US20070275936A1 - Formulations and Treatment Methods - Google Patents
Formulations and Treatment Methods Download PDFInfo
- Publication number
- US20070275936A1 US20070275936A1 US11/564,026 US56402606A US2007275936A1 US 20070275936 A1 US20070275936 A1 US 20070275936A1 US 56402606 A US56402606 A US 56402606A US 2007275936 A1 US2007275936 A1 US 2007275936A1
- Authority
- US
- United States
- Prior art keywords
- brea
- steroid
- formula
- typically
- compounds
- Prior art date
- Legal status (The legal status is an assumption and is not a legal conclusion. Google has not performed a legal analysis and makes no representation as to the accuracy of the status listed.)
- Abandoned
Links
- 0 [1*]C1([1*])[9*]c([10*])C2([6*])C3([10*])[8*]C([10*])C4([5*])C([10*])([7*]c([3*])([3*])c4([4*])[4*])C3C([2*])([2*])c([10*])c2([10*])c1[10*] Chemical compound [1*]C1([1*])[9*]c([10*])C2([6*])C3([10*])[8*]C([10*])C4([5*])C([10*])([7*]c([3*])([3*])c4([4*])[4*])C3C([2*])([2*])c([10*])c2([10*])c1[10*] 0.000 description 57
- GXHTYYWMPPPKRZ-UHFFFAOYSA-N *.CCCCC(CCC)C(=O)OC Chemical compound *.CCCCC(CCC)C(=O)OC GXHTYYWMPPPKRZ-UHFFFAOYSA-N 0.000 description 1
- NGZPETCSPYPGNI-UHFFFAOYSA-N B.CC(=O)CCOC(C)=O Chemical compound B.CC(=O)CCOC(C)=O NGZPETCSPYPGNI-UHFFFAOYSA-N 0.000 description 1
- OIDATGVTXOEHGX-UHFFFAOYSA-N B=NS.CC1=C(C(Br)CC(OCC(Cl)(Cl)Cl)OCC(Cl)(Cl)Cl)CCC1=O.CC1=C(CCC(OCC(Cl)(Cl)Cl)OCC(Cl)(Cl)Cl)CCC1=O Chemical compound B=NS.CC1=C(C(Br)CC(OCC(Cl)(Cl)Cl)OCC(Cl)(Cl)Cl)CCC1=O.CC1=C(CCC(OCC(Cl)(Cl)Cl)OCC(Cl)(Cl)Cl)CCC1=O OIDATGVTXOEHGX-UHFFFAOYSA-N 0.000 description 1
- BZCRTFOVMNBARD-UHFFFAOYSA-L BrCOC1CCCCO1.BrP(Br)Br.Br[Zn]Br.CCOCCOCOCOC1CCCCO1.COCCOCCl.COCCOC[O-]CO.COCCOC[O-]COCSC.CSCOCBr.CSCOCO.OCOC1CCCCO1 Chemical compound BrCOC1CCCCO1.BrP(Br)Br.Br[Zn]Br.CCOCCOCOCOC1CCCCO1.COCCOCCl.COCCOC[O-]CO.COCCOC[O-]COCSC.CSCOCBr.CSCOCO.OCOC1CCCCO1 BZCRTFOVMNBARD-UHFFFAOYSA-L 0.000 description 1
- NKJSEQYPNTWAAU-XTTQOUPYSA-N BrCOC1CCCCO1.BrP(Br)Br.C=C(C)CCl.C=C(C)CO/C=C(\C)COCBr.C=C(C)CO/C=C(\C)COCO.C=C(C)CO/C=C(\C)COCOC1CCCCO1.CC(=O)CO.CC(=O)COCOC1CCCCO1.CSCO/C=C(\C)COCOC1CCCCO1.CSCOC=P(C1=CC=CC=C1)(C1=CC=CC=C1)C1=CC=CC=C1.[H]C(=O)C(C)COCOC1CCCCO1 Chemical compound BrCOC1CCCCO1.BrP(Br)Br.C=C(C)CCl.C=C(C)CO/C=C(\C)COCBr.C=C(C)CO/C=C(\C)COCO.C=C(C)CO/C=C(\C)COCOC1CCCCO1.CC(=O)CO.CC(=O)COCOC1CCCCO1.CSCO/C=C(\C)COCOC1CCCCO1.CSCOC=P(C1=CC=CC=C1)(C1=CC=CC=C1)C1=CC=CC=C1.[H]C(=O)C(C)COCOC1CCCCO1 NKJSEQYPNTWAAU-XTTQOUPYSA-N 0.000 description 1
- GUXZUBAGJQLUHU-VTESETKPSA-M BrP(Br)Br.Br[Li]CCOC1CCCCO1.C1CCOC1.C=C(C)CC/C=C(\C)CCC=P(C1=CC=CC=C1)(C1=CC=CC=C1)C1=CC=CC=C1.C=C(C)CC/C=C(\C)CCCBr.C=C(C)CC/C=C(\C)CCCO.C=C(C)CC/C=C(\C)CCCOC1CCCCO1.C=C(C)CC/C=C(\C)CN.C=C(C)CC/C=C(\C)CO.C=C(C)CC/C=C(\C)COS(=O)(=O)C1=CC=C(C)C=C1.C=C(C)CC/C=C(\C)CS Chemical compound BrP(Br)Br.Br[Li]CCOC1CCCCO1.C1CCOC1.C=C(C)CC/C=C(\C)CCC=P(C1=CC=CC=C1)(C1=CC=CC=C1)C1=CC=CC=C1.C=C(C)CC/C=C(\C)CCCBr.C=C(C)CC/C=C(\C)CCCO.C=C(C)CC/C=C(\C)CCCOC1CCCCO1.C=C(C)CC/C=C(\C)CN.C=C(C)CC/C=C(\C)CO.C=C(C)CC/C=C(\C)COS(=O)(=O)C1=CC=C(C)C=C1.C=C(C)CC/C=C(\C)CS GUXZUBAGJQLUHU-VTESETKPSA-M 0.000 description 1
- ZCUWPDBPFNPPHU-UHFFFAOYSA-N C.C.CC(=O)CO.CC(C)(N)CO.CC1(C)COC(C(Br)CCC2NC(C)(C)CO2)=N1.CC1(C)COC(C(CCC2NC(C)(C)CO2)=P(C2=CC=CC=C2)(C2=CC=CC=C2)C2=CC=CC=C2)=N1.CSCOCC(C)=O.ClCCl.O=C(O)C(Br)CCCO.O=C1CCCCO1.O=C1OCCCC1Br.O=CCCC(Br)C(=O)O Chemical compound C.C.CC(=O)CO.CC(C)(N)CO.CC1(C)COC(C(Br)CCC2NC(C)(C)CO2)=N1.CC1(C)COC(C(CCC2NC(C)(C)CO2)=P(C2=CC=CC=C2)(C2=CC=CC=C2)C2=CC=CC=C2)=N1.CSCOCC(C)=O.ClCCl.O=C(O)C(Br)CCCO.O=C1CCCCO1.O=C1OCCCC1Br.O=CCCC(Br)C(=O)O ZCUWPDBPFNPPHU-UHFFFAOYSA-N 0.000 description 1
- AKEKFWMGCSJOFP-UHFFFAOYSA-N C.C.CC.CC.CC.COC(=O)C1=CC=CC=C1 Chemical compound C.C.CC.CC.CC.COC(=O)C1=CC=CC=C1 AKEKFWMGCSJOFP-UHFFFAOYSA-N 0.000 description 1
- VFUBLFGLVKOEBB-UHFFFAOYSA-N C.C.CC.CC.COC(=O)C1=CC=CC=C1 Chemical compound C.C.CC.CC.COC(=O)C1=CC=CC=C1 VFUBLFGLVKOEBB-UHFFFAOYSA-N 0.000 description 1
- ICVBLMTYAXYBPR-UHFFFAOYSA-N C.C.CC.COC(=O)C1=CC=CC=C1 Chemical compound C.C.CC.COC(=O)C1=CC=CC=C1 ICVBLMTYAXYBPR-UHFFFAOYSA-N 0.000 description 1
- ZCAJYPIOMNIMHP-UHFFFAOYSA-N C.C.CCC(C)(C)O Chemical compound C.C.CCC(C)(C)O ZCAJYPIOMNIMHP-UHFFFAOYSA-N 0.000 description 1
- GRUXIJYNDKAEJF-UHFFFAOYSA-N C.C.COC(=O)C1=CC=C(C)C=C1 Chemical compound C.C.COC(=O)C1=CC=C(C)C=C1 GRUXIJYNDKAEJF-UHFFFAOYSA-N 0.000 description 1
- KCYCEIVNOVOFRR-GWSOHDJJSA-N C.C/C(CO)=C(\CCC(OCC(Cl)(Cl)Cl)OCC(Cl)(Cl)Cl)C(=O)S.CC1=C(CCC(OCC(Cl)(Cl)Cl)OCC(Cl)(Cl)Cl)C(=O)SC1.CC1=C(CCC=O)C(=O)SC1.CC1=CC=C(S(=O)(=O)OC/C(C)=C(/CCC(OCC(Cl)(Cl)Cl)OCC(Cl)(Cl)Cl)C(=O)S)C=C1 Chemical compound C.C/C(CO)=C(\CCC(OCC(Cl)(Cl)Cl)OCC(Cl)(Cl)Cl)C(=O)S.CC1=C(CCC(OCC(Cl)(Cl)Cl)OCC(Cl)(Cl)Cl)C(=O)SC1.CC1=C(CCC=O)C(=O)SC1.CC1=CC=C(S(=O)(=O)OC/C(C)=C(/CCC(OCC(Cl)(Cl)Cl)OCC(Cl)(Cl)Cl)C(=O)S)C=C1 KCYCEIVNOVOFRR-GWSOHDJJSA-N 0.000 description 1
- JYKYNRCQOALKEI-UUTNPJQJSA-N C.C=C(C)CO/C=C(\C)COC=P(C1=CC=CC=C1)(C1=CC=CC=C1)C1=CC=CC=C1 Chemical compound C.C=C(C)CO/C=C(\C)COC=P(C1=CC=CC=C1)(C1=CC=CC=C1)C1=CC=CC=C1 JYKYNRCQOALKEI-UUTNPJQJSA-N 0.000 description 1
- VGOPSPQVONDEFS-NGAFWABFSA-N C.C=COCC.[3HH] Chemical compound C.C=COCC.[3HH] VGOPSPQVONDEFS-NGAFWABFSA-N 0.000 description 1
- VIZWQAOIHYCDKH-UHFFFAOYSA-N C.CC#CCCC.[U] Chemical compound C.CC#CCCC.[U] VIZWQAOIHYCDKH-UHFFFAOYSA-N 0.000 description 1
- BMRNAIATXXHFHW-UHFFFAOYSA-N C.CCC(=O)OC.S Chemical compound C.CCC(=O)OC.S BMRNAIATXXHFHW-UHFFFAOYSA-N 0.000 description 1
- DHIYTSWAMSPFBN-UHFFFAOYSA-N C.CCCC(=O)OCC(C)=O Chemical compound C.CCCC(=O)OCC(C)=O DHIYTSWAMSPFBN-UHFFFAOYSA-N 0.000 description 1
- CTPPFUHFTVXRGM-UHFFFAOYSA-N C.CCCC(CC)C(=O)OC Chemical compound C.CCCC(CC)C(=O)OC CTPPFUHFTVXRGM-UHFFFAOYSA-N 0.000 description 1
- ODNFUNGTYPYGGN-UHFFFAOYSA-N C.CCN1C=CCC(C(=O)OC)=C1.[Y] Chemical compound C.CCN1C=CCC(C(=O)OC)=C1.[Y] ODNFUNGTYPYGGN-UHFFFAOYSA-N 0.000 description 1
- OUXAISNJKZGBAQ-IOYQRAILSA-N C/C(CBr)=C(\CCC(OCC(Cl)(Cl)Cl)OCC(Cl)(Cl)Cl)C(=O)Cl.C/C(CBr)=C(\CCC(OCC(Cl)(Cl)Cl)OCC(Cl)(Cl)Cl)C(=O)O.C/C(CBr)=C(\CCC1NC(C)(C)CO1)C1=NC(C)(C)CO1.CC1=C(CCC(OCC(Cl)(Cl)Cl)OCC(Cl)(Cl)Cl)C(=O)CC1.CC1=C(CCC=O)C(=O)CC1.CCC(Cl)(Cl)Cl Chemical compound C/C(CBr)=C(\CCC(OCC(Cl)(Cl)Cl)OCC(Cl)(Cl)Cl)C(=O)Cl.C/C(CBr)=C(\CCC(OCC(Cl)(Cl)Cl)OCC(Cl)(Cl)Cl)C(=O)O.C/C(CBr)=C(\CCC1NC(C)(C)CO1)C1=NC(C)(C)CO1.CC1=C(CCC(OCC(Cl)(Cl)Cl)OCC(Cl)(Cl)Cl)C(=O)CC1.CC1=C(CCC=O)C(=O)CC1.CCC(Cl)(Cl)Cl OUXAISNJKZGBAQ-IOYQRAILSA-N 0.000 description 1
- VEMFWZKDDINITN-QBZYRGCMSA-N C/C(CO)=C(\CCC(OCC(Cl)(Cl)Cl)OCC(Cl)(Cl)Cl)C(=O)O.C/C(CO)=C(\CCC(OCC(Cl)(Cl)Cl)OCC(Cl)(Cl)Cl)C(N)=O.CC1=C(CCC(OCC(Cl)(Cl)Cl)OCC(Cl)(Cl)Cl)C(=O)NC1.CC1=C(CCC=O)C(=O)NC1.CC1=CC=C(S(=O)(=O)OC/C(C)=C(/CCC(OCC(Cl)(Cl)Cl)OCC(Cl)(Cl)Cl)C(N)=O)C=C1.CCC(Cl)(Cl)Cl Chemical compound C/C(CO)=C(\CCC(OCC(Cl)(Cl)Cl)OCC(Cl)(Cl)Cl)C(=O)O.C/C(CO)=C(\CCC(OCC(Cl)(Cl)Cl)OCC(Cl)(Cl)Cl)C(N)=O.CC1=C(CCC(OCC(Cl)(Cl)Cl)OCC(Cl)(Cl)Cl)C(=O)NC1.CC1=C(CCC=O)C(=O)NC1.CC1=CC=C(S(=O)(=O)OC/C(C)=C(/CCC(OCC(Cl)(Cl)Cl)OCC(Cl)(Cl)Cl)C(N)=O)C=C1.CCC(Cl)(Cl)Cl VEMFWZKDDINITN-QBZYRGCMSA-N 0.000 description 1
- NBNBNOAIRGNLLG-UZUDALBASA-N C/C(CO)=C(\CCC1NC(C)(C)CO1)C1=NC(C)(C)CO1.C1CCOC1.CC1=CC=C(S(=O)(=O)OC/C(C)=C(/CCC2NC(C)(C)CO2)C2=NC(C)(C)CO2)C=C1.CSCOC/C(C)=C(/CCC1NC(C)(C)CO1)C1=NC(C)(C)CO1.[H]C(=O)CC/C(C(=O)O)=C(\C)COS(=O)(=O)C1=CC=C(C)C=C1.[H]C(=O)CCC1=C(C)COC1=O Chemical compound C/C(CO)=C(\CCC1NC(C)(C)CO1)C1=NC(C)(C)CO1.C1CCOC1.CC1=CC=C(S(=O)(=O)OC/C(C)=C(/CCC2NC(C)(C)CO2)C2=NC(C)(C)CO2)C=C1.CSCOC/C(C)=C(/CCC1NC(C)(C)CO1)C1=NC(C)(C)CO1.[H]C(=O)CC/C(C(=O)O)=C(\C)COS(=O)(=O)C1=CC=C(C)C=C1.[H]C(=O)CCC1=C(C)COC1=O NBNBNOAIRGNLLG-UZUDALBASA-N 0.000 description 1
- NAQNZVMAAMBMOV-ONEGZZNKSA-N C/C=C/C(=O)CCC(C)=O Chemical compound C/C=C/C(=O)CCC(C)=O NAQNZVMAAMBMOV-ONEGZZNKSA-N 0.000 description 1
- VGGSQFUCUMXWEO-UHFFFAOYSA-N C=C Chemical compound C=C VGGSQFUCUMXWEO-UHFFFAOYSA-N 0.000 description 1
- KGIABMDFILVKGN-UHFFFAOYSA-N C=C(C)C#CC.O Chemical compound C=C(C)C#CC.O KGIABMDFILVKGN-UHFFFAOYSA-N 0.000 description 1
- WSACSFXYCLJMQP-UHFFFAOYSA-N C=C(CCC(C)C)C(C)C.[HH] Chemical compound C=C(CCC(C)C)C(C)C.[HH] WSACSFXYCLJMQP-UHFFFAOYSA-N 0.000 description 1
- DSHXUEPXZKMKOA-KPWWCZROSA-N C=C(CCC)OO[C@H]1CC[C@@]2(C)C(C1)C[C@H](O)C1C2CC[C@@]2(C)C1C[C@@H](Br)[C@@H]2OC(=O)CC.CC(=O)O[C@H]1[C@H](Br)CC2C3C(CC[C@@]21C)[C@@]1(C)CC[C@H](OCCCCC=O)CC1=C[C@@H]3O Chemical compound C=C(CCC)OO[C@H]1CC[C@@]2(C)C(C1)C[C@H](O)C1C2CC[C@@]2(C)C1C[C@@H](Br)[C@@H]2OC(=O)CC.CC(=O)O[C@H]1[C@H](Br)CC2C3C(CC[C@@]21C)[C@@]1(C)CC[C@H](OCCCCC=O)CC1=C[C@@H]3O DSHXUEPXZKMKOA-KPWWCZROSA-N 0.000 description 1
- WBGIVCWNXMXWPM-RTRSVVJQSA-N C=C(CCC)OO[C@H]1CC[C@@]2(C)C(C1)C[C@H](O)C1C2CC[C@@]2(C)C1OC[C@@H]2OC(=O)CC.CC(=O)OC1COC2C3C(CC[C@]12C)[C@@]1(C)CC[C@H](OCCCCC=O)CC1=C[C@@H]3O Chemical compound C=C(CCC)OO[C@H]1CC[C@@]2(C)C(C1)C[C@H](O)C1C2CC[C@@]2(C)C1OC[C@@H]2OC(=O)CC.CC(=O)OC1COC2C3C(CC[C@]12C)[C@@]1(C)CC[C@H](OCCCCC=O)CC1=C[C@@H]3O WBGIVCWNXMXWPM-RTRSVVJQSA-N 0.000 description 1
- YUROKSYGMPGEIB-BSLDCHFNSA-N C=C(CCC)OO[C@H]1CC[C@@]2(C)C(C1)C[C@H](O)C1C2CC[C@@]2(CO)C1C[C@@H](Br)[C@@H]2OC(C)=O.CC(=O)O[C@H]1[C@H](Br)CC2C3C(CC[C@@]21CO)[C@@]1(C)CC[C@H](OCCCCC=O)CC1=C[C@@H]3O Chemical compound C=C(CCC)OO[C@H]1CC[C@@]2(C)C(C1)C[C@H](O)C1C2CC[C@@]2(CO)C1C[C@@H](Br)[C@@H]2OC(C)=O.CC(=O)O[C@H]1[C@H](Br)CC2C3C(CC[C@@]21CO)[C@@]1(C)CC[C@H](OCCCCC=O)CC1=C[C@@H]3O YUROKSYGMPGEIB-BSLDCHFNSA-N 0.000 description 1
- URWHYPSMVCABEU-GYKGFCEISA-N C=C1CCC2C3C(CC[C@]12C)[C@@]1(C)C=CC(=O)CC1=C[C@@H]3O Chemical compound C=C1CCC2C3C(CC[C@]12C)[C@@]1(C)C=CC(=O)CC1=C[C@@H]3O URWHYPSMVCABEU-GYKGFCEISA-N 0.000 description 1
- VTRRPWIBLNYBAO-UHFFFAOYSA-N C=CC.[W] Chemical compound C=CC.[W] VTRRPWIBLNYBAO-UHFFFAOYSA-N 0.000 description 1
- LIWWTIQFDBDUHK-UHFFFAOYSA-N CC#CC1CC1.N Chemical compound CC#CC1CC1.N LIWWTIQFDBDUHK-UHFFFAOYSA-N 0.000 description 1
- NRAUNYBHEIUAEB-MKBVJCEESA-N CC(=O)OC1C(=O)CC2C3C(CC[C@]12C)[C@@]1(C)C=C[C@H](OOC(C)(C)C)C=C1C[C@@H]3O Chemical compound CC(=O)OC1C(=O)CC2C3C(CC[C@]12C)[C@@]1(C)C=C[C@H](OOC(C)(C)C)C=C1C[C@@H]3O NRAUNYBHEIUAEB-MKBVJCEESA-N 0.000 description 1
- PIOHLQLULGTQAC-UHFFFAOYSA-N CC(C)=NCCO.I Chemical compound CC(C)=NCCO.I PIOHLQLULGTQAC-UHFFFAOYSA-N 0.000 description 1
- RJUFJBKOKNCXHH-UHFFFAOYSA-N CCC(=O)OC Chemical compound CCC(=O)OC RJUFJBKOKNCXHH-UHFFFAOYSA-N 0.000 description 1
- WFHYKNGLYODXTH-LQURLGALSA-N CCC(=O)OC1[C@H](Cl)CC2C3C(CC[C@@]21C)[C@@]1(C)CC[C@H](S)C=C1C[C@@H]3OC Chemical compound CCC(=O)OC1[C@H](Cl)CC2C3C(CC[C@@]21C)[C@@]1(C)CC[C@H](S)C=C1C[C@@H]3OC WFHYKNGLYODXTH-LQURLGALSA-N 0.000 description 1
- KVEFZDIFWGWFKQ-UHFFFAOYSA-N CCC(C)O.[V] Chemical compound CCC(C)O.[V] KVEFZDIFWGWFKQ-UHFFFAOYSA-N 0.000 description 1
- XNLICIUVMPYHGG-UHFFFAOYSA-N CCCC(C)=O Chemical compound CCCC(C)=O XNLICIUVMPYHGG-UHFFFAOYSA-N 0.000 description 1
- VMVNZNXAVJHNDJ-UHFFFAOYSA-N COC(=O)C(F)(F)F Chemical compound COC(=O)C(F)(F)F VMVNZNXAVJHNDJ-UHFFFAOYSA-N 0.000 description 1
- JCQPFRNOTJJEAU-UHFFFAOYSA-N COC(=O)C1CCC1.P Chemical compound COC(=O)C1CCC1.P JCQPFRNOTJJEAU-UHFFFAOYSA-N 0.000 description 1
- PMGBATZKLCISOD-UHFFFAOYSA-N COC(=O)CC(F)(F)F Chemical compound COC(=O)CC(F)(F)F PMGBATZKLCISOD-UHFFFAOYSA-N 0.000 description 1
- KXKVLQRXCPHEJC-UHFFFAOYSA-N COC(C)=O Chemical compound COC(C)=O KXKVLQRXCPHEJC-UHFFFAOYSA-N 0.000 description 1
- YEHYGRBLZWLPAU-IEOVAKBOSA-N COC1CCCC1.[2HH] Chemical compound COC1CCCC1.[2HH] YEHYGRBLZWLPAU-IEOVAKBOSA-N 0.000 description 1
- BOFXVYGDIRCHEQ-UHFFFAOYSA-N COC1OC(C(=O)O)C(O)C(O)C1O Chemical compound COC1OC(C(=O)O)C(O)C(O)C1O BOFXVYGDIRCHEQ-UHFFFAOYSA-N 0.000 description 1
- DHIMHHLFKXSLFN-UHFFFAOYSA-N COOC(=O)CCC(=O)OCC(C)=O Chemical compound COOC(=O)CCC(=O)OCC(C)=O DHIMHHLFKXSLFN-UHFFFAOYSA-N 0.000 description 1
- NDSWHAIHNCHTBQ-FKOSVLGZSA-N CO[C@H]1C=C[C@@]2(C)C(C[C@H](O)C3C2CC[C@]2(C)C(OC(C)=O)C(=O)CC32)C1 Chemical compound CO[C@H]1C=C[C@@]2(C)C(C[C@H](O)C3C2CC[C@]2(C)C(OC(C)=O)C(=O)CC32)C1 NDSWHAIHNCHTBQ-FKOSVLGZSA-N 0.000 description 1
- ROSRLVZKSIGLDN-KBXRURPJSA-N C[C@@H]1CC2C3C(=O)C=C4C[C@@H](O)CC[C@]4(C)C3CC[C@]2(C)C1=O Chemical compound C[C@@H]1CC2C3C(=O)C=C4C[C@@H](O)CC[C@]4(C)C3CC[C@]2(C)C1=O ROSRLVZKSIGLDN-KBXRURPJSA-N 0.000 description 1
- FGQQWJSXJYUIQU-MDYBBYJISA-N C[C@](CCC1[C@@](C)(C=CC(C2)O)C2=C2)(C(CC3)C1[C@H]2O)C3=O Chemical compound C[C@](CCC1[C@@](C)(C=CC(C2)O)C2=C2)(C(CC3)C1[C@H]2O)C3=O FGQQWJSXJYUIQU-MDYBBYJISA-N 0.000 description 1
- CWVMWSZEMZOUPC-JUAXIXHSSA-N [H][C@@]12CC[C@@]3([H])[C@]4([H])C[C@@H](Br)C(=O)[C@@]4(C)CC[C@]3([H])[C@@]1(C)CC[C@H](O)C2 Chemical compound [H][C@@]12CC[C@@]3([H])[C@]4([H])C[C@@H](Br)C(=O)[C@@]4(C)CC[C@]3([H])[C@@]1(C)CC[C@H](O)C2 CWVMWSZEMZOUPC-JUAXIXHSSA-N 0.000 description 1
- DRUIOKTWRZMMQP-PPNVABNXSA-N [H][C@]1(O)CC[C@]2(C)[C@@]3([H])CC[C@]4(C)C(=O)[C@]([H])(Br)C[C@@]4([H])[C@]3([H])[C@@]([H])(O)C[C@@]2([H])C1 Chemical compound [H][C@]1(O)CC[C@]2(C)[C@@]3([H])CC[C@]4(C)C(=O)[C@]([H])(Br)C[C@@]4([H])[C@]3([H])[C@@]([H])(O)C[C@@]2([H])C1 DRUIOKTWRZMMQP-PPNVABNXSA-N 0.000 description 1
- XTUPLBKXAXYJJP-ZIQXNTKSSA-N [H][C@]12CCC3C(C1C[C@@H](Br)[C@@H]2OC(C)=O)[C@@H](O)C=C1C[C@@H](OCCCCC=O)CC[C@@]13C.[H][C@]12CCC3C(C1C[C@@H](Br)[C@@H]2OC(C)=O)[C@@H](O)CC1C[C@@H](OOC(=C)CCC)CC[C@@]13C Chemical compound [H][C@]12CCC3C(C1C[C@@H](Br)[C@@H]2OC(C)=O)[C@@H](O)C=C1C[C@@H](OCCCCC=O)CC[C@@]13C.[H][C@]12CCC3C(C1C[C@@H](Br)[C@@H]2OC(C)=O)[C@@H](O)CC1C[C@@H](OOC(=C)CCC)CC[C@@]13C XTUPLBKXAXYJJP-ZIQXNTKSSA-N 0.000 description 1
Classifications
-
- C—CHEMISTRY; METALLURGY
- C07—ORGANIC CHEMISTRY
- C07J—STEROIDS
- C07J1/00—Normal steroids containing carbon, hydrogen, halogen or oxygen, not substituted in position 17 beta by a carbon atom, e.g. estrane, androstane
- C07J1/0003—Androstane derivatives
- C07J1/0011—Androstane derivatives substituted in position 17 by a keto group
-
- A—HUMAN NECESSITIES
- A61—MEDICAL OR VETERINARY SCIENCE; HYGIENE
- A61K—PREPARATIONS FOR MEDICAL, DENTAL OR TOILETRY PURPOSES
- A61K31/00—Medicinal preparations containing organic active ingredients
- A61K31/56—Compounds containing cyclopenta[a]hydrophenanthrene ring systems; Derivatives thereof, e.g. steroids
-
- A—HUMAN NECESSITIES
- A61—MEDICAL OR VETERINARY SCIENCE; HYGIENE
- A61P—SPECIFIC THERAPEUTIC ACTIVITY OF CHEMICAL COMPOUNDS OR MEDICINAL PREPARATIONS
- A61P35/00—Antineoplastic agents
-
- C—CHEMISTRY; METALLURGY
- C07—ORGANIC CHEMISTRY
- C07J—STEROIDS
- C07J1/00—Normal steroids containing carbon, hydrogen, halogen or oxygen, not substituted in position 17 beta by a carbon atom, e.g. estrane, androstane
- C07J1/0003—Androstane derivatives
- C07J1/0018—Androstane derivatives substituted in position 17 beta, not substituted in position 17 alfa
- C07J1/0022—Androstane derivatives substituted in position 17 beta, not substituted in position 17 alfa the substituent being an OH group free esterified or etherified
- C07J1/0025—Esters
-
- C—CHEMISTRY; METALLURGY
- C07—ORGANIC CHEMISTRY
- C07J—STEROIDS
- C07J31/00—Normal steroids containing one or more sulfur atoms not belonging to a hetero ring
- C07J31/003—Normal steroids containing one or more sulfur atoms not belonging to a hetero ring the S atom directly linked to a ring carbon atom of the cyclopenta(a)hydrophenanthrene skeleton
-
- C—CHEMISTRY; METALLURGY
- C07—ORGANIC CHEMISTRY
- C07J—STEROIDS
- C07J31/00—Normal steroids containing one or more sulfur atoms not belonging to a hetero ring
- C07J31/006—Normal steroids containing one or more sulfur atoms not belonging to a hetero ring not covered by C07J31/003
-
- Y—GENERAL TAGGING OF NEW TECHNOLOGICAL DEVELOPMENTS; GENERAL TAGGING OF CROSS-SECTIONAL TECHNOLOGIES SPANNING OVER SEVERAL SECTIONS OF THE IPC; TECHNICAL SUBJECTS COVERED BY FORMER USPC CROSS-REFERENCE ART COLLECTIONS [XRACs] AND DIGESTS
- Y02—TECHNOLOGIES OR APPLICATIONS FOR MITIGATION OR ADAPTATION AGAINST CLIMATE CHANGE
- Y02A—TECHNOLOGIES FOR ADAPTATION TO CLIMATE CHANGE
- Y02A50/00—TECHNOLOGIES FOR ADAPTATION TO CLIMATE CHANGE in human health protection, e.g. against extreme weather
- Y02A50/30—Against vector-borne diseases, e.g. mosquito-borne, fly-borne, tick-borne or waterborne diseases whose impact is exacerbated by climate change
Definitions
- the invention relates to methods to make and use steroids, such as 16 ⁇ -bromo-3 ⁇ -hydroxy-5 ⁇ -androstane-17-one (16-bromoepiandrosterone or hereafter “BrEA”) and new analogs thereof.
- the steroids are useful for a number of therapeutic and non-therapeutic applications, including their use as immune modulators in conditions such as infections or inflammation.
- the present invention also relates to methods to make the compounds, compositions and formulations.
- the invention also provides methods and compositions to prevent or treat a hematopoietic disorder such as thrombocytopenia or neutropenia by administering to a subject a steroid such as 3,7,16,17-tetrahydroxy-androst-5-ene, 3,16,17-trihydroxyandrostane, 3-hydroxy-16-haloandrostane-17-one or 3,17-dihydroxy-16-haloandrostane, which is optionally combined with an agent that enhances monocyte or neutrophil activity.
- a steroid such as 3,7,16,17-tetrahydroxy-androst-5-ene, 3,16,17-trihydroxyandrostane, 3-hydroxy-16-haloandrostane-17-one or 3,17-dihydroxy-16-haloandrostane, which is optionally combined with an agent that enhances monocyte or neutrophil activity.
- compositions containing BrEA that were used to deliver the compound to cells or cell extracts usually included a significant amount of water.
- Such compositions contained solvents such as dioxane or dimethylsulfoxide (“DMSO”), which contained water, or an aqueous cyclodextrin solutions to facilitate compound delivery to cells, see, e.g., J. Pharmacol Exp. Ther. 1998, 285:876-83 , Cancer Res. 1986 46:3389-95 , Carcinogenesis 1985 6:333-35 , Carcinogenesis 1981 2:717-721 , Carcinogenesis 1981 2:683-86.
- Such compositions are typically delivered to animals by injection or to cells in tissue culture by addition to cell culture medium.
- EP 429 187 describes formulations that contain DHEA or BrEA and polyvinylpyrrolidone and crosslinked polyvinylpyrrolidone. Some of these compositions may have undesired or suboptimal properties. For example, solvents such as dioxane, DMSO or chloroform are generally not preferred or suitable parenteral excipients, particularly for human use. Formulations that contain BrEA or related steroids and that have improved properties, e.g., lower toxicity, improved chemical stability or desirable characteristics for large-scale synthesis are needed.
- helper T cells designated Th1 in the murine system facilitate immune effector functions that are typically dominated by cell-mediated responses.
- helper T cells designated Th2 cells facilitate immune effector functions that are typically dominated by humoral responses.
- a vigorous Th1 response is usually desirable to help clear infections or to slow the progression of an infection.
- the cytokines associated with the Th2 response tend to suppress the immune system's capacity to mount a vigorous Th1 response at the same time. The converse is also generally true.
- Th1 response When mammalian immune responses begin to result in an increasing Th2 response, the Th1 response to the same condition tends to weaken. Insufficient Th1 responses may be associated with progression of some infections or other conditions, see, e.g., M. Clerici and G. M. Shearer, Immunol. Today 14:107-111, 1993; M. Clerici and G. M. Shearer, Immunol. Today 15:575-581, 1994.
- the invention provides compounds and compositions useful to enhance Th1 immune responses.
- Hemopoiesis is the formation and development of the various types of blood cells and their progenitor cells. Mature cells are found in circulation or tissues such as the lymph nodes or the thymus. Many of the stem cells that give rise to mature forms reside in the bone marrow, although some may circulate in the blood for some time. Clinical blood cell deficiencies such as thrombocytopenia, neutropenia or erythropenia can arise from causes such as impaired hemopoiesis or abnormal loss or destruction of mature or immature blood cells.
- TP Thrombocytopenia
- Impaired production can result from causes such as chemotherapies or radiation therapies.
- Abnormal loss of circulating platelets is often associated with autoreactive antibodies that bind to platelets and reduce their life span. These underlying causes give rise to the various clinical forms of TP, such as autoimmune neonatal TP, immune thrombocytopenic purpra, radiation induced TP, chemotherapy induced TP and amegakaryocitic TP.
- Treatments include administering one or more of glucocorticoid steroids (e.g., prednisone, prednisolone), human IgG antibodies, anti-Rh(D) + antibodies for Rh(D) + patients, an androgen such as danazol, vinca alkaloids (e.g., vincristine, vinblastine), thrombopoietin and immunosuppressants (e.g., azathioprine, cyclophosphamide).
- Splenectomy is also indicated, for example when first line treatments fail.
- the goal of treatment is typically to increase platelet counts to 20,000 mm ⁇ 3 or more typically to at least about 50,000 mm ⁇ 3 and to maintain these levels.
- NP Neutropenia
- NP Neutropenia
- Impaired neutrophil production can be acquired from, e.g., treatment with a cytotoxic or cytostatic drug, chemotherapy, radiation therapy or an autoimmune response.
- the abnormal loss of circulating neutrophils in autoimmunity is associated with autoreactive antibodies that bind to the cells and reduce their life span.
- NP and treatment options have been described. See, e.g., Hematology—Basic Principles and Practice, 3 rd edition, R. Hoffman, E. J. Benz Jr. et al., editors, Churchill Livingstone, New York, 2000 (see, e.g., Chapters 19, 41, 51, 79, 134 and 137 at pages 297-331, 720-762, 939-979, 1443-1500, 2220-2248 and 2257-2263).
- U.S. Pat. Nos. 4,908,358 and 4,902,681 describe the capacity of compounds such as 5 ⁇ -pregnan-3,20-dione, cortexolone, 17-hydroxyprogesterone and 16 ⁇ -methylprogesterone to inhibit the clearance of antibody-coated cells from circulation in disorders such as immune thrombocytopenic purpura or immune hemolytic anemia.
- U.S. Pat. No. 5,859,000 describes the capacity of compounds such as 3 ⁇ ,7 ⁇ -dihydroxyandrost-5-ene-17-one and 3 ⁇ -hydroxyandrost-5-ene-17-one to reduce mast cell mediated allergic reactions.
- U.S. Pat. Nos. 5,925,630, 5,939,545 and 5,962,443 describe the capacity of 19-nur-pregnane steroids, 3 ⁇ -hydroxy-5 ⁇ -pregnan-20-one and related steroids to modulate certain neurological activities such as hypothalamic function and GABA receptor activity.
- IL-6 interleukin-6
- EPO erythropoietin
- TPO thrombopoietin
- IL-6 Recombinant IL-6 was shown in model systems to affect platelet counts in peripheral circulation, e.g., Stahl et al., Blood 1991 78:1467-1475, although significant toxicities are associated with its administration to humans, e.g., Andus et al., FEBS Lett. 1987 221:18, J. Gauldie et al., P.N.A.S. U.S.A. 1987 84:7251-7255, T. Geiger et al., Eur. J. Immunol. 1988 18:717-721.
- the IL-6 molecule has been described in detail, e.g., publication no. WO 88/00206.
- Administration of proteins is typically expensive, given factors such as the complexity of producing pharmaceutical grade material.
- the present invention provides therapeutic agents and treatment methods to treat hemopoiesis deficiencies and disorders such as TP and NP.
- the agents and methods are thus useful to reduce one or more symptoms associated with any of these conditions.
- the use of the invention agents and methods can be combined with one or more conventional treatments for these disorders.
- FIG. 1 is an FTIR (Fourier transform infrared) spectrum obtained by USP method ⁇ 197> of BrEA hemihydrate that was prepared by precipitation of BrEA from ethanol and water.
- FIG. 2 is a FTIR spectrum obtained by USP method ⁇ 197> of anhydrous BrEA that was prepared by precipitation of BrEA from anhydrous methanol.
- FIG. 3 shows a DSC endotherm of BrEA hemihydrate that was prepared by precipitation of BrEA from ethanol and water.
- FIG. 4 shows a DSC endotherm of anhydrous BrEA that was prepared by precipitation of BrEA from anhydrous methanol.
- FIG. 1 is an FTIR (Fourier transform infrared) spectrum obtained by USP method ⁇ 197> of BrEA hemihydrate that was prepared by precipitation of BrEA from ethanol and water.
- FIG. 3 shows a DSC endotherm of BrEA hemihydrate that was prepared by precipitation
- FIG. 5 is an XRD (powder X-ray diffraction) spectrum of BrEA hemihydrate that was prepared by precipitation of BrEA from ethanol and water.
- FIG. 6 is a FTIR spectrum obtained by USP method ⁇ 197> of BrEA hemihydrate that was prepared by precipitation of BrEA from acetone and water.
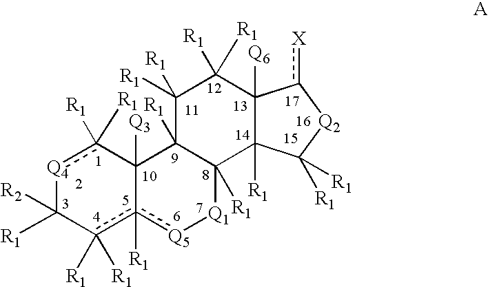
- Invention embodiments provide a method to modulate an immune or cellular response in a subject in need thereof comprising administering to the subject, or delivering to the subject's tissues, an effective amount of a compound of formula 1
- each R 1 , R 2 , R 3 , R 4 , R 5 , R 6 and R 10 independently are —H, —OR PR , —SR PR , —N(R PR ) 2 , —O—S—(R 13 ) 3 , —CHO, —CHS, —CH ⁇ NH, —CN, —SCN, —NO 2 , —OSO 3 H, —OPO 3 H, an ester, a thioester, a phosphoester, a phosphothioester, a phosphonoester, a phosphiniester, a sulfite ester, a sulfate ester, an amide, an amino acid, a peptide, an ether, a thioether, an acyl group, a thioacyl group, a carbonate, a carbamate, a thioacetal, a halogen, an optionally substituted alkyl group,
- R 1 , R 2 , R 3 or R 4 together comprise an independently selected spiro ring, or
- R 1 , R 2 , R 3 , R 4 , R 5 , R 6 and R 10 independently are ⁇ O, ⁇ S, ⁇ N—OH, ⁇ CH 2 , or a spiro ring, and the hydrogen atom or the second variable group that is bonded to the same carbon atom is absent, or,
- one or more of two adjacent R 1 -R 6 and R 10 comprise an independently selected ketal or thioketal;
- R 7 is —C(R 10 ) 2 —, —C(R 10 ) 2 —C(R 10 ) 2 —, —C(R 10 ) 2 —C(R 10 ) 2 —C(R 10 ) 2 —, —C(R 10 ) 2 —O—C(R 10 ) 2 —, —C(R 10 ) 2 —S—C(R 10 ) 2 —, —C(R 10 ) 2 —NR PR —C(R 10 ) 2 —, —O—, —O—C(R 10 ) 2 —, —S—, —S—C(R 10 ) 2 —, —NR PR — or —NR PR —C(R 10 ) 2 —;
- R 8 and R 9 independently are —C(R 10 ) 2 —, —C(R 10 ) 2 —C(R 10 ) 2 —, —O—, —O—C(R 10 ) 2 —, —S—, —S—C(R 10 ) 2 —, —NR PR — or —NR PR —C(R 10 ) 2 —, or one or both of R 8 or R 9 independently are absent, leaving a 5-membered ring;
- R 13 independently is C 1-6 alkyl
- R PR independently is —H or a protecting group
- D is a heterocycle or a 4-, 5-, 6- or 7-membered ring that comprises saturated carbon atoms, wherein 1, 2 or 3 ring carbon atoms of the 4-, 5-, 6- or 7-membered ring are optionally independently substituted with —O—, —S— or —NR PR — or where 1, 2 or 3 hydrogen atoms of the heterocycle or where 1, 2 or 3 hydrogen atoms of the 4-, 5-, 6- or 7-membered ring are independently substituted with —OR PR , —SR PR , —N(R PR ) 2 , —O—Si—(R 13 ) 3 , —CHO, —CHS, —CH ⁇ NH, —CN, —SCN, —NO 2 , —OSO 3 H, —OPO 3 H, an ester, a thioester, a phosphoester, a phosphothioester, a phosphiniester, a sulfite ester,
- one more of the ring carbons are substituted with ⁇ O, ⁇ S, ⁇ N—OH, ⁇ CH 2 , or a spiro ring, or
- D comprises two 5- or 6-membered rings, wherein the rings are fused or are linked by 1 or 2 bonds, provided that if the subject is in need of enhanced hemopoiesis, the compound is not 5-androstene-3 ⁇ -ol-17-one, 5-androstene-3 ⁇ ,17 ⁇ -diol, 5-androstene-3 ⁇ ,7 ⁇ ,17 ⁇ -triol or a derivative of any of these three compounds that can convert to these compounds by hydrolysis.
- Immune and cellular response modulation includes enhancing Th1 immune responses, reducing Th2 immune responses, reducing inflammation and enhancing hemopoiesis.
- the invention provides a compound of formula 1, wherein two or three of R 7 , R 8 and R 9 independently are not —CHR 10 —, or —C(R 10 ) 2 — and wherein the compound is optionally present in a composition that comprises one or more excipients.
- Other embodiments include a method to enhance the expression of one or more cytokines or interleukins that facilitate Th1 immune responses in a subject or to reduce the expression of one or more cytokines or interleukins that facilitate Th2 immune response in a subject comprising administering to the subject an effective amount of a formula 1 compound, whereby the subject's Th1 immune response is enhanced of the subject's undesired Th2 immune response is reduced.
- a further embodiment is a method to modulate a subject's innate immunity, Th1 immune responses, Th2 immune responses or inflammation comprising administering a formula 1 compound to a subject or delivering the formula 1 compound to the subject's tissues.
- invention formulation means an invention composition that one can administer to a subject, e.g., human or animal, without further manipulations that change the ingredients or the ingredient proportions that are present.
- Formulations are suitable for human or veterinary applications.
- invention composition is a composition, that can be an intermediate one can use to make the formulations, i.e., a change(s) in an ingredient(s) or its amount(s) is needed to make a formulation.
- invention compositions include compositions where further processing may be required before it is a formulation, e.g., mixing or addition of a desired amount of an ingredient.
- references to “administration of a compound of formula 1” or similar terms mean that the compound(s) is administered to, or delivered to, the subject or to the subject's tissues by one or more suitable methods, e.g., by an oral, topical, parenteral, buccal or sublingual route. Such methods of administration are as described herein, e.g., oral, parenteral or topical.
- Any reference to a “formula 1 compound”, “one or more compounds of formula 1” or the like means that the formula 1 compound can have the formula 2 structure that is within the definition of formula 1 compounds.
- references to subject matter “as disclosed herein” such as a “therapeutic treatment or agent as disclosed herein”, a “dosing protocol as disclosed herein” or a “clinical condition or symptom as disclosed herein” or the like means a treatment, agent, protocol, condition, symptom or the like that is described herein or in any reference cited herein.
- excipient means one or more component(s) or ingredient(s) that is acceptable in the sense of being compatible with the other ingredients of invention compositions or formulations and not overly deleterious to the patient or animal to which the formulation is to be administered.
- excipients include liquids, such as benzyl benzoate, cottonseed oil, N,N-dimethylacetamide, a C 2-12 alcohol (e.g., ethanol), glycerol, peanut oil, a polyethylene glycol (“PEG”), vitamin E, poppyseed oil, propylene glycol, safflower oil, sesame oil, soybean oil and vegetable oil.
- PEG polyethylene glycol
- Excipients as used herein will optionally exclude chloroform, dioxane, vegetable oil, DMSO, other excipients or any combination of these.
- Excipients comprise one or more components typically used in the pharmaceutical formulation arts, e.g., fillers, binders, disintegrants, dispersants, preservatives and lubricants.
- Exemplary excipients include povidone, crospovidone, corn starch, carboxymethyl cellulose, hydroxypropyl methylcellulose, microcrystalline cellulose, gum arabic, polysorbate 80, butylparaben, propylparaben, methylparaben, BHA, EDTA, sodium lauryl sulfate, sodium chloride, potassium chloride, titanium dioxide, magnesium stearate, castor oil, olive oil, vegetable oil, buffering agents such as monobasic sodium phosphate or dibasic sodium phosphate, saccharides such as mannitol, glucose, fructose, sucrose or lactose any of which may be compressible or any of which may be spray dried. Any of the solid excipients may be fine powders or they may be used as granules.
- a “subject” means a human or animal. Usually the animal is a mammal or vertebrate such as a primate, rodent, lagomorph, domestic animal or game animal. Primates include chimpanzees, cynomologous monkeys, spider monkeys, and macaques, e.g., Rhesus. Rodents and lagomorphs include mice, rats, woodchucks, ferrets, rabbits and hamsters.
- Domestic and game animals include cows, horses, pigs, deer, bison, buffalo, felines, e.g., domestic cat, canines, e.g., dog, wolf and fox, avian species, e.g., chicken, turkey, emu and ostrich, and fish, e.g., trout, catfish and salmon.
- Subject includes any subset of the foregoing, e.g., all of the above, but excluding one or more groups or species such as humans, primates or rodents.
- a formula 1 compound(s) means invention compositions or formulations where one or more than one formula 1 compound is present or is used in the disclosed method, typically 1, 2, 3 or 4, usually 1.
- an effective amount means an amount of a formula 1 compound that is sufficient to restore normal immune responsiveness in an immunodeficient subject to which it is administered or to detectably modulate or improve an immune or cellular parameter or symptom. Such modulation or improvement is consistent with either restoring or enhancing a desired immune response, with inhibiting the progression of the disorder or with inhibiting the replication of a pathogen.
- Immune and cellular parameters that may be detectably improved include, e.g., (1) increased expression or biological activity of one or more Th1 associated cytokine, interleukin, growth factor, enzyme or transcription factor, (2) decreased expression or biological activity of one or more Th2 associated cytokine, interleukin, growth factor, enzyme or transcription factor, (3) decreased expression or biological activity of one or more inflammation associated cytokine, interleukin, growth factor, enzyme or transcription factor and (4) inhibition of the replication of a pathogen such as a virus or bacterium or pathological cell or cell type such as an infected cell, a malignant cell or cancer cell.
- the immune and cellular parameters that are detectably improved may be improved due to direct or indirect effects of the formula 1 compound.
- an effective amount is an amount sufficient for treatment, prevention or amelioration of the infection or other condition or symptom being treated.
- the exact amount needed for an optimal individual response may vary from subject to subject, depending, e.g., on the species, age, the subject's clinical condition and the route of administration.
- An effective amount is usually within the dosages described herein and it may also be optimized by one of ordinary skill in the art using routine methods. Amelioration of a disease or a symptom may be determined subjectively or objectively, e.g., by the subject or by conducting an appropriate assay or measurement such as one described herein.
- modulation of, e.g., a symptom, level or biological activity of a molecule, replication of a pathogen, cellular response, cellular activity or the like, means that the symptom, or the like is detectably increased or decreased. Modulation may be determined subjectively or objectively, e.g., by the subject's self assessment, by a clinician's assessment or by conducting an appropriate assay or measurement.
- antigen means a molecule that comprises one or more epitopes that are capable of stimulating a subject's immune system to make, e.g., a secretory, humoral or cellular antigen-specific response against the antigen or immunogen.
- antigen means a molecule that comprises one or more epitopes that are capable of stimulating a subject's immune system to make, e.g., a secretory, humoral or cellular antigen-specific response against the antigen or immunogen.
- These terms also include fragments or synthetic or natural derivatives of these molecules that retain at least a detectable capacity, e.g., at least about 20%, of the native antigen's antigenic capacity, to stimulate a subject's immune system in a desired manner.
- Vaccine composition means an agent suitable for stimulating a subject's immune system to ameliorate a current condition or to protect against or to reduce present or future harm or infection, e.g., reduced tumor cell proliferation or survival, reduced pathogen replication or spread in a subject or a detectably reduced unwanted symptom(s) associated with a condition.
- Immunization means the process of inducing a continuing moderate or high level of antibody or cellular immune response that is directed against an antigen to which the subject has been exposed.
- compositions, formulations, or methods that comprise one or more specified components, elements or steps. Additional invention embodiments include those compounds, compositions, formulations or methods that consist of or that consist essentially of those specified components, elements or steps.
- the terms “comprising”, “consist of” and “consist essentially of” have their normally accepted meanings under U.S. patent law. For example, disclosed compositions or methods that “comprise” a component or step are open and they include or read on those compositions or methods plus an additional component(s) or step(s). Similarly, disclosed compositions or methods that “consist of” a component or step are closed and they would not include or read on those compositions or methods having an additional component(s) or step(s).
- Alkyl as used here means linked normal, secondary, tertiary or cyclic carbon atoms, i.e., linear, branched or cyclic.
- the number of carbon atoms in an alkyl group or moiety is 1 to about 20, unless otherwise specified, e.g., C 1-8 alkyl means an alkyl moiety containing 1, 2, 3, 4, 5, 6, 7 or 8 carbon atoms.
- species may include methyl, ethyl, 1-propyl (n-propyl), 2-propyl (i-propyl, —CH(CH 3 ) 2 ), 1-butyl (n-butyl), 2-methyl-1-propyl (i-butyl, —CH 2 CH(CH 3 ) 2 ), 2-butyl (s-butyl, —CH(CH 3 )CH 2 CH 3 ), 2-methyl-2-propyl (t-butyl, —C(CH 3 ) 3 ), 1-pentyl (n-pentyl), 2-pentyl (—CH(CH 3 )CH 2 CH 2 CH 3 ), 3-pentyl (—CH(CH 2 CH 3 ) 2 ), 2-methyl-2-butyl (—C(CH 3 ) 2 CH 2 CH 3 ), 3-methyl-2-butyl (—CH(CH 3 )CH(CH 3 ) 2 ), 3-methyl-1-butyl (—CH 2 CH 2 CH(
- Alkenyl means linked normal, secondary, tertiary or cyclic carbon atoms where one or more double bonds (e.g., —CH ⁇ CH—) are present, typically 1, 2 or 3, usually 1 or 2.
- the number of carbon atoms in an alkenyl group or moiety is 2 to about 20, unless otherwise specified, e.g., C 2-8 alkenyl means an alkenyl moiety containing 2, 3, 4, 5, 6, 7 or 8 carbon atoms.
- species may include vinyl, allyl, —(CH 2 ) n —(CH ⁇ CH)—(CH 2 ) m —CH 3 , —(CH 2 ) n —(CCH 3 ⁇ CH)—(CH 2 ) m —CH 3 , —(CH 2 ) n —(CH ⁇ CCH 3 )—(CH 2 ) m —CH 3 and —(CH 2 ) n —(CH ⁇ CH) 0-1 (CH 2 ) m —CH 2 CH ⁇ CH 2 , where n and m independently are 0, 1, 2, 3, 4, 5, 6, 7 or 8.
- Alkynyl means linked normal, secondary, tertiary or cyclic carbon atoms where one or more triple bonds (—C ⁇ C—) are present, typically 1, 2 or 3, usually 1.
- the number of carbon atoms in an alkynyl group or moiety is 2 to about 20, unless otherwise specified, e.g., C 1-8 alkynyl means an alkynyl moiety containing 1, 2, 3, 4, 5, 6, 7 or 8 carbon atoms.
- species may include vinyl, allyl, —(CH 2 ) n —(C ⁇ C)—(CH 2 ) m —CH 3 , and —(CH 2 ) n —(C ⁇ C) 0-1 —(CH 2 ) m —CH 2 C ⁇ CH, where n and m independently are 0, 1, 2, 3, 4, 5, 6, 7 or 8.
- Aryl means phenyl or naphthyl.
- Substituted alkyl mean an alkyl, alkenyl or alkynyl group that has a substituent(s) that is bonded to a carbon atom or a substituent(s) that interrupt a carbon atom chain.
- Substituents include one or more independently selected ethers (—O—), ketones (—C(O)—), aldehydes (—CHO), —CHS, —CH ⁇ NH, —C ⁇ NH—, —OR PR , —C(O)OR PR , —C(O)O—, —C(S)OR PR , —C(S)O—, —OC(O)—, —C(O)H, —OCH 2 —, —OCH 2 CH 2 —, —OCH 2 O—, —OCH 2 CH 2 O—, —NR PR —, —N(R PR ) 2 , —NHR PR , —NHC(O)—, —CH 2 —NR PR —, —CH 2 —NHR PR , —CH 2 —NHC(O)—, —C(O)NH—, —C(O)NHR PR , —OC(O)NR PR —,
- Substituents are independently chosen when more than one is present.
- Alkenyl and alkynyl groups that comprise a substituent(s) are typically substituted at a carbon that is one or more methylene moiety removed from the double bond, e.g., separated by one, two, three or more —CH 2 — or —CH(C 1-6 alkyl)-moieties.
- Heterocycle or “heterocyclic” includes by way of example and not limitation the heterocycles described in Paquette, Leo A.; “Principles of Modern Heterocyclic Chemistry” (W. A. Benjamin, New York, 1968), particularly Chapters 1, 3, 4, 6, 7, and 9; “The Chemistry of Heterocyclic Compounds, A series of Monographs” (John Wiley & Sons, New York, 1950 to present), in particular Volumes 13, 14, 16, 19, and 28; and J. Am. Chem. Soc. 1960, 82:5566.
- heterocycles include by way of example and not limitation pyridyl, thiazolyl, tetrahydrothiophenyl, sulfur oxidized tetrahydrothiophenyl, pyrimidinyl, furanyl, thienyl, pyrrolyl, pyrazolyl, imidazolyl, tetrazolyl, benzofuranyl, thianaphthalenyl, indolyl, indolenyl, quinolinyl, isoquinolinyl, benzimidazolyl, piperidinyl, 4-piperidonyl, pyrrolidinyl, 2-pyrrolidonyl, pyrrolinyl, tetrahydrofuranyl, tetrahydroquinolinyl, tetrahydroisoquinolinyl, decahydroquinolinyl, octahydroisoquinolinyl, azocinyl, triazinyl
- carbon bonded heterocycles are bonded at position 2, 3, 4, 5, or 6 of a pyridine, position 3, 4, 5, or 6 of a pyridazine, position 2, 4, 5, or 6 of a pyrimidine, position 2, 3, 5, or 6 of a pyrazine, position 2, 3, 4, or 5 of a furan, tetrahydrofuran, thiofuran, thiophene, pyrrole or tetrahydropyrrole, position 2, 4, or 5 of an oxazole, imidazole or thiazole, position 3, 4, or 5 of an isoxazole, pyrazole, or isothiazole, position 2 or 3 of an aziridine, position 2, 3, or 4 of an azetidine, position 2, 3, 4, 5, 6, 7, or 8 of a quinoline or position 1, 3, 4, 5, 6, 7, or 8 of an isoquinoline.
- carbon bonded heterocycles include 2-pyridyl, 3-pyridyl, 4-pyridyl, 5-pyridyl, 6-pyridyl, 3-pyridazinyl, 4-pyridazinyl, 5-pyridazinyl, 6-pyridazinyl, 2-pyrimidinyl, 4-pyrimidinyl, 5-pyrimidinyl, 6-pyrimidinyl, 2-pyrazinyl, 3-pyrazinyl, 5-pyrazinyl, 6-pyrazinyl, 2-thiazolyl, 4-thiazolyl, or 5-thiazolyl.
- nitrogen bonded heterocycles are bonded at position 1 of an aziridine, azetidine, pyrrole, pyrrolidine, 2-pyrroline, 3-pyrroline, imidazole, imidazolidine, 2-imidazoline, 3-imidazoline, pyrazole, pyrazoline, 2-pyrazoline, 3-pyrazoline, piperidine, piperazine, indole, indoline, 1H-indazole, position 2 of a isoindole, or isoindoline, position 4 of a morpholine, and position 9 of a carbazole, or ⁇ -carboline.
- nitrogen bonded heterocycles include 1-aziridyl, 1-azetedyl, 1-pyrrolyl, 1-imidazolyl, 1-pyrazolyl, and 1-piperidinyl.
- Heteroaryl means an aromatic ring or two or more fused rings that contain one or more aromatic rings where the ring or fused rings comprise 1, 2, 3 or more heteroatoms, usually oxygen (—O—), nitrogen (—NX—) or sulfur (—S—) where X is —H, a protecting group or C 1-6 alkyl, usually —H. Examples are as described for heterocycle.
- Alcohol as used herein, usually in the context of excipients, means an alcohol that comprises a C 2-12 alkyl moiety substituted at a hydrogen atom with one hydroxyl group. Alcohols include ethanol, n-propanol, i-propanol, n-butanol, i-butanol, s-butanol, t-butanol, n-pentanol, i-pentanol, n-hexanol, cyclohexanol, n-heptanol, n-octanol, n-nonanol and n-decanol.
- the carbon atoms in alcohols can be straight, branched or cyclic. Alcohol includes any subset of the foregoing, e.g., C 2-4 alcohols (alcohols having 2, 3 or 4 carbon atoms).
- Halogen means fluorine, chlorine, bromine or iodine.
- Protecting group means a moiety that prevents the atom to which it is linked from participating in unwanted reactions.
- R PR may be hydrogen or a protecting group for the oxygen atom found in a hydroxyl
- R PR may be hydrogen or a carboxyl protecting group
- R PR may be hydrogen or a protecting group for sulfur in thiols for instance
- R PR may be hydrogen or a nitrogen atom protecting group for primary or secondary amines. Hydroxyl, amine and other reactive groups are found in formula 1 compounds at, e.g., R 1 or R 2 . These groups may require protection against reactions taking place elsewhere in the molecule.
- the protecting groups for oxygen, sulfur or nitrogen atoms are usually used to prevent unwanted reactions with electrophilic compounds, such as acylating used, e.g., in steroid chemistry.
- esters means a moiety that comprises a —C(O)—O— structure.
- esters as used here comprise an organic moiety containing about 1-50 carbon atoms (e.g., about 2-20 carbon atoms) and 0 to about 10 independently selected heteroatoms (e.g., O, S, N, P, Si), where the organic moiety is bonded to a formula 1 steroid nucleus at, e.g., R 1 or R 2 through the —C(O)—O— structure, e.g., organic moiety-C(O)—O-steroid or organic moiety-O—C(O)-steroid.
- the organic moiety usually comprises one or more of any of the organic groups described above, e.g., C 1-20 alkyl moieties, C 2-20 alkenyl moieties, C 2-20 alkynyl moieties, aryl moieties, C 2-9 heterocycles or substituted derivatives of any of these, e.g., comprising 1, 2, 3, 4 or more substituents, where each substituent is independently chosen.
- Exemplary substitutions for hydrogen or carbon atoms in these organic groups include 1, 2, 3, 4 or more, usually 1, 2, or 3 —O—, —S—, —NR PR —(including —NH—), —C(O)—, —CHO, —CHS, —C ⁇ NH, —C(S), ⁇ O, ⁇ S, —N(R PR) 2 (including —NH 2 ), —C(O)OR PR (including —C(O)OH), —OC(O)R PR (including —O—C(O)—H), —OR PR (including —OH), —SR PR (including —SH), —NO 2 , —CN, —SCN, —C 6 H 5 , —CH 2 C 6 H 5 , —NHC(O)—, —C(O)NH—, —OC(O)—, —C(O)O—, —O-A8, —S-A8, —C(O)-A8, —
- the organic moiety includes compounds defined by the R 4 variable.
- the organic moieties exclude obviously unstable moieties, e.g., —O—O—, except where such unstable moieties are transient species that one can use to make a compound with sufficient chemical stability for one or more of the uses described herein, including for synthesis of the formula 1 compounds.
- the substitutions listed above are typically substituents that one can use to replace one or more carbon atoms, e.g., —O— or —C(O)—, or one or more hydrogen atom, e.g., halogen, —NH 2 or —OH.
- Thioester means a moiety that comprises a —C(S)—O— structure.
- thioesters as used here comprise an organic moiety containing about 1-50 carbon atoms (e.g., about 2-20 carbon atoms) and 0 to about 10 heteroatoms (e.g., O, S, N, P, Si), where the organic moiety is bonded to a formula 1 steroid nucleus at R 2 through the —C(S)—O— structure, e.g., organic moiety-C(S)—O-steroid or organic moiety-O—C(S)-steroid.
- the organic moiety is as described above for esters.
- Thioacetal means a moiety that comprises a —C(O)—S— structure.
- thioacetals as used here comprise an organic moiety containing about 1-50 carbon atoms (e.g., about 2-20 carbon atoms) and 0 to about 10 heteroatoms (e.g., O, S, N, P, Si), where the organic moiety is bonded to a formula 1 steroid nucleus at R 2 through the —C(O)—S— structure, e.g., organic moiety-C(O)—S-steroid or organic moiety-O—C(S)—C(O)-steroid.
- the organic moiety is as described above for esters.
- Phosphoester or “phosphate ester” means a moiety that comprises a —O—P(OR PR )(O)—O— structure where R PR is hydrogen (—H), a protecting group or an organic moiety as described for esters.
- phosphoesters as used here comprise a hydrogen atom, a protecting group or an organic moiety containing about 1-50 carbon atoms and 0 to about 10 heteroatoms (e.g., O, S, N, P, Si) linked to a formula 1 steroid nucleus at R 1 -R 6 , R 10 , R 15 , R 17 or R 18 through the —O—P(O)(O)—O— structure, e.g., organic moiety-O—P(O)(OH)—O-steroid.
- the organic moiety is as described above for esters.
- Phosphothioester means a moiety that comprises a —O—P(SR PR )(O)—O— structure where R PR is —H, a protecting group or an organic moiety as described for esters.
- phosphothioesters as used here comprise a hydrogen atom, a protecting group or an organic moiety containing about 1-50 carbon atoms and 0 to about 10 heteroatoms (e.g., O, S, N, P, Si) linked to a formula 1 steroid nucleus at R 1 -R 6 , R 10 , R 15 , R 17 or R 18 through the —O—P(O)(O)—O— structure, e.g., organic moiety-O—P(O)(SH)—O-steroid.
- the organic moiety is as described above for esters.
- “Phosphonoester” means a moiety that comprises a —P(OR PR )(O)—O— structure where R PR is —H, a protecting group or an organic moiety as described for esters.
- phosphonoesters as used here comprise a hydrogen atom, a protecting group or an organic moiety containing about 1-50 carbon atoms and 0 to about 10 heteroatoms (e.g., O, S, N, P, Si) linked to a formula 1 steroid nucleus at R 1 -R 6 , R 10 , R 15 , R 17 or R 18 through the —P(OR PR )(O)—O— structure, i.e., organic moiety-P(OR PR )(O)—O-steroid or steroid-P(OR PR )(O)—O-organic moiety.
- the organic moiety is as described above for esters.
- Phosphiniester means a moiety that comprises a —P(OR PR )—O— structure where R PR is —H, a protecting group or an organic moiety as described for esters.
- phosphiniesters as used here comprise a hydrogen atom, a protecting group or an organic moiety containing about 1-50 carbon atoms and 0 to about 10 heteroatoms (e.g., O, S, N, P, Si) linked to a formula 1 steroid nucleus at R 1 -R 6 , R 10 , R 15 , R 17 or R 18 through the —P(OR PR )—O— structure, i.e., organic moiety-P(OR PR )—O-steroid or steroid-P(OR PR )—O-organic moiety.
- the organic moiety is as described above for esters.
- “Sulfate ester” means a moiety that comprises a —O—S(O)(O)—O— structure.
- sulfate esters as used here comprise a hydrogen atom, a protecting group or an organic moiety containing about 1-50 carbon atoms and 0 to about 10 heteroatoms (e.g., O, S, N, P, Si) linked to a formula 1 steroid nucleus at R 1 -R 6 , R 10 , R 15 , R 17 or R 18 through the —O—S(O)(O)—O— structure, e.g., organic moiety-O—S(O)(O)—O-steroid.
- the organic moiety is as described above for esters.
- “Sulfite ester” means a moiety that comprises a —O—S(O)—O— structure.
- sulfite esters as used here comprise an organic moiety containing about 1-50 carbon atoms and 0 to about 10 heteroatoms (e.g., O, S, N, P, Si) linked to a formula 1 steroid nucleus at R 1 -R 6 , R 10 , R 15 , R 17 or R 18 through the —O—S(O)—O— structure, e.g., organic moiety-O—S(O)—O-steroid.
- the organic moiety is as described above for esters.
- Thioacetal means a moiety that comprises a —S—C(O)— structure.
- thioacetal groups as used here comprise an organic moiety containing about 1-50 carbon atoms and 0 to about 10 heteroatoms (e.g., O, S, N, P, Si) linked to a formula 1 steroid nucleus at R 1 -R 6 , R 10 , R 15 , R 17 or R 18 through the —S—C(O)— structure, e.g., organic moiety-S—C(O)-steroid or steroid-S—C(O)-organic moiety.
- the organic moiety is as described above for esters.
- “Amide” means an organic moiety as described for ester that comprises 1, 2, 3, 4 or more —C(O)—NR PR — moieties, usually 1 or 2, where R PR is —H or a protecting group, R PR is usually H.
- the —C(O)NR PR — group is linked to the steroid nucleus at R 1 -R 6 , R 10 , R 15 , R 17 or R 18 , i.e., organic moiety-C(O)NR PR -steroid or steroid-C(O)NR PR-organic moiety.
- “Ether” means an organic moiety as described for ester that comprises 1, 2, 3, 4 or more —O— moieties, usually 1 or 2.
- the —O— group is linked to the steroid nucleus at R 1 -R 6 , R 10 , R 15 , R 17 or R 18 , e.g., organic moiety-O-steroid.
- Thioether means an organic moiety as described for ester that comprises 1, 2, 3, 4 or more —S— moieties, usually 1 or 2.
- the —S— group is linked to the steroid nucleus at R 1 -R 6 , R 10 , R 15 , R 17 or R 18 , e.g., organic moiety-S-steroid.
- “Acyl group” means an organic moiety as described for ester that comprises 1, 2, 3, 4 or more —C(O)— groups.
- the —C(O)— group is linked to the steroid nucleus at R 1 -R 6 , R 10 , R 15 , R 17 or R 18 , e.g., organic moiety-C(O)-steroid.
- Thioacyl means an organic moiety as described for ester that comprises 1, 2, 3, 4 or more —C(S)— groups.
- the —C(S)— group is linked to the steroid nucleus at R 1 -R 6 , R 10 , R 15 , R 17 or R 18 , e.g., organic moiety-C(S)-steroid.
- Carbonate means an organic moiety as described for ester that comprises 1, 2, 3, 4 or more —O—C(O)—O— structures.
- carbonate groups as used here comprise an organic moiety containing about 1-50 carbon atoms and 0 to about 10 heteroatoms (e.g., O, S, N, P, Si) linked to a formula 1 steroid nucleus at R 1 -R 6 , R 10 , R 15 , R 17 or R 18 through the —O—C(O)—O— structure, e.g., organic moiety-O—C(O)—O-steroid.
- “Carbamate” means an organic moiety as described for ester that comprises 1, 2, 3, 4 or more —O—C(O)NR PR — structures where R PR is —H, a protecting group or an organic moiety as described for ester.
- carbamate groups as used here comprise an organic moiety containing about 1-50 carbon atoms and 0 to about 10 heteroatoms (e.g., O, S, N, P, Si) linked to a formula 1 steroid nucleus at R 1 -R 6 , R 10 , R 15 , R 17 or R 18 through the —O—C(O)—NR PR — structure, e.g., organic moiety-O—C(O)—NR PR -steroid or steroid-O—C(O)—NR PR -organic moiety.
- “monosaccharide” means a polyhydroxy aldehyde or ketone having the empirical formula (CH 2 O) n where n is 3, 4, 5, 6 or 7.
- Monosaccharide includes open chain and closed chain forms, but will usually be closed chain forms.
- Monosaccharide includes hexofuranose and pentofuranose sugars such as 2′-deoxyribose, ribose, arabinose, xylose, their 2′-deoxy and 3′-deoxy derivatives and their 2′,3′-dideoxy derivatives.
- Monosaccharide also includes the 2′,3′ dideoxydidehydro derivative of ribose.
- Monosaccharides include the D-, L- and DL-isomers of glucose, fructose, mannose, idose, galactose, allose, gulose, altrose, talose, fucose, erythrose, threose, lyxose, erythrulose, ribulose, xylulose, ribose, arabinose, xylose, psicose, sorbose, tagatose, glyceraldehyde, dihydroxyacetone and their monodeoxy derivatives such as rhamnose. Monosaccharides are optionally protected or partially protected.
- Optionally substituted alkyl group, optionally substituted alkenyl group, optionally substituted alkynyl group, optionally substituted aryl moiety and optionally substituted heterocycle mean substitutions that include C 1-20 alkyl moieties, C 2-20 alkenyl moieties, C 2-20 alkynyl moieties, aryl moieties, C 2-9 heterocycles or substituted derivatives of any of these.
- Typical substitutions for these organic groups include 1, 2, 3, 4 or more, usually 1 or 2, —O—, —S—, —NR PR —, —C(O)—, —N(R PR ) 2 , —C(O)OR PR , OC(O)R PR , —OR PR , —SR PR , —NO 2 , —CN, —NHC(O)—, —C(O)NH—, —OC(O)—, —C(O)O—, —O-A8, —S-A8, —C(O)-A8, —OC(O)-A8, —C(O)O-A8, ⁇ N—, —N ⁇ , —OPO 2 R PR , —OSO 3 H or halogen moieties or atoms, where R PR independently is —H, a protecting group or both R PR together are a protecting group and A8 is C 1-8 alkyl, C 1-8 alkenyl, C 1-8
- Optionally substituted “monosaccharide” comprise any C 3 -C 7 sugar, D-, L- or DL-configurations, e.g., erythrose, glycerol, ribose, deoxyribose, arabinose, glucose, mannose, galactose, fucose, mannose, glucosamine, N-acetylneuraminic acid, N-acetylglucosamine, N-acetylgalactosamine that is optionally substituted at one or more hydroxyl groups.
- C 3 -C 7 sugar e.g., erythrose, glycerol, ribose, deoxyribose, arabinose, glucose, mannose, galactose, fucose, mannose, glucosamine, N-acetylneuraminic acid, N-acetylglucosamine, N-acetylgalactosamine that is optionally substituted at one or
- Suitable substitutions include hydrogen, protected hydroxyl, carboxyl, azido, cyano, —O—C 1-6 alkyl, —S—C 1-6 alkyl, —O—C 2-6 alkenyl, —S—C 2-6 alkenyl, optionally protected amine, optionally protected carboxyl, halogen, thiol or protected thiol.
- the linkage between the monosaccharide the steroid is a or P.
- Optionally substituted “oligosaccharide” comprises two, three, four or more of any C3-C7 sugars that are covalently linked to each other.
- the linked sugars may have D-, L- or DL-configurations. Suitable sugars and substitutions are as described for monosaccharides.
- the linkage between the oligosaccharide and the steroid is a or ⁇ , as are the linkages between the monosaccharides that comprise the oligosaccharide.
- Nucleoside includes 3TC, AZT, D4T, ddI, ddC, G, A, U, C, T, dG, dA, dT and dC.
- Polymer includes biocompatible organic polymers, e.g., PEGs and polyhydroxyalkyl polymers.
- PEG means an ethylene glycol polymer that contains about 20 to about 2000000 linked monomers, typically about 50-1000 linked monomers, usually about 100-300.
- Polyethylene glycols include PEGs containing various numbers of linked monomers, e.g., PEG20, PEG30, PEG40, PEG60, PEG80, PEG100, PEG115, PEG 200, PEG 300, PEG400, PEG500, PEG600, PEG1000, PEG1500, PEG2000, PEG 3350, PEG4000, PEG4600, PEG5000, PEG6000, PEG8000, PEG11000, PEG12000, PEG2000000 and any mixtures thereof.
- position numbers that are given for the formula 1 compounds use the numbering convention for cholesterol.
- “Spiro ring” or “spiro structure” and similar terms mean cyclic structures that comprise 4, 5, 6, 7 or 8 ring members, i.e., they are 4-, 5-, 6-, 7- or 8-sided. In some embodiments, spiro structures share a carbon atom that is present in the steroid ring system, e.g., at the 2, 3, 7, 11, 15, 16 or 17 positions of the formula 1 compounds. Spiro structures include lactone rings or cyclic esters. Such spirolactones include 5 and 6 membered rings, e.g., a spiro compound with a spiro ring at the 17 position such as
- X is —C(R 10 ) 2 — or —CHR 10 —.
- the R 10 variable group independently is —H, —OH, —CH 3 or an optionally substituted alkyl.
- Ketal and “thioketal” mean an organic moiety that is bonded to two adjacent steroid ring atoms in the formula 1 compounds, e.g., ring atoms at the 1-2, 2-3, 3-4, 6-7, 14-15, 15-16 or 16-17 positions.
- the steroid ring atoms are carbon and the ketal is bonded to each adjacent carbon by an oxygen atom.
- Thioketals are bonded through one oxygen and one sulfur atom.
- One, two or more of two adjacent R 1 -R 6 and R 10 may comprise an independently selected ketal or thioketal in any of the formula 1 compounds disclosed herein.
- the oxygen or sulfer atoms in ketals and thioketals are linked by an optionally substituted alkyl moiety.
- the alkyl moiety is an optionally substituted C1-C6 alkylene such as —C(CH 3 ) 2 —, —CH(CH 3 )—, —CH 2 —, —CH 2 —CH 2 —, —C(C2-C4 alkyl) 2 — or —CH(C2-C4 alkyl)-.
- Exemplary ketal and thioketals include —O—C(CH 3 ) 2 —O—, —O—C(CH 3 )(heterocycle)—O—, —O—CH(heterocycle)—O—, —O—C(CH 3 )(aryl)—O—, —O—CH(aryl)—O—, —S—C(CH 3 ) 2 —O—, —O—CH 2 —CH 2 —O—, —O—C(CH 3 ) 2 —CH 2 —O—, —S—C(CH 3 ) 2 —CH 2 —O—, —O—C(CH 3 ) 2 —CH 2 —S— and the like.
- expressions of a percentage of a liquid ingredient, e.g., an excipient, in an invention composition or formulation mean the ingredient's percent by volume (v/v).
- 20% propylene glycol means 20% v/v propylene glycol is present in an invention composition or formulation.
- the amount of excipient indicated in invention compositions is not affected by the form used, e.g., NF or USP grade solvent or excipient.
- an invention composition that comprises about 30% polyethylene glycol 300 NF can instead comprise a USP counterpart, provided that other limitations, such as the amount of water present, are not exceeded.
- innate immunity refers to one or more components typically associated with nonspecific immune defense mechanisms in a subject. These components include the alternate complement pathway, e.g., Factor B, Factor D and properdin; NK cells, phagocytes (monocytes, macrophages), neutrophils, eosinophils, dendritic cells, fibrocytes; anti-microbial chemicals, e.g., defensins; physical barriers—skin, mucosal epithelium; and certain interleukins, chemokines and cytokines.
- alternate complement pathway e.g., Factor B, Factor D and properdin
- NK cells e.g., NK cells, phagocytes (monocytes, macrophages), neutrophils, eosinophils, dendritic cells, fibrocytes
- anti-microbial chemicals e.g., defensins
- physical barriers skin, mucosal epithelium
- interleukins chemok
- Innate immunity plays a role in resistance to intracellular parasite infections, e.g., white blood cell infection, a liver infection, and other infections, e.g., lymph node infections.
- Enhancement of innate immunity mechanism by formula 1 compounds or method described herein may enhance phagolysosome fusion or movement, which some pathogens, e.g., intracellular bacteria such as mycobacteria, or Listeria inhibit.
- Immune disregulation means that a subject has or will have an immune response that is not desirable or is suboptimal for the subject's condition.
- Such disregulation or unwanted responses can arise from various clinical conditions or as a result of treatment of such conditions, e.g., inflammation, autoimmunity, organ or tissue transplant rejection (e.g., allograft, xenograft), infections, cancers, chemotherapy treatments, trauma, allergy conditions or in conditions where a subject mounts a Th1 immune response that is considered to be ineffective, insufficient or suboptimal.
- Immune disregulation conditions are as described herein or in the cited references.
- cellular response means a response or activity that is detectably modulated in response to the presence of a formula 1 compound.
- Such responses or activities can be direct effects or indirect effects on one or more cellular activities or on the expression or level of one or more molecules that the affected cell(s) synthesize or respond to.
- Such responses or activities include a detectable change in the synthesis or level of one or more cytokines, growth factors, transcription factors (including receptors and their cofactors), enzymes, Th1-associated antibody subtype responses or the like.
- the cytokines, growth factors, transcription factors, enzymes or antibodies that are modulated are involved in the amelioration of a pathological condition or in the establishment, maintenance or progression of a pathological condition.
- references to CD molecules, specific immune cell subsets, immune responses and the like generally use nomenclature that applies to molecules, cells or the like that are found in humans. Analogs or counterparts of such molecules, cells or the like in other species may have a differing nomenclature, but are included in this invention. A description of the nomenclature and function of various CD molecules and immune cell subsets are as found in the scientific literature. References to Th0, Th1 or Th2 cells and references to Th1 or Th2 immune responses in the context of human patients refers to the human counterparts of the murine Th0, Th1 or Th2 immune cells or responses. For reviews see, e.g., A. K.
- Immunosuppressive molecule means molecules such as cyclosporin, cyclohexamide, mitomycin C, adriamycin, taxol and amphotericin B. These molecules tend to have toxicities toward the immune system and are directly or indirectly immunosuppressive, e.g., they are toxic to dividing cells, they inhibit proliferation of immune cell precursors or they can downregulate immunity.
- Step receptor means a gene product, typically a protein monomer or dimer that can bind to a ligand, e.g., a natural steroid or an analog thereof, such as formula 1 compounds.
- Steroid receptors include orphan steroid receptors.
- Orphan steroid receptors are proteins for which the natural ligand or biological function is at least partially unknown.
- steroid receptors include homodimers, e.g., SXR and (CAR ⁇ ) 2 , and heterodimers, e.g., PXR-CAR ⁇ or RXR-CAR ⁇ .
- Steroid receptors also include isoforms, e.g., PXR.1 and PXR.2 for the PXR receptor, and homologs of the steroid receptors, e.g., the homolog of CAR ⁇ known as MB67.
- Isoforms are typically generated by different splicing pathways for a nuclear RNA from one gene, while homologs are typically a distinct copy of a steroid receptor gene, where the gene copy encodes only relatively small differences compared to the reference steroid receptor gene product. Such differences are most often found in areas other than the dimerization region and the steroid binding region of the steroid receptor's structure.
- Steroid receptors may be of human or animal origin, e.g., obtained from cells, tissues or cDNA expression libraries derived from cells or tissues of any primate, rodent (including murine), avian, ovine, bovine, equine, canine or feline species or any of the species or any species within any group (e.g., Family or Genus) of species mentioned elsewhere herein or in any reference cited herein.
- Modulation of steroid receptors by formula 1 compounds can arise from (1) their direct interaction with a steroid receptor or a cofactor thereof or (2) indirect effects such as generation of a signal or stimulus that leads to modulation of one or more biological activities of the receptor, e.g., detectable inhibition of steroid receptor mediated gene transcription or detectable enhancement of steroid receptor mediated gene transcription.
- invention complexes include a complex that comprises a steroid receptor and a formula 1 compound and optionally other molecules.
- these other molecules include (i) a DNA recognition sequence (“DNARS” hereafter), i.e., a sequence that the steroid receptor specifically recognizes and binds to and (ii) a transcription factor that can bind to the steroid receptor-formula 1 compound complex.
- DNARS DNA recognition sequence
- these complexes can arise in cells in vitro or in vivo, or in cell-free systems.
- Complexes include, for example, steroid receptor heterodimer-formula 1 compound combinations, steroid receptor homodimer-formula 1 compound combinations, steroid receptor monomer-formula 1 compound combinations, steroid receptor heterodimer-formula 1 compound-DNA (or DNARS) combinations, steroid receptor homodimer-formula 1 compound-DNA (or DNARS) combinations, steroid receptor heterodimer-formula 1 compound-transcription factor combinations, steroid receptor homodimer-formula 1 compound-transcription factor combinations, steroid receptor heterodimer-formula 1 compound-DNA (or DNARS)-transcription factor combinations and steroid receptor homodimer-formula 1 compound-DNA (or DNARS)-transcription factor combinations.
- An “agonist” or an “antagonist” is a compound or composition that respectively, either detectably increases or decreases the activity of a receptor, which can lead to increased or decreased transcription of a regulated gene.
- Receptors, their accessory factors and transcription factors can modulate transcription of their target gene(s) by detectably enhancing transcription or decreasing it.
- Amino acid means an amino acid moiety that comprises any naturally-occurring or synthetic amino acid residue, i.e., any moiety comprising at least one carboxyl and at least one amino residue directly linked by one, two three or more carbon atoms, typically one (a) carbon atom.
- the nature and identity of the intervening structure located between the carboxyl and amino groups can have a variety of structures including those described herein.
- amino acids linked to the steroid through the amine group have sufficient conformation and length to be capable of autocatalytic hydrolysis of the amino acid-steroid bond and release of the steroid.
- the amino acids corresponding to the residues employed in the formula 1 compounds are naturally occurring and have no significant pharmacological activity per se.
- optimal pharmacokinetic activity may be achieved by using non-naturally occurring amino acid residues.
- the intervening structure may be as simple as methylene when the amino acid residue is glycyl, or substituted methylene for other a amino acids.
- the structure ordinarily contains up to about 5 carbon or heteroatoms in the direct linkage between the amino acid's carboxyl carbon and the amine nitrogen.
- amino acids can comprise intervening ethylene, propylene, butylene, or pentylene groups or their substituted analogs, such as for example, oxyesters or ethers in which oxygen replaces carbon and, as appropriate, hydrogen.
- An example of such an intervening structure would be —CH—O—C(R 22 )(R 23 )—, where R 22 and R 23 are independently selected hydrogen or organic moieties as described above for esters.
- one of R 22 and R 23 is hydrogen and the other is a C2-20 organic moiety.
- the organic moieties contain about 1-20 carbon atoms and 0, 1, 2, 3, 4 or 5 independently selected heteroatoms, which are typically selected from oxygen, nitrogen, sulfur and phosphorus.
- fewer intervening atoms are used when more rapid hydrolysis is desired, although larger structures are suitable if, e.g., they possess sufficient flexibility or have conformations to allow positioning of the carboxyl group in proximity to the amino acid-steroid bond.
- R 22 is —H, methyl or hydroxymethyl, usually —H
- R 23 is a side chain or group of a naturally occurring amino acid.
- Amino acid side chains include analogs where the side chain is a C 1-15 homolog of the corresponding natural compound, e.g., methylene, ethylene, propylene, butylene or a substituted derivative thereof, e.g., an alkyl, ether or alkoxy (e.g., methoxy, ethoxy, propoxy) substituted derivative.
- carboxyl-containing side chains if the C atom of the side chain carboxyl is linked by 5 or less atoms to the N then the carboxyl optionally will be blocked, e.g.
- R 23 is generally a side group such as —H, —CH 3 , —CH(CH 3 ) 2 , —CH 2 —CH(CH 3 ) 2 , —CHCH 3 —CH 2 -CH 3 , —CH 2 —C 6 H 5 , —CH 2 CH 2 —S—CH 3 , —CH 2 OH, —CH(OH)—CH 3 , —CH 2 —SH, —CH 2 —C 6 H 4 OH, —CH 2 —CO—NH 2 , —CH 2 —CH 2 -CO—NH 2 , —CH 2 —CH 2 -CO—NH 2 , —CH 2 —COOH, —CH 2 —CH 2 -COOH, —(CH 2 ) 4 —NH 2 and —(CH 2 ) 3 —NH—H, —CH 3 , —CH(CH 3 ) 2 , —CH 2 —CH(CH 3 ) 2 , —CH
- R 23 also includes 1-guanidinoprop-3-yl, benzyl, 4-hydroxybenzyl, imidazol-4-yl, indol-3-yl, methoxyphenyl and ethoxyphenyl.
- the optimal R 30 group is readily selected using routine assays.
- the amino acid residue has the structure shown in the formulas below.
- n is 1 or 2
- R 22 is —H and R 23 is a moiety containing one or more of the following groups: amino, carboxyl, amide, carboxyl ester, hydroxyl, C 6 -C 7 aryl, ether (—O—), thioether (—S—), n-, s- or t-alkyl (C 1 -C 6 ), guanidinyl, imidazolyl, indolyl, sulfhydryl, sulfoxide, and phosphoryl.
- the R 22 and R 23 substituents can have a wide variety of structures including those disclosed herein, e.g., esters, ethers or carbonates.
- any of the D, L, meso, threo or erythro (as appropriate) racemates or mixtures thereof fall within the scope of this invention.
- D isomers should be used.
- L isomers may be more versatile since they can be susceptible to both non-enzymatic as well as potential targeted enzymatic hydrolysis, and are more efficiently transported by amino acid or dipeptidyl transport systems in the gastrointestinal tract.
- amino acid residues include the following: Glycyl; aminopolycarboxylic acids, e.g., aspartic acid, ⁇ -hydroxyaspartic acid, glutamic acid, ⁇ -hydroxyglutamic acid, ⁇ -methylaspartic acid, ⁇ -methylglutamic acid, ⁇ , ⁇ -dimethylaspartic acid, ⁇ -hydroxyglutamic acid, ⁇ , ⁇ -dihydroxyglutamic acid, ⁇ -phenylglutamic acid, ⁇ -methyleneglutamic acid, 3-aminoadipic acid, 2-aminopimelic acid, 2-aminosuberic acid and 2-aminosebacic acid residues; amino acid amides such as glutaminyl and asparaginyl; polyamino- or polybasic-monocarboxylic acids such as arginine, lysine, ⁇ -aminoalanine, ⁇ -aminobutyrine, ornithine, citruline, homoarginine, homo
- amino acids are suitably employed in this invention.
- amino acids are capable of autocatalytically hydrolyzing the amino acid-steroid bond.
- they typically contain, or upon being hydrolyzed in vivo, contain a free carboxyl group or amine group.
- hydrophobic amino acids such as mono- or di-alkyl or aryl amino acids, cycloalkylamino acids and the like.
- R 29 -R 34 R 31 -R 34 are defined below
- the residue does not contain a sulfhydryl or guanidino substituent.
- variable groups such as R 1 -R 4 can comprise a “peptide”, i.e., two or more amino acids as defined above. Typically the amino acids are linked through normal peptide bonds, i.e., —CO—NH—, between adjacent amino acid residues.
- Peptides comprise dipeptides (dimers), tripeptides (trimers), short peptides of 4, 5, 6, 8, 10 or 15 residues, and longer peptides or proteins having about 100 or more residues.
- Formula 1 compounds that comprise a peptide can be used as immunogens, prodrugs or as synthetic precursors for other steroid derivatives.
- the peptide will contain a peptidolytic enzyme cleavage site at the peptide bond linking the first residue and the next residue distal to the steroid residue.
- cleavage sites are optionally flanked by enzymatic recognition structures, e.g. particular residues recognized by a hydrolytic enzyme, Peptidolytic enzymes are well known, and in particular include carboxypeptidases.
- Carboxypeptidases digest polypeptides by removing C-terminal residues, and are specific in many instances for particular C-terminal sequences. Such enzymes and their substrate requirements in general are well known.
- a dipeptide having a given pair of residues and a free carboxyl terminus is covalently bonded through its ⁇ -amino group to the steroid nucleus. It is expected that the peptide will be cleaved by the appropriate dipeptidase, protease or by chemical hydrolysis, leaving the carboxyl of the proximal amino acid residue to autocatalytically cleave the amidate bond.
- Such dipeptides include species where both amino acids are in the L configuration, the D configuration or mixtures of configurations.
- Tripeptides i.e., 3 linked amino acid residues, are also useful embodiments. Each amino acid in tripeptides are also in the L, D or mixed configurations. Tripeptides include those where A, C, D, E, F, G, H, I, K, L, M, N, P, Q, R, S, T, V, W or Y is linked by a standard peptide bond to the amino or the carboxyl terminus of any of the dipeptides listed above.
- X1-pro-X2 (where X1 is any amino acid and X2 is hydrogen, any amino acid residue or a carboxyl ester of proline) will be cleaved by luminal carboxypeptidase to yield X1 with a free carboxyl, which in turn autocatalytically cleaves the amidate bond.
- X2 usually will be a benzyl ester of the carboxy group of X2.
- tetrapeptides such as ones where any two of the dipeptides listed above, which may be the same or different dipeptides (e.g., AA and AA linked together or, e.g., AA and GI linked together), are linked to each other by a peptide bond through the amino terminus or carboxyl terminus.
- One, 2 or more tetrapeptides may bonded to the formula 1 or formula 2 compound through the tetrapeptide's amino or carboxyl terminus.
- the formula 1 or formula 2 compound comprises one or more amino acids or peptides having the structure (A), (B) or (C):
- R 29 is usually —H and R 30 may comprise —[C(R 34 ) 2 ] n2 N(R PR )— where n2 is 0, 1, 2, 3, 4, 5 or 6, R PR is —H or a protecting group and each R 34 independently is —H, C 1 -C 20 optionally substituted alkyl, C 6 -C 20 optionally substituted aryl, C 7 -C 20 optionally substituted alkylaryl, C 7 -C 20 optionally substituted arylalkyl, C 1 -C 20 optionally substituted alkoxy, C 6 -C 20 optionally substituted aryloxy or hydroxyl.
- Such compounds will contain a plurality of steroid moieties.
- steroid moieties For example when both the epsilon ( ⁇ ) or delta ( ⁇ ) and alpha ( ⁇ ) amino groups of lysine or ornithine are substituted with steroid moieties the amidate is believed to be capable of releasing two molecules of active drug, each expected to emerge under different pharmacokinetics and therefore further sustaining the drug release.
- Salts of formula 1 compounds include salts and complexes of formula 1 compounds, including pharmaceutically acceptable or salts that are relatively non-toxic. Some of the formula 1 compounds have one or more moieties that carry at least a partial positive or negative charge in aqueous solutions, typically at a pH of about 4-10, that can participate in forming a salt, a complex, a composition with partial salt and partial complex properties or other noncovalent interactions, all of which we refer to as a “salt(s)”. Salts are usually biologically compatible or pharmaceutically acceptable or non-toxic, particularly for mammalian cells. Salts that are biologically toxic are optionally used with synthetic intermediates of formula 1 compounds. When a water-soluble composition is desired, monovalent salts are usually used.
- Metal salts typically are prepared by reacting the metal hydroxide with a compound of this invention.
- metal salts that are optionally prepared in this way are salts containing Li + , Na + , and K + .
- a less soluble metal salt can be precipitated from the solution of a more soluble salt by adding a suitable metal compound.
- Invention salts may be formed from acid addition of certain organic acids, such as organic carboxylic acids, and inorganic acids, such as alkylsulfonic acids or hydrogen halide acids, to acidic or basic centers on formula 1 compounds, such as basic centers on the invention pyrimidine base analogs.
- Metal salts include ones containing Na + , Li + , K + , Ca ++ or Mg ++ .
- Other metal salts may contain aluminum, barium, strontium, cadmium, bismuth, arsenic or zinc ion.
- Salt(s) of formula 1 compounds may comprise a combination of appropriate cations such as alkali and alkaline earth metal ions or ammonium and quaternary ammonium ions with the acid anion moiety of the phosphoric acid or phosphonic acid group, which may be present in invention polymers or monomers.
- Salts are produced by standard methods, including dissolving free base in an aqueous, aqueous-alcohol or aqueous-organic solution containing the selected acid, optionally followed by evaporating the solution.
- the free base is reacted in an organic solution containing the acid, in which case the salt usually separates directly or one can concentrate the solution.
- Suitable amine salts include amines having sufficient basicity to form a stable salt, usually amines of low toxicity including trialkyl amines (tripropylamine, triethylamine, trimethylamine), procaine, dibenzylamine, N-benzyl-betaphenethylamine, ephenamine, N,N′-dibenzylethylenediamine, N-ethylpiperidine, benzylamine and dicyclohexylamine.
- trialkyl amines tripropylamine, triethylamine, trimethylamine
- procaine dibenzylamine, N-benzyl-betaphenethylamine, ephenamine, N,N′-dibenzylethylenediamine, N-ethylpiperidine, benzylamine and dicyclohexylamine.
- Salts include organic sulfonic acid or organic carboxylic acid salts, made for example by addition of the acids to basic centers, typically amines.
- Exemplary sulfonic acids include C 6-16 aryl sulfonic acids, C 6-16 heteroaryl sulfonic acids and C 1-16 alkyl sulfonic acids such as phenyl sulfonic acid, a-naphthalene sulfonic acid, ⁇ -naphthalene sulfonic acid, (S)-camphorsulfonic acid, methyl (CH 3 SO 3 H), ethyl (C 2 H 5 SO 3 H), n-propyl, i-propyl, n-butyl, s-butyl, i-butyl, t-butyl, pentyl and hexyl sulfonic acids.
- Exemplary organic carboxylic acids include C 1-16 alkyl, C 6-16 aryl carboxylic acids and C 4-16 heteroaryl carboxylic acids such as acetic, glycolic, lactic, pyruvic, malonic, glutaric, tartaric, citric, fumaric, succinic, malic, maleic, oxalic, hydroxymaleic, benzoic, hydroxybenzoic, phenylacetic, cinnamic, salicylic, nicotinic and 2-phenoxybenzoic.
- Invention salts include those made from inorganic acids, e.g., HF, HCl, HBr, Hl, H 2 SO 4 , H 3 PO 4 , Na 2 CO 3 , K 2 CO 3 , CaCO 3 , MgCO 3 and NaClO 3 .
- Suitable anions which are optionally present with a cation such a Ca ++ , Mg ++ , Li + , Na + or K + , include arsenate, arsenite formate, sorbate, chlorate, perchlorate, periodate, dichromate, glycodeoxycholate, cholate, deoxycholate, desoxycholate, taurocholate, taurodeoxycholate, taurolithocholate, tetraborate, nitrate, nitrite, sulfite, sulfamate, hyposulfite, bisulfite, metabisulfite, thiosulfate, thiocyanate, silicate, metasilicate, CN ⁇ , gluconate, gulcuronate, hippurate, picrate, hydrosulfite, hexafluorophosphate, hypochlorite, hypochlorate, borate, metaborate, tungstate and urate.
- Salts also include the formula 1 compound salts with one or more amino acids.
- Many amino acids are suitable, especially the naturally-occurring amino acids found as protein components, although the amino acid typically is one bearing a side chain with a basic or acidic group, e.g., lysine, arginine, histidine or glutamic acid, or a neutral group such as glycine, serine, threonine, alanine, isoleucine, or leucine.
- compositions include formula 1 compounds, their hydrates and the compounds in their un-ionized, as well as zwitterionic form.
- the formula 1 compounds include enriched or resolved optical isomers at any or all asymmetric atoms as are apparent from the depictions. Both racemic and diasteromeric mixtures, as well as the individual optical isomers can be isolated or synthesized so as to be substantially free of their enantiomeric or diastereomeric partners, and these are all within the scope of the invention. Chiral centers may be found in formula 1 compounds at, for example, one or more of R 1 , R 2 , R 3 and R 4 .
- One or more of the following methods are used to prepare the enantiomerically enriched or pure isomers herein.
- the methods are listed in approximately their order of preference, i.e., one ordinarily should employ stereospecific synthesis from chiral precursors before chromatographic resolution before spontaneous crystallization.
- Stereospecific synthesis is described in the examples. Methods of this type conveniently are used when the appropriate chiral starting material is available and reaction steps are chosen do not result in undesired racemization at chiral sites.
- One advantage of stereospecific synthesis is that it does not produce undesired enantiomers that must be removed from the final product, thereby lowering overall synthetic yield. In general, those skilled in the art would understand what starting materials and reaction conditions should be used to obtain the desired enantiomerically enriched or pure isomers by stereospecific synthesis.
- Another method entails converting the enantiomers in the mixture to diasteriomers with chiral auxiliaries and then separating the conjugates by ordinary column chromatography.
- This is a very suitable method, particularly when the embodiment contains free carboxyl, amino or hydroxyl that will form a salt or covalent bond to a chiral auxiliary.
- Chirally pure amino acids, organic acids or organosulfonic acids are all worthwhile exploring as chiral auxiliaries, all of which are well known in the art. Salts with such auxiliaries can be formed, or they can be covalently (but reversibly) bonded to the functional group.
- pure D or L amino acids can be used to amidate the carboxyl group of invention embodiments that comprise a carboxyl group and then separated by chromatography.
- Enzymatic resolution is another method of potential value.
- one prepares covalent derivatives of the enantiomers in the racemic mixture, generally lower alkyl esters (for example of carboxyl), and then exposes the derivative to enzymatic cleavage, generally hydrolysis.
- an enzyme must be chosen that is capable of stereospecific cleavage, so it is frequently necessary to routinely screen several enzymes. If esters are to be cleaved, then one selects a group of esterases, phosphatases, and lipases and determines their activity on the derivative. Typical esterases are from liver, pancreas or other animal organs, and include porcine liver esterase.
- the enantiomeric mixture separates from solution or a melt as a conglomerate, i.e., a mixture of enantiomerically pure crystals, then the crystals can be mechanically separated, thereby producing the enantiomerically enriched preparation.
- This method is not practical for large-scale preparations and is of limited value for true racemic compounds.
- Asymmetric synthesis is another technique for achieving enantiomeric enrichment. For example, a chiral protecting group is reacted with the group to be protected and the reaction mixture allowed to equilibrate. If the reaction is enantiomerically specific then the product will be enriched in that enantiomer.
- the amount of material used in the assay is measured using a five place analytical balance (Sartorius, Model RC210D, or a suitable equivalent).
- the amounts of water specified in invention compositions and formulations is the amount obtained by KF analysis.
- Powder X-ray diffraction (XRD) methods have been used to characterize various crystalline compounds (see, e.g., U.S. Pharmacopoeia , volume 23, 1995, ⁇ 941>, p. 1843-1845, U.S. Pharmacopeial Convention, Inc., Rockville, Md.; Stout et al., X - Ray Structure Determination; A Practical Guide , MacMillan Co., New York, N.Y., 1986).
- the diffraction pattern, or portions thereof, obtained from a crystalline compound is usually diagnostic for a given crystal form, although weak or very weak diffraction peaks may not always appear in replicate diffraction patterns obtained from successive batches of crystals.
- the relative intensities of XRD bands may vary due to preferred orientation effects arising from differences in, e.g., crystal habit, particle size or other measurement conditions. Peaks on XRD spectra are typically defined at a given Theta value +/ ⁇ about 0.1 to 0.2.
- crystalline material such as BrEA hemihydrate
- DSC differential scanning calorimetry
- IR infrared absorption spectroscopy
- MP melting point
- DSC differential scanning calorimetry
- IR infrared absorption spectroscopy
- MP thermal transition temperatures at which a crystal absorbs or releases heat when its crystal structure changes or it melts.
- MP data and DSC thermal transition temperatures are typically reproducible within about 1 or 2° C. on successive analyses.
- IR measures absorption of infrared light that is associated with the presence of particular chemical bonds that are associated with groups, e.g., hydroxyl, that vibrate in response to particular light wavelengths.
- BrEA hemihydrate Formula 1 compounds include BrEA hemihydrate which is optionally characterized by reference to one or more physical properties such as its melting point, infrared absorption spectrum or its powder X-ray diffraction spectrum.
- Related embodiments include BrEA hemihydrate and one or more excipients, e.g., suitable for human pharmaceutical use or for veterinary use.
- Another related embodiment is a method to make BrEA hemihydrate comprising precipitating or crystallizing BrEA from a solution comprising ethanol and water.
- BrEA hemihydrate is typically substantially free of other forms of BrEA, such as amorphous BrEA or anhydrous BrEA.
- BrEA hemihydrate or crystalline BrEA hemihydrate refers to solid BrEA and water having an ordered arrangement of substantially all of the constituent molecules in a defined three-dimensional spatial pattern or lattice.
- Crystalline BrEA hemihydrate may comprise one or more crystal habits, e.g., tablets, rods, plates or needles.
- BrEA hemihydrate that is substantially free of other forms of BrEA means a dry or substantially dry (where a liquid(s) comprises less than about 10% w/w of the total weight) solid preparation where more than about 55% w/w of the BrEA in the preparation is present as BrEA hemihydrate.
- Such compositions typically comprise at least about 60% w/w, or at least about 70% w/w, or at least about 80% w/w, usually at least about 90% w/w or at least about 95% w/w, or at least about 98% w/w of BrEA hemihydrate, with the remaining BrEA being present as other forms of BrEA such as the amorphous or anhydrous BrEA.
- Solid BrEA hemihydrate will typically comprise at least about 90% w/w, usually at least about 97% or about 98% w/w of the compound and less than about 10% w/w, usually less than about 3% or 2% w/w of by-products, which may include the 16 ⁇ isomer of BrEA or one or more by-products of BrEA synthesis.
- the amount of solid BrEA that is present in a solid or a liquid medium will not contain detectable amounts of other forms of BrEA (using standard analytical methods such as, e.g., FTIR, DSC or XRD) and the hemihydrate will may thus comprise about 99-100% w/w of the total amount of BrEA that is present.
- compositions that comprise a substantial amount of BrEA hemihydrate that is present in compositions that comprise one or more other forms of BrEA, e.g., amorphous BrEA or anhydrous BrEA, and optionally one or more additional components, such as any excipient described herein.
- the “substantial amount” of BrEA hemihydrate in these compositions comprises at least about 15-20% w/w or at least about 20% w/w of BrEA hemihydrate of the total amount of BrEA that is present, typically at least about 25% w/w, more typically at least about 30% w/w, often at least about 35% w/w and usually at least about 45% w/w.
- compositions are generally solids, e.g., formulations or unit dosages, but they also include suspensions, precipitates, gels and colloids that contain solid BrEA. Such suspensions or precipitates may arise from, e.g., precipitation of BrEA hemihydrate from a solution that contains water or from addition of solid BrEA to a liquid excipient(s). Obviously, compositions that comprise a substantial amount of BrEA may be substantially free of other forms of solid BrEA as discussed above.
- BrEA hemihydrate may conveniently be identified by reference to BrEA hemihydrate characterized by one or more of (1) its melting or decomposition point or range (optionally expressed as +/ ⁇ 2° C.), (2) one or more BrEA hemihydrate DSC transition temperatures or ranges (any of which may be optionally expressed as +/ ⁇ 2° C.), (3) one or more characteristic BrEA hemihydrate IR absorption bands, (4) 1, 2, 3, 4, 5, 6 or more of the highest intensity XRD peaks (any one or more of which are optionally expressed as +/ ⁇ 0.1° Theta or +/ ⁇ 0.2° Theta) obtained from an XRD spectrum of BrEA hemihydrate using Cu-Ks radiation (e.g., obtained essentially according to the method described at U.S.
- BrEA hemihydrate may be characterized by or one or more of its IR absorption bands, e.g., the carbonyl peaks at 1741 cm ⁇ 1 and 1752 cm ⁇ 1 , and either its melting or decomposition point or range and/or 1, 2, 3, 4, 5, 6 or more of the XRD peaks (usually the highest intensity peaks) at Theta (X-ray diffraction angle) values of 17.8, 23.8, 24.2, 26.9-27.2, 28.6, 30.1 and 32.2.
- IR absorption bands e.g., the carbonyl peaks at 1741 cm ⁇ 1 and 1752 cm ⁇ 1 , and either its melting or decomposition point or range and/or 1, 2, 3, 4, 5, 6 or more of the XRD peaks (usually the highest intensity peaks) at Theta (X-ray diffraction angle) values of 17.8, 23.8, 24.2, 26.9-27.2, 28.6, 30.1 and 32.2.
- BrEA hemihydrate is suitable to prepare compositions comprising an excipient(s) suitable for human pharmaceutical use or for veterinary use. Such compositions are used to prepare formulations and unit dosages.
- Unit dosages typically comprise tablets, capsules, lozenges or sterile solutions, including sterile solutions for parenteral administration.
- Solid unit dosage forms typically comprise about 5-1000 mg of BrEA hemihydrate, typically about 20-400 mg, e.g., about 25 mg, about 50 mg, about 100 mg, about 150 mg or about 250 mg per unit dose.
- the invention provides a method to make BrEA hemihydrate comprising contacting water, 16 ⁇ -bromo-3 ⁇ -hydroxy-5 ⁇ -androstan-17-one and a C1-C6 alcohol (e.g., methanol, ethanol, propanol, isopropanol, butanol) and water.
- a C1-C6 alcohol e.g., methanol, ethanol, propanol, isopropanol, butanol
- the method utilizes a solution that comprises about 5-25% w/w water, about 30-45% w/w ethanol and about 30-45% w/w of a BrEA preparation.
- Typical BrEA preparations are solid preparations that comprise at least about 80% w/w, usually at least about 90% w/w or at least about 95% w/w of BrEA.
- the solutions may comprise about 18-22% w/w water, about 37-43% w/w ethanol and about 37-43% w/w of a BrEA preparation.
- the solution will typically be at a temperature of about ⁇ 20° C. to about 45° C., usually at about 0° C. to about 20° C. The solution is maintained at this temperature range for about 30 minutes to about 12 hours and the solution is optionally agitated using slow to moderate agitation during crystallization.
- a related embodiment comprises a method to prepare BrEA hemihydrate comprising precipitating BrEA from a solution comprising at least about 15-25% w/w water, about 35-45% w/w of a BrEA preparation and at least about 35-45% w/w of one or more water-miscible solvents, typically C 1-6 alcohols (methanol, ethanol, propanol, isopropanol, butanol).
- the BrEA preparation may optionally comprise one or more by-products of BrEA synthesis.
- Typical BrEA hemihydrate preparations or batches comprise less than about 5% w/w, usually less than about 3% or about 2% w/w of other compounds, such as by-products of BrEA synthesis.
- aspects of this method include contacting water with an organic solution that comprises BrEA and an organic solvent such as a C1-C6 alcohol (e.g., ethanol) or acetone. Addition of water to such solutions leads to precipitation of BrEA hemihydrate. Solutions that contain BrEA hemihydrate crystals or precipitate are invention embodiments that are used to prepare solid BrEA that is later dried and stored, typically at ambient temperatures and typically under conditions that limits or blocks light that reaches the compound.
- an organic solution that comprises BrEA and an organic solvent such as a C1-C6 alcohol (e.g., ethanol) or acetone.
- Precipitation or crystallization of BrEA hemihydrate from water-containing solutions is accomplished by known methods, e.g., reducing the solution's temperature, using saturated or nearly saturated BrEA solutions, vacuum concentration of saturated or nearly saturated BrEA solutions (which is typically conducted at a relatively low temperature, usually about 15-25° C.), seeding with saturated or nearly saturated BrEA solutions with BrEA hemihydrate crystals (e.g., about 10-100 mg per 1-10 L of solution), by heating a saturated or nearly saturated BrEA solution (about 25-35° C.
- BrEA may also be precipitated from other solvents or solvent systems, including acetone and acetone-ethanol. Such solvents are typically water miscible.
- Two-stage precipitation of BrEA may also be used to recover solid BrEA hemihydrate, e.g., initial precipitation and recovery of the solid, followed by either cooling and seeding of the mother liquor or by allowing the mother liquor to stand, e.g., for about one, two or more days at ambient temperature, to obtain a second crop of crystals.
- BrEA hemihydrate crystals may optionally be recrystallized, essentially as described herein, to further increase the purity of the final solid. Methods for crystallizing organic compounds have been described, e.g., A. S. Myerson, Handbook of Industrial Crystallization, 1993, Butterworth-Heinemann, Stoneham, Mass., p 1-101.
- Other related embodiments comprise a product produced by the process of contacting a solution comprising BrEA and an organic solvent with water.
- the solutions are as described above, e.g., a solution comprising about 3-5% v/v water and at least about 40% v/v of one or more water-miscible solvents, typically polar solvents such as C 1-6 alcohols or ketones (e.g., methanol, ethanol, propanol, isopropanol, butanol, typically ethanol or acetone).
- polar solvents such as C 1-6 alcohols or ketones (e.g., methanol, ethanol, propanol, isopropanol, butanol, typically ethanol or acetone).
- Such processes are accomplished by any one or more of the techniques described in the paragraph above, e.g., cooling of a saturated or nearly saturated BrEA water-ethanol solution and optionally seeding the cooled solution with BrEA hemihydrate.
- An embodiment related to this comprises solutions or solids that comprise wet BrEA hemihydrate crystals or wet filtered or centrifuged BrEA hemihydrate cakes, which may be obtained after crystallization.
- Examples of these embodiments include adding water to a BrEA-alcohol solution, e.g., slow addition of about 0.5-1.5 volumes or about 0.8-1.2 volumes of water to about 6 volumes of a BrEA-ethanol solution to obtain BrEA hemihydrate.
- Other examples of these embodiments include adding water to a BrEA-ketone solvent solution, e.g., slow addition of about 0.5-1.5 volumes or about 0.8-1.2 volumes of water to about 10 volumes of a BrEA-acetone solution to obtain BrEA hemihydrate.
- BrEA hemihydrate that is milled to an average particle size of about 0.01-200 ⁇ M, or about 0.1-10 ⁇ M or about 0.5-5 ⁇ M.
- Average particle size or diameter for milled BrEA hemihydrate may thus be relatively small, e.g., about 0.03-2.0 ⁇ M or about 0.1-1.0 ⁇ M, or somewhat larger, e.g., about 0.5-5.0 ⁇ M or about 1-5.0 ⁇ M.
- Milled BrEA hemihydrate is suitable for preparing solid formulations and parenteral formulations for human or veterinary use. The milled material facilitates dissolution of BrEA hemihydrate in solvents or excipients and facilitates mixing with solids or solid excipients.
- BrEA hemihydrate While it is possible to administer BrEA hemihydrate as a pure compound to a subject, it is usually presented as a solid formulation or used to prepare a liquid formulation. Formulations will typically be used to prepare unit dosages, e.g., tablets, capsules or lozenges for oral, buccal or sublingual administration, that comprise about 10-1000 mg or typically about 25-400 mg of BrEA hemihydrate.
- embodiments include a product for parenteral (e.g., subcutaneous, subdermal, intravenous, intramuscular, intraperitoneal) administration made by the process of contacting BrEA hemihydrate and a liquid excipient, e.g., any one, two, three or more of PEG 100, PEG 200, PEG 300, PEG 400, propylene glycol, benzyl benzoate, benzyl alcohol or ethanol, and optionally sterilizing the solution and optionally dispensing the solution into vials or ampules (typically amber glass), which may be single-use or multi-use and optionally storing the formulation at reduced temperature (about 0-12° C., or about 2-10° C.).
- parenteral e.g., subcutaneous, subdermal, intravenous, intramuscular, intraperitoneal
- a liquid excipient e.g., any one, two, three or more of PEG 100, PEG 200, PEG 300, PEG 400, propylene glyco
- Such products for parenteral administration typically comprise BrEA at a concentration of about 10-170 mg/mL, usually at about 20-110 mg/mL or about 30-100 mg/mL, and optionally one or more of a salt, buffer or bacteriostat or preservative (e.g., NaCl, BHA, BHT or EDTA).
- a salt, buffer or bacteriostat or preservative e.g., NaCl, BHA, BHT or EDTA.
- inventions include a product produced by the process of contacting BrEA hemihydrate, which may be substantially free of other forms of BrEA, with an excipient suitable for human pharmaceutical use or for veterinary use.
- the product is useful to make formulations or unit dosage forms that contain the hemihydrate.
- excipients include one or more of those disclosed herein, e.g., sucrose, mannitol, starch, carboxymethyl cellulose, magnesium stearate and the like.
- formula 1 compounds include compounds, compositions and formulations where one or more variable groups that are bonded to the formula 1 compounds, e.g., one or more of R 1 -R 6 , R 10 , R 15 , R 17 and R 18 comprise an amino acid or a peptide, e.g., R 1 , R 2 or R 4 comprises an amino acid or a peptide, R 3 is a halogen and R 5 and R 6 are both —CH 3 .
- the peptide at one or more of R 1 -R 6 can comprise a cell surface binding peptide such as the entire protein or a sequence from fibronectin or retronectin, e.g., KQAGDV.
- each R 4 is independently selected. In some embodiments one R 4 is hydrogen and the other is another moiety. In other embodiments, both R 4 are independently selected moieties other than hydrogen, e.g., a C1 to C20 organic moiety.
- R 1 -R 6 , R 10 , R 15 , R 17 and R 18 include moieties, e.g., esters, thioesters, carbonates, amino acids, peptides and/or carbamates, that are chemically and/or enzymatically hydrolyzable, often under physiological conditions. Such moieties are independently chosen. Typically these moieties will give rise to —OH, —SH or —NH 2 at the R 1 -R 6 positions of the steroid nucleus.
- Embodiments of formula 1 compounds include ones where (1) one of R 1 , R 2 and R 4 is a hydrolyzable moiety (e.g., ester, thioester, carbonate, amino acid, peptide or carbamate), the other two of R 1 , R 2 and R 4 are —H, R 3 is not hydrogen and R 5 and R 6 are both —CH 3 , (2) two of R 1 , R 2 and R 4 are hydrolyzable moieties (e.g., independently chosen esters, thioesters, carbonates, amino acids, peptides and/or carbamates), the other of R 1 , R 2 and R 4 is —H, R 3 is not hydrogen and R 5 and R 6 are both —CH 3 , (3) R 1 , R 2 and R 4 are hydrolyzable moieties, R 3 is not hydrogen and R 5 and R 6 are both —CH 3 .
- one or more of R 1 -R 6 , R 10 , R 15 , R 17 and R 18 usually one, comprises an amino acid or a peptide, while the remaining groups are independently selected from the moieties defined herein.
- the peptides are typically dimers (dipeptides) or trimers (tripeptides).
- R 1 , R 2 or R 4 comprises an amino acid
- the remaining of R 1 , R 2 or R 4 independently comprise —OH, ⁇ O, an ester, a carbonate or a carbamate
- R 3 is a halogen, hydroxyl or an ester
- R 5 and R 6 independently are —H, —(CH 2 ) n —CH 3 , —(CH 2 ) n —CH 2 OH, or —(CH 2 ) n —CH 2 F, —(CH 2 ) 2-4 —O—(CH 2 ) 2-4 —CH 3
- n is 0, 1, 2, 3, 4, 5, 6, 7 or 8 often 0, 1, or 2, usually 0.
- the ester, carbonate or carbamate are hydrolyzable under physiological conditions.
- Hydrolyzable moieties typically comprise acyl groups, esters, ethers, thioethers, amides, amino acids, peptides, carbonates and/or carbamates.
- the structure of hydrolyzable moieties is not critical and can vary. In some embodiments, these moieties contain a total of about 4 to about 10 carbon atoms.
- These hydrolyzable moieties in other embodiments comprise an organic moiety, as described above for ester, that contains 2, 3, 4, 5, 6, 7, 8, 9, 10, 11, 12 13, 14, 15 or 16 carbon atoms and 1, 2, 3, 4, 5, 6, 7 or 8 heteroatoms, e.g., oxygen, nitrogen or sulfur.
- hydrolyzable moieties can comprise no groups that are charged in plasma, blood, intracellular cytoplasm or in the gut, or they can comprise 1, 2, 3 or more positive, negative or positive and negative charges under one or more of these conditions.
- the charges may be fractional depending on the group and the conditions it is under.
- hydrolyzable moieties may comprise 1, 2, 3, 4 or more substitutions at a hydrogen atom(s) and/or a carbon atom(s), e.g., —OH, protected hydroxyl, —SH, protected thiol, carboxyl, protected carboxyl, amine, protected amine, —O—, —S—, —CO—, —CS—, alkoxy, alkylthio, alkenyloxy, aryl, —OP(O)(O)—O—, —OS(O)(O)—O— and/or heterocycle.
- substitutions are independently selected.
- Embodiments of formula 1 compounds include ones wherein one, two, three, four or more of the variable groups that are bonded to the steroid rings, e.g., R 1 -R 6 or R 10 , comprise a moiety that can hydrolyze or metabolize to, e.g., a —H, —OH, ⁇ O, —SH, ⁇ S, —COOH, —NH 2 , —CH 2 OH, —CH 2 SH, —C(O)—C1-C6 alkyl-OH, —C(O)—C1-C6 alkyl-SH, —C(S)—C1-C6 alkyl-OH, —C(O)—C1-C6 alkyl or —C(O)—NH 2 atom or group.
- Formula 1 compounds that comprise a hydrolyzable moiety(ies) may include one or more independently chosen —O—CHR 24 C(O)OR 25 , —S—CHR 24 C(O)OR 25 , —NH—CHR 24 C(O)OR 25 , —O—CHR 24 C(S)OR 25 , —S—CHR 24 C(S)OR 25 , —NH—CHR 24 C(S)OR 25 , —O—CHR 24 OC(O)R 25 , —S—CHR 24 OC(O)R 25 , —NH—CHR 24 OC(O)R 25 , —O—CHR 24 C(O)N(R 25 ) 2 , —S—CHR 24 C(O)N(R 25 ) 2 , —NH—CHR 24 C(O)N(R 25 ) 2 , —O—CHR 24 OR 25 , —S—CHR 24 OR 25 , —NH—CHR 24 OR 25 ,
- R 24 independently is —H, —CH 2 —C 6 H 5 , —CH 2 CH 2 —C 6 H 5 , C 1-8 alkyl, C 2-8 alkenyl, aryl or heterocycle where each alkyl, alkenyl, aryl and heterocycle moiety is independently optionally substituted with 1, 2, or 3, usually 1, —O—, —S—, —NH—, halogen, aryl, —OX, —SX, —NHX, ketone ( ⁇ O) or —CN moieties or the C 1-8 alkyl is optionally substituted with 3, 4, 5 or 6 halogens, and X is —H or a protecting group.
- R 24 are —H, —CH 3 , —C 2 H 5 , —CH 2 —C 1-5 optionally substituted alkyl, —CH 2 CH 2 —C 1-4 optionally substituted alkyl and —CH 2 CH 2 —O—C 1-4 optionally substituted alkyl.
- R 25 independently is —H or a C 1-30 organic moiety such as —CH 2 —C 6 H 5 , —CH 2 CH 2 —C 6 H 5 , C 1-12 alkyl, C 2-12 alkenyl, C 2-12 alkynyl, aryl, a heterocycle, —CH 2 -heterocycle or —CH 2 -aryl, where each alkyl, alkenyl, alkynyl, aryl, heterocycle, —CH 2 -heterocycle or —CH 2 -aryl moiety is independently optionally substituted with 1 or 2, usually 1, —O—, —S—, —NH—, halogen, aryl, —OX, —SX, —NHX, ketone ( ⁇ O), —C(O)OX or —CN moieties or the C 1-12 alkyl, C 2-12 alkenyl or aryl, are optionally independently substituted with 3, 4, 5 or 6 halogens, where
- Exemplary R 25 are —H, —CH 3 , —C 2 H 5 , —C 3 H 7 , —C 4 H 9 , —C 6 H 13 , —C 6 H 5 , —C 6 H 4 OH, —C 6 H 4 OCH 3 , —C 6 H 4 F, —CH 2 —C 1-5 optionally substituted alkyl, —CH 2 CH 2 —(S) 0-1 —C 1-4 optionally substituted alkyl and —CH 2 CH 2 —O—C 1-4 optionally substituted alkyl.
- Invention embodiments include a composition comprising (1) a compound of formula 1 or 2 and one or more nonaqueous liquid excipients, wherein the composition comprises less than about 3% v/v water and (2) a compound of formula 1 or 2 and one or more solid excipients.
- invention embodiments include one or more compounds of formula 1 or formula 2 including formula 1 compounds having the structure wherein,
- R 1 , R 2 , R 3 , R 4 , R 5 , R 6 and R 10 independently are —H, —OR PR , —SR PR , —N(R PR ) 2 , —O—S—(R 13 ) 3 , —CHO, —CHS, —SCN, —CH ⁇ NH, —CN, —NO 2 , —OSO 3 H, —OPO 3 H, an ester, a thioester, a phosphoester, a phosphothioester, a phosphonoester, a phosphiniester, a sulfite ester, a sulfate ester, an amide, an amino acid, a peptide, an ether, a thioether, an acyl group, a thioacyl group, a carbonate, a carbamate, a thioacetal, a halogen, an optionally substituted alkyl group, an
- R 1 , R 2 , R 3 , R 4 , R 5 , R 6 and R 10 independently are ⁇ 0, ⁇ S, ⁇ N—OH, ⁇ CH 2 or a spiro ring and the hydrogen atom that is bonded to the same carbon atom is absent, or,
- R 3 and R 4 together comprise a structure of formula 2
- R 7 is —C(R 10 ) 2 —, —C(R 10 ) 2 —C(R 10 ) 2 —, —C(R 10 ) 2 —C(R 10 ) 2 —C(R 10 ) 2 —, —C(R 10 ) 2 —O—C(R 10 ) 2 —, —C(R 10 ) 2 —S—C(R 10 ) 2 —, —C(R 10 ) 2 —NR PR —C(R 10 ) 2 —, —O—, —O—C(R 10 ) 2 —, —S—, —S—C(R 10 ) 2 —, —NR PR —, —NR PR —C(R 10 ) 2 —, —CHR 10 —CHR 10 —, —CHR 10 —CHR 10 —CHR 10 —, —CHR 10 —O—CHR 10 —, —CHR 10 —, —
- R 8 and R 9 independently are —C(R 10 ) 2 —, —C(R 10 ) 2 —C(R 10 ) 2 —, —O—, —O—C(R 10 ) 2 —, —S—, —S—C(R 10 ) 2 —, —NR PR , —NR PR —C(R 10 ) 2 —, —CHR 10 —, —CHR 10 —CHR 10 —, —O—, —O—CHR 10 —, —S—, —S—CHR 10 —, —NR PR — or —NR PR —CHR 10 —, or one or both of R 8 or R 9 independently are absent, leaving a 5-membered ring;
- R 8 and R 9 independently are —CHR 10 —, —CHR 10 —CHR 10 —, —O—, —O—CHR 10 —, —S—, —S—CHR 10 —, —NR PR — or —NR PR —CHR 10 —, or R 8 or R 9 independently is absent, leaving a 5-membered ring;
- R 13 independently is C 1-6 alkyl
- R PR independently is —H or a protecting group for, e.g., an O, N or S atom;
- D is a heterocycle or a 4-, 5-, 6- or 7-membered ring that comprises saturated carbon atoms, wherein 1, 2 or 3 ring carbon atoms of the 4-, 5-, 6- or 7-membered ring are optionally independently substituted with —O—, —S— or —NR PR — or where 1, 2 or 3 hydrogen atoms of the heterocycle or where 1, 2 or 3 hydrogen atoms of the 4-, 5-, 6- or 7-membered ring are substituted with —OR PR , —SR PR , N(R PR ) 2 , —O—S—(R 13 ) 3 , —CHO, —CHS, —CH ⁇ NH, —CN, —NO 2 , —OSO 3 H, —OPO 3 H, an ester, a thioester, a phosphoester, a phosphothioester, a phosphonoester, a phosphiniester, a sulfite ester,
- one or more of the ring carbons are substituted with independently selected ⁇ O, ⁇ S, ⁇ N—OH, ⁇ CH 2 or a spiro ring, or
- D comprises two 5- or 6-membered rings, wherein the rings are fused or are linked by 1 or 2 bonds, wherein one, two or three of R 7 , R 8 and R 9 are not —CHR 10 — or —C(R 10 ) 2 —.
- Embodiments of formula 1 compounds include or exclude any subset of compounds within the definition of formula 1, provided that at least one compound remains.
- a subset of formula 1 compounds that are may be included, for example in the invention nonaqueous formulations and in the invention intermittent dosing protocols and immune modulation methods, are formula 1 compounds where R 2 is hydroxyl, or a group that can hydrolyze or metabolize to hydroxyl or thiol, in either configuration and R 5 and R 6 are methyl in the ⁇ -configuration.
- a subset compounds that are optionally excluded from formula 1 compounds comprises one or all compounds that are disclosed in one or more prior art references or publications, e.g., one or more compounds that are disclosed in one or more of the references cited herein, especially for those compounds that can render any claim or embodiment unpatentable for novelty, obviousness and/or inventive step reasons.
- Group 1 Exemplary embodiments include the formula 1 compounds named according to the compound structure designations given in Tables A and B below. Each compound named in Table B is depicted as a compound having formula B where R 5 and R 6 are both —CH 3 , there is no double bond at the 1-2-, 4-5- or 5-6-positions, one R 4 is hydrogen, R 7 , R 8 and R 9 are all —CH 2 — and R 1 , R 2 , R 3 and R 4 are the substituents designated in Table A.
- the compounds named according to Tables A and B are referred to as “group 1” compounds.
- the group 1 compound named 1.2.1.1 is a formula B structure with ⁇ -hydroxyl bonded to carbons at the 3- and 7-positions (the variable groups R 1 and R 2 respectively), an ⁇ -bromine bonded to carbon 16 (the variable group R 3 ) and double bonded oxygen ( ⁇ O) at carbon 17 (the variable group R 4 ), i.e., 1.2.1.1 has the structure shown below.
- R 1 R 2 1 —OH 1 —H 2 ⁇ O 2 —OH 3 —SH 3 ⁇ O 4 ⁇ S 4 —CH 3 5 —O—CH 3 5 —OCH 3 6 —O—S(O)(O)—O ⁇ Na + 6 —OC 2 H 5 7 —O—S(O)(O)—OC 2 H 5 7 —OCH 2 CH 2 CH 3 8 —CH 3 8 —OCH 2 CH 2 CH 2 CH 3 9 —H 9 —Cl 10 —OC(O)C(CH 3 ) 3 10 —Br R 3 R 4 1 —Br 1 ⁇ O 2 —Cl 2 —OH 3 —I 3 —H 4 —F 4 —F 5 —H 5 —Cl 6 —OH 6 —Br 7 ⁇ O 7 —I 8 —O—C(O)—CH 3 8 —O—C(O)—CH 3 9 —O—C(O)—CH 2 CH 3 9 —O—
- Additional exemplary formula B compound groups include the following compound groups disclosed below. Unless otherwise specified, the configurations of all hydrogen atoms and R groups for the following compound groups are as defined for the group 1 compounds of formula B above.
- Group 2 This group comprises compounds named in Table B having R 1 , R 2 , R 3 and R 4 substituents defined in Table A wherein the R 1 , R 2 , R 3 and R 4 substituents are bonded to the steroid nucleus described for group 1 compounds, except that a double bond at the 5-6 position is present.
- group 2 compound 1.3.1.1 has the structure
- Group 3 This group comprises compounds named in Table B having R 1 , R 2 , R 3 and R 4 substituents defined in Table A wherein the R 1 , R 2 , R 3 and R 4 substituents are bonded to the steroid nucleus as described for group 1 compounds, except that double bonds at the 1-2- and 5-6 positions are present.
- group 3 compound 2.2.5.1 has the structure
- Group 4 This group comprises compounds named in Table B having R 1 , R 2 , R 3 and R 4 substituents defined in Table A wherein the R 1 , R 2 , R 3 and R 4 substituents are bonded to the steroid nucleus described for group 1 compounds, except that a double bond at the 1-2 position is present.
- group 4 compound 5.2.7.8 has the structure
- Group 5 This group comprises compounds named in Table B having R 1 , R 2 , R 3 and R 4 substituents defined in Table A wherein the R 1 , R 2 , R 3 and R 4 substituents are bonded to the steroid nucleus described for group 1 compounds, except that a double bond at the 4-5 position is present.
- group 5 compound named 3.5.2.9 has the structure
- Group 6 This group comprises compounds named in Table B having R 1 , R 2 , R 3 and R 4 substituents defined in Table A wherein the R 1 , R 2 , R 3 and R 4 substituents are bonded to the steroid nucleus described for group 1 compounds, except that double bonds at both the 1-2 and 4-5 positions are present.
- group 6 compound named 10.2.7.8 has the structure
- Group 7 comprises the 6 compound groups described above, except that R 5 is hydrogen instead of methyl, i.e., it comprises 6 subgroups, 7-1, 7-2, 7-3, 7-4, 7-5 and 7-6.
- subgroup 7-1 has the same steroid nucleus as group 1 above, i.e., no double bond is present, but R 5 is —H.
- Subgroup 7-2 comprises the same steroid nucleus as group 2 above, i.e., a double bond is present at the 5-6-position, but R 5 is —H,
- Compound subgroups 7-3 through 7-6 are assigned a steroid nucleus in the same manner.
- the subgroup 7-1 through subgroup 7-6 compounds named 1.2.1.9 have the structures
- Group 8 comprises 6 subgroups of compounds, i.e., each compound named in groups 1-6, except that R 5 of formula B is —CH 2 OH instead of methyl.
- the subgroups 8-1 through subgroup 8-6 compounds have structures that are named in the same manner as group 1-6 compounds, except that —CH 2 OH instead of methyl is present at R 5 .
- These groups are named in essentially the same manner as subgroups 7-1 through 7-6.
- subgroup 8-1 and subgroup 8-2 compounds named 1.2.1.9 have the structures
- Group 9 comprises each compound named in compound groups 1-8, except that R 6 of formula B is hydrogen instead of methyl.
- group 9 comprises subgroups 9-1 through 9-8-6, i.e., 9-1, 9-2, 9-3, 9-4, 9-5, 9-6, 9-7-1, 9-7-2, 9-7-3, 9-7-4, 9-7-5, 9-7-6, 9-8-1, 9-8-2, 9-8-3, 9-8-4, 9-8-5 and 9-8-6.
- Subgroups 9-1 through 9-8-6 compounds have structures that are named in essentially the same manner as subgroup 7-1 through 7-6 compounds, except that —H instead of methyl is present at R 6 .
- subgroup 9-1 and subgroup 9-2 compounds named 1.2.1.9 have the structures
- Subgroup 9-7-1 compound 1.2.1.9 has the same structure as group 9-1 compound 1.2.1.9, except that R 5 is hydrogen in the ⁇ configuration, instead of a methyl group in the ⁇ configuration.
- the group 9-8-1 compound 1.2.1.9 has the same structure as group 9-1 compound 1.2.1.9, except that R 5 is hydroxymethyl (—CH 2 OH) in the ⁇ configuration, instead of a methyl group in the ⁇ configuration.
- Group 9-7-2 compound 1.2.1.9 has the same structure as the group 9-7-1 compound, except that a double bond is present at the 5-6 position.
- subgroups 9-1 through 9-6 have hydrogen at R 6 , but each has a different double bond structure, e.g., no double bond in subgroup 9-1 and double bonds at 1-2 and 4-5 in subgroup 9-6.
- Subgroups 9-7-1 through 9-7-6 also comprises six subgroups, but they have hydrogen at R 5 and R 6 , but each has a different double bond structure for each of the six subgroups, e.g., no double bond in subgroup 9-7-1 and double bonds at positions 1-2 and 4-5 in subgroup 9-7-6.
- Subgroups 9-8-1 through 9-8-6 all have hydrogen at R 6 and —CH 2 OH at R 5 , but each has a different double bond structure in each, e.g., no double bond in subgroup 9-8-1 and double bonds at positions 1-2 and 4-5 in group 9-8-6.
- Groups 10 comprises each compound named in groups 1 through 8, but where R 6 of formula B is —CH 2 OH instead of methyl.
- the subgroups 10-1 through group 10-6 compounds have structures that are named in essentially the same manner as compounds in group 9, except that —CH 2 OH instead of methyl is present at R 6 .
- subgroup 10-1 and subgroup 10-2 compounds named 1.2.1.9 have the structures
- Subgroup 10-7-1 compound 1.2.1.9 has the same structure as subgroup 10-1 compound 1.2.1.9, except that R 5 is hydrogen in the ⁇ configuration, instead of a methyl group in the ⁇ configuration.
- the subgroup 10-8-1 compound 1.2.1.9 has the same structure as group 10-1 compound 1.2.1.9, except that R 5 is hydroxymethyl (—CH 2 OH) in the ⁇ configuration, instead of a methyl group in the ⁇ configuration.
- Subgroup 10-7-2 compound 1.2.1.9 has the same structure as the subgroup 10-7-1 compound, except that a double bond is present at the 5-6 position.
- subgroups 10-1 through 10-8-6 comprise 18 separate groups, each of which has —CH 2 OH at R 6 .
- Subgroups 10-1 through 10-6 comprise different six subgroups where each has a different double bond structure, e.g., no double bond in subgroup 10-1 and double bonds at 1-2 and 4-5 in subgroup 10-6.
- Subgroups 10-7-1 through 10-7-6 all have —CH 2 OH at R 6 and hydrogen at R 5 , but each has a different double bond structure for each of the six groups, e.g., no double bond in subgroup 10-7-1 and double bonds at positions 1-2 and 4-5 in subgroup 10-7-6.
- subgroups 10-8-1 through 10-8-6 all six have —CH 2 OH at R 6 and at R 5 , but each has a different double bond structure in each of the six subgroups, e.g., no double bond in subgroup 10-8-1 and double bonds at positions 1-2 and 4-5 in subgroup 10-8-6.
- the 18 groups are 10-1, 10-2, 10-3, 10-4, 10-5, 10-6, 10-7-1, 10-7-2, 10-7-3, 10-7-4, 10-7-5, 10-7-6, 10-8-1, 10-8-2, 10-8-3, 10-8-4, 10-8-5 and 10-8-6.
- Group 11 comprises each compound named in compound groups 1-10, but where R 1 moieties (or substituents) 1-10 listed in Table A are replaced with the following moieties:
- subgroup 11-1 through subgroup 11-6 compounds have structures that are named in essentially the same manner as described for the groups above, except that moieties 1-10 of table A are replaced by the moieties 1-10 at R 1 .
- subgroup 11-1 and 11-2 compounds named 1.2.1.9 have the structures
- Subgroup 11-7-1 and 11-7-2 compounds named 1.2.1.9 have the structures
- Subgroup 11-8-1 and 11-8-2 compounds named 1.2.1.9 have the structures
- Group 11 comprises 54 separate subgroups, subgroups 11-1 through 11-10-8-6, where each of which has the R 1 moieties shown in this group and the remaining moieties as shown in the other groups described above.
- Subgroups 11-1 through 11-6 each have a different double bond structure, e.g., no double bond in subgroup 11-1 and double bonds at 1-2 and 4-5 in subgroup 11-6.
- Subgroups 11-7-1 through 11-7-6 all have —CH 2 OH at R 6 and hydrogen at R 5 , but each has a different double bond structure, e.g., no double bond in subgroup 11-7-1 and double bonds at positions 1-2 and 4-5 in subgroup 11-7-6.
- Subgroups 11-8-1 through 11-8-6 comprise all have —CH 2 OH at R 6 and at R 5 , but each has a different double bond structure in each of the six groups, e.g., no double bond in group 11-8-1 and double bonds at positions 1-2 and 4-5 in group 11-8-6.
- the compounds in the remaining groups are named in essentially the same manner.
- the 54 groups are 11-1, 11-2, 11-3, 11-4, 11-5, 11-6, 11-7-1, 11-7-2, 11-7-3, 11-7-4, 11-7-5, 11-7-6, 11-8-1, 11-8-2, 11-8-3, 11-8-4, 11-8-5, 11-8-6, 11-9-1, 11-9-2, 11-9-3, 11-9-4, 11-9-5, 11-9-6, 11-10-1, 11-10-2, 11-10-3, 11-10-4, 11-10-5, 11-10-6, 11-9-7-1, 11-9-7-2, 11-9-7-3, 11-9-7-4, 11-9-7-5, 11-9-7-6, 11-10-7-1, 11-10-7-2, 11-10-7-3, 11-10-7-4, 11-10-7-5, 11-10-7-6, 11-9-8-1, 11-9-8-2, 11-9-8-3, 11-9-8-4, 11-9-8-5, 11-9-8-6, 11-10-8-1, 11-10-8-2, 11-10-8-3, 11-10-8-4, 11-9-8-5, 11-9-8-6, 11-10-8-1, 11-10-8-2, 11-10-8-3, 11
- Group 12 comprises each compound named in groups 1 through 10, but where R 1 moieties 1-10 listed in Table A are replaced with the following moieties:
- Group 12 comprises 54 separate subgroups, subgroups 12-1 through 12-10-8-6, where each of which has the R 1 moieties shown in this group and the remaining moieties as shown in the other groups described above.
- the subgroups are defined essentially as described for group 11 above.
- the 54 subgroups are 12-1, 12-2, 12-3, 12-4, 12-5, 12-6, 12-7-1, 12-7-2, 12-7-3, 12-7-4, 12-7-5, 12-7-6, 12-8-1, 12-8-2, 12-8-3, 12-8-4, 12-8-5, 12-8-6, 12-9-1, 12-9-2, 12-9-3, 12-9-4, 12-9-5, 12-9-6, 12-10-1, 12-10-2, 12-10-3, 12-10-4, 12-10-5, 12-10-6, 12-9-7-1, 12-9-7-2, 12-9-7-3, 12-9-7-4, 12-9-7-5, 12-9-7-6, 12-10-7-1, 12-10-7-2, 12-10-7-3, 12-10-7-4, 12-10-7-5, 12-10-7-6, 12-9-8-1, 12-9-8-2, 12-9-8-3, 12-9-8-4, 12-9-8-5, 12-9-8-6, 12-10-8-1, 12-10-8-2, 12-10-8-3, 12-10-8-4, 12-10-8-5 and 12-10-8-6.
- Group 13 comprises each compound named in groups 1 through 10, but where R 1 moieties 1-10 listed in Table A are replaced with the following moieties:
- Group 13 comprises 54 separate subgroups, subgroups 13-1 through 13-10-8-6, where each of which has the R 1 moieties shown in this group and the remaining moieties as shown in the other groups described above.
- the subgroups are defined essentially as described for group 11 above.
- the 54 subgroups are 13-1, 13-2, 13-3,13-4, 13-5, 13-6, 13-7-1, 13-7-2, 13-7-3, 13-7-4, 13-7-5, 13-7-6, 13-8-1, 13-8-2, 13-8-3, 13-8-4, 13-8-5, 13-8-6, 13-9-1, 13-9-2, 13-9-3, 13-9-4, 13-9-5, 13-9-6, 13-10-1, 13-10-2, 13-10-3, 13-10-4, 13-10-5, 13-10-6, 13-9-7-1, 13-9-7-2, 13-9-7-3, 13-9-7-4, 13-9-7-5, 13-9-7-6, 13-10-7-1, 13-10-7-2, 13-10-7-3, 13-10-7-4, 13-10-7-5, 13-10-7-6, 13-9-8-1, 13-9-8-2, 13-9-8-3, 13-9-8-4, 13-9-8-5, 13-9-8-6, 13-10-8-1, 13-10-8-2, 13-10-8-3, 13-10-8-4, 13-9-8-5, 13-9-8-6, 13-10-8-1, 13-10-8-2, 13-10-8-3
- Group 14 comprises each compound named in groups 1 through 10, but where R 1 moieties 1-10 listed in Table A are replaced with the following moieties:
- Group 14 comprises 54 separate subgroups, subgroups 14-1 through 14-10-8-6, where each of which has the R 1 moieties shown in this group and the remaining moieties as shown in the other groups described above. These subgroups are defined essentially as described for group 11 above.
- the 54 subgroups are 14-1, 14-2, 14-3, 14-4, 14-5, 14-6, 14-7-1, 14-7-2, 14-7-3, 14-7-4, 14-7-5, 14-7-6, 14-8-1, 14-8-2, 14-8-3, 14-8-4, 14-8-5, 14-8-6, 14-9-1, 14-9-2, 14-9-3, 14-9-4, 14-9-5, 14-9-6, 14-10-1, 14-10-2, 14-10-3, 14-10-4, 14-10-5, 14-10-6, 14-9-7-1, 14-9-7-2, 14-9-7-3, 14-9-7-4, 14-9-7-5, 14-9-7-6, 14-10-7-1, 14-10-7-2, 14-10-7-3, 14-10-7-4, 14-10-7-5, 14-10-7-6, 14-9-8-1, 14-9-8-2, 14-9-8-3, 14-9-8-4, 14-9-8-5, 14-9-8-6, 14-10-8-1, 14-10-8-2, 14-10-8-3, 14-10-8-4, 14-9-8-5, 14-9-8-6, 14-10-8-1, 14-10-8-2, 14-10-8-3
- Group 15 comprises each compound named in groups 1 through 10, but where R 1 moieties 1-10 listed in Table A are replaced with the following groups:
- Group 15 comprises 54 separate subgroups, subgroups 15-1 through 15-10-8-6, where each of which has the R 1 moieties shown in this group and the remaining moieties as shown in the other groups described above. These subgroups are defined essentially as described for group 11 above.
- the 54 subgroups are 15-1, 15-2, 15-3,15-4, 15-5, 15-6, 15-7-1, 15-7-2, 15-7-3, 15-7-4, 15-7-5, 15-7-6, 15-8-1, 15-8-2, 15-8-3, 15-8-4, 15-8-5, 15-8-6, 15-9-1, 15-9-2, 15-9-3, 15-9-4, 15-9-5, 15-9-6, 15-10-1, 15-10-2, 15-10-3, 15-10-4, 15-10-5, 15-10-6, 15-9-7-1, 15-9-7-2, 15-9-7-3, 15-9-7-4, 15-9-7-5, 15-9-7-6, 15-10-7-1, 15-10-7-2, 15-10-7-3, 15-10-7-4, 15-10-7-5, 15-10-7-6, 15-9-8-1, 15-9-8-2, 15-9-8-3, 15-9-8-4, 15-9-8-5, 15-9-8-6, 15-10-8-1, 15-10-8-2, 15-10-8-3, 15-10-8-4, 15-10-8-5 and 15-10-8-6.
- Group 16 comprises each compound named in groups 1 through 10, but where R 1 moieties 1-10 listed in Table A are replaced with the following groups:
- Group 16 comprises 54 separate subgroups, subgroups 16-1 through 16-10-8-6, where each of which has the R 1 moieties shown in this group and the remaining moieties as shown in the other groups described above. These groups are defined essentially as described for group 11 above.
- the 54 subgroups are 16-1, 16-2,16-3, 16-4,16-5, 16-6, 16-7-1, 16-7-2, 16-7-3, 16-7-4, 16-7-5, 16-7-6, 16-8-1, 16-8-2, 16-8-3, 16-8-4, 16-8-5, 16-8-6, 16-9-1, 16-9-2, 16-9-3, 16-9-4, 16-9-5, 16-9-6, 16-10-1, 16-10-2, 16-10-3, 16-10-4, 16-10-5, 16-10-6, 16-9-7-1, 16-9-7-2, 16-9-7-3, 16-9-7-4, 16-9-7-5, 16-9-7-6, 16-10-7-1, 16-10-7-2, 16-10-7-3, 16-10-7-4, 16-9-7-5, 16-9-7-6, 16-10-7-1, 16-10-7-2
- Group 17 comprises each compound named in compound groups 1 through 10, but where R 1 moieties 1-10 listed in Table A are replaced with the following groups:
- Group 17 comprises 54 separate subgroups, subgroups 17-1 through 17-10-8-6, where each of which has the R 1 moieties shown in this group and the remaining moieties as shown in the other groups described above. These subgroups are defined essentially as described for group 11 above.
- the 54 subgroups are 17-1, 17-2, 17-3, 17-4, 17-5, 17-6, 17-7-1, 17-7-2, 17-7-3, 17-7-4, 17-7-5, 17-7-6, 17-8-1, 17-8-2, 17-8-3, 17-8-4, 17-8-5, 17-8-6, 17-9-1, 17-9-2, 17-9-3, 17-9-4, 17-9-5, 17-9-6, 17-10-1, 17-10-2, 17-10-3, 17-10-4, 17-10-5, 17-10-6, 17-9-7-1, 17-9-7-2, 17-9-7-3, 17-9-7-4, 17-9-7-5, 17-9-7-6, 17-10-7-1, 17-10-7-2, 17-10-7-3, 17-10-7-4, 17-10-7-5, 17-10-7-6, 17-9-8-1, 17-9-8-2, 17-9-8-3, 17-9-8-4, 17-9-8-5, 17-9-8-6, 17-10-8-1, 17-10-8-2, 17-10-8-3, 17-10-8-4, 17-9-8-5, 17-9-8-6, 17-10-8-1, 17-10-8-2, 17-10-8-3
- Group 18 comprises each compound named in groups 1 through 17, but where R 4 moieties 1-10 listed in Table A are replaced with the following moieties:
- Group 18 comprises 432 separate subgroups, 18-1 through 18-17-10-8-6, where each of which has the R 4 moieties shown in this group and the remaining moieties as shown in the other groups described above. These groups are defined essentially as described for the groups described above.
- the groups are 18-1 through 18-6, 18-7-1 through 18-7-6, 18-8-1 through 18-8-6, 18-9-1 through 18-9-6, 18-10-1 through 18-10-6, 18-9-7-1 through 18-9-7-6, 18-9-8-1 through 18-9-8-6, 18-10-7-1 through 18-10-7-6, 18-10-8-1 through 18-10-8-6, 18-11-1 through 18-11-6, 18-11-7-1 through 18-11-7-6, 18-11-8-1 through 18-11-8-6, 18-11-9-1 through 18-11-9-6, 18-11-10-1 through 18-11-10-6, 18-11-9-7-1 through 18-11-9-7-6, 18-11-9-8-1 through 18-11-9-8-6, 18-11-10-7-1 through 18-11-10-7-6, 18-11-10-8-1 through 18-11-10-8-6, 18-12-1 through 18-12-6, 18-12-7-1
- Group 19 comprises each compound named in compound groups 1 through 17, but where R 4 moieties 1-10 listed in Table A are replaced with the following moieties:
- Group 19 comprises 432 separate subgroups, 19-1 through 19-17-10-8-6, where each of which has the R 4 moieties shown in this group and the remaining moieties as shown in the other groups described above. These subgroups are defined essentially as described for group 18 above. The subgroups are 19-1 through 19-6, 19-7-1 through 19-7-6, 19-8-1 through 19-8-6, 19-9-1 through 19-9-6 and so on essentially as described for group 18 compounds.
- Group 20 comprises each compound named in groups 1 through 17, but where R 4 moieties 1-10 listed in Table A are replaced with the following moieties:
- Group 20 comprises 432 separate subgroups, 20-1 through 20-17-10-8-6 comprise 432 separate groups, each of which has the R 4 moieties defined for this group and the remaining moieties as shown in the other groups described above. These subgroups are defined essentially as described for group 18 above. The subgroups are 20-1 through 20-6, 20-7-1 through 20-7-6, 20-8-1 through 20-8-6, 20-9-1 through 20-9-6 and so on essentially as described for group 18 compounds.
- Group 21 comprises each compound named in compound groups 1 through 17, but where R 4 moieties 1-10 listed in Table A are replaced with the following moieties:
- Group 21 comprises 432 separate subgroups, 21-1 through 21-17-10-8-6 comprise 432 separate groups, each of which has the R 4 moieties defined for this group and the remaining moieties as shown in the other groups described above. These subgroups are defined essentially as described for group 18 above. The subgroups are 21-1 through 21-6, 21-7-1 through 21-7-6, 21-8-1 through 21-8-6, 21-9-1 through 21-9-6 and so on essentially as described for group 18 compounds.
- Group 22 comprises each compound named in compound groups 1 through 21, but where R 2 moieties 1-10 listed in Table A are replaced with the following moieties:
- Group 22 comprises subgroups 22-1 through 22-21-17-10-8-6, which name compounds or genera of compounds essentially as described for the other compound groups above.
- the 1728 subgroups in group 22 are 22-1 through 22-6, 22-7-1 through 22-7-6, 22-8-1 through 22-8-6, 22-9-1 through 22-9-6 and so on essentially as described for the groups above.
- Group 23 comprises each compound named in compound groups 1 through 21, but where R 2 moieties 1-10 listed in Table A are replaced with the following moieties:
- Group 23 comprises subgroups 24-1 through 24-23-21-17-10-8-6, which name compounds or genera of compounds essentially as described for the other compound groups above.
- the subgroups in group 24 are 24-1 through 24-6, 24-7-1 through 24-7-6, 24-8-1 through 24-8-6, 24-9-1 through 24-9-6 and so on essentially as described for the groups above.
- Group 24 comprises each compound named in compound groups 1 through 23 where R 3 moieties 1-10 listed in Table A are replaced with the following moieties:
- Group 24 comprises subgroups 23-1 through 23-21-17-10-8-6, which name compounds or genera of compounds essentially as described for the other compound groups above.
- the 1728 subgroups in group 23 are 23-1 through 23-6, 23-7-1 through 23-7-6, 23-8-1 through 23-8-6, 23-9-1 through 23-9-6 and so on essentially as described for the groups above.
- Group 25 comprises each compound named in compound groups 1 through 23, but where R 3 moieties 1-10 listed in Table A are replaced with the following moieties:
- Group 25 comprises subgroups 25-1 through 25-23-21-17-10-8-6, which name compounds or genera of compounds essentially as described for the other compound groups above.
- the subgroups in group 25 are 25-1 through 25-6, 25-7-1 through 25-7-6, 25-8-1 through 25-8-6, 25-9-1 through 25-9-6 and so on essentially as described for the groups above.
- Group 26 comprises each compound or genus named in compound groups 1 through 25, but wherein R 1 is not divalent, i.e., it is not bonded to the carbon atom at the 3 position by a double bond (e.g., R 1 is not ⁇ O) and it is in the ⁇ -configuration, instead of the ⁇ -configuration as shown in formula B.
- R 1 is not divalent, i.e., it is not bonded to the carbon atom at the 3 position by a double bond (e.g., R 1 is not ⁇ O) and it is in the ⁇ -configuration, instead of the ⁇ -configuration as shown in formula B.
- Group 26 comprises subgroups 26-1 through 26-25-23-21-17-10-8-6, which name compounds or genera of compounds essentially as described for the other compound groups above.
- the subgroups in group 26 are 26-1 through 26-6, 26-7-1 through 26-7-6, 26-8-1 through 26-8-6, 26-9-1 through 26-9-6 and so on essentially as described for the groups above.
- Group 27 comprises each compound or genus named in compound groups 1 through 26, but wherein R 2 is not divalent, i.e., it is not bonded to the carbon atom at the 3 position by a double bond (e.g., R 2 is not ⁇ O) and it is in the ⁇ -configuration, instead of the ⁇ -configuration as shown in formula B.
- Group 27 comprises subgroups 27-1 through 27-26-25-23-21-17-10-8-6, which name compounds or genera of compounds essentially as described for the other compound groups above.
- the subgroups in group 27 are 27-1 through 27-6, 27-7-1 through 27-7-6, 27-8-1 through 27-8-6, 27-9-1 through 27-9-6 and so on essentially as described for the groups above.
- Group 28 comprises each compound or genus named in compound groups 1 through 27, but wherein R 3 is not divalent, i.e., it is not bonded to the carbon atom at the 3 position by a double bond (e.g., R 3 is not ⁇ O) and it is in the ⁇ -configuration, instead of the ⁇ -configuration as shown in formula B.
- R 3 is not divalent, i.e., it is not bonded to the carbon atom at the 3 position by a double bond (e.g., R 3 is not ⁇ O) and it is in the ⁇ -configuration, instead of the ⁇ -configuration as shown in formula B.
- Group 28 comprises subgroups 28-1 through 28-27-26-25-23-21-17-10-8-6, which name compounds or genera of compounds essentially as described for the other compound groups above.
- the subgroups in group 28 are 28-1 through 28-6, 28-7-1 through 28-7-6, 28-8-1 through 28-8-6, 28-9-1 through 28-9-6 and so on essentially as described for the groups above.
- Group 29 comprises each compound or genus named in compound groups 1 through 28, but wherein R 4 is not divalent, i.e., it is not bonded to the carbon atom at the 3 position by a double bond (e.g., R 4 is not ⁇ O) and it is in the ⁇ -configuration, instead of the ⁇ -configuration as shown in formula B.
- R 4 is not divalent, i.e., it is not bonded to the carbon atom at the 3 position by a double bond (e.g., R 4 is not ⁇ O) and it is in the ⁇ -configuration, instead of the ⁇ -configuration as shown in formula B.
- Group 29 comprises subgroups 29-1 through 29-28-27-26-25-23-21-17-10-8-6, which name compounds or genera of compounds essentially as described for the other compound groups above.
- the subgroups in group 29 are 29-1 through 29-6, 29-7-1 through 29-7-6, 29-8-1 through 29-8-6, 29-9-1 through 29-9-6 and so on essentially as described for the groups above.
- Group 30 comprises each compound or genus named in compound groups 1 through 29, but wherein R 5 is in the ⁇ -configuration, instead of the ⁇ -configuration as shown in formula B.
- Group 30 comprises subgroups 30-1 through 30-29-28-27-26-25-23-21-17-10-8-6, which name compounds or genera of compounds essentially as described for the other compound groups above.
- the subgroups in group 30 are 30-1 through 30-6, 30-7-1 through 30-7-6, 30-8-1 through 30-8-6, 30-9-1 through 30-9-6 and so on essentially as described for the groups above.
- Group 31 comprises each compound or genus named in compound groups 1 through 30, but wherein R 5 is in the ⁇ -configuration, instead of the ⁇ -configuration as shown in formula B.
- Group 31 comprises subgroups 31-1 through 31-30-29-28-27-26-25-23-21-17-10-8-6, which name compounds or genera of compounds essentially as described for the other compound groups above.
- the subgroups in group 31 are 31-1 through 31-6, 31-7-1 through 31-7-6, 31-8-1 through 31-8-6, 31-9-1 through 31-9-6 and so on essentially as described for the groups above.
- Group 32 comprises each compound or genus named in compound groups 1 through 31, but wherein the hydrogen atom at the 5 position is in the ⁇ -configuration, instead of the ⁇ -configuration as shown in formula B.
- Group 32 comprises subgroups 32-1 through 32-31-30-29-28-27-26-25-23-21-17-10-8-6, which name compounds or genera of compounds essentially as described for the other compound groups above.
- the subgroups in group 32 are 32-1 through 32-6, 32-7-1 through 32-7-6, 32-8-1 through 32-8-6, 32-9-1 through 32-9-6 and so on essentially as described for the groups above.
- Group 33 comprises each compound or genus named in compound groups 1 through 32, but wherein the hydrogen atom at the 8 position is in the ⁇ -configuration, instead of the ⁇ -configuration as shown in formula B.
- Group 33 comprises subgroups 33-1 through 33-32-31-30-29-28-27-26-25-23-21-17-10-8-6, which name compounds or genera of compounds essentially as described for the other compound groups above.
- the subgroups in group 33 are 33-1 through 33-6, 33-7-1 through 33-7-6, 33-8-1 through 33-8-6, 33-9-1 through 33-9-6 and so on essentially as described for the groups above.
- Group 34 comprises each compound or genus named in compound groups 1 through 33, but wherein the hydrogen atom at the 9 position is in the ⁇ -configuration, instead of the ⁇ -configuration as shown in formula B.
- Group 34 comprises subgroups 34-1 through 34-33-32-31-30-29-28-27-26-25-23-21-17-10-8-6, which name compounds or genera of compounds essentially as described for the other compound groups above.
- the subgroups in group 34 are 34-1 through 34-6, 34-7-1 through 34-7-6, 34-8-1 through 34-8-6, 34-9-1 through 34-9-6 and so on essentially as described for the groups above.
- Group 35 comprises each compound or genus named in compound groups 1 through 34, but wherein the hydrogen atom at the 14 position is in the ⁇ -configuration, instead of the ⁇ -configuration as shown in formula B.
- Group 35 comprises subgroups 35-1 through 35-34-33-32-31-30-29-28-27-26-25-23-21-17-10-8-6, which name compounds or genera of compounds essentially as described for the other compound groups above.
- the subgroups in group 35 are 35-1 through 35-6, 35-7-1 through 35-7-6, 35-8-1 through 35-8-6, 35-9-1 through 35-9-6 and so on essentially as described for the groups above.
- Group 36 comprises each compound or genus named in compound groups 1 through 35, but wherein R 4 in formula B is not divalent, and a second monovalent R 4 is present at the 17 position, and the second R 4 is a moiety other than hydrogen.
- monovalent R 4 means that the second R 4 moiety is bonded to the carbon atom at the 17 position by a single bond.
- the second R 4 optionally comprises —OH, —OR PR , —SH, —SR PR , —NH 2 , —NHR PR , a halogen, optionally substituted alkyl, optionally substituted alkenyl, optionally substituted alkynyl, optionally substituted aryl, optionally substituted alkylaryl, an optionally substituted heterocycle, an ester, an ether, a thioester, a thioether, an optionally substituted monosaccharide, an optionally substituted oligosaccharide, a carbonate, a carbamate, an amide or an amino acid. Any of these moieties, may comprise any R 4 structure disclosed herein.
- Exemplary second R 4 moieties include —C ⁇ C—(CH 2 ) n H (e.g., —C ⁇ CH and —C ⁇ C—CH 3 ), —C ⁇ C—(CH 2 ) n H, —(CH 2 ) n H (e.g., —CH 3 , —C 2 H 5 , —C 3 H 7 ), —(CH 2 ) n C 6 H 5 , wherein n is 0, 1, 2, 3, 4, 5, 6, 7 or 8 and any of these exemplary second R 4 moieties optionally comprise 1, 2, 3, 4 or more independently selected —O—, —OH, ⁇ O, —S—, —SH, ⁇ S, —NH—, —NH2, —COOH, —COOR PR , —F, —Cl, —Br, —I, —SCN, —CN, —NO 2 , ⁇ NHO, —CH 3 , —CF 3 , —C 2 H 5
- moieties that replace a hydrogen or carbon atom will not replace a divalent or trivalent carbon atom, e.g., in —CH ⁇ CH— or in —C ⁇ C— and specific embodiments include one or more substitutions at carbons that are separated from a —CH ⁇ CH— or —C ⁇ -C— moiety by one, two, three or more —CH 2 -moieties.
- one or two hydrogen atoms that are bonded to the distal carbon atom is substituted by one or two —OH, ⁇ O—SH, ⁇ S, —NH2, —COOH, —COOR PR , —F, —Cl, —Br, —I, —SCN, —CN, —NO 2 or ⁇ NHO moieties.
- Group 36 comprises subgroups 36-1 through 36-35-34-33-32-31-30-29-28-27-26-25-23-21-17-10-8-6, which name compounds or genera of compounds essentially as described for the other compound groups above.
- the subgroups in group 36 are 36-1 through 36-6, 36-7-1 through 36-7-6, 36-8-1 through 36-8-6, 36-9-1 through 36-9-6 and so on essentially as described for the groups above.
- Group 37 comprises each compound or genus named in compound groups 1 through 36, but wherein R 7 in formula B is not —CH 2 — or a heteroatom, i.e., R 10 is bonded to R 7 in formula B and it is not a hydrogen atom.
- the R 10 optionally comprises —OH, ⁇ O, —OR PR , —SH, ⁇ S, —SR PR , —NH 2 , —NHR PR , a halogen, optionally substituted alkyl, optionally substituted alkenyl, optionally substituted alkynyl, optionally substituted aryl, optionally substituted alkylaryl, an optionally substituted heterocycle, an ester, an ether, a thioester, a thioether, an optionally substituted monosaccharide, an optionally substituted oligosaccharide, a carbonate, a carbamate, an amide or an amino acid. Any of these moieties, may comprise any R 10 structure disclosed herein.
- Exemplary second R 4 moieties include —C ⁇ C—(CH 2 ) n H (e.g., —C ⁇ CH and —C ⁇ C—CH 3 ), —C ⁇ C—(CH 2 ) n H, —(CH 2 ) n H (e.g., —CH 3 , —C 2 H 5 , —C 3 H 7 ), —(CH 2 ) n C 6 H 5 , wherein n is 0, 1, 2, 3, 4, 5, 6, 7 or 8 and any of these exemplary second R 4 moieties optionally comprise 1, 2, 3, 4 or more independently selected —O—, —OH, ⁇ O, —S—, —SH, ⁇ S, —NH—, —NH2, —COOH, —COOR PR , —F, —Cl, —Br, —I, —SCN, —CN, —NO 2 , ⁇ NHO, —CH 3 , —CF 3 , —C 2 H 5
- the moieties that replace a hydrogen or carbon atom will not replace a divalent or trivalent carbon atom, or a hydrogen that is bonded to such a carbon atom, e.g., in —CH ⁇ CH— or in —C ⁇ C— and specific embodiments include one or more substitutions at carbons that are separated from a —CH ⁇ CH— or —C ⁇ C— moiety by one, two, three or more —CH 2 -moieties.
- one or two hydrogen atoms that are bonded to the distal carbon atom is substituted by one, two or three —OH, ⁇ O—SH, ⁇ S, —NH 2 , —COOH, —COOR PR , —F, —Cl, —Br, —I, —SCN, —CN, —NO 2 or ⁇ NHO moieties.
- Group 37 comprises subgroups 37-1 through 37-36-35-34-33-32-31-30-29-28-27-26-25-23-21-17-10-8-6, which name compounds or genera of compounds essentially as described for the other compound groups above.
- the subgroups in group 37 are 37-1 through 37-6, 37-7-1 through 37-7-6, 37-8-1 through 37-8-6, 37-9-1 through 37-9-6 and so on essentially as described for the groups above.
- Group 38 comprises each compound or genus named in compound groups 1 through 37, but wherein R 8 in formula B is not —CH 2 — or a heteroatom, i.e., R 10 is bonded to R 8 in formula B and it is not a hydrogen atom.
- This R 10 optionally comprises —OH, ⁇ O, —OR PR , —SH, ⁇ S, —SR PR , —NH 2 , —NHR PR , a halogen, optionally substituted alkyl, optionally substituted alkenyl, optionally substituted alkynyl, optionally substituted aryl, optionally substituted alkylaryl, an optionally substituted heterocycle, an ester, an ether, a thioester, a thioether, an optionally substituted monosaccharide, an optionally substituted oligosaccharide, a carbonate, a carbamate, an amide or an amino acid. Any of these moieties, may comprise any R 10 structure disclosed herein.
- R 10 moieties include —C ⁇ C—(CH 2 ) n H (e.g., —C ⁇ CH and —C ⁇ C—CH 3 ), —C ⁇ C—(CH 2 ) n H, —(CH 2 ) n H (e.g., —CH 3 , —C 2 H 5 , —C 3 H 7 ), —(CH 2 ) n C 6 H 5 , wherein n is 0, 1, 2, 3, 4, 5, 6, 7 or 8 and any of these exemplary second R 4 moieties optionally comprise 1, 2, 3, 4 or more independently selected —O—, —OH, ⁇ O, —S—, —SH, ⁇ S, —NH—, —NH 2 , —COOH, —COOR PR , —F, —Cl, —Br, —I, —SCN, —CN, —NO 2 , ⁇ NHO, —CH 3 , —CF 3 , —C 2 H
- moieties that replace a hydrogen or carbon atom will not replace a divalent or trivalent carbon atom, or a hydrogen that is bonded to such a carbon atom, e.g., in —CH ⁇ CH— or in —C ⁇ C— and specific embodiments include one or more substitutions at carbons that are separated from a —CH ⁇ CH— or —C ⁇ C— moiety by one, two, three or more —CH 2 -moieties.
- one or two hydrogen atoms that are bonded to the distal carbon atom is substituted by one, two or three —OH, ⁇ O—SH, ⁇ S, —NH 2 , —COOH, —COOR PR , —F, —Cl, —Br, —I, —SCN, —CN, —NO 2 or ⁇ NHO moieties.
- Group 38 comprises subgroups 38-1 through 38-37-36-35-34-33-32-31-30-29-28-27-26-25-23-21-17-10-8-6, which name compounds or genera of compounds essentially as described for the other compound groups above.
- the subgroups in group 38 are 38-1 through 38-6, 38-7-1 through 38-7-6, 38-8-1 through 38-6, 38-9-1 through 38-9-6 and so on essentially as described for the groups above.
- Group 39 comprises each compound or genus named in compound groups 1 through 38, but wherein R 9 in formula B is not —CH 2 — or a heteroatom, i.e., R 10 is bonded to R 9 in formula B and it is not a hydrogen atom and wherein when a double bond is present at the 1-2 position, this R 10 is not bonded to R 9 by a double bond.
- R 9 in formula B is not —CH 2 — or a heteroatom, i.e., R 10 is bonded to R 9 in formula B and it is not a hydrogen atom and wherein when a double bond is present at the 1-2 position, this R 10 is not bonded to R 9 by a double bond.
- the carbon atom at the 2 position is not pentavalent or charged.
- This R 10 optionally comprises —OH, ⁇ O, —OR PR , —SH, ⁇ S, —SR PR , —NH 2 , —NHR PR , a halogen, optionally substituted alkyl, optionally substituted alkenyl, optionally substituted alkynyl, optionally substituted aryl, optionally substituted alkylaryl, an optionally substituted heterocycle, an ester, an ether, a thioester, a thioether, an optionally substituted monosaccharide, an optionally substituted oligosaccharide, a carbonate, a carbamate, an amide or an amino acid. Any of these moieties, may comprise any R 10 structure disclosed herein.
- R 10 moieties include —C ⁇ C—(CH 2 ) n H (e.g., —C ⁇ CH and —C ⁇ C—CH 3 ), —C ⁇ C—(CH 2 ) n H, —(CH 2 ) n H (e.g., —CH 3 , —C 2 H 5 , —C 3 H 7 ), —(CH 2 ) n C 6 H 5 , wherein n is 0, 1, 2, 3, 4, 5, 6, 7 or 8 and any of these exemplary second R 4 moieties optionally comprise 1, 2, 3, 4 or more independently selected —O—, —OH, ⁇ O, —S—, —SH, ⁇ S, —NH—, —NH2, —COOH, —COOR PR , —F, —Cl, —Br, —I, —SCN, —CN, —NO 2 , ⁇ NHO, —CH 3 , —CF 3 , —C 2 H 5 or
- the moieties that replace a hydrogen or carbon atom will not replace a divalent or trivalent carbon atom, or a hydrogen that is bonded to such a carbon atom, e.g., in —CH ⁇ CH— or in —C ⁇ C— and specific embodiments include one or more substitutions at carbons that are separated from a —CH ⁇ CH— or —C ⁇ C— moiety by one, two, three or more —CH 2 -moieties.
- one or two hydrogen atoms that are bonded to the distal carbon atom is substituted by one, two or three —OH, ⁇ O—SH, ⁇ S, —NH 2 , —COOH, —COOR PR , —F, —Cl, —Br, —I, —SCN, —CN, —NO 2 or ⁇ NHO moieties.
- Group 39 comprises subgroups 39-1 through 39-38-37-36-35-34-33-32-31-30-29-28-27-26-25-23-21-17-10-8-6, which name compounds or genera of compounds essentially as described for the other compound groups above.
- the subgroups in group 39 are 39-1 through 39-6, 39-7-1 through 39-7-6, 39-8-1 through 39-8-6, 39-9-1 through 39-9-6 and so on essentially as described for the groups above.
- Group 40 comprises each compound or genus named in compound groups 1 through 39, wherein R 7 in formula B is —O—, instead of a —CH 2 — or —CHR 10 — moiety, where R 10 is not hydrogen.
- Group 40 comprises subgroups 40-1 through 40-39-38-37-36-35-34-33-32-31-30-29-28-27-26-25-23-21-17-10-8-6, which name compounds or genera of compounds essentially as described for the other compound groups.
- the subgroups in group 40 are 40-1 through 40-6, 40-7-1 through 40-7-6, 40-8-1 through 40-8-6, 40-9-1 through 40-9-6 and so on essentially as described for the groups above.
- the subgroup 40-1, 40-2 40-8-1, 40-8-2, 40-11-1 and 40-11-2 compounds named 1.2.5.9 have the structures
- Subgroup 40-8-1 and 40-8-2 compounds named 1.2.5.9 have the structures
- the subgroup 40-11-1 and 40-11-2 compounds named 1.2.5.9 have the structures
- Group 41 comprises each compound or genus named in compound groups 1 through 39, wherein R 8 in formula B is —O—, instead of a —CH 2 — or —CHR 10 — moiety, where R 10 is not hydrogen.
- Group 41 comprises subgroups 41-1 through 41-39-38-37-36-35-34-33-32-31-30-29-28-27-26-25-23-21-17-10-8-6, which name compounds or genera of compounds essentially as described for the other compound groups.
- the subgroups in group 41 are 41-1 through 41-6, 41-7-1 through 41-7-6, 41-8-1 through 41-8-6, 41-9-1 through 41-9-6 and so on essentially as described for the groups above.
- Group 41 compounds are named in essentially the same manner as described for group 40 and other compound groups.
- subgroup 41-1, 41-2, 41-8-1, 41-8-2, 41-11-1 and 41-11-2 compounds named 1.2.5.9 have the structures shown for these compounds in group 40, except that an oxygen atom is present at the 11 position and no oxygen is present at the 15 position.
- Group 42 comprises each compound or genus named in compound groups 1 through 39, wherein R 8 in formula B is —O—, instead of a —CH 2 — or —CHR 10 — moiety, where R 10 is not hydrogen.
- Group 42 comprises subgroups 42-1 through 42-39-38-37-36-35-34-33-32-31-30-29-28-27-26-25-23-21-17-10-8-6, which name compounds or genera of compounds essentially as described for the other compound groups.
- the subgroups in group 42 are 42-1 through 42-6, 42-7-1 through 42-7-6, 42-8-1 through 42-8-6, 42-9-1 through 42-9-6 and so on essentially as described for the groups above.
- Group 42 compounds are named in essentially the same manner as described for group 40 and other compound groups.
- subgroup 42-1, 42-2, 42-8-1, 42-8-2, 42-11-1 and 42-11-2 compounds named 1.2.5.9 have the structures shown for these compounds in group 40, except that an oxygen atom is present at the 2 position and no oxygen is present at the 15 position.
- This group does not include species or genera of compounds wherein a double bond is present at the 1-2 position, since this would make the oxygen atom charged. Therefore, there is, e.g., no group 42-3, 42-4, 42-6, 42-7-3, 42-7-4 or 42-7-6, since the 3, 4 and 6 groups and their variants all have a double bond at the 1-2 position.
- Group 43 comprises each compound or genus named in compound groups 1 through 39, wherein R 7 in formula B is —NH—, instead of a —CH 2 — or —CHR 10 — moiety, where R 10 is not hydrogen.
- Group 43 comprises subgroups 43-1 through 43-39-38-37-36-35-34-33-32-31-30-29-28-27-26-25-23-21-17-10-8-6, which name compounds or genera of compounds essentially as described for the other compound groups.
- the subgroups in group 43 are 43-1 through 43-6, 43-7-1 through 43-7-6, 43-8-1 through 43-8-6, 43-9-1 through 43-9-6 and so on essentially as described for the groups above.
- the subgroup 43-1, 43-2 43-8-1, 43-8-2, 43-11-1 and 43-11-2 compounds named 1.2.5.9 have the structures shown for these compounds in group 40, except that —NH— is present at the 15 position instead of oxygen.
- Group 44 comprises each compound or genus named in compound groups 1 through 39, wherein R 8 in formula B is —NH—, instead of a —CH 2 — or —CHR 10 — moiety, where R 10 is not hydrogen.
- Group 44 comprises subgroups 44-1 through 44-39-38-37-36-35-34-33-32-31-30-29-28-27-26-25-23-21-17-10-8-6, which name compounds or genera of compounds essentially as described for the other compound groups.
- the subgroups in group 44 are 44-1 through 44-6, 44-7-1 through 44-7-6, 44-8-1 through 44-8-6, 44-9-1 through 44-9-6 and so on essentially as described for the groups above.
- Group 44 compounds are named in essentially the same manner as described for group 40 and other compound groups.
- subgroup 44-1, 44-2, 44-8-1, 44-8-2, 44-11-1 and 44-11-2 compounds named 1.2.5.9 have the structures shown for these compounds in group 40, except that —NH— is present at the 11 position and no oxygen is present at the 15 position.
- Group 45 comprises each compound or genus named in compound groups 1 through 39, wherein R 9 in formula B is —NH— or —N ⁇ , instead of a —CH 2 — or —CHR 10 — moiety, where R 10 is not hydrogen.
- Group 45 comprises subgroups 45-1 through 45-39-38-37-36-35-34-33-32-31-30-29-28-27-26-25-23-21-17-10-8-6, which name compounds or genera of compounds essentially as described for the other compound groups.
- the subgroups in group 45 are 45-1 through 45-6, 45-7-1 through 45-7-6, 45-8-1 through 45-8-6, 45-9-1 through 45-9-6 and so on essentially as described for the groups above.
- Group 45 compounds are named in essentially the same manner as described for group 40 and other compound groups.
- subgroup 45-1, 45-2, 45-8-1, 45-8-2, 45-11-1 and 45-11-2 compounds named 1.2.5.9 have the structures shown for these compounds in group 40, except that —NH— is present at the 2 position and no oxygen is present at the 15 position.
- Group 46 comprises each compound or genus named in compound groups 1 through 39, wherein R 7 in formula B is —S—, instead of a —CH 2 — or —CHR 10 — moiety, where R 10 is not hydrogen.
- Group 46 comprises subgroups 46-1 through 46-39-38-37-36-35-34-33-32-31-30-29-28-27-26-25-23-21-17-10-8-6, which name compounds or genera of compounds essentially as described for the other compound groups.
- the subgroups in group 46 are 46-1 through 46-6, 46-7-1 through 46-7-6, 46-8-1 through 46-8-6, 46-9-1 through 46-9-6 and so on essentially as described for the groups above.
- the subgroup 46-1, 46-2 46-8-1, 46-8-2, 46-11-1 and 46-11-2 compounds named 1.2.5.9 have the structures shown for these compounds in group 40, except that —S— is present at the 15 position instead of oxygen.
- Group 47 comprises each compound or genus named in compound groups 1 through 39, wherein R 8 in formula B is —S—, instead of a —CH 2 — or —CHR 10 — moiety, where R 10 is not hydrogen.
