US20070278459A1 - Photosensitive organic semiconductor compositions - Google Patents
Photosensitive organic semiconductor compositions Download PDFInfo
- Publication number
- US20070278459A1 US20070278459A1 US11/838,400 US83840007A US2007278459A1 US 20070278459 A1 US20070278459 A1 US 20070278459A1 US 83840007 A US83840007 A US 83840007A US 2007278459 A1 US2007278459 A1 US 2007278459A1
- Authority
- US
- United States
- Prior art keywords
- type
- pigment
- organic semiconductor
- electron donor
- photosensitive organic
- Prior art date
- Legal status (The legal status is an assumption and is not a legal conclusion. Google has not performed a legal analysis and makes no representation as to the accuracy of the status listed.)
- Abandoned
Links
- 239000004065 semiconductor Substances 0.000 title claims abstract description 122
- 239000000203 mixture Substances 0.000 title claims abstract description 99
- 239000000049 pigment Substances 0.000 claims abstract description 146
- 229920001940 conductive polymer Polymers 0.000 claims abstract description 56
- 239000002322 conducting polymer Substances 0.000 claims abstract description 55
- 239000013078 crystal Substances 0.000 claims description 25
- 239000011230 binding agent Substances 0.000 claims description 23
- -1 paraphenylvinylenes Polymers 0.000 claims description 20
- 238000010521 absorption reaction Methods 0.000 claims description 18
- 239000002245 particle Substances 0.000 claims description 18
- 239000002904 solvent Substances 0.000 claims description 15
- 229920000547 conjugated polymer Polymers 0.000 claims description 11
- 230000005855 radiation Effects 0.000 claims description 5
- 229920003240 metallophthalocyanine polymer Polymers 0.000 claims description 4
- 229920000767 polyaniline Polymers 0.000 claims description 4
- 229920000123 polythiophene Polymers 0.000 claims description 4
- 229920003243 conjugated conducting polymer Polymers 0.000 claims description 3
- 150000004032 porphyrins Chemical class 0.000 claims description 2
- 125000005264 aryl amine group Chemical group 0.000 claims 1
- 229920000642 polymer Polymers 0.000 description 64
- 239000000463 material Substances 0.000 description 54
- 239000010410 layer Substances 0.000 description 40
- YMWUJEATGCHHMB-UHFFFAOYSA-N Dichloromethane Chemical compound ClCCl YMWUJEATGCHHMB-UHFFFAOYSA-N 0.000 description 36
- 239000006185 dispersion Substances 0.000 description 36
- YXFVVABEGXRONW-UHFFFAOYSA-N Toluene Chemical compound CC1=CC=CC=C1 YXFVVABEGXRONW-UHFFFAOYSA-N 0.000 description 30
- 239000010408 film Substances 0.000 description 23
- 238000000034 method Methods 0.000 description 21
- 239000011324 bead Substances 0.000 description 16
- 239000011521 glass Substances 0.000 description 15
- 238000003801 milling Methods 0.000 description 15
- 230000005693 optoelectronics Effects 0.000 description 14
- 239000002002 slurry Substances 0.000 description 14
- 238000000576 coating method Methods 0.000 description 13
- 230000003287 optical effect Effects 0.000 description 13
- 239000010409 thin film Substances 0.000 description 13
- 239000011248 coating agent Substances 0.000 description 12
- 239000011368 organic material Substances 0.000 description 10
- 230000009467 reduction Effects 0.000 description 10
- 238000002835 absorbance Methods 0.000 description 9
- 238000002360 preparation method Methods 0.000 description 9
- 230000003595 spectral effect Effects 0.000 description 9
- 238000004528 spin coating Methods 0.000 description 9
- 230000005670 electromagnetic radiation Effects 0.000 description 8
- 229910052751 metal Inorganic materials 0.000 description 8
- 239000002184 metal Substances 0.000 description 8
- 230000037230 mobility Effects 0.000 description 8
- 238000012545 processing Methods 0.000 description 8
- 229920001577 copolymer Polymers 0.000 description 7
- 230000031700 light absorption Effects 0.000 description 7
- IEQIEDJGQAUEQZ-UHFFFAOYSA-N phthalocyanine Chemical compound N1C(N=C2C3=CC=CC=C3C(N=C3C4=CC=CC=C4C(=N4)N3)=N2)=C(C=CC=C2)C2=C1N=C1C2=CC=CC=C2C4=N1 IEQIEDJGQAUEQZ-UHFFFAOYSA-N 0.000 description 7
- 229920003023 plastic Polymers 0.000 description 7
- 239000004033 plastic Substances 0.000 description 7
- 239000007787 solid Substances 0.000 description 7
- XLYOFNOQVPJJNP-UHFFFAOYSA-N water Substances O XLYOFNOQVPJJNP-UHFFFAOYSA-N 0.000 description 7
- KFZMGEQAYNKOFK-UHFFFAOYSA-N Isopropanol Chemical compound CC(C)O KFZMGEQAYNKOFK-UHFFFAOYSA-N 0.000 description 6
- OKKJLVBELUTLKV-UHFFFAOYSA-N Methanol Chemical compound OC OKKJLVBELUTLKV-UHFFFAOYSA-N 0.000 description 6
- 238000002848 electrochemical method Methods 0.000 description 6
- 229920003227 poly(N-vinyl carbazole) Polymers 0.000 description 6
- 229920000553 poly(phenylenevinylene) Polymers 0.000 description 6
- 230000008569 process Effects 0.000 description 6
- 238000000137 annealing Methods 0.000 description 5
- 238000006243 chemical reaction Methods 0.000 description 5
- 238000009792 diffusion process Methods 0.000 description 5
- 150000002739 metals Chemical class 0.000 description 5
- 239000000758 substrate Substances 0.000 description 5
- UBOXGVDOUJQMTN-UHFFFAOYSA-N 1,1,2-trichloroethane Chemical compound ClCC(Cl)Cl UBOXGVDOUJQMTN-UHFFFAOYSA-N 0.000 description 4
- 229910000669 Chrome steel Inorganic materials 0.000 description 4
- 125000003118 aryl group Chemical group 0.000 description 4
- 238000002425 crystallisation Methods 0.000 description 4
- 230000008025 crystallization Effects 0.000 description 4
- 238000002156 mixing Methods 0.000 description 4
- KJOLVZJFMDVPGB-UHFFFAOYSA-N perylenediimide Chemical group C=12C3=CC=C(C(NC4=O)=O)C2=C4C=CC=1C1=CC=C2C(=O)NC(=O)C4=CC=C3C1=C42 KJOLVZJFMDVPGB-UHFFFAOYSA-N 0.000 description 4
- 229910001220 stainless steel Inorganic materials 0.000 description 4
- 239000010935 stainless steel Substances 0.000 description 4
- 238000002371 ultraviolet--visible spectrum Methods 0.000 description 4
- KXJIIWGGVZEGBD-UHFFFAOYSA-N 2-methyl-n,n-bis(2-methylphenyl)aniline Chemical compound CC1=CC=CC=C1N(C=1C(=CC=CC=1)C)C1=CC=CC=C1C KXJIIWGGVZEGBD-UHFFFAOYSA-N 0.000 description 3
- 229920000180 alkyd Polymers 0.000 description 3
- 238000004519 manufacturing process Methods 0.000 description 3
- 230000003647 oxidation Effects 0.000 description 3
- 238000007254 oxidation reaction Methods 0.000 description 3
- 125000002080 perylenyl group Chemical group C1(=CC=C2C=CC=C3C4=CC=CC5=CC=CC(C1=C23)=C45)* 0.000 description 3
- CSHWQDPOILHKBI-UHFFFAOYSA-N peryrene Natural products C1=CC(C2=CC=CC=3C2=C2C=CC=3)=C3C2=CC=CC3=C1 CSHWQDPOILHKBI-UHFFFAOYSA-N 0.000 description 3
- 238000001420 photoelectron spectroscopy Methods 0.000 description 3
- 229920000301 poly(3-hexylthiophene-2,5-diyl) polymer Polymers 0.000 description 3
- 229920002098 polyfluorene Polymers 0.000 description 3
- 239000002491 polymer binding agent Substances 0.000 description 3
- 238000000926 separation method Methods 0.000 description 3
- ZAMOUSCENKQFHK-UHFFFAOYSA-N Chlorine atom Chemical compound [Cl] ZAMOUSCENKQFHK-UHFFFAOYSA-N 0.000 description 2
- RYGMFSIKBFXOCR-UHFFFAOYSA-N Copper Chemical compound [Cu] RYGMFSIKBFXOCR-UHFFFAOYSA-N 0.000 description 2
- UFWIBTONFRDIAS-UHFFFAOYSA-N Naphthalene Chemical compound C1=CC=CC2=CC=CC=C21 UFWIBTONFRDIAS-UHFFFAOYSA-N 0.000 description 2
- 238000003917 TEM image Methods 0.000 description 2
- 125000000217 alkyl group Chemical group 0.000 description 2
- 238000004458 analytical method Methods 0.000 description 2
- MWPLVEDNUUSJAV-UHFFFAOYSA-N anthracene Chemical compound C1=CC=CC2=CC3=CC=CC=C3C=C21 MWPLVEDNUUSJAV-UHFFFAOYSA-N 0.000 description 2
- 150000004982 aromatic amines Chemical class 0.000 description 2
- 230000015572 biosynthetic process Effects 0.000 description 2
- 229910052799 carbon Inorganic materials 0.000 description 2
- 238000005229 chemical vapour deposition Methods 0.000 description 2
- 229910052801 chlorine Inorganic materials 0.000 description 2
- 239000000460 chlorine Substances 0.000 description 2
- 239000004020 conductor Substances 0.000 description 2
- 229910052802 copper Inorganic materials 0.000 description 2
- 239000010949 copper Substances 0.000 description 2
- 238000002484 cyclic voltammetry Methods 0.000 description 2
- 238000013461 design Methods 0.000 description 2
- 238000010494 dissociation reaction Methods 0.000 description 2
- 230000005593 dissociations Effects 0.000 description 2
- 238000009837 dry grinding Methods 0.000 description 2
- 230000000694 effects Effects 0.000 description 2
- 238000005516 engineering process Methods 0.000 description 2
- 229920002457 flexible plastic Polymers 0.000 description 2
- 239000012535 impurity Substances 0.000 description 2
- AMGQUBHHOARCQH-UHFFFAOYSA-N indium;oxotin Chemical compound [In].[Sn]=O AMGQUBHHOARCQH-UHFFFAOYSA-N 0.000 description 2
- 238000003475 lamination Methods 0.000 description 2
- 238000001000 micrograph Methods 0.000 description 2
- 239000012044 organic layer Substances 0.000 description 2
- 108091008695 photoreceptors Proteins 0.000 description 2
- 229920000515 polycarbonate Polymers 0.000 description 2
- 239000004417 polycarbonate Substances 0.000 description 2
- 229920000728 polyester Polymers 0.000 description 2
- 229920005596 polymer binder Polymers 0.000 description 2
- 229920000128 polypyrrole Polymers 0.000 description 2
- 238000007639 printing Methods 0.000 description 2
- 238000006862 quantum yield reaction Methods 0.000 description 2
- 238000001878 scanning electron micrograph Methods 0.000 description 2
- 238000004626 scanning electron microscopy Methods 0.000 description 2
- 238000004513 sizing Methods 0.000 description 2
- 239000010802 sludge Substances 0.000 description 2
- 238000003756 stirring Methods 0.000 description 2
- 238000004627 transmission electron microscopy Methods 0.000 description 2
- 239000011882 ultra-fine particle Substances 0.000 description 2
- 238000001392 ultraviolet--visible--near infrared spectroscopy Methods 0.000 description 2
- 238000002061 vacuum sublimation Methods 0.000 description 2
- 229920002554 vinyl polymer Polymers 0.000 description 2
- 238000001429 visible spectrum Methods 0.000 description 2
- 238000001238 wet grinding Methods 0.000 description 2
- 125000001140 1,4-phenylene group Chemical group [H]C1=C([H])C([*:2])=C([H])C([H])=C1[*:1] 0.000 description 1
- CBNAPSWKCFLFPT-UHFFFAOYSA-N 1h-benzimidazole;perylene-2,3,4,9-tetracarboxylic acid Chemical compound C1=CC=C2NC=NC2=C1.C1=CC=C2NC=NC2=C1.C1=C(C(O)=O)C2=C(C(O)=O)C(C(=O)O)=CC(C=3C4=C5C=CC(=C4C=CC=3)C(O)=O)=C2C5=C1 CBNAPSWKCFLFPT-UHFFFAOYSA-N 0.000 description 1
- DWJXWSIJKSXJJA-UHFFFAOYSA-N 4-n-[4-(4-aminoanilino)phenyl]benzene-1,4-diamine Chemical compound C1=CC(N)=CC=C1NC(C=C1)=CC=C1NC1=CC=C(N)C=C1 DWJXWSIJKSXJJA-UHFFFAOYSA-N 0.000 description 1
- QTBSBXVTEAMEQO-UHFFFAOYSA-M Acetate Chemical compound CC([O-])=O QTBSBXVTEAMEQO-UHFFFAOYSA-M 0.000 description 1
- XMWRBQBLMFGWIX-UHFFFAOYSA-N C60 fullerene Chemical compound C12=C3C(C4=C56)=C7C8=C5C5=C9C%10=C6C6=C4C1=C1C4=C6C6=C%10C%10=C9C9=C%11C5=C8C5=C8C7=C3C3=C7C2=C1C1=C2C4=C6C4=C%10C6=C9C9=C%11C5=C5C8=C3C3=C7C1=C1C2=C4C6=C2C9=C5C3=C12 XMWRBQBLMFGWIX-UHFFFAOYSA-N 0.000 description 1
- UJOBWOGCFQCDNV-UHFFFAOYSA-N Carbazole Natural products C1=CC=C2C3=CC=CC=C3NC2=C1 UJOBWOGCFQCDNV-UHFFFAOYSA-N 0.000 description 1
- OKTJSMMVPCPJKN-UHFFFAOYSA-N Carbon Chemical compound [C] OKTJSMMVPCPJKN-UHFFFAOYSA-N 0.000 description 1
- ZZSNKZQZMQGXPY-UHFFFAOYSA-N Ethyl cellulose Chemical compound CCOCC1OC(OC)C(OCC)C(OCC)C1OC1C(O)C(O)C(OC)C(CO)O1 ZZSNKZQZMQGXPY-UHFFFAOYSA-N 0.000 description 1
- 239000001856 Ethyl cellulose Substances 0.000 description 1
- VQTUBCCKSQIDNK-UHFFFAOYSA-N Isobutene Chemical group CC(C)=C VQTUBCCKSQIDNK-UHFFFAOYSA-N 0.000 description 1
- 206010034972 Photosensitivity reaction Diseases 0.000 description 1
- 239000004952 Polyamide Substances 0.000 description 1
- 239000004642 Polyimide Substances 0.000 description 1
- 239000004793 Polystyrene Substances 0.000 description 1
- 229920001328 Polyvinylidene chloride Polymers 0.000 description 1
- XUIMIQQOPSSXEZ-UHFFFAOYSA-N Silicon Chemical compound [Si] XUIMIQQOPSSXEZ-UHFFFAOYSA-N 0.000 description 1
- RTAQQCXQSZGOHL-UHFFFAOYSA-N Titanium Chemical compound [Ti] RTAQQCXQSZGOHL-UHFFFAOYSA-N 0.000 description 1
- XTXRWKRVRITETP-UHFFFAOYSA-N Vinyl acetate Chemical compound CC(=O)OC=C XTXRWKRVRITETP-UHFFFAOYSA-N 0.000 description 1
- 229920001986 Vinylidene chloride-vinyl chloride copolymer Polymers 0.000 description 1
- MCEWYIDBDVPMES-UHFFFAOYSA-N [60]pcbm Chemical compound C123C(C4=C5C6=C7C8=C9C%10=C%11C%12=C%13C%14=C%15C%16=C%17C%18=C(C=%19C=%20C%18=C%18C%16=C%13C%13=C%11C9=C9C7=C(C=%20C9=C%13%18)C(C7=%19)=C96)C6=C%11C%17=C%15C%13=C%15C%14=C%12C%12=C%10C%10=C85)=C9C7=C6C2=C%11C%13=C2C%15=C%12C%10=C4C23C1(CCCC(=O)OC)C1=CC=CC=C1 MCEWYIDBDVPMES-UHFFFAOYSA-N 0.000 description 1
- 125000003545 alkoxy group Chemical group 0.000 description 1
- 229920000109 alkoxy-substituted poly(p-phenylene vinylene) Polymers 0.000 description 1
- HSFWRNGVRCDJHI-UHFFFAOYSA-N alpha-acetylene Natural products C#C HSFWRNGVRCDJHI-UHFFFAOYSA-N 0.000 description 1
- 230000004888 barrier function Effects 0.000 description 1
- 238000010923 batch production Methods 0.000 description 1
- 125000004432 carbon atom Chemical group C* 0.000 description 1
- 238000005266 casting Methods 0.000 description 1
- 229920002678 cellulose Polymers 0.000 description 1
- 239000001913 cellulose Substances 0.000 description 1
- 229920002301 cellulose acetate Polymers 0.000 description 1
- 229920006217 cellulose acetate butyrate Polymers 0.000 description 1
- 239000002800 charge carrier Substances 0.000 description 1
- 239000002131 composite material Substances 0.000 description 1
- 238000009833 condensation Methods 0.000 description 1
- 230000005494 condensation Effects 0.000 description 1
- XCJYREBRNVKWGJ-UHFFFAOYSA-N copper(II) phthalocyanine Chemical compound [Cu+2].C12=CC=CC=C2C(N=C2[N-]C(C3=CC=CC=C32)=N2)=NC1=NC([C]1C=CC=CC1=1)=NC=1N=C1[C]3C=CC=CC3=C2[N-]1 XCJYREBRNVKWGJ-UHFFFAOYSA-N 0.000 description 1
- 230000002950 deficient Effects 0.000 description 1
- 230000001419 dependent effect Effects 0.000 description 1
- 238000000151 deposition Methods 0.000 description 1
- 230000008021 deposition Effects 0.000 description 1
- 229910003460 diamond Inorganic materials 0.000 description 1
- 239000010432 diamond Substances 0.000 description 1
- 238000003618 dip coating Methods 0.000 description 1
- 238000007598 dipping method Methods 0.000 description 1
- 238000009826 distribution Methods 0.000 description 1
- 230000005684 electric field Effects 0.000 description 1
- 239000012776 electronic material Substances 0.000 description 1
- 238000006056 electrooxidation reaction Methods 0.000 description 1
- 229920000775 emeraldine polymer Polymers 0.000 description 1
- 229920001249 ethyl cellulose Polymers 0.000 description 1
- 235000019325 ethyl cellulose Nutrition 0.000 description 1
- 230000008020 evaporation Effects 0.000 description 1
- 238000001704 evaporation Methods 0.000 description 1
- 230000005281 excited state Effects 0.000 description 1
- 239000012530 fluid Substances 0.000 description 1
- 238000009472 formulation Methods 0.000 description 1
- 239000003574 free electron Substances 0.000 description 1
- 229910003472 fullerene Inorganic materials 0.000 description 1
- 230000009477 glass transition Effects 0.000 description 1
- 229910021397 glassy carbon Inorganic materials 0.000 description 1
- 229910052736 halogen Inorganic materials 0.000 description 1
- 125000005843 halogen group Chemical group 0.000 description 1
