US20080214635A1 - Modulation of pathogenicity - Google Patents
Modulation of pathogenicity Download PDFInfo
- Publication number
- US20080214635A1 US20080214635A1 US12/005,833 US583307A US2008214635A1 US 20080214635 A1 US20080214635 A1 US 20080214635A1 US 583307 A US583307 A US 583307A US 2008214635 A1 US2008214635 A1 US 2008214635A1
- Authority
- US
- United States
- Prior art keywords
- group
- alkyl
- formula
- compounds
- thiophene
- Prior art date
- Legal status (The legal status is an assumption and is not a legal conclusion. Google has not performed a legal analysis and makes no representation as to the accuracy of the status listed.)
- Abandoned
Links
- 230000007918 pathogenicity Effects 0.000 title description 3
- 150000001875 compounds Chemical class 0.000 claims abstract description 193
- 238000000034 method Methods 0.000 claims description 36
- 241000894006 Bacteria Species 0.000 claims description 23
- 150000003839 salts Chemical class 0.000 claims description 23
- 230000032770 biofilm formation Effects 0.000 claims description 20
- 230000002401 inhibitory effect Effects 0.000 claims description 20
- 238000004519 manufacturing process Methods 0.000 claims description 20
- 238000011282 treatment Methods 0.000 claims description 20
- 239000000203 mixture Substances 0.000 claims description 19
- 201000010099 disease Diseases 0.000 claims description 18
- 208000037265 diseases, disorders, signs and symptoms Diseases 0.000 claims description 18
- 230000001580 bacterial effect Effects 0.000 claims description 14
- 241000589513 Burkholderia cepacia Species 0.000 claims description 11
- 241000589517 Pseudomonas aeruginosa Species 0.000 claims description 8
- 239000000304 virulence factor Substances 0.000 claims description 8
- 230000007923 virulence factor Effects 0.000 claims description 8
- 230000002265 prevention Effects 0.000 claims description 6
- 230000006378 damage Effects 0.000 claims description 3
- 125000003118 aryl group Chemical group 0.000 abstract description 84
- 125000000217 alkyl group Chemical group 0.000 abstract description 83
- 125000001072 heteroaryl group Chemical group 0.000 abstract description 58
- 125000000753 cycloalkyl group Chemical group 0.000 abstract description 44
- 229910052760 oxygen Inorganic materials 0.000 abstract description 30
- 229910052717 sulfur Inorganic materials 0.000 abstract description 26
- 229910052757 nitrogen Inorganic materials 0.000 abstract description 23
- 125000002950 monocyclic group Chemical group 0.000 abstract description 11
- 125000006574 non-aromatic ring group Chemical group 0.000 abstract description 11
- 125000003837 (C1-C20) alkyl group Chemical group 0.000 abstract description 6
- 125000003367 polycyclic group Chemical group 0.000 abstract description 2
- 125000002496 methyl group Chemical group [H]C([H])([H])* 0.000 description 418
- 125000001495 ethyl group Chemical group [H]C([H])([H])C([H])([H])* 0.000 description 182
- -1 aminoglycosides Substances 0.000 description 153
- 125000001436 propyl group Chemical group [H]C([*])([H])C([H])([H])C([H])([H])[H] 0.000 description 129
- OKKJLVBELUTLKV-MZCSYVLQSA-N Deuterated methanol Chemical compound [2H]OC([2H])([2H])[2H] OKKJLVBELUTLKV-MZCSYVLQSA-N 0.000 description 84
- IAZDPXIOMUYVGZ-WFGJKAKNSA-N Dimethyl sulfoxide Chemical compound [2H]C([2H])([2H])S(=O)C([2H])([2H])[2H] IAZDPXIOMUYVGZ-WFGJKAKNSA-N 0.000 description 78
- 125000000484 butyl group Chemical group [H]C([*])([H])C([H])([H])C([H])([H])C([H])([H])[H] 0.000 description 77
- 125000001449 isopropyl group Chemical group [H]C([H])([H])C([H])(*)C([H])([H])[H] 0.000 description 76
- HEDRZPFGACZZDS-MICDWDOJSA-N Trichloro(2H)methane Chemical compound [2H]C(Cl)(Cl)Cl HEDRZPFGACZZDS-MICDWDOJSA-N 0.000 description 74
- 125000000999 tert-butyl group Chemical group [H]C([H])([H])C(*)(C([H])([H])[H])C([H])([H])[H] 0.000 description 72
- 125000000391 vinyl group Chemical group [H]C([*])=C([H])[H] 0.000 description 68
- 125000001147 pentyl group Chemical group C(CCCC)* 0.000 description 57
- 125000006519 CCH3 Chemical group 0.000 description 50
- 125000000654 isopropylidene group Chemical group C(C)(C)=* 0.000 description 42
- 125000006238 prop-1-en-1-yl group Chemical group [H]\C(*)=C(/[H])C([H])([H])[H] 0.000 description 42
- 125000001424 substituent group Chemical group 0.000 description 40
- 230000018612 quorum sensing Effects 0.000 description 38
- 125000002820 allylidene group Chemical group [H]C(=[*])C([H])=C([H])[H] 0.000 description 35
- 125000004438 haloalkoxy group Chemical group 0.000 description 34
- 125000001188 haloalkyl group Chemical group 0.000 description 34
- 125000004051 hexyl group Chemical group [H]C([H])([H])C([H])([H])C([H])([H])C([H])([H])C([H])([H])C([H])([H])* 0.000 description 34
- 125000004432 carbon atom Chemical group C* 0.000 description 32
- 125000002768 hydroxyalkyl group Chemical group 0.000 description 31
- 125000005191 hydroxyalkylamino group Chemical group 0.000 description 31
- 125000003545 alkoxy group Chemical group 0.000 description 30
- QJPWUUJVYOJNMH-UHFFFAOYSA-O homoserinium lactone Chemical compound [NH3+]C1CCOC1=O QJPWUUJVYOJNMH-UHFFFAOYSA-O 0.000 description 30
- 125000003903 2-propenyl group Chemical group [H]C([*])([H])C([H])=C([H])[H] 0.000 description 27
- 239000000243 solution Substances 0.000 description 25
- 125000004917 3-methyl-2-butyl group Chemical group CC(C(C)*)C 0.000 description 24
- 229910052736 halogen Inorganic materials 0.000 description 24
- 150000002367 halogens Chemical class 0.000 description 24
- YMWUJEATGCHHMB-UHFFFAOYSA-N Dichloromethane Chemical compound ClCCl YMWUJEATGCHHMB-UHFFFAOYSA-N 0.000 description 22
- 0 *N(C)CN([1*])N([2*])CC Chemical compound *N(C)CN([1*])N([2*])CC 0.000 description 20
- 125000003187 heptyl group Chemical group [H]C([*])([H])C([H])([H])C([H])([H])C([H])([H])C([H])([H])C([H])([H])C([H])([H])[H] 0.000 description 20
- OKKJLVBELUTLKV-UHFFFAOYSA-N Methanol Chemical compound OC OKKJLVBELUTLKV-UHFFFAOYSA-N 0.000 description 18
- 125000005843 halogen group Chemical group 0.000 description 18
- WYURNTSHIVDZCO-UHFFFAOYSA-N Tetrahydrofuran Chemical compound C1CCOC1 WYURNTSHIVDZCO-UHFFFAOYSA-N 0.000 description 16
- 229910052794 bromium Inorganic materials 0.000 description 16
- 229910052801 chlorine Inorganic materials 0.000 description 16
- 239000000460 chlorine Substances 0.000 description 16
- 229910052731 fluorine Inorganic materials 0.000 description 16
- 229910052740 iodine Inorganic materials 0.000 description 16
- 239000003242 anti bacterial agent Substances 0.000 description 15
- 125000006727 (C1-C6) alkenyl group Chemical group 0.000 description 14
- 125000004169 (C1-C6) alkyl group Chemical group 0.000 description 14
- 108090000623 proteins and genes Proteins 0.000 description 14
- 125000004920 4-methyl-2-pentyl group Chemical group CC(CC(C)*)C 0.000 description 13
- 125000004093 cyano group Chemical group *C#N 0.000 description 13
- 230000012010 growth Effects 0.000 description 13
- 125000006273 (C1-C3) alkyl group Chemical group 0.000 description 12
- ZMANZCXQSJIPKH-UHFFFAOYSA-N Triethylamine Chemical compound CCN(CC)CC ZMANZCXQSJIPKH-UHFFFAOYSA-N 0.000 description 12
- 125000004414 alkyl thio group Chemical group 0.000 description 12
- 230000015572 biosynthetic process Effects 0.000 description 12
- 230000001018 virulence Effects 0.000 description 12
- 108091005804 Peptidases Proteins 0.000 description 11
- 125000000623 heterocyclic group Chemical class 0.000 description 11
- 230000005764 inhibitory process Effects 0.000 description 11
- 125000000449 nitro group Chemical group [O-][N+](*)=O 0.000 description 11
- 230000011664 signaling Effects 0.000 description 11
- 238000012360 testing method Methods 0.000 description 11
- YRYOXRMDHALAFL-QMMMGPOBSA-N N-(3-oxohexanoyl)-L-homoserine lactone Chemical compound CCCC(=O)CC(=O)N[C@H]1CCOC1=O YRYOXRMDHALAFL-QMMMGPOBSA-N 0.000 description 10
- JCXJVPUVTGWSNB-UHFFFAOYSA-N Nitrogen dioxide Chemical compound O=[N]=O JCXJVPUVTGWSNB-UHFFFAOYSA-N 0.000 description 10
- 239000004365 Protease Substances 0.000 description 10
- 102100037486 Reverse transcriptase/ribonuclease H Human genes 0.000 description 10
- 230000014509 gene expression Effects 0.000 description 10
- 125000005842 heteroatom Chemical group 0.000 description 10
- 125000000956 methoxy group Chemical group [H]C([H])([H])O* 0.000 description 10
- 230000001105 regulatory effect Effects 0.000 description 10
- 238000001308 synthesis method Methods 0.000 description 10
- 238000003786 synthesis reaction Methods 0.000 description 10
- 229940088710 antibiotic agent Drugs 0.000 description 9
- 125000004122 cyclic group Chemical group 0.000 description 9
- 125000001997 phenyl group Chemical group [H]C1=C([H])C([H])=C(*)C([H])=C1[H] 0.000 description 9
- VKVJIWVUYNTBEZ-UHFFFAOYSA-N 1,3-bis(3,5-dichlorophenyl)urea Chemical compound ClC1=CC(Cl)=CC(NC(=O)NC=2C=C(Cl)C=C(Cl)C=2)=C1 VKVJIWVUYNTBEZ-UHFFFAOYSA-N 0.000 description 8
- 125000004974 2-butenyl group Chemical group C(C=CC)* 0.000 description 8
- 241000588724 Escherichia coli Species 0.000 description 8
- 229910052739 hydrogen Inorganic materials 0.000 description 8
- 230000008569 process Effects 0.000 description 8
- 239000007787 solid Substances 0.000 description 8
- YLQBMQCUIZJEEH-UHFFFAOYSA-N tetrahydrofuran Natural products C=1C=COC=1 YLQBMQCUIZJEEH-UHFFFAOYSA-N 0.000 description 8
- 125000002941 2-furyl group Chemical group O1C([*])=C([H])C([H])=C1[H] 0.000 description 7
- 125000000175 2-thienyl group Chemical group S1C([*])=C([H])C([H])=C1[H] 0.000 description 7
- 125000003682 3-furyl group Chemical group O1C([H])=C([*])C([H])=C1[H] 0.000 description 7
- 125000001541 3-thienyl group Chemical group S1C([H])=C([*])C([H])=C1[H] 0.000 description 7
- 125000000339 4-pyridyl group Chemical group N1=C([H])C([H])=C([*])C([H])=C1[H] 0.000 description 7
- 241000282414 Homo sapiens Species 0.000 description 7
- 150000001408 amides Chemical class 0.000 description 7
- 238000000576 coating method Methods 0.000 description 7
- IJKVHSBPTUYDLN-UHFFFAOYSA-N dihydroxy(oxo)silane Chemical compound O[Si](O)=O IJKVHSBPTUYDLN-UHFFFAOYSA-N 0.000 description 7
- 238000012746 preparative thin layer chromatography Methods 0.000 description 7
- 102000004169 proteins and genes Human genes 0.000 description 7
- 125000004307 pyrazin-2-yl group Chemical group [H]C1=C([H])N=C(*)C([H])=N1 0.000 description 7
- 239000011541 reaction mixture Substances 0.000 description 7
- 125000006755 (C2-C20) alkyl group Chemical group 0.000 description 6
- 125000004519 1,2,5-thiadiazol-4-yl group Chemical group S1N=CC(=N1)* 0.000 description 6
- 125000001462 1-pyrrolyl group Chemical group [*]N1C([H])=C([H])C([H])=C1[H] 0.000 description 6
- NGNBDVOYPDDBFK-UHFFFAOYSA-N 2-[2,4-di(pentan-2-yl)phenoxy]acetyl chloride Chemical compound CCCC(C)C1=CC=C(OCC(Cl)=O)C(C(C)CCC)=C1 NGNBDVOYPDDBFK-UHFFFAOYSA-N 0.000 description 6
- 125000004105 2-pyridyl group Chemical group N1=C([*])C([H])=C([H])C([H])=C1[H] 0.000 description 6
- 125000000389 2-pyrrolyl group Chemical group [H]N1C([*])=C([H])C([H])=C1[H] 0.000 description 6
- 125000003349 3-pyridyl group Chemical group N1=C([H])C([*])=C([H])C([H])=C1[H] 0.000 description 6
- 125000001397 3-pyrrolyl group Chemical group [H]N1C([H])=C([*])C([H])=C1[H] 0.000 description 6
- ZCYVEMRRCGMTRW-UHFFFAOYSA-N 7553-56-2 Chemical compound [I] ZCYVEMRRCGMTRW-UHFFFAOYSA-N 0.000 description 6
- UHOVQNZJYSORNB-UHFFFAOYSA-N Benzene Chemical compound C1=CC=CC=C1 UHOVQNZJYSORNB-UHFFFAOYSA-N 0.000 description 6
- WKBOTKDWSSQWDR-UHFFFAOYSA-N Bromine atom Chemical compound [Br] WKBOTKDWSSQWDR-UHFFFAOYSA-N 0.000 description 6
- ZAMOUSCENKQFHK-UHFFFAOYSA-N Chlorine atom Chemical compound [Cl] ZAMOUSCENKQFHK-UHFFFAOYSA-N 0.000 description 6
- PXGOKWXKJXAPGV-UHFFFAOYSA-N Fluorine Chemical compound FF PXGOKWXKJXAPGV-UHFFFAOYSA-N 0.000 description 6
- ZMXDDKWLCZADIW-UHFFFAOYSA-N N,N-Dimethylformamide Chemical compound CN(C)C=O ZMXDDKWLCZADIW-UHFFFAOYSA-N 0.000 description 6
- 239000004599 antimicrobial Substances 0.000 description 6
- 125000003785 benzimidazolyl group Chemical group N1=C(NC2=C1C=CC=C2)* 0.000 description 6
- 238000005415 bioluminescence Methods 0.000 description 6
- 230000029918 bioluminescence Effects 0.000 description 6
- GDTBXPJZTBHREO-UHFFFAOYSA-N bromine Substances BrBr GDTBXPJZTBHREO-UHFFFAOYSA-N 0.000 description 6
- 238000006243 chemical reaction Methods 0.000 description 6
- 230000001419 dependent effect Effects 0.000 description 6
- 230000000694 effects Effects 0.000 description 6
- 239000011737 fluorine Substances 0.000 description 6
- 208000026278 immune system disease Diseases 0.000 description 6
- 125000003387 indolinyl group Chemical group N1(CCC2=CC=CC=C12)* 0.000 description 6
- 125000001041 indolyl group Chemical group 0.000 description 6
- 208000015181 infectious disease Diseases 0.000 description 6
- 239000011630 iodine Substances 0.000 description 6
- 125000002183 isoquinolinyl group Chemical group C1(=NC=CC2=CC=CC=C12)* 0.000 description 6
- 239000000463 material Substances 0.000 description 6
- 244000005700 microbiome Species 0.000 description 6
- 125000003145 oxazol-4-yl group Chemical group O1C=NC(=C1)* 0.000 description 6
- 244000052769 pathogen Species 0.000 description 6
- 239000000546 pharmaceutical excipient Substances 0.000 description 6
- 125000002206 pyridazin-3-yl group Chemical group [H]C1=C([H])C([H])=C(*)N=N1 0.000 description 6
- 125000004940 pyridazin-4-yl group Chemical group N1=NC=C(C=C1)* 0.000 description 6
- 125000004527 pyrimidin-4-yl group Chemical group N1=CN=C(C=C1)* 0.000 description 6
- 125000004528 pyrimidin-5-yl group Chemical group N1=CN=CC(=C1)* 0.000 description 6
- 125000002294 quinazolinyl group Chemical group N1=C(N=CC2=CC=CC=C12)* 0.000 description 6
- 125000003039 tetrahydroisoquinolinyl group Chemical group C1(NCCC2=CC=CC=C12)* 0.000 description 6
- 125000000147 tetrahydroquinolinyl group Chemical group N1(CCCC2=CC=CC=C12)* 0.000 description 6
- XLYOFNOQVPJJNP-UHFFFAOYSA-N water Substances O XLYOFNOQVPJJNP-UHFFFAOYSA-N 0.000 description 6
- 125000006552 (C3-C8) cycloalkyl group Chemical group 0.000 description 5
- 125000001766 1,2,4-oxadiazol-3-yl group Chemical group [H]C1=NC(*)=NO1 0.000 description 5
- 125000004505 1,2,4-oxadiazol-5-yl group Chemical group O1N=CN=C1* 0.000 description 5
- 125000004515 1,2,4-thiadiazol-3-yl group Chemical group S1N=C(N=C1)* 0.000 description 5
- 125000004516 1,2,4-thiadiazol-5-yl group Chemical group S1N=CN=C1* 0.000 description 5
- 125000004507 1,2,5-oxadiazol-3-yl group Chemical group O1N=C(C=N1)* 0.000 description 5
- 125000004508 1,2,5-oxadiazol-4-yl group Chemical group O1N=CC(=N1)* 0.000 description 5
- 125000004518 1,2,5-thiadiazol-3-yl group Chemical group S1N=C(C=N1)* 0.000 description 5
- 125000002373 5 membered heterocyclic group Chemical group 0.000 description 5
- 125000004070 6 membered heterocyclic group Chemical group 0.000 description 5
- 241000607620 Aliivibrio fischeri Species 0.000 description 5
- 208000035143 Bacterial infection Diseases 0.000 description 5
- LFQSCWFLJHTTHZ-UHFFFAOYSA-N Ethanol Chemical compound CCO LFQSCWFLJHTTHZ-UHFFFAOYSA-N 0.000 description 5
- 241000282412 Homo Species 0.000 description 5
- ZJFKKPDLNLCPNP-QMMMGPOBSA-N N-[(3s)-2-Oxotetrahydrofuran-3-Yl]hexanamide Chemical compound CCCCCC(=O)N[C@H]1CCOC1=O ZJFKKPDLNLCPNP-QMMMGPOBSA-N 0.000 description 5
- ZJFKKPDLNLCPNP-UHFFFAOYSA-N N-hexanoyl-L-homoserine lactone Natural products CCCCCC(=O)NC1CCOC1=O ZJFKKPDLNLCPNP-UHFFFAOYSA-N 0.000 description 5
- 238000003556 assay Methods 0.000 description 5
- 208000022362 bacterial infectious disease Diseases 0.000 description 5
- 125000001164 benzothiazolyl group Chemical group S1C(=NC2=C1C=CC=C2)* 0.000 description 5
- 239000011248 coating agent Substances 0.000 description 5
- 239000003814 drug Substances 0.000 description 5
- QUPDWYMUPZLYJZ-UHFFFAOYSA-N ethyl Chemical compound C[CH2] QUPDWYMUPZLYJZ-UHFFFAOYSA-N 0.000 description 5
- QJPWUUJVYOJNMH-UHFFFAOYSA-N homoserine lactone Chemical compound NC1CCOC1=O QJPWUUJVYOJNMH-UHFFFAOYSA-N 0.000 description 5
- 125000001793 isothiazol-3-yl group Chemical group [H]C1=C([H])C(*)=NS1 0.000 description 5
- 125000004500 isothiazol-4-yl group Chemical group S1N=CC(=C1)* 0.000 description 5
- 125000004501 isothiazol-5-yl group Chemical group S1N=CC=C1* 0.000 description 5
- 125000004284 isoxazol-3-yl group Chemical group [H]C1=C([H])C(*)=NO1 0.000 description 5
- 125000004498 isoxazol-4-yl group Chemical group O1N=CC(=C1)* 0.000 description 5
- 125000004499 isoxazol-5-yl group Chemical group O1N=CC=C1* 0.000 description 5
- 125000004287 oxazol-2-yl group Chemical group [H]C1=C([H])N=C(*)O1 0.000 description 5
- 125000004304 oxazol-5-yl group Chemical group O1C=NC=C1* 0.000 description 5
- 125000004115 pentoxy group Chemical group [*]OC([H])([H])C([H])([H])C([H])([H])C(C([H])([H])[H])([H])[H] 0.000 description 5
- 125000000246 pyrimidin-2-yl group Chemical group [H]C1=NC(*)=NC([H])=C1[H] 0.000 description 5
- 125000002943 quinolinyl group Chemical group N1=C(C=CC2=CC=CC=C12)* 0.000 description 5
- 230000005174 swarming motility Effects 0.000 description 5
- 125000000437 thiazol-2-yl group Chemical group [H]C1=C([H])N=C(*)S1 0.000 description 5
- 125000004495 thiazol-4-yl group Chemical group S1C=NC(=C1)* 0.000 description 5
- 125000004496 thiazol-5-yl group Chemical group S1C=NC=C1* 0.000 description 5
- VFFNZZXXTGXBOG-LURJTMIESA-N (+)-a(S)-butyr-amido-r-butyrolactone Chemical compound CCCC(=O)N[C@H]1CCOC1=O VFFNZZXXTGXBOG-LURJTMIESA-N 0.000 description 4
- 125000006528 (C2-C6) alkyl group Chemical group 0.000 description 4
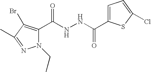
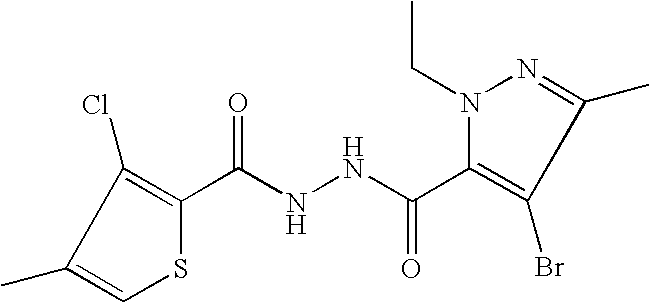
- CERBQJSGCUGEPZ-UHFFFAOYSA-N 4-bromo-n'-(5-chlorothiophene-2-carbonyl)-2-ethyl-5-methylpyrazole-3-carbohydrazide Chemical compound CCN1N=C(C)C(Br)=C1C(=O)NNC(=O)C1=CC=C(Cl)S1 CERBQJSGCUGEPZ-UHFFFAOYSA-N 0.000 description 4
- CSCPPACGZOOCGX-UHFFFAOYSA-N Acetone Chemical class CC(C)=O CSCPPACGZOOCGX-UHFFFAOYSA-N 0.000 description 4
- 241000196324 Embryophyta Species 0.000 description 4
- XEKOWRVHYACXOJ-UHFFFAOYSA-N Ethyl acetate Chemical compound CCOC(C)=O XEKOWRVHYACXOJ-UHFFFAOYSA-N 0.000 description 4
- JKEJEOJPJVRHMQ-UHFFFAOYSA-N N-octanoyl-L-homoserine lactone Natural products CCCCCCCC(=O)NC1CCOC1=O JKEJEOJPJVRHMQ-UHFFFAOYSA-N 0.000 description 4
- 150000001412 amines Chemical class 0.000 description 4
- 230000008901 benefit Effects 0.000 description 4
- 244000309464 bull Species 0.000 description 4
- 230000008568 cell cell communication Effects 0.000 description 4
- 239000003795 chemical substances by application Substances 0.000 description 4
- 239000000645 desinfectant Substances 0.000 description 4
- 238000011161 development Methods 0.000 description 4
- 239000004615 ingredient Substances 0.000 description 4
- 239000003112 inhibitor Substances 0.000 description 4
- 239000002808 molecular sieve Substances 0.000 description 4
- JKEJEOJPJVRHMQ-JTQLQIEISA-N n-(2-oxotetrahydrofuran-3-yl)octanamide Chemical compound CCCCCCCC(=O)N[C@H]1CCOC1=O JKEJEOJPJVRHMQ-JTQLQIEISA-N 0.000 description 4
- VLKZOEOYAKHREP-UHFFFAOYSA-N n-Hexane Chemical compound CCCCCC VLKZOEOYAKHREP-UHFFFAOYSA-N 0.000 description 4
- 230000003287 optical effect Effects 0.000 description 4
- YNCMLFHHXWETLD-UHFFFAOYSA-N pyocyanin Chemical compound CN1C2=CC=CC=C2N=C2C1=CC=CC2=O YNCMLFHHXWETLD-UHFFFAOYSA-N 0.000 description 4
- URGAHOPLAPQHLN-UHFFFAOYSA-N sodium aluminosilicate Chemical compound [Na+].[Al+3].[O-][Si]([O-])=O.[O-][Si]([O-])=O URGAHOPLAPQHLN-UHFFFAOYSA-N 0.000 description 4
- 125000000547 substituted alkyl group Chemical group 0.000 description 4
- 239000003826 tablet Substances 0.000 description 4
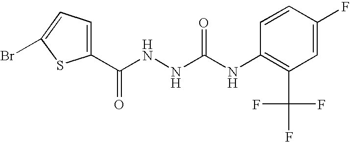
- IPWGJJLGRNKHIW-UHFFFAOYSA-N 1-[(5-bromothiophene-2-carbonyl)amino]-3-[4-fluoro-2-(trifluoromethyl)phenyl]urea Chemical compound FC(F)(F)C1=CC(F)=CC=C1NC(=O)NNC(=O)C1=CC=C(Br)S1 IPWGJJLGRNKHIW-UHFFFAOYSA-N 0.000 description 3
- ZPRYNXKSYQQKEN-UHFFFAOYSA-N 3-chloro-4-methyl-n'-(thiophene-2-carbonyl)thiophene-2-carbohydrazide Chemical compound CC1=CSC(C(=O)NNC(=O)C=2SC=CC=2)=C1Cl ZPRYNXKSYQQKEN-UHFFFAOYSA-N 0.000 description 3
- VJIOMBMUZCYCMZ-UHFFFAOYSA-N 3-chloro-n'-(thiophene-2-carbonyl)thiophene-2-carbohydrazide Chemical compound C1=CSC(C(=O)NNC(=O)C=2SC=CC=2)=C1Cl VJIOMBMUZCYCMZ-UHFFFAOYSA-N 0.000 description 3
- XVPVQUGDFAWLKO-UHFFFAOYSA-N 5-bromo-n'-(thiophene-2-carbonyl)thiophene-2-carbohydrazide Chemical compound S1C(Br)=CC=C1C(=O)NNC(=O)C1=CC=CS1 XVPVQUGDFAWLKO-UHFFFAOYSA-N 0.000 description 3
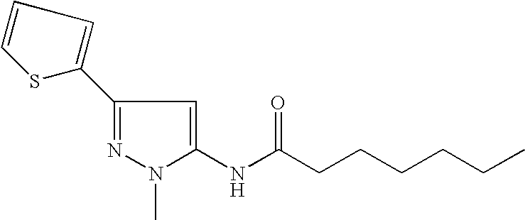
- XRVKXPWNDDCOKJ-UHFFFAOYSA-N 6-bromo-n-(2-methyl-5-phenylpyrazol-3-yl)hexanamide Chemical compound C1=C(NC(=O)CCCCCBr)N(C)N=C1C1=CC=CC=C1 XRVKXPWNDDCOKJ-UHFFFAOYSA-N 0.000 description 3
- 241000588879 Chromobacterium violaceum Species 0.000 description 3
- 201000003883 Cystic fibrosis Diseases 0.000 description 3
- 101710089384 Extracellular protease Proteins 0.000 description 3
- PEDCQBHIVMGVHV-UHFFFAOYSA-N Glycerine Chemical compound OCC(O)CO PEDCQBHIVMGVHV-UHFFFAOYSA-N 0.000 description 3
- QJPWUUJVYOJNMH-VKHMYHEASA-N L-homoserine lactone Chemical group N[C@H]1CCOC1=O QJPWUUJVYOJNMH-VKHMYHEASA-N 0.000 description 3
- 241001465754 Metazoa Species 0.000 description 3
- PHSRRHGYXQCRPU-AWEZNQCLSA-N N-(3-oxododecanoyl)-L-homoserine lactone Chemical compound CCCCCCCCCC(=O)CC(=O)N[C@H]1CCOC1=O PHSRRHGYXQCRPU-AWEZNQCLSA-N 0.000 description 3
- 206010028980 Neoplasm Diseases 0.000 description 3
- 241000588701 Pectobacterium carotovorum Species 0.000 description 3
- 206010040047 Sepsis Diseases 0.000 description 3
- HEMHJVSKTPXQMS-UHFFFAOYSA-M Sodium hydroxide Chemical compound [OH-].[Na+] HEMHJVSKTPXQMS-UHFFFAOYSA-M 0.000 description 3
- 241000607477 Yersinia pseudotuberculosis Species 0.000 description 3
- 125000002252 acyl group Chemical group 0.000 description 3
- 230000000844 anti-bacterial effect Effects 0.000 description 3
- 244000052616 bacterial pathogen Species 0.000 description 3
- 239000002585 base Substances 0.000 description 3
- 230000003115 biocidal effect Effects 0.000 description 3
- 239000003139 biocide Substances 0.000 description 3
- 229910052799 carbon Inorganic materials 0.000 description 3
- 238000002474 experimental method Methods 0.000 description 3
- 150000002241 furanones Chemical class 0.000 description 3
- 239000007903 gelatin capsule Substances 0.000 description 3
- 230000009422 growth inhibiting effect Effects 0.000 description 3
- 238000002347 injection Methods 0.000 description 3
- 239000007924 injection Substances 0.000 description 3
- 239000007788 liquid Substances 0.000 description 3
- 230000001404 mediated effect Effects 0.000 description 3
- 230000000813 microbial effect Effects 0.000 description 3
- IBYNPLMKBMMVOY-UHFFFAOYSA-N n'-(3-cyclopentylpropanoyl)furan-2-carbohydrazide Chemical compound C=1C=COC=1C(=O)NNC(=O)CCC1CCCC1 IBYNPLMKBMMVOY-UHFFFAOYSA-N 0.000 description 3
- KCYCNAKUKAQKKO-UHFFFAOYSA-N n'-(thiophene-2-carbonyl)furan-2-carbohydrazide Chemical compound C=1C=COC=1C(=O)NNC(=O)C1=CC=CS1 KCYCNAKUKAQKKO-UHFFFAOYSA-N 0.000 description 3
- FBOFFEXPCHQWDX-UHFFFAOYSA-N n'-(thiophene-2-carbonyl)thiophene-2-carbohydrazide Chemical compound C=1C=CSC=1C(=O)NNC(=O)C1=CC=CS1 FBOFFEXPCHQWDX-UHFFFAOYSA-N 0.000 description 3
- UEJYLAUDQSWIAJ-UHFFFAOYSA-N n-(2-methyl-5-phenylpyrazol-3-yl)heptanamide Chemical compound CN1C(NC(=O)CCCCCC)=CC(C=2C=CC=CC=2)=N1 UEJYLAUDQSWIAJ-UHFFFAOYSA-N 0.000 description 3
- UDQNMTXHJYKUGK-UHFFFAOYSA-N n-(2-methylpyrazol-3-yl)heptanamide Chemical compound CCCCCCC(=O)NC1=CC=NN1C UDQNMTXHJYKUGK-UHFFFAOYSA-N 0.000 description 3
- 239000008194 pharmaceutical composition Substances 0.000 description 3
- 239000000825 pharmaceutical preparation Substances 0.000 description 3
- 229920005862 polyol Polymers 0.000 description 3
- 150000003077 polyols Chemical class 0.000 description 3
- 230000019491 signal transduction Effects 0.000 description 3
- YBBRCQOCSYXUOC-UHFFFAOYSA-N sulfuryl dichloride Chemical compound ClS(Cl)(=O)=O YBBRCQOCSYXUOC-UHFFFAOYSA-N 0.000 description 3
- 230000002588 toxic effect Effects 0.000 description 3
- 125000006729 (C2-C5) alkenyl group Chemical group 0.000 description 2
- YSXZAUXTILOKTG-UHFFFAOYSA-N 1-(4-bromophenyl)-3-[(3-chloro-4-methylthiophene-2-carbonyl)amino]urea Chemical compound CC1=CSC(C(=O)NNC(=O)NC=2C=CC(Br)=CC=2)=C1Cl YSXZAUXTILOKTG-UHFFFAOYSA-N 0.000 description 2
- CUJVXELUCQCDCW-UHFFFAOYSA-N 1-[(3-chloro-4-methylthiophene-2-carbonyl)amino]-3-(4-methylsulfanylphenyl)urea Chemical compound C1=CC(SC)=CC=C1NC(=O)NNC(=O)C1=C(Cl)C(C)=CS1 CUJVXELUCQCDCW-UHFFFAOYSA-N 0.000 description 2
- NRKDCNDXNMKTKW-UHFFFAOYSA-N 1-[(4,5-dibromothiophene-2-carbonyl)amino]-3-pentylurea Chemical compound CCCCCNC(=O)NNC(=O)C1=CC(Br)=C(Br)S1 NRKDCNDXNMKTKW-UHFFFAOYSA-N 0.000 description 2
- KMIPARZUPLJPNC-UHFFFAOYSA-N 1-[(5-bromothiophene-2-carbonyl)amino]-3-(2,6-difluorophenyl)urea Chemical compound FC1=CC=CC(F)=C1NC(=O)NNC(=O)C1=CC=C(Br)S1 KMIPARZUPLJPNC-UHFFFAOYSA-N 0.000 description 2
- OTGBFFBDDYQDKD-UHFFFAOYSA-N 1-[(5-bromothiophene-2-carbonyl)amino]-3-(4-methoxyphenyl)urea Chemical compound C1=CC(OC)=CC=C1NC(=O)NNC(=O)C1=CC=C(Br)S1 OTGBFFBDDYQDKD-UHFFFAOYSA-N 0.000 description 2
- QHSFDDHDFOIUGR-UHFFFAOYSA-N 1-[(5-bromothiophene-2-carbonyl)amino]-3-[2-(chloromethyl)phenyl]urea Chemical compound ClCC1=CC=CC=C1NC(=O)NNC(=O)C1=CC=C(Br)S1 QHSFDDHDFOIUGR-UHFFFAOYSA-N 0.000 description 2
- KKQGIRWNDABAAK-UHFFFAOYSA-N 1-[4-chloro-3-(trifluoromethyl)phenyl]-3-[(4,5-dibromothiophene-2-carbonyl)amino]urea Chemical compound C1=C(Cl)C(C(F)(F)F)=CC(NC(=O)NNC(=O)C=2SC(Br)=C(Br)C=2)=C1 KKQGIRWNDABAAK-UHFFFAOYSA-N 0.000 description 2
- FCEHBMOGCRZNNI-UHFFFAOYSA-N 1-benzothiophene Chemical compound C1=CC=C2SC=CC2=C1 FCEHBMOGCRZNNI-UHFFFAOYSA-N 0.000 description 2
- PTOVGVSBVSOJOR-UHFFFAOYSA-N 1-butyl-3-(thiophene-2-carbonylamino)thiourea Chemical compound CCCCNC(=S)NNC(=O)C1=CC=CS1 PTOVGVSBVSOJOR-UHFFFAOYSA-N 0.000 description 2
- VEPOHXYIFQMVHW-XOZOLZJESA-N 2,3-dihydroxybutanedioic acid (2S,3S)-3,4-dimethyl-2-phenylmorpholine Chemical compound OC(C(O)C(O)=O)C(O)=O.C[C@H]1[C@@H](OCCN1C)c1ccccc1 VEPOHXYIFQMVHW-XOZOLZJESA-N 0.000 description 2
- CNISQPDEILKVFS-UHFFFAOYSA-N 2,5-dimethyl-n'-(thiophene-2-carbonyl)pyrazole-3-carbohydrazide Chemical compound CN1N=C(C)C=C1C(=O)NNC(=O)C1=CC=CS1 CNISQPDEILKVFS-UHFFFAOYSA-N 0.000 description 2
- YEBGLJCKFZZDNF-UHFFFAOYSA-N 2,5-dimethyl-n'-[4-(trifluoromethyl)pyrimidin-2-yl]pyrazole-3-carbohydrazide Chemical compound CN1N=C(C)C=C1C(=O)NNC1=NC=CC(C(F)(F)F)=N1 YEBGLJCKFZZDNF-UHFFFAOYSA-N 0.000 description 2
- FOYIXBXVAFXVOO-UHFFFAOYSA-N 2-chloro-4-(trifluoromethyl)-n-[3-(trifluoromethyl)phenyl]pyrimidine-5-carboxamide Chemical compound FC(F)(F)C1=CC=CC(NC(=O)C=2C(=NC(Cl)=NC=2)C(F)(F)F)=C1 FOYIXBXVAFXVOO-UHFFFAOYSA-N 0.000 description 2
- FOGUPXKBJOOAPW-UHFFFAOYSA-N 2-chloro-n'-octanoylpyridine-3-carbohydrazide Chemical compound CCCCCCCC(=O)NNC(=O)C1=CC=CN=C1Cl FOGUPXKBJOOAPW-UHFFFAOYSA-N 0.000 description 2
- FMEYHBCNJPCWRI-UHFFFAOYSA-N 2-chloro-n'-octanoylpyridine-4-carbohydrazide Chemical compound CCCCCCCC(=O)NNC(=O)C1=CC=NC(Cl)=C1 FMEYHBCNJPCWRI-UHFFFAOYSA-N 0.000 description 2
- KOTJZHXCVITMOT-UHFFFAOYSA-N 2-chloro-n-(2-methylpyrazol-3-yl)-4-(trifluoromethyl)pyrimidine-5-carboxamide Chemical compound CN1N=CC=C1NC(=O)C1=CN=C(Cl)N=C1C(F)(F)F KOTJZHXCVITMOT-UHFFFAOYSA-N 0.000 description 2
- XESQINSIUAOMJR-UHFFFAOYSA-N 2-chloro-n-[4-(trifluoromethoxy)phenyl]-4-(trifluoromethyl)pyrimidine-5-carboxamide Chemical compound C1=CC(OC(F)(F)F)=CC=C1NC(=O)C1=CN=C(Cl)N=C1C(F)(F)F XESQINSIUAOMJR-UHFFFAOYSA-N 0.000 description 2
- TTYKWACOQTXUDE-UHFFFAOYSA-N 2-methyl-n'-(thiophene-2-carbonyl)-6-(trifluoromethyl)pyridine-3-carbohydrazide Chemical compound CC1=NC(C(F)(F)F)=CC=C1C(=O)NNC(=O)C1=CC=CS1 TTYKWACOQTXUDE-UHFFFAOYSA-N 0.000 description 2
- RSAFLBYGXPYQQZ-UHFFFAOYSA-N 2-tert-butyl-5-methyl-n'-(thiophene-2-carbonyl)pyrazole-3-carbohydrazide Chemical compound CC(C)(C)N1N=C(C)C=C1C(=O)NNC(=O)C1=CC=CS1 RSAFLBYGXPYQQZ-UHFFFAOYSA-N 0.000 description 2
- XBQZDEODOTUCGB-UHFFFAOYSA-N 2-tert-butyl-5-methyl-n-(2-methylpyrazol-3-yl)pyrazole-3-carboxamide Chemical compound CC(C)(C)N1N=C(C)C=C1C(=O)NC1=CC=NN1C XBQZDEODOTUCGB-UHFFFAOYSA-N 0.000 description 2
- QNGCPRDYQPECOI-UHFFFAOYSA-N 3,5-dimethyl-n'-octanoyl-1,2-oxazole-4-carbohydrazide Chemical compound CCCCCCCC(=O)NNC(=O)C=1C(C)=NOC=1C QNGCPRDYQPECOI-UHFFFAOYSA-N 0.000 description 2
- CJYIKFONIZIWIJ-UHFFFAOYSA-N 3-bromo-n'-(5-methylthiophene-2-carbonyl)thiophene-2-carbohydrazide Chemical compound S1C(C)=CC=C1C(=O)NNC(=O)C1=C(Br)C=CS1 CJYIKFONIZIWIJ-UHFFFAOYSA-N 0.000 description 2
- ODDGGCVFWWHDOK-UHFFFAOYSA-N 3-bromo-n'-(thiophene-2-carbonyl)thiophene-2-carbohydrazide Chemical compound C1=CSC(C(=O)NNC(=O)C=2SC=CC=2)=C1Br ODDGGCVFWWHDOK-UHFFFAOYSA-N 0.000 description 2
- RWGLTXWUNFGZAQ-UHFFFAOYSA-N 3-bromo-n'-octanoylthiophene-2-carbohydrazide Chemical compound CCCCCCCC(=O)NNC(=O)C=1SC=CC=1Br RWGLTXWUNFGZAQ-UHFFFAOYSA-N 0.000 description 2
- HJNCESZAYOQUQU-UHFFFAOYSA-N 3-bromo-n-(6-methoxypyridin-3-yl)thiophene-2-carboxamide Chemical compound C1=NC(OC)=CC=C1NC(=O)C1=C(Br)C=CS1 HJNCESZAYOQUQU-UHFFFAOYSA-N 0.000 description 2
- CXAXXFCQPSESBF-UHFFFAOYSA-N 3-chloro-n'-(3-chlorothiophene-2-carbonyl)thiophene-2-carbohydrazide Chemical compound C1=CSC(C(=O)NNC(=O)C2=C(C=CS2)Cl)=C1Cl CXAXXFCQPSESBF-UHFFFAOYSA-N 0.000 description 2
- MHTWIJMKBVREII-UHFFFAOYSA-N 3-chloro-n'-(5-chlorothiophene-2-carbonyl)thiophene-2-carbohydrazide Chemical compound S1C(Cl)=CC=C1C(=O)NNC(=O)C1=C(Cl)C=CS1 MHTWIJMKBVREII-UHFFFAOYSA-N 0.000 description 2
- LGBPGMPZFKYLOP-UHFFFAOYSA-N 3-chloro-n'-(thiophene-2-carbonyl)-1-benzothiophene-2-carbohydrazide Chemical compound S1C2=CC=CC=C2C(Cl)=C1C(=O)NNC(=O)C1=CC=CS1 LGBPGMPZFKYLOP-UHFFFAOYSA-N 0.000 description 2
- DDYQGJFXZFGXMX-UHFFFAOYSA-N 3-chloro-n-(2-methyl-5-thiophen-2-ylpyrazol-3-yl)benzamide Chemical compound CN1N=C(C=2SC=CC=2)C=C1NC(=O)C1=CC=CC(Cl)=C1 DDYQGJFXZFGXMX-UHFFFAOYSA-N 0.000 description 2
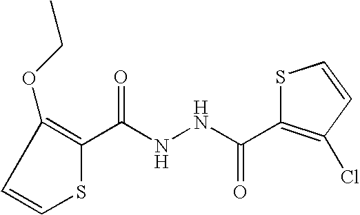
- WSLJSYNFQWQSFP-UHFFFAOYSA-N 3-ethoxy-n'-(thiophene-2-carbonyl)thiophene-2-carbohydrazide Chemical compound C1=CSC(C(=O)NNC(=O)C=2SC=CC=2)=C1OCC WSLJSYNFQWQSFP-UHFFFAOYSA-N 0.000 description 2
- DDGCDMDTXGDNBF-UHFFFAOYSA-N 3-oxo-n-(1h-pyrazol-5-yl)nonanamide Chemical compound CCCCCCC(=O)CC(=O)NC=1C=CNN=1 DDGCDMDTXGDNBF-UHFFFAOYSA-N 0.000 description 2
- QKGLJWGZSXNREZ-UHFFFAOYSA-N 4-bromo-1,5-dimethyl-n'-(thiophene-2-carbonyl)pyrazole-3-carbohydrazide Chemical compound CN1C(C)=C(Br)C(C(=O)NNC(=O)C=2SC=CC=2)=N1 QKGLJWGZSXNREZ-UHFFFAOYSA-N 0.000 description 2
- NNMPESHDEUFPTD-UHFFFAOYSA-N 4-bromo-2-ethyl-5-methyl-n'-octanoylpyrazole-3-carbohydrazide Chemical compound CCCCCCCC(=O)NNC(=O)C1=C(Br)C(C)=NN1CC NNMPESHDEUFPTD-UHFFFAOYSA-N 0.000 description 2
- HAMHRRBOPKLVLJ-UHFFFAOYSA-N 4-bromo-2-ethyl-5-methyl-n-(2-methylpyrazol-3-yl)pyrazole-3-carboxamide Chemical compound CCN1N=C(C)C(Br)=C1C(=O)NC1=CC=NN1C HAMHRRBOPKLVLJ-UHFFFAOYSA-N 0.000 description 2
- GEZKGURHPGJHOB-UHFFFAOYSA-N 4-bromo-n'-(3-chloro-4-methylthiophene-2-carbonyl)-2-ethyl-5-methylpyrazole-3-carbohydrazide Chemical compound CCN1N=C(C)C(Br)=C1C(=O)NNC(=O)C1=C(Cl)C(C)=CS1 GEZKGURHPGJHOB-UHFFFAOYSA-N 0.000 description 2
- WXPMBMRZIABYOH-UHFFFAOYSA-N 4-bromo-n'-(4,5-dibromothiophene-2-carbonyl)-2-ethyl-5-methylpyrazole-3-carbohydrazide Chemical compound CCN1N=C(C)C(Br)=C1C(=O)NNC(=O)C1=CC(Br)=C(Br)S1 WXPMBMRZIABYOH-UHFFFAOYSA-N 0.000 description 2
- IMLOSVGOKDOHFF-UHFFFAOYSA-N 4-bromo-n'-(5-bromothiophene-2-carbonyl)-2-ethyl-5-methylpyrazole-3-carbohydrazide Chemical compound CCN1N=C(C)C(Br)=C1C(=O)NNC(=O)C1=CC=C(Br)S1 IMLOSVGOKDOHFF-UHFFFAOYSA-N 0.000 description 2
- XABMGRUJNLQTTK-UHFFFAOYSA-N 4-methyl-n'-[4-(trifluoromethyl)benzoyl]thiophene-2-carbohydrazide Chemical compound CC1=CSC(C(=O)NNC(=O)C=2C=CC(=CC=2)C(F)(F)F)=C1 XABMGRUJNLQTTK-UHFFFAOYSA-N 0.000 description 2
- NTMGXCIOEWDNCK-UHFFFAOYSA-N 5-bromo-4-methoxy-n'-(5-methylthiophene-2-carbonyl)thiophene-3-carbohydrazide Chemical compound COC1=C(Br)SC=C1C(=O)NNC(=O)C1=CC=C(C)S1 NTMGXCIOEWDNCK-UHFFFAOYSA-N 0.000 description 2
- XEDWFMHZARTJDP-UHFFFAOYSA-N 5-bromo-4-methoxy-n'-(thiophene-2-carbonyl)thiophene-3-carbohydrazide Chemical compound COC1=C(Br)SC=C1C(=O)NNC(=O)C1=CC=CS1 XEDWFMHZARTJDP-UHFFFAOYSA-N 0.000 description 2
- DLBFOUREMWCQOB-UHFFFAOYSA-N 5-bromo-n'-butanoylthiophene-2-carbohydrazide Chemical compound CCCC(=O)NNC(=O)C1=CC=C(Br)S1 DLBFOUREMWCQOB-UHFFFAOYSA-N 0.000 description 2
- DVJYDFXMMQNWBA-UHFFFAOYSA-N 5-bromo-n'-heptanoylthiophene-2-carbohydrazide Chemical compound CCCCCCC(=O)NNC(=O)C1=CC=C(Br)S1 DVJYDFXMMQNWBA-UHFFFAOYSA-N 0.000 description 2
- QDCUMFLKVSDXLA-UHFFFAOYSA-N 5-bromo-n-(6-methoxypyridin-3-yl)pyridine-3-carboxamide Chemical compound C1=NC(OC)=CC=C1NC(=O)C1=CN=CC(Br)=C1 QDCUMFLKVSDXLA-UHFFFAOYSA-N 0.000 description 2
- KTAAYXCUZIHLBB-UHFFFAOYSA-N 5-chloro-4-methoxy-n'-(thiophene-2-carbonyl)thiophene-3-carbohydrazide Chemical compound COC1=C(Cl)SC=C1C(=O)NNC(=O)C1=CC=CS1 KTAAYXCUZIHLBB-UHFFFAOYSA-N 0.000 description 2
- ZZOXZYJCLDAPKK-UHFFFAOYSA-N 5-chloro-n'-(thiophene-2-carbonyl)thiophene-2-carbohydrazide Chemical compound S1C(Cl)=CC=C1C(=O)NNC(=O)C1=CC=CS1 ZZOXZYJCLDAPKK-UHFFFAOYSA-N 0.000 description 2
- 125000006163 5-membered heteroaryl group Chemical group 0.000 description 2
- JTNHJLVHTMPVFT-UHFFFAOYSA-N 5-methyl-n'-(thiophene-2-carbonyl)thiophene-2-carbohydrazide Chemical compound S1C(C)=CC=C1C(=O)NNC(=O)C1=CC=CS1 JTNHJLVHTMPVFT-UHFFFAOYSA-N 0.000 description 2
- HSMZHFCRIWTCCF-UHFFFAOYSA-N 5-tert-butyl-2-methyl-n'-(thiophene-2-carbonyl)pyrazole-3-carbohydrazide Chemical compound CN1N=C(C(C)(C)C)C=C1C(=O)NNC(=O)C1=CC=CS1 HSMZHFCRIWTCCF-UHFFFAOYSA-N 0.000 description 2
- OTFKBBAQTPHOSO-UHFFFAOYSA-N 5-tert-butyl-n'-(5-chlorothiophene-2-carbonyl)-2-methylpyrazole-3-carbohydrazide Chemical compound CN1N=C(C(C)(C)C)C=C1C(=O)NNC(=O)C1=CC=C(Cl)S1 OTFKBBAQTPHOSO-UHFFFAOYSA-N 0.000 description 2
- PQYQYEHSHVHQNS-UHFFFAOYSA-N 6-bromo-n-(2-methyl-5-thiophen-2-ylpyrazol-3-yl)hexanamide Chemical compound C1=C(NC(=O)CCCCCBr)N(C)N=C1C1=CC=CS1 PQYQYEHSHVHQNS-UHFFFAOYSA-N 0.000 description 2
- NCOMJMKLTBNMEM-UHFFFAOYSA-N 6-bromo-n-(2-methylpyrazol-3-yl)hexanamide Chemical compound CN1N=CC=C1NC(=O)CCCCCBr NCOMJMKLTBNMEM-UHFFFAOYSA-N 0.000 description 2
- ZKBPTYNJCAGLDS-UHFFFAOYSA-N 6-bromo-n-(4-bromo-2-methylpyrazol-3-yl)hexanamide Chemical compound CN1N=CC(Br)=C1NC(=O)CCCCCBr ZKBPTYNJCAGLDS-UHFFFAOYSA-N 0.000 description 2
- BFLNZZKNQLLFGQ-UHFFFAOYSA-N 6-bromo-n-[5-(4-chlorophenyl)-2-methylpyrazol-3-yl]hexanamide Chemical compound C1=C(NC(=O)CCCCCBr)N(C)N=C1C1=CC=C(Cl)C=C1 BFLNZZKNQLLFGQ-UHFFFAOYSA-N 0.000 description 2
- FHVDTGUDJYJELY-UHFFFAOYSA-N 6-{[2-carboxy-4,5-dihydroxy-6-(phosphanyloxy)oxan-3-yl]oxy}-4,5-dihydroxy-3-phosphanyloxane-2-carboxylic acid Chemical compound O1C(C(O)=O)C(P)C(O)C(O)C1OC1C(C(O)=O)OC(OP)C(O)C1O FHVDTGUDJYJELY-UHFFFAOYSA-N 0.000 description 2
- 241000607528 Aeromonas hydrophila Species 0.000 description 2
- 241000607525 Aeromonas salmonicida Species 0.000 description 2
- 241000589155 Agrobacterium tumefaciens Species 0.000 description 2
- 208000023275 Autoimmune disease Diseases 0.000 description 2
- 206010006187 Breast cancer Diseases 0.000 description 2
- 208000026310 Breast neoplasm Diseases 0.000 description 2
- 125000000882 C2-C6 alkenyl group Chemical group 0.000 description 2
- UCZGIAPWXJANGL-UHFFFAOYSA-N CCC(=O)CC(=O)NC1=C(C(=O)OC)C(C)=CS1 Chemical compound CCC(=O)CC(=O)NC1=C(C(=O)OC)C(C)=CS1 UCZGIAPWXJANGL-UHFFFAOYSA-N 0.000 description 2
- GFDRJYJPKOYBDW-UHFFFAOYSA-N CCC(=O)CC(=O)NC1=C(C(=O)OC)C=CS1 Chemical compound CCC(=O)CC(=O)NC1=C(C(=O)OC)C=CS1 GFDRJYJPKOYBDW-UHFFFAOYSA-N 0.000 description 2
- KWZWOOZWYNYJFM-UHFFFAOYSA-N CCC(=O)CC(=O)NC1=CC(C)=NN1C Chemical compound CCC(=O)CC(=O)NC1=CC(C)=NN1C KWZWOOZWYNYJFM-UHFFFAOYSA-N 0.000 description 2
- MRSWMHNPWAYIPQ-UHFFFAOYSA-N CCC(=O)CC(=O)NC1=CC(C)=NO1 Chemical compound CCC(=O)CC(=O)NC1=CC(C)=NO1 MRSWMHNPWAYIPQ-UHFFFAOYSA-N 0.000 description 2
- AXEGAJMJCJGPFJ-UHFFFAOYSA-N CCC(=O)CC(=O)NC1=CC(C)=NS1 Chemical compound CCC(=O)CC(=O)NC1=CC(C)=NS1 AXEGAJMJCJGPFJ-UHFFFAOYSA-N 0.000 description 2
- AQAZEHPRMUQDOK-UHFFFAOYSA-N CCC(=O)CC(=O)NC1=CC=NN1C Chemical compound CCC(=O)CC(=O)NC1=CC=NN1C AQAZEHPRMUQDOK-UHFFFAOYSA-N 0.000 description 2
- VJRFWFXNMXLTAV-UHFFFAOYSA-N CCC(=O)CC(=O)NC1=CC=NN1CC Chemical compound CCC(=O)CC(=O)NC1=CC=NN1CC VJRFWFXNMXLTAV-UHFFFAOYSA-N 0.000 description 2
- OWCNPZAJDASURY-UHFFFAOYSA-N CCC(=O)CC(=O)NC1=NC=CS1 Chemical compound CCC(=O)CC(=O)NC1=NC=CS1 OWCNPZAJDASURY-UHFFFAOYSA-N 0.000 description 2
- QALPZQHOBQLUAY-UHFFFAOYSA-N CCC(=O)CC(=O)NC1=NOC=C1 Chemical compound CCC(=O)CC(=O)NC1=NOC=C1 QALPZQHOBQLUAY-UHFFFAOYSA-N 0.000 description 2
- 206010007559 Cardiac failure congestive Diseases 0.000 description 2
- HEDRZPFGACZZDS-UHFFFAOYSA-N Chloroform Chemical compound ClC(Cl)Cl HEDRZPFGACZZDS-UHFFFAOYSA-N 0.000 description 2
- 241000195493 Cryptophyta Species 0.000 description 2
- XFXPMWWXUTWYJX-UHFFFAOYSA-N Cyanide Chemical compound N#[C-] XFXPMWWXUTWYJX-UHFFFAOYSA-N 0.000 description 2
- 241000588700 Dickeya chrysanthemi Species 0.000 description 2
- IAZDPXIOMUYVGZ-UHFFFAOYSA-N Dimethylsulphoxide Chemical compound CS(C)=O IAZDPXIOMUYVGZ-UHFFFAOYSA-N 0.000 description 2
- 206010019280 Heart failures Diseases 0.000 description 2
- OAKJQQAXSVQMHS-UHFFFAOYSA-N Hydrazine Chemical compound NN OAKJQQAXSVQMHS-UHFFFAOYSA-N 0.000 description 2
- 102000004856 Lectins Human genes 0.000 description 2
- 108090001090 Lectins Proteins 0.000 description 2
- 102000004882 Lipase Human genes 0.000 description 2
- 108090001060 Lipase Proteins 0.000 description 2
- 239000004367 Lipase Substances 0.000 description 2
- 208000017170 Lipid metabolism disease Diseases 0.000 description 2
- 241000124008 Mammalia Species 0.000 description 2
- XUQFNTTWSLRUJI-UHFFFAOYSA-N N'2-(2-furylcarbonyl)-3-chloro-4-methylthiophene-2-carbohydrazide Chemical compound CC1=CSC(C(=O)NNC(=O)C=2OC=CC=2)=C1Cl XUQFNTTWSLRUJI-UHFFFAOYSA-N 0.000 description 2
- JGFZNNIVVJXRND-UHFFFAOYSA-N N,N-Diisopropylethylamine (DIPEA) Chemical compound CCN(C(C)C)C(C)C JGFZNNIVVJXRND-UHFFFAOYSA-N 0.000 description 2
- ZQAYHOXXVBVXPZ-UHFFFAOYSA-N N-tetradecanoyl-DL-homoserine lactone Natural products CCCCCCCCCCCCCC(=O)NC1CCOC1=O ZQAYHOXXVBVXPZ-UHFFFAOYSA-N 0.000 description 2
- 238000005481 NMR spectroscopy Methods 0.000 description 2
- 208000008589 Obesity Diseases 0.000 description 2
- 206010034133 Pathogen resistance Diseases 0.000 description 2
- PCNDJXKNXGMECE-UHFFFAOYSA-N Phenazine Natural products C1=CC=CC2=NC3=CC=CC=C3N=C21 PCNDJXKNXGMECE-UHFFFAOYSA-N 0.000 description 2
- 201000004681 Psoriasis Diseases 0.000 description 2
- 208000006311 Pyoderma Diseases 0.000 description 2
- 108700040955 Rhizobium leguminosarum rhiR Proteins 0.000 description 2
- 241000607717 Serratia liquefaciens Species 0.000 description 2
- 208000001871 Tachycardia Diseases 0.000 description 2
- 241000607618 Vibrio harveyi Species 0.000 description 2
- 206010048038 Wound infection Diseases 0.000 description 2
- 241000607735 Xenorhabdus nematophila Species 0.000 description 2
- 235000002017 Zea mays subsp mays Nutrition 0.000 description 2
- JMARGLKWFKOUNP-UHFFFAOYSA-N [C-]#[N+]C1=C(NC(=O)CC(=O)CC)OC(C)=C1C Chemical compound [C-]#[N+]C1=C(NC(=O)CC(=O)CC)OC(C)=C1C JMARGLKWFKOUNP-UHFFFAOYSA-N 0.000 description 2
- 238000002835 absorbance Methods 0.000 description 2
- 239000000654 additive Substances 0.000 description 2
- 230000000996 additive effect Effects 0.000 description 2
- 229940072056 alginate Drugs 0.000 description 2
- 235000010443 alginic acid Nutrition 0.000 description 2
- 229920000615 alginic acid Polymers 0.000 description 2
- 230000001363 autoimmune Effects 0.000 description 2
- 230000009286 beneficial effect Effects 0.000 description 2
- 230000033228 biological regulation Effects 0.000 description 2
- 230000000903 blocking effect Effects 0.000 description 2
- 239000008280 blood Substances 0.000 description 2
- 210000004369 blood Anatomy 0.000 description 2
- 201000011510 cancer Diseases 0.000 description 2
- 230000000747 cardiac effect Effects 0.000 description 2
- 238000004140 cleaning Methods 0.000 description 2
- 239000003086 colorant Substances 0.000 description 2
- 239000006071 cream Substances 0.000 description 2
- 239000013078 crystal Substances 0.000 description 2
