US20080188654A1 - Compounds for treatment of inflammation, diabetes and related disorders - Google Patents
Compounds for treatment of inflammation, diabetes and related disorders Download PDFInfo
- Publication number
- US20080188654A1 US20080188654A1 US12/004,075 US407507A US2008188654A1 US 20080188654 A1 US20080188654 A1 US 20080188654A1 US 407507 A US407507 A US 407507A US 2008188654 A1 US2008188654 A1 US 2008188654A1
- Authority
- US
- United States
- Prior art keywords
- optionally substituted
- aryl
- alkyl
- linear
- hydrogen atom
- Prior art date
- Legal status (The legal status is an assumption and is not a legal conclusion. Google has not performed a legal analysis and makes no representation as to the accuracy of the status listed.)
- Abandoned
Links
- 150000001875 compounds Chemical class 0.000 title claims abstract description 126
- 238000011282 treatment Methods 0.000 title abstract description 54
- 208000037265 diseases, disorders, signs and symptoms Diseases 0.000 title abstract description 49
- 206010012601 diabetes mellitus Diseases 0.000 title abstract description 27
- 206010061218 Inflammation Diseases 0.000 title abstract description 26
- 230000004054 inflammatory process Effects 0.000 title abstract description 26
- 208000035475 disorder Diseases 0.000 title description 23
- 125000003837 (C1-C20) alkyl group Chemical group 0.000 claims description 114
- 125000000041 C6-C10 aryl group Chemical group 0.000 claims description 82
- YNAVUWVOSKDBBP-UHFFFAOYSA-N Morpholine Chemical compound C1COCCN1 YNAVUWVOSKDBBP-UHFFFAOYSA-N 0.000 claims description 72
- NQRYJNQNLNOLGT-UHFFFAOYSA-N Piperidine Chemical compound C1CCNCC1 NQRYJNQNLNOLGT-UHFFFAOYSA-N 0.000 claims description 72
- GLUUGHFHXGJENI-UHFFFAOYSA-N Piperazine Chemical compound C1CNCCN1 GLUUGHFHXGJENI-UHFFFAOYSA-N 0.000 claims description 70
- 125000003118 aryl group Chemical group 0.000 claims description 64
- 125000000217 alkyl group Chemical group 0.000 claims description 50
- -1 morpholinocarbonylmethyl Chemical group 0.000 claims description 50
- 125000003358 C2-C20 alkenyl group Chemical group 0.000 claims description 49
- 125000004435 hydrogen atom Chemical group [H]* 0.000 claims description 49
- 125000003342 alkenyl group Chemical group 0.000 claims description 48
- 125000001072 heteroaryl group Chemical group 0.000 claims description 44
- 125000004965 chloroalkyl group Chemical group 0.000 claims description 27
- 125000003709 fluoroalkyl group Chemical group 0.000 claims description 27
- 125000003831 tetrazolyl group Chemical group 0.000 claims description 23
- QGZKDVFQNNGYKY-UHFFFAOYSA-O Ammonium Chemical compound [NH4+] QGZKDVFQNNGYKY-UHFFFAOYSA-O 0.000 claims description 21
- OYPRJOBELJOOCE-UHFFFAOYSA-N Calcium Chemical compound [Ca] OYPRJOBELJOOCE-UHFFFAOYSA-N 0.000 claims description 21
- DGAQECJNVWCQMB-PUAWFVPOSA-M Ilexoside XXIX Chemical compound C[C@@H]1CC[C@@]2(CC[C@@]3(C(=CC[C@H]4[C@]3(CC[C@@H]5[C@@]4(CC[C@@H](C5(C)C)OS(=O)(=O)[O-])C)C)[C@@H]2[C@]1(C)O)C)C(=O)O[C@H]6[C@@H]([C@H]([C@@H]([C@H](O6)CO)O)O)O.[Na+] DGAQECJNVWCQMB-PUAWFVPOSA-M 0.000 claims description 21
- FYYHWMGAXLPEAU-UHFFFAOYSA-N Magnesium Chemical compound [Mg] FYYHWMGAXLPEAU-UHFFFAOYSA-N 0.000 claims description 21
- ZLMJMSJWJFRBEC-UHFFFAOYSA-N Potassium Chemical compound [K] ZLMJMSJWJFRBEC-UHFFFAOYSA-N 0.000 claims description 21
- 239000011575 calcium Substances 0.000 claims description 21
- 229910052791 calcium Inorganic materials 0.000 claims description 21
- 239000011777 magnesium Substances 0.000 claims description 21
- 229910052749 magnesium Inorganic materials 0.000 claims description 21
- 239000011591 potassium Substances 0.000 claims description 21
- 229910052700 potassium Inorganic materials 0.000 claims description 21
- 239000011734 sodium Substances 0.000 claims description 21
- 229910052708 sodium Inorganic materials 0.000 claims description 21
- LENZDBCJOHFCAS-UHFFFAOYSA-N tris Chemical compound OCC(N)(CO)CO LENZDBCJOHFCAS-UHFFFAOYSA-N 0.000 claims description 21
- 125000004093 cyano group Chemical group *C#N 0.000 claims description 20
- 229960000281 trometamol Drugs 0.000 claims description 20
- 125000003860 C1-C20 alkoxy group Chemical group 0.000 claims description 19
- 125000004122 cyclic group Chemical group 0.000 claims description 19
- 125000003282 alkyl amino group Chemical group 0.000 claims description 17
- 125000000449 nitro group Chemical group [O-][N+](*)=O 0.000 claims description 17
- 125000005843 halogen group Chemical group 0.000 claims description 16
- 125000000623 heterocyclic group Chemical group 0.000 claims description 16
- 125000006310 cycloalkyl amino group Chemical group 0.000 claims description 15
- 125000000753 cycloalkyl group Chemical group 0.000 claims description 14
- 229910052739 hydrogen Inorganic materials 0.000 claims description 13
- SIKJAQJRHWYJAI-UHFFFAOYSA-N Indole Chemical compound C1=CC=C2NC=CC2=C1 SIKJAQJRHWYJAI-UHFFFAOYSA-N 0.000 claims description 12
- JUJWROOIHBZHMG-UHFFFAOYSA-N Pyridine Chemical compound C1=CC=NC=C1 JUJWROOIHBZHMG-UHFFFAOYSA-N 0.000 claims description 12
- 125000000392 cycloalkenyl group Chemical group 0.000 claims description 12
- 239000001257 hydrogen Substances 0.000 claims description 11
- 125000006736 (C6-C20) aryl group Chemical group 0.000 claims description 9
- 125000005024 alkenyl aryl group Chemical group 0.000 claims description 9
- 125000003545 alkoxy group Chemical group 0.000 claims description 9
- 125000002877 alkyl aryl group Chemical group 0.000 claims description 9
- RAXXELZNTBOGNW-UHFFFAOYSA-N imidazole Natural products C1=CNC=N1 RAXXELZNTBOGNW-UHFFFAOYSA-N 0.000 claims description 9
- NOWKCMXCCJGMRR-UHFFFAOYSA-N Aziridine Chemical compound C1CN1 NOWKCMXCCJGMRR-UHFFFAOYSA-N 0.000 claims description 8
- 125000004076 pyridyl group Chemical group 0.000 claims description 8
- 125000001041 indolyl group Chemical group 0.000 claims description 7
- PAMIQIKDUOTOBW-UHFFFAOYSA-N 1-methylpiperidine Chemical compound CN1CCCCC1 PAMIQIKDUOTOBW-UHFFFAOYSA-N 0.000 claims description 6
- UFHFLCQGNIYNRP-UHFFFAOYSA-N Hydrogen Chemical compound [H][H] UFHFLCQGNIYNRP-UHFFFAOYSA-N 0.000 claims description 6
- 125000002883 imidazolyl group Chemical group 0.000 claims description 6
- PZOUSPYUWWUPPK-UHFFFAOYSA-N indole Natural products CC1=CC=CC2=C1C=CN2 PZOUSPYUWWUPPK-UHFFFAOYSA-N 0.000 claims description 6
- RKJUIXBNRJVNHR-UHFFFAOYSA-N indolenine Natural products C1=CC=C2CC=NC2=C1 RKJUIXBNRJVNHR-UHFFFAOYSA-N 0.000 claims description 6
- UMJSCPRVCHMLSP-UHFFFAOYSA-N pyridine Natural products COC1=CC=CN=C1 UMJSCPRVCHMLSP-UHFFFAOYSA-N 0.000 claims description 6
- 125000000876 trifluoromethoxy group Chemical group FC(F)(F)O* 0.000 claims description 5
- PVOAHINGSUIXLS-UHFFFAOYSA-N 1-Methylpiperazine Chemical compound CN1CCNCC1 PVOAHINGSUIXLS-UHFFFAOYSA-N 0.000 claims description 4
- 125000004430 oxygen atom Chemical group O* 0.000 claims description 4
- 125000003435 aroyl group Chemical group 0.000 claims description 3
- LKPFBGKZCCBZDK-UHFFFAOYSA-N n-hydroxypiperidine Chemical compound ON1CCCCC1 LKPFBGKZCCBZDK-UHFFFAOYSA-N 0.000 claims description 3
- 125000004193 piperazinyl group Chemical group 0.000 claims description 3
- 125000003386 piperidinyl group Chemical group 0.000 claims description 3
- 125000000168 pyrrolyl group Chemical group 0.000 claims description 3
- 229910052702 rhenium Inorganic materials 0.000 claims description 3
- 150000003839 salts Chemical class 0.000 claims description 3
- 239000012453 solvate Substances 0.000 claims description 3
- 229910052717 sulfur Inorganic materials 0.000 claims description 3
- 125000001544 thienyl group Chemical group 0.000 claims description 3
- 125000004434 sulfur atom Chemical group 0.000 claims 1
- 102000004127 Cytokines Human genes 0.000 abstract description 26
- 108090000695 Cytokines Proteins 0.000 abstract description 26
- XSQUKJJJFZCRTK-UHFFFAOYSA-N Urea Natural products NC(N)=O XSQUKJJJFZCRTK-UHFFFAOYSA-N 0.000 abstract description 26
- 201000010099 disease Diseases 0.000 abstract description 26
- 208000001072 type 2 diabetes mellitus Diseases 0.000 abstract description 20
- 206010003246 arthritis Diseases 0.000 abstract description 16
- 206010022489 Insulin Resistance Diseases 0.000 abstract description 15
- 210000004369 blood Anatomy 0.000 abstract description 15
- 239000008280 blood Substances 0.000 abstract description 15
- 239000008103 glucose Substances 0.000 abstract description 15
- WQZGKKKJIJFFOK-GASJEMHNSA-N Glucose Natural products OC[C@H]1OC(O)[C@H](O)[C@@H](O)[C@@H]1O WQZGKKKJIJFFOK-GASJEMHNSA-N 0.000 abstract description 14
- 230000001404 mediated effect Effects 0.000 abstract description 14
- 208000026278 immune system disease Diseases 0.000 abstract description 12
- 230000002757 inflammatory effect Effects 0.000 abstract description 12
- 206010028980 Neoplasm Diseases 0.000 abstract description 10
- 230000002401 inhibitory effect Effects 0.000 abstract description 9
- 201000011510 cancer Diseases 0.000 abstract description 8
- UMGDCJDMYOKAJW-UHFFFAOYSA-N thiourea Chemical compound NC(N)=S UMGDCJDMYOKAJW-UHFFFAOYSA-N 0.000 abstract description 8
- 210000000988 bone and bone Anatomy 0.000 abstract description 6
- 230000006378 damage Effects 0.000 abstract description 5
- 230000028709 inflammatory response Effects 0.000 abstract description 5
- KXDHJXZQYSOELW-UHFFFAOYSA-M Carbamate Chemical compound NC([O-])=O KXDHJXZQYSOELW-UHFFFAOYSA-M 0.000 abstract description 4
- 150000007945 N-acyl ureas Chemical class 0.000 abstract description 4
- 238000010171 animal model Methods 0.000 abstract description 3
- GNVMUORYQLCPJZ-UHFFFAOYSA-M Thiocarbamate Chemical compound NC([S-])=O GNVMUORYQLCPJZ-UHFFFAOYSA-M 0.000 abstract 1
- 210000004748 cultured cell Anatomy 0.000 abstract 1
- IAZDPXIOMUYVGZ-WFGJKAKNSA-N Dimethyl sulfoxide Chemical compound [2H]C([2H])([2H])S(=O)C([2H])([2H])[2H] IAZDPXIOMUYVGZ-WFGJKAKNSA-N 0.000 description 118
- XEKOWRVHYACXOJ-UHFFFAOYSA-N Ethyl acetate Chemical compound CCOC(C)=O XEKOWRVHYACXOJ-UHFFFAOYSA-N 0.000 description 113
- 210000004027 cell Anatomy 0.000 description 69
- 230000015572 biosynthetic process Effects 0.000 description 66
- 238000003786 synthesis reaction Methods 0.000 description 65
- 238000005160 1H NMR spectroscopy Methods 0.000 description 60
- XLYOFNOQVPJJNP-UHFFFAOYSA-N water Substances O XLYOFNOQVPJJNP-UHFFFAOYSA-N 0.000 description 58
- LFQSCWFLJHTTHZ-UHFFFAOYSA-N Ethanol Chemical compound CCO LFQSCWFLJHTTHZ-UHFFFAOYSA-N 0.000 description 52
- 238000004458 analytical method Methods 0.000 description 52
- 102000004861 Phosphoric Diester Hydrolases Human genes 0.000 description 51
- 108090001050 Phosphoric Diester Hydrolases Proteins 0.000 description 51
- 239000000243 solution Substances 0.000 description 43
- QTBSBXVTEAMEQO-UHFFFAOYSA-N Acetic acid Chemical compound CC(O)=O QTBSBXVTEAMEQO-UHFFFAOYSA-N 0.000 description 39
- ZMXDDKWLCZADIW-UHFFFAOYSA-N N,N-Dimethylformamide Chemical compound CN(C)C=O ZMXDDKWLCZADIW-UHFFFAOYSA-N 0.000 description 38
- 239000002158 endotoxin Substances 0.000 description 37
- 229920006008 lipopolysaccharide Polymers 0.000 description 37
- 239000000203 mixture Substances 0.000 description 37
- NOESYZHRGYRDHS-UHFFFAOYSA-N insulin Chemical compound N1C(=O)C(NC(=O)C(CCC(N)=O)NC(=O)C(CCC(O)=O)NC(=O)C(C(C)C)NC(=O)C(NC(=O)CN)C(C)CC)CSSCC(C(NC(CO)C(=O)NC(CC(C)C)C(=O)NC(CC=2C=CC(O)=CC=2)C(=O)NC(CCC(N)=O)C(=O)NC(CC(C)C)C(=O)NC(CCC(O)=O)C(=O)NC(CC(N)=O)C(=O)NC(CC=2C=CC(O)=CC=2)C(=O)NC(CSSCC(NC(=O)C(C(C)C)NC(=O)C(CC(C)C)NC(=O)C(CC=2C=CC(O)=CC=2)NC(=O)C(CC(C)C)NC(=O)C(C)NC(=O)C(CCC(O)=O)NC(=O)C(C(C)C)NC(=O)C(CC(C)C)NC(=O)C(CC=2NC=NC=2)NC(=O)C(CO)NC(=O)CNC2=O)C(=O)NCC(=O)NC(CCC(O)=O)C(=O)NC(CCCNC(N)=N)C(=O)NCC(=O)NC(CC=3C=CC=CC=3)C(=O)NC(CC=3C=CC=CC=3)C(=O)NC(CC=3C=CC(O)=CC=3)C(=O)NC(C(C)O)C(=O)N3C(CCC3)C(=O)NC(CCCCN)C(=O)NC(C)C(O)=O)C(=O)NC(CC(N)=O)C(O)=O)=O)NC(=O)C(C(C)CC)NC(=O)C(CO)NC(=O)C(C(C)O)NC(=O)C1CSSCC2NC(=O)C(CC(C)C)NC(=O)C(NC(=O)C(CCC(N)=O)NC(=O)C(CC(N)=O)NC(=O)C(NC(=O)C(N)CC=1C=CC=CC=1)C(C)C)CC1=CN=CN1 NOESYZHRGYRDHS-UHFFFAOYSA-N 0.000 description 33
- 108060008682 Tumor Necrosis Factor Proteins 0.000 description 32
- 102000000852 Tumor Necrosis Factor-alpha Human genes 0.000 description 32
- 238000000034 method Methods 0.000 description 32
- 108010037462 Cyclooxygenase 2 Proteins 0.000 description 31
- 102100038280 Prostaglandin G/H synthase 2 Human genes 0.000 description 31
- 239000011541 reaction mixture Substances 0.000 description 31
- ROSDSFDQCJNGOL-UHFFFAOYSA-N Dimethylamine Chemical compound CNC ROSDSFDQCJNGOL-UHFFFAOYSA-N 0.000 description 30
- 238000006243 chemical reaction Methods 0.000 description 30
- 239000012043 crude product Substances 0.000 description 30
- 238000010898 silica gel chromatography Methods 0.000 description 29
- IAZDPXIOMUYVGZ-UHFFFAOYSA-N Dimethylsulphoxide Chemical compound CS(C)=O IAZDPXIOMUYVGZ-UHFFFAOYSA-N 0.000 description 27
- ZMANZCXQSJIPKH-UHFFFAOYSA-N Triethylamine Chemical compound CCN(CC)CC ZMANZCXQSJIPKH-UHFFFAOYSA-N 0.000 description 27
- 102000011779 Nitric Oxide Synthase Type II Human genes 0.000 description 25
- 108010076864 Nitric Oxide Synthase Type II Proteins 0.000 description 25
- YXFVVABEGXRONW-UHFFFAOYSA-N Toluene Chemical compound CC1=CC=CC=C1 YXFVVABEGXRONW-UHFFFAOYSA-N 0.000 description 24
- 230000005764 inhibitory process Effects 0.000 description 24
- 239000003795 chemical substances by application Substances 0.000 description 22
- 208000027866 inflammatory disease Diseases 0.000 description 22
- 108091003079 Bovine Serum Albumin Proteins 0.000 description 21
- 102000004889 Interleukin-6 Human genes 0.000 description 21
- 108090001005 Interleukin-6 Proteins 0.000 description 21
- CSNNHWWHGAXBCP-UHFFFAOYSA-L Magnesium sulfate Chemical compound [Mg+2].[O-][S+2]([O-])([O-])[O-] CSNNHWWHGAXBCP-UHFFFAOYSA-L 0.000 description 21
- 230000000694 effects Effects 0.000 description 21
- 239000012091 fetal bovine serum Substances 0.000 description 21
- 239000003981 vehicle Substances 0.000 description 21
- 229940100601 interleukin-6 Drugs 0.000 description 20
- 239000012044 organic layer Substances 0.000 description 20
- 239000012267 brine Substances 0.000 description 19
- HPALAKNZSZLMCH-UHFFFAOYSA-M sodium;chloride;hydrate Chemical compound O.[Na+].[Cl-] HPALAKNZSZLMCH-UHFFFAOYSA-M 0.000 description 19
- XKRFYHLGVUSROY-UHFFFAOYSA-N Argon Chemical compound [Ar] XKRFYHLGVUSROY-UHFFFAOYSA-N 0.000 description 18
- 150000001408 amides Chemical class 0.000 description 18
- 150000001735 carboxylic acids Chemical class 0.000 description 18
- 239000007787 solid Substances 0.000 description 18
- 230000004190 glucose uptake Effects 0.000 description 17
- 102000004877 Insulin Human genes 0.000 description 16
- 108090001061 Insulin Proteins 0.000 description 16
- 241000699670 Mus sp. Species 0.000 description 16
- UREBDLICKHMUKA-CXSFZGCWSA-N dexamethasone Chemical compound C1CC2=CC(=O)C=C[C@]2(C)[C@]2(F)[C@@H]1[C@@H]1C[C@@H](C)[C@@](C(=O)CO)(O)[C@@]1(C)C[C@@H]2O UREBDLICKHMUKA-CXSFZGCWSA-N 0.000 description 16
- 229940125396 insulin Drugs 0.000 description 16
- 238000004519 manufacturing process Methods 0.000 description 16
- 238000012360 testing method Methods 0.000 description 16
- 108091054455 MAP kinase family Proteins 0.000 description 15
- 102000043136 MAP kinase family Human genes 0.000 description 15
- 150000001412 amines Chemical class 0.000 description 15
- 239000000047 product Substances 0.000 description 15
- 210000001789 adipocyte Anatomy 0.000 description 14
- QDRKDTQENPPHOJ-UHFFFAOYSA-N sodium ethoxide Chemical compound [Na+].CC[O-] QDRKDTQENPPHOJ-UHFFFAOYSA-N 0.000 description 13
- DTQVDTLACAAQTR-UHFFFAOYSA-N trifluoroacetic acid Substances OC(=O)C(F)(F)F DTQVDTLACAAQTR-UHFFFAOYSA-N 0.000 description 13
- WFDIJRYMOXRFFG-UHFFFAOYSA-N Acetic anhydride Chemical compound CC(=O)OC(C)=O WFDIJRYMOXRFFG-UHFFFAOYSA-N 0.000 description 12
- HEMHJVSKTPXQMS-UHFFFAOYSA-M Sodium hydroxide Chemical compound [OH-].[Na+] HEMHJVSKTPXQMS-UHFFFAOYSA-M 0.000 description 12
- 229960003957 dexamethasone Drugs 0.000 description 12
- 239000003814 drug Substances 0.000 description 12
- 229940079593 drug Drugs 0.000 description 12
- 206010039073 rheumatoid arthritis Diseases 0.000 description 12
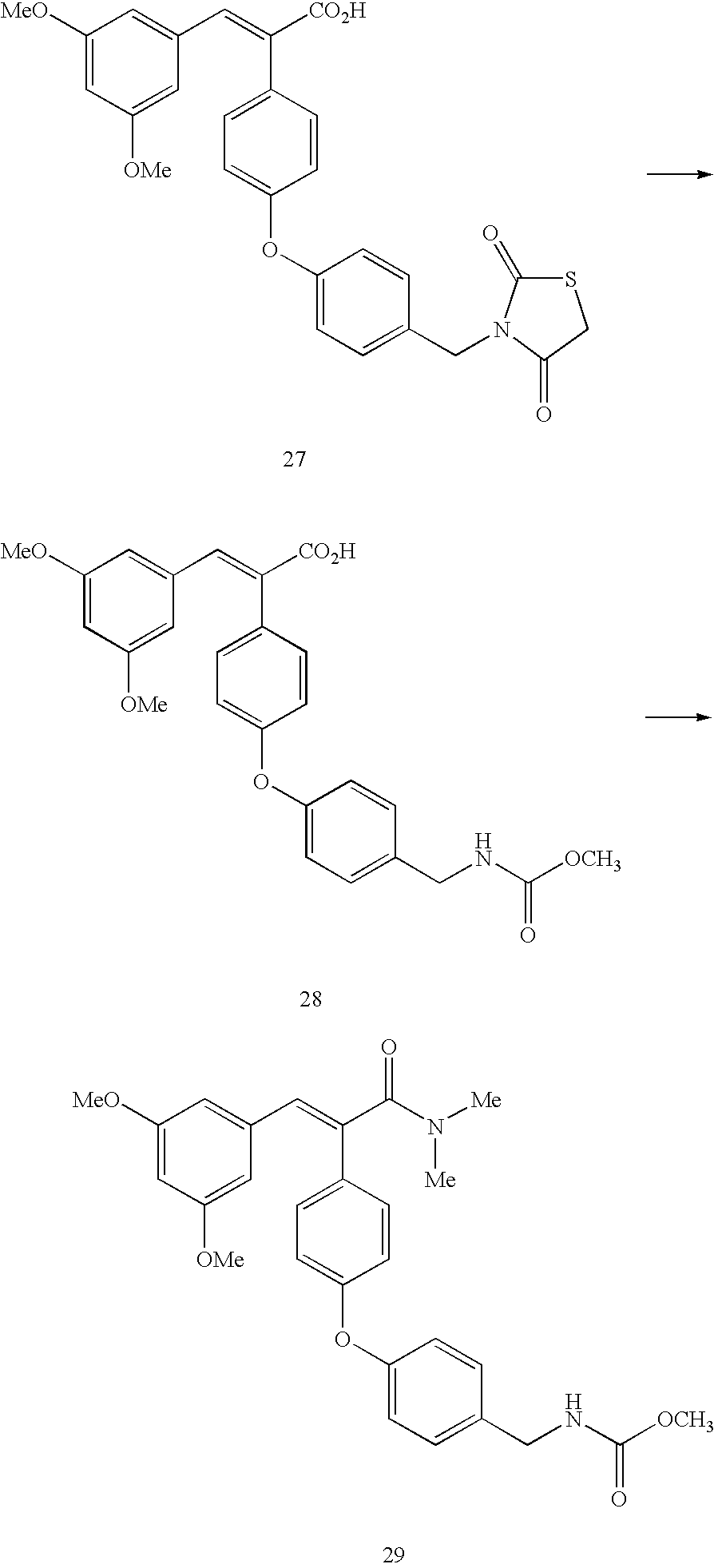
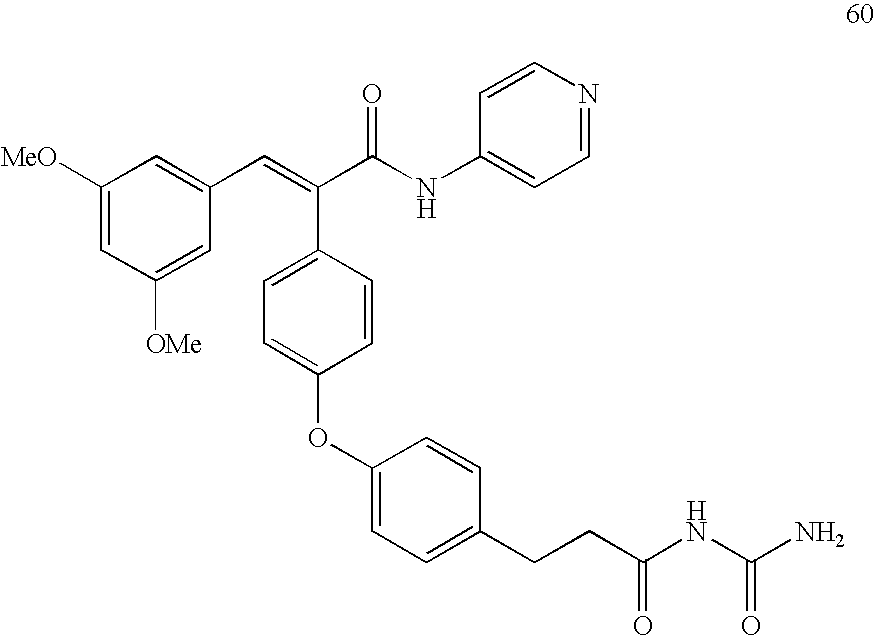
- ZTKKDKJUDLCDPO-UHFFFAOYSA-N 2-[4-[4-[3-(carbamoylamino)-3-oxopropyl]phenoxy]phenyl]-3-(3,5-dimethoxyphenyl)-n,n-dimethylprop-2-enamide Chemical compound COC1=CC(OC)=CC(C=C(C(=O)N(C)C)C=2C=CC(OC=3C=CC(CCC(=O)NC(N)=O)=CC=3)=CC=2)=C1 ZTKKDKJUDLCDPO-UHFFFAOYSA-N 0.000 description 11
- 102000003777 Interleukin-1 beta Human genes 0.000 description 11
- 108090000193 Interleukin-1 beta Proteins 0.000 description 11
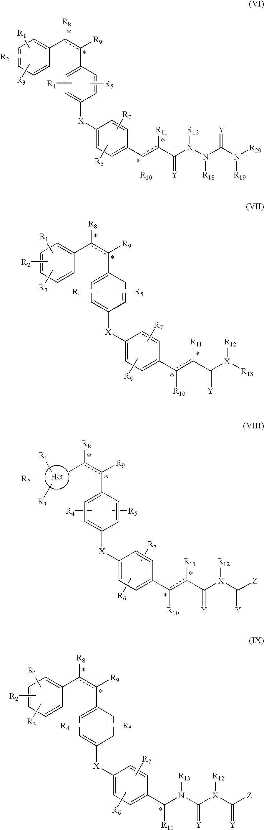
- 0 [1*]C.[1*]C.[1*]C.[1*]C.[1*]C.[12*]N(C(=[Y])N([13*])C(=O)C([15*])([16*])[17*])C([14*])C1=CC=C(CC2=CC=CC=C2)C=C1.[2*]C.[2*]C.[2*]C.[2*]C.[2*]C.[3*]C.[3*]C.[3*]C.[3*]C.[3*]C.[4*]C.[4*]C.[4*]C.[4*]C.[4*]C.[5*]C.[5*]C.[5*]C.[5*]C.[5*]C.[6*]C.[6*]C.[6*]C.[7*]C.[7*]C.[7*]C.[8*]c(C1=CC=C(CC2=CC=CC=C2)C=C1)c([9*])C(=O)N([12*])C(C)=[Y].[8*]c(C1=CC=CC=C1)c([9*])C1=CC=C(CC2=CC=C(C([14*])N([13*])C(=[Y])N([12*])C(=O)C([15*])([16*])[17*])C=C2)C=C1.[8*]c(C1=CC=CC=C1)c([9*])C1=CC=C(CC2=CC=C(C)C=C2)C=C1.[8*]c(C1=CC=CC=C1)c([9*])C1=CC=C(CC2=CC=C(c([10*])c([11*])C(=O)N([12*])C(C)=[Y])C=C2)C=C1 Chemical compound [1*]C.[1*]C.[1*]C.[1*]C.[1*]C.[12*]N(C(=[Y])N([13*])C(=O)C([15*])([16*])[17*])C([14*])C1=CC=C(CC2=CC=CC=C2)C=C1.[2*]C.[2*]C.[2*]C.[2*]C.[2*]C.[3*]C.[3*]C.[3*]C.[3*]C.[3*]C.[4*]C.[4*]C.[4*]C.[4*]C.[4*]C.[5*]C.[5*]C.[5*]C.[5*]C.[5*]C.[6*]C.[6*]C.[6*]C.[7*]C.[7*]C.[7*]C.[8*]c(C1=CC=C(CC2=CC=CC=C2)C=C1)c([9*])C(=O)N([12*])C(C)=[Y].[8*]c(C1=CC=CC=C1)c([9*])C1=CC=C(CC2=CC=C(C([14*])N([13*])C(=[Y])N([12*])C(=O)C([15*])([16*])[17*])C=C2)C=C1.[8*]c(C1=CC=CC=C1)c([9*])C1=CC=C(CC2=CC=C(C)C=C2)C=C1.[8*]c(C1=CC=CC=C1)c([9*])C1=CC=C(CC2=CC=C(c([10*])c([11*])C(=O)N([12*])C(C)=[Y])C=C2)C=C1 0.000 description 11
- 239000004202 carbamide Substances 0.000 description 11
- OAYLNYINCPYISS-UHFFFAOYSA-N ethyl acetate;hexane Chemical compound CCCCCC.CCOC(C)=O OAYLNYINCPYISS-UHFFFAOYSA-N 0.000 description 10
- BWHMMNNQKKPAPP-UHFFFAOYSA-L potassium carbonate Chemical compound [K+].[K+].[O-]C([O-])=O BWHMMNNQKKPAPP-UHFFFAOYSA-L 0.000 description 10
- UCSJYZPVAKXKNQ-HZYVHMACSA-N streptomycin Chemical compound CN[C@H]1[C@H](O)[C@@H](O)[C@H](CO)O[C@H]1O[C@@H]1[C@](C=O)(O)[C@H](C)O[C@H]1O[C@@H]1[C@@H](NC(N)=N)[C@H](O)[C@@H](NC(N)=N)[C@H](O)[C@H]1O UCSJYZPVAKXKNQ-HZYVHMACSA-N 0.000 description 10
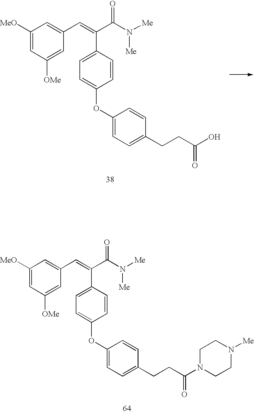
- DSMGIVCGUHFJEJ-UHFFFAOYSA-N 2-[4-[4-(3-amino-3-oxopropyl)phenoxy]phenyl]-3-(3,5-dimethoxyphenyl)-n,n-dimethylprop-2-enamide Chemical compound COC1=CC(OC)=CC(C=C(C(=O)N(C)C)C=2C=CC(OC=3C=CC(CCC(N)=O)=CC=3)=CC=2)=C1 DSMGIVCGUHFJEJ-UHFFFAOYSA-N 0.000 description 9
- 102000004190 Enzymes Human genes 0.000 description 9
- 108090000790 Enzymes Proteins 0.000 description 9
- 241001465754 Metazoa Species 0.000 description 9
- OKKJLVBELUTLKV-UHFFFAOYSA-N Methanol Chemical compound OC OKKJLVBELUTLKV-UHFFFAOYSA-N 0.000 description 9
- 239000012980 RPMI-1640 medium Substances 0.000 description 9
- 229910052786 argon Inorganic materials 0.000 description 9
- 210000002540 macrophage Anatomy 0.000 description 9
- 238000005259 measurement Methods 0.000 description 9
- 230000002829 reductive effect Effects 0.000 description 9
- 239000006228 supernatant Substances 0.000 description 9
- KQZLRWGGWXJPOS-NLFPWZOASA-N 1-[(1R)-1-(2,4-dichlorophenyl)ethyl]-6-[(4S,5R)-4-[(2S)-2-(hydroxymethyl)pyrrolidin-1-yl]-5-methylcyclohexen-1-yl]pyrazolo[3,4-b]pyrazine-3-carbonitrile Chemical compound ClC1=C(C=CC(=C1)Cl)[C@@H](C)N1N=C(C=2C1=NC(=CN=2)C1=CC[C@@H]([C@@H](C1)C)N1[C@@H](CCC1)CO)C#N KQZLRWGGWXJPOS-NLFPWZOASA-N 0.000 description 8
- UNILWMWFPHPYOR-KXEYIPSPSA-M 1-[6-[2-[3-[3-[3-[2-[2-[3-[[2-[2-[[(2r)-1-[[2-[[(2r)-1-[3-[2-[2-[3-[[2-(2-amino-2-oxoethoxy)acetyl]amino]propoxy]ethoxy]ethoxy]propylamino]-3-hydroxy-1-oxopropan-2-yl]amino]-2-oxoethyl]amino]-3-[(2r)-2,3-di(hexadecanoyloxy)propyl]sulfanyl-1-oxopropan-2-yl Chemical compound O=C1C(SCCC(=O)NCCCOCCOCCOCCCNC(=O)COCC(=O)N[C@@H](CSC[C@@H](COC(=O)CCCCCCCCCCCCCCC)OC(=O)CCCCCCCCCCCCCCC)C(=O)NCC(=O)N[C@H](CO)C(=O)NCCCOCCOCCOCCCNC(=O)COCC(N)=O)CC(=O)N1CCNC(=O)CCCCCN\1C2=CC=C(S([O-])(=O)=O)C=C2CC/1=C/C=C/C=C/C1=[N+](CC)C2=CC=C(S([O-])(=O)=O)C=C2C1 UNILWMWFPHPYOR-KXEYIPSPSA-M 0.000 description 8
- 108010037464 Cyclooxygenase 1 Proteins 0.000 description 8
- 241000699666 Mus <mouse, genus> Species 0.000 description 8
- 102100038277 Prostaglandin G/H synthase 1 Human genes 0.000 description 8
- UIIMBOGNXHQVGW-UHFFFAOYSA-M Sodium bicarbonate Chemical compound [Na+].OC([O-])=O UIIMBOGNXHQVGW-UHFFFAOYSA-M 0.000 description 8
- 229940125877 compound 31 Drugs 0.000 description 8
- 208000029078 coronary artery disease Diseases 0.000 description 8
- 230000003345 hyperglycaemic effect Effects 0.000 description 8
- 201000008482 osteoarthritis Diseases 0.000 description 8
- 230000000770 proinflammatory effect Effects 0.000 description 8
- 230000035755 proliferation Effects 0.000 description 8
- 102000004169 proteins and genes Human genes 0.000 description 8
- 108090000623 proteins and genes Proteins 0.000 description 8
- 230000006433 tumor necrosis factor production Effects 0.000 description 8
- BOGVIYOYHZFSOD-UHFFFAOYSA-N 2-[4-[4-[3-(carbamoylamino)-3-oxopropyl]phenoxy]phenyl]-n,n-dimethyl-3-pyridin-3-ylprop-2-enamide Chemical compound C=1C=C(OC=2C=CC(CCC(=O)NC(N)=O)=CC=2)C=CC=1C(C(=O)N(C)C)=CC1=CC=CN=C1 BOGVIYOYHZFSOD-UHFFFAOYSA-N 0.000 description 7
- 208000031226 Hyperlipidaemia Diseases 0.000 description 7
- KDLHZDBZIXYQEI-UHFFFAOYSA-N Palladium Chemical compound [Pd] KDLHZDBZIXYQEI-UHFFFAOYSA-N 0.000 description 7
- 125000004432 carbon atom Chemical group C* 0.000 description 7
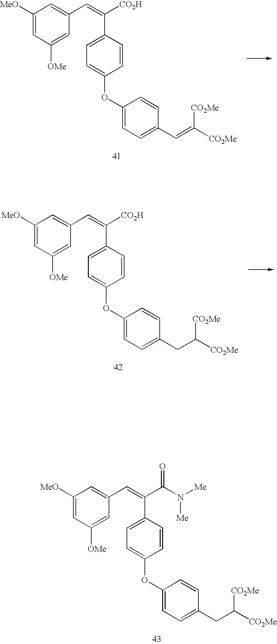
- WIZQSOGOGVSUHA-UHFFFAOYSA-N methyl 3-(3,5-dimethoxyphenyl)-2-[4-[4-[3-(ethoxycarbonylamino)-3-oxopropyl]phenoxy]phenyl]prop-2-enoate Chemical compound C1=CC(CCC(=O)NC(=O)OCC)=CC=C1OC1=CC=C(C(=CC=2C=C(OC)C=C(OC)C=2)C(=O)OC)C=C1 WIZQSOGOGVSUHA-UHFFFAOYSA-N 0.000 description 7
- CSRHPRCCMWLFEQ-UHFFFAOYSA-N n-carbamoyl-3-[4-[4-[1-(3,5-dimethoxyphenyl)-3-oxo-3-piperidin-1-ylprop-1-en-2-yl]phenoxy]phenyl]propanamide Chemical compound COC1=CC(OC)=CC(C=C(C(=O)N2CCCCC2)C=2C=CC(OC=3C=CC(CCC(=O)NC(N)=O)=CC=3)=CC=2)=C1 CSRHPRCCMWLFEQ-UHFFFAOYSA-N 0.000 description 7
- 229920006395 saturated elastomer Polymers 0.000 description 7
- 239000002904 solvent Substances 0.000 description 7
- LSCYVPUOVUCMJO-UHFFFAOYSA-N 2-[4-[4-(3-acetamido-3-oxopropyl)phenoxy]phenyl]-3-(4-fluorophenyl)-n,n-dimethylprop-2-enamide Chemical compound C=1C=C(OC=2C=CC(CCC(=O)NC(C)=O)=CC=2)C=CC=1C(C(=O)N(C)C)=CC1=CC=C(F)C=C1 LSCYVPUOVUCMJO-UHFFFAOYSA-N 0.000 description 6
- NLXLAEXVIDQMFP-UHFFFAOYSA-N Ammonia chloride Chemical compound [NH4+].[Cl-] NLXLAEXVIDQMFP-UHFFFAOYSA-N 0.000 description 6
- 201000001320 Atherosclerosis Diseases 0.000 description 6
- HEDRZPFGACZZDS-UHFFFAOYSA-N Chloroform Chemical compound ClC(Cl)Cl HEDRZPFGACZZDS-UHFFFAOYSA-N 0.000 description 6
- 238000002965 ELISA Methods 0.000 description 6
- 101000655398 Homo sapiens General transcription factor IIH subunit 2 Proteins 0.000 description 6
- 101000840293 Homo sapiens Interferon-induced protein 44 Proteins 0.000 description 6
- 101000582546 Homo sapiens Methylosome protein 50 Proteins 0.000 description 6
- 102100029607 Interferon-induced protein 44 Human genes 0.000 description 6
- PFKFTWBEEFSNDU-UHFFFAOYSA-N carbonyldiimidazole Chemical compound C1=CN=CN1C(=O)N1C=CN=C1 PFKFTWBEEFSNDU-UHFFFAOYSA-N 0.000 description 6
- 239000003054 catalyst Substances 0.000 description 6
- KRKNYBCHXYNGOX-UHFFFAOYSA-N citric acid Chemical compound OC(=O)CC(O)(C(O)=O)CC(O)=O KRKNYBCHXYNGOX-UHFFFAOYSA-N 0.000 description 6
- 150000003951 lactams Chemical class 0.000 description 6
- 150000002596 lactones Chemical class 0.000 description 6
- ZCSHNCUQKCANBX-UHFFFAOYSA-N lithium diisopropylamide Chemical compound [Li+].CC(C)[N-]C(C)C ZCSHNCUQKCANBX-UHFFFAOYSA-N 0.000 description 6
- 239000002609 medium Substances 0.000 description 6
- DUPJQRFHGWOEEX-UHFFFAOYSA-N methyl 2-[4-[4-[(acetylcarbamoylamino)methyl]phenoxy]phenyl]-3-(3,5-dimethoxyphenyl)prop-2-enoate Chemical compound C=1C=C(OC=2C=CC(CNC(=O)NC(C)=O)=CC=2)C=CC=1C(C(=O)OC)=CC1=CC(OC)=CC(OC)=C1 DUPJQRFHGWOEEX-UHFFFAOYSA-N 0.000 description 6
- 201000006417 multiple sclerosis Diseases 0.000 description 6
- 238000001953 recrystallisation Methods 0.000 description 6
- 230000000638 stimulation Effects 0.000 description 6
- 125000001424 substituent group Chemical group 0.000 description 6
- 239000000725 suspension Substances 0.000 description 6
- DGVVWUTYPXICAM-UHFFFAOYSA-N β‐Mercaptoethanol Chemical compound OCCS DGVVWUTYPXICAM-UHFFFAOYSA-N 0.000 description 6
- 125000000229 (C1-C4)alkoxy group Chemical group 0.000 description 5
- SVYOXGBINYWSDQ-UHFFFAOYSA-N 1,4-dioxane;ethanol Chemical compound CCO.C1COCCO1 SVYOXGBINYWSDQ-UHFFFAOYSA-N 0.000 description 5
- JRPXCFSQVBOSNQ-UHFFFAOYSA-N 2-[4-[4-(3-amino-3-oxopropyl)phenoxy]phenyl]-n,n-dimethyl-3-pyridin-3-ylprop-2-enamide Chemical compound C=1C=C(OC=2C=CC(CCC(N)=O)=CC=2)C=CC=1C(C(=O)N(C)C)=CC1=CC=CN=C1 JRPXCFSQVBOSNQ-UHFFFAOYSA-N 0.000 description 5
- IXKAFGTXUPZMOE-UHFFFAOYSA-N 2-[4-[4-[3-(carbamoylamino)-3-oxoprop-1-enyl]phenoxy]phenyl]-3-(3,5-dimethoxyphenyl)prop-2-enoic acid Chemical compound COC1=CC(OC)=CC(C=C(C(O)=O)C=2C=CC(OC=3C=CC(C=CC(=O)NC(N)=O)=CC=3)=CC=2)=C1 IXKAFGTXUPZMOE-UHFFFAOYSA-N 0.000 description 5
- BBGRPUWOWNIJNA-UHFFFAOYSA-N 2-[4-[4-[3-(carbamoylamino)-3-oxopropyl]phenoxy]phenyl]-3-(3,5-dimethoxyphenyl)propanoic acid Chemical compound COC1=CC(OC)=CC(CC(C(O)=O)C=2C=CC(OC=3C=CC(CCC(=O)NC(N)=O)=CC=3)=CC=2)=C1 BBGRPUWOWNIJNA-UHFFFAOYSA-N 0.000 description 5
- FNGOINDSMHSYFC-UHFFFAOYSA-N 3-(3,5-dimethoxyphenyl)-2-(4-hydroxyphenyl)-n,n-dimethylprop-2-enamide Chemical compound COC1=CC(OC)=CC(C=C(C(=O)N(C)C)C=2C=CC(O)=CC=2)=C1 FNGOINDSMHSYFC-UHFFFAOYSA-N 0.000 description 5
- PFSMDKMUUSEAKM-UHFFFAOYSA-N 3-(3,5-dimethoxyphenyl)-n,n-dimethyl-2-[4-[4-(3-morpholin-4-yl-3-oxopropyl)phenoxy]phenyl]prop-2-enamide Chemical compound COC1=CC(OC)=CC(C=C(C(=O)N(C)C)C=2C=CC(OC=3C=CC(CCC(=O)N4CCOCC4)=CC=3)=CC=2)=C1 PFSMDKMUUSEAKM-UHFFFAOYSA-N 0.000 description 5
- UIGYRSUTTNASTP-UHFFFAOYSA-N 3-[4-[4-[1-(3,5-dimethoxyphenyl)-3-methoxy-3-oxoprop-1-en-2-yl]phenoxy]phenyl]propanoylcarbamoyl benzoate Chemical compound C=1C=C(OC=2C=CC(CCC(=O)NC(=O)OC(=O)C=3C=CC=CC=3)=CC=2)C=CC=1C(C(=O)OC)=CC1=CC(OC)=CC(OC)=C1 UIGYRSUTTNASTP-UHFFFAOYSA-N 0.000 description 5
- 208000023275 Autoimmune disease Diseases 0.000 description 5
- 239000006144 Dulbecco’s modified Eagle's medium Substances 0.000 description 5
- 102000000589 Interleukin-1 Human genes 0.000 description 5
- 108010002352 Interleukin-1 Proteins 0.000 description 5
- 208000008589 Obesity Diseases 0.000 description 5
- 229930182555 Penicillin Natural products 0.000 description 5
- JGSARLDLIJGVTE-MBNYWOFBSA-N Penicillin G Chemical compound N([C@H]1[C@H]2SC([C@@H](N2C1=O)C(O)=O)(C)C)C(=O)CC1=CC=CC=C1 JGSARLDLIJGVTE-MBNYWOFBSA-N 0.000 description 5
- 208000018262 Peripheral vascular disease Diseases 0.000 description 5
- 201000004681 Psoriasis Diseases 0.000 description 5
- 241000219061 Rheum Species 0.000 description 5
- 238000001994 activation Methods 0.000 description 5
- 239000003153 chemical reaction reagent Substances 0.000 description 5
- WORJEOGGNQDSOE-UHFFFAOYSA-N chloroform;methanol Chemical compound OC.ClC(Cl)Cl WORJEOGGNQDSOE-UHFFFAOYSA-N 0.000 description 5
- 238000001816 cooling Methods 0.000 description 5
- 231100000673 dose–response relationship Toxicity 0.000 description 5
- FYXIBTOSQCCSNY-UHFFFAOYSA-N ethyl 2-[4-[4-[3-(carbamoylamino)-3-oxopropyl]phenoxy]phenyl]-3-(3,5-dimethoxyphenyl)prop-2-enoate Chemical compound C=1C=C(OC=2C=CC(CCC(=O)NC(N)=O)=CC=2)C=CC=1C(C(=O)OCC)=CC1=CC(OC)=CC(OC)=C1 FYXIBTOSQCCSNY-UHFFFAOYSA-N 0.000 description 5
- OJTSVGDXVAKNOA-UHFFFAOYSA-N ethyl 3-[4-[4-[1-(3,5-dimethoxyphenyl)-3-(dimethylamino)-3-oxoprop-1-en-2-yl]phenoxy]phenyl]propanoate Chemical compound C1=CC(CCC(=O)OCC)=CC=C1OC1=CC=C(C(=CC=2C=C(OC)C=C(OC)C=2)C(=O)N(C)C)C=C1 OJTSVGDXVAKNOA-UHFFFAOYSA-N 0.000 description 5
- 235000021588 free fatty acids Nutrition 0.000 description 5
- 239000001963 growth medium Substances 0.000 description 5
- 150000002431 hydrogen Chemical group 0.000 description 5
- 230000028993 immune response Effects 0.000 description 5
- 239000003112 inhibitor Substances 0.000 description 5
- WERSQKHRZJUSBV-UHFFFAOYSA-N methyl 2-[4-[4-[3-(carbamoylamino)-3-oxopropyl]phenoxy]phenyl]-3-(3,5-dimethoxyphenyl)prop-2-enoate Chemical compound C=1C=C(OC=2C=CC(CCC(=O)NC(N)=O)=CC=2)C=CC=1C(C(=O)OC)=CC1=CC(OC)=CC(OC)=C1 WERSQKHRZJUSBV-UHFFFAOYSA-N 0.000 description 5
- ICVFXSQFPGMKQE-UHFFFAOYSA-N methyl n-[[4-[4-[1-(3,5-dimethoxyphenyl)-3-(dimethylamino)-3-oxoprop-1-en-2-yl]phenoxy]phenyl]methyl]carbamate Chemical compound C1=CC(CNC(=O)OC)=CC=C1OC1=CC=C(C(=CC=2C=C(OC)C=C(OC)C=2)C(=O)N(C)C)C=C1 ICVFXSQFPGMKQE-UHFFFAOYSA-N 0.000 description 5
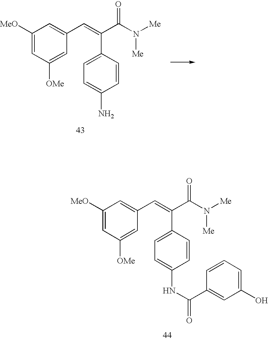
- ODTYLQVXCYNMEB-UHFFFAOYSA-N n-[4-[1-(3,5-dimethoxyphenyl)-3-(dimethylamino)-3-oxoprop-1-en-2-yl]phenyl]-3-hydroxybenzamide Chemical compound COC1=CC(OC)=CC(C=C(C(=O)N(C)C)C=2C=CC(NC(=O)C=3C=C(O)C=CC=3)=CC=2)=C1 ODTYLQVXCYNMEB-UHFFFAOYSA-N 0.000 description 5
- RCEASWJGUKSWQF-UHFFFAOYSA-N n-carbamoyl-3-(4-phenoxyphenyl)propanamide Chemical compound C1=CC(CCC(=O)NC(=O)N)=CC=C1OC1=CC=CC=C1 RCEASWJGUKSWQF-UHFFFAOYSA-N 0.000 description 5
- 235000020824 obesity Nutrition 0.000 description 5
- 229940049954 penicillin Drugs 0.000 description 5
- 239000008194 pharmaceutical composition Substances 0.000 description 5
- 230000026731 phosphorylation Effects 0.000 description 5
- 238000006366 phosphorylation reaction Methods 0.000 description 5
- 229910000027 potassium carbonate Inorganic materials 0.000 description 5
- 150000003254 radicals Chemical class 0.000 description 5
- 230000028327 secretion Effects 0.000 description 5
- 229960005322 streptomycin Drugs 0.000 description 5
- DCHCNOBYUYUHJS-UHFFFAOYSA-N 2-[4-[4-(3-amino-3-oxopropyl)phenoxy]phenyl]-3-(1,3-benzodioxol-5-yl)-n,n-dimethylprop-2-enamide Chemical compound C=1C=C2OCOC2=CC=1C=C(C(=O)N(C)C)C(C=C1)=CC=C1OC1=CC=C(CCC(N)=O)C=C1 DCHCNOBYUYUHJS-UHFFFAOYSA-N 0.000 description 4
- DCEDZQISCGQHDG-UHFFFAOYSA-N 2-[4-[4-(3-ethoxy-3-oxopropyl)phenoxy]phenyl]-3-pyridin-3-ylprop-2-enoic acid Chemical compound C1=CC(CCC(=O)OCC)=CC=C1OC1=CC=C(C(=CC=2C=NC=CC=2)C(O)=O)C=C1 DCEDZQISCGQHDG-UHFFFAOYSA-N 0.000 description 4
- BFNRURURIHSFJW-UHFFFAOYSA-N 2-[4-[4-[3-(carbamoylamino)-3-oxopropyl]phenoxy]phenyl]-3-(3,5-dimethoxyphenyl)-n-pyridin-4-ylprop-2-enamide Chemical compound COC1=CC(OC)=CC(C=C(C(=O)NC=2C=CN=CC=2)C=2C=CC(OC=3C=CC(CCC(=O)NC(N)=O)=CC=3)=CC=2)=C1 BFNRURURIHSFJW-UHFFFAOYSA-N 0.000 description 4
- AWOMCJQDAYXFOO-UHFFFAOYSA-N 2-[4-[4-[3-(carbamoylamino)-3-oxopropyl]phenoxy]phenyl]-3-(3,5-dimethoxyphenyl)prop-2-enoic acid Chemical compound COC1=CC(OC)=CC(C=C(C(O)=O)C=2C=CC(OC=3C=CC(CCC(=O)NC(N)=O)=CC=3)=CC=2)=C1 AWOMCJQDAYXFOO-UHFFFAOYSA-N 0.000 description 4
- WQWZPOUEZKOIAG-UHFFFAOYSA-N 2-[4-[4-[3-(carbamoylamino)-3-oxopropyl]phenoxy]phenyl]-n-(4-chlorophenyl)-3-(3,5-dimethoxyphenyl)prop-2-enamide Chemical compound COC1=CC(OC)=CC(C=C(C(=O)NC=2C=CC(Cl)=CC=2)C=2C=CC(OC=3C=CC(CCC(=O)NC(N)=O)=CC=3)=CC=2)=C1 WQWZPOUEZKOIAG-UHFFFAOYSA-N 0.000 description 4
- JXLWMGUMBXDPLH-UHFFFAOYSA-N 2-[4-[4-[3-(cyclohexylcarbamoylamino)-3-oxopropyl]phenoxy]phenyl]-3-(3,5-dimethoxyphenyl)prop-2-enoic acid Chemical compound COC1=CC(OC)=CC(C=C(C(O)=O)C=2C=CC(OC=3C=CC(CCC(=O)NC(=O)NC4CCCCC4)=CC=3)=CC=2)=C1 JXLWMGUMBXDPLH-UHFFFAOYSA-N 0.000 description 4
- OWHJMSBRLGQRMX-UHFFFAOYSA-N 2-[[4-[4-[1-(3,5-dimethoxyphenyl)-3-(dimethylamino)-3-oxoprop-1-en-2-yl]phenoxy]phenyl]methyl]propanediamide Chemical compound COC1=CC(OC)=CC(C=C(C(=O)N(C)C)C=2C=CC(OC=3C=CC(CC(C(N)=O)C(N)=O)=CC=3)=CC=2)=C1 OWHJMSBRLGQRMX-UHFFFAOYSA-N 0.000 description 4
- NMDRVEAJWZSNIH-UHFFFAOYSA-N 2-[[4-[4-[1-(3,5-dimethoxyphenyl)-3-(dimethylamino)-3-oxoprop-1-en-2-yl]phenoxy]phenyl]methyl]propanedioic acid Chemical compound COC1=CC(OC)=CC(C=C(C(=O)N(C)C)C=2C=CC(OC=3C=CC(CC(C(O)=O)C(O)=O)=CC=3)=CC=2)=C1 NMDRVEAJWZSNIH-UHFFFAOYSA-N 0.000 description 4
- HRGXHHQOSLOSHN-UHFFFAOYSA-N 2-[[4-[4-[3-(dimethylamino)-3-oxo-1-pyridin-3-ylprop-1-en-2-yl]phenoxy]phenyl]methyl]propanediamide Chemical compound C=1C=C(OC=2C=CC(CC(C(N)=O)C(N)=O)=CC=2)C=CC=1C(C(=O)N(C)C)=CC1=CC=CN=C1 HRGXHHQOSLOSHN-UHFFFAOYSA-N 0.000 description 4
- ACYPWQSUAHUZDV-UHFFFAOYSA-N 3-(3,5-dimethoxyphenyl)-n,n-dimethyl-2-(4-pyridin-2-yloxyphenyl)prop-2-enamide Chemical compound COC1=CC(OC)=CC(C=C(C(=O)N(C)C)C=2C=CC(OC=3N=CC=CC=3)=CC=2)=C1 ACYPWQSUAHUZDV-UHFFFAOYSA-N 0.000 description 4
- FLPSSHMBCGEISK-UHFFFAOYSA-N 3-(3,5-dimethoxyphenyl)-n,n-dimethyl-2-[4-[4-[3-[(2-morpholin-4-yl-2-oxoethyl)amino]-3-oxopropyl]phenoxy]phenyl]prop-2-enamide Chemical compound COC1=CC(OC)=CC(C=C(C(=O)N(C)C)C=2C=CC(OC=3C=CC(CCC(=O)NCC(=O)N4CCOCC4)=CC=3)=CC=2)=C1 FLPSSHMBCGEISK-UHFFFAOYSA-N 0.000 description 4
- 206010001052 Acute respiratory distress syndrome Diseases 0.000 description 4
- IJGRMHOSHXDMSA-UHFFFAOYSA-N Atomic nitrogen Chemical compound N#N IJGRMHOSHXDMSA-UHFFFAOYSA-N 0.000 description 4
- 229920002134 Carboxymethyl cellulose Polymers 0.000 description 4
- 208000009386 Experimental Arthritis Diseases 0.000 description 4
- 208000022559 Inflammatory bowel disease Diseases 0.000 description 4
- 108010074328 Interferon-gamma Proteins 0.000 description 4
- 102100024193 Mitogen-activated protein kinase 1 Human genes 0.000 description 4
- MWUXSHHQAYIFBG-UHFFFAOYSA-N Nitric oxide Chemical compound O=[N] MWUXSHHQAYIFBG-UHFFFAOYSA-N 0.000 description 4
- 108091000080 Phosphotransferase Proteins 0.000 description 4
- 208000013616 Respiratory Distress Syndrome Diseases 0.000 description 4
- FAPWRFPIFSIZLT-UHFFFAOYSA-M Sodium chloride Chemical compound [Na+].[Cl-] FAPWRFPIFSIZLT-UHFFFAOYSA-M 0.000 description 4
- 229940100389 Sulfonylurea Drugs 0.000 description 4
- 210000001744 T-lymphocyte Anatomy 0.000 description 4
- 206010067584 Type 1 diabetes mellitus Diseases 0.000 description 4
- 230000009471 action Effects 0.000 description 4
- 230000004913 activation Effects 0.000 description 4
- 201000000028 adult respiratory distress syndrome Diseases 0.000 description 4
- 208000006673 asthma Diseases 0.000 description 4
- 210000000845 cartilage Anatomy 0.000 description 4
- 239000006285 cell suspension Substances 0.000 description 4
- 230000007423 decrease Effects 0.000 description 4
- JQAIYXVOTOPCFJ-UHFFFAOYSA-N dimethyl 2-[[4-[4-[1-(3,5-dimethoxyphenyl)-3-(dimethylamino)-3-oxoprop-1-en-2-yl]phenoxy]phenyl]methyl]propanedioate Chemical compound C1=CC(CC(C(=O)OC)C(=O)OC)=CC=C1OC1=CC=C(C(=CC=2C=C(OC)C=C(OC)C=2)C(=O)N(C)C)C=C1 JQAIYXVOTOPCFJ-UHFFFAOYSA-N 0.000 description 4
- FMJBEAQXNYBANP-UHFFFAOYSA-N ethyl 3-[4-[4-[1-(1,3-benzodioxol-5-yl)-3-(dimethylamino)-3-oxoprop-1-en-2-yl]phenoxy]phenyl]propanoate Chemical compound C1=CC(CCC(=O)OCC)=CC=C1OC1=CC=C(C(=CC=2C=C3OCOC3=CC=2)C(=O)N(C)C)C=C1 FMJBEAQXNYBANP-UHFFFAOYSA-N 0.000 description 4
- 238000002474 experimental method Methods 0.000 description 4
- 210000001503 joint Anatomy 0.000 description 4
- 210000004698 lymphocyte Anatomy 0.000 description 4
- 239000012528 membrane Substances 0.000 description 4
- 239000003226 mitogen Substances 0.000 description 4
- 210000001616 monocyte Anatomy 0.000 description 4
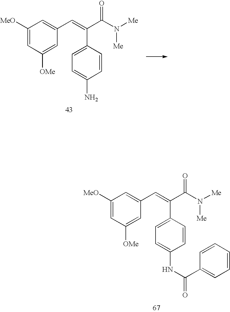
- NEEBYZBOKTXZOD-UHFFFAOYSA-N n-[4-[1-(3,5-dimethoxyphenyl)-3-(dimethylamino)-3-oxoprop-1-en-2-yl]phenyl]benzamide Chemical compound COC1=CC(OC)=CC(C=C(C(=O)N(C)C)C=2C=CC(NC(=O)C=3C=CC=CC=3)=CC=2)=C1 NEEBYZBOKTXZOD-UHFFFAOYSA-N 0.000 description 4
- 229940021182 non-steroidal anti-inflammatory drug Drugs 0.000 description 4
- 229910052760 oxygen Inorganic materials 0.000 description 4
- 239000008188 pellet Substances 0.000 description 4
- 102000020233 phosphotransferase Human genes 0.000 description 4
- HYAFETHFCAUJAY-UHFFFAOYSA-N pioglitazone Chemical compound N1=CC(CC)=CC=C1CCOC(C=C1)=CC=C1CC1C(=O)NC(=O)S1 HYAFETHFCAUJAY-UHFFFAOYSA-N 0.000 description 4
- 201000010065 polycystic ovary syndrome Diseases 0.000 description 4
- SCVFZCLFOSHCOH-UHFFFAOYSA-M potassium acetate Chemical compound [K+].CC([O-])=O SCVFZCLFOSHCOH-UHFFFAOYSA-M 0.000 description 4
- 235000017557 sodium bicarbonate Nutrition 0.000 description 4
- 229910000030 sodium bicarbonate Inorganic materials 0.000 description 4
- 229910000104 sodium hydride Inorganic materials 0.000 description 4
- DAEPDZWVDSPTHF-UHFFFAOYSA-M sodium pyruvate Chemical compound [Na+].CC(=O)C([O-])=O DAEPDZWVDSPTHF-UHFFFAOYSA-M 0.000 description 4
- 238000003756 stirring Methods 0.000 description 4
- YROXIXLRRCOBKF-UHFFFAOYSA-N sulfonylurea Chemical class OC(=N)N=S(=O)=O YROXIXLRRCOBKF-UHFFFAOYSA-N 0.000 description 4
- VCUXVXLUOHDHKK-UHFFFAOYSA-N 2-(2-aminopyrimidin-4-yl)-4-(2-chloro-4-methoxyphenyl)-1,3-thiazole-5-carboxamide Chemical compound ClC1=CC(OC)=CC=C1C1=C(C(N)=O)SC(C=2N=C(N)N=CC=2)=N1 VCUXVXLUOHDHKK-UHFFFAOYSA-N 0.000 description 3
- AIUXYAVLBDVTDO-UHFFFAOYSA-N 2-[4-(4-acetamidophenoxy)phenyl]-3-(3,5-dimethoxyphenyl)-n,n-dimethylprop-2-enamide Chemical compound COC1=CC(OC)=CC(C=C(C(=O)N(C)C)C=2C=CC(OC=3C=CC(NC(C)=O)=CC=3)=CC=2)=C1 AIUXYAVLBDVTDO-UHFFFAOYSA-N 0.000 description 3
- OALKZZXFTCYGPI-UHFFFAOYSA-N 2-[4-[4-(3-amino-3-oxopropyl)phenoxy]phenyl]-n,n-dimethyl-3-pyridin-3-ylpropanamide Chemical compound C=1C=C(OC=2C=CC(CCC(N)=O)=CC=2)C=CC=1C(C(=O)N(C)C)CC1=CC=CN=C1 OALKZZXFTCYGPI-UHFFFAOYSA-N 0.000 description 3
- BLYAESKSQZMANB-UHFFFAOYSA-N 2-[4-[4-[3-(2-carbamoylhydrazinyl)-3-oxopropyl]phenoxy]phenyl]-3-(3,5-dimethoxyphenyl)-n,n-dimethylprop-2-enamide Chemical compound COC1=CC(OC)=CC(C=C(C(=O)N(C)C)C=2C=CC(OC=3C=CC(CCC(=O)NNC(N)=O)=CC=3)=CC=2)=C1 BLYAESKSQZMANB-UHFFFAOYSA-N 0.000 description 3
- LJEDINLIDYSUIO-UHFFFAOYSA-N 2-[4-[4-[3-(carbamoylamino)-3-oxoprop-1-enyl]phenoxy]phenyl]-n,n-dimethyl-3-pyridin-3-ylprop-2-enamide Chemical compound C=1C=C(OC=2C=CC(C=CC(=O)NC(N)=O)=CC=2)C=CC=1C(C(=O)N(C)C)=CC1=CC=CN=C1 LJEDINLIDYSUIO-UHFFFAOYSA-N 0.000 description 3
- RHONWYGJQIYXPU-UHFFFAOYSA-N 2-[4-[4-[3-(carbamoylamino)-3-oxopropyl]phenoxy]phenyl]-3-(3,5-dimethoxyphenyl)-n,n-diethylprop-2-enamide Chemical compound C=1C=C(OC=2C=CC(CCC(=O)NC(N)=O)=CC=2)C=CC=1C(C(=O)N(CC)CC)=CC1=CC(OC)=CC(OC)=C1 RHONWYGJQIYXPU-UHFFFAOYSA-N 0.000 description 3
- APIXJSLKIYYUKG-UHFFFAOYSA-N 3 Isobutyl 1 methylxanthine Chemical compound O=C1N(C)C(=O)N(CC(C)C)C2=C1N=CN2 APIXJSLKIYYUKG-UHFFFAOYSA-N 0.000 description 3
- MGVVILYYVQAOCF-UHFFFAOYSA-N 3-(3,5-dimethoxyphenyl)-2-[4-[4-(3-ethoxy-3-oxopropyl)phenoxy]phenyl]propanoic acid Chemical compound C1=CC(CCC(=O)OCC)=CC=C1OC1=CC=C(C(CC=2C=C(OC)C=C(OC)C=2)C(O)=O)C=C1 MGVVILYYVQAOCF-UHFFFAOYSA-N 0.000 description 3
- UFBQVALBRDPJEI-UHFFFAOYSA-N 3-(3,5-dimethoxyphenyl)-n,n-dimethyl-2-[4-(4-methylsulfonylphenoxy)phenyl]prop-2-enamide Chemical compound COC1=CC(OC)=CC(C=C(C(=O)N(C)C)C=2C=CC(OC=3C=CC(=CC=3)S(C)(=O)=O)=CC=2)=C1 UFBQVALBRDPJEI-UHFFFAOYSA-N 0.000 description 3
- KWXUGYQQWCZXFP-UHFFFAOYSA-N 3-(3,5-dimethoxyphenyl)-n,n-dimethyl-2-[4-[4-[3-(4-methylpiperazin-1-yl)-3-oxopropyl]phenoxy]phenyl]prop-2-enamide Chemical compound COC1=CC(OC)=CC(C=C(C(=O)N(C)C)C=2C=CC(OC=3C=CC(CCC(=O)N4CCN(C)CC4)=CC=3)=CC=2)=C1 KWXUGYQQWCZXFP-UHFFFAOYSA-N 0.000 description 3
- CSCPPACGZOOCGX-UHFFFAOYSA-N Acetone Chemical compound CC(C)=O CSCPPACGZOOCGX-UHFFFAOYSA-N 0.000 description 3
- 206010002556 Ankylosing Spondylitis Diseases 0.000 description 3
- UHOVQNZJYSORNB-UHFFFAOYSA-N Benzene Chemical compound C1=CC=CC=C1 UHOVQNZJYSORNB-UHFFFAOYSA-N 0.000 description 3
- 208000029147 Collagen-vascular disease Diseases 0.000 description 3
- YMWUJEATGCHHMB-UHFFFAOYSA-N Dichloromethane Chemical compound ClCCl YMWUJEATGCHHMB-UHFFFAOYSA-N 0.000 description 3
- 101000876610 Dictyostelium discoideum Extracellular signal-regulated kinase 2 Proteins 0.000 description 3
- 101001052493 Homo sapiens Mitogen-activated protein kinase 1 Proteins 0.000 description 3
- 101000914514 Homo sapiens T-cell-specific surface glycoprotein CD28 Proteins 0.000 description 3
- 102100037850 Interferon gamma Human genes 0.000 description 3
- FBOZXECLQNJBKD-ZDUSSCGKSA-N L-methotrexate Chemical compound C=1N=C2N=C(N)N=C(N)C2=NC=1CN(C)C1=CC=C(C(=O)N[C@@H](CCC(O)=O)C(O)=O)C=C1 FBOZXECLQNJBKD-ZDUSSCGKSA-N 0.000 description 3
- 102000019149 MAP kinase activity proteins Human genes 0.000 description 3
- 108040008097 MAP kinase activity proteins Proteins 0.000 description 3
- PVNIIMVLHYAWGP-UHFFFAOYSA-N Niacin Chemical compound OC(=O)C1=CC=CN=C1 PVNIIMVLHYAWGP-UHFFFAOYSA-N 0.000 description 3
- 208000001132 Osteoporosis Diseases 0.000 description 3
- 208000002193 Pain Diseases 0.000 description 3
- 102000004005 Prostaglandin-endoperoxide synthases Human genes 0.000 description 3
- 108090000459 Prostaglandin-endoperoxide synthases Proteins 0.000 description 3
- 102000001253 Protein Kinase Human genes 0.000 description 3
- YASAKCUCGLMORW-UHFFFAOYSA-N Rosiglitazone Natural products C=1C=CC=NC=1N(C)CCOC(C=C1)=CC=C1CC1SC(=O)NC1=O YASAKCUCGLMORW-UHFFFAOYSA-N 0.000 description 3
- 206010040070 Septic Shock Diseases 0.000 description 3
- VYPSYNLAJGMNEJ-UHFFFAOYSA-N Silicium dioxide Chemical compound O=[Si]=O VYPSYNLAJGMNEJ-UHFFFAOYSA-N 0.000 description 3
- 102100027213 T-cell-specific surface glycoprotein CD28 Human genes 0.000 description 3
- 229940123464 Thiazolidinedione Drugs 0.000 description 3
- OIRDTQYFTABQOQ-KQYNXXCUSA-N adenosine Chemical compound C1=NC=2C(N)=NC=NC=2N1[C@@H]1O[C@H](CO)[C@@H](O)[C@H]1O OIRDTQYFTABQOQ-KQYNXXCUSA-N 0.000 description 3
- 125000004453 alkoxycarbonyl group Chemical group 0.000 description 3
- 235000019270 ammonium chloride Nutrition 0.000 description 3
- RROBIDXNTUAHFW-UHFFFAOYSA-N benzotriazol-1-yloxy-tris(dimethylamino)phosphanium Chemical compound C1=CC=C2N(O[P+](N(C)C)(N(C)C)N(C)C)N=NC2=C1 RROBIDXNTUAHFW-UHFFFAOYSA-N 0.000 description 3
- 239000001768 carboxy methyl cellulose Substances 0.000 description 3
- 235000010948 carboxy methyl cellulose Nutrition 0.000 description 3
- 239000008112 carboxymethyl-cellulose Substances 0.000 description 3
- 229960000590 celecoxib Drugs 0.000 description 3
- RZEKVGVHFLEQIL-UHFFFAOYSA-N celecoxib Chemical compound C1=CC(C)=CC=C1C1=CC(C(F)(F)F)=NN1C1=CC=C(S(N)(=O)=O)C=C1 RZEKVGVHFLEQIL-UHFFFAOYSA-N 0.000 description 3
- 238000002425 crystallisation Methods 0.000 description 3
- 230000008025 crystallization Effects 0.000 description 3
- 239000003255 cyclooxygenase 2 inhibitor Substances 0.000 description 3
- 238000011161 development Methods 0.000 description 3
- 230000018109 developmental process Effects 0.000 description 3
- GFYMDDYOFRKHFM-UHFFFAOYSA-N ethyl 3-[4-[4-[1-(dimethylamino)-1-oxo-3-pyridin-3-ylpropan-2-yl]phenoxy]phenyl]propanoate Chemical compound C1=CC(CCC(=O)OCC)=CC=C1OC1=CC=C(C(CC=2C=NC=CC=2)C(=O)N(C)C)C=C1 GFYMDDYOFRKHFM-UHFFFAOYSA-N 0.000 description 3
- 210000001035 gastrointestinal tract Anatomy 0.000 description 3
- 229910052736 halogen Inorganic materials 0.000 description 3
- 150000002367 halogens Chemical class 0.000 description 3
- 238000011534 incubation Methods 0.000 description 3
- 230000001939 inductive effect Effects 0.000 description 3
- 230000019189 interleukin-1 beta production Effects 0.000 description 3
- 230000017306 interleukin-6 production Effects 0.000 description 3
- 210000004185 liver Anatomy 0.000 description 3
- 210000001165 lymph node Anatomy 0.000 description 3
- 210000004379 membrane Anatomy 0.000 description 3
- 229960000485 methotrexate Drugs 0.000 description 3
- MKHXXWZAGYLQJI-UHFFFAOYSA-N methyl 2-[4-[4-(3-amino-3-oxopropyl)phenoxy]phenyl]-3-(3,5-dimethoxyphenyl)prop-2-enoate Chemical compound C=1C=C(OC=2C=CC(CCC(N)=O)=CC=2)C=CC=1C(C(=O)OC)=CC1=CC(OC)=CC(OC)=C1 MKHXXWZAGYLQJI-UHFFFAOYSA-N 0.000 description 3
- LABIBXSBNOZRJG-UHFFFAOYSA-N methyl 3-(3,5-dimethoxyphenyl)-2-[4-(4-formylphenoxy)phenyl]prop-2-enoate Chemical compound C=1C=C(OC=2C=CC(C=O)=CC=2)C=CC=1C(C(=O)OC)=CC1=CC(OC)=CC(OC)=C1 LABIBXSBNOZRJG-UHFFFAOYSA-N 0.000 description 3
- VLKZOEOYAKHREP-UHFFFAOYSA-N n-Hexane Chemical compound CCCCCC VLKZOEOYAKHREP-UHFFFAOYSA-N 0.000 description 3
- XURZQYILBILFSA-UHFFFAOYSA-N n-[[4-(4-methoxyphenoxy)phenyl]methylcarbamoyl]acetamide Chemical compound C1=CC(OC)=CC=C1OC1=CC=C(CNC(=O)NC(C)=O)C=C1 XURZQYILBILFSA-UHFFFAOYSA-N 0.000 description 3
- JAXPADLTZPFTBM-UHFFFAOYSA-N n-carbamoyl-3-[4-[4-[2-(dimethylamino)-2-oxoethyl]phenoxy]phenyl]propanamide Chemical compound C1=CC(CC(=O)N(C)C)=CC=C1OC1=CC=C(CCC(=O)NC(N)=O)C=C1 JAXPADLTZPFTBM-UHFFFAOYSA-N 0.000 description 3
- 229910052757 nitrogen Inorganic materials 0.000 description 3
- 230000008506 pathogenesis Effects 0.000 description 3
- 230000000144 pharmacologic effect Effects 0.000 description 3
- 230000003389 potentiating effect Effects 0.000 description 3
- 108060006633 protein kinase Proteins 0.000 description 3
- 230000009467 reduction Effects 0.000 description 3
- 210000002966 serum Anatomy 0.000 description 3
- 239000012679 serum free medium Substances 0.000 description 3
- 150000003558 thiocarbamic acid derivatives Chemical class 0.000 description 3
- 210000001519 tissue Anatomy 0.000 description 3
- 150000003626 triacylglycerols Chemical class 0.000 description 3
- XUFXOAAUWZOOIT-SXARVLRPSA-N (2R,3R,4R,5S,6R)-5-[[(2R,3R,4R,5S,6R)-5-[[(2R,3R,4S,5S,6R)-3,4-dihydroxy-6-methyl-5-[[(1S,4R,5S,6S)-4,5,6-trihydroxy-3-(hydroxymethyl)-1-cyclohex-2-enyl]amino]-2-oxanyl]oxy]-3,4-dihydroxy-6-(hydroxymethyl)-2-oxanyl]oxy]-6-(hydroxymethyl)oxane-2,3,4-triol Chemical compound O([C@H]1O[C@H](CO)[C@H]([C@@H]([C@H]1O)O)O[C@H]1O[C@@H]([C@H]([C@H](O)[C@H]1O)N[C@@H]1[C@@H]([C@@H](O)[C@H](O)C(CO)=C1)O)C)[C@@H]1[C@@H](CO)O[C@@H](O)[C@H](O)[C@H]1O XUFXOAAUWZOOIT-SXARVLRPSA-N 0.000 description 2
- 125000001831 (C6-C10) heteroaryl group Chemical group 0.000 description 2
- MYGCFWRBKKQKCG-GBWOLBBFSA-N (z,2r,3s,4r)-hex-5-ene-1,2,3,4,6-pentol Chemical compound OC[C@@H](O)[C@@H](O)[C@H](O)\C=C/O MYGCFWRBKKQKCG-GBWOLBBFSA-N 0.000 description 2
- ZOBPZXTWZATXDG-UHFFFAOYSA-N 1,3-thiazolidine-2,4-dione Chemical compound O=C1CSC(=O)N1 ZOBPZXTWZATXDG-UHFFFAOYSA-N 0.000 description 2
- NOYACLQZEZVCNI-UHFFFAOYSA-N 2-(4-aminophenyl)-3-(3,5-dimethoxyphenyl)-n,n-dimethylprop-2-enamide Chemical compound COC1=CC(OC)=CC(C=C(C(=O)N(C)C)C=2C=CC(N)=CC=2)=C1 NOYACLQZEZVCNI-UHFFFAOYSA-N 0.000 description 2
- OHOYGFBLFKADMP-UHFFFAOYSA-N 2-[4-[4-(3-amino-3-oxopropyl)phenoxy]phenyl]-3-pyridin-3-ylprop-2-enoic acid Chemical compound C1=CC(CCC(=O)N)=CC=C1OC1=CC=C(C(=CC=2C=NC=CC=2)C(O)=O)C=C1 OHOYGFBLFKADMP-UHFFFAOYSA-N 0.000 description 2