- Group 47 comprises subgroups 47-1 through 47-39-38-37-36-35-34-33-32-31-30-29-28-27-26-25-23-21-17-10-8-6, which name compounds or genera of compounds essentially as described for the other compound groups.
- the subgroups in group 47 are 47-1 through 47-6, 47-7-1 through 47-7-6, 47-8-1 through 47-8-6, 47-9-1 through 47-9-6 and so on essentially as described for the groups above.
- Group 47 compounds are named in essentially the same manner as described for group 40 and other compound groups.
- subgroup 47-1, 47-2, 47-8-1, 47-8-2, 47-11-1 and 47-11-2 compounds named 1.2.5.9 have the structures shown for these compounds in group 40, except that —S— is present at the 11 position and no oxygen is present at the 15 position.
- Group 48 comprises each compound or genus named in compound groups 1 through 39, wherein R 9 in formula B is —S—, instead of a —CH 2 — or —CHR 10 — moiety, where R 10 is not hydrogen.
- Group 48 comprises subgroups 48-1 through 48-39-38-37-36-35-34-33-32-31-30-29-28-27-26-25-23-21-17-10-8-6, which name compounds or genera of compounds essentially as described for the other compound groups.
- the subgroups in group 48 are 48-1 through 48-6, 48-7-1 through 48-7-6, 48-8-1 through 48-8-6, 48-9-1 through 48-9-6 and so on essentially as described for the groups above.
- Group 48 compounds are named in essentially the same manner as described for group 40 and other compound groups.
- subgroup 48-1, 48-2, 48-8-1, 48-8-2, 48-11-1 and 48-11-2 compounds named 1.2.5.9 have the structures shown for these compounds in group 40, except that —S— is present at the 2 position and no oxygen is present at the 15 position.
- This group does not include species or genera of compounds wherein a double bond is present at the 1-2 position. Therefore, there is, e.g., no group 48-3, 48-4, 48-6, 48-7-3, 48-7-4 or 48-7-6, since the 3, 4 and 6 groups and their variants all have a double bond at the 1-2 position.
- Group 49 comprises each compound or genus named in compound groups 1 through 39, but wherein two of R 7 , R 8 and R 9 in formula B independently are —O—, —NH—, ⁇ NH— or —S—, instead of —CH 2 — or —CHR 10 —, where R 10 is not hydrogen.
- This group includes 27 combinations of two heteroatoms (O, N or S) that are at any two of R 7 , R 8 and R 9 .
- Group 49 comprises subgroups 49c1-1 through 49c27-39-38-37-36-35-34-33-32-31-30-29-28-27-26-25-23-21-17-10-8-6, which name compounds or genera of compounds essentially as described for the other compound groups.
- the subgroups in group 49 are 49c1-1 through 49c1-6, 49c1-7-1 through 49c1-7-6, 49c1-8-1 through 49c1-8-6, 49c1-9-1 through 49c1-9-6 and so on essentially as described for the groups above.
- Group 49 compounds are named in essentially the same manner as described for group 40 and other compound groups.
- subgroup 49c1-1, 49c1-2, 49c1-8-1, 49c1-8-2, 49c1-11-1 and 49c1-11-2 compounds named 1.2.5.9 have the structures shown for these compounds in group 40, except that —O— is present at the 2 and 11 positions and no oxygen is present at the 15 position.
- subgroup 49c10-1, 49c10-2, 49c10-8-1, 49c10-8-2, 49c10-11-1 and 49c10-11-2 compounds named 1.2.5.9 have the structures shown for these compounds in group 40, except that —NH— or ⁇ N— is present at the 2 and 11 positions and no oxygen is present at the 15 position.
- This group does not include species or genera of compounds wherein a double bond and either —O— or —S— is present at the 2-position.
- Group 50 comprises each compound or genus named in compound groups 1 through 39, but wherein all three of R 7 , R 8 and R 9 in formula B independently are —O—, —NH—, ⁇ NH— or —S—, instead of —CH 2 — or —CHR 10 —, where R 10 is not hydrogen.
- This group includes all combinations of 3 heteroatoms (O, N or S) that are at R 7 , R 8 and R 9 . The combinations are defined essentially as described for the combinations in group 49.
- Group 50 comprises subgroups 50c1-1 through 50c27-39-38-37-36-35-34-33-32-31-30-29-28-27-26-25-23-21-17-10-8-6, which name compounds or genera of compounds essentially as described for the other compound groups.
- the subgroups in group 50 are 50c1-1 through 50c1-6, 50c1-7-1 through 50c1-7-6, 50c1-8-1 through 50c1-8-6, 50c1-9-1 through 50c1-9-6 and so on essentially as described for the groups above.
- Group 50 compounds are named in essentially the same manner as described for group 40 and other compound groups.
- subgroup 50c1-1, 50c1-2, 50c1-8-1, 50c1-8-2, 50c1-11-1 and 50c1-11-2 compounds named 1.2.5.9 have the structures shown for these compounds in group 40, except that —O— is also present at the 2 and 11 positions.
- subgroup 50c10-1, 50c10-2, 50c10-8-1, 50c10-8-2, 50c 10-11-1 and 50c10-11-2 compounds named 1.2.5.9 have the structures shown for these compounds in group 40, except that —NH— or ⁇ N— is present at the 2 and 15 positions and oxygen is present at the 11 position.
- This group does not include species or genera of compounds wherein a double bond and either —O— or —S— is present at the 2-position.
- Group 51 comprises each compound or genus named in compound groups 1 through 50, but wherein R 7 comprises a —X—CHR 10 — moiety, where X is —O—, —NR PR — or —S—.
- This group includes all R 7 moieties, i.e., (51 a1)-O—CHR 10 —, (51a2) —NR PR —CHR 10 —, (51a3)—S—CHR 10 —, (51a4) —CHR 10 —O—, (51a5) —CHR 10 —NR PR — and (51a6) —CHR 10 —S—.
- Group 51 comprises subgroups 51a1-1 through 51a6-50c27-49c27-48-47-46-45-44-43-42-41-40-39-38-37-36-35-34-33-32-31-30-29-28-27-39-38-37-36-35-34-33-32-31-30-29-28-27-26-25-23-21-17-10-8-6, which name compounds or genera of compounds essentially as described for the other compound groups.
- the subgroups in group 51 are 5a1-1 through 51a1-6, 51a1-7-1 through 51a1-7-6, 51 a1-8-1 through 51a1-8-6, 5a1-9-1 through 51a1-9-6 and so on essentially as described for the groups above.
- the R 10 included in R 7 is hydrogen. In others, the R 10 included in R 7 is optionally comprises —OH, ⁇ O, —OR PR , —SH, ⁇ S, —SR PR , —NH 2 , —NHR PR , a halogen, optionally substituted alkyl, optionally substituted alkenyl, optionally substituted alkynyl, optionally substituted aryl, optionally substituted alkylaryl, an optionally substituted heterocycle, an ester, an ether, a thioester, a thioether, an optionally substituted monosaccharide, an optionally substituted oligosaccharide, a carbonate, a carbamate, an amide or an amino acid.
- the R 10 may comprise any R 10 structure disclosed herein.
- R 10 moieties include —C ⁇ C—(CH 2 ) n H (e.g., —C ⁇ CH and —C ⁇ C—CH 3 ), —C ⁇ C—(CH 2 ) n H, —(CH 2 ) n H (e.g., —CH 3 , —C 2 H 5 , —C 3 H 7 ), —(CH 2 ) n C 6 H 5 , wherein n is 0, 1, 2, 3, 4, 5, 6, 7 or 8 and any of these exemplary R 10 moieties optionally comprise 1, 2, 3, 4 or more independently selected —O—, —OH, ⁇ O, —S—, —SH, ⁇ S, —NH—, —NH 2 , —COOH, —COOR PR , —F, —Cl, —Br, —I, —SCN, —CN, —NO 2 , ⁇ NHO, —CH 3 , —CF 3 , —C 2 H 5
- the moieties that replace a hydrogen or carbon atom will not replace a divalent or trivalent carbon atom, or a hydrogen that is bonded to such a carbon atom, e.g., in —CH ⁇ CH— or in —C ⁇ C— and specific embodiments include one or more substitutions at carbons that are separated from a —CH ⁇ CH— or —C ⁇ C— moiety by one, two, three or more —CH 2 — moieties.
- one or two hydrogen atoms that are bonded to the distal carbon atom is substituted by one, two or three —OH, ⁇ O—SH, ⁇ S, —NH 2 , —COOH, —COOR PR , —F, —Cl, —Br, —I, —SCN, —CN, —NO 2 or ⁇ NHO moieties.
- Group 52 comprises each compound or genus named in compound groups 1 through 49, but wherein R 7 is absent and the ring in formula B that contains R 7 comprises a cyclobutyl moiety with R 3 and one or two R 4 bonded to it.
- Group 52 comprises subgroups 52-1 through 52-51a6-50c27-49c27-48-47-46-45-44-43-42-41-40-39-38-37-36-35-34-33-32-31-30-29-28-27-39-38-37-36-35-34-33-32-31-30-29-28-27-39-38-37-36-35-34-33-32-31-30-29-28-27-26-25-23-21-17-10-8-6, which name compounds or genera of compounds essentially as described for the other compound groups.
- the subgroups in group 52 are 52-1 through 52-6, 52-7-1 through 52-7-6, 52-8-1 through 52-8-6, 52-9-1 through 52-9-6 and so on essentially as described for the groups above.
- Group 53 comprises each compound or genus named in compound groups 1 through 52, but wherein R 8 is absent and the ring in formula B that contains R 8 comprises a 5 membered ring moiety.
- Group 53 comprises subgroups 53-1 through 53-52-51a6-50c27-49c27-48-47-46-45-44-43-42-41-40-39-38-37-36-35-34-33-32-31-30-29-28-27-39-38-37-36-35-34-33-32-31-30-29-28-27-26-25-23-21-17-10-8-6, which name compounds or genera of compounds essentially as described for the other compound groups.
- the subgroups in group 53 are 53-1 through 53-6, 53-7-1 through 53-7-6, 53-8-1 through 53-8-6, 53-9-1 through 53-9-6 and so on essentially as described for the groups above.
- the subgroups here do not include compounds or genera where two ring heteroatoms are present as described in group 49 and where both R 7 and R 8 are absent (“group 53-52-49- . . . ”), since such groups are mutually incompatible. This holds for all of the compound groups described herein, i.e., whenever the structures that a first group or subgroup specifies is incompatible with the structure that a second group or subgroup specifies, then the structure that the first group or subgroup speifies is not included. However, all other possible compounds and genera are included in such compound groups.
- Group 54 comprises each compound or genus named in compound groups 1 through 53, but wherein R 9 is absent and the ring in formula B that contains R 9 comprises a 5 membered ring moiety.
- Group 54 comprises subgroups 54-1 through 54-53-52-51a6-50c27-49c27-48-47-46-45-44-43-42-41-40-39-38-37-36-35-34-33-32-31-30-29-28-27-39-38-37-36-35-34-33-32-31-30-29-28-27-26-25-23-21-17-10-8-6, which name compounds or genera of compounds essentially as described for the other compound groups.
- the subgroups in group 54 are 54-1 through 54-6, 54-7-1 through 54-7-6, 54-8-1 through 54-8-6, 54-9-1 through 54-9-6 and so on essentially as described for the groups above.
- the subgroups here do not include, e.g., compounds or genera where two or three ring heteroatoms are present as described in group 49 or 50 and where two or three of R 7 , R 8 and R 9 are absent (e.g., “group 54-52-49- . . . ”).
- Additional embodiments of the formula 1 compounds include any compound or genus of compounds that are disclosed herein, e.g., any of the compounds or genera of compounds in groups 1 through 54 wherein one or both of R 5 or R 6 independently comprises —CH 2 SH, —CHO, —CH 2 NRPR, —CH 2 NH 2 , —C 2 H 5 , —C 2 H 4 OH, —C 2 H 4 SH, —C 2 H 4 NH 2 , —CH 2 CHO, —CH 2 CH 2 NR PR , —CH 2 CH 2 OH, —CH 2 CH 2 SH, —CH 2 CH 2 C 6 H 5 , —CH 2 C 6 H 5 or —C 6 H 5 wherein any phenyl (C 6 H 5 ) moiety in the foregoing groups is optionally substituted at the phenyl ring with 1, 2, 3, 4 or 5 moieties independently selected from those described for esters herein and including C1-6 alkyl (optionally substituted with 1 or 2 independently selected
- variable groups that are bonded to the formula 1 compound independently have the structure(s) and/or independently comprise the named compounds, —H, —OH, ⁇ O, —SH, ⁇ S, —NH 2 , —CN, —N 3 , halogen, —CHO, —CHS, ⁇ CH 2 , ⁇ NOH, ⁇ NOC(O)CH 3 , —C(O)—CH 3 , —C(O)—(CH 2 ) 1-4 —CH 3 , —CCH, —CCCH 3 , —CH ⁇ CH 2 , —CH ⁇ CH 2 CH 3 , —O—C(O)—(CH 2 ) m —(CF 2 ) n —CH 3 , —O—C(O)—(CH 2 ) m —(CF 2 ) n —CH 3 , —O—C(O)—(CH 2 ) m —(CF 2 ) n —CH 3 , —
- an R 3 and an R 4 of the formula 1 compounds comprises a ring(s) structure.
- Exemplary compounds of formula 2 include the following structures, wherein, R 16 independently are —CH 2 —, —O—, —S— or —NH—; R 15 , R 17 and R 18 independently are —H, —OR PR , SR PR , —N(R PR ) 2 , —O—Si—(R 13 ) 3 , —CHO, —CHS, —CH ⁇ NH, —CN, —SCN, —NO 2 , —OSO 3 H, —OPO 3 H, an ester, a thioester, a phosphoester, a phosphothioester, a phosphonoester, a sulfite ester, a sulfate ester, an amide, an amino acid, a peptide, an ether, a thioether, an acyl group, a thioether
- Such compounds include any of these structures wherein one, two or three of R 7 , R 8 and R 9 are independently —O—, —S—, or —NH— or wherein one or both of R 5 and R 6 independently are —H, —CH 3 , —CH 2 OR PR , —CH 2 OH, —CH 2 SH, —CH 2 SR PR , —CH 2 O—C(O)—C 1-10 alkyl, —CH 2 S—C(O)—C 1-10 alkyl, —CH 2 O—C(O)—C 1-10 alkenyl, —CH 2 S—C(O)—C 1-10 alkenyl, —CH 2 O—C(O)—C 0-4 alkyl-heterocycle, —CH 2 S—C(O)—C 0-4 alkyl-heterocycle, —CH 2 O—C(O)—C 0-4 alkyl-phenyl, —CH 2 S—C(O)—C 0
- Exemplary formula 1 compounds will comprise compounds where the steroid has the structure and (1) one of the atoms or groups described immediately above at the 1, 2, 3, 4, 5, 6, 7, 8, 9, 11, 12, 15, 16 or 17 positions, with independently selected groups at the remaining variable group positions, e.g., —H, —OH, ⁇ O, —SH, —CHO, —CH 2 —, —O—, —S—, —NH—, halogen, optionally substituted alkyl, acyl, ester or any other moiety described herein, (2) two of these groups, which are the same or are independently selected and are at, e.g., the 2,3, 2,7, 2,11, 2,15, 2,16, 2,17, 3,7, 3,11, 3,15, 3,16, 3,17, 7,11, 7,15, 7,16, 7,17, 11,15, 11,16, 11,17 or 16,17 positions, with independently selected groups at the remaining variable group positions, e.g., —H, —OH, ⁇ O, —SH, —CHO,
- R 1 -R 2 and R 4 -R 6 comprise one or more of these substituents (or others described herein), the substituent is present in the ⁇ -configuration, while R 3 typically comprises a substituent in the ⁇ -configuration. In some embodiments, R 2 is in the ⁇ -configuration.
- one or more of the variable groups that are bonded to the formula 1 compounds independently comprise a nucleoside, a nucleotide, an oligonucleotide or an analog of any of these moieties.
- moieties are linked to the steroid nucleus through a terminal hydroxyl, thiol, acyl moiety or amine at the 5′, 3′ or 2′ positions, when a hydroxyl, thiol, acyl moiety or amine is present at that position.
- the linkage to the steroid occasionally is through a sugar hydroxyl at an internal 2′ position.
- Oligonucleotide coupling groups means any moiety suitable for generating a phosphodiester linkage or phosphodiester analog linkage between adjacent nucleotides or their analogs. Suitable oligonucleotide coupling groups include —OH, H-phosphonate, alkylphosphonamidites or phosphoramidites such as ⁇ -cyanoethyl-phosphoramidite, N,N-diisopropylamino- ⁇ -cyanoethoxyphosphine and others as described in the cited references.
- Suitable purine and pyrimidine bases include adenine, guanine, cytosine, thymine, uracil and others as described in the cited references.
- Suitable nucleosides, nucleotides, oligonucleotides and their analogs have been described, see e.g., U.S. Pat. Nos. 4,725,677, 4,973,679, 4,997,927, 4,415,732, 4,458,066, 5,047,524, 4,959,463, 5,212,295, 5,386,023, 5,489,677, 5,594,121, 5,614,622, 5,624,621; and PCT publication Nos.
- the formula 1 compounds e.g., species or genera named in any of the compound groups 1 through 54-53-52-51a6-50c27-49c27-48-47-46-45-44-43-42-41-40-39-38-37-36-35-34-33-32-31-30-29-28-27-39-38-37-36-35-34-33-32-31-30-29-28-27-26-25-23-21-17-10-8-6, are suitable for linkage to oligonucleotides modulate the lipophilicity of oligonucleotides or the transport or permeation of an oligonucleotide into cells. Such linkages may be biologically labile to facilitate release of the steroid from the oligonucleotide once the conjugate has entered the cell.
- formula 1 compounds e.g., those named in any of the compound groups 1 through 54 are suitable for use as standards for various analytical methods, e.g., for use in HPLC, MS, NMR, IR or other analytical methods.
- another structurally related formula 1 compound could be used.
- Metabolism of formula 1 compounds will include one or more of hydroxylation or conjugation, usually to a —OH moiety, with a moiety such as sulfate, phosphate or a monosaccharide such as glucuronic acid at, e.g., the 2, 3, 7, 11, 15, 16 or 17 positions.
- the appropriate use of a formula 1 compound of known structure as a standard can aid in or verify the identification of metabolites that are projected to have closely related structures. Information regarding the identification can be useful or sometimes is necessary for, e.g., obtaining regulatory approval to market a therapeutic agent such as a formula 1 compound or understanding the potential biological role that a formula 1 compound or its metabolite can play in one of the applications disclosed herein or in a cited reference.
- the formula 1 compound may be labeled as appropriate, e.g., using a formula 1 compound with, e.g., a 13 C atom at 1, 2 or more of the 1, 2, 3, 4, 6, 7, 11, 12, 15, 16, 17, 18 or 19 positions in the steroid.
- Table 2 shows these and other exemplary moieties that one or more of R 1 -R 6 , R 10 , R 15 , R 17 and R 18 independently can comprise.
- Pr means a protecting group. These moieties are often bonded to one or more of the R 1 , R 2 and R 4 positions, usually to one or two of those positions. For structures with more than one of a given variable, e.g., X in structure A3 or A5, each is independently selected.
- Typical containers for storage of compositions and formulations that comprise a formula 1 compound will limit the amount of water that reaches the materials contained therein.
- formulations are packaged in hermetically or induction sealed containers.
- the containers are usually induction sealed. Water permeation characteristics of containers have been described, e.g., Containers—Permeation, chapter, USP 23 ⁇ 671>, United States Pharmacopeial Convention, Inc., 12601 Twinbrook Parkway, Rockville, Md. 20852, pp.: 1787 et seq. (1995).
- Formula A compounds have the structure where Q 1 is —C(R 1 ) 2 — or —C(O)—; Q 2 is —C(R 1 ) 2 —, —C(R 1 )(Y)—, —C(Y)— or —CH 2 —CH 2 —; Q 3 is —H or —C(R 1 ) 3 —; Q 4 is —C(R 1 ) 2 —, —C(O)—, hydroxyvinylidine (—CH(CH ⁇ CHOH)—) or methyl methylene (—CH(CH) 3 —); Q 5 is —C(R 1 ) 2 — or —C(O)—; X and Y independently are —OH, —H, lower alkyl (e.g., C 1-6 alkyl), —O—C(O)—R 5
- R 3 is C 1-18 alkyl, C 2-18 alkenyl, C 2-18 alkynyl, a C 1-18 ester or a C 1-18 thioester, where any of the foregoing C 1-18 or C 2-18 moieties are optionally substituted at one or more hydrogen atoms with one or more independently selected —OR PR , (including —OH), —NHR PR , (including —NH 2 ) or —SR PR , (including —SH) groups, or R 3 is a C 1-18 fatty acid, C 2-10 alkynyl, (J) n -phenyl-C 1-5 -alkyl, (J) n -phenyl-C 2-5 -alkenyl; R 4 is —H, a protecting group, optionally substituted C 1-18 alkyl, optionally substituted C 1-18 alkenyl, optionally substituted C 1-18 alkynyl, optionally substituted aryl, optionally substituted aryl-C 1-6
- a compounds including compounds where both R 1 at the 11-position are not hydroxyl, alkoxy or a moiety that can hydrolyze to a hydroxyl, are generally suitable for use in the methods and compositions that are disclosed herein, e.g., their use to enhance a subject's Th1 immune responses or to treat inflammation. Methods of administration and dosages for these compounds are essentially as described herein.
- Intermittent dosing protocols or methods In treating any of the pathological conditions disclosed herein, one can intermittently administer the formula 1 compound(s), e.g., BrEA or a BrEA ester, to a subject suffering from or susceptible to a condition disclosed herein such as an infection, a hyperproliferation condition, an inflammation condition or another condition that is disclosed herein as amenable to treatment with a formula 1 compound without some of the undesired aspects normally associated with discontinuous dosing.
- a condition disclosed herein such as an infection, a hyperproliferation condition, an inflammation condition or another condition that is disclosed herein as amenable to treatment with a formula 1 compound without some of the undesired aspects normally associated with discontinuous dosing.
- Such undesired aspects include development of resistance of a pathogen such as a pathogen disclosed herein, e.g., a virus or bacterium such as HIV or Staphylococcus aureus or a parasite such as a Plasmodium parasite, to the therapeutic agent, failure of the patient or subject to adhere to a daily dosing regimen or reduction of the dosages of other therapeutic agents and/or their associated unwanted side effects or toxicities.
- a pathogen such as a pathogen disclosed herein, e.g., a virus or bacterium such as HIV or Staphylococcus aureus or a parasite such as a Plasmodium parasite
- Intermittent dosing embodiments include administration of a formula 1 compound, e.g., orally, topically or parenterally as follows: (1) daily dosing for about 3 to about 190 days (e.g., about 3 to about 20 days), (2) no dosing of the formula 1 compound for about 4 to about 190 consecutive days (e.g., about 4 to about 20 days), (3) daily dosing for about 3 to about 190 days (e.g., about 3 to about 20 days), and (4) optionally repeating the dosing protocol 1, 2, 3, 4, 5, 6, 10, 15, 20, 30 or more times. Often, the dosing of steps (1) and (3) will be maintained for about 3-15 consecutive days, usually about 3, 4, 5 or 6 consecutive days.
- steps (1) -(3) of the dosing protocol recited above will be repeated at least one time, typically at least 2, 3, 4, 5 or 6 times.
- the intermittent dosing protocol is typically maintained over a relatively long time period, e.g., for at least about 6 months to about 5 or more years.
- step (1) may comprise daily dosing of about 20 mg/day to about 1500 mg/day (e.g., about 50, 75, 100, 125, 150, 175, 200, 225, 250, 275, 300, 325, 350 or 400 mg/day) of a formula 1 compound for 2, 3, 4, 5, 6, 7 or more consecutive days.
- step (2) may comprise not administering any formula 1 compound for at least about 4, 5, 6, 7, 14, 21, 28, 42, 56, 84, 98, 112 or more consecutive days.
- Step (3) could comprise daily administration of about 20 mg/day to about 1500 mg/day (e.g., about 50, 75, 100, 125, 150, 175, 200, 225, 250, 275, 300, 325, 350 or 400 mg/day) of a formula 1 compound for 2, 3, 4, 5, 6, 7 or more consecutive days. Steps (1) through (3) is optionally repeated for about 1-30 or more times. On days when the formula 1 compound is administered to the subject, it may be delivered in a single dose or in two, three or more subdoses at, e.g., about 12 hour or about 8 hour time intervals. Administration of the formula 1 compound would be by one or more of the routes described herein.
- the formula 1 compound(s) can be administered by one or more suitable routes, e.g., oral, buccal, sublingual, intramuscular (i.m.), subcutaneous (s.c.), intravenous (i.v.), intradermal, other parenteral route or by an aerosol.
- the daily dose in such methods will comprise about 0.05 to about 100 mg/kg/day, or about 0.1 to about 10 mg/kg/day, including about 0.2 mg/kg/day, 0.5 mg/kg/day, about 1 mg/kg/day, about 2 mg/kg/day, about 4 mg/kg/day or about 6 mg/kg/day.
- the intermittent dosing methods exclude dosing protocols that are commonly used to deliver contraceptive steroids to, e.g., human females, such as daily dosing for 21 days, followed by no dosing for 7 days.
- the non-aqueous formulations described herein that comprise a formula 1 compound(s) are administered i.m. or s.c., while aqueous formulations that contain formula 1 compound(s) is administered by i.v., i.m., s.c. or other parenteral routes.
- Exemplary embodiments comprise (a) administering a formula 1 compound(s), e.g., BrEA or an ester or carbonate of BrEA, once every other day for about 3, 5, 7, 9, 11, 13, 20 or more days, followed by (b) no dosing for about 1, 2, 3, 4, 5, 6, 10, 15, 20, 25, 30, 35, 40, 45, 50, 55, 70, 84, 98, 112 or more days and then (c) administering the formula 1 compound(s) at least once more on one day, e.g., administering the formula 1 compound(s) once every other day for about 3, 5, 7, 11, 13, 20 or more days and (d) optionally repeating (a), (b) and (c) 1, 2, 3, 4, 5 or 6 times or more.
- a formula 1 compound(s) e.g., BrEA or an ester or carbonate of BrEA
- a subset of these embodiments comprise (a) administering a formula 1 compound(s), e.g., BrEA or an ester or carbonate of BrEA, once every other day for about 3, 5, 7, 9, 11, 13, 20 or more days, followed by (b) no dosing for at least about 7-190 consecutive days, e.g., about 10-40 days, and then (c) administering the formula 1 compound(s) at least once more on one day, e.g., administering the formula 1 compound(s) once every other day for about 3, 5, 7, 9, 11, 13, 20 or more days and (d) optionally repeating (a), (b) and (c) 1, 2, 3, 4, 5 or 6 times or more.
- Other embodiments comprise (a) administering a formula 1 compound(s), e.g., BrEA or an ester or carbonate of BrEA, once every day (or in 2 or 3 daily subdoses) for 3-15 or about 8-12 days, followed by (b) no dosing for 1, 2, 3, 4, 5, 6, 10, 15, 20, 25, 30, 35, 40, 45, 50, 56, 70, 84, 98, 112 or more days and then (c) administering the formula 1 compound(s) at least once more on one day, e.g., administering the formula 1 compound(s) once per day for about 3-15 or about 8-12 consecutive days essentially as described in step (a) and (d) optionally repeating (a), (b) and (c) 1, 2, 3, 4, 5 or 6 times or more.
- a formula 1 compound(s) e.g., BrEA or an ester or carbonate of BrEA
- a subset of these embodiments are (a) administering a formula 1 compound(s), e.g., BrEA or an ester or carbonate of BrEA, once every day for about 10 days, followed by (b) no dosing for about 10-40 days and then (c) administering the formula 1 compound(s) at least once more on one day, e.g., administering the formula 1 compound(s) once per day for about 10 days and (d) optionally repeating (a), (b) and (c) 1, 2, 3, 4, 5 or 6 times or more.
- intermittent dosing is monitoring the subject's response to a particular dosing regimen or schedule, e.g., to any intermittent administration method disclosed herein.
- a particular dosing regimen or schedule e.g., to any intermittent administration method disclosed herein.
- a viral infection e.g., HCV, HIV, SIV, SHIV
- dosing can be continued for one, two or three additional days, followed by discontinuing the dosing for at least one day (at least 24 hours), usually for at least about 2, 3, 4, 5, 6, 7, 14, 21, 28, 42, 56, 70, 84, 98, 112 or more days.
- the subject's response shows signs of remission (e.g., a symptom begins to intensify, viral serum DNA or RNA begins to increase or an immune parameter, e.g., as described herein, begins to deteriorate)
- dosing can be resumed for another course.
- An aspect of the subject's response to formula 1 compound(s) is that the subject may show a measurable response within a short time, usually about 5-10 days, which allows straightforward tracking of the subject's response, e.g., by monitoring viral titer in peripheral white blood cells (“PBMC”), by measuring viral nucleic acid levels in the blood or by measuring a white blood cell population(s) or expression of a cytokine or interleukin by e.g., white blood cells or a subset(s) thereof.
- PBMC peripheral white blood cells
- immune cell subsets e.g., NK, LAK, dendritic cells or cells that mediate ADCC immune responses, during and after intermittent dosing.
- These cell subsets are monitored as described herein, e.g., by flow cytometry.
- prolonged beneficial effects or a sustained immune response by a subject may result from a single administration or a few daily administrations of the formula 1 compound for from intermittent treatment with the formula 1 compound.
- a single administration means that a formula 1 compound is administered to the subject in one, two, three or more doses within a 24 hour period and no further administration of any formula 1 compound to the subject occurs for at least about 7-90 days, e.g., about for at least about 45 days to about 2 months, or for about 3, 4, 5, 6 or more months.
- Prolonged beneficial effects or immune responses may also persist after a short course of treatment has been completed (e.g., daily dosing for 2, 3, 4, 5 or 6 days) and the subject is no longer receiving any formula 1 compound, or, in some cases, any other therapeutic treatment to treat the primary cause of the subject's pathological condition.
- Such beneficial effects can persist for more than about 5-30 days, e.g., for at least about 21, 28, 42, 56, 70, 84, 98, 112 or more days.
- Other intermittent dosing embodiments comprise administering to a subject having or susceptible to a condition as described herein an effective amount of a formula 1 compound using an initial induction or high dosing regimen.
- the high dosing regimen may comprise, e.g., 1, 2, 3, 4, 5, 6, 7 or more daily doses of about 4 to about 40 mg/kg that are administered daily, every other day, every 3 rd day, every 4 th day or every 5 th day.
- the subject is not dosed with a formula 1 compound for a period, e.g., of about 7, 14, 21, 28, 42, 56, 70, 84, 98, 112 or more consecutive days.
- this low dosing regimen may comprise 1, 2, 3, 6 or more rounds of a low to moderate initial level, e.g., about 2 to about 10 mg/kg/day, optionally followed by subsequent rounds of daily dosing that decrease the initial low to moderate level by about 10%, 20%, 30%, 40% or more in each subsequent round of treatment, which is continued until administration is discontinued.
- a formula 1 compound provides a method to help protect a subject against progression of an infection or against adverse consequences of unwanted immune reactions (e.g., inflammation) or against immunosuppression (from infection, chemotherapy, or as disclosed herein), without any dosing of the compound for at least 3 months after an initial dosing protocol, which could be an intermittent or a continuous dosing protocol over, e.g., 1 day to about 4 months (1-15 days, about 1 month, about 2 months, etc).
- Invention embodiments include a method to modulate an immune or cellular response in a subject in need thereof comprising administering to the subject, or delivering to the subject's tissues, an effective amount of a compound of formula 1.
- Immune and cellular response modulation includes enhancing Th1 immune responses, reducing Th2 immune responses, reducing unwanted or pathological inflammation, enhancing hemopoiesis or modulating the synthesis, level or a biological activity of a biomolecule such as (1) a transcription factor such as a steroid receptor or other factor, (2) a purine such as adenosine, (3) a nucleotide cofactor such as NADPH or (4) another biomolecule as disclosed herein.
- the subject is in need of such treatment, e.g., by having a clinical condition disclosed herein or being subject to developing such a condition.
- one or more formula 1 compounds or groups of formula 1 compounds may excluded from one or more of the uses disclosed herein.
- the formula 1 compound optionally excludes 5-androstene-3 ⁇ -ol-17-one, 5-androstene-3 ⁇ , 17 ⁇ -diol, 5-androstene-3 ⁇ ,7 ⁇ ,17 ⁇ -triol or a derivative of any of these three compounds that can convert to these compounds by hydrolysis, or if the subject has or is susceptible to developing a memory impairing neurological disorder or memory impairment condition, the compound is not 5-androstene-3 ⁇ -ol-7,17-dione or 5-androstene-3 ⁇ ,7-diol-17-one or a derivative of these compounds that can has a group at the 7-position that can convert to —OH or ⁇ O by hydrolysis.
- formula 1 compound is not 4-pregnene-11 ⁇ ,17 ⁇ ,21-triol-3,20-dione, 17 ⁇ ,21-dihydroxypregn-4-ene-3,11,20-trione, 11 ⁇ ,21-dihydroxy-3,20-dioxopregn-4-en-18-al, 11 ⁇ ,17 ⁇ ,21-trihydroxypregna-1,4-diene-3,20-dione, 17 ⁇ ,21-dihydroxypregna-1,4-diene-3,11,20-trione, 3 ⁇ -hydroxypregn-5-ene-20-one, 3 ⁇ -hydroxyandrost-5-ene-17-one, pregn-4-ene-3,20-dione, 21-hydroxypregn-4-ene-3,20-dione, 9-fluoro-11 ⁇ ,16 ⁇ ,21-trihydroxy-16-methylpregna-1,4-diene-3,20-dione, 9-fluoro-11 ⁇ ,16 ⁇ ,17,21-tetrahydroxypregna-1,
- amino acids or peptides are linked to the steroid through the amine group using a coupling reagent such as phosgene (Cl—CO—Cl) or Cl—CS—Cl and suitably protected amino acids or peptides and steroids, which are protected as needed.
- a coupling reagent such as phosgene (Cl—CO—Cl) or Cl—CS—Cl
- Such linkage generates an intervening —CO—O— or a —CS—O— moiety between the amino acid or peptide and the steroid nucleus.
- R 5 -R 9 are as defined for formula 1 compounds.
- R 5 and R 6 are both —CH 3 in the ⁇ -configuration
- R 7 , R 8 and R 9 are all —CH 2 —
- H at the 9 and 14 positions are in the ⁇ -configuration
- acetate at the 3-position is in the ⁇ -configuration
- H at the 8 position is in the ⁇ -configuration
- the first compound in scheme 1 is DHEA acetate.
- the acetate groups at the 3, 7, 16, 17 or other positions in this scheme and in other schemes disclosed herein may independently be other ester moieties as described herein, e.g., C 2-50 esters including —C(O)—(CH 2 ) 0-4 —(CF 2 ) 0-4 —CF 3 , including —C(O)—CF 3 , —C(O)—C 2-29 optionally substituted alkyl, —C(O)—CH 2 —C 2-28 optionally substituted alkenyl, —C(O)—CH 2 —C 2-28 optionally substituted alkynyl, —C(O)—(CH 2 ) 0-6 -optionally substituted phenyl, or —C(O)—(CH 2 ) 0-6 -optionally substituted heterocycle or other organic moieties as disclosed herein or in the cited references.
- C 2-50 esters including —C(O)—(CH 2 ) 0-4 —(CF 2
- Typical substituents for these organic moieties are as described herein, including one, two, three or more independently selected —O—, ⁇ O, optionally protected hydroxyl, —S—, optionally protected thiol, —NH—, optionally protected —NH 2 , optionally protected —C(O)OH, —C(O)—NH—, —C(O)—NH 2 , —NH 2 —C(O)—H, —NH 2 —C(O)—C 0-4 H 1-9 , —NH 2 —C(O)—O—C 0-4 H 1-9 , —CN, —NO 2 , —N 3 or halogen.
- Reactive groups are protected as needed, e.g., ⁇ O would usually be protected in the LiCR reaction that is used to generate compound 1 in scheme 1 below.
- Scheme 2 Compounds of formula 2 are prepared from structure A compounds shown in scheme 1 using the last two steps of Scheme 1:(1a) dibromantin, (1b) LiBr, (2) Li—C ⁇ R, where R is CR A and R A is as defined above, e.g., —H, —CH 3 , —CH 2 N 3 , —CH 2 NH 2 , —CH 2 —O-organic moiety, —CH 2 —S-organic moiety, —C 1-12 optionally substituted alkyl.
- R is CR A and R A is as defined above, e.g., —H, —CH 3 , —CH 2 N 3 , —CH 2 NH 2 , —CH 2 —O-organic moiety, —CH 2 —S-organic moiety, —C 1-12 optionally substituted alkyl.
- R 7 , R 8 and R 9 are all —CH 2 —, H at the 9 and 14 positions are in the ⁇ -configuration and H at the 8 position is in the ⁇ -configuration the first compound in scheme 1 is DHEA acetate.
- Typical substituents for the R A alkyl moiety includes one, two or more independently selected —O—, optionally protected ⁇ O, optionally protected hydroxyl, —S—, optionally protected thiol, —NH—, optionally protected —NH 2 , optionally protected —C(O)OH, —C(O)—NH—, —C(O)—NH 2 , —NH 2 —C(O)—H, —NH 2 —C(O)—C 0-4 H 1-9 , —NH 2 —C(O)—O—C 0-4 H 1-9 , —CN, —NO 2 , —N 3 or halogen.
- Scheme 7 Formula 7 compounds are prepared from the 3-acetate A with reagents described in Schemes 1 and 4. R and R A are as defined in Schemes 1 and 2.
- R 10 which may be, e.g., C1-C20 alkyl (methyl, ethyl), C1-C20 alkenyl (CH 2 ⁇ CH—(CH 2 ) 0-6 —), benzyl, —(CH 2 ) 1-4 —O—(CH 2 ) 0-4 -CH 3 .
- esters, of formula 1-10c compounds such as —O—C(O)—R B where R B is a C 1-50 organic moiety
- esters, of formula 1-10c compounds are prepared from the steroid alcohol by treatment with the appropriate acid anhydride or acid chloride (R B —C(O)—Cl) to form any desired ester.
- Ethers, such as —O—R B are prepared from alcohols by formation of the alkaline metal alkoxide (Na + or K + ) followed by treatment with a primary or secondary iodide (R B —I).
- Thionoesters, R B —C(S)—O— are prepared by treating the R B —C(O)—O— ester with Lawesson's reagent.
- Sulfates NaO—S(O)(O)—O—, R B —O—S(O)(O)—O—, e.g., CH 3 (CH 2 ) 0-18 —S(O)(O)—O—, are prepared by treatment of alcohols with chlorosulfonic acid followed by NaOH or alternatively by oxidation of sulfites using KMnO 4 . If the alkyl (e.g., methyl) ester is desired alkylchloro-sulfonate (methylchloro-sulfonate) can be used.
- Sulfites HO—S(O)—O— and ammonium salts NH 4 O—S(O)—O, or R B O—S(O)—O— esters (e.g., CH 3 O—S(O)—O—) are prepared by standard methods.
- the ammonium salts are prepared by treatment of alcohols with ammonia and sulfur dioxide.
- esters such as alkyl, alkenyl and alkynyl esters (e.g., methyl ester) are obtained when alcohols are treated with alkylchlorosulfite (e.g., methycholorosulfite), alkenylchlorosulfite or alkynylchlorosulfite in the presence of a suitable base such as triethylamine.
- alkylchlorosulfite e.g., methycholorosulfite
- alkenylchlorosulfite or alkynylchlorosulfite in the presence of a suitable base such as triethylamine.
- Phosphoesters, R B O—P(OR PR )(O)—O— are prepared by treating the alcohol with diethylchlorophosphate in the presence of Na 2 CO 3 .
- R B O—P(SR PR )(O)—O— are generated by treatment of alcohols with the monothio analog of diethylchlorophosphate as described for phosphoesters yielding the phosphothioesters.
- Carbonates, R B O—C(O)—O— are generated from the corresponding steroid alcohol using the chloroformate (R B —C(O)—Cl), e.g., C 1-20 alkyl, alkenyl or alkynyl chloroformates (e.g. CH 3 (CH 2 ) 0-5 —C(O)Cl).
- Aminoacid esters, ZNX—CHY—C(O)—O— are generated by coupling the steroid alcohol with the acid chloride of the N-protected amino acid.
- Oxidation of hydroxyl groups that are linked to the steroid nucleus is used to obtain ketones and related functionalities.
- conversion of alcohols to ketones can be achieved using a variety of oxidizing agents such as CrO 3 in AcOH, or pyridinium cholorchromate, pyridinium dichromate or oxalyl chloride with triethylamine (Swern oxidation).
- Thioketones ( ⁇ S) are prepared by treating ketones with Lawesson's reagent (2,4-bis(4-methoxyphenyl)-1,3,2,4-dithiadiphosphetane-2,4-disulfide; commercially available from Aldrich).
- Thioacetals —C(SR B )(SR B )—, are prepared from ketones (—C(O)—) by treatment with R B —SH thiols under acid catalysis conditions (e.g., HCl).
- Phosphonoesters RO—P(OR PR )(O)—, are generated by addition of the phosphorus acid diester to ketones in the presence of KF to yield hydroxy phosphonoesters.
- thiols are prepared from alcohols by conversion of the alcohol with inversion to the bromide using PBr 3 .
- thiols are prepared from thiols by treatment with NaOH and the required halide, e.g., alkyl halide.
- alcohol derivatives like tosylates or mesylates can be displaced by thiolate anions, R B —S ⁇ , to yield the thioether.
- Thioesters, R—C(O)—S— are prepared by treating the tosylate (mesylate) of the alcohol with the sodium salt of the thioacid.
- Substitution of hydroxyl groups can be used to generate both esters, R B O—C(O)—, and amides, NHR B —C(O)—, linked to the steroid at carbon atoms.
- R B is —H, a protecting group or a C 1-50 organic moiety. These are synthesized from the steroid bromide with inversion by displacement with NaCN. The cyamide group can be hydrolyzed to the amide or the acid.
- the acid is esterified or treated by standard peptide coupling reactions with an acid-protected amino acid in the presence of a suitable carboxyl activating agents such as dicyclohexylcarbodiimide (DCC) to form steroid —C(O)—NH—CHY—C(O)—OR, where Y is the side chain of an amino acid or a C1-C10 organic moiety and R is a protecting group (or hydrogen when deprotected).
- DCC dicyclohexylcarbodiimide
- Amines and derivatives of amines are typically prepared by standard methods.
- amines e.g., NH 2 -steroid
- amines are generally prepared using the Hoffmann rearrangement (Br 2 , NaOH) from the amide (NH 2 —C(O)-steroid) or the Curtius rearrangement (NaN 3 ) from the acid chloride of the steroid.
- the R B substituent can subsequently be introduced by alkylation.
- Steroid alcohols can be used as starting materials under standard Mitsunobu conditions (PPh 3 , DEAD) to yield N-Boc sulfonamides using N-(t-butoxycarbonyl)-p-toluenesulfonamide.
- One can selectively remove either protecting group.
- Treatment with trifluoroacetic acid affords the sulfonamide (R B —S(O)(O)—NH-steroid).
- sodium napthalenide deprotects to give the N-Boc compound.
- Amines (NH 2 -steroid) can be converted to amides (R B —C(O)—NH-steroid) using acyl chlorides (R B —C(O)—Cl).
- the desired intermediate is optionally separated from other products or at least partially enriched (e.g., enriched at least about 10-fold, usually at least about 50-100-fold) from other products before subsequent reactions are conducted.
- Substitution at steroid carbon atoms will generally proceed with greatest efficiency at the 3-position, which is relatively sterically unhindered and C-17 is generally somewhat less accessible than the C-3 position.
- the relative reactivities of the C-3, C-7, C-17 and C-16 positions allows one to use their reactivities to control the sequential introduction of different functional groups into the same steroid molecule.
- groups, such as hydroxyl at more reactive positions, C-3 or C-17 may be sequentially protected or deprotected to allow introduction of functional groups at other positions, such as C-7 or C-16.
- Polymers such as PEG are linked to the compounds essentially as described above.
- PEG200 or PEG300 is linked to the steroid at the 3, 7, 16, 17 or other positions by an ether linkage (PEG-O-steroid) using a PEG alkoxide (PEG-ONa), to displace the steroid bromide.
- PEG-ONa PEG alkoxide
- PEG-Br can be treated with the steroid alkoxide.
- Polyethylene glycol esters such as those described in U.S. Pat. No. 5,681,964 can also be prepared using a suitable formula 1 compound and the methods described therein.
- Monosaccharides or polysaccharides and oligonucleotides are linked to steroid hydroxyl groups using known methods, see e.g., U.S. Pat. No. 5,627,270.
- Formula 1 steroid analogs that comprise one or more ring heteroatoms are synthesized according to the following methods.
- X is —CH 2 —, —NH—, —O—, or —S—;
- R 40 is —H or —Br;
- R 41 is an organic moiety having about 12 carbon atoms or less, typically C1-C 8 optionally substituted alkyl (e.g., methyl, hydroxymethyl, ethyl, propyl, —CH(O), —CH(S)) or C2-C8 optionally substituted alkenyl having a single double bond (e.g., vinyl) with 1, 2, 3 or more independently selected substituents (e.g., —OH, —COOH, —O—) and with any substituents that comprise a functional group generally being protected.
- substituents e.g., —OH, —COOH, —O—
- Preparation of compound 20 from 19 is accomplished using a glycol such as HOC(CH 3 ) 2 C(CH 3 ) 2 OH in acid (H + ) (B. H. Lipshutz et al., Synth. Commun. 12: 267, 1982).
- a glycol such as HOC(CH 3 ) 2 C(CH 3 ) 2 OH in acid (H + )
- H + HOC(CH 3 ) 2 C(CH 3 ) 2 OH in acid
- Scheme 13 The scheme and reactions shown below are used to prepare the compound of structure 13 and related compounds that are used to introduce oxygen, carbon, nitrogen or sulfur into the R 7 and R 8 positions of formula 1 compounds.
- the reactant in the preparation of compound 63, 3-chloro-2-methylpropene (reg. No. 563-47-3), is available commercially (e.g., Aldrich, Fluka).
- R—C(O)—CH 3 to other functionalities is accomplished as follows.
- the methyl ketone is cleaved to yield a carboxyl moiety using, e.g., Br 2 or I 2 in base, followed by treatment with acid (H 3 O + ) essentially as described (S. J. Chakrabarty Oxidations in Organic Chemistry Part C, W. Trahnnousy, editor, Academic Press, NY, 1987, chapter 5; L. J. Smith et al., Org. Synth . III 302, 1953), to yield R—C(O)—OH.
- the carboxylic acid is converted to the acid and then reduced to the alcohol using NaBH 4 .
- Compounds of structure 11 are brominated using N-bromosuccinimide to obtain steroids and analogs with bromine at the 7-position.
- the 11A compounds are deprotected to yield the aldehyde compounds 12.
- the bromine atom is ultimately found at the 7-position.
- the bromine may be converted to a hydroxyl by reaction of the steroid with base (e.g., aqueous KOH), and the hydroxyl may in turn be protected using known methods, e.g., using C 6 H 5 —CH 2 —Br and base (KOH).
- base e.g., aqueous KOH
- KOH C 6 H 5 —CH 2 —Br and base
- the alcohol is protected and deprotected essentially using described methods, see, e.g., W. H. Hartung et al., Org. React. 7: 263, 1953; E. J. Rerst et al., J. Org. Chem. 29: 3725, 1968; A. M.
- formula 1 compounds that have a double bond at the 5-6 position and are unsubstituted at the 7-position are optionally protected, e.g., hydroxyl groups are protected with acetate, and a ketone is introduced into the 7-position by oxidation with chromic acid essentially as described (U.S. Pat. No. 2,170,124).
- the carbonyl ( ⁇ O) at 7 is reduced to a hydroxyl using mild conditions, e.g., Al(Oi-Pr) 3 , to avoid reducing the 5-6 double bond.
- ketones ( ⁇ O) can be protected using a glycol, e.g., reaction with ethylene glycol in p-toluenesulfonic acid and benzene, before subsequent oxidation or reduction reactions are conducted.
- Various groups that may comprise the formula 1 compounds described herein e.g., hydroxyl groups or ketones bonded to the steroid nucleus, or substituted alkyl groups, substituted heterocycles, amino acids and peptides, can contain one or more reactive moieties such as hydroxyl, carboxyl, amino or thiol.
- Intermediates used to make formula 1 compounds may be protected as is apparent in the art. Noncyclic and cyclic protecting groups and corresponding cleavage reactions are described in “Protective Groups in Organic Chemistry”, Theodora W. Greene (John Wiley & Sons, Inc., New York, 1991, ISBN 0-471-62301-6) (hereafter “Greene”) and will not be detailed here.
- these protecting groups are groups that can be removed from a formula 1 compound without irreversibly changing the covalent bond structure or oxidation/reduction state of the remainder of the molecule.
- the protecting group, —R PR that is bonded to an —O— or —NH— group can be removed to form —OH or —NH 2 , respectively, without affecting other covalent bonds in the molecule.
- more than one protecting group can be removed at a time, or they can be removed sequentially.
- the protecting groups are the same or different.
- Protecting groups are removed by known procedures, although it will be understood that the protected intermediates fall within the scope of this invention. The removal of the protecting group may be arduous or straight-forward, depending upon the economics and nature of the conversions involved. In general, one will use a protecting group with exocyclic amines or with carboxyl groups during synthesis of a formula 1 compound. For most therapeutic applications amine groups should be deprotected. Protecting groups commonly are employed to protect against covalent modification of a sensitive group in reactions such as alkylation or acylation. Ordinarily, protecting groups are removed by, e.g. hydrolysis, elimination or aminolysis.
- a group is a protecting group if when, based on mole ratio, 90% of that protecting group has been removed by a deprotection reaction, no more than 50%, typically 25%, more typically 10%, of the deprotected product molecules have undergone changes to their covalent bond structure or oxidation/reduction state other than those occasioned by the removal of the protecting group.
- a group is a protecting group if when, based on mole ratio determined by conventional techniques, 90% of that protecting group has been removed by a conventional deprotection reaction, no more than 50%, typically 25%, more typically 10%, of the deprotected product molecules have undergone irreversible changes to their covalent bond structure or oxidation/reduction state other than those occasioned by the removal of the protecting group.
- Protecting groups are also described in detail together with general concepts and specific strategies for their use in Kocienski, Philip J.; “Protecting Groups” (Georg Thieme Verlag Stuttgart, New York, 1994), which is incorporated by reference in its entirety herein.
- Typical hydroxy protecting groups are described in Greene at pages 14-118 and include Ethers (Methyl); Substituted Methyl Ethers (Methoxymethyl, Methylthiomethyl, t-Butylthiomethyl, (Phenyldimethylsilyl)methoxymethyl, Benzyloxymethyl, p-Methoxybenzyloxymethyl, (4-Methoxyphenoxy)methyl, Guaiacolmethyl, t-Butoxymethyl, 4-Pentenyloxymethyl, Siloxymethyl, 2-Methoxyethoxymethyl, 2,2,2-Trichloroethoxymethyl, Bis(2-chloroethoxy)methyl, 2-(Trimethylsilyl)ethoxymethyl, Tetrahydropyranyl, 3-Bromotetrahydropyranyl, Tetrahydropthiopyranyl, 1-Methoxycyclohexyl, 4-methoxytetrahydropyranyl, 4-Methoxytetrahydrothiopyranyl, 4-Meth
- hydroxy protecting groups include substituted methyl ethers, substituted benzyl ethers, silyl ethers, and esters including sulfonic acid esters, still more typically, trialkylsilyl ethers, tosylates and acetates.
- Typical 1,2- and 1,3-diol protecting groups are described in Greene at pages 118-142 and include Cyclic Acetals and Ketals (Methylene, Ethylidene, 1-t-Butylethylidene, 1-Phenylethylidene, (4-Methoxyphenyl)ethylidene, 2,2,2-Trichloroethylidene, Acetonide (Isopropylidene), Cyclopentylidene, Cyclohexylidene, Cycloheptylidene, Benzylidene, p-Methoxybenzylidene, 2,4-Dimethoxybenzylidene, 3,4-Dimethoxybenzylidene, 2-Nitrobenzylidene); Cyclic Ortho Esters (Methoxymethylene, Ethoxymethylene, Dimethoxymethylene, 1-Methoxyethylidene, 1-Ethoxyethylidine, 1,2-Dimethoxyethylid
- 1,2- and 1,3-diol protecting groups include epoxides and acetonides.
- Typical amino protecting groups are described in Greene at pages 315-385 and include Carbamates (Methyl and Ethyl, 9-Fluorenylmethyl, 9(2-Sulfo)fluoroenylmethyl, 9-(2,7-Dibromo)fluorenylmethyl, 2,7-Di-t-butyl-[9-(10,10-dioxo-10,10,10,10-tetrahydrothioxanthyl)]-methyl, 4-Methoxy-phenacyl); Substituted Ethyl (2,2,2-Trichoroethyl, 2-Trimethylsilylethyl, 2-Phenylethyl, 1-(1-Adamantyl)-1-methylethyl, 1,1-Dimethyl-2-haloethyl, 1,1-Dimethyl-2,2-dibromoethyl, 1,1-Dimethyl-2,2,2-trichloroethyl, 1-Methyl-1
- amino protecting groups include carbamates and amides, still more typically, N-acetyl groups.
- Groups capable of biological cleavage typically include prodrugs.
- a large number of such groups are described in “Design of Prodrugs”, Hans Bundgaard (Elsevier, N.Y., 1985, ISBN 0-444-80675-X) (Bundgaard) and will not be detailed here.
- Bundgaard at pages 1-92, describes prodrugs and their biological cleavage reactions for a number of functional group types.
- Prodrugs for carboxyl and hydroxyl groups are detailed in Bundgaard at pages 3 to 10, for amides, imides and other NH-acidic compounds at pages 10 to 27, amines at pages 27 to 43, and cyclic prodrugs at pages 62 to 70.
- These moieties are optionally bonded to the steroid at one, two or more of the variable groups that are bonded to the rings in the formula 1 compounds, e.g., one or more R 1 -R 6 , R 10 , R 15 , R 17 and R 18 .
- Metabolites Also falling within the scope of this invention are the in vivo metabolites of the compounds described herein and the use of those compounds for use in the methods described herein. This includes metabolites or products that are novel and unobvious over the prior art as new compounds as such and their uses as described herein or in the cited references. Such products may result for example from the oxidation, reduction, hydrolysis, amidation, esterification, glycosidation and the like of the administered formula 1 compound, due to enzymatic or chemical processes.
- the invention includes novel and unobvious compounds produced by a process comprising contacting a compound of this invention with a subject, e.g., a human, rodent or a primate, for a period of time sufficient to yield a metabolic product thereof.
- a subject e.g., a human, rodent or a primate
- Such products typically are identified by preparing a radiolabeled or mass labeled formula 1 compound that comprises, e.g., 1, 2, 3 or more 13 C, 14 C, 3 H, 2 H, 131 I, 32 P, 35 S or 99 Tc atoms bonded to the compound, and administering it as a trace labeled compound along with the unlabeled compound.
- the labeled and unlabeled compound is administered by any suitable route (by, e.g., a buccal, sublingual, parenteral, topical or oral route) in a detectable dose (e.g. greater than about 0.1 ⁇ g/kg, or at least about 10 ⁇ g/kg or at least about 0.5 mg/kg of the labeled compound) to a subject, e.g., an animal or mammal such as rat, mouse, guinea pig, primate, or to a human.
- a subject e.g., an animal or mammal such as rat, mouse, guinea pig, primate, or to a human.
- sufficient time is allowed for metabolism to occur (typically about 30 seconds to 30 hours) and conversion products are isolated from one or more of the urine, blood, plasma, feces or other suitable biological sources.
- the amount of labeled formula 1 compound that is administered to a subject will vary with the specific activity of the labeled compound.
- Exemplary metabolic conversions of formula 1 compounds include modification of hydrogen atoms or other moieties that are bonded to, e.g., one or more of the 1, 2, 3, 4, 6, 7, 11, 15, 16 or 17 positions.
- Exemplary conversions at these one or more of positions include hydroxylation of ring atoms, e.g., ring carbon atoms, conjugation of hydroxyl groups that are bonded to one or more of those positions with moieties such as sulfate, phosphate or a monosaccharide or disaccharide such as glucuronic acid and hydrolysis of moieties such as esters or alkoxy groups.
- Exemplary radiolabeled and heavy atom labeled formula 1 compounds include ones that comprise 1, 2, 3 or more 13 C, 14 C, 2 H, 3 H, 131 I, 32 P or 35 S atoms that are at (or bonded to), e.g., one, two, three or more of the 1, 2, 3, 4, 6, 7, 11, 12, 15, 16, 17, 18 or 19 positions.
- the molecule comprises only one or two types, e.g., 13C or 3 H, of labeled atoms.
- Suitably labeled compounds include any of the compounds disclosed herein, e.g., any formula 1 compound in compound groups 1 through 54.
- Such labeled compounds may comprise, e.g., a 13 C at the 18 or 19 positions and one two or three 3 H may be bonded to the 13 C atom(s).
- Other formula 1 compounds may comprise one or two 2 H or 3 H atoms bonded to one or more of the 1, 2, 4, 5, 6, 11 or 12 positions and optionally a 13 C at the 18 or 19 position(s).
- Formulations and compositions for preparing formulations include formulations described here and elsewhere in this disclosure. While it is possible for the formula 1 compound(s) to be administered alone it is usual to present them as formulations.
- the formulations both for veterinary and for human use, comprise at least one formula 1 compound, together with one or more excipients and optionally one or more additional therapeutic ingredients.
- compositions comprising one or more pharmaceutically acceptable excipients or carriers.
- the compositions are used to prepare formulations suitable for human or animal use.
- Suitable administration routes for formulations include oral, rectal, nasal, topical (including buccal and sublingual), vaginal and parenteral (including subcutaneous, intramuscular, intravenous, intradermal, intrathecal, intraocular and epidural).
- aqueous and non-aqueous liquid or cream formulations are delivered by a parenteral, oral or topical route.
- the formula 1 compound(s) may be present as an aqueous or a non-aqueous liquid formulation or a solid formulation suitable for administration by any of the routes disclosed herein, e.g., oral, topical, buccal, sublingual, parenteral or inhaled aerosol. It will be appreciated that the preferred route may vary with, for example, the subject's pathological condition or weight or the subject's response to therapy with a formula 1 compound or other therapy that is used or that is appropriate to the circumstances.
- the formulations include those suitable for the foregoing administration routes.
- the formulations may conveniently be presented in unit dosage form and may be prepared by any of the methods known in the art of pharmacy. Techniques, excipients and formulations generally are found in, e.g., Remington's Pharmaceutical Sciences , Mack Publishing Co., Easton, Pa. 1985, 17 th edition, Nema et al., PDA J. Pharm. Sci. Tech. 199751:166-171, G. Cole, et al., editors, Pharmaceutical Coating Technology, 1995, Taylor & Francis, ISBN 0 136628915, H. A.
- excipients for formulations include emulsifying wax, propyl gallate, citric acid, lactic acid, polysorbate 80, sodium chloride, isopropyl palmitate, glycerin, white petrolatum and other excipients disclosed herein.
- Methods to make invention formulations include the step of bringing into association or contacting a formula 1 compound(s) with one or more excipient, such as one described herein or in the cited references.
- the formulations are prepared by uniformly and intimately bringing into association the formula 1 compound(s) with liquid excipients or finely divided solid excipients or both, and then, if appropriate, shaping the product.
- Formulations suitable for oral administration are prepared as discrete units such as capsules, cachets or tablets each containing a predetermined amount of the formula 1 compound(s); as a powder or granules; as solution or a suspension in an aqueous liquid or a non-aqueous liquid; or as an oil-in-water liquid emulsion or a water-in-oil liquid emulsion.
- the formula 1 compound(s) may also be presented as a bolus, electuary or paste.
- a tablet is made by compression or molding, optionally with one or more accessory ingredients.
- Compressed tablets may be prepared by compressing in a suitable machine the formula 1 compound(s) in a free-flowing form such as a powder or granules, optionally mixed with a binder, lubricant, inert diluent, preservative, surface active or dispersing agent.
- Molded tablets may be made by molding in a suitable machine a mixture of the powdered or granulated formula 1 compound and one or more excipients which are optionally moistened with an inert liquid diluent or excipient.
- the tablets may optionally be coated or scored and optionally are formulated so as to provide slow or controlled release of the formula 1 compound(s) therefrom.
- An exemplary tablet or caplet (a capsule shaped tablet) formulation suitable for buccal or sublingual delivery of a formula 1 compound to a subject's tissues comprises about 25 or 50 mg of a formula 1 compound such as BrEA hemihydrate comprising per 25 mg of the formula 1 compound about 6.2 mg povidone, about 0.62 mg magnesium stearate, about 45 mg mannitol and about 48 mg of compressible sucrose.
- a formula 1 compound such as BrEA hemihydrate comprising per 25 mg of the formula 1 compound about 6.2 mg povidone, about 0.62 mg magnesium stearate, about 45 mg mannitol and about 48 mg of compressible sucrose.
- the formulations are typically applied as a topical ointment or cream containing the formula 1 compound(s) in an amount of, for example, about 0.075 to about 20% w/w (including formula 1 compound(s) in a range between about 0.1% and 20% in increments of 0.1% w/w such as about 0.6% w/w, about 0.7% w/w, about 1% w/w, about 1.5% w/w, about 2% w/w, about 2.5 w/w, about 3% w/w, about 5% w/w, about 7% w/w, about 10% w/w etc.), including about 0.2 to 15% w/w and about 0.5 to 10% w/w.
- 0.1% w/w such as about 0.6% w/w, about 0.7% w/w, about 1% w/w, about 1.5% w/w, about 2% w/w, about 2.5 w/w, about 3% w/w, about 5% w/w, about 7%
- the formula 1 compound(s) When formulated in an ointment, the formula 1 compound(s) may be employed with either a paraffinic or a water-miscible ointment base. Alternatively, they may be formulated in a cream with an oil-in-water cream base.
- the aqueous phase of the cream base may include, for example, at least 30% w/w of a polyhydric alcohol, i.e. an alcohol having two or more hydroxyl groups such as propylene glycol, butane 1,3-diol, butane 1,4-diol, mannitol, sorbitol, glycerol and a polyethylene glycol (including, e.g., PEG 300 and PEG 400) and mixtures thereof.
- the topical formulations may include a compound that enhances absorption or penetration of the formula 1 compound(s) through the skin or other affected areas. Examples of such dermal penetration enhancers include dimethyl sulphoxide and related analogs.
- the oily phase of the emulsions of this invention may be constituted from known excipients in a known manner. While the phase may comprise an emulsifier (otherwise known as an emulgent), it desirably comprises a mixture of at least one emulsifier with a fat or an oil or with both a fat and an oil. A hydrophilic emulsifier may be included together with a lipophilic emulsifier, which acts as a stabilizer. Some embodiments include both an oil and a fat.
- the emulsifier(s) with or without stabilizer(s) make up the so-called emulsifying wax
- the wax together with the oil and fat make up the so-called emulsifying ointment base which forms the oily dispersed phase of the cream formulations.
- Emulgents and emulsion stabilizers suitable for use in the formulations include Tween60TM, Span80TM, cetostearyl alcohol, benzyl alcohol, myristyl alcohol, glyceryl mono-stearate and sodium lauryl sulfate.
- Creams are generally a non-greasy, non-staining and washable products with suitable consistency to avoid leakage from tubes or other containers.
- Straight or branched chain, mono- or dibasic alkyl esters such as di-isoadipate, isocetyl stearate, propylene glycol diester of coconut fatty acids, isopropyl myristate, decyl oleate, isopropyl palmitate, butyl stearate, 2-ethylhexyl palmitate or a blend of branched chain esters known as Crodamol CAP may be used. These may be used alone or in combination depending on the properties required. Alternatively, high melting point lipids such as white soft paraffin and/or liquid paraffin or other mineral oils are used.
- Formulations suitable for topical administration to the eye include eye drops wherein the formula 1 compound(s) is dissolved or suspended in a suitable excipient(s), including an aqueous solvent for a formula 1 compound(s) that comprise at least about 0.5, one, two or more charges at pH values near neutrality, e.g., about pH 6-8.
- the formula 1 compound(s) is typically present in such formulations in a concentration of about 0.5-20% w/w, about 1-10% w/w or about 2-5% w/w.
- Formulations suitable for topical administration to oral mucosa include lozenges or tablets comprising the formula 1 compound(s) in a flavored basis or a monosaccharide or disaccharide such as sucrose, lactose or glucose and acacia or tragacanth; pastilles comprising the formula 1 compound(s) in an inert basis such as gelatin and glycerin, or sucrose and acacia; and mouthwashes comprising the formula 1 compound(s) in a suitable liquid excipient(s).
- lozenges or tablets comprising the formula 1 compound(s) in a flavored basis or a monosaccharide or disaccharide such as sucrose, lactose or glucose and acacia or tragacanth
- pastilles comprising the formula 1 compound(s) in an inert basis such as gelatin and glycerin, or sucrose and acacia
- mouthwashes comprising the formula 1 compound(s) in a suitable liquid excipient(s).
- the lozenges or tablets optionally comprise the property of rapid dissolution or disintegration, e.g., disintegration within about 15 seconds to about 2 minutes, while in others, the lozenges or tablets comprise the property of slower dissolution or disintegration, e.g., disintegration within about 2 minutes to about 10 minutes or more.
- Formulations for rectal administration may be presented as a suppository with a suitable base comprising for example cocoa butter or a salicylate.
- Formulations suitable for vaginal administration may be presented as pessaries, tampons, creams, gels, pastes, foams or spray formulations containing in addition to the formula 1 compound(s) such excipients as are known in the art to be appropriate.
- Formulations suitable for parenteral administration include aqueous and non-aqueous sterile injection solutions which may contain anti-oxidants, buffers, bacteriostats, salts (e.g., NaCl, potassium or sodium carbonate or bicarbonate or potassium or sodium phosphates) and solutes which render the formulation isotonic with the blood of the intended subject; and aqueous and non-aqueous sterile suspensions which may include suspending agents or thickening agents.
- the formula 1 compound that is present in liquid compositions or formulations is completely dissolved in aqueous or non-aqueous excipients.
- the formula 1 compound is partially dissolved while the remaining portion is present as a solid, which can be a suspension or a colloid.
- Exemplary formulations suitable for parenteral delivery of formula 1 compounds to subjects such as humans or animals typically comprise one, two, three or more excipients.
- Exemplary embodiments include (1) any two, three or four of propylene glycol, PEG200, PEG300, ethanol and benzyl benzoate and (2) any two, three or four of propylene glycol, PEG100, PEG200, PEG300, PEG400 and benzyl benzoate.
- Another exemplary formulation suitable for parenteral use include an aqueous BrEA hemihydrate suspension comprising about 50-120 mg/mL of BrEA hemihydrate that has an average particle size of 20 ⁇ m or less, about 0.05-0.2% w/v carboxymethylcellulose sodium, about 1-3% w/v polysorbate 80, about 0.75-0.85% w/v NaCl, about 0.023% w/v dibasic sodium phosphate, about 0.101% w/v monobasic sodium phosphate, about 0-0.5% ethanol v/v, pH 6.5+/ ⁇ 0.4 and optionally about 0.1-0.3% w/v of a preservative such as methylparaben.
- a preservative such as methylparaben.
- compositions and formulations generally comprise about 0.01-10% of a formula 1 compound, usually about 1-5%, and about 0.01-3% water, typically about 0.05-3%, usually about 0.1-1%.
- the formulations include unit or multi-unit dosages suitable for parenteral administration once or twice per day or once per 2-3 days.
- Unit dosages comprise about 3-1000 mg of formula 1 compound per unit dose, typically about 5-500 mg, usually about 10-200 mg.
- a unit dose usually comprises about 10-250 mg of BrEA hemihydrate, usually about 100-200 mg, in a volume of about 1-6 mL, usually about 2-4 mL.
- Formulations, or compositions disclosed herein for use to make formulations suitable for administration by the routes disclosed herein optionally comprise an average particle size in the range of about 0.01 to about 500 microns, about 0.1 to about 100 microns or about 0.5 to about 75 microns.
- Average particle sizes include a range between 0.01 and 500 microns in 0.05 micron or in 0.1 micron or other increments, e.g., an average particle size of about 0.05, 0.1, 0.5, 1, 1.5, 2.0, 2.5, 3.0, 3.5, 4.0, 4.5, 5.0, 5.5, 6, 7, 8, 9, 10, 15, 20, 25, 30, 35, 40, 50, 60, 75, 85, 100, 120, etc. microns).
- formula 1 compounds or compositions that comprise a formula 1 compound may comprise one, two, three or more of these average particle sizes, or size ranges.
- one may optionally mill, sieve or otherwise granulate the compound or composition to obtain a desired particle size, e.g., as described above.
- Milling may occur before or after the formula 1 compound is contacted with one or more excipients.
- a formula 1 compound such as 16 ⁇ -bromoepiandrosterone hemihydrate, to obtain an average particle size (or diameter) of about 0.05-50 ⁇ M or about 0.5-10 ⁇ M (e.g., about 0.04, 0.1, 0.5, 1, 1.5, 2, 2.5, 5, 10, 15, 20, 40, 60, 80, 100 or 120 ⁇ M average particle size or diameter) before contacting the milled formula 1 compound with a liquid or solid excipient.
- the formula 1 compound is milled or sieved to obtain an average particle size of about 5 ⁇ m or about 10 ⁇ m before it is contacted with a solid or liquid excipient(s) to obtain a solution or suspension or a powder suitable for making a tablet, capsule or other dosage form as described herein or in the cited references.
- an average particle size or an average particle diameter means that the material, e.g., a formula 1 compound(s), an excipient(s) or a composition that comprises both, is ground, milled, sieved or otherwise treated so as to comprise the specified average size. It is to be understood that some particles may be larger or smaller, but the composition or the formula 1 compound(s) will comprise a significant proportion of the material with the specified size or within an acceptable range of the specified size.
- Micronization methods include milling by ball mills, pin mills, jet mills (e.g., fluid energy jet mills) and grinding, sieving and precipitation of a compound(s) from a solution, see, e.g., U.S. Pat. Nos.
- Average particle size is determined by, e.g., transmission electron microscopy, scanning electron microscopy, light microscopy, X-ray diffractometry and light scattering methods or Coulter counter analysis.
- the formula 1 compounds may comprise a powder that consists of one, two or more of these average particle sizes and the powder may be contacted with a solid excipient(s), suitably mixed and optionally compressed or formed into a desired shape.
- a formula 1 compound(s) is contacted with a liquid excipient(s) to prepare a liquid formulation or a liquid composition that is incorporated into a solid formulation.
- Suitable micronized formulations thus include aqueous or oily solutions or suspensions of the formula 1 compound(s).
- Formulations suitable for aerosol administration typically will comprise a fine powder, e.g., having an average particle size of about 0.1 to about 20 microns or any one, two or more of the average particle sizes within this range that are described above.
- the powder is typically delivered by rapid inhalation through the nasal passage or by inhalation through the mouth so as to reach the bronchioles or alveolar sacs of the lungs.
- Formulations suitable for aerosol, dry powder or tablet administration may be prepared according to conventional methods and may be delivered with other therapeutic agents such as compounds heretofore used in the treatment or prophylaxis of viral or other infections as described herein.
- Such formulations may be administered, e.g., orally, parenterally (e.g., intravenous, intramuscular, subcutaneous, intradermal, intrathecal), topically, sublingually or by a buccal or sublingual route.
- Micronized formula 1 compound is useful, e.g., to facilitate mixing, dissolution or uniform suspension of the formula 1 compound in one or more liquid or solid excipients, e.g., a PEG such as PEG 300 or PEG 400, or propylene glycol or benzyl benzoate, a complexing agent, such as a cyclodextrin (e.g., an ⁇ -, ⁇ - or ⁇ -cyclodextrin such as hydroxypropyl- ⁇ -cyclodextrin).
- a PEG such as PEG 300 or PEG 400
- propylene glycol or benzyl benzoate e.g., a cyclodextrin (e.g., an ⁇ -, ⁇ - or ⁇ -cyclodextrin such as hydroxypropyl- ⁇ -cyclodextrin).
- Micronized formula 1 compound is also useful to facilitate uniformly distributing drug substance when the micronized compound is contacted with one or more solid excipients (e.g., a filler, a binder, a disintegrant, complexing agent (e.g., a cyclodextrin such as hydroxypropyl- ⁇ -cyclodextrin), a preservative, a buffer or a lubricant).
- solid excipients e.g., a filler, a binder, a disintegrant, complexing agent (e.g., a cyclodextrin such as hydroxypropyl- ⁇ -cyclodextrin), a preservative, a buffer or a lubricant).
- suitable compositions or formulations comprise a formula 1 compound that is present in two or more physical forms.
- a liquid composition or formulation may comprise a formula 1 compound that is present in solution and as undissolved particles, which may be milled as described herein.
- a solid composition or formulation may comprise a formula 1 compound that is present as an amorphous form and as a crystal or in an encapsulated granule.
- Such encapsulated granules may comprise a slow release type formulation and the formula 1 compound that is present may be in one or more physical forms, e.g., liquids or solids as described herein, but usually as a solid in tablets or other solid formulations.
- the formulations are presented in unit-dose or multi-dose containers, for example sealed ampules and vials, and may be stored in a freeze-dried (lyophilized) condition requiring only the addition of the sterile liquid excipient, for example water for injection, immediately prior to use.
- sterile liquid excipient for example water for injection
- Extemporaneous injection solutions and suspensions are prepared from sterile powders, granules and tablets as described above.
- Unit dosage formulations are those containing a daily dose or unit daily sub-dose, as recited herein, or an appropriate fraction thereof, of the formula 1 compound(s).
- formulations of this invention may include other agents or excipients conventional in the art having regard to the type of formulation in question, for example those suitable for oral administration may include flavoring agents.
- Formulations made from or comprising a formula 1 compound such as BrEA hemihydrate are optionally stored under conditions that limit the amount of light or water that reaches the formulation, e.g., in a sealed container that holds a formulation or unit dosage form and optionally contains silica gel or activated carbon.
- Water permeation characteristics of containers have been described, e.g., Containers—Permeation, Chapter, USP 23,1995, U.S. Pharmacopeial Convention, Inc., Rockville, Md., p. 1787.
- Storage of BrEA hemihydrate or formulations that contain it is typically at about 4-30° C.
- the invention further provides veterinary compositions comprising at least one formula 1 compound together with a veterinary excipient(s) therefor.
- Veterinary excipients are materials useful for the purpose of administering the composition and may be solid, liquid or gaseous materials that are otherwise inert or acceptable in the veterinary art and are compatible with the formula 1 compound(s). These veterinary compositions may be administered orally, parenterally or by any other desired route.
- Invention formulations include controlled release pharmaceutical formulations containing a formula 1 compound(s) (“controlled release formulations”, “slow release formulations” or the like) in which the release of the formula 1 compound(s) is controlled or regulated to allow less frequency dosing or to improve the pharmacokinetic or toxicity profile of a given formula 1 compound(s).
- controlled release formulations “slow release formulations” or the like
- Polymers and other materials that are suitable to prepare controlled release formulations that comprise a formula 1 compound have been described, e.g., U.S. Pat. Nos. 4,652,443, 4,800,085, 4,808,416, 5,013,727, 5,188,840.
- microcapsules, granules or other shaped forms may comprise a formula 1 compound and a slow release polymer or polymer matrix that comprises or consists of one or more of ethylene dimethacrylate, diethylene glycol dimethacrylate, diethylene glycol diacrylate, triethylene glycol dimethacrylate, triethylene glycol diacrylate, tetrathylene glycol dimethacrylate, tetraethylene glycol diacrylate, polyethylene glycol dimethacrylate, polyethylene glycol diacrylate, diethylaminoethyl dimethacrylate, glycidyl methacrylate, epoxy acrylate, glycidyl acrylate, hydroxyethyl methacrylate, hydroxyethyl acrylate, hydroxypropyl methacrylate, hydroxypropyl acrylate, hydroxybutyl methacrylate, hydroxybutyl acrylate, hydroxyhexyl methacrylate, hydroxyhexyl acrylate,
- an effective dose of formula 1 compound(s) depends in part on one or more of the nature of the condition being treated, toxicity, whether the formula 1 compound(s) is being used prophylactically (generally lower doses) or against an active infection or condition, the method of delivery, and the formulation.
- the effective dosage will typically be determined by the clinician using conventional dose escalation studies. In other subjects, the dose is obtained by similar dose escalation analyses.
- an effective dose can be expected to be from about 0.05 to about 50 mg/kg body weight per day, e.g., about 2 mg/kg/day, about 4 mg/kg/day, about 6 mg/kg/day, or about 8 mg/kg/day.
- the daily candidate dose for an adult human of approximately 70 kg body weight will range from about 1 mg to about 500 mg, generally between about 5 mg and about 40 mg, and may take the form of single or multiple doses or administration sites.
- the effective daily dosage may comprise about 0.05 mg/kg/day to about 300 mg/kg/day, including about 1 mg/kg/day to about 100 mg/kg/day.
- an “effective dosage” or an “effective amount” of a formula 1 compound(s) is one that is sufficient to result in, e.g., a detectable change in a symptom or an immune parameter such as one described herein.
- An effective dosage (or daily dosage) may be administered to a subject over a period of time, e.g., at least about 1-14 days before a symptom change or an immune parameter detectably changes. Effective dosages may include any of the dosages as described herein.
- Embodiments include formulations that comprise a liposome or lipid complex that comprises a formula 1 compound(s), e.g., BrEA or an ester, carbamate, carbonate, amino acid or peptide thereof.
- a formula 1 compound(s) e.g., BrEA or an ester, carbamate, carbonate, amino acid or peptide thereof.
- Such formulations are prepared according to known methods, e.g., U.S. Pat. Nos. 4,427,649, 5,043,165, 5,714,163, 5,744,158, 5,783,211, 5,795,589, 5,795,987, 5,798,348, 5,811,118, 5,820,848, 5,834,016 and 5,882,678.
- the liposomes optionally contain an additional therapeutic agent(s), e.g., amphotericin B, cis-platin, adriamycin, a protease inhibitor, a nucleoside or a nucleotide analog, such as one of those mentioned herein.
- an additional therapeutic agent(s) e.g., amphotericin B, cis-platin, adriamycin, a protease inhibitor, a nucleoside or a nucleotide analog, such as one of those mentioned herein.
- Formulations that comprise liposomes can be delivered to a subject by any standard route, e.g., oral, aerosol or parenteral (e.g., s.c., i.v. or i.m.).
- Liposome formulations can be used to enhance delivery of the formula 1 compound(s) to certain cell types such as tumor cells (see e.g., U.S. Pat. No. 5,714,163) or to cells of the reticuloendothelial system (“RES”).
- the RES includes macrophages, mononuclear phagocytic cells, Kupfer cells, cells lining the sinusoids of the spleen, lymph nodes, and bone marrow, and the fibroblastic reticular cells of hematopoietic tissues.
- RES cells are phagocytic and they are targets for targeted delivery of a formula 1 compound(s) in vitro or in vivo using liposomes, or other compositions or formulations.
- a neoplasm that is derived from reticuloendothelial tissue (reticuloendothelioma).
- the liposomes may optionally comprise a peptide from an infectious agent such as a malaria parasite, a virus or a tumor associated antigen.
- the peptides may facilitate the generation of a MHC class II and B cell response.
- Invention embodiments include the product made by a process of combining, mixing or otherwise contacting a formula 1 compound such as BrEA hemihydrate and one, two or more excipients. Such products are produced by routine methods of contacting the ingredients. Such products optionally contain a diluent, a disintegrant, a lubricant, a binder, or other excipients described herein or in references cited herein.
- compositions that transiently occur when a method step or operation is performed.
- a formula 1 compound such as BrEA containing less than about 3% water
- an excipient e.g., a PEG, an alcohol, propylene glycol or benzyl benzoate
- the composition before addition of one ingredient with another is a non-homogenous mixture.
- the mixture's homogeneity increases and the proportion of ingredients relative to each other approaches a desired value.
- invention compositions which contain less than about 3% water can comprise about 0.0001-99% of a formula 1 compound such as BrEA and one or more excipients.
- These transient compositions are intermediates that necessarily arise when one makes an invention composition or formulation and they are included in invention embodiments to the extent that they are useful in the disclosed methods or that they are patentable.
- the final composition may comprise a homogenous mixture or it may comprise a mixture that is not homogenous for one or more of the compounds that are present in the composition.
- Compositions and formulations that are either homogenous or non-homogenous are included in the scope of the invention. Non-homogenous compositions can be used to make controlled release formulations.
- Invention embodiments include compositions and formulations that comprise less than about 3% water, a formula 1 compound and a compound that is not generally considered suitable for human use but is useful to make an invention formulation for veterinary use.
- Veterinary formulations are compositions useful for the purpose of administering invention compositions to primates, cats, dogs, horses, cows, rabbits and other subjects and may contain excipients acceptable in the veterinary art and are compatible with formula 1 compounds such as BrEA. These veterinary compositions may not always be suitable for human use because they contain an excipient that is not suitable for human use, e.g., an alcohol other than ethanol such as methanol, propanol or butanol. Typically such excipients will be present at relatively low levels, e.g., about 1-30%, usually about 1-5%.
- compositions and formulations e.g., unit dosage forms and sterile solutions, that comprise (1) about 1-100 mg/mL of a formula 1 compound(s), about 57.5% propylene glycol, about 25% PEG300, about 12.5% ethanol and about 5% benzyl benzoate; (2) about 1-60 mg/mL of a formula 1 compound(s), about 70% propylene glycol, about 25% PEG300 and about 5% benzyl benzoate; (3) about 1-60 mg/mL of a formula 1 compound(s), about 25% PEG300, about 35% propylene glycol, about 35% mannitol and about 5% benzyl benzoate; (4) about 1-60 mg/mL of a formula 1 compound(s), about 57.5% propylene glycol, a mixture comprising about 25% PEG300 and PEG200 (e.g., PEG300:PEG200 in a ratio of about 1:10 to about 10:1), about 12.5% ethanol and about 5% benzy
- Exemplary embodiments include liquid formulations that comprise a formula 1 compound, one, two, three, four or more excipients and less than about 3% v/v water, wherein the formulation is optionally disposed in containers that exclude water. These excipients are optionally selected from those disclosed herein. Such formulations optionally comprise less than about 2% v/v water, less than about 1% v/v water, less than about 0.5% v/v water, less than about 0.2% v/v water or less than about 0.1% v/v water. Such formulations are suitable for use in methods to modulate an immune response or cellular response in a subject in need thereof comprising administering to the subject, or delivering to the subject's tissues, an effective amount of a compound of formula 1.
- the subject in need thereof would have, or be subject to, a condition such as one disclosed herein as amenable to treatment, prevention, amelioration using a formula 1 compound, which is optionally combined with the use of another therapeutic treatment or agent as disclosed herein or in the cited references.
- These formulations are suitable for use in any of the dosing methods or protocols disclosed herein, including the intermittent dosing protocols disclosed herein.
- invention compositions or formulations e.g., unit dosage forms, any of embodiments (1) -(14) above, or compositions used to make formulations, at about 4-40° C. for at least about 3 days, e.g., storage at ambient temperature for about 1-24 months.
- invention formulations will typically be stored in hermetically or induction sealed containers for these time periods.
- Invention compositions will typically be held in closed containers.
- the specification and claims disclose exemplary suitable formulations and unit dosage forms for these embodiments.
- the formula 1 compounds, or the biologically active substances produced from these compounds by hydrolysis or metabolism in vivo have a number of clinical and non-clinical applications.
- the compounds are generally useful to regulate immune responses in vertebrate or mammalian subjects, e.g., as disclosed herein. For example, they can enhance Th1 immune responses or reduce Th2 immune responses, or they can reduce inflammation or one or more of its symptoms.
- Th1 or Th2 immune responses means such responses as observed in mammals generally and not as observed in the murine system, from which the Th1 and Th2 terminology originated.
- Th1 cells preferentially display chemokine receptors CXCR3 and CCR5, while Th2 cells preferentially express the CCR4 molecule and a smaller amount of the CCR3 molecule.
- the formula 1 compounds are useful in reestablishing normal immune function in various immune dysregulation or immune suppression conditions. For example, they are useful to treat, slow progression of or to ameliorate one or more symptoms associated with one or more of an autoimmune condition(s), a inflammation condition(s), an infection(s), a cancer(s), a precancer(s), a chemotherapy(ies), radiation therapy, a burn(s), a trauma(s), a surgery(ies), a cardiovascular disease(s) and a neurological or neurodegenerative disease(s).
- the formula 1 compounds are believed to act through several mechanisms, including by directly or indirectly modulating steroid receptor activity or by affecting or modulating other biological targets such as transcription factors, steroid binding proteins or enzymes.
- Clinical indications that have an association with or have a symptom(s) that is consistent with an excessive Th2 immune response include, e.g., fatigue, pain, fever or an increased incidence of infection, are schizophrenia, acute myelitis, sarcoidosis, burns, trauma (e.g., bone fracture, hemorrhage, surgery) and immune responses to xenotransplantation.
- This common underlying immune component in at least part of the pathology or symptomology of all of these conditions. This allows a single agent to be effectively used to prevent or treat the condition or to treat or ameliorate one or more symptoms that are associated with these conditions or with insufficient Th1 responses or with excessive Th2 responses.
- amelioration of one or more symptoms associated with the condition is accomplished by administering an effective amount of a formula 1 compound according to the methods described herein.
- a formula 1 compound may intermittently administer using a formulation and a route of administration as described herein.
- unwanted Th2 immune responses are associated with, or caused by, increased expression of one or more cytokines or interleukins such as IL-4 and IL-10.
- Administration of a formula 1 compound will generally reduce the expression of one or more of the Th2-associated cytokines or interleukins.
- the compounds generally enhance the expression of one or more cytokines or interleukins associated with Th1 immune responses. Because of their capacity to modulate or to balance Th1 and Th2 immune responses, the compounds are useful for a variety of clinical conditions, e.g., infection, immunosuppression or cancer, where an enhanced Th1 immune response is desired.
- Effects of the formula 1 compounds in treating, preventing or slowing the progression of the clinical conditions described herein can include one or more of (1) enhancing the Th1 character of a subject's immune response or immune status, (2) increasing the intensity of a Th1 or a Th2 immune response or both and (3) decreasing inflammation or a symptom thereof.
- Exemplary conditions where an immune imbalance or an excessive Th2 immune response is involved include autoimmune diseases such as SLE (systemic lupus erythematosus), osteoporosis, multiple sclerosis, myasthenia gravis, Graves disease, mite-associated ulcerative dermatitis, rheumatoid arthritis and osteoarthritis.
- SLE systemic lupus erythematosus
- osteoporosis multiple sclerosis
- myasthenia gravis myasthenia gravis
- Graves disease mite-associated ulcerative dermatitis
- rheumatoid arthritis rheumatoid arthritis
- Excessive Th2 immune responses are also associated with an unwanted symptom or pathology, e.g., fatigue, pain, fever or an increased incidence of infection, that is associated with aging, allergy and inflammation conditions such as allergic bronchopulmonary aspergillosis in cystic fibrosis patients, atopic asthma, allergic respiratory disease, allergic rhinitis, atopic dermatitis, subepithelial fibrosis in airway hyperresponsiveness, chronic sinusitis, perennial allergic rhinitis, Crohn's disease (regional enteritis), ulcerative colitis, inflammatory bowel disease, fibrosing alveolitis (lung fibrosis). These conditions are further described below.
- allergic bronchopulmonary aspergillosis in cystic fibrosis patients atopic asthma, allergic respiratory disease, allergic rhinitis, atopic dermatitis, subepithelial fibrosis in airway hyperresponsiveness, chronic sinusitis, perennial allergic rhinitis, Crohn's disease (regional enteritis
- compositions or formulations that comprise a carrier and an amount of at least one formula 1 compound effective to detectably modulate an immune parameter.
- a desired immune cell subset e.g., CD4 + T cells, CD8 + T cells, NK cells, LAK cells, neutrophils, granulocytes, basophils, eosinophils or dendritic cells, or to modulate one or more functions of immune cell subsets.
- Exemplary immune modulation centers on modulating expression of gene(s) that enhance of Th1 immune responses or reduces of Th2 immune responses.
- Functions that the formula 1 compounds affected include expression of CD molecules or alteration of the proportion of cell subsets, e.g., CD4 + or CD8 + T cells, or their relative numbers in a subject's blood or tissues.
- CD molecules participate in the function of various immune cell subsets and can be useful as markers for immune function in vivo.
- the formula 1 compounds activate immune cells which generally alters (increases or decreases) expression of, or changes the numbers of cells that express one or more of, CD4, CD6, CD8, CD25, CD27, CD28, CD30, CD38, CD39, CD43, CD45RA, CD45RO, CD62L, CD69, CD71, CD90 or HLA-DR molecules.
- the numbers of cells that express these molecules are increased, e.g., CD25, CD16 or CD69.
- increases are observed as an increased proportion of circulating white blood cells that express one or more of these molecules.
- the number of such molecules per cell is detectably altered.
- adhesion molecules CD2, CD5, CD8, CD11a, CD11b, CD11c, CD18, CD29, CD31, CD44, CD49a, CD49b, CD49c, CD49d, CD49e, CD49f, CD50, CD54, CD58, CD103 or CD104 are also detectably affected after administration of the formula 1 compounds to a subject. Often, the numbers of cells that express these molecules are increased, e.g., CD5 or CD56.
- the adhesion molecules function in various aspects of immune responses, such as binding to class I MHC molecules, transducing signals between cells or binding to molecules in the extracellular matrix associated with endothelial or other cell types.
- NK cells e.g., CD8 ⁇ , CD56 + or CD8 + , CD56 +
- LAK lymphokine activated killer cells
- Increased circulating NK or LAK cells are typically observed, which is reflected in increased numbers of cells that express one or more of CD16, CD38, CD56, CD57 or CD94.
- increased numbers of circulating dendritic cell precursors are observed, as shown by increases in cells that express one or more of CD11c, CD80, CD83, CD106 or CD123.
- Expression of one or more homing receptors such as CD62L, CLA-1, LFA1 or CD44 may also be detectably affected after administration of the formula 1 compounds to a subject.
- the numbers of cells that express these molecules, or the relative amounts per cell of, e.g., CD44 or CD62L may be increased where a desired immune response is desired, e.g., migration of T cells to mucosal tissues or exposure of na ⁇ ve T cells to antigen in lymph nodes.
- numbers of cells that express these molecules, or the relative amounts per cell of, e.g., CLA-1 may be decreased where inhibition of an undesired immune response, such as an inflammatory response is desired.
- the subject's response to such enhanced expression includes migration of cells such as movement of na ⁇ ve T cells to peripheral lymph nodes in response to modulation of CD62L or other homing receptor expression.
- the formula 1 compounds can also facilitate migration of various immune cell types, e.g., dendritic cells, NK cells, LAK cells, macrophages or lymphocytes, from one location to another within a subject.
- the compounds can enhance dendritic cell or lymphocyte migration from areas such as the skin tissues to the gut associated lymphoid tissue (“GALT”), lymph nodes or spleen.
- GALT gut associated lymphoid tissue
- Such migration may facilitate the function of those cell types by increasing their transit to tissues where their effector functions, e.g., antigen presentation by dendritic cells, normally occur.
- the migration period is often relatively transient (e.g., observable over about 1-7 days) or occasionally longer (e.g., occurring for about 8-40 days), depending on the dosing regimen and other factors.
- This migration can be observed by standard methods, e.g., by cell staining, by PCR analyses or by determining the presence of a given cell type in circulation or determining a decrease in the number circulating cells.
- a decrease would generally reflect sequestration of an immune cell population(s) in a tissue(s) where the immune cell normally exercises its effector functions.
- the migration of one or more immune cell subsets such as CD11 C + cells from tissue such as skin or lung through the blood to immune tissue such as lymph nodes or GALT is seen as a transient increase in the level of circulating CD11C + cells in response to exposure of the subject's tissues to a suitable amount of a formula 1 compound.
- the level of CD11C + cells in the blood will generally detectably increase, e.g., a statistically significant increase, plateau and then decrease as migration of the cells to immune tissue subsides.
- the proportion of the cells of the affected immune cell subset is typically relatively low in most physiological immune states, e.g., normal or abnormal immune conditions, compared to the total white blood cell population in circulation.
- the migration of one or more immune cell subsets such as CD123 + cells from the circulation to immune tissue such as lymph nodes or GALT results in a decrease.
- the decrease in the numbers of circulating immune cells reflects the migration of the immune cells from the blood to immune tissue such as lymph nodes or GALT. Such a decrease may be transient and followed by recovery of the affect immune cell subset(s) over about 2 to 24 weeks.
- administration of the formula 1 compound to the subject is accomplished using the formulations or the methods as described herein.
- an aspect of the invention is a method to enhance the migration of one or more immune cell types in a subject from one location (e.g., circulation or a non-lymphoid tissue such as the skin, liver or lung) to another (e.g., a lymphoid tissue such as a lymph node, spleen or a mucosal tissue such as GALT) by administration to a subject as described herein of an effective amount of a formula 1 compound essentially as described by any of the methods disclosed herein.
- a related aspect is the monitoring, e.g., by suitable blood counts or tissue biopsy, of the subject's response to determine the timing and extent of such immune cell migration.
- CD molecules that are modulated by the presence of the formula 1 compounds in a subject include cytokine receptor molecules such as CD115, CDW116, CD117, CD118, CDW119, CD120a, CD120b, CD121a, CD121b, CD122, CD123, CD124, CD125 CD126, CDW127, CDW128 or CDW130.
- cytokine receptor molecules such as CD115, CDW116, CD117, CD118, CDW119, CD120a, CD120b, CD121a, CD121b, CD122, CD123, CD124, CD125 CD126, CDW127, CDW128 or CDW130.
- the numbers of receptor molecules per cell will be modulated.
- receptors for cytokines that mediate or facilitate Th1 immune responses or innate immune responses e.g., one or more of IL-2, IL-12, ⁇ IFN and ⁇ -interferon
- IL-2, IL-12, ⁇ IFN and ⁇ -interferon will typically increase in or on cells that media
- Modulation of these molecules may be by direct interactions with a receptor(s) in the cell that expresses the cytokine receptor or indirectly by modulation of cytokine synthesis in the affected cells or in other cells, typically immune cells that may interact with the cells whose receptor synthesis is being modulated.
- autocrine or paracrine mechanisms may underlie some of the effects associated with administration of a formula 1 compound(s) such as altered cytokine profiles in immune cells or altered immune cell populations. Endocrine cytokine mechanisms may also contribute to desired immune responses.
- Treatment of a subject with a formula 1 compound can result in a change of at least about 20-80% or about 25-50% above or below (e.g., at least 30% or at least 40% above or below) the control or basal level of some immune cell subsets.
- increases of more than about 30% in the total numbers of activated CD8 + T cells e.g., CD8 + , CD69 + , CD25 + T cells, CD8 + , CD69 + , CD25 ⁇ T cells or CD8 + , CD69 ⁇ , CD25 + T cells, usually occurs by 7 days after a single dose of a formula 1 compound to a subject.
- Such increases may be greater than 50%, 60% or 100% in the total numbers of activated CD8 + T cells or subsets of activated CD8 + T cells in individual subjects. Typically such increases are about in the total numbers of activated CD8 + T cells or subsets of activated CD8 + T cells averages about 30-40%, with individual subjects experiencing increases over 100% in the numbers of activated CD8 + T cells per unit blood volume compared to the basal level.
- the concentration of circulating CD4 + , CD69 + , CD25 ⁇ (Th1 helper cells) and CD8 + , CD16 + , CD38 + LAK cells or CD8 ⁇ , CD16 + , CD38 + LAK cells typically increases during or after the course of dosing a subject with a formula 1 compound.
- CD8 ⁇ , CD16 + , CD38 + and CD8 + , CD16 + , CD38 + (ADCC effector cells) and low side scatter Lin ⁇ , DR + , CD123 + (dendritic precursors) or low side scatter Lin ⁇ , DR + , CD11c + (dendritic cells or precursors) may show modest to significant increases.
- administering results in a favorable shift in the balance of Th1 or Th2 responses the subject can mount in the face of immunosuppression.
- treatment with a formula 1 compound results in enhancement of Th1 responses or a reduction in Th2 responses.
- Th2 responses are suboptimal or insufficient, treatment with a formula 1 compound results in enhancement of Th2 responses or a reduction in Th1 responses.
- the formula 1 compounds can thus be used to shift the nature of a subject's immune response to result in a more balanced immune response from immunosuppression.
- the compounds can selectively suppress inappropriate or unwanted immune responses.
- Enhanced Th1 responses appears to be at least partly due to one or more of (i) a reduction in biological restraints, e.g., high levels of IL-4 or IL-10, on Th1 functions by preexisting primed Th1 effector cells, (ii) enhanced differentiation of Th0 cells to Th1 cells or enhanced responses mediated by Th1 cells, (iii) enhanced function of accessory cell function, e.g., antigen presentation by dendritic cells, dendritic precursor or progenitor cells or by macrophages or their precursors or progenitors, (iv) enhanced proliferation and differentiation of Th1 precursor or progenitor cells, (v) enhanced IL-12 expression in dendritic cells or their precursors, which results in enhanced differentiation of Th1 cells from Th0 precursors, (vi) enhanced expression or activity of
- An aspect of the invention methods is an alteration in the expression of IL-4 or IL-10 that occurs after administration of a formula 1 compound, e.g., BrEA, to a subject.
- a formula 1 compound e.g., BrEA
- extracellular IL-4 or IL-10 levels rapidly decrease to levels that are undetectable by ELISA.
- Intracellular IL-10 levels are reduced to levels that are near or below the limits of detection by flow cytometry.
- the administration of a formula 1 compound to a subject thus provides a means to inhibit either or both of these interleukins.
- Such inhibition may be associated with enhancement of Th1 immune responses relative to Th2 or Th0 responses, e.g., in subjects where Th1 responses are suppressed (e.g., from viral, bacterial or parasite infection (HIV, HCV, etc) or chemotherapy) or are otherwise suboptimal.
- Th1 responses are suppressed (e.g., from viral, bacterial or parasite infection (HIV, HCV, etc) or chemotherapy) or are otherwise suboptimal.
- levels of either IL-4 or IL-10, usually IL-10 before dosing with a formula 1 compound is low or undetectable.
- dosing with the formula 1 compound results in a rapid drop in the interleukin that is detectable, usually IL-4.
- any formula 1 compound disclosed herein can be used according to one or more of the dosing methods that are disclosed herein.
- dosages for the formula 1 compounds, formulations and routes of administration are as described herein. Additional information regarding these and other clinical conditions or symptoms that can be treated, prevented or ameliorated with the formula 1 compounds are found at e.g., The Merck Manual, 17 th edition, M. H. Beers and R. Berkow editors, 1999, Merck Research Laboratories, Whitehouse Station, N.J., ISBN 0911910-10-7, or in other references cited herein.
- Responses to treatment of a subject having a condition disclosed herein with a formula 1 compound is optionally monitored by observing changes in one or more immune or other appropriate clinical parameters, e.g., as described herein or in D. S. Jacobs et al., editors, Laboratory Test Handbook, 4 th edition, pages 11-686, Lexi-Comp Inc., Hudson, Ohio, ISBN 0-916589-36-6, or in any of the references cited herein, or by monitoring the progression or severity of the underlying condition according to known methods, e.g., J. B. Peter, editor, Use and Interpretation of Laboratory Tests in Infectious Disease, 5 th Edition, pages 1-309,1998, Specialty Laboratories, Santa Monica, Calif., ISBN 1-889342-13-0.
- the formula 1 compound(s) is administered to a subject who has a pathogen infection, such as a viral, bacterial, fungal, yeast, intracellular parasite or extracellular parasite infection.
- a pathogen infection such as a viral, bacterial, fungal, yeast, intracellular parasite or extracellular parasite infection.
- the formula 1 compounds can be considered for use in a broad scope of infections (see, e.g., J. B. Peter, editor, Use and Interpretation of Laboratory Tests in Infectious Disease, 5 th edition, Specialty Laboratories, Santa Monica, Calif. 90404, 1998, pages 1-271), since the compounds generally enhance Th1 immune responses and/or reduce Th2 immune responses and/or reduce inflammation or its symptoms.
- Difficulty in treating many infections e.g., progressive toxoplasmic encephalitis, malaria, tuberculosis, leishmaniasis and schistosomiasis, often appear to be associated with one or more of an unwanted Th2 immune responses, a suboptimal Th1 response or the development of resistance of the infectious agent to antimicrobial agents.
- Th2 immune responses e.g., progressive toxoplasmic encephalitis, malaria, tuberculosis, leishmaniasis and schistosomiasis
- a reduced Th2 response would be desirable to allow a patient to slow progression of the disease or to clear infected cells more efficiently.
- the formula 1 compounds In treating chloroquine resistant or sensitive malaria, the formula 1 compounds have essentially the same activity.
- Exemplary viral infections that the formula 1 compounds can be used to treat, prevent or ameliorate include infections by one or more DNA or RNA viruses such as a genogroup, clade, isolate, strain or so forth of influenza viruses (e.g., influenza A, influenza B), respiratory syncytial viruses, Rotaviruses, Hantaviruses, animal or human Papillomaviruses (e.g., HPV-16, HPV-18), Poxviruses, Poliovirus, rabies viruses, human and animal Retroviruses (e.g., HIV-1, HIV-2, LAV, human T-cell leukemia virus I (“HTLV I”), HTLV II, HTLV III, SIV, SHIV, FIV, FeLV), Togaviruses and Flaviviruses (e.g., West Nile Virus, Yellow Fever Virus, Dengue viruses), Herpesviruses (e.g., CMV, EBV, Varicella Zoster Virus, Herpes simplex virus 1 (“HS
- viruses including their genogroups, clades, isolates, strains and so forth, that may establish a virus infection susceptible to the treatment methods disclosed herein include human hepatitis C virus (“HCV”), human hepatitis B virus (“HBV”), human hepatitis A virus (“HAV”), duck hepatitis virus, woodchuck hepatitis virus, human papilloma viruses, e.g., HPV 6, HPV 11, HPV 16, HPV 18, HPV 31, HPV 45, animal papilloma viruses, Poliovirus, Foot and Mouth Disease Virus, Dengue virus types 1-4, Western Equine Encephalitis Virus, Japanese Encephalitis Virus, Yellow Fever Virus and Bovine Viral Diarrhea Virus.
- viruses have been described. See, for example B. N. Fields, et al., editors, Fundamental Virology, 3 rd edition, 1996, Lippencott-Raven Publishers, see chapter 2 at pages 23-57, including table 4 at pages 26-27, table 5 at pages 28-29, chapter 17 at pages 523-539, chapters 26-27 at pages 763-916, chapter 32 at pages 1043-1108 and chapter 35 at pages 1199-1233.
- human patients infected with HCV are dosed with an aqueous isotonic ⁇ -cyclodextrin or ⁇ -cyclodextrin formulation containing about 20 mg/mL BrEA.
- the formulation is delivered intravenously in a single daily dose or two subdoses per day.
- the patients are dosed with 1 to 10 mg/kg/day for 4 to 10 days, followed by no dosing for 5 to 30 days, followed by dosing again with the cyclodextrin formulation for 4 to 10 days.
- the dosing regimen is repeated one, two or more times.
- a formula 1 compound(s) is administered daily continuously as a component in an oral or parenteral composition or formulation, e.g., for a formula 1 compound(s) that is a new compound per se.
- BrEA is optionally also administered systemically using, e.g., a parenteral formulation to deliver 1-5 mg/kg/day every other day for about 1 to 4 months, or an oral formulation to deliver about 5-40 mg/kg/day every other day for about 1 to 4 months.
- a parenteral formulation to deliver 1-5 mg/kg/day every other day for about 1 to 4 months
- an oral formulation to deliver about 5-40 mg/kg/day every other day for about 1 to 4 months.
- formula 1 compound(s) are administered to a subject or delivered to the tissues of a subject who has a pathogen infection (or is susceptible to an infection) such as one caused by or associated with a parasite, bacterium, fungus or yeast, to slow the progression of infection, interfere with replication or development of the infectious agent or to ameliorate one or more of the associated symptoms, e.g., weight loss, anemia, fever, pain, fatigue, inflammation, immune dysfunction, secondary infections, skin lesions or ulcers or mood changes such as depression.
- Parasites include malaria parasites, sleeping sickness parasites and parasites associated with gastrointestinal infections.
- Parasite, fungi, yeast and bacterial infections that can be treated include ones caused by or associated with species, groups, genotypes, strains or isolates of gastrointestinal helminths, microsporidia, isospora, cryptococci, cryptosporidia ( Cryptosporidium parvum ), Mycobacterium sp. (e.g., M. avium, M. bovis, M. leprae, M. tuberculosis, M. pneumoniae. M. penetrans ), Mycoplasma sp. (e.g., M. fermentans, M. penetrans, M. pneumoniae ), Trypanosoma sp. (e.g., T. brucei, T. gambiense, T. cruzi, T.
- Leishmania sp. e.g., L. donovani, L. major, L. braziliensis
- Plasmodium sp. e.g., P. falciparum, P. knowlesi, P. vivax, P. berghei, P. yoelli
- Ehrlichia sp. e.g., E. canis, E. chaffeensis, E. phagocytophila, E. equi, E. sennetsu
- Entamoeba sp. Babesia microti, Haemophilus sp. (e.g., H. somnus, H.
- influenzae a virus ), Brucella sp. (e.g., B. militensis, B. abortus ), Bartonella sp. ( B. henselae ), Bordetella sp. (e.g., B. bronchiseptica, B. pertussis ), Escherichia sp. ( E. coli ), Salmonella sp. (e.g., S. typhimurium ), Shigella sp. (e.g., S. flexneri ), Pseudomonas sp. ( P. aeruginosa ), Neisseria (e.g., N. gonorrhoeae, N.
- Brucella sp. e.g., B. militensis, B. abortus
- Bartonella sp. B. henselae
- Bordetella sp. e.g., B.
- Streptococcus sp. Staphylococcus sp. (e.g., S. aureus ), Rickettsia sp. (e.g., R. rickettsii ), Treponema sp. (e.g., T. pallidum ), Yersinia sp. (e.g., Y. enterocolitica, Y. pestis ), Legionella pneumonia and Listeria (e.g., L. monocytogenes ), Pneumocystis sp. (e.g., P. carinii ), Aspergillis sp., Candida sp. (e.g., C.
- albicans C. krusei, C. tropicalis
- Chlamidya sp. Chlamidya sp.
- Schistosoma sp. Strongyloides stercoralis
- Tinea sp. e.g., T. pedis
- Bacterial infections that can be treated, prevented or ameliorated thus include infections by intracellular or extracellular gram positive bacteria, gram negative bacteria or by Mycoplasma .
- Other pathogens that are amenable to treatments according to the present invention are as described. See, e.g., J. B. Peter, editor, Use and Interpretation of Laboratory Tests in Infectious Disease, 5 th Edition, pages 1-309, 1998, Specialty Laboratories, Santa Monica, Calif., ISBN 1-889342-13-0.
- an additional therapeutic treatment in conjunction with, i.e., before, during or after, administration of a formula 1 compound(s) to a subject(s).
- other treatments can also be administered to the subject, e.g., nucleoside analogs for viral infections or chloroquine for malaria.
- Subjects suffering from another condition such as an inflammation condition, an autoimmune condition or a cancer are optionally treated using one or more additional treatments.
- Such additional treatments will typically include standard therapies for the subject's pathological condition(s), but they can also include experimental or other treatments.
- vitamins multivitamins, individual vitamins
- antioxidants or other agents vitamin E, allopurinol, folinic acid
- nutritional supplements liquid protein or carbohydrate preparations
- Any of these additional treatments can be coupled with the administration of any of the formula 1 compounds, e.g., BrEA, an ester, carbamate, carbonate or amino acid or peptide conjugate thereof, in any of the embodiments described herein.
- Such additional therapeutic agents or therapeutic treatments are apparent to the skilled artisan. Such treatments are selected based on the condition(s) to be treated, cross-reactivities of ingredients and pharmaco-properties of the combination. For example, when treating a viral infection(s), e.g., a retroviral infection, in a human or other subject, the formula 1 compounds are combined with one or more reverse transcriptase inhibitors, protease inhibitors, antibiotics or analgesics. Suitable formula 1 compounds that are combined with such therapeutic agents include those described, e.g., in the compound groups, embodiments or claims disclosed herein.
- antiviral agents suitable for use in the method include reverse transcriptase or polymerase inhibitors such as AZT (zidovudine or 3′-azido-3′-deoxythymidine), 3TC, D4T, ddI, ddC, 2′,3′-dideoxynucleosides such as 2′,3′-didoxycytidine, 2′,3′-dideoxyadenosine, 2′,3′-didoxyinosine, 2′,3′-didehydrothymidine, carbovir and acyclic nucleosides, e.g., acyclovir, ganciclovir.
- AZT zidovudine or 3′-azido-3′-deoxythymidine
- 3TC 3TC
- D4T ddI, ddC
- 2′,3′-dideoxynucleosides such as 2′,3′-didoxycytidine, 2′,
- Exemplary protease inhibitors, fusion inhibitors or other antiviral or antiretroviral agents that may be used in a combination therapy with a formula 1 compound include lamivudine, indinavir, nelfinavir, amprenavir, ritonavir, crixivan, sequanavir, nevirapine, stavudine, a HIV fusion inhibitor, efavirenz, co-trimoxazole, N-(tert-butyl-dechydro-2)-2(R)-hydroxy-4-phenyl-3(S)- ⁇ N-2-quinolyl-carbonyl)-L-asparginyl!butyl ⁇ -(4a,S,8a,S)-isoquinoline-3(S)-carboxamide (Ro 31-8959), oxathiolan nucleoside analogues such as cis-1-(2-hydroxymethyl)-1,3-oxathiolan-5-yl)-
- a formula 1 compound When treating other viral infections of the respiratory system, liver, blood, skin or other systems, e.g., human hepatitis C virus (“HCV”), human hepatitis B virus (“HBV”) or influenza virus infection (e.g., human influenza A or B), a formula 1 compound are optionally is used in conjunction with antivirals or treatments for such viruses.
- HCV human hepatitis C virus
- HBV human hepatitis B virus
- influenza virus infection e.g., human influenza A or B
- a formula 1 compound are optionally is used in conjunction with antivirals or treatments for such viruses.
- Examples of such therapeutic agents or treatments which are useful in these methods include carbovir, oxathiolan nucleoside analogs such as cis-1-(2-hydroxymethyl)-1,3-oxathiolan-5-yl)-cytosine or cis-1-(2-hydroxymethyl)-1,3-oxathiolan-5-yl-5-fluoro-cytosine, 2′,3′-didoxy-5-ethynyl-3′-fluorouridine, 5-chloro-2′,3′-didoxy-3′-fluorouridine, 1-( ⁇ -D-arabinofuranosy)-5-propynyluracil and acyclovir, amantadine, rimantadine, ribavirin, oseltamivir or compounds disclosed in U.S.
- Pat. Nos. 5,763,483 (especially compounds recited in claims 1 and 2), 5,866,601 and 6,043,230, mucolytics, expectorants, bronchodilators, antibiotics, antipyretics, analgesics or cytokines or interleukins that can augment one or more aspects of a desired immune response, e.g., IL-1, IL-2, IL-3, IL-6, ⁇ -interferon, ⁇ -interferon, ⁇ -interferon, G-CSF, GM-CSF, M-CSF or thrombopoietin.
- cytokines or interleukins can be used for any viral infection essentially according to known dosing methods and dosages, e.g., as disclosed herein or in the cited references.
- the pathogens in methods that use a formula 1 compound to treat an infected subject may be sensitive or resistant to one or more antimicrobial agents.
- bacteria causing an infection can be sensitive or resistant to antibiotics such as a ⁇ -lactam antibiotic (e.g., penicillin, carbenicillin, ampicillin), a sulfa drug, a tetracycline, vancomycin or erythromycin.
- Infecting parasites can similarly be sensitive or resistant to antimicrobials, e.g., chloroquine resistant or sensitive Plasmodium parasites.
- the subject's therapeutic regimen will optionally include treatment of resistant or sensitive infectious agents with one or more known antimicrobial agents.
- antimicrobial agents are as described, e.g., herein or in G. J. Galasso et al., editors, Antiviral Agents and Human Viral Diseases, 4 th edition, pages 1-833, 1997, Lippincott-Raven, Philadelphia, Pa., ISBN 0-397-51709-2, or in any reference cited herein.
- Invention embodiments include treating a subject who has a bacterial or parasite infection as described with a formula 1 compound as described herein and a an antibacterial agent(s) or an antiparasitic agent(s) as described herein or in the cited references.
- the antiviral or antimicrobial agents or treatments in combination therapies with a formula 1 compound will be or are used essentially according to new or to known dosing and administration methods for those agents or treatments. Their use may precede, overlap or be coincident in time with or follow a treatment protocol with a formula 1 compound.
- the other therapeutic agents or treatments will overlap and will thus be administered on one or more of the same days on which a formula 1 compound is administered to a subject having a viral infection, or subject to a viral infection.
- the other therapeutic agents or treatments will be administered to such a subject within about 1 day to about 180 days before or after a treatment protocol or a dosing period with a formula 1 compound begins or ends.
- the other suitable treatment or agent is administered within 1 day, 2 days, 3 days, 4 days, about 7 days, about 14 days, about 28 days or about 60 days before or after a treatment protocol or a dosing period with a formula 1 compound begins or ends.
- exemplary conditions include one or more of a non-viral pathogen infection(s), a cancer(s), a precancer(s), an inflammation condition(s), an autoimmune condition(s), an immunosuppression condition(s), a neurological disorder(s), a cardiovascular disorder(s), a neurological disorder(s), diabetes, obesity, wasting, a cancer chemotherapy(ies) side-effect(s), a side-effect(s) of a chemotherapy(ies) or a radiation therapy(ies) of any other clinical condition disclosed herein or in the cited references, or the like.
- invention embodiments include the use of a formula 1 compound before, during or after a treatment that uses another suitable therapeutic agent(s) or therapeutic treatment(s) for any of the conditions disclosed herein.
- agents or treatments include the use of one or more adrenergic agents, adrenocortical suppressants, alcohol deterrents, aldosterone antagonists, amino acids, ammonia detoxicants, anabolics, analeptics, analgesics, anesthesia, adjuncts to anesthetics, anorectics, anterior pituitary suppressants, anthelmintics, antiacne agents, anti-adrenergics, anti-allergics, anti-amebics, anti-androgens, anti-anemic, antianginals, anti-anxiety agents, anti-arthritics, anti-asthmatics, anti-atherosclerotics, antibacterials, anticholelithics, anticholelithogenics, anticholinergics, anticoagulants, anticoccidals, anticonvulsants, antidepressants, antidiabetics, antidiarrheals, antidiuretics, anti-emetics, anti
- the formula 1 compound(s) effects an improvement of one or more of the symptoms associated with the infection or a symptom thereof.
- treatment of subjects who are immune suppressed e.g., from a retrovirus infection, cancer chemotherapy or other cause, generally show improvement of one or more associated symptoms, such as weight loss, fever, anemia, pain, fatigue or reduced infection symptoms that are associated with a secondary infection(s), e.g., HSV-1, HSV-2, papilloma, human cytomegalovirus (“CMV”), Pneumocystis (e.g., P. carinii ) or Candida ( C. albicans, C. krusei, C. tropicalis ) infections.
- CMV human cytomegalovirus
- Pneumocystis e.g., P. carinii
- Candida C. albicans, C. krusei, C. tropicalis
- the formula 1 compound(s) is administered as a nonaqueous liquid formulation as described herein or the formula 1 compound(s) is administered according to any of the intermittent dosing protocols described herein using a solid or liquid formulation(s).
- a retroviral infection e.g., a human with an HIV infection
- symptoms that include one or more of, a relatively low CD4 count (e.g., about 10-200, or about 20-100 or about 20-50), one or more additional pathogen infections (HSV-1, HSV-2, HHV-6, HHV-8, CMV, HCV, a HPV, P.
- the formula 1 compound(s) is administered to a subject who has a condition that appears to be associated with a viral infection, e.g., pneumonia or retinitis associated with CMV, nasopharyngeal carcinoma or oral hairy leukoplakia associated with Epstein-Barr virus, progressive pancephalitis or diabetes associated with Rubella virus or aplastic crisis in hemolytic anemia associated with Parvovirus 19.
- a viral infection e.g., pneumonia or retinitis associated with CMV, nasopharyngeal carcinoma or oral hairy leukoplakia associated with Epstein-Barr virus, progressive pancephalitis or diabetes associated with Rubella virus or aplastic crisis in hemolytic anemia associated with Parvovirus 19.
- One or more intermittent dosing protocols disclosed herein or one or more of the liquid non-aqueous formulations described herein can be applied by routine experimentation to any of the uses or applications described herein.
- the compound(s) can be administered to a subject according to an invention intermittent dosing protocol(s) or by other protocols, e.g., continuous daily dosing of a single dose or two or more subdoses per day.
- any of the formula 1 compounds, e.g., one or more formula 1 compounds that are new per se can be present in any solid or liquid formulation described herein.
- the formula 1 compounds disclosed herein may also be used as vaccine adjuvants with immunogens or components of immunogenic compositions to prepare antibodies capable of binding specifically to the formula 1 compounds, their metabolic products which retain immunologically recognized epitopes (sites of antibody binding) or prepare antibodies that bind to antigens that can be used for vaccination against, e.g., infectious agents or malignant cells.
- the immunogenic compositions therefore are useful as intermediates in the preparation of antibodies that bind to formula 1 compounds for use, e.g., in diagnostic, quality control, or the like, methods or in assays for the compounds or their novel metabolic products.
- the compounds are useful for raising antibodies against otherwise non-immunogenic polypeptides, in that the compounds may serve as haptenic sites stimulating an immune response against the polypeptide.
- the hydrolysis products or metabolites of formula 1 compounds include products of the hydrolysis of the protected acidic, basic or other reactive groups that variable groups, e.g., R 1 -R 9 , optionally comprise.
- acidic or basic amides comprising immunogenic polypeptides such as albumin (e.g., human or mammalian), keyhole limpet hemocyamin and any other peptide described herein are used as immunogens.
- the metabolites of formula 1 compounds may retain a substantial degree of immunological cross reactivity with the unmetabolized parent compounds.
- the antibodies will be capable of binding to the metabolites of the parent formula 1 compound without binding to the parent compound itself.
- the antibodies will be capable of binding to the parent compounds only, while in other cases the antibodies will be capable of binding to either of these.
- Some of the antibodies will not substantially cross-react with naturally occurring materials or epitopes that are present in the subject. Substantial cross-reactivity is reactivity under specific assay conditions for specific analytes sufficient to interfere with the assay results.
- the immunogens of this invention may comprise a formula 1 compound that has 1 or more epitopes in association with another immunogenic substance.
- association means covalent bonding to form an immunogenic conjugate (when applicable) or a mixture of non-covalently bonded materials, or a combination of the above.
- Immunogenic substances include adjuvants such as Freund's adjuvant, immunogenic proteins such as viral, bacterial, yeast, plant and animal polypeptides, including keyhole limpet hemocyanin, serum albumin, bovine thyroglobulin or soybean trypsin inhibitor, and immunogenic polysaccharides.
- the formula 1 compound having one, two or more epitopes is covalently conjugated to an immunogenic polypeptide or polysaccharide by the use of a polyfunctional (ordinarily bifunctional) cross-linking agent.
- a polyfunctional (ordinarily bifunctional) cross-linking agent for the manufacture of immunogens that comprise one or more haptens are conventional per se. Any suitable known method for conjugating haptens to immunogenic polypeptides or the like are used here, taking into account the functional groups on the precursors or hydrolytic products which are available for cross-linking and the likelihood of producing antibodies specific to the epitope in question as opposed to the immunogenic substance.
- a polypeptide, polysaccharide or other suitable immunogenic moiety is conjugated to a site on a formula 1 compound in a location that is distant from the epitope on the formula 1 compound to be recognized.
- the conjugates are prepared in conventional fashion.
- the cross-linking agents N-hydroxysuccinimide, succinic anhydride or C 2-8 alkyl-N ⁇ C ⁇ N—C 2-8 alkyl are useful in preparing the conjugates.
- the conjugates comprise a formula 1 compound that is attached by a bond or a linking group of 1-100, typically, 1-25, more typically about 1-10 carbon atoms to the immunogenic substance.
- the conjugates are separated from starting materials and by-products using chromatography or the like, and then are optionally sterile filtered, or otherwise sterilized, or are optionally vialed for storage. Synthetic methods to prepare hapten-carrier immunogens have been described, see e.g., G. T. Hermanson, Bioconjugate Techniques Academic Press, 1996, pages 419-493.
- the formula 1 compounds are cross-linked for example through any one or more of the following groups: a hydroxyl group, a thiol group, a carboxyl group, a carbon atom, or an amine group. Included within such compounds are amides of polypeptides where the polypeptide serves as an above-described protecting group.
- Animals or mammals are typically immunized once, twice or more times against the immunogenic conjugates that comprise a formula 1 compound or their derivatives and polyclonal antisera or monoclonal antibodies prepared in conventional fashion.
- about 0.0001 mg/kg to about 1 mg/kg, e.g., about 0.001 or about 0.01 or about 0.1 mg/kg, of immunogenic conjugate or derivative is used on one, two, three or more occasions to immunize the subject as described herein.
- the immunogenic conjugates are administered, orally, topically or parenterally as described herein, e.g., by i.m. or s.c. injection.
- the formula 1 compounds are used as adjuvants to enhance a subject's immune response to antigens such as proteins, peptides, polysaccharides, glycoproteins or killed or attenuated viruses or cell preparations.
- an effective amount of the formula 1 compound is administered at about the same time that the antigen is delivered to the subject, e.g., within about 1, 2, 3, 4, 5, 6, or 7 days of when the antigen is administered to the subject.
- the formula 1 compound is administered 1, 2, 3, 4 or more times (usually once or twice per day) at 1, 2, 3 or 4 days before or after the antigen is administered to the subject.
- the formula 1 compound is administered on the same day that the antigen is administered to the subject, e.g., within about 1-4 hours. Such immunization methods may be repeated once, twice or more as needed.
- the formula 1 compound can be administered to the subject using any of the formulations or delivery methods described herein or in the references cited herein.
- Subjects suitable for these vaccinations include young and elderly mammals, including humans, e.g., humans about 3-36 months of age or older and humans about 60, 65, 70, 75 years of age or older.
- the amount of antigen used can be about 0.01 ⁇ g/kg to about 20 mg/kg, typically about 1-100 ⁇ g/kg.
- Dosages of the formula 1 compound used in these vaccinations is essentially as described herein, e.g., about 10 mg to about 1000 mg of a formula 1 compound is used per day on days when it is administered as part of the vaccination method.
- compositions or formulations that comprise a formula 1 compound, an antigen(s) or antigen(s) preparation and optionally one or more excipients.
- the antigen is essentially as disclosed herein or in a cited reference.
- Antigen preparations may comprise one or more of (1) lethally or sublethally radiated cells or pathogens, (2) disrupted cells or viruses or such as attenuated viruses, (3) a nucleic acid or DNA vaccine, (4) an antigenic protein, glycoprotein, polysaccharide or a fragment or derivative of any of these molecules and (5) chemically treated cells or pathogens, e.g., formalin or detergent treated cells, viruses or cell or virus extracts.
- an antigen means a moiety that can be used to elicit an immune response when it is administered to a subject.
- the antigen is foreign to the subject.
- the subject to be vaccinated may not encode or express the antigen, while the antigen is usually part of or expressed by a pathogen or by a subject or mammal of a different species.
- antigens are endogenous or non-foreign to the subject, e.g., they are usually encoded or expressed by the subject or another subject of the same species. Endogenous antigens are suitable for use in, e.g., tumor vaccination methods. Exemplary tumors from which a suitable antigen(s) may be obtained are as described herein or in the cited references.
- a DNA vaccine as used here typically comprises a nucleic acid, usually DNA, that encodes one or more antigens or epitopes that a pathogen, e.g., a parasite, fungus, virus or bacterium, or a tumor encodes or can express.
- a pathogen e.g., a parasite, fungus, virus or bacterium, or a tumor encodes or can express.
- Tumor antigens that are suitable for use in vaccination methods that employ a formula 1 compound include tumor-associated antigens and tumor-specific antigens. These molecules typically comprise one or more protein, glycoprotein, carbohydrate or glycolipid.
- Vaccinations that employ a tumor antigen(s) may comprise autologous tumor cells or allogenic tumor cells, which are optionally disrupted and optionally used with a non-formula 1 adjuvant, such as bacillus Calmette-Guerin (BCG), purified protein derivative, Freund's complete adjuvant, Corynebacterium parvum, Mycobacterium vaccae , oligonucleotides that consist of or comprise an unmethylated CpG dimer (e.g., 5′ GACGTT, 5′ GTCGTT) or an alum precipitate.
- BCG Bacillus Calmette-Guerin
- tumor cells treated with neuraminidase comprise all or part of the tumor antigen source.
- the non-formula 1 adjuvants are also optionally used in any of the vaccination methods disclosed herein.
- tumor associated antigens e.g., the carcinoembryonic antigen, ⁇ -fetoprotein or the prostate specific antigen, are molecules that are often associated with or detectably expressed by premalignant or malignant cells or cell populations and also with some normal tissues during at least part of the subject's life cycle.
- Tumor-specific antigens e.g., the R24C mutation of the cyclin dependent kinase-4 protein or certain sialylated glycoconjugates such as protein containing N-glycolyl neuraminic acid that is found in some human tumors (e.g., colon cancers, liver cancer, lymphoma), are molecules whose expression is restricted to pretumors or tumors and they are not expressed in normal adult or fetal tissue of a subject or a species to a significant extent.
- Vaccination with one or more tumor antigens and a formula 1 compound may be administered to a subject who has a cancer or a precancer, or to a subject who is considered potentially susceptible to developing such a condition.
- the tumor antigens are optionally combined with protein or other non-formula 1 adjuvants, e.g., keyhole-limpet hemocyanin or an immunoglobulin from a different species, which may be covalently bonded to the tumor antigen(s).
- protein or other non-formula 1 adjuvants e.g., keyhole-limpet hemocyanin or an immunoglobulin from a different species, which may be covalently bonded to the tumor antigen(s).
- Suitable natural and synthetic nucleic acid sequences, cells, attenuated pathogens or infectious agents such as attenuated viruses, and protein, glycoprotein, polysaccharide, oligosaccharide or peptide antigens derived various infectious agents and tumors have been described, e.g., U.S. Pat. Nos.
- Antigens suitable for use with the formula 1 compounds include the molecules disclosed in any of these references or antigenic fragments thereof. Such antigenic fragments will typically retain at least about 20% of the antigenicity of the unmodified antigen. Thus, these fragments will retain at least about 20% of the native antigen's capacity to generate an antibody response or to generate a T cell response against the unmodified antigen or the like.
- antigens include STn, sialyl Tn-KLH, carbohydrate conjugates, carcinogenic embryonic antigen, MAGE-1, MUC-1, HER-2/neu, prostate specific antigen, p53, T/Tn, bacterial flagella antigens or capsular polysaccharide antigens (e.g., Staphylococcus aureus capsular polysaccharide antigens) and antigenic fragments or antigenic synthetic derivatives of any of these molecules. See, e.g., L. A. Holmberg et al., Bone Marrow Transplant. 2000 25:1233-1241, J. W. Hadden, Int. J. Immunopharmacology 1999 21:79-101, G.
- an antigenic protein, peptide or glycoprotein can be identified by standard methods, e.g., protein or nucleic acid sequencing, for any of the infectious agents or tumors that are described herein or in the cited references.
- an effective amount of a formula 1 compound and an antigen are administered to a subject, or delivered to the subject's tissues, to stimulate an immune response against the antigen.
- the antigen may comprise one, two or more antigenic epitopes, which may come from one, two or more genes.
- the subject is optionally monitored to follow or determine the immune, dendritic cell, B cell, T cell, antibody or cytokine response, such as one disclosed herein, e.g., modulation or increase in ⁇ IFN, IL-2 or IL-12 levels or measurement of the production of one or more immunoglobulin types or subtypes.
- the subject may also be monitored by in vitro cell assays, e.g., for activation of T cells or subsets of T cells or other relevant white blood cell types. Such assays include measuring T cell activation using chromium release assays, or mixed lymphocyte assays.
- the subject is optionally treated with one or more additional booster vaccinations, when this is called for under the circumstances.
- Nucleic acid or DNA vaccines as used here will typically comprise a nucleic acid comprising an expressible region that encodes one, two or more suitable antigens or epitopes, e.g., all or an antigenic portion of a viral, bacterial, fungal or parasite protein or glycoprotein.
- the expressible region will usually comprise a transcription promoter and optionally other control sequences that are operatively linked to the antigen coding region where the promoter and control sequences are transcriptionally active in the intended subject or tissue. Suitable control sequences include enhancers, recognition sequences for transcription factors and termination sequences.
- Such expression vectors may optionally comprise one, two or more expressible genes or gene fragments, which may each comprise their attendant operatively linked expression sequences. Suitable methods and expression vectors to deliver nucleic acids for vaccine purposes have been described, e.g., U.S. Pat. Nos. 5,223,263, 5,580,859, 5,703,055, 5,846,946 and 5910488.
- an effective amount of a formula 1 compound and an antigen are administered to a subject to stimulate an immune response against the antigen, wherein the antigen is encoded by a suitable expression construct.
- exemplary antigens that are suitable in these methods are, e.g., essentially as described in any reference cited herein or as is apparent to the skilled artisan.
- the antigen is encoded by a parasite such as a Plasmodium or a Trypanosome species such as one described herein.
- the formula 1 compound can be administered before, essentially simultaneously with or after administration of the antigen, as noted above.
- the dosages of the formula 1 compound are essentially as described for the other conditions described herein.
- Vaccinations that utilize a formula 1 compound and an antigen(s) are generally suitable for eliciting or enhancing desired immune responses in conjunction with exposure of a subject to an antigen(s), compared to vaccination without the compound.
- Antigen specific humoral antibody responses or antigen specific T cell responses may be enhanced or elicited.
- vaccination using a formula 1 compound and a suitable antigen is conducted to prevent a potential infection or to reduce the severity of a future infection.
- the vaccination is conducted in a subject that has an infection such as a chronic or a latent infection such as a parasite or a retrovirus or herpesvirus infection, which may be latent or in relapse.
- the subject may have a cancer or precancer.
- the subject may be exposed to, or contain, one or more of the antigens that are used in one of these vaccination procedures.
- Such vaccinations are included within the scope of the invention.
- the formula 1 compounds are useful to facilitate preparation of hybridoma clones that express monoclonal antibodies.
- a suitable amount of a formula 1 compound e.g., about 100 ⁇ g to about 2 mg for a small mammal, is administered to a subject, e.g., a mouse, to enhance the immune response to the desired antigen, which is also administered to the subject.
- suitable cells are recovered from the subject, e.g., anti-antigen immunoglobulin expressing HPRT + spleen cells from a mouse.
- suitable immortal cells e.g., mouse melanoma cells
- suitable selection growth medium e.g., tissue culture medium that contains hypoxanthine, aminopterin and thymidine
- suitable selection growth medium e.g., tissue culture medium that contains hypoxanthine, aminopterin and thymidine
- suitable selection growth medium e.g., tissue culture medium that contains hypoxanthine, aminopterin and thymidine
- the hybridoma panel is used to generate individual clones, which are optionally screened to determine the antibody specificity and antigen binding properties. About one, 100, 1000, 10,000, 100,000 or more individual clones are screened by standard methods.
- the monoclonal antibodies may be from any suitable source, e.g., murine, human, human-murine hybrid or the like.
- An aspect of these methods comprise a product, i.e., a hybridoma panel or a hybridoma clone, that is obtained by the process of contacting a subject (such as a mouse) with (1) a suitable amount of a formula 1 compound and (2) a suitable amount of an antigen, allowing sufficient time to generate an immune response in the subject against the antigen and then fusing suitable anti-antigen immunoglobulin producing cells from the subject, e.g., the subject's spleen cells, with a suitable immortal cell line (e.g., a HPRT + mouse myeloma).
- a suitable immortal cell line e.g., a HPRT + mouse myeloma
- the antigen or immunogen is as described above, e.g., a suitable protein, protein fragment or glycoprotein such as an interleukin, cytokine or antigen from an infectious agent.
- a mouse is typically the subject, but other mammals, e.g., humans or other rodents, are also suitable according to known methods.
- the amount of antigen for immunization used in preparing monoclonal antibodies in a small mammal will typically be about 1 ⁇ g to about 100 ⁇ g, e.g., about 2 ⁇ g, 5 ⁇ g, 10 ⁇ g or 50 ⁇ g of antigen.
- the antigens are essentially as described in the vaccination methods described above, e.g., disrupted cell, a protein or glycoprotein, which is optionally combined with a suitable amount of an adjuvant such as Freund's complete adjuvant, alum precipitate, a bacterial lipopolysaccharide or BCG.
- the formula 1 compound is typically parenterally administered, e.g., subcutaneous or intraperitoneal, within about 2-4 days (e.g., about 1, 2, 3, 4, 5 or 6 days before or after antigen challenge) of the time that the subject is challenged with antigen.
- the antigen and the formula 1 compound is administered at the same time or at about the same time, e.g., within about 5 minutes to about 1 hour.
- the formula 1 compound may be administered on one, two, three or more occasions in the process, e.g., a formula 1 compound is administered once per day on one or more of the four days before antigen challenge and then it is optionally administered again on the same day as antigen challenge and then optionally administered daily at one, two, three or more days after antigen challenge.
- a method comprising administering to a subject (e.g., a mammal such as a human or a primate), or delivering to the subject's tissues, an effective amount of a formula 1 compound and a specific antigen.
- Immune responses that are enhanced include a mucosal immune response to an antigen such as a protein, peptide, polysaccharide, microorganism, tumor cell extract or lethally radiated tumor or pathogen cells (e.g., antigens or cells from melanoma, renal cell carcinoma, breast cancer, prostate cancer, benign prostatic hyperplasia, virus or bacteria, or other tumor or pathogen as disclosed herein).
- aspects of these embodiments include enhancement of the subject's immune response when an antigen or immunogen is administered intranasally or orally.
- the formula 1 compound is administered about simultaneously with the antigen or within about 3 hours to about 6 days of antigen administration.
- immune modulating agents to enhance immune responses to a vaccine has been described, e.g., U.S. Pat. No. 5,518,725.
- the treatment may treat or ameliorate the source of the condition(s) and/or symptoms associated with the pathological condition(s) such as infection with a pathogen(s) (viruses, bacteria, fungi), a malignancy, unwanted immune response, i.e., an immune response that causes pathology and/or symptoms, e.g., autoimmune conditions or allergy or conditions such as hypoproliferation conditions, e.g., normal or impaired tissue growth, or wound healing or burn healing, or in immunosuppression conditions, e.g., conditions characterized by an absence of a desired response and/or an inadequate degree of a desired response.
- a pathogen(s) viruses, bacteria, fungi
- unwanted immune response i.e., an immune response that causes pathology and/or symptoms
- autoimmune conditions or allergy or conditions such as hypoproliferation conditions, e.g., normal or impaired tissue growth, or wound healing or burn healing
- immunosuppression conditions e.g., conditions characterized by an absence of a desired response
- the antigen may be obtained from any suitable source.
- the antigen will generally be capable of eliciting an immune response against the original pathogen or cell.
- Desirable immune responses obtained from vaccination of a subject with an antigen and a formula 1 compound include one or more of an enhanced antibody response, an enhanced antigen specific CD4 + T cell response or an enhanced cytotoxic T cell response to pathogen infected cells, extracellular pathogen or to tumor cells.
- Enhanced antibody responses include detectable enhancement of antibody titer or a shift in the antibody response from a Th2 biased response to an increased Th1 biased component of the response.
- the Th1 and Th2 character of the response is determined by known methods. For example, a relatively low ratio of IgG1 (or the analogous antibody subclass in humans and other subjects) to IgG2a (or the analogous antibody subclass in humans and other subjects), e.g., about 6:1 to about 12:1, that is generated after exposure of a subject (a mouse for the IgG1 and IgG2a subclasses) to an antigen indicates a Th1 biased antibody response.
- Th1 Th1
- Th2 T-helper type 2
- Th1 T-helper type 1
- the formula 1 compounds can detectably increase the Th1 character of an antibody response to an antigen or they can increase the magnitude of both the Th1 and Th2 response.
- antigen sources include pathogens, cells or their individual proteins, peptides, glycoproteins or polysaccharides or antigenic fragments of any of these molecules.
- the antigenic material is recovered from suitably treated pathogens or cells and administered to a subject, or it can be recovered using recombinant means to obtain a purified or partially purified antigen source.
- Exemplary pathogens or cells that are suitable sources for antigens or a gene(s) that encode suitable antigens include influenza viruses (e.g., influenza A, influenza B), respiratory syncytial viruses, Rotaviruses, Hantaviruses, human Papilloma viruses (e.g., HPV-16, HPV-18), Poxviruses, Poliovirus, rabies viruses, Retroviruses (e.g., HIV-1, HIV-2), hepatitis viruses (e.g., human HAV, HBV or HCV), Togaviruses and Flaviviruses (e.g., West Nile Virus, Yellow Fever Virus, Dengue viruses), Herpesviruses (e.g., CMV, EBV, Varicella Zoster Virus, HSV-1, HSV-2, HHV-6, HHV-8), measles viruses, mumps viruses, rubella virus, pneumococci such as Klebsiella pneumonia cells or capsule material, enteric bacterial
- coli or Shigella or Salmonella species
- gram positive bacterial pathogens e.g., Staphylococcus, Streptococcus
- gram negative bacterial pathogens diphtheria pathogens
- human or animal cells obtained from a melanoma or skin cancer, breast cancer, prostate cancer, colon cancer, liver cancer, bone cancer, nervous tissue cancer (e.g., neuroblastoma, glioma), lymphoma, leukemia cells, kidney or renal cell cancer, ovarian cancer or lung cancer (e.g., small cell carcinoma, non-small cell carcinoma).
- Exemplary parasites or antigen sources include Plasmodium, Leishmania and Cryptosporidium .
- the antigen(s) that is used may comprise a pathogen coat protein(s), pathogen cell wall or other structural proteins.
- Antigen(s) from tumor cells or parasites may comprise cell membrane associated structures or intracellular molecules that are characteristic of, or unique to, the tumor or parasite.
- Other suitable antigen or pathogen sources are as described herein or in the cited references.
- the formula 1 compounds may thus be used to treat, prevent or slow the progression of one or more cancers, precancers or cell hyperproliferation conditions or they may be used to ameliorate one or more symptoms thereof. In these conditions, the formula 1 compounds are useful to enhance the subject's Th1 responses or to reestablish a more normal Th1-Th2 balance in the subject's immune responses.
- carcinomas include carcinomas, sarcomas, disseminated tumors and solid tumors such as prostate, lung, breast, ovary, skin, stomach, intestine, pancreas, larynx, esophagus, throat, testes, liver, parotid, biliary tract, colon, rectum, cervix, uterus, vagina, endometrium, kidney, bladder, central nervous system, muscle or thyroid cancers or precancers.
- the formula 1 compounds are thus useful to treat, prevent, slow the progression of, or ameliorate one or more symptoms of a precancer or hyperproliferation condition such as myelodysplastic syndrome, actinic keratoses or benign prostatic hyperplasia.
- the compounds can also be used to treat, prevent, slow the progression of, slow the replication or growth of, or to ameliorate one or more symptoms of a primary tumor, a metastasis, an advanced malignancy, or a blood born malignancy, a leukemia or a lymphoma.
- Such conditions include one or more of melanoma, glioblastoma, Kaposi's sarcoma, leiomyosarcoma, non-small cell lung cancer, small cell lung cancer, bronchogenic carcinoma, renal cell cancer or carcinoma, glioma, pancreatic or gastric adenocarcinoma, human pappilomavirus associated cervical intraepithelial neoplasia, cervical carcinoma, hepatoma, hepatocellular carcinoma, cutaneous T-cell lymphoma (mycosis fungoides, Sezary syndrome), colorectal cancer, chronic lymphocytic leukemia, chronic myelogenous leukemia, ALL or follicular lymphoma, multiple myeloma, carcinomas with p53 mutations, colon cancer, cardiac tumors, adrenal tumors, pancreatic cancer, retinoblastoma, lung cancer, intestinal cancer, testicular cancer, stomach cancer, neuroblastoma, myxoma, myo
- Treating a subject with a formula 1 compound can ameliorate one or more side effects of chemotherapy or cancer symptoms such as alopecia, pain, fever, malaise, chronic fatigue and cachexia or weight loss.
- cancers, precancers or their symptoms that can be treated, prevented or ameliorated are described in, e.g., Holland Frei Cancer Medicine e. 5, 5 th edition, R. C. Bast et al., editors, 2000, ISBN 1-55009-113-1, pages 168-2453, B.C. Becker Inc. Hamilton, Ontario, Canada.
- the formula 1 compounds may be used to treat, prevent or slow the progression of or ameliorate one or more conditions in a subject having or subject to developing a hyperproliferation condition where angiogenesis contributes to the pathology.
- Abnormal or unwanted angiogenesis or neovascularization contributes to the development or progression of solid tumor growth and metastases, as well as to arthritis, some types of eye diseases such as diabetic retinopathy, retinopathy of prematurity, macular degeneration, corneal graft rejection, neovascular glaucoma, rubeosis, retinoblastoma, uvietis and pterygia or abnormal blood vessel growth of the eye, and psoriasis.
- Dosages of the formula 1 compound, routes of administration and the use of combination therapies with other standard therapeutic agents or treatments could be applied essentially as described above for cancer or hyperproliferation conditions or other conditions as disclosed herein.
- the use of the formula 1 compound is optionally combined with one or more additional therapies for a cancer or precancer(s), e.g., one or more of surgery and treatment with an antiandrogen or an antiestrogen as described herein or in the cited references, an antineoplastic agent such as an alkylating agent, a nitrogen mustard, a nitrosourea, an antimetabolite or cytotoxic agent, or an analgesic such as propoxyphene napsylate, acetaminophen or codeine.
- an antineoplastic agent such as an alkylating agent, a nitrogen mustard, a nitrosourea, an antimetabolite or cytotoxic agent
- an analgesic such as propoxyphene napsylate, acetaminophen or codeine.
- Exemplary anticancer and adjunct agents include methotrexate, thioguanine, mercaptopurine, adriamycin, chlorambucil, cyclophosphamide, cisplatin, procarbazine, hydroxyurea, allopurinol, erythropoietin, G-CSF, bicalutamide, anastrozole, fludarabine phosphate and doxorubicin.
- Such therapies would be used essentially according to standard protocols and such they would precede, be concurrent with or follow treatment with a formula 1 compound.
- such additional therapies will be administered at the same time that a formula 1 compound is being used or within about 1 day to about 16 weeks before or after at least one round of treatment with the formula 1 compound is completed.
- Other exemplary therapeutic agents and their use have been described in detail, see, e.g., Physicians Desk Reference 54 th edition, 2000, pages 303-3250, ISBN 1-56363-330-2, Medical Economics Co., Inc., Montvale, N.J.
- One or more of these exemplary agents can be used in combination with a formula 1 compound to ameliorate, prevent or treat any of the appropriate cancers, precancers or related conditions described herein, or any of their symptoms.
- the subject's hyperproliferation or malignant condition may be associated with or caused by one or more pathogens.
- pathogens include hepatocellular carcinoma associated with HCV or HBV, Kaposi's sarcoma associated with HIV-1 or HIV-2, T cell leukemia associated with HTLV I, Burkitt's lymphoma associated with Epstein-Barr virus or papillomas or carcinoma associated with papilloma viruses (HPV 6, HPV 11, HPV 16, HPV 18, HPV 31, HPV 45) or gastric adenocarcinoma or gastric MALT lymphoma associated with Helicobacter pylori infection.
- the formula 1 compounds can modulate the synthesis or a biological activity of one or more gene products such as transcription factors or steroid receptors.
- the compounds can inhibit AIB-1 coactivator or HER2/neu synthesis or activity in breast cancer cells or conditions. They can enhance the synthesis or an activity of an estrogen receptor such as ER ⁇ , ER ⁇ 1 or ER ⁇ 2 or progesterone receptor in breast cancer or colon cancer cells or conditions. These effects can include modulation of the expression or one or more biological activities of proteins or enzymes that contribute to disease establishment or progression.
- the compounds can decrease IL-4, IL-6 or IL-13 expression by stromal cells or immune cells that are in proximity to or adjacent to solid or diffuse tumor cells in a subject such as a human or another mammal.
- the compounds can thus directly or indirectly modulate (e.g., decrease) the activity or expression of enzymes such as STAT-6, neutral nedopeptidase, 17 ⁇ -hydroxysteroid dehydrogenase or 3 ⁇ -hydroxysteroid dehydrogenase in cancers or precancers such as cervical cancer, colon cancer, prostate cancer, breast cancer or benign prostatic hyperplasia.
- human patients suffering from melanoma or melanoma precursor lesions are treated with a topical cream formulation containing 2-20% BrEA (w/w).
- the cream is applied to primary nevi (dysplastic nevi or common acquired nevi), primary cutaneous melanomas, secondary cutaneous melanomas and the skin surrounding the nevi or melanomas.
- the areas to be treated are washed with soap or swabbed with an alcohol (e.g., ethanol or isopropanol) prior to administering the cream, when this is practical.
- About 0.1-0.4 g of cream, depending on the size of the treated area is applied once or twice per day per treated region or lesion for about 10-20 days.
- the cream is left undisturbed at the administration site for about 15-30 minutes before the patient resumes normal activity. Progression of the nevi and melanomas is retarded in the majority of patients and significant regression is observed for some lesions.
- the formulation is administered every other day for at least 1 to 4 months using the same dosing described for the initial round of treatment.
- standard therapy to treat precursor lesion or melanoma e.g., dimethyl triazeno imidazole carboxamide or nitrosoureas (e.g., BCNU, CCNU)
- BCNU dimethyl triazeno imidazole carboxamide or nitrosoureas
- a formula 1 compound(s) is administered daily continuously as an oral composition or formulation, e.g., for a formula 1 compound(s) that is a new compound per se.
- BrEA is optionally also administered systemically using, e.g., a formulation described in the examples below to deliver 1-5 mg/kg/day every other day for about 1 week to about to 4 months, e.g., in the case of malignant melanoma.
- the formula 1 compounds may be used to treat, prevent or slow the progression of one or more of congenital heart defects, cardiovascular diseases, disorders, abnormalities and/or conditions, or to ameliorate one or more symptoms thereof in a subject.
- peripheral artery disease arterio-arterial fistula, arteriovenous fistula, cerebral arteriovenous malformations, aortic coarctation, cor triatriatum, coronary vessel anomalies, patent ductus arteriosus, Ebstein's anomaly, hypoplastic left heart syndrome, levocardia, transposition of great vessels, double outlet right ventricle, tricuspid atresia, persistent truncus arteriosus, and heart septal defects, such as aortopulmonary septal defect, endocardial cushion defects, Lutembacher's Syndrome, ventricular heart septal defects, cardiac tamponade, endocarditis (including bacterial), heart aneurysm, cardiac arrest, congestive heart failure, congestive cardiomyopathy, paroxysmal dyspnea, cardiac edema, post-infarction heart rupture, ventricular septal rupture, heart valve diseases, myocardial diseases, pericardial effusion, pericarditis (including constrict
- the formula 1 compounds can be used to treat, prevent or ameliorate one or more symptoms of myocardial diseases such as alcoholic cardiomyopathy, congestive cardiomyopathy, hypertrophic cardiomyopathy, aortic subvalvular stenosis, pulmonary subvalvular stenosis, restrictive cardiomyopathy, Chagas cardiomyopathy, endocardial fibroelastosis, endomyocardial fibrosis, Kearns Syndrome, myocardial reperfusion injury, myocarditis, cardiovascular or vascular diseases such as dissecting aneurysms, false aneurysms, infected aneurysms, ruptured aneurysms, aortic aneurysms, cerebral aneurysms, coronary aneurysms, heart aneurysms, and iliac aneurysms, angiodysplasia, angiomatosis, bacillary angiomatosis, Sturge-Weber Syndrome, an
- the formula 1 compounds can also be used to treat, prevent or ameliorate one or more symptoms of cerebrovascular diseases, thrombosis, and/or conditions such as carotid artery diseases, cerebral amyloid angiopathy, cerebral aneurysm, cerebral anoxia, cerebral arteriosclerosis, cerebral arteriovenous malformation, cerebral artery diseases, cerebral embolism and thrombosis, carotid artery thrombosis, sinus thrombosis, Wallenberg's syndrome, cerebral hemorrhage, epidural hematoma, subdermal hematoma, subarachnoid hemorrhage, cerebral infarction, cerebral ischemia (including transient), subclavian steal syndrome, periventricular leukomalacia, vascular headache, cluster headache, migraine, vertebrobasilar insufficiency, air embolisms, amniotic fluid, embolisms such as cholesterol embolisms, fat embolisms, pulmonary embolisms, thromoboembolisms,
- the formula 1 compounds can also be used to treat, prevent or ameliorate one or more symptoms of vascular ischemia or myocardial ischemias, vasculitis and coronary diseases, including angina pectoris, coronary aneurysm, coronary arteriosclerosis, coronary thrombosis, coronary vasospasm, myocardial infarction and myocardial stunning, cerebral ischemia, ischemic colitis, compartment syndromes, anterior compartment syndrome, myocardial ischemia, reperfusion injuries, peripheral limb ischemia, aortitis, arteritis, Behcet's Syndrome, mucocutaneous lymph node syndrome, thromboangiitis obliterans, hypersensitivity vasculitis, Schoenlein-Henoch purpura, allergic cutaneous vasculitis, and Wegener's granulomatosis.
- angina pectoris including coronary aneurysm, coronary arteriosclerosis, coronary thrombosis, coronary vasospasm, my
- Exemplary symptoms that the use of the formula 1 compounds can ameliorate include one or more of pain such as arm, jaw or chest pain, edema or swelling, high blood pressure, shortness of breath or dyspnea, e.g., on exertion or while prone, fatigue or malaise and low cardiac injection fraction.
- pain such as arm, jaw or chest pain, edema or swelling, high blood pressure, shortness of breath or dyspnea, e.g., on exertion or while prone, fatigue or malaise and low cardiac injection fraction.
- the formula 1 compounds may accomplish one or more of increasing cardiac injection volume, decreasing levels of IL-6, decreasing levels of C reactive protein, fibrinogen, cardiac creatinine kinase, carnityl palmitoyl fatty acid transferase or other cardiac enzymes, activating potassium dependent calcium channels, vasodilating or enhancing oxygen delivery to ischemic tissues or decreasing levels of scarring or plaque formation that occurs, e.g., after vascular damage.
- Symptoms associated with a cardiovascular condition such as ischemia that can be ameliorated also include acidosis, expression of one or more immediate early genes in, e.g., glial cells, vascular smooth muscle cells or endothelial cells, neuronal membrane depolarization and increased neuronal extracellular calcium and glutamate concentration.
- Other biological effects associated with treatment using a formula 1 compound may also be monitored, e.g., and increase or decrease of a cell surface antigen, a cytokine or an interleukin as disclosed herein.
- Useful biological effects of the formula 1 compounds in cardiovascular indications such as myocardial ischemias also include preventing or reducing heart or vascular cell death and subsequent fibrosis. These effects are associated with a decreased oxidative capacity of heart cells or myocytes, which is associated with a decreased capacity of the cells to metabolize fatty acids efficiently.
- the compounds enhance fatty acid metabolism and ameliorate the deleterious effects of a limited oxidative capacity.
- the formula 1 compounds also can limit inflammation or cell injury that is associated with ischemia or oxygen reperfusion after ischemia.
- Ischemia which is a detrimental decrease in oxygenated blood delivery to affected cells or tissues, may arise from a cardiovascular condition or event such as an infarction, or from thermal injury or burns. Ischemia may also arise from accidental or surgical trauma. Reperfusion after cells have become hypoxic for a sufficient period of time can lead to tissue or cell injury that varies from slight to lethal.
- the compounds can reduce cell or tissue injury or death associated with ischemia and reperfusion, by, e.g., reducing inflammation or the level of a molecule associated with inflammation.
- levels of a proinflammatory cytokine or molecule such as leukotriene B4, platelet activating factor or levels of extracellular P-selectin may result from administration of a formula 1 compound to a subject who may experience reperfusion injury.
- the compounds can reduce injury or death of, e.g., neuron, cardiac, vascular endothelium, myocardial, pulmonary, hepatic or renal cells or tissues.
- the compounds act in part by reducing one or more of neutrophil activation, endothelial cell activation and neutrophil adherence or adhesion to endothelial cells.
- any formula 1 compound or species in any genus of formula 1 compounds disclosed herein to treat, prevent or ameliorate any of these cardiovascular conditions or symptoms will generally use one or more of the routes of administration, dosages and dosing protocols as disclosed herein.
- about 0.5 to about 100 mg/kg or about 1 to about 25 mg/kg, of the formula 1 compound will be administered per day by an oral, buccal, sublingual or parenteral route.
- Such administration can be, e.g., daily for about 5 to about 60 days in acute conditions or it can be intermittent for about 3 months to about 2 years or more for chronic conditions.
- intermittent dosing can be used essentially as described herein for acute cardiovascular conditions.
- administration of the formula 1 compound should generally occur before or as soon after the ischemic event as possible, e.g., within about 6 hours of an ischemic event or about 12-24 hours before an anticipated ischemic event.
- the use of the formula 1 compound is optionally combined with one or more additional therapies for cardiovascular disorders, e.g., vascular surgery, cardiac surgery, angioplasty, or treatment with adrenergic blockers, coronary vasodilators, calcium channel blockers, nitrates, angiotensin converting enzyme inhibitors, anti-hypertensives, anti-inflammatory agents, diuretics, anti-arrhythmia agents, thrombolytic agents or xanthine oxidase inhibitors.
- additional therapies for cardiovascular disorders e.g., vascular surgery, cardiac surgery, angioplasty, or treatment with adrenergic blockers, coronary vasodilators, calcium channel blockers, nitrates, angiotensin converting enzyme inhibitors, anti-hypertensives, anti-inflammatory agents, diuretics, anti-arrhythmia agents, thrombolytic agents or xanthine oxidase inhibitors.
- These other therapies include treatment with one or more of digoxin, nitroglycerin, doxazosin mesylate, nifedipine, enalapril maleate, indomethicin, tissue plasminogin activator, urokinase, acetylsalicylic acid, allopurinol or the like.
- Such therapies would be used essentially according to standard protocols and such therapies would precede, be concurrent with or follow treatment with a formula 1 compound.
- additional therapies will be administered at the same time that a formula 1 compound is being used or within about 1 day to about 16 weeks before or after at least one round of treatment with the formula 1 compound is completed.
- exemplary therapeutic agents and their use have been described in detail, see, e.g., Physicians Desk Reference 54 th edition, 2000, pages 303-3251, ISBN 1-56363-330-2, Medical Economics Co., Inc., Montvale, N.J.
- One or more of these exemplary agents can be used in combination with a formula 1 compound to treat any of the appropriate cardiovascular disorders described herein.
- formula 1 compounds including those in the compound groups and embodiments disclosed herein, may be used to treat, prevent or slow the progression of one or more autoimmune allergic or inflammatory diseases, disorders, or conditions, or to ameliorate one or more symptoms thereof in a subject.
- Addison's Disease autoimmune hemolytic anemia, antiphospholipid syndrome, rheumatoid arthritis and other synovial disorders, an osteoarthritis including post-traumatic osteoarthritis, psoriatic arthritis, epichondylitis, rheumatic carditis, bursitis, ankylosing spondylitis, multiple sclerosis, a dermatitis such as contact dermatitis, atopic dermatitis, exfoliative dermatitis or seborrheic dermatitis, mycosis fungoides, allergic encephalomyelitis, autoimmune glomerulonephritis, Goodpasture's Syndrome, Graves' Disease, Hashimoto's Thyroiditis, multiple sclerosis, myasthenia gravis, neuritis, bullous pemphigoid, pemphigus, polyendocrinopathies, purpura, Reiter's Disease, autoimmune thyroiditis, systemic lupus erythematosus,
- a formula 1 compound can be used to inhibit or ameliorate one or more inappropriate immune responses or their symptoms in autoimmunity, inflammation, allergy or related conditions.
- the effects of the formula 1 compounds include detectably ameliorating one or more of (1) the proliferation, differentiation or chemotaxis of T cells, (2) reducing unwanted cytotoxic T cell responses, (3) reducing unwanted autoantibody or other antibody synthesis, e.g., an unwanted IgA, IgE, IgG or IgM, (4) inhibiting the development, proliferation or unwanted activity of autoreactive T or B cells, (5) altering the expression of one or more cytokines, interleukins or cell surface antigens, e.g., a cytokine, interleukin or cell surface antigen described herein (decreasing IL-8 in an autoimmune condition, decreasing the level of acute phase proteins such as C reactive protein or fibrinogen in inflammation conditions, (6) decreasing eosinophilia in allergy conditions, (7) decreasing one or more of ICAM-1, IL-1 ⁇ ,
- Exemplary symptoms that the use of the formula 1 compounds can ameliorate in these autoimmune, inflammatory and allergy conditions include one or more of pain such as shoulder, hip, joint, abdominal or spine pain, joint stiffness or gelling, bursitis, tendonitis, edema or swelling, fatigue or malaise, headache, dyspnea, skin rash, fever, night sweats, anorexia, weight loss, skin or intestine ulceration, muscle weakness, pericarditis, coronary occlusion, neuropathy and diarrhea.
- pain such as shoulder, hip, joint, abdominal or spine pain, joint stiffness or gelling, bursitis, tendonitis, edema or swelling, fatigue or malaise, headache, dyspnea, skin rash, fever, night sweats, anorexia, weight loss, skin or intestine ulceration, muscle weakness, pericarditis, coronary occlusion, neuropathy and diarrhea.
- the formula 1 compounds may accomplish one or more of decreasing levels of one or more of IL-1, IL-4, IL-6 or TNF ⁇ , decreasing levels of C reactive protein, fibrinogen or creatinine kinase.
- Other biological effects associated with treatment using a formula 1 compound may also be monitored or observed, e.g., an increase or decrease of a cell surface antigen, a cytokine or an interleukin as disclosed herein.
- any formula 1 compound or species in any genus of formula 1 compounds disclosed herein to treat, prevent or ameliorate any of these autoimmune, inflammatory or allergy conditions or symptoms will generally use one or more of the routes of administration, dosages and dosing protocols as disclosed herein.
- about 0.5 to about 100 mg/kg or about 1 mg/kg to about 15 mg/kg, of the formula 1 compound will be administered per day by, e.g., an oral, buccal, sublingual, topical or parenteral route.
- Such administration can be, e.g., daily for about 5 to about 60 days in acute conditions or it can be intermittent for about 3 months to about 2 years or more for chronic conditions.
- intermittent dosing can be used essentially as described herein for acute autoimmune, inflammatory and allergy conditions.
- the use of the formula 1 compound is optionally combined with one or more additional therapies for an autoimmune, inflammatory or allergy disorder(s), e.g., one or more of surgery and treatment with a corticosteroid or glucocorticoid such as hydrocortisone, hydrocortisone acetate, prednisone, prednisolone, prednisolone acetate, methylprednisolone, dexamethasone, dexamethasone acetate or triamcinolone acetonide, a slow acting antirheumatic drug such as methorexate, D-penicillamine, sodium aurothiomalate, sulfasalazine or hydroxychloroquine, immunosuppressive agents such as 6-thioguanylic acid, chlorambucil, cyclophosphamide or cyclosporin, a non-steroidal antiinflammatory agent such as celecoxib, ibuprofin,
- Such therapies would be used essentially according to standard protocols and such they would precede, be concurrent with or follow treatment with a formula 1 compound. In some embodiments, such additional therapies will be administered at the same time that a formula 1 compound is being used or within about 1 day to about 16 weeks before or after at least one round of treatment with the formula 1 compound is completed.
- Other exemplary therapeutic agents and their use have been described in detail, see, e.g., Physicians Desk Reference 54 th edition, 2000, pages 303-3267, ISBN 1-56363-330-2, Medical Economics Co., Inc., Montvale, N.J.
- One or more of these exemplary agents can be used in combination with a formula 1 compound to ameliorate, prevent or treat any of the appropriate autoimmune, inflammatory or allergy conditions or disorders described herein or any of their symptoms.
- the formula 1 compounds can be used to facilitate cell differentiation or proliferation where regeneration of tissues is desired.
- the regeneration of tissues could be used to repair, replace, protect or limit the effects of tissue damaged by congenital defects, trauma (wounds, burns, incisions, or ulcers), age, disease (e.g. osteoporosis, osteoarthritis, periodontal disease, liver failure), surgery, including cosmetic plastic surgery, fibrosis, reperfusion injury, or systemic cytokine damage.
- Tissues for which regeneration may be enhanced include organs (e.g., pancreas, liver, intestine, kidney, skin, endothelium), muscle (smooth, skeletal or cardiac), vasculature (including vascular and lymphatics), nervous, hematopoietic, and skeletal (bone, cartilage, tendon, and ligament) tissue. These effects may be accompanied by decreased scarring or an increased rate of healing.
- Nerve or brain tissue regeneration using a formula 1 compound allows treating, slowing the progression of, ameliorating or preventing diseases such as central and peripheral nervous system diseases, neuropathies, or mechanical and traumatic diseases, disorders, and/or conditions (e.g., spinal cord disorders, head trauma, cerebrovascular disease, and stoke).
- diseases associated with peripheral nerve injuries, peripheral neuropathy (e.g., resulting from chemotherapy or other medical therapies), localized neuropathies, and central nervous system diseases such as Alzheimer's disease, Parkinson's disease, Huntington's disease and amyotrophic lateral sclerosis.
- Dosages of the formula 1 compound, routes of administration and the use of combination therapies with other standard therapeutic agents or treatments could be applied essentially as described herein, e.g., for cardiovascular conditions or other conditions as disclosed herein.
- Nervous system diseases, disorders, or conditions which can be ameliorated, treated or prevented with any of the formula 1 compounds disclosed herein include, but are not limited to, nervous system injuries, and diseases or conditions which result in either a disconnection of axons, a diminution of neuron function or degeneration of neurons, or demyelination.
- Nervous system lesions which may be treated, prevented, or ameliorated in a subject include but are not limited to, the following lesions of either the central (including spinal cord, brain) or peripheral nervous systems: (1) ischemic lesions, in which a lack of oxygen in a portion of the nervous system results in neuronal injury or death, including cerebral infarction or ischemia, or spinal cord infarction or ischemia, (2) traumatic lesions, including lesions caused by physical injury or associated with surgery, for example, lesions which sever a portion of the nervous system, or compression injuries, (3) malignant lesions, in which a portion of the nervous system is destroyed or injured by malignant tissue which is either a nervous system associated malignancy or a malignancy derived from non-nervous system tissue, (4) infectious lesions, in which a portion of the nervous system is destroyed or injured as a result of infection, for example, by an abscess or associated with infection by human immunodeficiency virus, herpes zoster, or herpes simplex virus or with Lyme
- the formula 1 compound is used to protect neural cells from the damaging effects of cerebral hypoxia, cerebral ischemia or neural cell injury associated with cerebral infarction, heart attack or stroke.
- Compositions comprising a formula 1 compound that are useful for treating or preventing a nervous system disorder may be selected, e.g., by assaying their biological activity in promoting the survival or differentiation of neurons.
- compositions of the invention which elicit any of the following effects are useful: (1) increased survival time of neurons in culture, (2) increased sprouting of neurons in culture or in vivo, (3) increased production of a neuron-associated molecule in culture or in vivo, e.g., dopamine or choline acetyltransferase or acetylcholinesterase with respect to motor neurons or (4) decreased symptoms of neuron dysfunction in vivo.
- Such effects may be measured by any method known in the art.
- Increased survival of neurons may be measured using known methods, such as, for example, the method set forth in Arakawa et al. ( J. Neurosci.
- increased sprouting of neurons may be detected by methods known in the art, such as the methods set forth in Pestronk et al. ( Exp. Neurol. 70:65-82 1980) or Brown et al. ( Ann. Rev. Neurosci. 4:17-42 1981).
- Increased production of neuron-associated molecules may be measured by, e.g., bioassay, enzymatic assay, antibody binding or Northern blot assay, using techniques known in the art and depending on the molecule to be measured.
- Motor neuron dysfunction may be measured by assessing the physical manifestation of motor neuron disorder, e.g., weakness, motor neuron conduction velocity, or functional disability.
- motor neuron diseases, disorders, and/or conditions that may be treated, prevented, and/or ameliorated include diseases, disorders, and/or conditions such as infarction, infection, exposure to toxin, trauma, surgical damage, degenerative disease or malignancy that may affect motor neurons as well as other components of the nervous system, as well as diseases, disorders, and/or conditions that selectively affect neurons such as amyotrophic lateral sclerosis, and including, but not limited to, progressive spinal muscular atrophy, progressive bulbar palsy, primary lateral sclerosis, infantile and juvenile muscular atrophy, poliomyelitis and the post polio syndrome, and hereditary motorsensory neuropathy.
- diseases, disorders, and/or conditions such as infarction, infection, exposure to toxin, trauma, surgical damage, degenerative disease or malignancy that may affect motor neurons as well as other components of the nervous system, as well as diseases, disorders, and/or conditions that selectively affect neurons such as amyotrophic lateral sclerosis, and including, but not limited to, progressive spinal muscular at
- the formula 1 compounds can modulate one or more biological activities of a transcription factor or a steroid receptor such as ER ⁇ in tissue such as the hypothalamus or amygdala or ERA in tissue such as the hippocampus, thalamus or entorhinal cortex.
- a transcription factor or a steroid receptor such as ER ⁇ in tissue such as the hypothalamus or amygdala or ERA in tissue such as the hippocampus, thalamus or entorhinal cortex.
- Dosages of the formula 1 compound, routes of administration and the use of combination therapies with other standard therapeutic agents or treatments could be applied essentially as described above for cardiovascular conditions or other conditions as disclosed herein.
- the use of the formula 1 compound is optionally combined with another suitable treatment or therapy.
- the formula 1 compounds can be administered to a subject to prevent, treat, ameliorate, slow the progression of or enhance the healing of certain skin conditions such as skin lesions, atrophy or rash.
- skin includes external skin and internal skin or surfaces such as oral, intestinal and rectal mucosa. These conditions include lesions, rashes or inflammation associated with, e.g., burns, infections and the thinning or general degradation of the dermis often characterized by a decrease in collagen or elastin as well as decreased number, size and doubling potential of fibroblast cells.
- Such skin conditions include keratoses such as actinic keratosis, psoriasis, eczema, warts such as papillomavirus-induced warts, ulcers or lesions such as herpesvirus-induced ulcers or lesions or diabetes associated ulcers or lesions, burns, melanoma, rash or irritation from poison oak, poison ivy or poison Sumac, blemished or hyperpigmented skin, hyperkeratotic skin, dry skin, dandruff, acne, inflammatory dermatoses, scarring such as from a chemical or thermal burn and age-related skin changes.
- keratoses such as actinic keratosis, psoriasis, eczema
- warts such as papillomavirus-induced warts, ulcers or lesions such as herpesvirus-induced ulcers or lesions or diabetes associated ulcers or lesions, burns, melanoma, rash or irritation from
- treatment with the formula 1 compounds is optionally combined with other appropriate treatments or therapies essentially as described herein, e.g., one or more of a corticosteroid such as hydrocortisone or cortisol, prednisone, or prednisolone, an ⁇ -hydroxybenzoic acid or an ⁇ -hydroxycarboxylic acid(s) is coadministered with a formula 1 compound to treat, prevent or ameliorate a skin condition such as atrophy or a lesion.
- ⁇ -Hydroxybenzoic acids and ⁇ -hydroxycarboxylic acids suitable for use in these embodiments are described in, e.g., U.S. Pat. Nos. 5,262,407, 5,254,343, 4,246,261, 4,234,599 and 3984566.
- the formula 1 compound can be used to minimize cutaneous atrophy caused by corticosteroids, a side-effect of their application to the skin.
- the formula 1 compound is administered to the subject in the form of a topical cream, ointment, spray, foam or gel.
- topical formulations will optionally comprise about 0.1% w/w to about 20% w/w, or about 0.2% w/w to about 10% w/w of a formula 1 compound in a composition that comprises one or more excipients that are suitable for such topical formulations, including, e.g., one or more agents that enhance penetration or delivery of the formula 1 compound into the skin.
- Such topical formulations can be administered, e.g., once, twice or three times per day using about 0.1 g to about 8g or about 0.2 g to about 5g of the topical formulation on each occasion. Administration may be daily for about 1 to about 28 days, or it may be intermittent and used as needed.
- the amount of a topical formulation that can be administered may be higher, e.g., about 15 g or about 20 g, if the size of the area to be treated is relatively large, e.g., at least about 30 cm 2 to about 100 cm 2 or more.
- systemic administration of the formula 1 compound such as oral, parenteral, sublingual or buccal delivery may be used, particularly when the area of the skin to be treated is relatively large. In some cases, both topical and systemic administration of a formula 1 compound can be used.
- Enhancement of hemopoiesis includes methods to treat or prevent various blood cell deficiencies such as TP or NP.
- the treatment methods may result in enhanced hemopoiesis or the treatment methods may reduce the loss of cells such as platelets or neutrophils. Increased platelet or neutrophil production or reduced loss is typically observed as increased circulating blood cell counts.
- invention aspects comprise methods to treat or prevent neutropenia in a subject in need thereof, comprising administering to a subject in need, or delivering to the subject's tissues, an effective amount of a formula 1 compound.
- Normal ranges of various white blood cells or blood components in adult (about 18-49 years of age) human blood are as follows. Total adult white blood cell counts average about 7500/mm 3 , with an approximate normal range of about 4.5-11.0 ⁇ 10 3 /mm 3 .
- the normal basophil level is about 35 mm ⁇ 3 , with a normal range of about 10-100/mm 3 .
- the normal adult neutrophil level is about 4400/mm 3 , with a normal range of about 2000-7700/mm ⁇ 3 .
- the normal eosinophil level is about 275 mm ⁇ 3 , with a normal range of about 150-300/mm 3 .
- the normal monocyte level is about 540 mm ⁇ 3 , with a normal range of about 300-600/mm 3 .
- the normal adult platelet level is about 2.5 ⁇ 10 5 /mm 3 , with a normal range of about 2.1 ⁇ 10 5 -2.9 ⁇ 10 5 /mm 3 .
- the normal adult red cell mass corresponds to about 4.6 ⁇ 10 12 red cells/L in females and about 5.2 ⁇ 10 12 red cells/L in males.
- neutropenia means generally a circulating neutrophil count of less than about 1800/mm 3 , generally a count of about 1500/mm 3 or less.
- Thrombocytopenia generally means a circulating platelet count of less than about 1.9 ⁇ 10 5 /mm 3 , generally a count of less than about 1.2 ⁇ 10 5 /mm 3 .
- Anemia generally means a red cell mass corresponding to less than about 4.0 ⁇ 10 12 red cells/L in adult females and less than about 4.5 ⁇ 10 12 red cells/L in adult males (a hemoglobin level of less than about 12.0 g/dL in adult females and less than about 13.5 g/dL in adult males).
- the diagnosis of a deficiency may cover a cell count that falls outside these ranges, due, e.g., to individual variations in a subject's age, sex, race, animal strain or normal blood cell status for the individual.
- Such variations are identified by known means such as by identification of a change from the subject's normal status or by multiple cell measurements over time that reveal a deficiency. See, e.g., Hematology—Basic Principles and Practice, 2 nd edition, R. Hoffman, E. J. Benz Jr. et al., editors, Churchill Livingstone, New York, 1995.
- Subjects with an identified or identifiable deficiency outside these standard ranges are included in the definition of a blood cell deficiency or a subject in need of treatment, as used herein.
- exemplary deficiencies or groups of deficiencies are neonatal alloimmune TP, immune TP, immune thrombocytopenic purpura, thrombotic thrombocytopenic purpura, post-transfusion purpura, radiation associated TP, chemotherapy associated TP (e.g., NSAID treatments such as with indomethicin, ibuprofen, naproxen, phenylbutazone, piroxicam or zompirac, or ⁇ -lactam antibiotic treatments such as with ampicillin, carbenicillin, penicillin G, ticarcillin, or cephalosporin treatments such as with cefazolin, cefoxitin or cephalothin, anticoagulant treatments such as heparin, hirudin, lepirudin or aspirin, treatment with plasma expanders or psychotropic drugs), amegakaryocitic TP, chemotherapy associated TP, radiation associated TP, TP
- Some of the blood cell deficiencies are associated with, or caused by, other therapeutic treatments, e.g., cancer chemotherapy, anti-pathogen chemotherapy, radiation therapy and chemotherapy for suppression of autoimmunity or immune suppression therapy for organ or tissue transplantation or implantation.
- the formula 1 compounds are thus useful to facilitate or speed up immune system recovery in autologous bone marrow transplant or stem cell transplant situations. In many cases it would be medically sound to continue the treatment associated with causing or exacerbating the blood cell deficiency. Thus, one would generally conduct the invention methods with subjects who are undergoing another therapy at the same time or near the same time, e.g., within a few days to within about 1-6 months.
- Such subjects typically will have an identified blood cell deficiency such as a NP or a TP, e.g., as disclosed herein.
- the formula 1 compounds are generally suitable for preventing the onset of such deficiencies, and they can thus be used prophylactically in these indications.
- the invention includes all of these embodiments.
- the invention method is accomplished using an effective amount of one or more growth factors or cytokines as a means to further enhance the effect of the formula 1 compounds for their intended uses or to modulate their effects.
- growth factors and cytokines are as described herein or in the cited references.
- the formula 1 compound when one administers the formula 1 compound to enhance generation of platelets in humans or other subjects, or their precursor cells such as CFU-GEMM, BFU-Mk, CFU-Mk, immature megakaryocytes or mature postmitotic megakaryocytes, one can also administer one or more of G-CSF, GM-CSF, SCF, Steel factor (“SF”), leukemia inhibitory factor (“LIF”), interkeukin-1 ⁇ , (“IL-1 ⁇ ”), IL-3, IL-6, IL-11, TPO, EPO, their isoforms, their derivatives (e.g., linked to a PEG or fusions such as PIXY321) or their homologs for other species.
- G-CSF G-CSF
- GM-CSF SCF
- Steel factor (“SF”) Steel factor
- LIF leukemia inhibitory factor
- IL-1 ⁇ interkeukin-1 ⁇
- IL-3 interkeukin-1 ⁇
- IL-6 interkeukin-1 ⁇
- administering can also administer one or more of G-CSF, GM-CSF, M-CSF, LIF, TPO, SF, interleukin-1 (“IL-1”), IL-2, IL-3, IL-4, interleukin-5 (“IL-5”), IL-6, IL-11, interleukin-12 (“IL-12”), interleukin-13 (“IL-13”), FLT3 ligand, their isoforms, homologs or derivatives (e.g., linked to a PEG or fusions such as PIXY321) or their homologs for other species.
- G-CSF interleukin-1
- M-CSF LIF
- TPO interleukin-1
- IL-5 interleukin-5
- IL-6 interleukin-6
- IL-11 interleukin-12
- IL-13 interleukin-13
- FLT3 ligand FLT3 ligand
- G-CSF G-CSF
- GM-CSF IL-1, IL-3, IL-6
- TPO TPO
- EPO EPO
- transforming growth factor- ⁇ 1 their isoforms
- derivatives e.g., linked to a PEG or fusions such as PIXY321
- homologs for other species. See, e.g., Hematology—Basic Principles and Practice, 3 rd edition, R. Hoffman, E. J. Benz Jr.
- the co-administration of such factors in these methods is intended to enhance the efficacy of the formula 1 compound treatment, which is optionally measured by taking suitable blood or tissue, e.g., bone marrow, samples at one or more times before and after the compounds have been administered.
