US20070203161A1 - Compositions and methods for inhibition of the jak pathway - Google Patents
Compositions and methods for inhibition of the jak pathway Download PDFInfo
- Publication number
- US20070203161A1 US20070203161A1 US11/678,429 US67842907A US2007203161A1 US 20070203161 A1 US20070203161 A1 US 20070203161A1 US 67842907 A US67842907 A US 67842907A US 2007203161 A1 US2007203161 A1 US 2007203161A1
- Authority
- US
- United States
- Prior art keywords
- pyrimidinediamine
- methyl
- phenyl
- oxo
- aminosulfonylphenyl
- Prior art date
- Legal status (The legal status is an assumption and is not a legal conclusion. Google has not performed a legal analysis and makes no representation as to the accuracy of the status listed.)
- Abandoned
Links
- 0 *.*N(C)C1=C(C)C([Y])=NC(NC2=CC=CC=C2)=N1.CC.CC.CC Chemical compound *.*N(C)C1=C(C)C([Y])=NC(NC2=CC=CC=C2)=N1.CC.CC.CC 0.000 description 18
- GNVCSXVHKALQRE-UHFFFAOYSA-N CC1=NC(NC2=CC=C(S(N)(=O)=O)C=C2)=NC(NC2=CC=C(OCC3=CN=CC=C3)C=C2)=C1 Chemical compound CC1=NC(NC2=CC=C(S(N)(=O)=O)C=C2)=NC(NC2=CC=C(OCC3=CN=CC=C3)C=C2)=C1 GNVCSXVHKALQRE-UHFFFAOYSA-N 0.000 description 3
- CXDCUCRXFWZUCW-UHFFFAOYSA-N C1=CC=C2CC=CC2=C1.CC(C)C Chemical compound C1=CC=C2CC=CC2=C1.CC(C)C CXDCUCRXFWZUCW-UHFFFAOYSA-N 0.000 description 2
- IOOYJBIHWJPBJU-UHFFFAOYSA-N CC.CC.CC.CC1=CN=C(NC2=CC=CC=C2)N=C1NC1=CC2=C(C=CC=C2)C=C1 Chemical compound CC.CC.CC.CC1=CN=C(NC2=CC=CC=C2)N=C1NC1=CC2=C(C=CC=C2)C=C1 IOOYJBIHWJPBJU-UHFFFAOYSA-N 0.000 description 2
- JAVDFQKFIZWNCL-UHFFFAOYSA-N C.C.CC.CC.CC.CC.CC.CC.CC.CC.CC.CC1=C([Y])N=C(N)N=C1O.CC1=C([Y])N=C(NC2=CC=CC=C2)N=C1Cl.CC1=C([Y])N=C(NC2=CC=CC=C2)N=C1O.CC1=CC=CC=C1.CNC1=NC(NC2=CC=CC=C2)=NC([Y])=C1C.O=P(Cl)(Cl)Cl Chemical compound C.C.CC.CC.CC.CC.CC.CC.CC.CC.CC.CC1=C([Y])N=C(N)N=C1O.CC1=C([Y])N=C(NC2=CC=CC=C2)N=C1Cl.CC1=C([Y])N=C(NC2=CC=CC=C2)N=C1O.CC1=CC=CC=C1.CNC1=NC(NC2=CC=CC=C2)=NC([Y])=C1C.O=P(Cl)(Cl)Cl JAVDFQKFIZWNCL-UHFFFAOYSA-N 0.000 description 1
- YLBLCGLVZUUFRS-UHFFFAOYSA-N C.C.CC.CC.CC.CC.CC.CC.CC.CC1=C([Y])N=C(NC2=CC=CC=C2)N=C1N.CC1=C([Y])N=C(O)N=C1N.CNC1=NC(NC2=CC=CC=C2)=NC([Y])=C1C Chemical compound C.C.CC.CC.CC.CC.CC.CC.CC.CC1=C([Y])N=C(NC2=CC=CC=C2)N=C1N.CC1=C([Y])N=C(O)N=C1N.CNC1=NC(NC2=CC=CC=C2)=NC([Y])=C1C YLBLCGLVZUUFRS-UHFFFAOYSA-N 0.000 description 1
- NRSHOIGFBQRYSY-UHFFFAOYSA-N C.C1=CC2=C(C=C1)NN=C2.CC(C)C Chemical compound C.C1=CC2=C(C=C1)NN=C2.CC(C)C NRSHOIGFBQRYSY-UHFFFAOYSA-N 0.000 description 1
- ICCINZLOQVHMTM-UHFFFAOYSA-N C.CC(=O)OC(C)=O.ClCCl.FC1=C(Cl)N=C(Cl)N=C1.FCCCC1=CC=C(NC2=C(F)C=NC(Cl)=N2)C=C1.FCCCC1=CC=CC=C1.NC1=CC=C(CCCF)C=C1.NC1=CC=C(S(N)(=O)=O)C=C1.NS(=O)(=O)C1=CC=C(NC2=NC(NC3=CC=C(CCCF)C=C3)=C(F)C=N2)C=C1.O=[N+]([O-])C1=CC=C(CCCF)C=C1.OCCCC1=CC=CC=C1.ONOO Chemical compound C.CC(=O)OC(C)=O.ClCCl.FC1=C(Cl)N=C(Cl)N=C1.FCCCC1=CC=C(NC2=C(F)C=NC(Cl)=N2)C=C1.FCCCC1=CC=CC=C1.NC1=CC=C(CCCF)C=C1.NC1=CC=C(S(N)(=O)=O)C=C1.NS(=O)(=O)C1=CC=C(NC2=NC(NC3=CC=C(CCCF)C=C3)=C(F)C=N2)C=C1.O=[N+]([O-])C1=CC=C(CCCF)C=C1.OCCCC1=CC=CC=C1.ONOO ICCINZLOQVHMTM-UHFFFAOYSA-N 0.000 description 1
- WCWFVKCJJDNHPO-UHFFFAOYSA-N C.CC1=CN=C(N)N=C1.CC1=CN=C(N)N=C1Cl.CC1=CN=C(N)[N+]([O-])=C1.N=C(N)N.O=P(Cl)(Cl)Cl.[H]C(=O)C(C)C([H])=O Chemical compound C.CC1=CN=C(N)N=C1.CC1=CN=C(N)N=C1Cl.CC1=CN=C(N)[N+]([O-])=C1.N=C(N)N.O=P(Cl)(Cl)Cl.[H]C(=O)C(C)C([H])=O WCWFVKCJJDNHPO-UHFFFAOYSA-N 0.000 description 1
- DZUAAKADEUYCDP-UHFFFAOYSA-N C1=CC2=C(C=C1)C=CC=C2.C1=CC=C2N=CCC2=C1.CC(C)C.CC(C)C Chemical compound C1=CC2=C(C=C1)C=CC=C2.C1=CC=C2N=CCC2=C1.CC(C)C.CC(C)C DZUAAKADEUYCDP-UHFFFAOYSA-N 0.000 description 1
- RCWQSOWMWXUAES-UHFFFAOYSA-N C1=CC2=C(C=C1)C=CC=C2.CC(C)C.CC(C)C.O=C1CCCC2=C1C=CC=C2 Chemical compound C1=CC2=C(C=C1)C=CC=C2.CC(C)C.CC(C)C.O=C1CCCC2=C1C=CC=C2 RCWQSOWMWXUAES-UHFFFAOYSA-N 0.000 description 1
- MUHRUOFCLKOYLN-UHFFFAOYSA-N C1=CC2=C(C=C1)CCC2.C1=CC2=C(C=C1)NN=C2.C1=CC2=C(C=C1)OCCO2.CC(C)C.CC(C)C.CC(C)C Chemical compound C1=CC2=C(C=C1)CCC2.C1=CC2=C(C=C1)NN=C2.C1=CC2=C(C=C1)OCCO2.CC(C)C.CC(C)C.CC(C)C MUHRUOFCLKOYLN-UHFFFAOYSA-N 0.000 description 1
- FCAKEXQGBPFTBE-UHFFFAOYSA-N C1=CC=C2N=CCC2=C1.CC(C)C Chemical compound C1=CC=C2N=CCC2=C1.CC(C)C FCAKEXQGBPFTBE-UHFFFAOYSA-N 0.000 description 1
- CCRVMRCFAGRXEG-UHFFFAOYSA-N CC(C)C.O=C1CCCC2=C1C=CC=C2 Chemical compound CC(C)C.O=C1CCCC2=C1C=CC=C2 CCRVMRCFAGRXEG-UHFFFAOYSA-N 0.000 description 1
- KATONVOJHLIKBI-UHFFFAOYSA-N CC.CC.CC.CC.CC.CC.CC.CC.CC.CC.CC.CC.CC.CC.CC.CC.CC.CC.CC.CC.CC.CC.CC.CC.CC1=C([Y])N=C(NC2=CC=CC=C2)N=C1N.CC1=C([Y])NC(=O)N=C1N.CC1=C([Y])NC(=O)N=C1N.CC1=NC(=O)NC([Y])=C1C.CC1=NC(Cl)=NC([Y])=C1C.CC1=NC(NC2=CC=CC=C2)=NC([Y])=C1C.CN.CN.CN.CNC1=NC(=O)NC([Y])=C1C.CNC1=NC(=O)NC([Y])=C1C.CNC1=NC(Cl)=NC([Y])=C1C.CNC1=NC(Cl)=NC([Y])=C1C.CNC1=NC(NC2=CC=CC=C2)=NC([Y])=C1C.CNC1=NC(NC2=CC=CC=C2)=NC([Y])=C1C.NC1=CC=CC=C1.NC1=CC=CC=C1.O=P(Cl)(Cl)Cl.O=P(Cl)(Cl)Cl Chemical compound CC.CC.CC.CC.CC.CC.CC.CC.CC.CC.CC.CC.CC.CC.CC.CC.CC.CC.CC.CC.CC.CC.CC.CC.CC1=C([Y])N=C(NC2=CC=CC=C2)N=C1N.CC1=C([Y])NC(=O)N=C1N.CC1=C([Y])NC(=O)N=C1N.CC1=NC(=O)NC([Y])=C1C.CC1=NC(Cl)=NC([Y])=C1C.CC1=NC(NC2=CC=CC=C2)=NC([Y])=C1C.CN.CN.CN.CNC1=NC(=O)NC([Y])=C1C.CNC1=NC(=O)NC([Y])=C1C.CNC1=NC(Cl)=NC([Y])=C1C.CNC1=NC(Cl)=NC([Y])=C1C.CNC1=NC(NC2=CC=CC=C2)=NC([Y])=C1C.CNC1=NC(NC2=CC=CC=C2)=NC([Y])=C1C.NC1=CC=CC=C1.NC1=CC=CC=C1.O=P(Cl)(Cl)Cl.O=P(Cl)(Cl)Cl KATONVOJHLIKBI-UHFFFAOYSA-N 0.000 description 1
- YCDAHEBMFYOJGF-GMWILFFBSA-N CC.CC.CC.CC.CC.CC.CC.CC1=C([Y])N([C@@H]2O[C@H](CO)[C@@H](O)[C@H]2O)C(=O)N=C1=O.CNC1=NC(=O)N([C@@H]2O[C@H](CO)[C@@H](O)[C@H]2O)C([Y])=C1C.CNC1=NC(=O)N([C@@H]2O[C@H](CO)[C@@H](O)[C@H]2O)C([Y])=C1C.CNC1=NC(=O)NC([Y])=C1C.CNC1=NC(NC2=CC=CC=C2)=NC([Y])=C1C Chemical compound CC.CC.CC.CC.CC.CC.CC.CC1=C([Y])N([C@@H]2O[C@H](CO)[C@@H](O)[C@H]2O)C(=O)N=C1=O.CNC1=NC(=O)N([C@@H]2O[C@H](CO)[C@@H](O)[C@H]2O)C([Y])=C1C.CNC1=NC(=O)N([C@@H]2O[C@H](CO)[C@@H](O)[C@H]2O)C([Y])=C1C.CNC1=NC(=O)NC([Y])=C1C.CNC1=NC(NC2=CC=CC=C2)=NC([Y])=C1C YCDAHEBMFYOJGF-GMWILFFBSA-N 0.000 description 1
- RLEHVYKXLCMWGV-GMWILFFBSA-N CC.CC.CC.CC.CC.CC.CC.CC1=C([Y])N([C@@H]2O[C@H](CO)[C@@H](O)[C@H]2O)C(=O)N=C1N.CNC1=NC(=O)N([C@@H]2O[C@H](CO)[C@@H](O)[C@H]2O)C([Y])=C1C.CNC1=NC(=O)N([C@@H]2O[C@H](CO)[C@@H](O)[C@H]2O)C([Y])=C1C.CNC1=NC(=O)NC([Y])=C1C.CNC1=NC(NC2=CC=CC=C2)=NC([Y])=C1C Chemical compound CC.CC.CC.CC.CC.CC.CC.CC1=C([Y])N([C@@H]2O[C@H](CO)[C@@H](O)[C@H]2O)C(=O)N=C1N.CNC1=NC(=O)N([C@@H]2O[C@H](CO)[C@@H](O)[C@H]2O)C([Y])=C1C.CNC1=NC(=O)N([C@@H]2O[C@H](CO)[C@@H](O)[C@H]2O)C([Y])=C1C.CNC1=NC(=O)NC([Y])=C1C.CNC1=NC(NC2=CC=CC=C2)=NC([Y])=C1C RLEHVYKXLCMWGV-GMWILFFBSA-N 0.000 description 1
- HLYSFDAXTIKTGP-UHFFFAOYSA-N CC.CC.CC.CC.CC.CC.CC.CN.CNC1=NC(Cl)=NC([Y])=C1F.CNC1=NC(NC2=CC=CC=C2)=NC([Y])=C1F.FC1=C([Y])N=C(Cl)N=C1Cl.NC1=CC=CC=C1.O=C1NC(=O)C(F)=C([Y])N1.O=P(Cl)(Cl)Cl Chemical compound CC.CC.CC.CC.CC.CC.CC.CN.CNC1=NC(Cl)=NC([Y])=C1F.CNC1=NC(NC2=CC=CC=C2)=NC([Y])=C1F.FC1=C([Y])N=C(Cl)N=C1Cl.NC1=CC=CC=C1.O=C1NC(=O)C(F)=C([Y])N1.O=P(Cl)(Cl)Cl HLYSFDAXTIKTGP-UHFFFAOYSA-N 0.000 description 1
- PKUNLLFWYZODNI-UHFFFAOYSA-N CC.CC.CC.CC.CC.CC.CC1=CN=C(NC2=CC=CC=C2)N=C1NC1=CC2=C(C=C1)NN=C2.CC1=CN=C(NC2=CC=CC=C2)N=C1NC1=CC=C2C=NNC2=C1 Chemical compound CC.CC.CC.CC.CC.CC.CC1=CN=C(NC2=CC=CC=C2)N=C1NC1=CC2=C(C=C1)NN=C2.CC1=CN=C(NC2=CC=CC=C2)N=C1NC1=CC=C2C=NNC2=C1 PKUNLLFWYZODNI-UHFFFAOYSA-N 0.000 description 1
- HDKJQFUTJHQLSD-UHFFFAOYSA-N CC.CC.CC.CC.CC.CC1=C([Y])N=C(Cl)N=C1N.CC1=C([Y])N=C(N)N=C1Cl.CNC1=NC(Cl)=NC([Y])=C1C.CNC1=NC(N)=NC([Y])=C1C.CNC1=NC(NC2=CC=CC=C2)=NC([Y])=C1C Chemical compound CC.CC.CC.CC.CC.CC1=C([Y])N=C(Cl)N=C1N.CC1=C([Y])N=C(N)N=C1Cl.CNC1=NC(Cl)=NC([Y])=C1C.CNC1=NC(N)=NC([Y])=C1C.CNC1=NC(NC2=CC=CC=C2)=NC([Y])=C1C HDKJQFUTJHQLSD-UHFFFAOYSA-N 0.000 description 1
- JIYFXFPOGAKXKS-UHFFFAOYSA-N CC.CC.CC.CC.CC1=CN=C(NC2=CC=CC=C2)N=C1NC1=CC2=C(C=C1)C(=O)CCC2.CC1=CN=C(NC2=CC=CC=C2)N=C1NC1=CC2=C(C=C1)CCCC2=O Chemical compound CC.CC.CC.CC.CC1=CN=C(NC2=CC=CC=C2)N=C1NC1=CC2=C(C=C1)C(=O)CCC2.CC1=CN=C(NC2=CC=CC=C2)N=C1NC1=CC2=C(C=C1)CCCC2=O JIYFXFPOGAKXKS-UHFFFAOYSA-N 0.000 description 1
- FMBNQYONGWZFPU-UHFFFAOYSA-N CC.CC.CC.CC.CC1=CN=C(NC2=CC=CC=C2)N=C1NC1=CC=C2CC=NC2=C1.CC1=CN=C(NC2=CC=CC=C2)N=C1NC1=CC=C2N=CCC2=C1 Chemical compound CC.CC.CC.CC.CC1=CN=C(NC2=CC=CC=C2)N=C1NC1=CC=C2CC=NC2=C1.CC1=CN=C(NC2=CC=CC=C2)N=C1NC1=CC=C2N=CCC2=C1 FMBNQYONGWZFPU-UHFFFAOYSA-N 0.000 description 1
- OPAPWJJLZVVRGU-UHFFFAOYSA-N CC.CC.CC.CC1=CN=C(NC2=CC=CC=C2)N=C1N/C1=C/C=C23CCCC2(=C1)CCC3 Chemical compound CC.CC.CC.CC1=CN=C(NC2=CC=CC=C2)N=C1N/C1=C/C=C23CCCC2(=C1)CCC3 OPAPWJJLZVVRGU-UHFFFAOYSA-N 0.000 description 1
- LZFXUBJNMGPHSY-UHFFFAOYSA-N CC.CC.CC.CC1=CN=C(NC2=CC=CC=C2)N=C1NC1=CC2=C(C=C1)NN=C2 Chemical compound CC.CC.CC.CC1=CN=C(NC2=CC=CC=C2)N=C1NC1=CC2=C(C=C1)NN=C2 LZFXUBJNMGPHSY-UHFFFAOYSA-N 0.000 description 1
- ACBAKVUGTBHOSA-UHFFFAOYSA-N CC.CC.CC.CC1=CN=C(NC2=CC=CC=C2)N=C1NC1=CC=C2C=NNC2=C1 Chemical compound CC.CC.CC.CC1=CN=C(NC2=CC=CC=C2)N=C1NC1=CC=C2C=NNC2=C1 ACBAKVUGTBHOSA-UHFFFAOYSA-N 0.000 description 1
- VUSQMRPHKMMCNB-UHFFFAOYSA-N CC.CC.CC.CC1=CN=C(NC2=CC=CC=C2)N=C1NC1=CC=C2CCCC2=C1 Chemical compound CC.CC.CC.CC1=CN=C(NC2=CC=CC=C2)N=C1NC1=CC=C2CCCC2=C1 VUSQMRPHKMMCNB-UHFFFAOYSA-N 0.000 description 1
- CBQLXRXADKFFKD-UHFFFAOYSA-N CC.CC.CC1=CN=C(NC2=CC=CC=C2)N=C1NC1=CC2=C(C=C1)C(=O)CCC2 Chemical compound CC.CC.CC1=CN=C(NC2=CC=CC=C2)N=C1NC1=CC2=C(C=C1)C(=O)CCC2 CBQLXRXADKFFKD-UHFFFAOYSA-N 0.000 description 1
- ZCPPTCFOKCENGX-UHFFFAOYSA-N CC.CC.CC1=CN=C(NC2=CC=CC=C2)N=C1NC1=CC2=C(C=C1)CCCC2=O Chemical compound CC.CC.CC1=CN=C(NC2=CC=CC=C2)N=C1NC1=CC2=C(C=C1)CCCC2=O ZCPPTCFOKCENGX-UHFFFAOYSA-N 0.000 description 1
- VFFHNDHAIKALDT-UHFFFAOYSA-N CC.CC.CC1=CN=C(NC2=CC=CC=C2)N=C1NC1=CC=C2CC=NC2=C1 Chemical compound CC.CC.CC1=CN=C(NC2=CC=CC=C2)N=C1NC1=CC=C2CC=NC2=C1 VFFHNDHAIKALDT-UHFFFAOYSA-N 0.000 description 1
- OTHMHXKQEKVVEI-UHFFFAOYSA-N CC.CC.CC1=CN=C(NC2=CC=CC=C2)N=C1NC1=CC=C2N=CCC2=C1 Chemical compound CC.CC.CC1=CN=C(NC2=CC=CC=C2)N=C1NC1=CC=C2N=CCC2=C1 OTHMHXKQEKVVEI-UHFFFAOYSA-N 0.000 description 1
- YECXHNOVUQQFSJ-UHFFFAOYSA-N CC1=C(C)C(NC2=CC3=C(C=C2)OC(C)(C)C(=O)N3C)=NC(NC2=CC=C(S(N)(=O)=O)C=C2)=N1 Chemical compound CC1=C(C)C(NC2=CC3=C(C=C2)OC(C)(C)C(=O)N3C)=NC(NC2=CC=C(S(N)(=O)=O)C=C2)=N1 YECXHNOVUQQFSJ-UHFFFAOYSA-N 0.000 description 1
- RZFCHBPQKMEEFC-UHFFFAOYSA-N CC1=C(C)C(NC2=CC=C3OC(C)(C)C(=O)N(C)C3=C2)=NC(NC2=CC(S(N)(=O)=O)=CC=C2)=N1 Chemical compound CC1=C(C)C(NC2=CC=C3OC(C)(C)C(=O)N(C)C3=C2)=NC(NC2=CC(S(N)(=O)=O)=CC=C2)=N1 RZFCHBPQKMEEFC-UHFFFAOYSA-N 0.000 description 1
- HECBBYZOWFPZHR-UHFFFAOYSA-N CC1=C(F)N=C(NC2=CC(S(N)(=O)=O)=CC=C2)N=C1NC1=CC2=C(C=C1)OC(C)(C)C(=O)N2C Chemical compound CC1=C(F)N=C(NC2=CC(S(N)(=O)=O)=CC=C2)N=C1NC1=CC2=C(C=C1)OC(C)(C)C(=O)N2C HECBBYZOWFPZHR-UHFFFAOYSA-N 0.000 description 1
- KPSDMJRAXRNHQJ-UHFFFAOYSA-N CC1=NC(NC2=CC(S(=O)(=O)NC3CC3)=CC=C2)=NC(NC2=CC=C(OCC3=CN=CC=C3)C=C2)=C1 Chemical compound CC1=NC(NC2=CC(S(=O)(=O)NC3CC3)=CC=C2)=NC(NC2=CC=C(OCC3=CN=CC=C3)C=C2)=C1 KPSDMJRAXRNHQJ-UHFFFAOYSA-N 0.000 description 1
- IMOCASMHLCHNJI-UHFFFAOYSA-N CC1=NC(NC2=CC(S(=O)(=O)NC3CC3)=CC=C2)=NC(NC2=CC=C(OCC3=NC=CC=C3)C=C2)=C1 Chemical compound CC1=NC(NC2=CC(S(=O)(=O)NC3CC3)=CC=C2)=NC(NC2=CC=C(OCC3=NC=CC=C3)C=C2)=C1 IMOCASMHLCHNJI-UHFFFAOYSA-N 0.000 description 1
- QMEWWAWGHXBZPR-UHFFFAOYSA-N CC1=NC(NC2=CC(S(N)(=O)=O)=C(C)C=C2)=NC(NC2=CC=C(OCC3=CN=CC=C3)C=C2)=C1 Chemical compound CC1=NC(NC2=CC(S(N)(=O)=O)=C(C)C=C2)=NC(NC2=CC=C(OCC3=CN=CC=C3)C=C2)=C1 QMEWWAWGHXBZPR-UHFFFAOYSA-N 0.000 description 1
- LYKYKKKDZJVIFO-UHFFFAOYSA-N CC1=NC(NC2=CC(S(N)(=O)=O)=C(C)C=C2)=NC(NC2=CC=C(OCC3=NC=CC=C3)C=C2)=C1 Chemical compound CC1=NC(NC2=CC(S(N)(=O)=O)=C(C)C=C2)=NC(NC2=CC=C(OCC3=NC=CC=C3)C=C2)=C1 LYKYKKKDZJVIFO-UHFFFAOYSA-N 0.000 description 1
- TYKVYHQYVGJDPZ-UHFFFAOYSA-N CC1=NC(NC2=CC(S(N)(=O)=O)=CC=C2)=NC(NC2=CC=C(OCC3=CN=CC=C3)C=C2)=C1 Chemical compound CC1=NC(NC2=CC(S(N)(=O)=O)=CC=C2)=NC(NC2=CC=C(OCC3=CN=CC=C3)C=C2)=C1 TYKVYHQYVGJDPZ-UHFFFAOYSA-N 0.000 description 1
- NPEHCZUPRLMDQF-UHFFFAOYSA-N CC1=NC(NC2=CC=C(S(=O)(=O)NC3CC3)C=C2)=NC(NC2=CC=C(OCC3=CN=CC=C3)C=C2)=C1 Chemical compound CC1=NC(NC2=CC=C(S(=O)(=O)NC3CC3)C=C2)=NC(NC2=CC=C(OCC3=CN=CC=C3)C=C2)=C1 NPEHCZUPRLMDQF-UHFFFAOYSA-N 0.000 description 1
- LXXCMXWPJYYJHL-UHFFFAOYSA-N CC1=NC(NC2=CC=C(S(=O)(=O)NC3CC3)C=C2)=NC(NC2=CC=C(OCC3=NC=CC=C3)C=C2)=C1 Chemical compound CC1=NC(NC2=CC=C(S(=O)(=O)NC3CC3)C=C2)=NC(NC2=CC=C(OCC3=NC=CC=C3)C=C2)=C1 LXXCMXWPJYYJHL-UHFFFAOYSA-N 0.000 description 1
- ZKGJSUJSWJODOA-UHFFFAOYSA-N CC1=NC(NC2=CC=C(S(N)(=O)=O)C=C2)=NC(NC2=CC=C(OCC3=NC=CC=C3)C=C2)=C1 Chemical compound CC1=NC(NC2=CC=C(S(N)(=O)=O)C=C2)=NC(NC2=CC=C(OCC3=NC=CC=C3)C=C2)=C1 ZKGJSUJSWJODOA-UHFFFAOYSA-N 0.000 description 1
- KOVLPXZKIHJXFX-UHFFFAOYSA-N CN1C(=O)C(C)(C)OC2=C1C=C(NC1=NC(NC3=CC(S(N)(=O)=O)=CC=C3)=NC(F)=C1)C=C2 Chemical compound CN1C(=O)C(C)(C)OC2=C1C=C(NC1=NC(NC3=CC(S(N)(=O)=O)=CC=C3)=NC(F)=C1)C=C2 KOVLPXZKIHJXFX-UHFFFAOYSA-N 0.000 description 1
- UAGJIXHUGJXWIV-UHFFFAOYSA-N CN1C(=O)C(C)(C)OC2=C1C=C(NC1=NC(NC3=CC=C(S(N)(=O)=O)C=C3)=NC(F)=C1)C=C2 Chemical compound CN1C(=O)C(C)(C)OC2=C1C=C(NC1=NC(NC3=CC=C(S(N)(=O)=O)C=C3)=NC(F)=C1)C=C2 UAGJIXHUGJXWIV-UHFFFAOYSA-N 0.000 description 1
- RHPYKWKEFIDFQE-UHFFFAOYSA-N CN1C(=O)C(C)(C)OC2=C1C=C(NC1=NC(NC3=CC=C(S(N)(=O)=O)C=C3)=NC(NC3=CC=C(S(N)(=O)=O)C=C3)=C1)C=C2 Chemical compound CN1C(=O)C(C)(C)OC2=C1C=C(NC1=NC(NC3=CC=C(S(N)(=O)=O)C=C3)=NC(NC3=CC=C(S(N)(=O)=O)C=C3)=C1)C=C2 RHPYKWKEFIDFQE-UHFFFAOYSA-N 0.000 description 1
- DGBXRHOLRACCHV-UHFFFAOYSA-N CNS(=O)(=O)C1=C(C)C=CC(NC2=NC(NC3=CC=C(OCC4=CN=CC=C4)C=C3)=CC(C)=N2)=C1 Chemical compound CNS(=O)(=O)C1=C(C)C=CC(NC2=NC(NC3=CC=C(OCC4=CN=CC=C4)C=C3)=CC(C)=N2)=C1 DGBXRHOLRACCHV-UHFFFAOYSA-N 0.000 description 1
- JNAZLQOQXDRYIV-UHFFFAOYSA-N CNS(=O)(=O)C1=C(C)C=CC(NC2=NC(NC3=CC=C(OCC4=NC=CC=C4)C=C3)=CC(C)=N2)=C1 Chemical compound CNS(=O)(=O)C1=C(C)C=CC(NC2=NC(NC3=CC=C(OCC4=NC=CC=C4)C=C3)=CC(C)=N2)=C1 JNAZLQOQXDRYIV-UHFFFAOYSA-N 0.000 description 1
Classifications
-
- C—CHEMISTRY; METALLURGY
- C07—ORGANIC CHEMISTRY
- C07D—HETEROCYCLIC COMPOUNDS
- C07D239/00—Heterocyclic compounds containing 1,3-diazine or hydrogenated 1,3-diazine rings
- C07D239/02—Heterocyclic compounds containing 1,3-diazine or hydrogenated 1,3-diazine rings not condensed with other rings
- C07D239/24—Heterocyclic compounds containing 1,3-diazine or hydrogenated 1,3-diazine rings not condensed with other rings having three or more double bonds between ring members or between ring members and non-ring members
- C07D239/28—Heterocyclic compounds containing 1,3-diazine or hydrogenated 1,3-diazine rings not condensed with other rings having three or more double bonds between ring members or between ring members and non-ring members with hetero atoms or with carbon atoms having three bonds to hetero atoms with at the most one bond to halogen, directly attached to ring carbon atoms
- C07D239/46—Two or more oxygen, sulphur or nitrogen atoms
- C07D239/48—Two nitrogen atoms
-
- A—HUMAN NECESSITIES
- A61—MEDICAL OR VETERINARY SCIENCE; HYGIENE
- A61K—PREPARATIONS FOR MEDICAL, DENTAL OR TOILETRY PURPOSES
- A61K31/00—Medicinal preparations containing organic active ingredients
- A61K31/33—Heterocyclic compounds
- A61K31/395—Heterocyclic compounds having nitrogen as a ring hetero atom, e.g. guanethidine or rifamycins
- A61K31/495—Heterocyclic compounds having nitrogen as a ring hetero atom, e.g. guanethidine or rifamycins having six-membered rings with two or more nitrogen atoms as the only ring heteroatoms, e.g. piperazine or tetrazines
- A61K31/505—Pyrimidines; Hydrogenated pyrimidines, e.g. trimethoprim
-
- A—HUMAN NECESSITIES
- A61—MEDICAL OR VETERINARY SCIENCE; HYGIENE
- A61P—SPECIFIC THERAPEUTIC ACTIVITY OF CHEMICAL COMPOUNDS OR MEDICINAL PREPARATIONS
- A61P35/00—Antineoplastic agents
-
- A—HUMAN NECESSITIES
- A61—MEDICAL OR VETERINARY SCIENCE; HYGIENE
- A61P—SPECIFIC THERAPEUTIC ACTIVITY OF CHEMICAL COMPOUNDS OR MEDICINAL PREPARATIONS
- A61P35/00—Antineoplastic agents
- A61P35/02—Antineoplastic agents specific for leukemia
-
- A—HUMAN NECESSITIES
- A61—MEDICAL OR VETERINARY SCIENCE; HYGIENE
- A61P—SPECIFIC THERAPEUTIC ACTIVITY OF CHEMICAL COMPOUNDS OR MEDICINAL PREPARATIONS
- A61P37/00—Drugs for immunological or allergic disorders
- A61P37/02—Immunomodulators
- A61P37/06—Immunosuppressants, e.g. drugs for graft rejection
-
- A—HUMAN NECESSITIES
- A61—MEDICAL OR VETERINARY SCIENCE; HYGIENE
- A61P—SPECIFIC THERAPEUTIC ACTIVITY OF CHEMICAL COMPOUNDS OR MEDICINAL PREPARATIONS
- A61P43/00—Drugs for specific purposes, not provided for in groups A61P1/00-A61P41/00
-
- C—CHEMISTRY; METALLURGY
- C07—ORGANIC CHEMISTRY
- C07D—HETEROCYCLIC COMPOUNDS
- C07D401/00—Heterocyclic compounds containing two or more hetero rings, having nitrogen atoms as the only ring hetero atoms, at least one ring being a six-membered ring with only one nitrogen atom
- C07D401/02—Heterocyclic compounds containing two or more hetero rings, having nitrogen atoms as the only ring hetero atoms, at least one ring being a six-membered ring with only one nitrogen atom containing two hetero rings
- C07D401/12—Heterocyclic compounds containing two or more hetero rings, having nitrogen atoms as the only ring hetero atoms, at least one ring being a six-membered ring with only one nitrogen atom containing two hetero rings linked by a chain containing hetero atoms as chain links
-
- C—CHEMISTRY; METALLURGY
- C07—ORGANIC CHEMISTRY
- C07D—HETEROCYCLIC COMPOUNDS
- C07D401/00—Heterocyclic compounds containing two or more hetero rings, having nitrogen atoms as the only ring hetero atoms, at least one ring being a six-membered ring with only one nitrogen atom
- C07D401/14—Heterocyclic compounds containing two or more hetero rings, having nitrogen atoms as the only ring hetero atoms, at least one ring being a six-membered ring with only one nitrogen atom containing three or more hetero rings
-
- C—CHEMISTRY; METALLURGY
- C07—ORGANIC CHEMISTRY
- C07D—HETEROCYCLIC COMPOUNDS
- C07D403/00—Heterocyclic compounds containing two or more hetero rings, having nitrogen atoms as the only ring hetero atoms, not provided for by group C07D401/00
- C07D403/02—Heterocyclic compounds containing two or more hetero rings, having nitrogen atoms as the only ring hetero atoms, not provided for by group C07D401/00 containing two hetero rings
- C07D403/12—Heterocyclic compounds containing two or more hetero rings, having nitrogen atoms as the only ring hetero atoms, not provided for by group C07D401/00 containing two hetero rings linked by a chain containing hetero atoms as chain links
-
- C—CHEMISTRY; METALLURGY
- C07—ORGANIC CHEMISTRY
- C07D—HETEROCYCLIC COMPOUNDS
- C07D405/00—Heterocyclic compounds containing both one or more hetero rings having oxygen atoms as the only ring hetero atoms, and one or more rings having nitrogen as the only ring hetero atom
- C07D405/02—Heterocyclic compounds containing both one or more hetero rings having oxygen atoms as the only ring hetero atoms, and one or more rings having nitrogen as the only ring hetero atom containing two hetero rings
- C07D405/12—Heterocyclic compounds containing both one or more hetero rings having oxygen atoms as the only ring hetero atoms, and one or more rings having nitrogen as the only ring hetero atom containing two hetero rings linked by a chain containing hetero atoms as chain links
-
- C—CHEMISTRY; METALLURGY
- C07—ORGANIC CHEMISTRY
- C07D—HETEROCYCLIC COMPOUNDS
- C07D407/00—Heterocyclic compounds containing two or more hetero rings, at least one ring having oxygen atoms as the only ring hetero atoms, not provided for by group C07D405/00
- C07D407/02—Heterocyclic compounds containing two or more hetero rings, at least one ring having oxygen atoms as the only ring hetero atoms, not provided for by group C07D405/00 containing two hetero rings
- C07D407/12—Heterocyclic compounds containing two or more hetero rings, at least one ring having oxygen atoms as the only ring hetero atoms, not provided for by group C07D405/00 containing two hetero rings linked by a chain containing hetero atoms as chain links
-
- C—CHEMISTRY; METALLURGY
- C07—ORGANIC CHEMISTRY
- C07D—HETEROCYCLIC COMPOUNDS
- C07D413/00—Heterocyclic compounds containing two or more hetero rings, at least one ring having nitrogen and oxygen atoms as the only ring hetero atoms
- C07D413/02—Heterocyclic compounds containing two or more hetero rings, at least one ring having nitrogen and oxygen atoms as the only ring hetero atoms containing two hetero rings
- C07D413/12—Heterocyclic compounds containing two or more hetero rings, at least one ring having nitrogen and oxygen atoms as the only ring hetero atoms containing two hetero rings linked by a chain containing hetero atoms as chain links
-
- C—CHEMISTRY; METALLURGY
- C07—ORGANIC CHEMISTRY
- C07D—HETEROCYCLIC COMPOUNDS
- C07D413/00—Heterocyclic compounds containing two or more hetero rings, at least one ring having nitrogen and oxygen atoms as the only ring hetero atoms
- C07D413/14—Heterocyclic compounds containing two or more hetero rings, at least one ring having nitrogen and oxygen atoms as the only ring hetero atoms containing three or more hetero rings
-
- C—CHEMISTRY; METALLURGY
- C07—ORGANIC CHEMISTRY
- C07D—HETEROCYCLIC COMPOUNDS
- C07D417/00—Heterocyclic compounds containing two or more hetero rings, at least one ring having nitrogen and sulfur atoms as the only ring hetero atoms, not provided for by group C07D415/00
- C07D417/02—Heterocyclic compounds containing two or more hetero rings, at least one ring having nitrogen and sulfur atoms as the only ring hetero atoms, not provided for by group C07D415/00 containing two hetero rings
- C07D417/12—Heterocyclic compounds containing two or more hetero rings, at least one ring having nitrogen and sulfur atoms as the only ring hetero atoms, not provided for by group C07D415/00 containing two hetero rings linked by a chain containing hetero atoms as chain links
-
- C—CHEMISTRY; METALLURGY
- C07—ORGANIC CHEMISTRY
- C07D—HETEROCYCLIC COMPOUNDS
- C07D498/00—Heterocyclic compounds containing in the condensed system at least one hetero ring having nitrogen and oxygen atoms as the only ring hetero atoms
- C07D498/02—Heterocyclic compounds containing in the condensed system at least one hetero ring having nitrogen and oxygen atoms as the only ring hetero atoms in which the condensed system contains two hetero rings
- C07D498/04—Ortho-condensed systems
Definitions
- the present invention relates to compounds, prodrugs, and methods of using these compounds and prodrugs thereof in the treatment of conditions in which modulation of the JAK pathway or inhibition of JAK kinases, particularly JAK3, are therapeutically useful.
- Protein kinases constitute a large family of structurally related enzymes that are responsible for the control of a variety of signal transduction processes within cells (see, e.g., Hardie and Hanks, The Protein Kinase Facts Book, I and II, Academic Press, San Diego, Calif., 1995). Protein kinases are thought to have evolved from a common ancestral gene due to the conservation of their structure and catalytic function. Almost all kinases contain a similar 250-300 amino acid catalytic domain. The kinases can be categorized into families by the substrates they phosphorylate (e.g., protein-tyrosine, protein-serine/threonine, lipids, etc.).
- JAK kinases are a family of cytoplasmic protein tyrosine kinases including JAK1, JAK2, JAK3 and TYK2. Each of the JAK kinases is selective for the receptors of certain cytokines, though multiple JAK kinases can be affected by particular cytokine or signaling pathways. Studies suggest that JAK3 associates with the common gamma ( ⁇ c) chain of the various cytokine receptors. JAK3 in particular selectively binds to receptors and is part of the cytokine signaling pathway for IL-2, IL-4, IL-7, IL-9, IL-15 and IL-21.
- ⁇ c common gamma
- JAK1 interacts with, among others, the receptors for cytokines IL-2, IL-4, IL-7, IL-9 and IL-21
- JAK2 interacts with, among others, the receptors for IL-9 and TNF- ⁇ .
- cytokines e.g., IL-2, IL-4, IL-7, IL-9, IL-15 and IL-21
- receptor oligomerization occurs, resulting in the cytoplasmic tails of associated JAK kinases being brought into proximity and facilitating the trans-phosphorylation of tyrosine residues on the JAK kinase. This trans-phosphorylation results in the activation of the JAK kinase.
- STAT proteins which are DNA binding proteins activated by phosphorylation of tyrosine residues, function both as signaling molecules and transcription factors and ultimately bind to specific DNA sequences present in the promoters of cytokine-responsive genes (Leonard et al., (2000), J. Allergy Clin. Immunol. 105:877-888).
- JAK/STAT signaling has been implicated in the mediation of many abnormal immune responses such as allergies, asthma, autoimmune diseases such as transplant (allograft) rejection, rheumatoid arthritis, amyotrophic lateral sclerosis and multiple sclerosis, as well as in solid and hematologic malignancies such as leukemia and lymphomas.
- autoimmune diseases such as transplant (allograft) rejection, rheumatoid arthritis, amyotrophic lateral sclerosis and multiple sclerosis
- solid and hematologic malignancies such as leukemia and lymphomas.
- JAK3 in particular has been implicated in a variety of biological processes. For example, the proliferation and survival of murine mast cells induced by IL-4 and IL-9 have been shown to be dependent on JAK3- and gamma chain-signaling (Suzuki et al., (2000), Blood 96:2172-2180). JAK3 also plays a crucial role in IgE receptor-mediated mast cell degranulation responses (Malaviya et al., (1999), Biochem. Biophys. Res. Commun. 257:807-813), and inhibition of JAK3 kinase has been shown to prevent type I hypersensitivity reactions, including anaphylaxis (Malaviya et al., (1999), J. Biol. Chem.
- JAK3 inhibition has also been shown to result in immune suppression for allograft rejection (Kirken, (2001), Transpl. Proc. 33:3268-3270). JAK3 kinases have also been implicated in the mechanism involved in early and late stages of rheumatoid arthritis (Muller-Ladner et al., (2000), J. Immunal. 164:3894-3901); familial amyotrophic lateral sclerosis (Trieu et al., (2000), Biochem Biophys. Res. Commun. 267:22-25); leukemia (Sudbeck et al., (1999), Clin. Cancer Res.
- JAK kinases are abundantly expressed in primary leukemic cells from children with acute lymphoblastic leukemia, the most common form of childhood cancer, and studies have correlated STAT activation in certain cells with signals regulating apoptosis (Demoulin et al., (1996), Mol. Cell. Biol. 16:4710-6; Jurlander et al., (1997), Blood. 89:4146-52; Kaneko et al., (1997), Clin. Exp. Immun. 109:185-193; and Nakamura et al., (1996), J. Biol. Chem. 271:19483-8). They are also known to be important to lymphocyte differentiation, function and survival.
- JAK-3 in particular plays an essential role in the function of lymphocytes, macrophages, and mast cells.