- KQYLGLXNIYZBID-UHFFFAOYSA-N 2-[4-[4-(3-ethoxy-3-oxopropyl)phenoxy]phenyl]-3-pyridin-3-ylpropanoic acid Chemical compound C1=CC(CCC(=O)OCC)=CC=C1OC1=CC=C(C(CC=2C=NC=CC=2)C(O)=O)C=C1 KQYLGLXNIYZBID-UHFFFAOYSA-N 0.000 description 2
- FWOICHUYOBZMJJ-UHFFFAOYSA-N 2-[4-[4-(3-ethoxy-3-oxopropyl)phenoxy]phenyl]acetic acid Chemical compound C1=CC(CCC(=O)OCC)=CC=C1OC1=CC=C(CC(O)=O)C=C1 FWOICHUYOBZMJJ-UHFFFAOYSA-N 0.000 description 2
- RZUPGSYFIRLMFU-UHFFFAOYSA-N 2-[4-[4-[3-(carbamoylamino)-3-oxopropyl]phenoxy]phenyl]-3-pyridin-3-ylprop-2-enoic acid Chemical compound C1=CC(CCC(=O)NC(=O)N)=CC=C1OC1=CC=C(C(=CC=2C=NC=CC=2)C(O)=O)C=C1 RZUPGSYFIRLMFU-UHFFFAOYSA-N 0.000 description 2
- YUKFMGTXJIRCFX-UHFFFAOYSA-N 2-[4-[4-[3-(carbamoylamino)-3-oxopropyl]phenoxy]phenyl]-n,n-dimethyl-3-pyridin-3-ylpropanamide Chemical compound C=1C=C(OC=2C=CC(CCC(=O)NC(N)=O)=CC=2)C=CC=1C(C(=O)N(C)C)CC1=CC=CN=C1 YUKFMGTXJIRCFX-UHFFFAOYSA-N 0.000 description 2
- QKNYBSVHEMOAJP-UHFFFAOYSA-N 2-amino-2-(hydroxymethyl)propane-1,3-diol;hydron;chloride Chemical compound Cl.OCC(N)(CO)CO QKNYBSVHEMOAJP-UHFFFAOYSA-N 0.000 description 2
- 125000004105 2-pyridyl group Chemical group N1=C([*])C([H])=C([H])C([H])=C1[H] 0.000 description 2
- VFZRZRDOXPRTSC-UHFFFAOYSA-N 3,5-Dimethoxybenzaldehyde Chemical compound COC1=CC(OC)=CC(C=O)=C1 VFZRZRDOXPRTSC-UHFFFAOYSA-N 0.000 description 2
- DSGPFIMSCCULRH-UHFFFAOYSA-N 3-(3,5-dimethoxyphenyl)-2-(4-hydroxyphenyl)prop-2-enoic acid Chemical compound COC1=CC(OC)=CC(C=C(C(O)=O)C=2C=CC(O)=CC=2)=C1 DSGPFIMSCCULRH-UHFFFAOYSA-N 0.000 description 2
- BTYCXUAZBWVCDO-UHFFFAOYSA-N 3-(3,5-dimethoxyphenyl)-2-[4-[4-(3-ethoxy-3-oxoprop-1-enyl)phenoxy]phenyl]prop-2-enoic acid Chemical compound C1=CC(C=CC(=O)OCC)=CC=C1OC1=CC=C(C(=CC=2C=C(OC)C=C(OC)C=2)C(O)=O)C=C1 BTYCXUAZBWVCDO-UHFFFAOYSA-N 0.000 description 2
- UMJIIKYYYIEJJA-UHFFFAOYSA-N 3-(3,5-dimethoxyphenyl)-2-[4-[4-(3-ethoxy-3-oxopropyl)phenoxy]phenyl]prop-2-enoic acid Chemical compound C1=CC(CCC(=O)OCC)=CC=C1OC1=CC=C(C(=CC=2C=C(OC)C=C(OC)C=2)C(O)=O)C=C1 UMJIIKYYYIEJJA-UHFFFAOYSA-N 0.000 description 2
- DKFQBZVAHFXFKQ-UHFFFAOYSA-N 3-[4-[4-[1-(3,5-dimethoxyphenyl)-3-(dimethylamino)-3-oxoprop-1-en-2-yl]phenoxy]phenyl]propanoic acid Chemical compound COC1=CC(OC)=CC(C=C(C(=O)N(C)C)C=2C=CC(OC=3C=CC(CCC(O)=O)=CC=3)=CC=2)=C1 DKFQBZVAHFXFKQ-UHFFFAOYSA-N 0.000 description 2
- IJFXRHURBJZNAO-UHFFFAOYSA-N 3-hydroxybenzoic acid Chemical compound OC(=O)C1=CC=CC(O)=C1 IJFXRHURBJZNAO-UHFFFAOYSA-N 0.000 description 2
- 125000003349 3-pyridyl group Chemical group N1=C([H])C([*])=C([H])C([H])=C1[H] 0.000 description 2
- UOQXIWFBQSVDPP-UHFFFAOYSA-N 4-fluorobenzaldehyde Chemical compound FC1=CC=C(C=O)C=C1 UOQXIWFBQSVDPP-UHFFFAOYSA-N 0.000 description 2
- XQXPVVBIMDBYFF-UHFFFAOYSA-N 4-hydroxyphenylacetic acid Chemical compound OC(=O)CC1=CC=C(O)C=C1 XQXPVVBIMDBYFF-UHFFFAOYSA-N 0.000 description 2
- 125000000339 4-pyridyl group Chemical group N1=C([H])C([H])=C([*])C([H])=C1[H] 0.000 description 2
- VHUUQVKOLVNVRT-UHFFFAOYSA-N Ammonium hydroxide Chemical compound [NH4+].[OH-] VHUUQVKOLVNVRT-UHFFFAOYSA-N 0.000 description 2
- 229940123208 Biguanide Drugs 0.000 description 2
- XNCOSPRUTUOJCJ-UHFFFAOYSA-N Biguanide Chemical compound NC(N)=NC(N)=N XNCOSPRUTUOJCJ-UHFFFAOYSA-N 0.000 description 2
- KAKZBPTYRLMSJV-UHFFFAOYSA-N Butadiene Chemical compound C=CC=C KAKZBPTYRLMSJV-UHFFFAOYSA-N 0.000 description 2
- 102000017420 CD3 protein, epsilon/gamma/delta subunit Human genes 0.000 description 2
- 108050005493 CD3 protein, epsilon/gamma/delta subunit Proteins 0.000 description 2
- 206010006895 Cachexia Diseases 0.000 description 2
- 208000006545 Chronic Obstructive Pulmonary Disease Diseases 0.000 description 2
- 206010009900 Colitis ulcerative Diseases 0.000 description 2
- 206010009944 Colon cancer Diseases 0.000 description 2
- IVOMOUWHDPKRLL-KQYNXXCUSA-N Cyclic adenosine monophosphate Chemical compound C([C@H]1O2)OP(O)(=O)O[C@H]1[C@@H](O)[C@@H]2N1C(N=CN=C2N)=C2N=C1 IVOMOUWHDPKRLL-KQYNXXCUSA-N 0.000 description 2
- OKKJLVBELUTLKV-MZCSYVLQSA-N Deuterated methanol Chemical compound [2H]OC([2H])([2H])[2H] OKKJLVBELUTLKV-MZCSYVLQSA-N 0.000 description 2
- RTZKZFJDLAIYFH-UHFFFAOYSA-N Diethyl ether Chemical compound CCOCC RTZKZFJDLAIYFH-UHFFFAOYSA-N 0.000 description 2
- 229940123907 Disease modifying antirheumatic drug Drugs 0.000 description 2
- 208000037487 Endotoxemia Diseases 0.000 description 2
- 108010008165 Etanercept Proteins 0.000 description 2
- WSFSSNUMVMOOMR-UHFFFAOYSA-N Formaldehyde Chemical compound O=C WSFSSNUMVMOOMR-UHFFFAOYSA-N 0.000 description 2
- DHCLVCXQIBBOPH-UHFFFAOYSA-N Glycerol 2-phosphate Chemical compound OCC(CO)OP(O)(O)=O DHCLVCXQIBBOPH-UHFFFAOYSA-N 0.000 description 2
- 102000015779 HDL Lipoproteins Human genes 0.000 description 2
- 108010010234 HDL Lipoproteins Proteins 0.000 description 2
- 229940121710 HMGCoA reductase inhibitor Drugs 0.000 description 2
- WZUVPPKBWHMQCE-UHFFFAOYSA-N Haematoxylin Chemical compound C12=CC(O)=C(O)C=C2CC2(O)C1C1=CC=C(O)C(O)=C1OC2 WZUVPPKBWHMQCE-UHFFFAOYSA-N 0.000 description 2
- 206010060378 Hyperinsulinaemia Diseases 0.000 description 2
- 206010020751 Hypersensitivity Diseases 0.000 description 2
- 229940122355 Insulin sensitizer Drugs 0.000 description 2
- KFZMGEQAYNKOFK-UHFFFAOYSA-N Isopropanol Chemical compound CC(C)O KFZMGEQAYNKOFK-UHFFFAOYSA-N 0.000 description 2
- WMFOQBRAJBCJND-UHFFFAOYSA-M Lithium hydroxide Chemical compound [Li+].[OH-] WMFOQBRAJBCJND-UHFFFAOYSA-M 0.000 description 2
- 241000124008 Mammalia Species 0.000 description 2
- PXHVJJICTQNCMI-UHFFFAOYSA-N Nickel Chemical compound [Ni] PXHVJJICTQNCMI-UHFFFAOYSA-N 0.000 description 2
- 239000000020 Nitrocellulose Substances 0.000 description 2
- 241001111421 Pannus Species 0.000 description 2
- 102000003728 Peroxisome Proliferator-Activated Receptors Human genes 0.000 description 2
- 108090000029 Peroxisome Proliferator-Activated Receptors Proteins 0.000 description 2
- KEAYESYHFKHZAL-UHFFFAOYSA-N Sodium Chemical compound [Na] KEAYESYHFKHZAL-UHFFFAOYSA-N 0.000 description 2
- HEDRZPFGACZZDS-MICDWDOJSA-N Trichloro(2H)methane Chemical compound [2H]C(Cl)(Cl)Cl HEDRZPFGACZZDS-MICDWDOJSA-N 0.000 description 2
- 201000006704 Ulcerative Colitis Diseases 0.000 description 2
- HCHKCACWOHOZIP-UHFFFAOYSA-N Zinc Chemical compound [Zn] HCHKCACWOHOZIP-UHFFFAOYSA-N 0.000 description 2
- 239000002671 adjuvant Substances 0.000 description 2
- 208000011341 adult acute respiratory distress syndrome Diseases 0.000 description 2
- 239000000556 agonist Substances 0.000 description 2
- 208000026935 allergic disease Diseases 0.000 description 2
- 230000007815 allergy Effects 0.000 description 2
- 239000000908 ammonium hydroxide Substances 0.000 description 2
- 239000002246 antineoplastic agent Substances 0.000 description 2
- 229940041181 antineoplastic drug Drugs 0.000 description 2
- 239000008346 aqueous phase Substances 0.000 description 2
- 238000003556 assay Methods 0.000 description 2
- 125000004429 atom Chemical group 0.000 description 2
- 230000001580 bacterial effect Effects 0.000 description 2
- 230000009286 beneficial effect Effects 0.000 description 2
- 230000037396 body weight Effects 0.000 description 2
- 238000009835 boiling Methods 0.000 description 2
- 125000001246 bromo group Chemical group Br* 0.000 description 2
- 239000002775 capsule Substances 0.000 description 2
- 230000003833 cell viability Effects 0.000 description 2
- 230000001413 cellular effect Effects 0.000 description 2
- 210000000038 chest Anatomy 0.000 description 2
- 125000001309 chloro group Chemical group Cl* 0.000 description 2
- HVYWMOMLDIMFJA-DPAQBDIFSA-N cholesterol Chemical compound C1C=C2C[C@@H](O)CC[C@]2(C)[C@@H]2[C@@H]1[C@@H]1CC[C@H]([C@H](C)CCCC(C)C)[C@@]1(C)CC2 HVYWMOMLDIMFJA-DPAQBDIFSA-N 0.000 description 2
- 229940125782 compound 2 Drugs 0.000 description 2
- 229940111134 coxibs Drugs 0.000 description 2
- 230000016396 cytokine production Effects 0.000 description 2
- VAYGXNSJCAHWJZ-UHFFFAOYSA-N dimethyl sulfate Chemical compound COS(=O)(=O)OC VAYGXNSJCAHWJZ-UHFFFAOYSA-N 0.000 description 2
- 239000002988 disease modifying antirheumatic drug Substances 0.000 description 2
- 229960000403 etanercept Drugs 0.000 description 2
- 229940125753 fibrate Drugs 0.000 description 2
- 125000001153 fluoro group Chemical group F* 0.000 description 2
- 238000009472 formulation Methods 0.000 description 2
- 238000003304 gavage Methods 0.000 description 2
- 230000010030 glucose lowering effect Effects 0.000 description 2
- 238000010438 heat treatment Methods 0.000 description 2
- 238000004128 high performance liquid chromatography Methods 0.000 description 2
- 150000004677 hydrates Chemical class 0.000 description 2
- OROGSEYTTFOCAN-UHFFFAOYSA-N hydrocodone Natural products C1C(N(CCC234)C)C2C=CC(O)C3OC2=C4C1=CC=C2OC OROGSEYTTFOCAN-UHFFFAOYSA-N 0.000 description 2
- 230000007062 hydrolysis Effects 0.000 description 2
- 238000006460 hydrolysis reaction Methods 0.000 description 2
- 230000003451 hyperinsulinaemic effect Effects 0.000 description 2
- 201000008980 hyperinsulinism Diseases 0.000 description 2
- 230000002519 immonomodulatory effect Effects 0.000 description 2
- 230000006872 improvement Effects 0.000 description 2
- 230000006698 induction Effects 0.000 description 2
- 208000015181 infectious disease Diseases 0.000 description 2
- 229960000598 infliximab Drugs 0.000 description 2
- 208000014674 injury Diseases 0.000 description 2
- 125000001972 isopentyl group Chemical group [H]C([H])([H])C([H])(C([H])([H])[H])C([H])([H])C([H])([H])* 0.000 description 2
- 239000010410 layer Substances 0.000 description 2
- 210000003141 lower extremity Anatomy 0.000 description 2
- 239000006166 lysate Substances 0.000 description 2
- HQKMJHAJHXVSDF-UHFFFAOYSA-L magnesium stearate Chemical compound [Mg+2].CCCCCCCCCCCCCCCCCC([O-])=O.CCCCCCCCCCCCCCCCCC([O-])=O HQKMJHAJHXVSDF-UHFFFAOYSA-L 0.000 description 2
- 230000007246 mechanism Effects 0.000 description 2
- XZWYZXLIPXDOLR-UHFFFAOYSA-N metformin Chemical compound CN(C)C(=N)NC(N)=N XZWYZXLIPXDOLR-UHFFFAOYSA-N 0.000 description 2
- 229960003105 metformin Drugs 0.000 description 2
- BQJCRHHNABKAKU-KBQPJGBKSA-N morphine Chemical compound O([C@H]1[C@H](C=C[C@H]23)O)C4=C5[C@@]12CCN(C)[C@@H]3CC5=CC=C4O BQJCRHHNABKAKU-KBQPJGBKSA-N 0.000 description 2
- 229960003512 nicotinic acid Drugs 0.000 description 2
- 235000001968 nicotinic acid Nutrition 0.000 description 2
- 239000011664 nicotinic acid Substances 0.000 description 2
- 229920001220 nitrocellulos Polymers 0.000 description 2
- 239000000041 non-steroidal anti-inflammatory agent Substances 0.000 description 2
- 239000012074 organic phase Substances 0.000 description 2
- 238000012261 overproduction Methods 0.000 description 2
- 239000001301 oxygen Substances 0.000 description 2
- 230000037361 pathway Effects 0.000 description 2
- YBYRMVIVWMBXKQ-UHFFFAOYSA-N phenylmethanesulfonyl fluoride Chemical compound FS(=O)(=O)CC1=CC=CC=C1 YBYRMVIVWMBXKQ-UHFFFAOYSA-N 0.000 description 2
- 229960005095 pioglitazone Drugs 0.000 description 2
- SATCULPHIDQDRE-UHFFFAOYSA-N piperonal Chemical compound O=CC1=CC=C2OCOC2=C1 SATCULPHIDQDRE-UHFFFAOYSA-N 0.000 description 2
- 239000013641 positive control Substances 0.000 description 2
- 235000011056 potassium acetate Nutrition 0.000 description 2
- 230000008569 process Effects 0.000 description 2
- 230000002062 proliferating effect Effects 0.000 description 2
- 150000003180 prostaglandins Chemical class 0.000 description 2
- 230000001681 protective effect Effects 0.000 description 2
- QJZUKDFHGGYHMC-UHFFFAOYSA-N pyridine-3-carbaldehyde Chemical compound O=CC1=CC=CN=C1 QJZUKDFHGGYHMC-UHFFFAOYSA-N 0.000 description 2
- 102000005962 receptors Human genes 0.000 description 2
- 108020003175 receptors Proteins 0.000 description 2
- 238000010992 reflux Methods 0.000 description 2
- RZJQGNCSTQAWON-UHFFFAOYSA-N rofecoxib Chemical compound C1=CC(S(=O)(=O)C)=CC=C1C1=C(C=2C=CC=CC=2)C(=O)OC1 RZJQGNCSTQAWON-UHFFFAOYSA-N 0.000 description 2
- 229960000371 rofecoxib Drugs 0.000 description 2
- 229960004586 rosiglitazone Drugs 0.000 description 2
- 230000036303 septic shock Effects 0.000 description 2
- 230000019491 signal transduction Effects 0.000 description 2
- 239000011780 sodium chloride Substances 0.000 description 2
- 239000012312 sodium hydride Substances 0.000 description 2
- 229940054269 sodium pyruvate Drugs 0.000 description 2
- 239000000126 substance Substances 0.000 description 2
- 238000000967 suction filtration Methods 0.000 description 2
- 229940124530 sulfonamide Drugs 0.000 description 2
- 150000003456 sulfonamides Chemical class 0.000 description 2
- 230000008961 swelling Effects 0.000 description 2
- 208000024891 symptom Diseases 0.000 description 2
- 201000000596 systemic lupus erythematosus Diseases 0.000 description 2
- 239000003826 tablet Substances 0.000 description 2
- 150000001467 thiazolidinediones Chemical class 0.000 description 2
- 230000008733 trauma Effects 0.000 description 2
- GGUBFICZYGKNTD-UHFFFAOYSA-N triethyl phosphonoacetate Chemical compound CCOC(=O)CP(=O)(OCC)OCC GGUBFICZYGKNTD-UHFFFAOYSA-N 0.000 description 2
- UFTFJSFQGQCHQW-UHFFFAOYSA-N triformin Chemical compound O=COCC(OC=O)COC=O UFTFJSFQGQCHQW-UHFFFAOYSA-N 0.000 description 2
- 229960001641 troglitazone Drugs 0.000 description 2
- GXPHKUHSUJUWKP-NTKDMRAZSA-N troglitazone Natural products C([C@@]1(OC=2C(C)=C(C(=C(C)C=2CC1)O)C)C)OC(C=C1)=CC=C1C[C@H]1SC(=O)NC1=O GXPHKUHSUJUWKP-NTKDMRAZSA-N 0.000 description 2
- 208000035408 type 1 diabetes mellitus 1 Diseases 0.000 description 2
- 238000011870 unpaired t-test Methods 0.000 description 2
- 238000003828 vacuum filtration Methods 0.000 description 2
- 238000005406 washing Methods 0.000 description 2
- 238000001262 western blot Methods 0.000 description 2
- ZGGHKIMDNBDHJB-NRFPMOEYSA-M (3R,5S)-fluvastatin sodium Chemical compound [Na+].C12=CC=CC=C2N(C(C)C)C(\C=C\[C@@H](O)C[C@@H](O)CC([O-])=O)=C1C1=CC=C(F)C=C1 ZGGHKIMDNBDHJB-NRFPMOEYSA-M 0.000 description 1
- VRYALKFFQXWPIH-PBXRRBTRSA-N (3r,4s,5r)-3,4,5,6-tetrahydroxyhexanal Chemical compound OC[C@@H](O)[C@@H](O)[C@H](O)CC=O VRYALKFFQXWPIH-PBXRRBTRSA-N 0.000 description 1
- MZOFCQQQCNRIBI-VMXHOPILSA-N (3s)-4-[[(2s)-1-[[(2s)-1-[[(1s)-1-carboxy-2-hydroxyethyl]amino]-4-methyl-1-oxopentan-2-yl]amino]-5-(diaminomethylideneamino)-1-oxopentan-2-yl]amino]-3-[[2-[[(2s)-2,6-diaminohexanoyl]amino]acetyl]amino]-4-oxobutanoic acid Chemical compound OC[C@@H](C(O)=O)NC(=O)[C@H](CC(C)C)NC(=O)[C@H](CCCN=C(N)N)NC(=O)[C@H](CC(O)=O)NC(=O)CNC(=O)[C@@H](N)CCCCN MZOFCQQQCNRIBI-VMXHOPILSA-N 0.000 description 1
- WRRSFOZOETZUPG-FFHNEAJVSA-N (4r,4ar,7s,7ar,12bs)-9-methoxy-3-methyl-2,4,4a,7,7a,13-hexahydro-1h-4,12-methanobenzofuro[3,2-e]isoquinoline-7-ol;hydrate Chemical compound O.C([C@H]1[C@H](N(CC[C@@]112)C)C3)=C[C@H](O)[C@@H]1OC1=C2C3=CC=C1OC WRRSFOZOETZUPG-FFHNEAJVSA-N 0.000 description 1
- 125000004169 (C1-C6) alkyl group Chemical group 0.000 description 1
- TVYLLZQTGLZFBW-ZBFHGGJFSA-N (R,R)-tramadol Chemical compound COC1=CC=CC([C@]2(O)[C@H](CCCC2)CN(C)C)=C1 TVYLLZQTGLZFBW-ZBFHGGJFSA-N 0.000 description 1
- DPJHZJGAGIWXTD-UHFFFAOYSA-N 1-fluoro-4-methylsulfonylbenzene Chemical compound CS(=O)(=O)C1=CC=C(F)C=C1 DPJHZJGAGIWXTD-UHFFFAOYSA-N 0.000 description 1
- WFQDTOYDVUWQMS-UHFFFAOYSA-N 1-fluoro-4-nitrobenzene Chemical compound [O-][N+](=O)C1=CC=C(F)C=C1 WFQDTOYDVUWQMS-UHFFFAOYSA-N 0.000 description 1
- HGCCYPKUIFUFLK-UHFFFAOYSA-N 2-[4-[4-(3-amino-3-oxopropyl)phenoxy]phenyl]-3-(1,3-benzodioxol-5-yl)prop-2-enoic acid Chemical compound C1=CC(CCC(=O)N)=CC=C1OC1=CC=C(C(=CC=2C=C3OCOC3=CC=2)C(O)=O)C=C1 HGCCYPKUIFUFLK-UHFFFAOYSA-N 0.000 description 1
- GDBRHUFWVACTQJ-UHFFFAOYSA-N 2-[4-[4-(3-amino-3-oxopropyl)phenoxy]phenyl]acetic acid Chemical compound C1=CC(CCC(=O)N)=CC=C1OC1=CC=C(CC(O)=O)C=C1 GDBRHUFWVACTQJ-UHFFFAOYSA-N 0.000 description 1
- AYYHSOPGJQKSJJ-UHFFFAOYSA-N 2-[4-[4-(3-ethoxy-3-oxoprop-1-enyl)phenoxy]phenyl]-3-pyridin-3-ylprop-2-enoic acid Chemical compound C1=CC(C=CC(=O)OCC)=CC=C1OC1=CC=C(C(=CC=2C=NC=CC=2)C(O)=O)C=C1 AYYHSOPGJQKSJJ-UHFFFAOYSA-N 0.000 description 1
- DXRFJRKJGSKZHI-UHFFFAOYSA-N 2-[4-[4-[(acetylcarbamothioylamino)methyl]phenoxy]phenyl]-3-(3,5-dimethoxyphenyl)prop-2-enoic acid Chemical compound COC1=CC(OC)=CC(C=C(C(O)=O)C=2C=CC(OC=3C=CC(CNC(=S)NC(C)=O)=CC=3)=CC=2)=C1 DXRFJRKJGSKZHI-UHFFFAOYSA-N 0.000 description 1
- FHUKOBPUQCJOPU-UHFFFAOYSA-N 2-[4-[4-[3-(carbamoylamino)-3-oxopropyl]phenoxy]phenyl]-3-(3,5-dimethoxyphenyl)-n,n-dimethylpropanamide Chemical compound COC1=CC(OC)=CC(CC(C(=O)N(C)C)C=2C=CC(OC=3C=CC(CCC(=O)NC(N)=O)=CC=3)=CC=2)=C1 FHUKOBPUQCJOPU-UHFFFAOYSA-N 0.000 description 1
- IKNPVOCSVYGOLC-UHFFFAOYSA-N 2-amino-1-morpholin-4-ylethanone Chemical compound NCC(=O)N1CCOCC1 IKNPVOCSVYGOLC-UHFFFAOYSA-N 0.000 description 1
- AXAVXPMQTGXXJZ-UHFFFAOYSA-N 2-aminoacetic acid;2-amino-2-(hydroxymethyl)propane-1,3-diol Chemical compound NCC(O)=O.OCC(N)(CO)CO AXAVXPMQTGXXJZ-UHFFFAOYSA-N 0.000 description 1
- 125000004182 2-chlorophenyl group Chemical group [H]C1=C([H])C(Cl)=C(*)C([H])=C1[H] 0.000 description 1
- 125000004198 2-fluorophenyl group Chemical group [H]C1=C([H])C(F)=C(*)C([H])=C1[H] 0.000 description 1
- MTAODLNXWYIKSO-UHFFFAOYSA-N 2-fluoropyridine Chemical compound FC1=CC=CC=N1 MTAODLNXWYIKSO-UHFFFAOYSA-N 0.000 description 1
- 125000001622 2-naphthyl group Chemical group [H]C1=C([H])C([H])=C2C([H])=C(*)C([H])=C([H])C2=C1[H] 0.000 description 1
- ZOOGRGPOEVQQDX-UUOKFMHZSA-N 3',5'-cyclic GMP Chemical compound C([C@H]1O2)OP(O)(=O)O[C@H]1[C@@H](O)[C@@H]2N1C(N=C(NC2=O)N)=C2N=C1 ZOOGRGPOEVQQDX-UUOKFMHZSA-N 0.000 description 1
- ARWYQFNABQMPBK-UHFFFAOYSA-N 3-(3,5-dimethoxyphenyl)-2-(4-pyridin-2-yloxyphenyl)prop-2-enoic acid Chemical compound COC1=CC(OC)=CC(C=C(C(O)=O)C=2C=CC(OC=3N=CC=CC=3)=CC=2)=C1 ARWYQFNABQMPBK-UHFFFAOYSA-N 0.000 description 1
- IQVPCEWIWUTODR-UHFFFAOYSA-N 3-(3,5-dimethoxyphenyl)-2-[4-(4-formylphenoxy)phenyl]prop-2-enoic acid Chemical compound COC1=CC(OC)=CC(C=C(C(O)=O)C=2C=CC(OC=3C=CC(C=O)=CC=3)=CC=2)=C1 IQVPCEWIWUTODR-UHFFFAOYSA-N 0.000 description 1
- MXGAWLNKASSATE-UHFFFAOYSA-N 3-(3,5-dimethoxyphenyl)-2-[4-(4-nitrophenoxy)phenyl]prop-2-enoic acid Chemical compound COC1=CC(OC)=CC(C=C(C(O)=O)C=2C=CC(OC=3C=CC(=CC=3)[N+]([O-])=O)=CC=2)=C1 MXGAWLNKASSATE-UHFFFAOYSA-N 0.000 description 1
- HOMVSZIYXATRMQ-UHFFFAOYSA-N 3-(3,5-dimethoxyphenyl)-2-[4-[4-[(2,4-dioxo-1,3-thiazolidin-3-yl)methyl]phenoxy]phenyl]prop-2-enoic acid Chemical compound COC1=CC(OC)=CC(C=C(C(O)=O)C=2C=CC(OC=3C=CC(CN4C(SCC4=O)=O)=CC=3)=CC=2)=C1 HOMVSZIYXATRMQ-UHFFFAOYSA-N 0.000 description 1
- LJGHYPLBDBRCRZ-UHFFFAOYSA-N 3-(3-aminophenyl)sulfonylaniline Chemical group NC1=CC=CC(S(=O)(=O)C=2C=C(N)C=CC=2)=C1 LJGHYPLBDBRCRZ-UHFFFAOYSA-N 0.000 description 1
- SKPQDTGVENNAAV-UHFFFAOYSA-N 3-[4-[4-(3-ethoxy-3-oxopropyl)phenoxy]phenyl]-2-oxopropanoic acid Chemical compound C1=CC(CCC(=O)OCC)=CC=C1OC1=CC=C(CC(=O)C(O)=O)C=C1 SKPQDTGVENNAAV-UHFFFAOYSA-N 0.000 description 1
- YIWCODLJJNOTDW-UHFFFAOYSA-N 4-(1,3-benzodioxol-5-yl)-3-[4-[4-(3-ethoxy-3-oxopropyl)phenoxy]phenyl]-2-oxobut-3-enoic acid Chemical compound C1=CC(CCC(=O)OCC)=CC=C1OC1=CC=C(C(=CC=2C=C3OCOC3=CC=2)C(=O)C(O)=O)C=C1 YIWCODLJJNOTDW-UHFFFAOYSA-N 0.000 description 1
- NUKYPUAOHBNCPY-UHFFFAOYSA-N 4-aminopyridine Chemical compound NC1=CC=NC=C1 NUKYPUAOHBNCPY-UHFFFAOYSA-N 0.000 description 1
- QSNSCYSYFYORTR-UHFFFAOYSA-N 4-chloroaniline Chemical compound NC1=CC=C(Cl)C=C1 QSNSCYSYFYORTR-UHFFFAOYSA-N 0.000 description 1
- 125000004203 4-hydroxyphenyl group Chemical group [H]OC1=C([H])C([H])=C(*)C([H])=C1[H] 0.000 description 1
- 125000004172 4-methoxyphenyl group Chemical group [H]C1=C([H])C(OC([H])([H])[H])=C([H])C([H])=C1* 0.000 description 1
- QWLHJVDRPZNVBS-UHFFFAOYSA-N 4-phenoxybenzaldehyde Chemical compound C1=CC(C=O)=CC=C1OC1=CC=CC=C1 QWLHJVDRPZNVBS-UHFFFAOYSA-N 0.000 description 1
- ZAMASFSDWVSMSY-UHFFFAOYSA-N 5-[[4-[3-chloro-5-(trifluoromethyl)pyridin-2-yl]oxy-2-methylphenyl]methyl]-1,3-thiazolidine-2,4-dione Chemical compound C=1C=C(CC2C(NC(=O)S2)=O)C(C)=CC=1OC1=NC=C(C(F)(F)F)C=C1Cl ZAMASFSDWVSMSY-UHFFFAOYSA-N 0.000 description 1
- 244000215068 Acacia senegal Species 0.000 description 1
- 208000007788 Acute Liver Failure Diseases 0.000 description 1
- 206010000804 Acute hepatic failure Diseases 0.000 description 1
- 206010048998 Acute phase reaction Diseases 0.000 description 1
- 102000011767 Acute-Phase Proteins Human genes 0.000 description 1
- 108010062271 Acute-Phase Proteins Proteins 0.000 description 1
- 229940077274 Alpha glucosidase inhibitor Drugs 0.000 description 1
- 208000024827 Alzheimer disease Diseases 0.000 description 1
- 239000004382 Amylase Substances 0.000 description 1
- 102000013142 Amylases Human genes 0.000 description 1
- 108010065511 Amylases Proteins 0.000 description 1
- 241001535291 Analges Species 0.000 description 1
- 102000005666 Apolipoprotein A-I Human genes 0.000 description 1
- 108010059886 Apolipoprotein A-I Proteins 0.000 description 1
- 208000033116 Asbestos intoxication Diseases 0.000 description 1
- BSYNRYMUTXBXSQ-UHFFFAOYSA-N Aspirin Chemical compound CC(=O)OC1=CC=CC=C1C(O)=O BSYNRYMUTXBXSQ-UHFFFAOYSA-N 0.000 description 1
- WMFXNDQUWWSEKD-BDBDAGGUSA-N B.BrP(Br)Br.CC(=O)NC(N)=O.COC(=O)/C(=C/C1=CC(OC)=CC(OC)=C1)C1=CC=C(OC2=CC=C(C=O)C=C2)C=C1.COC(=O)/C(=C/C1=CC(OC)=CC(OC)=C1)C1=CC=C(OC2=CC=C(CBr)C=C2)C=C1.COC(=O)/C(=C/C1=CC(OC)=CC(OC)=C1)C1=CC=C(OC2=CC=C(CNC(=O)NC(C)=O)C=C2)C=C1.COC(=O)/C(=C/C1=CC(OC)=CC(OC)=C1)C1=CC=C(OC2=CC=C(CO)C=C2)C=C1.[NaH] Chemical compound B.BrP(Br)Br.CC(=O)NC(N)=O.COC(=O)/C(=C/C1=CC(OC)=CC(OC)=C1)C1=CC=C(OC2=CC=C(C=O)C=C2)C=C1.COC(=O)/C(=C/C1=CC(OC)=CC(OC)=C1)C1=CC=C(OC2=CC=C(CBr)C=C2)C=C1.COC(=O)/C(=C/C1=CC(OC)=CC(OC)=C1)C1=CC=C(OC2=CC=C(CNC(=O)NC(C)=O)C=C2)C=C1.COC(=O)/C(=C/C1=CC(OC)=CC(OC)=C1)C1=CC=C(OC2=CC=C(CO)C=C2)C=C1.[NaH] WMFXNDQUWWSEKD-BDBDAGGUSA-N 0.000 description 1
- 238000011725 BALB/c mouse Methods 0.000 description 1
- 208000009137 Behcet syndrome Diseases 0.000 description 1
- 206010005003 Bladder cancer Diseases 0.000 description 1
- 208000006386 Bone Resorption Diseases 0.000 description 1
- 208000003174 Brain Neoplasms Diseases 0.000 description 1
- ZNNOOYVKPPNGME-DHAVJALISA-N C.C.CC(=O)OC(C)=O.CCOC(=O)/C=C/C1=CC=C(OC2=CC=C(/C(=C\C3=CC(OC)=CC(OC)=C3)C(=O)O)C=C2)C=C1.CCOC(=O)CCC1=CC=C(OC2=CC=C(/C(=C\C3=CC(OC)=CC(OC)=C3)C(=O)O)C=C2)C=C1.CCOC(=O)CP(=O)(OCC)OCC.COC1=CC(/C=C(/C(=O)O)C2=CC=C(O)C=C2)=CC(OC)=C1.COC1=CC(/C=C(/C(=O)O)C2=CC=C(OC3=CC=C(C=O)C=C3)C=C2)=CC(OC)=C1.COC1=CC(/C=C(/C(=O)O)C2=CC=C(OC3=CC=C(CCC(=O)NC(N)=O)C=C3)C=C2)=CC(OC)=C1.COC1=CC(C=O)=CC(OC)=C1.CS(C)(=O)(O)OO.O=C(O)CC1=CC=C(O)C=C1.O=CC1=CC=C(F)C=C1.[NaH] Chemical compound C.C.CC(=O)OC(C)=O.CCOC(=O)/C=C/C1=CC=C(OC2=CC=C(/C(=C\C3=CC(OC)=CC(OC)=C3)C(=O)O)C=C2)C=C1.CCOC(=O)CCC1=CC=C(OC2=CC=C(/C(=C\C3=CC(OC)=CC(OC)=C3)C(=O)O)C=C2)C=C1.CCOC(=O)CP(=O)(OCC)OCC.COC1=CC(/C=C(/C(=O)O)C2=CC=C(O)C=C2)=CC(OC)=C1.COC1=CC(/C=C(/C(=O)O)C2=CC=C(OC3=CC=C(C=O)C=C3)C=C2)=CC(OC)=C1.COC1=CC(/C=C(/C(=O)O)C2=CC=C(OC3=CC=C(CCC(=O)NC(N)=O)C=C3)C=C2)=CC(OC)=C1.COC1=CC(C=O)=CC(OC)=C1.CS(C)(=O)(O)OO.O=C(O)CC1=CC=C(O)C=C1.O=CC1=CC=C(F)C=C1.[NaH] ZNNOOYVKPPNGME-DHAVJALISA-N 0.000 description 1
- RQMZXRRPUZMQGB-UCFVVXPFSA-N C.CN(C)C(=O)/C(=C/C1=CC2=C(C=C1)OCO2)C1=CC=C(OC2=CC=C(CCC(N)=O)C=C2)C=C1.NC(=O)CCC1=CC=C(OC2=CC=C(/C(=C\C3=CC4=C(C=C3)OCO4)C(=O)O)C=C2)C=C1 Chemical compound C.CN(C)C(=O)/C(=C/C1=CC2=C(C=C1)OCO2)C1=CC=C(OC2=CC=C(CCC(N)=O)C=C2)C=C1.NC(=O)CCC1=CC=C(OC2=CC=C(/C(=C\C3=CC4=C(C=C3)OCO4)C(=O)O)C=C2)C=C1 RQMZXRRPUZMQGB-UCFVVXPFSA-N 0.000 description 1
- 239000002126 C01EB10 - Adenosine Substances 0.000 description 1
- QQOGEMZZHWFZCY-PVYJICPKSA-N CC(=O)NC(=O)CCC1=CC=C(OC2=CC=C(/C(=C\C3=CC=C(F)C=C3)C(=O)N(C)C)C=C2)C=C1.CC(=O)NC(=O)CCC1=CC=C(OC2=CC=C(/C(=C\C3=CC=C(F)C=C3)C(=O)O)C=C2)C=C1.NC(=O)CCC1=CC=C(OC2=CC=C(CC(=O)O)C=C2)C=C1 Chemical compound CC(=O)NC(=O)CCC1=CC=C(OC2=CC=C(/C(=C\C3=CC=C(F)C=C3)C(=O)N(C)C)C=C2)C=C1.CC(=O)NC(=O)CCC1=CC=C(OC2=CC=C(/C(=C\C3=CC=C(F)C=C3)C(=O)O)C=C2)C=C1.NC(=O)CCC1=CC=C(OC2=CC=C(CC(=O)O)C=C2)C=C1 QQOGEMZZHWFZCY-PVYJICPKSA-N 0.000 description 1
- SBRURMISCAUULI-XMTYBELBSA-N CCN(CC)C(=O)/C(=C/C1=CC(OC)=CC(OC)=C1)C1=CC=C(OC2=CC=C(CCC(=O)NC(N)=O)C=C2)C=C1.COC1=CC(/C=C(/C(=O)O)C2=CC=C(OC3=CC=C(CCC(=O)NC(N)=O)C=C3)C=C2)=CC(OC)=C1 Chemical compound CCN(CC)C(=O)/C(=C/C1=CC(OC)=CC(OC)=C1)C1=CC=C(OC2=CC=C(CCC(=O)NC(N)=O)C=C2)C=C1.COC1=CC(/C=C(/C(=O)O)C2=CC=C(OC3=CC=C(CCC(=O)NC(N)=O)C=C3)C=C2)=CC(OC)=C1 SBRURMISCAUULI-XMTYBELBSA-N 0.000 description 1
- RLLWPFYJNAJWJI-KSNKROKMSA-N CCOC(=O)/C(=C/C1=CC(OC)=CC(OC)=C1)C1=CC=C(OC2=CC=C(CCC(=O)NC(N)=O)C=C2)C=C1.COC1=CC(/C=C(/C(=O)O)C2=CC=C(OC3=CC=C(CCC(=O)NC(N)=O)C=C3)C=C2)=CC(OC)=C1 Chemical compound CCOC(=O)/C(=C/C1=CC(OC)=CC(OC)=C1)C1=CC=C(OC2=CC=C(CCC(=O)NC(N)=O)C=C2)C=C1.COC1=CC(/C=C(/C(=O)O)C2=CC=C(OC3=CC=C(CCC(=O)NC(N)=O)C=C3)C=C2)=CC(OC)=C1 RLLWPFYJNAJWJI-KSNKROKMSA-N 0.000 description 1
- JCHIWFYNSXADBL-IYEGCNGGSA-N CCOC(=O)/C=C/C1=CC=C(OC2=CC=C(/C(=C\C3=CC(OC)=CC(OC)=C3)C(=O)O)C=C2)C=C1.COC1=CC(/C=C(/C(=O)O)C2=CC=C(OC3=CC=C(/C=C/C(=O)NC(N)=O)C=C3)C=C2)=CC(OC)=C1 Chemical compound CCOC(=O)/C=C/C1=CC=C(OC2=CC=C(/C(=C\C3=CC(OC)=CC(OC)=C3)C(=O)O)C=C2)C=C1.COC1=CC(/C=C(/C(=O)O)C2=CC=C(OC3=CC=C(/C=C/C(=O)NC(N)=O)C=C3)C=C2)=CC(OC)=C1 JCHIWFYNSXADBL-IYEGCNGGSA-N 0.000 description 1
- MASGIWUNSWCJMX-PCYLLUPUSA-N CCOC(=O)C=CC1=CC=C(OC2=CC=C(/C(=C\C3=CC=CN=C3)C(=O)O)C=C2)C=C1.CN(C)C(=O)/C(=C/C1=CC=CN=C1)C1=CC=C(OC2=CC=C(/C=C/C(=O)NC(N)=O)C=C2)C=C1.NC(=O)NC(=O)/C=C/C1=CC=C(OC2=CC=C(/C(=C\C3=CC=CN=C3)C(=O)O)C=C2)C=C1 Chemical compound CCOC(=O)C=CC1=CC=C(OC2=CC=C(/C(=C\C3=CC=CN=C3)C(=O)O)C=C2)C=C1.CN(C)C(=O)/C(=C/C1=CC=CN=C1)C1=CC=C(OC2=CC=C(/C=C/C(=O)NC(N)=O)C=C2)C=C1.NC(=O)NC(=O)/C=C/C1=CC=C(OC2=CC=C(/C(=C\C3=CC=CN=C3)C(=O)O)C=C2)C=C1 MASGIWUNSWCJMX-PCYLLUPUSA-N 0.000 description 1
- ZKMYCCHDHNKBGF-CREAAOQYSA-N CCOC(=O)CCC1=CC=C(OC2=CC=C(/C(=C\C3=CC(OC)=CC(OC)=C3)C(=O)N(C)C)C=C2)C=C1.CCOC(=O)CCC1=CC=C(OC2=CC=C(/C(=C\C3=CC(OC)=CC(OC)=C3)C(=O)O)C=C2)C=C1 Chemical compound CCOC(=O)CCC1=CC=C(OC2=CC=C(/C(=C\C3=CC(OC)=CC(OC)=C3)C(=O)N(C)C)C=C2)C=C1.CCOC(=O)CCC1=CC=C(OC2=CC=C(/C(=C\C3=CC(OC)=CC(OC)=C3)C(=O)O)C=C2)C=C1 ZKMYCCHDHNKBGF-CREAAOQYSA-N 0.000 description 1
- VNHJKWZEQZZNJN-FDSXORIOSA-N CCOC(=O)CCC1=CC=C(OC2=CC=C(/C(=C\C3=CC(OC)=CC(OC)=C3)C(=O)O)C=C2)C=C1.COC1=CC(/C=C(/C(=O)N(C)C)C2=CC=C(OC3=CC=C(CCC(N)=O)C=C3)C=C2)=CC(OC)=C1.COC1=CC(/C=C(/C(=O)O)C2=CC=C(OC3=CC=C(CCC(N)=O)C=C3)C=C2)=CC(OC)=C1 Chemical compound CCOC(=O)CCC1=CC=C(OC2=CC=C(/C(=C\C3=CC(OC)=CC(OC)=C3)C(=O)O)C=C2)C=C1.COC1=CC(/C=C(/C(=O)N(C)C)C2=CC=C(OC3=CC=C(CCC(N)=O)C=C3)C=C2)=CC(OC)=C1.COC1=CC(/C=C(/C(=O)O)C2=CC=C(OC3=CC=C(CCC(N)=O)C=C3)C=C2)=CC(OC)=C1 VNHJKWZEQZZNJN-FDSXORIOSA-N 0.000 description 1
- VQMGULARXUXTJB-CWUOQCTQSA-N CCOC(=O)CCC1=CC=C(OC2=CC=C(/C(=C\C3=CC(OC)=CC(OC)=C3)C(=O)O)C=C2)C=C1.COC1=CC(/C=C(/C(=O)O)C2=CC=C(OC3=CC=C(CCC(=O)NC(=O)NC4CCCCC4)C=C3)C=C2)=CC(OC)=C1 Chemical compound CCOC(=O)CCC1=CC=C(OC2=CC=C(/C(=C\C3=CC(OC)=CC(OC)=C3)C(=O)O)C=C2)C=C1.COC1=CC(/C=C(/C(=O)O)C2=CC=C(OC3=CC=C(CCC(=O)NC(=O)NC4CCCCC4)C=C3)C=C2)=CC(OC)=C1 VQMGULARXUXTJB-CWUOQCTQSA-N 0.000 description 1
- HXRGQGUPIAUQSC-FRRZCVRDSA-N CCOC(=O)CCC1=CC=C(OC2=CC=C(/C(=C\C3=CC=CN=C3)C(=O)O)C=C2)C=C1.CCOC(=O)CCC1=CC=C(OC2=CC=C(C(CC3=CC=CN=C3)C(=O)N(C)C)C=C2)C=C1.CCOC(=O)CCC1=CC=C(OC2=CC=C(C(CC3=CC=CN=C3)C(=O)O)C=C2)C=C1.CCO[Na].CN(C)C(=O)C(CC1=CC=CN=C1)C1=CC=C(OC2=CC=C(CCC(N)=O)C=C2)C=C1 Chemical compound CCOC(=O)CCC1=CC=C(OC2=CC=C(/C(=C\C3=CC=CN=C3)C(=O)O)C=C2)C=C1.CCOC(=O)CCC1=CC=C(OC2=CC=C(C(CC3=CC=CN=C3)C(=O)N(C)C)C=C2)C=C1.CCOC(=O)CCC1=CC=C(OC2=CC=C(C(CC3=CC=CN=C3)C(=O)O)C=C2)C=C1.CCO[Na].CN(C)C(=O)C(CC1=CC=CN=C1)C1=CC=C(OC2=CC=C(CCC(N)=O)C=C2)C=C1 HXRGQGUPIAUQSC-FRRZCVRDSA-N 0.000 description 1
- ORMGVFIUUMFIGT-ZRYCVMMVSA-N CCOC(=O)CCC1=CC=C(OC2=CC=C(/C(=C\C3=CC=CN=C3)C(=O)O)C=C2)C=C1.CCOC(=O)CCC1=CC=C(OC2=CC=C(CC(=O)O)C=C2)C=C1.CCO[Na].CN(C)C(=O)/C(=C/C1=CC=CN=C1)C1=CC=C(OC2=CC=C(CCC(=O)NC(N)=O)C=C2)C=C1.NC(=O)NC(=O)CCC1=CC=C(OC2=CC=C(/C(=C\C3=CC=CN=C3)C(=O)O)C=C2)C=C1 Chemical compound CCOC(=O)CCC1=CC=C(OC2=CC=C(/C(=C\C3=CC=CN=C3)C(=O)O)C=C2)C=C1.CCOC(=O)CCC1=CC=C(OC2=CC=C(CC(=O)O)C=C2)C=C1.CCO[Na].CN(C)C(=O)/C(=C/C1=CC=CN=C1)C1=CC=C(OC2=CC=C(CCC(=O)NC(N)=O)C=C2)C=C1.NC(=O)NC(=O)CCC1=CC=C(OC2=CC=C(/C(=C\C3=CC=CN=C3)C(=O)O)C=C2)C=C1 ORMGVFIUUMFIGT-ZRYCVMMVSA-N 0.000 description 1
- DCZMHEQUDRKAPY-UHFFFAOYSA-N CCOC(=O)CCC1=CC=C(OC2=CC=C(C(CC3=CC(OC)=CC(OC)=C3)C(=O)O)C=C2)C=C1.COC1=CC(CC(C(=O)O)C2=CC=C(OC3=CC=C(CCC(=O)NC(N)=O)C=C3)C=C2)=CC(OC)=C1 Chemical compound CCOC(=O)CCC1=CC=C(OC2=CC=C(C(CC3=CC(OC)=CC(OC)=C3)C(=O)O)C=C2)C=C1.COC1=CC(CC(C(=O)O)C2=CC=C(OC3=CC=C(CCC(=O)NC(N)=O)C=C3)C=C2)=CC(OC)=C1 DCZMHEQUDRKAPY-UHFFFAOYSA-N 0.000 description 1
- BBZJVSBQYSDFKN-UHFFFAOYSA-N CCOC(=O)CCC1=CC=C(OC2=CC=C(C(CC3=CC=CN=C3)C(=O)N(C)C)C=C2)C=C1.CCO[Na].CN(C)C(=O)C(CC1=CC=CN=C1)C1=CC=C(OC2=CC=C(CCC(=O)NC(N)=O)C=C2)C=C1 Chemical compound CCOC(=O)CCC1=CC=C(OC2=CC=C(C(CC3=CC=CN=C3)C(=O)N(C)C)C=C2)C=C1.CCO[Na].CN(C)C(=O)C(CC1=CC=CN=C1)C1=CC=C(OC2=CC=C(CCC(=O)NC(N)=O)C=C2)C=C1 BBZJVSBQYSDFKN-UHFFFAOYSA-N 0.000 description 1
- LOLQHCQVOYAADM-UHFFFAOYSA-N CCOC(=O)CCC1=CC=C(OC2=CC=C(CC(=O)O)C=C2)C=C1.CN(C)C(=O)CC1=CC=C(OC2=CC=C(CCC(=O)NC(N)=O)C=C2)C=C1.NC(=O)NC(=O)CCC1=CC=C(OC2=CC=C(CC(=O)O)C=C2)C=C1 Chemical compound CCOC(=O)CCC1=CC=C(OC2=CC=C(CC(=O)O)C=C2)C=C1.CN(C)C(=O)CC1=CC=C(OC2=CC=C(CCC(=O)NC(N)=O)C=C2)C=C1.NC(=O)NC(=O)CCC1=CC=C(OC2=CC=C(CC(=O)O)C=C2)C=C1 LOLQHCQVOYAADM-UHFFFAOYSA-N 0.000 description 1
- WKHPYOSDPOSQTI-XAHLCWMTSA-N CCOC(=O)NC(=O)CCC1=CC=C(OC2=CC=C(/C(=C\C3=CC(OC)=CC(OC)=C3)C(=O)OC)C=C2)C=C1.COC(=O)/C(=C/C1=CC(OC)=CC(OC)=C1)C1=CC=C(OC2=CC=C(CCC(N)=O)C=C2)C=C1 Chemical compound CCOC(=O)NC(=O)CCC1=CC=C(OC2=CC=C(/C(=C\C3=CC(OC)=CC(OC)=C3)C(=O)OC)C=C2)C=C1.COC(=O)/C(=C/C1=CC(OC)=CC(OC)=C1)C1=CC=C(OC2=CC=C(CCC(N)=O)C=C2)C=C1 WKHPYOSDPOSQTI-XAHLCWMTSA-N 0.000 description 1
- CLFNQDIPWZZCHE-LJGZLNBASA-N CN(C)C(=O)/C(=C/C1=CC=CN=C1)C1=CC=C(OC2=CC=C(CC(C(N)=O)C(N)=O)C=C2)C=C1.COC(=O)C(CC1=CC=C(OC2=CC=C(/C(=C\C3=CC=CN=C3)C(=O)N(C)C)C=C2)C=C1)C(=O)OC Chemical compound CN(C)C(=O)/C(=C/C1=CC=CN=C1)C1=CC=C(OC2=CC=C(CC(C(N)=O)C(N)=O)C=C2)C=C1.COC(=O)C(CC1=CC=C(OC2=CC=C(/C(=C\C3=CC=CN=C3)C(=O)N(C)C)C=C2)C=C1)C(=O)OC CLFNQDIPWZZCHE-LJGZLNBASA-N 0.000 description 1
- QVPRVWSIIRYFHK-ZSEHOMSASA-N COC(=O)/C(=C/C1=CC(OC)=CC(OC)=C1)C1=CC=C(OC2=CC=C(CCC(=O)NC(=O)OC(=O)C3=CC=CC=C3)C=C2)C=C1.COC(=O)/C(=C/C1=CC(OC)=CC(OC)=C1)C1=CC=C(OC2=CC=C(CCC(N)=O)C=C2)C=C1 Chemical compound COC(=O)/C(=C/C1=CC(OC)=CC(OC)=C1)C1=CC=C(OC2=CC=C(CCC(=O)NC(=O)OC(=O)C3=CC=CC=C3)C=C2)C=C1.COC(=O)/C(=C/C1=CC(OC)=CC(OC)=C1)C1=CC=C(OC2=CC=C(CCC(N)=O)C=C2)C=C1 QVPRVWSIIRYFHK-ZSEHOMSASA-N 0.000 description 1
- WERSQKHRZJUSBV-PCLIKHOPSA-N COC(=O)/C(=C/C1=CC(OC)=CC(OC)=C1)C1=CC=C(OC2=CC=C(CCC(=O)NC(N)=O)C=C2)C=C1 Chemical compound COC(=O)/C(=C/C1=CC(OC)=CC(OC)=C1)C1=CC=C(OC2=CC=C(CCC(=O)NC(N)=O)C=C2)C=C1 WERSQKHRZJUSBV-PCLIKHOPSA-N 0.000 description 1
- WSJNDXFEJFOKLG-DCAKWGTGSA-N COC(=O)C(=CC1=CC=C(OC2=CC=C(/C(=C\C3=CC(OC)=CC(OC)=C3)C(=O)O)C=C2)C=C1)C(=O)OC.COC(=O)C(CC1=CC=C(OC2=CC=C(/C(=C\C3=CC(OC)=CC(OC)=C3)C(=O)N(C)C)C=C2)C=C1)C(=O)OC.COC(=O)C(CC1=CC=C(OC2=CC=C(/C(=C\C3=CC(OC)=CC(OC)=C3)C(=O)O)C=C2)C=C1)C(=O)OC Chemical compound COC(=O)C(=CC1=CC=C(OC2=CC=C(/C(=C\C3=CC(OC)=CC(OC)=C3)C(=O)O)C=C2)C=C1)C(=O)OC.COC(=O)C(CC1=CC=C(OC2=CC=C(/C(=C\C3=CC(OC)=CC(OC)=C3)C(=O)N(C)C)C=C2)C=C1)C(=O)OC.COC(=O)C(CC1=CC=C(OC2=CC=C(/C(=C\C3=CC(OC)=CC(OC)=C3)C(=O)O)C=C2)C=C1)C(=O)OC WSJNDXFEJFOKLG-DCAKWGTGSA-N 0.000 description 1
- RJBVGRNHDINYRE-DCAKWGTGSA-N COC(=O)C(CC1=CC=C(OC2=CC=C(/C(=C\C3=CC(OC)=CC(OC)=C3)C(=O)N(C)C)C=C2)C=C1)C(=O)OC.COC1=CC(/C=C(/C(=O)N(C)C)C2=CC=C(OC3=CC=C(CC(C(N)=O)C(=O)O)C=C3)C=C2)=CC(OC)=C1.COC1=CC(/C=C(/C(=O)N(C)C)C2=CC=C(OC3=CC=C(CC(C(N)=O)C(N)=O)C=C3)C=C2)=CC(OC)=C1 Chemical compound COC(=O)C(CC1=CC=C(OC2=CC=C(/C(=C\C3=CC(OC)=CC(OC)=C3)C(=O)N(C)C)C=C2)C=C1)C(=O)OC.COC1=CC(/C=C(/C(=O)N(C)C)C2=CC=C(OC3=CC=C(CC(C(N)=O)C(=O)O)C=C3)C=C2)=CC(OC)=C1.COC1=CC(/C=C(/C(=O)N(C)C)C2=CC=C(OC3=CC=C(CC(C(N)=O)C(N)=O)C=C3)C=C2)=CC(OC)=C1 RJBVGRNHDINYRE-DCAKWGTGSA-N 0.000 description 1
- WIVHFGHCRVYFMX-UHFFFAOYSA-N COC(=O)CCC1=CC=C(OC2=CC=CC=C2)C=C1.NC(=O)NC(=O)CCC1=CC=C(OC2=CC=CC=C2)C=C1 Chemical compound COC(=O)CCC1=CC=C(OC2=CC=CC=C2)C=C1.NC(=O)NC(=O)CCC1=CC=C(OC2=CC=CC=C2)C=C1 WIVHFGHCRVYFMX-UHFFFAOYSA-N 0.000 description 1
- SFAKRSBGYXQKQA-CMMSTSFQSA-N COC(=O)NCC1=CC=C(OC2=CC=C(/C(=C\C3=CC(OC)=CC(OC)=C3)C(=O)N(C)C)C=C2)C=C1.COC(=O)NCC1=CC=C(OC2=CC=C(/C(=C\C3=CC(OC)=CC(OC)=C3)C(=O)O)C=C2)C=C1.COC1=CC(/C=C(/C(=O)O)C2=CC=C(OC3=CC=C(CN4C(=O)CSC4=O)C=C3)C=C2)=CC(OC)=C1 Chemical compound COC(=O)NCC1=CC=C(OC2=CC=C(/C(=C\C3=CC(OC)=CC(OC)=C3)C(=O)N(C)C)C=C2)C=C1.COC(=O)NCC1=CC=C(OC2=CC=C(/C(=C\C3=CC(OC)=CC(OC)=C3)C(=O)O)C=C2)C=C1.COC1=CC(/C=C(/C(=O)O)C2=CC=C(OC3=CC=C(CN4C(=O)CSC4=O)C=C3)C=C2)=CC(OC)=C1 SFAKRSBGYXQKQA-CMMSTSFQSA-N 0.000 description 1
- ROHKKKMICKIQAX-QRJSMAEQSA-N COC1=CC(/C=C(/C(=O)N(C)C)C2=CC=C(N)C=C2)=CC(OC)=C1.COC1=CC(/C=C(/C(=O)N(C)C)C2=CC=C(NC(=O)C3=CC(O)=CC=C3)C=C2)=CC(OC)=C1 Chemical compound COC1=CC(/C=C(/C(=O)N(C)C)C2=CC=C(N)C=C2)=CC(OC)=C1.COC1=CC(/C=C(/C(=O)N(C)C)C2=CC=C(NC(=O)C3=CC(O)=CC=C3)C=C2)=CC(OC)=C1 ROHKKKMICKIQAX-QRJSMAEQSA-N 0.000 description 1
- RDQZZBRHZDKILE-SPJMJRSHSA-N COC1=CC(/C=C(/C(=O)N(C)C)C2=CC=C(N)C=C2)=CC(OC)=C1.COC1=CC(/C=C(/C(=O)N(C)C)C2=CC=C(NC(=O)C3=CC=CC=C3)C=C2)=CC(OC)=C1 Chemical compound COC1=CC(/C=C(/C(=O)N(C)C)C2=CC=C(N)C=C2)=CC(OC)=C1.COC1=CC(/C=C(/C(=O)N(C)C)C2=CC=C(NC(=O)C3=CC=CC=C3)C=C2)=CC(OC)=C1 RDQZZBRHZDKILE-SPJMJRSHSA-N 0.000 description 1
- FYDJKCHEWPJQAA-KIZUJGGVSA-N COC1=CC(/C=C(/C(=O)N(C)C)C2=CC=C(O)C=C2)=CC(OC)=C1.COC1=CC(/C=C(/C(=O)O)C2=CC=C(O)C=C2)=CC(OC)=C1 Chemical compound COC1=CC(/C=C(/C(=O)N(C)C)C2=CC=C(O)C=C2)=CC(OC)=C1.COC1=CC(/C=C(/C(=O)O)C2=CC=C(O)C=C2)=CC(OC)=C1 FYDJKCHEWPJQAA-KIZUJGGVSA-N 0.000 description 1
- PEBDJAFVDFTGMU-LFNANOCCSA-N COC1=CC(/C=C(/C(=O)N(C)C)C2=CC=C(OC3=CC=C(CCC(=O)N4CCN(C)CC4)C=C3)C=C2)=CC(OC)=C1.COC1=CC(/C=C(/C(=O)N(C)C)C2=CC=C(OC3=CC=C(CCC(=O)O)C=C3)C=C2)=CC(OC)=C1 Chemical compound COC1=CC(/C=C(/C(=O)N(C)C)C2=CC=C(OC3=CC=C(CCC(=O)N4CCN(C)CC4)C=C3)C=C2)=CC(OC)=C1.COC1=CC(/C=C(/C(=O)N(C)C)C2=CC=C(OC3=CC=C(CCC(=O)O)C=C3)C=C2)=CC(OC)=C1 PEBDJAFVDFTGMU-LFNANOCCSA-N 0.000 description 1
- UAFHSAPFHKKVLD-KJPLTLLLSA-N COC1=CC(/C=C(/C(=O)N(C)C)C2=CC=C(OC3=CC=C(CCC(=O)N4CCOCC4)C=C3)C=C2)=CC(OC)=C1.COC1=CC(/C=C(/C(=O)N(C)C)C2=CC=C(OC3=CC=C(CCC(=O)O)C=C3)C=C2)=CC(OC)=C1 Chemical compound COC1=CC(/C=C(/C(=O)N(C)C)C2=CC=C(OC3=CC=C(CCC(=O)N4CCOCC4)C=C3)C=C2)=CC(OC)=C1.COC1=CC(/C=C(/C(=O)N(C)C)C2=CC=C(OC3=CC=C(CCC(=O)O)C=C3)C=C2)=CC(OC)=C1 UAFHSAPFHKKVLD-KJPLTLLLSA-N 0.000 description 1
- LZMDLJCXILZBEE-KSNKROKMSA-N COC1=CC(/C=C(/C(=O)N(C)C)C2=CC=C(OC3=CC=C(CCC(=O)NC(N)=O)C=C3)C=C2)=CC(OC)=C1.COC1=CC(/C=C(/C(=O)O)C2=CC=C(OC3=CC=C(CCC(=O)NC(N)=O)C=C3)C=C2)=CC(OC)=C1 Chemical compound COC1=CC(/C=C(/C(=O)N(C)C)C2=CC=C(OC3=CC=C(CCC(=O)NC(N)=O)C=C3)C=C2)=CC(OC)=C1.COC1=CC(/C=C(/C(=O)O)C2=CC=C(OC3=CC=C(CCC(=O)NC(N)=O)C=C3)C=C2)=CC(OC)=C1 LZMDLJCXILZBEE-KSNKROKMSA-N 0.000 description 1
- KDTWXAJQAVJWDQ-YLJSMCHCSA-N COC1=CC(/C=C(/C(=O)N(C)C)C2=CC=C(OC3=CC=C(CCC(=O)NC(N)=O)C=C3)C=C2)=CC(OC)=C1.COC1=CC(CC(C(=O)N(C)C)C2=CC=C(OC3=CC=C(CCC(=O)NC(N)=O)C=C3)C=C2)=CC(OC)=C1.C[Pd] Chemical compound COC1=CC(/C=C(/C(=O)N(C)C)C2=CC=C(OC3=CC=C(CCC(=O)NC(N)=O)C=C3)C=C2)=CC(OC)=C1.COC1=CC(CC(C(=O)N(C)C)C2=CC=C(OC3=CC=C(CCC(=O)NC(N)=O)C=C3)C=C2)=CC(OC)=C1.C[Pd] KDTWXAJQAVJWDQ-YLJSMCHCSA-N 0.000 description 1
- PNZXHGJYKYQPMH-KPQMFIFJSA-N COC1=CC(/C=C(/C(=O)N(C)C)C2=CC=C(OC3=CC=C(CCC(=O)NCC(=O)N4CCOCC4)C=C3)C=C2)=CC(OC)=C1.COC1=CC(/C=C(/C(=O)N(C)C)C2=CC=C(OC3=CC=C(CCC(=O)O)C=C3)C=C2)=CC(OC)=C1 Chemical compound COC1=CC(/C=C(/C(=O)N(C)C)C2=CC=C(OC3=CC=C(CCC(=O)NCC(=O)N4CCOCC4)C=C3)C=C2)=CC(OC)=C1.COC1=CC(/C=C(/C(=O)N(C)C)C2=CC=C(OC3=CC=C(CCC(=O)O)C=C3)C=C2)=CC(OC)=C1 PNZXHGJYKYQPMH-KPQMFIFJSA-N 0.000 description 1
- UDRZWCKSAUCTLF-KFWQUQEDSA-N COC1=CC(/C=C(/C(=O)N(C)C)C2=CC=C(OC3=CC=C(CCC(=O)NNC(N)=O)C=C3)C=C2)=CC(OC)=C1.COC1=CC(/C=C(/C(=O)N(C)C)C2=CC=C(OC3=CC=C(CCC(=O)O)C=C3)C=C2)=CC(OC)=C1 Chemical compound COC1=CC(/C=C(/C(=O)N(C)C)C2=CC=C(OC3=CC=C(CCC(=O)NNC(N)=O)C=C3)C=C2)=CC(OC)=C1.COC1=CC(/C=C(/C(=O)N(C)C)C2=CC=C(OC3=CC=C(CCC(=O)O)C=C3)C=C2)=CC(OC)=C1 UDRZWCKSAUCTLF-KFWQUQEDSA-N 0.000 description 1
- WKVYIXPHZPMFSM-NVCCSMFKSA-N COC1=CC(/C=C(/C(=O)N(C)C)C2=CC=C(OC3=CC=C(NC(C)=O)C=C3)C=C2)=CC(OC)=C1.COC1=CC(/C=C(/C(=O)O)C2=CC=C(OC3=CC=C(NC(C)=O)C=C3)C=C2)=CC(OC)=C1.COC1=CC(/C=C(/C(=O)O)C2=CC=C(OC3=CC=C([N+](=O)[O-])C=C3)C=C2)=CC(OC)=C1 Chemical compound COC1=CC(/C=C(/C(=O)N(C)C)C2=CC=C(OC3=CC=C(NC(C)=O)C=C3)C=C2)=CC(OC)=C1.COC1=CC(/C=C(/C(=O)O)C2=CC=C(OC3=CC=C(NC(C)=O)C=C3)C=C2)=CC(OC)=C1.COC1=CC(/C=C(/C(=O)O)C2=CC=C(OC3=CC=C([N+](=O)[O-])C=C3)C=C2)=CC(OC)=C1 WKVYIXPHZPMFSM-NVCCSMFKSA-N 0.000 description 1
- OESDRNYQDFXNLV-XFHOETJJSA-N COC1=CC(/C=C(/C(=O)N(C)C)C2=CC=C(OC3=CC=C(S(C)(=O)=O)C=C3)C=C2)=CC(OC)=C1.COC1=CC(/C=C(/C(=O)O)C2=CC=C(O)C=C2)=CC(OC)=C1.COC1=CC(/C=C(/C(=O)O)C2=CC=C(OC3=CC=C(S(C)(=O)=O)C=C3)C=C2)=CC(OC)=C1 Chemical compound COC1=CC(/C=C(/C(=O)N(C)C)C2=CC=C(OC3=CC=C(S(C)(=O)=O)C=C3)C=C2)=CC(OC)=C1.COC1=CC(/C=C(/C(=O)O)C2=CC=C(O)C=C2)=CC(OC)=C1.COC1=CC(/C=C(/C(=O)O)C2=CC=C(OC3=CC=C(S(C)(=O)=O)C=C3)C=C2)=CC(OC)=C1 OESDRNYQDFXNLV-XFHOETJJSA-N 0.000 description 1
- HMMPBSWVEIPQFD-DTJUDSNDSA-N COC1=CC(/C=C(/C(=O)N(C)C)C2=CC=C(OC3=CC=CC=N3)C=C2)=CC(OC)=C1.COC1=CC(/C=C(/C(=O)O)C2=CC=C(O)C=C2)=CC(OC)=C1.COC1=CC(/C=C(/C(=O)O)C2=CC=C(OC3=CC=CC=N3)C=C2)=CC(OC)=C1 Chemical compound COC1=CC(/C=C(/C(=O)N(C)C)C2=CC=C(OC3=CC=CC=N3)C=C2)=CC(OC)=C1.COC1=CC(/C=C(/C(=O)O)C2=CC=C(O)C=C2)=CC(OC)=C1.COC1=CC(/C=C(/C(=O)O)C2=CC=C(OC3=CC=CC=N3)C=C2)=CC(OC)=C1 HMMPBSWVEIPQFD-DTJUDSNDSA-N 0.000 description 1
- BJPDJXSBAFBWJP-HJNJWLPLSA-N COC1=CC(/C=C(/C(=O)N2CCCCC2)C2=CC=C(OC3=CC=C(CCC(=O)NC(N)=O)C=C3)C=C2)=CC(OC)=C1.COC1=CC(/C=C(/C(=O)O)C2=CC=C(OC3=CC=C(CCC(=O)NC(N)=O)C=C3)C=C2)=CC(OC)=C1 Chemical compound COC1=CC(/C=C(/C(=O)N2CCCCC2)C2=CC=C(OC3=CC=C(CCC(=O)NC(N)=O)C=C3)C=C2)=CC(OC)=C1.COC1=CC(/C=C(/C(=O)O)C2=CC=C(OC3=CC=C(CCC(=O)NC(N)=O)C=C3)C=C2)=CC(OC)=C1 BJPDJXSBAFBWJP-HJNJWLPLSA-N 0.000 description 1
- WQWZPOUEZKOIAG-NDZAJKAJSA-N COC1=CC(/C=C(/C(=O)NC2=CC=C(Cl)C=C2)C2=CC=C(OC3=CC=C(CCC(=O)NC(N)=O)C=C3)C=C2)=CC(OC)=C1 Chemical compound COC1=CC(/C=C(/C(=O)NC2=CC=C(Cl)C=C2)C2=CC=C(OC3=CC=C(CCC(=O)NC(N)=O)C=C3)C=C2)=CC(OC)=C1 WQWZPOUEZKOIAG-NDZAJKAJSA-N 0.000 description 1
- BFNRURURIHSFJW-VUTHCHCSSA-N COC1=CC(/C=C(/C(=O)NC2=CC=NC=C2)C2=CC=C(OC3=CC=C(CCC(=O)NC(N)=O)C=C3)C=C2)=CC(OC)=C1 Chemical compound COC1=CC(/C=C(/C(=O)NC2=CC=NC=C2)C2=CC=C(OC3=CC=C(CCC(=O)NC(N)=O)C=C3)C=C2)=CC(OC)=C1 BFNRURURIHSFJW-VUTHCHCSSA-N 0.000 description 1
- 241000282461 Canis lupus Species 0.000 description 1
- OKTJSMMVPCPJKN-UHFFFAOYSA-N Carbon Chemical compound [C] OKTJSMMVPCPJKN-UHFFFAOYSA-N 0.000 description 1
- 239000004215 Carbon black (E152) Substances 0.000 description 1
- 201000009030 Carcinoma Diseases 0.000 description 1
- 206010007559 Cardiac failure congestive Diseases 0.000 description 1
- 208000031229 Cardiomyopathies Diseases 0.000 description 1
- 206010007710 Cartilage injury Diseases 0.000 description 1
- 206010063094 Cerebral malaria Diseases 0.000 description 1
- RKWGIWYCVPQPMF-UHFFFAOYSA-N Chloropropamide Chemical compound CCCNC(=O)NS(=O)(=O)C1=CC=C(Cl)C=C1 RKWGIWYCVPQPMF-UHFFFAOYSA-N 0.000 description 1
- 229920001268 Cholestyramine Polymers 0.000 description 1
- 206010008874 Chronic Fatigue Syndrome Diseases 0.000 description 1
- 102000000503 Collagen Type II Human genes 0.000 description 1
- 108010041390 Collagen Type II Proteins 0.000 description 1
- 208000001333 Colorectal Neoplasms Diseases 0.000 description 1
- 208000032170 Congenital Abnormalities Diseases 0.000 description 1
- 241000699800 Cricetinae Species 0.000 description 1
- 208000011231 Crohn disease Diseases 0.000 description 1
- 229940093444 Cyclooxygenase 2 inhibitor Drugs 0.000 description 1
- CMSMOCZEIVJLDB-UHFFFAOYSA-N Cyclophosphamide Chemical compound ClCCN(CCCl)P1(=O)NCCCO1 CMSMOCZEIVJLDB-UHFFFAOYSA-N 0.000 description 1
- PMATZTZNYRCHOR-CGLBZJNRSA-N Cyclosporin A Chemical compound CC[C@@H]1NC(=O)[C@H]([C@H](O)[C@H](C)C\C=C\C)N(C)C(=O)[C@H](C(C)C)N(C)C(=O)[C@H](CC(C)C)N(C)C(=O)[C@H](CC(C)C)N(C)C(=O)[C@@H](C)NC(=O)[C@H](C)NC(=O)[C@H](CC(C)C)N(C)C(=O)[C@H](C(C)C)NC(=O)[C@H](CC(C)C)N(C)C(=O)CN(C)C1=O PMATZTZNYRCHOR-CGLBZJNRSA-N 0.000 description 1
- 229930105110 Cyclosporin A Natural products 0.000 description 1
- 108010036949 Cyclosporine Proteins 0.000 description 1
- 238000011763 DBA/1J (JAX™ mouse strain) Methods 0.000 description 1
- 206010012438 Dermatitis atopic Diseases 0.000 description 1
- 206010012442 Dermatitis contact Diseases 0.000 description 1
- MYMOFIZGZYHOMD-UHFFFAOYSA-N Dioxygen Chemical compound O=O MYMOFIZGZYHOMD-UHFFFAOYSA-N 0.000 description 1
- 101001117089 Drosophila melanogaster Calcium/calmodulin-dependent 3',5'-cyclic nucleotide phosphodiesterase 1 Proteins 0.000 description 1
- 101001072031 Drosophila melanogaster Dual 3',5'-cyclic-AMP and -GMP phosphodiesterase 11 Proteins 0.000 description 1
- 206010013935 Dysmenorrhoea Diseases 0.000 description 1
- ZGTMUACCHSMWAC-UHFFFAOYSA-L EDTA disodium salt (anhydrous) Chemical compound [Na+].[Na+].OC(=O)CN(CC([O-])=O)CCN(CC(O)=O)CC([O-])=O ZGTMUACCHSMWAC-UHFFFAOYSA-L 0.000 description 1
- 208000010228 Erectile Dysfunction Diseases 0.000 description 1
- 206010015150 Erythema Diseases 0.000 description 1
- 241000588724 Escherichia coli Species 0.000 description 1
- 108010007457 Extracellular Signal-Regulated MAP Kinases Proteins 0.000 description 1
- 201000006107 Familial adenomatous polyposis Diseases 0.000 description 1
- 102000018233 Fibroblast Growth Factor Human genes 0.000 description 1
- 108050007372 Fibroblast Growth Factor Proteins 0.000 description 1
- 241000287828 Gallus gallus Species 0.000 description 1
- 108010010803 Gelatin Proteins 0.000 description 1
- 206010018364 Glomerulonephritis Diseases 0.000 description 1
- FAEKWTJYAYMJKF-QHCPKHFHSA-N GlucoNorm Chemical compound C1=C(C(O)=O)C(OCC)=CC(CC(=O)N[C@@H](CC(C)C)C=2C(=CC=CC=2)N2CCCCC2)=C1 FAEKWTJYAYMJKF-QHCPKHFHSA-N 0.000 description 1
- 102000004366 Glucosidases Human genes 0.000 description 1
- 108010056771 Glucosidases Proteins 0.000 description 1
- 108010051696 Growth Hormone Proteins 0.000 description 1
- 208000035895 Guillain-Barré syndrome Diseases 0.000 description 1
- 229920000084 Gum arabic Polymers 0.000 description 1
- 206010019280 Heart failures Diseases 0.000 description 1
- 208000032843 Hemorrhage Diseases 0.000 description 1
- 241000282412 Homo Species 0.000 description 1
- 101000946860 Homo sapiens T-cell surface glycoprotein CD3 epsilon chain Proteins 0.000 description 1
- 101000611183 Homo sapiens Tumor necrosis factor Proteins 0.000 description 1
- 108010001336 Horseradish Peroxidase Proteins 0.000 description 1
- 241000713772 Human immunodeficiency virus 1 Species 0.000 description 1
- 208000004454 Hyperalgesia Diseases 0.000 description 1
- 208000035154 Hyperesthesia Diseases 0.000 description 1
- 201000002980 Hyperparathyroidism Diseases 0.000 description 1
- 208000013016 Hypoglycemia Diseases 0.000 description 1
- HEFNNWSXXWATRW-UHFFFAOYSA-N Ibuprofen Chemical compound CC(C)CC1=CC=C(C(C)C(O)=O)C=C1 HEFNNWSXXWATRW-UHFFFAOYSA-N 0.000 description 1
- 241001562081 Ikeda Species 0.000 description 1
- 206010052341 Impaired insulin secretion Diseases 0.000 description 1
- 206010065390 Inflammatory pain Diseases 0.000 description 1
- 229940122199 Insulin secretagogue Drugs 0.000 description 1
- 102000008070 Interferon-gamma Human genes 0.000 description 1
- 102000013462 Interleukin-12 Human genes 0.000 description 1
- 108010065805 Interleukin-12 Proteins 0.000 description 1
- UETNIIAIRMUTSM-UHFFFAOYSA-N Jacareubin Natural products CC1(C)OC2=CC3Oc4c(O)c(O)ccc4C(=O)C3C(=C2C=C1)O UETNIIAIRMUTSM-UHFFFAOYSA-N 0.000 description 1
- 208000012659 Joint disease Diseases 0.000 description 1
- 208000011200 Kawasaki disease Diseases 0.000 description 1
- 239000005909 Kieselgur Substances 0.000 description 1
- GUBGYTABKSRVRQ-QKKXKWKRSA-N Lactose Natural products OC[C@H]1O[C@@H](O[C@H]2[C@H](O)[C@@H](O)C(O)O[C@@H]2CO)[C@H](O)[C@@H](O)[C@H]1O GUBGYTABKSRVRQ-QKKXKWKRSA-N 0.000 description 1
- 235000019687 Lamb Nutrition 0.000 description 1
- GDBQQVLCIARPGH-UHFFFAOYSA-N Leupeptin Natural products CC(C)CC(NC(C)=O)C(=O)NC(CC(C)C)C(=O)NC(C=O)CCCN=C(N)N GDBQQVLCIARPGH-UHFFFAOYSA-N 0.000 description 1
- 206010024453 Ligament sprain Diseases 0.000 description 1
- 208000019693 Lung disease Diseases 0.000 description 1
- 206010025323 Lymphomas Diseases 0.000 description 1
- 201000009906 Meningitis Diseases 0.000 description 1
- IBAQFPQHRJAVAV-ULAWRXDQSA-N Miglitol Chemical compound OCCN1C[C@H](O)[C@@H](O)[C@H](O)[C@H]1CO IBAQFPQHRJAVAV-ULAWRXDQSA-N 0.000 description 1
- 206010049567 Miller Fisher syndrome Diseases 0.000 description 1
- 102100023482 Mitogen-activated protein kinase 14 Human genes 0.000 description 1
- PCZOHLXUXFIOCF-UHFFFAOYSA-N Monacolin X Natural products C12C(OC(=O)C(C)CC)CC(C)C=C2C=CC(C)C1CCC1CC(O)CC(=O)O1 PCZOHLXUXFIOCF-UHFFFAOYSA-N 0.000 description 1
- 241001529936 Murinae Species 0.000 description 1
- FXHOOIRPVKKKFG-UHFFFAOYSA-N N,N-Dimethylacetamide Chemical compound CN(C)C(C)=O FXHOOIRPVKKKFG-UHFFFAOYSA-N 0.000 description 1
- 229910020700 Na3VO4 Inorganic materials 0.000 description 1
- CMWTZPSULFXXJA-UHFFFAOYSA-N Naproxen Natural products C1=C(C(C)C(O)=O)C=CC2=CC(OC)=CC=C21 CMWTZPSULFXXJA-UHFFFAOYSA-N 0.000 description 1
- 206010030113 Oedema Diseases 0.000 description 1
- 229910020667 PBr3 Inorganic materials 0.000 description 1
- 206010053869 POEMS syndrome Diseases 0.000 description 1
- 108010016731 PPAR gamma Proteins 0.000 description 1
- 208000018737 Parkinson disease Diseases 0.000 description 1
- 102000015731 Peptide Hormones Human genes 0.000 description 1
- 108010038988 Peptide Hormones Proteins 0.000 description 1
- 102100038831 Peroxisome proliferator-activated receptor alpha Human genes 0.000 description 1
- 229940122054 Peroxisome proliferator-activated receptor delta agonist Drugs 0.000 description 1
- 102100038825 Peroxisome proliferator-activated receptor gamma Human genes 0.000 description 1
- 229940123932 Phosphodiesterase 4 inhibitor Drugs 0.000 description 1
- 239000004793 Polystyrene Substances 0.000 description 1
- 108010005991 Pork Regular Insulin Proteins 0.000 description 1
- TUZYXOIXSAXUGO-UHFFFAOYSA-N Pravastatin Natural products C1=CC(C)C(CCC(O)CC(O)CC(O)=O)C2C(OC(=O)C(C)CC)CC(O)C=C21 TUZYXOIXSAXUGO-UHFFFAOYSA-N 0.000 description 1
- 208000006399 Premature Obstetric Labor Diseases 0.000 description 1
- 201000001263 Psoriatic Arthritis Diseases 0.000 description 1
- 208000036824 Psoriatic arthropathy Diseases 0.000 description 1
- 206010037423 Pulmonary oedema Diseases 0.000 description 1
