdermal formulations for highly lipophilic active ingredients |
| GB0017999D0 (en) | 2000-07-21 | 2000-09-13 | Smithkline Beecham Biolog | Novel device |
| CA2420601A1 (en) | 2000-08-31 | 2003-02-26 | The Kitasato Institute | Vaccine preparation containing fatty acid as component |
| NZ525076A (en) | 2000-10-02 | 2004-09-24 | Glaxosmithkline Biolog S | A split enveloped RSV virus vaccine fomulation |
| AU2002252378B2 (en) | 2001-03-19 | 2007-10-18 | Intercell Usa, Inc. | Transcutaneous immunostimulation |
| IL142536A0 (en) * | 2001-04-11 | 2002-03-10 | Yeda Res & Dev | Carriers for therapeutic preparations for treatment of t-cell mediated diseases |
| US20020193729A1 (en) | 2001-04-20 | 2002-12-19 | Cormier Michel J.N. | Microprojection array immunization patch and method |
| ATE444773T1 (en) | 2001-04-20 | 2009-10-15 | Alza Corp | MICROPROJECTION ARRANGEMENT HAVING A COATING CONTAINING AN ADVANTAGEOUS AGENT |
| US7914799B2 (en) | 2001-08-27 | 2011-03-29 | Immunitor USA, Inc. | Anti-fungal composition |
| JP4213432B2 (en) | 2002-08-28 | 2009-01-21 | 久光製薬株式会社 | Patch |
| JP2007501071A (en) | 2003-08-04 | 2007-01-25 | アルザ・コーポレーシヨン | Method and apparatus for improving transdermal agent flow rate |
| WO2005042054A2 (en) | 2003-10-24 | 2005-05-12 | Alza Corporation | Pretreatment method and system for enhancing transdermal drug delivery |
-
2006
- 2006-07-31 US US11/997,413 patent/US20090130127A1/en not_active Abandoned
- 2006-07-31 JP JP2007529246A patent/JP5006196B2/en active Active
- 2006-07-31 WO PCT/JP2006/315103 patent/WO2007015441A1/en not_active Ceased
- 2006-07-31 DE DE602006020738T patent/DE602006020738D1/en active Active
- 2006-07-31 EP EP06781981A patent/EP1917976B1/en active Active
-
2012
- 2012-02-07 US US13/367,679 patent/US8858962B2/en active Active
-
2014
- 2014-07-28 US US14/444,149 patent/US20150071970A1/en not_active Abandoned
Patent Citations (2)
| Publication number | Priority date | Publication date | Assignee | Title |
|---|---|---|---|---|
| US4605670A (en) * | 1984-02-01 | 1986-08-12 | Nitto Electric Industrial Co., Ltd. | Method for percutaneously administering metoclopramide |
| US20050163787A1 (en) * | 2002-02-25 | 2005-07-28 | Lyfjathroun Hf, Biopharmaceutical | Immunological adjuvant |
Non-Patent Citations (1)
| Title |
|---|
| Lyons et al., "A TCR Binds to Antagonist Ligands with Lower Affinities and Faster Dissociation Rates that to Agonist," Immunity, Vol. 5, 53-61, July, 1996. * |
Cited By (8)
| Publication number | Priority date | Publication date | Assignee | Title |
|---|---|---|---|---|
| US20100047327A1 (en) * | 2007-01-31 | 2010-02-25 | Tetsuji Kuwahara | Adjuvant for Transdermal or Transmucosal Administration and Pharmaceutical Preparation Containing the Same |
| US20110159035A1 (en) * | 2008-08-01 | 2011-06-30 | Masahiro Goto | S/o type transdermal immunizing agent |
| CN103402496A (en) * | 2011-03-07 | 2013-11-20 | 3M创新有限公司 | Microneedle devices and methods |
| US10092641B2 (en) | 2011-08-31 | 2018-10-09 | Perosphere Technologies Inc. | Methods for effectively and rapidly desensitizing allergic patients |