- compounds which modulate the JAK pathway including those selective for JAK3, can be useful for treating diseases or conditions where the function of lymphocytes, macrophages, or mast cells is involved (Kudlacz et al., (2004) Am. J. Transplant 4:51-57; Changelian (2003) Science 302:875-878).
- Conditions in which targeting of the JAK pathway or modulation of the JAK kinases, particularly JAK3, are contemplated to be therapeutically useful include, leukemia, lymphoma, transplant rejection (e.g., pancreas islet transplant rejection, bone marrow transplant applications (e.g., graft-versus-host disease), autoimmune diseases (e.g., diabetes), and inflammation (e.g., asthma, allergic reactions). Conditions which can benefit for inhibition of JAK3 are discussed in greater detail below.
- novel 2,4-pyrimidinediamine compounds for use in the treatment of conditions in which targeting of the JAK pathway or inhibition of JAK kinases, particularly JAK3, are therapeutically useful.
- Patents and patent applications related to modulation of the JAK pathway include: U.S. Pat. Nos. 5,728,536; 6,080,747; 6,080,748; 6,133,305; 6,177,433; 6,210,654; 6,313,130; 6,316,635; 6,433,018; 6,486,185; 6,506,763; 6,528,509; 6,593,357; 6,608,048; 6,610,688; 6,635,651; 6,677,368; 6,683,082; 6,696,448; 6,699,865; 6,777,417; 6,784,195; 6,825,190; 6,506,763; 6,784,195; 6,528,509; 6,608,048; 7,105,529; 6,699,865; 6,825,190; 6,815,439; 6,949,580; 7,056,944; 6,998,391; 7,074,793; 6,969,760; U.S.
- Patents and patent applications describing substituted pyrimidinediamine compounds include: U.S. application Ser. No. 10/355,543 filed Jan. 31, 2003 (US2004/0029902A1), international application Serial No. PCT/US03/03022 filed Jan. 31, 2003 (WO 03/063794), U.S. application Ser. No. 10/631,029 filed Jul. 29, 2003, international application Serial No. PCT/US03/24087 (WO 04/014382), U.S. application Ser. No. 10/903,263 filed Jul. 30, 2004, and international application Serial No. PCT/US2004/24716 (WO 05/016893), the disclosures of which are incorporated herein by reference.
- Substituted pyrimidinediamine compounds are also described in international patent application publication numbers: WO 02/059110, WO 03/074515, WO 03/106416, WO 03/066601, WO 03/063794, WO 04/046118, WO 05/016894, WO 05/122294, WO 05/066156, WO 03/002542, WO 03/030909, WO 00/39101, WO 05/037800 and U.S. Pat. Pub. No. 2003/0149064.
- This invention is directed to compounds, prodrugs, and methods of using these compounds and prodrugs thereof in the treatment of conditions in which modulation of the JAK pathway or inhibition of JAK kinases, particularly JAK3, will be therapeutically useful.
- the present invention provides compounds of formula I, and solvates, prodrugs and pharmaceutically acceptable salts thereof:
- ring A is phenyl; R is hydrogen; X is halo, cyano or alkyl; and q is 1 or 2. More preferably at least one R 2 is alkynyl, alkynyloxy, alkynylamino, alkynyl(carboxyl ester)aminoalkyl, or alkynylaminosulfonyl. Most preferably, at least one R 2 is alkynyloxy. In another preferred implementation at least one of X and Y is hydrogen.
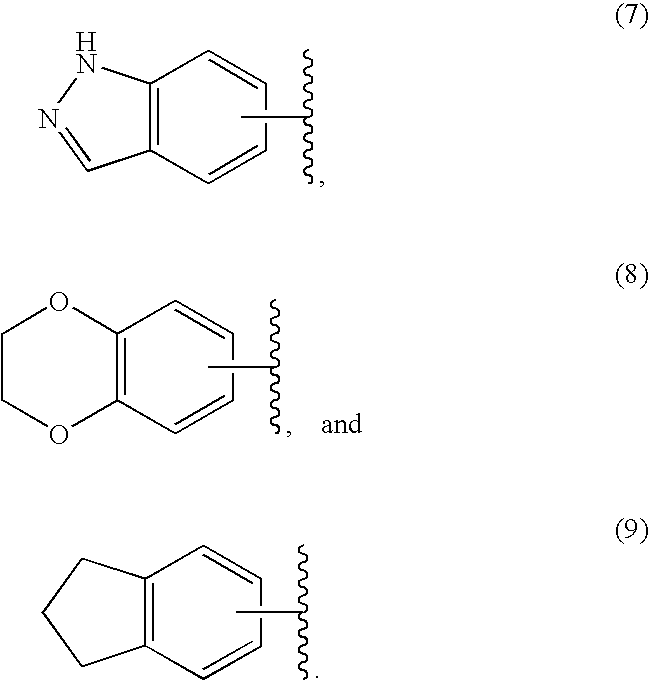
- ring A is selected from the group consisting of:
- One embodiment of the invention provides compounds of formula IIa or IIb, and solvates, prodrugs and pharmaceutically acceptable salts thereof:
- R 1 is hydrogen, alkyl, substituted alkyl, alkynyl, or acyl
- R 2 , R 3 , R 4 , R 5 , q, p, and X are as defined above.
- R 1 is selected from the group consisting of alkyl, substituted alkyl, cycloalkyl, substituted cycloalkyl, heterocyclyl, substituted heterocyclyl, aryl, substituted aryl, heteroaryl, and substituted heteroaryl;
- Y is selected from the group consisting of a bond, —NR 7 —, —C(O)NR 7 —, —NR 7 C(O)—, —NR 7 C(O)O—, —OC(O)NR 7 —, —NR 7 C(O)NR 7 —, oxygen and sulfur, where R 7 is independently hydrogen, alkyl or substituted alkyl;
- -alk- is a bond or a straight or branched chain alkylene group, wherein when alk and Y each are a bond then R 1 is attached to the bicyclic ring by a single covalent bond.
- X, R 3 , R 4 , R 5 and p are as defined above.
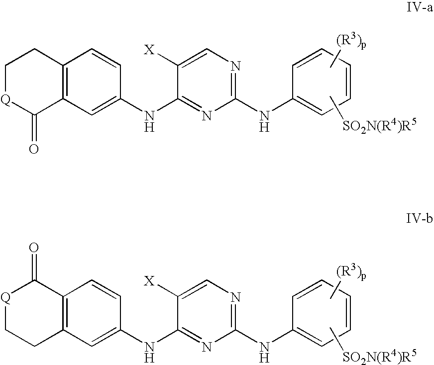
- Yet another embodiment of the invention provides compounds of formula IV-a or IV-b, and solvates, prodrugs and pharmaceutically acceptable salts thereof:
- One embodiment of the invention provides compounds of formula V, and solvates, prodrugs and pharmaceutically acceptable salts thereof:
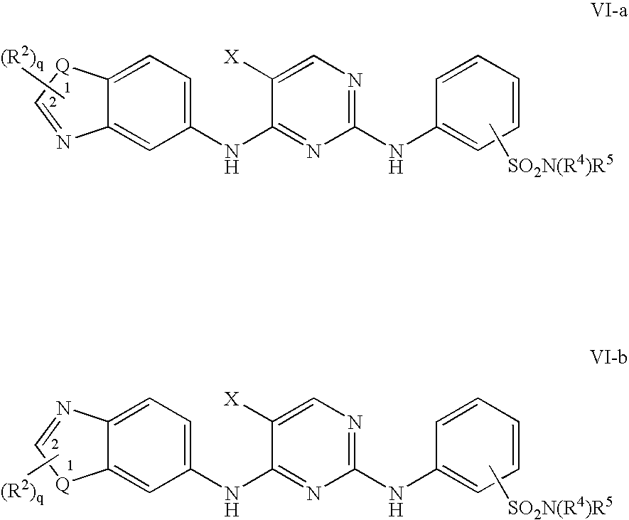
- Yet another embodiment of the invention provides compounds of formula VI-a or VI-b, and solvates, prodrugs and pharmaceutically acceptable salts thereof:
- Another implementation of the invention provides compounds of formula VII-a or VII-b, and solvates, prodrugs and pharmaceutically acceptable salts thereof:
- R is hydrogen or lower alkyl, more preferably methyl, and X is fluoro.
- R 3 preferably is lower alkyl.
- each of R 4 and R 5 preferably is hydrogen or lower alkyl, most preferably hydrogen.
- Another implementation of the invention provides compounds of formula IX, and solvates, prodrugs and pharmaceutically acceptable salts thereof:
- R 2 is acylamino and X is halo or lower alkyl.
- this invention provides a method of inhibiting an activity of a JAK kinase, comprising contacting the JAK kinase with an amount of a compound of this invention effective to inhibit an activity of the JAK kinase.
- this invention provides a method of inhibiting an activity of a JAK kinase, comprising contacting in vitro a JAK3 kinase with an amount of a compound of this invention to inhibit an activity of the JAK kinase.
- this invention provides a method of inhibiting an activity of a JAK kinase, comprising contacting in a cell a JAK3 kinase with an amount of a compound effective to inhibit an activity of the JAK kinase wherein the compound is selected from the compounds of this invention, as described above.
- this invention provides a method of treating a T-cell mediated autoimmune disease, comprising administering to a patient suffering from such an autoimmune disease an amount of a compound of this invention effective to treat the autoimmune disease.
- this invention provides a method of treating or preventing allograft transplant rejection in a transplant recipient, comprising administering to the transplant recipient an amount of a compound of this invention effective to treat or prevent the rejection.
- this invention provides a method of treating or preventing a Type IV hypersensitivity reaction, comprising administering to a subject an amount of a compound of this invention effective to treat or prevent the hypersensitivity reaction.
- this invention provides a method of inhibiting a signal transduction cascade in which JAK3 kinase plays a role, comprising contacting a cell expressing a receptor involved in such a signaling cascade with a compound of this invention, as described above.
- this invention provides a method of treating or preventing a JAK kinase-mediated disease, comprising administering to a subject an amount of a compound of this invention effective to treat or prevent the JAK kinase-mediated disease.
- this invention provides a pharmaceutical formulation comprising a compound selected from the compounds of this invention, as described above.
- this invention provides a kit comprising a compound selected from the compounds of this invention or a prodrug thereof, packaging, and instructions for use.
- the invention encompasses compounds having formula I and the compositions and methods using these compounds in the treatment of conditions in which modulation of the JAK pathway or inhibition of JAK kinases, particularly JAK3, are therapeutically useful.
- Alkyl refers to monovalent saturated aliphatic hydrocarbyl groups having from 1 to 10 carbon atoms and preferably 1 to 6 carbon atoms. This term includes, by way of example, linear and branched hydrocarbyl groups such as methyl (CH 3 —), ethyl (CH 3 CH 2 —), n-propyl (CH 3 CH 2 CH 2 —), isopropyl ((CH 3 ) 2 CH—), n-butyl (CH 3 CH 2 CH 2 CH 2 —), isobutyl ((CH 3 ) 2 CHCH 2 —), sec-butyl ((CH 3 )(CH 3 CH 2 )CH—), t-butyl ((CH 3 ) 3 C—), n-pentyl (CH 3 CH 2 CH 2 CH 2 CH 2 —), and neopentyl ((CH 3 ) 3 CCH 2 —).
- Substituted alkyl refers to an alkyl group having from 1 to 5 hydrogens replaced with substituents selected from the group consisting of alkoxy, substituted alkoxy, acyl, acylamino, acyloxy, amino, substituted amino, aminocarbonyl, aminothiocarbonyl, aminocarbonylamino, aminothiocarbonylamino, aminocarbonyloxy, aminosulfonyl, aminosulfonyloxy, sulfonylamino, aminosulfonylamino, amidino, aryl, substituted aryl, aryloxy, substituted aryloxy, arylthio, substituted arylthio, carboxyl, carboxyl ester, (carboxyl ester)amino, (carboxyl ester)oxy, cyano, cycloalkyl, substituted cycloalkyl, cycloalkyloxy, substituted cycloalkyloxy, cycloalkyloxy
- Alkylene refers to divalent saturated aliphatic hydrocarbyl groups preferably having from 1 to 6 and more preferably 1 to 3 carbon atoms that are either straight-chained or branched. This term is exemplified by groups such as methylene (—CH 2 —), ethylene (—CH 2 CH 2 —), n-propylene (—CH 2 CH 2 CH 2 —), iso-propylene (—CH 2 CH(CH 3 )—) or (—CH(CH 3 )CH 2 —), and the like.
- Substituted alkylene refers to an alkylene group having from 1 to 3 hydrogens replaced with substituents selected from the group consisting of alkyl, substituted alkyl, alkoxy, substituted alkoxy, acyl, acylamino, acyloxy, amino, substituted amino, aminocarbonyl, aryl, substituted aryl, aryloxy, substituted aryloxy, cyano, halogen, hydroxyl, nitro, carboxyl, carboxyl ester, cycloalkyl, substituted cycloalkyl, heteroaryl, substituted heteroaryl, heterocyclic, substituted heterocyclic, and oxo wherein said substituents are defined herein.
- the alkylene has 1 to 2 of the aforementioned groups. It is to be noted that when the alkylene is substituted by an oxo group, 2 hydrogens attached to the same carbon of the alkylene group are replaced by “ ⁇ O”.
- Alkoxy refers to the groups —O-alkyl, —O-alkenyl, and —O-alkynyl, wherein alkyl, alkenyl and alkynyl are as defined herein.
- Substituted alkoxy refers to the groups —O-(substituted alkyl), —O-(substituted alkenyl), and —O-(substituted alkynyl), wherein substituted alkyl, substituted alkenyl, and substituted alkynyl are as defined herein.
- Acyl refers to the groups H—C(O)—, alkyl-C(O)—, substituted alkyl-C(O)—, alkenyl-C(O)—, substituted alkenyl-C(O)—, alkynyl-C(O)—, substituted alkynyl-C(O)— cycloalkyl-C(O)—, substituted cycloalkyl-C(O)—, cycloalkenyl-C(O)—, substituted cycloalkenyl-C(O)—, aryl-C(O)—, substituted aryl-C(O)—, heteroaryl-C(O)—, substituted heteroaryl-C(O)—, heterocyclic-C(O)—, and substituted heterocyclic-C(O)—, wherein alkyl, substituted alkyl, alkenyl, substituted alkenyl, alkynyl, substituted alkynyl, cycloal
- “Acylamino” refers to the groups —NR 20 C(O)alkyl, —NR 20 C(O) substituted alkyl, —NR 20 C(O)cycloalkyl, —NR 20 C(O) substituted cycloalkyl, —NR 20 C(O)cycloalkenyl, —NR 20 C(O) substituted cycloalkenyl, —NR 20 C(O)alkenyl, —NR 20 C(O) substituted alkenyl, —NR 20 C(O)alkynyl, —NR 20 C(O) substituted alkynyl, —NR 20 C(O)aryl, —NR 20 C(O) substituted aryl, —NR 20 C(O)heteroaryl, —NR 20 C(O) substituted heteroaryl, —NR 20 C(O)heterocyclic, and —NR 20 C(O) substituted heterocyclic, wherein R 20 is hydrogen or alkyl and
- “Acyloxy” refers to the groups alkyl-C(O)O—, substituted alkyl-C(O)O—, alkenyl-C(O)O—, substituted alkenyl-C(O)O—, alkynyl-C(O)O—, substituted alkynyl-C(O)O—, aryl-C(O)O—, substituted aryl-C(O)O—, cycloalkyl-C(O)O—, substituted cycloalkyl-C(O)O—, cycloalkenyl-C(O)O—, substituted cycloalkenyl-C(O)O—, heteroaryl-C(O)O—, substituted heteroaryl-C(O)O—, heterocyclic-C(O)O—, and substituted heterocyclic-C(O)O—, wherein alkyl, substituted alkyl, alkenyl, substituted alkenyl, alkynyl
- Amino refers to the group —NH 2 .
- “Substituted amino” refers to the group —NR 21 R 22 , wherein R 21 and R 22 independently are selected from the group consisting of hydrogen, alkyl, substituted alkyl, alkenyl, substituted alkenyl, alkynyl, substituted alkynyl, aryl, substituted aryl, cycloalkyl, substituted cycloalkyl, cycloalkenyl, substituted cycloalkenyl, heteroaryl, substituted heteroaryl, heterocyclic, substituted heterocyclic, where one of R 21 and R 22 is sulfonyl, and wherein R 21 and R 22 are optionally joined together with the nitrogen bound thereto to form a heterocyclic or substituted heterocyclic group, provided that R 21 and R 22 are not both hydrogen, and wherein alkyl, substituted alkyl, alkenyl, substituted alkenyl, alkynyl, substituted alkynyl, cycloalkyl, substituted cycloal
- R 21 is hydrogen and R 22 is alkyl
- the substituted amino group is sometimes referred to herein as “alkylamino.”
- R 21 and R 22 are alkyl
- the substituted amino group is sometimes referred to herein as “dialkylamino.”
- a monosubstituted amino it is meant that either R 21 or R 22 is hydrogen, but not both.
- a disubstituted amino it is meant that neither R 21 nor R 22 is hydrogen.
- Aminocarbonyl refers to the group —C(O)NR 21 R 22 , wherein R 21 and R 22 independently are selected from the group consisting of hydrogen, alkyl, substituted alkyl, alkenyl, substituted alkenyl, alkynyl, substituted alkynyl, aryl, substituted aryl, cycloalkyl, substituted cycloalkyl, cycloalkenyl, substituted cycloalkenyl, heteroaryl, substituted heteroaryl, heterocyclic, and substituted heterocyclic and where R 21 and R 22 are optionally joined together with the nitrogen bound thereto to form a heterocyclic or substituted heterocyclic group, and wherein alkyl, substituted alkyl, alkenyl, substituted alkenyl, alkynyl, substituted alkynyl, cycloalkyl, substituted cycloalkyl, cycloalkenyl, substituted cycloalkenyl, aryl, substituted
- Aminothiocarbonyl refers to the group —C(S)NR 21 R 22 , wherein R 21 and R 22 independently are selected from the group consisting of hydrogen, alkyl, substituted alkyl, alkenyl, substituted alkenyl, alkynyl, substituted alkynyl, aryl, substituted aryl, cycloalkyl, substituted cycloalkyl, cycloalkenyl, substituted cycloalkenyl, heteroaryl, substituted heteroaryl, heterocyclic, and substituted heterocyclic and where R 21 and R 22 are optionally joined together with the nitrogen bound thereto to form a heterocyclic or substituted heterocyclic group, and wherein alkyl, substituted alkyl, alkenyl, substituted alkenyl, alkynyl, substituted alkynyl, cycloalkyl, substituted cycloalkyl, cycloalkenyl, substituted cycloalkenyl, aryl,
- “Aminocarbonylamino” refers to the group —NR 20 C(O)NR 21 R 22 , wherein R 20 is hydrogen or alkyl and R 21 and R 22 independently are selected from the group consisting of hydrogen, alkyl, substituted alkyl, alkenyl, substituted alkenyl, alkynyl, substituted alkynyl, aryl, substituted aryl, cycloalkyl, substituted cycloalkyl, cycloalkenyl, substituted cycloalkenyl, heteroaryl, substituted heteroaryl, heterocyclic, and substituted heterocyclic and where R 21 and R 22 are optionally joined together with the nitrogen bound thereto to form a heterocyclic or substituted heterocyclic group, and wherein alkyl, substituted alkyl, alkenyl, substituted alkenyl, alkynyl, substituted alkynyl, cycloalkyl, substituted cycloalkyl, cycloalkenyl, substituted
- “Aminothiocarbonylamino” refers to the group —NR 20 C(S)NR 21 R 22 , wherein R 20 is hydrogen or alkyl and R 21 and R 22 independently are selected from the group consisting of hydrogen, alkyl, substituted alkyl, alkenyl, substituted alkenyl, alkynyl, substituted alkynyl, aryl, substituted aryl, cycloalkyl, substituted cycloalkyl, cycloalkenyl, substituted cycloalkenyl, heteroaryl, substituted heteroaryl, heterocyclic, and substituted heterocyclic and where R 21 and R 22 are optionally joined together with the nitrogen bound thereto to form a heterocyclic or substituted heterocyclic group, and wherein alkyl, substituted alkyl, alkenyl, substituted alkenyl, alkynyl, substituted alkynyl, cycloalkyl, substituted cycloalkyl, cycloalkenyl,
- “Aminocarbonyloxy” refers to the group —O—C(O)NR 21 R 22 , wherein R 21 and R 22 independently are selected from the group consisting of hydrogen, alkyl, substituted alkyl, alkenyl, substituted alkenyl, alkynyl, substituted alkynyl, aryl, substituted aryl, cycloalkyl, substituted cycloalkyl, cycloalkenyl, substituted cycloalkenyl, heteroaryl, substituted heteroaryl, heterocyclic, and substituted heterocyclic and where R 21 and R 22 are optionally joined together with the nitrogen bound thereto to form a heterocyclic or substituted heterocyclic group, and wherein alkyl, substituted alkyl, alkenyl, substituted alkenyl, alkynyl, substituted alkynyl, cycloalkyl, substituted cycloalkyl, cycloalkenyl, substituted cycloalkenyl, ary
- Aminosulfonyl refers to the group —SO 2 NR 21 R 22 , wherein R 21 and R 22 independently are selected from the group consisting of hydrogen, alkyl, substituted alkyl, alkenyl, substituted alkenyl, alkynyl, substituted alkynyl, aryl, substituted aryl, cycloalkyl, substituted cycloalkyl, cycloalkenyl, substituted cycloalkenyl, heteroaryl, substituted heteroaryl, heterocyclic, substituted heterocyclic and whereR 21 and R 22 are optionally joined together with the nitrogen bound thereto to form a heterocyclic or substituted heterocyclic group and alkyl, substituted alkyl, alkenyl, substituted alkenyl, alkynyl, substituted alkynyl, cycloalkyl, substituted cycloalkyl, cycloalkenyl, substituted cycloalkenyl, aryl, substituted aryl
- Aminosulfonyloxy refers to the group —O—SO 2 NR 21 R 22 , wherein R 21 and R 22 independently are selected from the group consisting of hydrogen, alkyl, substituted alkyl, alkenyl, substituted alkenyl, alkynyl, substituted alkynyl, aryl, substituted aryl, cycloalkyl, substituted cycloalkyl, cycloalkenyl, substituted cycloalkenyl, heteroaryl, substituted heteroaryl, heterocyclic, and substituted heterocyclic; R 21 and R 22 are optionally joined together with the nitrogen bound thereto to form a heterocyclic or substituted heterocyclic group; and alkyl, substituted alkyl, alkenyl, substituted alkenyl, alkynyl, substituted alkynyl, cycloalkyl, substituted cycloalkyl, cycloalkenyl, substituted cycloalkenyl, aryl,
- “Aminosulfonylamino” refers to the group —NR 20 —SO 2 NR 21 R 22 , wherein R 20 is hydrogen or alkyl and R 21 and R 22 independently are selected from the group consisting of hydrogen, alkyl, substituted alkyl, alkenyl, substituted alkenyl, alkynyl, substituted alkynyl, aryl, substituted aryl, cycloalkyl, substituted cycloalkyl, cycloalkenyl, substituted cycloalkenyl, heteroaryl, substituted heteroaryl, heterocyclic, and substituted heterocyclic and where R 21 and R 22 are optionally joined together with the nitrogen bound thereto to form a heterocyclic or substituted heterocyclic group, and wherein alkyl, substituted alkyl, alkenyl, substituted alkenyl, alkynyl, substituted alkynyl, cycloalkyl, substituted cycloalkyl, cycloalkeny
- “Sulfonylamino” refers to the group —NR 21 SO 2 R 22 , wherein R 21 and R 22 independently are selected from the group consisting of hydrogen, alkyl, substituted alkyl, alkenyl, substituted alkenyl, alkynyl, substituted alkynyl, aryl, substituted aryl, cycloalkyl, substituted cycloalkyl, cycloalkenyl, substituted cycloalkenyl, heteroaryl, substituted heteroaryl, heterocyclic, and substituted heterocyclic and where R 21 and R 22 are optionally joined together with the atoms bound thereto to form a heterocyclic or substituted heterocyclic group, and wherein alkyl, substituted alkyl, alkenyl, substituted alkenyl, alkynyl, substituted alkynyl, cycloalkyl, substituted cycloalkyl, cycloalkenyl, substituted cycloalkenyl, aryl
- “Amidino” refers to the group —C( ⁇ NR 30 )NR 31 R 32 , wherein R 31 and R 32 independently are selected from the group consisting of hydrogen, alkyl, substituted alkyl, alkenyl, substituted alkenyl, alkynyl, substituted alkynyl, aryl, substituted aryl, cycloalkyl, substituted cycloalkyl, cycloalkenyl, substituted cycloalkenyl, heteroaryl, substituted heteroaryl, heterocyclic, and substituted heterocyclic and where R 31 and R 32 are optionally joined together with the nitrogen bound thereto to form a heterocyclic or substituted heterocyclic group.
- R 30 is selected from the group consisting of hydrogen, alkyl, substituted alkyl, alkenyl, substituted alkenyl, alkynyl, substituted alkynyl, cycloalkynyl, substituted cycloalkynyl, aryl, substituted aryl, cycloalkyl, substituted cycloalkyl, cycloalkenyl, substituted cycloalkenyl, heteroaryl, substituted heteroaryl, heterocyclic, substituted heterocyclic, nitro, nitroso, hydroxy, alkoxy, cyano, acyl, —SO 2 -alkyl and —SO 2 -substituted alkyl, wherein alkyl, substituted alkyl, alkenyl, substituted alkenyl, alkynyl, substituted alkynyl, cycloalkynyl, substituted cycloalkynyl, cycloalkyl, substituted cycloalkyl,
- Aryl refers to a monovalent aromatic carbocyclic group of from 6 to 14 carbon atoms having a single ring (e.g., phenyl) or multiple condensed rings (e.g., naphthyl or anthryl) which condensed rings may or may not be aromatic provided that the point of attachment is through an atom of the aromatic aryl group.
- multiple rings refers to fused, bridged or spiro ring systems consisting of 2, 3 or 4 rings. For example, 1,2,3,4-tetrahydronaphthalen-5-yl, 9H-fluoren-2-yl, and the like.
- Preferred aryl groups include phenyl and naphthyl.
- Substituted aryl refers to aryl groups having 1 to 5 hydrogens replaced with substituents independently selected from the group consisting of alkyl, substituted alkyl, alkenyl, substituted alkenyl, alkynyl, substituted alkynyl, alkoxy, substituted alkoxy, acyl, acylamino, acyloxy, amino, substituted amino, aminocarbonyl, aminothiocarbonyl, aminocarbonylamino, aminothiocarbonylamino, aminocarbonyloxy, aminosulfonyl, aminosulfonyloxy, aminosulfonylamino, amidino, aryl, substituted aryl, aryloxy, substituted aryloxy, arylthio, substituted arylthio, carboxyl, carboxyl ester, (carboxyl ester)amino, (carboxyl ester)oxy, cyano, cycloalkyl, substituted cycloalkyl,
- substituted aryl includes compounds containing oxo substituent in the non-aromatic ring fused to the aryl group. For example, 1-oxo-indan-4-yl, wherein the point of attachment is through the phenyl ring.
- Aryloxy refers to the group —O-aryl, wherein aryl is as defined herein, including, by way of example, phenoxy, naphthoxy, and the like.
- Substituted aryloxy refers to the group —O-(substituted aryl), wherein substituted aryl is as defined herein.
- Arylthio refers to the group —S-aryl, wherein aryl is as defined herein.
- sulfur may be oxidized to —S(O)— or —SO 2 — moieties.
- the sulfoxide may exist as one or more stereoisomers.
- Substituted arylthio refers to the group —S-(substituted aryl), wherein substituted aryl is as defined herein.
- sulfur may be oxidized to —S(O)— or —SO 2 — moieties.
- the sulfoxide may exist as one or more stereoisomers.
- Alkenyl refers to straight chain or branched hydrocarbyl groups having from 2 to 6 carbon atoms and preferably 2 to 4 carbon atoms and having at least 1 and preferably from 1 to 2 sites of vinyl (>C ⁇ C ⁇ ) unsaturation. Such groups are exemplified by vinyl, allyl, and but-3-en-1-yl. Included within this term are the cis and trans isomers or mixtures of these isomers.
- Substituted alkenyl refers to alkenyl groups having from 1 to 3 substituents selected from the group consisting of alkoxy, substituted alkoxy, acyl, acylamino, acyloxy, amino, substituted amino, aminocarbonyl, aminothiocarbonyl, aminocarbonylamino, aminothiocarbonylamino, aminocarbonyloxy, aminosulfonyl, aminosulfonyloxy, aminosulfonylamino, amidino, aryl, substituted aryl, aryloxy, substituted aryloxy, arylthio, substituted arylthio, carboxyl, carboxyl ester, (carboxyl ester)amino, (carboxyl ester)oxy, cyano, cycloalkyl, substituted cycloalkyl, cycloalkyloxy, substituted cycloalkyloxy, cycloalkylthio, substituted cycloalkylthio,
- Alkynyl refers to straight or branched monovalent hydrocarbyl groups having from 2 to 6 carbon atoms and preferably 2 to 3 carbon atoms and having at least 1 and preferably from 1 to 2 sites of acetylenic —C ⁇ C— unsaturation. Examples of such alkynyl groups include acetylenyl (—C ⁇ CH), and propargyl (—CH 2 C ⁇ CH).
- Substituted alkynyl refers to alkynyl groups having from 1 to 3 substituents selected from the group consisting of alkoxy, substituted alkoxy, acyl, acylamino, acyloxy, amino, substituted amino, aminocarbonyl, aminothiocarbonyl, aminocarbonylamino, aminothiocarbonylamino, aminocarbonyloxy, aminosulfonyl, aminosulfonyloxy, aminosulfonylamino, amidino, aryl, substituted aryl, aryloxy, substituted aryloxy, arylthio, substituted arylthio, carboxyl, carboxyl ester, (carboxyl ester)amino, (carboxyl ester)oxy, cyano, cycloalkyl, substituted cycloalkyl, cycloalkyloxy, substituted cycloalkyloxy, cycloalkylthio, substituted cycloalkyl
- Alkynyloxy refers to the group —O-alkynyl, wherein alkynyl is as defined herein. Alkynyloxy includes, by way of example, ethynyloxy, propynyloxy, and the like.
- Carboxyl or “carboxy” refers to —COOH or salts thereof.
- Carboxyl ester or “carboxy ester” refers to the groups —C(O)O-alkyl, —C(O)O-substituted alkyl, —C(O)O-alkenyl, —C(O)O-substituted alkenyl, —C(O)O-alkynyl, —C(O)O-substituted alkynyl, —C(O)O-aryl, —C(O)O-substituted aryl, —C(O)O-cycloalkyl, —C(O)O-substituted cycloalkyl, —C(O)O-cycloalkenyl, —C(O)O-substituted cycloalkenyl, —C(O)O-heteroaryl, —C(O)O-substituted heteroaryl, —C(O)O-heterocycl
- (Carboxyl ester)amino refers to the groups —NR—C(O)O-alkyl, —NR—C(O)O— substituted alkyl, —NR—C(O)O-alkenyl, —NR—C(O)O-substituted alkenyl, —NR—C(O)O-alkynyl, —NR—C(O)O-substituted alkynyl, —NR—C(O)O-aryl, —NR—C(O)O-substituted aryl, —NR—C(O)O-cycloalkyl, —NR—C(O)O-substituted cycloalkyl, —NR—C(O)O-cycloalkenyl, —NR—C(O)O-substituted cycloalkenyl, —NR—C(O)O-heteroaryl, —NR—C(O)O
- (Carboxyl ester)oxy refers to the groups —O—C(O)O-alkyl, —O—C(O)O— substituted alkyl, —O—C(O)O-alkenyl, —O—C(O)O-substituted alkenyl, —O—C(O)O-alkynyl, —O—C(O)O-substituted alkynyl, —O—C(O)O-aryl, —O—C(O)O-substituted aryl, —O—C(O)O-cycloalkyl, —O—C(O)O-substituted cycloalkyl, —O—C(O)O-cycloalkenyl, —O—C(O)O-substituted cycloalkenyl, —O—C(O)O-heteroaryl, —O—C(O)O-sub
- Cycloalkyl refers to cyclic alkyl groups of from 3 to 13 carbon atoms having single or multiple cyclic rings including fused, bridged, and spiro ring systems.
- Examples of cycloalkyl groups include adamantyl, cyclopropyl, cyclobutyl, cyclopentyl, cyclooctyl, and the like.
- One or more rings fused to the cycloalkyl group can be aromatic, provided that the point of attachment is through the non-aromatic ring, e.g. 9H-fluoren-9-yl, 1,2,3,4-tetrahydronaphthalen-2-yl, and the like.
- Cycloalkenyl refers to non-aromatic cyclic alkyl groups of from 3 to 10 carbon atoms having single or multiple rings and having at least one double bond and preferably from 1 to 2 double bonds.
- Cycloalkynyl refers to non-aromatic cycloalkyl groups of from 7 to 12 carbon atoms having single or multiple rings and having at least one triple bond.
- Cycloalkylene refers to divalent cycloalkyl groups, wherein cycloalkyl is as defined herein.
- “Substituted cycloalkylene” refers to cycloalkylene group having from 1 to 3 hydrogens replaced with substituents selected from the group consisting of alkyl, substituted alkyl, alkoxy, substituted alkoxy, acyl, acylamino, acyloxy, amino, substituted amino, aminocarbonyl, aryl, substituted aryl, aryloxy, substituted aryloxy, cyano, halogen, hydroxyl, nitro, carboxyl, carboxyl ester, cycloalkyl, substituted cycloalkyl, heteroaryl, substituted heteroaryl, heterocyclic, substituted heterocyclic, and oxo wherein said substituents are as defined herein.
- the alkylene has 1 to 2 of the aforementioned groups. It is to be noted that when the cycloalkylene is substituted by an oxo group, 2 hydrogens attached to the same carbon of the cycloalkylene group are replaced by “ ⁇ O”.
- “Substituted cycloalkyl,” “substituted cycloalkenyl,” and “substituted cycloalkynyl” refer to a cycloalkyl, cycloalkenyl, or cycloalkynyl group having from 1 to 5 substituents selected from the group consisting of oxo, thioxo, alkyl, substituted alkyl, alkenyl, substituted alkenyl, alkynyl, substituted alkynyl, alkoxy, substituted alkoxy, acyl, acylamino, acyloxy, amino, substituted amino, aminocarbonyl, aminothiocarbonyl, aminocarbonylamino, aminothiocarbonylamino, aminocarbonyloxy, aminosulfonyl, aminosulfonyloxy, aminosulfonylamino, amidino, aryl, substituted aryl, aryloxy, substituted aryloxy, ary
- Cycloalkoxy refers to —O-cycloalkyl
- Substituted cycloalkoxy refers to —O-(substituted cycloalkyl).
- Cycloalkylthio refers to —S-cycloalkyl.
- sulfur may be oxidized to —S(O)— or —SO 2 — moieties.
- the sulfoxide may exist as one or more stereoisomers.
- Substituted cycloalkylthio refers to —S-(substituted cycloalkyl).
- sulfur may be oxidized to —S(O)—, or —SO 2 — moieties.
- the sulfoxide may exist as one or more stereoisomers.
- Cycloalkenyloxy refers to —O-cycloalkenyl.
- Substituted cycloalkenyloxy refers to —O-(substituted cycloalkenyl).
- Cycloalkenylthio refers to —S-cycloalkenyl.
- sulfur may be oxidized to sulfinyl or sulfonyl moieties.
- the sulfoxide may exist as one or more stereoisomers.
- Substituted cycloalkenylthio refers to —S-(substituted cycloalkenyl).
- sulfur may be oxidized to —S(O)— or —SO 2 — moieties.
- the sulfoxide may exist as one or more stereoisomers.
- “Substituted guanidino” refers to the group —NR 33 C( ⁇ NR 33 )N(R 33 ) 2 , wherein each R 33 independently is selected from the group consisting of hydrogen, alkyl, substituted alkyl, aryl, substituted aryl, heteroaryl, substituted heteroaryl, heterocyclic, and substituted heterocyclic; two R groups attached to a common guanidino nitrogen atom are optionally joined together with the nitrogen bound thereto to form a heterocyclic or substituted heterocyclic group, provided that at least one R is not hydrogen; and said substituents are as defined herein.
- Halo or “halogen” refers to fluoro, chloro, bromo, and iodo and is preferably fluoro or chloro.
- “Hydroxy” or “hydroxyl” refers to the group —OH.
- Heteroaryl refers to an aromatic group of from 1 to 10 carbon atoms and 1 to 4 heteroatoms selected from the group consisting of oxygen, nitrogen, and sulfur within the ring.
- Such heteroaryl groups can have a single ring (e.g., pyridinyl or furyl) or multiple condensed rings (e.g., indolizinyl or benzothienyl), wherein the condensed rings may or may not be aromatic and/or contain a heteroatom, provided that the point of attachment is through an atom of the aromatic group containing the heteroatom.
- the nitrogen and/or sulfur ring atom(s) of the heteroaryl group are optionally oxidized to provide for the N-oxide (N ⁇ O), sulfinyl, or sulfonyl moieties.
- Preferred heteroaryls include pyridinyl, pyrrolyl, indolyl, thiophenyl, and furanyl.
- Substituted heteroaryl refers to heteroaryl groups that are substituted with from 1 to 5 substituents selected from the group consisting of the same group of substituents defined for substituted aryl. In some embodiments, the heteroaryl has 1 to 3 of the aforementioned groups. In other embodiments, the heteroaryl has 1 to 2 of the aforementioned groups.
- Heteroaryloxy refers to —O-heteroaryl.
- Substituted heteroaryloxy refers to the group —O-(substituted heteroaryl).
- Heteroarylthio refers to the group —S-heteroaryl.
- sulfur may be oxidized to —S(O)— or —SO 2 — moieties.
- the sulfoxide may exist as one or more stereoisomers.
- Substituted heteroarylthio refers to the group —S-(substituted heteroaryl).
- sulfur may be oxidized to —S(O)— or —SO 2 — moieties.
- the sulfoxide may exist as one or more stereoisomers.
- Heterocycle refers to a saturated or unsaturated group having a single ring or multiple condensed rings, including fused bridged and spiro ring systems, and having from 3 to 15 ring atoms, including 1 to 4 hetero atoms.
- These ring atoms are selected from the group consisting of nitrogen, sulfur, or oxygen, wherein, in fused ring systems, one or more of the rings can be cycloalkyl, aryl, or heteroaryl, provided that the point of attachment is through the non-aromatic ring.
- the nitrogen and/or sulfur atom(s) of the heterocyclic group are optionally oxidized to provide for the N-oxide, —S(O)—, or —SO 2 — moieties.
- Substituted heterocyclic refers to heterocyclyl groups that are substituted with from 1 to 5 of the same substituents as defined for substituted cycloalkyl. In some embodiments, the heterocyclyl has 1 to 3 of the aforementioned groups.
- Heterocyclyloxy refers to the group —O-heterocycyl.
- Substituted heterocyclyloxy refers to the group —O-(substituted heterocycyl).
- Heterocyclylthio refers to the group —S-heterocycyl.
- sulfur may be oxidized to —S(O)— or —SO 2 — moieties.
- the sulfoxide may exist as one or more stereoisomers.
- Substituted heterocyclylthio refers to the group —S-(substituted heterocycyl).
- sulfur may be oxidized to —S(O)— or —SO 2 — moieties.
- the sulfoxide may exist as one or more stereoisomers.
- heterocycle and heteroaryls include, but are not limited to, azetidine, pyrrole, imidazole, pyrazole, pyridine, pyrazine, pyrimidine, pyridazine, indolizine, isoindole, indole, dihydroindole, indazole, purine, quinolizine, isoquinoline, quinoline, phthalazine, naphthylpyridine, quinoxaline, quinazoline, cinnoline, pteridine, carbazole, carboline, phenanthridine, acridine, phenanthroline, isothiazole, phenazine, isoxazole, phenoxazine, phenothiazine, imidazolidine, imidazoline, piperidine, piperazine, indoline, phthalimide, 1,2,3,4-tetrahydroisoquinoline, 4,5,6,7
- Niro refers to the group —NO 2 .
- Niroso refers to the group —NO.
- Oxo refers to the atom ( ⁇ O).
- “Sulfonyl” refers to the group —SO 2 -alkyl, —SO 2 -substituted alkyl, —SO 2 -alkenyl, —SO 2 -substituted alkenyl, —SO 2 -cycloalkyl, —SO 2 -substituted cylcoalkyl, —SO 2 -cycloalkenyl, —SO 2 -substituted cylcoalkenyl, —SO 2 -aryl, —SO 2 -substituted aryl, —SO 2 -heteroaryl, —SO 2 -substituted heteroaryl, —SO 2 -heterocyclic, and —SO 2 -substituted heterocyclic, wherein alkyl, substituted alkyl, alkenyl, substituted alkenyl, alkynyl, substituted alkynyl, cycloalkyl
- “Sulfonyloxy” refers to the group —OSO 2 -alkyl, —OSO 2 -substituted alkyl, —OSO 2 -alkenyl, —OSO 2 -substituted alkenyl, —OSO 2 -cycloalkyl, —OSO 2 -substituted cylcoalkyl, —OSO 2 -cycloalkenyl, —OSO 2 -substituted cylcoalkenyl, —OSO 2 -aryl, —OSO 2 -substituted aryl, —OSO 2 -heteroaryl, —OSO 2 -substituted heteroaryl, —OSO 2 -heterocyclic, and —OSO 2 -substituted heterocyclic, wherein alkyl, substituted alkyl, alkenyl, substituted alkenyl, alkynyl
- “Thioacyl” refers to the groups H—C(S)—, alkyl-C(S)—, substituted alkyl-C(S)—, alkenyl-C(S)—, substituted alkenyl-C(S)—, alkynyl-C(S)—, substituted alkynyl-C(S)—, cycloalkyl-C(S)—, substituted cycloalkyl-C(S)—, cycloalkenyl-C(S)—, substituted cycloalkenyl-C(S)—, aryl-C(S)—, substituted aryl-C(S)—, heteroaryl-C(S)—, substituted heteroaryl-C(S)—, heterocyclic-C(S)—, and substituted heterocyclic-C(S)—, wherein alkyl, substituted alkyl, alkenyl, substituted alkenyl, alkynyl, substituted alkynyl
- Thiol refers to the group —SH.
- Thioxo refers to the group ( ⁇ S).
- Alkylthio refers to the group —S-alkyl, wherein alkyl is as defined herein.
- sulfur may be oxidized to —S(O)—.
- the sulfoxide may exist as one or more stereoisomers.
- Substituted alkylthio refers to the group —S-(substituted alkyl), wherein substituted alkyl is as defined herein.