- NPXOKRUENSOPAO-UHFFFAOYSA-N Raney nickel Chemical compound [Al].[Ni] NPXOKRUENSOPAO-UHFFFAOYSA-N 0.000 description 1
- 108091005682 Receptor kinases Proteins 0.000 description 1
- 229940123934 Reductase inhibitor Drugs 0.000 description 1
- 206010063837 Reperfusion injury Diseases 0.000 description 1
- 235000003968 Rubus caesius Nutrition 0.000 description 1
- 240000005256 Rubus canadensis Species 0.000 description 1
- 235000003967 Rubus canadensis Nutrition 0.000 description 1
- RYMZZMVNJRMUDD-UHFFFAOYSA-N SJ000286063 Natural products C12C(OC(=O)C(C)(C)CC)CC(C)C=C2C=CC(C)C1CCC1CC(O)CC(=O)O1 RYMZZMVNJRMUDD-UHFFFAOYSA-N 0.000 description 1
- 241000293869 Salmonella enterica subsp. enterica serovar Typhimurium Species 0.000 description 1
- 206010040047 Sepsis Diseases 0.000 description 1
- 201000010001 Silicosis Diseases 0.000 description 1
- 238000006935 Simonis synthesis reaction Methods 0.000 description 1
- 208000008475 Smoke Inhalation Injury Diseases 0.000 description 1
- 102100038803 Somatotropin Human genes 0.000 description 1
- 241001479493 Sousa Species 0.000 description 1
- 208000010040 Sprains and Strains Diseases 0.000 description 1
- 206010042028 Steroid withdrawal syndrome Diseases 0.000 description 1
- 208000004732 Systemic Vasculitis Diseases 0.000 description 1
- 230000006052 T cell proliferation Effects 0.000 description 1
- 102100035794 T-cell surface glycoprotein CD3 epsilon chain Human genes 0.000 description 1
- QJJXYPPXXYFBGM-LFZNUXCKSA-N Tacrolimus Chemical compound C1C[C@@H](O)[C@H](OC)C[C@@H]1\C=C(/C)[C@@H]1[C@H](C)[C@@H](O)CC(=O)[C@H](CC=C)/C=C(C)/C[C@H](C)C[C@H](OC)[C@H]([C@H](C[C@H]2C)OC)O[C@@]2(O)C(=O)C(=O)N2CCCC[C@H]2C(=O)O1 QJJXYPPXXYFBGM-LFZNUXCKSA-N 0.000 description 1
- 102000011923 Thyrotropin Human genes 0.000 description 1
- 108010061174 Thyrotropin Proteins 0.000 description 1
- JLRGJRBPOGGCBT-UHFFFAOYSA-N Tolbutamide Chemical compound CCCCNC(=O)NS(=O)(=O)C1=CC=C(C)C=C1 JLRGJRBPOGGCBT-UHFFFAOYSA-N 0.000 description 1
- 239000007983 Tris buffer Substances 0.000 description 1
- 108060008683 Tumor Necrosis Factor Receptor Proteins 0.000 description 1
- 208000007097 Urinary Bladder Neoplasms Diseases 0.000 description 1
- 206010047115 Vasculitis Diseases 0.000 description 1
- GXBMIBRIOWHPDT-UHFFFAOYSA-N Vasopressin Natural products N1C(=O)C(CC=2C=C(O)C=CC=2)NC(=O)C(N)CSSCC(C(=O)N2C(CCC2)C(=O)NC(CCCN=C(N)N)C(=O)NCC(N)=O)NC(=O)C(CC(N)=O)NC(=O)C(CCC(N)=O)NC(=O)C1CC1=CC=CC=C1 GXBMIBRIOWHPDT-UHFFFAOYSA-N 0.000 description 1
- 102000002852 Vasopressins Human genes 0.000 description 1
- 108010004977 Vasopressins Proteins 0.000 description 1
- 206010064948 Viral rhinitis Diseases 0.000 description 1
- FZNCGRZWXLXZSZ-CIQUZCHMSA-N Voglibose Chemical compound OCC(CO)N[C@H]1C[C@](O)(CO)[C@@H](O)[C@H](O)[C@H]1O FZNCGRZWXLXZSZ-CIQUZCHMSA-N 0.000 description 1
- 244000126002 Ziziphus vulgaris Species 0.000 description 1
- 235000008529 Ziziphus vulgaris Nutrition 0.000 description 1
- 208000002223 abdominal aortic aneurysm Diseases 0.000 description 1
- 238000010521 absorption reaction Methods 0.000 description 1
- 239000000205 acacia gum Substances 0.000 description 1
- 235000010489 acacia gum Nutrition 0.000 description 1
- 229960002632 acarbose Drugs 0.000 description 1
- XUFXOAAUWZOOIT-UHFFFAOYSA-N acarviostatin I01 Natural products OC1C(O)C(NC2C(C(O)C(O)C(CO)=C2)O)C(C)OC1OC(C(C1O)O)C(CO)OC1OC1C(CO)OC(O)C(O)C1O XUFXOAAUWZOOIT-UHFFFAOYSA-N 0.000 description 1
- UGAPHEBNTGUMBB-UHFFFAOYSA-N acetic acid;ethyl acetate Chemical compound CC(O)=O.CCOC(C)=O UGAPHEBNTGUMBB-UHFFFAOYSA-N 0.000 description 1
- 229960001466 acetohexamide Drugs 0.000 description 1
- VGZSUPCWNCWDAN-UHFFFAOYSA-N acetohexamide Chemical compound C1=CC(C(=O)C)=CC=C1S(=O)(=O)NC(=O)NC1CCCCC1 VGZSUPCWNCWDAN-UHFFFAOYSA-N 0.000 description 1
- 125000002777 acetyl group Chemical group [H]C([H])([H])C(*)=O 0.000 description 1
- 229960001138 acetylsalicylic acid Drugs 0.000 description 1
- 239000002253 acid Substances 0.000 description 1
- 230000003213 activating effect Effects 0.000 description 1
- 230000001154 acute effect Effects 0.000 description 1
- 208000005298 acute pain Diseases 0.000 description 1
- 230000004658 acute-phase response Effects 0.000 description 1
- 125000002252 acyl group Chemical group 0.000 description 1
- 125000004442 acylamino group Chemical group 0.000 description 1
- 125000004423 acyloxy group Chemical group 0.000 description 1
- 229960005305 adenosine Drugs 0.000 description 1
- 210000005057 airway smooth muscle cell Anatomy 0.000 description 1
- 150000001299 aldehydes Chemical class 0.000 description 1
- 125000005236 alkanoylamino group Chemical group 0.000 description 1
- 125000004466 alkoxycarbonylamino group Chemical group 0.000 description 1
- 125000000278 alkyl amino alkyl group Chemical group 0.000 description 1
- 125000005599 alkyl carboxylate group Chemical group 0.000 description 1
- 125000004644 alkyl sulfinyl group Chemical group 0.000 description 1
- 125000004390 alkyl sulfonyl group Chemical group 0.000 description 1
- 125000004414 alkyl thio group Chemical group 0.000 description 1
- 239000003888 alpha glucosidase inhibitor Substances 0.000 description 1
- 125000003368 amide group Chemical group 0.000 description 1
- 125000003277 amino group Chemical group 0.000 description 1
- 125000004103 aminoalkyl group Chemical group 0.000 description 1
- VZTDIZULWFCMLS-UHFFFAOYSA-N ammonium formate Chemical compound [NH4+].[O-]C=O VZTDIZULWFCMLS-UHFFFAOYSA-N 0.000 description 1
- 235000019418 amylase Nutrition 0.000 description 1
- 206010002026 amyotrophic lateral sclerosis Diseases 0.000 description 1
- 210000003423 ankle Anatomy 0.000 description 1
- 208000022531 anorexia Diseases 0.000 description 1
- 230000001093 anti-cancer Effects 0.000 description 1
- 230000003092 anti-cytokine Effects 0.000 description 1
- 230000003178 anti-diabetic effect Effects 0.000 description 1
- 230000003110 anti-inflammatory effect Effects 0.000 description 1
- 239000000427 antigen Substances 0.000 description 1
- 210000000612 antigen-presenting cell Anatomy 0.000 description 1
- 102000036639 antigens Human genes 0.000 description 1
- 108091007433 antigens Proteins 0.000 description 1
- 230000006907 apoptotic process Effects 0.000 description 1
- KBZOIRJILGZLEJ-LGYYRGKSSA-N argipressin Chemical compound C([C@H]1C(=O)N[C@@H](CCC(N)=O)C(=O)N[C@@H](CC(N)=O)C(=O)N[C@@H](CSSC[C@@H](C(N[C@@H](CC=2C=CC(O)=CC=2)C(=O)N1)=O)N)C(=O)N1[C@@H](CCC1)C(=O)N[C@@H](CCCN=C(N)N)C(=O)NCC(N)=O)C1=CC=CC=C1 KBZOIRJILGZLEJ-LGYYRGKSSA-N 0.000 description 1
- 150000005840 aryl radicals Chemical class 0.000 description 1
- 206010003441 asbestosis Diseases 0.000 description 1
- QVGXLLKOCUKJST-UHFFFAOYSA-N atomic oxygen Chemical compound [O] QVGXLLKOCUKJST-UHFFFAOYSA-N 0.000 description 1
- 201000008937 atopic dermatitis Diseases 0.000 description 1
- 230000005784 autoimmunity Effects 0.000 description 1
- 229960002170 azathioprine Drugs 0.000 description 1
- LMEKQMALGUDUQG-UHFFFAOYSA-N azathioprine Chemical compound CN1C=NC([N+]([O-])=O)=C1SC1=NC=NC2=C1NC=N2 LMEKQMALGUDUQG-UHFFFAOYSA-N 0.000 description 1
- 125000000852 azido group Chemical group *N=[N+]=[N-] 0.000 description 1
- 210000003719 b-lymphocyte Anatomy 0.000 description 1
- 210000000227 basophil cell of anterior lobe of hypophysis Anatomy 0.000 description 1
- 230000008901 benefit Effects 0.000 description 1
- PASDCCFISLVPSO-UHFFFAOYSA-N benzoyl chloride Chemical compound ClC(=O)C1=CC=CC=C1 PASDCCFISLVPSO-UHFFFAOYSA-N 0.000 description 1
- HSDAJNMJOMSNEV-UHFFFAOYSA-N benzyl chloroformate Chemical compound ClC(=O)OCC1=CC=CC=C1 HSDAJNMJOMSNEV-UHFFFAOYSA-N 0.000 description 1
- 229960000516 bezafibrate Drugs 0.000 description 1
- IIBYAHWJQTYFKB-UHFFFAOYSA-N bezafibrate Chemical compound C1=CC(OC(C)(C)C(O)=O)=CC=C1CCNC(=O)C1=CC=C(Cl)C=C1 IIBYAHWJQTYFKB-UHFFFAOYSA-N 0.000 description 1
- 229920000080 bile acid sequestrant Polymers 0.000 description 1
- 239000011230 binding agent Substances 0.000 description 1
- 230000000903 blocking effect Effects 0.000 description 1
- 210000001772 blood platelet Anatomy 0.000 description 1
- 230000024279 bone resorption Effects 0.000 description 1
- 210000004556 brain Anatomy 0.000 description 1
- 210000000481 breast Anatomy 0.000 description 1
- 125000004063 butyryl group Chemical group O=C([*])C([H])([H])C([H])([H])C([H])([H])[H] 0.000 description 1
- 239000006227 byproduct Substances 0.000 description 1
- 125000003739 carbamimidoyl group Chemical group C(N)(=N)* 0.000 description 1
- 125000001589 carboacyl group Chemical group 0.000 description 1
- 229910052799 carbon Inorganic materials 0.000 description 1
- 125000003178 carboxy group Chemical group [H]OC(*)=O 0.000 description 1
- 150000007942 carboxylates Chemical class 0.000 description 1
- 150000001732 carboxylic acid derivatives Chemical class 0.000 description 1
- 230000000747 cardiac effect Effects 0.000 description 1
- 210000004413 cardiac myocyte Anatomy 0.000 description 1
- 239000000969 carrier Substances 0.000 description 1
- 238000004113 cell culture Methods 0.000 description 1
- 230000024245 cell differentiation Effects 0.000 description 1
- 230000032823 cell division Effects 0.000 description 1
- 230000003915 cell function Effects 0.000 description 1
- 230000036755 cellular response Effects 0.000 description 1
- 210000003169 central nervous system Anatomy 0.000 description 1
- 238000005119 centrifugation Methods 0.000 description 1
- 229960001761 chlorpropamide Drugs 0.000 description 1
- 235000012000 cholesterol Nutrition 0.000 description 1
- 230000001684 chronic effect Effects 0.000 description 1
- 208000037976 chronic inflammation Diseases 0.000 description 1
- 230000006020 chronic inflammation Effects 0.000 description 1
- 229960001265 ciclosporin Drugs 0.000 description 1
- 208000029664 classic familial adenomatous polyposis Diseases 0.000 description 1
- 229960001214 clofibrate Drugs 0.000 description 1
- KNHUKKLJHYUCFP-UHFFFAOYSA-N clofibrate Chemical compound CCOC(=O)C(C)(C)OC1=CC=C(Cl)C=C1 KNHUKKLJHYUCFP-UHFFFAOYSA-N 0.000 description 1
- 238000011260 co-administration Methods 0.000 description 1
- 229960004126 codeine Drugs 0.000 description 1
- OROGSEYTTFOCAN-DNJOTXNNSA-N codeine Natural products C([C@H]1[C@H](N(CC[C@@]112)C)C3)=C[C@H](O)[C@@H]1OC1=C2C3=CC=C1OC OROGSEYTTFOCAN-DNJOTXNNSA-N 0.000 description 1
- 208000029742 colonic neoplasm Diseases 0.000 description 1
- 238000004440 column chromatography Methods 0.000 description 1
- 238000009833 condensation Methods 0.000 description 1
- 230000005494 condensation Effects 0.000 description 1
- 208000010247 contact dermatitis Diseases 0.000 description 1
- 239000003246 corticosteroid Substances 0.000 description 1
- WUESWDIHTKHGQA-UHFFFAOYSA-N cyclohexylurea Chemical compound NC(=O)NC1CCCCC1 WUESWDIHTKHGQA-UHFFFAOYSA-N 0.000 description 1
- 229960004397 cyclophosphamide Drugs 0.000 description 1
- 229930182912 cyclosporin Natural products 0.000 description 1
- 201000003146 cystitis Diseases 0.000 description 1
- 108010057085 cytokine receptors Proteins 0.000 description 1
- 102000003675 cytokine receptors Human genes 0.000 description 1
- 206010061428 decreased appetite Diseases 0.000 description 1
- 230000007547 defect Effects 0.000 description 1
- 230000007812 deficiency Effects 0.000 description 1
- 230000002939 deleterious effect Effects 0.000 description 1
- 230000001419 dependent effect Effects 0.000 description 1
- 230000002074 deregulated effect Effects 0.000 description 1
- 238000001514 detection method Methods 0.000 description 1
- 230000001627 detrimental effect Effects 0.000 description 1
- 125000004985 dialkyl amino alkyl group Chemical group 0.000 description 1
- 125000004663 dialkyl amino group Chemical group 0.000 description 1
- 229960001259 diclofenac Drugs 0.000 description 1
- DCOPUUMXTXDBNB-UHFFFAOYSA-N diclofenac Chemical compound OC(=O)CC1=CC=CC=C1NC1=C(Cl)C=CC=C1Cl DCOPUUMXTXDBNB-UHFFFAOYSA-N 0.000 description 1
- DENRZWYUOJLTMF-UHFFFAOYSA-N diethyl sulfate Chemical compound CCOS(=O)(=O)OCC DENRZWYUOJLTMF-UHFFFAOYSA-N 0.000 description 1
- 229940008406 diethyl sulfate Drugs 0.000 description 1
- HPNMFZURTQLUMO-UHFFFAOYSA-N diethylamine Chemical compound CCNCC HPNMFZURTQLUMO-UHFFFAOYSA-N 0.000 description 1
- 230000004069 differentiation Effects 0.000 description 1
- HUPFGZXOMWLGNK-UHFFFAOYSA-N diflunisal Chemical compound C1=C(O)C(C(=O)O)=CC(C=2C(=CC(F)=CC=2)F)=C1 HUPFGZXOMWLGNK-UHFFFAOYSA-N 0.000 description 1
- 229960000616 diflunisal Drugs 0.000 description 1
- XYYVYLMBEZUESM-UHFFFAOYSA-N dihydrocodeine Natural products C1C(N(CCC234)C)C2C=CC(=O)C3OC2=C4C1=CC=C2OC XYYVYLMBEZUESM-UHFFFAOYSA-N 0.000 description 1
- XYVQDGQXDOETRA-UHFFFAOYSA-N dimethyl 2-[[4-[4-[3-(dimethylamino)-3-oxo-1-pyridin-3-ylprop-1-en-2-yl]phenoxy]phenyl]methyl]propanedioate Chemical compound C1=CC(CC(C(=O)OC)C(=O)OC)=CC=C1OC1=CC=C(C(=CC=2C=NC=CC=2)C(=O)N(C)C)C=C1 XYVQDGQXDOETRA-UHFFFAOYSA-N 0.000 description 1
- BEPAFCGSDWSTEL-UHFFFAOYSA-N dimethyl malonate Chemical compound COC(=O)CC(=O)OC BEPAFCGSDWSTEL-UHFFFAOYSA-N 0.000 description 1
- 229940113088 dimethylacetamide Drugs 0.000 description 1
- 239000008298 dragée Substances 0.000 description 1
- 239000003937 drug carrier Substances 0.000 description 1
- 230000002526 effect on cardiovascular system Effects 0.000 description 1
- 239000000839 emulsion Substances 0.000 description 1
- 206010014599 encephalitis Diseases 0.000 description 1
- 238000001952 enzyme assay Methods 0.000 description 1
- YQGOJNYOYNNSMM-UHFFFAOYSA-N eosin Chemical compound [Na+].OC(=O)C1=CC=CC=C1C1=C2C=C(Br)C(=O)C(Br)=C2OC2=C(Br)C(O)=C(Br)C=C21 YQGOJNYOYNNSMM-UHFFFAOYSA-N 0.000 description 1
- 206010015037 epilepsy Diseases 0.000 description 1
- 231100000321 erythema Toxicity 0.000 description 1
- 235000019441 ethanol Nutrition 0.000 description 1
- 125000003754 ethoxycarbonyl group Chemical group C(=O)(OCC)* 0.000 description 1
- PWDOUGMRFQWZBH-UHFFFAOYSA-N ethyl 3-(4-phenoxyphenyl)prop-2-enoate Chemical compound C1=CC(C=CC(=O)OCC)=CC=C1OC1=CC=CC=C1 PWDOUGMRFQWZBH-UHFFFAOYSA-N 0.000 description 1
- UREBWPXBXRYXRJ-UHFFFAOYSA-N ethyl acetate;methanol Chemical compound OC.CCOC(C)=O UREBWPXBXRYXRJ-UHFFFAOYSA-N 0.000 description 1
- RIFGWPKJUGCATF-UHFFFAOYSA-N ethyl chloroformate Chemical compound CCOC(Cl)=O RIFGWPKJUGCATF-UHFFFAOYSA-N 0.000 description 1
- 125000001495 ethyl group Chemical group [H]C([H])([H])C([H])([H])* 0.000 description 1
- DEFVIWRASFVYLL-UHFFFAOYSA-N ethylene glycol bis(2-aminoethyl)tetraacetic acid Chemical compound OC(=O)CN(CC(O)=O)CCOCCOCCN(CC(O)=O)CC(O)=O DEFVIWRASFVYLL-UHFFFAOYSA-N 0.000 description 1
- 210000003414 extremity Anatomy 0.000 description 1
- 229960004979 fampridine Drugs 0.000 description 1
- 235000013861 fat-free Nutrition 0.000 description 1
- 229960002297 fenofibrate Drugs 0.000 description 1
- YMTINGFKWWXKFG-UHFFFAOYSA-N fenofibrate Chemical compound C1=CC(OC(C)(C)C(=O)OC(C)C)=CC=C1C(=O)C1=CC=C(Cl)C=C1 YMTINGFKWWXKFG-UHFFFAOYSA-N 0.000 description 1
- 210000002950 fibroblast Anatomy 0.000 description 1
- 229940126864 fibroblast growth factor Drugs 0.000 description 1
- 230000003176 fibrotic effect Effects 0.000 description 1
- 239000000945 filler Substances 0.000 description 1
- 239000012065 filter cake Substances 0.000 description 1
- 239000000706 filtrate Substances 0.000 description 1
- 238000001914 filtration Methods 0.000 description 1
- 229960003765 fluvastatin Drugs 0.000 description 1
- 230000006870 function Effects 0.000 description 1
- 230000002496 gastric effect Effects 0.000 description 1
- 210000001156 gastric mucosa Anatomy 0.000 description 1
- 239000000499 gel Substances 0.000 description 1
- 238000001502 gel electrophoresis Methods 0.000 description 1
- 239000008273 gelatin Substances 0.000 description 1
- 229920000159 gelatin Polymers 0.000 description 1
- 235000019322 gelatine Nutrition 0.000 description 1
- 235000011852 gelatine desserts Nutrition 0.000 description 1
- 230000002068 genetic effect Effects 0.000 description 1
- 208000007565 gingivitis Diseases 0.000 description 1
- 229960004580 glibenclamide Drugs 0.000 description 1
- WIGIZIANZCJQQY-RUCARUNLSA-N glimepiride Chemical compound O=C1C(CC)=C(C)CN1C(=O)NCCC1=CC=C(S(=O)(=O)NC(=O)N[C@@H]2CC[C@@H](C)CC2)C=C1 WIGIZIANZCJQQY-RUCARUNLSA-N 0.000 description 1
- 229960004346 glimepiride Drugs 0.000 description 1
- 229960001381 glipizide Drugs 0.000 description 1
- ZJJXGWJIGJFDTL-UHFFFAOYSA-N glipizide Chemical compound C1=NC(C)=CN=C1C(=O)NCCC1=CC=C(S(=O)(=O)NC(=O)NC2CCCCC2)C=C1 ZJJXGWJIGJFDTL-UHFFFAOYSA-N 0.000 description 1
- 239000003862 glucocorticoid Substances 0.000 description 1
- ZNNLBTZKUZBEKO-UHFFFAOYSA-N glyburide Chemical compound COC1=CC=C(Cl)C=C1C(=O)NCCC1=CC=C(S(=O)(=O)NC(=O)NC2CCCCC2)C=C1 ZNNLBTZKUZBEKO-UHFFFAOYSA-N 0.000 description 1
- 125000000350 glycoloyl group Chemical group O=C([*])C([H])([H])O[H] 0.000 description 1
- PCHJSUWPFVWCPO-UHFFFAOYSA-N gold Chemical compound [Au] PCHJSUWPFVWCPO-UHFFFAOYSA-N 0.000 description 1
- 229910052737 gold Inorganic materials 0.000 description 1
- 239000010931 gold Substances 0.000 description 1
- 239000003163 gonadal steroid hormone Substances 0.000 description 1
- 208000024908 graft versus host disease Diseases 0.000 description 1
- 239000003102 growth factor Substances 0.000 description 1
- 239000000122 growth hormone Substances 0.000 description 1
- RQFCJASXJCIDSX-UUOKFMHZSA-N guanosine 5'-monophosphate Chemical compound C1=2NC(N)=NC(=O)C=2N=CN1[C@@H]1O[C@H](COP(O)(O)=O)[C@@H](O)[C@H]1O RQFCJASXJCIDSX-UUOKFMHZSA-N 0.000 description 1
- 235000013928 guanylic acid Nutrition 0.000 description 1
- 125000001188 haloalkyl group Chemical group 0.000 description 1
- 201000010235 heart cancer Diseases 0.000 description 1
- 208000024348 heart neoplasm Diseases 0.000 description 1
- 230000011132 hemopoiesis Effects 0.000 description 1
- 230000002440 hepatic effect Effects 0.000 description 1
- 231100000304 hepatotoxicity Toxicity 0.000 description 1
- 125000004051 hexyl group Chemical group [H]C([H])([H])C([H])([H])C([H])([H])C([H])([H])C([H])([H])C([H])([H])* 0.000 description 1
- 230000003118 histopathologic effect Effects 0.000 description 1
- 230000013632 homeostatic process Effects 0.000 description 1
- 239000008240 homogeneous mixture Substances 0.000 description 1
- 229940088597 hormone Drugs 0.000 description 1
- 239000005556 hormone Substances 0.000 description 1
- 102000057041 human TNF Human genes 0.000 description 1
- 229930195733 hydrocarbon Natural products 0.000 description 1
- LLPOLZWFYMWNKH-CMKMFDCUSA-N hydrocodone Chemical compound C([C@H]1[C@H](N(CC[C@@]112)C)C3)CC(=O)[C@@H]1OC1=C2C3=CC=C1OC LLPOLZWFYMWNKH-CMKMFDCUSA-N 0.000 description 1
- 229960000240 hydrocodone Drugs 0.000 description 1
- 125000004356 hydroxy functional group Chemical group O* 0.000 description 1
- XXSMGPRMXLTPCZ-UHFFFAOYSA-N hydroxychloroquine Chemical compound ClC1=CC=C2C(NC(C)CCCN(CCO)CC)=CC=NC2=C1 XXSMGPRMXLTPCZ-UHFFFAOYSA-N 0.000 description 1
- 229960004171 hydroxychloroquine Drugs 0.000 description 1
- 201000001421 hyperglycemia Diseases 0.000 description 1
- 208000006575 hypertriglyceridemia Diseases 0.000 description 1
- 230000002218 hypoglycaemic effect Effects 0.000 description 1
- 230000004179 hypothalamic–pituitary–adrenal axis Effects 0.000 description 1
- 229960001680 ibuprofen Drugs 0.000 description 1
- 210000002865 immune cell Anatomy 0.000 description 1
- 210000000987 immune system Anatomy 0.000 description 1
- 230000003053 immunization Effects 0.000 description 1
- 238000002649 immunization Methods 0.000 description 1
- 238000003018 immunoassay Methods 0.000 description 1
- 239000003018 immunosuppressive agent Substances 0.000 description 1
- 229940125721 immunosuppressive agent Drugs 0.000 description 1
- 201000001881 impotence Diseases 0.000 description 1
- 230000001976 improved effect Effects 0.000 description 1
- 239000000411 inducer Substances 0.000 description 1
- 230000008595 infiltration Effects 0.000 description 1
- 238000001764 infiltration Methods 0.000 description 1
- 210000004969 inflammatory cell Anatomy 0.000 description 1
- 230000003993 interaction Effects 0.000 description 1
- 229960003130 interferon gamma Drugs 0.000 description 1
- 230000003834 intracellular effect Effects 0.000 description 1
- 230000031146 intracellular signal transduction Effects 0.000 description 1
- 238000007918 intramuscular administration Methods 0.000 description 1
- 238000001990 intravenous administration Methods 0.000 description 1
- 210000004153 islets of langerhan Anatomy 0.000 description 1
- 125000000959 isobutyl group Chemical group [H]C([H])([H])C([H])(C([H])([H])[H])C([H])([H])* 0.000 description 1
- 125000001449 isopropyl group Chemical group [H]C([H])([H])C([H])(*)C([H])([H])[H] 0.000 description 1
- 210000003734 kidney Anatomy 0.000 description 1
- 208000006443 lactic acidosis Diseases 0.000 description 1
- 239000008101 lactose Substances 0.000 description 1
- VHOGYURTWQBHIL-UHFFFAOYSA-N leflunomide Chemical compound O1N=CC(C(=O)NC=2C=CC(=CC=2)C(F)(F)F)=C1C VHOGYURTWQBHIL-UHFFFAOYSA-N 0.000 description 1
- 229960000681 leflunomide Drugs 0.000 description 1
- 230000003902 lesion Effects 0.000 description 1
- 208000032839 leukemia Diseases 0.000 description 1
- 210000000265 leukocyte Anatomy 0.000 description 1
- GDBQQVLCIARPGH-ULQDDVLXSA-N leupeptin Chemical compound CC(C)C[C@H](NC(C)=O)C(=O)N[C@@H](CC(C)C)C(=O)N[C@H](C=O)CCCN=C(N)N GDBQQVLCIARPGH-ULQDDVLXSA-N 0.000 description 1
- 108010052968 leupeptin Proteins 0.000 description 1
- 239000007788 liquid Substances 0.000 description 1
- 230000005976 liver dysfunction Effects 0.000 description 1
- 230000003908 liver function Effects 0.000 description 1
- 230000007056 liver toxicity Effects 0.000 description 1
- 244000144972 livestock Species 0.000 description 1
- PCZOHLXUXFIOCF-BXMDZJJMSA-N lovastatin Chemical compound C([C@H]1[C@@H](C)C=CC2=C[C@H](C)C[C@@H]([C@H]12)OC(=O)[C@@H](C)CC)C[C@@H]1C[C@@H](O)CC(=O)O1 PCZOHLXUXFIOCF-BXMDZJJMSA-N 0.000 description 1
- 229960004844 lovastatin Drugs 0.000 description 1
- QLJODMDSTUBWDW-UHFFFAOYSA-N lovastatin hydroxy acid Natural products C1=CC(C)C(CCC(O)CC(O)CC(O)=O)C2C(OC(=O)C(C)CC)CC(C)C=C21 QLJODMDSTUBWDW-UHFFFAOYSA-N 0.000 description 1
- 210000004072 lung Anatomy 0.000 description 1
- 206010025135 lupus erythematosus Diseases 0.000 description 1
- 239000008176 lyophilized powder Substances 0.000 description 1
- 235000019359 magnesium stearate Nutrition 0.000 description 1
- 229910052943 magnesium sulfate Inorganic materials 0.000 description 1
- 238000012423 maintenance Methods 0.000 description 1
- 229960001810 meprednisone Drugs 0.000 description 1
- PIDANAQULIKBQS-RNUIGHNZSA-N meprednisone Chemical compound C1CC2=CC(=O)C=C[C@]2(C)[C@@H]2[C@@H]1[C@@H]1C[C@H](C)[C@@](C(=O)CO)(O)[C@@]1(C)CC2=O PIDANAQULIKBQS-RNUIGHNZSA-N 0.000 description 1
- 208000030159 metabolic disease Diseases 0.000 description 1
- 210000001872 metatarsal bone Anatomy 0.000 description 1
- 125000000956 methoxy group Chemical group [H]C([H])([H])O* 0.000 description 1
- 125000001160 methoxycarbonyl group Chemical group [H]C([H])([H])OC(*)=O 0.000 description 1
- IVAQJHSXBVHUQT-ZVHZXABRSA-N methyl (e)-3-(3,5-dimethoxyphenyl)-2-[4-[4-[(2,4-dioxo-1,3-thiazolidin-5-yl)methyl]phenoxy]phenyl]prop-2-enoate Chemical compound C=1C=C(OC=2C=CC(CC3C(NC(=O)S3)=O)=CC=2)C=CC=1/C(C(=O)OC)=C\C1=CC(OC)=CC(OC)=C1 IVAQJHSXBVHUQT-ZVHZXABRSA-N 0.000 description 1
- WQMWNOCCXSPGBT-UHFFFAOYSA-N methyl 2-[4-[4-(bromomethyl)phenoxy]phenyl]-3-(3,5-dimethoxyphenyl)prop-2-enoate Chemical compound C=1C=C(OC=2C=CC(CBr)=CC=2)C=CC=1C(C(=O)OC)=CC1=CC(OC)=CC(OC)=C1 WQMWNOCCXSPGBT-UHFFFAOYSA-N 0.000 description 1
- BUHGHAVLMFUPIZ-UHFFFAOYSA-N methyl 3-(3,5-dimethoxyphenyl)-2-[4-[4-(hydroxymethyl)phenoxy]phenyl]prop-2-enoate Chemical compound C=1C=C(OC=2C=CC(CO)=CC=2)C=CC=1C(C(=O)OC)=CC1=CC(OC)=CC(OC)=C1 BUHGHAVLMFUPIZ-UHFFFAOYSA-N 0.000 description 1
- RPKULGMIPIVNLD-UHFFFAOYSA-N methyl 3-(4-phenoxyphenyl)propanoate Chemical compound C1=CC(CCC(=O)OC)=CC=C1OC1=CC=CC=C1 RPKULGMIPIVNLD-UHFFFAOYSA-N 0.000 description 1
- 150000004702 methyl esters Chemical class 0.000 description 1
- 125000002496 methyl group Chemical group [H]C([H])([H])* 0.000 description 1
- 229960001110 miglitol Drugs 0.000 description 1
- 230000005012 migration Effects 0.000 description 1
- 238000013508 migration Methods 0.000 description 1
- 235000013336 milk Nutrition 0.000 description 1
- 239000008267 milk Substances 0.000 description 1
- 210000004080 milk Anatomy 0.000 description 1
- 239000002480 mineral oil Substances 0.000 description 1
- 235000010446 mineral oil Nutrition 0.000 description 1
- 230000004048 modification Effects 0.000 description 1
- 238000012986 modification Methods 0.000 description 1
- 229960005181 morphine Drugs 0.000 description 1
- 208000001725 mucocutaneous lymph node syndrome Diseases 0.000 description 1
- 208000029766 myalgic encephalomeyelitis/chronic fatigue syndrome Diseases 0.000 description 1
- KFPPLANUXRNYJT-UHFFFAOYSA-N n-[[4-(3,4-dimethoxyphenoxy)phenyl]methylcarbamoyl]acetamide Chemical compound C1=C(OC)C(OC)=CC=C1OC1=CC=C(CNC(=O)NC(C)=O)C=C1 KFPPLANUXRNYJT-UHFFFAOYSA-N 0.000 description 1
- 125000004370 n-butenyl group Chemical group [H]\C([H])=C(/[H])C([H])([H])C([H])([H])* 0.000 description 1
- 125000004108 n-butyl group Chemical group [H]C([H])([H])C([H])([H])C([H])([H])C([H])([H])* 0.000 description 1
- RXBJDENDZKQEIR-UHFFFAOYSA-N n-carbamoyl-3-[4-(4-methoxyphenoxy)phenyl]prop-2-enamide Chemical compound C1=CC(OC)=CC=C1OC1=CC=C(C=CC(=O)NC(N)=O)C=C1 RXBJDENDZKQEIR-UHFFFAOYSA-N 0.000 description 1
- 125000004123 n-propyl group Chemical group [H]C([H])([H])C([H])([H])C([H])([H])* 0.000 description 1
- 229960002009 naproxen Drugs 0.000 description 1
- CMWTZPSULFXXJA-VIFPVBQESA-N naproxen Chemical compound C1=C([C@H](C)C(O)=O)C=CC2=CC(OC)=CC=C21 CMWTZPSULFXXJA-VIFPVBQESA-N 0.000 description 1
- 239000004081 narcotic agent Substances 0.000 description 1
- OELFLUMRDSZNSF-BRWVUGGUSA-N nateglinide Chemical compound C1C[C@@H](C(C)C)CC[C@@H]1C(=O)N[C@@H](C(O)=O)CC1=CC=CC=C1 OELFLUMRDSZNSF-BRWVUGGUSA-N 0.000 description 1
- 229960000698 nateglinide Drugs 0.000 description 1
- 239000013642 negative control Substances 0.000 description 1
- 230000018791 negative regulation of catalytic activity Effects 0.000 description 1
- 125000001971 neopentyl group Chemical group [H]C([*])([H])C(C([H])([H])[H])(C([H])([H])[H])C([H])([H])[H] 0.000 description 1
- 229910052759 nickel Inorganic materials 0.000 description 1
- 125000004433 nitrogen atom Chemical group N* 0.000 description 1
- 239000012740 non-selective inhibitor Substances 0.000 description 1
- 231100000252 nontoxic Toxicity 0.000 description 1
- 230000003000 nontoxic effect Effects 0.000 description 1
- 108010028584 nucleotidase Proteins 0.000 description 1
- 125000003261 o-tolyl group Chemical group [H]C1=C([H])C(*)=C(C([H])=C1[H])C([H])([H])[H] 0.000 description 1
- 239000003921 oil Substances 0.000 description 1
- 235000019198 oils Nutrition 0.000 description 1
- 239000003538 oral antidiabetic agent Substances 0.000 description 1
- 229940127209 oral hypoglycaemic agent Drugs 0.000 description 1
- 125000004043 oxo group Chemical group O=* 0.000 description 1
- 229940094443 oxytocics prostaglandins Drugs 0.000 description 1
- 108010068338 p38 Mitogen-Activated Protein Kinases Proteins 0.000 description 1
- 210000000496 pancreas Anatomy 0.000 description 1
- 244000052769 pathogen Species 0.000 description 1
- 230000001575 pathological effect Effects 0.000 description 1
- 230000007170 pathology Effects 0.000 description 1
- 125000001147 pentyl group Chemical group C(CCCC)* 0.000 description 1
- 239000000813 peptide hormone Substances 0.000 description 1
- 108091008725 peroxisome proliferator-activated receptors alpha Proteins 0.000 description 1
- 239000000546 pharmaceutical excipient Substances 0.000 description 1
- 125000001997 phenyl group Chemical group [H]C1=C([H])C([H])=C(*)C([H])=C1[H] 0.000 description 1
- 239000002587 phosphodiesterase IV inhibitor Substances 0.000 description 1
- IPNPIHIZVLFAFP-UHFFFAOYSA-N phosphorus tribromide Chemical compound BrP(Br)Br IPNPIHIZVLFAFP-UHFFFAOYSA-N 0.000 description 1
- 230000000865 phosphorylative effect Effects 0.000 description 1
- DCWXELXMIBXGTH-UHFFFAOYSA-N phosphotyrosine Chemical compound OC(=O)C(N)CC1=CC=C(OP(O)(O)=O)C=C1 DCWXELXMIBXGTH-UHFFFAOYSA-N 0.000 description 1
- 229940081310 piperonal Drugs 0.000 description 1
- 230000036178 pleiotropy Effects 0.000 description 1
- 229920002401 polyacrylamide Polymers 0.000 description 1
- 229920001515 polyalkylene glycol Polymers 0.000 description 1
- 229920000136 polysorbate Polymers 0.000 description 1
- 229920002223 polystyrene Polymers 0.000 description 1
- 208000007232 portal hypertension Diseases 0.000 description 1
- 230000000291 postprandial effect Effects 0.000 description 1
- LPNYRYFBWFDTMA-UHFFFAOYSA-N potassium tert-butoxide Chemical compound [K+].CC(C)(C)[O-] LPNYRYFBWFDTMA-UHFFFAOYSA-N 0.000 description 1
- 229940124606 potential therapeutic agent Drugs 0.000 description 1
- 229960002965 pravastatin Drugs 0.000 description 1
- TUZYXOIXSAXUGO-PZAWKZKUSA-N pravastatin Chemical compound C1=C[C@H](C)[C@H](CC[C@@H](O)C[C@@H](O)CC(O)=O)[C@H]2[C@@H](OC(=O)[C@@H](C)CC)C[C@H](O)C=C21 TUZYXOIXSAXUGO-PZAWKZKUSA-N 0.000 description 1
- 229960004618 prednisone Drugs 0.000 description 1
- XOFYZVNMUHMLCC-ZPOLXVRWSA-N prednisone Chemical compound O=C1C=C[C@]2(C)[C@H]3C(=O)C[C@](C)([C@@](CC4)(O)C(=O)CO)[C@@H]4[C@@H]3CCC2=C1 XOFYZVNMUHMLCC-ZPOLXVRWSA-N 0.000 description 1
- 238000002360 preparation method Methods 0.000 description 1
- 125000002924 primary amino group Chemical group [H]N([H])* 0.000 description 1
- FYPMFJGVHOHGLL-UHFFFAOYSA-N probucol Chemical compound C=1C(C(C)(C)C)=C(O)C(C(C)(C)C)=CC=1SC(C)(C)SC1=CC(C(C)(C)C)=C(O)C(C(C)(C)C)=C1 FYPMFJGVHOHGLL-UHFFFAOYSA-N 0.000 description 1
- 229960003912 probucol Drugs 0.000 description 1
- 230000000750 progressive effect Effects 0.000 description 1
- 230000001737 promoting effect Effects 0.000 description 1
- 125000004368 propenyl group Chemical group C(=CC)* 0.000 description 1
- 125000001501 propionyl group Chemical group O=C([*])C([H])([H])C([H])([H])[H] 0.000 description 1
- 125000001436 propyl group Chemical group [H]C([*])([H])C([H])([H])C([H])([H])[H] 0.000 description 1
- 208000005333 pulmonary edema Diseases 0.000 description 1
- 201000003651 pulmonary sarcoidosis Diseases 0.000 description 1
- 238000000746 purification Methods 0.000 description 1
- 239000002510 pyrogen Substances 0.000 description 1
- 238000009790 rate-determining step (RDS) Methods 0.000 description 1
- 230000001105 regulatory effect Effects 0.000 description 1
- 230000008085 renal dysfunction Effects 0.000 description 1
- 229960002354 repaglinide Drugs 0.000 description 1
- 239000011347 resin Substances 0.000 description 1
- 229920005989 resin Polymers 0.000 description 1
- 230000004044 response Effects 0.000 description 1
- 230000008458 response to injury Effects 0.000 description 1
- 208000037803 restenosis Diseases 0.000 description 1
- 238000003345 scintillation counting Methods 0.000 description 1
- 125000002914 sec-butyl group Chemical group [H]C([H])([H])C([H])([H])C([H])(*)C([H])([H])[H] 0.000 description 1
- DUIOPKIIICUYRZ-UHFFFAOYSA-N semicarbazide Chemical compound NNC(N)=O DUIOPKIIICUYRZ-UHFFFAOYSA-N 0.000 description 1
- 239000000741 silica gel Substances 0.000 description 1
- 229910002027 silica gel Inorganic materials 0.000 description 1
- 229960002855 simvastatin Drugs 0.000 description 1
- RYMZZMVNJRMUDD-HGQWONQESA-N simvastatin Chemical compound C([C@H]1[C@@H](C)C=CC2=C[C@H](C)C[C@@H]([C@H]12)OC(=O)C(C)(C)CC)C[C@@H]1C[C@@H](O)CC(=O)O1 RYMZZMVNJRMUDD-HGQWONQESA-N 0.000 description 1
- 239000003998 snake venom Substances 0.000 description 1
- 229910000033 sodium borohydride Inorganic materials 0.000 description 1
- 239000012279 sodium borohydride Substances 0.000 description 1
- FQENQNTWSFEDLI-UHFFFAOYSA-J sodium diphosphate Chemical compound [Na+].[Na+].[Na+].[Na+].[O-]P([O-])(=O)OP([O-])([O-])=O FQENQNTWSFEDLI-UHFFFAOYSA-J 0.000 description 1
- 229940048086 sodium pyrophosphate Drugs 0.000 description 1
- 210000004872 soft tissue Anatomy 0.000 description 1
- 239000007858 starting material Substances 0.000 description 1
- 238000007619 statistical method Methods 0.000 description 1
- 230000000707 stereoselective effect Effects 0.000 description 1
- 238000007920 subcutaneous administration Methods 0.000 description 1
- 238000006467 substitution reaction Methods 0.000 description 1
- NCEXYHBECQHGNR-QZQOTICOSA-N sulfasalazine Chemical compound C1=C(O)C(C(=O)O)=CC(\N=N\C=2C=CC(=CC=2)S(=O)(=O)NC=2N=CC=CC=2)=C1 NCEXYHBECQHGNR-QZQOTICOSA-N 0.000 description 1
- 229960001940 sulfasalazine Drugs 0.000 description 1
- NCEXYHBECQHGNR-UHFFFAOYSA-N sulfasalazine Natural products C1=C(O)C(C(=O)O)=CC(N=NC=2C=CC(=CC=2)S(=O)(=O)NC=2N=CC=CC=2)=C1 NCEXYHBECQHGNR-UHFFFAOYSA-N 0.000 description 1
- 231100000617 superantigen Toxicity 0.000 description 1
- 239000000829 suppository Substances 0.000 description 1
- 238000001356 surgical procedure Methods 0.000 description 1
- 208000011580 syndromic disease Diseases 0.000 description 1
- 210000001258 synovial membrane Anatomy 0.000 description 1
- 210000002437 synoviocyte Anatomy 0.000 description 1
- 229940037128 systemic glucocorticoids Drugs 0.000 description 1
- 229960001967 tacrolimus Drugs 0.000 description 1
- QJJXYPPXXYFBGM-SHYZHZOCSA-N tacrolimus Natural products CO[C@H]1C[C@H](CC[C@@H]1O)C=C(C)[C@H]2OC(=O)[C@H]3CCCCN3C(=O)C(=O)[C@@]4(O)O[C@@H]([C@H](C[C@H]4C)OC)[C@@H](C[C@H](C)CC(=C[C@@H](CC=C)C(=O)C[C@H](O)[C@H]2C)C)OC QJJXYPPXXYFBGM-SHYZHZOCSA-N 0.000 description 1
- 239000000454 talc Substances 0.000 description 1
- 229910052623 talc Inorganic materials 0.000 description 1
- 235000012222 talc Nutrition 0.000 description 1
- 230000002123 temporal effect Effects 0.000 description 1
- 125000000999 tert-butyl group Chemical group [H]C([H])([H])C(*)(C([H])([H])[H])C([H])([H])[H] 0.000 description 1
- 235000019818 tetrasodium diphosphate Nutrition 0.000 description 1
- 239000001577 tetrasodium phosphonato phosphate Substances 0.000 description 1
- 230000001225 therapeutic effect Effects 0.000 description 1
- 238000002560 therapeutic procedure Methods 0.000 description 1
- 230000004797 therapeutic response Effects 0.000 description 1
- 229960005371 tolbutamide Drugs 0.000 description 1
- 230000000699 topical effect Effects 0.000 description 1
- 229960004380 tramadol Drugs 0.000 description 1
- TVYLLZQTGLZFBW-GOEBONIOSA-N tramadol Natural products COC1=CC=CC([C@@]2(O)[C@@H](CCCC2)CN(C)C)=C1 TVYLLZQTGLZFBW-GOEBONIOSA-N 0.000 description 1
- LLPOLZWFYMWNKH-UHFFFAOYSA-N trans-dihydrocodeinone Natural products C1C(N(CCC234)C)C2CCC(=O)C3OC2=C4C1=CC=C2OC LLPOLZWFYMWNKH-UHFFFAOYSA-N 0.000 description 1
- 125000004044 trifluoroacetyl group Chemical group FC(C(=O)*)(F)F 0.000 description 1
- IHIXIJGXTJIKRB-UHFFFAOYSA-N trisodium vanadate Chemical compound [Na+].[Na+].[Na+].[O-][V]([O-])([O-])=O IHIXIJGXTJIKRB-UHFFFAOYSA-N 0.000 description 1
- GPRLSGONYQIRFK-MNYXATJNSA-N triton Chemical compound [3H+] GPRLSGONYQIRFK-MNYXATJNSA-N 0.000 description 1
- GXPHKUHSUJUWKP-UHFFFAOYSA-N troglitazone Chemical compound C1CC=2C(C)=C(O)C(C)=C(C)C=2OC1(C)COC(C=C1)=CC=C1CC1SC(=O)NC1=O GXPHKUHSUJUWKP-UHFFFAOYSA-N 0.000 description 1
- 201000008827 tuberculosis Diseases 0.000 description 1
- 229940046728 tumor necrosis factor alpha inhibitor Drugs 0.000 description 1
- 239000002452 tumor necrosis factor alpha inhibitor Substances 0.000 description 1
- 102000003298 tumor necrosis factor receptor Human genes 0.000 description 1
- 201000005112 urinary bladder cancer Diseases 0.000 description 1
- 125000003774 valeryl group Chemical group O=C([*])C([H])([H])C([H])([H])C([H])([H])C([H])([H])[H] 0.000 description 1
- 230000002792 vascular Effects 0.000 description 1
- 210000004509 vascular smooth muscle cell Anatomy 0.000 description 1
- 229960003726 vasopressin Drugs 0.000 description 1
- 235000015112 vegetable and seed oil Nutrition 0.000 description 1
- 239000008158 vegetable oil Substances 0.000 description 1
- 125000000391 vinyl group Chemical group [H]C([*])=C([H])[H] 0.000 description 1
- 229960001729 voglibose Drugs 0.000 description 1
- 230000004584 weight gain Effects 0.000 description 1
- 235000019786 weight gain Nutrition 0.000 description 1
- 229910052725 zinc Inorganic materials 0.000 description 1
- 239000011701 zinc Substances 0.000 description 1
Images
Classifications
-
- C—CHEMISTRY; METALLURGY
- C07—ORGANIC CHEMISTRY
- C07C—ACYCLIC OR CARBOCYCLIC COMPOUNDS
- C07C233/00—Carboxylic acid amides
- C07C233/90—Carboxylic acid amides having nitrogen atoms of carboxamide groups further acylated
-
- C—CHEMISTRY; METALLURGY
- C07—ORGANIC CHEMISTRY
- C07C—ACYCLIC OR CARBOCYCLIC COMPOUNDS
- C07C233/00—Carboxylic acid amides
- C07C233/01—Carboxylic acid amides having carbon atoms of carboxamide groups bound to hydrogen atoms or to acyclic carbon atoms
- C07C233/16—Carboxylic acid amides having carbon atoms of carboxamide groups bound to hydrogen atoms or to acyclic carbon atoms having the nitrogen atom of at least one of the carboxamide groups bound to a carbon atom of a hydrocarbon radical substituted by singly-bound oxygen atoms
- C07C233/24—Carboxylic acid amides having carbon atoms of carboxamide groups bound to hydrogen atoms or to acyclic carbon atoms having the nitrogen atom of at least one of the carboxamide groups bound to a carbon atom of a hydrocarbon radical substituted by singly-bound oxygen atoms with the substituted hydrocarbon radical bound to the nitrogen atom of the carboxamide group by a carbon atom of a six-membered aromatic ring
- C07C233/25—Carboxylic acid amides having carbon atoms of carboxamide groups bound to hydrogen atoms or to acyclic carbon atoms having the nitrogen atom of at least one of the carboxamide groups bound to a carbon atom of a hydrocarbon radical substituted by singly-bound oxygen atoms with the substituted hydrocarbon radical bound to the nitrogen atom of the carboxamide group by a carbon atom of a six-membered aromatic ring having the carbon atom of the carboxamide group bound to a hydrogen atom or to a carbon atom of an acyclic saturated carbon skeleton
-
- A—HUMAN NECESSITIES
- A61—MEDICAL OR VETERINARY SCIENCE; HYGIENE
- A61K—PREPARATIONS FOR MEDICAL, DENTAL OR TOILETRY PURPOSES
- A61K31/00—Medicinal preparations containing organic active ingredients
- A61K31/16—Amides, e.g. hydroxamic acids
- A61K31/165—Amides, e.g. hydroxamic acids having aromatic rings, e.g. colchicine, atenolol, progabide
-
- A—HUMAN NECESSITIES
- A61—MEDICAL OR VETERINARY SCIENCE; HYGIENE
- A61P—SPECIFIC THERAPEUTIC ACTIVITY OF CHEMICAL COMPOUNDS OR MEDICINAL PREPARATIONS
- A61P11/00—Drugs for disorders of the respiratory system
-
- A—HUMAN NECESSITIES
- A61—MEDICAL OR VETERINARY SCIENCE; HYGIENE
- A61P—SPECIFIC THERAPEUTIC ACTIVITY OF CHEMICAL COMPOUNDS OR MEDICINAL PREPARATIONS
- A61P11/00—Drugs for disorders of the respiratory system
- A61P11/06—Antiasthmatics
-
- A—HUMAN NECESSITIES
- A61—MEDICAL OR VETERINARY SCIENCE; HYGIENE
- A61P—SPECIFIC THERAPEUTIC ACTIVITY OF CHEMICAL COMPOUNDS OR MEDICINAL PREPARATIONS
- A61P17/00—Drugs for dermatological disorders
- A61P17/06—Antipsoriatics
-
- A—HUMAN NECESSITIES
- A61—MEDICAL OR VETERINARY SCIENCE; HYGIENE
- A61P—SPECIFIC THERAPEUTIC ACTIVITY OF CHEMICAL COMPOUNDS OR MEDICINAL PREPARATIONS
- A61P19/00—Drugs for skeletal disorders
- A61P19/02—Drugs for skeletal disorders for joint disorders, e.g. arthritis, arthrosis
-
- A—HUMAN NECESSITIES
- A61—MEDICAL OR VETERINARY SCIENCE; HYGIENE
- A61P—SPECIFIC THERAPEUTIC ACTIVITY OF CHEMICAL COMPOUNDS OR MEDICINAL PREPARATIONS
- A61P29/00—Non-central analgesic, antipyretic or antiinflammatory agents, e.g. antirheumatic agents; Non-steroidal antiinflammatory drugs [NSAID]
-
- A—HUMAN NECESSITIES
- A61—MEDICAL OR VETERINARY SCIENCE; HYGIENE
- A61P—SPECIFIC THERAPEUTIC ACTIVITY OF CHEMICAL COMPOUNDS OR MEDICINAL PREPARATIONS
- A61P3/00—Drugs for disorders of the metabolism
- A61P3/06—Antihyperlipidemics
-
- A—HUMAN NECESSITIES
- A61—MEDICAL OR VETERINARY SCIENCE; HYGIENE
- A61P—SPECIFIC THERAPEUTIC ACTIVITY OF CHEMICAL COMPOUNDS OR MEDICINAL PREPARATIONS
- A61P3/00—Drugs for disorders of the metabolism
- A61P3/08—Drugs for disorders of the metabolism for glucose homeostasis
- A61P3/10—Drugs for disorders of the metabolism for glucose homeostasis for hyperglycaemia, e.g. antidiabetics
-
- A—HUMAN NECESSITIES
- A61—MEDICAL OR VETERINARY SCIENCE; HYGIENE
- A61P—SPECIFIC THERAPEUTIC ACTIVITY OF CHEMICAL COMPOUNDS OR MEDICINAL PREPARATIONS
- A61P35/00—Antineoplastic agents
-
- A—HUMAN NECESSITIES
- A61—MEDICAL OR VETERINARY SCIENCE; HYGIENE
- A61P—SPECIFIC THERAPEUTIC ACTIVITY OF CHEMICAL COMPOUNDS OR MEDICINAL PREPARATIONS
- A61P43/00—Drugs for specific purposes, not provided for in groups A61P1/00-A61P41/00
-
- A—HUMAN NECESSITIES
- A61—MEDICAL OR VETERINARY SCIENCE; HYGIENE
- A61P—SPECIFIC THERAPEUTIC ACTIVITY OF CHEMICAL COMPOUNDS OR MEDICINAL PREPARATIONS
- A61P5/00—Drugs for disorders of the endocrine system
- A61P5/48—Drugs for disorders of the endocrine system of the pancreatic hormones
- A61P5/50—Drugs for disorders of the endocrine system of the pancreatic hormones for increasing or potentiating the activity of insulin
-
- A—HUMAN NECESSITIES
- A61—MEDICAL OR VETERINARY SCIENCE; HYGIENE
- A61P—SPECIFIC THERAPEUTIC ACTIVITY OF CHEMICAL COMPOUNDS OR MEDICINAL PREPARATIONS
- A61P9/00—Drugs for disorders of the cardiovascular system
-
- A—HUMAN NECESSITIES
- A61—MEDICAL OR VETERINARY SCIENCE; HYGIENE
- A61P—SPECIFIC THERAPEUTIC ACTIVITY OF CHEMICAL COMPOUNDS OR MEDICINAL PREPARATIONS
- A61P9/00—Drugs for disorders of the cardiovascular system
- A61P9/06—Antiarrhythmics
-
- A—HUMAN NECESSITIES
- A61—MEDICAL OR VETERINARY SCIENCE; HYGIENE
- A61P—SPECIFIC THERAPEUTIC ACTIVITY OF CHEMICAL COMPOUNDS OR MEDICINAL PREPARATIONS
- A61P9/00—Drugs for disorders of the cardiovascular system
- A61P9/12—Antihypertensives
-
- C—CHEMISTRY; METALLURGY
- C07—ORGANIC CHEMISTRY
- C07C—ACYCLIC OR CARBOCYCLIC COMPOUNDS
- C07C233/00—Carboxylic acid amides
- C07C233/01—Carboxylic acid amides having carbon atoms of carboxamide groups bound to hydrogen atoms or to acyclic carbon atoms
- C07C233/16—Carboxylic acid amides having carbon atoms of carboxamide groups bound to hydrogen atoms or to acyclic carbon atoms having the nitrogen atom of at least one of the carboxamide groups bound to a carbon atom of a hydrocarbon radical substituted by singly-bound oxygen atoms
- C07C233/17—Carboxylic acid amides having carbon atoms of carboxamide groups bound to hydrogen atoms or to acyclic carbon atoms having the nitrogen atom of at least one of the carboxamide groups bound to a carbon atom of a hydrocarbon radical substituted by singly-bound oxygen atoms with the substituted hydrocarbon radical bound to the nitrogen atom of the carboxamide group by an acyclic carbon atom
- C07C233/18—Carboxylic acid amides having carbon atoms of carboxamide groups bound to hydrogen atoms or to acyclic carbon atoms having the nitrogen atom of at least one of the carboxamide groups bound to a carbon atom of a hydrocarbon radical substituted by singly-bound oxygen atoms with the substituted hydrocarbon radical bound to the nitrogen atom of the carboxamide group by an acyclic carbon atom having the carbon atom of the carboxamide group bound to a hydrogen atom or to a carbon atom of an acyclic saturated carbon skeleton
-
- C—CHEMISTRY; METALLURGY
- C07—ORGANIC CHEMISTRY
- C07C—ACYCLIC OR CARBOCYCLIC COMPOUNDS
- C07C235/00—Carboxylic acid amides, the carbon skeleton of the acid part being further substituted by oxygen atoms
- C07C235/02—Carboxylic acid amides, the carbon skeleton of the acid part being further substituted by oxygen atoms having carbon atoms of carboxamide groups bound to acyclic carbon atoms and singly-bound oxygen atoms bound to the same carbon skeleton
- C07C235/32—Carboxylic acid amides, the carbon skeleton of the acid part being further substituted by oxygen atoms having carbon atoms of carboxamide groups bound to acyclic carbon atoms and singly-bound oxygen atoms bound to the same carbon skeleton the carbon skeleton containing six-membered aromatic rings
- C07C235/34—Carboxylic acid amides, the carbon skeleton of the acid part being further substituted by oxygen atoms having carbon atoms of carboxamide groups bound to acyclic carbon atoms and singly-bound oxygen atoms bound to the same carbon skeleton the carbon skeleton containing six-membered aromatic rings having the nitrogen atoms of the carboxamide groups bound to hydrogen atoms or to acyclic carbon atoms
-
- C—CHEMISTRY; METALLURGY
- C07—ORGANIC CHEMISTRY
- C07C—ACYCLIC OR CARBOCYCLIC COMPOUNDS
- C07C235/00—Carboxylic acid amides, the carbon skeleton of the acid part being further substituted by oxygen atoms
- C07C235/42—Carboxylic acid amides, the carbon skeleton of the acid part being further substituted by oxygen atoms having carbon atoms of carboxamide groups bound to carbon atoms of six-membered aromatic rings and singly-bound oxygen atoms bound to the same carbon skeleton
- C07C235/44—Carboxylic acid amides, the carbon skeleton of the acid part being further substituted by oxygen atoms having carbon atoms of carboxamide groups bound to carbon atoms of six-membered aromatic rings and singly-bound oxygen atoms bound to the same carbon skeleton with carbon atoms of carboxamide groups and singly-bound oxygen atoms bound to carbon atoms of the same non-condensed six-membered aromatic ring
- C07C235/56—Carboxylic acid amides, the carbon skeleton of the acid part being further substituted by oxygen atoms having carbon atoms of carboxamide groups bound to carbon atoms of six-membered aromatic rings and singly-bound oxygen atoms bound to the same carbon skeleton with carbon atoms of carboxamide groups and singly-bound oxygen atoms bound to carbon atoms of the same non-condensed six-membered aromatic ring having the nitrogen atom of at least one of the carboxamide groups bound to a carbon atom of a six-membered aromatic ring
-
- C—CHEMISTRY; METALLURGY
- C07—ORGANIC CHEMISTRY
- C07C—ACYCLIC OR CARBOCYCLIC COMPOUNDS
- C07C237/00—Carboxylic acid amides, the carbon skeleton of the acid part being further substituted by amino groups
- C07C237/02—Carboxylic acid amides, the carbon skeleton of the acid part being further substituted by amino groups having the carbon atoms of the carboxamide groups bound to acyclic carbon atoms of the carbon skeleton