- 150000002367 halogens Chemical group 0.000 description 1
- RBTKNAXYKSUFRK-UHFFFAOYSA-N heliogen blue Chemical compound [Cu].[N-]1C2=C(C=CC=C3)C3=C1N=C([N-]1)C3=CC=CC=C3C1=NC([N-]1)=C(C=CC=C3)C3=C1N=C([N-]1)C3=CC=CC=C3C1=N2 RBTKNAXYKSUFRK-UHFFFAOYSA-N 0.000 description 1
- 125000004435 hydrogen atom Chemical group [H]* 0.000 description 1
- 239000005457 ice water Substances 0.000 description 1
- 238000003384 imaging method Methods 0.000 description 1
- 150000002576 ketones Chemical class 0.000 description 1
- 238000010030 laminating Methods 0.000 description 1
- 229920000763 leucoemeraldine polymer Polymers 0.000 description 1
- LBAIJNRSTQHDMR-UHFFFAOYSA-N magnesium phthalocyanine Chemical compound [Mg].C12=CC=CC=C2C(N=C2NC(C3=CC=CC=C32)=N2)=NC1=NC([C]1C=CC=CC1=1)=NC=1N=C1[C]3C=CC=CC3=C2N1 LBAIJNRSTQHDMR-UHFFFAOYSA-N 0.000 description 1
- 238000005259 measurement Methods 0.000 description 1
- 239000012046 mixed solvent Substances 0.000 description 1
- 238000012986 modification Methods 0.000 description 1
- 230000004048 modification Effects 0.000 description 1
- 238000005442 molecular electronic Methods 0.000 description 1
- 239000002105 nanoparticle Substances 0.000 description 1
- YTVNOVQHSGMMOV-UHFFFAOYSA-N naphthalenetetracarboxylic dianhydride Chemical compound C1=CC(C(=O)OC2=O)=C3C2=CC=C2C(=O)OC(=O)C1=C32 YTVNOVQHSGMMOV-UHFFFAOYSA-N 0.000 description 1
- 239000012860 organic pigment Substances 0.000 description 1
- RVTZCBVAJQQJTK-UHFFFAOYSA-N oxygen(2-);zirconium(4+) Chemical compound [O-2].[O-2].[Zr+4] RVTZCBVAJQQJTK-UHFFFAOYSA-N 0.000 description 1
- SJHHDDDGXWOYOE-UHFFFAOYSA-N oxytitamium phthalocyanine Chemical compound [Ti+2]=O.C12=CC=CC=C2C(N=C2[N-]C(C3=CC=CC=C32)=N2)=NC1=NC([C]1C=CC=CC1=1)=NC=1N=C1[C]3C=CC=CC3=C2[N-]1 SJHHDDDGXWOYOE-UHFFFAOYSA-N 0.000 description 1
- 238000003921 particle size analysis Methods 0.000 description 1
- 230000000737 periodic effect Effects 0.000 description 1
- 229920001568 phenolic resin Polymers 0.000 description 1
- 230000036211 photosensitivity Effects 0.000 description 1
- CLYVDMAATCIVBF-UHFFFAOYSA-N pigment red 224 Chemical compound C=12C3=CC=C(C(OC4=O)=O)C2=C4C=CC=1C1=CC=C2C(=O)OC(=O)C4=CC=C3C1=C42 CLYVDMAATCIVBF-UHFFFAOYSA-N 0.000 description 1
- 229920001608 poly(methyl styrenes) Polymers 0.000 description 1
- 229920002037 poly(vinyl butyral) polymer Polymers 0.000 description 1
- 229920001197 polyacetylene Polymers 0.000 description 1
- 229920000058 polyacrylate Polymers 0.000 description 1
- 229920002647 polyamide Polymers 0.000 description 1
- 229920001088 polycarbazole Polymers 0.000 description 1
- 229920000278 polyheptadiyne Polymers 0.000 description 1
- 229920001721 polyimide Polymers 0.000 description 1
- 229920002223 polystyrene Polymers 0.000 description 1
- 239000002243 precursor Substances 0.000 description 1
- UGQZLDXDWSPAOM-UHFFFAOYSA-N pyrrolo[3,4-f]isoindole-1,3,5,7-tetrone Chemical compound C1=C2C(=O)NC(=O)C2=CC2=C1C(=O)NC2=O UGQZLDXDWSPAOM-UHFFFAOYSA-N 0.000 description 1
- 238000010791 quenching Methods 0.000 description 1
- 230000000171 quenching effect Effects 0.000 description 1
- 230000006798 recombination Effects 0.000 description 1
- 238000005215 recombination Methods 0.000 description 1
- 238000011946 reduction process Methods 0.000 description 1
- 239000013557 residual solvent Substances 0.000 description 1
- 229920005989 resin Polymers 0.000 description 1
- 239000011347 resin Substances 0.000 description 1
- 230000002441 reversible effect Effects 0.000 description 1
- 238000012552 review Methods 0.000 description 1
- 229910052710 silicon Inorganic materials 0.000 description 1
- 239000010703 silicon Substances 0.000 description 1
- 150000003384 small molecules Chemical class 0.000 description 1
- 238000010129 solution processing Methods 0.000 description 1
- 238000000654 solvent vapour annealing Methods 0.000 description 1
- 238000001228 spectrum Methods 0.000 description 1
- 238000010561 standard procedure Methods 0.000 description 1
- 229920003048 styrene butadiene rubber Polymers 0.000 description 1
- 239000003115 supporting electrolyte Substances 0.000 description 1
- 238000003786 synthesis reaction Methods 0.000 description 1
- 230000002194 synthesizing effect Effects 0.000 description 1
- 238000002207 thermal evaporation Methods 0.000 description 1
- 229930192474 thiophene Natural products 0.000 description 1
- 150000003577 thiophenes Chemical class 0.000 description 1
- 239000010936 titanium Substances 0.000 description 1
- 229910052719 titanium Inorganic materials 0.000 description 1
- 238000012546 transfer Methods 0.000 description 1
- 238000000584 ultraviolet--visible--near infrared spectrum Methods 0.000 description 1
- 238000005019 vapor deposition process Methods 0.000 description 1
- 125000000391 vinyl group Chemical group [H]C([*])=C([H])[H] 0.000 description 1
- 238000009736 wetting Methods 0.000 description 1
- RUDFQVOCFDJEEF-UHFFFAOYSA-N yttrium(III) oxide Inorganic materials [O-2].[O-2].[O-2].[Y+3].[Y+3] RUDFQVOCFDJEEF-UHFFFAOYSA-N 0.000 description 1
- 229910001928 zirconium oxide Inorganic materials 0.000 description 1
Images
Classifications
-
- H—ELECTRICITY
- H10—SEMICONDUCTOR DEVICES; ELECTRIC SOLID-STATE DEVICES NOT OTHERWISE PROVIDED FOR
- H10K—ORGANIC ELECTRIC SOLID-STATE DEVICES
- H10K85/00—Organic materials used in the body or electrodes of devices covered by this subclass
- H10K85/60—Organic compounds having low molecular weight
- H10K85/615—Polycyclic condensed aromatic hydrocarbons, e.g. anthracene
- H10K85/621—Aromatic anhydride or imide compounds, e.g. perylene tetra-carboxylic dianhydride or perylene tetracarboxylic di-imide
-
- H—ELECTRICITY
- H10—SEMICONDUCTOR DEVICES; ELECTRIC SOLID-STATE DEVICES NOT OTHERWISE PROVIDED FOR
- H10K—ORGANIC ELECTRIC SOLID-STATE DEVICES
- H10K30/00—Organic devices sensitive to infrared radiation, light, electromagnetic radiation of shorter wavelength or corpuscular radiation
- H10K30/20—Organic devices sensitive to infrared radiation, light, electromagnetic radiation of shorter wavelength or corpuscular radiation comprising organic-organic junctions, e.g. donor-acceptor junctions
-
- H—ELECTRICITY
- H10—SEMICONDUCTOR DEVICES; ELECTRIC SOLID-STATE DEVICES NOT OTHERWISE PROVIDED FOR
- H10K—ORGANIC ELECTRIC SOLID-STATE DEVICES
- H10K30/00—Organic devices sensitive to infrared radiation, light, electromagnetic radiation of shorter wavelength or corpuscular radiation
- H10K30/30—Organic devices sensitive to infrared radiation, light, electromagnetic radiation of shorter wavelength or corpuscular radiation comprising bulk heterojunctions, e.g. interpenetrating networks of donor and acceptor material domains
-
- H—ELECTRICITY
- H10—SEMICONDUCTOR DEVICES; ELECTRIC SOLID-STATE DEVICES NOT OTHERWISE PROVIDED FOR
- H10K—ORGANIC ELECTRIC SOLID-STATE DEVICES
- H10K30/00—Organic devices sensitive to infrared radiation, light, electromagnetic radiation of shorter wavelength or corpuscular radiation
- H10K30/50—Photovoltaic [PV] devices
-
- H—ELECTRICITY
- H10—SEMICONDUCTOR DEVICES; ELECTRIC SOLID-STATE DEVICES NOT OTHERWISE PROVIDED FOR
- H10K—ORGANIC ELECTRIC SOLID-STATE DEVICES
- H10K85/00—Organic materials used in the body or electrodes of devices covered by this subclass
- H10K85/10—Organic polymers or oligomers
- H10K85/111—Organic polymers or oligomers comprising aromatic, heteroaromatic, or aryl chains, e.g. polyaniline, polyphenylene or polyphenylene vinylene
-
- H—ELECTRICITY
- H10—SEMICONDUCTOR DEVICES; ELECTRIC SOLID-STATE DEVICES NOT OTHERWISE PROVIDED FOR
- H10K—ORGANIC ELECTRIC SOLID-STATE DEVICES
- H10K85/00—Organic materials used in the body or electrodes of devices covered by this subclass
- H10K85/10—Organic polymers or oligomers
- H10K85/141—Organic polymers or oligomers comprising aliphatic or olefinic chains, e.g. poly N-vinylcarbazol, PVC or PTFE
-
- H—ELECTRICITY
- H10—SEMICONDUCTOR DEVICES; ELECTRIC SOLID-STATE DEVICES NOT OTHERWISE PROVIDED FOR
- H10K—ORGANIC ELECTRIC SOLID-STATE DEVICES
- H10K85/00—Organic materials used in the body or electrodes of devices covered by this subclass
- H10K85/10—Organic polymers or oligomers
- H10K85/151—Copolymers
-
- H—ELECTRICITY
- H10—SEMICONDUCTOR DEVICES; ELECTRIC SOLID-STATE DEVICES NOT OTHERWISE PROVIDED FOR
- H10K—ORGANIC ELECTRIC SOLID-STATE DEVICES
- H10K85/00—Organic materials used in the body or electrodes of devices covered by this subclass
- H10K85/30—Coordination compounds
- H10K85/311—Phthalocyanine
-
- H—ELECTRICITY
- H10—SEMICONDUCTOR DEVICES; ELECTRIC SOLID-STATE DEVICES NOT OTHERWISE PROVIDED FOR
- H10K—ORGANIC ELECTRIC SOLID-STATE DEVICES
- H10K85/00—Organic materials used in the body or electrodes of devices covered by this subclass
- H10K85/60—Organic compounds having low molecular weight
- H10K85/631—Amine compounds having at least two aryl rest on at least one amine-nitrogen atom, e.g. triphenylamine
Definitions
- the present invention relates to photosensitive organic semiconductor compositions.
- n-type indicates the material to exhibit electron accepting character, and as such is considered capable of transporting electrons.
- the measure of electron accepting character is usually provided either by the electron affinity or electrochemical reduction potential of the organic material.
- a “p-type” organic material is considered to have electron donating character and as such is considered to be “hole transporting”.
- the measure of electron donating character is usually provided by the ionization potential or electrochemical oxidation potential of the organic material.
- the simplest organic p/n heterojunction comprises a bilayer formed by the superposition of electron donor and electron acceptor semiconducting organic layers. Multiple organic donor/acceptor layers can be stacked to give a more complex design. Bulk heterojunctions have also been described, wherein the n-type and p-type organic semiconductor materials are blended to yield multiple donor/acceptor interfaces.
- a principal feature of the p/n heterojunction is the built-in potential at the interface between the p-type (donor) material and the n-type (acceptor) material.
- this built-in potential is the origin of the rectifying nature, which arises from the differences in the ionization potentials and electron affinities of the two materials which make up the heterojunction.
- the field due to the built-in potential serves to separate the charge.
- the charge separation at the interface is, therefore, the origin of the photovoltaic effect.
- Such p/n heterojunction diodes can serve as photodiodes and as the fundamental element in a photovoltaic cell, commonly known as a solar cell.
- photoactive organic molecules A variety of photoactive organic molecules, crystals, pigments, conjugated and non-conjugated polymers, oligomers, and composites have been developed for use as semiconductor donor and acceptor materials for photovoltaic and photodetector applications.
- the material have a high optical absorption coefficient ⁇ (alpha) for incident electromagnetic radiation.
- ⁇ optical absorption coefficient
- the organic material it is important for the organic material to exhibit a high optical absorption coefficient for visible and near infrared radiation so that very thin layers of the photosensitive organic material can be used to absorb nearly all of the incident radiation.
- the exciton i.e., the excited state electron-hole bound pair
- the exciton can migrate through the respective layer and reach the donor/acceptor (p-n) heterojunction before geminate recombination of quenching occurs.
- the exciton disassociates into electrons and holes due to the difference in ionization potential of the donor and the electron affinity of the acceptor.
- the latter process can be viewed as an exothermic chemical reaction, i.e., a reaction in which some energy is released as vibrational energy.
- Solar Energy Materials and Solar Cells (2000), 61(1), 63-72, all incorporated herein by reference.
- Typical of such materials are “electron-donor” copper phthalocyanine (CuPc) and “electron-acceptor” 3,4,5,10-perylenetetracarboxylic-bis-benzimidazole (PTCBI).
- Thin films of these materials can be fabricated with thermal evaporation, chemical vapor deposition (CVD) and so on. Simple donor/acceptor bilayers, as well as multiple alternating layers of donor and acceptor, can be assembled.
- vacuum sublimation is a batch process which makes production scale runs quite costly, and thin, sublimed films are fragile and susceptible to damage.
- soluble derivatives of these materials can be prepared and dissolved in an appropriate solvent such that thin films can be fabricated by casting directly from solution or using similar fluid phase processing.
- the films of molecular organic donor or acceptor materials prepared by vacuum or solution processing methods tend to be amorphous (non-crystalline) and, as such, generally exhibit small exciton diffusion lengths and low carrier mobility. Consequently, photovoltaic devices and photodetectors constructed from these amorphous materials exhibit relatively low photon-electric conversion efficiency (low quantum yield), being on the order of 2% or less.
- Photosensitive junctions can be produced using two semiconducting organic layers in a donor/acceptor heterojunction (i.e., bilayer) structure or alternation layer structures.
- Conducting polymers which combine the electronic and optical properties of semiconductors and metals with the attractive mechanical properties and processing advantages of polymers have been described by A. J. Heeger. S. Kivelson, J. R. Schrieffer, W. P. Su, Review of Modern Physics 60, 781 (1988), incorporated herein by reference.
- the ability to control the energy gap and electronegativity through molecular design has enabled the synthesis of conducting polymers with a range of ionization potentials and electron affinities; See T. A. Skotheim, Ed., Handbook of Conducting Polymers Vol. -T, X-T (Marcel Dekker, New York 1986), J. L. Bredas and R. R. Chance, Eds., Conjugated Polymeric Materials: Opportunities in Electronics, Optoelectronics and Molecular Electronics (Kluwer Academic Press, Netherlands 1990), both incorporated herein by reference.
- the active layer can comprise one or more semiconducting, conjugated polymers, alone or in combination with non-conjugated materials, one or more organic molecules, or oligomers.
- the active layer can also be a series of heterojunctions utilizing layers of organic materials or blends as indicated above.
- Typical p-type (donor) semiconducting polymers are poly-3-hexylthiophene (PT) and poly(2-methoxy, 5-(2′-ethyl-hexyloxy) paraphenylenevinylene (MEH-PPV).
- typical semiconducting conjugated polymers include, polyacetylene, (“PA”), and its derivatives; polyisothianaphlene and its derivatives; polythiophene, (“PT”), and its derivatives; polypyrrole, (“PPr”), and its derivatives; poly(2,5-thienylenevinylene), (“PTV”), and its derivatives; poly(pphenylene), (“PPP”), and its derivatives; polyflourene, (“PF”), and its derivatives; poly(phenylene vinylene), (“PPV”), and its derivatives; polycarbazole and its derivatives; poly(1,6-heptadiyne); polyisothianaphene and its derivatives; polyquinolene and semiconducting polyanilines (i.e.
- Bilayer p/n junction or blended (bulk) p/n heterjunction structures have heen produced by layering or blending the donor semiconducting polymer with an acceptor material of n-type (acceptor) poly(cyanophenylenevinylene) (“CN-PPV”).