- sulfur may be oxidized to —S(O)—.
- the sulfoxide may exist as one or more stereoisomers.
- Stereoisomer and “stereoisomers” refer to compounds that differ in the chirality of one or more stereocenters. Stereoisomers include enantiomers and diastereomers.
- Tautomer refers to alternate forms of a molecule that differ in the position of a proton, such as enol-keto and imine-enamine tautomers, or the tautomeric forms of heteroaryl groups containing a —N ⁇ C(H)—NH— ring atom arrangement, such as pyrazoles, imidazoles, benzimidazoles, triazoles, and tetrazoles.
- a person of ordinary skill in the art would recognize that other tautomeric ring atom arrangements are possible.
- Patient refers to human and non-human animals, especially mammals.
- “Pharmaceutically acceptable salt” refers to pharmaceutically acceptable salts of a compound, which salts are derived from a variety of organic and inorganic counter ions well known in the art and include, by way of example only, sodium, potassium, calcium, magnesium, ammonium, tetraalkylammonium, and the like; and when the molecule contains a basic functionality, salts of organic or inorganic acids, such as hydrochloride, hydrobromide, tartrate, mesylate, acetate, maleate, oxalate, and the like.
- Prodrug refers to a derivative of an active 4-pyrimidineamine compound (drug) that may require a transformation under the conditions of use, such as within the body, to release the active 2,4-pyrimidinediamine drug.
- Prodrugs are frequently, but not necessarily, pharmacologically inactive until converted into the active drug.
- Prodrugs are typically obtained by masking one or more functional groups in an active 2,4-pyrimidinediamine drug believed to be in part required for activity with a progroup (defined below) to form a promoiety which undergoes a transformation, such as cleavage, under the specified conditions of use to release the functional group, and hence the active 2,4-pyrimidinediamine drug.
- the cleavage of the promoiety may proceed spontaneously, such as by way of a hydrolysis reaction, or it can be catalyzed or induced by another agent, such as an enzyme, light, an acid or base, or a change of or exposure to a physical or environmental parameter, such as temperature.
- the agent can be endogenous to the conditions of use, such as an enzyme present in the cells to which the prodrug is administered or the acidic conditions of the stomach, or it can be supplied exogenously.
- Progroup refers to a type of protecting group that, when used to mask a functional group within an active 2,4-pyrimidinediamine drug to form a promoiety, converts the drug into a prodrug.
- Progroups are typically attached to the functional group of the drug via bonds that are cleavable under specified conditions of use.
- a progroup is that portion of a promoiety that cleaves to release the functional group under the specified conditions of use.
- an amide promoiety of the formula —NH—C(O)CH 3 comprises the progroup —C(O)CH 3 .
- “Pharmaceutically effective amount” and “therapeutically effective amount” refer to an amount of a compound sufficient to treat a specified disorder or disease or one or more of its symptoms and/or to prevent the occurrence of the disease or disorder.
- a pharmaceutically or therapeutically effective amount comprises an amount sufficient to, among other things, cause the tumor to shrink or decrease the growth rate of the tumor.
- solvent refers to a complex formed by combination of solvent molecules with molecules or ions of the solute.
- the solvent can be an organic compound, an inorganic compound, or a mixture of both.
- Some examples of solvents include, but are not limited to, methanol, N,N-dimethylformamide, tetrahydrofuran, dimethylsulfoxide, and water.
- substituents that are not explicitly defined herein are arrived at by naming the terminal portion of the functionality followed by the adjacent functionality toward the point of attachment.
- substituent “arylalkyloxycarbonyl” refers to the group (aryl)-(alkyl)-O—C(O)—.
- impermissible substitution patterns e.g., methyl substituted with 5 fluoro groups.
- impermissible substitution patterns are easily recognized by a person having ordinary skill in the art.
- This invention provides novel 2,4-pyrimidinediamine compounds, prodrugs of the compounds, methods of making the compounds, and methods of using these compounds in the treatment of conditions in which targeting of the JAK pathway or inhibition of JAK kinases, particularly JAK3, are therapeutically useful.
- These conditions include, but are not limited to, debilitating and fatal diseases and disorders that affect both children and adults. Examples of these conditions include oncological diseases such as leukemia, including childhood leukemia and lymphoma; autoimmune conditions, such as transplant rejection; and the other conditions described herein. Given the severity of and suffering caused by these conditions, it is vital that new treatments are developed to treat these conditions.
- the present invention provides a compound of formula I, prodrugs, solvates, or pharmaceutically acceptable salts thereof:
- the 2,4-pyrimidinediamine compounds described herein may include functional groups that can be masked with progroups to create prodrugs. Such prodrugs are usually, but need not be, pharmacologically inactive until converted into their active drug form. Indeed, many of the 2,4-pyrimidinediamine compounds described in this invention include promoieties that are hydrolyzable or otherwise cleavable under conditions of use. For example, ester groups commonly undergo acid-catalyzed hydrolysis to yield the parent carboxylic acid when exposed to the acidic conditions of the stomach or base-catalyzed hydrolysis when exposed to the basic conditions of the intestine or blood. Thus, when administered to a subject orally, 2,4-pyrimidinediamine compounds that include ester moieties can be considered prodrugs of their corresponding carboxylic acid, regardless of whether the ester form is pharmacologically active.
- the mechanism by which the progroup(s) metabolizes is not critical and can be caused, for example, by hydrolysis under the acidic conditions of the stomach, as described above, and/or by enzymes present in the digestive tract and/or tissues or organs of the body.
- the progroup(s) can be selected to metabolize at a particular site within the body. For example, many esters are cleaved under the acidic conditions found in the stomach. Prodrugs designed to cleave chemically in the stomach to the active 2,4-pyrimidinediamine can employ progroups including such esters.
- the progroups can be designed to metabolize in the presence of enzymes such as esterases, amidases, lipolases, and phosphatases, including ATPases and kinase, etc.
- Progroups including linkages capable of metabolizing in vivo are well known and include, by way of example and not limitation, ethers, thioethers, silylethers, silylthioethers, esters, thioesters, carbonates, thiocarbonates, carbamates, thiocarbamates, ureas, thioureas, and carboxamides.
- a “precursor” group that is oxidized by oxidative enzymes such as, for example, cytochrome P450 of the liver, to a metabolizable group, can be selected.
- any available functional moiety can be masked with a progroup to yield a prodrug.
- Functional groups within the 2,4-pyrimidinediamine compounds that can be masked with progroups for inclusion in a promoiety include, but are not limited to, amines (primary and secondary), hydroxyls, sulfanyls (thiols), and carboxyls.
- progroups, as well as the resultant promoieties, suitable for masking functional groups in active 2,4-pyrimidinediamine compounds to yield prodrugs are well-known in the art.
- a hydroxyl functional group can be masked as a sulfonate, ester, or carbonate promoiety, which can be hydrolyzed in vivo to provide the hydroxyl group.
- An amino functional group can be masked as an amide, carbamate, imine, urea, phosphenyl, phosphoryl, or sulfenyl promoiety, which can be hydrolyzed in vivo to provide the amino group.
- a carboxyl group can be masked as an ester (including silyl esters and thioesters), amide, or hydrazide promoiety, which can be hydrolyzed in vivo to provide the carboxyl group.
- the progroup(s) can be attached to any available primary or secondary amine, including, for example, the N2 nitrogen atom of the 2,4-pyrimidinediamine moiety, the N4 nitrogen atom of the 2,4-pyrimidinediamine moiety, and/or a primary or secondary nitrogen atom included in a substituent on the 2,4-pyrimidinediamine compound.
- the prodrugs described herein are 2,4-pyrimidinediamine compounds that are substituted at the N4 nitrogen of the 2,4-pyrimidinediamine moiety with a substituted or unsubstituted nitrogen-containing bicyclic ring that includes at least one progroup at one or more of the following: the nitrogen atom(s) of the bicyclic ring, the N2 nitrogen of the 2,4-pyrimidinediamine moiety, and the N4 nitrogen of the 2,4-pyrimidinediamine moiety.
- the identity of the progroup is not critical, provided that it can be metabolized under the desired conditions of use, for example, under the acidic conditions found in the stomach and/or by enzymes found in vivo, to yield a biologically active group, e.g., the 2,4-pyrimidinediamines as described herein.
- a biologically active group e.g., the 2,4-pyrimidinediamines as described herein.
- the progroup can comprise virtually any known or later-discovered hydroxyl, amine or thiol protecting group.
- Non-limiting examples of suitable protecting groups can be found, for example, in Protective Groups in Organic Synthesis, Greene & Wuts, 2nd Ed., John Wiley & Sons, New York, 1991 (especially pages 10-142 (alcohols, 277-308 (thiols) and 309-405 (amines) the disclosure of which is incorporated herein by reference).
- the identity of the progroup(s) can also be selected so as to impart the prodrug with desirable characteristics.
- lipophilic groups can be used to decrease water solubility and hydrophilic groups can be used to increase water solubility.
- prodrugs specifically tailored for selected modes of administration can be obtained.
- the progroup can also be designed to impart the prodrug with other properties, such as, for example, improved passive intestinal absorption, improved transport-mediated intestinal absorption, protection against fast metabolism (slow-release prodrugs), tissue-selective delivery, passive enrichment in target tissues, and targeting-specific transporters.
- Groups capable of imparting prodrugs with these characteristics are well-known and are described, for example, in Ettmayer et al., 2004, J. Med. Chem. 47(10):2393-2404, the disclosure of which is incorporated by reference. All of the various groups described in these references can be utilized in the prodrugs described herein.
- progroup(s) may also be selected to increase the water solubility of the prodrug as compared to the active drug.
- the progroup(s) may include or can be a group(s) suitable for imparting drug molecules with improved water solubility.
- Such groups are well-known and include, by way of example and not limitation, hydrophilic groups such as alkyl, aryl, and arylalkyl, or cycloheteroalkyl groups substituted with one or more of an amine, alcohol, a carboxylic acid, a phosphorous acid, a sulfoxide, a sugar, an amino acid, a thiol, a polyol, an ether, a thioether, and a quaternary amine salt.
- hydrophilic groups such as alkyl, aryl, and arylalkyl, or cycloheteroalkyl groups substituted with one or more of an amine, alcohol, a carboxylic acid, a phosphorous acid, a sulfoxide, a sugar, an amino acid, a thiol, a polyol, an ether, a thioether, and a quaternary amine salt.
- any particular progroup for a desired mode of administration can be confirmed in biochemical assays.
- a prodrug is to be administered by injection into a particular tissue or organ and the identities of the various enzyme(s) expressed in the tissue or organ are known
- the particular prodrug can be tested for metabolism in biochemical assays with the isolated enzyme(s).
- the particular prodrug can be tested for metabolism to the active 2,4-pyrimidinediamine compound with tissue and/or organ extracts.
- tissue and/or organ extracts can be of particular convenience when the identity(ies) of the enzymes expressed in the target tissues or organs are unknown or in instances when the isolated enzymes are not conveniently available. Skilled artisans will be able to readily select progroups having metabolic properties (such as kinetics) suitable for particular applications using such in vitro tests.
- specific prodrugs could also be tested for suitable metabolism in in vitro animal models.
- the compounds and prodrugs thereof may exhibit the phenomena of tautomerism, conformational isomerism, geometric isomerism, and/or optical isomerism.
- the compounds and prodrugs of the invention may include one or more chiral centers and/or double bonds and as a consequence may exist as stereoisomers, such as double-bond isomers (i.e., geometric isomers), enantiomers, diasteromers, and mixtures thereof, such as racemic mixtures.
- the compounds and prodrugs of the invention may exist in several tautomeric forms, including the enol form, the keto form, and mixtures thereof.
- the 2,4-pyrimidinediamine compounds and prodrugs of the invention can be in the form of salts.
- Such salts include salts suitable for pharmaceutical uses (“pharmaceutically-acceptable salts”), salts suitable for veterinary uses, etc.
- Such salts can be derived from acids or bases, as is well-known in the art.
- the salt is a pharmaceutically acceptable salt.
- pharmaceutically acceptable salts are those salts that retain substantially one or more of the desired pharmacological activities of the parent compound and which are suitable for administration to humans.
- Pharmaceutically acceptable salts include acid addition salts formed with inorganic acids or organic acids.
- Inorganic acids suitable for forming pharmaceutically acceptable acid addition salts include, by way of example and not limitation, hydrohalide acids (e.g., hydrochloric acid, hydrobromic acid, hydroiodic acid, etc.), sulfuric acid, nitric acid, phosphoric acid, and the like.
- Organic acids suitable for forming pharmaceutically acceptable acid addition salts include, by way of example and not limitation, acetic acid, trifluoroacetic acid, propionic acid, hexanoic acid, cyclopentanepropionic acid, glycolic acid, oxalic acid, pyruvic acid, lactic acid, malonic acid, succinic acid, malic acid, maleic acid, fumaric acid, tartaric acid, citric acid, palmitic acid, benzoic acid, 3-(4-hydroxybenzoyl) benzoic acid, cinnamic acid, mandelic acid, alkylsulfonic acids (e.g., methanesulfonic acid, ethanesulfonic acid, 1,2-ethane-disulfonic acid, 2-hydroxyethanesulfonic acid, etc.), arylsulfonic acids (e.g., benzenesulfonic acid, 4-chlorobenzenesulfonic acid, 2-naphthalenes
- Pharmaceutically acceptable salts also include salts formed when an acidic proton present in the parent compound is either replaced by a metal ion (e.g., an alkali metal ion, an alkaline earth metal ion, or an aluminum ion) or coordinates with an organic base (e.g., ethanolamine, diethanolamine, triethanolamine, N-methylglucamine, morpholine, piperidine, dimethylamine, diethylamine, triethylamine, and ammonia).
- a metal ion e.g., an alkali metal ion, an alkaline earth metal ion, or an aluminum ion
- organic base e.g., ethanolamine, diethanolamine, triethanolamine, N-methylglucamine, morpholine, piperidine, dimethylamine, diethylamine, triethylamine, and ammonia.
- the 2,4-pyrimidinediamine compounds and prodrugs thereof, as well as the salts thereof, may also be in the form of hydrates, solvates, and N-oxides, as is well-known in the art.
- this invention provides a compound, or stereoisomer, tautomer, prodrug, solvate, or pharmaceutically acceptable salt thereof, selected from Tables I-XV.
- the present invention provides 2,4-pyrimidinediamine compounds and prodrugs thereof, as described herein, for use in therapy for the conditions described herein.
- the present invention further provides use of the compounds of the present invention in the manufacture of a medicament for the treatment of conditions in which targeting of the JAK pathway or inhibition of JAK kinases, particularly JAK3, are therapeutically useful. These include conditions where the function of lymphocytes, macrophages, or mast cells is involved.
- Conditions in which targeting of the JAK pathway or inhibition of the JAK kinases, particularly JAK3, are therapeutically useful include leukemia, lymphoma, transplant rejection (e.g., pancreas islet transplant rejection), bone marrow transplant applications (e.g., graft-versus-host disease)), autoimmune diseases (e.g., rheumatoid arthritis, etc.), inflammation (e.g., asthma, etc.) and other conditions as described in greater detail herein.
- Treating” or “treatment” of a disease in a patient refers to (1) preventing the disease from occurring in a patient that is predisposed or does not yet display symptoms of the disease; (2) inhibiting the disease or arresting its development; or (3) ameliorating or causing regression of the disease.
- treatment is an approach for obtaining beneficial or desired results, including clinical results.
- beneficial or desired results can include one or more, but are not limited to, alleviation or amelioration of one or more symptoms, diminishment of extent of a condition, including a disease, stabilized (i.e., not worsening) state of a condition, including diseases, preventing spread of disease, delay or slowing of condition, including disease, progression, amelioration or palliation of the condition, including disease, state, and remission (whether partial or total), whether detectable or undetectable.
- the compounds described herein are potent and selective inhibitors of JAK kinases and are particularly selective for cytokine signaling pathways containing JAK3.
- the compounds can be used in a variety of in vitro, in vivo, and ex vivo contexts to regulate or inhibit JAK kinase activity, signaling cascades in which JAK kinases play a role, and the biological responses effected by such signaling cascades.
- the compounds can be used to inhibit JAK kinase, either in vitro or in vivo, in virtually any cell type expressing the JAK kinase, such as in hematopoietic cells in which, for example, JAK3 is predominantly expressed.
- JAK-dependent signal transduction cascades include, but are not limited to, the signaling cascades of cytokine receptors that involve the common gamma chain, such as, for example, the IL-4, IL-7, IL-5, IL-9, IL-15 and IL-21, or IL-2, IL-4, IL-7, IL-9, IL-15, and IL-21 receptor signaling cascades.
- the compounds may also be used in vitro or in vivo to regulate, and in particular to inhibit, cellular or biological responses affected by such JAK-dependent signal transduction cascades.
- Such cellular or biological responses include, but are not limited to, IL-4/ramos CD23 upregulation and IL-2 mediated T-cell proliferation.
- the compounds can be used to inhibit JAK kinases in vivo as a therapeutic approach towards the treatment or prevention of diseases mediated, either wholly or in part, by a JAK kinase activity (referred to herein as “JAK kinase mediated diseases”).
- Non-limiting examples of JAK kinase mediated diseases that can be treated or prevented with the compounds include, but are not limited to, the following: allergies; asthma; autoimmune diseases such as transplant rejection (e.g., kidney, heart, lung, liver, pancreas, skin, small intestine, large intestine, host versus graft reaction (HVGR), and graft versus host reaction (GVHR)), rheumatoid arthritis, and amyotrophic lateral sclerosis; T-cell mediated autoimmune diseases such as multiple sclerosis, psoraiasis, and Sjogren's syndrome; Type II inflammatory diseases such as vascular inflammation (including vasculitis, arteritis, atherosclerosis, and coronary artery disease); diseases of the central nervous system such as stroke; pulmonary diseases such as bronchitis obliteraus and primary pulmonary hypertension; solid, delayed Type IV hypersensitivity reactions; and hematologic malignancies such as leukemia and lymphomas.
- transplant rejection
- diseases that are mediated, at least in part, by JAK kinases that can be treated or prevented according to the methods include, but are not limited to, allergies, asthma, autoimmune diseases such as transplant rejection (e.g., kidney, heart, lung, liver, pancreas, skin, host versus graft reaction (HVGR), etc.), rheumatoid arthritis, and amyotrophic lateral sclerosis, multiple sclerosis, psoraiasis and Sjogren's syndrome, Type II inflammatory disease such as vascular inflammation (including vasculitis, ateritis, atherosclerosis and coronary artery disease) or other inflammatory diseases such as osteoarthritis, inflammatory bowel disease, ulcerative colitis, Crohn's disease, idiopathic inflammatory bowel disease, irritable bowel syndrome, spastic colon, low grade scarring (e.g., scleroderma, increased fibrosis, keloids, post-surgical scars, pulmonary fibrosis,
- this invention provides a method of inhibiting an activity of a JAK kinase, comprising contacting the JAK kinase with an amount of a compound effective to inhibit an activity of the JAK kinase, wherein the compound is selected from the compounds of this invention.
- the method is carried out in vivo.
- this invention provides a method of inhibiting an activity of a JAK kinase, comprising contacting in vitro a JAK3 kinase with an amount of a compound effective to inhibit an activity of the JAK kinase, wherein the compound is selected from the compounds of this invention.
- the compounds can be used to treat and/or prevent rejection in organ and/or tissue transplant recipients (i.e., treat and/or prevent allorgraft rejection). Allografts can be rejected through either a cell-mediated or humoral immune reaction of the recipient against transplant (histocompability) antigens present on the membranes of the donor's cells. The strongest antigens are governed by a complex of genetic loci termed human leukocyte group A (HLA) antigens. Together with the ABO blood groups antigens, they are the chief transplantation antigens detectable in humans.
- HLA human leukocyte group A
- Rejection following transplantation can generally be broken into three categories: hyperacute, occurring hours to days following transplantation; acute, occurring days to months following transplantation; and chronic, occurring months to years following transplantation.
- Hyperacute rejection is caused mainly by the production of host antibodies that attack the graft tissue.
- antibodies are observed in the transplant vascular very soon after transplantation. Shortly thereafter, vascular clotting occurs, leading to ischemia, eventual necrosis and death.
- the graft infarction is unresponsive to known immunosuppressive therapies.
- pre-transplant screening is used to significantly reduce hyperacute rejection. As a consequence of this screening, hyperacute rejection is relatively uncommon today.
- Acute rejection is thought to be mediated by the accumulation of antigen specific cells in the graft tissue.
- the T-cell-mediated immune reaction against these antigens i.e., HVGR or GVHR
- HVGR or GVHR The T-cell-mediated immune reaction against these antigens
- HVGR or GVHR the principle mechanism of acute rejection. Accumulation of these cells leads to damage of the graft tissue.
- both CD4+ helper T-cells and CD8+ cytotoxic T-cells are involved in the process and that the antigen is presented by donor and host dendritic cells.
- the CD4+ helper T-cells help recruit other effector cells, such as macrophapges and eosinophils, to the graft.
- Accessing T-cell activation signal transduction cascades for example, CD28, CD40L, and CD2 cascades are also involved.
- the cell-mediated acute rejection can be reversed in many cases by intensifying immunotherapy. After successful reversal, severely damaged elements of the graft heal by fibrosis and the remainder of the graft appears normal. After resolution of acute rejection, dosages of immunosuppressive drugs can be reduced to very low levels.
- Chronic rejection which is a particular problem in renal transplants, often progresses insidiously despite increased immunosuppressive therapy. It is thought to be due, in large part, to cell-mediated Type IV hypersensitivity.
- the pathologic profile differs from that of acute rejection.
- the arterial endothelium is primarily involved with extensive proliferation that may gradually occlude the vessel lumen, leading to ischemia, fibrosis, a thickened intima, and atherosclerotic changes.
- Chronic rejection is mainly due to a progressive obliteration of graft vasculature and resembles a slow, vasculitic process.
- CD8 cytotoxic T-cells and CD4 helper T cells recognize either intracellular or extracellular synthesized antigen when it is complexed, respectively, with either Class I or Class II MHC molecules. Macrophages function as antigen-presenting cells and release IL-1, which promotes proliferation of helper T-cells. Helper T-cells release interferon gamma and IL-2, which together regulate delayed hyperactivity reactions mediated by macrophage activation and immunity mediated by T cells. In the case of organ transplant, the cytotoxic T-cells destroy the graft cells on contact.
- the 2,4-pyrimidinediamine compounds described herein can be used to treat and/or prevent many aspects of transplant rejection, and are particularly useful in the treatment and/or prevention of rejection reactions that are mediated, at least in part, by T-cells, such as HVGR or GVHR.
- the 2,4-pyrimidinediamine compounds can also be used to treat and/or prevent chronic rejection in transplant recipients and, in particular, in renal transplant recipients.
- the compound can also be administered to a tissue or an organ prior to transplanting the tissue or organ in the transplant recipient.
- this invention provides a method of treating a T-cell mediated autoimmune disease, comprising administering to a patient suffering from such an autoimmune disease an amount of a compound effective to treat the autoimmune disease wherein the compound is selected from the compounds of the invention.
- the autoimmune disease is multiple sclerosis (MS), psoraisis, or Sjogran's syndrome.
- MS multiple sclerosis
- psoraisis psoraisis
- Sjogran's syndrome Such autoimmune disease include, but are not limited to, those autoimmune diseases that are frequently designated as single organ or single cell-type autoimmune disorders and those autoimmune disease that are frequently designated as involving systemic autoimmune disorder.
- Non-limiting examples of diseases frequently designated as single organ or single cell-type autoimmune disorders include: Hashimoto's thyroiditis, autoimmune hemolytic anemia, autoimmune atrophic gastritis of pernicious anemia, autoimmune encephalomyelitis, autoimmune orchitis, Goodpasture's disease, autoimmune thrombocytopenia, sympathetic ophthalmia, myasthenia gravis, Graves' disease, primary biliary cirrhosis, chronic aggressive hepatitis, ulcerative colitis and membranous glomerulopathy.
- Non-limiting examples of diseases often designated as involving systemic autoimmune disorder include: systemic lupus erythematosis, rheumatoid arthritis, Sjogren's syndrome, Reiter's syndrome, polymyositis-dermatomyositis, systemic sclerosis, polyarteritis nodosa, multiple sclerosis and bullous pemphigoid.
- Additional autoimmune diseases which can be ⁇ -cell (humoral) based or T-cell based, include Cogan's syndrome, ankylosing spondylitis, Wegener's granulomatosis, autoimmune alopecia, Type I or juvenile onset diabetes, and thyroiditis.
- the types of autoimmune diseases that may be treated or prevented with such prodrugs generally include those disorders involving tissue injury that occurs as a result of a humoral and/or cell-mediated response to immunogens or antigens of endogenous and/or exogenous origin. Such diseases are frequently referred to as diseases involving the nonanaphylactic (i.e., Type II, Type III and/or Type IV) hypersensitivity reactions.
- Type I hypersensitivity reactions generally result from the release of pharmacologically active substances, such as histamine, from mast and/or basophil cells following contact with a specific exogenous antigen.
- pharmacologically active substances such as histamine
- histamine pharmacologically active substances
- basophil cells following contact with a specific exogenous antigen.
- Type I reactions play a role in numerous diseases, including allergic asthma, allergic rhinitis, etc.
- Type II hypersensitivity reactions also referred to as cytotoxic, cytolytic complement-dependent or cell-stimulating hypersensitivity reactions
- cytotoxic, cytolytic complement-dependent or cell-stimulating hypersensitivity reactions result when immunoglobulins react with antigenic components of cells or tissue, or with an antigen or hapten that has become intimately coupled to cells or tissue.
- Diseases that are commonly associated with Type II hypersensitivity reactions include, but are not limited, to autoimmune hemolytic anemia, erythroblastosis fetalis and Goodpasture's disease.
- Type III hypersensitivity reactions (also referred to as toxic complex, soluble complex, or immune complex hypersensitivity reactions) result from the deposition of soluble circulating antigen-immunoglobulin complexes in vessels or in tissues, with accompanying acute inflammatory reactions at the site of immune complex deposition.
- Non-limiting examples of prototypical Type III reaction diseases include the Arthus reaction, rheumatoid arthritis, serum sickness, systemic lupus erythematosis, certain types of glomerulonephritis, multiple sclerosis and bullous pemphingoid.
- Type IV hypersensitivity reactions (frequently called cellular, cell-mediated, delayed, or tuberculin-type hypersensitivity reactions) are caused by sensitized T-lymphocytes which result from contact with a specific antigen.
- diseases cited as involving Type IV reactions are contact dermatitis and allograft rejection.
- Autoimmune diseases associated with any of the above nonanaphylactic hypersensitivity reactions may be treated or prevented with the prodrugs according to structural formulae (I) and (Ia).
- the methods may be used to treat or prevent those autoimmune diseases frequently characterized as single organ or single cell-type autoimmune disorders including, but not limited to: Hashimoto's thyroiditis, autoimmune hemolytic anemia, autoimmune atrophic gastritis of pernicious anemia, autoimmune encephalomyelitis, autoimmune orchitis, Goodpasture's disease, autoimmune thrombocytopenia, sympathetic ophthalmia, myasthenia gravis, Graves' disease, primary biliary cirrhosis, chronic aggressive hepatitis, ulcerative colitis and membranous glomerulopathy, as well as those autoimmune diseases frequently characterized as involving systemic autoimmune disorder, which include but are not limited to: systemic lupus erythematosis (SLE), rheumatoid arthritis, S
- Treatment using the 2,4-pyrimidinediamine compounds described herein can be applied alone, or it can be applied in combination with or adjunctive to other common immunosuppressive therapies, such as, for example, the following: mercaptopurine; corticosteroids such as prednisone; methylprednisolone and prednisolone; alkylating agents such as cyclophosphamide; calcineurin inhibitors such as cyclosporine, sirolimus, and tacrolimus; inhibitors of inosine monophosphate dehydrogenase (IMPDH) such as mycophenolate, mycophenolate mofetil, and azathioprine; and agents designed to suppress cellular immunity while leaving the recipient's humoral immunologic response intact, including various antibodies (for example, antilymphocyte globulin (ALG), antithymocyte globulin (ATG), monoclonal anti-T-cell antibodies (OKT3)) and irradiation.
- ALG antilymphocyte
- Azathioprine is currently available from Salix Pharmaceuticals, Inc., under the brand name AZASAN; mercaptopurine is currently available from Gate Pharmaceuticals, Inc., under the brand name PURINETHOL; prednisone and prednisolone are currently available from Roxane Laboratories, Inc.; Methyl prednisolone is currently available from Pfizer; sirolimus (rapamycin) is currently available from Wyeth-Ayerst under the brand name RAPAMUNE; tacrolimus is currently available from Fujisawa under the brand name PROGRAF; cyclosporine is current available from Novartis under the brand dame SANDIMMUNE and from Abbott under the brand name GENGRAF; IMPDH inhibitors such as mycophenolate mofetil and mycophenolic acid are currently available from Roche under the brand name CELLCEPT and from Novartis under the brand name MYFORTIC; azathioprine is currently available from Glaxo Smith Kline under the brand name IMURAN; and antibodies are currently
- the 2,4-pyrimidinediamine compounds could be administered either in combination or adjunctively with an inhibitor of a Syk kinase.
- Syk kinase is a tyrosine kinase known to play a critical role in Fc ⁇ receptor signaling, as well as in other signaling cascades, such as those involving B-Cell receptor signaling (Tumer et al., (2000), Immunology Today 21:148-154) and integrins beta (1), beta (2), and beta (3) in neutrophils (Mocsavi et al., (2002), Immunity 16:547-558).
- Syk kinase plays a pivotal role in high affinity IgE receptor signaling in mast cells that leads to activation and subsequent release of multiple chemical mediators that trigger allergic attacks.
- JAK kinases which help regulate the pathways involved in delayed or cell-mediated Type IV hypersensitivity reactions
- Syk kinase helps regulate the pathways involved in immediate IgE-mediated, Type I hypersensitivity reactions. Certain compounds that affect the Syk pathway may or may not also affect the JAK pathways.
- Suitable Syk inhibitory compounds are described, for example, in Ser. No. 10/355,543 filed Jan. 31, 2003 (publication no. 2004/0029902); WO 03/063794; Ser. No. 10/631,029 filed Jul. 29, 2003; WO 2004/014382; Ser. No. 10/903,263 filed Jul. 30, 2004; PCT/US2004/24716 filed Jul. 30, 2004 (WO005/016893); Ser. No. 10/903,870 filed Jul. 30, 2004; PCT/US2004/24920 filed Jul. 30, 2004; Ser. No. 60/630,808 filed Nov. 24, 2004; Ser. No. 60/645,424 filed Jan. 19, 2005; and Ser. No. 60/654,620, filed Feb. 18, 2005, the disclosures of which are incorporated herein by reference.
- the 2,4-pyrimidinediamine described herein and Syk inhibitory compounds could be used alone or in combination with one or more conventional transplant rejection treatments, as described above.
- the 2,4-pyrimidinediamine compounds can be used to treat or prevent these diseases in patients that are either initially non-responsive (resistant) to or that become non-responsive to treatment with a Syk inhibitory compound or one of the other current treatments for the particular disease.
- the 2,4-pyrimidinediamine compounds could also be used in combination with Syk inhibitory compounds in patients that are Syk-compound resistant or non-responsive. Suitable Syk-inhibitory compounds with which the 2,4-pyrimidinediamine compounds can be administered are provided supra.
- this invention provides a method of treating a T-cell mediated autoimmune disease, comprising administering to a patient suffering from such an autoimmune disease an amount of a compound effective to treat the autoimmune disease wherein the compound is selected from the compounds of the invention, as described herein, and the compound is administered in combination with or adjunctively to a compound that inhibits Syk kinase with an IC 50 in the range of at least 10 ⁇ M.
- this invention provides a method of treating or preventing allograft transplant rejection in a transplant recipient, comprising administering to the transplant recipient an amount of a compound effective to treat or prevent the rejection wherein the compound is selected from the compounds of the invention, as described herein.
- the compound is administered to a tissue or an organ prior to transplanting the tissue or organ in the transplant recipient.
- this invention provides a method of treating or preventing allograft transplant rejection in a transplant recipient, in which the rejection is acute rejection, comprising administering to the transplant recipient an amount of a compound effective to treat or prevent the rejection, wherein the compound is selected from the compounds of the invention.
- this invention provides a method of treating or preventing allograft transplant rejection in a transplant recipient, in which the rejection is chronic rejection, comprising administering to the transplant recipient an amount of a compound effective to treat or prevent the rejection, wherein the compound is selected from the compounds of the invention.
- this invention provides a method of treating or preventing allograft transplant rejection in a transplant recipient, in which the rejection is mediated by HVGR or GVHR, comprising administering to the transplant recipient an amount of a compound effective to treat or prevent the rejection, wherein the compound is selected from the compounds of this invention, as described herein.
- this invention provides a method of treating or preventing allograft transplant rejection in a transplant recipient, in which the allograft transplant is selected from a kidney, a heart, a liver, and a lung, comprising administering to the transplant recipient an amount of a compound effective to treat or prevent the rejection, wherein the compound is selected from the compounds of this invention, as described herein.
- this invention provides a method of treating or preventing allograft transplant rejection in a transplant recipient, in which the allograft transplant is selected from a kidney, a heart, a liver, and a lung, comprising administering to the transplant recipient an amount of a compound effective to treat or prevent the rejection wherein the compound is selected from the compounds of the invention, as described herein, in which the compound is administered in combination with or adjunctively to another immunosuppressant.
- this invention provides a method of treating or preventing allograft transplant rejection in a transplant recipient, in which the allograft transplant is selected from a kidney, a heart, a liver, and a lung, comprising administering to the transplant recipient an amount of a compound effective to treat or prevent the rejection, wherein the compound is selected from the compounds of the invention, as described herein, in which the compound is administered in combination with or adjunctively to another immunosuppressant, in which the immunosuppressant is selected from cyclosporine, tacrolimus, sirolimus, an inhibitor of IMPDH, mycophenolate, mycophanolate mofetil, an anti-T-Cell antibody, and OKT3.
- the 2,4-pyrimidinediamine compounds described herein are cytokine moderators of IL-4 signaling. As a consequence, the 2,4-pyrimidinediamine compounds could slow the response of Type I hypersensitivity reactions. Thus, in a specific embodiment, the 2,4-pyrimidinediamine compounds could be used to treat such reactions and, therefore, the diseases associated with, mediated by, or caused by such hypersensitivity reactions (for example, allergies), prophylactically. For example, an allergy sufferer could take one or more of the JAK selective compounds described herein prior to expected exposure to allergens to delay the onset or progress of, or eliminate altogether, an allergic response.
- the 2,4-pyrimidinediamine compounds can be administered singly, as mixtures of one or more 2,4-pyrimidinediamine compounds, or in mixture or combination with other agents useful for treating such diseases and/or the symptoms associated with such diseases.
- the 2,4-pyrimidinediamine compounds may also be administered in mixture or in combination with agents useful to treat other disorders or maladies, such as steroids, membrane stabilizers, 5-lipoxygenase (5LO) inhibitors, leukotriene synthesis and receptor inhibitors, inhibitors of IgE isotype switching or IgE synthesis, IgG isotype switching or IgG synthesis, ⁇ -agonists, tryptase inhibitors, aspirin, cyclooxygenase (COX) inhibitors, methotrexate, anti-TNF drugs, retuxin, PD4 inhibitors, p38 inhibitors, PDE4 inhibitors, and antihistamines, to name a few.
- the 2,4-pyrimidinediamine compounds can be administered per se in the form of prodrugs or as pharmaceutical compositions, comprising an active compound or prodrug.
- this invention provides a method of treating or preventing a Type IV hypersensitivity reaction, comprising administering to a subject an amount of a compound effective to treat or prevent the hypersensitivity reaction, wherein the compound is selected from the compounds of this invention, as described herein.
- this invention provides a method of treating or preventing a Type IV hypersensitivity reaction, which is practical prophylactically, comprising administering to a subject an amount of a compound effective to treat or prevent the hypersensitivity reaction, wherein the compound is selected from the compounds of this invention, as described herein, and is administered prior to exposure to an allergen.
- this invention provides a method of inhibiting a signal transduction cascade in which JAK3 kinase plays a role, comprising contacting a cell expressing a receptor involved in such a signaling cascade with a compound, wherein the compound is selected from the compounds of this invention, as described herein.
- this invention provides a method of treating or preventing a JAK kinase-mediated disease, comprising administering to a subject an amount of compound effective to treat or prevent the JAK kinase-mediated disease, wherein the compound is selected from the compounds of this invention, as described herein.
- this invention provides a method of treating or preventing a JAK kinase-mediated disease, in which the JAK-mediated disease is HVGR or GVHR, comprising administering to a subject an amount of compound effective to treat or prevent the JAK kinase-mediated disease, wherein the compound is selected from the compounds of the invention, as described herein.
- this invention provides a method of treating or preventing a JAK kinase-mediated disease, in which the JAK-mediated disease is acute allograft rejection, comprising administering to a subject an amount of compound effective to treat or prevent the JAK kinase-mediated disease, wherein the compound is selected from the compounds of the invention, as described herein.
- this invention provides a method of treating or preventing a JAK kinase-mediated disease, in which the JAK-mediated disease is chronic allograft rejection, comprising administering to a subject an amount of compound effective to treat or prevent the JAK kinase-mediated disease, wherein the compound is selected from the compounds of the invention, as described herein.
- Active compounds of the invention typically inhibit the JAK/Stat pathway.
- the activity of a specified compound as an inhibitor of a JAK kinase can be assessed in vitro or in vivo.
- the activity of a specified compound can be tested in a cellular assay. Suitable assays include assays that determine inhibition of either the phosphorylation activity or ATPase activity of a JAK kinase.
- a compound is said to inhibit an activity of a JAK kinase if it inhibits the phosphorylation or ATPase activity of a JAK kinase with an IC 50 of about 20 ⁇ M or less.
- Cell proliferative disorder refers to a disorder characterized by abnormal proliferation of cells.
- a proliferative disorder does not imply any limitation with respect to the rate of cell growth, but merely indicates loss of normal controls that affect growth and cell division. Thus, in some embodiments, cells of a proliferative disorder can have the same cell division rates as normal cells but do not respond to signals that limit such growth.
- neoplasm or tumor which is an abnormal growth of tissue. Cancer refers to any of various malignant neoplasms characterized by the proliferation of cells that have the capability to invade surrounding tissue and/or metastasize to new colonization sites.
- Hematopoietic neoplasm refers to a cell proliferative disorder arising from cells of the hematopoietic lineage.
- hematopoiesis is the physiological process whereby undifferentiated cells or stem cells develop into various cells found in the peripheral blood.
- hematopoietic stem cells typically found in the bone marrow, undergo a series of cell divisions to form multipotent progenitor cells that commit to two main developmental pathways: the lymphoid lineage and the myeloid lineage.
- the committed progenitor cells of the myeloid lineage differentiate into three major sub-branches comprised of the erythroid, megakaryocyte, and granulocyte/monocyte developmental pathways.
- Committed progenitor cells of the lymphoid lineage develop into the B cell pathway, T cell pathway, or the non-T/B cell pathway. Similar to the myeloid lineage, an additional lymphoid pathway appears to give rise to dendritic cells involved in antigen presentation.
- the B cell progenitor cell develops into a precursor B cell (pre-B), which differentiates into B cells responsible for producing immunoglobulins.
- Progenitor cells of the T cell lineage differentiate into precursor T cells (pre-T) that, based on the influence of certain cytokines, develop into cytotoxic or helper/suppressor T cells involved in cell mediated immunity.
- Non-T/B cell pathway leads to generation of natural killer (NK) cells.
- Neoplasms of hematopoietic cells can involve cells of any phase of hematopoiesis, including hematopoietic stem cells, multipotent progenitor cells, oligopotent committed progenitor cells, precursor cells, and mature differentiated cells.
- the categories of hematopoietic neoplasms can generally follow the descriptions and diagnostic criteria employed by those of skill in the art (see, e.g., International Classification of Disease and Related Health Problems (ICD 10), World Health Organization (2003)).
- Hematopoietic neoplasms can also be characterized based on the molecular features, such as cell surface markers and gene expression profiles, cell phenotype exhibited by the aberrant cells, and/or chromosomal aberrations (e.g., deletions, translocations, insertions, etc.) characteristic of certain hematopoietic neoplasms, such as the Philadelphia chromosome found in chronic myelogenous leukemia. Other classifications include National Cancer Institute Working Formulation (Cancer, 1982, 49:2112-2135) and Revised European-American Lymphoma Classification (REAL).
- Lymphoid neoplasm refers a proliferative disorder involving cells of the lymphoid lineage of hematopoiesis. Lymphoid neoplasms can arise from hematopoietic stem cells as well as lymphoid committed progenitor cells, precursor cells, and terminally differentiated cells. These neoplasms can be subdivided based on the phenotypic attributes of the aberrant cells or the differentiated state from which the abnormal cells arise. Subdivisions include, among others, B cell neoplasms, T cell neoplasms, NK cell neoplasms, and Hodgkin's lymphoma.
- Myeloid neoplasm refers to proliferative disorder of cells of the myeloid lineage of hematopoiesis. Neoplasms can arise from hematopoietic stem cells, myeloid committed progenitor cells, precursor cells, and terminally differentiated cells. Myeloid neoplasms can be subdivided based on the phenotypic attributes of the aberrant cells or the differentiated state from which the abnormal cells arise. Subdivisions include, among others, myeloproliferative diseases, myelodysplastic/myeloproliferative diseases, myelodysplastic syndromes, acute myeloid leukemia, and acute biphenotypic leukemia.
- cell proliferative disorders treatable with the compounds disclosed herein relate to any disorder characterized by aberrant cell proliferation. These include various tumors and cancers, benign or malignant, metastatic or non-metastatic. Specific properties of cancers, such as tissue invasiveness or metastasis, can be targeted using the methods described herein.
- Cell proliferative disorders include a variety of cancers, including, among others, breast cancer, ovarian cancer, renal cancer, gastrointestinal cancer, kidney cancer, bladder cancer, pancreatic cancer, lung squamous carcinoma, and adenocarcinoma.
- the cell proliferative disorder treated is a hematopoietic neoplasm, which is aberrant growth of cells of the hematopoietic system.
- Hematopoietic malignancies can have its origins in pluripotent stem cells, multipotent progenitor cells, oligopotent committed progenitor cells, precursor cells, and terminally differentiated cells involved in hematopoiesis. Some hematological malignancies are believed to arise from hematopoietic stem cells, which have the ability for self renewal.
- cells capable of developing specific subtypes of acute myeloid leukemia (AML) upon transplantation display the cell surface markers of hematopoietic stem cells, implicating hematopoietic stem cells as the source of leukemic cells.