- C07C237/22—Carboxylic acid amides, the carbon skeleton of the acid part being further substituted by amino groups having the carbon atoms of the carboxamide groups bound to acyclic carbon atoms of the carbon skeleton having nitrogen atoms of amino groups bound to the carbon skeleton of the acid part, further acylated
-
- C—CHEMISTRY; METALLURGY
- C07—ORGANIC CHEMISTRY
- C07C—ACYCLIC OR CARBOCYCLIC COMPOUNDS
- C07C271/00—Derivatives of carbamic acids, i.e. compounds containing any of the groups, the nitrogen atom not being part of nitro or nitroso groups
- C07C271/06—Esters of carbamic acids
- C07C271/08—Esters of carbamic acids having oxygen atoms of carbamate groups bound to acyclic carbon atoms
- C07C271/10—Esters of carbamic acids having oxygen atoms of carbamate groups bound to acyclic carbon atoms with the nitrogen atoms of the carbamate groups bound to hydrogen atoms or to acyclic carbon atoms
- C07C271/16—Esters of carbamic acids having oxygen atoms of carbamate groups bound to acyclic carbon atoms with the nitrogen atoms of the carbamate groups bound to hydrogen atoms or to acyclic carbon atoms to carbon atoms of hydrocarbon radicals substituted by singly-bound oxygen atoms
-
- C—CHEMISTRY; METALLURGY
- C07—ORGANIC CHEMISTRY
- C07C—ACYCLIC OR CARBOCYCLIC COMPOUNDS
- C07C271/00—Derivatives of carbamic acids, i.e. compounds containing any of the groups, the nitrogen atom not being part of nitro or nitroso groups
- C07C271/62—Compounds containing any of the groups, X being a hetero atom, Y being any atom, e.g. N-acylcarbamates
- C07C271/64—Y being a hydrogen or a carbon atom, e.g. benzoylcarbamates
-
- C—CHEMISTRY; METALLURGY
- C07—ORGANIC CHEMISTRY
- C07C—ACYCLIC OR CARBOCYCLIC COMPOUNDS
- C07C275/00—Derivatives of urea, i.e. compounds containing any of the groups, the nitrogen atoms not being part of nitro or nitroso groups
- C07C275/46—Derivatives of urea, i.e. compounds containing any of the groups, the nitrogen atoms not being part of nitro or nitroso groups containing any of the groups, X being a hetero atom, Y being any atom, e.g. acylureas
- C07C275/48—Y being a hydrogen or a carbon atom
- C07C275/50—Y being a hydrogen or an acyclic carbon atom
-
- C—CHEMISTRY; METALLURGY
- C07—ORGANIC CHEMISTRY
- C07C—ACYCLIC OR CARBOCYCLIC COMPOUNDS
- C07C281/00—Derivatives of carbonic acid containing functional groups covered by groups C07C269/00 - C07C279/00 in which at least one nitrogen atom of these functional groups is further bound to another nitrogen atom not being part of a nitro or nitroso group
- C07C281/06—Compounds containing any of the groups, e.g. semicarbazides
-
- C—CHEMISTRY; METALLURGY
- C07—ORGANIC CHEMISTRY
- C07C—ACYCLIC OR CARBOCYCLIC COMPOUNDS
- C07C317/00—Sulfones; Sulfoxides
- C07C317/16—Sulfones; Sulfoxides having sulfone or sulfoxide groups and singly-bound oxygen atoms bound to the same carbon skeleton
- C07C317/22—Sulfones; Sulfoxides having sulfone or sulfoxide groups and singly-bound oxygen atoms bound to the same carbon skeleton with sulfone or sulfoxide groups bound to carbon atoms of six-membered aromatic rings of the carbon skeleton
-
- C—CHEMISTRY; METALLURGY
- C07—ORGANIC CHEMISTRY
- C07D—HETEROCYCLIC COMPOUNDS
- C07D213/00—Heterocyclic compounds containing six-membered rings, not condensed with other rings, with one nitrogen atom as the only ring hetero atom and three or more double bonds between ring members or between ring members and non-ring members
- C07D213/02—Heterocyclic compounds containing six-membered rings, not condensed with other rings, with one nitrogen atom as the only ring hetero atom and three or more double bonds between ring members or between ring members and non-ring members having three double bonds between ring members or between ring members and non-ring members
- C07D213/04—Heterocyclic compounds containing six-membered rings, not condensed with other rings, with one nitrogen atom as the only ring hetero atom and three or more double bonds between ring members or between ring members and non-ring members having three double bonds between ring members or between ring members and non-ring members having no bond between the ring nitrogen atom and a non-ring member or having only hydrogen or carbon atoms directly attached to the ring nitrogen atom
- C07D213/24—Heterocyclic compounds containing six-membered rings, not condensed with other rings, with one nitrogen atom as the only ring hetero atom and three or more double bonds between ring members or between ring members and non-ring members having three double bonds between ring members or between ring members and non-ring members having no bond between the ring nitrogen atom and a non-ring member or having only hydrogen or carbon atoms directly attached to the ring nitrogen atom with substituted hydrocarbon radicals attached to ring carbon atoms
- C07D213/54—Radicals substituted by carbon atoms having three bonds to hetero atoms with at the most one bond to halogen, e.g. ester or nitrile radicals
- C07D213/56—Amides
-
- C—CHEMISTRY; METALLURGY
- C07—ORGANIC CHEMISTRY
- C07D—HETEROCYCLIC COMPOUNDS
- C07D213/00—Heterocyclic compounds containing six-membered rings, not condensed with other rings, with one nitrogen atom as the only ring hetero atom and three or more double bonds between ring members or between ring members and non-ring members
- C07D213/02—Heterocyclic compounds containing six-membered rings, not condensed with other rings, with one nitrogen atom as the only ring hetero atom and three or more double bonds between ring members or between ring members and non-ring members having three double bonds between ring members or between ring members and non-ring members
- C07D213/04—Heterocyclic compounds containing six-membered rings, not condensed with other rings, with one nitrogen atom as the only ring hetero atom and three or more double bonds between ring members or between ring members and non-ring members having three double bonds between ring members or between ring members and non-ring members having no bond between the ring nitrogen atom and a non-ring member or having only hydrogen or carbon atoms directly attached to the ring nitrogen atom
- C07D213/60—Heterocyclic compounds containing six-membered rings, not condensed with other rings, with one nitrogen atom as the only ring hetero atom and three or more double bonds between ring members or between ring members and non-ring members having three double bonds between ring members or between ring members and non-ring members having no bond between the ring nitrogen atom and a non-ring member or having only hydrogen or carbon atoms directly attached to the ring nitrogen atom with hetero atoms or with carbon atoms having three bonds to hetero atoms with at the most one bond to halogen, e.g. ester or nitrile radicals, directly attached to ring carbon atoms
- C07D213/62—Oxygen or sulfur atoms
- C07D213/63—One oxygen atom
- C07D213/64—One oxygen atom attached in position 2 or 6
- C07D213/643—2-Phenoxypyridines; Derivatives thereof
-
- C—CHEMISTRY; METALLURGY
- C07—ORGANIC CHEMISTRY
- C07D—HETEROCYCLIC COMPOUNDS
- C07D213/00—Heterocyclic compounds containing six-membered rings, not condensed with other rings, with one nitrogen atom as the only ring hetero atom and three or more double bonds between ring members or between ring members and non-ring members
- C07D213/02—Heterocyclic compounds containing six-membered rings, not condensed with other rings, with one nitrogen atom as the only ring hetero atom and three or more double bonds between ring members or between ring members and non-ring members having three double bonds between ring members or between ring members and non-ring members
- C07D213/04—Heterocyclic compounds containing six-membered rings, not condensed with other rings, with one nitrogen atom as the only ring hetero atom and three or more double bonds between ring members or between ring members and non-ring members having three double bonds between ring members or between ring members and non-ring members having no bond between the ring nitrogen atom and a non-ring member or having only hydrogen or carbon atoms directly attached to the ring nitrogen atom
- C07D213/60—Heterocyclic compounds containing six-membered rings, not condensed with other rings, with one nitrogen atom as the only ring hetero atom and three or more double bonds between ring members or between ring members and non-ring members having three double bonds between ring members or between ring members and non-ring members having no bond between the ring nitrogen atom and a non-ring member or having only hydrogen or carbon atoms directly attached to the ring nitrogen atom with hetero atoms or with carbon atoms having three bonds to hetero atoms with at the most one bond to halogen, e.g. ester or nitrile radicals, directly attached to ring carbon atoms
- C07D213/72—Nitrogen atoms
- C07D213/75—Amino or imino radicals, acylated by carboxylic or carbonic acids, or by sulfur or nitrogen analogues thereof, e.g. carbamates
-
- C—CHEMISTRY; METALLURGY
- C07—ORGANIC CHEMISTRY
- C07D—HETEROCYCLIC COMPOUNDS
- C07D295/00—Heterocyclic compounds containing polymethylene-imine rings with at least five ring members, 3-azabicyclo [3.2.2] nonane, piperazine, morpholine or thiomorpholine rings, having only hydrogen atoms directly attached to the ring carbon atoms
- C07D295/16—Heterocyclic compounds containing polymethylene-imine rings with at least five ring members, 3-azabicyclo [3.2.2] nonane, piperazine, morpholine or thiomorpholine rings, having only hydrogen atoms directly attached to the ring carbon atoms acylated on ring nitrogen atoms
- C07D295/18—Heterocyclic compounds containing polymethylene-imine rings with at least five ring members, 3-azabicyclo [3.2.2] nonane, piperazine, morpholine or thiomorpholine rings, having only hydrogen atoms directly attached to the ring carbon atoms acylated on ring nitrogen atoms by radicals derived from carboxylic acids, or sulfur or nitrogen analogues thereof
- C07D295/182—Radicals derived from carboxylic acids
- C07D295/185—Radicals derived from carboxylic acids from aliphatic carboxylic acids
-
- C—CHEMISTRY; METALLURGY
- C07—ORGANIC CHEMISTRY
- C07D—HETEROCYCLIC COMPOUNDS
- C07D317/00—Heterocyclic compounds containing five-membered rings having two oxygen atoms as the only ring hetero atoms
- C07D317/08—Heterocyclic compounds containing five-membered rings having two oxygen atoms as the only ring hetero atoms having the hetero atoms in positions 1 and 3
- C07D317/44—Heterocyclic compounds containing five-membered rings having two oxygen atoms as the only ring hetero atoms having the hetero atoms in positions 1 and 3 ortho- or peri-condensed with carbocyclic rings or ring systems
- C07D317/46—Heterocyclic compounds containing five-membered rings having two oxygen atoms as the only ring hetero atoms having the hetero atoms in positions 1 and 3 ortho- or peri-condensed with carbocyclic rings or ring systems condensed with one six-membered ring
- C07D317/48—Methylenedioxybenzenes or hydrogenated methylenedioxybenzenes, unsubstituted on the hetero ring
- C07D317/50—Methylenedioxybenzenes or hydrogenated methylenedioxybenzenes, unsubstituted on the hetero ring with only hydrogen atoms, hydrocarbon or substituted hydrocarbon radicals, directly attached to atoms of the carbocyclic ring
- C07D317/60—Radicals substituted by carbon atoms having three bonds to hetero atoms with at the most one bond to halogen, e.g. ester or nitrile radicals
-
- C—CHEMISTRY; METALLURGY
- C07—ORGANIC CHEMISTRY
- C07C—ACYCLIC OR CARBOCYCLIC COMPOUNDS
- C07C2601/00—Systems containing only non-condensed rings
- C07C2601/12—Systems containing only non-condensed rings with a six-membered ring
- C07C2601/14—The ring being saturated
Definitions
- the invention is directed to compounds, for example, heterocyclic derivatives of acyl urea, thiourea, carbamate and thiocarbamate compounds, that provide a variety of useful pharmacological effects.
- the compounds are useful, for example, in lowering blood glucose levels in hyperglycemic disorders, such as diabetes mellitus, and for treating related disorders, such as obesity and hyperlipidemia.
- these compounds are useful for treatment of disorders associated with insulin resistance, such as polycystic ovary syndrome, and for the treatment of inflammation, inflammatory and immunological diseases, particularly those mediated by pro-inflammatory cytokines (such as TNF-alpha, IL-1 beta and IL-6), type 4 and type 3 phosphodiesterase (PDE4 and PDE3, respectively), p44/42 mitogen-activated protein (MAP) kinase, cyclooxygenase-2 (COX-2) and/or inducible nitric oxide synthase (iNOS).
- pro-inflammatory cytokines such as TNF-alpha, IL-1 beta and IL-6
- PDE4 and PDE3 type 4 and type 3 phosphodiesterase
- MAP mitogen-activated protein
- COX-2 cyclooxygenase-2
- iNOS inducible nitric oxide synthase
- Type 1 diabetes also known as insulin-dependent diabetes mellitus (IDDM)
- IDDM insulin-dependent diabetes mellitus
- type 2 diabetes also called non-insulin-dependent diabetes mellitus (NIDDM)
- NIDDM non-insulin-dependent diabetes mellitus
- each of the current agents available for use in treatment of diabetes mellitus has several disadvantages. Accordingly, there is a need for the identification and development of new agents, particularly, water soluble agents which can be orally administered, for use in the treatment of diabetes mellitus and other hyperglycemic disorders.
- the invention is also directed to the treatment of immunological diseases or inflammation, in particular, such diseases as are mediated by cytokines, COX-2 and iNOS.
- cytokines mediated by cytokines, COX-2 and iNOS.
- the principal elements of the immune system are macrophages or antigen-presenting cells, T cells and B cells. Macrophages are important mediators of inflammation and also provide the necessary “help” for T cell stimulation and proliferation.
- macrophages make the cytokines IL-1, IL-12 and TNF-alpha, all of which are potent pro-inflammatory molecules. Cytokine production may lead to the secretion of other cytokines, altered cellular function, cell division or differentiation.
- macrophages In addition, activation of macrophages results in the induction of enzymes, such as COX-2 and iNOS, and in the production of free radicals capable of damaging normal cells. Many factors activate macrophages, including bacterial products, superantigens and interferon gamma. It is believed that phosphotyrosine kinases and other cellular kinases are involved in the activation process. Since macrophages are sentinel to the development of an immune response, agents that modify their function, specifically their cytokine secretion profile, are likely to determine the direction and potency of the immune response.
- enzymes such as COX-2 and iNOS
- TNF-alpha cytokine tumor necrosis factor-alpha
- TNF-alpha plays a central role in the inflammatory response and has been targeted as a point of intervention in inflammatory disease.
- TNF-alpha is a polypeptide hormone released by activated macrophages and other cells.
- TNF-alpha participates in the protective inflammatory response by activating leukocytes and promoting their migration to extravascular sites of inflammation (Moser et al., J Clin Invest, 83:444-55, 1989).
- TNF-alpha can act as a potent pyrogen and induce the production of other pro-inflammatory cytokines (Haworth et al., Eur J Immunol, 21:2575-79, 1991; Brennan et al., Lancet, 2:244-7, 1989). TNF-alpha also stimulates the synthesis of acute-phase proteins. In rheumatoid arthritis, a chronic and progressive inflammatory disease affecting about 1% of the adult U.S. population, TNF-alpha mediates the cytokine cascade that leads to joint damage and destruction (Arend et al., Arthritis Rheum, 38:151-60, 1995).
- Inhibitors of TNF-alpha including soluble TNF receptors (etanercept) (Goldenberg, Clin Ther, 21:75-87, 1999) and anti-TNF-alpha antibody (infliximab) (Luong et al., Ann Pharmacother, 34:743-60, 2000), the contents of each of which are incorporated herein by reference, have recently been approved by the U.S. Food and Drug Administration (FDA) as agents for the treatment of rheumatoid arthritis.
- FDA U.S. Food and Drug Administration
- TNF-alpha has also been implicated in many other disorders and disease conditions, including cachexia (Fong et al., Am J Physiol, 256:R659-65, 1989), septic shock syndrome (Tracey et al., Proc Soc Exp Biol Med, 200:233-9, 1992), osteoarthritis (Venn et al., Arthritis Rheum, 36:819-26, 1993), inflammatory bowel disease such as Crohn's disease and ulcerative colitis (Murch et al., Gut, 32:913-7, 1991), Behcet's disease (Akoglu et al., J Rheumatol, 17:1107-8, 1990), Kawasaki disease (Matsubara et al., Clin Immunol Immunopathol, 56:29-36, 1990), cerebral malaria (Grau et al., N Engl J Med, 320:1586-91, 1989), adult respiratory distress syndrome (Millar et al.
- Interleukin-6 is another pro-inflammatory cytokine that exhibits pleiotropy and redundancy of action. IL-6 participates in the immune response, inflammation and hematopoiesis. It is a potent inducer of the hepatic acute phase response and is a powerful stimulator of the hypothalamic-pituitary-adrenal axis that is under negative control by glucocorticoids. IL-6 promotes the secretion of growth hormone but inhibits release of thyroid stimulating hormone.
- IL-6 Elevated levels of IL-6 are seen in several inflammatory diseases, and inhibition of the IL-6 cytokine subfamily has been suggested as a strategy to improve therapy for rheumatoid arthritis (Carroll et al., Inflamm Res, 47: 1-7, 1998). In addition, IL-6 has been implicated in the progression of atherosclerosis and the pathogenesis of coronary heart disease (Yudkin et al., Atherosclerosis, 148:209-14, 1999).
- IL-6 Overproduction of IL-6 is also seen in steroid withdrawal syndrome, conditions related to deregulated vasopressin secretion, and osteoporosis associated with increased bone resorption, such as in cases of hyperparathyroidism and sex-steroid deficiency (Papanicolaou et al., Ann Intern Med, 128:127-37, 1998). Since excessive production of IL-6 is implicated in several disease states, it is highly desirable to develop compounds that inhibit IL-6 secretion.
- the cytokine IL-1 beta also participates in the inflammatory response. It stimulates thymocyte proliferation, fibroblast growth factor activity, and the release of prostaglandin from synovial cells. Elevated or unregulated levels of the cytokine IL-1 beta have been associated with a number of inflammatory diseases and other disease states, including but not limited to adult respiratory distress syndrome (Meduri et al, Chest 107:1062-73, 1995), allergy (Hastie et al, Cytokine 8:730-8, 1996), Alzheimer's disease (O'Barr et al, J Neuroimmunol 109:87-94, 2000), anorexia (Laye et al, Am J Physiol Regul Integr Comp Physiol 279:R93-8, 2000), asthma (Sousa et al, Thorax 52:407-10, 1997), atherosclerosis (Dewberry et al, Arterioscler Thromb Vasc Biol 20:2394-400, 2000),
- Cyclooxygenase is an enzyme that catalyzes a rate-determining step in the biosynthesis of prostaglandins, which are important mediators of inflammation and pain.
- the enzyme occurs as at least two distinct isomers, cyclooxygenase-1 (COX-1) and cyclooxygenase-2 (COX-2).
- COX-1 isomer is constitutively expressed in the gastric mucosa, platelets and other cells and is involved in the maintenance of homeostasis in mammals, including protecting the integrity of the digestive tract.
- the COX-2 isomer on the other hand, is not constitutively expressed but rather is induced by various agents, such as cytokines, mitogens, hormones and growth factors.
- COX-2 is induced during the inflammatory response (DeWitt D L, Biochim Biophys Acta, 1083:121-34, 1991; Seibert et al., Receptor, 4:17-23, 1994.).
- Aspirin and other conventional non-steroid anti-inflammatory drugs are non-selective inhibitors of both COX-1 and COX-2. They can be effective in reducing inflammatory pain and swelling, but since they hamper the protective action of COX-1, they produce undesirable side effects of gastrointestinal pathology. Therefore, agents that selectively inhibit COX-2 but not COX-1 are preferable for treatment of inflammatory diseases.
- diarylpyrazole sulfonamide that selectively inhibits COX-2 has been approved by the FDA for use in the treatment of osteoarthritis and adult rheumatoid arthritis (Luong et al., Ann Pharmacother, 34:743-60, 2000; Penning et al., J Med Chem, 40:1347-65, 1997).
- rofecoxib Another selective COX-2 inhibitor, rofecoxib, has been approved by the FDA for treatment of osteoarthritis, acute pain and primary dysmenorrhea (Scott and Lamb, Drugs, 58:499-505, 1999; Morrison et al., Obstet Gynecol, 94:504-8, 1999; Saag et al, Arch Fam Med, 9:1124-34, 2000).
- COX-2 is also expressed in many cancers and precancerous lesions, and there is mounting evidence that selective COX-2 inhibitors may be useful for treating and preventing colorectal, breast and other cancers (Taketo M M, J Natl Cancer Inst, 90:1609-20, 1998; Fournier et al., J Cell Biochem Suppl, 34:97-102, 2000; Masferrer et al., Cancer Res, 60:1306-11, 2000), the contents of each of which are incorporated herein by reference. In 1999 celecoxib was approved by the FDA as an adjunct to usual care for patients with familial adenomatous polyposis, a condition which, left untreated, generally leads to colorectal cancer.
- nitric oxide by iNOS has been associated with both beneficial and detrimental effects in inflammation, inflammatory diseases and related disorders. For example, deleterious effects have been implicated in the pathogenesis of abdominal aortic aneurysms (Johanning et al, J Vasc Surg 33:579-86, 2001), acute endotoxemia (Henningsson et al, Am J Physiol Cell Physiol 280:C1242-54, 2001), amyotrophic lateral sclerosis (Sasaki et al, Neurosci Lett 291:44-8, 2000), atherosclerosis (Behr-Roussel et al, Circulation 102:1033-8, 2000), bladder cancer (Wolf et al, Virchows Arch 437:662-6, 2000), colon cancer (Watanabe et al, Biofactors 12:129-33, 2000), cystitis (Alfieri et al, Naunyn Schmiedebergs Arch Pharmacol
- Phosphodiesterases are responsible for the hydrolysis of intracellular cyclic adenosine and guanosine monophosphate (cAMP and cGMP), which converts these second messengers into their inactive forms.
- cAMP and cGMP cyclic adenosine and guanosine monophosphate
- PDE4 Type 4 phosphodiesterase (PDE4) is found in airway smooth muscle cells and in immune and inflammatory cells.
- PDE4 activity has been associated with a wide variety of inflammatory and autoimmune diseases, and PDE4 inhibitors have been studied as potential therapeutic agents for such diseases as asthma, chronic obstructive pulmonary disease, rheumatoid arthritis, multiple sclerosis and type 2 diabetes (Burnouf and Pruniaux, Current Pharm Des, 8:1255-96, 2002; Dal Piaz and Giovannoni, Eur J Med Chem, 35:463-80, 2000).
- Type 3 phosphodiesterase (PDE3) is localized in platelets and cardiac and vascular smooth muscle cells.
- Inhibitors of PDE3 have been proposed as possible drugs for the treatment of acute respiratory distress syndrome (Schermuly et al, J Pharmacol Exp Ther, 292:512-20, 2000), cancer (Shimizu et al, Anticancer Drugs, 13:875-80, 2002; Murata et al, Anticancer Drugs, 12:79-83, 2001), cardiomyopathy (Alharethi and Movsesian, Expert Opin Investig Drugs, 11:1529-36, 2002), congestive heart failure (Movsesian, J Am Coll Cardiol, 34:318-24, 1999), erectile dysfunction (Kuthe et al, Curr Opin Investig Drugs, 3:1489-95, 2002), and T-cell-mediated autoimmune disorders (Bielekova et al, J Immunol 164:1117-24, 2000), the contents of each of which are incorporated herein by reference.
- kinases that ultimately regulate cytokine production and cell apoptosis.
- Key kinases include p44/42 MAP kinase (also known as ERK1/ERK2), P38 MAP kinase, MEK, and IRAK/NFkB. While different processes utilize different aspects of the pathway, the bacterial coat-derived protein LPS has been shown to activate multiple mitogen-activated protein kinases, including the extracellular signal-regulated receptor kinases ERK1 and ERK2.
- LPS-induced TNF-alpha production by human monocytes involves activation of ERK1/ERK2 (van der Bruggen et al, Infect Immun, 67:3824-9, 1999).
- TNF-alpha is a key mediator of autoimmune disease
- blocking the ERK pathway has potential for the treatment of inflammatory and immunological diseases such as lupus (Yi et al, J Immunol, 165:6627-34, 2000), rheumatoid arthritis (Neff et al, Cell Microbiol, 3:703-12, 2001; Schett et al, Arthritis Rheum, 43:2501-12, 2000), psoriasis (van der Bruggen et al, Infect Immun, 67:3824-9, 1999) and destruction of pancreatic islet beta cells in Type I diabetes (Pavlovic et al, Eur Cytokine Netw 11:267-74, 2000), the contents of each of which are incorporated here
- a principal object of the invention is to provide compounds which are effective for such treatments as well as for the treatment of, for example, diabetes, coronary heart disease, insulin resistance and related disorders.
- the invention is directed to compounds, for example, heterocyclic derivatives of acyl urea, thiourea, carbamate and thiocarbamate compounds, for providing a variety of useful pharmacological effects.
- the compounds are useful, for example, in lowering blood glucose levels in hyperglycemic disorders, such as diabetes mellitus, and for treating related disorders, such as obesity and hyperlipidemia.
- these compounds are useful for treatment of disorders associated with insulin resistance, such as polycystic ovary syndrome, and for the treatment of inflammation and immunological diseases, particularly those mediated by pro-inflammatory cytokines (such as TNF-alpha, IL-1 beta and IL-6), type 4 phosphodiesterase (PDE4), type 3 phosphodiesterase (PDE3), p44/42 mitogen activated protein (MAP) kinase, cyclooxygenase-2 (COX-2) and/or inducible nitric oxide synthase (iNOS).
- pro-inflammatory cytokines such as TNF-alpha, IL-1 beta and IL-6
- PDE4 type 4 phosphodiesterase
- PDE3 type 3 phosphodiesterase
- MAP mitogen activated protein
- COX-2 cyclooxygenase-2
- iNOS inducible nitric oxide synthase
- the invention provides compounds represented by the following Formulas I-XIII as well as the pharmaceutical
- stereocenters marked with an asterisk may be R- or S-;
- the bond represented by a dashed line plus a solid line may be a double bond or a single bond, and when the bond is a double bond it may be in the E or Z configuration, and when the bond is a single bond the resulting stereocenters may have the R- or S-configuration;
- R 1 , R 2 , R 3 , R 4 , R 5 , R 6 and R 7 are each independently selected from the group consisting of
- R 8 and R 9 are each independently selected from the group consisting of H; optionally substituted C 1 -C 20 linear or branched alkyl; optionally substituted C 2 -C 20 linear or branched alkenyl; optionally substituted C 6 -C 10 aryl or heteroaryl; COOR where R is H, optionally substituted C 1 -C 20 alkyl, optionally substituted C 2 -C 20 alkenyl or optionally substituted C 6 -C 10 aryl, sodium, potassium or other pharmaceutically acceptable counter-ion such as calcium, magnesium, ammonium, tromethamine and the like; CONR′R′′, where R′ and R′′ are independently H, alkoxy, optionally substituted C 1 -C 20 alkyl, optionally substituted C 2 -C 20 alkenyl, optionally substituted C 3 -C 10 cycloalkyl or cycloalkenyl or optionally substituted C 6 -C 10 aryl or heteroaryl, preferably 2-, 3- or 4-
- R 10 and R 11 are each independently selected from the group consisting of H; optionally substituted C 1 -C 20 linear or branched alkyl; optionally substituted C 2 -C 20 linear or branched alkenyl; optionally substituted C 6 -C 10 aryl or heteroaryl; COOR where R is H, optionally substituted C 1 -C 20 alkyl, optionally substituted C 2 -C 20 alkenyl or optionally substituted C 6 -C 10 aryl, sodium, potassium or other pharmaceutically acceptable counter-ion such as calcium, magnesium, ammonium, tromethamine and the like; CONR′R′′, where R′ and R′′ are independently H, optionally substituted C 1 -C 20 alkyl, optionally substituted C 2 -C 20 alkenyl or optionally substituted C 6 -C 10 aryl or where NR′R′′ represents a cyclic moiety such as morpholine, piperidine, piperazine and the like; NH 2 ; C 1
- R 12 , R 13 , R 18 , R 19 and R 20 are each independently selected from the group consisting of
- R 12 and R 13 may be absent, or R 12 and R 13 together may be an optionally substituted heterocyclic ring, preferably morpholine, piperidine, piperazine, and N-methyl piperidine;
- R 14 is selected from the group consisting of
- R 15 , R 16 , and R 17 are each independently selected from the group consisting of
- X is independently selected from the group consisting of
- Y is independently O, S or NH
- Z is OR a where R a is selected from the group consisting of
- Z is NR b R c where R b and R c are independently selected from the group consisting of
- Z is CR d R e R f where R d , R e and R f are each independently selected from the group consisting of
- Q is NR b R c where R b and R c are independently selected from the group consisting of
- Q is SR g , SOR g or SO 2 R g where R g is selected from the group consisting of
- Group A is optionally substituted C 2 -C 20 linear or branched alkenyl; optionally substituted C 6 -C 20 aryl, linear or branched alkylaryl, linear or branched alkenylaryl; optionally substituted heteroaryls like pyridine, indole, morpholine, piperidine, piperazine, tetrazolyl and the like; COR h where R h is optionally substituted C 1 -C 20 linear or branched alkyl; optionally substituted C 2 -C 20 linear or branched alkenyl; optionally substituted C 6 -C 20 aryl, linear or branched alkylaryl, linear or branched alkenylaryl; optionally substituted heteroaryls like pyridine, indole, morpholine, piperidine, piperazine, tetrazolyl and the like;
- Group B is OH, C 1 -C 20 alkoxy; SO 2 R i where R i may be H or linear or branched C 1 -C 20 alkyl.
- Group Het (depicted in Formula VIII as “HET” enclosed by a circle) represents a heterocyclic ring which is pyridyl, indolyl, tetrazolyl, imidazolyl, morphonyl, piperidinyl, piperazinyl, thiophenyl or the like.
- These compounds are useful for treating diabetes and other diseases linked to insulin resistance, such as coronary artery disease and peripheral vascular disease, and also for treating or inhibiting inflammation or inflammatory diseases such as inflammatory arthritides and collagen vascular diseases, which are caused by, for example, cytokines or inducible enzymes such as TNF-alpha, IL-1, IL-6, iNOS and/or COX-2.
- cytokines or inducible enzymes such as TNF-alpha, IL-1, IL-6, iNOS and/or COX-2.
- the compounds are also useful for treating or preventing other diseases mediated by cytokines, iNOS and/or COX-2, such as cancer.
- Another aspect of the invention is a method of treating diabetes and related diseases comprising the step of administering to a subject suffering from a diabetic or related condition a therapeutically effective amount of a compound of Formulas I-XIII. Additionally, the invention provides a method of treating inflammation or inflammatory diseases or diseases mediated by cytokines, iNOS, PDE4, PDE3, p44/42 MAP kinase and/or COX-2 by administering to a subject in need of such treatment an effective amount of a compound according to Formulas I-XIII.
- compositions containing a therapeutically effective amount of one or more compounds according to Formulas I-XIII together with a pharmaceutically or physiologically acceptable co-agents, excipients, synergists, carriers and the like, for use in the treatments contemplated herein, are also provided.
- FIG. 1 shows a graph of the dose-dependent increase in glucose uptake in 3T3-L1 adipocytes treated with varying concentrations of a compound according to the invention.
- FIG. 2 shows a graph of the enhancement of glucose uptake in 3T3-L1 adipocytes treated with a compound according to the invention in addition to varying concentrations of insulin.
- FIG. 3 shows a graph of the lowering of blood glucose levels in ob/ob mice treated with a compound according to the invention.
- FIGS. 4A and 4B show graphs of the lowering of serum triglycerides and free fatty acid levels, respectively, in ob/ob mice treated with a compound according to the invention.
- FIG. 5 shows a graph of the inhibition of LPS-induced TNF-alpha production in mouse RAW264.7 cells treated with varying concentrations of a compound according to the invention.
- FIG. 6 shows a graph of the inhibition of LPS-induced IL-1 beta production in mouse RAW264.7 cells treated with varying concentrations of a compound according to the invention.
- FIG. 7 shows a graph of the inhibition of LPS-induced IL-6 production in mouse RAW264.7 cells treated with varying concentrations of a compound according to the invention.
- FIG. 8 shows photos of Western blots demonstrating the inhibition of LPS-induced iNOS and COX-2 production in mouse RAW264.7 cells treated with varying concentrations of a compound according to the invention.
- FIG. 9 shows a graph of median clinical scores over time demonstrating improvement of collagen induced arthritis in mice using varying concentrations of a compound according to the invention.
- the invention is based on the discovery that the compounds described herein are useful in the treatment of diseases, in particular diabetes and other diseases linked to insulin resistance, such as coronary artery disease and peripheral vascular disease, and also for the treatment or inhibition of inflammation or inflammatory diseases such as inflammatory arthritides and collagen vascular diseases, which are caused by, for example, cytokines or inducible enzymes such as TNF-alpha, IL-1, IL-6, PDE4, PDE3, p44/42 MAP kinase, iNOS and/or COX-2.
- diseases in particular diabetes and other diseases linked to insulin resistance, such as coronary artery disease and peripheral vascular disease
- inflammation or inflammatory diseases such as inflammatory arthritides and collagen vascular diseases, which are caused by, for example, cytokines or inducible enzymes such as TNF-alpha, IL-1, IL-6, PDE4, PDE3, p44/42 MAP kinase, iNOS and/or COX-2.
- Alkyl alone or in combination, means a straight-chain or branched-chain alkyl radical containing preferably 1-20 carbon atoms, more preferably 1-10 carbon atoms, and most preferably 1-6 carbon atoms.
- exemplary alkyl radicals include methyl, ethyl, n-propyl, isopropyl, n-butyl, isobutyl, sec-butyl, tert-butyl, pentyl, isopentyl, neopentyl, iso-amyl, hexyl and the like.
- Alkenyl alone or in combination, means a straight-chain or branched-chain hydrocarbon radical having one or more double bonds, preferably 1-2 double bonds and more preferably one double bond, and containing preferably 2-20 carbon atoms, more preferably 2-10 carbon atoms, and still more preferably 2-6 carbon atoms.
- alkenyl radicals include ethenyl, propenyl, 2-methylpropenyl, n-butenyl, isobutenyl, and include groups containing multiple sites of unsaturation such as 1,3-butadiene and 1,4-butadienyl and the like.
- Alkoxy alone or in combination, means a radical of the type “R—O—” wherein R can be hydrogen, linear or branched alkyl, or linear or branched alkenyl as previously defined and “O” is an oxygen atom.
- alkoxy radicals include methoxy, ethoxy, n-propoxy, isopropoxy, n-butoxy, iso-butoxy, sec-butoxy, tert-butoxy and the like.
- Alkoxycarbonyl alone or in combination, means a radical of the type “R—C(O)—” wherein “R—O—” is an alkoxy radical as previously defined and “C(O)—” is a carbonyl radical.
- exemplary alkoxycarbonyl groups include methoxycarbonyl and ethoxycarbonyl.
- Alkylcarboxylamino means a group RCON(R)— where R can be independently hydrogen, linear or branched alkyl, or linear or branched alkenyl as previously defined.
- Alkanoyl alone or in combination, means a radical of the type “R—C(O)—” wherein “R” is an alkyl radical as previously defined and “—C(O)—” is a carbonyl radical.
- exemplary alkanoyl radicals include acetyl, trifluoroacetyl, hydroxyacetyl, propionyl, butyryl, valeryl, 4-methylvaleryl and the like.
- Halo or “halogen”, alone or in combination, means chloro, bromo, fluoro or iodo radicals.
- Aryl alone or in combination, means an aromatic carbocyclic radical containing about 6 to about 10 carbon atoms, which is optionally substituted with one or more substituents selected from alkyl, alkoxy, halogen, hydroxy, amino, azido, nitro, cyano, haloalkyl, carboxy, alkoxycarbonyl, cycloalkyl, alkanoylamino, amido, amidino, alkoxycarbonylamino, N-alkylamidino, alkylamino, dialkylamino, aminoalkyl, alkylaminoalkyl, dialkylaminoalkyl, N-alkylamido, N,N-dialkylamido, aralkoxycarbonylamino, alkylthio, alkylsulfinyl, alkylsulfonyl, oxo and the like.
- Exemplary aryl radicals include phenyl, o-tolyl, 4-methoxyphenyl, 2-(tert-butoxy)phenyl, 3-methyl-4-methoxyphenyl, 2-fluorophenyl, 2-chlorophenyl, 3-nitrophenyl, 3-aminophenyl, 3-acetamidophenyl, 2-amino-3-(aminomethyl)phenyl, 6-methyl-2-aminophenyl, 2-amino-3-methylphenyl, 4,6-dimethyl-2-aminophenyl, 4-hydroxyphenyl, 3-methyl-4-hydroxyphenyl, 4-(2-methoxyphenyl)phenyl, 2-amino-1-naphthyl, 2-naphthyl, 1-methyl-3-amino-2-naphthyl, 2,3-diamino-1-naphthyl, 4,8-dimethoxy-2-naphthyl and the like.
- “Acyloxy” or “Acylamino” group means an oxygen or amino group, respectively, bonded to an acyl group (RCO) where R can be hydrogen, linear or branched alkyl, or linear or branched alkenyl.
- Alkylamido means the group RN(H)CO— where R can be hydrogen, linear or branched alkyl, or linear or branched alkenyl, as previously defined.
- substitution includes, for example, lower (C 1 -C 6 ) alkyl; halogen such as fluoro, chloro and bromo; nitro; amino; lower alkylamino; carboxylate, lower alkyl carboxylate, hydroxy, lower alkoxy, sulfonamide, cyano, or the like.
- a “therapeutically effective amount” is an amount, alone or in combination with other agents, sufficient to elicit a therapeutic response to the desired disease, symptom or condition.
- the specific therapeutically effective amount will vary with such factors as the particular condition being treated, the physical condition of the patient, the type of mammal or animal being treated, the duration of the treatment, and the specific formulations employed and the form of the compound or compounds used.
- the invention is directed to compounds, for example, heterocyclic derivatives of acyl urea, thiourea, carbamate and thiocarbamate compounds, that provide a variety of useful pharmacological effects.
- the compounds are useful, for example, in lowering blood glucose levels in hyperglycemic disorders, such as diabetes mellitus, and for treating related disorders, such as obesity and hyperlipidemia.
- these compounds are useful for treatment of disorders associated with insulin resistance, such as polycystic ovary syndrome, and for the treatment of inflammation, inflammatory and immunological diseases, particularly those mediated by pro-inflammatory cytokines (such as TNF-alpha, IL-1 beta and IL-6), type 4 phosphodiesterase (PDE4), type 3 phosphodiesterase (PDE3), p44/42 mitogen activated protein (MAP) kinase, cyclooxygenase-2 (COX-2) and/or inducible nitric oxide synthase (iNOS).
- pro-inflammatory cytokines such as TNF-alpha, IL-1 beta and IL-6
- PDE4 type 4 phosphodiesterase
- PDE3 type 3 phosphodiesterase
- MAP mitogen activated protein
- COX-2 cyclooxygenase-2
- iNOS inducible nitric oxide synthase
- the invention discloses compounds of the Formulas I-XIII as well as
- stereocenters marked with an asterisk may be R- or S-;
- the bond represented by a dashed line plus a solid line may be a double bond or a single bond, and when the bond is a double bond it may be in the E or Z configuration, and when the bond is a single bond the resulting stereocenters may have the R- or S-configuration;
- R 1 , R 2 , R 3 , R 4 , R 5 , R 6 and R 7 are each independently selected from the group consisting of
- R is H, optionally substituted C 1 -C 20 alkyl, optionally substituted C 2 -C 20 alkenyl or optionally substituted C 6 -C 10 aryl, sodium, potassium or other pharmaceutically acceptable counter-ion such as calcium, magnesium, ammonium, tromethamine and the like; CONR′R′′, where R′ and R′′ are independently H, optionally substituted C 1 -C 20 alkyl, optionally substituted C 2 -C 20 alkenyl or optionally substituted C 6 -C 10 aryl or where NR′R′′ represents a cyclic moiety such as morpholine, piperidine, pipe
- R 8 and R 9 are each independently selected from the group consisting of
- R is H, optionally substituted C 1 -C 20 alkyl, optionally substituted C 2 -C 20 alkenyl or optionally substituted C 6 -C 10 aryl or heteroaryl; COOR where R is H, optionally substituted C 1 -C 20 alkyl, optionally substituted C 2 -C 20 alkenyl or optionally substituted C 6 -C 10 aryl, sodium, potassium or other pharmaceutically acceptable counter-ion such as calcium, magnesium, ammonium, tromethamine and the like; CONR′R′′, where R′ and R′′ are independently H, alkoxy, optionally substituted C 1 -C 20 alkyl, optionally substituted C 2 -C 20 alkenyl, optionally substituted C 3 -C 10 cycloalkyl or cycloalkenyl or optionally substituted C 6 -C 10 aryl or heteroaryl, preferably 2-, 3- or 4-pyridyl or where NR′R′′ represents a
- R 10 and R 11 are each independently selected from the group consisting of
- R is H, optionally substituted C 1 -C 20 alkyl, optionally substituted C 2 -C 20 alkenyl or optionally substituted C 6 -C 10 aryl or heteroaryl; COOR where R is H, optionally substituted C 1 -C 20 alkyl, optionally substituted C 2 -C 20 alkenyl or optionally substituted C 6 -C 10 aryl, sodium, potassium or other pharmaceutically acceptable counter-ion such as calcium, magnesium, ammonium, tromethamine and the like; CONR′R′′, where R′ and R′′ are independently H, optionally substituted C 1 -C 20 alkyl, optionally substituted C 2 -C 20 alkenyl or optionally substituted C 6 -C 10 aryl or where NR′R′′ represents a cyclic moiety such as morpholine, piperidine, piperazine and the like; NH 2 ; C 1 -C 20 alkylamino, bis(alkylamino
- R 12 , R 13 , R 18 , R 19 and R 20 are each independently selected from the group consisting of
- R is optionally substituted C 1 -C 20 alkyl, optionally substituted C 2 -C 20 alkenyl or optionally substituted C 6 -C 10 aryl, sodium, potassium or other pharmaceutically acceptable counter-ion such as calcium, magnesium, ammonium, tromethamine and the like; CONR′R′′, where R′ and R′′ are independently H, optionally substituted C 1 -C 20 alkyl, optionally substituted C 2 -C 20 alkenyl or optionally substituted C 6 -C 10 aryl or where NR′R′′ represents a cyclic moiety such as morpholine, piperidine, piperazine and the like; C 1 -C 20 alkanoyl; C 1 -C 20 alkylamido; C 6
- R 12 and R 13 may be absent, or R 12 and R 13 together may be an optionally substituted heterocyclic ring, preferably morpholine, piperidine, piperazine, and N-methyl piperidine.
- R 14 is selected from the group consisting of
- R is H, optionally substituted C 1 -C 20 alkyl, optionally substituted C 2 -C 20 alkenyl or optionally substituted C 6 -C 10 aryl, sodium, potassium or other pharmaceutically acceptable counter-ion such as calcium, magnesium, ammonium, tromethamine and the like; CONR′R′′, where R′ and R′′ are independently H, optionally substituted C 1 -C 20 alkyl, optionally substituted C 2 -C 20 alkenyl or optionally substituted C 6 -C 10 aryl or where NR′R′′ represents a cyclic moiety such as morpholine, piperidine, piperazine and the like; cyano; and tetrazoly
- R 15 , R 16 , and R 17 are each independently selected from the group consisting of
- R is H, optionally substituted C 1 -C 20 alkyl, optionally substituted C 2 -C 20 alkenyl or optionally substituted C 6 -C 10 aryl, sodium, potassium or other pharmaceutically acceptable counter-ion such as calcium, magnesium, ammonium, tromethanine and the like; CONR′R′′, where R′ and R′′ are independently H, optionally substituted C 1 -C 20 alkyl, optionally substituted C 2 -C 20 alkenyl or optionally substituted C 6 -C 10 aryl or where NR′R′′ represents a cyclic moiety such as morpholine, piperidine, piperazine and the like; NH 2 ; C 1 -C 20 linear or branched alkyl including chloroalkyl and fluoroalkyl; optionally substituted C 2 -C 20 linear or branched alkenyl; optionally substituted C 6 -C 10 aryl or heteroaryl; COOR where R is H, optionally substituted C 1
- X is independently selected from the group consisting of
- R′′′′′ may be H or optionally substituted C 1 -C 20 alkyl, optionally substituted C 2 -C 20 alkenyl, optionally substituted C 1 -C 20 acyl, optionally substituted C 1 -C 20 acyloxy and optionally substituted C 1 -C 20 alkoxycarbonyl;
- Y is independently O, S or NH
- Z is OR a where R a is selected from the group consisting of
- Z is NR b R c where R b and R c are independently selected from the group consisting of
- Z is CR d R e R f where R d , R e and R f are each independently selected from the group consisting of
- R is H, optionally substituted C 1 -C 20 alkyl, optionally substituted C 2 -C 20 alkenyl or optionally substituted C 6 -C 10 aryl or heteroaryl; COOR where R is H, optionally substituted C 1 -C 20 alkyl, optionally substituted C 2 -C 20 alkenyl or optionally substituted C 6 -C 10 aryl, sodium, potassium or other pharmaceutically acceptable counter-ion such as calcium, magnesium, ammonium, tromethamine and the like; NH 2 ; C 1 -C 20 alkylamino, bis(alkylamino); cycloalkylamino or cyclic amino; OH; optionally substituted C 1 -C 20 alkoxy including trifluoromethoxy and the like; optionally substituted C 1 -C 20 alkanoyl; optionally substituted C 1 -C 20 acyloxy; optionally
- Q is NR b R c where R b and R c are independently selected from the group consisting of
- Q is SR g , SOR g or SO 2 R g where R g is selected from the group consisting of
- Group A is optionally substituted C 2 -C 20 linear or branched alkenyl; optionally substituted C 6 -C 20 aryl, linear or branched alkylaryl, linear or branched alkenylaryl; optionally substituted heteroaryls like pyridine, indole, morpholine, piperidine, piperazine, tetrazoly and the like; COR where R is optionally substituted C 1 -C 20 linear or branched alkyl; optionally substituted C 2 -C 20 linear or branched alkenyl; optionally substituted C 6 -C 20 aryl, linear or branched alkylaryl, linear or branched alkenylaryl; optionally substituted heteroaryls like pyridine, indole, morpholine, piperidine, piperazine, tetrazolyl and the like;
- Group B is OH, C 1 -C 20 alkoxy; SO 2 R where R may be H or linear or branched C 1 -C 20 alkyl.
