US20080114010A1 - Novel Substituted Imidazole Compounds - Google Patents
Novel Substituted Imidazole Compounds Download PDFInfo
- Publication number
- US20080114010A1 US20080114010A1 US11/943,827 US94382707A US2008114010A1 US 20080114010 A1 US20080114010 A1 US 20080114010A1 US 94382707 A US94382707 A US 94382707A US 2008114010 A1 US2008114010 A1 US 2008114010A1
- Authority
- US
- United States
- Prior art keywords
- alkyl
- substituted
- optionally substituted
- aryl
- phenyl
- Prior art date
- Legal status (The legal status is an assumption and is not a legal conclusion. Google has not performed a legal analysis and makes no representation as to the accuracy of the status listed.)
- Abandoned
Links
- 150000002460 imidazoles Chemical class 0.000 title abstract description 12
- 150000001875 compounds Chemical class 0.000 claims description 190
- -1 CH2OR12 Chemical group 0.000 claims description 148
- 238000000034 method Methods 0.000 claims description 91
- 125000004178 (C1-C4) alkyl group Chemical group 0.000 claims description 66
- 108060008682 Tumor Necrosis Factor Proteins 0.000 claims description 64
- 102000000852 Tumor Necrosis Factor-alpha Human genes 0.000 claims description 64
- 125000003118 aryl group Chemical group 0.000 claims description 56
- 125000000217 alkyl group Chemical group 0.000 claims description 53
- 125000001072 heteroaryl group Chemical group 0.000 claims description 52
- 102000004127 Cytokines Human genes 0.000 claims description 51
- 108090000695 Cytokines Proteins 0.000 claims description 51
- 125000000008 (C1-C10) alkyl group Chemical group 0.000 claims description 49
- 125000001997 phenyl group Chemical group [H]C1=C([H])C([H])=C(*)C([H])=C1[H] 0.000 claims description 48
- 229910052739 hydrogen Inorganic materials 0.000 claims description 46
- 239000001257 hydrogen Substances 0.000 claims description 46
- 125000000623 heterocyclic group Chemical group 0.000 claims description 45
- 102000000589 Interleukin-1 Human genes 0.000 claims description 44
- 108010002352 Interleukin-1 Proteins 0.000 claims description 44
- 229910052736 halogen Inorganic materials 0.000 claims description 39
- 150000002367 halogens Chemical class 0.000 claims description 39
- 239000002904 solvent Substances 0.000 claims description 37
- 108090001007 Interleukin-8 Proteins 0.000 claims description 32
- 102000004890 Interleukin-8 Human genes 0.000 claims description 32
- 229910052760 oxygen Inorganic materials 0.000 claims description 29
- 150000003839 salts Chemical class 0.000 claims description 29
- QVGXLLKOCUKJST-UHFFFAOYSA-N atomic oxygen Chemical group [O] QVGXLLKOCUKJST-UHFFFAOYSA-N 0.000 claims description 27
- 210000004027 cell Anatomy 0.000 claims description 27
- 239000001301 oxygen Substances 0.000 claims description 27
- 230000008569 process Effects 0.000 claims description 26
- 125000001424 substituent group Chemical group 0.000 claims description 26
- 150000002431 hydrogen Chemical group 0.000 claims description 25
- 125000006272 (C3-C7) cycloalkyl group Chemical group 0.000 claims description 24
- NINIDFKCEFEMDL-UHFFFAOYSA-N Sulfur Chemical group [S] NINIDFKCEFEMDL-UHFFFAOYSA-N 0.000 claims description 23
- IJGRMHOSHXDMSA-UHFFFAOYSA-N nitrogen Substances N#N IJGRMHOSHXDMSA-UHFFFAOYSA-N 0.000 claims description 23
- 229910052717 sulfur Inorganic materials 0.000 claims description 23
- 239000011593 sulfur Chemical group 0.000 claims description 22
- 102000004889 Interleukin-6 Human genes 0.000 claims description 21
- 108090001005 Interleukin-6 Proteins 0.000 claims description 21
- 125000003107 substituted aryl group Chemical group 0.000 claims description 21
- 125000002887 hydroxy group Chemical group [H]O* 0.000 claims description 20
- 230000002401 inhibitory effect Effects 0.000 claims description 20
- 125000003710 aryl alkyl group Chemical group 0.000 claims description 19
- 125000002924 primary amino group Chemical group [H]N([H])* 0.000 claims description 19
- 238000004519 manufacturing process Methods 0.000 claims description 18
- 229910052757 nitrogen Inorganic materials 0.000 claims description 16
- PEDCQBHIVMGVHV-UHFFFAOYSA-N Glycerine Chemical compound OCC(O)CO PEDCQBHIVMGVHV-UHFFFAOYSA-N 0.000 claims description 15
- UFHFLCQGNIYNRP-UHFFFAOYSA-N Hydrogen Chemical compound [H][H] UFHFLCQGNIYNRP-UHFFFAOYSA-N 0.000 claims description 15
- LFQSCWFLJHTTHZ-UHFFFAOYSA-N Ethanol Chemical compound CCO LFQSCWFLJHTTHZ-UHFFFAOYSA-N 0.000 claims description 14
- 125000001153 fluoro group Chemical group F* 0.000 claims description 14
- 125000005842 heteroatom Chemical group 0.000 claims description 14
- 125000004169 (C1-C6) alkyl group Chemical group 0.000 claims description 12
- 125000004093 cyano group Chemical group *C#N 0.000 claims description 11
- 238000001727 in vivo Methods 0.000 claims description 11
- 230000000770 proinflammatory effect Effects 0.000 claims description 11
- 238000006467 substitution reaction Methods 0.000 claims description 11
- 125000005843 halogen group Chemical group 0.000 claims description 10
- XHXFXVLFKHQFAL-UHFFFAOYSA-N phosphoryl trichloride Chemical compound ClP(Cl)(Cl)=O XHXFXVLFKHQFAL-UHFFFAOYSA-N 0.000 claims description 10
- DNIAPMSPPWPWGF-UHFFFAOYSA-N Propylene glycol Chemical compound CC(O)CO DNIAPMSPPWPWGF-UHFFFAOYSA-N 0.000 claims description 9
- 125000000229 (C1-C4)alkoxy group Chemical group 0.000 claims description 8
- 239000008194 pharmaceutical composition Substances 0.000 claims description 8
- 125000004527 pyrimidin-4-yl group Chemical group N1=CN=C(C=C1)* 0.000 claims description 8
- 125000001637 1-naphthyl group Chemical group [H]C1=C([H])C([H])=C2C(*)=C([H])C([H])=C([H])C2=C1[H] 0.000 claims description 7
- 125000004435 hydrogen atom Chemical group [H]* 0.000 claims description 7
- ZDKIAVFEUPUCMR-UHFFFAOYSA-N 2-[4-(4-fluorophenyl)-5-(2-phenoxypyrimidin-4-yl)imidazol-1-yl]propane-1,3-diol Chemical compound OCC(CO)N1C=NC(C=2C=CC(F)=CC=2)=C1C(N=1)=CC=NC=1OC1=CC=CC=C1 ZDKIAVFEUPUCMR-UHFFFAOYSA-N 0.000 claims description 6
- 125000001622 2-naphthyl group Chemical group [H]C1=C([H])C([H])=C2C([H])=C(*)C([H])=C([H])C2=C1[H] 0.000 claims description 6
- 102000004083 Lymphotoxin-alpha Human genes 0.000 claims description 6
- 108090000542 Lymphotoxin-alpha Proteins 0.000 claims description 6
- 210000004556 brain Anatomy 0.000 claims description 5
- 210000002889 endothelial cell Anatomy 0.000 claims description 5
- 125000004446 heteroarylalkyl group Chemical group 0.000 claims description 5
- 125000000449 nitro group Chemical group [O-][N+](*)=O 0.000 claims description 5
- QJGQUHMNIGDVPM-UHFFFAOYSA-N nitrogen group Chemical group [N] QJGQUHMNIGDVPM-UHFFFAOYSA-N 0.000 claims description 5
- 239000002243 precursor Substances 0.000 claims description 5
- 125000001255 4-fluorophenyl group Chemical group [H]C1=C([H])C(*)=C([H])C([H])=C1F 0.000 claims description 4
- 125000004414 alkyl thio group Chemical group 0.000 claims description 4
- 239000003899 bactericide agent Substances 0.000 claims description 4
- 125000000392 cycloalkenyl group Chemical group 0.000 claims description 4
- 125000000714 pyrimidinyl group Chemical group 0.000 claims description 4
- 125000000475 sulfinyl group Chemical group [*:2]S([*:1])=O 0.000 claims description 4
- 239000000725 suspension Substances 0.000 claims description 4
- 125000004768 (C1-C4) alkylsulfinyl group Chemical group 0.000 claims description 3
- 125000006656 (C2-C4) alkenyl group Chemical group 0.000 claims description 3
- 125000006650 (C2-C4) alkynyl group Chemical group 0.000 claims description 3
- 125000006374 C2-C10 alkenyl group Chemical class 0.000 claims description 3
- 229910017711 NHRa Inorganic materials 0.000 claims description 3
- 125000000304 alkynyl group Chemical group 0.000 claims description 3
- 239000007864 aqueous solution Substances 0.000 claims description 3
- 230000003247 decreasing effect Effects 0.000 claims description 3
- 210000002950 fibroblast Anatomy 0.000 claims description 3
- 239000000417 fungicide Substances 0.000 claims description 3
- 230000002452 interceptive effect Effects 0.000 claims description 3
- 210000002510 keratinocyte Anatomy 0.000 claims description 3
- 239000004094 surface-active agent Substances 0.000 claims description 3
- 210000001130 astrocyte Anatomy 0.000 claims description 2
- 210000003719 b-lymphocyte Anatomy 0.000 claims description 2
- 210000004271 bone marrow stromal cell Anatomy 0.000 claims description 2
- 210000000822 natural killer cell Anatomy 0.000 claims description 2
- UHZYTMXLRWXGPK-UHFFFAOYSA-N phosphorus pentachloride Chemical compound ClP(Cl)(Cl)(Cl)Cl UHZYTMXLRWXGPK-UHFFFAOYSA-N 0.000 claims description 2
- DNIAPMSPPWPWGF-VKHMYHEASA-N (+)-propylene glycol Chemical group C[C@H](O)CO DNIAPMSPPWPWGF-VKHMYHEASA-N 0.000 claims 3
- YPFDHNVEDLHUCE-UHFFFAOYSA-N 1,3-propanediol Substances OCCCO YPFDHNVEDLHUCE-UHFFFAOYSA-N 0.000 claims 3
- 229920000166 polytrimethylene carbonate Polymers 0.000 claims 3
- 210000004962 mammalian cell Anatomy 0.000 claims 2
- MZOFCQQQCNRIBI-VMXHOPILSA-N (3s)-4-[[(2s)-1-[[(2s)-1-[[(1s)-1-carboxy-2-hydroxyethyl]amino]-4-methyl-1-oxopentan-2-yl]amino]-5-(diaminomethylideneamino)-1-oxopentan-2-yl]amino]-3-[[2-[[(2s)-2,6-diaminohexanoyl]amino]acetyl]amino]-4-oxobutanoic acid Chemical compound OC[C@@H](C(O)=O)NC(=O)[C@H](CC(C)C)NC(=O)[C@H](CCCN=C(N)N)NC(=O)[C@H](CC(O)=O)NC(=O)CNC(=O)[C@@H](N)CCCCN MZOFCQQQCNRIBI-VMXHOPILSA-N 0.000 claims 1
- 102100023482 Mitogen-activated protein kinase 14 Human genes 0.000 abstract description 58
- 108010068338 p38 Mitogen-Activated Protein Kinases Proteins 0.000 abstract description 29
- 108010084680 Heterogeneous-Nuclear Ribonucleoprotein K Proteins 0.000 abstract description 26
- 239000000203 mixture Chemical class 0.000 abstract description 24
- 238000002560 therapeutic procedure Methods 0.000 abstract description 7
- 229940043355 kinase inhibitor Drugs 0.000 abstract description 4
- 239000003757 phosphotransferase inhibitor Substances 0.000 abstract description 4
- 238000006243 chemical reaction Methods 0.000 description 48
- OKKJLVBELUTLKV-UHFFFAOYSA-N Methanol Chemical compound OC OKKJLVBELUTLKV-UHFFFAOYSA-N 0.000 description 43
- 201000010099 disease Diseases 0.000 description 43
- 208000037265 diseases, disorders, signs and symptoms Diseases 0.000 description 43
- 125000002496 methyl group Chemical group [H]C([H])([H])* 0.000 description 40
- YMWUJEATGCHHMB-UHFFFAOYSA-N Dichloromethane Chemical compound ClCCl YMWUJEATGCHHMB-UHFFFAOYSA-N 0.000 description 36
- 239000007787 solid Substances 0.000 description 33
- WYURNTSHIVDZCO-UHFFFAOYSA-N Tetrahydrofuran Chemical compound C1CCOC1 WYURNTSHIVDZCO-UHFFFAOYSA-N 0.000 description 32
- 239000002585 base Substances 0.000 description 31
- XKTZWUACRZHVAN-VADRZIEHSA-N interleukin-8 Chemical compound C([C@H](NC(=O)[C@H](CC(O)=O)NC(=O)[C@H](CC=1C2=CC=CC=C2NC=1)NC(=O)[C@@H](NC(C)=O)CCSC)C(=O)N[C@@H](CC(O)=O)C(=O)N[C@@H](CC(O)=O)C(=O)N[C@@H](CC(C)C)C(=O)N[C@@H](CC(N)=O)C(=O)N[C@@H](CC=1C=CC=CC=1)C(=O)N[C@@H]([C@@H](C)O)C(=O)NCC(=O)N[C@@H](CCSC)C(=O)N1[C@H](CCC1)C(=O)N1[C@H](CCC1)C(=O)N[C@@H](C)C(=O)N[C@H](CC(O)=O)C(=O)N[C@H](CCC(O)=O)C(=O)N[C@H](CC(O)=O)C(=O)N[C@H](CC=1C=CC(O)=CC=1)C(=O)N[C@H](CO)C(=O)N1[C@H](CCC1)C(N)=O)C1=CC=CC=C1 XKTZWUACRZHVAN-VADRZIEHSA-N 0.000 description 31
- 229940096397 interleukin-8 Drugs 0.000 description 31
- ZMXDDKWLCZADIW-UHFFFAOYSA-N N,N-Dimethylformamide Chemical compound CN(C)C=O ZMXDDKWLCZADIW-UHFFFAOYSA-N 0.000 description 30
- RAXXELZNTBOGNW-UHFFFAOYSA-N imidazole Natural products C1=CNC=N1 RAXXELZNTBOGNW-UHFFFAOYSA-N 0.000 description 30
- 238000011282 treatment Methods 0.000 description 30
- XEKOWRVHYACXOJ-UHFFFAOYSA-N Ethyl acetate Chemical compound CCOC(C)=O XEKOWRVHYACXOJ-UHFFFAOYSA-N 0.000 description 29
- 241000124008 Mammalia Species 0.000 description 28
- 125000001495 ethyl group Chemical group [H]C([H])([H])C([H])([H])* 0.000 description 25
- WEVYAHXRMPXWCK-UHFFFAOYSA-N Acetonitrile Chemical compound CC#N WEVYAHXRMPXWCK-UHFFFAOYSA-N 0.000 description 24
- ISWSIDIOOBJBQZ-UHFFFAOYSA-N Phenol Chemical compound OC1=CC=CC=C1 ISWSIDIOOBJBQZ-UHFFFAOYSA-N 0.000 description 24
- YXFVVABEGXRONW-UHFFFAOYSA-N Toluene Chemical compound CC1=CC=CC=C1 YXFVVABEGXRONW-UHFFFAOYSA-N 0.000 description 24
- ZMANZCXQSJIPKH-UHFFFAOYSA-N Triethylamine Chemical compound CCN(CC)CC ZMANZCXQSJIPKH-UHFFFAOYSA-N 0.000 description 24
- 230000015572 biosynthetic process Effects 0.000 description 24
- XLYOFNOQVPJJNP-UHFFFAOYSA-N water Substances O XLYOFNOQVPJJNP-UHFFFAOYSA-N 0.000 description 24
- BKMMTJMQCTUHRP-VKHMYHEASA-N (S)-2-aminopropan-1-ol Chemical compound C[C@H](N)CO BKMMTJMQCTUHRP-VKHMYHEASA-N 0.000 description 20
- RHMPLDJJXGPMEX-UHFFFAOYSA-N 4-fluorophenol Chemical compound OC1=CC=C(F)C=C1 RHMPLDJJXGPMEX-UHFFFAOYSA-N 0.000 description 20
- JUJWROOIHBZHMG-UHFFFAOYSA-N Pyridine Chemical group C1=CC=NC=C1 JUJWROOIHBZHMG-UHFFFAOYSA-N 0.000 description 20
- 229940100601 interleukin-6 Drugs 0.000 description 20
- 230000005764 inhibitory process Effects 0.000 description 19
- 239000000243 solution Substances 0.000 description 19
- 238000003786 synthesis reaction Methods 0.000 description 19
- XKRFYHLGVUSROY-UHFFFAOYSA-N Argon Chemical compound [Ar] XKRFYHLGVUSROY-UHFFFAOYSA-N 0.000 description 18
- YLQBMQCUIZJEEH-UHFFFAOYSA-N Furan Chemical compound C=1C=COC=1 YLQBMQCUIZJEEH-UHFFFAOYSA-N 0.000 description 18
- ZHNUHDYFZUAESO-UHFFFAOYSA-N Formamide Chemical compound NC=O ZHNUHDYFZUAESO-UHFFFAOYSA-N 0.000 description 17
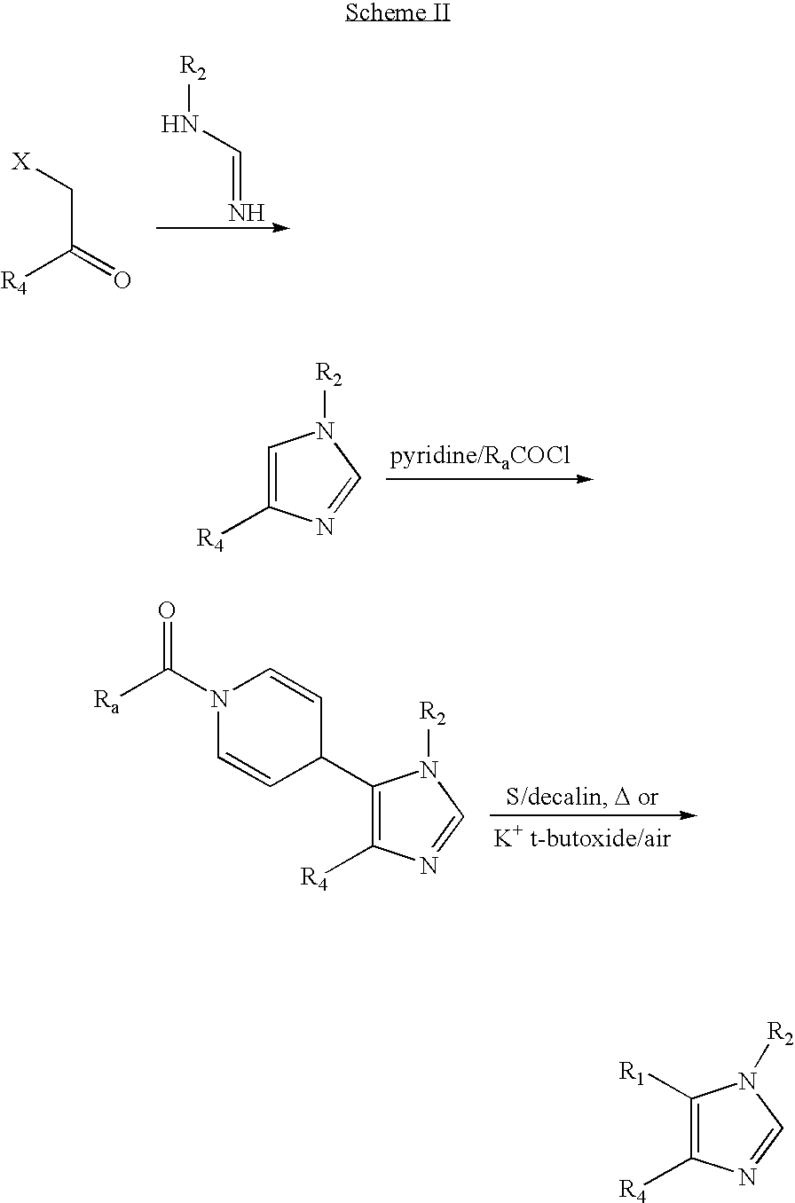
- 0 [1*]C1=C([4*])N=CN1[2*] Chemical compound [1*]C1=C([4*])N=CN1[2*] 0.000 description 17
- 238000003556 assay Methods 0.000 description 17
- 230000000875 corresponding effect Effects 0.000 description 17
- BWHMMNNQKKPAPP-UHFFFAOYSA-L potassium carbonate Chemical compound [K+].[K+].[O-]C([O-])=O BWHMMNNQKKPAPP-UHFFFAOYSA-L 0.000 description 16
- QTBSBXVTEAMEQO-UHFFFAOYSA-N acetic acid Substances CC(O)=O QTBSBXVTEAMEQO-UHFFFAOYSA-N 0.000 description 15
- 239000000047 product Substances 0.000 description 15
- IAZDPXIOMUYVGZ-UHFFFAOYSA-N Dimethylsulphoxide Chemical compound CS(C)=O IAZDPXIOMUYVGZ-UHFFFAOYSA-N 0.000 description 14
- 102100038280 Prostaglandin G/H synthase 2 Human genes 0.000 description 14
- 108050003267 Prostaglandin G/H synthase 2 Proteins 0.000 description 14
- 241000700605 Viruses Species 0.000 description 14
- 125000001797 benzyl group Chemical group [H]C1=C([H])C([H])=C(C([H])=C1[H])C([H])([H])* 0.000 description 14
- 230000000694 effects Effects 0.000 description 14
- 235000019439 ethyl acetate Nutrition 0.000 description 14
- 150000002466 imines Chemical class 0.000 description 14
- XTHFKEDIFFGKHM-UHFFFAOYSA-N Dimethoxyethane Chemical compound COCCOC XTHFKEDIFFGKHM-UHFFFAOYSA-N 0.000 description 13
- VEXZGXHMUGYJMC-UHFFFAOYSA-N Hydrochloric acid Chemical compound Cl VEXZGXHMUGYJMC-UHFFFAOYSA-N 0.000 description 12
- 108091000080 Phosphotransferase Proteins 0.000 description 12
- 239000003054 catalyst Substances 0.000 description 12
- 125000001309 chloro group Chemical group Cl* 0.000 description 12
- 238000010438 heat treatment Methods 0.000 description 12
- 150000002527 isonitriles Chemical class 0.000 description 12
- 230000001404 mediated effect Effects 0.000 description 12
- VLKZOEOYAKHREP-UHFFFAOYSA-N n-Hexane Chemical compound CCCCCC VLKZOEOYAKHREP-UHFFFAOYSA-N 0.000 description 12
- 102000020233 phosphotransferase Human genes 0.000 description 12
- 230000002757 inflammatory effect Effects 0.000 description 11
- 238000003756 stirring Methods 0.000 description 11
- NQRYJNQNLNOLGT-UHFFFAOYSA-N tetrahydropyridine hydrochloride Natural products C1CCNCC1 NQRYJNQNLNOLGT-UHFFFAOYSA-N 0.000 description 11
- 125000002023 trifluoromethyl group Chemical group FC(F)(F)* 0.000 description 11
- HEDRZPFGACZZDS-UHFFFAOYSA-N Chloroform Chemical compound ClC(Cl)Cl HEDRZPFGACZZDS-UHFFFAOYSA-N 0.000 description 10
- 206010040070 Septic Shock Diseases 0.000 description 10
- 150000001299 aldehydes Chemical class 0.000 description 10
- 238000005859 coupling reaction Methods 0.000 description 10
- 230000014509 gene expression Effects 0.000 description 10
- IXCSERBJSXMMFS-UHFFFAOYSA-N hydrogen chloride Substances Cl.Cl IXCSERBJSXMMFS-UHFFFAOYSA-N 0.000 description 10
- 229910000041 hydrogen chloride Inorganic materials 0.000 description 10
- 210000000440 neutrophil Anatomy 0.000 description 10
- 239000003921 oil Substances 0.000 description 10
- 235000019198 oils Nutrition 0.000 description 10
- 238000002360 preparation method Methods 0.000 description 10
- UMJSCPRVCHMLSP-UHFFFAOYSA-N pyridine Natural products COC1=CC=CN=C1 UMJSCPRVCHMLSP-UHFFFAOYSA-N 0.000 description 10
- 241000700159 Rattus Species 0.000 description 9
- 150000001408 amides Chemical class 0.000 description 9
- 229910052786 argon Inorganic materials 0.000 description 9
- 239000000543 intermediate Substances 0.000 description 9
- 125000000027 (C1-C10) alkoxy group Chemical group 0.000 description 8
- 239000007832 Na2SO4 Substances 0.000 description 8
- PMZURENOXWZQFD-UHFFFAOYSA-L Sodium Sulfate Chemical compound [Na+].[Na+].[O-]S([O-])(=O)=O PMZURENOXWZQFD-UHFFFAOYSA-L 0.000 description 8
- HEDRZPFGACZZDS-MICDWDOJSA-N Trichloro(2H)methane Chemical compound [2H]C(Cl)(Cl)Cl HEDRZPFGACZZDS-MICDWDOJSA-N 0.000 description 8
- 239000002253 acid Substances 0.000 description 8
- 235000001014 amino acid Nutrition 0.000 description 8
- 229940024606 amino acid Drugs 0.000 description 8
- 150000001413 amino acids Chemical class 0.000 description 8
- 210000004369 blood Anatomy 0.000 description 8
- 239000008280 blood Substances 0.000 description 8
- 230000008878 coupling Effects 0.000 description 8
- 238000010168 coupling process Methods 0.000 description 8
- 150000002148 esters Chemical class 0.000 description 8
- 239000003112 inhibitor Substances 0.000 description 8
- BDAGIHXWWSANSR-UHFFFAOYSA-N methanoic acid Natural products OC=O BDAGIHXWWSANSR-UHFFFAOYSA-N 0.000 description 8
- 125000001570 methylene group Chemical class [H]C([H])([*:1])[*:2] 0.000 description 8
- IWDCLRJOBJJRNH-UHFFFAOYSA-N p-cresol Chemical compound CC1=CC=C(O)C=C1 IWDCLRJOBJJRNH-UHFFFAOYSA-N 0.000 description 8
- NFHFRUOZVGFOOS-UHFFFAOYSA-N palladium;triphenylphosphane Chemical compound [Pd].C1=CC=CC=C1P(C=1C=CC=CC=1)C1=CC=CC=C1.C1=CC=CC=C1P(C=1C=CC=CC=1)C1=CC=CC=C1.C1=CC=CC=C1P(C=1C=CC=CC=1)C1=CC=CC=C1.C1=CC=CC=C1P(C=1C=CC=CC=1)C1=CC=CC=C1 NFHFRUOZVGFOOS-UHFFFAOYSA-N 0.000 description 8
- 229910000027 potassium carbonate Inorganic materials 0.000 description 8
- 229910052938 sodium sulfate Inorganic materials 0.000 description 8
- JOXIMZWYDAKGHI-UHFFFAOYSA-N toluene-4-sulfonic acid Chemical compound CC1=CC=C(S(O)(=O)=O)C=C1 JOXIMZWYDAKGHI-UHFFFAOYSA-N 0.000 description 8
- 230000006433 tumor necrosis factor production Effects 0.000 description 8
- 206010006895 Cachexia Diseases 0.000 description 7
- MZRVEZGGRBJDDB-UHFFFAOYSA-N N-Butyllithium Chemical compound [Li]CCCC MZRVEZGGRBJDDB-UHFFFAOYSA-N 0.000 description 7
- 102000001253 Protein Kinase Human genes 0.000 description 7
- 150000001412 amines Chemical class 0.000 description 7
- 150000001450 anions Chemical class 0.000 description 7
- 206010003246 arthritis Diseases 0.000 description 7
- 239000003795 chemical substances by application Substances 0.000 description 7
- 239000012043 crude product Substances 0.000 description 7
- 230000016396 cytokine production Effects 0.000 description 7
- 238000009472 formulation Methods 0.000 description 7
- 239000012442 inert solvent Substances 0.000 description 7
- 208000015181 infectious disease Diseases 0.000 description 7
- 210000001616 monocyte Anatomy 0.000 description 7
- 239000012074 organic phase Substances 0.000 description 7
- 150000003141 primary amines Chemical class 0.000 description 7
- 108060006633 protein kinase Proteins 0.000 description 7
- 230000019491 signal transduction Effects 0.000 description 7
- ZQUSYVORYNBGLG-FQEVSTJZSA-N (2s)-2-[[1-(7-chloroquinolin-4-yl)-5-(2,6-dimethoxyphenyl)pyrazole-3-carbonyl]amino]-4-methylpentanoic acid Chemical compound COC1=CC=CC(OC)=C1C1=CC(C(=O)N[C@@H](CC(C)C)C(O)=O)=NN1C1=CC=NC2=CC(Cl)=CC=C12 ZQUSYVORYNBGLG-FQEVSTJZSA-N 0.000 description 6
- GQHTUMJGOHRCHB-UHFFFAOYSA-N 2,3,4,6,7,8,9,10-octahydropyrimido[1,2-a]azepine Chemical compound C1CCCCN2CCCN=C21 GQHTUMJGOHRCHB-UHFFFAOYSA-N 0.000 description 6
- DILXLMRYFWFBGR-UHFFFAOYSA-N 2-formylbenzene-1,4-disulfonic acid Chemical compound OS(=O)(=O)C1=CC=C(S(O)(=O)=O)C(C=O)=C1 DILXLMRYFWFBGR-UHFFFAOYSA-N 0.000 description 6
- VHYFNPMBLIVWCW-UHFFFAOYSA-N 4-Dimethylaminopyridine Chemical compound CN(C)C1=CC=NC=C1 VHYFNPMBLIVWCW-UHFFFAOYSA-N 0.000 description 6
- 125000000339 4-pyridyl group Chemical group N1=C([H])C([H])=C([*])C([H])=C1[H] 0.000 description 6
- 208000030507 AIDS Diseases 0.000 description 6
- CSCPPACGZOOCGX-UHFFFAOYSA-N Acetone Chemical compound CC(C)=O CSCPPACGZOOCGX-UHFFFAOYSA-N 0.000 description 6
- 102000004190 Enzymes Human genes 0.000 description 6
- 108090000790 Enzymes Proteins 0.000 description 6
- 206010061218 Inflammation Diseases 0.000 description 6
- YNAVUWVOSKDBBP-UHFFFAOYSA-N Morpholine Chemical compound C1COCCN1 YNAVUWVOSKDBBP-UHFFFAOYSA-N 0.000 description 6
- RWRDLPDLKQPQOW-UHFFFAOYSA-N Pyrrolidine Chemical compound C1CCNC1 RWRDLPDLKQPQOW-UHFFFAOYSA-N 0.000 description 6
- HEMHJVSKTPXQMS-UHFFFAOYSA-M Sodium hydroxide Chemical compound [OH-].[Na+] HEMHJVSKTPXQMS-UHFFFAOYSA-M 0.000 description 6
- 208000030886 Traumatic Brain injury Diseases 0.000 description 6
- 239000003377 acid catalyst Substances 0.000 description 6
- 230000004913 activation Effects 0.000 description 6
- 125000003178 carboxy group Chemical group [H]OC(*)=O 0.000 description 6
- UAOMVDZJSHZZME-UHFFFAOYSA-N diisopropylamine Chemical compound CC(C)NC(C)C UAOMVDZJSHZZME-UHFFFAOYSA-N 0.000 description 6
- 239000002158 endotoxin Substances 0.000 description 6
- 229940088598 enzyme Drugs 0.000 description 6
- 238000003818 flash chromatography Methods 0.000 description 6
- 125000000524 functional group Chemical group 0.000 description 6
- 230000004054 inflammatory process Effects 0.000 description 6
- 230000021995 interleukin-8 production Effects 0.000 description 6
- 239000007788 liquid Substances 0.000 description 6
- 210000002540 macrophage Anatomy 0.000 description 6
- 238000010992 reflux Methods 0.000 description 6
- 206010039073 rheumatoid arthritis Diseases 0.000 description 6
- 125000000547 substituted alkyl group Chemical group 0.000 description 6
- 210000001519 tissue Anatomy 0.000 description 6
- 230000009529 traumatic brain injury Effects 0.000 description 6
- 238000005160 1H NMR spectroscopy Methods 0.000 description 5
- 125000000094 2-phenylethyl group Chemical group [H]C1=C([H])C([H])=C(C([H])=C1[H])C([H])([H])C([H])([H])* 0.000 description 5
- RTZKZFJDLAIYFH-UHFFFAOYSA-N Diethyl ether Chemical compound CCOCC RTZKZFJDLAIYFH-UHFFFAOYSA-N 0.000 description 5
- VGGSQFUCUMXWEO-UHFFFAOYSA-N Ethene Chemical group C=C VGGSQFUCUMXWEO-UHFFFAOYSA-N 0.000 description 5
- 239000005977 Ethylene Chemical group 0.000 description 5
- PXGOKWXKJXAPGV-UHFFFAOYSA-N Fluorine Chemical compound FF PXGOKWXKJXAPGV-UHFFFAOYSA-N 0.000 description 5
- 241000699670 Mus sp. Species 0.000 description 5
- 208000002193 Pain Diseases 0.000 description 5
- KDLHZDBZIXYQEI-UHFFFAOYSA-N Palladium Chemical compound [Pd] KDLHZDBZIXYQEI-UHFFFAOYSA-N 0.000 description 5
- KAESVJOAVNADME-UHFFFAOYSA-N Pyrrole Chemical compound C=1C=CNC=1 KAESVJOAVNADME-UHFFFAOYSA-N 0.000 description 5
- VYPSYNLAJGMNEJ-UHFFFAOYSA-N Silicium dioxide Chemical compound O=[Si]=O VYPSYNLAJGMNEJ-UHFFFAOYSA-N 0.000 description 5
- QAOWNCQODCNURD-UHFFFAOYSA-N Sulfuric acid Chemical compound OS(O)(=O)=O QAOWNCQODCNURD-UHFFFAOYSA-N 0.000 description 5
- 239000004480 active ingredient Substances 0.000 description 5
- 230000033115 angiogenesis Effects 0.000 description 5
- 239000008346 aqueous phase Substances 0.000 description 5
- 230000008901 benefit Effects 0.000 description 5
- 239000012267 brine Substances 0.000 description 5
- 239000003153 chemical reaction reagent Substances 0.000 description 5
- IJOOHPMOJXWVHK-UHFFFAOYSA-N chlorotrimethylsilane Chemical compound C[Si](C)(C)Cl IJOOHPMOJXWVHK-UHFFFAOYSA-N 0.000 description 5
- 230000003090 exacerbative effect Effects 0.000 description 5
- 239000011737 fluorine Substances 0.000 description 5
- 229910052731 fluorine Inorganic materials 0.000 description 5
- UQSQSQZYBQSBJZ-UHFFFAOYSA-M fluorosulfonate Chemical compound [O-]S(F)(=O)=O UQSQSQZYBQSBJZ-UHFFFAOYSA-M 0.000 description 5
- 125000001449 isopropyl group Chemical group [H]C([H])([H])C([H])(*)C([H])([H])[H] 0.000 description 5
- 150000002576 ketones Chemical class 0.000 description 5
- 229910052744 lithium Inorganic materials 0.000 description 5
- 108020004999 messenger RNA Proteins 0.000 description 5
- 125000003386 piperidinyl group Chemical group 0.000 description 5
- 230000035755 proliferation Effects 0.000 description 5
- 238000011321 prophylaxis Methods 0.000 description 5
- 125000006239 protecting group Chemical group 0.000 description 5
- 239000011541 reaction mixture Substances 0.000 description 5
- 150000003335 secondary amines Chemical class 0.000 description 5
- 239000000741 silica gel Substances 0.000 description 5
- 229910002027 silica gel Inorganic materials 0.000 description 5
- 210000003491 skin Anatomy 0.000 description 5
- HPALAKNZSZLMCH-UHFFFAOYSA-M sodium;chloride;hydrate Chemical compound O.[Na+].[Cl-] HPALAKNZSZLMCH-UHFFFAOYSA-M 0.000 description 5
- 238000010561 standard procedure Methods 0.000 description 5
- 239000000758 substrate Substances 0.000 description 5
- 125000000999 tert-butyl group Chemical group [H]C([H])([H])C(*)(C([H])([H])[H])C([H])([H])[H] 0.000 description 5
- MIOPJNTWMNEORI-GMSGAONNSA-N (S)-camphorsulfonic acid Chemical compound C1C[C@@]2(CS(O)(=O)=O)C(=O)C[C@@H]1C2(C)C MIOPJNTWMNEORI-GMSGAONNSA-N 0.000 description 4
- OSWFIVFLDKOXQC-UHFFFAOYSA-N 4-(3-methoxyphenyl)aniline Chemical compound COC1=CC=CC(C=2C=CC(N)=CC=2)=C1 OSWFIVFLDKOXQC-UHFFFAOYSA-N 0.000 description 4
- YYROPELSRYBVMQ-UHFFFAOYSA-N 4-toluenesulfonyl chloride Chemical compound CC1=CC=C(S(Cl)(=O)=O)C=C1 YYROPELSRYBVMQ-UHFFFAOYSA-N 0.000 description 4
- 206010001513 AIDS related complex Diseases 0.000 description 4
- 201000001320 Atherosclerosis Diseases 0.000 description 4
- OKTJSMMVPCPJKN-UHFFFAOYSA-N Carbon Chemical group [C] OKTJSMMVPCPJKN-UHFFFAOYSA-N 0.000 description 4
- ZAMOUSCENKQFHK-UHFFFAOYSA-N Chlorine atom Chemical compound [Cl] ZAMOUSCENKQFHK-UHFFFAOYSA-N 0.000 description 4
- 238000002965 ELISA Methods 0.000 description 4
- 206010014824 Endotoxic shock Diseases 0.000 description 4
- 241000713800 Feline immunodeficiency virus Species 0.000 description 4
- 201000005569 Gout Diseases 0.000 description 4
- OUYCCCASQSFEME-QMMMGPOBSA-N L-tyrosine Chemical compound OC(=O)[C@@H](N)CC1=CC=C(O)C=C1 OUYCCCASQSFEME-QMMMGPOBSA-N 0.000 description 4
- 102000043136 MAP kinase family Human genes 0.000 description 4
- 108091054455 MAP kinase family Proteins 0.000 description 4
- 206010028289 Muscle atrophy Diseases 0.000 description 4
- 206010028980 Neoplasm Diseases 0.000 description 4
- 206010063837 Reperfusion injury Diseases 0.000 description 4
- 206010040047 Sepsis Diseases 0.000 description 4
- UIIMBOGNXHQVGW-UHFFFAOYSA-M Sodium bicarbonate Chemical compound [Na+].OC([O-])=O UIIMBOGNXHQVGW-UHFFFAOYSA-M 0.000 description 4
- 206010044248 Toxic shock syndrome Diseases 0.000 description 4
- 231100000650 Toxic shock syndrome Toxicity 0.000 description 4
- 150000001409 amidines Chemical class 0.000 description 4
- 201000011510 cancer Diseases 0.000 description 4
- 229910052799 carbon Inorganic materials 0.000 description 4
- 150000001768 cations Chemical class 0.000 description 4
- 239000000460 chlorine Substances 0.000 description 4
- 229910052801 chlorine Inorganic materials 0.000 description 4
- NNBZCPXTIHJBJL-UHFFFAOYSA-N decalin Chemical compound C1CCCC2CCCCC21 NNBZCPXTIHJBJL-UHFFFAOYSA-N 0.000 description 4
- 230000007423 decrease Effects 0.000 description 4
- 239000003085 diluting agent Substances 0.000 description 4
- 125000001301 ethoxy group Chemical group [H]C([H])([H])C([H])([H])O* 0.000 description 4
- 238000001914 filtration Methods 0.000 description 4
- 235000019253 formic acid Nutrition 0.000 description 4
- 238000011065 in-situ storage Methods 0.000 description 4
- 229920006008 lipopolysaccharide Polymers 0.000 description 4
- KWGKDLIKAYFUFQ-UHFFFAOYSA-M lithium chloride Chemical compound [Li+].[Cl-] KWGKDLIKAYFUFQ-UHFFFAOYSA-M 0.000 description 4
- 239000006210 lotion Substances 0.000 description 4
- 125000000956 methoxy group Chemical group [H]C([H])([H])O* 0.000 description 4
- 201000008482 osteoarthritis Diseases 0.000 description 4
- CTSLXHKWHWQRSH-UHFFFAOYSA-N oxalyl chloride Chemical compound ClC(=O)C(Cl)=O CTSLXHKWHWQRSH-UHFFFAOYSA-N 0.000 description 4
- 108090000765 processed proteins & peptides Proteins 0.000 description 4
- 235000018102 proteins Nutrition 0.000 description 4
- 108090000623 proteins and genes Proteins 0.000 description 4
- 102000004169 proteins and genes Human genes 0.000 description 4
- 230000002685 pulmonary effect Effects 0.000 description 4
- 230000009467 reduction Effects 0.000 description 4
- 230000035882 stress Effects 0.000 description 4
- YBRBMKDOPFTVDT-UHFFFAOYSA-N tert-butylamine Chemical compound CC(C)(C)N YBRBMKDOPFTVDT-UHFFFAOYSA-N 0.000 description 4
- 238000012360 testing method Methods 0.000 description 4
- OUYCCCASQSFEME-UHFFFAOYSA-N tyrosine Natural products OC(=O)C(N)CC1=CC=C(O)C=C1 OUYCCCASQSFEME-UHFFFAOYSA-N 0.000 description 4
- JCBPETKZIGVZRE-SCSAIBSYSA-N (2r)-2-aminobutan-1-ol Chemical compound CC[C@@H](N)CO JCBPETKZIGVZRE-SCSAIBSYSA-N 0.000 description 3
- JCBPETKZIGVZRE-BYPYZUCNSA-N (2s)-2-aminobutan-1-ol Chemical compound CC[C@H](N)CO JCBPETKZIGVZRE-BYPYZUCNSA-N 0.000 description 3
- KJJPLEZQSCZCKE-UHFFFAOYSA-N 2-aminopropane-1,3-diol Chemical compound OCC(N)CO KJJPLEZQSCZCKE-UHFFFAOYSA-N 0.000 description 3
- BXYFCVHKKJFTPL-UHFFFAOYSA-N 2-propylpyrimidine-4-carbothialdehyde Chemical compound CCCC1=NC=CC(C=S)=N1 BXYFCVHKKJFTPL-UHFFFAOYSA-N 0.000 description 3
- WXNZTHHGJRFXKQ-UHFFFAOYSA-N 4-chlorophenol Chemical compound OC1=CC=C(Cl)C=C1 WXNZTHHGJRFXKQ-UHFFFAOYSA-N 0.000 description 3
- ZCYVEMRRCGMTRW-UHFFFAOYSA-N 7553-56-2 Chemical compound [I] ZCYVEMRRCGMTRW-UHFFFAOYSA-N 0.000 description 3
- PVFOHMXILQEIHX-UHFFFAOYSA-N 8-[(6-bromo-1,3-benzodioxol-5-yl)sulfanyl]-9-[2-(2-bromophenyl)ethyl]purin-6-amine Chemical compound C=1C=2OCOC=2C=C(Br)C=1SC1=NC=2C(N)=NC=NC=2N1CCC1=CC=CC=C1Br PVFOHMXILQEIHX-UHFFFAOYSA-N 0.000 description 3
- 206010001052 Acute respiratory distress syndrome Diseases 0.000 description 3
- UHOVQNZJYSORNB-UHFFFAOYSA-N Benzene Chemical compound C1=CC=CC=C1 UHOVQNZJYSORNB-UHFFFAOYSA-N 0.000 description 3
- WKBOTKDWSSQWDR-UHFFFAOYSA-N Bromine atom Chemical compound [Br] WKBOTKDWSSQWDR-UHFFFAOYSA-N 0.000 description 3
- 108060005980 Collagenase Proteins 0.000 description 3
- 102000029816 Collagenase Human genes 0.000 description 3
- GSNUFIFRDBKVIE-UHFFFAOYSA-N DMF Natural products CC1=CC=C(C)O1 GSNUFIFRDBKVIE-UHFFFAOYSA-N 0.000 description 3
- 241000725303 Human immunodeficiency virus Species 0.000 description 3
- 208000022559 Inflammatory bowel disease Diseases 0.000 description 3
- QNAYBMKLOCPYGJ-REOHCLBHSA-N L-alanine Chemical compound C[C@H](N)C(O)=O QNAYBMKLOCPYGJ-REOHCLBHSA-N 0.000 description 3
- COLNVLDHVKWLRT-QMMMGPOBSA-N L-phenylalanine Chemical compound OC(=O)[C@@H](N)CC1=CC=CC=C1 COLNVLDHVKWLRT-QMMMGPOBSA-N 0.000 description 3
- 241001465754 Metazoa Species 0.000 description 3
- BZLVMXJERCGZMT-UHFFFAOYSA-N Methyl tert-butyl ether Chemical compound COC(C)(C)C BZLVMXJERCGZMT-UHFFFAOYSA-N 0.000 description 3
- MUBZPKHOEPUJKR-UHFFFAOYSA-N Oxalic acid Chemical compound OC(=O)C(O)=O MUBZPKHOEPUJKR-UHFFFAOYSA-N 0.000 description 3
- 201000004681 Psoriasis Diseases 0.000 description 3
- 206010037660 Pyrexia Diseases 0.000 description 3
- 208000013616 Respiratory Distress Syndrome Diseases 0.000 description 3
- 208000006011 Stroke Diseases 0.000 description 3
- 208000036142 Viral infection Diseases 0.000 description 3
- DHKHKXVYLBGOIT-UHFFFAOYSA-N acetaldehyde Diethyl Acetal Natural products CCOC(C)OCC DHKHKXVYLBGOIT-UHFFFAOYSA-N 0.000 description 3
- 150000001241 acetals Chemical class 0.000 description 3
- 229960000583 acetic acid Drugs 0.000 description 3
- 235000011054 acetic acid Nutrition 0.000 description 3
- 150000007513 acids Chemical class 0.000 description 3
- 230000009471 action Effects 0.000 description 3
- 230000001154 acute effect Effects 0.000 description 3
- 125000002252 acyl group Chemical group 0.000 description 3
- 208000011341 adult acute respiratory distress syndrome Diseases 0.000 description 3
- 201000000028 adult respiratory distress syndrome Diseases 0.000 description 3
- 235000004279 alanine Nutrition 0.000 description 3
- 125000003545 alkoxy group Chemical group 0.000 description 3
- 125000003282 alkyl amino group Chemical group 0.000 description 3
- 125000002947 alkylene group Chemical group 0.000 description 3
- 230000000844 anti-bacterial effect Effects 0.000 description 3
- 230000003110 anti-inflammatory effect Effects 0.000 description 3
- 125000003435 aroyl group Chemical group 0.000 description 3
- 230000002917 arthritic effect Effects 0.000 description 3
- 210000003651 basophil Anatomy 0.000 description 3
- WPYMKLBDIGXBTP-UHFFFAOYSA-N benzoic acid Chemical compound OC(=O)C1=CC=CC=C1 WPYMKLBDIGXBTP-UHFFFAOYSA-N 0.000 description 3
- 230000004071 biological effect Effects 0.000 description 3
- 125000006367 bivalent amino carbonyl group Chemical group [H]N([*:1])C([*:2])=O 0.000 description 3
- 150000001642 boronic acid derivatives Chemical class 0.000 description 3
- GDTBXPJZTBHREO-UHFFFAOYSA-N bromine Substances BrBr GDTBXPJZTBHREO-UHFFFAOYSA-N 0.000 description 3
- 229910052794 bromium Inorganic materials 0.000 description 3
- 125000004432 carbon atom Chemical group C* 0.000 description 3
- KRKNYBCHXYNGOX-UHFFFAOYSA-N citric acid Chemical compound OC(=O)CC(O)(C(O)=O)CC(O)=O KRKNYBCHXYNGOX-UHFFFAOYSA-N 0.000 description 3
- 229960002424 collagenase Drugs 0.000 description 3
- 230000001276 controlling effect Effects 0.000 description 3
- 238000007796 conventional method Methods 0.000 description 3
- 239000013078 crystal Substances 0.000 description 3
- 239000012024 dehydrating agents Substances 0.000 description 3
- 230000005595 deprotonation Effects 0.000 description 3
- 238000010537 deprotonation reaction Methods 0.000 description 3
- 206010012601 diabetes mellitus Diseases 0.000 description 3
- 239000002552 dosage form Substances 0.000 description 3
- 230000003828 downregulation Effects 0.000 description 3
- 239000003937 drug carrier Substances 0.000 description 3
- 230000008595 infiltration Effects 0.000 description 3
- 238000001764 infiltration Methods 0.000 description 3
- 206010022000 influenza Diseases 0.000 description 3
- 239000004615 ingredient Substances 0.000 description 3
- 230000018276 interleukin-1 production Effects 0.000 description 3
- 238000007918 intramuscular administration Methods 0.000 description 3
- 239000011630 iodine Substances 0.000 description 3
- 229910052740 iodine Inorganic materials 0.000 description 3
- ZCSHNCUQKCANBX-UHFFFAOYSA-N lithium diisopropylamide Chemical compound [Li+].CC(C)[N-]C(C)C ZCSHNCUQKCANBX-UHFFFAOYSA-N 0.000 description 3
- 239000011777 magnesium Substances 0.000 description 3
- VNWKTOKETHGBQD-UHFFFAOYSA-N methane Natural products C VNWKTOKETHGBQD-UHFFFAOYSA-N 0.000 description 3
- 125000001624 naphthyl group Chemical group 0.000 description 3
- 125000002734 organomagnesium group Chemical group 0.000 description 3
- 125000002524 organometallic group Chemical group 0.000 description 3
- 230000037361 pathway Effects 0.000 description 3
- COLNVLDHVKWLRT-UHFFFAOYSA-N phenylalanine Natural products OC(=O)C(N)CC1=CC=CC=C1 COLNVLDHVKWLRT-UHFFFAOYSA-N 0.000 description 3
- 125000001436 propyl group Chemical group [H]C([*])([H])C([H])([H])C([H])([H])[H] 0.000 description 3
- 150000003180 prostaglandins Chemical class 0.000 description 3
- 230000004044 response Effects 0.000 description 3
- 229920006395 saturated elastomer Polymers 0.000 description 3
- 150000003536 tetrazoles Chemical group 0.000 description 3
- 230000009385 viral infection Effects 0.000 description 3
- BKMMTJMQCTUHRP-GSVOUGTGSA-N (2r)-2-aminopropan-1-ol Chemical compound C[C@@H](N)CO BKMMTJMQCTUHRP-GSVOUGTGSA-N 0.000 description 2
- BVNQZRNYFAEAAU-AWEZNQCLSA-N (2s)-2-[5-[2-(4-fluorophenoxy)pyrimidin-4-yl]-4-(4-fluorophenyl)imidazol-1-yl]propan-1-ol Chemical compound OC[C@H](C)N1C=NC(C=2C=CC(F)=CC=2)=C1C(N=1)=CC=NC=1OC1=CC=C(F)C=C1 BVNQZRNYFAEAAU-AWEZNQCLSA-N 0.000 description 2
- STVVMTBJNDTZBF-UHFFFAOYSA-N -2-Amino-3-phenyl-1-propanol Natural products OCC(N)CC1=CC=CC=C1 STVVMTBJNDTZBF-UHFFFAOYSA-N 0.000 description 2
- SPEUIVXLLWOEMJ-UHFFFAOYSA-N 1,1-dimethoxyethane Chemical compound COC(C)OC SPEUIVXLLWOEMJ-UHFFFAOYSA-N 0.000 description 2
- PAMIQIKDUOTOBW-UHFFFAOYSA-N 1-methylpiperidine Chemical compound CN1CCCCC1 PAMIQIKDUOTOBW-UHFFFAOYSA-N 0.000 description 2
- VBICKXHEKHSIBG-UHFFFAOYSA-N 1-monostearoylglycerol Chemical compound CCCCCCCCCCCCCCCCCC(=O)OCC(O)CO VBICKXHEKHSIBG-UHFFFAOYSA-N 0.000 description 2
- LBLYYCQCTBFVLH-UHFFFAOYSA-N 2-Methylbenzenesulfonic acid Chemical compound CC1=CC=CC=C1S(O)(=O)=O LBLYYCQCTBFVLH-UHFFFAOYSA-N 0.000 description 2
- UGLLCTGQTXQYOM-UHFFFAOYSA-N 2-[4-(4-fluorophenyl)-5-[2-(4-methylphenoxy)pyrimidin-4-yl]imidazol-1-yl]propane-1,3-diol Chemical compound C1=CC(C)=CC=C1OC1=NC=CC(C=2N(C=NC=2C=2C=CC(F)=CC=2)C(CO)CO)=N1 UGLLCTGQTXQYOM-UHFFFAOYSA-N 0.000 description 2
- LIPMBTAPFMYRKJ-UHFFFAOYSA-N 2-[5-[2-(4-fluorophenoxy)pyrimidin-4-yl]-4-(4-fluorophenyl)imidazol-1-yl]propane-1,3-diol Chemical compound OCC(CO)N1C=NC(C=2C=CC(F)=CC=2)=C1C(N=1)=CC=NC=1OC1=CC=C(F)C=C1 LIPMBTAPFMYRKJ-UHFFFAOYSA-N 0.000 description 2
- IZHVBANLECCAGF-UHFFFAOYSA-N 2-hydroxy-3-(octadecanoyloxy)propyl octadecanoate Chemical compound CCCCCCCCCCCCCCCCCC(=O)OCC(O)COC(=O)CCCCCCCCCCCCCCCCC IZHVBANLECCAGF-UHFFFAOYSA-N 0.000 description 2
- BCJVBDBJSMFBRW-UHFFFAOYSA-N 4-diphenylphosphanylbutyl(diphenyl)phosphane Chemical compound C=1C=CC=CC=1P(C=1C=CC=CC=1)CCCCP(C=1C=CC=CC=1)C1=CC=CC=C1 BCJVBDBJSMFBRW-UHFFFAOYSA-N 0.000 description 2
- MUDSDYNRBDKLGK-UHFFFAOYSA-N 4-methylquinoline Chemical compound C1=CC=C2C(C)=CC=NC2=C1 MUDSDYNRBDKLGK-UHFFFAOYSA-N 0.000 description 2
- YOELZIQOLWZLQC-UHFFFAOYSA-N 6-(4-fluorophenyl)-5-pyridin-4-yl-2,3-dihydroimidazo[2,1-b]thiazole Chemical compound C1=CC(F)=CC=C1C1=C(C=2C=CN=CC=2)N2CCSC2=N1 YOELZIQOLWZLQC-UHFFFAOYSA-N 0.000 description 2
- QGZKDVFQNNGYKY-UHFFFAOYSA-N Ammonia Chemical compound N QGZKDVFQNNGYKY-UHFFFAOYSA-N 0.000 description 2
- USFZMSVCRYTOJT-UHFFFAOYSA-N Ammonium acetate Chemical compound N.CC(O)=O USFZMSVCRYTOJT-UHFFFAOYSA-N 0.000 description 2
- 239000005695 Ammonium acetate Substances 0.000 description 2
- 206010002556 Ankylosing Spondylitis Diseases 0.000 description 2
- 235000003911 Arachis Nutrition 0.000 description 2
- 244000105624 Arachis hypogaea Species 0.000 description 2
- 102100023995 Beta-nerve growth factor Human genes 0.000 description 2
- 208000006386 Bone Resorption Diseases 0.000 description 2
- 241000713704 Bovine immunodeficiency virus Species 0.000 description 2
- YIZJRUYLPSMFCV-QSOTXTEZSA-N C.C#NC(C1=CC=C(F)C=C1)S(=O)(=O)C1=CC=C(C)C=C1.[H]C(=O)C1=NC(C[RaH])=NC=C1.[H]C(C)(COC1=CC=CC=C1)/N=C\C1=NC(C[RaH])=NC=C1.[H]C(C)(COC1=CC=CC=C1)N1C=NC(C2=CC=C(F)C=C2)=C1C1=NC(C[RaH])=NC=C1.[H]C(C)(N)COC1=CC=CC=C1 Chemical compound C.C#NC(C1=CC=C(F)C=C1)S(=O)(=O)C1=CC=C(C)C=C1.[H]C(=O)C1=NC(C[RaH])=NC=C1.[H]C(C)(COC1=CC=CC=C1)/N=C\C1=NC(C[RaH])=NC=C1.[H]C(C)(COC1=CC=CC=C1)N1C=NC(C2=CC=C(F)C=C2)=C1C1=NC(C[RaH])=NC=C1.[H]C(C)(N)COC1=CC=CC=C1 YIZJRUYLPSMFCV-QSOTXTEZSA-N 0.000 description 2
- 241000282465 Canis Species 0.000 description 2
- 206010063094 Cerebral malaria Diseases 0.000 description 2
- 208000017667 Chronic Disease Diseases 0.000 description 2
- 206010009900 Colitis ulcerative Diseases 0.000 description 2
- 206010010741 Conjunctivitis Diseases 0.000 description 2
- 208000011231 Crohn disease Diseases 0.000 description 2