- suitable blood or tissue e.g., bone marrow
- Such co-administration will generally be compatible with a subject's condition and other therapeutic treatments.
- Co-administration of such factors can precede, be simultaneous with, or follow the times of administration of the formula 1 compound(s) to the subject.
- Dosages of such growth factors would generally be similar to those previously described, e.g., typically an initial course of treatment comprises administering about 1.0 to about 20 ⁇ g/kg/d for about 1-10 days, or as described in, e.g., Hematology—Basic Principles and Practice, 3 rd edition, R. Hoffman, E. J. Benz Jr. et al., editors, Churchill Livingstone, New York, 2000 (see, e.g., Chapter 51 at pages 939-979 and the references cited therein).
- the invention contemplates that the other therapy will continue, if this is reasonable under the circumstances.
- the timing of other therapies can precede, be simultaneous with, or follow the times of administration of the formula 1 compound(s) to the subject.
- chemotherapy for some malignancies is accompanied by myelosuppression or a deficiency in one or more blood cell types, e.g., TP or NP.
- TP or NP blood cell types
- Continued treatment would be called for in some cases, and then the invention methods would be employed to deliver to the subject an effective amount of a formula 1 compound.
- alkylating agents such as one or more of mechlorethamine, vincristine, vinblastine, bleomycin, doxorubicin, epirubicin, tamoxifen, cyclophosphamide, etoposide, methotrexate, ifosfamide, melphalan, chlorambucil, busulfan, carmustine, lomustine, streptozocin, dacarbazine, vinorelbine, paclitaxel (taxol), docetaxel, cytosine arabinoside, hydroxyurea, fludarabine, 2′-chlorodeoxyadenosine, 2′-deoxycoformycin, 6-thioguanine, 6-mercaptopurine, 5-azacytidine, gemcitabine, arabinofuranosylguanine, daunorubicin, mitoxantrone
- platinum compounds such as one or more of mechlorethamine, vincristine, vinblastine,
- Treatments with other therapeutic agents such as heparin or nucleoside analogs such as 3-thiacytosine, azidothymidine or dideoxycytosine, or other antimicrobials such as cephalosporin, quinine, quinidine, gold salts (e.g., aurothioglucose), ciprofloxacin, clarithromycin, fluconazole, fusidic acid, gentamycin, nalidixic acid, penicillins, pentamidine, rifampicin, sulfa antibiotics, suramin or vancomycin may result in a blood cell deficiency(s) and they can thus be combined with administration of a formula 1 compound to treat the deficiency, or to ameliorate a symptom thereof.
- other therapeutic agents such as heparin or nucleoside analogs such as 3-thiacytosine, azidothymidine or dideoxycytosine, or other antimicrobials such as cephalosporin,
- anti-inflammatory drugs e.g., salicylates
- cardiac drugs e.g., digitoxin
- ⁇ -blockers or antihypertensive drugs e.g., oxprenolol or captopril
- diuretics e.g., spironolactone
- benzodiazepines e.g., diazepam
- antidepressants e.g., amitriptyline, doxepin.
- Any of these methods also optionally include co-administration of one or more of the growth factors described above, e.g., IL-3, G-CSF, GM-CSF or TPO.
- the activity or numbers of neutrophils or monocytes is enhanced by co-administering the formula 1 compound with an neutrophil or monocyte stimulator, which is an non-protein agent or molecule that can stimulate the activity or number of neutrophils or monocytes in a subject.
- an neutrophil or monocyte stimulator which is an non-protein agent or molecule that can stimulate the activity or number of neutrophils or monocytes in a subject.
- Means to accomplish this include administering an effective amount of a formula 1 compound and an effective amount of one or more of lithium, e.g., in the form of a salt such as lithium carbonate or chloride, deuterium oxide, levamisole (an antihelminthic agent), lactoferrin, thyroxine, tri-iodothyroxine, anthrax toxin, ascorbic acid, 1-palmitoyl-lysophosphatidic acid, a calcium ionophore, e.g., A23187, cytochalasin B, sodium butyrate, piracetamine, micronized L-arginine, hydroxyurea and a bacterial lipopolysaccharide.
- a salt such as lithium carbonate or chloride, deuterium oxide, levamisole (an antihelminthic agent), lactoferrin, thyroxine, tri-iodothyroxine, anthrax toxin, ascorbic acid, 1-palmito
- the neutrophil or monocyte stimulator can be administered at various time relative to administration of the formula 1 compound, including about 2-4 hours to about 1 or 2 weeks before administering the formula 1 compound and including administration that is essentially simultaneous with administering the formula 1 compound.
- a neutrophil or monocyte stimulator will be dosed according to known methods, including daily dosing of about 0.01 mg/kg/day to about 25 mg/kg/day.
- about 1g/day of ascorbic acid e.g., about 0.5 to about 1.5 g/day
- liquid aqueous formulations may comprise a formula 1 compound and deuterium oxide in place of some or all of the water.
- Naturally occurring water contains approximately 1 part of deuterium oxide per 6500 parts water.
- the water present in a formulation may comprise, e.g., at least 1 part D 2 O in 6000 parts H 2 O, or at least 1 part in 100 parts, or about 50 parts or more per 100 parts of water.
- These aqueous formulations may comprise one or more additional excipients such as a cyclodextrin such as hydroxypropyl- ⁇ -cyclodextrin.
- Formulations comprising cyclodextrin and deuterium oxide, or comprising cyclodextrin, deuterium oxide and water may thus comprise deuterium oxide in an amount greater than 1 part per 6500 parts water, such as 1 part deuterium oxide per 1-100 parts water, e.g., 50 parts deuterium oxide per 100 parts water.
- the amount of cyclodextrin can be in the range of from about 2 to about 85 grams per liter of water and/or deuterium oxide, such as in the range of from about 5 to about 70 grams per liter of water and/or deuterium oxide, one example of a suitable amount being in the range of about 45 grams per liter of water and/or deuterium oxide.
- the subject's blood can be drawn on one, two or more occasions in advance of treatment to, e.g., obtain a baseline or initial level of white or red blood cells, to verify a presumptive diagnosis of a blood cell deficiency or to determine a blood parameter such as circulating myelomonocyte counts, circulating neutrophil counts, circulating platelet counts or the myeloperoxidase index. Then, during the course of treatment or thereafter the subject's blood can be drawn on one, two or more occasions to follow the subject's response.
- Invention embodiments include methods that comprise administering to a subject in need thereof an effective amount of a formula 1 compound and an effective amount of at least one form of interferon, such as ⁇ -Interferon or a growth factor or interleukin such as G-CSF or IL-6.
- Interferons can enhance the biological activity of the white cells that arise from increased hemopoiesis. This can be particularly useful when the subject's circulating blood cell deficiency is associated with, e.g., an infection or a chemotherapy that suppresses hemopoiesis.
- Administration of an growth factor or an interleukin such as IL-6 can facilitate hemopoiesis by stimulating quiescent stem cells or other progenitors that give rise to deficient cell types.
- Related embodiments replace growth factor or interferon administration partially or completely by increasing endogenous production in the subject using conventional methods, e.g., administering double stranded RNA to stimulate ⁇ -IFN.
- ⁇ -IFN For cases where ⁇ -IFN is administered, the administration is usually relatively constant, e.g., daily. This is because in patients in whom ⁇ -IFN is not generated endogenously in significant amounts, there is a tendency for levels of ⁇ -IFN to drop relatively quickly, i.e., within one day. In other words, in a patient in whom initially, ⁇ -IFN levels are close to zero, it should be administered in an amount which is effective to bring ⁇ -IFN levels to within normal levels, e.g., up to 10 nanograms per milliliter, and a similar amount of ⁇ -IFN should be administered each day thereafter.
- normal levels e.g., up to 10 nanograms per milliliter
- ⁇ -IFN Suitable forms of ⁇ -IFN and their biological properties and methods to obtain them have been described, see, e.g., U.S. Pat. Nos. 4,289,690, 4,314,935, 4,382,027, 4,376,821; 4,376,822, 4,460,685, 4,604,284 and 5,145,677, European patent publication nos. EP 063,482 EP 088 540, and EP 087 686, N. Fujii et al., J. Immunol., 1983 130:1683-86. A. Zlotnick et al., J. Immunol. 1983 131:794-80, M. deLey et al., Eur. J. Immunol. 1980 10:877-83, F.
- administration of the formula 1 compound is optionally accompanied by administration of an agent that can inhibit ⁇ -glutamylcysteine synthetase in the subject.
- an agent that can inhibit ⁇ -glutamylcysteine synthetase in the subject can enhance the capacity of the formula 1 compounds to inhibit replication of pathogens or to sensitize pathogens to metabolites derived from the formula 1 compounds.
- Suitable ⁇ -glutamylcysteine synthetase inhibitors include buthionine-sulfoximine (BSO), which may be in the form of, e.g., L-buthionine-S-sulfoximine or L-buthionine-R-sulfoximine.
- BSO ⁇ -glutamylcysteine synthetase
- Some compounds that inhibit ⁇ -glutamylcysteine synthetase have significant toxicity toward at least some subjects. Such compounds are suitable for this purpose if such toxicity can be counteracted or kept to levels which are acceptable.
- Such compounds include pentathionine-sulfoximine, hexathionine-sulfoximine, heptathionine-sulfoximine, prothionine-sulfoximine and methionine sulfoximine. When these compounds are used, they are used in amounts that limits their toxicity.
- a treatment may be interrupted briefly or for extended periods of time.
- the reason for such interruption can be any of a wide variety, e.g., patient non-compliance, apparent improvement in a subject's condition or by design. Any such interruption would not take a regimen outside the scope of the present invention.
- a patient might miss a day or several days of administration.
- the regimen might call for administration of one or more compounds for one or more day, and then non-administration of the one or more compounds for one or more day, and then resumption of the administration of the one or more compounds.
- a regimen according to the present invention can be altered in view of a patient's current condition, and can continue for any length of time, including the entire subject's lifetime.
- a volume of about 1 mL of a solid or liquid sublingual formulation that comprises about 100 micrograms of ⁇ -IFN may be used.
- An exemplary liquid formulation comprises a saline solution containing 45 weight % ⁇ -hydroxypropylcyclodextrin. It would be expected that such a dosage would provide in the range of 30 to 40 micrograms of ⁇ -IFN to the patient's blood.
- Such sublingual formulations would be held under the patient's tongue for a period of time sufficient to allow some or all of the ⁇ -IFN to be delivered to the patient while held under the patient's tongue.
- ⁇ -IFN administration of ⁇ -IFN must be by injection, e.g., subcutaneous injection.
- Subcutaneous injection of ⁇ -IFN is associated with unwanted side effects, including fatigue, headache, night sweats, fever, local pain at the injection site, nausea, vomiting, diarrhea and others.
- the above-described sublingual ⁇ -IFN formulations of the present invention is an aspect of the present invention, which can be of use in accordance with other aspects of the present invention as described herein. In general, however, a wide variety of routes of administration could be employed for ⁇ -IFN in accordance with the present invention, including those disclosed in U.S. Pat. No. 5,145,677.
- the formula 1 compounds can modulate, i.e., detectably enhance or inhibit, the expression or biological activity of one or more transcription factors or receptors. This activity can lead to detectable modulation of target gene activity or expression. Such modulation can arise from changes in the capacity of a transcription factor or receptor to bind to or form a complex with other natural ligands such as a target DNA sequence(s), another transcription factor(s), a transcription cofactor, a receptor such as a steroid receptor, receptor cofactor or an enzyme such as a polymerase, kinase, phosphatase or transferase.
- the formula 1 compounds can inhibit the activity or protein levels of one or more of AP-1, nuclear factor kappa B (NFkB) and GATA-3 in, e.g., a subject's cell(s) or tissue(s) or in enzyme or cell-based assays.
- AP-1 nuclear factor kappa B
- NFkB nuclear factor kappa B
- GATA-3 GATA-3
- the compounds are used to treat, prevent or to ameliorate conditions or symptoms that are associated with unwanted or overexpression or activity of one or more of AP-1, NFkB, c-maf or GATA-3 in conditions such as, e.g., inflammation or its symptoms, allergy or its symptoms, e.g., allergic rhinitis or acute or chronic asthma, psoriatic arthritis, osteoporosis, osteoarthritis, rheumatoid arthritis, neurological dysfunction or their symptoms, e.g., dementias such as Alzheimer's Disease, Parkinson's Disease, or memory loss conditions, in osteoporosis or in cancer such as breast cancer.
- conditions such as, e.g., inflammation or its symptoms, allergy or its symptoms, e.g., allergic rhinitis or acute or chronic asthma, psoriatic arthritis, osteoporosis, osteoarthritis, rheumatoid arthritis, neurological dysfunction or their symptoms, e.g., dementias such as Alzheimer's Disease, Parkinson's Disease
- the compounds can prevent NFkB from translocating from the cytoplasm into the nucleus and thus can increase the ratio of cytoplasmic NFkB to nuclear NFkB.
- the formula 1 compounds may inhibit activation of NFkB-mediated transcription while NFkB is bound to target DNA sequences in the nucleus.
- the formula 1 compounds can activate or enhance the expression of or one or more activity of a transcription factor such as T-Bet in, e.g., a subject's cell(s) or tissue(s) or in enzyme or cell-based assays.
- the compounds are used to treat, prevent or to ameliorate conditions or symptoms that are associated with deficient expression or activity of T-bet in conditions such as immune dysfunction in an immunesuppression condition, aging, an infection, a cancer or precancer as described herein or in the cited references.
- Additional exemplary mammalian and other transcription factors and receptors including orphan nuclear receptors, their homologs, isoforms and co-factors (e.g., co-repressors, co-activators, transcription factors, gene promoter regions or sequences) and related molecules that the formula 1 compounds can directly or indirectly from complexes with, or modulate (detectably increase or decrease) the synthesis or one or more biological activities of, include steroidogenic factor-1 (SF-1), steroidogenic acute regulatory protein (StAR), chicken ovalbumin upstream promoter-transcription factor (COUP-TFI) and its mammalian homologs, silencing mediator for retinoid and thyroid hormone receptor (SMRT) and its mammalian homologs, sterol regulatory element binding protein (SREBP) 1a (SREBP-1a), SREBP-1c, SREPB-2, NF-E3, FKHR-L1, COUP-TFII and its mammalian homologs, I ⁇ B, I ⁇ B ⁇ , AML
- the formula 1 compounds will detectably decrease the synthesis or one or more biological activity of one or more of these molecules (or other transcription factors or receptors disclosed herein) when such synthesis or activities is associated with the establishment, maintenance, progression or enhanced severity of a clinical condition or symptom disclosed herein. Conversely, the formula 1 compounds will generally detectably increase the synthesis or one or more biological activities of one or more of these molecules (or other transcription factors or receptors disclosed herein) when such synthesis or activity is associated with the treatment, prevention, cure or amelioration of a clinical condition or symptom disclosed herein.
- These decreases or increases compared to suitable controls can be relatively small, including changes near the lower limits of detectability for such molecules using known or new assays, e.g., a decrease or increase in the synthesis or biological activity of about 2%, about 5%, about 10% or about 20%.
- Such changes can be relatively large, e.g., at least about a 50% change, at least about a 90% change, or at least about a 200% change, up to about a 5-fold, about a 1 0-fold, about a 100-fold or greater decrease or increase in the synthesis or biological activity of the affected molecule(s) compared to suitable controls.
- These changes are typically measured relative to controls that lack a formula 1 compound or that use known agonists or antagonists of one or more relevant molecules.
- Assays can be based on measuring decreases or increases in, e.g., one or more of protein levels, RNA or mRNA levels, a ligand binding activity, transcription of a target gene(s) and the like.
- Suitable assay protocols include any suitable polymerase chain reaction assay to measure an RNA or mRNA, any suitable blotting protocol for nucleic acid or for protein such as a Northern or Western blot method or any transcription assay, including DNA footprinting or a gene expression or gene function assay.
- the formula 1 compounds will effect detectable changes in the synthesis or one or more biological activities in a concentration range of about 0.5 ⁇ 10 ⁇ 9 M to about 3 ⁇ 10 ⁇ 5 M.
- compositions that comprise a formula 1 compound for use in, e.g., in vivo animal assays, in vitro cell or tissue culture assays or in cell free assays will comprise one or more suitable solvents or vehicles including DMSO, ethanol, water and tissue culture medium, which optionally contains calf, horse or goat serum or another serum.
- suitable solvents or vehicles including DMSO, ethanol, water and tissue culture medium, which optionally contains calf, horse or goat serum or another serum.
- transcription factors, receptors or complexes can be a component in methods when, e.g., they are used with a formula 1 compound in cell-free assays or in tissue culture assays. Formation of these complexes in cells or analysis of the effects of formula 1 compounds on one or more of their biological activities is facilitated by inserting into the cells a DNA construct(s) that expresses one or more of these proteins, e.g., mammalian or yeast cells containing a stable DNA construct or a construct used for transient transfection assays.
- complexes or assay systems that comprise a formula 1 compound and one or more of these molecules are embodiments of the invention, as are the use of these compositions when employed in the practice of any of the assay methods or in any of the clinical treatment methods disclosed herein or in the cited references.
- invention embodiments include a method comprising contacting a formula 1 compound(s) with a cell(s), whereby the formula 1 compound(s) forms a complex with a steroid hormone receptor or results in the modulation of a biological activity of the steroid hormone receptor or a gene that it regulates.
- the steroid hormone receptor may be an orphan nuclear hormone receptor or a characterized receptor such as the glucocorticoid receptor, estrogen receptor or the androgen receptor that displays a moderate or high binding affinity for the formula 1 compound(s).
- the steroid receptor is a known steroid receptor.
- Biological effects from interaction of a formula 1 compound and a receptor can lead to interference with the replication or development of a pathogen or the cell(s) itself.
- expression of HIV transcripts in HIV-infected cells may be altered.
- the receptor-formula 1 compound complex may directly interfere with LTR-dependent transcription of HIV genes, leading to reduced viral replication.
- effects can include the decreased synthesis or biological activity of a protein or gene product that is associated with the establishment, maintenance or progression of a disease condition described herein or in the cited references.
- compositions comprising a partially purified or a purified complex comprising a formula 1 compound and a steroid receptor.
- a steroid receptor(s) may be an orphan steroid receptor or a characterized steroid receptor, where either type binds the formula 1 compound with a moderate or high binding affinity, e.g., less than about 0.5-10 ⁇ 10 ⁇ 6 M, usually less than about 1 ⁇ 10 ⁇ 7 M, or, for higher affinity interactions, less than about 0.01-10 ⁇ 10 ⁇ 9 M.
- the formula 1 compound(s) may also enhance immune responses such that both immune responses and altered intracellular conditions simultaneously exist to ameliorate one or more of the pathological conditions described herein.
- the formula 1 compounds may be used to identify receptors that modulate biological responses, e.g., receptors that participate in effecting enhanced Th1 cytokine synthesis.
- Invention embodiments include a method, “Method 1”, which permits the determination of one or more effects of a test compound on a steroid receptor in various biological systems.
- the test compound is a formula 1 compound.
- Such systems include cells containing a DNA construct that constitutively or inducibly expresses a steroid receptor(s) of interest, e.g., SXR, CAR ⁇ , RXR, PXR, PPAR ⁇ , PPAR ⁇ , PPAR ⁇ or mixtures or dimers thereof, e.g., SXR/RXR.
- the steroid receptor can be under the transcriptional control of a regulatable promoter.
- the expression another gene such as a steroid-inducible gene, e.g., a steroid-inducible cytochrome P-450.
- a source of steroid receptors is generally combined with a means of monitoring them, e.g., by measuring the transcription of a gene regulated by the receptor.
- Cells that comprise the steroid receptor and optional monitoring means are sometimes referred to herein as the “biological system.”
- Sources of steroid receptors include cell lines and cell populations that normally express the steroid receptor of interest and extracts obtained from such cells.
- Another source for a useful biological system for purposes of this method is tissues from experimental animals that express the receptor.
- method 1 allows one to determine one or more effects of a formula 1 compound on a steroid receptor using a method that comprises (a) providing a biological system, e.g., a cell extract, cells or tissue, comprising cells having a plurality of steroid receptors that comprise monomers, homodimers or heterodimers that comprise a steroid receptor, e.g., SXR, CAR- ⁇ , RXR, PPAR ⁇ , PPAR ⁇ , PPAR ⁇ , PXR or dimers that comprise one or more of these; (b) activating or inhibiting the plurality of monomers, homodimers or heterodimers that comprise the steroid receptor by contacting the cells with a steroid receptor (e.g., SXR, CAR- ⁇ , RXR, PPAR ⁇ , PPAR ⁇ , PPAR ⁇ or PXR) agonist or antagonist; (c) removing substantially all of the steroid receptor agonist or antagonist from the cells; (d) determining an steroid
- the effects that method 1 can measure includes determining or measuring an effect on a gene whose expression is affected by the steroid receptor.
- the gene could be a gene associated with a pathological condition such as an infectious agent, an immune disorder such as an inflammation condition or a hyperproliferation condition disclosed herein or in the cited references.
- method 1A is determining if a compound not previously known to be a modulator of protein biosynthesis can transcriptionally modulate the expression of a gene that encodes a protein associated with the maintenance or treatment of one or more symptoms of a pathological condition (the “target gene” or “target protein”).
- This method comprises: (a) contacting an assay system that comprises eucaryotic cells or a suitable lysate with a formula 1 compound, wherein the eucaryotic cells or suitable lysate comprises one, two or a plurality of steroid receptor proteins and optionally comprises one or more coactivator proteins and a DNA construct comprising operatively linked sequences that comprise (i) a modulatable transcriptional regulatory sequence(s) of the target gene, (ii) a promoter of the gene, and (iii) either the target gene's nucleic acid coding protein region or a coding region for a suitable reporter gene, either of which is capable of expressing the DNA construct's coding region, which is coupled to, and under the control of, the modulatable transcriptional regulatory sequence(s) and the promoter, under conditions such that the formula 1 compound, if capable of acting as a transcriptional modulator of the gene encoding the protein of interest, causes a measurable or detectable signal (e.g., an increased or decreased nucle
- Suitable steroid receptors and their coactivators are as described herein, e.g., androgen receptor, estrogen receptor, glucocorticoid receptor, mineralcorticoid receptor, aldosterone receptor, PPAR ⁇ , PPAR ⁇ , PPAR ⁇ , PPAR ⁇ , RXR or CAR ⁇ . Information regarding these receptors has been described, see, e.g., relevant U.S. patents cited herein and PCT publication WO 0025800 and WO 0031286.
- the assay system may comprise a transformed cell line, primary cells or untransformed cells or a suitable lysate or extract of any of these.
- Exemplary cell lines include ones derived from human or other mammalian tumors or precancers.
- the source of such cells may be human or animal, e.g., a mammal such as a primate or a rodent.
- the assay system comprises a rodent such as a mouse, transgenic mouse or other transgenic animal (see e.g., PCT publication WO 000602).
- Measurement of the formula 1 compound's effect on the assay system includes detecting increased or decreased expression of nucleic acid or polypeptide by the target gene in response to the formula 1 compound's presence.
- Exemplary conditions include conducting the method under conditions suitable for maintaining the cells in tissue culture or under conditions suitable for enzyme assays using cell extracts or lysates, e.g., tissue culture medium or a buffered aqueous solution that is, e.g., a nearly isotonic solution at about 32-38° C., a pH of about 6 to about 8, a formula 1 compound concentration of about 1 ⁇ 10 ⁇ 11 M to about 1 ⁇ 10 ⁇ 3 M (including any concentration in any single unit increment of, e.g., 1 ⁇ 10 ⁇ 11 M, e.g., 1 ⁇ 10 ⁇ 10 M, 1 ⁇ 10 ⁇ 9 M, 1 ⁇ 10 ⁇ 8 M, 1 ⁇ 10 ⁇ 7 M, 1 ⁇ 10 ⁇ 6 M, 1 ⁇ 10 ⁇ 5 M or 1 ⁇ 10 ⁇ 4 M) and contacting the formula 1 compound and the assay system for about 20 minutes to about 72 hours.
- cell extracts or lysates e.g., tissue culture medium or a buffered aqueous solution that
- Detection of a change in expression of the target gene or the reporter gene includes, e.g., detecting (1) changes in gene nucleic acid levels by qualitative or quantitative PCR methods and (2) changes in gene protein levels by enzyme or antibody-based assays such as measuring enzyme activity using a suitable substrate or measuring protein levels, e.g., by ELISA or western blotting.
- the eucaryotic cells comprise a DNA construct that is made using conventional molecular biology methods and protocols.
- the assay system is maintained under conditions such that the formula 1 compound, if capable of acting as a transcriptional modulator of the gene encoding the protein of interest, causes a measurable or detectable signal to be produced by the polypeptide expressed by the reporter gene. Once sufficient time for generation of a detectable response or signal has passed, one can determine the amount of the signal produced. Typically the response or signal is measured quantitatively, but a qualitative measurement can be useful for rapid screening purposes.
- aspects of the method 1 and 1A include a screening method comprising separately contacting each of a plurality of identical, essentially identical or different samples, each sample containing a predefined number of such cells with a with a predetermined concentration of each different formula 1 compound to be tested, e.g., wherein the plurality of samples comprises more than about 1 ⁇ 10 3 or more than about 1 ⁇ 10 4 samples or about 0.5-5 ⁇ 10 5 samples.
- the plurality of samples comprises more than about 1 ⁇ 10 3 or more than about 1 ⁇ 10 4 samples or about 0.5-5 ⁇ 10 5 samples.
- a formula 1 compound such as any one of those described or named herein may be utilized.
- aspects of the invention include another method, “method 2”, which centers on identifying a gene whose expression is modulated by a candidate binding partner for infectious disease therapeutic agents.
- the binding partner is a steroid receptor, e.g., a monomer, homodimer or heterodimer that comprises SXR, CAR- ⁇ , PXR, PPAR ⁇ , PPAR ⁇ , PPAR ⁇ , PPAR ⁇ or RXR or a homolog or isoform thereof.
- the steroid receptor is typically present as a complex that comprises, e.g., the formula 1 compound and the regulated gene's DNARS, which the steroid receptor, or a complex that comprises the steroid receptor, recognizes and specifically binds to.
- Such complexes can also comprise a transcription factor that binds to the steroid receptor or to nucleic acid sequences adjacent to or near the DNARS.
- transcription factors that may be present include one or more of ARA54, ARA55, ARA70, SRC-1, NF- ⁇ B, NFAT, AP1, Ets, p300, CBP, p300/CBP, p300/CPB-associated factor, SWI/SNF and human homologs of SWI/SNF, CBP, SF-1, RIP140, GRIP1 and Vpr.
- one provides a first and a second group of cells in vitro or in vivo and contacts the first group of cells with the infectious disease therapeutic agent, but does not contact the second group of cells in vitro or in vivo with the infectious disease therapeutic agent.
- Recovering RNA from the cells, or generating cDNA derived from the RNA is accomplished by conventional protocols. Analysis of the RNA, or cDNA derived from the RNA, from the first and the second group of cells identifies differences between them, which one can use to identify a gene whose regulation is modulated by the candidate binding partner for the infectious disease therapeutic agent or any DNARS associated with that gene.
- An aspect of method 2 is determining the capacity of a formula 1 compound to modulate, or participate in the modulation of, the transcription of a gene associated with the maintenance or treatment of one or more symptoms of a pathological condition. It is expected that in general, the formula 1 compounds will cause an increase in the transcription of such genes.
- the pathological condition is typically one associated with an infectious agent, e.g., virus, parasite or bacterium, but can also include an immune condition, e.g., an autoimmune condition or an immune deficiency.
- the pathological condition may also be an insufficient immune response to an infection or an insufficient response to a hyperproliferation condition or malignancy.
- Other pathological conditions that one can apply the method to are inflammation conditions.
- formula 1 compounds used in method 2 will be labeled. Such compounds are prepared by conventional methods using standard labels, such as radiolabels, fluorescent labels or other labels as described herein and in the cited references.
- An embodiment of method 2 involves analyzing the RNA, or cDNA derived from it, by subtraction hybridization.
- the RNA or cDNA obtained from the first and second groups of cells is hybridized and the resulting duplexes are removed. This allows recovery of nucleic acids that encode genes whose transcription is modulated by the candidate binding partner, which is usually a steroid receptor.
- the nucleic acid sequences that are transcriptionally induced or repressed by the formula 1 compound are candidate binding partners.
- a transcriptionally induced gene(s) will be enriched in the group 1 cells treated with the formula 1 compound, while any repressed gene(s) will be depleted or absent.
- the RNA recovered after removal of duplexes is typically amplified by standard RT-PCR or PCR protocols. These protocols typically use specific sets of random primer pairs, followed by analysis of the amplified nucleic acids by gel electrophoresis. Nucleic acids that are induced by the formula 1 compound will appear as a band(s), usually duplex DNA, that is not present in the control or second set of cells. Nucleic acids that are transcriptionally repressed by the formula 1 compound's binding partner will be depleted or absent in the first group of cells.
- gene candidates Once such gene candidates are identified, they can be cloned and expressed and the capacity of the DNARS associated with the gene to form a complex that comprises a candidate binding partner and an optionally labeled formula 1 compound is analyzed by conventional methods, e.g., equilibrium dialysis, affinity chromatography using, e.g., the DNARS immobilized on a column, or coprecipitation of complexes that comprise an optionally labeled DNARS and candidate binding partner using anti-binding partner antibodies. Nucleic acid sequence analysis is usually used to identify regions adjacent to the coding regions of the regulated gene to identify any DNARS associated with the gene.
- the identity of a DNARS can be established by the binding to the DNARS of complexes that comprise a candidate binding partner, e.g., a steroid receptor, and optionally also comprise a formula 1 compound.
- a candidate binding partner e.g., a steroid receptor
- the location and identity of the DNARS can be accomplished by DNA footprinting or other methods for detecting binding interactions.
- the DNARS, the receptor or the formula 1 compound can be labeled in these variations of method 2.
- the second group of cells will be identical or essentially identical to the first group of cells.
- the first or the second group of cells may differ from each other by the presence or absence of a DNA construct(s) that expresses (i) a steroid receptor and/or (ii) an easily detected protein, e.g., a ⁇ -galactosidase, a peroxidase, a phosphatase, a luciferase or a chloramphenicol acetyltransferase, whose transcriptional regulation is usually modulated by a steroid receptor.
- a DNA construct(s) that expresses (i) a steroid receptor and/or (ii) an easily detected protein, e.g., a ⁇ -galactosidase, a peroxidase, a phosphatase, a luciferase or a chloramphenicol acetyltransferase, whose transcriptional regulation is usually
- the difference between the first and the second group of cells is used to facilitate the analysis of the biological effects of the formula 1 compound and the steroid receptor binding partner.
- Groups of cells are considered “identical” if they do not display known or obvious morphological or genetic differences.
- the second group of cells will serve as a control, and they will thus not be exposed to any formula 1 compound before obtaining the RNA or cDNA. But, for some embodiments, one can expose the second group of cells to a known agonist or antagonist of the steroid receptor binding partner. This allows one to compare the potency of the formula 1 compound with the potency of the agonist or antagonist.
- a third group of cells which is optionally used as an untreated control when the second group of cells is treated with a steroid receptor agonist or antagonist.
- the DNA construct would comprise a promoter or other regulatory sequences that are subject to transcriptional modulation, usually increase transcription, by the formula 1 compound in concert with its binding partner.
- the formula 1 compounds can directly or indirectly modulate the activity or synthesis of one or more biological ligands to effect a detectable biological response or activity change.
- a radiolabeled formula 1 compound that is linked to a support, usually a solid support, as a means to recover the candidate binding partners.
- the formula 1 compound can be linked to the support through a variable group that is bonded to the formula 1 compound, e.g., at the 2-, 3-, 7-, 11-, 15-, 16- or 17-position of the steroid nucleus.
- Linking agents are known for such uses and include homobifunctional and heterobifunctional agents, many of which are commercially available.
- the linker one uses will typically comprise about 2-20 linked atoms.
- the linked atoms usually comprise mostly carbon, with one, two or three oxygen, sulfur or nitrogen atoms that optionally replace one or more carbon or hydrogen atoms.
- the cells or tissues can be obtained from a mammalian or a vertebrate host, e.g., human, mouse, bird, primate, or from other sources, e.g., insects (e.g., Drosophila ), other invertebrates (e.g., yeast, bacteria, Mycoplasma sp., Plasmodium sp., Tetrahymena sp., C.
- Suitable tissues include skin, liver tissue or cells, including hepatocytes and Kupfer cells, fibrocytes, monocytes, dendritic cells, kidney cells and tissues, brain or other central nervous system cells or tissues, including neurons, astrocytes and glial cells, peripheral nervous system tissues, lung, intestine, placenta, breast, ovary, testes, muscle, including heart or myocyte tissue or cells, white blood cells, including T cells, B cells, bone marrow cells and tissues, lymph tissues or fluids and chondrocytes.
- a candidate binding partner that one isolates from a non-human source will have a human homolog that has similar binding properties for the formula 1 compound.
- Non-human candidate binding partners can thus be used to facilitate recovery of the human homologs, e.g., by preparing antiserum for precipitating the human homolog from a solution that comprises the human homolog or by comparing the sequence of the non-human candidate binding partner with known human gene sequences.
- a source of the candidate binding partner Once a source of the candidate binding partner is obtained, it can be contacted with labeled formula 1 compound, usually radiolabeled with, e.g., 14 C or 3 H, and complexes that comprise the labeled formula 1 compound and the candidate binding partner is recovered using, e.g., affinity chromatography or antibody precipitation methods.
- the recovery of the complex provides a source of at least partially purified candidate binding partner, i.e., the candidate binding partner is enriched, e.g., at least 10-fold enriched, or at least 100-fold enriched, or at least 500-fold enriched, compared to its abundance in the original candidate binding partner source material.
- Embodiments of the invention include a composition comprising a partially purified (purified at least about 2-fold to about 10-fold relative to natural sources, e.g., cells or a cell lysate) comples or a purified (purified at least about 20-fold to about 5000-fold relative to natural sources, e.g., cells or a cell lysate) complex (where the partially purified or purified complex is optionally isolated) comprising a formula 1 compound and a steroid receptor, a serum steroid-binding protein (e.g., human serum albumin, ⁇ 1-acid glycoprotein, sex hormone-binding globulin, testosterone-binding globulin, corticosteroid-binding globulin, androgen binding protein (rat)) or another binding partner, e.g., transcription factor or DNARS.
- An aspect of these compositions includes a product produced by the process of contacting the partially purified or the purified composition with one or more cells, one or more tissues,
- Other embodiments include a method to modulate a cellular response or to determine a biological activity of a formula 1 compound comprising: (a) contacting the formula 1 compound(s) with a cell or cell population; (b) measuring one or more of (i) a complex between a binding partner and the formula 1 compound, (ii) proliferation of the cell or cell population, (iii) differentiation of the cell or cell population (iv) an activity of a protein kinase C, (v) a level of phosphorylation of a protein kinase C substrate, (vi) transcription of one or more target genes, (vii) inhibition of unwanted cellular responses to certain steroids, e.g., inhibition of glucocorticoid-induced immune suppression or inhibition of glucocorticoid-induced bone loss, (viii) inhibition or modulation of steroid-induced transcription, e.g., increased or decreased expression induced by glucocorticoids or sex steroids or (ix) inhibition of HIV LTR-driven transcription; and
- aspects of this embodiment include (i) the method wherein the binding partner is a steroid receptor, a transcription factor or a DNARS, (ii) the method wherein the biological activity determined is a modulating activity of the formula 1 compound for replication or cytopathic effects associated with a retrovirus, a hepatitis virus or a protozoan parasite, (iii) the method wherein the biological activity determined is a modulating activity of the formula 1 compound for replication, cytopathic effects associated with the retrovirus, the hepatitis virus or the protozoan parasite or the biological activity determined is metabolism (assay by 3 H-thymidine uptake or other assay as referenced or described herein) of a cell or cell population comprising NK cells, phagocytes, monocytes, macrophages, basophils, eosinophils, dendritic cells, synoviocytes, microglial cells, fibrocytes, transformed (neoplastic) cells, virus-infected cells, bacteria
- Another embodiment is a method comprising contacting a complex that comprises a steroid receptor and a formula 1 compound with a transactivator protein, whereby a complex comprising the steroid receptor protein, the formula 1 compound and the transactivator protein forms, wherein the transactivator protein is in (1) a cell or tissue extract (e.g., nuclei, lysate containing nuclei or lysate without nuclei from a cell(s) or tissue(s)), (2) a partially purified or purified cell or tissue extract, (3) a cell(s) in tissue culture or (4) a cell(s) in a subject, where any of (1) -(4) optionally comprises a target gene (native gene or introduced by standard gene manipulation techniques) whose level of expression is optionally assayed after the complex forms.
- a cell or tissue extract e.g., nuclei, lysate containing nuclei or lysate without nuclei from a cell(s) or tissue(s)
- the transactivator protein is partially purified or purified and is in the cell or tissue extract or the partially purified or purified cell or tissue extract.
- the transactivator protein may be TIF-1, CBP/P300, TRIP1/SUG-1, RIP-140, SRC1 ⁇ /P160, or TIF-2/GRIP-1.
- the complex comprising the steroid receptor protein, the formula 1 compound and the transactivator protein may increase or decrease transcription of the target gene compared to a suitable control (e.g., control under same conditions, but lacking any added compound that corresponds to the formula 1 compound, or where another compound (e.g., a steroid that is known to bind to the steroid receptor) is used as a benchmark or reference standard against which altered target gene expression is measured).
- a suitable control e.g., control under same conditions, but lacking any added compound that corresponds to the formula 1 compound, or where another compound (e.g., a steroid that is known to bind to the steroid receptor) is used as a benchmark or reference standard against which altered target gene expression is measured.
- the target gene may be a pathogen gene (e.g., virus, bacterium, parasite, fungus, yeast) or a gene associated with a pathological condition (autoimmunity, inflammation, hyperproliferation).
- the formula 1 compounds are suitable for use in certain described methods that use steroids to modulate biological activities in cells or tissues.
- a formula 1 compound(s) can be used to selectively interact with specific steroid receptors or steroid orphan receptor, or their subtypes, that are associated with a pathological condition(s) in a subject, essentially as described in U.S. Pat. No. 5,668,175.
- the formula 1 compound may act as a ligand for the receptor to modulate abnormal expression of a gene product(s) that correlates with the pathological condition (a steroid hormone responsive disease state).
- pathological condition a steroid hormone responsive disease state
- Such genes are normally regulated by steroid hormones.
- the formula 1 compounds can be used essentially as described in U.S. Pat. Nos. 5,597,693, 5,639,598, 5,780,220, 5,863,733 and 5869337 to detectably modulate a biological activity of one of these molecules.
- the formula 1 compound(s) is labeled to facilitate its use.
- Suitable labels are known in the art and include radiolabels (e.g., 3 H, 14 C, 32 P, 35 S, 131 I, 99 Tc and other halogen isotopes), fluorescent moieties (e.g., fluorescein, resorufin, Texas Red, rhodamine, BODIPY, arylsulfonate cyanines), chemiluminescent moieties (e.g., acridinium esters), metal chelators, biotin, avadin, peptide tags (e.g., histidine hexamer, a peptide recognized by monoclonal or polyclonal antibodies), covalent crosslinking moieties.
- radiolabels e.g., 3 H, 14 C, 32 P, 35 S, 131 I, 99 Tc and other halogen isotopes
- fluorescent moieties e.g., fluorescein, resorufin, Texas Red, rhod
- immune system cells e.g., NK cells, phagocytes, monocytes, macrophage, neutrophils, eosinophils, dendritic cells, synoviocytes, microglial cells, fibrocytes
- Jakob et al. J. Immunol. 1998 161:3042-3049
- Pierson et al. Blood 1996 87:180-189
- Cash et al. Clin. Exp. Immunol. 1994
- Monick et al. J. Immunol. 1999 162:3005-3012
- formula 1 compounds in such methods are aspects of the invention and they permit, e.g., measurement of the biological effects of formula 1 compounds on, e.g., one or more of (1) the cell's biological activities, (2) genes whose expression is regulated by the formula 1 compound or (3) a steroid receptor.
- Exemplary biological effects that the formula 1 compounds may exert include one or more of (1) stimulation of ion flux or ion channel activity in one or more immune cell subsets such as one or more of those described herein, (2) binding to one or more ligands such as a steroid receptor and modulation of a biological activity of the receptor, (3) detectably enhanced transcription of one or more genes whose expression is affected by a steroid receptor(s) or other biomolecule whose activity is directly or indirectly affected by the formula 1 compound's presence and (4) detectably decreased transcription of one or more genes whose expression is affected by a steroid receptor(s) or other biomolecule whose activity is directly or indirectly affected by the formula 1 compound's presence.
- Embodiments include any of the methods described above, e.g., method 1, wherein the cells or biological system comprises NK cells, phagocytes, monocytes, macrophage, neutrophils, eosinophils, dendritic cells, synoviocytes, microglial cells, glial cells, fibrocytes or hepatocytes, that optionally comprise a DNA construct that expresses one or two cloned steroid receptors.
- the method optionally analyzes the effect of a formula 1 compound on the cells compared to controls.
- Controls include the use of a known agonist or antagonist for the steroid receptor or the comparison of cells exposed to a formula 1 compound with control cells (usually the same cell type as the treated cells) that are not exposed to the formula 1 compound.
- a response, e.g., activation of the steroid receptor can be measured by known assays compared to controls.
- the formula 1 compound will, in some cases modulate (increase or decrease) transcription of one or more genes in the cells. In other cases, the formula 1 compound will enhance lysosome movement in one or more of the subject's NK cells, phagocytes, monocytes, macrophages, neutrophils, eosinophils, dendritic cells synoviocytes, microglial cells or fibrocytes. Such effects will typically be mediated directly or indirectly through one or more transcription factors or steroid receptors that act to modulate gene transcription, e.g., cause enhanced protein kinase C (a PKC such as PKC ⁇ , PKC ⁇ , PKC ⁇ or PKC ⁇ ) activity in the cells used in the assay, or another effect as disclosed herein.
- a PKC such as PKC ⁇ , PKC ⁇ , PKC ⁇ or PKC ⁇
- compositions comprising a partially purified or a purified complex comprising a formula 1 compound and a steroid receptor, a serum steroid-binding protein (e.g., human serum albumin, ⁇ 1-acid glycoprotein, sex hormone-binding globulin, testosterone-binding globulin, corticosteroid-binding globulin, androgen binding protein (rat) or a homolog or isoform of any of these) or another binding partner, e.g., transcription factor or DNARS.
- a serum steroid-binding protein e.g., human serum albumin, ⁇ 1-acid glycoprotein, sex hormone-binding globulin, testosterone-binding globulin, corticosteroid-binding globulin, androgen binding protein (rat) or a homolog or isoform of any of these
- another binding partner e.g., transcription factor or DNARS.
- An aspect of these compositions includes a product produced by the process of
- a formula 1 compound is used to exert a cytostatic effect on a subject's cells, e.g., mammalian cells, in vitro or in vivo.
- a subject's cells e.g., mammalian cells
- lymphoid cells e.g., T cell populations from, e.g., blood or organs that are rich in lymphoid cells (e.g., spleen, lymph tissue or nodes), or transformed T cell lines.
- lymphoid cells e.g., T cell populations from, e.g., blood or organs that are rich in lymphoid cells (e.g., spleen, lymph tissue or nodes), or transformed T cell lines.
- Such activity provides an estimate of the potency of formula 1 compounds to mediate immunological effects, such as enhancing Th1 immune responses or suppressing expression of one or more Th2-associated cytokines.
- an invention method comprises (a) contacting a formula 1 compound and lymphoid cells in vitro, (b) determining the degree of cytostasis that the compound exerts to identify a cytostatic compound and (c) optionally administering the cytostatic compound to an immune suppressed subject to determine the effect of the compound on one or more of the subject's immune responses as described herein, e.g., enhanced Th1 cytokine or cell response or decreased Th2-associated cytokine expression.
- Such methods are conducted using a range of formula 1 compound concentrations and suitable controls, such as a known cytostatic agent or a blank that contains solvent that lacks the formula 1 compound. Inhibition of cell proliferation is measured by standard methods.
- Methods to measure the cytostatic effects of the compounds includes measuring viable cell numbers in treated and untreated cultures or by measuring DNA synthesis using e.g., 3 H-thymidine incorporation into DNA in treated and untreated cultures.
- Typical ranges of formula 1 concentrations in the cell growth medium are about 0.1 ⁇ M to about 100 ⁇ M, using about 4-6 different concentrations of compounds with a fixed number of cells (e.g., about 0.4 ⁇ 10 5 to about 5 ⁇ 10 5 ).
- the formula 1 compound is left in contact with the cells in tissue culture for a sufficient time to observe cytostasis, e.g., about 16 hours to about 6 days, typically about 24-72 hours.
- one may optionally screen for modulation of a biological activity of a steroid receptor, e.g., activation of PPAR ⁇ , which may be associated with the cytostasis the compound induced.
- the formula 1 compounds are useful in enhancing ⁇ -cell function in the islets of Langerhans or in reducing the rate of islet cell damage and thus they are useful to treat, prevent, ameliorate or slow the progression of diabetes and hyperglycemia in a subject.
- One or more diabetes symptoms that can improve include improved tolerance to glucose or improved glucose utilization, or a decrease in vascular lesions, atherosclerosis, diabetic osteoarthropathy, skin lesions, neuropathy, ketosis or autoantibodies against islet cells or decreased expression or levels of one or more of IL-1, TNF and IFN- ⁇ .
- the compounds can also be used in, e.g., diabetes or obesity, to (1) reduce body fat mass and increase muscle mass or (2) lower one or more of serum or blood low density lipoprotein, triglyceride, cholesterol or serum apoB levels, typically with little or no effect on tissue sensitivity to insulin or with little or no effect on serum or blood high density lipoprotein levels.
- the compounds can be used to treat symptoms associated with obesity or diabetes. Dosages, routes of administration and dosing protocols for the formula 1 compounds are essentially as described herein.
- the formula 1 compounds are also useful for preventing, slowing the progression of or treating chronic renal failure in a subject.
- the formula 1 compounds may be used where chronic renal failure results from polycystic kidney disease, from, e.g., an autoimmune condition such as acute or chronic glomerulonephritis, or from diabetes, interstitial nephritis or hypertension. Dosages, routes of administration and dosing protocols for the formula 1 compounds are essentially as described herein.
- the formula 1 compounds modulate the biological activity of cytokines or interleukins that are associated with various immune deficiency or dysregulation conditions, which may be transient or chronic. They can thus be used to ameliorate, treat or prevent naturally occurring age-related decline in immune function in a subject or immune deficiency or dysregulation resulting from trauma, stress, burns, surgery, autoimmunity or infections as described herein.
- Such immune deficiency dysregulation may be associated with, e.g., an age-related increase in production of one or more of IL-4, IL-5 and IL-6 or an age-related decrease in production of one or more of IL-2, IL-3, ⁇ -IFN, GM-CSF or antibodies.
- the formula 1 compound is administered to the subject to detectably decrease production or levels of one or more of IL-4, IL-5 and IL-6 or to detectably increase production or levels of one or more of IL-2, IL-3, IL-5, GM-CSF and ⁇ -IFN.
- cytokine changes facilitate normalization of the subject's immune responses. Such normalization can be observed by various means. These means include monitoring appropriate cytokine RNA or protein level(s) in the subject or by measuring biological responses such as restoration or detectable improvement of contact hypersensitivity in a subject with depressed or suboptimal contact hypersensitivity response.
- the formula 1 compounds can thus be used to enhance or restore a deficient or suboptimal immune response such as contact hypersensitivity response in a subject with a chronic or transient state of immune deficiency or dysregulation.
- the formula 1 compound is administered using the dosages, routes of administration and dosing protocols for the formula 1 compounds essentially as described herein.
- Treatment with the formula 1 compounds is optionally combined with other appropriate treatments or therapies essentially as described herein, e.g., a antibacterial or antiviral agent(s) is coadministered with a formula 1 compound to treat, prevent or ameliorate an infection in an infected subject or a subject suffering from, e.g., a burn.
- the capacity of the formula 1 compounds to modulate immune functions permits their use for treating, preventing, slowing the progression of or alleviating the a symptom(s) of subjects with psychological disorders, metabolic disorders, chronic stress, sleep disorders, conditions associated with sexual senescence, aging, or premature aging.
- Chronic stress and related disorders include fibromyalgia, chronic fatigue syndrome and hypothalamic-pituitary axis dysregulation.
- treatment of subjects with a formula 1 compound is optionally combined with other suitable agents such as triiodothyronine, tetraiodothyronine, an insulin-like growth factor or insulin-like growth factor binding protein-3.
- An aspect of the invention provides embodiments where a formula 1 compound and a glutathione reductase inhibitor such as buthathione sulfoximine [CH 3 —(CH 2 ) 3 —S( ⁇ O)( ⁇ NH)—(CH 2 ) 2 —CHNH 2 —C(O)—OH] are administered to a subject to treat infections, e.g., a parasite infection such as malaria, Toxoplasma, Cryptosporidium , or to treat a cancer or malignancy.
- infections e.g., a parasite infection such as malaria, Toxoplasma, Cryptosporidium
- a glutathione reductase inhibitor may result in improved recognition of infected or malignant cells by the immune system.
- a formula 1 compound such as BrEA, and buthathione sulfoximine are used, e.g., to enhance clearance of ring stage malaria from infected cells or to enhance immune system recognition of malignant cells compared to the use of the formula 1 compound alone.
- the infections and malignancies where these embodiments apply are as described herein.
- Another aspect of the invention provides for the use of a formula 1 compound and a flavonoid, e.g., a naragin flavonoid, to enhance the bioavailability of the formula 1 compound.
- a flavonoid e.g., a naragin flavonoid
- the an effective amount of a flavonoid is administered to a subject who is receiving a formula 1 compound.
- flavonoid such as bavachinin A, didymin (isosakuranetin-7-rutinoside or neoponcirin), flavanomarein (isookanine-7-glucoside), flavanone azine, flavanone diacetylhydrazone, flavanone hydrazone, silybin, silychristin, isosilybin or silandrin.
- the flavonoid compound is typically administered with the formula 1 compound or a few hours, e.g., about 1, 2 or 3 hours, before the formula 1 compound is administered to the subject.
- a treatment with a formula 1 compound is combined with a corticosteroid or glucocorticoid.
- Corticosteroids are used in a number of clinical situations to, e.g., decrease the intensity or frequency of flares or episodes of inflammation or autoimmune reactions in conditions such as rheumatoid arthritis, osteoarthritis, ulcerative colitis, bronchial asthma, psoriasis or systemic lupus erythematosus.
- many corticosteroids have significant side effects or toxicities that can limit their use or efficacy.
- the formula 1 compounds are useful to counteract such side effects or toxicities without negating all of the desired therapeutic capacity of the corticosteroid.
- the side-effects or toxicities that can be treated, prevented, ameliorated or reduced include one or more of bone loss, reduced bone growth, enhanced bone resorption, osteoporosis, immunosuppression, increased susceptibility to infection, mood or personality changes, depression, headache, vertigo, high blood pressure or hypertension, muscle weakness, fatigue, nausea, malaise, peptic ulcers, pancreatitis, thin or fragile skin, growth suppression in children or preadult subjects, thromboembolism, cataracts, and edema.
- Dosages, routes of administration and dosing protocols for the formula 1 compound would be essentially as described herein.
- An exemplary dose of formula 1 compound of about 0.5 to about 20 mg/kg/day is administered during the period during which a corticosteroid is administered and optionally over a period of about 1 week to about 6 months or more after dosing with the corticosteroid has ended.
- the corticosteroids are administered essentially using known dosages, routes of administration and dosing protocols, see, e.g., Physicians Desk Reference 54 th edition, 2000, pages 323-2781, ISBN 1-56363-330-2, Medical Economics Co., Inc., Montvale, N.J.
- the dosage of the corticosteroid may optionally be adjusted, e.g., increased about 10% to about 300% above the normal dosage, without a corresponding increase in all of the side effects or toxicities associated with the corticosteroid.
- Such increases would be made incrementally over a sufficient time period and as appropriate for the subject's clinical condition, e.g., daily corticosteroid dose increases of about 10% to about 20% to a maximum of about 300% over about 2 weeks to about 1 year.
- corticosteroids include hydrocortisone (cortisol), corticosterone, aldosterone, ACTH, triamcinolone and derivatives such as triamcinolone diacetate, triamcinolone hexacetonide, and triamcinolone acetonide, betamethasone and derivatives such as betamethasone dipropionate, betamethasone benzoate, betamethasone sodium phosphate, betamethasone acetate, and betamethasone valerate, flunisolide, prednisone, fluocinolone and derivatives such as fluocinolone acetonide, diflorasone and derivatives such as diflorasone diacetate, halcinonide, dexamethasone and derivatives such as dexamethasone dipropionate and dexamethasone valerate, desoximetasone (desoxymethasone), diflucortolone and derivatives such as diflucortolone vale
- the formula 1 compound(s) may directly and/or indirectly interfere with replication, development or cell to cell transmission of a pathogen such as a virus or a parasite (malaria).
- Improvement in a subject's clinical condition may arise from a direct effect on an infectious agent or on a malignant cell.
- Interference with cellular replication can arise from inhibition of one or more enzymes that a parasite or an infected cell uses for normal replication or metabolism, e.g., glucose-6-phosphate dehydrogenase, which affects cellular generation of NADPH (see, e.g., Raineri et al., Biochemistry 1970 9: 2233-2243). This effect may contribute to cytostatic effects that some formula 1 compounds can have.
- Modulation of cellular enzymes expression or activity may also interfere with replication or development of a pathogen, e.g., HIV or malaria parasites or with replication or development of neoplastic cells, e.g., inhibition of angiogenesis. Clinical improvement will also generally result from an enhanced immune response such as an improved Th1 response.
- a pathogen e.g., HIV or malaria parasites
- neoplastic cells e.g., inhibition of angiogenesis.
- Clinical improvement will also generally result from an enhanced immune response such as an improved Th1 response.
- Administration of a formula 1 compound can lead to a decrease in adenosine levels in a subject's tissue(s), e.g., lung or central nervous system tissue.
- This effect can be used to treat, prevent, ameliorate one or more symptoms of or slow the progression of a disease(s) or clinical condition(s) where a relatively high level of adenosine is a factor in or can contribute to the disease or condition, e.g., in asthma.
- Adenosine is associated with the symptoms of bronchial asthma, where it can induce bronchoconstriction or contraction of airway smooth muscle in asthmatic subjects, see, e.g., J. Thorne and K. Broadley, American Journal of Respiratory & Critical Care Medicine 149(2 pt. 1):392-399 1994, S. Ali et al., Agents & Actions 37:165-167 1992, Bjorck et al., American Review of Respiratory Disease 145:1087-1091 1992. This effect is not observed in non-asthmatic subjects.
- adenosine In the central nervous system, adenosine can inhibit the release of neurotransmitters such as acetylcholine, noradrenaline, dopamine, serotonin, glutamate, and GABA. It can also depress neurotransmission, reduce neuronal firing to induce spinal analgesia and it possesses anxiolytic properties, see, e.g., A. Pelleg and R. Porter, Pharmacotherapy 10:157 1990.
- adenosine suppresses pacemaker activity, slows AV conduction, possesses antiarrhythmic and arrhythmogenic effects, modulates autonomic control and triggers the synthesis and release of prostaglandins.
- adenosine has vasodilatory effects and can modulate vascular tone.
- the unwanted effects of excess adenosine can be ameliorated or reduced by administering sufficient amounts of a formula 1 compound to a subject who is subject to developing or who has an unwanted level of adenosine in one or more tissues or organs.
- a formula 1 compound administered to a subject who is subject to developing or who has an unwanted level of adenosine in one or more tissues or organs.
- one will administer about 10 mg/kg/day to about 100 mg/kg/day of a formula 1 compound to a subject over a period of about 1 week to about 4 months to effect detectable changes in adenosine levels or amelioration in one or more symptoms associated with high adenosine in one or more of the subject's tissues.
- Such changes may be determined by comparing the subject's adenosine levels before treatment with the formula 1 compound is started.
- the decrease can be inferred by comparing the normal level of adenosine in the target tissue(s) for subjects of the same species and similar age or sex with the level that is observed after treatment.
- Methods to measure adenosine levels in mammalian tissue are known and can optionally be used in these embodiments, e.g., U.S. Pat. No. 6,087,351.
- the formula 1 compounds can inhibit activated T lymphocytes in vivo, and they can inhibit the expression or biological activity of one or more of TNF- ⁇ , IFN- ⁇ , IL-6, IL-8 or insulin like growth factor-1 receptor (IGF-1R) or IL-6 receptor.
- the compounds are thus useful to treat, prevent or ameliorate conditions where this is a component of pathology.
- Such conditions include inflammation conditions such as psoriasis, psoriatic arthritis, osteoarthritis, and rheumatoid arthritis.
- the compound can thus ameliorate the inflammation, e.g., by inhibiting expression of one or more of TNF- ⁇ , IFN- ⁇ , IL-6, IL-8 or IGF-1R.
- the compounds can inhibit unwanted T cell activity.
- the formula 1 compounds can be delivered to a subject with psoriasis using topical or systemic formulations as described herein.
- Topical formulations include gels and creams, e.g., as described herein. Daily or intermittent administration of the compound can be used essentially as described herein.
- the use of the formula 1 compounds is optionally combined with one more current psoriasis treatments, e.g., topical emollients or moisturizers, tars, anthralins, systemic or topical corticosteroids, vitamin D analogs such as calcitriol, methotrexate, etretinate, acitretin, cyclosporin, FK 506, sulfasalazine, ultraviolet B radiation optionally combined with one or more of a topical corticosteroid, tar, anthralin, emollient or moisturizer or ultraviolet A plus psoralen.
- Such additional treatments essentially would use known dosages and routes of administration, which are applied, e.g., within a month before, during or within a month after a treatment course with a formula 1 compound.
- Other desirable modulation effects of the formula 1 compounds on cells or tissues include (1) inhibition of one or more of bone resorption or calcium release or gp80, gp130, tumor necrosis factor (TNF), osteoclast differentiation factor (RANKL/ODF), RANKL/ODF receptor, IL-6 or IL-6 receptor expression or biological activity in, e.g., bone loss or osteoporosis conditions or in osteoclasts, or in cancers such as metastatic breast cancer or metastatic lung cancer (e.g., with bone metastases), (2) inhibition of osteoclastogenesis or osteoclast development from progenitor cells, (3) enhancement of NFkB inhibition that is mediated by steroid receptors, e.g., enhanced inhibition of estrogen receptor- ⁇ or estrogen receptor- ⁇ mediated inhibition of NFkB in inflammation, rheumatoid arthritis or osteoporosis, (4) enhancement of osteoblastogenesis or osteoblast development from progenitor cells in, e.g., osteoporosis or other bone loss conditions
- the formula 1 compounds can thus be used where one or more of these conditions or their symptoms is present. Methods to measure the synthesis or biological activity of these molecules has been described, see, e.g., U.S. Pat. Nos. 6,200,969, 6,187,767, 6,174,901, 6,110,691, 6,083,735, 6,024,940, 5,919,465 and 5,891,924.
- the formula 1 compounds are believed to be effective in facilitating release of myeloperoxidase from granulated neutrophils.
- the enzyme generates free hydrogen peroxide.
- Some of the formula 1 compounds e.g., compounds with a halogen such as bromine or iodine at, e.g., the 16 position, can be metabolized to provide a source of halogen.
- the released halogen can react with hydrogen peroxide (H 2 O 2 ) to generate hypohalogenous acid such as hypobromous acid (HOBr).
- exemplary compounds include a halogenated formula 1 compound such as 16-bromoepiandrosterone.
- a halogen salt e.g., KBr, NaBr, KI or NaI
- the halogen source can be administered to a subject as a component in a formulation that comprises a formula 1 compound or it can be administered separately.
- Hypohalogenous acid is a potent antimicrobial agent, which may be effective in reducing pathogens in the circulatory system of subjects with a blood cell deficiency who also have a pathogen infection. Hypohalogenous acid that is generated in vivo would provide benefits to such subject as shown by, e.g., a reduced quantitative circulating viral or bacterial culture measurement, without the toxicity that is normally associated with its direct administration to a subject.
- the invention relates to non-aqueous liquid formulations that comprise a formula 1 compound.
- exemplary embodiments are as follows.
- a composition comprising one or more compounds of formula 1 or formula 2 and one or more nonaqueous liquid excipients, wherein the composition comprises less than about 3% v/v water.
- composition of embodiment 1 wherein the one or more formula 1 compounds has the structure wherein R 7 and R 9 independently are —CHR 10 —, —CH 2 —, —CH ⁇ , —O—, —S— or —NH—, wherein R 10 is —OH, —SH, C 1-10 optionally substituted alkyl, C 1-10 optionally substituted alkoxy, C 1-10 optionally substituted alkenyl or C 1-10 optionally substituted alkynyl; and R 8 is —CH 2 —, —O—, —S— or —NH—, wherein hydrogen atoms at the 5 (if present), 8, 9 and 14 positions respectively are ⁇ . ⁇ . ⁇ . ⁇ (i.e., 5 ⁇ , 8 ⁇ , 9 ⁇ , 14 ⁇ ), ⁇ . ⁇ . ⁇ . ⁇ , ⁇ . ⁇ . ⁇ . ⁇ , ⁇ . ⁇ . ⁇ . ⁇ , ⁇ . ⁇ . ⁇ , ⁇ . ⁇ . ⁇ , ⁇ . ⁇ . ⁇ , ⁇ . ⁇ . ⁇ , ⁇ . ⁇ . ⁇ ,
- composition of embodiment 2 wherein the one or more formula 1 compounds has the structure wherein hydrogen atoms at the 5 (if present), 9 and 14 positions respectively are ⁇ . ⁇ . ⁇ . ⁇ , ⁇ . ⁇ . ⁇ . ⁇ , ⁇ . ⁇ . ⁇ . ⁇ , ⁇ . ⁇ . ⁇ , ⁇ . ⁇ . ⁇ , ⁇ . ⁇ . ⁇ , ⁇ . ⁇ . ⁇ , ⁇ . ⁇ . ⁇ , ⁇ . ⁇ . ⁇ . ⁇ , ⁇ . ⁇ . ⁇ . ⁇ , ⁇ . ⁇ . ⁇ . ⁇ , ⁇ . ⁇ . ⁇ . ⁇ , ⁇ . ⁇ . ⁇ . ⁇ , ⁇ . ⁇ . ⁇ . ⁇ , ⁇ . ⁇ . ⁇ . ⁇ , ⁇ . ⁇ . ⁇ or ⁇ . ⁇ . ⁇ . ⁇ , typically ⁇ . ⁇ . ⁇ or ⁇ . ⁇ . ⁇ . ⁇ . ⁇ .
- composition of embodiments 1, 2, 3, 4 or 5 wherein the one or more nonaqueous liquid excipients is one, two or more of an alcohol, a polyethylene glycol, propylene glycol or benzyl benzoate.
- composition of any of embodiments 1-6 wherein the formula 1 compound is 16 ⁇ -bromo-3 ⁇ -hydroxy-5 ⁇ -androstan-17-one, 16 ⁇ -bromo-3 ⁇ ,7 ⁇ -dihydroxy-5-androstan-17-one, 16 ⁇ -bromo-3 ⁇ ,7 ⁇ ,17 ⁇ -trihydroxy-5 ⁇ -androstene, 16 ⁇ -bromo-3 ⁇ ,7 ⁇ -dihydroxy-5 ⁇ -androstan-17-one, 16 ⁇ -bromo-3 ⁇ ,7 ⁇ ,17 ⁇ -trihydroxy-5-androstene, 16 ⁇ -bromo-3 ⁇ ,7 ⁇ -dihydroxy-5 ⁇ -androstane, 16 ⁇ -bromo-3 ⁇ ,7 ⁇ -dihydroxy-5-androstene, 16 ⁇ -bromo-3 ⁇ ,7 ⁇ ,17 ⁇ -trihydroxy-5 ⁇ -androstane, 16 ⁇ -bromo-3 ⁇ ,17 ⁇ -trihydroxy-5 ⁇ -androstane, 16 ⁇ -bromo-3 ⁇ ,17 ⁇ -trihydroxy-5 ⁇ -androstane, 16 ⁇ -bromo-3
- composition of any of embodiments 1-8 wherein the composition comprises two, three, four or five nonaqueous liquid excipients.
- composition of embodiment 9 wherein the composition comprises three or more nonaqueous liquid excipients.
- composition of any of embodiments 1-10 wherein the formula 1 compound comprises about 0.0001-99% w/v of the composition.
- composition of any of embodiments 1-11 wherein the composition comprises a unit dose 12.
- composition of embodiment 12 wherein the unit dose comprises about 0.5-100 mg/mL of the formula 1 compound.
- composition of embodiment 10 wherein the composition comprises about 1.0-60 mg/mL of the formula 1 compound.
- composition of embodiment 14 wherein the formula 1 compound is 16 ⁇ -bromo-3 ⁇ -hydroxy-5 ⁇ -androstan-17-one, 16 ⁇ -bromo-3 ⁇ ,7 ⁇ -dihydroxy-5 ⁇ -androstan-17-one, 16 ⁇ -bromo-3 ⁇ ,7 ⁇ ,17 ⁇ -trihydroxy-5 ⁇ -androstene, 16 ⁇ -bromo-3 ⁇ ,17 ⁇ -dihydroxy-5 ⁇ -androstane, 16 ⁇ -bromo-3 ⁇ ,7 ⁇ -dihydroxy-5 ⁇ -androstene, 16 ⁇ -bromo-3 ⁇ ,7 ⁇ ,17 ⁇ -trihydroxy-5 ⁇ -androstane, 16 ⁇ -bromo-3 ⁇ ,17 ⁇ -dihydroxy-5 ⁇ -androstane, 16 ⁇ -bromo-3 ⁇ ,17 ⁇ -dihydroxy-5 ⁇ -androstene, 16 ⁇ -bromo-3 ⁇ ,7 ⁇ ,17 ⁇ -trihydroxy-5 ⁇ -androstane, 16 ⁇ -bromo-3 ⁇ ,17 ⁇ -dihydroxy-5 ⁇ -androstene, 16 ⁇ -bromo-3 ⁇
- composition of embodiment 1 wherein the one or more nonaqueous liquid excipients comprise a polyethylene glycol, propylene glycol and benzyl benzoate.
- composition of embodiment 16 wherein the composition comprises less than about 0.3% v/v water.
- composition of embodiment 18 wherein the formula 1 compound is 16 ⁇ -bromo-3 ⁇ -hydroxy-5 ⁇ -androstan-17-one.
- composition of embodiment 16 that further comprises an alcohol.
- composition of embodiment 20 wherein the formula 1 compound is 16 ⁇ -bromo-3 ⁇ -hydroxy-5 ⁇ -androstan-17-one, 16 ⁇ -bromo-3 ⁇ ,7 ⁇ -dihydroxy-5 ⁇ -androstan-17-one, 16 ⁇ -bromo-3 ⁇ ,7 ⁇ ,17 ⁇ -trihydroxy-5 ⁇ -androstene, 16 ⁇ -bromo-3 ⁇ ,7 ⁇ -dihydroxy-5 ⁇ -androstane, 16 ⁇ -bromo-3 ⁇ ,7 ⁇ -dihydroxy-5 ⁇ -androstene, 16 ⁇ -bromo-3 ⁇ ,7 ⁇ ,17 ⁇ -trihydroxy-5 ⁇ -androstane, 16 ⁇ -bromo-3 ⁇ ,17 ⁇ -dihydroxy-5 ⁇ -androstane, 16 ⁇ -bromo-3 ⁇ ,17 ⁇ -dihydroxy-5 ⁇ -androstene, 16 ⁇ -bromo-3 ⁇ ,7 ⁇ ,17 ⁇ -trihydroxy-5 ⁇ -androstane, 16 ⁇ -bromo-3 ⁇ -hydroxy-5 ⁇ -androstan-17-one, 16 ⁇ -bromo-3 ⁇ -hydroxy-5
- composition of embodiment 1 wherein the one or more nonaqueous liquid excipients comprise benzyl benzoate, a polyethylene glycol, an alcohol and optionally an additional nonaqueous liquid excipient.
- composition of embodiment 22 wherein the composition comprises less than about 0.3% v/v water.
- composition of embodiment 22 or 23 wherein the formula 1 compound is 16 ⁇ -bromo-3 ⁇ -hydroxy-5 ⁇ -androstan-17-one, 16 ⁇ -bromo-3 ⁇ ,7 ⁇ -dihydroxy-5 ⁇ -androstan-17-one, 16 ⁇ -bromo-3 ⁇ ,7 ⁇ ,17 ⁇ -trihydroxy-5 ⁇ -androstene, 16 ⁇ -bromo-3 ⁇ ,7 ⁇ -dihydroxy-5 ⁇ -androstane, 16 ⁇ -bromo-3 ⁇ ,7 ⁇ -dihydroxy-5 ⁇ -androstene, 16 ⁇ -bromo-3 ⁇ ,7 ⁇ ,17 ⁇ -trihydroxy-5 ⁇ -androstane, 16 ⁇ -bromo-3 ⁇ ,17 ⁇ -dihydroxy-5 ⁇ -androstane, 16 ⁇ -bromo-3 ⁇ ,17 ⁇ -dihydroxy-5 ⁇ -androstane, 16 ⁇ -bromo-3 ⁇ ,17 ⁇ -dihydroxy-5 ⁇ -androstene, 16 ⁇ -bromo-3 ⁇ ,7 ⁇ ,17 ⁇ -trihydroxy-5 ⁇ -androstane, 16 ⁇ -bromo
- composition of embodiment 24 wherein the formula 1 compound is 16 ⁇ -bromo-3 ⁇ -hydroxy-5 ⁇ -androstan-17-one.
- composition of embodiment 22, 23, 24 or 25 wherein the polyethylene glycol is polyethylene glycol 300 and/or polyethylene glycol 200.
- composition of embodiment 26 wherein the alcohol is polyethylene glycol is polyethylene glycol 300.
- composition of embodiments 22 or 23 that comprises about 2.5-25% v/v ethanol, about 1-10% v/v benzyl benzoate, about 10-35% v/v polyethylene glycol 300, about 40-65% v/v propylene glycol and about 2-60 mg/mL 16 ⁇ -bromo-3 ⁇ -hydroxy-5 ⁇ -androstan-17-one.
- composition of embodiments 22, 23, 24, 25 or 26 that comprises about 0.1-10% v/v benzyl benzoate, about 0.1-10% v/v benzyl alcohol, about 1-95% v/v polyethylene glycol 200, about 1-95% v/v propylene glycol and about 2-60 mg/mL 16 ⁇ -bromo-3 ⁇ -hydroxy-5 ⁇ -androstan-17-one.
- the embodiment 28A composition may comprise about 2% v/v benzyl benzoate, about 2% v/v benzyl alcohol, about 40% v/v polyethylene glycol 200, about 51% v/v propylene glycol (qs) and about 50 mg/mL 16 ⁇ -bromo-3 ⁇ -hydroxy-5 ⁇ -androstan-17-one.
- composition of embodiment 28 that comprises about 12.5% v/v ethanol, about 5% v/v benzyl benzoate, about 25% v/v polyethylene glycol 300, about 57.5% v/v propylene glycol and about 50 mg/mL 16 ⁇ -bromo-3 ⁇ -hydroxy-5 ⁇ -androstan-17-one.
- composition of any of embodiments 1-29 that further comprises a local anesthetic is provided.
- composition of embodiment 30 wherein the local anesthetic is procaine, benzocaine or lidocaine.
- composition of any of embodiments 1-31 wherein the composition comprises a solvate, a suspension, a colloid, a gel or a combination of any of the foregoing.
- the product of embodiments 33 or 34 wherein the first nonaqueous liquid excipient is a polyethylene glycol (e.g., PEG300 or PEG 200) or propylene glycol.
- the product of embodiments 38 or 39 wherein the two nonaqueous liquid excipients are selected from a polyethylene glycol (e.g., PEG300 or PEG 200), propylene glycol, benzyl benzoate and an alcohol (e.g., ethanol).
- a polyethylene glycol e.g., PEG300 or PEG 200
- propylene glycol e.g., PEG300 or PEG 200
- benzyl benzoate e.g., benzyl benzoate
- an alcohol e.g., ethanol
- the product of embodiments 42 or 43 wherein the three nonaqueous liquid excipients are selected from a polyethylene glycol (e.g., PEG300 or PEG 200), propylene glycol, benzyl benzoate and an alcohol (e.g., ethanol).
- a polyethylene glycol e.g., PEG300 or PEG 200
- propylene glycol e.g., PEG300 or PEG 200
- benzyl benzoate e.g., benzyl benzoate
- an alcohol e.g., ethanol
- invention 49 The product of embodiment 49 that comprises about 2.5-25% v/v ethanol, about 1-10% v/v benzyl benzoate, about 10-35% v/v polyethylene glycol 300, about 40-65% v/v propylene glycol and about 2-60 mg/mL 16 ⁇ -bromo-3 ⁇ -hydroxy-5 ⁇ -androstan-17-one.
- composition of 52 wherein the local anesthetic is procaine, benzocaine or lidocaine.
- the unit dose of embodiment 60 comprising a solution containing about 0.5-70 mg/mL of the one or more formula 1 compound.
- a method comprising administering the composition or product of any of embodiments 1-64 to a subject suffering from a pathogen infection or a malignancy or an immune suppression or disregulation condition, e.g., a suppressed Th1 immune response or an unwanted Th2 immune response.
- RNA virus infection is a retrovirus infection or a hepatitis virus infection.
- retrovirus infection or hepatitis virus infection is an HIV, FIV, SIV, SHIV or hepatitis C virus infection.
- the formula 1 compounds include new compounds, some of which are described in the following numbered embodiments.
- R 7 and R 9 independently are —CHR 10 —, —CH 2 —, —CH ⁇ , —O—, —S— or —NH—, wherein R 10 is —OH, —SH, a C 1-30 organic moiety, a C 1-30 ester, C 1-10 optionally substituted alkyl, C 1-10 optionally substituted alkoxy, C 1-10 optionally substituted alkenyl or C 1-10 optionally substituted alkynyl.
- R 4 is —OH, ⁇ O, —SH, a C 1-30 ester or C 1-30 alkoxy, wherein the ester or alkoxy moiety is optionally substituted with one, two or more independently selected substituents, which are optionally selected from —F, —Cl, —Br, —I, —O—, ⁇ O, —S—, —NH—, —OR PR , —SR PR or —NHR PR .
- R 1 is —OH, ⁇ O, —SH, a C 1-30 ester or C 1-30 alkoxy, wherein the ester or alkoxy moiety is optionally substituted with one, two or more independently selected substituents, which are optionally selected from —F, —Cl, —Br, —I, —O—, ⁇ O, —S—, —NH—, —OR PR , —SR PR or —NHR PR .
- R 4 is —OH, ⁇ O, —SH, a C 1-30 ester or C 1-30 alkoxy, wherein the ester or alkoxy moiety is optionally substituted with one, two or more independently selected substituents, which are optionally selected from —F, —Cl, —Br, —I, —O—, ⁇ O, —S—, —NH—, —OR PR , —SR PR or —NHR PR .
- R 1 is —OH, ⁇ O, —SH, a C 1-30 ester or C 1-30 alkoxy, wherein the ester or alkoxy moiety is optionally substituted with one, two or more independently selected substituents, which are optionally selected from —F, —Cl, —Br, —I, —O—, ⁇ O, —S—, —NH—, —OR PR , —SR PR or —NHR PR .
- composition comprising a compound of any of embodiments 1A-11A and an excipient suitable for human pharmaceutical use or for veterinary use, e.g., an excipient disclosed herein or in the cited references.
- embodiment 15A The use of embodiment 14A, wherein the infection is a viral infection (e.g., HIV, HCV, a Herpesvirus, a togavirus, a human papilloma virus infection or other virus described herein or in the cited references), a bacterial infection (e.g., Borrelia sp., Legionella sp. or other bacterium described herein or in the cited references), a fungal or a yeast infection (e.g., Candida sp., Aspergillus sp.
- a viral infection e.g., HIV, HCV, a Herpesvirus, a togavirus, a human papilloma virus infection or other virus described herein or in the cited references
- a bacterial infection e.g., Borrelia sp., Legionella sp. or other bacterium described herein or in the cited references
- a fungal or a yeast infection e.g., Candida sp
- a parasite infection e.g., a malaria parasite, a gastrointestinal nematode, a helminth, Leishmania sp., Cryptosporidium sp., Toxoplasma gondii, Pneumocystis carinii, Schistosoma sp., Strongyloides stercoralis or other parasite described herein or in the cited references).
- a parasite infection e.g., a malaria parasite, a gastrointestinal nematode, a helminth, Leishmania sp., Cryptosporidium sp., Toxoplasma gondii, Pneumocystis carinii, Schistosoma sp., Strongyloides stercoralis or other parasite described herein or in the cited references.
- the invention provides dosing methods suitable to treat the conditions described herein.
- the following embodiments describe some of these methods.
- a method comprising intermittently administering one or more compounds of formula 1 (or a composition comprising a formula 1 compound) to a subject or delivering to the subject's tissues a formula 1 compound(s) (or a composition comprising a formula 1 compound), e.g., any formula 1 compound named or described herein, including the compounds described in embodiments 1-64 and 1A-11A above.
- the immunosuppression condition or the unwanted immune response is associated with a viral infection, an intracellular bacterial infection, an extracellular bacterial infection, a fungal infection, a yeast infection, an extracellular parasite infection, an intracellular parasite infection, a protozoan parasite, a multicellular parasite, an autoimmune disease, a cancer, a precancer, a chemotherapy, a radiation therapy, an immunosuppressive therapy, an anti-infective agent therapy, a wound, a burn, the presence of an immunosuppressive molecule, gastrointestinal irritation or an inflammation condition optionally selected from or associated with irritable bowel disease, Crohn's disease or chronic diarrhea, or any combination of the foregoing.
- steps (d) optionally repeating steps (a), (b) and (c) at least once or variations of steps (a), (b) and (c) at least once.
- step (c) comprises the same dosing regimen as step (a).
- step (a) of the dosing regimen comprises administering the one or more formula 1 compounds once per day, twice per day, three times per day or four times per day.
- step (a) of the dosing regimen comprises administering the one or more formula 1 compounds once per day or twice per day.
- step (a) comprises administering the one or more formula 1 compounds for about 3 to about 24 days.
- step (a) comprises administering the one or more formula 1 compounds for about 4 to about 12 days.
- step (a) comprises administering the one or more formula 1 compounds for about 4 to about 8 days.
- step (b) comprises not administering the one or more formula 1 compounds for about 3 to about 120 days.
- step (b) comprises not administering the one or more formula 1 compounds for about 4 to about 60 days.
- step (b) comprises not administering the one or more formula 1 compounds for about 5 to about 30 days.
- step (b) comprises not administering the one or more formula 1 compounds for about 8 to about 60 days.
- step (b) comprises not administering the one or more formula 1 compounds for about 3 to about 120 days.
- step (b) comprises not administering the one or more formula 1 compounds for about 4 to about 60 days.
- step (b) comprises not administering the one or more formula 1 compounds for about 5 to about 30 days.
- step (b) comprises not administering the one or more formula 1 compounds for about 8 to about 60 days.
- step (d) comprises repeating steps (a), (b), and (c) at least once.
Landscapes
- Chemical & Material Sciences (AREA)
- Organic Chemistry (AREA)
- Health & Medical Sciences (AREA)
- General Health & Medical Sciences (AREA)
- Life Sciences & Earth Sciences (AREA)
- Medicinal Chemistry (AREA)
- Pharmacology & Pharmacy (AREA)
- Animal Behavior & Ethology (AREA)
- Public Health (AREA)
- Veterinary Medicine (AREA)
- Epidemiology (AREA)
- Nuclear Medicine, Radiotherapy & Molecular Imaging (AREA)
- General Chemical & Material Sciences (AREA)
- Chemical Kinetics & Catalysis (AREA)
- Pharmaceuticals Containing Other Organic And Inorganic Compounds (AREA)
- Steroid Compounds (AREA)
Abstract
Description
- This application claims priority from and is a continuation application of pending U.S. application Ser. No. 10/877,911, filed Jun. 24, 2004, which is a continuation of pending U.S., application Ser. No. 09/820,483, which is a continuation-in-part of: (1) pending U.S. application Ser. No. 09/449,184, filed Nov. 24, 1999, which claims priority to abandoned U.S. provisional application Ser. No. 60/109,924, filed Nov. 24, 1998, and (2) pending U.S. application Ser. No. 09/414,905, filed Oct. 8, 1999, which claims priority to abandoned U.S. provisional application Ser. No. 60/140,028, filed Jun. 16, 1999 and (3) pending U.S. application Ser. No. 09/449,004, filed Nov. 24, 1999, which claims priority to abandoned U.S. provisional application Ser. No. 60/109,923, filed Nov. 24, 1998, and (4) U.S. application Ser. No. 09/535,675, filed Mar. 23, 2000, now U.S. Pat. No. 6,667,299 B1, which claims priority to abandoned U.S. provisional application Ser. No. 60/126,056, filed Mar. 23, 1999, and abandoned U.S. provisional application Ser. No. 60/124,087, filed Mar. 11, 1999 and (5) pending U.S. application Ser. No. 09/449,042, filed Nov. 24, 1999, which claims priority to abandoned U.S. provisional application Ser. No. 60/110,127, filed Nov. 27, 1998, and (6) pending U.S. application Ser. No. 09/675,470, filed Sep. 28, 2000, which claims priority to abandoned U.S. provisional application Ser. No. 60/161,453, filed Oct. 25, 1999, and (7) pending U.S. application Ser. No. 09/586,673, filed Jun. 1, 2000, which claims priority to abandoned U.S. provisional application Ser. No. 60/145,823, filed Jul. 27, 1999, and (8) pending U.S. application Ser. No. 09/586,672, filed Jun. 1, 2000, which claims priority to abandoned U.S. provisional application Ser. No. 60/137,745, filed Jun. 3, 1999, and (9) pending U.S. application Ser. No. 09/461,026, filed Dec. 15, 1999, which claims priority to abandoned U.S. provisional application Ser. No. 60/112,206, filed Dec. 15, 1998, all of which are incorporated herein by reference in their entireties.
- The invention relates to methods to make and use steroids, such as 16α-bromo-3β-hydroxy-5α-androstane-17-one (16-bromoepiandrosterone or hereafter “BrEA”) and new analogs thereof. The steroids are useful for a number of therapeutic and non-therapeutic applications, including their use as immune modulators in conditions such as infections or inflammation. The present invention also relates to methods to make the compounds, compositions and formulations. The invention also provides methods and compositions to prevent or treat a hematopoietic disorder such as thrombocytopenia or neutropenia by administering to a subject a steroid such as 3,7,16,17-tetrahydroxy-androst-5-ene, 3,16,17-trihydroxyandrostane, 3-hydroxy-16-haloandrostane-17-one or 3,17-dihydroxy-16-haloandrostane, which is optionally combined with an agent that enhances monocyte or neutrophil activity.
- BrEA and its preparation from the steroid compound 3β-hydroxyandrost-5-en-17-one (dehydroepiandrosterone or DHEA) have been described (see, e.g., J. Org. Chem. 1962 27:2937-2938). Methods to prepare DHEA and other steroids and their biological properties have been described, see, e.g., U.S. Pat. Nos. 2,833,793, 2,911,418, 3,148,198, 3,471,480, 3,976,691, 4,268,441, 4,427,649, 4,542,129, 4,666,898, 4,956,355, 5,001,119, 5,043,165, 5,077,284, 5,028,631, 5,110,810, 5,157,031, 5,162,198, 5,175,154, 5,277,907, 5,292,730, 5,296,481, 5,372,996, 5,387,583, 5,407,684, 5,424,463, 5,461,042, 5,478,566, 5,506,223, 5,518,725, 5,527,788, 5,527,789, 5,532,230, 5,559,107, 5,562,910, 5,583,126, 5,585,371, 5,587,369, 5,591,736, 5,593,981, 5,610,150, 5,635,496, 5,641,766, 5,641,768, 5,656,621, 5,660,835, 5,686,438, 5,696,106, 5,700,793, 5,707,983, 5,709,878, 5,710,143, 5,714,481, 5,728,688, 5,736,537, 5,744,462, 5,753,237, 5,756,482, 5,776,921, 5,776,923, 5,780,460, 5,795,880, 5,798,347, 5,798,348, 5,804,576, 5,807,848, 5,807,849, 5,811,418, 5,824,313, 5,824,668, 5,824,671, 5,827,841, 5,837,269, 5,837,700, 5,843,932, 5,846,963, 5,859,000, 5,872,114 and 5,872,147; German patent numbers 2035738 and 2705917; PCT publication numbers WO 95/21617, WO 97/48367, WO 98/05338, WO 98/50040, WO 98/50041, WO 98/58650; European publication number 0020029; Ben-David, et al., Proc. Soc. Expt. Biol. Med. 1967 125:1136-1140, Coleman et al., Diabetes 1982 31:830, Oertel, et al., J. Steroid Biochem. 1972 3:493-496, Pashko, et al., Carcinogenesis 1981 2:717-721, Schwartz et al., Nutr. Cancer 1981 3:46-53; Dyner et al., J. Acquired Immune Deficiency Syndromes 1993 6:459-465; A. A. Afanasii and Y. A. Titov, Total Steroid Synthesis, Plenum Press, New York, 1970, see, e.g., p 1-304.
- The use DHEA and other steroids in various applications have been described, e.g., U.S. Pat. Nos. 5,869,090, 5,863,910, 5,856,340, 5,824,668, 5,804,576, 5,753,237, 5,714,481, 5,709,878, 5,407,684, 5,206,008, 5,077,284, 4,978,532, 4,898,694, 4,542,129, 3,711,606 and 3,710,795. U.S. Pat. No. 4,956,355 and PCT publication number WO 97/48367, have described the use of BrEA and certain steroid compounds to treat certain virus or bacterial infections, such as human immunodeficiency virus (“HIV”) infection.
- Various biological effects and/or metabolic conversions of steroid compounds have also been described, e.g., Batta et al., J. Biol. Chem. 1986 25:127-133, Belli et al., Liver 1991 11:162-169, Bhattacharjee et al., Anal. Biochem. 1992 201:233-236, Blake et al., Int. J. Peptide Protein Res. 1982 20:97-101, 1986 25:127-133, Bonaventura, Am. J. Obstet. Gynecol. 1978 131:403-409, Bucala et al., J. Steroid Biochem. 1986 25:127-133, Carey et al., Biochem. 1981 20:3637-3648, Chen et al., Carcinogenesis 1999 20:249-254, Chen et al., Carcinogenesis 1998 19:2187-2193, Chow et al., Antisense Res. Dev. 1994 4:81-86, Citro et al., Dis. Colon Rectum 1994 37(2 Suppl):S127-S132, Cleary, Proc. Soc. Exp. Biol. Med. 1991 196:8-16, Cleary, Int. J. Biochem. 1990 22:205-210, Crawford et al., Lab. Invest. 1994 71:42-51, Danenberg et al., Antimicrob. Agents Chemother. 1992 36:2275-2279, Dotzlaw et al., Cancer Res. 1999 59:529-532, Falany et al., J. Steroid Biochem. Mol. Biol. 1994 48:369-375, Faredin et al., J. Investigative Dermatol. 1969 52:357-361, Galigniana et al., Mol. Pharmacol. 1999 55:317-323, Goto et al., J. Chromatogr. 1983 276:289-300, Grenot Biochem. 1992 31:7609-7621, Hofbauer et al., Life Sci. 1999 64:671-679, Huijghebaert et al., J. Lipid Res. 1986 27:742-752, Hurd et al., Oncogene 1999 18:1067-1072, Iida et al., J. Lipid Res. 1995 36:628-638, Jellinck et al., Steroids 1967 10:329-346, Jonsson et al., J. Pediatr. Gastroenterol. Nutr. 1995 20:394-402, Kalimi et al., Mol. Cell. Biochem. 1994 131:99-108, Kramer et al., J. Biol. Chem. 1994 269:10621-10627, LaRochelle et al., Steroids 1984 43: 209-217, Liao et al., Carcinogenesis 1998 19:2173-2180, Lillienau et al., J. Clin. Invest. 1992 89:420-431, Loria, Psychoneuroendocrinology 1997 22:S103-S108, Luscher et al. Mol. Immunol. 1983 20:1099-1105, Manna et al., J. Biol. Chem. 1999 274:5909-5918, Marschall et al., J. Biol. Chem. 1989 264:12989-12993, Medh et al., Cancer Res. 1998 15:3684-3693, Mohan et al., Steroids 1992 57:244-247, Munoz de Toro et al., J. Steroid Biochem. Mol. Biol. 1998 67:333-339, Padgett et al., J. Neuroimmunol. 1998 84:61, Padgett et al., Ann. N.Y. Acad. Sci. 1995 774:323, Padgett et al., J. Immunol. 1994 153:1544-1552, Pashko et al., Carcinogenesis 1984 5:463-466, Pashko et al., Carcinogenesis 1981 2:717, Petrylak et al., J. Clin. Oncology 1999 17:958-967, Podesta et al., Steroids 1996 61:622-626, Regelson et al., Ann. N.Y. Acad. Sci. 1994 719:564, Schmassmann et al., Gastroenterology 1993 104:1171-1181, Schmassmann et al., Hepatology 1990 11:989-996, Schreiber et al., Lancet 353:459-461, Schreiber, Neth. J. Med. 1998 53:S24-31, Schwartz et al., Cancer Res. 1988 48:4817, Shahidi et al., Biochem. Biophys. Res. Commun. 1999 254:559-565, Steer et al., Ann. Rheum. Dis. 1998 57:732-737, Suzuki et al., Steroids 1998 63:672-677, Suzuki et al., Steroids 1996 61:296-301, Swaan et al., Bioconjugate Chem. 1997 8:520-525, Tang et al., Anticancer Drug Res. 1998 13:815-824, Thomas et al., J. Steroid Biochem. 1986 25:103-108, Utsumi et al., Cancer Res. 1999 59:377-381, Vanden Heuvel, J. Nutr. 1999 129(2S Suppl.):575S-580S, Wang et al., Endocrinology 1998 139:3903-3912, Wong et al., J. Biol. Chem. 1999 274:5443-5453, Xie et al., Endocrinology 1999 140:219-227, Yen et al., Lipids 1977 12:409-413, Zackheim et al., Arch. Dermatology 1998 134:949-954, Zhang et al., Biochim. Biophys. Acta 1991 1096:179-186, Zhu et al., Carcinogenesis 1988 19:2101-2106.
- Compositions containing BrEA that were used to deliver the compound to cells or cell extracts usually included a significant amount of water. Such compositions contained solvents such as dioxane or dimethylsulfoxide (“DMSO”), which contained water, or an aqueous cyclodextrin solutions to facilitate compound delivery to cells, see, e.g., J. Pharmacol Exp. Ther. 1998, 285:876-83, Cancer Res. 1986 46:3389-95, Carcinogenesis 1985 6:333-35, Carcinogenesis 1981 2:717-721, Carcinogenesis 1981 2:683-86. Such compositions are typically delivered to animals by injection or to cells in tissue culture by addition to cell culture medium. European publication number EP 429 187 describes formulations that contain DHEA or BrEA and polyvinylpyrrolidone and crosslinked polyvinylpyrrolidone. Some of these compositions may have undesired or suboptimal properties. For example, solvents such as dioxane, DMSO or chloroform are generally not preferred or suitable parenteral excipients, particularly for human use. Formulations that contain BrEA or related steroids and that have improved properties, e.g., lower toxicity, improved chemical stability or desirable characteristics for large-scale synthesis are needed.
- Mammalian immune responses to infections or other conditions are often characterized by responses mediated by different effector cell populations. In some situations, helper T cells designated Th1 in the murine system, facilitate immune effector functions that are typically dominated by cell-mediated responses. In other cases, helper T cells designated Th2 cells facilitate immune effector functions that are typically dominated by humoral responses. A vigorous Th1 response is usually desirable to help clear infections or to slow the progression of an infection. When a subject's immune response is biased to, or dominated by, a Th2-type response, the cytokines associated with the Th2 response tend to suppress the immune system's capacity to mount a vigorous Th1 response at the same time. The converse is also generally true. When mammalian immune responses begin to result in an increasing Th2 response, the Th1 response to the same condition tends to weaken. Insufficient Th1 responses may be associated with progression of some infections or other conditions, see, e.g., M. Clerici and G. M. Shearer, Immunol. Today 14:107-111, 1993; M. Clerici and G. M. Shearer, Immunol. Today 15:575-581, 1994. The invention provides compounds and compositions useful to enhance Th1 immune responses.
- Hemopoiesis is the formation and development of the various types of blood cells and their progenitor cells. Mature cells are found in circulation or tissues such as the lymph nodes or the thymus. Many of the stem cells that give rise to mature forms reside in the bone marrow, although some may circulate in the blood for some time. Clinical blood cell deficiencies such as thrombocytopenia, neutropenia or erythropenia can arise from causes such as impaired hemopoiesis or abnormal loss or destruction of mature or immature blood cells.
- Thrombocytopenia (“TP”), abnormally low platelet counts, can arise from impaired platelet production, sequestration of platelets in the spleen or abnormal loss of circulating platelets. Impaired production can result from causes such as chemotherapies or radiation therapies. Abnormal loss of circulating platelets is often associated with autoreactive antibodies that bind to platelets and reduce their life span. These underlying causes give rise to the various clinical forms of TP, such as autoimmune neonatal TP, immune thrombocytopenic purpra, radiation induced TP, chemotherapy induced TP and amegakaryocitic TP.
- A number of treatment options are available and the selection of a treatment typically depends on the source of the disorder and its severity. Treatments include administering one or more of glucocorticoid steroids (e.g., prednisone, prednisolone), human IgG antibodies, anti-Rh(D)+ antibodies for Rh(D)+ patients, an androgen such as danazol, vinca alkaloids (e.g., vincristine, vinblastine), thrombopoietin and immunosuppressants (e.g., azathioprine, cyclophosphamide). Splenectomy is also indicated, for example when first line treatments fail. The goal of treatment is typically to increase platelet counts to 20,000 mm−3 or more typically to at least about 50,000 mm−3 and to maintain these levels.
- Although the treatment options to increase platelet levels are generally known, they usually have a number of drawbacks. For example, infusion of IgG antibodies is not always effective and the treatment is relatively expensive. Other treatments, such as prednisone are also not always effective and they typically are discontinued or tapered off after several weeks due to toxicity or unwanted side effects. Splenectomy, which is relatively expensive and invasive, is also not always effective.
- The sources of thrombocytopenia and treatment options have been described. See, e.g., Hematology—Basic Principles and Practice, 3rd edition, R. Hoffman, E. J. Benz Jr. et al., editors, Churchill Livingstone, New York, 2000 (see, e.g., Chapters 126-129 and 131 at pages 2096-2154 and 2172-2186), PCT publication WO 200035466.
- Neutropenia (“NP”), is considered to exist clinically when neutrophils drop to below a level considered normal. NP can arise from impaired production of neutrophil precursors or mature neutrophils, movement of neutrophils from the circulation to tissue, abnormal circulating neutrophil loss or a combination of these causes. Impaired neutrophil production can be acquired from, e.g., treatment with a cytotoxic or cytostatic drug, chemotherapy, radiation therapy or an autoimmune response. The abnormal loss of circulating neutrophils in autoimmunity is associated with autoreactive antibodies that bind to the cells and reduce their life span. These underlying causes give rise to the various clinical forms of NP, such as postinfectious NP, drug-induced NP, autoimmune NP, or chronic idiopathic NP.
- The sources of NP and treatment options have been described. See, e.g., Hematology—Basic Principles and Practice, 3rd edition, R. Hoffman, E. J. Benz Jr. et al., editors, Churchill Livingstone, New York, 2000 (see, e.g., Chapters 19, 41, 51, 79, 134 and 137 at pages 297-331, 720-762, 939-979, 1443-1500, 2220-2248 and 2257-2263).
- The use of 3β-hydroxyandrost-5-ene-17-one, 3β,17β-dihydroxyandrost-5-ene and other steroids to modulate immune functions or to stimulate myelopoiesis has been described, see, e.g., M. H. Whitnall et al., Int'l. J. Immunopharmacology 2000 22:1-14. U.S. Pat. Nos. 5,162,198, 5,206,008, 5,292,730, 5,407,684, 5,461,042, 5,461,768, 5,478,566, 5,585,371, 5,635,496, 5,641,766, 5,753,237, 5,837,269, 5,885,977 and 5,919,465, PCT publication nos. WO93/20696 and WO99/25333. 1. Porsova-Dutoit et al., Physiological Res. 2000 49(Suppl. 1):S43-S56, R. L. Jesse et al., Ann. N.Y. Acad. Sci. 1995 774:281-290 and U.S. Pat. Nos. 5,532,230, 5,811,418 and 5,846,963 discuss the capacity of 3β-hydroxyandrost-5-ene-17-one, its 3-sulfate derivative and other steroids to affect platelet and neutrophil aggregation or their adhesion to endothelial cells.
- U.S. Pat. Nos. 4,908,358 and 4,902,681 describe the capacity of compounds such as 5α-pregnan-3,20-dione, cortexolone, 17-hydroxyprogesterone and 16α-methylprogesterone to inhibit the clearance of antibody-coated cells from circulation in disorders such as immune thrombocytopenic purpura or immune hemolytic anemia.
- U.S. Pat. Nos. 5,532,230, 5,686,438, 5,753,640 and 5,811,418 and J. Bratt and M. Heimburger, Scand. J. Rheumatol. 1999 28:308-313 describe the capacity of compounds such as 3β,7β-dihydroxyandrost-5-ene-17-one, prednisolone, and 3β-hydroxyandrost-5-ene-17-one to limit tissue damage in ischemic tissues by inhibiting adhesion of cells such as neutrophils to endothelial cells or to treat pulmonary hypertension.
- U.S. Pat. No. 5,859,000 describes the capacity of compounds such as 3β,7β-dihydroxyandrost-5-ene-17-one and 3β-hydroxyandrost-5-ene-17-one to reduce mast cell mediated allergic reactions.
- U.S. Pat. No. 5,763,433 and PCT publication WO 96/35428 describe the capacity of compounds related to dehydroepiandrosterone and 16α-halodehydroepiandrosterone to modulate immune responses and to treat conditions certain immune related conditions such as systemic lupus erythematosus.
- U.S. Pat. Nos. 5,925,630, 5,939,545 and 5,962,443 describe the capacity of 19-nur-pregnane steroids, 3α-hydroxy-5α-pregnan-20-one and related steroids to modulate certain neurological activities such as hypothalamic function and GABA receptor activity.
- Some proteins such as interleukin-6 (“IL-6”), erythropoietin (“EPO”) and thrombopoietin (“TPO”) have been examined for their capacity to enhance various aspects hemopoiesis, e.g., Hematology—Basic Principles and Practice, 3rd edition, R. Hoffman, E. J. Benz Jr. et al., editors, Churchill Livingstone, New York, 2000 (see, e.g., Chapter 14 at pages 154-202), O. J. Borge et al., Blood 1996 88:2859-2870, M. Cremer et al., Ann. Hematol. 1999 78:401-407, Y. Sasaki et al., Blood 1999 94:1952-1960, U.S. Pat. No. 5,879,673. Recombinant IL-6 was shown in model systems to affect platelet counts in peripheral circulation, e.g., Stahl et al., Blood 1991 78:1467-1475, although significant toxicities are associated with its administration to humans, e.g., Andus et al., FEBS Lett. 1987 221:18, J. Gauldie et al., P.N.A.S. U.S.A. 1987 84:7251-7255, T. Geiger et al., Eur. J. Immunol. 1988 18:717-721. The IL-6 molecule has been described in detail, e.g., publication no. WO 88/00206. Administration of proteins is typically expensive, given factors such as the complexity of producing pharmaceutical grade material.
- The capacity of various compounds or agents such as deuterium oxide, lithium and butyrate to affect or to participate in biological functions of cells such as neutrophils has been described. See, e.g., M. F. Tsan and R. M. Turkall, Inflammation 1982 6:387-396, M. Nakamura et al., Exp. Cell Res. 1976 102:429-431, P. Blier et al., Int. Clin. Psychopharmacol. 1998 13:137-140, N. Turkozkan et al., Int. J. Biochem. 1993 25:1501-1504, L. V. Deriy et al., Biochem. Biophys. Res. Commun. 2000 275:241-246, M. T. Elghetany et al., Leuk. Res. 1997 21:801-806, E. Brandt et al., J. Leukocyte Biol. 2000 68:125-130, M. Boussac and J. Garin, Electrophoresis 2000 21:665-672, M. Niwa et al., Life Sci. 2000 18:1525-1534, D. A. Moulding et al., J. Leukocyte Biol. 1999 65:875-882 and D. Moulding et al., Biologicals 1996 24:301-306.
- There is a current need for cost-effective pharmaceutical agents or treatment methods that are more effective in treating deficiencies of blood cells or reducing their symptoms. The present invention provides therapeutic agents and treatment methods to treat hemopoiesis deficiencies and disorders such as TP and NP. The agents and methods are thus useful to reduce one or more symptoms associated with any of these conditions. Also, the use of the invention agents and methods can be combined with one or more conventional treatments for these disorders.
- FIG. 1 is an FTIR (Fourier transform infrared) spectrum obtained by USP method <197> of BrEA hemihydrate that was prepared by precipitation of BrEA from ethanol and water. FIG. 2 is a FTIR spectrum obtained by USP method <197> of anhydrous BrEA that was prepared by precipitation of BrEA from anhydrous methanol. FIG. 3 shows a DSC endotherm of BrEA hemihydrate that was prepared by precipitation of BrEA from ethanol and water. FIG. 4 shows a DSC endotherm of anhydrous BrEA that was prepared by precipitation of BrEA from anhydrous methanol. FIG. 5 is an XRD (powder X-ray diffraction) spectrum of BrEA hemihydrate that was prepared by precipitation of BrEA from ethanol and water. FIG. 6 is a FTIR spectrum obtained by USP method <197> of BrEA hemihydrate that was prepared by precipitation of BrEA from acetone and water.
-
- wherein,
- each R1, R2, R3, R4, R5, R6 and R10 independently are —H, —ORPR, —SRPR, —N(RPR)2, —O—S—(R13)3, —CHO, —CHS, —CH═NH, —CN, —SCN, —NO2, —OSO3H, —OPO3H, an ester, a thioester, a phosphoester, a phosphothioester, a phosphonoester, a phosphiniester, a sulfite ester, a sulfate ester, an amide, an amino acid, a peptide, an ether, a thioether, an acyl group, a thioacyl group, a carbonate, a carbamate, a thioacetal, a halogen, an optionally substituted alkyl group, an optionally substituted alkenyl group, an optionally substituted alkynyl group, an optionally substituted aryl moiety, an optionally substituted heteroaryl moiety, an optionally substituted heterocycle, an optionally substituted monosaccharide, an optionally substituted oligosaccharide, a nucleoside, a nucleotide, an oligonucleotide, a polymer, or,
- one or more of both R1, R2, R3 or R4 together comprise an independently selected spiro ring, or
- one more of R1, R2, R3, R4, R5, R6 and R10 independently are ═O, ═S, ═N—OH, ═CH2, or a spiro ring, and the hydrogen atom or the second variable group that is bonded to the same carbon atom is absent, or,
- one or more of two adjacent R1-R6 and R10 comprise an independently selected ketal or thioketal;
-
- R7 is —C(R10)2—, —C(R10)2—C(R10)2—, —C(R10)2—C(R10)2—C(R10)2—, —C(R10)2—O—C(R10)2—, —C(R10)2—S—C(R10)2—, —C(R10)2—NRPR—C(R10)2—, —O—, —O—C(R10)2—, —S—, —S—C(R10)2—, —NRPR— or —NRPR—C(R10)2—;
- R8 and R9 independently are —C(R10)2—, —C(R10)2—C(R10)2—, —O—, —O—C(R10)2—, —S—, —S—C(R10)2—, —NRPR— or —NRPR—C(R10)2—, or one or both of R8 or R9 independently are absent, leaving a 5-membered ring;
- R13 independently is C1-6 alkyl;
- RPR independently is —H or a protecting group;
- D is a heterocycle or a 4-, 5-, 6- or 7-membered ring that comprises saturated carbon atoms, wherein 1, 2 or 3 ring carbon atoms of the 4-, 5-, 6- or 7-membered ring are optionally independently substituted with —O—, —S— or —NRPR— or where 1, 2 or 3 hydrogen atoms of the heterocycle or where 1, 2 or 3 hydrogen atoms of the 4-, 5-, 6- or 7-membered ring are independently substituted with —ORPR, —SRPR, —N(RPR)2, —O—Si—(R13)3, —CHO, —CHS, —CH═NH, —CN, —SCN, —NO2, —OSO3H, —OPO3H, an ester, a thioester, a phosphoester, a phosphothioester, a phosphiniester, a sulfite ester, a sulfate ester, an amide, an amino acid, a peptide, an ether, a thioether, an acyl group, a thioacyl group, a carbonate, a carbamate, a thioacetal, a halogen, an optionally substituted alkyl group, an optionally substituted alkenyl group, an optionally substituted alkynyl group, an optionally substituted aryl moiety, an optionally substituted heteroaryl moiety, an optionally substituted heterocycle, an optionally substituted monosaccharide, an optionally substituted oligosaccharide, a nucleoside, a nucleotide, an oligonucleotide or a polymer, or,
- one more of the ring carbons are substituted with ═O, ═S, ═N—OH, ═CH2, or a spiro ring, or
- D comprises two 5- or 6-membered rings, wherein the rings are fused or are linked by 1 or 2 bonds, provided that if the subject is in need of enhanced hemopoiesis, the compound is not 5-androstene-3β-ol-17-one, 5-androstene-3β,17β-diol, 5-androstene-3β,7β,17β-triol or a derivative of any of these three compounds that can convert to these compounds by hydrolysis. Immune and cellular response modulation includes enhancing Th1 immune responses, reducing Th2 immune responses, reducing inflammation and enhancing hemopoiesis.
- In other embodiments, the invention provides a compound of formula 1, wherein two or three of R7, R8 and R9 independently are not —CHR10—, or —C(R10)2— and wherein the compound is optionally present in a composition that comprises one or more excipients.
- Other embodiments include a method to enhance the expression of one or more cytokines or interleukins that facilitate Th1 immune responses in a subject or to reduce the expression of one or more cytokines or interleukins that facilitate Th2 immune response in a subject comprising administering to the subject an effective amount of a formula 1 compound, whereby the subject's Th1 immune response is enhanced of the subject's undesired Th2 immune response is reduced.
- A further embodiment is a method to modulate a subject's innate immunity, Th1 immune responses, Th2 immune responses or inflammation comprising administering a formula 1 compound to a subject or delivering the formula 1 compound to the subject's tissues.
- Other embodiments are as described in the specification including the numbered embodiments and the claims.
- Definitions. As used herein and unless otherwise stated or implied by context, terms that are define herein have the meanings that are specified. The descriptions of embodiments and examples that are described illustrate the invention and they are not intended to limit it in any way. Unless otherwise contraindicated or implied, e.g., by including mutually exclusive elements or options, in these descriptions and throughout this specification, the terms “a” and “an” mean one or more and the term “or” means and/or.
- An “invention formulation”, “formulation” or the like means an invention composition that one can administer to a subject, e.g., human or animal, without further manipulations that change the ingredients or the ingredient proportions that are present. Formulations are suitable for human or veterinary applications.
- An “invention composition”, “composition” or the like is a composition, that can be an intermediate one can use to make the formulations, i.e., a change(s) in an ingredient(s) or its amount(s) is needed to make a formulation. Thus, invention compositions include compositions where further processing may be required before it is a formulation, e.g., mixing or addition of a desired amount of an ingredient.
- Reference to “administration of a compound of formula 1” or similar terms mean that the compound(s) is administered to, or delivered to, the subject or to the subject's tissues by one or more suitable methods, e.g., by an oral, topical, parenteral, buccal or sublingual route. Such methods of administration are as described herein, e.g., oral, parenteral or topical. Any reference to a “formula 1 compound”, “one or more compounds of formula 1” or the like means that the formula 1 compound can have the formula 2 structure that is within the definition of formula 1 compounds.
- Reference to subject matter “as disclosed herein” such as a “therapeutic treatment or agent as disclosed herein”, a “dosing protocol as disclosed herein” or a “clinical condition or symptom as disclosed herein” or the like means a treatment, agent, protocol, condition, symptom or the like that is described herein or in any reference cited herein.
- An “excipient”, “carrier”, “pharmaceutically acceptable carrier” or similar terms mean one or more component(s) or ingredient(s) that is acceptable in the sense of being compatible with the other ingredients of invention compositions or formulations and not overly deleterious to the patient or animal to which the formulation is to be administered. As used here, “excipients” include liquids, such as benzyl benzoate, cottonseed oil, N,N-dimethylacetamide, a C2-12 alcohol (e.g., ethanol), glycerol, peanut oil, a polyethylene glycol (“PEG”), vitamin E, poppyseed oil, propylene glycol, safflower oil, sesame oil, soybean oil and vegetable oil. Excipients, as used herein will optionally exclude chloroform, dioxane, vegetable oil, DMSO, other excipients or any combination of these. Excipients comprise one or more components typically used in the pharmaceutical formulation arts, e.g., fillers, binders, disintegrants, dispersants, preservatives and lubricants. Exemplary excipients include povidone, crospovidone, corn starch, carboxymethyl cellulose, hydroxypropyl methylcellulose, microcrystalline cellulose, gum arabic, polysorbate 80, butylparaben, propylparaben, methylparaben, BHA, EDTA, sodium lauryl sulfate, sodium chloride, potassium chloride, titanium dioxide, magnesium stearate, castor oil, olive oil, vegetable oil, buffering agents such as monobasic sodium phosphate or dibasic sodium phosphate, saccharides such as mannitol, glucose, fructose, sucrose or lactose any of which may be compressible or any of which may be spray dried. Any of the solid excipients may be fine powders or they may be used as granules.
- A “subject” means a human or animal. Usually the animal is a mammal or vertebrate such as a primate, rodent, lagomorph, domestic animal or game animal. Primates include chimpanzees, cynomologous monkeys, spider monkeys, and macaques, e.g., Rhesus. Rodents and lagomorphs include mice, rats, woodchucks, ferrets, rabbits and hamsters. Domestic and game animals include cows, horses, pigs, deer, bison, buffalo, felines, e.g., domestic cat, canines, e.g., dog, wolf and fox, avian species, e.g., chicken, turkey, emu and ostrich, and fish, e.g., trout, catfish and salmon. Subject includes any subset of the foregoing, e.g., all of the above, but excluding one or more groups or species such as humans, primates or rodents.
- Expressions such as “a formula 1 compound(s)”, “a formula 1 compound” and the like mean invention compositions or formulations where one or more than one formula 1 compound is present or is used in the disclosed method, typically 1, 2, 3 or 4, usually 1.
- The terms “effective amount”, “effective dose” or the like mean an amount of a formula 1 compound that is sufficient to restore normal immune responsiveness in an immunodeficient subject to which it is administered or to detectably modulate or improve an immune or cellular parameter or symptom. Such modulation or improvement is consistent with either restoring or enhancing a desired immune response, with inhibiting the progression of the disorder or with inhibiting the replication of a pathogen. Immune and cellular parameters that may be detectably improved include, e.g., (1) increased expression or biological activity of one or more Th1 associated cytokine, interleukin, growth factor, enzyme or transcription factor, (2) decreased expression or biological activity of one or more Th2 associated cytokine, interleukin, growth factor, enzyme or transcription factor, (3) decreased expression or biological activity of one or more inflammation associated cytokine, interleukin, growth factor, enzyme or transcription factor and (4) inhibition of the replication of a pathogen such as a virus or bacterium or pathological cell or cell type such as an infected cell, a malignant cell or cancer cell. The immune and cellular parameters that are detectably improved may be improved due to direct or indirect effects of the formula 1 compound. Thus, an effective amount is an amount sufficient for treatment, prevention or amelioration of the infection or other condition or symptom being treated. The exact amount needed for an optimal individual response may vary from subject to subject, depending, e.g., on the species, age, the subject's clinical condition and the route of administration. An effective amount is usually within the dosages described herein and it may also be optimized by one of ordinary skill in the art using routine methods. Amelioration of a disease or a symptom may be determined subjectively or objectively, e.g., by the subject or by conducting an appropriate assay or measurement such as one described herein.
- Terms such as “use”, “treat”, “treatment”, “address” or the like in the context of using the formula 1 compounds in the treatment methods or other methods disclosed herein mean that a formula 1 compound is administered to a subject, delivered to the subject's tissues or contacted with tissues, cells or cell free systems, e.g., as described herein. Typically such use or treatment results in a detectable improvement in the condition being treated or in a symptom or in a relevant immune parameter such as modulation of a target interleukin or modulation of a transcription factor. The “modulation” of, e.g., a symptom, level or biological activity of a molecule, replication of a pathogen, cellular response, cellular activity or the like, means that the symptom, or the like is detectably increased or decreased. Modulation may be determined subjectively or objectively, e.g., by the subject's self assessment, by a clinician's assessment or by conducting an appropriate assay or measurement.
- Terms such as “antigen”, “immunogen” or the like mean a molecule that comprises one or more epitopes that are capable of stimulating a subject's immune system to make, e.g., a secretory, humoral or cellular antigen-specific response against the antigen or immunogen. These terms also include fragments or synthetic or natural derivatives of these molecules that retain at least a detectable capacity, e.g., at least about 20%, of the native antigen's antigenic capacity, to stimulate a subject's immune system in a desired manner.
- “Vaccine composition”, “vaccine” or similar terms mean an agent suitable for stimulating a subject's immune system to ameliorate a current condition or to protect against or to reduce present or future harm or infection, e.g., reduced tumor cell proliferation or survival, reduced pathogen replication or spread in a subject or a detectably reduced unwanted symptom(s) associated with a condition.
- “Immunization” means the process of inducing a continuing moderate or high level of antibody or cellular immune response that is directed against an antigen to which the subject has been exposed.
- At various locations in the present disclosure, e.g., in the numbered embodiments or in the claims, reference is made to compounds, compositions, formulations, or methods that comprise one or more specified components, elements or steps. Additional invention embodiments include those compounds, compositions, formulations or methods that consist of or that consist essentially of those specified components, elements or steps. The terms “comprising”, “consist of” and “consist essentially of” have their normally accepted meanings under U.S. patent law. For example, disclosed compositions or methods that “comprise” a component or step are open and they include or read on those compositions or methods plus an additional component(s) or step(s). Similarly, disclosed compositions or methods that “consist of” a component or step are closed and they would not include or read on those compositions or methods having an additional component(s) or step(s).
- “Alkyl” as used here means linked normal, secondary, tertiary or cyclic carbon atoms, i.e., linear, branched or cyclic. The number of carbon atoms in an alkyl group or moiety is 1 to about 20, unless otherwise specified, e.g., C1-8 alkyl means an alkyl moiety containing 1, 2, 3, 4, 5, 6, 7 or 8 carbon atoms. When an alkyl group is specified, species may include methyl, ethyl, 1-propyl (n-propyl), 2-propyl (i-propyl, —CH(CH3)2), 1-butyl (n-butyl), 2-methyl-1-propyl (i-butyl, —CH2CH(CH3)2), 2-butyl (s-butyl, —CH(CH3)CH2CH3), 2-methyl-2-propyl (t-butyl, —C(CH3)3), 1-pentyl (n-pentyl), 2-pentyl (—CH(CH3)CH2CH2CH3), 3-pentyl (—CH(CH2CH3)2), 2-methyl-2-butyl (—C(CH3)2CH2CH3), 3-methyl-2-butyl (—CH(CH3)CH(CH3)2), 3-methyl-1-butyl (—CH2CH2CH(CH3)2), 2-methyl-1-butyl (—CH2CH(CH3)CH2CH3), 1-hexyl, 2-hexyl (—CH(CH3)CH2CH2CH2CH3), 3-hexyl (—CH(CH2CH3)(CH2CH2CH3)), 2-methyl-2-pentyl (—C(CH3)2CH2CH2CH3), 3-methyl-2-pentyl (—CH(CH3)CH(CH3)CH2CH3), 4-methyl-2-pentyl (—CH(CH3)CH2CH(CH3)2), 3-methyl-3-pentyl (—C(CH3)(CH2CH3)2), 2-methyl-3-pentyl (—CH(CH2CH3)CH(CH3)2), 2,3-dimethyl-2-butyl (—C(CH3)2CH(CH3)2), 3,3-dimethyl-2-butyl (—CH(CH3)C(CH3)3), cyclopropyl, cyclobutyl, cyclopentyl, cyclohexyl, cycloheptyl, cyclooctyl, —(CH2)n—(CHCH3)m—(CH2)o—CH3 and —(CH2)n—(CHC2H5)m—(CH2)o—CH3 where n, m and o independently are 0, 1, 2, 3, 4, 5, 6, 7 or 8.
- “Alkenyl” means linked normal, secondary, tertiary or cyclic carbon atoms where one or more double bonds (e.g., —CH═CH—) are present, typically 1, 2 or 3, usually 1 or 2. The number of carbon atoms in an alkenyl group or moiety is 2 to about 20, unless otherwise specified, e.g., C2-8 alkenyl means an alkenyl moiety containing 2, 3, 4, 5, 6, 7 or 8 carbon atoms. When an alkenyl group is specified, species may include vinyl, allyl, —(CH2)n—(CH═CH)—(CH2)m—CH3, —(CH2)n—(CCH3═CH)—(CH2)m—CH3, —(CH2)n—(CH═CCH3)—(CH2)m—CH3 and —(CH2)n—(CH═CH)0-1(CH2)m—CH2CH═CH2, where n and m independently are 0, 1, 2, 3, 4, 5, 6, 7 or 8.
- “Alkynyl” means linked normal, secondary, tertiary or cyclic carbon atoms where one or more triple bonds (—C≡C—) are present, typically 1, 2 or 3, usually 1. The number of carbon atoms in an alkynyl group or moiety is 2 to about 20, unless otherwise specified, e.g., C1-8 alkynyl means an alkynyl moiety containing 1, 2, 3, 4, 5, 6, 7 or 8 carbon atoms. When an alkenyl group is specified, species may include vinyl, allyl, —(CH2)n—(C≡C)—(CH2)m—CH3, and —(CH2)n—(C≡C)0-1—(CH2)m—CH2C≡CH, where n and m independently are 0, 1, 2, 3, 4, 5, 6, 7 or 8.
- “Aryl” means phenyl or naphthyl.
- “Substituted alkyl”, “substituted alkenyl” and “substituted alkynyl” mean an alkyl, alkenyl or alkynyl group that has a substituent(s) that is bonded to a carbon atom or a substituent(s) that interrupt a carbon atom chain. Substituents include one or more independently selected ethers (—O—), ketones (—C(O)—), aldehydes (—CHO), —CHS, —CH═NH, —C═NH—, —ORPR, —C(O)ORPR, —C(O)O—, —C(S)ORPR, —C(S)O—, —OC(O)—, —C(O)H, —OCH2—, —OCH2CH2—, —OCH2O—, —OCH2CH2O—, —NRPR—, —N(RPR)2, —NHRPR, —NHC(O)—, —CH2—NRPR—, —CH2—NHRPR, —CH2—NHC(O)—, —C(O)NH—, —C(O)NHRPR, —OC(O)NRPR—, —OC(O)NHRPR, —NRPRC(O)NRPR—, —NRPRC(O)NHRPR, —NRPRCH2—, —NRPRCH2CH2—, —S—, —SRPR, —S(O)—, —S(O)(O)—, —S(O)ORPR, —S(O)H, —CN, —NO2, F, Cl, Br, I, and combinations of these moieties where RPR independently is hydrogen, a protecting group or both RPR together are a protecting group. Substituents are independently chosen when more than one is present. Alkenyl and alkynyl groups that comprise a substituent(s), are typically substituted at a carbon that is one or more methylene moiety removed from the double bond, e.g., separated by one, two, three or more —CH2— or —CH(C1-6 alkyl)-moieties.
- “Heterocycle” or “heterocyclic” includes by way of example and not limitation the heterocycles described in Paquette, Leo A.; “Principles of Modern Heterocyclic Chemistry” (W. A. Benjamin, New York, 1968), particularly Chapters 1, 3, 4, 6, 7, and 9; “The Chemistry of Heterocyclic Compounds, A series of Monographs” (John Wiley & Sons, New York, 1950 to present), in particular Volumes 13, 14, 16, 19, and 28; and J. Am. Chem. Soc. 1960, 82:5566. Examples of heterocycles include by way of example and not limitation pyridyl, thiazolyl, tetrahydrothiophenyl, sulfur oxidized tetrahydrothiophenyl, pyrimidinyl, furanyl, thienyl, pyrrolyl, pyrazolyl, imidazolyl, tetrazolyl, benzofuranyl, thianaphthalenyl, indolyl, indolenyl, quinolinyl, isoquinolinyl, benzimidazolyl, piperidinyl, 4-piperidonyl, pyrrolidinyl, 2-pyrrolidonyl, pyrrolinyl, tetrahydrofuranyl, tetrahydroquinolinyl, tetrahydroisoquinolinyl, decahydroquinolinyl, octahydroisoquinolinyl, azocinyl, triazinyl, 6H-1,2,5-thiadiazinyl, 2H,6H-1,5,2dithiazinyl, thienyl, thianthrenyl, pyranyl, isobenzofuranyl, chromenyl, xanthenyl, phenoxathiinyl, 2H-pyrrolyl, isothiazolyl, isoxazolyl, pyrazinyl, pyridazinyl, indolizinyl, isoindolyl, 3H-indolyl, 1H-indazoly, purinyl, 4H-quinolizinyl, phthalazinyl, naphthyridinyl, quinoxalinyl, quinazolinyl, cinnolinyl, pteridinyl, 4aH-carbazolyl, carbazolyl, β-carbolinyl, phenanthridinyl, acridinyl, pyrimidinyl, phenanthrolinyl, phenazinyl, phenothiazinyl, furazanyl, phenoxazinyl, isochromanyl, chromanyl, imidazolidinyl, imidazolinyl, pyrazolidinyl, pyrazolinyl, piperazinyl, indolinyl, isoindolinyl, quinuclidinyl, morpholinyl, oxazolidinyl, benzotriazolyl, benzisoxazolyl, oxindolyl, benzoxazolinyl, and isatinoyl.
- By way of example and not limitation, carbon bonded heterocycles are bonded at position 2, 3, 4, 5, or 6 of a pyridine, position 3, 4, 5, or 6 of a pyridazine, position 2, 4, 5, or 6 of a pyrimidine, position 2, 3, 5, or 6 of a pyrazine, position 2, 3, 4, or 5 of a furan, tetrahydrofuran, thiofuran, thiophene, pyrrole or tetrahydropyrrole, position 2, 4, or 5 of an oxazole, imidazole or thiazole, position 3, 4, or 5 of an isoxazole, pyrazole, or isothiazole, position 2 or 3 of an aziridine, position 2, 3, or 4 of an azetidine, position 2, 3, 4, 5, 6, 7, or 8 of a quinoline or position 1, 3, 4, 5, 6, 7, or 8 of an isoquinoline. Still more typically, carbon bonded heterocycles include 2-pyridyl, 3-pyridyl, 4-pyridyl, 5-pyridyl, 6-pyridyl, 3-pyridazinyl, 4-pyridazinyl, 5-pyridazinyl, 6-pyridazinyl, 2-pyrimidinyl, 4-pyrimidinyl, 5-pyrimidinyl, 6-pyrimidinyl, 2-pyrazinyl, 3-pyrazinyl, 5-pyrazinyl, 6-pyrazinyl, 2-thiazolyl, 4-thiazolyl, or 5-thiazolyl.
- By way of example and not limitation, nitrogen bonded heterocycles are bonded at position 1 of an aziridine, azetidine, pyrrole, pyrrolidine, 2-pyrroline, 3-pyrroline, imidazole, imidazolidine, 2-imidazoline, 3-imidazoline, pyrazole, pyrazoline, 2-pyrazoline, 3-pyrazoline, piperidine, piperazine, indole, indoline, 1H-indazole, position 2 of a isoindole, or isoindoline, position 4 of a morpholine, and position 9 of a carbazole, or β-carboline. Typically, nitrogen bonded heterocycles include 1-aziridyl, 1-azetedyl, 1-pyrrolyl, 1-imidazolyl, 1-pyrazolyl, and 1-piperidinyl.
- “Heteroaryl” means an aromatic ring or two or more fused rings that contain one or more aromatic rings where the ring or fused rings comprise 1, 2, 3 or more heteroatoms, usually oxygen (—O—), nitrogen (—NX—) or sulfur (—S—) where X is —H, a protecting group or C1-6 alkyl, usually —H. Examples are as described for heterocycle.
- “Alcohol” as used herein, usually in the context of excipients, means an alcohol that comprises a C2-12 alkyl moiety substituted at a hydrogen atom with one hydroxyl group. Alcohols include ethanol, n-propanol, i-propanol, n-butanol, i-butanol, s-butanol, t-butanol, n-pentanol, i-pentanol, n-hexanol, cyclohexanol, n-heptanol, n-octanol, n-nonanol and n-decanol. The carbon atoms in alcohols can be straight, branched or cyclic. Alcohol includes any subset of the foregoing, e.g., C2-4 alcohols (alcohols having 2, 3 or 4 carbon atoms).
- “Halogen” means fluorine, chlorine, bromine or iodine.
- “Protecting group” means a moiety that prevents the atom to which it is linked from participating in unwanted reactions. For example, for —ORPR, RPR may be hydrogen or a protecting group for the oxygen atom found in a hydroxyl, while for —C(O)—ORPR, RPR may be hydrogen or a carboxyl protecting group, for —SRPR, RPR may be hydrogen or a protecting group for sulfur in thiols for instance, and for —NHRPR or —N(RPR)2—, RPR may be hydrogen or a nitrogen atom protecting group for primary or secondary amines. Hydroxyl, amine and other reactive groups are found in formula 1 compounds at, e.g., R1 or R2. These groups may require protection against reactions taking place elsewhere in the molecule. The protecting groups for oxygen, sulfur or nitrogen atoms are usually used to prevent unwanted reactions with electrophilic compounds, such as acylating used, e.g., in steroid chemistry.
- “Ester” means a moiety that comprises a —C(O)—O— structure. Typically, esters as used here comprise an organic moiety containing about 1-50 carbon atoms (e.g., about 2-20 carbon atoms) and 0 to about 10 independently selected heteroatoms (e.g., O, S, N, P, Si), where the organic moiety is bonded to a formula 1 steroid nucleus at, e.g., R1 or R2 through the —C(O)—O— structure, e.g., organic moiety-C(O)—O-steroid or organic moiety-O—C(O)-steroid. The organic moiety usually comprises one or more of any of the organic groups described above, e.g., C1-20 alkyl moieties, C2-20 alkenyl moieties, C2-20 alkynyl moieties, aryl moieties, C2-9 heterocycles or substituted derivatives of any of these, e.g., comprising 1, 2, 3, 4 or more substituents, where each substituent is independently chosen. Exemplary substitutions for hydrogen or carbon atoms in these organic groups include 1, 2, 3, 4 or more, usually 1, 2, or 3 —O—, —S—, —NRPR—(including —NH—), —C(O)—, —CHO, —CHS, —C═NH, —C(S), ═O, ═S, —N(R PR)2 (including —NH2), —C(O)ORPR (including —C(O)OH), —OC(O)RPR (including —O—C(O)—H), —ORPR (including —OH), —SRPR (including —SH), —NO2, —CN, —SCN, —C6H5, —CH2C6H5, —NHC(O)—, —C(O)NH—, —OC(O)—, —C(O)O—, —O-A8, —S-A8, —C(O)-A8, —OC(O)-A8, —C(O)O-A8, ═N—, —N═, ═N—OH, —OPO3(RPR)2, —OSO3H2 or halogen moieties or atoms, where each RPR is —H, an independently selected protecting group or both RPR together comprise a protecting group, and A8 is C1-8 alkyl, C2-8 alkenyl, C2-8 alkynyl, C1-4 alkyl-aryl (e.g., benzyl), aryl (e.g. phenyl) or C0-4 alkyl-C2-9 heterocycle. Substitutions are independently chosen. The organic moiety includes compounds defined by the R4 variable. The organic moieties exclude obviously unstable moieties, e.g., —O—O—, except where such unstable moieties are transient species that one can use to make a compound with sufficient chemical stability for one or more of the uses described herein, including for synthesis of the formula 1 compounds. The substitutions listed above are typically substituents that one can use to replace one or more carbon atoms, e.g., —O— or —C(O)—, or one or more hydrogen atom, e.g., halogen, —NH2 or —OH.
- “Thioester” means a moiety that comprises a —C(S)—O— structure. Typically, thioesters as used here comprise an organic moiety containing about 1-50 carbon atoms (e.g., about 2-20 carbon atoms) and 0 to about 10 heteroatoms (e.g., O, S, N, P, Si), where the organic moiety is bonded to a formula 1 steroid nucleus at R2 through the —C(S)—O— structure, e.g., organic moiety-C(S)—O-steroid or organic moiety-O—C(S)-steroid. The organic moiety is as described above for esters.
- “Thioacetal” means a moiety that comprises a —C(O)—S— structure. Typically, thioacetals as used here comprise an organic moiety containing about 1-50 carbon atoms (e.g., about 2-20 carbon atoms) and 0 to about 10 heteroatoms (e.g., O, S, N, P, Si), where the organic moiety is bonded to a formula 1 steroid nucleus at R2 through the —C(O)—S— structure, e.g., organic moiety-C(O)—S-steroid or organic moiety-O—C(S)—C(O)-steroid. The organic moiety is as described above for esters.
- “Phosphoester” or “phosphate ester” means a moiety that comprises a —O—P(ORPR)(O)—O— structure where RPR is hydrogen (—H), a protecting group or an organic moiety as described for esters. Typically, phosphoesters as used here comprise a hydrogen atom, a protecting group or an organic moiety containing about 1-50 carbon atoms and 0 to about 10 heteroatoms (e.g., O, S, N, P, Si) linked to a formula 1 steroid nucleus at R1-R6, R10, R15, R17 or R18 through the —O—P(O)(O)—O— structure, e.g., organic moiety-O—P(O)(OH)—O-steroid. The organic moiety is as described above for esters.
- “Phosphothioester” means a moiety that comprises a —O—P(SRPR)(O)—O— structure where RPR is —H, a protecting group or an organic moiety as described for esters. Typically, phosphothioesters as used here comprise a hydrogen atom, a protecting group or an organic moiety containing about 1-50 carbon atoms and 0 to about 10 heteroatoms (e.g., O, S, N, P, Si) linked to a formula 1 steroid nucleus at R1-R6, R10, R15, R17 or R18 through the —O—P(O)(O)—O— structure, e.g., organic moiety-O—P(O)(SH)—O-steroid. The organic moiety is as described above for esters.
- “Phosphonoester” means a moiety that comprises a —P(ORPR)(O)—O— structure where RPR is —H, a protecting group or an organic moiety as described for esters. Typically, phosphonoesters as used here comprise a hydrogen atom, a protecting group or an organic moiety containing about 1-50 carbon atoms and 0 to about 10 heteroatoms (e.g., O, S, N, P, Si) linked to a formula 1 steroid nucleus at R1-R6, R10, R15, R17 or R18 through the —P(ORPR)(O)—O— structure, i.e., organic moiety-P(ORPR)(O)—O-steroid or steroid-P(ORPR)(O)—O-organic moiety. The organic moiety is as described above for esters.
- “Phosphiniester” means a moiety that comprises a —P(ORPR)—O— structure where RPR is —H, a protecting group or an organic moiety as described for esters. Typically, phosphiniesters as used here comprise a hydrogen atom, a protecting group or an organic moiety containing about 1-50 carbon atoms and 0 to about 10 heteroatoms (e.g., O, S, N, P, Si) linked to a formula 1 steroid nucleus at R1-R6, R10, R15, R17 or R18 through the —P(ORPR)—O— structure, i.e., organic moiety-P(ORPR)—O-steroid or steroid-P(ORPR)—O-organic moiety. The organic moiety is as described above for esters.
- “Sulfate ester” means a moiety that comprises a —O—S(O)(O)—O— structure. Typically, sulfate esters as used here comprise a hydrogen atom, a protecting group or an organic moiety containing about 1-50 carbon atoms and 0 to about 10 heteroatoms (e.g., O, S, N, P, Si) linked to a formula 1 steroid nucleus at R1-R6, R10, R15, R17 or R18 through the —O—S(O)(O)—O— structure, e.g., organic moiety-O—S(O)(O)—O-steroid. The organic moiety is as described above for esters.
- “Sulfite ester” means a moiety that comprises a —O—S(O)—O— structure. Typically, sulfite esters as used here comprise an organic moiety containing about 1-50 carbon atoms and 0 to about 10 heteroatoms (e.g., O, S, N, P, Si) linked to a formula 1 steroid nucleus at R1-R6, R10, R15, R17 or R18 through the —O—S(O)—O— structure, e.g., organic moiety-O—S(O)—O-steroid. The organic moiety is as described above for esters.
- “Thioacetal” means a moiety that comprises a —S—C(O)— structure. Typically, thioacetal groups as used here comprise an organic moiety containing about 1-50 carbon atoms and 0 to about 10 heteroatoms (e.g., O, S, N, P, Si) linked to a formula 1 steroid nucleus at R1-R6, R10, R15, R17 or R18 through the —S—C(O)— structure, e.g., organic moiety-S—C(O)-steroid or steroid-S—C(O)-organic moiety. The organic moiety is as described above for esters.
- “Amide” means an organic moiety as described for ester that comprises 1, 2, 3, 4 or more —C(O)—NRPR— moieties, usually 1 or 2, where RPR is —H or a protecting group, RPR is usually H. In some embodiments, the —C(O)NRPR— group is linked to the steroid nucleus at R1-R6, R10, R15, R17 or R18, i.e., organic moiety-C(O)NRPR-steroid or steroid-C(O)NR PR-organic moiety.
- “Ether” means an organic moiety as described for ester that comprises 1, 2, 3, 4 or more —O— moieties, usually 1 or 2. In some embodiments, the —O— group is linked to the steroid nucleus at R1-R6, R10, R15, R17 or R18, e.g., organic moiety-O-steroid.
- “Thioether” means an organic moiety as described for ester that comprises 1, 2, 3, 4 or more —S— moieties, usually 1 or 2. In some embodiments, the —S— group is linked to the steroid nucleus at R1-R6, R10, R15, R17 or R18, e.g., organic moiety-S-steroid.
- “Acyl group” means an organic moiety as described for ester that comprises 1, 2, 3, 4 or more —C(O)— groups. In some embodiments, the —C(O)— group is linked to the steroid nucleus at R1-R6, R10, R15, R17 or R18, e.g., organic moiety-C(O)-steroid.
- “Thioacyl” means an organic moiety as described for ester that comprises 1, 2, 3, 4 or more —C(S)— groups. In some embodiments, the —C(S)— group is linked to the steroid nucleus at R1-R6, R10, R15, R17 or R18, e.g., organic moiety-C(S)-steroid.
- “Carbonate” means an organic moiety as described for ester that comprises 1, 2, 3, 4 or more —O—C(O)—O— structures. Typically, carbonate groups as used here comprise an organic moiety containing about 1-50 carbon atoms and 0 to about 10 heteroatoms (e.g., O, S, N, P, Si) linked to a formula 1 steroid nucleus at R1-R6, R10, R15, R17 or R18 through the —O—C(O)—O— structure, e.g., organic moiety-O—C(O)—O-steroid.
- “Carbamate” means an organic moiety as described for ester that comprises 1, 2, 3, 4 or more —O—C(O)NRPR— structures where RPR is —H, a protecting group or an organic moiety as described for ester. Typically, carbamate groups as used here comprise an organic moiety containing about 1-50 carbon atoms and 0 to about 10 heteroatoms (e.g., O, S, N, P, Si) linked to a formula 1 steroid nucleus at R1-R6, R10, R15, R17 or R18 through the —O—C(O)—NRPR— structure, e.g., organic moiety-O—C(O)—NRPR-steroid or steroid-O—C(O)—NRPR-organic moiety.
- As used herein, “monosaccharide” means a polyhydroxy aldehyde or ketone having the empirical formula (CH2O)n where n is 3, 4, 5, 6 or 7. Monosaccharide includes open chain and closed chain forms, but will usually be closed chain forms. Monosaccharide includes hexofuranose and pentofuranose sugars such as 2′-deoxyribose, ribose, arabinose, xylose, their 2′-deoxy and 3′-deoxy derivatives and their 2′,3′-dideoxy derivatives. Monosaccharide also includes the 2′,3′ dideoxydidehydro derivative of ribose. Monosaccharides include the D-, L- and DL-isomers of glucose, fructose, mannose, idose, galactose, allose, gulose, altrose, talose, fucose, erythrose, threose, lyxose, erythrulose, ribulose, xylulose, ribose, arabinose, xylose, psicose, sorbose, tagatose, glyceraldehyde, dihydroxyacetone and their monodeoxy derivatives such as rhamnose. Monosaccharides are optionally protected or partially protected.
- Optionally substituted alkyl group, optionally substituted alkenyl group, optionally substituted alkynyl group, optionally substituted aryl moiety and optionally substituted heterocycle mean substitutions that include C1-20 alkyl moieties, C2-20 alkenyl moieties, C2-20 alkynyl moieties, aryl moieties, C2-9 heterocycles or substituted derivatives of any of these. Typical substitutions for these organic groups include 1, 2, 3, 4 or more, usually 1 or 2, —O—, —S—, —NRPR—, —C(O)—, —N(RPR)2, —C(O)ORPR, OC(O)RPR, —ORPR, —SRPR, —NO2, —CN, —NHC(O)—, —C(O)NH—, —OC(O)—, —C(O)O—, —O-A8, —S-A8, —C(O)-A8, —OC(O)-A8, —C(O)O-A8, ═N—, —N═, —OPO2RPR, —OSO3H or halogen moieties or atoms, where RPR independently is —H, a protecting group or both RPR together are a protecting group and A8 is C1-8 alkyl, C1-8 alkenyl, C1-8 alkynyl, C1-4 alkyl-aryl (e.g., benzyl), aryl (e.g. phenyl) or C1-4 alkyl-C1-5 heterocycle. Substitutions are independently chosen. The organic moieties as described here, and for other any other moieties described herein, exclude obviously unstable moieties, e.g., —O—O—, except where such unstable moieties are transient species that one can use to make a compound with sufficient chemical stability for the one or more of the uses described herein.
- Optionally substituted “monosaccharide” comprise any C3-C7 sugar, D-, L- or DL-configurations, e.g., erythrose, glycerol, ribose, deoxyribose, arabinose, glucose, mannose, galactose, fucose, mannose, glucosamine, N-acetylneuraminic acid, N-acetylglucosamine, N-acetylgalactosamine that is optionally substituted at one or more hydroxyl groups. Suitable substitutions include hydrogen, protected hydroxyl, carboxyl, azido, cyano, —O—C1-6 alkyl, —S—C1-6 alkyl, —O—C2-6 alkenyl, —S—C2-6 alkenyl, optionally protected amine, optionally protected carboxyl, halogen, thiol or protected thiol. The linkage between the monosaccharide the steroid is a or P.
- Optionally substituted “oligosaccharide” comprises two, three, four or more of any C3-C7 sugars that are covalently linked to each other. The linked sugars may have D-, L- or DL-configurations. Suitable sugars and substitutions are as described for monosaccharides. The linkage between the oligosaccharide and the steroid is a or β, as are the linkages between the monosaccharides that comprise the oligosaccharide.
- Nucleoside includes 3TC, AZT, D4T, ddI, ddC, G, A, U, C, T, dG, dA, dT and dC.
- Polymer includes biocompatible organic polymers, e.g., PEGs and polyhydroxyalkyl polymers.
- PEG means an ethylene glycol polymer that contains about 20 to about 2000000 linked monomers, typically about 50-1000 linked monomers, usually about 100-300. Polyethylene glycols include PEGs containing various numbers of linked monomers, e.g., PEG20, PEG30, PEG40, PEG60, PEG80, PEG100, PEG115, PEG 200, PEG 300, PEG400, PEG500, PEG600, PEG1000, PEG1500, PEG2000, PEG 3350, PEG4000, PEG4600, PEG5000, PEG6000, PEG8000, PEG11000, PEG12000, PEG2000000 and any mixtures thereof.
- As used herein, position numbers that are given for the formula 1 compounds use the numbering convention for cholesterol.
- “Spiro ring” or “spiro structure” and similar terms mean cyclic structures that comprise 4, 5, 6, 7 or 8 ring members, i.e., they are 4-, 5-, 6-, 7- or 8-sided. In some embodiments, spiro structures share a carbon atom that is present in the steroid ring system, e.g., at the 2, 3, 7, 11, 15, 16 or 17 positions of the formula 1 compounds. Spiro structures include lactone rings or cyclic esters. Such spirolactones include 5 and 6 membered rings, e.g., a spiro compound with a spiro ring at the 17 position such as
- wherein X is —C(R10)2— or —CHR10—. In some of these embodiments, the R10 variable group independently is —H, —OH, —CH3 or an optionally substituted alkyl.
- “Ketal” and “thioketal” mean an organic moiety that is bonded to two adjacent steroid ring atoms in the formula 1 compounds, e.g., ring atoms at the 1-2, 2-3, 3-4, 6-7, 14-15, 15-16 or 16-17 positions. The steroid ring atoms are carbon and the ketal is bonded to each adjacent carbon by an oxygen atom. Thioketals are bonded through one oxygen and one sulfur atom. One, two or more of two adjacent R1-R6 and R10 may comprise an independently selected ketal or thioketal in any of the formula 1 compounds disclosed herein. The oxygen or sulfer atoms in ketals and thioketals are linked by an optionally substituted alkyl moiety. Typically the alkyl moiety is an optionally substituted C1-C6 alkylene such as —C(CH3)2—, —CH(CH3)—, —CH2—, —CH2—CH2—, —C(C2-C4 alkyl)2— or —CH(C2-C4 alkyl)-. Exemplary ketal and thioketals include —O—C(CH3)2—O—, —O—C(CH3)(heterocycle)—O—, —O—CH(heterocycle)—O—, —O—C(CH3)(aryl)—O—, —O—CH(aryl)—O—, —S—C(CH3)2—O—, —O—CH2—CH2—O—, —O—C(CH3)2—CH2—O—, —S—C(CH3)2—CH2—O—, —O—C(CH3)2—CH2—S— and the like. Unless otherwise stated or implied by context, expressions of a percentage of a liquid ingredient, e.g., an excipient, in an invention composition or formulation mean the ingredient's percent by volume (v/v). Thus, 20% propylene glycol means 20% v/v propylene glycol is present in an invention composition or formulation. The amount of excipient indicated in invention compositions is not affected by the form used, e.g., NF or USP grade solvent or excipient. Thus, an invention composition that comprises about 30% polyethylene glycol 300 NF can instead comprise a USP counterpart, provided that other limitations, such as the amount of water present, are not exceeded.
- As used herein, “innate immunity” refers to one or more components typically associated with nonspecific immune defense mechanisms in a subject. These components include the alternate complement pathway, e.g., Factor B, Factor D and properdin; NK cells, phagocytes (monocytes, macrophages), neutrophils, eosinophils, dendritic cells, fibrocytes; anti-microbial chemicals, e.g., defensins; physical barriers—skin, mucosal epithelium; and certain interleukins, chemokines and cytokines. Innate immunity plays a role in resistance to intracellular parasite infections, e.g., white blood cell infection, a liver infection, and other infections, e.g., lymph node infections. Enhancement of innate immunity mechanism by formula 1 compounds or method described herein may enhance phagolysosome fusion or movement, which some pathogens, e.g., intracellular bacteria such as mycobacteria, or Listeria inhibit.
- Terms such as “immune disregulation”, “immune disregulation condition”, “unwanted immune response” and the like mean that a subject has or will have an immune response that is not desirable or is suboptimal for the subject's condition. Such disregulation or unwanted responses can arise from various clinical conditions or as a result of treatment of such conditions, e.g., inflammation, autoimmunity, organ or tissue transplant rejection (e.g., allograft, xenograft), infections, cancers, chemotherapy treatments, trauma, allergy conditions or in conditions where a subject mounts a Th1 immune response that is considered to be ineffective, insufficient or suboptimal. Immune disregulation conditions are as described herein or in the cited references.
- Terms such as “cellular response”, “cellular activity”, biological response”, “biological activity” and the like mean a response or activity that is detectably modulated in response to the presence of a formula 1 compound. Such responses or activities can be direct effects or indirect effects on one or more cellular activities or on the expression or level of one or more molecules that the affected cell(s) synthesize or respond to. Such responses or activities include a detectable change in the synthesis or level of one or more cytokines, growth factors, transcription factors (including receptors and their cofactors), enzymes, Th1-associated antibody subtype responses or the like. Typically, the cytokines, growth factors, transcription factors, enzymes or antibodies that are modulated are involved in the amelioration of a pathological condition or in the establishment, maintenance or progression of a pathological condition.
- As used herein, references to CD molecules, specific immune cell subsets, immune responses and the like, generally use nomenclature that applies to molecules, cells or the like that are found in humans. Analogs or counterparts of such molecules, cells or the like in other species may have a differing nomenclature, but are included in this invention. A description of the nomenclature and function of various CD molecules and immune cell subsets are as found in the scientific literature. References to Th0, Th1 or Th2 cells and references to Th1 or Th2 immune responses in the context of human patients refers to the human counterparts of the murine Th0, Th1 or Th2 immune cells or responses. For reviews see, e.g., A. K. Abbas et al., editors, Cellular and Molecular Immunology, W. B. Saunders Company, third edition, 1997, ISBN 0-7216-4024-9, pages 4-469, and I. Kimber and M. K. Selgrade, editors, T Lymphocyte Subpopulations in Immunotoxicology, John Wiley & Sons Ltd., 1998, ISBN 0-471-97194-4, pages 1-53.
- “Immunosuppressive molecule” means molecules such as cyclosporin, cyclohexamide, mitomycin C, adriamycin, taxol and amphotericin B. These molecules tend to have toxicities toward the immune system and are directly or indirectly immunosuppressive, e.g., they are toxic to dividing cells, they inhibit proliferation of immune cell precursors or they can downregulate immunity.
- “Steroid receptor” means a gene product, typically a protein monomer or dimer that can bind to a ligand, e.g., a natural steroid or an analog thereof, such as formula 1 compounds. Steroid receptors include orphan steroid receptors. Orphan steroid receptors are proteins for which the natural ligand or biological function is at least partially unknown. As used here, steroid receptors include homodimers, e.g., SXR and (CARβ)2, and heterodimers, e.g., PXR-CARβ or RXR-CARβ. Steroid receptors also include isoforms, e.g., PXR.1 and PXR.2 for the PXR receptor, and homologs of the steroid receptors, e.g., the homolog of CARβ known as MB67. Isoforms are typically generated by different splicing pathways for a nuclear RNA from one gene, while homologs are typically a distinct copy of a steroid receptor gene, where the gene copy encodes only relatively small differences compared to the reference steroid receptor gene product. Such differences are most often found in areas other than the dimerization region and the steroid binding region of the steroid receptor's structure. Typically isoforms and homologs bind the same or similar ligands as the reference gene product or steroid receptor. Steroid receptors may be of human or animal origin, e.g., obtained from cells, tissues or cDNA expression libraries derived from cells or tissues of any primate, rodent (including murine), avian, ovine, bovine, equine, canine or feline species or any of the species or any species within any group (e.g., Family or Genus) of species mentioned elsewhere herein or in any reference cited herein. Modulation of steroid receptors by formula 1 compounds can arise from (1) their direct interaction with a steroid receptor or a cofactor thereof or (2) indirect effects such as generation of a signal or stimulus that leads to modulation of one or more biological activities of the receptor, e.g., detectable inhibition of steroid receptor mediated gene transcription or detectable enhancement of steroid receptor mediated gene transcription.
- In the context of a combination of molecules that includes a steroid receptor and a formula 1 compound, “invention complexes” or “complexes” include a complex that comprises a steroid receptor and a formula 1 compound and optionally other molecules. These other molecules include (i) a DNA recognition sequence (“DNARS” hereafter), i.e., a sequence that the steroid receptor specifically recognizes and binds to and (ii) a transcription factor that can bind to the steroid receptor-formula 1 compound complex. As used herein, these complexes can arise in cells in vitro or in vivo, or in cell-free systems. Complexes include, for example, steroid receptor heterodimer-formula 1 compound combinations, steroid receptor homodimer-formula 1 compound combinations, steroid receptor monomer-formula 1 compound combinations, steroid receptor heterodimer-formula 1 compound-DNA (or DNARS) combinations, steroid receptor homodimer-formula 1 compound-DNA (or DNARS) combinations, steroid receptor heterodimer-formula 1 compound-transcription factor combinations, steroid receptor homodimer-formula 1 compound-transcription factor combinations, steroid receptor heterodimer-formula 1 compound-DNA (or DNARS)-transcription factor combinations and steroid receptor homodimer-formula 1 compound-DNA (or DNARS)-transcription factor combinations.
- An “agonist” or an “antagonist” is a compound or composition that respectively, either detectably increases or decreases the activity of a receptor, which can lead to increased or decreased transcription of a regulated gene. Receptors, their accessory factors and transcription factors can modulate transcription of their target gene(s) by detectably enhancing transcription or decreasing it.
- Amino acid. “Amino acid” means an amino acid moiety that comprises any naturally-occurring or synthetic amino acid residue, i.e., any moiety comprising at least one carboxyl and at least one amino residue directly linked by one, two three or more carbon atoms, typically one (a) carbon atom. The nature and identity of the intervening structure located between the carboxyl and amino groups can have a variety of structures including those described herein. Typically, amino acids linked to the steroid through the amine group have sufficient conformation and length to be capable of autocatalytic hydrolysis of the amino acid-steroid bond and release of the steroid. This can occur when the free carboxyl is generated in vivo by deesterification, deamidation or peptidolytic cleavage of the precursor containing a linkage between the amino acid's amine group and the steroid. Hydrolysis of the bond between an amino acid's carboxyl or amino group and the steroid can also occur by chemical or enzymatic activity, e.g., esterase cleavage or non-enzymatic hydrolysis.
- In general, the amino acids corresponding to the residues employed in the formula 1 compounds are naturally occurring and have no significant pharmacological activity per se. However, optimal pharmacokinetic activity, (substantially complete hydrolysis upon hydrolysis of the distal amide or ester bond) may be achieved by using non-naturally occurring amino acid residues. The intervening structure may be as simple as methylene when the amino acid residue is glycyl, or substituted methylene for other a amino acids. The structure ordinarily contains up to about 5 carbon or heteroatoms in the direct linkage between the amino acid's carboxyl carbon and the amine nitrogen. Thus, amino acids can comprise intervening ethylene, propylene, butylene, or pentylene groups or their substituted analogs, such as for example, oxyesters or ethers in which oxygen replaces carbon and, as appropriate, hydrogen. An example of such an intervening structure would be —CH—O—C(R22)(R23)—, where R22 and R23 are independently selected hydrogen or organic moieties as described above for esters. In some embodiments one of R22 and R23 is hydrogen and the other is a C2-20 organic moiety. Typically the organic moieties contain about 1-20 carbon atoms and 0, 1, 2, 3, 4 or 5 independently selected heteroatoms, which are typically selected from oxygen, nitrogen, sulfur and phosphorus. In general, fewer intervening atoms are used when more rapid hydrolysis is desired, although larger structures are suitable if, e.g., they possess sufficient flexibility or have conformations to allow positioning of the carboxyl group in proximity to the amino acid-steroid bond.
- Ordinarily, R22 is —H, methyl or hydroxymethyl, usually —H, and R23 is a side chain or group of a naturally occurring amino acid. Amino acid side chains include analogs where the side chain is a C1-15 homolog of the corresponding natural compound, e.g., methylene, ethylene, propylene, butylene or a substituted derivative thereof, e.g., an alkyl, ether or alkoxy (e.g., methoxy, ethoxy, propoxy) substituted derivative. In general, for carboxyl-containing side chains, if the C atom of the side chain carboxyl is linked by 5 or less atoms to the N then the carboxyl optionally will be blocked, e.g. by esterification or amidation wherein the ester or amide bonds are hydrolyzable in vivo. R22 also is taken together with R30 to form a proline residue (—CH2—)3. Thus, R23 is generally a side group such as —H, —CH3, —CH(CH3)2, —CH2—CH(CH3)2, —CHCH3—CH2-CH3, —CH2—C6H5, —CH2CH2—S—CH3, —CH2OH, —CH(OH)—CH3, —CH2—SH, —CH2—C6H4OH, —CH2—CO—NH2, —CH2—CH2-CO—NH2, —CH2—COOH, —CH2—CH2-COOH, —(CH2)4—NH2 and —(CH2)3—NH—C(NH2)—NH2. R23 also includes 1-guanidinoprop-3-yl, benzyl, 4-hydroxybenzyl, imidazol-4-yl, indol-3-yl, methoxyphenyl and ethoxyphenyl. The optimal R30 group is readily selected using routine assays.
- In general, the amino acid residue has the structure shown in the formulas below. Ordinarily, n is 1 or 2, R22 is —H and R23 is a moiety containing one or more of the following groups: amino, carboxyl, amide, carboxyl ester, hydroxyl, C6-C7 aryl, ether (—O—), thioether (—S—), n-, s- or t-alkyl (C1-C6), guanidinyl, imidazolyl, indolyl, sulfhydryl, sulfoxide, and phosphoryl. The R22 and R23 substituents can have a wide variety of structures including those disclosed herein, e.g., esters, ethers or carbonates.
- When the amino acid residues contain one or more chiral centers, any of the D, L, meso, threo or erythro (as appropriate) racemates or mixtures thereof, fall within the scope of this invention. In general, if it is desired to rely on non-enzymatic means of hydrolysis, D isomers should be used. On the other hand, L isomers may be more versatile since they can be susceptible to both non-enzymatic as well as potential targeted enzymatic hydrolysis, and are more efficiently transported by amino acid or dipeptidyl transport systems in the gastrointestinal tract.
- Examples of suitable amino acid residues include the following: Glycyl; aminopolycarboxylic acids, e.g., aspartic acid, β-hydroxyaspartic acid, glutamic acid, β-hydroxyglutamic acid, β-methylaspartic acid, β-methylglutamic acid, β,β-dimethylaspartic acid, γ-hydroxyglutamic acid, β,γ-dihydroxyglutamic acid, β-phenylglutamic acid, γ-methyleneglutamic acid, 3-aminoadipic acid, 2-aminopimelic acid, 2-aminosuberic acid and 2-aminosebacic acid residues; amino acid amides such as glutaminyl and asparaginyl; polyamino- or polybasic-monocarboxylic acids such as arginine, lysine, β-aminoalanine, γ-aminobutyrine, ornithine, citruline, homoarginine, homocitrulline, 5-hydroxy-2,6-diaminohexanoic acid (commonly, hydroxylysine, including allohydroxylysine) and diaminobutyric acid residues; other basic amino acid residues such as histidinyl; diaminodicarboxylic acids such as α,α′-diaminosuccinic acid, α,α′-diaminoglutaric acid, α,α′-diaminoadipic acid, a diaminopimelic acid, α,α′-diamino-β-hydroxypimelic acid, α,α′-diaminosuberic acid, α,α′-diaminoazelaic acid, and α,α′-diaminosebacic acid residues; imino acids such as proline, 4- or 3-hydroxy-2-pyrrolidinecarboxylic acid (commonly, hydroxyproline, including allohydroxyproline), γ-methylproline, pipecolic acid, 5-hydroxypipecolic acid, —N([CH2]nCOORPR)2, wherein n is 1, 2, 3, 4, 5 or 6 and RPR is —H or a protecting group, and azetidine-2-carboxylic acid residues; a mono- or di-alkyl (typically C1-C8 branched or normal) amino acid such as alanine, valine, leucine, allylglycine, butyrine, norvaline, norleucine, heptyline, α-methylserine, α-amino-α-methyl-γ-hydroxyvaleric acid, α-amino-α-methyl-δ-hydroxyvaleric acid, α-amino-α-methyl-ε-hydroxycaproic acid, isovaline, α-methylglutamic acid, α-aminoisobutyric acid, α-aminodiethylacetic acid, α-aminodiisopropylacetic acid, α-aminodi-n-propylacetic acid, α-aminodiisobutylacetic acid, α-aminodi-n-butylacetic acid, α-aminoethylisopropylacetic acid, α-amino-n-propylacetic acid, α-aminodiisoamyacetic acid, α-methylaspartic acid, α-methylglutamic acid, 1-aminocyclopropane-1-carboxylic acid; isoleucine, alloisoleucine, tert-leucine, β-methyltryptophan and α-amino-β-ethyl-β-phenylpropionic acid residues; β-phenylserinyl; aliphatic α-amino-β-hydroxy acids such as serine, β-hydroxyleucine, β-hydroxynorleucine, β-hydroxynorvaline, and α-amino-β-hydroxystearic acid residues; α-Amino, α-, γ-, δ- or ε-hydroxy acids such as homoserine, γ-hydroxynorvaline, δ-hydroxynorvaline and epsilon-hydroxynorleucine residues; canavinyl and canalinyl; γ-hydroxyomithinyl; 2-Hexosaminic acids such as D-glucosaminic acid or D-galactosaminic acid residues; α-amino-β-thiols such as penicillamine, β-thiolnorvaline or β-thiolbutyrine residues; other sulfur containing amino acid residues including cysteine; homocystine; β-phenylmethionine; methionine; S-allyl-L-cysteine sulfoxide; 2-thiolhistidine; cystathionine; and thiol ethers of cysteine or homocysteine; phenylalanine, tryptophan and ring-substituted a amino acids such as the phenyl- or cyclohexylamino acids α-aminophenylacetic acid, α-aminocyclohexylacetic acid and α-amino-β-cyclohexylpropionic acid; phenylalanine analogues and derivatives comprising aryl, lower alkyl, hydroxy, guanidino, oxyalkylether, nitro, sulfur or halo-substituted phenyl (e.g., tyrosine, methyltyrosine and o-chloro-, p-chloro-, 3,4-dichloro, o-, m- or p-methyl-, 2,4,6-trimethyl-, 2-ethoxy-5-nitro, 2-hydroxy-5-nitro and p-nitro-phenylalanine); furyl-, thienyl-, pyridyl-, pyrimidinyl-, purine or naphthylalanines; and tryptophan analogues and derivatives including kynurenine, 3-hydroxykynurenine, 2-hydroxytryptophan and 4-carboxytryptophan residues; α-amino substituted amino acid residues including sarcosine (N-methylglycine), N-benzylglycine, N-methylalanine, N-benzylalanine, N-methylphenylalanine, N-benzylphenylalanine, N-methylvaline and N-benzylvaline; and α-Hydroxy and substituted α-hydroxy amino acid residues including serine, threonine, allothreonine, phosphoserine and phosphothreonine residues.
- Any one of the foregoing or other known amino acids are suitably employed in this invention. Typically, amino acids are capable of autocatalytically hydrolyzing the amino acid-steroid bond. Thus, they typically contain, or upon being hydrolyzed in vivo, contain a free carboxyl group or amine group.
- Also of interest are hydrophobic amino acids such as mono- or di-alkyl or aryl amino acids, cycloalkylamino acids and the like. These residues, together with R29-R34 (R31-R34 are defined below) can contribute to cell permeability by modulating the lipophilicity of a formula 1 compound. Typically, the residue does not contain a sulfhydryl or guanidino substituent.
- Peptide. One, 2, 3 or more of the variable groups such as R1-R4 can comprise a “peptide”, i.e., two or more amino acids as defined above. Typically the amino acids are linked through normal peptide bonds, i.e., —CO—NH—, between adjacent amino acid residues. Peptides comprise dipeptides (dimers), tripeptides (trimers), short peptides of 4, 5, 6, 8, 10 or 15 residues, and longer peptides or proteins having about 100 or more residues. Formula 1 compounds that comprise a peptide can be used as immunogens, prodrugs or as synthetic precursors for other steroid derivatives. In one embodiment, the peptide will contain a peptidolytic enzyme cleavage site at the peptide bond linking the first residue and the next residue distal to the steroid residue. Such cleavage sites are optionally flanked by enzymatic recognition structures, e.g. particular residues recognized by a hydrolytic enzyme, Peptidolytic enzymes are well known, and in particular include carboxypeptidases. Carboxypeptidases digest polypeptides by removing C-terminal residues, and are specific in many instances for particular C-terminal sequences. Such enzymes and their substrate requirements in general are well known. For example, a dipeptide having a given pair of residues and a free carboxyl terminus is covalently bonded through its α-amino group to the steroid nucleus. It is expected that the peptide will be cleaved by the appropriate dipeptidase, protease or by chemical hydrolysis, leaving the carboxyl of the proximal amino acid residue to autocatalytically cleave the amidate bond.
- Examples of suitable dipeptidyl groups (designated by their single letter symbols) are shown in the table below.
SYMBOL 1-Letter 3-Letter AMINO ACID Y Tyr tyrosine G Gly glycine F Phe phenylalanine M Met methionine A Ala alanine S Ser serine I Ile isoleucine L Leu leucine T Thr threonine V Val valine P Pro proline K Lys lysine H His histidine Q Gln glutamine E Glu glutamic acid W Trp tryptophan R Arg arginine D Asp aspartic acid N Asn asparagine C Cys cysteine Dipeptides AA, AR, AN, AD, AC, AE, AQ, AG, AH, AI, AL, AK, AM, AF, AP, AS, AT, AW, AY, AV, RA, RR, RN, RD, RC, RE, RQ, RG, RH, RI, RL, RK, RM, RF, RP, RS, RT, RW, RY, RV, NA, NR, NN, ND, NC, NE, NQ, NG, NH, NI, NL, NK, NM, NF, NP, NS, NT, NW, NY, NV, DA, DR, DN, DD, DC, DE, DQ, DG, DH, DI, DL, DK, DM, DF, DP, DS, DT, DW, DY, DV, CA, CR, CN, CD, CC, CE, CQ, CG, CH, CI, CL, CK, CM, CF, CP, CS, CT, CW, CY, CV, EA, ER, EN, ED, EC, EE, EQ, EG, EH, EI, EL, EK, EM, EF, EP, ES, ET, EW, EY, EV, QA, QR, QN, QD, QC, QE, QQ, QG, QH, QI, QL, QK, QM, QF, QP, QS, QT, QW, QY, QV, GA, GR, GN, GD, GC, GE, GQ, GG, GH, GI, GL, GK, GM, GF, GP, GS, GT, GW, GY, GV, HA, HR, HN, HD, HC, HE, HQ, HG, HH, HI, HL, HK, HM, HF, HP, HS, HT, HW, HY, HV, IA, IR, IN, ID, IC, IE, IQ, IG, IH, II, IL, IK, IM, IF, IP, IS, IT, IW, IY, IV, LA, LR, LN, LD, LC, LE, LQ, LG, LH, LI, LL, LK, LM, LF, LP, LS, LT, LW, LY, LV, KA, KR, KN, KD, KC, KE, KQ, KG, KH, KI, KL, KK, KM, KF, KP, KS, KT, KW, KY, KV, MA, MR, MN, MD, MC, ME, MQ, MG, MH, MI, ML, MK, MM, MF, MP, MS, MT, MW, MY, MV, FA, FR, FN, FD, FC, FE, FQ, FG, FH, FI, FL, FK, FM, FF, FP, FS, FT, FW, FY, FV, PA, PR, PN, PD, PC, PE, PQ, PG, PH, PI, PL, PK, PM, PF, PP, PS, PT, PW, PY, PV, SA, SR, SN, SD, SC, SE, SQ, SG, SH, SI, SL, SK, SM, SF, SP, SS, ST, SW, SY, SV, TA, TR, TN, TD, TC, TE, TQ, TG, TH, TI, TL, TK, TM, TF, TP, TS, TT, TW, TY, TV, WA, WR, WN, WD, WC, WE, WQ, WG, WH, WI, WL, WK, WM, WF, WP, WS, WT, WW, WY, WV, YA, YR, YN, YD, YC, YE, YQ, YG, YH, YI, YL, YK, YM, YF, YP, YS, YT, YW, YY, YV, VA, VR, VN, VD, VC, VE, VQ, VG, VH, VI, VL, VK, VM, VF, VP, VS, VT, VW, VY, VV - Such dipeptides include species where both amino acids are in the L configuration, the D configuration or mixtures of configurations.
- Tripeptides, i.e., 3 linked amino acid residues, are also useful embodiments. Each amino acid in tripeptides are also in the L, D or mixed configurations. Tripeptides include those where A, C, D, E, F, G, H, I, K, L, M, N, P, Q, R, S, T, V, W or Y is linked by a standard peptide bond to the amino or the carboxyl terminus of any of the dipeptides listed above. The sequence—X1-pro-X2—(where X1 is any amino acid and X2 is hydrogen, any amino acid residue or a carboxyl ester of proline) will be cleaved by luminal carboxypeptidase to yield X1 with a free carboxyl, which in turn autocatalytically cleaves the amidate bond. X2 usually will be a benzyl ester of the carboxy group of X2. Other embodiments include tetrapeptides such as ones where any two of the dipeptides listed above, which may be the same or different dipeptides (e.g., AA and AA linked together or, e.g., AA and GI linked together), are linked to each other by a peptide bond through the amino terminus or carboxyl terminus. One, 2 or more tetrapeptides may bonded to the formula 1 or formula 2 compound through the tetrapeptide's amino or carboxyl terminus.
- In some embodiments, the formula 1 or formula 2 compound comprises one or more amino acids or peptides having the structure (A), (B) or (C):
- (A) R32—NH—{[C(R29)(R30)]b—C(O)—N(R31)}f—[C(R29)(R30)]a—C(O)—O-steroid,
- (B) R33—O—{C(O)—[C(R29)(R30)]d—N(R31)}g—C(O)—[C(R29)(R30)]c—N(R31)—O-steroid, or
- (C) R33—O—{C(O)—[C(R29)(R30)]d—N(R31)}e—C(O)—[C(R29)(R30)]c—N(R31)—C(O)—O-steroid,
wherein (A), (B) or (C) are independently selected and they are bonded to 1, 2, 3 or more of R1 through R4, where each R29-R31 is independently selected; R29 independently are —H or a C1-20 organic moiety (e.g., C1-6 alkyl, e.g. —CH3 or —C2H5); R30 independently are the side chain of an amino acid, including the side chain of naturally occurring amino acids as described above, e.g., —H, —CH3, —CH2C6H5; R31 is —H or a protecting group; R32 and R33 independently comprise —H, a protecting group, an ester or an amide where each atom or group is independently chosen; a, b, c and d independently are 1, 2, 3, 4 or 5, usually 1; e, f and g independently are an integer from 0 to about 1000, typically they independently are 0, 1, 2, 3, 4, 5, 6, 7 or 8; a, b, c and d independently are 1 or 2; e, f and g independently are 0, 1, 2, 3, 4 or 5. - If the amino acid(s) or residue(s) has 2 or more amine groups, e.g., a lysinyl or arginyl, or ornithinyl residue, then R29 is usually —H and R30 may comprise —[C(R34)2]n2N(RPR)— where n2 is 0, 1, 2, 3, 4, 5 or 6, RPR is —H or a protecting group and each R34 independently is —H, C1-C20 optionally substituted alkyl, C6-C20 optionally substituted aryl, C7-C20 optionally substituted alkylaryl, C7-C20 optionally substituted arylalkyl, C1-C20 optionally substituted alkoxy, C6-C20 optionally substituted aryloxy or hydroxyl. Such compounds will contain a plurality of steroid moieties. For example when both the epsilon (ε) or delta (δ) and alpha (α) amino groups of lysine or ornithine are substituted with steroid moieties the amidate is believed to be capable of releasing two molecules of active drug, each expected to emerge under different pharmacokinetics and therefore further sustaining the drug release.
- Salts of formula 1 compounds. Invention embodiments include salts and complexes of formula 1 compounds, including pharmaceutically acceptable or salts that are relatively non-toxic. Some of the formula 1 compounds have one or more moieties that carry at least a partial positive or negative charge in aqueous solutions, typically at a pH of about 4-10, that can participate in forming a salt, a complex, a composition with partial salt and partial complex properties or other noncovalent interactions, all of which we refer to as a “salt(s)”. Salts are usually biologically compatible or pharmaceutically acceptable or non-toxic, particularly for mammalian cells. Salts that are biologically toxic are optionally used with synthetic intermediates of formula 1 compounds. When a water-soluble composition is desired, monovalent salts are usually used.
- Metal salts typically are prepared by reacting the metal hydroxide with a compound of this invention. Examples of metal salts that are optionally prepared in this way are salts containing Li+, Na+, and K+. A less soluble metal salt can be precipitated from the solution of a more soluble salt by adding a suitable metal compound. Invention salts may be formed from acid addition of certain organic acids, such as organic carboxylic acids, and inorganic acids, such as alkylsulfonic acids or hydrogen halide acids, to acidic or basic centers on formula 1 compounds, such as basic centers on the invention pyrimidine base analogs. Metal salts include ones containing Na+, Li+, K+, Ca++ or Mg++. Other metal salts may contain aluminum, barium, strontium, cadmium, bismuth, arsenic or zinc ion.
- Salt(s) of formula 1 compounds may comprise a combination of appropriate cations such as alkali and alkaline earth metal ions or ammonium and quaternary ammonium ions with the acid anion moiety of the phosphoric acid or phosphonic acid group, which may be present in invention polymers or monomers.
- Salts are produced by standard methods, including dissolving free base in an aqueous, aqueous-alcohol or aqueous-organic solution containing the selected acid, optionally followed by evaporating the solution. The free base is reacted in an organic solution containing the acid, in which case the salt usually separates directly or one can concentrate the solution.
- Suitable amine salts include amines having sufficient basicity to form a stable salt, usually amines of low toxicity including trialkyl amines (tripropylamine, triethylamine, trimethylamine), procaine, dibenzylamine, N-benzyl-betaphenethylamine, ephenamine, N,N′-dibenzylethylenediamine, N-ethylpiperidine, benzylamine and dicyclohexylamine.
- Salts include organic sulfonic acid or organic carboxylic acid salts, made for example by addition of the acids to basic centers, typically amines. Exemplary sulfonic acids include C6-16 aryl sulfonic acids, C6-16 heteroaryl sulfonic acids and C1-16 alkyl sulfonic acids such as phenyl sulfonic acid, a-naphthalene sulfonic acid, β-naphthalene sulfonic acid, (S)-camphorsulfonic acid, methyl (CH3SO3H), ethyl (C2H5SO3H), n-propyl, i-propyl, n-butyl, s-butyl, i-butyl, t-butyl, pentyl and hexyl sulfonic acids. Exemplary organic carboxylic acids include C1-16 alkyl, C6-16 aryl carboxylic acids and C4-16 heteroaryl carboxylic acids such as acetic, glycolic, lactic, pyruvic, malonic, glutaric, tartaric, citric, fumaric, succinic, malic, maleic, oxalic, hydroxymaleic, benzoic, hydroxybenzoic, phenylacetic, cinnamic, salicylic, nicotinic and 2-phenoxybenzoic.
- Invention salts include those made from inorganic acids, e.g., HF, HCl, HBr, Hl, H2SO4, H3PO4, Na2CO3, K2CO3, CaCO3, MgCO3 and NaClO3. Suitable anions, which are optionally present with a cation such a Ca++, Mg++, Li+, Na+ or K+, include arsenate, arsenite formate, sorbate, chlorate, perchlorate, periodate, dichromate, glycodeoxycholate, cholate, deoxycholate, desoxycholate, taurocholate, taurodeoxycholate, taurolithocholate, tetraborate, nitrate, nitrite, sulfite, sulfamate, hyposulfite, bisulfite, metabisulfite, thiosulfate, thiocyanate, silicate, metasilicate, CN−, gluconate, gulcuronate, hippurate, picrate, hydrosulfite, hexafluorophosphate, hypochlorite, hypochlorate, borate, metaborate, tungstate and urate.
- Salts also include the formula 1 compound salts with one or more amino acids. Many amino acids are suitable, especially the naturally-occurring amino acids found as protein components, although the amino acid typically is one bearing a side chain with a basic or acidic group, e.g., lysine, arginine, histidine or glutamic acid, or a neutral group such as glycine, serine, threonine, alanine, isoleucine, or leucine.
- The invention compositions include formula 1 compounds, their hydrates and the compounds in their un-ionized, as well as zwitterionic form.
- Stereoisomers. The formula 1 compounds include enriched or resolved optical isomers at any or all asymmetric atoms as are apparent from the depictions. Both racemic and diasteromeric mixtures, as well as the individual optical isomers can be isolated or synthesized so as to be substantially free of their enantiomeric or diastereomeric partners, and these are all within the scope of the invention. Chiral centers may be found in formula 1 compounds at, for example, one or more of R1, R2, R3 and R4.
- One or more of the following methods are used to prepare the enantiomerically enriched or pure isomers herein. The methods are listed in approximately their order of preference, i.e., one ordinarily should employ stereospecific synthesis from chiral precursors before chromatographic resolution before spontaneous crystallization.
- Stereospecific synthesis is described in the examples. Methods of this type conveniently are used when the appropriate chiral starting material is available and reaction steps are chosen do not result in undesired racemization at chiral sites. One advantage of stereospecific synthesis is that it does not produce undesired enantiomers that must be removed from the final product, thereby lowering overall synthetic yield. In general, those skilled in the art would understand what starting materials and reaction conditions should be used to obtain the desired enantiomerically enriched or pure isomers by stereospecific synthesis.
- If a suitable stereospecific synthesis cannot be empirically designed or determined with routine experimentation then those skilled in the art would turn to other methods. One method of general utility is chromatographic resolution of enantiomers on chiral chromatography resins. These resins are packed in columns, commonly called Pirkle columns, and are commercially available. The columns contain a chiral stationary phase. The racemate is placed in solution and loaded onto the column, and thereafter separated by HPLC. See for example, Proceedings Chromatographic Society—International Symposium on Chiral Separations, Sep. 3-4, 1987. Examples of chiral columns that could be used to screen for the optimal separation technique would include Diacel Chriacel OD, Regis Pirkle Covalent D-phenylglycine, Regis Pirkle Type 1A, Astec Cyclobond II, Astec Cyclobond III, Serva Chiral D-DL=Daltosil 100, Bakerbond DNBLeu, Sumipax OA-1000, Merck Cellulose Triacetate column, Astec Cyclobond I-Beta, or Regis Pirkle Covalent D-Naphthylalanine. Not all of these columns are likely to be effective with every racemic mixture. However, those skilled in the art understand that a certain amount of routine screening may be required to identify the most effective stationary phase. When using such columns it is desirable to employ embodiments of the compounds of this invention in which the charges are not neutralized, e.g., where acidic functionalities such as carboxyl are not esterified or amidated.
- Another method entails converting the enantiomers in the mixture to diasteriomers with chiral auxiliaries and then separating the conjugates by ordinary column chromatography. This is a very suitable method, particularly when the embodiment contains free carboxyl, amino or hydroxyl that will form a salt or covalent bond to a chiral auxiliary. Chirally pure amino acids, organic acids or organosulfonic acids are all worthwhile exploring as chiral auxiliaries, all of which are well known in the art. Salts with such auxiliaries can be formed, or they can be covalently (but reversibly) bonded to the functional group. For example, pure D or L amino acids can be used to amidate the carboxyl group of invention embodiments that comprise a carboxyl group and then separated by chromatography.
- Enzymatic resolution is another method of potential value. In such methods one prepares covalent derivatives of the enantiomers in the racemic mixture, generally lower alkyl esters (for example of carboxyl), and then exposes the derivative to enzymatic cleavage, generally hydrolysis. For this method to be successful an enzyme must be chosen that is capable of stereospecific cleavage, so it is frequently necessary to routinely screen several enzymes. If esters are to be cleaved, then one selects a group of esterases, phosphatases, and lipases and determines their activity on the derivative. Typical esterases are from liver, pancreas or other animal organs, and include porcine liver esterase.