- Group Het represents a heterocyclic ring which is pyridyl, indolyl, tetrazolyl, imidazolyl, morphonyl, piperidinyl, piperazinyl, thiophenyl or the like.
- the compounds of the present invention are represented by Formulas I or VIII.
- Preferred compounds represented by Formulas I or VIII include those where at least one of the bonds represented by a dashed line plus a solid line is a double bond or a single bond, for example, where the bond represented by a dashed line plus a solid line between the carbons with the group R 8 and R 9 attached is a double-bond.
- preferred compounds include those where at least one of R 8 or R 9 represents CONR′R′′, wherein R′ and R′′ independently represent a hydrogen atom, or an alkoxy, optionally substituted C 1 -C 20 alkyl, optionally substituted C 2 -C 20 alkenyl, optionally substituted C 3 -C 10 cycloalkyl, optionally substituted cycloalkenyl, optionally substituted C 6 -C 10 aryl or optionally substituted C 6 -C 10 heteroaryl, or where NR′R′′ represents a cyclic moiety; for example where, R′ and R′′ independently represent a hydrogen atom, or an alkoxy, optionally substituted C 1 -C 20 alkyl, optionally substituted C 6 -C 10 aryl or optionally substituted C 6 -C 10 heteroaryl.
- R′ and R′′ independently represent a hydrogen atom, or an alkoxy, or optionally substituted C 1 -C 20 alkyl, for example, where each of R′ and R′′ represent a hydrogen atom.
- at least one of R 8 or R 9 represents a hydrogen atom, for example, where R g represents a hydrogen atom.
- X represents an oxygen or nitrogen atom, for example, an oxygen atom and Y represents an oxygen atom.
- Z represents NR b R c , for example, where R b and R c independently represent a hydrogen atom; or an optionally substituted C 1 -C 20 linear or branched alkyl, optionally substituted C 2 -C 20 linear or branched alkenyl, optionally substituted C 6 -C 10 aryl, optionally substituted heteroaryl; optionally substituted C 3 -C 10 cycloalkyl or optionally substituted C 3 -C 10 cycloalkenyl.
- R b and R c independently represent a hydrogen atom, or an optionally substituted C 1 -C 20 linear or branched alkyl, optionally substituted C 6 -C 10 aryl, optionally substituted heteroaryl, or optionally substituted C 3 -C 10 cycloalkyl. More preferably, R b and R c independently represent a hydrogen atom, or an optionally substituted C 1 -C 8 linear or branched alkyl, for example where at least one of R b or R c represents a hydrogen atom or Z represents the radical NH 2 .
- R 1 , R 2 , R 3 , R 4 , R 5 , R 6 , R 7 , R 10 , R 11 , and R 12 independently represent a hydrogen atom or an optionally substituted C 1 -C 20 linear or branched alkyl, for example a C 1 -C 4 linear or branched alkyl, or optionally substituted C 1 -C 20 alkoxy, for example an optionally substituted C 1 -C 4 alkoxy.
- R 1 , R 2 , R 3 , R 4 , R 5 , R 6 , and R 7 independently represent an optionally substituted C 1 -C 4 alkoxy, for example, where at least one of R 1 or R 2 independently represent an optionally substituted C 1 -C 4 alkoxy. More preferably at least two of R 1 , R 2 , R 3 , R 4 , R 5 , R 6 and R 7 independently represent an optionally substituted C 1 -C 4 alkoxy, for example, where R 1 and R 2 independently represent an optionally substituted C 1 -C 4 alkoxy, such as methoxy.
- R 1 and R 2 are present in the 3 and 5 position on the aromatic ring.
- Representative preferred compounds of the Formulas I and VIII include 3-(3,5-Dimethoxyphenyl)-N,N-dimethyl-2- ⁇ 4-[4-(3-oxo-3-ureido-propyl)-phenoxy]-phenyl ⁇ -acrylamide (13); 2- ⁇ 4-[4-(2-Carbamoylethyl)-phenoxy]-phenyl ⁇ -3-(3,5-dimethoxyphenyl)-N,N-dimethylacrylamide (31); N,N-Dimethyl-2- ⁇ 4-[4-(3-oxo-3-ureidopropyl)-phenoxy]-phenyl ⁇ -3-pyridin-3-yl-acrylamide (73); and 2- ⁇ 4-[4-(2-Carbamoyl-ethyl)-phenoxy]-phenyl ⁇ -N,N-dimethyl-3-pyridin-3-yl-acrylamide (77).
- These compounds are useful for treating diabetes and other diseases linked to insulin resistance, such as coronary artery disease and peripheral vascular disease, and also for treating or inhibiting inflammation or inflammatory diseases such as inflammatory arthritides and collagen vascular diseases, which are caused by, for example, cytokines or inducible enzymes such as TNF-alpha, IL-1, IL-6, PDE4, PDE3, p44/42 MAP kinase, iNOS and/or COX-2.
- cytokines or inducible enzymes such as TNF-alpha, IL-1, IL-6, PDE4, PDE3, p44/42 MAP kinase, iNOS and/or COX-2.
- the compounds are also useful for treating or preventing other diseases mediated by cytokines, PDE4, PDE3, p44/42 MAP kinase, iNOS and/or COX-2, such as cancer.
- the compounds of the invention include bonds, designated in Formulas I-XIII with a dashed line plus a solid line, that may be either a double bond or a single bond. When such a bond is a double bond, it may have either the E or Z configuration. On the other hand, when such a bond is a single bond, the resulting stereocenters may be in the R- and/or S-configurations.
- compounds of the invention with other stereocenters, designated in Formulas I-XIII with an asterisk may be R- and/or S-stereoisomers.
- the invention contemplates racemic mixtures of such stereoisomers as well as the individual, separated stereoisomers.
- the individual stereoisomers may be obtained by the use of an optically active resolving agent.
- a desired enantiomer may be obtained by stereospecific synthesis using an optically pure starting material of known configuration.
- R- or S- refers to the configuration of the stereoisomers.
- the determination of whether the configuration is R-(rectus) or S-(sinister) is based on the priority of the atoms in a compound.
- E- or Z-configuration is used when describing compounds with double bonds and wherein the determination is based on the priority of the atom on each carbon of a double bond.
- the double bond is in the “E” configuration.
- the compounds according to the present invention may be combined with a physiologically acceptable carrier or vehicle to provide a pharmaceutical composition, such as, lyophilized powder in the form of tablet or capsule with various fillers and binders.
- a pharmaceutical composition such as, lyophilized powder in the form of tablet or capsule with various fillers and binders.
- the compounds may be coadministered with other agents.
- Co-administration shall mean the administration of at least two agents to a subject so as to provide the beneficial effects of the combination of both agents.
- the agents may be administered simultaneously or sequentially over a period of time.
- the effective dosage of a compound in the composition can be widely varied as selected by those of ordinary skill in the art and may be empirically determined.
- the compounds of the present invention can be used alone or in combination with one or more additional agents depending on the indication and the desired therapeutic effect.
- such additional agent(s) may be selected from the group consisting of: insulin or an insulin mimetic, a sulfonylurea (such as acetohexamide, chlorpropamide, glimepiride, glipizide, glyburide, tolbutamide and the like) or other insulin secretagogue (such as nateglinide, repaglinide and the like), a thiazolidinedione (such as pioglitazone, rosiglitazone and the like) or other peroxisome proliferator-activated receptor (PPAR)-gamma agonist, a fibrate (such as bezafibrate, clofibrate, fenofibrate, gemfibrozol and the like) or other PPAR-alpha agonist, a PPAR-delta agonist, a biguanide (such as metformin), a statin
- a sulfonylurea such as acetohexamide, chlor
- the additional agent(s) may be selected from the group consisting of: a nonsteroidal anti-inflammatory drug (NSAID) (such as diclofenac, diflunisal, ibuprofen, naproxen and the like), a cyclooxygenase-2 inhibitor (such as celecoxib, rofecoxib and the like), a corticosteroid (such as prednisone, methylprednisone and the like) or other immunosuppressive agent (such as methotrexate, leflunomide, cyclophosphamide, azathioprine and the like), a disease-modifying antirheumatic drug (DMARD) (such as injectable gold, penicilliamine, hydroxychloroquine, sulfasalazine and the like), a TNF-alpha inhibitor (such as etanercept, infliximab and
- NSAID nonsteroidal anti-inflammatory drug
- Preferred diseases that may be treated by the preferred methods include inflammatory or immunological disease, for example, rheumatoid arthritis, osteoarthritis, ankylosing spondylitis, psoriasis, psoriatic arthritis, asthma, acute respiratory distress syndrome, chronic obstructive pulmonary disease, or multiple sclerosis.
- Additional preferred diseases that may be treated by the preferred methods include diabetes, hyperlipidemia, includes coronary heart disease, cancer or proliferative disease.
- Another aspect of the invention is a method of treating diabetes and related diseases comprising the step of administering to a subject suffering from a diabetic or related condition a therapeutically effective amount of a compound of Formulas I-XIII.
- the invention provides a method of treating inflammation or inflammatory diseases or diseases mediated by cytokines, PDE4, PDE3, p44/42 MAP kinase, iNOS and/or COX-2 by administering to a subject in need of such treatment an effective amount of a compound according to Formulas I-XIII.
- pharmaceutical compositions containing a therapeutically effective amount of one or more compounds according to Formulas I-XIII together with a pharmaceutically or physiologically acceptable carrier, for use in the treatments contemplated herein, are also provided.
- a preferred method of the present invention therefore, provides for inhibiting the activity of TNF-alpha, IL-1, IL-6, PDE4, PDE3, p44/42 MAP kinase, iNOS or COX-2 comprising administering to a host at least one preferred pharmaceutical composition as described above.
- a preferred method of the present invention provides for inhibiting the undesired action of cytokine, phosphodiesterase, MAP kinase or cyclooxygenase comprising administering to a host at least one pharmaceutical composition as described above.
- the compounds of the invention are useful for the treatment of diabetes, characterized by the presence of elevated blood glucose levels, that is, hyperglycemic disorders such as diabetes mellitus, including both type 1 and 2 diabetes, as well as other hyperglycemic related disorders such as obesity, increased cholesterol, hyperlipidemia such as hypertriglyceridemia, kidney related disorders and the like.
- hyperglycemic disorders such as diabetes mellitus, including both type 1 and 2 diabetes, as well as other hyperglycemic related disorders such as obesity, increased cholesterol, hyperlipidemia such as hypertriglyceridemia, kidney related disorders and the like.
- the compounds are also useful for the treatment of disorders linked to insulin resistance and/or hyperinsulinemia, which include, in addition to diabetes, hyperandrogenic conditions such as polycystic ovary syndrome (Ibanez et al., J. Clin Endocrinol Metab, 85:3526-30, 2000; Taylor A.
- the compounds of the present invention are also useful for the treatment of inflammation and immunological diseases that include those mediated by signaling pathways linked to pro-inflammatory cytokines, such as rheumatoid arthritis, ankylosing spondylitis, multiple sclerosis, inflammatory bowel disease, psoriasis, and contact and atopic dermatitis.
- cytokines such as rheumatoid arthritis, ankylosing spondylitis, multiple sclerosis, inflammatory bowel disease, psoriasis, and contact and atopic dermatitis.
- treatment it is meant that the compounds of the invention are administered in an amount which is at least sufficient to, for example, reduce the blood glucose level in a patient suffering from a hyperglycemic disorder or to inhibit or prevent the development of pro-inflammatory cytokine or like responses in a patient suffering from inflammatory or immunological disease.
- the compound is usually administered in the amount sufficient to reduce the blood glucose level, free fatty acid level, triglyceride level and/or the like level sufficient to improve or alleviate the symptoms and/or reduce the risk of complications associated with elevated levels of these parameters.
- a variety of subjects may be treated with the present compounds to reduce blood glucose levels such as livestock, wild or rare animals, pets, as well as humans.
- the compounds may be administered to a subject suffering from hyperglycemic disorder using any convenient administration technique, including intravenous, intradermal, intramuscular, subcutaneous, oral and the like.
- oral daily dosage is preferred.
- the dosage delivered to the host will necessarily depend upon the route by which the compound is delivered, but generally ranges from about 0.1 to about 500 mg/kg human body weight or typically from about 0.1 to about 50 mg/kg human body weight.
- similar types of administration and dosages are also contemplated when the compounds of the invention are used to treat inflammatory or immunological disease.
- the compounds of this invention may be used in formulations using acceptable pharmaceutical vehicles for enteral, or parenteral, administration, such as, for example, water, alcohol, gelatin, gum arabic, lactose, amylase, magnesium stearate, talc, vegetable oils, polyalkylene glycol, and the like.
- acceptable pharmaceutical vehicles for enteral, or parenteral, administration such as, for example, water, alcohol, gelatin, gum arabic, lactose, amylase, magnesium stearate, talc, vegetable oils, polyalkylene glycol, and the like.
- the compounds can be formulated in solid form, e.g., as tablets, capsules, dragees and suppositories, or in the liquid form, e.g., solutions, suspensions and emulsions.
- the preparations may also be delivered transdermally or by topical application.
- Scheme 1 details the synthesis of compounds 1-6.
- Scheme 2 details the synthesis of 17. It is to be understood that the Schemes 1 and 2 are representative schemes and are not intended to be limited to the compounds disclosed.
- Step 1 Synthesis of 3-(3,5-dimethoxyphenyl)-2-(4-hydroxyphenyl)-acrylic acid (2).
- acetic anhydride 120 g, 0.72 mol
- triethylamine 161 mL, 1.6 equiv.
- Step 2 Synthesis of 3-(3,5-dimethoxyphenyl)-2-[4-(4-formylphenoxy)-phenyl]-acrylic acid (3).
- 2 (64.0 g, 0.21 mol) was dissolved in 320 mL anhydrous DMSO under nitrogen, and potassium tert-butoxide (48.0 g, 0.43 mol) was added in lots.
- p-fluorobenzaldehyde 27 mL, 0.22 mol
- the solution was poured into 1 L water and extracted with ether (2 ⁇ 500 mL).
- the aqueous phase was acidified with 5% HCl to ⁇ pH 4 and the precipitated product was collected by suction filtration.
- the wet filter cake was dissolved in a minimum of boiling acetone and recrystallized with addition of water. After chilling to 4° C. for 3 hr, the solid was collected by vacuum filtration. The product was dried overnight at 40° C. in a vacuum oven. Yield: 62 g, 73%.
- Step 3 Synthesis of 3-(3,5-dimethoxyphenyl)-2- ⁇ 4-[4-(2-ethoxycarbonyl-vinyl)-phenoxy]-phenyl ⁇ -acrylic acid (4).
- Triethylphosphonoacetate (7.14 mL, 36 mmol) was added to a suspension of NaH (60% in mineral oil, 2.64 g, 66 mmol) in anhydrous THF (100 mL) at 0° C. under argon, and the mixture was stirred for 15 min.
- a solution of aldehyde 3, (12.12 g, 30 mmol) in THF (100 mL) was added and the mixture was stirred for 1 h.
- the mixture was quenched with saturated aqueous ammonium chloride solution (5 mL), diluted with ethyl acetate (300 mL) and acidified with 5% aqueous HCl to pH 1.
- the ethyl acetate layer was separated, and the aqueous layer was extracted with ethyl acetate (100 mL).
- the combined organic layers were washed with brine, dried over anhydrous MgSO 4 , filtered and concentrated.
- the crude product was purified by recrystallization from a mixture of chloroform/methanol. The compound was suspended in hot methanol (200 mL) and a minimum volume ( ⁇ 30-40 mL) of chloroform was added to yield 4.
- Step 4 Synthesis of 3-(3,5-dimethoxyphenyl)-2- ⁇ 4-[4-(2-ethoxycarbonyl-ethyl)-phenoxy]-phenyl ⁇ -acrylic acid (5).
- Raney Ni (10.0 g, Raney 2800 nickel in water active catalyst
- ethanol-dioxane 2:1, 50 mL
- 4 13.0 g, 27.4 mmol
- a mixture of ethanol-dioxane (2:1, 400 mL was stirred vigorously for 15 hr under hydrogen at atmospheric pressure. Completion of the reaction was monitored by HPLC (time varies with the speed of stirring).
- Catalyst was filtered through a bed of Celite® diatomaceous earth, the bed was washed with ethanol-dioxane (2:1, 200 mL), and solvent was evaporated. The solid obtained was dissolved in hot toluene (150 mL) and cooled at 4° C. overnight. Solid separated was filtered and washed with ice-cold toluene (50 mL) and dried at 55° C. for 6 hr. Yield: 11.61 g, 90.5%.
- Step 5 Synthesis of 3-(3,5-dimethoxyphenyl)-2- ⁇ 4-[4-(3-oxo-3-ureido-propyl)-phenoxy]-phenyl ⁇ -acrylic acid (6).
- ethyl acetate 3.12 mL
- Urea (18 g, 0.3 mol
- 5 13 g, 0.027 mol
- Step 6 Synthesis of 3-(3,5-dimethoxyphenyl)-2- ⁇ 4-[4-(3-oxo-3-ureido-1)propyl)-phenoxy]-phenyl ⁇ -acrylic acid methyl ester (1).
- K 2 CO 3 (1.38 g, 0.01 mol).
- dimethyl sulfate (3.8 g, 0.03 mol) was added and stirred at room temperature for 30 min.
- the reaction mixture was acidified with 5% aqueous HCl and extracted with ethyl acetate.
- LDA lithium diisopropyl amide
- Ethyl chloroformate (0.11 mL, 1.2 mmol) was added and stirred overnight at room temperature.
- the reaction was quenched with saturated aqueous ammonium chloride solution and ethyl acetate (50 mL) was added.
- the organic layer was washed with brine (2 ⁇ 20 mL), dried on anhydrous magnesium sulfate and evaporated under reduced pressure.
- the crude product was purified by silica gel chromatography and eluted with hexane-ethyl acetate (7:3). Yield: 264 mg, 49.8%.
- Step 1 Synthesis of 3-(3,5-dimethoxyphenyl)-2-[4-(4-hydroxymethyl-phenoxy)-phenyl]-acrylic acid methyl ester (22).
- 3-(3,5-Dimethoxy-phenyl)-2-[4-(4-formylphenoxy)-phenyl]-acrylic acid methyl ester (21) was first prepared by converting the corresponding free acid (3) to the methyl ester by addition of DMF, K 2 CO 3 and dimethyl sulfate in a manner analogous to Example 1(f) above.
- Step 2 Synthesis of 2-[4-(4-bromomethylphenoxy)-phenyl]-3-(3,5-dimethoxyphenyl)-acrylic acid methyl ester (23).
- PBr 3 (1 M, 3.75 mL
- the reaction was quenched with saturated aqueous sodium bicarbonate solution.
- the organic layer was washed with water (20 mL), brine (2 ⁇ 30 mL), dried over anhydrous magnesium sulfate and evaporated.
- the CDI intermediate of 38 was converted to 40 by reacting it with morpholine in 94% yield.
- the effect of treatment with 1 on glucose uptake was measured in 3T3-L1 differentiated adipocytes.
- the assay was conducted essentially according to the method of Tafuri S R, Endocrinology, 137, 4706-4712 (1996).
- the adipocytes were incubated with different concentrations of the test compound for 48 hours in Dulbecco's modified Eagle's medium (DMEM) containing 10% fetal bovine serum (FBS), then washed and incubated in glucose-free, serum-free medium for 60 minutes at 37° C. Then 14 C-deoxyglucose was added and the cells were incubated for 30 minutes at room temperature.
- DMEM Dulbecco's modified Eagle's medium
- FBS fetal bovine serum
- Glucose uptake was calculated as a percentage of the basal level seen in cells not treated with drug. As shown in FIG. 1 , treatment with 1 resulted in a dose-dependent increase in glucose uptake.
- adipocytes were incubated with either vehicle (0.1% DMSO) or test compound (5 ⁇ M 1) for 48 hours in DMEM plus 10% FBS. The cells were then serum-starved, incubated for 30 minutes with different concentrations of insulin, and then glucose uptake was carried out for 10 minutes at room temperature. When compared to treatment with vehicle, treatment with 1 enhanced the stimulation of glucose uptake by insulin (see FIG. 2 ).
- the glucose-lowering effect of 1 was measured in ob/ob mice, an animal model for type 2 diabetes.
- seven-week-old male ob/ob mice received daily oral doses of either vehicle (0.5% CMC) or 1 (10 mg/kg) by gavage for seven days.
- Blood glucose levels were measured on day 0 (24 hours prior to administration of the first dose), day 1 (immediately prior to the first dose), and on days 2, 4, 6 and 8 (24 hours following administration of the prior dose).
- Significant decreases in blood glucose levels were recorded on day 6 (36% decrease, p ⁇ 0.05) and day 8 (23% decrease, p ⁇ 0.05) in the drug-treated versus the vehicle-treated animals (see FIG. 3 ).
- the lipid-lowering effects of 1 also were measured in ob/ob mice following one week of treatment.
- the concentrations of serum triglycerides and free fatty acids were determined on day 8.
- Significant decreases were observed in the levels of serum triglycerides (49% lower, p ⁇ 0.05) and free fatty acids (19% lower, p ⁇ 0.05) in the drug-treated versus the vehicle treated mice (see FIG. 4 ).
- the ability of 1 to inhibit LPS-induced TNF-alpha production was assessed in the mouse macrophage cell line RAW264.7.
- the RAW cells were preincubated with either 1 ⁇ M dexamethasone (Dex) or 10, 30 or 100 ⁇ M 1 for 1 hour at 37° C. in RPMI-1640 containing 10% FBS. After 1 hour LPS (0.1 ⁇ g/ml) was added and cells were incubated an additional 6 hours. Cell supernatant was then collected, aliquoted and frozen at ⁇ 70° C., and an aliquot used to determine the concentration of TNF-alpha by ELISA. As shown in FIG. 5 , treatment with 1 significantly inhibited the LPS-induced production of TNF-alpha. The inhibitory effect approached that seen with dexamethasone.
- the ability of 1 to inhibit LPS-induced IL-1 beta production was also examined in RAW264.7 cells.
- the RAW cells were preincubated with either 1 ⁇ M dexamethasone (Dex) or 10, 30 or 100 ⁇ M 1 for 1 hour at 37° C. in RPMI-1640 containing 10% FBS. After 1 hour LPS (0.1 ⁇ g/ml) was added and cells were incubated an additional 6 hours. Cell supernatant was then collected, aliquoted and frozen at ⁇ 70° C., and an aliquot used to determine the concentration of IL-1 beta by ELISA. As shown in FIG. 6 , treatment with 1 significantly inhibited the LPS-induced production of IL-1 beta. The inhibition seen with 1 was of the same approximate magnitude as that seen with dexamethasone.
- the ability of 1 to inhibit LPS-induced IL-6 production was also measured in RAW264.7 cells.
- the RAW cells were preincubated with either 1 ⁇ M dexamethasone (Dex) or 10, 30 or 100 ⁇ M 1 for 1 hour at 37° C. in RPMI-1640 containing 10% FBS. After 1 hour LPS (0.1 ⁇ g/ml) was added and cells were incubated an additional 6 hours. Cell supernatant was then collected, aliquoted and frozen at ⁇ 70° C., and an aliquot used to determine the concentration of IL-6 by ELISA. As shown in FIG. 7 , treatment with 1 significantly inhibited the LPS-induced production of IL-6. The inhibitory effect was greater than that observed with dexamethasone.
- the ability of 1 to inhibit LPS-induced production of iNOS and COX-2 was also measured in RAW264.7 cells.
- the RAW cells were preincubated with either 1 ⁇ M dexamethasone (Dex) or 10, 30 or 100 ⁇ M 1 (Test Cpd) or other reference compound (Ref Cpd A or Ref Cpd B) for 1 hour at 37° C. in RPMI-1640 containing 10% FBS. After 1 hour LPS (0.1 ⁇ g/ml) was added and cells were incubated an additional 6 hours. Cells receiving no drug treatment, incubated with or without LPS, served as controls.
- Frozen human elutriated monocytes (Advanced Biotechnologies Incorporated) were thawed and each 1-ml vial mixed with ⁇ 12 ml of 10% FBS complete medium (10% heat-inactivated fetal bovine serum in RPMI 1640 medium supplemented with 100 U/ml penicillin, 100 ⁇ g/ml streptomycin and 50 ⁇ M 2-mercaptoethanol).
- Cells were centrifuged at 800 rpm for 10 min at room temperature using a Beckman GS-6 centrifuge with GH-3.8 rotor, and the cell pellets were resuspended in 20% FBS complete medium (20% heat-inactivated FBS in RPMI 1640 medium supplemented with 100 U/ml penicillin, 100 ⁇ g/ml streptomycin and 50 ⁇ M 2-mercaptoethanol) and centrifuged again at 800 rpm for 10 min at room temperature. Cell pellets were resuspended in 20% FBS complete medium, and the cell suspensions were pooled and passed through a 70-micron cell strainer to remove any aggregates or clumps.
- the cell suspension was adjusted to 2.5 ⁇ 10 6 cells/ml in 20% FBS complete medium.
- Cell suspension 160 ⁇ l, 4 ⁇ 10 5 cells was added into each well of a 96-well tissue-culture treated polystyrene plate and incubated at 37° C. for 1-2.5 h.
- Cells were pretreated with vehicle (DMSO) or test compound (0.3, 1.0, 3.0, 10 or 30 ⁇ M) in 20% FBS complete medium for 1 h at 37° C.
- DMSO vehicle
- test compound 0.3, 1.0, 3.0, 10 or 30 ⁇ M
- lipopolysaccharides from Salmonella typhimurium in 20% FBS complete medium were added to the cells.
- the final concentrations were 0.1% DMSO and 10 ng/ml LPS in a final volume of 200 ⁇ l/well.
- the cells were incubated for 20 h at 37° C., and then the supernatants were harvested and aliquots of the supernatants frozen at ⁇ 80° C. for subsequent analysis.
- Cells on the plates were assayed for cell viability using the MTS/PMS assay (Cory A H et al., Cancer Commun 3:207-212, 1991).
- the concentration of TNF-alpha in the cell supernatants was determined using quantitative sandwich enzyme immunoassay for human TNF-alpha (R&D Systems).
- the mean percent inhibition of TNF-alpha release relative to vehicle was calculated for each concentration of test compound from multiple determinations. As shown in Table 2, the compounds of the invention caused significant inhibition of LPS-induced TNF-alpha release by human monocytes.
- 3T3-L1 adipocytes Differentiation of mouse 3T3-L1 adipocytes was carried out using the method of Greenberg A S, et al., J Biol Chem 276:45456-61, 2001. Briefly, 3T3-L1 fibroblasts were differentiated to adipocytes by incubation in DMEM containing 10% FBS, 72 ⁇ g/ml porcine insulin, 0.5 mM 3-isobutylmethylxanthine (IBMX) and 400 ng/ml dexamethasone for 2 ⁇ 48 h at 37° C. Differentiated cells were maintained in media containing 10% FBS without insulin, IBMX or dexamethasone until they were used for experiments.
- IBMX 3-isobutylmethylxanthine
- Adipocytes were incubated with vehicle (0.1% DMSO) or test compound (0.1, 1.0 or 10 ⁇ M) for 48 h in DMEM containing 10% FBS, then washed and incubated in high-glucose, serum-free medium for 3 h at 37° C.
- Compound 13 was examined for its ability to inhibit the activity of PDE4 and PDE3 enzymes.
- PDE4 partially purified from human U-937 promonocytic cells and PDE3 partially purified from human platelets were used.
- Test compound (1, 10 or 30 ⁇ M) or vehicle (0.1% DMSO) was incubated with 0.2 ⁇ g PDE4 enzyme or 1 ⁇ g PDE3 enzyme and 1 ⁇ M cAMP containing 0.01 ⁇ g [ 3 H]cAMP in Tris buffer pH 7.5 for 20 min at 30° C. The reaction was terminated by boiling for 2 min and the resulting AMP was converted to adenosine by addition of 10 mg/ml snake venom nucleotidase and further incubation at 30° C. for 10 min.
- Compound 13 was examined for its ability to inhibit LPS-induced and LPS/IFN-gamma induced phosphorylation of p44/42 MAP kinase.
- RAW 264.7 gamma NO( ⁇ ) cells were seeded at 1 ⁇ 10 6 /well (2 ml per well) in 6-well tissue culture plates one day prior to the experiment. To start the experiment, cells were washed 2 ⁇ with RPMI 1640 medium, 0.5% FBS, 100 U/ml penicillin, 100 ⁇ g/ml streptomycin, 1 mM sodium pyruvate, and then pretreated with vehicle (0.1% DMSO) or test compound (10 or 30 ⁇ M) at 37° C. for 1 h.
- cells were incubated in RPMI 1640 medium, 10% FBS, 100 U/ml penicillin, 100 ⁇ g/ml streptomycin, 1 mM sodium pyruvate, containing 10 ng/ml LPS or LPS (10 ng/ml)/IFN-gamma (10 U/ml) at 37° C. for 15 min.
- Lysates (29 ⁇ g of total proteins per sample) were subjected to SDS-polyacrylamide (4-20%) gel electrophoresis, and the separated proteins were transferred to nitrocellulose membranes.
- Membranes were blocked with 5% non-fat dry milk, 10 mM Tris-HCl (pH 8.0), 150 mM NaCl, 0.1% Tween®-20 at room temperature for 1 h and then were blotted with mAb against phospho-p44/42 MAP kinase (Thr 202/Tyr 204) at room temperature for 1 h. The membranes were then washed and incubated with a horseradish peroxidase-linked anti-mouse secondary antibody at room temperature for 1 h.
- Compound 13 was examined for its ability to inhibit anti-CD3/anti-CD28 stimulated lymphocyte proliferation. Binding of antigen, or antibodies, to CD3/CD28 triggers activation and proliferation of T-lymphocytes, which are key steps involved in mounting an immune response (Abbas, Lichtman and Pober, Cellular and Molecular Immunology, 3 rd edition, W.B. Saunders Company, Philadelphia, 1997).
- Mesenteric lymph nodes were collected from BALB/c mice (female, ⁇ 8 weeks old), and the cells were isolated in PBS (pH 7.4) and mixed with culture medium (RPMI 1640 medium, 10% FBS, 100 U/ml penicillin, 100 ⁇ g/ml streptomycin, 50 ⁇ M 2-mercaptoethanol).
- Cells were treated with purified hamster anti-mouse CD3 ⁇ (2 ⁇ g/ml) and anti-mouse CD28 (0.2 ⁇ g/ml) monoclonal antibodies or with culture medium. The final concentrations were 0.1% DMSO and 10 ⁇ M test compound in a final volume of 200 ⁇ l per well. Cells were incubated at 37° C. for 67 h, and then cells on plates were centrifuged at 900 rpm for 10 min at room temperature using a Beckman GS-6 Centrifuge with GH-3.8 rotor. 150 ⁇ l of supernatant from each well was subsequently harvested and frozen at ⁇ 80° C. for further analysis (ELISA).
- ELISA ELISA
- Collagen-induced arthritis was induced in 45 DBA/1J mice using immunization with chicken collagen Type II.
- the induction schedule was as follows: on Day 0, 100 ⁇ g/100 ⁇ l in Complete Freund's Adjuvant (CFA) intradermally; on Day 21, 100 ⁇ g/100 ⁇ l in Incomplete Freund's Adjuvant subcutaneously; on Day 31, 100 ⁇ g/100 ⁇ l in CFA subcutaneously; all given at the base of the tail.
- CFA Complete Freund's Adjuvant
- animals received lipopolysaccharides (detoxified from E. coli serotype O111:B4; 40 ⁇ g/mL) intraperitoneally.
- mice When signs of arthritis appeared, mice were assigned into four treatment groups: vehicle control (0.5% carboxymethylcellulose (CMC)); compound 31 (40 mg/kg suspension in CMC); compound 31 (100 mg/kg in CMC); positive control (dexamethasone; 5 mg/kg).
- CMC carboxymethylcellulose
- the animals were dosed per oral by gavage, twice daily for 14 days, at a dose volume of 250 ⁇ l per mouse per dose.
- the study was scored blindly to the different treatment groups. Mice were weighed and arthritis was scored three times a week. Arthritis was scored as a count of affected limbs and digits, evaluated as: erythema and swelling of tarsal, the ankle to the metatarsal joints, up to restriction of movement and deformity of the joints.
- the low dose of compound 31 had no apparent effect on the animals compared with vehicle controls.
- the high dose prevented the increase in severity, to about the same extent as dexamethasone. Histology showed that the vehicle group and the low-dose compound 31 group had marked chronic inflammation of synovium with pannus formation and destruction of bone and cartilage, while in the dexamethasone group the joints were within normal limits.
- At high dose of compound 31 there was a reduction in incidence and severity of pannus formation, inflammation cell infiltration and bone/cartilage damage.
- a dose-dependent effect of compound 31 was observed on both the soft tissue and bone and cartilage, consistent with a disease-modifying activity of the compound in this model.
- the compounds according to the present invention not only lower blood glucose level, triglyceride level and free fatty acid level in diabetic conditions, but also inhibit TNF-alpha, IL-6, IL-1 beta, COX-2 and iNOS production in inflammation, as well as inhibit PDE4 and PDE3 activity, phosphorylation of p44/42 MAP kinase and lymphocyte proliferation.
- the compounds of the invention should be useful in the treatment of disorders associated with insulin resistance, hyperglycemia, hyperlipidemia, coronary artery disease and peripheral vascular disease and for the treatment of inflammation, inflammatory diseases, immunological diseases, proliferative diseases and cancer, especially those mediated by cytokines, cyclooxygenase, phosphodiesterase and/or MAP kinase.
- Step 1 Synthesis of 2- ⁇ 4-[4-(2-ethoxycarbonylethyl)-phenoxy]-phenyl ⁇ -3-pyridin-3-yl-acrylic acid (74).
- 3-carboxaldehyde 5.12 g, 47.84 mmol
- potassium acetate 5.37 g, 54.67 mmol
- acetic anhydride 5.09 g, 49.09 mmol
- Step 2 Synthesis of 2- ⁇ 4-[4-(3-oxo-3-ureidopropyl)-phenoxy]-phenyl ⁇ -3-pyridin-3-yl-acrylic acid (75).
- Mixture was cooled down to 80° C., urea (4.81 g, 80.4 mmol) was added and heated till it dissolved completely.
- Step 3 Synthesis of N,N-dimethyl-2- ⁇ 4-[4-(3-oxo-3-ureidopropyl)-phenoxy]-phenyl ⁇ -3-pyridin-3-yl-acrylamide (73).
- 2- ⁇ 4-[4-(3-oxo-3-ureidopropyl)-phenoxy]-phenyl ⁇ -3-pyridin-3-yl-acrylic acid 75, (2.70 g, 6.2 mmol) in DMF (10 mL) triethylamine (1.29 mL, 9.3 mmol) and BOP (3.0 g, 6.88 mmol) reagent was added and stirred at room temperature for 15 min.
- Step 1 Synthesis of 2- ⁇ 4-[4-(2-carbamoylethyl)-phenoxy]-phenyl ⁇ -3-pyridin-3-yl-acrylic acid (76).
- Urea (1.92 g, 32.0 mmol) was added and heated till it dissolved completely.
- 2- ⁇ 4-[4-(2-ethoxycarbonyl-ethyl)-phenoxy]-phenyl ⁇ -3-pyridin-3-yl-acrylic acid, 74, (2.40 g, 5.7 mmol) was added and heated for 90 min at reflux.
- Step 2 Synthesis of 2- ⁇ 4-[4-(2-carbamoyl-ethyl)-phenoxy]-phenyl ⁇ -N,N-dimethyl-3-pyridin-3-yl-acrylamide (77).
- 2- ⁇ 4-[4-(2-carbamoyl-ethyl)-phenoxy]-phenyl ⁇ -3-pyridin-3-yl-acrylic acid, 76, (2.00 g, 5.1 mmol) in DMF (5 mL) triethylamine (1.06 mL, 7.6 mmol) and BOP reagent (2.5 g, 5.66 mmol) were added and stirred at room temperature for 15 min.
- Step 1 Synthesis of 2- ⁇ 4-[4-(2-ethoxycarbonylethyl)-phenoxy]-phenyl ⁇ -3-pyridin-3-ylpropionic acid (79).
- Step 2 Synthesis of 3- ⁇ 4-[4-(1-dimethylcarbamoyl-2-pyridin-3-ylethyl)-phenoxy]-phenyl ⁇ -propionic acid ethyl ester (80).
- 2- ⁇ 4-[4-(2-ethoxycarbonylethyl)-phenoxy]-phenyl ⁇ -3-pyridin-3-ylpropionic acid 79 (5.40 g, 12.8 mmol) in DMF (15 mL) triethylamine (2.60 mL, 19.2 mmol) and BOP reagent (6.20 g 14.1 mmol) was added and stirred at room temperature for 15 min.
- Step 3 Synthesis of 2- ⁇ 4-[4-(2-carbamoylethyl)-phenoxy]-phenyl ⁇ -N,N-dimethyl-3-pyridin-3-yl-propionamide (81).
- Urea (1.20 g, 20.0 mmol) was added and heated till it dissolved completely.
- DBA/LacJ mice six to eight weeks old, were administered orally compound 31 (50 or 100 mg/kg), compound 77 (50 or 100 mg/kg), methotrexate (10 mg/kg) as a positive control, or vehicle only (8% dimethyl sulfoxide [DMSO]/42% Solutol® HS-15).
- mice were challenged intraperitoneally with lipopolysaccharides (LPS) (3 mg/kg), and one hour after LPS challenge heparinized whole blood was collected by retro-orbital bleed and the plasma was isolated for analysis of tumor necrosis factor-alpha (TNF-alpha) content.
- LPS lipopolysaccharides
- ELISA enzyme-linked immunoassay
Landscapes
- Chemical & Material Sciences (AREA)
- Organic Chemistry (AREA)
- Health & Medical Sciences (AREA)
- Veterinary Medicine (AREA)
- Medicinal Chemistry (AREA)
- Pharmacology & Pharmacy (AREA)
- Life Sciences & Earth Sciences (AREA)
- Animal Behavior & Ethology (AREA)
- General Health & Medical Sciences (AREA)
- Public Health (AREA)
- Chemical Kinetics & Catalysis (AREA)
- General Chemical & Material Sciences (AREA)
- Nuclear Medicine, Radiotherapy & Molecular Imaging (AREA)
- Engineering & Computer Science (AREA)
- Bioinformatics & Cheminformatics (AREA)
- Diabetes (AREA)
- Pulmonology (AREA)
- Heart & Thoracic Surgery (AREA)
- Cardiology (AREA)
- Rheumatology (AREA)
- Endocrinology (AREA)
- Obesity (AREA)
- Hematology (AREA)
- Emergency Medicine (AREA)
- Dermatology (AREA)
- Pain & Pain Management (AREA)
- Immunology (AREA)
- Orthopedic Medicine & Surgery (AREA)
- Physical Education & Sports Medicine (AREA)
- Epidemiology (AREA)
- Pharmaceuticals Containing Other Organic And Inorganic Compounds (AREA)
- Acyclic And Carbocyclic Compounds In Medicinal Compositions (AREA)
- Organic Low-Molecular-Weight Compounds And Preparation Thereof (AREA)
- Pyridine Compounds (AREA)
Abstract
Novel acyl urea, thiourea, carbamate, thiocarbamate and related compounds are provided which are effective in inhibiting the cytokine-mediated inflammatory response in cultured cells, in ameliorating bone destruction in an animal model of arthritis and in lowering blood glucose levels in animal models of Type II diabetes mellitus. The compounds are disclosed as useful for a variety of treatments including the treatment of diabetes mellitus, insulin resistance, inflammation, inflammatory, diseases, immunological diseases and cancer.
Description
- This application is a continuation-in-part of International Application No. PCT/US02/38150, filed Nov. 27, 2002, which claims the benefit of U.S. Provisional Application No. 60/334,818, filed Nov. 29, 2001, which are both incorporated herein, in their entirety, by reference.
- The invention is directed to compounds, for example, heterocyclic derivatives of acyl urea, thiourea, carbamate and thiocarbamate compounds, that provide a variety of useful pharmacological effects. The compounds are useful, for example, in lowering blood glucose levels in hyperglycemic disorders, such as diabetes mellitus, and for treating related disorders, such as obesity and hyperlipidemia. Furthermore, these compounds are useful for treatment of disorders associated with insulin resistance, such as polycystic ovary syndrome, and for the treatment of inflammation, inflammatory and immunological diseases, particularly those mediated by pro-inflammatory cytokines (such as TNF-alpha, IL-1 beta and IL-6),
type 4 andtype 3 phosphodiesterase (PDE4 and PDE3, respectively), p44/42 mitogen-activated protein (MAP) kinase, cyclooxygenase-2 (COX-2) and/or inducible nitric oxide synthase (iNOS). - The causes of diabetes mellitus are not yet known, although both genetics and environment seem to be major factors.
Type 1 diabetes, also known as insulin-dependent diabetes mellitus (IDDM), is an autoimmune disease in which the responsible autoantigen is still unidentified. Since their insulin-producing pancreatic cells are destroyed,Type 1 diabetics need to take insulin parenterally to survive. On the other hand,type 2 diabetes, also called non-insulin-dependent diabetes mellitus (NIDDM), the more common form, is a metabolic disorder resulting from the body's inability to make a sufficient amount of insulin or to properly use the insulin that is produced. Impaired insulin secretion and insulin resistance are considered the major defects; however, the precise genetic factors involved in the mechanism remain unknown. - Other than insulin administered parenterally and as shown in Table 1, there are generally four major classes of oral hypoglycemic agents currently used in the treatment of diabetes mellitus:
-
TABLE 1 Approved Mechanisms of Class Drugs Action Limitations Sulfonylurea four (1st stimulates pancreas hypoglycemia; generation) to release more may increase and insulin cardiovascular two (2nd risk; contra- generation) indicated in liver and renal dysfunction; hyperinsulinemia Biguanide metformin reduces glucose lactic acidosis; GI production by side effects liver; improves insulin sensitivity Alpha- acarbose reduces glucose GI side effects; glucosidase absorption by gut requires frequent inhibitor postprandial dosing Thiazolidine- troglitazone stimulates nuclear edema; contra- dione (withdrawn) PPAR-gamma indicated in heart rosiglitazone receptor; reduces failure; long onset pioglitazone insulin resistance of action; weight gain; frequent liver function testing - As is shown in the above table, each of the current agents available for use in treatment of diabetes mellitus has several disadvantages. Accordingly, there is a need for the identification and development of new agents, particularly, water soluble agents which can be orally administered, for use in the treatment of diabetes mellitus and other hyperglycemic disorders.
- Moreover, while the thiazolidinedione class has gained more widespread use in recent years as insulin sensitizers to combat “insulin resistance”, a condition in which the patient becomes less responsive to the effects of insulin, there is a need for frequent liver testing for patients using these compounds. In fact, the known thiazolidinediones are not effective for a significant portion of the patient population. In addition, the first drug in this class to be approved by the FDA, troglitazone, was withdrawn from the market due to problems of liver toxicity. Thus, there is a continuing need for nontoxic, more widely effective insulin sensitizers.
- As indicated above, the invention is also directed to the treatment of immunological diseases or inflammation, in particular, such diseases as are mediated by cytokines, COX-2 and iNOS. The principal elements of the immune system are macrophages or antigen-presenting cells, T cells and B cells. Macrophages are important mediators of inflammation and also provide the necessary “help” for T cell stimulation and proliferation. For example, macrophages make the cytokines IL-1, IL-12 and TNF-alpha, all of which are potent pro-inflammatory molecules. Cytokine production may lead to the secretion of other cytokines, altered cellular function, cell division or differentiation. In addition, activation of macrophages results in the induction of enzymes, such as COX-2 and iNOS, and in the production of free radicals capable of damaging normal cells. Many factors activate macrophages, including bacterial products, superantigens and interferon gamma. It is believed that phosphotyrosine kinases and other cellular kinases are involved in the activation process. Since macrophages are sentinel to the development of an immune response, agents that modify their function, specifically their cytokine secretion profile, are likely to determine the direction and potency of the immune response.
- Inflammation is the body's normal response to injury or infection. However, in inflammatory diseases such as rheumatoid arthritis, pathologic inflammatory processes can lead to morbidity and mortality. The cytokine tumor necrosis factor-alpha (TNF-alpha) plays a central role in the inflammatory response and has been targeted as a point of intervention in inflammatory disease. TNF-alpha is a polypeptide hormone released by activated macrophages and other cells. At low concentrations, TNF-alpha participates in the protective inflammatory response by activating leukocytes and promoting their migration to extravascular sites of inflammation (Moser et al., J Clin Invest, 83:444-55, 1989). At higher concentrations, TNF-alpha can act as a potent pyrogen and induce the production of other pro-inflammatory cytokines (Haworth et al., Eur J Immunol, 21:2575-79, 1991; Brennan et al., Lancet, 2:244-7, 1989). TNF-alpha also stimulates the synthesis of acute-phase proteins. In rheumatoid arthritis, a chronic and progressive inflammatory disease affecting about 1% of the adult U.S. population, TNF-alpha mediates the cytokine cascade that leads to joint damage and destruction (Arend et al., Arthritis Rheum, 38:151-60, 1995). Inhibitors of TNF-alpha, including soluble TNF receptors (etanercept) (Goldenberg, Clin Ther, 21:75-87, 1999) and anti-TNF-alpha antibody (infliximab) (Luong et al., Ann Pharmacother, 34:743-60, 2000), the contents of each of which are incorporated herein by reference, have recently been approved by the U.S. Food and Drug Administration (FDA) as agents for the treatment of rheumatoid arthritis.
- Elevated levels of TNF-alpha have also been implicated in many other disorders and disease conditions, including cachexia (Fong et al., Am J Physiol, 256:R659-65, 1989), septic shock syndrome (Tracey et al., Proc Soc Exp Biol Med, 200:233-9, 1992), osteoarthritis (Venn et al., Arthritis Rheum, 36:819-26, 1993), inflammatory bowel disease such as Crohn's disease and ulcerative colitis (Murch et al., Gut, 32:913-7, 1991), Behcet's disease (Akoglu et al., J Rheumatol, 17:1107-8, 1990), Kawasaki disease (Matsubara et al., Clin Immunol Immunopathol, 56:29-36, 1990), cerebral malaria (Grau et al., N Engl J Med, 320:1586-91, 1989), adult respiratory distress syndrome (Millar et al., Lancet 2:712-4, 1989), asbestosis and silicosis (Bissonnette et al., Inflammation, 13:329-39, 1989), pulmonary sarcoidosis (Baughman et al., J Lab Clin Med, 115:3642, 1990), asthma (Shah et al., Clin Exp Allergy, 25:1038-44, 1995), AIDS (Dezube et al., J Acquir Immune Defic Syndr, 5:1099-104, 1992), meningitis (Waage et al., Lancet, 1:355-7, 1987), psoriasis (Oh et al., J Am Acad Dermatol, 42:829-30, 2000), spondyloarthritides such as ankylosing spondylitis (Braun et al., Curr Opin Rheumatol 13:245-9, 2001; Marzo-Ortega et al., Arthritis Rheum 44:2112-7, 2001), graft versus host reaction (Nestel et al., J Exp Med, 175:405-13, 1992), multiple sclerosis (Sharief et al., N Engl J Med, 325:467-72, 1991), systemic lupus erythematosus (Maury et al., Int J Tissue React, 11:189-93, 1989), diabetes (Hotamisligil et al., Science, 259:87-91, 1993) and atherosclerosis (Bruunsgaard et al., Clin Exp Immunol, 121:255-60, 2000), the contents of each of which are incorporated herein by reference. It can be seen from the references cited above that inhibitors of TNF-alpha are potentially useful in the treatment of a wide variety of diseases.
- Interleukin-6 (IL-6) is another pro-inflammatory cytokine that exhibits pleiotropy and redundancy of action. IL-6 participates in the immune response, inflammation and hematopoiesis. It is a potent inducer of the hepatic acute phase response and is a powerful stimulator of the hypothalamic-pituitary-adrenal axis that is under negative control by glucocorticoids. IL-6 promotes the secretion of growth hormone but inhibits release of thyroid stimulating hormone. Elevated levels of IL-6 are seen in several inflammatory diseases, and inhibition of the IL-6 cytokine subfamily has been suggested as a strategy to improve therapy for rheumatoid arthritis (Carroll et al., Inflamm Res, 47: 1-7, 1998). In addition, IL-6 has been implicated in the progression of atherosclerosis and the pathogenesis of coronary heart disease (Yudkin et al., Atherosclerosis, 148:209-14, 1999). Overproduction of IL-6 is also seen in steroid withdrawal syndrome, conditions related to deregulated vasopressin secretion, and osteoporosis associated with increased bone resorption, such as in cases of hyperparathyroidism and sex-steroid deficiency (Papanicolaou et al., Ann Intern Med, 128:127-37, 1998). Since excessive production of IL-6 is implicated in several disease states, it is highly desirable to develop compounds that inhibit IL-6 secretion.
- The cytokine IL-1 beta also participates in the inflammatory response. It stimulates thymocyte proliferation, fibroblast growth factor activity, and the release of prostaglandin from synovial cells. Elevated or unregulated levels of the cytokine IL-1 beta have been associated with a number of inflammatory diseases and other disease states, including but not limited to adult respiratory distress syndrome (Meduri et al, Chest 107:1062-73, 1995), allergy (Hastie et al, Cytokine 8:730-8, 1996), Alzheimer's disease (O'Barr et al, J Neuroimmunol 109:87-94, 2000), anorexia (Laye et al, Am J Physiol Regul Integr Comp Physiol 279:R93-8, 2000), asthma (Sousa et al, Thorax 52:407-10, 1997), atherosclerosis (Dewberry et al, Arterioscler Thromb Vasc Biol 20:2394-400, 2000), brain tumors (Ilyin et al, Mol Chem Neuropathol 33:125-37, 1998), cachexia (Nakatani et al, Res Commun Mol Pathol Pharmacol 102:241-9, 1998), carcinoma (Ikemoto et al, Anticancer Res 20:317-21, 2000), chronic arthritis (van den Berg et al, Clin Exp Rheumatol 17:S105-14, 1999), chronic fatigue syndrome (Cannon et al, J Clin Immunol 17:253-61, 1997), CNS trauma (Herx et al, J Immunol 165:2232-9, 2000), epilepsy (De Simoni et al, Eur J Neurosci 12:2623-33, 2000), fibrotic lung diseases (Pan et al, Pathol Int 46:91-9, 1996), fulminant hepatic failure (Sekiyama et al, Clin Exp Immunol 98:71-7, 1994), gingivitis (Biesbrock et al, Monogr Oral Sci 17:20-31, 2000), glomerulonephritis (Kluth et al, J Nephrol 12:66-75, 1999), Guillain-Barre syndrome (Zhu et al, Clin Immunol Immunopathol 84:85-94, 1997), heat hyperalgesia (Opree et al, J Neurosci 20:6289-93, 2000), hemorrhage and endotoxemia (Parsey et al, J Immunol 160:1007-13, 1998), inflammatory bowel disease (Olson et al, J Pediatr Gastroenterol Nutr 16:241-6, 1993), leukemia (Estrov et al, Leuk Lymphoma 24:379-91, 1997), leukemic arthritis (Rudwaleit et al, Arthritis Rheum 41:1695-700, 1998), systemic lupus erythematosus (Mao et al, Autoimmunity 24:71-9, 1996), multiple sclerosis (Martin et al, J Neuroimmunol 61:241-5, 1995), osteoarthritis (Hernvann et al, Osteoarthritis Cartilage 4:139-42, 1996), osteoporosis (Zheng et al, Maturitas 26:63-71, 1997), Parkinson's disease (Bessler et al, Biomed Pharmacother 53:141-5, 1999), POEMS syndrome (Gherardi et al, Blood 83:2587-93, 1994), pre-term labor (Dudley, J Reprod Immunol 36:93-109, 1997), psoriasis (Bonifati et al, J Biol Regul Homeost Agents 11:133-6, 1997), reperfusion injury (Clark et al, J Surg Res 58:675-81, 1995), rheumatoid arthritis (Seitz et al, J Rheumatol 23:1512-6, 1996), septic shock (van Deuren et al, Blood 90:1101-8, 1997), systemic vasculitis (Brooks et al, Clin Exp Immunol 106:273-9, 1996), temporal mandibular joint disease (Nordahl et al, Eur J Oral Sci 106:559-63, 1998), tuberculosis (Tsao et al, Tuber Lung Dis 79:279-85, 1999), viral rhinitis (Roseler et al, Eur Arch Otorhinolaryngol Suppl 1:S61-3, 1995), the contents of each of which are incorporated herein by reference, and pain and/or inflammation resulting from strain, sprain, trauma, surgery, infection or other disease processes. Since overproduction of IL-1 beta is associated with numerous disease conditions, it is desirable to develop compounds that inhibit the production or activity of IL-1 beta.
- Cyclooxygenase is an enzyme that catalyzes a rate-determining step in the biosynthesis of prostaglandins, which are important mediators of inflammation and pain. The enzyme occurs as at least two distinct isomers, cyclooxygenase-1 (COX-1) and cyclooxygenase-2 (COX-2). The COX-1 isomer is constitutively expressed in the gastric mucosa, platelets and other cells and is involved in the maintenance of homeostasis in mammals, including protecting the integrity of the digestive tract. The COX-2 isomer, on the other hand, is not constitutively expressed but rather is induced by various agents, such as cytokines, mitogens, hormones and growth factors. In particular, COX-2 is induced during the inflammatory response (DeWitt D L, Biochim Biophys Acta, 1083:121-34, 1991; Seibert et al., Receptor, 4:17-23, 1994.). Aspirin and other conventional non-steroid anti-inflammatory drugs (NSAIDs) are non-selective inhibitors of both COX-1 and COX-2. They can be effective in reducing inflammatory pain and swelling, but since they hamper the protective action of COX-1, they produce undesirable side effects of gastrointestinal pathology. Therefore, agents that selectively inhibit COX-2 but not COX-1 are preferable for treatment of inflammatory diseases. Recently, a diarylpyrazole sulfonamide (celecoxib) that selectively inhibits COX-2 has been approved by the FDA for use in the treatment of osteoarthritis and adult rheumatoid arthritis (Luong et al., Ann Pharmacother, 34:743-60, 2000; Penning et al., J Med Chem, 40:1347-65, 1997). Another selective COX-2 inhibitor, rofecoxib, has been approved by the FDA for treatment of osteoarthritis, acute pain and primary dysmenorrhea (Scott and Lamb, Drugs, 58:499-505, 1999; Morrison et al., Obstet Gynecol, 94:504-8, 1999; Saag et al, Arch Fam Med, 9:1124-34, 2000). COX-2 is also expressed in many cancers and precancerous lesions, and there is mounting evidence that selective COX-2 inhibitors may be useful for treating and preventing colorectal, breast and other cancers (Taketo M M, J Natl Cancer Inst, 90:1609-20, 1998; Fournier et al., J Cell Biochem Suppl, 34:97-102, 2000; Masferrer et al., Cancer Res, 60:1306-11, 2000), the contents of each of which are incorporated herein by reference. In 1999 celecoxib was approved by the FDA as an adjunct to usual care for patients with familial adenomatous polyposis, a condition which, left untreated, generally leads to colorectal cancer.
- Production of nitric oxide by iNOS has been associated with both beneficial and detrimental effects in inflammation, inflammatory diseases and related disorders. For example, deleterious effects have been implicated in the pathogenesis of abdominal aortic aneurysms (Johanning et al, J Vasc Surg 33:579-86, 2001), acute endotoxemia (Henningsson et al, Am J Physiol Cell Physiol 280:C1242-54, 2001), amyotrophic lateral sclerosis (Sasaki et al, Neurosci Lett 291:44-8, 2000), atherosclerosis (Behr-Roussel et al, Circulation 102:1033-8, 2000), bladder cancer (Wolf et al, Virchows Arch 437:662-6, 2000), colon cancer (Watanabe et al, Biofactors 12:129-33, 2000), cystitis (Alfieri et al, Naunyn Schmiedebergs Arch Pharmacol 363:353-7, 2001), HIV-1 encephalitis (Zhao et al, J Neuroimmunol 115:182-91, 2001), inflammatory bowel disease (Singer et al, Gastroenterology 111:871-85, 1996), multiple sclerosis (Pozza et al, Brain Res 855:39-46, 2000), osteoarthritis (Pelletier et al, Osteoarthritis Cartilage 7:416-8, 1999), osteoporosis (Armour et al, J Bone Miner Res 14:2137-42, 1999), portal hypertension (Schroeder et al, Dig Dis Sci Dec 45:2405-10, 2000), pulmonary edema in endotoxin shock (Lee et al, Clin Exp Pharmacol Physiol 28:315-20, 2001), rheumatoid arthritis (van't Hof et al, Rheumatology (Oxford) 39:1004-8, 2000), sepsis (Nishina et al, Anesth Analg 92:959-66, 2001), severe burn/smoke inhalation injury (Soejima et al, Am J Respir Crit Care Med 163:745-52, 2001), and ulcerative colitis (Ikeda et al, Am J Gastroenterol 92:1339-41, 1997), the contents of each of which are incorporated herein by reference. Since the production of nitric oxide by iNOS has been implicated in the pathogenesis of inflammatory and related immunological diseases, it is desirable to develop compounds that inhibit iNOS activity or expression.
- Phosphodiesterases (PDEs) are responsible for the hydrolysis of intracellular cyclic adenosine and guanosine monophosphate (cAMP and cGMP), which converts these second messengers into their inactive forms. There are 11 major families of PDEs, designated PDE1 to PDE11.
Type 4 phosphodiesterase (PDE4) is found in airway smooth muscle cells and in immune and inflammatory cells. PDE4 activity has been associated with a wide variety of inflammatory and autoimmune diseases, and PDE4 inhibitors have been studied as potential therapeutic agents for such diseases as asthma, chronic obstructive pulmonary disease, rheumatoid arthritis, multiple sclerosis andtype 2 diabetes (Burnouf and Pruniaux, Current Pharm Des, 8:1255-96, 2002; Dal Piaz and Giovannoni, Eur J Med Chem, 35:463-80, 2000).Type 3 phosphodiesterase (PDE3) is localized in platelets and cardiac and vascular smooth muscle cells. Inhibitors of PDE3 have been proposed as possible drugs for the treatment of acute respiratory distress syndrome (Schermuly et al, J Pharmacol Exp Ther, 292:512-20, 2000), cancer (Shimizu et al, Anticancer Drugs, 13:875-80, 2002; Murata et al, Anticancer Drugs, 12:79-83, 2001), cardiomyopathy (Alharethi and Movsesian, Expert Opin Investig Drugs, 11:1529-36, 2002), congestive heart failure (Movsesian, J Am Coll Cardiol, 34:318-24, 1999), erectile dysfunction (Kuthe et al, Curr Opin Investig Drugs, 3:1489-95, 2002), and T-cell-mediated autoimmune disorders (Bielekova et al, J Immunol 164:1117-24, 2000), the contents of each of which are incorporated herein by reference. - Activation of lymphocyte and macrophage immune response to pathogens involve complex intracellular signaling pathways involving a cascade of various phosphorylating enzymes, kinases that ultimately regulate cytokine production and cell apoptosis. Key kinases include p44/42 MAP kinase (also known as ERK1/ERK2), P38 MAP kinase, MEK, and IRAK/NFkB. While different processes utilize different aspects of the pathway, the bacterial coat-derived protein LPS has been shown to activate multiple mitogen-activated protein kinases, including the extracellular signal-regulated receptor kinases ERK1 and ERK2. LPS-induced TNF-alpha production by human monocytes involves activation of ERK1/ERK2 (van der Bruggen et al, Infect Immun, 67:3824-9, 1999). As TNF-alpha is a key mediator of autoimmune disease, blocking the ERK pathway has potential for the treatment of inflammatory and immunological diseases such as lupus (Yi et al, J Immunol, 165:6627-34, 2000), rheumatoid arthritis (Neff et al, Cell Microbiol, 3:703-12, 2001; Schett et al, Arthritis Rheum, 43:2501-12, 2000), psoriasis (van der Bruggen et al, Infect Immun, 67:3824-9, 1999) and destruction of pancreatic islet beta cells in Type I diabetes (Pavlovic et al, Eur Cytokine Netw 11:267-74, 2000), the contents of each of which are incorporated herein by reference.
- It will be appreciated from the foregoing that, while there have been extensive prior efforts to provide compounds for inhibiting, for example, TNF-alpha, IL-1 beta, IL-6, COX-2, PDE4 or other agents considered responsible for inflammation or inflammatory diseases, e.g. arthritis, there still remains a need for new and improved compounds for effectively treating or inhibiting such diseases. A principal object of the invention is to provide compounds which are effective for such treatments as well as for the treatment of, for example, diabetes, coronary heart disease, insulin resistance and related disorders.