- Blast cells that do not have a cell marker characteristic of hematopoietic stem cells appear to be incapable of establishing tumors upon transplantation (Blaire et al., 1997, Blood 89:3104-3112).
- the stem cell origin of certain hematological malignancies also finds support in the observation that specific chromosomal abnormalities associated with particular types of leukemia can be found in normal cells of hematopoietic lineage as well as leukemic blast cells.
- the reciprocal translocation t(9q34; 22q11) associated with approximately 95% of chronic myelogenous leukemia appears to be present in cells of the myeloid, erythroid, and lymphoid lineage, suggesting that the chromosomal aberration originates in hematopoietic stem cells.
- a subgroup of cells in certain types of CML displays the cell marker phenotype of hematopoietic stem cells.
- hematopoietic neoplasms often originate from stem cells, committed progenitor cells or more terminally differentiated cells of a developmental lineage can also be the source of some leukemias.
- forced expression of the fusion protein Bcr/Abl associated with chronic myelogenous leukemia
- common myeloid progenitor or granulocyte/macrophage progenitor cells produces a leukemic-like condition.
- chromosomal aberrations associated with subtypes of leukemia are not found in the cell population with a marker phenotype of hematopoietic stem cells, but are found in a cell population displaying markers of a more differentiated state of the hematopoietic pathway (Turhan et al., 1995, Blood 85:2154-2161).
- committed progenitor cells and other differentiated cells may have only a limited potential for cell division
- leukemic cells may have acquired the ability to grow unregulated, in some instances mimicking the self-renewal characteristics of hematopoietic stem cells (Passegue et al., Proc. Natl. Acad. Sci. USA, 2003, 100:11842-9).
- the hematopoietic neoplasm treated is a lymphoid neoplasm, where the abnormal cells are derived from and/or display the characteristic phenotype of cells of the lymphoid lineage.
- Lymphoid neoplasms can be subdivided into B-cell neoplasms, T and NK-cell neoplasms, and Hodgkin's lymphoma.
- B-cell neoplasms can be further subdivided into precursor B-cell neoplasm and mature/peripheral B-cell neoplasm.
- Exemplary B-cell neoplasms are precursor B-lymphoblastic leukemia/lymphoma (precursor B-cell acute lymphoblastic leukemia) while exemplary mature/peripheral B-cell neoplasms are B-cell chronic lymphocytic leukemia/small lymphocytic lymphoma, B-cell prolymphocytic leukemia, lymphoplasmacytic lymphoma, splenic marginal zone B-cell lymphoma, hairy cell leukemia, plasma cell myeloma/plasmacytoma, extranodal marginal zone B-cell lymphoma of MALT type, nodal marginal zone B-cell lymphoma, follicular lymphoma, mantle-cell lymphoma, diffuse large B-cell lymphoma, mediastinal large B-cell lymphoma, primary effusion lymphoma, and Burkitt's lymphoma/Burkitt cell leukemia.
- T-cell and Nk-cell neoplasms are further subdivided into precursor T-cell neoplasm and mature (peripheral) T-cell neoplasms.
- Exemplary precursor T-cell neoplasm is precursor T-lymphoblastic lymphoma/leukemia (precursor T-cell acute lymphoblastic leukemia) while exemplary mature (peripheral) T-cell neoplasms are T-cell prolymphocytic leukemia T-cell granular lymphocytic leukemia, aggressive NK-cell leukemia, adult T-cell lymphoma/leukemia (HTLV-1), extranodal NK/T-cell lymphoma, nasal type, enteropathy-type T-cell lymphoma, hepatosplenic gamma-delta T-cell lymphoma, subcutaneous panniculitis-like T-cell lymphoma, Mycosis fungoides/Sezary syndrome, Anaplastic large-cell
- the third member of lymphoid neoplasms is Hodgkin's lymphoma, also referred to as Hodgkin's disease.
- Exemplary diagnosis of this class that can be treated with the compounds include, among others, nodular lymphocyte-predominant Hodgkin's lymphoma, and various classical forms of Hodgkin's disease, exemplary members of which are Nodular sclerosis Hodgkin's lymphoma (grades 1 and 2), Lymphocyte-rich classical Hodgkin's lymphoma, Mixed cellularity Hodgkin's lymphoma, and Lymphocyte depletion Hodgkin's lymphoma.
- any of the lymphoid neoplasms that are associated with aberrant JAK activity can be treated with the JAK inhibitory compounds.
- the hematopoietic neoplasm treated is a myeloid neoplasm.
- This group comprises a large class of cell proliferative disorders involving or displaying the characteristic phenotype of the cells of the myeloid lineage.
- Myeloid neoplasms can be subdivided into myeloproliferative diseases, myelodysplastic/myeloproliferative diseases, myelodysplastic syndromes, and acute myeloid leukemias.
- Exemplary myeloproliferative diseases are chronic myelogenous leukemia (e.g., Philadelphia chromosome positive (t(9; 22)(qq34; q11)), chronic neutrophilic leukemia, chronic eosinophilic leukemia/hypereosinophilic syndrome, chronic idiopathic myelofibrosis, polycythemia vera, and essential thrombocythemia.
- Exemplary myelodysplastic/myeloproliferative diseases are chronic myelomonocytic leukemia, atypical chronic myelogenous leukemia, and juvenile myelomonocytic leukemia.
- Exemplary myelodysplastic syndromes are refractory anemia, with ringed sideroblasts and without ringed sideroblasts, refractory cytopenia (myelodysplastic syndrome) with multilineage dysplasia, refractory anemia (myelodysplastic syndrome) with excess blasts, 5q- syndrome, and myelodysplastic syndrome.
- any of the myeloid neoplasms that are associated with aberrant JAK activity can be treated with the JAK inhibitory compounds.
- the JAK inhibitory compounds can be used to treat Acute myeloid leukemias (AML), which represent a large class of myeloid neoplasms having its own subdivision of disorders. These subdivisions include, among others, AMLs with recurrent cytogenetic translocations, AML with multilineage dysplasia, and other AML not otherwise categorized.
- AML Acute myeloid leukemias
- Exemplary AMLs with recurrent cytogenetic translocations include, among others, AML with t(8; 21)(q22; q22), AML1 (CBF-alpha)/ETO, Acute promyelocytic leukemia (AML with t(15; 17)(q22; q11-12) and variants, PML/RAR-alpha), AML with abnormal bone marrow eosinophils (inv(16)(p13q22) or t(16; 16)(p13; q11), CBFb/MYH11X), and AML with 11q23 (MLL) abnormalities.
- AML with t(8; 21)(q22; q22) AML1 (CBF-alpha)/ETO
- Acute promyelocytic leukemia AML with t(15; 17)(q22; q11-12
- PML/RAR-alpha Acute promyelocytic leukemia
- Exemplary AML with multilineage dysplasia are those that are associated with or without prior myelodysplastic syndrome.
- Other acute myeloid leukemias not classified within any definable group include, AML minimally differentiated, AML without maturation, AML with maturation, Acute myelomonocytic leukemia, Acute monocytic leukemia, Acute erythroid leukemia, Acute megakaryocytic leukemia, Acute basophilic leukemia, and Acute panmyelosis with myelofibrosis.
- the activity of the active compounds of the invention may further be characterized by assaying the effect of the 2,4-pyrimidinediamine compounds described herein on the proliferative response of primary human T-cells.
- primary human T-cells derived from peripheral blood and pre-activated through stimulation of the T-cell receptor and CD28, proliferate in culture in response to the cytokine Interleukin-2 (IL-2).
- IL-2 cytokine Interleukin-2
- the primary human T-cells are incubated with the 2,4-pyrimidinediamine compounds in the presence of IL-2 for 72 hours, and at the assay endpoint intracellular ATP concentrations are measured to assess cell viability. A reduction in cell proliferation compared to control conditions is indicative of inhibition of the JAK kinase pathway.
- An exemplary assay of this type is described in greater detail in Example 4.
- the activity of the compounds of the invention may additionally be characterized by assaying the effect of the 2,4-pyrimidinediamine compounds described herein on A549 lung epithelial cells and U937 cells.
- A549 lung epithelial cells and U937 cells up-regulate ICAM-1 (CD54) surface expression in response to a variety of different stimuli. Therefore, using ICAM-1 expression as readout, test compound effects on different signaling pathways can be assessed in the same cell type.
- Stimulation with IL-1 ⁇ through the IL-1 ⁇ receptor activates the TRAF6/NF ⁇ B pathway resulting in up-regulation of ICAM-1.
- IFN ⁇ induces ICAM-1 up-regulation through activation of the JAK1/JAK2 pathway.
- the up-regulation of ICAM-1 can be quantified by flow cytometry across a compound dose curve and EC 50 values are calculated. Exemplary assays of this type are described in greater detail in Examples 5 and 6.
- Active compounds as described herein generally inhibit the JAK kinase pathway with an IC 50 in the range of about 1 mM or less, as measured in the assays described herein.
- IC 50 in the range of about 1 mM or less, as measured in the assays described herein.
- compounds which exhibit lower IC 50 s (on the order, for example, of 100 ⁇ M, 75 ⁇ M, 50 ⁇ M, 40 ⁇ M, 30 ⁇ M, 20 ⁇ M, 15 ⁇ M, 10 ⁇ M, 5 ⁇ M, 1 ⁇ M, 500 nM, 100 nM, 10 nM, 1 nM, or even lower) can be particularly useful in therapeutic applications.
- the compound can be assayed for activity with the desired cell type and counter-screened for a lack of activity against other cell types.
- the desired degree of “inactivity” in such counter screens, or the desired ratio of activity vs. inactivity, may vary for different situations and can be selected by the user.
- the 2,4-pyrimidinediamine active compounds also typically inhibit IL-4 stimulated expression of CD23 in B-cells with an IC 50 in the range of about 20 ⁇ M or less, typically in the range of about 10 ⁇ M, 1 ⁇ M, 500 nM, 100 nM, 10 nM, 1 nM, or even lower.
- a suitable assay that can be used is the assay described in Example 3, “Assay for Ramos B-Cell Line Stimulated with IL-4.”
- the active 2,4-pyrimidinediamine compounds have an IC 50 of less than or equal to 5 ⁇ M, greater than 5 ⁇ M but less than 20 ⁇ M, greater than 20 ⁇ M, or greater than 20 ⁇ M but less than 50 ⁇ M in the assay described in Example 3.
- the 2,4-pyrimidinediamine active compounds typically inhibit an activity of human primary T-cells with an IC 50 in the range of about 20 ⁇ M or less, typically in the range of about 10 ⁇ M, 1 ⁇ M, 500 nM, 100 nM, 10 nM, 1 nM, or even lower.
- the IC 50 against human primary T-cells can be determined in a standard in vitro assay with isolated human primary T-cells.
- a suitable assay that can be used is the assay described in Example 4, “Primary Human T-cell Proliferation Assay Stimulated with IL-2.”
- the active 2,4-pyrimidinediamine compounds have an IC 50 of less than or equal to 5 ⁇ M, greater than 5 ⁇ M but less than 20 ⁇ M, greater than 20 ⁇ M, or greater than 20 ⁇ M but less than 50 ⁇ M in the assay described in Example 4.
- the 2,4-pyrimidinediamine active compounds also typically inhibit expression of ICAM1 (CD54) induced by IFN ⁇ exposure in U937 or A549 cells with an IC 50 in the range of about 20 ⁇ M or less, typically in the range of about 10 ⁇ M, 1 ⁇ M, 500 nM, 100 nM, 10 nM, 1 nM, or even lower.
- the IC 50 against expression of ICAM (CD54) in IFN ⁇ stimulated cells can be determined in a functional cellular assay with an isolated A549 or U937 cell line.
- Suitable assays that can be used are the assays described in Examples 5 and 6, “A549 Epithelial Line Stimulated with IFN ⁇ ” and “U937 IFN ⁇ ICAM1 FACS Assay,” respectively.
- the active 2,4-pyrimidinediamine compounds have an IC 50 of less than or equal to 20 ⁇ M, greater than 20 ⁇ M, or greater than 20 ⁇ M but less than 50 ⁇ M in the assays described in Example 5 and 6.
- compositions comprising the 2,4-pyrimidinediamine compounds described herein (or prodrugs thereof) can be manufactured by means of conventional mixing, dissolving, granulating, dragee-making levigating, emulsifying, encapsulating, entrapping, or lyophilization processes.
- the compositions can be formulated in conventional manner using one or more physiologically acceptable carriers, diluents, excipients, or auxiliaries which facilitate processing of the active compounds into preparations which can be used pharmaceutically.
- the 2,4-pyrimidinediamine compound or prodrug can be formulated in the pharmaceutical compositions per se, or in the form of a hydrate, solvate, N-oxide, or pharmaceutically acceptable salt, as described herein.
- such salts are more soluble in aqueous solutions than the corresponding free acids and bases, but salts having lower solubility than the corresponding free acids and bases may also be formed.
- this invention provides a pharmaceutical formulation comprising a compound selected from the compounds of the invention, as described herein, or a prodrug thereof, and at least one pharmaceutically acceptable excipient, diluent, preservative, stabilizer, or mixture thereof.
- the methods can be practiced as a therapeutic approach towards the treatment of the conditions described herein.
- the 2,4-pyrimidinediamine compounds (and the various forms described herein, including pharmaceutical formulations comprising the compounds (in the various forms)) can be used to treat the conditions described herein in animal subjects, including humans.
- the methods generally comprise administering to the subject an amount of a compound of the invention, or a salt, prodrug, hydrate, or N-oxide thereof, effective to treat the condition.
- the subject is a non-human mammal, including, but not limited to, bovine, horse, feline, canine, rodent, or primate.
- the subject is a human.
- the compounds can be provided in a variety of formulations and dosages.
- the compounds can be provided in a pharmaceutically acceptable form, including where the compound or prodrug can be formulated in the pharmaceutical compositions per se, or in the form of a hydrate, solvate, N-oxide, or pharmaceutically acceptable salt, as described herein.
- such salts are more soluble in aqueous solutions than the corresponding free acids and bases, but salts having lower solubility than the corresponding free acids and bases may also be formed.
- the compounds are provided as non-toxic pharmaceutically acceptable salts, as noted previously.
- Suitable pharmaceutically acceptable salts of the compounds of this invention include acid addition salts such as those formed with hydrochloric acid, fumaric acid, p-toluenesulphonic acid, maleic acid, succinic acid, acetic acid, citric acid, tartaric acid, carbonic acid, or phosphoric acid.
- Salts of amine groups may also comprise quaternary ammonium salts in which the amino nitrogen atom carries a suitable organic group such as an alkyl, alkenyl, alkynyl, or substituted alkyl moiety.
- suitable pharmaceutically acceptable salts thereof may include metal salts such as alkali metal salts, e.g., sodium or potassium salts; and alkaline earth metal salts, e.g., calcium or magnesium salts.
- the pharmaceutically acceptable salts of the present invention can be formed by conventional means, such as by reacting the free base form of the product with one or more equivalents of the appropriate acid in a solvent or medium in which the salt is insoluble or in a solvent such as water which is removed in vacuo, by freeze drying, or by exchanging the anions of an existing salt for another anion on a suitable ion exchange resin.
- the present invention includes within its scope solvates of the 2,4-pyrimidinediamine compounds and salts thereof, for example, hydrates.
- the 2,4-pyrimidinediamine compounds may have one or more asymmetric centers and may accordingly exist both as enantiomers and as diastereoisomers. It is to be understood that all such isomers and mixtures thereof are encompassed within the scope of the present invention.
- the 2,4-pyrimidinediamine compounds can be administered by oral, parenteral (e.g., intramuscular, intraperitoneal, intravenous, ICV, intracisternal injection or infusion, subcutaneous injection, or implant), by inhalation spray nasal, vaginal, rectal, sublingual, urethral (e.g., urethral suppository) or topical routes of administration (e.g., gel, ointment, cream, aerosol, etc.) and can be formulated, alone or together, in suitable dosage unit formulations containing conventional non-toxic pharmaceutically acceptable carriers, adjuvants, excipients, and vehicles appropriate for each route of administration.
- parenteral e.g., intramuscular, intraperitoneal, intravenous, ICV, intracisternal injection or infusion, subcutaneous injection, or implant
- compositions for the administration of the 2,4-pyrimidinediamine compounds can be conveniently presented in dosage unit form and can be prepared by any of the methods well known in the art of pharmacy.
- the pharmaceutical compositions can be, for example, prepared by uniformly and intimately bringing the active ingredient into association with a liquid carrier, a finely divided solid carrier or both, and then, if necessary, shaping the product into the desired formulation.
- the active object compound is included in an amount sufficient to produce the desired therapeutic effect.
- compositions of the invention may take a form suitable for virtually any mode of administration, including, for example, topical, ocular, oral, buccal, systemic, nasal, injection, transdermal, rectal, and vaginal, or a form suitable for administration by inhalation or insufflation.
- the JAK-selective compound(s) or prodrug(s) can be formulated as solutions, gels, ointments, creams, suspensions, etc., as is well-known in the art.
- Systemic formulations include those designed for administration by injection (e.g., subcutaneous, intravenous, intramuscular, intrathecal, or intraperitoneal injection) as well as those designed for transdermal, transmucosal, oral, or pulmonary administration.
- Useful injectable preparations include sterile suspensions, solutions, or emulsions of the active compound(s) in aqueous or oily vehicles.
- the compositions may also contain formulating agents, such as suspending, stabilizing, and/or dispersing agents.
- the formulations for injection can be presented in unit dosage form, e.g., in ampules or in multidose containers, and may contain added preservatives.
- the injectable formulation can be provided in powder form for reconstitution with a suitable vehicle, including but not limited to sterile pyrogen free water, buffer, and dextrose solution, before use.
- a suitable vehicle including but not limited to sterile pyrogen free water, buffer, and dextrose solution, before use.
- the active compound(s) can be dried by any art-known technique, such as lyophilization, and reconstituted prior to use.
- penetrants appropriate to the barrier to be permeated are used in the formulation.
- penetrants are known in the art.
- the pharmaceutical compositions may take the form of, for example, lozenges, tablets, or capsules prepared by conventional means with pharmaceutically acceptable excipients such as binding agents (e.g., pregelatinised maize starch, polyvinylpyrrolidone, or hydroxypropyl methylcellulose); fillers (e.g., lactose, microcrystalline cellulose, or calcium hydrogen phosphate); lubricants (e.g., magnesium stearate, talc, or silica); disintegrants (e.g., potato starch or sodium starch glycolate); or wetting agents (e.g., sodium lauryl sulfate).
- binding agents e.g., pregelatinised maize starch, polyvinylpyrrolidone, or hydroxypropyl methylcellulose
- fillers e.g., lactose, microcrystalline cellulose, or calcium hydrogen phosphate
- lubricants e.g., magnesium stearate, talc, or silica
- the tablets can be coated by methods well known in the art with, for example, sugars, films, or enteric coatings.
- the pharmaceutical compositions containing the 2,4-substituted pyrmidinediamine as active ingredient or prodrug thereof in a form suitable for oral use may also include, for example, troches, lozenges, aqueous, or oily suspensions, dispersible powders or granules, emulsions, hard or soft capsules, or syrups or elixirs.
- compositions intended for oral use can be prepared according to any method known to the art for the manufacture of pharmaceutical compositions, and such compositions may contain one or more agents selected from the group consisting of sweetening agents, flavoring agents, coloring agents, and preserving agents in order to provide pharmaceutically elegant and palatable preparations.
- Tablets contain the active ingredient (including drug and/or prodrug) in admixture with non-toxic pharmaceutically acceptable excipients which are suitable for the manufacture of tablets.
- excipients can be for example, inert diluents, such as calcium carbonate, sodium carbonate, lactose, calcium phosphate or sodium phosphate; granulating and disintegrating agents (e.g., corn starch or alginic acid); binding agents (e.g.
- the tablets can be left uncoated or they can be coated by known techniques to delay disintegration and absorption in the gastrointestinal tract and thereby provide a sustained action over a longer period.
- a time delay material such as glyceryl monostearate or glyceryl distearate can be employed. They may also be coated by the techniques described in the U.S. Pat. Nos. 4,256,108; 4,166,452; and 4,265,874 to form osmotic therapeutic tablets for control release.
- the pharmaceutical compositions of the invention may also be in the form of oil-in-water emulsions.
- Liquid preparations for oral administration may take the form of, for example, elixirs, solutions, syrups, or suspensions, or they can be presented as a dry product for constitution with water or other suitable vehicle before use.
- Such liquid preparations can be prepared by conventional means with pharmaceutically acceptable additives such as suspending agents (e.g., sorbitol syrup, cellulose derivatives, or hydrogenated edible fats); emulsifying agents (e.g., lecithin, or acacia); non-aqueous vehicles (e.g., almond oil, oily esters, ethyl alcohol, cremophoreTM, or fractionated vegetable oils); and preservatives (e.g., methyl or propyl-p-hydroxybenzoates or sorbic acid).
- the preparations may also contain buffer salts, preservatives, flavoring, coloring, and sweetening agents as appropriate.
- Preparations for oral administration can be suitably formulated to give controlled release of the active compound or prodrug, as is well known.
- compositions may take the form of tablets or lozenges formulated in the conventional manner.
- the active compound(s) can be formulated as solutions (for retention enemas), suppositories, or ointments containing conventional suppository bases such as cocoa butter or other glycerides.
- the active compound(s) or prodrug(s) can be conveniently delivered in the form of an aerosol spray from pressurized packs or a nebulizer with the use of a suitable propellant (e.g., dichlorodifluoromethane, trichlorofluoromethane, dichlorotetrafluoroethane, fluorocarbons, carbon dioxide, or other suitable gas).
- a suitable propellant e.g., dichlorodifluoromethane, trichlorofluoromethane, dichlorotetrafluoroethane, fluorocarbons, carbon dioxide, or other suitable gas.
- the dosage unit can be determined by providing a valve to deliver a metered amount.
- Capsules and cartridges for use in an inhaler or insufflator can be formulated containing a powder mix of the compound and a suitable powder base such as lactose or starch.
- the pharmaceutical compositions can be in the form of a sterile injectable aqueous or oleaginous suspension.
- This suspension can be formulated according to the known art using those suitable dispersing or wetting agents and suspending agents which have been mentioned above.
- the sterile injectable preparation may also be a sterile injectable solution or suspension in a non-toxic parenterally-acceptable diluent or solvent.
- the acceptable vehicles and solvents that can be employed are water, Ringer's solution, and isotonic sodium chloride solution.
- the 2,4-pyrimidinediamine compounds may also be administered in the form of suppositories for rectal or urethral administration of the drug.
- the compounds can be formulated as urethral suppositories, for example, for use in the treatment of fertility conditions, particularly in males (e.g., for the treatment of testicular dysfunction).
- 2,4-pyrimidinediamine compounds can be used for manufacturing a composition or medicament, including medicaments suitable for rectal or urethral administration.
- the invention also relates to methods for manufacturing compositions including 2,4-pyrimidinediamine compounds in a form that is suitable for urethral or rectal adminstration, including suppositories.
- the 2,4-pyrimidinediamine compounds can be employed for topical use.
- the 2,4-pyrimidinediamine compounds can be formulated for topical administration with polyethylene glycol (PEG).
- PEG polyethylene glycol
- these formulations may optionally comprise additional pharmaceutically acceptable ingredients such as diluents, stabilizers, and/or adjuvants.
- the topical formulations are formulated for the treatment of allergic conditions and/or skin conditions including psoriasis, contact dermatitis, and atopic dermatitis, among others described herein.
- 2,4-pyrimidinediamine compounds can be used for manufacturing a composition or medicament, including medicaments suitable for topical administration.
- the invention also relates to methods for manufacturing compositions including 2,4-pyrimidinediamine compounds in a form that is suitable for topical administration.
- 2,4-pyrimidinediamine compounds can also be delivered by any of a variety of inhalation devices and methods known in the art, including, for example: U.S. Pat. No. 6,241,969; U.S. Pat. No. 6,060,069; U.S. Pat. No. 6,238,647; U.S. Pat. No. 6,335,316; U.S. Pat. No. 5,364,838; U.S. Pat. No. 5,672,581; WO96/32149; WO95/24183; U.S. Pat. No. 5,654,007; U.S. Pat. No. 5,404,871; U.S. Pat. No. 5,672,581; U.S. Pat. No.
- 2,4-pyrimidinediamine compounds include those well-known in the art, such as metered dose inhalers, liquid nebulizers, dry powder inhalers, sprayers, thermal vaporizers, and the like.
- Other suitable technology for administration of particular 2,4-pyrimidinediamine compounds includes electrohydrodynamic aerosolizers.
- the inhalation device is preferably practical, in the sense of being easy to use, small enough to carry conveniently, capable of providing multiple doses, and durable.
- Some specific examples of commercially available inhalation devices are Turbohaler (Astra, Wilmington, Del.), Rotahaler (Glaxo, Research Triangle Park, N.C.), Diskus (Glaxo, Research Triangle Park, N.C.), the Ultravent nebulizer (Mallinckrodt), the Acorn II nebulizer (Marquest Medical Products, Totowa, N.J.) the Ventolin metered dose inhaler (Glaxo, Research Triangle Park, N.C.), and the like.
- 2,4-pyrimidinediamine compounds can be delivered by a dry powder inhaler or a sprayer.
- the formulation of 2,4-pyrimidinediamine compounds, the quantity of the formulation delivered, and the duration of administration of a single dose depend on the type of inhalation device employed as well as other factors.
- the frequency of administration and length of time for which the system is activated will depend mainly on the concentration of 2,4-pyrimidinediamine compounds in the aerosol.
- shorter periods of administration can be used at higher concentrations of 2,4-pyrimidinediamine compounds in the nebulizer solution.
- Devices such as metered dose inhalers can produce higher aerosol concentrations and can be operated for shorter periods to deliver the desired amount of 2,4-pyrimidinediamine compounds in some embodiments.
- Devices such as dry powder inhalers deliver active agent until a given charge of agent is expelled from the device.
- the amount of 2,4-pyrimidinediamine compounds in a given quantity of the powder determines the dose delivered in a single administration.
- the formulation of 2,4-pyrimidinediamine is selected to yield the desired particle size in the chosen inhalation device.
- Formulations of 2,4-pyrimidinediamine compounds for administration from a dry powder inhaler may typically include a finely divided dry powder containing 2,4-pyrimidinediamine compounds, but the powder can also include a bulking agent, buffer, carrier, excipient, another additive, or the like.
- Additives can be included in a dry powder formulation of 2,4-pyrimidinediamine compounds, for example, to dilute the powder as required for delivery from the particular powder inhaler, to facilitate processing of the formulation, to provide advantageous powder properties to the formulation, to facilitate dispersion of the powder from the inhalation device, to stabilize to the formulation (e.g., antioxidants or buffers), to provide taste to the formulation, or the like.
- Typical additives include mono-, di-, and polysaccharides; sugar alcohols and other polyols, such as, for example, lactose, glucose, raffinose, melezitose, lactitol, maltitol, trehalose, sucrose, mannitol, starch, or combinations thereof; surfactants, such as sorbitols, diphosphatidyl choline, or lecithin; and the like.
- sugar alcohols and other polyols such as, for example, lactose, glucose, raffinose, melezitose, lactitol, maltitol, trehalose, sucrose, mannitol, starch, or combinations thereof
- surfactants such as sorbitols, diphosphatidyl choline, or lecithin; and the like.
- the present invention also relates to a pharmaceutical composition including 2,4-pyrimidinediamine compounds suitable for administration by inhalation.
- 2,4-pyrimidinediamine compounds can be used for manufacturing a composition or medicament, including medicaments suitable for administration by inhalation.
- the invention also relates to methods for manufacturing compositions including 2,4-pyrimidinediamine compounds in a form that is suitable for administration, including administration by inhalation.
- a dry powder formulation can be manufactured in several ways, using conventional techniques, such as described in any of the publications mentioned above and incorporated expressly herein by reference, and, for example, Baker, et al., U.S. Pat. No. 5,700,904, the entire disclosure of which is incorporated expressly herein by reference.
- Particles in the size range appropriate for maximal deposition in the lower respiratory tract can be made by micronizing, milling, or the like.
- a liquid formulation can be manufactured by dissolving the 2,4-pyrimidinediamine compounds in a suitable solvent, such as water, at an appropriate pH, including buffers or other excipients.
- compositions comprising the 2,4-pyrimidinediamine compounds described herein (or prodrugs thereof) can be manufactured by means of conventional mixing, dissolving, granulating, dragee-making levigating, emulsifying, encapsulating, entrapping, or lyophilization processes.
- the compositions can be formulated in conventional manner using one or more physiologically acceptable carriers, diluents, excipients, or auxiliaries which facilitate processing of the active compounds into preparations which can be used pharmaceutically.
- the 2,4-pyrimidinediamine compound(s) or prodrug(s) can be formulated as a solution, emulsion, suspension, etc., suitable for administration to the eye.
- a variety of vehicles suitable for administering compounds to the eye are known in the art. Specific non-limiting examples are described in U.S. Pat. No. 6,261,547; U.S. Pat. No. 6,197,934; U.S. Pat. No. 6,056,950; U.S. Pat. No. 5,800,807; U.S. Pat. No. 5,776,445; U.S. Pat. No. 5,698,219; U.S. Pat. No. 5,521,222; U.S. Pat. No. 5,403,841; U.S. Pat. No. 5,077,033; U.S. Pat. No. 4,882,150; and U.S. Pat. No. 4,738,851.
- the 2,4-pyrimidinediamine compound(s) or prodrug(s) can be formulated as a depot preparation for administration by implantation or intramuscular injection.
- the active ingredient can be formulated with suitable polymeric or hydrophobic materials (e.g., as an emulsion in an acceptable oil) or ion exchange resins, or as sparingly soluble derivatives (e.g., as a sparingly soluble salt).
- transdermal delivery systems manufactured as an adhesive disc or patch which slowly releases the active compound(s) for percutaneous absorption can be used.
- permeation enhancers can be used to facilitate transdermal penetration of the active compound(s). Suitable transdermal patches are described in, for example, U.S. Pat. No.
- Liposomes and emulsions are well-known examples of delivery vehicles that can be used to deliver active compound(s) or prodrug(s).
- Certain organic solvents such as dimethylsulfoxide (DMSO) may also be employed, although usually at the cost of greater toxicity.
- DMSO dimethylsulfoxide
- compositions may, if desired, be presented in a pack or dispenser device which may contain one or more unit dosage forms containing the active compound(s).
- the pack may, for example, comprise metal or plastic foil, such as a blister pack.
- the pack or dispenser device can be accompanied by instructions for administration.
- the 2,4-pyrimidinediamine compound(s) or prodrug(s) described herein, or compositions thereof, will generally be used in an amount effective to achieve the intended result, for example, in an amount effective to treat or prevent the particular condition being treated.
- the compound(s) can be administered therapeutically to achieve therapeutic benefit or prophylactically to achieve prophylactic benefit.
- therapeutic benefit is meant eradication or amelioration of the underlying disorder being treated and/or eradication or amelioration of one or more of the symptoms associated with the underlying disorder such that the patient reports an improvement in feeling or condition, notwithstanding that the patient may still be afflicted with the underlying disorder.
- therapeutic benefit in the context of asthma includes an improvement in respiration following the onset of an asthmatic attack or a reduction in the frequency or severity of asthmatic episodes.
- therapeutic benefit in the context of transplantation rejection includes the ability to alleviate an acute rejection episode, such as, for example, HVGR or GVHR, or the ability to prolong the time period between onset of acute rejection episodes and/or onset of chronic rejection.
- Therapeutic benefit also includes halting or slowing the progression of the disease, regardless of whether improvement is realized.
- the amount of compound administered will depend upon a variety of factors, including, for example, the particular condition being treated, the mode of administration, the severity of the condition being treated, the age and weight of the patient, the bioavailability of the particular active compound. Determination of an effective dosage is well within the capabilities of those skilled in the art.
- the preferred dosage of 2,4-pyrimidinediamine compounds will also depend on the age, weight, general health, and severity of the condition of the individual being treated. Dosage may also need to be tailored to the sex of the individual and/or the lung capacity of the individual, where administered by inhalation. Dosage may also be tailored to individuals suffering from more than one condition or those individuals who have additional conditions which affect lung capacity and the ability to breathe normally, for example, emphysema, bronchitis, pneumonia, and respiratory infections. Dosage, and frequency of administration of the compounds or prodrugs thereof, will also depend on whether the compounds are formulated for treatment of acute episodes of a condition or for the prophylactic treatment of a disorder. For example, acute episodes of allergic conditions, including allergy-related asthma, transplant rejection, etc. A skilled practitioner will be able to determine the optimal dose for a particular individual.
- the compound can be administered to a patient at risk of developing one of the previously described conditions. For example, if it is unknown whether a patient is allergic to a particular drug, the compound can be administered prior to administration of the drug to avoid or ameliorate an allergic response to the drug.
- prophylactic administration can be applied to avoid the onset of symptoms in a patient diagnosed with the underlying disorder. For example, a compound can be administered to an allergy sufferer prior to expected exposure to the allergen.
- Compounds may also be administered prophylactically to healthy individuals who are repeatedly exposed to agents known to one of the above-described maladies to prevent the onset of the disorder.
- a compound can be administered to a healthy individual who is repeatedly exposed to an allergen known to induce allergies, such as latex, in an effort to prevent the individual from developing an allergy.
- a compound can be administered to a patient suffering from asthma prior to partaking in activities which trigger asthma attacks to lessen the severity of, or avoid altogether, an asthmatic episode.
- the compound in the context of transplant rejection, can be administered while the patient is not having an acute rejection reaction to avoid the onset of rejection and/or prior to the appearance of clinical indications of chronic rejection.
- the compound can be administered systemically to the patient as well as administered to the tissue or organ prior to transplanting the tissue or organ in the patient.
- the amount of compound administered will depend upon a variety of factors, including, for example, the particular indication being treated, the mode of administration, whether the desired benefit is prophylactic or therapeutic, the severity of the indication being treated and the age and weight of the patient, and the bioavailability of the particular active compound. Determination of an effective dosage is well within the capabilities of those skilled in the art.
- Effective dosages can be estimated initially from in vitro assays.
- an initial dosage for use in animals can be formulated to achieve a circulating blood or serum concentration of active compound that is at or above an IC50 of the particular compound as measured in as in vitro assay.
- Calculating dosages to achieve such circulating blood or serum concentrations taking into account the bioavailability of the particular compound is well within the capabilities of skilled artisans.
- the reader is referred to Fingl & Woodbury, “General Principles,” In: Goodman and Gilman's The Pharmaceutical Basis of Therapeutics, Chapter 1, pp. 1-46, latest edition, Pergamagon Press, and the references cited therein.
- Initial dosages can also be estimated from in vivo data, such as animal models.
- Animal models useful for testing the efficacy of compounds to treat or prevent the various diseases described above are well-known in the art. Suitable animal models of hypersensitivity or allergic reactions are described in Foster, (1995) Allergy 50(21Suppl):6-9, discussion 34-38 and Tumas et al., (2001), J. Allergy Clin. Immunol. 107(6):1025-1033. Suitable animal models of allergic rhinitis are described in Szelenyi et al., (2000), Arzneiffenforschung 50(11):1037-42; Kawaguchi et al., (1994), Clin. Exp.
- Suitable animal models of atopic disorders such as atopic dermatitis, atopic eczema, and atopic asthma are described in Chan et al., (2001), J. Invest. Dermatol. 117(4):977-983 and Suto et al., (1999), Int. Arch. Allergy Immunol. 120(Suppl 1):70-75.
- Suitable animal models of transplant rejection such as models of HVGR, are described in O'Shea et al., (2004), Nature Reviews Drug Discovery 3:555-564; Cetkovic-Curlje & Tibbles, (2004), Current Pharmaceutical Design 10:1767-1784; and Chengelian et al., (2003), Science 302:875-878. Ordinarily skilled artisans can routinely adapt such information to determine dosages suitable for human administration.
- Dosage amounts will typically be in the range of from about 0.0001 or 0.001 or 0.01 mg/kg/day to about 100 mg/kg/day, but can be higher or lower, depending upon, among other factors, the activity of the compound, its bioavailability, the mode of administration, and various factors discussed above. Dosage amount and interval can be adjusted individually to provide plasma levels of the compound(s) which are sufficient to maintain therapeutic or prophylactic effect.
- the compounds can be administered once per week, several times per week (e.g., every other day), once per day, or multiple times per day, depending upon, among other things, the mode of administration, the specific indication being treated, and the judgment of the prescribing physician.
- the effective local concentration of active compound(s) may not be related to plasma concentration. Skilled artisans will be able to optimize effective local dosages without undue experimentation.
- the compound(s) will provide therapeutic or prophylactic benefit without causing substantial toxicity.
- Toxicity of the compound(s) can be determined using standard pharmaceutical procedures.
- the dose ratio between toxic and therapeutic (or prophylactic) effect is the therapeutic index.
- Compounds(s) that exhibit high therapeutic indices are preferred.
- Effective dosages can be estimated initially from in vitro activity and metabolism assays.
- an initial dosage of prodrug for use in animals can be formulated to achieve a circulating blood or serum concentration of the metabolite active compound that is at or above an IC50 of the particular compound as measured in as in vitro assay, such as the in vitro CHMC or BMMC and other in vitro assays described in U.S. application Ser. No. 10/355,543 filed Jan. 31, 2003 (US2004/0029902A1), international application Serial No. PCT/US03/03022 filed Jan. 31, 2003 (WO 03/063794), U.S. application Ser. No. 10/631,029 filed Jul. 29, 2003, international application Serial No.
- kits for administration of the 2,4-pyrimidinediamine, prodrug thereof, or pharmaceutical formulations comprising the compound that may include a dosage amount of at least one 2,4-pyrimidinediamine or a composition comprising at least one 2,4-pyrimidinediamine, as disclosed herein.
- Kits may further comprise suitable packaging and/or instructions for use of the compound.
- Kits may also comprise a means for the delivery of the at least one 2,4-pyrimidinediamine or compositions comprising at least one 2,4-pyrimidinediamine, such as an inhaler, spray dispenser (e.g., nasal spray), syringe for injection, or pressure pack for capsules, tables, suppositories, or other device as described herein.
- spray dispenser e.g., nasal spray
- syringe for injection
- pressure pack for capsules, tables, suppositories, or other device as described herein.
- kits can be assembled in the form of kits.
- the kit provides the compound and reagents to prepare a composition for administration.
- the composition can be in a dry or lyophilized form or in a solution, particularly a sterile solution.
- the reagent may comprise a pharmaceutically acceptable diluent for preparing a liquid formulation.
- the kit may contain a device for administration or for dispensing the compositions, including, but not limited to, syringe, pipette, transdermal patch, or inhalant.
- kits may include other therapeutic compounds for use in conjunction with the compounds described herein.
- the therapeutic agents are immunosuppressant or anti-allergan compounds. These compounds can be provided in a separate form or mixed with the compounds of the present invention.
- kits will include appropriate instructions for preparation and administration of the composition, side effects of the compositions, and any other relevant information.
- the instructions can be in any suitable format, including, but not limited to, printed matter, videotape, computer readable disk, or optical disc.
- this invention provides a kit comprising a compound selected from the compounds of the invention or a prodrug thereof, packaging, and instructions for use.
- this invention provides a kit comprising the pharmaceutical formulation comprising a compound selected from the compounds of the invention or a prodrug thereof and at least one pharmaceutically acceptable excipient, diluent, preservative, stabilizer, or mixture thereof, packaging, and instructions for use.
- kits for treating an individual who suffers from or is susceptible to the conditions described herein comprising a container comprising a dosage amount of an 2,4-pyrimidinediamine or composition, as disclosed herein, and instructions for use.
- the container can be any of those known in the art and appropriate for storage and delivery of oral, intravenous, topical, rectal, urethral, or inhaled formulations.
- Kits may also be provided that contain sufficient dosages of the 2,4-pyrimidinediamine or composition to provide effective treatment for an individual for an extended period, such as a week, 2 weeks, 3, weeks, 4 weeks, 6 weeks, or 8 weeks or more.
- the 2,4-pyrimidinediamine compounds and prodrugs of the invention may be synthesized via a variety of different synthetic routes using commercially available starting materials and/or starting materials prepared by conventional synthetic methods. Suitable exemplary methods that may be routinely adapted to synthesize the 2,4-pyrimidinediamine compounds and prodrugs of the invention are found in U.S. Pat. No. 5,958,935, the disclosure of which is incorporated herein by reference. Specific examples describing the synthesis of numerous 2,4-pyrimidinediamine compounds and prodrugs, as well as intermediates therefore, are described in copending U.S. application Ser. No. 10/355,543, filed Jan. 31, 2003 (US2004/0029902A1), the contents of which are incorporated herein by reference.
- Suitable exemplary methods that may be routinely used and/or adapted to synthesize active 2,4-substituted pyrimidinediamine compounds can also be found in international application Serial No. PCT/US03/03022 filed Jan. 31, 2003 (WO 03/063794), U.S. application Ser. No. 10/631,029 filed Jul. 29, 2003, international application Serial No. PCT/US03/24087 (WO2004/014382), U.S. application Ser. No. 10/903,263 filed Jul. 30, 2004, and international application Serial No. PCT/US2004/24716 (WO005/016893), the disclosures of which are incorporated herein by reference. All of the compounds described herein (including prodrugs) may be prepared by routine adaptation of these methods.
- the compounds can be synthesized from substituted or unsubstituted uracils as illustrated in Scheme (I), below:
- ring A, (R 2 ) q , (R 3 ) p , R 4 , R 5 , X, and Y are as defined herein.
- uracil A-1 is dihalogenated at the 2- and 4-positions using a standard halogenating agent such as POCl 3 (or other standard halogenating agent) under standard conditions to yield 2,4-dichloropyrimidine A-2.
- a standard halogenating agent such as POCl 3 (or other standard halogenating agent)
- the chloride at the C4 position is more reactive towards nucleophiles than the chloride at the C2 position.
- the C4 halide is more reactive towards nucleophiles, as illustrated in the Scheme.
- the identity of the X substituent may alter this reactivity. For example, when X is trifluoromethyl, a 50:50 mixture of 4N-substituted-4-pyrimidineamine A-4 and the corresponding 2N-substituted-2-pyrimidineamine is obtained.
- the regioselectivity of the reaction can also be controlled by adjusting the solvent and other synthetic conditions (such as temperature), as is well-known in the art.
- the uracil 1 starting materials may be purchased from commercial sources or prepared using standard techniques of organic chemistry.