- If the enantiomeric mixture separates from solution or a melt as a conglomerate, i.e., a mixture of enantiomerically pure crystals, then the crystals can be mechanically separated, thereby producing the enantiomerically enriched preparation. This method, however, is not practical for large-scale preparations and is of limited value for true racemic compounds.
- Asymmetric synthesis is another technique for achieving enantiomeric enrichment. For example, a chiral protecting group is reacted with the group to be protected and the reaction mixture allowed to equilibrate. If the reaction is enantiomerically specific then the product will be enriched in that enantiomer.
- Further guidance in the separation of enantiomeric mixtures can be found, by way of example and not limitation, in “Enantiomers, Racemates, and resolutions”, Jean Jacques, Andre Collet, and Samuel H. Wilen (Krieger Publishing Company, Malabar, Fla., 1991, ISBN 0-89464-618-4): Part 2, Resolution of Enantiomer Mixture, pages 217-435; more particularly, section 4, Resolution by Direct Crystallization, pages 217-251, section 5, Formation and Separation of Diastereomers, pages 251-369, section 6, Crystallization-induced Asymmetric Transformations, pages 369-378, and section 7, Experimental Aspects and Art of Resolutions, pages 378-435; still more particularly, section 5.1.4, Resolution of Alcohols, Transformation of Alcohols into Salt-Forming Derivatives, pages 263-266, section 5.2.3, Covalent Derivatives of Alcohols, Thiols, and Phenols, pages 332-335, section 5.1.1, Resolution of Acids, pages 257-259, section 5.1.2, Resolution of Bases, pages 259-260, section 5.1.3, Resolution of Amino Acids, page 261-263, section 5.2.1, Covalent Derivatives of Acids, page 329, section 5.2.2, Covalent derivatives of Amines, pages 330-331, section 5.2.4, Covalent Derivatives of Aldehydes, Ketones, and Sulfoxides, pages 335-339, and section 5.2.7, Chromatographic Behavior of Covalent Diastereomers, pages 348-354.
- General methods. Methods have been described, for example Karl Fischer (KF) and loss on drying (LOD), to determine the content of water or solvents in various compositions. LOD measures all volatiles in a sample, while KF is typically used to measure all water. When water is the only volatile present, LOD values are equal to or less than KF values for a given composition. KF measures water in hydrates of a compound and LOD determines both water and the amount of other volatiles that may be present. Invention compositions and formulations are conveniently assayed for water content by KF titration (e.g., using a Metrohm 684 KF Coulometer or equivalent) according to a published procedure (U.S. Pharmacopoeia, vol. 23, 1995, chapter <921>, U.S. Pharmacopeial Convention, Inc., Rockville, Md.) and manufacturer's Coulometer instructions. The amount of material used in the assay, about 50-100 mg, is measured using a five place analytical balance (Sartorius, Model RC210D, or a suitable equivalent). The amounts of water specified in invention compositions and formulations is the amount obtained by KF analysis.
- Powder X-ray diffraction (XRD) methods have been used to characterize various crystalline compounds (see, e.g., U.S. Pharmacopoeia, volume 23, 1995, <941>, p. 1843-1845, U.S. Pharmacopeial Convention, Inc., Rockville, Md.; Stout et al., X-Ray Structure Determination; A Practical Guide, MacMillan Co., New York, N.Y., 1986). The diffraction pattern, or portions thereof, obtained from a crystalline compound is usually diagnostic for a given crystal form, although weak or very weak diffraction peaks may not always appear in replicate diffraction patterns obtained from successive batches of crystals. Also, the relative intensities of XRD bands, particularly at low angle X-ray incidence values (low Theta), may vary due to preferred orientation effects arising from differences in, e.g., crystal habit, particle size or other measurement conditions. Peaks on XRD spectra are typically defined at a given Theta value +/− about 0.1 to 0.2. XRD information from the 1, 2, 3, 4, 5 or more main intensity XRD peaks, optionally combined with one or more other diagnostic data (melting point, DSC, IR), is usually suitable to characterize or describe a crystalline material such as BrEA hemihydrate from other crystal forms that contain the same compound.
- Other techniques that are used to identify or describe a crystalline material such as BrEA hemihydrate include melting point (MP), differential scanning calorimetry (DSC) and infrared absorption spectroscopy (IR) data. DSC measures thermal transition temperatures at which a crystal absorbs or releases heat when its crystal structure changes or it melts. MP data and DSC thermal transition temperatures are typically reproducible within about 1 or 2° C. on successive analyses. IR measures absorption of infrared light that is associated with the presence of particular chemical bonds that are associated with groups, e.g., hydroxyl, that vibrate in response to particular light wavelengths.
- BrEA hemihydrate. Formula 1 compounds include BrEA hemihydrate
which is optionally characterized by reference to one or more physical properties such as its melting point, infrared absorption spectrum or its powder X-ray diffraction spectrum. Related embodiments include BrEA hemihydrate and one or more excipients, e.g., suitable for human pharmaceutical use or for veterinary use. Another related embodiment is a method to make BrEA hemihydrate comprising precipitating or crystallizing BrEA from a solution comprising ethanol and water. - BrEA hemihydrate is typically substantially free of other forms of BrEA, such as amorphous BrEA or anhydrous BrEA. As used herein, BrEA hemihydrate or crystalline BrEA hemihydrate refers to solid BrEA and water having an ordered arrangement of substantially all of the constituent molecules in a defined three-dimensional spatial pattern or lattice. Crystalline BrEA hemihydrate may comprise one or more crystal habits, e.g., tablets, rods, plates or needles. BrEA hemihydrate that is substantially free of other forms of BrEA means a dry or substantially dry (where a liquid(s) comprises less than about 10% w/w of the total weight) solid preparation where more than about 55% w/w of the BrEA in the preparation is present as BrEA hemihydrate. Such compositions typically comprise at least about 60% w/w, or at least about 70% w/w, or at least about 80% w/w, usually at least about 90% w/w or at least about 95% w/w, or at least about 98% w/w of BrEA hemihydrate, with the remaining BrEA being present as other forms of BrEA such as the amorphous or anhydrous BrEA. Solid BrEA hemihydrate will typically comprise at least about 90% w/w, usually at least about 97% or about 98% w/w of the compound and less than about 10% w/w, usually less than about 3% or 2% w/w of by-products, which may include the 16β isomer of BrEA or one or more by-products of BrEA synthesis. Often the amount of solid BrEA that is present in a solid or a liquid medium will not contain detectable amounts of other forms of BrEA (using standard analytical methods such as, e.g., FTIR, DSC or XRD) and the hemihydrate will may thus comprise about 99-100% w/w of the total amount of BrEA that is present.
- Other invention embodiments include compositions that comprise a substantial amount of BrEA hemihydrate that is present in compositions that comprise one or more other forms of BrEA, e.g., amorphous BrEA or anhydrous BrEA, and optionally one or more additional components, such as any excipient described herein. As used herein, the “substantial amount” of BrEA hemihydrate in these compositions comprises at least about 15-20% w/w or at least about 20% w/w of BrEA hemihydrate of the total amount of BrEA that is present, typically at least about 25% w/w, more typically at least about 30% w/w, often at least about 35% w/w and usually at least about 45% w/w. These compositions are generally solids, e.g., formulations or unit dosages, but they also include suspensions, precipitates, gels and colloids that contain solid BrEA. Such suspensions or precipitates may arise from, e.g., precipitation of BrEA hemihydrate from a solution that contains water or from addition of solid BrEA to a liquid excipient(s). Obviously, compositions that comprise a substantial amount of BrEA may be substantially free of other forms of solid BrEA as discussed above.
- BrEA hemihydrate may conveniently be identified by reference to BrEA hemihydrate characterized by one or more of (1) its melting or decomposition point or range (optionally expressed as +/−2° C.), (2) one or more BrEA hemihydrate DSC transition temperatures or ranges (any of which may be optionally expressed as +/−2° C.), (3) one or more characteristic BrEA hemihydrate IR absorption bands, (4) 1, 2, 3, 4, 5, 6 or more of the highest intensity XRD peaks (any one or more of which are optionally expressed as +/−0.1° Theta or +/−0.2° Theta) obtained from an XRD spectrum of BrEA hemihydrate using Cu-Ks radiation (e.g., obtained essentially according to the method described at U.S. Pharmacopoeia, volume 23, 1995, <941>, p. 1843-1845), (5) the presence of less than about 3% or less than about 2% w/w of other compounds, (6) a water content of dry BrEA hemihydrate of about 2.5% w/w (e.g., 2.3-2.7% w/w), where dry BrEA hemihydrate means compound dried by filtration, optionally washed once with an anhydrous solvent such as hexane, filtered again and dried in vacuo at about 60° C. until no further weight loss occurs over 24 hours at about 60° C. (e.g., where water content is determined essentially by the Karl Fisher or other method described at U.S. Pharmacopoeia, vol. 23, 1995, p 1801-1802 or 1840-1843 methods <731> or <921>), (7) cell constants and the orientation matrix obtained from single crystal X-ray crystallography of BrEA hemihydrate (obtained, e.g., essentially as described in WO 99/04774 at example 13), (8) a description of crystal shapes as observed at about 100× magnification to about 150× magnification by polarized light microscopy or (9) average BrEA hemihydrate crystal size and shape descriptions.
- Thus, for example, BrEA hemihydrate may be characterized by or one or more of its IR absorption bands, e.g., the carbonyl peaks at 1741 cm−1 and 1752 cm−1, and either its melting or decomposition point or range and/or 1, 2, 3, 4, 5, 6 or more of the XRD peaks (usually the highest intensity peaks) at Theta (X-ray diffraction angle) values of 17.8, 23.8, 24.2, 26.9-27.2, 28.6, 30.1 and 32.2.
- BrEA hemihydrate is suitable to prepare compositions comprising an excipient(s) suitable for human pharmaceutical use or for veterinary use. Such compositions are used to prepare formulations and unit dosages. Unit dosages typically comprise tablets, capsules, lozenges or sterile solutions, including sterile solutions for parenteral administration. Solid unit dosage forms typically comprise about 5-1000 mg of BrEA hemihydrate, typically about 20-400 mg, e.g., about 25 mg, about 50 mg, about 100 mg, about 150 mg or about 250 mg per unit dose.
- The invention provides a method to make BrEA hemihydrate comprising contacting water, 16α-bromo-3β-hydroxy-5α-androstan-17-one and a C1-C6 alcohol (e.g., methanol, ethanol, propanol, isopropanol, butanol) and water. Typically the only one C1-C6 alcohol is present, e.g., ethanol, which is anhydrous or which may comprise up to about 2% w/w water. In some embodiments, the method utilizes a solution that comprises about 5-25% w/w water, about 30-45% w/w ethanol and about 30-45% w/w of a BrEA preparation. Typical BrEA preparations are solid preparations that comprise at least about 80% w/w, usually at least about 90% w/w or at least about 95% w/w of BrEA. The solutions may comprise about 18-22% w/w water, about 37-43% w/w ethanol and about 37-43% w/w of a BrEA preparation. In conducting the precipitation or crystallization method, the solution will typically be at a temperature of about −20° C. to about 45° C., usually at about 0° C. to about 20° C. The solution is maintained at this temperature range for about 30 minutes to about 12 hours and the solution is optionally agitated using slow to moderate agitation during crystallization.
- A related embodiment comprises a method to prepare BrEA hemihydrate comprising precipitating BrEA from a solution comprising at least about 15-25% w/w water, about 35-45% w/w of a BrEA preparation and at least about 35-45% w/w of one or more water-miscible solvents, typically C1-6 alcohols (methanol, ethanol, propanol, isopropanol, butanol). The BrEA preparation may optionally comprise one or more by-products of BrEA synthesis. Typical BrEA hemihydrate preparations or batches comprise less than about 5% w/w, usually less than about 3% or about 2% w/w of other compounds, such as by-products of BrEA synthesis. Aspects of this method include contacting water with an organic solution that comprises BrEA and an organic solvent such as a C1-C6 alcohol (e.g., ethanol) or acetone. Addition of water to such solutions leads to precipitation of BrEA hemihydrate. Solutions that contain BrEA hemihydrate crystals or precipitate are invention embodiments that are used to prepare solid BrEA that is later dried and stored, typically at ambient temperatures and typically under conditions that limits or blocks light that reaches the compound.
- Precipitation or crystallization of BrEA hemihydrate from water-containing solutions is accomplished by known methods, e.g., reducing the solution's temperature, using saturated or nearly saturated BrEA solutions, vacuum concentration of saturated or nearly saturated BrEA solutions (which is typically conducted at a relatively low temperature, usually about 15-25° C.), seeding with saturated or nearly saturated BrEA solutions with BrEA hemihydrate crystals (e.g., about 10-100 mg per 1-10 L of solution), by heating a saturated or nearly saturated BrEA solution (about 25-35° C. for a few minutes followed by allowing the temperature to fall or by actively cooling the solution) and optionally seeding the solution with BrEA hemihydrate crystals or by addition of a liquid, e.g., additional water or ethanol, to a saturated or nearly saturated BrEA ethanol-water solution, which causes the solution to become supersaturated. BrEA may also be precipitated from other solvents or solvent systems, including acetone and acetone-ethanol. Such solvents are typically water miscible. Two-stage precipitation of BrEA may also be used to recover solid BrEA hemihydrate, e.g., initial precipitation and recovery of the solid, followed by either cooling and seeding of the mother liquor or by allowing the mother liquor to stand, e.g., for about one, two or more days at ambient temperature, to obtain a second crop of crystals. Also, BrEA hemihydrate crystals may optionally be recrystallized, essentially as described herein, to further increase the purity of the final solid. Methods for crystallizing organic compounds have been described, e.g., A. S. Myerson, Handbook of Industrial Crystallization, 1993, Butterworth-Heinemann, Stoneham, Mass., p 1-101.
- Other related embodiments comprise a product produced by the process of contacting a solution comprising BrEA and an organic solvent with water. Typically the solutions are as described above, e.g., a solution comprising about 3-5% v/v water and at least about 40% v/v of one or more water-miscible solvents, typically polar solvents such as C1-6 alcohols or ketones (e.g., methanol, ethanol, propanol, isopropanol, butanol, typically ethanol or acetone). Such processes are accomplished by any one or more of the techniques described in the paragraph above, e.g., cooling of a saturated or nearly saturated BrEA water-ethanol solution and optionally seeding the cooled solution with BrEA hemihydrate. An embodiment related to this comprises solutions or solids that comprise wet BrEA hemihydrate crystals or wet filtered or centrifuged BrEA hemihydrate cakes, which may be obtained after crystallization. Examples of these embodiments include adding water to a BrEA-alcohol solution, e.g., slow addition of about 0.5-1.5 volumes or about 0.8-1.2 volumes of water to about 6 volumes of a BrEA-ethanol solution to obtain BrEA hemihydrate. Other examples of these embodiments include adding water to a BrEA-ketone solvent solution, e.g., slow addition of about 0.5-1.5 volumes or about 0.8-1.2 volumes of water to about 10 volumes of a BrEA-acetone solution to obtain BrEA hemihydrate.
- Another related embodiment is BrEA hemihydrate that is milled to an average particle size of about 0.01-200 μM, or about 0.1-10 μM or about 0.5-5 μM. Average particle size or diameter for milled BrEA hemihydrate may thus be relatively small, e.g., about 0.03-2.0 μM or about 0.1-1.0 μM, or somewhat larger, e.g., about 0.5-5.0 μM or about 1-5.0 μM. Milled BrEA hemihydrate is suitable for preparing solid formulations and parenteral formulations for human or veterinary use. The milled material facilitates dissolution of BrEA hemihydrate in solvents or excipients and facilitates mixing with solids or solid excipients.
- While it is possible to administer BrEA hemihydrate as a pure compound to a subject, it is usually presented as a solid formulation or used to prepare a liquid formulation. Formulations will typically be used to prepare unit dosages, e.g., tablets, capsules or lozenges for oral, buccal or sublingual administration, that comprise about 10-1000 mg or typically about 25-400 mg of BrEA hemihydrate. Alternatively, embodiments include a product for parenteral (e.g., subcutaneous, subdermal, intravenous, intramuscular, intraperitoneal) administration made by the process of contacting BrEA hemihydrate and a liquid excipient, e.g., any one, two, three or more of PEG 100, PEG 200, PEG 300, PEG 400, propylene glycol, benzyl benzoate, benzyl alcohol or ethanol, and optionally sterilizing the solution and optionally dispensing the solution into vials or ampules (typically amber glass), which may be single-use or multi-use and optionally storing the formulation at reduced temperature (about 0-12° C., or about 2-10° C.). Such products for parenteral administration typically comprise BrEA at a concentration of about 10-170 mg/mL, usually at about 20-110 mg/mL or about 30-100 mg/mL, and optionally one or more of a salt, buffer or bacteriostat or preservative (e.g., NaCl, BHA, BHT or EDTA).
- Other embodiments include a product produced by the process of contacting BrEA hemihydrate, which may be substantially free of other forms of BrEA, with an excipient suitable for human pharmaceutical use or for veterinary use. The product is useful to make formulations or unit dosage forms that contain the hemihydrate. Exemplary excipients include one or more of those disclosed herein, e.g., sucrose, mannitol, starch, carboxymethyl cellulose, magnesium stearate and the like.
- Specific embodiments of formula 1 compounds. Other embodiments include compounds, compositions and formulations where one or more variable groups that are bonded to the formula 1 compounds, e.g., one or more of R1-R6, R10, R15, R17 and R18 comprise an amino acid or a peptide, e.g., R1, R2 or R4 comprises an amino acid or a peptide, R3 is a halogen and R5 and R6 are both —CH3. The peptide at one or more of R1-R6 can comprise a cell surface binding peptide such as the entire protein or a sequence from fibronectin or retronectin, e.g., KQAGDV.
- In the formula 1 compounds, each R4 is independently selected. In some embodiments one R4 is hydrogen and the other is another moiety. In other embodiments, both R4 are independently selected moieties other than hydrogen, e.g., a C1 to C20 organic moiety.
- R1-R6, R10, R15, R17 and R18 include moieties, e.g., esters, thioesters, carbonates, amino acids, peptides and/or carbamates, that are chemically and/or enzymatically hydrolyzable, often under physiological conditions. Such moieties are independently chosen. Typically these moieties will give rise to —OH, —SH or —NH2 at the R1-R6 positions of the steroid nucleus. Embodiments of formula 1 compounds include ones where (1) one of R1, R2 and R4 is a hydrolyzable moiety (e.g., ester, thioester, carbonate, amino acid, peptide or carbamate), the other two of R1, R2 and R4 are —H, R3 is not hydrogen and R5 and R6 are both —CH3, (2) two of R1, R2 and R4 are hydrolyzable moieties (e.g., independently chosen esters, thioesters, carbonates, amino acids, peptides and/or carbamates), the other of R1, R2 and R4 is —H, R3 is not hydrogen and R5 and R6 are both —CH3, (3) R1, R2 and R4 are hydrolyzable moieties, R3 is not hydrogen and R5 and R6 are both —CH3. In these embodiments, the R3 group is typically in the β-configuration and the R1, R2 and R4-R6 groups are typically in the α-configuration.
- In other embodiments, one or more of R1-R6, R10, R15, R17 and R18, usually one, comprises an amino acid or a peptide, while the remaining groups are independently selected from the moieties defined herein. In these embodiments, the peptides are typically dimers (dipeptides) or trimers (tripeptides). For example one of R1, R2 or R4 comprises an amino acid, the remaining of R1, R2 or R4 independently comprise —OH, ═O, an ester, a carbonate or a carbamate, while R3 is a halogen, hydroxyl or an ester and R5 and R6 independently are —H, —(CH2)n—CH3, —(CH2)n—CH2OH, or —(CH2)n—CH2F, —(CH2)2-4—O—(CH2)2-4—CH3, where n is 0, 1, 2, 3, 4, 5, 6, 7 or 8 often 0, 1, or 2, usually 0. Typically the ester, carbonate or carbamate are hydrolyzable under physiological conditions.
- Hydrolyzable moieties typically comprise acyl groups, esters, ethers, thioethers, amides, amino acids, peptides, carbonates and/or carbamates. In general, the structure of hydrolyzable moieties is not critical and can vary. In some embodiments, these moieties contain a total of about 4 to about 10 carbon atoms. These hydrolyzable moieties in other embodiments comprise an organic moiety, as described above for ester, that contains 2, 3, 4, 5, 6, 7, 8, 9, 10, 11, 12 13, 14, 15 or 16 carbon atoms and 1, 2, 3, 4, 5, 6, 7 or 8 heteroatoms, e.g., oxygen, nitrogen or sulfur. These hydrolyzable moieties can comprise no groups that are charged in plasma, blood, intracellular cytoplasm or in the gut, or they can comprise 1, 2, 3 or more positive, negative or positive and negative charges under one or more of these conditions. The charges may be fractional depending on the group and the conditions it is under. These hydrolyzable moieties may comprise 1, 2, 3, 4 or more substitutions at a hydrogen atom(s) and/or a carbon atom(s), e.g., —OH, protected hydroxyl, —SH, protected thiol, carboxyl, protected carboxyl, amine, protected amine, —O—, —S—, —CO—, —CS—, alkoxy, alkylthio, alkenyloxy, aryl, —OP(O)(O)—O—, —OS(O)(O)—O— and/or heterocycle. Such substitutions are independently selected. Embodiments of formula 1 compounds include ones wherein one, two, three, four or more of the variable groups that are bonded to the steroid rings, e.g., R1-R6 or R10, comprise a moiety that can hydrolyze or metabolize to, e.g., a —H, —OH, ═O, —SH, ═S, —COOH, —NH2, —CH2OH, —CH2SH, —C(O)—C1-C6 alkyl-OH, —C(O)—C1-C6 alkyl-SH, —C(S)—C1-C6 alkyl-OH, —C(O)—C1-C6 alkyl or —C(O)—NH2 atom or group.
- Formula 1 compounds that comprise a hydrolyzable moiety(ies) may include one or more independently chosen —O—CHR24C(O)OR25, —S—CHR24C(O)OR25, —NH—CHR24C(O)OR25, —O—CHR24C(S)OR25, —S—CHR24C(S)OR25, —NH—CHR24C(S)OR25, —O—CHR24OC(O)R25, —S—CHR24OC(O)R25, —NH—CHR24OC(O)R25, —O—CHR24C(O)N(R25)2, —S—CHR24C(O)N(R25)2, —NH—CHR24C(O)N(R25)2, —O—CHR24OR25, —S—CHR24OR25, —NH—CHR24OR25, —O—CHR24C(R25)2CH2OX, —S—CHR24C(R25)2CH2OX, —NH—CHR24C(R25)2CH2OX, —O—CHR24C(R25)2OX, —S—CHR24C(R25)2OX or —NH—CHR24C(R25)2OX, groups that one or more of R1-R6, R10, R15, R17 and R18 comprise. For these hydrolyzable moieties, R24 independently is —H, —CH2—C6H5, —CH2CH2—C6H5, C1-8 alkyl, C2-8 alkenyl, aryl or heterocycle where each alkyl, alkenyl, aryl and heterocycle moiety is independently optionally substituted with 1, 2, or 3, usually 1, —O—, —S—, —NH—, halogen, aryl, —OX, —SX, —NHX, ketone (═O) or —CN moieties or the C1-8 alkyl is optionally substituted with 3, 4, 5 or 6 halogens, and X is —H or a protecting group. Exemplary R24 are —H, —CH3, —C2H5, —CH2—C1-5 optionally substituted alkyl, —CH2CH2—C1-4 optionally substituted alkyl and —CH2CH2—O—C1-4 optionally substituted alkyl. R25 independently is —H or a C1-30 organic moiety such as —CH2—C6H5, —CH2CH2—C6H5, C1-12 alkyl, C2-12 alkenyl, C2-12 alkynyl, aryl, a heterocycle, —CH2-heterocycle or —CH2-aryl, where each alkyl, alkenyl, alkynyl, aryl, heterocycle, —CH2-heterocycle or —CH2-aryl moiety is independently optionally substituted with 1 or 2, usually 1, —O—, —S—, —NH—, halogen, aryl, —OX, —SX, —NHX, ketone (═O), —C(O)OX or —CN moieties or the C1-12 alkyl, C2-12 alkenyl or aryl, are optionally independently substituted with 3, 4, 5 or 6 halogens, where X is —H or a protecting group, or the aryl, heterocycle, —CH2-heterocycle or —CH2-aryl moieties are optionally independently substituted with 1, 2 or 3 C1-4 alkyl moieties or with 1, 2 or 3 C1-4 alkoxy moieties at the aryl moiety or at the heterocycle, usually at a ring carbon. Exemplary R25 are —H, —CH3, —C2H5, —C3H7, —C4H9, —C6H13, —C6H5, —C6H4OH, —C6H4OCH3, —C6H4F, —CH2—C1-5 optionally substituted alkyl, —CH2CH2—(S)0-1—C1-4 optionally substituted alkyl and —CH2CH2—O—C1-4 optionally substituted alkyl.
- Invention embodiments include a composition comprising (1) a compound of formula 1 or 2 and one or more nonaqueous liquid excipients, wherein the composition comprises less than about 3% v/v water and (2) a compound of formula 1 or 2 and one or more solid excipients.
-
- R1, R2, R3, R4, R5, R6 and R10 independently are —H, —ORPR, —SRPR, —N(RPR)2, —O—S—(R13)3, —CHO, —CHS, —SCN, —CH═NH, —CN, —NO2, —OSO3H, —OPO3H, an ester, a thioester, a phosphoester, a phosphothioester, a phosphonoester, a phosphiniester, a sulfite ester, a sulfate ester, an amide, an amino acid, a peptide, an ether, a thioether, an acyl group, a thioacyl group, a carbonate, a carbamate, a thioacetal, a halogen, an optionally substituted alkyl group, an optionally substituted alkenyl group, an optionally substituted alkynyl group, an optionally substituted aryl moiety, an optionally substituted heteroaryl moiety, an optionally substituted monosaccharide, an optionally substituted oligosaccharide, a nucleoside, a nucleotide, an oligonucleotide, a polymer, or,
- one, two or more of R1, R2, R3, R4, R5, R6 and R10 independently are ═0, ═S, ═N—OH, ═CH2 or a spiro ring and the hydrogen atom that is bonded to the same carbon atom is absent, or,
-
- R7 is —C(R10)2—, —C(R10)2—C(R10)2—, —C(R10)2—C(R10)2—C(R10)2—, —C(R10)2—O—C(R10)2—, —C(R10)2—S—C(R10)2—, —C(R10)2—NRPR—C(R10)2—, —O—, —O—C(R10)2—, —S—, —S—C(R10)2—, —NRPR—, —NRPR—C(R10)2—, —CHR10—, —CHR10—CHR10—, —CHR10—CHR10—CHR10—, —CHR10—O—CHR10—, —CHR10—S—CHR10—, —CHR10—NRPR—CHR10—, —O—, —O—CHR10—, —S—, —S—CHR10—, —NRPR— or —NRPR—CHR10—;
- R8 and R9 independently are —C(R10)2—, —C(R10)2—C(R10)2—, —O—, —O—C(R10)2—, —S—, —S—C(R10)2—, —NRPR, —NRPR—C(R10)2—, —CHR10—, —CHR10—CHR10—, —O—, —O—CHR10—, —S—, —S—CHR10—, —NRPR— or —NRPR—CHR10—, or one or both of R8 or R9 independently are absent, leaving a 5-membered ring;
- R8 and R9 independently are —CHR10—, —CHR10—CHR10—, —O—, —O—CHR10—, —S—, —S—CHR10—, —NRPR— or —NRPR—CHR10—, or R8 or R9 independently is absent, leaving a 5-membered ring;
- R13 independently is C1-6 alkyl;
- RPR independently is —H or a protecting group for, e.g., an O, N or S atom;
- D is a heterocycle or a 4-, 5-, 6- or 7-membered ring that comprises saturated carbon atoms, wherein 1, 2 or 3 ring carbon atoms of the 4-, 5-, 6- or 7-membered ring are optionally independently substituted with —O—, —S— or —NRPR— or where 1, 2 or 3 hydrogen atoms of the heterocycle or where 1, 2 or 3 hydrogen atoms of the 4-, 5-, 6- or 7-membered ring are substituted with —ORPR, —SRPR, N(RPR)2, —O—S—(R13)3, —CHO, —CHS, —CH═NH, —CN, —NO2, —OSO3H, —OPO3H, an ester, a thioester, a phosphoester, a phosphothioester, a phosphonoester, a phosphiniester, a sulfite ester, a sulfate ester, an amide, an amino acid, a peptide, an ether, a thioether, an acyl group, a thioacyl group, a carbonate, a carbamate, a thioacetal, a halogen, an optionally substituted alkyl group, an optionally substituted alkenyl group, an optionally substituted alkynyl group, an optionally substituted aryl moiety, an optionally substituted heteroaryl moiety, an optionally substituted monosaccharide, an optionally substituted oligosaccharide, a nucleoside, a nucleotide, an oligonucleotide or a polymer, or,
- one or more of the ring carbons are substituted with independently selected ═O, ═S, ═N—OH, ═CH2 or a spiro ring, or
- D comprises two 5- or 6-membered rings, wherein the rings are fused or are linked by 1 or 2 bonds, wherein one, two or three of R7, R8 and R9 are not —CHR10— or —C(R10)2—.
- In the formula 1 or formula 2 compounds, whenever a variable moiety such as R7, R8 or R9 is defined to include moieties such as —O—CHR10— or —NRPR—CHR10—, it is intended that such moieties can be present in either orientation relative to the other ring atoms that may be present, i.e., —O—CHR10—, —NRPR—CHR10—, —CHR10—O— and —CHR10—NRPR— are all included.
- Embodiments of formula 1 compounds include or exclude any subset of compounds within the definition of formula 1, provided that at least one compound remains. For example, a subset of formula 1 compounds that are may be included, for example in the invention nonaqueous formulations and in the invention intermittent dosing protocols and immune modulation methods, are formula 1 compounds where R2 is hydroxyl, or a group that can hydrolyze or metabolize to hydroxyl or thiol, in either configuration and R5 and R6 are methyl in the α-configuration. A subset compounds that are optionally excluded from formula 1 compounds comprises one or all compounds that are disclosed in one or more prior art references or publications, e.g., one or more compounds that are disclosed in one or more of the references cited herein, especially for those compounds that can render any claim or embodiment unpatentable for novelty, obviousness and/or inventive step reasons.
- Exemplary embodiments of species and genera of formula 1 compounds are named as described below.
- Group 1. Exemplary embodiments include the formula 1 compounds named according to the compound structure designations given in Tables A and B below. Each compound named in Table B is depicted as a compound having formula B
where R5 and R6 are both —CH3, there is no double bond at the 1-2-, 4-5- or 5-6-positions, one R4 is hydrogen, R7, R8 and R9 are all —CH2— and R1, R2, R3 and R4 are the substituents designated in Table A. The compounds named according to Tables A and B are referred to as “group 1” compounds. - Compounds named in Table B are named by numbers assigned to R1, R2, R3 and R4 according to the following compound naming convention, R1.R2.R3.R4, based on the numbered chemical substituents depicted in Table A. Each Table A number specifies a different structure for each of R1, R2, R3 and R4. When R1, R2, R3 or R4 is a divalent moiety, e.g., ═O, the hydrogen at the corresponding position is absent. Thus, the group 1 compound named 1.2.1.1 is a formula B structure with β-hydroxyl bonded to carbons at the 3- and 7-positions (the variable groups R1 and R2 respectively), an α-bromine bonded to carbon 16 (the variable group R3) and double bonded oxygen (═O) at carbon 17 (the variable group R4), i.e., 1.2.1.1 has the structure shown below.
TABLE A R1 R2 1 —OH 1 —H 2 ═O 2 —OH 3 —SH 3 ═O 4 ═S 4 —CH3 5 —O—CH3 5 —OCH3 6 —O—S(O)(O)—O−Na+ 6 —OC2H5 7 —O—S(O)(O)—OC2H5 7 —OCH2CH2CH3 8 —CH3 8 —OCH2CH2CH2CH3 9 —H 9 —Cl 10 —OC(O)C(CH3)3 10 —Br R3 R4 1 —Br 1 ═O 2 —Cl 2 —OH 3 —I 3 —H 4 —F 4 —F 5 —H 5 —Cl 6 —OH 6 —Br 7 ═O 7 —I 8 —O—C(O)—CH3 8 —O—C(O)—CH3 9 —O—C(O)—CH2CH3 9 —O—C(O)—CH2CH3 10 —O—C(O)—CH2CH2CH3 10 —O—C(O)—CH2CH2CH3 -
TABLE B 1.1.1.1, 1.1.1.2, 1.1.1.3, 1.1.1.4, 1.1.1.5, 1.1.1.6, 1.1.1.7, 1.1.1.8, 1.1.1.9, 1.1.1.10, 1.1.2.1, 1.1.2.2, 1.1.2.3, 1.1.2.4, 1.1.2.5, 1.1.2.6, 1.1.2.7, 1.1.2.8, 1.1.2.9, 1.1.2.10, 1.1.3.1, 1.1.3.2, 1.1.3.3, 1.1.3.4, 1.1.3.5, 1.1.3.6, 1.1.3.7, 1.1.3.8, 1.1.3.9, 1.1.3.10, 1.1.4.1, 1.1.4.2, 1.1.4.3, 1.1.4.4, 1.1.4.5, 1.1.4.6, 1.1.4.7, 1.1.4.8, 1.1.4.9, 1.1.4.10, 1.1.5.1, 1.1.5.2, 1.1.5.3, 1.1.5.4, 1.1.5.5, 1.1.5.6, 1.1.5.7, 1.1.5.8, 1.1.5.9, 1.1.5.10, 1.1.6.1, 1.1.6.2, 1.1.6.3, 1.1.6.4, 1.1.6.5, 1.1.6.6, 1.1.6.7, 1.1.6.8, 1.1.6.9, 1.1.6.10, 1.1.7.1, 1.1.7.2, 1.1.7.3, 1.1.7.4, 1.1.7.5, 1.1.7.6, 1.1.7.7, 1.1.7.8, 1.1.7.9, 1.1.7.10, 1.1.8.1, 1.1.8.2, 1.1.8.3, 1.1.8.4, 1.1.8.5, 1.1.8.6, 1.1.8.7, 1.1.8.8, 1.1.8.9, 1.1.8.10, 1.1.9.1, 1.1.9.2, 1.1.9.3, 1.1.9.4, 1.1.9.5, 1.1.9.6, 1.1.9.7, 1.1.9.8, 1.1.9.9, 1.1.9.10, 1.1.10.1, 1.1.10.2, 1.1.10.3, 1.1.10.4, 1.1.10.5, 1.1.10.6, 1.1.10.7, 1.1.10.8, 1.1.10.9, 1.1.10.10, 1.2.1.1, 1.2.1.2, 1.2.1.3, 1.2.1.4, 1.2.1.5, 1.2.1.6, 1.2.1.7, 1.2.1.8, 1.2.1.9, 1.2.1.10, 1.2.2.1, 1.2.2.2, 1.2.2.3, 1.2.2.4, 1.2.2.5, 1.2.2.6, 1.2.2.7, 1.2.2.8, 1.2.2.9, 1.2.2.10, 1.2.3.1, 1.2.3.2, 1.2.3.3, 1.2.3.4, 1.2.3.5, 1.2.3.6, 1.2.3.7, 1.2.3.8, 1.2.3.9, 1.2.3.10, 1.2.4.1, 1.2.4.2, 1.2.4.3, 1.2.4.4, 1.2.4.5, 1.2.4.6, 1.2.4.7, 1.2.4.8, 1.2.4.9, 1.2.4.10, 1.2.5.1, 1.2.5.2, 1.2.5.3, 1.2.5.4, 1.2.5.5, 1.2.5.6, 1.2.5.7, 1.2.5.8, 1.2.5.9, 1.2.5.10, 1.2.6.1, 1.2.6.2, 1.2.6.3, 1.2.6.4, 1.2.6.5, 1.2.6.6, 1.2.6.7, 1.2.6.8, 1.2.6.9, 1.2.6.10, 1.2.7.1, 1.2.7.2, 1.2.7.3, 1.2.7.4, 1.2.7.5, 1.2.7.6, 1.2.7.7, 1.2.7.8, 1.2.7.9, 1.2.7.10, 1.2.8.1, 1.2.8.2, 1.2.8.3, 1.2.8.4, 1.2.8.5, 1.2.8.6, 1.2.8.7, 1.2.8.8, 1.2.8.9, 1.2.8.10, 1.2.9.1, 1.2.9.2, 1.2.9.3, 1.2.9.4, 1.2.9.5, 1.2.9.6, 1.2.9.7, 1.2.9.8, 1.2.9.9, 1.2.9.10, 1.2.10.1, 1.2.10.2, 1.2.10.3, 1.2.10.4, 1.2.10.5, 1.2.10.6, 1.2.10.7, 1.2.10.8, 1.2.10.9, 1.2.10.10, 1.3.1.1, 1.3.1.2, 1.3.1.3, 1.3.1.4, 1.3.1.5, 1.3.1.6, 1.3.1.7, 1.3.1.8, 1.3.1.9, 1.3.1.10, 1.3.2.1, 1.3.2.2, 1.3.2.3, 1.3.2.4, 1.3.2.5, 1.3.2.6, 1.3.2.7, 1.3.2.8, 1.3.2.9, 1.3.2.10, 1.3.3.1, 1.3.3.2, 1.3.3.3, 1.3.3.4, 1.3.3.5, 1.3.3.6, 1.3.3.7, 1.3.3.8, 1.3.3.9, 1.3.3.10, 1.3.4.1, 1.3.4.2, 1.3.4.3, 1.3.4.4, 1.3.4.5, 1.3.4.6, 1.3.4.7, 1.3.4.8, 1.3.4.9, 1.3.4.10, 1.3.5.1, 1.3.5.2, 1.3.5.3, 1.3.5.4, 1.3.5.5, 1.3.5.6, 1.3.5.7, 1.3.5.8, 1.3.5.9, 1.3.5.10, 1.3.6.1, 1.3.6.2, 1.3.6.3, 1.3.6.4, 1.3.6.5, 1.3.6.6, 1.3.6.7, 1.3.6.8, 1.3.6.9, 1.3.6.10, 1.3.7.1, 1.3.7.2, 1.3.7.3, 1.3.7.4, 1.3.7.5, 1.3.7.6, 1.3.7.7, 1.3.7.8, 1.3.7.9, 1.3.7.10, 1.3.8.1, 1.3.8.2, 1.3.8.3, 1.3.8.4, 1.3.8.5, 1.3.8.6, 1.3.8.7, 1.3.8.8, 1.3.8.9, 1.3.8.10, 1.3.9.1, 1.3.9.2, 1.3.9.3, 1.3.9.4, 1.3.9.5, 1.3.9.6, 1.3.9.7, 1.3.9.8, 1.3.9.9, 1.3.9.10, 1.3.10.1, 1.3.10.2, 1.3.10.3, 1.3.10.4, 1.3.10.5, 1.3.10.6, 1.3.10.7, 1.3.10.8, 1.3.10.9, 1.3.10.10, 1.4.1.1, 1.4.1.2, 1.4.1.3, 1.4.1.4, 1.4.1.5, 1.4.1.6, 1.4.1.7, 1.4.1.8, 1.4.1.9, 1.4.1.10, 1.4.2.1, 1.4.2.2, 1.4.2.3, 1.4.2.4, 1.4.2.5, 1.4.2.6, 1.4.2.7, 1.4.2.8, 1.4.2.9, 1.4.2.10, 1.4.3.1, 1.4.3.2, 1.4.3.3, 1.4.3.4, 1.4.3.5, 1.4.3.6, 1.4.3.7, 1.4.3.8, 1.4.3.9, 1.4.3.10, 1.4.4.1, 1.4.4.2, 1.4.4.3, 1.4.4.4, 1.4.4.5, 1.4.4.6, 1.4.4.7, 1.4.4.8, 1.4.4.9, 1.4.4.10, 1.4.5.1, 1.4.5.2, 1.4.5.3, 1.4.5.4, 1.4.5.5, 1.4.5.6, 1.4.5.7, 1.4.5.8, 1.4.5.9, 1.4.5.10, 1.4.6.1, 1.4.6.2, 1.4.6.3, 1.4.6.4, 1.4.6.5, 1.4.6.6, 1.4.6.7, 1.4.6.8, 1.4.6.9, 1.4.6.10, 1.4.7.1, 1.4.7.2, 1.4.7.3, 1.4.7.4, 1.4.7.5, 1.4.7.6, 1.4.7.7, 1.4.7.8, 1.4.7.9, 1.4.7.10, 1.4.8.1, 1.4.8.2, 1.4.8.3, 1.4.8.4, 1.4.8.5, 1.4.8.6, 1.4.8.7, 1.4.8.8, 1.4.8.9, 1.4.8.10, 1.4.9.1, 1.4.9.2, 1.4.9.3, 1.4.9.4, 1.4.9.5, 1.4.9.6, 1.4.9.7, 1.4.9.8, 1.4.9.9, 1.4.9.10, 1.4.10.1, 1.4.10.2, 1.4.10.3, 1.4.10.4, 1.4.10.5, 1.4.10.6, 1.4.10.7, 1.4.10.8, 1.4.10.9, 1.4.10.10, 1.5.1.1, 1.5.1.2, 1.5.1.3, 1.5.1.4, 1.5.1.5, 1.5.1.6, 1.5.1.7, 1.5.1.8, 1.5.1.9, 1.5.1.10, 1.5.2.1, 1.5.2.2, 1.5.2.3, 1.5.2.4, 1.5.2.5, 1.5.2.6, 1.5.2.7, 1.5.2.8, 1.5.2.9, 1.5.2.10, 1.5.3.1, 1.5.3.2, 1.5.3.3, 1.5.3.4, 1.5.3.5, 1.5.3.6, 1.5.3.7, 1.5.3.8, 1.5.3.9, 1.5.3.10, 1.5.4.1, 1.5.4.2, 1.5.4.3, 1.5.4.4, 1.5.4.5, 1.5.4.6, 1.5.4.7, 1.5.4.8, 1.5.4.9, 1.5.4.10, 1.5.5.1, 1.5.5.2, 1.5.5.3, 1.5.5.4, 1.5.5.5, 1.5.5.6, 1.5.5.7, 1.5.5.8, 1.5.5.9, 1.5.5.10, 1.5.6.1, 1.5.6.2, 1.5.6.3, 1.5.6.4, 1.5.6.5, 1.5.6.6, 1.5.6.7, 1.5.6.8, 1.5.6.9, 1.5.6.10, 1.5.7.1, 1.5.7.2, 1.5.7.3, 1.5.7.4, 1.5.7.5, 1.5.7.6, 1.5.7.7, 1.5.7.8, 1.5.7.9, 1.5.7.10, 1.5.8.1, 1.5.8.2, 1.5.8.3, 1.5.8.4, 1.5.8.5, 1.5.8.6, 1.5.8.7, 1.5.8.8, 1.5.8.9, 1.5.8.10, 1.5.9.1, 1.5.9.2, 1.5.9.3, 1.5.9.4, 1.5.9.5, 1.5.9.6, 1.5.9.7, 1.5.9.8, 1.5.9.9, 1.5.9.10, 1.5.10.1, 1.5.10.2, 1.5.10.3, 1.5.10.4, 1.5.10.5, 1.5.10.6, 1.5.10.7, 1.5.10.8, 1.5.10.9, 1.5.10.10, 1.6.1.1, 1.6.1.2, 1.6.1.3, 1.6.1.4, 1.6.1.5, 1.6.1.6, 1.6.1.7, 1.6.1.8, 1.6.1.9, 1.6.1.10, 1.6.2.1, 1.6.2.2, 1.6.2.3, 1.6.2.4, 1.6.2.5, 1.6.2.6, 1.6.2.7, 1.6.2.8, 1.6.2.9, 1.6.2.10, 1.6.3.1, 1.6.3.2, 1.6.3.3, 1.6.3.4, 1.6.3.5, 1.6.3.6, 1.6.3.7, 1.6.3.8, 1.6.3.9, 1.6.3.10, 1.6.4.1, 1.6.4.2, 1.6.4.3, 1.6.4.4, 1.6.4.5, 1.6.4.6, 1.6.4.7, 1.6.4.8, 1.6.4.9, 1.6.4.10, 1.6.5.1, 1.6.5.2, 1.6.5.3, 1.6.5.4, 1.6.5.5, 1.6.5.6, 1.6.5.7, 1.6.5.8, 1.6.5.9, 1.6.5.10, 1.6.6.1, 1.6.6.2, 1.6.6.3, 1.6.6.4, 1.6.6.5, 1.6.6.6, 1.6.6.7, 1.6.6.8, 1.6.6.9, 1.6.6.10, 1.6.7.1, 1.6.7.2, 1.6.7.3, 1.6.7.4, 1.6.7.5, 1.6.7.6, 1.6.7.7, 1.6.7.8, 1.6.7.9, 1.6.7.10, 1.6.8.1, 1.6.8.2, 1.6.8.3, 1.6.8.4, 1.6.8.5, 1.6.8.6, 1.6.8.7, 1.6.8.8, 1.6.8.9, 1.6.8.10, 1.6.9.1, 1.6.9.2, 1.6.9.3, 1.6.9.4, 1.6.9.5, 1.6.9.6, 1.6.9.7, 1.6.9.8, 1.6.9.9, 1.6.9.10, 1.6.10.1, 1.6.10.2, 1.6.10.3, 1.6.10.4, 1.6.10.5, 1.6.10.6, 1.6.10.7, 1.6.10.8, 1.6.10.9, 1.6.10.10, 1.7.1.1, 1.7.1.2, 1.7.1.3, 1.7.1.4, 1.7.1.5, 1.7.1.6, 1.7.1.7, 1.7.1.8, 1.7.1.9, 1.7.1.10, 1.7.2.1, 1.7.2.2, 1.7.2.3, 1.7.2.4, 1.7.2.5, 1.7.2.6, 1.7.2.7, 1.7.2.8, 1.7.2.9, 1.7.2.10, 1.7.3.1, 1.7.3.2, 1.7.3.3, 1.7.3.4, 1.7.3.5, 1.7.3.6, 1.7.3.7, 1.7.3.8, 1.7.3.9, 1.7.3.10, 1.7.4.1, 1.7.4.2, 1.7.4.3, 1.7.4.4, 1.7.4.5, 1.7.4.6, 1.7.4.7, 1.7.4.8, 1.7.4.9, 1.7.4.10, 1.7.5.1, 1.7.5.2, 1.7.5.3, 1.7.5.4, 1.7.5.5, 1.7.5.6, 1.7.5.7, 1.7.5.8, 1.7.5.9, 1.7.5.10, 1.7.6.1, 1.7.6.2, 1.7.6.3, 1.7.6.4, 1.7.6.5, 1.7.6.6, 1.7.6.7, 1.7.6.8, 1.7.6.9, 1.7.6.10, 1.7.7.1, 1.7.7.2, 1.7.7.3, 1.7.7.4, 1.7.7.5, 1.7.7.6, 1.7.7.7, 1.7.7.8, 1.7.7.9, 1.7.7.10, 1.7.8.1, 1.7.8.2, 1.7.8.3, 1.7.8.4, 1.7.8.5, 1.7.8.6, 1.7.8.7, 1.7.8.8, 1.7.8.9, 1.7.8.10, 1.7.9.1, 1.7.9.2, 1.7.9.3, 1.7.9.4, 1.7.9.5, 1.7.9.6, 1.7.9.7, 1.7.9.8, 1.7.9.9, 1.7.9.10, 1.7.10.1, 1.7.10.2, 1.7.10.3, 1.7.10.4, 1.7.10.5, 1.7.10.6, 1.7.10.7, 1.7.10.8, 1.7.10.9, 1.7.10.10, 1.8.1.1, 1.8.1.2, 1.8.1.3, 1.8.1.4, 1.8.1.5, 1.8.1.6, 1.8.1.7, 1.8.1.8, 1.8.1.9, 1.8.1.10, 1.8.2.1, 1.8.2.2, 1.8.2.3, 1.8.2.4, 1.8.2.5, 1.8.2.6, 1.8.2.7, 1.8.2.8, 1.8.2.9, 1.8.2.10, 1.8.3.1, 1.8.3.2, 1.8.3.3, 1.8.3.4, 1.8.3.5, 1.8.3.6, 1.8.3.7, 1.8.3.8, 1.8.3.9, 1.8.3.10, 1.8.4.1, 1.8.4.2, 1.8.4.3, 1.8.4.4, 1.8.4.5, 1.8.4.6, 1.8.4.7, 1.8.4.8, 1.8.4.9, 1.8.4.10, 1.8.5.1, 1.8.5.2, 1.8.5.3, 1.8.5.4, 1.8.5.5, 1.8.5.6, 1.8.5.7, 1.8.5.8, 1.8.5.9, 1.8.5.10, 1.8.6.1, 1.8.6.2, 1.8.6.3, 1.8.6.4, 1.8.6.5, 1.8.6.6, 1.8.6.7, 1.8.6.8, 1.8.6.9, 1.8.6.10, 1.8.7.1, 1.8.7.2, 1.8.7.3, 1.8.7.4, 1.8.7.5, 1.8.7.6, 1.8.7.7, 1.8.7.8, 1.8.7.9, 1.8.7.10, 1.8.8.1, 1.8.8.2, 1.8.8.3, 1.8.8.4, 1.8.8.5, 1.8.8.6, 1.8.8.7, 1.8.8.8, 1.8.8.9, 1.8.8.10, 1.8.9.1, 1.8.9.2, 1.8.9.3, 1.8.9.4, 1.8.9.5, 1.8.9.6, 1.8.9.7, 1.8.9.8, 1.8.9.9, 1.8.9.10, 1.8.10.1, 1.8.10.2, 1.8.10.3, 1.8.10.4, 1.8.10.5, 1.8.10.6, 1.8.10.7, 1.8.10.8, 1.8.10.9, 1.8.10.10, 1.9.1.1, 1.9.1.2, 1.9.1.3, 1.9.1.4, 1.9.1.5, 1.9.1.6, 1.9.1.7, 1.9.1.8, 1.9.1.9, 1.9.1.10, 1.9.2.1, 1.9.2.2, 1.9.2.3, 1.9.2.4, 1.9.2.5, 1.9.2.6, 1.9.2.7, 1.9.2.8, 1.9.2.9, 1.9.2.10, 1.9.3.1, 1.9.3.2, 1.9.3.3, 1.9.3.4, 1.9.3.5, 1.9.3.6, 1.9.3.7, 1.9.3.8, 1.9.3.9, 1.9.3.10, 1.9.4.1, 1.9.4.2, 1.9.4.3, 1.9.4.4, 1.9.4.5, 1.9.4.6, 1.9.4.7, 1.9.4.8, 1.9.4.9, 1.9.4.10, 1.9.5.1, 1.9.5.2, 1.9.5.3, 1.9.5.4, 1.9.5.5, 1.9.5.6, 1.9.5.7, 1.9.5.8, 1.9.5.9, 1.9.5.10, 1.9.6.1, 1.9.6.2, 1.9.6.3, 1.9.6.4, 1.9.6.5, 1.9.6.6, 1.9.6.7, 1.9.6.8, 1.9.6.9, 1.9.6.10, 1.9.7.1, 1.9.7.2, 1.9.7.3, 1.9.7.4, 1.9.7.5, 1.9.7.6, 1.9.7.7, 1.9.7.8, 1.9.7.9, 1.9.7.10, 1.9.8.1, 1.9.8.2, 1.9.8.3, 1.9.8.4, 1.9.8.5, 1.9.8.6, 1.9.8.7, 1.9.8.8, 1.9.8.9, 1.9.8.10, 1.9.9.1, 1.9.9.2, 1.9.9.3, 1.9.9.4, 1.9.9.5, 1.9.9.6, 1.9.9.7, 1.9.9.8, 1.9.9.9, 1.9.9.10, 1.9.10.1, 1.9.10.2, 1.9.10.3, 1.9.10.4, 1.9.10.5, 1.9.10.6, 1.9.10.7, 1.9.10.8, 1.9.10.9, 1.9.10.10, 1.10.1.1, 1.10.1.2, 1.10.1.3, 1.10.1.4, 1.10.1.5, 1.10.1.6, 1.10.1.7, 1.10.1.8, 1.10.1.9, 1.10.1.10, 1.10.2.1, 1.10.2.2, 1.10.2.3, 1.10.2.4, 1.10.2.5, 1.10.2.6, 1.10.2.7, 1.10.2.8, 1.10.2.9, 1.10.2.10, 1.10.3.1, 1.10.3.2, 1.10.3.3, 1.10.3.4, 1.10.3.5, 1.10.3.6, 1.10.3.7, 1.10.3.8, 1.10.3.9, 1.10.3.10, 1.10.4.1, 1.10.4.2, 1.10.4.3, 1.10.4.4, 1.10.4.5, 1.10.4.6, 1.10.4.7, 1.10.4.8, 1.10.4.9, 1.10.4.10, 1.10.5.1, 1.10.5.2, 1.10.5.3, 1.10.5.4, 1.10.5.5, 1.10.5.6, 1.10.5.7, 1.10.5.8, 1.10.5.9, 1.10.5.10, 1.10.6.1, 1.10.6.2, 1.10.6.3, 1.10.6.4, 1.10.6.5, 1.10.6.6, 1.10.6.7, 1.10.6.8, 1.10.6.9, 1.10.6.10, 1.10.7.1, 1.10.7.2, 1.10.7.3, 1.10.7.4, 1.10.7.5, 1.10.7.6, 1.10.7.7, 1.10.7.8, 1.10.7.9, 1.10.7.10, 1.10.8.1, 1.10.8.2, 1.10.8.3, 1.10.8.4, 1.10.8.5, 1.10.8.6, 1.10.8.7, 1.10.8.8, 1.10.8.9, 1.10.8.10, 1.10.9.1, 1.10.9.2, 1.10.9.3, 1.10.9.4, 1.10.9.5, 1.10.9.6, 1.10.9.7, 1.10.9.8, 1.10.9.9, 1.10.9.10, 1.10.10.1, 1.10.10.2, 1.10.10.3, 1.10.10.4, 1.10.10.5, 1.10.10.6, 1.10.10.7, 1.10.10.8, 1.10.10.9, 1.10.10.10, 2.1.1.1, 2.1.1.2, 2.1.1.3, 2.1.1.4, 2.1.1.5, 2.1.1.6, 2.1.1.7, 2.1.1.8, 2.1.1.9, 2.1.1.10, 2.1.2.1, 2.1.2.2, 2.1.2.3, 2.1.2.4, 2.1.2.5, 2.1.2.6, 2.1.2.7, 2.1.2.8, 2.1.2.9, 2.1.2.10, 2.1.3.1, 2.1.3.2, 2.1.3.3, 2.1.3.4, 2.1.3.5, 2.1.3.6, 2.1.3.7, 2.1.3.8, 2.1.3.9, 2.1.3.10, 2.1.4.1, 2.1.4.2, 2.1.4.3, 2.1.4.4, 2.1.4.5, 2.1.4.6, 2.1.4.7, 2.1.4.8, 2.1.4.9, 2.1.4.10, 2.1.5.1, 2.1.5.2, 2.1.5.3, 2.1.5.4, 2.1.5.5, 2.1.5.6, 2.1.5.7, 2.1.5.8, 2.1.5.9, 2.1.5.10, 2.1.6.1, 2.1.6.2, 2.1.6.3, 2.1.6.4, 2.1.6.5, 2.1.6.6, 2.1.6.7, 2.1.6.8, 2.1.6.9, 2.1.6.10, 2.1.7.1, 2.1.7.2, 2.1.7.3, 2.1.7.4, 2.1.7.5, 2.1.7.6, 2.1.7.7, 2.1.7.8, 2.1.7.9, 2.1.7.10, 2.1.8.1, 2.1.8.2, 2.1.8.3, 2.1.8.4, 2.1.8.5, 2.1.8.6, 2.1.8.7, 2.1.8.8, 2.1.8.9, 2.1.8.10, 2.1.9.1, 2.1.9.2, 2.1.9.3, 2.1.9.4, 2.1.9.5, 2.1.9.6, 2.1.9.7, 2.1.9.8, 2.1.9.9, 2.1.9.10, 2.1.10.1, 2.1.10.2, 2.1.10.3, 2.1.10.4, 2.1.10.5, 2.1.10.6, 2.1.10.7, 2.1.10.8, 2.1.10.9, 2.1.10.10, 2.2.1.1, 2.2.1.2, 2.2.1.3, 2.2.1.4, 2.2.1.5, 2.2.1.6, 2.2.1.7, 2.2.1.8, 2.2.1.9, 2.2.1.10, 2.2.2.1, 2.2.2.2, 2.2.2.3, 2.2.2.4, 2.2.2.5, 2.2.2.6, 2.2.2.7, 2.2.2.8, 2.2.2.9, 2.2.2.10, 2.2.3.1, 2.2.3.2, 2.2.3.3, 2.2.3.4, 2.2.3.5, 2.2.3.6, 2.2.3.7, 2.2.3.8, 2.2.3.9, 2.2.3.10, 2.2.4.1, 2.2.4.2, 2.2.4.3, 2.2.4.4, 2.2.4.5, 2.2.4.6, 2.2.4.7, 2.2.4.8, 2.2.4.9, 2.2.4.10, 2.2.5.1, 2.2.5.2, 2.2.5.3, 2.2.5.4, 2.2.5.5, 2.2.5.6, 2.2.5.7, 2.2.5.8, 2.2.5.9, 2.2.5.10, 2.2.6.1, 2.2.6.2, 2.2.6.3, 2.2.6.4, 2.2.6.5, 2.2.6.6, 2.2.6.7, 2.2.6.8, 2.2.6.9, 2.2.6.10, 2.2.7.1, 2.2.7.2, 2.2.7.3, 2.2.7.4, 2.2.7.5, 2.2.7.6, 2.2.7.7, 2.2.7.8, 2.2.7.9, 2.2.7.10, 2.2.8.1, 2.2.8.2, 2.2.8.3, 2.2.8.4, 2.2.8.5, 2.2.8.6, 2.2.8.7, 2.2.8.8, 2.2.8.9, 2.2.8.10, 2.2.9.1, 2.2.9.2, 2.2.9.3, 2.2.9.4, 2.2.9.5, 2.2.9.6, 2.2.9.7, 2.2.9.8, 2.2.9.9, 2.2.9.10, 2.2.10.1, 2.2.10.2, 2.2.10.3, 2.2.10.4, 2.2.10.5, 2.2.10.6, 2.2.10.7, 2.2.10.8, 2.2.10.9, 2.2.10.10, 2.3.1.1, 2.3.1.2, 2.3.1.3, 2.3.1.4, 2.3.1.5, 2.3.1.6, 2.3.1.7, 2.3.1.8, 2.3.1.9, 2.3.1.10, 2.3.2.1, 2.3.2.2, 2.3.2.3, 2.3.2.4, 2.3.2.5, 2.3.2.6, 2.3.2.7, 2.3.2.8, 2.3.2.9, 2.3.2.10, 2.3.3.1, 2.3.3.2, 2.3.3.3, 2.3.3.4, 2.3.3.5, 2.3.3.6, 2.3.3.7, 2.3.3.8, 2.3.3.9, 2.3.3.10, 2.3.4.1, 2.3.4.2, 2.3.4.3, 2.3.4.4, 2.3.4.5, 2.3.4.6, 2.3.4.7, 2.3.4.8, 2.3.4.9, 2.3.4.10, 2.3.5.1, 2.3.5.2, 2.3.5.3, 2.3.5.4, 2.3.5.5, 2.3.5.6, 2.3.5.7, 2.3.5.8, 2.3.5.9, 2.3.5.10, 2.3.6.1, 2.3.6.2, 2.3.6.3, 2.3.6.4, 2.3.6.5, 2.3.6.6, 2.3.6.7, 2.3.6.8, 2.3.6.9, 2.3.6.10, 2.3.7.1, 2.3.7.2, 2.3.7.3, 2.3.7.4, 2.3.7.5, 2.3.7.6, 2.3.7.7, 2.3.7.8, 2.3.7.9, 2.3.7.10, 2.3.8.1, 2.3.8.2, 2.3.8.3, 2.3.8.4, 2.3.8.5, 2.3.8.6, 2.3.8.7, 2.3.8.8, 2.3.8.9, 2.3.8.10, 2.3.9.1, 2.3.9.2, 2.3.9.3, 2.3.9.4, 2.3.9.5, 2.3.9.6, 2.3.9.7, 2.3.9.8, 2.3.9.9, 2.3.9.10, 2.3.10.1, 2.3.10.2, 2.3.10.3, 2.3.10.4, 2.3.10.5, 2.3.10.6, 2.3.10.7, 2.3.10.8, 2.3.10.9, 2.3.10.10, 2.4.1.1, 2.4.1.2, 2.4.1.3, 2.4.1.4, 2.4.1.5, 2.4.1.6, 2.4.1.7, 2.4.1.8, 2.4.1.9, 2.4.1.10, 2.4.2.1, 2.4.2.2, 2.4.2.3, 2.4.2.4, 2.4.2.5, 2.4.2.6, 2.4.2.7, 2.4.2.8, 2.4.2.9, 2.4.2.10, 2.4.3.1, 2.4.3.2, 2.4.3.3, 2.4.3.4, 2.4.3.5, 2.4.3.6, 2.4.3.7, 2.4.3.8, 2.4.3.9, 2.4.3.10, 2.4.4.1, 2.4.4.2, 2.4.4.3, 2.4.4.4, 2.4.4.5, 2.4.4.6, 2.4.4.7, 2.4.4.8, 2.4.4.9, 2.4.4.10, 2.4.5.1, 2.4.5.2, 2.4.5.3, 2.4.5.4, 2.4.5.5, 2.4.5.6, 2.4.5.7, 2.4.5.8, 2.4.5.9, 2.4.5.10, 2.4.6.1, 2.4.6.2, 2.4.6.3, 2.4.6.4, 2.4.6.5, 2.4.6.6, 2.4.6.7, 2.4.6.8, 2.4.6.9, 2.4.6.10, 2.4.7.1, 2.4.7.2, 2.4.7.3, 2.4.7.4, 2.4.7.5, 2.4.7.6, 2.4.7.7, 2.4.7.8, 2.4.7.9, 2.4.7.10, 2.4.8.1, 2.4.8.2, 2.4.8.3, 2.4.8.4, 2.4.8.5, 2.4.8.6, 2.4.8.7, 2.4.8.8, 2.4.8.9, 2.4.8.10, 2.4.9.1, 2.4.9.2, 2.4.9.3, 2.4.9.4, 2.4.9.5, 2.4.9.6, 2.4.9.7, 2.4.9.8, 2.4.9.9, 2.4.9.10, 2.4.10.1, 2.4.10.2, 2.4.10.3, 2.4.10.4, 2.4.10.5, 2.4.10.6, 2.4.10.7, 2.4.10.8, 2.4.10.9, 2.4.10.10, 2.5.1.1, 2.5.1.2, 2.5.1.3, 2.5.1.4, 2.5.1.5, 2.5.1.6, 2.5.1.7, 2.5.1.8, 2.5.1.9, 2.5.1.10, 2.5.2.1, 2.5.2.2, 2.5.2.3, 2.5.2.4, 2.5.2.5, 2.5.2.6, 2.5.2.7, 2.5.2.8, 2.5.2.9, 2.5.2.10, 2.5.3.1, 2.5.3.2, 2.5.3.3, 2.5.3.4, 2.5.3.5, 2.5.3.6, 2.5.3.7, 2.5.3.8, 2.5.3.9, 2.5.3.10, 2.5.4.1, 2.5.4.2, 2.5.4.3, 2.5.4.4, 2.5.4.5, 2.5.4.6, 2.5.4.7, 2.5.4.8, 2.5.4.9, 2.5.4.10, 2.5.5.1, 2.5.5.2, 2.5.5.3, 2.5.5.4, 2.5.5.5, 2.5.5.6, 2.5.5.7, 2.5.5.8, 2.5.5.9, 2.5.5.10, 2.5.6.1, 2.5.6.2, 2.5.6.3, 2.5.6.4, 2.5.6.5, 2.5.6.6, 2.5.6.7, 2.5.6.8, 2.5.6.9, 2.5.6.10, 2.5.7.1, 2.5.7.2, 2.5.7.3, 2.5.7.4, 2.5.7.5, 2.5.7.6, 2.5.7.7, 2.5.7.8, 2.5.7.9, 2.5.7.10, 2.5.8.1, 2.5.8.2, 2.5.8.3, 2.5.8.4, 2.5.8.5, 2.5.8.6, 2.5.8.7, 2.5.8.8, 2.5.8.9, 2.5.8.10, 2.5.9.1, 2.5.9.2, 2.5.9.3, 2.5.9.4, 2.5.9.5, 2.5.9.6, 2.5.9.7, 2.5.9.8, 2.5.9.9, 2.5.9.10, 2.5.10.1, 2.5.10.2, 2.5.10.3, 2.5.10.4, 2.5.10.5, 2.5.10.6, 2.5.10.7, 2.5.10.8, 2.5.10.9, 2.5.10.10, 2.6.1.1, 2.6.1.2, 2.6.1.3, 2.6.1.4, 2.6.1.5, 2.6.1.6, 2.6.1.7, 2.6.1.8, 2.6.1.9, 2.6.1.10, 2.6.2.1, 2.6.2.2, 2.6.2.3, 2.6.2.4, 2.6.2.5, 2.6.2.6, 2.6.2.7, 2.6.2.8, 2.6.2.9, 2.6.2.10, 2.6.3.1, 2.6.3.2, 2.6.3.3, 2.6.3.4, 2.6.3.5, 2.6.3.6, 2.6.3.7, 2.6.3.8, 2.6.3.9, 2.6.3.10, 2.6.4.1, 2.6.4.2, 2.6.4.3, 2.6.4.4, 2.6.4.5, 2.6.4.6, 2.6.4.7, 2.6.4.8, 2.6.4.9, 2.6.4.10, 2.6.5.1, 2.6.5.2, 2.6.5.3, 2.6.5.4, 2.6.5.5, 2.6.5.6, 2.6.5.7, 2.6.5.8, 2.6.5.9, 2.6.5.10, 2.6.6.1, 2.6.6.2, 2.6.6.3, 2.6.6.4, 2.6.6.5, 2.6.6.6, 2.6.6.7, 2.6.6.8, 2.6.6.9, 2.6.6.10, 2.6.7.1, 2.6.7.2, 2.6.7.3, 2.6.7.4, 2.6.7.5, 2.6.7.6, 2.6.7.7, 2.6.7.8, 2.6.7.9, 2.6.7.10, 2.6.8.1, 2.6.8.2, 2.6.8.3, 2.6.8.4, 2.6.8.5, 2.6.8.6, 2.6.8.7, 2.6.8.8, 2.6.8.9, 2.6.8.10, 2.6.9.1, 2.6.9.2, 2.6.9.3, 2.6.9.4, 2.6.9.5, 2.6.9.6, 2.6.9.7, 2.6.9.8, 2.6.9.9, 2.6.9.10, 2.6.10.1, 2.6.10.2, 2.6.10.3, 2.6.10.4, 2.6.10.5, 2.6.10.6, 2.6.10.7, 2.6.10.8, 2.6.10.9, 2.6.10.10, 2.7.1.1, 2.7.1.2, 2.7.1.3, 2.7.1.4, 2.7.1.5, 2.7.1.6, 2.7.1.7, 2.7.1.8, 2.7.1.9, 2.7.1.10, 2.7.2.1, 2.7.2.2, 2.7.2.3, 2.7.2.4, 2.7.2.5, 2.7.2.6, 2.7.2.7, 2.7.2.8, 2.7.2.9, 2.7.2.10, 2.7.3.1, 2.7.3.2, 2.7.3.3, 2.7.3.4, 2.7.3.5, 2.7.3.6, 2.7.3.7, 2.7.3.8, 2.7.3.9, 2.7.3.10, 2.7.4.1, 2.7.4.2, 2.7.4.3, 2.7.4.4, 2.7.4.5, 2.7.4.6, 2.7.4.7, 2.7.4.8, 2.7.4.9, 2.7.4.10, 2.7.5.1, 2.7.5.2, 2.7.5.3, 2.7.5.4, 2.7.5.5, 2.7.5.6, 2.7.5.7, 2.7.5.8, 2.7.5.9, 2.7.5.10, 2.7.6.1, 2.7.6.2, 2.7.6.3, 2.7.6.4, 2.7.6.5, 2.7.6.6, 2.7.6.7, 2.7.6.8, 2.7.6.9, 2.7.6.10, 2.7.7.1, 2.7.7.2, 2.7.7.3, 2.7.7.4, 2.7.7.5, 2.7.7.6, 2.7.7.7, 2.7.7.8, 2.7.7.9, 2.7.7.10, 2.7.8.1, 2.7.8.2, 2.7.8.3, 2.7.8.4, 2.7.8.5, 2.7.8.6, 2.7.8.7, 2.7.8.8, 2.7.8.9, 2.7.8.10, 2.7.9.1, 2.7.9.2, 2.7.9.3, 2.7.9.4, 2.7.9.5, 2.7.9.6, 2.7.9.7, 2.7.9.8, 2.7.9.9, 2.7.9.10, 2.7.10.1, 2.7.10.2, 2.7.10.3, 2.7.10.4, 2.7.10.5, 2.7.10.6, 2.7.10.7, 2.7.10.8, 2.7.10.9, 2.7.10.10, 2.8.1.1, 2.8.1.2, 2.8.1.3, 2.8.1.4, 2.8.1.5, 2.8.1.6, 2.8.1.7, 2.8.1.8, 2.8.1.9, 2.8.1.10, 2.8.2.1, 2.8.2.2, 2.8.2.3, 2.8.2.4, 2.8.2.5, 2.8.2.6, 2.8.2.7, 2.8.2.8, 2.8.2.9, 2.8.2.10, 2.8.3.1, 2.8.3.2, 2.8.3.3, 2.8.3.4, 2.8.3.5, 2.8.3.6, 2.8.3.7, 2.8.3.8, 2.8.3.9, 2.8.3.10, 2.8.4.1, 2.8.4.2, 2.8.4.3, 2.8.4.4, 2.8.4.5, 2.8.4.6, 2.8.4.7, 2.8.4.8, 2.8.4.9, 2.8.4.10, 2.8.5.1, 2.8.5.2, 2.8.5.3, 2.8.5.4, 2.8.5.5, 2.8.5.6, 2.8.5.7, 2.8.5.8, 2.8.5.9, 2.8.5.10, 2.8.6.1, 2.8.6.2, 2.8.6.3, 2.8.6.4, 2.8.6.5, 2.8.6.6, 2.8.6.7, 2.8.6.8, 2.8.6.9, 2.8.6.10, 2.8.7.1, 2.8.7.2, 2.8.7.3, 2.8.7.4, 2.8.7.5, 2.8.7.6, 2.8.7.7, 2.8.7.8, 2.8.7.9, 2.8.7.10, 2.8.8.1, 2.8.8.2, 2.8.8.3, 2.8.8.4, 2.8.8.5, 2.8.8.6, 2.8.8.7, 2.8.8.8, 2.8.8.9, 2.8.8.10, 2.8.9.1, 2.8.9.2, 2.8.9.3, 2.8.9.4, 2.8.9.5, 2.8.9.6, 2.8.9.7, 2.8.9.8, 2.8.9.9, 2.8.9.10, 2.8.10.1, 2.8.10.2, 2.8.10.3, 2.8.10.4, 2.8.10.5, 2.8.10.6, 2.8.10.7, 2.8.10.8, 2.8.10.9, 2.8.10.10, 2.9.1.1, 2.9.1.2, 2.9.1.3, 2.9.1.4, 2.9.1.5, 2.9.1.6, 2.9.1.7, 2.9.1.8, 2.9.1.9, 2.9.1.10, 2.9.2.1, 2.9.2.2, 2.9.2.3, 2.9.2.4, 2.9.2.5, 2.9.2.6, 2.9.2.7, 2.9.2.8, 2.9.2.9, 2.9.2.10, 2.9.3.1, 2.9.3.2, 2.9.3.3, 2.9.3.4, 2.9.3.5, 2.9.3.6, 2.9.3.7, 2.9.3.8, 2.9.3.9, 2.9.3.10, 2.9.4.1, 2.9.4.2, 2.9.4.3, 2.9.4.4, 2.9.4.5, 2.9.4.6, 2.9.4.7, 2.9.4.8, 2.9.4.9, 2.9.4.10, 2.9.5.1, 2.9.5.2, 2.9.5.3, 2.9.5.4, 2.9.5.5, 2.9.5.6, 2.9.5.7, 2.9.5.8, 2.9.5.9, 2.9.5.10, 2.9.6.1, 2.9.6.2, 2.9.6.3, 2.9.6.4, 2.9.6.5, 2.9.6.6, 2.9.6.7, 2.9.6.8, 2.9.6.9, 2.9.6.10, 2.9.7.1, 2.9.7.2, 2.9.7.3, 2.9.7.4, 2.9.7.5, 2.9.7.6, 2.9.7.7, 2.9.7.8, 2.9.7.9, 2.9.7.10, 2.9.8.1, 2.9.8.2, 2.9.8.3, 2.9.8.4, 2.9.8.5, 2.9.8.6, 2.9.8.7, 2.9.8.8, 2.9.8.9, 2.9.8.10, 2.9.9.1, 2.9.9.2, 2.9.9.3, 2.9.9.4, 2.9.9.5, 2.9.9.6, 2.9.9.7, 2.9.9.8, 2.9.9.9, 2.9.9.10, 2.9.10.1, 2.9.10.2, 2.9.10.3, 2.9.10.4, 2.9.10.5, 2.9.10.6, 2.9.10.7, 2.9.10.8, 2.9.10.9, 2.9.10.10, 2.10.1.1, 2.10.1.2, 2.10.1.3, 2.10.1.4, 2.10.1.5, 2.10.1.6, 2.10.1.7, 2.10.1.8, 2.10.1.9, 2.10.1.10, 2.10.2.1, 2.10.2.2, 2.10.2.3, 2.10.2.4, 2.10.2.5, 2.10.2.6, 2.10.2.7, 2.10.2.8, 2.10.2.9, 2.10.2.10, 2.10.3.1, 2.10.3.2, 2.10.3.3, 2.10.3.4, 2.10.3.5, 2.10.3.6, 2.10.3.7, 2.10.3.8, 2.10.3.9, 2.10.3.10, 2.10.4.1, 2.10.4.2, 2.10.4.3, 2.10.4.4, 2.10.4.5, 2.10.4.6, 2.10.4.7, 2.10.4.8, 2.10.4.9, 2.10.4.10, 2.10.5.1, 2.10.5.2, 2.10.5.3, 2.10.5.4, 2.10.5.5, 2.10.5.6, 2.10.5.7, 2.10.5.8, 2.10.5.9, 2.10.5.10, 2.10.6.1, 2.10.6.2, 2.10.6.3, 2.10.6.4, 2.10.6.5, 2.10.6.6, 2.10.6.7, 2.10.6.8, 2.10.6.9, 2.10.6.10, 2.10.7.1, 2.10.7.2, 2.10.7.3, 2.10.7.4, 2.10.7.5, 2.10.7.6, 2.10.7.7, 2.10.7.8, 2.10.7.9, 2.10.7.10, 2.10.8.1, 2.10.8.2, 2.10.8.3, 2.10.8.4, 2.10.8.5, 2.10.8.6, 2.10.8.7, 2.10.8.8, 2.10.8.9, 2.10.8.10, 2.10.9.1, 2.10.9.2, 2.10.9.3, 2.10.9.4, 2.10.9.5, 2.10.9.6, 2.10.9.7, 2.10.9.8, 2.10.9.9, 2.10.9.10, 2.10.10.1, 2.10.10.2, 2.10.10.3, 2.10.10.4, 2.10.10.5, 2.10.10.6, 2.10.10.7, 2.10.10.8, 2.10.10.9, 2.10.10.10, 3.1.1.1, 3.1.1.2, 3.1.1.3, 3.1.1.4, 3.1.1.5, 3.1.1.6, 3.1.1.7, 3.1.1.8, 3.1.1.9, 3.1.1.10, 3.1.2.1, 3.1.2.2, 3.1.2.3, 3.1.2.4, 3.1.2.5, 3.1.2.6, 3.1.2.7, 3.1.2.8, 3.1.2.9, 3.1.2.10, 3.1.3.1, 3.1.3.2, 3.1.3.3, 3.1.3.4, 3.1.3.5, 3.1.3.6, 3.1.3.7, 3.1.3.8, 3.1.3.9, 3.1.3.10, 3.1.4.1, 3.1.4.2, 3.1.4.3, 3.1.4.4, 3.1.4.5, 3.1.4.6, 3.1.4.7, 3.1.4.8, 3.1.4.9, 3.1.4.10, 3.1.5.1, 3.1.5.2, 3.1.5.3, 3.1.5.4, 3.1.5.5, 3.1.5.6, 3.1.5.7, 3.1.5.8, 3.1.5.9, 3.1.5.10, 3.1.6.1, 3.1.6.2, 3.1.6.3, 3.1.6.4, 3.1.6.5, 3.1.6.6, 3.1.6.7, 3.1.6.8, 3.1.6.9, 3.1.6.10, 3.1.7.1, 3.1.7.2, 3.1.7.3, 3.1.7.4, 3.1.7.5, 3.1.7.6, 3.1.7.7, 3.1.7.8, 3.1.7.9, 3.1.7.10, 3.1.8.1, 3.1.8.2, 3.1.8.3, 3.1.8.4, 3.1.8.5, 3.1.8.6, 3.1.8.7, 3.1.8.8, 3.1.8.9, 3.1.8.10, 3.1.9.1, 3.1.9.2, 3.1.9.3, 3.1.9.4, 3.1.9.5, 3.1.9.6, 3.1.9.7, 3.1.9.8, 3.1.9.9, 3.1.9.10, 3.1.10.1, 3.1.10.2, 3.1.10.3, 3.1.10.4, 3.1.10.5, 3.1.10.6, 3.1.10.7, 3.1.10.8, 3.1.10.9, 3.1.10.10, 3.2.1.1, 3.2.1.2, 3.2.1.3, 3.2.1.4, 3.2.1.5, 3.2.1.6, 3.2.1.7, 3.2.1.8, 3.2.1.9, 3.2.1.10, 3.2.2.1, 3.2.2.2, 3.2.2.3, 3.2.2.4, 3.2.2.5, 3.2.2.6, 3.2.2.7, 3.2.2.8, 3.2.2.9, 3.2.2.10, 3.2.3.1, 3.2.3.2, 3.2.3.3, 3.2.3.4, 3.2.3.5, 3.2.3.6, 3.2.3.7, 3.2.3.8, 3.2.3.9, 3.2.3.10, 3.2.4.1, 3.2.4.2, 3.2.4.3, 3.2.4.4, 3.2.4.5, 3.2.4.6, 3.2.4.7, 3.2.4.8, 3.2.4.9, 3.2.4.10, 3.2.5.1, 3.2.5.2, 3.2.5.3, 3.2.5.4, 3.2.5.5, 3.2.5.6, 3.2.5.7, 3.2.5.8, 3.2.5.9, 3.2.5.10, 3.2.6.1, 3.2.6.2, 3.2.6.3, 3.2.6.4, 3.2.6.5, 3.2.6.6, 3.2.6.7, 3.2.6.8, 3.2.6.9, 3.2.6.10, 3.2.7.1, 3.2.7.2, 3.2.7.3, 3.2.7.4, 3.2.7.5, 3.2.7.6, 3.2.7.7, 3.2.7.8, 3.2.7.9, 3.2.7.10, 3.2.8.1, 3.2.8.2, 3.2.8.3, 3.2.8.4, 3.2.8.5, 3.2.8.6, 3.2.8.7, 3.2.8.8, 3.2.8.9, 3.2.8.10, 3.2.9.1, 3.2.9.2, 3.2.9.3, 3.2.9.4, 3.2.9.5, 3.2.9.6, 3.2.9.7, 3.2.9.8, 3.2.9.9, 3.2.9.10, 3.2.10.1, 3.2.10.2, 3.2.10.3, 3.2.10.4, 3.2.10.5, 3.2.10.6, 3.2.10.7, 3.2.10.8, 3.2.10.9, 3.2.10.10, 3.3.1.1, 3.3.1.2, 3.3.1.3, 3.3.1.4, 3.3.1.5, 3.3.1.6, 3.3.1.7, 3.3.1.8, 3.3.1.9, 3.3.1.10, 3.3.2.1, 3.3.2.2, 3.3.2.3, 3.3.2.4, 3.3.2.5, 3.3.2.6, 3.3.2.7, 3.3.2.8, 3.3.2.9, 3.3.2.10, 3.3.3.1, 3.3.3.2, 3.3.3.3, 3.3.3.4, 3.3.3.5, 3.3.3.6, 3.3.3.7, 3.3.3.8, 3.3.3.9, 3.3.3.10, 3.3.4.1, 3.3.4.2, 3.3.4.3, 3.3.4.4, 3.3.4.5, 3.3.4.6, 3.3.4.7, 3.3.4.8, 3.3.4.9, 3.3.4.10, 3.3.5.1, 3.3.5.2, 3.3.5.3, 3.3.5.4, 3.3.5.5, 3.3.5.6, 3.3.5.7, 3.3.5.8, 3.3.5.9, 3.3.5.10, 3.3.6.1, 3.3.6.2, 3.3.6.3, 3.3.6.4, 3.3.6.5, 3.3.6.6, 3.3.6.7, 3.3.6.8, 3.3.6.9, 3.3.6.10, 3.3.7.1, 3.3.7.2, 3.3.7.3, 3.3.7.4, 3.3.7.5, 3.3.7.6, 3.3.7.7, 3.3.7.8, 3.3.7.9, 3.3.7.10, 3.3.8.1, 3.3.8.2, 3.3.8.3, 3.3.8.4, 3.3.8.5, 3.3.8.6, 3.3.8.7, 3.3.8.8, 3.3.8.9, 3.3.8.10, 3.3.9.1, 3.3.9.2, 3.3.9.3, 3.3.9.4, 3.3.9.5, 3.3.9.6, 3.3.9.7, 3.3.9.8, 3.3.9.9, 3.3.9.10, 3.3.10.1, 3.3.10.2, 3.3.10.3, 3.3.10.4, 3.3.10.5, 3.3.10.6, 3.3.10.7, 3.3.10.8, 3.3.10.9, 3.3.10.10, 3.4.1.1, 3.4.1.2, 3.4.1.3, 3.4.1.4, 3.4.1.5, 3.4.1.6, 3.4.1.7, 3.4.1.8, 3.4.1.9, 3.4.1.10, 3.4.2.1, 3.4.2.2, 3.4.2.3, 3.4.2.4, 3.4.2.5, 3.4.2.6, 3.4.2.7, 3.4.2.8, 3.4.2.9, 3.4.2.10, 3.4.3.1, 3.4.3.2, 3.4.3.3, 3.4.3.4, 3.4.3.5, 3.4.3.6, 3.4.3.7, 3.4.3.8, 3.4.3.9, 3.4.3.10, 3.4.4.1, 3.4.4.2, 3.4.4.3, 3.4.4.4, 3.4.4.5, 3.4.4.6, 3.4.4.7, 3.4.4.8, 3.4.4.9, 3.4.4.10, 3.4.5.1, 3.4.5.2, 3.4.5.3, 3.4.5.4, 3.4.5.5, 3.4.5.6, 3.4.5.7, 3.4.5.8, 3.4.5.9, 3.4.5.10, 3.4.6.1, 3.4.6.2, 3.4.6.3, 3.4.6.4, 3.4.6.5, 3.4.6.6, 3.4.6.7, 3.4.6.8, 3.4.6.9, 3.4.6.10, 3.4.7.1, 3.4.7.2, 3.4.7.3, 3.4.7.4, 3.4.7.5, 3.4.7.6, 3.4.7.7, 3.4.7.8, 3.4.7.9, 3.4.7.10, 3.4.8.1, 3.4.8.2, 3.4.8.3, 3.4.8.4, 3.4.8.5, 3.4.8.6, 3.4.8.7, 3.4.8.8, 3.4.8.9, 3.4.8.10, 3.4.9.1, 3.4.9.2, 3.4.9.3, 3.4.9.4, 3.4.9.5, 3.4.9.6, 3.4.9.7, 3.4.9.8, 3.4.9.9, 3.4.9.10, 3.4.10.1, 3.4.10.2, 3.4.10.3, 3.4.10.4, 3.4.10.5, 3.4.10.6, 3.4.10.7, 3.4.10.8, 3.4.10.9, 3.4.10.10, 3.5.1.1, 3.5.1.2, 3.5.1.3, 3.5.1.4, 3.5.1.5, 3.5.1.6, 3.5.1.7, 3.5.1.8, 3.5.1.9, 3.5.1.10, 3.5.2.1, 3.5.2.2, 3.5.2.3, 3.5.2.4, 3.5.2.5, 3.5.2.6, 3.5.2.7, 3.5.2.8, 3.5.2.9, 3.5.2.10, 3.5.3.1, 3.5.3.2, 3.5.3.3, 3.5.3.4, 3.5.3.5, 3.5.3.6, 3.5.3.7, 3.5.3.8, 3.5.3.9, 3.5.3.10, 3.5.4.1, 3.5.4.2, 3.5.4.3, 3.5.4.4, 3.5.4.5, 3.5.4.6, 3.5.4.7, 3.5.4.8, 3.5.4.9, 3.5.4.10, 3.5.5.1, 3.5.5.2, 3.5.5.3, 3.5.5.4, 3.5.5.5, 3.5.5.6, 3.5.5.7, 3.5.5.8, 3.5.5.9, 3.5.5.10, 3.5.6.1, 3.5.6.2, 3.5.6.3, 3.5.6.4, 3.5.6.5, 3.5.6.6, 3.5.6.7, 3.5.6.8, 3.5.6.9, 3.5.6.10, 3.5.7.1, 3.5.7.2, 3.5.7.3, 3.5.7.4, 3.5.7.5, 3.5.7.6, 3.5.7.7, 3.5.7.8, 3.5.7.9, 3.5.7.10, 3.5.8.1, 3.5.8.2, 3.5.8.3, 3.5.8.4, 3.5.8.5, 3.5.8.6, 3.5.8.7, 3.5.8.8, 3.5.8.9, 3.5.8.10, 3.5.9.1, 3.5.9.2, 3.5.9.3, 3.5.9.4, 3.5.9.5, 3.5.9.6, 3.5.9.7, 3.5.9.8, 3.5.9.9, 3.5.9.10, 3.5.10.1, 3.5.10.2, 3.5.10.3, 3.5.10.4, 3.5.10.5, 3.5.10.6, 3.5.10.7, 3.5.10.8, 3.5.10.9, 3.5.10.10, 3.6.1.1, 3.6.1.2, 3.6.1.3, 3.6.1.4, 3.6.1.5, 3.6.1.6, 3.6.1.7, 3.6.1.8, 3.6.1.9, 3.6.1.10, 3.6.2.1, 3.6.2.2, 3.6.2.3, 3.6.2.4, 3.6.2.5, 3.6.2.6, 3.6.2.7, 3.6.2.8, 3.6.2.9, 3.6.2.10, 3.6.3.1, 3.6.3.2, 3.6.3.3, 3.6.3.4, 3.6.3.5, 3.6.3.6, 3.6.3.7, 3.6.3.8, 3.6.3.9, 3.6.3.10, 3.6.4.1, 3.6.4.2, 3.6.4.3, 3.6.4.4, 3.6.4.5, 3.6.4.6, 3.6.4.7, 3.6.4.8, 3.6.4.9, 3.6.4.10, 3.6.5.1, 3.6.5.2, 3.6.5.3, 3.6.5.4, 3.6.5.5, 3.6.5.6, 3.6.5.7, 3.6.5.8, 3.6.5.9, 3.6.5.10, 3.6.6.1, 3.6.6.2, 3.6.6.3, 3.6.6.4, 3.6.6.5, 3.6.6.6, 3.6.6.7, 3.6.6.8, 3.6.6.9, 3.6.6.10, 3.6.7.1, 3.6.7.2, 3.6.7.3, 3.6.7.4, 3.6.7.5, 3.6.7.6, 3.6.7.7, 3.6.7.8, 3.6.7.9, 3.6.7.10, 3.6.8.1, 3.6.8.2, 3.6.8.3, 3.6.8.4, 3.6.8.5, 3.6.8.6, 3.6.8.7, 3.6.8.8, 3.6.8.9, 3.6.8.10, 3.6.9.1, 3.6.9.2, 3.6.9.3, 3.6.9.4, 3.6.9.5, 3.6.9.6, 3.6.9.7, 3.6.9.8, 3.6.9.9, 3.6.9.10, 3.6.10.1, 3.6.10.2, 3.6.10.3, 3.6.10.4, 3.6.10.5, 3.6.10.6, 3.6.10.7, 3.6.10.8, 3.6.10.9, 3.6.10.10, 3.7.1.1, 3.7.1.2, 3.7.1.3, 3.7.1.4, 3.7.1.5, 3.7.1.6, 3.7.1.7, 3.7.1.8, 3.7.1.9, 3.7.1.10, 3.7.2.1, 3.7.2.2, 3.7.2.3, 3.7.2.4, 3.7.2.5, 3.7.2.6, 3.7.2.7, 3.7.2.8, 3.7.2.9, 3.7.2.10, 3.7.3.1, 3.7.3.2, 3.7.3.3, 3.7.3.4, 3.7.3.5, 3.7.3.6, 3.7.3.7, 3.7.3.8, 3.7.3.9, 3.7.3.10, 3.7.4.1, 3.7.4.2, 3.7.4.3, 3.7.4.4, 3.7.4.5, 3.7.4.6, 3.7.4.7, 3.7.4.8, 3.7.4.9, 3.7.4.10, 3.7.5.1, 3.7.5.2, 3.7.5.3, 3.7.5.4, 3.7.5.5, 3.7.5.6, 3.7.5.7, 3.7.5.8, 3.7.5.9, 3.7.5.10, 3.7.6.1, 3.7.6.2, 3.7.6.3, 3.7.6.4, 3.7.6.5, 3.7.6.6, 3.7.6.7, 3.7.6.8, 3.7.6.9, 3.7.6.10, 3.7.7.1, 3.7.7.2, 3.7.7.3, 3.7.7.4, 3.7.7.5, 3.7.7.6, 3.7.7.7, 3.7.7.8, 3.7.7.9, 3.7.7.10, 3.7.8.1, 3.7.8.2, 3.7.8.3, 3.7.8.4, 3.7.8.5, 3.7.8.6, 3.7.8.7, 3.7.8.8, 3.7.8.9, 3.7.8.10, 3.7.9.1, 3.7.9.2, 3.7.9.3, 3.7.9.4, 3.7.9.5, 3.7.9.6, 3.7.9.7, 3.7.9.8, 3.7.9.9, 3.7.9.10, 3.7.10.1, 3.7.10.2, 3.7.10.3, 3.7.10.4, 3.7.10.5, 3.7.10.6, 3.7.10.7, 3.7.10.8, 3.7.10.9, 3.7.10.10, 3.8.1.1, 3.8.1.2, 3.8.1.3, 3.8.1.4, 3.8.1.5, 3.8.1.6, 3.8.1.7, 3.8.1.8, 3.8.1.9, 3.8.1.10, 3.8.2.1, 3.8.2.2, 3.8.2.3, 3.8.2.4, 3.8.2.5, 3.8.2.6, 3.8.2.7, 3.8.2.8, 3.8.2.9, 3.8.2.10, 3.8.3.1, 3.8.3.2, 3.8.3.3, 3.8.3.4, 3.8.3.5, 3.8.3.6, 3.8.3.7, 3.8.3.8, 3.8.3.9, 3.8.3.10, 3.8.4.1, 3.8.4.2, 3.8.4.3, 3.8.4.4, 3.8.4.5, 3.8.4.6, 3.8.4.7, 3.8.4.8, 3.8.4.9, 3.8.4.10, 3.8.5.1, 3.8.5.2, 3.8.5.3, 3.8.5.4, 3.8.5.5, 3.8.5.6, 3.8.5.7, 3.8.5.8, 3.8.5.9, 3.8.5.10, 3.8.6.1, 3.8.6.2, 3.8.6.3, 3.8.6.4, 3.8.6.5, 3.8.6.6, 3.8.6.7, 3.8.6.8, 3.8.6.9, 3.8.6.10, 3.8.7.1, 3.8.7.2, 3.8.7.3, 3.8.7.4, 3.8.7.5, 3.8.7.6, 3.8.7.7, 3.8.7.8, 3.8.7.9, 3.8.7.10, 3.8.8.1, 3.8.8.2, 3.8.8.3, 3.8.8.4, 3.8.8.5, 3.8.8.6, 3.8.8.7, 3.8.8.8, 3.8.8.9, 3.8.8.10, 3.8.9.1, 3.8.9.2, 3.8.9.3, 3.8.9.4, 3.8.9.5, 3.8.9.6, 3.8.9.7, 3.8.9.8, 3.8.9.9, 3.8.9.10, 3.8.10.1, 3.8.10.2, 3.8.10.3, 3.8.10.4, 3.8.10.5, 3.8.10.6, 3.8.10.7, 3.8.10.8, 3.8.10.9, 3.8.10.10, 3.9.1.1, 3.9.1.2, 3.9.1.3, 3.9.1.4, 3.9.1.5, 3.9.1.6, 3.9.1.7, 3.9.1.8, 3.9.1.9, 3.9.1.10, 3.9.2.1, 3.9.2.2, 3.9.2.3, 3.9.2.4, 3.9.2.5, 3.9.2.6, 3.9.2.7, 3.9.2.8, 3.9.2.9, 3.9.2.10, 3.9.3.1, 3.9.3.2, 3.9.3.3, 3.9.3.4, 3.9.3.5, 3.9.3.6, 3.9.3.7, 3.9.3.8, 3.9.3.9, 3.9.3.10, 3.9.4.1, 3.9.4.2, 3.9.4.3, 3.9.4.4, 3.9.4.5, 3.9.4.6, 3.9.4.7, 3.9.4.8, 3.9.4.9, 3.9.4.10, 3.9.5.1, 3.9.5.2, 3.9.5.3, 3.9.5.4, 3.9.5.5, 3.9.5.6, 3.9.5.7, 3.9.5.8, 3.9.5.9, 3.9.5.10, 3.9.6.1, 3.9.6.2, 3.9.6.3, 3.9.6.4, 3.9.6.5, 3.9.6.6, 3.9.6.7, 3.9.6.8, 3.9.6.9, 3.9.6.10, 3.9.7.1, 3.9.7.2, 3.9.7.3, 3.9.7.4, 3.9.7.5, 3.9.7.6, 3.9.7.7, 3.9.7.8, 3.9.7.9, 3.9.7.10, 3.9.8.1, 3.9.8.2, 3.9.8.3, 3.9.8.4, 3.9.8.5, 3.9.8.6, 3.9.8.7, 3.9.8.8, 3.9.8.9, 3.9.8.10, 3.9.9.1, 3.9.9.2, 3.9.9.3, 3.9.9.4, 3.9.9.5, 3.9.9.6, 3.9.9.7, 3.9.9.8, 3.9.9.9, 3.9.9.10, 3.9.10.1, 3.9.10.2, 3.9.10.3, 3.9.10.4, 3.9.10.5, 3.9.10.6, 3.9.10.7, 3.9.10.8, 3.9.10.9, 3.9.10.10, 3.10.1.1, 3.10.1.2, 3.10.1.3, 3.10.1.4, 3.10.1.5, 3.10.1.6, 3.10.1.7, 3.10.1.8, 3.10.1.9, 3.10.1.10, 3.10.2.1, 3.10.2.2, 3.10.2.3, 3.10.2.4, 3.10.2.5, 3.10.2.6, 3.10.2.7, 3.10.2.8, 3.10.2.9, 3.10.2.10, 3.10.3.1, 3.10.3.2, 3.10.3.3, 3.10.3.4, 3.10.3.5, 3.10.3.6, 3.10.3.7, 3.10.3.8, 3.10.3.9, 3.10.3.10, 3.10.4.1, 3.10.4.2, 3.10.4.3, 3.10.4.4, 3.10.4.5, 3.10.4.6, 3.10.4.7, 3.10.4.8, 3.10.4.9, 3.10.4.10, 3.10.5.1, 3.10.5.2, 3.10.5.3, 3.10.5.4, 3.10.5.5, 3.10.5.6, 3.10.5.7, 3.10.5.8, 3.10.5.9, 3.10.5.10, 3.10.6.1, 3.10.6.2, 3.10.6.3, 3.10.6.4, 3.10.6.5, 3.10.6.6, 3.10.6.7, 3.10.6.8, 3.10.6.9, 3.10.6.10, 3.10.7.1, 3.10.7.2, 3.10.7.3, 3.10.7.4, 3.10.7.5, 3.10.7.6, 3.10.7.7, 3.10.7.8, 3.10.7.9, 3.10.7.10, 3.10.8.1, 3.10.8.2, 3.10.8.3, 3.10.8.4, 3.10.8.5, 3.10.8.6, 3.10.8.7, 3.10.8.8, 3.10.8.9, 3.10.8.10, 3.10.9.1, 3.10.9.2, 3.10.9.3, 3.10.9.4, 3.10.9.5, 3.10.9.6, 3.10.9.7, 3.10.9.8, 3.10.9.9, 3.10.9.10, 3.10.10.1, 3.10.10.2, 3.10.10.3, 3.10.10.4, 3.10.10.5, 3.10.10.6, 3.10.10.7, 3.10.10.8, 3.10.10.9, 3.10.10.10, 4.1.1.1, 4.1.1.2, 4.1.1.3, 4.1.1.4, 4.1.1.5, 4.1.1.6, 4.1.1.7, 4.1.1.8, 4.1.1.9, 4.1.1.10, 4.1.2.1, 4.1.2.2, 4.1.2.3, 4.1.2.4, 4.1.2.5, 4.1.2.6, 4.1.2.7, 4.1.2.8, 4.1.2.9, 4.1.2.10, 4.1.3.1, 4.1.3.2, 4.1.3.3, 4.1.3.4, 4.1.3.5, 4.1.3.6, 4.1.3.7, 4.1.3.8, 4.1.3.9, 4.1.3.10, 4.1.4.1, 4.1.4.2, 4.1.4.3, 4.1.4.4, 4.1.4.5, 4.1.4.6, 4.1.4.7, 4.1.4.8, 4.1.4.9, 4.1.4.10, 4.1.5.1, 4.1.5.2, 4.1.5.3, 4.1.5.4, 4.1.5.5, 4.1.5.6, 4.1.5.7, 4.1.5.8, 4.1.5.9, 4.1.5.10, 4.1.6.1, 4.1.6.2, 4.1.6.3, 4.1.6.4, 4.1.6.5, 4.1.6.6, 4.1.6.7, 4.1.6.8, 4.1.6.9, 4.1.6.10, 4.1.7.1, 4.1.7.2, 4.1.7.3, 4.1.7.4, 4.1.7.5, 4.1.7.6, 4.1.7.7, 4.1.7.8, 4.1.7.9, 4.1.7.10, 4.1.8.1, 4.1.8.2, 4.1.8.3, 4.1.8.4, 4.1.8.5, 4.1.8.6, 4.1.8.7, 4.1.8.8, 4.1.8.9, 4.1.8.10, 4.1.9.1, 4.1.9.2, 4.1.9.3, 4.1.9.4, 4.1.9.5, 4.1.9.6, 4.1.9.7, 4.1.9.8, 4.1.9.9, 4.1.9.10, 4.1.10.1, 4.1.10.2, 4.1.10.3, 4.1.10.4, 4.1.10.5, 4.1.10.6, 4.1.10.7, 4.1.10.8, 4.1.10.9, 4.1.10.10, 4.2.1.1, 4.2.1.2, 4.2.1.3, 4.2.1.4, 4.2.1.5, 4.2.1.6, 4.2.1.7, 4.2.1.8, 4.2.1.9, 4.2.1.10, 4.2.2.1, 4.2.2.2, 4.2.2.3, 4.2.2.4, 4.2.2.5, 4.2.2.6, 4.2.2.7, 4.2.2.8, 4.2.2.9, 4.2.2.10, 4.2.3.1, 4.2.3.2, 4.2.3.3, 4.2.3.4, 4.2.3.5, 4.2.3.6, 4.2.3.7, 4.2.3.8, 4.2.3.9, 4.2.3.10, 4.2.4.1, 4.2.4.2, 4.2.4.3, 4.2.4.4, 4.2.4.5, 4.2.4.6, 4.2.4.7, 4.2.4.8, 4.2.4.9, 4.2.4.10, 4.2.5.1, 4.2.5.2, 4.2.5.3, 4.2.5.4, 4.2.5.5, 4.2.5.6, 4.2.5.7, 4.2.5.8, 4.2.5.9, 4.2.5.10, 4.2.6.1, 4.2.6.2, 4.2.6.3, 4.2.6.4, 4.2.6.5, 4.2.6.6, 4.2.6.7, 4.2.6.8, 4.2.6.9, 4.2.6.10, 4.2.7.1, 4.2.7.2, 4.2.7.3, 4.2.7.4, 4.2.7.5, 4.2.7.6, 4.2.7.7, 4.2.7.8, 4.2.7.9, 4.2.7.10, 4.2.8.1, 4.2.8.2, 4.2.8.3, 4.2.8.4, 4.2.8.5, 4.2.8.6, 4.2.8.7, 4.2.8.8, 4.2.8.9, 4.2.8.10, 4.2.9.1, 4.2.9.2, 4.2.9.3, 4.2.9.4, 4.2.9.5, 4.2.9.6, 4.2.9.7, 4.2.9.8, 4.2.9.9, 4.2.9.10, 4.2.10.1, 4.2.10.2, 4.2.10.3, 4.2.10.4, 4.2.10.5, 4.2.10.6, 4.2.10.7, 4.2.10.8, 4.2.10.9, 4.2.10.10, 4.3.1.1, 4.3.1.2, 4.3.1.3, 4.3.1.4, 4.3.1.5, 4.3.1.6, 4.3.1.7, 4.3.1.8, 4.3.1.9, 4.3.1.10, 4.3.2.1, 4.3.2.2, 4.3.2.3, 4.3.2.4, 4.3.2.5, 4.3.2.6, 4.3.2.7, 4.3.2.8, 4.3.2.9, 4.3.2.10, 4.3.3.1, 4.3.3.2, 4.3.3.3, 4.3.3.4, 4.3.3.5, 4.3.3.6, 4.3.3.7, 4.3.3.8, 4.3.3.9, 4.3.3.10, 4.3.4.1, 4.3.4.2, 4.3.4.3, 4.3.4.4, 4.3.4.5, 4.3.4.6, 4.3.4.7, 4.3.4.8, 4.3.4.9, 4.3.4.10, 4.3.5.1, 4.3.5.2, 4.3.5.3, 4.3.5.4, 4.3.5.5, 4.3.5.6, 4.3.5.7, 4.3.5.8, 4.3.5.9, 4.3.5.10, 4.3.6.1, 4.3.6.2, 4.3.6.3, 4.3.6.4, 4.3.6.5, 4.3.6.6, 4.3.6.7, 4.3.6.8, 4.3.6.9, 4.3.6.10, 4.3.7.1, 4.3.7.2, 4.3.7.3, 4.3.7.4, 4.3.7.5, 4.3.7.6, 4.3.7.7, 4.3.7.8, 4.3.7.9, 4.3.7.10, 4.3.8.1, 4.3.8.2, 4.3.8.3, 4.3.8.4, 4.3.8.5, 4.3.8.6, 4.3.8.7, 4.3.8.8, 4.3.8.9, 4.3.8.10, 4.3.9.1, 4.3.9.2, 4.3.9.3, 4.3.9.4, 4.3.9.5, 4.3.9.6, 4.3.9.7, 4.3.9.8, 4.3.9.9, 4.3.9.10, 4.3.10.1, 4.3.10.2, 4.3.10.3, 4.3.10.4, 4.3.10.5, 4.3.10.6, 4.3.10.7, 4.3.10.8, 4.3.10.9, 4.3.10.10, 4.4.1.1, 4.4.1.2, 4.4.1.3, 4.4.1.4, 4.4.1.5, 4.4.1.6, 4.4.1.7, 4.4.1.8, 4.4.1.9, 4.4.1.10, 4.4.2.1, 4.4.2.2, 4.4.2.3, 4.4.2.4, 4.4.2.5, 4.4.2.6, 4.4.2.7, 4.4.2.8, 4.4.2.9, 4.4.2.10, 4.4.3.1, 4.4.3.2, 4.4.3.3, 4.4.3.4, 4.4.3.5, 4.4.3.6, 4.4.3.7, 4.4.3.8, 4.4.3.9, 4.4.3.10, 4.4.4.1, 4.4.4.2, 4.4.4.3, 4.4.4.4, 4.4.4.5, 4.4.4.6, 4.4.4.7, 4.4.4.8, 4.4.4.9, 4.4.4.10, 4.4.5.1, 4.4.5.2, 4.4.5.3, 4.4.5.4, 4.4.5.5, 4.4.5.6, 4.4.5.7, 4.4.5.8, 4.4.5.9, 4.4.5.10, 4.4.6.1, 4.4.6.2, 4.4.6.3, 4.4.6.4, 4.4.6.5, 4.4.6.6, 4.4.6.7, 4.4.6.8, 4.4.6.9, 4.4.6.10, 4.4.7.1, 4.4.7.2, 4.4.7.3, 4.4.7.4, 4.4.7.5, 4.4.7.6, 4.4.7.7, 4.4.7.8, 4.4.7.9, 4.4.7.10, 4.4.8.1, 4.4.8.2, 4.4.8.3, 4.4.8.4, 4.4.8.5, 4.4.8.6, 4.4.8.7, 4.4.8.8, 4.4.8.9, 4.4.8.10, 4.4.9.1, 4.4.9.2, 4.4.9.3, 4.4.9.4, 4.4.9.5, 4.4.9.6, 4.4.9.7, 4.4.9.8, 4.4.9.9, 4.4.9.10, 4.4.10.1, 4.4.10.2, 4.4.10.3, 4.4.10.4, 4.4.10.5, 4.4.10.6, 4.4.10.7, 4.4.10.8, 4.4.10.9, 4.4.10.10, 4.5.1.1, 4.5.1.2, 4.5.1.3, 4.5.1.4, 4.5.1.5, 4.5.1.6, 4.5.1.7, 4.5.1.8, 4.5.1.9, 4.5.1.10, 4.5.2.1, 4.5.2.2, 4.5.2.3, 4.5.2.4, 4.5.2.5, 4.5.2.6, 4.5.2.7, 4.5.2.8, 4.5.2.9, 4.5.2.10, 4.5.3.1, 4.5.3.2, 4.5.3.3, 4.5.3.4, 4.5.3.5, 4.5.3.6, 4.5.3.7, 4.5.3.8, 4.5.3.9, 4.5.3.10, 4.5.4.1, 4.5.4.2, 4.5.4.3, 4.5.4.4, 4.5.4.5, 4.5.4.6, 4.5.4.7, 4.5.4.8, 4.5.4.9, 4.5.4.10, 4.5.5.1, 4.5.5.2, 4.5.5.3, 4.5.5.4, 4.5.5.5, 4.5.5.6, 4.5.5.7, 4.5.5.8, 4.5.5.9, 4.5.5.10, 4.5.6.1, 4.5.6.2, 4.5.6.3, 4.5.6.4, 4.5.6.5, 4.5.6.6, 4.5.6.7, 4.5.6.8, 4.5.6.9, 4.5.6.10, 4.5.7.1, 4.5.7.2, 4.5.7.3, 4.5.7.4, 4.5.7.5, 4.5.7.6, 4.5.7.7, 4.5.7.8, 4.5.7.9, 4.5.7.10, 4.5.8.1, 4.5.8.2, 4.5.8.3, 4.5.8.4, 4.5.8.5, 4.5.8.6, 4.5.8.7, 4.5.8.8, 4.5.8.9, 4.5.8.10, 4.5.9.1, 4.5.9.2, 4.5.9.3, 4.5.9.4, 4.5.9.5, 4.5.9.6, 4.5.9.7, 4.5.9.8, 4.5.9.9, 4.5.9.10, 4.5.10.1, 4.5.10.2, 4.5.10.3, 4.5.10.4, 4.5.10.5, 4.5.10.6, 4.5.10.7, 4.5.10.8, 4.5.10.9, 4.5.10.10, 4.6.1.1, 4.6.1.2, 4.6.1.3, 4.6.1.4, 4.6.1.5, 4.6.1.6, 4.6.1.7, 4.6.1.8, 4.6.1.9, 4.6.1.10, 4.6.2.1, 4.6.2.2, 4.6.2.3, 4.6.2.4, 4.6.2.5, 4.6.2.6, 4.6.2.7, 4.6.2.8, 4.6.2.9, 4.6.2.10, 4.6.3.1, 4.6.3.2, 4.6.3.3, 4.6.3.4, 4.6.3.5, 4.6.3.6, 4.6.3.7, 4.6.3.8, 4.6.3.9, 4.6.3.10, 4.6.4.1, 4.6.4.2, 4.6.4.3, 4.6.4.4, 4.6.4.5, 4.6.4.6, 4.6.4.7, 4.6.4.8, 4.6.4.9, 4.6.4.10, 4.6.5.1, 4.6.5.2, 4.6.5.3, 4.6.5.4, 4.6.5.5, 4.6.5.6, 4.6.5.7, 4.6.5.8, 4.6.5.9, 4.6.5.10, 4.6.6.1, 4.6.6.2, 4.6.6.3, 4.6.6.4, 4.6.6.5, 4.6.6.6, 4.6.6.7, 4.6.6.8, 4.6.6.9, 4.6.6.10, 4.6.7.1, 4.6.7.2, 4.6.7.3, 4.6.7.4, 4.6.7.5, 4.6.7.6, 4.6.7.7, 4.6.7.8, 4.6.7.9, 4.6.7.10, 4.6.8.1, 4.6.8.2, 4.6.8.3, 4.6.8.4, 4.6.8.5, 4.6.8.6, 4.6.8.7, 4.6.8.8, 4.6.8.9, 4.6.8.10, 4.6.9.1, 4.6.9.2, 4.6.9.3, 4.6.9.4, 4.6.9.5, 4.6.9.6, 4.6.9.7, 4.6.9.8, 4.6.9.9, 4.6.9.10, 4.6.10.1, 4.6.10.2, 4.6.10.3, 4.6.10.4, 4.6.10.5, 4.6.10.6, 4.6.10.7, 4.6.10.8, 4.6.10.9, 4.6.10.10, 4.7.1.1, 4.7.1.2, 4.7.1.3, 4.7.1.4, 4.7.1.5, 4.7.1.6, 4.7.1.7, 4.7.1.8, 4.7.1.9, 4.7.1.10, 4.7.2.1, 4.7.2.2, 4.7.2.3, 4.7.2.4, 4.7.2.5, 4.7.2.6, 4.7.2.7, 4.7.2.8, 4.7.2.9, 4.7.2.10, 4.7.3.1, 4.7.3.2, 4.7.3.3, 4.7.3.4, 4.7.3.5, 4.7.3.6, 4.7.3.7, 4.7.3.8, 4.7.3.9, 4.7.3.10, 4.7.4.1, 4.7.4.2, 4.7.4.3, 4.7.4.4, 4.7.4.5, 4.7.4.6, 4.7.4.7, 4.7.4.8, 4.7.4.9, 4.7.4.10, 4.7.5.1, 4.7.5.2, 4.7.5.3, 4.7.5.4, 4.7.5.5, 4.7.5.6, 4.7.5.7, 4.7.5.8, 4.7.5.9, 4.7.5.10, 4.7.6.1, 4.7.6.2, 4.7.6.3, 4.7.6.4, 4.7.6.5, 4.7.6.6, 4.7.6.7, 4.7.6.8, 4.7.6.9, 4.7.6.10, 4.7.7.1, 4.7.7.2, 4.7.7.3, 4.7.7.4, 4.7.7.5, 4.7.7.6, 4.7.7.7, 4.7.7.8, 4.7.7.9, 4.7.7.10, 4.7.8.1, 4.7.8.2, 4.7.8.3, 4.7.8.4, 4.7.8.5, 4.7.8.6, 4.7.8.7, 4.7.8.8, 4.7.8.9, 4.7.8.10, 4.7.9.1, 4.7.9.2, 4.7.9.3, 4.7.9.4, 4.7.9.5, 4.7.9.6, 4.7.9.7, 4.7.9.8, 4.7.9.9, 4.7.9.10, 4.7.10.1, 4.7.10.2, 4.7.10.3, 4.7.10.4, 4.7.10.5, 4.7.10.6, 4.7.10.7, 4.7.10.8, 4.7.10.9, 4.7.10.10, 4.8.1.1, 4.8.1.2, 4.8.1.3, 4.8.1.4, 4.8.1.5, 4.8.1.6, 4.8.1.7, 4.8.1.8, 4.8.1.9, 4.8.1.10, 4.8.2.1, 4.8.2.2, 4.8.2.3, 4.8.2.4, 4.8.2.5, 4.8.2.6, 4.8.2.7, 4.8.2.8, 4.8.2.9, 4.8.2.10, 4.8.3.1, 4.8.3.2, 4.8.3.3, 4.8.3.4, 4.8.3.5, 4.8.3.6, 4.8.3.7, 4.8.3.8, 4.8.3.9, 4.8.3.10, 4.8.4.1, 4.8.4.2, 4.8.4.3, 4.8.4.4, 4.8.4.5, 4.8.4.6, 4.8.4.7, 4.8.4.8, 4.8.4.9, 4.8.4.10, 4.8.5.1, 4.8.5.2, 4.8.5.3, 4.8.5.4, 4.8.5.5, 4.8.5.6, 4.8.5.7, 4.8.5.8, 4.8.5.9, 4.8.5.10, 4.8.6.1, 4.8.6.2, 4.8.6.3, 4.8.6.4, 4.8.6.5, 4.8.6.6, 4.8.6.7, 4.8.6.8, 4.8.6.9, 4.8.6.10, 4.8.7.1, 4.8.7.2, 4.8.7.3, 4.8.7.4, 4.8.7.5, 4.8.7.6, 4.8.7.7, 4.8.7.8, 4.8.7.9, 4.8.7.10, 4.8.8.1, 4.8.8.2, 4.8.8.3, 4.8.8.4, 4.8.8.5, 4.8.8.6, 4.8.8.7, 4.8.8.8, 4.8.8.9, 4.8.8.10, 4.8.9.1, 4.8.9.2, 4.8.9.3, 4.8.9.4, 4.8.9.5, 4.8.9.6, 4.8.9.7, 4.8.9.8, 4.8.9.9, 4.8.9.10, 4.8.10.1, 4.8.10.2, 4.8.10.3, 4.8.10.4, 4.8.10.5, 4.8.10.6, 4.8.10.7, 4.8.10.8, 4.8.10.9, 4.8.10.10, 4.9.1.1, 4.9.1.2, 4.9.1.3, 4.9.1.4, 4.9.1.5, 4.9.1.6, 4.9.1.7, 4.9.1.8, 4.9.1.9, 4.9.1.10, 4.9.2.1, 4.9.2.2, 4.9.2.3, 4.9.2.4, 4.9.2.5, 4.9.2.6, 4.9.2.7, 4.9.2.8, 4.9.2.9, 4.9.2.10, 4.9.3.1, 4.9.3.2, 4.9.3.3, 4.9.3.4, 4.9.3.5, 4.9.3.6, 4.9.3.7, 4.9.3.8, 4.9.3.9, 4.9.3.10, 4.9.4.1, 4.9.4.2, 4.9.4.3, 4.9.4.4, 4.9.4.5, 4.9.4.6, 4.9.4.7, 4.9.4.8, 4.9.4.9, 4.9.4.10, 4.9.5.1, 4.9.5.2, 4.9.5.3, 4.9.5.4, 4.9.5.5, 4.9.5.6, 4.9.5.7, 4.9.5.8, 4.9.5.9, 4.9.5.10, 4.9.6.1, 4.9.6.2, 4.9.6.3, 4.9.6.4, 4.9.6.5, 4.9.6.6, 4.9.6.7, 4.9.6.8, 4.9.6.9, 4.9.6.10, 4.9.7.1, 4.9.7.2, 4.9.7.3, 4.9.7.4, 4.9.7.5, 4.9.7.6, 4.9.7.7, 4.9.7.8, 4.9.7.9, 4.9.7.10, 4.9.8.1, 4.9.8.2, 4.9.8.3, 4.9.8.4, 4.9.8.5, 4.9.8.6, 4.9.8.7, 4.9.8.8, 4.9.8.9, 4.9.8.10, 4.9.9.1, 4.9.9.2, 4.9.9.3, 4.9.9.4, 4.9.9.5, 4.9.9.6, 4.9.9.7, 4.9.9.8, 4.9.9.9, 4.9.9.10, 4.9.10.1, 4.9.10.2, 4.9.10.3, 4.9.10.4, 4.9.10.5, 4.9.10.6, 4.9.10.7, 4.9.10.8, 4.9.10.9, 4.9.10.10, 4.10.1.1, 4.10.1.2, 4.10.1.3, 4.10.1.4, 4.10.1.5, 4.10.1.6, 4.10.1.7, 4.10.1.8, 4.10.1.9, 4.10.1.10, 4.10.2.1, 4.10.2.2, 4.10.2.3, 4.10.2.4, 4.10.2.5, 4.10.2.6, 4.10.2.7, 4.10.2.8, 4.10.2.9, 4.10.2.10, 4.10.3.1, 4.10.3.2, 4.10.3.3, 4.10.3.4, 4.10.3.5, 4.10.3.6, 4.10.3.7, 4.10.3.8, 4.10.3.9, 4.10.3.10, 4.10.4.1, 4.10.4.2, 4.10.4.3, 4.10.4.4, 4.10.4.5, 4.10.4.6, 4.10.4.7, 4.10.4.8, 4.10.4.9, 4.10.4.10, 4.10.5.1, 4.10.5.2, 4.10.5.3, 4.10.5.4, 4.10.5.5, 4.10.5.6, 4.10.5.7, 4.10.5.8, 4.10.5.9, 4.10.5.10, 4.10.6.1, 4.10.6.2, 4.10.6.3, 4.10.6.4, 4.10.6.5, 4.10.6.6, 4.10.6.7, 4.10.6.8, 4.10.6.9, 4.10.6.10, 4.10.7.1, 4.10.7.2, 4.10.7.3, 4.10.7.4, 4.10.7.5, 4.10.7.6, 4.10.7.7, 4.10.7.8, 4.10.7.9, 4.10.7.10, 4.10.8.1, 4.10.8.2, 4.10.8.3, 4.10.8.4, 4.10.8.5, 4.10.8.6, 4.10.8.7, 4.10.8.8, 4.10.8.9, 4.10.8.10, 4.10.9.1, 4.10.9.2, 4.10.9.3, 4.10.9.4, 4.10.9.5, 4.10.9.6, 4.10.9.7, 4.10.9.8, 4.10.9.9, 4.10.9.10, 4.10.10.1, 4.10.10.2, 4.10.10.3, 4.10.10.4, 4.10.10.5, 4.10.10.6, 4.10.10.7, 4.10.10.8, 4.10.10.9, 4.10.10.10, 5.1.1.1, 5.1.1.2, 5.1.1.3, 5.1.1.4, 5.1.1.5, 5.1.1.6, 5.1.1.7, 5.1.1.8, 5.1.1.9, 5.1.1.10, 5.1.2.1, 5.1.2.2, 5.1.2.3, 5.1.2.4, 5.1.2.5, 5.1.2.6, 5.1.2.7, 5.1.2.8, 5.1.2.9, 5.1.2.10, 5.1.3.1, 5.1.3.2, 5.1.3.3, 5.1.3.4, 5.1.3.5, 5.1.3.6, 5.1.3.7, 5.1.3.8, 5.1.3.9, 5.1.3.10, 5.1.4.1, 5.1.4.2, 5.1.4.3, 5.1.4.4, 5.1.4.5, 5.1.4.6, 5.1.4.7, 5.1.4.8, 5.1.4.9, 5.1.4.10, 5.1.5.1, 5.1.5.2, 5.1.5.3, 5.1.5.4, 5.1.5.5, 5.1.5.6, 5.1.5.7, 5.1.5.8, 5.1.5.9, 5.1.5.10, 5.1.6.1, 5.1.6.2, 5.1.6.3, 5.1.6.4, 5.1.6.5, 5.1.6.6, 5.1.6.7, 5.1.6.8, 5.1.6.9, 5.1.6.10, 5.1.7.1, 5.1.7.2, 5.1.7.3, 5.1.7.4, 5.1.7.5, 5.1.7.6, 5.1.7.7, 5.1.7.8, 5.1.7.9, 5.1.7.10, 5.1.8.1, 5.1.8.2, 5.1.8.3, 5.1.8.4, 5.1.8.5, 5.1.8.6, 5.1.8.7, 5.1.8.8, 5.1.8.9, 5.1.8.10, 5.1.9.1, 5.1.9.2, 5.1.9.3, 5.1.9.4, 5.1.9.5, 5.1.9.6, 5.1.9.7, 5.1.9.8, 5.1.9.9, 5.1.9.10, 5.1.10.1, 5.1.10.2, 5.1.10.3, 5.1.10.4, 5.1.10.5, 5.1.10.6, 5.1.10.7, 5.1.10.8, 5.1.10.9, 5.1.10.10, 5.2.1.1, 5.2.1.2, 5.2.1.3, 5.2.1.4, 5.2.1.5, 5.2.1.6, 5.2.1.7, 5.2.1.8, 5.2.1.9, 5.2.1.10, 5.2.2.1, 5.2.2.2, 5.2.2.3, 5.2.2.4, 5.2.2.5, 5.2.2.6, 5.2.2.7, 5.2.2.8, 5.2.2.9, 5.2.2.10, 5.2.3.1, 5.2.3.2, 5.2.3.3, 5.2.3.4, 5.2.3.5, 5.2.3.6, 5.2.3.7, 5.2.3.8, 5.2.3.9, 5.2.3.10, 5.2.4.1, 5.2.4.2, 5.2.4.3, 5.2.4.4, 5.2.4.5, 5.2.4.6, 5.2.4.7, 5.2.4.8, 5.2.4.9, 5.2.4.10, 5.2.5.1, 5.2.5.2, 5.2.5.3, 5.2.5.4, 5.2.5.5, 5.2.5.6, 5.2.5.7, 5.2.5.8, 5.2.5.9, 5.2.5.10, 5.2.6.1, 5.2.6.2, 5.2.6.3, 5.2.6.4, 5.2.6.5, 5.2.6.6, 5.2.6.7, 5.2.6.8, 5.2.6.9, 5.2.6.10, 5.2.7.1, 5.2.7.2, 5.2.7.3, 5.2.7.4, 5.2.7.5, 5.2.7.6, 5.2.7.7, 5.2.7.8, 5.2.7.9, 5.2.7.10, 5.2.8.1, 5.2.8.2, 5.2.8.3, 5.2.8.4, 5.2.8.5, 5.2.8.6, 5.2.8.7, 5.2.8.8, 5.2.8.9, 5.2.8.10, 5.2.9.1, 5.2.9.2, 5.2.9.3, 5.2.9.4, 5.2.9.5, 5.2.9.6, 5.2.9.7, 5.2.9.8, 5.2.9.9, 5.2.9.10, 5.2.10.1, 5.2.10.2, 5.2.10.3, 5.2.10.4, 5.2.10.5, 5.2.10.6, 5.2.10.7, 5.2.10.8, 5.2.10.9, 5.2.10.10, 5.3.1.1, 5.3.1.2, 5.3.1.3, 5.3.1.4, 5.3.1.5, 5.3.1.6, 5.3.1.7, 5.3.1.8, 5.3.1.9, 5.3.1.10, 5.3.2.1, 5.3.2.2, 5.3.2.3, 5.3.2.4, 5.3.2.5, 5.3.2.6, 5.3.2.7, 5.3.2.8, 5.3.2.9, 5.3.2.10, 5.3.3.1, 5.3.3.2, 5.3.3.3, 5.3.3.4, 5.3.3.5, 5.3.3.6, 5.3.3.7, 5.3.3.8, 5.3.3.9, 5.3.3.10, 5.3.4.1, 5.3.4.2, 5.3.4.3, 5.3.4.4, 5.3.4.5, 5.3.4.6, 5.3.4.7, 5.3.4.8, 5.3.4.9, 5.3.4.10, 5.3.5.1, 5.3.5.2, 5.3.5.3, 5.3.5.4, 5.3.5.5, 5.3.5.6, 5.3.5.7, 5.3.5.8, 5.3.5.9, 5.3.5.10, 5.3.6.1, 5.3.6.2, 5.3.6.3, 5.3.6.4, 5.3.6.5, 5.3.6.6, 5.3.6.7, 5.3.6.8, 5.3.6.9, 5.3.6.10, 5.3.7.1, 5.3.7.2, 5.3.7.3, 5.3.7.4, 5.3.7.5, 5.3.7.6, 5.3.7.7, 5.3.7.8, 5.3.7.9, 5.3.7.10, 5.3.8.1, 5.3.8.2, 5.3.8.3, 5.3.8.4, 5.3.8.5, 5.3.8.6, 5.3.8.7, 5.3.8.8, 5.3.8.9, 5.3.8.10, 5.3.9.1, 5.3.9.2, 5.3.9.3, 5.3.9.4, 5.3.9.5, 5.3.9.6, 5.3.9.7, 5.3.9.8, 5.3.9.9, 5.3.9.10, 5.3.10.1, 5.3.10.2, 5.3.10.3, 5.3.10.4, 5.3.10.5, 5.3.10.6, 5.3.10.7, 5.3.10.8, 5.3.10.9, 5.3.10.10, 5.4.1.1, 5.4.1.2, 5.4.1.3, 5.4.1.4, 5.4.1.5, 5.4.1.6, 5.4.1.7, 5.4.1.8, 5.4.1.9, 5.4.1.10, 5.4.2.1, 5.4.2.2, 5.4.2.3, 5.4.2.4, 5.4.2.5, 5.4.2.6, 5.4.2.7, 5.4.2.8, 5.4.2.9, 5.4.2.10, 5.4.3.1, 5.4.3.2, 5.4.3.3, 5.4.3.4, 5.4.3.5, 5.4.3.6, 5.4.3.7, 5.4.3.8, 5.4.3.9, 5.4.3.10, 5.4.4.1, 5.4.4.2, 5.4.4.3, 5.4.4.4, 5.4.4.5, 5.4.4.6, 5.4.4.7, 5.4.4.8, 5.4.4.9, 5.4.4.10, 5.4.5.1, 5.4.5.2, 5.4.5.3, 5.4.5.4, 5.4.5.5, 5.4.5.6, 5.4.5.7, 5.4.5.8, 5.4.5.9, 5.4.5.10, 5.4.6.1, 5.4.6.2, 5.4.6.3, 5.4.6.4, 5.4.6.5, 5.4.6.6, 5.4.6.7, 5.4.6.8, 5.4.6.9, 5.4.6.10, 5.4.7.1, 5.4.7.2, 5.4.7.3, 5.4.7.4, 5.4.7.5, 5.4.7.6, 5.4.7.7, 5.4.7.8, 5.4.7.9, 5.4.7.10, 5.4.8.1, 5.4.8.2, 5.4.8.3, 5.4.8.4, 5.4.8.5, 5.4.8.6, 5.4.8.7, 5.4.8.8, 5.4.8.9, 5.4.8.10, 5.4.9.1, 5.4.9.2, 5.4.9.3, 5.4.9.4, 5.4.9.5, 5.4.9.6, 5.4.9.7, 5.4.9.8, 5.4.9.9, 5.4.9.10, 5.4.10.1, 5.4.10.2, 5.4.10.3, 5.4.10.4, 5.4.10.5, 5.4.10.6, 5.4.10.7, 5.4.10.8, 5.4.10.9, 5.4.10.10, 5.5.1.1, 5.5.1.2, 5.5.1.3, 5.5.1.4, 5.5.1.5, 5.5.1.6, 5.5.1.7, 5.5.1.8, 5.5.1.9, 5.5.1.10, 5.5.2.1, 5.5.2.2, 5.5.2.3, 5.5.2.4, 5.5.2.5, 5.5.2.6, 5.5.2.7, 5.5.2.8, 5.5.2.9, 5.5.2.10, 5.5.3.1, 5.5.3.2, 5.5.3.3, 5.5.3.4, 5.5.3.5, 5.5.3.6, 5.5.3.7, 5.5.3.8, 5.5.3.9, 5.5.3.10, 5.5.4.1, 5.5.4.2, 5.5.4.3, 5.5.4.4, 5.5.4.5, 5.5.4.6, 5.5.4.7, 5.5.4.8, 5.5.4.9, 5.5.4.10, 5.5.5.1, 5.5.5.2, 5.5.5.3, 5.5.5.4, 5.5.5.5, 5.5.5.6, 5.5.5.7, 5.5.5.8, 5.5.5.9, 5.5.5.10, 5.5.6.1, 5.5.6.2, 5.5.6.3, 5.5.6.4, 5.5.6.5, 5.5.6.6, 5.5.6.7, 5.5.6.8, 5.5.6.9, 5.5.6.10, 5.5.7.1, 5.5.7.2, 5.5.7.3, 5.5.7.4, 5.5.7.5, 5.5.7.6, 5.5.7.7, 5.5.7.8, 5.5.7.9, 5.5.7.10, 5.5.8.1, 5.5.8.2, 5.5.8.3, 5.5.8.4, 5.5.8.5, 5.5.8.6, 5.5.8.7, 5.5.8.8, 5.5.8.9, 5.5.8.10, 5.5.9.1, 5.5.9.2, 5.5.9.3, 5.5.9.4, 5.5.9.5, 5.5.9.6, 5.5.9.7, 5.5.9.8, 5.5.9.9, 5.5.9.10, 5.5.10.1, 5.5.10.2, 5.5.10.3, 5.5.10.4, 5.5.10.5, 5.5.10.6, 5.5.10.7, 5.5.10.8, 5.5.10.9, 5.5.10.10, 5.6.1.1, 5.6.1.2, 5.6.1.3, 5.6.1.4, 5.6.1.5, 5.6.1.6, 5.6.1.7, 5.6.1.8, 5.6.1.9, 5.6.1.10, 5.6.2.1, 5.6.2.2, 5.6.2.3, 5.6.2.4, 5.6.2.5, 5.6.2.6, 5.6.2.7, 5.6.2.8, 5.6.2.9, 5.6.2.10, 5.6.3.1, 5.6.3.2, 5.6.3.3, 5.6.3.4, 5.6.3.5, 5.6.3.6, 5.6.3.7, 5.6.3.8, 5.6.3.9, 5.6.3.10, 5.6.4.1, 5.6.4.2, 5.6.4.3, 5.6.4.4, 5.6.4.5, 5.6.4.6, 5.6.4.7, 5.6.4.8, 5.6.4.9, 5.6.4.10, 5.6.5.1, 5.6.5.2, 5.6.5.3, 5.6.5.4, 5.6.5.5, 5.6.5.6, 5.6.5.7, 5.6.5.8, 5.6.5.9, 5.6.5.10, 5.6.6.1, 5.6.6.2, 5.6.6.3, 5.6.6.4, 5.6.6.5, 5.6.6.6, 5.6.6.7, 5.6.6.8, 5.6.6.9, 5.6.6.10, 5.6.7.1, 5.6.7.2, 5.6.7.3, 5.6.7.4, 5.6.7.5, 5.6.7.6, 5.6.7.7, 5.6.7.8, 5.6.7.9, 5.6.7.10, 5.6.8.1, 5.6.8.2, 5.6.8.3, 5.6.8.4, 5.6.8.5, 5.6.8.6, 5.6.8.7, 5.6.8.8, 5.6.8.9, 5.6.8.10, 5.6.9.1, 5.6.9.2, 5.6.9.3, 5.6.9.4, 5.6.9.5, 5.6.9.6, 5.6.9.7, 5.6.9.8, 5.6.9.9, 5.6.9.10, 5.6.10.1, 5.6.10.2, 5.6.10.3, 5.6.10.4, 5.6.10.5, 5.6.10.6, 5.6.10.7, 5.6.10.8, 5.6.10.9, 5.6.10.10, 5.7.1.1, 5.7.1.2, 5.7.1.3, 5.7.1.4, 5.7.1.5, 5.7.1.6, 5.7.1.7, 5.7.1.8, 5.7.1.9, 5.7.1.10, 5.7.2.1, 5.7.2.2, 5.7.2.3, 5.7.2.4, 5.7.2.5, 5.7.2.6, 5.7.2.7, 5.7.2.8, 5.7.2.9, 5.7.2.10, 5.7.3.1, 5.7.3.2, 5.7.3.3, 5.7.3.4, 5.7.3.5, 5.7.3.6, 5.7.3.7, 5.7.3.8, 5.7.3.9, 5.7.3.10, 5.7.4.1, 5.7.4.2, 5.7.4.3, 5.7.4.4, 5.7.4.5, 5.7.4.6, 5.7.4.7, 5.7.4.8, 5.7.4.9, 5.7.4.10, 5.7.5.1, 5.7.5.2, 5.7.5.3, 5.7.5.4, 5.7.5.5, 5.7.5.6, 5.7.5.7, 5.7.5.8, 5.7.5.9, 5.7.5.10, 5.7.6.1, 5.7.6.2, 5.7.6.3, 5.7.6.4, 5.7.6.5, 5.7.6.6, 5.7.6.7, 5.7.6.8, 5.7.6.9, 5.7.6.10, 5.7.7.1, 5.7.7.2, 5.7.7.3, 5.7.7.4, 5.7.7.5, 5.7.7.6, 5.7.7.7, 5.7.7.8, 5.7.7.9, 5.7.7.10, 5.7.8.1, 5.7.8.2, 5.7.8.3, 5.7.8.4, 5.7.8.5, 5.7.8.6, 5.7.8.7, 5.7.8.8, 5.7.8.9, 5.7.8.10, 5.7.9.1, 5.7.9.2, 5.7.9.3, 5.7.9.4, 5.7.9.5, 5.7.9.6, 5.7.9.7, 5.7.9.8, 5.7.9.9, 5.7.9.10, 5.7.10.1, 5.7.10.2, 5.7.10.3, 5.7.10.4, 5.7.10.5, 5.7.10.6, 5.7.10.7, 5.7.10.8, 5.7.10.9, 5.7.10.10, 5.8.1.1, 5.8.1.2, 5.8.1.3, 5.8.1.4, 5.8.1.5, 5.8.1.6, 5.8.1.7, 5.8.1.8, 5.8.1.9, 5.8.1.10, 5.8.2.1, 5.8.2.2, 5.8.2.3, 5.8.2.4, 5.8.2.5, 5.8.2.6, 5.8.2.7, 5.8.2.8, 5.8.2.9, 5.8.2.10, 5.8.3.1, 5.8.3.2, 5.8.3.3, 5.8.3.4, 5.8.3.5, 5.8.3.6, 5.8.3.7, 5.8.3.8, 5.8.3.9, 5.8.3.10, 5.8.4.1, 5.8.4.2, 5.8.4.3, 5.8.4.4, 5.8.4.5, 5.8.4.6, 5.8.4.7, 5.8.4.8, 5.8.4.9, 5.8.4.10, 5.8.5.1, 5.8.5.2, 5.8.5.3, 5.8.5.4, 5.8.5.5, 5.8.5.6, 5.8.5.7, 5.8.5.8, 5.8.5.9, 5.8.5.10, 5.8.6.1, 5.8.6.2, 5.8.6.3, 5.8.6.4, 5.8.6.5, 5.8.6.6, 5.8.6.7, 5.8.6.8, 5.8.6.9, 5.8.6.10, 5.8.7.1, 5.8.7.2, 5.8.7.3, 5.8.7.4, 5.8.7.5, 5.8.7.6, 5.8.7.7, 5.8.7.8, 5.8.7.9, 5.8.7.10, 5.8.8.1, 5.8.8.2, 5.8.8.3, 5.8.8.4, 5.8.8.5, 5.8.8.6, 5.8.8.7, 5.8.8.8, 5.8.8.9, 5.8.8.10, 5.8.9.1, 5.8.9.2, 5.8.9.3, 5.8.9.4, 5.8.9.5, 5.8.9.6, 5.8.9.7, 5.8.9.8, 5.8.9.9, 5.8.9.10, 5.8.10.1, 5.8.10.2, 5.8.10.3, 5.8.10.4, 5.8.10.5, 5.8.10.6, 5.8.10.7, 5.8.10.8, 5.8.10.9, 5.8.10.10, 5.9.1.1, 5.9.1.2, 5.9.1.3, 5.9.1.4, 5.9.1.5, 5.9.1.6, 5.9.1.7, 5.9.1.8, 5.9.1.9, 5.9.1.10, 5.9.2.1, 5.9.2.2, 5.9.2.3, 5.9.2.4, 5.9.2.5, 5.9.2.6, 5.9.2.7, 5.9.2.8, 5.9.2.9, 5.9.2.10, 5.9.3.1, 5.9.3.2, 5.9.3.3, 5.9.3.4, 5.9.3.5, 5.9.3.6, 5.9.3.7, 5.9.3.8, 5.9.3.9, 5.9.3.10, 5.9.4.1, 5.9.4.2, 5.9.4.3, 5.9.4.4, 5.9.4.5, 5.9.4.6, 5.9.4.7, 5.9.4.8, 5.9.4.9, 5.9.4.10, 5.9.5.1, 5.9.5.2, 5.9.5.3, 5.9.5.4, 5.9.5.5, 5.9.5.6, 5.9.5.7, 5.9.5.8, 5.9.5.9, 5.9.5.10, 5.9.6.1, 5.9.6.2, 5.9.6.3, 5.9.6.4, 5.9.6.5, 5.9.6.6, 5.9.6.7, 5.9.6.8, 5.9.6.9, 5.9.6.10, 5.9.7.1, 5.9.7.2, 5.9.7.3, 5.9.7.4, 5.9.7.5, 5.9.7.6, 5.9.7.7, 5.9.7.8, 5.9.7.9, 5.9.7.10, 5.9.8.1, 5.9.8.2, 5.9.8.3, 5.9.8.4, 5.9.8.5, 5.9.8.6, 5.9.8.7, 5.9.8.8, 5.9.8.9, 5.9.8.10, 5.9.9.1, 5.9.9.2, 5.9.9.3, 5.9.9.4, 5.9.9.5, 5.9.9.6, 5.9.9.7, 5.9.9.8, 5.9.9.9, 5.9.9.10, 5.9.10.1, 5.9.10.2, 5.9.10.3, 5.9.10.4, 5.9.10.5, 5.9.10.6, 5.9.10.7, 5.9.10.8, 5.9.10.9, 5.9.10.10, 5.10.1.1, 5.10.1.2, 5.10.1.3, 5.10.1.4, 5.10.1.5, 5.10.1.6, 5.10.1.7, 5.10.1.8, 5.10.1.9, 5.10.1.10, 5.10.2.1, 5.10.2.2, 5.10.2.3, 5.10.2.4, 5.10.2.5, 5.10.2.6, 5.10.2.7, 5.10.2.8, 5.10.2.9, 5.10.2.10, 5.10.3.1, 5.10.3.2, 5.10.3.3, 5.10.3.4, 5.10.3.5, 5.10.3.6, 5.10.3.7, 5.10.3.8, 5.10.3.9, 5.10.3.10, 5.10.4.1, 5.10.4.2, 5.10.4.3, 5.10.4.4, 5.10.4.5, 5.10.4.6, 5.10.4.7, 5.10.4.8, 5.10.4.9, 5.10.4.10, 5.10.5.1, 5.10.5.2, 5.10.5.3, 5.10.5.4, 5.10.5.5, 5.10.5.6, 5.10.5.7, 5.10.5.8, 5.10.5.9, 5.10.5.10, 5.10.6.1, 5.10.6.2, 5.10.6.3, 5.10.6.4, 5.10.6.5, 5.10.6.6, 5.10.6.7, 5.10.6.8, 5.10.6.9, 5.10.6.10, 5.10.7.1, 5.10.7.2, 5.10.7.3, 5.10.7.4, 5.10.7.5, 5.10.7.6, 5.10.7.7, 5.10.7.8, 5.10.7.9, 5.10.7.10, 5.10.8.1, 5.10.8.2, 5.10.8.3, 5.10.8.4, 5.10.8.5, 5.10.8.6, 5.10.8.7, 5.10.8.8, 5.10.8.9, 5.10.8.10, 5.10.9.1, 5.10.9.2, 5.10.9.3, 5.10.9.4, 5.10.9.5, 5.10.9.6, 5.10.9.7, 5.10.9.8, 5.10.9.9, 5.10.9.10, 5.10.10.1, 5.10.10.2, 5.10.10.3, 5.10.10.4, 5.10.10.5, 5.10.10.6, 5.10.10.7, 5.10.10.8, 5.10.10.9, 5.10.10.10, 6.1.1.1, 6.1.1.2, 6.1.1.3, 6.1.1.4, 6.1.1.5, 6.1.1.6, 6.1.1.7, 6.1.1.8, 6.1.1.9, 6.1.1.10, 6.1.2.1, 6.1.2.2, 6.1.2.3, 6.1.2.4, 6.1.2.5, 6.1.2.6, 6.1.2.7, 6.1.2.8, 6.1.2.9, 6.1.2.10, 6.1.3.1, 6.1.3.2, 6.1.3.3, 6.1.3.4, 6.1.3.5, 6.1.3.6, 6.1.3.7, 6.1.3.8, 6.1.3.9, 6.1.3.10, 6.1.4.1, 6.1.4.2, 6.1.4.3, 6.1.4.4, 6.1.4.5, 6.1.4.6, 6.1.4.7, 6.1.4.8, 6.1.4.9, 6.1.4.10, 6.1.5.1, 6.1.5.2, 6.1.5.3, 6.1.5.4, 6.1.5.5, 6.1.5.6, 6.1.5.7, 6.1.5.8, 6.1.5.9, 6.1.5.10, 6.1.6.1, 6.1.6.2, 6.1.6.3, 6.1.6.4, 6.1.6.5, 6.1.6.6, 6.1.6.7, 6.1.6.8, 6.1.6.9, 6.1.6.10, 6.1.7.1, 6.1.7.2, 6.1.7.3, 6.1.7.4, 6.1.7.5, 6.1.7.6, 6.1.7.7, 6.1.7.8, 6.1.7.9, 6.1.7.10, 6.1.8.1, 6.1.8.2, 6.1.8.3, 6.1.8.4, 6.1.8.5, 6.1.8.6, 6.1.8.7, 6.1.8.8, 6.1.8.9, 6.1.8.10, 6.1.9.1, 6.1.9.2, 6.1.9.3, 6.1.9.4, 6.1.9.5, 6.1.9.6, 6.1.9.7, 6.1.9.8, 6.1.9.9, 6.1.9.10, 6.1.10.1, 6.1.10.2, 6.1.10.3, 6.1.10.4, 6.1.10.5, 6.1.10.6, 6.1.10.7, 6.1.10.8, 6.1.10.9, 6.1.10.10, 6.2.1.1, 6.2.1.2, 6.2.1.3, 6.2.1.4, 6.2.1.5, 6.2.1.6, 6.2.1.7, 6.2.1.8, 6.2.1.9, 6.2.1.10, 6.2.2.1, 6.2.2.2, 6.2.2.3, 6.2.2.4, 6.2.2.5, 6.2.2.6, 6.2.2.7, 6.2.2.8, 6.2.2.9, 6.2.2.10, 6.2.3.1, 6.2.3.2, 6.2.3.3, 6.2.3.4, 6.2.3.5, 6.2.3.6, 6.2.3.7, 6.2.3.8, 6.2.3.9, 6.2.3.10, 6.2.4.1, 6.2.4.2, 6.2.4.3, 6.2.4.4, 6.2.4.5, 6.2.4.6, 6.2.4.7, 6.2.4.8, 6.2.4.9, 6.2.4.10, 6.2.5.1, 6.2.5.2, 6.2.5.3, 6.2.5.4, 6.2.5.5, 6.2.5.6, 6.2.5.7, 6.2.5.8, 6.2.5.9, 6.2.5.10, 6.2.6.1, 6.2.6.2, 6.2.6.3, 6.2.6.4, 6.2.6.5, 6.2.6.6, 6.2.6.7, 6.2.6.8, 6.2.6.9, 6.2.6.10, 6.2.7.1, 6.2.7.2, 6.2.7.3, 6.2.7.4, 6.2.7.5, 6.2.7.6, 6.2.7.7, 6.2.7.8, 6.2.7.9, 6.2.7.10, 6.2.8.1, 6.2.8.2, 6.2.8.3, 6.2.8.4, 6.2.8.5, 6.2.8.6, 6.2.8.7, 6.2.8.8, 6.2.8.9, 6.2.8.10, 6.2.9.1, 6.2.9.2, 6.2.9.3, 6.2.9.4, 6.2.9.5, 6.2.9.6, 6.2.9.7, 6.2.9.8, 6.2.9.9, 6.2.9.10, 6.2.10.1, 6.2.10.2, 6.2.10.3, 6.2.10.4, 6.2.10.5, 6.2.10.6, 6.2.10.7, 6.2.10.8, 6.2.10.9, 6.2.10.10, 6.3.1.1, 6.3.1.2, 6.3.1.3, 6.3.1.4, 6.3.1.5, 6.3.1.6, 6.3.1.7, 6.3.1.8, 6.3.1.9, 6.3.1.10, 6.3.2.1, 6.3.2.2, 6.3.2.3, 6.3.2.4, 6.3.2.5, 6.3.2.6, 6.3.2.7, 6.3.2.8, 6.3.2.9, 6.3.2.10, 6.3.3.1, 6.3.3.2, 6.3.3.3, 6.3.3.4, 6.3.3.5, 6.3.3.6, 6.3.3.7, 6.3.3.8, 6.3.3.9, 6.3.3.10, 6.3.4.1, 6.3.4.2, 6.3.4.3, 6.3.4.4, 6.3.4.5, 6.3.4.6, 6.3.4.7, 6.3.4.8, 6.3.4.9, 6.3.4.10, 6.3.5.1, 6.3.5.2, 6.3.5.3, 6.3.5.4, 6.3.5.5, 6.3.5.6, 6.3.5.7, 6.3.5.8, 6.3.5.9, 6.3.5.10, 6.3.6.1, 6.3.6.2, 6.3.6.3, 6.3.6.4, 6.3.6.5, 6.3.6.6, 6.3.6.7, 6.3.6.8, 6.3.6.9, 6.3.6.10, 6.3.7.1, 6.3.7.2, 6.3.7.3, 6.3.7.4, 6.3.7.5, 6.3.7.6, 6.3.7.7, 6.3.7.8, 6.3.7.9, 6.3.7.10, 6.3.8.1, 6.3.8.2, 6.3.8.3, 6.3.8.4, 6.3.8.5, 6.3.8.6, 6.3.8.7, 6.3.8.8, 6.3.8.9, 6.3.8.10, 6.3.9.1, 6.3.9.2, 6.3.9.3, 6.3.9.4, 6.3.9.5, 6.3.9.6, 6.3.9.7, 6.3.9.8, 6.3.9.9, 6.3.9.10, 6.3.10.1, 6.3.10.2, 6.3.10.3, 6.3.10.4, 6.3.10.5, 6.3.10.6, 6.3.10.7, 6.3.10.8, 6.3.10.9, 6.3.10.10, 6.4.1.1, 6.4.1.2, 6.4.1.3, 6.4.1.4, 6.4.1.5, 6.4.1.6, 6.4.1.7, 6.4.1.8, 6.4.1.9, 6.4.1.10, 6.4.2.1, 6.4.2.2, 6.4.2.3, 6.4.2.4, 6.4.2.5, 6.4.2.6, 6.4.2.7, 6.4.2.8, 6.4.2.9, 6.4.2.10, 6.4.3.1, 6.4.3.2, 6.4.3.3, 6.4.3.4, 6.4.3.5, 6.4.3.6, 6.4.3.7, 6.4.3.8, 6.4.3.9, 6.4.3.10, 6.4.4.1, 6.4.4.2, 6.4.4.3, 6.4.4.4, 6.4.4.5, 6.4.4.6, 6.4.4.7, 6.4.4.8, 6.4.4.9, 6.4.4.10, 6.4.5.1, 6.4.5.2, 6.4.5.3, 6.4.5.4, 6.4.5.5, 6.4.5.6, 6.4.5.7, 6.4.5.8, 6.4.5.9, 6.4.5.10, 6.4.6.1, 6.4.6.2, 6.4.6.3, 6.4.6.4, 6.4.6.5, 6.4.6.6, 6.4.6.7, 6.4.6.8, 6.4.6.9, 6.4.6.10, 6.4.7.1, 6.4.7.2, 6.4.7.3, 6.4.7.4, 6.4.7.5, 6.4.7.6, 6.4.7.7, 6.4.7.8, 6.4.7.9, 6.4.7.10, 6.4.8.1, 6.4.8.2, 6.4.8.3, 6.4.8.4, 6.4.8.5, 6.4.8.6, 6.4.8.7, 6.4.8.8, 6.4.8.9, 6.4.8.10, 6.4.9.1, 6.4.9.2, 6.4.9.3, 6.4.9.4, 6.4.9.5, 6.4.9.6, 6.4.9.7, 6.4.9.8, 6.4.9.9, 6.4.9.10, 6.4.10.1, 6.4.10.2, 6.4.10.3, 6.4.10.4, 6.4.10.5, 6.4.10.6, 6.4.10.7, 6.4.10.8, 6.4.10.9, 6.4.10.10, 6.5.1.1, 6.5.1.2, 6.5.1.3, 6.5.1.4, 6.5.1.5, 6.5.1.6, 6.5.1.7, 6.5.1.8, 6.5.1.9, 6.5.1.10, 6.5.2.1, 6.5.2.2, 6.5.2.3, 6.5.2.4, 6.5.2.5, 6.5.2.6, 6.5.2.7, 6.5.2.8, 6.5.2.9, 6.5.2.10, 6.5.3.1, 6.5.3.2, 6.5.3.3, 6.5.3.4, 6.5.3.5, 6.5.3.6, 6.5.3.7, 6.5.3.8, 6.5.3.9, 6.5.3.10, 6.5.4.1, 6.5.4.2, 6.5.4.3, 6.5.4.4, 6.5.4.5, 6.5.4.6, 6.5.4.7, 6.5.4.8, 6.5.4.9, 6.5.4.10, 6.5.5.1, 6.5.5.2, 6.5.5.3, 6.5.5.4, 6.5.5.5, 6.5.5.6, 6.5.5.7, 6.5.5.8, 6.5.5.9, 6.5.5.10, 6.5.6.1, 6.5.6.2, 6.5.6.3, 6.5.6.4, 6.5.6.5, 6.5.6.6, 6.5.6.7, 6.5.6.8, 6.5.6.9, 6.5.6.10, 6.5.7.1, 6.5.7.2, 6.5.7.3, 6.5.7.4, 6.5.7.5, 6.5.7.6, 6.5.7.7, 6.5.7.8, 6.5.7.9, 6.5.7.10, 6.5.8.1, 6.5.8.2, 6.5.8.3, 6.5.8.4, 6.5.8.5, 6.5.8.6, 6.5.8.7, 6.5.8.8, 6.5.8.9, 6.5.8.10, 6.5.9.1, 6.5.9.2, 6.5.9.3, 6.5.9.4, 6.5.9.5, 6.5.9.6, 6.5.9.7, 6.5.9.8, 6.5.9.9, 6.5.9.10, 6.5.10.1, 6.5.10.2, 6.5.10.3, 6.5.10.4, 6.5.10.5, 6.5.10.6, 6.5.10.7, 6.5.10.8, 6.5.10.9, 6.5.10.10, 6.6.1.1, 6.6.1.2, 6.6.1.3, 6.6.1.4, 6.6.1.5, 6.6.1.6, 6.6.1.7, 6.6.1.8, 6.6.1.9, 6.6.1.10, 6.6.2.1, 6.6.2.2, 6.6.2.3, 6.6.2.4, 6.6.2.5, 6.6.2.6, 6.6.2.7, 6.6.2.8, 6.6.2.9, 6.6.2.10, 6.6.3.1, 6.6.3.2, 6.6.3.3, 6.6.3.4, 6.6.3.5, 6.6.3.6, 6.6.3.7, 6.6.3.8, 6.6.3.9, 6.6.3.10, 6.6.4.1, 6.6.4.2, 6.6.4.3, 6.6.4.4, 6.6.4.5, 6.6.4.6, 6.6.4.7, 6.6.4.8, 6.6.4.9, 6.6.4.10, 6.6.5.1, 6.6.5.2, 6.6.5.3, 6.6.5.4, 6.6.5.5, 6.6.5.6, 6.6.5.7, 6.6.5.8, 6.6.5.9, 6.6.5.10, 6.6.6.1, 6.6.6.2, 6.6.6.3, 6.6.6.4, 6.6.6.5, 6.6.6.6, 6.6.6.7, 6.6.6.8, 6.6.6.9, 6.6.6.10, 6.6.7.1, 6.6.7.2, 6.6.7.3, 6.6.7.4, 6.6.7.5, 6.6.7.6, 6.6.7.7, 6.6.7.8, 6.6.7.9, 6.6.7.10, 6.6.8.1, 6.6.8.2, 6.6.8.3, 6.6.8.4, 6.6.8.5, 6.6.8.6, 6.6.8.7, 6.6.8.8, 6.6.8.9, 6.6.8.10, 6.6.9.1, 6.6.9.2, 6.6.9.3, 6.6.9.4, 6.6.9.5, 6.6.9.6, 6.6.9.7, 6.6.9.8, 6.6.9.9, 6.6.9.10, 6.6.10.1, 6.6.10.2, 6.6.10.3, 6.6.10.4, 6.6.10.5, 6.6.10.6, 6.6.10.7, 6.6.10.8, 6.6.10.9, 6.6.10.10, 6.7.1.1, 6.7.1.2, 6.7.1.3, 6.7.1.4, 6.7.1.5, 6.7.1.6, 6.7.1.7, 6.7.1.8, 6.7.1.9, 6.7.1.10, 6.7.2.1, 6.7.2.2, 6.7.2.3, 6.7.2.4, 6.7.2.5, 6.7.2.6, 6.7.2.7, 6.7.2.8, 6.7.2.9, 6.7.2.10, 6.7.3.1, 6.7.3.2, 6.7.3.3, 6.7.3.4, 6.7.3.5, 6.7.3.6, 6.7.3.7, 6.7.3.8, 6.7.3.9, 6.7.3.10, 6.7.4.1, 6.7.4.2, 6.7.4.3, 6.7.4.4, 6.7.4.5, 6.7.4.6, 6.7.4.7, 6.7.4.8, 6.7.4.9, 6.7.4.10, 6.7.5.1, 6.7.5.2, 6.7.5.3, 6.7.5.4, 6.7.5.5, 6.7.5.6, 6.7.5.7, 6.7.5.8, 6.7.5.9, 6.7.5.10, 6.7.6.1, 6.7.6.2, 6.7.6.3, 6.7.6.4, 6.7.6.5, 6.7.6.6, 6.7.6.7, 6.7.6.8, 6.7.6.9, 6.7.6.10, 6.7.7.1, 6.7.7.2, 6.7.7.3, 6.7.7.4, 6.7.7.5, 6.7.7.6, 6.7.7.7, 6.7.7.8, 6.7.7.9, 6.7.7.10, 6.7.8.1, 6.7.8.2, 6.7.8.3, 6.7.8.4, 6.7.8.5, 6.7.8.6, 6.7.8.7, 6.7.8.8, 6.7.8.9, 6.7.8.10, 6.7.9.1, 6.7.9.2, 6.7.9.3, 6.7.9.4, 6.7.9.5, 6.7.9.6, 6.7.9.7, 6.7.9.8, 6.7.9.9, 6.7.9.10, 6.7.10.1, 6.7.10.2, 6.7.10.3, 6.7.10.4, 6.7.10.5, 6.7.10.6, 6.7.10.7, 6.7.10.8, 6.7.10.9, 6.7.10.10, 6.8.1.1, 6.8.1.2, 6.8.1.3, 6.8.1.4, 6.8.1.5, 6.8.1.6, 6.8.1.7, 6.8.1.8, 6.8.1.9, 6.8.1.10, 6.8.2.1, 6.8.2.2, 6.8.2.3, 6.8.2.4, 6.8.2.5, 6.8.2.6, 6.8.2.7, 6.8.2.8, 6.8.2.9, 6.8.2.10, 6.8.3.1, 6.8.3.2, 6.8.3.3, 6.8.3.4, 6.8.3.5, 6.8.3.6, 6.8.3.7, 6.8.3.8, 6.8.3.9, 6.8.3.10, 6.8.4.1, 6.8.4.2, 6.8.4.3, 6.8.4.4, 6.8.4.5, 6.8.4.6, 6.8.4.7, 6.8.4.8, 6.8.4.9, 6.8.4.10, 6.8.5.1, 6.8.5.2, 6.8.5.3, 6.8.5.4, 6.8.5.5, 6.8.5.6, 6.8.5.7, 6.8.5.8, 6.8.5.9, 6.8.5.10, 6.8.6.1, 6.8.6.2, 6.8.6.3, 6.8.6.4, 6.8.6.5, 6.8.6.6, 6.8.6.7, 6.8.6.8, 6.8.6.9, 6.8.6.10, 6.8.7.1, 6.8.7.2, 6.8.7.3, 6.8.7.4, 6.8.7.5, 6.8.7.6, 6.8.7.7, 6.8.7.8, 6.8.7.9, 6.8.7.10, 6.8.8.1, 6.8.8.2, 6.8.8.3, 6.8.8.4, 6.8.8.5, 6.8.8.6, 6.8.8.7, 6.8.8.8, 6.8.8.9, 6.8.8.10, 6.8.9.1, 6.8.9.2, 6.8.9.3, 6.8.9.4, 6.8.9.5, 6.8.9.6, 6.8.9.7, 6.8.9.8, 6.8.9.9, 6.8.9.10, 6.8.10.1, 6.8.10.2, 6.8.10.3, 6.8.10.4, 6.8.10.5, 6.8.10.6, 6.8.10.7, 6.8.10.8, 6.8.10.9, 6.8.10.10, 6.9.1.1, 6.9.1.2, 6.9.1.3, 6.9.1.4, 6.9.1.5, 6.9.1.6, 6.9.1.7, 6.9.1.8, 6.9.1.9, 6.9.1.10, 6.9.2.1, 6.9.2.2, 6.9.2.3, 6.9.2.4, 6.9.2.5, 6.9.2.6, 6.9.2.7, 6.9.2.8, 6.9.2.9, 6.9.2.10, 6.9.3.1, 6.9.3.2, 6.9.3.3, 6.9.3.4, 6.9.3.5, 6.9.3.6, 6.9.3.7, 6.9.3.8, 6.9.3.9, 6.9.3.10, 6.9.4.1, 6.9.4.2, 6.9.4.3, 6.9.4.4, 6.9.4.5, 6.9.4.6, 6.9.4.7, 6.9.4.8, 6.9.4.9, 6.9.4.10, 6.9.5.1, 6.9.5.2, 6.9.5.3, 6.9.5.4, 6.9.5.5, 6.9.5.6, 6.9.5.7, 6.9.5.8, 6.9.5.9, 6.9.5.10, 6.9.6.1, 6.9.6.2, 6.9.6.3, 6.9.6.4, 6.9.6.5, 6.9.6.6, 6.9.6.7, 6.9.6.8, 6.9.6.9, 6.9.6.10, 6.9.7.1, 6.9.7.2, 6.9.7.3, 6.9.7.4, 6.9.7.5, 6.9.7.6, 6.9.7.7, 6.9.7.8, 6.9.7.9, 6.9.7.10, 6.9.8.1, 6.9.8.2, 6.9.8.3, 6.9.8.4, 6.9.8.5, 6.9.8.6, 6.9.8.7, 6.9.8.8, 6.9.8.9, 6.9.8.10, 6.9.9.1, 6.9.9.2, 6.9.9.3, 6.9.9.4, 6.9.9.5, 6.9.9.6, 6.9.9.7, 6.9.9.8, 6.9.9.9, 6.9.9.10, 6.9.10.1, 6.9.10.2, 6.9.10.3, 6.9.10.4, 6.9.10.5, 6.9.10.6, 6.9.10.7, 6.9.10.8, 6.9.10.9, 6.9.10.10, 6.10.1.1, 6.10.1.2, 6.10.1.3, 6.10.1.4, 6.10.1.5, 6.10.1.6, 6.10.1.7, 6.10.1.8, 6.10.1.9, 6.10.1.10, 6.10.2.1, 6.10.2.2, 6.10.2.3, 6.10.2.4, 6.10.2.5, 6.10.2.6, 6.10.2.7, 6.10.2.8, 6.10.2.9, 6.10.2.10, 6.10.3.1, 6.10.3.2, 6.10.3.3, 6.10.3.4, 6.10.3.5, 6.10.3.6, 6.10.3.7, 6.10.3.8, 6.10.3.9, 6.10.3.10, 6.10.4.1, 6.10.4.2, 6.10.4.3, 6.10.4.4, 6.10.4.5, 6.10.4.6, 6.10.4.7, 6.10.4.8, 6.10.4.9, 6.10.4.10, 6.10.5.1, 6.10.5.2, 6.10.5.3, 6.10.5.4, 6.10.5.5, 6.10.5.6, 6.10.5.7, 6.10.5.8, 6.10.5.9, 6.10.5.10, 6.10.6.1, 6.10.6.2, 6.10.6.3, 6.10.6.4, 6.10.6.5, 6.10.6.6, 6.10.6.7, 6.10.6.8, 6.10.6.9, 6.10.6.10, 6.10.7.1, 6.10.7.2, 6.10.7.3, 6.10.7.4, 6.10.7.5, 6.10.7.6, 6.10.7.7, 6.10.7.8, 6.10.7.9, 6.10.7.10, 6.10.8.1, 6.10.8.2, 6.10.8.3, 6.10.8.4, 6.10.8.5, 6.10.8.6, 6.10.8.7, 6.10.8.8, 6.10.8.9, 6.10.8.10, 6.10.9.1, 6.10.9.2, 6.10.9.3, 6.10.9.4, 6.10.9.5, 6.10.9.6, 6.10.9.7, 6.10.9.8, 6.10.9.9, 6.10.9.10, 6.10.10.1, 6.10.10.2, 6.10.10.3, 6.10.10.4, 6.10.10.5, 6.10.10.6, 6.10.10.7, 6.10.10.8, 6.10.10.9, 6.10.10.10, 7.1.1.1, 7.1.1.2, 7.1.1.3, 7.1.1.4, 7.1.1.5, 7.1.1.6, 7.1.1.7, 7.1.1.8, 7.1.1.9, 7.1.1.10, 7.1.2.1, 7.1.2.2, 7.1.2.3, 7.1.2.4, 7.1.2.5, 7.1.2.6, 7.1.2.7, 7.1.2.8, 7.1.2.9, 7.1.2.10, 7.1.3.1, 7.1.3.2, 7.1.3.3, 7.1.3.4, 7.1.3.5, 7.1.3.6, 7.1.3.7, 7.1.3.8, 7.1.3.9, 7.1.3.10, 7.1.4.1, 7.1.4.2, 7.1.4.3, 7.1.4.4, 7.1.4.5, 7.1.4.6, 7.1.4.7, 7.1.4.8, 7.1.4.9, 7.1.4.10, 7.1.5.1, 7.1.5.2, 7.1.5.3, 7.1.5.4, 7.1.5.5, 7.1.5.6, 7.1.5.7, 7.1.5.8, 7.1.5.9, 7.1.5.10, 7.1.6.1, 7.1.6.2, 7.1.6.3, 7.1.6.4, 7.1.6.5, 7.1.6.6, 7.1.6.7, 7.1.6.8, 7.1.6.9, 7.1.6.10, 7.1.7.1, 7.1.7.2, 7.1.7.3, 7.1.7.4, 7.1.7.5, 7.1.7.6, 7.1.7.7, 7.1.7.8, 7.1.7.9, 7.1.7.10, 7.1.8.1, 7.1.8.2, 7.1.8.3, 7.1.8.4, 7.1.8.5, 7.1.8.6, 7.1.8.7, 7.1.8.8, 7.1.8.9, 7.1.8.10, 7.1.9.1, 7.1.9.2, 7.1.9.3, 7.1.9.4, 7.1.9.5, 7.1.9.6, 7.1.9.7, 7.1.9.8, 7.1.9.9, 7.1.9.10, 7.1.10.1, 7.1.10.2, 7.1.10.3, 7.1.10.4, 7.1.10.5, 7.1.10.6, 7.1.10.7, 7.1.10.8, 7.1.10.9, 7.1.10.10, 7.2.1.1, 7.2.1.2, 7.2.1.3, 7.2.1.4, 7.2.1.5, 7.2.1.6, 7.2.1.7, 7.2.1.8, 7.2.1.9, 7.2.1.10, 7.2.2.1, 7.2.2.2, 7.2.2.3, 7.2.2.4, 7.2.2.5, 7.2.2.6, 7.2.2.7, 7.2.2.8, 7.2.2.9, 7.2.2.10, 7.2.3.1, 7.2.3.2, 7.2.3.3, 7.2.3.4, 7.2.3.5, 7.2.3.6, 7.2.3.7, 7.2.3.8, 7.2.3.9, 7.2.3.10, 7.2.4.1, 7.2.4.2, 7.2.4.3, 7.2.4.4, 7.2.4.5, 7.2.4.6, 7.2.4.7, 7.2.4.8, 7.2.4.9, 7.2.4.10, 7.2.5.1, 7.2.5.2, 7.2.5.3, 7.2.5.4, 7.2.5.5, 7.2.5.6, 7.2.5.7, 7.2.5.8, 7.2.5.9, 7.2.5.10, 7.2.6.1, 7.2.6.2, 7.2.6.3, 7.2.6.4, 7.2.6.5, 7.2.6.6, 7.2.6.7, 7.2.6.8, 7.2.6.9, 7.2.6.10, 7.2.7.1, 7.2.7.2, 7.2.7.3, 7.2.7.4, 7.2.7.5, 7.2.7.6, 7.2.7.7, 7.2.7.8, 7.2.7.9, 7.2.7.10, 7.2.8.1, 7.2.8.2, 7.2.8.3, 7.2.8.4, 7.2.8.5, 7.2.8.6, 7.2.8.7, 7.2.8.8, 7.2.8.9, 7.2.8.10, 7.2.9.1, 7.2.9.2, 7.2.9.3, 7.2.9.4, 7.2.9.5, 7.2.9.6, 7.2.9.7, 7.2.9.8, 7.2.9.9, 7.2.9.10, 7.2.10.1, 7.2.10.2, 7.2.10.3, 7.2.10.4, 7.2.10.5, 7.2.10.6, 7.2.10.7, 7.2.10.8, 7.2.10.9, 7.2.10.10, 7.3.1.1, 7.3.1.2, 7.3.1.3, 7.3.1.4, 7.3.1.5, 7.3.1.6, 7.3.1.7, 7.3.1.8, 7.3.1.9, 7.3.1.10, 7.3.2.1, 7.3.2.2, 7.3.2.3, 7.3.2.4, 7.3.2.5, 7.3.2.6, 7.3.2.7, 7.3.2.8, 7.3.2.9, 7.3.2.10, 7.3.3.1, 7.3.3.2, 7.3.3.3, 7.3.3.4, 7.3.3.5, 7.3.3.6, 7.3.3.7, 7.3.3.8, 7.3.3.9, 7.3.3.10, 7.3.4.1, 7.3.4.2, 7.3.4.3, 7.3.4.4, 7.3.4.5, 7.3.4.6, 7.3.4.7, 7.3.4.8, 7.3.4.9, 7.3.4.10, 7.3.5.1, 7.3.5.2, 7.3.5.3, 7.3.5.4, 7.3.5.5, 7.3.5.6, 7.3.5.7, 7.3.5.8, 7.3.5.9, 7.3.5.10, 7.3.6.1, 7.3.6.2, 7.3.6.3, 7.3.6.4, 7.3.6.5, 7.3.6.6, 7.3.6.7, 7.3.6.8, 7.3.6.9, 7.3.6.10, 7.3.7.1, 7.3.7.2, 7.3.7.3, 7.3.7.4, 7.3.7.5, 7.3.7.6, 7.3.7.7, 7.3.7.8, 7.3.7.9, 7.3.7.10, 7.3.8.1, 7.3.8.2, 7.3.8.3, 7.3.8.4, 7.3.8.5, 7.3.8.6, 7.3.8.7, 7.3.8.8, 7.3.8.9, 7.3.8.10, 7.3.9.1, 7.3.9.2, 7.3.9.3, 7.3.9.4, 7.3.9.5, 7.3.9.6, 7.3.9.7, 7.3.9.8, 7.3.9.9, 7.3.9.10, 7.3.10.1, 7.3.10.2, 7.3.10.3, 7.3.10.4, 7.3.10.5, 7.3.10.6, 7.3.10.7, 7.3.10.8, 7.3.10.9, 7.3.10.10, 7.4.1.1, 7.4.1.2, 7.4.1.3, 7.4.1.4, 7.4.1.5, 7.4.1.6, 7.4.1.7, 7.4.1.8, 7.4.1.9, 7.4.1.10, 7.4.2.1, 7.4.2.2, 7.4.2.3, 7.4.2.4, 7.4.2.5, 7.4.2.6, 7.4.2.7, 7.4.2.8, 7.4.2.9, 7.4.2.10, 7.4.3.1, 7.4.3.2, 7.4.3.3, 7.4.3.4, 7.4.3.5, 7.4.3.6, 7.4.3.7, 7.4.3.8, 7.4.3.9, 7.4.3.10, 7.4.4.1, 7.4.4.2, 7.4.4.3, 7.4.4.4, 7.4.4.5, 7.4.4.6, 7.4.4.7, 7.4.4.8, 7.4.4.9, 7.4.4.10, 7.4.5.1, 7.4.5.2, 7.4.5.3, 7.4.5.4, 7.4.5.5, 7.4.5.6, 7.4.5.7, 7.4.5.8, 7.4.5.9, 7.4.5.10, 7.4.6.1, 7.4.6.2, 7.4.6.3, 7.4.6.4, 7.4.6.5, 7.4.6.6, 7.4.6.7, 7.4.6.8, 7.4.6.9, 7.4.6.10, 7.4.7.1, 7.4.7.2, 7.4.7.3, 7.4.7.4, 7.4.7.5, 7.4.7.6, 7.4.7.7, 7.4.7.8, 7.4.7.9, 7.4.7.10, 7.4.8.1, 7.4.8.2, 7.4.8.3, 7.4.8.4, 7.4.8.5, 7.4.8.6, 7.4.8.7, 7.4.8.8, 7.4.8.9, 7.4.8.10, 7.4.9.1, 7.4.9.2, 7.4.9.3, 7.4.9.4, 7.4.9.5, 7.4.9.6, 7.4.9.7, 7.4.9.8, 7.4.9.9, 7.4.9.10, 7.4.10.1, 7.4.10.2, 7.4.10.3, 7.4.10.4, 7.4.10.5, 7.4.10.6, 7.4.10.7, 7.4.10.8, 7.4.10.9, 7.4.10.10, 7.5.1.1, 7.5.1.2, 7.5.1.3, 7.5.1.4, 7.5.1.5, 7.5.1.6, 7.5.1.7, 7.5.1.8, 7.5.1.9, 7.5.1.10, 7.5.2.1, 7.5.2.2, 7.5.2.3, 7.5.2.4, 7.5.2.5, 7.5.2.6, 7.5.2.7, 7.5.2.8, 7.5.2.9, 7.5.2.10, 7.5.3.1, 7.5.3.2, 7.5.3.3, 7.5.3.4, 7.5.3.5, 7.5.3.6, 7.5.3.7, 7.5.3.8, 7.5.3.9, 7.5.3.10, 7.5.4.1, 7.5.4.2, 7.5.4.3, 7.5.4.4, 7.5.4.5, 7.5.4.6, 7.5.4.7, 7.5.4.8, 7.5.4.9, 7.5.4.10, 7.5.5.1, 7.5.5.2, 7.5.5.3, 7.5.5.4, 7.5.5.5, 7.5.5.6, 7.5.5.7, 7.5.5.8, 7.5.5.9, 7.5.5.10, 7.5.6.1, 7.5.6.2, 7.5.6.3, 7.5.6.4, 7.5.6.5, 7.5.6.6, 7.5.6.7, 7.5.6.8, 7.5.6.9, 7.5.6.10, 7.5.7.1, 7.5.7.2, 7.5.7.3, 7.5.7.4, 7.5.7.5, 7.5.7.6, 7.5.7.7, 7.5.7.8, 7.5.7.9, 7.5.7.10, 7.5.8.1, 7.5.8.2, 7.5.8.3, 7.5.8.4, 7.5.8.5, 7.5.8.6, 7.5.8.7, 7.5.8.8, 7.5.8.9, 7.5.8.10, 7.5.9.1, 7.5.9.2, 7.5.9.3, 7.5.9.4, 7.5.9.5, 7.5.9.6, 7.5.9.7, 7.5.9.8, 7.5.9.9, 7.5.9.10, 7.5.10.1, 7.5.10.2, 7.5.10.3, 7.5.10.4, 7.5.10.5, 7.5.10.6, 7.5.10.7, 7.5.10.8, 7.5.10.9, 7.5.10.10, 7.6.1.1, 7.6.1.2, 7.6.1.3, 7.6.1.4, 7.6.1.5, 7.6.1.6, 7.6.1.7, 7.6.1.8, 7.6.1.9, 7.6.1.10, 7.6.2.1, 7.6.2.2, 7.6.2.3, 7.6.2.4, 7.6.2.5, 7.6.2.6, 7.6.2.7, 7.6.2.8, 7.6.2.9, 7.6.2.10, 7.6.3.1, 7.6.3.2, 7.6.3.3, 7.6.3.4, 7.6.3.5, 7.6.3.6, 7.6.3.7, 7.6.3.8, 7.6.3.9, 7.6.3.10, 7.6.4.1, 7.6.4.2, 7.6.4.3, 7.6.4.4, 7.6.4.5, 7.6.4.6, 7.6.4.7, 7.6.4.8, 7.6.4.9, 7.6.4.10, 7.6.5.1, 7.6.5.2, 7.6.5.3, 7.6.5.4, 7.6.5.5, 7.6.5.6, 7.6.5.7, 7.6.5.8, 7.6.5.9, 7.6.5.10, 7.6.6.1, 7.6.6.2, 7.6.6.3, 7.6.6.4, 7.6.6.5, 7.6.6.6, 7.6.6.7, 7.6.6.8, 7.6.6.9, 7.6.6.10, 7.6.7.1, 7.6.7.2, 7.6.7.3, 7.6.7.4, 7.6.7.5, 7.6.7.6, 7.6.7.7, 7.6.7.8, 7.6.7.9, 7.6.7.10, 7.6.8.1, 7.6.8.2, 7.6.8.3, 7.6.8.4, 7.6.8.5, 7.6.8.6, 7.6.8.7, 7.6.8.8, 7.6.8.9, 7.6.8.10, 7.6.9.1, 7.6.9.2, 7.6.9.3, 7.6.9.4, 7.6.9.5, 7.6.9.6, 7.6.9.7, 7.6.9.8, 7.6.9.9, 7.6.9.10, 7.6.10.1, 7.6.10.2, 7.6.10.3, 7.6.10.4, 7.6.10.5, 7.6.10.6, 7.6.10.7, 7.6.10.8, 7.6.10.9, 7.6.10.10, 7.7.1.1, 7.7.1.2, 7.7.1.3, 7.7.1.4, 7.7.1.5, 7.7.1.6, 7.7.1.7, 7.7.1.8, 7.7.1.9, 7.7.1.10, 7.7.2.1, 7.7.2.2, 7.7.2.3, 7.7.2.4, 7.7.2.5, 7.7.2.6, 7.7.2.7, 7.7.2.8, 7.7.2.9, 7.7.2.10, 7.7.3.1, 7.7.3.2, 7.7.3.3, 7.7.3.4, 7.7.3.5, 7.7.3.6, 7.7.3.7, 7.7.3.8, 7.7.3.9, 7.7.3.10, 7.7.4.1, 7.7.4.2, 7.7.4.3, 7.7.4.4, 7.7.4.5, 7.7.4.6, 7.7.4.7, 7.7.4.8, 7.7.4.9, 7.7.4.10, 7.7.5.1, 7.7.5.2, 7.7.5.3, 7.7.5.4, 7.7.5.5, 7.7.5.6, 7.7.5.7, 7.7.5.8, 7.7.5.9, 7.7.5.10, 7.7.6.1, 7.7.6.2, 7.7.6.3, 7.7.6.4, 7.7.6.5, 7.7.6.6, 7.7.6.7, 7.7.6.8, 7.7.6.9, 7.7.6.10, 7.7.7.1, 7.7.7.2, 7.7.7.3, 7.7.7.4, 7.7.7.5, 7.7.7.6, 7.7.7.7, 7.7.7.8, 7.7.7.9, 7.7.7.10, 7.7.8.1, 7.7.8.2, 7.7.8.3, 7.7.8.4, 7.7.8.5, 7.7.8.6, 7.7.8.7, 7.7.8.8, 7.7.8.9, 7.7.8.10, 7.7.9.1, 7.7.9.2, 7.7.9.3, 7.7.9.4, 7.7.9.5, 7.7.9.6, 7.7.9.7, 7.7.9.8, 7.7.9.9, 7.7.9.10, 7.7.10.1, 7.7.10.2, 7.7.10.3, 7.7.10.4, 7.7.10.5, 7.7.10.6, 7.7.10.7, 7.7.10.8, 7.7.10.9, 7.7.10.10, 7.8.1.1, 7.8.1.2, 7.8.1.3, 7.8.1.4, 7.8.1.5, 7.8.1.6, 7.8.1.7, 7.8.1.8, 7.8.1.9, 7.8.1.10, 7.8.2.1, 7.8.2.2, 7.8.2.3, 7.8.2.4, 7.8.2.5, 7.8.2.6, 7.8.2.7, 7.8.2.8, 7.8.2.9, 7.8.2.10, 7.8.3.1, 7.8.3.2, 7.8.3.3, 7.8.3.4, 7.8.3.5, 7.8.3.6, 7.8.3.7, 7.8.3.8, 7.8.3.9, 7.8.3.10, 7.8.4.1, 7.8.4.2, 7.8.4.3, 7.8.4.4, 7.8.4.5, 7.8.4.6, 7.8.4.7, 7.8.4.8, 7.8.4.9, 7.8.4.10, 7.8.5.1, 7.8.5.2, 7.8.5.3, 7.8.5.4, 7.8.5.5, 7.8.5.6, 7.8.5.7, 7.8.5.8, 7.8.5.9, 7.8.5.10, 7.8.6.1, 7.8.6.2, 7.8.6.3, 7.8.6.4, 7.8.6.5, 7.8.6.6, 7.8.6.7, 7.8.6.8, 7.8.6.9, 7.8.6.10, 7.8.7.1, 7.8.7.2, 7.8.7.3, 7.8.7.4, 7.8.7.5, 7.8.7.6, 7.8.7.7, 7.8.7.8, 7.8.7.9, 7.8.7.10, 7.8.8.1, 7.8.8.2, 7.8.8.3, 7.8.8.4, 7.8.8.5, 7.8.8.6, 7.8.8.7, 7.8.8.8, 7.8.8.9, 7.8.8.10, 7.8.9.1, 7.8.9.2, 7.8.9.3, 7.8.9.4, 7.8.9.5, 7.8.9.6, 7.8.9.7, 7.8.9.8, 7.8.9.9, 7.8.9.10, 7.8.10.1, 7.8.10.2, 7.8.10.3, 7.8.10.4, 7.8.10.5, 7.8.10.6, 7.8.10.7, 7.8.10.8, 7.8.10.9, 7.8.10.10, 7.9.1.1, 7.9.1.2, 7.9.1.3, 7.9.1.4, 7.9.1.5, 7.9.1.6, 7.9.1.7, 7.9.1.8, 7.9.1.9, 7.9.1.10, 7.9.2.1, 7.9.2.2, 7.9.2.3, 7.9.2.4, 7.9.2.5, 7.9.2.6, 7.9.2.7, 7.9.2.8, 7.9.2.9, 7.9.2.10, 7.9.3.1, 7.9.3.2, 7.9.3.3, 7.9.3.4, 7.9.3.5, 7.9.3.6, 7.9.3.7, 7.9.3.8, 7.9.3.9, 7.9.3.10, 7.9.4.1, 7.9.4.2, 7.9.4.3, 7.9.4.4, 7.9.4.5, 7.9.4.6, 7.9.4.7, 7.9.4.8, 7.9.4.9, 7.9.4.10, 7.9.5.1, 7.9.5.2, 7.9.5.3, 7.9.5.4, 7.9.5.5, 7.9.5.6, 7.9.5.7, 7.9.5.8, 7.9.5.9, 7.9.5.10, 7.9.6.1, 7.9.6.2, 7.9.6.3, 7.9.6.4, 7.9.6.5, 7.9.6.6, 7.9.6.7, 7.9.6.8, 7.9.6.9, 7.9.6.10, 7.9.7.1, 7.9.7.2, 7.9.7.3, 7.9.7.4, 7.9.7.5, 7.9.7.6, 7.9.7.7, 7.9.7.8, 7.9.7.9, 7.9.7.10, 7.9.8.1, 7.9.8.2, 7.9.8.3, 7.9.8.4, 7.9.8.5, 7.9.8.6, 7.9.8.7, 7.9.8.8, 7.9.8.9, 7.9.8.10, 7.9.9.1, 7.9.9.2, 7.9.9.3, 7.9.9.4, 7.9.9.5, 7.9.9.6, 7.9.9.7, 7.9.9.8, 7.9.9.9, 7.9.9.10, 7.9.10.1, 7.9.10.2, 7.9.10.3, 7.9.10.4, 7.9.10.5, 7.9.10.6, 7.9.10.7, 7.9.10.8, 7.9.10.9, 7.9.10.10, 7.10.1.1, 7.10.1.2, 7.10.1.3, 7.10.1.4, 7.10.1.5, 7.10.1.6, 7.10.1.7, 7.10.1.8, 7.10.1.9, 7.10.1.10, 7.10.2.1, 7.10.2.2, 7.10.2.3, 7.10.2.4, 7.10.2.5, 7.10.2.6, 7.10.2.7, 7.10.2.8, 7.10.2.9, 7.10.2.10, 7.10.3.1, 7.10.3.2, 7.10.3.3, 7.10.3.4, 7.10.3.5, 7.10.3.6, 7.10.3.7, 7.10.3.8, 7.10.3.9, 7.10.3.10, 7.10.4.1, 7.10.4.2, 7.10.4.3, 7.10.4.4, 7.10.4.5, 7.10.4.6, 7.10.4.7, 7.10.4.8, 7.10.4.9, 7.10.4.10, 7.10.5.1, 7.10.5.2, 7.10.5.3, 7.10.5.4, 7.10.5.5, 7.10.5.6, 7.10.5.7, 7.10.5.8, 7.10.5.9, 7.10.5.10, 7.10.6.1, 7.10.6.2, 7.10.6.3, 7.10.6.4, 7.10.6.5, 7.10.6.6, 7.10.6.7, 7.10.6.8, 7.10.6.9, 7.10.6.10, 7.10.7.1, 7.10.7.2, 7.10.7.3, 7.10.7.4, 7.10.7.5, 7.10.7.6, 7.10.7.7, 7.10.7.8, 7.10.7.9, 7.10.7.10, 7.10.8.1, 7.10.8.2, 7.10.8.3, 7.10.8.4, 7.10.8.5, 7.10.8.6, 7.10.8.7, 7.10.8.8, 7.10.8.9, 7.10.8.10, 7.10.9.1, 7.10.9.2, 7.10.9.3, 7.10.9.4, 7.10.9.5, 7.10.9.6, 7.10.9.7, 7.10.9.8, 7.10.9.9, 7.10.9.10, 7.10.10.1, 7.10.10.2, 7.10.10.3, 7.10.10.4, 7.10.10.5, 7.10.10.6, 7.10.10.7, 7.10.10.8, 7.10.10.9, 7.10.10.10, 8.1.1.1, 8.1.1.2, 8.1.1.3, 8.1.1.4, 8.1.1.5, 8.1.1.6, 8.1.1.7, 8.1.1.8, 8.1.1.9, 8.1.1.10, 8.1.2.1, 8.1.2.2, 8.1.2.3, 8.1.2.4, 8.1.2.5, 8.1.2.6, 8.1.2.7, 8.1.2.8, 8.1.2.9, 8.1.2.10, 8.1.3.1, 8.1.3.2, 8.1.3.3, 8.1.3.4, 8.1.3.5, 8.1.3.6, 8.1.3.7, 8.1.3.8, 8.1.3.9, 8.1.3.10, 8.1.4.1, 8.1.4.2, 8.1.4.3, 8.1.4.4, 8.1.4.5, 8.1.4.6, 8.1.4.7, 8.1.4.8, 8.1.4.9, 8.1.4.10, 8.1.5.1, 8.1.5.2, 8.1.5.3, 8.1.5.4, 8.1.5.5, 8.1.5.6, 8.1.5.7, 8.1.5.8, 8.1.5.9, 8.1.5.10, 8.1.6.1, 8.1.6.2, 8.1.6.3, 8.1.6.4, 8.1.6.5, 8.1.6.6, 8.1.6.7, 8.1.6.8, 8.1.6.9, 8.1.6.10, 8.1.7.1, 8.1.7.2, 8.1.7.3, 8.1.7.4, 8.1.7.5, 8.1.7.6, 8.1.7.7, 8.1.7.8, 8.1.7.9, 8.1.7.10, 8.1.8.1, 8.1.8.2, 8.1.8.3, 8.1.8.4, 8.1.8.5, 8.1.8.6, 8.1.8.7, 8.1.8.8, 8.1.8.9, 8.1.8.10, 8.1.9.1, 8.1.9.2, 8.1.9.3, 8.1.9.4, 8.1.9.5, 8.1.9.6, 8.1.9.7, 8.1.9.8, 8.1.9.9, 8.1.9.10, 8.1.10.1, 8.1.10.2, 8.1.10.3, 8.1.10.4, 8.1.10.5, 8.1.10.6, 8.1.10.7, 8.1.10.8, 8.1.10.9, 8.1.10.10, 8.2.1.1, 8.2.1.2, 8.2.1.3, 8.2.1.4, 8.2.1.5, 8.2.1.6, 8.2.1.7, 8.2.1.8, 8.2.1.9, 8.2.1.10, 8.2.2.1, 8.2.2.2, 8.2.2.3, 8.2.2.4, 8.2.2.5, 8.2.2.6, 8.2.2.7, 8.2.2.8, 8.2.2.9, 8.2.2.10, 8.2.3.1, 8.2.3.2, 8.2.3.3, 8.2.3.4, 8.2.3.5, 8.2.3.6, 8.2.3.7, 8.2.3.8, 8.2.3.9, 8.2.3.10, 8.2.4.1, 8.2.4.2, 8.2.4.3, 8.2.4.4, 8.2.4.5, 8.2.4.6, 8.2.4.7, 8.2.4.8, 8.2.4.9, 8.2.4.10, 8.2.5.1, 8.2.5.2, 8.2.5.3, 8.2.5.4, 8.2.5.5, 8.2.5.6, 8.2.5.7, 8.2.5.8, 8.2.5.9, 8.2.5.10, 8.2.6.1, 8.2.6.2, 8.2.6.3, 8.2.6.4, 8.2.6.5, 8.2.6.6, 8.2.6.7, 8.2.6.8, 8.2.6.9, 8.2.6.10, 8.2.7.1, 8.2.7.2, 8.2.7.3, 8.2.7.4, 8.2.7.5, 8.2.7.6, 8.2.7.7, 8.2.7.8, 8.2.7.9, 8.2.7.10, 8.2.8.1, 8.2.8.2, 8.2.8.3, 8.2.8.4, 8.2.8.5, 8.2.8.6, 8.2.8.7, 8.2.8.8, 8.2.8.9, 8.2.8.10, 8.2.9.1, 8.2.9.2, 8.2.9.3, 8.2.9.4, 8.2.9.5, 8.2.9.6, 8.2.9.7, 8.2.9.8, 8.2.9.9, 8.2.9.10, 8.2.10.1, 8.2.10.2, 8.2.10.3, 8.2.10.4, 8.2.10.5, 8.2.10.6, 8.2.10.7, 8.2.10.8, 8.2.10.9, 8.2.10.10, 8.3.1.1, 8.3.1.2, 8.3.1.3, 8.3.1.4, 8.3.1.5, 8.3.1.6, 8.3.1.7, 8.3.1.8, 8.3.1.9, 8.3.1.10, 8.3.2.1, 8.3.2.2, 8.3.2.3, 8.3.2.4, 8.3.2.5, 8.3.2.6, 8.3.2.7, 8.3.2.8, 8.3.2.9, 8.3.2.10, 8.3.3.1, 8.3.3.2, 8.3.3.3, 8.3.3.4, 8.3.3.5, 8.3.3.6, 8.3.3.7, 8.3.3.8, 8.3.3.9, 8.3.3.10, 8.3.4.1, 8.3.4.2, 8.3.4.3, 8.3.4.4, 8.3.4.5, 8.3.4.6, 8.3.4.7, 8.3.4.8, 8.3.4.9, 8.3.4.10, 8.3.5.1, 8.3.5.2, 8.3.5.3, 8.3.5.4, 8.3.5.5, 8.3.5.6, 8.3.5.7, 8.3.5.8, 8.3.5.9, 8.3.5.10, 8.3.6.1, 8.3.6.2, 8.3.6.3, 8.3.6.4, 8.3.6.5, 8.3.6.6, 8.3.6.7, 8.3.6.8, 8.3.6.9, 8.3.6.10, 8.3.7.1, 8.3.7.2, 8.3.7.3, 8.3.7.4, 8.3.7.5, 8.3.7.6, 8.3.7.7, 8.3.7.8, 8.3.7.9, 8.3.7.10, 8.3.8.1, 8.3.8.2, 8.3.8.3, 8.3.8.4, 8.3.8.5, 8.3.8.6, 8.3.8.7, 8.3.8.8, 8.3.8.9, 8.3.8.10, 8.3.9.1, 8.3.9.2, 8.3.9.3, 8.3.9.4, 8.3.9.5, 8.3.9.6, 8.3.9.7, 8.3.9.8, 8.3.9.9, 8.3.9.10, 8.3.10.1, 8.3.10.2, 8.3.10.3, 8.3.10.4, 8.3.10.5, 8.3.10.6, 8.3.10.7, 8.3.10.8, 8.3.10.9, 8.3.10.10, 8.4.1.1, 8.4.1.2, 8.4.1.3, 8.4.1.4, 8.4.1.5, 8.4.1.6, 8.4.1.7, 8.4.1.8, 8.4.1.9, 8.4.1.10, 8.4.2.1, 8.4.2.2, 8.4.2.3, 8.4.2.4, 8.4.2.5, 8.4.2.6, 8.4.2.7, 8.4.2.8, 8.4.2.9, 8.4.2.10, 8.4.3.1, 8.4.3.2, 8.4.3.3, 8.4.3.4, 8.4.3.5, 8.4.3.6, 8.4.3.7, 8.4.3.8, 8.4.3.9, 8.4.3.10, 8.4.4.1, 8.4.4.2, 8.4.4.3, 8.4.4.4, 8.4.4.5, 8.4.4.6, 8.4.4.7, 8.4.4.8, 8.4.4.9, 8.4.4.10, 8.4.5.1, 8.4.5.2, 8.4.5.3, 8.4.5.4, 8.4.5.5, 8.4.5.6, 8.4.5.7, 8.4.5.8, 8.4.5.9, 8.4.5.10, 8.4.6.1, 8.4.6.2, 8.4.6.3, 8.4.6.4, 8.4.6.5, 8.4.6.6, 8.4.6.7, 8.4.6.8, 8.4.6.9, 8.4.6.10, 8.4.7.1, 8.4.7.2, 8.4.7.3, 8.4.7.4, 8.4.7.5, 8.4.7.6, 8.4.7.7, 8.4.7.8, 8.4.7.9, 8.4.7.10, 8.4.8.1, 8.4.8.2, 8.4.8.3, 8.4.8.4, 8.4.8.5, 8.4.8.6, 8.4.8.7, 8.4.8.8, 8.4.8.9, 8.4.8.10, 8.4.9.1, 8.4.9.2, 8.4.9.3, 8.4.9.4, 8.4.9.5, 8.4.9.6, 8.4.9.7, 8.4.9.8, 8.4.9.9, 8.4.9.10, 8.4.10.1, 8.4.10.2, 8.4.10.3, 8.4.10.4, 8.4.10.5, 8.4.10.6, 8.4.10.7, 8.4.10.8, 8.4.10.9, 8.4.10.10, 8.5.1.1, 8.5.1.2, 8.5.1.3, 8.5.1.4, 8.5.1.5, 8.5.1.6, 8.5.1.7, 8.5.1.8, 8.5.1.9, 8.5.1.10, 8.5.2.1, 8.5.2.2, 8.5.2.3, 8.5.2.4, 8.5.2.5, 8.5.2.6, 8.5.2.7, 8.5.2.8, 8.5.2.9, 8.5.2.10, 8.5.3.1, 8.5.3.2, 8.5.3.3, 8.5.3.4, 8.5.3.5, 8.5.3.6, 8.5.3.7, 8.5.3.8, 8.5.3.9, 8.5.3.10, 8.5.4.1, 8.5.4.2, 8.5.4.3, 8.5.4.4, 8.5.4.5, 8.5.4.6, 8.5.4.7, 8.5.4.8, 8.5.4.9, 8.5.4.10, 8.5.5.1, 8.5.5.2, 8.5.5.3, 8.5.5.4, 8.5.5.5, 8.5.5.6, 8.5.5.7, 8.5.5.8, 8.5.5.9, 8.5.5.10, 8.5.6.1, 8.5.6.2, 8.5.6.3, 8.5.6.4, 8.5.6.5, 8.5.6.6, 8.5.6.7, 8.5.6.8, 8.5.6.9, 8.5.6.10, 8.5.7.1, 8.5.7.2, 8.5.7.3, 8.5.7.4, 8.5.7.5, 8.5.7.6, 8.5.7.7, 8.5.7.8, 8.5.7.9, 8.5.7.10, 8.5.8.1, 8.5.8.2, 8.5.8.3, 8.5.8.4, 8.5.8.5, 8.5.8.6, 8.5.8.7, 8.5.8.8, 8.5.8.9, 8.5.8.10, 8.5.9.1, 8.5.9.2, 8.5.9.3, 8.5.9.4, 8.5.9.5, 8.5.9.6, 8.5.9.7, 8.5.9.8, 8.5.9.9, 8.5.9.10, 8.5.10.1, 8.5.10.2, 8.5.10.3, 8.5.10.4, 8.5.10.5, 8.5.10.6, 8.5.10.7, 8.5.10.8, 8.5.10.9, 8.5.10.10, 8.6.1.1, 8.6.1.2, 8.6.1.3, 8.6.1.4, 8.6.1.5, 8.6.1.6, 8.6.1.7, 8.6.1.8, 8.6.1.9, 8.6.1.10, 8.6.2.1, 8.6.2.2, 8.6.2.3, 8.6.2.4, 8.6.2.5, 8.6.2.6, 8.6.2.7, 8.6.2.8, 8.6.2.9, 8.6.2.10, 8.6.3.1, 8.6.3.2, 8.6.3.3, 8.6.3.4, 8.6.3.5, 8.6.3.6, 8.6.3.7, 8.6.3.8, 8.6.3.9, 8.6.3.10, 8.6.4.1, 8.6.4.2, 8.6.4.3, 8.6.4.4, 8.6.4.5, 8.6.4.6, 8.6.4.7, 8.6.4.8, 8.6.4.9, 8.6.4.10, 8.6.5.1, 8.6.5.2, 8.6.5.3, 8.6.5.4, 8.6.5.5, 8.6.5.6, 8.6.5.7, 8.6.5.8, 8.6.5.9, 8.6.5.10, 8.6.6.1, 8.6.6.2, 8.6.6.3, 8.6.6.4, 8.6.6.5, 8.6.6.6, 8.6.6.7, 8.6.6.8, 8.6.6.9, 8.6.6.10, 8.6.7.1, 8.6.7.2, 8.6.7.3, 8.6.7.4, 8.6.7.5, 8.6.7.6, 8.6.7.7, 8.6.7.8, 8.6.7.9, 8.6.7.10, 8.6.8.1, 8.6.8.2, 8.6.8.3, 8.6.8.4, 8.6.8.5, 8.6.8.6, 8.6.8.7, 8.6.8.8, 8.6.8.9, 8.6.8.10, 8.6.9.1, 8.6.9.2, 8.6.9.3, 8.6.9.4, 8.6.9.5, 8.6.9.6, 8.6.9.7, 8.6.9.8, 8.6.9.9, 8.6.9.10, 8.6.10.1, 8.6.10.2, 8.6.10.3, 8.6.10.4, 8.6.10.5, 8.6.10.6, 8.6.10.7, 8.6.10.8, 8.6.10.9, 8.6.10.10, 8.7.1.1, 8.7.1.2, 8.7.1.3, 8.7.1.4, 8.7.1.5, 8.7.1.6, 8.7.1.7, 8.7.1.8, 8.7.1.9, 8.7.1.10, 8.7.2.1, 8.7.2.2, 8.7.2.3, 8.7.2.4, 8.7.2.5, 8.7.2.6, 8.7.2.7, 8.7.2.8, 8.7.2.9, 8.7.2.10, 8.7.3.1, 8.7.3.2, 8.7.3.3, 8.7.3.4, 8.7.3.5, 8.7.3.6, 8.7.3.7, 8.7.3.8, 8.7.3.9, 8.7.3.10, 8.7.4.1, 8.7.4.2, 8.7.4.3, 8.7.4.4, 8.7.4.5, 8.7.4.6, 8.7.4.7, 8.7.4.8, 8.7.4.9, 8.7.4.10, 8.7.5.1, 8.7.5.2, 8.7.5.3, 8.7.5.4, 8.7.5.5, 8.7.5.6, 8.7.5.7, 8.7.5.8, 8.7.5.9, 8.7.5.10, 8.7.6.1, 8.7.6.2, 8.7.6.3, 8.7.6.4, 8.7.6.5, 8.7.6.6, 8.7.6.7, 8.7.6.8, 8.7.6.9, 8.7.6.10, 8.7.7.1, 8.7.7.2, 8.7.7.3, 8.7.7.4, 8.7.7.5, 8.7.7.6, 8.7.7.7, 8.7.7.8, 8.7.7.9, 8.7.7.10, 8.7.8.1, 8.7.8.2, 8.7.8.3, 8.7.8.4, 8.7.8.5, 8.7.8.6, 8.7.8.7, 8.7.8.8, 8.7.8.9, 8.7.8.10, 8.7.9.1, 8.7.9.2, 8.7.9.3, 8.7.9.4, 8.7.9.5, 8.7.9.6, 8.7.9.7, 8.7.9.8, 8.7.9.9, 8.7.9.10, 8.7.10.1, 8.7.10.2, 8.7.10.3, 8.7.10.4, 8.7.10.5, 8.7.10.6, 8.7.10.7, 8.7.10.8, 8.7.10.9, 8.7.10.10, 8.8.1.1, 8.8.1.2, 8.8.1.3, 8.8.1.4, 8.8.1.5, 8.8.1.6, 8.8.1.7, 8.8.1.8, 8.8.1.9, 8.8.1.10, 8.8.2.1, 8.8.2.2, 8.8.2.3, 8.8.2.4, 8.8.2.5, 8.8.2.6, 8.8.2.7, 8.8.2.8, 8.8.2.9, 8.8.2.10, 8.8.3.1, 8.8.3.2, 8.8.3.3, 8.8.3.4, 8.8.3.5, 8.8.3.6, 8.8.3.7, 8.8.3.8, 8.8.3.9, 8.8.3.10, 8.8.4.1, 8.8.4.2, 8.8.4.3, 8.8.4.4, 8.8.4.5, 8.8.4.6, 8.8.4.7, 8.8.4.8, 8.8.4.9, 8.8.4.10, 8.8.5.1, 8.8.5.2, 8.8.5.3, 8.8.5.4, 8.8.5.5, 8.8.5.6, 8.8.5.7, 8.8.5.8, 8.8.5.9, 8.8.5.10, 8.8.6.1, 8.8.6.2, 8.8.6.3, 8.8.6.4, 8.8.6.5, 8.8.6.6, 8.8.6.7, 8.8.6.8, 8.8.6.9, 8.8.6.10, 8.8.7.1, 8.8.7.2, 8.8.7.3, 8.8.7.4, 8.8.7.5, 8.8.7.6, 8.8.7.7, 8.8.7.8, 8.8.7.9, 8.8.7.10, 8.8.8.1, 8.8.8.2, 8.8.8.3, 8.8.8.4, 8.8.8.5, 8.8.8.6, 8.8.8.7, 8.8.8.8, 8.8.8.9, 8.8.8.10, 8.8.9.1, 8.8.9.2, 8.8.9.3, 8.8.9.4, 8.8.9.5, 8.8.9.6, 8.8.9.7, 8.8.9.8, 8.8.9.9, 8.8.9.10, 8.8.10.1, 8.8.10.2, 8.8.10.3, 8.8.10.4, 8.8.10.5, 8.8.10.6, 8.8.10.7, 8.8.10.8, 8.8.10.9, 8.8.10.10, 8.9.1.1, 8.9.1.2, 8.9.1.3, 8.9.1.4, 8.9.1.5, 8.9.1.6, 8.9.1.7, 8.9.1.8, 8.9.1.9, 8.9.1.10, 8.9.2.1, 8.9.2.2, 8.9.2.3, 8.9.2.4, 8.9.2.5, 8.9.2.6, 8.9.2.7, 8.9.2.8, 8.9.2.9, 8.9.2.10, 8.9.3.1, 8.9.3.2, 8.9.3.3, 8.9.3.4, 8.9.3.5, 8.9.3.6, 8.9.3.7, 8.9.3.8, 8.9.3.9, 8.9.3.10, 8.9.4.1, 8.9.4.2, 8.9.4.3, 8.9.4.4, 8.9.4.5, 8.9.4.6, 8.9.4.7, 8.9.4.8, 8.9.4.9, 8.9.4.10, 8.9.5.1, 8.9.5.2, 8.9.5.3, 8.9.5.4, 8.9.5.5, 8.9.5.6, 8.9.5.7, 8.9.5.8, 8.9.5.9, 8.9.5.10, 8.9.6.1, 8.9.6.2, 8.9.6.3, 8.9.6.4, 8.9.6.5, 8.9.6.6, 8.9.6.7, 8.9.6.8, 8.9.6.9, 8.9.6.10, 8.9.7.1, 8.9.7.2, 8.9.7.3, 8.9.7.4, 8.9.7.5, 8.9.7.6, 8.9.7.7, 8.9.7.8, 8.9.7.9, 8.9.7.10, 8.9.8.1, 8.9.8.2, 8.9.8.3, 8.9.8.4, 8.9.8.5, 8.9.8.6, 8.9.8.7, 8.9.8.8, 8.9.8.9, 8.9.8.10, 8.9.9.1, 8.9.9.2, 8.9.9.3, 8.9.9.4, 8.9.9.5, 8.9.9.6, 8.9.9.7, 8.9.9.8, 8.9.9.9, 8.9.9.10, 8.9.10.1, 8.9.10.2, 8.9.10.3, 8.9.10.4, 8.9.10.5, 8.9.10.6, 8.9.10.7, 8.9.10.8, 8.9.10.9, 8.9.10.10, 8.10.1.1, 8.10.1.2, 8.10.1.3, 8.10.1.4, 8.10.1.5, 8.10.1.6, 8.10.1.7, 8.10.1.8, 8.10.1.9, 8.10.1.10, 8.10.2.1, 8.10.2.2, 8.10.2.3, 8.10.2.4, 8.10.2.5, 8.10.2.6, 8.10.2.7, 8.10.2.8, 8.10.2.9, 8.10.2.10, 8.10.3.1, 8.10.3.2, 8.10.3.3, 8.10.3.4, 8.10.3.5, 8.10.3.6, 8.10.3.7, 8.10.3.8, 8.10.3.9, 8.10.3.10, 8.10.4.1, 8.10.4.2, 8.10.4.3, 8.10.4.4, 8.10.4.5, 8.10.4.6, 8.10.4.7, 8.10.4.8, 8.10.4.9, 8.10.4.10, 8.10.5.1, 8.10.5.2, 8.10.5.3, 8.10.5.4, 8.10.5.5, 8.10.5.6, 8.10.5.7, 8.10.5.8, 8.10.5.9, 8.10.5.10, 8.10.6.1, 8.10.6.2, 8.10.6.3, 8.10.6.4, 8.10.6.5, 8.10.6.6, 8.10.6.7, 8.10.6.8, 8.10.6.9, 8.10.6.10, 8.10.7.1, 8.10.7.2, 8.10.7.3, 8.10.7.4, 8.10.7.5, 8.10.7.6, 8.10.7.7, 8.10.7.8, 8.10.7.9, 8.10.7.10, 8.10.8.1, 8.10.8.2, 8.10.8.3, 8.10.8.4, 8.10.8.5, 8.10.8.6, 8.10.8.7, 8.10.8.8, 8.10.8.9, 8.10.8.10, 8.10.9.1, 8.10.9.2, 8.10.9.3, 8.10.9.4, 8.10.9.5, 8.10.9.6, 8.10.9.7, 8.10.9.8, 8.10.9.9, 8.10.9.10, 8.10.10.1, 8.10.10.2, 8.10.10.3, 8.10.10.4, 8.10.10.5, 8.10.10.6, 8.10.10.7, 8.10.10.8, 8.10.10.9, 8.10.10.10, 9.1.1.1, 9.1.1.2, 9.1.1.3, 9.1.1.4, 9.1.1.5, 9.1.1.6, 9.1.1.7, 9.1.1.8, 9.1.1.9, 9.1.1.10, 9.1.2.1, 9.1.2.2, 9.1.2.3, 9.1.2.4, 9.1.2.5, 9.1.2.6, 9.1.2.7, 9.1.2.8, 9.1.2.9, 9.1.2.10, 9.1.3.1, 9.1.3.2, 9.1.3.3, 9.1.3.4, 9.1.3.5, 9.1.3.6, 9.1.3.7, 9.1.3.8, 9.1.3.9, 9.1.3.10, 9.1.4.1, 9.1.4.2, 9.1.4.3, 9.1.4.4, 9.1.4.5, 9.1.4.6, 9.1.4.7, 9.1.4.8, 9.1.4.9, 9.1.4.10, 9.1.5.1, 9.1.5.2, 9.1.5.3, 9.1.5.4, 9.1.5.5, 9.1.5.6, 9.1.5.7, 9.1.5.8, 9.1.5.9, 9.1.5.10, 9.1.6.1, 9.1.6.2, 9.1.6.3, 9.1.6.4, 9.1.6.5, 9.1.6.6, 9.1.6.7, 9.1.6.8, 9.1.6.9, 9.1.6.10, 9.1.7.1, 9.1.7.2, 9.1.7.3, 9.1.7.4, 9.1.7.5, 9.1.7.6, 9.1.7.7, 9.1.7.8, 9.1.7.9, 9.1.7.10, 9.1.8.1, 9.1.8.2, 9.1.8.3, 9.1.8.4, 9.1.8.5, 9.1.8.6, 9.1.8.7, 9.1.8.8, 