- The invention is directed to compounds, for example, heterocyclic derivatives of acyl urea, thiourea, carbamate and thiocarbamate compounds, for providing a variety of useful pharmacological effects. The compounds are useful, for example, in lowering blood glucose levels in hyperglycemic disorders, such as diabetes mellitus, and for treating related disorders, such as obesity and hyperlipidemia. Furthermore, these compounds are useful for treatment of disorders associated with insulin resistance, such as polycystic ovary syndrome, and for the treatment of inflammation and immunological diseases, particularly those mediated by pro-inflammatory cytokines (such as TNF-alpha, IL-1 beta and IL-6),
type 4 phosphodiesterase (PDE4),type 3 phosphodiesterase (PDE3), p44/42 mitogen activated protein (MAP) kinase, cyclooxygenase-2 (COX-2) and/or inducible nitric oxide synthase (iNOS). In particular, the invention provides compounds represented by the following Formulas I-XIII as well as the pharmaceutically acceptable salts, hydrates or solvates thereof: - wherein the stereocenters marked with an asterisk (*) may be R- or S-; the bond represented by a dashed line plus a solid line may be a double bond or a single bond, and when the bond is a double bond it may be in the E or Z configuration, and when the bond is a single bond the resulting stereocenters may have the R- or S-configuration; and
- R1, R2, R3, R4, R5, R6 and R7 are each independently selected from the group consisting of
-
- H; optionally substituted C1-C20 linear or branched alkyl including chloroalkyl or fluoroalkyl; optionally substituted C2-C20 linear or branched alkenyl; optionally substituted C6-C20 aryl, linear or branched alkylaryl, linear or branched alkenylaryl; COOR where R is H, optionally substituted C1-C20 alkyl, optionally substituted C2-C20 alkenyl or optionally substituted C6-C10 aryl, sodium, potassium or other pharmaceutically acceptable counter-ion such as calcium, magnesium, ammonium, tromethamine and the like; CONR′R″, where R′ and R″ are independently H, optionally substituted C1-C20 alkyl, optionally substituted C2-C20 alkenyl or optionally substituted C6-C10 aryl or where NR′R″ represents a cyclic moiety such as morpholine, piperidine, piperazine and the like; optionally substituted C1-C6 amidoalkyl; NH2; C1-C20 alkylamino, bis(alkylamino), cycloalkylamino or cyclic amino; OH; optionally substituted C1-C20 alkoxy including trifluoromethoxy and the like; optionally substituted C1-C20 alkanoyl; optionally substituted C1-C20 acyloxy; halo; optionally substituted C1-C20 alkylcarboxylamino; cyano; nitro; SO2NR′″R″″ where R′″ and R″″ are independently H, C1-C20 alkyl or aryl; SO2R′″ where R′″ is H, C1-C20 alkyl or aryl; SO3R′″ where R′″ is H, C1-C20 alkyl or aryl; and C4-C8 heterocycles such as tetrazolyl, imidazolyl, pyrrolyl, pyridyl, indolyl and the like; and wherein when individual aromatic rings possess adjacent substituents, these substituents may be joined to form a ring such as a methylenedioxy or ethylenedioxy group, and the like, including lactones and lactams;
- R8 and R9 are each independently selected from the group consisting of H; optionally substituted C1-C20 linear or branched alkyl; optionally substituted C2-C20 linear or branched alkenyl; optionally substituted C6-C10 aryl or heteroaryl; COOR where R is H, optionally substituted C1-C20 alkyl, optionally substituted C2-C20 alkenyl or optionally substituted C6-C10 aryl, sodium, potassium or other pharmaceutically acceptable counter-ion such as calcium, magnesium, ammonium, tromethamine and the like; CONR′R″, where R′ and R″ are independently H, alkoxy, optionally substituted C1-C20 alkyl, optionally substituted C2-C20 alkenyl, optionally substituted C3-C10 cycloalkyl or cycloalkenyl or optionally substituted C6-C10 aryl or heteroaryl, preferably 2-, 3- or 4-pyridyl; or where NR′R″ represents a cyclic moiety such as morpholine, piperidine, hydroxypiperidine, imidazole, piperazine, methylpiperazine and the like; NH2; C1-C20 alkylamino, bis(alkylamino), cycloalkylamino or cyclic amino; OH; C1-C20 alkoxy; C1-C20 alkanoyl; C1-C20 acyloxy; halo; C1-C20 alkylcarboxylamino; cyano; nitro; SO2NR′″R″″ where R′″ and R″″ are independently H, C1-C20 alkyl or aryl; SO2R′″ where R″″ is H, C1-C20 alkyl or aryl; SO3R′″ where R′″ is H, C1-C20 alkyl or aryl; and tetrazolyl; and wherein R8 and R9 together may be joined to form a C4-C8 heterocyclic ring, including lactone or lactam;
- R10 and R11 are each independently selected from the group consisting of H; optionally substituted C1-C20 linear or branched alkyl; optionally substituted C2-C20 linear or branched alkenyl; optionally substituted C6-C10 aryl or heteroaryl; COOR where R is H, optionally substituted C1-C20 alkyl, optionally substituted C2-C20 alkenyl or optionally substituted C6-C10 aryl, sodium, potassium or other pharmaceutically acceptable counter-ion such as calcium, magnesium, ammonium, tromethamine and the like; CONR′R″, where R′ and R″ are independently H, optionally substituted C1-C20 alkyl, optionally substituted C2-C20 alkenyl or optionally substituted C6-C10 aryl or where NR′R″ represents a cyclic moiety such as morpholine, piperidine, piperazine and the like; NH2; C1-C20 alkylamino, bis(alkylamino), cycloalkylamino or cyclic amino; OH; C1-C20 alkoxy; C1-C20 alkanoyl; C1-C20 acyloxy; halo; C1-C20 alkylcarboxylamino; cyano; nitro; SO2NR′″R″″ where R′″ and R″″ are independently H, C1-C20 alkyl or aryl; SO2R′″ where R′″ is H, C1-C20 alkyl or aryl; SO3R′″ where R′″ is H, C1-C20 alkyl or aryl; and tetrazolyl; and wherein R10 and R11 together may be joined to form a C4-C8 heterocyclic ring, including lactone or lactam;
- R12, R13, R18, R19 and R20 are each independently selected from the group consisting of
-
- H; optionally substituted C1-C20 linear or branched alkyl; optionally substituted C2-C20 linear or branched alkenyl; optionally substituted C6-C10 aryl or heteroaryl; COOR where R is optionally substituted C1-C20 alkyl, optionally substituted C2-C20 alkenyl or optionally substituted C6-C10 aryl, sodium, potassium or other pharmaceutically acceptable counter-ion such as calcium, magnesium, ammonium, tromethamine and the like; CONR′R″, where R′ and R″ are independently H, optionally substituted C1-C20 alkyl, optionally substituted C2-C20 alkenyl or optionally substituted C6-C10 aryl or where NR′R″ represents a cyclic moiety such as morpholine, piperidine, piperazine and the like; C1-C20 alkanoyl; C1-C20 alkylamido; C6-C20 aroyl or heteroaroyl; SO2R′″ where R′″ is H, C1-C20 alkyl or aryl; morpholinocarbonylmethyl; piperazinocabonylmethyl; and piperadinocabonylmethyl;
- R12 and R13 may be absent, or R12 and R13 together may be an optionally substituted heterocyclic ring, preferably morpholine, piperidine, piperazine, and N-methyl piperidine;
- R14 is selected from the group consisting of
-
- H; optionally substituted C1-C20 linear or branched alkyl including chloroalkyl and fluoroalkyl; optionally substituted C2-C20 linear or branched alkenyl; optionally substituted C6-C10 aryl or heteroaryl; COOR where R is H, optionally substituted C1-C20 alkyl, optionally substituted C2-C20 alkenyl or optionally substituted C6-C10 aryl, sodium, potassium or other pharmaceutically acceptable counter-ion such as calcium, magnesium, ammonium, tromethamine and the like; CONR′R″, where R′ and R″ are independently H, optionally substituted C1-C20 alkyl, optionally substituted C2-C20 alkenyl or optionally substituted C6-C10 aryl or where NR′R″ represents a cyclic moiety such as morpholine, piperidine, piperazine and the like; cyano; and tetrazolyl;
- R15, R16, and R17 are each independently selected from the group consisting of
-
- H; optionally substituted C1-C20 linear or branched alkyl including chloroalkyl and fluoroalkyl; optionally substituted C2-C20 linear or branched alkenyl; optionally substituted C6-C10 aryl or heteroaryl; COOR where R is H, optionally substituted C1-C20 alkyl, optionally substituted C2-C20 alkenyl or optionally substituted C6-C10 aryl, sodium, potassium or other pharmaceutically acceptable counter-ion such as calcium, magnesium, ammonium, tromethamine and the like; CONR′R″, where R′ and R″ are independently H, optionally substituted C1-C20 alkyl, optionally substituted C2-C20 alkenyl or optionally substituted C6-C10 aryl or where NR′R″ represents a cyclic moiety such as morpholine, piperidine, piperazine and the like; NH2; C1-C20 alkylamino, bis(alkylamino), cycloalkylamino or cyclic amino; OH; C1-C20 alkoxy; C1-C20 alkanoyl; C1-C20 acyloxy; halo; C1-C20 alkylcarboxylamino; cyano; nitro; SO2NR′″R″″ where R′″ and R″″ are independently H, C1-C20 alkyl or aryl; SO2R′″ where R′″ is H, C1-C20 alkyl or aryl; SO3R′″ where R′″ is H, C1-C20 alkyl or aryl; and tetrazolyl;
- X is independently selected from the group consisting of
-
- O; N; S; S═O; SO2; or NR′″″, where R′″″ may be H or optionally substituted C1-C20 alkyl, optionally substituted C2-C20 alkenyl, optionally substituted C1-C20 acyl, optionally substituted C1-C20 acyloxy and optionally substituted C1-C20 alkoxycarbonyl;
- Y is independently O, S or NH;
- Z is ORa where Ra is selected from the group consisting of
-
- H; optionally substituted C1-C20 linear or branched alkyl including chloroalkyl or fluoroalkyl and the like; optionally substituted C2-C20 linear or branched alkenyl; optionally substituted C6-C10 aryl or heteroaryl; optionally substituted C6-C20 aroyl or heteroaroyl; optionally substituted C1-C20 alkanoyl; and SO2R′″ where R′″ is H, C1-C20 alkyl or aryl;
or
- H; optionally substituted C1-C20 linear or branched alkyl including chloroalkyl or fluoroalkyl and the like; optionally substituted C2-C20 linear or branched alkenyl; optionally substituted C6-C10 aryl or heteroaryl; optionally substituted C6-C20 aroyl or heteroaroyl; optionally substituted C1-C20 alkanoyl; and SO2R′″ where R′″ is H, C1-C20 alkyl or aryl;
- Z is NRbRc where Rb and Rc are independently selected from the group consisting of
-
- H; optionally substituted C1-C20 linear or branched alkyl including chloroalkyl or fluoroalkyl and the like; optionally substituted C2-C20 linear or branched alkenyl; optionally substituted C6-C10 aryl or heteroaryl; optionally substituted C3-C10 cycloalkyl or cycloalkenyl; COOZ1 where Z1 is optionally substituted C1-C20 alkyl, optionally substituted C2-C20 alkenyl or optionally substituted C6-C10 aryl; optionally substituted C6-C20 aroyl or heteroaroyl; optionally substituted C1-C20 alkanoyl; and SO2R′″ where R′″ is H, C1-C20 alkyl or aryl; and wherein Rb and Rc together may be joined to form a 3-6 membered ring such as aziridine, morpholine, piperidine, piperazine and the like;
or
- H; optionally substituted C1-C20 linear or branched alkyl including chloroalkyl or fluoroalkyl and the like; optionally substituted C2-C20 linear or branched alkenyl; optionally substituted C6-C10 aryl or heteroaryl; optionally substituted C3-C10 cycloalkyl or cycloalkenyl; COOZ1 where Z1 is optionally substituted C1-C20 alkyl, optionally substituted C2-C20 alkenyl or optionally substituted C6-C10 aryl; optionally substituted C6-C20 aroyl or heteroaroyl; optionally substituted C1-C20 alkanoyl; and SO2R′″ where R′″ is H, C1-C20 alkyl or aryl; and wherein Rb and Rc together may be joined to form a 3-6 membered ring such as aziridine, morpholine, piperidine, piperazine and the like;
- Z is CRdReRf where Rd, Re and Rf are each independently selected from the group consisting of
-
- H; optionally substituted C1-C20 linear or branched alkyl including chloroalkyl or fluoroalkyl and the like; optionally substituted C2-C20 linear or branched alkenyl; optionally substituted C6-C10 aryl or heteroaryl; optionally substituted C3-C10 cycloalkyl or cycloalkenyl; COOR where R is H, optionally substituted C1-C20 alkyl, optionally substituted C2-C20 alkenyl or optionally substituted C6-C10 aryl, sodium, potassium or other pharmaceutically acceptable counter-ion such as calcium, magnesium, ammonium, tromethamine and the like; NH2; C1-C20 alkylamino, bis(alkylamino); cycloalkylamino or cyclic amino; OH; optionally substituted C1-C20 alkoxy including trifluoromethoxy and the like; optionally substituted C1-C20 alkanoyl; optionally substituted C1-C20 acyloxy; optionally substituted C6-C20 aroyl or heteroaroyl; halo; cyano; nitro; optionally substituted C1-C20 alkylcarboxylamino; SO2NR′″R″″ where R′″ and R″″ are independently H, C1-C20 alkyl or aryl; SO2R′″ where R′″ is H, C1-C20 alkyl or aryl; and SO3R′″ where R′″ is H, C1-C20 alkyl or aryl; and wherein Rd and Re together may be joined to form a 3-6 membered ring such as aziridine, morpholine, piperidine, piperazine and the like; and the resulting stereocenter may have the R- or S-configuration; or
- the grouping C(═Y)Z may represent hydrogen or R12 or may be absent.
- Q is ORa where Ra is selected from the group consisting of
-
- H; optionally substituted C1-C20 linear or branched alkyl including chloroalkyl or fluoroalkyl and the like; optionally substituted C2-C20 linear or branched alkenyl; optionally substituted C6-C10 aryl or heteroaryl; optionally substituted C6-C20 aroyl or heteroaroyl; optionally substituted C1-C20 alkanoyl; and SO2R′″ where R′″ is H, C1-C20 alkyl or aryl;
or
- H; optionally substituted C1-C20 linear or branched alkyl including chloroalkyl or fluoroalkyl and the like; optionally substituted C2-C20 linear or branched alkenyl; optionally substituted C6-C10 aryl or heteroaryl; optionally substituted C6-C20 aroyl or heteroaroyl; optionally substituted C1-C20 alkanoyl; and SO2R′″ where R′″ is H, C1-C20 alkyl or aryl;
- Q is NRbRc where Rb and Rc are independently selected from the group consisting of
-
- H; optionally substituted C1-C20 linear or branched alkyl including chloroalkyl or fluoroalkyl and the like; optionally substituted C2-C20 linear or branched alkenyl; optionally substituted C6-C10 aryl or heteroaryl; optionally substituted C3-C10 cycloalkyl or cycloalkenyl; COOZ1 where Z1 is optionally substituted C1-C20 alkyl, optionally substituted C2-C20 alkenyl or optionally substituted C6-C10 aryl; optionally substituted C6-C20 aroyl or heteroaroyl; optionally substituted C1-C20 alkanoyl; and SO2R′″ where R′″ is H, C1-C20 alkyl or aryl; and wherein Rb and Rc together may be joined to form a 3-6 membered ring such as aziridine, morpholine, piperidine, piperazine and the like;
or
- H; optionally substituted C1-C20 linear or branched alkyl including chloroalkyl or fluoroalkyl and the like; optionally substituted C2-C20 linear or branched alkenyl; optionally substituted C6-C10 aryl or heteroaryl; optionally substituted C3-C10 cycloalkyl or cycloalkenyl; COOZ1 where Z1 is optionally substituted C1-C20 alkyl, optionally substituted C2-C20 alkenyl or optionally substituted C6-C10 aryl; optionally substituted C6-C20 aroyl or heteroaroyl; optionally substituted C1-C20 alkanoyl; and SO2R′″ where R′″ is H, C1-C20 alkyl or aryl; and wherein Rb and Rc together may be joined to form a 3-6 membered ring such as aziridine, morpholine, piperidine, piperazine and the like;
- Q is SRg, SORg or SO2Rg where Rg is selected from the group consisting of
-
- H; optionally substituted C1-C20 linear or branched alkyl including chloroalkyl or fluoroalkyl and the like; optionally substituted C2-C20 linear or branched alkenyl; optionally substituted C1-C20 acyl; optionally substituted C1-C20 alkoxycarbonyl; C2-C20 alkoxy; optionally substituted C6-C10 aryl or heteroaryl; and optionally substituted C6-C10 aroyl or heteroaroyl.
- Group A is optionally substituted C2-C20 linear or branched alkenyl; optionally substituted C6-C20 aryl, linear or branched alkylaryl, linear or branched alkenylaryl; optionally substituted heteroaryls like pyridine, indole, morpholine, piperidine, piperazine, tetrazolyl and the like; CORh where Rh is optionally substituted C1-C20 linear or branched alkyl; optionally substituted C2-C20 linear or branched alkenyl; optionally substituted C6-C20 aryl, linear or branched alkylaryl, linear or branched alkenylaryl; optionally substituted heteroaryls like pyridine, indole, morpholine, piperidine, piperazine, tetrazolyl and the like;
- Group B is OH, C1-C20 alkoxy; SO2Ri where Ri may be H or linear or branched C1-C20 alkyl.
- Group Het (depicted in Formula VIII as “HET” enclosed by a circle) represents a heterocyclic ring which is pyridyl, indolyl, tetrazolyl, imidazolyl, morphonyl, piperidinyl, piperazinyl, thiophenyl or the like.
- These compounds are useful for treating diabetes and other diseases linked to insulin resistance, such as coronary artery disease and peripheral vascular disease, and also for treating or inhibiting inflammation or inflammatory diseases such as inflammatory arthritides and collagen vascular diseases, which are caused by, for example, cytokines or inducible enzymes such as TNF-alpha, IL-1, IL-6, iNOS and/or COX-2. The compounds are also useful for treating or preventing other diseases mediated by cytokines, iNOS and/or COX-2, such as cancer.
- Another aspect of the invention is a method of treating diabetes and related diseases comprising the step of administering to a subject suffering from a diabetic or related condition a therapeutically effective amount of a compound of Formulas I-XIII. Additionally, the invention provides a method of treating inflammation or inflammatory diseases or diseases mediated by cytokines, iNOS, PDE4, PDE3, p44/42 MAP kinase and/or COX-2 by administering to a subject in need of such treatment an effective amount of a compound according to Formulas I-XIII. Further, pharmaceutical compositions containing a therapeutically effective amount of one or more compounds according to Formulas I-XIII together with a pharmaceutically or physiologically acceptable co-agents, excipients, synergists, carriers and the like, for use in the treatments contemplated herein, are also provided.
-
FIG. 1 shows a graph of the dose-dependent increase in glucose uptake in 3T3-L1 adipocytes treated with varying concentrations of a compound according to the invention. -
FIG. 2 shows a graph of the enhancement of glucose uptake in 3T3-L1 adipocytes treated with a compound according to the invention in addition to varying concentrations of insulin. -
FIG. 3 shows a graph of the lowering of blood glucose levels in ob/ob mice treated with a compound according to the invention. -
FIGS. 4A and 4B show graphs of the lowering of serum triglycerides and free fatty acid levels, respectively, in ob/ob mice treated with a compound according to the invention. -
FIG. 5 shows a graph of the inhibition of LPS-induced TNF-alpha production in mouse RAW264.7 cells treated with varying concentrations of a compound according to the invention. -
FIG. 6 shows a graph of the inhibition of LPS-induced IL-1 beta production in mouse RAW264.7 cells treated with varying concentrations of a compound according to the invention. -
FIG. 7 shows a graph of the inhibition of LPS-induced IL-6 production in mouse RAW264.7 cells treated with varying concentrations of a compound according to the invention. -
FIG. 8 shows photos of Western blots demonstrating the inhibition of LPS-induced iNOS and COX-2 production in mouse RAW264.7 cells treated with varying concentrations of a compound according to the invention. -
FIG. 9 shows a graph of median clinical scores over time demonstrating improvement of collagen induced arthritis in mice using varying concentrations of a compound according to the invention. - The invention is based on the discovery that the compounds described herein are useful in the treatment of diseases, in particular diabetes and other diseases linked to insulin resistance, such as coronary artery disease and peripheral vascular disease, and also for the treatment or inhibition of inflammation or inflammatory diseases such as inflammatory arthritides and collagen vascular diseases, which are caused by, for example, cytokines or inducible enzymes such as TNF-alpha, IL-1, IL-6, PDE4, PDE3, p44/42 MAP kinase, iNOS and/or COX-2.
- As utilized herein, the following terms, unless otherwise indicated, shall be understood to have the following meanings:
- “Alkyl”, alone or in combination, means a straight-chain or branched-chain alkyl radical containing preferably 1-20 carbon atoms, more preferably 1-10 carbon atoms, and most preferably 1-6 carbon atoms. Exemplary alkyl radicals include methyl, ethyl, n-propyl, isopropyl, n-butyl, isobutyl, sec-butyl, tert-butyl, pentyl, isopentyl, neopentyl, iso-amyl, hexyl and the like.
- “Alkenyl”, alone or in combination, means a straight-chain or branched-chain hydrocarbon radical having one or more double bonds, preferably 1-2 double bonds and more preferably one double bond, and containing preferably 2-20 carbon atoms, more preferably 2-10 carbon atoms, and still more preferably 2-6 carbon atoms. Exemplary alkenyl radicals include ethenyl, propenyl, 2-methylpropenyl, n-butenyl, isobutenyl, and include groups containing multiple sites of unsaturation such as 1,3-butadiene and 1,4-butadienyl and the like.
- “Alkoxy”, alone or in combination, means a radical of the type “R—O—” wherein R can be hydrogen, linear or branched alkyl, or linear or branched alkenyl as previously defined and “O” is an oxygen atom. Exemplary alkoxy radicals include methoxy, ethoxy, n-propoxy, isopropoxy, n-butoxy, iso-butoxy, sec-butoxy, tert-butoxy and the like.
- “Alkoxycarbonyl”, alone or in combination, means a radical of the type “R—C(O)—” wherein “R—O—” is an alkoxy radical as previously defined and “C(O)—” is a carbonyl radical. Exemplary alkoxycarbonyl groups include methoxycarbonyl and ethoxycarbonyl.
- “Alkylcarboxylamino” means a group RCON(R)— where R can be independently hydrogen, linear or branched alkyl, or linear or branched alkenyl as previously defined.
- “Alkanoyl”, alone or in combination, means a radical of the type “R—C(O)—” wherein “R” is an alkyl radical as previously defined and “—C(O)—” is a carbonyl radical. Exemplary alkanoyl radicals include acetyl, trifluoroacetyl, hydroxyacetyl, propionyl, butyryl, valeryl, 4-methylvaleryl and the like.
- “Halo” or “halogen”, alone or in combination, means chloro, bromo, fluoro or iodo radicals.
- “Aryl”, alone or in combination, means an aromatic carbocyclic radical containing about 6 to about 10 carbon atoms, which is optionally substituted with one or more substituents selected from alkyl, alkoxy, halogen, hydroxy, amino, azido, nitro, cyano, haloalkyl, carboxy, alkoxycarbonyl, cycloalkyl, alkanoylamino, amido, amidino, alkoxycarbonylamino, N-alkylamidino, alkylamino, dialkylamino, aminoalkyl, alkylaminoalkyl, dialkylaminoalkyl, N-alkylamido, N,N-dialkylamido, aralkoxycarbonylamino, alkylthio, alkylsulfinyl, alkylsulfonyl, oxo and the like. Exemplary aryl radicals include phenyl, o-tolyl, 4-methoxyphenyl, 2-(tert-butoxy)phenyl, 3-methyl-4-methoxyphenyl, 2-fluorophenyl, 2-chlorophenyl, 3-nitrophenyl, 3-aminophenyl, 3-acetamidophenyl, 2-amino-3-(aminomethyl)phenyl, 6-methyl-2-aminophenyl, 2-amino-3-methylphenyl, 4,6-dimethyl-2-aminophenyl, 4-hydroxyphenyl, 3-methyl-4-hydroxyphenyl, 4-(2-methoxyphenyl)phenyl, 2-amino-1-naphthyl, 2-naphthyl, 1-methyl-3-amino-2-naphthyl, 2,3-diamino-1-naphthyl, 4,8-dimethoxy-2-naphthyl and the like.
- “Acyloxy” or “Acylamino” group means an oxygen or amino group, respectively, bonded to an acyl group (RCO) where R can be hydrogen, linear or branched alkyl, or linear or branched alkenyl.
- “Alkylamido” means the group RN(H)CO— where R can be hydrogen, linear or branched alkyl, or linear or branched alkenyl, as previously defined.
- The reference to “optionally substituted” in the definition of the compounds throughout this disclosure is intended to include any substituent which does not negatively affect the activity of the compounds. Typical substitution includes, for example, lower (C1-C6) alkyl; halogen such as fluoro, chloro and bromo; nitro; amino; lower alkylamino; carboxylate, lower alkyl carboxylate, hydroxy, lower alkoxy, sulfonamide, cyano, or the like.
- A “therapeutically effective amount” is an amount, alone or in combination with other agents, sufficient to elicit a therapeutic response to the desired disease, symptom or condition. The specific therapeutically effective amount will vary with such factors as the particular condition being treated, the physical condition of the patient, the type of mammal or animal being treated, the duration of the treatment, and the specific formulations employed and the form of the compound or compounds used.
- Throughout the specification various numbers are used in reference to chemical structures or chemical names. The use of such numbers herein shall represent the referenced compound itself.
- The invention is directed to compounds, for example, heterocyclic derivatives of acyl urea, thiourea, carbamate and thiocarbamate compounds, that provide a variety of useful pharmacological effects. The compounds are useful, for example, in lowering blood glucose levels in hyperglycemic disorders, such as diabetes mellitus, and for treating related disorders, such as obesity and hyperlipidemia. Furthermore, these compounds are useful for treatment of disorders associated with insulin resistance, such as polycystic ovary syndrome, and for the treatment of inflammation, inflammatory and immunological diseases, particularly those mediated by pro-inflammatory cytokines (such as TNF-alpha, IL-1 beta and IL-6),
type 4 phosphodiesterase (PDE4),type 3 phosphodiesterase (PDE3), p44/42 mitogen activated protein (MAP) kinase, cyclooxygenase-2 (COX-2) and/or inducible nitric oxide synthase (iNOS). In particular, the invention discloses compounds of the Formulas I-XIII as well as the pharmaceutically acceptable salts, hydrates or solvates thereof: - wherein the stereocenters marked with an asterisk (*) may be R- or S-; the bond represented by a dashed line plus a solid line may be a double bond or a single bond, and when the bond is a double bond it may be in the E or Z configuration, and when the bond is a single bond the resulting stereocenters may have the R- or S-configuration; and
- R1, R2, R3, R4, R5, R6 and R7 are each independently selected from the group consisting of
- H; optionally substituted C1-C20 linear or branched alkyl including chloroalkyl or fluoroalkyl; optionally substituted C2-C20 linear or branched alkenyl; optionally substituted C6-C20 aryl, linear or branched alkylaryl, linear or branched alkenylaryl; COOR where R is H, optionally substituted C1-C20 alkyl, optionally substituted C2-C20 alkenyl or optionally substituted C6-C10 aryl, sodium, potassium or other pharmaceutically acceptable counter-ion such as calcium, magnesium, ammonium, tromethamine and the like; CONR′R″, where R′ and R″ are independently H, optionally substituted C1-C20 alkyl, optionally substituted C2-C20 alkenyl or optionally substituted C6-C10 aryl or where NR′R″ represents a cyclic moiety such as morpholine, piperidine, piperazine and the like; optionally substituted C1-C6 amidoalkyl; NH2; C1-C20 alkylamino, bis(alkylamino), cycloalkylamino or cyclic amino; OH; optionally substituted C1-C20 alkoxy including trifluoromethoxy and the like; optionally substituted C1-C20 alkanoyl; optionally substituted C1-C20 acyloxy; halo; optionally substituted C1-C20 alkylcarboxylamino; cyano; nitro; SO2NR′″R″″ where R′″ and R″″ are independently H, C1-C20 alkyl or aryl; SO2R′″ where R′″ is H, C1-C20 alkyl or aryl; SO3R′″ where R′″ is H, C1-C20 alkyl or aryl; and C4-C8 heterocycles such as tetrazolyl, imidazolyl, pyrrolyl, pyridyl, indolyl and the like; or when individual aromatic rings possess adjacent substituents, these substituents may be joined to form a ring such as a methylenedioxy or ethylenedioxy group, and the like, including lactones and lactams;
- R8 and R9 are each independently selected from the group consisting of
- H; optionally substituted C1-C20 linear or branched alkyl; optionally substituted C2-C20 linear or branched alkenyl; optionally substituted C6-C10 aryl or heteroaryl; COOR where R is H, optionally substituted C1-C20 alkyl, optionally substituted C2-C20 alkenyl or optionally substituted C6-C10 aryl, sodium, potassium or other pharmaceutically acceptable counter-ion such as calcium, magnesium, ammonium, tromethamine and the like; CONR′R″, where R′ and R″ are independently H, alkoxy, optionally substituted C1-C20 alkyl, optionally substituted C2-C20 alkenyl, optionally substituted C3-C10 cycloalkyl or cycloalkenyl or optionally substituted C6-C10 aryl or heteroaryl, preferably 2-, 3- or 4-pyridyl or where NR′R″ represents a cyclic moiety such as morpholine, piperidine, hydroxypiperidine, imidazole, piperazine, methylpiperazine and the like; NH2; C1-C20 alkylamino, bis(alkylamino), cycloalkylamino or cyclic amino; OH; C1-C20 alkoxy; C1-C20 alkanoyl; C1-C20 acyloxy; halo; C1-C20 alkylcarboxylamino; cyano; nitro; SO2NR′″R″″ where R′″ and R″″ are independently H, C1-C20 alkyl or aryl; SO2R′″ where R′″ is H, C1-C20 alkyl or aryl; SO3R′″ where R′″ is H, C1-C20 alkyl or aryl; and tetrazolyl; wherein R8 and R9 together may be joined to form a C4-C8 heterocyclic ring, including lactone or lactam;
- R10 and R11 are each independently selected from the group consisting of
- H; optionally substituted C1-C20 linear or branched alkyl; optionally substituted C2-C20 linear or branched alkenyl; optionally substituted C6-C10 aryl or heteroaryl; COOR where R is H, optionally substituted C1-C20 alkyl, optionally substituted C2-C20 alkenyl or optionally substituted C6-C10 aryl, sodium, potassium or other pharmaceutically acceptable counter-ion such as calcium, magnesium, ammonium, tromethamine and the like; CONR′R″, where R′ and R″ are independently H, optionally substituted C1-C20 alkyl, optionally substituted C2-C20 alkenyl or optionally substituted C6-C10 aryl or where NR′R″ represents a cyclic moiety such as morpholine, piperidine, piperazine and the like; NH2; C1-C20 alkylamino, bis(alkylamino), cycloalkylamino or cyclic amino; OH; C1-C20 alkoxy; C1-C20 alkanoyl; C1-C20 acyloxy; halo; C1-C20 alkylcarboxylamino; cyano; nitro; SO2NR′″R″″ where R′″ and R″″ are independently H, C1-C20 alkyl or aryl; SO2R′″ where R′″ is H, C1-C20 alkyl or aryl; SO3R′″ where R′″ is H, C1-C20 alkyl or aryl; and tetrazolyl; wherein R10 and R11 together may be joined to form a C4-C8 heterocyclic ring, including lactone or lactam;
- R12, R13, R18, R19 and R20 are each independently selected from the group consisting of
- H; optionally substituted C1-C20 linear or branched alkyl; optionally substituted C2-C20 linear or branched alkenyl; optionally substituted C6-C10 aryl or heteroaryl; COOR where R is optionally substituted C1-C20 alkyl, optionally substituted C2-C20 alkenyl or optionally substituted C6-C10 aryl, sodium, potassium or other pharmaceutically acceptable counter-ion such as calcium, magnesium, ammonium, tromethamine and the like; CONR′R″, where R′ and R″ are independently H, optionally substituted C1-C20 alkyl, optionally substituted C2-C20 alkenyl or optionally substituted C6-C10 aryl or where NR′R″ represents a cyclic moiety such as morpholine, piperidine, piperazine and the like; C1-C20 alkanoyl; C1-C20 alkylamido; C6-C20 aroyl or heteroaroyl; SO2R′″ where R′″ is H, C1-C20 alkyl or aryl; morpholinocarbonylmethyl; piperazinocabonylmethyl; and piperadinocabonylmethyl;
- R12 and R13 may be absent, or R12 and R13 together may be an optionally substituted heterocyclic ring, preferably morpholine, piperidine, piperazine, and N-methyl piperidine.
- R14 is selected from the group consisting of
- H; optionally substituted C1-C20 linear or branched alkyl including chloroalkyl and fluoroalkyl; optionally substituted C2-C20 linear or branched alkenyl; optionally substituted C6-C10 aryl or heteroaryl; COOR where R is H, optionally substituted C1-C20 alkyl, optionally substituted C2-C20 alkenyl or optionally substituted C6-C10 aryl, sodium, potassium or other pharmaceutically acceptable counter-ion such as calcium, magnesium, ammonium, tromethamine and the like; CONR′R″, where R′ and R″ are independently H, optionally substituted C1-C20 alkyl, optionally substituted C2-C20 alkenyl or optionally substituted C6-C10 aryl or where NR′R″ represents a cyclic moiety such as morpholine, piperidine, piperazine and the like; cyano; and tetrazolyl;
- R15, R16, and R17 are each independently selected from the group consisting of
- H; optionally substituted C1-C20 linear or branched alkyl including chloroalkyl and fluoroalkyl; optionally substituted C2-C20 linear or branched alkenyl; optionally substituted C6-C10 aryl or heteroaryl; COOR where R is H, optionally substituted C1-C20 alkyl, optionally substituted C2-C20 alkenyl or optionally substituted C6-C10 aryl, sodium, potassium or other pharmaceutically acceptable counter-ion such as calcium, magnesium, ammonium, tromethanine and the like; CONR′R″, where R′ and R″ are independently H, optionally substituted C1-C20 alkyl, optionally substituted C2-C20 alkenyl or optionally substituted C6-C10 aryl or where NR′R″ represents a cyclic moiety such as morpholine, piperidine, piperazine and the like; NH2; C1-C20 alkylamino, bis(alkylamino), cycloalkylamino or cyclic amino; OH; C1-C20 alkoxy; C1-C20 alkanoyl; C1-C20 acyloxy; halo; C1-C20 alkylcarboxylamino; cyano; nitro; SO2NR′″R″″ where R′″ and R″″ are independently H, C1-C20 alkyl or aryl; SO2R′″ where R′″ is H, C1-C20 alkyl or aryl; SO3R′″ where R′″ is H, C1-C20 alkyl or aryl; and tetrazolyl;
- X is independently selected from the group consisting of
- O; N; S; S═O; SO2; or NR′″″, where R′″″ may be H or optionally substituted C1-C20 alkyl, optionally substituted C2-C20 alkenyl, optionally substituted C1-C20 acyl, optionally substituted C1-C20 acyloxy and optionally substituted C1-C20 alkoxycarbonyl;
- Y is independently O, S or NH;
- Z is ORa where Ra is selected from the group consisting of
- H; optionally substituted C1-C20 linear or branched alkyl including chloroalkyl or fluoroalkyl and the like; optionally substituted C2-C20 linear or branched alkenyl; optionally substituted C6-C10 aryl or heteroaryl; optionally substituted C6-C20 aroyl or heteroaroyl; optionally substituted C1-C20 alkanoyl; and SO2R′″ where R′″ is H, C1-C20 alkyl or aryl;
or - Z is NRbRc where Rb and Rc are independently selected from the group consisting of
- H; optionally substituted C1-C20 linear or branched alkyl including chloroalkyl or fluoroalkyl and the like; optionally substituted C2-C20 linear or branched alkenyl; optionally substituted C6-C10 aryl or heteroaryl; COOZ1 where Z1 is optionally substituted C1-C20 alkyl, optionally substituted C2-C20 alkenyl or optionally substituted C6-C10 aryl; optionally substituted C6-C20 aroyl or heteroaroyl; optionally substituted C1-C20 alkanoyl; and SO2R′″ where R′″ is H, C1-C20 alkyl or aryl; and wherein Rb and Rc together may be joined to form a 3-6 membered ring such as aziridine, morpholine, piperidine, piperazine and the like;
or - Z is CRdReRf where Rd, Re and Rf are each independently selected from the group consisting of
- H; optionally substituted C1-C20 linear or branched alkyl including chloroalkyl or fluoroalkyl and the like; optionally substituted C2-C20 linear or branched alkenyl; optionally substituted C6-C10 aryl or heteroaryl; COOR where R is H, optionally substituted C1-C20 alkyl, optionally substituted C2-C20 alkenyl or optionally substituted C6-C10 aryl, sodium, potassium or other pharmaceutically acceptable counter-ion such as calcium, magnesium, ammonium, tromethamine and the like; NH2; C1-C20 alkylamino, bis(alkylamino); cycloalkylamino or cyclic amino; OH; optionally substituted C1-C20 alkoxy including trifluoromethoxy and the like; optionally substituted C1-C20 alkanoyl; optionally substituted C1-C20 acyloxy; optionally substituted C6-C20 aroyl or heteroaroyl; halo; cyano; nitro; optionally substituted C1-C20 alkylcarboxylamino; SO2NR′″R″″ where R′″ and R″″ are independently H, C1-C20 alkyl or aryl; SO2R′″ where R′″ is H, C1-C20 alkyl or aryl; and SO3R′″ where R′″ is H, C1-C20 alkyl or aryl; and wherein Rd and Re together may be joined to form a 3-6 membered ring such as aziridine, morpholine, piperidine, piperazine and the like; and the resulting stereocenter may have the R- or S-configuration;
or
the grouping —C(═Y)Z may represent hydrogen or R12 or may be absent. - Q is ORa where Ra is selected from the group consisting of
- H; optionally substituted C1-C20 linear or branched alkyl including chloroalkyl or fluoroalkyl and the like; optionally substituted C2-C20 linear or branched alkenyl; optionally substituted C6-C10 aryl or heteroaryl; optionally substituted C6-C20 aroyl or heteroaroyl; optionally substituted C1-C20 alkanoyl; and SO2R′″ where R′″ is H, C1-C20 alkyl or aryl;
or - Q is NRbRc where Rb and Rc are independently selected from the group consisting of
- H; optionally substituted C1-C20 linear or branched alkyl including chloroalkyl or fluoroalkyl and the like; optionally substituted C2-C20 linear or branched alkenyl; optionally substituted C6-C10 aryl or heteroaryl; optionally substituted C3-C10 cycloalkyl or cycloalkenyl; COOZ1 where Z1 is optionally substituted C1-C20 alkyl, optionally substituted C2-C20 alkenyl or optionally substituted C6-C10 aryl; optionally substituted C6-C20 aroyl or heteroaroyl; optionally substituted C1-C20 alkanoyl; and SO2R′″ where R′″ is H, C1-C20 alkyl or aryl; and wherein Rb and Rc together may be joined to form a 3-6 membered ring such as aziridine, morpholine, piperidine, piperazine and the like;
or - Q is SRg, SORg or SO2Rg where Rg is selected from the group consisting of
- H; optionally substituted C1-C20 linear or branched alkyl including chloroalkyl or fluoroalkyl and the like; optionally substituted C2-C20 linear or branched alkenyl; optionally substituted C1-C20 acyl; optionally substituted C1-C20 alkoxycarbonyl; C2-C20 alkoxy; optionally substituted C6-C10 aryl or heteroaryl; and optionally substituted C6-C10 aroyl or heteroaroyl.
- Group A is optionally substituted C2-C20 linear or branched alkenyl; optionally substituted C6-C20 aryl, linear or branched alkylaryl, linear or branched alkenylaryl; optionally substituted heteroaryls like pyridine, indole, morpholine, piperidine, piperazine, tetrazoly and the like; COR where R is optionally substituted C1-C20 linear or branched alkyl; optionally substituted C2-C20 linear or branched alkenyl; optionally substituted C6-C20 aryl, linear or branched alkylaryl, linear or branched alkenylaryl; optionally substituted heteroaryls like pyridine, indole, morpholine, piperidine, piperazine, tetrazolyl and the like;
- Group B is OH, C1-C20 alkoxy; SO2R where R may be H or linear or branched C1-C20 alkyl.
- Group Het represents a heterocyclic ring which is pyridyl, indolyl, tetrazolyl, imidazolyl, morphonyl, piperidinyl, piperazinyl, thiophenyl or the like.
- Preferably, the compounds of the present invention are represented by Formulas I or VIII. Preferred compounds represented by Formulas I or VIII include those where at least one of the bonds represented by a dashed line plus a solid line is a double bond or a single bond, for example, where the bond represented by a dashed line plus a solid line between the carbons with the group R8 and R9 attached is a double-bond. Furthermore, preferred compounds include those where at least one of R8 or R9 represents CONR′R″, wherein R′ and R″ independently represent a hydrogen atom, or an alkoxy, optionally substituted C1-C20 alkyl, optionally substituted C2-C20 alkenyl, optionally substituted C3-C10 cycloalkyl, optionally substituted cycloalkenyl, optionally substituted C6-C10 aryl or optionally substituted C6-C10 heteroaryl, or where NR′R″ represents a cyclic moiety; for example where, R′ and R″ independently represent a hydrogen atom, or an alkoxy, optionally substituted C1-C20 alkyl, optionally substituted C6-C10 aryl or optionally substituted C6-C10 heteroaryl. Preferably, R′ and R″ independently represent a hydrogen atom, or an alkoxy, or optionally substituted C1-C20 alkyl, for example, where each of R′ and R″ represent a hydrogen atom. Preferably, at least one of R8 or R9 represents a hydrogen atom, for example, where Rg represents a hydrogen atom. X represents an oxygen or nitrogen atom, for example, an oxygen atom and Y represents an oxygen atom. Z represents NRbRc, for example, where Rb and Rc independently represent a hydrogen atom; or an optionally substituted C1-C20 linear or branched alkyl, optionally substituted C2-C20 linear or branched alkenyl, optionally substituted C6-C10 aryl, optionally substituted heteroaryl; optionally substituted C3-C10 cycloalkyl or optionally substituted C3-C10 cycloalkenyl. Preferably, Rb and Rc independently represent a hydrogen atom, or an optionally substituted C1-C20 linear or branched alkyl, optionally substituted C6-C10 aryl, optionally substituted heteroaryl, or optionally substituted C3-C10 cycloalkyl. More preferably, Rb and Rc independently represent a hydrogen atom, or an optionally substituted C1-C8 linear or branched alkyl, for example where at least one of Rb or Rc represents a hydrogen atom or Z represents the radical NH2.
- Additionally preferred compounds of Formulas I and VIII include those where R1, R2, R3, R4, R5, R6, R7, R10, R11, and R12 independently represent a hydrogen atom or an optionally substituted C1-C20 linear or branched alkyl, for example a C1-C4 linear or branched alkyl, or optionally substituted C1-C20 alkoxy, for example an optionally substituted C1-C4 alkoxy. Preferably, at least one of R1, R2, R3, R4, R5, R6, and R7 independently represent an optionally substituted C1-C4 alkoxy, for example, where at least one of R1 or R2 independently represent an optionally substituted C1-C4 alkoxy. More preferably at least two of R1, R2, R3, R4, R5, R6 and R7 independently represent an optionally substituted C1-C4 alkoxy, for example, where R1 and R2 independently represent an optionally substituted C1-C4 alkoxy, such as methoxy. Preferably, R1 and R2 are present in the 3 and 5 position on the aromatic ring. Other preferred compounds of the Formulas I and VIII include where the grouping —C(═Y)Z represents hydrogen, and alternatively compounds of Formula VIII including those combinations of the variables and preferences set forth above where the Het group represents pyridyl or indolyl, for example, pyridyl.
- Representative preferred compounds of the Formulas I and VIII include 3-(3,5-Dimethoxyphenyl)-N,N-dimethyl-2-{4-[4-(3-oxo-3-ureido-propyl)-phenoxy]-phenyl}-acrylamide (13); 2-{4-[4-(2-Carbamoylethyl)-phenoxy]-phenyl}-3-(3,5-dimethoxyphenyl)-N,N-dimethylacrylamide (31); N,N-Dimethyl-2-{4-[4-(3-oxo-3-ureidopropyl)-phenoxy]-phenyl}-3-pyridin-3-yl-acrylamide (73); and 2-{4-[4-(2-Carbamoyl-ethyl)-phenoxy]-phenyl}-N,N-dimethyl-3-pyridin-3-yl-acrylamide (77).
- These compounds are useful for treating diabetes and other diseases linked to insulin resistance, such as coronary artery disease and peripheral vascular disease, and also for treating or inhibiting inflammation or inflammatory diseases such as inflammatory arthritides and collagen vascular diseases, which are caused by, for example, cytokines or inducible enzymes such as TNF-alpha, IL-1, IL-6, PDE4, PDE3, p44/42 MAP kinase, iNOS and/or COX-2. The compounds are also useful for treating or preventing other diseases mediated by cytokines, PDE4, PDE3, p44/42 MAP kinase, iNOS and/or COX-2, such as cancer.
- As indicated above, the compounds of the invention include bonds, designated in Formulas I-XIII with a dashed line plus a solid line, that may be either a double bond or a single bond. When such a bond is a double bond, it may have either the E or Z configuration. On the other hand, when such a bond is a single bond, the resulting stereocenters may be in the R- and/or S-configurations. Likewise, compounds of the invention with other stereocenters, designated in Formulas I-XIII with an asterisk, may be R- and/or S-stereoisomers. The invention contemplates racemic mixtures of such stereoisomers as well as the individual, separated stereoisomers. The individual stereoisomers may be obtained by the use of an optically active resolving agent. Alternatively, a desired enantiomer may be obtained by stereospecific synthesis using an optically pure starting material of known configuration.
- Generally, R- or S-refers to the configuration of the stereoisomers. The determination of whether the configuration is R-(rectus) or S-(sinister) is based on the priority of the atoms in a compound. Similarly, E- or Z-configuration is used when describing compounds with double bonds and wherein the determination is based on the priority of the atom on each carbon of a double bond. In the preferred compounds of the present invention the double bond is in the “E” configuration.
- The following compounds are representative of the preferred compounds according to Formula I:
- 3-(3,5-Dimethoxyphenyl)-2-{4-[4-(3-oxo-3-ureidopropyl)-phenoxy]-phenyl}-acrylic acid methyl ester (1);
- 3-(3,5-Dimethoxyphenyl)-2-{4-[4-(3-oxo-3-ureidopropyl)-phenoxy]-phenyl}-acrylic acid (6);
- 3-(3,5-Dimethoxyphenyl)-2-{4-[4-(3-ethoxycarbonylamino-3-oxo-propyl)-phenoxy]-phenyl}-acrylic acid methyl ester (8);
- 2-{4-[4-(3-Benzoyloxycarbonylamino-3-oxo-propyl)-phenoxy]-phenyl}-3-(3,5-dimethoxyphenyl)-acrylic acid methyl ester (9);
- 3-(3,5-Dimethoxyphenyl)-2-{4-[4-(3-oxo-3-ureidopropyl)-phenoxy]-phenyl}-propionic acid (10);
- 3-(3,5-Dimethoxyphenyl)-2-{4-[4-(3-oxo-3-ureidopropenyl)-phenoxy]-phenyl}-acrylic acid (11);
- 3-(3,5-Dimethoxyphenyl)-2-{4-[4-(3-oxo-3-ureidopropyl)-phenoxy]-phenyl}-acrylic acid ethyl ester (12);
- 3-(3,5-Dimethoxyphenyl)-N,N-dimethyl-2-{4-[4-(3-oxo-3-ureidopropyl)-phenoxy]-phenyl}-acrylamide (13);
- 2-(4-{4-[3-(3-Cyclohexylureido)-3-oxopropyl]-phenoxy}-phenyl)-3-(3,5-dimethoxyphenyl)-acrylic acid (14).
- The following are preferred compounds according to Formula II:
- [3-(4-Phenoxyphenyl)-propionyl]-urea (15);
- {3-[4-(4-Methoxyphenoxy)-phenyl]-acryloyl}-urea (16).
- The following are preferred compounds according to Formula III:
- 2-{4-[4-(3-Acetylureidomethyl)-phenoxy]-phenyl}-3-(3,5-dimethoxyphenyl)-acrylic acid methyl ester (17);
- 2-{4-[4-(3-Acetylthioureidomethyl)-phenoxy]-phenyl}-3-(3,5-dimethoxyphenyl)-acrylic acid (18).
- The following are preferred compounds according to Formula IV:
- 1-Acetyl-3-[4-(4-methoxyphenoxy)-benzyl]-urea (24);
- Acetyl-3-[4-(3,4-dimethoxyphenoxy)-benzyl]-urea (25).
- The following are more preferred compounds for their anti-inflammatory properties:
- 3-(3,5-Dimethoxyphenyl)-N,N-dimethyl-2-{4-[4-(3-oxo-3-ureidopropyl)-phenoxy]-phenyl}-acrylamide (13);
- 2-{4-[4-(2-Carbamoylethyl)-phenoxy]-phenyl}-3-(3,5-dimethoxyphenyl)-N,N-dimethylacrylamide (31);
- 3-(4-{4-[2-(3,5-Dimethoxyphenyl)-1-dimethylcarbamoylvinyl]-phenoxy}-phenyl)-propionic acid ethyl ester (37);
- N-{4-[2-(3,5-Dimethoxyphenyl)-1-dimethylcarbamoylvinyl]-phenyl}-3-hydroxybenzamide (44);
- 3-(3,5-Dimethoxyphenyl)-2-(4-hydroxyphenyl)-N,N-dimethylacrylamide (49);
- [3-(4-{4-[2-(3,5-Dimethoxyphenyl)-1-(piperidine-1-carbonyl)-vinyl]-phenoxy}-phenyl)-propionyl]-urea (51);
- 2-{4-[4-(3-Acetylamino-3-oxopropyl)-phenoxy]-phenyl}-3-(4-fluorophenyl)-N,N-dimethylacrylamide (56);
- 2-(4-{4-[2-(3,5-Dimethoxyphenyl)-1-dimethylcarbamoylvinyl]-phenoxy}-benzyl)-malonic acid (58);
- 2-(4-{4-[2-(3,5-Dimethoxyphenyl)-1-dimethylcarbamoylvinyl]-phenoxy}benzyl)-malonamide (59);
- 3-(3,5-Dimethoxyphenyl)-N,N-dimethyl-2-[4-(pyridin-2-yloxy)-phenyl]-acrylamide (66);
- N-{4-[2-(3,5-Dimethoxyphenyl)-1-dimethylcarbamoyl-vinyl]-phenyl}-benzamide (67);
- 2-{4-[4-(1-Dimethylcarbamoyl-2-pyridin-3-yl-vinyl)-phenoxy]-benzyl}-malonamide (71);
- 3-{4-[4-(2-Benzo[1,3]dioxol-5-yl-1-dimethylcarbamoyl-vinyl)-phenoxy]-phenyl}-propionic acid ethyl ester (69);
- 3-Benzo[1,3]dioxol-5-yl-2-{4-[4-(2-carbamoylethyl)-phenoxy]-phenyl}-N,N-dimethyl-acrylamide (72);
- N,N-Dimethyl-2-{4-[4-(3-oxo-3-ureidopropyl)-phenoxy]-phenyl}-3-pyridin-3-yl-acrylamide (73);
- 2-{4-[4-(2-Carbamoyl-ethyl)-phenoxy]-phenyl}-N,N-dimethyl-3-pyridin-3-yl-acrylamide (77).
- The following are more preferred compounds for their antidiabetic properties:
- 3-(3,5-Dimethoxyphenyl)-2-{4-[4-(3-ethoxycarbonylamino-3-oxo-propyl)-phenoxy]-phenyl}-acrylic acid methyl ester (8);
- (4-{4-[2-(3,5-Dimethoxyphenyl)-1-dimethylcarbamoyl-vinyl]-phenoxy}-benzyl)-carbamic acid methyl ester (29);
- 2-{4-[4-(2-Carbamoylethyl)-phenoxy]-phenyl}-3-(3,5-dimethoxyphenyl)-N,N-dimethylacrylamide (31);
- 3-(3,5-Dimethoxyphenyl)-N,N-dimethyl-2-{4-[4-(3-morpholin-4-yl-3-oxopropyl)-phenoxy]-phenyl}-acrylamide (40);
- [3-(4-{4-[2-(3,5-Dimethoxyphenyl)-1-(piperidine-1-carbonyl)-vinyl]-phenoxy}-phenyl)-propionyl]-urea (51);
- 2-{4-[4-(3-Acetylamino-3-oxopropyl)-phenoxy]-phenyl}-3-(4-fluorophenyl)-N,N-dimethylacrylamide (56);
- 3-(3,5-Dimethoxyphenyl)-2-{4-[4-(3-oxo-3-ureidopropyl)-phenoxy]-phenyl}-N-pyridin-4-ylacrylamide (60);
- N-(4-Chlorophenyl)-3-(3,5-dimethoxyphenyl)-2-{4-[4-(3-oxo-3-ureidopropyl)-phenoxy]-phenyl}-acrylamide (61);
- 3-(3,5-Dimethoxyphenyl)-N,N-dimethyl-2-(4-{4-[2-(2-morpholin-4-yl-2-oxoethylcarbamoyl)-ethyl]-phenoxy}-phenyl)-acrylamide (63);
- 3-(3,5-Dimethoxyphenyl)-N,N-dimethyl-2-(4-{4-[3-(4-methylpiperazin-1-yl)-3-oxopropyl]-phenoxy}-phenyl)-acrylamide (64).
- However, it will be appreciated that the invention also contemplates the provision and use of other compounds according to Formulas I-XIII.
- The compounds according to the present invention may be combined with a physiologically acceptable carrier or vehicle to provide a pharmaceutical composition, such as, lyophilized powder in the form of tablet or capsule with various fillers and binders. Similarly, the compounds may be coadministered with other agents. Co-administration shall mean the administration of at least two agents to a subject so as to provide the beneficial effects of the combination of both agents. For example, the agents may be administered simultaneously or sequentially over a period of time. The effective dosage of a compound in the composition can be widely varied as selected by those of ordinary skill in the art and may be empirically determined. Moreover, the compounds of the present invention can be used alone or in combination with one or more additional agents depending on the indication and the desired therapeutic effect. For example, in the case of diabetes, insulin resistance and associated conditions or complications, including obesity and hyperlipidemia, such additional agent(s) may be selected from the group consisting of: insulin or an insulin mimetic, a sulfonylurea (such as acetohexamide, chlorpropamide, glimepiride, glipizide, glyburide, tolbutamide and the like) or other insulin secretagogue (such as nateglinide, repaglinide and the like), a thiazolidinedione (such as pioglitazone, rosiglitazone and the like) or other peroxisome proliferator-activated receptor (PPAR)-gamma agonist, a fibrate (such as bezafibrate, clofibrate, fenofibrate, gemfibrozol and the like) or other PPAR-alpha agonist, a PPAR-delta agonist, a biguanide (such as metformin), a statin (such as fluvastatin, lovastatin, pravastatin, simvastatin and the like) or other hydroxymethylglutaryl (HMG) CoA reductase inhibitor, an alpha-glucosidase inhibitor (such as acarbose, miglitol, voglibose and the like), a bile acid-binding resin (such as cholestyramine, celestipol and the like), a high density lipoprotein (HDL)-lowering agent such as apolipoprotein A-I (apoA1), niacin and the like, probucol and nicotinic acid, Preferred additional agents include, for example, sulfonylurea, thiazolidinedione, fibrate or statin, preferably sulfonylurea.
- In the case of inflammation, inflammatory diseases, autoimmune disease and other such cytokine mediated disorders, the additional agent(s) may be selected from the group consisting of: a nonsteroidal anti-inflammatory drug (NSAID) (such as diclofenac, diflunisal, ibuprofen, naproxen and the like), a cyclooxygenase-2 inhibitor (such as celecoxib, rofecoxib and the like), a corticosteroid (such as prednisone, methylprednisone and the like) or other immunosuppressive agent (such as methotrexate, leflunomide, cyclophosphamide, azathioprine and the like), a disease-modifying antirheumatic drug (DMARD) (such as injectable gold, penicilliamine, hydroxychloroquine, sulfasalazine and the like), a TNF-alpha inhibitor (such as etanercept, infliximab and the like), other cytokine inhibitor (such as soluble cytokine receptor, anti-cytokine antibody and the like), other immune modulating agent (such as cyclosporin, tacrolimus, rapanycin and the like) and a narcotic agent (such as hydrocodone, morphine, codeine, tramadol and the like).
- Preferred diseases that may be treated by the preferred methods include inflammatory or immunological disease, for example, rheumatoid arthritis, osteoarthritis, ankylosing spondylitis, psoriasis, psoriatic arthritis, asthma, acute respiratory distress syndrome, chronic obstructive pulmonary disease, or multiple sclerosis. Additional preferred diseases that may be treated by the preferred methods include diabetes, hyperlipidemia, includes coronary heart disease, cancer or proliferative disease.
- Another aspect of the invention is a method of treating diabetes and related diseases comprising the step of administering to a subject suffering from a diabetic or related condition a therapeutically effective amount of a compound of Formulas I-XIII. Additionally, the invention provides a method of treating inflammation or inflammatory diseases or diseases mediated by cytokines, PDE4, PDE3, p44/42 MAP kinase, iNOS and/or COX-2 by administering to a subject in need of such treatment an effective amount of a compound according to Formulas I-XIII. Further, pharmaceutical compositions containing a therapeutically effective amount of one or more compounds according to Formulas I-XIII together with a pharmaceutically or physiologically acceptable carrier, for use in the treatments contemplated herein, are also provided.
- A preferred method of the present invention, therefore, provides for inhibiting the activity of TNF-alpha, IL-1, IL-6, PDE4, PDE3, p44/42 MAP kinase, iNOS or COX-2 comprising administering to a host at least one preferred pharmaceutical composition as described above. Likewise, a preferred method of the present invention provides for inhibiting the undesired action of cytokine, phosphodiesterase, MAP kinase or cyclooxygenase comprising administering to a host at least one pharmaceutical composition as described above.
- The compounds of the invention are useful for the treatment of diabetes, characterized by the presence of elevated blood glucose levels, that is, hyperglycemic disorders such as diabetes mellitus, including both
1 and 2 diabetes, as well as other hyperglycemic related disorders such as obesity, increased cholesterol, hyperlipidemia such as hypertriglyceridemia, kidney related disorders and the like. The compounds are also useful for the treatment of disorders linked to insulin resistance and/or hyperinsulinemia, which include, in addition to diabetes, hyperandrogenic conditions such as polycystic ovary syndrome (Ibanez et al., J. Clin Endocrinol Metab, 85:3526-30, 2000; Taylor A. E., Obstet Gynecol Clin North Am, 27:583-95, 2000), coronary artery disease such as atherosclerosis and vascular restenosis, and peripheral vascular disease. Additionally, the compounds of the present invention are also useful for the treatment of inflammation and immunological diseases that include those mediated by signaling pathways linked to pro-inflammatory cytokines, such as rheumatoid arthritis, ankylosing spondylitis, multiple sclerosis, inflammatory bowel disease, psoriasis, and contact and atopic dermatitis.type - By “treatment”, it is meant that the compounds of the invention are administered in an amount which is at least sufficient to, for example, reduce the blood glucose level in a patient suffering from a hyperglycemic disorder or to inhibit or prevent the development of pro-inflammatory cytokine or like responses in a patient suffering from inflammatory or immunological disease. In the case of diabetes, the compound is usually administered in the amount sufficient to reduce the blood glucose level, free fatty acid level, triglyceride level and/or the like level sufficient to improve or alleviate the symptoms and/or reduce the risk of complications associated with elevated levels of these parameters. A variety of subjects may be treated with the present compounds to reduce blood glucose levels such as livestock, wild or rare animals, pets, as well as humans. The compounds may be administered to a subject suffering from hyperglycemic disorder using any convenient administration technique, including intravenous, intradermal, intramuscular, subcutaneous, oral and the like. However, oral daily dosage is preferred. The dosage delivered to the host will necessarily depend upon the route by which the compound is delivered, but generally ranges from about 0.1 to about 500 mg/kg human body weight or typically from about 0.1 to about 50 mg/kg human body weight. Generally similar types of administration and dosages are also contemplated when the compounds of the invention are used to treat inflammatory or immunological disease.
- The compounds of this invention may be used in formulations using acceptable pharmaceutical vehicles for enteral, or parenteral, administration, such as, for example, water, alcohol, gelatin, gum arabic, lactose, amylase, magnesium stearate, talc, vegetable oils, polyalkylene glycol, and the like. The compounds can be formulated in solid form, e.g., as tablets, capsules, dragees and suppositories, or in the liquid form, e.g., solutions, suspensions and emulsions. The preparations may also be delivered transdermally or by topical application.
- The syntheses of representative compounds according to the present invention are illustrated in Schemes I and II. Further examples illustrating the syntheses of additional compounds according to the present invention are also given below.
-
Scheme 1 details the synthesis of compounds 1-6.Scheme 2 details the synthesis of 17. It is to be understood that the 1 and 2 are representative schemes and are not intended to be limited to the compounds disclosed.Schemes - The following examples are provided to further illustrate the present invention and are not intended to limit the invention in any way.
- Step 1: Synthesis of 3-(3,5-dimethoxyphenyl)-2-(4-hydroxyphenyl)-acrylic acid (2). To a mixture of 3,5-dimethoxybenzaldehyde (120 g, 0.72 mol) and p-hydroxyphenyl acetic acid (110 g, 0.72 mol) was added acetic anhydride (240 mL) and triethylamine (161 mL, 1.6 equiv.). This non-homogeneous mixture on heating becomes homogeneous at ˜70° C. After being stirred at 130° C. for 4 hr, the mixture was cooled to room temperature. HCl (15%, 500 mL) was added to the reaction mixture slowly in 30 min keeping temperature below 5-10° C. The solid was dissolved in 3N aqueous NaOH (1.2 L) and stirred for 0.5 hr. The filtrate was acidified, maintaining a temperature at 25-30° C., with conc. HCl (˜700 mL) to
pH 1. The precipitated product was filtered and washed with water to give crude product (˜300 g, wet cake). The crude product was dissolved by heating in ethanol and recrystallized by adding equal volume of water. The product was dried overnight in a vacuum oven at 40° C. Yield: 161 g, 74%. Analysis: 1HNMR (DMSO-d6): δ12.48 (br, 1H), 9.42 (s, 1H), 7.59 (s, 1H), 6.95 (d, J=8.0 Hz, 2H), 6.76 (d, J=8.0 Hz, 2H), 6.35 (t, J=2.2 Hz, 1H), 6.27 (d, J=2.2 Hz, 2H), 3.56 (s, 6H). - (b) Step 2: Synthesis of 3-(3,5-dimethoxyphenyl)-2-[4-(4-formylphenoxy)-phenyl]-acrylic acid (3). 2 (64.0 g, 0.21 mol) was dissolved in 320 mL anhydrous DMSO under nitrogen, and potassium tert-butoxide (48.0 g, 0.43 mol) was added in lots. When the solution became homogenous, p-fluorobenzaldehyde (27 mL, 0.22 mol) was added and the mixture was heated at 100° C. for 5 hr. After cooling to room temperature, the solution was poured into 1 L water and extracted with ether (2×500 mL). The aqueous phase was acidified with 5% HCl to ˜
pH 4 and the precipitated product was collected by suction filtration. The wet filter cake was dissolved in a minimum of boiling acetone and recrystallized with addition of water. After chilling to 4° C. for 3 hr, the solid was collected by vacuum filtration. The product was dried overnight at 40° C. in a vacuum oven. Yield: 62 g, 73%. Analysis: 1HNMR (DMSO-d6): δ12.87 (s, 1H), 9.94 (s, 1H), 7.95 (d, J=8.2 Hz, 2H), 7.72 (s, 1H), 7.27 (d, J=8.0 Hz, 2H), 7.19 (d, J=8.0 Hz, 2H), 7.15 (d, J=8.2 Hz, 2H), 6.42 (t, J=1.6 Hz, 1H), 6.29 (d, J=2.0 Hz, 2H), 3.60 (s, 6H). - (c) Step 3: Synthesis of 3-(3,5-dimethoxyphenyl)-2-{4-[4-(2-ethoxycarbonyl-vinyl)-phenoxy]-phenyl}-acrylic acid (4). Triethylphosphonoacetate (7.14 mL, 36 mmol) was added to a suspension of NaH (60% in mineral oil, 2.64 g, 66 mmol) in anhydrous THF (100 mL) at 0° C. under argon, and the mixture was stirred for 15 min. A solution of
aldehyde 3, (12.12 g, 30 mmol) in THF (100 mL) was added and the mixture was stirred for 1 h. The mixture was quenched with saturated aqueous ammonium chloride solution (5 mL), diluted with ethyl acetate (300 mL) and acidified with 5% aqueous HCl topH 1. The ethyl acetate layer was separated, and the aqueous layer was extracted with ethyl acetate (100 mL). The combined organic layers were washed with brine, dried over anhydrous MgSO4, filtered and concentrated. The crude product was purified by recrystallization from a mixture of chloroform/methanol. The compound was suspended in hot methanol (200 mL) and a minimum volume (˜30-40 mL) of chloroform was added to yield 4. Yield: 12.39 g, 87.1%. Analysis: 1HNMR (DMSO-d6): δ7.77 (d, J=8.4 Hz, 2H), 7.69 (s. 1H), 7.65 (d, J=16 Hz, 2H), 7.23 (d, 8.8 Hz, 2H), 7.11 (d, J=8.8 Hz, 2H), 7.01 (d, J=8.4 Hz, 2H), 6.57 (d, J=16 Hz, 2H), 6.41 (t, J=2 Hz, 1H), 6.28 (d, J=1.6 Hz, 2H), 4.18 (q, J=7.2 Hz, 2H), 3.59 (s, 6H), 1.26 (t, J=7.2 Hz, 3H). - (d) Step 4: Synthesis of 3-(3,5-dimethoxyphenyl)-2-{4-[4-(2-ethoxycarbonyl-ethyl)-phenoxy]-phenyl}-acrylic acid (5). To a suspension of Raney Ni (10.0 g, Raney 2800 nickel in water active catalyst) in ethanol-dioxane (2:1, 50 mL) was added a solution of 4 (13.0 g, 27.4 mmol) in a mixture of ethanol-dioxane (2:1, 400 mL), and the resulting mixture was stirred vigorously for 15 hr under hydrogen at atmospheric pressure. Completion of the reaction was monitored by HPLC (time varies with the speed of stirring). Catalyst was filtered through a bed of Celite® diatomaceous earth, the bed was washed with ethanol-dioxane (2:1, 200 mL), and solvent was evaporated. The solid obtained was dissolved in hot toluene (150 mL) and cooled at 4° C. overnight. Solid separated was filtered and washed with ice-cold toluene (50 mL) and dried at 55° C. for 6 hr. Yield: 11.61 g, 90.5%. Analysis: 1HNMR (DMSO-d6): δ12.75 (s, 1H), 7.68 (s, 1H), 7.26 (d, J=8.4 Hz, 2H), 7.17 (d, J=8.4 Hz, 2H), 6.99 (d, J=8.4 Hz, 2H), 6.94 (d, J=8.4 Hz, 2H), 6.39 (t, J=2.0 Hz, 1H), 6.27 (d, J=1.6 Hz, 2H), 4.06 (q, J=7.2 Hz, 2H), 3.57 (s, 6H), 2.84 (t, J=8 Hz, 2H), 2.60 (t, J=8 Hz, 2H), 1.15 (t, J=8 Hz, 3H).
- (e) Step 5: Synthesis of 3-(3,5-dimethoxyphenyl)-2-{4-[4-(3-oxo-3-ureido-propyl)-phenoxy]-phenyl}-acrylic acid (6). To a solution of sodium ethoxide in ethanol (21% w/w, 65 mL) under argon was added ethyl acetate (3.12 mL), then refluxed for 20 min. Urea (18 g, 0.3 mol) was dissolved in the above-mentioned sodium ethoxide in ethanol solution at 75° C. To this solution was added 5 (13 g, 0.027 mol) in one lot. After all dissolved, the resulting mixture was stirred at 75° C. for another 5 min, cooled quickly in 15 min to 15-20° C., TFA (13 mL) added, and then adjusted to pH 4-5 with 5% HCl. After stirring at room temperature for 1 hr, the mixture was slowly added to water (520 mL). The solid separated was filtered and refluxed in 10% isopropanol in ethyl acetate (150 mL) for 20 min. The mixture was allowed to cool to room temperature, then incubated overnight at 4° C. The mixture was filtered and solid was dried. Yield: 8.5 g. Analysis: 1HNMR (DMSO-d6): δ12.35 (br, 1H), 10.20 (s, 1H), 7.75 (br, 1H), 7.68 (s, 1H), 7.26 (d, J=8.4 Hz, 2H), 7.17 (d, J=8.4 Hz, 2H), 6.99 (d, J=8.4 Hz, 2H), 6.94 (d, J=8.4 Hz, 2H), 6.39 (t, J=2.4 Hz, 1H), 6.27 (d, J=2.4 Hz, 2H), 3.57 (s, 6H), 2.81 (t, J=7.2 Hz, 2H), 2.54 (t, J=7.2 Hz, 2H).
- (f) Step 6: Synthesis of 3-(3,5-dimethoxyphenyl)-2-{4-[4-(3-oxo-3-ureido-1)propyl)-phenoxy]-phenyl}-acrylic acid methyl ester (1). To a stirred solution of 6 (5 g, 0.01 mol) in dry DMF (35 mL) under argon was added K2CO3 (1.38 g, 0.01 mol). To this, dimethyl sulfate (3.8 g, 0.03 mol) was added and stirred at room temperature for 30 min. The reaction mixture was acidified with 5% aqueous HCl and extracted with ethyl acetate. The organic layer was dried over anhydrous magnesium sulfate and evaporated. The oily residue was dissolved in hexane/ethyl acetate (2:3, 30 mL) with stirring, and incubated overnight at 4° C. for crystallization. The solid was collected by vacuum filtration and dried. Yield: 3.3 g, 65%. Analysis: 1HNMR (DMSO-d6): δ10.17 (br, 1H), 7.72 (br, 2H), 7.72 (s, 1H), 7.25 (d, J=8.4 Hz, 2H), 7.18 (d, J=6.8 Hz, 2H), 7.21 (s overlapped, 1H), 7.01 (d, J=6.8 Hz, 2H), 6.96 (d, J=8.4 Hz, 2H), 6.41 (t, J=2.2 Hz, 1H), 6.28 (d, J=2.2 Hz, 2H), 3.73 (s, 3H), 3.57 (s, 6H), 2.84 (t, J=7.2 Hz, 2H), 2.61 (t, J=7.2 Hz, 2H).