- acceptor poly(cyanophenylenevinylene)
- CN-PPV poly(cyanophenylenevinylene)
- fullerene molecules such as C 60 and its functional derivatives (such as PCBM), or organic molecules have been used an acceptor material of n-type (acceptor).
- conjugated polymers as photosensitive materials has been described for example in the following reports: S.
- amorphous organic semiconductor films The performance of amorphous organic semiconductor films is known to be enhanced by solvent and thermal annealing processes which tend to crystallize organic semiconductor materials.
- An enhancement in quantum efficiency has been demonstrated for example by solvent annealing to produce a crystal network in an organic solar cell containing a film of n-type (acceptor) perylene bis(phenethylimide) (Dittmer, J. J.; Lazzaroni, R.; Leclere. Ph.; Moretti, P.; Granstrom, M.; Petritsch, K.; Marseglia, E. A.; Friend, R. H.; Bredas, J. L.; Rost, H.; Holmes, A.
- Solvent treatment also improved the crystallinity and photovoltaic properties of a p-type magnesium phthalocyanine film (Hor, A. M.; Loufty, R. O. Thin Solid Films 1983, 106, 291-301).
- the exciton diffusion length L in films of n-type (acceptor) perylene bis(phenethylimide) have also been shown to increase upon crystallization by solvent annealing. (Gregg, B. J. Phys. Chem. (1996) 100, 852-859, incorporated herein by reference.)
- Carrier mobility in crystal networks is also much higher than in amorphous compositions.
- Organic semiconductor crystals have been successfully formulated for use as photoconductors for electrophotography as described in “Photoreceptors: Organic Photoconductors”, P. Borsenberger, D. Weiss, in Handbook of Imaging Materials, 2 nd edition, Diamond and D. Weis, Ed, Marcel Dekker, New York 2002, pp 368-424.
- Compositions comprising finely-divided, crystalline n-type (acceptor) semiconductor pigment material perylene his(phenethylimide) dispersed in an inert polymeric binder have been described, for example, by Gruenbaum et al. U.S. Pat. Nos. 4,968,571, and 5,019,473 incorporated herein by reference.
- photoconductor compositions comprising crystalline and co-crystalline mixtures of titanylphthalocyanine semiconductor pigment materials dispersed in an inert (non-conducting) polymeric binder have been described by Molaire and Keading U.S. Pat. Nos. 5,614,342 and 5,766,810, both incorporated herein by reference. While these aforementioned dispersions of semiconductor pigment in polymer binder are suitable for electrophotographic applications, these compositions are not sufficiently sensitive for photovoltaic and low-bias photodetector applications because the film-forming polymeric binder is electrically insulative.
- the inert polymeric binders used to prepare the electrophotographic photoconductor dispersions noted above include, for example. styrene-butadiene copolymers; vinyl toluene-styrene copolymers; styrene- alkyd resins; silicone-alkyd resins; soya-alkyd resins; vinylidene chloride-vinyl chloride copolymers; poly(vinylidene chloride); vinylidene chloride-acrylonitrile copolymers; vinyl acetate-vinyl chloride copolymers; poly(vinyl acetals), such as poly(vinyl butyral); nitrated polystyrene; poly(methylstyrene); isobutylene polymers; polyesters, such as poly[ethylene-coalkylenebis(alkyleneoxyaryl)phenylenedicarboxylate]; phenolformaldehyde resins; ketone resins; polyamide
- compositions that comprise n-type (electron-acceptor) organic semiconductor, such as C60 and its derivatives, dispersed in a p-type (electron donor) electronically conducting polymer, such as polythiophene or PPV and their derivatives.
- a p-type (electron donor) electronically conducting polymer such as polythiophene or PPV and their derivatives.
- n-type (electron-acceptor) organic semiconductor such as C60 and its derivatives
- a p-type (electron donor) electronically conducting polymer such as polythiophene or PPV and their derivatives.
- the phthalocyanine pigment is p-type in the above cited references and the PVK polymer is an electron donating polymer, hence comprising a p-type pigment dispersed in an electron donating (p-type) polymer.
- PVK polymer has a relatively high ionization potential, 5.8 eV as reported by Anderson et al, J. Am. Chem. Soc. (1998). 120, 9646-9655 and Kido, J.; Shionoya, H.; Nagai, K. Appl. Phys. Lett.
- the ionization potential of the phthalocyanine differs substantially from that of PVK amount (the difference being greater than 0.5 eV).
- carrier (hole) mobility through the composition remains very poor because there is an energetic barrier (>0.5 eV) for the hole to move from the phthalocyanine to PVK.
- photosensitive organic semiconductor compositions that may be used to produce various optoelectronic devices including photodiodes, photodetectors, and photovoltaic devices (solar cells).
- present organic semiconductor compositions for optoelectronic device applications such as photodetectors and photovoltaic devices are deficient in one or more attributes of exciton diffusion length, carrier mobility, and optical absorption coefficient.
- the present invention relates to a photosensitive organic semiconductor composition
- a photosensitive organic semiconductor composition comprising at least one organic p-type (electron donor) semiconductor pigment with at least one p-type (electron donor) conducting polymer, wherein the ionization potential of said at least one organic p-type (electron donor) semiconductor pigment and the ionization potential of said at least one p-type (electron donor) conducting polymer are nominally equivalent.
- the present invention also relates to a photosensitive organic semiconductor composition
- a photosensitive organic semiconductor composition comprising at least one organic n-type (electron donor) semiconductor pigment with at least one n-type (electron donor) conducting polymer, wherein the electron affinity of said at least one organic n-type (electron donor) semiconductor pigment and the electron affinity of said at least one n-type (electron donor) conducting polymer are nominally equivalent, as well as a p/n heterojunction comprising a combination of at least one layer comprising p-type organic semiconductor pigment with at least one p-type conducting polymer, wherein the ionization potential of said at least one p-type organic semiconductor pigment and the ionization potential of said at least one p-type conducting polymer are nominally equivalent and at least one layer comprising at least one n-type organic semiconductor pigment with at least one n-type conducting polymer, wherein the electron affinity of said at least one n-type organic semiconductor pigment and the electron affinity of said at least one n-type
- the present invention includes several advantages, not all of which are incorporated in a single embodiment.
- the specific combination of organic semiconductor pigment crystals with conducting polymers wherein the ionization potential (electron affinity) of the pigment and the ionization potential (electron affinity) of the polymer are nominally equivalent provides for semiconductor compositions with unique electrical, optical, electrochemical, and processing properties.
- the p-type (electron donor) photosensitive organic semiconductor pigment/polymer composition and n-type (electron acceptor) photosensitive organic semiconductor pigment/polymer compositions may be formed into bilayers and multilayers and into a blended or bulk p/n heterojunction.
- the compositions may be in optoelectronic devices including photodiodes, visible spectrum photodetectors, and photovoltaic devices (solar cells).
- FIG. 1 Cyclic voltammogram of naphthimide conducting polymer NB-2 recorded at a glassy carbon electrode in 3:1 methylene chloride/methanol containing 0.1 M tetrabutylammoniumtetrafluoroborate.
- FIG. 2 Sizing data for dispersion of UD-1 pigment material in naphthimide conducting polymer NB-2 with a Model UPA-15 (Microtrac) ultrafine particle analyzer.
- FIG. 3 UV-vis absorption spectra for spin coated films of UD-1 pigment material dispersed in naphthimide conducting polymer NB-2. Table 3 lists rotation speed (rpm), film thickness ( ⁇ m), and film optical density (OD) at 578 nm.
- FIG. 4 UV-vis NIR absorption spectra for a 0.347 micron thick spin-coated film of TiOpc pigment material dispersed in tritolylamine conducting polymer T-1
- This present invention relates to photosensitive organic semiconductor compositions that comprise a stable dispersion of nanometer-sized organic semiconductor pigment crystals in an electronically conducting polymeric binder. More specifically it relates to photosensitive organic semiconductor compositions wherein the ionization potential (electron affinity) of the pigment and the ionization potential (electron affinity) of the polymer are nominally equivalent.
- the term “nominally equivalent” as used herein refers to a difference in ionization potential of the pigment and its associated polymer of less than 0.5 eV, or a difference in the electron affinity of the pigment and the electron affinity of the polymer of less than 0.5 eV. Optimally these differences are less than 0.2 eV, and most optimum is the condition where these differences are less than 0.1 eV.
- p-type (electron donor) photosensitive organic semiconductor compositions that comprise nanometer-sized p-type (electron donor) organic semiconductor pigment crystals with an ionization potential IP that are dispersed in an p-type (electron donor) electronically conducting polymeric binder that has a similar ionization potential.
- n-type (electron acceptor) photosensitive organic semiconductor compositions that comprise nanometer-sized n-type (electron acceptor) organic semiconductor pigment crystals with an electron affinity (also referred to herein as EA) that are dispersed in an n-type (electron acceptor) electronically conducting polymeric binder that has a similar electron affinity.
- EA electron affinity
- organic semiconductor pigment crystals with conducting polymers wherein the ionization potential (electron affinity) of the pigment and the ionization potential (electron affinity) of the polymer are nominally equivalent provides for semiconductor compositions with unique electrical, optical, electrochemical, and processing properties.
- photosensitive organic semiconductor compositions that comprise a stable dispersion of nanometer-sized organic semiconductor pigment crystals in an electronically conducting polymeric binder wherein the polymer binder facilitates the motion of charge carriers throughout.
- the composition wherein the ionization potential of the pigment (for p-type pigment) and the ionization potential of the polymer (p-type polymer) are nominally equivalent.
- the composition would comprise an n-type (electron-acceptor) organic semiconductor dispersed in a n-type (electron acceptor) electronically conducting polymer wherein the electron affinity of the pigment and the electron affinity of the polymer are nominally equivalent.
- Such photosensitive organic semiconductor compositions may be used to produce various optoelectronic devices including photodiodes, photodetectors, and photovoltaic devices (solar cells).
- This invention also relates to p/n heterojunctions prepared by combination of the p-type (electron donor) photosensitive organic semiconductor pigment/polymer composition and the n-type (electron acceptor) photosensitive organic semiconductor pigment/polymer compositions into bilayers and multilayers.
- This invention also relates to p/n heterojunctions prepared by combination of the p-type (electron donor) photosensitive organic semiconductor pigment/polymer composition and the n-type (electron acceptor) photosensitive organic semiconductor pigment/polymer compositions into a blended or bulk p/n heterojunction.
- This invention also relates to the use of the p/n heterojunctions of photosensitive organic semiconductor pigment/polymer compositions in various optoelectronic devices including photodiodes, visible spectrum photodetectors, and photovoltaic devices, such as solar cells.
- This invention also utilizes the processing advantages associated with the fabrication of p/n heterojunction diode structures from a dispersion of nanometer-sized organic semiconductor pigment in a soluble conducting or conjugated polymers (and/or their precursor polymers).
- the dispersion may be cast from solution to enable the fabrication of large active areas.
- Photosensitive p-type (electron donor) organic semiconductor compositions that comprise nanometer-sized p-type (electron donor) organic semiconductor pigment crystals with an ionization potential IP that are dispersed in an p-type (electron donor) electronically conducting polymeric binder that has a similar ionization potential.
- the ionization potentials of the electron-donor pigment and electron-donor conducting polymer differ by less than 0.5 eV.
- the ionization potentials of the pigment and conducting polymer differ by less than 0.2 eV.
- the ionization potentials of the pigment and conducting polymer differ by less than 0.1 eV.
- Any p-type semiconducting organic pigment may be utilized. Most preferred are those that exhibit high absorption for visible and near infrared radiation.
- Representative examples of p-type semiconducting pigment include the substituted and unsubstituted metal-free phthalocyanines, substituted and unsubstituted metallophthalocyanines, and porphyrins, among others.
- the class of p-type pigment materials that is most useful in the aforementioned composition is the metallophthalocyanines.
- Preferred p-type semiconducting pigment materials are those that can be prepared or processed to form nanometer-sized crystals for dispersion into the polymer.
- Preferred particle sizes are less than 0.5 micron in length. More preferred particle sizes are less than 0.2 micron in length. Preferred particle sizes are less than 0.1 micron in length.
- Acceptable procedures for processing p-type semiconducting pigment materials to form nanometer-sized crystal dispersions include dry-milling, salt-milling, acid-pasting, and solvent milling, among others.
- the optimum ratio of pigment material to conducting polymeric binder may vary widely depending upon the particular materials employed.
- the pigment material can be a single pigment or it can be two or more pigments used in various ratios. In general, useful results are obtained when the amount of pigment material contained within the layer is within the range of from about 0.01 to 90 weight percent, based on the dry weight of the layer. A very high pigment to binder ratio is preferred.
- compositions may be added to the composition during and after the milling procedure to facilitate pigment crystallization and to provide dispersion stability and coatability as described in Molaire and Keading U.S. Pat. Nos. 5.614,342 and 5,766,810, both incorporated herein by reference.
- the ionization potential may be measured by methods described in the art. e.g., photoelectron spectroscopy.
- electrochemical methods may be used to measure the oxidation potential of the material which can be related to the ionization potential by methods known in the art (see for example Loutfy, R. O.; Sharp, J. H. Photogr. Sci. Eng. (1976) 20, 165 and Reiss, H.; Heller. A. J. Phys. Chem. (1985), 89, 4207).
- Any p-type conducting polymer may be used.
- Preferred polymers are those that exhibit weak or no absorption of visible or near infrared light.
- Useful polymers in this class includes various pi-conjugated polymers such as the polythiophenes, poly(3-alkyl)thiophenes, polyisothianaphthene, polyethylenedioxythiohenes, poly-p-phenylenevinylenes, poly-(2,5dialkoxy)-p-phenylenevinylenes, poly-p-phenylenes, polyheptadiynes, polyanilines, polypyrroles, polyfluorenes, poly(2-vinylpyridines), and the like as described for example in Heeger, A.
- Non-conjugated conducting polymers that is so called “redox polymers”, that comprise electrochemically active components incorporated as main chain moieties or as pendant moieties that are covalently linked to an insulating backbone.
- redox polymers that comprise electrochemically active components incorporated as main chain moieties or as pendant moieties that are covalently linked to an insulating backbone.
- Examples of this class of pendant arylamine and main chain arylamine conducting polymers are structures I and II shown below as described tor example in Linberg et al. U.S. Pat. Nos. 5,155,200 and 5,030,532 and Facci et. al., Mol. Cryst.
- n, x, and s are intergers, and R is a substituted or unsubstituted alkyl, aryl, alkyloxy group or a halogen atom, or hydrogen atom.
- Preferred polymers are those that exhibit only weak absorption of visible or near infrared electromagnetic radiation. Most preferred are polymers that exhibit no absorption of visible or near infrared electromagnetic radiation, i.e., are transparent.
- the ionization potential may be measured by methods described in the art, e.g., photoelectron spectroscopy.
- electrochemical methods may be used to measure the oxidation potential of the material as demonstrated by Li et al. Synthetic Metals (1999) 99, 243-248, incorporated herein by reference.
- Oxidation potentials measured by electrochemical methods can be related to the ionization potential by methods known in the art (see for example Loutfy, R. O.; Sharp, J. H. Photogr. Si. Eng. (1976) 20, 165 and Reiss, H.; Heller, A. J. Phys. Chem. (1985), 89, 4207).
- Photosensitive n-type (electron acceptor) organic semiconductor compositions that comprise nanometer-sized n-type (electron acceptor) organic semiconductor pigment crystals with an electron affinity EA that are dispersed in an n-type (electron acceptor) electronically conducting polymeric binder that has a similar electron affinity.
- the electron affinities of the electron-acceptor pigment and electron-acceptor conducting polymer differ by less than 0.5 eV.
- the electron affinities of the pigment and conducting polymer differ by less than 0.2 eV.
- the electron affinities of the pigment and conducting polymer differ by less than 0.1 eV.
- n-type (electron acceptor) semiconducting pigment may be utilized. Most preferred are those that exhibit high absorption for visible and near infrared radiation.
- Representative examples of n-type semiconducting pigment include the aromatic imides derived from 3,4,9,10-perylenetetracarboxylic dianhydride (PTDA), among others.
- PTDA 3,4,9,10-perylenetetracarboxylic dianhydride
- the class of n-type (electron acceptor) pigment materials that is most useful in the aforementioned composition are the perylenediimides.
- Preferred n-type semiconducting pigment materials are those that can be prepared or processed to form nanometer-sized crystals for dispersion into the polymer.
- Preferred particle sizes are less than 0.5 micron in length. More preferred particle sizes are less than 0.2 micron in length. Preferred particle sizes are less than 0.1 micron in length.
- Acceptable procedures for processing n-type semiconducting pigment materials to form nanometer-sized crystal dispersions include dry-milling, salt-milling, acid-pasting, and solvent milling, among others.
- the optimum ratio of pigment material to conducting polymeric binder may vary widely depending upon the particular materials employed.
- the pigment material can be a single pigment or it can be two or more pigments used in various ratios. In general, useful results are obtained when the amount of pigment material contained within the layer is within the range of from about 0.01 to 90 weight percent based on the dry weight of the layer. A very high pigment to binder ratio is preferred.
- Various solvents may be added to the composition during and after the milling procedure to facilitate pigment crystallization and to provide dispersion stability and coatability.
- the electron affinity may be measured by methods described in the art e.g., photoelectron spectroscopy.
- electrochemical methods may be used to measure the reduction potential of the material by electrochemical methods as demonstrated by Li et al, Synthetic Metals (1999) 99, 243-248, incorporated herein by reference.
- Reduction potentials measured by electrochemical methods can be related to the electron affinity by methods known in the art. (see for example Loutfy, R. O.; Sharp, J. H. Photogr. Si. Eng. (1976) 20, 165).
- n-type conducting polymer may be used.
- non-conjugated conducting polymers that is “redox polymers” that comprise electrochemically active components incorporated as main chain moieties or as pendant moieties that are covalently linked to an insulating backbone.
- redox polymers that comprise electrochemically active components incorporated as main chain moieties or as pendant moieties that are covalently linked to an insulating backbone. Examples of this class of conducting polymers are described by Sorriero et al US 2003/0162109 and U.S. Pat. No. 6,593,046, and by Mackinnon, S.; Wang, Z.; J. Poly. Sci. (2000), 38, 3467-3475,and Wiederrecht, G.; Wasielewski, M. R. J. Am. Chem. Soc. (1998), 120 3231-3236, all incorporated herein by reference.