- Commercially available uracils that can be used as starting materials in Scheme (I) include, by way of example and not limitation, uracil (Aldrich #13,078-8; CAS Registry 66-22-8); 5-bromouracil (Aldrich #85,247-3; CAS Registry 51-20-7; 5-fluorouracil (Aldrich #85,847-1; CAS Registry 51-21-8); 5-iodouracil (Aldrich #85,785-8; CAS Registry 696-07-1); 5-nitrouracil (Aldrich #85,276-7; CAS Registry 611-08-5); 5-(trifluoromethyl)-uracil (Aldrich #22,327-1; CAS Registry 54-20-6). Additional 5-substituted uracils are available from General Intermediates of Canada, Inc., Edmonton, Calif. and/or Interchim, Cedex, France, or may be prepared using
- Amines A-3 and A-5 may be purchased from commercial sources or, alternatively, may be synthesized utilizing standard techniques.
- suitable amines may be synthesized from nitro precursors using standard chemistry. Specific exemplary reactions are provided in the Examples section. See also Vogel, 1989, Practical Organic Chemistry , Addison Wesley Longman, Ltd. and John Wiley & Sons, Inc.
- amines A-3 and A-5 and/or substituent X on uracil A-1 may include functional groups that require protection during synthesis.
- the exact identity of any protecting group(s) used will depend upon the identity of the functional group being protected, and will be apparent to those of skill in the art.
- Guidance for selecting appropriate protecting groups, as well as synthetic strategies for their attachment and removal, may be found, for example, in Greene & Wuts, Protective Groups in Organic Synthesis, 3d Edition, John Wiley & Sons, Inc., New York (1999) and the references cited therein (hereinafter “Greene & Wuts”).
- protecting group refers to a group of atoms that, when attached to a reactive functional group in a molecule, mask, reduce or prevent the reactivity of the functional group.
- a protecting group may be selectively removed as desired during the course of a synthesis. Examples of protecting groups can be found in Greene and Wuts, as mentioned above, and additionally, in Harrison et al., Compendium of Synthetic Organic Methods, Vols. 1-8, 1971-1996, John Wiley & Sons, NY.
- Representative amino protecting groups include, but are not limited to, formyl, acetyl, trifluoroacetyl, benzyl, benzyloxycarbonyl (“CBZ”), tert-butoxycarbonyl (“Boc”), trimethylsilyl (“TMS”), 2-trimethylsilyl-ethanesulfonyl (“TES”), trityl and substituted trityl groups, allyloxycarbonyl, 9-fluorenylmethyloxycarbonyl (“FMOC”), nitro-veratryloxycarbonyl (“NVOC”) and the like.
- hydroxyl protecting groups include, but are not limited to, those where the hydroxyl group is either acylated to form acetate and benzoate esters or alkylated to form benzyl and trityl ethers, as well as alkyl ethers, tetrahydropyranyl ethers, trialkylsilyl ethers (e.g., TMS or TIPPS groups) and allyl ethers.
- Asymmetric 2N,4N-disubstituted-5-fluoro-2,4-pyrimidinediamine A-11 may be obtained by reacting 2,4-dichloro-5-fluoropyrimidine A-9 with one equivalent of amine A-3 (to yield 2-chloro-N4-substituted-5-fluoro-4-pyrimidineamine A-10) followed by one or more equivalents of amine A-5.
- 2,4-pyrimidinediamine compounds of the invention may be synthesized from substituted or unsubstituted cytosines as illustrated in Schemes (IIa) and (IIb), below:
- ring A, (R 2 ) q , (R 3 ) p , R 4 , R 5 , X, and Y are as previously defined for Scheme (I) and PG represents a protecting group.
- PG represents a protecting group.
- the C4 exocyclic amine of cytosine A-12 is first protected with a suitable protecting group PG to yield N4-protected cytosine A-13.
- protecting groups useful in this context see Vorbrüggen and Ruh-Pohlenz, 2001, Handbook of Nucleoside Synthesis , John Wiley & Sons, NY, pp. 1-631 (“Vorbrüggen”).
- Protected cytosine A-13 is halogenated at the C2 position using a standard halogenation reagent under standard conditions to yield 2-chloro-4N-protected-4-pyrimidineamine A-14.
- Reaction with amine A-5 gives A-15, which on deprotection of the C4 exocyclic amine, gives A-16.
- Reaction of A-16 with amine A-3 yields 2,4-pyrimidinediamine derivative A-6.
- cytosine A-12 may be reacted with amine A-3 or protected amine A-19 to yield N4-substituted cytosine A-17 or A-20, respectively.
- substituted cytosines may then be halogenated as previously described, deprotected (in the case of N4-substituted cytosine A-20) and reacted with amine A-5 to yield a 2,4-pyrimidinediamine A-11a.
- cytosines that may be used as starting materials in Schemes (IIa) and (IIb) include, but are not limited to, cytosine (Aldrich #14,201-8; CAS Registry 71-30-7); N 4 -acetylcytosine (Aldrich #37,791-0; CAS Registry 14631-20-0); 5-fluorocytosine (Aldrich #27,159-4; CAS Registry 2022-85-7); and 5-(trifluoromethyl)-cytosine.
- suitable cytosines useful as starting materials in Schemes (IIa) are available from General Intermediates of Canada, Inc., Edmonton, Calif. and/or Interchim, Cedex, France, or may be prepared using standard techniques. Myriad textbook references teaching suitable synthetic methods are provided infra.
- 2,4-pyrimidinediamine compounds of the invention may be synthesized from substituted or unsubstituted 2-amino-4-pyrimidinols as illustrated in Scheme (III), below:
- Suitable commercially-available 2-amino-4-pyrimidinols A-22 that can be used as starting materials in Scheme (III) are available from General Intermediates of Canada, Inc., Edmonton, Calif. and/or Interchim, Cedex, France, or may be prepared using standard techniques. Myriad textbook references teaching suitable synthetic methods are provided infra.
- 2,4-pyrimidinediamine compounds of the invention may be prepared from substituted or unsubstituted 4-amino-2-pyrimidinols as illustrated in Scheme (IV), below:
- Compound A-28 may include virtually any leaving group that can be displaced by the C4-amino of N2-substituted-2,4-pyrimidinediamine A-27.
- Suitable leaving groups include, but are not limited to, halogens, methanesulfonyloxy (mesyloxy; “OMs”), trifluoromethanesulfonyloxy (“OTf”) and p-toluenesulfonyloxy (tosyloxy; “OTs”), benzene sulfonyloxy (“besylate”) and m-nitro benzene sulfonyloxy (“nosylate”).
- halogens methanesulfonyloxy
- OTf trifluoromethanesulfonyloxy
- OTs p-toluenesulfonyloxy
- besylate benzene sulfonyloxy
- Substituted 4-amino-2-pyrimidinol starting materials may be obtained commercially or synthesized using standard techniques. Myriad textbook references teaching suitable synthetic methods are provided infra.
- the 2,4-pyrimidinediamine compounds of the invention can be prepared from 2-chloro-4-aminopyrimidines or 2-amino-4-chloropyrimidines as illustrated in Scheme (V), below:
- a variety of pyrimidines A-29 and A-31 suitable for use as starting materials in Scheme (V) are commercially available from General Intermediates of Canada, Inc., Edmonton, Calif. and/or Interchim, Cedex, France, or may be prepared using standard techniques. Myriad textbook references teaching suitable synthetic methods are provided infra.
- the 2,4-pyrimidinediamine compounds of the invention can be prepared from substituted or unsubstituted uridines as illustrated in Scheme (VI), below:
- ring A, (R 2 ) q , (R 3 ) p , R 4 , R 5 , X, and Y are as previously defined for Scheme (I) and PG represents a protecting group, as discussed in connection with Scheme (IIb).
- uridine A-36 has a C4 reactive center such that reaction with amine A-3 or protected amine A-19 yields N4-substituted cytidine A-37 or A-38, respectively.
- N4-substituted A-37 or A-38 Acid-catalyzed deprotection of N4-substituted A-37 or A-38 (when “PG” represents an acid-labile protecting group) yields N4-substituted cytosine A-39, which may be subsequently halogenated at the C2-position and reacted with amine A-5 to yield a 2,4-pyrimidinediamine derivative A-6.
- ring A, (R 2 ) q , (R 3 ) p , R 4 , R 5 , X, and Y are as previously defined in Scheme (I) and PG represents a protecting group as discussed above.
- cytidine A-40 like uridine A-36, cytidine A-40 has a C4 reactive center such that reaction with amine A-3 or protected amine A-19 yields N4-substituted cytidine A-37 or A-38, respectively.
- These cytidines A-37 and A-38 are then treated as previously described for Scheme (VI) to yield a 2,4-pyrimidinediamine derivative A-6.
- uridines and cytidines useful as starting materials in Schemes (VI) and (VII) are known in the art, and include, by way of example and not limitation, 5-trifluoromethyl-2′-deoxycytidine (Chem. Sources #ABCR F07669; CAS Registry 66,384-66-5); 5-bromouridine (Chem.
- Prodrugs as described herein can be prepared by routine modification of the above-described methods.
- such prodrugs can be prepared by reacting a suitably protected 2,4-pyrimidinediamine 6 with a suitable progroup.
- Conditions for carrying out such reactions and for deprotecting the product to yield a prodrugs as described herein are well-known.
- Pharmaceutically acceptable salts also include salts formed when an acidic proton present in the parent compound is either replaced by a metal ion (e.g., an alkali metal ion, an alkaline earth metal ion or an aluminum ion) or coordinates with an organic base (e.g., ethanolamine, diethanolamine, triethanolamine, N-methylglucamine, morpholine, piperidine, dimethylamine, diethylamine, triethylamine, ammonia, etc.).
- a metal ion e.g., an alkali metal ion, an alkaline earth metal ion or an aluminum ion
- organic base e.g., ethanolamine, diethanolamine, triethanolamine, N-methylglucamine, morpholine, piperidine, dimethylamine, diethylamine, triethylamine, ammonia, etc.
- the 2,4-pyrimidinediamine compounds and prodrugs thereof, as well as the salts thereof, may also be in the form of hydrates, solvates and N-oxides, as are well-known in the art.
- this invention provides a compound, or stereoisomer, tautomer, prodrug, solvate, or pharmaceutically acceptable salt thereof, selected from Tables I and II.
- N2-(3-Aminosulfonyl-4-methylphenyl)-5-fluoro-N4-[4-(prop-2-ynyloxy)phenyl]-2,4-pyrimidinediamine VI-53) was isolated as a white solid by suction filtration (0.703 g).
- N2-(3-Aminosulfonyl-4-methylphenyl)-5-fluoro-N4-[4-(prop-2-ynyloxy)phenyl]-2,4-pyrimidinediamine (VI-53) was isolated as a white solid by suction filtration (0.703 g).
- N2-(3-Aminosulfonyl-4-methylphenyl)-5-fluoro-N4-[4-(prop-2-ynyloxy)phenyl]-2,4-pyrimidinediamine (0.200 g, 0.467 mmol)
- DMAP 40 mg, 0.33 mmol
- triethylamine (0.118 mL, 0.847 mmol) were stirred in THF (6.0 mL).
- Propionic anhydride (0.180 mL, 1.40 mmol) was added to the solution dropwise. The reaction mixture was stirred at rt overnight.
- I-104 N2-(3-Aminosulfonylphenyl)-N4-(4-ethynylphenyl)-5-methyl-2,4-pyrimidinediamine
- I-120 N2-[3-(N-Cyclopropylaminosulfonyl)phenyl]-5-methyl-N4-[4-(3-pyridinylmethyleneoxy)phenyl]-2,4-pyrimidinediamine
- I-128 N2-(4-Aminosulfonylphenyl)-5-cyclopropyl-N4-[4-(2-pyridinylmethyleneoxy)phenyl]-2,4-pyrimidinediamine
- I-135 N2-[4-(N-Cyclopropylmethylaminosulfonyl)phenyl]-5-methyl-N4-[4-(2-pyridinylmethyleneoxy)phenyl]-2,4-pyrimidinediamine
- I-140 N2-[3-(N-Cyclopropyl-N-propionylaminosulfonyl)phenyl]-5-methyl-N4-[4-(2-pyridinylmethyleneoxy)phenyl]-2,4-pyrimidinediamine
- I-161 N2-(3-Aminosulfonylphenyl)-N4-(4-N,N-dimethylaminosulfonylphenyl)-5-fluoro-2,4-pyrimidinediamine
- I-162 N2-(3-Aminosulfonyl-4-methylphenyl)-N4-(4-N,N-dimethylaminosulfonylphenyl)-5-fluoro-2,4-pyrimidinediamine
Landscapes
- Chemical & Material Sciences (AREA)
- Organic Chemistry (AREA)
- Health & Medical Sciences (AREA)
- Life Sciences & Earth Sciences (AREA)
- Veterinary Medicine (AREA)
- Public Health (AREA)
- General Health & Medical Sciences (AREA)
- Medicinal Chemistry (AREA)
- Animal Behavior & Ethology (AREA)
- Pharmacology & Pharmacy (AREA)
- General Chemical & Material Sciences (AREA)
- Nuclear Medicine, Radiotherapy & Molecular Imaging (AREA)
- Chemical Kinetics & Catalysis (AREA)
- Engineering & Computer Science (AREA)
- Bioinformatics & Cheminformatics (AREA)
- Immunology (AREA)
- Epidemiology (AREA)
- Oncology (AREA)
- Hematology (AREA)
- Transplantation (AREA)
- Pharmaceuticals Containing Other Organic And Inorganic Compounds (AREA)
Abstract
The invention encompasses compounds having formula I and the compositions and methods using these compounds in the treatment of conditions in which modulation of the JAK pathway or inhibition of JAK kinases, particularly JAK3, are therapeutically useful.
Description
- This application claims benefit of U.S. provisional application Ser. No. 60/871,098, filed 20 Dec. 2006 and of U.S. provisional application Ser. No. 60/776,636, filed 24 Feb. 2006, each of which is incorporated herein by reference. This application also is a continuation-in-part of co-pending U.S. application Ser. No. 11/450,901, filed 8 Jun. 2006, which is incorporated herein by reference.
- A. Field
- The present invention relates to compounds, prodrugs, and methods of using these compounds and prodrugs thereof in the treatment of conditions in which modulation of the JAK pathway or inhibition of JAK kinases, particularly JAK3, are therapeutically useful.
- B. Background
- Protein kinases constitute a large family of structurally related enzymes that are responsible for the control of a variety of signal transduction processes within cells (see, e.g., Hardie and Hanks, The Protein Kinase Facts Book, I and II, Academic Press, San Diego, Calif., 1995). Protein kinases are thought to have evolved from a common ancestral gene due to the conservation of their structure and catalytic function. Almost all kinases contain a similar 250-300 amino acid catalytic domain. The kinases can be categorized into families by the substrates they phosphorylate (e.g., protein-tyrosine, protein-serine/threonine, lipids, etc.). Sequence motifs have been identified that generally correspond to each of these families (see, e.g., Hanks & Hunter, (1995), FASEB J. 9:576-596; Knighton et al., (1991), Science 253:407-414; Hiles et al., (1992), Cell 70:419-429; Kunz et al., (1993), Cell 73:585-596; Garcia-Bustos et al., (1994), EMBO J. 13:2352-2361).
- JAK kinases (JAnus Kinases) are a family of cytoplasmic protein tyrosine kinases including JAK1, JAK2, JAK3 and TYK2. Each of the JAK kinases is selective for the receptors of certain cytokines, though multiple JAK kinases can be affected by particular cytokine or signaling pathways. Studies suggest that JAK3 associates with the common gamma (γc) chain of the various cytokine receptors. JAK3 in particular selectively binds to receptors and is part of the cytokine signaling pathway for IL-2, IL-4, IL-7, IL-9, IL-15 and IL-21. JAK1 interacts with, among others, the receptors for cytokines IL-2, IL-4, IL-7, IL-9 and IL-21, while JAK2 interacts with, among others, the receptors for IL-9 and TNF-α. Upon the binding of certain cytokines to their receptors (e.g., IL-2, IL-4, IL-7, IL-9, IL-15 and IL-21), receptor oligomerization occurs, resulting in the cytoplasmic tails of associated JAK kinases being brought into proximity and facilitating the trans-phosphorylation of tyrosine residues on the JAK kinase. This trans-phosphorylation results in the activation of the JAK kinase.
- Phosphorylated JAK kinases bind various STAT (Signal Transducer and Activator of Transcription) proteins. STAT proteins, which are DNA binding proteins activated by phosphorylation of tyrosine residues, function both as signaling molecules and transcription factors and ultimately bind to specific DNA sequences present in the promoters of cytokine-responsive genes (Leonard et al., (2000), J. Allergy Clin. Immunol. 105:877-888). JAK/STAT signaling has been implicated in the mediation of many abnormal immune responses such as allergies, asthma, autoimmune diseases such as transplant (allograft) rejection, rheumatoid arthritis, amyotrophic lateral sclerosis and multiple sclerosis, as well as in solid and hematologic malignancies such as leukemia and lymphomas. For a review of the pharmaceutical intervention of the JAK/STAT pathway see Frank, (1999), Mol. Med. 5:432:456 and Seidel et al., (2000), Oncogene 19:2645-2656.
- JAK3 in particular has been implicated in a variety of biological processes. For example, the proliferation and survival of murine mast cells induced by IL-4 and IL-9 have been shown to be dependent on JAK3- and gamma chain-signaling (Suzuki et al., (2000), Blood 96:2172-2180). JAK3 also plays a crucial role in IgE receptor-mediated mast cell degranulation responses (Malaviya et al., (1999), Biochem. Biophys. Res. Commun. 257:807-813), and inhibition of JAK3 kinase has been shown to prevent type I hypersensitivity reactions, including anaphylaxis (Malaviya et al., (1999), J. Biol. Chem. 274:27028-27038). JAK3 inhibition has also been shown to result in immune suppression for allograft rejection (Kirken, (2001), Transpl. Proc. 33:3268-3270). JAK3 kinases have also been implicated in the mechanism involved in early and late stages of rheumatoid arthritis (Muller-Ladner et al., (2000), J. Immunal. 164:3894-3901); familial amyotrophic lateral sclerosis (Trieu et al., (2000), Biochem Biophys. Res. Commun. 267:22-25); leukemia (Sudbeck et al., (1999), Clin. Cancer Res. 5:1569-1582); mycosis fungoides, a form of T-cell lymphoma (Nielsen et al., (1997), Prac. Natl. Acad. Sci. USA 94:6764-6769); and abnormal cell growth (Yu et al., (1997), J. Immunol. 159:5206-5210; Catlett-Falcone et al., (1999), Immunity 10:105-115).
- The JAK kinases, including JAK3, are abundantly expressed in primary leukemic cells from children with acute lymphoblastic leukemia, the most common form of childhood cancer, and studies have correlated STAT activation in certain cells with signals regulating apoptosis (Demoulin et al., (1996), Mol. Cell. Biol. 16:4710-6; Jurlander et al., (1997), Blood. 89:4146-52; Kaneko et al., (1997), Clin. Exp. Immun. 109:185-193; and Nakamura et al., (1996), J. Biol. Chem. 271:19483-8). They are also known to be important to lymphocyte differentiation, function and survival. JAK-3 in particular plays an essential role in the function of lymphocytes, macrophages, and mast cells. Given the importance of this JAK kinase, compounds which modulate the JAK pathway, including those selective for JAK3, can be useful for treating diseases or conditions where the function of lymphocytes, macrophages, or mast cells is involved (Kudlacz et al., (2004) Am. J. Transplant 4:51-57; Changelian (2003) Science 302:875-878). Conditions in which targeting of the JAK pathway or modulation of the JAK kinases, particularly JAK3, are contemplated to be therapeutically useful include, leukemia, lymphoma, transplant rejection (e.g., pancreas islet transplant rejection, bone marrow transplant applications (e.g., graft-versus-host disease), autoimmune diseases (e.g., diabetes), and inflammation (e.g., asthma, allergic reactions). Conditions which can benefit for inhibition of JAK3 are discussed in greater detail below.
- In view of the numerous conditions that are contemplated to benefit by treatment involving modulation of the JAK pathway it is immediately apparent that new compounds that modulate JAK pathways and methods of using these compounds should provide substantial therapeutic benefits to a wide variety of patients. Provided herein are novel 2,4-pyrimidinediamine compounds for use in the treatment of conditions in which targeting of the JAK pathway or inhibition of JAK kinases, particularly JAK3, are therapeutically useful.
- Patents and patent applications related to modulation of the JAK pathway include: U.S. Pat. Nos. 5,728,536; 6,080,747; 6,080,748; 6,133,305; 6,177,433; 6,210,654; 6,313,130; 6,316,635; 6,433,018; 6,486,185; 6,506,763; 6,528,509; 6,593,357; 6,608,048; 6,610,688; 6,635,651; 6,677,368; 6,683,082; 6,696,448; 6,699,865; 6,777,417; 6,784,195; 6,825,190; 6,506,763; 6,784,195; 6,528,509; 6,608,048; 7,105,529; 6,699,865; 6,825,190; 6,815,439; 6,949,580; 7,056,944; 6,998,391; 7,074,793; 6,969,760; U.S. Pat. App. Pub. No. 2001/0007033 A1; 2002/0115173 A1; 2002/0137141 A1; 2003/0236244 A1; 2004/0102455 A1; 2004/0142404 A1; 2004/0147507 A1; and 2004/0214817 A1; and International patent applications WO 95/03701A1; WO 99/15500A1; WO 00/00202A1; WO 00/10981A1; WO 00/47583A1; WO 00/51587A2; WO 00/55159A2; WO 01/42246A2; WO 01/45641A2; WO 01/52892A2; WO 01/56993A2; WO 01/57022A2; WO 01/72758A1; WO 02/00661A1; WO 02/43735A1; WO 02/48336A2; WO 02/060492A1; WO 02/060927A1; WO 02/096909A1; WO 02/102800A1; WO 03/020698A2; WO 03/048162A1; WO 03/101989A1; WO 2004/016597A2; WO 2004/041789A1; WO 2004/041810A1; WO 2004/041814A1; WO 2004/046112A2; WO 2004/046120A2; WO 2004/047843A1; WO 2004/058749A1; WO 2004/058753A1; WO 2004/085388A2; WO 2004/092154A1; WO 2005/009957A1; WO 2005/016344A1; WO 2005/028475A2; and WO 2005/033107A1.
- Patents and patent applications describing substituted pyrimidinediamine compounds include: U.S. application Ser. No. 10/355,543 filed Jan. 31, 2003 (US2004/0029902A1), international application Serial No. PCT/US03/03022 filed Jan. 31, 2003 (WO 03/063794), U.S. application Ser. No. 10/631,029 filed Jul. 29, 2003, international application Serial No. PCT/US03/24087 (WO 04/014382), U.S. application Ser. No. 10/903,263 filed Jul. 30, 2004, and international application Serial No. PCT/US2004/24716 (WO 05/016893), the disclosures of which are incorporated herein by reference. Substituted pyrimidinediamine compounds are also described in international patent application publication numbers: WO 02/059110, WO 03/074515, WO 03/106416, WO 03/066601, WO 03/063794, WO 04/046118, WO 05/016894, WO 05/122294, WO 05/066156, WO 03/002542, WO 03/030909, WO 00/39101, WO 05/037800 and U.S. Pat. Pub. No. 2003/0149064.
- All of the above publications are herein incorporated by reference in their entirety to the same extent as if each individual publication was specifically and individually indicated to be incorporated by reference in its entirety.
- This invention is directed to compounds, prodrugs, and methods of using these compounds and prodrugs thereof in the treatment of conditions in which modulation of the JAK pathway or inhibition of JAK kinases, particularly JAK3, will be therapeutically useful.
- In one embodiment, the present invention provides compounds of formula I, and solvates, prodrugs and pharmaceutically acceptable salts thereof:
- a solvate, prodrug or pharmaceutically acceptable salt thereof; wherein:
-
- X is selected from the group consisting of alkyl, substituted alkyl, alkoxy, substituted alkoxy, amino, substituted amino, carboxyl, carboxyl ester, cyano, halo, nitro, alkenyl, substituted alkenyl, alkynyl and substituted alkynyl;
- Y is selected from the group consisting of hydrogen, alkyl substituted alkyl, amino, substituted amino, and halo;
- R is selected from the group consisting of hydrogen, alkyl, substituted alkyl, alkenyl, substituted alkenyl, alkynyl, substituted alkynyl, cycloalkyl and substituted cycloalkyl;
- ring A is selected from the group consisting of aryl, heteroaryl, cycloalkyl, cycloalkenyl and heterocyclic, wherein ring A is not indolyl or benzimidazolyl;
- p is 0, 1, 2 or 3;
- q is 1, 2 or 3 when ring A is a single ring, or q is 0, 1, 2, 3, 4, or 5 when ring A comprises multiple rings;
- each R2 independently is selected from the group consisting of alkyl, substituted alkyl, alkoxy, substituted alkoxy, amino, substituted amino, aryl, substituted aryl, aryloxy, substituted aryloxy, cycloalkyl, substituted cycloalkyl heteroaryl, substituted heteroaryl, heterocyclic, substituted heterocyclic, heterocyclyloxy, substituted carboxyl, carboxyl ester, hydroxyl, acylamino, aminosufonyl, alkynyl, substituted alkynyl, alkylthio, substituted alkylthio, aminocarbonyl, acyl, oxo, and halo;
- each R3 independently is selected from the group consisting of alkyl, substituted alkyl, cycloalkyl, substituted cycloalkyl, heterocyclic, substituted heterocyclic, halo, and aminosulfonyl; and
- R4 and R5 independently are selected from the group consisting of hydrogen, alkyl, substituted alkyl, alkenyl, substituted alkenyl, alkynyl, substituted alkynyl, alkoxy, cycloalkyl, substituted cycloalkyl, and acyl; or
- R4 and R5 together with the nitrogen atom bound thereto, form a heterocyclic or substituted heterocyclic group;
provided that:
- R4 and R5 together with the nitrogen atom bound thereto, form a heterocyclic or substituted heterocyclic group;
- if q=0, then X is not bromo;
- if ring A is cycloalkyl, then X is not bromo;
- if q=2 and each of R2 is methoxy, halo, trihalomethyl or trihalomethoxy, then R4 and R5 are not one hydrogen and one methyl;
- if q=2 and R2 is fluoro and methyl, then R is not substituted alkenyl; and
- if ring A is phenyl, q=1 and R2 is chloro, then R4 and R5 are not one hydrogen and one methyl.
- In a preferred implementation, ring A is phenyl; R is hydrogen; X is halo, cyano or alkyl; and q is 1 or 2. More preferably at least one R2 is alkynyl, alkynyloxy, alkynylamino, alkynyl(carboxyl ester)aminoalkyl, or alkynylaminosulfonyl. Most preferably, at least one R2 is alkynyloxy. In another preferred implementation at least one of X and Y is hydrogen.
- In another preferred implementation ring A is selected from the group consisting of:
-
- wherein Q is sulfur, oxygen or carbon, and R1 is hydrogen, alkyl, substituted alkyl, alkynyl, or acyl,
-
- wherein Q is oxygen or nitrogen,
-
- wherein Q is nitrogen or carbon,
-
- wherein Q is oxygen or nitrogen,
- One embodiment of the invention provides compounds of formula IIa or IIb, and solvates, prodrugs and pharmaceutically acceptable salts thereof:
- wherein Q is sulfur, oxygen or carbon; R1 is hydrogen, alkyl, substituted alkyl, alkynyl, or acyl, and R2, R3, R4, R5, q, p, and X are as defined above.
- Another embodiment of the invnetion provides compounds of formula III-a or III-b, and solvates, prodrugs and pharmaceutically acceptable salts thereof:
- wherein Q is oxygen or nitrogen; R1 is selected from the group consisting of alkyl, substituted alkyl, cycloalkyl, substituted cycloalkyl, heterocyclyl, substituted heterocyclyl, aryl, substituted aryl, heteroaryl, and substituted heteroaryl; Y is selected from the group consisting of a bond, —NR7—, —C(O)NR7—, —NR7C(O)—, —NR7C(O)O—, —OC(O)NR7—, —NR7C(O)NR7—, oxygen and sulfur, where R7 is independently hydrogen, alkyl or substituted alkyl; -alk- is a bond or a straight or branched chain alkylene group, wherein when alk and Y each are a bond then R1 is attached to the bicyclic ring by a single covalent bond. X, R3, R4, R5 and p are as defined above.
- Yet another embodiment of the invention provides compounds of formula IV-a or IV-b, and solvates, prodrugs and pharmaceutically acceptable salts thereof:
- wherein Q is nitrogen or carbon, and X, R3, R4, R5 and p are as defined above.
- One embodiment of the invention provides compounds of formula V, and solvates, prodrugs and pharmaceutically acceptable salts thereof:
- wherein X, R2, R3, R4, R5, p and q are as defined above.
- Yet another embodiment of the invention provides compounds of formula VI-a or VI-b, and solvates, prodrugs and pharmaceutically acceptable salts thereof:
- wherein Q is nitrogen or oxygen, and X, R2, R4, R5 and q are as defined above.
- Another implementation of the invention provides compounds of formula VII-a or VII-b, and solvates, prodrugs and pharmaceutically acceptable salts thereof:
- wherein X, R2, R3, R4, R5, p and q are as defined above.
- Yet another implementation of the invention provides compounds of formula VIII, and solvates, prodrugs and pharmaceutically acceptable salts thereof:
- wherein X, R, R3, R4, R5 and p are as defined above. Preferably R is hydrogen or lower alkyl, more preferably methyl, and X is fluoro. R3 preferably is lower alkyl. And each of R4 and R5 preferably is hydrogen or lower alkyl, most preferably hydrogen.
- Another implementation of the invention provides compounds of formula IX, and solvates, prodrugs and pharmaceutically acceptable salts thereof:
- wherein X, R2, R3. R4, R5, q and p are as defined above. Preferably, R2 is acylamino and X is halo or lower alkyl.
- In another embodiment, this invention provides a method of inhibiting an activity of a JAK kinase, comprising contacting the JAK kinase with an amount of a compound of this invention effective to inhibit an activity of the JAK kinase.
- In another embodiment, this invention provides a method of inhibiting an activity of a JAK kinase, comprising contacting in vitro a JAK3 kinase with an amount of a compound of this invention to inhibit an activity of the JAK kinase.
- In another embodiment, this invention provides a method of inhibiting an activity of a JAK kinase, comprising contacting in a cell a JAK3 kinase with an amount of a compound effective to inhibit an activity of the JAK kinase wherein the compound is selected from the compounds of this invention, as described above.
- In another embodiment, this invention provides a method of treating a T-cell mediated autoimmune disease, comprising administering to a patient suffering from such an autoimmune disease an amount of a compound of this invention effective to treat the autoimmune disease.
- In another embodiment, this invention provides a method of treating or preventing allograft transplant rejection in a transplant recipient, comprising administering to the transplant recipient an amount of a compound of this invention effective to treat or prevent the rejection.
- In another embodiment, this invention provides a method of treating or preventing a Type IV hypersensitivity reaction, comprising administering to a subject an amount of a compound of this invention effective to treat or prevent the hypersensitivity reaction.
- In another embodiment, this invention provides a method of inhibiting a signal transduction cascade in which JAK3 kinase plays a role, comprising contacting a cell expressing a receptor involved in such a signaling cascade with a compound of this invention, as described above.
- In another embodiment, this invention provides a method of treating or preventing a JAK kinase-mediated disease, comprising administering to a subject an amount of a compound of this invention effective to treat or prevent the JAK kinase-mediated disease.
- In another embodiment, this invention provides a pharmaceutical formulation comprising a compound selected from the compounds of this invention, as described above.
- In another embodiment, this invention provides a kit comprising a compound selected from the compounds of this invention or a prodrug thereof, packaging, and instructions for use.
- It will be appreciated by one of skill in the art that the embodiments summarized above may be used together in any suitable combination to generate additional embodiments not expressly recited above, and that such embodiments are considered to be part of the present invention
- A. Overview
- The invention encompasses compounds having formula I and the compositions and methods using these compounds in the treatment of conditions in which modulation of the JAK pathway or inhibition of JAK kinases, particularly JAK3, are therapeutically useful.
- B. Definitions
- As used herein, the following definitions shall apply unless otherwise indicated.
- “Alkyl” refers to monovalent saturated aliphatic hydrocarbyl groups having from 1 to 10 carbon atoms and preferably 1 to 6 carbon atoms. This term includes, by way of example, linear and branched hydrocarbyl groups such as methyl (CH3—), ethyl (CH3CH2—), n-propyl (CH3CH2CH2—), isopropyl ((CH3)2CH—), n-butyl (CH3CH2CH2CH2—), isobutyl ((CH3)2CHCH2—), sec-butyl ((CH3)(CH3CH2)CH—), t-butyl ((CH3)3C—), n-pentyl (CH3CH2CH2CH2CH2—), and neopentyl ((CH3)3CCH2—).
- “Substituted alkyl” refers to an alkyl group having from 1 to 5 hydrogens replaced with substituents selected from the group consisting of alkoxy, substituted alkoxy, acyl, acylamino, acyloxy, amino, substituted amino, aminocarbonyl, aminothiocarbonyl, aminocarbonylamino, aminothiocarbonylamino, aminocarbonyloxy, aminosulfonyl, aminosulfonyloxy, sulfonylamino, aminosulfonylamino, amidino, aryl, substituted aryl, aryloxy, substituted aryloxy, arylthio, substituted arylthio, carboxyl, carboxyl ester, (carboxyl ester)amino, (carboxyl ester)oxy, cyano, cycloalkyl, substituted cycloalkyl, cycloalkyloxy, substituted cycloalkyloxy, cycloalkylthio, substituted cycloalkylthio, cycloalkenyl, substituted cycloalkenyl, cycloalkenyloxy, substituted cycloalkenyloxy, cycloalkenylthio, substituted cycloalkenylthio, guanidino, substituted guanidino, halo, hydroxy, heteroaryl, substituted heteroaryl, heteroaryloxy, substituted heteroaryloxy, heteroarylthio, substituted heteroarylthio, heterocyclic, substituted heterocyclic, heterocyclyloxy, substituted heterocyclyloxy, heterocyclylthio, substituted heterocyclylthio, nitro, SO3H, sulfonyl, sulfonyloxy, thioacyl, thiol, alkylthio, and substituted alkylthio, wherein said substituents are defined herein. In some embodiments, the alkyl has 1 to 3 of the aforementioned groups. In other embodiments, the alkyl has 1 to 2 of the aforementioned groups.
- “Alkylene” refers to divalent saturated aliphatic hydrocarbyl groups preferably having from 1 to 6 and more preferably 1 to 3 carbon atoms that are either straight-chained or branched. This term is exemplified by groups such as methylene (—CH2—), ethylene (—CH2CH2—), n-propylene (—CH2CH2CH2—), iso-propylene (—CH2CH(CH3)—) or (—CH(CH3)CH2—), and the like.
- “Substituted alkylene” refers to an alkylene group having from 1 to 3 hydrogens replaced with substituents selected from the group consisting of alkyl, substituted alkyl, alkoxy, substituted alkoxy, acyl, acylamino, acyloxy, amino, substituted amino, aminocarbonyl, aryl, substituted aryl, aryloxy, substituted aryloxy, cyano, halogen, hydroxyl, nitro, carboxyl, carboxyl ester, cycloalkyl, substituted cycloalkyl, heteroaryl, substituted heteroaryl, heterocyclic, substituted heterocyclic, and oxo wherein said substituents are defined herein. In some embodiments, the alkylene has 1 to 2 of the aforementioned groups. It is to be noted that when the alkylene is substituted by an oxo group, 2 hydrogens attached to the same carbon of the alkylene group are replaced by “═O”.
- “Alkoxy” refers to the groups —O-alkyl, —O-alkenyl, and —O-alkynyl, wherein alkyl, alkenyl and alkynyl are as defined herein.
- “Substituted alkoxy” refers to the groups —O-(substituted alkyl), —O-(substituted alkenyl), and —O-(substituted alkynyl), wherein substituted alkyl, substituted alkenyl, and substituted alkynyl are as defined herein.
- “Acyl” refers to the groups H—C(O)—, alkyl-C(O)—, substituted alkyl-C(O)—, alkenyl-C(O)—, substituted alkenyl-C(O)—, alkynyl-C(O)—, substituted alkynyl-C(O)— cycloalkyl-C(O)—, substituted cycloalkyl-C(O)—, cycloalkenyl-C(O)—, substituted cycloalkenyl-C(O)—, aryl-C(O)—, substituted aryl-C(O)—, heteroaryl-C(O)—, substituted heteroaryl-C(O)—, heterocyclic-C(O)—, and substituted heterocyclic-C(O)—, wherein alkyl, substituted alkyl, alkenyl, substituted alkenyl, alkynyl, substituted alkynyl, cycloalkyl, substituted cycloalkyl, cycloalkenyl, substituted cycloalkenyl, aryl, substituted aryl, heteroaryl, substituted heteroaryl, heterocyclic, and substituted heterocyclic are as defined herein. Acyl includes the “acetyl” group CH3C(O)—.
- “Acylamino” refers to the groups —NR20C(O)alkyl, —NR20C(O) substituted alkyl, —NR20C(O)cycloalkyl, —NR20C(O) substituted cycloalkyl, —NR20C(O)cycloalkenyl, —NR20C(O) substituted cycloalkenyl, —NR20C(O)alkenyl, —NR20C(O) substituted alkenyl, —NR20C(O)alkynyl, —NR20C(O) substituted alkynyl, —NR20C(O)aryl, —NR20C(O) substituted aryl, —NR20C(O)heteroaryl, —NR20C(O) substituted heteroaryl, —NR20C(O)heterocyclic, and —NR20C(O) substituted heterocyclic, wherein R20 is hydrogen or alkyl and wherein alkyl, substituted alkyl, alkenyl, substituted alkenyl, alkynyl, substituted alkynyl, cycloalkyl, substituted cycloalkyl, cycloalkenyl, substituted cycloalkenyl, aryl, substituted aryl, heteroaryl, substituted heteroaryl, heterocyclic, and substituted heterocyclic are as defined herein.
- “Acyloxy” refers to the groups alkyl-C(O)O—, substituted alkyl-C(O)O—, alkenyl-C(O)O—, substituted alkenyl-C(O)O—, alkynyl-C(O)O—, substituted alkynyl-C(O)O—, aryl-C(O)O—, substituted aryl-C(O)O—, cycloalkyl-C(O)O—, substituted cycloalkyl-C(O)O—, cycloalkenyl-C(O)O—, substituted cycloalkenyl-C(O)O—, heteroaryl-C(O)O—, substituted heteroaryl-C(O)O—, heterocyclic-C(O)O—, and substituted heterocyclic-C(O)O—, wherein alkyl, substituted alkyl, alkenyl, substituted alkenyl, alkynyl, substituted alkynyl, cycloalkyl, substituted cycloalkyl, cycloalkenyl, substituted cycloalkenyl, aryl, substituted aryl, heteroaryl, substituted heteroaryl, heterocyclic, and substituted heterocyclic are as defined herein.
- “Amino” refers to the group —NH2.
- “Substituted amino” refers to the group —NR21R22, wherein R21 and R22 independently are selected from the group consisting of hydrogen, alkyl, substituted alkyl, alkenyl, substituted alkenyl, alkynyl, substituted alkynyl, aryl, substituted aryl, cycloalkyl, substituted cycloalkyl, cycloalkenyl, substituted cycloalkenyl, heteroaryl, substituted heteroaryl, heterocyclic, substituted heterocyclic, where one of R21 and R22 is sulfonyl, and wherein R21 and R22 are optionally joined together with the nitrogen bound thereto to form a heterocyclic or substituted heterocyclic group, provided that R21 and R22 are not both hydrogen, and wherein alkyl, substituted alkyl, alkenyl, substituted alkenyl, alkynyl, substituted alkynyl, cycloalkyl, substituted cycloalkyl, cycloalkenyl, substituted cycloalkenyl, aryl, substituted aryl, heteroaryl, sulfonyl, substituted heteroaryl, heterocyclic, and substituted heterocyclic are as defined herein. When R21 is hydrogen and R22 is alkyl, the substituted amino group is sometimes referred to herein as “alkylamino.” When R21 and R22 are alkyl, the substituted amino group is sometimes referred to herein as “dialkylamino.” When referring to a monosubstituted amino, it is meant that either R21 or R22 is hydrogen, but not both. When referring to a disubstituted amino, it is meant that neither R21 nor R22 is hydrogen.
- “Aminocarbonyl” refers to the group —C(O)NR21R22, wherein R21 and R22 independently are selected from the group consisting of hydrogen, alkyl, substituted alkyl, alkenyl, substituted alkenyl, alkynyl, substituted alkynyl, aryl, substituted aryl, cycloalkyl, substituted cycloalkyl, cycloalkenyl, substituted cycloalkenyl, heteroaryl, substituted heteroaryl, heterocyclic, and substituted heterocyclic and where R21 and R22 are optionally joined together with the nitrogen bound thereto to form a heterocyclic or substituted heterocyclic group, and wherein alkyl, substituted alkyl, alkenyl, substituted alkenyl, alkynyl, substituted alkynyl, cycloalkyl, substituted cycloalkyl, cycloalkenyl, substituted cycloalkenyl, aryl, substituted aryl, heteroaryl, substituted heteroaryl, heterocyclic, and substituted heterocyclic are as defined herein.
- “Aminothiocarbonyl” refers to the group —C(S)NR21R22, wherein R21 and R22 independently are selected from the group consisting of hydrogen, alkyl, substituted alkyl, alkenyl, substituted alkenyl, alkynyl, substituted alkynyl, aryl, substituted aryl, cycloalkyl, substituted cycloalkyl, cycloalkenyl, substituted cycloalkenyl, heteroaryl, substituted heteroaryl, heterocyclic, and substituted heterocyclic and where R21 and R22 are optionally joined together with the nitrogen bound thereto to form a heterocyclic or substituted heterocyclic group, and wherein alkyl, substituted alkyl, alkenyl, substituted alkenyl, alkynyl, substituted alkynyl, cycloalkyl, substituted cycloalkyl, cycloalkenyl, substituted cycloalkenyl, aryl, substituted aryl, heteroaryl, substituted heteroaryl, heterocyclic, and substituted heterocyclic are as defined herein.
- “Aminocarbonylamino” refers to the group —NR20C(O)NR21R22, wherein R20 is hydrogen or alkyl and R21 and R22 independently are selected from the group consisting of hydrogen, alkyl, substituted alkyl, alkenyl, substituted alkenyl, alkynyl, substituted alkynyl, aryl, substituted aryl, cycloalkyl, substituted cycloalkyl, cycloalkenyl, substituted cycloalkenyl, heteroaryl, substituted heteroaryl, heterocyclic, and substituted heterocyclic and where R21 and R22 are optionally joined together with the nitrogen bound thereto to form a heterocyclic or substituted heterocyclic group, and wherein alkyl, substituted alkyl, alkenyl, substituted alkenyl, alkynyl, substituted alkynyl, cycloalkyl, substituted cycloalkyl, cycloalkenyl, substituted cycloalkenyl, aryl, substituted aryl, heteroaryl, substituted heteroaryl, heterocyclic and substituted heterocyclic are as defined herein.