- 239000003599 detergent Substances 0.000 description 2
- 206010012601 diabetes mellitus Diseases 0.000 description 2
- 239000003651 drinking water Substances 0.000 description 2
- 235000020188 drinking water Nutrition 0.000 description 2
- 239000000975 dye Substances 0.000 description 2
- 239000002158 endotoxin Substances 0.000 description 2
- 230000007613 environmental effect Effects 0.000 description 2
- VBERTTKAUHDYTI-UHFFFAOYSA-N ethyl 3-[2-(1-benzothiophene-2-carbonyl)hydrazinyl]-3-oxopropanoate Chemical compound C1=CC=C2SC(C(=O)NNC(=O)CC(=O)OCC)=CC2=C1 VBERTTKAUHDYTI-UHFFFAOYSA-N 0.000 description 2
- 235000019439 ethyl acetate Nutrition 0.000 description 2
- 235000013305 food Nutrition 0.000 description 2
- 238000009472 formulation Methods 0.000 description 2
- 230000009036 growth inhibition Effects 0.000 description 2
- MNWFXJYAOYHMED-UHFFFAOYSA-N heptanoic acid Chemical compound CCCCCCC(O)=O MNWFXJYAOYHMED-UHFFFAOYSA-N 0.000 description 2
- 244000052637 human pathogen Species 0.000 description 2
- LELOWRISYMNNSU-UHFFFAOYSA-N hydrogen cyanide Chemical compound N#C LELOWRISYMNNSU-UHFFFAOYSA-N 0.000 description 2
- 238000001727 in vivo Methods 0.000 description 2
- 208000033065 inborn errors of immunity Diseases 0.000 description 2
- 230000003993 interaction Effects 0.000 description 2
- 239000012948 isocyanate Substances 0.000 description 2
- 150000002513 isocyanates Chemical class 0.000 description 2
- 239000002523 lectin Substances 0.000 description 2
- 235000019421 lipase Nutrition 0.000 description 2
- 229920006008 lipopolysaccharide Polymers 0.000 description 2
- 239000011159 matrix material Substances 0.000 description 2
- 230000007246 mechanism Effects 0.000 description 2
- 238000012986 modification Methods 0.000 description 2
- 230000004048 modification Effects 0.000 description 2
- 201000006417 multiple sclerosis Diseases 0.000 description 2
- 208000031225 myocardial ischemia Diseases 0.000 description 2
- WSNLJCNHPKIGGX-UHFFFAOYSA-N n'-(2,5-dichlorothiophene-3-carbonyl)furan-2-carbohydrazide Chemical compound S1C(Cl)=CC(C(=O)NNC(=O)C=2OC=CC=2)=C1Cl WSNLJCNHPKIGGX-UHFFFAOYSA-N 0.000 description 2
- QVVFXZAMMGEEMU-UHFFFAOYSA-N n'-(3-bromothiophene-2-carbonyl)-3-chloro-1-benzothiophene-2-carbohydrazide Chemical compound S1C2=CC=CC=C2C(Cl)=C1C(=O)NNC(=O)C=1SC=CC=1Br QVVFXZAMMGEEMU-UHFFFAOYSA-N 0.000 description 2
- FCLPBNXRGCNLKR-UHFFFAOYSA-N n'-(3-bromothiophene-2-carbonyl)furan-2-carbohydrazide Chemical compound C1=CSC(C(=O)NNC(=O)C=2OC=CC=2)=C1Br FCLPBNXRGCNLKR-UHFFFAOYSA-N 0.000 description 2
- GUWPFSPGSXGMDC-UHFFFAOYSA-N n'-(3-chloro-1-benzothiophene-2-carbonyl)-2,5-dimethylpyrazole-3-carbohydrazide Chemical compound CN1N=C(C)C=C1C(=O)NNC(=O)C1=C(Cl)C2=CC=CC=C2S1 GUWPFSPGSXGMDC-UHFFFAOYSA-N 0.000 description 2
- QJOWSVKRVRZCRV-UHFFFAOYSA-N n'-(3-chloro-1-benzothiophene-2-carbonyl)furan-2-carbohydrazide Chemical compound S1C2=CC=CC=C2C(Cl)=C1C(=O)NNC(=O)C1=CC=CO1 QJOWSVKRVRZCRV-UHFFFAOYSA-N 0.000 description 2
- TUCZFLVWWOWLKS-UHFFFAOYSA-N n'-(3-chlorobenzoyl)thiophene-2-carbohydrazide Chemical compound ClC1=CC=CC(C(=O)NNC(=O)C=2SC=CC=2)=C1 TUCZFLVWWOWLKS-UHFFFAOYSA-N 0.000 description 2
- WHYGPZJJTOLVSM-UHFFFAOYSA-N n'-(3-chlorothiophene-2-carbonyl)-1-phenyl-5-(trifluoromethyl)pyrazole-4-carbohydrazide Chemical compound FC(F)(F)C1=C(C(=O)NNC(=O)C2=C(C=CS2)Cl)C=NN1C1=CC=CC=C1 WHYGPZJJTOLVSM-UHFFFAOYSA-N 0.000 description 2
- VOLGYGHKAOCXPB-UHFFFAOYSA-N n'-(3-chlorothiophene-2-carbonyl)-3-ethoxythiophene-2-carbohydrazide Chemical compound C1=CSC(C(=O)NNC(=O)C2=C(C=CS2)Cl)=C1OCC VOLGYGHKAOCXPB-UHFFFAOYSA-N 0.000 description 2
- DDMLAFKLNKQGMU-UHFFFAOYSA-N n'-(3-cyclopentylpropanoyl)-5-methylthiophene-2-carbohydrazide Chemical compound S1C(C)=CC=C1C(=O)NNC(=O)CCC1CCCC1 DDMLAFKLNKQGMU-UHFFFAOYSA-N 0.000 description 2
- LELQGBGZYGSNJV-UHFFFAOYSA-N n'-(3-ethoxythiophene-2-carbonyl)furan-2-carbohydrazide Chemical compound C1=CSC(C(=O)NNC(=O)C=2OC=CC=2)=C1OCC LELQGBGZYGSNJV-UHFFFAOYSA-N 0.000 description 2
- OGPDEXFLDWQLNX-UHFFFAOYSA-N n'-(4-chlorobenzoyl)-4-methoxythiophene-3-carbohydrazide Chemical compound COC1=CSC=C1C(=O)NNC(=O)C1=CC=C(Cl)C=C1 OGPDEXFLDWQLNX-UHFFFAOYSA-N 0.000 description 2
- KZPHAZJNXIDNMI-UHFFFAOYSA-N n'-(5-bromothiophene-2-carbonyl)-3-chloro-1-benzothiophene-2-carbohydrazide Chemical compound S1C2=CC=CC=C2C(Cl)=C1C(=O)NNC(=O)C1=CC=C(Br)S1 KZPHAZJNXIDNMI-UHFFFAOYSA-N 0.000 description 2
- BOXGIYPRRUEKJK-UHFFFAOYSA-N n'-(5-chloro-4-methoxythiophene-3-carbonyl)furan-2-carbohydrazide Chemical compound COC1=C(Cl)SC=C1C(=O)NNC(=O)C1=CC=CO1 BOXGIYPRRUEKJK-UHFFFAOYSA-N 0.000 description 2
- DJBSARMRILSEMG-UHFFFAOYSA-N n'-(5-chlorothiophen-2-yl)sulfonylbutanehydrazide Chemical compound CCCC(=O)NNS(=O)(=O)C1=CC=C(Cl)S1 DJBSARMRILSEMG-UHFFFAOYSA-N 0.000 description 2
- RGXPGBVMRFICLM-UHFFFAOYSA-N n'-(5-chlorothiophen-2-yl)sulfonylthiophene-2-carbohydrazide Chemical compound S1C(Cl)=CC=C1S(=O)(=O)NNC(=O)C1=CC=CS1 RGXPGBVMRFICLM-UHFFFAOYSA-N 0.000 description 2
- XTVIBXRHGUSRAZ-UHFFFAOYSA-N n'-(6-bromohexanoyl)-3-chloro-4-methylthiophene-2-carbohydrazide Chemical compound CC1=CSC(C(=O)NNC(=O)CCCCCBr)=C1Cl XTVIBXRHGUSRAZ-UHFFFAOYSA-N 0.000 description 2
- UJOLQVYUTXMPKP-UHFFFAOYSA-N n'-(6-bromohexanoyl)-5-methylthiophene-2-carbohydrazide Chemical compound CC1=CC=C(C(=O)NNC(=O)CCCCCBr)S1 UJOLQVYUTXMPKP-UHFFFAOYSA-N 0.000 description 2
- RSHPRNFDBOFKLP-UHFFFAOYSA-N n'-(6-bromohexanoyl)thiophene-2-carbohydrazide Chemical compound BrCCCCCC(=O)NNC(=O)C1=CC=CS1 RSHPRNFDBOFKLP-UHFFFAOYSA-N 0.000 description 2
- AOOUQOHGBQEVDS-UHFFFAOYSA-N n'-(thiophene-3-carbonyl)thiophene-2-carbohydrazide Chemical compound C1=CSC=C1C(=O)NNC(=O)C1=CC=CS1 AOOUQOHGBQEVDS-UHFFFAOYSA-N 0.000 description 2
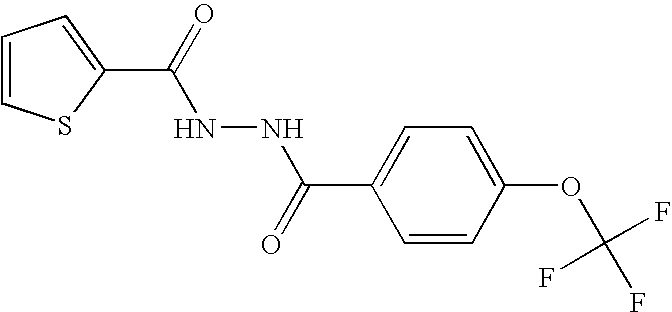
- MCOMACSZOMEMMH-UHFFFAOYSA-N n'-[4-(trifluoromethoxy)benzoyl]thiophene-2-carbohydrazide Chemical compound C1=CC(OC(F)(F)F)=CC=C1C(=O)NNC(=O)C1=CC=CS1 MCOMACSZOMEMMH-UHFFFAOYSA-N 0.000 description 2
- FTWOFKUQSRQNFM-UHFFFAOYSA-N n'-[4-(trifluoromethyl)pyrimidin-2-yl]thiophene-2-carbohydrazide Chemical compound FC(F)(F)C1=CC=NC(NNC(=O)C=2SC=CC=2)=N1 FTWOFKUQSRQNFM-UHFFFAOYSA-N 0.000 description 2
- GQIAZZSFYSLNKU-UHFFFAOYSA-N n'-butanoyl-5-methylthiophene-2-carbohydrazide Chemical compound CCCC(=O)NNC(=O)C1=CC=C(C)S1 GQIAZZSFYSLNKU-UHFFFAOYSA-N 0.000 description 2
- WNDZRJXHRRHTNA-UHFFFAOYSA-N n'-butanoylthiophene-2-carbohydrazide Chemical compound CCCC(=O)NNC(=O)C1=CC=CS1 WNDZRJXHRRHTNA-UHFFFAOYSA-N 0.000 description 2
- VCVHHGUHBWFPOO-UHFFFAOYSA-N n'-dodecanoylthiophene-2-carbohydrazide Chemical compound CCCCCCCCCCCC(=O)NNC(=O)C1=CC=CS1 VCVHHGUHBWFPOO-UHFFFAOYSA-N 0.000 description 2
- OEAJBPVWUIZXMR-UHFFFAOYSA-N n'-heptanoyl-5-methylthiophene-2-carbohydrazide Chemical compound CCCCCCC(=O)NNC(=O)C1=CC=C(C)S1 OEAJBPVWUIZXMR-UHFFFAOYSA-N 0.000 description 2
- OKHPKMQPPAMIOW-UHFFFAOYSA-N n'-heptanoylfuran-2-carbohydrazide Chemical compound CCCCCCC(=O)NNC(=O)C1=CC=CO1 OKHPKMQPPAMIOW-UHFFFAOYSA-N 0.000 description 2
- WNTHDLTZAYFXIK-UHFFFAOYSA-N n'-heptanoylthiophene-2-carbohydrazide Chemical compound CCCCCCC(=O)NNC(=O)C1=CC=CS1 WNTHDLTZAYFXIK-UHFFFAOYSA-N 0.000 description 2
- IUAPJNFADJRDTK-UHFFFAOYSA-N n-(2-methyl-5-thiophen-2-ylpyrazol-3-yl)heptanamide Chemical compound CN1C(NC(=O)CCCCCC)=CC(C=2SC=CC=2)=N1 IUAPJNFADJRDTK-UHFFFAOYSA-N 0.000 description 2
- UBWMQCGWOFKFJW-UHFFFAOYSA-N n-(5-bromopyridin-2-yl)-2,6-dichloropyridine-4-carboxamide Chemical compound ClC1=NC(Cl)=CC(C(=O)NC=2N=CC(Br)=CC=2)=C1 UBWMQCGWOFKFJW-UHFFFAOYSA-N 0.000 description 2
- AUKAVLKUUQTCCA-UHFFFAOYSA-N n-(6-methoxypyridin-3-yl)-2-methylsulfanylpyridine-3-carboxamide Chemical compound C1=NC(OC)=CC=C1NC(=O)C1=CC=CN=C1SC AUKAVLKUUQTCCA-UHFFFAOYSA-N 0.000 description 2
- UPNAIVPLKAUDJY-UHFFFAOYSA-N n-[5-(4-chlorophenyl)-2-methylpyrazol-3-yl]thiophene-2-carboxamide Chemical compound CN1N=C(C=2C=CC(Cl)=CC=2)C=C1NC(=O)C1=CC=CS1 UPNAIVPLKAUDJY-UHFFFAOYSA-N 0.000 description 2
- 230000024121 nodulation Effects 0.000 description 2
- 235000020824 obesity Nutrition 0.000 description 2
- 239000003921 oil Substances 0.000 description 2
- 235000019198 oils Nutrition 0.000 description 2
- 239000002674 ointment Substances 0.000 description 2
- 244000039328 opportunistic pathogen Species 0.000 description 2
- 230000001717 pathogenic effect Effects 0.000 description 2
- 239000006187 pill Substances 0.000 description 2
- 229920000642 polymer Polymers 0.000 description 2
- 229920001296 polysiloxane Polymers 0.000 description 2
- 239000000843 powder Substances 0.000 description 2
- 239000002243 precursor Substances 0.000 description 2
- 238000002360 preparation method Methods 0.000 description 2
- 208000028529 primary immunodeficiency disease Diseases 0.000 description 2
- 238000012545 processing Methods 0.000 description 2
- 230000002685 pulmonary effect Effects 0.000 description 2
- 238000009877 rendering Methods 0.000 description 2
- 238000012552 review Methods 0.000 description 2
- 206010039073 rheumatoid arthritis Diseases 0.000 description 2
- 230000028327 secretion Effects 0.000 description 2
- 239000002904 solvent Substances 0.000 description 2
- 239000000126 substance Substances 0.000 description 2
- 239000006228 supernatant Substances 0.000 description 2
- 239000000829 suppository Substances 0.000 description 2
- 239000000725 suspension Substances 0.000 description 2
- 239000006188 syrup Substances 0.000 description 2
- 235000020357 syrup Nutrition 0.000 description 2
- QERYCTSHXKAMIS-UHFFFAOYSA-N thiophene-2-carboxylic acid Chemical compound OC(=O)C1=CC=CS1 QERYCTSHXKAMIS-UHFFFAOYSA-N 0.000 description 2
- 231100000331 toxic Toxicity 0.000 description 2
- 230000001960 triggered effect Effects 0.000 description 2
- 230000018290 type IV pilus-dependent motility Effects 0.000 description 2
- YBJHBAHKTGYVGT-ZKWXMUAHSA-N (+)-Biotin Chemical compound N1C(=O)N[C@@H]2[C@H](CCCCC(=O)O)SC[C@@H]21 YBJHBAHKTGYVGT-ZKWXMUAHSA-N 0.000 description 1
- MZOFCQQQCNRIBI-VMXHOPILSA-N (3s)-4-[[(2s)-1-[[(2s)-1-[[(1s)-1-carboxy-2-hydroxyethyl]amino]-4-methyl-1-oxopentan-2-yl]amino]-5-(diaminomethylideneamino)-1-oxopentan-2-yl]amino]-3-[[2-[[(2s)-2,6-diaminohexanoyl]amino]acetyl]amino]-4-oxobutanoic acid Chemical compound OC[C@@H](C(O)=O)NC(=O)[C@H](CC(C)C)NC(=O)[C@H](CCCN=C(N)N)NC(=O)[C@H](CC(O)=O)NC(=O)CNC(=O)[C@@H](N)CCCCN MZOFCQQQCNRIBI-VMXHOPILSA-N 0.000 description 1
- JJJUZZODDZXKCZ-XVPNFOEFSA-N (3s,6r,12s,15r)-6-benzyl-3-[(2s)-butan-2-yl]-19-heptyl-9-[(1r)-1-hydroxyethyl]-12-(hydroxymethyl)-15-(2-methylpropyl)-1-oxa-4,7,10,13,16-pentazacyclononadecane-2,5,8,11,14,17-hexone Chemical compound O=C1N[C@@H]([C@@H](C)CC)C(=O)OC(CCCCCCC)CC(=O)N[C@H](CC(C)C)C(=O)N[C@@H](CO)C(=O)NC([C@@H](C)O)C(=O)N[C@@H]1CC1=CC=CC=C1 JJJUZZODDZXKCZ-XVPNFOEFSA-N 0.000 description 1
- 125000004400 (C1-C12) alkyl group Chemical group 0.000 description 1
- NWCRHGKLQGJSHU-UHFFFAOYSA-N 1-(3-bromo-4-chlorophenyl)-3-(thiophene-2-carbonylamino)urea Chemical compound C1=C(Br)C(Cl)=CC=C1NC(=O)NNC(=O)C1=CC=CS1 NWCRHGKLQGJSHU-UHFFFAOYSA-N 0.000 description 1
- WYDHONZWGITXDK-UHFFFAOYSA-N 1-(3-chlorophenyl)-3-(thiophene-2-carbonylamino)urea Chemical compound ClC1=CC=CC(NC(=O)NNC(=O)C=2SC=CC=2)=C1 WYDHONZWGITXDK-UHFFFAOYSA-N 0.000 description 1
- IGEWYPDRERTIJP-UHFFFAOYSA-N 1-(4-chlorophenyl)-3-(thiophene-2-carbonylamino)urea Chemical compound C1=CC(Cl)=CC=C1NC(=O)NNC(=O)C1=CC=CS1 IGEWYPDRERTIJP-UHFFFAOYSA-N 0.000 description 1
- ZHTLSBATHZSNQU-UHFFFAOYSA-N 1-(4-methylphenyl)-3-(thiophene-2-carbonylamino)urea Chemical compound C1=CC(C)=CC=C1NC(=O)NNC(=O)C1=CC=CS1 ZHTLSBATHZSNQU-UHFFFAOYSA-N 0.000 description 1
- SKGKKIBYCBGGPM-UHFFFAOYSA-N 1-[(3-chloro-1-benzothiophene-2-carbonyl)amino]-3-(2,6-dichloro-1h-pyridin-2-yl)urea Chemical compound S1C2=CC=CC=C2C(Cl)=C1C(=O)NNC(=O)NC1(Cl)NC(Cl)=CC=C1 SKGKKIBYCBGGPM-UHFFFAOYSA-N 0.000 description 1
- BSIMZHVOQZIAOY-SCSAIBSYSA-N 1-carbapenem-3-carboxylic acid Chemical compound OC(=O)C1=CC[C@@H]2CC(=O)N12 BSIMZHVOQZIAOY-SCSAIBSYSA-N 0.000 description 1
- VHPVACPJTROCHA-UHFFFAOYSA-N 1-phenyl-3-(thiophene-2-carbonylamino)urea Chemical compound C=1C=CC=CC=1NC(=O)NNC(=O)C1=CC=CS1 VHPVACPJTROCHA-UHFFFAOYSA-N 0.000 description 1
- 238000005160 1H NMR spectroscopy Methods 0.000 description 1
- FBUUZRITKBLZJX-UHFFFAOYSA-N 2,5-dichlorothiophene-3-carboxylic acid Chemical compound OC(=O)C=1C=C(Cl)SC=1Cl FBUUZRITKBLZJX-UHFFFAOYSA-N 0.000 description 1
- SDWZNSDRIKUBDL-UHFFFAOYSA-N 2-ethyl-5-methyl-n-(2-methylpyrazol-3-yl)-4-nitropyrazole-3-carboxamide Chemical compound CCN1N=C(C)C([N+]([O-])=O)=C1C(=O)NC1=CC=NN1C SDWZNSDRIKUBDL-UHFFFAOYSA-N 0.000 description 1
- CUYKNJBYIJFRCU-UHFFFAOYSA-N 3-aminopyridine Chemical compound NC1=CC=CN=C1 CUYKNJBYIJFRCU-UHFFFAOYSA-N 0.000 description 1
- QGQCYEOPJONPBH-UHFFFAOYSA-N 3-bromo-n'-[2-(chloromethylsulfanyl)acetyl]thiophene-2-carbohydrazide Chemical compound ClCSCC(=O)NNC(=O)C=1SC=CC=1Br QGQCYEOPJONPBH-UHFFFAOYSA-N 0.000 description 1
- PWRLMNKYMMIAKS-UHFFFAOYSA-N 3-oxo-n-(1,3-thiazol-2-yl)dodecanamide Chemical compound CCCCCCCCCC(=O)CC(=O)NC1=NC=CS1 PWRLMNKYMMIAKS-UHFFFAOYSA-N 0.000 description 1
- FJXWGDRDDAWVQC-UHFFFAOYSA-N 3-oxo-n-(1,3-thiazol-2-yl)nonanamide Chemical compound CCCCCCC(=O)CC(=O)NC1=NC=CS1 FJXWGDRDDAWVQC-UHFFFAOYSA-N 0.000 description 1
- YRJOEMKCSIJBDY-UHFFFAOYSA-N 3-oxo-n-pyrazol-1-ylnonanamide Chemical compound CCCCCCC(=O)CC(=O)NN1C=CC=N1 YRJOEMKCSIJBDY-UHFFFAOYSA-N 0.000 description 1
- FXCMGCFNLNFLSH-JTQLQIEISA-N 3-oxo-octanoic acid (2-oxo-tetrahydro-furan-3-yl)-amide Chemical compound CCCCCC(=O)CC(=O)N[C@H]1CCOC1=O FXCMGCFNLNFLSH-JTQLQIEISA-N 0.000 description 1
- CABAIQRHBLZKEG-UHFFFAOYSA-N 4-bromo-2-ethyl-5-methylpyrazole-3-carboxylic acid Chemical compound CCN1N=C(C)C(Br)=C1C(O)=O CABAIQRHBLZKEG-UHFFFAOYSA-N 0.000 description 1
- ODFDZOQJRPDQDF-UHFFFAOYSA-N 4-bromo-2-methylpyrazol-3-amine Chemical compound CN1N=CC(Br)=C1N ODFDZOQJRPDQDF-UHFFFAOYSA-N 0.000 description 1
- YRUVNMHNVOFZTM-UHFFFAOYSA-N 4-butyl-n'-(4-butylthiophene-2-carbonyl)thiophene-2-carbohydrazide Chemical compound CCCCC1=CSC(C(=O)NNC(=O)C=2SC=C(CCCC)C=2)=C1 YRUVNMHNVOFZTM-UHFFFAOYSA-N 0.000 description 1
- LHEUUYZQYKWDSY-UHFFFAOYSA-N 4-chloro-1,3-dimethylpyrazolo[3,4-b]pyridine-5-carboxylic acid Chemical compound C1=C(C(O)=O)C(Cl)=C2C(C)=NN(C)C2=N1 LHEUUYZQYKWDSY-UHFFFAOYSA-N 0.000 description 1
- KDDQRKBRJSGMQE-UHFFFAOYSA-N 4-thiazolyl Chemical group [C]1=CSC=N1 KDDQRKBRJSGMQE-UHFFFAOYSA-N 0.000 description 1
- SUJPOGCFLVSXOZ-UHFFFAOYSA-N 5-bromo-n'-(thiophene-2-carbonyl)furan-2-carbohydrazide Chemical compound O1C(Br)=CC=C1C(=O)NNC(=O)C1=CC=CS1 SUJPOGCFLVSXOZ-UHFFFAOYSA-N 0.000 description 1
- PULQQRHHMZFIQG-UHFFFAOYSA-N 5-nitro-n'-(thiophene-2-carbonyl)thiophene-2-carbohydrazide Chemical compound S1C([N+](=O)[O-])=CC=C1C(=O)NNC(=O)C1=CC=CS1 PULQQRHHMZFIQG-UHFFFAOYSA-N 0.000 description 1
- CWDWFSXUQODZGW-UHFFFAOYSA-N 5-thiazolyl Chemical group [C]1=CN=CS1 CWDWFSXUQODZGW-UHFFFAOYSA-N 0.000 description 1
- XEIVFUWZYMWLEP-UHFFFAOYSA-N 9h-thioxanthene 10,10-dioxide Chemical group C1=CC=C2S(=O)(=O)C3=CC=CC=C3CC2=C1 XEIVFUWZYMWLEP-UHFFFAOYSA-N 0.000 description 1
- 101100162305 Aeromonas hydrophila ahyR gene Proteins 0.000 description 1
- 108700042315 Agrobacterium tumefaciens TraR Proteins 0.000 description 1
- 208000031295 Animal disease Diseases 0.000 description 1
- 108010037870 Anthranilate Synthase Proteins 0.000 description 1
- 208000037157 Azotemia Diseases 0.000 description 1
- 241000194110 Bacillus sp. (in: Bacteria) Species 0.000 description 1
- 208000031729 Bacteremia Diseases 0.000 description 1
- 208000034309 Bacterial disease carrier Diseases 0.000 description 1
- 108010062877 Bacteriocins Proteins 0.000 description 1
- 108091005658 Basic proteases Proteins 0.000 description 1
- 206010005940 Bone and joint infections Diseases 0.000 description 1
- PWZYDGZHUMSVBX-UHFFFAOYSA-N CC.CC(O)=C1C(=O)OC(C)(C)OC1=O.CCC(=O)CC(C)=O Chemical compound CC.CC(O)=C1C(=O)OC(C)(C)OC1=O.CCC(=O)CC(C)=O PWZYDGZHUMSVBX-UHFFFAOYSA-N 0.000 description 1
- FYWKMBRPROCTTO-UHFFFAOYSA-N CC1(CC(=CC=C1Cl)NC(=O)NNC(=O)C=1SC=CC1)Cl Chemical compound CC1(CC(=CC=C1Cl)NC(=O)NNC(=O)C=1SC=CC1)Cl FYWKMBRPROCTTO-UHFFFAOYSA-N 0.000 description 1
- DJNRSOSAJBKKSH-UHFFFAOYSA-N CC1=C(NC(=O)NNC(=O)C2=C(Cl)C3=C(C=CC=C3)S2)C=CC=C1 Chemical compound CC1=C(NC(=O)NNC(=O)C2=C(Cl)C3=C(C=CC=C3)S2)C=CC=C1 DJNRSOSAJBKKSH-UHFFFAOYSA-N 0.000 description 1
- HCWMXZMJCXTIDV-UHFFFAOYSA-N CC1=C(O)C=CCC1.CC1=C(O)CC=CC1.CC1=CC2=CC=CC=C2C1=O.CC1=CC2=CC=CC=C2C1O.CC1=CC=CC=C1O.CC1=CCC=CC1O.CC1C=CC2=C(C=CC=C2)C1=O.CC1CC2=CC=CC=C2C1=O.CC1CC2=CC=CC=C2C1O.CC1CCC2=C(C=CC=C2)C1=O Chemical compound CC1=C(O)C=CCC1.CC1=C(O)CC=CC1.CC1=CC2=CC=CC=C2C1=O.CC1=CC2=CC=CC=C2C1O.CC1=CC=CC=C1O.CC1=CCC=CC1O.CC1C=CC2=C(C=CC=C2)C1=O.CC1CC2=CC=CC=C2C1=O.CC1CC2=CC=CC=C2C1O.CC1CCC2=C(C=CC=C2)C1=O HCWMXZMJCXTIDV-UHFFFAOYSA-N 0.000 description 1
- SJFUCYDCBUMRDK-UHFFFAOYSA-N CC1=CC(C(=O)NC2=CC=CN=C2)=CC(Cl)=N1 Chemical compound CC1=CC(C(=O)NC2=CC=CN=C2)=CC(Cl)=N1 SJFUCYDCBUMRDK-UHFFFAOYSA-N 0.000 description 1
- XJXVLRZDLCXAIT-UHFFFAOYSA-N CC1=CC=CCC1=O.CC1=CCCCC1=O.CC1C=CCCC1=O.CC1CC=CCC1=O.CC1CCCCC1=O.CC1CCCCC1=O Chemical compound CC1=CC=CCC1=O.CC1=CCCCC1=O.CC1C=CCCC1=O.CC1CC=CCC1=O.CC1CCCCC1=O.CC1CCCCC1=O XJXVLRZDLCXAIT-UHFFFAOYSA-N 0.000 description 1
- IYZHNGLRJQRXBF-UHFFFAOYSA-N CC1=NN(C)C2=C1/C(Cl)=C(C(=O)NNC(=O)C1=CC=CS1)\C=N/2 Chemical compound CC1=NN(C)C2=C1/C(Cl)=C(C(=O)NNC(=O)C1=CC=CS1)\C=N/2 IYZHNGLRJQRXBF-UHFFFAOYSA-N 0.000 description 1
- JBGOZPATMVOLSL-UHFFFAOYSA-N CC1=[N+]([O-])C2=CC=CC=C2[N+]([O-])=C1C(=O)NNC(=O)C1=CC=CS1 Chemical compound CC1=[N+]([O-])C2=CC=CC=C2[N+]([O-])=C1C(=O)NNC(=O)C1=CC=CS1 JBGOZPATMVOLSL-UHFFFAOYSA-N 0.000 description 1
- PGJWEXAORRPPLP-UHFFFAOYSA-N CCC(=O)CC(=O)NC1=C(C(C)=O)SC(SC)=N1 Chemical compound CCC(=O)CC(=O)NC1=C(C(C)=O)SC(SC)=N1 PGJWEXAORRPPLP-UHFFFAOYSA-N 0.000 description 1
- MAEIOKCKFJBVTB-UHFFFAOYSA-N CCC(=O)CC(=O)NC1=CC=C(C(=O)OC)O1 Chemical compound CCC(=O)CC(=O)NC1=CC=C(C(=O)OC)O1 MAEIOKCKFJBVTB-UHFFFAOYSA-N 0.000 description 1
- OSAHJNRJFZSDAO-UHFFFAOYSA-N CCC(=O)CC(=O)NC1=NC(C)=CO1 Chemical compound CCC(=O)CC(=O)NC1=NC(C)=CO1 OSAHJNRJFZSDAO-UHFFFAOYSA-N 0.000 description 1
- DWRSHSHGIDWTDO-UHFFFAOYSA-N CCC(=O)CC(=O)NN1C=CC=N1 Chemical compound CCC(=O)CC(=O)NN1C=CC=N1 DWRSHSHGIDWTDO-UHFFFAOYSA-N 0.000 description 1
- FDARXYPUVCRRKU-UHFFFAOYSA-N CCCC1=C(C(=O)NNC(=O)C2=C(Br)C=CS2)SC=C1 Chemical compound CCCC1=C(C(=O)NNC(=O)C2=C(Br)C=CS2)SC=C1 FDARXYPUVCRRKU-UHFFFAOYSA-N 0.000 description 1
- HEVSCTHMLJOJES-UHFFFAOYSA-N CCCCC(C)C(=O)NNS(=O)(=O)C1=CC=C(Cl)S1 Chemical compound CCCCC(C)C(=O)NNS(=O)(=O)C1=CC=C(Cl)S1 HEVSCTHMLJOJES-UHFFFAOYSA-N 0.000 description 1
- IMNFDUFMRHMDMM-UHFFFAOYSA-N CCCCCCC Chemical compound CCCCCCC IMNFDUFMRHMDMM-UHFFFAOYSA-N 0.000 description 1
- LBNPROMFCMVJLV-UHFFFAOYSA-N CCCCCCC(=O)CC(=O)NC1=CC(C)=NS1.CCCCCCCCCC(=O)CC(=O)NC1=CC(C)=NS1 Chemical compound CCCCCCC(=O)CC(=O)NC1=CC(C)=NS1.CCCCCCCCCC(=O)CC(=O)NC1=CC(C)=NS1 LBNPROMFCMVJLV-UHFFFAOYSA-N 0.000 description 1
- ZGFPYBHHLYXXPL-UHFFFAOYSA-N CCCCCCC(=O)NC1=C(Br)C=NN1C Chemical compound CCCCCCC(=O)NC1=C(Br)C=NN1C ZGFPYBHHLYXXPL-UHFFFAOYSA-N 0.000 description 1
- WNVIKYXDASODFR-UHFFFAOYSA-N CCCCCCC(=O)NNC(=O)C1=C(Cl)C(C)=CS1 Chemical compound CCCCCCC(=O)NNC(=O)C1=C(Cl)C(C)=CS1 WNVIKYXDASODFR-UHFFFAOYSA-N 0.000 description 1
- DOVKVLPCQGGCCA-UHFFFAOYSA-N CCOC(=O)CC(=O)NNC(=O)C1=C(Br)C=CS1 Chemical compound CCOC(=O)CC(=O)NNC(=O)C1=C(Br)C=CS1 DOVKVLPCQGGCCA-UHFFFAOYSA-N 0.000 description 1
- GXTNOUNUDGSDRJ-UHFFFAOYSA-N CN1C=C=C=CC1.CN1C=CC=C1.CN1C=CCC1.CN1C=CCC1.CN1C=CCC=C1.CN1C=CCC=C1.CN1C=CCCC1.CN1C=CCCC1.CN1CC=CC1.CN1CC=CCC1.CN1CC=CCC1.CN1CCCC1.CN1CCCCC1 Chemical compound CN1C=C=C=CC1.CN1C=CC=C1.CN1C=CCC1.CN1C=CCC1.CN1C=CCC=C1.CN1C=CCC=C1.CN1C=CCCC1.CN1C=CCCC1.CN1CC=CC1.CN1CC=CCC1.CN1CC=CCC1.CN1CCCC1.CN1CCCCC1 GXTNOUNUDGSDRJ-UHFFFAOYSA-N 0.000 description 1
- PHHJDWSBUKRMAX-UHFFFAOYSA-N COC(=O)C1=C(NC(=O)C2=C(C(F)(F)F)N=C(Cl)N=C2)SC=C1 Chemical compound COC(=O)C1=C(NC(=O)C2=C(C(F)(F)F)N=C(Cl)N=C2)SC=C1 PHHJDWSBUKRMAX-UHFFFAOYSA-N 0.000 description 1
- VHZFNFYQBORTIY-UHFFFAOYSA-N COC(=O)C1=C(NC(=O)C2=CC=CS2)C(C)=CS1 Chemical compound COC(=O)C1=C(NC(=O)C2=CC=CS2)C(C)=CS1 VHZFNFYQBORTIY-UHFFFAOYSA-N 0.000 description 1
- DWLBBNTXARMKRZ-UHFFFAOYSA-N COC(=O)CCCC(=O)NNC(=O)C1=CC=C(C)S1 Chemical compound COC(=O)CCCC(=O)NNC(=O)C1=CC=C(C)S1 DWLBBNTXARMKRZ-UHFFFAOYSA-N 0.000 description 1
- 102100035882 Catalase Human genes 0.000 description 1
- 108010053835 Catalase Proteins 0.000 description 1
- 208000014912 Central Nervous System Infections Diseases 0.000 description 1
- 108010022172 Chitinases Proteins 0.000 description 1
- 102000012286 Chitinases Human genes 0.000 description 1
- 229920002261 Corn starch Polymers 0.000 description 1
- 206010011409 Cross infection Diseases 0.000 description 1
- 206010011763 Cystic fibrosis lung Diseases 0.000 description 1
- 102000000634 Cytochrome c oxidase subunit IV Human genes 0.000 description 1
- 108090000365 Cytochrome-c oxidases Proteins 0.000 description 1
- 241000238557 Decapoda Species 0.000 description 1
- 241000122827 Delisea pulchra Species 0.000 description 1
- 201000004624 Dermatitis Diseases 0.000 description 1
- 206010012735 Diarrhoea Diseases 0.000 description 1
- 102000004190 Enzymes Human genes 0.000 description 1
- 108090000790 Enzymes Proteins 0.000 description 1
- 239000004262 Ethyl gallate Substances 0.000 description 1
- 229920002444 Exopolysaccharide Polymers 0.000 description 1
- 101710082714 Exotoxin A Proteins 0.000 description 1
- 208000001860 Eye Infections Diseases 0.000 description 1
- 239000004606 Fillers/Extenders Substances 0.000 description 1
- 108010000916 Fimbriae Proteins Proteins 0.000 description 1
- 241000192125 Firmicutes Species 0.000 description 1
- 241000233866 Fungi Species 0.000 description 1
- 206010017553 Furuncle Diseases 0.000 description 1
- 230000005526 G1 to G0 transition Effects 0.000 description 1
- 208000005577 Gastroenteritis Diseases 0.000 description 1
- 206010017964 Gastrointestinal infection Diseases 0.000 description 1
- 108700039691 Genetic Promoter Regions Proteins 0.000 description 1
- WQZGKKKJIJFFOK-GASJEMHNSA-N Glucose Natural products OC[C@H]1OC(O)[C@H](O)[C@@H](O)[C@@H]1O WQZGKKKJIJFFOK-GASJEMHNSA-N 0.000 description 1
- 108010006464 Hemolysin Proteins Proteins 0.000 description 1
- 241000238631 Hexapoda Species 0.000 description 1
- 101000617830 Homo sapiens Sterol O-acyltransferase 1 Proteins 0.000 description 1
- VEXZGXHMUGYJMC-UHFFFAOYSA-N Hydrochloric acid Chemical compound Cl VEXZGXHMUGYJMC-UHFFFAOYSA-N 0.000 description 1
- DGAQECJNVWCQMB-PUAWFVPOSA-M Ilexoside XXIX Chemical compound C[C@@H]1CC[C@@]2(CC[C@@]3(C(=CC[C@H]4[C@]3(CC[C@@H]5[C@@]4(CC[C@@H](C5(C)C)OS(=O)(=O)[O-])C)C)[C@@H]2[C@]1(C)O)C)C(=O)O[C@H]6[C@@H]([C@H]([C@@H]([C@H](O6)CO)O)O)O.[Na+] DGAQECJNVWCQMB-PUAWFVPOSA-M 0.000 description 1
- GUBGYTABKSRVRQ-QKKXKWKRSA-N Lactose Natural products OC[C@H]1O[C@@H](O[C@H]2[C@H](O)[C@@H](O)C(O)O[C@@H]2CO)[C@H](O)[C@@H](O)[C@H]1O GUBGYTABKSRVRQ-QKKXKWKRSA-N 0.000 description 1
- 241001529936 Murinae Species 0.000 description 1
- KYGIKEQVUKTKRR-LBPRGKRZSA-N N-(3-oxo-decanoyl)-homoserine lactone Chemical compound CCCCCCCC(=O)CC(=O)N[C@H]1CCOC1=O KYGIKEQVUKTKRR-LBPRGKRZSA-N 0.000 description 1
- YRYOXRMDHALAFL-UHFFFAOYSA-N N-(3-oxohexanoyl)homoserine lactone Chemical compound CCCC(=O)CC(=O)NC1CCOC1=O YRYOXRMDHALAFL-UHFFFAOYSA-N 0.000 description 1
- 241000605121 Nitrosomonas europaea Species 0.000 description 1
- XUXVQIKOGRNZPD-UHFFFAOYSA-N O=C(NC1=CC=CN=C1)C1=C(Cl)SC(Cl)=C1 Chemical compound O=C(NC1=CC=CN=C1)C1=C(Cl)SC(Cl)=C1 XUXVQIKOGRNZPD-UHFFFAOYSA-N 0.000 description 1
- XVQQUXCSUULUQT-UHFFFAOYSA-N O=C(NNC(=O)C1=C(Br)C=CS1)C1=CC=C(Cl)S1 Chemical compound O=C(NNC(=O)C1=C(Br)C=CS1)C1=CC=C(Cl)S1 XVQQUXCSUULUQT-UHFFFAOYSA-N 0.000 description 1
- RKAPWJUTIGZKBM-UHFFFAOYSA-N O=C(NNC(=O)C1=C(C(F)(F)F)N(C2=CC=C(Cl)C=C2)N=C1)C1=CC=CS1 Chemical compound O=C(NNC(=O)C1=C(C(F)(F)F)N(C2=CC=C(Cl)C=C2)N=C1)C1=CC=CS1 RKAPWJUTIGZKBM-UHFFFAOYSA-N 0.000 description 1
- AWKSXIVROIEGHK-UHFFFAOYSA-N O=C(NNC(=O)C1=C(Cl)C2=C(C=CC=C2)S1)NC1=CC(Cl)=NC(Cl)=C1 Chemical compound O=C(NNC(=O)C1=C(Cl)C2=C(C=CC=C2)S1)NC1=CC(Cl)=NC(Cl)=C1 AWKSXIVROIEGHK-UHFFFAOYSA-N 0.000 description 1
- ADRUHILBFGWONN-UHFFFAOYSA-N O=C(NNC(=O)C1=CC(Br)=C(Br)S1)NC1=CC=CC(C(F)(F)F)=C1 Chemical compound O=C(NNC(=O)C1=CC(Br)=C(Br)S1)NC1=CC=CC(C(F)(F)F)=C1 ADRUHILBFGWONN-UHFFFAOYSA-N 0.000 description 1
- WGNVIBBBLAUFET-UHFFFAOYSA-N O=C(NNC(=O)C1=CC=C(Cl)S1)NC1=CC=CC=C1CCl Chemical compound O=C(NNC(=O)C1=CC=C(Cl)S1)NC1=CC=CC=C1CCl WGNVIBBBLAUFET-UHFFFAOYSA-N 0.000 description 1
- JUQRWCMITUNYSA-UHFFFAOYSA-N O=S(=O)=NN=S(=O)=O Chemical class O=S(=O)=NN=S(=O)=O JUQRWCMITUNYSA-UHFFFAOYSA-N 0.000 description 1
- FXCMGCFNLNFLSH-UHFFFAOYSA-N OOHL Natural products CCCCCC(=O)CC(=O)NC1CCOC1=O FXCMGCFNLNFLSH-UHFFFAOYSA-N 0.000 description 1
- 241001622831 Obesumbacterium proteus Species 0.000 description 1
- 208000005141 Otitis Diseases 0.000 description 1
- 102000016387 Pancreatic elastase Human genes 0.000 description 1
- 108010067372 Pancreatic elastase Proteins 0.000 description 1
- 241000588912 Pantoea agglomerans Species 0.000 description 1
- 241000932831 Pantoea stewartii Species 0.000 description 1
- 108700014880 Pantoea stewartii EsaR Proteins 0.000 description 1
- 102000035195 Peptidases Human genes 0.000 description 1
- 241001148062 Photorhabdus Species 0.000 description 1
- 206010035148 Plague Diseases 0.000 description 1
- 239000004698 Polyethylene Substances 0.000 description 1
- 108010059820 Polygalacturonase Proteins 0.000 description 1
- 239000004793 Polystyrene Substances 0.000 description 1
- 241000589516 Pseudomonas Species 0.000 description 1
- 101100524675 Pseudomonas aeruginosa (strain ATCC 15692 / DSM 22644 / CIP 104116 / JCM 14847 / LMG 12228 / 1C / PRS 101 / PAO1) rhlI gene Proteins 0.000 description 1
- 108700042017 Pseudomonas aeruginosa LasR Proteins 0.000 description 1
- 108700007191 Pseudomonas aeruginosa RhlR Proteins 0.000 description 1
- 241001645955 Pseudomonas chlororaphis subsp. aureofaciens Species 0.000 description 1
- 241000589771 Ralstonia solanacearum Species 0.000 description 1
- 108700006474 Ralstonia solanacearum SolR Proteins 0.000 description 1
- 101100042990 Ralstonia solanacearum solR gene Proteins 0.000 description 1
- 101100247279 Rhizobium etli raiR gene Proteins 0.000 description 1
- 241000191043 Rhodobacter sphaeroides Species 0.000 description 1
- 241000277331 Salmonidae Species 0.000 description 1
- 229940124639 Selective inhibitor Drugs 0.000 description 1
- VYPSYNLAJGMNEJ-UHFFFAOYSA-N Silicium dioxide Chemical compound O=[Si]=O VYPSYNLAJGMNEJ-UHFFFAOYSA-N 0.000 description 1
- DBMJMQXJHONAFJ-UHFFFAOYSA-M Sodium laurylsulphate Chemical compound [Na+].CCCCCCCCCCCCOS([O-])(=O)=O DBMJMQXJHONAFJ-UHFFFAOYSA-M 0.000 description 1
- 206010062255 Soft tissue infection Diseases 0.000 description 1
- 235000021355 Stearic acid Nutrition 0.000 description 1
- 102100021993 Sterol O-acyltransferase 1 Human genes 0.000 description 1
- 101000697584 Streptomyces lavendulae Streptothricin acetyltransferase Proteins 0.000 description 1
- CZMRCDWAGMRECN-UGDNZRGBSA-N Sucrose Chemical compound O[C@H]1[C@H](O)[C@@H](CO)O[C@@]1(CO)O[C@@H]1[C@H](O)[C@@H](O)[C@H](O)[C@@H](CO)O1 CZMRCDWAGMRECN-UGDNZRGBSA-N 0.000 description 1
- 229930006000 Sucrose Natural products 0.000 description 1
- 102000019197 Superoxide Dismutase Human genes 0.000 description 1
- 108010012715 Superoxide dismutase Proteins 0.000 description 1
- 239000004809 Teflon Substances 0.000 description 1
- 229920006362 Teflon® Polymers 0.000 description 1
- 108060008682 Tumor Necrosis Factor Proteins 0.000 description 1
- 102000000852 Tumor Necrosis Factor-alpha Human genes 0.000 description 1
- 102000014384 Type C Phospholipases Human genes 0.000 description 1
- 108010079194 Type C Phospholipases Proteins 0.000 description 1
- 241000544286 Vibrio anguillarum Species 0.000 description 1
- 108700009490 Vibrio anguillarum VanM Proteins 0.000 description 1
- 101100102353 Vibrio anguillarum vanM gene Proteins 0.000 description 1
- 101100102356 Vibrio anguillarum vanR gene Proteins 0.000 description 1
- 108700013615 Vibrio harveyi luxM Proteins 0.000 description 1
- 101100512007 Vibrio harveyi luxM gene Proteins 0.000 description 1
- 241000607447 Yersinia enterocolitica Species 0.000 description 1
- 108700017297 Yersinia enterocolitica YenR Proteins 0.000 description 1
- 101100543997 Yersinia enterocolitica yenR gene Proteins 0.000 description 1
- 206010048249 Yersinia infections Diseases 0.000 description 1
- 208000025079 Yersinia infectious disease Diseases 0.000 description 1
- 241000607479 Yersinia pestis Species 0.000 description 1
- 241001148129 Yersinia ruckeri Species 0.000 description 1
- 101100433042 Yersinia ruckeri yukR gene Proteins 0.000 description 1
- 240000008042 Zea mays Species 0.000 description 1
- 235000016383 Zea mays subsp huehuetenangensis Nutrition 0.000 description 1
- 241000482268 Zea mays subsp. mays Species 0.000 description 1
- LVUXGHNBBVZQFP-UHFFFAOYSA-N [C-]#[N+]C1=C(NC(=O)CC(=O)CC)OC(C)=N1 Chemical compound [C-]#[N+]C1=C(NC(=O)CC(=O)CC)OC(C)=N1 LVUXGHNBBVZQFP-UHFFFAOYSA-N 0.000 description 1
- RAFKCLFWELPONH-UHFFFAOYSA-N acetonitrile;dichloromethane Chemical compound CC#N.ClCCl RAFKCLFWELPONH-UHFFFAOYSA-N 0.000 description 1
- 239000002253 acid Substances 0.000 description 1
- 150000007513 acids Chemical class 0.000 description 1
- 230000009471 action Effects 0.000 description 1
- 230000004913 activation Effects 0.000 description 1
- 239000004480 active ingredient Substances 0.000 description 1
- 239000013543 active substance Substances 0.000 description 1
- 239000002671 adjuvant Substances 0.000 description 1
- 239000000443 aerosol Substances 0.000 description 1
- 230000002776 aggregation Effects 0.000 description 1
- 238000004220 aggregation Methods 0.000 description 1
- 239000000556 agonist Substances 0.000 description 1
- 229910052783 alkali metal Inorganic materials 0.000 description 1
- 125000003342 alkenyl group Chemical group 0.000 description 1
- 125000006193 alkinyl group Chemical group 0.000 description 1
- 125000002877 alkyl aryl group Chemical group 0.000 description 1
- 208000026935 allergic disease Diseases 0.000 description 1
- 229940126575 aminoglycoside Drugs 0.000 description 1
- 150000003863 ammonium salts Chemical class 0.000 description 1
- 239000005557 antagonist Substances 0.000 description 1
- 230000003373 anti-fouling effect Effects 0.000 description 1
- 230000000845 anti-microbial effect Effects 0.000 description 1
- 230000002421 anti-septic effect Effects 0.000 description 1
- 239000000043 antiallergic agent Substances 0.000 description 1
- 229940124350 antibacterial drug Drugs 0.000 description 1
- 238000011203 antimicrobial therapy Methods 0.000 description 1
- 239000003963 antioxidant agent Substances 0.000 description 1
- 238000013459 approach Methods 0.000 description 1
- 239000007864 aqueous solution Substances 0.000 description 1
- 230000004872 arterial blood pressure Effects 0.000 description 1
- 125000003710 aryl alkyl group Chemical group 0.000 description 1
- 108010041102 azocasein Proteins 0.000 description 1
- 244000000005 bacterial plant pathogen Species 0.000 description 1
- 239000003782 beta lactam antibiotic agent Substances 0.000 description 1
- WQZGKKKJIJFFOK-VFUOTHLCSA-N beta-D-glucose Chemical compound OC[C@H]1O[C@@H](O)[C@H](O)[C@@H](O)[C@@H]1O WQZGKKKJIJFFOK-VFUOTHLCSA-N 0.000 description 1
- 125000002619 bicyclic group Chemical group 0.000 description 1
- 239000011230 binding agent Substances 0.000 description 1
- 239000002981 blocking agent Substances 0.000 description 1
- 230000037396 body weight Effects 0.000 description 1
- XEVRDFDBXJMZFG-UHFFFAOYSA-N carbonyl dihydrazine Chemical compound NNC(=O)NN XEVRDFDBXJMZFG-UHFFFAOYSA-N 0.000 description 1
- 125000002915 carbonyl group Chemical group [*:2]C([*:1])=O 0.000 description 1
- 150000001732 carboxylic acid derivatives Chemical class 0.000 description 1
- 239000012876 carrier material Substances 0.000 description 1
- 230000032823 cell division Effects 0.000 description 1
- 230000005754 cellular signaling Effects 0.000 description 1
- 208000025222 central nervous system infectious disease Diseases 0.000 description 1
- 238000005119 centrifugation Methods 0.000 description 1
- 102000021178 chitin binding proteins Human genes 0.000 description 1
- 108091011157 chitin binding proteins Proteins 0.000 description 1
- 229940007760 chlorhexidine / silver sulfadiazine Drugs 0.000 description 1
- 238000004891 communication Methods 0.000 description 1
- 230000021615 conjugation Effects 0.000 description 1
- 239000000470 constituent Substances 0.000 description 1
- 239000000356 contaminant Substances 0.000 description 1
- 230000001276 controlling effect Effects 0.000 description 1
- 238000001816 cooling Methods 0.000 description 1
- 239000005068 cooling lubricant Substances 0.000 description 1
- 239000008120 corn starch Substances 0.000 description 1
- 230000002596 correlated effect Effects 0.000 description 1
- 230000000875 corresponding effect Effects 0.000 description 1
- 239000002537 cosmetic Substances 0.000 description 1
- 230000008878 coupling Effects 0.000 description 1
- 238000010168 coupling process Methods 0.000 description 1
- 238000005859 coupling reaction Methods 0.000 description 1
- 239000012228 culture supernatant Substances 0.000 description 1
- 125000002704 decyl group Chemical group [H]C([H])([H])C([H])([H])C([H])([H])C([H])([H])C([H])([H])C([H])([H])C([H])([H])C([H])([H])C([H])([H])C([H])([H])* 0.000 description 1
- 239000000551 dentifrice Substances 0.000 description 1
- 239000002781 deodorant agent Substances 0.000 description 1
- 238000000502 dialysis Methods 0.000 description 1
- WGLUMOCWFMKWIL-UHFFFAOYSA-N dichloromethane;methanol Chemical compound OC.ClCCl WGLUMOCWFMKWIL-UHFFFAOYSA-N 0.000 description 1
- 239000003085 diluting agent Substances 0.000 description 1
- 239000007884 disintegrant Substances 0.000 description 1
- 238000009826 distribution Methods 0.000 description 1
- 125000003438 dodecyl group Chemical group [H]C([H])([H])C([H])([H])C([H])([H])C([H])([H])C([H])([H])C([H])([H])C([H])([H])C([H])([H])C([H])([H])C([H])([H])C([H])([H])C([H])([H])* 0.000 description 1
- 239000008298 dragée Substances 0.000 description 1
- 229940079593 drug Drugs 0.000 description 1
- 238000009510 drug design Methods 0.000 description 1
- 208000019258 ear infection Diseases 0.000 description 1
- 238000002330 electrospray ionisation mass spectrometry Methods 0.000 description 1
- 239000003995 emulsifying agent Substances 0.000 description 1
- 239000000839 emulsion Substances 0.000 description 1
- 206010014665 endocarditis Diseases 0.000 description 1
- 229940088598 enzyme Drugs 0.000 description 1
- UXDDBORMMWXMNY-UHFFFAOYSA-N ethyl 4-methyl-2-(3-oxododecanoylamino)thiophene-3-carboxylate Chemical compound CCCCCCCCCC(=O)CC(=O)NC=1SC=C(C)C=1C(=O)OCC UXDDBORMMWXMNY-UHFFFAOYSA-N 0.000 description 1
- XCOTXRKURJGPHW-UHFFFAOYSA-N ethyl 4-methyl-2-(3-oxononanoylamino)thiophene-3-carboxylate Chemical compound CCCCCCC(=O)CC(=O)NC=1SC=C(C)C=1C(=O)OCC XCOTXRKURJGPHW-UHFFFAOYSA-N 0.000 description 1
- FDLDWKIEWAWOSL-UHFFFAOYSA-N ethyl acetate;2-methylpentane Chemical compound CCCC(C)C.CCOC(C)=O FDLDWKIEWAWOSL-UHFFFAOYSA-N 0.000 description 1
- 108010075387 exoenzyme S Proteins 0.000 description 1
- 108010093305 exopolygalacturonase Proteins 0.000 description 1
- 208000011323 eye infectious disease Diseases 0.000 description 1
- 239000003925 fat Substances 0.000 description 1
- 230000002349 favourable effect Effects 0.000 description 1
- 239000000945 filler Substances 0.000 description 1
- 208000010824 fish disease Diseases 0.000 description 1
- 125000001153 fluoro group Chemical group F* 0.000 description 1
- 229940124307 fluoroquinolone Drugs 0.000 description 1
- 235000003599 food sweetener Nutrition 0.000 description 1
- 239000000446 fuel Substances 0.000 description 1
- 125000000524 functional group Chemical group 0.000 description 1
- 239000000417 fungicide Substances 0.000 description 1
- 208000003512 furunculosis Diseases 0.000 description 1
- 230000004927 fusion Effects 0.000 description 1
- 230000002496 gastric effect Effects 0.000 description 1
- 239000000499 gel Substances 0.000 description 1
- 239000008103 glucose Substances 0.000 description 1
- 210000003709 heart valve Anatomy 0.000 description 1
- 239000003228 hemolysin Substances 0.000 description 1
- 230000002949 hemolytic effect Effects 0.000 description 1
- 238000004128 high performance liquid chromatography Methods 0.000 description 1
- 230000005745 host immune response Effects 0.000 description 1
- BRWIZMBXBAOCCF-UHFFFAOYSA-N hydrazinecarbothioamide Chemical class NNC(N)=S BRWIZMBXBAOCCF-UHFFFAOYSA-N 0.000 description 1
- 230000001771 impaired effect Effects 0.000 description 1
- 238000011534 incubation Methods 0.000 description 1
- 230000002458 infectious effect Effects 0.000 description 1
- 238000001802 infusion Methods 0.000 description 1
- 239000008011 inorganic excipient Substances 0.000 description 1
- 230000035992 intercellular communication Effects 0.000 description 1
- 229960004903 invert sugar Drugs 0.000 description 1
- 125000000959 isobutyl group Chemical group [H]C([H])([H])C([H])(C([H])([H])[H])C([H])([H])* 0.000 description 1
- 150000002540 isothiocyanates Chemical class 0.000 description 1
- 239000008101 lactose Substances 0.000 description 1
- 239000004816 latex Substances 0.000 description 1
- 229920000126 latex Polymers 0.000 description 1
- 239000006210 lotion Substances 0.000 description 1
- 239000007937 lozenge Substances 0.000 description 1
- 238000004020 luminiscence type Methods 0.000 description 1
- 210000004072 lung Anatomy 0.000 description 1
- 101150016512 luxR gene Proteins 0.000 description 1
- 235000009973 maize Nutrition 0.000 description 1
- 238000013160 medical therapy Methods 0.000 description 1
- GXHFUVWIGNLZSC-UHFFFAOYSA-N meldrum's acid Chemical compound CC1(C)OC(=O)CC(=O)O1 GXHFUVWIGNLZSC-UHFFFAOYSA-N 0.000 description 1
- 229910052751 metal Inorganic materials 0.000 description 1
- 239000002184 metal Substances 0.000 description 1
- ZGMOQVMEDCFHEN-UHFFFAOYSA-N methyl 2-(3-oxononanoylamino)thiophene-3-carboxylate Chemical compound CCCCCCC(=O)CC(=O)NC=1SC=CC=1C(=O)OC ZGMOQVMEDCFHEN-UHFFFAOYSA-N 0.000 description 1
- LVDDFDFRKKFNQE-UHFFFAOYSA-N methyl 5-(3-oxononanoylamino)furan-2-carboxylate Chemical compound CCCCCCC(=O)CC(=O)NC1=CC=C(C(=O)OC)O1 LVDDFDFRKKFNQE-UHFFFAOYSA-N 0.000 description 1
- 150000007522 mineralic acids Chemical class 0.000 description 1
- DYKFCLLONBREIL-KVUCHLLUSA-N minocycline Chemical compound C([C@H]1C2)C3=C(N(C)C)C=CC(O)=C3C(=O)C1=C(O)[C@@]1(O)[C@@H]2[C@H](N(C)C)C(O)=C(C(N)=O)C1=O DYKFCLLONBREIL-KVUCHLLUSA-N 0.000 description 1
- 229960004023 minocycline Drugs 0.000 description 1
- 238000010369 molecular cloning Methods 0.000 description 1
- 230000004899 motility Effects 0.000 description 1
- 239000002324 mouth wash Substances 0.000 description 1
- 230000035772 mutation Effects 0.000 description 1
- PNBCOWYHZAKSGW-UHFFFAOYSA-N n'-(3-bromothiophene-2-carbonyl)-3-ethoxythiophene-2-carbohydrazide Chemical compound C1=CSC(C(=O)NNC(=O)C2=C(C=CS2)Br)=C1OCC PNBCOWYHZAKSGW-UHFFFAOYSA-N 0.000 description 1
- ISMJKPKPXKXKLQ-UHFFFAOYSA-N n'-(4-bromo-5-methylthiophene-2-carbonyl)-n-methyl-1h-pyrazole-5-carbohydrazide Chemical compound C1=CNN=C1C(=O)N(C)NC(=O)C1=CC(Br)=C(C)S1 ISMJKPKPXKXKLQ-UHFFFAOYSA-N 0.000 description 1
- TZRRUDRAVRZQKS-UHFFFAOYSA-N n'-(5-chlorothiophen-2-yl)sulfonylheptanehydrazide Chemical compound CCCCCCC(=O)NNS(=O)(=O)C1=CC=C(Cl)S1 TZRRUDRAVRZQKS-UHFFFAOYSA-N 0.000 description 1
- KCFVMGQTUAWANB-UHFFFAOYSA-N n'-(thiophene-2-carbonyl)-1h-pyrrole-2-carbohydrazide Chemical compound C=1C=CNC=1C(=O)NNC(=O)C1=CC=CS1 KCFVMGQTUAWANB-UHFFFAOYSA-N 0.000 description 1
- OZEVAFWEKPJYRC-UHFFFAOYSA-N n'-[5-[[4-methyl-6-(trifluoromethyl)pyrimidin-2-yl]sulfanylmethyl]thiophene-2-carbonyl]furan-2-carbohydrazide Chemical compound CC1=CC(C(F)(F)F)=NC(SCC=2SC(=CC=2)C(=O)NNC(=O)C=2OC=CC=2)=N1 OZEVAFWEKPJYRC-UHFFFAOYSA-N 0.000 description 1
- UWHGEHSEOZSODC-UHFFFAOYSA-N n-(1,2-oxazol-3-yl)-3-oxododecanamide Chemical compound CCCCCCCCCC(=O)CC(=O)NC=1C=CON=1 UWHGEHSEOZSODC-UHFFFAOYSA-N 0.000 description 1
- YOSUOYIEUOBCPZ-UHFFFAOYSA-N n-(1,2-oxazol-3-yl)-3-oxononanamide Chemical compound CCCCCCC(=O)CC(=O)NC=1C=CON=1 YOSUOYIEUOBCPZ-UHFFFAOYSA-N 0.000 description 1