9.1.8.9, 9.1.8.10, 9.1.9.1, 9.1.9.2, 9.1.9.3, 9.1.9.4, 9.1.9.5, 9.1.9.6, 9.1.9.7, 9.1.9.8, 9.1.9.9, 9.1.9.10, 9.1.10.1, 9.1.10.2, 9.1.10.3, 9.1.10.4, 9.1.10.5, 9.1.10.6, 9.1.10.7, 9.1.10.8, 9.1.10.9, 9.1.10.10, 9.2.1.1, 9.2.1.2, 9.2.1.3, 9.2.1.4, 9.2.1.5, 9.2.1.6, 9.2.1.7, 9.2.1.8, 9.2.1.9, 9.2.1.10, 9.2.2.1, 9.2.2.2, 9.2.2.3, 9.2.2.4, 9.2.2.5, 9.2.2.6, 9.2.2.7, 9.2.2.8, 9.2.2.9, 9.2.2.10, 9.2.3.1, 9.2.3.2, 9.2.3.3, 9.2.3.4, 9.2.3.5, 9.2.3.6, 9.2.3.7, 9.2.3.8, 9.2.3.9, 9.2.3.10, 9.2.4.1, 9.2.4.2, 9.2.4.3, 9.2.4.4, 9.2.4.5, 9.2.4.6, 9.2.4.7, 9.2.4.8, 9.2.4.9, 9.2.4.10, 9.2.5.1, 9.2.5.2, 9.2.5.3, 9.2.5.4, 9.2.5.5, 9.2.5.6, 9.2.5.7, 9.2.5.8, 9.2.5.9, 9.2.5.10, 9.2.6.1, 9.2.6.2, 9.2.6.3, 9.2.6.4, 9.2.6.5, 9.2.6.6, 9.2.6.7, 9.2.6.8, 9.2.6.9, 9.2.6.10, 9.2.7.1, 9.2.7.2, 9.2.7.3, 9.2.7.4, 9.2.7.5, 9.2.7.6, 9.2.7.7, 9.2.7.8, 9.2.7.9, 9.2.7.10, 9.2.8.1, 9.2.8.2, 9.2.8.3, 9.2.8.4, 9.2.8.5, 9.2.8.6, 9.2.8.7, 9.2.8.8, 9.2.8.9, 9.2.8.10, 9.2.9.1, 9.2.9.2, 9.2.9.3, 9.2.9.4, 9.2.9.5, 9.2.9.6, 9.2.9.7, 9.2.9.8, 9.2.9.9, 9.2.9.10, 9.2.10.1, 9.2.10.2, 9.2.10.3, 9.2.10.4, 9.2.10.5, 9.2.10.6, 9.2.10.7, 9.2.10.8, 9.2.10.9, 9.2.10.10, 9.3.1.1, 9.3.1.2, 9.3.1.3, 9.3.1.4, 9.3.1.5, 9.3.1.6, 9.3.1.7, 9.3.1.8, 9.3.1.9, 9.3.1.10, 9.3.2.1, 9.3.2.2, 9.3.2.3, 9.3.2.4, 9.3.2.5, 9.3.2.6, 9.3.2.7, 9.3.2.8, 9.3.2.9, 9.3.2.10, 9.3.3.1, 9.3.3.2, 9.3.3.3, 9.3.3.4, 9.3.3.5, 9.3.3.6, 9.3.3.7, 9.3.3.8, 9.3.3.9, 9.3.3.10, 9.3.4.1, 9.3.4.2, 9.3.4.3, 9.3.4.4, 9.3.4.5, 9.3.4.6, 9.3.4.7, 9.3.4.8, 9.3.4.9, 9.3.4.10, 9.3.5.1, 9.3.5.2, 9.3.5.3, 9.3.5.4, 9.3.5.5, 9.3.5.6, 9.3.5.7, 9.3.5.8, 9.3.5.9, 9.3.5.10, 9.3.6.1, 9.3.6.2, 9.3.6.3, 9.3.6.4, 9.3.6.5, 9.3.6.6, 9.3.6.7, 9.3.6.8, 9.3.6.9, 9.3.6.10, 9.3.7.1, 9.3.7.2, 9.3.7.3, 9.3.7.4, 9.3.7.5, 9.3.7.6, 9.3.7.7, 9.3.7.8, 9.3.7.9, 9.3.7.10, 9.3.8.1, 9.3.8.2, 9.3.8.3, 9.3.8.4, 9.3.8.5, 9.3.8.6, 9.3.8.7, 9.3.8.8, 9.3.8.9, 9.3.8.10, 9.3.9.1, 9.3.9.2, 9.3.9.3, 9.3.9.4, 9.3.9.5, 9.3.9.6, 9.3.9.7, 9.3.9.8, 9.3.9.9, 9.3.9.10, 9.3.10.1, 9.3.10.2, 9.3.10.3, 9.3.10.4, 9.3.10.5, 9.3.10.6, 9.3.10.7, 9.3.10.8, 9.3.10.9, 9.3.10.10, 9.4.1.1, 9.4.1.2, 9.4.1.3, 9.4.1.4, 9.4.1.5, 9.4.1.6, 9.4.1.7, 9.4.1.8, 9.4.1.9, 9.4.1.10, 9.4.2.1, 9.4.2.2, 9.4.2.3, 9.4.2.4, 9.4.2.5, 9.4.2.6, 9.4.2.7, 9.4.2.8, 9.4.2.9, 9.4.2.10, 9.4.3.1, 9.4.3.2, 9.4.3.3, 9.4.3.4, 9.4.3.5, 9.4.3.6, 9.4.3.7, 9.4.3.8, 9.4.3.9, 9.4.3.10, 9.4.4.1, 9.4.4.2, 9.4.4.3, 9.4.4.4, 9.4.4.5, 9.4.4.6, 9.4.4.7, 9.4.4.8, 9.4.4.9, 9.4.4.10, 9.4.5.1, 9.4.5.2, 9.4.5.3, 9.4.5.4, 9.4.5.5, 9.4.5.6, 9.4.5.7, 9.4.5.8, 9.4.5.9, 9.4.5.10, 9.4.6.1, 9.4.6.2, 9.4.6.3, 9.4.6.4, 9.4.6.5, 9.4.6.6, 9.4.6.7, 9.4.6.8, 9.4.6.9, 9.4.6.10, 9.4.7.1, 9.4.7.2, 9.4.7.3, 9.4.7.4, 9.4.7.5, 9.4.7.6, 9.4.7.7, 9.4.7.8, 9.4.7.9, 9.4.7.10, 9.4.8.1, 9.4.8.2, 9.4.8.3, 9.4.8.4, 9.4.8.5, 9.4.8.6, 9.4.8.7, 9.4.8.8, 9.4.8.9, 9.4.8.10, 9.4.9.1, 9.4.9.2, 9.4.9.3, 9.4.9.4, 9.4.9.5, 9.4.9.6, 9.4.9.7, 9.4.9.8, 9.4.9.9, 9.4.9.10, 9.4.10.1, 9.4.10.2, 9.4.10.3, 9.4.10.4, 9.4.10.5, 9.4.10.6, 9.4.10.7, 9.4.10.8, 9.4.10.9, 9.4.10.10, 9.5.1.1, 9.5.1.2, 9.5.1.3, 9.5.1.4, 9.5.1.5, 9.5.1.6, 9.5.1.7, 9.5.1.8, 9.5.1.9, 9.5.1.10, 9.5.2.1, 9.5.2.2, 9.5.2.3, 9.5.2.4, 9.5.2.5, 9.5.2.6, 9.5.2.7, 9.5.2.8, 9.5.2.9, 9.5.2.10, 9.5.3.1, 9.5.3.2, 9.5.3.3, 9.5.3.4, 9.5.3.5, 9.5.3.6, 9.5.3.7, 9.5.3.8, 9.5.3.9, 9.5.3.10, 9.5.4.1, 9.5.4.2, 9.5.4.3, 9.5.4.4, 9.5.4.5, 9.5.4.6, 9.5.4.7, 9.5.4.8, 9.5.4.9, 9.5.4.10, 9.5.5.1, 9.5.5.2, 9.5.5.3, 9.5.5.4, 9.5.5.5, 9.5.5.6, 9.5.5.7, 9.5.5.8, 9.5.5.9, 9.5.5.10, 9.5.6.1, 9.5.6.2, 9.5.6.3, 9.5.6.4, 9.5.6.5, 9.5.6.6, 9.5.6.7, 9.5.6.8, 9.5.6.9, 9.5.6.10, 9.5.7.1, 9.5.7.2, 9.5.7.3, 9.5.7.4, 9.5.7.5, 9.5.7.6, 9.5.7.7, 9.5.7.8, 9.5.7.9, 9.5.7.10, 9.5.8.1, 9.5.8.2, 9.5.8.3, 9.5.8.4, 9.5.8.5, 9.5.8.6, 9.5.8.7, 9.5.8.8, 9.5.8.9, 9.5.8.10, 9.5.9.1, 9.5.9.2, 9.5.9.3, 9.5.9.4, 9.5.9.5, 9.5.9.6, 9.5.9.7, 9.5.9.8, 9.5.9.9, 9.5.9.10, 9.5.10.1, 9.5.10.2, 9.5.10.3, 9.5.10.4, 9.5.10.5, 9.5.10.6, 9.5.10.7, 9.5.10.8, 9.5.10.9, 9.5.10.10, 9.6.1.1, 9.6.1.2, 9.6.1.3, 9.6.1.4, 9.6.1.5, 9.6.1.6, 9.6.1.7, 9.6.1.8, 9.6.1.9, 9.6.1.10, 9.6.2.1, 9.6.2.2, 9.6.2.3, 9.6.2.4, 9.6.2.5, 9.6.2.6, 9.6.2.7, 9.6.2.8, 9.6.2.9, 9.6.2.10, 9.6.3.1, 9.6.3.2, 9.6.3.3, 9.6.3.4, 9.6.3.5, 9.6.3.6, 9.6.3.7, 9.6.3.8, 9.6.3.9, 9.6.3.10, 9.6.4.1, 9.6.4.2, 9.6.4.3, 9.6.4.4, 9.6.4.5, 9.6.4.6, 9.6.4.7, 9.6.4.8, 9.6.4.9, 9.6.4.10, 9.6.5.1, 9.6.5.2, 9.6.5.3, 9.6.5.4, 9.6.5.5, 9.6.5.6, 9.6.5.7, 9.6.5.8, 9.6.5.9, 9.6.5.10, 9.6.6.1, 9.6.6.2, 9.6.6.3, 9.6.6.4, 9.6.6.5, 9.6.6.6, 9.6.6.7, 9.6.6.8, 9.6.6.9, 9.6.6.10, 9.6.7.1, 9.6.7.2, 9.6.7.3, 9.6.7.4, 9.6.7.5, 9.6.7.6, 9.6.7.7, 9.6.7.8, 9.6.7.9, 9.6.7.10, 9.6.8.1, 9.6.8.2, 9.6.8.3, 9.6.8.4, 9.6.8.5, 9.6.8.6, 9.6.8.7, 9.6.8.8, 9.6.8.9, 9.6.8.10, 9.6.9.1, 9.6.9.2, 9.6.9.3, 9.6.9.4, 9.6.9.5, 9.6.9.6, 9.6.9.7, 9.6.9.8, 9.6.9.9, 9.6.9.10, 9.6.10.1, 9.6.10.2, 9.6.10.3, 9.6.10.4, 9.6.10.5, 9.6.10.6, 9.6.10.7, 9.6.10.8, 9.6.10.9, 9.6.10.10, 9.7.1.1, 9.7.1.2, 9.7.1.3, 9.7.1.4, 9.7.1.5, 9.7.1.6, 9.7.1.7, 9.7.1.8, 9.7.1.9, 9.7.1.10, 9.7.2.1, 9.7.2.2, 9.7.2.3, 9.7.2.4, 9.7.2.5, 9.7.2.6, 9.7.2.7, 9.7.2.8, 9.7.2.9, 9.7.2.10, 9.7.3.1, 9.7.3.2, 9.7.3.3, 9.7.3.4, 9.7.3.5, 9.7.3.6, 9.7.3.7, 9.7.3.8, 9.7.3.9, 9.7.3.10, 9.7.4.1, 9.7.4.2, 9.7.4.3, 9.7.4.4, 9.7.4.5, 9.7.4.6, 9.7.4.7, 9.7.4.8, 9.7.4.9, 9.7.4.10, 9.7.5.1, 9.7.5.2, 9.7.5.3, 9.7.5.4, 9.7.5.5, 9.7.5.6, 9.7.5.7, 9.7.5.8, 9.7.5.9, 9.7.5.10, 9.7.6.1, 9.7.6.2, 9.7.6.3, 9.7.6.4, 9.7.6.5, 9.7.6.6, 9.7.6.7, 9.7.6.8, 9.7.6.9, 9.7.6.10, 9.7.7.1, 9.7.7.2, 9.7.7.3, 9.7.7.4, 9.7.7.5, 9.7.7.6, 9.7.7.7, 9.7.7.8, 9.7.7.9, 9.7.7.10, 9.7.8.1, 9.7.8.2, 9.7.8.3, 9.7.8.4, 9.7.8.5, 9.7.8.6, 9.7.8.7, 9.7.8.8, 9.7.8.9, 9.7.8.10, 9.7.9.1, 9.7.9.2, 9.7.9.3, 9.7.9.4, 9.7.9.5, 9.7.9.6, 9.7.9.7, 9.7.9.8, 9.7.9.9, 9.7.9.10, 9.7.10.1, 9.7.10.2, 9.7.10.3, 9.7.10.4, 9.7.10.5, 9.7.10.6, 9.7.10.7, 9.7.10.8, 9.7.10.9, 9.7.10.10, 9.8.1.1, 9.8.1.2, 9.8.1.3, 9.8.1.4, 9.8.1.5, 9.8.1.6, 9.8.1.7, 9.8.1.8, 9.8.1.9, 9.8.1.10, 9.8.2.1, 9.8.2.2, 9.8.2.3, 9.8.2.4, 9.8.2.5, 9.8.2.6, 9.8.2.7, 9.8.2.8, 9.8.2.9, 9.8.2.10, 9.8.3.1, 9.8.3.2, 9.8.3.3, 9.8.3.4, 9.8.3.5, 9.8.3.6, 9.8.3.7, 9.8.3.8, 9.8.3.9, 9.8.3.10, 9.8.4.1, 9.8.4.2, 9.8.4.3, 9.8.4.4, 9.8.4.5, 9.8.4.6, 9.8.4.7, 9.8.4.8, 9.8.4.9, 9.8.4.10, 9.8.5.1, 9.8.5.2, 9.8.5.3, 9.8.5.4, 9.8.5.5, 9.8.5.6, 9.8.5.7, 9.8.5.8, 9.8.5.9, 9.8.5.10, 9.8.6.1, 9.8.6.2, 9.8.6.3, 9.8.6.4, 9.8.6.5, 9.8.6.6, 9.8.6.7, 9.8.6.8, 9.8.6.9, 9.8.6.10, 9.8.7.1, 9.8.7.2, 9.8.7.3, 9.8.7.4, 9.8.7.5, 9.8.7.6, 9.8.7.7, 9.8.7.8, 9.8.7.9, 9.8.7.10, 9.8.8.1, 9.8.8.2, 9.8.8.3, 9.8.8.4, 9.8.8.5, 9.8.8.6, 9.8.8.7, 9.8.8.8, 9.8.8.9, 9.8.8.10, 9.8.9.1, 9.8.9.2, 9.8.9.3, 9.8.9.4, 9.8.9.5, 9.8.9.6, 9.8.9.7, 9.8.9.8, 9.8.9.9, 9.8.9.10, 9.8.10.1, 9.8.10.2, 9.8.10.3, 9.8.10.4, 9.8.10.5, 9.8.10.6, 9.8.10.7, 9.8.10.8, 9.8.10.9, 9.8.10.10, 9.9.1.1, 9.9.1.2, 9.9.1.3, 9.9.1.4, 9.9.1.5, 9.9.1.6, 9.9.1.7, 9.9.1.8, 9.9.1.9, 9.9.1.10, 9.9.2.1, 9.9.2.2, 9.9.2.3, 9.9.2.4, 9.9.2.5, 9.9.2.6, 9.9.2.7, 9.9.2.8, 9.9.2.9, 9.9.2.10, 9.9.3.1, 9.9.3.2, 9.9.3.3, 9.9.3.4, 9.9.3.5, 9.9.3.6, 9.9.3.7, 9.9.3.8, 9.9.3.9, 9.9.3.10, 9.9.4.1, 9.9.4.2, 9.9.4.3, 9.9.4.4, 9.9.4.5, 9.9.4.6, 9.9.4.7, 9.9.4.8, 9.9.4.9, 9.9.4.10, 9.9.5.1, 9.9.5.2, 9.9.5.3, 9.9.5.4, 9.9.5.5, 9.9.5.6, 9.9.5.7, 9.9.5.8, 9.9.5.9, 9.9.5.10, 9.9.6.1, 9.9.6.2, 9.9.6.3, 9.9.6.4, 9.9.6.5, 9.9.6.6, 9.9.6.7, 9.9.6.8, 9.9.6.9, 9.9.6.10, 9.9.7.1, 9.9.7.2, 9.9.7.3, 9.9.7.4, 9.9.7.5, 9.9.7.6, 9.9.7.7, 9.9.7.8, 9.9.7.9, 9.9.7.10, 9.9.8.1, 9.9.8.2, 9.9.8.3, 9.9.8.4, 9.9.8.5, 9.9.8.6, 9.9.8.7, 9.9.8.8, 9.9.8.9, 9.9.8.10, 9.9.9.1, 9.9.9.2, 9.9.9.3, 9.9.9.4, 9.9.9.5, 9.9.9.6, 9.9.9.7, 9.9.9.8, 9.9.9.9, 9.9.9.10, 9.9.10.1, 9.9.10.2, 9.9.10.3, 9.9.10.4, 9.9.10.5, 9.9.10.6, 9.9.10.7, 9.9.10.8, 9.9.10.9, 9.9.10.10, 9.10.1.1, 9.10.1.2, 9.10.1.3, 9.10.1.4, 9.10.1.5, 9.10.1.6, 9.10.1.7, 9.10.1.8, 9.10.1.9, 9.10.1.10, 9.10.2.1, 9.10.2.2, 9.10.2.3, 9.10.2.4, 9.10.2.5, 9.10.2.6, 9.10.2.7, 9.10.2.8, 9.10.2.9, 9.10.2.10, 9.10.3.1, 9.10.3.2, 9.10.3.3, 9.10.3.4, 9.10.3.5, 9.10.3.6, 9.10.3.7, 9.10.3.8, 9.10.3.9, 9.10.3.10, 9.10.4.1, 9.10.4.2, 9.10.4.3, 9.10.4.4, 9.10.4.5, 9.10.4.6, 9.10.4.7, 9.10.4.8, 9.10.4.9, 9.10.4.10, 9.10.5.1, 9.10.5.2, 9.10.5.3, 9.10.5.4, 9.10.5.5, 9.10.5.6, 9.10.5.7, 9.10.5.8, 9.10.5.9, 9.10.5.10, 9.10.6.1, 9.10.6.2, 9.10.6.3, 9.10.6.4, 9.10.6.5, 9.10.6.6, 9.10.6.7, 9.10.6.8, 9.10.6.9, 9.10.6.10, 9.10.7.1, 9.10.7.2, 9.10.7.3, 9.10.7.4, 9.10.7.5, 9.10.7.6, 9.10.7.7, 9.10.7.8, 9.10.7.9, 9.10.7.10, 9.10.8.1, 9.10.8.2, 9.10.8.3, 9.10.8.4, 9.10.8.5, 9.10.8.6, 9.10.8.7, 9.10.8.8, 9.10.8.9, 9.10.8.10, 9.10.9.1, 9.10.9.2, 9.10.9.3, 9.10.9.4, 9.10.9.5, 9.10.9.6, 9.10.9.7, 9.10.9.8, 9.10.9.9, 9.10.9.10, 9.10.10.1, 9.10.10.2, 9.10.10.3, 9.10.10.4, 9.10.10.5, 9.10.10.6, 9.10.10.7, 9.10.10.8, 9.10.10.9, 9.10.10.10, 10.1.1.1, 10.1.1.2, 10.1.1.3, 10.1.1.4, 10.1.1.5, 10.1.1.6, 10.1.1.7, 10.1.1.8, 10.1.1.9, 10.1.1.10, 10.1.2.1, 10.1.2.2, 10.1.2.3, 10.1.2.4, 10.1.2.5, 10.1.2.6, 10.1.2.7, 10.1.2.8, 10.1.2.9, 10.1.2.10, 10.1.3.1, 10.1.3.2, 10.1.3.3, 10.1.3.4, 10.1.3.5, 10.1.3.6, 10.1.3.7, 10.1.3.8, 10.1.3.9, 10.1.3.10, 10.1.4.1, 10.1.4.2, 10.1.4.3, 10.1.4.4, 10.1.4.5, 10.1.4.6, 10.1.4.7, 10.1.4.8, 10.1.4.9, 10.1.4.10, 10.1.5.1, 10.1.5.2, 10.1.5.3, 10.1.5.4, 10.1.5.5, 10.1.5.6, 10.1.5.7, 10.1.5.8, 10.1.5.9, 10.1.5.10, 10.1.6.1, 10.1.6.2, 10.1.6.3, 10.1.6.4, 10.1.6.5, 10.1.6.6, 10.1.6.7, 10.1.6.8, 10.1.6.9, 10.1.6.10, 10.1.7.1, 10.1.7.2, 10.1.7.3, 10.1.7.4, 10.1.7.5, 10.1.7.6, 10.1.7.7, 10.1.7.8, 10.1.7.9, 10.1.7.10, 10.1.8.1, 10.1.8.2, 10.1.8.3, 10.1.8.4, 10.1.8.5, 10.1.8.6, 10.1.8.7, 10.1.8.8, 10.1.8.9, 10.1.8.10, 10.1.9.1, 10.1.9.2, 10.1.9.3, 10.1.9.4, 10.1.9.5, 10.1.9.6, 10.1.9.7, 10.1.9.8, 10.1.9.9, 10.1.9.10, 10.1.10.1, 10.1.10.2, 10.1.10.3, 10.1.10.4, 10.1.10.5, 10.1.10.6, 10.1.10.7, 10.1.10.8, 10.1.10.9, 10.1.10.10, 10.2.1.1, 10.2.1.2, 10.2.1.3, 10.2.1.4, 10.2.1.5, 10.2.1.6, 10.2.1.7, 10.2.1.8, 10.2.1.9, 10.2.1.10, 10.2.2.1, 10.2.2.2, 10.2.2.3, 10.2.2.4, 10.2.2.5, 10.2.2.6, 10.2.2.7, 10.2.2.8, 10.2.2.9, 10.2.2.10, 10.2.3.1, 10.2.3.2, 10.2.3.3, 10.2.3.4, 10.2.3.5, 10.2.3.6, 10.2.3.7, 10.2.3.8, 10.2.3.9, 10.2.3.10, 10.2.4.1, 10.2.4.2, 10.2.4.3, 10.2.4.4, 10.2.4.5, 10.2.4.6, 10.2.4.7, 10.2.4.8, 10.2.4.9, 10.2.4.10, 10.2.5.1, 10.2.5.2, 10.2.5.3, 10.2.5.4, 10.2.5.5, 10.2.5.6, 10.2.5.7, 10.2.5.8, 10.2.5.9, 10.2.5.10, 10.2.6.1, 10.2.6.2, 10.2.6.3, 10.2.6.4, 10.2.6.5, 10.2.6.6, 10.2.6.7, 10.2.6.8, 10.2.6.9, 10.2.6.10, 10.2.7.1, 10.2.7.2, 10.2.7.3, 10.2.7.4, 10.2.7.5, 10.2.7.6, 10.2.7.7, 10.2.7.8, 10.2.7.9, 10.2.7.10, 10.2.8.1, 10.2.8.2, 10.2.8.3, 10.2.8.4, 10.2.8.5, 10.2.8.6, 10.2.8.7, 10.2.8.8, 10.2.8.9, 10.2.8.10, 10.2.9.1, 10.2.9.2, 10.2.9.3, 10.2.9.4, 10.2.9.5, 10.2.9.6, 10.2.9.7, 10.2.9.8, 10.2.9.9, 10.2.9.10, 10.2.10.1, 10.2.10.2, 10.2.10.3, 10.2.10.4, 10.2.10.5, 10.2.10.6, 10.2.10.7, 10.2.10.8, 10.2.10.9, 10.2.10.10, 10.3.1.1, 10.3.1.2, 10.3.1.3, 10.3.1.4, 10.3.1.5, 10.3.1.6, 10.3.1.7, 10.3.1.8, 10.3.1.9, 10.3.1.10, 10.3.2.1, 10.3.2.2, 10.3.2.3, 10.3.2.4, 10.3.2.5, 10.3.2.6, 10.3.2.7, 10.3.2.8, 10.3.2.9, 10.3.2.10, 10.3.3.1, 10.3.3.2, 10.3.3.3, 10.3.3.4, 10.3.3.5, 10.3.3.6, 10.3.3.7, 10.3.3.8, 10.3.3.9, 10.3.3.10, 10.3.4.1, 10.3.4.2, 10.3.4.3, 10.3.4.4, 10.3.4.5, 10.3.4.6, 10.3.4.7, 10.3.4.8, 10.3.4.9, 10.3.4.10, 10.3.5.1, 10.3.5.2, 10.3.5.3, 10.3.5.4, 10.3.5.5, 10.3.5.6, 10.3.5.7, 10.3.5.8, 10.3.5.9, 10.3.5.10, 10.3.6.1, 10.3.6.2, 10.3.6.3, 10.3.6.4, 10.3.6.5, 10.3.6.6, 10.3.6.7, 10.3.6.8, 10.3.6.9, 10.3.6.10, 10.3.7.1, 10.3.7.2, 10.3.7.3, 10.3.7.4, 10.3.7.5, 10.3.7.6, 10.3.7.7, 10.3.7.8, 10.3.7.9, 10.3.7.10, 10.3.8.1, 10.3.8.2, 10.3.8.3, 10.3.8.4, 10.3.8.5, 10.3.8.6, 10.3.8.7, 10.3.8.8, 10.3.8.9, 10.3.8.10, 10.3.9.1, 10.3.9.2, 10.3.9.3, 10.3.9.4, 10.3.9.5, 10.3.9.6, 10.3.9.7, 10.3.9.8, 10.3.9.9, 10.3.9.10, 10.3.10.1, 10.3.10.2, 10.3.10.3, 10.3.10.4, 10.3.10.5, 10.3.10.6, 10.3.10.7, 10.3.10.8, 10.3.10.9, 10.3.10.10, 10.4.1.1, 10.4.1.2, 10.4.1.3, 10.4.1.4, 10.4.1.5, 10.4.1.6, 10.4.1.7, 10.4.1.8, 10.4.1.9, 10.4.1.10, 10.4.2.1, 10.4.2.2, 10.4.2.3, 10.4.2.4, 10.4.2.5, 10.4.2.6, 10.4.2.7, 10.4.2.8, 10.4.2.9, 10.4.2.10, 10.4.3.1, 10.4.3.2, 10.4.3.3, 10.4.3.4, 10.4.3.5, 10.4.3.6, 10.4.3.7, 10.4.3.8, 10.4.3.9, 10.4.3.10, 10.4.4.1, 10.4.4.2, 10.4.4.3, 10.4.4.4, 10.4.4.5, 10.4.4.6, 10.4.4.7, 10.4.4.8, 10.4.4.9, 10.4.4.10, 10.4.5.1, 10.4.5.2, 10.4.5.3, 10.4.5.4, 10.4.5.5, 10.4.5.6, 10.4.5.7, 10.4.5.8, 10.4.5.9, 10.4.5.10, 10.4.6.1, 10.4.6.2, 10.4.6.3, 10.4.6.4, 10.4.6.5, 10.4.6.6, 10.4.6.7, 10.4.6.8, 10.4.6.9, 10.4.6.10, 10.4.7.1, 10.4.7.2, 10.4.7.3, 10.4.7.4, 10.4.7.5, 10.4.7.6, 10.4.7.7, 10.4.7.8, 10.4.7.9, 10.4.7.10, 10.4.8.1, 10.4.8.2, 10.4.8.3, 10.4.8.4, 10.4.8.5, 10.4.8.6, 10.4.8.7, 10.4.8.8, 10.4.8.9, 10.4.8.10, 10.4.9.1, 10.4.9.2, 10.4.9.3, 10.4.9.4, 10.4.9.5, 10.4.9.6, 10.4.9.7, 10.4.9.8, 10.4.9.9, 10.4.9.10, 10.4.10.1, 10.4.10.2, 10.4.10.3, 10.4.10.4, 10.4.10.5, 10.4.10.6, 10.4.10.7, 10.4.10.8, 10.4.10.9, 10.4.10.10, 10.5.1.1, 10.5.1.2, 10.5.1.3, 10.5.1.4, 10.5.1.5, 10.5.1.6, 10.5.1.7, 10.5.1.8, 10.5.1.9, 10.5.1.10, 10.5.2.1, 10.5.2.2, 10.5.2.3, 10.5.2.4, 10.5.2.5, 10.5.2.6, 10.5.2.7, 10.5.2.8, 10.5.2.9, 10.5.2.10, 10.5.3.1, 10.5.3.2, 10.5.3.3, 10.5.3.4, 10.5.3.5, 10.5.3.6, 10.5.3.7, 10.5.3.8, 10.5.3.9, 10.5.3.10, 10.5.4.1, 10.5.4.2, 10.5.4.3, 10.5.4.4, 10.5.4.5, 10.5.4.6, 10.5.4.7, 10.5.4.8, 10.5.4.9, 10.5.4.10, 10.5.5.1, 10.5.5.2, 10.5.5.3, 10.5.5.4, 10.5.5.5, 10.5.5.6, 10.5.5.7, 10.5.5.8, 10.5.5.9, 10.5.5.10, 10.5.6.1, 10.5.6.2, 10.5.6.3, 10.5.6.4, 10.5.6.5, 10.5.6.6, 10.5.6.7, 10.5.6.8, 10.5.6.9, 10.5.6.10, 10.5.7.1, 10.5.7.2, 10.5.7.3, 10.5.7.4, 10.5.7.5, 10.5.7.6, 10.5.7.7, 10.5.7.8, 10.5.7.9, 10.5.7.10, 10.5.8.1, 10.5.8.2, 10.5.8.3, 10.5.8.4, 10.5.8.5, 10.5.8.6, 10.5.8.7, 10.5.8.8, 10.5.8.9, 10.5.8.10, 10.5.9.1, 10.5.9.2, 10.5.9.3, 10.5.9.4, 10.5.9.5, 10.5.9.6, 10.5.9.7, 10.5.9.8, 10.5.9.9, 10.5.9.10, 10.5.10.1, 10.5.10.2, 10.5.10.3, 10.5.10.4, 10.5.10.5, 10.5.10.6, 10.5.10.7, 10.5.10.8, 10.5.10.9, 10.5.10.10, 10.6.1.1, 10.6.1.2, 10.6.1.3, 10.6.1.4, 10.6.1.5, 10.6.1.6, 10.6.1.7, 10.6.1.8, 10.6.1.9, 10.6.1.10, 10.6.2.1, 10.6.2.2, 10.6.2.3, 10.6.2.4, 10.6.2.5, 10.6.2.6, 10.6.2.7, 10.6.2.8, 10.6.2.9, 10.6.2.10, 10.6.3.1, 10.6.3.2, 10.6.3.3, 10.6.3.4, 10.6.3.5, 10.6.3.6, 10.6.3.7, 10.6.3.8, 10.6.3.9, 10.6.3.10, 10.6.4.1, 10.6.4.2, 10.6.4.3, 10.6.4.4, 10.6.4.5, 10.6.4.6, 10.6.4.7, 10.6.4.8, 10.6.4.9, 10.6.4.10, 10.6.5.1, 10.6.5.2, 10.6.5.3, 10.6.5.4, 10.6.5.5, 10.6.5.6, 10.6.5.7, 10.6.5.8, 10.6.5.9, 10.6.5.10, 10.6.6.1, 10.6.6.2, 10.6.6.3, 10.6.6.4, 10.6.6.5, 10.6.6.6, 10.6.6.7, 10.6.6.8, 10.6.6.9, 10.6.6.10, 10.6.7.1, 10.6.7.2, 10.6.7.3, 10.6.7.4, 10.6.7.5, 10.6.7.6, 10.6.7.7, 10.6.7.8, 10.6.7.9, 10.6.7.10, 10.6.8.1, 10.6.8.2, 10.6.8.3, 10.6.8.4, 10.6.8.5, 10.6.8.6, 10.6.8.7, 10.6.8.8, 10.6.8.9, 10.6.8.10, 10.6.9.1, 10.6.9.2, 10.6.9.3, 10.6.9.4, 10.6.9.5, 10.6.9.6, 10.6.9.7, 10.6.9.8, 10.6.9.9, 10.6.9.10, 10.6.10.1, 10.6.10.2, 10.6.10.3, 10.6.10.4, 10.6.10.5, 10.6.10.6, 10.6.10.7, 10.6.10.8, 10.6.10.9, 10.6.10.10, 10.7.1.1, 10.7.1.2, 10.7.1.3, 10.7.1.4, 10.7.1.5, 10.7.1.6, 10.7.1.7, 10.7.1.8, 10.7.1.9, 10.7.1.10, 10.7.2.1, 10.7.2.2, 10.7.2.3, 10.7.2.4, 10.7.2.5, 10.7.2.6, 10.7.2.7, 10.7.2.8, 10.7.2.9, 10.7.2.10, 10.7.3.1, 10.7.3.2, 10.7.3.3, 10.7.3.4, 10.7.3.5, 10.7.3.6, 10.7.3.7, 10.7.3.8, 10.7.3.9, 10.7.3.10, 10.7.4.1, 10.7.4.2, 10.7.4.3, 10.7.4.4, 10.7.4.5, 10.7.4.6, 10.7.4.7, 10.7.4.8, 10.7.4.9, 10.7.4.10, 10.7.5.1, 10.7.5.2, 10.7.5.3, 10.7.5.4, 10.7.5.5, 10.7.5.6, 10.7.5.7, 10.7.5.8, 10.7.5.9, 10.7.5.10, 10.7.6.1, 10.7.6.2, 10.7.6.3, 10.7.6.4, 10.7.6.5, 10.7.6.6, 10.7.6.7, 10.7.6.8, 10.7.6.9, 10.7.6.10, 10.7.7.1, 10.7.7.2, 10.7.7.3, 10.7.7.4, 10.7.7.5, 10.7.7.6, 10.7.7.7, 10.7.7.8, 10.7.7.9, 10.7.7.10, 10.7.8.1, 10.7.8.2, 10.7.8.3, 10.7.8.4, 10.7.8.5, 10.7.8.6, 10.7.8.7, 10.7.8.8, 10.7.8.9, 10.7.8.10, 10.7.9.1, 10.7.9.2, 10.7.9.3, 10.7.9.4, 10.7.9.5, 10.7.9.6, 10.7.9.7, 10.7.9.8, 10.7.9.9, 10.7.9.10, 10.7.10.1, 10.7.10.2, 10.7.10.3, 10.7.10.4, 10.7.10.5, 10.7.10.6, 10.7.10.7, 10.7.10.8, 10.7.10.9, 10.7.10.10, 10.8.1.1, 10.8.1.2, 10.8.1.3, 10.8.1.4, 10.8.1.5, 10.8.1.6, 10.8.1.7, 10.8.1.8, 10.8.1.9, 10.8.1.10, 10.8.2.1, 10.8.2.2, 10.8.2.3, 10.8.2.4, 10.8.2.5, 10.8.2.6, 10.8.2.7, 10.8.2.8, 10.8.2.9, 10.8.2.10, 10.8.3.1, 10.8.3.2, 10.8.3.3, 10.8.3.4, 10.8.3.5, 10.8.3.6, 10.8.3.7, 10.8.3.8, 10.8.3.9, 10.8.3.10, 10.8.4.1, 10.8.4.2, 10.8.4.3, 10.8.4.4, 10.8.4.5, 10.8.4.6, 10.8.4.7, 10.8.4.8, 10.8.4.9, 10.8.4.10, 10.8.5.1, 10.8.5.2, 10.8.5.3, 10.8.5.4, 10.8.5.5, 10.8.5.6, 10.8.5.7, 10.8.5.8, 10.8.5.9, 10.8.5.10, 10.8.6.1, 10.8.6.2, 10.8.6.3, 10.8.6.4, 10.8.6.5, 10.8.6.6, 10.8.6.7, 10.8.6.8, 10.8.6.9, 10.8.6.10, 10.8.7.1, 10.8.7.2, 10.8.7.3, 10.8.7.4, 10.8.7.5, 10.8.7.6, 10.8.7.7, 10.8.7.8, 10.8.7.9, 10.8.7.10, 10.8.8.1, 10.8.8.2, 10.8.8.3, 10.8.8.4, 10.8.8.5, 10.8.8.6, 10.8.8.7, 10.8.8.8, 10.8.8.9, 10.8.8.10, 10.8.9.1, 10.8.9.2, 10.8.9.3, 10.8.9.4, 10.8.9.5, 10.8.9.6, 10.8.9.7, 10.8.9.8, 10.8.9.9, 10.8.9.10, 10.8.10.1, 10.8.10.2, 10.8.10.3, 10.8.10.4, 10.8.10.5, 10.8.10.6, 10.8.10.7, 10.8.10.8, 10.8.10.9, 10.8.10.10, 10.9.1.1, 10.9.1.2, 10.9.1.3, 10.9.1.4, 10.9.1.5, 10.9.1.6, 10.9.1.7, 10.9.1.8, 10.9.1.9, 10.9.1.10, 10.9.2.1, 10.9.2.2, 10.9.2.3, 10.9.2.4, 10.9.2.5, 10.9.2.6, 10.9.2.7, 10.9.2.8, 10.9.2.9, 10.9.2.10, 10.9.3.1, 10.9.3.2, 10.9.3.3, 10.9.3.4, 10.9.3.5, 10.9.3.6, 10.9.3.7, 10.9.3.8, 10.9.3.9, 10.9.3.10, 10.9.4.1, 10.9.4.2, 10.9.4.3, 10.9.4.4, 10.9.4.5, 10.9.4.6, 10.9.4.7, 10.9.4.8, 10.9.4.9, 10.9.4.10, 10.9.5.1, 10.9.5.2, 10.9.5.3, 10.9.5.4, 10.9.5.5, 10.9.5.6, 10.9.5.7, 10.9.5.8, 10.9.5.9, 10.9.5.10, 10.9.6.1, 10.9.6.2, 10.9.6.3, 10.9.6.4, 10.9.6.5, 10.9.6.6, 10.9.6.7, 10.9.6.8, 10.9.6.9, 10.9.6.10, 10.9.7.1, 10.9.7.2, 10.9.7.3, 10.9.7.4, 10.9.7.5, 10.9.7.6, 10.9.7.7, 10.9.7.8, 10.9.7.9, 10.9.7.10, 10.9.8.1, 10.9.8.2, 10.9.8.3, 10.9.8.4, 10.9.8.5, 10.9.8.6, 10.9.8.7, 10.9.8.8, 10.9.8.9, 10.9.8.10, 10.9.9.1, 10.9.9.2, 10.9.9.3, 10.9.9.4, 10.9.9.5, 10.9.9.6, 10.9.9.7, 10.9.9.8, 10.9.9.9, 10.9.9.10, 10.9.10.1, 10.9.10.2, 10.9.10.3, 10.9.10.4, 10.9.10.5, 10.9.10.6, 10.9.10.7, 10.9.10.8, 10.9.10.9, 10.9.10.10, 10.10.1.1, 10.10.1.2, 10.10.1.3, 10.10.1.4, 10.10.1.5, 10.10.1.6, 10.10.1.7, 10.10.1.8, 10.10.1.9, 10.10.1.10, 10.10.2.1, 10.10.2.2, 10.10.2.3, 10.10.2.4, 10.10.2.5, 10.10.2.6, 10.10.2.7, 10.10.2.8, 10.10.2.9, 10.10.2.10, 10.10.3.1, 10.10.3.2, 10.10.3.3, 10.10.3.4, 10.10.3.5, 10.10.3.6, 10.10.3.7, 10.10.3.8, 10.10.3.9, 10.10.3.10, 10.10.4.1, 10.10.4.2, 10.10.4.3, 10.10.4.4, 10.10.4.5, 10.10.4.6, 10.10.4.7, 10.10.4.8, 10.10.4.9, 10.10.4.10, 10.10.5.1, 10.10.5.2, 10.10.5.3, 10.10.5.4, 10.10.5.5, 10.10.5.6, 10.10.5.7, 10.10.5.8, 10.10.5.9, 10.10.5.10, 10.10.6.1, 10.10.6.2, 10.10.6.3, 10.10.6.4, 10.10.6.5, 10.10.6.6, 10.10.6.7, 10.10.6.8, 10.10.6.9, 10.10.6.10, 10.10.7.1, 10.10.7.2, 10.10.7.3, 10.10.7.4, 10.10.7.5, 10.10.7.6, 10.10.7.7, 10.10.7.8, 10.10.7.9, 10.10.7.10, 10.10.8.1, 10.10.8.2, 10.10.8.3, 10.10.8.4, 10.10.8.5, 10.10.8.6, 10.10.8.7, 10.10.8.8, 10.10.8.9, 10.10.8.10, 10.10.9.1, 10.10.9.2, 10.10.9.3, 10.10.9.4, 10.10.9.5, 10.10.9.6, 10.10.9.7, 10.10.9.8, 10.10.9.9, 10.10.9.10, 10.10.10.1, 10.10.10.2, 10.10.10.3, 10.10.10.4, 10.10.10.5, 10.10.10.6, 10.10.10.7, 10.10.10.8, 10.10.10.9, 10.10.10.10 - Additional exemplary formula B compound groups include the following compound groups disclosed below. Unless otherwise specified, the configurations of all hydrogen atoms and R groups for the following compound groups are as defined for the group 1 compounds of formula B above.
- Group 2. This group comprises compounds named in Table B having R1, R2, R3 and R4 substituents defined in Table A wherein the R1, R2, R3 and R4 substituents are bonded to the steroid nucleus described for group 1 compounds, except that a double bond at the 5-6 position is present. Thus, group 2 compound 1.3.1.1 has the structure
- Group 3. This group comprises compounds named in Table B having R1, R2, R3 and R4 substituents defined in Table A wherein the R1, R2, R3 and R4 substituents are bonded to the steroid nucleus as described for group 1 compounds, except that double bonds at the 1-2- and 5-6 positions are present. Thus, group 3 compound 2.2.5.1 has the structure
- Group 4. This group comprises compounds named in Table B having R1, R2, R3 and R4 substituents defined in Table A wherein the R1, R2, R3 and R4 substituents are bonded to the steroid nucleus described for group 1 compounds, except that a double bond at the 1-2 position is present. Thus, group 4 compound 5.2.7.8 has the structure
- Group 5. This group comprises compounds named in Table B having R1, R2, R3 and R4 substituents defined in Table A wherein the R1, R2, R3 and R4 substituents are bonded to the steroid nucleus described for group 1 compounds, except that a double bond at the 4-5 position is present. Thus, the group 5 compound named 3.5.2.9 has the structure
- Group 6. This group comprises compounds named in Table B having R1, R2, R3 and R4 substituents defined in Table A wherein the R1, R2, R3 and R4 substituents are bonded to the steroid nucleus described for group 1 compounds, except that double bonds at both the 1-2 and 4-5 positions are present. Thus, the group 6 compound named 10.2.7.8 has the structure
- Group 7. Group 7 comprises the 6 compound groups described above, except that R5 is hydrogen instead of methyl, i.e., it comprises 6 subgroups, 7-1, 7-2, 7-3, 7-4, 7-5 and 7-6. Thus, subgroup 7-1 has the same steroid nucleus as group 1 above, i.e., no double bond is present, but R5 is —H. Subgroup 7-2 comprises the same steroid nucleus as group 2 above, i.e., a double bond is present at the 5-6-position, but R5 is —H, Compound subgroups 7-3 through 7-6 are assigned a steroid nucleus in the same manner. Thus, the subgroup 7-1 through subgroup 7-6 compounds named 1.2.1.9 have the structures
- Group 8. Group 8 comprises 6 subgroups of compounds, i.e., each compound named in groups 1-6, except that R5 of formula B is —CH2OH instead of methyl. The subgroups 8-1 through subgroup 8-6 compounds have structures that are named in the same manner as group 1-6 compounds, except that —CH2OH instead of methyl is present at R5. These groups are named in essentially the same manner as subgroups 7-1 through 7-6. Thus, subgroup 8-1 and subgroup 8-2 compounds named 1.2.1.9 have the structures
- Group 9. Group 9 comprises each compound named in compound groups 1-8, except that R6 of formula B is hydrogen instead of methyl. Thus group 9 comprises subgroups 9-1 through 9-8-6, i.e., 9-1, 9-2, 9-3, 9-4, 9-5, 9-6, 9-7-1, 9-7-2, 9-7-3, 9-7-4, 9-7-5, 9-7-6, 9-8-1, 9-8-2, 9-8-3, 9-8-4, 9-8-5 and 9-8-6. Subgroups 9-1 through 9-8-6 compounds have structures that are named in essentially the same manner as subgroup 7-1 through 7-6 compounds, except that —H instead of methyl is present at R6. Thus, subgroup 9-1 and subgroup 9-2 compounds named 1.2.1.9 have the structures
- Subgroup 9-7-1 compound 1.2.1.9 has the same structure as group 9-1 compound 1.2.1.9, except that R5 is hydrogen in the β configuration, instead of a methyl group in the β configuration. Similarly, the group 9-8-1 compound 1.2.1.9 has the same structure as group 9-1 compound 1.2.1.9, except that R5 is hydroxymethyl (—CH2OH) in the β configuration, instead of a methyl group in the β configuration. Group 9-7-2 compound 1.2.1.9 has the same structure as the group 9-7-1 compound, except that a double bond is present at the 5-6 position.
- Thus, subgroups 9-1 through 9-6 have hydrogen at R6, but each has a different double bond structure, e.g., no double bond in subgroup 9-1 and double bonds at 1-2 and 4-5 in subgroup 9-6. Subgroups 9-7-1 through 9-7-6 also comprises six subgroups, but they have hydrogen at R5 and R6, but each has a different double bond structure for each of the six subgroups, e.g., no double bond in subgroup 9-7-1 and double bonds at positions 1-2 and 4-5 in subgroup 9-7-6. Subgroups 9-8-1 through 9-8-6 all have hydrogen at R6 and —CH2OH at R5, but each has a different double bond structure in each, e.g., no double bond in subgroup 9-8-1 and double bonds at positions 1-2 and 4-5 in group 9-8-6.
- Groups 10. Group 10 comprises each compound named in groups 1 through 8, but where R6 of formula B is —CH2OH instead of methyl. The subgroups 10-1 through group 10-6 compounds have structures that are named in essentially the same manner as compounds in group 9, except that —CH2OH instead of methyl is present at R6. Thus, subgroup 10-1 and subgroup 10-2 compounds named 1.2.1.9 have the structures
- Subgroup 10-7-1 compound 1.2.1.9 has the same structure as subgroup 10-1 compound 1.2.1.9, except that R5 is hydrogen in the β configuration, instead of a methyl group in the β configuration. Similarly, the subgroup 10-8-1 compound 1.2.1.9 has the same structure as group 10-1 compound 1.2.1.9, except that R5 is hydroxymethyl (—CH2OH) in the β configuration, instead of a methyl group in the β configuration. Subgroup 10-7-2 compound 1.2.1.9 has the same structure as the subgroup 10-7-1 compound, except that a double bond is present at the 5-6 position.
- Thus, subgroups 10-1 through 10-8-6 comprise 18 separate groups, each of which has —CH2OH at R6. Subgroups 10-1 through 10-6 comprise different six subgroups where each has a different double bond structure, e.g., no double bond in subgroup 10-1 and double bonds at 1-2 and 4-5 in subgroup 10-6. Subgroups 10-7-1 through 10-7-6 all have —CH2OH at R6 and hydrogen at R5, but each has a different double bond structure for each of the six groups, e.g., no double bond in subgroup 10-7-1 and double bonds at positions 1-2 and 4-5 in subgroup 10-7-6. Similarly, subgroups 10-8-1 through 10-8-6 all six have —CH2OH at R6 and at R5, but each has a different double bond structure in each of the six subgroups, e.g., no double bond in subgroup 10-8-1 and double bonds at positions 1-2 and 4-5 in subgroup 10-8-6. The 18 groups are 10-1, 10-2, 10-3, 10-4, 10-5, 10-6, 10-7-1, 10-7-2, 10-7-3, 10-7-4, 10-7-5, 10-7-6, 10-8-1, 10-8-2, 10-8-3, 10-8-4, 10-8-5 and 10-8-6.
- Group 11. Group 11 comprises each compound named in compound groups 1-10, but where R1 moieties (or substituents) 1-10 listed in Table A are replaced with the following moieties:
- 1 —O—C(O)—CH2CH2CH2CH3 (—O—C(O)—CH2CH2CH2CH3 replaces —OH, which is R1 moiety 1 in Table A)
- 2 —O—C(O)—CH2CH2CH2CH2CH2CH3
- 3 —O—C(O)—CH2CH2OCH2CH3
- 4 —O—C(O)—CH2CH2OCH2CH2OCH2CH3
- 5 —O—C(O)—CH2CH2CH2CH2OCH2CH3
- 6 —O—C(O)—CH2CH2OCH2CH2CH2CH3
- 7 —O—C6H4Cl
- 8 —O—C6H3F2
- 9 —O—C6H4—O(CH2)2—O—CH2CH3
- 10 —O—C6H4—C(O)O(CH2)0-9CH3
-
-
-
- Group 11 comprises 54 separate subgroups, subgroups 11-1 through 11-10-8-6, where each of which has the R1 moieties shown in this group and the remaining moieties as shown in the other groups described above. Subgroups 11-1 through 11-6 each have a different double bond structure, e.g., no double bond in subgroup 11-1 and double bonds at 1-2 and 4-5 in subgroup 11-6. Subgroups 11-7-1 through 11-7-6 all have —CH2OH at R6 and hydrogen at R5, but each has a different double bond structure, e.g., no double bond in subgroup 11-7-1 and double bonds at positions 1-2 and 4-5 in subgroup 11-7-6. Subgroups 11-8-1 through 11-8-6 comprise all have —CH2OH at R6 and at R5, but each has a different double bond structure in each of the six groups, e.g., no double bond in group 11-8-1 and double bonds at positions 1-2 and 4-5 in group 11-8-6. The compounds in the remaining groups are named in essentially the same manner.
- The 54 groups are 11-1, 11-2, 11-3, 11-4, 11-5, 11-6, 11-7-1, 11-7-2, 11-7-3, 11-7-4, 11-7-5, 11-7-6, 11-8-1, 11-8-2, 11-8-3, 11-8-4, 11-8-5, 11-8-6, 11-9-1, 11-9-2, 11-9-3, 11-9-4, 11-9-5, 11-9-6, 11-10-1, 11-10-2, 11-10-3, 11-10-4, 11-10-5, 11-10-6, 11-9-7-1, 11-9-7-2, 11-9-7-3, 11-9-7-4, 11-9-7-5, 11-9-7-6, 11-10-7-1, 11-10-7-2, 11-10-7-3, 11-10-7-4, 11-10-7-5, 11-10-7-6, 11-9-8-1, 11-9-8-2, 11-9-8-3, 11-9-8-4, 11-9-8-5, 11-9-8-6, 11-10-8-1, 11-10-8-2, 11-10-8-3, 11-10-8-4, 11-10-8-5 and 11-10-8-6.
- Group 12. Group 12 comprises each compound named in groups 1 through 10, but where R1 moieties 1-10 listed in Table A are replaced with the following moieties:
- 1 —O—P(O)(O)—OCH2CH(CH3)CH3 (—O—P(O)(O)—OCH2CH(CH3)CH3 replaces —OH, which is R1 moiety 1 in Table A)
- 2 —O—P(O)(O)—OCH2CH2CH2CH2CH3
- 3 —O—P(O)(O)—OCH2CH2CH2CH2CH2CH3
- 4 —O—P(O)(O)—OCH2CH2CH(CH2CH2)CH3
- 5 —O—CH2CH2CH2CH2CH2CH3
- 6 —O—C1-C6 alkyl(OH)0-2
- 7 —C1-C6 alkyl(OH)0-2
- 8 —C(O)—C1-C6 alkyl(OH)0-2
- 9 —O-monosaccharide
- 10 —O-disaccharide
- Group 12 comprises 54 separate subgroups, subgroups 12-1 through 12-10-8-6, where each of which has the R1 moieties shown in this group and the remaining moieties as shown in the other groups described above. The subgroups are defined essentially as described for group 11 above. The 54 subgroups are 12-1, 12-2, 12-3, 12-4, 12-5, 12-6, 12-7-1, 12-7-2, 12-7-3, 12-7-4, 12-7-5, 12-7-6, 12-8-1, 12-8-2, 12-8-3, 12-8-4, 12-8-5, 12-8-6, 12-9-1, 12-9-2, 12-9-3, 12-9-4, 12-9-5, 12-9-6, 12-10-1, 12-10-2, 12-10-3, 12-10-4, 12-10-5, 12-10-6, 12-9-7-1, 12-9-7-2, 12-9-7-3, 12-9-7-4, 12-9-7-5, 12-9-7-6, 12-10-7-1, 12-10-7-2, 12-10-7-3, 12-10-7-4, 12-10-7-5, 12-10-7-6, 12-9-8-1, 12-9-8-2, 12-9-8-3, 12-9-8-4, 12-9-8-5, 12-9-8-6, 12-10-8-1, 12-10-8-2, 12-10-8-3, 12-10-8-4, 12-10-8-5 and 12-10-8-6.
- Group 13. Group 13 comprises each compound named in groups 1 through 10, but where R1 moieties 1-10 listed in Table A are replaced with the following moieties:
- 1 —O—(CH2)4—CH3 (—O—(CH2)4—CH3 replaces —OH, which is R1 moiety 1 in Table A)
- 2 —O-oligosaccharide
- 3 —O-polyethylene glycol (e.g., PEG20, PEG100, PEG200 or PEG400)
- 4 —O—C(O)—NH0-2(C1-C6 alkyl)0-2
- 5 —C(O)—NH0-2(C1-C6 alkyl)0-2
- 6 —O—C(O)—NH(CH2)2-4—O—C1-C4 alkyl(OH)0-2
- 7 —O—C(O)—CH3
- 8 —O—C(O)—C2-C5 alkyl(OH)0-2
- 9 —O—C(O)—CH2CH2CH2CH3
- 10 —O—C(O)—CH(NH2)—R42 (R42 is —H, C2-C6 alkyl or an amino acid side chain)
- Group 13 comprises 54 separate subgroups, subgroups 13-1 through 13-10-8-6, where each of which has the R1 moieties shown in this group and the remaining moieties as shown in the other groups described above. The subgroups are defined essentially as described for group 11 above. The 54 subgroups are 13-1, 13-2, 13-3,13-4, 13-5, 13-6, 13-7-1, 13-7-2, 13-7-3, 13-7-4, 13-7-5, 13-7-6, 13-8-1, 13-8-2, 13-8-3, 13-8-4, 13-8-5, 13-8-6, 13-9-1, 13-9-2, 13-9-3, 13-9-4, 13-9-5, 13-9-6, 13-10-1, 13-10-2, 13-10-3, 13-10-4, 13-10-5, 13-10-6, 13-9-7-1, 13-9-7-2, 13-9-7-3, 13-9-7-4, 13-9-7-5, 13-9-7-6, 13-10-7-1, 13-10-7-2, 13-10-7-3, 13-10-7-4, 13-10-7-5, 13-10-7-6, 13-9-8-1, 13-9-8-2, 13-9-8-3, 13-9-8-4, 13-9-8-5, 13-9-8-6, 13-10-8-1, 13-10-8-2, 13-10-8-3, 13-10-8-4, 13-10-8-5 and 13-10-8-6.
- Group 14. Group 14 comprises each compound named in groups 1 through 10, but where R1 moieties 1-10 listed in Table A are replaced with the following moieties:
- 1 —C(O)—CH3
- 2 —O—CH2C6H5
- 3 —C(S)—CH3
- 4 —O—C0-C6 alkyl-heterocycle
- 5 —C0-C6 alkyl-heterocycle
- 6 —O—CH2C6H4F
- 7 —O—CH2C6H3(OCH3)2
- 8 C(O)—C2-C4 alkyl-O—C1-C3 alkyl
- 9 —C(O)—C0-C4 alkyl-NH—(C1-C3 alkyl)0-1-H
- 10 —O—CH2C6H4OCH2CH3
- Group 14 comprises 54 separate subgroups, subgroups 14-1 through 14-10-8-6, where each of which has the R1 moieties shown in this group and the remaining moieties as shown in the other groups described above. These subgroups are defined essentially as described for group 11 above. The 54 subgroups are 14-1, 14-2, 14-3, 14-4, 14-5, 14-6, 14-7-1, 14-7-2, 14-7-3, 14-7-4, 14-7-5, 14-7-6, 14-8-1, 14-8-2, 14-8-3, 14-8-4, 14-8-5, 14-8-6, 14-9-1, 14-9-2, 14-9-3, 14-9-4, 14-9-5, 14-9-6, 14-10-1, 14-10-2, 14-10-3, 14-10-4, 14-10-5, 14-10-6, 14-9-7-1, 14-9-7-2, 14-9-7-3, 14-9-7-4, 14-9-7-5, 14-9-7-6, 14-10-7-1, 14-10-7-2, 14-10-7-3, 14-10-7-4, 14-10-7-5, 14-10-7-6, 14-9-8-1, 14-9-8-2, 14-9-8-3, 14-9-8-4, 14-9-8-5, 14-9-8-6, 14-10-8-1, 14-10-8-2, 14-10-8-3, 14-10-8-4, 14-10-8-5 and 14-10-8-6.
- Group 15. Group 15 comprises each compound named in groups 1 through 10, but where R1 moieties 1-10 listed in Table A are replaced with the following groups:
- 1—O—C(O)—CH2CH2NH2 (—O—C(O)—CH2CH2NH2 replaces —OH, which is R1 moiety 1 in Table A)
- 2 —O—C(O)—C1-C6 alkyl-NH2
- 3 —C(O)—C1-C6 alkyl-NH2
- 4 —O—C(O)—C1-C6 alkyl-(OH)0-2
- 5 —C(O)—C1-C6 alkyl-(OH)0-2
- 6 —O—C(O)—C1-C6 alkyl-(SH)0-2
- 7 —C(O)—C1-C6 alkyl-(SH)0-2
- 8 —O—C(O)—CH2CH2CH2SH
- 9 —S—C(O)—C1-C6 alkyl-(OH)0-2
- 10 —C(S)—C1-C6 alkyl-(OH)0-2
- Group 15 comprises 54 separate subgroups, subgroups 15-1 through 15-10-8-6, where each of which has the R1 moieties shown in this group and the remaining moieties as shown in the other groups described above. These subgroups are defined essentially as described for group 11 above. The 54 subgroups are 15-1, 15-2, 15-3,15-4, 15-5, 15-6, 15-7-1, 15-7-2, 15-7-3, 15-7-4, 15-7-5, 15-7-6, 15-8-1, 15-8-2, 15-8-3, 15-8-4, 15-8-5, 15-8-6, 15-9-1, 15-9-2, 15-9-3, 15-9-4, 15-9-5, 15-9-6, 15-10-1, 15-10-2, 15-10-3, 15-10-4, 15-10-5, 15-10-6, 15-9-7-1, 15-9-7-2, 15-9-7-3, 15-9-7-4, 15-9-7-5, 15-9-7-6, 15-10-7-1, 15-10-7-2, 15-10-7-3, 15-10-7-4, 15-10-7-5, 15-10-7-6, 15-9-8-1, 15-9-8-2, 15-9-8-3, 15-9-8-4, 15-9-8-5, 15-9-8-6, 15-10-8-1, 15-10-8-2, 15-10-8-3, 15-10-8-4, 15-10-8-5 and 15-10-8-6.
- Group 16. Groups 16 comprises each compound named in groups 1 through 10, but where R1 moieties 1-10 listed in Table A are replaced with the following groups:
- 1 —O—C(O)-A4—NH2, where A4—NH2 is a 4 carbon alkyl group substituted with —NH2 (—O—C(O)-A4—NH2 replaces —OH, which is R1 moiety 1 in Table A)
- 2 —O—C(O)-A6—NH2, where A6—NH2 is a 6 carbon alkyl group substituted with —NH2
- 3 —O—C(O)-A8—NH2, where A8—NH2 is a 8 carbon alkyl group substituted with —NH2
- 4 —O—C(O)-A4-OH, where A4-OH is a 4 carbon alkyl group substituted with —OH or —O—
- 5 —O—C(O)-A6-OH, where A6-OH is a 6 carbon alkyl group substituted with —OH or —O—
- 6—O—C(O)-A8-OH, where A8-OH is a 8 carbon alkyl group substituted with —OH or —O—
- 7 —F
- 8 —Cl
- 9 —Br
- 10 —I
- Group 16 comprises 54 separate subgroups, subgroups 16-1 through 16-10-8-6, where each of which has the R1 moieties shown in this group and the remaining moieties as shown in the other groups described above. These groups are defined essentially as described for group 11 above. The 54 subgroups are 16-1, 16-2,16-3, 16-4,16-5, 16-6, 16-7-1, 16-7-2, 16-7-3, 16-7-4, 16-7-5, 16-7-6, 16-8-1, 16-8-2, 16-8-3, 16-8-4, 16-8-5, 16-8-6, 16-9-1, 16-9-2, 16-9-3, 16-9-4, 16-9-5, 16-9-6, 16-10-1, 16-10-2, 16-10-3, 16-10-4, 16-10-5, 16-10-6, 16-9-7-1, 16-9-7-2, 16-9-7-3, 16-9-7-4, 16-9-7-5, 16-9-7-6, 16-10-7-1, 16-10-7-2, 16-10-7-3, 16-10-7-4, 16-10-7-5, 16-10-7-6, 16-9-8-1, 16-9-8-2, 16-9-8-3, 16-9-8-4, 16-9-8-5, 16-9-8-6, 16-10-8-1, 16-10-8-2, 16-10-8-3, 16-10-8-4, 16-10-8-5 and 16-10-8-6.
- Group 17. Group 17 comprises each compound named in compound groups 1 through 10, but where R1 moieties 1-10 listed in Table A are replaced with the following groups:
- 1 —O—S(O)(O)—O—C1-C8 optionally substituted alkyl
- 2 —O—P(O)(OH)—O—C1-C8 optionally substituted alkyl
- 3 —O—P(S)(OH)—O—C1-C8 optionally substituted alkyl
- 4 —O—P(O)(OH)—S—C1-C8 optionally substituted alkyl
- 5 —O—S(O)(O)—OR44 (R44 is H, NH4 +, Na+, K+, HN+(CH3)3, N+(CH3)4, HN+(C2H5)3 C1-C8 alkyl (e.g., —CH3, —C2H5 or —C3H7), or pyridinium+)
- 6 —O—P(O)(OH)—OR44
- 7 —O—P(O)(OH)—SR44
- 8 —O—S(O)(O)—O-2′,3′-dipalmitoyl-1′-glyceryl
- 9 —O-(3β-O-1β)-D-glucuronic acid-R44
- 10 —O-(3β-O-1β)-tri-O-acetyl-D-glucuronic acid-R44
- Group 17 comprises 54 separate subgroups, subgroups 17-1 through 17-10-8-6, where each of which has the R1 moieties shown in this group and the remaining moieties as shown in the other groups described above. These subgroups are defined essentially as described for group 11 above. The 54 subgroups are 17-1, 17-2, 17-3, 17-4, 17-5, 17-6, 17-7-1, 17-7-2, 17-7-3, 17-7-4, 17-7-5, 17-7-6, 17-8-1, 17-8-2, 17-8-3, 17-8-4, 17-8-5, 17-8-6, 17-9-1, 17-9-2, 17-9-3, 17-9-4, 17-9-5, 17-9-6, 17-10-1, 17-10-2, 17-10-3, 17-10-4, 17-10-5, 17-10-6, 17-9-7-1, 17-9-7-2, 17-9-7-3, 17-9-7-4, 17-9-7-5, 17-9-7-6, 17-10-7-1, 17-10-7-2, 17-10-7-3, 17-10-7-4, 17-10-7-5, 17-10-7-6, 17-9-8-1, 17-9-8-2, 17-9-8-3, 17-9-8-4, 17-9-8-5, 17-9-8-6, 17-10-8-1, 17-10-8-2, 17-10-8-3, 17-10-8-4, 17-10-8-5 and 17-10-8-6.
- Group 18. Group 18 comprises each compound named in groups 1 through 17, but where R4 moieties 1-10 listed in Table A are replaced with the following moieties:
- 1 —O—C(O)CH2NH2
- 2 —O—C(O)C(CH3)H—NH2
- 3 —O—C(O)C(CH2C6H5)H—NH2
- 4 —O—C(O)—O—NHC(CH3)H—CO2H
- 5 —O—C(O)—O—NHCH2—CO2H
- 6 —O—C(O)—O—NH(CH2C6H5)H—CO2H
- 7 —O—C(O)—CF3
- 8 —O—C(O)—CH2CF3
- 9 —O—C(O)—(CH2)3CF3
- 10 —O—C(O)—(CH2)5CH3
- Group 18 comprises 432 separate subgroups, 18-1 through 18-17-10-8-6, where each of which has the R4 moieties shown in this group and the remaining moieties as shown in the other groups described above. These groups are defined essentially as described for the groups described above. The groups are 18-1 through 18-6, 18-7-1 through 18-7-6, 18-8-1 through 18-8-6, 18-9-1 through 18-9-6, 18-10-1 through 18-10-6, 18-9-7-1 through 18-9-7-6, 18-9-8-1 through 18-9-8-6, 18-10-7-1 through 18-10-7-6, 18-10-8-1 through 18-10-8-6, 18-11-1 through 18-11-6, 18-11-7-1 through 18-11-7-6, 18-11-8-1 through 18-11-8-6, 18-11-9-1 through 18-11-9-6, 18-11-10-1 through 18-11-10-6, 18-11-9-7-1 through 18-11-9-7-6, 18-11-9-8-1 through 18-11-9-8-6, 18-11-10-7-1 through 18-11-10-7-6, 18-11-10-8-1 through 18-11-10-8-6, 18-12-1 through 18-12-6, 18-12-7-1 through 18-12-7-6, 18-12-8-1 through 18-12-8-6, 18-12-9-1 through 18-12-9-6, 18-12-10-1 through 18-12-10-6, 18-12-9-7-1 through 18-12-9-7-6, 18-12-9-8-1 through 18-12-9-8-6, 18-12-10-7-1 through 18-12-10-7-6, 18-12-10-8-1 through 18-12-10-8-6, 18-13-1 through 18-13-6, 18-13-7-1 through 18-13-7-6, 18-13-8-1 through 18-13-8-6, 18-13-9-1 through 18-13-9-6, 18-13-10-1 through 18-13-10-6, 18-13-9-7-1 through 18-13-9-7-6, 18-13-9-8-1 through 18-13-9-8-6, 18-13-10-7-1 through 18-13-10-7-6, 18-13-10-8-1 through 18-13-10-8-6, 18-14-1 through 18-14-6, 18-14-7-1 through 18-14-7-6, 18-14-8-1 through 18-14-8-6, 18-14-9-1 through 18-14-9-6, 18-14-10-1 through 18-14-10-6, 18-14-9-7-1 through 18-14-9-7-6, 18-14-9-8-1 through 18-14-9-8-6, 18-14-10-7-1 through 18-14-10-7-6, 18-14-10-8-1 through 18-14-10-8-6, 18-15-1 through 18-15-6, 18-15-7-1 through 18-15-7-6, 18-15-8-1 through 18-15-8-6, 18-15-9-1 through 18-15-9-6, 18-15-10-1 through 18-15-10-6, 18-15-9-7-1 through 18-15-9-7-6, 18-15-9-8-1 through 18-15-9-8-6, 18-15-10-7-1 through 18-15-10-7-6, 18-15-10-8-1 through 18-15-10-8-6, 18-16-1 through 18-16-6, 18-16-7-1 through 18-16-7-6, 18-16-8-1 through 18-16-8-6, 18-16-9-1 through 18-16-9-6, 18-16-10-1 through 18-16-10-6, 18-16-9-7-1 through 18-16-9-7-6, 18-16-9-8-1 through 18-16-9-8-6, 18-16-10-7-1 through 18-16-10-7-6, 18-16-10-8-1 through 18-16-10-8-6, 18-17-1 through 18-17-6, 18-17-7-1 through 18-17-7-6, 18-17-8-1 through 18-17-8-6, 18-17-9-1 through 18-17-9-6, 18-17-10-1 through 18-17-10-6, 18-17-9-7-1 through 18-17-9-7-6, 18-17-9-8-1 through 18-17-9-8-6, 18-17-10-7-1 through 18-17-10-7-6 and 18-17-10-8-1 through 18-17-10-8-6.
- Group 19. Group 19 comprises each compound named in compound groups 1 through 17, but where R4 moieties 1-10 listed in Table A are replaced with the following moieties:
- 1 —O—C(O)—O—CH3
- 2 —O—C(O)—O—CH2CH3
- 3 —O—C(O)—O—C3H7
- 4 —O—C(O)—O—C4H9
- 5 —O—C(O)—O—C6H13
- 6 —O—C(O)—O—C6H5
- 7 —O—C(O)—O—C6H4OH
- 8 —O—C(O)—O—C6H4OCH3
- 9 —O—C(O)—O—C6H4OCH2CH3
- 10 —O—C(O)—O—C6H4F
- Group 19 comprises 432 separate subgroups, 19-1 through 19-17-10-8-6, where each of which has the R4 moieties shown in this group and the remaining moieties as shown in the other groups described above. These subgroups are defined essentially as described for group 18 above. The subgroups are 19-1 through 19-6, 19-7-1 through 19-7-6, 19-8-1 through 19-8-6, 19-9-1 through 19-9-6 and so on essentially as described for group 18 compounds.
- Group 20. Group 20 comprises each compound named in groups 1 through 17, but where R4 moieties 1-10 listed in Table A are replaced with the following moieties:
- 1 —O—S(O)(O)—OR44 (R44 is H, NH4 +, Na+, K+, HN+(CH3)3, N+(CH3)4, HN+(C2H5)3 C1-C8 optionally substituted alkyl (e.g., —CH3, —C2H5 or —C3H7), or pyridinium+)
- 2 —O—P(O)(OH)—SR44
- 3 —C(O)—C1-C8 optionally substituted alkyl
- 4 —CH(OH)—C1-C8 optionally substituted alkyl
- 5 —C≡CH
- 6 —C≡C—(CH2)14—H
- 7 —C(O)—CH2—OH
- 8 —C(S)—CH2—OH
- 9 —O—S(O)(O)—O-2′,3′-dipalmitoyl-1′-glyceryl
- 10 —O—(3-O-1β)-tri-O-acetyl-D-glucuronic acid-R44
- Group 20 comprises 432 separate subgroups, 20-1 through 20-17-10-8-6 comprise 432 separate groups, each of which has the R4 moieties defined for this group and the remaining moieties as shown in the other groups described above. These subgroups are defined essentially as described for group 18 above. The subgroups are 20-1 through 20-6, 20-7-1 through 20-7-6, 20-8-1 through 20-8-6, 20-9-1 through 20-9-6 and so on essentially as described for group 18 compounds.
- Group 21. Group 21 comprises each compound named in compound groups 1 through 17, but where R4 moieties 1-10 listed in Table A are replaced with the following moieties:
- 1 —O—C(S)—O—C1-C4 alkyl
- 2 —S—C(S)—O—C1-C4 alkyl
- 3 —SH
- 4 ═S
- 5 —O—C1-C6 optionally substituted alkyl
- 6 —O—C1-C6-optionally substituted alkyl-optionally substituted aryl
- 7 —S—C1-C6 optionally substituted alkyl
- 8 —O—C(O)—CH(NH2)—R42 (R42 is —H, C2-C6 alkyl or an amino acid side chain)
- 9 —C0-C4 alkyl-heterocycle
- 10 —O-polyethylene glycol (e.g., PEG20, PEG100, PEG200 or PEG400)
- Group 21 comprises 432 separate subgroups, 21-1 through 21-17-10-8-6 comprise 432 separate groups, each of which has the R4 moieties defined for this group and the remaining moieties as shown in the other groups described above. These subgroups are defined essentially as described for group 18 above. The subgroups are 21-1 through 21-6, 21-7-1 through 21-7-6, 21-8-1 through 21-8-6, 21-9-1 through 21-9-6 and so on essentially as described for group 18 compounds.
- Group 22. Group 22 comprises each compound named in compound groups 1 through 21, but where R2 moieties 1-10 listed in Table A are replaced with the following moieties:
- 1 —O—C(S)—O—C1-C8 alkyl-(OH)0-2
- 2 —O—C(O)—O—C1-C8 alkyl-(OH)0-2
- 3 —C(O)—C1-C6 alkyl-O—C1-C2 alkyl
- 4 —C(O)—C1-C6 alkyl-(S)0-1-C1-C2 alkyl-(OH)0-1
- 5 —C(O)—C1-C6 alkyl-NH0-2(C1-C4 alkyl)0-2
- 6 —O—C(O)—C0-C4 alkyl-heterocycle
- 7 —C(O)—O—C1-C4 alkyl-C6H3-5—(OH)0-2
- 8 —O—C(O)—O—C1-C4 alkyl-C6H3-5—(OH)0-2
- 9 —O—C(O)—C1-C4 alkyl-C6H3-5—(O—C1-C4 alkyl)0-2
- 10 —O—C(O)—C1-C4 alkyl-C6H3-5-(halogen)0-2
- Group 22 comprises subgroups 22-1 through 22-21-17-10-8-6, which name compounds or genera of compounds essentially as described for the other compound groups above. The 1728 subgroups in group 22 are 22-1 through 22-6, 22-7-1 through 22-7-6, 22-8-1 through 22-8-6, 22-9-1 through 22-9-6 and so on essentially as described for the groups above.
- Group 23. Group 23 comprises each compound named in compound groups 1 through 21, but where R2 moieties 1-10 listed in Table A are replaced with the following moieties:
- 1 —O—C0-4 alkyl-heterocycle
- 2 —O—C(O)—C0-4 alkyl-heterocycle
- 3 —SH
- 4 ═S
- 5 —C2-C6 alkyl-(OH)1-2
- 6 —O—CHR24—C(O)—R25
- 7 —O—CHR24—C(O)—N(R25)2
- 8 —O—CHR24—C(O)—NHR25
- 9 —O—CHR24—C(O)—NH2
- 10 —O—CHR24—C(O)—OC6H5
- Group 23 comprises subgroups 24-1 through 24-23-21-17-10-8-6, which name compounds or genera of compounds essentially as described for the other compound groups above. The subgroups in group 24 are 24-1 through 24-6, 24-7-1 through 24-7-6, 24-8-1 through 24-8-6, 24-9-1 through 24-9-6 and so on essentially as described for the groups above.
- Group 24. Group 24 comprises each compound named in compound groups 1 through 23 where R3 moieties 1-10 listed in Table A are replaced with the following moieties:
- 1 —O—C(S)—O—C1-C8 alkyl-(OH)0-2
- 2 —O—C(O)—O—C1-C8 alkyl-(OH)0-2
- 3 —C(O)—C1-C6 alkyl-O—C1-C2 alkyl
- 4 —C(O)—C1-C6 alkyl-(S)0-1—C1-C2 alkyl-(OH)0-1
- 5 —C(O)—C1-C6 alkyl-NH0-2(C1-C4 alkyl)0-2
- 6 —O—C(O)—C0-C4 alkyl-heterocycle
- 7 —C(O)—O—C1-C4 alkyl-C6H3-5—(OH)0-2
- 8 —O—C(O)—O—C1-C4 alkyl-C6H3-5—(OH)0-2
- 9 —O—C(O)—C1-C4 alkyl-C6H3-5—(O—C1-C4 alkyl)0-2
- 10 —O—C(O)—C1-C4 alkyl-C6H3-5-(halogen)0-2
- Group 24 comprises subgroups 23-1 through 23-21-17-10-8-6, which name compounds or genera of compounds essentially as described for the other compound groups above. The 1728 subgroups in group 23 are 23-1 through 23-6, 23-7-1 through 23-7-6, 23-8-1 through 23-8-6, 23-9-1 through 23-9-6 and so on essentially as described for the groups above.
- Group 25. Group 25 comprises each compound named in compound groups 1 through 23, but where R3 moieties 1-10 listed in Table A are replaced with the following moieties:
- 1 —O—C0-4 alkyl-heterocycle
- 2 —O—C(O)—C0-4 alkyl-heterocycle
- 3 —SH
- 4 ═S
- 5 —C2-C6 alkyl-(OH)1-2
- 6 —O—CHR24—C(O)—R25
- 7 —O—CHR24—C(O)—N(R5)2
- 8 —O—CHR24—C(O)—NHR25
- 9 —O—CHR24—C(O)—NH2
- 10 —O—CHR24—C(O)—OC6H5
- Group 25 comprises subgroups 25-1 through 25-23-21-17-10-8-6, which name compounds or genera of compounds essentially as described for the other compound groups above. The subgroups in group 25 are 25-1 through 25-6, 25-7-1 through 25-7-6, 25-8-1 through 25-8-6, 25-9-1 through 25-9-6 and so on essentially as described for the groups above.
- Group 26. Group 26 comprises each compound or genus named in compound groups 1 through 25, but wherein R1 is not divalent, i.e., it is not bonded to the carbon atom at the 3 position by a double bond (e.g., R1 is not ═O) and it is in the α-configuration, instead of the β-configuration as shown in formula B.
- Group 26 comprises subgroups 26-1 through 26-25-23-21-17-10-8-6, which name compounds or genera of compounds essentially as described for the other compound groups above. The subgroups in group 26 are 26-1 through 26-6, 26-7-1 through 26-7-6, 26-8-1 through 26-8-6, 26-9-1 through 26-9-6 and so on essentially as described for the groups above.
- Group 27. Group 27 comprises each compound or genus named in compound groups 1 through 26, but wherein R2 is not divalent, i.e., it is not bonded to the carbon atom at the 3 position by a double bond (e.g., R2 is not ═O) and it is in the α-configuration, instead of the β-configuration as shown in formula B.
- Group 27 comprises subgroups 27-1 through 27-26-25-23-21-17-10-8-6, which name compounds or genera of compounds essentially as described for the other compound groups above. The subgroups in group 27 are 27-1 through 27-6, 27-7-1 through 27-7-6, 27-8-1 through 27-8-6, 27-9-1 through 27-9-6 and so on essentially as described for the groups above.
- Group 28. Group 28 comprises each compound or genus named in compound groups 1 through 27, but wherein R3 is not divalent, i.e., it is not bonded to the carbon atom at the 3 position by a double bond (e.g., R3 is not ═O) and it is in the β-configuration, instead of the α-configuration as shown in formula B.
- Group 28 comprises subgroups 28-1 through 28-27-26-25-23-21-17-10-8-6, which name compounds or genera of compounds essentially as described for the other compound groups above. The subgroups in group 28 are 28-1 through 28-6, 28-7-1 through 28-7-6, 28-8-1 through 28-8-6, 28-9-1 through 28-9-6 and so on essentially as described for the groups above.
- Group 29. Group 29 comprises each compound or genus named in compound groups 1 through 28, but wherein R4 is not divalent, i.e., it is not bonded to the carbon atom at the 3 position by a double bond (e.g., R4 is not ═O) and it is in the α-configuration, instead of the β-configuration as shown in formula B.
- Group 29 comprises subgroups 29-1 through 29-28-27-26-25-23-21-17-10-8-6, which name compounds or genera of compounds essentially as described for the other compound groups above. The subgroups in group 29 are 29-1 through 29-6, 29-7-1 through 29-7-6, 29-8-1 through 29-8-6, 29-9-1 through 29-9-6 and so on essentially as described for the groups above.
- Group 30. Group 30 comprises each compound or genus named in compound groups 1 through 29, but wherein R5 is in the α-configuration, instead of the β-configuration as shown in formula B.
- Group 30 comprises subgroups 30-1 through 30-29-28-27-26-25-23-21-17-10-8-6, which name compounds or genera of compounds essentially as described for the other compound groups above. The subgroups in group 30 are 30-1 through 30-6, 30-7-1 through 30-7-6, 30-8-1 through 30-8-6, 30-9-1 through 30-9-6 and so on essentially as described for the groups above.
- Group 31. Group 31 comprises each compound or genus named in compound groups 1 through 30, but wherein R5 is in the α-configuration, instead of the β-configuration as shown in formula B.
- Group 31 comprises subgroups 31-1 through 31-30-29-28-27-26-25-23-21-17-10-8-6, which name compounds or genera of compounds essentially as described for the other compound groups above. The subgroups in group 31 are 31-1 through 31-6, 31-7-1 through 31-7-6, 31-8-1 through 31-8-6, 31-9-1 through 31-9-6 and so on essentially as described for the groups above.
- Group 32. Group 32 comprises each compound or genus named in compound groups 1 through 31, but wherein the hydrogen atom at the 5 position is in the β-configuration, instead of the α-configuration as shown in formula B.
- Group 32 comprises subgroups 32-1 through 32-31-30-29-28-27-26-25-23-21-17-10-8-6, which name compounds or genera of compounds essentially as described for the other compound groups above. The subgroups in group 32 are 32-1 through 32-6, 32-7-1 through 32-7-6, 32-8-1 through 32-8-6, 32-9-1 through 32-9-6 and so on essentially as described for the groups above.
- Group 33. Group 33 comprises each compound or genus named in compound groups 1 through 32, but wherein the hydrogen atom at the 8 position is in the α-configuration, instead of the β-configuration as shown in formula B.
- Group 33 comprises subgroups 33-1 through 33-32-31-30-29-28-27-26-25-23-21-17-10-8-6, which name compounds or genera of compounds essentially as described for the other compound groups above. The subgroups in group 33 are 33-1 through 33-6, 33-7-1 through 33-7-6, 33-8-1 through 33-8-6, 33-9-1 through 33-9-6 and so on essentially as described for the groups above.
- Group 34. Group 34 comprises each compound or genus named in compound groups 1 through 33, but wherein the hydrogen atom at the 9 position is in the β-configuration, instead of the α-configuration as shown in formula B.
- Group 34 comprises subgroups 34-1 through 34-33-32-31-30-29-28-27-26-25-23-21-17-10-8-6, which name compounds or genera of compounds essentially as described for the other compound groups above. The subgroups in group 34 are 34-1 through 34-6, 34-7-1 through 34-7-6, 34-8-1 through 34-8-6, 34-9-1 through 34-9-6 and so on essentially as described for the groups above.
- Group 35. Group 35 comprises each compound or genus named in compound groups 1 through 34, but wherein the hydrogen atom at the 14 position is in the β-configuration, instead of the α-configuration as shown in formula B.
- Group 35 comprises subgroups 35-1 through 35-34-33-32-31-30-29-28-27-26-25-23-21-17-10-8-6, which name compounds or genera of compounds essentially as described for the other compound groups above. The subgroups in group 35 are 35-1 through 35-6, 35-7-1 through 35-7-6, 35-8-1 through 35-8-6, 35-9-1 through 35-9-6 and so on essentially as described for the groups above.
- Group 36. Group 36 comprises each compound or genus named in compound groups 1 through 35, but wherein R4 in formula B is not divalent, and a second monovalent R4 is present at the 17 position, and the second R4 is a moiety other than hydrogen. As used here, monovalent R4 means that the second R4 moiety is bonded to the carbon atom at the 17 position by a single bond.
- The second R4 optionally comprises —OH, —ORPR, —SH, —SRPR, —NH2, —NHRPR, a halogen, optionally substituted alkyl, optionally substituted alkenyl, optionally substituted alkynyl, optionally substituted aryl, optionally substituted alkylaryl, an optionally substituted heterocycle, an ester, an ether, a thioester, a thioether, an optionally substituted monosaccharide, an optionally substituted oligosaccharide, a carbonate, a carbamate, an amide or an amino acid. Any of these moieties, may comprise any R4 structure disclosed herein.
- Exemplary second R4 moieties include —C≡C—(CH2)nH (e.g., —C≡CH and —C≡C—CH3), —C═C—(CH2)nH, —(CH2)nH (e.g., —CH3, —C2H5, —C3H7), —(CH2)nC6H5, wherein n is 0, 1, 2, 3, 4, 5, 6, 7 or 8 and any of these exemplary second R4 moieties optionally comprise 1, 2, 3, 4 or more independently selected —O—, —OH, ═O, —S—, —SH, ═S, —NH—, —NH2, —COOH, —COORPR, —F, —Cl, —Br, —I, —SCN, —CN, —NO2, ═NHO, —CH3, —CF3, —C2H5 or —C6H5 moieties that replace (or substitute) one or more hydrogen or carbon atoms, wherein such moieties may be adjacent to one another, e.g., they can comprise —C(O)—NH— or —NH—C(O)—NH—. Typically moieties that replace a hydrogen or carbon atom will not replace a divalent or trivalent carbon atom, e.g., in —CH═CH— or in —C≡C— and specific embodiments include one or more substitutions at carbons that are separated from a —CH═CH— or —C≡-C— moiety by one, two, three or more —CH2-moieties. In some embodiments, one or two hydrogen atoms that are bonded to the distal carbon atom is substituted by one or two —OH, ═O—SH, ═S, —NH2, —COOH, —COORPR, —F, —Cl, —Br, —I, —SCN, —CN, —NO2 or ═NHO moieties.
- Group 36 comprises subgroups 36-1 through 36-35-34-33-32-31-30-29-28-27-26-25-23-21-17-10-8-6, which name compounds or genera of compounds essentially as described for the other compound groups above. The subgroups in group 36 are 36-1 through 36-6, 36-7-1 through 36-7-6, 36-8-1 through 36-8-6, 36-9-1 through 36-9-6 and so on essentially as described for the groups above.
- Group 37. Group 37 comprises each compound or genus named in compound groups 1 through 36, but wherein R7 in formula B is not —CH2— or a heteroatom, i.e., R10 is bonded to R7 in formula B and it is not a hydrogen atom.
- The R10 optionally comprises —OH, ═O, —ORPR, —SH, ═S, —SRPR, —NH2, —NHRPR, a halogen, optionally substituted alkyl, optionally substituted alkenyl, optionally substituted alkynyl, optionally substituted aryl, optionally substituted alkylaryl, an optionally substituted heterocycle, an ester, an ether, a thioester, a thioether, an optionally substituted monosaccharide, an optionally substituted oligosaccharide, a carbonate, a carbamate, an amide or an amino acid. Any of these moieties, may comprise any R10 structure disclosed herein.
- Exemplary second R4 moieties include —C≡C—(CH2)nH (e.g., —C≡CH and —C≡C—CH3), —C═C—(CH2)nH, —(CH2)nH (e.g., —CH3, —C2H5, —C3H7), —(CH2)nC6H5, wherein n is 0, 1, 2, 3, 4, 5, 6, 7 or 8 and any of these exemplary second R4 moieties optionally comprise 1, 2, 3, 4 or more independently selected —O—, —OH, ═O, —S—, —SH, ═S, —NH—, —NH2, —COOH, —COORPR, —F, —Cl, —Br, —I, —SCN, —CN, —NO2, ═NHO, —CH3, —CF3, —C2H5 or —C6H5 moieties that replace (or substitute) one or more hydrogen or carbon atoms, wherein such moieties may be adjacent to one another, e.g., they can comprise —C(O)—NH— or —NH—C(O)—NH—. In some embodiments, the moieties that replace a hydrogen or carbon atom will not replace a divalent or trivalent carbon atom, or a hydrogen that is bonded to such a carbon atom, e.g., in —CH═CH— or in —C≡C— and specific embodiments include one or more substitutions at carbons that are separated from a —CH═CH— or —C≡C— moiety by one, two, three or more —CH2-moieties. In some embodiments, one or two hydrogen atoms that are bonded to the distal carbon atom is substituted by one, two or three —OH, ═O—SH, ═S, —NH2, —COOH, —COORPR, —F, —Cl, —Br, —I, —SCN, —CN, —NO2 or ═NHO moieties.
- Group 37 comprises subgroups 37-1 through 37-36-35-34-33-32-31-30-29-28-27-26-25-23-21-17-10-8-6, which name compounds or genera of compounds essentially as described for the other compound groups above. The subgroups in group 37 are 37-1 through 37-6, 37-7-1 through 37-7-6, 37-8-1 through 37-8-6, 37-9-1 through 37-9-6 and so on essentially as described for the groups above.
- Group 38. Group 38 comprises each compound or genus named in compound groups 1 through 37, but wherein R8 in formula B is not —CH2— or a heteroatom, i.e., R10 is bonded to R8 in formula B and it is not a hydrogen atom.
- This R10 optionally comprises —OH, ═O, —ORPR, —SH, ═S, —SRPR, —NH2, —NHRPR, a halogen, optionally substituted alkyl, optionally substituted alkenyl, optionally substituted alkynyl, optionally substituted aryl, optionally substituted alkylaryl, an optionally substituted heterocycle, an ester, an ether, a thioester, a thioether, an optionally substituted monosaccharide, an optionally substituted oligosaccharide, a carbonate, a carbamate, an amide or an amino acid. Any of these moieties, may comprise any R10 structure disclosed herein.
- Other exemplary R10 moieties include —C≡C—(CH2)nH (e.g., —C≡CH and —C≡C—CH3), —C═C—(CH2)nH, —(CH2)nH (e.g., —CH3, —C2H5, —C3H7), —(CH2)nC6H5, wherein n is 0, 1, 2, 3, 4, 5, 6, 7 or 8 and any of these exemplary second R4 moieties optionally comprise 1, 2, 3, 4 or more independently selected —O—, —OH, ═O, —S—, —SH, ═S, —NH—, —NH2, —COOH, —COORPR, —F, —Cl, —Br, —I, —SCN, —CN, —NO2, ═NHO, —CH3, —CF3, —C2H5 or —C6H5 moieties that replace (or substitute) one or more hydrogen or carbon atoms, wherein such moieties may be adjacent to one another, e.g., they can comprise —C(O)—NH— or —NH—C(O)—NH—. In some embodiments, moieties that replace a hydrogen or carbon atom will not replace a divalent or trivalent carbon atom, or a hydrogen that is bonded to such a carbon atom, e.g., in —CH═CH— or in —C≡C— and specific embodiments include one or more substitutions at carbons that are separated from a —CH═CH— or —C≡C— moiety by one, two, three or more —CH2-moieties. In some embodiments, one or two hydrogen atoms that are bonded to the distal carbon atom is substituted by one, two or three —OH, ═O—SH, ═S, —NH2, —COOH, —COORPR, —F, —Cl, —Br, —I, —SCN, —CN, —NO2 or ═NHO moieties.
- Group 38 comprises subgroups 38-1 through 38-37-36-35-34-33-32-31-30-29-28-27-26-25-23-21-17-10-8-6, which name compounds or genera of compounds essentially as described for the other compound groups above. The subgroups in group 38 are 38-1 through 38-6, 38-7-1 through 38-7-6, 38-8-1 through 38-6, 38-9-1 through 38-9-6 and so on essentially as described for the groups above.
- Group 39. Group 39 comprises each compound or genus named in compound groups 1 through 38, but wherein R9 in formula B is not —CH2— or a heteroatom, i.e., R10 is bonded to R9 in formula B and it is not a hydrogen atom and wherein when a double bond is present at the 1-2 position, this R10 is not bonded to R9 by a double bond. Thus, the carbon atom at the 2 position is not pentavalent or charged.
- This R10 optionally comprises —OH, ═O, —ORPR, —SH, ═S, —SRPR, —NH2, —NHRPR, a halogen, optionally substituted alkyl, optionally substituted alkenyl, optionally substituted alkynyl, optionally substituted aryl, optionally substituted alkylaryl, an optionally substituted heterocycle, an ester, an ether, a thioester, a thioether, an optionally substituted monosaccharide, an optionally substituted oligosaccharide, a carbonate, a carbamate, an amide or an amino acid. Any of these moieties, may comprise any R10 structure disclosed herein.
- Other exemplary R10 moieties include —C≡C—(CH2)nH (e.g., —C≡CH and —C≡C—CH3), —C═C—(CH2)nH, —(CH2)nH (e.g., —CH3, —C2H5, —C3H7), —(CH2)nC6H5, wherein n is 0, 1, 2, 3, 4, 5, 6, 7 or 8 and any of these exemplary second R4 moieties optionally comprise 1, 2, 3, 4 or more independently selected —O—, —OH, ═O, —S—, —SH, ═S, —NH—, —NH2, —COOH, —COORPR, —F, —Cl, —Br, —I, —SCN, —CN, —NO2, ═NHO, —CH3, —CF3, —C2H5 or —C6H5 moieties that replace (or substitute) one or more hydrogen or carbon atoms, wherein such moieties may be adjacent to one another, e.g., they can comprise —C(O)—NH— or —NH—C(O)—NH—. In some embodiments the moieties that replace a hydrogen or carbon atom will not replace a divalent or trivalent carbon atom, or a hydrogen that is bonded to such a carbon atom, e.g., in —CH═CH— or in —C≡C— and specific embodiments include one or more substitutions at carbons that are separated from a —CH═CH— or —C≡C— moiety by one, two, three or more —CH2-moieties. In some embodiments, one or two hydrogen atoms that are bonded to the distal carbon atom is substituted by one, two or three —OH, ═O—SH, ═S, —NH2, —COOH, —COORPR, —F, —Cl, —Br, —I, —SCN, —CN, —NO2 or ═NHO moieties.
- Group 39 comprises subgroups 39-1 through 39-38-37-36-35-34-33-32-31-30-29-28-27-26-25-23-21-17-10-8-6, which name compounds or genera of compounds essentially as described for the other compound groups above. The subgroups in group 39 are 39-1 through 39-6, 39-7-1 through 39-7-6, 39-8-1 through 39-8-6, 39-9-1 through 39-9-6 and so on essentially as described for the groups above.
- Group 40. Group 40 comprises each compound or genus named in compound groups 1 through 39, wherein R7 in formula B is —O—, instead of a —CH2— or —CHR10— moiety, where R10 is not hydrogen. Group 40 comprises subgroups 40-1 through 40-39-38-37-36-35-34-33-32-31-30-29-28-27-26-25-23-21-17-10-8-6, which name compounds or genera of compounds essentially as described for the other compound groups. The subgroups in group 40 are 40-1 through 40-6, 40-7-1 through 40-7-6, 40-8-1 through 40-8-6, 40-9-1 through 40-9-6 and so on essentially as described for the groups above. The subgroup 40-1, 40-2 40-8-1, 40-8-2, 40-11-1 and 40-11-2 compounds named 1.2.5.9 have the structures
-
-
- Group 41. Group 41 comprises each compound or genus named in compound groups 1 through 39, wherein R8 in formula B is —O—, instead of a —CH2— or —CHR10— moiety, where R10 is not hydrogen. Group 41 comprises subgroups 41-1 through 41-39-38-37-36-35-34-33-32-31-30-29-28-27-26-25-23-21-17-10-8-6, which name compounds or genera of compounds essentially as described for the other compound groups. The subgroups in group 41 are 41-1 through 41-6, 41-7-1 through 41-7-6, 41-8-1 through 41-8-6, 41-9-1 through 41-9-6 and so on essentially as described for the groups above. Group 41 compounds are named in essentially the same manner as described for group 40 and other compound groups. Thus, for example, subgroup 41-1, 41-2, 41-8-1, 41-8-2, 41-11-1 and 41-11-2 compounds named 1.2.5.9 have the structures shown for these compounds in group 40, except that an oxygen atom is present at the 11 position and no oxygen is present at the 15 position.
- Group 42. Group 42 comprises each compound or genus named in compound groups 1 through 39, wherein R8 in formula B is —O—, instead of a —CH2— or —CHR10— moiety, where R10 is not hydrogen. Group 42 comprises subgroups 42-1 through 42-39-38-37-36-35-34-33-32-31-30-29-28-27-26-25-23-21-17-10-8-6, which name compounds or genera of compounds essentially as described for the other compound groups. The subgroups in group 42 are 42-1 through 42-6, 42-7-1 through 42-7-6, 42-8-1 through 42-8-6, 42-9-1 through 42-9-6 and so on essentially as described for the groups above. Group 42 compounds are named in essentially the same manner as described for group 40 and other compound groups. Thus, for example, subgroup 42-1, 42-2, 42-8-1, 42-8-2, 42-11-1 and 42-11-2 compounds named 1.2.5.9 have the structures shown for these compounds in group 40, except that an oxygen atom is present at the 2 position and no oxygen is present at the 15 position.
- This group does not include species or genera of compounds wherein a double bond is present at the 1-2 position, since this would make the oxygen atom charged. Therefore, there is, e.g., no group 42-3, 42-4, 42-6, 42-7-3, 42-7-4 or 42-7-6, since the 3, 4 and 6 groups and their variants all have a double bond at the 1-2 position.
- Group 43. Group 43 comprises each compound or genus named in compound groups 1 through 39, wherein R7 in formula B is —NH—, instead of a —CH2— or —CHR10— moiety, where R10 is not hydrogen. Group 43 comprises subgroups 43-1 through 43-39-38-37-36-35-34-33-32-31-30-29-28-27-26-25-23-21-17-10-8-6, which name compounds or genera of compounds essentially as described for the other compound groups. The subgroups in group 43 are 43-1 through 43-6, 43-7-1 through 43-7-6, 43-8-1 through 43-8-6, 43-9-1 through 43-9-6 and so on essentially as described for the groups above. The subgroup 43-1, 43-2 43-8-1, 43-8-2, 43-11-1 and 43-11-2 compounds named 1.2.5.9 have the structures shown for these compounds in group 40, except that —NH— is present at the 15 position instead of oxygen.
- Group 44. Group 44 comprises each compound or genus named in compound groups 1 through 39, wherein R8 in formula B is —NH—, instead of a —CH2— or —CHR10— moiety, where R10 is not hydrogen. Group 44 comprises subgroups 44-1 through 44-39-38-37-36-35-34-33-32-31-30-29-28-27-26-25-23-21-17-10-8-6, which name compounds or genera of compounds essentially as described for the other compound groups. The subgroups in group 44 are 44-1 through 44-6, 44-7-1 through 44-7-6, 44-8-1 through 44-8-6, 44-9-1 through 44-9-6 and so on essentially as described for the groups above. Group 44 compounds are named in essentially the same manner as described for group 40 and other compound groups. Thus, for example, subgroup 44-1, 44-2, 44-8-1, 44-8-2, 44-11-1 and 44-11-2 compounds named 1.2.5.9 have the structures shown for these compounds in group 40, except that —NH— is present at the 11 position and no oxygen is present at the 15 position.
- Group 45. Group 45 comprises each compound or genus named in compound groups 1 through 39, wherein R9 in formula B is —NH— or —N═, instead of a —CH2— or —CHR10— moiety, where R10 is not hydrogen. Group 45 comprises subgroups 45-1 through 45-39-38-37-36-35-34-33-32-31-30-29-28-27-26-25-23-21-17-10-8-6, which name compounds or genera of compounds essentially as described for the other compound groups. The subgroups in group 45 are 45-1 through 45-6, 45-7-1 through 45-7-6, 45-8-1 through 45-8-6, 45-9-1 through 45-9-6 and so on essentially as described for the groups above. Group 45 compounds are named in essentially the same manner as described for group 40 and other compound groups. Thus, for example, subgroup 45-1, 45-2, 45-8-1, 45-8-2, 45-11-1 and 45-11-2 compounds named 1.2.5.9 have the structures shown for these compounds in group 40, except that —NH— is present at the 2 position and no oxygen is present at the 15 position.
- Group 46. Group 46 comprises each compound or genus named in compound groups 1 through 39, wherein R7 in formula B is —S—, instead of a —CH2— or —CHR10— moiety, where R10 is not hydrogen. Group 46 comprises subgroups 46-1 through 46-39-38-37-36-35-34-33-32-31-30-29-28-27-26-25-23-21-17-10-8-6, which name compounds or genera of compounds essentially as described for the other compound groups. The subgroups in group 46 are 46-1 through 46-6, 46-7-1 through 46-7-6, 46-8-1 through 46-8-6, 46-9-1 through 46-9-6 and so on essentially as described for the groups above. The subgroup 46-1, 46-2 46-8-1, 46-8-2, 46-11-1 and 46-11-2 compounds named 1.2.5.9 have the structures shown for these compounds in group 40, except that —S— is present at the 15 position instead of oxygen.
- Group 47. Group 47 comprises each compound or genus named in compound groups 1 through 39, wherein R8 in formula B is —S—, instead of a —CH2— or —CHR10— moiety, where R10 is not hydrogen. Group 47 comprises subgroups 47-1 through 47-39-38-37-36-35-34-33-32-31-30-29-28-27-26-25-23-21-17-10-8-6, which name compounds or genera of compounds essentially as described for the other compound groups. The subgroups in group 47 are 47-1 through 47-6, 47-7-1 through 47-7-6, 47-8-1 through 47-8-6, 47-9-1 through 47-9-6 and so on essentially as described for the groups above. Group 47 compounds are named in essentially the same manner as described for group 40 and other compound groups. Thus, for example, subgroup 47-1, 47-2, 47-8-1, 47-8-2, 47-11-1 and 47-11-2 compounds named 1.2.5.9 have the structures shown for these compounds in group 40, except that —S— is present at the 11 position and no oxygen is present at the 15 position.
- Group 48. Group 48 comprises each compound or genus named in compound groups 1 through 39, wherein R9 in formula B is —S—, instead of a —CH2— or —CHR10— moiety, where R10 is not hydrogen. Group 48 comprises subgroups 48-1 through 48-39-38-37-36-35-34-33-32-31-30-29-28-27-26-25-23-21-17-10-8-6, which name compounds or genera of compounds essentially as described for the other compound groups. The subgroups in group 48 are 48-1 through 48-6, 48-7-1 through 48-7-6, 48-8-1 through 48-8-6, 48-9-1 through 48-9-6 and so on essentially as described for the groups above. Group 48 compounds are named in essentially the same manner as described for group 40 and other compound groups. Thus, for example, subgroup 48-1, 48-2, 48-8-1, 48-8-2, 48-11-1 and 48-11-2 compounds named 1.2.5.9 have the structures shown for these compounds in group 40, except that —S— is present at the 2 position and no oxygen is present at the 15 position.
- This group does not include species or genera of compounds wherein a double bond is present at the 1-2 position. Therefore, there is, e.g., no group 48-3, 48-4, 48-6, 48-7-3, 48-7-4 or 48-7-6, since the 3, 4 and 6 groups and their variants all have a double bond at the 1-2 position.
- Group 49. Group 49 comprises each compound or genus named in compound groups 1 through 39, but wherein two of R7, R8 and R9 in formula B independently are —O—, —NH—, ═NH— or —S—, instead of —CH2— or —CHR10—, where R10 is not hydrogen. This group includes 27 combinations of two heteroatoms (O, N or S) that are at any two of R7, R8 and R9. These are (49c1, i.e., combination number 1) O2-O11 (i.e., oxygen at the 2 and 11 positions), (49c2) O2-O15, (49c3) O11-O15, (49c4) O2-N11 (i.e., oxygen at the 2-position and nitrogen at the 11 position), (49c5) O2-N15, (49c6) O11-N15, (49c7) O2-S11 (i.e., oxygen at the 2-position and sulfur at the 11 position), (49c8) O2-S15, (49c9) O11-S15, (49c10) N2-N11, (49c11) N2-N15, (49c12) N11-N15, (49c13) N2-O11, (49c14) N2-O15, (49c15) N11-O15, (49c16) N2-S11, (49c17) N2-S15, (49c18) N11-S15, (49c19) S2-S11, (49c20) S2-S15, (49c21) S11-S15, (49c22) S2-O11, (49c23) S2-O15, (49c24) S11-O15, (49c25) S2-N11, (49c26) S2-N15 and (49c27) S11-N15.
- Group 49 comprises subgroups 49c1-1 through 49c27-39-38-37-36-35-34-33-32-31-30-29-28-27-26-25-23-21-17-10-8-6, which name compounds or genera of compounds essentially as described for the other compound groups. The subgroups in group 49 are 49c1-1 through 49c1-6, 49c1-7-1 through 49c1-7-6, 49c1-8-1 through 49c1-8-6, 49c1-9-1 through 49c1-9-6 and so on essentially as described for the groups above. Group 49 compounds are named in essentially the same manner as described for group 40 and other compound groups. Thus, for example, subgroup 49c1-1, 49c1-2, 49c1-8-1, 49c1-8-2, 49c1-11-1 and 49c1-11-2 compounds named 1.2.5.9 have the structures shown for these compounds in group 40, except that —O— is present at the 2 and 11 positions and no oxygen is present at the 15 position. Similarly, subgroup 49c10-1, 49c10-2, 49c10-8-1, 49c10-8-2, 49c10-11-1 and 49c10-11-2 compounds named 1.2.5.9 have the structures shown for these compounds in group 40, except that —NH— or ═N— is present at the 2 and 11 positions and no oxygen is present at the 15 position. This group does not include species or genera of compounds wherein a double bond and either —O— or —S— is present at the 2-position.
- Group 50. Group 50 comprises each compound or genus named in compound groups 1 through 39, but wherein all three of R7, R8 and R9 in formula B independently are —O—, —NH—, ═NH— or —S—, instead of —CH2— or —CHR10—, where R10 is not hydrogen. This group includes all combinations of 3 heteroatoms (O, N or S) that are at R7, R8 and R9. The combinations are defined essentially as described for the combinations in group 49. They are (50c1) O2-O11-O15, (50c2) O2-O11-N15, (50c3) O2-N11-O15, (50c4) O2-N11-N15, (50c5) O2-O11-S15, (50c6) O2-S11-O15, (50c7) O2-S11-S15, (50c8) N2-N11-N15, (50c9) N2-N11-O15, (50c10) N2-O11-N15, (50c11) N2-O11-O15, (50c12) N2-N11-S15, (50c13) N2-S11-N15, (50c14) N2-S11-S15, (50c15) S2-S11-S15, (50c 16) S2-S11-O15, (50c 17) S2-O11-S15, (50c 18) S2-S11-O15, (50c 19) S2-S11-N15, (50c20) S2-N11-S15, (50c21) S2-N11-N15, (50c22) S2-N11-S15, (50c23) O2-S11-N15, (50c24) N2-O11-S15, (50c25) N2-S11-O15, (50c26) S2-O11-N15 and (50c27) S2-N 11-O15.
- Group 50 comprises subgroups 50c1-1 through 50c27-39-38-37-36-35-34-33-32-31-30-29-28-27-26-25-23-21-17-10-8-6, which name compounds or genera of compounds essentially as described for the other compound groups. The subgroups in group 50 are 50c1-1 through 50c1-6, 50c1-7-1 through 50c1-7-6, 50c1-8-1 through 50c1-8-6, 50c1-9-1 through 50c1-9-6 and so on essentially as described for the groups above. Group 50 compounds are named in essentially the same manner as described for group 40 and other compound groups. Thus, for example, subgroup 50c1-1, 50c1-2, 50c1-8-1, 50c1-8-2, 50c1-11-1 and 50c1-11-2 compounds named 1.2.5.9 have the structures shown for these compounds in group 40, except that —O— is also present at the 2 and 11 positions. Similarly, subgroup 50c10-1, 50c10-2, 50c10-8-1, 50c10-8-2, 50c 10-11-1 and 50c10-11-2 compounds named 1.2.5.9 have the structures shown for these compounds in group 40, except that —NH— or ═N— is present at the 2 and 15 positions and oxygen is present at the 11 position. This group does not include species or genera of compounds wherein a double bond and either —O— or —S— is present at the 2-position.
- Group 51. Group 51 comprises each compound or genus named in compound groups 1 through 50, but wherein R7 comprises a —X—CHR10— moiety, where X is —O—, —NRPR— or —S—. This group includes all R7 moieties, i.e., (51 a1)-O—CHR10—, (51a2) —NRPR—CHR10—, (51a3)—S—CHR10—, (51a4) —CHR10—O—, (51a5) —CHR10—NRPR— and (51a6) —CHR10—S—. Group 51 comprises subgroups 51a1-1 through 51a6-50c27-49c27-48-47-46-45-44-43-42-41-40-39-38-37-36-35-34-33-32-31-30-29-28-27-39-38-37-36-35-34-33-32-31-30-29-28-27-26-25-23-21-17-10-8-6, which name compounds or genera of compounds essentially as described for the other compound groups. The subgroups in group 51 are 5a1-1 through 51a1-6, 51a1-7-1 through 51a1-7-6, 51 a1-8-1 through 51a1-8-6, 5a1-9-1 through 51a1-9-6 and so on essentially as described for the groups above.
- In some embodiments, the R10 included in R7 is hydrogen. In others, the R10 included in R7 is optionally comprises —OH, ═O, —ORPR, —SH, ═S, —SRPR, —NH2, —NHRPR, a halogen, optionally substituted alkyl, optionally substituted alkenyl, optionally substituted alkynyl, optionally substituted aryl, optionally substituted alkylaryl, an optionally substituted heterocycle, an ester, an ether, a thioester, a thioether, an optionally substituted monosaccharide, an optionally substituted oligosaccharide, a carbonate, a carbamate, an amide or an amino acid. The R10 may comprise any R10 structure disclosed herein.
- Other exemplary R10 moieties include —C≡C—(CH2)nH (e.g., —C≡CH and —C≡C—CH3), —C═C—(CH2)nH, —(CH2)nH (e.g., —CH3, —C2H5, —C3H7), —(CH2)nC6H5, wherein n is 0, 1, 2, 3, 4, 5, 6, 7 or 8 and any of these exemplary R10 moieties optionally comprise 1, 2, 3, 4 or more independently selected —O—, —OH, ═O, —S—, —SH, ═S, —NH—, —NH2, —COOH, —COORPR, —F, —Cl, —Br, —I, —SCN, —CN, —NO2, ═NHO, —CH3, —CF3, —C2H5 or —C6H5 moieties that replace (or substitute) one or more hydrogen or carbon atoms, wherein such moieties may be adjacent to one another, e.g., they can comprise —C(O)—NH— or —NH—C(O)—NH—. In some embodiments the moieties that replace a hydrogen or carbon atom will not replace a divalent or trivalent carbon atom, or a hydrogen that is bonded to such a carbon atom, e.g., in —CH═CH— or in —C≡C— and specific embodiments include one or more substitutions at carbons that are separated from a —CH═CH— or —C≡C— moiety by one, two, three or more —CH2— moieties. In some embodiments, one or two hydrogen atoms that are bonded to the distal carbon atom is substituted by one, two or three —OH, ═O—SH, ═S, —NH2, —COOH, —COORPR, —F, —Cl, —Br, —I, —SCN, —CN, —NO2 or ═NHO moieties.
- Group 52. Group 52 comprises each compound or genus named in compound groups 1 through 49, but wherein R7 is absent and the ring in formula B that contains R7 comprises a cyclobutyl moiety with R3 and one or two R4 bonded to it. Group 52 comprises subgroups 52-1 through 52-51a6-50c27-49c27-48-47-46-45-44-43-42-41-40-39-38-37-36-35-34-33-32-31-30-29-28-27-39-38-37-36-35-34-33-32-31-30-29-28-27-26-25-23-21-17-10-8-6, which name compounds or genera of compounds essentially as described for the other compound groups. The subgroups in group 52 are 52-1 through 52-6, 52-7-1 through 52-7-6, 52-8-1 through 52-8-6, 52-9-1 through 52-9-6 and so on essentially as described for the groups above.
- Group 53. Group 53 comprises each compound or genus named in compound groups 1 through 52, but wherein R8 is absent and the ring in formula B that contains R8 comprises a 5 membered ring moiety. Group 53 comprises subgroups 53-1 through 53-52-51a6-50c27-49c27-48-47-46-45-44-43-42-41-40-39-38-37-36-35-34-33-32-31-30-29-28-27-39-38-37-36-35-34-33-32-31-30-29-28-27-26-25-23-21-17-10-8-6, which name compounds or genera of compounds essentially as described for the other compound groups. The subgroups in group 53 are 53-1 through 53-6, 53-7-1 through 53-7-6, 53-8-1 through 53-8-6, 53-9-1 through 53-9-6 and so on essentially as described for the groups above.
- The subgroups here do not include compounds or genera where two ring heteroatoms are present as described in group 49 and where both R7 and R8 are absent (“group 53-52-49- . . . ”), since such groups are mutually incompatible. This holds for all of the compound groups described herein, i.e., whenever the structures that a first group or subgroup specifies is incompatible with the structure that a second group or subgroup specifies, then the structure that the first group or subgroup speifies is not included. However, all other possible compounds and genera are included in such compound groups.
- Group 54. Group 54 comprises each compound or genus named in compound groups 1 through 53, but wherein R9 is absent and the ring in formula B that contains R9 comprises a 5 membered ring moiety. Group 54 comprises subgroups 54-1 through 54-53-52-51a6-50c27-49c27-48-47-46-45-44-43-42-41-40-39-38-37-36-35-34-33-32-31-30-29-28-27-39-38-37-36-35-34-33-32-31-30-29-28-27-26-25-23-21-17-10-8-6, which name compounds or genera of compounds essentially as described for the other compound groups. The subgroups in group 54 are 54-1 through 54-6, 54-7-1 through 54-7-6, 54-8-1 through 54-8-6, 54-9-1 through 54-9-6 and so on essentially as described for the groups above. The subgroups here do not include, e.g., compounds or genera where two or three ring heteroatoms are present as described in group 49 or 50 and where two or three of R7, R8 and R9 are absent (e.g., “group 54-52-49- . . . ”).
- Any of the species of compounds or genera of compounds that are disclosed herein, e.g., as named in compound groups 1 through 54-53-52-51a6-50c 27-49c27-48-47-46-45-44-43-42-41-40-39-38-37-36-35-34-33-32-31-30-29-28-27-39-38-37-36-35-34-33-32-31-30-29-28-27-26-25-23-21-17-10-8-6 or elsewhere in this disclosure, are suitable for use in the methods as described herein or in the cited references.
- Additional embodiments of the formula 1 compounds include any compound or genus of compounds that are disclosed herein, e.g., any of the compounds or genera of compounds in groups 1 through 54 wherein one or both of R5 or R6 independently comprises —CH2SH, —CHO, —CH2NRPR, —CH2NH2, —C2H5, —C2H4OH, —C2H4SH, —C2H4NH2, —CH2CHO, —CH2CH2NRPR, —CH2CH2OH, —CH2CH2SH, —CH2CH2C6H5, —CH2C6H5 or —C6H5 wherein any phenyl (C6H5) moiety in the foregoing groups is optionally substituted at the phenyl ring with 1, 2, 3, 4 or 5 moieties independently selected from those described for esters herein and including C1-6 alkyl (optionally substituted with 1 or 2 independently selected —OH, —SH, —O—, —S— or —NH—) C1-6 alkoxy, —F, —Cl, —Br, —I, —CN, —NO2, —OH, —SH, —COORPR, —NHRPR and —C(O)—C1-6 alkyl.
- In some embodiments, one or more of the variable groups that are bonded to the formula 1 compound, e.g., R1-R6, R10, R15, R17 and R18, independently have the structure(s) and/or independently comprise the named compounds, —H, —OH, ═O, —SH, ═S, —NH2, —CN, —N3, halogen, —CHO, —CHS, ═CH2, ═NOH, ═NOC(O)CH3, —C(O)—CH3, —C(O)—(CH2)1-4—CH3, —CCH, —CCCH3, —CH═CH2, —CH═CH2CH3, —O—C(O)—(CH2)m—(CF2)n—CH3, —O—C(O)—(CH2)m—(CF2)n—CF3, —O—C(O)—(CH2)m—(CF2)n—CH2F, —O—C(O)—O—(CH2)m—(CF2)n—CH3, —O—C(O)—O—(CH2)m—(CF2)n—CF3, —O—C(O)—O—(CH2)m—(CF2)n—CH2F, —O—C(O)—NH—(CH2)m—(CF2)n—CH3, —O—C(O)—NH—(CH2)m—(CF2)n—CF3, —O—C(O)—NH—(CH2)m—(CF2)n—CH2F (where m is 1, 2, 3, 4, 5, 6, 7, 8, 9 or 10, n is 0, 1, 2, 3, 4, 5, 6, 7, 8, 9 or 10, usually n is 0), —CH(CH3)—(CH2)2—C(O)NH—CH2COOH, —CH(CH3)—(CH2)2—C(O)NH—CH2SO3H, —OSi(CH3)2C(CH3)3, —C(OH)═CHCH3, ═CH(CH2)0-15CH3, —(CH2)0-14-CH2F, —(CH2)0-14CH2Cl, —(CH2)0-14—CH2Br, —(CH2)0-14—CH2I, —(CH2)2-10—O—(CH2)0-4—CH3, —(CH2)2-10—S—(CH2)0-4—CH3, —(CH2)2-10—NH—(CH2)0-4—CH3, —O—(CH2)0-14—CH2F, —O—(CH2)0-14—CH2Cl, —O—(CH2)0-14—CH2Br, —O—(CH2)0-14—CH2I, —O—(CH2)2-10—O—(CH2)0-4CH3, —O—(CH2)2-10—S—(CH2)0-4—CH3, —O—(CH2)2-10—NH—(CH2)0-4-CH3, —O—C(O)—(CH2)0-14CH2F, —O—C(O)—(CH2)0-14-CH2Cl, —O—C(O)—(CH2)0-14—CH2Br, —O—C(O)—(CH2)0-14CH2F, —O—C(O)—(CH2)2-10—O—(CH2)0-4-CH3, —O—C(O)—(CH2)2-10—S—(CH2)0-4—CH3, —O—C(O)—(CH2)2-10—NH—(CH2)0-4-CH3, —O—C(S)—(CH2)0-14-CH2F, —O—C(S)—(CH2)0-14CH2Cl, —O—C(S)—(CH2)0-14—CH2Br, —O—C(S)—(CH2)0-14CH2-10, —O—C(S)—(CH2)2-10—O—(CH2)0-4CH3, —O—C(S)—(CH2)2-10—S—(CH2)0-4CH3, —O—C(S)—(CH2)2-1O—NH—(CH2)0-4CH3, —(CH2)0-16NH2, —(CH2)0-15CH3, —(CH2)0-15CN, —(CH2)0-15CH═CH2, —(CH2)0-15NHCH(O), —(CH2)0-16NH—(CH2)0-15CH3, —(CH2)0-15CCH, —(CH2)0-15OC(O)CH3, —(CH2)0-15OCH(OH)CH3, —(CH2)0-15C(O)OCH3, —(CH2)0-15C(O)OCH2CH3, —(CH2)0-15C(O)(CH2)0-15CH3, —(CH2)0-15C(O)(CH2)0-15CH2OH, —O(CH2)1-16NH2, —O(CH2)1-15CH3, —O(CH2)1-15CN, —O(CH2)1-15CH═CH2, —O(CH2)1-15NHCH(O), —O(CH2)1-16NH—(CH2)1-15CH3, —O(CH2)1-15CCH, —O(CH2)1-15OC(O)CH3, —O(CH2)1-15OCH(OH)CH3, —O(CH2)1-15C(O)OCH3, —O(CH2)1-15C(O)OCH2CH3, —O(CH2)1-15C(O)(CH2)0-15CH3, —O(CH2)1-15C(O)(CH2)0-15CH2OH, —OC(O)(CH2)1-16NH2, —OC(O)(CH2)1-15CH3, —C(O)O(CH2)1-15CN, —C(O)O(CH2)1-15CH═CH2, —OC(O)(CH2)1-15NHCH(O), —OC(O)(CH2)1-16NH—(CH2)1-15CH3, —OC(O)(CH2)1-15CCH, —OC(O)(CH2)1-15OC(O)CH3, —OC(O)(CH2)1-15OCH(OH)CH3, —OC(O)(CH2)1-15C(O)OCH3, —OC(O)(CH2)1-15C(O)OCH2CH3, —OC(O)(CH2)1-15C(O)(CH2)0-15CH3, —OC(O)(CH2)1-15C(O)(CH2)0-15CH2OH, phosphoenolpyruvate, D-glucosamine, glucholic acid, glucuronic acid, pantothenic acid, pyruvic acid, glucose, fructose, mannose, sucrose, lactose, fucose, rhamnose, galactose, ribose, (O-1)-D-galactopyranosyl-(1-O-4)-D-glucopyranoside, (O-1)-tetra-O-acetyl-D-glucopyranosyl-(1-O-4)-tri-O-acetyl-D-glucopyranoside, 2′-deoxyribose, 3′-deoxyribose, glycerol, 3-phosphoglycerate, a PEG (PEG 20, PEG 100, PEG 200, PEG 10000), a polyoxyalkylene polymer, glycine, alanine, phenylalanine, threonine, proline, 4-hydroxyproline or an oligonucleotide or analog that comprises about 4 to about 21 monomers.
- In some embodiments, an R3 and an R4 of the formula 1 compounds comprises a ring(s) structure. Exemplary compounds of formula 2 include the following structures,
wherein, R16 independently are —CH2—, —O—, —S— or —NH—; R15, R17 and R18 independently are —H, —ORPR, SRPR, —N(RPR)2, —O—Si—(R13)3, —CHO, —CHS, —CH═NH, —CN, —SCN, —NO2, —OSO3H, —OPO3H, an ester, a thioester, a phosphoester, a phosphothioester, a phosphonoester, a sulfite ester, a sulfate ester, an amide, an amino acid, a peptide, an ether, a thioether, an acyl group, a thioacyl group, a carbonate, a carbamate, a thioacetal, a halogen, an optionally substituted alkyl group, an optionally substituted alkenyl group, an optionally substituted alkynyl group, an optionally substituted aryl moiety, an optionally substituted heteroaryl moiety, an optionally substituted heterocycle, an optionally substituted monosaccharide, an optionally substituted oligosaccharide, a nucleoside, a nucleotide, an oligonucleotide, a polymer, or, one or more of R15, R17 and R18 independently are ═O, ═S, ═NOH or ═CH2 and the hydrogen atom that is bonded to the same carbon atom is absent; and R19 is nitrogen or CH. - Such compounds include any of these structures wherein one, two or three of R7, R8 and R9 are independently —O—, —S—, or —NH— or wherein one or both of R5 and R6 independently are —H, —CH3, —CH2ORPR, —CH2OH, —CH2SH, —CH2SRPR, —CH2O—C(O)—C1-10 alkyl, —CH2S—C(O)—C1-10 alkyl, —CH2O—C(O)—C1-10 alkenyl, —CH2S—C(O)—C1-10 alkenyl, —CH2O—C(O)—C0-4 alkyl-heterocycle, —CH2S—C(O)—C0-4 alkyl-heterocycle, —CH2O—C(O)—C0-4 alkyl-phenyl, —CH2S—C(O)—C0-4 alkyl-phenyl, wherein any C1-10 alkyl, heterocycle or phenyl moiety is optionally substituted with one or more substituents, wherein the one or more substituents are one, two, three or more independently selected —O—, ═O, —ORPR, —S—, ═S, —SRPR, —NH—, —N(RPR)2 or —C(O)—NH—, wherein each RPR independently is —H or a protecting group.
- Exemplary formula 1 compounds will comprise compounds where the steroid has the structure
and (1) one of the atoms or groups described immediately above at the 1, 2, 3, 4, 5, 6, 7, 8, 9, 11, 12, 15, 16 or 17 positions, with independently selected groups at the remaining variable group positions, e.g., —H, —OH, ═O, —SH, —CHO, —CH2—, —O—, —S—, —NH—, halogen, optionally substituted alkyl, acyl, ester or any other moiety described herein, (2) two of these groups, which are the same or are independently selected and are at, e.g., the 2,3, 2,7, 2,11, 2,15, 2,16, 2,17, 3,7, 3,11, 3,15, 3,16, 3,17, 7,11, 7,15, 7,16, 7,17, 11,15, 11,16, 11,17 or 16,17 positions, with independently selected groups at the remaining variable group positions, e.g., —H, —OH, ═O, —SH, —CHO, —CH2—, —O—, —S—, —NH—, halogen, optionally substituted alkyl, acyl, ester or any other moiety described herein, (3) three of these groups, which are the same or are independently selected and are at, e.g., the 2,3,7, 2,3,11, 2,3,15, 2,3,16, 2, 3,17, 3,7,11, 3,7,15, 3,7,16, 3,7,17, 7,11,15, 7,11,16, 7,11,17, 11,15,16, 11,15,17, or 15,16,17 positions, with independently selected groups at the remaining variable group positions, e.g., —H, —OH, ═O, —SH, —CHO, —CH2—, —O—, —S—, —NH—, halogen, optionally substituted alkyl, acyl, ester or any other moiety described herein, (4) four of these groups, which are the same or are independently selected and are at, e.g., the 2,3,7,11, 2,3,7,15, 2,3,7,16, 2,3,7,17, 3,7,11,15, 3,7,11,16, 3,7,11,17, 7,11,15,16, 7,11,15,17 or 11,15,16,17 positions, with independently selected groups at the remaining variable group positions, e.g., —H, —OH, ═O, —SH, —CHO, —CH2—, —O—, —S—, —NH—, halogen, optionally substituted alkyl, acyl, ester or any other moiety described herein or (5) any of the foregoing compounds in (1) through (4) wherein 1, 2 or 3 R10 at the 1, 4, 5, 6, 9, 12 and 14 positions are —OH, —SH, halogen, an ester, a thioester, optionally substituted alkyl (e.g., C1-C8), optionally substituted alkoxy (e.g., C1-C8), optionally substituted alkenyl (e.g., C2-C8), or an optionally substituted heterocycle or any other moiety described herein and the remaining R10 are —H. - When a substituent is an oligonucleotide or a polymer usually only a one of these is bonded to the formula 1 compound. Typically, when R1-R2 and R4-R6 comprise one or more of these substituents (or others described herein), the substituent is present in the β-configuration, while R3 typically comprises a substituent in the β-configuration. In some embodiments, R2 is in the α-configuration.
- In some embodiments, one or more of the variable groups that are bonded to the formula 1 compounds, e.g., R1-R6, R10, R15, R17 and R18, independently comprise a nucleoside, a nucleotide, an oligonucleotide or an analog of any of these moieties. Typically such moieties are linked to the steroid nucleus through a terminal hydroxyl, thiol, acyl moiety or amine at the 5′, 3′ or 2′ positions, when a hydroxyl, thiol, acyl moiety or amine is present at that position. For oligonucleotides and oligonucleotide analogs, the linkage to the steroid occasionally is through a sugar hydroxyl at an internal 2′ position.
- Analogs of phosphodiester linkages include phosphorothioate linkages and others as described in the cited references. Oligonucleotide coupling groups means any moiety suitable for generating a phosphodiester linkage or phosphodiester analog linkage between adjacent nucleotides or their analogs. Suitable oligonucleotide coupling groups include —OH, H-phosphonate, alkylphosphonamidites or phosphoramidites such as β-cyanoethyl-phosphoramidite, N,N-diisopropylamino-β-cyanoethoxyphosphine and others as described in the cited references. Suitable purine and pyrimidine bases include adenine, guanine, cytosine, thymine, uracil and others as described in the cited references. Suitable nucleosides, nucleotides, oligonucleotides and their analogs have been described, see e.g., U.S. Pat. Nos. 4,725,677, 4,973,679, 4,997,927, 4,415,732, 4,458,066, 5,047,524, 4,959,463, 5,212,295, 5,386,023, 5,489,677, 5,594,121, 5,614,622, 5,624,621; and PCT publication Nos. WO 92/07864, WO 96/29337, WO 97/14706, WO 97/14709, WO 97/31009, WO 98/04585 and WO 98/04575 all of which are incorporated herein by reference. The formula 1 compounds, e.g., species or genera named in any of the compound groups 1 through 54-53-52-51a6-50c27-49c27-48-47-46-45-44-43-42-41-40-39-38-37-36-35-34-33-32-31-30-29-28-27-39-38-37-36-35-34-33-32-31-30-29-28-27-26-25-23-21-17-10-8-6, are suitable for linkage to oligonucleotides modulate the lipophilicity of oligonucleotides or the transport or permeation of an oligonucleotide into cells. Such linkages may be biologically labile to facilitate release of the steroid from the oligonucleotide once the conjugate has entered the cell.
- Individual formula 1 compounds, e.g., those named in any of the compound groups 1 through 54 are suitable for use as standards for various analytical methods, e.g., for use in HPLC, MS, NMR, IR or other analytical methods. Thus, to aid in the determination of, e.g., the structure of a metabolite of a formula 1 compound or a structurally related compound, another structurally related formula 1 compound could be used. Metabolism of formula 1 compounds will include one or more of hydroxylation or conjugation, usually to a —OH moiety, with a moiety such as sulfate, phosphate or a monosaccharide such as glucuronic acid at, e.g., the 2, 3, 7, 11, 15, 16 or 17 positions. In these embodiments, the appropriate use of a formula 1 compound of known structure as a standard can aid in or verify the identification of metabolites that are projected to have closely related structures. Information regarding the identification can be useful or sometimes is necessary for, e.g., obtaining regulatory approval to market a therapeutic agent such as a formula 1 compound or understanding the potential biological role that a formula 1 compound or its metabolite can play in one of the applications disclosed herein or in a cited reference. To facilitate such uses, the formula 1 compound may be labeled as appropriate, e.g., using a formula 1 compound with, e.g., a 13C atom at 1, 2 or more of the 1, 2, 3, 4, 6, 7, 11, 12, 15, 16, 17, 18 or 19 positions in the steroid.
- Table 2 shows these and other exemplary moieties that one or more of R1-R6, R10, R15, R17 and R18 independently can comprise. Pr means a protecting group. These moieties are often bonded to one or more of the R1, R2 and R4 positions, usually to one or two of those positions. For structures with more than one of a given variable, e.g., X in structure A3 or A5, each is independently selected.
TABLE 2 - Typical containers for storage of compositions and formulations that comprise a formula 1 compound will limit the amount of water that reaches the materials contained therein. Typically, formulations are packaged in hermetically or induction sealed containers. The containers are usually induction sealed. Water permeation characteristics of containers have been described, e.g., Containers—Permeation, chapter, USP 23<671>, United States Pharmacopeial Convention, Inc., 12601 Twinbrook Parkway, Rockville, Md. 20852, pp.: 1787 et seq. (1995).
- The use of formula A compounds for treatment of certain diseases, e.g., infections such as malaria, HCV or Cryptosporidium, has been described. Formula A compounds have the structure
where Q1 is —C(R1)2— or —C(O)—; Q2 is —C(R1)2—, —C(R1)(Y)—, —C(Y)— or —CH2—CH2—; Q3 is —H or —C(R1)3—; Q4 is —C(R1)2—, —C(O)—, hydroxyvinylidine (—CH(CH═CHOH)—) or methyl methylene (—CH(CH)3—); Q5 is —C(R1)2— or —C(O)—;
X and Y independently are —OH, —H, lower alkyl (e.g., C1-6 alkyl), —O—C(O)—R5, —C(O)—OR5, halogen (i.e., —F, —Cl, —Br or —I) or ═O; each R1 independently is —H, —F, —Cl, —Br, —I, —OH, C1-6 alkoxy, or C1-6 alkyl; R2 is —H, —OH, —F, —Cl, —Br, —I, C1-6 alkyl, C1-6 alkoxy, —OR3, an ester (e.g., —O—C(O)—R4 or —C(O)—O—R4), a thioester (e.g., —O—C(S)—R4 or —C(S)—O—R4), a thioacetal (e.g., —S—C(O)—R4, or —C(O)—S—R4), a sulfate ester (e.g., —O—S(O)(O)—O—R4), a sulfonate ester (e.g., —O—S(O)—O—R4) or a carbamate (e.g., —O—C(O)—NH—R4 or —NH—C(O)—O—R4) or R2, together with the R1 that is bonded to the same carbon atom is ═O; R3 is —S(O)(O)—OM, —S(O)(O)—O—CH2—CH(O—C(O)—R6)—CH2—O—C(O)—R6, —P(O)(O)—O—CH2—CH(O—C(O)—R7)—CH2—O—C(O)—R7, a glucuronide group of structure (B) - or R3 is C1-18 alkyl, C2-18 alkenyl, C2-18 alkynyl, a C1-18 ester or a C1-18 thioester, where any of the foregoing C1-18 or C2-18 moieties are optionally substituted at one or more hydrogen atoms with one or more independently selected —ORPR, (including —OH), —NHRPR, (including —NH2) or —SRPR, (including —SH) groups, or R3 is a C1-18 fatty acid, C2-10 alkynyl, (J)n-phenyl-C1-5-alkyl, (J)n-phenyl-C2-5-alkenyl; R4 is —H, a protecting group, optionally substituted C1-18 alkyl, optionally substituted C1-18 alkenyl, optionally substituted C1-18 alkynyl, optionally substituted aryl, optionally substituted aryl-C1-6 alkyl, optionally substituted aryl-C2-6 alkenyl, optionally substituted aryl-C2-6 alkynyl, optionally substituted heterocycle-C1-6 alkyl, optionally substituted C2-6 alkenyl-heterocycle, optionally substituted C2-6 alkynyl-heterocycle or an optionally substituted heterocycle, where any of the foregoing moieties are optionally substituted at one, two, three, four, five or more carbon or hydrogen atoms with one or more independently selected —O—, —S—, —NRPR— (including —NH—), —NH—C(O)—, —ORPR (including —OH), —NHRPR (including —NH2), —SRPR (including —SH), ═O, ═S, ═N—OH, ═CH2, —CN, —SCN, —NO2, —F, —Cl, —Br or —I groups or atoms; each R5 independently is straight or branched C1-14 alkyl; each R6 independently is straight or branched C1-14 alkyl; each R7 independently is straight or branched C1-14 alkyl or a glucuronide group of structure (B); each RPR independently is —H or an independently selected protecting group; n is 0, 1, 2 or 3; each J independently is —F, —Cl, —Br, —I, C1-4 alkyl, C1-4 alkenyl, C1-4 alkoxy, carboxy, nitro, sulfate, sulfonyl, a C1-6 carboxyl ester or a C16 sulfate ester; M is hydrogen, sodium, —S(O)(O)—O—CH2—CH(O—C(O)—R6)—CH2—O—C(O)—R6, —P(O)(O)—O—CH2—CH(O—C(O)—R7)—CH2—O—C(O)—R7 or a glucuronide group of structure (A); the dotted lines in formula 1 represent an optional double bond, provided that there are not double bonds at both the 4-5 and 5-6 positions and provided that when a double bond is present, zero or 1 R1 group is bonded to carbon atoms at the 1-, 2-, 4-, 5-, 6- or 17 positions so that these carbon atoms are tetravalent; and the salts, stereoisomers, positional isomers, metabolites, analogs or precursors.
- The formula A compounds, including compounds where both R1 at the 11-position are not hydroxyl, alkoxy or a moiety that can hydrolyze to a hydroxyl, are generally suitable for use in the methods and compositions that are disclosed herein, e.g., their use to enhance a subject's Th1 immune responses or to treat inflammation. Methods of administration and dosages for these compounds are essentially as described herein.
- Intermittent dosing protocols or methods. In treating any of the pathological conditions disclosed herein, one can intermittently administer the formula 1 compound(s), e.g., BrEA or a BrEA ester, to a subject suffering from or susceptible to a condition disclosed herein such as an infection, a hyperproliferation condition, an inflammation condition or another condition that is disclosed herein as amenable to treatment with a formula 1 compound without some of the undesired aspects normally associated with discontinuous dosing. Such undesired aspects include development of resistance of a pathogen such as a pathogen disclosed herein, e.g., a virus or bacterium such as HIV or Staphylococcus aureus or a parasite such as a Plasmodium parasite, to the therapeutic agent, failure of the patient or subject to adhere to a daily dosing regimen or reduction of the dosages of other therapeutic agents and/or their associated unwanted side effects or toxicities.
- Intermittent dosing embodiments include administration of a formula 1 compound, e.g., orally, topically or parenterally as follows: (1) daily dosing for about 3 to about 190 days (e.g., about 3 to about 20 days), (2) no dosing of the formula 1 compound for about 4 to about 190 consecutive days (e.g., about 4 to about 20 days), (3) daily dosing for about 3 to about 190 days (e.g., about 3 to about 20 days), and (4) optionally repeating the dosing protocol 1, 2, 3, 4, 5, 6, 10, 15, 20, 30 or more times. Often, the dosing of steps (1) and (3) will be maintained for about 3-15 consecutive days, usually about 3, 4, 5 or 6 consecutive days. In general, steps (1) -(3) of the dosing protocol recited above, will be repeated at least one time, typically at least 2, 3, 4, 5 or 6 times. For infections that tend to remain chronic, e.g., HIV, HCV or other chronic virus or parasite infection, the intermittent dosing protocol is typically maintained over a relatively long time period, e.g., for at least about 6 months to about 5 or more years.
- In some embodiments, the number of days of continuous dosing in steps (1) and (3) is the same in each round of treatment, i.e., each time period in step (1) and (3) is the same in the initial and subsequent rounds of the method. In other embodiments they differ. Thus, in some embodiments, step (1) may comprise daily dosing of about 20 mg/day to about 1500 mg/day (e.g., about 50, 75, 100, 125, 150, 175, 200, 225, 250, 275, 300, 325, 350 or 400 mg/day) of a formula 1 compound for 2, 3, 4, 5, 6, 7 or more consecutive days. Then, step (2) may comprise not administering any formula 1 compound for at least about 4, 5, 6, 7, 14, 21, 28, 42, 56, 84, 98, 112 or more consecutive days. Step (3) could comprise daily administration of about 20 mg/day to about 1500 mg/day (e.g., about 50, 75, 100, 125, 150, 175, 200, 225, 250, 275, 300, 325, 350 or 400 mg/day) of a formula 1 compound for 2, 3, 4, 5, 6, 7 or more consecutive days. Steps (1) through (3) is optionally repeated for about 1-30 or more times. On days when the formula 1 compound is administered to the subject, it may be delivered in a single dose or in two, three or more subdoses at, e.g., about 12 hour or about 8 hour time intervals. Administration of the formula 1 compound would be by one or more of the routes described herein.
- In any of the intermittent dosing protocols described herein, the formula 1 compound(s) can be administered by one or more suitable routes, e.g., oral, buccal, sublingual, intramuscular (i.m.), subcutaneous (s.c.), intravenous (i.v.), intradermal, other parenteral route or by an aerosol. The daily dose in such methods will comprise about 0.05 to about 100 mg/kg/day, or about 0.1 to about 10 mg/kg/day, including about 0.2 mg/kg/day, 0.5 mg/kg/day, about 1 mg/kg/day, about 2 mg/kg/day, about 4 mg/kg/day or about 6 mg/kg/day. Alternatively, one can administer the formula 1 compound(s) orally using about 4 to about 40 mg/kg/day, usually about 6-20 mg/kg/day. In some embodiments, the intermittent dosing methods exclude dosing protocols that are commonly used to deliver contraceptive steroids to, e.g., human females, such as daily dosing for 21 days, followed by no dosing for 7 days. In some embodiments, the non-aqueous formulations described herein that comprise a formula 1 compound(s) are administered i.m. or s.c., while aqueous formulations that contain formula 1 compound(s) is administered by i.v., i.m., s.c. or other parenteral routes.
- Exemplary embodiments comprise (a) administering a formula 1 compound(s), e.g., BrEA or an ester or carbonate of BrEA, once every other day for about 3, 5, 7, 9, 11, 13, 20 or more days, followed by (b) no dosing for about 1, 2, 3, 4, 5, 6, 10, 15, 20, 25, 30, 35, 40, 45, 50, 55, 70, 84, 98, 112 or more days and then (c) administering the formula 1 compound(s) at least once more on one day, e.g., administering the formula 1 compound(s) once every other day for about 3, 5, 7, 11, 13, 20 or more days and (d) optionally repeating (a), (b) and (c) 1, 2, 3, 4, 5 or 6 times or more. A subset of these embodiments comprise (a) administering a formula 1 compound(s), e.g., BrEA or an ester or carbonate of BrEA, once every other day for about 3, 5, 7, 9, 11, 13, 20 or more days, followed by (b) no dosing for at least about 7-190 consecutive days, e.g., about 10-40 days, and then (c) administering the formula 1 compound(s) at least once more on one day, e.g., administering the formula 1 compound(s) once every other day for about 3, 5, 7, 9, 11, 13, 20 or more days and (d) optionally repeating (a), (b) and (c) 1, 2, 3, 4, 5 or 6 times or more. In any of these embodiments, one can administer the formula 1 compound(s) in 2 or 3 subdoses per day.
- Other embodiments comprise (a) administering a formula 1 compound(s), e.g., BrEA or an ester or carbonate of BrEA, once every day (or in 2 or 3 daily subdoses) for 3-15 or about 8-12 days, followed by (b) no dosing for 1, 2, 3, 4, 5, 6, 10, 15, 20, 25, 30, 35, 40, 45, 50, 56, 70, 84, 98, 112 or more days and then (c) administering the formula 1 compound(s) at least once more on one day, e.g., administering the formula 1 compound(s) once per day for about 3-15 or about 8-12 consecutive days essentially as described in step (a) and (d) optionally repeating (a), (b) and (c) 1, 2, 3, 4, 5 or 6 times or more. A subset of these embodiments are (a) administering a formula 1 compound(s), e.g., BrEA or an ester or carbonate of BrEA, once every day for about 10 days, followed by (b) no dosing for about 10-40 days and then (c) administering the formula 1 compound(s) at least once more on one day, e.g., administering the formula 1 compound(s) once per day for about 10 days and (d) optionally repeating (a), (b) and (c) 1, 2, 3, 4, 5 or 6 times or more. In any of these embodiments, one can administer the formula 1 compound(s) in 2 or 3 subdoses per day.
- One aspect of invention intermittent dosing is monitoring the subject's response to a particular dosing regimen or schedule, e.g., to any intermittent administration method disclosed herein. For example, while dosing a subject who has a viral infection (e.g., HCV, HIV, SIV, SHIV), one can measure the subject's or pathogen's response, e.g., amelioration of one or more symptoms or a change in infectious particles or viral DNA or RNA in the serum or a change in an immune parameter of interest. Once a response is observed dosing can be continued for one, two or three additional days, followed by discontinuing the dosing for at least one day (at least 24 hours), usually for at least about 2, 3, 4, 5, 6, 7, 14, 21, 28, 42, 56, 70, 84, 98, 112 or more days. Once the subject's response shows signs of remission (e.g., a symptom begins to intensify, viral serum DNA or RNA begins to increase or an immune parameter, e.g., as described herein, begins to deteriorate), dosing can be resumed for another course. An aspect of the subject's response to formula 1 compound(s) is that the subject may show a measurable response within a short time, usually about 5-10 days, which allows straightforward tracking of the subject's response, e.g., by monitoring viral titer in peripheral white blood cells (“PBMC”), by measuring viral nucleic acid levels in the blood or by measuring a white blood cell population(s) or expression of a cytokine or interleukin by e.g., white blood cells or a subset(s) thereof. One may monitor one or more immune cell subsets, e.g., NK, LAK, dendritic cells or cells that mediate ADCC immune responses, during and after intermittent dosing to monitor the subject's response and to determine when further administration of the formula 1 compound is indicated. These cell subsets are monitored as described herein, e.g., by flow cytometry.
- For any of the treatments or methods described herein, prolonged beneficial effects or a sustained immune response by a subject may result from a single administration or a few daily administrations of the formula 1 compound for from intermittent treatment with the formula 1 compound. A single administration means that a formula 1 compound is administered to the subject in one, two, three or more doses within a 24 hour period and no further administration of any formula 1 compound to the subject occurs for at least about 7-90 days, e.g., about for at least about 45 days to about 2 months, or for about 3, 4, 5, 6 or more months. Prolonged beneficial effects or immune responses may also persist after a short course of treatment has been completed (e.g., daily dosing for 2, 3, 4, 5 or 6 days) and the subject is no longer receiving any formula 1 compound, or, in some cases, any other therapeutic treatment to treat the primary cause of the subject's pathological condition. Such beneficial effects can persist for more than about 5-30 days, e.g., for at least about 21, 28, 42, 56, 70, 84, 98, 112 or more days.
- Other intermittent dosing embodiments comprise administering to a subject having or susceptible to a condition as described herein an effective amount of a formula 1 compound using an initial induction or high dosing regimen. The high dosing regimen may comprise, e.g., 1, 2, 3, 4, 5, 6, 7 or more daily doses of about 4 to about 40 mg/kg that are administered daily, every other day, every 3rd day, every 4th day or every 5th day. Then, the subject is not dosed with a formula 1 compound for a period, e.g., of about 7, 14, 21, 28, 42, 56, 70, 84, 98, 112 or more consecutive days. Then a lower daily dosing regimen is administered to the subject, e.g., about 0.2 mg/kg to about 4 or about 6 mg/kg, essentially as described for the high dosing regimen. Alternatively, this low dosing regimen may comprise 1, 2, 3, 6 or more rounds of a low to moderate initial level, e.g., about 2 to about 10 mg/kg/day, optionally followed by subsequent rounds of daily dosing that decrease the initial low to moderate level by about 10%, 20%, 30%, 40% or more in each subsequent round of treatment, which is continued until administration is discontinued.