- “Aminothiocarbonylamino” refers to the group —NR20C(S)NR21R22, wherein R20 is hydrogen or alkyl and R21 and R22 independently are selected from the group consisting of hydrogen, alkyl, substituted alkyl, alkenyl, substituted alkenyl, alkynyl, substituted alkynyl, aryl, substituted aryl, cycloalkyl, substituted cycloalkyl, cycloalkenyl, substituted cycloalkenyl, heteroaryl, substituted heteroaryl, heterocyclic, and substituted heterocyclic and where R21 and R22 are optionally joined together with the nitrogen bound thereto to form a heterocyclic or substituted heterocyclic group, and wherein alkyl, substituted alkyl, alkenyl, substituted alkenyl, alkynyl, substituted alkynyl, cycloalkyl, substituted cycloalkyl, cycloalkenyl, substituted cycloalkenyl, aryl, substituted aryl, heteroaryl, substituted heteroaryl, heterocyclic and substituted heterocyclic are as defined herein.
- “Aminocarbonyloxy” refers to the group —O—C(O)NR21R22, wherein R21 and R22 independently are selected from the group consisting of hydrogen, alkyl, substituted alkyl, alkenyl, substituted alkenyl, alkynyl, substituted alkynyl, aryl, substituted aryl, cycloalkyl, substituted cycloalkyl, cycloalkenyl, substituted cycloalkenyl, heteroaryl, substituted heteroaryl, heterocyclic, and substituted heterocyclic and where R21 and R22 are optionally joined together with the nitrogen bound thereto to form a heterocyclic or substituted heterocyclic group, and wherein alkyl, substituted alkyl, alkenyl, substituted alkenyl, alkynyl, substituted alkynyl, cycloalkyl, substituted cycloalkyl, cycloalkenyl, substituted cycloalkenyl, aryl, substituted aryl, heteroaryl, substituted heteroaryl, heterocyclic and substituted heterocyclic are as defined herein.
- “Aminosulfonyl” refers to the group —SO2NR21R22, wherein R21 and R22 independently are selected from the group consisting of hydrogen, alkyl, substituted alkyl, alkenyl, substituted alkenyl, alkynyl, substituted alkynyl, aryl, substituted aryl, cycloalkyl, substituted cycloalkyl, cycloalkenyl, substituted cycloalkenyl, heteroaryl, substituted heteroaryl, heterocyclic, substituted heterocyclic and whereR21 and R22 are optionally joined together with the nitrogen bound thereto to form a heterocyclic or substituted heterocyclic group and alkyl, substituted alkyl, alkenyl, substituted alkenyl, alkynyl, substituted alkynyl, cycloalkyl, substituted cycloalkyl, cycloalkenyl, substituted cycloalkenyl, aryl, substituted aryl, heteroaryl, substituted heteroaryl, heterocyclic and substituted heterocyclic are as defined herein.
- “Aminosulfonyloxy” refers to the group —O—SO2NR21R22, wherein R21 and R22 independently are selected from the group consisting of hydrogen, alkyl, substituted alkyl, alkenyl, substituted alkenyl, alkynyl, substituted alkynyl, aryl, substituted aryl, cycloalkyl, substituted cycloalkyl, cycloalkenyl, substituted cycloalkenyl, heteroaryl, substituted heteroaryl, heterocyclic, and substituted heterocyclic; R21 and R22 are optionally joined together with the nitrogen bound thereto to form a heterocyclic or substituted heterocyclic group; and alkyl, substituted alkyl, alkenyl, substituted alkenyl, alkynyl, substituted alkynyl, cycloalkyl, substituted cycloalkyl, cycloalkenyl, substituted cycloalkenyl, aryl, substituted aryl, heteroaryl, substituted heteroaryl, heterocyclic, and substituted heterocyclic are as defined herein.
- “Aminosulfonylamino” refers to the group —NR20—SO2NR21R22, wherein R20 is hydrogen or alkyl and R21 and R22 independently are selected from the group consisting of hydrogen, alkyl, substituted alkyl, alkenyl, substituted alkenyl, alkynyl, substituted alkynyl, aryl, substituted aryl, cycloalkyl, substituted cycloalkyl, cycloalkenyl, substituted cycloalkenyl, heteroaryl, substituted heteroaryl, heterocyclic, and substituted heterocyclic and where R21 and R22 are optionally joined together with the nitrogen bound thereto to form a heterocyclic or substituted heterocyclic group, and wherein alkyl, substituted alkyl, alkenyl, substituted alkenyl, alkynyl, substituted alkynyl, cycloalkyl, substituted cycloalkyl, cycloalkenyl, substituted cycloalkenyl, aryl, substituted aryl, heteroaryl, substituted heteroaryl, heterocyclic and substituted heterocyclic are as defined herein.
- “Sulfonylamino” refers to the group —NR21SO2R22, wherein R21 and R22 independently are selected from the group consisting of hydrogen, alkyl, substituted alkyl, alkenyl, substituted alkenyl, alkynyl, substituted alkynyl, aryl, substituted aryl, cycloalkyl, substituted cycloalkyl, cycloalkenyl, substituted cycloalkenyl, heteroaryl, substituted heteroaryl, heterocyclic, and substituted heterocyclic and where R21 and R22 are optionally joined together with the atoms bound thereto to form a heterocyclic or substituted heterocyclic group, and wherein alkyl, substituted alkyl, alkenyl, substituted alkenyl, alkynyl, substituted alkynyl, cycloalkyl, substituted cycloalkyl, cycloalkenyl, substituted cycloalkenyl, aryl, substituted aryl, heteroaryl, substituted heteroaryl, heterocyclic, and substituted heterocyclic are as defined herein.
- “Amidino” refers to the group —C(═NR30)NR31R32, wherein R31 and R32 independently are selected from the group consisting of hydrogen, alkyl, substituted alkyl, alkenyl, substituted alkenyl, alkynyl, substituted alkynyl, aryl, substituted aryl, cycloalkyl, substituted cycloalkyl, cycloalkenyl, substituted cycloalkenyl, heteroaryl, substituted heteroaryl, heterocyclic, and substituted heterocyclic and where R31 and R32 are optionally joined together with the nitrogen bound thereto to form a heterocyclic or substituted heterocyclic group. R30 is selected from the group consisting of hydrogen, alkyl, substituted alkyl, alkenyl, substituted alkenyl, alkynyl, substituted alkynyl, cycloalkynyl, substituted cycloalkynyl, aryl, substituted aryl, cycloalkyl, substituted cycloalkyl, cycloalkenyl, substituted cycloalkenyl, heteroaryl, substituted heteroaryl, heterocyclic, substituted heterocyclic, nitro, nitroso, hydroxy, alkoxy, cyano, acyl, —SO2-alkyl and —SO2-substituted alkyl, wherein alkyl, substituted alkyl, alkenyl, substituted alkenyl, alkynyl, substituted alkynyl, cycloalkynyl, substituted cycloalkynyl, cycloalkyl, substituted cycloalkyl, cycloalkenyl, substituted cycloalkenyl, aryl, substituted aryl, heteroaryl, substituted heteroaryl, heterocyclic, substituted heterocyclic, nitro, nitroso, hydroxy, alkoxy, and cyano are as defined herein.
- “Aryl” refers to a monovalent aromatic carbocyclic group of from 6 to 14 carbon atoms having a single ring (e.g., phenyl) or multiple condensed rings (e.g., naphthyl or anthryl) which condensed rings may or may not be aromatic provided that the point of attachment is through an atom of the aromatic aryl group. As used herein multiple rings refers to fused, bridged or spiro ring systems consisting of 2, 3 or 4 rings. For example, 1,2,3,4-tetrahydronaphthalen-5-yl, 9H-fluoren-2-yl, and the like. Preferred aryl groups include phenyl and naphthyl.
- “Substituted aryl” refers to aryl groups having 1 to 5 hydrogens replaced with substituents independently selected from the group consisting of alkyl, substituted alkyl, alkenyl, substituted alkenyl, alkynyl, substituted alkynyl, alkoxy, substituted alkoxy, acyl, acylamino, acyloxy, amino, substituted amino, aminocarbonyl, aminothiocarbonyl, aminocarbonylamino, aminothiocarbonylamino, aminocarbonyloxy, aminosulfonyl, aminosulfonyloxy, aminosulfonylamino, amidino, aryl, substituted aryl, aryloxy, substituted aryloxy, arylthio, substituted arylthio, carboxyl, carboxyl ester, (carboxyl ester)amino, (carboxyl ester)oxy, cyano, cycloalkyl, substituted cycloalkyl, cycloalkyloxy, substituted cycloalkyloxy, cycloalkylthio, substituted cycloalkylthio, cycloalkenyl, substituted cycloalkenyl, cycloalkenyloxy, substituted cycloalkenyloxy, cycloalkenylthio, substituted cycloalkenylthio, guanidino, substituted guanidino, halo, hydroxy, heteroaryl, substituted heteroaryl, heteroaryloxy, substituted heteroaryloxy, heteroarylthio, substituted heteroarylthio, heterocyclic, substituted heterocyclic, heterocyclyloxy, substituted heterocyclyloxy, heterocyclylthio, substituted heterocyclylthio, nitro, SO3H, sulfonyl, sulfonyloxy, thioacyl, thiol, alkylthio, and substituted alkylthio, wherein said substituents are as defined herein. In some embodiments, the aryl has 1 to 3 of the aforementioned groups. In other embodiments, the aryl has 1 to 2 of the aforementioned groups. In some embodiments, substituted aryl includes compounds containing oxo substituent in the non-aromatic ring fused to the aryl group. For example, 1-oxo-indan-4-yl, wherein the point of attachment is through the phenyl ring.
- “Aryloxy” refers to the group —O-aryl, wherein aryl is as defined herein, including, by way of example, phenoxy, naphthoxy, and the like.
- “Substituted aryloxy” refers to the group —O-(substituted aryl), wherein substituted aryl is as defined herein.
- “Arylthio” refers to the group —S-aryl, wherein aryl is as defined herein. In other embodiments, sulfur may be oxidized to —S(O)— or —SO2— moieties. The sulfoxide may exist as one or more stereoisomers.
- “Substituted arylthio” refers to the group —S-(substituted aryl), wherein substituted aryl is as defined herein. In other embodiments, sulfur may be oxidized to —S(O)— or —SO2— moieties. The sulfoxide may exist as one or more stereoisomers.
- “Alkenyl” refers to straight chain or branched hydrocarbyl groups having from 2 to 6 carbon atoms and preferably 2 to 4 carbon atoms and having at least 1 and preferably from 1 to 2 sites of vinyl (>C═C<) unsaturation. Such groups are exemplified by vinyl, allyl, and but-3-en-1-yl. Included within this term are the cis and trans isomers or mixtures of these isomers.
- “Substituted alkenyl” refers to alkenyl groups having from 1 to 3 substituents selected from the group consisting of alkoxy, substituted alkoxy, acyl, acylamino, acyloxy, amino, substituted amino, aminocarbonyl, aminothiocarbonyl, aminocarbonylamino, aminothiocarbonylamino, aminocarbonyloxy, aminosulfonyl, aminosulfonyloxy, aminosulfonylamino, amidino, aryl, substituted aryl, aryloxy, substituted aryloxy, arylthio, substituted arylthio, carboxyl, carboxyl ester, (carboxyl ester)amino, (carboxyl ester)oxy, cyano, cycloalkyl, substituted cycloalkyl, cycloalkyloxy, substituted cycloalkyloxy, cycloalkylthio, substituted cycloalkylthio, cycloalkenyl, substituted cycloalkenyl, cycloalkenyloxy, substituted cycloalkenyloxy, cycloalkenylthio, substituted cycloalkenylthio, guanidino, substituted guanidino, halo, hydroxy, heteroaryl, substituted heteroaryl, heteroaryloxy, substituted heteroaryloxy, heteroarylthio, substituted heteroarylthio, heterocyclic, substituted heterocyclic, heterocyclyloxy, substituted heterocyclyloxy, heterocyclylthio, substituted heterocyclylthio, nitro, SO3H, sulfonyl, sulfonyloxy, thioacyl, thiol, alkylthio, and substituted alkylthio, wherein said substituents are as defined herein and with the proviso that any hydroxy substitution is not attached to a vinyl (unsaturated) carbon atom. In some embodiments, the alkenyl has 1 to 2 of the aforementioned groups.
- “Alkynyl” refers to straight or branched monovalent hydrocarbyl groups having from 2 to 6 carbon atoms and preferably 2 to 3 carbon atoms and having at least 1 and preferably from 1 to 2 sites of acetylenic —C≡C— unsaturation. Examples of such alkynyl groups include acetylenyl (—C≡CH), and propargyl (—CH2C≡CH).
- “Substituted alkynyl” refers to alkynyl groups having from 1 to 3 substituents selected from the group consisting of alkoxy, substituted alkoxy, acyl, acylamino, acyloxy, amino, substituted amino, aminocarbonyl, aminothiocarbonyl, aminocarbonylamino, aminothiocarbonylamino, aminocarbonyloxy, aminosulfonyl, aminosulfonyloxy, aminosulfonylamino, amidino, aryl, substituted aryl, aryloxy, substituted aryloxy, arylthio, substituted arylthio, carboxyl, carboxyl ester, (carboxyl ester)amino, (carboxyl ester)oxy, cyano, cycloalkyl, substituted cycloalkyl, cycloalkyloxy, substituted cycloalkyloxy, cycloalkylthio, substituted cycloalkylthio, cycloalkenyl, substituted cycloalkenyl, cycloalkenyloxy, substituted cycloalkenyloxy, cycloalkenylthio, substituted cycloalkenylthio, guanidino, substituted guanidino, halo, hydroxy, heteroaryl, substituted heteroaryl, heteroaryloxy, substituted heteroaryloxy, heteroarylthio, substituted heteroarylthio, heterocyclic, substituted heterocyclic, heterocyclyloxy, substituted heterocyclyloxy, heterocyclylthio, substituted heterocyclylthio, nitro, SO3H, sulfonyl, sulfonyloxy, thioacyl, thiol, alkylthio, and substituted alkylthio, wherein said substituents are as defined herein and with the proviso that any hydroxy or thiol substitution is not attached to an acetylenic carbon atom. In some embodiments, the alkynyl has 1 to 2 of the aforementioned groups.
- “Alkynyloxy” refers to the group —O-alkynyl, wherein alkynyl is as defined herein. Alkynyloxy includes, by way of example, ethynyloxy, propynyloxy, and the like.
- “Carboxyl” or “carboxy” refers to —COOH or salts thereof.
- “Carboxyl ester” or “carboxy ester” refers to the groups —C(O)O-alkyl, —C(O)O-substituted alkyl, —C(O)O-alkenyl, —C(O)O-substituted alkenyl, —C(O)O-alkynyl, —C(O)O-substituted alkynyl, —C(O)O-aryl, —C(O)O-substituted aryl, —C(O)O-cycloalkyl, —C(O)O-substituted cycloalkyl, —C(O)O-cycloalkenyl, —C(O)O-substituted cycloalkenyl, —C(O)O-heteroaryl, —C(O)O-substituted heteroaryl, —C(O)O-heterocyclic, and —C(O)O-substituted heterocyclic, wherein alkyl, substituted alkyl, alkenyl, substituted alkenyl, alkynyl, substituted alkynyl, cycloalkyl, substituted cycloalkyl, cycloalkenyl, substituted cycloalkenyl, aryl, substituted aryl, heteroaryl, substituted heteroaryl, heterocyclic, and substituted heterocyclic are as defined herein.
- “(Carboxyl ester)amino” refers to the groups —NR—C(O)O-alkyl, —NR—C(O)O— substituted alkyl, —NR—C(O)O-alkenyl, —NR—C(O)O-substituted alkenyl, —NR—C(O)O-alkynyl, —NR—C(O)O-substituted alkynyl, —NR—C(O)O-aryl, —NR—C(O)O-substituted aryl, —NR—C(O)O-cycloalkyl, —NR—C(O)O-substituted cycloalkyl, —NR—C(O)O-cycloalkenyl, —NR—C(O)O-substituted cycloalkenyl, —NR—C(O)O-heteroaryl, —NR—C(O)O-substituted heteroaryl, —NR—C(O)O-heterocyclic, and —NR—C(O)O-substituted heterocyclic, wherein R is alkyl or hydrogen and alkyl, substituted alkyl, alkenyl, substituted alkenyl, alkynyl, substituted alkynyl, cycloalkyl, substituted cycloalkyl, cycloalkenyl, substituted cycloalkenyl, aryl, substituted aryl, heteroaryl, substituted heteroaryl, heterocyclic, and substituted heterocyclic are as defined herein.
- “(Carboxyl ester)oxy” refers to the groups —O—C(O)O-alkyl, —O—C(O)O— substituted alkyl, —O—C(O)O-alkenyl, —O—C(O)O-substituted alkenyl, —O—C(O)O-alkynyl, —O—C(O)O-substituted alkynyl, —O—C(O)O-aryl, —O—C(O)O-substituted aryl, —O—C(O)O-cycloalkyl, —O—C(O)O-substituted cycloalkyl, —O—C(O)O-cycloalkenyl, —O—C(O)O-substituted cycloalkenyl, —O—C(O)O-heteroaryl, —O—C(O)O-substituted heteroaryl, —O—C(O)O-heterocyclic, and —O—C(O)O-substituted heterocyclic, wherein alkyl, substituted alkyl, alkenyl, substituted alkenyl, alkynyl, substituted alkynyl, cycloalkyl, substituted cycloalkyl, cycloalkenyl, substituted cycloalkenyl, aryl, substituted aryl, heteroaryl, substituted heteroaryl, heterocyclic, and substituted heterocyclic are as defined herein.
- “Cyano” or “nitrile” refers to the group —CN.
- “Cycloalkyl” refers to cyclic alkyl groups of from 3 to 13 carbon atoms having single or multiple cyclic rings including fused, bridged, and spiro ring systems. Examples of cycloalkyl groups include adamantyl, cyclopropyl, cyclobutyl, cyclopentyl, cyclooctyl, and the like. One or more rings fused to the cycloalkyl group can be aromatic, provided that the point of attachment is through the non-aromatic ring, e.g. 9H-fluoren-9-yl, 1,2,3,4-tetrahydronaphthalen-2-yl, and the like.
- “Cycloalkenyl” refers to non-aromatic cyclic alkyl groups of from 3 to 10 carbon atoms having single or multiple rings and having at least one double bond and preferably from 1 to 2 double bonds.
- “Cycloalkynyl” refers to non-aromatic cycloalkyl groups of from 7 to 12 carbon atoms having single or multiple rings and having at least one triple bond.
- “Cycloalkylene” refers to divalent cycloalkyl groups, wherein cycloalkyl is as defined herein.
- “Substituted cycloalkylene” refers to cycloalkylene group having from 1 to 3 hydrogens replaced with substituents selected from the group consisting of alkyl, substituted alkyl, alkoxy, substituted alkoxy, acyl, acylamino, acyloxy, amino, substituted amino, aminocarbonyl, aryl, substituted aryl, aryloxy, substituted aryloxy, cyano, halogen, hydroxyl, nitro, carboxyl, carboxyl ester, cycloalkyl, substituted cycloalkyl, heteroaryl, substituted heteroaryl, heterocyclic, substituted heterocyclic, and oxo wherein said substituents are as defined herein. In some embodiments, the alkylene has 1 to 2 of the aforementioned groups. It is to be noted that when the cycloalkylene is substituted by an oxo group, 2 hydrogens attached to the same carbon of the cycloalkylene group are replaced by “═O”.
- “Substituted cycloalkyl,” “substituted cycloalkenyl,” and “substituted cycloalkynyl” refer to a cycloalkyl, cycloalkenyl, or cycloalkynyl group having from 1 to 5 substituents selected from the group consisting of oxo, thioxo, alkyl, substituted alkyl, alkenyl, substituted alkenyl, alkynyl, substituted alkynyl, alkoxy, substituted alkoxy, acyl, acylamino, acyloxy, amino, substituted amino, aminocarbonyl, aminothiocarbonyl, aminocarbonylamino, aminothiocarbonylamino, aminocarbonyloxy, aminosulfonyl, aminosulfonyloxy, aminosulfonylamino, amidino, aryl, substituted aryl, aryloxy, substituted aryloxy, arylthio, substituted arylthio, carboxyl, carboxyl ester, (carboxyl ester)amino, (carboxyl ester)oxy, cyano, cycloalkyl, substituted cycloalkyl, cycloalkyloxy, substituted cycloalkyloxy, cycloalkylthio, substituted cycloalkylthio, cycloalkenyl, substituted cycloalkenyl, cycloalkenyloxy, substituted cycloalkenyloxy, cycloalkenylthio, substituted cycloalkenylthio, guanidino, substituted guanidino, halo, hydroxy, heteroaryl, substituted heteroaryl, heteroaryloxy, substituted heteroaryloxy, heteroarylthio, substituted heteroarylthio, heterocyclic, substituted heterocyclic, heterocyclyloxy, substituted heterocyclyloxy, heterocyclylthio, substituted heterocyclylthio, nitro, SO3H, sulfonyl, sulfonyloxy, thioacyl, thiol, alkylthio, and substituted alkylthio, wherein said substituents are as defined herein, provides that any hydroxy or thiol substitution is not attached to an unsaturated carbon atom. In some embodiments, the cycloalkyl or cycloalkenyl has 1 to 3 of the aforementioned groups.
- “Cycloalkoxy” refers to —O-cycloalkyl.
- “Substituted cycloalkoxy” refers to —O-(substituted cycloalkyl).
- “Cycloalkylthio” refers to —S-cycloalkyl. In other embodiments, sulfur may be oxidized to —S(O)— or —SO2— moieties. The sulfoxide may exist as one or more stereoisomers.
- “Substituted cycloalkylthio” refers to —S-(substituted cycloalkyl). In other embodiments, sulfur may be oxidized to —S(O)—, or —SO2— moieties. The sulfoxide may exist as one or more stereoisomers.
- “Cycloalkenyloxy” refers to —O-cycloalkenyl.
- “Substituted cycloalkenyloxy” refers to —O-(substituted cycloalkenyl).
- “Cycloalkenylthio” refers to —S-cycloalkenyl. In other embodiments, sulfur may be oxidized to sulfinyl or sulfonyl moieties. The sulfoxide may exist as one or more stereoisomers.
- “Substituted cycloalkenylthio” refers to —S-(substituted cycloalkenyl). In other embodiments, sulfur may be oxidized to —S(O)— or —SO2— moieties. The sulfoxide may exist as one or more stereoisomers.
- “Guanidino” refers to the group —NHC(═NH)NH2.
- “Substituted guanidino” refers to the group —NR33C(═NR33)N(R33)2, wherein each R33 independently is selected from the group consisting of hydrogen, alkyl, substituted alkyl, aryl, substituted aryl, heteroaryl, substituted heteroaryl, heterocyclic, and substituted heterocyclic; two R groups attached to a common guanidino nitrogen atom are optionally joined together with the nitrogen bound thereto to form a heterocyclic or substituted heterocyclic group, provided that at least one R is not hydrogen; and said substituents are as defined herein.
- “Halo” or “halogen” refers to fluoro, chloro, bromo, and iodo and is preferably fluoro or chloro.
- “Hydroxy” or “hydroxyl” refers to the group —OH.
- “Heteroaryl” refers to an aromatic group of from 1 to 10 carbon atoms and 1 to 4 heteroatoms selected from the group consisting of oxygen, nitrogen, and sulfur within the ring. Such heteroaryl groups can have a single ring (e.g., pyridinyl or furyl) or multiple condensed rings (e.g., indolizinyl or benzothienyl), wherein the condensed rings may or may not be aromatic and/or contain a heteroatom, provided that the point of attachment is through an atom of the aromatic group containing the heteroatom. In one embodiment, the nitrogen and/or sulfur ring atom(s) of the heteroaryl group are optionally oxidized to provide for the N-oxide (N→O), sulfinyl, or sulfonyl moieties. Preferred heteroaryls include pyridinyl, pyrrolyl, indolyl, thiophenyl, and furanyl.
- “Substituted heteroaryl” refers to heteroaryl groups that are substituted with from 1 to 5 substituents selected from the group consisting of the same group of substituents defined for substituted aryl. In some embodiments, the heteroaryl has 1 to 3 of the aforementioned groups. In other embodiments, the heteroaryl has 1 to 2 of the aforementioned groups.
- “Heteroaryloxy” refers to —O-heteroaryl.
- “Substituted heteroaryloxy” refers to the group —O-(substituted heteroaryl).
- “Heteroarylthio” refers to the group —S-heteroaryl. In other embodiments, sulfur may be oxidized to —S(O)— or —SO2— moieties. The sulfoxide may exist as one or more stereoisomers.
- “Substituted heteroarylthio” refers to the group —S-(substituted heteroaryl). In other embodiments, sulfur may be oxidized to —S(O)— or —SO2— moieties. The sulfoxide may exist as one or more stereoisomers.
- “Heterocycle,” “heterocyclic,” “heterocycloalkyl,” and “heterocyclyl” refer to a saturated or unsaturated group having a single ring or multiple condensed rings, including fused bridged and spiro ring systems, and having from 3 to 15 ring atoms, including 1 to 4 hetero atoms. These ring atoms are selected from the group consisting of nitrogen, sulfur, or oxygen, wherein, in fused ring systems, one or more of the rings can be cycloalkyl, aryl, or heteroaryl, provided that the point of attachment is through the non-aromatic ring. In one embodiment, the nitrogen and/or sulfur atom(s) of the heterocyclic group are optionally oxidized to provide for the N-oxide, —S(O)—, or —SO2— moieties.
- “Substituted heterocyclic,” “substituted heterocycloalkyl,” and “substituted heterocyclyl” refer to heterocyclyl groups that are substituted with from 1 to 5 of the same substituents as defined for substituted cycloalkyl. In some embodiments, the heterocyclyl has 1 to 3 of the aforementioned groups.
- “Heterocyclyloxy” refers to the group —O-heterocycyl.
- “Substituted heterocyclyloxy” refers to the group —O-(substituted heterocycyl).
- “Heterocyclylthio” refers to the group —S-heterocycyl. In other embodiments, sulfur may be oxidized to —S(O)— or —SO2— moieties. The sulfoxide may exist as one or more stereoisomers.
- “Substituted heterocyclylthio” refers to the group —S-(substituted heterocycyl). In other embodiments, sulfur may be oxidized to —S(O)— or —SO2— moieties. The sulfoxide may exist as one or more stereoisomers.
- Examples of heterocycle and heteroaryls include, but are not limited to, azetidine, pyrrole, imidazole, pyrazole, pyridine, pyrazine, pyrimidine, pyridazine, indolizine, isoindole, indole, dihydroindole, indazole, purine, quinolizine, isoquinoline, quinoline, phthalazine, naphthylpyridine, quinoxaline, quinazoline, cinnoline, pteridine, carbazole, carboline, phenanthridine, acridine, phenanthroline, isothiazole, phenazine, isoxazole, phenoxazine, phenothiazine, imidazolidine, imidazoline, piperidine, piperazine, indoline, phthalimide, 1,2,3,4-tetrahydroisoquinoline, 4,5,6,7-tetrahydrobenzo[b]thiophene, thiazole, thiazolidine, thiophene, benzo[b]thiophene, morpholinyl, thiomorpholinyl (also referred to as thiamorpholinyl), 1,1-dioxothiomorpholinyl, piperidinyl, pyrrolidine, tetrahydrofuranyl, and the like.
- “Nitro” refers to the group —NO2.
- “Nitroso” refers to the group —NO.
- “Oxo” refers to the atom (═O).
- “Sulfonyl” refers to the group —SO2-alkyl, —SO2-substituted alkyl, —SO2-alkenyl, —SO2-substituted alkenyl, —SO2-cycloalkyl, —SO2-substituted cylcoalkyl, —SO2-cycloalkenyl, —SO2-substituted cylcoalkenyl, —SO2-aryl, —SO2-substituted aryl, —SO2-heteroaryl, —SO2-substituted heteroaryl, —SO2-heterocyclic, and —SO2-substituted heterocyclic, wherein alkyl, substituted alkyl, alkenyl, substituted alkenyl, alkynyl, substituted alkynyl, cycloalkyl, substituted cycloalkyl, cycloalkenyl, substituted cycloalkenyl, aryl, substituted aryl, heteroaryl, substituted heteroaryl, heterocyclic, and substituted heterocyclic are as defined herein. Sulfonyl includes groups such as methyl-SO2—, phenyl-SO2—, and 4-methylphenyl-SO2—.
- “Sulfonyloxy” refers to the group —OSO2-alkyl, —OSO2-substituted alkyl, —OSO2-alkenyl, —OSO2-substituted alkenyl, —OSO2-cycloalkyl, —OSO2-substituted cylcoalkyl, —OSO2-cycloalkenyl, —OSO2-substituted cylcoalkenyl, —OSO2-aryl, —OSO2-substituted aryl, —OSO2-heteroaryl, —OSO2-substituted heteroaryl, —OSO2-heterocyclic, and —OSO2-substituted heterocyclic, wherein alkyl, substituted alkyl, alkenyl, substituted alkenyl, alkynyl, substituted alkynyl, cycloalkyl, substituted cycloalkyl, cycloalkenyl, substituted cycloalkenyl, aryl, substituted aryl, heteroaryl, substituted heteroaryl, heterocyclic, and substituted heterocyclic are as defined herein.
- “Thioacyl” refers to the groups H—C(S)—, alkyl-C(S)—, substituted alkyl-C(S)—, alkenyl-C(S)—, substituted alkenyl-C(S)—, alkynyl-C(S)—, substituted alkynyl-C(S)—, cycloalkyl-C(S)—, substituted cycloalkyl-C(S)—, cycloalkenyl-C(S)—, substituted cycloalkenyl-C(S)—, aryl-C(S)—, substituted aryl-C(S)—, heteroaryl-C(S)—, substituted heteroaryl-C(S)—, heterocyclic-C(S)—, and substituted heterocyclic-C(S)—, wherein alkyl, substituted alkyl, alkenyl, substituted alkenyl, alkynyl, substituted alkynyl, cycloalkyl, substituted cycloalkyl, cycloalkenyl, substituted cycloalkenyl, aryl, substituted aryl, heteroaryl, substituted heteroaryl, heterocyclic, and substituted heterocyclic are as defined herein.
- “Thiol” refers to the group —SH.
- “Thioxo” refers to the group (═S).
- “Alkylthio” refers to the group —S-alkyl, wherein alkyl is as defined herein. In other embodiments, sulfur may be oxidized to —S(O)—. The sulfoxide may exist as one or more stereoisomers.
- “Substituted alkylthio” refers to the group —S-(substituted alkyl), wherein substituted alkyl is as defined herein. In other embodiments, sulfur may be oxidized to —S(O)—. The sulfoxide may exist as one or more stereoisomers.
- “Stereoisomer” and “stereoisomers” refer to compounds that differ in the chirality of one or more stereocenters. Stereoisomers include enantiomers and diastereomers.
- “Tautomer” refers to alternate forms of a molecule that differ in the position of a proton, such as enol-keto and imine-enamine tautomers, or the tautomeric forms of heteroaryl groups containing a —N═C(H)—NH— ring atom arrangement, such as pyrazoles, imidazoles, benzimidazoles, triazoles, and tetrazoles. A person of ordinary skill in the art would recognize that other tautomeric ring atom arrangements are possible.
- “Patient” refers to human and non-human animals, especially mammals.
- “Pharmaceutically acceptable salt” refers to pharmaceutically acceptable salts of a compound, which salts are derived from a variety of organic and inorganic counter ions well known in the art and include, by way of example only, sodium, potassium, calcium, magnesium, ammonium, tetraalkylammonium, and the like; and when the molecule contains a basic functionality, salts of organic or inorganic acids, such as hydrochloride, hydrobromide, tartrate, mesylate, acetate, maleate, oxalate, and the like.
- “Prodrug” refers to a derivative of an active 4-pyrimidineamine compound (drug) that may require a transformation under the conditions of use, such as within the body, to release the active 2,4-pyrimidinediamine drug. Prodrugs are frequently, but not necessarily, pharmacologically inactive until converted into the active drug. Prodrugs are typically obtained by masking one or more functional groups in an active 2,4-pyrimidinediamine drug believed to be in part required for activity with a progroup (defined below) to form a promoiety which undergoes a transformation, such as cleavage, under the specified conditions of use to release the functional group, and hence the active 2,4-pyrimidinediamine drug. The cleavage of the promoiety may proceed spontaneously, such as by way of a hydrolysis reaction, or it can be catalyzed or induced by another agent, such as an enzyme, light, an acid or base, or a change of or exposure to a physical or environmental parameter, such as temperature. The agent can be endogenous to the conditions of use, such as an enzyme present in the cells to which the prodrug is administered or the acidic conditions of the stomach, or it can be supplied exogenously.
- “Progroup” refers to a type of protecting group that, when used to mask a functional group within an active 2,4-pyrimidinediamine drug to form a promoiety, converts the drug into a prodrug. Progroups are typically attached to the functional group of the drug via bonds that are cleavable under specified conditions of use. Thus, a progroup is that portion of a promoiety that cleaves to release the functional group under the specified conditions of use. As a specific example, an amide promoiety of the formula —NH—C(O)CH3 comprises the progroup —C(O)CH3.
- “Pharmaceutically effective amount” and “therapeutically effective amount” refer to an amount of a compound sufficient to treat a specified disorder or disease or one or more of its symptoms and/or to prevent the occurrence of the disease or disorder. In reference to tumorigenic proliferative disorders, a pharmaceutically or therapeutically effective amount comprises an amount sufficient to, among other things, cause the tumor to shrink or decrease the growth rate of the tumor.
- “Solvate” refers to a complex formed by combination of solvent molecules with molecules or ions of the solute. The solvent can be an organic compound, an inorganic compound, or a mixture of both. Some examples of solvents include, but are not limited to, methanol, N,N-dimethylformamide, tetrahydrofuran, dimethylsulfoxide, and water.
- Unless indicated otherwise, the nomenclature of substituents that are not explicitly defined herein are arrived at by naming the terminal portion of the functionality followed by the adjacent functionality toward the point of attachment. For example, the substituent “arylalkyloxycarbonyl” refers to the group (aryl)-(alkyl)-O—C(O)—.
- It is understood that in all substituted groups defined above, polymers arrived at by defining substituents with further substituents to themselves (e.g., substituted aryl having a substituted aryl group as a substituent which is itself substituted with a substituted aryl group, which is further substituted by a substituted aryl group, etc.) are not intended for inclusion herein. In such cases, the maximum number of such substitutions is three. For example, serial substitutions of substituted aryl groups are limited to -substituted aryl-(substituted aryl)-substituted aryl.
- Similarly, it is understood that the above definitions are not intended to include impermissible substitution patterns (e.g., methyl substituted with 5 fluoro groups). Such impermissible substitution patterns are easily recognized by a person having ordinary skill in the art.
- C. Compounds of the Invention
- This invention provides novel 2,4-pyrimidinediamine compounds, prodrugs of the compounds, methods of making the compounds, and methods of using these compounds in the treatment of conditions in which targeting of the JAK pathway or inhibition of JAK kinases, particularly JAK3, are therapeutically useful. These conditions include, but are not limited to, debilitating and fatal diseases and disorders that affect both children and adults. Examples of these conditions include oncological diseases such as leukemia, including childhood leukemia and lymphoma; autoimmune conditions, such as transplant rejection; and the other conditions described herein. Given the severity of and suffering caused by these conditions, it is vital that new treatments are developed to treat these conditions.
- In one embodiment, the present invention provides a compound of formula I, prodrugs, solvates, or pharmaceutically acceptable salts thereof:
- a solvate, prodrug or pharmaceutically acceptable salt thereof; wherein:
-
- X is selected from the group consisting of alkyl, substituted alkyl, alkoxy, substituted alkoxy, amino, substituted amino, carboxyl, carboxyl ester, cyano, halo, nitro, alkenyl, substituted alkenyl, alkynyl and substituted alkynyl;
- Y is selected from the group consisting of hydrogen, alkyl substituted alkyl, amino, substituted amino, and halo;
- R is selected from the group consisting of hydrogen, alkyl, substituted alkyl, alkenyl, substituted alkenyl, alkynyl, substituted alkynyl, cycloalkyl and substituted cycloalkyl;
- ring A is selected from the group consisting of aryl, heteroaryl, cycloalkyl, cycloalkenyl and heterocyclic, wherein ring A is not indolyl or benzimidazolyl;
- p is 0, 1, 2 or 3;
- q is 1, 2 or 3 when ring A is a single ring, or q is 0, 1, 2, 3, 4, or 5 when ring A comprises multiple rings;
- each R2 independently is selected from the group consisting of alkyl, substituted alkyl, alkoxy, substituted alkoxy, amino, substituted amino, aryl, substituted aryl, aryloxy, substituted aryloxy, cycloalkyl, substituted cycloalkyl heteroaryl, substituted heteroaryl, heterocyclic, substituted heterocyclic, heterocyclyloxy, substituted carboxyl, carboxyl ester, hydroxyl, acylamino, aminosufonyl, alkynyl, substituted alkynyl, alkylthio, substituted alkylthio, aminocarbonyl, acyl, oxo, and halo;
- each R3 independently is selected from the group consisting of alkyl, substituted alkyl, cycloalkyl, substituted cycloalkyl, heterocyclic, substituted heterocyclic, halo, and aminosulfonyl; and
- R4 and R5 independently are selected from the group consisting of hydrogen, alkyl, substituted alkyl, alkenyl, substituted alkenyl, alkynyl, substituted alkynyl, alkoxy, cycloalkyl, substituted cycloalkyl, and acyl; or
- R4 and R5 together with the nitrogen atom bound thereto, form a heterocyclic or substituted heterocyclic group;
provided that:
- R4 and R5 together with the nitrogen atom bound thereto, form a heterocyclic or substituted heterocyclic group;
- if q=0, then X is not bromo;
- if ring A is cycloalkyl, then X is not bromo;
- if q=2 and each of R2 is methoxy, halo, trihalomethyl or trihalomethoxy, then R4 and R5 are not one hydrogen and one methyl;
- if q=2 and R2 is fluoro and methyl, then R is not substituted alkenyl; and
- if ring A is phenyl, q=1 and R2 is chloro, then R4 and R5 are not one hydrogen and one methyl.
- In another embodiment, wherein the compound is selected from the group consisting of the compounds disclosed in Tables I to XV.
- Those of skill in the art will appreciate that the 2,4-pyrimidinediamine compounds described herein may include functional groups that can be masked with progroups to create prodrugs. Such prodrugs are usually, but need not be, pharmacologically inactive until converted into their active drug form. Indeed, many of the 2,4-pyrimidinediamine compounds described in this invention include promoieties that are hydrolyzable or otherwise cleavable under conditions of use. For example, ester groups commonly undergo acid-catalyzed hydrolysis to yield the parent carboxylic acid when exposed to the acidic conditions of the stomach or base-catalyzed hydrolysis when exposed to the basic conditions of the intestine or blood. Thus, when administered to a subject orally, 2,4-pyrimidinediamine compounds that include ester moieties can be considered prodrugs of their corresponding carboxylic acid, regardless of whether the ester form is pharmacologically active.
- The mechanism by which the progroup(s) metabolizes is not critical and can be caused, for example, by hydrolysis under the acidic conditions of the stomach, as described above, and/or by enzymes present in the digestive tract and/or tissues or organs of the body. Indeed, the progroup(s) can be selected to metabolize at a particular site within the body. For example, many esters are cleaved under the acidic conditions found in the stomach. Prodrugs designed to cleave chemically in the stomach to the active 2,4-pyrimidinediamine can employ progroups including such esters. Alternatively, the progroups can be designed to metabolize in the presence of enzymes such as esterases, amidases, lipolases, and phosphatases, including ATPases and kinase, etc. Progroups including linkages capable of metabolizing in vivo are well known and include, by way of example and not limitation, ethers, thioethers, silylethers, silylthioethers, esters, thioesters, carbonates, thiocarbonates, carbamates, thiocarbamates, ureas, thioureas, and carboxamides. In some instances, a “precursor” group that is oxidized by oxidative enzymes such as, for example, cytochrome P450 of the liver, to a metabolizable group, can be selected.
- In the prodrugs, any available functional moiety can be masked with a progroup to yield a prodrug. Functional groups within the 2,4-pyrimidinediamine compounds that can be masked with progroups for inclusion in a promoiety include, but are not limited to, amines (primary and secondary), hydroxyls, sulfanyls (thiols), and carboxyls. A wide variety of progroups, as well as the resultant promoieties, suitable for masking functional groups in active 2,4-pyrimidinediamine compounds to yield prodrugs are well-known in the art. For example, a hydroxyl functional group can be masked as a sulfonate, ester, or carbonate promoiety, which can be hydrolyzed in vivo to provide the hydroxyl group. An amino functional group can be masked as an amide, carbamate, imine, urea, phosphenyl, phosphoryl, or sulfenyl promoiety, which can be hydrolyzed in vivo to provide the amino group. A carboxyl group can be masked as an ester (including silyl esters and thioesters), amide, or hydrazide promoiety, which can be hydrolyzed in vivo to provide the carboxyl group. Other specific examples of suitable progroups and their respective promoieties will be apparent to those of skill in the art. All of these progroups, alone or in combinations, can be included in the prodrugs.
- In some embodiments of the 2,4-pyrimidinediamine compounds and methods of using the compounds, the progroup(s) can be attached to any available primary or secondary amine, including, for example, the N2 nitrogen atom of the 2,4-pyrimidinediamine moiety, the N4 nitrogen atom of the 2,4-pyrimidinediamine moiety, and/or a primary or secondary nitrogen atom included in a substituent on the 2,4-pyrimidinediamine compound.
- In particular embodiments of the 2,4-pyrimidinediamine compounds and methods of using the compounds, the prodrugs described herein are 2,4-pyrimidinediamine compounds that are substituted at the N4 nitrogen of the 2,4-pyrimidinediamine moiety with a substituted or unsubstituted nitrogen-containing bicyclic ring that includes at least one progroup at one or more of the following: the nitrogen atom(s) of the bicyclic ring, the N2 nitrogen of the 2,4-pyrimidinediamine moiety, and the N4 nitrogen of the 2,4-pyrimidinediamine moiety.