- 2-{4-[4-(2-Carbamoyl-ethyl)-phenoxy]-phenyl}-3-(3,5-dimethoxyphenyl)-acrylic acid methyl ester (7) was obtained as a byproduct in the synthesis of 3-(3,5-dimethoxy-phenyl)-2-{4-[4-(2,4-dioxothiazolidin-5-ylmethyl)-phenoxy]-phenyl}-acrylic acid methyl ester, performed essentially as shown in PCT/US99/09982 (WO 99/58127). 7 (460 mg, 1.0 mmol) was taken up in dry THF (6 mL) and cooled to −78° C. To this solution, lithium diisopropyl amide (LDA) (2M, 0.55 mL, 1.1 mmol) was added and stirred for 10 min. Ethyl chloroformate (0.11 mL, 1.2 mmol) was added and stirred overnight at room temperature. The reaction was quenched with saturated aqueous ammonium chloride solution and ethyl acetate (50 mL) was added. The organic layer was washed with brine (2×20 mL), dried on anhydrous magnesium sulfate and evaporated under reduced pressure. The crude product was purified by silica gel chromatography and eluted with hexane-ethyl acetate (7:3). Yield: 264 mg, 49.8%.
- Analysis: 1HNMR (DMSO-d6): δ10.52 (s, 1H), 7.70 (s, 1H), 7.24 (d, J=8.4 Hz, 2H), 7.17 (d, J=8.4 Hz, 2H), 6.99 (d, J=8.4 Hz, 2H), 6.94 (d, J=8.4 Hz, 2H), 6.40 (t, J=2.1 Hz, 1H), 6.27 (d, J=2.1 Hz, 2H), 4.07 (q, J=7.2 Hz, 2H), 3.70 (s, 3H), 3.56 (s, 6H), 2.76 (m, 4H), 1.19 (t, J=7.2 Hz, 3H).
- 7 (1.38, 3.0 mmol) prepared as in Example 2 was taken up in dry THF (20 mL) and cooled to −78° C. To this solution, LDA (2M, 1.8 mL, 3.6 mmol) was added and stirred for 10 min. Benzyl chloroformate (0.67 g, 39 mmol) was added and stirred overnight at room temperature. The reaction was quenched with saturated aqueous ammonium chloride solution, and ethyl acetate (150 mL) was added. The organic layer was washed with brine (2×25 mL), dried on anhydrous magnesium sulfate and evaporated under reduced pressure. The crude product was purified by silica gel chromatography and eluted with hexane-ethyl acetate (7:3). Yield: 0.68 g, 37.3%.
- Analysis: 1HNMR (DMSO-d6): δ10.65 (s, 1H), 7.72 (s, 1H), 7.38-7.39 (m, 5H), 7.25 (d, J=8.4 Hz, 2H), 7.18 (d, J=8.4 Hz, 2H), 7.00 (d, J=8.4 Hz, 2H), 6.94 (d, J=8.4 Hz, 2H), 6.41 (t, J=2.0 Hz, 1H), 6.28 (d, J=2.0 Hz, 2H), 5.12 (s, 2H), 3.72 (s, 3H), 3.57 (s, 6H), 2.79 (m, 4H).
- 3-(3,5-Dimethoxyphenyl)-2-{4-[4-(2-ethoxycarbonylvinyl)-phenoxy]-phenyl}-acrylic acid (4, 2.37 g, 5.0 mmol) was dissolved in a mixture of ethanol-dioxane (2:1, 150 mL), and palladium charcoal (10%, 500 mg) was added. The mixture was stirred under hydrogen for 15 hr. Catalyst was then removed by filtration, and solvent was evaporated under reduced pressure to yield 3-(3,5-dimethoxy-phenyl)-2-{4-[4-(2-ethoxycarbonylethyl)-phenoxy]-phenyl}-propionic acid (18) quantitatively. Urea (0.21 g, 3.58 mmol) was dissolved in sodium ethoxide (2.7 M, 2.2 mL, 5.92 mmol) at 80° C. under argon, and to this a solution of 18 (1.13 g, 2.37 mmol) in anhydrous ethanol (15 mL) was added and heated at this temperature for 13 hr. Ethanol was evaporated under reduced pressure, water (20 mL) was added, acidified to
pH 1 by 5% aqueous HCl and extracted with ethyl acetate (50 mL). The organic layer was washed with water (2×25 mL), brine (2×20 mL), dried over anhydrous magnesium sulfate and evaporated. The crude product was purified by silica gel chromatography and eluted with hexane-ethyl acetate (3:7) containing acetic acid (1%), followed by recrystallization from ethanol. Yield: 256 mg, 22.8%. - Analysis: 1HNMR (DMSO-d6): δ12.37 (s, 1H), 10.17 (s, 1H), 7.74 (br, 1H), 7.31 (d, J=9.2 Hz, 2H), 7.21 (d, J=9.2 Hz, 2H), 6.91 (d, J=8.4 Hz, 2H), 6.90 (d, J=8.4 Hz, 2H), 6.33 (d, J=2.0 Hz, 2H), 6.29 (t, J=2.0 Hz, 1H), 3.83 (t, J=8.0 Hz, 1H), 3.68 (s, 6H), 3.19 (dd, J=14.4 & 8.4 Hz, 1H), 2.88-2.80 (m, 3H), 2.59 (t, J=8.0 Hz, 2H).
- Urea (0.21 g, 3.58 mmol) was dissolved in sodium ethoxide (2.7 M, 2.2 mL, 5.92 mmol) at 80° C. under argon, and to this a solution of 4 (1.14 g, 2.37 mmol) in anhydrous ethanol (15 mL) was added and heated at this temperature for 13 hr. Ethanol was evaporated under reduced pressure, water (20 mL) was added, acidified to
pH 1 by 5% aqueous HCl and extracted with ethyl acetate (50 mL). The organic layer was washed with water (2×25 mL), brine (2×20 mL), dried over anhydrous magnesium sulfate and evaporated. The crude product was purified by silica gel chromatography and eluted with hexane-ethyl acetate (3:7) containing acetic acid (1%), followed by recrystallization from ethanol. Yield: 167 mg, 14.4%. - Analysis: 1HNMR (DMSO-d6): δ12.51 (br, 1H), 10.30 (s, 1H), 7.92 (br, 1H), 7.77 (d, J=9.2 Hz, 2H), 7.68 (s, 1H), 7.65 (d, J=16.0 Hz, 1H), 7.30 (br, 1H), 7.22 (d, J=8.8 Hz, 2H), 7.10 (d, J=8.8 Hz, 2H), 7.03 (d, J=9.2 Hz, 2H), 6.73 (d, J=16.0 Hz, 1H), 6.40 (t, J=2.0 Hz, 1H), 6.28 (d, J=2 Hz, 2H), 3.59 (s, 6H).
- To a stirred solution of 6 (0.40 g, 0.81 mmol) in dry DMSO (3 mL) was added K2CO3 (0.14 g, 0.98 mmol). To this, diethyl sulfate (0.115 g, 0.91 mmol) was added and stirred at room temperature for 30 min. The reaction mixture was poured into water (30 mL) and extracted with ethyl acetate. The organic layer was dried over anhydrous magnesium sulfate and evaporated. The crude product was purified by column chromatography over silica gel and eluted with hexanes-ethyl acetate (3:1). Yield: 0.39 g, 92.2%.
- Analysis: 1HNMR (DMSO-d6): δ10.17 (s, 1H), 7.74 (br, 1H), 7.70 (s, 1H), 7.25 (d, J=8.4 Hz, 2H), 7.24 (overlapped, 1H), 7.18 (d, J=8.4 Hz, 2H), 7.00 (d, J=8.4 Hz, 2H), 6.95 (d, J=8.4 Hz, 2H), 6.41 (t, J=1.6 Hz, 1H), 6.28 (d, J=1.6 Hz, 2H), 4.19 (q, J=8.0 Hz, 2H), 3.57 (s, 6H), 2.83 (t, J=7.2 Hz, 2H), 2.60 (t, J=7.2 Hz, 2H), 1.25 (t, J=8.0 Hz, 3H).
- To a stirred solution of 6 (1.68 g, 3.43 mmol) in dry DMF (30 mL) was added carbonyldiimidazole (1.1 g, 6.86 mmol), and the reaction mixture was heated to 60° C. for 1 hr. The reaction mixture was cooled to 0° C. and a solution of dimethylamine in THF (2 M, 8.6 mL, 17.2 mmol) was added and stirred for 18 hr. The reaction mixture was diluted with water (100 mL) and extracted with ethyl acetate (100 mL). The organic phase was then rinsed sequentially with 10% citric acid (2×50 mL), water (2×50 mL), and brine (20 mL), then dried over anhydrous magnesium sulfate and evaporated. The crude product was purified by silica gel chromatography using hexane-ethyl acetate (3:7) containing 1% acetic acid. Yield: 1.77 g, 100%.
- Analysis: 1HNMR (DMSO-d6): δ10.17 (br, 1H), 7.74 (br, 1H), 7.27 (d, J=9.2 Hz, 2H), 7.23 (d, J=8.8 Hz, 2H), 7.23 (br, 1H), 6.79 (d, J=9.2 Hz, 2H), 6.93 (d, J=8.8 Hz, 2H), 6.56 (s, 1H), 6.34 (t, J=2 Hz, 1H), 6.29 (s, 1H), 6.28 (s, 1H), 3.58 (s, 6H), 3.05 (br, 3H), 2.90 (br, 3H), 2.82 (t, J=7.2 Hz, J=8.0 Hz, 2H), 2.59 (t, J=8.0 Hz, J=7.2 Hz, 2H).
- Cyclohexylurea (1.3 g, 9 mmol) was dissolved in sodium ethoxide in ethanol (21% w/w, 3 mL) at 75° C. To this solution 5 was added (0.5 g, 1.1 mmol) in one lot. The resulting mixture was stirred at 75° C. for 5 min, then cooled quickly to 40-50° C. TFA (0.5 mL) was added and then 5% aqueous HCl (1N, 0.6 mL). After stirring at room temperature for 1 hr, the mixture was left overnight at 4° C. The solid separated was filtered and refluxed in ethyl acetate (4 mL) for 20 min. The mixture was allowed to cool to room temperature, filtered and the crude product was purified by silica gel chromatography using hexane-ethyl acetate (1:1). Yield: 0.27 g, 45%.
- Analysis: 1HNMR (DMSO-d6): δ12.74 (s, 1H), 10.30 (s, 1H), 8.32 (br, 1H), 7.67 (s, 1H), 7.24 (d, J=8.8 Hz, 2H), 7.16 (d, J=8.8 Hz, 2H), 6.90 (d, J=8.4 Hz, 2H), 6.94 (d, J=8.4 Hz, 2H), 6.34 (t, J=2.4 Hz, 1H), 6.27 (d, J=2.4 Hz, 2H), 3.58 (s, 6H), 2.83 (t, J=7.6 Hz, 2H), 2.59 (t, J=7.6 Hz, 2H), 1.78 (m, 2H), 1.61 (m, 2H), 1.51 (m, 1H), 1.32-1.16 (m, 5H).
- 4-Phenoxy-benzaldehyde was reacted with triethyl phosphonoacetate to yield 3-(4-phenoxyphenyl)-acrylic acid ethyl ester, which was then reduced with H2 using palladium-on-carbon catalyst to yield 3-(4-phenoxyphenyl)-propionic acid methyl ester (19). Urea (1.20 g, 19.99 mmol) was dissolved in sodium ethoxide (2 M, 6.7 mL, 13.4 mmol) at 80° C. under argon, and to this a solution of 19 (1.71 g, 6.67 mmol) in anhydrous ethanol (8 mL) was added and heated at this temperature for 1 hr. Ethanol was evaporated under reduced pressure, water (20 mL) was added, acidified to
pH 1 by 5% aqueous HCl and extracted with ethyl acetate (50 mL). The organic layer was washed with water (2×25 mL), brine (2×20 mL), dried over anhydrous magnesium sulfate and evaporated. The crude product was purified by silica gel chromatography and eluted with hexane-ethyl acetate (1:1) containing acetic acid (1%) followed by recrystallization from ethanol. Yield: 113 mg, 5.6%. - Analysis: 1HNMR (DMSO-d6): δ10.18 (s, 1H), 7.74 (br, 1H), 7.38 (d, J=7.6 Hz, 1H), 7.36 (d, J=7.6 Hz, 1H), 7.22 (d, J=8.8 Hz, 2H), 7.17 (t, J=7.2 Hz, 1H), 6.97 (d, J=7.2 Hz, 2H), 6.93 (d, J=8.8 Hz, 2H), 2.82 (t, J=7.2 Hz, 2H), 2.59 (t, J=7.2 Hz, 2H).
- Step 1: Synthesis of 3-(3,5-dimethoxyphenyl)-2-[4-(4-hydroxymethyl-phenoxy)-phenyl]-acrylic acid methyl ester (22). 3-(3,5-Dimethoxy-phenyl)-2-[4-(4-formylphenoxy)-phenyl]-acrylic acid methyl ester (21) was first prepared by converting the corresponding free acid (3) to the methyl ester by addition of DMF, K2CO3 and dimethyl sulfate in a manner analogous to Example 1(f) above. Sodium borohydride (0.125 g, 3.3 mmol) was added to a suspension of 21 (1.26 g, 3 mmol) in ethanol (20 mL) and stirred at room temperature for 1 hr. The reaction was quenched with 5% aqueous HCl, and ethanol was evaporated under reduced pressure. Residue was taken up in ethyl acetate (50 mL) and washed with brine (2×20 mL), dried over anhydrous magnesium sulfate and evaporated. The crude product was purified by silica gel chromatography and eluted with hexanes-ethyl acetate (1:1). Yield: 1.14 g, 95.0%. Analysis: 1HNMR (DMSO-d6): δ7.72 (s, 1H), 7.36 (d, J=8.8 Hz, 2H), 7.19 (d, J=8.8 Hz, 2H), 7.01 (d, J=8.4 Hz, 2H), 6.99 (d, J=8.4 Hz, 2H), 6.41 (t, J=2.4 Hz, 1H), 6.28 (d, J=2.4 Hz, 2H), 5.18 (t, J=6.4 Hz, 1H), 4.49 (d, J=4.8 Hz, 2H), 3.72 (s, 3H), 3.57 (s, 6H).
- (b) Step 2: Synthesis of 2-[4-(4-bromomethylphenoxy)-phenyl]-3-(3,5-dimethoxyphenyl)-acrylic acid methyl ester (23). To a stirred solution of 22 (1.05 g, 2.5 mmol) in dichloromethane (10 mL) at 10° C., PBr3 (1 M, 3.75 mL) was added and stirred for 1 hr. The reaction was quenched with saturated aqueous sodium bicarbonate solution. The organic layer was washed with water (20 mL), brine (2×30 mL), dried over anhydrous magnesium sulfate and evaporated. The crude product was purified by silica gel chromatography and eluted with hexanes-ethyl acetate (4:1). Yield: 0.85 g, 70.4%. Analysis: 1HNMR (DMSO-d6): δ7.73 (s, 1H), 7.49 (d, J=8.4 Hz, 2H), 7.22 (d, J=8.4 Hz, 2H), 7.07 (d, J=8.4 Hz, 2H), 7.00 (d, J=8.4 Hz, 2H), 6.42 (t, J=2.4 Hz, 1H), 6.28 (d, J=2.4 Hz, 2H), 4.74 (s, 2H), 3.73 (s, 3H), 3.58 (s, 6H).
- (c) Synthesis of 2-{4-[4-(3-acetylureidomethyl)-phenoxy]-phenyl}-3-(3,5-dimethoxyphenyl)-acrylic acid methyl ester (17). To a stirred suspension of sodium hydride (60% in oil, 0.11 g, 2.8 mmol) in dimethylformamide (2 mL), N-acylurea (0.11 g, 1.12 mmol) was added and stirred at room temperature for 30 min. A solution of 23 (0.54 g, 1.12 mmol) in dimethylformamide (3 mL) was added and heated overnight at 80° C. The reaction was quenched with water and extracted with ethyl acetate (3×30 mL). The combined organic layer was washed with brine (2×25 mL), dried over anhydrous magnesium sulfate and evaporated. The crude product was purified by silica gel column chromatography and eluted with hexanes-ethyl acetate (3:7) containing 1% acetic acid. Yield: 0.16 g, 28.4%. Analysis; 1HNMR (DMSO-d6): δ8.34 (t, J=5.6 Hz, 1H), 7.72 (s, 1H), 7.29 (d, J=8.4 Hz, 1H), 7.19 (d, J=8.4 Hz, 2H), 7.02 (d, J=8.4 Hz, 2H), 6.99 (d, J=8.4 Hz, 2H), 6.42 (t, J=8.4 Hz, 1H), 6.28 (d, J=2.4 Hz, 2H), 4.24 (d, J=5.2 Hz), 3.73 (s, 3H), 3.57 (s, 6H), 1.87 (s, 3H).
- A mixture of carboxylic acid (1.1 mmol) and carbonyldiimidazole (1.3 mmol) in DMF (20 mL) was heated at 60° C. for 30 min. After the reaction mixture was cooled to room temperature, a solution of amine (2M, 1 mL, 2.0 mmol) was added and stirred for 18 hr. To the reaction mixture water (100 mL) was added and extracted with ethyl acetate (3×60 mL). The organic phase was washed with 10% citric acid (20 mL), water (2×50 mL), and brine (50 mL), then dried over anhydrous magnesium sulfate and removed the solvent. The crude product was purified by silica gel chromatography.
- Urea (0.78 g, 13 mmol) and 3-[4-(4-carboxymethylphenoxy)-phenyl]-propionic acid ethyl ester, 24 (0.5 g, 1.5 mmol) were dissolved in sodium ethoxide in ethanol (2M, 6.5 mL, 13 mmol) at 80° C. under argon, and the reaction mixture was heated at this temperature for 1 h. The reaction was then quenched by TFA (0.5 mL) after cooling to 5° C. Water (40 mL) was added to the reaction mixture. The crude product was filtered and purified by silica gel chromatography and eluted with hexane-ethyl acetate (1:1) containing acetic acid (1%) followed by recrystallization from toluene yielded 25 (0.28 g, 54%).
- Analysis: 1HNMR (DMSO-d6): δ 12.28 (br, 1H), 7.73 (br, 1H), 7.24 (d, J=8.8 Hz, 2H), 7.23, (br, 1H), 7.21 (d, J=8.8 Hz, 2H), 6.93, (d, J=8.8 Hz, 2H), 6.92 (d, J=8.8 Hz, 2H), 3.54 (s, 2H), 2.81 (t, J=7.2 Hz, 2H), 2.58 (t, J=7.2 Hz, 2H).
- Following the general procedure for conversion of carboxylic acids to amides mentioned above and using dimethyl amine as amine, 25 was converted to 26 in 97% yield.
- Analysis: 1HNMR (DMSO-d6): δ10.17 (s, 1H), 7.73 (s, 1H), 7.22 (s, 1H), 7.21 (d, J=8.0 Hz, 2H), 7.19 (d, J=8.0 Hz, 2H), 6.92 (d, J=8.0 Hz, 2H), 6.90 (d, J=8.0 Hz, 2H), 3.65 (s, 2H), 3.00 (s, 3H), 2.81 (t, J=8.0 Hz, 2H), 2.58 (t, J=8.0 Hz, 2H).
- Reaction of 3-(3,5-dimethoxyphenyl)-2-{4-[4-(2,4-dioxothiazolidin-3-ylmethyl)-phenoxy]-phenyl}-acrylic acid, 27, (0.4 g, 0.77 mmol) with 5% LiOH (2 mL) in methanol (19 mL) was carried out at room temperature for 18 h. The reaction mixture was acidified to
pH 3 by 5% aqueous HCl and extracted with ethyl acetate (2×50 mL). The organic layer was washed with water (2×50 mL), brine (2×20 mL), dried over anhydrous magnesium sulfate and evaporated. The crude product was purified by silica gel chromatography and eluted with hexane-ethyl acetate (1:1) containing acetic acid (1%). Yield (28): 0.31 g, 83%. - Analysis: 1HNMR (DMSO-d6): δ 12.75 (br, 1H), 7.68 (t, J=4.6 Hz, 1H), 7.67 (s, 1H), 7.28 (d, J=8.8 Hz, 2H), 7.17 (d, J=8.8 Hz, 2H), 7.01 (d, J=8.8 Hz, 2H), 6.97 (d, J=8.8 Hz, 2H), 6.39 (t, J=2.8 Hz, 1H), 6.27 (d, J=2.4 Hz, 2H), 4.17 (d, J=6.4 Hz, 2H), 3.58 (S, 6H), 3.55 (s, 3H).
- Following the general procedure for conversion of carboxylic acids to amides mentioned above and using dimethyl amine as amine, 28 was converted to 29 in 96% yield.
- Analysis: 1HNMR (DMSO-d6): δ 7.68 (t, J=4.6 Hz, 1H), 7.28 (d, J=8.8 Hz, 2H), 7.27 (d, J=8.8 Hz, 2H), 6.98 (d, J=8.8 Hz, 2H), 6.96 (d, J=8.8 Hz, 2H), 6.57 (s, 1H), 6.35 (t, J=2.8 Hz, 1H), 6.28 (d, J=2.4 Hz, 2H), 4.16 (d, J=6.4 Hz, 2H), 3.59 (S, 6H), 3.55 (s, 3H), 3.05 (br, 3H), 2.91 (br, 3H).
- Urea (0.78 g, 13 mmol) and 3-(3,5-dimethoxyphenyl)-2-{4-[-4-(2-ethoxycarbonylethyl)-phenoxy]-phenyl}-acrylic acid 5 (0.45 g, 1.5 mmol) were dissolved in sodium ethoxide in ethanol (2M, 6.5 mL, 13 mmol) at 80° C. under argon, and the reaction mixture was heated at this temperature for 5 h. The reaction was then quenched by TFA (0.5 mL) after cooling to 5° C. Water (40 mL) was added to the reaction mixture. The crude product was filtered and purified by silica gel chromatography and eluted with hexane-ethyl acetate (1:1) containing acetic acid (1%). Yield (30): 0.39 g, 93%.
- Analysis: 1HNMR (DMSO-d6): δ 12.73 (br, 1H), 7.68 (s, 1H), 7.29 (br, 1H), 7.24 (d, J=8.8 Hz, 2H), 7.65 (d, J=8.8 Hz, 2H), 6.99 (d, J=8.8 Hz, 2H), 6.92 (d, J=8.8 Hz, 2H), 6.78 (br, 1H), 6.39 (t, J=2.4 Hz, 1H), 6.27 (d, J=2 Hz, 2H), 3.57 (s, 6H), 2.79 (t, J=8.0 Hz, 2H), 2.35 (t, J=8.0 Hz, 2H).
- Following the general procedure for conversion of carboxylic acids to amides mentioned above and using dimethyl amine as amine, 30 was converted to 31 in 98% yield.
- Analysis: 1HNMR (DMSO-d6): δ 7.30 (br, 1H), 7.28 (d, J=8.8 Hz, 2H), 7.23 (d, J=8.8 Hz, 2H), 6.95 (d, J=8.8 Hz, 2H), 6.92 (d, J=8.8 Hz, 2H), 6.79 (br, 1H), 6.56 (s, 1H), 6.34 (t, J=2.4 Hz, 1H), 6.28 (d, J=2 Hz, 2H), 3.58 (s, 6H), 3.05 (br, 3H), 2.90 (br, 3H), 2.77 (t, J=8.0 Hz, 2H), 2.34 (t, J=8.0 Hz, 2H).
-
Compound 2 was reacted with 1-fluoro-4-nitrobenzene in the presence of NaH in DMF to give 3-(3,5-dimethoxyphenyl)-2-[4-(4-nitrophenoxy)-phenyl]-acrylic acid (32). Reduction of 32 (10 g, 24 mmol) with zinc dust (15 g, 230 mmol) in acetic acid (100 mL) was accomplished at 120° C. for 15 h, the mixture was cooled to room temperature. Water (250 mL) was slowly added to the reaction mixture. The precipitated product was filtered and washed with water (70 mL) to give crude product. The product was recrystallized from toluene. Yield (33): 9.7 g, 94%. - Analysis: 1HNMR (DMSO-d6): δ 12.35 (br, 1H), 9.96 (s, 1H), 7.67 (s, 1H), 7.60 (d, J=8.8 Hz, 2H), 7.15 (d, J=8.8 Hz, 2H), 6.97 (d, J=8.8 Hz, 2H), 6.96 (d, J=8.8 Hz, 2H), 6.34 (t, J=2.8 Hz, 1H), 6.28 (d, J=2.4 Hz, 2H), 3.58 (S, 6H), 2.03 (s, 3H).
- Following the general procedure for conversion of carboxylic acids to amides mentioned above and using dimethylamine as amine, 33 was converted to 34 in 98% yield.
- Analysis: 1HNMR (DMSO-d6): δ 9.96 (s, 1H), 7.60 (d, J=8.8 Hz, 2H), 7.25 (d, J=8.8 Hz, 2H), 6.97 (d, J=8.8 Hz, 2H), 6.93 (d, J=8.8 Hz, 2H), 6.55 (s, 1H), 6.34 (t, J=2.8 Hz, 1H), 6.28 (d, J=2.4 Hz, 2H), 3.58 (S, 6H), 3.04 (br, 3H), 2.90 (br, 3H), 2.03 (s, 3H).
- Compound 2 (3 g, 10 mmol) was dissolved in anhydrous DMF (70 mL) under nitrogen, and potassium carbonate (1.4 g, 10 mol) was added in lots. When the solution became homogeneous, 4-fluorophenyl methyl sulfone (1.74 g, 10 mmol) was added and the mixture was heated at 150° C. for 2 h. After cooling to room temperature, the solution was poured into water (150 mL). The mixture was acidified with 5% HCl to ˜
pH 4 and the solidified product was collected by suction filtration. The crude product was recrystallized with toluene. Yield (35): 4.3 g, 96%. - Analysis: 1HNMR (DMSO-d6): δ 12.72 (br, 1H), 7.94 (d, J=8.8 Hz, 2H), 7.72 (s, 1H), 7.80 (d, J=8.4 Hz, 2H), 7.18 (d, J=8.8 Hz, 2H), 7.17 (d, J=8.4 Hz, 2H), 6.42 (t, J=2.8 Hz, 1H), 6.28 (d, J=2.4 Hz, 2H), 3.59 (S, 6H), 3.21 (s, 3H).
- Following the general procedure for conversion of carboxylic acids to amides mentioned above and using dimethylamine as amine, 35 was converted to 36 in 96% yield.
- Analysis: 1HNMR (DMSO-d6): δ 7.93 (d, J=8.8 Hz, 2H), 7.38 (d, J=8.4 Hz, 2H), 7.17 (d, J=8.8 Hz, 2H), 7.16 (d, J=8.4 Hz, 2H), 6.62 (s, 1H), 6.36 (t, J=2.8 Hz, 1H), 6.29 (d, J=2.4 Hz, 2H), 3.59 (S, 6H), 3.20 (s, 3H), 3.08 (br, 3H), 2.92 (br, 3H).
- Following the general procedure for conversion of carboxylic acids to amides mentioned above and using dimethyl amine as amine, 5 was converted to 37 in 97% yield.
- Analysis: 1HNMR (DMSO-d6): δ 7.28 (d, J=8.8 Hz, 2H), 7.23 (d, J=8.8 Hz, 2H), 6.95 (d, J=8.8 Hz, 2H), 6.92 (d, J=8.8 Hz, 2H), 6.56 (s, 1H), 6.34 (t, J=2.4 Hz, 1H), 6.28 (d, J=2 Hz, 2H), 4.04 (q, J=6.8 Hz, 2H), 3.58 (s, 6H), 3.05 (br, 3H), 2.90 (br, 3H), 2.84 (t, J=8.4 Hz, 2H), 2.61 (t, J=8.4 Hz, 2H), 1.15 (t, J=6.4 Hz, 3H).
- Hydrolysis of 13 with 1N NaOH yielded 38. The 1,1-carbonyl-diimidazole (CDI) derivative was made by the general procedure for conversion of carboxylic acids to amides mentioned above. The CDI intermediate of 38 was converted to 39 by reacting this with semicarbazide in 73% yield.
- Analysis: 1HNMR (DMSO-d6): δ 9.48 (br, 1H), 7.72 (br, 1H), 7.28 (d, J=8.8 Hz, 2H), 7.25 (d, J=8.8 Hz, 2H), 6.95 (d, J=8.8 Hz, 2H), 6.92 (d, J=8.8 Hz, 2H), 6.56 (s, 1H), 6.34 (t, J=2.4 Hz, 1H), 6.28 (d, J=2 Hz, 2H), 5.86 (s, 2H), 3.58 (s, 6H), 3.05 (br, 3H), 2.90 (br, 3H), 2.77 (t, J=8.0 Hz, 2H), 2.39 (t, J=8.0 Hz, 2H).
- The CDI intermediate of 38 was converted to 40 by reacting it with morpholine in 94% yield.
- Analysis: 1HNMR (DMSO-d6): δ 7.27 (d, J=8.8 Hz, 2H), 7.26 (d, J=8.8 Hz, 2H), 6.95 (d, J=8.8 Hz, 2H), 6.92 (d, J=8.8 Hz, 2H), 6.56 (s, 1H), 6.34 (t, J=2.4 Hz, 1H), 6.28 (d, J=2 Hz, 2H), 3.58 (s, 6H), 3.49 (m, 4H), 3.41 (m, 4H), 3.05 (br, 3H), 2.90 (br, 3H), 2.77 (t, J=8.0 Hz, 2H), 2.39 (t, J=8.0 Hz, 2H).
- Condensation of 3 with malonic acid dimethyl ester in the presence of sodium hydride as base resulted in 41, which on reduction with zinc/acetic acid yielded 42. Conversion of 42 to 43 was accomplished by the general procedure for conversion of carboxylic acids to amides mentioned above in 94% yield.
- Analysis: 1HNMR (DMSO-d6): δ 7.29 (d, J=8.8 Hz, 2H), 7.23 (d, J=8.8 Hz, 2H), 6.96 (d, J=8.8 Hz, 2H), 6.92 (d, J=8.8 Hz, 2H), 6.57 (s, 1H), 6.34 (t, J=2.4 Hz, 1H), 6.28 (d, J=2 Hz, 2H), 3.87 (t, J=8 Hz, 1H), 3.61 (s, 6H), 3.58 (s, 6H), 3.08 (d, J=7.6 Hz, 2H), 3.05 (br, 3H), 2.91 (br, 3H).
- A mixture of 2-(4-aminophenyl)-3-(3,5-dimethoxyphenyl)-N,N-dimethylacrylamide, 43, (0.59 g, 1.5 mmol), benzotriazol-1-yloxytris-(dimethylamino)-phosphonium hexafluorophosphate (BOP, 0.88 g, 2.0 mmol), 3-hydroxybenzoic acid (0.28 g, 2.0 mmol), triethylamine (0.2 g, 2.0 mmol) in DMF (8.0 mL) was stirred for 3 h at room temperature. The reaction mixture was poured in water (50 mL) and solid separated was filtered, dried and purity was checked by HPLC (97.6%).
- Analysis: 1HNMR (DMSO-d6): δ 10.29 (s, 1H), 9.81 (s, 1H), 7.79 (d, J=6.8 Hz, 2H), 7.43 (d, J=8.0 Hz, 1H), 7.37 (t, J=7.6 Hz, 2H), 7.29 (d, J=8.4 Hz, 2H), 7.02 (m, 1H), 6.60 (s, 1H), 6.40 (t, J=2.0 Hz, 1H), 6.36 (d, J=2.0 Hz, 2H), 3.63 (s, 6H), 3.08 (brs, 3H), 2.96 (brs, 3H).
- Synthesis of 45 from 3-pyridinecarboxaldehyde was performed following Scheme I. Urea (0.78 g, 13 mmol) and 2-{4-[4-(2-ethoxycarbonyl-vinyl)-phenoxy]-phenyl}-3-pyridin-3-ylacrylic acid, 45 (0.5 g, 1.2 mmol) was dissolved in sodium ethoxide in ethanol (2M, 6.5 mL, 13 mmol) at 80° C. under argon, and the reaction mixture was heated at this temperature for 1 h. The reaction was then quenched by TFA (0.5 mL) after cooling to 5° C. Water (40 mL) was added to the reaction mixture. The crude product was filtered and purified by silica gel chromatography and eluted with hexanes-ethyl acetate (1:1) containing acetic acid (1%) followed by recrystallization from toluene. Yield (46): 0.33 g, 63%.
- Analysis: 1HNMR (DMSO-d6): δ 12.78 (br, 1H), 10.29 (s, 1H), 8.42 (dd, J=4.8, 1.6 Hz, 1H), 8.35 (d, J=2.4 Hz, 1H), 7.92 (br, 1H), 7.66 (d, J=16 Hz, 1H), 7.64 (d, J=8.8 Hz, 2H), 7.36 (tt, J=8.4, 1.6 Hz, 1H), 7.30 (br, 1H), 7.28 (m, 1H), 7.23 (d, J=8.8 Hz, 2H), 7.11 (d, J=8.8 Hz, 2H), 7.09 (d, J=8.8 Hz, 2H), 6.73 (d, J=16 Hz, 1H).
- Following the general procedure for conversion of carboxylic acids to amides mentioned above, 46 was converted to 47.
- Analysis: 1HNMR (DMSO-d6): δ 10.30 (s, 1H), 8.39 (dd, J=4.8, 1.6 Hz, 1H), 8.34 (d, J=2.4 Hz, 1H), 7.92 (br, 1H), 7.66 (d, J=16 Hz, 1H), 7.64 (d, J=8.8 Hz, 2H), 7.45 (tt, J=8.4, 1.6 Hz, 1H), 7.32 (br, 1H), 7.29 (d, J=8.8 Hz, 2H), 7.26 (m, 1H), 7.11 (d, J=8.8 Hz, 2H), 7.05 (d, J=8.8 Hz, 2H), 6.73 (d, J=16 Hz, 1H), 6.70 (s, 1H), 3.07 (br, 3H), 2.93 (br, 3H).
- Following the general procedure for conversion of carboxylic acids to amides mentioned above and using dimethyl amine as amine, 2 was converted to 49.
- Analysis: 1HNMR (DMSO-d6): δ 9.59 (s, 1H), 7.07 (d, J=8.8, 2H), 6.73 (d, J=8.8 Hz, 2H), 6.43 (s, 1H), 6.23 (t, J=2.4 Hz, 1H), 6.29 (d, J=2.4 Hz, 2H), 3.57 (s, 6H), 2.99 (brs, 3H), 2.89 (brs, 3H).
- Following the general procedure for conversion of carboxylic acids to amides mentioned above and using piperidine as amine, 6 was converted to 51.
- Analysis: 1HNMR (DMSO-d6): δ 10.16 (s, 1H), 7.73 (brs, 1H), 7.26 (d, J=8.8 Hz, 2H), 7.23 (d, J=8.8 Hz, 2H), 6.98 (d, J=8.8 Hz, 2H), 6.93 (d, J=8.8 Hz, 2H), 6.55 (s, 1H), 6.34 (t, J=2.4 Hz, 1H), 6.29 (d, J=2.4 Hz, 2H), 3.58 (s, 6H), 3.50 (br, 4H), 2.82 (t, J=7.6 Hz, 2H), 2.59 (t, J=7.6 Hz, 2H), 1.58 (br, 2H) 1.40-1.45 (br, 4H).
- Following the general procedure for conversion of carboxylic acids to amides mentioned above and using diethylamine as amine, 6 was converted to 53.
- Analysis: 1HNMR (DMSO-d6): δ 10.17 (s, 1H), 7.70 (brs, 1H), 7.26 (overlapped d, J=8.8 Hz, 2H), 7.23 (overlapped d, J=8.8 Hz, 2H), 6.97 (d, J=8.8 Hz, 2H), 6.92 (d, J=8.8 Hz, 2H), 6.54 (s, 1H), 6.34 (t, J=2.0 Hz, 1H), 6.29 (d, J=2.0 Hz, 2H), 3.32-3.37 (br, 4H), 3.59 (s, 6H), 2.82 (t, J=7.6 Hz, 2H), 2.59 (t, J=7.6 Hz, 2H), 1.03 (br, 3H), 0.92 (br, 3H).
- To a solution of {4-[4-(2-carbamoylethyl)-phenoxy]-phenyl}-acetic acid, 54, (0.45 g, 1.5 mmol) in acetic anhydride (15 mL) was added 4-fluorobenzaldehyde (0.17 mL, 1.6 mmol) and potassium acetate (0.17 g, 1.8 mmol) and refluxed overnight. Reaction mixture was poured in water (50 mL) and extracted with ethyl acetate (2×50 mL). The crude product was purified by silica gel chromatography to yield 55.
- Analysis: 1HNMR (DMSO-d6): δ 12.50 (br, 1H), 10.64 (s, 1H), 7.74 (s, 1H), 7.27 (d, J=8.4 Hz, 2H), 7.10-7.15 (m, 6H), 6.99 (d, J=8.4 Hz, 2H), 6.97 (d, J=8.4 Hz, 2H), 2.81 (d, J=6.8 Hz, 2H), 2.76 (d, J=6.8 Hz, 2H), 2.15 (s, 3H).
- Following the general procedure for conversion of carboxylic acids to amides mentioned above and using dimethylamine as amine, 55 was converted to 56.
- Analysis: 1HNMR (DMSO-d6): δ 10.62 (s, 1H), 7.26 (d, J=8.4 Hz, 2H), 7.22 (d, J=8.4 Hz, 2H), 7.15 (d, J=8.4 Hz, 2H), 7.05 (d, J=8.4 Hz, 2H), 6.97 (d, J=8.0 Hz, 2H), 6.94 (d, J=8.0 Hz, 2H), 6.63 (s, 1H), 2.81 (d, J=6.8 Hz, 2H), 2.76 (d, J=6.8 Hz, 2H), 2.15 (s, 3H).
- To a solution of 2-(4-{4-[2-(3,5-dimethoxyphenyl)-1-dimethylcarbamoylvinyl]-phenoxy}-benzyl)-malonic acid dimethyl ester, 43 (0.40 g, 0.73 mmol) in DMF (6 mL) and ethanol (10 mL), ammonium hydroxide (20 mL, 28%) and 1N NaOH (0.36 mL, 0.36 mmol) was added and stirred overnight at room temperature. Solvent was evaporated and the crude product was purified by silica gel chromatography to yield 58 and 59.
- Analysis: 1HNMR (DMSO-d6+D2O) of 58: δ7.20 (d, J=8.4 Hz, 2H), 7.17 (d, J=8.4 Hz, 2H), 6.90 (d, J=8.4 Hz, 2H), 6.81 (d, J=8.4 Hz, 2H), 6.51 (s, 1H), 6.29 (t, J=2.0 Hz, 1H), 6.21 (d, J=2.0 Hz, 2H), 3.53 (s, 6H), 3.13 (br, 1H), 3.01 (brs, 3H), 2.92 (br, 2H), 2.86 (brs, 3H).
- Analysis: 1HNMR (DMSO-d6) of 59: δ δ 7.28 (d, J=8.8 Hz, 2H), 7.26 (br, 2H), 7.22 (d, J=8.8 Hz, 2H), 7.03 (br, 2H), 6.97 (d, J=8.8 Hz, 2H), 6.90 (d, J=8.8 Hz, 2H), 6.56 (s, 1H), 6.34 (t, J=2.4 Hz, 1H), 6.28 (d, J=2 Hz, 2H), 3.58 (s, 6H), 3.29 (t, J=8 Hz, 1H), 3.05 (br, 3H), 2.95 (d, J=7.6 Hz, 2H), 2.91 (br, 3H).
- Following the general procedure for conversion of carboxylic acids to amides mentioned above and using 4-aminopyridine as amine, 6 was converted to 60.
- Analysis: 1HNMR (DMSO-d6): δ10.17 (s, 1H), 8.24 (brs, 1H), 7.71 (br, 2H), 7.53 (d, J=8.8 Hz, 2H), 7.44 (s, 1H), 7.25 (d, J=8.4 Hz, 2H), 7.22 (br, 1H), 7.03 (d, J=9.2 Hz, 2H), 7.99 (d, J=8.4 Hz, 2H), 6.47 (d, J=2.4 Hz, 2H), 6.43 (t, J=2.4 Hz, 2H), 3.65 (s, 6H), 2.83 (t, J=7.6 Hz, 2H), 2.60 (t, J=7.6 Hz, 2H).
- Following the general procedure for conversion of carboxylic acids to amides mentioned above and using 4-chloroaniline as amine, 6 was converted to 61.
- Analysis: 1HNMR (DMSO-d6): δ 10.16 (s, 1H), 8.24 (brs, 1H), 7.65 (brs, 1H), 7.53 (d, J=8.8 Hz, 2H), 7.44 (s, 1H), 7.25 (d, J=8.8 Hz, 2H), 7.22 (br, 1H), 7.03 (d, J=8.8 Hz, 2H), 7.00 (d, J=8.8 Hz, 2H), 6.47 (d, J=2.4 Hz, 2H), 6.43 (d, J=2.4 Hz, 1H), 3.66 (s, 6H), 2.83 (t, J=8.0 Hz, 2H), 2.60 (t, J=8.0 Hz, 2H).
- Following the general procedure for conversion of carboxylic acids to amides mentioned above and using 2-amino-1-morpholin-4-yl-ethanone as amine, 3-(4-{4-[2-(3,5-dimethoxyphenyl)-1-dimethylcarbamoylvinyl]-phenoxy}-phenyl)-propionic acid, 38, was converted to 63.
- Analysis: 1HNMR (DMSO-d6): δ 7.99 (t, J=5.6 Hz, 1H), 7.27 (d, J=8.8 Hz, 2H), 7.24 (d, J=8.8 Hz, 2H), 6.97 (d, J=8.8 Hz, 2H), 6.92 (d, J=8.8 Hz, 2H), 6.56 (s, 1H), 6.34 (t, J=2.0 Hz, 1H), 6.28 (d, J=2.0 Hz, 2H), 3.93 (d, J=5.6 Hz, 2H) 3.56 (s, 6H), 3.52-3.56 (m, 4H), 3.40-3.42 (m, 4H), 3.05 (brs, 3H), 2.91 (brs, 3H), 2.80 (t, J=7.6 Hz, 2H), 2.46 (t, J=7.6 Hz, 2H).
- Following the general procedure for conversion of carboxylic acids to amides mentioned above and using 4-methylpiperazine as amine, 3-(4-{4-[2-(3,5-dimethoxyphenyl)-1-dimethylcarbamoylvinyl]-phenoxy}-phenyl)-propionic acid, 38, was converted to 64.
- Analysis: 1HNMR (DMSO-d6): δ 7.28 (d, J=2.8 Hz, 2H), 7.25 (d, J=2.8 Hz, 2H), 6.96 (d, J=8.8 Hz, 2H), 6.92 (d, J=8.6 Hz, 2H), 6.56 (s, 1H), 6.34 (t, J=2.0 Hz, 1H), 6.28 (d, J=2.0 Hz, 2H), 6.19 (s, 6H), 3.40 (dt, 2=18.0 and 4.8 Hz), 3.04 (brs, 3H), 2.90 (brs, 3H), 2.79 (t, J=8.0, 2H), 2.60 (t, J=8.0 Hz, 2H), 2.20 (t, J=5.2 Hz, 2H), 2.14 (s, 3H).
- A solution of 3-(3,5-dimethoxyphenyl)-2-(4-hydroxyphenyl)-acrylic acid, 2, (0.6 g, 2.0 mmol), 2-fluoropyridine (0.19 g, 2.0 mmol) in dimethyl acetamide (4.0 mL) was heated in presence of potassium carbonate (0.28 g, 2.0 mmol) at 175° C. for 2 h, and then quenched with water (25 mL), neutralized with dilute HCl and extracted with ethyl acetate (2×50 mL). Organic layer was dried and evaporated. The crude product was purified by silica gel chromatography to yield 65 (0.15 g, 19.9%).
- A mixture of 3-(3,5-dimethoxyphenyl)-2-[4-(pyridin-2-yloxy)-phenyl]-acrylic acid, 65, (0.11 g, 0.3 mmol), benzotriazol-1-yloxytris-(dimethylamino)-phosphonium hexafluorophosphate (BOP, 0.15 g, 0.35 mmol), dimethylamine in THF (2M, 0.5 mL, 1.0 mmol), triethylamine (0.035 g, 035 mmol) in DMF (6.0 mL) was stirred for 3 h at room temperature. The reaction mixture was poured in water (50.0 mL) and extracted with ethyl acetate (2×50 mL). Solvent was evaporated under reduced pressure and residue was purified by silica gel chromatography to yield 66.
- Analysis: 1HNMR (DMSO-d6): δ 8.14 (m, 1H), 7.88 (m, 1H), 7.33 (d, J=8.8 Hz, 2H), 7.14 (m, 3H), 7.05 (d, J=8.4 Hz, 2H), 6.59 (s, 1H), 6.34 (t, J=2.0 Hz, 1H), 6.31 (d, J=2.0 Hz, 2H), 3.58 (s, 6H), 3.10 (brs, 3H), 2.92 (brs, 3H).
- The effect of treatment with 1 on glucose uptake was measured in 3T3-L1 differentiated adipocytes. The assay was conducted essentially according to the method of Tafuri S R, Endocrinology, 137, 4706-4712 (1996). The adipocytes were incubated with different concentrations of the test compound for 48 hours in Dulbecco's modified Eagle's medium (DMEM) containing 10% fetal bovine serum (FBS), then washed and incubated in glucose-free, serum-free medium for 60 minutes at 37° C. Then 14C-deoxyglucose was added and the cells were incubated for 30 minutes at room temperature. After washing, the cells were lysed (0.1% SDS) and the radioactivity was measured to determine the amount of glucose uptake. Glucose uptake was calculated as a percentage of the basal level seen in cells not treated with drug. As shown in
FIG. 1 , treatment with 1 resulted in a dose-dependent increase in glucose uptake. - The ability of 1 to enhance insulin-stimulated glucose uptake was assessed in 3T3-L1 adipocytes essentially as described above in Example 32. Adipocytes were incubated with either vehicle (0.1% DMSO) or test compound (5 μM 1) for 48 hours in DMEM plus 10% FBS. The cells were then serum-starved, incubated for 30 minutes with different concentrations of insulin, and then glucose uptake was carried out for 10 minutes at room temperature. When compared to treatment with vehicle, treatment with 1 enhanced the stimulation of glucose uptake by insulin (see
FIG. 2 ). - The glucose-lowering effect of 1 was measured in ob/ob mice, an animal model for
type 2 diabetes. At the onset of diabetes, seven-week-old male ob/ob mice received daily oral doses of either vehicle (0.5% CMC) or 1 (10 mg/kg) by gavage for seven days. Blood glucose levels were measured on day 0 (24 hours prior to administration of the first dose), day 1 (immediately prior to the first dose), and on 2, 4, 6 and 8 (24 hours following administration of the prior dose). Significant decreases in blood glucose levels were recorded on day 6 (36% decrease, p<0.05) and day 8 (23% decrease, p<0.05) in the drug-treated versus the vehicle-treated animals (seedays FIG. 3 ). - The lipid-lowering effects of 1 also were measured in ob/ob mice following one week of treatment. In the experiment described above in Example 34, the concentrations of serum triglycerides and free fatty acids were determined on
day 8. Significant decreases were observed in the levels of serum triglycerides (49% lower, p<0.05) and free fatty acids (19% lower, p<0.05) in the drug-treated versus the vehicle treated mice (seeFIG. 4 ). - The ability of 1 to inhibit LPS-induced TNF-alpha production was assessed in the mouse macrophage cell line RAW264.7. The RAW cells were preincubated with either 1 μM dexamethasone (Dex) or 10, 30 or 100
μM 1 for 1 hour at 37° C. in RPMI-1640 containing 10% FBS. After 1 hour LPS (0.1 μg/ml) was added and cells were incubated an additional 6 hours. Cell supernatant was then collected, aliquoted and frozen at −70° C., and an aliquot used to determine the concentration of TNF-alpha by ELISA. As shown inFIG. 5 , treatment with 1 significantly inhibited the LPS-induced production of TNF-alpha. The inhibitory effect approached that seen with dexamethasone. - The ability of 1 to inhibit LPS-induced IL-1 beta production was also examined in RAW264.7 cells. The RAW cells were preincubated with either 1 μM dexamethasone (Dex) or 10, 30 or 100
μM 1 for 1 hour at 37° C. in RPMI-1640 containing 10% FBS. After 1 hour LPS (0.1 μg/ml) was added and cells were incubated an additional 6 hours. Cell supernatant was then collected, aliquoted and frozen at −70° C., and an aliquot used to determine the concentration of IL-1 beta by ELISA. As shown inFIG. 6 , treatment with 1 significantly inhibited the LPS-induced production of IL-1 beta. The inhibition seen with 1 was of the same approximate magnitude as that seen with dexamethasone. - The ability of 1 to inhibit LPS-induced IL-6 production was also measured in RAW264.7 cells. The RAW cells were preincubated with either 1 μM dexamethasone (Dex) or 10, 30 or 100
μM 1 for 1 hour at 37° C. in RPMI-1640 containing 10% FBS. After 1 hour LPS (0.1 μg/ml) was added and cells were incubated an additional 6 hours. Cell supernatant was then collected, aliquoted and frozen at −70° C., and an aliquot used to determine the concentration of IL-6 by ELISA. As shown inFIG. 7 , treatment with 1 significantly inhibited the LPS-induced production of IL-6. The inhibitory effect was greater than that observed with dexamethasone. - The ability of 1 to inhibit LPS-induced production of iNOS and COX-2 was also measured in RAW264.7 cells. The RAW cells were preincubated with either 1 μM dexamethasone (Dex) or 10, 30 or 100 μM 1 (Test Cpd) or other reference compound (Ref Cpd A or Ref Cpd B) for 1 hour at 37° C. in RPMI-1640 containing 10% FBS. After 1 hour LPS (0.1 μg/ml) was added and cells were incubated an additional 6 hours. Cells receiving no drug treatment, incubated with or without LPS, served as controls. Cells were lysed and 25 μg/well of total protein was electrophoresed on 4-20% Tris-glycine SDS gels. Proteins were transferred to nitrocellulose membrane, and the resulting blot was probed with antibody to iNOS, then stripped and reprobed with antibody to COX-2, and then stripped and reprobed with antibody to COX-1. As shown in
FIG. 8 , treatment with 1 exhibited dose-dependent inhibition of LPS-induced iNOS production. In addition, treatment with 1 selectively inhibited production of COX-2 but not COX-1 in LPS-stimulated cells. - Frozen human elutriated monocytes (Advanced Biotechnologies Incorporated) were thawed and each 1-ml vial mixed with ˜12 ml of 10% FBS complete medium (10% heat-inactivated fetal bovine serum in RPMI 1640 medium supplemented with 100 U/ml penicillin, 100 μg/ml streptomycin and 50 μM 2-mercaptoethanol). Cells were centrifuged at 800 rpm for 10 min at room temperature using a Beckman GS-6 centrifuge with GH-3.8 rotor, and the cell pellets were resuspended in 20% FBS complete medium (20% heat-inactivated FBS in RPMI 1640 medium supplemented with 100 U/ml penicillin, 100 μg/ml streptomycin and 50 μM 2-mercaptoethanol) and centrifuged again at 800 rpm for 10 min at room temperature. Cell pellets were resuspended in 20% FBS complete medium, and the cell suspensions were pooled and passed through a 70-micron cell strainer to remove any aggregates or clumps. The cell suspension was adjusted to 2.5×106 cells/ml in 20% FBS complete medium. Cell suspension (160 μl, 4×105 cells) was added into each well of a 96-well tissue-culture treated polystyrene plate and incubated at 37° C. for 1-2.5 h. Cells were pretreated with vehicle (DMSO) or test compound (0.3, 1.0, 3.0, 10 or 30 μM) in 20% FBS complete medium for 1 h at 37° C. After pretreatment, lipopolysaccharides (LPS) from Salmonella typhimurium in 20% FBS complete medium were added to the cells. The final concentrations were 0.1% DMSO and 10 ng/ml LPS in a final volume of 200 μl/well. The cells were incubated for 20 h at 37° C., and then the supernatants were harvested and aliquots of the supernatants frozen at −80° C. for subsequent analysis. Cells on the plates were assayed for cell viability using the MTS/PMS assay (Cory A H et al., Cancer Commun 3:207-212, 1991). The concentration of TNF-alpha in the cell supernatants was determined using quantitative sandwich enzyme immunoassay for human TNF-alpha (R&D Systems). The mean percent inhibition of TNF-alpha release relative to vehicle was calculated for each concentration of test compound from multiple determinations. As shown in Table 2, the compounds of the invention caused significant inhibition of LPS-induced TNF-alpha release by human monocytes.
-
TABLE 2 Test Percent Inhibition of TNF-alpha Release Compound 0.3 μM 1.0 μM 3.0 μM 10 μM 30 μM 49 — — 14% 47% 54% 31 — 51% 73% 83% 86% 37 — 17% 38% 65% 78% 13 15% 40% 70% 78% 78% 51 — — 25% 57% * 56 1% — 6% — 54% 66 27% — 53% — 84% 67 40% — 62% — 89% 44 32% — 67% — 91% 71 20% — 47% — 65% 69 1% — 22% — 50% 58 6% — 13% — 53% 59 27% — 69% — 80% 73 30% — 62% — 81% * Cell viability <70% - Differentiation of mouse 3T3-L1 adipocytes was carried out using the method of Greenberg A S, et al., J Biol Chem 276:45456-61, 2001. Briefly, 3T3-L1 fibroblasts were differentiated to adipocytes by incubation in DMEM containing 10% FBS, 72 μg/ml porcine insulin, 0.5 mM 3-isobutylmethylxanthine (IBMX) and 400 ng/ml dexamethasone for 2×48 h at 37° C. Differentiated cells were maintained in media containing 10% FBS without insulin, IBMX or dexamethasone until they were used for experiments. The effect of treatment with compounds of the invention on glucose uptake by differentiated adipocytes was assessed essentially according to the method of Tafuri S R, Endocrinology 137:4706-12, 1996. Adipocytes were incubated with vehicle (0.1% DMSO) or test compound (0.1, 1.0 or 10 μM) for 48 h in DMEM containing 10% FBS, then washed and incubated in high-glucose, serum-free medium for 3 h at 37° C. Cells were then washed, incubated for 20 min in glucose-free, serum-free medium containing 100 nM insulin, then supplemented with 2.5 μCi/ml 14C-deoxyglucose in 0.1 mM cold deoxyglucose and further incubated for 10 min at room temperature. After washing, cells were lysed with 0.5% SDS and the radioactivity was measured in a scintillation counter to determine the amount of glucose uptake. The mean percent stimulation of glucose uptake relative to vehicle (set at 100%) was calculated for each concentration of test compound from triplicate determinations. As shown in Table 3, the compounds of the invention caused significant stimulation of glucose uptake in differentiated adipocytes.
-
TABLE 3 Test Percent Stimulation of Glucose Uptake Compound 0.1 μM 1.0 μM 10 μM 31 107% 119% 161% 8 115% 132% 171% 60 93% 120% 229% 61 93% 120% 229% 51 93% 107% 136% 29 106% 124% 120% 40 126% 117% 126% 63 107% 112% 139% 64 108% 113% 127% 56 83% 100% 126% - Compound 13 was examined for its ability to inhibit the activity of PDE4 and PDE3 enzymes. PDE4 partially purified from human U-937 promonocytic cells and PDE3 partially purified from human platelets were used. Test compound (1, 10 or 30 μM) or vehicle (0.1% DMSO) was incubated with 0.2 μg PDE4 enzyme or 1 μg PDE3 enzyme and 1 μM cAMP containing 0.01 μg [3H]cAMP in Tris buffer pH 7.5 for 20 min at 30° C. The reaction was terminated by boiling for 2 min and the resulting AMP was converted to adenosine by addition of 10 mg/ml snake venom nucleotidase and further incubation at 30° C. for 10 min. Unhydrolyzed cAMP was bound to AGI-X2 resin, and remaining [3H]adenosine in the aqueous phase was quantitated by scintillation counting. The mean percent inhibition of PDE4 or PDE3 activity was calculated from duplicate determinations (Table 4). Compound 13 exhibited significant inhibition of both PDE4 (IC50<1 μM) and PDE3 (IC50=13.6 μM) enzyme activities.
-
TABLE 4 Percent Inhibition of Enzyme Activity Enzyme Assay 1 μM 10 μM 30 μM PDE4 85% 98% 102 % PDE3 20% 52% 55% - Compound 13 was examined for its ability to inhibit LPS-induced and LPS/IFN-gamma induced phosphorylation of p44/42 MAP kinase. RAW 264.7 gamma NO(−) cells were seeded at 1×106/well (2 ml per well) in 6-well tissue culture plates one day prior to the experiment. To start the experiment, cells were washed 2× with RPMI 1640 medium, 0.5% FBS, 100 U/ml penicillin, 100 μg/ml streptomycin, 1 mM sodium pyruvate, and then pretreated with vehicle (0.1% DMSO) or test compound (10 or 30 μM) at 37° C. for 1 h. After pretreatment, cells were incubated in RPMI 1640 medium, 10% FBS, 100 U/ml penicillin, 100 μg/ml streptomycin, 1 mM sodium pyruvate, containing 10 ng/ml LPS or LPS (10 ng/ml)/IFN-gamma (10 U/ml) at 37° C. for 15 min. Cells were then washed 2× with cold PBS (pH 7.4) and lysed in 20 mM Tris-HCl (pH 7.5), 150 mM NaCl, 1 mM Na2EDTA, 1 mM EGTA, 1% Triton, 2.5 mM sodium pyrophosphate, 1 mM beta-glycerophosphate, 1 mM Na3VO4, 1 μg/ml leupeptin, 1 mM PMSF on ice for 10 min. Lysed cells were collected and centrifuged at ˜20,800×g for 10 min at 4° C. Supernatants (lysates) were collected, aliquoted, and stored frozen at −80° C. until use. Lysates (29 μg of total proteins per sample) were subjected to SDS-polyacrylamide (4-20%) gel electrophoresis, and the separated proteins were transferred to nitrocellulose membranes. Membranes were blocked with 5% non-fat dry milk, 10 mM Tris-HCl (pH 8.0), 150 mM NaCl, 0.1% Tween®-20 at room temperature for 1 h and then were blotted with mAb against phospho-p44/42 MAP kinase (Thr 202/Tyr 204) at room temperature for 1 h. The membranes were then washed and incubated with a horseradish peroxidase-linked anti-mouse secondary antibody at room temperature for 1 h. The signals were detected using ECL Western blotting detection reagents. The results showed that compound 13 inhibited LPS-induced phosphorylation of p44/42 MAP kinase at 30 μM but not 10 μM, while the compound inhibited LPS/IFN-gamma induced phosphorylation of p44/42 in a dose-dependent manner at 30 μM and 10 μM (data not shown).
- Compound 13 was examined for its ability to inhibit anti-CD3/anti-CD28 stimulated lymphocyte proliferation. Binding of antigen, or antibodies, to CD3/CD28 triggers activation and proliferation of T-lymphocytes, which are key steps involved in mounting an immune response (Abbas, Lichtman and Pober, Cellular and Molecular Immunology, 3rd edition, W.B. Saunders Company, Philadelphia, 1997). Mesenteric lymph nodes were collected from BALB/c mice (female, ˜8 weeks old), and the cells were isolated in PBS (pH 7.4) and mixed with culture medium (RPMI 1640 medium, 10% FBS, 100 U/ml penicillin, 100 μg/ml streptomycin, 50 μM 2-mercaptoethanol). The cell suspension was centrifuged at 900 rpm for 10 min at room temperature using a Beckman GS-6 centrifuge with GH-3.8 rotor. After centrifugation, cell pellets were resuspended in culture medium and centrifuged again at 900 rpm for 10 min at room temperature. Cell pellets were resuspended in culture medium and cells were counted. 2×105 lymph node cells per well were added into a 96-well cell culture plate. For the treatment (n=4), vehicle (DMSO) or test compound was added into cells. Cells were treated with purified hamster anti-mouse CD3ε (2 μg/ml) and anti-mouse CD28 (0.2 μg/ml) monoclonal antibodies or with culture medium. The final concentrations were 0.1% DMSO and 10 μM test compound in a final volume of 200 μl per well. Cells were incubated at 37° C. for 67 h, and then cells on plates were centrifuged at 900 rpm for 10 min at room temperature using a Beckman GS-6 Centrifuge with GH-3.8 rotor. 150 μl of supernatant from each well was subsequently harvested and frozen at −80° C. for further analysis (ELISA). For the cells on the plate, 150 μl of culture medium was added into each well to replace the harvested supernatants and 40 μl of MTS/PMS solution was added into each well. After further incubation at 37° C. for 140 min, the plate was read at 505 nm in a microplate spectrophotometer. The O.D. values (after subtracting the mean O.D. of blank wells) were used to compare the proliferation of treated cells. As shown in Table 5, 10 μM of compound 13 caused about 50% inhibition of the proliferation of mouse mesenteric lymph node cells stimulated by anti-CD3/anti-CD28 monoclonal antibodies. Inhibition of CD3/CD28 mediated T-cell proliferation demonstrates compound 13 is able to block an immunologically-relevant cellular response, probably via interactions with a step in the signal transduction cascade. This indicates that compound 13 has immunomodulatory activity, which may be useful for the treatment of immunoproliferative disorders.
-
TABLE 5 Treatment O.D. (Mean ± SD) DMSO 0.020 ± 0.006 DMSO + anti-CD3/anti-CD28 mAbs 1.372 ± 0.125 Test compound + anti-CD3/anti-CD28 mAbs 0.578 ± 0.012 - Collagen-induced arthritis (CIA) was induced in 45 DBA/1J mice using immunization with chicken collagen Type II. The induction schedule was as follows: on
0, 100 μg/100 μl in Complete Freund's Adjuvant (CFA) intradermally; onDay Day 21, 100 μg/100 μl in Incomplete Freund's Adjuvant subcutaneously; onDay 31, 100 μg/100 μl in CFA subcutaneously; all given at the base of the tail. On Day 35 animals received lipopolysaccharides (detoxified from E. coli serotype O111:B4; 40 μg/mL) intraperitoneally. When signs of arthritis appeared, mice were assigned into four treatment groups: vehicle control (0.5% carboxymethylcellulose (CMC)); compound 31 (40 mg/kg suspension in CMC); compound 31 (100 mg/kg in CMC); positive control (dexamethasone; 5 mg/kg). The animals were dosed per oral by gavage, twice daily for 14 days, at a dose volume of 250 μl per mouse per dose. The study was scored blindly to the different treatment groups. Mice were weighed and arthritis was scored three times a week. Arthritis was scored as a count of affected limbs and digits, evaluated as: erythema and swelling of tarsal, the ankle to the metatarsal joints, up to restriction of movement and deformity of the joints. Plasma was collected from theanimals 4 hours following the final dose, for measurement of circulating drug levels. At termination, animals were euthanized and hind limbs removed for histopathologic examination, hind limbs were collected in formalin. Decalcified tissue was sectioned longitudinally, parallel to the bones, and hematoxylin and eosin stained sections were scored using a standard rheumatoid arthritis scoring system by a veterinary histopathologist who was blinded to the treatment groups. Animals in all groups had moderate arthritis prior to the start of dosing (Day 0) as shown inFIG. 9 . The vehicle group exhibited an increase in severity over the course of the study with a tendency to plateau from aboutDay 10. The low dose of compound 31 had no apparent effect on the animals compared with vehicle controls. The high dose prevented the increase in severity, to about the same extent as dexamethasone. Histology showed that the vehicle group and the low-dose compound 31 group had marked chronic inflammation of synovium with pannus formation and destruction of bone and cartilage, while in the dexamethasone group the joints were within normal limits. At high dose of compound 31 there was a reduction in incidence and severity of pannus formation, inflammation cell infiltration and bone/cartilage damage. Thus a dose-dependent effect of compound 31 was observed on both the soft tissue and bone and cartilage, consistent with a disease-modifying activity of the compound in this model. - It will be evident from the above that the compounds according to the present invention not only lower blood glucose level, triglyceride level and free fatty acid level in diabetic conditions, but also inhibit TNF-alpha, IL-6, IL-1 beta, COX-2 and iNOS production in inflammation, as well as inhibit PDE4 and PDE3 activity, phosphorylation of p44/42 MAP kinase and lymphocyte proliferation. The properties demonstrated above indicate that the compounds of the invention should be useful in the treatment of disorders associated with insulin resistance, hyperglycemia, hyperlipidemia, coronary artery disease and peripheral vascular disease and for the treatment of inflammation, inflammatory diseases, immunological diseases, proliferative diseases and cancer, especially those mediated by cytokines, cyclooxygenase, phosphodiesterase and/or MAP kinase.
- A mixture of 2-(4-aminophenyl)-3-(3,5-dimethoxyphenyl)-N,N-dimethylacrylamide, 43, (0.49 g, 1.2 mmol) and benzoyl chloride (0.26 g, 1.8 mmol) in anhydrous benzene (18.0 mL) was heated at 90° C. for 2 h. Solvent was evaporated and crude product was purified by silica gel chromatography.
- Analysis: 1HNMR (DMSO-d6): δ 10.33 (s, 1H), 7.96 (d, J=8.8 Hz, 2H), 7.76 (d, J=8.8 Hz, 1H), 7.51-7.62 (m, 3H), 7.26 (d, J=9.2 Hz, 2H), 6.55 (s, 1H), 6.35 (t, J=2.0 Hz, 1H), 6.31 (d, J=2.0 Hz, 2H), 3.58 (s, 6H), 3.03 (brs, 3H), 2.91 (brs, 3H).
- A mixture of 3-{4-[4-(2-ethoxycarbonylethyl)-phenoxy]-phenyl}-2-oxopropionic acid, 24 (1.0 g, 3.0 mmol), piperonal (0.67 g, 0.45 mmol), triethylamine (5.12 mL) and acetic anhydride (5 mL) was heated at 80° C. for 3 h. Reaction mixture was poured in water (50 mL). Solid separated was filtered and boiled in toluene, cooled and filtered. Crude solid was purified by silica gel chromatography to yield 68, 0.35 g (yield, 25.0%).