- YFXYMQOLDCPZPD-UHFFFAOYSA-N n-(2,5-dimethylpyrazol-3-yl)-3-oxododecanamide Chemical compound CCCCCCCCCC(=O)CC(=O)NC1=CC(C)=NN1C YFXYMQOLDCPZPD-UHFFFAOYSA-N 0.000 description 1
- PAAVKFXFYLTWIR-UHFFFAOYSA-N n-(2,5-dimethylpyrazol-3-yl)-3-oxononanamide Chemical compound CCCCCCC(=O)CC(=O)NC1=CC(C)=NN1C PAAVKFXFYLTWIR-UHFFFAOYSA-N 0.000 description 1
- SBALRAJFXXZDQL-UHFFFAOYSA-N n-(2-ethylpyrazol-3-yl)-3-oxododecanamide Chemical compound CCCCCCCCCC(=O)CC(=O)NC1=CC=NN1CC SBALRAJFXXZDQL-UHFFFAOYSA-N 0.000 description 1
- SELTVUVSLWSTOM-UHFFFAOYSA-N n-(2-ethylpyrazol-3-yl)-3-oxononanamide Chemical compound CCCCCCC(=O)CC(=O)NC1=CC=NN1CC SELTVUVSLWSTOM-UHFFFAOYSA-N 0.000 description 1
- GCXQBZPFCGXBJZ-UHFFFAOYSA-N n-(2-methylpyrazol-3-yl)-3-oxododecanamide Chemical compound CCCCCCCCCC(=O)CC(=O)NC1=CC=NN1C GCXQBZPFCGXBJZ-UHFFFAOYSA-N 0.000 description 1
- XSDANPJCYVORAW-UHFFFAOYSA-N n-(2-methylpyrazol-3-yl)-3-oxononanamide Chemical compound CCCCCCC(=O)CC(=O)NC1=CC=NN1C XSDANPJCYVORAW-UHFFFAOYSA-N 0.000 description 1
- IQXBKZZSCIJSEJ-UHFFFAOYSA-N n-(2-methylpyrazol-3-yl)pyrazole-1-carboxamide Chemical compound CN1N=CC=C1NC(=O)N1N=CC=C1 IQXBKZZSCIJSEJ-UHFFFAOYSA-N 0.000 description 1
- HQUJPHPSZKPYOX-UHFFFAOYSA-N n-(3-cyano-4,5-dimethylfuran-2-yl)-3-oxododecanamide Chemical compound CCCCCCCCCC(=O)CC(=O)NC=1OC(C)=C(C)C=1C#N HQUJPHPSZKPYOX-UHFFFAOYSA-N 0.000 description 1
- RQHDWQGGQDZEPD-UHFFFAOYSA-N n-(3-cyano-4,5-dimethylfuran-2-yl)-3-oxononanamide Chemical compound CCCCCCC(=O)CC(=O)NC=1OC(C)=C(C)C=1C#N RQHDWQGGQDZEPD-UHFFFAOYSA-N 0.000 description 1
- ASZNHISSJXHKHN-UHFFFAOYSA-N n-(3-methyl-1,2-oxazol-5-yl)-3-oxododecanamide Chemical compound CCCCCCCCCC(=O)CC(=O)NC1=CC(C)=NO1 ASZNHISSJXHKHN-UHFFFAOYSA-N 0.000 description 1
- NHGCDSSKJBCFHW-UHFFFAOYSA-N n-(3-methyl-1,2-oxazol-5-yl)-3-oxononanamide Chemical compound CCCCCCC(=O)CC(=O)NC1=CC(C)=NO1 NHGCDSSKJBCFHW-UHFFFAOYSA-N 0.000 description 1
- LHURNAJZIDZCFL-UHFFFAOYSA-N n-(3-methyl-1,2-thiazol-5-yl)-3-oxododecanamide Chemical compound CCCCCCCCCC(=O)CC(=O)NC1=CC(C)=NS1 LHURNAJZIDZCFL-UHFFFAOYSA-N 0.000 description 1
- DCLIQYCOKJHAMU-UHFFFAOYSA-N n-(3-methyl-1,2-thiazol-5-yl)-3-oxononanamide Chemical compound CCCCCCC(=O)CC(=O)NC1=CC(C)=NS1 DCLIQYCOKJHAMU-UHFFFAOYSA-N 0.000 description 1
- IFECFSJPFJIOHJ-UHFFFAOYSA-N n-(4-cyano-2-methyl-1,3-oxazol-5-yl)-3-oxononanamide Chemical compound CCCCCCC(=O)CC(=O)NC=1OC(C)=NC=1C#N IFECFSJPFJIOHJ-UHFFFAOYSA-N 0.000 description 1
- AYWDNJJGDBJMDV-UHFFFAOYSA-N n-(4-methyl-1,3-oxazol-2-yl)-3-oxononanamide Chemical compound CCCCCCC(=O)CC(=O)NC1=NC(C)=CO1 AYWDNJJGDBJMDV-UHFFFAOYSA-N 0.000 description 1
- VUBKBKUONYBAEO-UHFFFAOYSA-N n-(5-acetyl-2-methylsulfanyl-1,3-thiazol-4-yl)-3-oxononanamide Chemical compound CCCCCCC(=O)CC(=O)NC=1N=C(SC)SC=1C(C)=O VUBKBKUONYBAEO-UHFFFAOYSA-N 0.000 description 1
- YNIKVCVLZNDSLU-UHFFFAOYSA-N n-methyl-n'-(thiophene-2-carbonyl)-1h-pyrazole-5-carbohydrazide Chemical compound C=1C=NNC=1C(=O)N(C)NC(=O)C1=CC=CS1 YNIKVCVLZNDSLU-UHFFFAOYSA-N 0.000 description 1
- IJGRMHOSHXDMSA-UHFFFAOYSA-N nitrogen Substances N#N IJGRMHOSHXDMSA-UHFFFAOYSA-N 0.000 description 1
- 125000001400 nonyl group Chemical group [H]C([*])([H])C([H])([H])C([H])([H])C([H])([H])C([H])([H])C([H])([H])C([H])([H])C([H])([H])C([H])([H])[H] 0.000 description 1
- QIQXTHQIDYTFRH-UHFFFAOYSA-N octadecanoic acid Chemical compound CCCCCCCCCCCCCCCCCC(O)=O QIQXTHQIDYTFRH-UHFFFAOYSA-N 0.000 description 1
- OQCDKBAXFALNLD-UHFFFAOYSA-N octadecanoic acid Natural products CCCCCCCC(C)CCCCCCCCC(O)=O OQCDKBAXFALNLD-UHFFFAOYSA-N 0.000 description 1
- 125000002347 octyl group Chemical group [H]C([*])([H])C([H])([H])C([H])([H])C([H])([H])C([H])([H])C([H])([H])C([H])([H])C([H])([H])[H] 0.000 description 1
- 150000007524 organic acids Chemical class 0.000 description 1
- 235000005985 organic acids Nutrition 0.000 description 1
- 239000008012 organic excipient Substances 0.000 description 1
- 150000002897 organic nitrogen compounds Chemical class 0.000 description 1
- 230000003204 osmotic effect Effects 0.000 description 1
- 206010033072 otitis externa Diseases 0.000 description 1
- 239000003973 paint Substances 0.000 description 1
- 238000005897 peptide coupling reaction Methods 0.000 description 1
- 239000002304 perfume Substances 0.000 description 1
- 229940124531 pharmaceutical excipient Drugs 0.000 description 1
- 239000003016 pheromone Substances 0.000 description 1
- 230000035790 physiological processes and functions Effects 0.000 description 1
- 239000000049 pigment Substances 0.000 description 1
- 239000013612 plasmid Substances 0.000 description 1
- 229920000573 polyethylene Polymers 0.000 description 1
- 229920002223 polystyrene Polymers 0.000 description 1
- 229920002635 polyurethane Polymers 0.000 description 1
- 239000004814 polyurethane Substances 0.000 description 1
- 229920000915 polyvinyl chloride Polymers 0.000 description 1
- 239000004800 polyvinyl chloride Substances 0.000 description 1
- 159000000001 potassium salts Chemical class 0.000 description 1
- 238000001556 precipitation Methods 0.000 description 1
- 239000003755 preservative agent Substances 0.000 description 1
- 125000002924 primary amino group Chemical group [H]N([H])* 0.000 description 1
- 239000000651 prodrug Substances 0.000 description 1
- 229940002612 prodrug Drugs 0.000 description 1
- 230000035755 proliferation Effects 0.000 description 1
- 238000011321 prophylaxis Methods 0.000 description 1
- 230000001681 protective effect Effects 0.000 description 1
- 230000002797 proteolythic effect Effects 0.000 description 1
- 229940024999 proteolytic enzymes for treatment of wounds and ulcers Drugs 0.000 description 1
- 230000005180 public health Effects 0.000 description 1
- 239000012264 purified product Substances 0.000 description 1
- 108010025281 pyoverdin Proteins 0.000 description 1
- 125000004944 pyrazin-3-yl group Chemical group [H]C1=C([H])N=C(*)C([H])=N1 0.000 description 1
- 238000011002 quantification Methods 0.000 description 1
- 238000010791 quenching Methods 0.000 description 1
- 238000011084 recovery Methods 0.000 description 1
- 230000009467 reduction Effects 0.000 description 1
- 230000002829 reductive effect Effects 0.000 description 1
- 239000013557 residual solvent Substances 0.000 description 1
- 230000008261 resistance mechanism Effects 0.000 description 1
- 230000000241 respiratory effect Effects 0.000 description 1
- FCBUKWWQSZQDDI-UHFFFAOYSA-N rhamnolipid Chemical compound CCCCCCCC(CC(O)=O)OC(=O)CC(CCCCCCC)OC1OC(C)C(O)C(O)C1OC1C(O)C(O)C(O)C(C)O1 FCBUKWWQSZQDDI-UHFFFAOYSA-N 0.000 description 1
- JQXXHWHPUNPDRT-WLSIYKJHSA-N rifampicin Chemical compound O([C@](C1=O)(C)O/C=C/[C@@H]([C@H]([C@@H](OC(C)=O)[C@H](C)[C@H](O)[C@H](C)[C@@H](O)[C@@H](C)\C=C\C=C(C)/C(=O)NC=2C(O)=C3C([O-])=C4C)C)OC)C4=C1C3=C(O)C=2\C=N\N1CC[NH+](C)CC1 JQXXHWHPUNPDRT-WLSIYKJHSA-N 0.000 description 1
- 229960001225 rifampicin Drugs 0.000 description 1
- 238000012216 screening Methods 0.000 description 1
- DUIOPKIIICUYRZ-UHFFFAOYSA-N semicarbazide Chemical class NNC(N)=O DUIOPKIIICUYRZ-UHFFFAOYSA-N 0.000 description 1
- 230000035945 sensitivity Effects 0.000 description 1
- 208000013223 septicemia Diseases 0.000 description 1
- 108010035119 serrawettin W2 Proteins 0.000 description 1
- 230000009528 severe injury Effects 0.000 description 1
- 239000002453 shampoo Substances 0.000 description 1
- 239000000741 silica gel Substances 0.000 description 1
- 229910002027 silica gel Inorganic materials 0.000 description 1
- 206010040872 skin infection Diseases 0.000 description 1
- 150000003384 small molecules Chemical class 0.000 description 1
- 239000000344 soap Substances 0.000 description 1
- 229910052708 sodium Inorganic materials 0.000 description 1
- 239000011734 sodium Substances 0.000 description 1
- 239000001509 sodium citrate Substances 0.000 description 1
- NLJMYIDDQXHKNR-UHFFFAOYSA-K sodium citrate Chemical compound O.O.[Na+].[Na+].[Na+].[O-]C(=O)CC(O)(CC([O-])=O)C([O-])=O NLJMYIDDQXHKNR-UHFFFAOYSA-K 0.000 description 1
- 239000011877 solvent mixture Substances 0.000 description 1
- 238000001228 spectrum Methods 0.000 description 1
- 239000007921 spray Substances 0.000 description 1
- 239000003381 stabilizer Substances 0.000 description 1
- 238000010186 staining Methods 0.000 description 1
- 239000008117 stearic acid Substances 0.000 description 1
- 238000003860 storage Methods 0.000 description 1
- 238000006467 substitution reaction Methods 0.000 description 1
- 239000000758 substrate Substances 0.000 description 1
- 239000005720 sucrose Substances 0.000 description 1
- 239000007940 sugar coated tablet Substances 0.000 description 1
- NVBFHJWHLNUMCV-UHFFFAOYSA-N sulfamide Chemical class NS(N)(=O)=O NVBFHJWHLNUMCV-UHFFFAOYSA-N 0.000 description 1
- 239000004094 surface-active agent Substances 0.000 description 1
- 230000004083 survival effect Effects 0.000 description 1
- 239000012730 sustained-release form Substances 0.000 description 1
- 239000003765 sweetening agent Substances 0.000 description 1
- 239000000454 talc Substances 0.000 description 1
- 229910052623 talc Inorganic materials 0.000 description 1
- 230000008685 targeting Effects 0.000 description 1
- 230000001225 therapeutic effect Effects 0.000 description 1
- 150000003556 thioamides Chemical class 0.000 description 1
- 210000001519 tissue Anatomy 0.000 description 1
- 230000000699 topical effect Effects 0.000 description 1
- 231100000563 toxic property Toxicity 0.000 description 1
- 231100000419 toxicity Toxicity 0.000 description 1
- 230000001988 toxicity Effects 0.000 description 1
- 238000013518 transcription Methods 0.000 description 1
- 230000035897 transcription Effects 0.000 description 1
- 230000002103 transcriptional effect Effects 0.000 description 1
- 108091008023 transcriptional regulators Proteins 0.000 description 1
- 238000012546 transfer Methods 0.000 description 1
- YNJBWRMUSHSURL-UHFFFAOYSA-N trichloroacetic acid Chemical compound OC(=O)C(Cl)(Cl)Cl YNJBWRMUSHSURL-UHFFFAOYSA-N 0.000 description 1
- 125000000876 trifluoromethoxy group Chemical group FC(F)(F)O* 0.000 description 1
- 125000002023 trifluoromethyl group Chemical group FC(F)(F)* 0.000 description 1
- 125000002948 undecyl group Chemical group [H]C([*])([H])C([H])([H])C([H])([H])C([H])([H])C([H])([H])C([H])([H])C([H])([H])C([H])([H])C([H])([H])C([H])([H])C([H])([H])[H] 0.000 description 1
- 230000002485 urinary effect Effects 0.000 description 1
- 208000019206 urinary tract infection Diseases 0.000 description 1
- 230000002792 vascular Effects 0.000 description 1
- 235000015112 vegetable and seed oil Nutrition 0.000 description 1
- 239000008158 vegetable oil Substances 0.000 description 1
- XAPNKXIRQFHCHN-QGOAFFKASA-N violacein Chemical compound O=C\1NC2=CC=CC=C2C/1=C(C(=O)N1)/C=C1C1=CNC2=CC=C(O)C=C21 XAPNKXIRQFHCHN-QGOAFFKASA-N 0.000 description 1
- LEJQUNAZZRYZKJ-UHFFFAOYSA-N violacein Natural products Oc1ccc2NCC(C3=CC(=C4/C(=O)Nc5ccccc45)C(=O)N3)c2c1 LEJQUNAZZRYZKJ-UHFFFAOYSA-N 0.000 description 1
- FEPMHVLSLDOMQC-UHFFFAOYSA-N virginiamycin-S1 Natural products CC1OC(=O)C(C=2C=CC=CC=2)NC(=O)C2CC(=O)CCN2C(=O)C(CC=2C=CC=CC=2)N(C)C(=O)C2CCCN2C(=O)C(CC)NC(=O)C1NC(=O)C1=NC=CC=C1O FEPMHVLSLDOMQC-UHFFFAOYSA-N 0.000 description 1
- 238000005406 washing Methods 0.000 description 1
- 239000001993 wax Substances 0.000 description 1
- 239000000080 wetting agent Substances 0.000 description 1
- 229940098232 yersinia enterocolitica Drugs 0.000 description 1
- 150000004798 β-ketoamides Chemical class 0.000 description 1
- 239000002132 β-lactam antibiotic Substances 0.000 description 1
- 229940124586 β-lactam antibiotics Drugs 0.000 description 1
- 239000002478 γ-tocopherol Substances 0.000 description 1
Images
Classifications
-
- A—HUMAN NECESSITIES
- A01—AGRICULTURE; FORESTRY; ANIMAL HUSBANDRY; HUNTING; TRAPPING; FISHING
- A01N—PRESERVATION OF BODIES OF HUMANS OR ANIMALS OR PLANTS OR PARTS THEREOF; BIOCIDES, e.g. AS DISINFECTANTS, AS PESTICIDES OR AS HERBICIDES; PEST REPELLANTS OR ATTRACTANTS; PLANT GROWTH REGULATORS
- A01N43/00—Biocides, pest repellants or attractants, or plant growth regulators containing heterocyclic compounds
- A01N43/48—Biocides, pest repellants or attractants, or plant growth regulators containing heterocyclic compounds having rings with two nitrogen atoms as the only ring hetero atoms
- A01N43/54—1,3-Diazines; Hydrogenated 1,3-diazines
-
- A—HUMAN NECESSITIES
- A01—AGRICULTURE; FORESTRY; ANIMAL HUSBANDRY; HUNTING; TRAPPING; FISHING
- A01N—PRESERVATION OF BODIES OF HUMANS OR ANIMALS OR PLANTS OR PARTS THEREOF; BIOCIDES, e.g. AS DISINFECTANTS, AS PESTICIDES OR AS HERBICIDES; PEST REPELLANTS OR ATTRACTANTS; PLANT GROWTH REGULATORS
- A01N43/00—Biocides, pest repellants or attractants, or plant growth regulators containing heterocyclic compounds
- A01N43/48—Biocides, pest repellants or attractants, or plant growth regulators containing heterocyclic compounds having rings with two nitrogen atoms as the only ring hetero atoms
- A01N43/56—1,2-Diazoles; Hydrogenated 1,2-diazoles
-
- A—HUMAN NECESSITIES
- A61—MEDICAL OR VETERINARY SCIENCE; HYGIENE
- A61K—PREPARATIONS FOR MEDICAL, DENTAL OR TOILETRY PURPOSES
- A61K31/00—Medicinal preparations containing organic active ingredients
- A61K31/16—Amides, e.g. hydroxamic acids
- A61K31/17—Amides, e.g. hydroxamic acids having the group >N—C(O)—N< or >N—C(S)—N<, e.g. urea, thiourea, carmustine
- A61K31/175—Amides, e.g. hydroxamic acids having the group >N—C(O)—N< or >N—C(S)—N<, e.g. urea, thiourea, carmustine having the group, >N—C(O)—N=N— or, e.g. carbonohydrazides, carbazones, semicarbazides, semicarbazones; Thioanalogues thereof
-
- A—HUMAN NECESSITIES
- A61—MEDICAL OR VETERINARY SCIENCE; HYGIENE
- A61K—PREPARATIONS FOR MEDICAL, DENTAL OR TOILETRY PURPOSES
- A61K31/00—Medicinal preparations containing organic active ingredients
- A61K31/33—Heterocyclic compounds
- A61K31/38—Heterocyclic compounds having sulfur as a ring hetero atom
-
- A—HUMAN NECESSITIES
- A61—MEDICAL OR VETERINARY SCIENCE; HYGIENE
- A61K—PREPARATIONS FOR MEDICAL, DENTAL OR TOILETRY PURPOSES
- A61K31/00—Medicinal preparations containing organic active ingredients
- A61K31/33—Heterocyclic compounds
- A61K31/395—Heterocyclic compounds having nitrogen as a ring hetero atom, e.g. guanethidine or rifamycins
- A61K31/41—Heterocyclic compounds having nitrogen as a ring hetero atom, e.g. guanethidine or rifamycins having five-membered rings with two or more ring hetero atoms, at least one of which being nitrogen, e.g. tetrazole
- A61K31/415—1,2-Diazoles
-
- A—HUMAN NECESSITIES
- A61—MEDICAL OR VETERINARY SCIENCE; HYGIENE
- A61K—PREPARATIONS FOR MEDICAL, DENTAL OR TOILETRY PURPOSES
- A61K31/00—Medicinal preparations containing organic active ingredients
- A61K31/33—Heterocyclic compounds
- A61K31/395—Heterocyclic compounds having nitrogen as a ring hetero atom, e.g. guanethidine or rifamycins
- A61K31/41—Heterocyclic compounds having nitrogen as a ring hetero atom, e.g. guanethidine or rifamycins having five-membered rings with two or more ring hetero atoms, at least one of which being nitrogen, e.g. tetrazole
- A61K31/42—Oxazoles
-
- A—HUMAN NECESSITIES
- A61—MEDICAL OR VETERINARY SCIENCE; HYGIENE
- A61K—PREPARATIONS FOR MEDICAL, DENTAL OR TOILETRY PURPOSES
- A61K31/00—Medicinal preparations containing organic active ingredients
- A61K31/33—Heterocyclic compounds
- A61K31/395—Heterocyclic compounds having nitrogen as a ring hetero atom, e.g. guanethidine or rifamycins
- A61K31/435—Heterocyclic compounds having nitrogen as a ring hetero atom, e.g. guanethidine or rifamycins having six-membered rings with one nitrogen as the only ring hetero atom
-
- A—HUMAN NECESSITIES
- A61—MEDICAL OR VETERINARY SCIENCE; HYGIENE
- A61K—PREPARATIONS FOR MEDICAL, DENTAL OR TOILETRY PURPOSES
- A61K31/00—Medicinal preparations containing organic active ingredients
- A61K31/33—Heterocyclic compounds
- A61K31/395—Heterocyclic compounds having nitrogen as a ring hetero atom, e.g. guanethidine or rifamycins
- A61K31/435—Heterocyclic compounds having nitrogen as a ring hetero atom, e.g. guanethidine or rifamycins having six-membered rings with one nitrogen as the only ring hetero atom
- A61K31/44—Non condensed pyridines; Hydrogenated derivatives thereof
-
- A—HUMAN NECESSITIES
- A61—MEDICAL OR VETERINARY SCIENCE; HYGIENE
- A61K—PREPARATIONS FOR MEDICAL, DENTAL OR TOILETRY PURPOSES
- A61K31/00—Medicinal preparations containing organic active ingredients
- A61K31/33—Heterocyclic compounds
- A61K31/395—Heterocyclic compounds having nitrogen as a ring hetero atom, e.g. guanethidine or rifamycins
- A61K31/435—Heterocyclic compounds having nitrogen as a ring hetero atom, e.g. guanethidine or rifamycins having six-membered rings with one nitrogen as the only ring hetero atom
- A61K31/44—Non condensed pyridines; Hydrogenated derivatives thereof
- A61K31/445—Non condensed piperidines, e.g. piperocaine
-
- A—HUMAN NECESSITIES
- A61—MEDICAL OR VETERINARY SCIENCE; HYGIENE
- A61K—PREPARATIONS FOR MEDICAL, DENTAL OR TOILETRY PURPOSES
- A61K31/00—Medicinal preparations containing organic active ingredients
- A61K31/33—Heterocyclic compounds
- A61K31/395—Heterocyclic compounds having nitrogen as a ring hetero atom, e.g. guanethidine or rifamycins
- A61K31/495—Heterocyclic compounds having nitrogen as a ring hetero atom, e.g. guanethidine or rifamycins having six-membered rings with two or more nitrogen atoms as the only ring heteroatoms, e.g. piperazine or tetrazines
- A61K31/505—Pyrimidines; Hydrogenated pyrimidines, e.g. trimethoprim
-
- A—HUMAN NECESSITIES
- A61—MEDICAL OR VETERINARY SCIENCE; HYGIENE
- A61K—PREPARATIONS FOR MEDICAL, DENTAL OR TOILETRY PURPOSES
- A61K8/00—Cosmetics or similar toiletry preparations
- A61K8/18—Cosmetics or similar toiletry preparations characterised by the composition
- A61K8/30—Cosmetics or similar toiletry preparations characterised by the composition containing organic compounds
- A61K8/49—Cosmetics or similar toiletry preparations characterised by the composition containing organic compounds containing heterocyclic compounds
-
- A—HUMAN NECESSITIES
- A61—MEDICAL OR VETERINARY SCIENCE; HYGIENE
- A61K—PREPARATIONS FOR MEDICAL, DENTAL OR TOILETRY PURPOSES
- A61K8/00—Cosmetics or similar toiletry preparations
- A61K8/18—Cosmetics or similar toiletry preparations characterised by the composition
- A61K8/30—Cosmetics or similar toiletry preparations characterised by the composition containing organic compounds
- A61K8/49—Cosmetics or similar toiletry preparations characterised by the composition containing organic compounds containing heterocyclic compounds
- A61K8/4973—Cosmetics or similar toiletry preparations characterised by the composition containing organic compounds containing heterocyclic compounds with oxygen as the only hetero atom
-
- A—HUMAN NECESSITIES
- A61—MEDICAL OR VETERINARY SCIENCE; HYGIENE
- A61K—PREPARATIONS FOR MEDICAL, DENTAL OR TOILETRY PURPOSES
- A61K8/00—Cosmetics or similar toiletry preparations
- A61K8/18—Cosmetics or similar toiletry preparations characterised by the composition
- A61K8/30—Cosmetics or similar toiletry preparations characterised by the composition containing organic compounds
- A61K8/49—Cosmetics or similar toiletry preparations characterised by the composition containing organic compounds containing heterocyclic compounds
- A61K8/4986—Cosmetics or similar toiletry preparations characterised by the composition containing organic compounds containing heterocyclic compounds with sulfur as the only hetero atom
-
- A—HUMAN NECESSITIES
- A61—MEDICAL OR VETERINARY SCIENCE; HYGIENE
- A61P—SPECIFIC THERAPEUTIC ACTIVITY OF CHEMICAL COMPOUNDS OR MEDICINAL PREPARATIONS
- A61P31/00—Antiinfectives, i.e. antibiotics, antiseptics, chemotherapeutics
- A61P31/04—Antibacterial agents
-
- A—HUMAN NECESSITIES
- A61—MEDICAL OR VETERINARY SCIENCE; HYGIENE
- A61Q—SPECIFIC USE OF COSMETICS OR SIMILAR TOILETRY PREPARATIONS
- A61Q17/00—Barrier preparations; Preparations brought into direct contact with the skin for affording protection against external influences, e.g. sunlight, X-rays or other harmful rays, corrosive materials, bacteria or insect stings
- A61Q17/005—Antimicrobial preparations
-
- A—HUMAN NECESSITIES
- A61—MEDICAL OR VETERINARY SCIENCE; HYGIENE
- A61Q—SPECIFIC USE OF COSMETICS OR SIMILAR TOILETRY PREPARATIONS
- A61Q19/00—Preparations for care of the skin
-
- C—CHEMISTRY; METALLURGY
- C07—ORGANIC CHEMISTRY
- C07D—HETEROCYCLIC COMPOUNDS
- C07D231/00—Heterocyclic compounds containing 1,2-diazole or hydrogenated 1,2-diazole rings
- C07D231/02—Heterocyclic compounds containing 1,2-diazole or hydrogenated 1,2-diazole rings not condensed with other rings
- C07D231/10—Heterocyclic compounds containing 1,2-diazole or hydrogenated 1,2-diazole rings not condensed with other rings having two or three double bonds between ring members or between ring members and non-ring members
- C07D231/14—Heterocyclic compounds containing 1,2-diazole or hydrogenated 1,2-diazole rings not condensed with other rings having two or three double bonds between ring members or between ring members and non-ring members with hetero atoms or with carbon atoms having three bonds to hetero atoms with at the most one bond to halogen, e.g. ester or nitrile radicals, directly attached to ring carbon atoms
- C07D231/16—Halogen atoms or nitro radicals
-
- C—CHEMISTRY; METALLURGY
- C07—ORGANIC CHEMISTRY
- C07D—HETEROCYCLIC COMPOUNDS
- C07D231/00—Heterocyclic compounds containing 1,2-diazole or hydrogenated 1,2-diazole rings
- C07D231/02—Heterocyclic compounds containing 1,2-diazole or hydrogenated 1,2-diazole rings not condensed with other rings
- C07D231/10—Heterocyclic compounds containing 1,2-diazole or hydrogenated 1,2-diazole rings not condensed with other rings having two or three double bonds between ring members or between ring members and non-ring members
- C07D231/14—Heterocyclic compounds containing 1,2-diazole or hydrogenated 1,2-diazole rings not condensed with other rings having two or three double bonds between ring members or between ring members and non-ring members with hetero atoms or with carbon atoms having three bonds to hetero atoms with at the most one bond to halogen, e.g. ester or nitrile radicals, directly attached to ring carbon atoms
- C07D231/38—Nitrogen atoms
- C07D231/40—Acylated on said nitrogen atom
-
- C—CHEMISTRY; METALLURGY
- C07—ORGANIC CHEMISTRY
- C07D—HETEROCYCLIC COMPOUNDS
- C07D307/00—Heterocyclic compounds containing five-membered rings having one oxygen atom as the only ring hetero atom
- C07D307/02—Heterocyclic compounds containing five-membered rings having one oxygen atom as the only ring hetero atom not condensed with other rings
- C07D307/34—Heterocyclic compounds containing five-membered rings having one oxygen atom as the only ring hetero atom not condensed with other rings having two or three double bonds between ring members or between ring members and non-ring members
- C07D307/56—Heterocyclic compounds containing five-membered rings having one oxygen atom as the only ring hetero atom not condensed with other rings having two or three double bonds between ring members or between ring members and non-ring members with hetero atoms or with carbon atoms having three bonds to hetero atoms with at the most one bond to halogen, e.g. ester or nitrile radicals, directly attached to ring carbon atoms
- C07D307/68—Carbon atoms having three bonds to hetero atoms with at the most one bond to halogen
-
- C—CHEMISTRY; METALLURGY
- C07—ORGANIC CHEMISTRY
- C07D—HETEROCYCLIC COMPOUNDS
- C07D333/00—Heterocyclic compounds containing five-membered rings having one sulfur atom as the only ring hetero atom
- C07D333/02—Heterocyclic compounds containing five-membered rings having one sulfur atom as the only ring hetero atom not condensed with other rings
- C07D333/04—Heterocyclic compounds containing five-membered rings having one sulfur atom as the only ring hetero atom not condensed with other rings not substituted on the ring sulphur atom
- C07D333/26—Heterocyclic compounds containing five-membered rings having one sulfur atom as the only ring hetero atom not condensed with other rings not substituted on the ring sulphur atom with hetero atoms or with carbon atoms having three bonds to hetero atoms with at the most one bond to halogen, e.g. ester or nitrile radicals, directly attached to ring carbon atoms
- C07D333/38—Carbon atoms having three bonds to hetero atoms with at the most one bond to halogen, e.g. ester or nitrile radicals
-
- C—CHEMISTRY; METALLURGY
- C07—ORGANIC CHEMISTRY
- C07D—HETEROCYCLIC COMPOUNDS
- C07D333/00—Heterocyclic compounds containing five-membered rings having one sulfur atom as the only ring hetero atom
- C07D333/50—Heterocyclic compounds containing five-membered rings having one sulfur atom as the only ring hetero atom condensed with carbocyclic rings or ring systems
- C07D333/52—Benzo[b]thiophenes; Hydrogenated benzo[b]thiophenes
- C07D333/62—Benzo[b]thiophenes; Hydrogenated benzo[b]thiophenes with hetero atoms or with carbon atoms having three bonds to hetero atoms with at the most one bond to halogen, e.g. ester or nitrile radicals, directly attached to carbon atoms of the hetero ring
- C07D333/68—Carbon atoms having three bonds to hetero atoms with at the most one bond to halogen
- C07D333/70—Carbon atoms having three bonds to hetero atoms with at the most one bond to halogen attached in position 2
-
- C—CHEMISTRY; METALLURGY
- C07—ORGANIC CHEMISTRY
- C07D—HETEROCYCLIC COMPOUNDS
- C07D403/00—Heterocyclic compounds containing two or more hetero rings, having nitrogen atoms as the only ring hetero atoms, not provided for by group C07D401/00
- C07D403/02—Heterocyclic compounds containing two or more hetero rings, having nitrogen atoms as the only ring hetero atoms, not provided for by group C07D401/00 containing two hetero rings
- C07D403/12—Heterocyclic compounds containing two or more hetero rings, having nitrogen atoms as the only ring hetero atoms, not provided for by group C07D401/00 containing two hetero rings linked by a chain containing hetero atoms as chain links
-
- C—CHEMISTRY; METALLURGY
- C07—ORGANIC CHEMISTRY
- C07D—HETEROCYCLIC COMPOUNDS
- C07D409/00—Heterocyclic compounds containing two or more hetero rings, at least one ring having sulfur atoms as the only ring hetero atoms
- C07D409/02—Heterocyclic compounds containing two or more hetero rings, at least one ring having sulfur atoms as the only ring hetero atoms containing two hetero rings
- C07D409/04—Heterocyclic compounds containing two or more hetero rings, at least one ring having sulfur atoms as the only ring hetero atoms containing two hetero rings directly linked by a ring-member-to-ring-member bond
-
- C—CHEMISTRY; METALLURGY
- C07—ORGANIC CHEMISTRY
- C07D—HETEROCYCLIC COMPOUNDS
- C07D409/00—Heterocyclic compounds containing two or more hetero rings, at least one ring having sulfur atoms as the only ring hetero atoms
- C07D409/02—Heterocyclic compounds containing two or more hetero rings, at least one ring having sulfur atoms as the only ring hetero atoms containing two hetero rings
- C07D409/12—Heterocyclic compounds containing two or more hetero rings, at least one ring having sulfur atoms as the only ring hetero atoms containing two hetero rings linked by a chain containing hetero atoms as chain links
-
- C—CHEMISTRY; METALLURGY
- C07—ORGANIC CHEMISTRY
- C07D—HETEROCYCLIC COMPOUNDS
- C07D471/00—Heterocyclic compounds containing nitrogen atoms as the only ring hetero atoms in the condensed system, at least one ring being a six-membered ring with one nitrogen atom, not provided for by groups C07D451/00 - C07D463/00
- C07D471/02—Heterocyclic compounds containing nitrogen atoms as the only ring hetero atoms in the condensed system, at least one ring being a six-membered ring with one nitrogen atom, not provided for by groups C07D451/00 - C07D463/00 in which the condensed system contains two hetero rings
- C07D471/04—Ortho-condensed systems
-
- Y—GENERAL TAGGING OF NEW TECHNOLOGICAL DEVELOPMENTS; GENERAL TAGGING OF CROSS-SECTIONAL TECHNOLOGIES SPANNING OVER SEVERAL SECTIONS OF THE IPC; TECHNICAL SUBJECTS COVERED BY FORMER USPC CROSS-REFERENCE ART COLLECTIONS [XRACs] AND DIGESTS
- Y02—TECHNOLOGIES OR APPLICATIONS FOR MITIGATION OR ADAPTATION AGAINST CLIMATE CHANGE
- Y02A—TECHNOLOGIES FOR ADAPTATION TO CLIMATE CHANGE
- Y02A50/00—TECHNOLOGIES FOR ADAPTATION TO CLIMATE CHANGE in human health protection, e.g. against extreme weather
- Y02A50/30—Against vector-borne diseases, e.g. mosquito-borne, fly-borne, tick-borne or waterborne diseases whose impact is exacerbated by climate change
Definitions
- the present invention relates to the use of compounds such as amide, carbazide and hydrazide derivatives as selective inhibitors of bacterial pathogens.
- the invention refers to a family of compounds that block the quorum sensing system of Gram-negative bacteria, a process for their manufacture, pharmaceutical compositions containing them and to their use for the treatment and prevention of microbial damages and diseases, in particular for diseases where there is an advantage in inhibiting quorum sensing regulated phenotypes of pathogens.
- microorganisms including bacteria, fungi, protozoa and algae cause severe damages or diseases in different areas such as industry, agriculture, environment and medicine. Especially bacteria as human pathogens cause tremendous costs in public health systems worldwide.
- the continuing emergence of multiple-drug-resistant bacterial strains has necessitated finding new compounds that can be used in antibacterial treatment.
- the discovery that Gram-negative bacteria employ a signal transduction pathway comprising a small molecule to globally regulate the production of virulence determinants offers such a novel target.
- a wide variety of Gram-negative bacteria produce N-acyl-L-homoserine lactone (AHL or HSL, FIG. 1 ) derivatives as signal molecules in intercellular communication. These molecules, also referred to as “pheromones” or “quoromones”, comprise a homoserine lactone moiety linked to an acyl side chain. Bacteria use this signaling system to monitor their population cell density in a process referred to as “quorum sensing”. In each cell of a population an HSL synthase from usually the LuxI family of proteins produce a low basal level of diffusible HSLs.
- HSL concentration increases with bacterial population density until a threshold concentration is reached which results in expression of various HSL-dependent genes through an HSL-receptor protein belonging generally to the LuxR family of transcriptional regulators.
- This HSL-receptor protein complex serves not only as positive transcription regulator of quorum sensing regulated genes but also as positive regulator for the HSL synthesis itself. Therefore, the entire system is amplified via a process of autoinduction.
- Pseudomonas aeruginosa is perhaps the best understood in terms of the role quorum sensing plays in pathogenicity.
- this human opportunistic pathogen which causes nosocomial infections in immunocompromized patients and has an extremely high potential to develop resistance mechanisms against traditional antibiotic treatment, production of many virulence factors including expression of alkaline protease, endoproteinase, LasA protease, LasB elastase, anthranilate synthase, hemolysins, lectin, cytochrome c oxidase, catalase, Mn- and Fe-dependent superoxide dismutases, exotoxin A, exoenzyme S, chitinase, chitin binding protein, phenazine, hydrogen cyanide, pyocyanin, pyoverdine, phospholipase C, rham
- Biofilms are defined as an association of microorganisms growing attached to a surface and producing a slime layer of extracellular polymers in which the microbial consortia is embedded in a protective environment (for a review see: Costerton et al., Ann. Rev. Microbiol. 49:711-45, 1995). Biofilms represent a severe problem as bacteria integrated in such a polymer matrix develop resistance to conventional antimicrobial agents. P. aeruginosa cells, for example, growing in an alginate slime matrix have been demonstrated to be resistant to antibiotics (e.g., aminoglycosides, ⁇ -lactam antibiotics, fluoroquinolones) and disinfectants (Govan & Deretic, Microbiol. Rev. 60:539-74, 1996). Several mechanisms for biofilm-mediated resistance development have been proposed (Costerton et al., Science 284:1318-22, 1999).
- biofilms In most natural, clinical and industrial settings bacteria are predominantly found in biofilms. Drinking water pipes, ship hulls, teeth or medical devices represent typical surfaces colonized by bacteria. On the one hand biofilms decrease the life time of materials through corrosive action in the industrial field, a process also referred to as “biofouling”. Furthermore, microbial biofilms growing for example on ship hulls increase fuel consumption through enhanced frictional resistance and simultaneously reduce maneuverability. On the other hand two thirds of all bacterial infections in humans are associated with biofilms (Lewis, Antimicrob. Agents Chemother. 45:999-1007, 2001).
- Pseudomonas aeruginosa forms infectious biofilms on surfaces as diverse as cystic fibrosis lung tissue, contact lenses, and Catheter tubes (Stickler et al., Appl. Environm. Microbiol. 64:3486-90, 1998). Burkholderia cepacia also forms biofilms in lungs of cystic fibrosis patients and is a major industrial contaminant (Govan et al., J. Med. Microbiol. 45:395-407, 1996). Since biofilm formation of both organisms is demonstrated to require an HSL signaling system, inhibition of their quorum sensing systems would result in an impaired ability to form biofilms and therefore in an increased susceptability to antibacterial treatment.
- HSL derivatives As signaling molecules of bacterial cell-to-cell communication it has been demonstrated that HSL interfere also with higher organisms. Since HSL derivatives inhibit murine and human leucocyte proliferation and TNF-alpha secretion by lipopolysaccharide (LPS) stimulated human leucocytes (Chhabra et al., J. Med. Chem. 46:97-104, 2003), the suitability of these compounds for immunological diseases, particularly autoimmune diseases such as psoriasis, rheumatoid arthritis, multiple sclerosis and type 1 (autoimmune) diabetes is indicated (WO 03/004017, WO 03/022828).
- LPS lipopolysaccharide
- HSL molecules are capable of reducing the heart beat without substantially reducing arterial blood pressure. These compounds and analogs of them could, therefore, be suitable for the treatment of cardiac tachyarrhythmias, ischaemic heart disease, congestive heart failure (WO 01/26650). Additionally, HSL compounds have been reported as possible antiallergic drug (WO 95/01175) and for the treatment of a range of diseases including cancer, breast cancer, obesity, lipid metabolism disorders, immune disease, immune deficiency or immune disorders by modulating STAT activity (WO 03/026641).
- plants expressing an HSL-lactonase enzyme originally derived from Bacillus sp. have been demonstrated to quench pathogen quorum sensing signaling and to significantly enhance resistance to Erwinia carotovora infections (Dong et al., Nature 411:813-7, 2001).
- An alternative way to block cell signaling could be to interrupt the HSL synthesis by using analogs of HSL precursors.
- WO 02/088298 reportedly provides certain nitrogen heterocyclic molecules for controlling biofilms based on the interference with quorum sensing.
- the compounds of this invention do not show any toxic effect and are therefore suitable for applications in a wide area. Such applications could be the use of the compounds for instance as new antibiotic therapeutics, disinfectants, antifouling coatings or coatings of medical devices.
- traditional antibacterial agents like amide or 1,2-acylhydrazine derivatives in WO 01/51456; for the synthesis of amide or 1,2-acylhydrazine derivatives see also EP 638545 and EP 982292
- the compounds of the present invention do not kill the microorganisms, but render them avirulent.
- the advantage of this alternative strategy is that the emergence of bacterial resistance against such antimicrobials is extremely improbable.
- the present invention provides compounds selectively modulating bacterial cell-cell communication.
- the expression of many HSL-dependent virulence genes and other phenotypes like swarming motility and biofilm formation are significantly reduced or completely abolished rendering a bacterial population more susceptible to the host immune-response or to treatment with traditional antibacterial agents.
- the invention refers to a method for inhibiting an HSL-regulated process in a microorganism by exposing the microorganism to a new class of compounds with an inhibitory effect on bacterial signaling.
- FIG. 1 illustrates a general N-acyl-L-homoserine lactone structure where the depicted R is an acyl side chain;
- FIG. 2 graphically illustrates the influence of representative compounds of the present invention on the growth of E. coli MT102 (pSB403);
- FIG. 3 graphically illustrates the inhibitory effect of representative compounds of the present invention on the protease production of P. aeruginosa PAO-JP2;
- FIG. 4 graphically illustrates the influence of representative compounds of the present invention on the growth of P. aeruginosa PAO-JP2;
- FIG. 5A graphically illustrates the inhibitory effect of representative compounds of the present invention (0.4 mM) on biofilm formation of Burkholderia cepacia H111, with statistical data of at least five (5) separate representative experiments;
- FIG. 5B is an illustration of a microtitre dish
- FIG. 6 graphically illustrates the influence of representative compounds of the present invention (0.4 mM) on the growth of Burkholderia cepacia H111.
- the present invention therefore refers to compounds of the general Formula (I)
- an alkyl group denotes a linear or branched C 1 -C 6 -alkyl, preferably a linear or branched chain of one to five carbon atoms, a linear or branched C 1 -C 6 -alkenyl or a linear or branched C 1 -C 6 -alkinyl group, which can optionally be substituted by one or more substituents R 3 , preferably by halogen;
- the C 1 -C 6 -alkyl, C 1 -C 6 -alkenyl and C 1 -C 6 -alkinyl residue may be selected from the group comprising —CH 3 , —C 2 H 5 , —CH ⁇ CH 2 , —C ⁇ CH, —C 3 H 7 , —CH(CH) 2 , —CH 2 —CH ⁇ CH 2 , —C(CH 3 ) ⁇ CH 2 , —CH ⁇ CH—CH 3 , —C ⁇ C—CH 3
- This heterocyclic group can be fused to another ring.
- this group can be selected from an oxazol-2-yl, oxazol-4-yl, oxazol-5-yl, thiazol-2-yl, thiazol-4-yl, thiazol-5-yl, isothiazol-3-yl, isothiazol-4-yl, isothiazol-5-yl, 1,2,4-oxadiazol-3-yl, 1,2,4-oxadiazol-5-yl, 1,2,4-thiadiazol-3-yl, 1,2,4-thiadiazol-5-yl, 1,2,5-oxadiazol-3-yl, 1,2,5-oxadiazol-4-yl, 1,2,5-thiadiazol-3-yl, 1-imidazolyl, 2-imidazolyl, 1,2,5-thiadiazol-4-yl, 4-imidazolyl, 1-pyrrolyl, 2-pyrrolyl, 3-pyrrolyl, 2-furanyl,
- a 1 or A 2 each independently represent a C 1 -C 20 -alkyl group which is optionally substituted by one or more substituents R 3 , or a monocyclic or polycyclic aromatic or non-aromatic ring system which is optionally substituted by one or more substituents R 3 and in case of an aromatic ring system contains at least one aromatic ring.
- the optionally substituted monocyclic or polycyclic aromatic or non-aromatic ring system may also contain one or more groups X selected from S, O, N, NR 4 , SO or SO 2 .
- a 1 and A 2 each independently represent an optionally substituted C 1 -C 20 -alkyl group or an optionally substituted monocyclic or bicyclic aromatic ring system.
- substitutions of carbon atoms in the ring system preferably one, two or three carbon atoms am substituted by a group X, wherein X is selected from the group consisting of S, O, N, NR 4 , SO or SO 2 .
- a 1 and/or A 2 independently represent an optionally substituted C 1 -C 20 -alkyl group which is optionally substituted by one or more substituents R 3 .
- a 1 and/or A 2 independently represent an optionally substituted C 1 -C 12 -alkyl group
- said alkyl group may be a straight chain or branched chain alkyl group, and examples include methyl, ethyl, propyl, isopropyl, butyl, t-butyl, isobutyl, pentyl, hexyl, heptyl, octyl, nonyl, decyl, undecyl and dodecyl groups.
- alkyl group also contains alkenyl and alkinyl groups, that means that the alkyl group contains one or more double or triple bounds.