- XFXPMWWXUTWYJX-UHFFFAOYSA-N Cyanide Chemical compound N#[C-] XFXPMWWXUTWYJX-UHFFFAOYSA-N 0.000 description 2
- 241000701022 Cytomegalovirus Species 0.000 description 2
- 201000004624 Dermatitis Diseases 0.000 description 2
- 102000001301 EGF receptor Human genes 0.000 description 2
- 108060006698 EGF receptor Proteins 0.000 description 2
- 208000037487 Endotoxemia Diseases 0.000 description 2
- 241000283073 Equus caballus Species 0.000 description 2
- VZCYOOQTPOCHFL-OWOJBTEDSA-N Fumaric acid Chemical compound OC(=O)\C=C\C(O)=O VZCYOOQTPOCHFL-OWOJBTEDSA-N 0.000 description 2
- 206010018364 Glomerulonephritis Diseases 0.000 description 2
- DHMQDGOQFOQNFH-UHFFFAOYSA-N Glycine Chemical compound NCC(O)=O DHMQDGOQFOQNFH-UHFFFAOYSA-N 0.000 description 2
- 206010018634 Gouty Arthritis Diseases 0.000 description 2
- 108010017213 Granulocyte-Macrophage Colony-Stimulating Factor Proteins 0.000 description 2
- 102100039620 Granulocyte-macrophage colony-stimulating factor Human genes 0.000 description 2
- ZRALSGWEFCBTJO-UHFFFAOYSA-N Guanidine Chemical compound NC(N)=N ZRALSGWEFCBTJO-UHFFFAOYSA-N 0.000 description 2
- NTYJJOPFIAHURM-UHFFFAOYSA-N Histamine Chemical compound NCCC1=CN=CN1 NTYJJOPFIAHURM-UHFFFAOYSA-N 0.000 description 2
- 241000282412 Homo Species 0.000 description 2
- 206010061598 Immunodeficiency Diseases 0.000 description 2
- 208000029462 Immunodeficiency disease Diseases 0.000 description 2
- SIKJAQJRHWYJAI-UHFFFAOYSA-N Indole Chemical compound C1=CC=C2NC=CC2=C1 SIKJAQJRHWYJAI-UHFFFAOYSA-N 0.000 description 2
- XEEYBQQBJWHFJM-UHFFFAOYSA-N Iron Chemical compound [Fe] XEEYBQQBJWHFJM-UHFFFAOYSA-N 0.000 description 2
- ROHFNLRQFUQHCH-YFKPBYRVSA-N L-leucine Chemical compound CC(C)C[C@H](N)C(O)=O ROHFNLRQFUQHCH-YFKPBYRVSA-N 0.000 description 2
- FFEARJCKVFRZRR-BYPYZUCNSA-N L-methionine Chemical compound CSCC[C@H](N)C(O)=O FFEARJCKVFRZRR-BYPYZUCNSA-N 0.000 description 2
- AYFVYJQAPQTCCC-GBXIJSLDSA-N L-threonine Chemical compound C[C@@H](O)[C@H](N)C(O)=O AYFVYJQAPQTCCC-GBXIJSLDSA-N 0.000 description 2
- KZSNJWFQEVHDMF-BYPYZUCNSA-N L-valine Chemical compound CC(C)[C@H](N)C(O)=O KZSNJWFQEVHDMF-BYPYZUCNSA-N 0.000 description 2
- ROHFNLRQFUQHCH-UHFFFAOYSA-N Leucine Natural products CC(C)CC(N)C(O)=O ROHFNLRQFUQHCH-UHFFFAOYSA-N 0.000 description 2
- 102000008072 Lymphokines Human genes 0.000 description 2
- 108010074338 Lymphokines Proteins 0.000 description 2
- TWRXJAOTZQYOKJ-UHFFFAOYSA-L Magnesium chloride Chemical compound [Mg+2].[Cl-].[Cl-] TWRXJAOTZQYOKJ-UHFFFAOYSA-L 0.000 description 2
- 102000000422 Matrix Metalloproteinase 3 Human genes 0.000 description 2
- 206010027476 Metastases Diseases 0.000 description 2
- 102000013967 Monokines Human genes 0.000 description 2
- 108010050619 Monokines Proteins 0.000 description 2
- 241001529936 Murinae Species 0.000 description 2
- 241000699666 Mus <mouse, genus> Species 0.000 description 2
- 208000000112 Myalgia Diseases 0.000 description 2
- JGFZNNIVVJXRND-UHFFFAOYSA-N N,N-Diisopropylethylamine (DIPEA) Chemical compound CCN(C(C)C)C(C)C JGFZNNIVVJXRND-UHFFFAOYSA-N 0.000 description 2
- 108010025020 Nerve Growth Factor Proteins 0.000 description 2
- 229910002666 PdCl2 Inorganic materials 0.000 description 2
- NBIIXXVUZAFLBC-UHFFFAOYSA-N Phosphoric acid Chemical compound OP(O)(O)=O NBIIXXVUZAFLBC-UHFFFAOYSA-N 0.000 description 2
- GLUUGHFHXGJENI-UHFFFAOYSA-N Piperazine Chemical compound C1CNCCN1 GLUUGHFHXGJENI-UHFFFAOYSA-N 0.000 description 2
- 102100038277 Prostaglandin G/H synthase 1 Human genes 0.000 description 2
- 108050003243 Prostaglandin G/H synthase 1 Proteins 0.000 description 2
- 108090000459 Prostaglandin-endoperoxide synthases Proteins 0.000 description 2
- 102000004005 Prostaglandin-endoperoxide synthases Human genes 0.000 description 2
- 102000004022 Protein-Tyrosine Kinases Human genes 0.000 description 2
- 108090000412 Protein-Tyrosine Kinases Proteins 0.000 description 2
- 201000001263 Psoriatic Arthritis Diseases 0.000 description 2
- 208000036824 Psoriatic arthropathy Diseases 0.000 description 2
- CZPWVGJYEJSRLH-UHFFFAOYSA-N Pyrimidine Chemical compound C1=CN=CN=C1 CZPWVGJYEJSRLH-UHFFFAOYSA-N 0.000 description 2
- SMWDFEZZVXVKRB-UHFFFAOYSA-N Quinoline Chemical compound N1=CC=CC2=CC=CC=C21 SMWDFEZZVXVKRB-UHFFFAOYSA-N 0.000 description 2
- 208000033464 Reiter syndrome Diseases 0.000 description 2
- 206010038997 Retroviral infections Diseases 0.000 description 2
- 208000005074 Retroviridae Infections Diseases 0.000 description 2
- 201000010001 Silicosis Diseases 0.000 description 2
- CDBYLPFSWZWCQE-UHFFFAOYSA-L Sodium Carbonate Chemical compound [Na+].[Na+].[O-]C([O-])=O CDBYLPFSWZWCQE-UHFFFAOYSA-L 0.000 description 2
- WQDUMFSSJAZKTM-UHFFFAOYSA-N Sodium methoxide Chemical compound [Na+].[O-]C WQDUMFSSJAZKTM-UHFFFAOYSA-N 0.000 description 2
- UCKMPCXJQFINFW-UHFFFAOYSA-N Sulphide Chemical compound [S-2] UCKMPCXJQFINFW-UHFFFAOYSA-N 0.000 description 2
- 206010042496 Sunburn Diseases 0.000 description 2
- 210000001744 T-lymphocyte Anatomy 0.000 description 2
- DKGAVHZHDRPRBM-UHFFFAOYSA-N Tert-Butanol Chemical compound CC(C)(C)O DKGAVHZHDRPRBM-UHFFFAOYSA-N 0.000 description 2
- YTPLMLYBLZKORZ-UHFFFAOYSA-N Thiophene Chemical compound C=1C=CSC=1 YTPLMLYBLZKORZ-UHFFFAOYSA-N 0.000 description 2
- AYFVYJQAPQTCCC-UHFFFAOYSA-N Threonine Natural products CC(O)C(N)C(O)=O AYFVYJQAPQTCCC-UHFFFAOYSA-N 0.000 description 2
- 239000004473 Threonine Substances 0.000 description 2
- 208000007536 Thrombosis Diseases 0.000 description 2
- 206010048873 Traumatic arthritis Diseases 0.000 description 2
- DTQVDTLACAAQTR-UHFFFAOYSA-N Trifluoroacetic acid Chemical compound OC(=O)C(F)(F)F DTQVDTLACAAQTR-UHFFFAOYSA-N 0.000 description 2
- 201000006704 Ulcerative Colitis Diseases 0.000 description 2
- XSQUKJJJFZCRTK-UHFFFAOYSA-N Urea Chemical compound NC(N)=O XSQUKJJJFZCRTK-UHFFFAOYSA-N 0.000 description 2
- KZSNJWFQEVHDMF-UHFFFAOYSA-N Valine Natural products CC(C)C(N)C(O)=O KZSNJWFQEVHDMF-UHFFFAOYSA-N 0.000 description 2
- 241000713325 Visna/maedi virus Species 0.000 description 2
- GELXFVQAWNTGPQ-UHFFFAOYSA-N [N].C1=CNC=N1 Chemical compound [N].C1=CNC=N1 GELXFVQAWNTGPQ-UHFFFAOYSA-N 0.000 description 2
- 125000000738 acetamido group Chemical group [H]C([H])([H])C(=O)N([H])[*] 0.000 description 2
- 238000007171 acid catalysis Methods 0.000 description 2
- 150000001266 acyl halides Chemical class 0.000 description 2
- 150000001298 alcohols Chemical class 0.000 description 2
- 229910052783 alkali metal Inorganic materials 0.000 description 2
- 125000003342 alkenyl group Chemical group 0.000 description 2
- 238000005804 alkylation reaction Methods 0.000 description 2
- 125000004202 aminomethyl group Chemical group [H]N([H])C([H])([H])* 0.000 description 2
- 229940043376 ammonium acetate Drugs 0.000 description 2
- 235000019257 ammonium acetate Nutrition 0.000 description 2
- 238000004458 analytical method Methods 0.000 description 2
- 208000007502 anemia Diseases 0.000 description 2
- 230000002491 angiogenic effect Effects 0.000 description 2
- 150000008064 anhydrides Chemical class 0.000 description 2
- 238000010171 animal model Methods 0.000 description 2
- YZXBAPSDXZZRGB-DOFZRALJSA-N arachidonic acid Chemical compound CCCCC\C=C/C\C=C/C\C=C/C\C=C/CCCC(O)=O YZXBAPSDXZZRGB-DOFZRALJSA-N 0.000 description 2
- 125000002102 aryl alkyloxo group Chemical group 0.000 description 2
- 125000004104 aryloxy group Chemical group 0.000 description 2
- 208000010668 atopic eczema Diseases 0.000 description 2
- HUMNYLRZRPPJDN-UHFFFAOYSA-N benzaldehyde Chemical compound O=CC1=CC=CC=C1 HUMNYLRZRPPJDN-UHFFFAOYSA-N 0.000 description 2
- 230000033228 biological regulation Effects 0.000 description 2
- 230000008512 biological response Effects 0.000 description 2
- 230000000903 blocking effect Effects 0.000 description 2
- 230000037396 body weight Effects 0.000 description 2
- 210000000988 bone and bone Anatomy 0.000 description 2
- 230000024279 bone resorption Effects 0.000 description 2
- 208000019664 bone resorption disease Diseases 0.000 description 2
- UORVGPXVDQYIDP-UHFFFAOYSA-N borane Chemical compound B UORVGPXVDQYIDP-UHFFFAOYSA-N 0.000 description 2
- 125000001246 bromo group Chemical group Br* 0.000 description 2
- MIOPJNTWMNEORI-UHFFFAOYSA-N camphorsulfonic acid Chemical compound C1CC2(CS(O)(=O)=O)C(=O)CC1C2(C)C MIOPJNTWMNEORI-UHFFFAOYSA-N 0.000 description 2
- 230000000747 cardiac effect Effects 0.000 description 2
- 239000000969 carrier Substances 0.000 description 2
- 239000004359 castor oil Substances 0.000 description 2
- 235000019438 castor oil Nutrition 0.000 description 2
- 230000003197 catalytic effect Effects 0.000 description 2
- 210000003169 central nervous system Anatomy 0.000 description 2
- 230000035605 chemotaxis Effects 0.000 description 2
- 230000001684 chronic effect Effects 0.000 description 2
- 208000037976 chronic inflammation Diseases 0.000 description 2
- 208000037893 chronic inflammatory disorder Diseases 0.000 description 2
- 238000009833 condensation Methods 0.000 description 2
- 230000005494 condensation Effects 0.000 description 2
- 238000001816 cooling Methods 0.000 description 2
- 239000006071 cream Substances 0.000 description 2
- 238000006352 cycloaddition reaction Methods 0.000 description 2
- 125000000753 cycloalkyl group Chemical group 0.000 description 2
- 230000001086 cytosolic effect Effects 0.000 description 2
- 230000006378 damage Effects 0.000 description 2
- 229940043279 diisopropylamine Drugs 0.000 description 2
- 238000006073 displacement reaction Methods 0.000 description 2
- 239000003814 drug Substances 0.000 description 2
- 230000006870 function Effects 0.000 description 2
- 239000007903 gelatin capsule Substances 0.000 description 2
- 229940093915 gynecological organic acid Drugs 0.000 description 2
- 125000001188 haloalkyl group Chemical group 0.000 description 2
- 125000005343 heterocyclic alkyl group Chemical group 0.000 description 2
- GNOIPBMMFNIUFM-UHFFFAOYSA-N hexamethylphosphoric triamide Chemical compound CN(C)P(=O)(N(C)C)N(C)C GNOIPBMMFNIUFM-UHFFFAOYSA-N 0.000 description 2
- 150000004678 hydrides Chemical class 0.000 description 2
- 230000007062 hydrolysis Effects 0.000 description 2
- 238000006460 hydrolysis reaction Methods 0.000 description 2
- CBOIHMRHGLHBPB-UHFFFAOYSA-N hydroxymethyl Chemical compound O[CH2] CBOIHMRHGLHBPB-UHFFFAOYSA-N 0.000 description 2
- 230000007813 immunodeficiency Effects 0.000 description 2
- 230000001976 improved effect Effects 0.000 description 2
- 238000000338 in vitro Methods 0.000 description 2
- 238000000099 in vitro assay Methods 0.000 description 2
- 238000011534 incubation Methods 0.000 description 2
- 230000006698 induction Effects 0.000 description 2
- 230000001939 inductive effect Effects 0.000 description 2
- 230000002458 infectious effect Effects 0.000 description 2
- 208000027866 inflammatory disease Diseases 0.000 description 2
- 230000000977 initiatory effect Effects 0.000 description 2
- 208000014674 injury Diseases 0.000 description 2
- 210000002660 insulin-secreting cell Anatomy 0.000 description 2
- 238000007912 intraperitoneal administration Methods 0.000 description 2
- 238000001990 intravenous administration Methods 0.000 description 2
- AWJUIBRHMBBTKR-UHFFFAOYSA-N isoquinoline Chemical compound C1=NC=CC2=CC=CC=C21 AWJUIBRHMBBTKR-UHFFFAOYSA-N 0.000 description 2
- 208000011379 keloid formation Diseases 0.000 description 2
- JVTAAEKCZFNVCJ-UHFFFAOYSA-N lactic acid Chemical compound CC(O)C(O)=O JVTAAEKCZFNVCJ-UHFFFAOYSA-N 0.000 description 2
- CFHGBZLNZZVTAY-UHFFFAOYSA-N lawesson's reagent Chemical compound C1=CC(OC)=CC=C1P1(=S)SP(=S)(C=2C=CC(OC)=CC=2)S1 CFHGBZLNZZVTAY-UHFFFAOYSA-N 0.000 description 2
- 208000021601 lentivirus infection Diseases 0.000 description 2
- 210000000265 leukocyte Anatomy 0.000 description 2
- 239000000865 liniment Substances 0.000 description 2
- 150000002641 lithium Chemical class 0.000 description 2
- 229910052749 magnesium Inorganic materials 0.000 description 2
- HQKMJHAJHXVSDF-UHFFFAOYSA-L magnesium stearate Chemical compound [Mg+2].CCCCCCCCCCCCCCCCCC([O-])=O.CCCCCCCCCCCCCCCCCC([O-])=O HQKMJHAJHXVSDF-UHFFFAOYSA-L 0.000 description 2
- 230000036210 malignancy Effects 0.000 description 2
- 229910052751 metal Inorganic materials 0.000 description 2
- 239000002184 metal Substances 0.000 description 2
- 230000009401 metastasis Effects 0.000 description 2
- 229930182817 methionine Natural products 0.000 description 2
- 125000004458 methylaminocarbonyl group Chemical group [H]N(C(*)=O)C([H])([H])[H] 0.000 description 2
- 238000002156 mixing Methods 0.000 description 2
- 230000004048 modification Effects 0.000 description 2
- 238000012986 modification Methods 0.000 description 2
- 239000001788 mono and diglycerides of fatty acids Substances 0.000 description 2
- 210000005087 mononuclear cell Anatomy 0.000 description 2
- 201000006417 multiple sclerosis Diseases 0.000 description 2
- 229940053128 nerve growth factor Drugs 0.000 description 2
- 230000011242 neutrophil chemotaxis Effects 0.000 description 2
- 230000000269 nucleophilic effect Effects 0.000 description 2
- QIQXTHQIDYTFRH-UHFFFAOYSA-N octadecanoic acid Chemical compound CCCCCCCCCCCCCCCCCC(O)=O QIQXTHQIDYTFRH-UHFFFAOYSA-N 0.000 description 2
- 239000002674 ointment Substances 0.000 description 2
- 239000004006 olive oil Substances 0.000 description 2
- 235000008390 olive oil Nutrition 0.000 description 2
- 238000005580 one pot reaction Methods 0.000 description 2
- 150000007524 organic acids Chemical class 0.000 description 2
- 235000005985 organic acids Nutrition 0.000 description 2
- 239000003960 organic solvent Substances 0.000 description 2
- 125000001181 organosilyl group Chemical group [SiH3]* 0.000 description 2
- 230000003647 oxidation Effects 0.000 description 2
- 238000007254 oxidation reaction Methods 0.000 description 2
- 150000002923 oximes Chemical group 0.000 description 2
- 229940094443 oxytocics prostaglandins Drugs 0.000 description 2
- HFPZCAJZSCWRBC-UHFFFAOYSA-N p-cymene Chemical compound CC(C)C1=CC=C(C)C=C1 HFPZCAJZSCWRBC-UHFFFAOYSA-N 0.000 description 2
- 229910052763 palladium Inorganic materials 0.000 description 2
- MUJIDPITZJWBSW-UHFFFAOYSA-N palladium(2+) Chemical compound [Pd+2] MUJIDPITZJWBSW-UHFFFAOYSA-N 0.000 description 2
- PIBWKRNGBLPSSY-UHFFFAOYSA-L palladium(II) chloride Chemical compound Cl[Pd]Cl PIBWKRNGBLPSSY-UHFFFAOYSA-L 0.000 description 2
- 239000006072 paste Substances 0.000 description 2
- 238000009527 percussion Methods 0.000 description 2
- 102000013415 peroxidase activity proteins Human genes 0.000 description 2
- 108040007629 peroxidase activity proteins Proteins 0.000 description 2
- WLJVXDMOQOGPHL-UHFFFAOYSA-N phenylacetic acid Chemical compound OC(=O)CC1=CC=CC=C1 WLJVXDMOQOGPHL-UHFFFAOYSA-N 0.000 description 2
- 235000011007 phosphoric acid Nutrition 0.000 description 2
- 230000026731 phosphorylation Effects 0.000 description 2
- 238000006366 phosphorylation reaction Methods 0.000 description 2
- 125000004193 piperazinyl group Chemical group 0.000 description 2
- 125000004591 piperonyl group Chemical group C(C1=CC=2OCOC2C=C1)* 0.000 description 2
- 230000003389 potentiating effect Effects 0.000 description 2
- 239000002599 prostaglandin synthase inhibitor Substances 0.000 description 2
- 125000004940 pyridazin-4-yl group Chemical group N1=NC=C(C=C1)* 0.000 description 2
- 150000003254 radicals Chemical class 0.000 description 2
- 208000002574 reactive arthritis Diseases 0.000 description 2
- 230000002829 reductive effect Effects 0.000 description 2
- 230000001105 regulatory effect Effects 0.000 description 2
- 230000010076 replication Effects 0.000 description 2
- 230000003938 response to stress Effects 0.000 description 2
- 201000005404 rubella Diseases 0.000 description 2
- 229910052701 rubidium Inorganic materials 0.000 description 2
- YGSDEFSMJLZEOE-UHFFFAOYSA-N salicylic acid Chemical compound OC(=O)C1=CC=CC=C1O YGSDEFSMJLZEOE-UHFFFAOYSA-N 0.000 description 2
- 231100000241 scar Toxicity 0.000 description 2
- 230000036303 septic shock Effects 0.000 description 2
- 230000035939 shock Effects 0.000 description 2
- 229910000030 sodium bicarbonate Inorganic materials 0.000 description 2
- 238000001228 spectrum Methods 0.000 description 2
- 230000000638 stimulation Effects 0.000 description 2
- 108091007196 stromelysin Proteins 0.000 description 2
- 238000007920 subcutaneous administration Methods 0.000 description 2
- 125000000472 sulfonyl group Chemical group *S(*)(=O)=O 0.000 description 2
- 239000001117 sulphuric acid Substances 0.000 description 2
- 235000011149 sulphuric acid Nutrition 0.000 description 2
- 208000011580 syndromic disease Diseases 0.000 description 2
- 201000004595 synovitis Diseases 0.000 description 2
- 239000006188 syrup Substances 0.000 description 2
- 235000020357 syrup Nutrition 0.000 description 2
- 238000007910 systemic administration Methods 0.000 description 2
- VZGDMQKNWNREIO-UHFFFAOYSA-N tetrachloromethane Chemical compound ClC(Cl)(Cl)Cl VZGDMQKNWNREIO-UHFFFAOYSA-N 0.000 description 2
- ZMZDMBWJUHKJPS-UHFFFAOYSA-N thiocyanic acid Chemical compound SC#N ZMZDMBWJUHKJPS-UHFFFAOYSA-N 0.000 description 2
- FYSNRJHAOHDILO-UHFFFAOYSA-N thionyl chloride Chemical compound ClS(Cl)=O FYSNRJHAOHDILO-UHFFFAOYSA-N 0.000 description 2
- UMGDCJDMYOKAJW-UHFFFAOYSA-N thiourea Chemical compound NC(N)=S UMGDCJDMYOKAJW-UHFFFAOYSA-N 0.000 description 2
- 230000009772 tissue formation Effects 0.000 description 2
- 238000011200 topical administration Methods 0.000 description 2
- 230000000699 topical effect Effects 0.000 description 2
- 125000002088 tosyl group Chemical group [H]C1=C([H])C(=C([H])C([H])=C1C([H])([H])[H])S(*)(=O)=O 0.000 description 2
- VZCYOOQTPOCHFL-UHFFFAOYSA-N trans-butenedioic acid Natural products OC(=O)C=CC(O)=O VZCYOOQTPOCHFL-UHFFFAOYSA-N 0.000 description 2
- 238000012546 transfer Methods 0.000 description 2
- ITMCEJHCFYSIIV-UHFFFAOYSA-M triflate Chemical compound [O-]S(=O)(=O)C(F)(F)F ITMCEJHCFYSIIV-UHFFFAOYSA-M 0.000 description 2
- 150000008648 triflates Chemical class 0.000 description 2
- WJKHJLXJJJATHN-UHFFFAOYSA-N triflic anhydride Chemical compound FC(F)(F)S(=O)(=O)OS(=O)(=O)C(F)(F)F WJKHJLXJJJATHN-UHFFFAOYSA-N 0.000 description 2
- 201000008827 tuberculosis Diseases 0.000 description 2
- 239000004474 valine Substances 0.000 description 2
- 210000005166 vasculature Anatomy 0.000 description 2
- 239000003981 vehicle Substances 0.000 description 2
- PXXNTAGJWPJAGM-UHFFFAOYSA-N vertaline Natural products C1C2C=3C=C(OC)C(OC)=CC=3OC(C=C3)=CC=C3CCC(=O)OC1CC1N2CCCC1 PXXNTAGJWPJAGM-UHFFFAOYSA-N 0.000 description 2
- QBYIENPQHBMVBV-HFEGYEGKSA-N (2R)-2-hydroxy-2-phenylacetic acid Chemical compound O[C@@H](C(O)=O)c1ccccc1.O[C@@H](C(O)=O)c1ccccc1 QBYIENPQHBMVBV-HFEGYEGKSA-N 0.000 description 1
- MTCFGRXMJLQNBG-REOHCLBHSA-N (2S)-2-Amino-3-hydroxypropansäure Chemical compound OC[C@H](N)C(O)=O MTCFGRXMJLQNBG-REOHCLBHSA-N 0.000 description 1
- ULOXRTDYRQRRHM-DEOSSOPVSA-N (2r)-2-[4-(4-fluorophenyl)-5-(2-phenoxypyrimidin-4-yl)imidazol-1-yl]-2-phenylethanol Chemical compound C1([C@H](CO)N2C(=C(N=C2)C=2C=CC(F)=CC=2)C=2N=C(OC=3C=CC=CC=3)N=CC=2)=CC=CC=C1 ULOXRTDYRQRRHM-DEOSSOPVSA-N 0.000 description 1
- JDZXIUZWRYTLRH-HSZRJFAPSA-N (2r)-2-[4-(4-fluorophenyl)-5-(2-phenoxypyrimidin-4-yl)imidazol-1-yl]-3-phenylpropan-1-ol Chemical compound C([C@H](CO)N1C(=C(N=C1)C=1C=CC(F)=CC=1)C=1N=C(OC=2C=CC=CC=2)N=CC=1)C1=CC=CC=C1 JDZXIUZWRYTLRH-HSZRJFAPSA-N 0.000 description 1
- ZOGYSEVPQLGAEE-GOSISDBHSA-N (2r)-2-[4-(4-fluorophenyl)-5-(2-phenoxypyrimidin-4-yl)imidazol-1-yl]butan-1-ol Chemical compound CC[C@H](CO)N1C=NC(C=2C=CC(F)=CC=2)=C1C(N=1)=CC=NC=1OC1=CC=CC=C1 ZOGYSEVPQLGAEE-GOSISDBHSA-N 0.000 description 1
- REGNGZSHZHUZRQ-OAHLLOKOSA-N (2r)-2-[4-(4-fluorophenyl)-5-(2-phenoxypyrimidin-4-yl)imidazol-1-yl]propan-1-ol Chemical compound OC[C@@H](C)N1C=NC(C=2C=CC(F)=CC=2)=C1C(N=1)=CC=NC=1OC1=CC=CC=C1 REGNGZSHZHUZRQ-OAHLLOKOSA-N 0.000 description 1
- RHIDNWQSSCTKFO-LJQANCHMSA-N (2r)-2-[4-(4-fluorophenyl)-5-[2-(4-methylphenoxy)pyrimidin-4-yl]imidazol-1-yl]butan-1-ol Chemical compound CC[C@H](CO)N1C=NC(C=2C=CC(F)=CC=2)=C1C(N=1)=CC=NC=1OC1=CC=C(C)C=C1 RHIDNWQSSCTKFO-LJQANCHMSA-N 0.000 description 1
- KNSCTSJXIGPOIX-GOSISDBHSA-N (2r)-2-[5-[2-(4-chlorophenoxy)pyrimidin-4-yl]-4-(4-fluorophenyl)imidazol-1-yl]butan-1-ol Chemical compound CC[C@H](CO)N1C=NC(C=2C=CC(F)=CC=2)=C1C(N=1)=CC=NC=1OC1=CC=C(Cl)C=C1 KNSCTSJXIGPOIX-GOSISDBHSA-N 0.000 description 1
- BVNQZRNYFAEAAU-CQSZACIVSA-N (2r)-2-[5-[2-(4-fluorophenoxy)pyrimidin-4-yl]-4-(4-fluorophenyl)imidazol-1-yl]propan-1-ol Chemical compound OC[C@@H](C)N1C=NC(C=2C=CC(F)=CC=2)=C1C(N=1)=CC=NC=1OC1=CC=C(F)C=C1 BVNQZRNYFAEAAU-CQSZACIVSA-N 0.000 description 1
- STVVMTBJNDTZBF-SECBINFHSA-N (2r)-2-amino-3-phenylpropan-1-ol Chemical compound OC[C@H](N)CC1=CC=CC=C1 STVVMTBJNDTZBF-SECBINFHSA-N 0.000 description 1
- ULOXRTDYRQRRHM-XMMPIXPASA-N (2s)-2-[4-(4-fluorophenyl)-5-(2-phenoxypyrimidin-4-yl)imidazol-1-yl]-2-phenylethanol Chemical compound C1([C@@H](CO)N2C(=C(N=C2)C=2C=CC(F)=CC=2)C=2N=C(OC=3C=CC=CC=3)N=CC=2)=CC=CC=C1 ULOXRTDYRQRRHM-XMMPIXPASA-N 0.000 description 1
- JDZXIUZWRYTLRH-QHCPKHFHSA-N (2s)-2-[4-(4-fluorophenyl)-5-(2-phenoxypyrimidin-4-yl)imidazol-1-yl]-3-phenylpropan-1-ol Chemical compound C([C@@H](CO)N1C(=C(N=C1)C=1C=CC(F)=CC=1)C=1N=C(OC=2C=CC=CC=2)N=CC=1)C1=CC=CC=C1 JDZXIUZWRYTLRH-QHCPKHFHSA-N 0.000 description 1
- ZOGYSEVPQLGAEE-SFHVURJKSA-N (2s)-2-[4-(4-fluorophenyl)-5-(2-phenoxypyrimidin-4-yl)imidazol-1-yl]butan-1-ol Chemical compound CC[C@@H](CO)N1C=NC(C=2C=CC(F)=CC=2)=C1C(N=1)=CC=NC=1OC1=CC=CC=C1 ZOGYSEVPQLGAEE-SFHVURJKSA-N 0.000 description 1
- REGNGZSHZHUZRQ-HNNXBMFYSA-N (2s)-2-[4-(4-fluorophenyl)-5-(2-phenoxypyrimidin-4-yl)imidazol-1-yl]propan-1-ol Chemical compound OC[C@H](C)N1C=NC(C=2C=CC(F)=CC=2)=C1C(N=1)=CC=NC=1OC1=CC=CC=C1 REGNGZSHZHUZRQ-HNNXBMFYSA-N 0.000 description 1
- FYFTVDCDBXFBMG-ZDUSSCGKSA-N (2s)-2-[4-(4-fluorophenyl)-5-(2-propylsulfanylpyrimidin-4-yl)imidazol-1-yl]propan-1-ol Chemical compound CCCSC1=NC=CC(C=2N(C=NC=2C=2C=CC(F)=CC=2)[C@@H](C)CO)=N1 FYFTVDCDBXFBMG-ZDUSSCGKSA-N 0.000 description 1
- BQGFDNIECBGIGV-ZDUSSCGKSA-N (2s)-2-[4-(4-fluorophenyl)-5-(2-propylsulfonylpyrimidin-4-yl)imidazol-1-yl]propan-1-ol Chemical compound CCCS(=O)(=O)C1=NC=CC(C=2N(C=NC=2C=2C=CC(F)=CC=2)[C@@H](C)CO)=N1 BQGFDNIECBGIGV-ZDUSSCGKSA-N 0.000 description 1
- RHIDNWQSSCTKFO-IBGZPJMESA-N (2s)-2-[4-(4-fluorophenyl)-5-[2-(4-methylphenoxy)pyrimidin-4-yl]imidazol-1-yl]butan-1-ol Chemical compound CC[C@@H](CO)N1C=NC(C=2C=CC(F)=CC=2)=C1C(N=1)=CC=NC=1OC1=CC=C(C)C=C1 RHIDNWQSSCTKFO-IBGZPJMESA-N 0.000 description 1
- HDTIIUJAMCSLQA-INIZCTEOSA-N (2s)-2-[4-(4-fluorophenyl)-5-[2-(4-methylphenoxy)pyrimidin-4-yl]imidazol-1-yl]propan-1-ol Chemical compound OC[C@H](C)N1C=NC(C=2C=CC(F)=CC=2)=C1C(N=1)=CC=NC=1OC1=CC=C(C)C=C1 HDTIIUJAMCSLQA-INIZCTEOSA-N 0.000 description 1
- KNSCTSJXIGPOIX-SFHVURJKSA-N (2s)-2-[5-[2-(4-chlorophenoxy)pyrimidin-4-yl]-4-(4-fluorophenyl)imidazol-1-yl]butan-1-ol Chemical compound CC[C@@H](CO)N1C=NC(C=2C=CC(F)=CC=2)=C1C(N=1)=CC=NC=1OC1=CC=C(Cl)C=C1 KNSCTSJXIGPOIX-SFHVURJKSA-N 0.000 description 1
- XMHHKFQVRFIPAX-AWEZNQCLSA-N (2s)-2-[5-[2-(4-chlorophenoxy)pyrimidin-4-yl]-4-(4-fluorophenyl)imidazol-1-yl]propan-1-ol Chemical compound OC[C@H](C)N1C=NC(C=2C=CC(F)=CC=2)=C1C(N=1)=CC=NC=1OC1=CC=C(Cl)C=C1 XMHHKFQVRFIPAX-AWEZNQCLSA-N 0.000 description 1
- IJXJGQCXFSSHNL-MRVPVSSYSA-N (2s)-2-amino-2-phenylethanol Chemical compound OC[C@@H](N)C1=CC=CC=C1 IJXJGQCXFSSHNL-MRVPVSSYSA-N 0.000 description 1
- LOGFVTREOLYCPF-KXNHARMFSA-N (2s,3r)-2-[[(2r)-1-[(2s)-2,6-diaminohexanoyl]pyrrolidine-2-carbonyl]amino]-3-hydroxybutanoic acid Chemical compound C[C@@H](O)[C@@H](C(O)=O)NC(=O)[C@H]1CCCN1C(=O)[C@@H](N)CCCCN LOGFVTREOLYCPF-KXNHARMFSA-N 0.000 description 1
- WRIDQFICGBMAFQ-UHFFFAOYSA-N (E)-8-Octadecenoic acid Natural products CCCCCCCCCC=CCCCCCCC(O)=O WRIDQFICGBMAFQ-UHFFFAOYSA-N 0.000 description 1
- BJEPYKJPYRNKOW-REOHCLBHSA-N (S)-malic acid Chemical compound OC(=O)[C@@H](O)CC(O)=O BJEPYKJPYRNKOW-REOHCLBHSA-N 0.000 description 1
- UKAUYVFTDYCKQA-UHFFFAOYSA-N -2-Amino-4-hydroxybutanoic acid Natural products OC(=O)C(N)CCO UKAUYVFTDYCKQA-UHFFFAOYSA-N 0.000 description 1
- GEYOCULIXLDCMW-UHFFFAOYSA-N 1,2-phenylenediamine Chemical compound NC1=CC=CC=C1N GEYOCULIXLDCMW-UHFFFAOYSA-N 0.000 description 1
- CYNYIHKIEHGYOZ-UHFFFAOYSA-N 1-bromopropane Chemical compound CCCBr CYNYIHKIEHGYOZ-UHFFFAOYSA-N 0.000 description 1
- 125000004973 1-butenyl group Chemical group C(=CCC)* 0.000 description 1
- 125000006017 1-propenyl group Chemical group 0.000 description 1
- HYZJCKYKOHLVJF-UHFFFAOYSA-N 1H-benzimidazole Chemical compound C1=CC=C2NC=NC2=C1 HYZJCKYKOHLVJF-UHFFFAOYSA-N 0.000 description 1
- DWJDEJZHYRTMRR-UHFFFAOYSA-N 2,2-dimethoxypropanal Chemical compound COC(C)(OC)C=O DWJDEJZHYRTMRR-UHFFFAOYSA-N 0.000 description 1
- SZXUTTGMFUSMCE-UHFFFAOYSA-N 2-(1h-imidazol-2-yl)pyridine Chemical class C1=CNC(C=2N=CC=CC=2)=N1 SZXUTTGMFUSMCE-UHFFFAOYSA-N 0.000 description 1
- JKMHFZQWWAIEOD-UHFFFAOYSA-N 2-[4-(2-hydroxyethyl)piperazin-1-yl]ethanesulfonic acid Chemical compound OCC[NH+]1CCN(CCS([O-])(=O)=O)CC1 JKMHFZQWWAIEOD-UHFFFAOYSA-N 0.000 description 1
- ULOXRTDYRQRRHM-UHFFFAOYSA-N 2-[4-(4-fluorophenyl)-5-(2-phenoxypyrimidin-4-yl)imidazol-1-yl]-2-phenylethanol Chemical compound C1=NC(C=2C=CC(F)=CC=2)=C(C=2N=C(OC=3C=CC=CC=3)N=CC=2)N1C(CO)C1=CC=CC=C1 ULOXRTDYRQRRHM-UHFFFAOYSA-N 0.000 description 1
- JDZXIUZWRYTLRH-UHFFFAOYSA-N 2-[4-(4-fluorophenyl)-5-(2-phenoxypyrimidin-4-yl)imidazol-1-yl]-3-phenylpropan-1-ol Chemical compound C1=NC(C=2C=CC(F)=CC=2)=C(C=2N=C(OC=3C=CC=CC=3)N=CC=2)N1C(CO)CC1=CC=CC=C1 JDZXIUZWRYTLRH-UHFFFAOYSA-N 0.000 description 1
- ZOGYSEVPQLGAEE-UHFFFAOYSA-N 2-[4-(4-fluorophenyl)-5-(2-phenoxypyrimidin-4-yl)imidazol-1-yl]butan-1-ol Chemical compound CCC(CO)N1C=NC(C=2C=CC(F)=CC=2)=C1C(N=1)=CC=NC=1OC1=CC=CC=C1 ZOGYSEVPQLGAEE-UHFFFAOYSA-N 0.000 description 1
- REGNGZSHZHUZRQ-UHFFFAOYSA-N 2-[4-(4-fluorophenyl)-5-(2-phenoxypyrimidin-4-yl)imidazol-1-yl]propan-1-ol Chemical compound OCC(C)N1C=NC(C=2C=CC(F)=CC=2)=C1C(N=1)=CC=NC=1OC1=CC=CC=C1 REGNGZSHZHUZRQ-UHFFFAOYSA-N 0.000 description 1
- RHIDNWQSSCTKFO-UHFFFAOYSA-N 2-[4-(4-fluorophenyl)-5-[2-(4-methylphenoxy)pyrimidin-4-yl]imidazol-1-yl]butan-1-ol Chemical compound CCC(CO)N1C=NC(C=2C=CC(F)=CC=2)=C1C(N=1)=CC=NC=1OC1=CC=C(C)C=C1 RHIDNWQSSCTKFO-UHFFFAOYSA-N 0.000 description 1
- HDTIIUJAMCSLQA-UHFFFAOYSA-N 2-[4-(4-fluorophenyl)-5-[2-(4-methylphenoxy)pyrimidin-4-yl]imidazol-1-yl]propan-1-ol Chemical compound OCC(C)N1C=NC(C=2C=CC(F)=CC=2)=C1C(N=1)=CC=NC=1OC1=CC=C(C)C=C1 HDTIIUJAMCSLQA-UHFFFAOYSA-N 0.000 description 1
- KNSCTSJXIGPOIX-UHFFFAOYSA-N 2-[5-[2-(4-chlorophenoxy)pyrimidin-4-yl]-4-(4-fluorophenyl)imidazol-1-yl]butan-1-ol Chemical compound CCC(CO)N1C=NC(C=2C=CC(F)=CC=2)=C1C(N=1)=CC=NC=1OC1=CC=C(Cl)C=C1 KNSCTSJXIGPOIX-UHFFFAOYSA-N 0.000 description 1
- XMHHKFQVRFIPAX-UHFFFAOYSA-N 2-[5-[2-(4-chlorophenoxy)pyrimidin-4-yl]-4-(4-fluorophenyl)imidazol-1-yl]propan-1-ol Chemical compound OCC(C)N1C=NC(C=2C=CC(F)=CC=2)=C1C(N=1)=CC=NC=1OC1=CC=C(Cl)C=C1 XMHHKFQVRFIPAX-UHFFFAOYSA-N 0.000 description 1
- BVNQZRNYFAEAAU-UHFFFAOYSA-N 2-[5-[2-(4-fluorophenoxy)pyrimidin-4-yl]-4-(4-fluorophenyl)imidazol-1-yl]propan-1-ol Chemical compound OCC(C)N1C=NC(C=2C=CC(F)=CC=2)=C1C(N=1)=CC=NC=1OC1=CC=C(F)C=C1 BVNQZRNYFAEAAU-UHFFFAOYSA-N 0.000 description 1
- IJXJGQCXFSSHNL-UHFFFAOYSA-N 2-amino-2-phenylethanol Chemical compound OCC(N)C1=CC=CC=C1 IJXJGQCXFSSHNL-UHFFFAOYSA-N 0.000 description 1
- BKMMTJMQCTUHRP-UHFFFAOYSA-N 2-aminopropan-1-ol Chemical compound CC(N)CO BKMMTJMQCTUHRP-UHFFFAOYSA-N 0.000 description 1
- 125000004974 2-butenyl group Chemical group C(C=CC)* 0.000 description 1
- 150000005695 2-halopyrimidines Chemical class 0.000 description 1
- 125000000954 2-hydroxyethyl group Chemical group [H]C([*])([H])C([H])([H])O[H] 0.000 description 1
- 125000006020 2-methyl-1-propenyl group Chemical group 0.000 description 1
- VLUWLNIMIAFOSY-UHFFFAOYSA-N 2-methylbenzenesulfinic acid Chemical compound CC1=CC=CC=C1S(O)=O VLUWLNIMIAFOSY-UHFFFAOYSA-N 0.000 description 1
- SDTMFDGELKWGFT-UHFFFAOYSA-N 2-methylpropan-2-olate Chemical compound CC(C)(C)[O-] SDTMFDGELKWGFT-UHFFFAOYSA-N 0.000 description 1
- 125000003903 2-propenyl group Chemical group [H]C([*])([H])C([H])=C([H])[H] 0.000 description 1
- LQJBNNIYVWPHFW-UHFFFAOYSA-N 20:1omega9c fatty acid Natural products CCCCCCCCCCC=CCCCCCCCC(O)=O LQJBNNIYVWPHFW-UHFFFAOYSA-N 0.000 description 1
- FVKFHMNJTHKMRX-UHFFFAOYSA-N 3,4,6,7,8,9-hexahydro-2H-pyrimido[1,2-a]pyrimidine Chemical compound C1CCN2CCCNC2=N1 FVKFHMNJTHKMRX-UHFFFAOYSA-N 0.000 description 1
- BMYNFMYTOJXKLE-UHFFFAOYSA-N 3-azaniumyl-2-hydroxypropanoate Chemical compound NCC(O)C(O)=O BMYNFMYTOJXKLE-UHFFFAOYSA-N 0.000 description 1
- LSBGCZVMGQHVNT-UHFFFAOYSA-N 4-[5-(4-fluorophenyl)-3-(1-phenoxypropan-2-yl)imidazol-4-yl]-2-phenoxypyrimidine Chemical compound C1=NC(C=2C=CC(F)=CC=2)=C(C=2N=C(OC=3C=CC=CC=3)N=CC=2)N1C(C)COC1=CC=CC=C1 LSBGCZVMGQHVNT-UHFFFAOYSA-N 0.000 description 1
- QCQCHGYLTSGIGX-GHXANHINSA-N 4-[[(3ar,5ar,5br,7ar,9s,11ar,11br,13as)-5a,5b,8,8,11a-pentamethyl-3a-[(5-methylpyridine-3-carbonyl)amino]-2-oxo-1-propan-2-yl-4,5,6,7,7a,9,10,11,11b,12,13,13a-dodecahydro-3h-cyclopenta[a]chrysen-9-yl]oxy]-2,2-dimethyl-4-oxobutanoic acid Chemical compound N([C@@]12CC[C@@]3(C)[C@]4(C)CC[C@H]5C(C)(C)[C@@H](OC(=O)CC(C)(C)C(O)=O)CC[C@]5(C)[C@H]4CC[C@@H]3C1=C(C(C2)=O)C(C)C)C(=O)C1=CN=CC(C)=C1 QCQCHGYLTSGIGX-GHXANHINSA-N 0.000 description 1
- GIABRJFSHNANBZ-UHFFFAOYSA-N 4-bromopyridine Chemical compound BrC1=C=CN=C[CH]1 GIABRJFSHNANBZ-UHFFFAOYSA-N 0.000 description 1
- UOQXIWFBQSVDPP-UHFFFAOYSA-N 4-fluorobenzaldehyde Chemical compound FC1=CC=C(C=O)C=C1 UOQXIWFBQSVDPP-UHFFFAOYSA-N 0.000 description 1
- GCNTZFIIOFTKIY-UHFFFAOYSA-N 4-hydroxypyridine Chemical compound OC1=CC=NC=C1 GCNTZFIIOFTKIY-UHFFFAOYSA-N 0.000 description 1
- RTLUPHDWSUGAOS-UHFFFAOYSA-N 4-iodopyridine Chemical compound IC1=CC=NC=C1 RTLUPHDWSUGAOS-UHFFFAOYSA-N 0.000 description 1
- 125000000590 4-methylphenyl group Chemical group [H]C1=C([H])C(=C([H])C([H])=C1*)C([H])([H])[H] 0.000 description 1
- GWAZLPJZKQFTRM-UHFFFAOYSA-N 4-morpholin-4-ylbutan-2-amine Chemical compound CC(N)CCN1CCOCC1 GWAZLPJZKQFTRM-UHFFFAOYSA-N 0.000 description 1
- RSIWALKZYXPAGW-NSHDSACASA-N 6-(3-fluorophenyl)-3-methyl-7-[(1s)-1-(7h-purin-6-ylamino)ethyl]-[1,3]thiazolo[3,2-a]pyrimidin-5-one Chemical compound C=1([C@@H](NC=2C=3N=CNC=3N=CN=2)C)N=C2SC=C(C)N2C(=O)C=1C1=CC=CC(F)=C1 RSIWALKZYXPAGW-NSHDSACASA-N 0.000 description 1
- QSBYPNXLFMSGKH-UHFFFAOYSA-N 9-Heptadecensaeure Natural products CCCCCCCC=CCCCCCCCC(O)=O QSBYPNXLFMSGKH-UHFFFAOYSA-N 0.000 description 1
- QTBSBXVTEAMEQO-UHFFFAOYSA-M Acetate Chemical compound CC([O-])=O QTBSBXVTEAMEQO-UHFFFAOYSA-M 0.000 description 1
- 102000011767 Acute-Phase Proteins Human genes 0.000 description 1
- 108010062271 Acute-Phase Proteins Proteins 0.000 description 1
- 229920001817 Agar Polymers 0.000 description 1
- GUBGYTABKSRVRQ-XLOQQCSPSA-N Alpha-Lactose Chemical compound O[C@@H]1[C@@H](O)[C@@H](O)[C@@H](CO)O[C@H]1O[C@@H]1[C@@H](CO)O[C@H](O)[C@H](O)[C@H]1O GUBGYTABKSRVRQ-XLOQQCSPSA-N 0.000 description 1
- 208000024827 Alzheimer disease Diseases 0.000 description 1
- QGZKDVFQNNGYKY-UHFFFAOYSA-O Ammonium Chemical compound [NH4+] QGZKDVFQNNGYKY-UHFFFAOYSA-O 0.000 description 1
- 244000144725 Amygdalus communis Species 0.000 description 1
- 235000011437 Amygdalus communis Nutrition 0.000 description 1
- 239000004475 Arginine Substances 0.000 description 1
- DCXYFEDJOCDNAF-UHFFFAOYSA-N Asparagine Natural products OC(=O)C(N)CC(N)=O DCXYFEDJOCDNAF-UHFFFAOYSA-N 0.000 description 1
- 206010003645 Atopy Diseases 0.000 description 1
- 210000002237 B-cell of pancreatic islet Anatomy 0.000 description 1
- 239000005711 Benzoic acid Substances 0.000 description 1
- BVKZGUZCCUSVTD-UHFFFAOYSA-M Bicarbonate Chemical compound OC([O-])=O BVKZGUZCCUSVTD-UHFFFAOYSA-M 0.000 description 1
- CPELXLSAUQHCOX-UHFFFAOYSA-M Bromide Chemical compound [Br-] CPELXLSAUQHCOX-UHFFFAOYSA-M 0.000 description 1
- VRZNYVPTUTWLQP-UHFFFAOYSA-N CC(NC=O)C1=CC=C(F)C=C1.CC(NC=O)C1=CC=C(F)C=C1.O=CC1=CC=C(F)C=C1.O=CNC(NC=O)C1=CC=C(F)C=C1.[C-]#[N+]C(C)C1=CC=C(F)C=C1 Chemical compound CC(NC=O)C1=CC=C(F)C=C1.CC(NC=O)C1=CC=C(F)C=C1.O=CC1=CC=C(F)C=C1.O=CNC(NC=O)C1=CC=C(F)C=C1.[C-]#[N+]C(C)C1=CC=C(F)C=C1 VRZNYVPTUTWLQP-UHFFFAOYSA-N 0.000 description 1
- 101100289995 Caenorhabditis elegans mac-1 gene Proteins 0.000 description 1
- 206010058019 Cancer Pain Diseases 0.000 description 1
- 241000283707 Capra Species 0.000 description 1
- BVKZGUZCCUSVTD-UHFFFAOYSA-L Carbonate Chemical compound [O-]C([O-])=O BVKZGUZCCUSVTD-UHFFFAOYSA-L 0.000 description 1
- 206010007559 Cardiac failure congestive Diseases 0.000 description 1
- 102000000844 Cell Surface Receptors Human genes 0.000 description 1
- 108010001857 Cell Surface Receptors Proteins 0.000 description 1
- KZBUYRJDOAKODT-UHFFFAOYSA-N Chlorine Chemical compound ClCl KZBUYRJDOAKODT-UHFFFAOYSA-N 0.000 description 1
- 229910020364 ClSO2 Inorganic materials 0.000 description 1
- 241000699800 Cricetinae Species 0.000 description 1
- XZMCDFZZKTWFGF-UHFFFAOYSA-N Cyanamide Chemical compound NC#N XZMCDFZZKTWFGF-UHFFFAOYSA-N 0.000 description 1
- FEWJPZIEWOKRBE-JCYAYHJZSA-N Dextrotartaric acid Chemical compound OC(=O)[C@H](O)[C@@H](O)C(O)=O FEWJPZIEWOKRBE-JCYAYHJZSA-N 0.000 description 1
- 206010012689 Diabetic retinopathy Diseases 0.000 description 1
- 238000008157 ELISA kit Methods 0.000 description 1
- OTMSDBZUPAUEDD-UHFFFAOYSA-N Ethane Chemical compound CC OTMSDBZUPAUEDD-UHFFFAOYSA-N 0.000 description 1
- 208000009386 Experimental Arthritis Diseases 0.000 description 1
- 206010015719 Exsanguination Diseases 0.000 description 1
- 108010007457 Extracellular Signal-Regulated MAP Kinases Proteins 0.000 description 1
- OUHGTOMCWYHIPN-UHFFFAOYSA-N FC(F)(F)S(=O)(=O)[IH]Br Chemical compound FC(F)(F)S(=O)(=O)[IH]Br OUHGTOMCWYHIPN-UHFFFAOYSA-N 0.000 description 1
- 108091006027 G proteins Proteins 0.000 description 1
- 102100022086 GRB2-related adapter protein 2 Human genes 0.000 description 1
- 102000030782 GTP binding Human genes 0.000 description 1
- 108091000058 GTP-Binding Proteins 0.000 description 1
- 108010010803 Gelatin Proteins 0.000 description 1
- WHUUTDBJXJRKMK-UHFFFAOYSA-N Glutamic acid Natural products OC(=O)C(N)CCC(O)=O WHUUTDBJXJRKMK-UHFFFAOYSA-N 0.000 description 1
- 239000004471 Glycine Substances 0.000 description 1
- 208000031886 HIV Infections Diseases 0.000 description 1
- 206010020164 HIV infection CDC Group III Diseases 0.000 description 1
- 206010019233 Headaches Diseases 0.000 description 1
- 206010019280 Heart failures Diseases 0.000 description 1
- 102000002812 Heat-Shock Proteins Human genes 0.000 description 1
- 108010004889 Heat-Shock Proteins Proteins 0.000 description 1
- 208000009889 Herpes Simplex Diseases 0.000 description 1
- 208000007514 Herpes zoster Diseases 0.000 description 1
- 101001046686 Homo sapiens Integrin alpha-M Proteins 0.000 description 1
- 101000935040 Homo sapiens Integrin beta-2 Proteins 0.000 description 1
- 101000605127 Homo sapiens Prostaglandin G/H synthase 2 Proteins 0.000 description 1
- 101001059454 Homo sapiens Serine/threonine-protein kinase MARK2 Proteins 0.000 description 1
- 238000006736 Huisgen cycloaddition reaction Methods 0.000 description 1
- 241000713772 Human immunodeficiency virus 1 Species 0.000 description 1
- 241000713340 Human immunodeficiency virus 2 Species 0.000 description 1
- LCWXJXMHJVIJFK-UHFFFAOYSA-N Hydroxylysine Natural products NCC(O)CC(N)CC(O)=O LCWXJXMHJVIJFK-UHFFFAOYSA-N 0.000 description 1
- XQFRJNBWHJMXHO-RRKCRQDMSA-N IDUR Chemical group C1[C@H](O)[C@@H](CO)O[C@H]1N1C(=O)NC(=O)C(I)=C1 XQFRJNBWHJMXHO-RRKCRQDMSA-N 0.000 description 1
- WRYCSMQKUKOKBP-UHFFFAOYSA-N Imidazolidine Chemical compound C1CNCN1 WRYCSMQKUKOKBP-UHFFFAOYSA-N 0.000 description 1
- 102100022338 Integrin alpha-M Human genes 0.000 description 1
- 102100025390 Integrin beta-2 Human genes 0.000 description 1
- 102000003777 Interleukin-1 beta Human genes 0.000 description 1
- 108090000193 Interleukin-1 beta Proteins 0.000 description 1
- OWIKHYCFFJSOEH-UHFFFAOYSA-N Isocyanic acid Chemical compound N=C=O OWIKHYCFFJSOEH-UHFFFAOYSA-N 0.000 description 1
- XUJNEKJLAYXESH-REOHCLBHSA-N L-Cysteine Chemical compound SC[C@H](N)C(O)=O XUJNEKJLAYXESH-REOHCLBHSA-N 0.000 description 1
- JMQMNWIBUCGUDO-UHFFFAOYSA-N L-Djenkolic acid Natural products OC(=O)C(N)CSCSCC(N)C(O)=O JMQMNWIBUCGUDO-UHFFFAOYSA-N 0.000 description 1
- AHLPHDHHMVZTML-BYPYZUCNSA-N L-Ornithine Chemical compound NCCC[C@H](N)C(O)=O AHLPHDHHMVZTML-BYPYZUCNSA-N 0.000 description 1
- ODKSFYDXXFIFQN-BYPYZUCNSA-P L-argininium(2+) Chemical compound NC(=[NH2+])NCCC[C@H]([NH3+])C(O)=O ODKSFYDXXFIFQN-BYPYZUCNSA-P 0.000 description 1
- DCXYFEDJOCDNAF-REOHCLBHSA-N L-asparagine Chemical compound OC(=O)[C@@H](N)CC(N)=O DCXYFEDJOCDNAF-REOHCLBHSA-N 0.000 description 1
- CKLJMWTZIZZHCS-REOHCLBHSA-N L-aspartic acid Chemical compound OC(=O)[C@@H](N)CC(O)=O CKLJMWTZIZZHCS-REOHCLBHSA-N 0.000 description 1
- FSBIGDSBMBYOPN-VKHMYHEASA-N L-canavanine Chemical compound OC(=O)[C@@H](N)CCONC(N)=N FSBIGDSBMBYOPN-VKHMYHEASA-N 0.000 description 1
- RHGKLRLOHDJJDR-BYPYZUCNSA-N L-citrulline Chemical compound NC(=O)NCCC[C@H]([NH3+])C([O-])=O RHGKLRLOHDJJDR-BYPYZUCNSA-N 0.000 description 1
- JMQMNWIBUCGUDO-WHFBIAKZSA-N L-djenkolic acid Chemical compound OC(=O)[C@@H](N)CSCSC[C@H](N)C(O)=O JMQMNWIBUCGUDO-WHFBIAKZSA-N 0.000 description 1
- WHUUTDBJXJRKMK-VKHMYHEASA-N L-glutamic acid Chemical compound OC(=O)[C@@H](N)CCC(O)=O WHUUTDBJXJRKMK-VKHMYHEASA-N 0.000 description 1
- ZDXPYRJPNDTMRX-VKHMYHEASA-N L-glutamine Chemical compound OC(=O)[C@@H](N)CCC(N)=O ZDXPYRJPNDTMRX-VKHMYHEASA-N 0.000 description 1
- HNDVDQJCIGZPNO-YFKPBYRVSA-N L-histidine Chemical compound OC(=O)[C@@H](N)CC1=CN=CN1 HNDVDQJCIGZPNO-YFKPBYRVSA-N 0.000 description 1
- FFFHZYDWPBMWHY-VKHMYHEASA-N L-homocysteine Chemical compound OC(=O)[C@@H](N)CCS FFFHZYDWPBMWHY-VKHMYHEASA-N 0.000 description 1
- UKAUYVFTDYCKQA-VKHMYHEASA-N L-homoserine Chemical compound OC(=O)[C@@H](N)CCO UKAUYVFTDYCKQA-VKHMYHEASA-N 0.000 description 1
- AGPKZVBTJJNPAG-WHFBIAKZSA-N L-isoleucine Chemical compound CC[C@H](C)[C@H](N)C(O)=O AGPKZVBTJJNPAG-WHFBIAKZSA-N 0.000 description 1
- KDXKERNSBIXSRK-YFKPBYRVSA-N L-lysine Chemical compound NCCCC[C@H](N)C(O)=O KDXKERNSBIXSRK-YFKPBYRVSA-N 0.000 description 1
- STVVMTBJNDTZBF-VIFPVBQESA-N L-phenylalaninol Chemical compound OC[C@@H](N)CC1=CC=CC=C1 STVVMTBJNDTZBF-VIFPVBQESA-N 0.000 description 1
- QIVBCDIJIAJPQS-VIFPVBQESA-N L-tryptophane Chemical compound C1=CC=C2C(C[C@H](N)C(O)=O)=CNC2=C1 QIVBCDIJIAJPQS-VIFPVBQESA-N 0.000 description 1
- GUBGYTABKSRVRQ-QKKXKWKRSA-N Lactose Natural products OC[C@H]1O[C@@H](O[C@H]2[C@H](O)[C@@H](O)C(O)O[C@@H]2CO)[C@H](O)[C@@H](O)[C@H]1O GUBGYTABKSRVRQ-QKKXKWKRSA-N 0.000 description 1
- 239000004166 Lanolin Substances 0.000 description 1
- 240000007472 Leucaena leucocephala Species 0.000 description 1
- 235000010643 Leucaena leucocephala Nutrition 0.000 description 1
- 238000005684 Liebig rearrangement reaction Methods 0.000 description 1
- WHXSMMKQMYFTQS-UHFFFAOYSA-N Lithium Chemical compound [Li] WHXSMMKQMYFTQS-UHFFFAOYSA-N 0.000 description 1
- 239000012448 Lithium borohydride Substances 0.000 description 1
- KDXKERNSBIXSRK-UHFFFAOYSA-N Lysine Natural products NCCCCC(N)C(O)=O KDXKERNSBIXSRK-UHFFFAOYSA-N 0.000 description 1
- 239000004472 Lysine Substances 0.000 description 1
- 102100034069 MAP kinase-activated protein kinase 2 Human genes 0.000 description 1
- 102100028397 MAP kinase-activated protein kinase 3 Human genes 0.000 description 1
- 102100026299 MAP kinase-interacting serine/threonine-protein kinase 1 Human genes 0.000 description 1
- 101710139011 MAP kinase-interacting serine/threonine-protein kinase 1 Proteins 0.000 description 1
- 102100033610 MAP kinase-interacting serine/threonine-protein kinase 2 Human genes 0.000 description 1
- 101710138999 MAP kinase-interacting serine/threonine-protein kinase 2 Proteins 0.000 description 1
- 108010041955 MAP-kinase-activated kinase 2 Proteins 0.000 description 1
- 108010041980 MAP-kinase-activated kinase 3 Proteins 0.000 description 1
- FYYHWMGAXLPEAU-UHFFFAOYSA-N Magnesium Chemical compound [Mg] FYYHWMGAXLPEAU-UHFFFAOYSA-N 0.000 description 1