- In some cases, beneficial effects from treatment have been observed for more than 3 months (4 or 5 or more months) after a short course of treatment of a subject with a formula 1 compound. Thus, administration of a formula 1 compound provides a method to help protect a subject against progression of an infection or against adverse consequences of unwanted immune reactions (e.g., inflammation) or against immunosuppression (from infection, chemotherapy, or as disclosed herein), without any dosing of the compound for at least 3 months after an initial dosing protocol, which could be an intermittent or a continuous dosing protocol over, e.g., 1 day to about 4 months (1-15 days, about 1 month, about 2 months, etc).
- Invention embodiments include a method to modulate an immune or cellular response in a subject in need thereof comprising administering to the subject, or delivering to the subject's tissues, an effective amount of a compound of formula 1. Immune and cellular response modulation includes enhancing Th1 immune responses, reducing Th2 immune responses, reducing unwanted or pathological inflammation, enhancing hemopoiesis or modulating the synthesis, level or a biological activity of a biomolecule such as (1) a transcription factor such as a steroid receptor or other factor, (2) a purine such as adenosine, (3) a nucleotide cofactor such as NADPH or (4) another biomolecule as disclosed herein. Typically the subject is in need of such treatment, e.g., by having a clinical condition disclosed herein or being subject to developing such a condition.
- In some embodiments one or more formula 1 compounds or groups of formula 1 compounds may excluded from one or more of the uses disclosed herein. For example, if the subject is in need of enhanced hemopoiesis, the formula 1 compound optionally excludes 5-androstene-3β-ol-17-one, 5-androstene-3β, 17β-diol, 5-androstene-3β,7β,17β-triol or a derivative of any of these three compounds that can convert to these compounds by hydrolysis, or if the subject has or is susceptible to developing a memory impairing neurological disorder or memory impairment condition, the compound is not 5-androstene-3β-ol-7,17-dione or 5-androstene-3β,7-diol-17-one or a derivative of these compounds that can has a group at the 7-position that can convert to —OH or ═O by hydrolysis. In other embodiments, formula 1 compound is not 4-pregnene-11β,17α,21-triol-3,20-dione, 17α,21-dihydroxypregn-4-ene-3,11,20-trione, 11β,21-dihydroxy-3,20-dioxopregn-4-en-18-al, 11β,17α,21-trihydroxypregna-1,4-diene-3,20-dione, 17α,21-dihydroxypregna-1,4-diene-3,11,20-trione, 3β-hydroxypregn-5-ene-20-one, 3β-hydroxyandrost-5-ene-17-one, pregn-4-ene-3,20-dione, 21-hydroxypregn-4-ene-3,20-dione, 9-fluoro-11β,16α,21-trihydroxy-16-methylpregna-1,4-diene-3,20-dione, 9-fluoro-11β,16α,17,21-tetrahydroxypregna-1, 4-diene-3,20-dione, 9-fluoro-11β,17α,21-trihydroxy-16-methylpregna-1,4-diene-3, 20-dione a naturally occurring glucorcorticoid, a species disclosed herein or a derivative of any of these that can convert to these molecules by hydrolysis or metabolism, e.g., a metabolizable or hydrolyzable ester or ether such as a cyclic ketal, an acetate, a diacetete a proprionate, a diproprionate, or an alkyl, an acyl, e.g., —C(O)—C1-C6 alkyl or another moiety for, e.g., a variable group such as for R1-R6 as disclosed herein.
- Synthesis methods. Reagents and reaction conditions that one can use to make the formula 1 compounds have been described, see e.g., the citations above, U.S. Pat. Nos. 5,874,598, 5,874,597, 5,874,594, 5,840,900; PCT publication number WO 9901579. General chemical synthetic methods to link a variety of organic moieties to various reactive groups have been described. For example, in G. T. Hermanson, Bioconjugate Techniques, Academic Press, 1996, functional targets such as amino acids, peptides and carbohydrates are described at pages 3-136, while the chemistries of reactive groups in the functional targets, e.g., amine, thiol, carboxyl, hydroxyl, aldehyde, ketone and reactive hydrogen atoms (e.g., —H linked to an electron-donating moiety such as a heteroaryl moiety) are described at pages 137-166. This reference also describes reagents useful to make the derivatives, e.g., zero-length cross-linkers, heterobifunctional cross-linkers, homobifunctional cross-linkers, tags, probes and polymers are described at pages 169-416 and 605-638. This reference also describes synthetic methods to modify oligonucleotides at pages 639-671.
- In one aspect, amino acids or peptides are linked to the steroid through the amine group using a coupling reagent such as phosgene (Cl—CO—Cl) or Cl—CS—Cl and suitably protected amino acids or peptides and steroids, which are protected as needed. Such linkage generates an intervening —CO—O— or a —CS—O— moiety between the amino acid or peptide and the steroid nucleus.
- By way of exemplification and not limitation, the following methods are used to prepare the one or more of the compounds disclosed herein. Starting materials and straightforward variations of the schemes are found, e.g., in the following references, which are incorporated herein by reference: A. P. Davis, et al., Tetrahedron Lett., 33: 5111-5112, 1992; I. Takashi, et al., Chem. Pharm. Bull., 34: 1929-1933, 1986; I. Weisz, et al., Arch. Pharm., 319: 952-953, 1986; T. Watabe, et al., J. Med. Chem., 13: 311-312, 1970; M. Davis, et al., J. Chem. Soc. C., (11): 1045-1052, 1967; R. C. Cambie, et al., J. Chem. Soc., Perkin Trans. 1, (20): 2250-2257, 1977; L. Minale, et al., J. Chem. Soc., Perkin Trans. 1, (20): 2380-2384, 1974; C. K. Lai, et al., Steroids, 42: 707-711, 1983; S. Irie, et al., Synthesis, (9): 1135-1138, 1996; E. J. Corey, J. Am. Chem. Soc., 118: 8765-8766, 1996; M. E. Annunziato, et al., Bioconjugate Chem., 4: 212-218, 1993; N. J. Cussans, et al., J. Chem. Soc., Perkin Trans. 1, (8): 1650-1653, 1980; D. H. R. Barton, et al., J. Chem. Soc., Chem. Commun., (9): 393-394, 1978; H. Loibner, et al., Helv. Chim. Acta, 59: 2100-2113, 1976; T. R. Kasturi, et al., Proc. Indian Acad. Sci., [Ser.]: Chem. Sci., 90: 281-290, 1981; T. Back, J. Org. Chem., 46: 1442-1446, 1981; A. Canovas, et al., Helv. Chim. Acta, 63: 486-487, 1980; R. J. Chorvat, et al., J. Org. Chem., 43: 966-972, 1978; M. Gumulka, et al., Can. J. Chem., 63: 766-772, 1985; H. Suginome, et al., J. Org. Chem., 55: 2170-2176, 1990; C. R. Engel, et al., Can. Heterocycles, 28: 905-922, 1989; H. Sugimone, et al., Bull, Chem. Soc. Jpn., 62: 193-197, 1989; V. S. Salvi, et al., Can. Steroids, 48: 47-53, 1986; C. R. Engel, et al., Can. Steroids, 47: 381-399, 1986; H. Suginome, et al., Chem. Lett., (5): 783-786, 1987; T. Iwadare, et al., J. Chem. Soc., Chem. Commun., (11): 705-706, 1985; H. Nagano, et al., J. Chem. Soc., Chem. Commun., (10): ;656-657, 1985; V. S. Salvi, et al., Steroids, 27: 717-725, 1976; C. H. Engel, et al., Steroids, 25: 781-790, 1975; M. Gobbini, et al., Steroids, 61: 572-582, 1996; A. G. Gonzalez, et al., Tetrahedron, 46: 1923-1930, 1990; S. C. Bobzin, et al., J. Org. Chem., 54: 3902-3907, 1989; B. Solaja, et al., Croat. Chem. Acta, 59: 1-17, 1986; Y. Kashman, et al., Tetrahedron, 27: 3437-3445, 1971; K. Yoshida, et al., Chem. Pharm. Bull. (Tokyo), 15: 1966-1978, 1967; P. B. Sollman, et al., Chem. Commun. (11): 552-554, 1967; H. Suginome, et al., J. Org. Chem., 55: 2170-2176, 1990; H. Suginome, et al., Journal Chem. Lett., (5): 783-786, 1987; G. A. Tolstikov, et al., Zh. Org. Khim., 22: 121-132, 1986; T. Terasawa, et al., J. Chem. Soc., Perkin Trans. 1, (4): 990-1003, 1979; Z. Zhuang, et al., Yougi Huaxue, (4): 281-285, 1986; W. T. Smith, et al., Trans. Ky. Acad. Sci., 45: 76-77, 1984; A. K. Batta, et al., Steroids, 64: 780-784, 1999; B. Ruan, et al., Steroids, 65: 29-39, 2000; L. Garrido,et al., Steroids, 65: 85-88, 2000; P. Ramesh, et al., Steroids, 64: 785-789, 1999; M. Numazawa, et al., Steroids, 64: 187-196, 1999; P. N. Rao, et al., Steroids, 64: 205-212, 1999; M. Numazawa, et al., Steroids, 64: 320-327, 1999; U.S. Pat. Nos. 3,281,431, 3,301,872, 3,325,535, 3,325,536, 3,952,018, 4,602,008, 5,571,795, 5,627,270, 5,681,964, 5,744,453; international publication numbers WO 9408588, WO 9508558, WO 9508559, WO 9638466, WO 9809450; United Kingdom patent numbers GB 1168227, GB 813529, GB 802618; French patent number 824529; Japan patent number JP 45010134; European patent applications EP 232788, EP 430078; and German patent number DE 19631189.
- Exemplary synthesis methods are shown below.
- Scheme 1. For the structures shown in scheme 1, R5-R9 are as defined for formula 1 compounds. Thus, when R5 and R6 are both —CH3 in the β-configuration, R7, R8 and R9 are all —CH2—, H at the 9 and 14 positions are in the α-configuration, acetate at the 3-position is in the β-configuration, and H at the 8 position is in the β-configuration, the first compound in scheme 1 is DHEA acetate. The acetate groups at the 3, 7, 16, 17 or other positions in this scheme and in other schemes disclosed herein may independently be other ester moieties as described herein, e.g., C2-50 esters including —C(O)—(CH2)0-4—(CF2)0-4—CF3, including —C(O)—CF3, —C(O)—C2-29 optionally substituted alkyl, —C(O)—CH2—C2-28 optionally substituted alkenyl, —C(O)—CH2—C2-28 optionally substituted alkynyl, —C(O)—(CH2)0-6-optionally substituted phenyl, or —C(O)—(CH2)0-6-optionally substituted heterocycle or other organic moieties as disclosed herein or in the cited references.
- Typical substituents for these organic moieties are as described herein, including one, two, three or more independently selected —O—, ═O, optionally protected hydroxyl, —S—, optionally protected thiol, —NH—, optionally protected —NH2, optionally protected —C(O)OH, —C(O)—NH—, —C(O)—NH2, —NH2—C(O)—H, —NH2—C(O)—C0-4H1-9, —NH2—C(O)—O—C0-4H1-9, —CN, —NO2, —N3 or halogen. Reactive groups are protected as needed, e.g., ═O would usually be protected in the LiCR reaction that is used to generate compound 1 in scheme 1 below.
- Scheme 2. Compounds of formula 2 are prepared from structure A compounds shown in scheme 1 using the last two steps of Scheme 1:(1a) dibromantin, (1b) LiBr, (2) Li—C≡R, where R is CRA and RA is as defined above, e.g., —H, —CH3, —CH2N3, —CH2NH2, —CH2—O-organic moiety, —CH2—S-organic moiety, —C1-12 optionally substituted alkyl. When R7, R8 and R9 are all —CH2—, H at the 9 and 14 positions are in the α-configuration and H at the 8 position is in the β-configuration the first compound in scheme 1 is DHEA acetate. Typical substituents for the RA alkyl moiety includes one, two or more independently selected —O—, optionally protected ═O, optionally protected hydroxyl, —S—, optionally protected thiol, —NH—, optionally protected —NH2, optionally protected —C(O)OH, —C(O)—NH—, —C(O)—NH2, —NH2—C(O)—H, —NH2—C(O)—C0-4H1-9, —NH2—C(O)—O—C0-4H1-9, —CN, —NO2, —N3 or halogen.
-
- Scheme 4. The addition of lithium reagent (lithium acetylide when R is —CH) to the 17-position >C═O in the presence of the bromide at C-16 results in epoxide formation or in a pinacol rearrangement (not shown). Alternatively, compounds without the C7 acetate of structure 3 can be dehydrated by mild acid catalysis to form compounds of formula 4 by treatment of the alkene with Br2, H2O. R and RA are as defined in Schemes 1 and 2.
-
- Scheme 6. Formula 6 compounds are prepared by treatment of the acetate A with lithium acetylide as in Schemes 1, 2, 3 or 4. R and RA are as defined in Schemes 1 and 2.
-
-
-
- Scheme 10. Reduction and acetylation at C-3 and hydrolysis and oxidation at C-17 will allow formula 10a and 10b compounds to undergo functionalization as shown in Schemes 1-9 at C-3, C-16 and C-17. The 7-oxo acetate can be substituted for the formula A compound 3-acetate and functionalization at C-3, C-16 and C-17 is achieved similarly for 7-oxo compounds using the reactions shown in schemes 1-9.
-
- Schemes 1-9 show the introduction of the hydroxyl function at the positions shown. Methods to convert hydroxyl to other functional groups are accomplished essentially as described, e.g., in the references cited herein. For example, esters, of formula 1-10c compounds, such as —O—C(O)—RB where RB is a C1-50 organic moiety, are prepared from the steroid alcohol by treatment with the appropriate acid anhydride or acid chloride (RB—C(O)—Cl) to form any desired ester. Ethers, such as —O—RB, are prepared from alcohols by formation of the alkaline metal alkoxide (Na+ or K+) followed by treatment with a primary or secondary iodide (RB—I). Thionoesters, RB—C(S)—O—, are prepared by treating the RB—C(O)—O— ester with Lawesson's reagent.
- Sulfates, NaO—S(O)(O)—O—, RB—O—S(O)(O)—O—, e.g., CH3(CH2)0-18—S(O)(O)—O—, are prepared by treatment of alcohols with chlorosulfonic acid followed by NaOH or alternatively by oxidation of sulfites using KMnO4. If the alkyl (e.g., methyl) ester is desired alkylchloro-sulfonate (methylchloro-sulfonate) can be used. Sulfites HO—S(O)—O— and ammonium salts NH4 O—S(O)—O, or RBO—S(O)—O— esters (e.g., CH3O—S(O)—O—) are prepared by standard methods. The ammonium salts are prepared by treatment of alcohols with ammonia and sulfur dioxide. The esters such as alkyl, alkenyl and alkynyl esters (e.g., methyl ester) are obtained when alcohols are treated with alkylchlorosulfite (e.g., methycholorosulfite), alkenylchlorosulfite or alkynylchlorosulfite in the presence of a suitable base such as triethylamine. Phosphoesters, RBO—P(ORPR)(O)—O— are prepared by treating the alcohol with diethylchlorophosphate in the presence of Na2CO3. Alternatively, if the alcohol is treated with phosphoric acid diesters in the presence of triphenylphospine (PPh3) and diethylazodicarboxylate (DEAD) the corresponding triesters are formed with inversion (Mitsunobu reaction).
- Phosphothioesters, RBO—P(SRPR)(O)—O— are generated by treatment of alcohols with the monothio analog of diethylchlorophosphate as described for phosphoesters yielding the phosphothioesters. Carbonates, RBO—C(O)—O— are generated from the corresponding steroid alcohol using the chloroformate (RB—C(O)—Cl), e.g., C1-20 alkyl, alkenyl or alkynyl chloroformates (e.g. CH3(CH2)0-5—C(O)Cl). Carbamates, RB—NH—C(O)—O— are made from steroid alcohols by treatment with isocyanates (RBN═C=O) or NaOCN in the presence of trifluororoacetic acid. Aminoacid esters, ZNX—CHY—C(O)—O— are generated by coupling the steroid alcohol with the acid chloride of the N-protected amino acid.
- Oxidation of hydroxyl groups that are linked to the steroid nucleus is used to obtain ketones and related functionalities. For example, conversion of alcohols to ketones can be achieved using a variety of oxidizing agents such as CrO3 in AcOH, or pyridinium cholorchromate, pyridinium dichromate or oxalyl chloride with triethylamine (Swern oxidation). Thioketones (═S) are prepared by treating ketones with Lawesson's reagent (2,4-bis(4-methoxyphenyl)-1,3,2,4-dithiadiphosphetane-2,4-disulfide; commercially available from Aldrich). Thioacetals, —C(SRB)(SRB)—, are prepared from ketones (—C(O)—) by treatment with RB—SH thiols under acid catalysis conditions (e.g., HCl). Phosphonoesters, RO—P(ORPR)(O)—, are generated by addition of the phosphorus acid diester to ketones in the presence of KF to yield hydroxy phosphonoesters. One may optionally remove the hydroxy group using a dehydration and hydrogenation sequence.
- Substitution of hydroxyl groups is used to generate a number of functionalities. For example, thiols, —SH, are prepared from alcohols by conversion of the alcohol with inversion to the bromide using PBr3. Treatment of the bromide with thiourea followed by NaOH gives the thiol. Thioethers, RB—S—,
- are prepared from thiols by treatment with NaOH and the required halide, e.g., alkyl halide. Alternatively, alcohol derivatives like tosylates or mesylates can be displaced by thiolate anions, RB—S−, to yield the thioether. Thioesters, R—C(O)—S—, are prepared by treating the tosylate (mesylate) of the alcohol with the sodium salt of the thioacid.
- Substitution of hydroxyl groups can be used to generate both esters, RBO—C(O)—, and amides, NHRB—C(O)—, linked to the steroid at carbon atoms. For amides and amines, RB is —H, a protecting group or a C1-50 organic moiety. These are synthesized from the steroid bromide with inversion by displacement with NaCN. The cyamide group can be hydrolyzed to the amide or the acid. The acid is esterified or treated by standard peptide coupling reactions with an acid-protected amino acid in the presence of a suitable carboxyl activating agents such as dicyclohexylcarbodiimide (DCC) to form steroid —C(O)—NH—CHY—C(O)—OR, where Y is the side chain of an amino acid or a C1-C10 organic moiety and R is a protecting group (or hydrogen when deprotected).
- Amines and derivatives of amines, e.g., RBNH—, RB—C(O)NH—, RBOC(O)—NH— or RBO—C(O)—CHRB—NH— linked to steroid carbon atoms, are typically prepared by standard methods. For example, amines (NH2-steroid) are generally prepared using the Hoffmann rearrangement (Br2, NaOH) from the amide (NH2—C(O)-steroid) or the Curtius rearrangement (NaN3) from the acid chloride of the steroid. The RB substituent can subsequently be introduced by alkylation. Steroid alcohols can be used as starting materials under standard Mitsunobu conditions (PPh3, DEAD) to yield N-Boc sulfonamides using N-(t-butoxycarbonyl)-p-toluenesulfonamide. One can selectively remove either protecting group. Treatment with trifluoroacetic acid affords the sulfonamide (RB—S(O)(O)—NH-steroid). Alternatively, sodium napthalenide deprotects to give the N-Boc compound. Amines (NH2-steroid) can be converted to amides (RB—C(O)—NH-steroid) using acyl chlorides (RB—C(O)—Cl). Treatment with ethyl chloroformate gives the N-carbamate (RBO—C(O)—NH-steroid). The amine (NH2-steroid) can be alkylated with an α-bromoester to yield the amino acid substituted steroid (RB—O—C(O)—CHY—NH-steroid).
- Where reactions such as substitutions give a product mixture, the desired intermediate is optionally separated from other products or at least partially enriched (e.g., enriched at least about 10-fold, usually at least about 50-100-fold) from other products before subsequent reactions are conducted. Substitution at steroid carbon atoms will generally proceed with greatest efficiency at the 3-position, which is relatively sterically unhindered and C-17 is generally somewhat less accessible than the C-3 position. The relative reactivities of the C-3, C-7, C-17 and C-16 positions allows one to use their reactivities to control the sequential introduction of different functional groups into the same steroid molecule. Also, groups, such as hydroxyl at more reactive positions, C-3 or C-17, may be sequentially protected or deprotected to allow introduction of functional groups at other positions, such as C-7 or C-16.
- Polymers such as PEG are linked to the compounds essentially as described above. For example, PEG200 or PEG300 is linked to the steroid at the 3, 7, 16, 17 or other positions by an ether linkage (PEG-O-steroid) using a PEG alkoxide (PEG-ONa), to displace the steroid bromide. Alternatively, PEG-Br can be treated with the steroid alkoxide. Polyethylene glycol esters such as those described in U.S. Pat. No. 5,681,964 can also be prepared using a suitable formula 1 compound and the methods described therein. Monosaccharides or polysaccharides and oligonucleotides are linked to steroid hydroxyl groups using known methods, see e.g., U.S. Pat. No. 5,627,270.
- Formula 1 steroid analogs that comprise one or more ring heteroatoms are synthesized according to the following methods.
- Scheme 11. Formula 1 compounds that comprise two or three ring heteroatoms are prepared as shown in the following schemes. In the scheme, X is —CH2—, —NH—, —O—, or —S—; R40 is —H or —Br; R41 is an organic moiety having about 12 carbon atoms or less, typically C1-C8 optionally substituted alkyl (e.g., methyl, hydroxymethyl, ethyl, propyl, —CH(O), —CH(S)) or C2-C8 optionally substituted alkenyl having a single double bond (e.g., vinyl) with 1, 2, 3 or more independently selected substituents (e.g., —OH, —COOH, —O—) and with any substituents that comprise a functional group generally being protected. Preparation of compound 20 from 19 is accomplished using a glycol such as HOC(CH3)2C(CH3)2OH in acid (H+) (B. H. Lipshutz et al., Synth. Commun. 12: 267, 1982). The use of a bulky protecting group facilitates generation of a double bond at the 5-6 position over the 4-5 position.
- Schemes 12A-12D. Compounds of structure 12 are generated as shown in the schemes below. Most of the reactions are conducted essentially as described. See e.g., W. D. Langley, Org. Syn. I, 122, 1932 (compound 30); R. Ratcliffe et al., J. Org. Chem. 35: 4000, 1970 (compound 32); A. I. Meyers et al., J. Org. Chem. 39: 2787, 1974 (compound 33, 41); J. L. Isidor et al., J. Org. Chem. 38: 544, 1973 (compound 35); G. Wittig et al., Chem. Ber. 87: 1318, 1954 (compound 36); P. M. Pojer et al., Tet. Lett. 3067, 1976 (compound 38); A. Maercker, Org. React. 14: 270, 1965 (compound 37); E. J. Corey et al., Tet. Lett. 3269 1975 (compound 37); R. S. Tipson, J. Org. Chem. 9: 235, 1944 (compound 39); G. W. Kabalka, J. Org. Chem. 51: 2386, 1986; B. B. Carson et al., Org. Synth. 1: 179, 1941 (compound 43); H. J. Bestman et al., Justus Liebigs Ann. Chem. 693: 132 1966 (compound 39); M. Miyano et al., J. Org. Chem. 37: 268, 1972 (compound 51); W. H. Glaze et al., J. Org. Chem. 33: 1987, 1968 (compound 52).
-
- Scheme 13. The scheme and reactions shown below are used to prepare the compound of structure 13 and related compounds that are used to introduce oxygen, carbon, nitrogen or sulfur into the R7 and R8 positions of formula 1 compounds. The reactant in the preparation of compound 63, 3-chloro-2-methylpropene (reg. No. 563-47-3), is available commercially (e.g., Aldrich, Fluka).
- Compound 13 and analogs of compound 13 where CH2, S or NH CH2 replaces oxygen are prepared as shown in the following reactions. Conditions suitable for conversion of compound 106 to 107 have been described (T. Hamada et al., Heterocycles 12: 647, 1979; T. Hamada et al., J. Am. Chem. Soc. 108: 140, 1986).
-
- (R—C(O)—CH3) to other functionalities is accomplished as follows. The methyl ketone is cleaved to yield a carboxyl moiety using, e.g., Br2 or I2 in base, followed by treatment with acid (H3O+) essentially as described (S. J. Chakrabarty Oxidations in Organic Chemistry Part C, W. Trahnnousy, editor, Academic Press, NY, 1987, chapter 5; L. J. Smith et al., Org. Synth. III 302, 1953), to yield R—C(O)—OH. The carboxylic acid is converted to the acid and then reduced to the alcohol using NaBH4. Conversion of the alcohol to the bromide is accomplished using, e.g., Br2 in water, essentially as described (J. S. Meck et al., Org. Synth. V, 126, 1973; A. Mckillop et al., J. Org. Chem. 34: 1172, 1969).
-
- The 11A compounds are deprotected to yield the aldehyde compounds 12. As shown in scheme 11, the bromine atom is ultimately found at the 7-position. The bromine may be converted to a hydroxyl by reaction of the steroid with base (e.g., aqueous KOH), and the hydroxyl may in turn be protected using known methods, e.g., using C6H5—CH2—Br and base (KOH). The alcohol is protected and deprotected essentially using described methods, see, e.g., W. H. Hartung et al., Org. React. 7: 263, 1953; E. J. Rerst et al., J. Org. Chem. 29: 3725, 1968; A. M. Felix et al., J. Org. Chem. 43: 4194, 1978; D. A. Evans et al., J. Am. Chem. Soc. 101: 6789, 1979; international publication number WO 98/02450. Similar reactions are used to convert a bromine at other positions to a hydroxyl. Other substituents are linked to the steroids essentially as described in schemes 1-10.
- Alternative routes to introduce a functional group into the 7-position are also suitable. For example, formula 1 compounds that have a double bond at the 5-6 position and are unsubstituted at the 7-position are optionally protected, e.g., hydroxyl groups are protected with acetate, and a ketone is introduced into the 7-position by oxidation with chromic acid essentially as described (U.S. Pat. No. 2,170,124). The carbonyl (═O) at 7 is reduced to a hydroxyl using mild conditions, e.g., Al(Oi-Pr)3, to avoid reducing the 5-6 double bond.
- Selective hydrogenation of a double bond at the 16-17 position without reduction of a double bond at 5-6 is accomplished using H2 and Pd. In general, ketones (═O) can be protected using a glycol, e.g., reaction with ethylene glycol in p-toluenesulfonic acid and benzene, before subsequent oxidation or reduction reactions are conducted.
- Various groups that may comprise the formula 1 compounds described herein, e.g., hydroxyl groups or ketones bonded to the steroid nucleus, or substituted alkyl groups, substituted heterocycles, amino acids and peptides, can contain one or more reactive moieties such as hydroxyl, carboxyl, amino or thiol. Intermediates used to make formula 1 compounds may be protected as is apparent in the art. Noncyclic and cyclic protecting groups and corresponding cleavage reactions are described in “Protective Groups in Organic Chemistry”, Theodora W. Greene (John Wiley & Sons, Inc., New York, 1991, ISBN 0-471-62301-6) (hereafter “Greene”) and will not be detailed here. In the context of the present invention, these protecting groups are groups that can be removed from a formula 1 compound without irreversibly changing the covalent bond structure or oxidation/reduction state of the remainder of the molecule. For example, the protecting group, —RPR, that is bonded to an —O— or —NH— group can be removed to form —OH or —NH2, respectively, without affecting other covalent bonds in the molecule. At times, when desired, more than one protecting group can be removed at a time, or they can be removed sequentially. In formula 1 compounds containing more than one protecting group, the protecting groups are the same or different.
- Protecting groups are removed by known procedures, although it will be understood that the protected intermediates fall within the scope of this invention. The removal of the protecting group may be arduous or straight-forward, depending upon the economics and nature of the conversions involved. In general, one will use a protecting group with exocyclic amines or with carboxyl groups during synthesis of a formula 1 compound. For most therapeutic applications amine groups should be deprotected. Protecting groups commonly are employed to protect against covalent modification of a sensitive group in reactions such as alkylation or acylation. Ordinarily, protecting groups are removed by, e.g. hydrolysis, elimination or aminolysis. Thus, simple functional considerations will suffice to guide the selection of a reversible or an irreversible protecting group at a given locus on the formula 1 compounds. Suitable protecting groups and criteria for their selection are described in T. W. Greene and P. G. M. Wuts, Eds. “Protective Groups in Organic Synthesis” 2nd edition, Wiley Press, at pps. 10-142, 143-174,175-223, 224-276, 277-308, 309-405 and 406-454.
- Determination of whether a group is a protecting group is made in the conventional manner, e.g., as described by Kocienski, Philip J.; “Protecting Groups” (Georg Thieme Verlag Stuttgart, New York, 1994) (hereafter “Kocienski”), Section 1.1, page 2, and Greene Chapter 1, pages 1-9. In particular, a group is a protecting group if when, based on mole ratio, 90% of that protecting group has been removed by a deprotection reaction, no more than 50%, typically 25%, more typically 10%, of the deprotected product molecules have undergone changes to their covalent bond structure or oxidation/reduction state other than those occasioned by the removal of the protecting group. When multiple protecting groups of the same type are present in the molecule, the mole ratios are determined when all of the groups of that type are removed. When multiple protecting groups of different types are present in the molecule, each type of protecting group is treated (and the mole ratios are determined) independently or together with others depending on whether the deprotection reaction conditions pertinent to one type are also pertinent to the other types present. In one embodiment, a group is a protecting group if when, based on mole ratio determined by conventional techniques, 90% of that protecting group has been removed by a conventional deprotection reaction, no more than 50%, typically 25%, more typically 10%, of the deprotected product molecules have undergone irreversible changes to their covalent bond structure or oxidation/reduction state other than those occasioned by the removal of the protecting group. Irreversible changes require chemical reactions (beyond those resulting from aqueous hydrolysis, acid/base neutralization or conventional separation, isolation or purification) to restore the covalent bond structure or oxidation/reduction state of the deprotected formula 1 compound.
- Protecting groups are also described in detail together with general concepts and specific strategies for their use in Kocienski, Philip J.; “Protecting Groups” (Georg Thieme Verlag Stuttgart, New York, 1994), which is incorporated by reference in its entirety herein. In particular Chapter 1, Protecting Groups: An Overview, pages 1-20, Chapter 2, Hydroxyl Protecting Groups, pages 21-94, Chapter 3, Diol Protecting Groups, pages 95-117, Chapter 4, Carboxyl Protecting Groups, pages 118-154, Chapter 5, Carbonyl Protecting Groups, pages 155-184, Chapter 6, Amino Protecting Groups, pages 185-243, Chapter 7, Epilog, pages 244-252, and Index, pages 253-260, are incorporated with specificity in the context of their contents. More particularly, Sections 2.3 Silyl Ethers, 2.4 Alkyl Ethers, 2.5 Alkoxyalkyl Ethers (Acetals), 2.6 Reviews (hydroxy and thiol protecting groups), 3.2 Acetals, 3.3 Silylene Derivatives, 3.4 1,1,3,3-Tetraisopropyldisiloxanylidene Derivatives, 3.5 Reviews (diol protecting groups), 4.2 Esters, 4.3 2,6,7-Trioxabicyclo[2.2.2]octanes [OBO] and Other Ortho Esters, 4.4 Oxazolines, 4.5 Reviews (carboxyl protecting groups), 5.2 O,O-Acetals, 5.3 S,S-Acetals, 5.4 O,S-Acetals, 5.5 Reviews (carbonyl protecting groups), 6.2 N-Acyl Derivatives, 6.3 N-Sulfonyl Derivatives, 6.4 N-Sulfenyl Derivatives, 6.5 N-Alkyl Derivatives, 6.6 N-Silyl Derivatives, 6.7 Imine Derivatives, and 6.8 Reviews (amino protecting groups), are each incorporated with specificity where protection/deprotection of the requisite functionalities is discussed. Further still, the tables “Index to the Principal Protecting Groups” appearing on the inside front cover and facing page, “Abbreviations” at page xiv, and “reagents and Solvents” at page xv are each incorporated in their entirety herein at this location.
- Typical hydroxy protecting groups are described in Greene at pages 14-118 and include Ethers (Methyl); Substituted Methyl Ethers (Methoxymethyl, Methylthiomethyl, t-Butylthiomethyl, (Phenyldimethylsilyl)methoxymethyl, Benzyloxymethyl, p-Methoxybenzyloxymethyl, (4-Methoxyphenoxy)methyl, Guaiacolmethyl, t-Butoxymethyl, 4-Pentenyloxymethyl, Siloxymethyl, 2-Methoxyethoxymethyl, 2,2,2-Trichloroethoxymethyl, Bis(2-chloroethoxy)methyl, 2-(Trimethylsilyl)ethoxymethyl, Tetrahydropyranyl, 3-Bromotetrahydropyranyl, Tetrahydropthiopyranyl, 1-Methoxycyclohexyl, 4-methoxytetrahydropyranyl, 4-Methoxytetrahydrothiopyranyl, 4-Methoxytetrahydropthiopyranyl S,S-Dioxido, 1-[(2-Chloro-4-methyl)phenyl]-4-methoxypiperidin-4-yl, 1,4-Dioxan-2-yl, Tetrahydrofuranyl, Tetrahydrothiofuranyl, 2,3,3a,4,5,6,7,7a-Octahydro-7,8,8-trimethyl-4,7-methanobenzofuran-2-yl); Substituted Ethyl Ethers (1-Ethoxyethyl, 1-(2-Chloroethoxy)ethyl, 1-Methyl-1-methoxyethyl, 1-Methyl-1-benzyloxyethyl, 1-Methyl-1-benzyloxy-2-fluoroethyl, 2,2,2-Trichloroethyl, 2-Trimethylsilyl ethyl, 2-(Phenylselenyl)ethyl, t-Butyl, Allyl, p-Chlorophenyl, p-Methoxyphenyl, 2,4-Dinitrophenyl, Benzyl); Substituted Benzyl Ethers (p-Methoxybenzyl, 3,4-Dimethoxybenzyl, o-Nitrobenzyl, p-Nitrobenzyl, p-Halobenzyl, 2,6-Dichlorobenzyl, p-Cyanobenzyl, p-Phenylbenzyl, 2- and 4-Picolyl, 3-Methyl-2-picolyl N-Oxido, Diphenylmethyl, p, p′-Dinitrobenzhydryl, 5-Dibenzosuberyl, Triphenylmethyl, alpha-Naphthyldiphenylmethyl, p-methoxyphenyldiphenylmethyl, Di(p-methoxyphenyl)phenylmethyl, Tri(p-methoxyphenyl)methyl, 4-(4′-Bromophenacyloxy)phenyldiphenylmethyl, 4,4′,4″-Tris(4,5-dichlorophthalimidophenyl)methyl, 4,4′, 4″-Tris(levulinoyloxyphenyl)methyl, 4,4′, 4″-Tris(benzoyloxyphenyl)methyl, 3-(Imidazol-1-ylmethyl)bis(4′,4″-dimethoxyphenyl)methyl, 1,1-Bis(4-methoxyphenyl)-1′-pyrenylmethyl, 9-Anthryl, 9-(9-Phenyl)xanthenyl, 9-(9-Phenyl-10-oxo)anthryl, 1,3-Benzodithiolan-2-yl, Benzisothiazolyl, S,S-Dioxido); Silyl Ethers (Trimethylsilyl, Triethylsilyl, Triisopropylsilyl, Dimethylisopropylsilyl, Diethylisopropylsily, Dimethylthexylsilyl, t-Butyldimethylsilyl, t-Butyldiphenylsilyl, Tribenzylsilyl, Tri-p-xylylsilyl, Triphenylsilyl, Diphenylmethylsilyl, t-Butylmethoxyphenylsilyl); Esters (Formate, Benzoylformate, Acetate, Choroacetate, Dichloroacetate, Trichloroacetate, Trifluoroacetate, Methoxyacetate, Triphenyl-methoxyacetate, Phenoxyacetate, p-Chlorophenoxyacetate, p-poly-Phenylacetate, 3-Phenylpropionate, 4-Oxopentanoate (Levulinate), 4,4-(Ethylenedithio)pentanoate, Pivaloate, Adamantoate, Crotonate, 4-Methoxycrotonate, Benzoate, p-Phenylbenzoate, 2,4,6-Trimethylbenzoate (Mesitoate); Carbonates (Methyl, 9-Fluorenylmethyl, Ethyl, 2,2,2-Trichloroethyl, 2-(Trimethylsilyl)ethyl, 2-(Phenylsulfonyl)ethyl, 2-(Triphenylphosphonio)ethyl, Isobutyl, Vinyl, Allyl, p-Nitrophenyl, Benzyl, p-Methoxybenzyl, 3,4-Dimethoxybenzyl, o-Nitrobenzyl, p-Nitrobenzyl, S-Benzyl Thiocarbonate, 4-Ethoxy-1-naphthyl, Methyl Dithiocarbonate); Groups With Assisted Cleavage (2-Iodobenzoate, 4-Azidobutyrate, 4-Nitro-4-methylpentanoate, o-(Dibromomethyl)benzoate, 2-Formylbenzenesulfonate, 2-(Methylthiomethoxy)ethyl Carbonate, 4-(Methylthiomethoxy)butyrate, 2-(Methylthiomethoxymethyl)benzoate); Miscellaneous Esters (2,6-Dichloro-4-methylphenoxyacetate, 2,6-Dichloro-4-(1,1,3,3-tetramethyl-butyl)phenoxyacetate, 2,4-Bis(1,1-dimethylpropyl)phenoxyacetate, Chorodiphenylacetate, Isobutyrate, Monosuccinoate, (E)-2-Methyl-2-butenoate (Tigloate), o-(Methoxycarbonyl)benzoate, p-poly-Benzoate, α-Naphthoate, Nitrate, Alkyl N,N,N′,N′-Tetramethylphosphorodiamidate, N-Phenylcarbamate, Borate, Dimethylphosphinothioyl, 2,4-Dinitro-phenylsulfenate); and Sulfonates (Sulfate, Methanesulfonate (Mesylate), Benzylsulfonate, Tosylate (Tos)).
- More typically hydroxy protecting groups include substituted methyl ethers, substituted benzyl ethers, silyl ethers, and esters including sulfonic acid esters, still more typically, trialkylsilyl ethers, tosylates and acetates.
- Typical 1,2- and 1,3-diol protecting groups are described in Greene at pages 118-142 and include Cyclic Acetals and Ketals (Methylene, Ethylidene, 1-t-Butylethylidene, 1-Phenylethylidene, (4-Methoxyphenyl)ethylidene, 2,2,2-Trichloroethylidene, Acetonide (Isopropylidene), Cyclopentylidene, Cyclohexylidene, Cycloheptylidene, Benzylidene, p-Methoxybenzylidene, 2,4-Dimethoxybenzylidene, 3,4-Dimethoxybenzylidene, 2-Nitrobenzylidene); Cyclic Ortho Esters (Methoxymethylene, Ethoxymethylene, Dimethoxymethylene, 1-Methoxyethylidene, 1-Ethoxyethylidine, 1,2-Dimethoxyethylidene, alpha-Methoxybenzylidene, 1-(N,N-Dimethylamino)ethylidene Derivative, alpha-(N,N-Dimethylamino)benzylidene Derivative, 2-Oxacyclopentylidene); and Silyl Derivatives (Di-t-butylsilylene Group, 1,3-(1,1,3,3-Tetraiso-propyldisiloxanylidene) Derivative, Tetra-t-butoxydisiloxane-1,3-diylidene Derivative, Cyclic Carbonates, Cyclic Boronates, Ethyl Boronate, Phenyl Boronate).
- More typically, 1,2- and 1,3-diol protecting groups include epoxides and acetonides.
- Typical amino protecting groups are described in Greene at pages 315-385 and include Carbamates (Methyl and Ethyl, 9-Fluorenylmethyl, 9(2-Sulfo)fluoroenylmethyl, 9-(2,7-Dibromo)fluorenylmethyl, 2,7-Di-t-butyl-[9-(10,10-dioxo-10,10,10,10-tetrahydrothioxanthyl)]-methyl, 4-Methoxy-phenacyl); Substituted Ethyl (2,2,2-Trichoroethyl, 2-Trimethylsilylethyl, 2-Phenylethyl, 1-(1-Adamantyl)-1-methylethyl, 1,1-Dimethyl-2-haloethyl, 1,1-Dimethyl-2,2-dibromoethyl, 1,1-Dimethyl-2,2,2-trichloroethyl, 1-Methyl-1-(4-biphenylyl)ethyl, 1-(3,5-Di-t-butylphenyl)-1-methylethyl, 2-(2′- and 4′-Pyridyl)ethyl, 2-(N,N-Dicyclohexylcarboxamido)ethyl, t-Butyl, 1-Adamantyl, Vinyl, Allyl, 1-Isopropylallyl, Cinnamyl, 4-Nitrocinnamyl, 8-Quinolyl, N-Hydroxypiperidinyl, Alkyldithio, Benzyl, p-Methoxybenzyl, p-Nitrobenzyl, p-Bromobenzyl, p-Chorobenzyl, 2,4-Dichlorobenzyl, 4-Methylsulfinylbenzyl, 9-Anthrylmethyl, Diphenylmethyl); Groups With Assisted Cleavage (2-Methylthioethyl, 2-Methylsulfonylethyl, 2-(p-Toluenesulfonyl)ethyl, [2-(1,3-Dithianyl)]methyl, 4-Methylthiophenyl, 2,4-Dimethylthiophenyl, 2-Phosphonioethyl, 2-Triphenylphosphonioisopropyl, 1,1-Dimethyl-2-cyanoethyl, m-Choro-p-acyloxybenzyl, p-(Dihydroxyboryl)benzyl, 5-Benzisoxazolylmethyl, 2-(Trifluoromethyl)-6-chromonylmethyl); Groups Capable of Photolytic Cleavage (m-Nitrophenyl, 3,5-Dimethoxybenzyl, o-Nitrobenzyl, 3,4-Dimethoxy-6-nitrobenzyl, Phenyl (o-nitrophenyl)methyl); Urea-Type Derivatives (Phenothiazinyl-(10)-carbonyl Derivative, N′-p-Toluenesulfonylaminocarbonyl, N′-Phenylaminothiocarbonyl); Miscellaneous Carbamates (t-Amyl, S-Benzyl Thiocarbamate, p-Cyanobenzyl, Cyclobutyl, Cyclohexyl, Cyclopentyl, Cyclopropylmethyl, p-Decyloxybenzyl, Diisopropylmethyl, 2,2-Dimethoxycarbonylvinyl, o-(N,N-Dimethyl-carboxamido)benzyl, 1,1-Dimethyl-3-(N,N-dimethylcarboxamido)propyl, 1,1-Dimethylpropynyl, Di(2-pyridyl)methyl, 2-Furanylmethyl, 2-Iodoethyl, Isobornyl, Isobutyl, Isonicotinyl, p-(p′-Methoxyphenylazo)benzyl, 1-Methylcyclobutyl, 1-Methylcyclohexyl, 1-Methyl-1-cyclopropylmethyl, 1-Methyl-1-(3,5-dimethoxyphenyl)ethyl, 1-Methyl-1-(p-phenylazophenyl)ethyl, 1-Methyl-1-phenylethyl, 1-Methyl-1-(4-pyridyl)ethyl, Phenyl, p-(Phenylazo)-benzyl, 2,4,6-Tri-t-butylphenyl, 4-(Trimethylammonium)benzyl, 2,4,6-Trimethylbenzyl); Amides (N-Formyl, N-Acetyl, N-Choroacetyl, N-Trichoroacetyl, N-Trifluoroacetyl, N-Phenylacetyl, N-3-Phenylpropionyl, N-Picolinoyl, N-3-Pyridylcarboxamide, N-Benzoylphenylalanyl Derivative, N-Benzoyl, N-p-Phenylbenzoyl); Amides With Assisted Cleavage (N-o-Nitrophenylacetyl, N-o-Nitrophenoxyacetyl, N-Acetoacetyl, (N′-Dithiobenzyloxycarbonylamino)acetyl, N-3-(p-Hydroxyphenyl)propionyl, N-3-(o-Nitrophenyl)propionyl, N-2-Methyl-2-(o-nitrophenoxy)propionyl, N-2-Methyl-2-(o-phenylazophenoxy)propionyl, N-4-Chlorobutyryl, N-3-Methyl-3-nitrobutyryl, N-o-Nitrocinnamoyl, N-Acetylmethionine Derivative, N-o-Nitrobenzoyl, N-o-(Benzoyloxymethyl)benzoyl, 4,5-Diphenyl-3-oxazolin-2-one); Cyclic Imide Derivatives (N-Phthalimide, N-Dithiasuccinoyl, N-2,3-Diphenylmaleoyl, N-2,5-Dimethylpyrrolyl, N-1,1,4,4-Tetramethyl-disilylazacyclopentane Adduct, 5-Substituted 1,3-Dimethyl-1,3,5-triazacyclo-hexan-2-one, 5-Substituted 1,3-Dibenzyl-1,3,5-triazacyclohexan-2-one, 1-Substituted 3,5-Dinitro-4-pyridonyl); N-Alkyl and N-Aryl Amines (N-Methyl, N-Allyl, N-[2-(Trimethylsilyl)ethoxy]methyl, N-3-Acetoxypropyl, N-(1-Isopropyl-4-nitro-2-oxo-3-pyrrol in-3-yl), Quaternary Ammonium Salts, N-Benzyl, N-Di(4-methoxyphenyl)methyl, N-5-Dibenzosuberyl, N-Triphenylmethyl, N-(4-Methoxyphenyl)diphenylmethyl, N-9-Phenylfluorenyl, N-2,7-Dichloro-9-fluorenylmethylene, N-Ferrocenylmethyl, N-2-Picolylamine N′-Oxide); Imine Derivatives (N-1,1-Dimethylthiomethylene, N-Benzylidene, N-p-methoxybenzylidene, N-Diphenylmethylene, N-[(2-Pyridyl)mesityl]methylene, N,(N′,N′-Dimethylaminomethylene, N,N′-Isopropylidene, N-p-Nitrobenzylidene, N-Salicylidene, N-5-Chlorosalicylidene, N-(5-Chloro-2-hydroxyphenyl)phenylmethylene, N-Cyclohexylidene); Enamine Derivative (N-(5,5-Dimethyl-3-oxo-1-cyclohexenyl)); N-Metal Derivatives (N-Borane Derivatives, N-Diphenylborinic Acid Derivative, N-[Phenyl(pentacarbonylchromium- or -tungsten)]carbenzyl, N-Copper or N-Zinc Chelate); N—N Derivatives (N-Nitro, N-Nitroso, N-Oxide); N—P Derivatives (N-Diphenylphosphinyl, N-Dimethylthiophosphinyl, N-Diphenylthiophosphinyl, N-Dialkyl Phosphoryl, N-Dibenzyl Phosphoryl, N-Diphenyl Phosphoryl); N-Si Derivatives; N—S Derivatives; N-Sulfenyl Derivatives (N-Benzenesulfenyl, N-o-Nitrobenzenesulfenyl, N-2,4-Dinitrobenzenesulfenyl, N-Pentachlorobenzenesulfenyl, N-2-nitro-4-methoxybenzenesulfenyl, N-Triphenylmethylsulfenyl, N-3-Nitropyridinesulfenyl); and N-Sulfonyl Derivatives (N-p-Toluenesulfonyl, N-Benzenesulfonyl, N-2,3,6-Trimethyl-4-methoxybenzenesulfonyl, N-2,4,6-Trimethoxybenzenesulfonyl, N-2,6-Dimethyl-4-methoxybenzenesulfonyl, N-Pentamethylbenzenesulfonyl, N-2,3,5,6,-Tetramethyl-4-methoxybenzenesulfonyl, N-4-methoxybenzenesulfonyl, N-2,4,6-Trimethylbenzenesulfonyl, N-2,6-Dimethoxy-4-methylbenzenesulfonyl, N-2,2,5,7,8-Pentamethylchroman-6-sulfonyl, N-Methanesulfonyl, N-.beta.-Trimethylsilyethanesulfonyl, N-9-Anthracenesulfonyl, N-4-(4′,8′-Dimethoxynaphthylmethyl)benzenesulfonyl, N-Benzylsulfonyl, N-Trifluoromethylsulfonyl, N-Phenacylsulfonyl).
- More typically, amino protecting groups include carbamates and amides, still more typically, N-acetyl groups.
- Groups capable of biological cleavage typically include prodrugs. A large number of such groups are described in “Design of Prodrugs”, Hans Bundgaard (Elsevier, N.Y., 1985, ISBN 0-444-80675-X) (Bundgaard) and will not be detailed here. In particular, Bundgaard, at pages 1-92, describes prodrugs and their biological cleavage reactions for a number of functional group types. Prodrugs for carboxyl and hydroxyl groups are detailed in Bundgaard at pages 3 to 10, for amides, imides and other NH-acidic compounds at pages 10 to 27, amines at pages 27 to 43, and cyclic prodrugs at pages 62 to 70. These moieties are optionally bonded to the steroid at one, two or more of the variable groups that are bonded to the rings in the formula 1 compounds, e.g., one or more R1-R6, R10, R15, R17 and R18.
- Metabolites. Also falling within the scope of this invention are the in vivo metabolites of the compounds described herein and the use of those compounds for use in the methods described herein. This includes metabolites or products that are novel and unobvious over the prior art as new compounds as such and their uses as described herein or in the cited references. Such products may result for example from the oxidation, reduction, hydrolysis, amidation, esterification, glycosidation and the like of the administered formula 1 compound, due to enzymatic or chemical processes. Accordingly, the invention includes novel and unobvious compounds produced by a process comprising contacting a compound of this invention with a subject, e.g., a human, rodent or a primate, for a period of time sufficient to yield a metabolic product thereof. Such products typically are identified by preparing a radiolabeled or mass labeled formula 1 compound that comprises, e.g., 1, 2, 3 or more 13C, 14C, 3H, 2H, 131I, 32P, 35S or 99Tc atoms bonded to the compound, and administering it as a trace labeled compound along with the unlabeled compound. The labeled and unlabeled compound is administered by any suitable route (by, e.g., a buccal, sublingual, parenteral, topical or oral route) in a detectable dose (e.g. greater than about 0.1 μg/kg, or at least about 10 μg/kg or at least about 0.5 mg/kg of the labeled compound) to a subject, e.g., an animal or mammal such as rat, mouse, guinea pig, primate, or to a human. After administration sufficient time is allowed for metabolism to occur (typically about 30 seconds to 30 hours) and conversion products are isolated from one or more of the urine, blood, plasma, feces or other suitable biological sources. The amount of labeled formula 1 compound that is administered to a subject will vary with the specific activity of the labeled compound. Exemplary metabolic conversions of formula 1 compounds include modification of hydrogen atoms or other moieties that are bonded to, e.g., one or more of the 1, 2, 3, 4, 6, 7, 11, 15, 16 or 17 positions. Exemplary conversions at these one or more of positions include hydroxylation of ring atoms, e.g., ring carbon atoms, conjugation of hydroxyl groups that are bonded to one or more of those positions with moieties such as sulfate, phosphate or a monosaccharide or disaccharide such as glucuronic acid and hydrolysis of moieties such as esters or alkoxy groups.
- Exemplary radiolabeled and heavy atom labeled formula 1 compounds include ones that comprise 1, 2, 3 or more 13C, 14C, 2H, 3H, 131I, 32P or 35S atoms that are at (or bonded to), e.g., one, two, three or more of the 1, 2, 3, 4, 6, 7, 11, 12, 15, 16, 17, 18 or 19 positions. In some embodiments, the molecule comprises only one or two types, e.g., 13C or 3H, of labeled atoms. Suitably labeled compounds include any of the compounds disclosed herein, e.g., any formula 1 compound in compound groups 1 through 54. Such labeled compounds may comprise, e.g., a 13C at the 18 or 19 positions and one two or three 3H may be bonded to the 13C atom(s). Other formula 1 compounds may comprise one or two 2H or 3H atoms bonded to one or more of the 1, 2, 4, 5, 6, 11 or 12 positions and optionally a 13C at the 18 or 19 position(s).
- These products or metabolites are easily isolated since they are labeled (others are isolated, e.g., by the use of antibodies capable of binding epitopes surviving in the metabolite). The metabolite structures are determined in conventional fashion, e.g. by MS, GC-MS, HPLC including reverse phase HPLC, or NMR analysis. In general, analysis of metabolites is accomplished in the same way as conventional drug metabolism studies, which are known to those skilled in the art. The conversion products, especially when they are not otherwise found in vivo, are useful in diagnostic assays for therapeutic dosing of the formula 1 compounds even if they possess only limited therapeutic activity of their own.
- Formulations and compositions for preparing formulations. Invention embodiments include formulations described here and elsewhere in this disclosure. While it is possible for the formula 1 compound(s) to be administered alone it is usual to present them as formulations. The formulations, both for veterinary and for human use, comprise at least one formula 1 compound, together with one or more excipients and optionally one or more additional therapeutic ingredients.
- This aspect of the invention includes compositions comprising one or more pharmaceutically acceptable excipients or carriers. The compositions are used to prepare formulations suitable for human or animal use. Suitable administration routes for formulations include oral, rectal, nasal, topical (including buccal and sublingual), vaginal and parenteral (including subcutaneous, intramuscular, intravenous, intradermal, intrathecal, intraocular and epidural). In general, aqueous and non-aqueous liquid or cream formulations are delivered by a parenteral, oral or topical route. In other embodiments, such as the invention intermittent dosing methods, the formula 1 compound(s) may be present as an aqueous or a non-aqueous liquid formulation or a solid formulation suitable for administration by any of the routes disclosed herein, e.g., oral, topical, buccal, sublingual, parenteral or inhaled aerosol. It will be appreciated that the preferred route may vary with, for example, the subject's pathological condition or weight or the subject's response to therapy with a formula 1 compound or other therapy that is used or that is appropriate to the circumstances.
- The formulations include those suitable for the foregoing administration routes. The formulations may conveniently be presented in unit dosage form and may be prepared by any of the methods known in the art of pharmacy. Techniques, excipients and formulations generally are found in, e.g., Remington's Pharmaceutical Sciences, Mack Publishing Co., Easton, Pa. 1985, 17th edition, Nema et al., PDA J. Pharm. Sci. Tech. 199751:166-171, G. Cole, et al., editors, Pharmaceutical Coating Technology, 1995, Taylor & Francis, ISBN 0 136628915, H. A. Lieberman, et al., editors, Pharmaceutical Dosage Forms, 1992 2nd revised edition, volumes 1 and 2, Marcel Dekker, ISBN 0824793870, J. T. Carstensen. Pharmaceutical Preformulation, 1998, pages 1-306, Technomic Publishing Co. ISBN 1566766907. Exemplary excipients for formulations include emulsifying wax, propyl gallate, citric acid, lactic acid, polysorbate 80, sodium chloride, isopropyl palmitate, glycerin, white petrolatum and other excipients disclosed herein.
- Methods to make invention formulations include the step of bringing into association or contacting a formula 1 compound(s) with one or more excipient, such as one described herein or in the cited references. In general the formulations are prepared by uniformly and intimately bringing into association the formula 1 compound(s) with liquid excipients or finely divided solid excipients or both, and then, if appropriate, shaping the product.
- Formulations suitable for oral administration are prepared as discrete units such as capsules, cachets or tablets each containing a predetermined amount of the formula 1 compound(s); as a powder or granules; as solution or a suspension in an aqueous liquid or a non-aqueous liquid; or as an oil-in-water liquid emulsion or a water-in-oil liquid emulsion. The formula 1 compound(s) may also be presented as a bolus, electuary or paste.
- A tablet is made by compression or molding, optionally with one or more accessory ingredients. Compressed tablets may be prepared by compressing in a suitable machine the formula 1 compound(s) in a free-flowing form such as a powder or granules, optionally mixed with a binder, lubricant, inert diluent, preservative, surface active or dispersing agent. Molded tablets may be made by molding in a suitable machine a mixture of the powdered or granulated formula 1 compound and one or more excipients which are optionally moistened with an inert liquid diluent or excipient. The tablets may optionally be coated or scored and optionally are formulated so as to provide slow or controlled release of the formula 1 compound(s) therefrom. An exemplary tablet or caplet (a capsule shaped tablet) formulation suitable for buccal or sublingual delivery of a formula 1 compound to a subject's tissues comprises about 25 or 50 mg of a formula 1 compound such as BrEA hemihydrate comprising per 25 mg of the formula 1 compound about 6.2 mg povidone, about 0.62 mg magnesium stearate, about 45 mg mannitol and about 48 mg of compressible sucrose.
- For infections of the eye or other external tissues e.g., the mouth or skin, the formulations are typically applied as a topical ointment or cream containing the formula 1 compound(s) in an amount of, for example, about 0.075 to about 20% w/w (including formula 1 compound(s) in a range between about 0.1% and 20% in increments of 0.1% w/w such as about 0.6% w/w, about 0.7% w/w, about 1% w/w, about 1.5% w/w, about 2% w/w, about 2.5 w/w, about 3% w/w, about 5% w/w, about 7% w/w, about 10% w/w etc.), including about 0.2 to 15% w/w and about 0.5 to 10% w/w. When formulated in an ointment, the formula 1 compound(s) may be employed with either a paraffinic or a water-miscible ointment base. Alternatively, they may be formulated in a cream with an oil-in-water cream base.
- If desired, the aqueous phase of the cream base may include, for example, at least 30% w/w of a polyhydric alcohol, i.e. an alcohol having two or more hydroxyl groups such as propylene glycol, butane 1,3-diol, butane 1,4-diol, mannitol, sorbitol, glycerol and a polyethylene glycol (including, e.g., PEG 300 and PEG 400) and mixtures thereof. The topical formulations may include a compound that enhances absorption or penetration of the formula 1 compound(s) through the skin or other affected areas. Examples of such dermal penetration enhancers include dimethyl sulphoxide and related analogs.
- The oily phase of the emulsions of this invention may be constituted from known excipients in a known manner. While the phase may comprise an emulsifier (otherwise known as an emulgent), it desirably comprises a mixture of at least one emulsifier with a fat or an oil or with both a fat and an oil. A hydrophilic emulsifier may be included together with a lipophilic emulsifier, which acts as a stabilizer. Some embodiments include both an oil and a fat. Together, the emulsifier(s) with or without stabilizer(s) make up the so-called emulsifying wax, and the wax together with the oil and fat make up the so-called emulsifying ointment base which forms the oily dispersed phase of the cream formulations.
- Emulgents and emulsion stabilizers suitable for use in the formulations include Tween60™, Span80™, cetostearyl alcohol, benzyl alcohol, myristyl alcohol, glyceryl mono-stearate and sodium lauryl sulfate.
- The choice of suitable oils or fats for the formulation is based on achieving the desired cosmetic properties. Creams are generally a non-greasy, non-staining and washable products with suitable consistency to avoid leakage from tubes or other containers. Straight or branched chain, mono- or dibasic alkyl esters such as di-isoadipate, isocetyl stearate, propylene glycol diester of coconut fatty acids, isopropyl myristate, decyl oleate, isopropyl palmitate, butyl stearate, 2-ethylhexyl palmitate or a blend of branched chain esters known as Crodamol CAP may be used. These may be used alone or in combination depending on the properties required. Alternatively, high melting point lipids such as white soft paraffin and/or liquid paraffin or other mineral oils are used.
- Formulations suitable for topical administration to the eye include eye drops wherein the formula 1 compound(s) is dissolved or suspended in a suitable excipient(s), including an aqueous solvent for a formula 1 compound(s) that comprise at least about 0.5, one, two or more charges at pH values near neutrality, e.g., about pH 6-8. The formula 1 compound(s) is typically present in such formulations in a concentration of about 0.5-20% w/w, about 1-10% w/w or about 2-5% w/w.
- Formulations suitable for topical administration to oral mucosa include lozenges or tablets comprising the formula 1 compound(s) in a flavored basis or a monosaccharide or disaccharide such as sucrose, lactose or glucose and acacia or tragacanth; pastilles comprising the formula 1 compound(s) in an inert basis such as gelatin and glycerin, or sucrose and acacia; and mouthwashes comprising the formula 1 compound(s) in a suitable liquid excipient(s). In some embodiments, the lozenges or tablets optionally comprise the property of rapid dissolution or disintegration, e.g., disintegration within about 15 seconds to about 2 minutes, while in others, the lozenges or tablets comprise the property of slower dissolution or disintegration, e.g., disintegration within about 2 minutes to about 10 minutes or more.
- Formulations for rectal administration may be presented as a suppository with a suitable base comprising for example cocoa butter or a salicylate.
- Formulations suitable for vaginal administration may be presented as pessaries, tampons, creams, gels, pastes, foams or spray formulations containing in addition to the formula 1 compound(s) such excipients as are known in the art to be appropriate.
- Formulations suitable for parenteral administration include aqueous and non-aqueous sterile injection solutions which may contain anti-oxidants, buffers, bacteriostats, salts (e.g., NaCl, potassium or sodium carbonate or bicarbonate or potassium or sodium phosphates) and solutes which render the formulation isotonic with the blood of the intended subject; and aqueous and non-aqueous sterile suspensions which may include suspending agents or thickening agents. In general, the formula 1 compound that is present in liquid compositions or formulations is completely dissolved in aqueous or non-aqueous excipients. However, in some embodiments, e.g., transient compositions or some formulations, the formula 1 compound is partially dissolved while the remaining portion is present as a solid, which can be a suspension or a colloid.
- Exemplary formulations suitable for parenteral delivery of formula 1 compounds to subjects such as humans or animals typically comprise one, two, three or more excipients. Exemplary embodiments include (1) any two, three or four of propylene glycol, PEG200, PEG300, ethanol and benzyl benzoate and (2) any two, three or four of propylene glycol, PEG100, PEG200, PEG300, PEG400 and benzyl benzoate.
- Another exemplary formulation suitable for parenteral use include an aqueous BrEA hemihydrate suspension comprising about 50-120 mg/mL of BrEA hemihydrate that has an average particle size of 20 μm or less, about 0.05-0.2% w/v carboxymethylcellulose sodium, about 1-3% w/v polysorbate 80, about 0.75-0.85% w/v NaCl, about 0.023% w/v dibasic sodium phosphate, about 0.101% w/v monobasic sodium phosphate, about 0-0.5% ethanol v/v, pH 6.5+/−0.4 and optionally about 0.1-0.3% w/v of a preservative such as methylparaben. Exemplary compositions and formulations generally comprise about 0.01-10% of a formula 1 compound, usually about 1-5%, and about 0.01-3% water, typically about 0.05-3%, usually about 0.1-1%. The formulations include unit or multi-unit dosages suitable for parenteral administration once or twice per day or once per 2-3 days. Unit dosages comprise about 3-1000 mg of formula 1 compound per unit dose, typically about 5-500 mg, usually about 10-200 mg. For treating retroviruses such as HIV in humans, a unit dose usually comprises about 10-250 mg of BrEA hemihydrate, usually about 100-200 mg, in a volume of about 1-6 mL, usually about 2-4 mL.
- Formulations, or compositions disclosed herein for use to make formulations suitable for administration by the routes disclosed herein optionally comprise an average particle size in the range of about 0.01 to about 500 microns, about 0.1 to about 100 microns or about 0.5 to about 75 microns. Average particle sizes include a range between 0.01 and 500 microns in 0.05 micron or in 0.1 micron or other increments, e.g., an average particle size of about 0.05, 0.1, 0.5, 1, 1.5, 2.0, 2.5, 3.0, 3.5, 4.0, 4.5, 5.0, 5.5, 6, 7, 8, 9, 10, 15, 20, 25, 30, 35, 40, 50, 60, 75, 85, 100, 120, etc. microns). When formula 1 compounds or compositions that comprise a formula 1 compound are used as intermediates to make a formulation, they may comprise one, two, three or more of these average particle sizes, or size ranges. In preparing any of the compositions or formulations that are disclosed herein and that comprise a formula 1 compound (and optionally one or more excipients), one may optionally mill, sieve or otherwise granulate the compound or composition to obtain a desired particle size, e.g., as described above.
- Milling may occur before or after the formula 1 compound is contacted with one or more excipients. For example, one may mill a formula 1 compound such as 16α-bromoepiandrosterone hemihydrate, to obtain an average particle size (or diameter) of about 0.05-50 μM or about 0.5-10 μM (e.g., about 0.04, 0.1, 0.5, 1, 1.5, 2, 2.5, 5, 10, 15, 20, 40, 60, 80, 100 or 120 μM average particle size or diameter) before contacting the milled formula 1 compound with a liquid or solid excipient. In some cases the formula 1 compound is milled or sieved to obtain an average particle size of about 5 μm or about 10 μm before it is contacted with a solid or liquid excipient(s) to obtain a solution or suspension or a powder suitable for making a tablet, capsule or other dosage form as described herein or in the cited references.
- As used herein, reference to an average particle size or an average particle diameter means that the material, e.g., a formula 1 compound(s), an excipient(s) or a composition that comprises both, is ground, milled, sieved or otherwise treated so as to comprise the specified average size. It is to be understood that some particles may be larger or smaller, but the composition or the formula 1 compound(s) will comprise a significant proportion of the material with the specified size or within an acceptable range of the specified size. Micronization methods include milling by ball mills, pin mills, jet mills (e.g., fluid energy jet mills) and grinding, sieving and precipitation of a compound(s) from a solution, see, e.g., U.S. Pat. Nos. 4,919,341, 5,202,129, 5,271,944, 5,424,077 and 5,455,049. Average particle size is determined by, e.g., transmission electron microscopy, scanning electron microscopy, light microscopy, X-ray diffractometry and light scattering methods or Coulter counter analysis.
- Thus, the formula 1 compounds may comprise a powder that consists of one, two or more of these average particle sizes and the powder may be contacted with a solid excipient(s), suitably mixed and optionally compressed or formed into a desired shape. Alternatively, such a formula 1 compound(s) is contacted with a liquid excipient(s) to prepare a liquid formulation or a liquid composition that is incorporated into a solid formulation. Suitable micronized formulations thus include aqueous or oily solutions or suspensions of the formula 1 compound(s).
- Formulations suitable for aerosol administration typically will comprise a fine powder, e.g., having an average particle size of about 0.1 to about 20 microns or any one, two or more of the average particle sizes within this range that are described above. The powder is typically delivered by rapid inhalation through the nasal passage or by inhalation through the mouth so as to reach the bronchioles or alveolar sacs of the lungs.
- Formulations suitable for aerosol, dry powder or tablet administration may be prepared according to conventional methods and may be delivered with other therapeutic agents such as compounds heretofore used in the treatment or prophylaxis of viral or other infections as described herein. Such formulations may be administered, e.g., orally, parenterally (e.g., intravenous, intramuscular, subcutaneous, intradermal, intrathecal), topically, sublingually or by a buccal or sublingual route.
- Micronized formula 1 compound is useful, e.g., to facilitate mixing, dissolution or uniform suspension of the formula 1 compound in one or more liquid or solid excipients, e.g., a PEG such as PEG 300 or PEG 400, or propylene glycol or benzyl benzoate, a complexing agent, such as a cyclodextrin (e.g., an α-, β- or γ-cyclodextrin such as hydroxypropyl-β-cyclodextrin). Micronized formula 1 compound is also useful to facilitate uniformly distributing drug substance when the micronized compound is contacted with one or more solid excipients (e.g., a filler, a binder, a disintegrant, complexing agent (e.g., a cyclodextrin such as hydroxypropyl-β-cyclodextrin), a preservative, a buffer or a lubricant).
- In related embodiments, suitable compositions or formulations comprise a formula 1 compound that is present in two or more physical forms. For example, a liquid composition or formulation may comprise a formula 1 compound that is present in solution and as undissolved particles, which may be milled as described herein. Alternatively, a solid composition or formulation may comprise a formula 1 compound that is present as an amorphous form and as a crystal or in an encapsulated granule. Such encapsulated granules may comprise a slow release type formulation and the formula 1 compound that is present may be in one or more physical forms, e.g., liquids or solids as described herein, but usually as a solid in tablets or other solid formulations.
- The formulations are presented in unit-dose or multi-dose containers, for example sealed ampules and vials, and may be stored in a freeze-dried (lyophilized) condition requiring only the addition of the sterile liquid excipient, for example water for injection, immediately prior to use. Extemporaneous injection solutions and suspensions are prepared from sterile powders, granules and tablets as described above. Unit dosage formulations are those containing a daily dose or unit daily sub-dose, as recited herein, or an appropriate fraction thereof, of the formula 1 compound(s).
- It should be understood that in addition to the ingredients particularly mentioned above the formulations of this invention may include other agents or excipients conventional in the art having regard to the type of formulation in question, for example those suitable for oral administration may include flavoring agents.
- Formulations made from or comprising a formula 1 compound such as BrEA hemihydrate are optionally stored under conditions that limit the amount of light or water that reaches the formulation, e.g., in a sealed container that holds a formulation or unit dosage form and optionally contains silica gel or activated carbon. Water permeation characteristics of containers have been described, e.g., Containers—Permeation, Chapter, USP 23,1995, U.S. Pharmacopeial Convention, Inc., Rockville, Md., p. 1787. Storage of BrEA hemihydrate or formulations that contain it is typically at about 4-30° C.
- The invention further provides veterinary compositions comprising at least one formula 1 compound together with a veterinary excipient(s) therefor. Veterinary excipients are materials useful for the purpose of administering the composition and may be solid, liquid or gaseous materials that are otherwise inert or acceptable in the veterinary art and are compatible with the formula 1 compound(s). These veterinary compositions may be administered orally, parenterally or by any other desired route.
- Invention formulations include controlled release pharmaceutical formulations containing a formula 1 compound(s) (“controlled release formulations”, “slow release formulations” or the like) in which the release of the formula 1 compound(s) is controlled or regulated to allow less frequency dosing or to improve the pharmacokinetic or toxicity profile of a given formula 1 compound(s). Polymers and other materials that are suitable to prepare controlled release formulations that comprise a formula 1 compound have been described, e.g., U.S. Pat. Nos. 4,652,443, 4,800,085, 4,808,416, 5,013,727, 5,188,840.
- Thus, microcapsules, granules or other shaped forms may comprise a formula 1 compound and a slow release polymer or polymer matrix that comprises or consists of one or more of ethylene dimethacrylate, diethylene glycol dimethacrylate, diethylene glycol diacrylate, triethylene glycol dimethacrylate, triethylene glycol diacrylate, tetrathylene glycol dimethacrylate, tetraethylene glycol diacrylate, polyethylene glycol dimethacrylate, polyethylene glycol diacrylate, diethylaminoethyl dimethacrylate, glycidyl methacrylate, epoxy acrylate, glycidyl acrylate, hydroxyethyl methacrylate, hydroxyethyl acrylate, hydroxypropyl methacrylate, hydroxypropyl acrylate, hydroxybutyl methacrylate, hydroxybutyl acrylate, hydroxyhexyl methacrylate, hydroxyhexyl acrylate, butanediol dimethacrylate, butanediol diacrylate, propanediol dimethacrylate, propanediol diacrylate, pentanediol dimethacrylate, pentanediol diacrylate, hexanediol dimethacrylate, hexanediol diacrylate, neopentyl glycol dimethacrylate, neopentyl glycol diacrylate, trimethylopropane triacrylate, trimethylolpropane trimethacrylate, trimethyloethane triacrylate, trimethylolethane trimethacrylate, polypropyleneglycol diacrylate, and polypropylene glycol dimethacrylate.
- An effective dose of formula 1 compound(s) depends in part on one or more of the nature of the condition being treated, toxicity, whether the formula 1 compound(s) is being used prophylactically (generally lower doses) or against an active infection or condition, the method of delivery, and the formulation. For use in humans, the effective dosage will typically be determined by the clinician using conventional dose escalation studies. In other subjects, the dose is obtained by similar dose escalation analyses. For humans, an effective dose can be expected to be from about 0.05 to about 50 mg/kg body weight per day, e.g., about 2 mg/kg/day, about 4 mg/kg/day, about 6 mg/kg/day, or about 8 mg/kg/day. For example, for topical delivery the daily candidate dose for an adult human of approximately 70 kg body weight will range from about 1 mg to about 500 mg, generally between about 5 mg and about 40 mg, and may take the form of single or multiple doses or administration sites. For non-human subjects, e.g., mammals such as rodents or primates, the effective daily dosage may comprise about 0.05 mg/kg/day to about 300 mg/kg/day, including about 1 mg/kg/day to about 100 mg/kg/day. As used herein, an “effective dosage” or an “effective amount” of a formula 1 compound(s) is one that is sufficient to result in, e.g., a detectable change in a symptom or an immune parameter such as one described herein. An effective dosage (or daily dosage) may be administered to a subject over a period of time, e.g., at least about 1-14 days before a symptom change or an immune parameter detectably changes. Effective dosages may include any of the dosages as described herein.
- Embodiments include formulations that comprise a liposome or lipid complex that comprises a formula 1 compound(s), e.g., BrEA or an ester, carbamate, carbonate, amino acid or peptide thereof. Such formulations are prepared according to known methods, e.g., U.S. Pat. Nos. 4,427,649, 5,043,165, 5,714,163, 5,744,158, 5,783,211, 5,795,589, 5,795,987, 5,798,348, 5,811,118, 5,820,848, 5,834,016 and 5,882,678. The liposomes optionally contain an additional therapeutic agent(s), e.g., amphotericin B, cis-platin, adriamycin, a protease inhibitor, a nucleoside or a nucleotide analog, such as one of those mentioned herein. Formulations that comprise liposomes can be delivered to a subject by any standard route, e.g., oral, aerosol or parenteral (e.g., s.c., i.v. or i.m.).
- Liposome formulations can be used to enhance delivery of the formula 1 compound(s) to certain cell types such as tumor cells (see e.g., U.S. Pat. No. 5,714,163) or to cells of the reticuloendothelial system (“RES”). The RES includes macrophages, mononuclear phagocytic cells, Kupfer cells, cells lining the sinusoids of the spleen, lymph nodes, and bone marrow, and the fibroblastic reticular cells of hematopoietic tissues. In general, RES cells are phagocytic and they are targets for targeted delivery of a formula 1 compound(s) in vitro or in vivo using liposomes, or other compositions or formulations. Thus, one can deliver formula 1 compound to a neoplasm that is derived from reticuloendothelial tissue (reticuloendothelioma). The liposomes may optionally comprise a peptide from an infectious agent such as a malaria parasite, a virus or a tumor associated antigen. The peptides may facilitate the generation of a MHC class II and B cell response.
- Invention embodiments include the product made by a process of combining, mixing or otherwise contacting a formula 1 compound such as BrEA hemihydrate and one, two or more excipients. Such products are produced by routine methods of contacting the ingredients. Such products optionally contain a diluent, a disintegrant, a lubricant, a binder, or other excipients described herein or in references cited herein.
- Other embodiments include compositions that transiently occur when a method step or operation is performed. For example, when a formula 1 compound such as BrEA, containing less than about 3% water is contacted with an excipient, e.g., a PEG, an alcohol, propylene glycol or benzyl benzoate, the composition before addition of one ingredient with another is a non-homogenous mixture. As the ingredients are contacted, the mixture's homogeneity increases and the proportion of ingredients relative to each other approaches a desired value. Thus, invention compositions, which contain less than about 3% water can comprise about 0.0001-99% of a formula 1 compound such as BrEA and one or more excipients. These transient compositions are intermediates that necessarily arise when one makes an invention composition or formulation and they are included in invention embodiments to the extent that they are useful in the disclosed methods or that they are patentable.
- When a formula 1 compound and an excipient(s) is contacted or mixed, the final composition may comprise a homogenous mixture or it may comprise a mixture that is not homogenous for one or more of the compounds that are present in the composition. Compositions and formulations that are either homogenous or non-homogenous are included in the scope of the invention. Non-homogenous compositions can be used to make controlled release formulations.
- Invention embodiments include compositions and formulations that comprise less than about 3% water, a formula 1 compound and a compound that is not generally considered suitable for human use but is useful to make an invention formulation for veterinary use. Veterinary formulations are compositions useful for the purpose of administering invention compositions to primates, cats, dogs, horses, cows, rabbits and other subjects and may contain excipients acceptable in the veterinary art and are compatible with formula 1 compounds such as BrEA. These veterinary compositions may not always be suitable for human use because they contain an excipient that is not suitable for human use, e.g., an alcohol other than ethanol such as methanol, propanol or butanol. Typically such excipients will be present at relatively low levels, e.g., about 1-30%, usually about 1-5%.
- Invention embodiments include compositions and formulations, e.g., unit dosage forms and sterile solutions, that comprise (1) about 1-100 mg/mL of a formula 1 compound(s), about 57.5% propylene glycol, about 25% PEG300, about 12.5% ethanol and about 5% benzyl benzoate; (2) about 1-60 mg/mL of a formula 1 compound(s), about 70% propylene glycol, about 25% PEG300 and about 5% benzyl benzoate; (3) about 1-60 mg/mL of a formula 1 compound(s), about 25% PEG300, about 35% propylene glycol, about 35% mannitol and about 5% benzyl benzoate; (4) about 1-60 mg/mL of a formula 1 compound(s), about 57.5% propylene glycol, a mixture comprising about 25% PEG300 and PEG200 (e.g., PEG300:PEG200 in a ratio of about 1:10 to about 10:1), about 12.5% ethanol and about 5% benzyl benzoate; (5) about 1-60 mg/mL of a formula 1 compound(s), about 75% propylene glycol, a mixture comprising about 25% PEG300 and PEG200 (e.g., a PEG300:PEG200 in a ratio of about 1:10 to about 10:1) and about 5% benzyl benzoate; (6) about 1-60 mg/mL of a formula 1 compound(s), about 25% PEG300 and PEG200 (e.g., PEG300:PEG200 in a ratio of about 1:10 to about 10:1), about 35% propylene glycol, about 35% mannitol and about 5% benzyl benzoate; (7) any of formulations (1) through (6) where the formula 1 compound(s) is about 40-55 mg/mL; (8) any of formulations (1) through (6) where the formula 1 compound(s) is about 30-100 mg/mL; (9) any of formulations (1) through (8) where 1, 2, 3 or 4 formula 1 compounds are present; (10) any of formulations (1) through (8) where 1 or 2 formula 1 compounds are present; (11) any of formulations (1) through (8) where 1 formula 1 compound is present; (12) any of formulations (1) through (11) where the formula 1 compound comprises independently at 1, 2 or 3 of any of the variable groups that are bonded to the formula 1 compounds, e.g., R1-R6, R10, R15, R17 or R18, an independently selected ester, thioester, carbonate, carbamate, amino acid or peptide of 1 or 2 independently selected formula 1 compounds; (13) any of formulations (1) through (12) where the formula 1 compound comprises or is BrEA or BrEA hemihydrate; (14) any of formulations (1) through (13) where the formula 1 compound comprises or is an ester, a sulfate ester, a monosaccharide conjugate or phosphoester of BrEA.
- Exemplary embodiments include liquid formulations that comprise a formula 1 compound, one, two, three, four or more excipients and less than about 3% v/v water, wherein the formulation is optionally disposed in containers that exclude water. These excipients are optionally selected from those disclosed herein. Such formulations optionally comprise less than about 2% v/v water, less than about 1% v/v water, less than about 0.5% v/v water, less than about 0.2% v/v water or less than about 0.1% v/v water. Such formulations are suitable for use in methods to modulate an immune response or cellular response in a subject in need thereof comprising administering to the subject, or delivering to the subject's tissues, an effective amount of a compound of formula 1. The subject in need thereof would have, or be subject to, a condition such as one disclosed herein as amenable to treatment, prevention, amelioration using a formula 1 compound, which is optionally combined with the use of another therapeutic treatment or agent as disclosed herein or in the cited references. These formulations are suitable for use in any of the dosing methods or protocols disclosed herein, including the intermittent dosing protocols disclosed herein.
- Other embodiments include the product obtained by storing invention compositions or formulations, e.g., unit dosage forms, any of embodiments (1) -(14) above, or compositions used to make formulations, at about 4-40° C. for at least about 3 days, e.g., storage at ambient temperature for about 1-24 months. Invention formulations will typically be stored in hermetically or induction sealed containers for these time periods. Invention compositions will typically be held in closed containers. The specification and claims disclose exemplary suitable formulations and unit dosage forms for these embodiments.
- Immune modulation. As noted elsewhere, the formula 1 compounds, or the biologically active substances produced from these compounds by hydrolysis or metabolism in vivo, have a number of clinical and non-clinical applications. The compounds are generally useful to regulate immune responses in vertebrate or mammalian subjects, e.g., as disclosed herein. For example, they can enhance Th1 immune responses or reduce Th2 immune responses, or they can reduce inflammation or one or more of its symptoms.
- As used herein, reference to Th1 or Th2 immune responses means such responses as observed in mammals generally and not as observed in the murine system, from which the Th1 and Th2 terminology originated. Thus, in humans, Th1 cells preferentially display chemokine receptors CXCR3 and CCR5, while Th2 cells preferentially express the CCR4 molecule and a smaller amount of the CCR3 molecule.
- The formula 1 compounds are useful in reestablishing normal immune function in various immune dysregulation or immune suppression conditions. For example, they are useful to treat, slow progression of or to ameliorate one or more symptoms associated with one or more of an autoimmune condition(s), a inflammation condition(s), an infection(s), a cancer(s), a precancer(s), a chemotherapy(ies), radiation therapy, a burn(s), a trauma(s), a surgery(ies), a cardiovascular disease(s) and a neurological or neurodegenerative disease(s). Without being limited to any theory, the formula 1 compounds are believed to act through several mechanisms, including by directly or indirectly modulating steroid receptor activity or by affecting or modulating other biological targets such as transcription factors, steroid binding proteins or enzymes.
- Clinical indications that have an association with or have a symptom(s) that is consistent with an excessive Th2 immune response include, e.g., fatigue, pain, fever or an increased incidence of infection, are schizophrenia, acute myelitis, sarcoidosis, burns, trauma (e.g., bone fracture, hemorrhage, surgery) and immune responses to xenotransplantation. This common underlying immune component in at least part of the pathology or symptomology of all of these conditions. This allows a single agent to be effectively used to prevent or treat the condition or to treat or ameliorate one or more symptoms that are associated with these conditions or with insufficient Th1 responses or with excessive Th2 responses. In all of the conditions where an insufficient Th1 response or an unwanted Th2 response is present, amelioration of one or more symptoms associated with the condition is accomplished by administering an effective amount of a formula 1 compound according to the methods described herein. Thus, one may intermittently administer a formula 1 compound using a formulation and a route of administration as described herein.
- Typically, unwanted Th2 immune responses are associated with, or caused by, increased expression of one or more cytokines or interleukins such as IL-4 and IL-10. Administration of a formula 1 compound will generally reduce the expression of one or more of the Th2-associated cytokines or interleukins. At the same time, the compounds generally enhance the expression of one or more cytokines or interleukins associated with Th1 immune responses. Because of their capacity to modulate or to balance Th1 and Th2 immune responses, the compounds are useful for a variety of clinical conditions, e.g., infection, immunosuppression or cancer, where an enhanced Th1 immune response is desired. Effects of the formula 1 compounds in treating, preventing or slowing the progression of the clinical conditions described herein can include one or more of (1) enhancing the Th1 character of a subject's immune response or immune status, (2) increasing the intensity of a Th1 or a Th2 immune response or both and (3) decreasing inflammation or a symptom thereof.
- Exemplary conditions where an immune imbalance or an excessive Th2 immune response is involved include autoimmune diseases such as SLE (systemic lupus erythematosus), osteoporosis, multiple sclerosis, myasthenia gravis, Graves disease, mite-associated ulcerative dermatitis, rheumatoid arthritis and osteoarthritis. Excessive Th2 immune responses are also associated with an unwanted symptom or pathology, e.g., fatigue, pain, fever or an increased incidence of infection, that is associated with aging, allergy and inflammation conditions such as allergic bronchopulmonary aspergillosis in cystic fibrosis patients, atopic asthma, allergic respiratory disease, allergic rhinitis, atopic dermatitis, subepithelial fibrosis in airway hyperresponsiveness, chronic sinusitis, perennial allergic rhinitis, Crohn's disease (regional enteritis), ulcerative colitis, inflammatory bowel disease, fibrosing alveolitis (lung fibrosis). These conditions are further described below.
- Aspects of the invention include the use or administration of compositions or formulations that comprise a carrier and an amount of at least one formula 1 compound effective to detectably modulate an immune parameter. For example, to enhance the relative proportion of a desired immune cell subset, e.g., CD4+ T cells, CD8+ T cells, NK cells, LAK cells, neutrophils, granulocytes, basophils, eosinophils or dendritic cells, or to modulate one or more functions of immune cell subsets. Exemplary immune modulation centers on modulating expression of gene(s) that enhance of Th1 immune responses or reduces of Th2 immune responses. Functions that the formula 1 compounds affected include expression of CD molecules or alteration of the proportion of cell subsets, e.g., CD4+ or CD8+ T cells, or their relative numbers in a subject's blood or tissues. CD molecules participate in the function of various immune cell subsets and can be useful as markers for immune function in vivo. In some aspects, the formula 1 compounds activate immune cells which generally alters (increases or decreases) expression of, or changes the numbers of cells that express one or more of, CD4, CD6, CD8, CD25, CD27, CD28, CD30, CD38, CD39, CD43, CD45RA, CD45RO, CD62L, CD69, CD71, CD90 or HLA-DR molecules. Often, the numbers of cells that express these molecules are increased, e.g., CD25, CD16 or CD69. Typically, such increases are observed as an increased proportion of circulating white blood cells that express one or more of these molecules. In some cases the number of such molecules per cell is detectably altered.
- Expression of one or more adhesion molecules CD2, CD5, CD8, CD11a, CD11b, CD11c, CD18, CD29, CD31, CD44, CD49a, CD49b, CD49c, CD49d, CD49e, CD49f, CD50, CD54, CD58, CD103 or CD104 are also detectably affected after administration of the formula 1 compounds to a subject. Often, the numbers of cells that express these molecules are increased, e.g., CD5 or CD56. The adhesion molecules function in various aspects of immune responses, such as binding to class I MHC molecules, transducing signals between cells or binding to molecules in the extracellular matrix associated with endothelial or other cell types. Administration of the formula 1 compounds to a subject also affects the numbers of certain immune cell subsets, e.g., NK cells (e.g., CD8−, CD56+ or CD8+, CD56+) or lymphokine activated killer cells (LAK). Increased circulating NK or LAK cells are typically observed, which is reflected in increased numbers of cells that express one or more of CD16, CD38, CD56, CD57 or CD94. Also, increased numbers of circulating dendritic cell precursors are observed, as shown by increases in cells that express one or more of CD11c, CD80, CD83, CD106 or CD123. Although one can observe an increased proportion of circulating white blood cells that express one or more of these molecules, in some instances the number of such molecules per cell is detectably altered. Both the cell numbers and the density of CD molecule per cell can also be detectably modulated. Modulation of immune cell subsets typically occurs on intermittent dosing of a formula 1 compound, but will arise from any suitable dosing regimen, e.g., as described herein.
- Expression of one or more homing receptors such as CD62L, CLA-1, LFA1 or CD44 may also be detectably affected after administration of the formula 1 compounds to a subject. The numbers of cells that express these molecules, or the relative amounts per cell of, e.g., CD44 or CD62L, may be increased where a desired immune response is desired, e.g., migration of T cells to mucosal tissues or exposure of naïve T cells to antigen in lymph nodes. Alternatively, numbers of cells that express these molecules, or the relative amounts per cell of, e.g., CLA-1, may be decreased where inhibition of an undesired immune response, such as an inflammatory response is desired. The subject's response to such enhanced expression includes migration of cells such as movement of naïve T cells to peripheral lymph nodes in response to modulation of CD62L or other homing receptor expression. Thus, the formula 1 compounds can also facilitate migration of various immune cell types, e.g., dendritic cells, NK cells, LAK cells, macrophages or lymphocytes, from one location to another within a subject. For example, the compounds can enhance dendritic cell or lymphocyte migration from areas such as the skin tissues to the gut associated lymphoid tissue (“GALT”), lymph nodes or spleen. Such migration may facilitate the function of those cell types by increasing their transit to tissues where their effector functions, e.g., antigen presentation by dendritic cells, normally occur. The migration period is often relatively transient (e.g., observable over about 1-7 days) or occasionally longer (e.g., occurring for about 8-40 days), depending on the dosing regimen and other factors. This migration can be observed by standard methods, e.g., by cell staining, by PCR analyses or by determining the presence of a given cell type in circulation or determining a decrease in the number circulating cells. A decrease would generally reflect sequestration of an immune cell population(s) in a tissue(s) where the immune cell normally exercises its effector functions.
- Thus, in some embodiments, the migration of one or more immune cell subsets such as CD11 C+ cells from tissue such as skin or lung through the blood to immune tissue such as lymph nodes or GALT is seen as a transient increase in the level of circulating CD11C+ cells in response to exposure of the subject's tissues to a suitable amount of a formula 1 compound. Thus, the level of CD11C+ cells in the blood will generally detectably increase, e.g., a statistically significant increase, plateau and then decrease as migration of the cells to immune tissue subsides. In these embodiments, the proportion of the cells of the affected immune cell subset is typically relatively low in most physiological immune states, e.g., normal or abnormal immune conditions, compared to the total white blood cell population in circulation. In other embodiments, the migration of one or more immune cell subsets such as CD123+ cells from the circulation to immune tissue such as lymph nodes or GALT results in a decrease. In these embodiments, the decrease in the numbers of circulating immune cells reflects the migration of the immune cells from the blood to immune tissue such as lymph nodes or GALT. Such a decrease may be transient and followed by recovery of the affect immune cell subset(s) over about 2 to 24 weeks. In conducting these embodiments, administration of the formula 1 compound to the subject is accomplished using the formulations or the methods as described herein.
- Thus, an aspect of the invention is a method to enhance the migration of one or more immune cell types in a subject from one location (e.g., circulation or a non-lymphoid tissue such as the skin, liver or lung) to another (e.g., a lymphoid tissue such as a lymph node, spleen or a mucosal tissue such as GALT) by administration to a subject as described herein of an effective amount of a formula 1 compound essentially as described by any of the methods disclosed herein. A related aspect is the monitoring, e.g., by suitable blood counts or tissue biopsy, of the subject's response to determine the timing and extent of such immune cell migration.
- Other CD molecules that are modulated by the presence of the formula 1 compounds in a subject include cytokine receptor molecules such as CD115, CDW116, CD117, CD118, CDW119, CD120a, CD120b, CD121a, CD121b, CD122, CD123, CD124, CD125 CD126, CDW127, CDW128 or CDW130. Often, the numbers of receptor molecules per cell will be modulated. For example, receptors for cytokines that mediate or facilitate Th1 immune responses or innate immune responses (e.g., one or more of IL-2, IL-12, γIFN and α-interferon) will typically increase in or on cells that mediate Th1 immune responses. Modulation of these molecules may be by direct interactions with a receptor(s) in the cell that expresses the cytokine receptor or indirectly by modulation of cytokine synthesis in the affected cells or in other cells, typically immune cells that may interact with the cells whose receptor synthesis is being modulated. Thus, autocrine or paracrine mechanisms may underlie some of the effects associated with administration of a formula 1 compound(s) such as altered cytokine profiles in immune cells or altered immune cell populations. Endocrine cytokine mechanisms may also contribute to desired immune responses.
- Treatment of a subject with a formula 1 compound can result in a change of at least about 20-80% or about 25-50% above or below (e.g., at least 30% or at least 40% above or below) the control or basal level of some immune cell subsets. For example, increases of more than about 30% in the total numbers of activated CD8+ T cells, e.g., CD8+, CD69+, CD25+ T cells, CD8+, CD69+, CD25− T cells or CD8+, CD69−, CD25+ T cells, usually occurs by 7 days after a single dose of a formula 1 compound to a subject. Such increases may be greater than 50%, 60% or 100% in the total numbers of activated CD8+ T cells or subsets of activated CD8+ T cells in individual subjects. Typically such increases are about in the total numbers of activated CD8+ T cells or subsets of activated CD8+ T cells averages about 30-40%, with individual subjects experiencing increases over 100% in the numbers of activated CD8+ T cells per unit blood volume compared to the basal level.
- Administration of the formula 1 compounds can affect other immune cell subsets. For example, the concentration of circulating CD4+, CD69+, CD25− (Th1 helper cells) and CD8+, CD16+, CD38+ LAK cells or CD8−, CD16+, CD38+ LAK cells typically increases during or after the course of dosing a subject with a formula 1 compound. Also, CD8−, CD16+, CD38+ and CD8+, CD16+, CD38+(ADCC effector cells) and low side scatter Lin−, DR+, CD123+ (dendritic precursors) or low side scatter Lin−, DR+, CD11c+ (dendritic cells or precursors) may show modest to significant increases.
- In subjects that are immunosuppressed, e.g., from infection (e.g., viral (HIV, HCV), bacterial infection or parasite infection) or from chemotherapy (e.g., an antiviral therapy, a cancer chemotherapy or a radiation therapy), administration of the formula 1 compounds to the subject results in a favorable shift in the balance of Th1 or Th2 responses the subject can mount in the face of immunosuppression. When Th1 responses are suboptimal or insufficient, treatment with a formula 1 compound results in enhancement of Th1 responses or a reduction in Th2 responses. Conversely, when Th2 responses are suboptimal or insufficient, treatment with a formula 1 compound results in enhancement of Th2 responses or a reduction in Th1 responses. The formula 1 compounds can thus be used to shift the nature of a subject's immune response to result in a more balanced immune response from immunosuppression. Alternatively, the compounds can selectively suppress inappropriate or unwanted immune responses. Enhanced Th1 responses appears to be at least partly due to one or more of (i) a reduction in biological restraints, e.g., high levels of IL-4 or IL-10, on Th1 functions by preexisting primed Th1 effector cells, (ii) enhanced differentiation of Th0 cells to Th1 cells or enhanced responses mediated by Th1 cells, (iii) enhanced function of accessory cell function, e.g., antigen presentation by dendritic cells, dendritic precursor or progenitor cells or by macrophages or their precursors or progenitors, (iv) enhanced proliferation and differentiation of Th1 precursor or progenitor cells, (v) enhanced IL-12 expression in dendritic cells or their precursors, which results in enhanced differentiation of Th1 cells from Th0 precursors, (vi) enhanced expression or activity of factors associated with Th1 functions, e.g., IL-2, gamma interferon (γIFN or IFNγ) or lymphotoxin.
- An aspect of the invention methods is an alteration in the expression of IL-4 or IL-10 that occurs after administration of a formula 1 compound, e.g., BrEA, to a subject. A consistent observation is that extracellular IL-4 or IL-10 levels rapidly decrease to levels that are undetectable by ELISA. Intracellular IL-10 levels are reduced to levels that are near or below the limits of detection by flow cytometry. The administration of a formula 1 compound to a subject thus provides a means to inhibit either or both of these interleukins. Such inhibition may be associated with enhancement of Th1 immune responses relative to Th2 or Th0 responses, e.g., in subjects where Th1 responses are suppressed (e.g., from viral, bacterial or parasite infection (HIV, HCV, etc) or chemotherapy) or are otherwise suboptimal. In many subjects, levels of either IL-4 or IL-10, usually IL-10, before dosing with a formula 1 compound is low or undetectable. In these subjects, dosing with the formula 1 compound results in a rapid drop in the interleukin that is detectable, usually IL-4.
- Clinical conditions are described in more detail below where the formula 1 compounds are useful for treating, preventing, slowing the progression of, or ameliorating one or more symptoms associated with the described conditions. In any these conditions, any formula 1 compound disclosed herein can be used according to one or more of the dosing methods that are disclosed herein. For these conditions, dosages for the formula 1 compounds, formulations and routes of administration are as described herein. Additional information regarding these and other clinical conditions or symptoms that can be treated, prevented or ameliorated with the formula 1 compounds are found at e.g., The Merck Manual, 17th edition, M. H. Beers and R. Berkow editors, 1999, Merck Research Laboratories, Whitehouse Station, N.J., ISBN 0911910-10-7, or in other references cited herein.
- Responses to treatment of a subject having a condition disclosed herein with a formula 1 compound is optionally monitored by observing changes in one or more immune or other appropriate clinical parameters, e.g., as described herein or in D. S. Jacobs et al., editors, Laboratory Test Handbook, 4th edition, pages 11-686, Lexi-Comp Inc., Hudson, Ohio, ISBN 0-916589-36-6, or in any of the references cited herein, or by monitoring the progression or severity of the underlying condition according to known methods, e.g., J. B. Peter, editor, Use and Interpretation of Laboratory Tests in Infectious Disease, 5th Edition, pages 1-309,1998, Specialty Laboratories, Santa Monica, Calif., ISBN 1-889342-13-0.
- Infection treatments. In some embodiments, the formula 1 compound(s) is administered to a subject who has a pathogen infection, such as a viral, bacterial, fungal, yeast, intracellular parasite or extracellular parasite infection. The formula 1 compounds can be considered for use in a broad scope of infections (see, e.g., J. B. Peter, editor, Use and Interpretation of Laboratory Tests in Infectious Disease, 5th edition, Specialty Laboratories, Santa Monica, Calif. 90404, 1998, pages 1-271), since the compounds generally enhance Th1 immune responses and/or reduce Th2 immune responses and/or reduce inflammation or its symptoms. Difficulty in treating many infections, e.g., progressive toxoplasmic encephalitis, malaria, tuberculosis, leishmaniasis and schistosomiasis, often appear to be associated with one or more of an unwanted Th2 immune responses, a suboptimal Th1 response or the development of resistance of the infectious agent to antimicrobial agents. For example, in disseminated or diffuse tuberculosis, a reduced Th2 response would be desirable to allow a patient to slow progression of the disease or to clear infected cells more efficiently. In treating chloroquine resistant or sensitive malaria, the formula 1 compounds have essentially the same activity.
- Exemplary viral infections that the formula 1 compounds can be used to treat, prevent or ameliorate include infections by one or more DNA or RNA viruses such as a genogroup, clade, isolate, strain or so forth of influenza viruses (e.g., influenza A, influenza B), respiratory syncytial viruses, Rotaviruses, Hantaviruses, animal or human Papillomaviruses (e.g., HPV-16, HPV-18), Poxviruses, Poliovirus, rabies viruses, human and animal Retroviruses (e.g., HIV-1, HIV-2, LAV, human T-cell leukemia virus I (“HTLV I”), HTLV II, HTLV III, SIV, SHIV, FIV, FeLV), Togaviruses and Flaviviruses (e.g., West Nile Virus, Yellow Fever Virus, Dengue viruses), Herpesviruses (e.g., CMV, EBV, Varicella Zoster Virus, Herpes simplex virus 1 (“HSV-1”), Herpes simplex virus 2 (“HSV-2”), human Herpesvirus 6 (“HHV-6”), human Herpesvirus 8 (“HHV-8”)), measles viruses, mumps viruses, rubella virus, Hepadnaviruses or hepatitis viruses, Adenoviruses, Retroviruses, Togaviruses, Alphaviruses, Arboviruses, Flaviviruses, Rhinoviruses and/or Pestiviruses. Specific viruses, including their genogroups, clades, isolates, strains and so forth, that may establish a virus infection susceptible to the treatment methods disclosed herein include human hepatitis C virus (“HCV”), human hepatitis B virus (“HBV”), human hepatitis A virus (“HAV”), duck hepatitis virus, woodchuck hepatitis virus, human papilloma viruses, e.g., HPV 6, HPV 11, HPV 16, HPV 18, HPV 31, HPV 45, animal papilloma viruses, Poliovirus, Foot and Mouth Disease Virus, Dengue virus types 1-4, Western Equine Encephalitis Virus, Japanese Encephalitis Virus, Yellow Fever Virus and Bovine Viral Diarrhea Virus. Exemplary viruses have been described. See, for example B. N. Fields, et al., editors, Fundamental Virology, 3rd edition, 1996, Lippencott-Raven Publishers, see chapter 2 at pages 23-57, including table 4 at pages 26-27, table 5 at pages 28-29, chapter 17 at pages 523-539, chapters 26-27 at pages 763-916, chapter 32 at pages 1043-1108 and chapter 35 at pages 1199-1233.
- In an exemplary embodiment, human patients infected with HCV are dosed with an aqueous isotonic α-cyclodextrin or β-cyclodextrin formulation containing about 20 mg/mL BrEA. The formulation is delivered intravenously in a single daily dose or two subdoses per day. The patients are dosed with 1 to 10 mg/kg/day for 4 to 10 days, followed by no dosing for 5 to 30 days, followed by dosing again with the cyclodextrin formulation for 4 to 10 days. The dosing regimen is repeated one, two or more times. Clinical markers for HCV infection are followed during treatment, e.g., viral nucleic acid in the blood or plasma, liver enzyme levels in the blood or plasma (e.g., AST/SGOT, ALT/SGPT, alkaline phosphatase). For these patients, an anti-HCV treatment(s), e.g., γIFN, αIFN and/or ribavirin, is optionally started or continued according to the recommendations of the patient's doctor and with the patient's informed approval. In some of these embodiments, a formula 1 compound(s) is administered daily continuously as a component in an oral or parenteral composition or formulation, e.g., for a formula 1 compound(s) that is a new compound per se. BrEA is optionally also administered systemically using, e.g., a parenteral formulation to deliver 1-5 mg/kg/day every other day for about 1 to 4 months, or an oral formulation to deliver about 5-40 mg/kg/day every other day for about 1 to 4 months.
- In other embodiments, formula 1 compound(s) are administered to a subject or delivered to the tissues of a subject who has a pathogen infection (or is susceptible to an infection) such as one caused by or associated with a parasite, bacterium, fungus or yeast, to slow the progression of infection, interfere with replication or development of the infectious agent or to ameliorate one or more of the associated symptoms, e.g., weight loss, anemia, fever, pain, fatigue, inflammation, immune dysfunction, secondary infections, skin lesions or ulcers or mood changes such as depression. Parasites include malaria parasites, sleeping sickness parasites and parasites associated with gastrointestinal infections. Parasite, fungi, yeast and bacterial infections that can be treated include ones caused by or associated with species, groups, genotypes, strains or isolates of gastrointestinal helminths, microsporidia, isospora, cryptococci, cryptosporidia (Cryptosporidium parvum), Mycobacterium sp. (e.g., M. avium, M. bovis, M. leprae, M. tuberculosis, M. pneumoniae. M. penetrans), Mycoplasma sp. (e.g., M. fermentans, M. penetrans, M. pneumoniae), Trypanosoma sp. (e.g., T. brucei, T. gambiense, T. cruzi, T. evansi), Leishmania sp. (e.g., L. donovani, L. major, L. braziliensis), Plasmodium sp. (e.g., P. falciparum, P. knowlesi, P. vivax, P. berghei, P. yoelli), Ehrlichia sp. (e.g., E. canis, E. chaffeensis, E. phagocytophila, E. equi, E. sennetsu), Entamoeba sp., Babesia microti, Haemophilus sp. (e.g., H. somnus, H. influenzae), Brucella sp. (e.g., B. militensis, B. abortus), Bartonella sp. (B. henselae), Bordetella sp. (e.g., B. bronchiseptica, B. pertussis), Escherichia sp. (E. coli), Salmonella sp. (e.g., S. typhimurium), Shigella sp. (e.g., S. flexneri), Pseudomonas sp. (P. aeruginosa), Neisseria (e.g., N. gonorrhoeae, N. meningitidis), Streptococcus sp., Staphylococcus sp. (e.g., S. aureus), Rickettsia sp. (e.g., R. rickettsii), Treponema sp. (e.g., T. pallidum), Yersinia sp. (e.g., Y. enterocolitica, Y. pestis), Legionella pneumonia and Listeria (e.g., L. monocytogenes), Pneumocystis sp. (e.g., P. carinii), Aspergillis sp., Candida sp. (e.g., C. albicans, C. krusei, C. tropicalis), Chlamidya sp., Schistosoma sp., Strongyloides stercoralis and Tinea sp., (e.g., T. pedis).
- Bacterial infections that can be treated, prevented or ameliorated thus include infections by intracellular or extracellular gram positive bacteria, gram negative bacteria or by Mycoplasma. Other pathogens that are amenable to treatments according to the present invention are as described. See, e.g., J. B. Peter, editor, Use and Interpretation of Laboratory Tests in Infectious Disease, 5th Edition, pages 1-309, 1998, Specialty Laboratories, Santa Monica, Calif., ISBN 1-889342-13-0.
- In any of the embodiments or treatment methods disclosed herein, one can optionally administer an additional therapeutic treatment in conjunction with, i.e., before, during or after, administration of a formula 1 compound(s) to a subject(s). For example, in subjects who have a viral or parasite infection and are in the course of administration of a formula 1 compound, other treatments can also be administered to the subject, e.g., nucleoside analogs for viral infections or chloroquine for malaria. Subjects suffering from another condition such as an inflammation condition, an autoimmune condition or a cancer are optionally treated using one or more additional treatments. Such additional treatments will typically include standard therapies for the subject's pathological condition(s), but they can also include experimental or other treatments. For example, one can coadminister vitamins (multivitamins, individual vitamins), antioxidants or other agents (vitamin E, allopurinol, folinic acid), nutritional supplements (liquid protein or carbohydrate preparations) or other therapies as the patient's medical condition warrants or as the patient's doctor recommends. Any of these additional treatments can be coupled with the administration of any of the formula 1 compounds, e.g., BrEA, an ester, carbamate, carbonate or amino acid or peptide conjugate thereof, in any of the embodiments described herein.
- Such additional therapeutic agents or therapeutic treatments are apparent to the skilled artisan. Such treatments are selected based on the condition(s) to be treated, cross-reactivities of ingredients and pharmaco-properties of the combination. For example, when treating a viral infection(s), e.g., a retroviral infection, in a human or other subject, the formula 1 compounds are combined with one or more reverse transcriptase inhibitors, protease inhibitors, antibiotics or analgesics. Suitable formula 1 compounds that are combined with such therapeutic agents include those described, e.g., in the compound groups, embodiments or claims disclosed herein.
- Exemplary antiviral agents suitable for use in the method include reverse transcriptase or polymerase inhibitors such as AZT (zidovudine or 3′-azido-3′-deoxythymidine), 3TC, D4T, ddI, ddC, 2′,3′-dideoxynucleosides such as 2′,3′-didoxycytidine, 2′,3′-dideoxyadenosine, 2′,3′-didoxyinosine, 2′,3′-didehydrothymidine, carbovir and acyclic nucleosides, e.g., acyclovir, ganciclovir. Exemplary protease inhibitors, fusion inhibitors or other antiviral or antiretroviral agents that may be used in a combination therapy with a formula 1 compound include lamivudine, indinavir, nelfinavir, amprenavir, ritonavir, crixivan, sequanavir, nevirapine, stavudine, a HIV fusion inhibitor, efavirenz, co-trimoxazole, N-(tert-butyl-dechydro-2)-2(R)-hydroxy-4-phenyl-3(S)-{N-2-quinolyl-carbonyl)-L-asparginyl!butyl}-(4a,S,8a,S)-isoquinoline-3(S)-carboxamide (Ro 31-8959), oxathiolan nucleoside analogues such as cis-1-(2-hydroxymethyl)-1,3-oxathiolan-5-yl)-cytosine or cis-1-(2-(hydroxymethyl)-1,3-oxathiolan-3-yl)-5-fluoro-cytosine, 3′-deoxy-3′-fluoro-thymidine, 2′3′-dideoxy-5-ethynyl-3′-fluorouridine, 5-chloro-2′,3′-dideoxy-3′-fluorouridine, ribavirin, 9->4-hydroxy-2-(hydroxymethyl)but-1-yl-guanine (H2G), adefovir dipivoxil, 9-[2-(R)-[[bis[[(isopropoxycarbonyl)oxy]-methoxy]phosphinoyl]methoxy]propyl]adenine, (R)-9-[2-(phosphonomethoxy)-propyl] adenine, tenofivir disoproxil and its salts (including the fumarate salt) and adefovir, TAT inhibitors such as 7-chloro-5-(2-pyrryl)-3H-1,4-benzodiazepin-2(H)-one (Ro5-3335), or 7-chloro-1,3-dihydro-5-(1H-pyrrol-2-yl)-3H-1, 4-benzodiazepin-2-amine (Ro24-7429), renal excretion inhibitors such as probenecid, nucleoside transport inhibitors such as dipyridamole; pentoxifylline, N-acetylcysteins, procysteine, α-trichosanthin, phosphonoformic acid, as well as immunodulators or related agents such as interleukin II, granulocyte macrophage colony stimulating factors, erythropoetin, soluble CD4, tucaresol, 4-(2-formyl-3-hydroxyphenoxymethyl)benzoic acid and oligonucleotides or nucleic acids that comprise one or more unmethylated CpG sequences essentially as disclosed in, e.g., U.S. Pat. No. 6,194,388.
- When treating other viral infections of the respiratory system, liver, blood, skin or other systems, e.g., human hepatitis C virus (“HCV”), human hepatitis B virus (“HBV”) or influenza virus infection (e.g., human influenza A or B), a formula 1 compound are optionally is used in conjunction with antivirals or treatments for such viruses. Examples of such therapeutic agents or treatments which are useful in these methods include carbovir, oxathiolan nucleoside analogs such as cis-1-(2-hydroxymethyl)-1,3-oxathiolan-5-yl)-cytosine or cis-1-(2-hydroxymethyl)-1,3-oxathiolan-5-yl-5-fluoro-cytosine, 2′,3′-didoxy-5-ethynyl-3′-fluorouridine, 5-chloro-2′,3′-didoxy-3′-fluorouridine, 1-(β-D-arabinofuranosy)-5-propynyluracil and acyclovir, amantadine, rimantadine, ribavirin, oseltamivir or compounds disclosed in U.S. Pat. Nos. 5,763,483 (especially compounds recited in claims 1 and 2), 5,866,601 and 6,043,230, mucolytics, expectorants, bronchodilators, antibiotics, antipyretics, analgesics or cytokines or interleukins that can augment one or more aspects of a desired immune response, e.g., IL-1, IL-2, IL-3, IL-6, α-interferon, β-interferon, γ-interferon, G-CSF, GM-CSF, M-CSF or thrombopoietin. Such cytokines or interleukins can be used for any viral infection essentially according to known dosing methods and dosages, e.g., as disclosed herein or in the cited references.
- The pathogens in methods that use a formula 1 compound to treat an infected subject (or one susceptible to infection) may be sensitive or resistant to one or more antimicrobial agents. For example, bacteria causing an infection can be sensitive or resistant to antibiotics such as a β-lactam antibiotic (e.g., penicillin, carbenicillin, ampicillin), a sulfa drug, a tetracycline, vancomycin or erythromycin. Infecting parasites can similarly be sensitive or resistant to antimicrobials, e.g., chloroquine resistant or sensitive Plasmodium parasites. Thus, in some embodiments, the subject's therapeutic regimen will optionally include treatment of resistant or sensitive infectious agents with one or more known antimicrobial agents. Exemplary antimicrobial agents are as described, e.g., herein or in G. J. Galasso et al., editors, Antiviral Agents and Human Viral Diseases, 4th edition, pages 1-833, 1997, Lippincott-Raven, Philadelphia, Pa., ISBN 0-397-51709-2, or in any reference cited herein. Invention embodiments include treating a subject who has a bacterial or parasite infection as described with a formula 1 compound as described herein and a an antibacterial agent(s) or an antiparasitic agent(s) as described herein or in the cited references.
- The antiviral or antimicrobial agents or treatments in combination therapies with a formula 1 compound will be or are used essentially according to new or to known dosing and administration methods for those agents or treatments. Their use may precede, overlap or be coincident in time with or follow a treatment protocol with a formula 1 compound. In some embodiments, the other therapeutic agents or treatments will overlap and will thus be administered on one or more of the same days on which a formula 1 compound is administered to a subject having a viral infection, or subject to a viral infection. In other embodiments, the other therapeutic agents or treatments will be administered to such a subject within about 1 day to about 180 days before or after a treatment protocol or a dosing period with a formula 1 compound begins or ends. In exemplary embodiments, the other suitable treatment or agent is administered within 1 day, 2 days, 3 days, 4 days, about 7 days, about 14 days, about 28 days or about 60 days before or after a treatment protocol or a dosing period with a formula 1 compound begins or ends.
- Although the forgoing combination therapies have been described in the context of viral or other infections, the protocols and methods that employ a formula 1 compound can be used in conjunction with any suitable new or known therapeutic agent(s) or treatment protocol(s) for other any other clinical condition described herein. Exemplary conditions include one or more of a non-viral pathogen infection(s), a cancer(s), a precancer(s), an inflammation condition(s), an autoimmune condition(s), an immunosuppression condition(s), a neurological disorder(s), a cardiovascular disorder(s), a neurological disorder(s), diabetes, obesity, wasting, a cancer chemotherapy(ies) side-effect(s), a side-effect(s) of a chemotherapy(ies) or a radiation therapy(ies) of any other clinical condition disclosed herein or in the cited references, or the like. Thus, invention embodiments include the use of a formula 1 compound before, during or after a treatment that uses another suitable therapeutic agent(s) or therapeutic treatment(s) for any of the conditions disclosed herein.
- Examples of such agents or treatments include the use of one or more adrenergic agents, adrenocortical suppressants, alcohol deterrents, aldosterone antagonists, amino acids, ammonia detoxicants, anabolics, analeptics, analgesics, anesthesia, adjuncts to anesthetics, anorectics, anterior pituitary suppressants, anthelmintics, antiacne agents, anti-adrenergics, anti-allergics, anti-amebics, anti-androgens, anti-anemic, antianginals, anti-anxiety agents, anti-arthritics, anti-asthmatics, anti-atherosclerotics, antibacterials, anticholelithics, anticholelithogenics, anticholinergics, anticoagulants, anticoccidals, anticonvulsants, antidepressants, antidiabetics, antidiarrheals, antidiuretics, anti-emetics, anti-epileptics, anti-estrogens, antifibrinolytics, antifungals, antiglaucoma agents, antihemophilics, antihemorrhagics, antihistamines, antihyperlipidemia agents, antihyperlipoproteinemic agents, antihypertensive agents, antihypotensives, anti-infectives, anti-inflammatory agents, antikeratinizing agents, antimalarial agents, antimicrobials, antimigraine agents, antirditotic agents, antimycotic agents, antinausea agents, antineoplastic agents, antineutropenic agents, antiparasitics, antiparkinsonian agents, antiperistaltic agents, antipneumocystic agents, antiproliferatives, antiprostatic hypertrophy agents, antiprotozoals, antipruritics, antipsychotics, antirheumatics, antischistosomals, antiseborrheics, antispasmodics, antithrombotics, antitussives, anti-ulceratives, anti-urolithics, appetite suppressants, benign prostatic hyperplasia therapy agents, blood glucose regulators, bone resorption inhibitors, bronchodilators, carbonic anhydrase inhibitors, cardiac depressants, cardioprotectants, cardiotonics, cardiovascular agents, choleretics, cholinergics, cholinergic agonists, cholinesterase deactivators, coccidiostats, cognition adjuvants, cognition enhancers, depressants, diuretics, dopaminergic agents, ectoparasiticide agents, emetics, enzyme inhibitors, fibrinolytics, free oxygen radical scavengers, gastrointestinal motility effectors, glucocorticoids, gonad-stimulating principle, hair growth stimulants or hair loss retardants, hemostatics, histamine H2 receptor antagonists, peptide hormones, steroid hormones, hypocholesterolemics, hypoglycemics, hypolipidemics, hypotensives, imaging agents, immunomodulators, immunoregulators, immunostimulants, immunosuppressants, impotence therapy adjuncts, LNRH agonist, liver disorder treatments, mental performance enhancers, mood regulators, mucolytics, mucosal protective agents, mydriatics, nasal decongestants, neuromuscular blocking agents, neuroprotective, NMDA antagonists, oxytocic, plasminogen activators, platelet activating factor antagonists, platelet aggregation inhibitors, post-stroke and post-head trauma treatments, progestins, prostaglandins, prostate growth inhibitors, prothyrotropins, psychotropics, radioactive agents, relaxants, sclerosing agents, sedatives, sedative-hypnotics, selective adenosine A1 antagonists, serotonin antagonists, serotonin inhibitors, serotonin receptor antagonists, thyroid hormone, thyroid inhibitors, thyromimetics, tranquilizers, vasoconstrictors, vasodilators, wound healing agents, xanthine oxidase inhibitors or a treatment(s) or therapeutic agent(s) for amyotrophic lateral sclerosis, ischemia, e.g., cereberal ischemia, cardiac ischemia, cardiovascular ischemia, Paget's disease, Parkinson's disease, Alzheimer's disease, or unstable angina. The selection and use of these agents for a particular subject will typically use dosing methods, dosages and routes of administration essentially according to known methods, dosages and routes of administration. Such methods, dosages and routes of administration are described in detail at, e.g., Textbook of Autoimmune Diseases, R. G. Lahita, editor, Lippincott Williams & Wikins, Philadelphia, Pa., 2000, ISBN 0-7817-1505-9, pages 81-851, Holland Frei Cancer Medicine e.5, 5th edition, R. C. Bast et al., editors, 2000, ISBN 1-55009-113-1, pages 168-2453, B.C. Becker Inc. Hamilton, Ontario, Canada, Hematology, Basic Principles and Practice, 3rd edition, R. Hoffman, et al., editors, 2000, ISBN 0-443-77954-4, pages 115-2519, Churchill Livingstone, Philadelphia, Pa., Rheumatology, 2nd edition, J. H. Klippel et al., editors, 1998, ISBN 0-7234-2405-5, volume 1, sections 1-5 and volume 2, sections 6-8, Mosby International, London, UK, Alzheimer's Disease and Related Disorders: Etiology, Pathogenesis and Therapeutics, K. Iqbal, et al., editors, 1999, ISBN 0-471986386, John Wiley & Son Ltd, and Cardiovascular Medicine, E. J. Topol, editor, Lippincott Williams & Wikins, Philadelphia, Pa., 1998, ISBN 0781716810.
- In some infections, the formula 1 compound(s) effects an improvement of one or more of the symptoms associated with the infection or a symptom thereof. For example, treatment of subjects who are immune suppressed, e.g., from a retrovirus infection, cancer chemotherapy or other cause, generally show improvement of one or more associated symptoms, such as weight loss, fever, anemia, pain, fatigue or reduced infection symptoms that are associated with a secondary infection(s), e.g., HSV-1, HSV-2, papilloma, human cytomegalovirus (“CMV”), Pneumocystis (e.g., P. carinii) or Candida (C. albicans, C. krusei, C. tropicalis) infections.
- In some embodiments, the formula 1 compound(s) is administered as a nonaqueous liquid formulation as described herein or the formula 1 compound(s) is administered according to any of the intermittent dosing protocols described herein using a solid or liquid formulation(s). In the case of a subject who has a retroviral infection, e.g., a human with an HIV infection, with symptoms that include one or more of, a relatively low CD4 count (e.g., about 10-200, or about 20-100 or about 20-50), one or more additional pathogen infections (HSV-1, HSV-2, HHV-6, HHV-8, CMV, HCV, a HPV, P. carinii or Candida infection) and one or more of anemia, fatigue, Kaposi's sarcoma, fever or involuntary weight loss (at least about 5% of body weight), administration of about 0.1 to about 10 mg/kg/day (usually about 0.4 to about 5 mg/kg/day) of a formula 1 compound(s) to the subject typically results in noticeable improvement of one or more of the symptoms within about 1-4 weeks. In other embodiments, the formula 1 compound(s) is administered to a subject who has a condition that appears to be associated with a viral infection, e.g., pneumonia or retinitis associated with CMV, nasopharyngeal carcinoma or oral hairy leukoplakia associated with Epstein-Barr virus, progressive pancephalitis or diabetes associated with Rubella virus or aplastic crisis in hemolytic anemia associated with Parvovirus 19.
- One or more intermittent dosing protocols disclosed herein or one or more of the liquid non-aqueous formulations described herein can be applied by routine experimentation to any of the uses or applications described herein. For a formula 1 compound(s) that is a new compound per se, the compound(s) can be administered to a subject according to an invention intermittent dosing protocol(s) or by other protocols, e.g., continuous daily dosing of a single dose or two or more subdoses per day. In addition any of the formula 1 compounds, e.g., one or more formula 1 compounds that are new per se, can be present in any solid or liquid formulation described herein. These formulations and dosing protocols can be applied by routine methods to any of the uses or applications described herein.
- Antibodies, vaccines and vaccine adjuvants. The formula 1 compounds disclosed herein may also be used as vaccine adjuvants with immunogens or components of immunogenic compositions to prepare antibodies capable of binding specifically to the formula 1 compounds, their metabolic products which retain immunologically recognized epitopes (sites of antibody binding) or prepare antibodies that bind to antigens that can be used for vaccination against, e.g., infectious agents or malignant cells. The immunogenic compositions therefore are useful as intermediates in the preparation of antibodies that bind to formula 1 compounds for use, e.g., in diagnostic, quality control, or the like, methods or in assays for the compounds or their novel metabolic products. In addition, the compounds are useful for raising antibodies against otherwise non-immunogenic polypeptides, in that the compounds may serve as haptenic sites stimulating an immune response against the polypeptide.
- The hydrolysis products or metabolites of formula 1 compounds include products of the hydrolysis of the protected acidic, basic or other reactive groups that variable groups, e.g., R1-R9, optionally comprise. In some embodiments, acidic or basic amides comprising immunogenic polypeptides such as albumin (e.g., human or mammalian), keyhole limpet hemocyamin and any other peptide described herein are used as immunogens. The metabolites of formula 1 compounds may retain a substantial degree of immunological cross reactivity with the unmetabolized parent compounds. Thus, in some embodiments, the antibodies will be capable of binding to the metabolites of the parent formula 1 compound without binding to the parent compound itself. In other embodiments, the antibodies, will be capable of binding to the parent compounds only, while in other cases the antibodies will be capable of binding to either of these. Some of the antibodies will not substantially cross-react with naturally occurring materials or epitopes that are present in the subject. Substantial cross-reactivity is reactivity under specific assay conditions for specific analytes sufficient to interfere with the assay results.
- The immunogens of this invention may comprise a formula 1 compound that has 1 or more epitopes in association with another immunogenic substance. Within the context of the invention such association means covalent bonding to form an immunogenic conjugate (when applicable) or a mixture of non-covalently bonded materials, or a combination of the above. Immunogenic substances include adjuvants such as Freund's adjuvant, immunogenic proteins such as viral, bacterial, yeast, plant and animal polypeptides, including keyhole limpet hemocyanin, serum albumin, bovine thyroglobulin or soybean trypsin inhibitor, and immunogenic polysaccharides. Typically, the formula 1 compound having one, two or more epitopes is covalently conjugated to an immunogenic polypeptide or polysaccharide by the use of a polyfunctional (ordinarily bifunctional) cross-linking agent. Methods for the manufacture of immunogens that comprise one or more haptens are conventional per se. Any suitable known method for conjugating haptens to immunogenic polypeptides or the like are used here, taking into account the functional groups on the precursors or hydrolytic products which are available for cross-linking and the likelihood of producing antibodies specific to the epitope in question as opposed to the immunogenic substance.
- Typically a polypeptide, polysaccharide or other suitable immunogenic moiety is conjugated to a site on a formula 1 compound in a location that is distant from the epitope on the formula 1 compound to be recognized.
- The conjugates are prepared in conventional fashion. For example, the cross-linking agents N-hydroxysuccinimide, succinic anhydride or C2-8 alkyl-N═C═N—C2-8 alkyl are useful in preparing the conjugates. The conjugates comprise a formula 1 compound that is attached by a bond or a linking group of 1-100, typically, 1-25, more typically about 1-10 carbon atoms to the immunogenic substance. The conjugates are separated from starting materials and by-products using chromatography or the like, and then are optionally sterile filtered, or otherwise sterilized, or are optionally vialed for storage. Synthetic methods to prepare hapten-carrier immunogens have been described, see e.g., G. T. Hermanson, Bioconjugate Techniques Academic Press, 1996, pages 419-493.
- The formula 1 compounds are cross-linked for example through any one or more of the following groups: a hydroxyl group, a thiol group, a carboxyl group, a carbon atom, or an amine group. Included within such compounds are amides of polypeptides where the polypeptide serves as an above-described protecting group.
- Animals or mammals are typically immunized once, twice or more times against the immunogenic conjugates that comprise a formula 1 compound or their derivatives and polyclonal antisera or monoclonal antibodies prepared in conventional fashion. In some embodiments, about 0.0001 mg/kg to about 1 mg/kg, e.g., about 0.001 or about 0.01 or about 0.1 mg/kg, of immunogenic conjugate or derivative is used on one, two, three or more occasions to immunize the subject as described herein. The immunogenic conjugates are administered, orally, topically or parenterally as described herein, e.g., by i.m. or s.c. injection. Methods to prepare antibodies, including methods to obtain antibodies that bind to steroids have been described, see, e.g., R. O. Neri et al., Endocrinology 74:593-598 1964, M. Ferin et al., Endocrinology 85:1070-1078 1969, J. Vaitukaitis et al., J. Clin. Endocr. Metab. 33:988-991 1971 and M. Ferin et al., Endocrinology 94:765-775 1974. Such methods can be used essentially as described to prepare antibodies or monoclonal antibodies that bind to a formula 1 compound. Invention embodiments include serum or other preparations that comprise any polyclonal or monoclonal antibodies that bind to a formula 1 compound(s), methods to make them and compounds or compositions that are used in conducting these methods.
- In other embodiments the formula 1 compounds are used as adjuvants to enhance a subject's immune response to antigens such as proteins, peptides, polysaccharides, glycoproteins or killed or attenuated viruses or cell preparations. In these methods, an effective amount of the formula 1 compound is administered at about the same time that the antigen is delivered to the subject, e.g., within about 1, 2, 3, 4, 5, 6, or 7 days of when the antigen is administered to the subject. In some embodiments, the formula 1 compound is administered 1, 2, 3, 4 or more times (usually once or twice per day) at 1, 2, 3 or 4 days before or after the antigen is administered to the subject. In other embodiments, the formula 1 compound is administered on the same day that the antigen is administered to the subject, e.g., within about 1-4 hours. Such immunization methods may be repeated once, twice or more as needed. The formula 1 compound can be administered to the subject using any of the formulations or delivery methods described herein or in the references cited herein. Subjects suitable for these vaccinations include young and elderly mammals, including humans, e.g., humans about 3-36 months of age or older and humans about 60, 65, 70, 75 years of age or older. The amount of antigen used can be about 0.01 μg/kg to about 20 mg/kg, typically about 1-100 μg/kg. Dosages of the formula 1 compound used in these vaccinations is essentially as described herein, e.g., about 10 mg to about 1000 mg of a formula 1 compound is used per day on days when it is administered as part of the vaccination method.
- Related embodiments include compositions or formulations that comprise a formula 1 compound, an antigen(s) or antigen(s) preparation and optionally one or more excipients. The antigen is essentially as disclosed herein or in a cited reference. Antigen preparations may comprise one or more of (1) lethally or sublethally radiated cells or pathogens, (2) disrupted cells or viruses or such as attenuated viruses, (3) a nucleic acid or DNA vaccine, (4) an antigenic protein, glycoprotein, polysaccharide or a fragment or derivative of any of these molecules and (5) chemically treated cells or pathogens, e.g., formalin or detergent treated cells, viruses or cell or virus extracts. Where cells or disrupted are present in an antigen preparation, they may by genetically modified, e.g., to express one or more antigens or epitopes against which an immune response is desired. Such cells may also be genetically modified to optionally express one or more factors, e.g., an interleukin or a cytokine, such as one described herein, to enhance the desired immune response. As used here, an antigen means a moiety that can be used to elicit an immune response when it is administered to a subject. In some embodiments, the antigen is foreign to the subject. For foreign antigens, the subject to be vaccinated may not encode or express the antigen, while the antigen is usually part of or expressed by a pathogen or by a subject or mammal of a different species. In other embodiments, antigens are endogenous or non-foreign to the subject, e.g., they are usually encoded or expressed by the subject or another subject of the same species. Endogenous antigens are suitable for use in, e.g., tumor vaccination methods. Exemplary tumors from which a suitable antigen(s) may be obtained are as described herein or in the cited references. A DNA vaccine as used here typically comprises a nucleic acid, usually DNA, that encodes one or more antigens or epitopes that a pathogen, e.g., a parasite, fungus, virus or bacterium, or a tumor encodes or can express.
- Tumor antigens that are suitable for use in vaccination methods that employ a formula 1 compound include tumor-associated antigens and tumor-specific antigens. These molecules typically comprise one or more protein, glycoprotein, carbohydrate or glycolipid. Vaccinations that employ a tumor antigen(s) may comprise autologous tumor cells or allogenic tumor cells, which are optionally disrupted and optionally used with a non-formula 1 adjuvant, such as bacillus Calmette-Guerin (BCG), purified protein derivative, Freund's complete adjuvant, Corynebacterium parvum, Mycobacterium vaccae, oligonucleotides that consist of or comprise an unmethylated CpG dimer (e.g., 5′ GACGTT, 5′ GTCGTT) or an alum precipitate. In some embodiments, tumor cells treated with neuraminidase comprise all or part of the tumor antigen source. The non-formula 1 adjuvants are also optionally used in any of the vaccination methods disclosed herein. As used here, tumor associated antigens, e.g., the carcinoembryonic antigen, α-fetoprotein or the prostate specific antigen, are molecules that are often associated with or detectably expressed by premalignant or malignant cells or cell populations and also with some normal tissues during at least part of the subject's life cycle. Tumor-specific antigens, e.g., the R24C mutation of the cyclin dependent kinase-4 protein or certain sialylated glycoconjugates such as protein containing N-glycolyl neuraminic acid that is found in some human tumors (e.g., colon cancers, liver cancer, lymphoma), are molecules whose expression is restricted to pretumors or tumors and they are not expressed in normal adult or fetal tissue of a subject or a species to a significant extent. Vaccination with one or more tumor antigens and a formula 1 compound may be administered to a subject who has a cancer or a precancer, or to a subject who is considered potentially susceptible to developing such a condition. The tumor antigens are optionally combined with protein or other non-formula 1 adjuvants, e.g., keyhole-limpet hemocyanin or an immunoglobulin from a different species, which may be covalently bonded to the tumor antigen(s).
- Suitable natural and synthetic nucleic acid sequences, cells, attenuated pathogens or infectious agents such as attenuated viruses, and protein, glycoprotein, polysaccharide, oligosaccharide or peptide antigens derived various infectious agents and tumors have been described, e.g., U.S. Pat. Nos. 4,053,585, 4,081,334, 4,115,543, 4,503,036, 4,466,917, 4,508,708, 4,601,903, 4,632,830, 4,683,200, 4,727,136, 4,735,799, 4,784,850, 4,784,941, 4,803,164, 4,831,121, 4,831,126, 4,853,333, 4,863,200, 4,857,452, 4,916,055, 4,939,240, 4,960,716, 4,963,484, 5,013,661, 5,032,397, 5,075,218, 5,077,220, 5,093,118, 5,011,920, 5,110,588, 5,112,749, 5,126,264, 5,134,075, 5,162,226, 5,185,432, 5,198,535, 5,231,168, 5,225,193, 5,283,321, 5,302,386, 5,328,835, 5,378,814, 5,393,532, 5,395,614, 5,456,911, 5,474,900, 5,478,556, 5,348,887, 5,455,332, 5,489,525, 5,527,891, 5,541,292, 5,582,831, 5,591,596, 5,609,872, 5,614,194, 5,639,621, 5,639,863, 5,641,492, 5,643,567, 5,654,136, 5,679,342, 5,688,657, 5,688,658, 5,705,341, 5,712,118, 5,723,130, 5,747,028, 5,756,101, 5,780,591, 5,798,445, 5,814,617, 5,824,316, 5,824,777, 5,837,830, 5,843,451, 5,844,075, 5,849,306, 5,849,476, 5,858,685, 5,866,679, 5,871,936, 5,874,060, 5,895,285, 5,895,651, 5,916,571, 5,916,754, 5,916,879, 5,932,412, 5,935,818, 5,942,235, 5,948,410, 5,948,412, 5,961,985, 5,968,514, 5,985,571, 5,993,813, 5,993,828, 5,994,523, 6,013,765, 6,013,779, 6,017,527, 6,020,478, 6,024,961, 6,025,191, 6,025,474, 6,030,624, 6,030,797, 6,045,802, 6,056,963, 6,060,280, 6,083,703, 6,083,683, 6,087,441, 6,093,540, 6,096,320, 6,100,049, 6,100,088, 6,100,241, 6,100,444, 6,110,468, 6,110,724, 6,110,898, 6,120,770, 6,113,917, 6,120,770, 6,127,116, 6,127,333, 6,130,082, 6,20,7,70, PCT publication Nos. WO 0025820, WO 0050645, WO 0050897, WO 0050900, WO 0052165, WO 0057904, WO 0057906, WO 0097907, WO 00/58438 and R. C. Bast et al., editors, Holland Frei Cancer Medicine e.5, 5th edition, 2000, pages 800-814, B.C. Becker Inc. Hamilton, Ontario. Antigens suitable for use with the formula 1 compounds include the molecules disclosed in any of these references or antigenic fragments thereof. Such antigenic fragments will typically retain at least about 20% of the antigenicity of the unmodified antigen. Thus, these fragments will retain at least about 20% of the native antigen's capacity to generate an antibody response or to generate a T cell response against the unmodified antigen or the like.
- Other suitable antigens include STn, sialyl Tn-KLH, carbohydrate conjugates, carcinogenic embryonic antigen, MAGE-1, MUC-1, HER-2/neu, prostate specific antigen, p53, T/Tn, bacterial flagella antigens or capsular polysaccharide antigens (e.g., Staphylococcus aureus capsular polysaccharide antigens) and antigenic fragments or antigenic synthetic derivatives of any of these molecules. See, e.g., L. A. Holmberg et al., Bone Marrow Transplant. 2000 25:1233-1241, J. W. Hadden, Int. J. Immunopharmacology 1999 21:79-101, G. Ragupathi et al., Glycoconj. J. 1998 15:217-221, A. I. Fattom et al., Infect. Immun. 1998 66:4588-4592, U.S. Pat. Nos. 5,770,208, 5,866,140 and 6194161 and citations elsewhere herein, including the preceding paragraph.
- An antigenic protein, peptide or glycoprotein can be identified by standard methods, e.g., protein or nucleic acid sequencing, for any of the infectious agents or tumors that are described herein or in the cited references. Thus, in some embodiments, an effective amount of a formula 1 compound and an antigen are administered to a subject, or delivered to the subject's tissues, to stimulate an immune response against the antigen. The antigen may comprise one, two or more antigenic epitopes, which may come from one, two or more genes. In some embodiments, the subject is optionally monitored to follow or determine the immune, dendritic cell, B cell, T cell, antibody or cytokine response, such as one disclosed herein, e.g., modulation or increase in γIFN, IL-2 or IL-12 levels or measurement of the production of one or more immunoglobulin types or subtypes. The subject may also be monitored by in vitro cell assays, e.g., for activation of T cells or subsets of T cells or other relevant white blood cell types. Such assays include measuring T cell activation using chromium release assays, or mixed lymphocyte assays. The subject is optionally treated with one or more additional booster vaccinations, when this is called for under the circumstances.
- Nucleic acid or DNA vaccines as used here will typically comprise a nucleic acid comprising an expressible region that encodes one, two or more suitable antigens or epitopes, e.g., all or an antigenic portion of a viral, bacterial, fungal or parasite protein or glycoprotein. The expressible region will usually comprise a transcription promoter and optionally other control sequences that are operatively linked to the antigen coding region where the promoter and control sequences are transcriptionally active in the intended subject or tissue. Suitable control sequences include enhancers, recognition sequences for transcription factors and termination sequences. Such expression vectors may optionally comprise one, two or more expressible genes or gene fragments, which may each comprise their attendant operatively linked expression sequences. Suitable methods and expression vectors to deliver nucleic acids for vaccine purposes have been described, e.g., U.S. Pat. Nos. 5,223,263, 5,580,859, 5,703,055, 5,846,946 and 5910488.
- Thus, in some embodiments, an effective amount of a formula 1 compound and an antigen are administered to a subject to stimulate an immune response against the antigen, wherein the antigen is encoded by a suitable expression construct. Exemplary antigens that are suitable in these methods are, e.g., essentially as described in any reference cited herein or as is apparent to the skilled artisan. In some embodiments, the antigen is encoded by a parasite such as a Plasmodium or a Trypanosome species such as one described herein. The formula 1 compound can be administered before, essentially simultaneously with or after administration of the antigen, as noted above. The dosages of the formula 1 compound are essentially as described for the other conditions described herein.
- Vaccinations that utilize a formula 1 compound and an antigen(s) are generally suitable for eliciting or enhancing desired immune responses in conjunction with exposure of a subject to an antigen(s), compared to vaccination without the compound. Antigen specific humoral antibody responses or antigen specific T cell responses may be enhanced or elicited. Typically vaccination using a formula 1 compound and a suitable antigen is conducted to prevent a potential infection or to reduce the severity of a future infection. However, in some cases the vaccination is conducted in a subject that has an infection such as a chronic or a latent infection such as a parasite or a retrovirus or herpesvirus infection, which may be latent or in relapse. In other cases the subject may have a cancer or precancer. Thus, the subject may be exposed to, or contain, one or more of the antigens that are used in one of these vaccination procedures. Such vaccinations are included within the scope of the invention.
- In related embodiments, the formula 1 compounds are useful to facilitate preparation of hybridoma clones that express monoclonal antibodies. In these methods, a suitable amount of a formula 1 compound, e.g., about 100 μg to about 2 mg for a small mammal, is administered to a subject, e.g., a mouse, to enhance the immune response to the desired antigen, which is also administered to the subject. After antigen challenge, suitable cells are recovered from the subject, e.g., anti-antigen immunoglobulin expressing HPRT+ spleen cells from a mouse. These cells are then fused with suitable immortal cells (e.g., mouse melanoma cells) using, e.g., PEG or Sendai virus, and selected in suitable selection growth medium, e.g., tissue culture medium that contains hypoxanthine, aminopterin and thymidine, to obtain a group or panel of hybridomas that express anti-antigen monoclonal antibodies. The hybridoma panel is used to generate individual clones, which are optionally screened to determine the antibody specificity and antigen binding properties. About one, 100, 1000, 10,000, 100,000 or more individual clones are screened by standard methods. The monoclonal antibodies may be from any suitable source, e.g., murine, human, human-murine hybrid or the like. Methods to obtain human, human-murine hybrid or related monoclonal antibodies have been described, e.g., U.S. Pat. Nos. 5,562,903, 5,461,760, 5,705,154, 5,854,400, 5,858,728, 5,874,082, 5,874,540, 5,877,293, 5,882,644, 5,886,152, 5,889,157, 5,891,996, 5,916,771, 5,939,598, 5,985,615, 5,998,209, 6,013,256, 6,075,181, 6,901,001, 6,114,143, 6,114,598, 6,117,980. The formula 1 compounds can be used in any of the methods disclosed in these references to facilitate generation or recovery of hybridoma panels and clones that express monoclonal antibodies.
- An aspect of these methods comprise a product, i.e., a hybridoma panel or a hybridoma clone, that is obtained by the process of contacting a subject (such as a mouse) with (1) a suitable amount of a formula 1 compound and (2) a suitable amount of an antigen, allowing sufficient time to generate an immune response in the subject against the antigen and then fusing suitable anti-antigen immunoglobulin producing cells from the subject, e.g., the subject's spleen cells, with a suitable immortal cell line (e.g., a HPRT+ mouse myeloma). The antigen or immunogen is as described above, e.g., a suitable protein, protein fragment or glycoprotein such as an interleukin, cytokine or antigen from an infectious agent. In these methods, a mouse is typically the subject, but other mammals, e.g., humans or other rodents, are also suitable according to known methods.
- The amount of antigen for immunization used in preparing monoclonal antibodies in a small mammal will typically be about 1 μg to about 100 μg, e.g., about 2 μg, 5 μg, 10 μg or 50 μg of antigen. The antigens are essentially as described in the vaccination methods described above, e.g., disrupted cell, a protein or glycoprotein, which is optionally combined with a suitable amount of an adjuvant such as Freund's complete adjuvant, alum precipitate, a bacterial lipopolysaccharide or BCG. The formula 1 compound is typically parenterally administered, e.g., subcutaneous or intraperitoneal, within about 2-4 days (e.g., about 1, 2, 3, 4, 5 or 6 days before or after antigen challenge) of the time that the subject is challenged with antigen. In some cases, the antigen and the formula 1 compound is administered at the same time or at about the same time, e.g., within about 5 minutes to about 1 hour. The formula 1 compound may be administered on one, two, three or more occasions in the process, e.g., a formula 1 compound is administered once per day on one or more of the four days before antigen challenge and then it is optionally administered again on the same day as antigen challenge and then optionally administered daily at one, two, three or more days after antigen challenge.
- Related embodiments include a method comprising administering to a subject (e.g., a mammal such as a human or a primate), or delivering to the subject's tissues, an effective amount of a formula 1 compound and a specific antigen. Immune responses that are enhanced include a mucosal immune response to an antigen such as a protein, peptide, polysaccharide, microorganism, tumor cell extract or lethally radiated tumor or pathogen cells (e.g., antigens or cells from melanoma, renal cell carcinoma, breast cancer, prostate cancer, benign prostatic hyperplasia, virus or bacteria, or other tumor or pathogen as disclosed herein). Aspects of these embodiments include enhancement of the subject's immune response when an antigen or immunogen is administered intranasally or orally. In these aspects, the formula 1 compound is administered about simultaneously with the antigen or within about 3 hours to about 6 days of antigen administration. The use of immune modulating agents to enhance immune responses to a vaccine has been described, e.g., U.S. Pat. No. 5,518,725.
- Other uses for the formula 1 compound(s) include administering the compound(s) to a subject who suffers from a pathological condition(s). The treatment may treat or ameliorate the source of the condition(s) and/or symptoms associated with the pathological condition(s) such as infection with a pathogen(s) (viruses, bacteria, fungi), a malignancy, unwanted immune response, i.e., an immune response that causes pathology and/or symptoms, e.g., autoimmune conditions or allergy or conditions such as hypoproliferation conditions, e.g., normal or impaired tissue growth, or wound healing or burn healing, or in immunosuppression conditions, e.g., conditions characterized by an absence of a desired response and/or an inadequate degree of a desired response.
- As noted in the foregoing applications where a formula 1 compound and an antigen are administered to a subject to enhance the subject's immune response, the antigen may be obtained from any suitable source. The antigen will generally be capable of eliciting an immune response against the original pathogen or cell. Desirable immune responses obtained from vaccination of a subject with an antigen and a formula 1 compound include one or more of an enhanced antibody response, an enhanced antigen specific CD4+ T cell response or an enhanced cytotoxic T cell response to pathogen infected cells, extracellular pathogen or to tumor cells.
- Enhanced antibody responses include detectable enhancement of antibody titer or a shift in the antibody response from a Th2 biased response to an increased Th1 biased component of the response. In such antibody shifts, the Th1 and Th2 character of the response is determined by known methods. For example, a relatively low ratio of IgG1 (or the analogous antibody subclass in humans and other subjects) to IgG2a (or the analogous antibody subclass in humans and other subjects), e.g., about 6:1 to about 12:1, that is generated after exposure of a subject (a mouse for the IgG1 and IgG2a subclasses) to an antigen indicates a Th1 biased antibody response. Conversely a higher ratio, e.g., about 20:1 to about 30:1 indicates a Th1 biased antibody response. Generation of antigen-specific IgG1 generation involves T-helper type 2 (Th2) cells, and for IgG2a, T-helper type 1 (Th1) cells. The formula 1 compounds can detectably increase the Th1 character of an antibody response to an antigen or they can increase the magnitude of both the Th1 and Th2 response.
- Exemplary antigen sources include pathogens, cells or their individual proteins, peptides, glycoproteins or polysaccharides or antigenic fragments of any of these molecules. The antigenic material is recovered from suitably treated pathogens or cells and administered to a subject, or it can be recovered using recombinant means to obtain a purified or partially purified antigen source.
- Exemplary pathogens or cells that are suitable sources for antigens or a gene(s) that encode suitable antigens include influenza viruses (e.g., influenza A, influenza B), respiratory syncytial viruses, Rotaviruses, Hantaviruses, human Papilloma viruses (e.g., HPV-16, HPV-18), Poxviruses, Poliovirus, rabies viruses, Retroviruses (e.g., HIV-1, HIV-2), hepatitis viruses (e.g., human HAV, HBV or HCV), Togaviruses and Flaviviruses (e.g., West Nile Virus, Yellow Fever Virus, Dengue viruses), Herpesviruses (e.g., CMV, EBV, Varicella Zoster Virus, HSV-1, HSV-2, HHV-6, HHV-8), measles viruses, mumps viruses, rubella virus, pneumococci such as Klebsiella pneumonia cells or capsule material, enteric bacterial cells (e.g., E. coli, or Shigella or Salmonella species), gram positive bacterial pathogens (e.g., Staphylococcus, Streptococcus), gram negative bacterial pathogens, diphtheria pathogens, or human or animal cells obtained from a melanoma or skin cancer, breast cancer, prostate cancer, colon cancer, liver cancer, bone cancer, nervous tissue cancer (e.g., neuroblastoma, glioma), lymphoma, leukemia cells, kidney or renal cell cancer, ovarian cancer or lung cancer (e.g., small cell carcinoma, non-small cell carcinoma). Exemplary parasites or antigen sources include Plasmodium, Leishmania and Cryptosporidium. The antigen(s) that is used may comprise a pathogen coat protein(s), pathogen cell wall or other structural proteins. Antigen(s) from tumor cells or parasites may comprise cell membrane associated structures or intracellular molecules that are characteristic of, or unique to, the tumor or parasite. Other suitable antigen or pathogen sources are as described herein or in the cited references.
- Cancer and hyperproliferation conditions. Many cancers, precancers, malignancies or hyperproliferation conditions are associated with an unwanted Th2 immune response or a deficient Th1 response. An insufficient Th1 immune response may play a role in the capacity of malignant cells to escape immune surveillance. The formula 1 compounds, including those in the compound groups and embodiments disclosed herein, may thus be used to treat, prevent or slow the progression of one or more cancers, precancers or cell hyperproliferation conditions or they may be used to ameliorate one or more symptoms thereof. In these conditions, the formula 1 compounds are useful to enhance the subject's Th1 responses or to reestablish a more normal Th1-Th2 balance in the subject's immune responses.
- These conditions include carcinomas, sarcomas, disseminated tumors and solid tumors such as prostate, lung, breast, ovary, skin, stomach, intestine, pancreas, larynx, esophagus, throat, testes, liver, parotid, biliary tract, colon, rectum, cervix, uterus, vagina, endometrium, kidney, bladder, central nervous system, muscle or thyroid cancers or precancers. The formula 1 compounds are thus useful to treat, prevent, slow the progression of, or ameliorate one or more symptoms of a precancer or hyperproliferation condition such as myelodysplastic syndrome, actinic keratoses or benign prostatic hyperplasia. The compounds can also be used to treat, prevent, slow the progression of, slow the replication or growth of, or to ameliorate one or more symptoms of a primary tumor, a metastasis, an advanced malignancy, or a blood born malignancy, a leukemia or a lymphoma. Such conditions include one or more of melanoma, glioblastoma, Kaposi's sarcoma, leiomyosarcoma, non-small cell lung cancer, small cell lung cancer, bronchogenic carcinoma, renal cell cancer or carcinoma, glioma, pancreatic or gastric adenocarcinoma, human pappilomavirus associated cervical intraepithelial neoplasia, cervical carcinoma, hepatoma, hepatocellular carcinoma, cutaneous T-cell lymphoma (mycosis fungoides, Sezary syndrome), colorectal cancer, chronic lymphocytic leukemia, chronic myelogenous leukemia, ALL or follicular lymphoma, multiple myeloma, carcinomas with p53 mutations, colon cancer, cardiac tumors, adrenal tumors, pancreatic cancer, retinoblastoma, lung cancer, intestinal cancer, testicular cancer, stomach cancer, neuroblastoma, myxoma, myoma, endothelioma, osteoblastoma, osteoclastoma, osteosarcoma, chondrosarcoma, adenoma, breast cancer, prostate cancer, Kaposi's sarcoma and ovarian cancer. Treating a subject with a formula 1 compound can ameliorate one or more side effects of chemotherapy or cancer symptoms such as alopecia, pain, fever, malaise, chronic fatigue and cachexia or weight loss. Other cancers, precancers or their symptoms that can be treated, prevented or ameliorated are described in, e.g., Holland Frei Cancer Medicine e.5, 5th edition, R. C. Bast et al., editors, 2000, ISBN 1-55009-113-1, pages 168-2453, B.C. Becker Inc. Hamilton, Ontario, Canada.
- In some of these embodiments, the formula 1 compounds may be used to treat, prevent or slow the progression of or ameliorate one or more conditions in a subject having or subject to developing a hyperproliferation condition where angiogenesis contributes to the pathology. Abnormal or unwanted angiogenesis or neovascularization contributes to the development or progression of solid tumor growth and metastases, as well as to arthritis, some types of eye diseases such as diabetic retinopathy, retinopathy of prematurity, macular degeneration, corneal graft rejection, neovascular glaucoma, rubeosis, retinoblastoma, uvietis and pterygia or abnormal blood vessel growth of the eye, and psoriasis. See, e.g., Moses et al., Biotech. 9:630-634 1991, Folkman et al., N. Engl. J. Med., 333:1757-1763 1995, and Auerbach et al., J. Microvasc. Res. 29:401-411 1985.
- Dosages of the formula 1 compound, routes of administration and the use of combination therapies with other standard therapeutic agents or treatments could be applied essentially as described above for cancer or hyperproliferation conditions or other conditions as disclosed herein. This, in some embodiments, the use of the formula 1 compound is optionally combined with one or more additional therapies for a cancer or precancer(s), e.g., one or more of surgery and treatment with an antiandrogen or an antiestrogen as described herein or in the cited references, an antineoplastic agent such as an alkylating agent, a nitrogen mustard, a nitrosourea, an antimetabolite or cytotoxic agent, or an analgesic such as propoxyphene napsylate, acetaminophen or codeine. Exemplary anticancer and adjunct agents include methotrexate, thioguanine, mercaptopurine, adriamycin, chlorambucil, cyclophosphamide, cisplatin, procarbazine, hydroxyurea, allopurinol, erythropoietin, G-CSF, bicalutamide, anastrozole, fludarabine phosphate and doxorubicin. Such therapies would be used essentially according to standard protocols and such they would precede, be concurrent with or follow treatment with a formula 1 compound. In some embodiments, such additional therapies will be administered at the same time that a formula 1 compound is being used or within about 1 day to about 16 weeks before or after at least one round of treatment with the formula 1 compound is completed. Other exemplary therapeutic agents and their use have been described in detail, see, e.g., Physicians Desk Reference 54th edition, 2000, pages 303-3250, ISBN 1-56363-330-2, Medical Economics Co., Inc., Montvale, N.J. One or more of these exemplary agents can be used in combination with a formula 1 compound to ameliorate, prevent or treat any of the appropriate cancers, precancers or related conditions described herein, or any of their symptoms.
- In some of these conditions, the subject's hyperproliferation or malignant condition may be associated with or caused by one or more pathogens. Such conditions include hepatocellular carcinoma associated with HCV or HBV, Kaposi's sarcoma associated with HIV-1 or HIV-2, T cell leukemia associated with HTLV I, Burkitt's lymphoma associated with Epstein-Barr virus or papillomas or carcinoma associated with papilloma viruses (HPV 6, HPV 11, HPV 16, HPV 18, HPV 31, HPV 45) or gastric adenocarcinoma or gastric MALT lymphoma associated with Helicobacter pylori infection.
- In some cancers or precancers such as breast cancer, the formula 1 compounds can modulate the synthesis or a biological activity of one or more gene products such as transcription factors or steroid receptors. The compounds can inhibit AIB-1 coactivator or HER2/neu synthesis or activity in breast cancer cells or conditions. They can enhance the synthesis or an activity of an estrogen receptor such as ERα, ERβ1 or ERβ2 or progesterone receptor in breast cancer or colon cancer cells or conditions. These effects can include modulation of the expression or one or more biological activities of proteins or enzymes that contribute to disease establishment or progression. Thus, the compounds can decrease IL-4, IL-6 or IL-13 expression by stromal cells or immune cells that are in proximity to or adjacent to solid or diffuse tumor cells in a subject such as a human or another mammal. The compounds can thus directly or indirectly modulate (e.g., decrease) the activity or expression of enzymes such as STAT-6, neutral nedopeptidase, 17β-hydroxysteroid dehydrogenase or 3β-hydroxysteroid dehydrogenase in cancers or precancers such as cervical cancer, colon cancer, prostate cancer, breast cancer or benign prostatic hyperplasia.
- In an exemplary embodiment, human patients suffering from melanoma or melanoma precursor lesions are treated with a topical cream formulation containing 2-20% BrEA (w/w). The cream is applied to primary nevi (dysplastic nevi or common acquired nevi), primary cutaneous melanomas, secondary cutaneous melanomas and the skin surrounding the nevi or melanomas. The areas to be treated are washed with soap or swabbed with an alcohol (e.g., ethanol or isopropanol) prior to administering the cream, when this is practical. About 0.1-0.4 g of cream, depending on the size of the treated area, is applied once or twice per day per treated region or lesion for about 10-20 days. The cream is left undisturbed at the administration site for about 15-30 minutes before the patient resumes normal activity. Progression of the nevi and melanomas is retarded in the majority of patients and significant regression is observed for some lesions. Following initial treatment, the formulation is administered every other day for at least 1 to 4 months using the same dosing described for the initial round of treatment. For these patients, standard therapy to treat precursor lesion or melanoma, e.g., dimethyl triazeno imidazole carboxamide or nitrosoureas (e.g., BCNU, CCNU), is optionally started or continued according to the recommendations of the patient's doctor and with the patient's informed approval. In cases where a tumor or precursor lesion is surgically removed and the site has sufficiently healed, the patient optionally continues using the topical formulation at the site and the adjacent surrounding area every other day for at least 1 to 4 months. In some of these embodiments, a formula 1 compound(s) is administered daily continuously as an oral composition or formulation, e.g., for a formula 1 compound(s) that is a new compound per se. BrEA is optionally also administered systemically using, e.g., a formulation described in the examples below to deliver 1-5 mg/kg/day every other day for about 1 week to about to 4 months, e.g., in the case of malignant melanoma.
- Cardiovascular applications. The formula 1 compounds, including those in the compound groups and embodiments disclosed herein, may be used to treat, prevent or slow the progression of one or more of congenital heart defects, cardiovascular diseases, disorders, abnormalities and/or conditions, or to ameliorate one or more symptoms thereof in a subject. These include peripheral artery disease, arterio-arterial fistula, arteriovenous fistula, cerebral arteriovenous malformations, aortic coarctation, cor triatriatum, coronary vessel anomalies, patent ductus arteriosus, Ebstein's anomaly, hypoplastic left heart syndrome, levocardia, transposition of great vessels, double outlet right ventricle, tricuspid atresia, persistent truncus arteriosus, and heart septal defects, such as aortopulmonary septal defect, endocardial cushion defects, Lutembacher's Syndrome, ventricular heart septal defects, cardiac tamponade, endocarditis (including bacterial), heart aneurysm, cardiac arrest, congestive heart failure, congestive cardiomyopathy, paroxysmal dyspnea, cardiac edema, post-infarction heart rupture, ventricular septal rupture, heart valve diseases, myocardial diseases, pericardial effusion, pericarditis (including constrictive and tuberculous), pneumopericardium, postpericardiotomy syndrome, pulmonary heart disease, rheumatic heart disease, ventricular dysfunction, hyperemia, cardiovascular pregnancy complications, cardiovascular syphilis, cardiovascular tuberculosis, arrhythmias such as sinus arrhythmia, atrial fibrillation, atrial flutter, bradycardia, extrasystole, Adams-Stokes Syndrome, bundle-branch block, sinoatrial block, long QT syndrome, parasystole, sick sinus syndrome, ventricular fibrillations, tachycardias such as paroxysmal tachycardia, supraventricular tachycardia, accelerated idioventricular rhythm, atrioventricular nodal reentry tachycardia, ectopic atrial tachycardia, ectopic junctional tachycardia, sinoatrial nodal reentry tachycardia, sinus tachycardia, Torsades de Pointes, and ventricular tachycardia and heart valve diseases such as aortic valve insufficiency, aortic valve stenosis, hear murmurs, aortic valve prolapse, mitral valve prolapse, tricuspid valve prolapse, mitral valve insufficiency, mitral valve stenosis, pulmonary atresia, pulmonary valve insufficiency, pulmonary valve stenosis, tricuspid atresia, tricuspid valve insufficiency, and tricuspid valve stenosis.
- The formula 1 compounds can be used to treat, prevent or ameliorate one or more symptoms of myocardial diseases such as alcoholic cardiomyopathy, congestive cardiomyopathy, hypertrophic cardiomyopathy, aortic subvalvular stenosis, pulmonary subvalvular stenosis, restrictive cardiomyopathy, Chagas cardiomyopathy, endocardial fibroelastosis, endomyocardial fibrosis, Kearns Syndrome, myocardial reperfusion injury, myocarditis, cardiovascular or vascular diseases such as dissecting aneurysms, false aneurysms, infected aneurysms, ruptured aneurysms, aortic aneurysms, cerebral aneurysms, coronary aneurysms, heart aneurysms, and iliac aneurysms, angiodysplasia, angiomatosis, bacillary angiomatosis, Sturge-Weber Syndrome, angioneurotic edema, aortic diseases, Takayasu's Arteritis, aortitis, Leriche's Syndrome, arterial occlusive diseases, arteritis, enarteritis, polyarteritis nodosa, cerebrovascular diseases, disorders, and/or conditions, diabetic angiopathies, diabetic retinopathy, thrombosis, erythromelalgia, hemorrhoids, hepatic veno-occlusive disease, hypertension, hypotension, peripheral vascular diseases, phlebitis, pulmonary veno-occlusive disease, Raynaud's disease, CREST syndrome, retinal vein occlusion, Scimitar syndrome, superior vena cava syndrome, telangiectasia, atacia telangiectasia, hereditary hemorrhagic telangiectasia, varicocele, varicose veins, varicose ulcer, vasculitis, venous insufficiency and arterial occlusive diseases such as arteriosclerosis, intermittent claudication, carotid stenosis, fibromuscular dysplasias, mesenteric vascular occlusion, Moyamoya disease, renal artery obstruction, retinal artery occlusion, and thromboangiitis obliterans.
- The formula 1 compounds can also be used to treat, prevent or ameliorate one or more symptoms of cerebrovascular diseases, thrombosis, and/or conditions such as carotid artery diseases, cerebral amyloid angiopathy, cerebral aneurysm, cerebral anoxia, cerebral arteriosclerosis, cerebral arteriovenous malformation, cerebral artery diseases, cerebral embolism and thrombosis, carotid artery thrombosis, sinus thrombosis, Wallenberg's syndrome, cerebral hemorrhage, epidural hematoma, subdermal hematoma, subarachnoid hemorrhage, cerebral infarction, cerebral ischemia (including transient), subclavian steal syndrome, periventricular leukomalacia, vascular headache, cluster headache, migraine, vertebrobasilar insufficiency, air embolisms, amniotic fluid, embolisms such as cholesterol embolisms, fat embolisms, pulmonary embolisms, thromoboembolisms, thrombosis such as coronary thrombosis, hepatic vein thrombosis, retinal vein occlusion, carotid artery thrombosis, sinus thrombosis, Wallenberg's syndrome, and thrombophlebitis.
- The formula 1 compounds can also be used to treat, prevent or ameliorate one or more symptoms of vascular ischemia or myocardial ischemias, vasculitis and coronary diseases, including angina pectoris, coronary aneurysm, coronary arteriosclerosis, coronary thrombosis, coronary vasospasm, myocardial infarction and myocardial stunning, cerebral ischemia, ischemic colitis, compartment syndromes, anterior compartment syndrome, myocardial ischemia, reperfusion injuries, peripheral limb ischemia, aortitis, arteritis, Behcet's Syndrome, mucocutaneous lymph node syndrome, thromboangiitis obliterans, hypersensitivity vasculitis, Schoenlein-Henoch purpura, allergic cutaneous vasculitis, and Wegener's granulomatosis.
- Exemplary symptoms that the use of the formula 1 compounds can ameliorate include one or more of pain such as arm, jaw or chest pain, edema or swelling, high blood pressure, shortness of breath or dyspnea, e.g., on exertion or while prone, fatigue or malaise and low cardiac injection fraction. In treating a cardiovascular condition in a subject or in improving one or more symptoms thereof, the formula 1 compounds may accomplish one or more of increasing cardiac injection volume, decreasing levels of IL-6, decreasing levels of C reactive protein, fibrinogen, cardiac creatinine kinase, carnityl palmitoyl fatty acid transferase or other cardiac enzymes, activating potassium dependent calcium channels, vasodilating or enhancing oxygen delivery to ischemic tissues or decreasing levels of scarring or plaque formation that occurs, e.g., after vascular damage. Symptoms associated with a cardiovascular condition such as ischemia that can be ameliorated also include acidosis, expression of one or more immediate early genes in, e.g., glial cells, vascular smooth muscle cells or endothelial cells, neuronal membrane depolarization and increased neuronal extracellular calcium and glutamate concentration. Other biological effects associated with treatment using a formula 1 compound may also be monitored, e.g., and increase or decrease of a cell surface antigen, a cytokine or an interleukin as disclosed herein.
- Useful biological effects of the formula 1 compounds in cardiovascular indications such as myocardial ischemias also include preventing or reducing heart or vascular cell death and subsequent fibrosis. These effects are associated with a decreased oxidative capacity of heart cells or myocytes, which is associated with a decreased capacity of the cells to metabolize fatty acids efficiently. The compounds enhance fatty acid metabolism and ameliorate the deleterious effects of a limited oxidative capacity.
- The formula 1 compounds also can limit inflammation or cell injury that is associated with ischemia or oxygen reperfusion after ischemia. Ischemia, which is a detrimental decrease in oxygenated blood delivery to affected cells or tissues, may arise from a cardiovascular condition or event such as an infarction, or from thermal injury or burns. Ischemia may also arise from accidental or surgical trauma. Reperfusion after cells have become hypoxic for a sufficient period of time can lead to tissue or cell injury that varies from slight to lethal. The compounds can reduce cell or tissue injury or death associated with ischemia and reperfusion, by, e.g., reducing inflammation or the level of a molecule associated with inflammation. Thus, levels of a proinflammatory cytokine or molecule such as leukotriene B4, platelet activating factor or levels of extracellular P-selectin may result from administration of a formula 1 compound to a subject who may experience reperfusion injury. Thus, the compounds can reduce injury or death of, e.g., neuron, cardiac, vascular endothelium, myocardial, pulmonary, hepatic or renal cells or tissues. The compounds act in part by reducing one or more of neutrophil activation, endothelial cell activation and neutrophil adherence or adhesion to endothelial cells.
- The use of any formula 1 compound or species in any genus of formula 1 compounds disclosed herein to treat, prevent or ameliorate any of these cardiovascular conditions or symptoms will generally use one or more of the routes of administration, dosages and dosing protocols as disclosed herein. Thus, in exemplary embodiments, about 0.5 to about 100 mg/kg or about 1 to about 25 mg/kg, of the formula 1 compound will be administered per day by an oral, buccal, sublingual or parenteral route. Such administration can be, e.g., daily for about 5 to about 60 days in acute conditions or it can be intermittent for about 3 months to about 2 years or more for chronic conditions. Alternatively, intermittent dosing can be used essentially as described herein for acute cardiovascular conditions. In conditions such as ischemia, administration of the formula 1 compound should generally occur before or as soon after the ischemic event as possible, e.g., within about 6 hours of an ischemic event or about 12-24 hours before an anticipated ischemic event.
- In related embodiments, the use of the formula 1 compound is optionally combined with one or more additional therapies for cardiovascular disorders, e.g., vascular surgery, cardiac surgery, angioplasty, or treatment with adrenergic blockers, coronary vasodilators, calcium channel blockers, nitrates, angiotensin converting enzyme inhibitors, anti-hypertensives, anti-inflammatory agents, diuretics, anti-arrhythmia agents, thrombolytic agents or xanthine oxidase inhibitors. These other therapies include treatment with one or more of digoxin, nitroglycerin, doxazosin mesylate, nifedipine, enalapril maleate, indomethicin, tissue plasminogin activator, urokinase, acetylsalicylic acid, allopurinol or the like. Such therapies would be used essentially according to standard protocols and such therapies would precede, be concurrent with or follow treatment with a formula 1 compound. In some embodiments, such additional therapies will be administered at the same time that a formula 1 compound is being used or within about 1 day to about 16 weeks before or after at least one round of treatment with the formula 1 compound is completed. Other exemplary therapeutic agents and their use have been described in detail, see, e.g., Physicians Desk Reference 54th edition, 2000, pages 303-3251, ISBN 1-56363-330-2, Medical Economics Co., Inc., Montvale, N.J. One or more of these exemplary agents can be used in combination with a formula 1 compound to treat any of the appropriate cardiovascular disorders described herein.
- Applications in autoimmunity, allergy, inflammation and related conditions. As mentioned above, the formula 1 compounds, including those in the compound groups and embodiments disclosed herein, may be used to treat, prevent or slow the progression of one or more autoimmune allergic or inflammatory diseases, disorders, or conditions, or to ameliorate one or more symptoms thereof in a subject. These include Addison's Disease, autoimmune hemolytic anemia, antiphospholipid syndrome, rheumatoid arthritis and other synovial disorders, an osteoarthritis including post-traumatic osteoarthritis, psoriatic arthritis, epichondylitis, rheumatic carditis, bursitis, ankylosing spondylitis, multiple sclerosis, a dermatitis such as contact dermatitis, atopic dermatitis, exfoliative dermatitis or seborrheic dermatitis, mycosis fungoides, allergic encephalomyelitis, autoimmune glomerulonephritis, Goodpasture's Syndrome, Graves' Disease, Hashimoto's Thyroiditis, multiple sclerosis, myasthenia gravis, neuritis, bullous pemphigoid, pemphigus, polyendocrinopathies, purpura, Reiter's Disease, autoimmune thyroiditis, systemic lupus erythematosus, autoimmune pulmonary inflammation, Guillain-Barre Syndrome, type 1 or insulin dependent diabetes mellitus, autoimmune inflammatory eye disease, hepatitis C virus associated autoimmunity, postinfectious autoimmunity associated with, e.g., virus or bacterial infection such as a parvovirus such as human parvovirus B19 or with rubella virus, autoimmune skin and muscle conditions such as pemphigus vulgaris, pemphigus foliaceus, systemic dermatomyositis or polymyositis or another inflammatory myopathy, myocarditis, asthma such as allergic asthma, allergic encephalomyelitis, allergic rhinitis, a vasculitis condition such as polyarteritis nodosa, giant cell arteritis or systemic necrotizing vasculitis, chronic and acute inflammation conditions such as chronic prostatitis, granulomatous prostatitis and malacoplakia, ischemia-reperfusion injury, endotoxin exposure, complement-mediated hyperacute rejection, nephritis, cytokine or chemokine induced lung injury, inflammatory bowel disease, regional enteritis, ulcerative colitis, Crohn's disease, inflammatory bowel disease or inflammation associated with an infection, e.g., septic shock, sepsis, or systemic inflammatory response syndrome. Other exemplary conditions are described in, e.g., Textbook of Autoimmune Diseases, R. G. Lahita, editor, Lippincott Williams & Wikins, Philadelphia, Pa., 2000, ISBN 0-7817-1505-9, pages 175-851 and Rheumatology, 2nd edition, J. H. Klippel et al., editors, 1998, ISBN 0-7234-2405-5, volume 1, sections 1-5 and volume 2, sections 6-8, Mosby International, London, UK.
- A formula 1 compound can be used to inhibit or ameliorate one or more inappropriate immune responses or their symptoms in autoimmunity, inflammation, allergy or related conditions. The effects of the formula 1 compounds include detectably ameliorating one or more of (1) the proliferation, differentiation or chemotaxis of T cells, (2) reducing unwanted cytotoxic T cell responses, (3) reducing unwanted autoantibody or other antibody synthesis, e.g., an unwanted IgA, IgE, IgG or IgM, (4) inhibiting the development, proliferation or unwanted activity of autoreactive T or B cells, (5) altering the expression of one or more cytokines, interleukins or cell surface antigens, e.g., a cytokine, interleukin or cell surface antigen described herein (decreasing IL-8 in an autoimmune condition, decreasing the level of acute phase proteins such as C reactive protein or fibrinogen in inflammation conditions, (6) decreasing eosinophilia in allergy conditions, (7) decreasing one or more of ICAM-1, IL-1α, IL-1, TNFα or IL-6 in, e.g., inflammation conditions or in autoimmune conditions such as arthritis or myocarditis, (8) decreasing the level or biological activity of one or more of anti-islet antibody, TNF, IFN-γ, IL-1, an arthritis symptom(s), nephritis, skin rash, photosensitivity, headache frequency or pain, migraine frequency or pain, abdominal pain, nausea or anti-DNA antibodies in, e.g., insulin dependent diabetes mellitus or an autoimmune or inflammation condition such as systemic lupus erythematosus, rheumatoid arthritis or Crohn's disease, (9) reducing induction of arachidonic acid metabolism or reducing eicosanoid metabolites such as thromboxanes or prostaglandins in, e.g., inflammation, asthma or allergy, (10) reducing IL-4, IL-8 or IL-10 synthesis or levels in, e.g., inflammation such as idiopathic pulmonary fibrosis or allergic asthma or (11) reducing or interfering with neutrophil chemotaxis by, e.g., reducing thioredoxin release from affected cells in conditions such as cancer, infections, inflammation or autoimmunity.
- Exemplary symptoms that the use of the formula 1 compounds can ameliorate in these autoimmune, inflammatory and allergy conditions include one or more of pain such as shoulder, hip, joint, abdominal or spine pain, joint stiffness or gelling, bursitis, tendonitis, edema or swelling, fatigue or malaise, headache, dyspnea, skin rash, fever, night sweats, anorexia, weight loss, skin or intestine ulceration, muscle weakness, pericarditis, coronary occlusion, neuropathy and diarrhea. In treating one of these conditions in a subject or in improving one or more symptoms thereof, the formula 1 compounds may accomplish one or more of decreasing levels of one or more of IL-1, IL-4, IL-6 or TNFα, decreasing levels of C reactive protein, fibrinogen or creatinine kinase. Other biological effects associated with treatment using a formula 1 compound may also be monitored or observed, e.g., an increase or decrease of a cell surface antigen, a cytokine or an interleukin as disclosed herein.
- The use of any formula 1 compound or species in any genus of formula 1 compounds disclosed herein to treat, prevent or ameliorate any of these autoimmune, inflammatory or allergy conditions or symptoms will generally use one or more of the routes of administration, dosages and dosing protocols as disclosed herein. Thus, in exemplary embodiments, about 0.5 to about 100 mg/kg or about 1 mg/kg to about 15 mg/kg, of the formula 1 compound will be administered per day by, e.g., an oral, buccal, sublingual, topical or parenteral route. Such administration can be, e.g., daily for about 5 to about 60 days in acute conditions or it can be intermittent for about 3 months to about 2 years or more for chronic conditions. Alternatively, intermittent dosing can be used essentially as described herein for acute autoimmune, inflammatory and allergy conditions.
- In related embodiments, the use of the formula 1 compound is optionally combined with one or more additional therapies for an autoimmune, inflammatory or allergy disorder(s), e.g., one or more of surgery and treatment with a corticosteroid or glucocorticoid such as hydrocortisone, hydrocortisone acetate, prednisone, prednisolone, prednisolone acetate, methylprednisolone, dexamethasone, dexamethasone acetate or triamcinolone acetonide, a slow acting antirheumatic drug such as methorexate, D-penicillamine, sodium aurothiomalate, sulfasalazine or hydroxychloroquine, immunosuppressive agents such as 6-thioguanylic acid, chlorambucil, cyclophosphamide or cyclosporin, a non-steroidal antiinflammatory agent such as celecoxib, ibuprofin, piroxicam or naproxin, an antihistamine such as loratidine or promethazine hydrochloride or an analgesic such as propoxyphene napsylate, acetaminophen or codeine. Such therapies would be used essentially according to standard protocols and such they would precede, be concurrent with or follow treatment with a formula 1 compound. In some embodiments, such additional therapies will be administered at the same time that a formula 1 compound is being used or within about 1 day to about 16 weeks before or after at least one round of treatment with the formula 1 compound is completed. Other exemplary therapeutic agents and their use have been described in detail, see, e.g., Physicians Desk Reference 54th edition, 2000, pages 303-3267, ISBN 1-56363-330-2, Medical Economics Co., Inc., Montvale, N.J. One or more of these exemplary agents can be used in combination with a formula 1 compound to ameliorate, prevent or treat any of the appropriate autoimmune, inflammatory or allergy conditions or disorders described herein or any of their symptoms.
- Regeneration and wound healing. The formula 1 compounds can be used to facilitate cell differentiation or proliferation where regeneration of tissues is desired. The regeneration of tissues could be used to repair, replace, protect or limit the effects of tissue damaged by congenital defects, trauma (wounds, burns, incisions, or ulcers), age, disease (e.g. osteoporosis, osteoarthritis, periodontal disease, liver failure), surgery, including cosmetic plastic surgery, fibrosis, reperfusion injury, or systemic cytokine damage. Tissues for which regeneration may be enhanced include organs (e.g., pancreas, liver, intestine, kidney, skin, endothelium), muscle (smooth, skeletal or cardiac), vasculature (including vascular and lymphatics), nervous, hematopoietic, and skeletal (bone, cartilage, tendon, and ligament) tissue. These effects may be accompanied by decreased scarring or an increased rate of healing.
- Nerve or brain tissue regeneration using a formula 1 compound allows treating, slowing the progression of, ameliorating or preventing diseases such as central and peripheral nervous system diseases, neuropathies, or mechanical and traumatic diseases, disorders, and/or conditions (e.g., spinal cord disorders, head trauma, cerebrovascular disease, and stoke). Specifically, diseases associated with peripheral nerve injuries, peripheral neuropathy (e.g., resulting from chemotherapy or other medical therapies), localized neuropathies, and central nervous system diseases such as Alzheimer's disease, Parkinson's disease, Huntington's disease and amyotrophic lateral sclerosis.
- Dosages of the formula 1 compound, routes of administration and the use of combination therapies with other standard therapeutic agents or treatments could be applied essentially as described herein, e.g., for cardiovascular conditions or other conditions as disclosed herein.
- Neurological conditions. Nervous system diseases, disorders, or conditions, which can be ameliorated, treated or prevented with any of the formula 1 compounds disclosed herein include, but are not limited to, nervous system injuries, and diseases or conditions which result in either a disconnection of axons, a diminution of neuron function or degeneration of neurons, or demyelination.