- a 1 and/or A 2 represent an optionally aromatic or non-aromatic ring system, which is substituted by one or more substituents R 3 , said ring system may be a phenyl, I-naphthyl, 2-napthyl, 1-anthracenyl, 2-anthracenyl, 2-pyranyl, 3-pyranyl, 4-pyranyl, 2-thiazolyl, 4-thiazolyl, 5-thiazolyl, 2-oxazolyl, 4-oxazolyl and 5-oxazolyl, in particular 3-pyrazolyl, 4-pyrazolyl, 5-pyrazolyl, 2-pyrazinyl, 3-pyrazinyl, 1-imidazolyl, 2-imidazolyl, 2-thienyl, 3-thienyl, 2-furyl, 3-furyl, 2-pyridyl, 3-pyridyl, 4-pyridyl, benzothiophene, pyrazolo[3,4-b]-pyrid
- Suitable substituents for A 1 and/or A 2 are independently H, CO 2 R 4 , COR 4 , CONR 4 R 5 , NR 4 R 5 , OR 4 , SR 4 , hydroxyalkylamino, NO 2 , CN, hydroxylalkyl, halogen, haloalkyl, haloalkyloxy, SO 2 NR 4 R 5 , CO 2 NR 4 R 5 , CO 2 R 4 , SO 2 R 4 , SO 3 R 4 , NR 4 R 5 , alkyl, cycloalkyl, arylalkyl, aryl or heteroaryl.
- X′, X′′, X′′′, X′′′′ is independently H, S, O, N, NR 4 , SO, SO 2 , CH, or CH 2 ;
- the invention also provides a pharmaceutical composition
- a pharmaceutical composition comprising a compound of Formula (I), (XIII), (X), (XI) or (XII), in free form or in the form of pharmaceutically acceptable salts and physiologically functional derivatives, together with a pharmaceutically acceptable diluent or carrier therefore.
- physiologically functional derivative refers to compounds which are not pharmaceutically active themselves but which are transformed into their pharmaceutical active form in vivo, i.e. in the subject to which the compound is administered.
- the present invention also provides a method for the treatment or prophylaxis of a condition where there is an advantage in inhibiting quorum sensing which comprises the administration of an effective amount of a compound of Formula (I), (XIII), (X), (XI) or (XII) and physiologically acceptable salts or physiologically functional derivatives thereof.
- quorum sensing is intended to describe cell-density dependent gene regulation through a diffusible signal molecule (Fuqua et al., J. Bacteriol. 176:269-75, 1994).
- the invention is also directed to the use of compounds of Formula (I), (XIII), (X), (XI) or (XII) and of their pharmacologically tolerable salts or physiologically functional derivatives for the production of a medicament or medical device for the prevention and treatment of diseases, where quorum sensing inhibition is beneficial. Furthermore, the invention is also directed to the use of compounds of Formula (I), (XIII), (X), (XI) or (XII) and of their pharmacologically tolerable salts or physiologically functional derivatives for the production of an antibacterial agent for the prevention and treatment of bacterial biofilms in industrial and environmental settings.
- the present invention provides methods for preparing the desired compounds of Formula (I), (XIII), (X), (XI) or (XII).
- Possibilities for preparing different amides are described by J. Zabicky in “The Chemistry of Amides”, in the serial of S. Patai (ed.), “The Chemistry of Functional Groups”, John Wiley & Sons, 1975, p. 74-131.
- Methods for preparing thioamides are described in Houben-Weyl, J. Falbe (ed.), G. Thieme Verlag, vol. E5, p. 1219-59.
- Other methods for preparing different 1,2-diacylhydrazines are described in Houben-Weyl, “Methoden der organischen Chemie”, Vieri Auflage, G. Thieme Verlag, J. Falbe (ed.), vol. E5, p. 1173-80 or P. A. S. Smith, “Open-Chain Organic Nitrogen Compounds”, W. A. Benjamin Inc., New York, vol. 2, p. 173-201. Methods for preparing different 1,2-disulfonylhydrazines are described in Arch. Pharm.
- a compound of the Formula (VI) For example, one method for preparing carbamoylhydrazide is described in Bull. Soc. Chim. Fr. 1975, 864.
- this method is described in Synthesis 1992, 1213-1214.
- One method for preparation of compounds of Formula (XIV) comprises the step of reacting a carboxylic acid chloride with Meldrum's acid in presence of a base.
- this reaction is described in Org. Synth., Coll. Vol. 7, 359-360 ( Org. Synth. 1984 , Ann . Vol. 63, 198-199), or J. Org. Chem. 1978, 43, 2087-2088, and Bull. Chem. Soc. Jpn. 1982, 55, 2186-2189.
- this procedure is described in Tetrahedron Lett. 1996, 37, 1883-1884, and Chem. Biol. 2003, 10, 81-89.
- Another possibility for preparing compounds of Formula (XIII) comprises the reaction of a deprotonated methyl ketone with an isocyanate.
- this method is described in J. Med. Chem. 1993, 36, 2943-2949, or J. Med. Chem. 1993, 36, 3386-3396.
- One possibility for preparing the compounds of Formula (XIII) comprises the step of reacting a compound of Formula (XVI) with a compound of Formula (XVII).
- this method described in Farmaco Ed. Sci. 1982, 37, 335-342, or in Monatsh. Chemie 1981, 112, 871-874, or in Monatsh. Chemie 1982, 113, 101-110, or in J. Am. Chem. Soc. 2000, 122, 8155-8167, or in Synth. Commun. 1989, 19, 3543-3552.
- a preferred compound of Formula (I) is a compound wherein p, and n are 0, A 1 represents a substituted monocyclic aromatic ring system, and A 2 represents an optionally substituted monocyclic aromatic ring system.
- a preferred compound of Formula (I) is a compound wherein p, and n are 0, A 1 represents a substituted monocyclic aromatic ring system, and A 2 represents an optionally substituted alkyl group.
- a more preferred compound of Formula (I) is a compound wherein p is 0 and n is 1, one of A 1 and A 2 represent an optionally substituted 5-membered aromatic ring system, and the other one of A 1 and A 2 represent an optionally substituted alkyl group or a substituted monocyclic aromatic ring system.
- a more preferred compound of Formula (I) is a compound wherein p is 0 and n is 1, A 1 and A 2 represent an optionally substituted 5-membered aromatic ring system.
- a more preferred compound of Formula (I) is a compound wherein p, and n are 1, one of A 1 and A 2 represent an optionally substituted 5-membered aromatic ring system, and the other one of A 1 and A 2 represent an optionally substituted alkyl group or a substituted monocyclic aromatic ring system.
- a more preferred compound of Formula (I) is a compound wherein p, n are 1, A 1 and A 2 represents an optionally substituted 5-membered aromatic ring system.
- a more preferred compound of Formula (I) is a compound wherein p and n are 1, one of A 1 and A 2 represent an optionally substituted 5-membered aromatic ring system, and the other one of A 1 and A 2 represent an optionally substituted alkyl group or a substituted monocyclic aromatic ring system.
- a more preferred compound of Formula (I) is a compound wherein p and n are 1 A 1 and A 2 represent an optionally substituted 5-membered aromatic ring system.
- R is independently H, alkyl, cycloalkyl, aryl or heteroaryl.
- R is H.
- R 1 is independently H, alkyl, cycloalkyl, aryl or heteroaryl.
- R 1 is H.
- R 2 is independently H, alkyl, cycloalkyl, aryl or heteroaryl.
- R 2 is H.
- R 3 in Formula (XIII), (1), (X), (XI) or (XII) is independently H, halogen, CF 3 , OCF 3 , phenyl or alkyl.
- R 4 in Formula (XIII), (I), (X) or (XII) is independently H, alkyl, cycloalkyl, aryl or heteroaryl.
- R 4 is H.
- R 5 in Formula (XIII), (I), (X) or (XII) is independently H, O-alkyl, O-aryl, alkyl, heteroaryl or aryl.
- R 5 is H.
- Y 1 and Y 2 are independently from each other CO, CS, SO 2 or CNR 5 , preferably both are CO.
- Z is independently S, O, N, NR 4 , CO, CO 2 , CS, SO or SO 2 .
- Z is O, CO, CO 2 .
- X is independently S, O, N, NR 4 , SO or SO 2 .
- X is N, S, O, NR 4 .
- n is 1 and p is 0.
- n and p are 0.
- n and p are 1.
- a preferred compound of Formula (XIII) is a compound wherein R 14 is H or methyl more preferably H.
- a preferred compound of Formula (XIII) is a compound wherein R 12 is H or methyl more preferably H.
- a preferred compound of Formula (XIII) is a compound wherein A 8 is CH 2 .
- a preferred compound of Formula (XIII) is a compound wherein A 7 and/or A 9 are CO.
- a preferred compound of Formula (XIII) is a compound wherein A 5 is C 6 -C 10 -alkyl.
- a preferred compound of Formula (XIII) is a compound wherein A 6 is selected from the following group:
- a preferred compound of Formula (XIII) is a compound wherein A 6 is 5-membered ring system wherein X′ is N, and X′′ is O or S, and X′′′ is CH or CH 2 .
- a preferred compound of Formula (XIII) is a compound wherein A 6 is 5-membered ring system wherein X′ is N and X′′ is N, and X′′′ is CH or CH 2 .
- a preferred compound of Formula (XIII) is a compound wherein A 6 is 6-membered ring system wherein X′ is N, and X′′ is O or S, and X′′′ is CH or CH 2 , and X′′′ is CH or CH 2 .
- a preferred compound of Formula (XIII) is a compound wherein A 6 is 6-membered ring system wherein X′ is N and X′′ is N, and X′′′ is CH or CH 2 , and X′′′′ is CH or CH 2 .
- a preferred compound of Formula (XIII) is a compound wherein m is 1 and q, r are 0.
- a preferred compound of Formula (XIII) is a compound wherein R 13 is H.
- a preferred compound of Formula (XIII) is a compound wherein R 6 , R 8′ or R 9 are H.
- Preferred compounds of the present invention and/or pharmaceutically acceptable salts thereof are selected from the group comprising;
- the compounds of the Formula (XIII), (I), (X), (XI) or (XII) according to the invention can be also used in form of the corresponding salts with inorganic or organic acids or bases.
- salts are, e.g., alkali metal salts, in particular sodium and potassium salts, hydrochloride or ammonium salts.
- the compounds of the present invention can be used to inhibit quorum sensing signaling of bacteria employing HSLs as signal molecules for cell-cell communication.
- the compounds can be applied to the bacteria listed in Table 1, and more preferably to the bacteria of Table 1 that are pathogens.
- the compounds of the present invention can be used as antibacterial agents in various applications.
- the compounds of Formula (XIII), (I), (X), (XI) or (XII) are useful for the treatment of a variety of human, animal and plant diseases, where bacterial pathogens regulate the expression of virulence genes and other phenotypes, e.g. biofilm formation, through an HSL-based quorum sensing system.
- bacterial pathogens regulate the expression of virulence genes and other phenotypes, e.g. biofilm formation
- HSL-based quorum sensing system e.g. biofilm formation
- the compounds of the invention can be used also for organisms which will be added to the above listed in future.
- the compounds are useful for the treatment of mammalian in particular human diseases caused by bacteria through the inhibition of the bacterial quorum sensing cascade rendering the pathogen avirulent.
- diseases include endocarditis, respiratory and pulmonary infections (preferably in immunocompromized and cystic fibrosis patients), bacteremia, central nervous system infections, ear infections including external otitis, eye infections, bone and joint infections, urinary tract infections, gastrointestinal infections and skin and soft tissue infections including wound infections, pyoderma and dermatitis which all can be triggered by Pseudomonas aeruginosa .
- the compounds can be used for the treatment of pulmonary infections caused by Burkholderia cepacia (preferably in immunocompromized and cystic fibrosis patients), gastroenteritis and wound infections caused by Aeromonas hydrophila , sepsis in tropical and subtropical areas caused by Chromobacterium violaceum , diarrhoea with blood and haemolytic uremic syndrome (HUS) caused by Escherichia coli , yersiniosis triggered by Yersinia enterocolitica and Y. pseudotuberculosis , and transfusion-related sepsis and fistulous pyoderma caused by Serratia liquefaciens.
- Burkholderia cepacia preferably in immunocompromized and cystic fibrosis patients
- gastroenteritis and wound infections caused by Aeromonas hydrophila
- Sepsis in tropical and subtropical areas caused by Chromobacterium violaceum
- the compounds can be used in the treatment of immunological diseases, particularly autoimmune diseases such as psoriasis, rheumatoid arthritis, multiple sclerosis and type 1 (autoimmune) diabetes, of cardiovascuklar diseases such as cardiac tachyarrhythmias, ischaemic heart disease, congestive heart failure, of allergic diseases and of diseases including cancer, breast cancer, obesity, lipid metabolism disorders, immune disease, immune deficiency or immune disorders.
- autoimmune diseases such as psoriasis, rheumatoid arthritis, multiple sclerosis and type 1 (autoimmune) diabetes
- cardiovascuklar diseases such as cardiac tachyarrhythmias
- ischaemic heart disease congestive heart failure
- allergic diseases and of diseases including cancer, breast cancer, obesity, lipid metabolism disorders, immune disease, immune deficiency or immune disorders.
- the compounds can be used to prevent and/or treat plant diseases, where inhibition of the HSL-mediated signaling system reduces or abolishes virulence of bacterial plant pathogens.
- diseases include crown gall tumors caused by Agrobacterium tumefaciens , soft rot caused by Burkholderia cepacia, Erwinia carotovora and Erwinia chrysanthemi , sweet corn and maize infections caused by Pantoea stewartii and wilt disease caused by Ralstonia solanacearum.
- the compounds can be used for the prevention and/or treatment of animal diseases, preferably fish diseases such as septicemia caused by Aeromonas hydrophila and Vibrio anguillarum , furunculosis in salmonids caused by Aeromonas salmonicida , prawn infections caused by Vibrio harveyi and enteric redmouth disease caused by Yersinia ruckeri , but also for the prevention and/or treatment of insect diseases caused, for example, by Xenorhabdus nematophilus.
- animal diseases preferably fish diseases such as septicemia caused by Aeromonas hydrophila and Vibrio anguillarum , furunculosis in salmonids caused by Aeromonas salmonicida , prawn infections caused by Vibrio harveyi and enteric redmouth disease caused by Yersinia ruckeri , but also for the prevention and/or treatment of insect diseases caused, for example, by Xenorhabdus nematophil
- the present invention provides a method for reducing the virulence of bacterial pathogens employing an HSL-based signaling system.
- a method is provided to remove, diminish, detach or disperse a bacterial biofilm from a living or nonliving surface by treating the surface with a compound of Formula (XIII), (I), (X), (XI) or (XII).
- This method is also useful to prevent biofilm formation on a living or nonliving surface by treating the surface with a compound of Formula (XIII), (I), (X), (XI) or (XII) before bacterial colonization can initialize.
- biofilm refers to cell aggregations comprising either a single type of organism or a mixture of more than one organism, then also referred to as “mixed biofilms”. It is clear to persons skilled in the art, that the compounds of the present invention can be applied in a wide variety of different fields such as environmental, industrial and medical applications in order to prevent and/or treat damages or diseases caused by bacteria.
- the compounds of Formula (XIII), (I), (X), (XI) or (XII) can be used for all kinds of surfaces in private and public areas, where it is beneficial to inhibit quorum sensing systems of Gram-negative bacteria in order to prevent and/or treat colonization and biofilm formation.
- the compounds here can be used in form of a solution, powder or as a coating.
- the compound is preferably applied to the surface as a solution of the compound, alone or together with other materials such as conventional surfactants, preferably sodium dodecyl sulfate, or detergents, biocides, fungicides, antibiotics, pH regulators, perfumes, dyes or colorants,
- a bacteriocidal agent e.g., the compounds of Formula (XIII), (I), (X), (XI) or (XII) inhibit virulence or biofilm formation whilst the bacteriocidal agent kills the pathogens.
- the compounds can be used as antibacterial agent for topical use in cleaning and treatment solutions such as disinfectants, detergents, household cleaner and washing powder formulations in the form of a spray or a dispensable liquid.
- cleaning and treatment solutions such as disinfectants, detergents, household cleaner and washing powder formulations in the form of a spray or a dispensable liquid.
- these solutions can be applied to windows, floors, clothes, kitchen and bathroom surfaces and other surfaces in the area of food preparation and personal hygiene.
- the compounds of Formula (XIII), (I), (X), (XI) or (XII) can be used as antibacterial ingredients in personal hygiene articles, toiletries and cosmetics such as dentifrices, mouthwashes, soaps, shampoos, shower gels, ointments, creams, lotions, deodorants and disinfectants and storage solutions for contact lenses.
- the compounds of Formula (XIII), (I), (X), (XI) or (XII) can also be applied as coating or additive to the lens material.
- the compounds can be used to prevent or treat bacterial biofilms in industrial settings such as ship hulls, paper and metal manufacturing, oil recovery, food processing and other applications where process disturbances are referred to biofouling on surfaces.
- the compounds here can be used in form of a solution, paint or coating, for example as an ingredient in cooling lubricants.
- the compounds can also be applied to water processing plants or drinking water distribution systems where the colonized surface (preferably by Pseudomonas aeruginosa ) is preferably the inside of an aqueous liquid system such as water pipes, water injection jets, heat exchangers and cooling towers.
- biocides are the preferred tools to encounter these problems, but since biocides do not have a high specificity for bacteria, they are often toxic to humans as well. This can be circumvented by the application of the compounds of the present invention.
- the present invention relates to a method of inhibiting and/or preventing medical device-associated bacterial infections.
- the invention provides articles coated and/or impregnated with a compound of Formula (XIII), (I), (X), (XI) or (XII) in order to inhibit and/or prevent biofilm formation thereon.
- the articles are preferably surgical instruments, blood bag systems or medical devices; more preferably either permanently implanted devices such as artificial heart valve, prostethic joint, voice prosthesis, stent, shunt or not permanently implanted devices such as endotracheal or gastrointestinal tube, pacemaker, surgical pin or indwelling catheter.
- the indwelling catheters are urinary catheters, vascular catheters, peritoneal dialysis catheter, central venous catheters and needleless connectors.
- the catheter materials can be polyvinylchloride, polyethylene, latex, teflon or similar polymeric materials, but preferably polyurethane and silicone or a mixture thereof.
- antiseptic or antimicrobial agents such as chlorhexidine/silver-sulfadiazine and minocycline/rifampin, respectively, have been developed.
- the compounds of the present invention offer the possibility to effectively reduce catheter-related bacterial infections with a low risk of resistance development due to a novel therapeutic strategy targeting highly sensitive signal transduction mechanisms in bacteria.
- the preferred form of application is the coating and/or impregnating of catheter materials on both the inner and outer catheter surfaces. More preferably, the compounds of Formula (XIII), (I) can be included in a mixture of antibacterial agents released continuously from a catheter-associated depot into the environment.
- the compounds of the present invention and their pharmacologically acceptable salts can be administered directly to animals, preferably to mammals, and in particular to humans as antibiotics per se, as mixtures with one another or in the form of pharmaceutical preparations which allow enteral or parenteral use and which as active constituent contain an effective dose of at least one compound of the Formula (XIII), (I), (X), (XI) or (XII) or a salt thereof, in addition to customary pharmaceutical excipients and additives.
- the compounds of Formula (XIII), (I), (X), (XI) or (XII) can also be administered in form of their salts, which are obtainable by reacting the respective compounds with physiologically acceptable acids and bases.
- the therapeutics can be administered orally, e.g., in the form of pills, tablets, coated tablets, sugar coated tablets, lozenges, hard and soft gelatin capsules, solutions, syrups, emulsions or suspensions or as aerosol mixtures. Administration, however, can also be carried out rectally, e.g., in the form of suppositories, or parenterally, e.g., in the form of injections or infusions, or percutaneously, e.g., in the form of ointments, creams or tinctures.
- the pharmaceutical composition can contain further customary, usually inert carrier materials or excipients.
- the pharmaceutical preparations can also contain additives or adjuvants commonly used in galenic formulations, such as, e.g., fillers, extenders, disintegrants, binders, glidants, wetting agents, stabilizers, emulsifiers, preservatives, sweetening agents, colorants, flavorings or aromatizers, buffer substances, and furthermore solvents or solubilizers or agents for achieving a depot effect, as well as salts for modifying the osmotic pressure, coating agents or antioxidants.
- They can also contain two or more compounds of the Formula (I) or (XIII) or their pharmacologically acceptable salts and also other therapeutically active substances.
- the compounds of the present invention can be used alone, in combination with other compounds of this invention or in combination with other active compounds, for example with active ingredients already known for the treatment of the afore mentioned diseases, whereby in the latter case a favorable additive effect is noticed.
- Suitable amounts to be administered to mammalian in particular humans range from 5 to 1000 mg,
- pharmaceutically inert inorganic or organic excipients can be used.
- pills tablets, coated tablets and hard gelatin capsules, e.g., lactose, corn starch or derivatives thereof, talc, stearic acid or its salts, etc.
- Excipients for soft gelatin capsules and suppositories are, e.g., fats, waxes, semi-solid and liquid polyols, natural or hardened oils etc.
- Suitable excipients for the production of solutions and syrups are, e.g., water, alcohol, sucrose, invert sugar, glucose, polyols etc.
- Suitable excipients for the production of injection solutions are, e.g., water, alcohol, glycerol, polyols or vegetable oils.
- the dose can vary within wide limits and is to be suited to the individual conditions in each individual case.
- the appropriate dosage will vary depending on the mode of administration, the particular condition to be treated and the effect desired. In general, however, satisfactory results are achieved at dosage rates of about 0.1 to 100 mg/kg animal body weight preferably 1 to 50 mg/kg.
- Suitable dosage fates for larger mammals, e.g., humans, are of the order of from about 10 mg to 3 g/day, conveniently administered once, in divided doses 2 to 4 times a day, or in sustained release form.
- a daily dose of approximately 0.1 mg to 5000 mg, preferably 10 to 500 mg, per mammalian in particular human individual is appropriate in the case of the oral administration which is the preferred form of administration according to the invention. In the case of other administration forms too, the daily dose is in similar ranges.
- the compounds of Formula (I) or (XIII) can also be used in the form of a precursor (prodrug) or a suitably modified form, that releases the active compound in vivo.
- the compounds of the present invention can be used as pharmacologically active components or ingredients of medical devices, instruments and articles with an effective dose of at least one compound of the Formula (XIII), (I), (X), (XI) or (XII) or a salt thereof.
- the amount of the compounds used to coat for example medical device surfaces varies to some extent with the coating method and the application field. In general, however, the concentration range from about 0.01 mg per cm 2 to about 100 mg per cm 2 . In a similar way the amount of the compounds has to be adjusted to the application mode it the compounds of the invention are used as components or ingredients in cleaning or treatment solutions. In general, effective dosages range from about 0.1 ⁇ M to about 1000 mM.
- the acyl Meldrum's acid (1.2 eq) was dissolved in anhydrous benzene (concentration approximately 0.4 mol/l), and the amine (1.0 eq) was added.
- amine hydrochlorides one equivalent of triethylamine or N,N-diisopropylethylamine was added.
- the mixture was refluxed until tic showed complete conversion (typically, 4 to 6 h).
- the benzene solutions were directly chromatographed on silica gel in an appropriate solvent mixture (isohexane-ethyl acetate, dichloromethane-methanol, or dichloromethane-acetonitrile mixtures). Yields of the purified products typically were in the range from 30 to 75%.
- Plasmid pSB403 contains the Photobacterium fischeri luxR gene together with the tuxI promoter region as a transcriptional fusion to the bioluminescence genes luxCDABE of Photorhabdus luminescence .
- coli pSB403 exhibits the highest sensitivity for the Photobacterium fischeri quorum sensing signal N-(3-oxohexanoyl)homoserine lactone (3-oxo-C6-HSL), a wide range of other HSL molecules are detected by the sensor (Winson et al., FEMS Microbiol. Lett. 163:185-92, 1998; Geisenberger et al, FEMS Microbiol. Lett. 184:273-8, 2000).
- Inhibitor-mediated reduction of light emission was correlated with the value obtained without addition of the test compounds.
- IC 50 values concentration of inhibitor required for 50% inhibition of the signal compared to the signal without inhibitor
- the determined IC 50 range of each compound is listed in Table 2.
- E. coli MT102 (pSB403) was grown in LB medium at 37° C. in the presence of 0.4 mM test compound. Growth was measured as optical density at 600 nm. None of the compounds listed in Table 2 exhibit any growth inhibitory effects on the sensor strain E. coli MT102 (pSB403).
- FIG. 2 shows the growth curves of representative compounds indicating a specific inhibitory effect of the compounds on the quorum sensing system.
- the inhibitory effect of the compounds on quorum sensing regulated virulence factors was demonstrated by investigating the expression of extracellular proteases by Pseudomonas aeruginosa .
- the P. aeruginosa mutant strain PAO-JP2 (Pearson et al., J. Bacteriol. 179:5756-67, 1997) carrying mutations in the quorum sensing genes lasI and rhlI is unable to produce extracellular proteolytic enzymes.
- Protease expression can be completely restored by external addition of 3-oxo-C12-HSL.
- the protease assay was performed according to Riedel et at. ( J. Bacteriol. 183:1805-9, 2001) with few modifications.
- PAO-JP2 was grown in LB medium at 30° C. and shaking at 250 rpm to an OD600 nm of 0.5.
- the test compounds were added at a final concentration of 0.4 mM and the culture was incubated for further 30 min at 30° C. and shaking at 250 rpm.
- 3-oxo-C12-HSL was added at a final concentration of 0.3 ⁇ M the cultures were grown for an additional 6 hours at 30° C. and shaking at 250 rpm.
- the proteolytic activity was measured as described by Ayora & Götz ( Mol. Gen. Genet. 242:421-30, 1994). 50 ⁇ l culture supernatant were incubated with Azocasein (250 ⁇ l 2%, Sigma, St.
- FIG. 3 demonstrates the inhibitory effect of several compounds on protease production of P. aeruginosa PAO-JP2. The data presented are representative for at least three separate experiments.
- FIG. 4 shows the growth curves of representative compounds indicating a specific inhibitory effect of the compounds on the quorum sensing system.
- the bacterial biofilm formation assay was performed in polystyrene microtitre dishes (FluoroNunc Polysorp) according to the method described by O'Toole & Kolter ( Mol. Microbiol. 28:449-61, 1998) and Pratt & Kolter ( Mol. Microbiol. 4 30; 285-93, 1998) with few modifications (Huber et al., Microbiology, 147:2517-28, 2001). Cells were grown in the wells of the microtitre dishes in 100 ⁇ l AB medium (Clark & Maaloe, J. Mol. Biol. 23:99-112, 1967) supplemented with 10 mM sodium citrate (Sigma).
- the cells were incubated for 48 hours at 30° C. The medium was then removed and 100 ⁇ l of a 1% (w/v) aqueous solution of crystal violet (Merck) was added. Following staining at room temperature for 20 minutes, the dye was removed and the wells were washed thoroughly with water. For quantification of attached cells, the crystal violet was solubilized in a 80;20 (v/v) mixture of ethanol and acetone and the absorbance was determined at 570 nm (Ultrospec Plus spectrometer, Pharmacia).
- 5A and 5B demonstrate the inhibitory effect of several compounds on biofilm formation of Burkholderia cepacia H11 (Römling et al., J. Infect. Dis. 170:1616-21, 1994; Gotschlich et al., Syst. Appl. Microbiol. 24:1-14, 2001).
- the data presented are representative for at least five separate experiments.
- FIG. 6 shows the growth curves of the tested compounds indicating a specific inhibitory effect of the compounds on the quorum sensing system.
Landscapes
- Health & Medical Sciences (AREA)
- Chemical & Material Sciences (AREA)
- Organic Chemistry (AREA)
- Life Sciences & Earth Sciences (AREA)
- General Health & Medical Sciences (AREA)
- Animal Behavior & Ethology (AREA)
- Public Health (AREA)
- Veterinary Medicine (AREA)
- Epidemiology (AREA)
- Medicinal Chemistry (AREA)
- Pharmacology & Pharmacy (AREA)
- Birds (AREA)
- Agronomy & Crop Science (AREA)
- Environmental Sciences (AREA)
- Plant Pathology (AREA)
- Engineering & Computer Science (AREA)
- Dentistry (AREA)
- Wood Science & Technology (AREA)
- Zoology (AREA)
- Pest Control & Pesticides (AREA)
- Dermatology (AREA)
- Oncology (AREA)
- Chemical Kinetics & Catalysis (AREA)
- General Chemical & Material Sciences (AREA)
- Nuclear Medicine, Radiotherapy & Molecular Imaging (AREA)
- Communicable Diseases (AREA)
- Pharmaceuticals Containing Other Organic And Inorganic Compounds (AREA)
Abstract
-
- R is H, alkyl, cycloalkyl, aryl or heteroaryl;
- R1 is H, alkyl, cycloalkyl, aryl or heteroaryl;
- R2 is H, alkyl, cycloalkyl, aryl or heteroaryl;
- A1 and A2 each independently represent an optionally substituted C1-C20-alkyl group which may contain one or more group(s) Z, or a monocyclic or polycyclic optionally substituted aromatic or non-aromatic ring system which may contain one or more group(s) X, and in case of a polycyclic ring system, said system contains at least one aromatic ring;
- Z is selected from the group consisting of S, O, N, NR4, CO, CO2, CS, SO or SO2
- X is selected from the group consisting of S, O, N, NR4, SO or SO2;
Description
- The present application is a continuation of co-pending application Ser. No. 10/429,875, filed May 6, 2003, which is a continuation-in-part of application Ser. No. 10/094,301, filed Mar. 8, 2002, now abandoned, the contents of each are herein incorporated by reference in their entirety.
- The present invention relates to the use of compounds such as amide, carbazide and hydrazide derivatives as selective inhibitors of bacterial pathogens. In particular the invention refers to a family of compounds that block the quorum sensing system of Gram-negative bacteria, a process for their manufacture, pharmaceutical compositions containing them and to their use for the treatment and prevention of microbial damages and diseases, in particular for diseases where there is an advantage in inhibiting quorum sensing regulated phenotypes of pathogens.
- Many microorganisms, including bacteria, fungi, protozoa and algae cause severe damages or diseases in different areas such as industry, agriculture, environment and medicine. Especially bacteria as human pathogens cause tremendous costs in public health systems worldwide. The continuing emergence of multiple-drug-resistant bacterial strains has necessitated finding new compounds that can be used in antibacterial treatment. There are two broad strategies for the control of bacterial infection: either to kill the organism or to attenuate its virulence such that it fails to adapt to the host environment. The latter approach has, however, lacked specific targets for rational drug design. The discovery that Gram-negative bacteria employ a signal transduction pathway comprising a small molecule to globally regulate the production of virulence determinants offers such a novel target.
- A wide variety of Gram-negative bacteria produce N-acyl-L-homoserine lactone (AHL or HSL,
FIG. 1 ) derivatives as signal molecules in intercellular communication. These molecules, also referred to as “pheromones” or “quoromones”, comprise a homoserine lactone moiety linked to an acyl side chain. Bacteria use this signaling system to monitor their population cell density in a process referred to as “quorum sensing”. In each cell of a population an HSL synthase from usually the LuxI family of proteins produce a low basal level of diffusible HSLs. The HSL concentration increases with bacterial population density until a threshold concentration is reached which results in expression of various HSL-dependent genes through an HSL-receptor protein belonging generally to the LuxR family of transcriptional regulators. This HSL-receptor protein complex serves not only as positive transcription regulator of quorum sensing regulated genes but also as positive regulator for the HSL synthesis itself. Therefore, the entire system is amplified via a process of autoinduction. - This system was first discovered in the bioluminescent marine bacteria Vibrio harveyi and V. fischeri where it is used to control bioluminescence expression. In recent years it has become apparent that many Gram-negative bacteria employ one or more quorum sensing systems comprising HSL derivatives with different acyl side chains to regulate in a cell-density dependent manner a wide variety of physiological processes such as swarming motility, biofilm formation, pathogenicity, conjugation, bioluminescence or production of pigments and antibiotics (Table 1, for reviews and further references see, e.g.: Fuqua et al, Ann. Rev. Microbiol. 50:727-51, 1996; Fuqua & Greenberg, Curr. Opinion Microbiol. 1:183-89, 1998; Eberl, Syst. Appl. Microbiol. 22:493-506, 1999; De Kievit & Iglewski, Infect. Immun. 68:4839-49, 2000).
-
TABLE 1 Summary of HSL-based quorum sensing systems Regulatory Bacterium proteins Major HSL HSL-regulated phenotype Aeromonas hydrophila AhyR, AhyI C4-HSL Extracellular protease, bioflim formation Aeromonos salmonicida AsaR, AsaI C4-HSL Extracellular protease Agrobacterium tumefaciens TraR, TraI 3-oxo-C8-HSL Conjugal transfer Burkholderia cepacia CepR, CepI C8-HSL Protease, lipase, ornibactin synthesis, biofilm formation, swarming motility Chromobacterium violaceum CviR, CviI C6-HSL Antibiotics, violacein, exoenzymes, cyanide Enterobacter agglomerans EagR, EagI 3-oxo-C6-HSL Unknown Erwinia carotovora CarR, (CarI) 3-oxo-C6-HSL Carbapenem antibiotics, ExpR, ExpI exoenzyme production Erwinia chrysanthemi ExpR, ExpI 3-oxo-C6-HSL Pectinase expression (EchR, EchI) Escherichia coli SdiA Unknown Cell division, virulence factor production Nitrosomonas europaea Unknown 3-oxo-C6-HSL Emergence from lag phase Obesumbacterium proteus OprR, OprI 3-oxo-C6-HSL Unknown Pantoea stewartii EsaR, EsaI 3-oxo-C6-HSL Exopolysaccharide production, virulence factor production Pseudomonas aeruginosa LasR, LasI 3-oxo-C12-HSL Extracellular virulence factors, Xcp, bioflim formation, RpoS, RhlR Pseudomonas aeruginosa RhlR, RhlI C4-HSL Extracellular virulence factors, cyanide, lectins, pyocyanin, rhamnolipid, type 4 pili,twitching motility Pseudomonas aureofaciens PhzR, PhzI C6-HSL Phenazine antibiotics Pseudomonas fluorcscens HdtS 3-hydroxy-7-cis- Unknown C14-HSL Ralstonia solanacearum SolR, Soll C8-HSL Unknown Rhizobium etli RaiR, RaiI 7 HSLs Root nodulation Rhizobium leguminosarum RhiR 3-hydroxy-7-cis- Nodulation, bacteriocin, C14-HSL stationary phase survival Rhizobium leguminosarum RhiR, RhiI C6-HSL, rhizome interactions C8-HSL Rhodobacter sphaeroides CerR, CerI 7-cis-C14-HSL Clumping factor Serratia liquefaciens SwrR, SwrI C4-HSL Swarming motility, protease, serrawettin W2, lipase Vibrio anguillarum VanR, VanI 3-oxo-C10-HSL Unknown Vibrio anguillarum VanM, VanN C6-HSL, Unknown 3-hydroxy-C6- HSL Vibrio fischeri LuxR, LuxI 3-oxo-C6-HSL Bioluminescence Vibrio harveyi LuxM, LuxN 3-hydroxy-C4- Bioluminescence, PHB HSL synthesis Xenorhabdus nematophilus Unknown 3-hydroxy-C4- Virulence HSL Yersinia enterocolitica YenR, YenI C6-HSL, Unknown 3-oxo-C6-HSL Yersinia pestis YpeR, YpeI Unknown Unknown Yersinia pseudotuberculosis YpsR, YpsI 3-oxo-C6-HSL Motility, clumping Yersinia pseudotuberculosis YtbR, YtbI C8-HSL Unknown Yersinia ruckeri YukR, YukI Unknown Unknown - With regard to bacteria that utilize HSL-based quorum sensing as part of their lifestyle, Pseudomonas aeruginosa is perhaps the best understood in terms of the role quorum sensing plays in pathogenicity. In this human opportunistic pathogen, which causes nosocomial infections in immunocompromized patients and has an extremely high potential to develop resistance mechanisms against traditional antibiotic treatment, production of many virulence factors including expression of alkaline protease, endoproteinase, LasA protease, LasB elastase, anthranilate synthase, hemolysins, lectin, cytochrome c oxidase, catalase, Mn- and Fe-dependent superoxide dismutases, exotoxin A, exoenzyme S, chitinase, chitin binding protein, phenazine, hydrogen cyanide, pyocyanin, pyoverdine, phospholipase C, rhamnolipids, sigma factor S, components of the protein secretion apparatus, efflux transporters, production of alginate and adhesion, twitching motility and pilin export is regulated by two interlinked quorum sensing circuits, Moreover, it has been demonstrated that this signaling system is involved in the ability of P. aeruginosa to form biofilms (Davies et al, Science 280:295-8, 1998). Recently Huber et al. (Microbiology 147:2517-28, 2001) demonstrated that biofilm formation and swarming motility of Burkholderia cepacia, like P. aeruginosa a human opportunistic pathogen, is also dependent on an HSL-based quorum sensing system.
- Biofilms are defined as an association of microorganisms growing attached to a surface and producing a slime layer of extracellular polymers in which the microbial consortia is embedded in a protective environment (for a review see: Costerton et al., Ann. Rev. Microbiol. 49:711-45, 1995). Biofilms represent a severe problem as bacteria integrated in such a polymer matrix develop resistance to conventional antimicrobial agents. P. aeruginosa cells, for example, growing in an alginate slime matrix have been demonstrated to be resistant to antibiotics (e.g., aminoglycosides, β-lactam antibiotics, fluoroquinolones) and disinfectants (Govan & Deretic, Microbiol. Rev. 60:539-74, 1996). Several mechanisms for biofilm-mediated resistance development have been proposed (Costerton et al., Science 284:1318-22, 1999).
- In most natural, clinical and industrial settings bacteria are predominantly found in biofilms. Drinking water pipes, ship hulls, teeth or medical devices represent typical surfaces colonized by bacteria. On the one hand biofilms decrease the life time of materials through corrosive action in the industrial field, a process also referred to as “biofouling”. Furthermore, microbial biofilms growing for example on ship hulls increase fuel consumption through enhanced frictional resistance and simultaneously reduce maneuverability. On the other hand two thirds of all bacterial infections in humans are associated with biofilms (Lewis, Antimicrob. Agents Chemother. 45:999-1007, 2001).
- Pseudomonas aeruginosa, for example, forms infectious biofilms on surfaces as diverse as cystic fibrosis lung tissue, contact lenses, and Catheter tubes (Stickler et al., Appl. Environm. Microbiol. 64:3486-90, 1998). Burkholderia cepacia also forms biofilms in lungs of cystic fibrosis patients and is a major industrial contaminant (Govan et al., J. Med. Microbiol. 45:395-407, 1996). Since biofilm formation of both organisms is demonstrated to require an HSL signaling system, inhibition of their quorum sensing systems would result in an impaired ability to form biofilms and therefore in an increased susceptability to antibacterial treatment.
- Beside the role of HSL derivatives as signaling molecules of bacterial cell-to-cell communication it has been demonstrated that HSL interfere also with higher organisms. Since HSL derivatives inhibit murine and human leucocyte proliferation and TNF-alpha secretion by lipopolysaccharide (LPS) stimulated human leucocytes (Chhabra et al., J. Med. Chem. 46:97-104, 2003), the suitability of these compounds for immunological diseases, particularly autoimmune diseases such as psoriasis, rheumatoid arthritis, multiple sclerosis and type 1 (autoimmune) diabetes is indicated (WO 03/004017, WO 03/022828).
- Furthermore, certain HSL molecules are capable of reducing the heart beat without substantially reducing arterial blood pressure. These compounds and analogs of them could, therefore, be suitable for the treatment of cardiac tachyarrhythmias, ischaemic heart disease, congestive heart failure (WO 01/26650). Additionally, HSL compounds have been reported as possible antiallergic drug (WO 95/01175) and for the treatment of a range of diseases including cancer, breast cancer, obesity, lipid metabolism disorders, immune disease, immune deficiency or immune disorders by modulating STAT activity (WO 03/026641).
- The discovery that a wide spectrum of bacterial organisms use quorum sensing to control virulence factor production and other phenotypes such as biofilm formation makes it an attractive target for antimicrobial therapy. Pathogenic organisms using this signaling system to control virulence could potentially be rendered avirulent by blocking this cell-cell communication system. In contrast to traditional antibiotics, the risk of resistance development seems to be very low, since quorum sensing blocking agents would not kill the organism but disturb signal transduction pathways. There are several possibilities of interrupting the quorum sensing circuit.
- For example, plants expressing an HSL-lactonase enzyme originally derived from Bacillus sp. have been demonstrated to quench pathogen quorum sensing signaling and to significantly enhance resistance to Erwinia carotovora infections (Dong et al., Nature 411:813-7, 2001). An alternative way to block cell signaling could be to interrupt the HSL synthesis by using analogs of HSL precursors.
- However, the most promising possibility to block quorum sensing is to take advantage of the unique specificity the HSLs and HSL-receptor proteins show for one another. The ability of homoserine lactone-based analogs to inhibit activation of HSL-receptor proteins has already been demonstrated in a number of bacteria including Vibrio fischeri (Schaefer et al, J. Bacteriol. 178:2897-901, 1996), Agrobacterium tumefaciens (Zhu et al., J. Bacteriol. 180:5398-405, 1998), Chromobacterium violaceum (McLean et al., Microbiology 143:3703-11, 1997), Aeromonas salmonicida (Swift et al., J. Bacteriol. 179:5271-81, 1997) and Pseudomonas aeruginosa (Pesci et al., J. Bacteriol. 179:3127-32, 1997). However, none of these compounds have been developed as antimicrobial agents, e.g. in medical therapy, so far.
- The are only few non-HSL-based antimicrobials described which are supposed to interfere specifically with HSL-regulated processes, for example halogenated furanone derivatives which are structurally similar to HSLs and have been isolated from red marine algae Delisea pulchra (WO 96129392; Hentzer et al., Microbiology 148:87-102, 2002). Additionally, these substances have been demonstrated to inhibit also Gram-positive bacteria (WO 99/53915). However, the use of most of these furanone compounds is limited due to their toxicity making them unsuitable for veterinary and medical applications.
- Furthermore, Smith et al. (Chem. Biol., 10:81-9, 2003) recently published Pseudomonas aeruginosa HSL analogs with slight structural variations targeted to the HSL moiety which act both as quorum sensing agonists and antagonists. Additionally, WO 02/088298 reportedly provides certain nitrogen heterocyclic molecules for controlling biofilms based on the interference with quorum sensing.
- Many target genes involved in biofilm formation, methods of screening for compounds to control biofilm development and HSL-based compositions to prevent biofilm formation have been described (WO 99/55368, WO 98/57618, WO 99/27786, WO 98/58075), but until now no promising antibacterial drug candidate has been developed that is capable of inhibiting virulence gene expression and biofilm formation in different areas, preferentially in the medical field.
- It is an object of the present invention to provide compounds blocking specifically quorum sensing regulated processes without inhibiting bacterial growth, Furthermore, these compounds should not be structural derivatives of the homoserine lactone family of regulatory compounds and should not exhibit any toxic properties.
- Accordingly, we have been able to find compounds that can significantly reduce virulence gene expression and biofilm formation of several human pathogens. In contrast to the furanones the compounds of this invention do not show any toxic effect and are therefore suitable for applications in a wide area. Such applications could be the use of the compounds for instance as new antibiotic therapeutics, disinfectants, antifouling coatings or coatings of medical devices. In contrast to traditional antibacterial agents (like amide or 1,2-acylhydrazine derivatives in WO 01/51456; for the synthesis of amide or 1,2-acylhydrazine derivatives see also EP 638545 and EP 982292), the compounds of the present invention do not kill the microorganisms, but render them avirulent. The advantage of this alternative strategy is that the emergence of bacterial resistance against such antimicrobials is extremely improbable.
- In general, the present invention provides compounds selectively modulating bacterial cell-cell communication. Through inhibition of this communication system the expression of many HSL-dependent virulence genes and other phenotypes like swarming motility and biofilm formation are significantly reduced or completely abolished rendering a bacterial population more susceptible to the host immune-response or to treatment with traditional antibacterial agents.
- Thus, in one aspect, the invention refers to a method for inhibiting an HSL-regulated process in a microorganism by exposing the microorganism to a new class of compounds with an inhibitory effect on bacterial signaling.
-
FIG. 1 illustrates a general N-acyl-L-homoserine lactone structure where the depicted R is an acyl side chain; -
FIG. 2 graphically illustrates the influence of representative compounds of the present invention on the growth of E. coli MT102 (pSB403); -
FIG. 3 graphically illustrates the inhibitory effect of representative compounds of the present invention on the protease production of P. aeruginosa PAO-JP2; -
FIG. 4 graphically illustrates the influence of representative compounds of the present invention on the growth of P. aeruginosa PAO-JP2; -
FIG. 5A graphically illustrates the inhibitory effect of representative compounds of the present invention (0.4 mM) on biofilm formation of Burkholderia cepacia H111, with statistical data of at least five (5) separate representative experiments; -
FIG. 5B is an illustration of a microtitre dish; -
FIG. 6 graphically illustrates the influence of representative compounds of the present invention (0.4 mM) on the growth of Burkholderia cepacia H111. - The present invention therefore refers to compounds of the general Formula (I)
- wherein
- R is H, alkyl, cycloalkyl, aryl or heteroaryl;
- R1 is H, alkyl, cycloalkyl, aryl or heteroaryl;
- R2 is H, alkyl, cycloalkyl, aryl or heteroaryl;
- A1 and A2 each independently represent an optionally substituted C1-C20-alkyl group which may contain one or more group(s) Z, or a monocyclic or polycyclic optionally substituted aromatic or non-aromatic ring system which may contain one or more group(s) X, and in case of a polycyclic ring system, said system contains at least one aromatic ring;
- Z is selected from the group consisting of S, O, N, NR4, CO, CO2, CS, SO or SO2
- X is selected from the group consisting of S, O, N, NR4, SO or SO2;
- said substituted ring system carries a substituent R3 on one or more of the carbon atoms of said ring system;
- said substituted C1-C20-alkyl group carries a substituent R3 on one or more of the carbon atoms of said alkyl group;
- R3 is independently H, OR4, SR4, hydroxyalkyl, hydroxyalkylamino, cycloalkyl, halogen, haloalkyl, haloalkyloxy, NO2, CN, SO2NR4R5, CO2NR4R5, COR4, CO2R4, SO2R4, SO3R4, NR4R5, alkyl, aryl or heteroaryl;
- R3′ is independently H, OR4, SR4, hydroxyalkyl, hydroxyalkylamino, cycloalkyl, halogen, haloalkyl, haloalkyloxy, NO2, CN, SO2NR4R5, CO2R4R5, COR4, CO2R4, SO2R4, SO3R4, NR4R5, alkyl, aryl or heteroaryl;
- R3″ is independently H, OR4, SR4, hydroxyalkyl, hydroxyalkylamino, cycloalkyl, halogen, haloalkyl, haloalkyloxy, NO2, CN, SO2NR4R5, CO2NR4R5, COR4, CO2R4, SO2R4, SO3R4, NR4R5, alkyl, aryl or heteroaryl;
- R4 is H, alkyl, cycloalkyl, aryl or heteroaryl;
- R5 is H, O-alkyl, O-aryl, alkyl, heteroaryl or aryl;
- Y1 and Y2 are independent from each other C═O, C═S, SO2 or C═NR5;
- p is 0, n is 0;
- or p is 0, n is 1;
- or p is 1, n is 0;
- or p is 1, n is 1;
- In Formula (I) the following definitions are used:
- an alkyl group, if not stated otherwise, denotes a linear or branched C1-C6-alkyl, preferably a linear or branched chain of one to five carbon atoms, a linear or branched C1-C6-alkenyl or a linear or branched C1-C6-alkinyl group, which can optionally be substituted by one or more substituents R3, preferably by halogen;
the C1-C6-alkyl, C1-C6-alkenyl and C1-C6-alkinyl residue may be selected from the group comprising —CH3, —C2H5, —CH═CH2, —C≡CH, —C3H7, —CH(CH)2, —CH2—CH═CH2, —C(CH3)═CH2, —CH═CH—CH3, —C≡C—CH3, —CH2═C≡CH, —C4H9, —CH2—CH(CH3)2, —CH(CH3)—C2H5, —C(CH3)3, —C5H11, —C6H13, —C(R3)3, —CR3(R3′)2, —CR3(R3′)R3″, —C2(R3)5, —CH2—C(R3)3, —CH2—CR3(R3′)2, —CH2—CR3(R3′)R3″, —C3(R3)7, —C3(R3)7, —C2H4—C(R3)3, —C2H4—CH═CH2, —CH═CH—C2H5, —CH═C(CH3)2, —CH2—CH═CH—CH3, —CH═CH—CH═CH2, —C2H4—C≡CH, —C≡C—C2H5, —CH2—C≡CH3, —C≡C—CH═CH2, —CH═CH—C≡CH, —C≡C—C≡CH, —C2H4—CH(CH3)2, —CH(CH3)—C3H7, —CH2—(CH3)—C2H5, —CH(CH3)—CH(CH3)2, —C(CH3)2—CH5, —CH2—C(CH3)3, —C3H6—CH═CH2, —CH═CH—C3H7, —C2H4—CH═CH—CH3, —CH2—CH═CH—C2H5, —CH2—CH═CH—CH═CH2, —CH═CH—CH═CH—CH3, —CH═C—CH2—CH═CH2, —C(CH3)═CH—CH═CH2, —CH═C(CH3)—CH═CH2, —CH═CH—C(CH3)═CH2, —CH2—CH═C(CH3)2, —C(CH3)═C(CH3)2, —C3H6—C≡CH, —C≡C—C3H7, —C2H4—C≡CH3, —CH2C≡C—C2H5, —CH2C≡C—CH2, —CH2—CH═CH—C≡CH, —CH2C≡C—C≡CH, —C≡C—CH═CH—CH3, —CH═CH—C≡C—CH3, —C≡C—C≡C—CH3, —C≡C—CH2—CH═CH2, —CH═CH—CH2C≡CH, —C≡C—CH2—C≡CH, —C(CH3)═CH—CH—CH═CH2, —CH═CH3)—CH═CH2, —CH═CH—C(CH3)═CH2, —C(CH3)═CH—C≡CH, —CH═C(CH3)—C≡CH, —C-≡C—C(CH3)═CH2, —C3H6—CH(CH3)2, —C2H4—(CH3)—C2H5, —CH(CH3)—C4H9, —CH2—CH(CH3)—C3H7, —CH(CH3)—CH2—CH(CH3)2, —CH(CH3)—CH(CH3)—C2H5, —CH2—CH(CH3)—CH(CH3)2, —CH2—C(CH3)2—C2H5, —C(CH3)2—C3H7, —C(CH3)2—CH(CH3)2, —C2H4—C(CH3)3, —CH(CH3)—C(CH3)3, —C4H8H═CH2, —CH═CH—C4H9, —C3H6—CH═CH—CH3, —CH2—H═CH—C3H7, —C2H4—CH═CH—C2H5, —CH2—C(CH3)═C(CH3)2, —C2H4—CH═C(CH3)2, —C4H8—C≡CH, —C≡C—C4H9, —C3H6—C≡C—CH3, —CH2—C≡C—C3H7, —C2H4—C≡C—C2H5;
a cycloalkyl group denotes a non-aromatic ring system containing three to eight carbon atoms, preferably four to eight carbon atoms, wherein one or more of the carbon atoms in the ring can be substituted by a group X, X being as defined above; the C3-C8-cycloalkyl residue may be selected from the group comprising -cyclo-C3H5, -cyclo-C4H7, -cyclo-C5H9, -cyclo-C6H11, -cyclo-C7H13, -cyclo-C8H15;
an alkoxy group denotes an O-alkyl group, the alkyl group being as defined above; the alkoxy group is preferably a methoxy, ethoxy, isopropoxy, t-butoxy or pentoxy group;
an haloalkyl group denotes an alkyl group which is substituted by one to five halogen atoms, the alkyl group being as defined above; the haloalkyl group is preferably a —C(R10)3, —CR10(R10′)2, —CR10(R10′)R10″, —C2(R10)5, —CH2—C(R10)3, —CH2—CR10(R10′)2, —CH2—CR10(R10′)R10″, —C3(R10)7 or —C2H4—C(R10)3, wherein R10, R10′, R10″ represent F, Cl, Br or I, preferably F;
a hydroxyalkyl group denotes an HO-alkyl group, the alkyl group being as defined above;
an haloalkyloxy group denotes an alkoxy group which is substituted by one to five halogen atoms, the alkyl group being as defined above; the haloalkyloxy group is preferably a —OC(R10)3, —OCR10(R10′)2, —OCR10(R10′)R10″, —OC2(R10″)5, —OCH2—C(R10)3, —OCH2—CR10(R10′)2, —OCH2—CR10(R10′)R10″, —OC3(R10)7 or —OC2H4—C(R10)3, wherein R10, R10′, R10″ represent F, Cl, Br or I, preferably F;
a hydroxyalkylamino group denotes an (HO-alkyl)2-N-group or HO-alkyl-NH-group, the alkyl group being as defined above;
a halogen group is chlorine, bromine, fluorine or iodine;
an aryl group preferably denotes an aromatic group having five to fifteen carbon atoms, which can optionally be substituted by one or more substituents R3, where R3 is as defined above; the aryl group is preferably a phenyl group, —CH2—C6H4, —C2H4—C6H4, —CH═CH—C6H4, —C≡C—C6H4, -o-C6H4—R3, -m-C64—R3, -p-C6H4R3, -o-CH2—C6H4—R3, -m-CH2—C6H4—R3, -p-CH2—C6H4—R3;
a heteroaryl group denotes a 5- or 6-membered heterocyclic group which contains at least one heteroatom like O, N, S. This heterocyclic group can be fused to another ring. For example, this group can be selected from an oxazol-2-yl, oxazol-4-yl, oxazol-5-yl, thiazol-2-yl, thiazol-4-yl, thiazol-5-yl, isothiazol-3-yl, isothiazol-4-yl, isothiazol-5-yl, 1,2,4-oxadiazol-3-yl, 1,2,4-oxadiazol-5-yl, 1,2,4-thiadiazol-3-yl, 1,2,4-thiadiazol-5-yl, 1,2,5-oxadiazol-3-yl, 1,2,5-oxadiazol-4-yl, 1,2,5-thiadiazol-3-yl, 1-imidazolyl, 2-imidazolyl, 1,2,5-thiadiazol-4-yl, 4-imidazolyl, 1-pyrrolyl, 2-pyrrolyl, 3-pyrrolyl, 2-furanyl, 3-furanyl, 2-thienyl, 3-thienyl, 2-pyridyl, 3-pyridyl, 4-pyridyl, 2-pyrimidinyl, 4-pyrimidinyl, 5-pyrimidinyl, 3-pyridazinyl, 4-pyridazinyl, 2-pyrazinyl, 1-pyrazolyl, 3-pyrazolyl, 4-pyrazolyl, indolyl, indolinyl, benzo-[b]-furanyl, benzo[b]thiophenyl, benzimidazolyl, benzothiazolyl, quinazolinyl, quinoxazolinyl, or preferably isoxazol-3-yl, isoxazol-4-yl, isoxazol-5-yl, quinolinyl, tetrahydro-quinolinyl, isoquinolinyl, tetrahydroisoquinolinyl group. This heterocyclic group can optionally be substituted by one or more substituents R3, where R3 is as defined above. - In Formula (I), A1 or A2 each independently represent a C1-C20-alkyl group which is optionally substituted by one or more substituents R3, or a monocyclic or polycyclic aromatic or non-aromatic ring system which is optionally substituted by one or more substituents R3 and in case of an aromatic ring system contains at least one aromatic ring. The optionally substituted monocyclic or polycyclic aromatic or non-aromatic ring system may also contain one or more groups X selected from S, O, N, NR4, SO or SO2. In preferred embodiments, A1 and A2 each independently represent an optionally substituted C1-C20-alkyl group or an optionally substituted monocyclic or bicyclic aromatic ring system. In case of substitutions of carbon atoms in the ring system, preferably one, two or three carbon atoms am substituted by a group X, wherein X is selected from the group consisting of S, O, N, NR4, SO or SO2. In one preferred embodiment, one of the carbon atoms is substituted by a group X=O, S, NH.
- In Formula (I), A1 and/or A2 independently represent an optionally substituted C1-C20-alkyl group which is optionally substituted by one or more substituents R3. Preferably A1 and/or A2 independently represent an optionally substituted C1-C12-alkyl group, said alkyl group may be a straight chain or branched chain alkyl group, and examples include methyl, ethyl, propyl, isopropyl, butyl, t-butyl, isobutyl, pentyl, hexyl, heptyl, octyl, nonyl, decyl, undecyl and dodecyl groups. The term alkyl group also contains alkenyl and alkinyl groups, that means that the alkyl group contains one or more double or triple bounds.