- UEZVMMHDMIWARA-UHFFFAOYSA-N Metaphosphoric acid Chemical compound OP(=O)=O UEZVMMHDMIWARA-UHFFFAOYSA-N 0.000 description 1
- AFVFQIVMOAPDHO-UHFFFAOYSA-N Methanesulfonic acid Chemical compound CS(O)(=O)=O AFVFQIVMOAPDHO-UHFFFAOYSA-N 0.000 description 1
- 239000012359 Methanesulfonyl chloride Substances 0.000 description 1
- 102100024193 Mitogen-activated protein kinase 1 Human genes 0.000 description 1
- 239000004909 Moisturizer Substances 0.000 description 1
- 229920000715 Mucilage Polymers 0.000 description 1
- CYZKJBZEIFWZSR-LURJTMIESA-N N(alpha)-methyl-L-histidine Chemical compound CN[C@H](C(O)=O)CC1=CNC=N1 CYZKJBZEIFWZSR-LURJTMIESA-N 0.000 description 1
- ZSXGLVDWWRXATF-UHFFFAOYSA-N N,N-dimethylformamide dimethyl acetal Chemical compound COC(OC)N(C)C ZSXGLVDWWRXATF-UHFFFAOYSA-N 0.000 description 1
- CHJJGSNFBQVOTG-UHFFFAOYSA-N N-methyl-guanidine Natural products CNC(N)=N CHJJGSNFBQVOTG-UHFFFAOYSA-N 0.000 description 1
- 238000005481 NMR spectroscopy Methods 0.000 description 1
- RHGKLRLOHDJJDR-UHFFFAOYSA-N Ndelta-carbamoyl-DL-ornithine Natural products OC(=O)C(N)CCCNC(N)=O RHGKLRLOHDJJDR-UHFFFAOYSA-N 0.000 description 1
- VEQPNABPJHWNSG-UHFFFAOYSA-N Nickel(2+) Chemical compound [Ni+2] VEQPNABPJHWNSG-UHFFFAOYSA-N 0.000 description 1
- 102100029438 Nitric oxide synthase, inducible Human genes 0.000 description 1
- 101710089543 Nitric oxide synthase, inducible Proteins 0.000 description 1
- CTQNGGLPUBDAKN-UHFFFAOYSA-N O-Xylene Chemical compound CC1=CC=CC=C1C CTQNGGLPUBDAKN-UHFFFAOYSA-N 0.000 description 1
- FSBIGDSBMBYOPN-UHFFFAOYSA-N O-guanidino-DL-homoserine Natural products OC(=O)C(N)CCON=C(N)N FSBIGDSBMBYOPN-UHFFFAOYSA-N 0.000 description 1
- GZMYLSJUNSCMTD-MOPGFXCFSA-N OC[C@@H](C)NC1=NC(=CC(=C1)C=1C=C(C=CC=1C)NC(=O)N1C[C@@H](CC1)CC(F)(F)F)N1CCOCC1 Chemical compound OC[C@@H](C)NC1=NC(=CC(=C1)C=1C=C(C=CC=1C)NC(=O)N1C[C@@H](CC1)CC(F)(F)F)N1CCOCC1 GZMYLSJUNSCMTD-MOPGFXCFSA-N 0.000 description 1
- 208000022873 Ocular disease Diseases 0.000 description 1
- 206010030113 Oedema Diseases 0.000 description 1
- 239000005642 Oleic acid Substances 0.000 description 1
- ZQPPMHVWECSIRJ-UHFFFAOYSA-N Oleic acid Natural products CCCCCCCCC=CCCCCCCCC(O)=O ZQPPMHVWECSIRJ-UHFFFAOYSA-N 0.000 description 1
- AHLPHDHHMVZTML-UHFFFAOYSA-N Orn-delta-NH2 Natural products NCCCC(N)C(O)=O AHLPHDHHMVZTML-UHFFFAOYSA-N 0.000 description 1
- UTJLXEIPEHZYQJ-UHFFFAOYSA-N Ornithine Natural products OC(=O)C(C)CCCN UTJLXEIPEHZYQJ-UHFFFAOYSA-N 0.000 description 1
- 241000283973 Oryctolagus cuniculus Species 0.000 description 1
- 208000001132 Osteoporosis Diseases 0.000 description 1
- ZCQWOFVYLHDMMC-UHFFFAOYSA-N Oxazole Chemical compound C1=COC=N1 ZCQWOFVYLHDMMC-UHFFFAOYSA-N 0.000 description 1
- 229910019213 POCl3 Inorganic materials 0.000 description 1
- 235000019483 Peanut oil Nutrition 0.000 description 1
- YGYAWVDWMABLBF-UHFFFAOYSA-N Phosgene Chemical compound ClC(Cl)=O YGYAWVDWMABLBF-UHFFFAOYSA-N 0.000 description 1
- 101710096328 Phospholipase A2 Proteins 0.000 description 1
- 102100026918 Phospholipase A2 Human genes 0.000 description 1
- 102000045595 Phosphoprotein Phosphatases Human genes 0.000 description 1
- 108700019535 Phosphoprotein Phosphatases Proteins 0.000 description 1
- 229920003171 Poly (ethylene oxide) Chemical class 0.000 description 1
- OFOBLEOULBTSOW-UHFFFAOYSA-N Propanedioic acid Natural products OC(=O)CC(O)=O OFOBLEOULBTSOW-UHFFFAOYSA-N 0.000 description 1
- XBDQKXXYIPTUBI-UHFFFAOYSA-M Propionate Chemical compound CCC([O-])=O XBDQKXXYIPTUBI-UHFFFAOYSA-M 0.000 description 1
- WTKZEGDFNFYCGP-UHFFFAOYSA-N Pyrazole Chemical compound C=1C=NNC=1 WTKZEGDFNFYCGP-UHFFFAOYSA-N 0.000 description 1
- IWYDHOAUDWTVEP-UHFFFAOYSA-N R-2-phenyl-2-hydroxyacetic acid Natural products OC(=O)C(O)C1=CC=CC=C1 IWYDHOAUDWTVEP-UHFFFAOYSA-N 0.000 description 1
- 241000219061 Rheum Species 0.000 description 1
- 241000283984 Rodentia Species 0.000 description 1
- CDMGBJANTYXAIV-UHFFFAOYSA-N SB 203580 Chemical compound C1=CC(S(=O)C)=CC=C1C1=NC(C=2C=CC(F)=CC=2)=C(C=2C=CN=CC=2)N1 CDMGBJANTYXAIV-UHFFFAOYSA-N 0.000 description 1
- 229940124639 Selective inhibitor Drugs 0.000 description 1
- 206010070834 Sensitisation Diseases 0.000 description 1
- MTCFGRXMJLQNBG-UHFFFAOYSA-N Serine Natural products OCC(N)C(O)=O MTCFGRXMJLQNBG-UHFFFAOYSA-N 0.000 description 1
- 102100028904 Serine/threonine-protein kinase MARK2 Human genes 0.000 description 1
- UIIMBOGNXHQVGW-DEQYMQKBSA-M Sodium bicarbonate-14C Chemical compound [Na+].O[14C]([O-])=O UIIMBOGNXHQVGW-DEQYMQKBSA-M 0.000 description 1
- 235000021355 Stearic acid Nutrition 0.000 description 1
- 238000007059 Strecker synthesis reaction Methods 0.000 description 1
- KDYFGRWQOYBRFD-UHFFFAOYSA-N Succinic acid Natural products OC(=O)CCC(O)=O KDYFGRWQOYBRFD-UHFFFAOYSA-N 0.000 description 1
- CZMRCDWAGMRECN-UGDNZRGBSA-N Sucrose Chemical compound O[C@H]1[C@H](O)[C@@H](CO)O[C@@]1(CO)O[C@@H]1[C@H](O)[C@@H](O)[C@H](O)[C@@H](CO)O1 CZMRCDWAGMRECN-UGDNZRGBSA-N 0.000 description 1
- 229930006000 Sucrose Natural products 0.000 description 1
- 230000006044 T cell activation Effects 0.000 description 1
- FEWJPZIEWOKRBE-UHFFFAOYSA-N Tartaric acid Natural products [H+].[H+].[O-]C(=O)C(O)C(O)C([O-])=O FEWJPZIEWOKRBE-UHFFFAOYSA-N 0.000 description 1
- DHXVGJBLRPWPCS-UHFFFAOYSA-N Tetrahydropyran Chemical compound C1CCOCC1 DHXVGJBLRPWPCS-UHFFFAOYSA-N 0.000 description 1
- 241000011102 Thera Species 0.000 description 1
- FZWLAAWBMGSTSO-UHFFFAOYSA-N Thiazole Chemical compound C1=CSC=N1 FZWLAAWBMGSTSO-UHFFFAOYSA-N 0.000 description 1
- QIVBCDIJIAJPQS-UHFFFAOYSA-N Tryptophan Natural products C1=CC=C2C(CC(N)C(O)=O)=CNC2=C1 QIVBCDIJIAJPQS-UHFFFAOYSA-N 0.000 description 1
- 102000018594 Tumour necrosis factor Human genes 0.000 description 1
- 108050007852 Tumour necrosis factor Proteins 0.000 description 1
- 108010000134 Vascular Cell Adhesion Molecule-1 Proteins 0.000 description 1
- 102100023543 Vascular cell adhesion protein 1 Human genes 0.000 description 1
- 208000027418 Wounds and injury Diseases 0.000 description 1
- 240000008042 Zea mays Species 0.000 description 1
- 235000005824 Zea mays ssp. parviglumis Nutrition 0.000 description 1
- 235000002017 Zea mays subsp mays Nutrition 0.000 description 1
- NNMCAJYXRIQQLW-QMMMGPOBSA-N [(3s)-3-[(2-methylpropan-2-yl)oxycarbonylamino]butyl] methanesulfonate Chemical compound CS(=O)(=O)OCC[C@H](C)NC(=O)OC(C)(C)C NNMCAJYXRIQQLW-QMMMGPOBSA-N 0.000 description 1
- 230000002159 abnormal effect Effects 0.000 description 1
- FXXACINHVKSMDR-UHFFFAOYSA-N acetyl bromide Chemical compound CC(Br)=O FXXACINHVKSMDR-UHFFFAOYSA-N 0.000 description 1
- 210000001056 activated astrocyte Anatomy 0.000 description 1
- 150000001263 acyl chlorides Chemical class 0.000 description 1
- 239000000853 adhesive Substances 0.000 description 1
- 239000000443 aerosol Substances 0.000 description 1
- 239000008272 agar Substances 0.000 description 1
- 235000010419 agar Nutrition 0.000 description 1
- 150000001335 aliphatic alkanes Chemical class 0.000 description 1
- 150000001340 alkali metals Chemical class 0.000 description 1
- 150000001447 alkali salts Chemical class 0.000 description 1
- 150000001345 alkine derivatives Chemical class 0.000 description 1
- 125000005036 alkoxyphenyl group Chemical group 0.000 description 1
- 150000005215 alkyl ethers Chemical class 0.000 description 1
- 150000001350 alkyl halides Chemical class 0.000 description 1
- 125000005037 alkyl phenyl group Chemical group 0.000 description 1
- 230000029936 alkylation Effects 0.000 description 1
- 235000020224 almond Nutrition 0.000 description 1
- BJEPYKJPYRNKOW-UHFFFAOYSA-N alpha-hydroxysuccinic acid Natural products OC(=O)C(O)CC(O)=O BJEPYKJPYRNKOW-UHFFFAOYSA-N 0.000 description 1
- 230000004075 alteration Effects 0.000 description 1
- 229910000147 aluminium phosphate Inorganic materials 0.000 description 1
- 150000001414 amino alcohols Chemical class 0.000 description 1
- 125000003277 amino group Chemical group 0.000 description 1
- 229910021529 ammonia Inorganic materials 0.000 description 1
- 239000003708 ampul Substances 0.000 description 1
- 125000000129 anionic group Chemical group 0.000 description 1
- 239000003945 anionic surfactant Substances 0.000 description 1
- 229940121363 anti-inflammatory agent Drugs 0.000 description 1
- 239000002260 anti-inflammatory agent Substances 0.000 description 1
- 229940124599 anti-inflammatory drug Drugs 0.000 description 1
- 238000013459 approach Methods 0.000 description 1
- 229940114079 arachidonic acid Drugs 0.000 description 1
- 235000021342 arachidonic acid Nutrition 0.000 description 1
- ODKSFYDXXFIFQN-UHFFFAOYSA-N arginine Natural products OC(=O)C(N)CCCNC(N)=N ODKSFYDXXFIFQN-UHFFFAOYSA-N 0.000 description 1
- 235000009697 arginine Nutrition 0.000 description 1
- 239000012300 argon atmosphere Substances 0.000 description 1
- 150000004982 aromatic amines Chemical class 0.000 description 1
- 150000001543 aryl boronic acids Chemical class 0.000 description 1
- 235000009582 asparagine Nutrition 0.000 description 1
- 229960001230 asparagine Drugs 0.000 description 1
- 235000003704 aspartic acid Nutrition 0.000 description 1
- 208000006673 asthma Diseases 0.000 description 1
- 238000010533 azeotropic distillation Methods 0.000 description 1
- 230000001580 bacterial effect Effects 0.000 description 1
- 235000013871 bee wax Nutrition 0.000 description 1
- 239000012166 beeswax Substances 0.000 description 1
- 229960000686 benzalkonium chloride Drugs 0.000 description 1
- 229960004365 benzoic acid Drugs 0.000 description 1
- 235000010233 benzoic acid Nutrition 0.000 description 1
- PASDCCFISLVPSO-UHFFFAOYSA-N benzoyl chloride Chemical compound ClC(=O)C1=CC=CC=C1 PASDCCFISLVPSO-UHFFFAOYSA-N 0.000 description 1
- HSDAJNMJOMSNEV-UHFFFAOYSA-N benzyl chloroformate Chemical compound ClC(=O)OCC1=CC=CC=C1 HSDAJNMJOMSNEV-UHFFFAOYSA-N 0.000 description 1
- CADWTSSKOVRVJC-UHFFFAOYSA-N benzyl(dimethyl)azanium;chloride Chemical compound [Cl-].C[NH+](C)CC1=CC=CC=C1 CADWTSSKOVRVJC-UHFFFAOYSA-N 0.000 description 1
- 125000001743 benzylic group Chemical group 0.000 description 1
- 125000000051 benzyloxy group Chemical group [H]C1=C([H])C([H])=C(C([H])=C1[H])C([H])([H])O* 0.000 description 1
- OQFSQFPPLPISGP-UHFFFAOYSA-N beta-carboxyaspartic acid Natural products OC(=O)C(N)C(C(O)=O)C(O)=O OQFSQFPPLPISGP-UHFFFAOYSA-N 0.000 description 1
- 125000000319 biphenyl-4-yl group Chemical group [H]C1=C([H])C([H])=C([H])C([H])=C1C1=C([H])C([H])=C([*])C([H])=C1[H] 0.000 description 1
- XGIUDIMNNMKGDE-UHFFFAOYSA-N bis(trimethylsilyl)azanide Chemical compound C[Si](C)(C)[N-][Si](C)(C)C XGIUDIMNNMKGDE-UHFFFAOYSA-N 0.000 description 1
- 210000004204 blood vessel Anatomy 0.000 description 1
- 229910000085 borane Inorganic materials 0.000 description 1
- 208000029028 brain injury Diseases 0.000 description 1
- 244000309464 bull Species 0.000 description 1
- KDYFGRWQOYBRFD-NUQCWPJISA-N butanedioic acid Chemical compound O[14C](=O)CC[14C](O)=O KDYFGRWQOYBRFD-NUQCWPJISA-N 0.000 description 1
- 239000006227 byproduct Substances 0.000 description 1
- OSGAYBCDTDRGGQ-UHFFFAOYSA-L calcium sulfate Chemical compound [Ca+2].[O-]S([O-])(=O)=O OSGAYBCDTDRGGQ-UHFFFAOYSA-L 0.000 description 1
- 150000001732 carboxylic acid derivatives Chemical class 0.000 description 1
- 238000012754 cardiac puncture Methods 0.000 description 1
- 125000002091 cationic group Chemical group 0.000 description 1
- 239000003093 cationic surfactant Substances 0.000 description 1
- 230000001413 cellular effect Effects 0.000 description 1
- 230000010001 cellular homeostasis Effects 0.000 description 1
- 239000001913 cellulose Substances 0.000 description 1
- 229920002678 cellulose Polymers 0.000 description 1
- 239000007810 chemical reaction solvent Substances 0.000 description 1
- 239000002975 chemoattractant Substances 0.000 description 1
- 239000005482 chemotactic factor Substances 0.000 description 1
- 229960002152 chlorhexidine acetate Drugs 0.000 description 1
- 208000020832 chronic kidney disease Diseases 0.000 description 1
- 208000022831 chronic renal failure syndrome Diseases 0.000 description 1
- 229960004106 citric acid Drugs 0.000 description 1
- 235000015165 citric acid Nutrition 0.000 description 1
- 235000013477 citrulline Nutrition 0.000 description 1
- 229960002173 citrulline Drugs 0.000 description 1
- 235000005822 corn Nutrition 0.000 description 1
- 230000002596 correlated effect Effects 0.000 description 1
- ATDGTVJJHBUTRL-UHFFFAOYSA-N cyanogen bromide Chemical compound BrC#N ATDGTVJJHBUTRL-UHFFFAOYSA-N 0.000 description 1
- 125000004802 cyanophenyl group Chemical group 0.000 description 1
- 125000004122 cyclic group Chemical group 0.000 description 1
- 125000000596 cyclohexenyl group Chemical group C1(=CCCCC1)* 0.000 description 1
- 125000000113 cyclohexyl group Chemical group [H]C1([H])C([H])([H])C([H])([H])C([H])(*)C([H])([H])C1([H])[H] 0.000 description 1
- 125000002433 cyclopentenyl group Chemical group C1(=CCCC1)* 0.000 description 1
- 125000001511 cyclopentyl group Chemical group [H]C1([H])C([H])([H])C([H])([H])C([H])(*)C1([H])[H] 0.000 description 1
- 125000001559 cyclopropyl group Chemical group [H]C1([H])C([H])([H])C1([H])* 0.000 description 1
- 125000004186 cyclopropylmethyl group Chemical group [H]C([H])(*)C1([H])C([H])([H])C1([H])[H] 0.000 description 1
- XUJNEKJLAYXESH-UHFFFAOYSA-N cysteine Natural products SCC(N)C(O)=O XUJNEKJLAYXESH-UHFFFAOYSA-N 0.000 description 1
- 235000018417 cysteine Nutrition 0.000 description 1
- 230000001120 cytoprotective effect Effects 0.000 description 1
- 238000005947 deacylation reaction Methods 0.000 description 1
- 238000006114 decarboxylation reaction Methods 0.000 description 1
- 238000000354 decomposition reaction Methods 0.000 description 1
- 125000002704 decyl group Chemical group [H]C([H])([H])C([H])([H])C([H])([H])C([H])([H])C([H])([H])C([H])([H])C([H])([H])C([H])([H])C([H])([H])C([H])([H])* 0.000 description 1
- 230000002939 deleterious effect Effects 0.000 description 1
- YSMODUONRAFBET-UHFFFAOYSA-N delta-DL-hydroxylysine Natural products NCC(O)CCC(N)C(O)=O YSMODUONRAFBET-UHFFFAOYSA-N 0.000 description 1
- 238000010511 deprotection reaction Methods 0.000 description 1
- 230000001066 destructive effect Effects 0.000 description 1
- 238000001514 detection method Methods 0.000 description 1
- 235000014113 dietary fatty acids Nutrition 0.000 description 1
- 229960004132 diethyl ether Drugs 0.000 description 1
- SBZXBUIDTXKZTM-UHFFFAOYSA-N diglyme Chemical compound COCCOCCOC SBZXBUIDTXKZTM-UHFFFAOYSA-N 0.000 description 1
- IJKVHSBPTUYDLN-UHFFFAOYSA-N dihydroxy(oxo)silane Chemical compound O[Si](O)=O IJKVHSBPTUYDLN-UHFFFAOYSA-N 0.000 description 1
- 125000000118 dimethyl group Chemical group [H]C([H])([H])* 0.000 description 1
- SWSQBOPZIKWTGO-UHFFFAOYSA-N dimethylaminoamidine Natural products CN(C)C(N)=N SWSQBOPZIKWTGO-UHFFFAOYSA-N 0.000 description 1
- LOKCTEFSRHRXRJ-UHFFFAOYSA-I dipotassium trisodium dihydrogen phosphate hydrogen phosphate dichloride Chemical compound P(=O)(O)(O)[O-].[K+].P(=O)(O)([O-])[O-].[Na+].[Na+].[Cl-].[K+].[Cl-].[Na+] LOKCTEFSRHRXRJ-UHFFFAOYSA-I 0.000 description 1
- KPUWHANPEXNPJT-UHFFFAOYSA-N disiloxane Chemical class [SiH3]O[SiH3] KPUWHANPEXNPJT-UHFFFAOYSA-N 0.000 description 1
- 238000004821 distillation Methods 0.000 description 1
- 239000006196 drop Substances 0.000 description 1
- 229940079593 drug Drugs 0.000 description 1
- 238000001647 drug administration Methods 0.000 description 1
- 238000001035 drying Methods 0.000 description 1
- 230000009977 dual effect Effects 0.000 description 1
- 230000000463 effect on translation Effects 0.000 description 1
- 238000000132 electrospray ionisation Methods 0.000 description 1
- 239000000839 emulsion Substances 0.000 description 1
- 238000005516 engineering process Methods 0.000 description 1
- 210000002615 epidermis Anatomy 0.000 description 1
- YSMODUONRAFBET-UHNVWZDZSA-N erythro-5-hydroxy-L-lysine Chemical compound NC[C@H](O)CC[C@H](N)C(O)=O YSMODUONRAFBET-UHNVWZDZSA-N 0.000 description 1
- CCIVGXIOQKPBKL-UHFFFAOYSA-N ethanesulfonic acid Chemical compound CCS(O)(=O)=O CCIVGXIOQKPBKL-UHFFFAOYSA-N 0.000 description 1
- 150000002170 ethers Chemical class 0.000 description 1
- 229940052303 ethers for general anesthesia Drugs 0.000 description 1
- 125000006534 ethyl amino methyl group Chemical group [H]N(C([H])([H])*)C([H])([H])C([H])([H])[H] 0.000 description 1
- RIFGWPKJUGCATF-UHFFFAOYSA-N ethyl chloroformate Chemical compound CCOC(Cl)=O RIFGWPKJUGCATF-UHFFFAOYSA-N 0.000 description 1
- 239000000284 extract Substances 0.000 description 1
- 238000010265 fast atom bombardment Methods 0.000 description 1
- 235000019197 fats Nutrition 0.000 description 1
- 229930195729 fatty acid Natural products 0.000 description 1
- 239000000194 fatty acid Substances 0.000 description 1
- 150000004665 fatty acids Chemical class 0.000 description 1
- 230000001605 fetal effect Effects 0.000 description 1
- 239000012530 fluid Substances 0.000 description 1
- 150000004675 formic acid derivatives Chemical class 0.000 description 1
- WBJINCZRORDGAQ-UHFFFAOYSA-N formic acid ethyl ester Natural products CCOC=O WBJINCZRORDGAQ-UHFFFAOYSA-N 0.000 description 1
- 125000004005 formimidoyl group Chemical group [H]\N=C(/[H])* 0.000 description 1
- 239000001530 fumaric acid Substances 0.000 description 1
- 229960002598 fumaric acid Drugs 0.000 description 1
- 235000011087 fumaric acid Nutrition 0.000 description 1
- BTCSSZJGUNDROE-UHFFFAOYSA-N gamma-aminobutyric acid Chemical compound NCCCC(O)=O BTCSSZJGUNDROE-UHFFFAOYSA-N 0.000 description 1
- 239000008273 gelatin Substances 0.000 description 1
- 229920000159 gelatin Polymers 0.000 description 1
- 235000019322 gelatine Nutrition 0.000 description 1
- 235000011852 gelatine desserts Nutrition 0.000 description 1
- 238000007429 general method Methods 0.000 description 1
- 235000013922 glutamic acid Nutrition 0.000 description 1
- 239000004220 glutamic acid Substances 0.000 description 1
- ZDXPYRJPNDTMRX-UHFFFAOYSA-N glutamine Natural products OC(=O)C(N)CCC(N)=O ZDXPYRJPNDTMRX-UHFFFAOYSA-N 0.000 description 1
- 235000004554 glutamine Nutrition 0.000 description 1
- ZEMPKEQAKRGZGQ-XOQCFJPHSA-N glycerol triricinoleate Natural products CCCCCC[C@@H](O)CC=CCCCCCCCC(=O)OC[C@@H](COC(=O)CCCCCCCC=CC[C@@H](O)CCCCCC)OC(=O)CCCCCCCC=CC[C@H](O)CCCCCC ZEMPKEQAKRGZGQ-XOQCFJPHSA-N 0.000 description 1
- 229940074045 glyceryl distearate Drugs 0.000 description 1
- 229940075507 glyceryl monostearate Drugs 0.000 description 1
- 239000003102 growth factor Substances 0.000 description 1
- 230000003394 haemopoietic effect Effects 0.000 description 1
- 150000004820 halides Chemical class 0.000 description 1
- 150000008282 halocarbons Chemical class 0.000 description 1
- 231100000869 headache Toxicity 0.000 description 1
- 210000002443 helper t lymphocyte Anatomy 0.000 description 1
- 201000011066 hemangioma Diseases 0.000 description 1
- 125000005553 heteroaryloxy group Chemical group 0.000 description 1
- 125000004415 heterocyclylalkyl group Chemical group 0.000 description 1
- 229960001340 histamine Drugs 0.000 description 1
- HNDVDQJCIGZPNO-UHFFFAOYSA-N histidine Natural products OC(=O)C(N)CC1=CN=CN1 HNDVDQJCIGZPNO-UHFFFAOYSA-N 0.000 description 1
- 229930195733 hydrocarbon Natural products 0.000 description 1
- 150000002430 hydrocarbons Chemical class 0.000 description 1
- QJHBJHUKURJDLG-UHFFFAOYSA-N hydroxy-L-lysine Natural products NCCCCC(NO)C(O)=O QJHBJHUKURJDLG-UHFFFAOYSA-N 0.000 description 1
- 125000004464 hydroxyphenyl group Chemical group 0.000 description 1
- 125000002883 imidazolyl group Chemical group 0.000 description 1
- 210000000987 immune system Anatomy 0.000 description 1
- 230000007365 immunoregulation Effects 0.000 description 1
- 230000006872 improvement Effects 0.000 description 1
- 239000012535 impurity Substances 0.000 description 1
- 238000010952 in-situ formation Methods 0.000 description 1
- PZOUSPYUWWUPPK-UHFFFAOYSA-N indole Natural products CC1=CC=CC2=C1C=CN2 PZOUSPYUWWUPPK-UHFFFAOYSA-N 0.000 description 1
- RKJUIXBNRJVNHR-UHFFFAOYSA-N indolenine Natural products C1=CC=C2CC=NC2=C1 RKJUIXBNRJVNHR-UHFFFAOYSA-N 0.000 description 1
- 230000028709 inflammatory response Effects 0.000 description 1
- 238000002347 injection Methods 0.000 description 1
- 239000007924 injection Substances 0.000 description 1
- 229910010272 inorganic material Inorganic materials 0.000 description 1
- 239000011147 inorganic material Substances 0.000 description 1
- 230000003993 interaction Effects 0.000 description 1
- 230000017306 interleukin-6 production Effects 0.000 description 1
- 230000003834 intracellular effect Effects 0.000 description 1
- 230000031146 intracellular signal transduction Effects 0.000 description 1
- 150000004694 iodide salts Chemical class 0.000 description 1
- 125000002346 iodo group Chemical group I* 0.000 description 1
- 150000002500 ions Chemical class 0.000 description 1
- 229910052742 iron Inorganic materials 0.000 description 1
- 125000000959 isobutyl group Chemical group [H]C([H])([H])C([H])(C([H])([H])[H])C([H])([H])* 0.000 description 1
- 239000012948 isocyanate Substances 0.000 description 1
- 150000002513 isocyanates Chemical class 0.000 description 1
- 238000002955 isolation Methods 0.000 description 1
- AGPKZVBTJJNPAG-UHFFFAOYSA-N isoleucine Natural products CCC(C)C(N)C(O)=O AGPKZVBTJJNPAG-UHFFFAOYSA-N 0.000 description 1
- 229960000310 isoleucine Drugs 0.000 description 1
- QXJSBBXBKPUZAA-UHFFFAOYSA-N isooleic acid Natural products CCCCCCCC=CCCCCCCCCC(O)=O QXJSBBXBKPUZAA-UHFFFAOYSA-N 0.000 description 1
- 125000002183 isoquinolinyl group Chemical group C1(=NC=CC2=CC=CC=C12)* 0.000 description 1
- 238000000021 kinase assay Methods 0.000 description 1
- 239000004310 lactic acid Substances 0.000 description 1
- 235000014655 lactic acid Nutrition 0.000 description 1
- 229960000448 lactic acid Drugs 0.000 description 1
- 239000008101 lactose Substances 0.000 description 1
- 235000019388 lanolin Nutrition 0.000 description 1
- 229940039717 lanolin Drugs 0.000 description 1
- 238000011694 lewis rat Methods 0.000 description 1
- 238000012417 linear regression Methods 0.000 description 1
- 150000002632 lipids Chemical class 0.000 description 1
- 229940057995 liquid paraffin Drugs 0.000 description 1
- 239000006194 liquid suspension Substances 0.000 description 1
- WGOPGODQLGJZGL-UHFFFAOYSA-N lithium;butane Chemical compound [Li+].CC[CH-]C WGOPGODQLGJZGL-UHFFFAOYSA-N 0.000 description 1
- 239000007937 lozenge Substances 0.000 description 1
- 210000004698 lymphocyte Anatomy 0.000 description 1
- 208000002780 macular degeneration Diseases 0.000 description 1
- 229910001629 magnesium chloride Inorganic materials 0.000 description 1
- 235000019359 magnesium stearate Nutrition 0.000 description 1
- 238000012423 maintenance Methods 0.000 description 1
- VZCYOOQTPOCHFL-UPHRSURJSA-N maleic acid Chemical compound OC(=O)\C=C/C(O)=O VZCYOOQTPOCHFL-UPHRSURJSA-N 0.000 description 1
- 239000011976 maleic acid Substances 0.000 description 1
- 229940098895 maleic acid Drugs 0.000 description 1
- 239000001630 malic acid Substances 0.000 description 1
- 229940099690 malic acid Drugs 0.000 description 1
- 235000011090 malic acid Nutrition 0.000 description 1
- 229960002510 mandelic acid Drugs 0.000 description 1
- 238000001819 mass spectrum Methods 0.000 description 1
- 239000000463 material Substances 0.000 description 1
- 238000005259 measurement Methods 0.000 description 1
- 230000007246 mechanism Effects 0.000 description 1
- 230000010534 mechanism of action Effects 0.000 description 1
- AUHZEENZYGFFBQ-UHFFFAOYSA-N mesitylene Substances CC1=CC(C)=CC(C)=C1 AUHZEENZYGFFBQ-UHFFFAOYSA-N 0.000 description 1
- 125000001827 mesitylenyl group Chemical group [H]C1=C(C(*)=C(C([H])=C1C([H])([H])[H])C([H])([H])[H])C([H])([H])[H] 0.000 description 1
- 238000006263 metalation reaction Methods 0.000 description 1
- 229940071648 metered dose inhaler Drugs 0.000 description 1
- QARBMVPHQWIHKH-UHFFFAOYSA-N methanesulfonyl chloride Chemical compound CS(Cl)(=O)=O QARBMVPHQWIHKH-UHFFFAOYSA-N 0.000 description 1
- OFXSXYCSPVKZPF-UHFFFAOYSA-N methoxyperoxymethane Chemical compound COOOC OFXSXYCSPVKZPF-UHFFFAOYSA-N 0.000 description 1
- 125000006533 methyl amino methyl group Chemical group [H]N(C([H])([H])[H])C([H])([H])* 0.000 description 1
- SNVLJLYUUXKWOJ-UHFFFAOYSA-N methylidenecarbene Chemical compound C=[C] SNVLJLYUUXKWOJ-UHFFFAOYSA-N 0.000 description 1
- 125000006216 methylsulfinyl group Chemical group [H]C([H])([H])S(*)=O 0.000 description 1
- 125000004170 methylsulfonyl group Chemical group [H]C([H])([H])S(*)(=O)=O 0.000 description 1
- 150000007522 mineralic acids Chemical class 0.000 description 1
- 239000003226 mitogen Substances 0.000 description 1
- 230000001333 moisturizer Effects 0.000 description 1
- NKAAEMMYHLFEFN-UHFFFAOYSA-M monosodium tartrate Chemical compound [Na+].OC(=O)C(O)C(O)C([O-])=O NKAAEMMYHLFEFN-UHFFFAOYSA-M 0.000 description 1
- 125000004108 n-butyl group Chemical group [H]C([H])([H])C([H])([H])C([H])([H])C([H])([H])* 0.000 description 1
- 125000000740 n-pentyl group Chemical group [H]C([H])([H])C([H])([H])C([H])([H])C([H])([H])C([H])([H])* 0.000 description 1
- 125000004123 n-propyl group Chemical group [H]C([H])([H])C([H])([H])C([H])([H])* 0.000 description 1
- 229920001206 natural gum Polymers 0.000 description 1
- 230000011234 negative regulation of signal transduction Effects 0.000 description 1
- 230000002232 neuromuscular Effects 0.000 description 1
- PXHVJJICTQNCMI-UHFFFAOYSA-N nickel Substances [Ni] PXHVJJICTQNCMI-UHFFFAOYSA-N 0.000 description 1
- 150000002825 nitriles Chemical class 0.000 description 1
- 210000000929 nociceptor Anatomy 0.000 description 1
- 239000002736 nonionic surfactant Substances 0.000 description 1
- 231100000252 nontoxic Toxicity 0.000 description 1
- 230000003000 nontoxic effect Effects 0.000 description 1
- OQCDKBAXFALNLD-UHFFFAOYSA-N octadecanoic acid Natural products CCCCCCCC(C)CCCCCCCCC(O)=O OQCDKBAXFALNLD-UHFFFAOYSA-N 0.000 description 1
- ZQPPMHVWECSIRJ-KTKRTIGZSA-N oleic acid Chemical compound CCCCCCCC\C=C/CCCCCCCC(O)=O ZQPPMHVWECSIRJ-KTKRTIGZSA-N 0.000 description 1
- 210000000056 organ Anatomy 0.000 description 1
- 229960003104 ornithine Drugs 0.000 description 1
- 230000008723 osmotic stress Effects 0.000 description 1
- 229940116315 oxalic acid Drugs 0.000 description 1
- 235000006408 oxalic acid Nutrition 0.000 description 1
- 239000007800 oxidant agent Substances 0.000 description 1
- 230000001590 oxidative effect Effects 0.000 description 1
- WXHIJDCHNDBCNY-UHFFFAOYSA-N palladium dihydride Chemical compound [PdH2] WXHIJDCHNDBCNY-UHFFFAOYSA-N 0.000 description 1
- FJKROLUGYXJWQN-UHFFFAOYSA-N papa-hydroxy-benzoic acid Natural products OC(=O)C1=CC=C(O)C=C1 FJKROLUGYXJWQN-UHFFFAOYSA-N 0.000 description 1
- QNGNSVIICDLXHT-UHFFFAOYSA-N para-ethylbenzaldehyde Natural products CCC1=CC=C(C=O)C=C1 QNGNSVIICDLXHT-UHFFFAOYSA-N 0.000 description 1
- 238000007911 parenteral administration Methods 0.000 description 1
- 230000001575 pathological effect Effects 0.000 description 1
- 239000000312 peanut oil Substances 0.000 description 1
- 239000001814 pectin Substances 0.000 description 1
- 229920001277 pectin Polymers 0.000 description 1
- 235000010987 pectin Nutrition 0.000 description 1
- 239000008188 pellet Substances 0.000 description 1
- 230000035515 penetration Effects 0.000 description 1
- 239000003208 petroleum Substances 0.000 description 1
- 239000012071 phase Substances 0.000 description 1
- 238000003408 phase transfer catalysis Methods 0.000 description 1
- 239000003444 phase transfer catalyst Substances 0.000 description 1
- 125000000951 phenoxy group Chemical group [H]C1=C([H])C([H])=C(O*)C([H])=C1[H] 0.000 description 1
- 229960003424 phenylacetic acid Drugs 0.000 description 1
- 239000003279 phenylacetic acid Substances 0.000 description 1
- 125000003884 phenylalkyl group Chemical group 0.000 description 1
- PDTFCHSETJBPTR-UHFFFAOYSA-N phenylmercuric nitrate Chemical compound [O-][N+](=O)O[Hg]C1=CC=CC=C1 PDTFCHSETJBPTR-UHFFFAOYSA-N 0.000 description 1
- 239000002953 phosphate buffered saline Substances 0.000 description 1
- 229940080469 phosphocellulose Drugs 0.000 description 1
- 150000003016 phosphoric acids Chemical class 0.000 description 1
- 230000004962 physiological condition Effects 0.000 description 1
- 125000004482 piperidin-4-yl group Chemical group N1CCC(CC1)* 0.000 description 1
- 150000003053 piperidines Chemical class 0.000 description 1
- 229960005235 piperonyl butoxide Drugs 0.000 description 1
- 230000036470 plasma concentration Effects 0.000 description 1
- 229920001184 polypeptide Polymers 0.000 description 1
- 230000001323 posttranslational effect Effects 0.000 description 1
- LPNYRYFBWFDTMA-UHFFFAOYSA-N potassium tert-butoxide Chemical compound [K+].CC(C)(C)[O-] LPNYRYFBWFDTMA-UHFFFAOYSA-N 0.000 description 1
- 239000000843 powder Substances 0.000 description 1
- 239000003755 preservative agent Substances 0.000 description 1
- 230000002335 preservative effect Effects 0.000 description 1
- 102000004196 processed proteins & peptides Human genes 0.000 description 1
- 238000012545 processing Methods 0.000 description 1
- 230000002035 prolonged effect Effects 0.000 description 1
- 230000001737 promoting effect Effects 0.000 description 1
- 230000000069 prophylactic effect Effects 0.000 description 1
- MCSINKKTEDDPNK-UHFFFAOYSA-N propyl propionate Chemical compound CCCOC(=O)CC MCSINKKTEDDPNK-UHFFFAOYSA-N 0.000 description 1
- QQONPFPTGQHPMA-UHFFFAOYSA-N propylene Natural products CC=C QQONPFPTGQHPMA-UHFFFAOYSA-N 0.000 description 1
- 125000004805 propylene group Chemical group [H]C([H])([H])C([H])([*:1])C([H])([H])[*:2] 0.000 description 1
- 238000000159 protein binding assay Methods 0.000 description 1
- 238000001243 protein synthesis Methods 0.000 description 1
- CCOXWRVWKFVFDG-UHFFFAOYSA-N pyrimidine-2-carbaldehyde Chemical class O=CC1=NC=CC=N1 CCOXWRVWKFVFDG-UHFFFAOYSA-N 0.000 description 1
- 125000000168 pyrrolyl group Chemical group 0.000 description 1
- 125000004546 quinazolin-4-yl group Chemical group N1=CN=C(C2=CC=CC=C12)* 0.000 description 1
- 125000002294 quinazolinyl group Chemical group N1=C(N=CC2=CC=CC=C12)* 0.000 description 1
- 125000005493 quinolyl group Chemical group 0.000 description 1
- 239000000376 reactant Substances 0.000 description 1
- 230000035484 reaction time Effects 0.000 description 1
- 102000005962 receptors Human genes 0.000 description 1
- 108020003175 receptors Proteins 0.000 description 1
- 230000001172 regenerating effect Effects 0.000 description 1
- 230000009719 regenerative response Effects 0.000 description 1
- 230000022532 regulation of transcription, DNA-dependent Effects 0.000 description 1
- 230000019254 respiratory burst Effects 0.000 description 1
- 238000012552 review Methods 0.000 description 1
- 210000003705 ribosome Anatomy 0.000 description 1
- 229960004889 salicylic acid Drugs 0.000 description 1
- 238000003118 sandwich ELISA Methods 0.000 description 1
- 239000012047 saturated solution Substances 0.000 description 1
- 125000002914 sec-butyl group Chemical group [H]C([H])([H])C([H])([H])C([H])(*)C([H])([H])[H] 0.000 description 1
- 230000008313 sensitization Effects 0.000 description 1
- 125000003607 serino group Chemical group [H]N([H])[C@]([H])(C(=O)[*])C(O[H])([H])[H] 0.000 description 1
- 230000011664 signaling Effects 0.000 description 1
- 230000007781 signaling event Effects 0.000 description 1
- 239000000344 soap Substances 0.000 description 1
- WRIKHQLVHPKCJU-UHFFFAOYSA-N sodium bis(trimethylsilyl)amide Chemical compound C[Si](C)(C)N([Na])[Si](C)(C)C WRIKHQLVHPKCJU-UHFFFAOYSA-N 0.000 description 1
- 229910000029 sodium carbonate Inorganic materials 0.000 description 1
- MNWBNISUBARLIT-UHFFFAOYSA-N sodium cyanide Chemical compound [Na+].N#[C-] MNWBNISUBARLIT-UHFFFAOYSA-N 0.000 description 1
- QDRKDTQENPPHOJ-UHFFFAOYSA-N sodium ethoxide Chemical compound [Na+].CC[O-] QDRKDTQENPPHOJ-UHFFFAOYSA-N 0.000 description 1
- KFZUDNZQQCWGKF-UHFFFAOYSA-M sodium;4-methylbenzenesulfinate Chemical compound [Na+].CC1=CC=C(S([O-])=O)C=C1 KFZUDNZQQCWGKF-UHFFFAOYSA-M 0.000 description 1
- 239000011877 solvent mixture Substances 0.000 description 1
- 239000008117 stearic acid Substances 0.000 description 1
- 238000003860 storage Methods 0.000 description 1
- 239000000126 substance Substances 0.000 description 1
- 125000005346 substituted cycloalkyl group Chemical group 0.000 description 1
- 239000005720 sucrose Substances 0.000 description 1
- 125000000446 sulfanediyl group Chemical group *S* 0.000 description 1
- 150000003462 sulfoxides Chemical class 0.000 description 1
- 230000001629 suppression Effects 0.000 description 1
- 230000004083 survival effect Effects 0.000 description 1
- 239000000375 suspending agent Substances 0.000 description 1
- 239000000454 talc Substances 0.000 description 1
- 229910052623 talc Inorganic materials 0.000 description 1
- 235000012222 talc Nutrition 0.000 description 1
- 239000011975 tartaric acid Substances 0.000 description 1
- 229960001367 tartaric acid Drugs 0.000 description 1
- 235000002906 tartaric acid Nutrition 0.000 description 1
- 230000002123 temporal effect Effects 0.000 description 1
- JSZOAOLSEKSNTD-ZETCQYMHSA-N tert-butyl n-[(2s)-4-hydroxybutan-2-yl]carbamate Chemical compound OCC[C@H](C)NC(=O)OC(C)(C)C JSZOAOLSEKSNTD-ZETCQYMHSA-N 0.000 description 1
- MZQDMSMQGILZPC-NSHDSACASA-N tert-butyl n-[(2s)-4-morpholin-4-ylbutan-2-yl]carbamate Chemical compound CC(C)(C)OC(=O)N[C@@H](C)CCN1CCOCC1 MZQDMSMQGILZPC-NSHDSACASA-N 0.000 description 1
- 125000005931 tert-butyloxycarbonyl group Chemical group [H]C([H])([H])C(OC(*)=O)(C([H])([H])[H])C([H])([H])[H] 0.000 description 1
- 150000003512 tertiary amines Chemical class 0.000 description 1
- 125000001412 tetrahydropyranyl group Chemical group 0.000 description 1
- 125000004632 tetrahydrothiopyranyl group Chemical group S1C(CCCC1)* 0.000 description 1
- 230000001225 therapeutic effect Effects 0.000 description 1
- VLLMWSRANPNYQX-UHFFFAOYSA-N thiadiazole Chemical compound C1=CSN=N1.C1=CSN=N1 VLLMWSRANPNYQX-UHFFFAOYSA-N 0.000 description 1
- 229930192474 thiophene Natural products 0.000 description 1
- 125000000341 threoninyl group Chemical group [H]OC([H])(C([H])([H])[H])C([H])(N([H])[H])C(*)=O 0.000 description 1
- 150000003606 tin compounds Chemical class 0.000 description 1
- 230000002103 transcriptional effect Effects 0.000 description 1
- 230000014616 translation Effects 0.000 description 1
- 238000006478 transmetalation reaction Methods 0.000 description 1
- 230000008733 trauma Effects 0.000 description 1
- 150000003852 triazoles Chemical class 0.000 description 1
- LGQXXHMEBUOXRP-UHFFFAOYSA-N tributyl borate Chemical compound CCCCOB(OCCCC)OCCCC LGQXXHMEBUOXRP-UHFFFAOYSA-N 0.000 description 1
- AJSTXXYNEIHPMD-UHFFFAOYSA-N triethyl borate Chemical group CCOB(OCC)OCC AJSTXXYNEIHPMD-UHFFFAOYSA-N 0.000 description 1
- IMNIMPAHZVJRPE-UHFFFAOYSA-N triethylenediamine Chemical compound C1CN2CCN1CC2 IMNIMPAHZVJRPE-UHFFFAOYSA-N 0.000 description 1
- ITMCEJHCFYSIIV-UHFFFAOYSA-N triflic acid Chemical class OS(=O)(=O)C(F)(F)F ITMCEJHCFYSIIV-UHFFFAOYSA-N 0.000 description 1
- 125000004205 trifluoroethyl group Chemical group [H]C([H])(*)C(F)(F)F 0.000 description 1
- NHDIQVFFNDKAQU-UHFFFAOYSA-N tripropan-2-yl borate Chemical group CC(C)OB(OC(C)C)OC(C)C NHDIQVFFNDKAQU-UHFFFAOYSA-N 0.000 description 1
- IHIXIJGXTJIKRB-UHFFFAOYSA-N trisodium vanadate Chemical compound [Na+].[Na+].[Na+].[O-][V]([O-])([O-])=O IHIXIJGXTJIKRB-UHFFFAOYSA-N 0.000 description 1
- APJYDQYYACXCRM-UHFFFAOYSA-N tryptamine Chemical group C1=CC=C2C(CCN)=CNC2=C1 APJYDQYYACXCRM-UHFFFAOYSA-N 0.000 description 1
- 230000004614 tumor growth Effects 0.000 description 1
- 230000001562 ulcerogenic effect Effects 0.000 description 1
- JABYJIQOLGWMQW-UHFFFAOYSA-N undec-4-ene Chemical compound CCCCCCC=CCCC JABYJIQOLGWMQW-UHFFFAOYSA-N 0.000 description 1
- 241000701161 unidentified adenovirus Species 0.000 description 1
- 230000003827 upregulation Effects 0.000 description 1
- 238000011144 upstream manufacturing Methods 0.000 description 1
- AQLJVWUFPCUVLO-UHFFFAOYSA-N urea hydrogen peroxide Chemical compound OO.NC(N)=O AQLJVWUFPCUVLO-UHFFFAOYSA-N 0.000 description 1
- 238000006175 van Leusen reaction Methods 0.000 description 1
- 210000003556 vascular endothelial cell Anatomy 0.000 description 1
- 125000000391 vinyl group Chemical group [H]C([*])=C([H])[H] 0.000 description 1
- 239000001993 wax Substances 0.000 description 1
- 210000002268 wool Anatomy 0.000 description 1
- 239000008096 xylene Substances 0.000 description 1
- 229910052725 zinc Inorganic materials 0.000 description 1
- 239000011701 zinc Substances 0.000 description 1
Images
Classifications
-
- C—CHEMISTRY; METALLURGY
- C07—ORGANIC CHEMISTRY
- C07D—HETEROCYCLIC COMPOUNDS
- C07D403/00—Heterocyclic compounds containing two or more hetero rings, having nitrogen atoms as the only ring hetero atoms, not provided for by group C07D401/00
- C07D403/02—Heterocyclic compounds containing two or more hetero rings, having nitrogen atoms as the only ring hetero atoms, not provided for by group C07D401/00 containing two hetero rings
- C07D403/04—Heterocyclic compounds containing two or more hetero rings, having nitrogen atoms as the only ring hetero atoms, not provided for by group C07D401/00 containing two hetero rings directly linked by a ring-member-to-ring-member bond
-
- A—HUMAN NECESSITIES
- A61—MEDICAL OR VETERINARY SCIENCE; HYGIENE
- A61K—PREPARATIONS FOR MEDICAL, DENTAL OR TOILETRY PURPOSES
- A61K31/00—Medicinal preparations containing organic active ingredients
- A61K31/33—Heterocyclic compounds
- A61K31/395—Heterocyclic compounds having nitrogen as a ring hetero atom, e.g. guanethidine or rifamycins
- A61K31/495—Heterocyclic compounds having nitrogen as a ring hetero atom, e.g. guanethidine or rifamycins having six-membered rings with two or more nitrogen atoms as the only ring heteroatoms, e.g. piperazine or tetrazines
- A61K31/505—Pyrimidines; Hydrogenated pyrimidines, e.g. trimethoprim
- A61K31/506—Pyrimidines; Hydrogenated pyrimidines, e.g. trimethoprim not condensed and containing further heterocyclic rings
-
- C—CHEMISTRY; METALLURGY
- C07—ORGANIC CHEMISTRY
- C07D—HETEROCYCLIC COMPOUNDS
- C07D413/00—Heterocyclic compounds containing two or more hetero rings, at least one ring having nitrogen and oxygen atoms as the only ring hetero atoms
- C07D413/14—Heterocyclic compounds containing two or more hetero rings, at least one ring having nitrogen and oxygen atoms as the only ring hetero atoms containing three or more hetero rings
-
- C—CHEMISTRY; METALLURGY
- C12—BIOCHEMISTRY; BEER; SPIRITS; WINE; VINEGAR; MICROBIOLOGY; ENZYMOLOGY; MUTATION OR GENETIC ENGINEERING
- C12Q—MEASURING OR TESTING PROCESSES INVOLVING ENZYMES, NUCLEIC ACIDS OR MICROORGANISMS; COMPOSITIONS OR TEST PAPERS THEREFOR; PROCESSES OF PREPARING SUCH COMPOSITIONS; CONDITION-RESPONSIVE CONTROL IN MICROBIOLOGICAL OR ENZYMOLOGICAL PROCESSES
- C12Q1/00—Measuring or testing processes involving enzymes, nucleic acids or microorganisms; Compositions therefor; Processes of preparing such compositions
- C12Q1/68—Measuring or testing processes involving enzymes, nucleic acids or microorganisms; Compositions therefor; Processes of preparing such compositions involving nucleic acids
- C12Q1/6813—Hybridisation assays
- C12Q1/6827—Hybridisation assays for detection of mutation or polymorphism
-
- Y—GENERAL TAGGING OF NEW TECHNOLOGICAL DEVELOPMENTS; GENERAL TAGGING OF CROSS-SECTIONAL TECHNOLOGIES SPANNING OVER SEVERAL SECTIONS OF THE IPC; TECHNICAL SUBJECTS COVERED BY FORMER USPC CROSS-REFERENCE ART COLLECTIONS [XRACs] AND DIGESTS
- Y02—TECHNOLOGIES OR APPLICATIONS FOR MITIGATION OR ADAPTATION AGAINST CLIMATE CHANGE
- Y02A—TECHNOLOGIES FOR ADAPTATION TO CLIMATE CHANGE
- Y02A50/00—TECHNOLOGIES FOR ADAPTATION TO CLIMATE CHANGE in human health protection, e.g. against extreme weather
- Y02A50/30—Against vector-borne diseases, e.g. mosquito-borne, fly-borne, tick-borne or waterborne diseases whose impact is exacerbated by climate change
Definitions
- This invention relates to a novel group of imidazole compounds, processes for the preparation thereof, the use thereof in treating CSBP/p38 mediated diseases and pharmaceutical compositions for use in such therapy.