- polymers II and III may be, for example, a polyester-co-imide as described in Sorriero et al U.S. Pat. And Application Nos. 2003/0162109 and U.S. Pat. No. 6,593,046, incorporated herein by reference.
- Preferred polymers are those that exhibit only weak absorption of visible or near infrared electromagnetic radiation. Most preferred are polymers that exhibit no absorption of visible or near infrared electromagnetic radiation, i.e., are transparent.
- Thin layers of the aforementioned organic semiconductor compositions that comprise nanometer-sized n-type or p-type organic semiconductor pigment crystals/conducting polymer may be formed by any method known in the art, including roll coating and dip-coating, as described for example in Organic Photoreceptors for Xerography, P. Borsengerger, D. Weiss, Marcel Dekker, New York (1998) pp 112-117, spin-coating, inkjet, and the like.
- the p/n heterojunction is prepared by coating onto a rigid or flexible support in succession a combination of the p-type (electron donor) photosensitive organic semiconductor pigment/polymer composition and the n-type (electron acceptor) photosensitive organic semiconductor pigment/polymer compositions into bilayers or multilayers.
- p-type (electron donor) photosensitive organic semiconductor pigment/polymer composition and the n-type (electron acceptor) photosensitive organic semiconductor pigment/polymer compositions into bilayers or multilayers.
- the p/n heterojunction is prepared by first coating onto one rigid or flexible support the p-type photosensitive organic semiconductor pigment/polymer composition and coating the n-type photosensitive organic semiconductor pigment/polymer composition onto a second support, or vice versa, and subsequently laminating the two coated supports together with heat or solvent vapor annealing.
- a photovoltaic cell is prepared that has an active structure comprising a bilayer of the p-type (electron donor) photosensitive organic semiconductor pigment/polymer composition and the n-type (electron acceptor) photosensitive organic semiconductor pigment/polymer compositions wherein the two layers re in electrical contact with one another.
- the active structure also includes an electrically conductive contact structure to the p-type layer and a second electrically conductive contact to the n-type layer. At least one of the electrically conductive contacts permits visible and near IR light to pass therethrough to the n- and p-type layers. Additional layers may be placed between the n-type layer and its electrically conducting contact and/or between the p-type layer and its electrically conducting contact to provide ohmic contact.
- n-type (electron acceptor) semiconductor composition of a stable dispersion of nanoparticle semiconductor pigment in a solvent solution of an electronically conducting polymer was prepared using the semiconductor pigment material 3,4,9,10-perylenetetracarboxylic dianhydride compound denoted as UD-1 (structure below).
- the pigment is a perylene diimide useful in the preparation of photodiodes for photovoltaics and other optoelectronic applications.
- the pigment was milled to a small particle size and dispersed in the n-type electronically conducting polymer derived from 1,4,5,8-naphthalenetetracarboxylic dianhydride.
- the electrochemical reduction potential of the naphthimide containing polymer NB-2 is similar, that is within 0.2 V, of the reduction potential of a perylene diimide material.
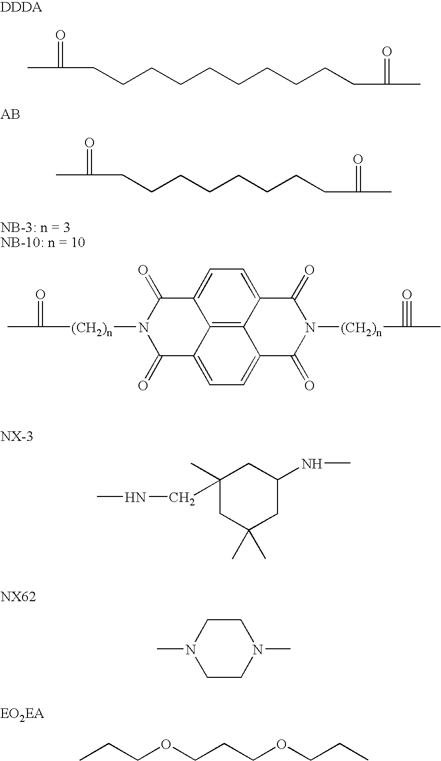
- the conducting polymer NB-2 is comprised of the following component parts: 12.5% DDA, 15% NX62, 2.5% AB, 5% EO2EA, 5% NB3, 30% NX3, and 30% NB10.
- the electronically conducting polymer used herein are described in U.S. patent application publication US2003/0162109 A1 Aug. 28, 2003, incorporated herein by reference. This reference also shows the cyclic voltammetry (reproduced in FIG. 1 ) at a carbon electrode for the polymer dissolved in 3:1 dichloromethane:methanol containing 0.1M tetrabutylammoniumtetrafluoroborate supporting electrolyte indicating a reversible reduction process at ca. ⁇ 0.55V vs SCE.
- the reduction potential for the perylene diimide pigment has not been directly measured due to its insolubility. However, reduction potentials for other closely related perylenediimides have been reported. The reduction potentials for perylenediimides are typically ⁇ 0.5 V to ⁇ 0.6 V vs SCE (J. Amer. Chem. Soc., (1999) vol 121 (14) pp 3515, incorporated herein by reference. Thus the reduction potentials for the pigment particle and the conducting polymer binder are within 0.1 V of each other, that is they are nominally equivalent.
- the pigment UD-1 was prepared by published standard procedures for synthesizing perylenediimide materials and purified by vacuum sublimation at 460° C.
- a ball mill (800 ml glass) was charged with 304 g of 1 ⁇ 8 inch chrome steel beads and 2.0 g of UD-1. The mixture was sheared by milling at about 68 rpm for 14 days at a temperature of 21 C. The resulting pigment was extracted from the beads with water and then dried in an oven at 60 C. The milled pigment from the first stage was transferred to an attritor milling vessel containing a plastic 50 ml conical tube and a stainless steel stirrer.
- the stirrer consisted of a rotating shaft with 18 small side arms aligned in 4 rows along the lower part of the shaft at 90 degrees to each other and extending perpendicular from the shaft toward the side wall of the vessel.
- Added to the tube was 46 g of 1/16 inch stainless steel beads and 10 mls of a mixture of UD-1 (5% by wgt), NB-2 (6% by wgt) and solvent (98% by wgt) of 3:1 of 1,1,2-trichloroethane/2-propanol.
- the mixture was agitated at 2200 rpm for 8 hours with periodic solvent addition to compensate for minor evaporation.
- Thin films of the final dispersion were prepared by spin coating using a Headway PWM 32 model spin coater onto pre-cleaned 50 mm ⁇ 50 mm glass slides. Various rotation speeds were utilized to provide samples of various film thicknesses.
- UV-vis absorption spectra are measured for the coated slides using a HP8450A diode array spectrophotometer and are illustrated in FIG. 3 .
- the absorbance in the spectral region of 400 nm to 650 nm is due to the light absorption by the UD-1 pigment material.
- Spectral absorption due to the naphthimide conducting polymer NB-2 is confined to wavelengths under about 400 nm. Film thickness was measured on a Tencor P-10 Surface Profilometer.
- the results demonstrate the preparation of a photosensitive n-type (electron acceptor) organic semiconductor composition that comprises nanometer-sized n-type (electron acceptor) organic semiconductor pigment crystals dispersed in an n-type (electron acceptor) electronically conducting polymeric binder wherein the electron affinities of the pigment and polymer as measured by their respective electrochemical reduction potentials are within 0.2 V.
- the results also show that thin films of varying thickness of the n-type (electron acceptor) organic semiconductor dispersion can be conveniently cast onto a solid substrate.
- the thin films exhibit strong absorption of visible electromagnetic radiation and hence are suitable for use as photosensitive n-type (electron acceptor) organic semiconductor compositions for preparing p/n heterojunctions for use in optoelectronic devices such as photodiodes, photodetectors, and photovoltaic (solar cells) cells.
- photosensitive n-type (electron acceptor) organic semiconductor compositions for preparing p/n heterojunctions for use in optoelectronic devices such as photodiodes, photodetectors, and photovoltaic (solar cells) cells.
- a ball mill (1 gal glass) was charged with 9000 g of 1 ⁇ 8 inch chrome steel beads and 75.0 g of titanium, oxo(29 H,31 H-phthalocyaninato(2-)-.kappa N29,.kappa.N30,.kappa.N31,.kappa.N32)-, (SP-5-12)-[C32 H16 N8 O Ti] “TiOPc” containing 1.3 wt % chlorine impurity.
- the mixture was sheared by milling at about 110 rpm for 7 days at room temperature (about 23° C.). A sample of the resulting pigment was extracted from the beads with water and then dried over night under vacuum at room temperature.
- an attritor milling vessel containing a plastic 50 ml conical tube and a stainless steel stirrer were used.
- the stirrer consisted of a rotating shaft with 18 small side arms aligned in 4 rows along the lower part of the shaft at 90 degrees to each other and extending perpendicular from the shaft toward the side wall of the vessel.
- the polymer was dissolved in the toluene over night under stirring at room temperature and filtered through a 1 micron filter. The mixture was agitated at 2200 rpm for 6 hours.
- the plastic tube containing the slurry was removed from the attritor, slurry adhering to the upper walls of the tube was carefully removed, the amount of remaining slurry in the tube determined by weight and enough fresh toluene added to the slurry to result in a 5% total solids concentration of pigment and binder in toluene.
- the YSZ beads were allowed to settle for 10 minutes and the supernate was carefully removed by pipette.
- the pigment dispersion (supernate) was sonicated for 1 hour in ice water prior to coating.
- Thin films of the final dispersion were prepared by spin coating using a Headway PWM 32 model spin coater onto pre-cleaned 50 mm ⁇ 50 mm glass slides. Various rotation speeds were utilized to provide samples of film thicknesses of 0.076, 0.114, and 0.347 micron.
- UV-vis absorption spectra measured for the 0.347 micron thick coated slide using a Cary 5E UV-vis-NIR spectrophotometer and are illustrated in FIG. 4 .
- the absorbance in the spectral region of 500 nm to 900 nm is due to the light absorption by the TiOPc pigment material.
- Spectral absorption due to the tri-tolylamine polymer is confined to wavelengths under about 400 nm.
- the peak absorbance for TiOpc (827 nm+/ ⁇ 2 nm) is 0.45, 0.57, and 1.58 for film thickness of 0.076, 0.114, and 0.347 micron, respectively. Film thickness was measured on a Tencor P-10 Surface Profilometer.
- TEM micrographs were obtained by spin coating the aforementioned dispersion onto glass slides, which were pre-coated with a formvar polymer coating. By dipping of these double-coated slides into water, the formvar/dispersion coating could be stripped off the slide and taken up from the water surface onto a copper TEM grid, without wetting of the dispersion coating. Analysis of such TEM micrographs suggests a primary pigment particle size between 30 and 70 nm, with occasional particles of 120 nm or larger.
- Literature data indicate the ionization potential of the metal phthalocyanine to be within 0.2 eV of that of the active redox component (p-tritolylamine) of the polymer.
- the data show that the coated dispersion exhibits a high degree of light absorption in the visible spectral region at minimal film thickness.
- the results demonstrate the preparation of a photosensitive p-type (electron donating) organic semiconductor composition that comprises nanometer-sized p-type (electron donor) organic semiconductor pigment crystals dispersed in an p-type (electron donor) electronically conducting polymeric binder wherein the ionization potentials of the pigment and polymer are estimated to be within 0.2 V.
- the results also show that thin films of varying thickness of the p-type (electron donor) organic semiconductor dispersion can be conveniently cast onto a solid substrate.
- the thin films exhibit strong absorption of visible and near infrared electromagnetic radiation and hence are suitable for use as photosensitive p-type (electron donor) organic semiconductor compositions for preparing p/n heterojunctions for use in optoelectronic devices such as photodiodes, photodetectors, and photovoltaic (solar cells) cells.
- photosensitive p-type (electron donor) organic semiconductor compositions for preparing p/n heterojunctions for use in optoelectronic devices such as photodiodes, photodetectors, and photovoltaic (solar cells) cells.
- a photovoltaic cell is prepared by first spin coating a 100 nm thick layer of the p-type TiOpc semiconductor crystal pigment /conducting polymer dispersion described in Example 1 onto a transparent flexible (plastic) support bearing a thin film of indium tin oxide transparent conductor (8 ohm/sq). On a second piece of transparent flexible (plastic) support bearing a thin film of indium tin oxide transparent conductor is coated a 100 nm thick layer of the n-type UD-1 semiconductor crystal pigment /conducting polymer dispersion described in example 3. Each of the coated layers is gently heated under vacuum to remove residual solvent.
- the two plastic supports thusly coated and dried are pressed together via lamination using a heated roller assembly, with the two plastic supports remaining slightly offset during lamination to allow for electrical connections.
- the temperature of the rollers is adjusted to a few degrees above the glass transition temperature of the polymers. Electrical connections to the cell are made by contact to the exposed, offset areas of the laminated cell.
- a ball mill (1 gal glass) was charged with 9000 g of 1 ⁇ 8 inch chrome steel beads and 75.0 g of TiOPe containing 1.3 wt % chlorine impurity. The mixture was sheared by milling at about 110 rpm for 7 days at room temperature (about 23° C.). A sample of the resulting pigment was extracted from the beads with water and then dried over night under vacuum at room temperature. 5970 g of the milled pigment with beads was transferred to a 250 ml glass jar, 1305 g of dichloromethane (DCM) was added and the mixture was milled another 24 hours at 117 rpm at room temperature. After this second milling, the pigment/DCM slurry was decanted into a clean 1 gal glass jar.
- DCM dichloromethane
- the beads were rinsed 3 times with fresh DCM, and the resulting pigment/DCM was also added to the 1 gal glass jar.
- the pigment was filtered through a 350 ml medium glass frit under water stream vacuum.
- the resulting sludge was transferred to petri dishes and dried under vacuum over night at room temperature.
- the dried pigment was analyzed by XRD and found to be highly crystalline of TiOPc Type V.
- an attritor milling vessel containing a plastic 50 ml conical tube and a stainless steel stirrer were used.
- the stirrer consisted of a rotating shaft with 18 small side arms aligned in 4 rows along the lower part of the shaft at 90 degrees to each other and extending perpendicular from the shaft toward the side wall of the vessel.
- the polymer was dissolved in the toluene over night under stirring at room temperature and filtered through a 1 micron filter. The mixture was agitated at 1500 rpm for 3 hours. After the 3 hours of wet milling, the plastic tube containing the slurry was removed from the attritor, slurry adhering to the upper walls of the tube was carefully removed, the amount of remaining slurry in the tube determined by weight and enough fresh toluene added to the slurry to result in a 5% total solids concentration of pigment and binder in toluene. After mixing the toluene and slurry by vigorous shaking, the dispersion was separated from the beads through aspiration.
- Particle size of the TiOPc pigments was estimated based on Scanning Electron Microscopy (SEM) micrographs according to a procedure known to those versed in the art. SEM micrographs were obtained by spin coating the aforementioned dispersion onto a silicon wafer, which served as the sample holder during the SEM measurement. Analysis of such SEM micrographs suggests a primary pigment particle size between 30 and 100 nm, with occasional particles of 200 nm or larger.
- Thin films of the final dispersion were prepared by spin coating using a Headway PWM 32 model spin coater onto precleaned 50 mm ⁇ 50 mm glass slides. Various rotation speeds were utilized to provide samples of various film thicknesses.
- UV-vis absorption spectra are measured for the coated slides using a Cary 5E UV-vis-NIR spectrophotometer. The spectra show absorbance in the spectral region of 500 nm to 900 nm that is due to the light absorption by the TiOPC pigment material. Spectral absorption due to polyfluorene -arylamine copolymer is confined to wavelengths under about 400 nm. Film thickness was measured on a Tencor P-10 Surface Profilometer. Literature data indicate the ionization potential of the metal phthalocyanine to be within 0.3 eV of that of the polyfluorene -arylamine copolymer.
- Table 4 lists the thickness of the spin-coated layer (in micron mm), and the Absorbance (optical density OD) measured at the absorbance maximum (840-850 nm). The data show that the coated dispersion exhibits a high degree of light absorption in the NIR and visible spectral regions at minimal film thickness. TABLE 4 thickness Absorbance Sample (in micron ⁇ m) (optical density OD) 1 0.104 0.45 2 0.113 0.62 3 0.193 0.98 4 0.358 1.66
- the results demonstrate the preparation of a photosensitive p-type (electron donating) organic semiconductor composition that comprises nanometer-sized p-type (electron donor) orgamic semiconductor pigment crystals dispersed in a p-type (electron donor) electronically conducting conjugated polymer binder wherein the ionization potentials of the pigment and polmer are nominally equivalent.
- the results also show that thin films of varying thickness of the p-type (electron donor) organic semiconductor dispersion can be conveniently cast onto a solid substrate.
- the thin films exhibit strong absorption of visible and near infrared electromagnetic radiation and hence are suitable for use as photosensitive p-type (eletron donor) organic semiconductor compositions for preparing p/n heterojunctions for use in optoeletronic devices such as photodiodes, photodetectors, and photovoltaic (solar cells) cells.
- photosensitive p-type (eletron donor) organic semiconductor compositions for preparing p/n heterojunctions for use in optoeletronic devices such as photodiodes, photodetectors, and photovoltaic (solar cells) cells.
Landscapes
- Physics & Mathematics (AREA)
- Spectroscopy & Molecular Physics (AREA)
- Chemical & Material Sciences (AREA)
- Engineering & Computer Science (AREA)
- Materials Engineering (AREA)
- Photovoltaic Devices (AREA)
Abstract
The present invention relates to a photosensitive organic semiconductor composition comprising an organic p-type semiconductor pigment with a p-type conducting polymer, wherein the ionization potentials of the organic p-type semiconductor pigment and the p-type conducting polymer are nominally equivalent and a photosensitive organic semiconductor composition comprising an organic n-type semiconductor pigment with an n-type conducting polymer, wherein the electron affinities of the organic semiconductor pigment and the conducting polymer are nominally equivalent. The present invention also relates to a p/n heterojunction utilizing the photosensitive organic semiconductor compositions.
Description
- This is a divisional of application Ser. No. 11/058,014, filed Feb. 15, 2005, the disclosure of which is incorporated herein by reference.