- In Formula (I), A1 and/or A2 represent an optionally aromatic or non-aromatic ring system, which is substituted by one or more substituents R3, said ring system may be a phenyl, I-naphthyl, 2-napthyl, 1-anthracenyl, 2-anthracenyl, 2-pyranyl, 3-pyranyl, 4-pyranyl, 2-thiazolyl, 4-thiazolyl, 5-thiazolyl, 2-oxazolyl, 4-oxazolyl and 5-oxazolyl, in particular 3-pyrazolyl, 4-pyrazolyl, 5-pyrazolyl, 2-pyrazinyl, 3-pyrazinyl, 1-imidazolyl, 2-imidazolyl, 2-thienyl, 3-thienyl, 2-furyl, 3-furyl, 2-pyridyl, 3-pyridyl, 4-pyridyl, benzothiophene, pyrazolo[3,4-b]-pyridyl, 2-pyrimidyl, 4-pyrimidyl and 9H-thioxanthene-10,10-dioxide ring, in which the ring system can be fused to one or more other monocyclic aromatic or non-aromatic rings.
- Suitable substituents for A1 and/or A2 are independently H, CO2R4, COR4, CONR4R5, NR4R5, OR4, SR4, hydroxyalkylamino, NO2, CN, hydroxylalkyl, halogen, haloalkyl, haloalkyloxy, SO2NR4R5, CO2NR4R5, CO2R4, SO2R4, SO3R4, NR4R5, alkyl, cycloalkyl, arylalkyl, aryl or heteroaryl.
- Furthermore the present invention is directed to novel compounds of the general Formula (X) and pharmaceutically acceptable salts thereof:
- wherein
- A3 is an optionally substituted C3-C20-alkyl group or
- an C3-C20-alkyl group denotes a linear or branched C3-C20-alkyl group, which is optionally substituted by R3, R3 being as defined below; the C3-C20-alkyl residue may be selected from the group comprising —C3H7, —CH(CH3)2, —CH4H9, —CH2—CH(CH3)2, —CH(CH3)C2H5, —CH2—CH(CH3)—CH3, —C(CH3)3, —C5HC3H7, —CH2CH(CH3)—C2H5, —CH(CH3)—CH(CH3)2, —C(CH3)2—C2H5, —CH2—C(CH3)3, —C6H13, —C3H6—CH(CH3)2, —C2H4—CH(CH3)—C2H5, —CH(CH3)—C4H9, —CH2—CH(CH3)—C3H7, —CH(CH3)—CH2—CH(CH3)2, —CH(CH3)—CH(CH3)—C2H5, —CH2—CH(CH3)—CH(CH3)2), —CH2—C(CH3)2—C2H5, —C(CH3)2—C3H7, —C(CH3)2CH(CH3)2, —C2H4—C(CH3)3, —CH(CH3)—C(CH3)3, —C7H15, —C3H6—C(CH3)3, —C4H8—CH(CH3)2, —C3H6—CH(CH3)—C2H5, —C2H4—C(CH3)2—C3H5, —C2H4—CH(CH3)—C3H7, —CH2—C(CH3)2—C3H7, —CH2—CH(CH3)—C4H9, —CH(CH3)—C5H11, —C(CH3)2—CH3, —C(CH3)2—CH2—CH(CH3)2, —CH(CH3)—C2H4—CH(CH3)2, —CH2—CH(CH3)—CH2—CH(CH3)2, —CH2—C(CH3)2—CH(CH3)2, —CH(CH3)—CH2—(CH3)3, —CH2—CH(CH3)—C(CH3)3, —C8H17, —C4H8—C(CH3)3, —C5H10—CH(CH3)2, —C4H8—CH(CH3)—C2H5, —C3H6—C(CH3)2—C2H5, —C3H6—CH(CH3)—C3H7, —C2H4—C(CH3)2—C3H7, —C2H4—CH(CH3)—C4H9, —CH2—CH(CH3)—C5H11, —C(CH3)2—C5H11, —CH(CH3)—C6H13, —C9H19, —C5H10—C(CH3)3, —C6H12—CH(CH3)2, —C5H10—CH(CH3)—C2H5, —C4H8—C(CH3)2—C2H5, —C4H8—C(CH3)—C3H7, —C3H6—C(CH3)2—C3H7, —C3H6—CH(CH3)—C4H9, —C2H4—C(CH3)2—C49, —C2H4—CH(CH3)—C5H11, —CH2—C(CH3)2—C5H11, —CH2—CH(CH3)—C6H13, —C(CH3)2—C6H13, —CH(CH3)—C7H15, —C10H21, —C6H12—C(CH3)3, —C7H14—CH(CH3)2, —C6H12—CH(CH3)—C2H5, —C5H10—C(CH3)2—C2H5, —C5H10—CH(CH3)—C3H7, —C4H8—C(CH3)2—C3H7, —C4H8—CH(CH3)—C4H9, —C3H6—C(CH3)2—C4H9, —C3H6—CH(CH3)—C5H11, —C2H4—C(CH3)2—C5H11, —C2H4—CH(CH3)—C6H13, —CH2—C(CH3)2—C6H13, —CH2—CH(CH3)—C7H15, —C(CH3)2—C7H15, —CH(CH3)—C8H17, —C11H23, —C7H14—C(CH3)3, —C8H16—CH(CH3)2, —C7H14—CH(CH3)—C2H5, —C6H12—(CH3)2—C2H5, —C6H12—CH(CH3)—C3H7, —C5H10—C(CH3)2—C3H7, —C5H10—CH(CH3)—C4H9, —C4H8—C(CH3)2—C4H9, —C4H8—CH(CH3)—C5H11, —C3H6—C(CH3)2—C5H11, —C3H6—CH(CH3)—C6H13, —C2H4—C(CH3)2—C6H13, —C2H4—CH(CH3)—C7H15, —CH2—C(CH3)2—C7H15, —CH2—CH(CH3)—C8H17, —C(CH3)2—C8H17, —CH(CH3)—C9H19, —C12H25, —C8H16—C(CH3)3, —C9H18—CH(CH3)2, —C8H16—CH(CH3)—C2H5, —C7H14—C(CH3)2—C2H5, —C7H14—CH(CH3)—C3H7, —C6H2—C(CH3)2—C3H7, —C6H12—CH(CH3)—C4H9, —C5H10—C(CH3)2—C4H9, —C5H10—CH(CH3—C5H11, —C4H8—C(CH3)2—C5H11, —C4H8—CH(CH3)—C6H13, —C3H6—C(CH3)2—C6H13, —C3H6—CH(CH3)—C7H15, C2H4—C(CH3)2—C7H15, —C2H4—CH(CH3)—C8H17, —CH2—C(CH3)2—C8H17, —CH2—CH(CH3)—C9H19, —C(CH3)2—C9H19, —CH(CH3)—C10H21;
- R6 is independently of each other —H, —F, —Cl, —Br, —I, —NO2, —NR4R5, —CN, alkyl, cycloalkyl, —OH, alkoxy, alkylthio, hydroxyalkylamino, haloalkyl, haloalkyloxy, hydroxyalkyl, aryl or heteroaryl;
- R7 is independently of each other —H, —F, —Cl, —Br, —I, —NO2, —NR4R5, —CN, alkyl, cycloalkyl, —OH, alkoxy, alkylthio, hydroxyalkylamino, haloalkyl, haloalkyloxy, hydroxyalkyl, aryl or heteroaryl;
- R8 is independently of each other —H, —F, —Cl, —Br, —I, —NO2, —NR4R5, —CN, alkyl, cycloalkyl, —OH, alkoxy, alkylthio, hydroxyalkylamino, haloalkyl, haloalkyloxy, hydroxyalkyl, aryl or heteroaryl;
- X is selected from the group consisting of S, O, N, NR4, SO or SO2;
- R4 is H, alkyl, cycloalkyl, aryl or heteroaryl;
- R5 is H, O-alkyl, O-aryl, alkyl, heteroaryl or aryl;
- R3, R3′ or R3″ are independently H, OR4, SR4, hydroxyalkyl, hydroxyalkylamino, cycloalkyl, halogen, haloalkyl, haloalkyloxy, NO2, CN, SO2NR4R5, CO2NR4R5, COR4, CO2R4, SO2R4, SO3R4, NR4R5, alkyl aryl or heteroaryl; with R4, R5 being as defined above;
- an alkyl group, if not stated otherwise, denotes a linear or branched C1-C6-alkyl, preferably a linear or branched chain of one to five carbon atoms, a linear or branched C1-C6-alkenyl or a linear or branched C1-C6-alkinyl group, which can optionally be substituted by one or more substituents R3, preferably by halogen;
- the C1-C6-alkyl, C1-C6-alkenyl and C1-C6-alkinyl residue may be selected from the group comprising —CH3, —C2H5, —CH═CH2, —C≡CH, —C3H7, —CH(CH3)2, —CH2—CH═CH2, —C(CH3)═CH2, —CH═CH—CH3, —C≡C—CH3, —CH2—C≡CH, —C4H9, —CH2—CH(CH3)2, —CH(CH3)—C2H5, —C(CH3)3, —C5H11, —C6H13, —C(R3)3, —CR(R3′)2, —CR3(R3′)R3″, —C2(R3)5, —CH2—C(R3)3, —CH2—CR3(R3′)2, —CH2—CR3(R3′)R3″, C3(R3)7, —C2H4—C(R3)3, —C2H4—CH═CH2, —CH═CH—C2H5, —CH═C(CH3)2, —CH2—CH═CH—CH3, —CH═CH—CH═CH2, —C2H4—C≡CH, —C≡C-c2H5, —CH2—CH≡C—CH3, —C≡C—CH═CH2, —CH═CH—C≡CH, —C≡C—C≡CH, —C2H4—CH(CH3)2, —CH(CH3)—C3H7, —CH2—CH(CH3)—C2H5, —CH(CH3)—CH(CH3)2, —C(CH3)2—C2H5, —CH2—C(CH3)3, —C3H6—CH═CH2, —CH═CH—C3H7, —C2H4—CH═CH—CH3, —CH2—CH═CH—C2H5, —CH2—CH═CH—CH═CH2, —CH═CH—CH═CH—CH3, —CH═CH—CH2—CH═CH2, —C(CH3)═CH—CH═CH2, —CH═C(CH3)—CH═CH2, —CH═CH—C(CH3)═CH2, —CH2—CH═C(CH3)2, —C(CH3)═C(CH3)2, —C3H6—C≡CH, —C≡C—C3H7, —C2H4—C≡C—CH3, —CH2—C≡C—C2H5, —CH2—C≡C—CH═CH2, —CH2—CH═CH—C≡CH, —CH2—C≡C—C≡CH, —C≡C—CH═CH—CH3, —CH═CH—C≡C—CH3, —C≡C—C≡C—CH3, —C≡C—CH2—CH═CH2, —CH═CH—CH2—C≡CH, —C≡C—CH2—C≡CH, —C(CH3)═CH—CH═CH2, —CH═C(CH3)—CH═CH2, —CH═CH—C(CH3)═CH2, —C(CH3)═CH—C≡CH, —CH═C(CH3)—C≡CH, —C≡C—C(CH3)═CH2, —C3H6—CH(CH3)2, —C2H4—CH(CH3)—C2H5, —CH(CH3)—C4H9, —CH2—CH(CH3)—C3H7, —CH(CH3)—CH2—CH(CH3)2, —CH(CH3)—CH(CH3)—C2H5, —CH2—CH(CH3)—CH(CH3)2, —CH2—C(CH3)2—C2H5, —C(CH3)2—C2H7, —C(CH3)2—CH(CH3)2, —C2H4—C(CH3)3, —CH(CH3)—C(CH3)3, —C4H8—CH═CH2, —CH═CH—C4H9, —C3H6—CH═CH—CH3, —CH2—CH═CH—C3H7, —C2H4—CH═CH—C2H5, —CH2—C(CH3)═C(CH3)2, —C2H4—CH═C(CH3)2, —C4H8—C≡CH, —C≡C4H9, —C3H6—C≡C—CH3, —CH2—C≡C3H7, —C2H4—C≡C—C2H5;
- a cycloalkyl group denotes a non-aromatic ring system containing three to eight carbon atoms, preferably four to eight carbon atoms, wherein one or more of the carbon atoms in the ring can be substituted by a group X, X being as defined above; the C3-C8-cycloalkyl residue may be selected from the group comprising -cyclo-C3H5, -cyclo-C4H7, -cyclo-C5H9, -cyclo-C6H11, -cyclo-C7H13, -cyclo-C8H15;
- an alkoxy group denotes an O-alkyl group, the alkyl group being as defined above; the alkoxy group is preferably a methoxy, ethoxy, isopropoxy, t-butoxy or pentoxy group.
- an haloalkyl group denotes an alkyl group which is substituted by one to five halogen atoms, the alkyl group being as defined above; the haloalkyl group is preferably a —C(R10)3, —CR10(R10′)2, —CR10(R10′)R10″, —C2(R10)5, —CH2—C(R10)3, —CH2—CR10(R10′)2, —CH2—CR10(R10′)R10″, —C3(R10)7 or —C2H4—C(R10)3, wherein R10, R10′, R10″ represent F, Cl, Br or I, preferably F;
- a hydroxyalkyl group denotes an HO-alkyl group, the alkyl group being as defined above:
- an haloalkyloxy group denotes an alkoxy group which is substituted by one to five halogen atoms, the alkyl group being as defined above; the haloalkyloxy group is preferably a —OC(R10)3, —OCR10(R10′)2, —OCR10(R10′)R10″, —OC2(R10)5, —OCH2—C(R10)3, —OCH2—CR10(R10′)2, —OCH2—CR10(R10′)R10″, —OC3(R10)7 or —OC2H4—C(R10)3, wherein R10, R10′, R10″, represent F, Cl, Br or I, preferably F;
- a hydroxyalkylamino group denotes an (HO-alkyl)2-N-group or HO-alkyl-NH-group, the alkyl group being as defined above;
- a halogen group is chlorine, bromine, fluorine or iodine;
- an aryl group preferably denotes an aromatic group having five to fifteen carbon atoms, which can optionally be substituted by one or more substituents R3, where R3 is as defined above, the aryl group is preferably a phenyl group, —CH2—C6H4, —C2H4—C6H4, —CH═CH—C6H4, —C≡C—C6H4, -o-C6H4—R3, -m-C6H4—R3, -p-C6H4—R3, -o-CH2—C6H4R3, -m-CH2—C6H4—R3, -p-CH2—C6H4—R3;
- a heteroaryl group denotes a 5- or 6-membered heterocyclic group which contains at least one heteroatom like O, N, S. This heterocyclic group can be fused to another ring. For example, this group can be selected from an oxazol-2-yl, oxazol-4-yl, oxazol-5-yl, thiazol-2-yl, thiazol-4-yl, thiazol-5-yl, isothiazol-3-yl, isothiazol-4-yl, isothiazol-5-yl, 1,2,4-oxadiazol-3-yl, 1,2,4-oxadiazol-5-yl, 1,2,4-thiadiazol-3-yl, 1,2,4-thiadiazol-5-yl, 1,2,5-oxadiazol-3-yl, 1,2,5-oxadiazol-4-yl, 1,2,5-thiadiazol-3-yl, 1-imidazolyl, 2-imidazolyl, 1,2,5-thiadiazol-4-yl, 4-imidazolyl, 1-pyrrolyl, 2-pyrrolyl, 3-pyrrolyl, 2-furanyl, 3-furanyl, 2-thienyl, 3-thienyl, 2-pyridyl, 3-pyridyl, 4-pyridyl, 2-pyrimidinyl, 4-pyrimidinyl, 5-pyrimidinyl, 3-pyridazinyl, 4-pyridazinyl, 2-pyrazinyl, 1-pyrazolyl, 3-pyrazolyl, 4-pyrazolyl, indolyl, indolinyl, benzo-[b]-furanyl, benzo[b]thiophenyl, benzimidazolyl, benzothiazolyl, quinazolinyl, quinoxazolinyl, or preferably isoxazol-3-yl, isoxazol-4-yl, isoxazol-5-yl, quinolinyl, tetrahydroquinolinyl, isoquinolinyl, tetrahydroisoquinolinyl group. This heterocyclic group can optionally be substituted by one or more substituents R3, where R3 is as defined above.
- However, the following compounds are excluded from Formula (X):
- 2-thiophenecarboxylic acid-5-nitro-2-(2-thienylcarbonyl)hydrazide, 4butylthiophene-2-carboxylic acid-N′-(4-butyl-thiophen-2-carbonyl)hydrazide, 2-thiophenecarboxylic acid-3-chloro-2-(2-thienylcarbonyl)hydrazide, 2-thiophene carboxylic acid-5-bromo-2-(2-thienylcarbonyl)hydrazide, 1H-pyrazole-5-carboxylic acid-1-methyl-2-(2-thienylcarbonyl)hydrazide, 2-thiophenecarboxylic acid-5-(4,5,6,7-tetrahydro-benzo[b]thien-2yl)-2-[[5-(4,5,6,7-tertahydrobenzo[b]thien-2-yl)-2-thienyl]-carbonyl]-hydrazide, 1H-pyrrole-2-carboxylic acid-2-(2-thienylcarbonyl)hydrazide, 2-thiophenecarboxylic acid-2-(2-thienylcarbonyl)-hydrazide, 2-thiophenecarboxylic acid N′-(furan-2-carbonyl)hydrazide, 2-thiophenecarboxylic acid-N′-(5-bromofuran-2carbonyl)hydrazide, 1H-pyrazole-3-carboxylic acid-4bromo-1,5-dimethyl-2-(2-thienylcarbonyl)hydrazide, thiophene-2-carboxylic acid N′-(3-chloro-4-methylthiophene-2-carbonyl)hydrazide and 2-furancarboxylic acid-5-[[[4-methyl-6-(trifluoromethyl)-2-pyrimidinyl]thio]methyl]-2-(2-thienylcarbonyl)hydrazide.
- Furthermore the present invention is directed to novel compounds of the general Formula (X) and pharmaceutically acceptable salts thereof:
- wherein
- A3 is an optionally substituted C3-C20-alkyl group or
- with the C3-C20-alkyl group being as defined above for Formula (X)
- R3 is defined as above in Formula (X)
- R4 is defined as above in Formula (X)
- R5 is defined as above in Formula (X)
- R6 is independently of each other —H, —F, —Cl, —Br, —I, —NR4R5, C1-C3-alkyl, alkoxy, alkylthio, hydroxyalkylamino, —CN, —NO2, —OH, haloalkyl, haloalkyloxy, hydroxyalkyl, aryl or heteroaryl;
- said C1-C3-alkyl of R6 denotes a linear or branched C1-C3-alkyl, a linear or branched C1-C3-alkenyl or a linear or branched C1-C3-alkinyl group, which can optionally be substituted by one or more substituents R, preferably by halogen; the C1-C3-alkyl, C1-C3-alkenyl and C1-C3-alkinyl residue may be selected from the group comprising —CH3, —C2H5, —CH═CH2, —-≡CH, —C3H7, —CH(CH3)2, —C≡C—CH3, —CH2—C≡CH;
- R7 is independently H, OR4, hydroxyalkyl, hydroxyalkylamino, cycloalkyl, halogen, haloalkyl, haloalkyloxy, NO2, CN, SO2NR4R5, CO2NR4R5, COR4, CO2R4, SO2R4, SO3R4, NR4R5, alkyl, aryl or heteroaryl;
- R7 is independently of each other —H, —F, —Cl, —I, —NO2, —NR4R5, —CN, C2-C6-alkyl, cycloalkyl, —OH, alkoxy, alkylthio, hydroxyalkylamino, haloalkyl, haloalkyloxy, hydroxyalkyl, aryl or heteroaryl;
- said C2-C6-alkyl of R7, denotes a linear or branched C2-C6-alkyl, a linear or branched C2-C6-alkenyl or a linear or branched C2-C6-alkinyl group, which can optionally be substituted by one or more substituents R3, preferably by halogen; the C2-C6-alkyl, C2-C6-alkenyl and C2-C6-alkinyl residue may be selected from the group comprising —C2H5, —CH═CH2, —C≡CH, —C3H7, —CH(CH3)2, —C≡C—CH3, —CH2—C≡CH, —CH2—CH═CH2, —C(CH3)═CH2, —CH═CH—CH3, —C4H9, —CH2—CH(CH3)2, —CH(CH3)—C2H5, —C(CH3)3, —C5H11, —C6H13, —C(R3)3, —CR3(R3′)2, —CR3(R3′)R3″, —C2(R3)5, —CH2—C(R3)3, —CH2—CR3(R3′)2, —CH2—CR3(R3′)R3″, —C3(R3)7, —C2H4—C(R3)3, —C2H4—CH═CH2, —CH═CH—C2H5, —CH═C(CH3)2, —CH2—CH═CH—CH3, —CH═CH—CH═CH2, —C2H4C≡CH2, —C≡C—C2H5, —CH2—C≡C—CH3, —C≡C—CH═CH2, —CH═CH—C≡CH, —C≡C—C≡CH, —C2H4—CH(CH3)2, —CH(CH3)—C3H7, —CH2CH(CH3)—C2H5, —CH(CH3)—CH(CH3)2, —C(CH3)2—C2H5, —CH2—C(CH3)3, —C3H6—CH═CH2, —CH═CH—C3H7, —C2H4—CH═CH—CH3, —CH2—CH═CH—C2H5, —CH2—CH═CH—CH═CH2, —CH═CH—CH═CH—CH3, —CH═CH—CH2—CH═CH2, —(CH3)═CH—CH═CH2, —CH═C(CH3)CH═CH2, —CH═CH—C(CH3)═CH2, —CH2—CH═C(CH3)2, —C(CH3)═C(CH3)2, —C3H6—C≡CH, —C≡C—C3H7, —C2H4—C≡C—CH3, —CH2—C≡C—C2H5, —CH2C≡C—CH═CH2, —CH2—CH═CH—C≡CH, —CH2—C≡C—C≡CH, —C≡C—CH═CH—CH3, —CH═CH—C≡C—CH3, —C≡C—C≡C—CH3, —C≡C—CH2—CH═CH2, —CH═CH—CH2C≡CH, —C≡-CH3—C≡CH, —C(CH3)═CH—CH═CH2, —CH═C(CH3)—CH═CH2, —CH═CH—C(CH3)═CH2, —C(CH3)═CH—C≡CH, —CH═C(CH3)—C≡CH, —C≡C—C(CH3)═CH2, —C3H6—CH(CH3)2, —C2H4—CH(CH3)—C2H5, —CH(CH3)—C4H9, —CH2—CH(CH3)—C3H7, —CH(CH3)—CH2—CH(CH3)2, —CH(CH3)—CH(CH3)—C2H5, —CH2—CH(CH3)—CH(CH3)2, —CH2—C(CH3)2—C2H5, —C(CH3)2—C3H7, —C(CH3)2—CH(CH3)2, —C2H4—C(CH3)3, —CH(CH3)—C(CH3)3, —C4H8—CH═CH2, —CH═CH—C4H9, —C3H6—CH═CH—CH3, —CH2—CH═CH—C3H7, —C2H4—CH═CH—C2H5, —CH2—C(CH3)═C(CH3)2, —C2H4—CH═C(CH3)2, —C4H8—C≡CH, —C≡C—C4H9, —C3H6—C≡C—CH3, —CH2C≡C—C3H7, —C2H4—C≡C—C2H5;
- R3, R3′ or R3″ are defined as above in Formula (X)
- R4, R5 are defined as above in Formula (X);
- R8 is independently of each other —H, —′F, —I, —NR4R5, —CN, C1-C3-alkyl, —OH, alkoxy, alkylthio, hydroxyalkylamino, haloalkyl, haloalkyloxy, hydroxyalkyl, aryl or heteroaryl;
- said C1-C3-alkyl of R8, denotes a linear or branched C1-C3-alkyl, a linear or branched C1-C3-alkenyl or a linear or branched C1-C3-alkinyl group, which can optionally be substituted by one or more substituents R′, preferably by halogen; the C1-C3-alkyl, C1-C3-alkenyl and C1-C3-alkinyl residue may be selected from the group comprising —CH3, —C2H5, —CH═CH2, C≡CH, —C3H7, —CH(CH3)2, —C≡C—CH3, —CH2—C≡CH;
- R′ is defined as above in Formula (X);
- R4, R5 are defined as above in Formula (X);
- R8′ is independently of each other —F, —I, —NR4R5, —CN, C1-C3-alkyl, —OH, alkoxy, alkylthio, hydroxyalkylamino, haloalkyl, haloalkyloxy, hydroxyalkyl, aryl or heteroaryl;
- said C1-C3-alkyl of R8′ denotes a linear or branched C1-C3-alkyl, a linear or branched C1-C3-alkenyl or a linear or branched C1-C3-alkinyl group, which can optionally be substituted by one or more substituents R′, preferably by halogen; the C1-C3-alkyl, C1-C3-alkenyl and C1-C3-alkinyl residue may be selected from the group comprising —CH3, —C2H5, —CH═CH2, —C≡CH, —C3H7, —CH(CH3)2, —C≡C—CH3, —CH2—C≡CH;
- R′ is defined as above in Formula (X);
- an alkyl group, referring to R3, R3′, R3″, R4 or R5 denotes a linear or branched C1-C6-alkyl, preferably a linear or branched chain of 1 to 5 carbon atoms, a linear or branched C1-C6-alkenyl or a linear or branched C1-C6-alkinyl group, which can optionally be substituted by one or more substituents R3, preferably by halogen;
- the C1-C6-alkyl, C1-C6-alkenyl and C1-C6-alkinyl residue may be selected from the group comprising —CH3, —C2H5, —CH═CH2, —C≡CH, —C3H7, —CH(CH3)2, —CH2—CH═CH2, —C(CH3)═CH2, —CH═CH—CH3, —C≡C—CH3, —CH2—C≡CH, —C4H9, —CH2—CH(CH3)2, —CH(CH3)—C2H5, —C(CH3)3, —C5H11, —C6H13, —C(R3)3, —CR3(R3′)2, —CR3(R3′)R3″, —C2(R3)5, —CH2—C(R3)3, —CH2—CR3(R3′)2, —CH2—CR3(R3′)R3″, —C3(R3)7, —C2H4—C(R3)3, —C2H4—CH═CH2, —CH═CH—C2H5, —CH═C(CH3)2, —CH2—CH═CH—CH3, —CH═CH—CH═CH2, —C2H4—C≡CH, —C≡C—C2H5, —CH2—C≡C—CH3, —C≡C—CH═CH2, —CH═CH—C≡CH, —C≡C—C≡CH, —C2H4—CH(CH3)2, —CH(CH3)—C3H7, —CH2—CH(CH3)—C2H5, —CH(CH3)—CH(CH3)2, —C(CH3)2—C2H5, —CH2—C(CH3)3, —C3H6—CH═CH2, —CH═CH—C3H7, —C2H4—CH═CH—CH3, —CH2—CH═CH—C2H5, —CH2—CH═CH—CH═CH2, —CH═CH—CH═CH—CH3, —CH═CH—CH2—CH═CH2, —C(CH3)═CH—CH═CH2, —CH═C(CH3)—CH═CH2, —CH═CH—C(CH3)═CH2, —CH2—CH═C(CH3)2, —C(CH3)═C(CH3)2, —C3H6—C═CH, —C≡C—C3H7, —C2H4—C≡C—CH3, —CH2—C≡C—C2H5, —CH2—C≡C—CH═CH2, —CH2—CH═CH—C≡CH, —CH2—C≡C—C≡CH, —C≡C—CH═CH—CH3, —CH═CH—C≡C—CH3, —C≡C—C≡C—CH3, —C≡C—CH2—CH═CH2, —CH═CH—CH2—C≡CH, —C≡C—CH2—C≡CH, —C(CH3)═CH—CH═CH2, —CH═C(CH3)—CH═CH2, —CH═CH—C(CH3)═CH2, —C(CH3)═CH—C≡CH, —CH═C(CH3)—C≡CH, —C≡C—C(CH3)═CH2, —C3H6—CH(CH3)2, —C2H4—CH(CH3)—C2H5, —CH(CH3)—C4H9, —CH2—CH(CH3)—C3H7, —CH(CH3)—CH2—CH(CH3)2, —CH(CH3)—CH(CH3)—C2H5, —CH2—CH(CH3)—CH(CH3)2, —CH2—C(CH3)2—C2H5, —C(CH3)2—C3H7, —C(CH3)2—CH(CH3)2, —C2H4—C(CH3)3, —CH(CH3)—C(CH3)3, —C4H8—CH═CH2, —CH═CH—C4H9, —C3H6—CH═CH—CH3, —CH2—CH═CH—C3H7, —C2H4—CH═CH—C2H5, —CH2—C(CH3)═C(CH3)2, —C2H4—CH═C(CH3)2, —C4H8—C≡CH, —C≡C—C4H9, —C3H6C≡C—CH3, —CH2—C≡C—C3H7, —C2H4—C≡C—C2H5;
- R3, R3′ or R3″ are defined as above in Formula (X);
- a cycloalkyl group is defined as above in Formula (X);
- an alkoxy group is defined as above in Formula (X);
- an haloalkyl is defined as above for in Formula (X);
- a hydroxyalkyl group is defined as above in Formula (X);
- an haloalkyloxy group is defined as above in Formula (X);
- a hydroxyalkylamino group is defined as above in Formula (X);
- a halogen group is defined as above in Formula (X);
- an aryl group is defined as above in Formula (X);
- a heteroaryl group is defined as above in Formula (X).
- Furthermore the present invention is directed to novel compounds of the general Formula (XI) and pharmaceutically acceptable salts thereof:
- wherein
- A4 is an optionally substituted C2-C20-alkyl or a 5-membered heteroaryl group, which contains at least one heteroatom like O, N, S, NR4, SO, SO2, Se; which can optionally be substituted by one or more substituents R3;
- R3 is independently H, OR4, SR4, hydroxyalkyl, hydroxyalkylamino, cycloalkyl, halogen, haloalkyl, haloalkyloxy, NO2, CN, SO2NR4R5, CO2NR4R5, COR4, CO2R4, SO2R4, SO3R4, NR4R5, alkyl, aryl or heteroaryl;
- R4 is H, alkyl, cycloalkyl, aryl or heteroaryl;
- R5 is H, O-alkyl, O-aryl, alkyl, heteroaryl or aryl;
- R17 is independently of each other —H, —F, —Cl, —I, —NO2, —NR4R5, —CN, alkyl, cycloalkyl, —OH, alkoxy, alkylthio, hydroxyalkylamino, haloalkyl, haloalkyloxy, hydroxyalkyl, aryl or heteroaryl;
- said C2-C20-alkyl residue may be selected from the group comprising —C2H5, —C3H7, —CH(CH3)2, —C4H9, —CH2—CH(CH3)2, —CH(CH3)—C2H5, —C(CH3)3, —C5H11, —C2H4—CH(CH3)2, —CH(CH3)—C3H7, —CH2—CH(CH3)—C2H5, —CH(CH3)—CH(CH3)2, —C(CH3)2—C2H5, —CH2—C(CH3)3, —C6H13, —C3H6—CH(CH3)2, —C2H4—CH(CH3)—C2H5, —CH(CH3)—C4H9, —CH2—CH(CH3)—C3H7, —CH(CH3)—CH2—CH(CH3)2, —CH(CH3)—CH(CH3)—C2H5, —CH2—CH(CH3)—CH(CH3)2, —CH2—C(CH3)2—C2H5, —C(CH3)2—C3H7, —C(CH3)2—CH(CH3)2, —C2H4—C(CH3)3, —CH(CH3)—C(CH3)3, —C7H15, —C3H6—C(CH3)3, —C4H8—CH(CH3)2, —C3H6—CH(CH3)—C2H5, —C2H4—C(CH3)2—C2H5, —C2H4—CH(CH3)—C3H7, —CH2—C(CH3)2—C3H7, —CH2—CH(CH2)—C4H9, —CH(CH2)—C5H11, —C8H17, —C4H8—C(CH3)3, —C5H10—CH(CH3)2, —C4H8—CH(CH3)—C2H5, —C3H6—(CH3)2—C2H5, —C3H6—CH(CH3)—C3H7, —C2H4—C(CH3)2—C3H7, —C2H3—CH(CH3)—C4H9, —CH2—C(CH3)2—C4H9, —CH2—CH(CH3)—C5H11, —C(CH3)2—C5H11, —CH(CH3)—C6H13, —C9H19, —C5H10—C(CH3)3, —C6H12—CH(CH3)2, —C5H10—CH(CH3)—C2H5, —C4H8—C(CH3)2—C2H5, —C4H8—CH(CH3)—C3h7, —C3H6—C(CH3)2—C3H7, —C3H6—CH(CH3)—C4H9, —C2H4—C(CH3)2—C4H9, —C2H4—CH(CH3)—C5H11, —CH2—C(CH3)2—C5H11, —CH2—CH(CH3)—C6H13, —C(CH3)2—C6H13, —CH(CH3)—C7H15, —C10H21, —C6H12—C(CH3)3, —C7H14—CH(CH3)2, —C6H12—CH(CH3)—C2H5, —C5H10—C(CH3)2—C2H5, —C5H10—CH(CH3)—C3H7, —C4H8—C(CH3)2—C3H7, —C4H8—CH(CH3)—C4H9, —C3H6—(CH3)2—C4H9, —C3H6—CH(CH3)—C5H11, —C2H4C(CH3)2—C5H11, —C2H4—CH(CH3)—C6H13, —CH2—C(CH3)2—C6H13, —CH2—CH(CH3)—C7H15, —C(CH3)2—C7H15, —CH(CH3)—C8H17, —C11H23, —C7H14—C(CH3)3, C8H16—CH(CH3)2, —C7H14—CH(CH3)—C2H5, —C6H12—C(CH3)2—C2H5, —C6H12—CH(CH3)—C3H7, —C5H10—C(CH3)2—C3H7, —C5H10—CH(CH3)C4H9, —C4H8—C(CH3)2—C4H9, —C4H8—CH(CH3)—C5H11, —C3H6—C(CH3)2—C5H11, —C3H6—CH(CH3)—C6H13, —C2H4—C(CH3)2—C6H13, —C2H4—CH(CH3)—C7H15, —CH2—C(CH3)2—C7H15, —CH2—CH(CH3)—C8H17, —C(CH3)2—C8H17, —CH(CH3)—C9H19, —C12H21, —C8H16—C(CH3)3, —C9H18—CH(CH3)2, —C8H16—CH(CH3)—C2H5, —C7H14—C(CH3)2—C2H5, —C7H14—C(CH3)—C3H7, —C6H12—C(CH3)2—C3H7, —C6H12—CH(CH3)—C4H9, —C5H10—C(CH3)2—C4H9, —C5H10—CH(CH3)—C5H11, —C4H8—(CH3)2—C5H11, —C4H8—CH(CH3)—C6H13, —C3H6—C(CH3)2—C6H13, —C3H6—CH(CH3)—C7H15, C2H4′C(CH3)2—C7H15, —C2H4—CH(CH3)—C8H17, CH2—C(CH3)2—C8H17, —CH2—CH(CH3)—C9H19, —C(CH3)2—C9H11, —CH(CH3)—C10H21;
- an alkyl group, if not stated otherwise, denotes a linear or branched C1-C6-alkyl, preferably a linear or branched chain of one to five carbon atoms, a linear or branched C1-C6-alkenyl or a linear or branched C1-C6-alkinyl group, which can optionally be substituted by one or more substituents R3, preferably by halogen;
- the C1-C6-alkyl, C1-6-alkenyl and C1-C6-alkinyl residue may be selected from the group comprising —CH3, —C2H5, —CH═CH2, —C≡CH, —C3H7, —CH(CH3)2, —CH2—CH═CH2, —C(CH3)═CH2, —CH═CH—CH3, —C≡C—CH3, —CH2—C≡CH, —C4H9, —CH2—CH(CH3)2, —CH(CH3)—C2H5, —C(CH3)3, —C5H11, —C6H13, —C(R3)3, —CR3(R3′)2, —CR3(R3′)R3″, —C2(R3)5, —CH2—C(R3)3, —CH2—CR3(R3′)2, —CH2—CR3(R3′)R3″, —C3(R3)7, —C2H4—(R3)3, —C2H4—CH═CH2, —CH═CH—C2H5, —CH═C(CH3)2, —CH2—CH═CH—CH2, —CH═CH—CH═CH2, —C2H4—C≡CH, —C≡C—C2H5, —CH2—C≡C—CH3, —C≡C—CH═CH2, —CH═CH—C≡CH, —C≡C—C≡CH, —C2H4—CH(CH3)2, —CH(CH3)—C3H7, —CH2—CH(CH3)—C2H5, —CH(CH3)—CH(CH3)2, —C(CH3)2—C2H5, —CH2—C(CH3)3, —C3H6—CH═CH2, —CH═CH—C3H7, —C2H4—CH═CH—CH3, —CH2—CH═CH—C2H5, —CH2—CH═CH—CH═CH2, —CH═CH—CH═CH—CH3, —CH═CH—CH2—CH═CH2, —C(CH3)═CH—CH═CH2, —CH═C(CH3)—CH═CH2, —CH═CH—C(CH3)═CH2, —CH2—CH═C(CH3)2, —C(CH3)═C(CH3)2, —C3H6—C≡CH, —C≡C—C3H7, —C2H4—C≡C—CH3, —CH2—C≡C—C2H5, —CH2—C≡C—CH═CH2, —CH2—CH═CH—C≡CH, —CH2—C≡C—C≡CH, —C≡C—CH═CH—CH3, —CH═CH—C≡C—CH3, —C≡C—C≡C—CH3, —C≡C—CH2—CH═CH2, —CH═CH—CH2—C≡CH, —C≡C—CH2—C≡CH, —C(CH3)═CH—CH═CH2, —CH═C(CH3)—CH═CH2, —CH═CH—C(CH3)═CH2, —C(CH3)═CH—C≡CH, —CH═C(CH3)—C≡CH, —C≡C—C(CH3)═CH2, —C3H6—CH(CH3)2, —C2H4—CH(CH3)—C2H5, —CH(CH3)—C4H9, —CH2—CH(CH3)—C3H7, —CH(CH3)—CH2—CH(CH3)2, —CH(CH3)—C2H5, —CH2—CH(CH3)—CH(CH3)2, —CH2—C(CH3)2—C2H5, —C(CH3)2—C3H7, —C(CH3)2—CH(CH3)2, —C2H4—C(CH3)3, —CH(CH3)—C(CH3)3, —C4H8—CH═CH2, —CH═CH—C4H9, —C3H6—CH═CH—CH3, —CH2—CH═CH—C3H7, —C2H4—CH═CH—C2H5, —CH2—C(CH3)═C(CH3)2, —C2H4—CH═C(CH3)2, —C4H8—C≡CH, —C≡C—C4H9, —C3H6—C≡C—CH3, —CH2—C≡C—C3H7, —C2H4—C≡C—C2H4;
- a cycloalkyl group denotes a non-aromatic ring system containing three to eight carbon atoms, preferably four to eight carbon atoms, wherein one or more of the carbon atoms in the ring can be substituted by a group X, X being as defined above; the C3-C8-cycloalkyl residue may be selected from the group comprising -cyclo-C3H5, -cyclo-C4H7, -cyclo-C5H9, -cyclo-C6H11, -cyclo-C7H13, -cyclo-C8H15;
- an alkoxy group denotes an O-alkyl group, the alkyl group being as defined above, the alkoxy group is preferably a methoxy, ethoxy, isopropoxy, t-butoxy or pentoxy group.
- an haloalkyl group denotes an alkyl group which is substituted by one to five halogen atoms, the alkyl group being as defined above; the haloalkyl group is preferably a —C(R10)3, —CR10(R10′)2, —CR10(R10′)R10″, —C2(R10)5, —CH2—C(R10)3, —CH2—CR10(R10′)2, —CH2—CR10(R10′)R10″, —C3(R10)7 or —C2H4—C(R10)3, wherein R10, R10′, R10″ represent F, Cl, Br or I, preferably F;
- a hydroxyalkyl group denotes an HO-alkyl group, the alkyl group being as defined above;
- an haloalkyloxy group denotes an alkoxy group which is substituted by one to five halogen atoms, the alkyl group being as defined above; the haloalkyloxy group is preferably a —OC(R10)3, —OCR10(R10′)2, —OCR10(R10′)R10″, —OC2(R10)5, —OCH2—C(R10)3, —OCH2—CR10(R10′)2, —OCH10(R10′)R10″, —OC3(R10)7 or —OC2H4—C(R10)3, wherein R10, R10′, R10″ represent F, Cl, Br or I, preferably F;
- a hydroxyalkylamino group denotes an (HO-alkyl)2-N-group or HO-alkyl-NH-group, the alkyl group being as defined above;
- a halogen group is chlorine, bromine, fluorine or iodine;
- an aryl group preferably denotes an aromatic group having five to fifteen carbon atoms, which can optionally be substituted by one or more substituents R3, where R3 is as defined above; the aryl group is preferably a phenyl group, —CH2—C6H4, —C2H4—C6H4, —CH═CH—C6H4, —C≡C—C6H4, -o-C6H4—R3, -m-C6H4—R3, -p-C6H4—R3, -o-CH2—C6H4—R3, -m-CH2—C6H4—R3, -p-CH2—C6H4—R3;
- a heteroaryl group denotes a 5- or 6-membered heterocyclic group which contains at least one heteroatom like O, N, S. This heterocyclic group can be fused to another ring. For example, this group can be selected from an oxazol-2-yl, oxazol-4-yl, oxazol-5-yl, thiazol-2-yl, thiazol-4-yl, thiazol-5-yl, isothiazol-3-yl, isothiazol-4-yl, isothiazol-5-yl, 1,2,4-oxadiazol-3-yl, 1,2,4-oxadiazol-5-yl, 1,2,4-thiadiazol-3-yl, 1,2,4-thiadiazol-5-yl, 1,2,5-oxadiazol-3-yl, 1,2,5-oxadiazol-4-yl, 1,2,5-thiadiazol-3-yl, 1-imidazolyl, 2-imidazolyl, 1,2,5-thiadiazol-4-yl, 4-imidazolyl, 1-pyrrolyl, 2-pyrrolyl, 3-pyrrolyl, 2-furanyl, 3-furanyl, 2-thienyl, 3-thienyl, 2-pyridyl, 3-pyridyl, 4-pyridyl, 2-pyrimidinyl, 4-pyrimidinyl, 5-pyrimidinyl, 3-pyridazinyl, 4-pyridazinyl, 2-pyrazinyl, 1-pyrazolyl, 3-pyrazolyl, 4-pyrazolyl, indolyl, indolinyl, benzo-[b]-furanyl, benzo[b]thiophenyl, benzimidazolyl, benzothiazolyl, quinazolinyl, quinoxazolinyl, or preferably isoxazol-3-yl, isoxazol-4-yl, isoxazol-5-yl, quinolinyl, tetrahydroquinolinyl, isoquinolinyl, tetrahydroisoquinolinyl group. This heterocyclic group can optionally be substituted by one or more substituents R3, where R3 is as defined above.
- with the proviso that N-(1-methyl-1H-pyrazole-5-yl)-1H-pyrazole-1-carboxamide, and 1-ethyl-3-methyl-N-(1-methyl-1H-pyrazole-5-yl)-4-nitro-1H-pyrazole-5-carboxamide are excluded.
- Furthermore the present invention is directed to novel compounds of the general Formula (XI) and pharmaceutically acceptable salts thereof;
- wherein
- A4 is an optionally substituted C2-C20-alkyl or a 5-membered heteroaryl group, which contains at least one heteroatom like O, N, S, NR4, SO, SO2, Se; which can optionally be substituted by one or more substituents R3;
- R3 is independently H, OR4, SR4, hydroxyalkyl, hydroxyalkylamino, cycloalkyl, halogen, haloalkyl, haloalkyloxy, NO2, CN, SO2NR4R5, CO2NR4R5, COR4, CO2R4, SO2R4, SO3R4, NR4R5, alkyl, aryl or heteroaryl;
- R4 is H, alkyl, cycloalkyl, aryl or heteroaryl;
- R5 is H, O-alkyl, O-aryl, alkyl, heteroaryl or aryl;
- R17 is independently of each other —H, —F, —Cl, —I, —NO2, —NR4R5, —CN, alkyl, cycloalkyl, —OH, alkoxy, alkylthio, hydroxyalkylamino, haloalkyl, haloalkyloxy, hydroxyalkyl, aryl or heteroaryl;
- said C2-C20-alkyl residue may be selected from the group given above for C2-C20-alkyl residue of Formula (XI).
- a cycloalkyl group is defined as above in Formula (X);
- an alkoxy group is defined as above in Formula (X);
- an haloalkyl is defined as above for in Formula (X);
- a hydroxyalkyl group is defined as above in Formula (X);
- an haloalkyloxy group is defined as above in Formula (X);
- a hydroxyalkylamino group is defined as above in Formula (X);
- a halogen group is defined as above in Formula (X);
- an aryl group is defined as above in Formula (X);
- a heteroaryl group may be selected from the group comprising oxazole2-yl, oxazol-4-yl, oxazole-5-yl, thiazole-2-yl, thiazole-4yl, thiazole-5-yl, isothiazole-3-yl, isothiazole-4-yl, isothiazole-5-yl, 1,2,4-oxadiazole-3-yl, 1,2,4oxadiazole-5-yl, 1,2,4-thiadiazole-3-yl, 1,2,4-thiadiazole-5-yl, 1,2,5-oxadiazole-3-yl, 1,2,5-oxadiazole4-yl, 1,2,5-thiadiazole-3-yl, 1-imidazolyl, 2-imidazolyl, 1,2,5-thiadiazol-4-yl, 4-imidazolyl, 1-pyrrolyl, 2-pyrrolyl, 3-pyrrolyl, 2-furanyl, 3-furanyl, 2-thienyl, 3-thienyl, 4-pyridyl, 4-pyrimidinyl, 5-pyrimidinyl, 3-pyridazinyl, 4-pyridazinyl, 2-pyrazinyl, 3-pyrazolyl, 4-pyrazolyl, indolyl, indolinyl, benzo[b]thiophenyl, benzimidazolyl, quinazolinyl, quinoxazolinyl, preferably isoxazole-3-yl, isoxazole-4-yl, isoxazole-5-yl, tetrahydroquinolinyl, isoquinolinyl, tetrahydroisoquinolinyl group, wherein said heteroaryl group can optionally be substituted by one or more substituents R3, R3 being as defined above in Formula (XI).
- Furthermore the present invention is directed to novel compounds of the general Formula (XII) and pharmaceutically acceptable salts thereof:
- wherein
- R11 is an optionally substituted phenyl group by one to five substituents R9 or an optionally substituted C4-C20-alkyl group by one or more substituents R3;
- R9 is independently of each other —H, —F, —Cl, —Br, —I, —SO2NH4, —SO2N(R4)2, —NR4R5, —NR4—CO—(C1-C6)-haloalkyl, —NO2, —NR4—SO2—(C1-C6)-haloalkyl, —CN, alkyl, cycloalkyl, —OH, —SH, alkylthio, alkoxy, hydroxyalkylamino, haloalkyloxy, haloalkyl, hydroxyalkyl, aryl or heteroaryl;
- R10 is independently of each other —H, —F, —Cl, —Br, —I, —NO2, NR4R5, —CN, alkyl, —OH, cycloalkyl, —SH, alkylthio, hydroxyalkylamino, hydroxyalkyl, aryl or heteroaryl;
- R3, R3′, R3″ is independently H, OR4, SR4, hydroxyalkyl, hydroxyalkylamino, cycloalkyl, halogen, haloalkyl, haloalkyloxy, NO2, CN, SO2NR4R5, CO2NR4R5, COR4, CO2R4, SO2R4, SO3R4, NR4R5, alkyl, aryl or heteroaryl,
- R4 is H, alkyl, cycloalkyl, aryl or heteroaryl;
- R5 is H, O-alkyl, O-aryl, alkyl, heteroaryl or aryl;
- X is selected from the group consisting of S, O, N, NR4, SO or SO2;
- said C4-C2-alkyl residue may be selected from the group comprising —C4H9, —CH2—CH(CH3)2, —CH(CH3)—C2H5, —C(CH3)3, —C5H11, —C2H4—CH(CH3)2, —CH(CH3)—C3H7, —CH2—CH(CH3)—C2H5, —CH(CH3)—CH(CH3)2, —C(CH3)2—C2H5, —CH2—C(CH3)3, —C6H13, —C3H6—CH(CH3)2, <2H4—CH(CH3)—C2H5, —CH(CH3)—C4H9, —CH2—CH(CH3)—C3H7, —CH(CH3)—CH2—CH(CH3)2, —CH(CH3)—CH(CH3)—C2H5, —CH2CH(CH3)—CH(CH3)2, —CH2—C(CH3)2—C2H5, —C(CH3)2—C3H7, —C(CH3)2—CH(CH3)2, —C2H4—C(CH3)3, —CH(CH3)—C(CH3)3, —C7H15, —C3H6—C(CH3)3, —C4H8—CH(CH3)2, —C3H6—CH(CH3)—C2H5, —C2H4—C(CH3)2—C2H5, —C2H4—CH(CH3)—C3H7, —CH2—C(CH3)2—C3H7, —CH2—CH(CH3)—C4H9, —CH(CH3)—C5H11, —C8H17, —C4H8—C(CH3)3, —C5H10—CH(CH3)2, —C4H8—CH(CH3)—C2H5, —C3H6—C(CH3)2—C2H5, —C3H6—CH(CH3)—C3H7, —C2H4—C(CH3)2—C3H7, —C2H4—CH(CH3)—C4H9, —CH2—C(CH3)2—C4H9, —CH2—CH(CH3)—C5H11, —C(CH3)2—C5H11, —CH(CH3)—C6H13, —C9H19, —C5H10—C(CH3)3, —C6H12—CH(CH3)2, —C5H10—CH(CH3)—C2H5, —C4H8—C(CH3)2—C2H5, —C4H8—CH(CH3)—C3H7, —C3H6—C(CH3)2—C3H7, —C3H6CH(CH3)—C4H9, —C2H4—C(CH3)2—C4H9, —C2H4—CH(CH3)—C5H11, —CH2—C(CH3)2—C5H11, —CH2—CH(CH3)—C6H13, —C(CH3)2—C6H13, —CH(CH3)—C7H15, —C10H21, —C6H12—C(CH3)3, —C7H14—CH(CH3)2, —C6H12—CH(CH3)—C2H5, —C5H10—C(CH3)2—C2H5, —C5H10—CH(CH3)—C3H7, —C4H8—C(CH3)2—C3H7, —C4H8—CH(CH3)—C4H9, —C3H6—C(CH3)2—C4H9, —C3H6—CH(CH3)—C5H11, —C2H4—C(CH3)2—C5H11, —C2H4—CH(CH3)—C6H13, —CH2—C(CH3)2—C6H13, —CH2CH(CH3)—C7h15, —C(CH3)2—C7H15, —CH(CH3)—C8H17, —C11H23, —C7H14—C(CH3)3, —C8H16—CH(CH3)2, —C7H14—CH(CH3)—C2H5, —C6H12—C(CH3)2—C2H5, —C6H12—CH(CH3)—C31H7, —C5H10—C(CH3)2—C3H7, —C5H10—CH(CH3C4H9, —C4H8—C(CH3)2—C4H9, —C4H8—CH(CH3)—C5H11, —C3H6—(CH3)2—C5H11, —C3h6-CH(CH3)—C6H13, —C2H4—C(CH3)2—C6H13, —C2H4—CH(CH3)—C7H15, —CH2—C(CH3)2—C7H15, —CH2—CH(CH3)—C17, —C(CH3)2—C8H17, —CH(CH3)—C9H19, —C12H25, —C8H16—C(CH3)3, —C9H18—CH(CH3)2, —C8H16—CH(CH3)C2H5, —C7H14—C(CH3)2—C2H5, —C7H14—CH(CH3)—C3H7, —C6H12—C(CH3)2—C3H7, —C6H12—CH(CH3)C4H9, —C5H10—C(CH3)2—C4H9, —C5H10—CH(CH3)1′C5H11, —C4H8(CH3)2—C5H11, —C4—CH(CH3)—C6H13, —C3H6—C(CH3)2—C6H13, —C3H6—CH(CH3)—C7H15, C2H4—C(CH3)2—C7H15, —C2H4—CH(CH3)—C8H17, CH2—C(CH3)2—C8H17, —CH2—CH(CH3)—C9H19, —C(CH3)2—C9H19, —CH(CH3)—C10H21;
- an alkyl group, if not stated otherwise, denotes a linear or branched C1-C6-alkyl, preferably a linear or branched chain of one to five carbon atoms, a linear or branched C1-C6-alkenyl or a linear or branched C2-6-alkinyl group, which can optionally be substituted by one or more substituents R3, preferably by halogen;
- the C1-6-alkyl, C1-C6-alkenyl and C1-C6-alkinyl residue may be selected from the group comprising —CH3, —C2H5, —CH═CH2, —C≡CH, —C3H7, —CH(CH3)2, —CH2—CH═CH2, —C(CH3)═CH2, —CH═CH—CH3, —C≡C—CH3, —CH2—C≡CH, —C4H9, —CH2—CH(CH3)2, —CH(CH3)—C2H5, —C(CH3)3, —C5H11, —C6H13, —C(R3)3, —CR3(R3′)R3″, —C2(R3)5, —CH(CH3)—C2H5, —C(CH3)3, —C5H11, —C6H13, —C(R3)3, —CR3(R3′)2, —CR3(R3′)R3″, —C2(R3)5, —CH2—C(R3)3, —CH2—CR3(R3′)2, —CH2—CR3(R3′)R3″, —C3(R3)7, C2H4—C(R3)3, —C2H4—CH═CH2, —CH═CH—C2H5, —CH═C(CH3)2, —CH2—CH═CH—CH3, —CH═CH—CH═CH2, —C2H4—C—CH, —C≡C—C2h5, —CH2—C≡C—CH3, —C≡C—CH—CH═CH2, —CH═CH—C≡CH, —C≡C—C≡C—CH, —C2H4CH(CH3)2, —CH(CH3)—C3H7, —CH2—CH(CH3)C2H5, —CH(CH3)—CH(CH3)2, —C(CH3)2—C2H5, —CH2C(CH3)3, —C3H6—CH═CH2, —CH═CH—C3H7, —C2H4—CH═CH—CH3, —CH2—CH═CH—C2H5, —CH2—CH═CH—CH═CH2, —CH═CH—CH═CH—CH3, —CH═CH—CH2—CH═CH2, —C(CH3)═CH—CH═CH2, —CH═C(CH3)—CH═CH2, —CH═CH—C(CH3)═CH2, —CH2—CH═C(CH3)2, —C(CH3)═C(CH3)2, —C3H6—C≡CH, —C≡C—C3H7, —C2H4—C≡C—CH3, —CH2—C≡C—C2H5, —CH2—C≡C—CH═CH2, —CH2—CH═CH—C≡CH, —CH2—C≡C—C≡CH, —C≡C—CHαCH—CH3, —CH═CH—C—C≡C—CH3, —C≡C—C≡C—CH3, —C≡C—CH2—CH═CH2, —CH═CH—CH2C≡CH, —C═C—CH2—C═CH, —C(CH3)═CH—CH═CH2, —CH═C(CH3)—CH′CH2, —CH═CH—C(CH3)═CH2, —C(CH3)═CH—C≡CH, —CH═C(CH3)—C≡CH, —C≡C—C(CH3)═CH2, —C3H6—CH(CH3)2, —C2H4—CH(CH3)—C2H5, —CH(CH3)—C4H9, —CH2—CH(CH3)—C3H7, —CH(CH3)—CH2—CH(CH3)2, —CH(CH3)—CH(CH3)—C2H5, —CH2—CH(CH3)—CH(CH3)2, —CH2—C(CH3)2—C2H5, —C(CH3)2—C3H7, —C(CH3)2—CH(CH3)2, —C2H4—C(CH3)3, —CH(CH3)—C(CH3)3, —C4H8—CH═CH2, —CHαCH—C4H9, —C3H6—CH═CH—CH3, —CH2—CH═CH—C3H7, C2H4—CH═CH—C2H5, —CH2—(CH3)═C(CH3)2, —C2H4—CH═C(CH3)2, —C4H8—C≡CH, —C≡C—C4H9, —C3H6—C≡C—CH3, —CH2—C≡C—C3H7, —C2H4—C≡C—C2H5; R3, R3′ or R3″ being as defined above;
- a cycloalkyl group denotes a non-aromatic ring system containing three to eight carbon atoms, preferably four to eight carbon atoms, wherein one or more of the carbon atoms in the ring can be substituted by a group X, X being as defined above; the C3-C8-cycloalkyl residue may be selected from the group comprising -cyclo-C3H5, -cyclo-C4H7, -cyclo-C5H9, -cyclo-C6H11, -cyclo-C7H13, -cyclo-C8H15;
- an alkoxy group denotes an O-alkyl group, the alkyl group being as defined above; the alkoxy group is preferably a methoxy, ethoxy, isopropoxy, t-butoxy or pentoxy group,
- an haloalkyl group denotes an alkyl group which is substituted by one to five halogen atoms, the alkyl group being as defined above; the haloalkyl group is preferably a —C(R10)3, —CR10(R10′)2, —CR10(R10′)R10″, —C2(R10)5, —CH2—C(R10)3, —CH2—CR10(R10′)2, —CH2—CR10(R10′)R10″, —C3(R10)7 or —C2H4—C(R10)3, wherein R10, R10′, R10″ represent F, Cl, Br or I, preferably F;
- a hydroxyalkyl group denotes an HO-alkyl group, the alkyl group being as defined above;
- an haloalkyloxy group denotes an alkoxy group which is substituted by one to five halogen atoms, the alkyl group being as defined above; the haloalkyloxy group is preferably a —OC(R10)3, —OCR10(R10′)2, —OCR10(R10′)R10″, —OC2(R10)5, —OCH2—C(R10)3, —OCH2—CR1(R10′)2, —OCH2CR10(R10′)R10″, —OC3(R10)7 or —OC2H4(R10)3, wherein R10, R10′, R10″ represent F, Cl, Br or I, preferably F;
- a hydroxyalkylamino group denotes an (HO-alkyl)2-N-group or HO-alkyl-NH-group, the alkyl group being as defined above;
- a halogen group is chlorine, bromine, fluorine or iodine;
- an aryl group preferably denotes an aromatic group having five to fifteen carbon atoms, which can optionally be substituted by one or more substituents R3, where R3 is as defined above; the aryl group is preferably a phenyl group, —CH2—C6H4, —C2H4—C6H4, —CH═CH—C6H4, —C≡C—C6H4, -o-C6H4—R3, -m-C6H4—R3, -p-C6H4—R3, -o-CH2—C6H4—R3, -m-CH2—C6H4—R3, -p-CH2—C6H4—R3;
- a heteroaryl group denotes a 5- or 6-membered heterocyclic group which contains at least one heteroatom like O, N, S. This heterocyclic group can be fused to another ring. For example, this group can be selected from an oxazol-2-yl, oxazol4-yl, oxazol-5-yl, thiazol-2-yl, thiazol-4-yl, thiazol-5-yl, isothiazol-3-yl, isothiazol-4-yl, isothiazol-5-yl, 1,2,4-oxadiazol-3-yl, 1,2,4-oxadiazol-5-yl, 1,2,4-thiadiazol-3-yl, 1,2,4-thiadiazol-5-yl, 1,2,5-oxadiazol-3-yl, 1,2,5-oxadiazol-4yl, 1,2,5-thiadiazol-3-yl, 1-imidazolyl, 2-imidazolyl, 1,2,5-thiadiazol-4-yl, 4-imidazolyl, 1-pyrrolyl, 2-pyrrolyl, 3-pyrrolyl, 2-furanyl, 3-furanyl, 2-thienyl, 3-thienyl, 2-pyridyl, 3-pyridyl, 4-pyridyl, 2-pyrimidinyl, 4-pyrimidinyl, 5-pyrimidinyl, 3-pyridazinyl, 4-pyridazinyl, 2-pyrazinyl, 1-pyrazolyl, 3-pyrazolyl, 4-pyrazolyl, indolyl, indolinyl, benzo-[b]-furanyl, benzo[b]thiophenyl, benzimidazolyl, benzothiazolyl, quinazolinyl, quinoxazolinyl, or preferably isoxazol-3-yl, isoxazol-4-yl, isoxazol-5-yl, quinolinyl, tetrahydroquinolinyl, isoquinolinyl, tetrahydroisoquinolinyl group. This heterocyclic group can optionally be substituted by one or more substituents R3, where R3 is as defined above.