- Intracellular signal transduction is the means by which cells respond to extracellular stimuli. Regardless of the nature of the cell surface receptor (e.g. protein tyrosine kinase or seven-transmembrane G-protein coupled), protein kinases and phosphatases along with phopholipases are the essential machinery by which the signal is further transmitted within the cell [Marshall, J. C. Cell, 80, 179-278 (1995)].
- the cell surface receptor e.g. protein tyrosine kinase or seven-transmembrane G-protein coupled
- protein kinases and phosphatases along with phopholipases are the essential machinery by which the signal is further transmitted within the cell [Marshall, J. C. Cell, 80, 179-278 (1995)].
- Protein kinases can be categorized into five classes with the two major classes being, tyrosine kinases and serine/threonine kinases depending upon whether the enzyme phosphorylates its substrate(s) on specific tyrosine(s) or serine/threonine(s) residues [Hunter, T., Methods in Enzymology ( Protein Kinase Classification ) p. 3, Hunter, T.; Sefton, B. M.; eds. vol. 200, Academic Press; San Diego, 1991].
- kinases For most biological responses, multiple intracellular kinases are involved and an individual kinase can be involved in more than one signaling event. These kinases are often cytosolic and can translocate to the nucleus or the ribosomes where they can affect transcriptional and translational events, respectively. The involvement of kinases in transcriptional control is presently much better understood than their effect on translation as illustrated by the studies on growth factor induced signal transduction involving MAP/ERK kinase [Marshall, C. J. Cell, 80, 179 (1995); Herskowitz, I. Cell, 80, 187 (1995); Hunter, T. Cell, 80, 225 (1995); Seger, R., and Krebs, E. G. FASEB J., 726-735 (1995)].
- cytokines e.g., IL-1 and TNF
- mediators of inflammation e.g., COX-2, and iNOS
- LPS bacterial lippopolysaccharide
- Han (Han, et al., Science 265, 808 (1994)] identified murine p38 as a kinase which is tyrosine phosphorylated in response to LPS.
- Definitive proof of the involvement of the p38 kinase in LPS-stimulated signal transduction pathway leading to the initiation of proinflammatory cytokine biosynthesis was provided by the independent discovery of p38 kinase by Lee [Lee; et al., Nature, 372, 739 (1994)] as the molecular target for a novel class of anti-inflammatory agents.
- CSBP 1 and 2 The discovery of p38 (termed by Lee as CSBP 1 and 2) provided a mechanism of action of a class of anti-inflammatory compounds for which SK&F 86002 was the prototypic example. These compounds inhibited IL-1 and TNF synthesis in human monocytes at concentrations in the low mM range [Lee, et al., Int. J. Immunopharmac. 10(7), 835 (1988)] and exhibited activity in animal models which are refractory to cyclooxygenase inhibitors [Lee; et al., Annals N.Y. Acad. Sci., 696, 149 (1993)].
- CSBP/p38 is a one of several kinases involved in a stress-response signal transduction pathway which is parallel to and largely independent of the analogous mitogen-activated protein kinase (MAP) kinase cascade ( FIG. 1 ).
- Stress signals including LPS, pro-inflammatory cytokines, oxidants, UV light and osmotic stress, activate kinases upstream from CSBP/p38 which in turn phosphorylate CSBP/p38 at threonine 180 and tyrosine 182 resulting in CSBP/p38 activation.
- MAPKAP kinase-2 and MAPKAP kinase-3 have been identified as downstream substrates of CSBP/p38 which in turn phosphorylate heat shock protein Hsp 27 ( FIG. 2 ). It is not yet known whether MAPKAP-2, MAPKAP-3, Mnk1 or Mnk2 are involved in cytokine biosynthesis or alternatively that inhibitors of CSBP/p38 kinase might regulate cytokine biosynthesis by blocking a yet unidentified substrate downstream from CSBP/p38 [Cohen, P. Trends Cell Biol., 353-361 (1997)].
- CSBP/p38 kinase inhibitors (SK&F 86002 and SB 203580) also decrease the synthesis of a wide variety of pro-inflammatory proteins including, IL-6, IL-8, GM-CSF and COX-2.
- Inhibitors of CSBP/p38 kinase have also been shown to suppress the TNF-induced expression of VCAM-1 on endothelial cells, the TNF-induced phosphorylation and activation of cytosolic PLA2 and the IL-1-stimulated synthesis of collagenase and stromelysin.
- Interleukin-1 IL-1
- Tumor Necrosis Factor TNF
- IL-1 has been demonstrated to mediate a variety of biological activities thought to be important in immunoregulation and other physiological conditions such as inflammation [See, e.g., Dinarello et al., Rev. Infect. Disease, 6, 51 (1984)].
- the myriad of known biological activities of IL-1 include the activation of T helper cells, induction of fever, stimulation of prostaglandin or collagenase production, neutrophil chemotaxis, induction of acute phase proteins and the suppression of plasma iron levels.
- TNF production has been implicated in mediating or exacerbating a number of diseases including rheumatoid arthritis, rheumatoid spondylitis, osteoarthritis, gouty arthritis and other arthritic conditions; sepsis, septic shock, endotoxic shock, gram negative sepsis, toxic shock syndrome, adult respiratory distress syndrome, cerebral malaria, chronic pulmonary inflammatory disease, silicosis, pulmonary sarcoisosis, bone resorption diseases, reperfusion injury, graft vs.
- allograft rejections fever and myalgias due to infection, such as influenza, cachexia secondary to infection or malignancy, cachexia, secondary to acquired immune deficiency syndrome (AIDS), AIDS, ARC (AIDS related complex), keloid formation, scar tissue formation, Crohn's disease, ulcerative colitis, or pyresis.
- AIDS cachexia secondary to infection or malignancy
- cachexia secondary to acquired immune deficiency syndrome
- AIDS AIDS
- ARC AIDS related complex
- keloid formation scar tissue formation
- Crohn's disease Crohn's disease
- ulcerative colitis or pyresis.
- Interleukin-8 is a chemotactic factor produced by several cell types including mononuclear cells, fibroblasts, endothelial cells, and keratinocytes. Its production from endothelial cells is induced by IL-1, TNF, or lipopolysachharide (LPS). IL-8 stimulates a number of functions in vitro. It has been shown to have chemoattractant properties for neutrophils, T-lymphocytes, and basophils. In addition it induces histamine release from basophils from both normal and atopic individuals as well as lysozomal enzyme release and respiratory burst from neutrophils.
- IL-8 has also been shown to increase the surface expression of Mac-1 (CD11b/CD18) on neutrophils without de novo protein synthesis, this may contribute to increased adhesion of the neutrophils to vascular endothelial cells. Many diseases are characterized by massive neutrophil infiltration. Conditions associated with an increased in IL-8 production (which is responsible for chemotaxis of neutrophil into the inflammatory site) would benefit by compounds which are suppressive of IL-8 production.
- IL-1 and TNF affect a wide variety of cells and tissues and these cytokines as well as other leukocyte derived cytokines are important and critical inflammatory mediators of a wide variety of disease states and conditions. The inhibition of these cytokines is of benefit in controlling, reducing and alleviating many of these disease states.
- CSBP/p38 Inhibition of signal transduction via CSBP/p38, which in addition to IL-1, TNF and IL-8 described above is also required for the synthesis and/or action of several additional pro-inflammatory proteins (i.e., IL-6, GM-CSF, COX-2, collagenase and stromelysin), is expected to be a highly effective mechanism for regulating the excessive and destructive activation of the immune system. This expectation is supported by the potent and diverse anti-inflammatory activities described for CSBP/p38 kinase inhibitors [Badger, et al., J. Pharm. Exp. Thera. 279 (3): 1453-1461. (1996); Griswold, et al, Pharmacol. Comm. 7, 323-229 (1996)].
- This invention relates to the novel compounds of Formula (I) and pharmaceutical compositions comprising a compound of Formula (I) and a pharmaceutically acceptable diluent or carrier.
- This invention relates to a method of treating a CSBP/RK/p38 kinase mediated disease in a mammal in need thereof, which comprises administering to said mammal an effective amount of a compound of Formula (I).
- This invention also relates to a method of inhibiting cytokines and the treatment of a cytokine mediated disease, in a mammal in need thereof, which comprises administering to said mammal an effective amount of a compound of Formula (I).
- This invention more specifically relates to a method of inhibiting the production of IL-1 in a mammal in need thereof which comprises administering to said mammal an effective amount of a compound of Formula (I).
- This invention more specifically relates to a method of inhibiting the production of IL-8 in a mammal in need thereof which comprises administering to said mammal an effective amount of a compound of Formula (I).
- This invention more specifically relates to a method of inhibiting the production of TNF in a mammal in need thereof which comprises administering to said mammal an effective amount of a compound of Formula (I).
- FIG. 1 demonstrates the Mitogen and Stress Activated Protein Kinase Cascade
- FIG. 2 demonstrates the p38 Kinase Pathway
- suitable R 1 moieties includes 4-pyridyl, 4-pyrimidinyl, 4-pyridazinyl, 1,2,4-triazin-5-yl, 4-quinolyl, 6-isoquinolinyl, or 4-quinazolinyl rings, of which the 4-pyridyl, 4-pyrimidinyl and 4-quinolyl rings are preferred. More preferred is the 4-pyrimidinyl or 4-pyridyl moiety, and most preferred is the 4-pyrimidinyl ring.
- R 1 moiety is substituted with the Y—R a group wherein Y is oxygen or sulfur, and R a is aryl, arylC 1-6 alkyl, heterocyclic, heterocyclicC 1-6 alkyl, heteroaryl, or heteroarylC 1-6 alkyl; and wherein each of the R a moieties may be optionally substituted as defined below.
- R a When R a is aryl, it is preferably phenyl or napthyl. When R a is arylalkyl, it is preferably benzyl or napthylmethyl.
- R a is a heterocyclic or heterocyclic alkyl moiety, the heterocyclic portion is preferably pyrrolindinyl, piperidinyl, morpholino, tetrahydropyranyl, tetrahydrothiopyranyl, tetrahydrothipyransulfinyl, tetrahydrothiopyransulfonyl, pyrrolindinyl, indole, or piperonyl ring. It is noted that the heterocyclic rings herein may contain unsaturation, such as in a tryptamine ring.
- R a is a heteroaryl ring as defined below, it is preferably a pyridine or tetrazole ring.
- the R a aryl, heterocyclic and heteroaryl rings may be optionally substituted one or more times, preferably one to three times, independently with halogen; C 1-4 alkyl, such as methyl, ethyl, propyl, isopropyl, or t-butyl; halosubstituted alkyl, such as CF 3 ; hydroxy; hydroxy substituted C 1-4 alkyl; (CR 10 R 20 ) q C 1-4 alkoxy, such as methoxy or ethoxy; (CR 10 R 20 ) q S(O) m alkyl and; (CR 10 R 20 ) q S(O) m aryl (wherein m is 0, 1, or 2); (CR 10 R 20 ) q C(O)OR 11 , such as C(O)C 1-4 alkyl or C(O)OH moieties; (CR 10 R 20 ) q C(O)R 11 ; (CR 10 R 20 ) q OC(O
- s is an integer having a value of 1, 2, or 3.
- s is 2 yielding a 1,3-dioxyethylene moiety, or ketal functionality.
- q is 0 or an integer having a value of 1 to 4.
- R b is hydrogen, C 1-6 alkyl, C 3-7 cycloalkyl, aryl, arylC 1-4 alkyl, heteroaryl, heteroarylC 1-4 alkyl, heterocyclyl, or heterocyclylC 1-4 alkyl moiety; all of which moieties may be optionally substituted as defined below.
- R c is an C 1-6 alkyl, C 3-7 cycloalkyl, aryl, arylC 1-4 alkyl, heteroaryl, heteroarylC 1-4 alkyl, heterocyclyl, or heterocyclylC 1-4 alkyl moiety, all of which moieties may be optionally substituted as defined below.
- Suitable R a groups include, but are not limited to, benzyl, halosubstituted benzyl, napthylmethyl, phenyl, halosubstituted phenyl, aminocarbonylphenyl, alkylphenyl, cyanophenyl, alkylthiophenyl, hydroxyphenyl, alkoxyphenyl, phenoxyphenyl, benzyloxyphenyl, phenylphenyl, methylenedioxyphenyl, trifluoromethylphenyl, methylsulfonylphenyl, tetrazole, methyltetrazolyl, morpholinopropyl, piperonyl, piperidin-4-yl, alkyl substituted piperidine, such as 1-methyl piperidine, or 2,2,6,6-tetramethylpiperidin-4-yl.
- Preferred ring substitution on the benzyl or phenyl rings is in the 4-position.
- Preferred substitution on the phenyl or phenyl alkyl groups is halogen, halosubstituted alkyl or alkyl groups, such as fluoro or chloro, or methyl.
- R 1 group may additionally be substituted one or more times independently by C 1-4 alkyl, halo, OH, C 1-4 alkoxy, C 1-4 alkylthio, C 1-4 alkylsulfinyl, CH 2 OR 12 , amino, mono- and di-C 1-6 alkyl substituted amino, N(R 10 )C(O)R b , NHR a or an N-heterocyclyl ring which ring has from 5 to 7 members and optionally contains an additional heteroatom selected from oxygen, sulfur or NR 15 .
- R b is preferably C 1-6 alkyl; preferably R 10 is hydrogen. It is also recognized that the R b moieties, in particular the C 1-6 alkyl group may be optionally substituted, preferably from one to three times, preferably with halogen, such as fluorine, as in trifluoro-methyl or trifluoroethyl.
- the preferred ring placement for YR a moiety on the 4-pyridyl derivative is in the 2-position, and a preferred ring placement on the 4-pyrimidinyl ring is also at the 2-position.
- R 4 is phenyl, naphth-1-yl or naphth-2-yl, or a heteroaryl, which is optionally substituted by one or two substituents. More preferably R 4 is a phenyl or naphthyl ring.
- Suitable substitutions for R 4 when this is a 4-phenyl, 4-naphth-1-yl, 5-naphth-2-yl or 6-naphth-2-yl moiety are one or two substituents each of which are independently selected from halogen, SR 5 , SOR 5 , OR 12 , CF 3 , or (CR 10 R 20 ) v NR 10 R 20 , and for other positions of substitution on these rings preferred substitution is halogen, S(O) m R 3 , OR 3 , CF 3 , (CR 10 R 20 ) m′ NR 13 R 14 , NR 10 C(Z)R 3 and NR 10 S(O) m′ R 8 .
- R 4 is a heteroaryl ring
- the ring is substituted in a similar ring substitution pattern as for the phenyl ring, i.e. halogen, SR 5 , SOR 5 , OR 12 , CF 3 , or (CR 10 R 20 ) v NR 10 R 20 .
- Preferred substituents for the 4-position in phenyl and naphth-1-yl and on the 5-position in naphth-2-yl include halogen, especially fluoro and chloro and SR 5 and SOR 5 wherein R 5 is preferably a C 1-2 alkyl, more preferably methyl; of which the fluoro and chloro is more preferred, and most especially preferred is fluoro.
- Preferred substituents for the 3-position in phenyl and naphth-1-yl rings include: halogen, especially fluoro and chloro; OR 3 , especially C 1-4 alkoxy; CF 3 , NR 10 R 20 , such as amino; NR 10 C(Z)R 3 , especially NHCO(C 1-10 alkyl); NR 10 S(O) m′ R 8 , especially NHSO 2 (C 1-10 alkyl), and SR 3 and SOR 3 wherein R 3 is preferably a C 1-2 alkyl, more preferably methyl.
- R 3 may also include hydrogen.
- the R 4 moiety is an unsubstituted or substituted phenyl moiety. More preferably, R 4 is phenyl or phenyl substituted at the 4-position with fluoro and/or substituted at the 3-position with fluoro, chloro, C 1-4 alkoxy, methane-sulfonamido or acetamido, or R 4 is a phenyl di-substituted at the 3,4-position independently with chloro or fluoro, more preferably chloro. Most preferably, R 4 is a 4-fluorophenyl.
- Z is oxygen or sulfur, preferably oxygen.
- R 3 is heterocyclyl, heterocyclylC 1-10 alkyl or R 8 .
- R 5 is hydrogen, C 1-4 alkyl, C 2-4 alkenyl, C 2-4 alkynyl or NR 7 R 17 , excluding the moieties SR 5 being SNR 7 R 17 and SOR 5 being SOH.
- R 6 is hydrogen, a pharmaceutically acceptable cation, C 1-10 -alkyl, C 3-7 cycloalkyl, aryl, arylC 1-4 alkyl, heteroaryl, heteroarylC 1-4 alkyl, heterocyclyl, aroyl, or C 1-10 alkanoyl.
- R 7 and R 17 is each independently selected from hydrogen or C 1-4 alkyl or R 7 and R 17 together with the nitrogen to which they are attached form a heterocyclic ring of 5 to 7 members which ring optionally contains an additional heteroatom selected from oxygen, sulfur or NR 15 .
- R 8 is C 1-10 alkyl, halo-substituted C 1-10 alkyl, C 2-10 alkenyl, C 2-10 alkynyl, C 3-7 cycloalkyl, C 5-7 cycloalkenyl, aryl, arylC 1-10 alkyl, heteroaryl, heteroarylC 1-10 alkyl, (CR 10 R 20 ) n OR 11 , (CR 10 R 20 ) n S(O) m R 18 , (CR 10 R 20 ) n NHS(O) 2 R 18 (CR 10 R 20 ) n NR 13 R 14 ; wherein the aryl, arylalkyl, heteroaryl, and heteroarylalkyl containing moieites may be optionally substituted.
- R 9 is hydrogen, C(Z)R 11 or optionally substituted C 1-10 alkyl, S(O) 2 R 18 , optionally substituted aryl or an optionally substituted aryl-C 1-4 alkyl.
- R 10 and R 20 are each independently selected from hydrogen or C 1-4 alkyl.
- R 11 is hydrogen, C 1-10 alkyl, C 3-7 cycloalkyl, heterocyclyl, heterocyclyl C 1-10 alkyl, aryl, arylC 1-10 alkyl, heteroaryl or heteroarylC 1-10 alkyl; and wherein all of these moieties may be optionally substituted.
- R 12 is hydrogen or R 16 ; and R 16 is suitably, C 1-4 alkyl, halo-substituted-C 1-4 alkyl, or C 3-7 cycloalkyl.
- R 13 and R 14 is each independently selected from hydrogen or optionally substituted C 1-4 alkyl, optionally substituted aryl or optionally substituted aryl-C 1-4 alkyl, or together with the nitrogen which they are attached form a heterocyclic ring of 5 to 7 members which ring optionally contains an additional heteroatom selected from oxygen, sulfur or NR 9 .
- R 15 is R 10 or C(Z)-C 1-4 alkyl.
- R 18 is C 1-10 alkyl, C 3-7 cycloalkyl, heterocyclyl, aryl, aryl 1-10 alkyl, heterocyclyl, heterocyclyl-C 1-10 alkyl, heteroaryl or heteroaryl 1-10 alkyl.
- v is 0, or an integer having a value of 1 or 2.
- n is 0, or the integer 1 or 2.
- m′ is an integer having a value of 1 or 2.
- m′′ is 0, or an integer having a value of 1 to 5.
- n is an integer having a value of 1 to 10.
- R 2 is a substituted alkyl derivative. It is recognized that the first methylene carbon in this chain is a tertiary carbon, and it will contain one hydrogen moiety. This methylene group will have has two additional substituents, an R 22 moiety and an A moiety, i.e., C(H)(A)(R 22 ). Both A and R 22 may not be unsubstituted C 1-10 alkyl moieties.
- R 2 is a C(AA 1 )(A) moiety, wherein AA 1 is the R 22 moiety, but is specifically the side chain residue (R) of an amino acid, as is further described herein.
- A is an optionally substituted C 3-7 cycloalkyl, aryl, heteroaryl, or heterocyclic ring, or A is a substituted C 1-10 alkyl moiety.
- the ring may be substituted independently one or more times, preferably, 1 to 3 times by C 1-10 alkyl; halogen; halo substituted C 1-10 alkyl, such as CF 3 ; (CR 10 R 20 ) t OR 11 ; (CR 10 R 20 ) t NR 13 R 14 , especially amino or mono- or di-C 1-4 alkylamino; (CR 10 R 20 ) t S(O) m R 18 , wherein m is 0, 1 or 2; SH; NR 10 C(Z)R 3 (such NHCO(C 1-10 alkyl)); or NR 10 S(O) m R 8 (such as NHSO 2 (C 1-10 alkyl)).
- t is 0, or an integer of 1 to 4.
- A is an optionally substituted cycloalkyl it is as defined below in the R 22 substitution.
- the ring is preferably a morpholino, pyrrolidinyl, piperazinyl or a piperidinyl ring.
- A is an optionally substituted aryl moiety, it is preferably a phenyl ring.
- heteroaryl term is as defined below in the definition section.
- the alkyl chain may be straight or branched.
- the chain is substituted independently 1 or more times, preferably 1 to 3 times by halogen, such as fluorine, chlorine, bromine or iodine; halosubstituted C 10 alkyl, such as CF 3 ; C 3-7 cycloalkyl, C 1-10 alkoxy, such as methoxy or ethoxy; hydroxy substituted C 1-10 alkoxy; halosubstituted C 1-10 alkoxy, such as OCF 2 CF 2 H; OR 11 ; S(O) m R 18 (wherein m is 0, 1 or 2); NR 13 R 14 ; C(Z)NR 13 R 14 ; S(O) m′ NR 13 R 14 ; NR 23 C(Z)R 11 ; NHS(O) 2 R 18 ; C(Z)R 11 ; OC(Z)R 11 ; C(Z)OR 11 ; C(Z) m R 18 (wherein m is 0, 1
- A is a C 3-7 cycloalkyl, or a C 1-6 alkyl, more preferably a C 1-2 alkyl, i.e. a methylene or ethylene moiety, more preferably a methylene moiety which is substituted by one of the above noted groups.
- A is an alkyl derivative
- R 11 is preferably hydrogen, aryl or arylalkyl
- NR 13 R 14 NR 13 R 14 ; OC(Z)R 11 ; or C(Z)OR 11 .
- A is substituted by OR 1 1 where R 11 is hydrogen.
- R 22 is a C 1-10 alkyl chain, which chain may be straight or branched and which may be optionally substituted independently, one or more times, preferably 1 to 3 times, by halogen, such as fluorine, chlorine, bromine or iodine; halo substituted C 1-10 alkyl; C 10 alkoxy, such as methoxy or ethoxy; hydroxy substituted C 10 alkoxy; halosubstituted C 1-10 alkoxy, such as OCF 2 CF 2 H; OR 11 ; S(O) m R 18 ; NR 13 R 14 ; C(Z)NR 13 R 14 ; S(O) m′ NR 13 R 14 ; NR 23 C(Z)R 11 ; NHS(O) 2 R 18 ; C(Z)R 11 ; OC(Z)R 11 ; C(Z)OR 11 ; C(Z)NR 11 OR 9 ; N(OR 6 )C(Z)NR 13 R 14 ; N(OR 6 )C(
- R 22 substituent groups which contain carbon as the first connecting group i.e. C(Z)OR 11 ; C(Z)NR 11 OR 9 , C(Z)R 11 , C(Z)NR 13 R 14 , C( ⁇ NOR 6 )R 11
- R 22 may, for instance, be a carboxy, an aldehyde, an amide, as well as being a substituent off a methylene unit, such as carbamoylmethyl, or acetamidomethyl.
- R 22 can be an optionally substituted alkyl group as defined above, or R 22 can be C(Z)OR 11 , C(Z)NR 11 OR 9 , C(Z)R 11 , C(Z)NR 13 R 14 , or C( ⁇ NOR 6 )R 11 .
- R 22 is a C 1-6 unsubstituted or substituted alkyl group, such as a C 1-3 alkylene, such as methyl, ethyl or isopropyl, or a methylene or ethylene moiety substituted by one of the above noted moieties, or as noted above those substituent groups which contain a carbon may substitutent for the first methylene unit of the alkyl chain, such as carboxy, C(O)OR 11 , C(O)NR 13 R 14 , or R 22 is an optionally substituted aryl group, such as a benzyl or phenethyl.
- aryl group such as a benzyl or phenethyl.
- R 22 is a C 1-6 unsubstituted or substituted alkyl group, more preferably a C 1-2 alkylene chain, such as a methylene or ethylene moiety, more preferably methylene.
- R 22 alkyl chain is substituted by OR 1 1, where R 11 is preferably hydrogen, aryl or arylalkyl; S(O)MR 18 , where m is O and R 18 is a C 1-6 alkyl; or an optionally substituted aryl, i.e. a benzyl or phenethyl moiety.
- R 22 is methyl, phenyl, benzyl, CH 2 OH, or CH 2 —O-aryl.
- one or both of A and R 22 contain hydroxy moieties, such as in C 1-6 alkyl OR 1 1, wherein R 11 is hydrogen, i.e. CH 2 CH 2 OH.
- AA 1 is the (R) side chain residue of an amino acid, it is a C 1-6 alkyl group, which may be straight or branched. This means the R group off the core amino acid of the structure R—C(H)(COOH)(NH 2 ).
- the R residue term is for example, CH 3 for alanine, (CH 3 ) 2 CH— for valine, (CH 3 ) 2 CH—CH 2 — for leucine, phenyl-CH 2 — for phenylalanine, CH 3 —S—CH 2 —CH 2 — for methionine, etc.
- All generally recognized primary amino acids are included in this groups, such as but not limited to, alanine, arginine, asparagine, aspartic acid, cysteine, glutamine, glutamic acid, glycine, histidine, isoleucine, leucine, lysine, methionine, phenylalanine, serine, threonine, tryptophan, tyrosine, valine, hydroxylysine, methylhistidine, and other naturally occurring amino acids not found in proteins, such as b-alanine, g-aminobutyric acid, homocysteine, homoserine, citrulline, ornithine, canavanine, djenkolic acid, and b-cyanoalanine, or other naturally occurring non-mammalian amino acids.
- AA 1 is the residue of phenylalanine, or alanine.
- the ring is preferably a morpholino, pyrrolidinyl, piperazinyl, or a piperidinyl group.
- the substituents may be directly attached to the free nitrogen, such as in the piperidinyl group or pyrrole ring, or on the ring itself.
- the ring is a piperidine or pyrrole, more preferably piperidine.
- the R 22 heterocyclyl ring may be optionally substituted one to four times independently by halogen; C 1-4 alkyl; aryl, such as phenyl; arylalkyl, such as benzyl, (and wherein the aryl or aryl alkyl moieties themselves may be optionally substituted as defined in the definition section below); C(O)OR 11 , such as the C(O)C 1-4 alkyl or C(O)OH moieties; C(O)H; C(O)C 1-4 alkyl; hydroxy substituted C 1-4 alkyl; C 1-4 alkoxy; S(O) m C 1-4 alkyl (wherein m is 0, 1, or 2); or NR 10 R 20 (wherein R 10 and R 20 are independently hydrogen or C 1-4 alkyl).
- the substituents are attached directly on the available nitrogen, i.e. a 1-Formyl-4-piperidine, 1-benzyl-4-piperidine, 1-methyl-4-piperidine, 1-ethoxycarbonyl-4-piperidine.
- the ring is substituted by an alkyl group and the ring is attached in the 4-position, it is preferably substituted in the 2- or 6-position or both, such as 2,2,6,6-tetramethyl-4-piperidine.
- the substituents are all directly on the available nitrogen.
- R 22 optional substituent is an optionally substituted aryl, it is preferably a phenyl; or when R 22 is an optionally substituted heteroaryl ring (as defined in the definition section below), the rings may be optionally substituted independently one or more times, preferably by one to three times by C 1-10 alkyl; halogen, especially fluoro or chloro; (CR 10 R 20 ) t OR 11 ; (CR 10 R 20 ) t NR 13 R 14 ; especially amino or mono- or di-C 1-4 alkylamino; (CR 10 R 20 ) t S(O) m R 18 , wherein m is 0, 1 or 2; SH; OR 1 1; NR 10 C(Z)R 3 (such NHCO(C 1-10 alkyl)); or NR 10 S(O) m R 8 (such as NHSO 2 (C 1-10 alkyl)).
- a or R 22 is an (optionally) substituted C 3-7 cycloalkyl group, it is preferably a C 3 or C 6 ring, most preferably a C 3 ring, which ring may be optionally substituted one or more time, preferably 1 to 3 times, independently by halogen, such as fluorine, or chlorine; (CR 10 R 20 ) t OR 11 ; S(O) m R 18 ; cyano, (CR 10 R 20 ) t NR 13 R 14 , especially amino or mono- or di-C 1-4 alkylamino; N(R 10 )C(O)X 1 and X 1 is C 1-4 alkyl, aryl or arylC 1-4 alkyl; C 1-10 alkyl, such as methyl, ethyl, propyl, isopropyl, or t-butyl; an optionally substituted alkyl wherein the substituents are halogen, (such as CF 3 ), hydroxy, nitro, cyano,
- R d is hydrogen, a pharmaceutically acceptable cation, aroyl or a C 1-10 alkanoyl group.
- R e is a 1,3-dioxyalkylene group of the formula —O—(CH 2 ) s —O—, wherein s is 1 to 3, preferably s is 2 yielding a 1,3-dioxyethylene moiety, or ketal functionality.
- R f is NR 21 R 24 ; alkyl 1-6 ; halosubstituted alkyl 1-6 ; hydroxy substituted alkyl 1-6 ; alkenyl 2-6; aryl or heteroaryl optionally substituted by halogen, alkyl 1-6 , halosubstituted alkyl 1-6 , hydroxyl, or alkoxy 1-6 .
- R 21 is hydrogen, or alkyl 1-6 .
- R 24 is hydrogen, alkyl 1-6 , aryl, benzyl, heteroaryl, alkyl substituted by halogen or hydroxyl, or phenyl substituted by a member selected from the group consisting of halo, cyano, alkyl 1-6 , alkoxy 1-6 , halosubstituted alkyl 1-6 , S(O) m alkyl 1-6 ; or R 21 and R 24 may together with the nitrogen to which they are attached form a ring having 5 to 7 members, which members may be optionally replaced by a heteroatom selected from oxygen, sulfur or nitrogen.
- the ring may be saturated or contain more than one unsaturated bond.
- R f is NR 21 R 24 , and more preferably R 21 and R 24 are both hydrogen.
- R 13 and R 14 are independently hydrogen, C 1-4 alkyl, preferably methyl, or benzyl.
- R 11 is suitably hydrogen, C 1-4 alkyl, especially methyl.
- R 18 is preferably aryl, especially phenyl, or a C 1-10 alkyl, especially methyl, or ethyl.
- R 11 is preferably hydrogen, aryl, especially phenyl, or C 1-10 alkyl, especially methyl or ethyl.
- R 18 is suitably alkyl, especially methyl.
- R 1 is 2-phenoxy-4-pyridyl or 2-phenoxy-4-pyrimidinyl.
- R 4 is phenyl or phenyl substituted one or two times by fluoro, chloro, C 1-4 alkoxy, —S(O) m alkyl, methanesulfonamido or acetamido.
- A is CH 2 OH, CH 3 , benzyl, phenyl, CH 2 NH(methyl) or CH 2 N(dimethyl); and R 22 is methyl, ethyl, methanol, or CH 2 —O-phenyl; or alternatively the R 2 group is 1-hydroxy-3-phenylprop-2-yl, 1-hydroxyprop-2-yl, 1-hydroxybut-2-yl, 1,3-dihydroxyprop-2-yl, or 1-hydroxy-2-phenyethyl-2-yl.
- halogen such as fluorine, chlorine, bromine or iodine
- hydroxy such as fluorine, chlorine, bromine or iodine
- C 1-10 alkoxy such as methoxy or ethoxy
- halosubstituted C 1-10 alkoxy such as methyl thio, methylsulfinyl or methyl sulfonyl
- NR 7 R 17 such as amino or mono or -disubstituted C 1-4 alkyl or wherein the R 7 R 17 can cyclize together with the nitrogen to which they are attached to form a 5 to 7 membered ring which optionally contains an additional heteroatom selected from O/N/S; C 1-10 alkyl, C 3-7 cycloalkyl, or C 3-7 cycloalkyl C 1-10 alkyl group, such as methyl, ethyl, propyl, isoprop
- halosubstituted C 1-10 alkyl such CF 2 CF 2 H, or CF 3 ; an optionally substituted aryl, such as phenyl, or an optionally substituted arylalkyl, such as benzyl or phenethyl, wherein these aryl moieties may also be substituted one to two times by halogen; hydroxy; hydroxy substituted alkyl; C 1-10 alkoxy; S(O) m alkyl; amino, mono & di-substituted C 1-4 alkyl amino, such as in the NR 7 R 17 group; C 1-4 alkyl, or CF 3 .
- Suitable pharmaceutically acceptable salts are well known to those skilled in the art and include basic salts of inorganic and organic acids, such as hydrochloric acid, hydrobromic acid, sulphuric acid, phosphoric acid, methane sulphonic acid, ethane sulphonic acid, acetic acid, malic acid, tartaric acid, citric acid, lactic acid, oxalic acid, succinic acid, fumaric acid, maleic acid, benzoic acid, salicylic acid, phenylacetic acid and mandelic acid.
- basic salts of inorganic and organic acids such as hydrochloric acid, hydrobromic acid, sulphuric acid, phosphoric acid, methane sulphonic acid, ethane sulphonic acid, acetic acid, malic acid, tartaric acid, citric acid, lactic acid, oxalic acid, succinic acid, fumaric acid, maleic acid, benzoic acid, salicylic acid, phenylacetic acid and
- pharmaceutically acceptable salts of compounds of Formula (I) may also be formed with a pharmaceutically acceptable cation, for instance, if a substituent group comprises a carboxy moiety.
- Suitable pharmaceutically acceptable cations are well known to those skilled in the art and include alkaline, alkaline earth, ammonium and quaternary ammonium cations.
- halo or “halogens” is used herein to mean the halogens, chloro, fluoro, bromo and iodo.
- C 1-10 alkyl or “alkyl” is used herein to mean both straight and branched chain radicals of 1 to 10 carbon atoms, unless the chain length is otherwise limited, including, but not limited to, methyl, ethyl, n-propyl, iso-propyl, n-butyl, sec-butyl, iso-butyl, tert-butyl, n-pentyl and the like.
- cycloalkyl is used herein to mean cyclic radicals, preferably of 3 to 8 carbons, including but not limited to cyclopropyl, cyclopentyl, cyclohexyl, and the like.
- cycloalkenyl is used herein to mean cyclic radicals, preferably of 5 to 8 carbons, which have at least one bond including but not limited to cyclopentenyl, cyclohexenyl, and the like.
- alkenyl is used herein at all occurrences to mean straight or branched chain radical of 2-10 carbon atoms, unless the chain length is limited thereto, including, but not limited to ethenyl, 1-propenyl, 2-propenyl, 2-methyl-1-propenyl, 1-butenyl, 2-butenyl and the like.
- aryl is used herein to mean phenyl and naphthyl
- heteroaryl (on its own or in any combination, such as “heteroaryloxy”, or “heteroaryl alkyl”) is used herein to mean a 5-10 membered aromatic ring system in which one or more rings contain one or more heteroatoms selected from the group consisting of N, O or S, such as, but not limited, to pyrrole, pyrazole, furan, thiophene, quinoline, isoquinoline, quinazolinyl, pyridine, pyrimidine, oxazole, thiazole, thiadiazole, tetrazole, triazole, imidazole, or benzimidazole.
- heterocyclic (on its own or in any combination, such as “heterocyclylalkyl”) is used herein to mean a saturated or partially unsaturated 4-10 membered ring system in which one or more rings contain one or more heteroatoms selected from the group consisting of N, O, or S; such as, but not limited to, pyrrolidine, piperidine, piperazine, morpholine, tetrahydro pyran, or imidazolidine.
- aralkyl or “heteroarylalkyl” or “heterocyclicalkyl” is used herein to mean C 1-4 alkyl as defined above attached to an aryl, heteroaryl or heterocyclic moiety as also defined herein unless otherwise indicate.
- sulfinyl is used herein to mean the oxide S(O) of the corresponding sulfide, the term “thio” refers to the sulfide, and the term “sulfonyl” refers to the fully oxidized S(O) 2 moiety.
- aroyl is used herein to mean C(O)Ar, wherein Ar is as phenyl, naphthyl, or aryl alkyl derivative such as defined above, such group include but are not limited to benzyl and phenethyl.
- alkanoyl is used herein to mean C(O)C 1-10 alkyl wherein the alkyl is as defined above.
- the compounds of the present invention may exist as stereoisomers, regioisomers, or diastereiomers. These compounds may contain one or more asymmetric carbon atoms and may exist in racemic and optically active forms. All of these compounds are included within the scope of the present invention.
- Exemplified compounds of Formula (I) include:
- the compounds of Formula (I) may be obtained by applying synthetic procedures, some of which are illustrated in Schemes I to XII herein.
- the synthesis provided for in these Schemes is applicable for the producing compounds of Formula (I) having a variety of different R 1 , R 2 , and R 4 groups which are reacted, employing optional substituents which are suitably protected, to achieve compatibility with the reactions outlined herein. Subsequent deprotection, in those cases, then affords compounds of the nature generally disclosed. While the schemes describe compounds of Formula (I) with Y as oxygen, one skilled in the art would readily be able to make compounds of Formula (I) wherein Y is sulfur using similar reaction processes as exemplified herein.
- Precursors of the groups R 1 , R 2 and R 4 can be other R 1 , R 2 and R 4 groups which can be interconverted by applying standard techniques for functional group interconversion.
- a compound of the formula (I) wherein R 2 is halo substituted C 1-10 alkyl can be converted to the corresponding C 1-10 alkylN 3 derivative by reacting with a suitable azide salt, and thereafter if desired can be reduced to the corresponding C 1-10 alkylNH 2 compound, which in turn can be reacted with R 18 S(O) 2 X wherein X is halo (e.g., chloro) to yield the corresponding C 1-10 alkylNHS(O) 2 R 18 compound.
- a compound of the formula (I) where R 2 is halo-substituted C 1-10 alkyl can be reacted with an amine R 13 R 14 NH to yield the corresponding C 1-10 -alkylNR 13 R 14 compound, or can be reacted with an alkali metal salt of R 18 SH to yield the corresponding C 1-10 alkylSR 18 compound.
- the compounds of Formula (I) are suitably prepared by reacting a compound of the Formula (II) with a compound of the Formula (III) wherein p is 0 or 2, R 1 , R 2 and R 4 are as defined herein, for Formula (I), or are precursors of the groups R 1 , R 2 and R 4 , and Ar is an optionally substituted phenyl group, and thereafter if necessary converting a precursor of R 1 , R 2 and R 4 to a group R 1 , R 2 and R 4 .
- R 2 NH 2 which is reacted with R 1 CHO to form the imine, Formula (III) the R 2 moiety when it contains a reactive functional group, such as a primary or secondary amine, an alcohol, or thiol compound the group must be suitably protected.
- Suitable protecting groups may be found in, Protecting Groups in Organic Synthesis, Greene T W, Wiley-Interscience, New York, 1981, whose disclosure is incorporated herein by reference.
- R 2 is a heterocyclic ring, such as a piperidine ring, the nitrogen is protected with groups such as t-Boc, CO 2 R 18 , or a substituted arylalkyl moiety.
- the reaction is performed at ambient temperature or with cooling (e.g. ⁇ 50° to 10°) or heating in an inert solvent such as methylene chloride, DMF, tetrahydrofuran, toluene, acetonitrile, or dimethoxyethane in the presence of an appropriate base such as K 2 CO 3 , t-buNH 2 , 1,8-diazabicyclo[5.4.0.]undec-7-ene (DBU), or a guanidine base such as 1,5,7-triaza-bicyclo[4.4.0]dec-5-ene (TBD).
- an appropriate base such as K 2 CO 3 , t-buNH 2 , 1,8-diazabicyclo[5.4.0.]undec-7-ene (DBU), or a guanidine base such as 1,5,7-triaza-bicyclo[4.4.0]dec-5-ene (TBD).
- DBU 1,8-diazabicyclo[5.4.0.]unde
- Ar is an optionally substituted aryl as defined herein.
- Ar is phenyl optionally substituted by C 1-4 alkyl, C 1-4 alkoxy or halo.
- Ar is phenyl or 4-methylphenyl, i.e. a tosyl derivative.
- a strong base such as an amine base
- the commercially available TBD is preferred although t-butoxide, Li+ or Na+, or K+ hexamethyldisilazide may also be used.
- reaction may take place from about ⁇ 20° C. to about; 40° C., preferably from about 0° C. to about 23° C., more preferably from about 0° C. to about 10° C., and most preferably about 4° C. for reactions involving an R 1 group of pyrimidine.
- R 1 is pyridine
- compounds of Formula (I) may be prepared by coupling a suitable derivative of a compound of Formula (IX):
- TI is hydrogen and T4 is R 4 , or alternatively T 1 is R 1 and T4 is H in which R 1 , R 2 and R 4 are as hereinbefore defined; with: (i) when TI is hydrogen, a suitable derivative of the heteroaryl ring R 1 H, under ring coupling conditions, to effect coupling of the heteroaryl ring R 1 to the imidazole nucleus at position 5; (ii) when T 4 is hydrogen, a suitable derivative of the aryl ring R 4 H, under ring coupling conditions, to effect coupling of the aryl ring R 4 to the imidazole nucleus at position 4.
- an organometallic synthetic equivalent of an anion of one component is coupled with a reactive derivative of the second component, in the presence of a suitable catalyst.
- the anion equivalent may be formed from either the imidazole of Formula (IX), in which case the aryl/heteroaryl compound provides the reactive derivative, or the aryl/heteroaryl compound in which case the imidazole provides the reactive derivative.
- suitable derivatives of the compound of Formula (IX) or the aryl/heteroaryl rings include organometallic derivatives such as organomagnesium, organozinc, organostannane and boronic acid derivatives and suitable reactive derivatives include the bromo, iodo, fluorosulfonate and trifluoromethanesulphonate derivatives. Suitable procedures are described in WO 91/19497, the disclosure of which is incorporated by reference herein.
- Suitable organomagnesium and organozinc derivatives of a compound of Formula (IX) may be reacted with a halogen, fluorosulfonate or triflate derivative of the heteroaryl or aryl ring, in the presence of a ring coupling catalyst, such as a palladium (O) or palladium (II) catalyst, following the procedure of Kumada et al., Tetrahedron Letters, 22, 5319 (1981).
- a ring coupling catalyst such as a palladium (O) or palladium (II) catalyst
- Suitable such catalysts include tetrakis-(triphenylphosphine)palladium and PdCl 2[ 1,4-bis-(diphenylphosphino)-butane], optionally in the presence of lithium chloride and a base, such as triethylamine.