- A mixture of 4-benzo[1,3]dioxol-5-yl-3-{4-[4-(2-ethoxycarbonylethyl)-phenoxy]-phenyl}-2-oxobut-3-enoic acid, 68, (0.08 g, 0.17 mmol), benzotriazol-1-yloxytris-(dimethylamino)-phosphonium hexafluorophosphate (BOP, 0.09 g, 0.21 mmol), triethylamine (36 μL, 0.25 mmol), dimethylamine in THF (2M, 0.25 mL, 0.5 mmol) in DMF (2.0 mL) was stirred for 10 min at room temperature. Reaction mixture was poured in water (20 mL). Solid separated was filtered and boiled in toluene, cooled and filtered. Crude solid was purified by silica gel chromatography to yield 69.
- Analysis: 1HNMR (DMSO-d6): δ 7.24 (d, J=8.8 Hz, 4H), 6.95 (overlapped d, J=8.8 Hz, 4H), 6.80 (d, J=8.0 Hz, 1H), 6.68 (d, J=8.0 Hz, 1H), 6.54 (s, 1H), 6.51 (s, 1H), 5.96 (s, 2H), 4.05 (q, J=4.0 Hz, 2H), 3.05 (brs, 3H), 2.85 (brs, 3H), 2.80 (t, J=6.0 Hz, 2H), 2.60 (t, J=6.0 Hz, 2H) and 1.15 (t, J=4.0 Hz, 3H).
- To a solution of 2-{4-[4-(1-dimethylcarbamoyl-2-pyridin-3-ylvinyl)-phenoxy]-benzyl}-malonic acid dimethyl ester, 70 (0.49 g, 1.0 mmol), in DMF (5 mL), ammonium hydroxide (28% in water, 12 mL) was added and stirred overnight at room temperature. Reaction mixture was poured in water (30 mL) and extracted with chloroform (5×25 mL). The organic layer was dried on anhydrous magnesium sulfate and evaporated. The crude product was purified by silica gel chromatography to yield 71, 0.23 g (yield, 24.5%).
- Analysis: 1HNMR (CDCl3+CD3OD): δ 8.32 (m, 2H), 7.40 (m, 1H), 7.18 (overlapped d, J=8.0 Hz, 2H), 7.20 (overlapped d, J=8.0 Hz, 2H), 7.12 (m, 1H), 6.92 (d, J=8.0 Hz, 2H), 6.84 (d, J=8.0 Hz, 2H), 6.60 (s, 1H), 3.22 (d, J=12.0 Hz), 3.12 (brd, J=12.0 Hz), 2.98 (brs, 3H), 2.96 (brs, 3H).
-
- (a) Step 1: Synthesis of 2-{4-[4-(2-ethoxycarbonylethyl)-phenoxy]-phenyl}-3-pyridin-3-yl-acrylic acid (74). To a solution of 3-[4-(4-carboxymethylphenoxy)-phenyl]-propionic acid ethyl ester, 24, (14.94 g, 45.56 mmol) in DMF (100 mL) pyridine 3-carboxaldehyde (5.12 g, 47.84 mmol), potassium acetate (5.37 g, 54.67 mmol) and acetic anhydride (5.09 g, 49.09 mmol) were added and heated at 100° C. for 90 min. To the reaction mixture acetic acid (4.13 g, 68.34 mmol) and water (1 L) was added and extracted with ethyl acetate (3×400 mL). Organic layer was washed with water, brine, dried on anhydrous magnesium sulfate and evaporated. Crude product was purified by silica gel chromatography and eluted with ethyl acetate-acetic acid (99:1). Yield: 9.02 g (47.5%).
- 1HNMR (DMSO-d6): δ 12.91 (s, 1H), 8.39 (dd, J=4.8 & 1.6 Hz, 1H), 8.33 (d, J=2.0 Hz, 1H), 7.34 (dt, J=8.0 & 2.0 Hz, 1H), 7.25 (m, 3H), 7.15 (d, J=8.0 Hz, 2H), 6.97 (d, J=8.8, 2H), 6.95 (d, J=8.8 Hz, 2H), 4.02 (q, J=7.6 Hz, 2H), 2.83 (t, J=7.2 Hz, 2H), 2.60 (t, J=7.6 Hz, 2H), 1.13 (t, J=7.6 Hz).
- (b) Step 2: Synthesis of 2-{4-[4-(3-oxo-3-ureidopropyl)-phenoxy]-phenyl}-3-pyridin-3-yl-acrylic acid (75). A mixture of sodium ethoxide (21% w/w, 30 mL) and ethyl acetate (1.0 mL) was refluxed for 30 min. Mixture was cooled down to 80° C., urea (4.81 g, 80.4 mmol) was added and heated till it dissolved completely. 2-{4-[4-(2-ethoxycarbonylethyl)-phenoxy]-phenyl}-3-pyridin-3-yl-acrylic acid, 74, (6.0 g, 14.3 mmol) was added and heated for 5 min. Reaction mixture was cooled, neutralized by trifluoroacetic acid and water (50 mL) was added. Solid separate was purified by repeated crystallization from ethyl acetate-methanol mixture. Yield: 2.91 g (46.9%).
- 1HNMR (DMSO-d6): δ 12.90 (s, 1H), 10.16 (s, 1H), 8.40 (dd, J=4.8 & 2.0 Hz, 1H), 8.32 (d, J=2.4 Hz, 1H), 7.76 (s, 1H), 7.68 (br, 1H), 7.40 (dt, J=8.0 & 2.0 Hz, 1H), 7.24-7.21 (m, 4H), 7.15 (d, J=8.0 Hz, 2H), 6.97 (d, J=8.8, 2H), 6.95 (d, J=8.4 Hz, 2H), 2.81 (t, J=7.2 Hz, 2H), 2.58 (t, J=7.6 Hz, 2H).
- (c) Step 3: Synthesis of N,N-dimethyl-2-{4-[4-(3-oxo-3-ureidopropyl)-phenoxy]-phenyl}-3-pyridin-3-yl-acrylamide (73). To a solution of 2-{4-[4-(3-oxo-3-ureidopropyl)-phenoxy]-phenyl}-3-pyridin-3-yl-acrylic acid, 75, (2.70 g, 6.2 mmol) in DMF (10 mL) triethylamine (1.29 mL, 9.3 mmol) and BOP (3.0 g, 6.88 mmol) reagent was added and stirred at room temperature for 15 min. Dimethylamine (2.0 M in THF, 9.3 mL, 18.6 mmol) was added and stirred for another 15 min. Reaction mixture was poured into ice cold water (100 mL) and extracted with ethyl acetate (3×50 mL). Combined organic layer was washed with aqueous sodium hydroxide solution (0.5 M, 30 mL), water (3×50 mL), brine (2×50 mL), dried on anhydrous magnesium sulfate and concentrated to about one third of original volume. Solid separated was filtered and washed with ethyl acetate. Yield: 2.81 g (97.9%).
- 1HNMR (DMSO-d6): δ 10.16 (s, 1H), 8.36 (dd, J=4.8 & 1.6 Hz, 1H), 8.31 (d, J=2.4 Hz, 1H), 7.72 (br, 1H), 7.43 (dt, J=8.0 & 2.0 Hz, 1H), 7.26-7.21 (m, 6H), 6.97 (d, J=8.0 Hz, 2H), 6.93 (d, J=8.4 Hz, 2H), 6.65 (s, 1H), 3.03 (s, 3H), 2.90 (s, 3H), 2.81 (t, J=7.6 Hz, 2H), 2.58 (t, J=8.0 Hz, 2H).
-
- (a) Step 1: Synthesis of 2-{4-[4-(2-carbamoylethyl)-phenoxy]-phenyl}-3-pyridin-3-yl-acrylic acid (76). A mixture of sodium ethoxide (21% w/w, 12 mL) and ethyl acetate (0.7 mL) was refluxed for 30 min. Urea (1.92 g, 32.0 mmol) was added and heated till it dissolved completely. 2-{4-[4-(2-ethoxycarbonyl-ethyl)-phenoxy]-phenyl}-3-pyridin-3-yl-acrylic acid, 74, (2.40 g, 5.7 mmol) was added and heated for 90 min at reflux. Reaction mixture was cooled to room temperature, neutralized by trifluoroacetic acid and water (50 mL) was added. Solid separate was purified by repeated crystallization from hot ethyl acetate. Yield: 2.2 g (97.6%).
- 1HNMR (DMSO-d6): δ 12.90 (s, 1H), 8.40 (dd, J=5.2 & 2.0 Hz, 1H), 8.33 (d, J=2.0 Hz, 1H), 7.76 (s, 1H), 7.36 (dt, J=8.0 & 2.0 Hz, 1H), 7.29 (br, 1H), 7.27-7.23 (m, 3H), 7.15 (d, J=8.0 Hz, 2H), 6.96 (overlapped d, J=8.0, 4H), 6.78 (br, 1H), 2.78 (t, J=7.2 Hz, 2H), 2.33 (t, J=7.6 Hz, 2H).
- (b) Step 2: Synthesis of 2-{4-[4-(2-carbamoyl-ethyl)-phenoxy]-phenyl}-N,N-dimethyl-3-pyridin-3-yl-acrylamide (77). To a solution of 2-{4-[4-(2-carbamoyl-ethyl)-phenoxy]-phenyl}-3-pyridin-3-yl-acrylic acid, 76, (2.00 g, 5.1 mmol) in DMF (5 mL) triethylamine (1.06 mL, 7.6 mmol) and BOP reagent (2.5 g, 5.66 mmol) were added and stirred at room temperature for 15 min. Dimethylamine (2.0 M in THF, 7.65 mL, 15.3 mmol) was added and stirred for another 15 min. Reaction mixture was poured into ice cold water (100 mL) and extracted with ethyl acetate (4×50 mL). Combined organic layer was washed with saturated aqueous sodium bicarbonate solution (30 mL), water (3×50 mL), brine (2×50 mL), dried on anhydrous magnesium sulfate. Crude product was purified by silica gel chromatography and product was eluted with chloroform-methanol (19:1). Yield: 1.4 g (65.4%).
- 1HNMR (DMSO-d6): δ 8.36 (dd, J=4.8 & 1.6 Hz, 1H), 7.43 (dt, J=8.0 & 2.0 Hz, 1H), 7.28 (br, 1H), 7.26-7.21 (m, 5H), 6.95 (d, J=8.8 Hz, 2H), 6.92 (d, J=8.8 Hz, 2H), 6.77 (br, 1H), 6.65 (s, 1H), 3.03 (s, 3H), 2.90 (s, 3H), 2.77 (t, J=7.6 Hz, 2H), 2.33 (t, J=8.0 Hz, 2H).
-
- To a solution of 3-benzo[1,3]dioxol-5-yl-2-{4-[4-(2-carbamoylethyl)-phenoxy]-phenyl}-acrylic acid, 78, (2.00 g, 4.6 mmol) in DMF (10 mL) triethylamine (0.96 mL, 6.9 mmol) and BOP reagent (2.21 g, 5.0 mmol) were added and stirred at room temperature for 15 min. Dimethylamine (2.0 M in THF, 6.90 mL, 1.8 mmol) was added and stirred for another 15 min. Reaction mixture was poured into ice cold water (100 mL) and extracted with ethyl acetate (4×50 mL). Combined organic layer was washed with saturated aqueous sodium bicarbonate solution (30 mL), water (3×50 mL), brine (2×50 mL), dried on anhydrous magnesium sulfate. Crude product was purified by silica gel chromatography and product was eluted with chloroform-methanol (19:1). Yield: 1.91 g (90.0%).
- 1HNMR (DMSO-d6): δ 7.28 (br, 1H), 7.24 (d, J=7.6 Hz, 2H), 6.94 (d, J=8.4 Hz, 2H), 6.93 (d, J=8.4 Hz, 2H), 6.80 (d, J=8.4 Hz, 1H), 6.77 (br, 1H), 6.68 (dd, J=8.4 and 1.6 Hz, 1H), 6.52 (s, 1H), 6.50 (d, 1.6 Hz, 1H), 5.96 (s, 2H), 3.00 (s, 3H), 2.87 (s, 3H), 2.77 (t, J=8.0 Hz, 2H).
-
- (a) Step 1: Synthesis of 2-{4-[4-(2-ethoxycarbonylethyl)-phenoxy]-phenyl}-3-pyridin-3-ylpropionic acid (79). To a solution of 2-{4-[4-(2-ethoxycarbonyl-ethyl)-phenoxy]-phenyl}-3-pyridin-3-yl-acrylic acid, 74, (6.00 g, 14.3 mmol) in 1,4-dioxane-ethanol (1:1, 80 mL) palladium on carbon (300 mg) was added, degassed and charged with hydrogen and stirred overnight. Catalyst was filtered and solvent was evaporated. Product obtained was used without further purification. Yield: 5.4 g (90.0%).
- 1HNMR (DMSO-d6): δ 8.35-8.33 (m, 2H), 7.58 (dt, J=7.6 & 2.0 Hz, 1H), 7.28 (d, J=8.8 Hz, 2H), 7.26-7.24 (m, 1H), 7.21 (d, J=8.4 Hz, 2H), 6.88 (d, J=8.8 Hz, 4H), 4.03 (q, J=6.8 Hz, 2H), 3.85 (t, J=7.6 Hz, 1H), 3.24 (dd, J=14.0 & 8.4 Hz, 1H), 2.93 (dd, J=13.6 & 7.2 Hz, 1H), 2.81 (t, J=7.6 Hz, 2H), 2.59 (t, J=7.6 Hz, 2H), 1.14 (t, J=6.8 Hz, 3H).
- (b) Step 2: Synthesis of 3-{4-[4-(1-dimethylcarbamoyl-2-pyridin-3-ylethyl)-phenoxy]-phenyl}-propionic acid ethyl ester (80). To a solution of 2-{4-[4-(2-ethoxycarbonylethyl)-phenoxy]-phenyl}-3-pyridin-3-ylpropionic acid, 79 (5.40 g, 12.8 mmol) in DMF (15 mL) triethylamine (2.60 mL, 19.2 mmol) and BOP reagent (6.20 g 14.1 mmol) was added and stirred at room temperature for 15 min. Dimethylamine (2.0 M in THF, 19.20 mL, 38.4 mmol) was added and stirred for another 10 min. Reaction mixture was poured into ice cold water (100 mL) and extracted with ethyl acetate (4×100 mL). Combined organic layer was washed with saturated aqueous sodium bicarbonate solution (2×100 mL), water (2×100 mL), brine (100 mL), dried on anhydrous magnesium sulfate. Crude product was purified by silica gel chromatography and product was eluted with chloroform-methanol (19:1). Yield: 4.80 g (83.5%).
- 1HNMR (DMSO-d6): δ 8.34-8.32 (m, 2H), 7.54 (dt, J=7.6 & 2.0 Hz, 1H), 7.26-7.21 (m, 5H), 6.88 (d, J=8.4 Hz, 4H), 4.28 (t, J=7.2 Hz, 1H), 4.03 (q, J=6.8 Hz, 2H), 3.21 (dd, J=14.0 & 8.4 Hz, 1H), 2.84 (s, 3H), 2.81 (t, J=7.2 Hz, 2H), 2.75 (s, 3H), 2.59 (t, J=7.6 Hz, 2H), 1.14 (t, J=6.8 Hz, 3H).
- (c) Step 3: Synthesis of 2-{4-[4-(2-carbamoylethyl)-phenoxy]-phenyl}-N,N-dimethyl-3-pyridin-3-yl-propionamide (81). A mixture of sodium ethoxide (21% w/w, 7.46 mL, 20.0 mmol) and ethyl acetate (0.6 mL) was refluxed for 30 min. Urea (1.20 g, 20.0 mmol) was added and heated till it dissolved completely. 3-{4-[4-(1-Dimethylcarbamoyl-2-pyridin-3-ylethyl)-phenoxy]-phenyl}-propionic acid ethyl ester, 80, (1.60 g, 3.58 mmol) was added and heated for 90 min at reflux. Reaction mixture was cooled to room temperature, neutralized by trifluoroacetic acid and water (30 mL) was added and extracted with ethyl acetate (3×50 mL). Organic layer was washed with water (2×20 mL) and brine (50 mL). The compound was purified by silica gel chromatography and product was eluted with chloroform-methanol (19:1). Yield: 0.44 g (40.6%).
- 1HNMR (DMSO-d6): δ 8.34-8.30 (m, 2H), 7.53 (dt, J=7.6 & 2.0 Hz, 1H), 7.29 (br, 1H), 7.25 (d, J=8.8 Hz, 2H), 7.22 (m, 1H), 7.19 (d, J=8.8 Hz, 2H), 6.87 (d, J=8.8 Hz, 2H), 6.77 (br, 1H), 4.27 (t, J=7.2 Hz, 1H), 3.21 (dd, J=13.6 & 8.0 Hz, 1H), 2.84 (s, 3H), 2.83 (dd, J=13.6 & 6.8 Hz, 1H), 2.76 (t, J=7.6 Hz, 2H), 2.75 (s, 3H), 2.32 (t, J=7.6 Hz, 2H).
-
- A mixture of sodium ethoxide (21% w/w, 8.10 mL, 21.8 mmol) and ethyl acetate (0.6 mL) was refluxed for 30 min. Urea (1.30 g, 21.8 mmol) was added and heated till it dissolved completely. 3-{4-[4-(1-Dimethylcarbamoyl-2-pyridin-3-ylethyl)-phenoxy]-phenyl}-propionic acid ethyl ester, 80 (1.74 g, 3.80 mmol) was added and heated for 5 min at 80° C. Reaction mixture was cooled to room temperature, neutralized by trifluoroacetic acid and water (50 mL) was added and extracted with ethyl acetate (3×50 mL). Organic layer was washed with water (2×20 mL) and brine (50 mL). The compound was purified by silica gel chromatography and product was eluted with chloroform-methanol (97:3). Yield: 0.30 g (16.7%).
- 1HNMR (DMSO-d6): δ 10.17 (s, 1H), 8.34-8.31 (m, 2H), 7.22 (br, 1H), 7.53 (dt, J=7.6 & 2.0 Hz, 1H), 7.27-7.19 (m, 6H), 6.89 (d, J=8.8 Hz, 2H), 6.88 (d, J=8.8 Hz, 2H), 4.28 (t, J=7.2 Hz, 1H), 3.21 (dd, J=13.6 & 8.0 Hz, 1H), 2.84 (s, 3H), 2.86-2.78 (m, 3H), 2.75 (s, 3H), 2.57 (t, J=8.4 Hz, 2H).
-
- To a solution of 3-(3,5-dimethoxyphenyl)-N,N-dimethyl-2-{4-[4-(3-oxo-3-ureidopropyl)-phenoxy]-phenyl}-propionamide, 13 (0.50 g, 0.96 mmol) in acetic acid (10 mL) palladium on carbon (10%, wet) and ammonium formate (3.3 g, 53.1 mmol) was added and refluxed for 6 h. Catalyst was filtered and the product was crashed out by addition of water (30 mL). Solid was filtered and recrystallized from ethyl acetate. Yield 0.13 g (26.0%)
- 1HNMR (DMSO-d6): δ 10.16 (s, 1H), 7.74 (br, 1H), 7.27 (d, J=8.8 Hz, 2H), 7.21 (d, J=8.8 Hz, 2H), 6.90 (d, J=8.8 Hz, 2H), 6.88 (d, J=8.8 Hz, 2H), 6.27 (brs, 3H), 4.23 (t, J=7.6 Hz, 1H), 3.66 (s, 6H), 3.17 (dd, J=13.6 & 8.0 Hz, 1H), 2.88 (s, 3H), 2.81 (t, J=8.4 Hz, 2H), 2.78 (s, 3H), 2.75 (dd, J=13.6 & 6.8 Hz, 1H), 2.59 (t, J=8.0 Hz, 2H).
- DBA/LacJ mice, six to eight weeks old, were administered orally compound 31 (50 or 100 mg/kg), compound 77 (50 or 100 mg/kg), methotrexate (10 mg/kg) as a positive control, or vehicle only (8% dimethyl sulfoxide [DMSO]/42% Solutol® HS-15). After one hour mice were challenged intraperitoneally with lipopolysaccharides (LPS) (3 mg/kg), and one hour after LPS challenge heparinized whole blood was collected by retro-orbital bleed and the plasma was isolated for analysis of tumor necrosis factor-alpha (TNF-alpha) content. Plasma TNF-alpha was measured using a commercial sandwich enzyme-linked immunoassay (ELISA) kit (R&D Systems) employing recombinant murine TNF-alpha to generate a standard curve. The mean value of triplicate determinations was calculated and expressed as a percentage of LPS-induced TNF-alpha production with vehicle (=100%). Statistical analysis was performed using a one-tailed, unpaired t-test with GraphPad Prism software. As shown in Table 6, both compounds 31 and 77 significantly inhibited LPS-induced TNF-alpha production in mice.
-
TABLE 6 Percent TNF Production Treatment (Mean ± SEM)* Vehicle (DMSO/Solutol) (n = 7) 100 ± 9 Compound 77 (50 mg/kg) (n = 3) 54 ± 10 Compound 77 (100 mg/kg) (n = 5) 67 ± 20 Compound 31 (50 mg/kg) (n = 3) 68 ± 11 Compound 31 (100 mg/kg) (n = 4) 53 ± 20 Methotrexate (10 mg/kg) (n = 3) 61 ± 5 *All mean values p < 0.05 versus vehicle (unpaired t-test, one-tailed) - Having described specific embodiments of the present invention, it will be understood that many modifications thereof will readily appear or may be suggested to those skilled in the art, and it is intended therefore that this invention is limited only by the spirit and scope of the following claims.
Claims (2)
1. A compound, or salt, hydrate or solvate thereof, represented by at least one of the following Formulas I-XIII:
wherein the stereocenters marked with an asterisk (*) are R- or S-; the bond represented by a dashed line plus a solid line is a double bond or a single bond; and wherein
R1, R2, R3, R4, R5, R6 and R7 independently represent a hydrogen atom, or an optionally substituted C1-C20 linear or branched alkyl, chloroalkyl or fluoroalkyl; optionally substituted C2-C20 linear or branched alkenyl; optionally substituted C6-C20 aryl, linear or branched alkylaryl, linear or branched alkenylaryl; COOR where R independently represents a hydrogen atom, or an optionally substituted C1-C20 alkyl, optionally substituted C2-C20 alkenyl or optionally substituted C6-C10 aryl, sodium, potassium, calcium, magnesium, ammonium, tromethamine; CONR′R″, where R′ and R″ independently represent a hydrogen atom, or an optionally substituted C1-C20 alkyl, optionally substituted C2-C20 alkenyl or optionally substituted C6-C10 aryl or where NR′R″ represents a cyclic moiety selected from morpholine, piperidine, piperazine; optionally substituted C1-C6 amidoalkyl; NH2; C1-C20 alkylamino, bis(alkylamino), cycloalkylamino or cyclic amino; OH; optionally substituted C1-C20 alkoxy, optionally substituted C1-C20 alkanoyl; optionally substituted C1-C20 acyloxy; halo; optionally substituted C1-C20 alkylcarboxylamino; cyano; nitro; SO2NR′″R″″ where R′″ and R″″ are independently H, C1-C20 alkyl or aryl; SO2R′″ where R′″ is H, C1-C20 alkyl or aryl; SO3R′″ where R′″ is H, C1-C20 alkyl or aryl; and C4-C8 heterocycles selected from tetrazolyl, imidazolyl, pyrrolyl, pyridyl or indolyl;
R8 and R9 independently represent a hydrogen atom, or an optionally substituted C1-C20 linear or branched alkyl; optionally substituted C2-C20 linear or branched alkenyl; optionally substituted C6-C10 aryl or heteroaryl; COOR where R is H, optionally substituted C1-C20 alkyl, optionally substituted C2-C20 alkenyl or optionally substituted C6-C10 aryl, sodium, potassium, calcium, magnesium, ammonium, or tromethamine; CONR′R″, where R′ and R″ are independently H, alkoxy, optionally substituted C1-C20 alkyl, optionally substituted C2-C20 alkenyl, optionally substituted C3-C10 cycloalkyl or cycloalkenyl or optionally substituted C6-C10 aryl or heteroaryl, or where NR′R″ represents a cyclic moiety selected from morpholine, piperidine, hydroxypiperidine, imidazole, piperazine, or methylpiperazine; NH2; C1-C20 alkylamino, bis(alkylamino), cycloalkylamino or cyclic amino; OH; C1-C20 alkoxy; C1-C20 alkanoyl; C1-C20 acyloxy; halo; C1-C20 alkylcarboxylamino; cyano; nitro; SO2NR′″R″″ where R′″ and R″″ are independently H, C1-C20 alkyl or aryl; SO2R′″ where R′″ is H, C1-C20 alkyl or aryl; SO3R′″ where R′″ is H, C1-C20 alkyl or aryl; or tetrazolyl;
R10 and R11 independently represent a hydrogen atom or an optionally substituted C1-C20 linear or branched alkyl; optionally substituted C2-C20 linear or branched alkenyl; optionally substituted C6-C10 aryl or heteroaryl; COOR where R represents a hydrogen atom or an optionally substituted C1-C20 alkyl, optionally substituted C2-C20 alkenyl or optionally substituted C6-C10 aryl, sodium, potassium, calcium, magnesium, ammonium, or tromethamine; CONR′R″, where R′ and R″ independently represent a hydrogen atom, optionally substituted C1-C20 alkyl, optionally substituted C2-C20 alkenyl or optionally substituted C6-C10 aryl or where NR′R″ represents a cyclic moiety selected from morpholine, piperidine, or piperazine; NH2; C1-C20 alkylamino, bis(alkylamino), cycloalkylamino or cyclic amino; OH; C1-C20 alkoxy; C1-C20 alkanoyl; C1-C20 acyloxy; halo; C1-C20 alkylcarboxylamino; cyano; nitro; SO2NR′″R″″ where R′″ and R″″ independently represent a hydrogen atom, C1-C20 alkyl or aryl; SO2R′″ where R′″ represents a hydrogen atom, C1-C20 alkyl or aryl; SO3R′″ where R′″ represents a hydrogen atom, C1-C20 alkyl or aryl; or tetrazolyl;
R12, R13, R18, R19 and R20 independently represent a hydrogen atom; or an optionally substituted C1-C20 linear or branched alkyl; optionally substituted C2-C20 linear or branched alkenyl; optionally substituted C6-C10 aryl or heteroaryl; COOR where R represents an optionally substituted C1-C20 alkyl, optionally substituted C2-C20 alkenyl or optionally substituted C6-C10 aryl, sodium, potassium, calcium, magnesium, ammonium, or tromethamine; CONR′R″, where R′ and R″ independently represent a hydrogen atom, optionally substituted C1-C20 alkyl, optionally substituted C2-C20 alkenyl or optionally substituted C6-C10 aryl or where NR′R″ represents a cyclic moiety selected from morpholine, piperidine and piperazine; C1-C20 alkanoyl; C1-C20 alkylamido; C6-C20 aroyl or heteroaroyl; SO2R′″ where R′″ represents a hydrogen atom, C1-C20 alkyl or aryl; morpholinocarbonylmethyl; piperazinocabonylmethyl; or piperadinocabonylmethyl;
R12 and R13 may be absent, or R12 and R13 together may be an optionally substituted heterocyclic ring selected from morpholine, piperidine, piperazine, and N-methylpiperidine;
R14 represents a hydrogen atom, or an optionally substituted C1-C20 linear or branched alkyl including chloroalkyl and fluoroalkyl; optionally substituted C2-C20 linear or branched alkenyl; optionally substituted C6-C10 aryl or heteroaryl; COOR where R represents a hydrogen atom, optionally substituted C1-C20 alkyl, optionally substituted C2-C20 alkenyl or optionally substituted C6-C10 aryl, sodium, potassium, calcium, magnesium, ammonium, or tromethamine; CONR′R″, where R′ and R″ independently represent a hydrogen atom, or an optionally substituted C1-C20 alkyl, optionally substituted C2-C20 alkenyl or optionally substituted C6-C10 aryl or where NR′R″ represents a cyclic moiety selected from morpholine, piperidine and piperazine; cyano; and tetrazolyl
R15, R16 and R17 independently represent a hydrogen atom, or an optionally substituted C1-C20 linear or branched alkyl including chloroalkyl and fluoroalkyl; optionally substituted C2-C20 linear or branched alkenyl; optionally substituted C6-C10 aryl or heteroaryl; COOR where R represents a hydrogen atom, or an optionally substituted C1-C20 alkyl, optionally substituted C2-C20 alkenyl or optionally substituted C6-C10 aryl, sodium, potassium, calcium, magnesium, ammonium, and tromethamine; CONR′R″, where R′ and R″ independently represent a hydrogen atom, an optionally substituted C1-C20 alkyl, optionally substituted C2-C20 alkenyl or optionally substituted C6-C10 aryl or where NR′R″ represents a cyclic moiety selected from morpholine, piperidine, and piperazine; NH2; C1-C20 alkylamino, bis(alkylamino), cycloalkylamino or cyclic amino; OH; C1-C20 alkoxy; C1-C20 alkanoyl; C1-C20 acyloxy; halo; C1-C20 alkylcarboxylamino; cyano; nitro; SO2NR′″R″″ where R′″ and R″″ independently represent a hydrogen atom, C1-C20 alkyl or aryl; SO2R′″ where R′″ independently represents a hydrogen atom, C1-C20 alkyl or aryl; SO3R′″ where R′″ independently represents a hydrogen atom, C1-C20 alkyl or aryl; or tetrazolyl
X independently represents O; N; S; S═O; SO2; or NR′″″, where R′″″ independently represents a hydrogen atom or optionally substituted C1-C20 alkyl, optionally substituted C2-C20 alkenyl, optionally substituted C1-C20 acyl, optionally substituted C1-C20 acyloxy and optionally substituted C1-C20 alkoxycarbonyl;
Y independently represents an oxygen atom, sulfur atom or NH radical;
Z independently represents
ORa, wherein Ra represents a hydrogen atom, or an optionally substituted C1-C20 linear or branched alkyl, chloroalkyl or fluoroalkyl, optionally substituted C2-C20 linear or branched alkenyl; optionally substituted C6-C10 aryl or heteroaryl; optionally substituted C6-C20 aroyl or heteroaroyl; optionally substituted C1-C20 alkanoyl; or SO2R′″ where R′″ represents a hydrogen atom, C1-C20 alkyl or aryl;
NRbRc, wherein Rb and Rc independently represent a hydrogen atom, or an optionally substituted C1-C20 linear or branched alkyl, chloroalkyl or fluoroalkyl optionally substituted C2-C20 linear or branched alkenyl; optionally substituted C6-C10 aryl or heteroaryl; optionally substituted C3-C10 cycloalkyl or cycloalkenyl; COOZ1 where Z1 represents an optionally substituted C1-C20 alkyl, optionally substituted C2-C20 alkenyl or optionally substituted C6-C10 aryl; optionally substituted C6-C20 aroyl or heteroaroyl; optionally substituted C1-C20 alkanoyl; or SO2R′″ where R′″ represents a hydrogen atom, or an C1-C20 alkyl or aryl; or wherein Rb and Rc together may be joined to form a 3-6 membered ring selected from aziridine, morpholine, piperidine or piperazine; and
CRdReRf, wherein Rd, Re and Rf independently represents represent a hydrogen atom, or an optionally substituted C1-C20 linear or branched alkyl, chloroalkyl or fluoroalkyl, optionally substituted C2-C20 linear or branched alkenyl; optionally substituted C6-C10 aryl or heteroaryl; optionally substituted C3-C10 cycloalkyl or cycloalkenyl; COOR where R represents a hydrogen atom, or an optionally substituted C1-C20 alkyl, optionally substituted C2-C20 alkenyl or optionally substituted C6-C10 aryl, sodium, potassium, calcium, magnesium, ammonium, or tromethamine; NH2; C1-C20 alkylamino, bis(alkylamino); cycloalkylamino or cyclic amino; OH; optionally substituted C1-C20 alkoxy, trifluoromethoxy; optionally substituted C1-C20 alkanoyl; optionally substituted C1-C20 acyloxy; optionally substituted C6-C20 aroyl or heteroaroyl; halo; cyano; nitro; optionally substituted C1-C20 alkylcarboxylamino; SO2NR′″R″″ where R′″ and R″″ independently represent a hydrogen atom, C1-C20 alkyl or aryl; SO2R′″ where R′″ independently represents a hydrogen atom, C1-C20 alkyl or aryl; or SO3R′″ where R′″ independently represents a hydrogen atom, C1-C20 alkyl or aryl; or
the grouping —C(═Y)Z may represent hydrogen or R12 or may be absent
Q is selected from the group consisting of
ORa where Ra independently represents a hydrogen atom, or an optionally substituted C1-C20 linear or branched alkyl, chloroalkyl or fluoroalkyl; optionally substituted C2-C20 linear or branched alkenyl; optionally substituted C6-C10 aryl or heteroaryl; optionally substituted C6-C20 aroyl or heteroaroyl; optionally substituted C1-C20 alkanoyl; and SO2R′″ where R′″ independently represents a hydrogen atom, C1-C20 alkyl or aryl; and
NRbRc where Rb and Rc independently represent a hydrogen atom, or an optionally substituted C1-C20 linear or branched alkyl, chloroalkyl or fluoroalkyl; optionally substituted C2-C20 linear or branched alkenyl; optionally substituted C6-C10 aryl or heteroaryl; optionally substituted C3-C10 cycloalkyl or cycloalkenyl; COOZ1 where Z1 represents an optionally substituted C1-C20 alkyl, optionally substituted C2-C20 alkenyl or optionally substituted C6-C10 aryl; optionally substituted C6-C20 aroyl or heteroaroyl; optionally substituted C1-C20 alkanoyl; or SO2R′″ where R′″ independently represents a hydrogen atom, or an C1-C20 alkyl or aryl; or herein Rb and Rc represent together a 3-6 membered ring such as aziridine, morpholine, piperidine, piperazine and the like; and
SRg, SORg or SO2Rg where Rg represents a hydrogen atom or an optionally substituted C1-C20 linear or branched alkyl, chloroalkyl or fluoroalkyl; optionally substituted C2-C20 linear or branched alkenyl; optionally substituted C1-C20 acyl; optionally substituted C1-C20 alkoxycarbonyl; C2-C20 alkoxy; optionally substituted C6-C10 aryl or heteroaryl; and optionally substituted C6-C10 aroyl or heteroaroyl;
Group A represents an optionally substituted C2-C20 linear or branched alkenyl; optionally substituted C6-C20 aryl, linear or branched alkylaryl, linear or branched alkenylaryl; optionally substituted heteroaryl selected from pyridine, indole, morpholine, piperidine, tetrazolyl and piperazine; CORh where Rh represents an optionally substituted C1-C20 linear or branched alkyl; optionally substituted C2-C20 linear or branched alkenyl; optionally substituted C6-C20 aryl, linear or branched alkylaryl, linear or branched alkenylaryl; optionally substituted heteroaryl selected from pyridine, indole, morpholine, piperidine, piperazine, or tetrazolyl;
Group B represents a OH, C1-C20 alkoxy; SO2Ri where Ri represents a hydrogen atom or linear or branched C1-C20 alkyl.
Group Het represents a heterocyclic ring selected from pyridyl, indolyl, tetrazolyl, imidazolyl, morphonyl, piperidinyl, piperazinyl or thiophenyl.
2.-65. (canceled)
Priority Applications (1)
| Application Number | Priority Date | Filing Date | Title |
|---|---|---|---|
| US12/004,075 US20080188654A1 (en) | 2001-11-29 | 2007-12-20 | Compounds for treatment of inflammation, diabetes and related disorders |
Applications Claiming Priority (4)
| Application Number | Priority Date | Filing Date | Title |
|---|---|---|---|
| US33481801P | 2001-11-29 | 2001-11-29 | |
| PCT/US2002/038150 WO2003048108A2 (en) | 2001-11-29 | 2002-11-27 | Compounds for treatment of inflammation, diabetes and related disorders |
| US10/430,677 US7323496B2 (en) | 1999-11-08 | 2003-05-07 | Compounds for treatment of inflammation, diabetes and related disorders |
| US12/004,075 US20080188654A1 (en) | 2001-11-29 | 2007-12-20 | Compounds for treatment of inflammation, diabetes and related disorders |
Related Parent Applications (1)
| Application Number | Title | Priority Date | Filing Date |
|---|---|---|---|
| US10430667 Continuation | 2003-05-05 |
Publications (1)
| Publication Number | Publication Date |
|---|---|
| US20080188654A1 true US20080188654A1 (en) | 2008-08-07 |
Family
ID=33449639
Family Applications (2)
| Application Number | Title | Priority Date | Filing Date |
|---|---|---|---|
| US10/430,677 Expired - Fee Related US7323496B2 (en) | 1999-11-08 | 2003-05-07 | Compounds for treatment of inflammation, diabetes and related disorders |
| US12/004,075 Abandoned US20080188654A1 (en) | 2001-11-29 | 2007-12-20 | Compounds for treatment of inflammation, diabetes and related disorders |
Family Applications Before (1)
| Application Number | Title | Priority Date | Filing Date |
|---|---|---|---|
| US10/430,677 Expired - Fee Related US7323496B2 (en) | 1999-11-08 | 2003-05-07 | Compounds for treatment of inflammation, diabetes and related disorders |
Country Status (9)
| Country | Link |
|---|---|
| US (2) | US7323496B2 (en) |
| EP (1) | EP1625207A4 (en) |
| JP (1) | JP2006528974A (en) |
| KR (1) | KR20060017603A (en) |
| CN (1) | CN100522151C (en) |
| AU (1) | AU2004239292A1 (en) |
| CA (1) | CA2524780A1 (en) |
| NZ (1) | NZ543758A (en) |
| WO (1) | WO2004101752A2 (en) |
Families Citing this family (26)
| Publication number | Priority date | Publication date | Assignee | Title |
|---|---|---|---|---|
| WO2005041878A2 (en) * | 2003-10-29 | 2005-05-12 | Tawakol Raif M D | Compositions and methods for increasing hdl and hdl-2b levels |
| US20080058292A1 (en) * | 2003-10-29 | 2008-03-06 | Raif Tawakol | Method for increasing HDL and HDL-2b levels |
| US20050272770A1 (en) * | 2004-04-29 | 2005-12-08 | John Griffin | Compositions and treatments for inhibiting kinase and/or HMG-CoA reductase |
| US20050282883A1 (en) * | 2004-04-29 | 2005-12-22 | John Griffin | Compositions and treatments for inhibiting kinase and/or HMG-CoA reductase |
| US7199126B2 (en) * | 2004-04-29 | 2007-04-03 | Pharmix Corporation | Compositions and treatments for inhibiting kinase and/or HMG-CoA reductase |
| US7183285B2 (en) * | 2004-04-29 | 2007-02-27 | Pharmix Corp. | Compositions and treatments for inhibiting kinase and/or HMG-CoA reductase |
| JP2008508294A (en) * | 2004-07-27 | 2008-03-21 | ジェンザイム・コーポレイション | Usage of thyrotropin for bone regeneration |
| US20060111436A1 (en) * | 2004-11-23 | 2006-05-25 | John Griffin | Compositions and treatments for modulating kinase and/or HMG-CoA reductase |
| CN100400497C (en) * | 2004-12-29 | 2008-07-09 | 浙江海正药业股份有限公司 | Phenylpropenyl phenylacrylate and phenylpropyl phenylpropionate compounds and their preparation method and application for preparing medicine |
| EP1874308A1 (en) | 2005-03-08 | 2008-01-09 | Nycomed GmbH | Roflumilast for the treatment of diabetes mellitus |
| US20070015779A1 (en) * | 2005-04-29 | 2007-01-18 | John Griffin | Compositions and treatments for inhibiting kinase and/or hmg-coa reductase |
| US20090227602A1 (en) * | 2005-10-28 | 2009-09-10 | John Griffin | Compositions and treatments for inhibiting kinase and/or hmg-coa reductase |
| EP2218442A1 (en) | 2005-11-09 | 2010-08-18 | CombinatoRx, Inc. | Methods, compositions, and kits for the treatment of ophthalmic disorders |
| AR065588A1 (en) * | 2007-03-09 | 2009-06-17 | Otsuka Pharma Co Ltd | A MEDICINAL PRODUCT TO TREAT CHRONIC OBSTRUCTIVE PULMONARY DISEASE |
| WO2009033078A2 (en) * | 2007-09-05 | 2009-03-12 | Raif Tawakol | Compositions and methods for controlling cholesterol levels |
| CN101560223B (en) * | 2008-04-16 | 2011-12-07 | 清华大学深圳研究生院 | Phosphoryl amino acid stilbene derivative, preparing method and application thereof |
| CN102088965B (en) * | 2008-05-13 | 2013-05-08 | 根梅迪卡治疗公司 | Application of salicylate (ester) conjugates in the preparation of medicines for treating metabolic disorders |
| ES2330184B1 (en) * | 2008-06-03 | 2010-07-05 | Neuron Biopharma, S.A. | USE OF STATINES AS ANTI-CONVULSIVING, ANTIEPILEPTIC AND NEUROPROTECTORS. |
| EP2408441A1 (en) * | 2009-03-16 | 2012-01-25 | Genmedica Therapeutics SL | Combination therapies for treating metabolic disorders |
| EP2408443A1 (en) * | 2009-03-16 | 2012-01-25 | Genmedica Therapeutics SL | Anti-inflammatory and antioxidant conjugates useful for treating metabolic disorders |
| WO2011130595A2 (en) * | 2010-04-15 | 2011-10-20 | Sirtris Pharmaceuticals, Inc. | Sirtuin activators and activation assays |
| US20130197043A1 (en) | 2010-08-31 | 2013-08-01 | Snu R&Db Foundation | Use of the fetal reprogramming of a ppar agonist |
| US8466197B2 (en) | 2010-12-14 | 2013-06-18 | Genmedica Therapeutics Sl | Thiocarbonates as anti-inflammatory and antioxidant compounds useful for treating metabolic disorders |
| SG11202105276TA (en) | 2018-12-03 | 2021-06-29 | Univ Texas | Oligo-benzamide analogs and their use in cancer treatment |
| CN109833316B (en) * | 2019-04-04 | 2022-03-22 | 长沙天赐生物医药科技有限公司 | Application of compound xenocyline A-F and derivative thereof in preparation of iNOS activity inhibition drugs |
| CN113243333B (en) * | 2021-05-18 | 2022-09-13 | 中山大学 | Establishment method and application of animal model for simulating knee osteoarthritis of obese people |
Citations (51)
| Publication number | Priority date | Publication date | Assignee | Title |
|---|---|---|---|---|
| US2524827A (en) * | 1948-05-13 | 1950-10-10 | Schering Corp | Halogen substituted polycyclic aryl aliphatic acids |
| US3275520A (en) * | 1962-05-29 | 1966-09-27 | Gen Aniline & Film Corp | Methods for protecting the skin against actinic radiations |
| US3609183A (en) * | 1969-01-08 | 1971-09-28 | Parke Davis & Co | {60 -{8 {11 -(dimethylaminoalkyl)phenyl{9 -4-methoxy-{60 {40 -nitrostilbene compounds |
| US3683009A (en) * | 1968-10-10 | 1972-08-08 | Du Pont | {60 , {62 -bis(trifluoromethyl) stilbenes |
| US4074057A (en) * | 1973-12-12 | 1978-02-14 | Takeda Chemical Co., Ltd. | 2-Halopropionic acid and its derivatives |
| US4217366A (en) * | 1978-03-09 | 1980-08-12 | Mitsubishi Chemical Industries, Ltd. | Pharmaceutically active 2-(4-aminobutoxy)stilbenes |
| US4271186A (en) * | 1978-07-21 | 1981-06-02 | Bayer Aktiengesellschaft | Stilbene compounds and insecticidal/acaricidal compositions |
| US4284637A (en) * | 1978-03-09 | 1981-08-18 | Mitsubishi Chemical Ind., Limited | Pharmaceutically active 2-(4-aminobutoxy)stilbenes |
| US4310534A (en) * | 1979-08-16 | 1982-01-12 | Mitsubishi Chemical Industries Limited | Pharmaceutically active 2-(4-aminobutoxy)stilbenes |
| US4312855A (en) * | 1970-11-16 | 1982-01-26 | Colgate-Palmolive Company | Compositions containing aminopolyureylene resin |
| US4326055A (en) * | 1977-12-22 | 1982-04-20 | Hoffmann-La Roche Inc. | Stilbene derivatives |
| US4444779A (en) * | 1978-08-04 | 1984-04-24 | Takeda Chemical Industries, Ltd. | Thiazolidine derivatives |
| US4716905A (en) * | 1985-09-25 | 1988-01-05 | Fluorochrome, Inc. | Method of retrograde fluorescent labeling of neurons |
| US4866086A (en) * | 1987-07-15 | 1989-09-12 | Imperial Chemical Industries Plc | Use of olefinic compounds |
| US4929635A (en) * | 1984-04-06 | 1990-05-29 | Laboratoires Chauvin-Blache | New derivatives of 4-vinyl benzoic acid, process for their preparation and their uses in therapeutics and as ligands |
| US4940707A (en) * | 1988-02-24 | 1990-07-10 | Hoffman-La Roche Inc. | Stilbene derivatives for treatment of skin disorders |
| US5087637A (en) * | 1989-08-08 | 1992-02-11 | Basf Aktiengesellschaft | Diarylacetylenes, the preparation and use thereof |
| US5162337A (en) * | 1990-10-05 | 1992-11-10 | Merck & Co., Inc. | Animal growth promotion |
| US5171753A (en) * | 1991-05-15 | 1992-12-15 | A. H. Robins Company, Incorporated | Derivatives of 2-amino-1-phenylethanol having antiulcer activity |
| US5189056A (en) * | 1989-12-19 | 1993-02-23 | University Of North Carolina At Chapel Hill | Protection of moist stratified squamous epithelia against damage from noxious luminal agents |
| US5246936A (en) * | 1991-12-20 | 1993-09-21 | American Cyanamid Company | Methods and compositions containing pesticides and stilbene compounds for enhanced pesticidal activity |
| US5250562A (en) * | 1988-02-24 | 1993-10-05 | Hoffmann-La Roche Inc. | Stilbene derivatives |
| US5314693A (en) * | 1992-02-07 | 1994-05-24 | Kioritz Corporation | Pest control chemicals against pine wood nematodes |
| US5391565A (en) * | 1990-08-06 | 1995-02-21 | Beechan Group P.L.C. | Oxazolidine dione derivatives |
| US5409953A (en) * | 1987-01-06 | 1995-04-25 | Arizona Board Of Regents Acting On Behalf Of Arizona State University | Isolation, structural elucidation and synthesis of novel antineoplastic substances denominated "combretastatins" |
| US5430062A (en) * | 1992-05-21 | 1995-07-04 | Research Corporation Technologies, Inc. | Stilbene derivatives as anticancer agents |
| US5457226A (en) * | 1992-09-03 | 1995-10-10 | Givaudan-Roure Corporation | Process for the manufacture of cinnamic acid derivatives |
| US5494932A (en) * | 1991-02-05 | 1996-02-27 | Merrell Dow Pharmaceuticals Inc. | Sulfonic stilbene derivatives in the treatment of viral disease |
| US5521160A (en) * | 1994-01-14 | 1996-05-28 | Hoffmann-La Roche Inc. | Sulfuric acid esters of sugar alcohols |
| US5525632A (en) * | 1993-09-08 | 1996-06-11 | Ajinomoto Co., Ltd. | Stilbene derivatives and pharmaceutical compositions containing them |
| US5532129A (en) * | 1991-11-07 | 1996-07-02 | Enterprise Partners Ii, L.P. | Self-organizing molecular photonic structures based on chromophore- and fluorophore-containing polynucleotides and methods of their use |
| US5559151A (en) * | 1994-11-30 | 1996-09-24 | Allergan | Method for reducing intraocular pressure in the mammalian eye by administration of chloride channel blockers |
| US5565191A (en) * | 1993-12-14 | 1996-10-15 | 3V Inc. | Cosmetic and dermatological compositions for the protection against UV radiation containing stilbene derivatives |
| US5583128A (en) * | 1991-04-24 | 1996-12-10 | Ciba-Geigy Corporation | Contraception in female primates without affecting the menstrual cycle |
| US5587150A (en) * | 1990-02-14 | 1996-12-24 | L'oreal | Photostable cosmetic screening composition containing a UV-A screening agent and an alkyl β, β-diphenylacrylate or α-cyano-β,β-diphenylacrylate |
| US5589506A (en) * | 1993-03-10 | 1996-12-31 | Morinaga Milk Industry Co., Ltd. | Stilbene derivative and stilbene analog derivative, and use thereof |
| US5674906A (en) * | 1995-03-07 | 1997-10-07 | Ajinomoto Co., Inc. | Stilbene compounds and pharmaceutical compositions containing them |
| US5686478A (en) * | 1993-07-20 | 1997-11-11 | Merck & Co. Inc. | Endothelin antagonists |
| US5716928A (en) * | 1995-06-07 | 1998-02-10 | Avmax, Inc. | Use of essential oils to increase bioavailability of oral pharmaceutical compounds |
| US5731353A (en) * | 1993-09-08 | 1998-03-24 | Ajinomoto Co., Inc. | Stilbene derivatives and pharmaceutical compositions containing them |
| US5733909A (en) * | 1996-02-01 | 1998-03-31 | Merck Frosst Canada, Inc. | Diphenyl stilbenes as prodrugs to COX-2 inhibitors |
| US5767268A (en) * | 1995-05-05 | 1998-06-16 | Hoffmann-La Roche Inc. | Sulfuric acid esters of amino sugars |
| US5770620A (en) * | 1995-06-19 | 1998-06-23 | Ontogen Corporation | Aryl acrylic acid derivatives useful as protein tyrosine phosphatase inhibitors |
| US5827898A (en) * | 1996-10-07 | 1998-10-27 | Shaman Pharmaceuticals, Inc. | Use of bisphenolic compounds to treat type II diabetes |
| US6245814B1 (en) * | 1998-05-08 | 2001-06-12 | Calyx Therapeutics, Inc. | Diphenylethylene compounds |
| US6262118B1 (en) * | 1999-06-04 | 2001-07-17 | Metabolex, Inc. | Use of (-) (3-trihalomethylphenoxy) (4-halophenyl) acetic acid derivatives for treatment of insulin resistance, type 2 diabetes and hyperlipidemia |
| US6331633B1 (en) * | 1998-05-08 | 2001-12-18 | Calyx Therapeutics Inc. | Heterocyclic analogs of diphenylethylene compounds |
| US6525093B1 (en) * | 1999-11-08 | 2003-02-25 | Calyx Therapeutics Inc. | Compounds to treat diabetes and associated conditions |
| US6624197B1 (en) * | 1998-05-08 | 2003-09-23 | Calyx Therapeutics, Inc. | Diphenylethylene compounds |
| US6683009B2 (en) * | 2000-10-26 | 2004-01-27 | Infineon Technologies Ag | Method for local etching |
| US7105552B2 (en) * | 1998-05-08 | 2006-09-12 | Theracos, Inc. | Heterocyclic analogs of diphenylethylene compounds |
Family Cites Families (10)
| Publication number | Priority date | Publication date | Assignee | Title |
|---|---|---|---|---|
| NO744352L (en) | 1973-12-12 | 1975-07-07 | Takeda Chemical Industries Ltd | |
| HU170228B (en) | 1974-04-19 | 1977-04-28 | ||
| WO1989008650A1 (en) | 1988-03-08 | 1989-09-21 | Pfizer Inc. | Thiazolidinedione hypoglycemic agents |
| JPH0959245A (en) | 1995-08-25 | 1997-03-04 | Yamanouchi Pharmaceut Co Ltd | N-(2-propenoyl)guanidine derivative |
| GB9600464D0 (en) | 1996-01-09 | 1996-03-13 | Smithkline Beecham Plc | Novel method |
| JP2002509928A (en) | 1998-03-31 | 2002-04-02 | ワーナー−ランバート・カンパニー | Quinolones as serine protease inhibitors |
| FR2778337B1 (en) | 1998-05-05 | 2001-08-31 | Inst Nat Sante Rech Med | ARYLHYDROCARBON RECEPTOR LIGAND ANTAGONISTS |
| JP2002544227A (en) | 1999-05-18 | 2002-12-24 | カリックス セラピューティックス インコーポレイテッド | New diphenylethylene compounds |
| US6413504B1 (en) | 2000-06-30 | 2002-07-02 | Calyx Therapeutics, Inc. | Alpha-arylated cinnamic esters and 1,4-bis(alpha-carboxyl-beta-styryl)benzene esters an UV-blocking agents |
| EP1448515A2 (en) * | 2001-11-29 | 2004-08-25 | Theracos, Inc. | Compounds for treatment of inflammation, diabetes and related disorders |
-
2003
- 2003-05-07 US US10/430,677 patent/US7323496B2/en not_active Expired - Fee Related
-
2004
- 2004-05-07 AU AU2004239292A patent/AU2004239292A1/en not_active Abandoned
- 2004-05-07 CA CA002524780A patent/CA2524780A1/en not_active Abandoned
- 2004-05-07 CN CNB2004800185002A patent/CN100522151C/en not_active Expired - Fee Related
- 2004-05-07 WO PCT/US2004/014394 patent/WO2004101752A2/en not_active Ceased
- 2004-05-07 JP JP2006532873A patent/JP2006528974A/en not_active Withdrawn
- 2004-05-07 NZ NZ543758A patent/NZ543758A/en unknown
- 2004-05-07 KR KR1020057021172A patent/KR20060017603A/en not_active Ceased
- 2004-05-07 EP EP04760937A patent/EP1625207A4/en not_active Withdrawn
-
2007
- 2007-12-20 US US12/004,075 patent/US20080188654A1/en not_active Abandoned
Patent Citations (58)
| Publication number | Priority date | Publication date | Assignee | Title |
|---|---|---|---|---|
| US2524827A (en) * | 1948-05-13 | 1950-10-10 | Schering Corp | Halogen substituted polycyclic aryl aliphatic acids |
| US3275520A (en) * | 1962-05-29 | 1966-09-27 | Gen Aniline & Film Corp | Methods for protecting the skin against actinic radiations |
| US3683009A (en) * | 1968-10-10 | 1972-08-08 | Du Pont | {60 , {62 -bis(trifluoromethyl) stilbenes |
| US3609183A (en) * | 1969-01-08 | 1971-09-28 | Parke Davis & Co | {60 -{8 {11 -(dimethylaminoalkyl)phenyl{9 -4-methoxy-{60 {40 -nitrostilbene compounds |
| US4312855A (en) * | 1970-11-16 | 1982-01-26 | Colgate-Palmolive Company | Compositions containing aminopolyureylene resin |
| US4074057A (en) * | 1973-12-12 | 1978-02-14 | Takeda Chemical Co., Ltd. | 2-Halopropionic acid and its derivatives |
| US4326055A (en) * | 1977-12-22 | 1982-04-20 | Hoffmann-La Roche Inc. | Stilbene derivatives |
| US4217366A (en) * | 1978-03-09 | 1980-08-12 | Mitsubishi Chemical Industries, Ltd. | Pharmaceutically active 2-(4-aminobutoxy)stilbenes |
| US4284637A (en) * | 1978-03-09 | 1981-08-18 | Mitsubishi Chemical Ind., Limited | Pharmaceutically active 2-(4-aminobutoxy)stilbenes |
| US4271186A (en) * | 1978-07-21 | 1981-06-02 | Bayer Aktiengesellschaft | Stilbene compounds and insecticidal/acaricidal compositions |
| US4444779A (en) * | 1978-08-04 | 1984-04-24 | Takeda Chemical Industries, Ltd. | Thiazolidine derivatives |
| US4310534A (en) * | 1979-08-16 | 1982-01-12 | Mitsubishi Chemical Industries Limited | Pharmaceutically active 2-(4-aminobutoxy)stilbenes |
| US4929635A (en) * | 1984-04-06 | 1990-05-29 | Laboratoires Chauvin-Blache | New derivatives of 4-vinyl benzoic acid, process for their preparation and their uses in therapeutics and as ligands |
| US4716905A (en) * | 1985-09-25 | 1988-01-05 | Fluorochrome, Inc. | Method of retrograde fluorescent labeling of neurons |
| US5569786A (en) * | 1987-01-06 | 1996-10-29 | Arizona Board Of Regents Acting On Behalf Of Arizona State University | Isolation, structural elucidation and synthesis of novel antineoplastic substances denominated "combretastatins" |
| US5409953A (en) * | 1987-01-06 | 1995-04-25 | Arizona Board Of Regents Acting On Behalf Of Arizona State University | Isolation, structural elucidation and synthesis of novel antineoplastic substances denominated "combretastatins" |
| US4866086A (en) * | 1987-07-15 | 1989-09-12 | Imperial Chemical Industries Plc | Use of olefinic compounds |
| US4940707A (en) * | 1988-02-24 | 1990-07-10 | Hoffman-La Roche Inc. | Stilbene derivatives for treatment of skin disorders |
| US5250562A (en) * | 1988-02-24 | 1993-10-05 | Hoffmann-La Roche Inc. | Stilbene derivatives |
| US5378705A (en) * | 1988-02-24 | 1995-01-03 | Hoffmann-La Roche Inc. | Stilbene derivatives |
| US5087637A (en) * | 1989-08-08 | 1992-02-11 | Basf Aktiengesellschaft | Diarylacetylenes, the preparation and use thereof |
| US5189056A (en) * | 1989-12-19 | 1993-02-23 | University Of North Carolina At Chapel Hill | Protection of moist stratified squamous epithelia against damage from noxious luminal agents |
| US5587150A (en) * | 1990-02-14 | 1996-12-24 | L'oreal | Photostable cosmetic screening composition containing a UV-A screening agent and an alkyl β, β-diphenylacrylate or α-cyano-β,β-diphenylacrylate |
| US5391565A (en) * | 1990-08-06 | 1995-02-21 | Beechan Group P.L.C. | Oxazolidine dione derivatives |
| US5162337A (en) * | 1990-10-05 | 1992-11-10 | Merck & Co., Inc. | Animal growth promotion |
| US5494932A (en) * | 1991-02-05 | 1996-02-27 | Merrell Dow Pharmaceuticals Inc. | Sulfonic stilbene derivatives in the treatment of viral disease |
| US5672625A (en) * | 1991-02-05 | 1997-09-30 | Merrell Pharmaceuticals Inc. | Sulfonic stilbene derivatives in the treatment of viral diseases |
| US5583128A (en) * | 1991-04-24 | 1996-12-10 | Ciba-Geigy Corporation | Contraception in female primates without affecting the menstrual cycle |
| US5171753A (en) * | 1991-05-15 | 1992-12-15 | A. H. Robins Company, Incorporated | Derivatives of 2-amino-1-phenylethanol having antiulcer activity |
| US5532129A (en) * | 1991-11-07 | 1996-07-02 | Enterprise Partners Ii, L.P. | Self-organizing molecular photonic structures based on chromophore- and fluorophore-containing polynucleotides and methods of their use |
| US5565322A (en) * | 1991-11-07 | 1996-10-15 | Nanogen, Inc. | Hybridization of polynucleotides conjugated with chromophores and fluorophores to generate donor-to donor energy transfer system |
| US5246936A (en) * | 1991-12-20 | 1993-09-21 | American Cyanamid Company | Methods and compositions containing pesticides and stilbene compounds for enhanced pesticidal activity |
| US5314693A (en) * | 1992-02-07 | 1994-05-24 | Kioritz Corporation | Pest control chemicals against pine wood nematodes |
| US5430062A (en) * | 1992-05-21 | 1995-07-04 | Research Corporation Technologies, Inc. | Stilbene derivatives as anticancer agents |
| US5457226A (en) * | 1992-09-03 | 1995-10-10 | Givaudan-Roure Corporation | Process for the manufacture of cinnamic acid derivatives |
| US5589506A (en) * | 1993-03-10 | 1996-12-31 | Morinaga Milk Industry Co., Ltd. | Stilbene derivative and stilbene analog derivative, and use thereof |
| US5686478A (en) * | 1993-07-20 | 1997-11-11 | Merck & Co. Inc. | Endothelin antagonists |
| US5525632A (en) * | 1993-09-08 | 1996-06-11 | Ajinomoto Co., Ltd. | Stilbene derivatives and pharmaceutical compositions containing them |
| US5731353A (en) * | 1993-09-08 | 1998-03-24 | Ajinomoto Co., Inc. | Stilbene derivatives and pharmaceutical compositions containing them |
| US5565191A (en) * | 1993-12-14 | 1996-10-15 | 3V Inc. | Cosmetic and dermatological compositions for the protection against UV radiation containing stilbene derivatives |
| US5521160A (en) * | 1994-01-14 | 1996-05-28 | Hoffmann-La Roche Inc. | Sulfuric acid esters of sugar alcohols |
| US5559151A (en) * | 1994-11-30 | 1996-09-24 | Allergan | Method for reducing intraocular pressure in the mammalian eye by administration of chloride channel blockers |
| US5705530A (en) * | 1994-11-30 | 1998-01-06 | Allergan | Method for reducing intraocular pressure in the mammalian eye by administration of chloride channel blockers |
| US5674906A (en) * | 1995-03-07 | 1997-10-07 | Ajinomoto Co., Inc. | Stilbene compounds and pharmaceutical compositions containing them |
| US5767268A (en) * | 1995-05-05 | 1998-06-16 | Hoffmann-La Roche Inc. | Sulfuric acid esters of amino sugars |
| US5716928A (en) * | 1995-06-07 | 1998-02-10 | Avmax, Inc. | Use of essential oils to increase bioavailability of oral pharmaceutical compounds |
| US5770620A (en) * | 1995-06-19 | 1998-06-23 | Ontogen Corporation | Aryl acrylic acid derivatives useful as protein tyrosine phosphatase inhibitors |
| US5733909A (en) * | 1996-02-01 | 1998-03-31 | Merck Frosst Canada, Inc. | Diphenyl stilbenes as prodrugs to COX-2 inhibitors |
| US5827898A (en) * | 1996-10-07 | 1998-10-27 | Shaman Pharmaceuticals, Inc. | Use of bisphenolic compounds to treat type II diabetes |
| US6245814B1 (en) * | 1998-05-08 | 2001-06-12 | Calyx Therapeutics, Inc. | Diphenylethylene compounds |
| US6331633B1 (en) * | 1998-05-08 | 2001-12-18 | Calyx Therapeutics Inc. | Heterocyclic analogs of diphenylethylene compounds |
| US6624197B1 (en) * | 1998-05-08 | 2003-09-23 | Calyx Therapeutics, Inc. | Diphenylethylene compounds |
| US7105552B2 (en) * | 1998-05-08 | 2006-09-12 | Theracos, Inc. | Heterocyclic analogs of diphenylethylene compounds |
| US6262118B1 (en) * | 1999-06-04 | 2001-07-17 | Metabolex, Inc. | Use of (-) (3-trihalomethylphenoxy) (4-halophenyl) acetic acid derivatives for treatment of insulin resistance, type 2 diabetes and hyperlipidemia |
| US6646004B1 (en) * | 1999-06-04 | 2003-11-11 | Metabolex, Inc. | Use of (-) (3-trihalomethylphenoxy) (4-halophenyl) acetic acid derivatives for treatment of insulin resistance, type 2 diabetes and hyperlipidemia |
| US6525093B1 (en) * | 1999-11-08 | 2003-02-25 | Calyx Therapeutics Inc. | Compounds to treat diabetes and associated conditions |
| US6855732B2 (en) * | 1999-11-08 | 2005-02-15 | Theracos, Inc. | Compounds to treat diabetes and associated conditions |
| US6683009B2 (en) * | 2000-10-26 | 2004-01-27 | Infineon Technologies Ag | Method for local etching |
Also Published As
| Publication number | Publication date |
|---|---|
| JP2006528974A (en) | 2006-12-28 |
| CN100522151C (en) | 2009-08-05 |
| KR20060017603A (en) | 2006-02-24 |
| AU2004239292A1 (en) | 2004-11-25 |
| WO2004101752A2 (en) | 2004-11-25 |
| CA2524780A1 (en) | 2004-11-25 |
| WO2004101752A3 (en) | 2006-02-16 |
| US20040097593A1 (en) | 2004-05-20 |
| NZ543758A (en) | 2009-05-31 |
| CN1812779A (en) | 2006-08-02 |
| EP1625207A4 (en) | 2008-11-12 |
| US7323496B2 (en) | 2008-01-29 |
| EP1625207A2 (en) | 2006-02-15 |
| US20070259961A9 (en) | 2007-11-08 |
Similar Documents
| Publication | Publication Date | Title |
|---|---|---|
| US20080188654A1 (en) | Compounds for treatment of inflammation, diabetes and related disorders | |
| AU2009201342A1 (en) | Compounds for treatment of inflammation, diabetes and related disorders | |
| US8153843B2 (en) | Antibacterial agents | |
| JP4609691B2 (en) | Heterocyclic compounds and pharmaceutical uses thereof | |
| US7476756B2 (en) | Alkyl-, alkenyl- and alkynylcarbamate derivatives, their preparation and their application in therapeutics | |
| US20060235062A1 (en) | Novel heterocyclic analogs of diphenylethylene compounds | |
| JP2001294586A (en) | Piperazine as material for inhibiting fructose-1,6- bisphosphatase (fbp-ase) | |
| US6846825B1 (en) | Antibacterial agents | |
| US7105552B2 (en) | Heterocyclic analogs of diphenylethylene compounds | |
| US20080103302A1 (en) | Compounds for treatment of inflammation, diabetes and related disorders | |
| US20080108825A1 (en) | Compounds for treatment of inflammation, diabetes and related disorders | |
| EP0808309B1 (en) | Imidazole derivatives, their preparation and their use as s-adenosylmethionine decarboxylase (=samdc) inhibitors | |
| MXPA05012029A (en) | Compounds for treatment of inflammation, diabetes and related disorders | |
| JP2004531580A (en) | Peptide deformylase inhibitor |
Legal Events
| Date | Code | Title | Description |
|---|---|---|---|
| AS | Assignment |
Owner name: CALYX THERAPEUTICS, INC., CALIFORNIA Free format text: ASSIGNMENT OF ASSIGNORS INTEREST;ASSIGNORS:NEOGI, PARTHA;DEY, DEBEDRANATH;FULLER, JOSEPH;AND OTHERS;REEL/FRAME:020335/0324;SIGNING DATES FROM 20030927 TO 20040115 Owner name: THERACOS, INC., CALIFORNIA Free format text: ASSIGNMENT OF ASSIGNORS INTEREST;ASSIGNOR:CALYX THERAPEUTICS, INC.;REEL/FRAME:020349/0403 Effective date: 20030521 |
|
| STCB | Information on status: application discontinuation |
Free format text: ABANDONED -- FAILURE TO RESPOND TO AN OFFICE ACTION |

















