- However, the following compounds are excluded from Formula (XI): 2-thiophenecarboxylic acid-5-bromo-2-[[(4-chlorophenyl)amino]carbonyl]hydrazide, 2-thiophenencarboxylic acid-2-[[(4-ethoxyphenyl)amino]carbonyl]hydrazide, 2-thiophenecarboxylic acid-3-methyl-2-[[(3,4dichlorophenyl)amino]carbonyl]hydrazide, 2-thiophenecarboxylic acid-2-[[(4-methylphenyl)amino]carbonyl]hydrazide, 2-thiophene-carboxylic acid-2-[[(4-chlorophenyl)amino]carbonyl]hydrazide, 2-thiophenecarboxylic acid-2-[[(3chlorophenyl)amino]carbonyl]hydrazide and 2-thiophenecarboxylic acid-2-[(phenylamino)carbonyl]hydrazide.
- Furthermore the present invention is directed to novel compounds of the general Formula (XII) and pharmaceutically acceptable salts thereof:
- wherein
- R11 is an optionally substituted phenyl group by one to five substituents R9 or an optionally substituted C4-C20-alkyl group by one or more substituents R3;
- R9 is independently of each other —F, —I, —SO2NHR4, —SO2N(R4)2, —NR4R5, —NR4—CO—(C1-C6haloalkyl, —NO2, —NR4—SO2—(C1-C6)-haloalkyl, —CN, C2-C5-alkyl, cycloalkyl, —OH, —SH, alkylthio methoxy, propoxy, hydroxyalkylamino, haloalkyloxy, haloalkyl, hydroxyalkyl, aryl or heteroaryl;
- R10 is independently of each other —H, —F, —Cl, —I, —NO2, NR4R5, —CN, C2-C5-alkyl, cycloalkyl, —OH, —SH, alkylthio, hydroxyalkylamino, hydroxyalkyl, aryl or heteroaryl;
- wherein said C2-C5-alkyl group of R9 and R10 denotes a linear or branched C2-C5-alkyl, a linear or branched C2-C5-alkenyl or a linear or branched C2-C5-alkinyl group, which can optionally be substituted by one or more substituents R3, preferably by halogen; the C2-C5-alkyl, C2-C5-alkenyl and C2-C5-alkinyl residue may be selected from the group comprising —C2H5, —CH═CH2, —C≡CH, —C3H7, —CH(CH3)2, —C≡C—CH3, —CH2—C≡CH, —CH2—CH═CH2, —C(CH3)═CH2, —CH═CH—CH3, —C4H9, —C2—CH(CH3)2, —CH(CH3)—C2H5, —C(CH3)3, —C5H11, —C(R3)3, —CR3(R3′)2, —CR3(R3′)R3″, —C2(R3)5, —CH2(R3)3, CH2—CR3(R3′)2, —CH2—CR3(R3′)R3″, —C3(R3)7, —C2H4—C(R3)3, —C2H4—CH═CH2, —CH═CH—C2H5, —CH═C(CH3)2, —CH2—CH═CH—CH3, —CH═CH—CH═CH2, —C2H4—C≡CH, —C≡C—C2H5, —CH2—C≡C—CH3, —C≡CH═CH2, —CH═CH—C≡CH, —C≡C—C≡CH, —C2H4—CH(CH3)2, —CH(CH3)—C3H7, —CH2—CH(CH3)—C2H5, —CH(CH3)—CH(CH3)2, —C(CH3)2—C2H5, —CH2—C(CH3)3, —C3H6—CH═CH2, —CH═CH—C3H7, —C2h4-CH═CH—CH3, —CH2—CH═CH—C2H5, —CH2—CH═CH—CH═CH2, —CH═CH—CH═CH—CH3, —CH═CH—CH2—CH═CH2, —C(CH3)═CH—CH═CH2, —CH═C(CH3)—CH═CH2, —CH═CH—C(CH3)═CH2, —CH2—CH═C(CH3)2, —C(CH3)═C(CH3)2, —C3H6—C≡CH, —C≡C—C3H7, —C2H4—C≡CH3, —CH2—C≡C—C2H5, —CH2—C≡CH—C═CH2, —CH2—CH═CH—C≡CH, —CH2—C≡C—C≡CH, —C≡C—CH═CH—CH3, —CH═CH—C≡C—CH3, —C≡C—C≡C—CH3, —C≡C—CH2—CH═CH2, —CH═CH—CH2—C≡CH, —C≡C—CH2—C≡CH, —C(CH3)═CH—CH═CH2, —CH═C(CH3)—CH═CH2, —CH═CH—C(CH3)═CH2, —C(CH3)═CH—C≡CH, —CH═C(CH3)—C≡CH, —C≡C—C(CH3)═CH2;
- R3, R3′ or R3″ are defined as above for Formula (XII);
- R4 is defined as above for Formula (XII);
- R5 is defined as above for Formula (XII);
- said C2-C20-alkyl residue is defined as above for Formula (XII);
- an alkyl group, referring to R3, R3′, R3″, R4, R5, R9 or R10 denotes a linear or branched C1-C6-alkyl, preferably a linear or branched chain of one to five carbon atoms, a linear or branched C1-C6-alkenyl or a linear or branched C1-C6-alkinyl group, which can optionally be substituted by one or more substituents R3, preferably by halogen;
- the C1-C6-alkyl, C1-6-alkenyl and C1-C6alkinyl residue may be selected from the group comprising —CH3, —C2H5, —CH═CH2, —C≡CH, —C3H7, —CH(CH3)2, —CH2—CH═CH2, —C(CH3)═CH2, —CH═CH—CH3, —C≡CH3, —CH2—C≡CH, —C4H9, —CH2—CH(CH3)2, —CH(CH3)—C2H5, —C(CH3)3, —C5H11, —C6H13, —C(R3)3, —CR3(R3′)2, —CR3(R3′)R3″, —C2(R3)5, —CH2—C(R3)3, —CH2—CR3(R3′)2, —CH2—CR3(R3′)R3″, —C3(R3)7, —C2H4—C(R3)3, —C2H4—CH═CH2, —CH═CH—C2H5, —CH═C(CH3)2, —CH2—CH═CH—CH3, —CH═CH—CH═CH2, —C2H4—C≡CH, —C≡C—C2H5, —CH2—C≡C—CH3, —C≡C—CH═CH2, —CH═CH—C≡CH, —C≡C—C≡CH, —C2H4—CH(CH3)2, —CH(CH3)—C3H7, —CH2CH(CH3)—C2H5, —CH(CH3)—CH(CH3)2, —C(CH3)2—C2H5, —CH2—C(CH3)3, —C3H6—CH═CH2, —CH═CH—C3H7, —C2H4—CH═CH—CH3, —CH2—CH═CH—C2H5, —CH2—CH═CH—CH═CH2, —CH═CH—CH═CH—CH3, —CH═CH—CH2—CH═CH2, —C(CH3)═CH—CH═CH2, —CH═C(CH3)—CH═CH2, —CH═CH—C(CH3)═CH2, —CH2—CH═C(CH3)2, —C(CH3)═C(CH3)2, —C3H6—C≡CH, —C≡C—C3H7, —C2H4—C═C—CH3, —CH2—C≡C—C2H5, —CH2—C≡C—CH═CH2, —CH2—CH═CH—C≡CH, —CH2—C≡C—C≡CH, —C≡C—CH═CH—CH3, —CH═CH—C≡C—CH3, —C≡C—CH2—CH═CH2, —CH═CH—CH2—C≡CH, —C≡C—CH2—C≡CH, —C(CH3)═CH—CH═CH2, —CH═C(CH3)—CH═CH2, —CH═CH—C(CH3)═CH2, —C(CH3)═CH—C≡CH, —CH═C(CH3)—C═CH, —C≡C—C(CH3)αCH2, —C3H6—CH(CH3)2, —C2H4—CH(CH3)—C2H5, —CH(CH3)—C4H9, —CH2—CH(CH3)—C3H7, —CH(CH3)—CH2—CH(CH3)2, CH(CH3)—CH(CH3)—C2H5, —CH2—CH(CH3)—CH(CH3)2, —CH2—(CH3)2—C2H5, —C(CH3)2—C3H7, —C(CH3)2—CH3)2—CH(CH3)2, —C2H4—C(CH3)3, —CH(CH3)—C(CH3)3, —C4H8—CH═CH2, —CH═CH—C3H9, —C3H6—CH═CH—CH3, —CH2—CH═CH—C3H7, —C2H4—CH═CH—C2H5, —CH2—C(CH3)2, —C2H4—CH═C(CH3)2, —C4H8—C≡CH, —C≡C—C4H9, —C3H6—C≡C—CH3, —CH2—C≡C—C3H7, —C2H4—C≡-C2H5; R3, R3′ or R3″ being as defined above;
- an cycloalkyl group is defined as above in Formula (XII);
- an alkoxy group is defined as above in Formula (XII);
- an haloalkyl group is defined as above in Formula (XII);
- a hydroxyalkyl group is defined as above in Formula (XII);
- an haloalkyloxy group is defined as above in Formula (XII);
- a hydroxyalkylamino group is defined as above in Formula (XII);
- a halogen group is chlorine, bromine, fluorine or iodine;
- an aryl group is defined as above in Formula (XII);
- a heteroaryl group is defined as above in Formula (XII);
- Furthermore the present invention is directed to novel compounds of the general Formula (XIII) and pharmaceutically acceptable salts thereof:
- wherein
- A7 is independently C═O, C═S, SO2, CH—OR13, C═NR12, or CH2—CHOR13;
- A8 is independently C(R14)2, O, S, or NR12;
- A9 is independently C═O, C═S, SO2, CH—OR13, C═NR12, or CH2—CHOR13;
- m is 0, or 1;
- q is 0, or 1;
- r is 0, or 1;
- R12 is independently H, CH3, CH2—CH3, OCH3, OCH2—CH3, OH, or SH;
- R13 is independently H, CH3, or CH2—CH3;
- R14 is independently H, alkyl, alkoxy, OH, or SH;
- A5 is a optionally substituted C3-C16-alkyl group by one or more substituents R3 or an optionally substituted heteroaryl group, which contains at least one heteroatom like O, N, S, NR4, SO, SO2, Se, and which can optionally be substituted by one or more substituents R8, R8′, or R9;
- A6 is an optionally substituted heteroaryl group, which contains at least one heteroatom like O, N, S, NR4, SO, SO2, Se, and which can optionally be substituted by one or more substituents R8, R8′, or R9,
- or a heterocyclic group, which contains at least one double bond, and which may contain a heteroatom like O, N, S, NR4, SO, SO2, Se, and which can optionally be substituted by one or more substituents R8, R8′, or R9,
- or one of the groups below:
-
- or one of the groups mentioned below: wherein m=0,
-
- or one of the groups mentioned below: wherein m and r=0,
- wherein X′, X″, X′″, X″″ is independently H, S, O, N, NR4, SO, SO2, CH, or CH2;
- R8, R8′, R9 is independently H, methyl, ethyl, t-butyl, CN, halogen, OH, alkoxy, NR4R5, COOR4;
- R3 is independently H, OR4, SR4, hydroxyalkyl, hydroxyalkylamino, cycloalkyl, halogen, haloalkyl, haloalkyloxy, NO2, CN, SO2NR4R5, CO2NR4R5, COR4, CO2R4, SO2R4, SO3R4, NR4R5, alkyl, aryl or heteroaryl;
- R4 is H, alkyl, cycloalkyl, aryl or heteroaryl;
- R5 is H, O-alkyl, O-aryl, alkyl, heteroaryl or aryl;
- said heteroaryl group of A5 or A6 may be selected from the group comprising:
- said C3-C16alkyl residue may be selected from the group comprising —C3H7, —CH(CH3)2, —C4H9, —CH2—CH(CH3)2, —CH(CH3)—C2H5, —CH2—CH(CH3)—CH3, —C(CH3)3, —C5H11, —C2H4CH(CH3)2, —H(CH3)—C3H7, —CH2CH(CH3)—C2H5, —CH(CH3)—CH(CH3)2, —C(CH3)2—C2H5, —CH2—C(CH3)3, —C6H13, —C3H6—CH(CH3)2, —C2H4—CH(CH3)—C2H5, —CH(CH3)—C4H9, —CH2—CH(CH3)—C3H7, —CH(CH3)—CH2—CH(CH3)2, —CH(CH3)—CH(CH3)—C2H5, —CH2—CH(CH3)—CH(CH3)2, —CH2—C(CH3)2—C(CH3)2—C3H7, —C(CH3)2—CH(CH3)2, —C2H4—C(CH3)3, —CH(CH3)—C(CH3)3, —C7H15, —C3H6—C(CH3)3, —C4H8—CH(CH3)2, —C3H6—CH(CH3)—C2H5, —C2H4—C(CH3)2—C2H5, —C2H4—CH(CH3)—C3H7, —CH2—C(CH3)2—C3H7, —CH2—CH(CH3)—C4H9, —CH(CH3)—C5H11, —C8H17, —C4H8—C(CH3)3, —C5H10—CH(CH3)2, —C4H8—CH(CH3)—C2H5, —C2H6—C(CH3)2—C2H5, —C3H6—CH(CH3)—C3H7, —C2H4—C(CH3)2—C3H7, —C2H4—CH(CH3)—C4H9, —CH2—C(CH3)2—C4H9, —CH2—CH(CH3)—C5H11, —C(CH3)2—C(CH3)2—C5H11, —CH(CH3)—C6H13, —C9H19, —C5H10—C(CH3)3, —C6H12—CH(CH3)2, —C5H10—CH(CH3)—C2H5, —C4H8—C(CH3)2—C2H5, —C4H8—CH(CH3)—C3H7, —C3H6—C(CH3)2C3H7, —C3H6—CH(CH3)C4H9, —C2H4—C(CH3)2—C4H9, —C2H4—CH(CH3)—C5H11, —CH2—C(CH3)2—C5H11, —CH2—CH(CH3)C6H13, —C(CH3)2—C6H13, —CH(CH3)—C7H15, —C10H21, —C6H12—C(CH3)3, —C7H14—CH(CH3)2, —C6H12—CH(CH3)—C2H5, —C5H10—C(CH3)2—C2H5, —C5H10—CH(CH3)—C3H7, —C4H8—C(CH3)2—C3H7, —C4H8—CH(CH3)—C4H9, —C3H6—C(CH3)2—C4H9, —C3H6CH(CH3)—C5H11, —C5H11, —C2H4—C(CH3)2—C5H11, —C2H4—CH(CH3)—C6H13, —CH2—C(CH3)2—C6H13, —CH2—CH(CH3)—C7H15, —C(CH3)2—C7H15, —CH(CH3)—C8H17, —C11H23, —C7H14—C(CH3)3, —C8H16—CH(CH3)2, C7H1413-CH(CH3)—C2H5, —C6H12—C(CH3)2—C2H5, —C6H12—CH(CH3)—C3H7, —C5H10—C(CH3)2—C3H7, —C5H10—CH(CH3)—C4H9, —C4H8—(CH3)2—C4H9, —C4H8—CH(CH3)—C5H11, —C3H6C(CH3)2—C5H11, —C3H6—CH(CH3)—C6H13, —C2H4—C(CH3)2—C6H13, —C2H4—CH(CH3)—C7H15, —CH2—C(CH3)2—C7H15, —CH2—CH(CH3)—C8H17, —C(CH3)2—C8H17, —CH(CH3)—C9H19, —C12H25, —C8H16—C(CH3)3, —C9H18—CH(CH3)2, —C8H16—CH(CH3)—C2H5, —C7H14—C(CH3)2—C2H5, —C7H14—CH(CH3)—C3H7, —C6H12—C(CH3)2—C3H7, —C6H12—CH(CH3)—C4H9, —C5H10—C(CH3)2—C4H9, —C5H10—CH(CH3)—C5H11, —C4H8—C(CH3)2C5H11, —C4H8—CH(CH3)—C6H13, —C3H6—C(CH3)2—C6H13, —C3H6—CH(CH3)—C7H15, C2H4—C(CH3)2—C7H15, —C2H4—CH(CH3)—C8H17, CH2—C(CH3)2—C8H17, —CH2—CH(CH3)—C9H19, —C(CH3)2C9H19, —CH(CH3)—C10H21;
- an alkyl group, if not stated otherwise, denotes a linear or branched C1-C6-alkyl, preferably a linear or branched chain of one to five carbon atoms, a linear or branched C1-C6-alkenyl or a linear or branched C1-C6-alkinyl group, which can optionally be substituted by one or more substituents R3, preferably by halogen;
- the C1-C6-alkyl, C1-C6-alkenyl and C1-C6-alkinyl residue may be selected from the group comprising —CH3, —C2H5, —CH═CH2, —C≡CH, —C3H7, —CH(CH3)2, —CH2—CH═CH2, —C(CH3)═CH, —H═CH—CH3, —C≡C—CH3, —CH2—C≡CH, —C4H9, —CH2—CH(CH3)2, —CH(CH3)C2H5, —C(CH3)3, —C5H11, —C6H13, —C(R3)3, —CR3(R3′)2, —CR3(R3′)R3″, —C2(R3)5, —CH2—C(R3)3, —CH2—CR3(R3′)2, —CH2—CR3(R3′)R3″, —C3(R3)7, —C2H4—(R3)3, —C2H4—CH═CH2, —CH═CH—C2H5, —CH═C(CH3)2, —CH2—CH═CH—CH3, —CH═CH—CH═CH2, —C2H4—C≡CH, —C≡C2H5, —CH2—C≡C—CH3, —C≡C—CH═CH2, —CH═CH—C≡CH, —C≡C—C≡CH, —C2H4—CH(CH3)2, —CH(CH3)—C3H7, —CH2—CH(CH3)—C2H5, —CH(CH3)—CH(CH3)2, —C(CH3)2—C2H5, —CH2—C(CH3)3, —C3H6—CH═CH2, —CH═CH—C3H7, —C2H4—CH═CH—CH3, —CH2—CH═CH—C2H5, —CH2—CH═CH—CH═CH2, —CH═CH—CH═CH—CH3, —CH═CH—CH2—CH═CH2, —C(CH3)═CH—CH═CH2, —CH═C(CH3)CH═CH2, —CH═CH—C(CH3)═CH2, —CH2—CH═C(CH3)2, —C(CH3)═C(CH3)2, —C3H6—C≡CH, —C≡C—C3H7, —C2H4—C≡C—CH3, —CH2—C≡C—C2H5, —CH2—C≡C—CH═CH2, —CH2—CH═CH—C≡CH, —CH2—C≡C—C≡CH, —C≡C—CH═CH—CH3, —CH═CH—C≡C—CH3, —C≡C—C≡C—CH3, —C≡C—CH2—CH═CH2, —CH═CH—CH2—C≡CH, —C≡C—CH2—C≡CH, —C(CH3)═CH—CH═CH2, —CH═C(CH3)—CH═CH2, —CH═CH—C(CH3)═CH2, —(CH3)═CH—C═CH, —CH═C(CH3)—C≡CH, —C≡C—C(CH3)═CH2, —C3H6—CH(CH3)2, —C2H4—CH(CH3)—C2H5, —CH(CH3)—C4H9, —CH2—CH(CH3)—C3H7, —CH(CH3)—CH2—CH(CH3)2, —CH(CH3)—CH(CH3)—C2H5, —CH2—CH(CH3)—CH(CH3)2, —CH2—C(CH3)2—C2H5, —C(CH3)2—C3H7, —C(CH3)2—CH(CH3)2, —C2H4—C(CH3)3, —CH(CH3)—C(CH3)3, —C4H8—CH═CH2, —CH═CH—C4H9, —C3H6—CH═CH—CH3, —CH2—CH═CH—C3H7, —C2H4—CH═CH—C2H5, —CH2—C(CH3)═C(CH3)2, —C2H4—CH═C(CH3)2, —C4H8—C≡CH, —C≡C—C4H9, —C3H6—C≡CH3, —CH2—C≡C—C3H7, —C2H4—C≡C—C2H5; R3, R3′ or R3″ being as defined above;
- a cycloalkyl group denotes a non-aromatic ring system containing three to eight carbon atoms, preferably four to eight carbon atoms, wherein one or more of the carbon atoms in the ring can be substituted by a group X, X being as defined above; the C3-C8-cycloalkyl residue may be selected from the group comprising -cyclo-C3H5, -cyclo-C4H7, -cyclo-C5H9, -cyclo-C6H11, -cyclo-C7H13, -cyclo-C8H15;
- an alkoxy group denotes an O-alkyl group, the alkyl group being as defined above; the alkoxy group is preferably a methoxy, ethoxy, isopropoxy, t-butoxy or pentoxy group.
- an haloalkyl group denotes an alkyl group which is substituted by one to five halogen atoms, the alkyl group being as defined above; the haloalkyl group is preferably a —C(R10)3, —CR10(R10′)2, —CR10(R10′)R41, —C2(R10)5, —CH2—C(R10)3, —CH2—CR10(R10′)2, —CH2—CR10(R10′)R10″, —C3(R10)7 or —C2H4—C(R10)3, wherein R10), R10′, R10″ represent F, Cl, Br or I, preferably F;
- a hydroxyalkyl group denotes an HO-alkyl group, the alkyl group being as defined above;
- an haloalkyloxy group denotes an alkoxy group which is substituted by one to five halogen atoms, the alkyl group being as defined above; the haloalkyloxy group is preferably a —OC(R10)3, —OCR10(R10′)2, —OCR10(R10′)R10″, —OC2(R10)5, —OCH2—C(R10)3, —OCH2—CR10(R10′)2, —OCH2—CR10(R10′)R10″, —OC3(R10)7 or —OC2H4—C(R10)3, wherein R10, R10′, R10″ represent F, Cl, Br or I, preferably F;
- a hydroxyalkylamino group denotes an (HO-alkyl)2-N— group or HO-alkyl-NH-group, the alkyl group being as defined above;
- a halogen group is chlorine, bromine, fluorine or iodine;
- an aryl group preferably denotes an aromatic group having five to fifteen carbon atoms, which can optionally be substituted by one or more substituents R3, where R3 is as defined above; the aryl group is preferably a phenyl group, —CH2—C6H4, —C6H4—C6H4, —CH═CH—C6H4, —C≡C—C6H4, -o-C6H4—R3, -m-C6H4—R3, -p-C6H4—R3, -o-CH2—C6H4—R3, -m-CH2—C6H4—R3, -p-CH2—C6H4—R3;
- a heteroaryl group denotes a 5- or 6-membered heterocyclic group which contains at least one heteroatom like O, N, S. This heterocyclic group can be fused to another ring. For example, this group can be selected from an oxazol-2-yl, oxazol-4-yl, oxazol-5-yl, thiazol-2-yl, thiazol-4-yl, thiazol-5-yl, isothiazol-3-yl, isothiazol-4-yl, isothiazol-5-yl, 1,2,4-oxadiazol-3-yl, 1,2,4-oxadiazol-5-yl, 1,2,4-thiadiazol-3-yl, 1,2,4-thiadiazol-5-yl, 1,2,5-oxadiazol-3-yl, 1,2,5-oxadiazol-4-yl, 1,2,5-thiadiazol-3-yl, 1-imidazolyl, 2-imidazolyl, 1,2,5-thiadiazol-4-yl, 4-imidazolyl, 1-pyrrolyl, 2-pyrrolyl, 3-pyrrolyl, 2-furanyl, 3-furanyl, 2-thienyl, 3-thienyl, 2-pyridyl, 3-pyridyl, 4-pyridyl, 2-pyrimidinyl, 4-pyrimidinyl, 5-pyrimidinyl, 3-pyridazinyl, 4-pyridazinyl, 2-pyrazinyl, 1-pyrazolyl, 3-pyrazolyl, 4-pyrazolyl, indolyl, indolinyl, benzo-[b]-furanyl, benzo[b]thiophenyl, benzimidazolyl, benzothiazolyl, quinazolinyl, quinoxazolinyl, or preferably isoxazol-3-yl, isoxazol4-yl, isoxazol-5-yl, quinolinyl, tetrahydroquinolinyl, isoquinolinyl, tetrahydroisoquinolinyl group. This heterocyclic group can optionally be substituted by one or more substituents R3, where R3 is as defined above.
- The invention also provides a pharmaceutical composition comprising a compound of Formula (I), (XIII), (X), (XI) or (XII), in free form or in the form of pharmaceutically acceptable salts and physiologically functional derivatives, together with a pharmaceutically acceptable diluent or carrier therefore.
- The term “physiologically functional derivative” as used herein refers to compounds which are not pharmaceutically active themselves but which are transformed into their pharmaceutical active form in vivo, i.e. in the subject to which the compound is administered.
- In another aspect, the present invention also provides a method for the treatment or prophylaxis of a condition where there is an advantage in inhibiting quorum sensing which comprises the administration of an effective amount of a compound of Formula (I), (XIII), (X), (XI) or (XII) and physiologically acceptable salts or physiologically functional derivatives thereof. The term “quorum sensing” is intended to describe cell-density dependent gene regulation through a diffusible signal molecule (Fuqua et al., J. Bacteriol. 176:269-75, 1994).
- The invention is also directed to the use of compounds of Formula (I), (XIII), (X), (XI) or (XII) and of their pharmacologically tolerable salts or physiologically functional derivatives for the production of a medicament or medical device for the prevention and treatment of diseases, where quorum sensing inhibition is beneficial. Furthermore, the invention is also directed to the use of compounds of Formula (I), (XIII), (X), (XI) or (XII) and of their pharmacologically tolerable salts or physiologically functional derivatives for the production of an antibacterial agent for the prevention and treatment of bacterial biofilms in industrial and environmental settings.
- In addition, the present invention provides methods for preparing the desired compounds of Formula (I), (XIII), (X), (XI) or (XII).
- One possibility for the synthesis of compounds of Formula (I) (m, p=0) or compounds of Formula (XI) comprises the step of reacting an amine of Formula (II) with a compound of Formula (III). Possibilities for preparing different amides are described by J. Zabicky in “The Chemistry of Amides”, in the serial of S. Patai (ed.), “The Chemistry of Functional Groups”, John Wiley & Sons, 1975, p. 74-131. Methods for preparing thioamides are described in Houben-Weyl, J. Falbe (ed.), G. Thieme Verlag, vol. E5, p. 1219-59. Methods for preparing sulfamides are described by Caldwell et al., J. Am. Chem. Soc. 1944, 66, 1479-82, or by Flynn et al, Med. Chem. Res., 1998, 8, 219-43 and Dziadulewicz et al, Bioorg. Med. Chem. Lett. 2001, 11, 5, 705-10.
- One method for preparing the compounds of Formula (I) (p=0, n=1) or compounds of Formula (X) comprises the step of reacting a compound of Formula (IV) with a compound of Formula (III). Other methods for preparing different 1,2-diacylhydrazines are described in Houben-Weyl, “Methoden der organischen Chemie”, Vierte Auflage, G. Thieme Verlag, J. Falbe (ed.), vol. E5, p. 1173-80 or P. A. S. Smith, “Open-Chain Organic Nitrogen Compounds”, W. A. Benjamin Inc., New York, vol. 2, p. 173-201. Methods for preparing different 1,2-disulfonylhydrazines are described in Arch. Pharm. 1953, 286, 338-43 or in U.S. Pat. No. 6,291,504. Methods for preparing 1-acyl-2-sulfonylhydrazines are described in Russ. J. Gen. Chem. 2000, 70, 3, 459-60 or by Leadini et al., J. Chem. Soc. Perkin Trans. 1 1998, 1833-8 and by M. Reinecke et al., J. Org. Chem. 1988, 53, 1, 208-10.
- One possibility for the synthesis of compounds of Formula (I) (n, p=1) or compounds of Formula (XII) comprises the step of reacting a compound of Formula (V) with a compound of the Formula (VI). For example, one method for preparing carbamoylhydrazide is described in Bull. Soc. Chim. Fr. 1975, 864.
- One possibility for preparing the compounds of Formula (XIII) (A7, A9=CO, A8=CH2) comprises the step of reacting a compound of Formula XIV with a compound of the Formula XV. For example, this method is described in Synthesis 1992, 1213-1214.
- One method for preparation of compounds of Formula (XIV) comprises the step of reacting a carboxylic acid chloride with Meldrum's acid in presence of a base. For example, this reaction is described in Org. Synth., Coll. Vol. 7, 359-360 (Org. Synth. 1984, Ann. Vol. 63, 198-199), or J. Org. Chem. 1978, 43, 2087-2088, and Bull. Chem. Soc. Jpn. 1982, 55, 2186-2189.
- Another possibility for preparing compounds of Formula (XIII) (A7, A9=CO, A8CH2) comprises the reaction of a 3-oxo carboxylic acid chloride with a compound of Formula (XV). For example, this procedure is described in Chem. Pharm. Bull. 1980, 28, 2494-2502.
- Another possibility for preparing compounds of Formula (XIII) (A7, A9=CO, A8=CH2) comprises the reaction of a 3-oxo carboxylic acid ester with a compound of Formula (XV). For example, this procedure is described in Gazz. Chim. Ital. 1936, 66, 723-731.
- Another possibility for preparing the compounds of Formula (XIII) (A7, A9=CO, A8=CH2) comprises the reaction of a 3-oxo carboxylic acid with or without 3-oxo protection with a compound of Formula (XV) using a peptide coupling method. For example, this procedure is described in Tetrahedron Lett. 1996, 37, 1883-1884, and Chem. Biol. 2003, 10, 81-89.
- Another possibility for preparing compounds of Formula (XIII) (A7, A9=CO, A8=CH2) comprises the reaction of a deprotonated methyl ketone with an isocyanate. For example, this method is described in J. Med. Chem. 1993, 36, 2943-2949, or J. Med. Chem. 1993, 36, 3386-3396.
- Other methods for preparing compounds of Formula (XIII) are described in Chem. Pharm. Bull. 1984, 32, 3848-3856, or Tetrahedron Lett. 2001, 5195-5197, and J. Am. Chem. Soc. 1995, 117, 12360-12361.
- One possibility for preparing the compounds of Formula (XIII) (A7, A9=CO, A8=NR12) comprises the step of reacting a compound of Formula (XVI) with a compound of Formula (XVII). For example, this method described in Farmaco Ed. Sci. 1982, 37, 335-342, or in Monatsh. Chemie 1981, 112, 871-874, or in Monatsh. Chemie 1982, 113, 101-110, or in J. Am. Chem. Soc. 2000, 122, 8155-8167, or in Synth. Commun. 1989, 19, 3543-3552.
- A preferred compound of Formula (I) is a compound wherein p, and n are 0, A1 represents a substituted monocyclic aromatic ring system, and A2 represents an optionally substituted monocyclic aromatic ring system.
- A preferred compound of Formula (I) is a compound wherein p, and n are 0, A1 represents a substituted monocyclic aromatic ring system, and A2 represents an optionally substituted alkyl group.
- A more preferred compound of Formula (I) is a compound wherein p is 0 and n is 1, one of A1 and A2 represent an optionally substituted 5-membered aromatic ring system, and the other one of A1 and A2 represent an optionally substituted alkyl group or a substituted monocyclic aromatic ring system.
- A more preferred compound of Formula (I) is a compound wherein p is 0 and n is 1, A1 and A2 represent an optionally substituted 5-membered aromatic ring system.
- A more preferred compound of Formula (I) is a compound wherein p, and n are 1, one of A1 and A2 represent an optionally substituted 5-membered aromatic ring system, and the other one of A1 and A2 represent an optionally substituted alkyl group or a substituted monocyclic aromatic ring system.
- A more preferred compound of Formula (I) is a compound wherein p, n are 1, A1 and A2 represents an optionally substituted 5-membered aromatic ring system.
- A more preferred compound of Formula (I) is a compound wherein p and n are 1, one of A1 and A2 represent an optionally substituted 5-membered aromatic ring system, and the other one of A1 and A2 represent an optionally substituted alkyl group or a substituted monocyclic aromatic ring system.
- A more preferred compound of Formula (I) is a compound wherein p and n are 1 A1 and A2 represent an optionally substituted 5-membered aromatic ring system.
- In the compounds of Formula (I), R is independently H, alkyl, cycloalkyl, aryl or heteroaryl. Preferably, R is H.
- In the compounds of Formula (I), R1 is independently H, alkyl, cycloalkyl, aryl or heteroaryl. Preferably, R1 is H.
- In the compounds of Formula (I), R2 is independently H, alkyl, cycloalkyl, aryl or heteroaryl. Preferably, R2 is H.
- Preferably, R3 in Formula (XIII), (1), (X), (XI) or (XII) is independently H, halogen, CF3, OCF3, phenyl or alkyl.
- R4 in Formula (XIII), (I), (X) or (XII) is independently H, alkyl, cycloalkyl, aryl or heteroaryl. Preferably R4 is H.
- R5 in Formula (XIII), (I), (X) or (XII) is independently H, O-alkyl, O-aryl, alkyl, heteroaryl or aryl. Preferably R5 is H.
- In Formula (I) Y1 and Y2 are independently from each other CO, CS, SO2 or CNR5, preferably both are CO.
- In Formula (I) Z is independently S, O, N, NR4, CO, CO2, CS, SO or SO2. Preferably, Z is O, CO, CO2.
- In Formula (I) or (X) X is independently S, O, N, NR4, SO or SO2. Preferably, X is N, S, O, NR4.
- In Formula (I), most preferably, n is 1 and p is 0.
- In Formula (I), more preferably, n and p are 0.
- In Formula (I), most preferably, n and p are 1.
- In Formula (XII), most preferably q is 1 or 2.
- A preferred compound of Formula (XIII) is a compound wherein R14 is H or methyl more preferably H.
- A preferred compound of Formula (XIII) is a compound wherein R12 is H or methyl more preferably H.
- A preferred compound of Formula (XIII) is a compound wherein A8 is CH2.
- A preferred compound of Formula (XIII) is a compound wherein A7 and/or A9 are CO.
- A preferred compound of Formula (XIII) is a compound wherein A5 is C6-C10-alkyl.
- A preferred compound of Formula (XIII) is a compound wherein A6 is selected from the following group:
- A preferred compound of Formula (XIII) is a compound wherein A6 is 5-membered ring system wherein X′ is N, and X″ is O or S, and X′″ is CH or CH2.
- A preferred compound of Formula (XIII) is a compound wherein A6 is 5-membered ring system wherein X′ is N and X″ is N, and X′″ is CH or CH2.
- A preferred compound of Formula (XIII) is a compound wherein A6 is 6-membered ring system wherein X′ is N, and X″ is O or S, and X′″ is CH or CH2, and X′″ is CH or CH2.
- A preferred compound of Formula (XIII) is a compound wherein A6 is 6-membered ring system wherein X′ is N and X″ is N, and X′″ is CH or CH2, and X″″ is CH or CH2.
- A preferred compound of Formula (XIII) is a compound wherein m is 1 and q, r are 0.
- A preferred compound of Formula (XIII) is a compound wherein R13 is H.
- A preferred compound of Formula (XIII) is a compound wherein R6, R8′ or R9 are H.
- Most preferred is the use of one or more compounds of Formula (I), (X), (XI) or (XII), including the compounds excluded by any of the disclaimers, and/or pharmaceutically acceptable salts thereof for regulation of the quorum sensing system of microorganisms, in particular gram-negative bacteria. In one embodiment of the invention also the use of the following compounds is preferred:
- 2-Chloro-4-trifluoromethyl-pyrimidine-5-carboxylic acid (2-methyl-2H-pyrazol-3-yl)-amide; 2,5-Dichloro-thio-phene-3-carboxylic acid pyridin-3-ylamide; 2-[(2-Chloro-4-trifluoro-methyl-pyrimidine-5-carbonyl)-amino]-thiophene-3-carboxylic acid methyl ester; 2-Chloro-4-trifluoromethyl-pyrimidine-5-carboxylic acid (3-trifluoromethyl-phenyl)-amide; 2-Chloro-4-trifluoromethyl-pyrimidine-5-carboxylic acid (4-trifluoromethoxy-phenyl)-amide; 2-Methyl-6-trifluoromethyl-nicotinic acid N′-(thiophene-2-carbonyl)-hydrazide; 4-Trifluoromethyl-benzoic acid N′-(4-methyl-thiophene-2-carbonyl)-hydrazide; 4-Chloro-benzoic acid N′-(4-methoxy-thiophene-3-carbonyl)-hydrazide; 3-Chloro-benzoic acid N′-(thiophene-2-carbonyl)-hydrazide; N′-(3-Methyl-1,4dioxy-quinoxaline-2-carbonyl)-thiophene-2-carboxylic acid hydrazide; Furan-2-carboxylic acid N′-(thiophene-2-carbonyl)-hydrazide; Furan-2-carboxylic acid N′-(3-chloro-4-methyl-thiophene-2-carbonyl)-hydrazide; Furan-2-carboxylic acid N′-(3-ethoxy-thiophene-2-carbonyl)-hydrazide; Furan-2-carboxylic acid N′-(3-chloro-benzo[b]thiophene-2-carbonyl)-hydrazide; Thiophene-2-carboxylic acid N′-(5-bromo-4-methoxy-thiophene-3-carbonyl)-hydrazide; Thiophene-2-carboxylic acid N′-(3-chloro-4-methyl-thiophene-2-carbonyl)-hydrazide; Thiophene-2-carboxylic acid N′-(thiophene-2-carbonyl)-hydrazide; 3-Chloro-thiophene-2-carboxylic acid N′-(thiophene-2-carbonyl)-hydrazide; Thiophene-2-carboxylic acid N′-(5-bromo-thiophene-2-carbonyl)-hydrazide; 3-Chloro-benzo[b]thiophene-2-carboxylic acid N′-(thiophene-2-carbonyl)-hydrazide; Thiophene-2-carboxylic acid N′-(4-bromo-1,5-dimethyl-1H-pyrazole-3-carbonyl)-hydrazide; Thiophene-2-carboxylic acid N′-butyryl-hydrazide.
- Preferred compounds of the present invention and/or pharmaceutically acceptable salts thereof are selected from the group comprising;
- 3-Oxo-nonanoic acid (2H-pyrazol-3-yl)-amide; 3-Oxo-nonanoic acid (2methyl-2H-pyrazol-3-yl)-amide; 3-Oxo-dodecanoic acid (2-methyl-2H-pyrazol-3-yl)-amide; 3-Oxo-nonanoic acid (2-ethyl-2H-pyrazol-3-yl)-amide; 3-Oxo-dodecanoic acid (2-ethyl-2H-pyrazol-3-yl)-amide; 3-Oxo-nonanoic acid (2,5-dimethyl-2H-pyrazol-3-yl)-amide; 3-Oxo-dodecanoic acid (2,5-dimethyl-2H-pyrazol-3-yl)-amide; 3-Oxo-nonanoic acid pyrazol-1-ylamide; 2-(3-Oxo-nonanoylamino)-thiophene-3-carboxylic acid methyl ester; Z(3-Oxo-dodecanoylamino)-thiophene-3-carboxylic acid methyl ester; 4-Methyl-2-(3-oxo-nonanoylamino)-thiophene-3-carboxylic acid ethyl ester; 4-Methyl-2-(3-oxo-dodecanoylamino)-thiophene-3-carboxylic acid ethyl ester; 3-Oxo-nonanoic acid (3-methyl-isothiazol-5-yl)-amide; 3-Oxo-dodecanoic acid (3-methyl-isothiazol-5-yl)-amide; 3-Oxo-nonanoic acid thiazol-2-ylamide; 3-Oxo-dodecanoic acid thiazol-2-ylamide; 3-Oxo-nonanoic acid (5-acetyl-2-methylsulfanyl-thiazol-4-yl)-amide; 3-Oxo-nonanoic acid isoxazol-3-ylamide; 3-Oxo-dodecanoic acid isoxazol-3-ylamide; 3-Oxo-nonanoic acid (3-methyl-isoxazol-5-yl)-amide; 3-Oxo-dodecanoic acid (3-methyl-isoxazol-5-yl)-amide; 3-Oxo-nonanoic acid (4-methyl-oxazol-2-yl)-amide; 3-Oxo-nonanoic acid (4cyano-2-methyl-oxazol-5-yl)-amide; 3-Oxo-nonanoic acid (3-cyano-4,5-dimethyl-furan-2-yl)-amide; 3-Oxododecanoic acid (3-cyano-4,5-dimethyl-furan-2-yl)-amide; 5-(3-Oxo-nonanoylamino)-furan-2-carboxylic acid methyl ester
- 3-Bromo-thiophene-2-carboxylic acid (6-methoxy-pyridin-3-yl)-amide; 4-Methyl-3-[(thio-phene-2-carbonyl)-amino]-thiophene-2-carboxylic acid methyl ester; N-(6-Methoxy-pyridin-3-yl)-2-methylsulfanyl-nicotinamide; 5-Bromo-N-(6-methoxy-pyridin-3-yl)-nicotinamide; N-(5-Bromo-pyridin-2-yl)-2,6-dichloro-isonicotinamide; 2-Chloro-6-methyl-N-pyridin-3-yl-iso-nicotinamide; 4-Bromo-2-ethyl-5-methyl-2H-pyrazole-3-carboxylic acid (2-methyl-2H-pyrazol-3-yl)-amide; 2-tert-Butyl-5-methyl-2H-pyrazole-3-carboxylic acid (2-methyl-2H-pyrazol-3-yl)-amide; Thiophene-2-carboxylic acid [5-(4-chloro-phenyl)-2-methyl-2H-pyrazol-3-yl]-amide; 3-Chloro-N-(2-methyl-5-thiophen-2-yl-2H-pyrazol-3-yl)-benzamide; 6-Bromo-hexanoic acid [5-(4chloro-phenyl)-2-methyl-2H-pyrazol-3-yl]-amide; Heptanoic acid (2-methyl-5-phenyl-2H-pyrazol-3-yl)-amide; 6-Bromo-hexanoic acid (2-methyl-5-phenyl-2H-pyrazol-3-yl)-amide; Heptanoic acid (2-methyl-5-thiophen-2-yl-2H-pyrazol-3-yl)-amide; 6-Bromo-hexanoic acid (2-methyl-5-thiophen-2-yl-2H-pyrazol-3-yl)-amide; Heptanoic acid (4-bromo-2-methyl-2H-pyrazol-3-yl-amide; 6-Bromo-hexanoic acid (2-methyl-2H-pyrazole-3-yl)-amide; 6-Bromo-hexanoic acid (4-bromo-2-methyl-2H-pyrazol-3-yl)-amide; Heptanoic acid (2-methyl-2H-pyrazol-3-yl)-amide; Thiophene-2carboxylic acid N′-(4-trifluoromethyl-pyrimidin-2-yl)-hydrazide; 2,5-Dimethyl-2H-pyrazole-3-carboxylic acid N′-(4-trifluoromethyl-pyrimidin-2-yl)-hydrazide; 4-Trifluoromethoxy-benzoic acid N′-(thiophene-2-carbonyl)-hydrazide; 3-Chloro-thiophene-2-carboxylic acid N′-(1-phenyl-5-trifluoromethyl-1H-pyrazole-4-carbonyl)-hydrazide; Thio-phene-2-carboxylic acid N′-[1-(4-chloro-phenyl)-5-trifluoromethyl-1H-pyrazole-4-carbonyl]-hydrazide; Furan-2-carboxylic acid N′-(5-chloro-4-methoxy-thiophene-3-carbonyl)-hydrazide; Furan-2-carboxylic acid N′-(3-bromo-thiophene-2-carbonyl)-hydrazide; Furan-2-carboxylic acid N′-(2,5-dichloro-thiophene-3-carbonyl)-hydrazide; 3-Chloro-thiophene-2-carboxylic acid N′-(3-ethoxy-thiophene-2-carbonyl)-hydrazide; Thiophene-2-carboxylic acid N′-(3-ethoxy-thiophene-2-carbonyl)-hydrazide; Thiophene-3-carboxylic acid N′-(thiophene-2-carbonyl)-hydrazide; 3-Bromo-thiophene-2-carboxylic acid N′-(2-chloromethylsulfanyl-acetyl)-hydrazide; 3-Chloro-thiophene-2-carboxylic acid N′-(3-chloro-thiophene-2-carbonyl)-hydrazide; 5-Chloro-4-methoxy-thiophene-3-carboxylic acid N′-(thiophene-2-carbonyl)-hydrazide; Thiophene-2-carboxylic acid N′-(5-chloro-thiophene-2-carbonyl)-hydrazide; 5-Bromo-4-methoxy-thiophene-3-carboxylic acid N′-(5-methyl-thiophene-2-carbonyl)-hydrazide; Thiophene-2-carboxylic acid N′-(5-methyl-thiophene-2-carbonyl)-hydrazide; Thiophene-2-carboxylic acid N′-(3-bromo-thiophene-2-carbonyl)-hydrazide; 3-Bromo-thiophene-2-carboxylic acid N′-(3-ethoxy-thiophene-2-carbonyl)-hydrazide; 3-Bromo-thiophene-2-carboxylic acid N′-(5-methyl-thiophene-2-carbonyl)-hydrazide; 3-Chloro-thiophene-2-carboxylic acid N′-(5-chloro-thiophene-2-carbonyl)-hydrazide; 3-Chloro-benzo[b]thiophene-2-carboxylic acid N′-(3-bromo-thiophene-2-carbonyl)-hydrazide; 3-Chloro-benzo[b]thiophene-2-carboxylic acid N′-(5-bromo-thiophene-2-carbonyl)-hydrazide; 4-Chloro-1,3-dimethyl-1H-pyrazolo[3,4-b]-pyridine-5-carboxylic acid N′-(thiophene-2-carbonyl-hydrazide; 2,5-Dimethyl-2H-pyrazole-3-carboxylic acid N′-(3-chloro-benzo[b]thiophene-2-carbonyl)-hydrazide; 2,5-Dimethyl-2H-pyrazole-3-carboxylic acid N′-(thiophene-2-carbonyl)-hydrazide; 4-Bromo-2ethyl-5-methyl-2H-pyrazole-3-carboxylic acid N′-(5-chloro-thiophene-2-carbonyl)-hydrazide; Thiophene-2-carboxylic acid N′-(2-tert-butyl-5-methyl-2H-pyrazole-3-carbonyl)-hydrazide; 5-tert-Butyl-2-methyl-2H-pyrazole-3-carboxylic acid N′-(5-chloro-thiophene-2-carbonyl)-hydrazide; Thiophene-2-carboxylic acid N′-(5-tert-butyl-2-methyl-2H-pyrazole-3-carbonyl)-hydrazide; 4Bromo-2-ethyl-5-methyl-2H-pyrazole-3-carboxylic acid N′-(5-bromo-thiophene-2-carbonyl)-hydrazide; 4-Bromo-2-ethyl-5-methyl-2H-pyrazole-3-carboxylic acid N′-(3-chloro-4-methylthiophene-2-carbonyl)-hydrazide; 4-Bromo-2-ethyl-5-methyl-2H-pyrazole-3-carboxylic acid N′-(5-chloro-thiophene-2-carbonyl)-hydrazide; 4-Bromo-2-ethyl-5-methyl-2H-pyrazole-3-carboxylic acid N′-(4,5-di-bromo-thiophene-2-carbonyl)-hydrazide; 5-Methyl-thiophene-2-carboxylic acid N′-butyryl-hydrazide; 5-Bromo-thiophene-2-carboxylic acid N′-butyryl-hydrazide; Thiophene-2-carboxylic acid N′-(6-bromo-hexanoyl)-hydrazide; Thiophene-2-carboxylic acid N′-heptanoyl-hydrazide; 3-Chloro-4-methyl-thiophene-2-carboxylic acid N′-(6-bromo-hexanoyl)-hydrazide; 3-Chloro-4-methyl-thiophene-Z-carboxylic acid N′-heptanoyl-hydrazide; 5-Methyl-thiophene-2-carboxylic acid N′-(6-bromohexanoyl)-hydrazide; 5-Methyl-thiophene-2-carboxylic acid N′-heptanoyl-hydrazide; 5-Bromo-thiophene-2-carboxylic acid N′-heptanoyl-hydrazide; 3-Bromo-thiophene-2carboxylic acid N′-octanoyl-hydrazide; Thiophene-2-carboxylic acid N′-dodecanoyl-hydrazide; 5-Methyl-thiophene-2-carboxylic acid N′-(3-cyclopentyl-propionyl)-hydrazide; 5-[N′-(5-Methyl-thiophene-2-carbonyl)-hydrazinol-5-oxo-pentanoic acid methyl ester; Furan-2-carboxylic acid N′-heptanoyl-hydrazide; Furan-2-carboxylic acid N′-(3-cyclopentyl-propionyl)-hydrazide; 3,5-Dimethyl-isoxazole-4carboxylic acid N′-octanoyl-hydrazide; 4-Bromo-2-ethyl-5-methyl-2H-pyrazole-3-carboxylic acid N′-octanoyl-hydrazide; 2-Chloro-isonicotinic acid N′-octanoyl-hydrazide; 2-Chloro-nicotinic acid N′-octanoyl-hydrazide; 3-[N′-(3-Bromo-thiophene-2-carbonyl)-hydrazinol-3-oxo-propionic acid ethyl ester; 3-[N′-(Benzo[b]thiophene-2-carbonyl)-hydrazino]-3-oxo-propionic acid ethyl ester; N′-(5-Chloro-thiophen-2-sulfonyl)-thiophene-2-carboxylic acid hydrazide; Butyric acid N′-(5-chloro-thiophen-2-sulfonyl)-hydrazide; N′-(5-Chloro-thiophen-2-sulfonyl)-heptanoic acid hydrazide; 4-Butyl-1-(thiophene-2-carbonyl)-thiosemicarbazide; 1-(4,5-Dibromo-thiophene-2-carbonyl)-4-pentyl-semicarbazide; 1-(5-Bromo-thiophene-2-carbonyl)-4-(4-fluoro-2-trifluoromethyl-phenyl)-semicarbazide; 4-(4-Chloro-3-trifluoromethyl-phenyl)-1-(4,5-dibromo-thiophene-2-carbonyl)-semicarbazide; 1-(4,5-Dibromo-thiophene-2-carbonyl)-4-(3-trifluoromethyl-phenyl)-semi-carbazide; 1-(3-Chloro-4-methyl-thiophene-2-carbonyl)-4-(4-methylsulfanyl-phenyl)-semicarbazide; 4-(4-Bromo-phenyl)-1-(3-chloro-4-methyl-thiophene-2-carbonyl)-semicarbazide; 1-(5-Bromo-thiophene-2-carbonyl)-4-(2-chloromethyl-phenyl)-semicarbazide; 4(2-Chloro-methyl-phenyl)-1-(5-chloro-thiophene-2-carbonyl)-semicarbazide; 1-(5-Bromo-thiophene-2-carbonyl)-4-(4-methoxy-phenyl)-semicarbazide; 1-(5-Bromo-thiophene-2-carbonyl)-4-(2,6-difluoro-phenyl)-semicarbazide; 1-(3-Chloro-benzo[b]thiophene-2-carbonyl)-4-(2,6-dichloro-pyridinyl)-semicarbazide; 1-(3-Chloro-benzo[b]thiophene-2-carbonyl)-4-o-tolyl-semi-carbazide
- The compounds of the Formula (XIII), (I), (X), (XI) or (XII) according to the invention can be also used in form of the corresponding salts with inorganic or organic acids or bases. Examples of such salts are, e.g., alkali metal salts, in particular sodium and potassium salts, hydrochloride or ammonium salts.
- In general, the compounds of the present invention can be used to inhibit quorum sensing signaling of bacteria employing HSLs as signal molecules for cell-cell communication. Preferably, the compounds can be applied to the bacteria listed in Table 1, and more preferably to the bacteria of Table 1 that are pathogens. In the following it is explained that the compounds of the present invention can be used as antibacterial agents in various applications.
- In a preferred form, the compounds of Formula (XIII), (I), (X), (XI) or (XII) are useful for the treatment of a variety of human, animal and plant diseases, where bacterial pathogens regulate the expression of virulence genes and other phenotypes, e.g. biofilm formation, through an HSL-based quorum sensing system. Furthermore, as the list of organisms (see Table 1) employing quorum sensing signaling for their virulence continues to increase, the compounds of the invention can be used also for organisms which will be added to the above listed in future.