- a nickel (II) catalyst such as Ni(II)Cl 2 (1,2-biphenylphosphino)ethane, may also be used for coupling an aryl ring, following the procedure of Pridgen et al., J. Org. Chem., 1982, 47, 4319.
- Suitable reaction solvents include hexamethylphosphor-amide.
- suitable derivatives include 4-bromo- and 4-iodo-pyridine and the fluorosulfonate and triflate esters of 4-hydroxy pyridine.
- suitable derivatives for when the aryl ring is phenyl include the bromo, fluorosulfonate, triflate and, preferably, the iodo-derivatives.
- Suitable organomagnesium and organozinc derivatives may be obtained by treating a compound of Formula (IX) or the bromo derivative thereof with an alkyllithium compound to yield the corresponding lithium reagent by deprotonation or transmetallation, respectively. This lithium intermediate may then be treated with an excess of a magnesium halide or zinc halide to yield the corresponding organometallic reagent.
- a trialkyltin derivative of the compound of Formula (IX) may be treated with a bromide, fluorosulfonate, triflate, or, preferably, iodide derivative of an aryl or heteroaryl ring compound, in an inert solvent such as tetrahydrofuran, preferably containing 10% hexamethylphosphoramide, in the presence of a suitable coupling catalyst, such as a palladium (0) catalyst, for instance tetrakis-(triphenylphosphine)-palladium, by the method described in by Stille, J. Amer. Chem. Soc, 1987, 109, 5478, U.S. Pat. Nos.
- Trialkyltin derivatives may be conveniently obtained by metallation of the corresponding compound of Formula (IX) with a lithiating agent, such as s-butyl-lithium or n-butyllithium, in an ethereal solvent, such as tetrahydrofuran, or treatment of the bromo derivative of the corresponding compound of Formula (IX) with an alkyl lithium, followed, in each case, by treatment with a trialkyltin halide.
- a lithiating agent such as s-butyl-lithium or n-butyllithium
- an ethereal solvent such as tetrahydrofuran
- the bromo-derivative of a compound of Formula (IX) may be treated with a suitable heteroaryl or aryl trialkyl tin compound in the presence of a catalyst such as tetrakis-(triphenyl-phosphine)-palladium, under conditions similar to those described above.
- a catalyst such as tetrakis-(triphenyl-phosphine)-palladium
- a suitable derivative of a compound of Formula (IX), such as the bromo, iodo, triflate or fluorosulphonate derivative may be reacted with a heteroaryl- or aryl-boronic acid, in the presence of a palladium catalyst such as tetrakis-(triphenylphosphine)-palladium or PdCl 2[ 1,4-bis-(diphenyl-phosphino)-butane] in the presence of a base such as sodium bicarbonate, under reflux conditions, in a solvent such as dimethoxyethane (see Fischer and Haviniga, Rec. Trav. Chim.
- Non-aqueous conditions for instance, a solvent such as DMF, at a temperature of about 100° C., in the presence of a Pd(II) catalyst may also be employed (see Thompson W J et al, J Org Chem, 49, 5237, 1984).
- Suitable boronic acid derivatives may be prepared by treating the magnesium or lithium derivative with a trialkylborate ester, such as triethyl, tri-iso-propyl or tributylborate, according to standard procedures.
- Compounds of Formula (IX) are imidazoles and may be obtained by any of the procedures herein before described for preparing compounds of Formula (I).
- an a-halo-ketone or other suitably activated ketones R 4 COCH 2 Hal (for compounds of Formula (IX) in which TI is hydrogen) or R 1 COCH 2 Hal (for compounds of Formula (IX) in which T4 is hydrogen) may be reacted with an amidine of the formula R 2 NH—C ⁇ NH, wherein R 2 is as defined in Formula (I), or a salt thereof, in an inert solvent such as a halogenated hydrocarbon solvent, for instance chloroform, at a moderately elevated temperature, and, if necessary, in the presence of a suitable condensation agent such as a base.
- an inert solvent such as a halogenated hydrocarbon solvent, for instance chloroform
- Suitable reactive esters include esters of strong organic acids such as a lower alkane sulphonic or aryl sulphonic acid, for instance, methane or p-toluene sulphonic acid.
- the amidine is preferably used as the salt, suitably the hydrochloride salt, which may then be converted into the free amidine in situ, by employing a two phase system in which the reactive ester is in an inert organic solvent such as chloroform, and the salt is in an aqueous phase to which a solution of an aqueous base is slowly added, in dimolar amount, with vigorous stirring.
- Suitable amidines may be obtained by standard methods, see for instance, Garigipati R, Tetrahedron Letters, 190, 31, 1989.
- Compounds of Formula (I) may also be prepared by a process which comprises reacting a compound of Formula (IX), wherein TI is hydrogen, with an N-acyl heteroaryl salt, according to the method disclosed in U.S. Pat. No. 4,803,279, U.S. Pat. No. 4,719,218 and U.S. Pat. No. 5,002,941, to give an intermediate in which the heteroaryl ring is attached to the imidazole nucleus and is present as a 1,4-dihydro derivative thereof, which intermediate may then be subjected to oxidative-deacylation conditions (Scheme II).
- Scheme II oxidative-deacylation conditions
- the heteroaryl salt for instance a pyridinium salt, may be either preformed or, more preferably, prepared in situ by adding a substituted carbonyl halide (such as an acyl halide, an aroyl halide, an arylalkyl haloformate ester, or, preferably, an alkyl haloformate ester, such as acetyl bromide, benzoylchloride, benzyl chloroformate, or, preferably, ethyl chloroformate) to a solution of the compound of Formula (IX) in the heteroaryl compound R 1 H or in an inert solvent such as methylene chloride to which the heteroaryl compound has been added.
- a substituted carbonyl halide such as an acyl halide, an aroyl halide, an arylalkyl haloformate ester, or, preferably, an alkyl haloformate ester, such as acetyl
- Suitable deacylating and oxidising conditions are described in U.S. Pat. Nos. 4,803,279, 4,719,218 and 5,002,941, which references are hereby incorporated by reference in their entirety.
- Suitable oxidizing systems include sulfur in an inert solvent or solvent mixture, such as decalin, decalin and diglyme, p-cymene, xylene or mesitylene, under reflux conditions, or, preferably, potassium t-butoxide in t-butanol with dry air or oxygen.
- compounds of Formula (I) may be prepared by treating a compound of Formula (X) thermally or with the aid of a cyclising agent such as phosphorus oxychloride or phosphorus pentachloride (see Engel and Steglich, Liebigs Ann Chem, 1978, 1916 and Strzybny et al., J Org Chem, 1963, 28, 3381).
- a cyclising agent such as phosphorus oxychloride or phosphorus pentachloride
- Compounds of Formula (X) may be obtained, for instance, by acylating the corresponding a-keto-amine with an activated formate derivative such as the corresponding anhydride, under standard acylating conditions followed by formation of the imine with R 2 NH 2 .
- the aminoketone may be derived from the parent ketone by oxamination and reduction and the requisite ketone may in turn be prepared by decarboxylation of the beta-ketoester obtained from the condensation of an aryl (heteroaryl)acetic ester with the R 1 COX component.
- a heterocyclic ketone (XI) is prepared by adding the anion of the alkyl heterocycle such as 4-methyl-quinoline (prepared by treatment thereof with an alkyl lithium, such as n-butyl lithium) to an N-alkyl-O-alkoxybenzamide, ester, or any other suitably activated derivative of the same oxidation state.
- the anion may be condensed with a benzaldehyde, to give an alcohol which is then oxidised to the ketone (XI).
- N-substituted compounds of Formula (I) may be prepared by treating the anion of an amide of Formula (XII):
- R 4 is as hereinbefore defined, or
- R 4 is as hereinbefore defined and Hal is halogen, or a corresponding anhydride, to give a bis-acylated intermediate which is then treated with a source of ammonia, such as ammonium acetate.
- a primary amine (R 2 NH 2 ) is treated with a halomethyl heterocycle of Formula R 1 CH 2 X to give the secondary amine which is then converted to the amide by standard techniques.
- the amide may be prepared as illustrated in scheme V by alkylation of the formamide with R 1 CH 2 X. Deprotonation of this amide with a strong amide base, such as lithium di-iso-propyl amide or sodium bis-(trimethylsilyl)amide, followed by addition of an excess of an aroyl chloride yields the bis-acylated compound which is then closed to an imidazole compound of Formula (I), by heating in acetic acid containing ammonium acetate.
- the anion of the amide may be reacted with a substituted aryl nitrile to produce the imidazole of Formula (I) directly.
- the secondary amines while not preferred may be used, but may also decompose the isonitrile slowly. Reactions will likely require about 3 equivalents of amine to go to completion, resulting in approximately 50% isolated yields. Hindered secondary amines (diisopropylamine) while usable are very slow and generally not too effective. Use of tertiary and aromatic amines, such as pyridine, and triethylamine gave no reaction under certain test conditions, but more basic types such as DBU, and 4-dimethylamino pyridine (DMAP) while slow, did produce some yields and hence may be suitable for use herein.
- tertiary and aromatic amines such as pyridine, and triethylamine gave no reaction under certain test conditions, but more basic types such as DBU, and 4-dimethylamino pyridine (DMAP) while slow, did produce some yields and hence may be suitable for use herein.
- the pyrimidine aldehydes of Scheme VI can be condensed with a primary amine, to generate an imine, which may suitably be isolated or reacted in situ, with the desired isonitrile in the presence of a variety of suitable bases, and solvents as described herein to afford the 5-(4-pyrimidinyl)-substituted imidazoles, wherein R 2 and R 4 are as defined herein for Formula (I) compounds.
- Suitable bases include an amine, a carbonate, a hydride, or an alkyl or aryl lithium reagent; or mixtures thereof.
- Bases include, but are not limited to, potassium carbonate, sodium carbonate, primary and secondary amines, such as t-butylamine, diisopropyl amine, morpholine, piperidine, pyrrolidine, and other non-nucleophilic bases, such as DBU, DMAP and 1,4-diazabicyclo[2.2.2]octane (DABCO).
- Suitable solvents for use herein include but are not limited to the organic solvents of N,N-dimethyl-formamide (DMF), MeCN, halogenated solvents, such as methylene chloride or chloroform, tetrahydrofuran (THF), dimethylsulfoxide (DMSO), alcohols, such as methanol or ethanol, benzene, toluene, DME or EtOAc.
- the solvent is DMF, DME, THF, or MeCN, more preferably DMF.
- Product isolation may generally be accomplished by adding water and filtering the product as a clean compound.
- R a is as defined for Formula (I) compounds, and X is oxygen or sulfur.
- temperature ranges are from about 0° C. to about 25° C.
- room temperature is generally depicted as 25° C., but it is recognized that this may vary from 20° C. to 30° C.
- the imine is preferably formed in situ in a solvent.
- This preferred synthesis is a process which occurs as a one-pot synthesis.
- the reaction may further include a base, such as potassium carbonate, prior to the addition of the isonitrile.
- a protected group(PG) may be required in the imine forming and cycloaddition reactions; suitably the PG is silyl (such as triethyl, diphenyl-t-butyl, dimethyl-t-butyl) or C(O) 2 R, wherein R is preferably alkyl, aryl, arylalkyl moieties well known to those skilled in the art.
- Reaction conditions such as solvents, bases, temperatures, etc. are similar to those illustrated and discussed above for the isolated imine as shown in Scheme VII.
- the in situ formation of the imine may require dehydrating conditions, or may require acid catalysis.
- Scheme IX describes an alternative process for making compounds of formula (I).
- the alkylthio moiety is oxidized to the methyl sulfinyl or sulfonyl moiety which is reacted with a suitable YR a moiety.
- Another embodiment of the present invention is the novel hydrolysis of 2-thioalkylpyrimidine acetal to 2-thioalkylpyrimidine aldehyde, as shown in Scheme X below.
- the preferred synthesis involves the use of AcOH (fresh) as solvent and concentrated H 2 SO 4 under heating conditions, preferably a catalytic amount of sulfuric acid. Heating conditions include temperatures from about 60 to 85° C., preferably from about 70 to about 80° C. as higher temperatures show a darkening of the reaction mixture.
- the final 2-(RaY)pyrimidin-4-yl imidazole compounds of Formula (I), as well as similar pyridine containing compounds can be prepared by one of three methods: 1) direct reaction of the 2-(RaY)pyrimidine imine with the isonitrile; 2) oxidation of the 2-alkylthiopyrimidine derivative to the corresponding sulfoxide followed by displacement with the desired HYRa under basic conditions, for example using a metal salt of HYRa or in the presence of a non-nucleophilic amine or alkali metal base; or 3) reaction of the 2-halopyrimidine or pyridine imine with the isonitrile followed by displacement with HYRa under basic conditions described in the second method, see also Adams et al., U.S. Ser. No. 08/659,102 filed 3 Jun. 1996, Scheme XI, whose disclosure is incorporated herein by reference in its entirety.
- any suitable R 2 moiety or R 4 moiety may be added in this manner if it can be prepared on the primary amine.
- any suitable R 4 can be added via the isonitrile route.
- the compounds of Formula (II), in Scheme I, may be prepared by the methods of van Leusen et al., supra.
- a compound of the Formula (II) may be prepared by dehydrating a compound of the Formula (IV)-Scheme I, wherein Ar, R 4 and p are as defined herein.
- Suitable dehydrating agents include phosphorus oxychloride, oxalyl chloride, thionyl chloride, phosgene, or tosyl chloride in the presence of a suitable base such as triethylamine or diisopropylethylamine, or similar bases, etc. such as pyridine.
- suitable base such as triethylamine or diisopropylethylamine, or similar bases, etc. such as pyridine.
- Suitable solvents are dimethoxy ether, tetrahydrofuran, or halogenated solvents, preferably THF. The reaction is most efficient when the reaction temperatures are kept between ⁇ 10° C. and 0° C. At lower temperatures incomplete reaction occurs and at higher temperatures, the solution turns dark and the product yield drops.
- the compounds of formula (IV)-Scheme I may be prepared by reacting a compound of the formula (V)-Scheme I, R 4 CHO where R 4 is as defined herein, with ArS(O) p H and formamide with or without water removal, preferably under dehydrating conditions, at ambient or elevated temperature e.g. 30° to 150°, conveniently at reflux, optionally in the presence of an acid catalyst.
- an acid catalyst Alternatively trimethysilylchloride can be used in place of the acid catalyst.
- acid catalysts include camphor-10-sulphonic acid, formic acid, p-toluenesulphonic acid, hydrogen chloride or sulphuric acid.
- the conversion of the substituted aldehyde to the tosylbenzyl formamide may be accomplished by heating the aldehyde, 1-Scheme XI, with an acid, such as p-toluene-sulfonic acid, formic acid or camphorsulfonic acid; with formamide and p-toluene-sulfinic acid [under reaction conditions of about 60° C. for about 24 hours].
- an acid such as p-toluene-sulfonic acid, formic acid or camphorsulfonic acid
- formamide and p-toluene-sulfinic acid under reaction conditions of about 60° C. for about 24 hours.
- no solvent is used.
- the reaction may give poor yields ( ⁇ 30%) when solvents, such as DMF, DMSO, toluene, acetonitrile, or excess formamide are used.
- Temperatures less than 60° C. are generally poor at producing the desired product, and temperatures in excess of 60° C
- Another embodiment of the present invention is the synthesis of the tosyl benzyl formamide compound, achieved by reacting the bisformamide intermediate, 2-Scheme XI with p-toluenesulfinic acid.
- preparation of the bis-formamide from the aldehyde is accomplished by heating the aldehyde with formamide, in a suitable solvent with acid catalysis. Suitable solvents are toluene, acetonitrile, DMF, and DMSO or mixtures thereof.
- Acid catalysts are those well known in the art, and include but are not limited to hydrogen chloride, p-toluene-sulfonic acid, camphorsulfonic acid, and other anhydrous acids.
- the reaction can be conducted at temperatures ranging from about 25° C. to 100° C., preferably about 50° C., suitably for about 4 to about 5 hours, longer reaction times are also acceptable. Product decomposition and lower yields may be observed at higher temperatures (>70° C.) at prolonged reactions times. Complete conversion of the product generally requires water removal from the reaction mixture.
- Preferred conditions for converting a bis-formamide derivative to the tosyl benzyl formamide are accomplished by heating the bisformamide in a suitable solvent with an acid catalyst and p-toluenesulfinic acid.
- Solvents for use in this reaction include but are not limited to toluene, and acetonitrile or mixtures thereof. Additional mixtures of these solvents with DMF, or DMSO may also be used but may result in lower yields.
- Temperatures may range from about 30° C. to about 100° C.
- Temperatures lower than 40° C. and higher than 60° C. are not preferred as the yield and rate decreases.
- the range is from about 40 to 60° C., most preferably about 50° C.
- acids used include but are not limited to, toluenesulfonic acid, camphorsulfonic acid, and hydrogen chloride and other anhydrous acids.
- the bisformamide is heated in toluene:acetonitrile in a 1:1 ratio, with p-toluenesulfinic acid and hydrogen chloride.
- Another embodiment of the present invention is the preferred synthetic route for synthesis of the tosylbenzyl formamide compound which is accomplished using a one-pot procedure. This process first converts the aldehyde to the bis-formamide derivative and subsequently reacts the bis-formamide derivative with toluenesulfinic acid. This procedure combines the optimized conditions into a single, efficient process. High yields, >90% of the aryl benzylformamide may be obtained in such a manner.
- Preferred reaction conditions employ a catalyst, such as trimethylsilyl chloride (TMSCl), in a preferred solvent, toluene:acetonitrile, preferably in a 1:1 ratio.
- TMSCl trimethylsilyl chloride
- a reagent, such as TMSCl is preferred which reacts with water produced therein and at the same time produces hydrogen chloride to catalyze the reaction.
- Also preferred is use of hydrogen chloride and p-toluenesulfonic acid.
- three suitable reaction conditions for use herein include 1) use of a dehydrating agent which also provides hydrogen chloride, such as TMSCl; or by 2) use of a suitable dehydrating agent and a suitable source of acid source, such as but not limited to, camphorsulfonic acid, hydrogen chloride or toluenesulfonic acid; and 3) alternative dehydrating conditions, such as the azeotropic removal of water, and using an acid catalyst and p-toluene sulfinic acid.
- a dehydrating agent which also provides hydrogen chloride, such as TMSCl
- a suitable dehydrating agent and a suitable source of acid source such as but not limited to, camphorsulfonic acid, hydrogen chloride or toluenesulfonic acid
- alternative dehydrating conditions such as the azeotropic removal of water, and using an acid catalyst and p-toluene sulfinic acid.
- Compounds of the formula (II) where p is 2 may also be prepared by reacting in the presence of a strong base a compound of the formula (VI)-Scheme I, R 4 CH 2 NC with a compound of the formula (VII)-Scheme I, ArSO 2 L 1 wherein R 4 and Ar are as defined herein and L 1 is a leaving group such as halo, e.g. fluoro.
- Suitable strong bases include, but are not limited to, alkyl lithiums such as butyl lithium or lithium diisopropylamide (Van Leusen et al., Tetrahedron Letters , No. 23, 2367-68 (1972)).
- the compounds of formula (VI)-Scheme I may be prepared by reacting a compound of the formula (VIII)-Scheme I, R 4 CH 2 NH 2 with an alkyl formate (e.g. ethylformate) to yield an intermediate amide which can be converted to the desired isonitrile by reacting with well known dehydrating agent, such as but not limited to oxalyl chloride, phosphorus oxychloride or tosyl chloride in the presence of a suitable base such as triethylamine.
- an alkyl formate e.g. ethylformate
- dehydrating agent such as but not limited to oxalyl chloride, phosphorus oxychloride or tosyl chloride in the presence of a suitable base such as triethylamine.
- a compound of the formula (VIII)-Scheme I may be converted to a compound of the formula (VI)-Scheme I by reaction with chloroform and sodium hydroxide in aqueous dichloromethane under phase transfer catalysis.
- the compounds of the formula (III)-Scheme I may be prepared by reacting a compound of the formula R 1 CHO with a primary amine R 2 NH 2 .
- amino compounds of the formula (VIII)-Scheme I are known or can be prepared from the corresponding alcohols, oximes or amides using standard functional group interconversions.
- the amino compounds used to prepare the imines of formula (III)-Scheme I are known or can be prepared using standard functional group interconversions (Scheme XII).
- a particularly useful and general method to prepare these amines is from the a amino acids, which are readily available or if not can be prepared from the corresponding aldehyde using standard amino acid synthesis, such as the Strecker synthesis.
- the free amino acids or the corresponding amino protected compounds (CBZ, fMOC, or t-BOC) many of which are commercially available can be reduced to the carbinol under standard conditions.
- borane on the carboxylic acid or if the ester, hydride agents may be employed in the reduction.
- the protected amino alcohols may be used as intermediates to further elaborate the side chain.
- protecting groups may be used to mask reactive functionality and thereby facilitate the formation of the imine and subsequent cycloaddition reaction to form the imidazole.
- An example of this is the use of a silyl protecting group on a alcohol.
- Suitable protecting groups for use with hydroxyl groups and the imidazole nitrogen are well known in the art and described in many references, for instance, Protecting Groups in Organic Synthesis, Greene T W, Wiley-Interscience, New York, 1981.
- Suitable examples of hydroxylprotecting groups include silyl ethers, such as t-butyldimethyl or t-butyldiphenyl, and alkyl ethers, such as methyl connected by an alkyl chain of variable link, (CR 10 R 20 ) n .
- Suitable examples of imidazole nitrogen protecting groups include tetrahydropyranyl.
- compositions of Formula (I) may be obtained in known manner, for example by treatment thereof with an appropriate amount of acid in the presence of a suitable solvent.
- the compounds of Formula (I) or a pharmaceutically acceptable salt thereof can be used in the manufacture of a medicament for the prophylactic or therapeutic treatment of any disease state in a human, or other mammal, which is exacerbated or caused by excessive or unregulated cytokine production by such mammal's cell, such as but not limited to monocytes and/or macrophages.
- Compounds of Formula (I) are capable of inhibiting proinflammatory cytokines, such as IL-1, IL-6, IL-8, and TNF and are therefore of use in therapy.
- IL-1, IL-6, IL-8 and TNF affect a wide variety of cells and tissues and these cytokines, as well as other leukocyte-derived cytokines, are important and critical inflammatory mediators of a wide variety of disease states and conditions.
- the inhibition of these pro-inflammatory cytokines is of benefit in controlling, reducing and alleviating many of these disease states.
- the present invention provides a method of treating a cytokine-mediated disease which comprises administering an effective cytokine-interfering amount of a compound of Formula (I) or a pharmaceutically acceptable salt thereof.
- Compounds of Formula (I) are capable of inhibiting inducible proinflammatory proteins, such as COX-2, also referred to by many other names such as prostaglandin endoperoxide synthase-2 (PGHS-2) and are therefore of use in therapy.
- COX-2 also referred to by many other names
- PGHS-2 prostaglandin endoperoxide synthase-2
- These proinflammatory lipid mediators of the cyclooxygenase (CO) pathway are produced by the inducible COX-2 enzyme.
- Regulation, therefore of COX-2 which is responsible for the these products derived from arachidonic acid, such as prostaglandins affect a wide variety of cells and tissues are important and critical inflammatory mediators of a wide variety of disease states and conditions. Expression of COX-1 is not effected by compounds of Formula (I).
- This selective inhibition of COX-2 may alleviate or spare ulcerogenic liability associated with inhibition of COX-1 thereby inhibiting prostoglandins essential for cytoprotective effects.
- inhibition of these pro-inflammatory mediators is of benefit in controlling, reducing and alleviating many of these disease states.
- these inflammatory mediators in particular prostaglandins, have been implicated in pain, such as in the sensitization of pain receptors, or edema.
- This aspect of pain management therefore includes treatment of neuromuscular pain, headache, cancer pain, and arthritis pain.
- Compounds of Formula (I) or a pharmaceutically acceptable salt thereof are of use in the prophylaxis or therapy in a human, or other mammal, by inhibition of the synthesis of the COX-2 enzyme.
- the present invention provides a method of inhibiting the synthesis of COX-2 which comprises administering an effective amount of a compound of Formula (I) or a pharmaceutically acceptable salt thereof.
- the present invention also provides for a method of prophylaxis treatment in a human, or other mammal, by inhibition of the synthesis of the COX-2 enzyme.
- compounds of Formula (I) or a pharmaceutically acceptable salt thereof are of use in the prophylaxis or therapy of any disease state in a human, or other mammal, which is exacerbated by or caused by excessive or unregulated IL-1, IL-6, IL-8 or TNF production by such mammal's cell, such as, but not limited to, monocytes and/or macrophages.
- this invention relates to a method of inhibiting the production of IL-1 in a mammal in need thereof which comprises administering to said mammal an effective amount of a compound of Formula (I) or a pharmaceutically acceptable salt thereof.
- this invention relates to a method of inhibiting the production of TNF in a mammal in need thereof which comprises administering to said mammal an effective amount of a compound of Formula (I) or a pharmaceutically acceptable salt thereof.
- TNF production has been implicated in mediating or exacerbating a number of diseases including rheumatoid arthritis, rheumatoid spondylitis, osteoarthritis, gouty arthritis and other arthritic conditions, sepsis, septic shock, endotoxic shock, gram negative sepsis, toxic shock syndrome, adult respiratory distress syndrome, stroke, cerebral malaria, chronic pulmonary inflammatory disease, silicosis, pulmonary sarcoisosis, bone resorption diseases, such as osteoporosis, reperfusion injury, graft vs.
- diseases including rheumatoid arthritis, rheumatoid spondylitis, osteoarthritis, gouty arthritis and other arthritic conditions, sepsis, septic shock, endotoxic shock, gram negative sepsis, toxic shock syndrome, adult respiratory distress syndrome, stroke, cerebral malaria, chronic pulmonary inflammatory disease, silicosis, pulmonary sarcois
- allograft rejections fever and myalgias due to infection, such as influenza, cachexia secondary to infection or malignancy, cachexia secondary to acquired immune deficiency syndrome (AIDS), AIDS, ARC (AIDS related complex), keloid formation, scar tissue formation, Crohn's disease, ulcerative colitis and pyresis.
- AIDS cachexia secondary to infection or malignancy
- AIDS cachexia secondary to acquired immune deficiency syndrome
- AIDS AIDS
- ARC AIDS related complex
- keloid formation scar tissue formation
- Crohn's disease Crohn's disease
- ulcerative colitis ulcerative colitis
- viruses of Formula (I) are also useful in the treatment of viral infections, where such viruses are sensitive to upregulation by TNF or will elicit TNF production in vivo.
- the viruses contemplated for treatment herein are those that produce TNF as a result of infection, or those which are sensitive to inhibition, such as by decreased replication, directly or indirectly, by the TNF inhibiting-compounds of Formula (I).
- viruses include, but are not limited to HIV-1, HIV-2 and HIV-3, Cytomegalovirus (CMV), Influenza, adenovirus and the Herpes group of viruses, such as but not limited to, Herpes Zoster and Herpes Simplex.
- this invention relates to a method of treating a mammal afflicted with a human immunodeficiency virus (HIV) which comprises administering to such mammal an effective TNF inhibiting amount of a compound of Formula (I) or a pharmaceutically acceptable salt thereof.
- HAV human immunodeficiency virus
- TNF mediated diseases for treatment, therapeutically or prophylactically, in animals include disease states such as those noted above, but in particular viral infections.
- viruses include, but are not limited to, lentivirus infections such as, equine infectious anaemia virus, caprine arthritis virus, visna virus, or maedi virus or retrovirus infections, such as but not limited to feline immunodeficiency virus (FIV), bovine immunodeficiency virus, or canine immunodeficiency virus or other retroviral infections.
- the compounds of Formula (I) may also be used topically in the treatment or prophylaxis of topical disease states mediated by or exacerbated by excessive cytokine production, such as by IL-1 or TNF respectively, such as inflamed joints, eczema, psoriasis and other inflammatory skin conditions such as sunburn; inflammatory eye conditions including conjunctivitis; pyresis, pain and other conditions associated with inflammation.
- cytokine production such as by IL-1 or TNF respectively, such as inflamed joints, eczema, psoriasis and other inflammatory skin conditions such as sunburn; inflammatory eye conditions including conjunctivitis; pyresis, pain and other conditions associated with inflammation.
- this invention relates to a method of inhibiting the production of IL-8 in a mammal in need thereof which comprises administering to said mammal an effective amount of a compound of Formula (I) or a pharmaceutically acceptable salt thereof.
- the compounds of Formula (I) are administered in an amount sufficient to inhibit cytokine, in particular IL-1, IL-6, IL-8 or TNF, production such that it is regulated down to normal levels, or in some case to subnormal levels, so as to ameliorate or prevent the disease state.
- cytokine in particular IL-1, IL-6, IL-8 or TNF
- Abnormal levels of IL-1, IL-6, IL-8 or TNF constitute: (i) levels of free (not cell bound) IL-1, IL-6, IL-8 or TNF greater than or equal to 1 picogram per ml; (ii) any cell associated IL-1, IL-6, IL-8 or TNF; or (iii) the presence of IL-1, IL-6, IL-8 or TNF mRNA above basal levels in cells or tissues in which IL-1, IL-6, IL-8 or TNF, respectively, is produced.
- the compounds of Formula (I) are inhibitors of cytokines, specifically IL-1, IL-6, IL-8 and TNF is based upon the effects of the compounds of Formulas (I) on the production of the IL-1, IL-8 and TNF in in vitro assays which are described herein.
- IL-1 IL-6, IL-8 or TNF
- cytokine IL-1, IL-6, IL-8 or TNF
- cytokine IL-1, IL-6, IL-8 or TNF
- TNF mediated disease or disease state refers to any and all disease states in which TNF plays a role, either by production of TNF itself, or by TNF causing another monokine to be released, such as but not limited to IL-1, IL-6 or IL-8.
- cytokine refers to any secreted polypeptide that affects the functions of cells and is a molecule which modulates interactions between cells in the immune, inflammatory or hematopoietic response.
- a cytokine includes, but is not limited to, monokines and lymphokines, regardless of which cells produce them.
- a monokine is generally referred to as being produced and secreted by a mononuclear cell, such as a macrophage and/or monocyte.
- Lymphokines are generally referred to as being produced by lymphocyte cells.
- cytokines include, but are not limited to, Interleukin-1 (IL-1), Interleukin-6 (IL-6), Interleukin-8 (IL-8), Tumor Necrosis Factor-alpha (TNF-a) and Tumor Necrosis Factor beta (TNF- ⁇ ).
- cytokine interfering or “cytokine suppressive amount” refers to an effective amount of a compound of Formula (I) which will cause a decrease in the in vivo levels of the cytokine to normal or sub-normal levels, when given to a patient for the prophylaxis or treatment of a disease state which is exacerbated by, or caused by, excessive or unregulated cytokine production.
- the cytokine referred to in the phrase “inhibition of a cytokine, for use in the treatment of a HIV-infected human” is a cytokine which is implicated in (a) the initiation and/or maintenance of T cell activation and/or activated T cell-mediated HIV gene expression and/or replication and/or (b) any cytokine-mediated disease associated problem such as cachexia or muscle degeneration.
- TNF- ⁇ also known as lymphotoxin
- TNF-a also known as cachectin
- CSBP MAP kinase family
- RK MAP kinase
- Activation of this novel protein kinase via dual phosphorylation has been observed in different cell systems upon stimulation by a wide spectrum of stimuli, such as physicochemical stress and treatment with lipopolysaccharide or proinflammatory cytokines such as interleukin-1 and tumor necrosis factor.
- the cytokine biosynthesis inhibitors, of the present invention, compounds of Formula (I) have been determined to be potent and selective inhibitors of CSBP/p38/RK kinase activity. These inhibitors are of aid in determining the signaling pathways involvement in inflammatory responses.
- a definitive signal transduction pathway can be prescribed to the action of lipopolysaccharide in cytokine production in macrophages.
- treatment of stroke, neurotrauma, cardiac and renal reperfusion injury, congestive heart failure, chronic renal failure, angiogenesis & related processes, such as cancer, thrombosis, glomerulonephritis, diabetes and pancreatic b cells, multiple sclerosis, muscle degeneration, eczema, psoriasis, sunburn, and conjunctivitis are also included.
- the CSBP inhibitors were subsequently tested in a number of animal models for anti-inflammatory activity.
- Model systems were chosen that were relatively insensitive to cyclooxygenase inhibitors in order to reveal the unique activities of cytokine suppressive agents.
- the inhibitors exhibited significant activity in many such in vivo studies. Most notable are its effectiveness in the collagen-induced arthritis model and inhibition of TNF production in the endotoxic shock model. In the latter study, the reduction in plasma level of TNF correlated with survival and protection from endotoxic shock related mortality. Also of great importance are the compounds effectiveness in inhibiting bone resorption in a rat fetal long bone organ culture system. Griswold et al., (1988) Arthritis Rheum.
- Chronic diseases which have an inappropriate angiogenic component are various ocular neovasularizations, such as diabetic retinopathy and macular degeneration.
- Other chronic diseases which have an excessive or increased proliferation of vasculature are tumor growth and metastasis, atherosclerosis, and certain arthritic conditions. Therefore CSBP kinase inhibitors will be of utility in the blocking of the angiogenic component of these disease states.
- vasculature inappropriate angiogenesis includes, but is not limited to, diseases which are characterized by hemangiomas and ocular diseases.
- inappropriate angiogenesis includes, but is not limited to, diseases which are characterized by vesicle proliferation with accompanying tissue proliferation, such as occurs in cancer, metastasis, arthritis and atherosclerosis.
- the present invention provides a method of treating a CSBP kinase mediated disease in a mammal in need thereof, preferably a human, which comprises administering to said mammal, an effective amount of a compound of Formula (I) or a pharmaceutically acceptable salt thereof.
- a compound of Formula (I) or a pharmaceutically acceptable salt thereof in therapy it will normally be formulated into a pharmaceutical composition in accordance with standard pharmaceutical practice.
- This invention also relates to a pharmaceutical composition comprising an effective, non-toxic amount of a compound of Formula (I) and a pharmaceutically acceptable carrier or diluent.
- Compounds of Formula (I), pharmaceutically acceptable salts thereof and pharmaceutical compositions incorporating such may conveniently be administered by any of the routes conventionally used for drug administration, for instance, orally, topically, parenterally or by inhalation.
- the compounds of Formula (I) may be administered in conventional dosage forms prepared by combining a compound of Formula (I) with standard pharmaceutical carriers according to conventional procedures.
- the compounds of Formula (I) may also be administered in conventional dosages in combination with a known, second therapeutically active compound. These procedures may involve mixing, granulating and compressing or dissolving the ingredients as appropriate to the desired preparation.
- the form and character of the pharmaceutically acceptable character or diluent is dictated by the amount of active ingredient with which it is to be combined, the route of administration and other well-known variables.
- the carrier(s) must be “acceptable” in the sense of being compatible with the other ingredients of the formulation and not deleterious to the recipient thereof.
- the pharmaceutical carrier employed may be, for example, either a solid or liquid.
- solid carriers are lactose, terra alba, sucrose, talc, gelatin, agar, pectin, acacia, magnesium stearate, stearic acid and the like.
- liquid carriers are syrup, peanut oil, olive oil, water and the like.
- the carrier or diluent may include time delay material well known to the art, such as glyceryl mono-stearate or glyceryl distearate alone or with a wax.
- the preparation can be tableted, placed in a hard gelatin capsule in powder or pellet form or in the form of a troche or lozenge.
- the amount of solid carrier will vary widely but preferably will be from about 25 mg. to about 1 g.
- the preparation will be in the form of a syrup, emulsion, soft gelatin capsule, sterile injectable liquid such as an ampule or nonaqueous liquid suspension.
- Compounds of Formula (I) may be administered topically, that is by non-systemic administration. This includes the application of a compound of Formula (I) externally to the epidermis or the buccal cavity and the instillation of such a compound into the ear, eye and nose, such that the compound does not significantly enter the blood stream.
- systemic administration refers to oral, intravenous, intraperitoneal and intramuscular administration.
- Formulations suitable for topical administration include liquid or semi-liquid preparations suitable for penetration through the skin to the site of inflammation such as liniments, lotions, creams, ointments or pastes, and drops suitable for administration to the eye, ear or nose.
- the active ingredient may comprise, for topical administration, from 0.001% to 10% w/w, for instance from 1% to 2% by weight of the formulation. It may however comprise as much as 10% w/w but preferably will comprise less than 5% w/w, more preferably from 0.1% to 1% w/w of the formulation.
- Lotions according to the present invention include those suitable for application to the skin or eye.
- An eye lotion may comprise a sterile aqueous solution optionally containing a bactericide and may be prepared by methods similar to those for the preparation of drops.
- Lotions or liniments for application to the skin may also include an agent to hasten drying and to cool the skin, such as an alcohol or acetone, and/or a moisturizer such as glycerol or an oil such as castor oil or arachis oil.
- Creams, ointments or pastes according to the present invention are semi-solid Formulations of the active ingredient for external application. They may be made by mixing the active ingredient in finely-divided or powdered form, alone or in solution or suspension in an aqueous or non-aqueous fluid, with the aid of suitable machinery, with a greasy or non-greasy base.
- the base may comprise hydrocarbons such as hard, soft or liquid paraffin, glycerol, beeswax, a metallic soap; a mucilage; an oil of natural origin such as almond, corn, arachis, castor or olive oil; wool fat or its derivatives or a fatty acid such as steric or oleic acid together with an alcohol such as propylene glycol or a macrogel.
- the formulation may incorporate any suitable surface active agent such as an anionic, cationic or non-ionic surfactant such as a sorbitan ester or a polyoxyethylene derivative thereof.
- Suspending agents such as natural gums, cellulose derivatives or inorganic materials such as silicaceous silicas, and other ingredients such as lanolin, may also be included.
- Drops according to the present invention may comprise sterile aqueous or oily solutions or suspensions and may be prepared by dissolving the active ingredient in a suitable aqueous solution of a bactericidal and/or fungicidal agent and/or any other suitable preservative, and preferably including a surface active agent.
- the resulting solution may then be clarified by filtration, transferred to a suitable container which is then sealed and sterilized by autoclaving or maintaining at 98-100° C. for half an hour.
- the solution may be sterilized by filtration and transferred to the container by an aseptic technique.
- bactericidal and fungicidal agents suitable for inclusion in the drops are phenylmercuric nitrate or acetate (0.002%), benzalkonium chloride (0.01%) and chlorhexidine acetate (0.01%).
- Suitable solvents for the preparation of an oily solution include glycerol, diluted alcohol and propylene glycol.
- Compounds of Formula (I) may be administered parenterally, that is by intravenous, intramuscular, subcutaneous intranasal, intrarectal, intravaginal or intraperitoneal administration.
- the subcutaneous and intramuscular forms of parenteral administration are generally preferred.
- Appropriate dosage forms for such administration may be prepared by conventional techniques.
- Compounds of Formula (I) may also be administered by inhalation, that is by intranasal and oral inhalation administration.
- Appropriate dosage forms for such administration such as an aerosol formulation or a metered dose inhaler, may be prepared by conventional techniques.
- the daily oral dosage regimen will preferably be from about 0.1 to about 80 mg/kg of total body weight, preferably from about 0.2 to 30 mg/kg, more preferably from about 0.5 mg to 15 mg.
- the daily parenteral dosage regimen about 0.1 to about 80 mg/kg of total body weight, preferably from about 0.2 to about 30 mg/kg, and more preferably from about 0.5 mg to 15 mg/kg.
- the daily topical dosage regimen will preferably be from 0.1 mg to 150 mg, administered one to four, preferably two or three times daily.
- the daily inhalation dosage regimen will preferably be from about 0.01 mg/kg to about 1 mg/kg per day.
- the optimal quantity and spacing of individual dosages of a compound of Formula (I) or a pharmaceutically acceptable salt thereof will be determined by the nature and extent of the condition being treated, the form, route and site of administration, and the particular patient being treated, and that such optimums can be determined by conventional techniques. It will also be appreciated by one of skill in the art that the optimal course of treatment, i.e., the number of doses of a compound of Formula (I) or a pharmaceutically acceptable salt thereof given per day for a defined number of days, can be ascertained by those skilled in the art using conventional course of treatment determination tests.
- novel compounds of Formula (I) may also be used in association with the veterinary treatment of mammals, other than humans, in need of inhibition of CSBP/p38 or cytokine inhibition or production.
- CSBP/p38 mediated diseases for treatment, therapeutically or prophylactically, in animals include disease states such as those noted herein in the Methods of Treatment section, but in particular viral infections.
- viruses include, but are not limited to, lentivirus infections such as, equine infectious anaemia virus, caprine arthritis virus, visna virus, or maedi virus or retrovirus infections, such as but not limited to feline immunodeficiency virus (FIV), bovine immunodeficiency virus, or canine immunodeficiency virus or other retroviral infections.
- IL-1 Interleukin-1
- IL-8 Interleukin-8
- TNF Tumour Necrosis Factor
- mice and rats are injected with LPS.
- mice from Charles River Laboratories are pretreated (30 minutes) with compound or vehicle. After the 30 min. pretreat time, the mice are given LPS (lipopolysaccharide from Esherichia coli Serotype 055-85, Sigma Chemical Co., St Louis, Mo.) 25 ug/mouse in 25 ul phosphate buffered saline (pH 7.0) intraperitoneally. Two hours later the mice are killed by CO 2 inhalation and blood samples are collected by exsanguination into heparinized blood collection tubes and stored on ice. The blood samples are centrifuged and the plasma collected and stored at ⁇ 20° C. until assayed for TNF ⁇ by ELISA.
- LPS lipopolysaccharide from Esherichia coli Serotype 055-85, Sigma Chemical Co., St Louis, Mo.
- mice Male Lewis rats from Charles River Laboratories are pretreated at various times with compound or vehicle. After a determined pretreat time, the rats are given LPS (lipopolysaccharide from Esherichia coli Serotype 055-85, Sigma Chemical Co., St Louis, Mo.) 3.0 mg/kg intraperitoneally. The rats are killed by CO 2 inhalation and heparinized whole blood is collected from each rat by cardiac puncture 90 minutes after the LPS injection. The blood samples are centrifuged and the plasma collected for analysis by ELISA for TNF ⁇ levels.
- LPS lipopolysaccharide from Esherichia coli Serotype 055-85, Sigma Chemical Co., St Louis, Mo.
- TNF ⁇ levels were measured using a sandwich ELISA, as described in Olivera et al., Circ. Shock, 37, 301-306, (1992), whose disclosure is incorporated by reference in its entirety herein, using a hamster monoclonal antimurine TNF ⁇ (Genzyme, Boston, Mass.) as the capture antibody and a polyclonal rabbit antimurine TNF ⁇ (Genzyme) as the second antibody.
- a peroxidase-conjugated goat antirabbit antibody Pierce, Rockford, Ill.
- TNF ⁇ levels in the plasma samples from each animal were calculated from a standard curve generated with recombinant murine TNF ⁇ (Genzyme).
- Test compound concentrations were prepared at 10 ⁇ concentrations and LPS prepared at 1 ug/ml (final conc. of 50 ng/ml LPS) and added in 50 uL volumes to 1.5 mL eppendorf tubes. Heparinized human whole blood was obtained from healthy volunteers and was dispensed into eppendorf tubes containing compounds and LPS in 0.4 mL volumes and the tubes incubated at 37 C. Following a 4 hour incubation, the tubes were centrifuged at 5000 rpm for 5 minutes in a TOMY microfuge, plasma was withdrawn and frozen at ⁇ 80 C. Cytokine measurement: IL-1 and/or TNF were quantified using a standardized ELISA technology.
- IL-1 and TNF Concentrations of IL-1 or TNF were determined from standard curves of the appropriate cytokine and IC50 values for test compound (concentration that inhibited 50% of LPS-stimulated cytokine production) were calculated by linear regression analysis.
- This assay measures the CSBP/p38-catalyzed transfer of 32 P from [a- 32 P]ATP to threonine residue in an epidermal growth factor receptor (EGFR)-derived peptide (T669) with the following sequence: KRELVEPLTPSGEAPNQALLR (residues 661-681).
- EGFR epidermal growth factor receptor
- KRELVEPLTPSGEAPNQALLR residues 661-681.
- Reactions were carried in round bottom 96 well plate (from Corning) in a 30 ml volume. Reactions contained (in final concentration): 25 mM Hepes, pH7.5; 8 mM MgCl 2 ; 0.17 mM ATP (the Km [ATP] of p38 (see Lee et al., Nature 300, n72 pg 639-746 (December 1994)); 2.5 uCi of [g-32P]ATP; 0.2 mM sodium orthovanadate; 1 mM DTT; 0.1% BSA; 10% glycerol; 0.67 mM T669 peptide; and 2-4 nM of yeast-expressed, activated and purified p38.
- Reactions were initiated by the addition of [gamma-32P]Mg/ATP, and incubated for 25 min. at 37° C. Inhibitors (dissolved in DMSO) were incubated with the reaction mixture on ice for 30 minutes prior to adding the 32P-ATP. Final DMSO concentration was 0.16%. Reactions were terminated by adding 10 ul of 0.3 M phosphoric acid, and phosphorylated peptide was isolated from the reactions by capturing it on p81 phosphocellulose filters. Filters were washed with 75 mM phosphoric acids, and incorporated 32P was quantified using beta scintillation counter.
- the specific activity of p38 was 400-450 ⁇ mol/ ⁇ mol enzyme, and the activity was linear for up to 2 hr of incubation.
- the kinase activity values were obtained after subtracting values generated in the absence of substrate which were 10-15% of total values.
- This assay describes a method for determining the inhibitory effects of compounds of Formula (I) on human PGHS-2 protein expression in LPS stimulated human monocytes.
- a suitable assay for PGHS-2 protein expression may be found in a number of publications, including U.S. Pat. No. 5,593,992 whose disclosure is incorporated herein by reference.
- This assay provides for examination of the expression of tumor necrosis factor mRNA in specific brain regions which follow experimentally induced lateral fluid-percussion traumatic brain injury (TBI) in rats. Since TNF-a is able to induce nerve growth factor (NGF) and stimulate the release of other cytokines from activated astrocytes, this post-traumatic alteration in gene expression of TNF-a plays an important role in both the acute and regenerative response to CNS trauma.
- a suitable assay may be found in WO 97/35856 whose disclosure is incorporated herein by reference.
- This assay characterizes the regional expression of interleukin-1 ⁇ (IL-1 ⁇ ) mRNA in specific brain regions following experimental lateral fluid-percussion traumatic brain injury (TBI) in rats. Results from these assays indicate that following TBI, the temporal expression of IL-1 ⁇ mRNA is regionally stimulated in specific brain regions. These regional changes in cytokines, such as IL-1 ⁇ play a role in the post-traumatic pathologic or regenerative sequelae of brain injury.
- TBI lateral fluid-percussion traumatic brain injury
- WO 97/32583 Described in WO 97/32583, whose disclosure is incorporated herein by reference, is an assay for determination of inflammatory angiogenesis which may be used to show that cytokine inhibition will stop the tissue destruction of excessive or inappropriate proliferation of blood vessels.
- bromopropane can be replaced with any suitable alkyl halide and the alkylation process can occur at about 0 to about 100° C.
Landscapes
- Chemical & Material Sciences (AREA)
- Organic Chemistry (AREA)
- Health & Medical Sciences (AREA)
- Life Sciences & Earth Sciences (AREA)
- Zoology (AREA)
- Wood Science & Technology (AREA)
- Engineering & Computer Science (AREA)
- Proteomics, Peptides & Aminoacids (AREA)
- General Health & Medical Sciences (AREA)
- Analytical Chemistry (AREA)
- Microbiology (AREA)
- Physics & Mathematics (AREA)
- Public Health (AREA)
- Biophysics (AREA)
- Animal Behavior & Ethology (AREA)
- Epidemiology (AREA)
- Biotechnology (AREA)
- Immunology (AREA)
- Veterinary Medicine (AREA)
- Molecular Biology (AREA)
- Pharmacology & Pharmacy (AREA)
- Medicinal Chemistry (AREA)
- Biochemistry (AREA)
- Bioinformatics & Cheminformatics (AREA)
- General Engineering & Computer Science (AREA)
- Genetics & Genomics (AREA)
- Pharmaceuticals Containing Other Organic And Inorganic Compounds (AREA)
Abstract
Novel 1,4,5-substituted imidazole compounds and compositions for use in therapy as CSBP/p38 kinase inhibitors.
Description
- This application is a divisional application of U.S. Ser. No. 10/147,530 filed 19 Feb. 2003 (allowed) which is a divisional application of U.S. Ser. No. 09/446,147 filed 30 Mar. 2000 (U.S. Pat. No. 6,489,325), which is the §371 national stage entry of PCT/US98/13809, filed 1 Jul. 1998 and which claims the benefit of provisional application U.S. Ser. No. 60/051,592, filed 1 Jul. 1997.
- This invention relates to a novel group of imidazole compounds, processes for the preparation thereof, the use thereof in treating CSBP/p38 mediated diseases and pharmaceutical compositions for use in such therapy.
- Intracellular signal transduction is the means by which cells respond to extracellular stimuli. Regardless of the nature of the cell surface receptor (e.g. protein tyrosine kinase or seven-transmembrane G-protein coupled), protein kinases and phosphatases along with phopholipases are the essential machinery by which the signal is further transmitted within the cell [Marshall, J. C. Cell, 80, 179-278 (1995)]. Protein kinases can be categorized into five classes with the two major classes being, tyrosine kinases and serine/threonine kinases depending upon whether the enzyme phosphorylates its substrate(s) on specific tyrosine(s) or serine/threonine(s) residues [Hunter, T., Methods in Enzymology (Protein Kinase Classification) p. 3, Hunter, T.; Sefton, B. M.; eds. vol. 200, Academic Press; San Diego, 1991].
- For most biological responses, multiple intracellular kinases are involved and an individual kinase can be involved in more than one signaling event. These kinases are often cytosolic and can translocate to the nucleus or the ribosomes where they can affect transcriptional and translational events, respectively. The involvement of kinases in transcriptional control is presently much better understood than their effect on translation as illustrated by the studies on growth factor induced signal transduction involving MAP/ERK kinase [Marshall, C. J. Cell, 80, 179 (1995); Herskowitz, I. Cell, 80, 187 (1995); Hunter, T. Cell, 80, 225 (1995); Seger, R., and Krebs, E. G. FASEB J., 726-735 (1995)].
- While many signaling pathways are part of cell homeostasis, numerous cytokines (e.g., IL-1 and TNF) and certain other mediators of inflammation (e.g., COX-2, and iNOS) are produced only as a response to stress signals such as bacterial lippopolysaccharide (LPS). The first indications suggesting that the signal transduction pathway leading to LPS-induced cytokine biosynthesis involved protein kinases came from studies of Weinstein [Weinstein, et al., J. Immunol. 151, 3829 (1993)] but the specific protein kinases involved were not identified. Working from a similar perspective, Han [Han, et al., Science 265, 808 (1994)] identified murine p38 as a kinase which is tyrosine phosphorylated in response to LPS. Definitive proof of the involvement of the p38 kinase in LPS-stimulated signal transduction pathway leading to the initiation of proinflammatory cytokine biosynthesis was provided by the independent discovery of p38 kinase by Lee [Lee; et al., Nature, 372, 739 (1994)] as the molecular target for a novel class of anti-inflammatory agents. The discovery of p38 (termed by Lee as CSBP 1 and 2) provided a mechanism of action of a class of anti-inflammatory compounds for which SK&F 86002 was the prototypic example. These compounds inhibited IL-1 and TNF synthesis in human monocytes at concentrations in the low mM range [Lee, et al., Int. J. Immunopharmac. 10(7), 835 (1988)] and exhibited activity in animal models which are refractory to cyclooxygenase inhibitors [Lee; et al., Annals N.Y. Acad. Sci., 696, 149 (1993)].
- It is now firmly established that CSBP/p38 is a one of several kinases involved in a stress-response signal transduction pathway which is parallel to and largely independent of the analogous mitogen-activated protein kinase (MAP) kinase cascade (
FIG. 1 ). Stress signals, including LPS, pro-inflammatory cytokines, oxidants, UV light and osmotic stress, activate kinases upstream from CSBP/p38 which in turn phosphorylate CSBP/p38 at threonine 180 and tyrosine 182 resulting in CSBP/p38 activation. MAPKAP kinase-2 and MAPKAP kinase-3 have been identified as downstream substrates of CSBP/p38 which in turn phosphorylate heat shock protein Hsp 27 (FIG. 2 ). It is not yet known whether MAPKAP-2, MAPKAP-3, Mnk1 or Mnk2 are involved in cytokine biosynthesis or alternatively that inhibitors of CSBP/p38 kinase might regulate cytokine biosynthesis by blocking a yet unidentified substrate downstream from CSBP/p38 [Cohen, P. Trends Cell Biol., 353-361 (1997)]. - What is known, however, is that in addition to inhibiting IL-1 and TNF, CSBP/p38 kinase inhibitors (SK&F 86002 and SB 203580) also decrease the synthesis of a wide variety of pro-inflammatory proteins including, IL-6, IL-8, GM-CSF and COX-2. Inhibitors of CSBP/p38 kinase have also been shown to suppress the TNF-induced expression of VCAM-1 on endothelial cells, the TNF-induced phosphorylation and activation of cytosolic PLA2 and the IL-1-stimulated synthesis of collagenase and stromelysin. These and additional data demonstrate that CSBP/p38 is involved not only cytokine synthesis, but also in cytokine signaling [CSBP/P38 kinase reviewed in Cohen, P. Trends Cell Biol., 353-361 (1997)].