| US9498611B2 (en) | 2011-10-06 | 2016-11-22 | Hisamitsu Pharmaceutical Co., Inc. | Applicator |
| US11547676B2 (en) * | 2012-12-28 | 2023-01-10 | Teikoku Seiyaku Co., Ltd. | Extended buprenorphine transdermal delivery compositions and methods for using the same |
| US10076491B2 (en) | 2013-02-05 | 2018-09-18 | Nitto Denko Corporation | Vaccine composition |
| US9993549B2 (en) | 2013-10-31 | 2018-06-12 | Hisamitsu Pharmaceutical Co., Inc. | Adjuvant composition, adjuvant preparation containing same, and kit |
Also Published As
| Publication number | Publication date |
|---|---|
| JPWO2007015441A1 (en) | 2009-02-19 |
| US8858962B2 (en) | 2014-10-14 |
| EP1917976A1 (en) | 2008-05-07 |
| JP5006196B2 (en) | 2012-08-22 |
| US20120156258A1 (en) | 2012-06-21 |
| WO2007015441A1 (en) | 2007-02-08 |
| US20150071970A1 (en) | 2015-03-12 |
| EP1917976A4 (en) | 2008-12-03 |
| DE602006020738D1 (en) | 2011-04-28 |
| EP1917976B1 (en) | 2011-03-16 |
Similar Documents
| Publication | Publication Date | Title |
|---|---|---|
| US8858962B2 (en) | Adjuvant or pharmaceutical preparation for transdermal or transmucosal administration | |
| JP5275047B2 (en) | Adjuvant for transdermal or transmucosal administration and pharmaceutical preparation containing the same | |
| JP4584361B2 (en) | Transdermal immunity adjuvant | |
| JP5876468B2 (en) | Adjuvant for transdermal or transmucosal administration and pharmaceutical preparation containing the same | |
| JP6076962B2 (en) | Heat-sensitive mucoadhesive or skin-adhesive penetration enhancers for local delivery of therapeutic agents | |
| JP2007518468A (en) | Ultrasound-assisted transdermal vaccine delivery method and system | |
| JP4947506B2 (en) | A novel non-antigenic mucosal adjuvant formulation that modulates the effects of substances including vaccine antigens by contacting the mucosal surface | |
| EP1416986A2 (en) | Intradermal delivery of vaccines and gene therapeutic agents via microcannula | |
| HUE033901T2 (en) | Lipidated immune response modifier compound compositions, formulations, and methods | |
| JP2008505685A (en) | Transdermal immunization delivery system | |
| JP2008531581A (en) | Vaccination enhanced with alkyl-glycosides | |
| JP2010059201A (en) | Adjuvant for transcutaneous immunization | |
| Huang | Topical vaccination: the skin as a unique portal to adaptive immune responses | |
| US9585954B2 (en) | Mucosal immunization | |
| TWI642443B (en) | Adjuvant composition, adjuvant preparation containing the same, and kit | |
| US20010036463A1 (en) | Transcutaneous immunization for large particulate antigens | |
| AU2002327186A1 (en) | Intradermal delivery of vaccines and gene therapeutic agents via microcannula |
Legal Events
| Date | Code | Title | Description |
|---|---|---|---|
| AS | Assignment |
Owner name: HISAMITSU PHARMACEUTICAL CO., INC., JAPAN Free format text: ASSIGNMENT OF ASSIGNORS INTEREST;ASSIGNORS:TOKUMOTO, SEIJI;ADACHI, HIROTOSHI;KUWAHARA, TETSUJI;REEL/FRAME:020620/0469;SIGNING DATES FROM 20080117 TO 20080125 |
|
| STCB | Information on status: application discontinuation |
Free format text: ABANDONED -- FAILURE TO RESPOND TO AN OFFICE ACTION |