- In a first embodiment, the compounds are useful for the treatment of mammalian in particular human diseases caused by bacteria through the inhibition of the bacterial quorum sensing cascade rendering the pathogen avirulent. Such diseases include endocarditis, respiratory and pulmonary infections (preferably in immunocompromized and cystic fibrosis patients), bacteremia, central nervous system infections, ear infections including external otitis, eye infections, bone and joint infections, urinary tract infections, gastrointestinal infections and skin and soft tissue infections including wound infections, pyoderma and dermatitis which all can be triggered by Pseudomonas aeruginosa. Furthermore, the compounds can be used for the treatment of pulmonary infections caused by Burkholderia cepacia (preferably in immunocompromized and cystic fibrosis patients), gastroenteritis and wound infections caused by Aeromonas hydrophila, sepsis in tropical and subtropical areas caused by Chromobacterium violaceum, diarrhoea with blood and haemolytic uremic syndrome (HUS) caused by Escherichia coli, yersiniosis triggered by Yersinia enterocolitica and Y. pseudotuberculosis, and transfusion-related sepsis and fistulous pyoderma caused by Serratia liquefaciens.
- In a second embodiment the compounds can be used in the treatment of immunological diseases, particularly autoimmune diseases such as psoriasis, rheumatoid arthritis, multiple sclerosis and type 1 (autoimmune) diabetes, of cardiovascuklar diseases such as cardiac tachyarrhythmias, ischaemic heart disease, congestive heart failure, of allergic diseases and of diseases including cancer, breast cancer, obesity, lipid metabolism disorders, immune disease, immune deficiency or immune disorders.
- In a third embodiment, the compounds can be used to prevent and/or treat plant diseases, where inhibition of the HSL-mediated signaling system reduces or abolishes virulence of bacterial plant pathogens. Such diseases include crown gall tumors caused by Agrobacterium tumefaciens, soft rot caused by Burkholderia cepacia, Erwinia carotovora and Erwinia chrysanthemi, sweet corn and maize infections caused by Pantoea stewartii and wilt disease caused by Ralstonia solanacearum.
- In a fourth embodiment, the compounds can be used for the prevention and/or treatment of animal diseases, preferably fish diseases such as septicemia caused by Aeromonas hydrophila and Vibrio anguillarum, furunculosis in salmonids caused by Aeromonas salmonicida, prawn infections caused by Vibrio harveyi and enteric redmouth disease caused by Yersinia ruckeri, but also for the prevention and/or treatment of insect diseases caused, for example, by Xenorhabdus nematophilus.
- In general, the present invention provides a method for reducing the virulence of bacterial pathogens employing an HSL-based signaling system. In a preferred form, a method is provided to remove, diminish, detach or disperse a bacterial biofilm from a living or nonliving surface by treating the surface with a compound of Formula (XIII), (I), (X), (XI) or (XII). This method is also useful to prevent biofilm formation on a living or nonliving surface by treating the surface with a compound of Formula (XIII), (I), (X), (XI) or (XII) before bacterial colonization can initialize. The term “biofilm” refers to cell aggregations comprising either a single type of organism or a mixture of more than one organism, then also referred to as “mixed biofilms”. It is clear to persons skilled in the art, that the compounds of the present invention can be applied in a wide variety of different fields such as environmental, industrial and medical applications in order to prevent and/or treat damages or diseases caused by bacteria.
- In one aspect, the compounds of Formula (XIII), (I), (X), (XI) or (XII) can be used for all kinds of surfaces in private and public areas, where it is beneficial to inhibit quorum sensing systems of Gram-negative bacteria in order to prevent and/or treat colonization and biofilm formation. The compounds here can be used in form of a solution, powder or as a coating. The compound is preferably applied to the surface as a solution of the compound, alone or together with other materials such as conventional surfactants, preferably sodium dodecyl sulfate, or detergents, biocides, fungicides, antibiotics, pH regulators, perfumes, dyes or colorants, In combination with a bacteriocidal agent, e.g., the compounds of Formula (XIII), (I), (X), (XI) or (XII) inhibit virulence or biofilm formation whilst the bacteriocidal agent kills the pathogens.
- In one embodiment, the compounds can be used as antibacterial agent for topical use in cleaning and treatment solutions such as disinfectants, detergents, household cleaner and washing powder formulations in the form of a spray or a dispensable liquid. In a preferred form, these solutions can be applied to windows, floors, clothes, kitchen and bathroom surfaces and other surfaces in the area of food preparation and personal hygiene. In addition, the compounds of Formula (XIII), (I), (X), (XI) or (XII) can be used as antibacterial ingredients in personal hygiene articles, toiletries and cosmetics such as dentifrices, mouthwashes, soaps, shampoos, shower gels, ointments, creams, lotions, deodorants and disinfectants and storage solutions for contact lenses. In the case of contact lenses the compounds of Formula (XIII), (I), (X), (XI) or (XII) can also be applied as coating or additive to the lens material.
- In another embodiment, the compounds can be used to prevent or treat bacterial biofilms in industrial settings such as ship hulls, paper and metal manufacturing, oil recovery, food processing and other applications where process disturbances are referred to biofouling on surfaces. The compounds here can be used in form of a solution, paint or coating, for example as an ingredient in cooling lubricants. The compounds can also be applied to water processing plants or drinking water distribution systems where the colonized surface (preferably by Pseudomonas aeruginosa) is preferably the inside of an aqueous liquid system such as water pipes, water injection jets, heat exchangers and cooling towers. Until now biocides are the preferred tools to encounter these problems, but since biocides do not have a high specificity for bacteria, they are often toxic to humans as well. This can be circumvented by the application of the compounds of the present invention.
- In a further embodiment, the present invention relates to a method of inhibiting and/or preventing medical device-associated bacterial infections. The invention provides articles coated and/or impregnated with a compound of Formula (XIII), (I), (X), (XI) or (XII) in order to inhibit and/or prevent biofilm formation thereon. The articles are preferably surgical instruments, blood bag systems or medical devices; more preferably either permanently implanted devices such as artificial heart valve, prostethic joint, voice prosthesis, stent, shunt or not permanently implanted devices such as endotracheal or gastrointestinal tube, pacemaker, surgical pin or indwelling catheter.
- In a more preferred form, the indwelling catheters are urinary catheters, vascular catheters, peritoneal dialysis catheter, central venous catheters and needleless connectors. The catheter materials can be polyvinylchloride, polyethylene, latex, teflon or similar polymeric materials, but preferably polyurethane and silicone or a mixture thereof. In order to reduce the risk of catheter-related bacterial infections, several catheters coated and/or impregnated with antiseptic or antimicrobial agents such as chlorhexidine/silver-sulfadiazine and minocycline/rifampin, respectively, have been developed. Furthermore, collection bags or layers sandwiched between an external surface sheath and a luminal silicone sheath have been constructed to overcome rapid loss of antimicrobial activity. Nevertheless, the emerging risk of bacterial resistance against traditional antibiotics limits the routine use of antibiotic-coated catheters.
- the compounds of the present invention, however, offer the possibility to effectively reduce catheter-related bacterial infections with a low risk of resistance development due to a novel therapeutic strategy targeting highly sensitive signal transduction mechanisms in bacteria. The preferred form of application is the coating and/or impregnating of catheter materials on both the inner and outer catheter surfaces. More preferably, the compounds of Formula (XIII), (I) can be included in a mixture of antibacterial agents released continuously from a catheter-associated depot into the environment.
- In a further embodiment, the compounds of the present invention and their pharmacologically acceptable salts can be administered directly to animals, preferably to mammals, and in particular to humans as antibiotics per se, as mixtures with one another or in the form of pharmaceutical preparations which allow enteral or parenteral use and which as active constituent contain an effective dose of at least one compound of the Formula (XIII), (I), (X), (XI) or (XII) or a salt thereof, in addition to customary pharmaceutical excipients and additives. The compounds of Formula (XIII), (I), (X), (XI) or (XII) can also be administered in form of their salts, which are obtainable by reacting the respective compounds with physiologically acceptable acids and bases.
- The therapeutics can be administered orally, e.g., in the form of pills, tablets, coated tablets, sugar coated tablets, lozenges, hard and soft gelatin capsules, solutions, syrups, emulsions or suspensions or as aerosol mixtures. Administration, however, can also be carried out rectally, e.g., in the form of suppositories, or parenterally, e.g., in the form of injections or infusions, or percutaneously, e.g., in the form of ointments, creams or tinctures.
- In addition to the active compounds of Formula (XIII), (I), (X), (XI) or (XII), the pharmaceutical composition can contain further customary, usually inert carrier materials or excipients. Thus, the pharmaceutical preparations can also contain additives or adjuvants commonly used in galenic formulations, such as, e.g., fillers, extenders, disintegrants, binders, glidants, wetting agents, stabilizers, emulsifiers, preservatives, sweetening agents, colorants, flavorings or aromatizers, buffer substances, and furthermore solvents or solubilizers or agents for achieving a depot effect, as well as salts for modifying the osmotic pressure, coating agents or antioxidants. They can also contain two or more compounds of the Formula (I) or (XIII) or their pharmacologically acceptable salts and also other therapeutically active substances.
- Thus, the compounds of the present invention can be used alone, in combination with other compounds of this invention or in combination with other active compounds, for example with active ingredients already known for the treatment of the afore mentioned diseases, whereby in the latter case a favorable additive effect is noticed. Suitable amounts to be administered to mammalian in particular humans range from 5 to 1000 mg,
- To prepare the pharmaceutical preparations, pharmaceutically inert inorganic or organic excipients can be used. To prepare pills, tablets, coated tablets and hard gelatin capsules, e.g., lactose, corn starch or derivatives thereof, talc, stearic acid or its salts, etc. can be used. Excipients for soft gelatin capsules and suppositories are, e.g., fats, waxes, semi-solid and liquid polyols, natural or hardened oils etc. Suitable excipients for the production of solutions and syrups are, e.g., water, alcohol, sucrose, invert sugar, glucose, polyols etc. Suitable excipients for the production of injection solutions are, e.g., water, alcohol, glycerol, polyols or vegetable oils.
- The dose can vary within wide limits and is to be suited to the individual conditions in each individual case. For the above uses the appropriate dosage will vary depending on the mode of administration, the particular condition to be treated and the effect desired. In general, however, satisfactory results are achieved at dosage rates of about 0.1 to 100 mg/kg animal body weight preferably 1 to 50 mg/kg. Suitable dosage fates for larger mammals, e.g., humans, are of the order of from about 10 mg to 3 g/day, conveniently administered once, in divided
doses 2 to 4 times a day, or in sustained release form. - In general, a daily dose of approximately 0.1 mg to 5000 mg, preferably 10 to 500 mg, per mammalian in particular human individual is appropriate in the case of the oral administration which is the preferred form of administration according to the invention. In the case of other administration forms too, the daily dose is in similar ranges. The compounds of Formula (I) or (XIII) can also be used in the form of a precursor (prodrug) or a suitably modified form, that releases the active compound in vivo.
- In a further embodiment, the compounds of the present invention can be used as pharmacologically active components or ingredients of medical devices, instruments and articles with an effective dose of at least one compound of the Formula (XIII), (I), (X), (XI) or (XII) or a salt thereof. The amount of the compounds used to coat for example medical device surfaces varies to some extent with the coating method and the application field. In general, however, the concentration range from about 0.01 mg per cm2 to about 100 mg per cm2. In a similar way the amount of the compounds has to be adjusted to the application mode it the compounds of the invention are used as components or ingredients in cleaning or treatment solutions. In general, effective dosages range from about 0.1 μM to about 1000 mM.
- The following section shows examples for the synthesis of the compounds of the present invention and demonstrate their quorum sensing inhibiting effect.
- Synthesis Method A (1,2-diacylhydrazine or 1-acyl-2sulfonylhydrazine Derivatives) A solution of (1.2 eq) acid chloride or (1.2 eq) sulfonyl chloride in tetrahydrofuran was added to a solution of (1 eq) hydrazide in tetrahydrofuran and molecular sieve (0.4 nm) at 0° C. The mixture was stirred at room temperature. After 1 h the reaction mixture was concentrated in vacuum, and the resulting solid was purified by preparative thin layer chromatography (Merck, 20×20 cm, Silica gel 60 F254, 1 mm) (CH2Cl2:MeOH, 100:1).
Synthesis Method B (1,2-diacylhydrazine or 1-acyl-2-sulfonylhydrazine Derivatives) - A solution of (1.2 eq) acid chloride or (1.2 eq) sulfonyl chloride in dimethylformamide was added to a solution of (1 eq) hydrazide in dimethylformamide and (1.2 eq) triethylamine at 0° C. The mixture was stirred at room temperature. After 1 h the reaction mixture was concentrated in vacuum, and the resulting solid was purified by preparative thin layer chromatography (Merck, 20×20 cm, Silica gel 60 F254, 1 mm) (CH2Cl2:MeOH, 100:1).
- Synthesis Method C (1,2diacylhydrazine or 1-acyl-2-sulfonylhydrazine Derivatives)
- A solution of (1.2 eq) acid chloride or (1.2 eq) sulfonyl chloride in dichloromethane was added to a solution of (1 eq) hydrazide in dichloromethane and (1.2 eq) triethylamine at 0° C. The mixture was stirred at room temperature. After 1 h the reaction mixture was concentrated in vacuum, and the resulting solid was purified by preparative thin layer chromatography (Merck, 20×20 cm, Silica gel 60 F254, 1 mm) (n-hexane:EtOAc, 9:1).
- A solution of (1.2 eq) acid chloride in tetrahydrofuran was added to a solution of (1 eq) amine in tetrahydrofuran and molecular sieve (0.4 nm) at 0° C. The mixture was stirred at room temperature. After 1 h the reaction mixture was concentrated in vacuum, and the resulting solid was purified by preparative thin layer chromatography (Merck, 20×20 cm, Silica gel 60 F254, 1 mm) (CH2Cl2:MeOH, 100:1).
- A solution of (1.2 eq) acid chloride in dichloromethane was added to a solution of (1 eq) amine in dichloromethane and (1.2 eq) triethylamine at 0° C. The mixture was stirred at room temperature. After 1 h the reaction mixture was concentrated in vacuum, and the resulting solid was purified by preparative thin layer chromatography (Merck, 20×20 cm, Silica gel 60 F254, 1 mm) (n-hexane:EtOAc, 9:1).
- A solution of (1.3 eq) isocyanate or (1.3 eq) isothiocyanate in tetrahydrofuran was added to a solution of (1 eq) hydrazide in tetrahydrofuran and molecular sieve (0.4 nm) at 0° C. The mixture was stirred at room temperature. After 1 h the reaction mixture was concentrated in vacuum, and the resulting solid was purified by preparative thin layer chromatography (Merck, 20×20 cm, Silica gel 60 F254, 1 mm) (CH2Cl2:MeOH, 100:5).
- A solution of (1.2 eq) acid chloride in tetrahydrofuran was added to a solution of (1 eq) hydrazine in tetrahydrofuran and molecular sieve (0.4 nm) at 0° C. The mixture was stirred at room temperature. After 1 h the reaction mixture was concentrated in vacuum, and the resulting solid was purified by preparative thin layer chromatography (Merck, 20×20 cm, Silica gel 60 F254, 1 mm) (CH2Cl2:MeOH, 100:1).
- The acyl Meldrum's acid (1.2 eq) was dissolved in anhydrous benzene (concentration approximately 0.4 mol/l), and the amine (1.0 eq) was added. In case of amine hydrochlorides, one equivalent of triethylamine or N,N-diisopropylethylamine was added. The mixture was refluxed until tic showed complete conversion (typically, 4 to 6 h). The benzene solutions were directly chromatographed on silica gel in an appropriate solvent mixture (isohexane-ethyl acetate, dichloromethane-methanol, or dichloromethane-acetonitrile mixtures). Yields of the purified products typically were in the range from 30 to 75%.
- In the following Table 2, the synthesis method employed in each case for the respective compound or whether the compound was obtained is indicated. Furthermore, the mass found by LC/(+)-ESI and LC/(−)-ESI mass spectrometry, the molecular mass, the NMR data (300.13 MHz, residual solvent peaks were used as internal standards (chloroform, δ7.26; methanol, δ3.31; dimethyl sulfoxide, δ2.49; abbreviations: ψ=pseudo, br.=broad, s=singulet, d=doublet, t=triplet, q=quartet, quint.=quintet, sext.=sextet, mc=multiplet centered, m=multiplet, CHar=aromatic H, J=1H-1H coupling constant) and the IC50 range as a measure of anti-quorum sensing activity are indicated. The NMR data of the small signals due to enol-tautomers or possible rotamers of the 3-oxo-carboxylic acid amides are not listed.
-
TABLE 2 Structure and biosensor assay results of the tested compounds. Syn- thesis method/ HPLC/MS IC50 # Compound supplier (ESI) 1H-NMR (300 MHz) * 1 May-bridge — — +++ 2 E 313[M + H]+311[M − H]− δ (CDCl3) = 3.88 (s, 3H, OCH3), 6.72 (d,J = 8.9 Hz, 1H, H-3), 7.03 (d, J = 5.2Hz, 1H, H-4′), 7.46 (d, J = 5.3 Hz,1H, H-5′), 7.95 (dd, J = 8.9, 2.7 Hz,1H, H-4), 8.24 (d, J = 2.7 Hz, 1H, H-6), 8.65 (br.s, 1H, NH) +++ 3 May-bridge — — +++ 4 May-bridge — — + 5 D 282[M + H]+280[M − H]− δ (CD3OD) = 2.23 (s, 3H, CH3), 3.79 (s,3H, 3H, OCH3), 7.06-7.11 (m, 2H, H-4and H-2′), 7.50 (dd, J = 4.9, 1.1 Hz,1H, H-3), 7.69 (dd, J = 3.8, 1.1 Hz,1H, H-5), 9.71 (s, 1H, NH) + 6 May-bridge — — ++ 7 May-bridge — — +++ 8 E 276[M + H]+274[M − H]− δ (CDCl3) = 2.54 (s, 3H, SCH3), 3.86 (s,3H, OCH3), 6.70 (d, J = 8.9 Hz, 1H, H-3), 7.01 (t, J = 4.8 Hz, 1H, H-5′),7.85 (d, J = 6.3 Hz, 1H, H-4′), 7.97(d, J = 8.7 Hz, 1H, H-4), 8.22-8.23(br.s, 2H, H-6 and NH), 8.46 (dd, J =4.8, 1.7 Hz, 1H, H-6′) + 9 E 308[M + H]+306[M − H]− δ (CD3OD) = 3.85 (s, 3H, OCH3), 6.87 (d,J = 8.8 Hz, 1H, H-3), 8.10 (dd, J =8.9, 2.6 Hz, 1H, H-4), 8.57 (d, J =2.5 Hz, 1H, H-6), 8.64 (d, J = 2.1 Hz,1H, H-4′), 8.91 (d, J = 2.2 Hz, 1H, H-6′), 9.13 (d, J = 1.9 Hz, 1H, H-2′),10.81 (s, 1H, NH) + 10 E 346[M + H]+344[M − H]− δ (CDCl3) = 7.63 (s, 2H, H-3′ and H-5′),7.83 (dd, J = 8.8, 2.3 Hz, 1H, H-4),8.17 (d, J = 8.8 Hz, 1H, H-3), 8.28(d, J = 2.3 Hz, 1H, H-6), 8.63 (s, 1H,NH) + 11 E 248[M + H]+246[M − H]− δ (CDCl3) = 2.53 (s, 3H, CH3), 7.24 (dd,J = 8.2, 4.9 Hz, 1H, H-5), 7.82 (s,1H, H-3′), 7.87 (s, 1H, H-5′), 8.29(d, J = 4.4 Hz, 1H, H-4), 8.36 (d, J =8.4 Hz, 1H, H-6), 9.09 (s, 1H, H-2),10.30 (br.s, 1H, NH) +++ 12 D 312[M + H]+310[M − H]− δ (CD3OD) = 1.40 (t, J = 7.2 Hz, 3H,NCH2CH3), 2.25 (s, 3H, CH3), 3.82 (s,3H, NCH3), 4.33 (q, J = 7.2 Hz, 2H,NCH2CH3), 6.40 (br.s, 1H, CHar), 7.44(d, J = 1.8 Hz, 1H, CHar) +++ 13 D 262[M + H]+260[M − H]− δ (CD3OD) = 1.66 (s, 9H, N-tBu), 2.24(s, 3H, CH3), 3.75 (s, 3H, NCH3), 6.30(br.s, 1H, CHar), 6.50 (br.s, 1H, CHar),7.43 (d, J = 2.1 Hz, 1H, CHar) + 14 D 318[M + H]+316[M − H]− δ (DMSO-d6) = 3.73 (s, 3H, NCH3), 6.72(s, 1H, H-4′), 7.25 (dd, J = 3.6, 5.1Hz, 1H, H-4), 7.43 (d, J = 8.3 Hz, 2H,CHar), 7.80 (d, J = 8.7 Hz, 2H, CHar),7.90 (dd, J = 1.2, 4.8 Hz, 1H, H-3),8.01 (dd, J = 0.9, 3.9 Hz, 1H, H-5),10.43 (s, 1H, NH) +++ 15 D 218[M + H]+216[M − H]− δ (CD3OD) = 3.65 (s, 3H, NCH3), 6.44 (s,1H, H-4′), 6.92 (dd, J = 3.6, 5.1 Hz,1H, H-4″), 7.19-7.23 (m, 2H, CHar),7.38 (t, J = 8.1 Hz, 1H, CHar), 7.50(d, J = 8.1 Hz, 1H, CHar), 7.78 (d, J =7.8 Hz, 1H, CHar), 7.87 (d, J = 1.8 Hz,1H, CHar) +++ 16 D 384[M + H]+382[M − H]− δ (DMSO-d6) = 1.34 (mc, 2H, CH2), 1.53(mc, 2H, CH2), 1.74 (mc, 2H, CH2), 2.28(t, J = 7.2 Hz, 2H, CH2), 3.45 (t, J =6.6 Hz, 2H, CH2), 3.59 (s, 3H, NCH3),6.55 (s, 1H, H-4), 7.33 (d, J = 8.7Hz, 2H, CHar), 7.65 (d, J = 8.4 Hz, 2H,CHar), 9.86 (s, 1H, NH) +++ 17 D 286[M + H]+284[M − H]− δ (CD3OD) = 0.80 (t, J = 6.6 Hz, 3H,CH3), 1.21-1.34 (m, 6H, (CH2)3), 1.59(quint., J = 7.8 Hz, 2H, CH2), 2.31 (t,J = 7.5 Hz, 2H, CH2), 3.64 (s, 3H,NCH3), 6.47 (s, 1H, H-4), 7.15-7.29 (m,3H, CHar), 7.62 (d, J = 6.9 Hz, 2H,CHar) +++ 18 D 350[M + H]+ δ (DMSO-d6) = 1.41 (mc, 2H, CH2), 1.55(mc, 2H, CH2), 1.82 (mc, 2H, CH2), 2.31(t, J = 6.9 Hz, 2H, CH2), 3.51 (t, J =6.6 Hz, 2H, CH2), 3.70 (s, 3H, NCH3),6.62 (s, 1H, H-4), 7.28 (t, J = 7.5Hz, 1H, CHar), 7.38 (t, J = 8.4 Hz, 2H,CHar), 7.74 (t, J = 6.9 Hz, 2H, CHar),9.95 (s, 1H, NH) +++ 19 D 292[M + H]+290[M − H]− δ (CD3OD) = 0.81 (t, J = 6.6 Hz, 3H,CH3), 1.22-1.33 (m, 6H, (CH2)3), 1.61(quint., J = 7.8 Hz, 2H, CH2), 2.33 (t,J = 7.5 Hz, 2H, CH2), 3.61 (s, 3H,NCH3), 6.38 (s, 1H, H-4), 6.93 (t, J =4.5 Hz, 1H, H-4′), 7.20 (d, J = 4.5Hz, 2H, H-3′ and H-5′) +++ 20 D 356[M + H]+354[M − H]− δ (CD3OD) = 1.44 (mc, 2H, CH2), 1.64 (mc,2H, CH2), 1.80 (mc, 2H, CH2), 2.36 (t,J = 7.2 Hz, 2H, CH2), 3.37 (t, J = 6.6Hz, 2H, CH2), 3.62 (s, 3H, NCH3), 6.39(s, 1H, H-4), 6.93 (t, J = 4.5 Hz, 1H,H-4′), 7.21 (d, J = 4.5 Hz, 1H,H-4′), 7.21 (d, J = 4.5 Hz, 2H, H-3′ and H-5′) +++ 21 D 288[M + H]+286[M − H]− δ (CD3OD) = 0.92 (t, J = 7.2 Hz, 3H,CH3), 1.38 (mc, 6H, (CH2)3), 1.71(quint., J = 7.5 Hz, 2H, CH2), 2.43 (t,J = 7.5 Hz, 2H, CH2), 3.68 (s, 3H,NCH3), 7.45 (s, 1H, H-3) +++ 22 D 274[M + H]+ δ (CD3OD) = 1.46 (mc, 2H, CH2), 1.63 (mc,2H, CH2), 1.80 (mc, 2H, CH2), 2.34 (t,J = 7.2 Hz, 2H, CH2), 3.37 (t, J = 6.6Hz, 2H, CH2), 3.61 (s, 3H, NCH3), 6.11(d, J = 2.1 Hz, 1H, H-4), 7.29 (d, J =2.1 Hz, 1H, H-3) +++ 23 D 352[M + H]+ δ (CD3OD) = 1.50 (mc, 2H, CH2), 1.66 (mc,2H, CH2), 1.79 (mc, 2H, CH2), 2.37 (t,J = 7.2 Hz, 2H, CH2), 3.37 (t, J = 6.6Hz, 2H, CH2), 3.60 (s, 3H, NCH3), 7.36(s, 1H, H-3) +++ 24 D 210[M + H]+208[M − H]− δ (CD3OD) = 0.92 (t, J = 6.6 Hz, 3H,CH3), 1.34-1.46 (m, 6H, (CH2)3), 1.72(quint., J = 7.8 Hz, 2H, CH2), 2.42 (t,J = 7.8 Hz, 2H, CH2), 3.72 (s, 3H,NCH3), 6.22 (d, J =2.1 Hz, 1H, H-4),7.39 (d, J = 2.1 Hz, 1H, H-3) +++ 25 G 289[M + H]+287[M − H]− δ (DMSO-d6) = 7.33-7.37 (m, 2H, CHar),7.80 (dd, J = 3.6, 5.4 Hz, 2H, CHar),8.87 (d, J = 4.8 Hz, 1H, CHar), 9.89(s, 1H, NH), 10.71 (s, 1H, NH) +++ 26 G 301[M + H]+299[M − H]− δ (DMSO-d6) = 2.19 (s, 3H, CH3), 3.95(s, 3H, NCH3), 6.73 (s, 1H, H-4), 7.23(d, J = 4.8 Hz, 1H, CHar), 8.74 (d, J =4.8 Hz, 1H, CHar), 9.76 (s, 1H, NH),10.46 (s, 1H, NH) +++ 27 May-bridge — — +++ 28 May-bridge — — ++ 29 A 331[M + H]+329[M − H]− δ (DMSO-d6) = 7.21 (t, J = 4.5 Hz, 1H,H-4), 7.52 (d, J = 8.7 Hz, 2H, CHar),7.85 (d, J = 4.8 Hz, 1H, H-3), 7.88(d, J = 3.6 Hz, 1H, H-5), 8.03 (d, J =8.7 Hz, 2H, CHar), 10.57 (s, 1H, NH),10.62 (s, 1H, NH) + 30 May-bridge — — + 31 May-bridge — — ++ 32 May-bridge — — ++ 33 B 415[M + H]+413[M − H]− δ (CD3OD) = 7.15 (d, J = 5.3 Hz, 1H, H-4), 7.53-7.55 (m, 2H, CHar), 7.61-7.63(m, 3H, CHar), 7.80 (d, J = 5.3 Hz, 1H,H-5), 8.19 (s, 1H, H-3′) + 34 A 415[M + H]+413[M − H]− δ (CD3OD) = 7.05 (t, J = 5.1 Hz, 1H, H-4), 7.38 (d, J = 9.0 Hz, 2H, CHar),7.47 (d, J = 9.0 Hz, 2H, CHar), 7.62(dd, J = 5.1, 1.2 Hz, 1H, H-3), 7.70(dd, J = 4.2, 1.5 Hz, 1H, H-5), 8.05(s, 1H, H-3′) ++ 35 TimTec 237[M + H]+235[M − H]− δ (DMSO-d6) = 3.45 (dd, J = 1.8, 3.3 Hz,1H, CHar), 7.23 (dd, J = 3.6, 4.8 Hz,1H, CHar), 7.29 (d, J = 3.6 Hz, 1H,CHar), 7.87-7.95 (m, 3H, CHar), 10.44(s, 1H, NH), 10.52 (s, 1H, NH) ++ 36 May-bridge — — ++ 37 May-bridge — — ++ 38 A 301[M + H]+299[M − H]− δ (DMSO-d6) = 3.89 (s, 3H, OCH3), 6.67(dd, J = 1.5, 3.3 Hz, 1H, H-4), 7.26(d, J = 3.6 Hz, 1H, H-3), 7.24 (d, J =3.3 Hz, 1H, H-3), 7.91 (d, J = 1.5 Hz,1H, H-5), 7.94 (s, 1H, H-3′), 10.12(br.s, 1H, NH), 10.36 (br.s, 1H, NH) +++ 39 A 315[M + H]+313[M − H]− δ (DMSO-d6) = 6.66 (dd, J = 1.8, 3.3 Hz,1H, H-4), 7.22 (d, J = 5.1 Hz, 1H, H-4′), 7.24 (d, J = 3.3 Hz, 1H, H-3),7.58 (d, J = 5.1 Hz, 1H, H-5′), 7.90(d, J = 1.8 Hz, 1H, H-5), 10.37 (br.s,2H, NH) +++ 40 A 305[M + H]+303[M − H]− δ (DMSO-d6) = 6.59 (dd, J = 1.8, 3.3 Hz,1H, H-4), 7.17 (d, J = 3.6 Hz, 1H, H-3), 7.39 (s, 1H, H-4′), 7.83 (d, J =1.8 Hz, 1H, H-5), 10.25 (s, 1H, NH),10.38 (s, 1H, NH) +++ 41 TimTec 321[M + H]+319[M − H]− δ (DMSO-d6) = 6.52 (dd, J = 1.8, 3.6 Hz,1H, H-4), 7.13 (dd, J = 1.8, 3.6 Hz,1H, H-3), 7.44-7.47 (m, 2H, CHar),7.76-7.79 (m, 2H, CHar), 7.99 (mc, 1H,H-5), 10.35 (s, 1H, NH), 10.42 (s, 1H,NH) +++ 42 May-bridge — — +++ 43 May-bridge — — +++ 44 B 331[M + H]+329[M − H]− δ (CDCl3) = 1.51 (t, J = 7.0 Hz, 3H,OCH2CH3), 4.24 (q, J = 7.1 Hz, 2H,OCH2CH3), 6.80 (d, J = 5.4 Hz, 1H, H-4), 6.96 (d, J = 5.3 Hz, 1H, H-4′),7.41 (d, J = 5.4 Hz, 1H, H-5), 7.46(d, J = 5.3 Hz, 1H, H-5′), 9.97 (d, J =7.3 Hz, 1H, NH), 10.15 (d, J = 7.3Hz, 1H, NH) + 45 B 297[M + H]+295[M − H]− δ (CDCl3) = 1.50 (t, J = 7.0 Hz, 3H,OCH2CH3), 4.25 (q, J = 7.0 Hz, 2H,OCH2CH3), 6.80 (d, J = 5.5 Hz, 1H, H-4), 7.01 (dd, J = 6.0, 3.8 Hz, 1H, H-4′0), 7.40 (d, J = 5.4 Hz, 1H, H-5),7.43 (d, J = 3.9 Hz, 1H, H-3′), 7.62(d, J = 3.9 Hz, 1H, H-5′), 9.50 (br.s,1H, NH), 9.90 (d, J = 5.3 Hz, 1H, NH) +++ 46 AsInEx — — ++ 47 A 253[M + H]+251[M − H]− δ (CD3OD) = 7.06 (t, J = 3.9 Hz, 1H, H-4), 7.41-7.48 (m, 2H, H-4′ and H-5′),7.63 (d, J = 4.8 Hz, 1H, H-3), 7.72(d, J = 4.8 Hz, 1H, H-5), 8.08 (s, 1H,H-2′) +++ 48 A 365[M + H]+363[M − H]− δ (CDCl3) = 6.87 (d, J = 4.1 Hz, 1H, H-2′), 7.03 (d, J = 5.2 Hz, 1H, H-1),7.47 (d, J = 5.2 Hz, 1H, H-2), 7.49(d, J = 4.1 Hz, 1H, H-1′) ++ 49 A 319[M − H]− δ (CD3OD) = 7.21 (d, J = 5.4 Hz, 2H, H-4and H-4′), 7.84 (d, J = 5.4 Hz, 2H, H-5 and H-5′) ++ 50 B 315[M − H]− δ (CD3OD) = 4.05 (s, 3H, OCH3), 7.16(dd, J = 5.1, 3.9 Hz, 1H, H-4′), 7.72(dd, J = 5.1, 1.2 Hz, 1H, H-3′), 7.81(dd, J = 3.9, 1.2 Hz, 1H, H-5′), 7.96(s, 1H, H-5) ++ 51 SPECSandBio-SPECS — — ++ 52 A 285[M − H]− δ (DMSO-d6) = 7.08 (d, J = 3.9 Hz, 1H,H-4′), 7.13 (d, J = 4.2 Hz, 1H, H-4),7.68 (d, J = 3.9 Hz, 1H, H-3), 7.74(d, J = 3.9 Hz, 1H, H-3′), 7.78 (d, J =3.2 Hz, 1H, H-5′), 10.55 (s, 2H, NH) ++ 53 A 375[M + H]+373[M − H]− δ (CD3OD) = 2.44 (s, 3H, CH3), 3.93 (s,3H, OCH3), 6.75 (dd, J = 1.2, 3.9 Hz,1H, H-4), 7.52 (d, J = 3.6 Hz, 1H, H-3), 8.01 (s, 1H, H-5′) +++ 54 A 267[M + H]+265[M − H]− δ (CD3OD) = 2.52 (s, 3H, CH3), 6.84 (d,J = 3.3 Hz, 1H, H-4′), 7.16 (t, J =4.8 Hz, 1H, H-4), 7.61 (d, J = 3.6 Hz,1H, H-3′), 7.72 (d, J = 4.8 Hz, 1H, H-3), 7.80 (d, J = 4.2 Hz, 1H, H-5) +++ 55 A 331[M + H]+329[M − H]− δ (CD3OD) = 7.04-7.08 (m, 2H, H-4 and H-4′), 7.58-7.65 (m, 2H, H-5 and H-3′),7.70 (d, J = 3.6 Hz, 1H, H-5′) +++ 56 B 375[M + H]+373[M − H]− δ (CD3OD) = 1.41 (t, J = 6.9 Hz, 3H,CH3), 4.27 (q, J = 6.9 Hz, 2H, OCH2),6.98 (d, J = 5.4 Hz, 1H, CHar), 7.07(d, J = 5.4 Hz, 1H, CHar), 7.59 (d, J =5.7 Hz, 1H, CHar), 7.63 (d, J = 5.4 Hz,1H, CHar) +++ 57 A 345[M + H]+343[M − H]− δ (CD3OD) = 2.64 (s, 3H, CH3), 6.96 (dd,J = 0.9, 3.6 Hz, 1H, CHar), 7.26 (d, J =5.1 Hz, 1H, CHar), 7.72 (d, J = 3.6Hz, 1H, CHar), 7.82 (d, J = 5.1 Hz, 1H,CHar) +++ 58 A 319[M − H]− δ (DMSO-d6) = 7.10 (d, J = 5.1 Hz, 1H,H-4), 7.13 (d, J = 4.2 Hz, 1H, H-4′),7.60 (d, J = 3.9 Hz, 1H, H-3′), 7.80(d, J = 5.1 Hz, 1H, H-5) ++ 59 TimTec — — +++ 60 TimTec — — +++ 61 B 415[M + H]+413[M − H]− δ (CD3OD) = 7.01 (d, J = 5.4 Hz, 1H, H-4′), 7.39-7.43 (m, 2H, CHar), 7.56 (d,J = 5.1 Hz, 1H, H-5′), 7.78-7.82 (m,2H, CHar) ++ 62 B 413[M − H]− δ (CDCl3) = 7.03 (d, J = 3.7 Hz, 1H, H-4), 7.40 (d, J = 3.2 Hz, 1H, H-3),7.45-7.48 (m, 2H, CHar), 7.77-7.87 (m,2H, CHar), 9.14 (s, 1H, NH), 9.79 (s,1H, NH) ++ 63 B 350[M + H]+348[M − H]− δ (CD3OD) = 2.73 (s, 3H, CH3), 4.05 (s,3H, NCH3), 7.18 (dd, J = 5.1, 3.6 Hz,1H, H-4′), 7.75 (dd, J = 5.1, 1.2 Hz,1H, H-3′), 7.83 (dd, J = 3.6, 1.2 Hz,1H, H-5′), 8.68 (s, 1H, H-6) + 64 B 347[M − H]− δ (CD3OD) = 2.28 (s, 3H, CH3), 4.08 (s,3H, NCH3), 6.70 (s, 1H, H-4), 7.57-7.62(m, 2H, CHar), 7.96-8.01 (m, 2H, CHar) + 65 May-bridge — — +++ 66 B 265[M + H]+263[M − H]− δ (CD3OD) = 2.25 (s, 3H, CH3), 4.04 (s,3H, NCH3), 6.65 (s, 1H, H-4), 7.17 (dd,J = 5.1, 3.9 Hz, 1H, H-4′), 7.73 (dd,J = 5.1, 0.9 Hz, 1H, H-3′), 7.79 (d, J =3.9 Hz, 1H, H-5′) + 67 A 391[M + H]+389[M − H]− δ (CDCl3) = 1.33 (t, J = 7.1 Hz, 3H,NCH2CH3), 1.83 (s, 3H, CH3), 4.42 (dd,J = 14.3, 7.2 Hz, 2H, NCH2CH3), 6.85(d, J = 4.1 Hz, 1H, H-4), 7.44 (d, J =4.1 Hz, 1H, H-3) + 68 A 305[M − H]− δ (CD3OD) = 1.68 (s, 9H, —C(CH3)3), 2.86(s, 3H, CH3), 6.47 (s, 1H, H-4′), 7.17(t, J = 3.9 Hz, 1H, H-4), 7.74 (dd, J =4.2, 0.9 Hz, 1H, H-3), 7.82 (dd, J =3.6, 0.9 Hz, 1H, H-5) + 69 B 341[M + H]+339[M − H]− δ (CDCl3) = 1.22 (s, 9H, tBu), 4.00 (s,3H, NCH3), 6.58 (s, 1H, H-4′), 6.81 (d,J = 3.9 Hz, 1H, H-4), 7.44 (d, J = 3.9Hz, 1H, H-3) +++ 70 A 307[M + H]+305[M − H]− δ (CD3OD) = 1.33 (s, 9H, —C(CH3)3), 4.08(s, 3H, NCH3), 6.80 (s, 1H, H-4′), 7.18(t, J = 3.6 Hz, 1H, H-4), 7.75 (dd, J =5.1, 1.2 Hz, 1H, H-3), 7.82 (d, J =3.6 Hz, 1H, H-5) + 71 A 435[M + H]+433[M − H]− δ (CD3OD) = 1.31 (t, J = 7.5 Hz, 3H,NCH2CH3), 2.13 (s, 3H, CH3), 4.23 (q, J =7.2 Hz, 2H, NCH2CH3), 7.10 (d, J =4.2 Hz, 1H, H-4), 7.48 (d, J = 3.9 Hz,1H, H-3) +++ 72 A 405[M + H]+403[M − H]− δ (CD3OD) = 1.29 (t, J = 6.9 Hz, 3H,NCH2CH3), 2.12 (s, 3H, CH3), 2.13 (s,3H, CH3), 4.23 (q, J =7.2 Hz, 2H,NCH2CH3), 7.36 (s, 1H, H-5) + 73 A 391[M + H]+389[M − H]− δ (CD3OD) = 1.28 (t, J = 7.2 Hz, 3H,NCH2CH3), 2.10 (s, 3H, CH3), 4.20 (q, J =6.9 Hz, 2H, NCH2CH3), 6.94 (d, J =4.2 Hz, 1H, H-4), 7.50 (d, J = 4.2 Hz,1H, H-3) +++ 74 A 513[M + H]+511[M − H]− δ (DMSO-d6) = 1.37 (t, J = 7.2 Hz, 3H,NCH2CH3), 2.23 (s, 3H, CH3), 4.28 (q, J =7.2 Hz, 2H, NCH2CH3), 7.94 (s, 1H, H-3), 10.75 (s, 1H, NH), 11.09 (s, 1H,NH) + 75 TimTec 213[M + H]+211[M − H]− δ (CD3OD) = 0.90 (t, J = 7.5 Hz, 3H,CH3), 1.60 (sext., J = 7.5 Hz, 2H,CH2), 2.18 (t, J = 7.2 Hz, 2H, CH2),7.04 (dd, J =3.9, 5.1 Hz, 1H, H-4),7.60 (dd, J = 3.9, 5.1 Hz, 1H, H-3),7.65 (dd, J = 3.9, 5.1 Hz, 1H, H-5) +++ 76 A 227[M + H]+225[M − H]− δ (CD3OD) = 1.01 (t, J = 7.5 Hz, 3H,CH3), 1.71 (sext., J = 7.5 Hz, 2H,CH2), 2.28 (t, J = 7.5 Hz, 2H, CH2),2.52 (s, 3H, CH3), 6.82 (d, J =3.9 Hz,1H, H-4), 7.57 (d, J = 3.6 Hz, 1H, H-3) ++ 77 A 291[M + H]+289[M − H]− δ (CD3OD) = 0.90 (t, J = 7.5 Hz, 3H,CH3), 1.59 (sext., J = 7.8 Hz, 2H,CH2), 2.17 (t, J = 7.5 Hz, 2H, CH2),7.05 (d, J = 3.9 Hz, 1H, H-4), 7.43(d, J = 4.2 Hz, 1H, H-3) +++ 78 A 319[M + H]+ δ (DMSO-d6) = 1.41 (mc, 2H, H-3′), 1.56(mc, 2H, H-2′), 1.81 (mc, 2H, H-4′),2.17 (t, J = 7.2 Hz, 2H, H-1′), 3.52(t, J = 6.6 Hz, 2H, H-5′), 7.16 (t, J =4.5 Hz, 1H, H-4), 7.81 (d, J = 4.2Hz, 2H, H-3 and H-5), 9.82 (s, 1H,NH), 10.28 (s, 1H, NH) +++ 79 A 255[M + H]+253[M − H]− δ (DMSO-d6) = 0.86 (t, J = 6.9 Hz, 2H,H-6′), 1.20-1.36 (m, 6H, H-3′, H-4′and H-5′), 1.53 (mc, 2H, H-2′), 2.17(t, J =7.2 Hz, 2H, H-1′), 7.16 (t, J =4.5 Hz, 1H, H-4), 7.80-7.84 (m, 2H,H-3 and H-5), 9.79 (s, 1H, NH), 10.27(s, 1H, NH) +++ 80 C 367[M + H]+365[M − H]− δ (CDCl3) = 1.45 (mc, 1H, H-3′), 1.68(mc, 1H, H-2′), 1.80 (mc, 1H, H-4′),2.17 (s, 3H, CH3), 2.35 (t, J = 7.4Hz, 1H, H-1′), 3.33 (t, J = 6.7 Hz,1H, H-5′), 7.19 (s, 1H, H-5), 9.66 (d,J = 6.4 Hz, 1H, NH), 9.82 (d, J = 6.3Hz, 1H, NH) +++ 81 C 303[M + H]+301[M − H]− δ (CDCl3) = 0.80 (t, J = 6.7 Hz, 1H, H-6′), 1.18-1.28 (m, 3H, H-3′, H-4′ andH-5′), 1.62 (mc, 1H, H-2′), 2.16 (s,3H, CH3), 2.31 (t, J = 7.4 Hz, 1H, H-1′), 7.19 (s, 1H, H-5), 9.60 (d, J =6.5 Hz, 1H, NH), 9.84 (d, J = 6.4 Hz,1H, NH) +++ 82 A 333[M + H]+ δ (DMSO-d6) = 1.41 (mc, 2H, CH2), 1.53(mc, 2H, CH2), 1.79 (quint., J = 7.2 Hz, 2H, CH2), 2.16 (t, J = 7.2 Hz, 2H,CH2), 2.46 (s, 3H, CH3), 3.52 (t, J =6.9 Hz, 2H, CH2), 6.85 (dd, J = 0.9,4.8 Hz, 1H, H-4), 7.61 (d, J = 3.9 Hz,1H, H-3), 9.77 (s, 1H, NH), 10.16 (s,1H, NH) +++ 83 A 269[M + H]+267[M − H]− δ (DMSO-d6) = 0.84 (t, J = 4.2 Hz, 3H,CH3), 1.24 (mc, 6H, (CH2)3), 1.48(quint., J = 7.2 Hz, 2H, CH2), 2.18 (t,J = 7.5 Hz, 2H, CH2), 2.46 (s, 3H,CH3), 6.85 (d, J = 3.9 Hz, 1H, H-4),7.60 (d, J = 3.3 Hz, 1H, H-3), 9.74(s, 1H, NH), 10.14 (s, 1H, NH) +++ 84 A 333[M + H]+331[M − H]− δ (CD3OD) = 0.82 (t, J = 6.9 Hz, 3H,CH3), 1.19-1.34 (m, 6H, (CH2)3), 1.56(quint., J = 7.2 Hz, 2H, CH2), 2.19 (t,J = 7.5 Hz, 2H, CH2), 7.05 (d, J = 4.2Hz, 1H, H-4), 7.43 (d, J = 4.2 Hz, 1H,H-3) +++ 85 A 347[M + H]+345[M − H]− δ (DMSO-d6) = 0.89 (t, J = 6.9 Hz, 3H,CH3), 1.30-1.37 (m, 8H, (CH2)4), 1.57(quint., J = 6.6 Hz, 2H, CH2), 2.19 (t,J = 7.5 Hz, 2H, CH2), 7.24 (d, J = 5.1Hz, 1H, H-4), 7.87 (d, J = 5.1 Hz, 1H,H-5), 9.95-10.16 (br.s, 2H, NH) +++ 86 A 325[M + H]+323[M − H]− δ (CD3OD) = 0.80 (t, J = 6.9 Hz, 3H,CH3), 1.14-1.32 (m, 16H, (CH2)8), 1.57(quint., J = 7.5 Hz, 2H, CH2), 2.20 (t,J = 7.5 Hz, 2H, CH2), 7.04 (dd, J =3.9, 4.8 Hz, 1H, H-4), 7.60 (dd, J =0.9, 4.8 Hz, 1H, H-3), 7.65 (dd, J =1.2, 4.2 Hz, 1H, H-5) +++ 87 A 281[M + H]+279[M − H]− δ (DMSO-d6) = 1.06 (mc, 2H, CH2), 1.50(mc, 6H, (CH2)3), 1.72 (mc, 3H, CH andCH2), 2.16 (t, J = 7.8 Hz, 2H, CH2),2.46 (s, 3H, CH3), 6.65 (dd, J = 0.9,3.9 Hz, 1H, H-4), 7.61 (d, J = 3.6 Hz,1H, H-3), 9.75 (s, 1H, NH), 10.14 (s,1H, NH) +++ 88 A 285[M + H]+283[M − H]− δ (CD3OD) = 1.96 (t, J = 7.2 Hz, 2H,CH2), 2.36 (t, J = 7.5 Hz, 2H, CH2),2.44 (t, J = 7.5 Hz, 2H, CH2), 2.51 (s,3H, CH3), 3.67 (s, 3H, OCH3), 6.82 (d,J = 3.9 Hz, 1H, H-4), 7.57 (d, J =3.6Hz, 1H, H-3) + 89 A 239[M + H]+237[M − H]− δ (CD3OD) = 1.11 (t, J = 6.6 Hz, 3H,CH3), 1.47-1.63 (m, 6H, (CH2)3), 1.86(quint., J = 7.2 Hz, 2H, CH2), 2.48 (t,J = 7.5 Hz, 2H, CH2), 6.79 (br.s, 1H,H-4), 7.39 (d, J = 3.6 Hz, 1H, H-3),7.88 (br.s, 1H, H-5) +++ 90 A 251[M + H]+249[M − H]− δ (DMSO-d6) = 1.14 (mc, 2H, CH2), 1.60(mc, 6H, (CH2)3), 1.80 (mc, 3H, CH andCH2), 2.23 (t, J = 7.2 Hz, 2H, CH2),6.70 (dd, J = 1.8, 3.6 Hz, 1H, H-4),7.62 (d, J = 3.6 Hz, 1H, H-3), 7.94(d, J = 2.7 Hz, 1H, H-5), 9.82 (s, 1H,NH), 10.19 (s, 1H, NH) +++ 91 A 282[M + H]+280[M − H]− δ (DMSO-d6) = 0.75 (t, J = 6.9 Hz, 3H,CH3), 1.15-1.23 (m, 8H, (CH2)4), 1.43(quint., J = 6.9 Hz, 2H, CH2), 2.05 (t,J = 7.8 Hz, 2H, CH2), 2.17 (s, 3H,CH3), 2.42 (s, 3H, CH3), 9.71 (s, 1H,NH), 9.76 (s, 1H, NH) +++ 92 A 373[M + H]+371[M − H]− δ (DMSO-d6) = 0.65 (t, J = 6.6 Hz, 3H,CH3), 0.97-1.12 (m, 11H, NCH2CH3 and(CH2)4, 1.33 (quint., J = 6.9 Hz, 2H,CH2), 1.92-1.97 (m, 5H, CH3-3 and CH2),3.98 (q, J = 7.5 Hz, 2H, NCH2), 9.79(s, 1H, NH), 10.09 (s, 1H, NH) ++ 93 A 298[M + H]+296[M − H]− δ (DMSO-d6) = 0.81 (t, J = 7.2 Hz, 3H,CH3), 1.16-1.27 (m, 8H, (CH2)4), 1.48 (mc, 2H, CH2), 2.12 (t, J = 7.5 Hz, 2H,CH2), 7.71 (dd, J = 1.5, 5.1 Hz, 1H, H-5), 7.80 (br.s, 1H, H-3), 8.54 (d, J =5.1 Hz, 1H, H-6), 9.94 (s, 1H, NH),10.62 (s, 1H, NH) +++ 94 A 298[M + H]+296[M − H]− δ (DMSO-d6) = 0.94 (t, J = 7.2 Hz, 3H,CH3), 1.34-1.39 (m, 8H, (CH2)4), 1.62(quint., J = 6.9 Hz, 2H, CH2), 2.25 (t,J = 7.2 Hz, 2H, CH2), 7.61 (dd, J =5.1, 7.8 Hz, 1H, H-5), 7.98 (dd, J =1.8, 7.5 Hz, 1H, H-4), 8.59 (dd, J =1.8, 4.5 Hz, 1H, H-6), 10.12 (s, 1H,NH), 10.47 (s, 1H, NH) ++ 95 A 335[M + H]+333[M − H]− δ (DMSO-d6) = 0.96 (t, J = 7.2 Hz, 3H,CH3), 3.09 (s, 2H, CH2), 3.86 (q, J =7.2 Hz, 2H, OCH2), 6.97 (d, J = 5.4 Hz,1H, H-4), 7.60 (d, J =5.1 Hz, 1H, H-5), 10.05 (s, 2H, NH) +++ 96 A 307[M + H]+305[M − H]− δ (DMSO-d6) = 1.33 (t, J = 7.2 Hz, 3H,CH3), 3.49 (s, 2H, CH2), 4.24 (q, J =7.2 Hz, 2H, OCH2), 7.55-7.64 (m, 2H,CHar), 8.10 (d, J = 6.8 Hz, 1H, CHar),8.17 (d, J = 6.9 Hz, 1H, CHar), 8.30(s, 1H, H-3), 10.39 (s, 1H, NH), 10.92(s, 1H, NH) ++ 97 A 323[M + H]+321[M − H]− δ (CD3OD) = 6.92 (d, J = 4.2 Hz, 1H,CHar), 7.03 (d, J = 4.5 Hz, 1H, CHar),7.37 (d, J = 3.9 Hz, 1H, CHar), 7.60(d, J = 4.5 Hz, 2H, CHar) +++ 98 A 283[M + H]+281[M − H]− δ (CD3OD) = 0.78 (t, J = 7.5 Hz, 3H,CH3), 1.44 (sext., J = 7.5 Hz, 2H,CH2), 1.98 (t, J = 7.5 Hz, 2H, CH2),6.96 (d, J = 3.9 Hz, 1H, H-4), 7.37(d, J = 4.2 Hz, 1H, H-3) ++ 99 A 325[M + H]+323[M − H]− δ (CD3OD) = 0.80 (t, J = 6.9 Hz, 3H,CH3), 1.12-1.25 (m, 6H, (CH2)3), 1.40(quint., J = 7.2 Hz, 2H, CH2), 2.02 (t,J = 7.5 Hz, 2H, CH2), 6.96 (d, J = 4.2Hz, 1H, H-4), 7.37 (d, J = 4.2 Hz, 1H,H-3) ++ 100 F 258[M + H]+256[M − H]− δ (CD3OD) = 0.82 (t, J = 7.5 Hz, 3H,CH3), 1.25 (sext, J = 7.5 Hz, 2H, CH2),1.48 (quint., J = 7.5 Hz, 2H, CH2),3.45 (t, J = 7.2 Hz, 2H, CH2), 7.06(dd, J = 3.9, 3.9 Hz, 1H, H-4), 7.63(dd, J = 1.2, 4.8 Hz, 1H, H-3), 7.69(d, J = 3.6 Hz, 1H, H-5) +++ 101 F 412[M + H]+410[M − H]− δ (DMSO-d6) = 1.04 (t, J = 7.2 Hz, 3H,CH3), 1.33-1.61 (m, 6H, CH2), 3.17 (q,J = 6.3 Hz, 2H, CH2), 6.71 (s, 1H, H-3), 7.97 (s, 1H, NH), 8.08 (s, 1H,NH), 10.44 (s, 1H, NH) + 102 F 426[M + H]+424[M − H]− δ (DMSO-d6) = 7.32 (d, J = 3.9 Hz, 1H,H-4), 7.49-7.59 (m, 2H, H-5′ and H-6′), 7.66 (d, J = 4.2 Hz, 1H, H-3),8.21 (s, 1H, NH), 8.73 (s, 1H, NH),10.47 (s, 1H, NH) + 103 F 520[M + H]+518[M − H]− δ (DMSO-d6) = 7.65 (d, J = 8.7 Hz, 1H,CHar), 7.85 (d, J = 8.7 Hz, 1H, CHar),7.89 (s, 1H, CHar), 8.13 (s, 1H, H-3),8.71 (s, 1H, NH), 9.43 (s, 1H, NH),10.61 (s, 1H, NH) ++ 104 F 486[M + H]+484[M − H]− δ (DMSO-d6) = 7.47 (d, J = 7.8 Hz, 1H,CHar), 7.59 (t, J = 7.8 Hz, 1H, CHar),7.82 (d, J = 7.8 Hz, 1H, CHar), 7.85(s, 1H, NH), 7.98-8.00 (br.s, 2H, CHarand NH,) 8.01 (s, 1H, H-3), 10.58 (s,1H, NH) +++ 105 F 356[M + H]+354[M − H]− δ (DMSO-d6) = 2.28 (s, 3H, CH3), 2.52(s, 3H, SCH3), 7.29 (d, J = 8.7 Hz, 2H,CHar), 7.52 (d, J = 8.7 Hz, 2H, CHar),7.69 (s, 1H, H-5), 8.37 (s, 1H, NH),8.94 (s, 1H, NH), 9.96 (s, 1H, NH) +++ 106 F 388[M + H]+386[M − H]− δ (DMSO-d6) = 2.24 (s, 3H, CH3), 7.48-7.53 (m, 4H, CHar), 7.62 (s, 1H, H-5),8.54 (s, 1H, NH), 9.19 (s, 1H, NH),9.97 (s, 1H, NH) +++ 107 F 388[M + H]+386[M − H]− δ (DMSO-d6) = 4.77 (s, 2H, CH2), 7.08(t, J = 7.5 Hz, 1H, CHar), 7.29 (d, J =7.5 Hz, 1H, CHar), 7.33 (d, J = 3.9 Hz,1H, H-4), 7.42 (d, J = 7.5 Hz, 1H,CHar), 7.65-7.70 (m, 2H, H-3 and CHar),8.31 (s, 1H, NH), 8.61 (s, 1H, NH),10.48 (s, 1H, NH) +++ 108 F 344[M + H]+342[M − H]− δ (DMSO-d6) = 4.82 (s, 2H, CH2), 7.13(t, J = 6.9 Hz, 1H, CHar), 7.28 (d, J =4.2 Hz, 1H, H-4), 7.36 (d, J = 7.5 Hz,1H, CHar), 7.46 (d, J = 7.5 Hz, 1H,CHar), 7.71 (d, J = 8.4 Hz, 1H, CHar),7.79 (d, J = 3.9 Hz, 1H, H-3), 8.38(s, 1H, NH), 8.68 (s, 1H, NH), 10.55(s, 1H, NH) +++ 109 F 370[M + H]+368[M − H]− δ (DMSO-d6) = 3.55 (s, 3H, OCH3), 6.69(d, J = 7.5 Hz, 2H, CHar), 7.17-7.24(m, 3H, CHar), 7.53 (br.s, 1H, CHar),7.97 (s, 1H, NH), 8.53 (s, 1H, NH),10.19 (s, 1H, NH) + 110 F 376[M + H]+374[M − H]− δ (DMSO-d6) = 7.15-7.20 (m, 2H, CHar),7.33-7.41 (m, 2H, CHar), 7.69 (br.s,1H, CHar), 8.47 (s, 1H, NH), 8.59 (s,1H, NH), 10.52 (s, 1H, NH) + 111 F 415[M + H]+413[M − H]− δ (DMSO-d6) = 7.71-7.75 (m, 4H, CHar),8.02 (t, J = 4.2 Hz, 1H, CHar), 8.24(t, J = 5.1 Hz, 1H, CHar), 9.23 (br.s,1H, NH), 9.97 (br.s, 1H, NH), 10.46(br.s, 1H, NH) + 112 F 360[M + H]+358[M − H]− δ (DMSO-d6) = 2.19 (s, 3H, CH3), 6.88(t, J = 8.7 Hz, 1H, CHar), 7.05-7.13(m, 2H, CHar), 7.49-7.54 (m, 2H, CHar),7.72 (d, J = 6.3 Hz, 1H, CHar), 7.82(d, J = 6.3 Hz, 1H, CHar), 8.03 (d, J =6.9 Hz, 1H, CHar), 8.10 (s, 1H, NH),8.50 (s, 1H, NH), 10.26 (s, 1H, NH) + 113 H 238[M + H]+236[M − H]− δ (CDCl3) = 0.86 (ψ-t, J ≈ 7 Hz, 1H, 9-H), 1.21-1.38 (m, 6H, 6-H, 7-H, 8-H),1.59 (ψ-quint, J = 7.3 Hz, 2H, 