- Interleukin-1 (IL-1) and Tumor Necrosis Factor (TNF) are biological substances produced by a variety of cells, such as monocytes or macrophages. IL-1 has been demonstrated to mediate a variety of biological activities thought to be important in immunoregulation and other physiological conditions such as inflammation [See, e.g., Dinarello et al., Rev. Infect. Disease, 6, 51 (1984)]. The myriad of known biological activities of IL-1 include the activation of T helper cells, induction of fever, stimulation of prostaglandin or collagenase production, neutrophil chemotaxis, induction of acute phase proteins and the suppression of plasma iron levels.
- There are many disease states in which excessive or unregulated IL-1 production is implicated in exacerbating and/or causing the disease. These include rheumatoid arthritis, osteoarthritis, endotoxemia and/or toxic shock syndrome, other acute or chronic inflammatory disease states such as the inflammatory reaction induced by endotoxin or inflammatory bowel disease; tuberculosis, atherosclerosis, muscle degeneration, cachexia, psoriatic arthritis, Reiter's syndrome, rheumatoid arthritis, gout, traumatic arthritis, rubella arthritis, and acute synovitis. Recent evidence also links IL-1 activity to diabetes and pancreatic β cells [review of the biological activities which have been attributed to IL-1 Dinarello, J. Clinical Immunology, 5 (5), 287-297 (1985)].
- Excessive or unregulated TNF production has been implicated in mediating or exacerbating a number of diseases including rheumatoid arthritis, rheumatoid spondylitis, osteoarthritis, gouty arthritis and other arthritic conditions; sepsis, septic shock, endotoxic shock, gram negative sepsis, toxic shock syndrome, adult respiratory distress syndrome, cerebral malaria, chronic pulmonary inflammatory disease, silicosis, pulmonary sarcoisosis, bone resorption diseases, reperfusion injury, graft vs. host reaction, allograft rejections, fever and myalgias due to infection, such as influenza, cachexia secondary to infection or malignancy, cachexia, secondary to acquired immune deficiency syndrome (AIDS), AIDS, ARC (AIDS related complex), keloid formation, scar tissue formation, Crohn's disease, ulcerative colitis, or pyresis.
- Interleukin-8 (IL-8) is a chemotactic factor produced by several cell types including mononuclear cells, fibroblasts, endothelial cells, and keratinocytes. Its production from endothelial cells is induced by IL-1, TNF, or lipopolysachharide (LPS). IL-8 stimulates a number of functions in vitro. It has been shown to have chemoattractant properties for neutrophils, T-lymphocytes, and basophils. In addition it induces histamine release from basophils from both normal and atopic individuals as well as lysozomal enzyme release and respiratory burst from neutrophils. IL-8 has also been shown to increase the surface expression of Mac-1 (CD11b/CD18) on neutrophils without de novo protein synthesis, this may contribute to increased adhesion of the neutrophils to vascular endothelial cells. Many diseases are characterized by massive neutrophil infiltration. Conditions associated with an increased in IL-8 production (which is responsible for chemotaxis of neutrophil into the inflammatory site) would benefit by compounds which are suppressive of IL-8 production.
- IL-1 and TNF affect a wide variety of cells and tissues and these cytokines as well as other leukocyte derived cytokines are important and critical inflammatory mediators of a wide variety of disease states and conditions. The inhibition of these cytokines is of benefit in controlling, reducing and alleviating many of these disease states.
- Inhibition of signal transduction via CSBP/p38, which in addition to IL-1, TNF and IL-8 described above is also required for the synthesis and/or action of several additional pro-inflammatory proteins (i.e., IL-6, GM-CSF, COX-2, collagenase and stromelysin), is expected to be a highly effective mechanism for regulating the excessive and destructive activation of the immune system. This expectation is supported by the potent and diverse anti-inflammatory activities described for CSBP/p38 kinase inhibitors [Badger, et al., J. Pharm. Exp. Thera. 279 (3): 1453-1461. (1996); Griswold, et al, Pharmacol. Comm. 7, 323-229 (1996)].
- There remains a need for treatment, in this field, for compounds which are cytokine suppressive anti-inflammatory drugs, i.e. compounds which are capable of inhibiting the CSBP/p38/RK kinase.
- This invention relates to the novel compounds of Formula (I) and pharmaceutical compositions comprising a compound of Formula (I) and a pharmaceutically acceptable diluent or carrier.
- This invention relates to a method of treating a CSBP/RK/p38 kinase mediated disease in a mammal in need thereof, which comprises administering to said mammal an effective amount of a compound of Formula (I).
- This invention also relates to a method of inhibiting cytokines and the treatment of a cytokine mediated disease, in a mammal in need thereof, which comprises administering to said mammal an effective amount of a compound of Formula (I).
- This invention more specifically relates to a method of inhibiting the production of IL-1 in a mammal in need thereof which comprises administering to said mammal an effective amount of a compound of Formula (I).
- This invention more specifically relates to a method of inhibiting the production of IL-8 in a mammal in need thereof which comprises administering to said mammal an effective amount of a compound of Formula (I).
- This invention more specifically relates to a method of inhibiting the production of TNF in a mammal in need thereof which comprises administering to said mammal an effective amount of a compound of Formula (I).
- Accordingly, the present invention provides a compound of Formula (I):
- wherein
- R1 is 4-pyridyl, pyrimidinyl, 4-pyridazinyl, 1,2,4-triazin-5-yl, quinolyl, isoquinolinyl, or quinazolin-4-yl ring, which ring is substituted with Y—Ra and optionally with an additional independent substituent selected from C1-4 alkyl, halogen, hydroxyl, C1-4 alkoxy, C1-4 alkylthio, C1-4 alkylsulfinyl, CH2OR12, amino, mono and di-C1-6 alkyl substituted amino, an N-heterocyclyl ring which ring has from 5 to 7 members and optionally contains an additional heteroatom selected from oxygen, sulfur or NR15, N(R10)C(O)Rb or NHRa;
- Y is oxygen or sulfur;
- R4 is phenyl, naphth-1-yl or naphth-2-yl, or a heteroaryl, which is optionally substituted by one or two substituents, each of which is independently selected, and which, for a 4-phenyl, 4-naphth-1-yl, 5-naphth-2-yl or 6-naphth-2-yl substituent, is halogen, cyano, nitro, C(Z)NR7R17, C(Z)OR16, (CR10R20)vCOR12, SR5, SOR5, OR12, halo-substituted-C1-4 alkyl, C1-4 alkyl, ZC(Z)R12, NR10C(Z)R16, or (CR10R20)vNR10R20 and which, for other positions of substitution, is halogen, cyano, C(Z)NR13R14, C(Z)OR3, (CR10R20)m′COR3, S(O)mR3, OR3, halo-substituted-C1-4 alkyl, C1-4 alkyl, (CR10R20)m′NR10C(Z)R3, NR10S(O)m′R8, NR10S(O)m′NR7R17, ZC(Z)R3 or (CR10R20)m′NR13R14;
- Z is oxygen or sulfur;
- n is an integer having a value of 1 to 10;
- m is 0, or the
integer 1 or 2; - m′ is an integer having a value of 1 or 2,
- m″ is 0, or an integer having a value of 1 to 5;
- v is 0, or an integer having a value of 1 or 2;
- R2 is —C(H)(A)(R22);
- A is an optionally substituted aryl, heterocyclyl, or heteroaryl ring, or A is a substituted C1-10 alkyl;
- R22 is an optionally substituted C1-10 alkyl;
- Ra is aryl, arylC1-6alkyl, heterocyclic, heterocyclylC1-6 alkyl, heteroaryl, or heteroarylC1-6alkyl, wherein each of these moieties may be optionally substituted;
- Rb is hydrogen, C1-6 alkyl, C3-7 cycloalkyl, aryl, arylC1-4 alkyl, heteroaryl, heteroarylC1-4alkyl, heterocyclyl, or heterocyclylC1-4 alkyl; and wherein each of these moieties may be optionally substituted;
- R3 is heterocyclyl, heterocyclylC1-10 alkyl or R8;
- R5 is hydrogen, C1-4 alkyl, C2-4 alkenyl, C2-4 alkynyl or NR7R17, excluding the moieties SR5 being SNR7R17 and SOR5 being SOH;
- R7 and R17 is each independently selected from hydrogen or C1-4 alkyl or R7 and R17 together with the nitrogen to which they are attached form a heterocyclic ring of 5 to 7 members which ring optionally contains an additional heteroatom selected from oxygen, sulfur or NR15;
- R8 is C1-10 alkyl, halo-substituted C1-10 alkyl, C2-10 alkenyl, C2-10 alkynyl, C3-7 cycloalkyl, C5-7 cycloalkenyl, aryl, arylC1-10 alkyl, heteroaryl, heteroarylC1-10 alkyl, (CR10R20)nOR11, (CR10R20)nS(O)mRI 8, (CR10R20)nNHS(O)2R18, (CR10R20)nNR13R14; and wherein the aryl, arylalkyl, heteroaryl, heteroaryl alkyl may be optionally substituted;
- R9 is hydrogen, C(Z)R11 or optionally substituted C1-10 alkyl, S(O)2R18, optionally substituted aryl or optionally substituted aryl-C1-4 alkyl;
- R10 and R20 are each independently selected from hydrogen or C1-4 alkyl;
- R11 is hydrogen, C1-10 alkyl, C3-7 cycloalkyl, heterocyclyl, heterocyclyl C1-10 alkyl, aryl, arylC1-10 alkyl, heteroaryl or heteroarylC1-10 alkyl, wherein these moieites may be optionally substituted;
- R12 is hydrogen or R16;
- R13 and R14 is each independently selected from hydrogen or optionally substituted C1-4 alkyl, optionally substituted aryl or optionally substituted aryl-C1-4 alkyl, or together with the nitrogen which they are attached form a heterocyclic ring of 5 to 7 members which ring optionally contains an additional heteroatom selected from oxygen, sulfur or NR9;
- R15 is R10 or C(Z)-C1-4 alkyl;
- R16 is C1-4 alkyl, halo-substituted-C1-4 alkyl, or C3-7 cycloalkyl;
- R18 is C1-10 alkyl, C3-7 cycloalkyl, heterocyclyl, aryl, aryl1-10alkyl, heterocyclyl, heterocyclyl-C1-10alkyl, heteroaryl or heteroaryl1-10alkyl;
or a pharmaceutically acceptable salt thereof. -
FIG. 1 demonstrates the Mitogen and Stress Activated Protein Kinase Cascade -
FIG. 2 demonstrates the p38 Kinase Pathway - In Formula (I), suitable R1 moieties includes 4-pyridyl, 4-pyrimidinyl, 4-pyridazinyl, 1,2,4-triazin-5-yl, 4-quinolyl, 6-isoquinolinyl, or 4-quinazolinyl rings, of which the 4-pyridyl, 4-pyrimidinyl and 4-quinolyl rings are preferred. More preferred is the 4-pyrimidinyl or 4-pyridyl moiety, and most preferred is the 4-pyrimidinyl ring.
- The R1 moiety is substituted with the Y—Ra group wherein Y is oxygen or sulfur, and Ra is aryl, arylC1-6alkyl, heterocyclic, heterocyclicC1-6 alkyl, heteroaryl, or heteroarylC1-6alkyl; and wherein each of the Ra moieties may be optionally substituted as defined below.
- When Ra is aryl, it is preferably phenyl or napthyl. When Ra is arylalkyl, it is preferably benzyl or napthylmethyl. When Ra is a heterocyclic or heterocyclic alkyl moiety, the heterocyclic portion is preferably pyrrolindinyl, piperidinyl, morpholino, tetrahydropyranyl, tetrahydrothiopyranyl, tetrahydrothipyransulfinyl, tetrahydrothiopyransulfonyl, pyrrolindinyl, indole, or piperonyl ring. It is noted that the heterocyclic rings herein may contain unsaturation, such as in a tryptamine ring.
- When Ra is a heteroaryl ring as defined below, it is preferably a pyridine or tetrazole ring.
- The Ra aryl, heterocyclic and heteroaryl rings may be optionally substituted one or more times, preferably one to three times, independently with halogen; C1-4 alkyl, such as methyl, ethyl, propyl, isopropyl, or t-butyl; halosubstituted alkyl, such as CF3; hydroxy; hydroxy substituted C1-4 alkyl; (CR10R20)qC1-4 alkoxy, such as methoxy or ethoxy; (CR10R20)qS(O)malkyl and; (CR10R20)qS(O)m aryl (wherein m is 0, 1, or 2); (CR10R20)qC(O)OR11, such as C(O)C1-4 alkyl or C(O)OH moieties; (CR10R20)qC(O)R11; (CR10R20)qOC(O)Rc; O—(CH2)s—O; (CR10R20)qNR13R14; (CR10R20)qN(R10)C(O)Rb; (CR10R20)qC(O)NR13R14; (CR10R20)qC(O)NR10Rc; (CR10R20)qS(O)2NR13R14; (CR10R20)qS(O)2NR10Rc; (CR10R20)qN(R10)S(O)2Rc; cyano, nitro, an N-heterocyclyl ring which ring has from 5 to 7 members and optionally contains an additional heteroatom selected from oxygen, sulfur or NR15; aryl, such as phenyl; an optionally substituted arylalkyl, such as benzyl or phenethyl; aryloxy, such as phenoxy; or arylalkyloxy such as benzyloxy; and wherein the aryl, alkylalkyl, aryloxy and arylalkyloxy containing moieties may be optionally substituted themselves one to two times by halogen, hydroxy, hydroxy substituted alkyl, C1-10 alkoxy, S(O)m alkyl, amino, NR7R17 group, C1-4 alkyl, or halosubstituted C1-4 alkyl.
- Suitably, s is an integer having a value of 1, 2, or 3. Preferably s is 2 yielding a 1,3-dioxyethylene moiety, or ketal functionality.
- Suitably, q is 0 or an integer having a value of 1 to 4.
- Suitably, Rb is hydrogen, C1-6 alkyl, C3-7 cycloalkyl, aryl, arylC1-4 alkyl, heteroaryl, heteroarylC1-4alkyl, heterocyclyl, or heterocyclylC1-4 alkyl moiety; all of which moieties may be optionally substituted as defined below.
- Suitably, Rc is an C1-6 alkyl, C3-7 cycloalkyl, aryl, arylC1-4 alkyl, heteroaryl, heteroarylC1-4alkyl, heterocyclyl, or heterocyclylC1-4 alkyl moiety, all of which moieties may be optionally substituted as defined below.
- Suitable Ra groups include, but are not limited to, benzyl, halosubstituted benzyl, napthylmethyl, phenyl, halosubstituted phenyl, aminocarbonylphenyl, alkylphenyl, cyanophenyl, alkylthiophenyl, hydroxyphenyl, alkoxyphenyl, phenoxyphenyl, benzyloxyphenyl, phenylphenyl, methylenedioxyphenyl, trifluoromethylphenyl, methylsulfonylphenyl, tetrazole, methyltetrazolyl, morpholinopropyl, piperonyl, piperidin-4-yl, alkyl substituted piperidine, such as 1-methyl piperidine, or 2,2,6,6-tetramethylpiperidin-4-yl.
- Preferred ring substitution on the benzyl or phenyl rings is in the 4-position. Preferred substitution on the phenyl or phenyl alkyl groups is halogen, halosubstituted alkyl or alkyl groups, such as fluoro or chloro, or methyl.
- It is recognized that the R1 group may additionally be substituted one or more times independently by C1-4 alkyl, halo, OH, C1-4 alkoxy, C1-4 alkylthio, C1-4 alkylsulfinyl, CH2OR12, amino, mono- and di-C1-6 alkyl substituted amino, N(R10)C(O)Rb, NHRa or an N-heterocyclyl ring which ring has from 5 to 7 members and optionally contains an additional heteroatom selected from oxygen, sulfur or NR15.
- When the additional R1 optional substituent is N(R10)C(O)Rb, Rb is preferably C1-6 alkyl; preferably R10 is hydrogen. It is also recognized that the Rb moieties, in particular the C1-6 alkyl group may be optionally substituted, preferably from one to three times, preferably with halogen, such as fluorine, as in trifluoro-methyl or trifluoroethyl.
- The preferred ring placement for YRa moiety on the 4-pyridyl derivative is in the 2-position, and a preferred ring placement on the 4-pyrimidinyl ring is also at the 2-position.
- Suitably, R4 is phenyl, naphth-1-yl or naphth-2-yl, or a heteroaryl, which is optionally substituted by one or two substituents. More preferably R4 is a phenyl or naphthyl ring. Suitable substitutions for R4 when this is a 4-phenyl, 4-naphth-1-yl, 5-naphth-2-yl or 6-naphth-2-yl moiety are one or two substituents each of which are independently selected from halogen, SR5, SOR5, OR12, CF3, or (CR10R20)vNR10R20, and for other positions of substitution on these rings preferred substitution is halogen, S(O)mR3, OR3, CF3, (CR10R20)m′NR13R14, NR10C(Z)R3 and NR10S(O)m′R8.
- When R4 is a heteroaryl ring, the ring is substituted in a similar ring substitution pattern as for the phenyl ring, i.e. halogen, SR5, SOR5, OR12, CF3, or (CR10R20)vNR10R20.
- Preferred substituents for the 4-position in phenyl and naphth-1-yl and on the 5-position in naphth-2-yl include halogen, especially fluoro and chloro and SR5 and SOR5 wherein R5 is preferably a C1-2 alkyl, more preferably methyl; of which the fluoro and chloro is more preferred, and most especially preferred is fluoro.
- Preferred substituents for the 3-position in phenyl and naphth-1-yl rings include: halogen, especially fluoro and chloro; OR3, especially C1-4 alkoxy; CF3, NR10R20, such as amino; NR10C(Z)R3, especially NHCO(C1-10 alkyl); NR10S(O)m′R8, especially NHSO2(C1-10 alkyl), and SR3 and SOR3 wherein R3 is preferably a C1-2 alkyl, more preferably methyl. When the phenyl ring is disubstituted preferably it is two independent halogen moieties, such as fluoro and chloro, preferably di-chloro and more preferably in the 3,4-position. It is also preferred that for the 3-position of both the OR3 and ZC(Z)R3 moieties, R3 may also include hydrogen.
- Preferably, the R4 moiety is an unsubstituted or substituted phenyl moiety. More preferably, R4 is phenyl or phenyl substituted at the 4-position with fluoro and/or substituted at the 3-position with fluoro, chloro, C1-4 alkoxy, methane-sulfonamido or acetamido, or R4 is a phenyl di-substituted at the 3,4-position independently with chloro or fluoro, more preferably chloro. Most preferably, R4 is a 4-fluorophenyl.
- Suitably, Z is oxygen or sulfur, preferably oxygen.
- Suitably, R3 is heterocyclyl, heterocyclylC1-10 alkyl or R8.
- Suitably, R5 is hydrogen, C1-4 alkyl, C2-4 alkenyl, C2-4 alkynyl or NR7R17, excluding the moieties SR5 being SNR7R17 and SOR5 being SOH.
- Suitably, R6 is hydrogen, a pharmaceutically acceptable cation, C1-10-alkyl, C3-7 cycloalkyl, aryl, arylC1-4 alkyl, heteroaryl, heteroarylC1-4alkyl, heterocyclyl, aroyl, or C1-10 alkanoyl.
- Suitably, R7 and R17 is each independently selected from hydrogen or C1-4 alkyl or R7 and R17 together with the nitrogen to which they are attached form a heterocyclic ring of 5 to 7 members which ring optionally contains an additional heteroatom selected from oxygen, sulfur or NR15.
- Suitably, R8 is C1-10 alkyl, halo-substituted C1-10 alkyl, C2-10 alkenyl, C2-10 alkynyl, C3-7 cycloalkyl, C5-7 cycloalkenyl, aryl, arylC1-10 alkyl, heteroaryl, heteroarylC1-10 alkyl, (CR10R20)nOR11, (CR10R20)nS(O)mR18, (CR10R20)nNHS(O)2R18 (CR10R20)nNR13R14; wherein the aryl, arylalkyl, heteroaryl, and heteroarylalkyl containing moieites may be optionally substituted.
- Suitably, R9 is hydrogen, C(Z)R11 or optionally substituted C1-10 alkyl, S(O)2R18, optionally substituted aryl or an optionally substituted aryl-C1-4 alkyl.
- Suitably, R10 and R20 are each independently selected from hydrogen or C1-4 alkyl.
- Suitably, R11 is hydrogen, C1-10 alkyl, C3-7 cycloalkyl, heterocyclyl, heterocyclyl C1-10 alkyl, aryl, arylC1-10 alkyl, heteroaryl or heteroarylC1-10 alkyl; and wherein all of these moieties may be optionally substituted.
- Suitably, R12 is hydrogen or R16; and R16 is suitably, C1-4 alkyl, halo-substituted-C1-4 alkyl, or C3-7 cycloalkyl.
- Suitably, R13 and R14 is each independently selected from hydrogen or optionally substituted C1-4 alkyl, optionally substituted aryl or optionally substituted aryl-C1-4 alkyl, or together with the nitrogen which they are attached form a heterocyclic ring of 5 to 7 members which ring optionally contains an additional heteroatom selected from oxygen, sulfur or NR9.
- Suitably, R15 is R10 or C(Z)-C1-4 alkyl.
- Suitably, R18 is C1-10 alkyl, C3-7 cycloalkyl, heterocyclyl, aryl, aryl1-10alkyl, heterocyclyl, heterocyclyl-C1-10 alkyl, heteroaryl or heteroaryl1-10alkyl.
- Suitably, v is 0, or an integer having a value of 1 or 2.
- Suitably, m is 0, or the
integer 1 or 2. - Suitably, m′ is an integer having a value of 1 or 2.
- Suitably, m″ is 0, or an integer having a value of 1 to 5.
- Suitably, n is an integer having a value of 1 to 10.
- R2 is a substituted alkyl derivative. It is recognized that the first methylene carbon in this chain is a tertiary carbon, and it will contain one hydrogen moiety. This methylene group will have has two additional substituents, an R22 moiety and an A moiety, i.e., C(H)(A)(R22). Both A and R22 may not be unsubstituted C1-10 alkyl moieties.
- In a preferred embodiment, R2 is a C(AA1)(A) moiety, wherein AA1 is the R22 moiety, but is specifically the side chain residue (R) of an amino acid, as is further described herein.
- Suitably, A is an optionally substituted C3-7cycloalkyl, aryl, heteroaryl, or heterocyclic ring, or A is a substituted C1-10 alkyl moiety.
- When A is an aryl, heteroaryl and heterocyclic ring, the ring may be substituted independently one or more times, preferably, 1 to 3 times by C1-10 alkyl; halogen; halo substituted C1-10 alkyl, such as CF3; (CR10R20)tOR11; (CR10R20)tNR13R14, especially amino or mono- or di-C1-4 alkylamino; (CR10R20)tS(O)mR18, wherein m is 0, 1 or 2; SH; NR10C(Z)R3 (such NHCO(C1-10 alkyl)); or NR10S(O)mR8 (such as NHSO2(C1-10 alkyl)).
- Suitably, t is 0, or an integer of 1 to 4.
- When A is an optionally substituted cycloalkyl it is as defined below in the R22 substitution.
- When A is an optionally substituted heterocyclyl ring, the ring is preferably a morpholino, pyrrolidinyl, piperazinyl or a piperidinyl ring.
- When A is an optionally substituted aryl moiety, it is preferably a phenyl ring.
- When A is an optionally substituted heteroaryl ring, the heteroaryl term is as defined below in the definition section.
- When A is a substituted C1-10 alkyl moiety, the alkyl chain may be straight or branched. The chain is substituted independently 1 or more times, preferably 1 to 3 times by halogen, such as fluorine, chlorine, bromine or iodine; halosubstituted C10 alkyl, such as CF3; C3-7cycloalkyl, C1-10 alkoxy, such as methoxy or ethoxy; hydroxy substituted C1-10 alkoxy; halosubstituted C1-10 alkoxy, such as OCF2CF2H; OR11; S(O)mR18 (wherein m is 0, 1 or 2); NR13R14; C(Z)NR13R14; S(O)m′NR13R14; NR23C(Z)R11; NHS(O)2R18; C(Z)R11; OC(Z)R11; C(Z)OR11; C(Z)NR11OR9; N(OR6)C(Z)NR13R14; N(OR6)C(Z)R11; C(═NOR6)R11; NR23C(═NR19)NR13R14; OC(Z)NR13R14; NR23C(Z)NR13R14; or NR23C(Z)OR10.
- Preferably, A is a C3-7 cycloalkyl, or a C1-6 alkyl, more preferably a C1-2 alkyl, i.e. a methylene or ethylene moiety, more preferably a methylene moiety which is substituted by one of the above noted groups.
- Preferably, when A is an alkyl derivative, it is substituted by OR1 1 where R11 is preferably hydrogen, aryl or arylalkyl; NR13R14; OC(Z)R11; or C(Z)OR11.
- More preferably, A is substituted by OR1 1 where R11 is hydrogen.
- Suitably, R22 is a C1-10 alkyl chain, which chain may be straight or branched and which may be optionally substituted independently, one or more times, preferably 1 to 3 times, by halogen, such as fluorine, chlorine, bromine or iodine; halo substituted C1-10 alkyl; C10 alkoxy, such as methoxy or ethoxy; hydroxy substituted C10 alkoxy; halosubstituted C1-10 alkoxy, such as OCF2CF2H; OR11; S(O)mR18; NR13R14; C(Z)NR13R14; S(O)m′NR13R14; NR23C(Z)R11; NHS(O)2R18; C(Z)R11; OC(Z)R11; C(Z)OR11; C(Z)NR11OR9; N(OR6)C(Z)NR13R14; N(OR6)C(Z)R11; C(═NOR6)R11; NR23C(═NR19)NR13R14; OC(Z)NR13R14; NR23C(Z)NR13R14; NR23C(Z)OR10; optionally substituted C3-7 cycloalkyl; optionally substituted aryl, such as phenyl; optionally substituted heteroaryl; or an optionally substituted heterocyclic moiety. The optional substitutents on these cycloalkyl, aryl, heteroaryl, and heterocyclic moieties are as defined herein below.
- It is noted that those R22 substituent groups which contain carbon as the first connecting group, i.e. C(Z)OR11; C(Z)NR11OR9, C(Z)R11, C(Z)NR13R14, C(═NOR6)R11, may be the sole carbon in alkyl chain. Therefore, R22 may, for instance, be a carboxy, an aldehyde, an amide, as well as being a substituent off a methylene unit, such as carbamoylmethyl, or acetamidomethyl. In other words, R22 can be an optionally substituted alkyl group as defined above, or R22 can be C(Z)OR11, C(Z)NR11OR9, C(Z)R11, C(Z)NR13R14, or C(═NOR6)R11.
- Preferably R22 is a C1-6 unsubstituted or substituted alkyl group, such as a C1-3 alkylene, such as methyl, ethyl or isopropyl, or a methylene or ethylene moiety substituted by one of the above noted moieties, or as noted above those substituent groups which contain a carbon may substitutent for the first methylene unit of the alkyl chain, such as carboxy, C(O)OR11, C(O)NR13R14, or R22 is an optionally substituted aryl group, such as a benzyl or phenethyl.
- Preferably R22 is a C1-6 unsubstituted or substituted alkyl group, more preferably a C1-2 alkylene chain, such as a methylene or ethylene moiety, more preferably methylene.
- Preferably the R22 alkyl chain is substituted by OR1 1, where R11 is preferably hydrogen, aryl or arylalkyl; S(O)MR18, where m is O and R18 is a C1-6 alkyl; or an optionally substituted aryl, i.e. a benzyl or phenethyl moiety.
- More preferably, R22 is methyl, phenyl, benzyl, CH2OH, or CH2—O-aryl.
- Preferably, one or both of A and R22 contain hydroxy moieties, such as in C1-6 alkyl OR1 1, wherein R11 is hydrogen, i.e. CH2CH2OH.
- Suitably, when AA1 is the (R) side chain residue of an amino acid, it is a C1-6 alkyl group, which may be straight or branched. This means the R group off the core amino acid of the structure R—C(H)(COOH)(NH2). The R residue term is for example, CH3 for alanine, (CH3)2CH— for valine, (CH3)2CH—CH2— for leucine, phenyl-CH2— for phenylalanine, CH3—S—CH2—CH2— for methionine, etc. All generally recognized primary amino acids are included in this groups, such as but not limited to, alanine, arginine, asparagine, aspartic acid, cysteine, glutamine, glutamic acid, glycine, histidine, isoleucine, leucine, lysine, methionine, phenylalanine, serine, threonine, tryptophan, tyrosine, valine, hydroxylysine, methylhistidine, and other naturally occurring amino acids not found in proteins, such as b-alanine, g-aminobutyric acid, homocysteine, homoserine, citrulline, ornithine, canavanine, djenkolic acid, and b-cyanoalanine, or other naturally occurring non-mammalian amino acids.
- Preferably AA1 is the residue of phenylalanine, or alanine.
- When R22 is an optionally substituted heterocyclic moiety, the ring is preferably a morpholino, pyrrolidinyl, piperazinyl, or a piperidinyl group. When the heterocyclic ring is optionally substituted the substituents may be directly attached to the free nitrogen, such as in the piperidinyl group or pyrrole ring, or on the ring itself. Preferably the ring is a piperidine or pyrrole, more preferably piperidine.
- The R22 heterocyclyl ring may be optionally substituted one to four times independently by halogen; C1-4 alkyl; aryl, such as phenyl; arylalkyl, such as benzyl, (and wherein the aryl or aryl alkyl moieties themselves may be optionally substituted as defined in the definition section below); C(O)OR11, such as the C(O)C1-4 alkyl or C(O)OH moieties; C(O)H; C(O)C1-4 alkyl; hydroxy substituted C1-4 alkyl; C1-4 alkoxy; S(O)mC1-4 alkyl (wherein m is 0, 1, or 2); or NR10R20 (wherein R10 and R20 are independently hydrogen or C1-4alkyl).
- Preferably if the ring is a piperidine, the substituents are attached directly on the available nitrogen, i.e. a 1-Formyl-4-piperidine, 1-benzyl-4-piperidine, 1-methyl-4-piperidine, 1-ethoxycarbonyl-4-piperidine. If the ring is substituted by an alkyl group and the ring is attached in the 4-position, it is preferably substituted in the 2- or 6-position or both, such as 2,2,6,6-tetramethyl-4-piperidine. Similarly, if the ring is a pyrole, the substituents are all directly on the available nitrogen.
- When the R22 optional substituent is an optionally substituted aryl, it is preferably a phenyl; or when R22 is an optionally substituted heteroaryl ring (as defined in the definition section below), the rings may be optionally substituted independently one or more times, preferably by one to three times by C1-10 alkyl; halogen, especially fluoro or chloro; (CR10R20)tOR11; (CR10R20)tNR13R14; especially amino or mono- or di-C1-4 alkylamino; (CR10R20)tS(O)mR18, wherein m is 0, 1 or 2; SH; OR1 1; NR10C(Z)R3 (such NHCO(C1-10 alkyl)); or NR10S(O)mR8 (such as NHSO2(C1-10 alkyl)).
- When A or R22 is an (optionally) substituted C3-7cycloalkyl group, it is preferably a C3 or C6 ring, most preferably a C3 ring, which ring may be optionally substituted one or more time, preferably 1 to 3 times, independently by halogen, such as fluorine, or chlorine; (CR10R20)tOR11; S(O)mR18; cyano, (CR10R20)tNR13R14, especially amino or mono- or di-C1-4 alkylamino; N(R10)C(O)X1 and X1 is C1-4 alkyl, aryl or arylC1-4alkyl; C1-10 alkyl, such as methyl, ethyl, propyl, isopropyl, or t-butyl; an optionally substituted alkyl wherein the substituents are halogen, (such as CF3), hydroxy, nitro, cyano, amino, NR13R14, or S(O)mR18; an optionally substituted alkylene, such as ethylene or propylene; an optionally substituted alkyne, such as ethylene; C(O)OR11; the group Re; C(O)H; ═O; ═N—OR11; N(H)—OH (or substituted alkyl or aryl derivatives thereof on the nitrogen or the oxime moiety); or N(ORd)—C(O)—Rf.
- Suitably Rd is hydrogen, a pharmaceutically acceptable cation, aroyl or a C1-10 alkanoyl group.
- Suitably Re is a 1,3-dioxyalkylene group of the formula —O—(CH2)s—O—, wherein s is 1 to 3, preferably s is 2 yielding a 1,3-dioxyethylene moiety, or ketal functionality.
- Suitably Rf is NR21R24; alkyl1-6; halosubstituted alkyl1-6; hydroxy substituted alkyl1-6; alkenyl 2-6; aryl or heteroaryl optionally substituted by halogen, alkyl1-6, halosubstituted alkyl1-6, hydroxyl, or alkoxy1-6.
- Suitably R21 is hydrogen, or alkyl1-6.
- Suitably R24 is hydrogen, alkyl1-6, aryl, benzyl, heteroaryl, alkyl substituted by halogen or hydroxyl, or phenyl substituted by a member selected from the group consisting of halo, cyano, alkyl1-6, alkoxy1-6, halosubstituted alkyl1-6, S(O)m alkyl1-6; or R21 and R24 may together with the nitrogen to which they are attached form a ring having 5 to 7 members, which members may be optionally replaced by a heteroatom selected from oxygen, sulfur or nitrogen. The ring may be saturated or contain more than one unsaturated bond. Preferably Rf is NR21R24, and more preferably R21 and R24 are both hydrogen.
- When the A or R22 optional substituent is NR13R14 it is recognized that in some instances this can yield the same moiety as a heterocyclic moiety noted above which is also a suitable variable. Preferably R13 and R14 are independently hydrogen, C1-4 alkyl, preferably methyl, or benzyl.
- When the A or R22 optional substituent is a C(Z)OR11 group, R11 is suitably hydrogen, C1-4 alkyl, especially methyl.
- When the A or R22 optional substituent is a S(O)mR18 group, R18 is preferably aryl, especially phenyl, or a C1-10 alkyl, especially methyl, or ethyl.
- When the A or R22 optional substituent is a OR11 group, R11 is preferably hydrogen, aryl, especially phenyl, or C1-10 alkyl, especially methyl or ethyl.
- When the A or R22 optional substituent is a NHS(O)2R18 group, R18 is suitably alkyl, especially methyl.
- In a preferred subgenus of compounds of Formula (I), R1 is 2-phenoxy-4-pyridyl or 2-phenoxy-4-pyrimidinyl. R4 is phenyl or phenyl substituted one or two times by fluoro, chloro, C1-4 alkoxy, —S(O)m alkyl, methanesulfonamido or acetamido. A is CH2OH, CH3, benzyl, phenyl, CH2NH(methyl) or CH2N(dimethyl); and R22 is methyl, ethyl, methanol, or CH2—O-phenyl; or alternatively the R2 group is 1-hydroxy-3-phenylprop-2-yl, 1-hydroxyprop-2-yl, 1-hydroxybut-2-yl, 1,3-dihydroxyprop-2-yl, or 1-hydroxy-2-phenyethyl-2-yl.
- As used herein, “optionally substituted” unless specifically defined shall mean such groups as halogen, such as fluorine, chlorine, bromine or iodine; hydroxy; hydroxy substituted C1-10 alkyl; C1-10 alkoxy, such as methoxy or ethoxy; halosubstituted C1-10 alkoxy; S(O)m alkyl, such as methyl thio, methylsulfinyl or methyl sulfonyl; NR7R17, such as amino or mono or -disubstituted C1-4 alkyl or wherein the R7R17 can cyclize together with the nitrogen to which they are attached to form a 5 to 7 membered ring which optionally contains an additional heteroatom selected from O/N/S; C1-10 alkyl, C3-7cycloalkyl, or C3-7cycloalkyl C1-10 alkyl group, such as methyl, ethyl, propyl, isopropyl, t-butyl, etc. or cyclopropyl methyl; halosubstituted C1-10 alkyl, such CF2CF2H, or CF3; an optionally substituted aryl, such as phenyl, or an optionally substituted arylalkyl, such as benzyl or phenethyl, wherein these aryl moieties may also be substituted one to two times by halogen; hydroxy; hydroxy substituted alkyl; C1-10 alkoxy; S(O)malkyl; amino, mono & di-substituted C1-4 alkyl amino, such as in the NR7R17 group; C1-4 alkyl, or CF3.
- Suitable pharmaceutically acceptable salts are well known to those skilled in the art and include basic salts of inorganic and organic acids, such as hydrochloric acid, hydrobromic acid, sulphuric acid, phosphoric acid, methane sulphonic acid, ethane sulphonic acid, acetic acid, malic acid, tartaric acid, citric acid, lactic acid, oxalic acid, succinic acid, fumaric acid, maleic acid, benzoic acid, salicylic acid, phenylacetic acid and mandelic acid.
- In addition, pharmaceutically acceptable salts of compounds of Formula (I) may also be formed with a pharmaceutically acceptable cation, for instance, if a substituent group comprises a carboxy moiety. Suitable pharmaceutically acceptable cations are well known to those skilled in the art and include alkaline, alkaline earth, ammonium and quaternary ammonium cations.
- The term “halo” or “halogens” is used herein to mean the halogens, chloro, fluoro, bromo and iodo.
- The term “C1-10alkyl” or “alkyl” is used herein to mean both straight and branched chain radicals of 1 to 10 carbon atoms, unless the chain length is otherwise limited, including, but not limited to, methyl, ethyl, n-propyl, iso-propyl, n-butyl, sec-butyl, iso-butyl, tert-butyl, n-pentyl and the like.
- The term “cycloalkyl” is used herein to mean cyclic radicals, preferably of 3 to 8 carbons, including but not limited to cyclopropyl, cyclopentyl, cyclohexyl, and the like.
- The term “cycloalkenyl” is used herein to mean cyclic radicals, preferably of 5 to 8 carbons, which have at least one bond including but not limited to cyclopentenyl, cyclohexenyl, and the like.
- The term “alkenyl” is used herein at all occurrences to mean straight or branched chain radical of 2-10 carbon atoms, unless the chain length is limited thereto, including, but not limited to ethenyl, 1-propenyl, 2-propenyl, 2-methyl-1-propenyl, 1-butenyl, 2-butenyl and the like.
- The term “aryl” is used herein to mean phenyl and naphthyl;
- The term “heteroaryl” (on its own or in any combination, such as “heteroaryloxy”, or “heteroaryl alkyl”) is used herein to mean a 5-10 membered aromatic ring system in which one or more rings contain one or more heteroatoms selected from the group consisting of N, O or S, such as, but not limited, to pyrrole, pyrazole, furan, thiophene, quinoline, isoquinoline, quinazolinyl, pyridine, pyrimidine, oxazole, thiazole, thiadiazole, tetrazole, triazole, imidazole, or benzimidazole.
- The term “heterocyclic” (on its own or in any combination, such as “heterocyclylalkyl”) is used herein to mean a saturated or partially unsaturated 4-10 membered ring system in which one or more rings contain one or more heteroatoms selected from the group consisting of N, O, or S; such as, but not limited to, pyrrolidine, piperidine, piperazine, morpholine, tetrahydro pyran, or imidazolidine.
- The term “aralkyl” or “heteroarylalkyl” or “heterocyclicalkyl” is used herein to mean C1-4 alkyl as defined above attached to an aryl, heteroaryl or heterocyclic moiety as also defined herein unless otherwise indicate.
- The term “sulfinyl” is used herein to mean the oxide S(O) of the corresponding sulfide, the term “thio” refers to the sulfide, and the term “sulfonyl” refers to the fully oxidized S(O)2 moiety.
- The term “aroyl” is used herein to mean C(O)Ar, wherein Ar is as phenyl, naphthyl, or aryl alkyl derivative such as defined above, such group include but are not limited to benzyl and phenethyl.
- The term “alkanoyl” is used herein to mean C(O)C1-10 alkyl wherein the alkyl is as defined above.
- It is recognized that the compounds of the present invention may exist as stereoisomers, regioisomers, or diastereiomers. These compounds may contain one or more asymmetric carbon atoms and may exist in racemic and optically active forms. All of these compounds are included within the scope of the present invention.
- Exemplified compounds of Formula (I) include:
- 1-(1-Hydroxyprop-2-yl)-4-(4-fluorophenyl)-5-[2-(4-fluorophenoxy)pyrimidin-4-yl]imidazole
- 1-(1,3-Dihydroxyprop-2-yl)-4-(4-fluorophenyl)-5-[2-(4-fluorophenoxy)pyrimidin-4-yl]imidazole
- 1-(1-Hydroxyprop-2-yl)-4-(4-fluorophenyl)-5-(2-phenoxypyrimidin-4-yl)imidazole
- 1-(1-Phenoxyprop-2-yl)-4-(4-fluorophenyl)-5-(2-phenoxypyrimidin-4-yl)imidazole
- 1-(1-Hydroxy-3-phenylprop-2-yl)-4-(4-fluorophenyl)-5-(2-phenoxypyrimidin-4-yl)imidazole
- 1-(1-Hydroxybut-2-yl)-4-(4-fluorophenyl)-5-(2-phenoxypyrimidin-4-yl)imidazole
- 1-(1,3-Dihydroxyprop-2-yl)-4-(4-fluorophenyl)-5-(2-phenoxypyrimidin-4-yl)imidazole
- 1-(1-Hydroxy-2-phenyleth-2-yl)-4-(4-fluorophenyl)-5-(2-phenoxypyrimidin-4-yl)imidazole
- 1-(1-Hydroxyprop-2-yl)-4-(4-fluorophenyl)-5-[2-(4-chlorophenoxy)pyrimidin-4-yl]imidazole
- 1-(1-Hydroxybut-2-yl)-4-(4-fluorophenyl)-5-[2-(4-chlorophenoxy)pyrimidin-4-yl]imidazole
- 1-(1-Hydroxyprop-2-yl)-4-(4-fluorophenyl)-5-[2-(4-methylphenoxy)pyrimidin-4-yl]imidazole
- 1-(1-Hydroxybut-2-yl)-4-(4-fluorophenyl)-5-[2-(4-methylphenoxy)pyrimidin-4-yl]imidazole
- 1-(1,3-Dihydroxyprop-2-yl)-4-(4-fluorophenyl)-5-[2-(4-methylphenoxy)pyrimidin-4-yl]imidazole
- 1-(4-N-Morpholinyl-2-but-yl)-4-(4-fluorophenyl)-5-(2-phenoxypyrimidiny-4-yl)imidazole
- The compounds of Formula (I) may be obtained by applying synthetic procedures, some of which are illustrated in Schemes I to XII herein. The synthesis provided for in these Schemes is applicable for the producing compounds of Formula (I) having a variety of different R1, R2, and R4 groups which are reacted, employing optional substituents which are suitably protected, to achieve compatibility with the reactions outlined herein. Subsequent deprotection, in those cases, then affords compounds of the nature generally disclosed. While the schemes describe compounds of Formula (I) with Y as oxygen, one skilled in the art would readily be able to make compounds of Formula (I) wherein Y is sulfur using similar reaction processes as exemplified herein.
- Once the imidazole nucleus has been established, further compounds of Formula (I) may be prepared by applying standard techniques for functional group interconversion, well known in the art. For instance: C(O)NR13R14 from CO2CH3 by heating with or without catalytic metal cyanide, e.g. NaCN, and HNR13R14 in CH3OH; OC(O)R3 from OH with e.g., ClC(O)R3 in pyridine; NR10—C(S)NR13R14 from NHR10 with an alkylisothiocyante or thiocyanic acid; NR6C(O)OR6 from NHR6 with the alkyl chloroformate; NR10C(O)NR13R14 from NHR10 by treatment with an isocyanate, e.g. HN═C═O or R10N═C═O; NR10—C(O)R8 from NHR10 by treatment with Cl—C(O)R3 in pyridine; C(═NR10)NR13R14 from C(NR13R14)SR3 with H3NR3 +OAc- by heating in alcohol; C(NR13R14)SR3 from C(S)NR13R14 with R6—I in an inert solvent, e.g. acetone; C(S)NR13R14 (where R13 or R14 is not hydrogen) from C(S)NH2 with HNR13R14—C(═NCN)—NR13R14 from C(═NR13R14)—SR3 with NH2CN by heating in anhydrous alcohol, alternatively from C(═NH)—NR13R14 by treatment with BrCN and NaOEt in EtOH; NR10—C(═NCN)SR8 from NHR10 by treatment with (R8S)2C═NCN; NR10SO2R3 from NHR10 by treatment with ClSO2R3 by heating in pyridine; NR10C(S)R3 from —NR10C(O)R8 by treatment with Lawesson's reagent [2,4-bis(4-methoxyphenyl)-1,3,2,4-dithiadiphosphetane-2,4-disulfide]; NR10SO2CF3 from NHR6 with triflic anhydride and base wherein R3, R6, R10, R13 and R14 are as defined in Formula (I) herein.
- Precursors of the groups R1, R2 and R4 can be other R1, R2 and R4 groups which can be interconverted by applying standard techniques for functional group interconversion. For example a compound of the formula (I) wherein R2 is halo substituted C1-10 alkyl can be converted to the corresponding C1-10 alkylN3 derivative by reacting with a suitable azide salt, and thereafter if desired can be reduced to the corresponding C1-10alkylNH2 compound, which in turn can be reacted with R18S(O)2X wherein X is halo (e.g., chloro) to yield the corresponding C1-10alkylNHS(O)2R18 compound.
- Alternatively a compound of the formula (I) where R2 is halo-substituted C1-10alkyl can be reacted with an amine R13R14NH to yield the corresponding C1-10-alkylNR13R14 compound, or can be reacted with an alkali metal salt of R18SH to yield the corresponding C1-10 alkylSR18 compound.
- Referring to Scheme I the compounds of Formula (I) are suitably prepared by reacting a compound of the Formula (II) with a compound of the Formula (III) wherein p is 0 or 2, R1, R2 and R4 are as defined herein, for Formula (I), or are precursors of the groups R1, R2 and R4, and Ar is an optionally substituted phenyl group, and thereafter if necessary converting a precursor of R1, R2 and R4 to a group R1, R2 and R4. It is recognized that R2NH2 which is reacted with R1CHO to form the imine, Formula (III) the R2 moiety when it contains a reactive functional group, such as a primary or secondary amine, an alcohol, or thiol compound the group must be suitably protected. Suitable protecting groups may be found in, Protecting Groups in Organic Synthesis, Greene T W, Wiley-Interscience, New York, 1981, whose disclosure is incorporated herein by reference. For instance, when R2 is a heterocyclic ring, such as a piperidine ring, the nitrogen is protected with groups such as t-Boc, CO2R18, or a substituted arylalkyl moiety.
- Suitably, the reaction is performed at ambient temperature or with cooling (e.g. −50° to 10°) or heating in an inert solvent such as methylene chloride, DMF, tetrahydrofuran, toluene, acetonitrile, or dimethoxyethane in the presence of an appropriate base such as K2CO3, t-buNH2, 1,8-diazabicyclo[5.4.0.]undec-7-ene (DBU), or a guanidine base such as 1,5,7-triaza-bicyclo[4.4.0]dec-5-ene (TBD). The intermediates of formula (II) have been found to be very stable and capable of storage for a long time. Preferably, p is 2. PTC is defined as a phase transfer catalyst for use herein.
- Compounds of the Formula (II) have the structure:
- wherein p is 0, or 2; R4 is as defined for Formula (I) and Ar is an optionally substituted aryl as defined herein. Suitably, Ar is phenyl optionally substituted by C1-4alkyl, C1-4 alkoxy or halo. Preferably Ar is phenyl or 4-methylphenyl, i.e. a tosyl derivative.
- Reaction a compound of the Formula (II) wherein p=2, with a compound of the Formula (III)-Scheme I gives consistently higher yields of compounds of Formula (I) than when p=0. In addition, the reaction of Formula (II) compounds wherein p=2 is more environmentally and economically attractive. When p=0, the preferred solvent used is methylene chloride, which is environmentally unattractive for large scale processing, and the preferred base, TBD, is also expensive, and produces some byproducts and impurities, than when using the commercially attractive synthesis (p=2) as further described herein.
- As noted, Scheme I utilizes the 1,3-dipolar cycloadditions of an anion of a substituted aryl thiomethylisocyanide (when p=0) to an imine. More specifically, this reaction requires a strong base, such as an amine base, to be used for the deprotonation step. The commercially available TBD is preferred although t-butoxide, Li+ or Na+, or K+ hexamethyldisilazide may also be used. While methylene chloride is the preferred solvent, other halogenated solvents, such as chloroform or carbon tetrachloride; ethers, such as THF, DME, DMF, diethylether, t-butyl methyl ether; as well as acetonitrile, toluene or mixtures thereof can be utiltized. The reaction may take place from about −20° C. to about; 40° C., preferably from about 0° C. to about 23° C., more preferably from about 0° C. to about 10° C., and most preferably about 4° C. for reactions involving an R1 group of pyrimidine. For compounds wherein R1 is pyridine, it is recognized that varying the reactions conditions of both temperature and solvent may be necessary, such as decreasing temperatures to about −50° C. or changing the solvent to THF.
- In a further process, compounds of Formula (I) may be prepared by coupling a suitable derivative of a compound of Formula (IX):
- wherein TI is hydrogen and T4 is R4, or alternatively T1 is R1 and T4 is H in which R1, R2 and R4 are as hereinbefore defined; with: (i) when TI is hydrogen, a suitable derivative of the heteroaryl ring R1H, under ring coupling conditions, to effect coupling of the heteroaryl ring R1 to the imidazole nucleus at position 5; (ii) when T4 is hydrogen, a suitable derivative of the aryl ring R4H, under ring coupling conditions, to effect coupling of the aryl ring R4 to the imidazole nucleus at position 4.
- Such aryl/heteroaryl coupling reactions are well known to those skilled in the art. In general, an organometallic synthetic equivalent of an anion of one component is coupled with a reactive derivative of the second component, in the presence of a suitable catalyst. The anion equivalent may be formed from either the imidazole of Formula (IX), in which case the aryl/heteroaryl compound provides the reactive derivative, or the aryl/heteroaryl compound in which case the imidazole provides the reactive derivative. Accordingly, suitable derivatives of the compound of Formula (IX) or the aryl/heteroaryl rings include organometallic derivatives such as organomagnesium, organozinc, organostannane and boronic acid derivatives and suitable reactive derivatives include the bromo, iodo, fluorosulfonate and trifluoromethanesulphonate derivatives. Suitable procedures are described in WO 91/19497, the disclosure of which is incorporated by reference herein.
- Suitable organomagnesium and organozinc derivatives of a compound of Formula (IX) may be reacted with a halogen, fluorosulfonate or triflate derivative of the heteroaryl or aryl ring, in the presence of a ring coupling catalyst, such as a palladium (O) or palladium (II) catalyst, following the procedure of Kumada et al., Tetrahedron Letters, 22, 5319 (1981). Suitable such catalysts include tetrakis-(triphenylphosphine)palladium and
PdCl 2[1,4-bis-(diphenylphosphino)-butane], optionally in the presence of lithium chloride and a base, such as triethylamine. In addition, a nickel (II) catalyst, such as Ni(II)Cl2(1,2-biphenylphosphino)ethane, may also be used for coupling an aryl ring, following the procedure of Pridgen et al., J. Org. Chem., 1982, 47, 4319. Suitable reaction solvents include hexamethylphosphor-amide. When the heteroaryl ring is 4-pyridyl, suitable derivatives include 4-bromo- and 4-iodo-pyridine and the fluorosulfonate and triflate esters of 4-hydroxy pyridine. Similarly, suitable derivatives for when the aryl ring is phenyl include the bromo, fluorosulfonate, triflate and, preferably, the iodo-derivatives. Suitable organomagnesium and organozinc derivatives may be obtained by treating a compound of Formula (IX) or the bromo derivative thereof with an alkyllithium compound to yield the corresponding lithium reagent by deprotonation or transmetallation, respectively. This lithium intermediate may then be treated with an excess of a magnesium halide or zinc halide to yield the corresponding organometallic reagent. - A trialkyltin derivative of the compound of Formula (IX) may be treated with a bromide, fluorosulfonate, triflate, or, preferably, iodide derivative of an aryl or heteroaryl ring compound, in an inert solvent such as tetrahydrofuran, preferably containing 10% hexamethylphosphoramide, in the presence of a suitable coupling catalyst, such as a palladium (0) catalyst, for instance tetrakis-(triphenylphosphine)-palladium, by the method described in by Stille, J. Amer. Chem. Soc, 1987, 109, 5478, U.S. Pat. Nos. 4,719,218 and 5,002,941, or by using a palladium (II) catalyst in the presence of lithium chloride optionally with an added base such as triethylamine, in an inert solvent such as dimethyl formamide. Trialkyltin derivatives may be conveniently obtained by metallation of the corresponding compound of Formula (IX) with a lithiating agent, such as s-butyl-lithium or n-butyllithium, in an ethereal solvent, such as tetrahydrofuran, or treatment of the bromo derivative of the corresponding compound of Formula (IX) with an alkyl lithium, followed, in each case, by treatment with a trialkyltin halide. Alternatively, the bromo-derivative of a compound of Formula (IX) may be treated with a suitable heteroaryl or aryl trialkyl tin compound in the presence of a catalyst such as tetrakis-(triphenyl-phosphine)-palladium, under conditions similar to those described above.