- As noted above, the identity of the progroup is not critical, provided that it can be metabolized under the desired conditions of use, for example, under the acidic conditions found in the stomach and/or by enzymes found in vivo, to yield a biologically active group, e.g., the 2,4-pyrimidinediamines as described herein. Thus, skilled artisans will appreciate that the progroup can comprise virtually any known or later-discovered hydroxyl, amine or thiol protecting group. Non-limiting examples of suitable protecting groups can be found, for example, in Protective Groups in Organic Synthesis, Greene & Wuts, 2nd Ed., John Wiley & Sons, New York, 1991 (especially pages 10-142 (alcohols, 277-308 (thiols) and 309-405 (amines) the disclosure of which is incorporated herein by reference).
- Additionally, the identity of the progroup(s) can also be selected so as to impart the prodrug with desirable characteristics. For example, lipophilic groups can be used to decrease water solubility and hydrophilic groups can be used to increase water solubility. In this way, prodrugs specifically tailored for selected modes of administration can be obtained. The progroup can also be designed to impart the prodrug with other properties, such as, for example, improved passive intestinal absorption, improved transport-mediated intestinal absorption, protection against fast metabolism (slow-release prodrugs), tissue-selective delivery, passive enrichment in target tissues, and targeting-specific transporters. Groups capable of imparting prodrugs with these characteristics are well-known and are described, for example, in Ettmayer et al., 2004, J. Med. Chem. 47(10):2393-2404, the disclosure of which is incorporated by reference. All of the various groups described in these references can be utilized in the prodrugs described herein.
- As noted above, progroup(s) may also be selected to increase the water solubility of the prodrug as compared to the active drug. Thus, the progroup(s) may include or can be a group(s) suitable for imparting drug molecules with improved water solubility. Such groups are well-known and include, by way of example and not limitation, hydrophilic groups such as alkyl, aryl, and arylalkyl, or cycloheteroalkyl groups substituted with one or more of an amine, alcohol, a carboxylic acid, a phosphorous acid, a sulfoxide, a sugar, an amino acid, a thiol, a polyol, an ether, a thioether, and a quaternary amine salt.
- The suitability of any particular progroup for a desired mode of administration can be confirmed in biochemical assays. For example, if a prodrug is to be administered by injection into a particular tissue or organ and the identities of the various enzyme(s) expressed in the tissue or organ are known, the particular prodrug can be tested for metabolism in biochemical assays with the isolated enzyme(s). Alternatively, the particular prodrug can be tested for metabolism to the active 2,4-pyrimidinediamine compound with tissue and/or organ extracts. Using tissue and/or organ extracts can be of particular convenience when the identity(ies) of the enzymes expressed in the target tissues or organs are unknown or in instances when the isolated enzymes are not conveniently available. Skilled artisans will be able to readily select progroups having metabolic properties (such as kinetics) suitable for particular applications using such in vitro tests. Of course, specific prodrugs could also be tested for suitable metabolism in in vitro animal models.
- Numerous references teach the use and synthesis of prodrugs, including, for example, Ettmayer et al., supra and Bungaard et al., (1989) J. Med. Chem. 32(12): 2503-2507. Additionally, the preparation and use of prodrugs of 2,4-pyrimidinediamines is specifically taught in U.S. Provisional Patent Application 60/654,620, filed Feb. 18, 2005, entitled “Pyrimidinediamine Prodrugs and their Uses,” the disclosure of which is hereby incorporated by reference in its entirety.
- One of ordinary skill in the art will appreciate that many of the compounds and prodrugs thereof, as well as the various compound species specifically described and/or illustrated herein, may exhibit the phenomena of tautomerism, conformational isomerism, geometric isomerism, and/or optical isomerism. For example, the compounds and prodrugs of the invention may include one or more chiral centers and/or double bonds and as a consequence may exist as stereoisomers, such as double-bond isomers (i.e., geometric isomers), enantiomers, diasteromers, and mixtures thereof, such as racemic mixtures. As another example, the compounds and prodrugs of the invention may exist in several tautomeric forms, including the enol form, the keto form, and mixtures thereof. As the various compound names, formulae and compound drawings within the specification and claims can represent only one of the possible tautomeric, conformational isomeric, optical isomeric, or geometric isomeric forms, it should be understood that the invention encompasses any tautomeric, conformational isomeric, optical isomeric, and/or geometric isomeric forms of the compounds or prodrugs having one or more of the utilities described herein, as well as mixtures of these various different isomeric forms. In cases of limited rotation around the 2,4-pryimidinediamine core structure, atropisomers are also possible and are also specifically included in the compounds of the invention. It is intended that the compounds encompassed herein are, with the exception of forms of isomerism, chemically stable and able to be isolated.
- Depending upon the nature of the various substituents, the 2,4-pyrimidinediamine compounds and prodrugs of the invention can be in the form of salts. Such salts include salts suitable for pharmaceutical uses (“pharmaceutically-acceptable salts”), salts suitable for veterinary uses, etc. Such salts can be derived from acids or bases, as is well-known in the art.
- In one embodiment, the salt is a pharmaceutically acceptable salt. Generally, pharmaceutically acceptable salts are those salts that retain substantially one or more of the desired pharmacological activities of the parent compound and which are suitable for administration to humans. Pharmaceutically acceptable salts include acid addition salts formed with inorganic acids or organic acids. Inorganic acids suitable for forming pharmaceutically acceptable acid addition salts include, by way of example and not limitation, hydrohalide acids (e.g., hydrochloric acid, hydrobromic acid, hydroiodic acid, etc.), sulfuric acid, nitric acid, phosphoric acid, and the like. Organic acids suitable for forming pharmaceutically acceptable acid addition salts include, by way of example and not limitation, acetic acid, trifluoroacetic acid, propionic acid, hexanoic acid, cyclopentanepropionic acid, glycolic acid, oxalic acid, pyruvic acid, lactic acid, malonic acid, succinic acid, malic acid, maleic acid, fumaric acid, tartaric acid, citric acid, palmitic acid, benzoic acid, 3-(4-hydroxybenzoyl) benzoic acid, cinnamic acid, mandelic acid, alkylsulfonic acids (e.g., methanesulfonic acid, ethanesulfonic acid, 1,2-ethane-disulfonic acid, 2-hydroxyethanesulfonic acid, etc.), arylsulfonic acids (e.g., benzenesulfonic acid, 4-chlorobenzenesulfonic acid, 2-naphthalenesulfonic acid, 4-toluenesulfonic acid, camphorsulfonic acid, etc.), 4-methylbicyclo[2.2.2]-oct-2-ene-1-carboxylic acid, glucoheptonic acid, 3-phenylpropionic acid, trimethylacetic acid, tertiary butylacetic acid, lauryl sulfuric acid, gluconic acid, glutamic acid, hydroxynaphthoic acid, salicylic acid, stearic acid, muconic acid, and the like.
- Pharmaceutically acceptable salts also include salts formed when an acidic proton present in the parent compound is either replaced by a metal ion (e.g., an alkali metal ion, an alkaline earth metal ion, or an aluminum ion) or coordinates with an organic base (e.g., ethanolamine, diethanolamine, triethanolamine, N-methylglucamine, morpholine, piperidine, dimethylamine, diethylamine, triethylamine, and ammonia).
- The 2,4-pyrimidinediamine compounds and prodrugs thereof, as well as the salts thereof, may also be in the form of hydrates, solvates, and N-oxides, as is well-known in the art.
- In another embodiment, this invention provides a compound, or stereoisomer, tautomer, prodrug, solvate, or pharmaceutically acceptable salt thereof, selected from Tables I-XV.
-
TABLE I I Cmpd# (R2)q R X (R3)p SO2(R4)R5 I-1 4-hydroxyl-3-NHC(O)CH3 H F — 3-SO2NH2 I-2 4-hydroxyl-3-NHC(O)CH3 H F 4-Me 3-SO2NH2 I-3 4-hydroxyl-3-NHC(O)CH3 H F — 4-SO2NH2 I-4 3-Cl-4-OMe H F — 3-SO2N(CH3)2 I-5 3-Cl-4-OMe H F — 4-SO2N(CH3)2 I-6 4-OCH2C≡CH H F 4-Me 3-SO2NH2 I-7 4-OCH2C≡CH H F 4-Cl 3-SO2NH2 I-8 4-OCH2C≡CH H F 4-Me 3-SO2NHC(O)Et I-9 4-OCH2C≡CH H F 4-Me 3-SO2NH2 I-10 4-(OCH2C≡CH)-3-Me H F 4-Me 3-SO2NH2 I-11 4-(OCH2C≡CH)-3-Cl H F 4-Me 3-SO2NH2 I-12 4-(OCH2C≡CH)-3-F H F 4-Me 3-SO2NH2 I-13 4-OCH2C≡CH H F 4-Me 3-SO2NH2 I-14 4-OCH2C≡CH H F 4-Me 3-SO2NHC(O)Et I-15 4-OCH2C≡CH H F 4-isopropyl 3-SO2NH2 I-16 4-NHCH2C≡CH H F 4-Me 3-SO2NH2 I-17 4-N(CH2C≡CH)2 H F 4-Me 3-SO2NH2 I-18 4-OCH2C≡CH H F 4-Me 3-SO2NHMe I-19 4-OCH2C≡CH H F 4-Me 3-SO2NH(1-Me-piperidin-4-yl) I-20 4-OCH2C≡CH H F 4-(1-Me- 3-SO2NH2 piperizin-4-yl) I-21 4-CH2NHC(O)OCH2C≡CH H F 4-Me 3-SO2NH2 I-22 4-CH2NHC(O)OCH2C≡CH H F — 3-SO2NH2 I-23 4-SO2NHCH2C≡CH H F — 3-SO2NH2 I-24 4-SO2NHCH2C≡CH H F 4-Me 3-SO2NH2 I-25 4-SO2NHCH2C≡CH H F — 4-SO2NH2 I-26 4-OCH2C≡CH H F — 3-SO2NHCH2C≡CH I-27 3-SO2NHCH2C≡CH H F 4-Me 3-SO2NH2 I-28 3-SO2NHCH2C≡CH H F — 4-SO2NH2 I-29 3-SO2NHCH2C≡CH H F — 3-SO2NH2 I-30 4-OCH2C≡CH H Me 4-Me 3-SO2NH2 I-31 4-OCH2C≡CH H Me — 3-SO2NH2 I-32 4-OCH2C≡CH H Me — 4-SO2NH2 I-33 4-OCH2C≡CH H CF3 4-Me 3-SO2NH2 I-34 4-OCH2C≡CH H Cl 4-Me 3-SO2NH2 I-35 4-OCH2C≡CH H Cl — 4-SO2NH2 I-36 4-OCH2C≡CH H Cl — 3-SO2NH2 I-37 4-OCH2CH2C≡CH H F 4-Me 3-SO2NH2 I-38 4-OCH2CH2C≡CH H F — 4-SO2NH2 I-39 4-OCH2CH2C≡CH H F — 3-SO2NH2 I-40 4-OCH2C≡CH H cyano 4-Me 3-SO2NH2 I-41 4-OCH2C≡CH H cyano — 3-SO2NH2 I-42 4-OCH2C≡CH H cyano — 4-SO2NH2 I-43 4-OCH2C≡CH H F — 3-SO2NH2 I-44 4-OCH2C≡CH H F — 4-SO2NH2 I-45 4-CH2CH2C≡CH H F 4-Me 3-SO2NH2 I-46 4-OCH2C≡CH H CF3 — 3-SO2NH2 I-47 4-OCH2C≡CH H CF3 — 4-SO2NH2 I-48 4-OCH2C≡CH H cyclopropyl 4-Me 3-SO2NH2 I-49 K 4-OCH2C≡CH H F 4-Me 3-SO2NHC(O)CH2CH3 I-50 Ca 4-OCH2C≡CH H F 4-Me 3-SO2NHC(O)CH2CH3 I-51 4-CH2CH2C≡CH H F — 4-SO2NH2 I-52 4-(1-phenyl-1H-1,2,3-triazol-4-yl)methoxy H F 4-Me 3-SO2NH2 I-53 4-(1-cyclohexyl-1H-1,2,3-triazol-4- H F 4-Me 3-SO2NH2 yl)methoxy I-54 4-OCH2C≡CH H F 4-Me 3-SO2NH—OCH3 I-55 4-OCH2C≡CH H F 4-Me 3-SO2NH—OC(CH3)3 I-56 Arg 4-OCH2C≡CH H F 4-Me 3-SO2NHC(O)CH2CH3 I-57 Chol 4-OCH2C≡CH H F 4-Me 3-SO2NHC(O)CH2CH3 I-58 3-Cl-4-OMe —CH2C(O)OCH2CH3 NO2 — 3-SO2NH2 I-59 4-(1H-benzo[d]imidazol-2-yl) H F — 3-SO2NH2 I-60 4-(1H-benzo[d]imidazol-2-yl) H F — 4-SO2NH2 I-61 4-(1H-benzo[d]imidazol-2-yl) H Me — 3-SO2NH2 I-62 4-(1H-benzo[d]imidazol-2-yl) H Me — 4-SO2NH2 I-63 4-(1H-benzo[d]imidazol-2-yl) H Me 4-Me 3-SO2NH2 I-64 4-(1H-benzo[d]imidazol-2-yl)methyl H F — 3-SO2NH2 I-65 4-(1H-benzo[d]imidazol-2-yl)methyl H F — 4-SO2NH2 I-66 4-(1H-benzo[d]imidazol-2-yl)methyl H F 4-Me 3-SO2NH2 I-67 4-(1H-benzo[d]imidazol-2-yl)methyl H Me — 3-SO2NH2 I-68 4-(1H-benzo[d]imidazol-2-yl)methyl H Me — 4-SO2NH2 I-69 4-(1H-benzo[d]imidazol-2-yl)methyl H Me 4-Me 3-SO2NH2 I-70 3-(1H-benzo[d]imidazol-2-yl)methyl H F — 3-SO2NH2 I-71 3-(1H-benzo[d]imidazol-2-yl)methyl H F — 4-SO2NH2 I-72 3-(1H-benzo[d]imidazol-2-yl)methyl H Me — 3-SO2NH2 I-73 3-(1H-benzo[d]imidazol-2-yl)methyl H Me — 4-SO2NH2 I-74 3-benzonitrile H F 4-Me 3-SO2NH2 I-75 4-benzonitrile H F — 3-SO2NH2 I-76 3-benzonitrile H F — 4-SO2NH2 I-77 4-benzonitrile H F 4-Me 3-SO2NH2 I-78 4-benzonitrile H F 4-Me 3-SO2NHCH3 I-79 3-benzonitrile H F — 3-SO2NH2 I-80 3-benzonitrile H F 4-Me 3-SO2NHCH3 I-81 4-benzonitrile H F — 4-SO2NH2 I-82 4-(pyridin-4-ylmethyl) H Me — 3-SO2NH2 I-83 4-(pyridin-4-ylmethyl) H Me 4-Me 3-SO2NH2 I-84 4-(pyridin-4-ylmethyl) H Me 4-Me 3-SO2NHCH3 I-85 4-(pyridin-4-ylmethyl) H Me — 4-SO2NH2 I-86 4-(pyridine-2-ylmethoxy) H Me — 4-SO2NH2 I-87 4-(pyridin-3-ylmethylthio) H F 4-Me 3-SO2NHCH3 I-88 4-(pyridin-3-ylmethyl) H F 4-Me 3-SO2NH2 I-89 4-(pyridin-3-ylmethyl) H Me 4-SO2NH2 I-90 4-(pyridine-2-ylmethoxy) H Me — 4-SO2NHC(O)CH2CH3 I-91 Na 4-(pyridine-2-ylmethoxy) H Me — 4-SO2NHC(O)CH2CH3 I-92 4-(pyridin-3-ylmethyl) H F — 3-SO2NH2 I-93 4-(pyridin-3-ylmethyl) H Me — 3-SO2NH2 I-94 4-(pyridin-3-ylmethylthio) H F 4-Me 3-SO2NH2 I-95 4-(pyridin-3-ylmethylthio) H F — 4-SO2NH2 I-96 4-(pyridine-3-ylmethoxy) H Me — 3-SO2NH2 I-97 4-(pyridine-3-ylmethoxy) H Me 4-Me 3-SO2NH2 I-98 4-(pyridine-3-ylmethoxy) H Me 4-Me 3-SO2NHCH3 I-99 4-(pyridine-3-ylmethoxy) H Me — 4-SO2NH2 I-100 4-(pyridine-4-ylmethoxy) H Me — 3-SO2NH2 I-101 HBr 4-(pyridine-2-ylmethoxy) H Me — 4-SO2NHC(O)CH2CH3 I-102 4-(pyridine-4-ylmethoxy) H Me 4-Me 3-SO2NH2 I-103 4-(pyrimidin-5-yloxy) H Me 4-Me 3-SO2NHCH3 I-104 4-C≡CH H Me — 3-SO2NH2 I-105 4-C≡CH H Me 4-Me 3-SO2NH2 I-106 4-C≡CH H Me — 4-SO2NH2 I-107 4-(pyrimidin-5-yloxy) H Me — 3-SO2NH2 I-108 4-C≡CH H Me 4-Me 3-SO2NHCH3 I-109 4-(pyridin-2-ylmethoxy) H CF3 — 3-SO2NH2 I-110 4-(pyrimidin-5-yloxy) H Me — 4-SO2NH2 I-111 4-(pyridin-4-ylmethoxy) H Me — 4-SO2NH2 I-112 4-(pyridin-2-ylmethoxy) H CF3 — 4-SO2NH2 I-113 4-(pyridin-3-ylmethoxy) H Me — 3-SO2N(CH3)2 I-114 4-(pyridin-3-ylmethoxy) H Me — 4-SO2N(CH3)2 I-115 4-(pyridin-2-ylmethoxy) H F — 4-SO2N(CH3)2 I-116 4-(pyrimidin-5-yloxy) H Me 4-Me 3-SO2NH2 I-117 4-(pyridin-2-ylmethoxy) H Me — 3-SO2NH-cyclopropyl I-118 3-C≡CH H Me 4-Me 4-SO2NH2 I-119 4-(pyridin-2-ylmethoxy) H Me — 4-SO2NH-cyclopropyl I-120 4-(pyridin-3-ylmethoxy) H Me — 3-SO2NH-cyclopropyl I-121 4-(pyrimidin-5-yloxy) H Me — 3-SO2NH-cyclopropyl I-122 4-(pyrimidin-5-yloxy) H Me — 4-SO2NH-cyclopropyl I-123 4-(pyridin-3-ylmethoxy) H Me — 4-SO2NH-cyclopropyl I-124 3-C≡CH H Me — 3-SO2NH2 I-125 3-C≡CH H Me 4-Me 3-SO2NH2 I-126 3-C≡CH H Me 4-Me 3-SO2NHCH3 I-127 4-(pyridin-2-ylmethoxy) H F — 3-SO2N(CH3)2 I-128 4-(pyridin-2-ylmethoxy) H cyclopropyl — 4-SO2NH2 I-129 4-(pyridin-2-ylmethoxy) H cyclopropyl — 3-SO2NH2 I-130 4-(pyridin-3-ylmethyl) H Me — 3-SO2NH-cyclopropyl I-131 4-(pyridin-2-ylmethoxy) H F — 3-SO2NH-cyclopropyl I-132 4-(pyridin-2-ylmethoxy) H F — 4-SO2NH-cyclopropyl I-133 4-(pyridin-4-ylmethyl) H Me — 3-SO2NH-cyclopropyl I-134 4-(pyridin-4-ylmethyl) H Me — 4-SO2NH-cyclopropyl I-135 4-(pyridin-2-ylmethoxy) H Me — 4-SO2NH-cyclopropylmethyl I-136 4-(pyridin-3-ylmethoxy) H Me — 4-SO2NH-cyclopropylmethyl I-137 4-(pyridin-2-ylmethoxy) H Me — 3-SO2NH-cyclopropylmethyl I-138 4-(pyridin-3-ylmethoxy) H Me — 3-SO2NH-cyclopropylmethyl I-139 4-(pyrimidin-5-yloxy) H Me — 4-SO2NH-cyclopropylmethyl I-140 4-(pyridin-2-ylmethoxy) H Me — 3-SO2N(cyclopropyl)-1-oxopropyl I-141 HCl 4-(pyridin-2-ylmethoxy) H Me — 3-SO2N(cyclopropyl)-1-oxopropyl I-142 4-(pyridin-2-ylmethoxy) H Cl — 3-SO2NH-cyclopropyl I-143 4-(pyridin-2-ylmethoxy) H Cl — 4-SO2NH-cyclopropylmethyl I-144 4-(pyridin-2-ylmethoxy) H Cl — 4-SO2NH-cyclopropyl I-145 4-(pyridin-2-ylmethoxy) H Cl — 3-SO2NH-cyclopropylmethyl I-146 4-(pyridin-2-ylmethylthio) H Me — 4-SO2NH2 I-147 4-(pyridin-2-ylmethylthio) H Me — 3-SO2NH2 I-148 4-(pyridin-2-ylmethylthio) H Me 4-Me 3-SO2NH2 I-149 4-(pyridin-2-ylmethylthio) H Me — 3-SO2NH-cyclopropyl I-150 4-(pyridin-2-ylmethylthio) H Me — 4-SO2NH-cyclopropyl I-151 4-(2-cyanoethyl) H F 3-SO2NH2 3-SO2NH2 I-152 3-(2-cyanoethyl)-5-CF3 H F 4-Me 3-SO2NH2 I-153 3-(2-cyanoethyl)-5-CF3 H F — 3-SO2NH2 I-154 3-(2-cyanoethyl)-5-CF3 H F — 4-SO2NH2 I-155 4-(2-cyanoethyL) H Me — 4-SO2NHC(O)CH2CH3 I-156 Na 4-(2-cyanoethyl) H Me — 4-SO2NHC(O)CH2CH3 I-157 4-(2-cyanoethyl)-3-Me H Me 4-Me 3-SO2NH2 I-158 4-(2-cyanoethyl)-3-Me H Me — 3-SO2NH2 I-159 4-(2-cyanoethyl)-3-Me H Me — 4-SO2NH2 I-160 4-CH2C(O)NH-(1-methyl-1H-pyrazol-3-yl) H F 4-Me 3-SO2NH2 I-161 4-SO2N(CH3)2 H F — 3-SO2NH2 I-162 4-SO2N(CH3)2 H F 4-Me 3-SO2NH2 I-163 4-(pyridin-2-ylmethoxyl) H Cl — 4-SO2NH2 I-164 4-(pyridin-2-ylmethoxyl) H Cl — 3-SO2NH2 I-165 4-(pyridin-2-ylmethoxyl) H Cl 4-Me 3-SO2NH2 I-166 4-OCH2C≡CH H F 4-Me 3-SO2NHC(O)-nPr I-167 4-OCH2C≡CH H F 4-Me 3-SO2NHC(O)-iPr I-168 Na 4-OCH2C≡CH H F 4-Me 3-SO2NHC(O)-nPr I-169 Na 4-OCH2C≡CH H F 4-Me 3-SO2NHC(O)-iPr I-170 4-OCH2C≡CH H F 4-Me 3-SO2NHC(O)-pentyl I-171 4-OCH2C≡CH H F 4-Me 3-SO2NHC(O)-nBu I-172 Na 4-OCH2C≡CH H F 4-Me 3-SO2NHC(O)-pentyl I-173Na 4-OCH2C≡CH H F 4-Me 3-SO2NHC(O)-nBu -
TABLE II IIa Cmpd# Q R1 R2 X R3 SO2(R4)R5 II-1 S H — Me 4-Me 3-SO2NH2 II-2 S H — Me — 3-SO2NH2 II-3 S H — Me — 4-SO2NH2 II-4 O Me — Me 4-Me 3-SO2NH2 II-5 O Me — Me — 3-SO2NH2 II-6 O Me — Me — 4-SO2NH2 II-7 O Et — F 4-Me 3-SO2NH2 II-8 O Et — F — 3-SO2NH2 II-9 O Et — F — 4-SO2NH2 II-10 S Et — F — 3-SO2NH2 Il-11 O H 2-Me-2-C(O)NH2 F 4-Me 3-SO2NH2 II-12 S Et — F — 4-SO2NH2 II-13 S Me — Me — 4-SO2NHC(O)CH2CH3 II-14 S — — Me 4-Me 3-SO2NH2 Il-15 S —CH2C≡CH — Me — 3-SO2NH2 II-16 S —CH2C≡CH — Me — 4-SO2NH2 II-17 S Et — Me 4-Me 3-SO2NH2 II-18 S Et — Me — 3-SO2NH2 II-19 S Et — Me — 4-SO2NH2 II-20 S n-Pr — Me — 4-SO2NH2 II-21 S n-Pr — Me — 3-SO2NH2 II-22 S n-Pr — Me 4-Me 3-SO2NH2 II-23 S Me — Br — 4-SO2NH2 II-24 S H — Me 4-Me 3-SO2NHCH2CH3 II-25 O H — Me 4-Me 3-SO2NHCH2CH3 II-26 S Me — Me 4-Me 3-SO2NHCH2CH3 II-27 S Et — Me 4-Me 3-SO2NHCH2CH3 II-28 S n-Pr — Me 4-Me 3-SO2NHCH2CH3 II-29 S —CH2C≡CH — Me 4-Me 3-SO2NHCH2CH3 II-30 O Me — Me 4-Me 3-SO2NHCH2CH3 II-31 S n-Bu — Me 4-Me 3-SO2NH2 II-32 S n-Pr — F — 4-SO2NH2 II-33 S n-Pr — F — 3-SO2NH2 II-34 S n-Pr — F 4-Me 3-SO2NH2 II-35 S Me — Cl — 3-SO2NH2 II-36 S Me — Cl 4-Me 3-SO2NH2 II-37 S n-Bu — F — 4-SO2NH2 II-38 S n-Bu — F — 3-SO2NH2 II-39 S n-Bu — F 4-Me 3-SO2NH2 II-40 S n-Bu — Me — 3-SO2NH2 II-41 S n-Pr — Cl — 4-SO2NH2 II-42 S Me — Cl 4-Me 3-SO2NHCH2CH3 II-43 O —CH2C≡CH 2,2-dimethyl F — 3-SO2NH2 II-44 O —CH2C≡CH 2,2-dimethyl F 4-Me 3-SO2NH2 II-45 O Me 2,2-dimethyl F 4-Me 3-SO2NH2 II-46 O morpholinoethyl- 2,2-dimethyl F 4-Me 3-SO2NH2 II-47 O morpholinoethyl- 2,2-dimethyl F — 4-SO2NH2 II-48 O Me 2,2-dimethyl F — 3-SO2N(CH3)2 II-49 O —CH2C≡CH 2,2-dimethyl F — 3-SO2N(CH3)2 II-50 O H 2,2-dimethyl F — 3-SO2N(CH3)2 II-51 O H 2,2-dimethyl Cl — 3-SO2NH2 II-52 O H 2,2-dimethyl Cl 4-Me 3-SO2NH2 II-53 O H 2,2-dimethyl Cl — 4-SO2NH2 II-54 O H 2,2-dimethyl Me — 3-SO2NH2 II-55 O H 2,2-dimethyl Me — 4-SO2NH2 II-56 O Me 2,2-dimethyl Me — 3-SO2NH2 II-57 O Me 2,2-dimethyl Me — 4-SO2NH2 II-58 O Me 2,2-dimethyl F — 3-SO2NH2 II-59 O Me 2,2-dimethyl F — 4-SO2NH2 II-60 O —CH2C≡CH 2,2-dimethyl Me — 3-SO2NH2 II-61 O —CH2C≡CH 2,2-dimethyl Me — 4-SO2NH2 II-62 O Me 2,2-dimethyl H — 3-SO2NH2 II-63 O Me 2,2-dimethyl H — 4-SO2NH2 II-64 S Me 2,2-dimethyl Me — 3-SO2NH2 II-65 S Me 2,2-dimethyl Me — 4-SO2NH2 II-66 O cyclopropylmethyl 2,2-dimethyl F — 3-SO2NH2 II-67 O cyclopropylmethyl 2,2-dimethyl F — 4-SO2NH2 II-68 S —CH2C≡CH 2,2-dimethyl Me — 3-SO2NH2 II-69 S —CH2C≡CH 2,2-dimethyl Me — 4-SO2NH2 II-70 O H 2,2-dimethyl Me — 3-SO2NH2 II-71 O H 2,2-dimethyl Me — 4-SO2NH2 II-72 O Me 2,2-dimethyl Me 4-Me 3-SO2NH2 II-73 S Me — Me 4-Me 3-SO2NHCH3 II-74 O Me 2,2-dimethyl (trimethylsilyl)ethynyl — 3-SO2NHCH3 II-75 O Me 2,2-dimethyl ethynyl — 3-SO2NHCH3 II-76 O Me 2,2-dimethyl Me — 3-SO2NH2 II-77 O Me 2,2-dimethyl Me — 4-SO2NH2 II-78 O Me 2,2-dimethyl Me 4-Me 3-SO2NHCH2CH3 II-79 S Me — cyclopropyl — 4-SO2NH2 II-80 S Me — cyclopropyl — 3-SO2NH2 II-81 O H 2,2-dimethyl Me 4-Me 3-SO2NHCH2CH3 II-82 O H 2,2-dimethyl Me 4-Me 3-SO2NH2 II-83 S Me 2,2-dimethyl Me 4-Me 3-SO2NH2 II-84 O Me 2,2-dimethyl Me 4-Me 3-SO2NH2 II-85 O n-propyl — Me — 3-SO2NH2 II-86 O n-propyl — Me — 4-SO2NH2 II-87 O n-propyl — Me 4-Me 3-SO2NH2 II-88 O n-propyl — Me 4-Me 3-SO2NHCH2CH3 II-89 O Me — Me — 3-SO2NH2 II-90 O Me — Me — 4-SO2NH2 II-91 O Me — Me 4-Me 3-SO2NH2 II-92 O Me — Me 4-Me 3-SO2NHCH2CH3 II-93 O Me 2,2-dimethyl Me — 3-SO2NH-cyclopropyl II-94 O Me — Me — 4-SO2NH-cyclopropyl II-95 O Me 2,2-dimethyl Me 4-Me 3-SO2NH-cyclopropyl II-96 O Me 2,2-dimethyl Me 4-Me 3-SO2NHCH3 II-97 O H — Me — 3-SO2NH2 II-98 O H — Me — 4-SO2NH2 II-99 O H — Me 4-Me 3-SO2NH2 II-100 O H — Me 4-Me 3-SO2NHCH3 II-101 O H — Me 4-Me 3-SO2NHCH2CH3 II-102 O H — Me — 3-SO2NHC(O)CH2CH3 II-103 O C(O)CH2CH3 — Me — 3-SO2NHC(O)CH2CH3 II-104 O C(O)CH2CH3 2,2-dimethyl Me — 4-SO2NHC(O)CH2CH3 II-105 Na O C(O)CH2CH3 — Me — 4-SO2NHC(O)CH2CH3 II-106 Na O C(O)CH2CH3 2,2-dimethyl Me — 4-SO2NHC(O)CH2CH3 II-107 S n-propyl — Cl — 3-SO2NH2 II-108 S n-propyl — Cl 4-Me 3-SO2NH2 II-109 S n-propyl — Cl 4-Me 3-SO2NHCH2CH3 II-110 O n-propyl — Me — 4-SO2NH2 II-111 O n-propyl — F — 4-SO2NH2 II-112 O n-propyl — Cl — 4-SO2NH2 II-113 O n-propyl — Cl 4-Me 3-SO2NH2 II-114 O H — Me 4-Me 3-SO2NHCH3 II-115 S H — Me 4-Me 3-SO2NHCH3 II-116 O Me — Cl — 3-SO2NH2 II-117 O Me — Cl 4-Me 3-SO2NH2 II-118 O Me — Cl 4-Me 3-SO2NHCH3 II-119 O Me — Cl 4-Me 3-SO2NHCH2CH3 II-120 O n-propyl — Me — 3-SO2NH2 II-121 O n-propyl — Me 4-Me 3-SO2NH2 II-122 O n-propyl — Me 4-Me 3-SO2NHCH3 II-123 O n-propyl — F — 3-SO2NH2 II-124 O n-propyl — F 4-Me 3-SO2NH2 II-125 O n-propyl — F 4-Me 3-SO2NHCH3 II-126 O n-propyl — F 4-Me 3-SO2NHCH2CH3 II-127 O n-propyl — Cl 4-Me 3-SO2NHCH3 II-128 O n-propyl — Cl 4-Me 3-SO2NHCH2CH3 II-129 S ethyl — Me 4-Me 3-SO2NHCH3 II-130 O ethyl — Cl — 3-SO2NH2 II-131 O ethyl — Cl 4-Me 3-SO2NH2 II-132 O n-propyl — Me 4-Me 3-SO2NHCH2CH3 II-133 O n-propyl — Cl — 3-SO2NH2 II-134 S n-propyl — Me 4-Me 3-SO2NHCH3 II-135 S Me — Cl 4-Me 3-SO2NHCH3 II-136 S n-propyl — Cl 4-Me 3-SO2NHCH3 II-137 O ethyl — Cl 4-Me 3-SO2NHCH3 II-138 O ethyl — Cl 4-Me 3-SO2NHCH2CH3 II-139 O methyl — Cl — 3-SO2NHCH3 II-140 O ethyl — Cl — 3-SO2NHCH3 II-141 O n-propyl — Cl — 3-SO2NHCH3 II-142 S methyl — Cl — 3-SO2NHCH3 II-143 S n-propyl — Cl — 3-SO2NHCH3 II-144 O fluoroethyl — Me 4-Me 3-SO2NH2 II-145 O fluoroethyl — Me — 4-SO2NH2 II-146 O fluoroethyl — Me — 3-SO2NH2 II-147 O fluoroethyl — Cl — 4-SO2NH2 II-148 O fluoroethyl — Cl 4-Me 3-SO2NH2 II-149 O methyl 2,2-difluoro Me — 3-SO2NH2 II-150 O methyl 2,2-difluoro Me 4-Me 3-SO2NH2 II-151 O methyl 2,2-difluoro Me — 4-SO2NH2 II-152 O H 2,2-difluoro Me — 4-SO2NH2 II-153 O H 2,2-difluoro Me — 3-SO2NH2 II-154 O H 2,2-difluoro Me 4-Me 3-SO2NH2 II-155 O pyridin-2-ylmethyl 2,2-difluoro Me — 3-SO2NH2 II-156 O pyridin-2-ylmethyl 2,2-difluoro Me 4-Me 3-SO2NH2 II-157 O pyridin-2-ylmethyl 2,2-difluoro Me — 4-SO2NH2 II-158 Chol O methyl 2,2-dimethyl Me — 4-SO2NHC(O)CH2CH3 II-159 Na O n-propyl — Cl — 4-SO2NHC(O)CH2CH3 II-160 O n-propyl 2,2-dimethyl Cl — 4-SO2NH2 II-161 S —CH2C≡CH — Cl — 4-SO2NH2 II-162 O ethyl — Cl — 4-SO2NH2 -
TABLE III IIb Cmpd# Q R1 R2 X R3 SO2(R4)R5 III-1 O H 2,2-dimethyl Me — 3-SO2NH2 III-2 O H 2,2-dimethyl Me 4-Me 3-SO2NH2 III-3 O H 2,2-dimethyl Me — 4-SO2NH2 III-4 O H 2,2-difluoro Me — 4-SO2NH2 III-5 O H 2,2-difluoro Me — 3-SO2NH2 III-6 O H 2,2-difluoro Me 4-Me 3-SO2NH2 III-7 CH2 H — F — 3-SO2NH2 III-8 CH2 H — Me 4-Me 3-SO2NH2 III-9 CH2 H — Me — 3-SO2NH2 III-10 CH2 H — Me — 4-SO2NH2 III-11 CH2 —CH2C≡CH — F 4-Me 3-SO2NH2 III-12 CH2 —CH2C≡CH — F — 3-SO2NH2 III-13 CH2 Me — Me 4-Me 3-SO2NH2 III-14 CH2 Me — Me — 3-SO2NH2 III-15 CH2 Et — Me 4-Me 3-SO2NH2 III-16 CH2 Et — Me — 3-SO2NH2 III-17 CH2 Me — Me — 4-SO2NH2 III-18 CH2 H — Me 4-Me 3-SO2NHCH2CH3 III-19 CH2 H — Me 4-Me 3-SO2NHCH3 III-20 CH2 H — Me 4-Me 3-SO2NH-cyclopropyl III-21 CH2 Me — Me 4-Me 3-SO2NHCH3 III-22 CH2 Me — Me 4-Me 3-SO2NHCH2CH3 III-23 CH2 Me — Me 4-Me 3-SO2NH-prop-2-yl III-24 CH2 Me — Me 4-Me 3-SO2NH-cyclopropyl III-25 CH2 prop-2-yl — Me 4-Me 3-SO2NH2 III-26 CH2 prop-2-yl — Me 4-Me 3-SO2NH-benzyl III-27 CH2 H — Me 4-Me 3-SO2NH-prop-2-yl III-28 CH2 Me — Me — 3-SO2NHCH3 III-29 CH2 Me — Me — 3-SO2NHCH2CH3 III-30 CH2 Me — Me — 3-SO2NH-cyclopropyl III-31 CH2 Me — Me — 3-SO2NH-prop-2-yl III-32 CH2 Me — Cl 4-Me 3-SO2NH2 III-33 CH2 Me — Cl 4-Me 3-SO2NHCH3 III-34 CH2 Me — Cl 4-Me 3-SO2NHCH2CH3 III-35 CH2 Me — Cl 4-Me 3-SO2NH-cyclopropyl III-36 CH2 Me — Cl 4-Me 3-SO2NH-prop-2-yl III-37 CH2 Me — Cl — 3-SO2NH2 III-38 CH2 Me — Cl — 3-SO2NHCH3 III-39 CH2 Me — Cl — 3-SO2NHCH2CH3 III-40 CH2 Me — Cl — 3-SO2NH-cyclopropyl III-41 CH2 Me — Cl — 3-SO2NH-prop-2-yl III-42 CH2 H — Cl 4-Me 3-SO2NH2 III-43 CH2 H — Cl 4-Me 3-SO2NHCH3 III-44 CH2 H — Cl 4-Me 3-SO2NHCH2CH3 III-45 CH2 H — Cl 4-Me 3-SO2NH-cyclopropyl III-46 CH2 H — Cl — 3-SO2NH2 III-47 CH2 H — Cl — 3-SO2NHCH3 III-48 CH2 H — Cl — 3-SO2NHCH2CH3 III-49 CH2 H — Cl — 3-SO2NH-cyclopropyl III-50 CH2 H — Me — 3-SO2N(ethyl)-1-oxopropyl III-51 CH2 H 3,3-dimethyl Me 4-Me 3-SO2NH2 III-52 CH2 H 3,3-dimethyl Me 4-Me 3-SO2NHCH2CH3 III-53 CH2 H — CF3 4-Me 3-SO2NH2 III-54 CH2 H — CF3 4-Me 3-SO2NHCH3 III-55 CH2 H — CF3 4-Me 3-SO2NHCH2CH3 III-56 CH2 H — CF3 — 3-SO2NH2 III-57 CH2 H — CF3 — 3-SO2NHCH3 III-58 CH2 H — CF3 — 3-SO2NHCH2CH3 III-59 CH2 H — Me 4-Me 3-SO2N(ethyl)-diethylphosphonyl -
TABLE IV IIIa Cmpd# Q R1 -alk-Y- X R3 SO2(R4)R5 IV-1 O morpholino 2-CH2CH2—NHC(O)— F — 3-SO2NH2 IV-2 O morpholino 2-CH2CH2—NHC(O)— F 4-Me 3-SO2NH2 IV-3 O -morpholino 2-CH2CH2—NHC(O)— F — 4-SO2NH2 IV-4 N — — F — 3-SO2NH2 IV-5 N — — F 4-Me 3-SO2NH2 IV-6 N — — Cl — 3-SO2NH2 IV-7 N — — Cl 4-Me 3-SO2NH2 IV-8 N cyclopropyl 1-NHC(O)— Cl 4-Me 3-SO2NH2 IV-9 N cyclopropyl 1-NHC(O)— Cl 4-SO2NH2 IV-10 N cyclopropyl 1-NHC(O)— F 4-Me 3-SO2NH2 IV-11 N cyclopropyl 1-NHC(O)— F — 3-SO2NH2 IV-12 N Me 1-NHC(O)— F 4-Me 3-SO2NH2 IV-13 N Me 1-NHC(O)— F — 3-SO2NH2 IV-14 N Me 1-NHC(O)— F — 4-SO2NH2 IV-15 N cyclopropyl 1-NHC(O)— Me 4-Me 3-SO2NH2 IV-16 N cyclopropyl 1-NHC(O)— Me — 3-SO2NH2 IV-17 N cyclopropyl 1-NHC(O)— Me — 4-SO2NH2 IV-18 N Me 1-NHC(O)— Me 4-Me 3-SO2NH2 IV-19 N Me 1-NHC(O)— Me — 3-SO2NH2 IV-20 N Me 1-NHC(O)— Me — 4-SO2NH2 IV-21 N cyclopropyl 1-NHC(O)— F — 4-SO2NH2 IV-22 N 1-pyridin-4-yl — Me 4-Me 3-SO2NH2 IV-23 N 1-pyridin-4-yl — Me 4-Me 3-SO2NH-cyclopropyl IV-24 N 1-pyridin-4-yl — Me 4-Me 4-SO2NH-cyclopropyl -
TABLE XI VIIa Cmpd# R2 X R3 SO2N(R4)R5 XI-1 1-(cyclopropylmethyl) Me — 3-SO2NH2 XI-2 1-(cyclopropylmethyl) Me — 4-SO2NH2 XI-3 1-(3-methoxypropyl) Me — 3-SO2NH2 XI-4 1-(3-methoxypropyl) Me — 4-SO2NH2 XI-5 1-(2-methoxyethyl) Me — 3-SO2NH2 XI-6 1-isopropyl Me — 3-SO2NH2 XI-7 1-isopropyl Me — 4-SO2NH2 XI-8 1-Me Me — 3-SO2NH2 XI-9 1-Me Me — 4-SO2NH2 XI-10 1-Et Me — 3-SO2NH2 XI-11 1-(3-methoxypropyl) Me 4-Me 3-SO2NHCH3 XI-12 1-cyclohexyl Me — 3-SO2NH2 XI-13 1-CH2C≡CH Me — 3-SO2NH2 XI-14 1-CH2C≡CH Me 4-Me 3-SO2NH2 XI-15 1-CH2C≡CH Me 4-Me 3-SO2NHCH2CH3 XI-16 1-CH2C≡CH Me — 3-SO2NH-cyclopropyl XI-17 1-CH2C≡CH Me 4-Me 3-SO2NH-cyclopropyl XI-18 1-(3-(methylthio)propyl) Me — 3-SO2NH2 XI-19 1-(3-(methylthio)propyl) Me 4-Me 3-SO2NH2 XI-20 1-(3-(methylthio)propyl) Me — 3-SO2NH-cyclopropyl XI-21 1-(3-(methylthio)propyl) Me 4-Me 3-SO2NHCH2CH3 XI-22 1-(3-(methylthio)propyl) Me 4-Me 3-SO2NHCH3 XI-23 1-cyclohexylmethyl Me — 3-SO2NH2 XI-24 1-cyclohexylmethyl Me 4-Me 3-SO2NH2 XI-25 1-cyclohexylmethyl Me 4-Me 3-SO2NHCH3 -
TABLE XII VIIb Cmpd# R2 X R3 SO2N(R4)R5 XII-1 1-(2-methoxyethyl) Me — 3-SO2NH2 XII-2 1-(2-methoxyethyl) Me — 4-SO2NH2 XII-3 1-isopropyl Me — 3-SO2NH2 XII-4 1-isopropyl Me — 4-SO2NH2 XII-5 1-Me Me — 3-SO2NH2 XII-6 1-Me Me — 4-SO2NH2 XII-7 1-Et Me — 3-SO2NH2 XII-8 1-Et Me — 4-SO2NH2 XII-9 1-Me Me 4-Me 3-SO2NH2 XII-10 1-cyclopropylmethyl-3-methyl Me — 3-SO2NH2 XII-11 1-cyclopropylmethyl-3-methyl Me 4-Me 3-SO2NH2 XII-12 1-cyclopropylmethyl-3-methyl Me 4-Me 3-SO2NHCH2CH3 XII-13 1-cyclopropylmethyl-3-methyl Me 4-Me 3-SO2NHCH3 - D. Methods of the invention
- The present invention provides 2,4-pyrimidinediamine compounds and prodrugs thereof, as described herein, for use in therapy for the conditions described herein. The present invention further provides use of the compounds of the present invention in the manufacture of a medicament for the treatment of conditions in which targeting of the JAK pathway or inhibition of JAK kinases, particularly JAK3, are therapeutically useful. These include conditions where the function of lymphocytes, macrophages, or mast cells is involved. Conditions in which targeting of the JAK pathway or inhibition of the JAK kinases, particularly JAK3, are therapeutically useful include leukemia, lymphoma, transplant rejection (e.g., pancreas islet transplant rejection), bone marrow transplant applications (e.g., graft-versus-host disease)), autoimmune diseases (e.g., rheumatoid arthritis, etc.), inflammation (e.g., asthma, etc.) and other conditions as described in greater detail herein.