5-H),2.63 (t, J = 7.4 Hz, 2H, 4-H), 3.60(s, 2H, 2-H), 6.61 (s, br., 1H, ring-H), 7.46 (s, br., 1H, ring-H), 10.61(s, br., 1H, NH). + 114 H 252[M + H]+250[M − H]− δ (CDCl3) = 0.89 (ψ-t, J ≈ 7 Hz, 1H, 9-H), 1.23-1.37 (m, 6H, 6-H, 7-H, 8-H),1.63 (ψ-quint, J = 7.3 Hz, 2H, 5-H),2.58 (t, J = 7.3 Hz, 2H, 4-H), 3.66(s, 2H, 2-H), 3.87 (s, 2H, NCH3), 6.44(d, J = 2.1 Hz, 1H, ring-H), 7.47 (d,J = 2.1 Hz, 1H, ring-H), 9.85 (s, br.,1H, NH). + 115 H 294[M + H]+292[M − H]− δ (CDCl3) = 0.87 (ψ-t, J ≈ 7 Hz, 1H, 12-H), 1.19-1.37 (m, 12H, 6-H, 7-H, 8-H,9-H, 10-H, 11-H), 1.61 (ψ-quint, J =7.3 Hz, 2H, 5-H), 2.53 (t, J = 7.3 Hz,2H, 4-H), 3.57 (s, 2H, 2-H), 3.75 (s,2H, NCH3), 6.30 (d, J = 1.8 Hz, 1H,ring-H), 7.38 (d, J = 1.8 Hz, 1H,ring-H), 9.55 (s, br., 1H, NH). + 116 H 266[M + H]+264[M − H]− δ (CDCl3) = 0.89 (ψ-t, J ≈ 7 Hz, 1H, 9-H), 1.24-1.36 (m, 6H, 6-H, 7-H, 8-H),1.46 (t, J = 7.2 Hz, 3H, NCH2CH3), 1.63(ψ-quint, J ≈ 7.3 Hz, 2H, 5-H), 2.58(t, J = 7.3 Hz, 2H, 4-H), 3.66 (s, 2H,2-H), 4.21 (q, J = 7.3 Hz, 2H,NCH2CH3), 6.46 (d, J = 2.1 Hz, 1H,ring-H), 7.49 (d, J = 2.1 Hz, 1H,ring-H), 9.85 (s, br., 1H, NH). + 117 H 308[M + H]+306[M − H]− δ (CDCl3) = 0.88 (ψ-t, J ≈ 7 Hz, 1H, 12-H), 1.22-1.37 (m, 12H, 6-H, 7-H, 8-H,9-H, 10-H, 11-H), 1.46 (t, J = 7.3 Hz,3H, NCH2CH3), 1.64 (ψ-quint, J ≈ 7.3Hz, 2H, 5-H), 2.58 (t, J = 7.3 Hz, 2H,4-H), 3.61 (s, 2H, 2-H), 4.10 (q, J =7.3 Hz, 2H, NCH2CH3), 6.37 (d, J = 1.8Hz, 1H, ring-H), 7.43 (d, J = 1.8 Hz,1H, ring-H), 9.56 (s, br., 1H, NH). + 118 H 266[M + H]+264[M − H]− δ (CDCl3) = 0.88 (ψ-t, J ≈ 7 Hz, 1H, 9-H), 1.23-1.36 (m, 6H, 6-H, 7-H, 8-H),1.61 (ψ-quint, J = 7.3 Hz, 2H, 5-H),2.22 (s, 3H, ring-CH3), 2.57 (t, J =7.3 Hz, 2H, 4-H), 3.60 (s, 2H, 2-H),3.72 (s, 3H, NCH3), 6.15 (s, 1H, ring-H), 9.58 (s, br., 1H, NH). + 119 H 308[M + H]+306[M − H]− δ (CDCl3) = 0.88 (ψ-t, J ≈ 7 Hz, 1H, 12-H), 1.21-1.36 (m, 12H, 6-H, 7-H, 8-H,9-H, 10-H, 11-H), 1.63 (ψ-quint, J =7.3 Hz, 2H, 5-H), 2.22 (s, 3H, ring-CH3), 2.57 (t, J = 7.3 Hz, 2H, 4-H),3.60 (s, 2H, 2-H), 3.72 (s, 3H, NCH3),6.14 (s, 1H, ring-H), 9.44 (s, br.,1H, NH). + 120 H 238[M + H]+236[M − H]− δ (CDCl3) = 0.88 (ψ-t, J ≈ 7 Hz, 1H, 9-H), 1.17-1.34 (m, 6H, 6-H, 7-H, 8-H),1.59 (ψ-quint, J = 7.3 Hz, 2H, 5-H),2.56 (t, J = 7.3 Hz, 2H, 4-H), 3.59(s, 2H, 2-H), 6.31 (ψ-t, J = 2.3 Hz,1H, ring-H), 7.44 (dd, J = 2.3 Hz, J =0.6 Hz, 1H, ring-H), 7.49 (d, J ≈ 2Hz, 1H, ring-H), 10.64 (s., br., 1H,NH). + 121 H 312[M + H]+310[M − H]− δ (CDCl3) = 0.88 (ψ-t, J ≈ 7 Hz, 1H, 9-H), 1.21-1.36 (m, 6H, 6-H, 7-H, 8-H),1.65 (ψ-quint, J = 7.3 Hz, 2H, 5-H),2.59 (t, J = 7.3 Hz, 2H, 4-H), 3.66(s, 2H, 2-H), 3.94 (s, 3H, CO2CH3),6.75 (dd, J = 5.8 Hz, J = 0.8 Hz, 1H,ring-H), 7.23 (d, J = 5.8 Hz, 1H,ring-H), 11.88 (s, br., 1H, NH). + 122 H 354[M + H]+352[M − H]− δ (CDCl3) = 0.88 (ψ-t, J ≈ 7 Hz, 1H, 12-H), 1.21-1.36 (m, 12H, 6-H, 7-H, 8-H,9-H, 10-H, 11-H), 1.65 (ψ-quint, J =7.3 Hz, 2H, 5-H), 2.58 (t, J = 7.3 Hz,2H, 4-H), 3.66 (s, 2H, 2-H), 3.93 (s,3H, CO2CH3), 6.74 (dd, J = 5.8 Hz, J =0.8 Hz, 1H, ring-H), 7.22 (d, J = 5.8Hz, 1H, ring-H), 11.88 (s, br., 1H,NH). + 123 H 340[M + H]+338[M − H]− δ (CDCl3) = 0.88 (ψ-t, J ≈ 7 Hz, 1H, 9-H), 1.24-1.35 (m, 6H, 6-H, 7-H, 8-H),1.41 (t, J = 7.1 Hz, 3H, CO2CH2CH3),1.63 (ψ-quint, J = 7.4 Hz, 2H, 5-H),2.38 (d, J = 1.1 Hz, 3H, ring-CH3),2.58 (t, J = 7.3 Hz, 2H, 4-H), 3.63(s, 2H, 2-H), 4.42 (q, J = 7.1 Hz, 2H,CO2CH2CH3), 6.39-6.41 (m, 1H, ring-H),11.97 (s, br., 1H, NH). + 124 H 382[M + H]+380[M − H]− δ (CDCl3) = 0.88 (ψ-t, J ≈ 7 Hz, 1H, 12-H), 1.21-1.36 (m, 12H, 6-H, 7-H, 8-H,9-H, 10-H, 11-H), 1.41 (t, J = 7.1 Hz,3H, CO2CH2CH3), 1.63 (ψ-quint, J = 7.4Hz, 2H, 5-H), 2.38 (d, J = 1.1 Hz, 3H,ring-CH3), 2.58 (t, J = 7.3 Hz, 2H, 4-H), 3.63 (s, 2H, 2-H), 4.42 (q, J =7.1 Hz, 2H, CO2CH2CH3), 6.39-6.41 (m,1H, ring-H), 11.97 (s, br., 1H, NH). + 125 H 269[M + H]+267[M − H]− δ (CDCl3) = 0.88 (ψ-t, J ≈ 7 Hz, 1H, 9-H), 1.23-1.37 (m, 6H, 6-H, 7-H, 8-H),1.61 (ψ-quint, J = 7.3 Hz, 2H, 5-H),2.55 (s, 3H, ring-CH3), 2.60 (t, J =7.3 Hz, 2H, 4-H), 3.84 (s, 2H, 2-H),6.91 (s, 1H, ring-H). + 126 H 311[M + H]+309[M − H]− δ (CDCl3) = 0.88 (ψ-t, J ≈ 7 Hz, 1H, 12-H), 1.22-1.37 (m, 12H, 6-H, 7-H, 8-H,9-H, 10-H, 11-H), 1.63 (ψ-quint, J =7.3 Hz, 2H, 5-H), 2.42 (s, 3H, ring-CH3), 2.58 (t, J = 7.3 Hz, 2H, 4-H),3.66 (s, 2H, 2-H), 6.66 (s, 1H, ring-H), 10.51 (s, br., 1H, NH). + 127 H 255[M + H]+253[M − H]− δ (CDCl3) = 0.88 (ψ-t, J ≈ 7 Hz, 1H, 9-H), 1.24-1.37 (m, 6H, 6-H, 7-H, 8-H),1.62 (ψ-quint, J = 7.3 Hz, 2H, 5-H),2.59 (t, J = 7.3 Hz, 2H, 4-H), 3.71(s, 2H, 2-H), 7.00 (d, J = 3.7 Hz, 1H,ring-H), 7.47 (d, J = 3.7 Hz, 1H,ring-H), [NH proton not visible]. + 128 H 297[M + H]+295[M − H]− δ (CDCl3) = 0.88 (ψ-t, J ≈ 7 Hz, 1H, 12-H), 1.21-1.37 (m, 12H, 6-H, 7-H, 8-H,9-H, 10-H, 11-H), 1.62 (ψ-quint, J =7.3 Hz, 2H, 5-H), 2.61 (t, J = 7.3 Hz,2H, 4-H), 3.66 (s, 2H, 2-H), 7.00 (d,J = 3.6 Hz, 1H, ring-H), 7.49 (d, J =3.6 Hz, 1H, ring-H), 11.54 (s, br.,1H, NH). + 129 H 343[M + H]+341[M − H]− δ (CDCl3) = 0.85 (ψ-t, J ≈ 7 Hz, 1H, 9-H), 1.21-1.37 (m, 6H, 6-H, 7-H, 8-H),1.59 (ψ-quint, J = 7.3 Hz, 2H, 5-H),2.38 (s, 3H, SCH3), 2.56 (t, J = 7.3Hz, 2H, 4-H), 2.68 (s, 3H, COCH3*),3.87 (s, br., 2H, 2-H), 10.88 (s. br.,1H, NH). + 130 H 239[M + H]+237[M − H]− δ (CDCl3) = 0.89 (ψ-t, J ≈ 7 Hz, 1H, 9-H), 1.23-1.36 (m, 6H, 6-H, 7-H, 8-H),1.62 (ψ-quint, J = 7.3 Hz, 2H, 5-H),2.57 (t, J = 7.3 Hz, 2H, 4-H), 3.60(s, 2H, 2-H), 7.01 (d, J = 1.7 Hz, 1H,ring-H), 8.28 (dd, J = 1.7 Hz, J = 0.5Hz, 1H, ring-H), 9.90 (s, br., 1H,NH). + 131 H 281[M + H]+279[M − H]− δ (CDCl3) = 0.88 (ψ-t, J ≈ 7 Hz, 1H, 12-H), 1.22-1.36 (m, 12H, 6-H, 7-H, 8-H,9-H, 10-H, 11-H), 1.62 (ψ-quint, J =7.3 Hz, 2H, 5-H), 2.57 (t, J = 7.3 Hz,2H, 4-H), 3.60 (s, 2H, 2-H), 7.00 (d,J = 1.7 Hz, 1H, ring-H), 8.28 (dd, J =1.7 Hz, J = 0.5 Hz, 1H, ring-H), 9.88(s, br., 1H, NH). + 132 H 253[M + H]+251[M − H]− δ (CDCl3) = 0.89 (ψ-t, J ≈ 7 Hz, 1H, 9-H), 1.25-1.37 (m, 6H, 6-H, 7-H, 8-H),1.63 (ψ-quint, J = 7.3 Hz, 2H, 5-H),2.27 (s, 3H, ring-CH3), 2.56 (t, J =7.3 Hz, 2H, 4-H), 3.60 (s, 2H, 2-H),6.20 (s, 1H, ring-H), 10.17 (s, br.,1H, NH). + 133 H 295[M + H]+293[M − H]− δ (CDCl3) = 0.88 (ψ-t, J ≈ 7 Hz, 1H, 12-H), 1.20-1.37 (m, 12H, 6-H, 7-H, 8-H,9-H, 10-H, 11-H), 1.63 (ψ-quint, J =7.3 Hz, 2H, 5-H), 2.26 (s, 3H, ring-CH3), 2.56 (t, J = 7.3 Hz, 2H, 4-H),3.60 (s, 2H, 2-H), 6.20 (s, 1H, ring-H), 10.15 (s, br., 1H, NH). + 134 H 253[M + H]+251[M − H]− δ (CDCl3) = 0.88 (ψ-t, J ≈ 7 Hz, 1H, 9-H), 1.25-1.38 (m, 6H, 6-H, 7-H, 8-H),1.61 (ψ-quint, J = 7.3 Hz, 2H, 5-H),2.12 (d, J = 1.3 Hz, 1H, ring-CH3),2.57 (t, J = 7.3 Hz, 2H, 4-H), 3.68(s, br., 2H, 2-H), 7.12 (q, J = 1.3Hz, 1H, ring-H), [NH proton notvisible]. + 135 H 278[M + H]+276[M − H]− δ (CDCl3) = 0.87 (ψ-t, J ≈ 7 Hz, 1H, 9-H), 1.21-1.37 (m, 6H, 6-H, 7-H, 8-H),1.59 (ψ-quint, J = 7.3 Hz, 2H, 5-H),2.41 (s, 3H, ring-CH3), 2.57 (t, J =7.3 Hz, 2H, 4-H), 3.65 (s, 2H, 2-H),10.10 (s, br., 1H, NH). ++ 136 H 291[M + H]+289[M − H]− δ (CDCl3) = 0.85 (ψ-t, J ≈ 7 Hz, 1H, 9-H), 1.21-1.34 (m, 6H, 6-H, 7-H, 8-H),1.57 (ψ-quint, J = 7.3 Hz, 2H, 5-H),1.97 (q, J = 0.8 Hz, 3H, ring-CH3),2.13 (q, J = 0.9 Hz, 3H, ring-CH3),2.55 (t, J = 7.4 Hz, 2H, 4-H), 3.60(s, 2H, 2-H), 9.81 (s, br., 1H, NH). + 137 H 333[M + H]+331[M − H]− 0.88 (ψ-t, J ≈ 7 Hz, 1H, 12-H), 1.21-1.37 (m, 12H, 6-H, 7-H, 8-H, 9-H, 10-H, 11-H), 1.62 (ψ-quint, J = 7.3 Hz,2H, 5-H), 2.01 (q, J = 0.9 Hz, 3H,ring-CH3), 2.17 (q, J = 0.9 Hz, 3H,ring-CH3), 2.57 (t, J = 7.4 Hz, 2H, 4-H), 3.60 (s, 2H, 2-H), 9.78 (s, br.,1H, NH). + 138 H 296[M + H]+294[M − H]− δ (CDCl3) = 0.84 (ψ-t, J ≈ 7 Hz, 1H, 9-H), 1.17-1.35 (m, 6H, 6-H, 7-H, 8-H),1.57 (ψ-quint, J = 7.3 Hz, 2H, 5-H),2.55 (t, J = 7.3 Hz, 2H, 4-H), 3.63(s, 2H, 2-H), 3.83 (s, 3H, CO2CH3),6.47 (d, J = 3.6 Hz, 1H, ring-H), 7.14(d, J = 3.6 Hz, 1H, ring-H), 10.15 (s,br., 1H, NH). + *+++: 1-50 μM; ++: 50-100 μM; +: >100 μM; - not determined - Quorum sensing inhibition of the compounds was investigated with the aid of the bioluminescent sensor strain Escherichia coli MT102 (pSB403) (Winson et al., FEMS Microbiol. Lett. 163:185-92, 1998). Plasmid pSB403 contains the Photobacterium fischeri luxR gene together with the tuxI promoter region as a transcriptional fusion to the bioluminescence genes luxCDABE of Photorhabdus luminescence. Although E. coli pSB403 exhibits the highest sensitivity for the Photobacterium fischeri quorum sensing signal N-(3-oxohexanoyl)homoserine lactone (3-oxo-C6-HSL), a wide range of other HSL molecules are detected by the sensor (Winson et al., FEMS Microbiol. Lett. 163:185-92, 1998; Geisenberger et al, FEMS Microbiol. Lett. 184:273-8, 2000).
- Inhibitory studies were conducted in a microtitre dish assay as follows: the E. coli sensor strain grown over night in LB medium (Sambrook et al., Molecular Cloning: A Laboratory Manual. 2nd Edn. Cold Spring Harbor Laboratory, New York, 1989) was diluted 1:4 and grown for another 1 hour at 30° C. After addition of 3oxo-C6-HSL (
final concentration 100 nM) 100 μl of an exponential culture suspension were filled in the wells of a FluoroNunc Polysorp microtitre dish. The test compounds were added to the culture in different concentrations and bioluminescence was measured after 4 hours of incubation at 30° C. with a Lamda Fluoro 320 Plus reader (Bio-Tek Instruments). Inhibitor-mediated reduction of light emission was correlated with the value obtained without addition of the test compounds. IC50 values (concentration of inhibitor required for 50% inhibition of the signal compared to the signal without inhibitor) were determined by using a fitting function after drawing a graph of the activities of eight different inhibitor concentrations. The determined IC50 range of each compound is listed in Table 2. - To exclude the possibility that the inhibitory effect is attributed to growth inhibition but not to a specific interaction of the test compound with the sensors quorum sensing system growth curves in the presence and absence of the test compounds were compared. E. coli MT102 (pSB403) was grown in LB medium at 37° C. in the presence of 0.4 mM test compound. Growth was measured as optical density at 600 nm. None of the compounds listed in Table 2 exhibit any growth inhibitory effects on the sensor strain E. coli MT102 (pSB403).
FIG. 2 shows the growth curves of representative compounds indicating a specific inhibitory effect of the compounds on the quorum sensing system. - The inhibitory effect of the compounds on quorum sensing regulated virulence factors was demonstrated by investigating the expression of extracellular proteases by Pseudomonas aeruginosa. The P. aeruginosa mutant strain PAO-JP2 (Pearson et al., J. Bacteriol. 179:5756-67, 1997) carrying mutations in the quorum sensing genes lasI and rhlI is unable to produce extracellular proteolytic enzymes. Protease expression can be completely restored by external addition of 3-oxo-C12-HSL. The protease assay was performed according to Riedel et at. (J. Bacteriol. 183:1805-9, 2001) with few modifications. PAO-JP2 was grown in LB medium at 30° C. and shaking at 250 rpm to an OD600 nm of 0.5. The test compounds were added at a final concentration of 0.4 mM and the culture was incubated for further 30 min at 30° C. and shaking at 250 rpm. After addition of 3-oxo-C12-HSL at a final concentration of 0.3 μM the cultures were grown for an additional 6 hours at 30° C. and shaking at 250 rpm. The proteolytic activity was measured as described by Ayora & Götz (Mol. Gen. Genet. 242:421-30, 1994). 50 μl culture supernatant were incubated with Azocasein (250
μl 2%, Sigma, St. Louis, Mo.) for 1 hour at 37° C. After precipitation of undigested substrate with trichloroacetic acid (1.2ml 10%) for 20 minutes at room temperature, followed by 5 minutes centrifugation at 13000 rpm, NaOH (0.75 ml 1M) was added to the supernatant. The relative protease activity was measured as absorbance at 440 nm (OD440 nm) of the supernatant divided by the optical density of the culture (OD600 nm).FIG. 3 demonstrates the inhibitory effect of several compounds on protease production of P. aeruginosa PAO-JP2. The data presented are representative for at least three separate experiments. - To demonstrate that inhibition of protease production is due to a specific interference with the quorum sensing system growth curves in the presence and absence of the test compounds were compared. P. aeruginosa PAO-JP2 was grown in LB medium at 30° C. in the presence of 0.4 mM test compound. Growth was measured as optical density at 600 nm. None of the compounds listed in Table 2 exhibit any growth inhibitory effects on P. aeruginosa PAO-JP2.
FIG. 4 shows the growth curves of representative compounds indicating a specific inhibitory effect of the compounds on the quorum sensing system. - The bacterial biofilm formation assay was performed in polystyrene microtitre dishes (FluoroNunc Polysorp) according to the method described by O'Toole & Kolter (Mol. Microbiol. 28:449-61, 1998) and Pratt & Kolter (Mol. Microbiol. 4 30; 285-93, 1998) with few modifications (Huber et al., Microbiology, 147:2517-28, 2001). Cells were grown in the wells of the microtitre dishes in 100 μl AB medium (Clark & Maaloe, J. Mol. Biol. 23:99-112, 1967) supplemented with 10 mM sodium citrate (Sigma). After addition of the test compound (0.4 mM) the cells were incubated for 48 hours at 30° C. The medium was then removed and 100 μl of a 1% (w/v) aqueous solution of crystal violet (Merck) was added. Following staining at room temperature for 20 minutes, the dye was removed and the wells were washed thoroughly with water. For quantification of attached cells, the crystal violet was solubilized in a 80;20 (v/v) mixture of ethanol and acetone and the absorbance was determined at 570 nm (Ultrospec Plus spectrometer, Pharmacia).
FIGS. 5A and 5B demonstrate the inhibitory effect of several compounds on biofilm formation of Burkholderia cepacia H11 (Römling et al., J. Infect. Dis. 170:1616-21, 1994; Gotschlich et al., Syst. Appl. Microbiol. 24:1-14, 2001). The data presented are representative for at least five separate experiments. - To exclude the possibility that biofilm inhibition is attributed to growth inhibition growth curves in the presence and absence of the test compounds were compared. Burkholderia cepacia H111 was grown in LB medium at 37° C. in the presence of 0.4 mM test compound. Growth was measured as optical density at 600 nm. None of the compounds listed in Table 2 exhibit any growth inhibitory effects on the sensor strain Burkholderia cepacia H111.
FIG. 6 shows the growth curves of the tested compounds indicating a specific inhibitory effect of the compounds on the quorum sensing system.
Claims (5)
Priority Applications (1)
| Application Number | Priority Date | Filing Date | Title |
|---|---|---|---|
| US12/005,833 US20080214635A1 (en) | 2002-03-08 | 2007-12-28 | Modulation of pathogenicity |
Applications Claiming Priority (3)
| Application Number | Priority Date | Filing Date | Title |
|---|---|---|---|
| US10/094,301 US20030105143A1 (en) | 2001-11-07 | 2002-03-08 | Selective antibacterial agents |
| US10/429,875 US7335779B2 (en) | 2002-03-08 | 2003-05-06 | Modulation of pathogenicity |
| US12/005,833 US20080214635A1 (en) | 2002-03-08 | 2007-12-28 | Modulation of pathogenicity |
Related Parent Applications (1)
| Application Number | Title | Priority Date | Filing Date |
|---|---|---|---|
| US10/429,875 Continuation US7335779B2 (en) | 2002-03-08 | 2003-05-06 | Modulation of pathogenicity |
Publications (1)
| Publication Number | Publication Date |
|---|---|
| US20080214635A1 true US20080214635A1 (en) | 2008-09-04 |
Family
ID=39810287
Family Applications (12)
| Application Number | Title | Priority Date | Filing Date |
|---|---|---|---|
| US10/429,875 Expired - Fee Related US7335779B2 (en) | 2002-03-08 | 2003-05-06 | Modulation of pathogenicity |
| US12/005,912 Abandoned US20080194588A1 (en) | 2002-03-08 | 2007-12-28 | Modulation of pathogcnicity |
| US12/005,780 Abandoned US20080188535A1 (en) | 2002-03-08 | 2007-12-28 | Modulation of pathogenicity |
| US12/005,831 Abandoned US20080182878A1 (en) | 2002-03-08 | 2007-12-28 | Modulation of pathogenicity |
| US12/005,880 Abandoned US20090076012A1 (en) | 2002-03-08 | 2007-12-28 | Modulation of pathogenicity |
| US12/005,810 Abandoned US20100280036A1 (en) | 2002-03-08 | 2007-12-28 | Modulation of Pathogenicity |
| US12/005,763 Abandoned US20080188536A1 (en) | 2002-03-08 | 2007-12-28 | Modulation of pathogenicity |
| US12/005,833 Abandoned US20080214635A1 (en) | 2002-03-08 | 2007-12-28 | Modulation of pathogenicity |
| US12/005,920 Abandoned US20080188491A1 (en) | 2002-03-08 | 2007-12-28 | Modulation of pathogenicity |
| US12/005,903 Abandoned US20080194607A1 (en) | 2002-03-08 | 2007-12-28 | Modulation of pathogenicity |
| US12/005,983 Abandoned US20080176938A1 (en) | 2002-03-08 | 2007-12-28 | Modulation of pathogenicity |
| US12/005,921 Abandoned US20110105597A1 (en) | 2002-03-08 | 2007-12-28 | Modulation of pathogenicity |
Family Applications Before (7)
| Application Number | Title | Priority Date | Filing Date |
|---|---|---|---|
| US10/429,875 Expired - Fee Related US7335779B2 (en) | 2002-03-08 | 2003-05-06 | Modulation of pathogenicity |
| US12/005,912 Abandoned US20080194588A1 (en) | 2002-03-08 | 2007-12-28 | Modulation of pathogcnicity |
| US12/005,780 Abandoned US20080188535A1 (en) | 2002-03-08 | 2007-12-28 | Modulation of pathogenicity |
| US12/005,831 Abandoned US20080182878A1 (en) | 2002-03-08 | 2007-12-28 | Modulation of pathogenicity |
| US12/005,880 Abandoned US20090076012A1 (en) | 2002-03-08 | 2007-12-28 | Modulation of pathogenicity |
| US12/005,810 Abandoned US20100280036A1 (en) | 2002-03-08 | 2007-12-28 | Modulation of Pathogenicity |
| US12/005,763 Abandoned US20080188536A1 (en) | 2002-03-08 | 2007-12-28 | Modulation of pathogenicity |
Family Applications After (4)
| Application Number | Title | Priority Date | Filing Date |
|---|---|---|---|
| US12/005,920 Abandoned US20080188491A1 (en) | 2002-03-08 | 2007-12-28 | Modulation of pathogenicity |
| US12/005,903 Abandoned US20080194607A1 (en) | 2002-03-08 | 2007-12-28 | Modulation of pathogenicity |
| US12/005,983 Abandoned US20080176938A1 (en) | 2002-03-08 | 2007-12-28 | Modulation of pathogenicity |
| US12/005,921 Abandoned US20110105597A1 (en) | 2002-03-08 | 2007-12-28 | Modulation of pathogenicity |
Country Status (1)
| Country | Link |
|---|---|
| US (12) | US7335779B2 (en) |
Cited By (2)
| Publication number | Priority date | Publication date | Assignee | Title |
|---|---|---|---|---|
| US9758472B2 (en) | 2009-06-30 | 2017-09-12 | Wisconsin Alumni Research Foundation | Non-lactone carbocyclic and heterocyclic antagonists and agonists of bacterial quorum sensing |
| US10526278B2 (en) | 2017-10-19 | 2020-01-07 | Wisconsin Alumni Research Foundation | Inhibitors of quorum sensing receptor LasR |
Families Citing this family (31)
| Publication number | Priority date | Publication date | Assignee | Title |
|---|---|---|---|---|
| EP1475092A1 (en) * | 2003-05-06 | 2004-11-10 | 4Sc Ag | Blockers of the quorum sensing system of Gram-negative bacteria |
| AU2004309279B2 (en) * | 2003-12-26 | 2010-07-15 | Kyowa Kirin Co., Ltd. | Thiazole derivative |
| US7994221B2 (en) * | 2004-12-06 | 2011-08-09 | Siga Technologies, Inc. | Sulfonyl semicarbazides, carbonyl semicarbazides, semicarbazides and ureas, pharmaceutical compositions thereof, and methods for treating hemorrhagic fever viruses, including infections associated with arenaviruses |
| US8410149B2 (en) | 2004-12-06 | 2013-04-02 | Siga Technologies Inc. | Sulfonyl semicarbazides, semicarbazides and ureas, pharmaceutical compositions thereof, and methods for treating hemorrhagic fever viruses, including infections associated with arenaviruses |
| CA2590962A1 (en) * | 2004-12-06 | 2006-06-15 | Siga Technologies, Inc. | Sulfonyl semicarbazides, semicarbazides and ureas, pharmaceutical compositions thereof, and methods for treating hemorrhagic fever viruses, including infections associated with arenaviruses |
| JP5133067B2 (en) * | 2005-02-04 | 2013-01-30 | ウイスコンシン アラムナイ リサーチ ファウンデーシヨン | Compounds and methods for altering communication and toxicity in quorum sensing bacteria |
| UY30892A1 (en) | 2007-02-07 | 2008-09-02 | Smithkline Beckman Corp | AKT ACTIVITY INHIBITORS |
| WO2008116029A1 (en) * | 2007-03-19 | 2008-09-25 | Wisconsin Alumni Research Foundation | Modulation of bacterial quorum sensing with synthetic ligands |
| US7853269B2 (en) * | 2007-05-16 | 2010-12-14 | Computer Associates Think, Inc. | System and method for providing wireless network services using three-dimensional access zones |
| EP2078713A1 (en) * | 2007-12-28 | 2009-07-15 | QuoNova GmbH | Inhibitors of biofilm formation of gram-positive and gram-negative bacteria |
| EP2100602A1 (en) | 2008-03-12 | 2009-09-16 | QuoNova Europe GmbH | Method and compositions suitable for treatment of wounds |
| CA2750565C (en) * | 2009-01-30 | 2015-10-20 | Glaxosmithkline Llc | Crystalline n-{(1s)-2-amino-1-[(3-fluorophenyl)methyl]ethyl}-5-chloro-4-(4-chloro-1-methyl-1h-pyrazol-5-yl)-2-thiophenecarboxamide hydrochloride |
| JP5736308B2 (en) | 2009-06-22 | 2015-06-17 | 住友重機械工業株式会社 | Microbial activity improving agent, microbial activity improving method, and biological waste treatment method |
| US8247436B2 (en) | 2010-03-19 | 2012-08-21 | Novartis Ag | Pyridine and pyrazine derivative for the treatment of CF |
| WO2012034961A1 (en) * | 2010-09-13 | 2012-03-22 | Basf Se | Pyridine compounds for controlling invertebrate pests i |
| US9357991B2 (en) | 2011-11-03 | 2016-06-07 | Biomet Sports Medicine, Llc | Method and apparatus for stitching tendons |
| WO2014011663A1 (en) * | 2012-07-09 | 2014-01-16 | Board Of Trustees Of Michigan State University | Inhibitors of bacterial diguanylate cyclase |
| WO2014100734A1 (en) | 2012-12-21 | 2014-06-26 | Epizyme, Inc. | Prmt5 inhibitors and uses thereof |
| US8906900B2 (en) | 2012-12-21 | 2014-12-09 | Epizyme, Inc. | PRMT5 inhibitors and uses thereof |
| HRP20182037T1 (en) | 2012-12-21 | 2019-02-08 | Epizyme, Inc. | PRMT5 INHIBITORS AND THEIR USE |
| US9745291B2 (en) | 2012-12-21 | 2017-08-29 | Epizyme, Inc. | PRMT5 inhibitors containing a dihydro- or tetrahydroisoquinoline and uses thereof |
| WO2014100716A1 (en) | 2012-12-21 | 2014-06-26 | Epizyme, Inc. | Prmt5 inhibitors and uses thereof |
| US10653693B2 (en) | 2014-08-04 | 2020-05-19 | Epizyme, Inc. | PRMT5 inhibitors and uses thereof |
| CN104206381B (en) * | 2014-08-14 | 2016-01-20 | 浙江大学 | Decanoyl homoserine lactone is improving the application in plant botrytis resistance |
| CN108707090B (en) * | 2018-03-30 | 2020-10-20 | 宁波大学 | A kind of chlorine-containing aromatic compound and its preparation method and use |
| CN108513982B (en) * | 2018-04-14 | 2020-10-23 | 华南农业大学 | Application of AHL molecule as chemical pesticide bactericidal synergist in disease control caused by bacterial wilt |
| CN108575999B (en) * | 2018-04-14 | 2020-10-23 | 华南农业大学 | Application of AHL molecule as a chemical pesticide bactericidal synergist in the control of plant diseases caused by Burkholderia cepacia |
| CN108576018B (en) * | 2018-04-14 | 2020-10-23 | 华南农业大学 | Application of AHL molecule as chemical pesticide sterilization synergist in disease control caused by Dieckea zeae |
| CN109988730B (en) * | 2019-04-09 | 2021-08-24 | 华南农业大学 | A kind of biocontrol bacteria for mulberry disease and its application |
| CN111499628B (en) * | 2020-03-27 | 2021-07-27 | 浙江工业大学 | A kind of 2-furancarboxamide compound and its preparation and application |
| CN112694476B (en) * | 2020-12-29 | 2022-03-18 | 浙江工业大学 | A kind of furancarboxamido β-carboline compound and its preparation method and application |
Citations (29)
| Publication number | Priority date | Publication date | Assignee | Title |
|---|---|---|---|---|
| US3265506A (en) * | 1964-05-04 | 1966-08-09 | Eastman Kodak Co | Yellow forming couplers |
| US4069252A (en) * | 1975-06-25 | 1978-01-17 | Bayer Aktiengesellschaft | Process for the preparation of certain acyl cyanide compounds |
| US4146454A (en) * | 1970-12-28 | 1979-03-27 | Haber Instruments, Inc. | Electromolecular propulsion in diverse semiconductive media |
| US4166123A (en) * | 1975-06-05 | 1979-08-28 | Lilly Industries Limited | Acylaminopyrazoles |
| US4301235A (en) * | 1979-09-05 | 1981-11-17 | Fuji Photo Film Co., Ltd. | Process and material for forming color photographic image |
| US4799951A (en) * | 1986-11-05 | 1989-01-24 | Bayer Aktiengesellschaft | 5-acylamino-pyrazole derivatives, composition containing them and herbicidal method of using them |
| US5155011A (en) * | 1989-11-16 | 1992-10-13 | Hoechst Aktiengesellschaft | Developer concentrate and developer prepared therefrom for exposed negative-working reproduction layers with top layer and a process for producing printing forms |
| US5190928A (en) * | 1987-08-21 | 1993-03-02 | Ciba-Geigy Corporation | Process and a composition for immunizing plants against diseases |
| US5256634A (en) * | 1984-01-24 | 1993-10-26 | Bayer Aktiengesellschaft | Herbicidal agents based on pyrazole derivatives |
| US5395730A (en) * | 1992-08-31 | 1995-03-07 | Agfa-Gevaert, N.V. | Image formation by thermal transfer |
| US5585473A (en) * | 1994-12-09 | 1996-12-17 | The Biomembrane Institute | Compounds and methods for monosaccharide analysis |
| US5612359A (en) * | 1994-08-26 | 1997-03-18 | Bristol-Myers Squibb Company | Substituted biphenyl isoxazole sulfonamides |
| US5846990A (en) * | 1995-07-24 | 1998-12-08 | Bristol-Myers Squibb Co. | Substituted biphenyl isoxazole sulfonamides |
| US5990109A (en) * | 1998-03-04 | 1999-11-23 | Bristol-Myers Squibb Co. | Heterocyclo-substituted imidazopyrazine protein tyrosine kinase inhibitors |
| US6100288A (en) * | 1995-01-13 | 2000-08-08 | Bayer Aktiengesellschaft | Acylated 5-aminopyrazoles and the use thereof to combat animal parasites |
| US6159980A (en) * | 1996-09-16 | 2000-12-12 | Dupont Pharmaceuticals Company | Pyrazinones and triazinones and their derivatives thereof |
| US6172222B1 (en) * | 1998-06-08 | 2001-01-09 | American Home Products Corporation | Diaminopyrazoles |
| US6300352B1 (en) * | 1997-03-25 | 2001-10-09 | Astrazeneca Ab | Pyridine derivatives and pharmaceutical compositions containing them |
| US6395282B1 (en) * | 1998-04-16 | 2002-05-28 | University Of Rochester | Immunogenic conjugates of Gram-negative bacterial autoinducer molecules |
| US6399773B1 (en) * | 1998-10-29 | 2002-06-04 | Bristol-Myers Squibb Co. | Compounds derived from an amine nucleus that are inhibitors of IMPDH enzyme |
| US6436479B2 (en) * | 2000-01-17 | 2002-08-20 | President Of Gifu University | Solution for forming nickel metal thin film and method of forming nickel metal thin film using the said solution |
| US6476042B1 (en) * | 1999-06-30 | 2002-11-05 | Pfizer Inc. | Combination therapy for the treatment of migraine |
| US6511997B1 (en) * | 1998-12-25 | 2003-01-28 | Teikoku Hormone Mfg. Co., Ltd. | Aminopyrazole derivatives |
| US6555540B1 (en) * | 1999-06-30 | 2003-04-29 | Pfizer Inc | Combinations of aldose reductase inhibitors and selective cyclooxygenase-2 inhibitors |
| US20040019117A1 (en) * | 2002-05-17 | 2004-01-29 | Protopopova Marina Nikolaevna | Anti tubercular drug: compostions and methods |
| US6815528B2 (en) * | 2001-05-24 | 2004-11-09 | Twlinks Inc. | Organic electrochromic materials for optical attenuation in the near infrared region |
| US6858627B2 (en) * | 2002-08-21 | 2005-02-22 | Boehringer Ingelheim Pharmaceuticals, Inc. | Glucocorticoid mimetics, methods of making them, pharmaceutical compositions, and uses thereof |
| US6894111B2 (en) * | 2001-05-24 | 2005-05-17 | Twlinks Inc. | Organic electrochromic materials and polymers for optical attenuation in the near infrared region |
| US20060073667A1 (en) * | 2004-10-05 | 2006-04-06 | Xerox Corporation | Stabilized silver nanoparticles and their use |
Family Cites Families (28)
| Publication number | Priority date | Publication date | Assignee | Title |
|---|---|---|---|---|
| FR1439334A (en) | 1960-04-28 | 1966-05-20 | Kodak Pathe | New yellow dye-forming coupler and photographic products containing it |
| AU2241677A (en) * | 1976-03-12 | 1978-08-24 | Bayer Ag | 4,5-dichloroimidazole-2-carboxylic acid derivatives |
| US4199508A (en) * | 1979-02-21 | 1980-04-22 | Morton-Norwich Products, Inc. | 2-(5-p-Chlorophenyl-2-furyl)-5-methyl-1,3,4-oxadiazole |
| US4436479A (en) | 1982-08-16 | 1984-03-13 | Joule' Technical Corporation | Method and means for orienting bevel tipped needles and the like |
| US5117057A (en) * | 1985-10-21 | 1992-05-26 | Rohm And Haas Company | Insecticidal N' substituted-N-N'-disubstituted-hydrazines |
| JP2982130B2 (en) | 1990-02-06 | 1999-11-22 | ダイセル化学工業株式会社 | Catalyst for β-ketoamide synthesis and method for producing β-ketoamide |
| DE4039733A1 (en) * | 1990-12-13 | 1992-06-17 | Basf Ag | SUBSTITUTED 5-AMINOPYRAZOLE |
| DE4124587A1 (en) | 1991-07-24 | 1993-01-28 | Luitpold Werk Chem Pharm | DIMETHYLACETETIC ACID AMIDE, PROCESS FOR THEIR PREPARATION AND MEDICAMENTS |
| DE59208679D1 (en) | 1991-11-01 | 1997-08-14 | Ciba Geigy Ag | Butyric acid derivatives, process for their preparation and their use as pest control |
| IL110427A (en) | 1993-08-11 | 1998-10-30 | Rohm & Haas | Process for preparing 1,2-diacyl-2-t-alkyl hydrazides |
| IL112721A0 (en) | 1994-03-10 | 1995-05-26 | Zeneca Ltd | Azole derivatives |
| AUPN191295A0 (en) | 1995-03-23 | 1995-04-27 | Unisearch Limited | Microbiocide or microbial regulator |
| US5703116A (en) * | 1995-04-18 | 1997-12-30 | Geron Corporation | Telomerase Inhibitors |
| ATE342661T1 (en) | 1997-06-18 | 2006-11-15 | Univ Montana State | HOMOSERINE LACTONE FOR REGULATING BIOFILM AND METHODS OF APPLICATION |
| US5939244A (en) | 1997-09-26 | 1999-08-17 | Eastman Kodak Company | Photographic coupler and element |
| GB9725599D0 (en) | 1997-12-04 | 1998-02-04 | Univ Nottingham | Control of biofilm formation |
| AUPP303498A0 (en) | 1998-04-17 | 1998-05-14 | Unisearch Limited | Inhibition of gram positive bacteria |
| CA2326757A1 (en) | 1998-04-27 | 1999-11-04 | President And Fellows Of Harvard College | Regulation of biofilm formation |
| AU752209B2 (en) | 1998-08-27 | 2002-09-12 | Dow Agrosciences Llc | Process for substituted hydrazides using carboxylic acids |
| GB9924195D0 (en) | 1999-10-13 | 1999-12-15 | Univ Nottingham | N-Acyl homoserine lactones for the treatment of cardiac tachyarrhythmias Ischaemic heart disease or congestive heart failure |
| WO2001051456A2 (en) | 2000-01-13 | 2001-07-19 | Tularik Inc. | Antibacterial agents |
| JP2004528356A (en) | 2001-04-27 | 2004-09-16 | ザ プロクター アンド ギャンブル カンパニー | Compounds, compositions and methods for controlling biofilms |
| GB0116312D0 (en) | 2001-07-04 | 2001-08-29 | Univ Nottingham | "Compositions containing N-acyl homoserine lactones" |
| WO2003015778A1 (en) | 2001-08-17 | 2003-02-27 | Merck & Co., Inc. | Tyrosine kinase inhibitors |
| GB0122026D0 (en) | 2001-09-12 | 2001-10-31 | Univ Nottingham | Insulitis |
| GB0122914D0 (en) | 2001-09-22 | 2001-11-14 | Univ Nottingham | Modulation of stat activity |
| WO2003039529A1 (en) | 2001-11-07 | 2003-05-15 | 4Sc A.G. | Selective antibacterial agents |
| WO2003039549A2 (en) | 2001-11-07 | 2003-05-15 | 4Sc Ag | Selective antibacterial agents |
-
2003
- 2003-05-06 US US10/429,875 patent/US7335779B2/en not_active Expired - Fee Related
-
2007
- 2007-12-28 US US12/005,912 patent/US20080194588A1/en not_active Abandoned
- 2007-12-28 US US12/005,780 patent/US20080188535A1/en not_active Abandoned
- 2007-12-28 US US12/005,831 patent/US20080182878A1/en not_active Abandoned
- 2007-12-28 US US12/005,880 patent/US20090076012A1/en not_active Abandoned
- 2007-12-28 US US12/005,810 patent/US20100280036A1/en not_active Abandoned
- 2007-12-28 US US12/005,763 patent/US20080188536A1/en not_active Abandoned
- 2007-12-28 US US12/005,833 patent/US20080214635A1/en not_active Abandoned
- 2007-12-28 US US12/005,920 patent/US20080188491A1/en not_active Abandoned
- 2007-12-28 US US12/005,903 patent/US20080194607A1/en not_active Abandoned
- 2007-12-28 US US12/005,983 patent/US20080176938A1/en not_active Abandoned
- 2007-12-28 US US12/005,921 patent/US20110105597A1/en not_active Abandoned
Patent Citations (31)
| Publication number | Priority date | Publication date | Assignee | Title |
|---|---|---|---|---|
| US3265506A (en) * | 1964-05-04 | 1966-08-09 | Eastman Kodak Co | Yellow forming couplers |
| US4146454A (en) * | 1970-12-28 | 1979-03-27 | Haber Instruments, Inc. | Electromolecular propulsion in diverse semiconductive media |
| US4166123A (en) * | 1975-06-05 | 1979-08-28 | Lilly Industries Limited | Acylaminopyrazoles |
| US4069252A (en) * | 1975-06-25 | 1978-01-17 | Bayer Aktiengesellschaft | Process for the preparation of certain acyl cyanide compounds |
| US4301235A (en) * | 1979-09-05 | 1981-11-17 | Fuji Photo Film Co., Ltd. | Process and material for forming color photographic image |
| US5256634A (en) * | 1984-01-24 | 1993-10-26 | Bayer Aktiengesellschaft | Herbicidal agents based on pyrazole derivatives |
| US4799951A (en) * | 1986-11-05 | 1989-01-24 | Bayer Aktiengesellschaft | 5-acylamino-pyrazole derivatives, composition containing them and herbicidal method of using them |
| US5190928A (en) * | 1987-08-21 | 1993-03-02 | Ciba-Geigy Corporation | Process and a composition for immunizing plants against diseases |
| US5523311A (en) * | 1987-08-21 | 1996-06-04 | Ciba-Geigy Corporation | Process and a composition for immunizing plants against disease |
| US5155011A (en) * | 1989-11-16 | 1992-10-13 | Hoechst Aktiengesellschaft | Developer concentrate and developer prepared therefrom for exposed negative-working reproduction layers with top layer and a process for producing printing forms |
| US5395730A (en) * | 1992-08-31 | 1995-03-07 | Agfa-Gevaert, N.V. | Image formation by thermal transfer |
| US5612359A (en) * | 1994-08-26 | 1997-03-18 | Bristol-Myers Squibb Company | Substituted biphenyl isoxazole sulfonamides |
| US5585473A (en) * | 1994-12-09 | 1996-12-17 | The Biomembrane Institute | Compounds and methods for monosaccharide analysis |
| US6100288A (en) * | 1995-01-13 | 2000-08-08 | Bayer Aktiengesellschaft | Acylated 5-aminopyrazoles and the use thereof to combat animal parasites |
| US5846990A (en) * | 1995-07-24 | 1998-12-08 | Bristol-Myers Squibb Co. | Substituted biphenyl isoxazole sulfonamides |
| US6159980A (en) * | 1996-09-16 | 2000-12-12 | Dupont Pharmaceuticals Company | Pyrazinones and triazinones and their derivatives thereof |
| US6300352B1 (en) * | 1997-03-25 | 2001-10-09 | Astrazeneca Ab | Pyridine derivatives and pharmaceutical compositions containing them |
| US5990109A (en) * | 1998-03-04 | 1999-11-23 | Bristol-Myers Squibb Co. | Heterocyclo-substituted imidazopyrazine protein tyrosine kinase inhibitors |
| US6395282B1 (en) * | 1998-04-16 | 2002-05-28 | University Of Rochester | Immunogenic conjugates of Gram-negative bacterial autoinducer molecules |
| US6172222B1 (en) * | 1998-06-08 | 2001-01-09 | American Home Products Corporation | Diaminopyrazoles |
| US6399773B1 (en) * | 1998-10-29 | 2002-06-04 | Bristol-Myers Squibb Co. | Compounds derived from an amine nucleus that are inhibitors of IMPDH enzyme |
| US6511997B1 (en) * | 1998-12-25 | 2003-01-28 | Teikoku Hormone Mfg. Co., Ltd. | Aminopyrazole derivatives |
| US6555540B1 (en) * | 1999-06-30 | 2003-04-29 | Pfizer Inc | Combinations of aldose reductase inhibitors and selective cyclooxygenase-2 inhibitors |
| US6476042B1 (en) * | 1999-06-30 | 2002-11-05 | Pfizer Inc. | Combination therapy for the treatment of migraine |
| US6436479B2 (en) * | 2000-01-17 | 2002-08-20 | President Of Gifu University | Solution for forming nickel metal thin film and method of forming nickel metal thin film using the said solution |
| US6815528B2 (en) * | 2001-05-24 | 2004-11-09 | Twlinks Inc. | Organic electrochromic materials for optical attenuation in the near infrared region |
| US6894111B2 (en) * | 2001-05-24 | 2005-05-17 | Twlinks Inc. | Organic electrochromic materials and polymers for optical attenuation in the near infrared region |
| US20040019117A1 (en) * | 2002-05-17 | 2004-01-29 | Protopopova Marina Nikolaevna | Anti tubercular drug: compostions and methods |
| US20040033986A1 (en) * | 2002-05-17 | 2004-02-19 | Protopopova Marina Nikolaevna | Anti tubercular drug: compositions and methods |
| US6858627B2 (en) * | 2002-08-21 | 2005-02-22 | Boehringer Ingelheim Pharmaceuticals, Inc. | Glucocorticoid mimetics, methods of making them, pharmaceutical compositions, and uses thereof |
| US20060073667A1 (en) * | 2004-10-05 | 2006-04-06 | Xerox Corporation | Stabilized silver nanoparticles and their use |
Cited By (3)
| Publication number | Priority date | Publication date | Assignee | Title |
|---|---|---|---|---|
| US9758472B2 (en) | 2009-06-30 | 2017-09-12 | Wisconsin Alumni Research Foundation | Non-lactone carbocyclic and heterocyclic antagonists and agonists of bacterial quorum sensing |
| US10807943B2 (en) | 2009-06-30 | 2020-10-20 | Wisconsin Alumni Research Foundation | Non-lactone carbocyclic modulators of bacterial quorum sensing |
| US10526278B2 (en) | 2017-10-19 | 2020-01-07 | Wisconsin Alumni Research Foundation | Inhibitors of quorum sensing receptor LasR |
Also Published As
| Publication number | Publication date |
|---|---|
| US7335779B2 (en) | 2008-02-26 |
| US20080176938A1 (en) | 2008-07-24 |
| US20080188535A1 (en) | 2008-08-07 |
| US20080194588A1 (en) | 2008-08-14 |
| US20080188536A1 (en) | 2008-08-07 |
| US20080194607A1 (en) | 2008-08-14 |
| US20110105597A1 (en) | 2011-05-05 |
| US20090076012A1 (en) | 2009-03-19 |
| US20080188491A1 (en) | 2008-08-07 |
| US20100280036A1 (en) | 2010-11-04 |
| US20080182878A1 (en) | 2008-07-31 |
| US20040063765A1 (en) | 2004-04-01 |
Similar Documents
| Publication | Publication Date | Title |
|---|---|---|
| US7335779B2 (en) | Modulation of pathogenicity | |
| EP1478364B1 (en) | Selective antibacterial agents | |
| US20030105143A1 (en) | Selective antibacterial agents | |
| US20100280034A1 (en) | Modulation of pathogenicity | |
| Fong et al. | Disulfide bond-containing ajoene analogues as novel quorum sensing inhibitors of Pseudomonas aeruginosa | |
| US10807943B2 (en) | Non-lactone carbocyclic modulators of bacterial quorum sensing | |
| US20090192192A1 (en) | Inhibitors of biofilm formation of gram-positive and gram-negative bacteria | |
| US8063108B2 (en) | Method for modulating microbial quorum sensing | |
| US20070093534A1 (en) | Modulation of Pathogenicity | |
| CN118271285A (en) | Azetidine-containing amide derivative, preparation method and use thereof | |
| EP1475092A1 (en) | Blockers of the quorum sensing system of Gram-negative bacteria | |
| AU2020267321B2 (en) | Furanone compounds and lactam analogues thereof | |
| US20200087249A1 (en) | Inhibitors of Quorum Sensing Receptor LasR | |
| KR20220156464A (en) | Novel compound and composition for inhibiting biofilm formation or virulence of pathogenic bacteria comprising the same as active ingredient |
Legal Events
| Date | Code | Title | Description |
|---|---|---|---|
| AS | Assignment |
Owner name: LV ADMINISTRATIVE SERVICES, INC., NEW YORK Free format text: AMENDMENT TO INTELLECTUAL PROPERTY SECURITY AGREEMENT;ASSIGNORS:XL TECHGROUP, INC.;DXTECH, LLC;PETROALGAE, LLC;AND OTHERS;REEL/FRAME:021205/0643 Effective date: 20080627 Owner name: LV ADMINISTRATIVE SERVICES, INC.,NEW YORK Free format text: AMENDMENT TO INTELLECTUAL PROPERTY SECURITY AGREEMENT;ASSIGNORS:XL TECHGROUP, INC.;DXTECH, LLC;PETROALGAE, LLC;AND OTHERS;REEL/FRAME:021205/0643 Effective date: 20080627 |
|
| AS | Assignment |
Owner name: QUONOVA, LLC, FLORIDA Free format text: QUITCLAIM DEED;ASSIGNOR:LV ADMINISTRATIVE SERVICES, INC.;REEL/FRAME:022062/0439 Effective date: 20081231 |
|
| STCB | Information on status: application discontinuation |
Free format text: ABANDONED -- FAILURE TO RESPOND TO AN OFFICE ACTION |






























































































































