- Boronic acid derivatives are also useful. Hence, a suitable derivative of a compound of Formula (IX), such as the bromo, iodo, triflate or fluorosulphonate derivative, may be reacted with a heteroaryl- or aryl-boronic acid, in the presence of a palladium catalyst such as tetrakis-(triphenylphosphine)-palladium or
PdCl 2[1,4-bis-(diphenyl-phosphino)-butane] in the presence of a base such as sodium bicarbonate, under reflux conditions, in a solvent such as dimethoxyethane (see Fischer and Haviniga, Rec. Trav. Chim. Pays Bas, 84, 439, 1965, Snieckus, V., Tetrahedron Lett., 29, 2135, 1988 and Terashimia, M., Chem. Pharm. Bull., 11, 4755, 1985). Non-aqueous conditions, for instance, a solvent such as DMF, at a temperature of about 100° C., in the presence of a Pd(II) catalyst may also be employed (see Thompson W J et al, J Org Chem, 49, 5237, 1984). Suitable boronic acid derivatives may be prepared by treating the magnesium or lithium derivative with a trialkylborate ester, such as triethyl, tri-iso-propyl or tributylborate, according to standard procedures. - In such coupling reactions, it will be readily appreciated that due regard must be exercised with respect to functional groups present in the compounds of Formula (IX). Thus, in general, amino and sulfur substituents should be non-oxidised or protected.
- Compounds of Formula (IX) are imidazoles and may be obtained by any of the procedures herein before described for preparing compounds of Formula (I). In particular, an a-halo-ketone or other suitably activated ketones R4COCH2Hal (for compounds of Formula (IX) in which TI is hydrogen) or R1COCH2Hal (for compounds of Formula (IX) in which T4 is hydrogen) may be reacted with an amidine of the formula R2NH—C═NH, wherein R2 is as defined in Formula (I), or a salt thereof, in an inert solvent such as a halogenated hydrocarbon solvent, for instance chloroform, at a moderately elevated temperature, and, if necessary, in the presence of a suitable condensation agent such as a base. The preparation of suitable a-halo-ketones is described in WO 91/19497. Suitable reactive esters include esters of strong organic acids such as a lower alkane sulphonic or aryl sulphonic acid, for instance, methane or p-toluene sulphonic acid. The amidine is preferably used as the salt, suitably the hydrochloride salt, which may then be converted into the free amidine in situ, by employing a two phase system in which the reactive ester is in an inert organic solvent such as chloroform, and the salt is in an aqueous phase to which a solution of an aqueous base is slowly added, in dimolar amount, with vigorous stirring. Suitable amidines may be obtained by standard methods, see for instance, Garigipati R, Tetrahedron Letters, 190, 31, 1989.
- Compounds of Formula (I) may also be prepared by a process which comprises reacting a compound of Formula (IX), wherein TI is hydrogen, with an N-acyl heteroaryl salt, according to the method disclosed in U.S. Pat. No. 4,803,279, U.S. Pat. No. 4,719,218 and U.S. Pat. No. 5,002,941, to give an intermediate in which the heteroaryl ring is attached to the imidazole nucleus and is present as a 1,4-dihydro derivative thereof, which intermediate may then be subjected to oxidative-deacylation conditions (Scheme II). The heteroaryl salt, for instance a pyridinium salt, may be either preformed or, more preferably, prepared in situ by adding a substituted carbonyl halide (such as an acyl halide, an aroyl halide, an arylalkyl haloformate ester, or, preferably, an alkyl haloformate ester, such as acetyl bromide, benzoylchloride, benzyl chloroformate, or, preferably, ethyl chloroformate) to a solution of the compound of Formula (IX) in the heteroaryl compound R1H or in an inert solvent such as methylene chloride to which the heteroaryl compound has been added. Suitable deacylating and oxidising conditions are described in U.S. Pat. Nos. 4,803,279, 4,719,218 and 5,002,941, which references are hereby incorporated by reference in their entirety. Suitable oxidizing systems include sulfur in an inert solvent or solvent mixture, such as decalin, decalin and diglyme, p-cymene, xylene or mesitylene, under reflux conditions, or, preferably, potassium t-butoxide in t-butanol with dry air or oxygen.
- In a further process, illustrated in Scheme III below, compounds of Formula (I) may be prepared by treating a compound of Formula (X) thermally or with the aid of a cyclising agent such as phosphorus oxychloride or phosphorus pentachloride (see Engel and Steglich, Liebigs Ann Chem, 1978, 1916 and Strzybny et al., J Org Chem, 1963, 28, 3381). Compounds of Formula (X) may be obtained, for instance, by acylating the corresponding a-keto-amine with an activated formate derivative such as the corresponding anhydride, under standard acylating conditions followed by formation of the imine with R2NH2. The aminoketone may be derived from the parent ketone by oxamination and reduction and the requisite ketone may in turn be prepared by decarboxylation of the beta-ketoester obtained from the condensation of an aryl (heteroaryl)acetic ester with the R1COX component.
- In Scheme IV illustrated below, two (2) different routes which use ketone (formula XI) for preparing a compound of Formula (I). A heterocyclic ketone (XI) is prepared by adding the anion of the alkyl heterocycle such as 4-methyl-quinoline (prepared by treatment thereof with an alkyl lithium, such as n-butyl lithium) to an N-alkyl-O-alkoxybenzamide, ester, or any other suitably activated derivative of the same oxidation state. Alternatively, the anion may be condensed with a benzaldehyde, to give an alcohol which is then oxidised to the ketone (XI).
- In a further process, N-substituted compounds of Formula (I) may be prepared by treating the anion of an amide of Formula (XII):
-
R1CH2NR2COH (XII) - wherein R1 and R2 with:
- (a) a nitrile of the Formula (XIII):
-
R4CN (XIII) - wherein R4 is as hereinbefore defined, or
- (b) an excess of an acyl halide, for instance an acyl chloride, of the Formula (XIV):
-
R4COHal (XIV) - wherein R4 is as hereinbefore defined and Hal is halogen, or a corresponding anhydride, to give a bis-acylated intermediate which is then treated with a source of ammonia, such as ammonium acetate.
- One variation of this approach is illustrated in Scheme V above. A primary amine (R2NH2) is treated with a halomethyl heterocycle of Formula R1CH2X to give the secondary amine which is then converted to the amide by standard techniques. Alternatively the amide may be prepared as illustrated in scheme V by alkylation of the formamide with R1CH2X. Deprotonation of this amide with a strong amide base, such as lithium di-iso-propyl amide or sodium bis-(trimethylsilyl)amide, followed by addition of an excess of an aroyl chloride yields the bis-acylated compound which is then closed to an imidazole compound of Formula (I), by heating in acetic acid containing ammonium acetate. Alternatively, the anion of the amide may be reacted with a substituted aryl nitrile to produce the imidazole of Formula (I) directly.
- The following description and schemes are further exemplification of the process as previously described above in Scheme I. Various pyrimidine aldehyde derivatives 6, as depicted in Scheme VI below, can be prepared by modification of the procedures of Bredereck et al. (Chem. Ber. 1964, 97, 3407) whose disclosure is incorporated by reference herein. These pyrimidine aldehydes are then utilized as intermediates in the synthesis as further described herein.
- The reaction of imines with tosylmethyl isonitriles was first reported by van Leusen (van Leusen, et al., J. Org. Chem. 1977, 42, 1153.) Reported were the following conditions: tert butyl amine(tBuNH2) in dimethoxyethane (DME), K2CO3 in MeOH, and NaH in DME. Upon re-examination of these conditions each was found to produce low yields. A second pathway involving amine exchange to produce the t-butyl imine followed by reaction with the isocyanide to produce a 1-tBu imidazole was also operating. This will likely occur using any primary amine as a base. The secondary amines, while not preferred may be used, but may also decompose the isonitrile slowly. Reactions will likely require about 3 equivalents of amine to go to completion, resulting in approximately 50% isolated yields. Hindered secondary amines (diisopropylamine) while usable are very slow and generally not too effective. Use of tertiary and aromatic amines, such as pyridine, and triethylamine gave no reaction under certain test conditions, but more basic types such as DBU, and 4-dimethylamino pyridine (DMAP) while slow, did produce some yields and hence may be suitable for use herein.
- As depicted in Schemes VII and VIII below, the pyrimidine aldehydes of Scheme VI, can be condensed with a primary amine, to generate an imine, which may suitably be isolated or reacted in situ, with the desired isonitrile in the presence of a variety of suitable bases, and solvents as described herein to afford the 5-(4-pyrimidinyl)-substituted imidazoles, wherein R2 and R4 are as defined herein for Formula (I) compounds.
- One preferred method for preparing compounds of Formula (I) is shown below in Scheme VII, in which the imine is prepared and isolated in a separate step prior to the addition of the isonitrile. The yield for making the imines varied, and environmentally less-acceptable solvents, such as CH2Cl2 were often used in their preparation.
- This reaction, wherein p=2, requires a suitable base for the reaction to proceed. The reaction requires a base strong enough to deprotonate the isonitrile. Suitable bases include an amine, a carbonate, a hydride, or an alkyl or aryl lithium reagent; or mixtures thereof. Bases include, but are not limited to, potassium carbonate, sodium carbonate, primary and secondary amines, such as t-butylamine, diisopropyl amine, morpholine, piperidine, pyrrolidine, and other non-nucleophilic bases, such as DBU, DMAP and 1,4-diazabicyclo[2.2.2]octane (DABCO).
- Suitable solvents for use herein, include but are not limited to the organic solvents of N,N-dimethyl-formamide (DMF), MeCN, halogenated solvents, such as methylene chloride or chloroform, tetrahydrofuran (THF), dimethylsulfoxide (DMSO), alcohols, such as methanol or ethanol, benzene, toluene, DME or EtOAc. Preferably the solvent is DMF, DME, THF, or MeCN, more preferably DMF. Product isolation may generally be accomplished by adding water and filtering the product as a clean compound. In scheme VII below, Ra is as defined for Formula (I) compounds, and X is oxygen or sulfur.
- While not convenient for large scale work, addition of NaH to the isonitrile, perhaps with temperatures lower than 25° C. (in THF) are likely needed. Additionally, BuLi has also been reported to be an effective base for deprotonating tosyl benzylisonitriles at −50° C. (DiSanto, et al., Synth. Commun. 1995, 25, 795).
- Various temperature conditions may be utilized depending upon the preferred base. For instance, tBuNH2/DME, K2CO3/MeOH, K2CO3 in DMF, at temperatures above 40° C., the yields may drop to about 20% but little difference is expected between 0° C. and 25° C. Consequently, temperature ranges below 0° C., and above 80° C. are contemplated as also being within the scope of this invention. Preferably, the temperature ranges are from about 0° C. to about 25° C. For purposes herein, room temperature, is generally depicted as 25° C., but it is recognized that this may vary from 20° C. to 30° C.
- As shown in Scheme VIII below, the imine is preferably formed in situ in a solvent. This preferred synthesis, is a process which occurs as a one-pot synthesis. Suitably, when the primary amine is utilized as a salt, such as in the dihydrochloride salt in the Examples, the reaction may further include a base, such as potassium carbonate, prior to the addition of the isonitrile. For hydroxy-containing amines a protected group(PG) may be required in the imine forming and cycloaddition reactions; suitably the PG is silyl (such as triethyl, diphenyl-t-butyl, dimethyl-t-butyl) or C(O)2R, wherein R is preferably alkyl, aryl, arylalkyl moieties well known to those skilled in the art. Reaction conditions, such as solvents, bases, temperatures, etc. are similar to those illustrated and discussed above for the isolated imine as shown in Scheme VII. One skilled in the art would readily recognize that under some circumstances, the in situ formation of the imine may require dehydrating conditions, or may require acid catalysis.
- Scheme IX, describes an alternative process for making compounds of formula (I). In this particular instance, the alkylthio moiety is oxidized to the methyl sulfinyl or sulfonyl moiety which is reacted with a suitable YRa moiety.
- Another embodiment of the present invention is the novel hydrolysis of 2-thioalkylpyrimidine acetal to 2-thioalkylpyrimidine aldehyde, as shown in Scheme X below. Hydrolysis of the acetal to aldehyde using various known reaction conditions, such as formic acid, did not produce a satisfactory yield of the aldehyde, <13%) was obtained. The preferred synthesis involves the use of AcOH (fresh) as solvent and concentrated H2SO4 under heating conditions, preferably a catalytic amount of sulfuric acid. Heating conditions include temperatures from about 60 to 85° C., preferably from about 70 to about 80° C. as higher temperatures show a darkening of the reaction mixture. After the reaction is completed the mixture is cooled to about room temperature and the acetic acid is removed. A more preferred alternative procedure to this involves heating the acetal in 3N HCl at 40° C. for about 18 hours, cooling and extracting the bicarbonate neutralized solution into EtOAc.
- The final 2-(RaY)pyrimidin-4-yl imidazole compounds of Formula (I), as well as similar pyridine containing compounds can be prepared by one of three methods: 1) direct reaction of the 2-(RaY)pyrimidine imine with the isonitrile; 2) oxidation of the 2-alkylthiopyrimidine derivative to the corresponding sulfoxide followed by displacement with the desired HYRa under basic conditions, for example using a metal salt of HYRa or in the presence of a non-nucleophilic amine or alkali metal base; or 3) reaction of the 2-halopyrimidine or pyridine imine with the isonitrile followed by displacement with HYRa under basic conditions described in the second method, see also Adams et al., U.S. Ser. No. 08/659,102 filed 3 Jun. 1996, Scheme XI, whose disclosure is incorporated herein by reference in its entirety.
- While these schemes herein are presented, for instance, with R22=CH2OPh and (A)=methyl in the R2 position, and 4-fluorophenyl for R4, any suitable R2 moiety or R4 moiety may be added in this manner if it can be prepared on the primary amine. Similarly, any suitable R4 can be added via the isonitrile route.
- The compounds of Formula (II), in Scheme I, may be prepared by the methods of van Leusen et al., supra. For example, a compound of the Formula (II) may be prepared by dehydrating a compound of the Formula (IV)-Scheme I, wherein Ar, R4 and p are as defined herein.
- Suitable dehydrating agents include phosphorus oxychloride, oxalyl chloride, thionyl chloride, phosgene, or tosyl chloride in the presence of a suitable base such as triethylamine or diisopropylethylamine, or similar bases, etc. such as pyridine. Suitable solvents are dimethoxy ether, tetrahydrofuran, or halogenated solvents, preferably THF. The reaction is most efficient when the reaction temperatures are kept between −10° C. and 0° C. At lower temperatures incomplete reaction occurs and at higher temperatures, the solution turns dark and the product yield drops.
- The compounds of formula (IV)-Scheme I may be prepared by reacting a compound of the formula (V)-Scheme I, R4CHO where R4 is as defined herein, with ArS(O)pH and formamide with or without water removal, preferably under dehydrating conditions, at ambient or elevated temperature e.g. 30° to 150°, conveniently at reflux, optionally in the presence of an acid catalyst. Alternatively trimethysilylchloride can be used in place of the acid catalyst. Examples of acid catalysts include camphor-10-sulphonic acid, formic acid, p-toluenesulphonic acid, hydrogen chloride or sulphuric acid.
- An optimal method of making an isonitrile of Formula (II) is illustrated below, in Scheme XI.
- The conversion of the substituted aldehyde to the tosylbenzyl formamide may be accomplished by heating the aldehyde, 1-Scheme XI, with an acid, such as p-toluene-sulfonic acid, formic acid or camphorsulfonic acid; with formamide and p-toluene-sulfinic acid [under reaction conditions of about 60° C. for about 24 hours]. Preferably, no solvent is used. The reaction, may give poor yields (<30%) when solvents, such as DMF, DMSO, toluene, acetonitrile, or excess formamide are used. Temperatures less than 60° C. are generally poor at producing the desired product, and temperatures in excess of 60° C. may produce a product which decomposes, or obtain a benzylic bis-formamide, 2-Scheme XI.
- Another embodiment of the present invention is the synthesis of the tosyl benzyl formamide compound, achieved by reacting the bisformamide intermediate, 2-Scheme XI with p-toluenesulfinic acid. In this preferred route, preparation of the bis-formamide from the aldehyde is accomplished by heating the aldehyde with formamide, in a suitable solvent with acid catalysis. Suitable solvents are toluene, acetonitrile, DMF, and DMSO or mixtures thereof. Acid catalysts, are those well known in the art, and include but are not limited to hydrogen chloride, p-toluene-sulfonic acid, camphorsulfonic acid, and other anhydrous acids. The reaction can be conducted at temperatures ranging from about 25° C. to 100° C., preferably about 50° C., suitably for about 4 to about 5 hours, longer reaction times are also acceptable. Product decomposition and lower yields may be observed at higher temperatures (>70° C.) at prolonged reactions times. Complete conversion of the product generally requires water removal from the reaction mixture.
- Preferred conditions for converting a bis-formamide derivative to the tosyl benzyl formamide are accomplished by heating the bisformamide in a suitable solvent with an acid catalyst and p-toluenesulfinic acid. Solvents for use in this reaction include but are not limited to toluene, and acetonitrile or mixtures thereof. Additional mixtures of these solvents with DMF, or DMSO may also be used but may result in lower yields. Temperatures may range from about 30° C. to about 100° C. Temperatures lower than 40° C. and higher than 60° C. are not preferred as the yield and rate decreases. Preferably the range is from about 40 to 60° C., most preferably about 50° C. The optimal time is about 4 to 5 hours, although it may be longer. Preferably, acids used include but are not limited to, toluenesulfonic acid, camphorsulfonic acid, and hydrogen chloride and other anhydrous acids. Most preferably the bisformamide is heated in toluene:acetonitrile in a 1:1 ratio, with p-toluenesulfinic acid and hydrogen chloride.
- Another embodiment of the present invention is the preferred synthetic route for synthesis of the tosylbenzyl formamide compound which is accomplished using a one-pot procedure. This process first converts the aldehyde to the bis-formamide derivative and subsequently reacts the bis-formamide derivative with toluenesulfinic acid. This procedure combines the optimized conditions into a single, efficient process. High yields, >90% of the aryl benzylformamide may be obtained in such a manner.
- Preferred reaction conditions employ a catalyst, such as trimethylsilyl chloride (TMSCl), in a preferred solvent, toluene:acetonitrile, preferably in a 1:1 ratio. A reagent, such as TMSCl, is preferred which reacts with water produced therein and at the same time produces hydrogen chloride to catalyze the reaction. Also preferred is use of hydrogen chloride and p-toluenesulfonic acid. Therefore, three suitable reaction conditions for use herein include 1) use of a dehydrating agent which also provides hydrogen chloride, such as TMSCl; or by 2) use of a suitable dehydrating agent and a suitable source of acid source, such as but not limited to, camphorsulfonic acid, hydrogen chloride or toluenesulfonic acid; and 3) alternative dehydrating conditions, such as the azeotropic removal of water, and using an acid catalyst and p-toluene sulfinic acid.
- Compounds of the formula (II) where p is 2 may also be prepared by reacting in the presence of a strong base a compound of the formula (VI)-Scheme I, R4CH2NC with a compound of the formula (VII)-Scheme I, ArSO2L1 wherein R4 and Ar are as defined herein and L1 is a leaving group such as halo, e.g. fluoro. Suitable strong bases include, but are not limited to, alkyl lithiums such as butyl lithium or lithium diisopropylamide (Van Leusen et al., Tetrahedron Letters, No. 23, 2367-68 (1972)).
- The compounds of formula (VI)-Scheme I may be prepared by reacting a compound of the formula (VIII)-Scheme I, R4CH2NH2 with an alkyl formate (e.g. ethylformate) to yield an intermediate amide which can be converted to the desired isonitrile by reacting with well known dehydrating agent, such as but not limited to oxalyl chloride, phosphorus oxychloride or tosyl chloride in the presence of a suitable base such as triethylamine.
- Alternatively a compound of the formula (VIII)-Scheme I may be converted to a compound of the formula (VI)-Scheme I by reaction with chloroform and sodium hydroxide in aqueous dichloromethane under phase transfer catalysis.
- The compounds of the formula (III)-Scheme I may be prepared by reacting a compound of the formula R1CHO with a primary amine R2NH2.
- The amino compounds of the formula (VIII)-Scheme I are known or can be prepared from the corresponding alcohols, oximes or amides using standard functional group interconversions.
- The amino compounds used to prepare the imines of formula (III)-Scheme I are known or can be prepared using standard functional group interconversions (Scheme XII). A particularly useful and general method to prepare these amines is from the a amino acids, which are readily available or if not can be prepared from the corresponding aldehyde using standard amino acid synthesis, such as the Strecker synthesis. The free amino acids or the corresponding amino protected compounds (CBZ, fMOC, or t-BOC) many of which are commercially available can be reduced to the carbinol under standard conditions. For example, borane on the carboxylic acid or if the ester, hydride agents may be employed in the reduction. The protected amino alcohols may be used as intermediates to further elaborate the side chain. Furthermore, protecting groups may be used to mask reactive functionality and thereby facilitate the formation of the imine and subsequent cycloaddition reaction to form the imidazole. An example of this is the use of a silyl protecting group on a alcohol.
- Suitable protecting groups for use with hydroxyl groups and the imidazole nitrogen are well known in the art and described in many references, for instance, Protecting Groups in Organic Synthesis, Greene T W, Wiley-Interscience, New York, 1981. Suitable examples of hydroxylprotecting groups include silyl ethers, such as t-butyldimethyl or t-butyldiphenyl, and alkyl ethers, such as methyl connected by an alkyl chain of variable link, (CR10R20)n. Suitable examples of imidazole nitrogen protecting groups include tetrahydropyranyl.
- Pharmaceutically acid addition salts of compounds of Formula (I) may be obtained in known manner, for example by treatment thereof with an appropriate amount of acid in the presence of a suitable solvent.
- The compounds of Formula (I) or a pharmaceutically acceptable salt thereof can be used in the manufacture of a medicament for the prophylactic or therapeutic treatment of any disease state in a human, or other mammal, which is exacerbated or caused by excessive or unregulated cytokine production by such mammal's cell, such as but not limited to monocytes and/or macrophages.
- Compounds of Formula (I) are capable of inhibiting proinflammatory cytokines, such as IL-1, IL-6, IL-8, and TNF and are therefore of use in therapy. IL-1, IL-6, IL-8 and TNF affect a wide variety of cells and tissues and these cytokines, as well as other leukocyte-derived cytokines, are important and critical inflammatory mediators of a wide variety of disease states and conditions. The inhibition of these pro-inflammatory cytokines is of benefit in controlling, reducing and alleviating many of these disease states.
- Accordingly, the present invention provides a method of treating a cytokine-mediated disease which comprises administering an effective cytokine-interfering amount of a compound of Formula (I) or a pharmaceutically acceptable salt thereof.
- Compounds of Formula (I) are capable of inhibiting inducible proinflammatory proteins, such as COX-2, also referred to by many other names such as prostaglandin endoperoxide synthase-2 (PGHS-2) and are therefore of use in therapy. These proinflammatory lipid mediators of the cyclooxygenase (CO) pathway are produced by the inducible COX-2 enzyme. Regulation, therefore of COX-2 which is responsible for the these products derived from arachidonic acid, such as prostaglandins affect a wide variety of cells and tissues are important and critical inflammatory mediators of a wide variety of disease states and conditions. Expression of COX-1 is not effected by compounds of Formula (I). This selective inhibition of COX-2 may alleviate or spare ulcerogenic liability associated with inhibition of COX-1 thereby inhibiting prostoglandins essential for cytoprotective effects. Thus inhibition of these pro-inflammatory mediators is of benefit in controlling, reducing and alleviating many of these disease states. Most notably these inflammatory mediators, in particular prostaglandins, have been implicated in pain, such as in the sensitization of pain receptors, or edema. This aspect of pain management therefore includes treatment of neuromuscular pain, headache, cancer pain, and arthritis pain. Compounds of Formula (I) or a pharmaceutically acceptable salt thereof, are of use in the prophylaxis or therapy in a human, or other mammal, by inhibition of the synthesis of the COX-2 enzyme.
- Accordingly, the present invention provides a method of inhibiting the synthesis of COX-2 which comprises administering an effective amount of a compound of Formula (I) or a pharmaceutically acceptable salt thereof. The present invention also provides for a method of prophylaxis treatment in a human, or other mammal, by inhibition of the synthesis of the COX-2 enzyme.
- In particular, compounds of Formula (I) or a pharmaceutically acceptable salt thereof are of use in the prophylaxis or therapy of any disease state in a human, or other mammal, which is exacerbated by or caused by excessive or unregulated IL-1, IL-6, IL-8 or TNF production by such mammal's cell, such as, but not limited to, monocytes and/or macrophages.
- Accordingly, in another aspect, this invention relates to a method of inhibiting the production of IL-1 in a mammal in need thereof which comprises administering to said mammal an effective amount of a compound of Formula (I) or a pharmaceutically acceptable salt thereof.
- There are many disease states in which excessive or unregulated IL-1 production is implicated in exacerbating and/or causing the disease. These include rheumatoid arthritis, osteoarthritis, stroke, endotoxemia and/or toxic shock syndrome, other acute or chronic inflammatory disease states such as the inflammatory reaction induced by endotoxin or inflammatory bowel disease, tuberculosis, atherosclerosis, muscle degeneration, multiple sclerosis, cachexia, bone resorption, psoriatic arthritis, Reiter's syndrome, rheumatoid arthritis, gout, traumatic arthritis, rubella arthritis and acute synovitis. Recent evidence also links IL-1 activity to diabetes, pancreatic B cells disease, and Alzheimer's disease.
- In a further aspect, this invention relates to a method of inhibiting the production of TNF in a mammal in need thereof which comprises administering to said mammal an effective amount of a compound of Formula (I) or a pharmaceutically acceptable salt thereof.
- Excessive or unregulated TNF production has been implicated in mediating or exacerbating a number of diseases including rheumatoid arthritis, rheumatoid spondylitis, osteoarthritis, gouty arthritis and other arthritic conditions, sepsis, septic shock, endotoxic shock, gram negative sepsis, toxic shock syndrome, adult respiratory distress syndrome, stroke, cerebral malaria, chronic pulmonary inflammatory disease, silicosis, pulmonary sarcoisosis, bone resorption diseases, such as osteoporosis, reperfusion injury, graft vs. host reaction, allograft rejections, fever and myalgias due to infection, such as influenza, cachexia secondary to infection or malignancy, cachexia secondary to acquired immune deficiency syndrome (AIDS), AIDS, ARC (AIDS related complex), keloid formation, scar tissue formation, Crohn's disease, ulcerative colitis and pyresis.
- Compounds of Formula (I) are also useful in the treatment of viral infections, where such viruses are sensitive to upregulation by TNF or will elicit TNF production in vivo. The viruses contemplated for treatment herein are those that produce TNF as a result of infection, or those which are sensitive to inhibition, such as by decreased replication, directly or indirectly, by the TNF inhibiting-compounds of Formula (I). Such viruses include, but are not limited to HIV-1, HIV-2 and HIV-3, Cytomegalovirus (CMV), Influenza, adenovirus and the Herpes group of viruses, such as but not limited to, Herpes Zoster and Herpes Simplex. Accordingly, in a further aspect, this invention relates to a method of treating a mammal afflicted with a human immunodeficiency virus (HIV) which comprises administering to such mammal an effective TNF inhibiting amount of a compound of Formula (I) or a pharmaceutically acceptable salt thereof.
- Compounds of Formula (I) may also be used in association with the veterinary treatment of mammals, other than in humans, in need of inhibition of TNF production. TNF mediated diseases for treatment, therapeutically or prophylactically, in animals include disease states such as those noted above, but in particular viral infections. Examples of such viruses include, but are not limited to, lentivirus infections such as, equine infectious anaemia virus, caprine arthritis virus, visna virus, or maedi virus or retrovirus infections, such as but not limited to feline immunodeficiency virus (FIV), bovine immunodeficiency virus, or canine immunodeficiency virus or other retroviral infections.
- The compounds of Formula (I) may also be used topically in the treatment or prophylaxis of topical disease states mediated by or exacerbated by excessive cytokine production, such as by IL-1 or TNF respectively, such as inflamed joints, eczema, psoriasis and other inflammatory skin conditions such as sunburn; inflammatory eye conditions including conjunctivitis; pyresis, pain and other conditions associated with inflammation.
- Compounds of Formula (I) have also been shown to inhibit the production of IL-8 (Interleukin-8, NAP). Accordingly, in a further aspect, this invention relates to a method of inhibiting the production of IL-8 in a mammal in need thereof which comprises administering to said mammal an effective amount of a compound of Formula (I) or a pharmaceutically acceptable salt thereof.
- There are many disease states in which excessive or unregulated IL-8 production is implicated in exacerbating and/or causing the disease. These diseases are characterized by massive neutrophil infiltration such as, psoriasis, inflammatory bowel disease, asthma, cardiac and renal reperfusion injury, adult respiratory distress syndrome, thrombosis and glomerulonephritis. All of these diseases are associated with increased IL-8 production which is responsible for the chemotaxis of neutrophils into the inflammatory site. In contrast to other inflammatory cytokines (IL-1, TNF, and IL-6), IL-8 has the unique property of promoting neutrophil chemotaxis and activation. Therefore, the inhibition of IL-8 production would lead to a direct reduction in the neutrophil infiltration.
- The compounds of Formula (I) are administered in an amount sufficient to inhibit cytokine, in particular IL-1, IL-6, IL-8 or TNF, production such that it is regulated down to normal levels, or in some case to subnormal levels, so as to ameliorate or prevent the disease state. Abnormal levels of IL-1, IL-6, IL-8 or TNF, for instance in the context of the present invention, constitute: (i) levels of free (not cell bound) IL-1, IL-6, IL-8 or TNF greater than or equal to 1 picogram per ml; (ii) any cell associated IL-1, IL-6, IL-8 or TNF; or (iii) the presence of IL-1, IL-6, IL-8 or TNF mRNA above basal levels in cells or tissues in which IL-1, IL-6, IL-8 or TNF, respectively, is produced.
- The discovery that the compounds of Formula (I) are inhibitors of cytokines, specifically IL-1, IL-6, IL-8 and TNF is based upon the effects of the compounds of Formulas (I) on the production of the IL-1, IL-8 and TNF in in vitro assays which are described herein.
- As used herein, the term “inhibiting the production of IL-1 (IL-6, IL-8 or TNF)” refers to:
- a) a decrease of excessive in vivo levels of the cytokine (IL-1, IL-6, IL-8 or TNF) in a human to normal or sub-normal levels by inhibition of the in vivo release of the cytokine by all cells, including but not limited to monocytes or macrophages;
- b) a down regulation, at the genomic level, of excessive in vivo levels of the cytokine (IL-1, IL-6, IL-8 or TNF) in a human to normal or sub-normal levels;
- c) a down regulation, by inhibition of the direct synthesis of the cytokine (IL-1, IL-6, IL-8 or TNF) as a posttranslational event; or
- d) a down regulation, at the translational level, of excessive in vivo levels of the cytokine (IL-1, IL-6, IL-8 or TNF) in a human to normal or sub-normal levels.
- As used herein, the term “TNF mediated disease or disease state” refers to any and all disease states in which TNF plays a role, either by production of TNF itself, or by TNF causing another monokine to be released, such as but not limited to IL-1, IL-6 or IL-8. A disease state in which, for instance, IL-1 is a major component, and whose production or action, is exacerbated or secreted in response to TNF, would therefore be considered a disease stated mediated by TNF.
- As used herein, the term “cytokine” refers to any secreted polypeptide that affects the functions of cells and is a molecule which modulates interactions between cells in the immune, inflammatory or hematopoietic response. A cytokine includes, but is not limited to, monokines and lymphokines, regardless of which cells produce them. For instance, a monokine is generally referred to as being produced and secreted by a mononuclear cell, such as a macrophage and/or monocyte. Many other cells however also produce monokines, such as natural killer cells, fibroblasts, basophils, neutrophils, endothelial cells, brain astrocytes, bone marrow stromal cells, epidural keratinocytes and B-lymphocytes. Lymphokines are generally referred to as being produced by lymphocyte cells. Examples of cytokines include, but are not limited to, Interleukin-1 (IL-1), Interleukin-6 (IL-6), Interleukin-8 (IL-8), Tumor Necrosis Factor-alpha (TNF-a) and Tumor Necrosis Factor beta (TNF-β).
- As used herein, the term “cytokine interfering” or “cytokine suppressive amount” refers to an effective amount of a compound of Formula (I) which will cause a decrease in the in vivo levels of the cytokine to normal or sub-normal levels, when given to a patient for the prophylaxis or treatment of a disease state which is exacerbated by, or caused by, excessive or unregulated cytokine production.
- As used herein, the cytokine referred to in the phrase “inhibition of a cytokine, for use in the treatment of a HIV-infected human” is a cytokine which is implicated in (a) the initiation and/or maintenance of T cell activation and/or activated T cell-mediated HIV gene expression and/or replication and/or (b) any cytokine-mediated disease associated problem such as cachexia or muscle degeneration.
- As TNF-β (also known as lymphotoxin) has close structural homology with TNF-a (also known as cachectin) and since each induces similar biologic responses and binds to the same cellular receptor, both TNF-a and TNF-β are inhibited by the compounds of the present invention and thus are herein referred to collectively as “TNF” unless specifically delineated otherwise.
- A new member of the MAP kinase family, alternatively termed CSBP, p38, or RK, has been identified independently by several laboratories. Activation of this novel protein kinase via dual phosphorylation has been observed in different cell systems upon stimulation by a wide spectrum of stimuli, such as physicochemical stress and treatment with lipopolysaccharide or proinflammatory cytokines such as interleukin-1 and tumor necrosis factor. The cytokine biosynthesis inhibitors, of the present invention, compounds of Formula (I) have been determined to be potent and selective inhibitors of CSBP/p38/RK kinase activity. These inhibitors are of aid in determining the signaling pathways involvement in inflammatory responses. In particular, for the first time a definitive signal transduction pathway can be prescribed to the action of lipopolysaccharide in cytokine production in macrophages. In addition to those diseases already noted, treatment of stroke, neurotrauma, cardiac and renal reperfusion injury, congestive heart failure, chronic renal failure, angiogenesis & related processes, such as cancer, thrombosis, glomerulonephritis, diabetes and pancreatic b cells, multiple sclerosis, muscle degeneration, eczema, psoriasis, sunburn, and conjunctivitis are also included.
- The CSBP inhibitors were subsequently tested in a number of animal models for anti-inflammatory activity. Model systems were chosen that were relatively insensitive to cyclooxygenase inhibitors in order to reveal the unique activities of cytokine suppressive agents. The inhibitors exhibited significant activity in many such in vivo studies. Most notable are its effectiveness in the collagen-induced arthritis model and inhibition of TNF production in the endotoxic shock model. In the latter study, the reduction in plasma level of TNF correlated with survival and protection from endotoxic shock related mortality. Also of great importance are the compounds effectiveness in inhibiting bone resorption in a rat fetal long bone organ culture system. Griswold et al., (1988) Arthritis Rheum. 31:1406-1412; Badger, et al., (1989) Circ. Shock 27, 51-61; Votta et al., (1994) in vitro. Bone 15, 533-538; Lee et al., (1993). B Ann. N.Y. Acad. Sci. 696, 149-170.
- Chronic diseases which have an inappropriate angiogenic component are various ocular neovasularizations, such as diabetic retinopathy and macular degeneration. Other chronic diseases which have an excessive or increased proliferation of vasculature are tumor growth and metastasis, atherosclerosis, and certain arthritic conditions. Therefore CSBP kinase inhibitors will be of utility in the blocking of the angiogenic component of these disease states.
- The term “excessive or increased proliferation of vasculature inappropriate angiogenesis” as used herein includes, but is not limited to, diseases which are characterized by hemangiomas and ocular diseases.
- The term “inappropriate angiogenesis” as used herein includes, but is not limited to, diseases which are characterized by vesicle proliferation with accompanying tissue proliferation, such as occurs in cancer, metastasis, arthritis and atherosclerosis.
- Accordingly, the present invention provides a method of treating a CSBP kinase mediated disease in a mammal in need thereof, preferably a human, which comprises administering to said mammal, an effective amount of a compound of Formula (I) or a pharmaceutically acceptable salt thereof.
- It has now been found that the branching of the R2 moiety, such as in the R22 term provides for improved activity against the CSBP enzyme, and for improved in vivo activity versus the unbranched R2 alkyl chain. such as disclosed in U.S. Pat. No. 5,593,992.
- In order to use a compound of Formula (I) or a pharmaceutically acceptable salt thereof in therapy, it will normally be formulated into a pharmaceutical composition in accordance with standard pharmaceutical practice. This invention, therefore, also relates to a pharmaceutical composition comprising an effective, non-toxic amount of a compound of Formula (I) and a pharmaceutically acceptable carrier or diluent.
- Compounds of Formula (I), pharmaceutically acceptable salts thereof and pharmaceutical compositions incorporating such may conveniently be administered by any of the routes conventionally used for drug administration, for instance, orally, topically, parenterally or by inhalation. The compounds of Formula (I) may be administered in conventional dosage forms prepared by combining a compound of Formula (I) with standard pharmaceutical carriers according to conventional procedures. The compounds of Formula (I) may also be administered in conventional dosages in combination with a known, second therapeutically active compound. These procedures may involve mixing, granulating and compressing or dissolving the ingredients as appropriate to the desired preparation. It will be appreciated that the form and character of the pharmaceutically acceptable character or diluent is dictated by the amount of active ingredient with which it is to be combined, the route of administration and other well-known variables. The carrier(s) must be “acceptable” in the sense of being compatible with the other ingredients of the formulation and not deleterious to the recipient thereof.
- The pharmaceutical carrier employed may be, for example, either a solid or liquid. Exemplary of solid carriers are lactose, terra alba, sucrose, talc, gelatin, agar, pectin, acacia, magnesium stearate, stearic acid and the like. Exemplary of liquid carriers are syrup, peanut oil, olive oil, water and the like. Similarly, the carrier or diluent may include time delay material well known to the art, such as glyceryl mono-stearate or glyceryl distearate alone or with a wax.
- A wide variety of pharmaceutical forms can be employed. Thus, if a solid carrier is used, the preparation can be tableted, placed in a hard gelatin capsule in powder or pellet form or in the form of a troche or lozenge. The amount of solid carrier will vary widely but preferably will be from about 25 mg. to about 1 g. When a liquid carrier is used, the preparation will be in the form of a syrup, emulsion, soft gelatin capsule, sterile injectable liquid such as an ampule or nonaqueous liquid suspension.
- Compounds of Formula (I) may be administered topically, that is by non-systemic administration. This includes the application of a compound of Formula (I) externally to the epidermis or the buccal cavity and the instillation of such a compound into the ear, eye and nose, such that the compound does not significantly enter the blood stream. In contrast, systemic administration refers to oral, intravenous, intraperitoneal and intramuscular administration.
- Formulations suitable for topical administration include liquid or semi-liquid preparations suitable for penetration through the skin to the site of inflammation such as liniments, lotions, creams, ointments or pastes, and drops suitable for administration to the eye, ear or nose. The active ingredient may comprise, for topical administration, from 0.001% to 10% w/w, for instance from 1% to 2% by weight of the formulation. It may however comprise as much as 10% w/w but preferably will comprise less than 5% w/w, more preferably from 0.1% to 1% w/w of the formulation.
- Lotions according to the present invention include those suitable for application to the skin or eye. An eye lotion may comprise a sterile aqueous solution optionally containing a bactericide and may be prepared by methods similar to those for the preparation of drops. Lotions or liniments for application to the skin may also include an agent to hasten drying and to cool the skin, such as an alcohol or acetone, and/or a moisturizer such as glycerol or an oil such as castor oil or arachis oil.
- Creams, ointments or pastes according to the present invention are semi-solid Formulations of the active ingredient for external application. They may be made by mixing the active ingredient in finely-divided or powdered form, alone or in solution or suspension in an aqueous or non-aqueous fluid, with the aid of suitable machinery, with a greasy or non-greasy base. The base may comprise hydrocarbons such as hard, soft or liquid paraffin, glycerol, beeswax, a metallic soap; a mucilage; an oil of natural origin such as almond, corn, arachis, castor or olive oil; wool fat or its derivatives or a fatty acid such as steric or oleic acid together with an alcohol such as propylene glycol or a macrogel. The formulation may incorporate any suitable surface active agent such as an anionic, cationic or non-ionic surfactant such as a sorbitan ester or a polyoxyethylene derivative thereof. Suspending agents such as natural gums, cellulose derivatives or inorganic materials such as silicaceous silicas, and other ingredients such as lanolin, may also be included.
- Drops according to the present invention may comprise sterile aqueous or oily solutions or suspensions and may be prepared by dissolving the active ingredient in a suitable aqueous solution of a bactericidal and/or fungicidal agent and/or any other suitable preservative, and preferably including a surface active agent. The resulting solution may then be clarified by filtration, transferred to a suitable container which is then sealed and sterilized by autoclaving or maintaining at 98-100° C. for half an hour. Alternatively, the solution may be sterilized by filtration and transferred to the container by an aseptic technique. Examples of bactericidal and fungicidal agents suitable for inclusion in the drops are phenylmercuric nitrate or acetate (0.002%), benzalkonium chloride (0.01%) and chlorhexidine acetate (0.01%). Suitable solvents for the preparation of an oily solution include glycerol, diluted alcohol and propylene glycol.
- Compounds of Formula (I) may be administered parenterally, that is by intravenous, intramuscular, subcutaneous intranasal, intrarectal, intravaginal or intraperitoneal administration. The subcutaneous and intramuscular forms of parenteral administration are generally preferred. Appropriate dosage forms for such administration may be prepared by conventional techniques. Compounds of Formula (I) may also be administered by inhalation, that is by intranasal and oral inhalation administration. Appropriate dosage forms for such administration, such as an aerosol formulation or a metered dose inhaler, may be prepared by conventional techniques.
- For all methods of use disclosed herein for the compounds of Formula (I), the daily oral dosage regimen will preferably be from about 0.1 to about 80 mg/kg of total body weight, preferably from about 0.2 to 30 mg/kg, more preferably from about 0.5 mg to 15 mg. The daily parenteral dosage regimen about 0.1 to about 80 mg/kg of total body weight, preferably from about 0.2 to about 30 mg/kg, and more preferably from about 0.5 mg to 15 mg/kg. The daily topical dosage regimen will preferably be from 0.1 mg to 150 mg, administered one to four, preferably two or three times daily. The daily inhalation dosage regimen will preferably be from about 0.01 mg/kg to about 1 mg/kg per day. It will also be recognized by one of skill in the art that the optimal quantity and spacing of individual dosages of a compound of Formula (I) or a pharmaceutically acceptable salt thereof will be determined by the nature and extent of the condition being treated, the form, route and site of administration, and the particular patient being treated, and that such optimums can be determined by conventional techniques. It will also be appreciated by one of skill in the art that the optimal course of treatment, i.e., the number of doses of a compound of Formula (I) or a pharmaceutically acceptable salt thereof given per day for a defined number of days, can be ascertained by those skilled in the art using conventional course of treatment determination tests.
- The novel compounds of Formula (I) may also be used in association with the veterinary treatment of mammals, other than humans, in need of inhibition of CSBP/p38 or cytokine inhibition or production. In particular, CSBP/p38 mediated diseases for treatment, therapeutically or prophylactically, in animals include disease states such as those noted herein in the Methods of Treatment section, but in particular viral infections. Examples of such viruses include, but are not limited to, lentivirus infections such as, equine infectious anaemia virus, caprine arthritis virus, visna virus, or maedi virus or retrovirus infections, such as but not limited to feline immunodeficiency virus (FIV), bovine immunodeficiency virus, or canine immunodeficiency virus or other retroviral infections.
- The invention will now be described by reference to the following biological examples which are merely illustrative and are not to be construed as a limitation of the scope of the present invention.
- The cytokine-inhibiting effects of compounds of the present invention may be determined by the following in vitro assays:
- Assays for Interleukin-1 (IL-1), Interleukin-8 (IL-8), and Tumour Necrosis Factor (TNF) are well known in the art, and may be found in a number of publications, and patents. Representative suitable assays for use herein are described in Adams et al., U.S. Pat. No. 5,593,992, whose disclosure is incorporated by reference in its entirety.
- (1) Griswold et al., Drugs Under Exp. and Clinical Res., XIX (6), 243-248 (1993); or
- (2) Boehm, et al., Journal Of Medicinal Chemistry 39, 3929-3937 (1996) whose disclosures are incorporated by reference herein in their entirety.
- In order to evaluate in vivo inhibition of LPS-induced TNFα production in rodents, both mice and rats are injected with LPS.
- Male Balb/c mice from Charles River Laboratories are pretreated (30 minutes) with compound or vehicle. After the 30 min. pretreat time, the mice are given LPS (lipopolysaccharide from Esherichia coli Serotype 055-85, Sigma Chemical Co., St Louis, Mo.) 25 ug/mouse in 25 ul phosphate buffered saline (pH 7.0) intraperitoneally. Two hours later the mice are killed by CO2 inhalation and blood samples are collected by exsanguination into heparinized blood collection tubes and stored on ice. The blood samples are centrifuged and the plasma collected and stored at −20° C. until assayed for TNFα by ELISA.
- Male Lewis rats from Charles River Laboratories are pretreated at various times with compound or vehicle. After a determined pretreat time, the rats are given LPS (lipopolysaccharide from Esherichia coli Serotype 055-85, Sigma Chemical Co., St Louis, Mo.) 3.0 mg/kg intraperitoneally. The rats are killed by CO2 inhalation and heparinized whole blood is collected from each rat by cardiac puncture 90 minutes after the LPS injection. The blood samples are centrifuged and the plasma collected for analysis by ELISA for TNFα levels.
- TNFα levels were measured using a sandwich ELISA, as described in Olivera et al., Circ. Shock, 37, 301-306, (1992), whose disclosure is incorporated by reference in its entirety herein, using a hamster monoclonal antimurine TNFα (Genzyme, Boston, Mass.) as the capture antibody and a polyclonal rabbit antimurine TNFα (Genzyme) as the second antibody. For detection, a peroxidase-conjugated goat antirabbit antibody (Pierce, Rockford, Ill.) was added, followed by a substrate for peroxidase (1 mg/ml orthophenylenediamine with 1% urea peroxide). TNFα levels in the plasma samples from each animal were calculated from a standard curve generated with recombinant murine TNFα (Genzyme).
- Assay: Test compound concentrations were prepared at 10× concentrations and LPS prepared at 1 ug/ml (final conc. of 50 ng/ml LPS) and added in 50 uL volumes to 1.5 mL eppendorf tubes. Heparinized human whole blood was obtained from healthy volunteers and was dispensed into eppendorf tubes containing compounds and LPS in 0.4 mL volumes and the tubes incubated at 37 C. Following a 4 hour incubation, the tubes were centrifuged at 5000 rpm for 5 minutes in a TOMY microfuge, plasma was withdrawn and frozen at −80 C.
Cytokine measurement: IL-1 and/or TNF were quantified using a standardized ELISA technology. An in-house ELISA kit was used to detect human IL-1 and TNF. Concentrations of IL-1 or TNF were determined from standard curves of the appropriate cytokine and IC50 values for test compound (concentration that inhibited 50% of LPS-stimulated cytokine production) were calculated by linear regression analysis. - This assay measures the CSBP/p38-catalyzed transfer of 32P from [a-32P]ATP to threonine residue in an epidermal growth factor receptor (EGFR)-derived peptide (T669) with the following sequence: KRELVEPLTPSGEAPNQALLR (residues 661-681). (See Gallagher et al., “Regulation of Stress Induced Cytokine Production by Pyridinyl Imidazoles: Inhibition of CSBP Kinase”, BioOrganic & Medicinal Chemistry, 1997, 5, 49-64).
- Reactions were carried in round bottom 96 well plate (from Corning) in a 30 ml volume. Reactions contained (in final concentration): 25 mM Hepes, pH7.5; 8 mM MgCl2; 0.17 mM ATP (the Km[ATP] of p38 (see Lee et al., Nature 300, n72 pg 639-746 (December 1994)); 2.5 uCi of [g-32P]ATP; 0.2 mM sodium orthovanadate; 1 mM DTT; 0.1% BSA; 10% glycerol; 0.67 mM T669 peptide; and 2-4 nM of yeast-expressed, activated and purified p38. Reactions were initiated by the addition of [gamma-32P]Mg/ATP, and incubated for 25 min. at 37° C. Inhibitors (dissolved in DMSO) were incubated with the reaction mixture on ice for 30 minutes prior to adding the 32P-ATP. Final DMSO concentration was 0.16%. Reactions were terminated by adding 10 ul of 0.3 M phosphoric acid, and phosphorylated peptide was isolated from the reactions by capturing it on p81 phosphocellulose filters. Filters were washed with 75 mM phosphoric acids, and incorporated 32P was quantified using beta scintillation counter. Under these conditions, the specific activity of p38 was 400-450 μmol/μmol enzyme, and the activity was linear for up to 2 hr of incubation. The kinase activity values were obtained after subtracting values generated in the absence of substrate which were 10-15% of total values.
- Representative final compounds of Formula (I), Examples 1 to 23 have demonstrated positive inhibitory activity of an IC50 of <50 uM in this binding assay or a similar assay.
- This assay describes a method for determining the inhibitory effects of compounds of Formula (I) on human PGHS-2 protein expression in LPS stimulated human monocytes. A suitable assay for PGHS-2 protein expression may be found in a number of publications, including U.S. Pat. No. 5,593,992 whose disclosure is incorporated herein by reference.
- This assay provides for examination of the expression of tumor necrosis factor mRNA in specific brain regions which follow experimentally induced lateral fluid-percussion traumatic brain injury (TBI) in rats. Since TNF-a is able to induce nerve growth factor (NGF) and stimulate the release of other cytokines from activated astrocytes, this post-traumatic alteration in gene expression of TNF-a plays an important role in both the acute and regenerative response to CNS trauma. A suitable assay may be found in WO 97/35856 whose disclosure is incorporated herein by reference.
- CNS Injury Model for IL-b mRNA
- This assay characterizes the regional expression of interleukin-1β (IL-1β) mRNA in specific brain regions following experimental lateral fluid-percussion traumatic brain injury (TBI) in rats. Results from these assays indicate that following TBI, the temporal expression of IL-1β mRNA is regionally stimulated in specific brain regions. These regional changes in cytokines, such as IL-1β play a role in the post-traumatic pathologic or regenerative sequelae of brain injury. A suitable assay may be found in WO 97/35856 whose disclosure is incorporated herein by reference.
- Angiogenesis Assay:
- Described in WO 97/32583, whose disclosure is incorporated herein by reference, is an assay for determination of inflammatory angiogenesis which may be used to show that cytokine inhibition will stop the tissue destruction of excessive or inappropriate proliferation of blood vessels.
- The invention will now be described by reference to the following examples which are merely illustrative and are not to be construed as a limitation of the scope of the present invention. All temperatures are given in degrees centigrade, all solvents are highest available purity and all reactions run under anhydrous conditions in an argon atmosphere unless otherwise indicated.
- In the Examples, all temperatures are in degrees Centigrade (° C.). Mass spectra were performed upon a VG Zab mass spectrometer using fast atom bombardment or on a micromass platform electrospray ionization mass spectrometer in the positive ion mode using 95:5 CH3CN/CH3OH with 1% formic acid as the carrier solvent, unless otherwise indicated. 1H-NMR (hereinafter “NMR”) spectra were recorded at 250 MHz using a Bruker AM 250 or Am 400 spectrometer. Multiplicities indicated are: s=singlet, d=doublet, t=triplet, q=quartet, m=multiplet and br indicates a broad signal. Sat. indicates a saturated solution, eq indicates the proportion of a molar equivalent of reagent relative to the principal reactant.
- Flash chromatography is run over Merck Silica gel 60 (230-400 mesh).
- To a suspension of p-toluenesulfinic acid sodium salt (30 grams, hereinafter “g”) in H2O (100 milliliters (hereinafter “mL”)) was added methyl t-butyl ether (50 mL) followed by dropwise addition of conc. HCl (15 mL). After stirring 5 min., the organic phase was removed and the aqueous phase was extracted with methyl t-butyl ether. The organic phase was dried (Na2SO4) and concentrated to near dryness. Hexane was added and the free acid was filtered. The p-toluenesulfinic acid (22 g, 140.6 millimole (hereinafter “mmol”)), p-fluorobenzaldehyde (22 mL, 206 mmol), formamide (20 mL, 503 mmol) and camphor sulphonic acid (4 g, 17.3 mmol) were combined and stirred at 60° C. for about 18 hours (hereinafter “h”). The resulting solid was broken up and stirred with a mixture of MeOH (35 mL) and hexane (82 mL) then filtered. The solid was resuspended in MeOH/hexane (1:3, 200 mL) and stirred vigorously to break up remaining chunks. Filtration afforded the title compound (27 g, 62% yield). 1H NMR (400 MHz, CDCl3): δ 8.13 (s, 1H), 7.71 (d, 2H), 7.43 (dd, 2H), 7.32 (d, 2H), 7.08 (t, 2H), 6.34 (d, 1H), 2.45 (s, 3H).