- Nervous system lesions which may be treated, prevented, or ameliorated in a subject include but are not limited to, the following lesions of either the central (including spinal cord, brain) or peripheral nervous systems: (1) ischemic lesions, in which a lack of oxygen in a portion of the nervous system results in neuronal injury or death, including cerebral infarction or ischemia, or spinal cord infarction or ischemia, (2) traumatic lesions, including lesions caused by physical injury or associated with surgery, for example, lesions which sever a portion of the nervous system, or compression injuries, (3) malignant lesions, in which a portion of the nervous system is destroyed or injured by malignant tissue which is either a nervous system associated malignancy or a malignancy derived from non-nervous system tissue, (4) infectious lesions, in which a portion of the nervous system is destroyed or injured as a result of infection, for example, by an abscess or associated with infection by human immunodeficiency virus, herpes zoster, or herpes simplex virus or with Lyme disease, tuberculosis, syphilis, (5) degenerative lesions, in which a portion of the nervous system is destroyed or injured as a result of a degenerative process including but not limited to degeneration associated with Parkinson's disease, Alzheimer's disease, Huntington's chorea, or amyotrophic lateral sclerosis (ALS), (6) lesions associated with nutritional diseases, disorders, and/or conditions, in which a portion of the nervous system is destroyed or injured by a nutritional disorder or disorder of metabolism including but not limited to, vitamin B12 deficiency, folic acid deficiency, Wernicke disease, tobacco-alcohol amblyopia, Marchiafava-Bignami disease (primary degeneration of the corpus callosum), and alcoholic cerebellar degeneration, (7) neurological lesions associated with systemic diseases including, but not limited to, diabetes (diabetic neuropathy, Bell's palsy), systemic lupus erythematosus, carcinoma, or sarcoidosis, (8) lesions caused by toxic substances including alcohol, lead, or particular neurotoxins, (9) demyelinated lesions in which a portion of the nervous system is destroyed or injured by a demyelinating disease including, but not limited to, multiple sclerosis, human immunodeficiency virus-associated myelopathy, transverse myelopathy or various etiologies, progressive multifocal leukoencephalopathy, and central pontine myelinolysis or (10) neurological conditions such as schizophrenia, depression, addiction to a drug or substance such as tobacco, nicotine, caffeine, alcohol, a barbiturate, a tranquilizer, a narcotic such as hydromorphone HCl, propoxyphene napsylate, meperidine HCl, codeine, cocaine, morphine, heroin or methadone.
- In some embodiments, the formula 1 compound is used to protect neural cells from the damaging effects of cerebral hypoxia, cerebral ischemia or neural cell injury associated with cerebral infarction, heart attack or stroke. Compositions comprising a formula 1 compound that are useful for treating or preventing a nervous system disorder may be selected, e.g., by assaying their biological activity in promoting the survival or differentiation of neurons. For example, and not by way of limitation, compositions of the invention which elicit any of the following effects are useful: (1) increased survival time of neurons in culture, (2) increased sprouting of neurons in culture or in vivo, (3) increased production of a neuron-associated molecule in culture or in vivo, e.g., dopamine or choline acetyltransferase or acetylcholinesterase with respect to motor neurons or (4) decreased symptoms of neuron dysfunction in vivo. Such effects may be measured by any method known in the art. Increased survival of neurons may be measured using known methods, such as, for example, the method set forth in Arakawa et al. (J. Neurosci. 10:3507-3515 1990); increased sprouting of neurons may be detected by methods known in the art, such as the methods set forth in Pestronk et al. (Exp. Neurol. 70:65-82 1980) or Brown et al. (Ann. Rev. Neurosci. 4:17-42 1981). Increased production of neuron-associated molecules may be measured by, e.g., bioassay, enzymatic assay, antibody binding or Northern blot assay, using techniques known in the art and depending on the molecule to be measured. Motor neuron dysfunction may be measured by assessing the physical manifestation of motor neuron disorder, e.g., weakness, motor neuron conduction velocity, or functional disability. In other embodiments, motor neuron diseases, disorders, and/or conditions that may be treated, prevented, and/or ameliorated include diseases, disorders, and/or conditions such as infarction, infection, exposure to toxin, trauma, surgical damage, degenerative disease or malignancy that may affect motor neurons as well as other components of the nervous system, as well as diseases, disorders, and/or conditions that selectively affect neurons such as amyotrophic lateral sclerosis, and including, but not limited to, progressive spinal muscular atrophy, progressive bulbar palsy, primary lateral sclerosis, infantile and juvenile muscular atrophy, poliomyelitis and the post polio syndrome, and hereditary motorsensory neuropathy.
- In some conditions such as mood changes, depression anxiety, memory loss or motor function impairment, the formula 1 compounds can modulate one or more biological activities of a transcription factor or a steroid receptor such as ERα in tissue such as the hypothalamus or amygdala or ERA in tissue such as the hippocampus, thalamus or entorhinal cortex.
- Dosages of the formula 1 compound, routes of administration and the use of combination therapies with other standard therapeutic agents or treatments could be applied essentially as described above for cardiovascular conditions or other conditions as disclosed herein. The use of the formula 1 compound is optionally combined with another suitable treatment or therapy.
- Skin treatments. The affect of the formula 1 compounds on immune function permits their use to improve the function of organs or organ systems that rely on the optimal functioning of one or more immune responses. Thus, the formula 1 compounds can be administered to a subject to prevent, treat, ameliorate, slow the progression of or enhance the healing of certain skin conditions such as skin lesions, atrophy or rash. As used here, skin includes external skin and internal skin or surfaces such as oral, intestinal and rectal mucosa. These conditions include lesions, rashes or inflammation associated with, e.g., burns, infections and the thinning or general degradation of the dermis often characterized by a decrease in collagen or elastin as well as decreased number, size and doubling potential of fibroblast cells. Such skin conditions include keratoses such as actinic keratosis, psoriasis, eczema, warts such as papillomavirus-induced warts, ulcers or lesions such as herpesvirus-induced ulcers or lesions or diabetes associated ulcers or lesions, burns, melanoma, rash or irritation from poison oak, poison ivy or poison Sumac, blemished or hyperpigmented skin, hyperkeratotic skin, dry skin, dandruff, acne, inflammatory dermatoses, scarring such as from a chemical or thermal burn and age-related skin changes. In these embodiments, treatment with the formula 1 compounds is optionally combined with other appropriate treatments or therapies essentially as described herein, e.g., one or more of a corticosteroid such as hydrocortisone or cortisol, prednisone, or prednisolone, an α-hydroxybenzoic acid or an α-hydroxycarboxylic acid(s) is coadministered with a formula 1 compound to treat, prevent or ameliorate a skin condition such as atrophy or a lesion. α-Hydroxybenzoic acids and α-hydroxycarboxylic acids suitable for use in these embodiments are described in, e.g., U.S. Pat. Nos. 5,262,407, 5,254,343, 4,246,261, 4,234,599 and 3984566. The formula 1 compound can be used to minimize cutaneous atrophy caused by corticosteroids, a side-effect of their application to the skin.
- In these embodiments that address skin conditions, dosages, routes of administration and dosing protocols for the formula 1 compounds are essentially as described herein. In some embodiments, the formula 1 compound is administered to the subject in the form of a topical cream, ointment, spray, foam or gel. These topical formulations will optionally comprise about 0.1% w/w to about 20% w/w, or about 0.2% w/w to about 10% w/w of a formula 1 compound in a composition that comprises one or more excipients that are suitable for such topical formulations, including, e.g., one or more agents that enhance penetration or delivery of the formula 1 compound into the skin. Such topical formulations can be administered, e.g., once, twice or three times per day using about 0.1 g to about 8g or about 0.2 g to about 5g of the topical formulation on each occasion. Administration may be daily for about 1 to about 28 days, or it may be intermittent and used as needed. The amount of a topical formulation that can be administered may be higher, e.g., about 15 g or about 20 g, if the size of the area to be treated is relatively large, e.g., at least about 30 cm2 to about 100 cm2 or more. Alternatively, systemic administration of the formula 1 compound such as oral, parenteral, sublingual or buccal delivery may be used, particularly when the area of the skin to be treated is relatively large. In some cases, both topical and systemic administration of a formula 1 compound can be used.
- Enhancement of hemopoiesis. The invention includes methods to treat or prevent various blood cell deficiencies such as TP or NP. Without being bound to any theory, the treatment methods may result in enhanced hemopoiesis or the treatment methods may reduce the loss of cells such as platelets or neutrophils. Increased platelet or neutrophil production or reduced loss is typically observed as increased circulating blood cell counts. Thus, invention aspects comprise methods to treat or prevent neutropenia in a subject in need thereof, comprising administering to a subject in need, or delivering to the subject's tissues, an effective amount of a formula 1 compound.
- Normal ranges of various white blood cells or blood components in adult (about 18-49 years of age) human blood are as follows. Total adult white blood cell counts average about 7500/mm3, with an approximate normal range of about 4.5-11.0×103/mm3. The normal basophil level is about 35 mm−3, with a normal range of about 10-100/mm3. The normal adult neutrophil level is about 4400/mm3, with a normal range of about 2000-7700/mm−3. The normal eosinophil level is about 275 mm−3, with a normal range of about 150-300/mm3. The normal monocyte level is about 540 mm−3, with a normal range of about 300-600/mm3. The normal adult platelet level is about 2.5×105/mm3, with a normal range of about 2.1×105-2.9×105/mm3. The normal adult red cell mass corresponds to about 4.6×1012 red cells/L in females and about 5.2×1012 red cells/L in males.
- Thus, a human patient in need of treatment will typically have, or be subject to, a cell count below these values. As used herein, neutropenia means generally a circulating neutrophil count of less than about 1800/mm3, generally a count of about 1500/mm3 or less. Thrombocytopenia generally means a circulating platelet count of less than about 1.9×105/mm3, generally a count of less than about 1.2×105/mm3. Anemia generally means a red cell mass corresponding to less than about 4.0×1012 red cells/L in adult females and less than about 4.5×1012 red cells/L in adult males (a hemoglobin level of less than about 12.0 g/dL in adult females and less than about 13.5 g/dL in adult males).
- In some cases, the diagnosis of a deficiency may cover a cell count that falls outside these ranges, due, e.g., to individual variations in a subject's age, sex, race, animal strain or normal blood cell status for the individual. Such variations are identified by known means such as by identification of a change from the subject's normal status or by multiple cell measurements over time that reveal a deficiency. See, e.g., Hematology—Basic Principles and Practice, 2nd edition, R. Hoffman, E. J. Benz Jr. et al., editors, Churchill Livingstone, New York, 1995. Subjects with an identified or identifiable deficiency outside these standard ranges are included in the definition of a blood cell deficiency or a subject in need of treatment, as used herein.
- Specific conditions that are amenable to prophylaxis or treatment by the invention methods include the acquired blood cell deficiencies. Exemplary deficiencies or groups of deficiencies are neonatal alloimmune TP, immune TP, immune thrombocytopenic purpura, thrombotic thrombocytopenic purpura, post-transfusion purpura, radiation associated TP, chemotherapy associated TP (e.g., NSAID treatments such as with indomethicin, ibuprofen, naproxen, phenylbutazone, piroxicam or zompirac, or β-lactam antibiotic treatments such as with ampicillin, carbenicillin, penicillin G, ticarcillin, or cephalosporin treatments such as with cefazolin, cefoxitin or cephalothin, anticoagulant treatments such as heparin, hirudin, lepirudin or aspirin, treatment with plasma expanders or psychotropic drugs), amegakaryocitic TP, chemotherapy associated TP, radiation associated TP, TP associated with solid organ allograft or xenograft rejection or immune suppression therapy in solid organ or other tissue transplants (e.g., liver, lung, kidney, heart, bone marrow, hematopoietic stem cell or endothelial cell transplant, implant or transfusion), cardiopulmonary bypass surgery or chemotherapy associated TP (e.g., an anticancer, antiviral, antibacterial, antifungal or antiparasite therapy), cardiovascular disease or therapy associated TP (e.g., congenital cyanotic heart disease, valvular heart disease, pulmonary embolism, pulmonary hypertension disorders or diltiazem, nifedipine, nitroglycerin or nitroprusside therapy), TP associated with chronic or acute renal failure or treatment for these conditions (e.g., dialysis), TP associated with infection such as a virus or bacterial infection, postinfectious NP, drug-induced NP, autoimmune NP, chronic idiopathic NP, basophilic leukopenia, eosinophilic leukopenia, monocytic leukopenia, neutrophilic leukopenia, cyclic NP, periodic NP, chemotherapy associated NP, radiation associated NP, chemotherapy associated NP, radiation associated NP, NP associated with solid organ allograft or xenograft rejection or immune suppression therapy in solid organ or other tissue transplants (e.g., liver, lung, kidney, heart, bone marrow, hematopoietic stem cell or endothelial cell transplant, implant or transfusion), chemotherapy associated leukopenia, radiation associated leukopenia, leukopenia associated with solid organ allograft or xenograft rejection or immune suppression therapy in solid organ or other tissue transplants (e.g., liver, lung, kidney, heart, bone marrow, hematopoietic stem cell or endothelial cell transplant, implant or transfusion), immune hemolytic anemias, anemia associated with chronic or acute renal failure or treatment for these conditions (e.g., dialysis), anemia associated with chemotherapy (e.g., isoniazid, prednisone) or anemia associated with radiation therapy.
- Some of the blood cell deficiencies are associated with, or caused by, other therapeutic treatments, e.g., cancer chemotherapy, anti-pathogen chemotherapy, radiation therapy and chemotherapy for suppression of autoimmunity or immune suppression therapy for organ or tissue transplantation or implantation. The formula 1 compounds are thus useful to facilitate or speed up immune system recovery in autologous bone marrow transplant or stem cell transplant situations. In many cases it would be medically sound to continue the treatment associated with causing or exacerbating the blood cell deficiency. Thus, one would generally conduct the invention methods with subjects who are undergoing another therapy at the same time or near the same time, e.g., within a few days to within about 1-6 months. Such subjects typically will have an identified blood cell deficiency such as a NP or a TP, e.g., as disclosed herein. However, the formula 1 compounds are generally suitable for preventing the onset of such deficiencies, and they can thus be used prophylactically in these indications. The invention includes all of these embodiments.
- In some embodiments, the invention method is accomplished using an effective amount of one or more growth factors or cytokines as a means to further enhance the effect of the formula 1 compounds for their intended uses or to modulate their effects. Suitable growth factors and cytokines are as described herein or in the cited references. For example, when one administers the formula 1 compound to enhance generation of platelets in humans or other subjects, or their precursor cells such as CFU-GEMM, BFU-Mk, CFU-Mk, immature megakaryocytes or mature postmitotic megakaryocytes, one can also administer one or more of G-CSF, GM-CSF, SCF, Steel factor (“SF”), leukemia inhibitory factor (“LIF”), interkeukin-1α, (“IL-1α”), IL-3, IL-6, IL-11, TPO, EPO, their isoforms, their derivatives (e.g., linked to a PEG or fusions such as PIXY321) or their homologs for other species. Similarly, administration of the formula 1 compound to enhance the generation or function of myelomonocytic cells such as neutrophils, basophils or monocytes in humans or other subjects, one can also administer one or more of G-CSF, GM-CSF, M-CSF, LIF, TPO, SF, interleukin-1 (“IL-1”), IL-2, IL-3, IL-4, interleukin-5 (“IL-5”), IL-6, IL-11, interleukin-12 (“IL-12”), interleukin-13 (“IL-13”), FLT3 ligand, their isoforms, homologs or derivatives (e.g., linked to a PEG or fusions such as PIXY321) or their homologs for other species. To enhance generation of red cells or their precursor cells such as CFU-GEMM, BFU-E or CFU-E in humans being treated with a formula 1 compound, one can co-administer one or more of G-CSF, GM-CSF, IL-1, IL-3, IL-6, TPO, EPO, transforming growth factor-β1, their isoforms, their derivatives (e.g., linked to a PEG or fusions such as PIXY321) or their homologs for other species. See, e.g., Hematology—Basic Principles and Practice, 3rd edition, R. Hoffman, E. J. Benz Jr. et al., editors, Churchill Livingstone, New York, 2000 (see, e.g., Chapters 14-17 at pages 154-260). The co-administration of such factors in these methods is intended to enhance the efficacy of the formula 1 compound treatment, which is optionally measured by taking suitable blood or tissue, e.g., bone marrow, samples at one or more times before and after the compounds have been administered. Such co-administration will generally be compatible with a subject's condition and other therapeutic treatments. Co-administration of such factors can precede, be simultaneous with, or follow the times of administration of the formula 1 compound(s) to the subject. Dosages of such growth factors would generally be similar to those previously described, e.g., typically an initial course of treatment comprises administering about 1.0 to about 20 μg/kg/d for about 1-10 days, or as described in, e.g., Hematology—Basic Principles and Practice, 3rd edition, R. Hoffman, E. J. Benz Jr. et al., editors, Churchill Livingstone, New York, 2000 (see, e.g., Chapter 51 at pages 939-979 and the references cited therein).
- In cases where a subject's blood cell deficiency is caused by, or associated with another therapy, the invention contemplates that the other therapy will continue, if this is reasonable under the circumstances. The timing of other therapies can precede, be simultaneous with, or follow the times of administration of the formula 1 compound(s) to the subject. For example, chemotherapy for some malignancies is accompanied by myelosuppression or a deficiency in one or more blood cell types, e.g., TP or NP. Continued treatment would be called for in some cases, and then the invention methods would be employed to deliver to the subject an effective amount of a formula 1 compound. Thus, alkylating agents, antimicrotubule agents, antimetabolites, topoisomerase I or II inhibitors, or platinum compounds such as one or more of mechlorethamine, vincristine, vinblastine, bleomycin, doxorubicin, epirubicin, tamoxifen, cyclophosphamide, etoposide, methotrexate, ifosfamide, melphalan, chlorambucil, busulfan, carmustine, lomustine, streptozocin, dacarbazine, vinorelbine, paclitaxel (taxol), docetaxel, cytosine arabinoside, hydroxyurea, fludarabine, 2′-chlorodeoxyadenosine, 2′-deoxycoformycin, 6-thioguanine, 6-mercaptopurine, 5-azacytidine, gemcitabine, arabinofuranosylguanine, daunorubicin, mitoxantrone, amsacrine, topotecan, irinotecan, cisplatin, carboplatin, pilcamycin, procarbazine, aspariginase, aminoglutethimide, actinomycin D, azathioprine and gallium nitrate may be administered in conjunction with administration of any formula 1 compound(s) that is disclosed herein. Treatments with other therapeutic agents such as heparin or nucleoside analogs such as 3-thiacytosine, azidothymidine or dideoxycytosine, or other antimicrobials such as cephalosporin, quinine, quinidine, gold salts (e.g., aurothioglucose), ciprofloxacin, clarithromycin, fluconazole, fusidic acid, gentamycin, nalidixic acid, penicillins, pentamidine, rifampicin, sulfa antibiotics, suramin or vancomycin may result in a blood cell deficiency(s) and they can thus be combined with administration of a formula 1 compound to treat the deficiency, or to ameliorate a symptom thereof. Similarly, anti-inflammatory drugs (e.g., salicylates), cardiac drugs (e.g., digitoxin), β-blockers or antihypertensive drugs (e.g., oxprenolol or captopril), diuretics (e.g., spironolactone), benzodiazepines, (e.g., diazepam) or antidepressants (e.g., amitriptyline, doxepin). Any of these methods also optionally include co-administration of one or more of the growth factors described above, e.g., IL-3, G-CSF, GM-CSF or TPO.
- In related embodiments, the activity or numbers of neutrophils or monocytes is enhanced by co-administering the formula 1 compound with an neutrophil or monocyte stimulator, which is an non-protein agent or molecule that can stimulate the activity or number of neutrophils or monocytes in a subject. This aspect of the present invention encompasses any technique to enhance neutrophil or monocyte counts or activity. Means to accomplish this include administering an effective amount of a formula 1 compound and an effective amount of one or more of lithium, e.g., in the form of a salt such as lithium carbonate or chloride, deuterium oxide, levamisole (an antihelminthic agent), lactoferrin, thyroxine, tri-iodothyroxine, anthrax toxin, ascorbic acid, 1-palmitoyl-lysophosphatidic acid, a calcium ionophore, e.g., A23187, cytochalasin B, sodium butyrate, piracetamine, micronized L-arginine, hydroxyurea and a bacterial lipopolysaccharide.
- The neutrophil or monocyte stimulator can be administered at various time relative to administration of the formula 1 compound, including about 2-4 hours to about 1 or 2 weeks before administering the formula 1 compound and including administration that is essentially simultaneous with administering the formula 1 compound. Typically a neutrophil or monocyte stimulator will be dosed according to known methods, including daily dosing of about 0.01 mg/kg/day to about 25 mg/kg/day. For example, about 1g/day of ascorbic acid (e.g., about 0.5 to about 1.5 g/day) can be administered to humans. When deuterium oxide is used as a neutrophil or monocyte stimulator, liquid aqueous formulations may comprise a formula 1 compound and deuterium oxide in place of some or all of the water. Naturally occurring water contains approximately 1 part of deuterium oxide per 6500 parts water. Thus, the water present in a formulation may comprise, e.g., at least 1 part D2O in 6000 parts H2O, or at least 1 part in 100 parts, or about 50 parts or more per 100 parts of water. These aqueous formulations may comprise one or more additional excipients such as a cyclodextrin such as hydroxypropyl-β-cyclodextrin. Formulations comprising cyclodextrin and deuterium oxide, or comprising cyclodextrin, deuterium oxide and water, may thus comprise deuterium oxide in an amount greater than 1 part per 6500 parts water, such as 1 part deuterium oxide per 1-100 parts water, e.g., 50 parts deuterium oxide per 100 parts water. The amount of cyclodextrin can be in the range of from about 2 to about 85 grams per liter of water and/or deuterium oxide, such as in the range of from about 5 to about 70 grams per liter of water and/or deuterium oxide, one example of a suitable amount being in the range of about 45 grams per liter of water and/or deuterium oxide.
- In conducting any of these methods, one can monitor the subject's clinical condition at any relevant time before, during or after administration of the formula 1 compounds, which treatments are optionally combined with any of the other agents or treatments disclosed herein, such as cytokines, interleukins or an agent or molecule that can stimulate the activity or number of neutrophils or monocytes. The subject's blood can be drawn on one, two or more occasions in advance of treatment to, e.g., obtain a baseline or initial level of white or red blood cells, to verify a presumptive diagnosis of a blood cell deficiency or to determine a blood parameter such as circulating myelomonocyte counts, circulating neutrophil counts, circulating platelet counts or the myeloperoxidase index. Then, during the course of treatment or thereafter the subject's blood can be drawn on one, two or more occasions to follow the subject's response.
- Invention embodiments include methods that comprise administering to a subject in need thereof an effective amount of a formula 1 compound and an effective amount of at least one form of interferon, such as γ-Interferon or a growth factor or interleukin such as G-CSF or IL-6. Interferons can enhance the biological activity of the white cells that arise from increased hemopoiesis. This can be particularly useful when the subject's circulating blood cell deficiency is associated with, e.g., an infection or a chemotherapy that suppresses hemopoiesis. Administration of an growth factor or an interleukin such as IL-6 can facilitate hemopoiesis by stimulating quiescent stem cells or other progenitors that give rise to deficient cell types. Related embodiments replace growth factor or interferon administration partially or completely by increasing endogenous production in the subject using conventional methods, e.g., administering double stranded RNA to stimulate γ-IFN.
- For cases where γ-IFN is administered, the administration is usually relatively constant, e.g., daily. This is because in patients in whom γ-IFN is not generated endogenously in significant amounts, there is a tendency for levels of γ-IFN to drop relatively quickly, i.e., within one day. In other words, in a patient in whom initially, γ-IFN levels are close to zero, it should be administered in an amount which is effective to bring γ-IFN levels to within normal levels, e.g., up to 10 nanograms per milliliter, and a similar amount of γ-IFN should be administered each day thereafter.
- Suitable forms of γ-IFN and their biological properties and methods to obtain them have been described, see, e.g., U.S. Pat. Nos. 4,289,690, 4,314,935, 4,382,027, 4,376,821; 4,376,822, 4,460,685, 4,604,284 and 5,145,677, European patent publication nos. EP 063,482 EP 088 540, and EP 087 686, N. Fujii et al., J. Immunol., 1983 130:1683-86. A. Zlotnick et al., J. Immunol. 1983 131:794-80, M. deLey et al., Eur. J. Immunol. 1980 10:877-83, F. Dianzani et al., Infection and Immunity, 1980 29:561-63, G. H. Reem et al., Infection and Immunity 1982 37:216-21 (1982), R. Devos et al., Nucleic Acids Research 1982 10(8):2487-501, G. Simons et al., Gene 1984 28:55-64, P. W. Gray et al., Nature, 1982 295:503-508, D. Novick et al., EMBO Journal, 1983 2:1527-30.
- In embodiments where the subject has, or is susceptible to, an infection, administration of the formula 1 compound is optionally accompanied by administration of an agent that can inhibit γ-glutamylcysteine synthetase in the subject. Such inhibition can enhance the capacity of the formula 1 compounds to inhibit replication of pathogens or to sensitize pathogens to metabolites derived from the formula 1 compounds. Suitable γ-glutamylcysteine synthetase inhibitors include buthionine-sulfoximine (BSO), which may be in the form of, e.g., L-buthionine-S-sulfoximine or L-buthionine-R-sulfoximine. Other compounds which can be used to perform this function include sesquiterpene lactones and butylated hydroxy anisole. All of these are commercially available. Such compounds, e.g., BSO, make infected cells more susceptible to the action of the formula 1 compounds, in particular, halogenated formula 1 compounds, e.g., 16-bromoepiandrosterone. The effects of hypohalogenous acid can be enhanced by the administration of an inhibitor of γ-glutamylcysteine synthetase, such as BSO, which, as discussed herein, can render infected cells more susceptible to hypohalogenous acid.
- Some compounds that inhibit γ-glutamylcysteine synthetase have significant toxicity toward at least some subjects. Such compounds are suitable for this purpose if such toxicity can be counteracted or kept to levels which are acceptable. Such compounds include pentathionine-sulfoximine, hexathionine-sulfoximine, heptathionine-sulfoximine, prothionine-sulfoximine and methionine sulfoximine. When these compounds are used, they are used in amounts that limits their toxicity.
- In any of the methods disclosed herein, a treatment may be interrupted briefly or for extended periods of time. The reason for such interruption can be any of a wide variety, e.g., patient non-compliance, apparent improvement in a subject's condition or by design. Any such interruption would not take a regimen outside the scope of the present invention. For example, a patient might miss a day or several days of administration. Similarly, the regimen might call for administration of one or more compounds for one or more day, and then non-administration of the one or more compounds for one or more day, and then resumption of the administration of the one or more compounds. Furthermore, a regimen according to the present invention can be altered in view of a patient's current condition, and can continue for any length of time, including the entire subject's lifetime.
- For administration of γ-IFN, a volume of about 1 mL of a solid or liquid sublingual formulation that comprises about 100 micrograms of γ-IFN may be used. An exemplary liquid formulation comprises a saline solution containing 45 weight % β-hydroxypropylcyclodextrin. It would be expected that such a dosage would provide in the range of 30 to 40 micrograms of γ-IFN to the patient's blood. Such sublingual formulations would be held under the patient's tongue for a period of time sufficient to allow some or all of the γ-IFN to be delivered to the patient while held under the patient's tongue. Such administration has not been previously known in the art, in which conventionally, it has been thought that administration of γ-IFN must be by injection, e.g., subcutaneous injection. Subcutaneous injection of γ-IFN is associated with unwanted side effects, including fatigue, headache, night sweats, fever, local pain at the injection site, nausea, vomiting, diarrhea and others. The above-described sublingual γ-IFN formulations of the present invention is an aspect of the present invention, which can be of use in accordance with other aspects of the present invention as described herein. In general, however, a wide variety of routes of administration could be employed for γ-IFN in accordance with the present invention, including those disclosed in U.S. Pat. No. 5,145,677.
- Modulation of transcription factors, receptors and gene expression. The formula 1 compounds can modulate, i.e., detectably enhance or inhibit, the expression or biological activity of one or more transcription factors or receptors. This activity can lead to detectable modulation of target gene activity or expression. Such modulation can arise from changes in the capacity of a transcription factor or receptor to bind to or form a complex with other natural ligands such as a target DNA sequence(s), another transcription factor(s), a transcription cofactor, a receptor such as a steroid receptor, receptor cofactor or an enzyme such as a polymerase, kinase, phosphatase or transferase. In many of the clinical conditions described herein, e.g., in inflammation conditions, the formula 1 compounds can inhibit the activity or protein levels of one or more of AP-1, nuclear factor kappa B (NFkB) and GATA-3 in, e.g., a subject's cell(s) or tissue(s) or in enzyme or cell-based assays. In this aspect the compounds are used to treat, prevent or to ameliorate conditions or symptoms that are associated with unwanted or overexpression or activity of one or more of AP-1, NFkB, c-maf or GATA-3 in conditions such as, e.g., inflammation or its symptoms, allergy or its symptoms, e.g., allergic rhinitis or acute or chronic asthma, psoriatic arthritis, osteoporosis, osteoarthritis, rheumatoid arthritis, neurological dysfunction or their symptoms, e.g., dementias such as Alzheimer's Disease, Parkinson's Disease, or memory loss conditions, in osteoporosis or in cancer such as breast cancer. The compounds can prevent NFkB from translocating from the cytoplasm into the nucleus and thus can increase the ratio of cytoplasmic NFkB to nuclear NFkB. The formula 1 compounds may inhibit activation of NFkB-mediated transcription while NFkB is bound to target DNA sequences in the nucleus. Alternatively, the formula 1 compounds can activate or enhance the expression of or one or more activity of a transcription factor such as T-Bet in, e.g., a subject's cell(s) or tissue(s) or in enzyme or cell-based assays. In this aspect the compounds are used to treat, prevent or to ameliorate conditions or symptoms that are associated with deficient expression or activity of T-bet in conditions such as immune dysfunction in an immunesuppression condition, aging, an infection, a cancer or precancer as described herein or in the cited references.
- Previously described methods can be used to measure the amount, activity or cellular location of such transcription factors. See, e.g., U.S. Pat. Nos. 6,107,034, 5,658,744, 4,016,043 and 3850752, S. Szabo et al., Cell 2000 100:655-669, Y. Nakamura et al., J. Allergy Clin. Immunol. 1999 103(2 pt. 1):215-222., R. V. Hoch et al., Int. J. Cancer 1999 84:122-128. These methods can be used to measure the effects of the formula 1 compounds on transcription factors or receptors in cells or tissues that have been exposed to the compounds.
- Additional exemplary mammalian and other transcription factors and receptors, including orphan nuclear receptors, their homologs, isoforms and co-factors (e.g., co-repressors, co-activators, transcription factors, gene promoter regions or sequences) and related molecules that the formula 1 compounds can directly or indirectly from complexes with, or modulate (detectably increase or decrease) the synthesis or one or more biological activities of, include steroidogenic factor-1 (SF-1), steroidogenic acute regulatory protein (StAR), chicken ovalbumin upstream promoter-transcription factor (COUP-TFI) and its mammalian homologs, silencing mediator for retinoid and thyroid hormone receptor (SMRT) and its mammalian homologs, sterol regulatory element binding protein (SREBP) 1a (SREBP-1a), SREBP-1c, SREPB-2, NF-E3, FKHR-L1, COUP-TFII and its mammalian homologs, IκB, IκBα, AML-3, PEBP2αA1, Osf2, Cbfa1, RUNX2, steroid receptor coactivator-1 family (SRC-1, SRC-1/serum response factor), SET, nerve growth factor inducible protein B, StF-IT, NFAT, p300, CREB, CREB-binding protein (CPB), p300/CBP, p300/CPB-associated factor, SWI/SNF and their human and other homologs, BRG-1, OCT-1/OAF, AP1, Ets, androgen receptor associated protein 54 (ARA54), androgen receptor associated protein 55 (ARA55), androgen receptor associated protein 70 (ARA70), androgen receptor-interacting protein 3 (ARIP3), ARIP3/PIASx α complex, PIASx α, Miz1, Miz1/PIASx β complex, PIASx β, PIAS1, PIAS3, GBP, GBP/PIAS1 complex, RAC3/ACTR complex, SRC-1α, receptor interacting protein-140 (RIP-140), transcription factor activator protein-1, activation function-2, glucocorticoid receptor-interacting protein-1 (GRIP-1), receptor interacting protein-160 (RIP-160), suppressor of gal4D lesions (SUG-1), transcription intermediary factor-1 (TIF-1), transcription intermediary factor-2 (TIF-2), SMRT, N-CoR, N-CoA-1, p/CIP, p65 (RelA), heat shock proteins (HSP) such as HSP90 and HSP72, heat shock factor-1, Vpr encoded by the human immunodeficiency virus and its isoforms and homologs thereof, testicular orphan receptor TR2, thyroid hormone α1 (TR α1), retinoid X receptor α, TR α1/RXR α heterodimer, direct repeat-4 thyroid hormone response element (DR4-TRE), an estrogen receptor (ER) such as ERα or ERβ, estrogen receptor related α (ERRα), estrogen receptor related β (ERRβ), steroid xenobiotic receptor (SXR), hepatocyte nuclear factor 4 (HNF-4), hepatocyte nuclear factor 3 (HNF-3), liver X receptors (LXRs), LXRα, LXRβ, estrogen receptor α (ERα), constitutive androstane receptor-β (CAR-β), RXR/CAR-β heterodimer, short heterodimer partner (SHP), SHP/ERα heterodimer, estrogen receptor β, SHP/ERβ heterodimer, testicular orphan receptor TR4, TR2/TR4 heterodimer, pregnane X receptor (PXR) and isoforms, cytochrome P-450 monooxygenase 3A4 gene promoter region and isoforms, HNF-4/cytochrome P-450 monooxygenase 3A4 gene promoter region and isoforms complex, HIV-1 long terminal repeat (LTR), HIV-2 LTR, TR2/HIV-1 LTR complex, TR4/HIV-1 LTR complex, TR4/HIV-1 LTR complex, TR α1/TR4/HIV-1 LTR complex, TR2 isoforms (TR2-5, TR7, TR9, TR11), DAX-1, DAX-1/steroidogenic acute regulatory protein gene promoter region, RevErb, Rev-erbA α, Rev-erb β, steroid receptor coactivator amplified in breast cancer (AIB 1), p300/CREB binding protein-interacting protein (p/CIP), thyroid hormone receptor (TR, T3R), thyroid hormone response elements (T3REs), constitutive androstane receptor (CAR), Xenopus xSRC-3 and mammalian (human) homologs, TAK1, TAK1/peroxisome proliferator-activated receptor α (PPARα) complex, PPARα/RXRα complex, peroxisome proliferator-activated receptor β (PPARβ), peroxisome proliferator-activated receptor γ (PPARγ), peroxisome proliferator-activated receptor δ (PPARδ), farnesoid X receptor, TAK-1/RIP-140 complex, retinoic acid receptor (RAR), RARβ, TR4/RXRE complex, SF-1/steroid hydroxylase gene promoter region, SF-1/oxytocin gene promoter region, SF-1/ACTH receptor gene promoter region, rat Ear-2 and mammalian homologs, human TR3 orphan receptor (TR3), RLD-1, OR-1, androgen receptor, glucocorticoid receptor, estrogen receptor, progesterone receptor, mineralcorticoid receptor, aldosterone receptor, OR1, OR1/RXRα complex, TIF-1, CBP/P300 complex, TRIP1/SUG-1 complex, RIP-140, steroid receptor coactivator 1 (SRC1), SRC1α/P160 complex and TIF-2/GRIP-1 complex, RAR/N-CoR/RIP13 complex, RAR/SMRT/TRAC-2 complex, and the DNARS 5′ AGGTCANAGGTCA 3′ or 5′ TGCACGTCA 3′. The homologs, orthologs and isoforms of these transcription factors, receptors and other molecules are included among the molecules that the formula 1 compounds can modulate the synthesis or one or more biological activities of.
- In general, the formula 1 compounds will detectably decrease the synthesis or one or more biological activity of one or more of these molecules (or other transcription factors or receptors disclosed herein) when such synthesis or activities is associated with the establishment, maintenance, progression or enhanced severity of a clinical condition or symptom disclosed herein. Conversely, the formula 1 compounds will generally detectably increase the synthesis or one or more biological activities of one or more of these molecules (or other transcription factors or receptors disclosed herein) when such synthesis or activity is associated with the treatment, prevention, cure or amelioration of a clinical condition or symptom disclosed herein.
- These decreases or increases compared to suitable controls can be relatively small, including changes near the lower limits of detectability for such molecules using known or new assays, e.g., a decrease or increase in the synthesis or biological activity of about 2%, about 5%, about 10% or about 20%. Such changes can be relatively large, e.g., at least about a 50% change, at least about a 90% change, or at least about a 200% change, up to about a 5-fold, about a 1 0-fold, about a 100-fold or greater decrease or increase in the synthesis or biological activity of the affected molecule(s) compared to suitable controls. These changes are typically measured relative to controls that lack a formula 1 compound or that use known agonists or antagonists of one or more relevant molecules. Assays can be based on measuring decreases or increases in, e.g., one or more of protein levels, RNA or mRNA levels, a ligand binding activity, transcription of a target gene(s) and the like. Suitable assay protocols include any suitable polymerase chain reaction assay to measure an RNA or mRNA, any suitable blotting protocol for nucleic acid or for protein such as a Northern or Western blot method or any transcription assay, including DNA footprinting or a gene expression or gene function assay. Typically the formula 1 compounds will effect detectable changes in the synthesis or one or more biological activities in a concentration range of about 0.5×10−9 M to about 3×10−5 M. Exemplary compositions that comprise a formula 1 compound for use in, e.g., in vivo animal assays, in vitro cell or tissue culture assays or in cell free assays, will comprise one or more suitable solvents or vehicles including DMSO, ethanol, water and tissue culture medium, which optionally contains calf, horse or goat serum or another serum.
- One or more of these transcription factors, receptors or complexes can be a component in methods when, e.g., they are used with a formula 1 compound in cell-free assays or in tissue culture assays. Formation of these complexes in cells or analysis of the effects of formula 1 compounds on one or more of their biological activities is facilitated by inserting into the cells a DNA construct(s) that expresses one or more of these proteins, e.g., mammalian or yeast cells containing a stable DNA construct or a construct used for transient transfection assays. Methods to perform assays or to induce biological responses in vitro or in vivo using the formula 1 compounds as agonists, antagonists or as reference standards are essentially as described, see, e.g., U.S. Pat. Nos. 5,080,139, 5,696,133, 5,932,431, 5,932,555, 5,935,968, 5,945,279, 5,945,404, 5,945,410, 5,945,412, 5,945,448, 5,952,319, 5,952,371, 5,955,632, 5,958,710, 5,958,892 and 5,962,443; International Publication Numbers WO 96/19458, WO 99/41257 and WO 99/45930. The complexes or assay systems, that comprise a formula 1 compound and one or more of these molecules are embodiments of the invention, as are the use of these compositions when employed in the practice of any of the assay methods or in any of the clinical treatment methods disclosed herein or in the cited references.
- In exemplary applications, invention embodiments include a method comprising contacting a formula 1 compound(s) with a cell(s), whereby the formula 1 compound(s) forms a complex with a steroid hormone receptor or results in the modulation of a biological activity of the steroid hormone receptor or a gene that it regulates. The steroid hormone receptor may be an orphan nuclear hormone receptor or a characterized receptor such as the glucocorticoid receptor, estrogen receptor or the androgen receptor that displays a moderate or high binding affinity for the formula 1 compound(s). In some embodiments, the steroid receptor is a known steroid receptor. Biological effects from interaction of a formula 1 compound and a receptor can lead to interference with the replication or development of a pathogen or the cell(s) itself. For example, expression of HIV transcripts in HIV-infected cells may be altered. The receptor-formula 1 compound complex may directly interfere with LTR-dependent transcription of HIV genes, leading to reduced viral replication. Alternatively, such effects can include the decreased synthesis or biological activity of a protein or gene product that is associated with the establishment, maintenance or progression of a disease condition described herein or in the cited references.
- Invention embodiments include compositions comprising a partially purified or a purified complex comprising a formula 1 compound and a steroid receptor. Such a steroid receptor(s) may be an orphan steroid receptor or a characterized steroid receptor, where either type binds the formula 1 compound with a moderate or high binding affinity, e.g., less than about 0.5-10×10−6 M, usually less than about 1×10−7 M, or, for higher affinity interactions, less than about 0.01-10×10−9 M. The formula 1 compound(s) may also enhance immune responses such that both immune responses and altered intracellular conditions simultaneously exist to ameliorate one or more of the pathological conditions described herein. The formula 1 compounds may be used to identify receptors that modulate biological responses, e.g., receptors that participate in effecting enhanced Th1 cytokine synthesis. Invention embodiments include a method, “Method 1”, which permits the determination of one or more effects of a test compound on a steroid receptor in various biological systems. Generally, the test compound is a formula 1 compound. Such systems include cells containing a DNA construct that constitutively or inducibly expresses a steroid receptor(s) of interest, e.g., SXR, CARβ, RXR, PXR, PPARα, PPARβ, PPARγ or mixtures or dimers thereof, e.g., SXR/RXR. In other biological systems, the steroid receptor can be under the transcriptional control of a regulatable promoter. Alternatively, the expression another gene such as a steroid-inducible gene, e.g., a steroid-inducible cytochrome P-450. For this method, a source of steroid receptors is generally combined with a means of monitoring them, e.g., by measuring the transcription of a gene regulated by the receptor. Cells that comprise the steroid receptor and optional monitoring means are sometimes referred to herein as the “biological system.” Sources of steroid receptors include cell lines and cell populations that normally express the steroid receptor of interest and extracts obtained from such cells. Another source for a useful biological system for purposes of this method is tissues from experimental animals that express the receptor.
- In one aspect, method 1 allows one to determine one or more effects of a formula 1 compound on a steroid receptor using a method that comprises (a) providing a biological system, e.g., a cell extract, cells or tissue, comprising cells having a plurality of steroid receptors that comprise monomers, homodimers or heterodimers that comprise a steroid receptor, e.g., SXR, CAR-β, RXR, PPARα, PPARβ, PPARγ, PXR or dimers that comprise one or more of these; (b) activating or inhibiting the plurality of monomers, homodimers or heterodimers that comprise the steroid receptor by contacting the cells with a steroid receptor (e.g., SXR, CAR-β, RXR, PPARα, PPARβ, PPARγ or PXR) agonist or antagonist; (c) removing substantially all of the steroid receptor agonist or antagonist from the cells; (d) determining an activity of the plurality of monomers, homodimers or heterodimers that comprise the steroid receptor while in an activated state in the absence of agonist or antagonist; (e) exposing the cells to the test compound; (f) determining at least one effect of the test compound on the activity of the plurality of monomers, homodimers or heterodimers that comprise one or more of the steroid receptors while they remain substantially free of agonist or antagonist; and (g) optionally classifying the test compound as an agonist or an antagonist of the steroid receptor, or a neutral compound having little or no detectable effect.
- The effects that method 1 can measure includes determining or measuring an effect on a gene whose expression is affected by the steroid receptor. The gene could be a gene associated with a pathological condition such as an infectious agent, an immune disorder such as an inflammation condition or a hyperproliferation condition disclosed herein or in the cited references.
- Thus, another aspect of method 1, “method 1A”, is determining if a compound not previously known to be a modulator of protein biosynthesis can transcriptionally modulate the expression of a gene that encodes a protein associated with the maintenance or treatment of one or more symptoms of a pathological condition (the “target gene” or “target protein”). This method comprises: (a) contacting an assay system that comprises eucaryotic cells or a suitable lysate with a formula 1 compound, wherein the eucaryotic cells or suitable lysate comprises one, two or a plurality of steroid receptor proteins and optionally comprises one or more coactivator proteins and a DNA construct comprising operatively linked sequences that comprise (i) a modulatable transcriptional regulatory sequence(s) of the target gene, (ii) a promoter of the gene, and (iii) either the target gene's nucleic acid coding protein region or a coding region for a suitable reporter gene, either of which is capable of expressing the DNA construct's coding region, which is coupled to, and under the control of, the modulatable transcriptional regulatory sequence(s) and the promoter, under conditions such that the formula 1 compound, if capable of acting as a transcriptional modulator of the gene encoding the protein of interest, causes a measurable or detectable signal (e.g., an increased or decreased nucleic or protein expression level compared to a suitable control); (b) quantitatively or qualitatively determining the amount of the signal so produced; and (c) optionally comparing the amount of the signal so determined with the amount of signal detected in the presence of the formula 1 compound with a suitable control, e.g. in the absence of any compound being tested or upon contacting the sample with a known activator or inhibitor of expression of the target gene so as to identify the chemical as one that causes a change in the detectable signal produced by the polypeptide. The method thus permits one to determine if the formula 1 compound specifically transcriptionally modulates expression of the target gene or protein. Suitable steroid receptors and their coactivators are as described herein, e.g., androgen receptor, estrogen receptor, glucocorticoid receptor, mineralcorticoid receptor, aldosterone receptor, PPARα, PPARβ, PPARγ, PPARδ, RXR or CARβ. Information regarding these receptors has been described, see, e.g., relevant U.S. patents cited herein and PCT publication WO 0025800 and WO 0031286.
- In method 1A the assay system may comprise a transformed cell line, primary cells or untransformed cells or a suitable lysate or extract of any of these. Exemplary cell lines include ones derived from human or other mammalian tumors or precancers. The source of such cells may be human or animal, e.g., a mammal such as a primate or a rodent. In some embodiments, the assay system comprises a rodent such as a mouse, transgenic mouse or other transgenic animal (see e.g., PCT publication WO 000602). Measurement of the formula 1 compound's effect on the assay system includes detecting increased or decreased expression of nucleic acid or polypeptide by the target gene in response to the formula 1 compound's presence. Exemplary conditions include conducting the method under conditions suitable for maintaining the cells in tissue culture or under conditions suitable for enzyme assays using cell extracts or lysates, e.g., tissue culture medium or a buffered aqueous solution that is, e.g., a nearly isotonic solution at about 32-38° C., a pH of about 6 to about 8, a formula 1 compound concentration of about 1×10−11 M to about 1×10−3 M (including any concentration in any single unit increment of, e.g., 1×10−11 M, e.g., 1×10−10 M, 1×10−9 M, 1×10−8 M, 1×10−7 M, 1×10−6 M, 1×10−5 M or 1×10−4 M) and contacting the formula 1 compound and the assay system for about 20 minutes to about 72 hours. Detection of a change in expression of the target gene or the reporter gene includes, e.g., detecting (1) changes in gene nucleic acid levels by qualitative or quantitative PCR methods and (2) changes in gene protein levels by enzyme or antibody-based assays such as measuring enzyme activity using a suitable substrate or measuring protein levels, e.g., by ELISA or western blotting.
- In conducting method 1A, one typically contacts a sample that contains a predefined number of identical or essentially identical eucaryotic cells, e.g. about 5×103 to about 5×106 cells, with a predetermined concentration of a compound of formula 1. The eucaryotic cells comprise a DNA construct that is made using conventional molecular biology methods and protocols. The assay system is maintained under conditions such that the formula 1 compound, if capable of acting as a transcriptional modulator of the gene encoding the protein of interest, causes a measurable or detectable signal to be produced by the polypeptide expressed by the reporter gene. Once sufficient time for generation of a detectable response or signal has passed, one can determine the amount of the signal produced. Typically the response or signal is measured quantitatively, but a qualitative measurement can be useful for rapid screening purposes.
- For method 1A, one can also optionally compare the detectable signal with the amount of produced signal that (i) one detects in the absence of any formula 1 compound or (ii) when contacting the sample with other chemicals, which identifies the formula 1 compound as a chemical that causes a change in the detectable signal the polypeptide produces. One then typically determines whether the formula 1 compound specifically transcriptionally modulates expression of the gene associated with the maintenance or treatment of one or more symptoms of the pathological condition.
- Other aspects of the method 1 and 1A include a screening method comprising separately contacting each of a plurality of identical, essentially identical or different samples, each sample containing a predefined number of such cells with a with a predetermined concentration of each different formula 1 compound to be tested, e.g., wherein the plurality of samples comprises more than about 1×103 or more than about 1×104 samples or about 0.5-5×105 samples. In other aspects one determines the amount of RNA by quantitative polymerase chain reaction. In any of methods 1 or 1A, a formula 1 compound such as any one of those described or named herein may be utilized.
- Aspects of the invention include another method, “method 2”, which centers on identifying a gene whose expression is modulated by a candidate binding partner for infectious disease therapeutic agents. Typically the binding partner is a steroid receptor, e.g., a monomer, homodimer or heterodimer that comprises SXR, CAR-β, PXR, PPARα, PPARβ, PPARγ, PPARδ or RXR or a homolog or isoform thereof. The steroid receptor is typically present as a complex that comprises, e.g., the formula 1 compound and the regulated gene's DNARS, which the steroid receptor, or a complex that comprises the steroid receptor, recognizes and specifically binds to. Such complexes can also comprise a transcription factor that binds to the steroid receptor or to nucleic acid sequences adjacent to or near the DNARS. Exemplary transcription factors that may be present include one or more of ARA54, ARA55, ARA70, SRC-1, NF-κB, NFAT, AP1, Ets, p300, CBP, p300/CBP, p300/CPB-associated factor, SWI/SNF and human homologs of SWI/SNF, CBP, SF-1, RIP140, GRIP1 and Vpr. In general, one provides a first and a second group of cells in vitro or in vivo and contacts the first group of cells with the infectious disease therapeutic agent, but does not contact the second group of cells in vitro or in vivo with the infectious disease therapeutic agent. Recovering RNA from the cells, or generating cDNA derived from the RNA, is accomplished by conventional protocols. Analysis of the RNA, or cDNA derived from the RNA, from the first and the second group of cells identifies differences between them, which one can use to identify a gene whose regulation is modulated by the candidate binding partner for the infectious disease therapeutic agent or any DNARS associated with that gene.
- An aspect of method 2 is determining the capacity of a formula 1 compound to modulate, or participate in the modulation of, the transcription of a gene associated with the maintenance or treatment of one or more symptoms of a pathological condition. It is expected that in general, the formula 1 compounds will cause an increase in the transcription of such genes. The pathological condition is typically one associated with an infectious agent, e.g., virus, parasite or bacterium, but can also include an immune condition, e.g., an autoimmune condition or an immune deficiency. The pathological condition may also be an insufficient immune response to an infection or an insufficient response to a hyperproliferation condition or malignancy. Other pathological conditions that one can apply the method to are inflammation conditions.
- In some aspects, the formula 1 compounds used in method 2 will be labeled. Such compounds are prepared by conventional methods using standard labels, such as radiolabels, fluorescent labels or other labels as described herein and in the cited references.
- An embodiment of method 2 involves analyzing the RNA, or cDNA derived from it, by subtraction hybridization. In this embodiment, the RNA or cDNA obtained from the first and second groups of cells is hybridized and the resulting duplexes are removed. This allows recovery of nucleic acids that encode genes whose transcription is modulated by the candidate binding partner, which is usually a steroid receptor. One can use conventional methods to amplify and obtain nucleic acid and protein sequence information from the nucleic acids recovered by this method. The nucleic acid sequences that are transcriptionally induced or repressed by the formula 1 compound are candidate binding partners.
- A transcriptionally induced gene(s) will be enriched in the group 1 cells treated with the formula 1 compound, while any repressed gene(s) will be depleted or absent. In these embodiments, the RNA recovered after removal of duplexes is typically amplified by standard RT-PCR or PCR protocols. These protocols typically use specific sets of random primer pairs, followed by analysis of the amplified nucleic acids by gel electrophoresis. Nucleic acids that are induced by the formula 1 compound will appear as a band(s), usually duplex DNA, that is not present in the control or second set of cells. Nucleic acids that are transcriptionally repressed by the formula 1 compound's binding partner will be depleted or absent in the first group of cells. Once such gene candidates are identified, they can be cloned and expressed and the capacity of the DNARS associated with the gene to form a complex that comprises a candidate binding partner and an optionally labeled formula 1 compound is analyzed by conventional methods, e.g., equilibrium dialysis, affinity chromatography using, e.g., the DNARS immobilized on a column, or coprecipitation of complexes that comprise an optionally labeled DNARS and candidate binding partner using anti-binding partner antibodies. Nucleic acid sequence analysis is usually used to identify regions adjacent to the coding regions of the regulated gene to identify any DNARS associated with the gene. The identity of a DNARS can be established by the binding to the DNARS of complexes that comprise a candidate binding partner, e.g., a steroid receptor, and optionally also comprise a formula 1 compound. The location and identity of the DNARS can be accomplished by DNA footprinting or other methods for detecting binding interactions. The DNARS, the receptor or the formula 1 compound can be labeled in these variations of method 2.
- In general, the second group of cells will be identical or essentially identical to the first group of cells. In embodiments (for both methods 1 and 2) where the cells are “essentially identical”, the first or the second group of cells may differ from each other by the presence or absence of a DNA construct(s) that expresses (i) a steroid receptor and/or (ii) an easily detected protein, e.g., a β-galactosidase, a peroxidase, a phosphatase, a luciferase or a chloramphenicol acetyltransferase, whose transcriptional regulation is usually modulated by a steroid receptor. In these embodiments, the difference between the first and the second group of cells is used to facilitate the analysis of the biological effects of the formula 1 compound and the steroid receptor binding partner. Groups of cells are considered “identical” if they do not display known or obvious morphological or genetic differences.
- Usually, the second group of cells will serve as a control, and they will thus not be exposed to any formula 1 compound before obtaining the RNA or cDNA. But, for some embodiments, one can expose the second group of cells to a known agonist or antagonist of the steroid receptor binding partner. This allows one to compare the potency of the formula 1 compound with the potency of the agonist or antagonist.
- In other embodiments, one can modify method 2 by providing a third group of cells, which is optionally used as an untreated control when the second group of cells is treated with a steroid receptor agonist or antagonist. In these embodiments, one will typically compare the effect of the formula 1 compound and the agonist or the antagonist of the expression of a gene or DNA construct. The DNA construct would comprise a promoter or other regulatory sequences that are subject to transcriptional modulation, usually increase transcription, by the formula 1 compound in concert with its binding partner.
- The formula 1 compounds can directly or indirectly modulate the activity or synthesis of one or more biological ligands to effect a detectable biological response or activity change. To facilitate the identification of candidate binding partners for the formula 1 compounds, one can use a radiolabeled formula 1 compound that is linked to a support, usually a solid support, as a means to recover the candidate binding partners. The formula 1 compound can be linked to the support through a variable group that is bonded to the formula 1 compound, e.g., at the 2-, 3-, 7-, 11-, 15-, 16- or 17-position of the steroid nucleus. Linking agents are known for such uses and include homobifunctional and heterobifunctional agents, many of which are commercially available. The linker one uses will typically comprise about 2-20 linked atoms. The linked atoms usually comprise mostly carbon, with one, two or three oxygen, sulfur or nitrogen atoms that optionally replace one or more carbon or hydrogen atoms. One can use a cDNA expression library that one has made from suitable cells or tissues as a source of candidate binding partners. The cells or tissues can be obtained from a mammalian or a vertebrate host, e.g., human, mouse, bird, primate, or from other sources, e.g., insects (e.g., Drosophila), other invertebrates (e.g., yeast, bacteria, Mycoplasma sp., Plasmodium sp., Tetrahymena sp., C. elegans) or other organism groups or species listed herein or in the cited references. Suitable tissues include skin, liver tissue or cells, including hepatocytes and Kupfer cells, fibrocytes, monocytes, dendritic cells, kidney cells and tissues, brain or other central nervous system cells or tissues, including neurons, astrocytes and glial cells, peripheral nervous system tissues, lung, intestine, placenta, breast, ovary, testes, muscle, including heart or myocyte tissue or cells, white blood cells, including T cells, B cells, bone marrow cells and tissues, lymph tissues or fluids and chondrocytes.
- Typically a candidate binding partner that one isolates from a non-human source will have a human homolog that has similar binding properties for the formula 1 compound. Non-human candidate binding partners can thus be used to facilitate recovery of the human homologs, e.g., by preparing antiserum for precipitating the human homolog from a solution that comprises the human homolog or by comparing the sequence of the non-human candidate binding partner with known human gene sequences. Once a source of the candidate binding partner is obtained, it can be contacted with labeled formula 1 compound, usually radiolabeled with, e.g., 14C or 3H, and complexes that comprise the labeled formula 1 compound and the candidate binding partner is recovered using, e.g., affinity chromatography or antibody precipitation methods. The recovery of the complex provides a source of at least partially purified candidate binding partner, i.e., the candidate binding partner is enriched, e.g., at least 10-fold enriched, or at least 100-fold enriched, or at least 500-fold enriched, compared to its abundance in the original candidate binding partner source material.
- Embodiments of the invention include a composition comprising a partially purified (purified at least about 2-fold to about 10-fold relative to natural sources, e.g., cells or a cell lysate) comples or a purified (purified at least about 20-fold to about 5000-fold relative to natural sources, e.g., cells or a cell lysate) complex (where the partially purified or purified complex is optionally isolated) comprising a formula 1 compound and a steroid receptor, a serum steroid-binding protein (e.g., human serum albumin, α1-acid glycoprotein, sex hormone-binding globulin, testosterone-binding globulin, corticosteroid-binding globulin, androgen binding protein (rat)) or another binding partner, e.g., transcription factor or DNARS. An aspect of these compositions includes a product produced by the process of contacting the partially purified or the purified composition with one or more cells, one or more tissues, plasma or blood.
- Other embodiments include a method to modulate a cellular response or to determine a biological activity of a formula 1 compound comprising: (a) contacting the formula 1 compound(s) with a cell or cell population; (b) measuring one or more of (i) a complex between a binding partner and the formula 1 compound, (ii) proliferation of the cell or cell population, (iii) differentiation of the cell or cell population (iv) an activity of a protein kinase C, (v) a level of phosphorylation of a protein kinase C substrate, (vi) transcription of one or more target genes, (vii) inhibition of unwanted cellular responses to certain steroids, e.g., inhibition of glucocorticoid-induced immune suppression or inhibition of glucocorticoid-induced bone loss, (viii) inhibition or modulation of steroid-induced transcription, e.g., increased or decreased expression induced by glucocorticoids or sex steroids or (ix) inhibition of HIV LTR-driven transcription; and (c) optionally comparing the result obtained in step (b) with an appropriate control. Aspects of this embodiment include (i) the method wherein the binding partner is a steroid receptor, a transcription factor or a DNARS, (ii) the method wherein the biological activity determined is a modulating activity of the formula 1 compound for replication or cytopathic effects associated with a retrovirus, a hepatitis virus or a protozoan parasite, (iii) the method wherein the biological activity determined is a modulating activity of the formula 1 compound for replication, cytopathic effects associated with the retrovirus, the hepatitis virus or the protozoan parasite or the biological activity determined is metabolism (assay by 3H-thymidine uptake or other assay as referenced or described herein) of a cell or cell population comprising NK cells, phagocytes, monocytes, macrophages, basophils, eosinophils, dendritic cells, synoviocytes, microglial cells, fibrocytes, transformed (neoplastic) cells, virus-infected cells, bacteria-infected cells or parasite-infected cells, and (iv) the method wherein the target gene is a virus gene, a bacterial gene, a parasite gene, a gene associated with cancer, e.g., wherein the virus gene is a DNA or an RNA polymerase gene, a reverse transcriptase gene, an envelope gene, a protease gene or a gene associated with viral nucleic acid replication or a viral structural gene.
- Another embodiment is a method comprising contacting a complex that comprises a steroid receptor and a formula 1 compound with a transactivator protein, whereby a complex comprising the steroid receptor protein, the formula 1 compound and the transactivator protein forms, wherein the transactivator protein is in (1) a cell or tissue extract (e.g., nuclei, lysate containing nuclei or lysate without nuclei from a cell(s) or tissue(s)), (2) a partially purified or purified cell or tissue extract, (3) a cell(s) in tissue culture or (4) a cell(s) in a subject, where any of (1) -(4) optionally comprises a target gene (native gene or introduced by standard gene manipulation techniques) whose level of expression is optionally assayed after the complex forms. In some of these embodiments, the transactivator protein is partially purified or purified and is in the cell or tissue extract or the partially purified or purified cell or tissue extract. The transactivator protein may be TIF-1, CBP/P300, TRIP1/SUG-1, RIP-140, SRC1α/P160, or TIF-2/GRIP-1. In any of these embodiments the complex comprising the steroid receptor protein, the formula 1 compound and the transactivator protein may increase or decrease transcription of the target gene compared to a suitable control (e.g., control under same conditions, but lacking any added compound that corresponds to the formula 1 compound, or where another compound (e.g., a steroid that is known to bind to the steroid receptor) is used as a benchmark or reference standard against which altered target gene expression is measured). In these methods, the target gene may be a pathogen gene (e.g., virus, bacterium, parasite, fungus, yeast) or a gene associated with a pathological condition (autoimmunity, inflammation, hyperproliferation).
- The formula 1 compounds are suitable for use in certain described methods that use steroids to modulate biological activities in cells or tissues. For example, a formula 1 compound(s) can be used to selectively interact with specific steroid receptors or steroid orphan receptor, or their subtypes, that are associated with a pathological condition(s) in a subject, essentially as described in U.S. Pat. No. 5,668,175. In these applications, the formula 1 compound may act as a ligand for the receptor to modulate abnormal expression of a gene product(s) that correlates with the pathological condition (a steroid hormone responsive disease state). Such genes are normally regulated by steroid hormones. In other applications, one can use the formula 1 compounds to screen for ligands that bind to or detectably affect a biological activity of a steroid receptor or steroid orphan receptor and one or more transcription factors (or cofactors) such as AP-1 and/or with a DNA sequence(s), essentially as described in U.S. Pat. No. 5,643,720. Similarly, the formula 1 compounds can be used essentially as described in U.S. Pat. Nos. 5,597,693, 5,639,598, 5,780,220, 5,863,733 and 5869337 to detectably modulate a biological activity of one of these molecules. In some of these embodiments, the formula 1 compound(s) is labeled to facilitate its use. Suitable labels are known in the art and include radiolabels (e.g., 3H, 14C, 32P, 35S, 131I, 99Tc and other halogen isotopes), fluorescent moieties (e.g., fluorescein, resorufin, Texas Red, rhodamine, BODIPY, arylsulfonate cyanines), chemiluminescent moieties (e.g., acridinium esters), metal chelators, biotin, avadin, peptide tags (e.g., histidine hexamer, a peptide recognized by monoclonal or polyclonal antibodies), covalent crosslinking moieties. One prepares the labeled compounds according to known methods.
- Methods suitable to measure the cellular response or biological effects caused by various compounds, e.g., activation, on immune system cells (e.g., NK cells, phagocytes, monocytes, macrophage, neutrophils, eosinophils, dendritic cells, synoviocytes, microglial cells, fibrocytes) have been described, e.g., Jakob et al., J. Immunol. 1998 161:3042-3049, Pierson et al., Blood 1996 87:180-189, Cash et al., Clin. Exp. Immunol. 1994 98:313-318, Monick et al., J. Immunol. 1999 162:3005-3012, Rosen et al., Infect. Immun. 1999 67:1180-1186, Grunfeld et al., J. Lipid Res. 1999 40:245-252, Singh et al., Immunol. Cell Biol. 1998 76:513-519, Chesney et al., Proc. Natl. Acad. Sci. USA 1997 94:6307-6312, Verhasselt et al., J. Immunol. 1999 162:2569-2574, Avice et al., J. Immunol. 1999 162:2748-2753, Cella et al., J. Exp. Med. 1999 189:821-829, Rutalt et al., Free Radical Biol. Med. 1999 26:232-238, Akbari et al., J. Exp. Med. 1999 189:169-178, Hryhorenko et al., Immunopharmacology 1998 40:231-240, Fernvik et al., Inflamm. Res. 1999 48:28-35, Cooper et al., J. Infect. Dis. 1999 179:738-742, Betsuyaku et al., J. Clin. Invest. 1999 103:825-832, Brown et al., Toxicol. Sci. 1998 46:308-316, Sibelius et al., Infect. Immunol. 1999 67:1125-1130. The use of formula 1 compounds in such methods are aspects of the invention and they permit, e.g., measurement of the biological effects of formula 1 compounds on, e.g., one or more of (1) the cell's biological activities, (2) genes whose expression is regulated by the formula 1 compound or (3) a steroid receptor. Exemplary biological effects that the formula 1 compounds may exert include one or more of (1) stimulation of ion flux or ion channel activity in one or more immune cell subsets such as one or more of those described herein, (2) binding to one or more ligands such as a steroid receptor and modulation of a biological activity of the receptor, (3) detectably enhanced transcription of one or more genes whose expression is affected by a steroid receptor(s) or other biomolecule whose activity is directly or indirectly affected by the formula 1 compound's presence and (4) detectably decreased transcription of one or more genes whose expression is affected by a steroid receptor(s) or other biomolecule whose activity is directly or indirectly affected by the formula 1 compound's presence.
- Embodiments include any of the methods described above, e.g., method 1, wherein the cells or biological system comprises NK cells, phagocytes, monocytes, macrophage, neutrophils, eosinophils, dendritic cells, synoviocytes, microglial cells, glial cells, fibrocytes or hepatocytes, that optionally comprise a DNA construct that expresses one or two cloned steroid receptors. The method optionally analyzes the effect of a formula 1 compound on the cells compared to controls. Controls include the use of a known agonist or antagonist for the steroid receptor or the comparison of cells exposed to a formula 1 compound with control cells (usually the same cell type as the treated cells) that are not exposed to the formula 1 compound. A response, e.g., activation of the steroid receptor can be measured by known assays compared to controls.
- The formula 1 compound will, in some cases modulate (increase or decrease) transcription of one or more genes in the cells. In other cases, the formula 1 compound will enhance lysosome movement in one or more of the subject's NK cells, phagocytes, monocytes, macrophages, neutrophils, eosinophils, dendritic cells synoviocytes, microglial cells or fibrocytes. Such effects will typically be mediated directly or indirectly through one or more transcription factors or steroid receptors that act to modulate gene transcription, e.g., cause enhanced protein kinase C (a PKC such as PKCα, PKCβ, PKCγ or PKCζ) activity in the cells used in the assay, or another effect as disclosed herein.
- Other related embodiments are a composition comprising a partially purified or a purified complex comprising a formula 1 compound and a steroid receptor, a serum steroid-binding protein (e.g., human serum albumin, α1-acid glycoprotein, sex hormone-binding globulin, testosterone-binding globulin, corticosteroid-binding globulin, androgen binding protein (rat) or a homolog or isoform of any of these) or another binding partner, e.g., transcription factor or DNARS. An aspect of these compositions includes a product produced by the process of contacting the partially purified or the purified composition with one or more cells, one or more tissues, plasma or blood.
- In a related embodiment, a formula 1 compound is used to exert a cytostatic effect on a subject's cells, e.g., mammalian cells, in vitro or in vivo. Typically such cells are lymphoid cells, e.g., T cell populations from, e.g., blood or organs that are rich in lymphoid cells (e.g., spleen, lymph tissue or nodes), or transformed T cell lines. Such activity provides an estimate of the potency of formula 1 compounds to mediate immunological effects, such as enhancing Th1 immune responses or suppressing expression of one or more Th2-associated cytokines. Thus, an invention method comprises (a) contacting a formula 1 compound and lymphoid cells in vitro, (b) determining the degree of cytostasis that the compound exerts to identify a cytostatic compound and (c) optionally administering the cytostatic compound to an immune suppressed subject to determine the effect of the compound on one or more of the subject's immune responses as described herein, e.g., enhanced Th1 cytokine or cell response or decreased Th2-associated cytokine expression. Typically, such methods are conducted using a range of formula 1 compound concentrations and suitable controls, such as a known cytostatic agent or a blank that contains solvent that lacks the formula 1 compound. Inhibition of cell proliferation is measured by standard methods. Methods to measure the cytostatic effects of the compounds includes measuring viable cell numbers in treated and untreated cultures or by measuring DNA synthesis using e.g., 3H-thymidine incorporation into DNA in treated and untreated cultures. Typical ranges of formula 1 concentrations in the cell growth medium are about 0.1 μM to about 100 μM, using about 4-6 different concentrations of compounds with a fixed number of cells (e.g., about 0.4×105 to about 5×105). The formula 1 compound is left in contact with the cells in tissue culture for a sufficient time to observe cytostasis, e.g., about 16 hours to about 6 days, typically about 24-72 hours. In these embodiments, one may optionally screen for modulation of a biological activity of a steroid receptor, e.g., activation of PPARα, which may be associated with the cytostasis the compound induced.
- Other therapeutic and biological applications and activities. The formula 1 compounds are useful in enhancing β-cell function in the islets of Langerhans or in reducing the rate of islet cell damage and thus they are useful to treat, prevent, ameliorate or slow the progression of diabetes and hyperglycemia in a subject. One or more diabetes symptoms that can improve include improved tolerance to glucose or improved glucose utilization, or a decrease in vascular lesions, atherosclerosis, diabetic osteoarthropathy, skin lesions, neuropathy, ketosis or autoantibodies against islet cells or decreased expression or levels of one or more of IL-1, TNF and IFN-γ. The compounds can also be used in, e.g., diabetes or obesity, to (1) reduce body fat mass and increase muscle mass or (2) lower one or more of serum or blood low density lipoprotein, triglyceride, cholesterol or serum apoB levels, typically with little or no effect on tissue sensitivity to insulin or with little or no effect on serum or blood high density lipoprotein levels. The compounds can be used to treat symptoms associated with obesity or diabetes. Dosages, routes of administration and dosing protocols for the formula 1 compounds are essentially as described herein.
- The formula 1 compounds are also useful for preventing, slowing the progression of or treating chronic renal failure in a subject. In some embodiments, the formula 1 compounds may be used where chronic renal failure results from polycystic kidney disease, from, e.g., an autoimmune condition such as acute or chronic glomerulonephritis, or from diabetes, interstitial nephritis or hypertension. Dosages, routes of administration and dosing protocols for the formula 1 compounds are essentially as described herein.
- The formula 1 compounds modulate the biological activity of cytokines or interleukins that are associated with various immune deficiency or dysregulation conditions, which may be transient or chronic. They can thus be used to ameliorate, treat or prevent naturally occurring age-related decline in immune function in a subject or immune deficiency or dysregulation resulting from trauma, stress, burns, surgery, autoimmunity or infections as described herein. Such immune deficiency dysregulation may be associated with, e.g., an age-related increase in production of one or more of IL-4, IL-5 and IL-6 or an age-related decrease in production of one or more of IL-2, IL-3, γ-IFN, GM-CSF or antibodies. In these embodiments, the formula 1 compound is administered to the subject to detectably decrease production or levels of one or more of IL-4, IL-5 and IL-6 or to detectably increase production or levels of one or more of IL-2, IL-3, IL-5, GM-CSF and γ-IFN. These cytokine changes facilitate normalization of the subject's immune responses. Such normalization can be observed by various means. These means include monitoring appropriate cytokine RNA or protein level(s) in the subject or by measuring biological responses such as restoration or detectable improvement of contact hypersensitivity in a subject with depressed or suboptimal contact hypersensitivity response. The formula 1 compounds can thus be used to enhance or restore a deficient or suboptimal immune response such as contact hypersensitivity response in a subject with a chronic or transient state of immune deficiency or dysregulation. In these embodiments, the formula 1 compound is administered using the dosages, routes of administration and dosing protocols for the formula 1 compounds essentially as described herein. Treatment with the formula 1 compounds is optionally combined with other appropriate treatments or therapies essentially as described herein, e.g., a antibacterial or antiviral agent(s) is coadministered with a formula 1 compound to treat, prevent or ameliorate an infection in an infected subject or a subject suffering from, e.g., a burn. Methods to measure changes in cytokine levels or contact hypersensitivity are known and can optionally be used in these embodiments, see, e.g., U.S. Pat. No. 5,919,465, U.S. Pat. No. 5,837,269, U.S. Pat. No. 5,827,841, U.S. Pat. No. 5,478,566.
- The capacity of the formula 1 compounds to modulate immune functions permits their use for treating, preventing, slowing the progression of or alleviating the a symptom(s) of subjects with psychological disorders, metabolic disorders, chronic stress, sleep disorders, conditions associated with sexual senescence, aging, or premature aging. Chronic stress and related disorders include fibromyalgia, chronic fatigue syndrome and hypothalamic-pituitary axis dysregulation. In these embodiments, treatment of subjects with a formula 1 compound is optionally combined with other suitable agents such as triiodothyronine, tetraiodothyronine, an insulin-like growth factor or insulin-like growth factor binding protein-3.
- An aspect of the invention provides embodiments where a formula 1 compound and a glutathione reductase inhibitor such as buthathione sulfoximine [CH3—(CH2)3—S(═O)(═NH)—(CH2)2—CHNH2—C(O)—OH] are administered to a subject to treat infections, e.g., a parasite infection such as malaria, Toxoplasma, Cryptosporidium, or to treat a cancer or malignancy. Without being bound to any theory, it is believed that the decreased supply of reduced glutathione may enhance phagocytosis by macrophage, possibly due to enhanced oxidative damage in infected cells or in replicating malignant cells. Alternatively, the use of a glutathione reductase inhibitor may result in improved recognition of infected or malignant cells by the immune system. A formula 1 compound, such as BrEA, and buthathione sulfoximine are used, e.g., to enhance clearance of ring stage malaria from infected cells or to enhance immune system recognition of malignant cells compared to the use of the formula 1 compound alone. The infections and malignancies where these embodiments apply are as described herein.
- Another aspect of the invention provides for the use of a formula 1 compound and a flavonoid, e.g., a naragin flavonoid, to enhance the bioavailability of the formula 1 compound. In these embodiments, the an effective amount of a flavonoid is administered to a subject who is receiving a formula 1 compound. Typically about 1-10 mg of flavonoid per kg of body weight is administered to the subject a flavonoid such as bavachinin A, didymin (isosakuranetin-7-rutinoside or neoponcirin), flavanomarein (isookanine-7-glucoside), flavanone azine, flavanone diacetylhydrazone, flavanone hydrazone, silybin, silychristin, isosilybin or silandrin. The flavonoid compound is typically administered with the formula 1 compound or a few hours, e.g., about 1, 2 or 3 hours, before the formula 1 compound is administered to the subject.
- As noted above, in some embodiments a treatment with a formula 1 compound is combined with a corticosteroid or glucocorticoid. Corticosteroids are used in a number of clinical situations to, e.g., decrease the intensity or frequency of flares or episodes of inflammation or autoimmune reactions in conditions such as rheumatoid arthritis, osteoarthritis, ulcerative colitis, bronchial asthma, psoriasis or systemic lupus erythematosus. However, many corticosteroids have significant side effects or toxicities that can limit their use or efficacy. The formula 1 compounds are useful to counteract such side effects or toxicities without negating all of the desired therapeutic capacity of the corticosteroid. This allows the continued use, or a modified dosage of the corticosteroid, e.g., an increased dosage, without an intensification of the side effects or toxicities or a decreased corticosteroid dosage. The side-effects or toxicities that can be treated, prevented, ameliorated or reduced include one or more of bone loss, reduced bone growth, enhanced bone resorption, osteoporosis, immunosuppression, increased susceptibility to infection, mood or personality changes, depression, headache, vertigo, high blood pressure or hypertension, muscle weakness, fatigue, nausea, malaise, peptic ulcers, pancreatitis, thin or fragile skin, growth suppression in children or preadult subjects, thromboembolism, cataracts, and edema. Dosages, routes of administration and dosing protocols for the formula 1 compound would be essentially as described herein. An exemplary dose of formula 1 compound of about 0.5 to about 20 mg/kg/day is administered during the period during which a corticosteroid is administered and optionally over a period of about 1 week to about 6 months or more after dosing with the corticosteroid has ended. The corticosteroids are administered essentially using known dosages, routes of administration and dosing protocols, see, e.g., Physicians Desk Reference 54th edition, 2000, pages 323-2781, ISBN 1-56363-330-2, Medical Economics Co., Inc., Montvale, N.J. However, the dosage of the corticosteroid may optionally be adjusted, e.g., increased about 10% to about 300% above the normal dosage, without a corresponding increase in all of the side effects or toxicities associated with the corticosteroid. Such increases would be made incrementally over a sufficient time period and as appropriate for the subject's clinical condition, e.g., daily corticosteroid dose increases of about 10% to about 20% to a maximum of about 300% over about 2 weeks to about 1 year.
- Such corticosteroids include hydrocortisone (cortisol), corticosterone, aldosterone, ACTH, triamcinolone and derivatives such as triamcinolone diacetate, triamcinolone hexacetonide, and triamcinolone acetonide, betamethasone and derivatives such as betamethasone dipropionate, betamethasone benzoate, betamethasone sodium phosphate, betamethasone acetate, and betamethasone valerate, flunisolide, prednisone, fluocinolone and derivatives such as fluocinolone acetonide, diflorasone and derivatives such as diflorasone diacetate, halcinonide, dexamethasone and derivatives such as dexamethasone dipropionate and dexamethasone valerate, desoximetasone (desoxymethasone), diflucortolone and derivatives such as diflucortolone valerate), fluclorolone acetonide, fluocinonide, fluocortolone, fluprednidene, flurandrenolide, clobetasol, clobetasone and derivatives such as clobetasone butyrate, alclometasone, flumethasone, and fluocortolone.
- In some applications, the formula 1 compound(s) may directly and/or indirectly interfere with replication, development or cell to cell transmission of a pathogen such as a virus or a parasite (malaria). Improvement in a subject's clinical condition may arise from a direct effect on an infectious agent or on a malignant cell. Interference with cellular replication can arise from inhibition of one or more enzymes that a parasite or an infected cell uses for normal replication or metabolism, e.g., glucose-6-phosphate dehydrogenase, which affects cellular generation of NADPH (see, e.g., Raineri et al., Biochemistry 1970 9: 2233-2243). This effect may contribute to cytostatic effects that some formula 1 compounds can have. Modulation of cellular enzymes expression or activity may also interfere with replication or development of a pathogen, e.g., HIV or malaria parasites or with replication or development of neoplastic cells, e.g., inhibition of angiogenesis. Clinical improvement will also generally result from an enhanced immune response such as an improved Th1 response.
- Administration of a formula 1 compound can lead to a decrease in adenosine levels in a subject's tissue(s), e.g., lung or central nervous system tissue. This effect can be used to treat, prevent, ameliorate one or more symptoms of or slow the progression of a disease(s) or clinical condition(s) where a relatively high level of adenosine is a factor in or can contribute to the disease or condition, e.g., in asthma.
- Adenosine is associated with the symptoms of bronchial asthma, where it can induce bronchoconstriction or contraction of airway smooth muscle in asthmatic subjects, see, e.g., J. Thorne and K. Broadley, American Journal of Respiratory & Critical Care Medicine 149(2 pt. 1):392-399 1994, S. Ali et al., Agents & Actions 37:165-167 1992, Bjorck et al., American Review of Respiratory Disease 145:1087-1091 1992. This effect is not observed in non-asthmatic subjects. In the central nervous system, adenosine can inhibit the release of neurotransmitters such as acetylcholine, noradrenaline, dopamine, serotonin, glutamate, and GABA. It can also depress neurotransmission, reduce neuronal firing to induce spinal analgesia and it possesses anxiolytic properties, see, e.g., A. Pelleg and R. Porter, Pharmacotherapy 10:157 1990. In the heart, adenosine suppresses pacemaker activity, slows AV conduction, possesses antiarrhythmic and arrhythmogenic effects, modulates autonomic control and triggers the synthesis and release of prostaglandins. In addition, adenosine has vasodilatory effects and can modulate vascular tone.
- The unwanted effects of excess adenosine can be ameliorated or reduced by administering sufficient amounts of a formula 1 compound to a subject who is subject to developing or who has an unwanted level of adenosine in one or more tissues or organs. In typical embodiments, one will administer about 10 mg/kg/day to about 100 mg/kg/day of a formula 1 compound to a subject over a period of about 1 week to about 4 months to effect detectable changes in adenosine levels or amelioration in one or more symptoms associated with high adenosine in one or more of the subject's tissues. Such changes may be determined by comparing the subject's adenosine levels before treatment with the formula 1 compound is started. Alternatively, for subjects with symptoms that are consistent with high adenosine levels, the decrease can be inferred by comparing the normal level of adenosine in the target tissue(s) for subjects of the same species and similar age or sex with the level that is observed after treatment. Methods to measure adenosine levels in mammalian tissue are known and can optionally be used in these embodiments, e.g., U.S. Pat. No. 6,087,351.
- In some clinical conditions, the formula 1 compounds can inhibit activated T lymphocytes in vivo, and they can inhibit the expression or biological activity of one or more of TNF-α, IFN-γ, IL-6, IL-8 or insulin like growth factor-1 receptor (IGF-1R) or IL-6 receptor. The compounds are thus useful to treat, prevent or ameliorate conditions where this is a component of pathology. Such conditions include inflammation conditions such as psoriasis, psoriatic arthritis, osteoarthritis, and rheumatoid arthritis. The compound can thus ameliorate the inflammation, e.g., by inhibiting expression of one or more of TNF-α, IFN-γ, IL-6, IL-8 or IGF-1R. Also, the compounds can inhibit unwanted T cell activity. They can thus ameliorate one or more psoriasis symptoms such as skin scaling, skin thickening, keratinocyte hyperproliferation, deficient filaggrin expression (B. Baker et al., Br. J. Dermatol. 1984, 111:702), deficient strateum corneum lipid deposition or they can improve a clinical assessment such as the Psoriasis Activity and Severity Index. The formula 1 compounds can be delivered to a subject with psoriasis using topical or systemic formulations as described herein. Topical formulations include gels and creams, e.g., as described herein. Daily or intermittent administration of the compound can be used essentially as described herein. The use of the formula 1 compounds is optionally combined with one more current psoriasis treatments, e.g., topical emollients or moisturizers, tars, anthralins, systemic or topical corticosteroids, vitamin D analogs such as calcitriol, methotrexate, etretinate, acitretin, cyclosporin, FK 506, sulfasalazine, ultraviolet B radiation optionally combined with one or more of a topical corticosteroid, tar, anthralin, emollient or moisturizer or ultraviolet A plus psoralen. Such additional treatments essentially would use known dosages and routes of administration, which are applied, e.g., within a month before, during or within a month after a treatment course with a formula 1 compound.
- Other desirable modulation effects of the formula 1 compounds on cells or tissues include (1) inhibition of one or more of bone resorption or calcium release or gp80, gp130, tumor necrosis factor (TNF), osteoclast differentiation factor (RANKL/ODF), RANKL/ODF receptor, IL-6 or IL-6 receptor expression or biological activity in, e.g., bone loss or osteoporosis conditions or in osteoclasts, or in cancers such as metastatic breast cancer or metastatic lung cancer (e.g., with bone metastases), (2) inhibition of osteoclastogenesis or osteoclast development from progenitor cells, (3) enhancement of NFkB inhibition that is mediated by steroid receptors, e.g., enhanced inhibition of estrogen receptor-α or estrogen receptor-β mediated inhibition of NFkB in inflammation, rheumatoid arthritis or osteoporosis, (4) enhancement of osteoblastogenesis or osteoblast development from progenitor cells in, e.g., osteoporosis or other bone loss conditions, by, e.g., modulation or enhancement of the synthesis or biological activity of a transcription factor such as Cbfa1, RUNX2 or AML-3 (5) normalization of hypothalamic-pituitary-adrenal axis function in conditions where there is dysregulation such as in chronic inflammatory diseases, chronic asthma or rheumatoid arthritis (increased cortisol to ACTH ratio), (6) modulation of ligand-gated ion channels in neurons in, e.g., depression, sleep or memory disorders, (8) modulation of G-protein coupled receptors in neurons in, e.g., depression, sleep or memory disorders, (9) modulation, e.g., induction, of the synthesis or biological activity of metabolic enzymes such as a cytochrome (e.g., CYP1A1, CYP2B1, CYP4A, CYP7A1, CYP7B1, P450 3A4, P450c17, P450scc, P450c21 or an isozyme or homolog of any of these) in cells or tissues such as liver cells, neurons, neuron precursor cells, brain, breast, testes or colon, (10) enhancement of collagen synthesis or levels in, e.g., skin in aging or skin damage from, e.g., trauma, thermal injury or solar radiation, (11) inhibition of nitric oxide production in cells or tissue, e.g., in nervous system tissue or in microglial cells in dementias such as Alzheimer's disease, (12) enhancing glucose-stimulated insulin synthesis in hyperglycemia or diabetes conditions, (13) modulation of gamma-aminobutyric acid (GABA), dopamine or N-methyl-D-aspartate (NMDA) receptor activity or levels in, e.g., brain tissue or neurons, (e.g., decreased GABA-mediated chloride currents or potentiation of neuronal response to NMDA in the hippocampus) in, e.g., conditions such as a dementia (Alzheimer's Disease), depression, anxiety, schizophrenia or memory loss due to, e.g., aging or another condition described herein, (14) modulating (e.g., enhancing) the expression or activity of a transcription factor(s), or a homolog(s) or isoform(s), such as SET, nerve growth factor inducible protein B, StF-IT, SF-1 in cells or tissues such as nerve cells, neuronal precursor cells or liver cells, (15) inhibition of eosinophil infiltration or reduction IgE levels in allergic responses or in lung or other tissue, (16) modulation, e.g., a decrease, in serum or blood of leptin levels in, e.g., obese subjects such as humans with a body mass index of about 27, 28, 29, 30, 31, 32, 33 or greater, (17) increased corticotropin releasing hormone synthesis or activity in, e.g., elderly subjects such as humans at least about 60 years of age or at least about 70 years of age, (18) enhancement of memory or reduction of memory loss or disorientation in aging or dementias such as Alzheimer's Disease, (19) modulation, e.g., enhancement, of CARβ, RXR, PPARα, PPARβ or PPARγ levels or activity in conditions such as diabetes, obesity (e.g., a human with a body mass index of about 27, 28, 29, 30, 31, 32, 33 or greater), glucose or lipid disorders (e.g., a hemostasis disorder or in elevated cholesterol, low density lipoprotein or triglyceride conditions), cancer (e.g., breast cancer), (20) enhancement of the synthesis or activity of one or more enzymes responsible for thermogenesis, e.g., liver glycerol-3-phosphate dehydrogenase or malic enzyme, in subjects such as obese or diabetic humans, (21) modulation, e.g., reduction, of the synthesis or biological activity of the CXCR4 receptor or the CXCL12 chemokine in hyperproliferation conditions such as breast cancers or precancers, (22) modulation of the synthesis or biological activity of one or more of holocytochrome c, cytochrome c, second mitochondria-derived activator of caspase, Apaf-1, Bax, procaspase-9, caspase-9, procaspase-3, caspase-3, caspase-6 and caspase-7, e.g., enhanced translocation of these molecules from mitochondria to cytosol or activation of these molecules in the cytosol in cancer precancer cells, cancer cells or cells that mediate autoimmunity, (23) modulation of the synthesis or biological activity of one or more of tumor necrosis factor-α, interleukin-1β converting enzyme, IL-6, IL-8, caspase-4 and caspase-5, e.g., decreased activation of these molecules in injured cells or cells subject to injury from, e.g., ischemia or infarction (e.g., vascular, cardiac or cerebral), reperfusion of hypoxic cells or tissue or an inflammation condition such as rheumatoid arthritis, ulcerative colitis, viral hepatitis, alcoholic hepatitis, or another inflammation condition disclosed herein, (24) decrease of the synthesis, biological activity or activation of one or more of phospholipase A2, caspase-1, caspase-3 and procaspase-3 in neurodegeneration disorders or dementias such as Alzheimer's disease, Huntington's disease, or another neurological condition disclosed herein. The formula 1 compounds can thus be used where one or more of these conditions or their symptoms is present. Methods to measure the synthesis or biological activity of these molecules has been described, see, e.g., U.S. Pat. Nos. 6,200,969, 6,187,767, 6,174,901, 6,110,691, 6,083,735, 6,024,940, 5,919,465 and 5,891,924.
- The formula 1 compounds are believed to be effective in facilitating release of myeloperoxidase from granulated neutrophils. The enzyme generates free hydrogen peroxide. Some of the formula 1 compounds, e.g., compounds with a halogen such as bromine or iodine at, e.g., the 16 position, can be metabolized to provide a source of halogen. In cases where the halogen is released, the released halogen can react with hydrogen peroxide (H2O2) to generate hypohalogenous acid such as hypobromous acid (HOBr). Exemplary compounds include a halogenated formula 1 compound such as 16-bromoepiandrosterone. Alternatively, a halogen salt, e.g., KBr, NaBr, KI or NaI, can be administered to the subject to provide a source of halogen. The halogen source can be administered to a subject as a component in a formulation that comprises a formula 1 compound or it can be administered separately. Hypohalogenous acid is a potent antimicrobial agent, which may be effective in reducing pathogens in the circulatory system of subjects with a blood cell deficiency who also have a pathogen infection. Hypohalogenous acid that is generated in vivo would provide benefits to such subject as shown by, e.g., a reduced quantitative circulating viral or bacterial culture measurement, without the toxicity that is normally associated with its direct administration to a subject. Biological activities of white blood peroxidase enzymes have been described, see, e.g., M. Saran et al., Free Radical Biol. Med. 1999 26:482-490, W. Wu et al., J. Clin. Invest. 2000 105:1455-1463 and Z. Shen et al., Biochemistry 2000 39:5474-5482.
- Numbered embodiments. Several aspects of the invention and related subject matter includes the following numbered embodiments.
- In some aspects, the invention relates to non-aqueous liquid formulations that comprise a formula 1 compound. Exemplary embodiments are as follows.
- 1. A composition comprising one or more compounds of formula 1 or formula 2 and one or more nonaqueous liquid excipients, wherein the composition comprises less than about 3% v/v water.
- 2. The composition of embodiment 1 wherein the one or more formula 1 compounds has the structure
wherein R7 and R9 independently are —CHR10—, —CH2—, —CH═, —O—, —S— or —NH—, wherein R10 is —OH, —SH, C1-10 optionally substituted alkyl, C1-10 optionally substituted alkoxy, C1-10 optionally substituted alkenyl or C1-10 optionally substituted alkynyl; and R8 is —CH2—, —O—, —S— or —NH—, wherein hydrogen atoms at the 5 (if present), 8, 9 and 14 positions respectively are α.α.α.α (i.e., 5α, 8α, 9α, 14α), α.α.α.β, α.α.β.α, α.β.α.α, β.α.α.α, α.α.β.β, α.βα.β, β.α.α.β, β.α.β.α, β.βα.α, α.β.β.α, α.ββ. β, β. α.β.β, β.β.α.β,β.ββα or β.β.β.β, typically α.α.βα or β.α.β.α. - 3. The composition of embodiment 2 wherein the one or more formula 1 compounds has the structure
wherein hydrogen atoms at the 5 (if present), 9 and 14 positions respectively are α.α.α.α, α.α.α.β, α.α.β.α, α.β.α.α, β.α.αα, α.α.ββ, α.β.αβ, β.α.α.β, β.α.β.α, β.β.αα, α.β.β.α, α.β.β.β, β.α.β.β, β.β.α.β, β.β.βα or β.β.β.β, typically α.α.β.α or β.α.β.α. - 4. The composition of embodiments 1, 2 or 3 wherein one, two, three or four formula 1 compounds are present.
- 5. The composition of embodiments 1, 2, 3 or 4 wherein the composition comprises less than about 0.3% v/v water.
- 6. The composition of embodiments 1, 2, 3, 4 or 5 wherein the one or more nonaqueous liquid excipients is one, two or more of an alcohol, a polyethylene glycol, propylene glycol or benzyl benzoate.
- 7. The composition of any of embodiments 1-6 (embodiment 1, 2, 3, 4, 5 or 6) wherein the formula 1 compound is 16α-bromo-3β-hydroxy-5α-androstan-17-one, 16α-bromo-3β,7β-dihydroxy-5-androstan-17-one, 16α-bromo-3β,7β,17β-trihydroxy-5α-androstene, 16α-bromo-3β,7α-dihydroxy-5α-androstan-17-one, 16α-bromo-3β,7α,17β-trihydroxy-5-androstene, 16α-bromo-3β,7β-dihydroxy-5α-androstane, 16α-bromo-3β,7β-dihydroxy-5-androstene, 16α-bromo-3β,7β,17β-trihydroxy-5α-androstane, 16β-bromo-3β,17β-dihydroxy-5α-androstane, 16β-bromo-3β,17β-dihydroxy-5-androstene, 16β-bromo-3β,7β,17β-trihydroxy-5α-androstane, 16β-bromo-3β-hydroxy-5α-androstan-17-one, 16β-bromo-3β-hydroxy-5α-androsten-17-one, 16β-bromo-3β,7β,-dihydroxy-5α-androstan-17-one, 16β-bromo-3β,7β,-dihydroxy-5α-androsten-17-one, 3β,7α,-dihydroxyepiandrosterone, 3β,7β,-dihydroxyepiandrosterone, 3β, -hydroxy-7-oxoepiandrosterone.
- 8. The composition of embodiment 7 wherein the formula 1 compound is 16α-bromo-3β-hydroxy-5α-androstan-17-one.
- 9. The composition of any of embodiments 1-8 wherein the composition comprises two, three, four or five nonaqueous liquid excipients.
- 10. The composition of embodiment 9 wherein the composition comprises three or more nonaqueous liquid excipients.
- 11. The composition of any of embodiments 1-10 wherein the formula 1 compound comprises about 0.0001-99% w/v of the composition.
- 12. The composition of any of embodiments 1-11 wherein the composition comprises a unit dose.
- 13. The composition of embodiment 12 wherein the unit dose comprises about 0.5-100 mg/mL of the formula 1 compound.
- 14. The composition of embodiment 10 wherein the composition comprises about 1.0-60 mg/mL of the formula 1 compound.
- 15. The composition of embodiment 14 wherein the formula 1 compound is 16α-bromo-3β-hydroxy-5α-androstan-17-one, 16α-bromo-3β,7β-dihydroxy-5α-androstan-17-one, 16α-bromo-3β,7β,17β-trihydroxy-5α-androstene, 16α-bromo-3β,17β-dihydroxy-5α-androstane, 16α-bromo-3β,7β-dihydroxy-5α-androstene, 16α-bromo-3β,7β,17β-trihydroxy-5α-androstane, 16β-bromo-3β,17β-dihydroxy-5α-androstane, 16β-bromo-3β,17β-dihydroxy-5α-androstene, 16β-bromo-3β,7β,17β-trihydroxy-5α-androstane, 16β-bromo-3β-hydroxy-5α-androstan-17-one, 16β-bromo-3β-hydroxy-5α-androsten-17-one, 16β-bromo-3β,7β,-dihydroxy-5α-androstan-17-one or 16β-bromo-3β,7β,-dihydroxy-5α-androsten-17-one.
- 16. The composition of embodiment 1 wherein the one or more nonaqueous liquid excipients comprise a polyethylene glycol, propylene glycol and benzyl benzoate.
- 17. The composition of embodiment 16 wherein the composition comprises less than about 0.3% v/v water.
- 18. The composition of embodiment 17 wherein the formula 1 compound is 16α-bromo-3β-hydroxy-5α-androstan-17-one, 16α-bromo-3β,7β-dihydroxy-5α-androstan-17-one, 16α-bromo-3β,7β,17β-trihydroxy-5α-androstene, 16α-bromo-3β,7β-dihydroxy-5α-androstane, 16α-bromo-3β,7β-dihydroxy-5α-androstene, 16β-bromo-3β,7β,17β-trihydroxy-5α-androstane, 16β-bromo-3β,17β-dihydroxy-5α-androstane, 16β-bromo-3β,17β-dihydroxy-5α-androstene, 16β-bromo-3β,7β,17β-trihydroxy-5α-androstane, 16β-bromo-3β-hydroxy-5α-androstan-17-one, 16β-bromo-3β-hydroxy-5α-androsten-17-one, 16β-bromo-3β,7β,-dihydroxy-5α-androstan-17-one or 16β-bromo-3β,7β,-dihydroxy-5α-androsten-17-one.
- 19. The composition of embodiment 18 wherein the formula 1 compound is 16α-bromo-3β-hydroxy-5α-androstan-17-one.
- 20. The composition of embodiment 16 that further comprises an alcohol.
- 21. The composition of embodiment 20 wherein the formula 1 compound is 16α-bromo-3β-hydroxy-5α-androstan-17-one, 16α-bromo-3β,7β-dihydroxy-5α-androstan-17-one, 16α-bromo-3β,7β,17β-trihydroxy-5α-androstene, 16α-bromo-3β,7β-dihydroxy-5α-androstane, 16β-bromo-3β,7β-dihydroxy-5α-androstene, 16α-bromo-3β,7β,17β-trihydroxy-5α-androstane, 16β-bromo-3β,17β-dihydroxy-5α-androstane, 16β-bromo-3β,17β-dihydroxy-5α-androstene, 16β-bromo-3β,7β,17β-trihydroxy-5α-androstane, 16β-bromo-3β-hydroxy-5α-androstan-17-one, 16β-bromo-3β-hydroxy-5α-androsten-17-one, 16β-bromo-3β,7β,-dihydroxy-5α-androstan-17-one or 16β-bromo-3β,7β,-dihydroxy-5α-androsten-17-one.
- 22. The composition of embodiment 1 wherein the one or more nonaqueous liquid excipients comprise benzyl benzoate, a polyethylene glycol, an alcohol and optionally an additional nonaqueous liquid excipient.
- 23. The composition of embodiment 22 wherein the composition comprises less than about 0.3% v/v water.
- 24. The composition of embodiment 22 or 23 wherein the formula 1 compound is 16α-bromo-3β-hydroxy-5α-androstan-17-one, 16α-bromo-3β,7β-dihydroxy-5α-androstan-17-one, 16α-bromo-3β,7β,17β-trihydroxy-5α-androstene, 16α-bromo-3β,7β-dihydroxy-5α-androstane, 16α-bromo-3β,7β-dihydroxy-5α-androstene, 16α-bromo-3β,7β,17β-trihydroxy-5α-androstane, 16β-bromo-3β,17β-dihydroxy-5α-androstane, 16β-bromo-3β,17β-dihydroxy-5α-androstene, 16β-bromo-3β,7β,17β-trihydroxy-5α-androstane, 16β-bromo-3β-hydroxy-5α-androstan-17-one, 16β-bromo-3β-hydroxy-5α-androsten-17-one, 16β-bromo-3β,7β,-dihydroxy-5α-androstan-17-one or 16β-bromo-3β,7β,-dihydroxy-5α-androsten-17-one.
- 25. The composition of embodiment 24 wherein the formula 1 compound is 16α-bromo-3β-hydroxy-5α-androstan-17-one.
- 26. The composition of embodiment 22, 23, 24 or 25 wherein the polyethylene glycol is polyethylene glycol 300 and/or polyethylene glycol 200.
- 27. The composition of embodiment 26 wherein the alcohol is polyethylene glycol is polyethylene glycol 300.
- 28. The composition of embodiments 22 or 23 that comprises about 2.5-25% v/v ethanol, about 1-10% v/v benzyl benzoate, about 10-35% v/v polyethylene glycol 300, about 40-65% v/v propylene glycol and about 2-60 mg/mL 16α-bromo-3β-hydroxy-5α-androstan-17-one.
- 29. The composition of embodiments 22, 23, 24, 25 or 26 that comprises about 0.1-10% v/v benzyl benzoate, about 0.1-10% v/v benzyl alcohol, about 1-95% v/v polyethylene glycol 200, about 1-95% v/v propylene glycol and about 2-60 mg/mL 16α-bromo-3β-hydroxy-5α-androstan-17-one. The embodiment 28A composition may comprise about 2% v/v benzyl benzoate, about 2% v/v benzyl alcohol, about 40% v/v polyethylene glycol 200, about 51% v/v propylene glycol (qs) and about 50 mg/mL 16α-bromo-3β-hydroxy-5α-androstan-17-one.
- 30. The composition of embodiment 28 that comprises about 12.5% v/v ethanol, about 5% v/v benzyl benzoate, about 25% v/v polyethylene glycol 300, about 57.5% v/v propylene glycol and about 50 mg/mL 16α-bromo-3β-hydroxy-5α-androstan-17-one.
- 31. The composition of any of embodiments 1-29 that further comprises a local anesthetic.
- 32. The composition of embodiment 30 wherein the local anesthetic is procaine, benzocaine or lidocaine.
- 33. The composition of any of embodiments 1-31 wherein the composition comprises a solvate, a suspension, a colloid, a gel or a combination of any of the foregoing.
- 34. A product produced by the process of contacting a composition comprising one or more compounds of formula 1 and a first nonaqueous liquid excipient with a second nonaqueous liquid excipient wherein the product comprises less than about 3% water and the salts, analogs, configurational isomers and tautomers thereof.
- 35. The product of embodiment 33 wherein the product comprises less than about 0.3% water.
- 36. The product of embodiments 33 or 34 wherein the first nonaqueous liquid excipient is a polyethylene glycol (e.g., PEG300 or PEG 200) or propylene glycol.
- 37. The product of embodiments 33, 34 or 35 wherein the second nonaqueous liquid excipient is a polyethylene glycol (e.g., PEG300 or PEG 200) or propylene glycol.
- 38. A product produced by the process of contacting a composition comprising one or more compounds of formula 1 and two nonaqueous liquid excipients with a third nonaqueous liquid excipient wherein the product comprises less than about 3% water and the salts, analogs, configurational isomers and tautomers thereof.
- 39. The product of embodiment 38 wherein the product comprises less than about 0.3% water.
- 40. The product of embodiments 38 or 39 wherein the two nonaqueous liquid excipients are selected from a polyethylene glycol (e.g., PEG300 or PEG 200), propylene glycol, benzyl benzoate and an alcohol (e.g., ethanol).
- 41. The product of embodiments 38, 39 or 40 wherein the third nonaqueous liquid excipient is a polyethylene glycol (e.g., PEG300 or PEG 200), propylene glycol, benzyl benzoate or an alcohol (e.g., ethanol).
- 42. A product produced by the process of contacting a composition comprising one or more compounds of formula 1 and three nonaqueous liquid excipients with a fourth nonaqueous liquid excipient wherein the product comprises less than about 3% water and the salts, analogs, configurational isomers and tautomers thereof.
- 43. The product of embodiment 42 wherein the product comprises less than about 0.3% water.
- 44. The product of embodiments 42 or 43 wherein the three nonaqueous liquid excipients are selected from a polyethylene glycol (e.g., PEG300 or PEG 200), propylene glycol, benzyl benzoate and an alcohol (e.g., ethanol).
- 45. The product of embodiments 42, 43 or 44 wherein the fourth nonaqueous liquid excipient is a polyethylene glycol (e.g., PEG300 or PEG 200), propylene glycol, benzyl benzoate or an alcohol (e.g., ethanol).
- 46. The product of any of embodiments 33-45 wherein the product has been stored at reduced temperature (about 4° C. to about 8° C.) or at ambient temperature for about 30 minutes to about 2 years.
- 47. The product of any of embodiments 33-46 wherein the one or more compounds of formula 1 comprise 1, 2, 3 or 4 formula 1 compounds.
- 48. The product of any of embodiments 33-46 wherein the one or more compounds of formula 1 comprises one formula 1 compound.
- 49. The product of any of embodiments 33-48 wherein the one or more formula 1 compound is selected from 16α-bromo-3β-hydroxy-5α-androstan-17-one, 16α-bromo-3β,7β-dihydroxy-5α-androstan-17-one, 16α-bromo-3β,7β,7β-trihydroxy-5α-androstene, 16α-bromo-3β,7β-dihydroxy-5α-androstane, 16α-bromo-3β,7β-dihydroxy-5α-androstene, 16α-bromo-3β,7β,17β-trihydroxy-5α-androstane, 16β-bromo-3β,17β-dihydroxy-5α-androstane, 16β-bromo-3β,17β-dihydroxy-5α-androstene, 16β-bromo-3β,7β,17β-trihydroxy-5α-androstane, 16β-bromo-3β-hydroxy-5α-androstan-17-one, 16β-bromo-3β-hydroxy-5α-androsten-17-one, 16β-bromo-3β,7β,-dihydroxy-5α-androstan-17-one and 16β-bromo-3β,7β,-dihydroxy-5α-androsten-17-one.
- 50. The product of embodiment 49 wherein the formula 1 compound is 16α-bromo-3β-hydroxy-5α-androstan-17-one.
- 51. The product of embodiment 49 that comprises about 2.5-25% v/v ethanol, about 1-10% v/v benzyl benzoate, about 10-35% v/v polyethylene glycol 300, about 40-65% v/v propylene glycol and about 2-60 mg/mL 16α-bromo-3β-hydroxy-5α-androstan-17-one.
- 52. The product of embodiment 51 that comprises about 12.5% v/v ethanol, about 5% v/v benzyl benzoate, about 25% v/v polyethylene glycol 300, about 57.5% v/v propylene glycol and about 50 mg/mL 16α-bromo-3β-hydroxy-5α-androstan-17-one.
- 53. The product of any of embodiments 33-52 that further comprises a local anesthetic.
- 54. The composition of 52 wherein the local anesthetic is procaine, benzocaine or lidocaine.
- 55. A product produced by the process of contacting a composition comprising a compound of formula 1 with a nonaqueous liquid excipient wherein the product comprises less than about 3% v/v water and the salts, analogs, configurational isomers and tautomers thereof.
- 56. The product of embodiment 55 wherein the product comprises less than about 0.3% v/v water.
- 57. The product of embodiment 53 wherein the product has been stored at reduced temperature (about 4° C. to about 8° C.) or at ambient temperature for about 1 hour to about 2 years.
- 58. The product of embodiment 53 wherein the first nonaqueous liquid excipient is a polyethylene glycol, an alcohol, propylene glycol or benzyl benzoate.
- 59. The product of any of embodiments 33-58 wherein the formula 1 compound comprises about 0.01% to about 99% w/v of the product.
- 60. The product of any of embodiments 33-59 wherein the product is a unit dose.
- 61. The unit dose of embodiment 60 comprising a solution containing about 0.5-70 mg/mL of the one or more formula 1 compound.
- 62. The product of any of embodiments 55-61 wherein the one or more formula 1 compound is selected from 16α-bromo-3β-hydroxy-5α-androstan-17-one, 16α-bromo-3β,7β-dihydroxy-5α-androstan-17-one, 16α-bromo-3β,7β,17β-trihydroxy-5α-androstene, 16α-bromo-3β,7β-dihydroxy-5α-androstane, 16α-bromo-3β,7β-dihydroxy-5α-androstene, 16α-bromo-3β,7β,17β-trihydroxy-5α-androstane, 16β-bromo-3β,17β-dihydroxy-5α-androstane, 16β-bromo-3β,17β-dihydroxy-5α-androstene, 16β-bromo-3β,7β,17β-trihydroxy-5α-androstane, 16β-bromo-3β-hydroxy-5α-androstan-17-one, 16β-bromo-3β-hydroxy-5α-androsten-17-one, 16β-bromo-3β,7β,-dihydroxy-5α-androstan-17-one and 16β-bromo-3β,7β,-dihydroxy-5α-androsten-17-one.
- 63. The product of embodiment 62 wherein the formula 1 compound is 16α-bromo-3β-hydroxy-5α-androstan-17-one.
- 64. The product of any of embodiments 33-61 wherein the one or more formula 1 compound is selected from the compounds or one or more of the species of compounds within the genera named in compound groups 1 through 21-10-6.
- 65. A method comprising administering the composition or product of any of embodiments 1-64 to a subject suffering from a pathogen infection or a malignancy or an immune suppression or disregulation condition, e.g., a suppressed Th1 immune response or an unwanted Th2 immune response.
- 66. The method of embodiment 65 wherein the pathogen infection is a DNA virus infection or an RNA virus infection.
- 67. The method of embodiment 66 wherein the RNA virus infection is a retrovirus infection or a hepatitis virus infection.
- 68. The method of embodiment 67 wherein the retrovirus infection or hepatitis virus infection is an HIV, FIV, SIV, SHIV or hepatitis C virus infection.
- 69. The method of embodiment 65 wherein the pathogen infection is an intracellular parasite infection.
- 70. The method of embodiment 69 wherein the intracellular parasite infection is a malaria infection.
- 71. The method of embodiment 65 wherein the formula 1 compound has the structure
wherein one, two or three of R7, R8 and R9 are —CH2— or —CH═ and wherein the configuration of hydrogen atoms at the 5 (if present), 8, 9 and 14 positions respectively are α.α.α.α, α.α.α.β, α.α.β.α, α.β.α.α, β.α.α.α, α.α.β.β, α.β.α.β, β.α.α.β, β.α.β.α, β.β.α.α, α.β.β.α, α.β.β.β, β.α.β.β, β.β.β.α or β.β.β.β, typically α.α.β.α or β.α.β.α. -
- 73. The method of embodiment 72 wherein R1, R2 and R4 independently are —OH, aC2-C20 ester or C1-C20 alkoxy, R3 is —H and two or three of R7, R8 and R9 are —CH2—.
-
- 75. The method of any of embodiments 71-74 wherein the configuration of hydrogen atoms at the 5 (if present), 8, 9 and 14 positions respectively are α.α.β.α or β.α.βα.
- In other embodiments, the formula 1 compounds include new compounds, some of which are described in the following numbered embodiments.
- 1A. A compound of formula 1 having the structure
wherein R7, R8 and R9 are independently selected and wherein one, two or three of R7, R8 and R9 are not —CH2— or —CH═ and wherein hydrogen atoms at the 5 (if present), 8, 9 and 14 positions respectively are in the α.α.α.α, α.α.α.β, α.α.β.α, α.β.α.α, β.α.α.α, α.α.β.β, α.β.α.β, β.α.α.β, β.α.β.α, β.β.α.α, α.β.β.α, α.β.β.β, β.α.β.β, β.β.α.β, β.β.β.α or β.β.β.β configurations, typically α.α.β.α or β.α.β.α. - 2A. The compound of embodiment 1A wherein R3 is —CH2—, —O—, —S— or —NH—.
- 3A. The compound of embodiment 1A or 2A wherein R7 is —CH2—CHR10—, —O—CHR10— or —O—C(O)—.
- 4A. The compound of embodiment 1A, 2A or 3A wherein R8 or R9 is absent.
- 5A. The compound of embodiment 1A or 2A wherein R7 and R9 independently are —CHR10—, —CH2—, —CH═, —O—, —S— or —NH—, wherein R10 is —OH, —SH, a C1-30 organic moiety, a C1-30 ester, C1-10 optionally substituted alkyl, C1-10 optionally substituted alkoxy, C1-10 optionally substituted alkenyl or C1-10 optionally substituted alkynyl.
- 6A. The compound of embodiment 1A, 2A, 3A, 4A or 5A wherein the formula 1 compound has the structure
wherein hydrogen atoms at the 5 (if present), 8, 9 and 14 positions respectively are in the α.α.α.α, α.α.α.β, α.α.β.α, α.β.α.α, β.α.α.α, α.α.β.β, α.β.α.β, β.α.α.β, β.α.β.α, β.β.α.α, α.β.β.α, α.β.β.β, β.α.β.β, β.β.α.β, β.β.β.α or β.β.β.β configurations, typically α.α.β.α or β.α.β.α. - 7A. The compound of embodiment 6A wherein R4 is —OH, ═O, —SH, a C1-30 ester or C1-30 alkoxy, wherein the ester or alkoxy moiety is optionally substituted with one, two or more independently selected substituents, which are optionally selected from —F, —Cl, —Br, —I, —O—, ═O, —S—, —NH—, —ORPR, —SRPR or —NHRPR.
- 8A. The compound of embodiment 6A or 7A wherein R1 is —OH, ═O, —SH, a C1-30 ester or C1-30 alkoxy, wherein the ester or alkoxy moiety is optionally substituted with one, two or more independently selected substituents, which are optionally selected from —F, —Cl, —Br, —I, —O—, ═O, —S—, —NH—, —ORPR, —SRPR or —NHRPR.
- 9A. The compound of embodiment 1A, 2A or 3A wherein the formula 1 compound has the structure
wherein hydrogen atoms at the 5 (if present), 8, 9 and 14 positions respectively are α.α.α.α, α.α.α.β, α.α.β.α, α.β.α.α, β.α.α.α, α.α.β.β, α.β.α.β, β.α.α.β, β.β.α.α, α.β.β.α, α.β.β.β, β.α.β.β, β.β.α.β, β.β.β.α or β.β.β.β, typically α.α.β.α or β.α.β.α. - 10A. The compound of embodiment 9A wherein R4 is —OH, ═O, —SH, a C1-30 ester or C1-30 alkoxy, wherein the ester or alkoxy moiety is optionally substituted with one, two or more independently selected substituents, which are optionally selected from —F, —Cl, —Br, —I, —O—, ═O, —S—, —NH—, —ORPR, —SRPR or —NHRPR.
- 11A. The compound of embodiment 9A or 10A wherein R1 is —OH, ═O, —SH, a C1-30 ester or C1-30 alkoxy, wherein the ester or alkoxy moiety is optionally substituted with one, two or more independently selected substituents, which are optionally selected from —F, —Cl, —Br, —I, —O—, ═O, —S—, —NH—, —ORPR, —SRPR or —NHRPR.
- 12A. A composition comprising a compound of any of embodiments 1A-11A and an excipient suitable for human pharmaceutical use or for veterinary use, e.g., an excipient disclosed herein or in the cited references.
- 13A. A product produced by the process of contacting a compound of any of embodiments 1A-11A and an excipient suitable for human pharmaceutical use or for veterinary use, e.g., an excipient disclosed herein or in the cited references.
- 14A. The use of a compound, composition or product of any of embodiments 1A-13A to prepare a medicament for use to prevent or to treat, or to ameliorate one or more symptoms associated, with an infection, an immunesuppression condition, a malignancy, a pre-malignant condition or to modulate a mammal's immune response, such as enhancing a Th1 response or decreasing a Th2 response, e.g., an infection, malignancy or immune dysregulation as described herein or in the cited references.
- 15A. The use of embodiment 14A, wherein the infection is a viral infection (e.g., HIV, HCV, a Herpesvirus, a togavirus, a human papilloma virus infection or other virus described herein or in the cited references), a bacterial infection (e.g., Borrelia sp., Legionella sp. or other bacterium described herein or in the cited references), a fungal or a yeast infection (e.g., Candida sp., Aspergillus sp. or other yeast described herein or in the cited references) or a parasite infection (e.g., a malaria parasite, a gastrointestinal nematode, a helminth, Leishmania sp., Cryptosporidium sp., Toxoplasma gondii, Pneumocystis carinii, Schistosoma sp., Strongyloides stercoralis or other parasite described herein or in the cited references).
- 16A. The compound, composition, product or use of any of embodiments 1A-15A, wherein the formula 1 compound is a compound named in any of compound groups 1 through 54-53-52-51a6-50c27-49c27-48-47-46-45-44-43-42-41-40-39-38-37-36-35-34-33-32-31-30-29-28-27-39-38-37-36-35-34-33-32-31-30-29-28-27-26-25-23-21-17-10-8-6, or the formula 1 compound is a species in any genus described in any of compound groups 1 through 54-53-52-51a6-50c27-49c27-48-47-46-45-44-43-42-41-40-39-38-37-36-35-34-33-32-31-30-29-28-27-39-38-37-36-35-34-33-32-31-30-29-28-27-26-25-23-21-17-10-8-6.
- In other aspects, the invention provides dosing methods suitable to treat the conditions described herein. The following embodiments describe some of these methods.
- 1B. A method comprising intermittently administering one or more compounds of formula 1 (or a composition comprising a formula 1 compound) to a subject or delivering to the subject's tissues a formula 1 compound(s) (or a composition comprising a formula 1 compound), e.g., any formula 1 compound named or described herein, including the compounds described in embodiments 1-64 and 1A-11A above.
- 2B. The method of embodiment 1B wherein the subject has an infection, a hyperproliferation disorder, a hypoproliferation condition, an immunosuppression condition, an unwanted immune response or wherein the subject has recently experienced or will shortly experience trauma, surgery or a therapeutic treatment wherein the therapeutic treatment is one other than the method of embodiment 1B.
- 3B. The method of embodiment 2B wherein the immunosuppression condition or the unwanted immune response is associated with a viral infection, an intracellular bacterial infection, an extracellular bacterial infection, a fungal infection, a yeast infection, an extracellular parasite infection, an intracellular parasite infection, a protozoan parasite, a multicellular parasite, an autoimmune disease, a cancer, a precancer, a chemotherapy, a radiation therapy, an immunosuppressive therapy, an anti-infective agent therapy, a wound, a burn, the presence of an immunosuppressive molecule, gastrointestinal irritation or an inflammation condition optionally selected from or associated with irritable bowel disease, Crohn's disease or chronic diarrhea, or any combination of the foregoing.
- 4B. The method of embodiment 3B wherein the subject's immunosuppression condition is ameliorated or the unwanted immune response (e.g., a Th2 response) is reduced or wherein the subject's Th1 immune response is enhanced.
- 5B. The method of embodiment 3B wherein the subject's innate immunity, specific immunity or both is enhanced.
- 6B. The method of embodiment 5B wherein the subject's innate immunity is enhanced.
- 7B. The method of embodiment 6B wherein the subject's specific immunity is enhanced, e.g., wherein the subject's Th2 immune response is reduced or wherein the subject's Th1 immune response is enhanced.
- 8B. The method of embodiment 2B wherein the one or more compounds of formula 1 is or are administered according to the a dosing regimen comprising the steps,
- (a) administering the one or more compounds of formula 1 to the subject at least once per day for at least 2 days;
- (b) not administering the one or more formula 1 compounds to the subject for at least 1 day;
- (c) administering the one or more formula 1 compounds to the subject at least once per day for at least 2 days; and
- (d) optionally repeating steps (a), (b) and (c) at least once or variations of steps (a), (b) and (c) at least once.
- 9B. The method of embodiment 8B wherein step (c) comprises the same dosing regimen as step (a).
- 10B. The method of embodiment 9B wherein step (a) of the dosing regimen comprises administering the one or more formula 1 compounds once per day, twice per day, three times per day or four times per day.
- 11B. The method of embodiment 10B wherein step (a) of the dosing regimen comprises administering the one or more formula 1 compounds once per day or twice per day.
- 12B. The method of embodiment 10B wherein step (a) comprises administering the one or more formula 1 compounds for about 3 to about 24 days.
- 13B. The method of embodiment 12B wherein step (a) comprises administering the one or more formula 1 compounds for about 4 to about 12 days.
- 14B. The method of embodiment 13B wherein step (a) comprises administering the one or more formula 1 compounds for about 4 to about 8 days.
- 15B. The method of embodiment 14B wherein step (b) comprises not administering the one or more formula 1 compounds for about 3 to about 120 days.
- 16B. The method of embodiment 15B wherein step (b) comprises not administering the one or more formula 1 compounds for about 4 to about 60 days.
- 17B. The method of embodiment 16B wherein step (b) comprises not administering the one or more formula 1 compounds for about 5 to about 30 days.
- 18B. The method of embodiment 16B wherein step (b) comprises not administering the one or more formula 1 compounds for about 8 to about 60 days.
- 19B. The method of embodiment 15B wherein steps (a), (b), and (c) are repeated at least about 4 times.
- 20B. The method of embodiment 15B wherein steps (a), (b), and (c) are repeated about 5 times to about 25 times.
- 21B. The method of embodiment 15B wherein steps (a), (b), and (c) and repetitions of steps (a), (b), and (c) occur over a time period of at least about 2 months.
- 22B. The method of embodiment 15B wherein steps (a), (b), and (c) and repetitions of steps (a), (b), and (c) occur over a time period of at least about 12 months.
- 23B. The method of embodiment 8B wherein step (b) comprises not administering the one or more formula 1 compounds for about 3 to about 120 days.
- 24B. The method of embodiment 23B wherein step (b) comprises not administering the one or more formula 1 compounds for about 4 to about 60 days.
- 25B. The method of embodiment 24B wherein step (b) comprises not administering the one or more formula 1 compounds for about 5 to about 30 days.
- 26B. The method of embodiment 23B wherein step (b) comprises not administering the one or more formula 1 compounds for about 8 to about 60 days.
- 27B. The method of embodiment 8B wherein step (d) comprises repeating steps (a), (b), and (c) at least once.
- 28B. The method of embodiment 27B wherein step (d) comprises repeating steps (a), (b), and (c) about 3 times to about 25 times.
- 29B. The method of embodiment 1B wherein steps (a), (b), and (c) and repetitions of steps (a), (b), and (c) occur over a time period of at least about 2 months.
- 30B. The method of embodiment 29B wherein steps (a), (b), and (c) and repetitions of steps (a), (b), and (c) occur over a time period of at least about 12 months.
- 31B. The method of any of embodiments 8B-30B wherein the immunosuppression condition or the unwanted immune response is associated with a viral infection, an intracellular bacterial infection, an extracellular bacterial infection, a fungal infection, a yeast infection, an extracellular parasite infection, an intracellular parasite infection, a protozoan parasite, a multicellular parasite, an autoimmune disease, a cancer, a precancer, a chemotherapy, a radiation therapy, an immunosuppressive therapy, an anti-infective agent therapy, a wound, a burn, the presence of an immunosuppressive molecule, gastrointestinal irritation or an inflammation condition optionally selected from or associated with irritable bowel disease, Crohn's disease or chronic diarrhea, or any combination of the foregoing.
- 32B. The method of embodiment 31B wherein the subject's immunosuppression condition is ameliorated or the unwanted immune response is reduced.
- 33B. The method of embodiment 32B wherein the subject's innate immunity, specific immunity or both is enhanced.
- 34B. The method of embodiment 33B wherein the subject's innate immunity is enhanced.
- 35B. The method of embodiment 34B wherein the subject's specific immunity is enhanced.
- 36B. The method of embodiment 8B wherein step (c) comprises the a shorter dosing regimen than step (a).
- 37B. The method of embodiment 36B wherein step (a) comprises administering the formula 1 compound for 7 to about 24 days.
- 38B. The method of embodiment 37B wherein step (c) comprises administering the formula 1 compound for 4 to about 12 days.
- 39B. The method of embodiment 38B wherein step (b) comprises not administering the formula 1 compound for about 3 to about 120 days.
- 40B. The method of embodiment 39B wherein step (b) comprises not administering the formula 1 compound for about 4 to about 60 days.
- 41B. The method of embodiment 40B wherein step (b) comprises not administering the formula 1 compound for about 5 to about 30 days.
- 42B. The method of embodiment 36B wherein step (d) comprises repeating steps (a), (b), and (c) at least once.
- 43B. The method of embodiment 42B wherein step (d) comprises repeating steps (a), (b), and (c) about 3 times to about 25 times.
- 44B. The method of embodiment 36B wherein steps (a), (b), and (c) and repetitions of steps (a), (b), and (c) occur over a time period of at least about 2 months.
- 45B. The method of embodiment 44B wherein steps (a), (b), and (c) and repetitions of steps (a), (b), and (c) occur over a time period of at least about 12 months.
- 46B. The method of any of embodiments 36B-45B wherein the immunosuppression condition or the unwanted immune response is associated with a viral infection, an intracellular bacterial infection, an extracellular bacterial infection, a fungal infection, a yeast infection, an extracellular parasite infection, an intracellular parasite infection, a protozoan parasite, a multicellular parasite, an autoimmune disease, a cancer, a precancer, a chemotherapy, a radiation therapy, an immunosuppressive therapy, an anti-infective agent therapy, a wound, a burn, the presence of an immunosuppressive molecule, gastrointestinal irritation or an inflammation condition optionally selected from or associated with irritable bowel, Crohn's disease, chronic diarrhea, or any combination of the foregoing.
- 47B. The method of embodiment 46B wherein the subject's immunosuppression condition is ameliorated or the unwanted immune response is reduced.
- 48B. The method of embodiment 47B wherein the subject's innate immunity, specific immunity or both is enhanced.
- 49B. The method of embodiment 48B wherein the subject's innate immunity is enhanced.
- 50B. The method of embodiment 48B wherein the subject's specific immunity is enhanced.
- 51B. The method of embodiment 8B wherein step (c) comprises a longer dosing period than step (a).
- 52B. The method of embodiment 51B wherein step (a) comprises administering the formula 1 compound for 7 to about 24 days.
- 53B. The method of embodiment 52B wherein step (c) comprises administering the formula 1 compound for 4 to about 12 days.
- 54B. The method of embodiment 53B wherein step (b) comprises not administering the formula 1 compound for about 3 to about 120 days.
- 55B. The method of embodiment 54B wherein step (b) comprises not administering the formula 1 compound for about 4 to about 60 days.
- 56B. The method of embodiment 55B wherein step (b) comprises not administering the formula 1 compound for about 5 to about 30 days.
- 57B. The method of embodiment 51B wherein step (d) comprises repeating steps (a), (b), and (c) at least once.
- 58B. The method of embodiment 57B wherein step (d) comprises repeating steps (a), (b), and (c) about 3 times to about 25 times.
- 59B. The method of embodiment 51B wherein steps (a), (b), and (c) and repetitions of steps (a), (b), and (c) occur over a time period of at least about 2 months.
- 60B. The method of embodiment 59B wherein steps (a), (b), and (c) and repetitions of steps (a), (b), and (c) occur over a time period of at least about 12 months.
- 61B. The method of any of embodiments 51B-60B wherein the immunosuppression condition or the unwanted immune response is associated with a viral infection, an intracellular bacterial infection, an extracellular bacterial infection, a fungal infection, a yeast infection, an extracellular parasite infection, an intracellular parasite infection, a protozoan parasite, a multicellular parasite, an autoimmune disease, a cancer, a precancer, a chemotherapy, a radiation therapy, an immunosuppressive therapy, an anti-infective agent therapy, a wound, a burn, the presence of an immunosuppressive molecule, gastrointestinal irritation or an inflammation condition optionally selected from or associated with irritable bowel disease, Crohn's disease or chronic diarrhea, or any combination of the foregoing.
- 62B. The method of embodiment 61B wherein the subject's immunosuppression condition is ameliorated or the unwanted immune response is reduced.
- 63B. The method of embodiment 62B wherein the subject's innate immunity, specific immunity or both is enhanced or wherein the subject's Th1 immune response is enhanced or the subject's Th2 immune response is decreased.
- 64B. The method of embodiment 8B wherein the variations of steps (a), (b) and (c) comprise conducting a first dosing regimen of steps (a), (b) and (c) once, twice or three times, followed by one or more second dosing regimens of steps (a′), (b′) and (c′) wherein one or more of the (a′), (b′) and (c′) steps in the second dosing regimen is longer than the corresponding step in the first dosing regimen.
- 65B. The method of embodiment 8B wherein the variations of steps (a), (b) and (c) comprise conducting a first dosing regimen of steps (a), (b) and (c) once, twice or three times, followed by one or more second dosing regimens of steps (a′), (b′) and (c′) wherein one or more of the (a′), (b′) and (c′) steps in the second dosing regimen is shorter than the corresponding step in the first dosing regimen.
- 66B. The method of any of embodiments 1B-67B wherein the one or more formula 1 compounds is or are administered orally, intramuscularly, intravenously, subcutaneously, topically, vaginally, rectally, intracranially, intrathecally, intradermally, as an aerosol or by a buccal route.
- 67B. The method of embodiment 66B wherein the one or more formula 1 compounds is or are present in a solid formulation predominantly as a solid or the one or more formula 1 compounds is or are present in a liquid formulation predominantly as a solvate, colloid or a suspension or the one or more formula 1 compounds is or are present in a gel, cream or paste.
- 68B. The method of any of embodiments 2B-67B wherein the subject's viral infection, intracellular bacterial infection, extracellular bacterial infection, fungal infection, yeast infection, extracellular parasite infection, intracellular parasite infection, protozoan parasite, multicellular parasite, autoimmune disease, cancer, precancer, chemotherapy, radiation therapy, immunosuppressive therapy, anti-infective agent therapy, a wound, a burn, or the presence of an immunosuppressive molecule, gastrointestinal irritation or an inflammation condition optionally selected from or associated with irritable bowel disease, Crohn's disease or chronic diarrhea, or any combination of the foregoing is (a) a DNA virus infection or an RNA virus infection (HSV, CMV, HBV, HCV, HIV, SHIV, SIV); (b) a mycoplasma infection, a Listeria infection or a Mycobacterium infection; (c) extracellular bacteria infection; (d) fungal infection; (e) a yeast infection (Candida, Cryptococcus); (d) protozoa (malaria, leishmania, cryptosporidium, toxoplasmosis, pneumocystis); (e) a multicellular parasite; (f) autoimmune diseases (SLE, RA, diabetes); (g) cancers (solid cancers selected from, e.g., ovarian, breast, prostate, glioma; disseminated cancers selected from lymphoma, leukemia, colon cancer, sarcoma); (h) precancers; (i) chemotherapies (adriamycin, cisplatin, mitomycin C); (j) radiation therapies; (k) immunosuppressive therapies; (l) anti-infective agent therapies; (m) wounds (surgical or otherwise); (n)1st degree, 2nd degree or 3rd degree burns; (o) immunosuppressive molecules; (p) gastrointestinal irritation or an inflammation condition optionally selected from or associated with irritable bowel, Crohn's disease, chronic diarrhea; or (q) any combination of (a) through (p).
- 69B. The method of embodiment 68B wherein the RNA virus infection is a retroviral infection or a hepatitis virus infection.
- 70B. The method of embodiment 68B or 69B wherein the one or more formula 1 compounds is one formula 1 compound.
- 71B. The method of embodiment 70B wherein the one or more formula 1 compounds is or are in a composition that comprises, (a) one or more nonaqueous liquid excipients, wherein the composition comprises less than about 3% v/v water; (b) a solid that comprises a pharmaceutically acceptable excipient; or (c) one or more liquid excipients, wherein the composition comprises more than about 3% v/v water.
- 72B. The method of embodiment 68B or 71B wherein the formula 1 compound is 16α-bromo-3β-hydroxy-5α-androstan-17-one, 16α-bromo-3β,7β-dihydroxy-5α-androstan-17-one, 16α-bromo-3β,7β,17β-trihydroxy-5α-androstene, 16α-bromo-3β,7β-dihydroxy-5α-androstane, 16α-bromo-3β,7β-dihydroxy-5α-androstene, 16α-bromo-3β,7β,17β-trihydroxy-5α-androstane, 16β-bromo-3β,17β-dihydroxy-5α-androstane, 16β-bromo-3β,17β-dihydroxy-5α-androstene, 16β-bromo-3β, 7β,17β-trihydroxy-5α-androstane, 16β-bromo-3β-hydroxy-5α-androstan-17-one, 16β-bromo-3β-hydroxy-5α-androsten-17-one, 16β-bromo-3β,7β,-dihydroxy-5α-androstan-17-one or 16β-bromo-3β,7β,-dihydroxy-5α-androsten-17-one.
- 73B. The method of embodiment 72B wherein the formula 1 compound is 16α-bromo-3β-hydroxy-5α-androstan-17-one.
- 74B. The method of embodiments 1B-73B wherein the formula 1 compound excludes one or more of any formula 1 compounds.
- 75B. A method to treat involuntary weight loss, oral lesions, skin lesions, opportunistic infections, diarrhea or fatigue in an subject comprising intermittently administering one or more compounds of formula 1 to the subject (e.g., involuntary weight loss from viral infection, gastrointestinal infection, chemotherapy, anorexia, gastrointestinal irritation or an inflammation condition optionally selected from or associated with irritable bowel, Crohn's disease, chronic diarrhea).
- 76B. The method of embodiment 75B wherein the subject has an immunosuppression condition.
- 77B. The method of embodiment 76B wherein the subject is a human.
- 78B. The method of embodiment 77B wherein the subject is a human 1 day to 18 years old (e.g., 1 month to 6 years old).
- 79B. The method of any of embodiments 75B-78B wherein the subject's specific immunity remains impaired compared to a typical comparable control subject who does not have the subject's pathological condition.
- 80B. The method of embodiment 79B wherein the subject's CD4 cell count does not increase significantly during one or more courses of dosing (e.g., dosing for 1 week to about 2 weeks or more).
- 81B. The method of clam 80B wherein the subject's CD4 cell count is about 20 to about 100 CD4+ cells/mm3 or about 20 to about 75 CD4+ cells/mm3.
- 82B. The method of any of embodiments 1B-81B wherein the subject has a pathogen(s) infection or a malignancy and the pathogen(s) or malignancy does not become resistant to the formula 1 compound over a time normally associated with the development of measurable resistance in at least about 50% of subjects who are treated with a therapeutic treatment(s) other than a formula 1 compound(s).
- 83B. The method of embodiment 82B wherein the pathogen infection is an HIV, SIV, SHIV or HCV infection.
- 84B. The method of embodiments 82B or 83B wherein the formula 1 compound is one or more of 16α-bromo-3β-hydroxy-5α-androstan-17-one, 16α-bromo-3β,7β-dihydroxy-5α-androstan-17-one, 16α-bromo-3β,7β,17β-trihydroxy-5α-androstene, 16α-bromo-3β,7β-dihydroxy-5α-androstane, 16α-bromo-3β,7β-dihydroxy-5α-androstene, 16α-bromo-3β,7β,17β-trihydroxy-5α-androstane, 16β-bromo-3β,17β-dihydroxy-5α-androstane, 16β-bromo-3β,17β-dihydroxy-5α-androstene, 16β-bromo-3β,7β,17β-trihydroxy-5α-androstane, 16β-bromo-3β-hydroxy-5α-androstan-17-one, 16β-bromo-3β-hydroxy-5α-androsten-17-one, 16β-bromo-3β,7β,-dihydroxy-5α-androstan-17-one, 16β-bromo-3β,7β,-dihydroxy-5α-androsten-17-one or a physiologically acceptable ester, carbonate, carbamate, amino acid conjugate or peptide conjugate thereof.
- 85B. The method of embodiment 84B wherein the formula 1 compound is 16α-bromo-3β-hydroxy-5α-androstan-17-one or a physiologically acceptable ester, carbonate, carbamate, amino acid conjugate or peptide conjugate thereof.
- 86B. The method of any of embodiments 1B-85B, wherein the formula 1 compound is a compound named in any of compound groups 1 through 54-53-52-51a 6-50c27-49c27-48-47-46-45-44-43-42-41-40-39-38-37-36-35-34-33-32-31-30-29-28-27-39-38-37-36-35-34-33-32-31-30-29-28-27-26-25-23-21-17-10-8-6, or the formula 1 compound is a species in any genus described in any of compound groups 1 through 54-53-52-51a6-50c27-49c27-48-47-46-45-44-43-42-41-40-39-38-37-36-35-34-33-32-31-30-29-28-27-39-38-37-36-35-34-33-32-31-30-29-28-27-26-25-23-21-17-10-8-6.
- In other embodiments, the invention provides methods to modulate immune cells or immune responses in a subject. The following numbered embodiments describe some of these methods.
- 1C. A method to modulate a subject's innate immunity or to enhance a subject's Th1 immune response or to reduce a subject's Th2 immune responses comprising administering to the subject a compound(s) of formula 1, including any formula 1 compound that is described or disclosed herein, including the compounds described in embodiments 1-64 and 1A-11A above.
- 2C. The method of embodiment 1C wherein the subject's innate immunity is enhanced.
- 3C. The method of embodiment 1C or 2C wherein the subject suffers from an innate immunity suppression condition, a suppressed Th1 immune response or an unwanted Th2 immune response.
- 4C. The method of embodiment 3C wherein the innate immunity suppression condition, the suppressed Th1 immune response or the unwanted Th2 response is associated with a viral infection, an intracellular bacterial infection, an extracellular bacterial infection, a fungal infection, a yeast infection, an extracellular parasite infection, an intracellular parasite infection, a protozoan parasite, a multicellular parasite, an autoimmune disease, a cancer, a precancer, a chemotherapy, a radiation therapy, an immunosuppressive therapy, an anti-infective agent therapy, a wound, a burn, the presence of an immunosuppressive molecule or any combination of the foregoing.
- 5C. The method of any of embodiments 1C-3C wherein the subject's Th1 immune response is enhanced.
- 6C. The method of embodiment 1C wherein the subject's Th2 immune response is reduced.
- 7C. The method of embodiment 6C wherein the subject has a condition comprising an unwanted immune response (e.g., autoimmune disease, SLE, diabetes).
- 9C. The method of embodiment 6C or 7C wherein the subject is a vertebrate, a mammal, a primate or a human.
- 10C. The method of embodiment 9 wherein the vertebrate's, the mammal's the primate's or the human's specific immunity modulation is (i) an enhanced CTL or Th1 response to a virus infection or to a malignant cell in vitro or in vivo, (ii) enhanced antigen presentation or biological activity by dendritic cells or dendritic cell precursors, or (iii) enhanced killing of virus-infected or of malignant cells.
- 11C. The method of 10C wherein the vertebrate is a human, the virus infection is an HIV infection and the CTL or Th1 response comprises an enhanced response to one or more of the HIV's gag protein or to the HIV's gp120.
- 12C. The method of embodiment 1C, 4C, 10C or 11C wherein the subject's Th1 cells, tumor-infiltrating lymphocytes (TIL cells), NK cells, peripheral blood lymphocytes, phagocytes, monocytes, macrophage, neutrophils, eosinophils, dendritic cells or fibrocytes are activated as measured by, e.g., enhanced 3H-thymidine uptake compared to untreated controls or by an increase in the number of the cell type in circulation or demonstrable movement of the cell type from one tissue or compartment (e.g., skin) to another tissue or compartment (e.g., blood, lymph node, spleen or thymus).
- 13C. The method of embodiment 1C, 4C, 10C, 11C or 12C, wherein the formula 1 compound(s) modulates transcription of one or more genes in the subject's NK cells, phagocytes, monocytes, macrophages, neutrophils, eosinophils, dendritic cells or fibrocytes are activated (e.g., as measured by increased protein kinase C activity or by modulation of a biological activity of a steroid receptor or an orphan nuclear hormone receptor).
- 14C. The method of embodiment 1C wherein the formula 1 compound(s) enhances lysosome movement in one or more of the subject's NK cells, phagocytes, monocytes, macrophages, neutrophils, eosinophils, dendritic cells or fibrocytes.
- 15C. The method of embodiment 1C wherein the formula 1 compound(s) enhances protein kinase C activity in one or more of the subject's NK cells, phagocytes, monocytes, macrophages, neutrophils, eosinophils, dendritic cells or fibrocytes (e.g., PKCα, PKCβ, PKCγ and PKCζ).
- 16C. A composition comprising a partially purified or a purified complex comprising a formula 1 compound and a steroid receptor, a serum steroid-binding protein (e.g., human serum albumin, α1-acid glycoprotein, sex hormone-binding globulin, testosterone-binding globulin, corticosteroid-binding globulin, androgen binding protein (rat)) or a binding partner (e.g., complexing agent, liposome, antibody).
- 17C. A product produced by the process of contacting the partially purified or the purified composition of embodiment 16C with one or more sterile containers, one or more syringes, one or more pharmaceutically acceptable excipients (e.g., excipient as defined in draft spec above and including sugars, lactose, sucrose, fillers, lubricants, binders, or any excipient named in any reference cited herein), one or more cells, one or more tissues, plasma or blood.
- 18C. The method of any of embodiments 1C-17C wherein the subject has an infection, a hyperproliferation disorder, a hypoproliferation condition, an immunosuppression condition, an unwanted immune response or wherein the subject has recently experienced or will shortly experience trauma, surgery or a therapeutic treatment wherein the therapeutic treatment is one other than the method of embodiment 1C.
- 19C. The method of embodiment 18C wherein the immunosuppression condition or the unwanted immune response is associated with a viral infection, an intracellular bacterial infection, an extracellular bacterial infection, a fungal infection, a yeast infection, an extracellular parasite infection, an intracellular parasite infection, a protozoan parasite, a multicellular parasite, an autoimmune disease, a cancer, a precancer, a chemotherapy, a radiation therapy, an immunosuppressive therapy, an anti-infective agent therapy, a wound, a burn, the presence of an immunosuppressive molecule, gastrointestinal irritation or an inflammation condition optionally selected from or associated with irritable bowel disease, Crohn's disease or chronic diarrhea, or any combination of the foregoing.
- 20C. The method of embodiment 19C wherein the subject's immunosuppression condition is ameliorated or the unwanted immune response is reduced.
- 21C. The method of embodiment 19C wherein the subject's immunosuppression condition is associated with a viral infection.
- 22C. The method of embodiment 21C wherein the viral infection comprises a DNA virus or an RNA virus infection.
- 23C. The method of embodiment 22C wherein the RNA virus infection comprises a retroviral infection or a hepatitis virus infection.
- 24C. The method of any of embodiments 18C-23C wherein the subject suffers from one or more of chronic diarrhea, involuntary weight loss (usually at least about 5% or more), cachexia (usually at least about 5% or more), muscle wasting, one or more oral lesions (usually at least about 1 cm2), one or more genital lesions (usually at least about 1 cm2), skin lesions (usually at least about 1 cm2) or an opportunistic infection associated with AIDS.
- 25C. A method (e.g., to determine a biological activity of a formula 1 compound or to modulate transcription of a gene in a cell or cell-free transcription system) comprising: (a) contacting the formula 1 compound(s) with a cell or cell population in vitro or in vivo; (b) measuring one or more of (i) a complex between a binding partner and the formula 1 compound, (ii) proliferation of the cell or cell population, (iii) differentiation of the cell or cell population (iv) an activity of a protein kinase C, (v) a level of phosphorylation of a protein kinase C substrate, (vi) transcription of one or more target genes, (vii) enhancement or inhibition of the cellular response to steroids, e.g., glucocorticoids, (viii) inhibition of steroid-induced transcription, e.g., glucocorticoids, sex steroids, (ix) inhibition of retrovirus (e.g., HIV, SIV, FIV or SHIV) LTR-driven transcription, or (x) modulation of the numbers of an immune cell population in circulation in vivo (e.g., circulating peripheral blood lymphocytes in a mammal such as a primate or a human); and (c) optionally comparing the result obtained in step (b) with an appropriate control.
- 26C. The method of embodiment 25C wherein the binding partner is a steroid receptor, a transcription factor or a steroid hormone superfamily orphan receptor.
- 27C. The method of embodiment 25C wherein the biological activity determined is a modulating activity of the formula 1 compound for replication or cytopathic effects associated with a retrovirus, a hepatitis virus or a protozoan parasite.
- 28C. The method of embodiment 25C wherein the biological activity determined is a modulating activity of the formula 1 compound for replication, cytopathic effects associated with the retrovirus, the hepatitis virus or the protozoan parasite or the biological activity determined is metabolism (assay by 3H-thymidine uptake) of a cell or cell population comprising NK cells, phagocytes, monocytes, macrophages, basophils, eosinophils, fibrocytes, transformed cells, virus-infected cells, bacteria-infected cells or parasite-infected cells.
- 29C. The method of embodiment 25C wherein the target gene is a virus gene, a bacterial gene, a parasite gene, a gene associated with cancer.
- 30C. The method of embodiment 29C wherein the virus gene is a polymerase gene, a reverse transcriptase gene, an envelope gene, a protease gene or a gene associated with viral nucleic acid replication or a viral structural gene.
- 31C. The method of embodiment 30C wherein the polymerase gene encodes a DNA polymerase or encodes an RNA polymerase.
- 32C. The method of embodiment 30C wherein the reverse transcriptase gene encodes a human, primate, avian or feline retrovirus reverse transcriptase.
- 33C. A method comprising administering a compound(s) of formula 1 to a human or primate who has a retroviral infection and a CD4 count of 550 or less.
- 34C. The method of embodiment 33C wherein the human has a CD4 count of about 20 to about 100 or about 20 to about 80.
- 35C. The method of embodiment 33C wherein the human has a CD4 count of about 30 to about 150.
- 36C. The method of embodiment 33C wherein the human has a CD4 count of about 500 or less, about 450 or less, about 400 or less, about 350 or less, about 300 or less, about 250 or less, about 200 or less, about 150 or less, about 100 or less, about 50 or less or about 25 or less or about 20 or less.
- 37C. The method of any of embodiments 33C-36C wherein the formula 1 compound(s) is present in a composition that comprises one or more nonaqueous liquid excipients and less than about 3% v/v water or any of the formulations as disclosed in the specification or any of the numbered embodiments above.
- 38C. The method of any of embodiments 33C-37C wherein the formula 1 compound(s) is administered according to an intermittent dosing protocol as disclosed in the specification or any of the numbered embodiments above.
- 39C. The method of any of embodiments 30C-45C wherein the human is coinfected with hepatitis C virus, hepatitis B virus, HSV-1, HSV-2, a malaria parasite, a Pneumocystis parasite, or a Cryptosporidium parasite.
- 40C. The method of embodiment 46C wherein level of the HCV is reduced in the human.
- 41C. A method comprising administering a formula 1 compound(s) to a subject, or to a nervous system cell(s) in tissue culture whereby the formula 1 compound(s) binds to a receptor associated with a cell(s) in the nervous system and (1) elicits a biological response in the cell(s) in the nervous system or in the cell(s) in tissue culture and/or (2) elicits a neuronal response that is transmitted to a distant site(s) or cell(s) where the method optionally is used to screen a formula 1 compound(s) for its biological activity, to treat a pathological condition (e.g., pathogen infection such as a virus (HIV), a malignancy or a neurological disorder, e.g., AIDS associated dementia, Alzheimer's, Parkinson's, Multiple Sclerosis) in the subject or to determine the bioavailability or metabolism of the formula 1 compound(s) to the subject or the cell(s) in the nervous system or in tissue culture, wherein metabolism is optionally determined by comparing the biological effect of a formula 1 compound(s) with a control compound, which can be a different formula 1 compound.
- 42C. The method of embodiment 41 wherein the receptor associated with the cell in the nervous system is a neurotransmitter receptor(s) (e.g., a γ-aminobutyric acid receptor such as type A, a NMDA receptor) and/or a steroid receptor (e.g., androgen receptor, estrogen receptor).
- 43C. The method of embodiment 41C or 42C wherein the cell(s) in the nervous system is a neuron(s), and astrocyte(s) and/or a glial cell(s).
- 44C. The method of embodiment 41C, 42C or 43C wherein the biological response in the cell(s) in the nervous system or in the cell(s) in tissue culture is increased or decreased transcription of a gene(s) (e.g., a neurotransmitter, vasopressin, a heat shock protein), increased or decreased secretion of a protein(s) (e.g., vasopressin), reduced damage from oxidative stress, enhanced nitric oxide release and/or enhanced neurite growth.
- 45C. The method of any of embodiments 1C-44C wherein the compound(s) of formula 1 is any one or more formula 1 compound selected from the compounds or one or more of the species of compounds within the genera named in compound groups 1 through 21-10-6.
- 46C. A method to (a) modulate (detectably increase or decrease) the expression of at least one immune cell antigen by an immune cell in a subject, wherein the immune cell antigen is selected from CD3, CD11c, CD14, CD16, CD19, CD25, CD38, CD56, CD62L, CD69, CD45RA, CD45RO, CD123, HLA-DR, IL-1, IL-2, IL-4, IL-6, IL-8, IL-10, IL-12, TNFα, IGF1 and γIFN, or (b) activate CD8+ T cells or CD8− T cells in a subject, wherein the activation comprises at least transiently enhanced expression of CD25 or CD69 by the T cells, or (c) increase the proportion of CD8+ or CD8− lymphokine activated killer cells in a subject's CD16+ cells (e.g., CD8+, CD16+, CD38+ or cells CD8−, CD16+, CD38+), or (d) increase the proportion of (i) CD8−, CD16+ natural killer cells, (ii) CD8+, CD16+ natural killer cells or (iii) CD8−, CD16+ cells that mediate antibody-dependent cell-mediated cytotoxicity, or (iv) CD8+, CD16+ cells that mediate antibody-dependent cell-mediated cytotoxicity, or (e) increase the proportion of dendritic cell precursors in a subject's circulating white blood cells (e.g., Lin−, HLA-DR+, CD123+ or Lin− HLA-DR+, CD11c+ cells) or (f) increase the proportion of CD45RA+ T cells or CD45+, R0+ T cells in a subject's circulating white blood cells, or (g) change (increase or decrease) the proportion or relative numbers of CD62L+ T cells in a subject's circulating white blood cells, or (h) increase the proportion of CD8+ or CD4+ T cells that express CD62L in a subject's circulating CD8+ or CD4+ T cells, or (i) decrease the proportion of CD8+ or CD4+ T cells that express CD62L in a subject's circulating CD8+ or CD4+ T cells, or (j) increase the proportion of HLA-DR+, CD8+, CD38+ cells in a subject's circulating white blood cells, or (k) decrease the level of IL-4 or IL-10 that is expressed by or present in a subject's white blood cells or in a subject's plasma (or that is expressed after the subject's white cells are stimulated in vitro), (l) at least transiently increase the number of dendritic cell precursors or dendritic cells that are present in a subject's white blood cells or in a subject's plasma, or (m) enhance the capacity of an immune cell, e.g., macrophages, CD4+ T cells, CD8+ T cells to express IL-2, IL-12 or γIFN or to activate such cells, the method comprising administering to the subject an effective amount of a formula 1 compound, which is optionally present in a composition comprising a pharmaceutically acceptable excipient.
- 47C. The method of embodiment 46C wherein formula 1 has the structure
wherein R1 is —OH or a group (e.g., a C1-30 ester) that can hydrolytically convert under physiological conditions to —OH, either of which may be in the α- or β-configuration; R2 is hydrogen in the α- or β-configuration, or R2 is absent when there is a double bond at the 5-6 position; R3 is —H or —Br, either of which may be in the α- or β-configuration; R4 is —OH or a group (e.g., a C1-30 ester) that can hydrolytically convert under physiological conditions to —OH, either of which may be in the α- or β-configuration, or R4 is ═O and the hydrogen atom bonded to the same carbon is absent; R4A is R4, —C(O)—CH3 or —C(O)—(CH2)1-6—CH3; R5 is —H or —OH or a group (e.g., a C1-30 ester) that can hydrolytically convert under physiological conditions to —OH, either of which may be in the α- or β-configuration, or R5 is ═O and the hydrogen atom bonded to the same carbon is absent; and the dotted line at the 5-6 position is an optional double bond, or wherein the formula 1 compound has the structure shown in any formula 1 compound named or described herein, including the compounds described in embodiments 1-64 and 1A-11A above. - 48C. The method of embodiment 46C or 47C wherein the formula 1 compound is administered to the subject daily over a period from one to about 15 days, e.g., for 1, 2, 3, 4, 5, 6, 7, 8, 9, 10, 11, 12, 13, 14, 15 or more days.
- 49C. The method of embodiment 48C wherein the expression of the immune cell antigen is detectably modulated for at least about 4-7 days after the last administration of the formula 1 compound to the subject, e.g., for at least 4, 5, 6, 7 or more days.
- 50C. The method of embodiment 48C or 49C wherein the expression of the immune cell antigen is detectable at least about 8-90 days after the last administration of the formula 1 compound, e.g., for at least about 8, 10, 12, 15, 20, 25, 28, 30, 35, 40, 42, 45, 49, 50, 55, 56, 60, 63, 65, 70, 75, 77, 80, 84, 85, 90, 91 95, 98,100 or more days.
- 51C. The method of any of embodiments 46C-51C wherein the subject has an immunosuppression condition, a pathogen infection or a conditions associated with a deficient Th1 immune response or an excessive Th2 immune response.
- 52C. The method of embodiment 51C wherein the pathogen infection is a viral infection, a bacterial infection, a yeast infection, a fungal infection or a viroid infection, e.g., wherein the pathogen infection is a viral infection such as a DNA virus infection or an RNA virus infection (e.g., an infection caused by a Hepadnavirus, a Parvovirus, a Papovavirus, an Adenovirus, a Herpesvirus, Retrovirus, a Flavivirus, a Togavirus, a Rhabdovirus, a Picornavirus, a Bunyavirus, a Reovirus, an Orthomyxovirus or a Paramyxovirus, such as a HIV1, HIV2, SIV, SHIV or another virus described herein or in the cited references).
- 53C. The method of embodiment 52C wherein the subject has an immunosuppression condition that is associated with or caused by a pathogen infection.
- 54C. The method of any of embodiments 46C-53C wherein the subject is a mammal, a human, a primate or a rodent.
- 55C. The method of any of embodiments 46C-54C wherein about 0.05 mg/kg/day to about 20 mg/kg/day is administered parenterally (e.g., by intravenous, subcutaneous, intramuscular, or intramedullary injection), topically, orally, sublingually or bucally to the subject, e.g., about 0.1 mg/kg/day, about 0.2 mg/kg/day, about 0.5 mg/kg/day, about 1.0 mg/kg/day, about 1.5 mg/kg/day, about 2 mg/kg/day, about 2.5 mg/kg/day, about 3.0 mg/kg/day, about 4 mg/kg/day or about 6 mg/kg/day, i.e., about 0.1-10 mg/kg/day, typically about 0.2-7 mg/kg/day.
- 56C. The method of embodiment 55C wherein the subject is concurrently taking one or more second therapeutic agents to treat a pathogen infection, e.g., a viral infection, such as a HIV-1 infection, a HIV-2 infection, a HAV infection, a HBV infection, a HCV infection, an Epstein Barr virus infection, a HSV-1 infection, a HSV-2 infection, human herpesvirus 6 infection, human herpesvirus 7 infection, human herpesvirus 8 infection, or a bacterial infection or a parasite infection, such as a malaria infection, leishmaniasis, cryptosporidiosis, toxoplasmosis, a mycoplasma infection, a Trichomonas infection, a Chlamidya infection, a Pneumocystis infection, a Salmonella infection, a Listeria infection, an Escherichia coli infection, a Yersinia infection, a Vibrio infection, a Pseudomonas infection, a Mycobacterium infection, a Haemophilus infection, a Neisseria infection, a Staphylococcus infection or a Streptococcus infection.
- 57C. The method of embodiment 56C wherein the one or more second therapeutic agents is a protease inhibitor, a reverse transcriptase inhibitor, a viral, bacterial or parasite DNA or RNA polymerase inhibitor, an antibacterial antibiotic or an antifungal agent, such as AZT, ddI, ddC, D4T, 3TC, a viral (e.g., HIV) fusion inhibitor, hydroxyurea, nelfinavir, amprenavir, saquinavir, ritonavir, indinavir, chloroquine, a chloroquine analog, amphotericin B, fluconazole, clotrimazole, isoniazid, dapsone, rifampin, cycloserine, erythromycin, a tetracycline antibiotic, vancomycin, ethambutol, pyrazinamide, a fluororquinolone (e.g., ciprofloxacin, norfloxacin), a cephalosporin antibiotic, a β-lactam antibiotic or an aminoglycoside antibiotic (e.g., streptomycin, kanamycin, tobramycin).
- 58C. The method of any of embodiments 46C-57C wherein the subject is a human, a primate, a canine, a feline or a rodent.
- 59C. A composition comprising an effective amount of an immune cell subset modulatory compound of formula 1 and a pharmaceutically acceptable carrier.
- 60C. The composition of embodiment 59C wherein the immune cell subset is (1) CD8+ T cells, (2) CD4+ T cells, (3) CD8+ lymphokine activated killer cells, (4) CD8− lymphokine activated killer cells, (5) CD8−, CD16+ natural killer cells, (6) CD8+, CD16+ natural killer cells, (7) CD8−, CD16+ cells that mediate antibody-dependent cell-mediated cytotoxicity, (8) CD8+, CD16+ cells that mediate antibody-dependent cell-mediated cytotoxicity, (9) dendritic cells or dendritic cell precursors, (10) CD45RA+ T cells, (11) CD45RO+ T cells, (12) CD45RA+, CD45RO+ T cells, (13) CD8+, CD62L T cells, (11) CD4+, CD62L+ T cells or (14) HLA-DR+, CD8+, CD38+ T cells.
- 61C. A method to detect a biological response associated with the administration of a compound of formula 1 to a subject comprising (1) obtaining a sample from the subject, (2) administering the compound of formula 1 to the subject to obtain a treated subject (3) obtaining a second sample from the treated subject, (4) within 24 hours of obtaining the sample, analyzing the sample to obtain control information for detecting the biological response, (5) within 24 hours of obtaining the second sample, analyzing the second sample for the presence or absence of a biological response to obtain experimental information and (6) optionally comparing the control information with the experimental information to detect the presence, absence, relative magnitude or absolute magnitude of the biological response
- 62C. The method of embodiment 61C wherein the compound of formula 1 further comprises a pharmaceutically acceptable carrier.
- 63C. The method of embodiment 61C or 62C wherein the biological response associated with the administration of the compound of formula 1 to the subject is modulation of the expression of a cell surface antigen, an increased absolute or relative number of cells in an immune cell subset, a decreased absolute or relative number of cells in an immune cell subset or an unchanged absolute or relative number of cells in an immune cell subset.
- 64C. The method of embodiment 63C wherein the immune cell subset is CD8+ T cells, CD4+ T cells, CD8+ lymphokine activated killer cells, CD8−, CD16+ natural killer cells, circulating dendritic cell precursors, circulating dendritic cells, tissue dendritic cell precursors, tissue dendritic cells, CD8+ lymphokine activated killer cells, CD8− lymphokine activated killer cells, CD8−, CD16+ natural killer cells, CD8+, CD16+ natural killer cells, CD8−, CD16+ cells that mediate antibody-dependent cell-mediated cytotoxicity, CD8+, CD16+ cells that mediate antibody-dependent cell-mediated cytotoxicity, CD45RA+ T cells, CD45RA+, CD45RO+ T cells, CD45RO+ T cells, CD8+, CD62L T cells, CD4+, CD62L+ T cells or HLA-DR+, CD8+, CD38+ T cells, monocytes or macrophages.
- 65C. The method of embodiment 64C wherein the biological response is at least transient modulation of an immune cell antigen or an immune accessory cell antigen (e.g., an adhesion molecule at the surface of endothelial cells or a cytokine receptor at the surface of T cells or B cells).
- 66C. The method of embodiment 65C wherein the immune cell antigen is a protein, glycoprotein or cell surface antigen usually or only expressed by lymphoid cells (lymphocytes or white blood cells or their precursors, e.g., T cells, B cells, monocytes, macrophage, LAK cells, NK cells, dendritic cells).
- 67C. The method of embodiment 65C wherein the immune cell antigen is a CD molecule, an interleukin or a cytokine, optionally selected from CD16, CD25, CD38, CD62L, CD69, CD45RA, CD45RO, IL-1, IL-2, IL-4, IL-6, IL-8, IL-10, TNFα, IGF1 and γIFN.
- 68C. The method of any of embodiments 61C-67C wherein the subject is a human, a primate, a canine, a feline or a rodent.
- 69C. A method to alter the Th1-Th2 balance in a subject comprising administering an effective amount a compound of formula 1 to a subject whereby the subject's expression or secretion of IL-4 or IL-10 is detectably modulated.
- 70C. The method of embodiment 30 wherein the subject's expression or secretion of IL-4 or IL-10 is decreased and the Th1-Th2 balance in the subject's Th1 immune responses to an infection or immunosuppression condition is detectably enhanced.
- 71C. The method of any of embodiments 1C-70C, wherein the formula 1 compound is a compound named in any of compound groups 1 through 54-53-52-51 a6-50c27-49c27-48-47-46-45-44-43-42-41-40-39-38-37-36-35-34-33-32-31-30-29-28-27-39-38-37-36-35-34-33-32-31-30-29-28-27-26-25-23-21-17-10-8-6, or the formula 1 compound is a species in any genus described in any of compound groups 1 through 54-53-52-51a6-50c27-49c27-48-47-46-45-44-43-42-41-40-39-38-37-36-35-34-33-32-31-30-29-28-27-39-38-37-36-35-34-33-32-31-30-29-28-27-26-25-23-21-17-10-8-6.
- 72C. A method to prevent or treat an immune disregulation condition in a subject in need thereof comprising administering to the subject, or delivering to the subject's tissues, an effective amount of a compound of formula 1, including compounds where, 0, 1, 2 or 3 of R7, R8 and R9 are not —CH2— or —CHR10—e.g., where R7 is —O—, —S— or —NH—, or where R8 is —O—, —S— or —NH—, or where R9 is —O—, —S—, —NH— or ═N— or where all of R7, R8 and R9 are —CH2— or —CHR10—.
- 73C. The method of embodiment 72C where two of R7, R8 and R9 are not —CH2—, e.g., where R7 is —O— and R8 is —O—, R7 is —O— and R9 is —O—, R8 is —O— and R9 is —O—, R7 is —O— and R8 is —N—, R7 is —O— and R9 is —NH— or ═N—, R8 is —O— and R9 is —NH— or ═N—, R7 is —O— and R8 is —S—, R7 is —O— and R9 is —S—, R8 is —O— and R9 is —S—, R7 is —NH— and R8 is —NH—, R7 is —NH— and R9 is —NH— or ═N—, R8 is —NH— and R9 is —NH— or ═N—, R7 is —NH— and R8 is —O—, R7 is —NH— and R9 is —O—, R8 is —NH— and R9 is —O—, R7 is —NH— and R8 is —S—, R7 is —NH— and R9 is —S—, R8 is —NH— and R9 is —S—, R7 is —S— and R8 is —S—, R7 is —S— and R9 is —S—, R8 is —S— and R9 is —S—, R7 is —S— and R8 is —N—, R7 is —S— and R9 is —NH— or ═N—, R8 is —S— and R9 is —NH— or ═N—, R7 is —S— and R8 is —O—, R7 is —S— and R9 is —O— or R8 is —S— and R9 is —O—.
- 74C. The method of embodiment 72C wherein none of R7, R8 and R9 are —CH2—, e.g., wherein R7 is —O—, R8 is —O— and R9 is —O—, R7 is —O—, R8 is —O— and R9 is —NH— or ═N—, R7 is —O—, R8 is —NH— and R9 is —O—, R7 is —NH—, R8 is —NH— and R9 is —O—, R7 is —O—, R8 is —O— and R9 is —S—, R7 is —O—, R8 is —S— and R9 is —O—, R7 is —S—, R8 is —S— and R9 is —O—, R7 is —NH—, R8 is —NH— and R9 is —NH— or ═N—, R7 is —O—, R8 is —NH— and R9 is —NH— or ═N—, R7 is —NH—, R8 is —O— and R9 is —NH— or ═N—, R7 is —O—, R8 is —O— and R9 is —NH— or ═N—, R7 is —S—, R8 is —NH— and R9 is —NH— or ═N—, R7 is —NH—, R8 is —S— and R9 is —NH— or ═N—, R7 is —S—, R8 is —S— and R9 is —NH— or ═N—, R7 is —S—, R8 is —S— and R9 is —S—, R7 is —O—, R8 is —S— and R9 is —S—, R7 is —S—, R8 is —O— and R9 is —S—, R7 is —O—, R8 is —S— and R9 is —S—, R7 is —NH—, R8 is —S— and R9 is —S—, R7 is —S—, R8 is —NH— and R9 is —S—, R7 is —S—, R8 is —NH— and R9 is —O—, R7 is —NH—, R8 is —S— and R9 is —O—, R7 is —S—, R8 is —O— and R9 is —NH— or ═N—, R7 is —O—, R8 is —S— and R9 is —NH— or ═N—, R7 is —NH—, R8 is —O— and R9 is —S—, or R7 is —O—, R8 is —NH— and R9 is —S—.
- 75C. The method of any of embodiments 72C through 74C wherein the there are no double bonds in the formula 1 compound, R1, R5 and R6 are in the β configuration, one R4 is hydrogen and the immune disregulation condition is caused by or is associated with inflammation, an autoimmune condition, an organ or tissue transplant rejection, an infection or its treatment, a cancer or its treatment, a chemotherapy, a radiation therapy, trauma, surgery, an allergy condition or an insufficient Th1 immune response.
- 76C. The method of embodiment 75C, wherein the formula 1 compound is a compound named in any of compound groups 1 through 54, or the formula 1 compound is a species in any genus described in any of compound groups 1 through 54.
- Invention embodiments include stimulation of hemopoiesis in a subject. The following embodiments exemplify various aspects if these embodiments
-
- each R1, R2, R3, R4, R5, R6 and R10 independently are —H, —ORPR, —SRPR, —N(RPR)2, —O—Si—(R13)3, —CHO, —CHS, —CH═NH, —CN, —SCN, —NO2, —OSO3H, —OPO3H, an ester, a thioester, a phosphoester, a phosphothioester, a phosphonoester, a phosphiniester, a sulfite ester, a sulfate ester, an amide, an amino acid, a peptide, an ether, a thioether, an acyl group, a thioacyl group, a carbonate, a carbamate, a thioacetal, a halogen, an optionally substituted alkyl group, an optionally substituted alkenyl group, an optionally substituted alkynyl group, an optionally substituted aryl moiety, an optionally substituted heteroaryl moiety, an optionally substituted heterocycle, an optionally substituted monosaccharide, an optionally substituted oligosaccharide, a nucleoside, a nucleotide, an oligonucleotide, a polymer, or,
- one more of R1, R2, R3, R4, R5, R6, R10, R15, R17 and R18 are ═O, ═S, ═N—OH or ═CH2 and the hydrogen atom or the second variable group that is bonded to the same carbon atom is absent, or,
-
- R7 is —C(R10)2—, —C(R10)2—C(R10)2—, —C(R10)2—C(R10)2—C(R10)2—, —C(R10)2—O—C(R10)2—, —C(R10)2—S—C(R10)2—, —C(R10)2—NRPR—C(R10)2—, —O—, —O—C(R10)2—, —S—, —S—C(R10)2—, —NRPR— or —NRPR—C(R10)2—, including —CHR10—, —CHR10—CHR10—, —CHR10—CHR10—CHR10—, —CHR10—O—CHR10—, —CHR10—S—CHR10—, —CHR10—NRPR—CHR10—, —O—, —O—CHR10—, —S—, —S—CHR10—, —NRPR— or —NRPR—CHR10—.
- R8 and R9 independently are —C(R10)2—, —C(R10)2—C(R10)2—, —O—, —O—C(R10)2—, —S—, —S—C(R10)2—, —NRPR— or —NRPR—C(R10)2—, including —CHR10—, —CHR10—CHR10—, —O—, —O—CHR10—, —S—, —S—CHR10—, —NRPR— or —NRPR—CHR10—, or one or both of R8 or R9 independently are absent, leaving a 5-membered ring;
- R13 independently is C1-6 alkyl;
- R16 independently are —CH2—, —O—, —S— or —NH—;
- D is a heterocycle or a 4-, 5-, 6- or 7-membered ring that comprises saturated carbon atoms, wherein 1, 2 or 3 ring carbon atoms of the 4-, 5-, 6- or 7-membered ring are optionally independently substituted with —O—, —S— or —NRPR— or where 1, 2 or 3 hydrogen atoms of the heterocycle or where 1 or 2 hydrogen atoms of the 4-, 5-, 6- or 7-membered ring are substituted with —ORPR, —SRPR, —N(RPR)2, —O—Si—(R13)3, —CN, —NO2, an ester, a thioester, a phosphoester, a phosphothioester, a sulfite ester, a sulfate ester, an amide, an amino acid, a peptide, an ether, a thioether, an acyl group, a thioacyl group, a carbonate, a carbamate, a thioacetal, a halogen, an optionally substituted alkyl group, an optionally substituted alkenyl group, an optionally substituted alkynyl group, an optionally substituted aryl moiety, an optionally substituted heteroaryl moiety, an optionally substituted monosaccharide, an optionally substituted oligosaccharide, a nucleoside, a nucleotide, an oligonucleotide or a polymer, or,
- one more of the ring carbons are substituted with ═O or ═S,
- or D comprises two 5- or 6-membered rings, wherein the rings are fused or are linked by 1 or 2 bonds, provided that the compound is not 5-androstene-3β-ol-17-one, 5-androstene-3β,17β-diol, 5-androstene-3β,7β,17β-triol or a derivative of any of these three compounds that can convert to these compounds by hydrolysis
- 2D. The method of embodiment 1 D wherein the subject's circulating platelets, red cells, mature myelomonocytic cells, or their precursor cells, in circulation or in tissue is detectably increased.
- 3D. The method of embodiment 2D wherein the subject's circulating platelets are detectably increased.
- 4D. The method of embodiment 3D wherein the method optionally further comprises administration of an effective amount of G-CSF, GM-CSF, IL-3, IL-6, IL-11, erythropoietin or thrombopoietin.
- 5D. The method of embodiment 2D wherein the subject's circulating myelomonocytic cells are detectably increased.
- 6D. The method of embodiment 2D wherein the circulating myelomonocytic cells are neutrophils.
- 7D. The method of embodiment 2D wherein the method further comprises administration of an effective amount of G-CSF, GM-CSF, M-CSF, IL-3, IL-5 or IL-6.
- 8D. The method of embodiment 2D wherein the myelomonocytic cells are basophils, neutrophils or eosinophils.
- 9D. The method of embodiment 2D wherein the subject's circulating red cells are detectably increased.
- 10D. The method of embodiment 9D wherein the subject is has renal failure.
- 11D. The method of embodiment 9D wherein the method further comprises administration of an effective amount of G-CSF, GM-CSF, IL-3, IL-6 or erythropoietin.
- 12D. The method of embodiment 2D wherein the formula 1 compound is present in a composition comprising an acceptable carrier and the method optionally further comprises administration of a neutrophil or monocyte stimulator.
- 13D. The method of embodiment 12D wherein neutrophil or monocyte stimulator is a TNF, a lithium salt, duterium oxide, levamisole, lactoferrin, thyroxine, triiodothyromine, anthrax toxin, ascorbic acid, 1-palmitoyl-lysophosphatidic acid, a calcium ionophore, cytochalasin B, sodium butyrate, piracetamine, micronized L-arginine, hydroxyurea or a bacterial lipopolysaccharide.
- 14D. The method of embodiment 2D further comprising the steps of obtaining blood from the subject before administration of the formula 1 compound and measuring the subject's white or red cell counts and optionally, on one, two, three or more occasions, measuring the subject's circulating white cell counts after administration of the formula 1 compound.
- 15D. The method of embodiment 2D wherein the formula 1 compound is a compound named in any of the compound groups disclosed herein.
- 16D. The method of embodiment 1D wherein the subject has, or is subject to developing, thrombocytopenia or neutropenia.
- 17D. The method of embodiment 16D wherein the subject has thrombocytopenia or neutropenia.
- 18D. The method of embodiment 1D wherein about 0.05 mg to about 30 mg of the formula 1 compound is administered per kg of the subject's weight per day.
-
- 20D. The method of embodiment 19D wherein R1 is —OH, alkoxy or an ester, R2 is —OH, ═O, alkoxy or an ester, R3 is —H, —OH, alkoxy, an ester or a halogen, one R4 is —H or it is absent and the other R4 is —OH, ═O, —SH, —C(O)—CH3, alkoxy or an ester and wherein R1, R2 and R3 are independently in the α or the β configuration when they are not ═O.
- 21D. The method of embodiment 20D wherein there is no double bond present in the molecule.
- 22D. A method to enhance thrombopoiesis, myelopoiesis or erythropoiesis in a subject comprising administering to the subject, or delivering to the subject's tissues, an effective amount of the compound of caim 1.
- 23D. The method of embodiment 22D wherein the subject has or is subject to thrombocytopenia or neutropenia.
- 24D. The method of embodiment 23D wherein the subject has thrombocytopenia or neutropenia.
- 25D. The method of embodiment 22D wherein the subject is a human.
- 26D. The method of embodiment 22D wherein the formula 1 compound is a compound named in any of the compound groups disclosed herein.
- 27D. The method of embodiment 22D wherein about 0.05 mg to about 30 mg of the formula 1 compound is administered per kg of the subject's weight per day.
- 28D. The method of embodiment 27D wherein the formula 1 compound is present in a composition that comprises a pharmaceutically acceptable carrier.
- 29D. The method of embodiment 28D wherein the pharmaceutically acceptable carrier is duterium oxide, which comprises at least about 20% v/v of the water in the composition.
- 30D. The method of embodiment 19D wherein the subject's myeloperoxidase index is enhanced.
- 31 D. The method of embodiment 30D wherein the formula 1 compound is present in a composition that comprises one or more pharmaceutically acceptable carriers, which optionally include a halogen salt.
- 32D. A method to treat a blood cell deficiency in a subject comprising administering to the subject, or delivering to the subject's tissues, an effective amount of a compound of formula 1.
- 33D. The method of embodiment 32D wherein the formula 1 compound has the structure
wherein one, two or three of R7, R8 and R9 are —CH2— or —CH═ and wherein the configuration of hydrogen atoms at the 5 (if present), 8, 9 and 14 positions respectively are α.α.α.α, α.α.α.β, α.β.α.α, β.α.α.α, α.α.β.β, α.β.α.β, β.α.α.β, β.α.β.α, β.β.α.α, α.β.β.α, α.β.β.β, β.α.β.β, β.β.α.β, β.β.β.α or β.β.β.β, typically α.α.β.α or β.α.β.α. -
- 35D. The method of embodiment 34D wherein R1, R2 and R4 independently are —OH, —SCN, a C2-C20 ester or C1-C20 alkoxy, R3 is —H and two or three of R7, R8 and R9 are —CH2—.
-
- 37D. The method of any of embodiments 33D-36D wherein the configuration of hydrogen atoms at the 5 (if present), 8, 9 and 14 positions respectively are α.α.β.α or β.α.β.α.,
- 38D. The method of embodiment 32D wherein the formula 1 compound has the structure
wherein one R4 is absent when there is a double bond at the 16-17 position and wherein R7, R8 and R9 are independently selected and wherein one, two or three of R7, R8 and R9 are not —CH2— or —CH═ and wherein hydrogen atoms at the 5 (if present), 8, 9 and 14 positions respectively are in the α.α.α.α, α.α.α.β, α.α.β.α, α.β.α.α, β.α.α.α, α.α.β.β, β.α.α.β, β.α.β.α, β.β.α.α, α.β.β.α, α.β.β.β, β.α.β.β, β.β.α.β, β.β.β.α or β.β.β.β configurations, typically α.α.β.α or β.α.β.α. - 39D. The method of embodiment 38D wherein R8 is —CH2—, —O—, —S— or —NH—.
- 40D. The method of embodiment 38D or 39D wherein R7 is —CH2—CHR10—, —CH2—, —O—CHR10— or —O—C(O)—.
- 41D. The method of embodiment 38D, 39D or 40D wherein R8 or R9 is absent.
- 42D. The method of embodiment 38D or 39D wherein R7 and R9 independently are —CHR10—, —CH2—, —CH═, —O—, —S— or —NH—, wherein R10 is —OH, —SH, a C1-30 organic moiety, a C1-30 ester, C1-10 optionally substituted alkyl, C1-10 optionally substituted alkoxy, C1-10 optionally substituted alkenyl or C1-10 optionally substituted alkynyl.
- 43D. The method of embodiment 32D wherein the formula 1 method has the structure
wherein hydrogen atoms at the 5 (if present), 8, 9 and 14 positions respectively are in the α.α.α.α, α.α.α.β, α.α.β.α, α.β.α.α, β.α.α.α, α.α.β.β, α.β.α.β, β.α.α.β, β.α.β.α, β.β.α.α, α.β.β.α, α.β.β.β, β.α.β.β, β.β.α.β, β.β.β.α or β.β.β.β configurations, typically α.α.β.α or β.α.β.α. - 44D. The method of embodiment 43D wherein R4 is —OH, ═O, —SH, —SCN, a C1-30 ester or C1-30 alkoxy, wherein the ester or alkoxy moiety is optionally substituted with one, two or more independently selected substituents, which are optionally selected from —F, —Cl, —Br, —I, —O—, ═O, —S—, —NH—, —RPR, —ORPR, —SRPR or —NHRPR.
- 45D. The method of embodiment 43D or 44D wherein R1 is —OH, ═O, —SH, —SCN, a C1-30 ester or C1-30 alkoxy, wherein the ester or alkoxy moiety is optionally substituted with one, two or more independently selected substituents, which are optionally selected from —F, —Cl, —Br, —I, —O—, ═O, —S—, —NH—, —RPR, —ORPR, —SRPR or —NHRPR.
- 46D. The method of any of embodiments 32D-45D wherein a second R1 is present and it is a moiety other than hydrogen, e.g., —OH, —SH, —SCN, a C1-30 ester, C1-30 alkoxy, C1-30 alkynyl or a monosaccharide wherein the ester, alkoxy, alkynyl or monosaccharide is optionally substituted with one, two or more independently selected substituents, which are optionally selected from —F, —Cl, —Br, —I, —O—, ═O, —S—, —NH—, —RPR, —ORPR, —SRPR or —NHRPR.
- 47D. The method of any of embodiments 32D-46D wherein a second R2 is present and it is a moiety other than hydrogen, e.g., —OH, —SH, —SCN, a C1-30 ester or C1-30 alkoxy, C1-30 alkynyl or a monosaccharide wherein the ester, alkoxy, alkynyl or monosaccharide is optionally substituted with one, two or more independently selected substituents, which are optionally selected from —F, —Cl, —Br, —I, —O—, ═O, —S—, —NH—, —RPR, —ORPR, —SRPR or —NHRPR.