- The present invention relates to photosensitive organic semiconductor compositions.
- There is widespread interest in developing photosensitive organic semiconductor compositions for use in various optoelectronic devices, including photovoltaics (solar cells) and visible light photodetectors. Such optoelectronic devices typically incorporate a p/n heterojunction formed at the interface between p-type and n-type semiconducting layers. For organic materials the designation “n-type” indicates the material to exhibit electron accepting character, and as such is considered capable of transporting electrons. The measure of electron accepting character is usually provided either by the electron affinity or electrochemical reduction potential of the organic material. A “p-type” organic material, on the other hand, is considered to have electron donating character and as such is considered to be “hole transporting”. The measure of electron donating character is usually provided by the ionization potential or electrochemical oxidation potential of the organic material. The simplest organic p/n heterojunction comprises a bilayer formed by the superposition of electron donor and electron acceptor semiconducting organic layers. Multiple organic donor/acceptor layers can be stacked to give a more complex design. Bulk heterojunctions have also been described, wherein the n-type and p-type organic semiconductor materials are blended to yield multiple donor/acceptor interfaces.
- A principal feature of the p/n heterojunction is the built-in potential at the interface between the p-type (donor) material and the n-type (acceptor) material. To a first approximation this built-in potential is the origin of the rectifying nature, which arises from the differences in the ionization potentials and electron affinities of the two materials which make up the heterojunction. When electrons and holes are photogenerated in the vicinity of the junction, the field due to the built-in potential serves to separate the charge. The charge separation at the interface is, therefore, the origin of the photovoltaic effect. Such p/n heterojunction diodes can serve as photodiodes and as the fundamental element in a photovoltaic cell, commonly known as a solar cell.
- A variety of photoactive organic molecules, crystals, pigments, conjugated and non-conjugated polymers, oligomers, and composites have been developed for use as semiconductor donor and acceptor materials for photovoltaic and photodetector applications. There are several guidelines in designing or selecting photoactive organic materials for such use. First, it is desired that the material have a high optical absorption coefficient α (alpha) for incident electromagnetic radiation. For photovoltaic (solar cell) and visible light photodetector applications, in particular, it is important for the organic material to exhibit a high optical absorption coefficient for visible and near infrared radiation so that very thin layers of the photosensitive organic material can be used to absorb nearly all of the incident radiation. Second, it is desired that the exciton (i.e., the excited state electron-hole bound pair) created by the process of light absorption by the photosensitive organic material have a long diffusion length L such that the exciton can migrate through the respective layer and reach the donor/acceptor (p-n) heterojunction before geminate recombination of quenching occurs. Third, it is desired that upon reaching the interface the exciton disassociates into electrons and holes due to the difference in ionization potential of the donor and the electron affinity of the acceptor. The latter process can be viewed as an exothermic chemical reaction, i.e., a reaction in which some energy is released as vibrational energy. This reaction occurs because the energy separation of the dissociated exciton, i.e., the energy difference between the free electron in the acceptor material and the free hole in the donor is smaller than the energy of the exciton prior to dissociation. Fourth, it is desired that the electron and holes created upon excition dissociation at the donor/acceptor interface have a high mobility in their respective layers so that they may be separately collected at opposing contacting electrodes and contribute to the photocurrent. Lastly, it is desired that the photosensitive organic material be easily processed to form the appropriately thin layers or blends of donor and acceptor component.
- Unfortunately, prior art formulations of organic semiconducting materials have typically suffered from one or more disadvantages with regards to their optical or electronic materials properties and/or to their convenience for processing that have significantly restricted their use.
- For example, a wide variety of “small” molecule materials and pigments have been used to fabricate p/n heterojunctions for photovoltaic and photodetector applications. References to the use of small molecule and pigment materials include C. W. Tang Appl. Phys. Lett. (1986) 48, 183, Peumans, P.; Yakimov, A.; Forrest, S. J. App. Phys. (2003), 93(7), 3693, Petritsch, K.; Dittmer, J. J.: Marseglia, E. A.; Friend, R. H.; Lux, A.; Rozenberg, G. G.; Moratti, S. C.; Holmes, A. B. Solar Energy Materials and Solar Cells (2000), 61(1), 63-72, all incorporated herein by reference. Typical of such materials are “electron-donor” copper phthalocyanine (CuPc) and “electron-acceptor” 3,4,5,10-perylenetetracarboxylic-bis-benzimidazole (PTCBI). Thin films of these materials can be fabricated with thermal evaporation, chemical vapor deposition (CVD) and so on. Simple donor/acceptor bilayers, as well as multiple alternating layers of donor and acceptor, can be assembled. However, vacuum sublimation is a batch process which makes production scale runs quite costly, and thin, sublimed films are fragile and susceptible to damage. Alternatively, soluble derivatives of these materials can be prepared and dissolved in an appropriate solvent such that thin films can be fabricated by casting directly from solution or using similar fluid phase processing. Unfortunately, the films of molecular organic donor or acceptor materials prepared by vacuum or solution processing methods tend to be amorphous (non-crystalline) and, as such, generally exhibit small exciton diffusion lengths and low carrier mobility. Consequently, photovoltaic devices and photodetectors constructed from these amorphous materials exhibit relatively low photon-electric conversion efficiency (low quantum yield), being on the order of 2% or less.
- Also, a variety of polymeric materials have been used to fabricate p/n heterojunctions for photovoltaic, photodetector, and other optoelectronic applications. Photosensitive junctions can be produced using two semiconducting organic layers in a donor/acceptor heterojunction (i.e., bilayer) structure or alternation layer structures. Conducting polymers which combine the electronic and optical properties of semiconductors and metals with the attractive mechanical properties and processing advantages of polymers have been described by A. J. Heeger. S. Kivelson, J. R. Schrieffer, W. P. Su, Review of Modern Physics 60, 781 (1988), incorporated herein by reference. The ability to control the energy gap and electronegativity through molecular design has enabled the synthesis of conducting polymers with a range of ionization potentials and electron affinities; See T. A. Skotheim, Ed., Handbook of Conducting Polymers Vol. -T, X-T (Marcel Dekker, New York 1986), J. L. Bredas and R. R. Chance, Eds., Conjugated Polymeric Materials: Opportunities in Electronics, Optoelectronics and Molecular Electronics (Kluwer Academic Press, Netherlands 1990), both incorporated herein by reference. The active layer can comprise one or more semiconducting, conjugated polymers, alone or in combination with non-conjugated materials, one or more organic molecules, or oligomers. The active layer can be a blend of two or more conjugated polymers with similar or different electron affinities and different electronic energy gaps. The active layer can be a blend of two or more organic molecules with similar or different electron affinities and different electronic energy gaps. The active layer can be a blend of conjugated polymers and organic molecules with similar or different electron affinities and different energy gaps. The latter offers specific advantages in that the different electron affinities of the components can lead to photoinduced charge transfer and charge separation; a phenomenon which enhances the photosensitivity [N. S. Sariciftci and A. J. Heeger, U.S. Pat. No. 5,333,183 (Jul. 19, 1994); N. S. Sariciftci and A. J. Heeger, U.S. Pat. No. 5,454,880 (Oct. 3, 1995); N. S. Sariciftci, L. Smilowitz, A. J. Heeger and F. Wudl, Science 258, 1474 (1992); L. Smilowitz, N. S. Sariciftci, R. Wu, C. Gettinger, A. J. Heeger and F. Wudl, Phys. Rev. B 47, 13835 (1993); N. S. Sariciftci and A. J. Heeger, Intern. J. Mod. Phys. B 8,237 (1994), all incorporated herein by reference]. The active layer can also be a series of heterojunctions utilizing layers of organic materials or blends as indicated above.
- Typical p-type (donor) semiconducting polymers are poly-3-hexylthiophene (PT) and poly(2-methoxy, 5-(2′-ethyl-hexyloxy) paraphenylenevinylene (MEH-PPV). Other examples of typical semiconducting conjugated polymers include, polyacetylene, (“PA”), and its derivatives; polyisothianaphlene and its derivatives; polythiophene, (“PT”), and its derivatives; polypyrrole, (“PPr”), and its derivatives; poly(2,5-thienylenevinylene), (“PTV”), and its derivatives; poly(pphenylene), (“PPP”), and its derivatives; polyflourene, (“PF”), and its derivatives; poly(phenylene vinylene), (“PPV”), and its derivatives; polycarbazole and its derivatives; poly(1,6-heptadiyne); polyisothianaphene and its derivatives; polyquinolene and semiconducting polyanilines (i.e. leucoemeraldine and/or the emeraldine base form). Representative polyaniline materials are described in U.S. Pat. No. 5,196,144, incorporated herein by reference. Bilayer p/n junction or blended (bulk) p/n heterjunction structures have heen produced by layering or blending the donor semiconducting polymer with an acceptor material of n-type (acceptor) poly(cyanophenylenevinylene) (“CN-PPV”). Alternativley, fullerene molecules such as C 60 and its functional derivatives (such as PCBM), or organic molecules have been used an acceptor material of n-type (acceptor). The use of conjugated polymers as photosensitive materials has been described for example in the following reports: S. Karg, W. Riess. V. Dyakonov, M. Schwoerer, Synth. Metals 54, 427 (1993); H. Antoniadis, B. R. Hsieh, M. A. Abkowitz, S. A. Jenekhe, M. Stolka, Synth. Metals 64, 265 (1994); G. Yu, C. Zhang, A. J. Heeger, Appl. Phys. Lett. 64, 1540 (1994); Friend, R. H. Pure Appl. Chem. (2001) 73, 425-430; R. N. Marks, J. J. M. Halls, D. D. D. C. Bradley, R. H. Fricnd, A. B. Holmes, J. Phys.: Condens. Matter 6, 1379 (1994); A. J. Heeger and G. Yu, U.S. Pat. No. 5,504,323 (April, 1996); R. H. Friend, A. B. Homes, D. D. C. Bradley, R. N. Marks, U.S. Pat. No. 5,523,555 (June, 1996). [G. Yu, H. Pakbaz and A. J. Heeger, Appl. Phys. Lett. 64, 3422 (1994); G. Yu, J. Gao, J. C. Hummelen, F. Wudl and A. J. Heeger, Science 270, 1789 (1995); G. Yu and A. J. Heeger. J. Appl. Phys. 78, 4510 (1995)], all incorporated herein by reference. Unfortunately, optoelectronic devices such as solar cells and photodetectors constructed using semiconducting polymers materials exhibit relatively low photon-electric conversion efficiency (low quantum yield).
- On the other hand, it is known that the electronic and optical properties of organic semiconductors improve with increasing structural order. For example the exciton diffusion length L in single crystal naphthalene and anthracene is reported to be about 200 nm compared to less than 100 nm for many noncrystalline organic molecular films. Powell, R.; Soos, J.; J. Lumin. (1975) 11, 1-45, Meth, J.; Marshall, C.; Fayer, M.; Solid State Commun., (1990) 74, 281-284., Peumans, P.; Yakimov, A.; Forrest. S. J. App. Phys. (2003), 93(7), 3693, all incorporated herein by reference. The performance of amorphous organic semiconductor films is known to be enhanced by solvent and thermal annealing processes which tend to crystallize organic semiconductor materials. An enhancement in quantum efficiency has been demonstrated for example by solvent annealing to produce a crystal network in an organic solar cell containing a film of n-type (acceptor) perylene bis(phenethylimide) (Dittmer, J. J.; Lazzaroni, R.; Leclere. Ph.; Moretti, P.; Granstrom, M.; Petritsch, K.; Marseglia, E. A.; Friend, R. H.; Bredas, J. L.; Rost, H.; Holmes, A. B.; Solar Energy Materials and Solar Cells (2000), 61(1), 53-61, incorporated herein by reference.) Solvent treatment also improved the crystallinity and photovoltaic properties of a p-type magnesium phthalocyanine film (Hor, A. M.; Loufty, R. O. Thin Solid Films 1983, 106, 291-301). The exciton diffusion length L in films of n-type (acceptor) perylene bis(phenethylimide) have also been shown to increase upon crystallization by solvent annealing. (Gregg, B. J. Phys. Chem. (1996) 100, 852-859, incorporated herein by reference.) Carrier mobility in crystal networks is also much higher than in amorphous compositions. For vapor deposited layers Kotani has shown that carrier mobilities are strongly dependent on the substrate temperature during the vapor-deposition process, wherein high substrate temperature afforded increase film crystallinity and higher carrier mobilities increased nearly ten-fold (Kotani, T. et. al., In “Proceedings of the Eleventh International Congress on Advances in Non-Impact Printing Technologies”, M. Hopper, ed., IS&T, Springfield, Va., ;42, 1995). Unfortunately, control over the morphology and extent of crystallization by such annealing processes is poor. Additionally, such solvent annealing processes can lead to formation of unwanted pinholes in the crystallized layer.
- Organic semiconductor crystals have been successfully formulated for use as photoconductors for electrophotography as described in “Photoreceptors: Organic Photoconductors”, P. Borsenberger, D. Weiss, in Handbook of Imaging Materials, 2nd edition, Diamond and D. Weis, Ed, Marcel Dekker, New York 2002, pp 368-424. Compositions comprising finely-divided, crystalline n-type (acceptor) semiconductor pigment material perylene his(phenethylimide) dispersed in an inert polymeric binder have been described, for example, by Gruenbaum et al. U.S. Pat. Nos. 4,968,571, and 5,019,473 incorporated herein by reference. Also, photoconductor compositions comprising crystalline and co-crystalline mixtures of titanylphthalocyanine semiconductor pigment materials dispersed in an inert (non-conducting) polymeric binder have been described by Molaire and Keading U.S. Pat. Nos. 5,614,342 and 5,766,810, both incorporated herein by reference. While these aforementioned dispersions of semiconductor pigment in polymer binder are suitable for electrophotographic applications, these compositions are not sufficiently sensitive for photovoltaic and low-bias photodetector applications because the film-forming polymeric binder is electrically insulative.
- For example, the inert polymeric binders used to prepare the electrophotographic photoconductor dispersions noted above include, for example. styrene-butadiene copolymers; vinyl toluene-styrene copolymers; styrene- alkyd resins; silicone-alkyd resins; soya-alkyd resins; vinylidene chloride-vinyl chloride copolymers; poly(vinylidene chloride); vinylidene chloride-acrylonitrile copolymers; vinyl acetate-vinyl chloride copolymers; poly(vinyl acetals), such as poly(vinyl butyral); nitrated polystyrene; poly(methylstyrene); isobutylene polymers; polyesters, such as poly[ethylene-coalkylenebis(alkyleneoxyaryl)phenylenedicarboxylate]; phenolformaldehyde resins; ketone resins; polyamides; polycarbonates; polythiocarbonates; poly[ethylene-coisopropylidene-2,2-bis(ethyleneoxyphenylene)-terephthalate]; copolymers of vinyl haloacrylates and vinyl acetate such as poly(vinyl-m-bromobenzoate-covinyl acetate); chlorinated poly(olefins), such as chlorinated poly(ethylene); cellulose derivatives such as cellulose acetate, cellulose acetate butyrate and ethyl cellulose; and polyimides, such as poly[1,1,3-trimethyl-3-(4′-phenyl)-5-indane pyromellitimide] and others. These polymers are not conjugated, do not contain an electrochemically active redox component, and as such are electronically insulating. Thus, as reported by Kitamujra and Yoshimura in: Proceedings of the Eighth International Congress on Advances in Non-Impact Printing Technologies, 1992, E. Hanson ed., IS&T, Springfield, Va., p 237, for TiOPC dispersions in a polyester or polycarbonate, these pigment/polymer compositions exhibit low carrier mobility and require large applied electric fields in order to transport charge through the composition.
- There is considerable published literature on photosensitive compositions that comprise n-type (electron-acceptor) organic semiconductor, such as C60 and its derivatives, dispersed in a p-type (electron donor) electronically conducting polymer, such as polythiophene or PPV and their derivatives. There is no prior art describing preparation or use of compositions that comprise n-type (electron-acceptor) organic semiconducto crystals dispersed in an n-type (electron donor) electronically conducting polymer. There are a few references: Hong, J.; Chen, H; Wang, M. J. Mater. Sci. 2003, 38, 4021, Nobutsugu, M.; Kanji,
S. Kobunshi Ronbunshu 1983, 40, 211-216, Manabu, T.; Satoshi. O.; Hiroyki, T.; Seiko, N.; Hideo, N. Tech. Dig.-Int. Photovoltaic Sci. and Eng. Conf., 1st (1984) pp 263-266, Takashi, K.; Akira, K.; Shunji, I. Denshi Shashin Gakkaishi 1984, 23, 18-23, that relate to the preparation and use of dispersions of a phthalocyanines pigment in the binder polymer of polyvinylcarbazole (PVK). Although not specified or demonstrated in these latter references, and although phthalocyanine pigments can exhibit n-type or p-type behavior depending on method of preparation and treatment, it may be considered that the phthalocyanine pigment is p-type in the above cited references and the PVK polymer is an electron donating polymer, hence comprising a p-type pigment dispersed in an electron donating (p-type) polymer. PVK polymer has a relatively high ionization potential, 5.8 eV as reported by Anderson et al, J. Am. Chem. Soc. (1998). 120, 9646-9655 and Kido, J.; Shionoya, H.; Nagai, K. Appl. Phys. Lett. (1995), 67, 2281, whereas the typical ionization potential for a metal phthalocyanine is about 4.9 eV [4.8 eV for copper phthalocyanines as reported by Lee. S.; Wang, M.; Hou, X.; Tang, C. Appl. Phys. Lett (1999), 74, 670-672) and 5.03 eV for zinc phthalocyanine as reported by Kimura, T.; Sumimoto, M.; Sakaki, S.; Fujimoto, H.; Hashimoto, Y.; Matsuzaki, S. Chem. Phys. (2000), 253(1). 125-131]. Thus, in these cited examples, the ionization potential of the phthalocyanine differs substantially from that of PVK amount (the difference being greater than 0.5 eV). Hence, carrier (hole) mobility through the composition remains very poor because there is an energetic barrier (>0.5 eV) for the hole to move from the phthalocyanine to PVK. - There is a continuing need for photosensitive organic semiconductor compositions that may be used to produce various optoelectronic devices including photodiodes, photodetectors, and photovoltaic devices (solar cells). Present organic semiconductor compositions for optoelectronic device applications such as photodetectors and photovoltaic devices are deficient in one or more attributes of exciton diffusion length, carrier mobility, and optical absorption coefficient.