- The compound in the previous step (2.01 g, 6.25 mmol) in ethyleneglycol dimethylether (DME) (32 mL) was cooled to −10° C. POCl3 (1.52 mL, 16.3 mmol) was added followed by the dropwise addition of triethylamine (4.6 mL, 32.6 mmol) in DME (3 mL) keeping the internal temperature below −5° C. The mixture was gradually warmed over 1 h., quenched in H2O and extracted with EtOAc. The organic phase was washed with saturated aqueous NaHCO3, dried (Na2SO4), and concentrated. The resulting residue was triturated with petroleum ether and filtered to afford the title compound (1.7 g, 90% yield). 1H NMR (CDCl3): δ 7.63 (d, 2H), 7.33 (m, 4H), 7.10 (t, 2H), 5.60 (s, 1H), 2.50 (s, 3H)
- Charge a 1 L 3-necked flask equipped with a stir bar, thermometer, 100 mL addition funnel and reflux condensor with N,N-dimethylformamide dimethyl acetal (88.7 g, 98.9 mL, 700 mmol) and pyruvaldehyde dimethyl acetal (85.3 g, 86.8 mL, 700 mmol) and heat in an oil bath at 110° C. for 3-4 h. Cool the solution to 85° C. and add thiourea (48.9 g, 636.4 mmol) and NaOMe (25 wt % in MeOH, 151.2 g, 160 mL, 700 mmol) and stir at 85° C. for 3-4 h. Cool the solution to 65° C. and charge 1-bromoropane (86.9 g, 64.4 mL, 700 mmol) to the addition funnel and add slowly over 10-15 min to the reaction, bringing the solution to a mild reflux. After 1 h, add 100 mL of EtOAC to the reaction and bring the oil bath temperature to 95° C. Replace the reflux condensor with a distillation head and distill 150-200 mL of solvent from the reaction. Add an additional 400 mL of EtOAc and 120 mL of H2O and stir at 50° C. for 5 min. Transfer to a separatory funnel and separate the aqueous phase. Add 60 mL of H2O, agitate, and separate the aqueous phase. A sample was concentrated to give a yellow oil: 1H NMR (300 MHz, CDCl3) δ 8.53 (1H, d, J=5.0 Hz), 7.16 (1H, d, J=5.0 Hz), 5.17 (1H, s), 3.42 (3H, s), 3.14 (2H, t, J=7.3 Hz), 1.76 (2H, m), 1.05 (3H, t, J=7.3 Hz).
- Alternatively, bromopropane can be replaced with any suitable alkyl halide and the alkylation process can occur at about 0 to about 100° C.
- The product of the previous step (24 g, 105 mmol) was dissolved in THF (75 mL) and 3N HCL (150 mL) was added. The resulting mixture was stirred under argon and heated to 57° C. for 4 h. The THF was stripped off and the mixture was cooled in an ice bath. EtOAc (300 mL) was added followed by the addition of solid NaHCO3. Additional H2O was added to dissolve all the solid, and the aqueous phase was extracted with EtOAc (3×150 mL). The organic phases were combined, dried (Na2SO4) and concentrated to give a brown oil. The crude product was purified by flash chromatography (silica gel, 0-1% MeOH/CH2Cl2) to give the title compound as a yellow oil. 1H NMR (400 MHz, CDCl3): δ 9.95 (s, 1H), 8.78 (d, 1H), 7.45 (d, 1H), 3.21 (t, 2H), 1.82 (m, 2H), 1.1 (t, 3H).
- To a solution of 2-propylthiopyrimidine-4-carboxaldehyde (10.9 g, 60 mmol) in CH2Cl2 (200 mL) was added (S)-2 amino-1-propanol (5.85 g, 78 mmol). The solution was stirred at room temperature under argon for 16 h. The solution was concentrated to give the title compound. ES (+) MS m/e=240 (MH+)
- The product of the previous step (14.7 g, ˜60 mmol) was dissolved in DMF (200 mL) and stirred under argon. Potassium carbonate (6.6 g, 48 mmol) was added followed by the addition of the product of example 1(b) (12.14 g, 42 mmol). The mixture was stirred at rt for 72 h. The DMF was pumped off and the residue was partitioned between EtOAc and water. The organic phase was separated, washed with brine, dried (Na2SO4), and concentrated. The crude product was purified by flash chromatography (silica gel, 0-4% MeOH/CH2Cl2) to give the title compound as a yellow solid. ES (+) MS m/e=373 (MH+)
- The product of example 1(f) (4 g, 10.75 mmol) was dissolved in methanol (100 mL) and cooled in an ice bath while stirring under argon. OXONE (8.26 g, 13.44) mmol in H2O (60 mL) was added and the mixture was stirred at rt for 12 h. The MeOH was stripped and the residue partitioned between EtOAc and H2O. The mixture was made basic by the addition of solid K2CO3 and extracted with EtOAc. the combined organic extracts were washed with brine, dried (Na2SO4), and concentrated to give the title compound as a yellow solid. ES (+) MS m/e=405 (MH+)
- NaH (95%) (252 mg, 10 mmol) was added in small portions to a solution of 4-fluorophenol (2.21 g, 19.8 mmol) in dry THF (50 mL). After the vigorous reaction had subsided, this solution was added to a solution of the product of example 1 (g) (2 g, 4.95 mmol) dissolved in dry THF (200 mL). The reaction mixture was stirred at rt under argon for 1 h. The reaction mixture was concentrated, and the residue partitioned between EtOAc and H2O. The organic phase was washed with 1N NaOH, brine, dried (Na2SO4), and concentrated. The crude product was purified by flash chromatography (silica gel, 0-4% MeOH/CH2Cl2) to give the title compound as a light yellow solid. ES (+) MS m/e=409 (MH+)
- Following the procedures of examples 1 (e)-(h) except using (R)-2 amino-1-propanol in place of (S)-2 amino-1-propanol in step 1 (e) afforded the title compound as an off-white solid. ES (+) MS m/e=409 (MH+)
- Following the procedures of examples 1 (e)-(h) except using 2-amino-1,3-propanediol in place of (S)-2 amino-1-propanol in step 1 (e) afforded the title compound as an off-white solid. ES (+) MS m/e=425 (MH+)
- Following the procedures of examples 1 (e)-(h) except using (R)-2 amino-1-propanol in place of (S)-2 amino-1-propanol in step 1 (e) and using phenol in place of 4-fluorophenol in step 1 (h) afforded the title compound as light yellow crystals. ES (+) MS m/e=391 (MH+)
- Following the procedure of example 1 (h) except using phenol in place of 4-fluorophenol, afforded the title compound as light yellow crystals. ES (+) MS m/e=391 (MH+)
- Following the procedures of examples 1 (e)-(h) except using (+/−)-2 amino-1-propanol in place of (S)-2 amino-1-propanol in step 1 (e) and using phenol in place of 4-fluorophenol in step 1 (h) afforded the title compound as light yellow crystals. ES (+) MS m/e=391 (MH+)
- Following the procedures of examples 1 (e)-(h) except using (+/−)-1-phenoxy-2-aminopropane in place of (S)-2 amino-1-propanol in step 1 (e) and using phenol in place of 4-fluorophenol in step 1 (h) afforded the title compound as a light yellow solid. ES (+) MS m/e=467 (MH+)
- Following the procedures of examples 1 (e)-(h) except using (R)-2 amino-3-phenyl-1-propanol in place of (S)-2 amino-1-propanol in step 1 (e) and using phenol in place of 4-fluorophenol in step 1 (h) afforded the title compound as yellow solid. ES (+) MS m/e=467 (MH+)
- Following the procedures of examples 1 (e)-(h) except using (S)-2 amino-3-phenyl-1-propanol in place of (S)-2 amino-1-propanol in step 1 (e) and using phenol in place of 4-fluorophenol in step 1 (h) afforded the title compound as a yellow solid. ES (+) MS m/e=467 (MH+)
- Following the procedures of examples 1 (e)-(h) except using (R)-2 amino-1-butanol in place of (S)-2 amino-1-propanol in step 1 (e) and using phenol in place of 4-fluorophenol in step 1 (h) afforded the title compound as white solid. ES (+) MS m/e=405 (MH+)
- Following the procedures of examples 1 (e)-(h) except using (S)-2 amino-1-butanol in place of (S)-2 amino-1-propanol in step 1 (e) and using phenol in place of 4-fluorophenol in step 1 (h) afforded the title compound as white solid. ES (+) MS m/e=405 (MH+)
- Following the procedures of examples 1 (e)-(h) except using 2-amino-1,3-propanediol in place of (S)-2 amino-1-propanol in step 1 (e) and using phenol in place of 4-fluorophenol in step 1 (h) afforded the title compound as a white solid. ES (+) MS m/e=407 (MH+)
- Following the procedures of examples 1 (e)-(h) except using (R)-2-amino-2-phenylethanol in place of (S)-2 amino-1-propanol in step 1 (e) and using phenol in place of 4-fluorophenol in step 1 (h) afforded the title compound as a white solid. ES (+) MS m/e=453 (MH+)
- Following the procedures of examples 1 (e)-(h) except using (S)-2-amino-2-phenylethanol in place of (S)-2 amino-1-propanol in step 1 (e) and using phenol in place of 4-fluorophenol in step 1 (h) afforded the title compound as a white solid. ES (+) MS m/e=453 (MH+)
- Following the procedure of example 1 (h) except using 4-chlorophenol in place of 4-fluorophenol, afforded the title compound as a white solid. ES (+) MS m/e=425 (MH+)
- Following the procedures of examples 1 (e)-(h) except using (R)-2 amino-1-butanol in place of (S)-2 amino-1-propanol in step 1 (e) and using 4-chlorophenol in place of 4-fluorophenol in step 1 (h) afforded the title compound as a white solid. ES (+) ES (+) MS m/e=439 (MH+)
- Following the procedures of examples 1 (e)-(h) except using (S)-2 amino-1-butanol in place of (S)-2 amino-1-propanol in step 1 (e) and using 4-chlorophenol in place of 4-fluorophenol in step 1 (h) afforded the title compound as white solid. ES (+) MS m/e=439 (MH+)
- Following the procedure of example 1 (h) except using 4-methylphenol in place of 4-fluorophenol, afforded the title compound as a white solid. ES (+) MS m/e=405 (MH+)
- Following the procedures of examples 1 (e)-(h) except using (R)-2 amino-1-butanol in place of (S)-2 amino-1-propanol in step 1 (e) and using 4-methylphenol in place of 4-fluorophenol in step 1 (h) afforded the title compound as white solid. ES (+) MS m/e=419 (MH+)
- Following the procedures of examples 1 (e)-(h) except using (S)-2 amino-1-butanol in place of (S)-2 amino-1-propanol in step 1 (e) and using 4-methylphenol in place of 4-fluorophenol in step 1 (h) afforded the title compound as white solid. ES (+) MS m/e=419 (MH+)
- Following the procedures of examples 1 (e)-(h) except using 2-amino-1,3-propanediol in place of (S)-2 amino-1-propanol in step 1 (e) and using 4-methylphenol in place of 4-fluorophenol in step 1 (h) afforded the title compound as a white solid. ES (+) MS m/e=421 (MH+)
- Methyl(S)-3-(t-butoxycarbonylamino)-1-butyrate prepared according to (McIntosh and Acquaah, Can. J. Chem 66, 1752 (1988)) (3 g, 13.8 mmol) was dissolved in dry THF (100 mL) and cooled in an ice bath while stirring under argon. Lithium borohydride (305 mg, 13.9 mmol) was added and the mixture allowed to warm to room temperature and stir for 16 hours. The solvent was evaporated and the residue taken up in EtOAc, washed with brine, dried (Na2SO4), and concentrated. The crude product was purified by flash chromatography (silica gel, 0-20% EtOAc/hexane) to give the title compound as a white solid. ES (+) MS m/e=190 (MH+)
- The product of example 22 (a) (1.06 g, 5.6 mmol) was dissolved in CH2Cl2 (10 ml) and cooled in an ice bath while stirring under argon. Triethylamine (0.667 g, 6.6 mmol) was added followed by the dropwise addition of methanesulfonyl chloride (0.687 g, 6 mmol). After 10 minutes the ice bath was removed and the mixture stirred at rt for 2 h. The solvent was stripped off and the title compound was isolated as a yellow oil. ES (+) MS m/e=268 (MH+), 290 (MNa+)
- The crude product of example 22 (b) (˜5.6 mmol) was dissolved in morpholine (10 mL) and heated to 57° C. while stirring under argon for 1 h. The solvent was pumped off, and the residue was partitioned between EtOAc and water. The organic phase was washed with brine, dried (Na2SO4), and concentrated. The crude product was purified by flash chromatography (silica gel, 2-5% MeOH/CH2Cl2) to give the title compound as a white solid. ES (+) MS m/e=259 (MH+)
- The product of example 22 (c) (0.41 g, 1.59 mmol) was dissolved in CH2Cl2 (10 mL) and cooled in an ice bath while stirring under argon. A solution of trifluoroacetic acid (5 mL) in CH2Cl2 (5 mL) was added and the mixture allowed to warm to room temperature for 1 h. The solvents were evaporated to give the title compound as an oil. ES (+) MS m/e=159 (MH+)
- Following the procedures of examples 1 (e)-(h) except using the crude product of 22 (d) plus excess triethylamine in place of (S)-2 amino-1-propanol in step 1 (e) and using phenol in place of 4-fluorophenol in step 1 (h) afforded the title compound as a pink solid ES (+) MS m/e=474 (MH+)
- By analagous methods to those indicated above the following compounds may be prepared:
-
# R1 R2 23 methyl hydroxymethyl 24 ethyl hydroxymethyl 25 isopropyl hydroxymethyl 26 2-(methyl)propyl hydroxymethyl 27 phenyl hydroxymethyl 28 benzyl hydroxymethyl 29 phenethyl hydroxymethyl 30 methyl dimethylaminomethyl 31 ethyl dimethylaminomethyl 32 isopropyl dimethylaminomethyl 33 2-(methyl)propyl dimethylaminomethyl 34 phenyl dimethylaminomethyl 35 benzyl dimethylaminomethyl 36 phenethyl dimethylaminomethyl 37 methyl carboxy 38 ethyl carboxy 39 isopropyl carboxy 40 2-(methyl)propyl carboxy 41 phenyl carboxy 42 benzyl carboxy 43 phenethyl carboxy 44 methyl —CONH2 45 methyl —CONHMe 46 methyl CONMe2 47 methyl methoxymethyl 48 methyl phenoxymethyl 49 methyl benzyloxymethyl 50 methyl carbamoylmethyl 51 methyl carbamoylmethyl 52 methyl aminomethyl 53 methyl N-(methyl)aminomethyl 54 methyl N-(dimethyl)aminomethyl 55 methyl N-(benzyl)aminomethyl 56 methyl acetamidomethyl 57 methyl benzamidomethyl 58 methyl methanesulfonamidomethyl 59 methyl benzenesulfonamidomethyl 60 methyl phenylmethylsulfonamidomethyl 61 methyl N′-ethylureidomethyl 62 methyl N′-phenylureidomethyl 63 methyl —CH2OCH2CH2Ph 64 methyl —CONHPh 65 methyl —CONHBn 66 methyl —CH2OCH2(4-MePh) 67 methyl —CH2OCH2(4-FPh) 68 methyl —CH2OCH2(4-ClPh) 69 methyl —CH2OCH2(3-ClPh) 70 methyl —CH2O(4-MePh) 71 methyl —CH2O(4-FPh) 72 methyl —CH2O(4-ClPh) 73 methyl —CH2O(3-ClPh) 74 ethyl —CONH2 75 ethyl —CONHMe 76 ethyl CONMe2 77 ethyl methoxymethyl 78 ethyl phenoxymethyl 79 ethyl benzyloxymethyl 80 ethyl carbamoyl 81 ethyl carbamoylmethyl 82 ethyl aminomethyl 83 ethyl N-(methyl)aminomethyl 84 ethyl N-(dimethyl)aminomethyl 85 ethyl N-(benzyl)aminomethyl 86 ethyl acetamidomethyl 87 ethyl benzamidomethyl 88 ethyl methanesulfonamidomethyl 89 ethyl benzenesulfonamidomethyl 90 ethyl phenylmethylsulfonamidomethyl 91 ethyl N′-ethylureidomethyl 92 ethyl N′-phenylureidomethyl 93 ethyl —CH2OCH2CH2Ph 94 ethyl —CONHPh 95 ethyl —CONHBn 96 ethyl —CH2OCH2(4-MePh) 97 ethyl —CH2OCH2(4-FPh) 98 ethyl —CH2OCH2(4-ClPh) 99 ethyl —CH2OCH2(3-ClPh) 100 ethyl —CH2O(4-MePh) 101 ethyl —CH2O(4-FPh) 102 ethyl —CH2O(4-ClPh) 103 ethyl —CH2O(3-ClPh) - All publications, including but not limited to patents and patent applications, cited in this specification are herein incorporated by reference as if each individual publication were specifically and individually indicated to be incorporated by reference herein as though fully set forth.
- The above description fully discloses the invention including preferred embodiments thereof. Modifications and improvements of the embodiments specifically disclosed herein are within the scope of the following claims. Without further elaboration, it is believed that one skilled in the are can, using the preceding description, utilize the present invention to its fullest extent. Therefore, the Examples herein are to be construed as merely illustrative and not a limitation of the scope of the present invention in any way. The embodiments of the invention in which an exclusive property or privilege is claimed are defined as follows.
Claims (36)
1. A pharmaceutical composition comprising 1-(1,3-Dihydroxyprop-2-yl)-4-(4-fluorophenyl)-5-(2-phenoxypyrimidin-4-yl)imidazole, or a pharmaceutically acceptable salt thereof in a sterile aqueous solution or oily suspension.
2. The pharmaceutical composition according to claim 1 which further comprises a solvent selected from the group consisting of glycerol, diluted alcohol, and propylene glycol.
3. The pharmaceutical composition according to claim 1 which further comprises at least one of a bactericidal agent, a fungicidal agent, or a surface active agent.
4. A method of inhibiting at least one proinflammatory cytokine selected from IL-1, IL-6, IL-8, TNF-α and TNF-β in a mammalian cell comprising administering to said cell a cytokine interfering amount of 1-(1,3-Dihydroxyprop-2-yl)-4-(4-fluorophenyl)-5-(2-phenoxypyrimidin-4-yl)imidazole, or a pharmaceutically acceptable salt thereof.
5. A method of decreasing the in vivo levels of a cytokine to normal or sub-normal levels in a mammalian cell comprising administering to said cell a cytokine interfering amount of 1-(1,3-Dihydroxyprop-2-yl)-4-(4-fluorophenyl)-5-(2-phenoxypyrimidin-4-yl)imidazole, or a pharmaceutically acceptable salt thereof.
6. The method according to claim 5 wherein the cell is a natural killer cell, fibroblast, basophile, neutrophile, endothelial cell, brain astrocyte, bone marrow stromal cell, epidural keratinocyte or a B-lymphocyte.
7. A process for preparing a compound of Formula (I)
wherein
R1 is a pyrimidinyl ring, which ring is substituted with Y—Ra and optionally with an additional independent substituent selected from C1-4 alkyl, halogen, hydroxyl, C1-4 alkoxy, C1-4 alkylthio, C1-4 alkylsulfinyl, CH2OR12, amino, mono and di-C1-6 alkyl substituted amino, an N-heterocyclyl ring which ring has from 5 to 7 members and optionally contains an additional heteroatom selected from oxygen, sulfur or NR15, N(R10)C(O)Rb or NHRa;
Y is oxygen or sulfur;
R4 is phenyl, naphth-1-yl or naphth-2-yl which is optionally substituted by one or two substituents, each of which is independently selected, and which, for a 4-phenyl, 4-naphth-1-yl, 5-naphth-2-yl or 6-naphth-2-yl substituent, is halogen, cyano, nitro, C(Z)NR7R17, C(Z)OR16, (CR10R20)vCOR12, SR5, SOR5, OR12, halo-substituted-C1-4 alkyl, C1-4 alkyl, ZC(Z)R12, NR10C(Z)R16, or (CR10R20)vNR10R20 and which, for other positions of substitution, is halogen, cyano, C(Z)NR13R14, C(Z)OR3, (CR10R20)m′COR3, S(O)mR3, OR3, halo-substituted-C1-4 alkyl, C1-4 alkyl, (CR10R20)m′NR10C(Z)R3, NR10S(O)m′R8, NR10S(O)m′NR7R17, ZC(Z)R3 or (CR10R20)m′NR13R14;
Z is oxygen or sulfur;
n is an integer having a value of 1 to 10;
m is 0, or the integer 1 or 2;
m′ is an integer having a value of 1 or 2,
m″ is 0, or an integer having a value of 1 to 5;
v is 0, or an integer having a value of 1 or 2;
R2 is —C(H) (A) (R22);
A is an optionally substituted aryl, heterocyclyl, or heteroaryl ring, or A is a substituted C1-10 alkyl;
R22 is a substituted C1-10 alkyl;
Ra is aryl, arylC1-6alkyl, heterocyclic, heterocyclylC1-6 alkyl, heteroaryl, heteroarylC1-6alkyl, wherein each of these moieties may be optionally substituted;
Rb is hydrogen, C1-6 alkyl, C3-7 cycloalkyl, aryl, arylC1-4 alkyl, heteroaryl, heteroarylC1-4alkyl, heterocyclyl, or heterocyclylC1-4 alkyl, wherein each of these moieties may be optionally substituted;
R3 is heterocyclyl, heterocyclylC1-10 alkyl or R8;
R5 is hydrogen, C1-4 alkyl, C2-4 alkenyl, C2-4 alkynyl or NR7R17, excluding the moieties SR5 being SNR7R17 and SOR5 being SOH;
R7 and R17 is each independently selected from hydrogen or C1-4 alkyl or R7 and R17 together with the nitrogen to which they are attached form a heterocyclic ring of 5 to 7 members which ring optionally contains an additional heteroatom selected from oxygen, sulfur or NR15;
R8 is C1-10 alkyl, halo-substituted C1-10 alkyl, C2-10 alkenyl, C2-10 alkynyl, C3-7 cycloalkyl, C5-7 cycloalkenyl, aryl, arylC1-10 alkyl, heteroaryl, heteroarylC1-10 alkyl, (CR10R20)nOR11, (CR10R20)nS(O)mR18, (CR10R20)nNHS(O)2R18 (CR10R20)nNR13R14; wherein the aryl, arylalkyl, heteroaryl, heteroaryl alkyl may be optionally substituted;
R9 is hydrogen, C(Z)R11 or optionally substituted C1-10 alkyl, S(O)2R18, optionally substituted aryl or optionally substituted aryl-C1-4 alkyl;
R10 and R20 is each independently selected from hydrogen or C1-4 alkyl;
R11 is hydrogen, C1-10 alkyl, C3-7 cycloalkyl, heterocyclyl, heterocyclyl C1-10 alkyl, aryl, arylC1-10 alkyl, heteroaryl or heteroarylC1-10 alkyl, wherein these moieties may be optionally substituted;
R12 is hydrogen or R16;
R13 and R14 is each independently selected from hydrogen or optionally substituted C1-4 alkyl, optionally substituted aryl or optionally substituted aryl-C1-4 alkyl, or together with the nitrogen which they are attached form a heterocyclic ring of 5 to 7 members which ring optionally contains an additional heteroatom selected from oxygen, sulfur or NR9;
R15 is R10 or C(Z)-C1-4 alkyl;
R16 is C1-4 alkyl, halo-substituted-C1-4 alkyl, or C3-7 cycloalkyl;
R18 is C1-10 alkyl, C3-7 cycloalkyl, heterocyclyl, aryl, aryl1-10alkyl, heterocyclyl, heterocyclyl-C1-10alkyl, heteroaryl or heteroaryl1-10alkyl;
or a pharmaceutically acceptable salt thereof, which comprises reacting a compound of Formula (X):
wherein R1, R2 and R4 are as defined for Formula (I) above or are precursors of the groups R1, R2 and R4, with phosphorus oxychloride or phosphorus pentachloride to yield a compound of Formula (I) and thereafter if necessary, converting a precursor of R1, R2 and R4 to the group R1, R2 and R4.
8. The process according to claim 7 wherein the compound of Formula (I) is:
1-(1,3-Dihydroxyprop-2-yl)-4-(4-fluorophenyl)-5-(2-phenoxypyrimidin-4-yl)imidazole;
or a pharmaceutically acceptable salt thereof.
9. The process according to claim 7 wherein R1 is a 4-pyrimidinyl ring substituted in the 2-position.
10. The process according to claim 7 wherein Y is oxygen, and the Ra moiety is an optionally substituted aryl or arylalkyl.
11. The process according to claim 9 wherein Y is oxygen, and the Ra moiety is an optionally substituted aryl or arylalkyl.
12. The process according to claim 11 wherein the Ra is phenyl.
13. The process according to claim 7 wherein R4 is an optionally substituted phenyl.
14. The process according to claim 13 wherein the phenyl is substituted one or more times independently by halogen, SR5, S(O)R5, OR12, halo-substituted-C1-4 alkyl, or C1-4 alkyl.
15. The process according to claim 14 wherein the phenyl is substituted in the 4-position.
16. The process according to claim 15 wherein the 4-position is substituted by halogen.
17. The process according to claim 16 wherein the halogen is fluoro.
18. The process according to claim 7 wherein A is an optionally substituted C1-10 alkyl.
19. The process according to claim 18 wherein A is a hydroxy substituted C1-10 alkyl.
20. The process according to claim 7 wherein R22 is a hydroxy substituted C1-10 alkyl.
21. The process according to claim 19 wherein R22 is a hydroxy substituted C1-10 alkyl.
22. The process according to claim 7 wherein R2 is a 1,3-propanediol.
23. A compound of Formula (X)
wherein
R2 is a 1,3-propanediol;
R1 is a pyrimidinyl substituted by Y—Ra;
Y is oxygen or sulfur;
Ra is an aryl, arylC1-6alkyl, heterocyclic, heterocyclylC1-6 alkyl, heteroaryl, heteroarylC1-6alkyl moiety and wherein each of these moieties may be optionally substituted;
R4 is phenyl, naphth-1-yl or naphth-2-yl which is optionally substituted by one or two substituents, each of which is independently selected, and which, for a 4-phenyl, 4-naphth-1-yl, 5-naphth-2-yl or 6-naphth-2-yl substituent, is halogen, cyano, nitro, C(Z)NR7R17, C(Z)OR16, (CR10R20)vCOR12, SR5, SOR5, OR12, halo-substituted-C1-4 alkyl, C1-4 alkyl, ZC(Z)R12, NR10C(Z)R16, or (CR10R20)vNR10R20 and which, for other positions of substitution, is halogen, cyano, C(Z)NR13R14, C(Z)OR3, (CR10R20)m′COR3, S(O)mR3, OR3, halo-substituted-C1-4 alkyl, C1-4 alkyl, (CR10R20)m′NR10C(Z)R3, NR10S(O)m′R8, NR10S(O)m′NR7R7, ZC(Z)R3 or (CR10R20)m′NR13R14.
24. The compound according to claim 23 wherein R1 is a 4-pyrimidinyl ring substituted in the 2-position, and Y is oxygen.
25. The compound according to claim 24 wherein Ra moiety is an optionally substituted aryl or arylalkyl.
26. The compound according to claim 25 wherein Ra is phenyl.
27. The compound according to claim 23 wherein R4 is an optionally substituted phenyl.
28. The compound according to claim 27 wherein R4 is a phenyl substituted in the 4-position by halogen.
29. The compound according to claim 27 wherein R4 is 4-fluorophenyl.
30. A compound of the formula
wherein
R2 is a 1,3-propanediol;
R1 is a pyrimidinyl substituted by Y—Ra;
Y is oxygen or sulfur;
Ra is an aryl, arylC1-6alkyl, heterocyclic, heterocyclylC1-6 alkyl, heteroaryl, heteroarylC1-6alkyl moiety and wherein each of these moieties may be optionally substituted;
R4 is phenyl, naphth-1-yl or naphth-2-yl which is optionally substituted by one or two substituents, each of which is independently selected, and which, for a 4-phenyl, 4-naphth-1-yl, 5-naphth-2-yl or 6-naphth-2-yl substituent, is halogen, cyano, nitro, C(Z)NR7R17, C(Z)OR16, (CR10R20)vCOR12, SR5, SOR5, OR12, halo-substituted-C1-4 alkyl, C1-4 alkyl, ZC(Z)R12, NR10C(Z)R16, or (CR10R20)vNR10R20 and which, for other positions of substitution, is halogen, cyano, C(Z)NR13R14, C(Z)OR3, (CR10R20)m′COR3, S(O)mR3, OR3, halo-substituted-C1-4 alkyl, C1-4 alkyl, (CR10R20)m′NR10C(Z)R3, NR10S(O)m′R8, NR10S(O)m′NR7R7, ZC(Z)R3 or (CR10R20)m′NR13R14.
31. The compound according to claim 30 wherein R1 is a 4-pyrimidinyl ring substituted in the 2-position, and Y is oxygen.
32. The compound according to claim 31 wherein Ra moiety is an optionally substituted aryl or arylalkyl.
33. The compound according to claim 25 wherein Ra is phenyl.
34. The compound according to claim 30 wherein R4 is an optionally substituted phenyl.
35. The compound according to claim 34 wherein R4 is a phenyl substituted in the 4-position by halogen.
36. The compound according to claim 35 wherein R4 is 4-fluorophenyl.
Priority Applications (1)
| Application Number | Priority Date | Filing Date | Title |
|---|---|---|---|
| US11/943,827 US20080114010A1 (en) | 1997-07-02 | 2007-11-21 | Novel Substituted Imidazole Compounds |
Applications Claiming Priority (5)
| Application Number | Priority Date | Filing Date | Title |
|---|---|---|---|
| US5159297P | 1997-07-02 | 1997-07-02 | |
| US09/446,147 US6489325B1 (en) | 1998-07-01 | 1998-07-01 | Substituted imidazole compounds |
| PCT/US1998/013809 WO1999001130A1 (en) | 1997-07-02 | 1998-07-01 | Novel substituted imidazole compounds |
| US10/147,530 US7301021B2 (en) | 1997-07-02 | 2002-05-17 | Substituted imidazole compounds |
| US11/943,827 US20080114010A1 (en) | 1997-07-02 | 2007-11-21 | Novel Substituted Imidazole Compounds |
Related Parent Applications (1)
| Application Number | Title | Priority Date | Filing Date |
|---|---|---|---|
| US10/147,530 Division US7301021B2 (en) | 1997-07-02 | 2002-05-17 | Substituted imidazole compounds |
Publications (1)
| Publication Number | Publication Date |
|---|---|
| US20080114010A1 true US20080114010A1 (en) | 2008-05-15 |
Family
ID=26729603
Family Applications (2)
| Application Number | Title | Priority Date | Filing Date |
|---|---|---|---|
| US10/147,530 Expired - Fee Related US7301021B2 (en) | 1997-07-02 | 2002-05-17 | Substituted imidazole compounds |
| US11/943,827 Abandoned US20080114010A1 (en) | 1997-07-02 | 2007-11-21 | Novel Substituted Imidazole Compounds |
Family Applications Before (1)
| Application Number | Title | Priority Date | Filing Date |
|---|---|---|---|
| US10/147,530 Expired - Fee Related US7301021B2 (en) | 1997-07-02 | 2002-05-17 | Substituted imidazole compounds |
Country Status (1)
| Country | Link |
|---|---|
| US (2) | US7301021B2 (en) |
Families Citing this family (10)
| Publication number | Priority date | Publication date | Assignee | Title |
|---|---|---|---|---|
| AR039241A1 (en) * | 2002-04-04 | 2005-02-16 | Biogen Inc | HETEROARILOS TRISUSTITUIDOS AND METHODS FOR ITS PRODUCTION AND USE OF THE SAME |
| UA80295C2 (en) * | 2002-09-06 | 2007-09-10 | Biogen Inc | Pyrazolopyridines and using the same |
| JP6669499B2 (en) | 2013-02-15 | 2020-03-18 | カラ ファーマシューティカルズ インコーポレイテッド | Therapeutic compounds |
| CA2900680C (en) | 2013-02-20 | 2021-08-10 | Kala Pharmaceuticals, Inc. | Quinoline and quinazoline compounds and uses thereof for treating and/or preventing diseases |
| US9688688B2 (en) | 2013-02-20 | 2017-06-27 | Kala Pharmaceuticals, Inc. | Crystalline forms of 4-((4-((4-fluoro-2-methyl-1H-indol-5-yl)oxy)-6-methoxyquinazolin-7-yl)oxy)-1-(2-oxa-7-azaspiro[3.5]nonan-7-yl)butan-1-one and uses thereof |
| AU2014342042B2 (en) | 2013-11-01 | 2017-08-17 | KALA BIO, Inc. | Crystalline forms of therapeutic compounds and uses thereof |
| US9890173B2 (en) | 2013-11-01 | 2018-02-13 | Kala Pharmaceuticals, Inc. | Crystalline forms of therapeutic compounds and uses thereof |
| CA3036065A1 (en) | 2016-09-08 | 2018-03-15 | Kala Pharmaceuticals, Inc. | Crystalline forms of therapeutic compounds and uses thereof |
| AU2017324713B2 (en) | 2016-09-08 | 2020-08-13 | KALA BIO, Inc. | Crystalline forms of therapeutic compounds and uses thereof |
| CA3036340A1 (en) | 2016-09-08 | 2018-03-15 | Kala Pharmaceuticals, Inc. | Crystalline forms of therapeutic compounds and uses thereof |
Citations (18)
| Publication number | Priority date | Publication date | Assignee | Title |
|---|---|---|---|---|
| US2833779A (en) * | 1956-10-29 | 1958-05-06 | American Cyanamid Co | Substituted pyrazoles |
| US3707475A (en) * | 1970-11-16 | 1972-12-26 | Pfizer | Antiinflammatory imidazoles |
| US3929807A (en) * | 1971-05-10 | 1975-12-30 | Ciba Geigy Corp | 2-Substituted-4(5)-(aryl)-5(4)-(2,3 or -4-pyridyl)-imidazoles |
| US3940486A (en) * | 1971-05-10 | 1976-02-24 | Ciba-Geigy Corporation | Imidazole derivatives in the treatment of pain |
| US4058614A (en) * | 1973-12-04 | 1977-11-15 | Merck & Co., Inc. | Substituted imidazole compounds and therapeutic compositions therewith |
| US4199592A (en) * | 1978-08-29 | 1980-04-22 | E. I. Du Pont De Nemours And Company | Antiinflammatory 4,5-diaryl-2-nitroimidazoles |
| US4447431A (en) * | 1980-07-25 | 1984-05-08 | Ciba-Geigy Corporation | Tri-substituted imidazole derivatives, pharmaceutical preparations containing them, and their use |
| US4503065A (en) * | 1982-08-03 | 1985-03-05 | E. I. Du Pont De Nemours And Company | Antiinflammatory 4,5-diaryl 1-2-halo imidazoles |
| US4565875A (en) * | 1984-06-27 | 1986-01-21 | Fmc Corporation | Imidazole plant growth regulators |
| US4686231A (en) * | 1985-12-12 | 1987-08-11 | Smithkline Beckman Corporation | Inhibition of 5-lipoxygenase products |
| US4822805A (en) * | 1986-08-15 | 1989-04-18 | Fujisawa Pharmaceutical Co., Ltd. | Pyridyl-imidazole compounds which have useful pharmaceutical activity |
| US5593992A (en) * | 1993-07-16 | 1997-01-14 | Smithkline Beecham Corporation | Compounds |
| US5756499A (en) * | 1996-01-11 | 1998-05-26 | Smithkline Beecham Corporation | Substituted imidazole compounds |
| US5777097A (en) * | 1993-09-17 | 1998-07-07 | Smithkline Beecham Corporation | Oligonucleotides comprising a region of a cytokine suppressive anti-inflammatory drug binding protein |
| US5783664A (en) * | 1993-09-17 | 1998-07-21 | Smithkline Beecham Corporation | Cytokine suppressive anit-inflammatory drug binding proteins |
| US5869043A (en) * | 1993-09-17 | 1999-02-09 | Smithkline Beecham Corporation | Drug binding protein |
| US5916891A (en) * | 1992-01-13 | 1999-06-29 | Smithkline Beecham Corporation | Pyrimidinyl imidazoles |
| US6361773B1 (en) * | 1993-09-17 | 2002-03-26 | Smithkline Beecham Corporation | Antibodies produced against cytokine suppressive anti-inflammatory drug binding proteins |
Family Cites Families (68)
| Publication number | Priority date | Publication date | Assignee | Title |
|---|---|---|---|---|
| CA2084290A1 (en) | 1990-06-12 | 1991-12-13 | Jerry L. Adams | Inhibition of 5-lipoxygenase and cyclooxygenase pathway mediated diseases |
| FR2665898B1 (en) | 1990-08-20 | 1994-03-11 | Sanofi | DERIVATIVES OF AMIDO-3 PYRAZOLE, PROCESS FOR THEIR PREPARATION AND PHARMACEUTICAL COMPOSITIONS CONTAINING THEM. |
| CA2098177A1 (en) | 1990-12-13 | 1992-06-13 | Jerry L. Adams | Csaids |
| AU9169991A (en) | 1990-12-13 | 1992-07-08 | Smithkline Beecham Corporation | Novel csaids |
| DE69322254T2 (en) | 1992-01-13 | 1999-04-29 | Smithkline Beecham Corp., Philadelphia, Pa. 19101 | PYRIDYL SUBSTITUTED IMIDAZOLES |
| MX9300141A (en) | 1992-01-13 | 1994-07-29 | Smithkline Beecham Corp | NOVEL IMIDAZOLE COMPOUNDS, PROCEDURE FOR THE PREPARATION AND PHARMACEUTICAL COMPOSITIONS CONTAINING IT. |
| IL110296A (en) | 1993-07-16 | 1999-12-31 | Smithkline Beecham Corp | Imidazole compounds process for their preparation and pharmaceutical compositions containing them |
| AU7629594A (en) | 1993-07-21 | 1995-02-20 | Smithkline Beecham Corporation | Imidazoles for treating cytokine mediated disease |
| EP1306377A3 (en) | 1993-11-08 | 2003-05-07 | Smithkline Beecham Corporation | Pyridyl-oxazoles and their use as cytokines inhibitors |
| US5559137A (en) | 1994-05-16 | 1996-09-24 | Smithkline Beecham Corp. | Compounds |
| CA2210322A1 (en) | 1995-01-12 | 1996-07-18 | Smithkline Beecham Corporation | Novel compounds |
| IL118544A (en) | 1995-06-07 | 2001-08-08 | Smithkline Beecham Corp | Imidazole derivatives, process for their preparation and pharmaceutical compositions comprising them |
| JPH11510511A (en) | 1995-08-10 | 1999-09-14 | メルク エンド カンパニー インコーポレーテッド | 2,5-Substituted arylpyrroles, compositions containing this compound and methods of use |
| CA2228136A1 (en) | 1995-08-10 | 1997-02-20 | Merck & Co., Inc. | 2-substituted aryl pyrroles, compositions containing such compounds and methods of use |
| ATE433446T1 (en) | 1995-10-06 | 2009-06-15 | Merck & Co Inc | SUBSTITUTED IMIDAZOLES WITH ANTI-CANCER AND CYTOKIN-INHIBITING EFFECTS |
| WO1997016442A1 (en) | 1995-10-31 | 1997-05-09 | Merck & Co., Inc. | Substituted pyridyl pyrroles, compositions containing such compounds and methods of use |
| WO1997016426A1 (en) | 1995-10-31 | 1997-05-09 | Merck & Co., Inc. | Substituted aryl pyrroles, compositions containing such compounds and methods of use |
| WO1997016441A1 (en) | 1995-10-31 | 1997-05-09 | Merck & Co., Inc. | Substituted aryl pyrroles, compositions containing such compounds and methods of use |
| ZA9610687B (en) | 1995-12-22 | 1997-09-29 | Smithkline Beecham Corp | Novel synthesis. |
| ZA97175B (en) | 1996-01-11 | 1997-11-04 | Smithkline Beecham Corp | Novel substituted imidazole compounds. |
| WO1997025047A1 (en) | 1996-01-11 | 1997-07-17 | Smithkline Beecham Corporation | Novel cycloalkyl substituded imidazoles |
| AP9700912A0 (en) | 1996-01-11 | 1997-01-31 | Smithkline Beecham Corp | Novel cycloalkyl substituted imidazoles |
| JP2000507224A (en) | 1996-03-08 | 2000-06-13 | スミスクライン・ビーチャム・コーポレイション | Use of CSAID compounds as inhibitors of angiogenesis |
| EP0888335A4 (en) | 1996-03-13 | 2002-01-02 | Smithkline Beecham Corp | Novel pyrimidine compounds useful in treating cytokine mediated diseases |
| JP2000507545A (en) | 1996-03-25 | 2000-06-20 | スミスクライン・ビーチャム・コーポレイション | Novel treatment for CNS injury |
| EP0889888A4 (en) | 1996-03-25 | 2003-01-08 | Smithkline Beecham Corp | Novel treatment for cns injuries |
| WO1997036587A1 (en) | 1996-04-03 | 1997-10-09 | Merck & Co., Inc. | A method of treating cancer |
| EP0906307B1 (en) | 1996-06-10 | 2005-04-27 | Merck & Co., Inc. | Substituted imidazoles having cytokine inhibitory activity |
| WO1998007425A1 (en) | 1996-08-21 | 1998-02-26 | Smithkline Beecham Corporation | Imidazole compounds, compositions and use |
| WO1998016230A1 (en) | 1996-10-17 | 1998-04-23 | Smithkline Beecham Corporation | Methods for reversibly inhibiting myelopoiesis in mammalian tissue |
| EP0959886A4 (en) | 1996-11-20 | 2001-05-02 | Merck & Co Inc | TRIARYL SUBSTITUTED IMIDAZOLES AS GLUCAGON ANTAGONISTS |
| PT1028954E (en) | 1997-04-24 | 2003-11-28 | Ortho Mcneil Pharm Inc | IMIDAZOLES SUBSTITUIDOS UTEIS IN THE TREATMENT OF INFLAMMATORY DISEASES |
| US6514977B1 (en) | 1997-05-22 | 2003-02-04 | G.D. Searle & Company | Substituted pyrazoles as p38 kinase inhibitors |
| CA2288787A1 (en) | 1997-05-22 | 1998-11-26 | G.D. Searle And Co. | Pyrazole derivatives as p38 kinase inhibitors |
| WO1998052940A1 (en) | 1997-05-22 | 1998-11-26 | G.D. Searle And Co. | SUBSTITUTED PYRAZOLES AS p38 KINASE INHIBITORS |
| US5932576A (en) | 1997-05-22 | 1999-08-03 | G. D. Searle & Company | 3(5)-heteroaryl substituted pyrazoles as p38 kinase inhibitors |
| PT988301E (en) | 1997-06-12 | 2006-10-31 | Aventis Pharma Ltd | CICID ACIDS OF IMIDAZOLYL |
| CA2294057A1 (en) | 1997-06-13 | 1998-12-17 | Smithkline Beecham Corporation | Novel pyrazole and pyrazoline substituted compounds |
| WO1998057966A1 (en) | 1997-06-19 | 1998-12-23 | Smithkline Beecham Corporation | Novel aryloxy substituted pyrimidine imidazole compounds |
| JP2002515915A (en) | 1997-06-30 | 2002-05-28 | オーソ−マクニール・フアーマシユーチカル・インコーポレーテツド | 2-Substituted imidazoles useful in treating inflammatory diseases |
| GB9713726D0 (en) | 1997-06-30 | 1997-09-03 | Ciba Geigy Ag | Organic compounds |
| US6251914B1 (en) | 1997-07-02 | 2001-06-26 | Smithkline Beecham Corporation | Cycloalkyl substituted imidazoles |
| AR016294A1 (en) | 1997-07-02 | 2001-07-04 | Smithkline Beecham Corp | IMIDAZOL SUBSTITUTE COMPOSITE, PHARMACEUTICAL COMPOSITION CONTAINING IT, ITS USE IN THE MANUFACTURE OF A MEDICINAL PRODUCT AND PROCEDURE FOR SUPREPARATION |
| TW517055B (en) | 1997-07-02 | 2003-01-11 | Smithkline Beecham Corp | Novel substituted imidazole compounds |
| EP1041989A4 (en) | 1997-10-08 | 2002-11-20 | Smithkline Beecham Corp | Novel cycloalkenyl substituted compounds |
| AU9449398A (en) | 1997-10-10 | 1999-05-03 | Imperial College Innovations Ltd. | Use of csaidtm compounds for the management of uterine contractions |
| EP1037639A4 (en) | 1997-12-19 | 2002-04-17 | Smithkline Beecham Corp | Compounds of heteroaryl substituted imidazole, their pharmaceutical compositions and uses |
| WO1999032110A1 (en) | 1997-12-22 | 1999-07-01 | Bayer Corporation | INHIBITION OF p38 KINASE ACTIVITY USING ARYL AND HETEROARYL SUBSTITUTED HETEROCYCLIC UREAS |
| US6162613A (en) | 1998-02-18 | 2000-12-19 | Vertex Pharmaceuticals, Inc. | Methods for designing inhibitors of serine/threonine-kinases and tyrosine kinases |
| EP1076692A2 (en) | 1998-05-04 | 2001-02-21 | Vertex Pharmaceuticals Incorporated | Crystallizable jnk complexes |
| YU67600A (en) | 1998-05-05 | 2003-07-07 | F.Hofmann - La Roche Ag. | Pyrazole derivatives as p-38 map kinase inhibitors |
| GB9809869D0 (en) | 1998-05-09 | 1998-07-08 | Medical Res Council | Inhibition of protein kinases |
| EP1077971A1 (en) | 1998-05-14 | 2001-02-28 | G.D. SEARLE & CO. | 1,5-DIARYL SUBSTITUTED PYRAZOLES AS p38 KINASE INHIBITORS |
| CN1302296A (en) | 1998-05-22 | 2001-07-04 | 史密丝克莱恩比彻姆公司 | Novel 2-alkyl substituted imidazole compounds |
| EP1082320A4 (en) | 1998-05-26 | 2001-11-21 | Smithkline Beecham Corp | Novel substituted imidazole compounds |
| WO2000001688A1 (en) | 1998-07-02 | 2000-01-13 | Sankyo Company, Limited | Five-membered heteroaryl compounds |
| US6207687B1 (en) | 1998-07-31 | 2001-03-27 | Merck & Co., Inc. | Substituted imidazoles having cytokine inhibitory activity |
| ATE266399T1 (en) | 1998-08-20 | 2004-05-15 | Smithkline Beecham Corp | NEW SUBSTITUTED TRIAZOLE COMPOUNDS |
| WO2000017175A1 (en) | 1998-09-18 | 2000-03-30 | Vertex Pharmaceuticals Incorporated | INHIBITORS OF p38 |
| CA2346665A1 (en) | 1998-10-07 | 2000-04-13 | Smithkline Beecham Corporation | Novel treatment for stroke management |
| EP1261334A1 (en) | 1998-10-20 | 2002-12-04 | Omeros Corporation | Irrigation solution containing mapk inhibitors and their use for treating pain and inflammation |
| WO2000026209A1 (en) | 1998-11-03 | 2000-05-11 | Novartis Ag | Anti-inflammatory 4-phenyl-5-pyrimidinyl-imidazoles |
| US6350744B1 (en) | 1998-11-20 | 2002-02-26 | Merck & Co., Inc. | Compounds having cytokine inhibitory activity |
| WO2000039116A1 (en) | 1998-12-25 | 2000-07-06 | Teikoku Hormone Mfg. Co., Ltd. | Aminopyrazole derivatives |
| UA73492C2 (en) | 1999-01-19 | 2005-08-15 | Aromatic heterocyclic compounds as antiinflammatory agents | |
| JP2000281588A (en) | 1999-03-30 | 2000-10-10 | Sankyo Co Ltd | Prophylactic or therapeutic agent for cancer and method for screening same |
| ATE296820T1 (en) | 1999-06-03 | 2005-06-15 | Teikoku Hormone Mfg Co Ltd | SUBSTITUTED PYRAZOLE DERIVATIVES |
| WO2001019322A2 (en) | 1999-09-17 | 2001-03-22 | Smithkline Beecham Corporation | Use of csaids in rhinovirus infection |
-
2002
- 2002-05-17 US US10/147,530 patent/US7301021B2/en not_active Expired - Fee Related
-
2007
- 2007-11-21 US US11/943,827 patent/US20080114010A1/en not_active Abandoned
Patent Citations (21)
| Publication number | Priority date | Publication date | Assignee | Title |
|---|---|---|---|---|
| US2833779A (en) * | 1956-10-29 | 1958-05-06 | American Cyanamid Co | Substituted pyrazoles |
| US3707475A (en) * | 1970-11-16 | 1972-12-26 | Pfizer | Antiinflammatory imidazoles |
| US3772441A (en) * | 1970-11-16 | 1973-11-13 | Pfizer | Anti-inflammatory imidazoles |
| US3929807A (en) * | 1971-05-10 | 1975-12-30 | Ciba Geigy Corp | 2-Substituted-4(5)-(aryl)-5(4)-(2,3 or -4-pyridyl)-imidazoles |
| US3940486A (en) * | 1971-05-10 | 1976-02-24 | Ciba-Geigy Corporation | Imidazole derivatives in the treatment of pain |
| US4058614A (en) * | 1973-12-04 | 1977-11-15 | Merck & Co., Inc. | Substituted imidazole compounds and therapeutic compositions therewith |
| US4199592A (en) * | 1978-08-29 | 1980-04-22 | E. I. Du Pont De Nemours And Company | Antiinflammatory 4,5-diaryl-2-nitroimidazoles |
| US4447431A (en) * | 1980-07-25 | 1984-05-08 | Ciba-Geigy Corporation | Tri-substituted imidazole derivatives, pharmaceutical preparations containing them, and their use |
| US4503065A (en) * | 1982-08-03 | 1985-03-05 | E. I. Du Pont De Nemours And Company | Antiinflammatory 4,5-diaryl 1-2-halo imidazoles |
| US4565875A (en) * | 1984-06-27 | 1986-01-21 | Fmc Corporation | Imidazole plant growth regulators |
| US4686231A (en) * | 1985-12-12 | 1987-08-11 | Smithkline Beckman Corporation | Inhibition of 5-lipoxygenase products |
| US4822805A (en) * | 1986-08-15 | 1989-04-18 | Fujisawa Pharmaceutical Co., Ltd. | Pyridyl-imidazole compounds which have useful pharmaceutical activity |
| US5916891A (en) * | 1992-01-13 | 1999-06-29 | Smithkline Beecham Corporation | Pyrimidinyl imidazoles |
| US5593992A (en) * | 1993-07-16 | 1997-01-14 | Smithkline Beecham Corporation | Compounds |
| US5777097A (en) * | 1993-09-17 | 1998-07-07 | Smithkline Beecham Corporation | Oligonucleotides comprising a region of a cytokine suppressive anti-inflammatory drug binding protein |
| US5783664A (en) * | 1993-09-17 | 1998-07-21 | Smithkline Beecham Corporation | Cytokine suppressive anit-inflammatory drug binding proteins |
| US5869043A (en) * | 1993-09-17 | 1999-02-09 | Smithkline Beecham Corporation | Drug binding protein |
| US6361773B1 (en) * | 1993-09-17 | 2002-03-26 | Smithkline Beecham Corporation | Antibodies produced against cytokine suppressive anti-inflammatory drug binding proteins |
| US5756499A (en) * | 1996-01-11 | 1998-05-26 | Smithkline Beecham Corporation | Substituted imidazole compounds |
| US5864036A (en) * | 1996-01-11 | 1999-01-26 | Smithkline Beecham Corporation | Substituted imidazole compounds |
| US5977103A (en) * | 1996-01-11 | 1999-11-02 | Smithkline Beecham Corporation | Substituted imidazole compounds |
Also Published As
| Publication number | Publication date |
|---|---|
| US20030114452A1 (en) | 2003-06-19 |
| US7301021B2 (en) | 2007-11-27 |
Similar Documents
| Publication | Publication Date | Title |
|---|---|---|
| US6569871B1 (en) | Substituted imidazole compounds | |
| EP1014976B1 (en) | Novel substituted imidazole compounds | |
| US6251914B1 (en) | Cycloalkyl substituted imidazoles | |
| US6046208A (en) | Substituted imidazole compounds | |
| EP1112070B1 (en) | Novel substituted triazole compounds | |
| US6214844B1 (en) | Substituted imidazole compounds | |
| EP0900083B1 (en) | Novel substituted imidazole compounds | |
| US6610695B1 (en) | Aryloxy substituted pyrimidine imidazole compounds | |
| US6861417B2 (en) | Pyridin-4-YL or pyrimidin-4-YL substituted pyrazines | |
| US6469018B1 (en) | Compounds | |
| US20080114010A1 (en) | Novel Substituted Imidazole Compounds | |
| US6362193B1 (en) | Cycloalkenyl substituted compounds | |
| US6489325B1 (en) | Substituted imidazole compounds | |
| US6562832B1 (en) | Substituted imidazole compounds | |
| AU737637C (en) | Novel substituted imidazole compounds | |
| MXPA00000151A (en) | Novel substituted imidazole compounds | |
| AU9333301A (en) | Novel substituted imidazole compounds |
Legal Events
| Date | Code | Title | Description |
|---|---|---|---|
| STCB | Information on status: application discontinuation |
Free format text: ABANDONED -- FAILURE TO RESPOND TO AN OFFICE ACTION |



