- 48D. The method of any of embodiments 32D-47D wherein a second R3 is present and it is a moiety other than hydrogen, e.g., —OH, —SH, —SCN, a C1-30 ester or C1-30 alkoxy, C1-30 alkynyl or a monosaccharide wherein the ester, alkoxy, alkynyl or monosaccharide is optionally substituted with one, two or more independently selected substituents, which are optionally selected from —F, —Cl, —Br, —I, —O—, ═O, —S—, —NH—, —RPR, —ORPR, —SRPR or —NHRPR.
- 49D. The method of any of embodiments 32D-48D wherein a second R4 is present and it is a moiety other than hydrogen, e.g., —OH, —SH, —SCN, a C1-30 ester or C1-30 alkoxy, C1-30 alkynyl or a monosaccharide wherein the ester, alkoxy, alkynyl or monosaccharide is optionally substituted with one, two or more independently selected substituents, which are optionally selected from —F, —Cl, —Br, —I, —O—, ═O, —S—, —NH—, —RPR, —ORPR, —SRPR or —NHRPR.
- 50D. The method of any of embodiments 32D-49D wherein there is a double bond at the 1-2 position.
- 51D. The method of any of embodiments 32D-49D wherein there is a double bond at the 4-5 position.
- 52D. The method of any of embodiments 32D-49D wherein there is a double bond at the 5-6 position.
- 53D. The method of any of embodiments 32D-49D wherein there is a double bond at the 16-17 position.
- 54D. The method of any of embodiments 32D-49D wherein there are double bonds at the 1-2 and 4-5 positions.
- 55D. The method of any of embodiments 32D-49D wherein there are double bonds at the 1-2 and 5-6 positions.
- 56D. The method of any of embodiments 32D-49D wherein there are double bonds at the 1-2 and 16-17 positions.
- 57D. The method of any of embodiments 32D-49D wherein there are double bonds at the 4-5 and 16-17 positions.
- 58D. The method of any of embodiments 32D-49D wherein there are double bonds at the 5-6 and 16-17 positions.
- 59D. The method of any of embodiments 32D-49D wherein there are double bonds at the 1-2, 4-5 and 16-17 positions.
- 60D. The method of any of embodiments 32D-49D wherein there are double bonds at the 1-2, 5-6 and 16-17 positions.
- 61D. A compound of formula 1, e.g., a compound in any compound group or embodiment disclosed herein.
- 62D. A composition comprising a compound of formula 1, e.g., a compound in any compound group or embodiment disclosed herein, and an excipient.
- 63D. Use of a compound of formula 1, e.g., a compound in any compound group or embodiment disclosed herein, to manufacture a medicament for the treatment of a blood cell deficiency, e.g., NP of TP, in a subject, e.g., a mammal or a human.
- 64D. A product produced by the process of contacting a formula 1 compound, e.g., a compound in any compound group or embodiment disclosed herein, and an excipient.
- 65D. A kit comprising a formulation that comprises a unit dosage or a multiple dosage comprising a formula 1 compound, e.g., a compound in any compound group or embodiment disclosed herein, and one or more excipients wherein the formulation is dispensed in a suitable container, wherein the kit further comprises a label that provides information about one or more of (1) the formula 1 compound's chemical structure, (2) any recommended dosing regimen, (3) any adverse effects of administering the formula 1 compound to a subject that are required to be disclosed and (4) the amount of the formula 1 compound that is present in each unit dose or in the entire container.
- Embodiments related to BrEA hemihydrate include the following.
- 1E. 16α-Bromo-3β-hydroxy-5α-androstan-17-one hemihydrate substantially free of other forms of 16α-bromo-3β-hydroxy-5α-androstan-17-one.
- 2E. The 16α-bromo-3β-hydroxy-5α-androstan-17-one hemihydrate substantially free of other forms of 16α-bromo-3β-hydroxy-5α-androstan-17-one of embodiment 1E wherein 16α-bromo-3β-hydroxy-5α-androstan-17-one hemihydrate comprises at least about 55% w/w of the 16α-bromo-3β-hydroxy-5α-androstan-17-one that is present.
- 3E. The 16α-bromo-3β-hydroxy-5α-androstan-17-one hemihydrate substantially free of other forms of 16α-bromo-3β-hydroxy-5α-androstan-17-one of embodiment 1E wherein 16α-bromo-3β-hydroxy-5α-androstan-17-one hemihydrate comprises at least about 98% w/w of the 16α-bromo-3β-hydroxy-5α-androstan-17-one that is present.
- 4E. The 16α-bromo-3β-hydroxy-5α-androstan-17-one hemihydrate of embodiment 3E, characterized by one or more of (1) an absorption endotherm onset as measured by differential scanning calorimetry analysis of about 100° C., (2) two carbonyl absorption bands at about 1741 cm−1 and 1750 cm−1 as measured by Fourier transform infrared absorption spectroscopy, (3) a water content of about 2.4% w/w to about 2.6% w/w as measured by Karl Fisher titration and (4) 1, 2, 3, 4, 5, 6 or more of the X-ray powder diffraction peaks at 17.8, 23.8, 24.2, 26.9-27.2, 28.6, 30.1 or 32.2 Theta, obtained from an XRD spectrum of 16α-bromo-3β-hydroxy-5α-androstan-17-one hemihydrate using Cu-Ks radiation.
- 5E. The 16α-bromo-3β-hydroxy-5α-androstan-17-one of embodiment 1E, 2E or 3E in a composition comprising an excipient suitable for human pharmaceutical use or for veterinary use.
- 6E. A method to make 16α-bromo-3β-hydroxy-5α-androstan-17-one hemihydrate comprising contacting water, 16α-bromo-3β-hydroxy-5α-androstan-17-one and a C1-C6 alcohol.
- 7E. The method of embodiment 6E wherein the C1-C6 alcohol is ethanol.
- 8E. The method of embodiment 6E wherein the solution comprises about 5-25% w/w water, about 30-45% w/w ethanol and about 30-45% w/w of a 16α-bromo-3β-hydroxy-5α-androstan-17-one preparation.
- 9E. The method of embodiment 6E wherein the solution comprises about 18-22% w/w water, about 37-43% w/w ethanol and about 37-43% w/w of a 16α-bromo-3β-hydroxy-5α-androstan-17-one preparation.
- 10E. The method of embodiment 9E wherein the solution is at a temperature of about −20° C. to about 45° C.
- 11E. The 16α-bromo-3β-hydroxy-5α-androstan-17-one hemihydrate of embodiment 1E substantially free of anhydrous 16α-bromo-3β-hydroxy-5α-androstan-17-one or substantially free of amorphous 16α-bromo-3β-hydroxy-5α-androstan-17-one.
- 12E. A product produced by the process of contacting a solution comprising water, 16α-bromo-3β-hydroxy-5α-androstan-17-one and a C1-C6 alcohol.
- 13E. The product of embodiment 12E that is 16α-bromo-3β-hydroxy-5α-androstan-17-one hemihydrate.
- 14E. The product of embodiment 12E wherein the solution comprises about 5-25% w/w water, about 30-45% w/w ethanol and about 30-45% w/w of a 16α-bromo-3β-hydroxy-5α-androstan-17-one preparation.
- Variations and modifications of these embodiments, the claims and the remaining portions of this disclosure will be apparent to the skilled artisan after a reading thereof. Such variations and modifications are within the scope and spirit of this invention. All citations herein are incorporated herein by reference in their entirety. All citations herein are incorporated herein by reference with specificity.
- The following examples further illustrate the invention and they are not intended to limit it in any way.
- Two lots of a non-aqueous BrEA formulation were made at a BrEA concentration of 50 mg/mL in 25% polyethylene glycol 300, 12.5% dehydrated ethyl alcohol, 5% benzyl benzoate, and 57.5% propylene glycol as follows. BrEA was obtained from Procyte, Inc. The remaining excipients are shown below.
Supplier Final Product Excipient Specification Lot No. Concentration Propylene glycol USP Arco Chemical 57.5% (v:v) HOC-61220-01104 Polyethylene glycol NF Union Carbide 25% (v:v) 300 695752 Dehydrated alcohol USP McCormick 12.5% (v:v) Distilling 97K10 Benzyl benzoate USP Spectrum 5% (v:v) Pharmaceuticals MG025 - The formulation was prepared by suspending BrEA in polyethylene glycol 300, and sequentially adding propylene glycol, benzyl benzoate, and dehydrated ethyl alcohol to form a solution, which was diluted to the final desired volume with additional propylene glycol. The procedure is described below.
- The calculated amount of polyethylene glycol 300 was added to a compounding vessel. Then, while mixing, the calculated amount of BrEA was added to the vessel, and mixed for at least 5 minutes to form a smooth, creamy liquid propylene glycol was added to the vessel, and mixed for a minimum of 5 minutes to form a uniform suspension. The calculated amount of benzyl benzoate is added to the vessel, and mixed for approximately 5 minutes to form a translucent liquid suspension. Dehydrated alcohol was added to the vessel, and mixed for approximately 5 minutes to form a clear, colorless solution. Propylene glycol was then added to achieve the desired final formulation, and mixed for approximately 5 minutes. The drug solution was transferred to a volume dispensing device set to deliver 1.2 mL per vial. Under nitrogen pressure, the solution was filtered through two 0.2 μm polyvinylidene fluoride filters in series into 2 cc amber glass vials. The vials were capped with Teflon-coated, butyl-rubber stoppers and crimp sealed. Materials used in the product vials are listed below.
Material Source Product Code Description Vial Wheaton 2702-B51BA Tubing vial, 2 mL/13 mm, glass, type 1 amber Stopper Omniflex V9239 FM257/2 13 mm, Teflon coated, butyl rubber stopper Seal West 4107 Flip seal, 13 mm, mist gray bridge - Product specifications were examined by one or more of the following assays.
Test Specification Method Physical Examination Clear colorless solution with slight alcoholic odor Volume recovery NLT* 1.0 mL USP23<1> Specific gravity TBD USP23<841> Assay for active component 90-110% of label HPLC Sterility sterile USP23<71> Endotoxin <0.1 EU/mg USP23<85> Particulate matter ≧10 μm NMT** 6000/cnt USP23<788> ≧25 μm NMT 600/cnt
*NLT—no less than
**NMT—no more than
-
Lot Analysis Test Specification Lot 1 Lot 2 Physical Clear colorless solution Positive Positive Examination with slight alcoholic odor Volume recovery NLT 1.0 mL 1.15 mL — Specific gravity TBD 1.0411 — Assay for active 90-110% of label 103.10% 104.25% component Sterility sterile sterile — Endotoxin <0.1 EU/mg 0.024 EU/mg — Particulate matter ≧10 μm NMT 6000/cnt 26 — ≧25 μm NMT 600/cnt 15 - An accelerated stability study of 6 months duration is conducted using BrEA and the formulations from example 1. Samples are taken at 1, 2, 3, 4, 5, and 6 month time points and compared with the specifications listed in example 1. Real time stability (25° C., 60% relative humidity) is conducted using BrEA formulation Lots 1 and 2, with sampling time points at 3, 6, 9, 12, 18, 24, and 36 months. After 3 months of storage at 40° C. and 75% relative humidity, the assay potency of BrEA is at least 95% of the label value. The results from the stability testing indicate that BrEA is stable for at least 3 months at elevated temperature and humidity in the Lot 1 and 2 formulations.
- Pig-tail Macaque monkeys infected with the SHIV229 retrovirus were treated with a BrEA formulation as described in example 1. SHIV229 is a recombinant retrovirus containing HIV and SIV sequences. J. Thompson et al., abstract #75, 16th Annual Symposium on Nonhuman Primate Models for AIDS, Oct. 7-10, 1998, Atlanta, Ga., M. Agy et al., abstract #67, 16th Annual Symposium on Nonhuman Primate Models for AIDS, Oct. 7-10, 1998, Atlanta, Ga. In monkeys, it establishes an aggressive infection that leads to severe symptoms of end-stage disease in infected untreated animals at about 180-210 days after infection. Four pig-tail macaques (2/group) received subcutaneous injections of the formulation at 1 or 2 mg/kg body weight for 10 consecutive days (Protocol 1). On week 8, 3 of the 4 monkeys were retreated and 2 treatment naïve monkeys were treated with 5 mg/kg of the formulation on an every other day basis for a period of 20 days (Protocol 2). On week 19, all primates receiving treatment began a 3 course treatment regimen with 3 mg/kg the BrEA formulation once daily for 10 consecutive days, repeated every four weeks for a total of 3 treatment courses (Protocol 3).
- The animals were infected with 1-100 TCID50 units administered intravenously or intrarectally. Viral titers in the first group of animals ranged from 106 to 108 before dosing began. All animals demonstrated an initial rise in plasma viral SHIV RNA. After a period of 2 to 3 weeks, titers began to decline and 3 of the 4 animals showed a response to therapy with average viral titers of 0.76 log below baseline at weeks 4 to 5 after initiation of treatment. By week 8, titers in all animals had returned to baseline values. Blood glucose levels dropped significantly, alkaline phosphatase levels were elevated and SGOT/GGT values trended towards the high end of normal. No other significant changes were observed in any of the parameters monitored. The CD4 levels in all monkeys remained less than 100 cells/mm3 at the end of the first protocol.
- Three of the five monkeys on the second regimen (Protocol 2) responded to the BrEA therapy with a greater depth and duration of response than observed at the lower dose levels. In the responding animals, the average decline below baseline was 1.47 log. The non-responding animal from Protocol 1 responded when administered the BrEA formulation in Protocol 2. Two animals did not respond, one each from the treatment experienced and treatment naïve groups. The third regimen (Protocol 3) is ongoing and animals are being monitored.
- The monkeys on this study were salvaged from an infectivity study and the first cohort of four monkeys on study (Protocol 1) were expected to live only a few weeks past the initiation of these experiments as they were beginning to deteriorate due to disease related causes. One animal died at day 356 from a toxic reaction to the anesthetic used during acquisition of a blood sample for analysis. At the time of this application, the remaining monkeys are receiving multiple rounds of therapy appear to be in good clinical health. Their survival was greater than 380 days from the time of infection. Treatment by intermittent dosing of the BrEA formulation was used. Three control monkeys were infected with 1-10,000 SHIV229 TCID50 units and did not receive treatment. These animals are considered the no treatment arm of a survival study. The mean time to death for pig-tailed macaques infected with SHIV229 was 193 days. Monkeys receiving therapy remained in good clinical health for over 350 days with CD4 levels less than 20 cells/mm3 and without opportunistic infections or disease-related symptoms, other than a mild anemia in one animal.
- These results show completely unexpected therapeutic responses by the primates infected with the SHIV retrovirus, which is quite virulent. The results show that the majority of subjects in these treatment protocols not only had significantly prolonged survival compared to untreated controls, but also the clinical symptoms associated with retroviral infection improved dramatically, despite the fact that CD4 counts remained low, i.e., less than about 100 CD4 cells/mm3 initially and less than about 20 CD4 cells/mm3 later in the treatment protocols. To date, results such as this, i.e., (1) good clinical health in a majority of subjects having low CD4 levels (less than about 150 cells/mm3, especially less than about 75 cells/mm3) and (2) no clinical sign of viral resistance to treatment despite intermittent dosing over a prolonged time period, are unprecedented in primates, humans or any other animal. The SHIV229 model is extremely pathogenic in pig-tailed macaques. Events that occur in this model over several weeks would typically take several years in humans infected with HIV. Treatment of monkeys infected with this virus and treated with commonly used antiretrovirals, e.g., AZT, 3TC or a protease inhibitor, are not expected to significantly affect the course of disease progression. The clinical condition of the animals continues to improve, e.g., weight gain is about 8-15% per animal. These results show that the treatment using the intermittent dosing protocol is highly effective despite the apparent impairment of the subject's specific immunity, as shown by the low CD4 counts. Increased CD4 counts may be attained using immune stimulators such as IL2 or they may increase spontaneously in some subjects such as humans, depending on the treatment protocol, the duration of dosing or the subject's initial medical condition. The antiviral effects shown here appear to function at least in part by enhancing the subject's immune responses, e.g., enhanced immune response by phagocytic cells (NK cells, monocytes and/or macrophages), and/or enhancing any residual specific immune responses, if any, that the subject may be able to muster.
- A dose escalation clinical trial is performed using a nonaqueous formulation containing BrEA or another formula 1 compound(s) that is prepared essentially as described in example 1. The patients are treatment naïve or treatment experienced and about 3-10 patients are examined at each dose level. The initial dose is 25 mg of BrEA or another formula 1 compound(s) that is administered parenterally, e.g., s.c. or i.m. The dose is administered once or once or twice per day for 1-12 days, followed by no dosing for at least 7 days (e.g., 7 to 90 days). Subsequent doses are administered once or once per day for 1-12 days, followed by no dosing for at least 7 days (e.g., 7 to 90 days). Other dose levels tested are 20 mg, 50 mg, 75 mg, 100 mg, 150 mg, 200 mg, 250 mg and 300 mg with each dose administered once per day as a single dose or as two, three or more subdivided doses. An efficacy dosing trial is performed using the same dosing protocol as the dose escalation trial or it may alternatively comprise dosing once or twice every other day for 3-17 days, followed by no dosing for 7-90 days and then repeating the dosing once or twice every other day for 3-17 days. This protocol is repeated indefinitely (e.g., at least about 3-18 months) using the optimal dose(s) obtained from the dose escalation trial, e.g., about 10-200 mg/day of a formula 1 compound.
- Nonclinical studies were conducted using an oral and a subcutaneous formulation of BrEA. Rats were orally administered 14C BrEA solubilized in different excipients to determine the levels of drug in blood and various tissues. The results of these preliminary pharmacokinetics studies indicated that the absorption of BrEA by oral administration is about 0.1 to 15%, with at least about 80% excreted in the feces.
- The nonaqueous BrEA formulation of example 1 was administered as a single subcutaneous dose to rabbits. More than 90% of the drug left the injection site within 24 hours of administration, and reached a maximum concentration in the plasma of about 1.2% of the injected dose at eight to twelve hours post administration. The circulating half-life of the drug in the plasma was about twelve hours. The drug did not accumulate to a significant extent in any major organ and was primarily excreted in the urine.
- BrEA was administered subcutaneously to rats using the formulation of example 1. Approximately 90% of the drug left the injection site within 24 hours of administration, and reached a maximum concentration in the plasma of about 0.2% of the injected dose at one hour post administration. Elimination from the plasma was biphasic, with half-lives of about 12 and 72 hours respectively. BrEA did not accumulate to a significant extent in any major organ, and was excreted primarily in the feces. A study is also performed in Rhesus Monkeys with the example 1 formulation to determine plasma pharmacokinetics.
- A pharmacokinetic analysis of 14C BrEA in plasma was conducted in two female Rhesus Monkeys. Trace labeled compound (16α-bromo-3-beta-hydroxy-5α-[4-14C]-androstan-17-one [50 mCi/mmole]) was used at a dose of 1 mg/kg as a subcutaneous injection in the scapular region using an injection volume of 1 mL/kg. The BrEA was formulated in 25% polyethylene glycol 300, 12.5% absolute ethanol, 5% benzyl benzoate, and qs with propylene glycol. 40 μCi were injected per animal. Blood samples were taken at 0, 0.5, 1, 2, 4, 8, and 24 hours for determination of 14C activity. The radioactivity in the plasma rose to near peak concentration in 8 hours and remained at approximately the same level through the end of the study at 24 hours.
- A pharmacokinetic analysis of 14C BrEA was conducted in New Zealand White rabbits. Twenty μCi of 14C 16α-bromo-3-beta-hydroxy-5α-[4-14C]-androstan-17-one (50 mCi/mmole) plus 1 mg/kg unlabeled BrEA was administered to each of three New Zealand White rabbits as a subcutaneous injection in the scapular region using an injection volume of 1 mL/kg. The drug was formulated in 25% polyethylene glycol 300, 12.5% absolute ethanol, 5% benzyl benzoate, and qs with propylene glycol. Blood samples were taken at 0.5, 1, 2, 4, 8, 12, 24 hours for all three animals, and at 48 hours for two of the animals. Twenty-four and 48 hours after administration, one and two animals respectively, were sacrificed, and the following organs/tissues were collected: brain, heart, kidneys, liver, lungs, skeletal muscle, spleen, and injection site muscle and skin. In addition to the organs and tissues, urine and feces were collected as well as the cage wash. BrEA did not accumulate to a significant degree in any of the organs listed above. Of the organs, the greatest mass of drug was observed in the liver, containing approximately 0.8% and 0.12% of the injected dose at 24 and 48 hours, respectively (average 0.13%).
Percentage of Drug in Organs (Rabbits) Animal 201 Animal 301 Animal 302 Organ or Tissue 24 hours 48 hours 48 hours Brain 0.005 0.002 0 Heart 0.008 0.003 0.002 Kidneys 0.155 0.055 0.050 Liver 0.76 0.145 0.125 Lungs 0.029 0.019 0.011 Spleen 0.002 0 0 Skeletal muscle 0.002 0 0 (sample wt. in grams) (3.8 g) (6 g) (5 g) Skin 0.008 0.002 0.004 (sample wt. in grams) (8 g) (6 g) (9 g) - The average percentages of the administered dose in whole blood was calculated by multiplying the concentration of drug in whole blood by the assumed volume of blood in the animals, 200 mL. The amount of drug in the blood reaches a maximum at around 8 hours, and a small amount was still evident at 48 hours. The amount of BrEA in whole blood was consistently lower than in plasma, suggesting the drug is not taken up to an appreciable extent by red blood cells.
- In vivo experiments were conducted to determine the bioavailability of BrEA via oral administration using different formulations. BrEA was (1) solubilized in soya oil, vitamin E oil, a mixture of vitamin E and cremophore or (2) BrEA was micronized and combined with or without a surfactant. These formulations are described below. The formulations were administered orally to rats and BrEA levels were determined in the blood, liver, spleen, kidney, and the lymph nodes. In the studies using micronized BrEA, the brain was evaluated for drug uptake. Twenty-four hour urine and feces were collected when BrEA was solubilized in vitamin E and soya oils and vitamin E mixed with Cremophore. The data from these studies indicate that BrEA enters into the lymphatics but is eliminated rapidly from the other tissues. The amount of 14C radioactivity recovered in the feces 24 hours after administration was 78 to 83%. A brief summary of each experiment is provided below and the results are provided in Table 6.
- BrEA (5 mg in 1.0 mL of soya oil or vitamin E oil) supplemented with 14C-labelled BrEA was administered intragastrically to rats. Solubilization of BrEA in the vitamin E or soya oil was facilitated with 50 μL ethanol. Animals (3/time point) were assayed at 1.5, 3, 5.5, and 24 hours after administration and the 14C-radioactivity was measured in the blood, liver, spleen, kidney, lymph nodes and 24 hour feces and urine. The results indicate that, on the basis of 14C-radioactivity, some of the BrEA is taken into the lymphatic system. The uptake is greater with soya oil than vitamin E oil in the blood, liver, and lymph nodes.
- BrEA (5 mg in 1.0 mL of a vitamin E and cremophore) supplemented with 14C-labelled BrEA was administered intragastrically to rats. Solubilization of BrEA in the vitamin E-cremophore mixture was facilitated by the adding 60 μL ethanol. Animals (4/time point) were sacrificed at 2, 3, 5.5, and 24 hours and 14C-radioactivity was measured in the blood, liver, spleen, kidney, lymph nodes and 24 hour feces and urine. The results indicate that a small portion of the drug is taken up by the lymphatic system. Judging from the values in plasma, liver and lymph nodes, it appears that drug uptake is slower compared with soy oil or vitamin E and its presence in the tissues is more persistent.
- Rats, in groups of three males, were orally administered 1.0 mL of 0.9% NaCl containing 10 or 32 mg BrEA micronized with a surfactant, Synperonic PE/F 127 (2.5% wt/wt). Rats were examined at 1.5, 5 and 24 hours after administration. Blood, liver, spleen, kidney, lymph nodes, and brain were assayed for 14C radioactivity. The levels of BrEA in the blood, in comparison to the experiments with BrEA in Vitamin E oil and soya, were higher, 0.3% at 1.5 hours, and increased after 5 hours to 0.8% and 0.9% of the 10 and 32 mg dose, respectively. Additionally, the values in the lymph nodes were similar to those measured at 1.5 hours and the levels were sustained at 5 hours (5.3 and 5.0%) and 24 hours (3.7 and 3.1%) for the 10 and 32 mg dose, respectively (refer to Table 6).
- In a repeated dose experiment, rats were intragastrically administered 1.0 mL 0.9% NaCl containing 2 mg BrEA micronized with Synperonic PE/F 127 (2.5% wt/wt) every 6 to 16 hours. Rats (3/time point) were sacrificed at 40, 72, 84, 90 and 96 hours after the first administration. Blood, liver, spleen, kidney and lymph nodes were assayed for 14C radioactivity. Higher levels in the blood, liver, kidneys and lymph nodes were noted in this experiment over previous studies.
- Rats, in groups of three males, were orally administered 1.0 mL of 0.9% NaCl containing 2, 4 or 10 mg BrEA micronized without a surfactant. Rats were sacrificed at 1.5, 5 and 24 hours after administration and blood, liver, spleen, kidney, lymph nodes and brain were assayed for 14C radioactivity. The concentration of BrEA micronized without a surfactant in the observed tissues was lower than BrEA plus a surfactant.
- For in vitro antimalarial testing, micro-titer plates were used. The concentration of drugs were prepared as pMol/well according to WHO standard procedures (WHO, 1990). The test compound was dissolved in 15% DMSO in sterile RPMI-1640. Both chloroquine sensitive (e.g., WS/97) and resistant (e.g., MN/97) isolates of Plasmodium species are used.
- A schizont inhibition assay was performed as follows. The micro-titer plates were predosed with various concentrations of the test compound. 50 μL of parasitised erythrocyte suspension in RPMI-1640 (0.2 mL erythrocyte+0.3 mL serum+4-5 ml RPMI-1640) were dispensed in microtiter wells that contained various concentrations of drug. Triplicate readings were made for each concentration.
- A 3H-hypoxanthine incorporation assay was performed as follows. The testing was carried out according to the procedure of Desjardins et al. 1979. After 30 hr culture at 37 degrees C., the same microtiter plates from schizont inhibition assays with another triplicate wells were pulsed with 3H-hypoxanthine for overnight. The cell suspensions were washed twice on millipore glass fiber filter with Millipore filter apparatus. The filter discs were counted for DPM by a Beckman LS6000 β-scintillation counter. The activity of the drug was measured by plotting DPM against concentration of drug.
Activity of compounds against Chloroquine sensitive T996/86 P. falciparum in vitro Etianic Acid Concentration Etienic Acid Methyl (μM) DHEA* BrEA* Methyl Ester* Ester* 30 65.6 98 60 61.5 15 44 60.1 45.7 47.4 7.5 38.3 50 40.9 45.3 3.25 37.2 43.7 46 41.4 1.875 23.2 40.9 41 43.4 0.938 37.2 31.8 43.3 47.1 IC50 19.0 μM 7.5 μM 19.5 μM 17.5 μM
*% inhibition
-
Concentration (nM) % Inhibition Chloroquine Chloroquine 200 95.9 100 94.6 50 97.3 25 94.5 12.5 86.8 6.25 27.2 IC50 9.0 nM - The activity of 16α-chloroepiandrosterone and 16α-bromodehydro-epiandrosterone against chloroquine sensitive T996.86 and chloroquine resistant KI P. falciparum in vitro is shown below.
T996.86 KI 16-chloroepiandrosterone IC50 −9.25 pg/mL ˜9.25 μg/mL DHEA-Br IC50 −25.0 pg/mL ˜25.0 μg/mL - Other formula 1 compounds, e.g., any compound in compound group 1 through 25-6 are used in a similar manner to inhibit Plasmodium parasites.
- The 4-day suppressive test has been widely used and it can be performed within a 1 week period. The test consists of the inoculation of parasitised erythrocytes on the first day of the experiment (D0), followed by an injection of the test compound, which is also administered on the 2nd, 3rd and 4th days of the protocol. On the 5th day, blood films are taken and antimalarial activity is assessed either by calculating parasitemia, or by scoring parasite numbers on a predetermined scale (i.e., 1-5). Peters (Ann. Trop. Med. Parasitol. 64: 25-40, 1970) described a basic procedure using this 4-day test.
- The protocol is summarized as follows. Five female TO mice were used per test group. P. berghei HP15 ANKA parasites were collected by cardiac puncture using a heparinised syringe from a donor mouse having a 30+% parasitaemia. The blood was diluted with diluting agent (50% HIFCS+50% sterile PBS) to a final concentration of 1% parasitaemia or 1×107 infected erythrocytes per 0.2 mL of the infecting suspension. Each mouse was inoculated intravenously, which produced a more uniform infection rate than intraperitoneal administration of 0.2 mL of the infecting suspension. Test compounds were prepared at doses of 100 mg/kg in (16.7% DMSO+83.3% Celacol). The steroid formulations were administered intraperitoneally 2 hours after parasite inoculation. The compounds were administered once a day starting on Do, and continued on the following three days. Blood films were made from tail blood on the day after the last dosing of compound and the blood was fixed with 100% methanol and stained with 10% Giemsa. Parasitaemias were scored on a scale of 0-5, where 5 is equal to the control.
- An inoculum of 1% parasitaemia 1×107 erythrocytes/mL, 0.2 mL per mouse (female strain TO mice), was delivered by intravenous injection. Drug administration commenced 2 hours after inoculation on Day 1 and continued for 3 days. The results are shown below from blood films from all 20 mice on Day 5 when parasitaemias were assessed.
Compound Treatment Parasitaemia Score (0-5) BrEA 100 mg/kg × 4 days i.p.* 1 Etienic Acid 100 mg/kg × 4 days i.p. 2 DHEA 100 mg/kg × 4 days i.p. 1 Chloroquine 3 mg/kg × 4 days i.p. 1 control N/A 5
*i.p. = intraperitoneal injection
- In a similar protocol, mice are inoculated with a solution containing 1×107 erythrocytes/mL by I.V. injection. Two hours later give drug is delivered by I.V. injection. BrEA or another formula 1 compound is given (0.2 mL I.V. or S.C.) once a day for 4 days. Tail snips are used to obtain blood after the study. Mice infected with P. berghei were used to obtain infected cells. Parasites are harvested from cardiac mouse blood, and uninfected mice are infected using 0.2 ml of blood with 14% parasitaemia per mouse I.V. Two hours later, the first dose of BrEA (100 mg/kg I.V. or S.C.) is delivered to the infected animals. The BrEA formulation was a sterile solution containing 15 mg/mL of BrEA in 45% hydroxypropyl-β-cyclodextrin and 0.9% saline. At 1, 2, 3 and 4 days after the infection of the animals, BrEA (100 mg/kg I.V. or S.C.) is delivered to the infected animals. No deaths occurred in the group receiving I.V. BrEA at day 30, but all control animals were dead by day 10. All animals treated with BrEA by S.C. delivery were dead by Day 11.
- In the in vitro protocol the parasite (Plasmodium falciparum, chloroquine sensitive strain WT and chloroquine resistant strain Dd2) level is adjusted to 1% and the hemocrit is adjusted to 7% with medium. Using a 96 well plate, 50 μL of parasite and 100 μL of drug mixed with media are added to each well and the procedure is done in triplicate. The plate is placed in a chamber containing a physiological gas mixture and incubated at 37° C. The media/drug mixture is changed at 24, 48 and 72 hours. On day 5 (96 hours) slides of each well are made, stained with Gemsia and 500 red blood cells are counted for each slide. The triplicates are averaged and data are reported in percent inhibition.
- In the in vivo protocol, Lewis rats weighing 80-85 grams were given a standardized IP injection of parasite (Plasmodium berghei). Rats were then intravenously injected 2 hours later with one of the treatments described in the table below, returned to their housing, fed standard lab chow and allowed free access to water. Animals were weighed and treated again 24, 48, and 72 hours after the first treatment and again returned to their housing and they were allowed free access to food and water. The animals were weighed again and then bled using a 26-gauge needle on day 5, 11 and 28 post inoculation. Hemocrits were measured and blood smears are prepared for each rat. The blood smears were then stained using Gemsia and the level of parasitemia (defined as the percent of red cells with parasites) were determined. Animals were again returned to their housing and observed twice daily for evidence of progressive disease, defined as listlessness and or adverse drug reaction, which is defined as a loss of 20% of original body weight, for a total of 28 days. If either progressive disease or drug reaction is noted, the animals are euthanized.
- The BrEA formulation was a sterile solution containing 15 mg/mL of BrEA in 45% hydroxypropyl-β-cyclodextrin and 0.9% saline.
Group 1 Group 2 Group 3 Group 4 Control 0.9% Chloroquine BrEA Low BrEA High saline Control Dose Dose 40 mg/kg 30 mg/kg 60 mg/kg - The intravenous injections were given on days 0, 1, 2 and 3 and the results are shown below. The results showed that treatment in vivo with a formulation comprising BrEA reduced parasitemia to a level comparable to that seen with the chloroquine (“Clq”) control. The results are summarized below.
% RBC parasitemia Day 4 saline control 16% chloroquine control 10% low dose BrEA 9% high dose BrEA 7% Day 11 saline control 36% chloroquine control 16% low dose BrEA 12% high dose BrEA 11% - Response to drug treatment was graded as per World Health Organization criteria (WHO 1973) in infected patients. Evaluation of therapeutic response was determined using the parasitic and fever clearance times. Parasite clearance was expressed as three indices; the time for the parasite count to fall by 50% of the pre-treatment (baseline) value (PC50), (ii) the time for the parasite count to fall by 90% of the baseline value (PC50) and (iii) the time for the parasite count to fall below the level of microscopic detection (parasite clearance time PCT) (N.J. White and S. Krishna Trans. R. Soc. Trop. Med. Hyg. 83: 767-777,1989; White et al., J. Infect. Dis. 165: 599-600,1992; White et al., J. Infect. Dis. 166: 1195-1196,1992). The fever clearance time was defined as the time from drug administration till the oral or rectal temperature fell to or below 37.2° C. and remained so for at least 48 h.
- Venous blood (5 mL) was obtained from two patients before treatment and at 4, 6, 8, 12, 18, 20, 24, 30 and 36 h after treatment or at 4 or 6-hourly intervals after treatment until there was complete clearance of peripheral parasitemia. Blood was collected aseptically and transferred to 10 mL syringes containing 2 mL of acid citrate dextrose (ACD) for in vitro culture. Prior to incubation, the plasma was separated from the red blood cells and the red blood cells were washed twice. Parasites were cultured by modification of standard in vitro culture techniques (W. Trager and J. B. Jensen, Science 193:673-675, 1976; A. M. Oduola et al., J. Protozool. 39: 605-608,1992). Samples were dispensed into sterile centrifuge cubes within 10 min of collection and spun down. The supernatant plasma was stored while the packed cells were washed twice with culture medium (washing medium, RPMI-1640 medium, containing 25 mM HEPES buffer and 25 mmol/L NaOH). The buffy coat was removed by vacuum aspiration. A 1:10 fold dilution was done for each blood sample with complete washing medium [CMP (washing medium supplemented with 10% human plasma)]. One milliliter each of the sample was transferred into 2 wells of a 24 well micro culture plate. Cultures were incubated at 37 degrees C. in an atmosphere of 5% CO2, 5% 02 and 90% N2 premixed gas. The culture medium was changed daily and thin blood smears were prepared for microscopy at 24 and 48 h after the culture has been set up. The culture samples were diluted with unparasitized washed type A Rh-positive red blood cells if the proportion of parasitized red blood cells was more than 2%.
- Microscopy. During the in vivo study, thin and thick blood films were fixed with dehydrated methanol (100%) and heat, respectively, were stained with 10% Giemsa for 20 min. Parasitemia was quantified in thin films by counting 2000 red blood cells in clear contiguous fields and finding the proportion that was parasitized. In thick films, parasitemia was quantified by counting parasites against leukocytes. A film was declared negative if no parasites were found after examination of 200 microscope fields of a thick smear. During in vitro and ex vivo study, pretreatment thin and thick smears were, graded for ring stages by the method of Jiang as modified by Li et al. (J. B. Jiang et al., Lancet 2(8293): 285-288,1982; K. Silamut and N. J. White Trans. R. Soc. Trop. Med. Hyg. 87: 436-443,1993; X. L. Li et al., Chi. J. Parasitol. Dis. 12: 296,1994). Approximately 5000 erythrocytes were counted in clear contiguous fields 24 and 48 h after incubation of blood obtained at each time point and graded for maturity into tiny rings, small rings, large rings, pigmented trophozoites and schizonts. Functional viability was estimated as the percentage of asexual ring forms capable of maturing to pigmented trophozoites or schizonts after 24-48 h of in vitro culture (W. M. Watkins et al., Trans. R. Soc. Trop. Med. Hyg. 87: 75-78,1993).
- Calculation of Parameters. The patients presented with acute symptomatic severe non-cerebral pure P. falciparum malaria. They had oral fluid intolerance, body temperatures greater than 39° C., greater than 5000 parasites per micro liter of blood, asexual parasitemia and they had a negative urine test for antimalarial drugs. They were administered 25 mL intravenously every four hours with BrEA suspended in sterile 45% β-cyclodextrin in saline at a concentration of 25 mg/mL. This regimen was continued for four days. Parasitemia quantification and clinical examination were done once every 6 hours for the first 72 hours, followed by daily assessment of the parameters up to day 7 (168 hrs) and thereafter on day 14.
- Blood films were Giemsa-stained and parasitemia quantification was done in thick films by counting 2000 parasites against leukocytes, and the thin films by finding the proportion of infected red blood cells. Response to drug treatment was graded according to WHO criteria. Evaluation of therapeutic response was done using the parasitic and fever clearance times. Parasite clearance was expressed as three indices: The time for the parasite count to fall by 50% of the pre-treatment (baseline) value (PC60); to fall by 90% of the baseline value (PC90); and to fall below the level of microscopic detection (parasite clearance time) PCT.
- The fever clearance time was defined as the time from drug administration until the oral/rectal temperature fell to below 37.2 degrees C. and remained so for greater than 48 hours. The parasite clearance rate at day 14 was 100%. The clinical response thus included an effect on parasitemia in both patients and amelioration of one or more symptoms of infection.
Intravenous BrEA Malaria Patient Trial Patient A Patient B Fever clearance time 12 hrs 18 hrs Parasite clearance times Time to 50% clearance 18 hrs 24 hrs Time to 90% clearance 24 hrs 48 hrs Time to 100% clearance 48 hrs 64 hrs - The effect of BrEA on pentosephosphate shunt (PPS) activity in normal human RBC was examined using whole cells. Since glucose-6-phosphate dehydrogenase (“G6PD”) is the limiting enzyme of the PPS, PPS flux measurement is considered to better reflect G6PD activity in the whole cell compared to G6PD activity measurement in a cell lysate. G6PD activity measured in a cell lysate is typically about 1100-fold higher than the PPS flux in whole resting unstimulated RBC (G6PD activity in cell lysate: 165; PPS flux 0.142 micromoles/hour/ml RBC). PPS flux and G6PD activity in the whole RBC depends on a number of factors (the concentration of NADPH, NAD, and ATP, and intracellular pH), which are kept constant if the measurement is performed in the lysate and may vary in the whole RBC. Levels of G6PD activity in cells is considerably above normal basal needs and inhibition of overall G6PD activity might have no or minor consequence on PPS flux in the whole cell. For example, RBC with the Mediterranean G6PD mutant with about 1-3 percent residual activity compared with normal individuals have no impairment in basal PPS flux, but show impaired flux when flux through PPS is stimulated by methylene blue addition. A series of experiments were performed using varying amounts of BrEA and PPS flux was measured in unstimulated basal RBC and in methylene-blue (MB)-stimulated RBC.
- The data below shows PPS flux (micromoles/hour/ml RBC) in basal unstimulated, and MB-stimulated normal RBC. Different concentrations of BrEA (0.3, 3.5 and 7 micromolar, final) were supplemented to suspensions of washed RBC suspended in RPMI, pH 7.4 at 10% hematocrit, whereby PPS flux was immediately measured without further incubation and without further washings. A minor inhibition of MB-stimulated PPS flux was observed with BrEA at 7 μM.
PPS flux control, unstimulated RBC 230 DMSO control, unstimulated RBC 270 DMSO control, MB stimulated RBC 5090 0.3 μM BrEA, unstimulated 250 0.3 μM BrEA, MB stimulated 5000 3.5 μM BrEA, unstimulated 270 3.5 μM BrEA, MB stimulated 4950 7 μM BrEA, unstimulated 295 7 μM BrEA, MB stimulated 4660 - The data below shows average values of 3 experiments, where basal, unstimulated, and MB-stimulated PPS flux (micromoles/hour/ml RBC) was measured in normal RBC. In these experiments, different concentrations of BrEA ˜0.8, 8 and 80 micromolar, final) were supplemented to suspensions of washed RBC suspended in RPMI, pH 7.4 at 10% hematocrit. After a 90-min incubation at 37° C. with and without BrEA, PPS flux was measured. The results showed a dose-dependent inhibition of MB-stimulated PPS flux. Inhibition was 10% at 8 micromolar (p=0.006 vs control+DMSO) and 25% at 80 micromolar (p=0.002 vs control+DMSO).
PPS flux control, unstimulated RBC 430 control, MB stimulated RBC 5410 DMSO control, unstimulated RBC 480 DMSO control, MB stimulated RBC 4890 0.8 μM BrEA, unstimulated 410 0.8 μM BrEA, MB stimulated 4930 8 μM BrEA, unstimulated 450 8 μM BrEA, MB stimulated 4430 80 μM BrEA, unstimulated 450 80 μM BrEA, MB stimulated 3660 - The effect of Epi (16α-bromo-epiandrosterone) on parasite (Plasmodium falciparum) growth was shown. EPI was active at a concentration of 1 μM.
Parasitemia after treatment Time 0 24 hrs 48 hrs 72 hrs control + DMSO 5% 5.40% 3.10% 5.20% Epi 1 μM 5% 5.70% 5.50% 1.60% Epi 10 μM 5% 5.60% 0.90% 0 Epi 100 μM 5% 0 0 0 Epi 500 μM 5% 0 0 0 control + DMSO 2% 8.80% 11% 8% Epi 50 nM 2% 9.90% 9.20% 8.30% Epi 1 μM 2% 5.80% 6.10% 2.10% Epi 2.5 μM 2% 7.30% 5.80% 3.20% Epi 5 μM 2% 5.40% 6% 1.80% Epi 10 μM 2% 4.20% 3% 0 Epi 50 μM 2% 0 0 0 - Parasitemias were determined by standard methods (microscopic inspection of at least 500 cells, stained with Diff-Quick™ (Baxter). Parasites were cultured under standard conditions in RPMI-1640 supplemented with Hepes/Glucose (10 mM), glutamine (0.3 g/liter) and 10% human plasma. The hematocrit was 1%.
- The capacity of BrEA to influence phagocytosis of Plasmodium parasite-infected RBC is examined using adherent human monocytes. The parasitemia level is about 8-10% and human monocytes are obtained from buffy coats from blood as follows. Peripheral blood mononuclear cells are separated from freshly collected platelet-poor buffy coats discarded from blood samples of healthy adult donors of both sexes. Separated cells are washed once with luke-warm PBS supplemented with 10 mM glucose (PBS-G) and resuspended at 5×106 cells/mL in ice-cold RPMI 1640 medium supplemented with 23 mM NaHCO3 and 25 mM Hepes, pH 7.4 (RMBH). Dynabeads M450 Pan B and Pan T (Dynal) are added to cells in a 4:1 ratio for 20 min at 4° C. B-lymphocytes and T-lymphocytes are removed as specified by the manufacturer. The remaining monocytes are washed 2 times in RMBH, resuspended in AIM V cell culture medium (Gibco) at 1×106 cell/mL. The monocyte layer is collected, washed with PBS-G at 37° C. and resuspended in AIM V medium at 1×106 cells/mL. Purified cells are >90% monocytes as assessed by CD14 expression.
- Phagocytosis of opsonized parasitized RBC (PE) is determined as follows. Phagocytosis of fresh-serum opsonized PE is initiated by mixing 10 PE/monocyte. Suspensions are briefly centrifuged (150×g for 5 sec at room temperature) to improve contact between PE and monocytes. To avoid attachment of monocytes after centrifugation and during the whole incubation period, cells are kept in suspension at 5×106 cells/5 mL AIM V medium in 6 cm diameter teflon bottom dishes (Heraeus) in a humidified incubator (95% air, 5% CO2) at 37° C. On average, at least 90% of the monocytes phagocytose PE, as assessed by microscopic inspection. Control cells are kept under similar conditions without phagocytosis. Quantitative assessment of phagocytosis is performed by a previously described bioluminescence method (E. Schwarzer, et al., Br. J. Haematol. 1994 88: 740-745).
- Erythrocyte treatments and parasite cultures are as follows. Fresh blood (Rh+) is used to isolate erythrocytes (RBC). Washed RBC are infected with schizont/trophozoite parasite stages (Palo Alto strain, mycoplasma-free). Stage specific parasites are isolated by the Percoll-mannitol method. Briefly, normal schizont-stage parasitized RBC (SPE) separated on Percoll-mannitol gradient (parasitemia>95% SPE) are mixed with RBC suspended in growth medium (RPMI 1640 medium containing 25 mmol/L Hepes, 20 mmol/L glucose, 2 mmol/L glutamine, 24 mmol/L NaHCO3, 32 mg/L gentamicin and 10% AB or A human serum, pH 7.30) to start synchronous cultures at selected hematocrit values. The inoculum parasitemia is adjusted to 20% normal SPE for isolation of ring parasitized RBC (RPE) and to 5% normal SPE for isolation of trophozoite-stage parasitized RBC (TPE). At 14-18 hours after inoculum parasites are at ring-stage in the first cycle; at 34-33 hours, parasites are at trophozoite-stage in the first cycle; and at 40-44 hours after inoculum parasites are at schizont-stage in the first cycle. RPE, TPE and SPE are separated on Percoll-mannitol gradients. The parasitemia is usually 8-10% RPE, and >95% TPE. Nonparasitized and parasitized RBC are counted electronically. To assess total parasitemia and relative contribution of RPE, TPE and SPE, slides are prepared from cultures at indicated times, stained with Diff-Quik™ parasite stain and about 400-1000 cells are examined microscopically.
- The effect of a formula 1 compound such as BrEA in parasitized RBC is examined using various concentrations of the compound, e.g., BrEA, e.g., 0.5 μM, 1 μM, 10 μM, 25 μM and 50 μM. Trophozoite-parasitized RBC, schizont-parasitized RBC or ring-parasitized RBC are examined as described.
- The clinical trial protocol that incorporates about 15-20 patients is established. For a phase I, I/II or II trial, the patients are mildly infected with one or more Plasmodium parasites and they are mildly symptomatic (less than about 8-10% parasitemia of RBC). Before treatment, the patients are optionally tested for infection with HIV, HCV, TB, and Cryptosporidium. Patients with one or more co-infections are given standard care for the coinfection. The patients are hospitalized for treatment for one week. Two or more dose groups, e.g., 25, 50 or 100 mg/day of BrEA administered parenterally, e.g., by intramuscular, subcutaneous or intravenous injection, on 3, 4 or 5 days of the week when patients are dosed. Dosing is on consecutive days or on an intermittent schedule, e.g., 2, 3 or 4 doses with one dose administered every other day.
- The formulation containing BrEA is as described herein, e.g., the formulation of example 1 or a formulation that comprises 100 mg/mL BrEA, PEG300 ˜30% v/v, propylene glycol 30% v/v, benzyl benzoate 30% v/v and benzyl alcohol 2% v/v. At day 5-7, if less than about 50% reduction in parasitemia is observed, the patients are given standard care for malaria (mefloquine). During the week of treatment and for 1, 2 3, or more weeks there after, blood samples are taken periodically for evaluation of parasitemia, pharmacokinetics, plasma cytokines (e.g., IL-2, IL-4, IL-10, IGF1, γIFN, GM-CSF), and intracellular cytokines (e.g., IL-2, IL-4, IL-10, IGF1, γIFN, GM-CSF). The patients are optionally treated again at about 2 to 12 weeks after the initial dosing, using the same or a similar protocol as that used in the initial dosing protocol.
- An exemplary open-label study of a BrEA formulation administered intramuscularly to semi-immune patients with uncomplicated malaria is conducted. The formulation comprises 100 mg/mL BrEA, PEG300 ˜30% v/v, propylene glycol 30% v/v, benzyl benzoate 30% v/v and benzyl alcohol 2%. Patients will remain at the hospital as in-patients for the first 7 days of the study. Patients will receive one daily intramuscular administration of 50 mg or 100 mg of BrEA for 5 consecutive days. Daily evaluation for the first 7 days, and up to study day 14, may include parasitemia evaluation (twice daily), chemistry, hematology and drug levels (pharmacokinetic evaluation). If, after study day 7, the parasitemia levels decrease from the screening value and the patient is clinically stable, the patient may be followed on a daily basis for parasitemia (twice daily) for up to an additional 7 days as hospital in-patients. If a patient becomes clinically unstable at any time during the study, the patient will be discontinued and may be offered the standard treatment for malaria. Patients deficient in glucose-6-phosphate dehydrogenase enzyme may be excluded, since BrEA inhibits the enzyme. Other considerations that may lead to exclusion of patients from the trial include patients diagnosed with any of the following: severe anemia (hematocrit <21% or hemoglobin <7g/dL); renal or liver failure by history and/or laboratory results respiratory distress as evidenced by dyspnea or respiratory rate≧30 per minute; hypotension (systolic blood pressure <90 mm Hg); tachycardia (heart rate>130 beats/minute); pregnant or breast-feeding women; significant active co-morbid illness (acute medical diagnosis requiring specific therapy; patients with parasitemia>10% on peripheral smear.
- Blood samples may be collected from each patient for future clinical evaluation such as the determination of activation markers or immunological analyses (e.g., assay for intracellular or extracellular interleukins IL-1β, IL-2, IL-4, IL-6, IL-10 and IL-12, γIFN and TNFα).
- Liposomes suitable for parenteral administration are prepared as follows. 400 mg of phosphatidyl choline and 80 mg of BrEA are dissolved in chloroform and methanol (2:1 v/v) and the solution is dried by rotary evaporation under reduced pressure. The resulting film is rehydrated by adding 8.0 mL of a 0.9% w/v NaCl solution and agitating the solution. The sizes of the liposomes are optionally measured, e.g., by photon correlation spectroscopy (Malvern Zetasizer 3000 or equivalent). The liposomes are optionally sized by, e.g., sonication to reduce the average size below 400 mn, or by filtration using suitable filters. Similar procedures are used to prepare liposome preparations that contain a formula 1 compound at about 15-100 mg/mL. The formulation is used to deliver the compound orally or parenterally (I.M., S.C., I.V.).
- A cyclodextrin formulation containing BrEA is prepared as follows. 450g of hydroxypropyl-β-cyclodextrin is added to about 1 L of ethanol and the mixture is stirred for about 4-24 hours, until a clear solution is obtained. Non-micronized or micronized BrEA is added to give a concentration of 20 mg/mL and the mixture is stirred until a clear solution is obtained. The solution is dried, e.g., by rotary evaporation under reduced pressure. The dried material is added to 1 L of physiological saline and stirred until a clear solution is obtained. The solution is sterilized by filtration using a 0.2 μm pore size filter and dispensed into sterile containers. Similar procedures are used to prepare cyclodextrin formulations that contain a formula 1 compound at about 10-100 mg/mL. The formulation is used to deliver the compound orally, parenterally (I.M., S.C., I.V.) or by a buccal or sublingual route.
- A suppository formulation containing a formula 1 compound such as BrEA is prepared as follows. Sufficient non-micronized BrEA is measured to obtain a desired number of units that comprise 500 mg each of BrEA. The BrEA is blended with a suppository base, e.g., triglyceride from edible vegetable oil, to provide desired characteristics, e.g., a free fatty acid content of about 0.1% w/w, a saponification value of about 242, an iodine value of about 3, moisture at about 0.1% w/w and a closed capillary melting point of about 35° C.
- A female patient infected with HIV and HCV was dosed I.V. with BrEA for 3 consecutive days using a formulation that contained 20 mg/mL BrEA in 45% w/v hydroxypropyl-β-cyclodextrin and saline. Four mL of the formulation (80 mg BrEA) was administered to the patient every 4 hours during the 3 day treatment period. The patient's predosing HCV level was 6.5 Log10 as measured by PCR and the HCV level was 6.2 Log10 on the first day of dosing, 5.5 Log10 on the 3rd day of dosing and 4.9 Log10 three days after the last dose was administered. HIV RNA levels as measured by PCR was 5.2 Log10 (predosing), 5.8 Log10 (first day), 5.9 Log10 (third day) and 5.4 Log10 (day 6). The NK cell counts (cells/mm3) were 28, 41 and 38 at predosing, day 0 and day 3.
- A formulation comprising 100 mg/mL BrEA, ˜30% v/v PEG300, 30% v/v propylene glycol, 30% v/v benzyl benzoate and 2% v/v benzyl alcohol was prepared by suspending BrEA in polyethylene glycol 300, and sequentially adding propylene glycol and benzyl benzoate, to form a solution, which was diluted to the final desired volume with additional propylene glycol. The procedure is described below.
- The calculated amount of polyethylene glycol 300 was added to a compounding vessel. Then, while mixing, the calculated amount of BrEA was added to the vessel, and mixed for at least 5 minutes to form a smooth, creamy liquid propylene glycol was added to the vessel, and mixed for a minimum of 5 minutes to form a uniform suspension. The calculated amount of benzyl benzoate is added to the vessel, and mixed for approximately 5 minutes to form a translucent liquid suspension. Propylene glycol was then added to achieve the desired final formulation, and mixed for approximately 5 minutes. The drug solution was transferred to a volume dispensing device set to deliver 1.2 mL per vial. Under nitrogen pressure, the solution was filtered through two 0.2 μm polyvinylidene fluoride filters in series into 2 cc amber glass vials. The vials were capped with Teflon-coated, butyl-rubber stoppers and crimp sealed.
- A double blind, randomized, placebo controlled study of 100 mg of BrEA administered intramuscularly to late stage HIV-infected patients at risk for opportunistic infections (Ols). HIV-1 seropositive patients with a CD4 cell count ≦100 cells/mm3, HIV RNA at 1×106 copies/mL and a Karnofsky score of at least 60 are identified for potential inclusion into the protocol. Patients in all clinical protocols must understand and sign a written informed consent form prior to screening evaluations.
- BrEA in the formulation of example 16 is used. Administration of drug or vehicle will be for 3 to 5 consecutive days followed by about 35-90 days of observation, e.g., 37 days of observation. An exemplary treatment regimen comprises 5 days of treatment followed by 37 days of observation, which is repeated for a total of 7 courses over 42 weeks. The incidence rate of Ols as well as the time to resolution or control of the Ols will be monitored and compared to a placebo control group. The patients may be monitored monthly for 2 or 3 months after completion of the study for follow-up. The incidence of Ols or conditions associated with AIDS are monitored, e.g., as tuberculosis (TB), candadiasis, Pneumocystis pneumonia (PCP), diarrhea, or Kaposi's sarcoma, may be evaluated as protocol endpoints. If a patient is diagnosed with one or more of the protocol specified opportunistic infections, the protocol regimen a treatment for the OI will be initiated, e.g., Fluconazole for Candidiasis or for PCP, trimethoprim and sulfamethoxazole or Dapsone. A similar protocol is used with other formula 1 compounds.
- Patients infected with HIV are dosed with an i.m. injection of 25-200 mg of BrEA using a formulation containing 100 mg/mL BrEA, PEG300 ˜30% v/v, propylene glycol 30% v/v, benzyl benzoate 30% v/v and benzyl alcohol 2% v/v. The pateints are dosed once per day for 5 consecutive days followed by a period of about 28 days or longer with no BrEA treatment. The patients were them provided with one more course of 5 consecutive days of dosing with BrEA, followed by a non-dosing period of at least about 28 days. Up to 8 rounds of 5-day treatments, followed by at least 28 days of no dosing were provided. Immunological responses were then assayed using blood or plasma samples from the patients by flow cytometry and other known analytical methods. Immune cell subsets or other measured markers were assayed within 24 hours of obtaining the sample from each patient. Labeled antibodies, e.g., anti-CD antigen antibodies conjugated with fluorescent dyes (FITC, phycoerythrin, allophycocyanin or PerCP), were prepared and used essentially according to standard protocols using commercially available reagents, see, e.g., PharMingen, 1998 Research Products Catalog, technical protocols at pages 732-774, human cell surface molecules at pages 182-295 and mouse, rat and hamster cell surface molecules at pages 2-173 and cytokine and chemokine reagents at pages 344-489.
- Otherwise untreated patients with CD4 counts of ≧200/μL and HIV-1 viral RNA between 5,000 and 1,000,000 copies/mL (branched-DNA, version 3.0, Bayer, Tarrytown, N.Y.) provided informed consent and were enrolled into a Phase I/II dose-escalation study of the safety and efficacy of intramuscular injections of BrEA. The protocol was conducted in South Africa. In the first cohort, four patients received an initial injection of 1 mL (50 mg), followed by a safety and pharmocokinetic study for seven days, and then received five daily injections of 1 mL (50 mg). The second cohort of 8 patients was randomized in a 1:2 ratio to receive either 50 mg (1 mL) or 100 mg (2 mL) on the same schedule. Patients were allowed at the discretion of the investigators to receive up to three additional courses each, repeated after 28 days of observation. The protocol was amended to introduce an improved formulation, and to extend the initial pharmacokinetic and safety period to 14 days, the observation period following the five daily doses to 35 days, and to allow up to 7 treatment courses. A third cohort of 24 patients was randomized in a 1:2:4 ratio to receive either 50 mg (0.5 mL), 100 mg (1 mL), or 200 mg (2 mL) of BrEA. The patients were all male, since initial safety studies are not permitted in females in South Africa. Within the group of 39 patients randomized, the ethnic demographic included was 18 Caucasian, 17 African, and 4 other. The average age was 34 (range 20-63), the average initial CD4/μL was 434 (range 176-1210), and the average viral load was 13,772 copies/mL (range 3,020-158,489). Patients underwent physical examinations and provided samples for chemistry, hematology, virology and immunology testing approximately every two weeks.
- The clinical protocol is a phase I/II, open-label, randomized study of 3 dose levels of BrEA administered intramuscularly to HIV-infected patients who are treatment naïve. There will be 3 treatment groups and each group will consist of 2 parts (Parts A and B). Patients will receive the same dosage of BrEA throughout Parts A and B of the study. If a patient experiences an antiviral response (an HIV RNA titer at least 0.5 log below the average of the screening and baseline values) or benefits (any decrease in HIV RNA titers below the average of the screening and baseline values) from the treatment received during Parts A and B of the study, the patient may continue receiving 5-day treatment courses of the BrEA formulation of example 2 at the dose initially received. This treatment course may be repeated up to six times.
- All patients may be monitored for levels of HIV RNA (Chiron Quantiplex™ branched chain DNA assay), T-cell subsets [CD4/CD8], proviral HIV DNA (PBMC), interleukins [IL-2,4,6,8, 10, and 12] (serum), γIFN (serum), insulin-like growth factor [IGF-1] (serum) and tumor necrosis factor [TNF] (serum) throughout the study. PBMC quantitative co-culture (cells) may be conducted on a subset of patient samples. Assays for additional activation markers may be conducted. Analysis of chemistry and hematology panels and urinalysis is planned. Additionally, patients co-infected with hepatitis B and/or C viruses, malaria or tuberculosis may be monitored regularly for viral titers or microbiological cultures. Serial blood and urine samples will be collected from a subset of patients for pharmacokinetic determination after the first dose on Part A and the last dose on Part B.
- Treatment may consist of more than one intramuscular injection. Intramuscular injections may be administered in different locations (i.e., left or right upper arms or thighs or buttocks) and a single 100 mg or 200 mg dose of BrEA may be delivered to patients in two or more subdoses of less than 100 mg (e.g., 50 mg).
- There are two segments of this study, Segment 1 and 2. Both segments consist of two parts, Part A and Part B. The first 12 patients enrolled on the study will be assigned to the design described in Segment 1. The remaining 24 patients will be assigned to Segment 2 of the study. The design of each segment is provided below.
- Part A will consist of a single intramuscular injection of a BrEA formulation. The day the patient receives the injection will be study day 1. Patients participating in the pharmacokinetic subgroup will have serial blood and urine samples collected, beginning on study day 1. Part B of the study begins on study day 8 (Segment 1) or study day 15 (Segment 2).
- Segment 1 Part B consists of 5 consecutive daily intramuscular injections of the formulation of example 1 at the same dose as received in Part A of the study. The day the patient receives the first dose will be on about study day 8-12. The 5-day treatment course is followed by an approximate 28-day observation period (or approximately 32 days from a first dose on day 8 to the initiation of a second treatment course on day 40). During the observation period, patients will be asked to return to the clinic on a weekly basis for various tests. Patients participating in the pharmacokinetic subgroup will have serial blood and urine samples collected, beginning approximately on study day 12-17.
- Segment 2 Part B consists of 5 consecutive daily intramuscular injections of the formulation of example 2 at the same dose the patient received during Part A of the study. The day the patient receives the first dose will be about at study day 15. The 5-day treatment course is followed by an approximate 45 day observation period (or approximately 49 days from the first dose on study day 15 to the initiation of the next treatment course on study day 64). During the observation period, patients will be asked to return to the clinic on a weekly basis for various tests. Patients participating in the pharmacokinetic subgroup will have serial blood and urine samples collected, beginning approximately on study day 19.
- Randomization in this dose escalation study is as follows. When 4 of the 12 patients per treatment group have completed 5 days of daily dosing on Part B and have not experienced a serious drug-related adverse event, enrollment into the next higher dose level will occur, after consultation between the sponsor and investigators.
- The first four patients enrolled will be assigned to the 50 mg dose group. If no serious drug-related adverse events are experienced, the next 8 subjects will be randomized to either the 50 mg or 100 mg dose level in a 1:1 fashion. If no serious drug-related adverse events occur in patients receiving 100 mg, then the next 24 patients will be randomized to either the 50,100, or 200 mg dose group in a 1:2:3 fashion.
- If 4 of the 12 patients in a dose group experiences a serious drug-related event (Grade III or IV), 2 additional patients will be enrolled at the same dose level. Additionally, patient enrollment on to the next dose level, if enrolling, will be temporarily on hold until safety is assessed. If one of the 2 additional patients experiences a serious drug-related event, dosing in this dose level will discontinue. Upon consultation with the sponsor and investigators, additional patients may be enrolled at a dose between the dose-limiting group and the next lower dose group to determine the maximum tolerated dose (MTD). Enrollment of additional patients at a specific dose level will be determined in a protocol amendment.
- The results indicated that a single 50 mg or 100 mg dose of BrEA increased the numbers of activated CD8+ and CD4+ T cells (e.g., CD8+, CD69+, CD25− cells) that were circulating in the patient's blood. Also, the circulating numbers of dendritic precursor cells, NK cells, LAK cells and cells that mediate ADCC (antibody-dependent cell-mediated cytotoxicity mediated by the CD8+, CD16− immune cell subset) functions were increased. Further increases were usually observed on dosing for 5 consecutive days.
- Some of the results are summarized below. Course 1, 2 and 3 refer to each 5 consecutive day treatment regimen of one daily injection with BrEA (50 or 100 mg BrEA per injection). The formulation contained 100 mg/mL BrEA, PEG300 ˜30% v/v, propylene glycol 30% v/v, benzyl benzoate 30% v/v and benzyl alcohol 2% v/v. The data shown below was obtained from patient blood samples at baseline (on the day dosing was initiated) and at various times after the patients received at least one dose of BrEA. The results showed significant increases in immune cell populations and cytokine expression profiles associated with Th1 responses. The patients in this protocol initially had CD4 counts of at least 200 per mm3 and a serum HIV RNA load of 5,000 to 1×106 RNA copies/mL. After dosing with one course of BrEA (5 consecutive daily i.m. injections), all patients showed increases in levels of immune cells including activated CD8 T cells (e.g., CD8+, CD69+, CD25−), LAK cells (e.g., CD8+, CD16+, CD38+), NK cells (e.g., CD8−, CD16+), ADCC cells (e.g., CD8−, CD16+) and dendritic cells (Lin−, HLA-DR+, CD11c+ or Lin−, HLA-DR+, CD123+). Average CD4 IL-10 production dropped from a median of 66% to 4% of the cells, while CD4 IFNγ went from a median of 8% to 63%, leading to a Th2 to a Th1 shift in cytokine production.
- In the tables below, baseline data is indicated by “BL” or by “pre”.
Increased immunophenotypes after BrEA therapy Phenotype Baselinea Course 1 Course 2 Course 3 CD8+CD69+CD25− 18 54 56 75 n = (13) (13) (9) (4) bp = <0.001 <0.001 0.04 CD8+CD16+CD38+ 8 27 28 25 n = (10) (10) (4) (4) p = <0.001 0.047 0.02 CD8−CD16+ 53 253 288 249 n = (12) (12) (4) (2) p = <0.001 0.02 0.04 Lin− HLA-DR+ 3.2 17.7 11.4c 14.7c CD11c+/CD123+ n = (10) (10) (5) (4) p = <0.001 0.02 0.04
aMedian values of cells/μL
bpaired value t test
cTest not available at baseline for patients receiving second and third courses, baseline value from initiation of 2nd course = 6.4
d% of CD4
eBaseline values from day 8 (preceding the first five-day treatment)
- Median activated T cells (CD8+ CD69+ CD25− cells), LAK cells (CD8+ CD16+ CD38+), NK (ADCC responders) cells (CD8− CD16+), dendritic cells (Lin− HLA-DR+ CD123+/CD11+), and cells that mediate Th1 immune responses (IFNγ+ white blood cells) compared to baseline cell counts for 3 16α-bromoepiandrosterone treatments or treatment courses in the HIV-infected patients gave the following results. The results shown below for the treated patients were obtained about 1 week after the last dose of 16α-bromoepiandrosterone was administered.
cells/μL Activated T cells (CD8+ CD69+ CD25−) Treatment 1 baseline 19 treated 54 (n = 13, p < 0.001) Treatment 2 baseline 19 treated 56 (n = 9, p < 0.001) Treatment 3 baseline 18 treated 74 (n = 4, p = 0.04) LAK cells (CD8+ CD16+ CD38+) Treatment 1 baseline 8 treated 27 (n = 10, p < 0.001) Treatment 2 baseline 12 treated 28 (n = 4, p = 0.04) Treatment 3 baseline 12 treated 25 (n = 4, p = 0.02) NK (ADCC responders) cells (CD8− CD16+) Treatment 1 baseline 54 treated 253 (n = 12, p < 0.001) Treatment 2 baseline 58 treated 285 (n = 4, p = 0.02) Treatment 3 baseline 56 treated 250 (n = 2, p = 0.04) Dendritic cells (Lin− HLA-DR+ CD123+/CD11+) Treatment 1 baseline 3.5 treated 18 (n = 10, p = 0.001) Treatment 2 baseline 6.5 treated 11.5 (n = 5, p = 0.02) Treatment 3 baseline 6 treated 55 (n = 4, p = 0.04) - These results show that the compound enhances the proportion of circulating cells that mediate cytotoxic immune responses and Th1 immune responses.
- Treatment of HIV infected patients normalized their IL-10 producing CD4+ T cells. In the same patients, 16α-bromoepiandrosterone was shown to enhance the proportion of CD4+ T cells that express detectable IFNγ. CD4+ IL-10− -IFNγ+ T cells mediate Th1 responses. These results show that the compound reduced the Th2 component of the immune system and enhanced the Th1 component.
- The results given above are a preliminary analysis based on data obtained from 13 patients. Additional data was obtained for the patients as follows.
- CD4 counts were assessed using a FACScount (BDIS), and viral loads were measured using the bDNA assay (Bayer). Quality assurance procedures were adhered to and internal and external controls were used to validate each batch of samples. On some occasions plasma viral loads were performed on batched samples between cycles of dosing.
- Whole blood was labeled with a cocktail of four monoclonal antibodies (Becton Dickinson Immunocytometry Systems, BDIS, San Jose, Calif.) per cell subset using allophycocyanin, phycoerytherin, PerCP and FITC conjugates to measure surface phenotypes using a FACSCalibur (BDIS). In addition, four-color immunofluorescent analysis of blood cells was performed on the same schedule. The four color panels consisted of APC, PerCP, FITC, and PE reagents respectively in the following combinations: memory/naïve T cells (CD3/CD8/CD45RA/CD62L, CD3/CD4/CD45RA/CD62L), T cell activation (CD3/CD8/CD69/CD25, CD3/CD4/CD69/CD25, CD3/CD8/HLA-DR/CD38, CD3/CD4/HLA-DR, CD38), B cell, LAK and NK (CD19/CD8/CD16/CD38) and dendritic cells (CD11c/HLA-DR/lineage markers CD3, CD16, CD14, CD19, CD56/CD123). Listmode data (25,000 to 50,000 events) were analyzed using FCS Express (De Novo Software, Thornhill, Ontario, Canada). CD3+ cell subsets were identified by serial gating of (1) nucleated cells, (2) lymphocyte/lymphoblastoid cells, and (3) CD3+ cells, followed by the gating of the subset of interest. For example, the absolute frequency per μL of any CD4+ cell subset (S) was estimated by the equation: S=(proportion of CD4+ cells)×(CD4+ cell frequency per μL).
- The CD4+ cell frequency was determined using the FACSCount test. The absolute frequency of a CD8+ cell subset was calculated in a similar fashion. The absolute white blood cell (WBC) count was determined using an automated cell counter (Advia 120, Bayer, Tarrytown, N.Y.). The nucleated cell region was defined using a forward versus orthogonal scatter plot. The absolute frequency per μL of CD3− Natural Killer or Dendritic Cell subsets (F) was estimated by the equation: F=(proportion of nucleated cells)×(absolute WBC count per μL).
- Statistical analysis of changes in surface phenotypes, hematological, and viral parameters were performed by calculating the area under the curve (AUC) of the percentage difference from baselines (phenotype), percentage difference from the mean of screen and baseline values (hematology), or log10 change from the mean of screen and baseline values (plasma viral RNA) for individual patients. AUC were calculated using the actual number of days between analysis visits for each patient. Because patients were on study for varying periods of time, this value was normalized to the time-averaged AUC by dividing by the number of days of observation. The Student's t-test was then used to analyze the difference from zero for the AUCs from all patients with data available for each parameter. A significant increase in the AUC for the entire 5-month period was interpreted as a nonrandom change in the given parameter.
- Changes occurred soon after the intermittent dosing for a number of the measurements, and patients showed variability in the kinetics of immunologic, hematologic and virologic responses. For these reasons, the time-averaged AUC values for the 5-month period underestimate the magnitude of the individual responses. Maximal individual patient responses were calculated as the mean of the maximal percentage changes from baselines for individual patients at any analysis visit after dosing.
- To investigate the kinetics of the responses for the entire population related to the time after dosing, the maximum analysis visit responses were calculated as the average of the maxima of the mean percentage changes from baselines for each analysis visit. Due to the altered BrEA administration interval for cohort 3, the analysis visits were aligned relative to the last dosing visit.
- BrEA treatment of the HIV infected patients caused changes in T cell and dendritic cell phenotypes that persisted for weeks after intermittent dosing was discontinued. Increases were observed after dosing in both the total activated and early activated stage CD8+ T cells as well as in circulating total dendritic cells consisting of both the CD11c+ and the CD123+ phenotypes. The significant increases observed in the AUC analyses over the entire 5-month intermittent dosing period indicate that these changes are not random fluctuations. Although activation of CD8+ cells is linked with disease progression, intact dendritic cell function and activation of CD8+ T cells is also requisite for stimulation of CTL, both for specific anti-HIV-1 responses, as well as for anti-opportunistic infection responses. In HIV infection there is a progressive decrease in circulating CD4+ T cells, an increase in circulating CD8+ T cells, and a decrease in the CD4/CD8 ratio. In this study, the decreases in both circulating CD4+ and CD8+ T cells with no change in the CD4:CD8 ratio may indicate that activated T cells are trafficking to sites of infection in the lymph nodes and mucosal tissue.
- In this study, there was no overall decrease in viral load after three 5-day courses of intermittent dosing over a period of 153 days. It is possible that a CTL-driven elimination of HIV-1 infected cells with long-term effects on viral levels may result from continued dosing or from adjustments in the route of administration or the dose-schedule.
- Treatment with BrEA resulted in significant changes in hematology parameters in the patients including increased circulating platelets (an average 20% increase over baseline on study day 126), monocytes (an average 49% increase over baseline on study day 50) and neutrophils (an average 51% increase over baseline on study day 81). These changes may due to stimulation of hematopoiesis or redistribution of the hematopoietic elements from the tissues to the circulation. The duration of the increases in neutrophils and platelets that have in vivo half-lifes of approximately 10 and 107 hours respectively suggest that at least part of the observed responses is due to enhanced hemopoiesis in these patients.
- Some of the data that was obtained is summarized below.
Timing of BrEA Dosing and Analyses Dosing Visit Analysis Visit Median Days After Last Dose DaysA DaysB to Analysis Visit (Range)C 1 7 7 (7-11) 15-19 22 3 (2-10) 36 17 (13-24) 50 31 (26-36) 60-64 67 3 (0-5) 81 17 (13-19) 95 31 (25-33) 118-122 126 3 (0-5) 139 17 (12-23) 153 31 (26-33)
AAligned study days on which patients received injections of BrEA.
BAligned study days on which analysis samples were taken.
CThe median number and range of days after patients received the last dose of BrEA prior to the analysis visit.
- For the following table, the symbols in the table have the meanings given here. ANumber of patients with data for phenotype, dendritic cell analysis was not initiated at start of study. BMean increase in the time-averaged individual AUC differences from baseline values for all patients. Cp value for Student's t-Test for individual AUC percentage increases from baseline. DMaximal individual patient responses were calculated as the mean of the maximal percentage changes from baselines for individual patients at any analysis visit after dosing. The range of responses is indicated in parentheses. E Maximum analysis visit responses were calculated as the average of the maxima of the mean percentage changes from baselines for each analysis visit. The day of maximal response is indicated in parentheses. FCD3+ CD8+ and CD69+ or CD25+. GCD3+ CD8+ CD69+ CD25−. HCD8−CD16+. ICD8+ CD16+. JLineage− HLA-DR+ CD11c+. KLineage− HLA-DR+ CD123+.
Time- averaged AUC Maximum Individual Maximum Analysis Visit Increase t-Test Patient Responses Responses Mean nA Mean ± SEMB p-valueC Mean (range)D (analysis visit day)E Immune Phenotype Changes after BrEA Intramuscular Administration Phenotype Activated 36 15 ± 5% 0.005 70% (−10 to 340%) 25% (22) CD8+ T cellsF Early 36 67 ± 33% 0.049 210% (0 to 3,090%) 162% (153) Activation- Stage CD8+ T cellsG NKH 36 29 ± 22% 0.20 140% (−40 to 1,220%) 41% (36) LAKI 36 13 ± 9% 0.19 90% (−90 to 630%) 34% (67) Total 31 38 ± 14% 0.010 100% (−20 to 600%) 38% (139) Dendritic Cells DC1 31 50 ± 18% 0.010 130% (−20 to 870%) 58% (22) (CD11c+) Dendritic CellsJ DC2 31 32 ± 13% 0.021 100% (−30 to 480%) 44% (80) (CD123+) Dendritic CellsK DC1 to DC2 31 44 ± 13% 0.003 Ratio Increase In Circulating Hematologic Elements After Intramuscular BrEA Administration Hematologic Elements WBC 37 4.4 ± 3% 0.132 36% (−1 to 159%) 23% (81) Neutrophils 37 11 ± 4% 0.009 67% (−25 to 297%) 51% (81) Eosinophils 33 20 ± 11% 0.086 110% (−37 to 656%) 129% (22) Basophils 37 42 ± 12% 0.001 182% (−20 to 1,100%) 113% (126) Monocytes 37 10 ± 5% 0.029 60% (−14 to 189%) 49% (50) Platelets 37 7 ± 2% <0.001 31% (0 to 122%) 20% (126)
ANumber of patients with data for hematologic element.
BMean increase in the time-averaged individual AUC differences from baseline values for all patients.
Cp value for Student's t-Test for individual AUC percentage increases from baseline.
DMaximal individual patient responses were calculated as the mean of the maximal percentage changes from baselines for individual patients at any analysis visit after dosing. The range of responses is indicated in parentheses.
EMaximum analysis visit responses were calculated as the average of the maxima of the mean percentage changes from baselines for each analysis visit. The day of maximal response is indicated in parentheses.
- In a separate clinical trial using 100 mg of BrEA delivered to patients once per day for 5 consecutive days by intramuscular injection, several patients were evaluated for changes in the ratio of CD4+ memory T cell 1 cells (intracellular IFNγ+ CD45RA− CD62L− CD11abright) or MT1 cells to memory T cell 2 cells (intracellular IL-4+ CD45RA− CD62L+ CD11adim) or MT2 cells. MT1 cells mediate or facilitate Th1 immune responses and MT2 cells mediate or facilitate Th2 immune responses. An increase in the MT1:MT2 ratio indicates an enhanced Th1 immune response or immune status. See, e.g., D. K. Mitra et al., International Immunology 1999 11:1801-1810. The tested patients (7/7) showed a transient increase in the MT1:MT2 ratio after a 5 day course of dosing with BrEA. The maximum observed increase was about 700% in one patient at 10 days after the last dose of BrEA was administered. The increase usually persisted for more than 10 days after the last dose of BrEA was administered. These results showed that BrEA was capable of enhancing the numbers of circulating immune cell subsets that mediate Th1 type responses.
- Two HIV infected patients with chronic diarrhea were dosed with BrEA as follows. A BrEA formulation (40 mg/mL BrEA in 25% v/v PEG 300, 12.5% v/v ethanol, 5% v/v benzyl benzoate, ˜57.5% v/v propylene glycol) was delivered subcutaneously. The patients received 60 mg of BrEA in 1.5 mL daily for 10 days. During the period of dosing, the diarrhea ceased. After the 10-day dosing period ended, diarrhea resumed. In other patients receiveing oral BrEA, diarrhea also went into remission.
- A BrEA formulation was prepared essentially as described herein. The formulation contained 50 mg/mL BrEA, 40% v/v PEG 200, 2% v/v benzyl alcohol, 2% v/v benzyl benzoate and ˜66% v/v propylene glycol (qs). The formulation is particularly suitable for subcutaneous administration of the compound.
- Crude BrEA was prepared by bromination of epiandrosterone, followed by crystallization from methanol. The hemihydrate was prepared by dissolving 25g of crude BrEA in 75 mL of refluxing ethanol with moderate agitation. To the BrEA solution 12.5 mL of water was slowly added while maintaining the solution at reflux with agitation. Agitation of the solution was maintained and the solution was then allowed to cool to about 20-25° C. and kept at about 20-25° C. for about 15 minutes to obtain a suspension of BrEA hemihydrate crystals. The crystals were recovered by filtration, washed with a solution of 25 mL of water:ethanol (5:1 v/v) at about 20-25° C. and then vacuum dried for about 13 hours at 50-60° C. until the product weight was constant. The crystals were primarily rod and needle shaped, with smaller amounts of other shapes such as tablets.
- The procedure gave 22.5 g of BrEA hemihydrate (yield 90%) with a water content of 2.6% w/w by KF analysis, a purity of 100% by HPLC area analysis, an FTIR spectrum with carbonyl peaks at 1741 cm−1 and 1752 cm−1. The FTIR scan of anhydrous BrEA shows a single carbonyl peak at 1749 cm−1. The DSC scan showed three endotherms. One had a broad shallow peak with an onset at about 109-110° C. and ending at about 150° C. This broad DSC peak is consistent with the loss of water from the hemihydrate crystals as the temperature of the sample increased. The second endotherm at about 83-100° C. is consistent with the loss of the small amount of residual ethanol from the sample. A DSC scan of anhydrous BrEA does not have the broad endotherm that is observed with the hemihydrate. Also consistent with the loss of water from the hemihydrate over the 100-150° C. range is a sharp third endotherm peak in the hemihydrate DSC scan at about 163-164° C., which is the melting point of anhydrous BrEA. The FTIR was obtained using USP method <197>, where the BrEA hemihydrate sample was prepared in KBr. The DSC thermogram was obtained by scanning from 25° C. to 250° C. with a heating rate of 10° C./minute.
- The hemihydrate was prepared by dissolving 10g of crude BrEA in 40 mL of refluxing acetone with moderate agitation. To the BrEA solution 4.0 mL of water was slowly added while maintaining the solution at reflux with agitation. Agitation of the solution was maintained and the solution was then allowed to cool to about 20-25° C. and kept at about 20-25° C. for about 15 minutes to obtain a suspension of BrEA hemihydrate crystals. The crystals were recovered by filtration, washed with a solution of 6.0 mL of water:acetone (10:1 v/v) at about 20-25° C. and then vacuum dried overnight (about 13-15 hours) at 50-60° C. until the product weight was constant. The procedure gave 7.0 g of BrEA hemihydrate (yield 70%) with a water content of 2.6% w/w by KF analysis and an FTIR spectrum with carbonyl peaks at 1741 cm−1 and 1752 cm−1.
- BrEA hemihydrate crystals were prepared essentially as described herein and sized using a particle sizing apparatus (Malvern Instruments). The analysis model used was for a polydisperse sample and a volume distribution type. The analysis showed a range of crystal diameter sizes from about 0.5 μm to about 880 μm. About 90% of the crystals had a diameter of about 20 μm to about 220 μm and the majority of the crystals had a diameter of about 30-200 μm. The mean crystal diameter was about 93 μm. The specific surface area of the crystals was about 0.25 m2/g.
- Formulations containing BrEA hemihydrate were prepared. Similar formulations using other formula 1 compounds are prepared using the same or similar excipients, e.g., a different preservative can be used in the suspension formulation instead of methylparaben.
- A formulation containing BrEA hemihydrate in aqueous suspension was prepared. The BrEA hemihydrate had an average particle size of less than 20 μm and it was mixed with polysorbate 80 before addition to the liquid components. The final aqueous composition contained 100 mg/mL BrEA, 2% w/v polysorbate 80, 0.1% w/v carboxymethylcellulose sodium, 0.82% w/v sodium chloride, 0.023% w/v dibasic sodium phosphate, 0.101% w/v monobasic sodium phosphate, 0.5% v/v ethanol and 0.1% w/v methylparaben, pH 6.5+/−0.4. The formulation was prepared using sterile technique. This formulation is suitable for subcutaneous, intramuscular or intraperitoneal delivery of BrEA, which can be delivered in a bolus or depot in the skin, muscle, peritoneal cavity or other suitable site in a subject. The formulation is not generally used for intravenous delivery, particularly in humans, due to the presence of the drug particles.
- A caplet (capsule shaped tablet) containing BrEA hemihydrate was prepared using compressible sucrose. The caplets each contained 25 mg BrEA hemihydrate, 6.25 mg povidone (1-ethenyl-2-pyrrolidinone polymer), 0.62 mg magnesium stearate, 45 mg mannitol and 48.12 mg of compressible sucrose. Sterile BrEA and excipients were used to prepare the caplets. The formulation is suitable for buccal or sublingual, delivery of BrEA (or another formula 1 compound) to a subject.
- The capacity of formula 1 compounds to limit or inhibit inflammation or symptoms of inflammation was shown using animal models for inflammatory bowel disease.
- Groups of 3 male Wistar rats (180±20 grams) fasted for 24 hours before 2,4-dinitrobenzene sulfonic acid (DNBS) or saline challenge were used. Distal colitis was induced by intra-colonic instillation of 0.5 mL of an ethanolic solution of DNBS (30 mg in 0.5 mL of a 30% ethanol in saline solution) after which 2 mL of air was injected through the cannula to ensure that the solution remained in the colon. The volume used was 0.1 mL per injection of 2 and 20 mg/mL of 7-oxodehydroepiandrosterone in a liquid formulation, was administered by subcutaneous injection once a day for 6 days. The formulation contained 100 mg/mL of 7-oxodehydroepiandrosterone in a non-aqueous suspension that contained 2% benzyl alcohol w/v, 0.1% Brij 96 w/v and equal volumes of PEG 300 and propylene glycol. Concentrations of 2 mg/mL and 20 mg/mL were obtained by diluting the 20 mg/mL formulation with vehicle that lacked the active substance.
- The first dose was given 30 minutes after DNBS challenge. Sulfasalazine (30 mg/mL in 2% Tween 80 in distilled water) was administered orally (PO) once a day (10 mL/kg/day) for 7 days, the first two doses beginning 24 hours and 2 hours before DNBS challenge. The presence of diarrhea was recorded daily by examining the anal area. Animals were fasted for 24 hours prior to being sacrificed. Animals were sacrificed on day 7 or day 8 and their colons were removed and weighed. Before removal of the colon, signs of adhesion between the colon and other organs were recorded. Also, the presence of ulcerations was noted after weighing of each colon. The “net” change of colon-to-body weight (BW) ratio was normalized relative to saline-challenged baseline group. A 30% decrease in “net” colon-to-body weight ratio was considered significant.
- A total of five studies were conducted. Data from the first study are reported in this report. The 7-oxodehydroepiandrosterone at 2 and 20 mg/mL, decreased the net colon-to-body weight ratio by 19 and by 14% relative to vehicle-treated group, respectively. Adhesions were absent in all three tested animals. Colonic ulceration was noted in 1/3 animals. All animals had diarrhea. Similarly, all animals treated with Sulfazalazine had diarrhea. Sulfasalazine exhibited significant protection from inflammation (−33% change in net colon-to-body weight (BW) ratio relative to EE-1 treated group) and no animals exhibited adhesions or colonic ulceration. The formula 1 compound 3β,7β,17β-trihydroxyandrost-5-ene (AET) was administered by subcutaneous injections of 2 and 20 mg/day for 5 or 6 days, with the first dose injected 30 minutes post-DNBS challenge. The AET formulation was the same as the 7-oxodehydroepiandrosterone formulation, except that AET replaced 7-oxodehydroepiandrosterone. AET decreased the net colon-to-body weight ratio by 15% and 21% relative to controls (see the table below). Animals treated with AET (20 mg/kg) had no diarrhea. Adhesion was absent and fewer animals had colonic ulcerations (33% relative to untreated animals, N=9, pooled data from two studies). The same formulations containing BrEA hemihydrate (100 mg/mL) or dehydroepiandrosterone (20 mg/mL) decreased the net colon-to-body weight ratio by 21 and 3%, respectively relative to controls. In four subsequent studies, AET variably reduced the net colon-to-body weight ratio, ulcers and diarrhea.
- Severe acute inflammation, measured 7 days after DNBS challenge, was observed in 3 of 10 immunosteroid vehicle control animals, while AET, dehydroepiandrosterone, sulfasalazine, and sulfasalazine vehicle (polysorbate 80) resulted in severe inflammation in 4,10, 3, and 8 animals respectively. Moderate acute inflammation, measured 7 days after DNBS challenge, was observed in 5 of 10 immunosteroid vehicle control animals, while AET, dehydroepiandrosterone, sulfasalazine, and sulfasalazine vehicle (polysorbate 80) resulted in severe inflammation in 6, 0, 6, and 2 animals respectively. Severe chronic inflammation, measured 14 days after DNBS challenge, was observed in 8 of 10 immunosteroid vehicle control animals, while AET, dehydroepiandrosterone, sulfasalazine, and sulfasalazine vehicle (polysorbate 80) resulted in severe inflammation in 3, 3, 2, and 6 animals respectively.
- At day 7 (acute inflammation) after DNBS challenge, 8 of 10 animals treated with vehicle control had severe ulceration, while 2 of 10 animals treated with AET had severe ulceration. Such ulceration was observed in 3 of 10 sulfasalazine control and in 10 of 10 animals treated with dehydroepiandrosterone. Delaying the initiation of AET treatment until 2 days after DNBS challenge resulted in increased chronic ulceration, with 5 of 10 animals showing ulcers 14 days after challenge, compared to only 1 animal with ulcers when treatment began the same day as challenge. This indicated that for acute inflammation in this model, AET is most effective early in the initiation of a flare of inflammatory cellular responses. At day 14 after DNBS challenge (chronic inflammation) 5 of 10 vehicle controls showed severe ulceration, 1 of 10 AET treated animals had severe ulceration, 0 of 10 animals treated with dehydroepiandrosterone had severe ulceration and 4 of 10 sulfasalazine treated animals (positive control) has severe ulceration. The results showed that the formula 1 compounds reduced inflammation or its symptoms compared to untreated control animals.
- In another protocol formula 1 compounds were used in a similar animal model. Groups of 10 male Sprague Dawley rats (250-300 grams) were fasted for 24 hours before 2,4,6-trinitrobenzene sulfonic acid (TNBS) or saline challenge. This model presents a severe challenge to the animal's immune system. On Day 0, the rats were lightly anesthetized and a catheter inserted rectally into the colon such that the tip was 8 cm proximal to the anus. Distal colitis was induced by intra-colonic instillation of 0.5 mL of an ethanolic solution of TNBS (60 mg/mL ethanol 50% in water). The test substance, 7-oxodehydroepiandrosterone 20 mg/mL in vehicle or vehicle control was administered by subcutaneous injection (0.1 mL/injection) once a day for 6 days, the first dose being given 30 minutes after TNBS challenge. Sulfasalazine (30 mg/mL in 2% Tween 80 in distilled water) or vehicle control was administered orally (PO) once a day (10 mL/kg/day) for 7 days, the first two doses beginning 24 hours and 2 hours before DNBS challenge. Signs of diarrhea were recorded daily by examining the anal area. Animals were fasted for 24 hours prior to sacrifice on day 14 and the colon was removed and weighed. After gross observations of colonic tissues, 3 samples were taken from regions approximately 1, 3, and 8 cm proximal to the anus. If gross ulcers or inflammation were present, at least one sample was taken from the affected region. Before removal of the colon, signs of adhesion between the colon and other organs were recorded. Also, the presence of colonic ulcerations and intestinal adhesions was noted after weighing of each colon. Body weight, colon-to-body-weight ratio, and damage scores were assessed. Visible damage was scored on a 1-5 scale as follows: 0=No damage; 1=Localized hyperemia but no ulcers; 2=linear ulcers with no significant inflammation; 3=Linear ulcers with inflammation at one site; 4=Two or more sites of ulceration and/or inflammation; 5=Two or more major sites of ulceration and inflammation or one major site of ulceration and inflammation extending more than 1 cm along the length of the colon. Inflammation is defined as regions of hyperemia and bowel wall thickening.
- Ulcerations were present more frequently at multiple colonic levels following 7-oxodehydroepiandrosterone treatment compared to controls. Moderate to severe ulcerative lesions associated with moderate to severe fibrosis of the mucosa and/or submucosa occurred in 8/9 (89%) of 7-oxodehydroepiandrosterone treated animals compared to 5/9 (56%) of controls. The severity and frequency of muscular, peritoneal and/or mesenteric inflammation appeared slightly more than in controls. These histopathological data suggests that 7-oxodehydroepiandrosterone exacerbated the inflammation. Moderate to severe ulcerative lesions occurred in 6/10 (60%) and 5/10 (50%) of sulfazalazine and vehicle treated animals, respectively. The severity and frequency of muscular, peritoneal and/or mesenteric inflammation appeared to be similar to that occurring in vehicle groups. The frequency of moderate to severe lesions and their severity based on their occurrence at multiple colonic levels appeared to be similar between the negative control (vehicle), reference control (sulfazalazine), BrEA and dehydroepiandrosterone, indicating that for these compounds the degree of inflammation was similar for the control compound and the tested compounds.
- 3β,7β,17β-trihydroxyandrost-5-ene (AET) was examined for its capacity to modulate delayed type hypersensitivity (DTH). Groups of five female BALB/cByJ mice (20-25 grams) were anesthetized and 100 μL of a 3% solution of oxazolone was applied on day 0 to the shaved abdomen and dried. Seven days later, on day 7, the mice were challenged by applying 5 μL of oxazolone topically to each side of the right ear. The compound AET (40 mg/mL) in vehicle was administered by subcutaneous injection (2 mg/day, 50 μL/injection) one time on day 6, 24 hours before the oxazolone challenge. The vehicle as a non-aqueous suspension of AET in 2% benzyl alcohol w/v, 0.1% Brij 96 w/v and equal volumes of PEG 300 and propylene glycol.
- Dexamethasone in saline (0.2 mg/mL) was administered daily for 9 days (day—1 to 7), first dose 24 hours before sensitization, last dose at challenge by subcutaneous injection (0.01 mg/dose, 50 μL/injection). On Day 8, 24 hours following the oxazolone challenge, both the right and left ear thicknesses were measured using a micrometer caliper and the differences determined. The differential ear thickness is measured as an indicator of the DTH response to topical oxazolone challenge. The DTH response was expressed as the difference in the thickness (mm) between the right and the left ears for each animal.
- The differential ear thickness in animals receiving vehicle alone was 0.225 mm and treatment with dexamethasone (high dose) or cyclophosphamide reduced the DTH response (0.144 mm and 0.092 mm, respectively). AET administered subcutaneously had only a slight effect on the DTH response to oxazolone. When administered 24 hours before challenge or at challenge (2 mg/day), the effect was a 22-24% reduction in the response. When administered daily for 8 days (2 mg/day), first dose 24 hours before sensitization and last dose 24 hours prior to challenge, the effect was an enhancement of the response (23%). This result shows that if the compound was delivered to the animals during sensitization, the DTH response increased. This is consistent with an enhanced Th1 immune response. If the compound was delivered to the animals after sensitization, the DTH response was decreased. This is consistent with a decreased inflammatory response.
- Healthy aged (20-month) or immunologically-mature (3-month) BALB/c mice were vaccinated with hepatitis B surface antigen (HBsAg) (2 μg; Recombivax-HB; Merck) and Alum (2.75 μg). The aged mice were vaccinated with the antigen and also received a single subcutaneous injection of either 0.3 mg or 3.0 mg of 3β,7β,17β-trihydroxyandrost-5-ene (AET), BrEA or 7-oxodehydroepiandrosterone, dehydroepiandrosterone or the vehicle (placebo control). The AET, BrEA hemihydrate or dehydroepiandrosterone was present in a formulation that contained 60 mg/mL of the compound suspended in 0.1% w/v carboxymethyl cellulose sodium in 0.9% saline. 7-Oxodehydroepiandrosterone was in a formulation that contained 60 mg/mL of the compound suspended in 0.1% w/v gum arabic in 0.9% saline. A concentration of 6 mg/mL was obtained by diluting the 60 mg/mL formulation with vehicle that lacked the active substance.
- Blood samples were collected 14, 21 and 34 days after treatment and the sera were analyzed by ELISA to determine the concentration of HBsAg-specific IgG (total IgG). In addition, samples obtained on day 21 were analyzed to determine the concentration of HBsAg-specific IgG1 and IgG2a subclasses. The results summarized below were average values obtained with blood samples collected 21 days after vaccination of groups of 8 mice. Subcutaneous injection was performed after shaving the hair from the thighs of each mouse. The injected volume was 50 μL for compound (3.0 mg or 0.3 mg) or placebo, and for vaccine preparation. The vehicle control consisted of carboxymethylcellulose (0.5%) in saline (0.9%). Antibody titers were determined by ELISA.
- Treatment of aged, vaccinated animals with the formula 1 compounds, resulted in higher anti-HBsAg IgG titers than aged animals receiving the vaccination only. Higher antibody titers were achieved in aged mice that received the compounds at the same time as vaccination, in the majority of cases. For all tested compounds, except for BrEA at the low dose (0.3 mg), the IgG titer increase was significant compared to aged controls. This result shows that the formula 1 compounds result in an enhanced immune response to antigen challenge in the immune senescent animals.
- The serum samples were also analyzed for the titers of HBsAg-specific, IgG1 or IgG2a immunoglobulin subclasses. A bias to IgG1 is seen in aged mice and this is considered symptomatic of immune senescence or a suboptimal immune response associated with immune senescence. The IgG1/IgG2a ratio is an indicator of immune status. Th2 cells predominantly assist in the generation of humoral immunity, while Th1 cells enhance, e.g., cellular immunity. Humoral immunity (Th2) becomes predominant with age, while the decreasing cellular (Th1) immunity leads to increased susceptibility to, e.g., infectious diseases.
- The ratio of IgG1 to IgG2a of about 8:1 was measured in the young mice and 27:1 in aged mice. Generation of antigen-specific IgG1 generation involves T-helper type 2 (Th2) cells, and for IgG2a, T-helper type 1 (Th1) cells. Treatment of aged animals with the formula 1 compounds shifted the IgG1/IgG2a ratios toward the ratio seen in young, vaccinated animals. The ratios observed from the animals treated with AET, BrEA, 7-oxodehydroepiandrosterone or dehydroepiandrosterone ranged from about 4 to about 13. The shift was statistically significant. The tested compounds all enhanced the proportion of IgG2a, and thus the associated Th1 response to the antigen.
- Secondary antibody response. Later, 42 days after the initial exposure to HBsAg, serum samples were taken from the mice described in the previous section and these were tested for anti-HBsAg IgG. At this time-point, vaccine-specific IgG titers were either low or undetectable. Three days later (45 days after first vaccination), the mice were injected again with HBsAg in Alum, but this time, none of the mice received immunosteroid (secondary vaccination). Serum samples collected 7 days and 14 days after the second exposure to HBsAg vaccine were assayed for anti-HBsAg antibody. In the young mice, a marked increase in specific antibody was seen in response to the second vaccination. In contrast, in aged mice that had received no immunosteroid with the first HBsAg injection, low levels of anti-HBsAg were detectable, and only in 4 of the 8 mice in this group was antibody detectable. Increases in anti-HBsAg titers were seen following secondary vaccination in aged animals that had been treated with immunosteroid in conjunction with the first HBsAg exposure. The anti-HBsAg antibody titer in serum increased following secondary vaccination in all 8 mice in the groups of aged mice that were treated at primary vaccination with the higher dose (3 mg/mouse) of AET, BrEA or 7-oxodehydroepiandrosterone, or with dehydroepiandrosterone (0.3 mg/mouse). In those aged mice that had received the lower dose (0.3 mg/mouse) of AET, BrEA or 7-oxodehydroepiandrosterone at vaccination, an intermediate response was seen, with 6 of the 8 mice producing detectable anti-HBsAg in response to secondary vaccination. These results show that the tested compounds resulted in an enhanced secondary antibody response in the aged animals.
- Formula 1 compounds such as 3β,7β,17β-Trihydroxyandrost-5-ene (AET) and BrEA are used to modulate the immune response to an antigen(s) such as malaria antigens encoded by DNA expression vectors. Antigens such as a Plasmodium, e.g., P. yoelii, P. falciparum, P. vivax or P. berghei, circumsporozoite or merozoite protein are used to immunize a subject. AET or BrEA is administered on the same day or a day or two before antigen challenge. Suitable antigens, expression vectors and their delivery to a subject have been described. See, e.g., S. L. Hoffman et al., Vaccine 1994 12:1529-1533, R. Weiss et al., Infect. Immunity 2000 68:5914-5919, J. C. Rayner et al., Proc. Nat'l. Acad. Sci. U.S.A. 2000 97:9648-9653, S. Scheiblhofer et al., Eur. J. Immunol. 2001 31:692-298. The capacity of the compounds to enhance immune responses to the antigens by, e.g., measuring cytotoxic T lymphocytes or antibody titer after delivery of the formula 1 compound and immunization with an antigen(s). Typically the immune response is measured at about 10 days to about 21 days after a primary immunization. Methods to measure immune responses are essentially as described herein or in appropriate cited references. DNAs that encode an antigen(s) that is associated with, e.g., an infectious agent or a tumor described herein may be used in these assays. The capacity of the formula 1 compound to modulate the immune response(s) to antigen challenge is optionally compared to the response generated by AET or BrEA.
- The capacity of the formula 1 compounds to activate monocytes and/or increase monocyte or macrophage activity or survival is determined using methods known in the art. The formula 1 compounds are assayed using, e.g., the assays described below. For these assays, peripheral blood mononuclear cells (PBMC) are purified from a subject, e.g., a human leukopack (American Red Cross, Baltimore, Md.) by centrifugation through a histopaque gradient (Sigma). Monocytes are isolated from PBMC by counterflow centrifugal elutriation. In each of the assays, the activity of a given formula 1 compound is optionally compared to the response associated with AET or BrEA.
- Modulation of monocyte survival is determined essentially as follows. Human peripheral blood monocytes progressively lose viability when cultured in absence of serum or other stimuli. Their death results from internally regulated process such as apoptosis. Addition to the culture of activating factors, such as TNF-α improves cell survival. Propidium iodide (PI) staining is used to measure apoptosis as follows. Monocytes are cultured for 48 hours in polypropylene tubes in serum-free medium (positive control), in the presence of about 100 ng/mL of TNF-α (negative control), and in the presence of varying concentrations of the formula 1 compound. Cells are suspended at a concentration of 2×106/mL in PBS containing PI at a final 5 concentration of about 5 μg/mL, and then incubated at room temperature for 5 minutes before FACScan analysis. PI uptake has been demonstrated to correlate with DNA fragmentation in this experimental paradigm. The activity of formula 1 compounds such as AET or BrEA can be used as a comparison standard for other formula 1 compounds.
- The effect of formula 1 compounds on monocyte or macrophage cytokine release is determined essentially as follows. An important function of monocytes and macrophages is their regulatory activity on other cellular populations of the immune system through the cytokines release after stimulation. An ELISA to measure cytokine release is performed using, e.g., human, monocytes, which are incubated at a density of about 5×105 cells/mL. A range of formula 1 compound concentrations is used, e.g., 1 nm, 10 nm, 100 nm, 1 μm, 10 μm and 50 μm. To determine IL-12 production, the cells are primed overnight with IFN (100 U/mL) in presence of a formula 1 compound. LPS (10 ng/mL) is then added. Conditioned media are collected after 24h and kept frozen until use. Measurement of TNF-alpha, IL-10, MCP-I and IL-8 is then performed using a commercially available ELISA kit (e.g, R & D Systems (Minneapolis, Minn.)) and applying the standard protocols provided with the kit.
- Activation of monocytes or macrophages by formula 1 compound is measured by assaying the oxidative burst after stimulation of the cells. Purified monocytes are plated in 96-well plate at about 2×105 cells/well. A range of formula 1 compound concentrations, e.g., 1 nm, 10 nm, 100 nm, 1 μm, 10 μm and 50 μm, are added to the wells in a total volume of 0.2 mL culture medium (RPMI 1640+10% FCS, glutamine and antibiotics). After 3 days incubation, the plates are centrifuged and the medium is removed from the wells. To the macrophage monolayers, 0.2 mL per well of phenol red solution (140 mM NaCl, 10 mM potassium phosphate buffer pH 7.0, 5.5 mM dextrose, 0.56 mM phenol red and 19 U/ml of HRPO) is added, together with the stimulant (200 nM PMA). The plates are incubated at 37° C. for 2 hours and the reaction is stopped by adding 20 pL 1N NaOH per well. The absorbance is read at 610 nm. To calculate the amount of H202 produced by the macrophages, a standard curve of a H2O2 solution of known molarity is performed for each experiment.
- The formula 1 compounds are used to modulate astrocyte or neuron survival, neurite outgrowth, phenotypic differentiation of cortical neuronal cells or for inducing the proliferation of glial fibrillary acidic protein immunopositive cells (astrocytes). A thymidine incorporation assay, for example, can be used to measure cell proliferation or survival. The biological effects of FGF-2 (basic FGF) on cortical or hippocampal neurons in vitro included increases in both neuron survival and neurite outgrowth (Walicke et al., Proc. Natl. Acad. Sci. U.S.A. 1986 83:3012-3016. Using primary cortical neuronal culture, the effect of a formula 1 compound to induce neurite outgrowth can be compared to the response achieved with FGF-2 using, for example, a thymidine incorporation assay.
- The formula 1 compounds are used in a model for Parkinson disease essentially as follows. The loss of motor function in Parkinson's disease is attributed to a deficiency of striatal dopamine resulting from the degeneration of the nigrostriatal dopaminergic projection neurons. An animal model for Parkinson's that has been extensively characterized involves the systemic administration of 1-methyl-4 phenyl 1,2,3,6-tetrahydropyridine (MPTP). In the CNS, MPTP is taken-up by astrocytes and catabolized by monoamine oxidase B to 1-methyl-4-phenyl pyridine (MPP) and released. Subsequently, MPP is actively accumulated in dopaminergic neurons by the high-affinity reuptake transporter for dopamine. MPP is then concentrated in mitochondria by the electrochemical gradient, which selectively inhibits nicotidamide adenine disphosphate; ubiquinone oxidoreductionase (complex 1), thereby interfering with electron transport and eventually generating oxygen radicals. It has been demonstrated in tissue culture and in vivo that FGF-2 (basic FGF) has trophic activity for nigral dopaminergic neurons. FGF-2 in gel foam implants in the striatum results in the near complete protection of nigral dopaminergic neurons from the toxicity associated with MPTP exposure. The formula 1 compounds are administered with or without FGF-2 to measure their capacity to enhance survival of dopaminergic neurons in vitro, or they are delivered in vivo to enhance protection of dopaminergic neurons in the striatum from the damage associated with MPTP treatment.
- In vitro dopaminergic neuronal cell cultures are prepared by dissecting the midbrain floor plate from gestation day 14 Wistar rat embryos. The tissue is dissociated with trypsin and seeded at a density of about 2×105 cells/cm2 on polyorthinine-laminin coated glass coverslips. The cells are maintained in Dulbecco's Modified Eagle's medium and F12 medium containing hormonal supplements (N1). The cultures are fixed with paraformaldehyde after 8 days and are processed for tyrosine hydroxylase, a specific marker for dopminergic neurons, immunohistochemical staining. Dissociated cell cultures are prepared from embryonic rats. The culture medium is changed every third day and the factors are also added at that time. Since the dopaminergic neurons are isolated from animals at gestation day 14, a developmental time which is past the stage when the dopaminergic precursor cells are proliferating, an increase in the number of tyrosine hydroxylase immunopositive neurons represents an increase in the number of dopaminergic neurons surviving in vitro.
- The recruitment of lymphocytes to areas of inflammation and angiogenesis involves specific receptor-ligand interactions between cell surface adhesion molecules (CAMs) on lymphocytes and the vascular endothelium. The adhesion process, in both normal and pathological settings, follows a multi-step cascade that involves intercellular adhesion molecule-1 (ICAM-1), vascular cell adhesion molecule-1 (VCAM-1), and endothelial leukocyte adhesion molecule-1 (E-selectin) expression on endothelial cells (EC). The expression of these molecules and others on the vascular endothelium determines the efficiency with which leukocytes may adhere to the local vasculature and extravasate into the local tissue during the development of an inflammatory response. The local concentration of cytokines and growth factor participate in the modulation of the expression of these CAMs.
- Tumor necrosis factor alpha (TNF-a), is a proinflammatory cytokine and stimulates all three CAMs on endothelial cells. It may be involved in a wide variety of inflammatory responses, often resulting in a pathological outcome. The capacity of a formula 1 compound to mediate a suppression of TNF-α induced CAM expression can be examined. A modified ELISA assay which uses ECs as a solid phase absorbent is employed to measure the amount of CAM expression on TNF-α treated ECs when co-stimulated with a member of the FGF family of proteins. To perform the experiment, human umbilical vein endothelial cell (HUVEC) cultures are obtained from pooled cord harvests and maintained in growth medium (EGM-2, Clonetics, San Diego, Calif.) supplemented with 10% FCS and 1% penicillin/streptomycin in a 37° C. humidified incubator containing 5% CO2. HUVECs are seeded in 96-well plates at concentrations of about 1×104 cells/well in EGM medium at 37° C. for 18-24 hrs or until confluent. The monolayers are subsequently washed 3 times with a serum-free solution of RPMI-1640 optionally supplemented with 100 U/mL penicillin and 100 mg/mL streptomycin, and treated with a given cytokine and/or growth 5 factor(s) for 24 h at 37° C. Following incubation, the cells are then evaluated for CAM expression.
- HUVECs are grown in a standard 96 well plate to confluence. Growth medium is removed from the cells and replaced with 90 μL of 199 Medium (10% FBS). Samples for testing and positive or negative controls are added to the plate in triplicate (in 10 μL volumes). Plates are incubated at 37° C. for either 5 h (selectin and integrin expression) or 24 h (integrin expression). Plates are aspirated to remove medium and 100 pL of 0.1% paraformaldehyde-PBS (with Ca++ and Mg++) is added to each well. Plates are held at 4° C. for 30 min. Fixative is then removed from the wells and wells are washed 1× with PBS(+Ca,Mg)+0.5% BSA and drained. Do not allow the wells to dry. 10 pL of diluted primary antibody is added to the test and control wells. Anti-ICAM-1-Biotin, Anti-VCAM1-Biotin and Anti-E-selectin-Biotin are used at a concentration of 10 pg/ml (1:10 dilution of 0.1 mg/ml stock antibody). Cells are incubated at 37° C. for 30 min. in a humidified environment. Wells are washed ×3 with PBS (with Ca, Mg) and 0.5% BSA. Then add 20 μL of diluted ExtrAvidin-Alkaline Phosphotase (1:5,000 dilution) to each well and incubate at 37° C. for 30 min. Wells are washed ×3 with PBS (with Ca, Mg) and 0.5% BSA. 1 tablet of p-Nitrophenol Phosphate pNPP is dissolved in 5 mL of glycine buffer (pH 10.4). 100 pl of pNPP substrate in glycine buffer is added to each test well. Standard wells in triplicate are prepared from the working dilution of the ExtrAvidin-Alkaline Phosphotase in glycine buffer: 5 pL of each dilution is added to triplicate wells and the resulting AP content in each well is 5.50 ng, 1.74 ng, 0.55 ng, 0.18 ng. 100 μl of pNNP reagent is then be added to each of the standard wells. The plate is incubated at 37° C. for 4 h. A volume of 50 pL of 3M NaOH is added to all wells. The results are quantified on a plate reader at 405 nm. The background subtraction option is used on blank wells filled with glycine buffer only. The template is set up to indicate the concentration of AP-conjugate in each standard well. Results are indicated as amount of bound APconjugate in each sample.
- This assay can be used to evaluate inhibition of a Mixed Lymphocyte Reaction (MLR) by formula 1 compounds. Inhibition of a MLR may be due to a direct effect on cell proliferation and viability, modulation of costimulatory molecules on interacting cells, modulation of adhesiveness between lymphocytes and accessory cells, or modulation of cytokine production by accessory cells. Multiple cells may be targeted by the compounds since the peripheral blood mononuclear fraction used in this assay includes T, B and natural killer lymphocytes, as well as monocytes and dendritic cells. Compounds that inhibit the MLR are useful in treating, preventing or ameliorating diseases associated with lymphocyte and monocyte activation or proliferation. These include, e.g., inflammatory or autoimmune conditions such as asthma, arthritis, diabetes, inflammatory skin conditions, psoriasis, eczema, systemic lupus erythematosus, multiple sclerosis, glomerulonephritis, inflammatory bowel disease, crohn's disease, ulcerative colitis, arteriosclerosis, cirrhosis, graft vs. host disease, host vs. graft disease and hepatitis.
- To perform the assay, PBMCs from, e.g., human, donors are purified by density gradient centrifugation using Lymphocyte Separation Medium (LSM™, density 1.0770 g/mL, Organon Teknika Corporation, West Chester, Pa.). PBMCs from two donors are adjusted to 2×106 cells/mL in RPMI-1640 (Life Technologies, Grand Island, N.Y.) supplemented with 10% FCS and 2 mM glutamine. PBMCs from a third donor is adjusted to 2×105 cells/ml. Fifty pL of PBMCs from each donor is added to wells of a 96-well round bottom microtiter plate. Several concentrations of the formula 1 compound in the wells is used in triplicate, e.g., 1 nm, 10 nm, 100 nm, 1 μm and 10 μm. Recombinant human IL-2 (R&D Systems, Minneapolis, Minn., catalog number 202-IL) is added to a final concentration of about 0.1 to 1 μg/mL and anti-CD4 monoclonal antibody (e.g., R&D Systems, clone 34930.11, catalog number MAB379) is added to a final concentration of about 1 to 10 μg/mL. Cells are cultured for 7-8 days at 37° C. in 5% CO2, and 1 μCi of [3H] thymidine is added to wells for the last 16 hrs of culture. Cells are harvested and thynudine incorporation determined using a suitable scintillation counter, e.g., a Packard TopCount. Data is expressed as the mean and standard deviation of triplicate determinations. Samples of the protein of interest are screened in separate experiments and compared to the negative control treatment, anti-CD4 mAb, which inhibits proliferation of lymphocytes and the positive control treatment, IL-2 (either as recombinant material or supernatant), which enhances proliferation of lymphocytes.
- Previously described MLR protocols, sources of cells for use in the MLR and assay parameters can be used to evaluate the effects of the formula 1 compounds. See, e.g., K. V. Bromelow et al., J. Immunol. Methods 2001 247:1-8, Z. Amirghofran et al., J. Ethnopharmacology 2000 721:167-172, T. Itoh et al., J. Antibiot (Tokyo) 199346:1575-1581, P. Van Vlasselaer et al., Cell. Immunol. 1991 138:326-340, and A. Shaked et al., Transplantation 1991 52:1068-1072.
- The effects of the formula 1 compounds on memory are assayed essentially as follows.
- Aged, two year old mice are tested in the Morris water maze procedure by training the mice to locate a pedestal in less than 15 seconds in three consecutive trials. Immediately upon completion of training one group of mice is treated with a formula 1 compound (5-30 mg/kg) and a second group is treated with a placebo. The treatment comprises one, two or three intraperitoneal, subcutaneous, intramuscular or intravenous injections of the formula 1 compound and the vehicle placebo. The injections are given once per day. Two weeks after treatment, the time to rescue is timed in the Morris water maze procedure and the control result is compared to the placebo control.
- Scopolamine induced amnesia is examined essentially as follows. Groups of 13 to 16 C57BL76 mice (about 35 gm) are trained in the Morris water maze procedure to locate a pedestal in less than 15 seconds in three consecutive trials. Immediately upon completion of training the mice in each of three groups are treated with scopolamine (1 mg/kg), scopolamine plus a formula 1 compound at one or more dosages (e.g., about 5-50 mg/kg), and scopolamine plus a placebo. The treatment comprises one, two or three intraperitoneal, subcutaneous, intramuscular or intravenous injections of the formula 1 compound and the vehicle placebo. The injections are given once per day. Six days after treatment the average time (sec) to rescue is timed using the Morris water maze procedure and the results from each group are compared. Results for a formula 1 compound are optionally compared to the results that are obtained in these protocols using BrEA or AET to determine the relative potency of the formula 1 compounds.
- The capacity of formula 1 compounds to limit injury associated with ischemia and reperfusion is determined in an animal model essentially as follows. Male Sprague-Dawley rats weighing 130-170g are randomly assigned to no pre-treatment, vehicle pre-treatment or formula 1 compound pre-treatment using one or more dosages, e.g., about 1-10 mg/kg. Animals are treated with vehicle or DHEA the day before and the day of surgery. Anesthesia is induced with intraperitoneal pentobarbital (60-70 mg/kg). The rats are placed on a heating pad, and body temperature is maintained at about 36° C. Detection of the cremaster muscle on its neurovascular pedicle is performed essentially according to conventional techniques, e.g., Anderson, G. L. et al., Microvascular Res. 1988 36:56-63, Siemionow, M. et al., Microcirc. Endoth. Lymphatics 1991 7:183-197, Siemionow, M. et al., J. Hand Surgery 1993 18A:963-971.
- Briefly, a skin incision is made from the anterior iliac spine to the tip of the scrotum. The testis with cremaster muscle intact is then dissected away from the scrotum. An opening of 1 cm is made on the ventral surface of the cremaster, and the testis and spermatic cord are removed. Under a microscope, the neurovascular pedicle, consisting of the pubic-epigastric arteries, vein, and genitofemoral nerve, is then completely isolated by dissecting to the origin of the vessels from the external iliac artery and vein. The front wall of the cremaster muscle sac is opened and the island cremaster muscle flap is prepared for intravital videomicroscopy. The rat is secured on a tissue bath, and the cremaster muscle flap is spread over the coverglass in the opening at the bottom of the bath and fixed with 5-0 silk sutures. It is then transilluminated from below, using a fiber optic tungsten lamp. The muscle is kept moist and covered with impermeable plastic film. The tissue bath, designed specifically for temperature control, is filled with 0.9% saline and the temperature maintained at between 35-36° C. The microscope is equipped with a color video camera. The video image of the microcirculation is displayed on a 19″ monitor, where the final magnification is 1800×. Measurement of microvascular activity is recorded after isolation of the muscle to establish the pre-ischemia baseline. After proper positioning of clamps to completely shut down blood flow to the muscle flap, the duration of the ischemic period is six hours. Following removal of clamps to induce reperfusion injury, activity in the microvasculature is measured at e.g., 30, 60 and 90 minutes post-reperfusion. In all experimental subjects, ischemia is followed by reflow and then by an initial period of flow of blood through the microcirculation. This burst of circulatory activity is followed by marked reperfusion injury that induces loss of flow.
- One or more of the following parameters are used to evaluate the state of the cremaster muscle microvasculatory system prior to ischemia and after reperfusion. The density of perfused capillaries in each of three flap regions is measured by counting the number of flowing capillaries in proximity to the preselected post-capillary venule. Nine visual fields of capillaries are counted at each postcapillary venule site, for a total of 27 fields per cremaster muscle flap.
- A leukocyte count in postcapillary venules is taken using video scans of three pre-selected post-capillary venules in proximal, middle and distal flap regions. For each venule, the number of leukocytes rolling through the lumen, the number adhering to the endothelium and the number migrating across the endothelium over a two-minute period are recorded. Results are optionally obtained for rollers, strikers and diapedesis.
- Red blood cell velocities in first order and second order arterioles are measured. Red blood cell velocities are recorded in the main arterioles of the cremaster flap using an optical Doppler velocimeter. Results are obtained for velocity of venous and arterial blood.
- In an exemplary protocol, six rats are untreated and six rats are pre-treated with vehicle. Under conditions of six hours of ischemia and 90 minutes of reperfusion, the absolute number of rolling, sticking and transmigrated leukocytes is determined within 60 minutes of reperfusion and at 90 minutes. Rats are pre-treated with a formula 1 compound by subcutaneous injection the day before and the day of surgery to measure any protective effect of the therapy. One or more of the three parameters are determined and are compared to normal values. The endothelial-adherent properties compared to baseline values are optionally determined, using numbers of rolling, sticking and transmigrating leukocytes. Red cell velocities in second order arterioles are compared to normal rates of flow at, e.g., 90 minutes post-reperfusion.
- The capacity of formula 1 compounds to limit hypoxia induced pulmonary vasoconstriction is demonstrated using an animal model essentially as follows. Isolated perfused ferret lungs are an established animal model to study secondary pulmonary hypertension. In brief, male ferrets are anesthetized with intraperitoneal pentobarbital sodium and the chest is opened. Stainless steel cannulae are secured in the left atrium and pulmonary artery, and the pulmonary artery and the aorta are ligated. The lungs are perfused with a mixture of autologous blood and Krebs-Henseleit buffer in a circulating manner at a constant rate of about 85 mL/min. The perfusion circuit includes a perfusate reservoir, a roller perfusion pump, filter, and a heat exchanger. The perfusion system is made of, e.g., tygon tubing, which is used for connections and for passage through the perfusion pump. The temperature of the perfusate is kept about 37-38° C. and the pH is maintained at 7.35 to 7.40 by adding sodium bicarbonate to the reservoir as needed. The venous reservoir is placed below the lowermost portion of the lung.
- The lungs are ventilated with a hypoxic gas mixture of 5% CO2, 4% O2, and 91% N2 by a tracheotomy with a Harvard animal respirator for 30 minutes. The animals are ventilated with a tidal volume of 30 mL, at a rate of 18 breaths/min. and with 2 cm of H2O positive end-expiatory pressure. For measurements, pulmonary arterial, left atrial and tracheal pressures are monitored using Gould Statha P231D pressure transducers or an equivalent connected to the inflow circulation and recorded on, e.g., a Grass polygraph. After 30 minutes of ventilation with hypoxic gas mixture, a formula 1 compound in a dose between about 5-25 mg/kg body weight is added to the reservoir, and perfusate is allowed to perfuse the ferret lungs for 1.5 hours. Pulmonary artery pressure is measured until the end of the experiment, i.e., a total of two hours. Pressure that remains at or near basal level indicates the vasodilatory effect of the formula 1 compound in pulmonary circulation that is otherwise constricted in response to hypoxia. The effects of the formula 1 compounds can be compared to the effects and duration of nitric oxide, a therapeutic agent that is optionally used in this model as a control.
- Enhanced hemopoiesis is observed in mammals with immune injury from, e.g., radiation exposure or from an immunosuppressive chemotherapy. In an example, animals are used to demonstrate the effect of formula 1 compounds on hemopoiesis after immune system injury due to radiation. Hemopoiesis in the murine immune system after radiation is optionally used because of the similar responses of murine and human hemopoiesis to drugs and toxic insults (see, e.g., J. H. Hendry and B. I. Lord, editors, Radiation toxicology: Bone marrow and leukaemia 1995 Taylor & Francis Inc., London).
- In an exemplary protocol, B6D2F1/J female mice (Jackson Laboratory, Bar Harbor, Me.), 18-24 weeks of age, 22-30g body weight, are obtained and held in quarantine for two weeks. Up to 10 mice are housed in sanitized 46×24×15 cm polycarbonate boxes with filter covers (MicroIsolator; Lab Products, Inc, Maywood, N.J.) on autoclaved hardwood chip bedding. Mice are given feed and acidified (pH 2.5) water freely. The animal holding room is maintained with conditioned fresh air at approximately 21° C. and 50° (±10%) relative humidity and with a 12-h light/dark full spectrum lighting cycle.
- Mice are placed in ventilated Plexiglas containers and exposed bilaterally to gamma-radiation from a 60Co source. Exposure time is adjusted so that each animal received a midline tissue-absorbed dose of 1-12 Gy at a nominal dose rate of 0.4 Gy/min at ambient temperature. Using a standardized technique, the midline dose rate is measured by placing a 0.5 cc tissue-equivalent ionization chamber at the center of a 2,5-cm diameter cylindrical acrylic mouse phantom. The tissue-air ratio, defined as the ratio of the dose rate measured in the phantom to the dose rate in free air, for this array is about 0.96. Variation within the exposure field is less than about 4%. Dosimetric measurements are made in accordance with the American Association of Physicists in Medicine protocol for the determination of absorbed dose from high-energy photon and electron beams (Med. Phys. 1983 10:741-771). Sham-irradiated mice are treated in the same way as the irradiated animals, except that the animals are not irradiated.
- Various formula 1 compounds e.g., compounds such as those in the compound groups described herein are formulated with a suitable vehicle (e.g., PEG-400) or sterile 0.9% NaCl (saline) optionally containing other excipients such as a cyclodextrin. The compounds are injected subcutaneously in a volume of about 0.1 mL or they are delivered orally or they are administered by another route. Doses typically range from about 1 mg/kg to about 350 mg/kg, e.g., about 1,10, 20, 40, 80, 160 or 320 mg/kg.
- Blood (0.6-1.0 mL) is obtained from halothane-anesthetized mice by cardiac puncture using a heparinized syringe attached to a 21-gauge needle. Blood is collected in EDTA-containing sample tubes. Mice are euthanized by cervical dislocation after blood collection. White blood cell (WBC), red blood cell (RBC) and platelet (PLT) counts are performed using, e.g., a Hematology System 9000 (Biochem Immunosystems). Wright-stained blood smears from the same samples are made for differential counts of neutrophils and lymphocytes by light microscopy.
- Hemopoietic progenitor cells committed to granulocyte-macrophage differentiation (GM-CFC) are assayed by a single-layer modification of a double-layer semisolid agar technique essentially as described (Patchen et al. Adv. Space Res. 1992 12:223-248). For example, femoral marrow is extracted and cell suspensions are prepared by flushing with 3 mL of McCoy's 5A medium containing 10% heat-inactivated fetal bovine serum (HIFBS; Hyclone, Logan, Utah). Each cell suspension represented a pool of marrow from four femurs, i.e., both femurs from each of two mice. The total number of nucleated cells in each suspension is determined with, e.g., a Coulter counter. The agar-medium mixture consisted of equal volumes of 0.66% agar and double-strength supplemented CMRL 1066 medium (Gibco, Grand Island, N.Y.). The medium is supplemented with final concentrations of 10% HIFBS, 5% tryptic soy broth, 5% heat-inactivated horse serum, antibiotics, and L-serine. One milliliter of the agar-medium mixture is added to each 35-mm plastic Petri dish (two dishes per suspension) and mixed with 50 μL of 0.1 ng/μL recombinant mouse GM-CSF (Genzyme, Cambridge, Mass.). Cell suspensions are then mixed into the agar-medium mixture to a final concentration of 0.5×105 cells/mL for unirradiated animals, and 1.0×105 or 1.5×105 cells/mL for irradiated animals to ensure sufficient colonies per plate for quantitation. Control experiments are done to confirm linearity of colonies at cell concentrations of 0.5-1.5×105 cells/mL. Colonies (>50 cells) are counted after seven days incubation in a 37° C. humidified environment containing 5% CO2. The average of the counts for the two dishes is taken as the value for each pool. About six animals are used per group in each of two experiments.
- For histological examination of myeloid hyperplasia in bone marrow after administration of the formula 1 compound, mice are euthanized with halothane, tissues are immersed in formalin, bones are decalcified and routine H&E-stained 6-μm paraffin sections are prepared.
- For induced-infection studies, a clinical isolate of K. pneumoniae, capsule type 5 (strain AFRRI 7), that is kept frozen at 70° C. in skim milk, is grown overnight at 35° C. on Trypticase Soy Agar (Becton-Dickinson, Sparks, Md.). Five typical colonies are inoculated into 8 mL of brain heart infusion broth (Becton-Dickinson) and incubated overnight at 35° C. Two milliliters of this overnight suspension is inoculated into 95 mL of prewarmed brain heart infusion broth. The culture is incubated at 35° C. with shaking for approximately 2.5 h. The optical density of bacterial growth is monitored with a spectrophotometer at a wavelength of 550 nm. Late log-phase cells are ished and suspended in cold saline to yield 109 viable bacteria per mL. Appropriate dilutions for inoculations are made in cold saline.
- To induce a bacterial infection, all mice are injected sc with K. pneumoniae four days after sham-irradiation or irradiation when circulating leukocytes are depressed. Mice are inoculated sc rather than iv or ip, to establish infection leading to sepsis, but not rapid septic shock. After sc inoculations of K. pneumoniae in the mice, the infection remains largely localized to the injection site. K. pneumoniae are not detectable in blood of inoculated mice until a few hours before death.
- Different doses of the bacteria are inoculated for each of three radiation dose levels (0, 1 or 3 Gy) to approximate the LD95/30, because the effects of radiation on hemopoiesis and susceptibility to infection are dependent on the dose of radiation. The LD95/30 for bacteria at each radiation dose is calculated from probit analysis. The actual doses are estimated by dilution plating of inocula onto Trypticase Soy Agar and incubating overnight at 35° C. Since different bacterial doses are expected to be needed for different radiation doses, the LD95/30 is estimated for each group and different mortality rates are observed in the vehicle-injected control groups. Bacterial doses for induced-infection experiments are prepared and calculated in the same manner.
- Animals are checked frequently, e.g., once or twice daily, six or seven days per week, to monitor survival and to euthanize mice that are in a moribund state. To verify that mortality in the induced-infection experiments is associated with K. pneumoniae injection, heart blood from recently deceased animals (or moribund animals euthanized by cervical dislocation) is cultured overnight at 35° C. on Columbia sheep blood agar plates (Becton-Dickinson, Sparks, Md.). Colonies are identified as K. pneumoniae by a suitable means, e.g., Biolog analysis.
- For histological analysis of bone marrow, coded slides are scored blind using a five-level semiquantitative scale and the results analyzed with a randomization t-test to obtain exact P-values. Thirty-day survival values are compared using the generalized Savage (Mantel-Cox) procedure (BMDP Statistical Software, Inc, Los Angeles, Calif.). To calculate dose reduction factors (DRFs), probit analysis is performed on mortality data.
- To test the ability of formula 1 compounds to ameliorate radiation-induced defects in hemopoiesis, mice are exposed to bilateral whole-body gamma-radiation and receive a dose of 3 Gy (or are sham-irradiated). One hour after irradiation or sham-irradiation, mice are injected with 320 mg/kg AED or PEG-400 vehicle. Between-group differences in blood cell elements, e.g., neutrophils, GM-CFC and platelets are generally determined. Irradiation results in a decrease in neutrophils at about four days after radiation compared to sham-irradiated animals.
- A human patient infected with the HIV virus was treated with 16α-bromoepiandrosterone (“BrEA”), using a physiological saline formulation containing 10 mg/mL of BrEA in solution, 36% w/v hydroxypropyl-β-cyclodextrin and 20 mg/mL of micronized BrEA in suspension. The patient received two courses of treatment. The first course consisted of subcutaneous injection once per day of 80 mg of BrEA for 10 days. The second course of treatment commenced 74 days later and used the same formulation, except that deuterium oxide replaced water in the formulation. The second treatment course consisted of subcutaneous injection once per day of 80 mg of BrEA for 15 days. The patient's blood parameters were obtained at the start and at the end of each course of treatment. The results shown below indicated that the BrEA compound enhanced blood cell counts as shown by increased blood platelets and neutrophils after the second course of treatment or by increased NK cells after either treatment.
1st Course 2nd Course Blood parameter start end start end WBC (×109/L) 2.38 2.47 3.57 5.66 platelets (μL−1) 142 146 119 225 neutrophils (×109/L) 0.92 0.8 2.02 3.60 monocytes (×109/L) 0.35 0.3 0.34 0.54 basophils (×109/L) 0.02 0.01 0.01 0.06 CD16+/56+ NK cells (mm−3) 186 348 144 425 CD4+ T cells (mm−3) 93 116 113 125 T suppressor cells (mm−3) 344 452 351 513 - To 1 L of physiological saline was added 450g of hydroxypropyl-β-cyclodextrin to obtain a clear solution, which was brought to a volume of 1250 mL with saline. 12.5 g of 16α-bromoepiandrosterone was then added and the solution was stirred for 2 hours with a magnetic mixer. The solution was filter sterilized and 25g of sterile micronized (average particle diameter of about 5 μm) 16α-bromoepiandrosterone was added. The solution was stirred for 20 hours at medium speed to obtain a solution with micronized material 16α-bromoepiandrosterone in suspension and non-micronized material in solution. Prior to use the solution is shaken and dispensed into sealed sterile vials for storage or it is directly dispensed into a syringe for immediate use by injection. A variation of this protocol would substitute duterium oxide for some or all of the water. Other variations would utilize a different formula 1 compound such as one of those named herein.
- It will be appreciated that the methods and compositions of the instant invention can be incorporated in the form of a variety of embodiments, only a few of which are disclosed herein. It will be apparent to the artisan that other embodiments exist and do not depart from the spirit of the invention. Thus, the described embodiments are illustrative and should not be construed as restrictive.
- For any of the uses of formula 1 compounds described herein, e.g., in any of the examples above, the results or biological effects that are obtained using individual formula 1 compounds are optionally compared to the results or biological effects that are obtained using a reference formula 1 compound such as AET, BrEA, positive controls or negative controls or to other known modulators of the biological activity, symptom or clinical condition of interest. Such comparisons provide guidance for using the formula 1 compounds in the different methods or clinical conditions. Such comparison information allows, e.g., tailoring of dosages and dosing schedules, routes of administration or the like for individual applications for the formula 1 compounds.
- To the extent not already indicated, it will be understood by those of ordinary skill in the art that any of the various specific embodiments, compounds or compositions described herein may be modified to incorporate other appropriate features, e.g., as shown in any other of the specific embodiments disclosed herein or in the cited references.
Claims (8)
Priority Applications (1)
| Application Number | Priority Date | Filing Date | Title |
|---|---|---|---|
| US11/564,026 US20070275936A1 (en) | 1998-11-24 | 2006-11-28 | Formulations and Treatment Methods |
Applications Claiming Priority (22)
| Application Number | Priority Date | Filing Date | Title |
|---|---|---|---|
| US10992498P | 1998-11-24 | 1998-11-24 | |
| US10992398P | 1998-11-24 | 1998-11-24 | |
| US11012798P | 1998-11-27 | 1998-11-27 | |
| US11220698P | 1998-12-15 | 1998-12-15 | |
| US12605699P | 1999-03-23 | 1999-03-23 | |
| US13774599P | 1999-06-03 | 1999-06-03 | |
| US14002899P | 1999-06-16 | 1999-06-16 | |
| US14238699P | 1999-07-06 | 1999-07-06 | |
| US14582399P | 1999-07-27 | 1999-07-27 | |
| US41490599A | 1999-10-08 | 1999-10-08 | |
| US16145399P | 1999-10-25 | 1999-10-25 | |
| US44900499A | 1999-11-24 | 1999-11-24 | |
| US44918499A | 1999-11-24 | 1999-11-24 | |
| US44904299A | 1999-11-24 | 1999-11-24 | |
| US46102699A | 1999-12-15 | 1999-12-15 | |
| US09/535,675 US6667299B1 (en) | 2000-03-16 | 2000-03-23 | Pharmaceutical compositions and treatment methods |
| US58667300A | 2000-06-01 | 2000-06-01 | |
| US58667200A | 2000-06-01 | 2000-06-01 | |
| US67547000A | 2000-09-28 | 2000-09-28 | |
| US09/820,483 US20030060425A1 (en) | 1998-11-24 | 2001-03-29 | Immune modulation method using steroid compounds |
| US10/877,911 US20070129282A1 (en) | 1998-11-24 | 2004-06-24 | Pharmaceutical treatments and compositions |
| US11/564,026 US20070275936A1 (en) | 1998-11-24 | 2006-11-28 | Formulations and Treatment Methods |
Related Parent Applications (1)
| Application Number | Title | Priority Date | Filing Date |
|---|---|---|---|
| US10/877,911 Continuation US20070129282A1 (en) | 1998-11-24 | 2004-06-24 | Pharmaceutical treatments and compositions |
Publications (1)
| Publication Number | Publication Date |
|---|---|
| US20070275936A1 true US20070275936A1 (en) | 2007-11-29 |
Family
ID=46324980
Family Applications (3)
| Application Number | Title | Priority Date | Filing Date |
|---|---|---|---|
| US10/877,911 Abandoned US20070129282A1 (en) | 1998-11-24 | 2004-06-24 | Pharmaceutical treatments and compositions |
| US11/564,026 Abandoned US20070275936A1 (en) | 1998-11-24 | 2006-11-28 | Formulations and Treatment Methods |
| US12/571,060 Expired - Fee Related US8022234B2 (en) | 1998-11-24 | 2009-09-30 | Compounds and compositions |
Family Applications Before (1)
| Application Number | Title | Priority Date | Filing Date |
|---|---|---|---|
| US10/877,911 Abandoned US20070129282A1 (en) | 1998-11-24 | 2004-06-24 | Pharmaceutical treatments and compositions |
Family Applications After (1)
| Application Number | Title | Priority Date | Filing Date |
|---|---|---|---|
| US12/571,060 Expired - Fee Related US8022234B2 (en) | 1998-11-24 | 2009-09-30 | Compounds and compositions |
Country Status (1)
| Country | Link |
|---|---|
| US (3) | US20070129282A1 (en) |
Cited By (6)
| Publication number | Priority date | Publication date | Assignee | Title |
|---|---|---|---|---|
| US20070129282A1 (en) * | 1998-11-24 | 2007-06-07 | Ahlem Clarence N | Pharmaceutical treatments and compositions |
| US20080176824A1 (en) * | 1999-03-23 | 2008-07-24 | Frincke James M | Pharmaceutical Compositions 3 |
| US7482334B2 (en) | 2002-08-28 | 2009-01-27 | Hollis-Eden Pharmaceuticals, Inc. | Therapeutic treatment methods |
| WO2010002880A1 (en) * | 2008-06-30 | 2010-01-07 | Temple University-Of The Commonwealth System Of Higher Education | Topical steroidal formulations |
| US7691835B2 (en) | 1999-09-30 | 2010-04-06 | Hollis-Eden Pharmaceuticals, Inc. | Formulations |
| US10792338B2 (en) | 2007-08-16 | 2020-10-06 | Remedor Biomed Ltd. | Erythropoietin and fibronectin compositions for therapeutic and cosmetic applications |
Families Citing this family (34)
| Publication number | Priority date | Publication date | Assignee | Title |
|---|---|---|---|---|
| EP2298315A1 (en) | 2002-08-28 | 2011-03-23 | Harbor BioSciences, Inc. | Therapeutic treatment methods |
| WO2004089304A2 (en) * | 2003-04-01 | 2004-10-21 | Hollis-Eden Pharmaceuticals, Inc. | Antiandrogens with marginal agonist activity and methods of use |
| AU2005282449B2 (en) * | 2004-09-07 | 2011-07-14 | Velico Medical, Inc. | Apparatus for prolonging survival of platelets |
| US7910755B2 (en) | 2004-09-29 | 2011-03-22 | Harbor Biosciences, Inc. | Stem cell expansion and uses |
| EP2471536A1 (en) * | 2004-09-29 | 2012-07-04 | Harbor BioSciences, Inc. | Steroid analogs and characterization and treatment methods |
| US20060073099A1 (en) * | 2004-10-01 | 2006-04-06 | Frincke James M | Treatment screening methods |
| AU2006304496B2 (en) * | 2004-10-15 | 2013-07-11 | Velico Medical, Inc. | Compositions and methods for prolonging survival of platelets |
| US8354396B2 (en) * | 2006-11-17 | 2013-01-15 | Harbor Therapeutics, Inc. | Drug identification and treatment method |
| US8486926B2 (en) * | 2006-11-17 | 2013-07-16 | Harbor Therapeutics, Inc. | Steroid tetrol solid state forms |
| US8217025B2 (en) * | 2006-11-17 | 2012-07-10 | Harbor Therapeutics, Inc. | Drug screening and treatment methods |
| US20080221074A1 (en) * | 2006-11-17 | 2008-09-11 | Jaime Flores-Riveros | Drug Screen and Treatment Method |
| US20080153792A1 (en) * | 2006-11-17 | 2008-06-26 | Frincke James M | Drug Identification and Treatment Method |
| DE102007031397A1 (en) * | 2007-07-05 | 2009-01-08 | D2O Bioscience Group Ltd. | Use of deuterium oxide for the treatment of virus-based diseases of the skin |
| WO2009026473A2 (en) * | 2007-08-21 | 2009-02-26 | Hollis-Eden Pharmaceuticals, Inc. | Stabilized therapeutic compositions and formulations |
| US9233107B2 (en) * | 2007-09-14 | 2016-01-12 | Biogen Ma Inc. | Compositions and methods for the treatment of progressive multifocal leukoencephalopathy (PML) |
| DK2273994T3 (en) | 2008-04-03 | 2016-02-01 | Neurmedix Inc | PHARMACEUTICAL FORMS OF A MEDICINE |
| DK2110132T3 (en) * | 2008-04-20 | 2014-04-28 | D2 Bioscience Group Ltd | Use of deuterium oxide as an elastase inhibitor |
| PL2300489T3 (en) * | 2008-06-06 | 2016-11-30 | Methods for preparing 17-alkynyl-7-hydroxy steroids and related compounds | |
| US20100227841A1 (en) * | 2008-09-24 | 2010-09-09 | Harbor BioSciencs, Inc. | Patient populations and treatment methods |
| WO2010036822A1 (en) * | 2008-09-24 | 2010-04-01 | Hollis-Eden Pharmaceuticals, Inc. | Patient populations and treatment methods |
| US20100222315A1 (en) * | 2008-09-24 | 2010-09-02 | Harbor BioSciencs, Inc. | Patient populations and treatment methods |
| DE102009003942A1 (en) * | 2009-01-07 | 2010-07-08 | D2O Biosience Group Ltd., Hamilton | Use of deuterium oxide for the treatment of virus-based diseases of the eye |
| US20110129423A1 (en) * | 2009-11-30 | 2011-06-02 | Frincke James M | Anticancer compounds and screening method |
| WO2017099974A1 (en) * | 2015-10-20 | 2017-06-15 | Jun Xia | Systems for brain stimulation during sleep and methods of use thereof |
| US9006488B1 (en) * | 2014-03-20 | 2015-04-14 | Muhammad Amin | Solvent free synthesis of acetaminophen |
| WO2016049360A1 (en) * | 2014-09-24 | 2016-03-31 | Massachusetts Institute Of Technology | Shear-thinning self-healing networks |
| CN107205980B (en) * | 2014-10-21 | 2020-04-07 | M·布达克 | Tissue and cell stain preparations with novel molecules obtained from corn poppy |
| CA2990576A1 (en) * | 2015-07-07 | 2017-01-12 | Toa Pharmaceutical Co., Ltd. | Bacteria-containing oral rapidly disintegrating tablet |
| KR102371004B1 (en) | 2015-08-12 | 2022-03-07 | 삼성전자 주식회사 | Method for processing audio signal and electronic device supporting the same |
| US10722529B2 (en) | 2015-12-03 | 2020-07-28 | Temple University—Of the Commonwealth System of Higher Education | Modulation of NAD+ metabolic pathways for treatment of disease |
| US20220241376A1 (en) * | 2019-07-18 | 2022-08-04 | Enyo Pharma | Method for decreasing adverse-effects of interferon |
| WO2022204327A1 (en) * | 2021-03-23 | 2022-09-29 | K-Gen, Inc. | Diterpenoid compounds that act on protein kinase c (pkc) |
| CN113504371B (en) * | 2021-07-09 | 2024-06-14 | 博以新(杭州)生物技术有限公司 | A separation-free chemiluminescent immunoassay based on cyclodextrin inclusion |
| WO2025219065A1 (en) | 2024-04-17 | 2025-10-23 | Mibelle Ag | Herbal extracts based on scarlet beebalm, methods of extraction and uses thereof |
Citations (64)
| Publication number | Priority date | Publication date | Assignee | Title |
|---|---|---|---|---|
| US1838500A (en) * | 1931-03-14 | 1931-12-29 | Linus E Russell | Trunk rack for automobiles |
| US2243887A (en) * | 1935-11-09 | 1941-06-03 | Schering Corp | Tertiary carbinols of the cyclopentano-polyhydrophenanthrene series and a method of producing the same |
| US2251939A (en) * | 1935-11-22 | 1941-08-12 | Schering Corp | Tertiary alcohols of the cyclopentano polyhydro phenanthrene series and a method of producing the same |
| US2266778A (en) * | 1937-10-05 | 1941-12-23 | Schering Corp | Unsaturated compounds of the cyclopentanopolyhydrophenanthrene series with an unsaturated side chain in the cyclopentano nucleus and a process for their manufacture |
| US2267257A (en) * | 1937-06-26 | 1941-12-23 | Ciba Pharm Prod Inc | Process for the manufacture of acetylene derivatives of the cyclopentano-polyhydrophenanthrene series |
| US2267258A (en) * | 1937-08-12 | 1941-12-23 | Ciba Pharm Prod Inc | Derivatives of saturated and unsaturated compounds of the cyclopentanopolyhydrophenanthrene series and process of producing same |
| US2272131A (en) * | 1937-07-22 | 1942-02-03 | Ciba Pharm Prod Inc | Nuclear ketones of the cyclopentanopolyhydrophenanthrene series and process of making same |
| US2308834A (en) * | 1936-06-15 | 1943-01-19 | Ciba Pharm Prod Inc | Polynuclear cyclic oxyketones and derivatives thereof and process of making same |
| US2308833A (en) * | 1935-06-18 | 1943-01-19 | Ciba Pharm Prod Inc | Polynuclear cyclic oxyketones and derivatives thereof and process of making same |
| US2318105A (en) * | 1938-07-23 | 1943-05-04 | Ciba Pharm Prod Inc | Hydrated acetylene derivatives of the cyclopentanopolyhydrophenanthrene series and process of preparing same |
| US2332486A (en) * | 1935-02-23 | 1943-10-19 | Schering Corp | Acyl compounds of polycyclic alcohols with germinal gland hormone characteristics and a method for producing the same |
| US2357364A (en) * | 1940-03-22 | 1944-09-05 | Squibb & Sons Inc | Keto derviatives of 17-ethynyl-17-hydroxy-perhydrocyclopentenophenanthrenes and process of preparing them |
| US2713062A (en) * | 1952-08-08 | 1955-07-12 | Schering Ag | 3-methyl-17-ethinyl androstandiols |
| US2830063A (en) * | 1955-07-21 | 1958-04-08 | Sterling Drug Inc | 3beta-cycloalkylacyloxy -17beta-hydroxy-17alpha-ethynyl-5-androstenes and androstanes and their preparation |
| US2844602A (en) * | 1956-01-31 | 1958-07-22 | Syntex Sa | 4-methyl testosterone compounds |
| US2868811A (en) * | 1955-07-21 | 1959-01-13 | Sterling Drug Inc | 3beta-acyloxy-17beta-hydroxy-17alpha-ethynyl-5-androstenes and androstanes and theirpreparation |
| US3014935A (en) * | 1960-06-15 | 1961-12-26 | Searle & Co | 5alpha-estrane-3alpha, 17beta-diols and esters thereof |
| US3029263A (en) * | 1959-12-24 | 1962-04-10 | Upjohn Co | 7-methyl-4, 6-androstadienes |
| US3045032A (en) * | 1960-02-08 | 1962-07-17 | Schering Corp | Fluorinated androstanes |
| US3128292A (en) * | 1962-06-18 | 1964-04-07 | Searle & Co | Optionally 17-(hydrocarbon-substituted) 17-oxygenated-3alpha-alkoxy-5alpha-androstanes |
| US3176030A (en) * | 1963-10-16 | 1965-03-30 | Lasdon Foundation Inc | 16alpha-lowerhydrocarbon-androsten-16beta-ol-3-one and 16-alpha-lowerhydrocarbon-androsten-16beta-ol-3-ol compounds |
| US3187023A (en) * | 1962-10-18 | 1965-06-01 | Schering Corp | 16, 16-difluoro-17alpha-halogenoethinyl androstanes |
| US3200113A (en) * | 1963-01-09 | 1965-08-10 | Sterling Drug Inc | 7-cyano steroids and derivatives thereof |
| US3210249A (en) * | 1962-02-01 | 1965-10-05 | Merck Ag Fa E | Pharmaceutical composition comprising 7-methoxy-17alpha-methyl-testosterone |
| US3236867A (en) * | 1956-02-07 | 1966-02-22 | Syntex Sa | 2-lower alkyl-androstane-3, 17beta-diols and esters thereof |
| US3262949A (en) * | 1956-11-13 | 1966-07-26 | Syntex Corp | 7-methyl androstane compounds |
| US3299107A (en) * | 1965-02-12 | 1967-01-17 | Searle & Co | 17-(unsaturated hydrocarbon-substituted)-3-hydroxyimino-5alpha-androstan-17beta-ols,alkyl and acyl derivatives thereof |
| US3310470A (en) * | 1963-11-09 | 1967-03-21 | Schering Ag | Androstane-1alpha, 3alpha, 17beta-triol and fatty acid esters thereof |
| US3336347A (en) * | 1964-11-17 | 1967-08-15 | Schering Ag | 17alpha-ethinyl-delta1, 3, 5(10)-estratriene-3, 16alpha, 17beta-triol and its estersand ethers |
| US3357888A (en) * | 1965-04-07 | 1967-12-12 | Upjohn Co | 4, 7-dimethyl androstene derivatives |
| US3505364A (en) * | 1966-09-26 | 1970-04-07 | Merck Ag E | 17alpha-cyanoethynyl steroids |
| US3522243A (en) * | 1964-03-17 | 1970-07-28 | Sterling Drug Inc | Omega-amino 1-alkynyl steroids and reduction products thereof |
| US3734935A (en) * | 1972-07-21 | 1973-05-22 | American Home Prod | Biologically active 17alpha-ethynyl-16,17-dihydroxy-13-alkygonanes |
| US3935245A (en) * | 1973-06-08 | 1976-01-27 | Schering Aktiengesellschaft | Radioactively labeled steroid derivatives |
| US3944576A (en) * | 1973-04-13 | 1976-03-16 | Akzona Incorporated | Novel steroids of the oestrane series substituted in 7-position |
| US4344941A (en) * | 1979-10-26 | 1982-08-17 | Schering Aktiengesellschaft (A.G.) | Antiandrogenic 17α-substituted steroids |
| US4602008A (en) * | 1984-12-14 | 1986-07-22 | Progenics, Inc. | Alkylated etiocholanolones and use as an anti-diabetic, anti-obesity and erythropoietic agent |
| US4898694A (en) * | 1987-11-25 | 1990-02-06 | Schwartz Arthur G | 17-Hydroxy-steroids |
| US5028631A (en) * | 1987-11-25 | 1991-07-02 | Schwartz Arthur G | Homoandrostan-17-one and homoandrosten-17-ones |
| US5075464A (en) * | 1987-04-22 | 1991-12-24 | Merrell Dow Pharmaceuticals Inc. | 17β-(cyclopropylamino)androstene derivatives |
| US5206008A (en) * | 1991-04-15 | 1993-04-27 | Virginia Commonwealth University | Enhancement of immune response |
| US5292730A (en) * | 1990-08-29 | 1994-03-08 | Humanetics Corporation | Modulation of immune system with Δ5-androstenes |
| US5298481A (en) * | 1992-07-17 | 1994-03-29 | Rohm And Haas Company | 6-arylpyrimidines and herbicidal use |
| US5372996A (en) * | 1989-03-10 | 1994-12-13 | Endorecherche, Inc. | Method of treatment of androgen-related diseases |
| US5387583A (en) * | 1993-04-20 | 1995-02-07 | Loria; Roger M. | Compositions containing corticosteroids or analogues thereof and corticosteroid buffering effective amounts of 5-androstene 3B, 17B or 5-androstene 3B, 7B, 17B triol or analogues thereof |
| US5424463A (en) * | 1990-08-29 | 1995-06-13 | Humanetics Corporation | Δ5-androstenes useful for promoting weight maintenance or weight loss and treatment process |
| US5461042A (en) * | 1988-12-30 | 1995-10-24 | Loria; Roger M. | Regulation of the immune system |
| US5478566A (en) * | 1993-09-29 | 1995-12-26 | Loria; Roger M. | Stimulation of cytokine production |
| US5567830A (en) * | 1994-02-14 | 1996-10-22 | Cocensys, Inc. | Process for synthesis of acetylenic carbinols |
| US5585371A (en) * | 1990-08-29 | 1996-12-17 | Humanetics Corporation | Treatment of immune system with Δ5-androstenes |
| US5593981A (en) * | 1989-07-07 | 1997-01-14 | Endorecherche Inc. | Method and treatment of androgen-related diseases |
| US5686438A (en) * | 1993-03-09 | 1997-11-11 | University Of Utah Research Foundation | Methods for preventing progressive tissue necrosis, reperfusion injury, bacterial translocation and adult respiratory distress syndrome |
| US5723455A (en) * | 1994-01-06 | 1998-03-03 | Sri International | Antiandrogenic agents and related pharmaceutical compositions and methods of use |
| US5744462A (en) * | 1983-08-02 | 1998-04-28 | Research Corporation Technologies, Inc. | Steroids useful as anti-cancer and anti-obesity agents |
| US5763433A (en) * | 1992-10-20 | 1998-06-09 | Conservatoire National Des Arts Et Metiers | Pharmaceutical compositions containing 3-beta-hydroxylated 6,7-substituted steroid derivatives, and use thereof |
| US5837269A (en) * | 1989-09-25 | 1998-11-17 | University Of Utah Research Foundation | Vaccine compositions and method for enhancing an immune response |
| US5859000A (en) * | 1995-06-07 | 1999-01-12 | University Of Utah Research Foundation | Method for reducing mast cell mediated allergic reactions |
| US5859900A (en) * | 1997-08-19 | 1999-01-12 | At&T Corp | Universal call access with reverse billing |
| US5912240A (en) * | 1997-04-10 | 1999-06-15 | Loria; Roger M. | 5-androstene 3β, 17α diol as an inhibitor of tumor growth |
| US5925630A (en) * | 1995-06-06 | 1999-07-20 | Cocensys, Inc. | Neuroactive steroids of the androstane and pregnane series |
| US5939545A (en) * | 1994-02-14 | 1999-08-17 | Cocensys, Inc. | Method, compositions, and compounds for allosteric modulation of the gaba receptor by members of the androstane and pregnane series |
| US6110906A (en) * | 1989-03-10 | 2000-08-29 | Endorecherche, Inc. | Androgen derivatives for use in the inhibition of sex steroid activity |
| US6667299B1 (en) * | 2000-03-16 | 2003-12-23 | Hollis-Eden Pharmaceuticals, Inc. | Pharmaceutical compositions and treatment methods |
| US6767903B1 (en) * | 1998-12-23 | 2004-07-27 | Schering Ag | New7α, 17α-bis-alkylated testosterone derivatives and their use in long-term therapy of androgen-dependent diseases |
Family Cites Families (33)
| Publication number | Priority date | Publication date | Assignee | Title |
|---|---|---|---|---|
| US336347A (en) * | 1886-02-16 | Camping chest | ||
| US3132160A (en) * | 1963-02-04 | 1964-05-05 | Upjohn Co | 3, 11-dioxygenated-17-desoxy-5beta-androstanes and processes therefor |
| NL194728C (en) * | 1987-04-16 | 2003-01-07 | Hollis Eden Pharmaceuticals | Pharmaceutical preparation suitable for the prophylaxis or therapy of a retroviral infection or a complication or consequence thereof. |
| CA2090759A1 (en) * | 1990-08-29 | 1992-03-01 | Henry A. Lardy | Treatment process for promoting weight loss employing a substituted 5-androstene |
| US5587830A (en) * | 1993-05-28 | 1996-12-24 | Lucent Technologies Inc. | High capacity optical fiber network |
| AU7978794A (en) | 1993-10-13 | 1995-05-04 | Neurocrine Biosciences, Inc. | 3,17-dihydroxy-3,7,16 and/or 17-methyl-androst-5-ene compounds, derivatives thereof, and their use |
| US5837335A (en) * | 1994-10-04 | 1998-11-17 | Cryovac, Inc. | High shrink multilayer film which maintains optics upon shrinking |
| US6696459B1 (en) * | 1994-12-22 | 2004-02-24 | Ligand Pharmaceuticals Inc. | Steroid receptor modulator compounds and methods |
| EP0801557B1 (en) | 1995-10-12 | 2003-07-02 | Supergen, Inc. | Liposome formulations of 5beta steroids |
| US5824668A (en) | 1996-11-07 | 1998-10-20 | Supergen, Inc. | Formulation for administration of steroid compounds |
| US5994335A (en) * | 1997-10-17 | 1999-11-30 | The University Of Maryland, Baltimore | 17-azolyl steroids useful as androgen synthesis inhibitors |
| US6090798A (en) | 1997-12-19 | 2000-07-18 | Alcon Laboratories, Inc. | Treatment of GLC1A glaucoma with glucocorticoid antagonists |
| US6573289B1 (en) * | 1998-04-23 | 2003-06-03 | Takeda Chemical Industries, Ltd. | Naphthalene derivatives, their production and use |
| US20080015174A1 (en) * | 1998-11-24 | 2008-01-17 | Reading Christopher L | Metabolic Disease Treatments |
| CA2356539A1 (en) | 1998-11-24 | 2000-06-08 | Hollis-Eden Pharmaceuticals, Inc. | Use of 17-ketosteroid compounds and derivatives, metabolites and precursors thereof in the treatment of malaria and the treatment of african and american trypanosomiasis |
| US20070129282A1 (en) * | 1998-11-24 | 2007-06-07 | Ahlem Clarence N | Pharmaceutical treatments and compositions |
| US20060079492A1 (en) * | 1999-10-25 | 2006-04-13 | Ahlem Clarence N | Compositions and treatment methods |
| US20030060425A1 (en) * | 1998-11-24 | 2003-03-27 | Ahlem Clarence N. | Immune modulation method using steroid compounds |
| WO2000042003A1 (en) * | 1999-01-13 | 2000-07-20 | Warner-Lambert Company | Benzenesulfonamide derivatives and their use as mek inhibitors |
| CZ20013420A3 (en) | 1999-03-23 | 2002-04-17 | Hollis-Eden Pharmaceuticals, Inc. | Immunomodulatory steroids, in particular the hemihydrate of 16{alpha}-bromopiandrosterone |
| DE19929715A1 (en) * | 1999-06-24 | 2000-12-28 | Schering Ag | New 11-beta-long chain substituted estratriene derivatives, are antiestrogens or tissue-selective partial estrogens useful e.g. for treating hormone-dependent cancer or osteoporosis |
| CA2315614C (en) * | 1999-07-29 | 2004-11-02 | Pfizer Inc. | Pyrazoles |
| CA2669753C (en) * | 1999-09-30 | 2012-06-26 | Hollis-Eden Pharmaceuticals, Inc. | Therapeutic treatment of androgen receptor driven conditions |
| US6506769B2 (en) * | 1999-10-06 | 2003-01-14 | Boehringer Ingelheim Pharmaceuticals, Inc. | Heterocyclic compounds useful as inhibitors of tyrosine kinases |
| JP2003512474A (en) | 1999-10-25 | 2003-04-02 | ホリス − イーデン ファーマスーティカルズ、 インコーポレイテッド | Therapeutic treatment of blood cell deficiency |
| US6608053B2 (en) * | 2000-04-27 | 2003-08-19 | Yamanouchi Pharmaceutical Co., Ltd. | Fused heteroaryl derivatives |
| EP2298315A1 (en) * | 2002-08-28 | 2011-03-23 | Harbor BioSciences, Inc. | Therapeutic treatment methods |
| US20050101581A1 (en) * | 2002-08-28 | 2005-05-12 | Reading Christopher L. | Therapeutic treatment methods 2 |
| WO2004089304A2 (en) * | 2003-04-01 | 2004-10-21 | Hollis-Eden Pharmaceuticals, Inc. | Antiandrogens with marginal agonist activity and methods of use |
| US7910755B2 (en) * | 2004-09-29 | 2011-03-22 | Harbor Biosciences, Inc. | Stem cell expansion and uses |
| EP2471536A1 (en) * | 2004-09-29 | 2012-07-04 | Harbor BioSciences, Inc. | Steroid analogs and characterization and treatment methods |
| US20060073099A1 (en) * | 2004-10-01 | 2006-04-06 | Frincke James M | Treatment screening methods |
| US20080153792A1 (en) | 2006-11-17 | 2008-06-26 | Frincke James M | Drug Identification and Treatment Method |
-
2004
- 2004-06-24 US US10/877,911 patent/US20070129282A1/en not_active Abandoned
-
2006
- 2006-11-28 US US11/564,026 patent/US20070275936A1/en not_active Abandoned
-
2009
- 2009-09-30 US US12/571,060 patent/US8022234B2/en not_active Expired - Fee Related
Patent Citations (65)
| Publication number | Priority date | Publication date | Assignee | Title |
|---|---|---|---|---|
| US1838500A (en) * | 1931-03-14 | 1931-12-29 | Linus E Russell | Trunk rack for automobiles |
| US2332486A (en) * | 1935-02-23 | 1943-10-19 | Schering Corp | Acyl compounds of polycyclic alcohols with germinal gland hormone characteristics and a method for producing the same |
| US2308833A (en) * | 1935-06-18 | 1943-01-19 | Ciba Pharm Prod Inc | Polynuclear cyclic oxyketones and derivatives thereof and process of making same |
| US2243887A (en) * | 1935-11-09 | 1941-06-03 | Schering Corp | Tertiary carbinols of the cyclopentano-polyhydrophenanthrene series and a method of producing the same |
| US2251939A (en) * | 1935-11-22 | 1941-08-12 | Schering Corp | Tertiary alcohols of the cyclopentano polyhydro phenanthrene series and a method of producing the same |
| US2308834A (en) * | 1936-06-15 | 1943-01-19 | Ciba Pharm Prod Inc | Polynuclear cyclic oxyketones and derivatives thereof and process of making same |
| US2267257A (en) * | 1937-06-26 | 1941-12-23 | Ciba Pharm Prod Inc | Process for the manufacture of acetylene derivatives of the cyclopentano-polyhydrophenanthrene series |
| US2272131A (en) * | 1937-07-22 | 1942-02-03 | Ciba Pharm Prod Inc | Nuclear ketones of the cyclopentanopolyhydrophenanthrene series and process of making same |
| US2267258A (en) * | 1937-08-12 | 1941-12-23 | Ciba Pharm Prod Inc | Derivatives of saturated and unsaturated compounds of the cyclopentanopolyhydrophenanthrene series and process of producing same |
| US2266778A (en) * | 1937-10-05 | 1941-12-23 | Schering Corp | Unsaturated compounds of the cyclopentanopolyhydrophenanthrene series with an unsaturated side chain in the cyclopentano nucleus and a process for their manufacture |
| US2318105A (en) * | 1938-07-23 | 1943-05-04 | Ciba Pharm Prod Inc | Hydrated acetylene derivatives of the cyclopentanopolyhydrophenanthrene series and process of preparing same |
| US2357364A (en) * | 1940-03-22 | 1944-09-05 | Squibb & Sons Inc | Keto derviatives of 17-ethynyl-17-hydroxy-perhydrocyclopentenophenanthrenes and process of preparing them |
| US2713062A (en) * | 1952-08-08 | 1955-07-12 | Schering Ag | 3-methyl-17-ethinyl androstandiols |
| US2830063A (en) * | 1955-07-21 | 1958-04-08 | Sterling Drug Inc | 3beta-cycloalkylacyloxy -17beta-hydroxy-17alpha-ethynyl-5-androstenes and androstanes and their preparation |
| US2868811A (en) * | 1955-07-21 | 1959-01-13 | Sterling Drug Inc | 3beta-acyloxy-17beta-hydroxy-17alpha-ethynyl-5-androstenes and androstanes and theirpreparation |
| US2844602A (en) * | 1956-01-31 | 1958-07-22 | Syntex Sa | 4-methyl testosterone compounds |
| US3236867A (en) * | 1956-02-07 | 1966-02-22 | Syntex Sa | 2-lower alkyl-androstane-3, 17beta-diols and esters thereof |
| US3262949A (en) * | 1956-11-13 | 1966-07-26 | Syntex Corp | 7-methyl androstane compounds |
| US3029263A (en) * | 1959-12-24 | 1962-04-10 | Upjohn Co | 7-methyl-4, 6-androstadienes |
| US3045032A (en) * | 1960-02-08 | 1962-07-17 | Schering Corp | Fluorinated androstanes |
| US3014935A (en) * | 1960-06-15 | 1961-12-26 | Searle & Co | 5alpha-estrane-3alpha, 17beta-diols and esters thereof |
| US3210249A (en) * | 1962-02-01 | 1965-10-05 | Merck Ag Fa E | Pharmaceutical composition comprising 7-methoxy-17alpha-methyl-testosterone |
| US3128292A (en) * | 1962-06-18 | 1964-04-07 | Searle & Co | Optionally 17-(hydrocarbon-substituted) 17-oxygenated-3alpha-alkoxy-5alpha-androstanes |
| US3187023A (en) * | 1962-10-18 | 1965-06-01 | Schering Corp | 16, 16-difluoro-17alpha-halogenoethinyl androstanes |
| US3200113A (en) * | 1963-01-09 | 1965-08-10 | Sterling Drug Inc | 7-cyano steroids and derivatives thereof |
| US3176030A (en) * | 1963-10-16 | 1965-03-30 | Lasdon Foundation Inc | 16alpha-lowerhydrocarbon-androsten-16beta-ol-3-one and 16-alpha-lowerhydrocarbon-androsten-16beta-ol-3-ol compounds |
| US3310470A (en) * | 1963-11-09 | 1967-03-21 | Schering Ag | Androstane-1alpha, 3alpha, 17beta-triol and fatty acid esters thereof |
| US3522243A (en) * | 1964-03-17 | 1970-07-28 | Sterling Drug Inc | Omega-amino 1-alkynyl steroids and reduction products thereof |
| US3336347A (en) * | 1964-11-17 | 1967-08-15 | Schering Ag | 17alpha-ethinyl-delta1, 3, 5(10)-estratriene-3, 16alpha, 17beta-triol and its estersand ethers |
| US3299107A (en) * | 1965-02-12 | 1967-01-17 | Searle & Co | 17-(unsaturated hydrocarbon-substituted)-3-hydroxyimino-5alpha-androstan-17beta-ols,alkyl and acyl derivatives thereof |
| US3357888A (en) * | 1965-04-07 | 1967-12-12 | Upjohn Co | 4, 7-dimethyl androstene derivatives |
| US3505364A (en) * | 1966-09-26 | 1970-04-07 | Merck Ag E | 17alpha-cyanoethynyl steroids |
| US3734935A (en) * | 1972-07-21 | 1973-05-22 | American Home Prod | Biologically active 17alpha-ethynyl-16,17-dihydroxy-13-alkygonanes |
| US3944576A (en) * | 1973-04-13 | 1976-03-16 | Akzona Incorporated | Novel steroids of the oestrane series substituted in 7-position |
| US3935245A (en) * | 1973-06-08 | 1976-01-27 | Schering Aktiengesellschaft | Radioactively labeled steroid derivatives |
| US4344941A (en) * | 1979-10-26 | 1982-08-17 | Schering Aktiengesellschaft (A.G.) | Antiandrogenic 17α-substituted steroids |
| US5744462A (en) * | 1983-08-02 | 1998-04-28 | Research Corporation Technologies, Inc. | Steroids useful as anti-cancer and anti-obesity agents |
| US4602008A (en) * | 1984-12-14 | 1986-07-22 | Progenics, Inc. | Alkylated etiocholanolones and use as an anti-diabetic, anti-obesity and erythropoietic agent |
| US5075464A (en) * | 1987-04-22 | 1991-12-24 | Merrell Dow Pharmaceuticals Inc. | 17β-(cyclopropylamino)androstene derivatives |
| US4898694A (en) * | 1987-11-25 | 1990-02-06 | Schwartz Arthur G | 17-Hydroxy-steroids |
| US5028631A (en) * | 1987-11-25 | 1991-07-02 | Schwartz Arthur G | Homoandrostan-17-one and homoandrosten-17-ones |
| US5461042A (en) * | 1988-12-30 | 1995-10-24 | Loria; Roger M. | Regulation of the immune system |
| US6110906A (en) * | 1989-03-10 | 2000-08-29 | Endorecherche, Inc. | Androgen derivatives for use in the inhibition of sex steroid activity |
| US5372996A (en) * | 1989-03-10 | 1994-12-13 | Endorecherche, Inc. | Method of treatment of androgen-related diseases |
| US5593981A (en) * | 1989-07-07 | 1997-01-14 | Endorecherche Inc. | Method and treatment of androgen-related diseases |
| US5837269A (en) * | 1989-09-25 | 1998-11-17 | University Of Utah Research Foundation | Vaccine compositions and method for enhancing an immune response |
| US5424463A (en) * | 1990-08-29 | 1995-06-13 | Humanetics Corporation | Δ5-androstenes useful for promoting weight maintenance or weight loss and treatment process |
| US5506223A (en) * | 1990-08-29 | 1996-04-09 | Humanetics Corporation | Δ5-androstenes useful for promoting weight maintenance or weight loss and treatment process |
| US5585371A (en) * | 1990-08-29 | 1996-12-17 | Humanetics Corporation | Treatment of immune system with Δ5-androstenes |
| US5292730A (en) * | 1990-08-29 | 1994-03-08 | Humanetics Corporation | Modulation of immune system with Δ5-androstenes |
| US5206008A (en) * | 1991-04-15 | 1993-04-27 | Virginia Commonwealth University | Enhancement of immune response |
| US5298481A (en) * | 1992-07-17 | 1994-03-29 | Rohm And Haas Company | 6-arylpyrimidines and herbicidal use |
| US5763433A (en) * | 1992-10-20 | 1998-06-09 | Conservatoire National Des Arts Et Metiers | Pharmaceutical compositions containing 3-beta-hydroxylated 6,7-substituted steroid derivatives, and use thereof |
| US5686438A (en) * | 1993-03-09 | 1997-11-11 | University Of Utah Research Foundation | Methods for preventing progressive tissue necrosis, reperfusion injury, bacterial translocation and adult respiratory distress syndrome |
| US5387583A (en) * | 1993-04-20 | 1995-02-07 | Loria; Roger M. | Compositions containing corticosteroids or analogues thereof and corticosteroid buffering effective amounts of 5-androstene 3B, 17B or 5-androstene 3B, 7B, 17B triol or analogues thereof |
| US5478566A (en) * | 1993-09-29 | 1995-12-26 | Loria; Roger M. | Stimulation of cytokine production |
| US5723455A (en) * | 1994-01-06 | 1998-03-03 | Sri International | Antiandrogenic agents and related pharmaceutical compositions and methods of use |
| US5567830A (en) * | 1994-02-14 | 1996-10-22 | Cocensys, Inc. | Process for synthesis of acetylenic carbinols |
| US5939545A (en) * | 1994-02-14 | 1999-08-17 | Cocensys, Inc. | Method, compositions, and compounds for allosteric modulation of the gaba receptor by members of the androstane and pregnane series |
| US5925630A (en) * | 1995-06-06 | 1999-07-20 | Cocensys, Inc. | Neuroactive steroids of the androstane and pregnane series |
| US5859000A (en) * | 1995-06-07 | 1999-01-12 | University Of Utah Research Foundation | Method for reducing mast cell mediated allergic reactions |
| US5912240A (en) * | 1997-04-10 | 1999-06-15 | Loria; Roger M. | 5-androstene 3β, 17α diol as an inhibitor of tumor growth |
| US5859900A (en) * | 1997-08-19 | 1999-01-12 | At&T Corp | Universal call access with reverse billing |
| US6767903B1 (en) * | 1998-12-23 | 2004-07-27 | Schering Ag | New7α, 17α-bis-alkylated testosterone derivatives and their use in long-term therapy of androgen-dependent diseases |
| US6667299B1 (en) * | 2000-03-16 | 2003-12-23 | Hollis-Eden Pharmaceuticals, Inc. | Pharmaceutical compositions and treatment methods |
Cited By (14)
| Publication number | Priority date | Publication date | Assignee | Title |
|---|---|---|---|---|
| US20070129282A1 (en) * | 1998-11-24 | 2007-06-07 | Ahlem Clarence N | Pharmaceutical treatments and compositions |
| US7723532B2 (en) | 1999-03-23 | 2010-05-25 | Harbor Biosciences, Inc. | Pharmaceutical compositions 3 |
| US20080176824A1 (en) * | 1999-03-23 | 2008-07-24 | Frincke James M | Pharmaceutical Compositions 3 |
| US7691835B2 (en) | 1999-09-30 | 2010-04-06 | Hollis-Eden Pharmaceuticals, Inc. | Formulations |
| US7696189B1 (en) | 1999-09-30 | 2010-04-13 | Hollis-Eden Pharmaceuticals, Inc. | Prostate and breast cancer treatment |
| US7482334B2 (en) | 2002-08-28 | 2009-01-27 | Hollis-Eden Pharmaceuticals, Inc. | Therapeutic treatment methods |
| US10792338B2 (en) | 2007-08-16 | 2020-10-06 | Remedor Biomed Ltd. | Erythropoietin and fibronectin compositions for therapeutic and cosmetic applications |
| WO2010002880A1 (en) * | 2008-06-30 | 2010-01-07 | Temple University-Of The Commonwealth System Of Higher Education | Topical steroidal formulations |
| AU2009267083B2 (en) * | 2008-06-30 | 2012-11-08 | Arthur G. Schwartz | Topical steroidal formulations |
| US8431555B2 (en) | 2008-06-30 | 2013-04-30 | Temple University—Of the Commonwealth System of Higher Education | Topical steroidal formulations |
| EP2303279A4 (en) * | 2008-06-30 | 2013-11-13 | Schwartz Arthur | Topical steroidal formulations |
| US9402853B2 (en) | 2008-06-30 | 2016-08-02 | Temple University-Of The Commonwealth Of Higher Education | Topical steroidal formulations |
| US9408856B2 (en) | 2008-06-30 | 2016-08-09 | Temple University—Of the Commonwealth System of Higher Education | Topical steroidal formulations |
| US20100004217A1 (en) * | 2008-06-30 | 2010-01-07 | Schwartz Arthur G | Topical steroidal formulations |
Also Published As
| Publication number | Publication date |
|---|---|
| US8022234B2 (en) | 2011-09-20 |
| US20110009372A1 (en) | 2011-01-13 |
| US20070129282A1 (en) | 2007-06-07 |
Similar Documents
| Publication | Publication Date | Title |
|---|---|---|
| US8022234B2 (en) | Compounds and compositions | |
| US7947846B2 (en) | 15-OXA-steroid compounds | |
| US20030060425A1 (en) | Immune modulation method using steroid compounds | |
| US8541600B2 (en) | 11-aza, 11-thia and 11-oxa sterol compounds and compositions | |
| US7396827B2 (en) | Pharmaceutical compositions and treatment methods | |
| US20030083231A1 (en) | Blood cell deficiency treatment method | |
| AU2008201188B2 (en) | Use of certain steroids for treatment of blood cell deficiencies | |
| AU2002244247A1 (en) | Use of certain steroids for treatment of blood cell deficiencies | |
| RU2295534C2 (en) | 16α-BROMO-3β-HYDROXY-5α-ANDROSTANE-17-ONE SEMIHYDRATE, METHOD FOR ITS PREPARING, PHARMACEUTICAL COMPOSITIONS, USING COMPOUNDS | |
| EP1422234A2 (en) | Immunomodulatory steroids, in particular the hemihydrate of 16.alpha.-bromoepiandrosterone | |
| AU2005211675A1 (en) | Immunomodulatory steroids, in particular the hemihydrate of 16.alpha.-bromoepiandrosterone |
Legal Events
| Date | Code | Title | Description |
|---|---|---|---|
| STCB | Information on status: application discontinuation |
Free format text: ABANDONED -- FAILURE TO RESPOND TO AN OFFICE ACTION |
|
| AS | Assignment |
Owner name: HARBOR DIVERSIFIED, INC., CALIFORNIA Free format text: CHANGE OF NAME;ASSIGNOR:HARBOR BIOSCIENCES, INC.;REEL/FRAME:029227/0929 Effective date: 20120201 |
|
| AS | Assignment |
Owner name: NEURMEDIX, LLC, CALIFORNIA Free format text: ASSIGNMENT OF ASSIGNORS INTEREST;ASSIGNOR:NEURMEDIX, INC.;REEL/FRAME:057116/0336 Effective date: 20200125 Owner name: NEURMEDIX, INC., CALIFORNIA Free format text: ASSIGNMENT OF ASSIGNORS INTEREST;ASSIGNOR:NEURMEDIX, LLC;REEL/FRAME:057116/0362 Effective date: 20210808 Owner name: BIOVIE INC., CALIFORNIA Free format text: ASSIGNMENT OF ASSIGNORS INTEREST;ASSIGNOR:NEURMEDIX, INC.;REEL/FRAME:057116/0451 Effective date: 20210808 Owner name: NEURMEDIX, LLC, CALIFORNIA Free format text: ASSIGNMENT OF ASSIGNOR'S INTEREST;ASSIGNOR:NEURMEDIX, INC.;REEL/FRAME:057116/0336 Effective date: 20200125 Owner name: BIOVIE INC., CALIFORNIA Free format text: ASSIGNMENT OF ASSIGNOR'S INTEREST;ASSIGNOR:NEURMEDIX, INC.;REEL/FRAME:057116/0451 Effective date: 20210808 Owner name: NEURMEDIX, INC., CALIFORNIA Free format text: ASSIGNMENT OF ASSIGNOR'S INTEREST;ASSIGNOR:NEURMEDIX, LLC;REEL/FRAME:057116/0362 Effective date: 20210808 |














































































