- The present invention relates to a photosensitive organic semiconductor composition comprising at least one organic p-type (electron donor) semiconductor pigment with at least one p-type (electron donor) conducting polymer, wherein the ionization potential of said at least one organic p-type (electron donor) semiconductor pigment and the ionization potential of said at least one p-type (electron donor) conducting polymer are nominally equivalent. The present invention also relates to a photosensitive organic semiconductor composition comprising at least one organic n-type (electron donor) semiconductor pigment with at least one n-type (electron donor) conducting polymer, wherein the electron affinity of said at least one organic n-type (electron donor) semiconductor pigment and the electron affinity of said at least one n-type (electron donor) conducting polymer are nominally equivalent, as well as a p/n heterojunction comprising a combination of at least one layer comprising p-type organic semiconductor pigment with at least one p-type conducting polymer, wherein the ionization potential of said at least one p-type organic semiconductor pigment and the ionization potential of said at least one p-type conducting polymer are nominally equivalent and at least one layer comprising at least one n-type organic semiconductor pigment with at least one n-type conducting polymer, wherein the electron affinity of said at least one n-type organic semiconductor pigment and the electron affinity of said at least one n-type conducting polymer are nominally equivalent.
- The present invention includes several advantages, not all of which are incorporated in a single embodiment. The specific combination of organic semiconductor pigment crystals with conducting polymers wherein the ionization potential (electron affinity) of the pigment and the ionization potential (electron affinity) of the polymer are nominally equivalent provides for semiconductor compositions with unique electrical, optical, electrochemical, and processing properties. The p-type (electron donor) photosensitive organic semiconductor pigment/polymer composition and n-type (electron acceptor) photosensitive organic semiconductor pigment/polymer compositions may be formed into bilayers and multilayers and into a blended or bulk p/n heterojunction. The compositions may be in optoelectronic devices including photodiodes, visible spectrum photodetectors, and photovoltaic devices (solar cells).
-
FIG. 1 . Cyclic voltammogram of naphthimide conducting polymer NB-2 recorded at a glassy carbon electrode in 3:1 methylene chloride/methanol containing 0.1 M tetrabutylammoniumtetrafluoroborate. -
FIG. 2 . Sizing data for dispersion of UD-1 pigment material in naphthimide conducting polymer NB-2 with a Model UPA-15 (Microtrac) ultrafine particle analyzer. -
FIG. 3 . UV-vis absorption spectra for spin coated films of UD-1 pigment material dispersed in naphthimide conducting polymer NB-2. Table 3 lists rotation speed (rpm), film thickness (μm), and film optical density (OD) at 578 nm. -
FIG. 4 . UV-vis NIR absorption spectra for a 0.347 micron thick spin-coated film of TiOpc pigment material dispersed in tritolylamine conducting polymer T-1 - This present invention relates to photosensitive organic semiconductor compositions that comprise a stable dispersion of nanometer-sized organic semiconductor pigment crystals in an electronically conducting polymeric binder. More specifically it relates to photosensitive organic semiconductor compositions wherein the ionization potential (electron affinity) of the pigment and the ionization potential (electron affinity) of the polymer are nominally equivalent. The term “nominally equivalent” as used herein refers to a difference in ionization potential of the pigment and its associated polymer of less than 0.5 eV, or a difference in the electron affinity of the pigment and the electron affinity of the polymer of less than 0.5 eV. Optimally these differences are less than 0.2 eV, and most optimum is the condition where these differences are less than 0.1 eV.
- Thus described are p-type (electron donor) photosensitive organic semiconductor compositions that comprise nanometer-sized p-type (electron donor) organic semiconductor pigment crystals with an ionization potential IP that are dispersed in an p-type (electron donor) electronically conducting polymeric binder that has a similar ionization potential. Likewise, are described n-type (electron acceptor) photosensitive organic semiconductor compositions that comprise nanometer-sized n-type (electron acceptor) organic semiconductor pigment crystals with an electron affinity (also referred to herein as EA) that are dispersed in an n-type (electron acceptor) electronically conducting polymeric binder that has a similar electron affinity. The specific combination of organic semiconductor pigment crystals with conducting polymers wherein the ionization potential (electron affinity) of the pigment and the ionization potential (electron affinity) of the polymer are nominally equivalent provides for semiconductor compositions with unique electrical, optical, electrochemical, and processing properties.
- It would be advantageous to prepare photosensitive organic semiconductor compositions that comprise a stable dispersion of nanometer-sized organic semiconductor pigment crystals in an electronically conducting polymeric binder wherein the polymer binder facilitates the motion of charge carriers throughout. In order to maximize carrier transport within the composition, it is preferred to prepare the composition wherein the ionization potential of the pigment (for p-type pigment) and the ionization potential of the polymer (p-type polymer) are nominally equivalent. Likewise, to maximize carrier transport within an n-type composition the composition would comprise an n-type (electron-acceptor) organic semiconductor dispersed in a n-type (electron acceptor) electronically conducting polymer wherein the electron affinity of the pigment and the electron affinity of the polymer are nominally equivalent. Such photosensitive organic semiconductor compositions may be used to produce various optoelectronic devices including photodiodes, photodetectors, and photovoltaic devices (solar cells).
- The concept of preparing or use of a composition comprised of an n-type (electron-acceptor) organic semiconductor dispersed in a n-type (electron acceptor) electronically conducting polymer wherein the electron affinity of the pigment and the electron affinity of the polymer are nominally equivalent has not been disclosed in the prior art. Likewise, the concept of preparing use of a composition comprised of a p-type (electron-donor) organic semiconductor in a p-type (electron donor) electronically conducting polymer wherein the ionization potential of the pigment and the ionization potential of the polymer are nominally equivalent has not been disclosed in the prior art. The specific use of the organic semiconductor/conducting polymer compositions to prepare p/n heterojunctions for optoelectronic applications has also not been disclosed in the literature.
- This invention also relates to p/n heterojunctions prepared by combination of the p-type (electron donor) photosensitive organic semiconductor pigment/polymer composition and the n-type (electron acceptor) photosensitive organic semiconductor pigment/polymer compositions into bilayers and multilayers. This invention also relates to p/n heterojunctions prepared by combination of the p-type (electron donor) photosensitive organic semiconductor pigment/polymer composition and the n-type (electron acceptor) photosensitive organic semiconductor pigment/polymer compositions into a blended or bulk p/n heterojunction. This invention also relates to the use of the p/n heterojunctions of photosensitive organic semiconductor pigment/polymer compositions in various optoelectronic devices including photodiodes, visible spectrum photodetectors, and photovoltaic devices, such as solar cells.
- This invention also utilizes the processing advantages associated with the fabrication of p/n heterojunction diode structures from a dispersion of nanometer-sized organic semiconductor pigment in a soluble conducting or conjugated polymers (and/or their precursor polymers). The dispersion may be cast from solution to enable the fabrication of large active areas.
- Photosensitive p-type (electron donor) organic semiconductor compositions that comprise nanometer-sized p-type (electron donor) organic semiconductor pigment crystals with an ionization potential IP that are dispersed in an p-type (electron donor) electronically conducting polymeric binder that has a similar ionization potential. In a preferred embodiment the ionization potentials of the electron-donor pigment and electron-donor conducting polymer differ by less than 0.5 eV. In a more preferred embodiment the ionization potentials of the pigment and conducting polymer differ by less than 0.2 eV. In a most preferred embodiment the ionization potentials of the pigment and conducting polymer differ by less than 0.1 eV.
- Any p-type semiconducting organic pigment may be utilized. Most preferred are those that exhibit high absorption for visible and near infrared radiation. Representative examples of p-type semiconducting pigment include the substituted and unsubstituted metal-free phthalocyanines, substituted and unsubstituted metallophthalocyanines, and porphyrins, among others. The class of p-type pigment materials that is most useful in the aforementioned composition is the metallophthalocyanines.
- Preferred p-type semiconducting pigment materials are those that can be prepared or processed to form nanometer-sized crystals for dispersion into the polymer. Preferred particle sizes are less than 0.5 micron in length. More preferred particle sizes are less than 0.2 micron in length. Preferred particle sizes are less than 0.1 micron in length.
- Acceptable procedures for processing p-type semiconducting pigment materials to form nanometer-sized crystal dispersions include dry-milling, salt-milling, acid-pasting, and solvent milling, among others. The optimum ratio of pigment material to conducting polymeric binder may vary widely depending upon the particular materials employed. The pigment material can be a single pigment or it can be two or more pigments used in various ratios. In general, useful results are obtained when the amount of pigment material contained within the layer is within the range of from about 0.01 to 90 weight percent, based on the dry weight of the layer. A very high pigment to binder ratio is preferred. Various solvents may be added to the composition during and after the milling procedure to facilitate pigment crystallization and to provide dispersion stability and coatability as described in Molaire and Keading U.S. Pat. Nos. 5.614,342 and 5,766,810, both incorporated herein by reference.
- The ionization potential may be measured by methods described in the art. e.g., photoelectron spectroscopy. Alternatively, electrochemical methods may be used to measure the oxidation potential of the material which can be related to the ionization potential by methods known in the art (see for example Loutfy, R. O.; Sharp, J. H. Photogr. Sci. Eng. (1976) 20, 165 and Reiss, H.; Heller. A. J. Phys. Chem. (1985), 89, 4207).
- Any p-type conducting polymer may be used. Preferred polymers are those that exhibit weak or no absorption of visible or near infrared light. Useful polymers in this class includes various pi-conjugated polymers such as the polythiophenes, poly(3-alkyl)thiophenes, polyisothianaphthene, polyethylenedioxythiohenes, poly-p-phenylenevinylenes, poly-(2,5dialkoxy)-p-phenylenevinylenes, poly-p-phenylenes, polyheptadiynes, polyanilines, polypyrroles, polyfluorenes, poly(2-vinylpyridines), and the like as described for example in Heeger, A. J., J. Phys Chem B (2001) 105, 8475-8491 and “Polymers for Photonics Applications I”, K. S. Lee ed, 1st edition, Springer Verlag (2002). Also included are non-conjugated conducting polymers, that is so called “redox polymers”, that comprise electrochemically active components incorporated as main chain moieties or as pendant moieties that are covalently linked to an insulating backbone. Examples of this class of pendant arylamine and main chain arylamine conducting polymers are structures I and II shown below as described tor example in Linberg et al. U.S. Pat. Nos. 5,155,200 and 5,030,532 and Facci et. al., Mol. Cryst. Liq. Cryst.(1991) 194, pp 55-63.
wherein n, x, and s are intergers, and R is a substituted or unsubstituted alkyl, aryl, alkyloxy group or a halogen atom, or hydrogen atom. - Preferred polymers are those that exhibit only weak absorption of visible or near infrared electromagnetic radiation. Most preferred are polymers that exhibit no absorption of visible or near infrared electromagnetic radiation, i.e., are transparent.
- The ionization potential may be measured by methods described in the art, e.g., photoelectron spectroscopy. Alternatively, electrochemical methods may be used to measure the oxidation potential of the material as demonstrated by Li et al. Synthetic Metals (1999) 99, 243-248, incorporated herein by reference. Oxidation potentials measured by electrochemical methods can be related to the ionization potential by methods known in the art (see for example Loutfy, R. O.; Sharp, J. H. Photogr. Si. Eng. (1976) 20, 165 and Reiss, H.; Heller, A. J. Phys. Chem. (1985), 89, 4207).
- Photosensitive n-type (electron acceptor) organic semiconductor compositions that comprise nanometer-sized n-type (electron acceptor) organic semiconductor pigment crystals with an electron affinity EA that are dispersed in an n-type (electron acceptor) electronically conducting polymeric binder that has a similar electron affinity. In a preferred embodiment the electron affinities of the electron-acceptor pigment and electron-acceptor conducting polymer differ by less than 0.5 eV. In a more preferred embodiment the electron affinities of the pigment and conducting polymer differ by less than 0.2 eV. In a most preferred embodiment the electron affinities of the pigment and conducting polymer differ by less than 0.1 eV.
- Any n-type (electron acceptor) semiconducting pigment may be utilized. Most preferred are those that exhibit high absorption for visible and near infrared radiation. Representative examples of n-type semiconducting pigment include the aromatic imides derived from 3,4,9,10-perylenetetracarboxylic dianhydride (PTDA), among others. The class of n-type (electron acceptor) pigment materials that is most useful in the aforementioned composition are the perylenediimides.
- Preferred n-type semiconducting pigment materials are those that can be prepared or processed to form nanometer-sized crystals for dispersion into the polymer. Preferred particle sizes are less than 0.5 micron in length. More preferred particle sizes are less than 0.2 micron in length. Preferred particle sizes are less than 0.1 micron in length.
- Acceptable procedures for processing n-type semiconducting pigment materials to form nanometer-sized crystal dispersions include dry-milling, salt-milling, acid-pasting, and solvent milling, among others. The optimum ratio of pigment material to conducting polymeric binder may vary widely depending upon the particular materials employed. The pigment material can be a single pigment or it can be two or more pigments used in various ratios. In general, useful results are obtained when the amount of pigment material contained within the layer is within the range of from about 0.01 to 90 weight percent based on the dry weight of the layer. A very high pigment to binder ratio is preferred. Various solvents may be added to the composition during and after the milling procedure to facilitate pigment crystallization and to provide dispersion stability and coatability.
- The electron affinity may be measured by methods described in the art e.g., photoelectron spectroscopy. Alternatively, electrochemical methods may be used to measure the reduction potential of the material by electrochemical methods as demonstrated by Li et al, Synthetic Metals (1999) 99, 243-248, incorporated herein by reference. Reduction potentials measured by electrochemical methods can be related to the electron affinity by methods known in the art. (see for example Loutfy, R. O.; Sharp, J. H. Photogr. Si. Eng. (1976) 20, 165).
- Any n-type conducting polymer may be used. This includes electron accepting conjugated polymers such as halogen substituted polyphenylenevinylenes like poly(cyanophenylenevinylene) III and the like as described in Tillmann, H.; Horhold, H.-H. Synthetic Metals (1999), 101(1-3), 138-139, Vaschetto, M. E.; Springborg, M. Synthetic Metals (1999), 101(1-3), 502. Greenham, N. C.; Cacialli, F.; Bradley, D. D. C.; Friend, R. H.; Moratti, S. C.; Holmes, A. B. Materials Research Society Symposium Proceedings (1994), 328(Electrical, Optical, and Magnetic Properties of Organic Solid State Materials), 351-60.
- Also included are non-conjugated conducting polymers, that is “redox polymers” that comprise electrochemically active components incorporated as main chain moieties or as pendant moieties that are covalently linked to an insulating backbone. Examples of this class of conducting polymers are described by Sorriero et al US 2003/0162109 and U.S. Pat. No. 6,593,046, and by Mackinnon, S.; Wang, Z.; J. Poly. Sci. (2000), 38, 3467-3475,and Wiederrecht, G.; Wasielewski, M. R. J. Am. Chem. Soc. (1998), 120 3231-3236, all incorporated herein by reference. An example of such polymers are acrylate polymers represented by general formula I:
wherein m and n are integers and R is a substituted or unsubstituted alkyl or aryl group. Another example is condensation polymers having covalently bonded as repeating units in the polymer chain, aromatic tetracarbonylbisimide groups of the formula II and III
wherein Ar1 and Ar2 repectively represent tetravalent or trivalent aromatic groups of 6 to about 20 carbon atoms, and X is O, C(CF3)2, S═O or SO2. Polymers II and III may be, for example, a polyester-co-imide as described in Sorriero et al U.S. Pat. And Application Nos. 2003/0162109 and U.S. Pat. No. 6,593,046, incorporated herein by reference. - Preferred polymers are those that exhibit only weak absorption of visible or near infrared electromagnetic radiation. Most preferred are polymers that exhibit no absorption of visible or near infrared electromagnetic radiation, i.e., are transparent.
- Thin layers of the aforementioned organic semiconductor compositions that comprise nanometer-sized n-type or p-type organic semiconductor pigment crystals/conducting polymer may be formed by any method known in the art, including roll coating and dip-coating, as described for example in Organic Photoreceptors for Xerography, P. Borsengerger, D. Weiss, Marcel Dekker, New York (1998) pp 112-117, spin-coating, inkjet, and the like.
- The p/n heterojunction is prepared by coating onto a rigid or flexible support in succession a combination of the p-type (electron donor) photosensitive organic semiconductor pigment/polymer composition and the n-type (electron acceptor) photosensitive organic semiconductor pigment/polymer compositions into bilayers or multilayers. In order to achieve a bilayer or multiplayer format it may be advantageous to utilize polymers and/or coating solvents such that extensive mixing of the p-type and n-type layers does not occur during the coating process. Alternatively, it may be advantageous to utilize curable polymers in the preparation of the p-type and/or n-type pigment polymer composition, such that following the deposition of the first layer, said layer may be cross-linked via application of heat or light so that during the process of coating the second layer intermixing of the layers is prevented. Alternatively the p/n heterojunction is prepared by first coating onto one rigid or flexible support the p-type photosensitive organic semiconductor pigment/polymer composition and coating the n-type photosensitive organic semiconductor pigment/polymer composition onto a second support, or vice versa, and subsequently laminating the two coated supports together with heat or solvent vapor annealing.
- A photovoltaic cell is prepared that has an active structure comprising a bilayer of the p-type (electron donor) photosensitive organic semiconductor pigment/polymer composition and the n-type (electron acceptor) photosensitive organic semiconductor pigment/polymer compositions wherein the two layers re in electrical contact with one another. The active structure also includes an electrically conductive contact structure to the p-type layer and a second electrically conductive contact to the n-type layer. At least one of the electrically conductive contacts permits visible and near IR light to pass therethrough to the n- and p-type layers. Additional layers may be placed between the n-type layer and its electrically conducting contact and/or between the p-type layer and its electrically conducting contact to provide ohmic contact.
- The following examples are provided to illustrate the invention.
- An n-type (electron acceptor) semiconductor composition of a stable dispersion of nanoparticle semiconductor pigment in a solvent solution of an electronically conducting polymer was prepared using the semiconductor pigment material 3,4,9,10-perylenetetracarboxylic dianhydride compound denoted as UD-1 (structure below). The pigment is a perylene diimide useful in the preparation of photodiodes for photovoltaics and other optoelectronic applications. The pigment was milled to a small particle size and dispersed in the n-type electronically conducting polymer derived from 1,4,5,8-naphthalenetetracarboxylic dianhydride. The electrochemical reduction potential of the naphthimide containing polymer NB-2 is similar, that is within 0.2 V, of the reduction potential of a perylene diimide material.
- The conducting polymer NB-2 is comprised of the following component parts: 12.5% DDA, 15% NX62, 2.5% AB, 5% EO2EA, 5% NB3, 30% NX3, and 30% NB10.
The electronically conducting polymer used herein are described in U.S. patent application publication US2003/0162109 A1 Aug. 28, 2003, incorporated herein by reference. This reference also shows the cyclic voltammetry (reproduced inFIG. 1 ) at a carbon electrode for the polymer dissolved in 3:1 dichloromethane:methanol containing 0.1M tetrabutylammoniumtetrafluoroborate supporting electrolyte indicating a reversible reduction process at ca. −0.55V vs SCE. - The reduction potential for the perylene diimide pigment has not been directly measured due to its insolubility. However, reduction potentials for other closely related perylenediimides have been reported. The reduction potentials for perylenediimides are typically −0.5 V to −0.6 V vs SCE (J. Amer. Chem. Soc., (1999) vol 121 (14) pp 3515, incorporated herein by reference. Thus the reduction potentials for the pigment particle and the conducting polymer binder are within 0.1 V of each other, that is they are nominally equivalent. The pigment UD-1 was prepared by published standard procedures for synthesizing perylenediimide materials and purified by vacuum sublimation at 460° C. A ball mill (800 ml glass) was charged with 304 g of ⅛ inch chrome steel beads and 2.0 g of UD-1. The mixture was sheared by milling at about 68 rpm for 14 days at a temperature of 21 C. The resulting pigment was extracted from the beads with water and then dried in an oven at 60 C. The milled pigment from the first stage was transferred to an attritor milling vessel containing a plastic 50 ml conical tube and a stainless steel stirrer. The stirrer consisted of a rotating shaft with 18 small side arms aligned in 4 rows along the lower part of the shaft at 90 degrees to each other and extending perpendicular from the shaft toward the side wall of the vessel. Added to the tube was 46 g of 1/16 inch stainless steel beads and 10 mls of a mixture of UD-1 (5% by wgt), NB-2 (6% by wgt) and solvent (98% by wgt) of 3:1 of 1,1,2-trichloroethane/2-propanol. The mixture was agitated at 2200 rpm for 8 hours with periodic solvent addition to compensate for minor evaporation.
- 8 ml of the dispersion were removed from the milling vessel (leaving about 2 ml of dispersion) and 9 ml of 3:1 of 1,1,2-trichloroethane/2-propanol mixture was added along with 63 g of additional beads and this mixture was further milled at 2200 rpm for 16 hrs. A sample of this final 6% dispersion was further diluted in NB-2/mixed solvent solution and subjected to particle size analysis using a Microtrac Model UPA-150 ultrafine particle analyzer. The particle sizing data in
FIG. 2 show a primary population median at 0.026 um with the remainder of the distribution fairly evenly split between size populations of 0.05 to 0.1 um and 0.1 to 0.2 um. - Thin films of the final dispersion were prepared by spin coating using a Headway PWM 32 model spin coater onto pre-cleaned 50 mm×50 mm glass slides. Various rotation speeds were utilized to provide samples of various film thicknesses. UV-vis absorption spectra are measured for the coated slides using a HP8450A diode array spectrophotometer and are illustrated in
FIG. 3 . The absorbance in the spectral region of 400 nm to 650 nm is due to the light absorption by the UD-1 pigment material. Spectral absorption due to the naphthimide conducting polymer NB-2 is confined to wavelengths under about 400 nm. Film thickness was measured on a Tencor P-10 Surface Profilometer. - The following data Table 3 lists the rotation speed (rpm) for preparation of the spin coating, the thickness of the deposited layer (in micron μm), and the Absorbance (optical density OD) measured at 578 nm. The data show that the coated dispersion exhibits a high degree of light absorption in the visible spectral region at minimal film thickness.
TABLE 3 Spin coating thickness Absorbance Sample rotation speed (rpm) (in micron μm) (optical density OD) Blue 8000 0.145 0.67 Purple 4000 0.180 0.92 Green 2000 0.286 1.38 Red 1000 0.425 2.01 blank 2000 - The results demonstrate the preparation of a photosensitive n-type (electron acceptor) organic semiconductor composition that comprises nanometer-sized n-type (electron acceptor) organic semiconductor pigment crystals dispersed in an n-type (electron acceptor) electronically conducting polymeric binder wherein the electron affinities of the pigment and polymer as measured by their respective electrochemical reduction potentials are within 0.2 V. The results also show that thin films of varying thickness of the n-type (electron acceptor) organic semiconductor dispersion can be conveniently cast onto a solid substrate. The results also show that the thin films exhibit strong absorption of visible electromagnetic radiation and hence are suitable for use as photosensitive n-type (electron acceptor) organic semiconductor compositions for preparing p/n heterojunctions for use in optoelectronic devices such as photodiodes, photodetectors, and photovoltaic (solar cells) cells.
- A ball mill (1 gal glass) was charged with 9000 g of ⅛ inch chrome steel beads and 75.0 g of titanium, oxo(29 H,31 H-phthalocyaninato(2-)-.kappa N29,.kappa.N30,.kappa.N31,.kappa.N32)-, (SP-5-12)-[C32 H16 N8 O Ti] “TiOPc” containing 1.3 wt % chlorine impurity. The mixture was sheared by milling at about 110 rpm for 7 days at room temperature (about 23° C.). A sample of the resulting pigment was extracted from the beads with water and then dried over night under vacuum at room temperature. 5970 g of the milled pigment with beads was transferred to a 250 ml glass jar, 1305 g of dichloromethane (DCM) was added and the mixture was milled another 24 hours at 117 rpm at room temperature. After this second milling, the pigment/DCM slurry was decanted into a clean 1 gal glass jar. The beads were rinsed 3 times with fresh DCM, and the resulting pigment/DCM was also added to the 1 gal glass jar. The pigment was filtered through a 350 ml medium glass frit under water stream vacuum. The resulting sludge was transferred to petri dishes and dried under vacuum over night at room temperature. The dried pigment was analyzed by XRD and found to be highly crystalline of TiOPc Type V.
- To prepare the pigment binder slurry for coating, an attritor milling vessel containing a plastic 50 ml conical tube and a stainless steel stirrer were used. The stirrer consisted of a rotating shaft with 18 small side arms aligned in 4 rows along the lower part of the shaft at 90 degrees to each other and extending perpendicular from the shaft toward the side wall of the vessel. Added to the tube were 40 g of 0.2 mm YSZ beads (Yttria Stabilized Zirconium Oxide), 0.88 g of the milled TiOPc, and 0.22 g of the tri-tolylamine polymer T1 [Mw=80,800] dissolved in 12 ml toluene. The polymer was dissolved in the toluene over night under stirring at room temperature and filtered through a 1 micron filter. The mixture was agitated at 2200 rpm for 6 hours.
- After the 6 hours of wet milling, the plastic tube containing the slurry was removed from the attritor, slurry adhering to the upper walls of the tube was carefully removed, the amount of remaining slurry in the tube determined by weight and enough fresh toluene added to the slurry to result in a 5% total solids concentration of pigment and binder in toluene. After mixing the toluene and slurry by vigorous shaking, the YSZ beads were allowed to settle for 10 minutes and the supernate was carefully removed by pipette. The pigment dispersion (supernate) was sonicated for 1 hour in ice water prior to coating.
- Thin films of the final dispersion were prepared by spin coating using a Headway PWM 32 model spin coater onto pre-cleaned 50 mm×50 mm glass slides. Various rotation speeds were utilized to provide samples of film thicknesses of 0.076, 0.114, and 0.347 micron. UV-vis absorption spectra measured for the 0.347 micron thick coated slide using a Cary 5E UV-vis-NIR spectrophotometer and are illustrated in
FIG. 4 . The absorbance in the spectral region of 500 nm to 900 nm is due to the light absorption by the TiOPc pigment material. Spectral absorption due to the tri-tolylamine polymer is confined to wavelengths under about 400 nm. The peak absorbance for TiOpc (827 nm+/−2 nm) is 0.45, 0.57, and 1.58 for film thickness of 0.076, 0.114, and 0.347 micron, respectively. Film thickness was measured on a Tencor P-10 Surface Profilometer. - Particle size of the TiOPc pigments was estimated based on Transmission Electron Microscopy (TEM) micrographs according to a procedure known to those versed in the art. TEM micrographs were obtained by spin coating the aforementioned dispersion onto glass slides, which were pre-coated with a formvar polymer coating. By dipping of these double-coated slides into water, the formvar/dispersion coating could be stripped off the slide and taken up from the water surface onto a copper TEM grid, without wetting of the dispersion coating. Analysis of such TEM micrographs suggests a primary pigment particle size between 30 and 70 nm, with occasional particles of 120 nm or larger. Literature data indicate the ionization potential of the metal phthalocyanine to be within 0.2 eV of that of the active redox component (p-tritolylamine) of the polymer.
- The data show that the coated dispersion exhibits a high degree of light absorption in the visible spectral region at minimal film thickness. The results demonstrate the preparation of a photosensitive p-type (electron donating) organic semiconductor composition that comprises nanometer-sized p-type (electron donor) organic semiconductor pigment crystals dispersed in an p-type (electron donor) electronically conducting polymeric binder wherein the ionization potentials of the pigment and polymer are estimated to be within 0.2 V. The results also show that thin films of varying thickness of the p-type (electron donor) organic semiconductor dispersion can be conveniently cast onto a solid substrate. The results also show that the thin films exhibit strong absorption of visible and near infrared electromagnetic radiation and hence are suitable for use as photosensitive p-type (electron donor) organic semiconductor compositions for preparing p/n heterojunctions for use in optoelectronic devices such as photodiodes, photodetectors, and photovoltaic (solar cells) cells.
- A photovoltaic cell is prepared by first spin coating a 100 nm thick layer of the p-type TiOpc semiconductor crystal pigment /conducting polymer dispersion described in Example 1 onto a transparent flexible (plastic) support bearing a thin film of indium tin oxide transparent conductor (8 ohm/sq). On a second piece of transparent flexible (plastic) support bearing a thin film of indium tin oxide transparent conductor is coated a 100 nm thick layer of the n-type UD-1 semiconductor crystal pigment /conducting polymer dispersion described in example 3. Each of the coated layers is gently heated under vacuum to remove residual solvent. The two plastic supports thusly coated and dried are pressed together via lamination using a heated roller assembly, with the two plastic supports remaining slightly offset during lamination to allow for electrical connections. The temperature of the rollers is adjusted to a few degrees above the glass transition temperature of the polymers. Electrical connections to the cell are made by contact to the exposed, offset areas of the laminated cell.
- A ball mill (1 gal glass) was charged with 9000 g of ⅛ inch chrome steel beads and 75.0 g of TiOPe containing 1.3 wt % chlorine impurity. The mixture was sheared by milling at about 110 rpm for 7 days at room temperature (about 23° C.). A sample of the resulting pigment was extracted from the beads with water and then dried over night under vacuum at room temperature. 5970 g of the milled pigment with beads was transferred to a 250 ml glass jar, 1305 g of dichloromethane (DCM) was added and the mixture was milled another 24 hours at 117 rpm at room temperature. After this second milling, the pigment/DCM slurry was decanted into a clean 1 gal glass jar. The beads were rinsed 3 times with fresh DCM, and the resulting pigment/DCM was also added to the 1 gal glass jar. The pigment was filtered through a 350 ml medium glass frit under water stream vacuum. The resulting sludge was transferred to petri dishes and dried under vacuum over night at room temperature. The dried pigment was analyzed by XRD and found to be highly crystalline of TiOPc Type V.
- To prepare the pigment binder slurry for coating, an attritor milling vessel containing a plastic 50 ml conical tube and a stainless steel stirrer were used. The stirrer consisted of a rotating shaft with 18 small side arms aligned in 4 rows along the lower part of the shaft at 90 degrees to each other and extending perpendicular from the shaft toward the side wall of the vessel. Added to the tube were 46 g of 1.6 mm chrome steel beads, 0.88 g of the milled TiOPc, and 0.22 g of a polyfluorene-arylamine conjugated copolymer P1 [Mw=18,500] dissolved in 12 ml toluene. The polymer was dissolved in the toluene over night under stirring at room temperature and filtered through a 1 micron filter. The mixture was agitated at 1500 rpm for 3 hours. After the 3 hours of wet milling, the plastic tube containing the slurry was removed from the attritor, slurry adhering to the upper walls of the tube was carefully removed, the amount of remaining slurry in the tube determined by weight and enough fresh toluene added to the slurry to result in a 5% total solids concentration of pigment and binder in toluene. After mixing the toluene and slurry by vigorous shaking, the dispersion was separated from the beads through aspiration. Particle size of the TiOPc pigments was estimated based on Scanning Electron Microscopy (SEM) micrographs according to a procedure known to those versed in the art. SEM micrographs were obtained by spin coating the aforementioned dispersion onto a silicon wafer, which served as the sample holder during the SEM measurement. Analysis of such SEM micrographs suggests a primary pigment particle size between 30 and 100 nm, with occasional particles of 200 nm or larger.
- Thin films of the final dispersion were prepared by spin coating using a Headway PWM 32 model spin coater onto precleaned 50 mm×50 mm glass slides. Various rotation speeds were utilized to provide samples of various film thicknesses. UV-vis absorption spectra are measured for the coated slides using a Cary 5E UV-vis-NIR spectrophotometer. The spectra show absorbance in the spectral region of 500 nm to 900 nm that is due to the light absorption by the TiOPC pigment material. Spectral absorption due to polyfluorene -arylamine copolymer is confined to wavelengths under about 400 nm. Film thickness was measured on a Tencor P-10 Surface Profilometer. Literature data indicate the ionization potential of the metal phthalocyanine to be within 0.3 eV of that of the polyfluorene -arylamine copolymer.
- The following data Table 4 lists the thickness of the spin-coated layer (in micron mm), and the Absorbance (optical density OD) measured at the absorbance maximum (840-850 nm). The data show that the coated dispersion exhibits a high degree of light absorption in the NIR and visible spectral regions at minimal film thickness.
TABLE 4 thickness Absorbance Sample (in micron μm) (optical density OD) 1 0.104 0.45 2 0.113 0.62 3 0.193 0.98 4 0.358 1.66 - The results demonstrate the preparation of a photosensitive p-type (electron donating) organic semiconductor composition that comprises nanometer-sized p-type (electron donor) orgamic semiconductor pigment crystals dispersed in a p-type (electron donor) electronically conducting conjugated polymer binder wherein the ionization potentials of the pigment and polmer are nominally equivalent. The results also show that thin films of varying thickness of the p-type (electron donor) organic semiconductor dispersion can be conveniently cast onto a solid substrate. The results also show that the thin films exhibit strong absorption of visible and near infrared electromagnetic radiation and hence are suitable for use as photosensitive p-type (eletron donor) organic semiconductor compositions for preparing p/n heterojunctions for use in optoeletronic devices such as photodiodes, photodetectors, and photovoltaic (solar cells) cells.
- The invention has been described in detail with particular reference to certain preferred embodiments thereof, but it will be understood that variations and modifications can be effected within the spirit and scope of the invention.
Claims (18)
1. A photosensitive organic semiconductor composition comprising at least one organic p-type (electron donor) semiconductor pigment with at least one p-type (electron donor) conducting polymer, wherein the ionization potential of said at least one organic p-type (electron donor) semiconductor pigment and the ionization potential of said at least one p-type (electron donor) conducting polymer are nominally equivalent.
2. The photosensitive organic semiconductor composition of claim 1 wherein said ionization potentials of said at least one organic p-type (electron donor) semiconductor pigment and the ionization potential of said at least one p-type (electron donor) conducting polymer differ by less than 0.5 V.
3. The photosensitive organic semiconductor composition of claim 1 wherein said at least one organic p-type (electron donor) semiconductor pigment exhibits high absorption for visible and near infrared radiation.
4. The photosensitive organic semiconductor composition of claim 1 wherein said at least one organic p-type (electron donor) semiconductor pigment forms nanometer-sized crystals.
5. The photosensitive organic semiconductor composition of claim 1 wherein said at least one organic p-type (electron donor) semiconductor pigment has a particle sizes of less than 0.5 micron in length.
6. The photosensitive organic semiconductor composition of claim 1 wherein said at least one organic p-type (electron donor) semiconductor pigment comprises from 0.01 to 90 weight percent, based on the dry weight of the layer comprising said pigment.
7. The photosensitive organic semiconductor composition of claim 1 wherein said at least one organic p-type (electron donor) semiconductor pigment is at least one member selected from the group consisting of substituted and unsubstituted metal-free phthalocyanines, substituted and unsubstituted metallophthalocyanines, and porphyrins.
8. The photosensitive organic semiconductor composition of claim 1 wherein said at least one organic semiconductor pigment is a metallophthalocyanine.
9. The photosensitive organic semiconductor composition of claim 1 wherein said at least one conducting polymer exhibits weak or no absorption of visible or near infrared light.
10. The photosensitive organic semiconductor composition of claim 1 wherein said at least one conducting polymer is a conjugated polymer or a non-conjugated conducting polymer.
11. The photosensitive organic semiconductor composition of claim 1 wherein said at least one conducting polymer is at least one member selected from the group consisting of polythiophenes, paraphenylvinylenes, polyanilines, and polypyrolles.
12. The photosensitive organic semiconductor composition of claim 1 wherein said at least one organic semiconductor pigment is an n-type (electron donor) organic semiconductor pigment and said at least one conducting polymer is an n-type (electron donor) electronically conducting polymeric binder.
13. The photosensitive organic semiconductor composition of claim 1 further comprising solvent.
14. The photosensitive organic semiconductor composition of claim 1 wherein said ionization potentials of said at least one organic p-type (electron donor) semiconductor pigment and the ionization potential of said at least one p-type (electron donor) conducting polymer differ by less than 0.2 eV.
15. The photosensitive organic semiconductor composition of claim 1 wherein said ionization potentials of said at least one organic p-type (electron donor) semiconductor pigment and the ionization potential of said at least one p-type (electron donor) conducting polymer differ by less than 0.1 eV.
16. The photosensitive organic semiconductor composition of claim 1 wherein said at least one organic p-type (electron donor) semiconductor pigment has a particle sizes of less than 0.2 micron in length.
17. The photosensitive organic semiconductor composition of claim 1 wherein said at least one organic p-type (electron donor) semiconductor pigment has a particle sizes of less than 0.1 micron in length.
18. The photosensitive organic semiconductor composition of claim 1 wherein said at least one conducting polymer is a non-conjugated conducting polymer containing pendant arylamine groups.
Priority Applications (1)
| Application Number | Priority Date | Filing Date | Title |
|---|---|---|---|
| US11/838,400 US20070278459A1 (en) | 2005-02-15 | 2007-08-14 | Photosensitive organic semiconductor compositions |
Applications Claiming Priority (2)
| Application Number | Priority Date | Filing Date | Title |
|---|---|---|---|
| US11/058,014 US7268363B2 (en) | 2005-02-15 | 2005-02-15 | Photosensitive organic semiconductor compositions |
| US11/838,400 US20070278459A1 (en) | 2005-02-15 | 2007-08-14 | Photosensitive organic semiconductor compositions |
Related Parent Applications (1)
| Application Number | Title | Priority Date | Filing Date |
|---|---|---|---|
| US11/058,014 Division US7268363B2 (en) | 2005-02-15 | 2005-02-15 | Photosensitive organic semiconductor compositions |
Publications (1)
| Publication Number | Publication Date |
|---|---|
| US20070278459A1 true US20070278459A1 (en) | 2007-12-06 |
Family
ID=36814434
Family Applications (3)
| Application Number | Title | Priority Date | Filing Date |
|---|---|---|---|
| US11/058,014 Expired - Fee Related US7268363B2 (en) | 2005-02-15 | 2005-02-15 | Photosensitive organic semiconductor compositions |
| US11/838,400 Abandoned US20070278459A1 (en) | 2005-02-15 | 2007-08-14 | Photosensitive organic semiconductor compositions |
| US11/838,448 Expired - Fee Related US7893428B2 (en) | 2005-02-15 | 2007-08-14 | Photosensitive organic semiconductor compositions |
Family Applications Before (1)
| Application Number | Title | Priority Date | Filing Date |
|---|---|---|---|
| US11/058,014 Expired - Fee Related US7268363B2 (en) | 2005-02-15 | 2005-02-15 | Photosensitive organic semiconductor compositions |
Family Applications After (1)
| Application Number | Title | Priority Date | Filing Date |
|---|---|---|---|
| US11/838,448 Expired - Fee Related US7893428B2 (en) | 2005-02-15 | 2007-08-14 | Photosensitive organic semiconductor compositions |
Country Status (1)
| Country | Link |
|---|---|
| US (3) | US7268363B2 (en) |
Cited By (2)
| Publication number | Priority date | Publication date | Assignee | Title |
|---|---|---|---|---|
| CN102244002A (en) * | 2011-07-14 | 2011-11-16 | 合肥工业大学 | Preparation method of heterojunction with metal/semiconductor nanometer wire crossing structure |
| US9065059B2 (en) | 2010-05-05 | 2015-06-23 | National Research Council Of Canada | Asphaltene components as organic electronic materials |
Families Citing this family (40)
| Publication number | Priority date | Publication date | Assignee | Title |
|---|---|---|---|---|
| GB2430546A (en) * | 2005-09-20 | 2007-03-28 | Seiko Epson Corp | A semiconductor film comprising domains of an organic semiconductor and a method of its fabrication |
| US7718888B2 (en) * | 2005-12-30 | 2010-05-18 | Sunpower Corporation | Solar cell having polymer heterojunction contacts |
| EP1984746A2 (en) * | 2006-02-17 | 2008-10-29 | The Regents of the University of California | Photon-conversion materials (pcms) in polymer solar cells-enhancement efficiency and prevention of degradation |
| US20110139233A1 (en) * | 2009-12-11 | 2011-06-16 | Honeywell International Inc. | Quantum dot solar cell |
| US20110174364A1 (en) * | 2007-06-26 | 2011-07-21 | Honeywell International Inc. | nanostructured solar cell |
| US20100275985A1 (en) * | 2009-04-30 | 2010-11-04 | Honeywell International Inc. | Electron collector and its application in photovoltaics |
| WO2009038369A2 (en) * | 2007-09-18 | 2009-03-26 | Gwangju Institute Of Science And Technology | Organic-inorganic hybrid junction device using redox reaction and organic photovoltaic cell of using the same |
| US8106388B2 (en) * | 2007-12-19 | 2012-01-31 | Honeywell International Inc. | Quantum dot solar cell with rigid bridge molecule |
| US8089063B2 (en) * | 2007-12-19 | 2012-01-03 | Honeywell International Inc. | Quantum dot solar cell with electron rich anchor group |
| US8710354B2 (en) * | 2007-12-19 | 2014-04-29 | Honeywell International Inc. | Solar cell with hyperpolarizable absorber |
| US8067763B2 (en) * | 2007-12-19 | 2011-11-29 | Honeywell International Inc. | Quantum dot solar cell with conjugated bridge molecule |
| US8288649B2 (en) * | 2008-02-26 | 2012-10-16 | Honeywell International Inc. | Quantum dot solar cell |
| US8373063B2 (en) * | 2008-04-22 | 2013-02-12 | Honeywell International Inc. | Quantum dot solar cell |
| US8299355B2 (en) * | 2008-04-22 | 2012-10-30 | Honeywell International Inc. | Quantum dot solar cell |
| US8283561B2 (en) * | 2008-05-13 | 2012-10-09 | Honeywell International Inc. | Quantum dot solar cell |
| TW200950169A (en) * | 2008-05-21 | 2009-12-01 | Univ Nat Chiao Tung | Infrared receiving device of organic semiconductor |
| US20100006148A1 (en) * | 2008-07-08 | 2010-01-14 | Honeywell International Inc. | Solar cell with porous insulating layer |
| US8148632B2 (en) * | 2008-07-15 | 2012-04-03 | Honeywell International Inc. | Quantum dot solar cell |
| US20100012168A1 (en) * | 2008-07-18 | 2010-01-21 | Honeywell International | Quantum dot solar cell |
| US8455757B2 (en) | 2008-08-20 | 2013-06-04 | Honeywell International Inc. | Solar cell with electron inhibiting layer |
| WO2010039634A1 (en) * | 2008-09-30 | 2010-04-08 | The Regents Of The University Of California | Controlled alignment in polymeric solar cells |
| US8227687B2 (en) * | 2009-02-04 | 2012-07-24 | Honeywell International Inc. | Quantum dot solar cell |
| US8227686B2 (en) * | 2009-02-04 | 2012-07-24 | Honeywell International Inc. | Quantum dot solar cell |
| US20120211063A1 (en) * | 2009-03-17 | 2012-08-23 | Jong-Jan Lee | Back Contact Solar Cell with Organic Semiconductor Heterojunctions |
| US20100258163A1 (en) * | 2009-04-14 | 2010-10-14 | Honeywell International Inc. | Thin-film photovoltaics |
| US20100294367A1 (en) * | 2009-05-19 | 2010-11-25 | Honeywell International Inc. | Solar cell with enhanced efficiency |
| US8426728B2 (en) * | 2009-06-12 | 2013-04-23 | Honeywell International Inc. | Quantum dot solar cells |
| US20110108102A1 (en) * | 2009-11-06 | 2011-05-12 | Honeywell International Inc. | Solar cell with enhanced efficiency |
| US20110139248A1 (en) * | 2009-12-11 | 2011-06-16 | Honeywell International Inc. | Quantum dot solar cells and methods for manufacturing solar cells |
| US8372678B2 (en) * | 2009-12-21 | 2013-02-12 | Honeywell International Inc. | Counter electrode for solar cell |
| US20110155233A1 (en) * | 2009-12-29 | 2011-06-30 | Honeywell International Inc. | Hybrid solar cells |
| US9368250B2 (en) | 2010-03-15 | 2016-06-14 | Masayuki Kanehara | Nanoink composition |
| GB201016366D0 (en) * | 2010-09-29 | 2010-11-10 | Dzp Technologies Ltd | Printable composition, method and uses thereof |
| JP2012206696A (en) * | 2011-03-30 | 2012-10-25 | Mitsubishi Heavy Ind Ltd | Actuator monitoring system |
| JP5616272B2 (en) * | 2011-03-31 | 2014-10-29 | 富士フイルム株式会社 | Organic semiconductor polymer, composition for organic semiconductor material, and photovoltaic cell |
| US9476754B2 (en) | 2013-02-28 | 2016-10-25 | Electrolab, Inc. | Method and kit for treatment of components utilized in a crude oil service operation |
| CN105229814B (en) * | 2013-05-23 | 2017-11-10 | 富士胶片株式会社 | Organic semiconductor composition, OTFT and Electronic Paper and display device |
| FR3022692B1 (en) | 2014-06-24 | 2016-07-15 | Armor | METHOD FOR MAKING A SEMICONDUCTOR ORGANIC FILM |
| WO2019102478A1 (en) * | 2017-11-26 | 2019-05-31 | Ramot At Tel-Aviv University Ltd. | Device and method for neurostimulation |
| CN114361338A (en) * | 2022-01-07 | 2022-04-15 | 天津大学 | Method for enhancing stability of N-type semiconductor |
Citations (10)
| Publication number | Priority date | Publication date | Assignee | Title |
|---|---|---|---|---|
| US4968571A (en) * | 1989-07-21 | 1990-11-06 | Eastman Kodak Company | Electrophotographic recording elements containing a combination of photoconductive perylene materials |
| US5019473A (en) * | 1990-02-23 | 1991-05-28 | Eastman Kodak Company | Electrophotographic recording elements containing photoconductive perylene pigments |
| US5196144A (en) * | 1988-10-31 | 1993-03-23 | The Regents Of The University Of California | Electrically conductive polyaniline |
| US5333183A (en) * | 1992-03-13 | 1994-07-26 | Moscom Corporation | Universal MDR data record collection and reporting system |
| US5454880A (en) * | 1992-08-17 | 1995-10-03 | Regents Of The University Of California | Conjugated polymer-acceptor heterojunctions; diodes, photodiodes, and photovoltaic cells |
| US5504323A (en) * | 1993-12-07 | 1996-04-02 | The Regents Of The University Of California | Dual function conducting polymer diodes |
| US5523555A (en) * | 1994-09-14 | 1996-06-04 | Cambridge Display Technology | Photodetector device having a semiconductive conjugated polymer |
| US5614342A (en) * | 1995-05-02 | 1997-03-25 | Eastman Kodak Company | Methods for preparing cocrystals of titanyl fluorophthalocyanines and unsubstituted titanyl phthalocyanine, electrophotographic elements, and titanyl phthalocyanine compositions |
| US5626795A (en) * | 1991-11-27 | 1997-05-06 | Uniax Corporation | Optical quality transparent conductors |
| US5766810A (en) * | 1995-05-02 | 1998-06-16 | Eastman Kodak Company | Methods for preparing cocrystals of titanyl fluorophthalocyannes and unsubstituted titanyl phthalocyanine, electrophotographic elements, and titanyl phthalocyanine compositions |
Family Cites Families (2)
| Publication number | Priority date | Publication date | Assignee | Title |
|---|---|---|---|---|
| US7554121B2 (en) * | 2003-12-26 | 2009-06-30 | Semiconductor Energy Laboratory Co., Ltd. | Organic semiconductor device |
| US7270871B2 (en) * | 2004-01-12 | 2007-09-18 | Air Products And Chemicals, Inc. | Dispersions and films comprising conducting polymer for optoelectronic devices |
-
2005
- 2005-02-15 US US11/058,014 patent/US7268363B2/en not_active Expired - Fee Related
-
2007
- 2007-08-14 US US11/838,400 patent/US20070278459A1/en not_active Abandoned
- 2007-08-14 US US11/838,448 patent/US7893428B2/en not_active Expired - Fee Related
Patent Citations (11)
| Publication number | Priority date | Publication date | Assignee | Title |
|---|---|---|---|---|
| US5196144A (en) * | 1988-10-31 | 1993-03-23 | The Regents Of The University Of California | Electrically conductive polyaniline |
| US4968571A (en) * | 1989-07-21 | 1990-11-06 | Eastman Kodak Company | Electrophotographic recording elements containing a combination of photoconductive perylene materials |
| US5019473A (en) * | 1990-02-23 | 1991-05-28 | Eastman Kodak Company | Electrophotographic recording elements containing photoconductive perylene pigments |
| US5626795A (en) * | 1991-11-27 | 1997-05-06 | Uniax Corporation | Optical quality transparent conductors |
| US5968416A (en) * | 1991-11-27 | 1999-10-19 | Uniax Corporation | Optical quality transparent conductors |
| US5333183A (en) * | 1992-03-13 | 1994-07-26 | Moscom Corporation | Universal MDR data record collection and reporting system |
| US5454880A (en) * | 1992-08-17 | 1995-10-03 | Regents Of The University Of California | Conjugated polymer-acceptor heterojunctions; diodes, photodiodes, and photovoltaic cells |
| US5504323A (en) * | 1993-12-07 | 1996-04-02 | The Regents Of The University Of California | Dual function conducting polymer diodes |
| US5523555A (en) * | 1994-09-14 | 1996-06-04 | Cambridge Display Technology | Photodetector device having a semiconductive conjugated polymer |
| US5614342A (en) * | 1995-05-02 | 1997-03-25 | Eastman Kodak Company | Methods for preparing cocrystals of titanyl fluorophthalocyanines and unsubstituted titanyl phthalocyanine, electrophotographic elements, and titanyl phthalocyanine compositions |
| US5766810A (en) * | 1995-05-02 | 1998-06-16 | Eastman Kodak Company | Methods for preparing cocrystals of titanyl fluorophthalocyannes and unsubstituted titanyl phthalocyanine, electrophotographic elements, and titanyl phthalocyanine compositions |
Cited By (2)
| Publication number | Priority date | Publication date | Assignee | Title |
|---|---|---|---|---|
| US9065059B2 (en) | 2010-05-05 | 2015-06-23 | National Research Council Of Canada | Asphaltene components as organic electronic materials |
| CN102244002A (en) * | 2011-07-14 | 2011-11-16 | 合肥工业大学 | Preparation method of heterojunction with metal/semiconductor nanometer wire crossing structure |
Also Published As
| Publication number | Publication date |
|---|---|
| US20080020322A1 (en) | 2008-01-24 |
| US7268363B2 (en) | 2007-09-11 |
| US20060180199A1 (en) | 2006-08-17 |
| US7893428B2 (en) | 2011-02-22 |
Similar Documents
| Publication | Publication Date | Title |
|---|---|---|
| US7893428B2 (en) | Photosensitive organic semiconductor compositions | |
| Matsuo et al. | Columnar structure in bulk heterojunction in solution-processable three-layered pin organic photovoltaic devices using tetrabenzoporphyrin precursor and silylmethyl [60] fullerene | |
| KR101165656B1 (en) | Method for manufacturing organic photoelectric conversion element and organic photoelectric conversion element | |
| EP2143144B1 (en) | Organic photovoltaic cells | |
| Li et al. | Dopant‐free zinc chlorophyll aggregates as an efficient biocompatible hole transporter for perovskite solar cells | |
| US8003881B2 (en) | Polymeric nanofibril network for photovoltaic cells | |
| US20050022865A1 (en) | Photovoltaic devices comprising layer(s) of photoactive organics dissolved in high Tg polymers | |
| US20220140246A1 (en) | Non-fullerene acceptors (nfas) as interfacial layers in perovskite semiconductor devices | |
| Huang et al. | Subphthalocyanine triimides: Solution processable bowl-shaped acceptors for bulk heterojunction solar cells | |
| KR20160006267A (en) | Organic photosensitive optoelectronic devices with nonplanar porphyrins | |
| Jenekhe et al. | Highly photoconductive nanocomposites of metallophthalocyanines and conjugated polymers | |
| JP2008016834A (en) | Method for producing organic photoelectric conversion element and organic photoelectric conversion element | |
| US20090107539A1 (en) | Photoelectric device | |
| Wang et al. | Deciphering the Reduced Loss in High Fill Factor Inverted Perovskite Solar Cells with Methoxy-Substituted Poly (Triarylamine) as the Hole Selective Contact | |
| Placencia et al. | Highly photoactive titanyl phthalocyanine polymorphs as textured donor layers in organic solar cells | |
| US20250066623A1 (en) | Coating agent for electron transporting layer of inverted perovskite solar cell, and inverted perovskite solar cell containing the same | |
| JP2010016212A (en) | Organic thin-film photoelectric conversion element and method of manufacturing the same | |
| Miyairi et al. | Photovoltaic properties of double layer devices consisting of titanium dioxide and porphyrin dispersed hole transporting material layer | |
| Cai et al. | Innovative Design and Synthesis of Fullerene-Terpyridine Derivatives for Enhanced Electron Transport in Inverted Perovskite Solar Cells | |
| Kushto et al. | Organic photovoltaic cells using group 10 metallophthalocyanine electron donors | |
| KR102881098B1 (en) | Electron carrier for electron transport layer of perovskite solar cell, Coating agent for electron transport layer containing the same, Electron transport layer of perovskite solar cell and Perovskite solar cell containing the same | |
| Potlog et al. | Synthesis and characterization of CuPc-PEPC composite thin films and photovoltaic devices by drop casting method | |
| EP4325589A1 (en) | Perovskite solar cell and manufacturing method therefor | |
| Yi | Photoconductive nanocomposite polymers and devices | |
| Yi et al. | Nanocomposites of metallophthalocyanines and conjugated Polymers |
Legal Events
| Date | Code | Title | Description |
|---|---|---|---|
| STCB | Information on status: application discontinuation |
Free format text: ABANDONED -- FAILURE TO RESPOND TO AN OFFICE ACTION |