- As noted previously, numerous conditions can be treated using the 2,4-subsituted pyrimidinediamine compounds, prodrugs thereof, and methods of treatment as described herein. As used herein, “Treating” or “treatment” of a disease in a patient refers to (1) preventing the disease from occurring in a patient that is predisposed or does not yet display symptoms of the disease; (2) inhibiting the disease or arresting its development; or (3) ameliorating or causing regression of the disease. As well understood in the art, “treatment” is an approach for obtaining beneficial or desired results, including clinical results. For the purposes of this invention, beneficial or desired results can include one or more, but are not limited to, alleviation or amelioration of one or more symptoms, diminishment of extent of a condition, including a disease, stabilized (i.e., not worsening) state of a condition, including diseases, preventing spread of disease, delay or slowing of condition, including disease, progression, amelioration or palliation of the condition, including disease, state, and remission (whether partial or total), whether detectable or undetectable. Preferred are compounds that are potent and can be administered locally at very low doses, thus minimizing systemic adverse effects.
- The compounds described herein are potent and selective inhibitors of JAK kinases and are particularly selective for cytokine signaling pathways containing JAK3. As a consequence of this activity, the compounds can be used in a variety of in vitro, in vivo, and ex vivo contexts to regulate or inhibit JAK kinase activity, signaling cascades in which JAK kinases play a role, and the biological responses effected by such signaling cascades. For example, in one embodiment, the compounds can be used to inhibit JAK kinase, either in vitro or in vivo, in virtually any cell type expressing the JAK kinase, such as in hematopoietic cells in which, for example, JAK3 is predominantly expressed. They may also be used to regulate signal transduction cascades in which JAK kinases, particularly JAK3, play a role. Such JAK-dependent signal transduction cascades include, but are not limited to, the signaling cascades of cytokine receptors that involve the common gamma chain, such as, for example, the IL-4, IL-7, IL-5, IL-9, IL-15 and IL-21, or IL-2, IL-4, IL-7, IL-9, IL-15, and IL-21 receptor signaling cascades. The compounds may also be used in vitro or in vivo to regulate, and in particular to inhibit, cellular or biological responses affected by such JAK-dependent signal transduction cascades. Such cellular or biological responses include, but are not limited to, IL-4/ramos CD23 upregulation and IL-2 mediated T-cell proliferation. Importantly, the compounds can be used to inhibit JAK kinases in vivo as a therapeutic approach towards the treatment or prevention of diseases mediated, either wholly or in part, by a JAK kinase activity (referred to herein as “JAK kinase mediated diseases”). Non-limiting examples of JAK kinase mediated diseases that can be treated or prevented with the compounds include, but are not limited to, the following: allergies; asthma; autoimmune diseases such as transplant rejection (e.g., kidney, heart, lung, liver, pancreas, skin, small intestine, large intestine, host versus graft reaction (HVGR), and graft versus host reaction (GVHR)), rheumatoid arthritis, and amyotrophic lateral sclerosis; T-cell mediated autoimmune diseases such as multiple sclerosis, psoraiasis, and Sjogren's syndrome; Type II inflammatory diseases such as vascular inflammation (including vasculitis, arteritis, atherosclerosis, and coronary artery disease); diseases of the central nervous system such as stroke; pulmonary diseases such as bronchitis obliteraus and primary pulmonary hypertension; solid, delayed Type IV hypersensitivity reactions; and hematologic malignancies such as leukemia and lymphomas.
- Examples of diseases that are mediated, at least in part, by JAK kinases that can be treated or prevented according to the methods include, but are not limited to, allergies, asthma, autoimmune diseases such as transplant rejection (e.g., kidney, heart, lung, liver, pancreas, skin, host versus graft reaction (HVGR), etc.), rheumatoid arthritis, and amyotrophic lateral sclerosis, multiple sclerosis, psoraiasis and Sjogren's syndrome, Type II inflammatory disease such as vascular inflammation (including vasculitis, ateritis, atherosclerosis and coronary artery disease) or other inflammatory diseases such as osteoarthritis, inflammatory bowel disease, ulcerative colitis, Crohn's disease, idiopathic inflammatory bowel disease, irritable bowel syndrome, spastic colon, low grade scarring (e.g., scleroderma, increased fibrosis, keloids, post-surgical scars, pulmonary fibrosis, vascular spasms, migraine, reperfusion injury and post myocardial infarction), and sicca complex or syndrome, diseases of the central nervous system such as stroke, pulmonary diseases such as bronchitis obliterous and primary and primary pulmonary hypertension, delayed or cell-mediated, Type IV hypersensitivity and solid and hematologic malignancies such as leukemias and lyphomas.
- In another embodiment, this invention provides a method of inhibiting an activity of a JAK kinase, comprising contacting the JAK kinase with an amount of a compound effective to inhibit an activity of the JAK kinase, wherein the compound is selected from the compounds of this invention. In certain embodiments of the methods described herein, the method is carried out in vivo.
- In another embodiment, this invention provides a method of inhibiting an activity of a JAK kinase, comprising contacting in vitro a JAK3 kinase with an amount of a compound effective to inhibit an activity of the JAK kinase, wherein the compound is selected from the compounds of this invention.
- In a specific embodiment, the compounds can be used to treat and/or prevent rejection in organ and/or tissue transplant recipients (i.e., treat and/or prevent allorgraft rejection). Allografts can be rejected through either a cell-mediated or humoral immune reaction of the recipient against transplant (histocompability) antigens present on the membranes of the donor's cells. The strongest antigens are governed by a complex of genetic loci termed human leukocyte group A (HLA) antigens. Together with the ABO blood groups antigens, they are the chief transplantation antigens detectable in humans.
- Rejection following transplantation can generally be broken into three categories: hyperacute, occurring hours to days following transplantation; acute, occurring days to months following transplantation; and chronic, occurring months to years following transplantation.
- Hyperacute rejection is caused mainly by the production of host antibodies that attack the graft tissue. In a hyperacute rejection reaction, antibodies are observed in the transplant vascular very soon after transplantation. Shortly thereafter, vascular clotting occurs, leading to ischemia, eventual necrosis and death. The graft infarction is unresponsive to known immunosuppressive therapies. Because HLA antigens can be identified in vitro, pre-transplant screening is used to significantly reduce hyperacute rejection. As a consequence of this screening, hyperacute rejection is relatively uncommon today.
- Acute rejection is thought to be mediated by the accumulation of antigen specific cells in the graft tissue. The T-cell-mediated immune reaction against these antigens (i.e., HVGR or GVHR) is the principle mechanism of acute rejection. Accumulation of these cells leads to damage of the graft tissue. It is believed that both CD4+ helper T-cells and CD8+ cytotoxic T-cells are involved in the process and that the antigen is presented by donor and host dendritic cells. The CD4+ helper T-cells help recruit other effector cells, such as macrophapges and eosinophils, to the graft. Accessing T-cell activation signal transduction cascades (for example, CD28, CD40L, and CD2 cascades) are also involved.
- The cell-mediated acute rejection can be reversed in many cases by intensifying immunotherapy. After successful reversal, severely damaged elements of the graft heal by fibrosis and the remainder of the graft appears normal. After resolution of acute rejection, dosages of immunosuppressive drugs can be reduced to very low levels.
- Chronic rejection, which is a particular problem in renal transplants, often progresses insidiously despite increased immunosuppressive therapy. It is thought to be due, in large part, to cell-mediated Type IV hypersensitivity. The pathologic profile differs from that of acute rejection. The arterial endothelium is primarily involved with extensive proliferation that may gradually occlude the vessel lumen, leading to ischemia, fibrosis, a thickened intima, and atherosclerotic changes. Chronic rejection is mainly due to a progressive obliteration of graft vasculature and resembles a slow, vasculitic process.
- In Type IV hypersensitivity, CD8 cytotoxic T-cells and CD4 helper T cells recognize either intracellular or extracellular synthesized antigen when it is complexed, respectively, with either Class I or Class II MHC molecules. Macrophages function as antigen-presenting cells and release IL-1, which promotes proliferation of helper T-cells. Helper T-cells release interferon gamma and IL-2, which together regulate delayed hyperactivity reactions mediated by macrophage activation and immunity mediated by T cells. In the case of organ transplant, the cytotoxic T-cells destroy the graft cells on contact.
- Since JAK kinases play a critical role in the activation of T-cells, the 2,4-pyrimidinediamine compounds described herein can be used to treat and/or prevent many aspects of transplant rejection, and are particularly useful in the treatment and/or prevention of rejection reactions that are mediated, at least in part, by T-cells, such as HVGR or GVHR. The 2,4-pyrimidinediamine compounds can also be used to treat and/or prevent chronic rejection in transplant recipients and, in particular, in renal transplant recipients. The compound can also be administered to a tissue or an organ prior to transplanting the tissue or organ in the transplant recipient.
- In another embodiment, this invention provides a method of treating a T-cell mediated autoimmune disease, comprising administering to a patient suffering from such an autoimmune disease an amount of a compound effective to treat the autoimmune disease wherein the compound is selected from the compounds of the invention. In certain embodiments of the methods the autoimmune disease is multiple sclerosis (MS), psoraisis, or Sjogran's syndrome. Such autoimmune disease include, but are not limited to, those autoimmune diseases that are frequently designated as single organ or single cell-type autoimmune disorders and those autoimmune disease that are frequently designated as involving systemic autoimmune disorder. Non-limiting examples of diseases frequently designated as single organ or single cell-type autoimmune disorders include: Hashimoto's thyroiditis, autoimmune hemolytic anemia, autoimmune atrophic gastritis of pernicious anemia, autoimmune encephalomyelitis, autoimmune orchitis, Goodpasture's disease, autoimmune thrombocytopenia, sympathetic ophthalmia, myasthenia gravis, Graves' disease, primary biliary cirrhosis, chronic aggressive hepatitis, ulcerative colitis and membranous glomerulopathy. Non-limiting examples of diseases often designated as involving systemic autoimmune disorder include: systemic lupus erythematosis, rheumatoid arthritis, Sjogren's syndrome, Reiter's syndrome, polymyositis-dermatomyositis, systemic sclerosis, polyarteritis nodosa, multiple sclerosis and bullous pemphigoid. Additional autoimmune diseases, which can be β-cell (humoral) based or T-cell based, include Cogan's syndrome, ankylosing spondylitis, Wegener's granulomatosis, autoimmune alopecia, Type I or juvenile onset diabetes, and thyroiditis.
- The types of autoimmune diseases that may be treated or prevented with such prodrugs generally include those disorders involving tissue injury that occurs as a result of a humoral and/or cell-mediated response to immunogens or antigens of endogenous and/or exogenous origin. Such diseases are frequently referred to as diseases involving the nonanaphylactic (i.e., Type II, Type III and/or Type IV) hypersensitivity reactions.
- Type I hypersensitivity reactions generally result from the release of pharmacologically active substances, such as histamine, from mast and/or basophil cells following contact with a specific exogenous antigen. As mentioned above, such Type I reactions play a role in numerous diseases, including allergic asthma, allergic rhinitis, etc.
- Type II hypersensitivity reactions (also referred to as cytotoxic, cytolytic complement-dependent or cell-stimulating hypersensitivity reactions) result when immunoglobulins react with antigenic components of cells or tissue, or with an antigen or hapten that has become intimately coupled to cells or tissue. Diseases that are commonly associated with Type II hypersensitivity reactions include, but are not limited, to autoimmune hemolytic anemia, erythroblastosis fetalis and Goodpasture's disease.
- Type III hypersensitivity reactions, (also referred to as toxic complex, soluble complex, or immune complex hypersensitivity reactions) result from the deposition of soluble circulating antigen-immunoglobulin complexes in vessels or in tissues, with accompanying acute inflammatory reactions at the site of immune complex deposition. Non-limiting examples of prototypical Type III reaction diseases include the Arthus reaction, rheumatoid arthritis, serum sickness, systemic lupus erythematosis, certain types of glomerulonephritis, multiple sclerosis and bullous pemphingoid.
- Type IV hypersensitivity reactions (frequently called cellular, cell-mediated, delayed, or tuberculin-type hypersensitivity reactions) are caused by sensitized T-lymphocytes which result from contact with a specific antigen. Non-limiting examples of diseases cited as involving Type IV reactions are contact dermatitis and allograft rejection.
- Autoimmune diseases associated with any of the above nonanaphylactic hypersensitivity reactions may be treated or prevented with the prodrugs according to structural formulae (I) and (Ia). In particular, the methods may be used to treat or prevent those autoimmune diseases frequently characterized as single organ or single cell-type autoimmune disorders including, but not limited to: Hashimoto's thyroiditis, autoimmune hemolytic anemia, autoimmune atrophic gastritis of pernicious anemia, autoimmune encephalomyelitis, autoimmune orchitis, Goodpasture's disease, autoimmune thrombocytopenia, sympathetic ophthalmia, myasthenia gravis, Graves' disease, primary biliary cirrhosis, chronic aggressive hepatitis, ulcerative colitis and membranous glomerulopathy, as well as those autoimmune diseases frequently characterized as involving systemic autoimmune disorder, which include but are not limited to: systemic lupus erythematosis (SLE), rheumatoid arthritis, Sjogren's syndrome, Reiter's syndrome, polymyositis-dermatomyositis, systemic sclerosis, polyarteritis nodosa, multiple sclerosis and bullous pemphigoid.
- It will be appreciated by skilled artisans that many of the above-listed autoimmune diseases are associated with severe symptoms, the amelioration of which provides significant therapeutic benefit even in instances where the underlying autoimmune disease may not be ameliorated.
- Therapy using the 2,4-pyrimidinediamine compounds described herein can be applied alone, or it can be applied in combination with or adjunctive to other common immunosuppressive therapies, such as, for example, the following: mercaptopurine; corticosteroids such as prednisone; methylprednisolone and prednisolone; alkylating agents such as cyclophosphamide; calcineurin inhibitors such as cyclosporine, sirolimus, and tacrolimus; inhibitors of inosine monophosphate dehydrogenase (IMPDH) such as mycophenolate, mycophenolate mofetil, and azathioprine; and agents designed to suppress cellular immunity while leaving the recipient's humoral immunologic response intact, including various antibodies (for example, antilymphocyte globulin (ALG), antithymocyte globulin (ATG), monoclonal anti-T-cell antibodies (OKT3)) and irradiation. These various agents can be used in accordance with their standard or common dosages, as specified in the prescribing information accompanying commercially available forms of the drugs (see also: the prescribing information in the 2006 Edition of The Physician's Desk Reference), the disclosures of which are incorporated herein by reference. Azathioprine is currently available from Salix Pharmaceuticals, Inc., under the brand name AZASAN; mercaptopurine is currently available from Gate Pharmaceuticals, Inc., under the brand name PURINETHOL; prednisone and prednisolone are currently available from Roxane Laboratories, Inc.; Methyl prednisolone is currently available from Pfizer; sirolimus (rapamycin) is currently available from Wyeth-Ayerst under the brand name RAPAMUNE; tacrolimus is currently available from Fujisawa under the brand name PROGRAF; cyclosporine is current available from Novartis under the brand dame SANDIMMUNE and from Abbott under the brand name GENGRAF; IMPDH inhibitors such as mycophenolate mofetil and mycophenolic acid are currently available from Roche under the brand name CELLCEPT and from Novartis under the brand name MYFORTIC; azathioprine is currently available from Glaxo Smith Kline under the brand name IMURAN; and antibodies are currently available from Ortho Biotech under the brand name ORTHOCLONE, from Novartis under the brand name SIMULECT (basiliximab), and from Roche under the brand name ZENAPAX (daclizumab).
- In another embodiment, the 2,4-pyrimidinediamine compounds could be administered either in combination or adjunctively with an inhibitor of a Syk kinase. Syk kinase is a tyrosine kinase known to play a critical role in Fcγ receptor signaling, as well as in other signaling cascades, such as those involving B-Cell receptor signaling (Tumer et al., (2000), Immunology Today 21:148-154) and integrins beta (1), beta (2), and beta (3) in neutrophils (Mocsavi et al., (2002), Immunity 16:547-558). For example, Syk kinase plays a pivotal role in high affinity IgE receptor signaling in mast cells that leads to activation and subsequent release of multiple chemical mediators that trigger allergic attacks. However, unlike the JAK kinases, which help regulate the pathways involved in delayed or cell-mediated Type IV hypersensitivity reactions, Syk kinase helps regulate the pathways involved in immediate IgE-mediated, Type I hypersensitivity reactions. Certain compounds that affect the Syk pathway may or may not also affect the JAK pathways.
- Suitable Syk inhibitory compounds are described, for example, in Ser. No. 10/355,543 filed Jan. 31, 2003 (publication no. 2004/0029902); WO 03/063794; Ser. No. 10/631,029 filed Jul. 29, 2003; WO 2004/014382; Ser. No. 10/903,263 filed Jul. 30, 2004; PCT/US2004/24716 filed Jul. 30, 2004 (WO005/016893); Ser. No. 10/903,870 filed Jul. 30, 2004; PCT/US2004/24920 filed Jul. 30, 2004; Ser. No. 60/630,808 filed Nov. 24, 2004; Ser. No. 60/645,424 filed Jan. 19, 2005; and Ser. No. 60/654,620, filed Feb. 18, 2005, the disclosures of which are incorporated herein by reference. The 2,4-pyrimidinediamine described herein and Syk inhibitory compounds could be used alone or in combination with one or more conventional transplant rejection treatments, as described above.
- In a specific embodiment, the 2,4-pyrimidinediamine compounds can be used to treat or prevent these diseases in patients that are either initially non-responsive (resistant) to or that become non-responsive to treatment with a Syk inhibitory compound or one of the other current treatments for the particular disease. The 2,4-pyrimidinediamine compounds could also be used in combination with Syk inhibitory compounds in patients that are Syk-compound resistant or non-responsive. Suitable Syk-inhibitory compounds with which the 2,4-pyrimidinediamine compounds can be administered are provided supra.
- In another embodiment, this invention provides a method of treating a T-cell mediated autoimmune disease, comprising administering to a patient suffering from such an autoimmune disease an amount of a compound effective to treat the autoimmune disease wherein the compound is selected from the compounds of the invention, as described herein, and the compound is administered in combination with or adjunctively to a compound that inhibits Syk kinase with an IC50 in the range of at least 10 μM.
- In another embodiment, this invention provides a method of treating or preventing allograft transplant rejection in a transplant recipient, comprising administering to the transplant recipient an amount of a compound effective to treat or prevent the rejection wherein the compound is selected from the compounds of the invention, as described herein. In a further embodiment, the compound is administered to a tissue or an organ prior to transplanting the tissue or organ in the transplant recipient.
- In another embodiment, this invention provides a method of treating or preventing allograft transplant rejection in a transplant recipient, in which the rejection is acute rejection, comprising administering to the transplant recipient an amount of a compound effective to treat or prevent the rejection, wherein the compound is selected from the compounds of the invention.
- In another embodiment, this invention provides a method of treating or preventing allograft transplant rejection in a transplant recipient, in which the rejection is chronic rejection, comprising administering to the transplant recipient an amount of a compound effective to treat or prevent the rejection, wherein the compound is selected from the compounds of the invention.
- In another embodiment, this invention provides a method of treating or preventing allograft transplant rejection in a transplant recipient, in which the rejection is mediated by HVGR or GVHR, comprising administering to the transplant recipient an amount of a compound effective to treat or prevent the rejection, wherein the compound is selected from the compounds of this invention, as described herein.
- In another embodiment, this invention provides a method of treating or preventing allograft transplant rejection in a transplant recipient, in which the allograft transplant is selected from a kidney, a heart, a liver, and a lung, comprising administering to the transplant recipient an amount of a compound effective to treat or prevent the rejection, wherein the compound is selected from the compounds of this invention, as described herein.
- In another embodiment, this invention provides a method of treating or preventing allograft transplant rejection in a transplant recipient, in which the allograft transplant is selected from a kidney, a heart, a liver, and a lung, comprising administering to the transplant recipient an amount of a compound effective to treat or prevent the rejection wherein the compound is selected from the compounds of the invention, as described herein, in which the compound is administered in combination with or adjunctively to another immunosuppressant.
- In another embodiment, this invention provides a method of treating or preventing allograft transplant rejection in a transplant recipient, in which the allograft transplant is selected from a kidney, a heart, a liver, and a lung, comprising administering to the transplant recipient an amount of a compound effective to treat or prevent the rejection, wherein the compound is selected from the compounds of the invention, as described herein, in which the compound is administered in combination with or adjunctively to another immunosuppressant, in which the immunosuppressant is selected from cyclosporine, tacrolimus, sirolimus, an inhibitor of IMPDH, mycophenolate, mycophanolate mofetil, an anti-T-Cell antibody, and OKT3.
- The 2,4-pyrimidinediamine compounds described herein are cytokine moderators of IL-4 signaling. As a consequence, the 2,4-pyrimidinediamine compounds could slow the response of Type I hypersensitivity reactions. Thus, in a specific embodiment, the 2,4-pyrimidinediamine compounds could be used to treat such reactions and, therefore, the diseases associated with, mediated by, or caused by such hypersensitivity reactions (for example, allergies), prophylactically. For example, an allergy sufferer could take one or more of the JAK selective compounds described herein prior to expected exposure to allergens to delay the onset or progress of, or eliminate altogether, an allergic response.
- When used to treat or prevent such diseases, the 2,4-pyrimidinediamine compounds can be administered singly, as mixtures of one or more 2,4-pyrimidinediamine compounds, or in mixture or combination with other agents useful for treating such diseases and/or the symptoms associated with such diseases. The 2,4-pyrimidinediamine compounds may also be administered in mixture or in combination with agents useful to treat other disorders or maladies, such as steroids, membrane stabilizers, 5-lipoxygenase (5LO) inhibitors, leukotriene synthesis and receptor inhibitors, inhibitors of IgE isotype switching or IgE synthesis, IgG isotype switching or IgG synthesis, β-agonists, tryptase inhibitors, aspirin, cyclooxygenase (COX) inhibitors, methotrexate, anti-TNF drugs, retuxin, PD4 inhibitors, p38 inhibitors, PDE4 inhibitors, and antihistamines, to name a few. The 2,4-pyrimidinediamine compounds can be administered per se in the form of prodrugs or as pharmaceutical compositions, comprising an active compound or prodrug.
- In another embodiment, this invention provides a method of treating or preventing a Type IV hypersensitivity reaction, comprising administering to a subject an amount of a compound effective to treat or prevent the hypersensitivity reaction, wherein the compound is selected from the compounds of this invention, as described herein.
- In another embodiment, this invention provides a method of treating or preventing a Type IV hypersensitivity reaction, which is practical prophylactically, comprising administering to a subject an amount of a compound effective to treat or prevent the hypersensitivity reaction, wherein the compound is selected from the compounds of this invention, as described herein, and is administered prior to exposure to an allergen.
- In another embodiment, this invention provides a method of inhibiting a signal transduction cascade in which JAK3 kinase plays a role, comprising contacting a cell expressing a receptor involved in such a signaling cascade with a compound, wherein the compound is selected from the compounds of this invention, as described herein.
- In another embodiment, this invention provides a method of treating or preventing a JAK kinase-mediated disease, comprising administering to a subject an amount of compound effective to treat or prevent the JAK kinase-mediated disease, wherein the compound is selected from the compounds of this invention, as described herein.
- In another embodiment, this invention provides a method of treating or preventing a JAK kinase-mediated disease, in which the JAK-mediated disease is HVGR or GVHR, comprising administering to a subject an amount of compound effective to treat or prevent the JAK kinase-mediated disease, wherein the compound is selected from the compounds of the invention, as described herein.
- In another embodiment, this invention provides a method of treating or preventing a JAK kinase-mediated disease, in which the JAK-mediated disease is acute allograft rejection, comprising administering to a subject an amount of compound effective to treat or prevent the JAK kinase-mediated disease, wherein the compound is selected from the compounds of the invention, as described herein.
- In another embodiment, this invention provides a method of treating or preventing a JAK kinase-mediated disease, in which the JAK-mediated disease is chronic allograft rejection, comprising administering to a subject an amount of compound effective to treat or prevent the JAK kinase-mediated disease, wherein the compound is selected from the compounds of the invention, as described herein.
- Active compounds of the invention typically inhibit the JAK/Stat pathway. The activity of a specified compound as an inhibitor of a JAK kinase can be assessed in vitro or in vivo. In some embodiments, the activity of a specified compound can be tested in a cellular assay. Suitable assays include assays that determine inhibition of either the phosphorylation activity or ATPase activity of a JAK kinase. Thus, a compound is said to inhibit an activity of a JAK kinase if it inhibits the phosphorylation or ATPase activity of a JAK kinase with an IC50 of about 20 μM or less.
- “Cell proliferative disorder” refers to a disorder characterized by abnormal proliferation of cells. A proliferative disorder does not imply any limitation with respect to the rate of cell growth, but merely indicates loss of normal controls that affect growth and cell division. Thus, in some embodiments, cells of a proliferative disorder can have the same cell division rates as normal cells but do not respond to signals that limit such growth. Within the ambit of “cell proliferative disorder” is neoplasm or tumor, which is an abnormal growth of tissue. Cancer refers to any of various malignant neoplasms characterized by the proliferation of cells that have the capability to invade surrounding tissue and/or metastasize to new colonization sites.
- “Hematopoietic neoplasm” refers to a cell proliferative disorder arising from cells of the hematopoietic lineage. Generally, hematopoiesis is the physiological process whereby undifferentiated cells or stem cells develop into various cells found in the peripheral blood. In the initial phase of development, hematopoietic stem cells, typically found in the bone marrow, undergo a series of cell divisions to form multipotent progenitor cells that commit to two main developmental pathways: the lymphoid lineage and the myeloid lineage. The committed progenitor cells of the myeloid lineage differentiate into three major sub-branches comprised of the erythroid, megakaryocyte, and granulocyte/monocyte developmental pathways. An additional pathway leads to formation of dendritic cells, which are involved in antigen presentation. The erythroid lineage gives rise to red blood cells while the megakaryocytic lineage gives rise to blood platelets. Committed cells of the granulocyte/monocyte lineage split into granulocyte or monocyte developmental pathways, the former pathway leading to formation of neutrophils, eosinophils, and basophils and the latter pathway giving rise to blood monocytes and macrophages.
- Committed progenitor cells of the lymphoid lineage develop into the B cell pathway, T cell pathway, or the non-T/B cell pathway. Similar to the myeloid lineage, an additional lymphoid pathway appears to give rise to dendritic cells involved in antigen presentation. The B cell progenitor cell develops into a precursor B cell (pre-B), which differentiates into B cells responsible for producing immunoglobulins. Progenitor cells of the T cell lineage differentiate into precursor T cells (pre-T) that, based on the influence of certain cytokines, develop into cytotoxic or helper/suppressor T cells involved in cell mediated immunity. Non-T/B cell pathway leads to generation of natural killer (NK) cells. Neoplasms of hematopoietic cells can involve cells of any phase of hematopoiesis, including hematopoietic stem cells, multipotent progenitor cells, oligopotent committed progenitor cells, precursor cells, and mature differentiated cells. The categories of hematopoietic neoplasms can generally follow the descriptions and diagnostic criteria employed by those of skill in the art (see, e.g., International Classification of Disease and Related Health Problems (ICD 10), World Health Organization (2003)). Hematopoietic neoplasms can also be characterized based on the molecular features, such as cell surface markers and gene expression profiles, cell phenotype exhibited by the aberrant cells, and/or chromosomal aberrations (e.g., deletions, translocations, insertions, etc.) characteristic of certain hematopoietic neoplasms, such as the Philadelphia chromosome found in chronic myelogenous leukemia. Other classifications include National Cancer Institute Working Formulation (Cancer, 1982, 49:2112-2135) and Revised European-American Lymphoma Classification (REAL).
- “Lymphoid neoplasm” refers a proliferative disorder involving cells of the lymphoid lineage of hematopoiesis. Lymphoid neoplasms can arise from hematopoietic stem cells as well as lymphoid committed progenitor cells, precursor cells, and terminally differentiated cells. These neoplasms can be subdivided based on the phenotypic attributes of the aberrant cells or the differentiated state from which the abnormal cells arise. Subdivisions include, among others, B cell neoplasms, T cell neoplasms, NK cell neoplasms, and Hodgkin's lymphoma.
- “Myeloid neoplasm” refers to proliferative disorder of cells of the myeloid lineage of hematopoiesis. Neoplasms can arise from hematopoietic stem cells, myeloid committed progenitor cells, precursor cells, and terminally differentiated cells. Myeloid neoplasms can be subdivided based on the phenotypic attributes of the aberrant cells or the differentiated state from which the abnormal cells arise. Subdivisions include, among others, myeloproliferative diseases, myelodysplastic/myeloproliferative diseases, myelodysplastic syndromes, acute myeloid leukemia, and acute biphenotypic leukemia.
- Generally, cell proliferative disorders treatable with the compounds disclosed herein relate to any disorder characterized by aberrant cell proliferation. These include various tumors and cancers, benign or malignant, metastatic or non-metastatic. Specific properties of cancers, such as tissue invasiveness or metastasis, can be targeted using the methods described herein. Cell proliferative disorders include a variety of cancers, including, among others, breast cancer, ovarian cancer, renal cancer, gastrointestinal cancer, kidney cancer, bladder cancer, pancreatic cancer, lung squamous carcinoma, and adenocarcinoma.
- In some embodiments, the cell proliferative disorder treated is a hematopoietic neoplasm, which is aberrant growth of cells of the hematopoietic system. Hematopoietic malignancies can have its origins in pluripotent stem cells, multipotent progenitor cells, oligopotent committed progenitor cells, precursor cells, and terminally differentiated cells involved in hematopoiesis. Some hematological malignancies are believed to arise from hematopoietic stem cells, which have the ability for self renewal. For instance, cells capable of developing specific subtypes of acute myeloid leukemia (AML) upon transplantation display the cell surface markers of hematopoietic stem cells, implicating hematopoietic stem cells as the source of leukemic cells. Blast cells that do not have a cell marker characteristic of hematopoietic stem cells appear to be incapable of establishing tumors upon transplantation (Blaire et al., 1997, Blood 89:3104-3112). The stem cell origin of certain hematological malignancies also finds support in the observation that specific chromosomal abnormalities associated with particular types of leukemia can be found in normal cells of hematopoietic lineage as well as leukemic blast cells. For instance, the reciprocal translocation t(9q34; 22q11) associated with approximately 95% of chronic myelogenous leukemia appears to be present in cells of the myeloid, erythroid, and lymphoid lineage, suggesting that the chromosomal aberration originates in hematopoietic stem cells. A subgroup of cells in certain types of CML displays the cell marker phenotype of hematopoietic stem cells.
- Although hematopoietic neoplasms often originate from stem cells, committed progenitor cells or more terminally differentiated cells of a developmental lineage can also be the source of some leukemias. For example, forced expression of the fusion protein Bcr/Abl (associated with chronic myelogenous leukemia) in common myeloid progenitor or granulocyte/macrophage progenitor cells produces a leukemic-like condition. Moreover, some chromosomal aberrations associated with subtypes of leukemia are not found in the cell population with a marker phenotype of hematopoietic stem cells, but are found in a cell population displaying markers of a more differentiated state of the hematopoietic pathway (Turhan et al., 1995, Blood 85:2154-2161). Thus, while committed progenitor cells and other differentiated cells may have only a limited potential for cell division, leukemic cells may have acquired the ability to grow unregulated, in some instances mimicking the self-renewal characteristics of hematopoietic stem cells (Passegue et al., Proc. Natl. Acad. Sci. USA, 2003, 100:11842-9).
- In some embodiments, the hematopoietic neoplasm treated is a lymphoid neoplasm, where the abnormal cells are derived from and/or display the characteristic phenotype of cells of the lymphoid lineage. Lymphoid neoplasms can be subdivided into B-cell neoplasms, T and NK-cell neoplasms, and Hodgkin's lymphoma. B-cell neoplasms can be further subdivided into precursor B-cell neoplasm and mature/peripheral B-cell neoplasm. Exemplary B-cell neoplasms are precursor B-lymphoblastic leukemia/lymphoma (precursor B-cell acute lymphoblastic leukemia) while exemplary mature/peripheral B-cell neoplasms are B-cell chronic lymphocytic leukemia/small lymphocytic lymphoma, B-cell prolymphocytic leukemia, lymphoplasmacytic lymphoma, splenic marginal zone B-cell lymphoma, hairy cell leukemia, plasma cell myeloma/plasmacytoma, extranodal marginal zone B-cell lymphoma of MALT type, nodal marginal zone B-cell lymphoma, follicular lymphoma, mantle-cell lymphoma, diffuse large B-cell lymphoma, mediastinal large B-cell lymphoma, primary effusion lymphoma, and Burkitt's lymphoma/Burkitt cell leukemia. T-cell and Nk-cell neoplasms are further subdivided into precursor T-cell neoplasm and mature (peripheral) T-cell neoplasms. Exemplary precursor T-cell neoplasm is precursor T-lymphoblastic lymphoma/leukemia (precursor T-cell acute lymphoblastic leukemia) while exemplary mature (peripheral) T-cell neoplasms are T-cell prolymphocytic leukemia T-cell granular lymphocytic leukemia, aggressive NK-cell leukemia, adult T-cell lymphoma/leukemia (HTLV-1), extranodal NK/T-cell lymphoma, nasal type, enteropathy-type T-cell lymphoma, hepatosplenic gamma-delta T-cell lymphoma, subcutaneous panniculitis-like T-cell lymphoma, Mycosis fungoides/Sezary syndrome, Anaplastic large-cell lymphoma, T/null cell, primary cutaneous type, Peripheral T-cell lymphoma, not otherwise characterized, Angioimmunoblastic T-cell lymphoma, Anaplastic large-cell lymphoma, T/null cell, primary systemic type. The third member of lymphoid neoplasms is Hodgkin's lymphoma, also referred to as Hodgkin's disease. Exemplary diagnosis of this class that can be treated with the compounds include, among others, nodular lymphocyte-predominant Hodgkin's lymphoma, and various classical forms of Hodgkin's disease, exemplary members of which are Nodular sclerosis Hodgkin's lymphoma (grades 1 and 2), Lymphocyte-rich classical Hodgkin's lymphoma, Mixed cellularity Hodgkin's lymphoma, and Lymphocyte depletion Hodgkin's lymphoma. In various embodiments, any of the lymphoid neoplasms that are associated with aberrant JAK activity can be treated with the JAK inhibitory compounds.
- In some embodiments, the hematopoietic neoplasm treated is a myeloid neoplasm. This group comprises a large class of cell proliferative disorders involving or displaying the characteristic phenotype of the cells of the myeloid lineage. Myeloid neoplasms can be subdivided into myeloproliferative diseases, myelodysplastic/myeloproliferative diseases, myelodysplastic syndromes, and acute myeloid leukemias. Exemplary myeloproliferative diseases are chronic myelogenous leukemia (e.g., Philadelphia chromosome positive (t(9; 22)(qq34; q11)), chronic neutrophilic leukemia, chronic eosinophilic leukemia/hypereosinophilic syndrome, chronic idiopathic myelofibrosis, polycythemia vera, and essential thrombocythemia. Exemplary myelodysplastic/myeloproliferative diseases are chronic myelomonocytic leukemia, atypical chronic myelogenous leukemia, and juvenile myelomonocytic leukemia. Exemplary myelodysplastic syndromes are refractory anemia, with ringed sideroblasts and without ringed sideroblasts, refractory cytopenia (myelodysplastic syndrome) with multilineage dysplasia, refractory anemia (myelodysplastic syndrome) with excess blasts, 5q- syndrome, and myelodysplastic syndrome. In various embodiments, any of the myeloid neoplasms that are associated with aberrant JAK activity can be treated with the JAK inhibitory compounds.
- In some embodiments, the JAK inhibitory compounds can be used to treat Acute myeloid leukemias (AML), which represent a large class of myeloid neoplasms having its own subdivision of disorders. These subdivisions include, among others, AMLs with recurrent cytogenetic translocations, AML with multilineage dysplasia, and other AML not otherwise categorized. Exemplary AMLs with recurrent cytogenetic translocations include, among others, AML with t(8; 21)(q22; q22), AML1 (CBF-alpha)/ETO, Acute promyelocytic leukemia (AML with t(15; 17)(q22; q11-12) and variants, PML/RAR-alpha), AML with abnormal bone marrow eosinophils (inv(16)(p13q22) or t(16; 16)(p13; q11), CBFb/MYH11X), and AML with 11q23 (MLL) abnormalities. Exemplary AML with multilineage dysplasia are those that are associated with or without prior myelodysplastic syndrome. Other acute myeloid leukemias not classified within any definable group include, AML minimally differentiated, AML without maturation, AML with maturation, Acute myelomonocytic leukemia, Acute monocytic leukemia, Acute erythroid leukemia, Acute megakaryocytic leukemia, Acute basophilic leukemia, and Acute panmyelosis with myelofibrosis.
- One means of assaying for such inhibition is detection of the effect of the 2,4-pyrimidinediamine compounds on the upregulation of downstream gene products. In the Ramos/IL4 assay, B-cells are stimulated with the cytokine Interleukin-4 (IL-4) leading to the activation of the JAK/Stat pathway through phosphorylation of the JAK family kinases, JAK1 and JAK3, which in turn phosphorylate and activate the transcription factor Stat-6. One of the genes upregulated by activated Stat-6 is the low affinity IgE receptor, CD23. To study the effect of inhibitors (e.g., the 2,4-substituted pyrimindinediamine compounds described herein) on the JAK1 and JAK3 kinases, human Ramos B cells are stimulated with human IL-4. 20 to 24 hours post stimulation, cells are stained for upregulation of CD23 and analyzed using flow cytometry (FACS). A reduction of the amount of CD23 present compared to control conditions indicates the test compound actively inhibits the JAK kinase pathway. An exemplary assay of this type is described in greater detail in Example 3.
- The activity of the active compounds of the invention may further be characterized by assaying the effect of the 2,4-pyrimidinediamine compounds described herein on the proliferative response of primary human T-cells. In this assay, primary human T-cells derived from peripheral blood and pre-activated through stimulation of the T-cell receptor and CD28, proliferate in culture in response to the cytokine Interleukin-2 (IL-2). This proliferative response is dependent on the activation of JAK1 and JAK3 tyrosine kinases, which phosphorylate and activate the transcription factor Stat-5. The primary human T-cells are incubated with the 2,4-pyrimidinediamine compounds in the presence of IL-2 for 72 hours, and at the assay endpoint intracellular ATP concentrations are measured to assess cell viability. A reduction in cell proliferation compared to control conditions is indicative of inhibition of the JAK kinase pathway. An exemplary assay of this type is described in greater detail in Example 4.
- The activity of the compounds of the invention may additionally be characterized by assaying the effect of the 2,4-pyrimidinediamine compounds described herein on A549 lung epithelial cells and U937 cells. A549 lung epithelial cells and U937 cells up-regulate ICAM-1 (CD54) surface expression in response to a variety of different stimuli. Therefore, using ICAM-1 expression as readout, test compound effects on different signaling pathways can be assessed in the same cell type. Stimulation with IL-1β through the IL-1β receptor activates the TRAF6/NFκB pathway resulting in up-regulation of ICAM-1. IFNγ induces ICAM-1 up-regulation through activation of the JAK1/JAK2 pathway. The up-regulation of ICAM-1 can be quantified by flow cytometry across a compound dose curve and EC50 values are calculated. Exemplary assays of this type are described in greater detail in Examples 5 and 6.
- Active compounds as described herein generally inhibit the JAK kinase pathway with an IC50 in the range of about 1 mM or less, as measured in the assays described herein. Of course, skilled artisans will appreciate that compounds which exhibit lower IC50s, (on the order, for example, of 100 μM, 75 μM, 50 μM, 40 μM, 30 μM, 20 μM, 15 μM, 10 μM, 5 μM, 1 μM, 500 nM, 100 nM, 10 nM, 1 nM, or even lower) can be particularly useful in therapeutic applications. In instances where activity specific to a particular cell type is desired, the compound can be assayed for activity with the desired cell type and counter-screened for a lack of activity against other cell types. The desired degree of “inactivity” in such counter screens, or the desired ratio of activity vs. inactivity, may vary for different situations and can be selected by the user.
- The 2,4-pyrimidinediamine active compounds also typically inhibit IL-4 stimulated expression of CD23 in B-cells with an IC50 in the range of about 20 μM or less, typically in the range of about 10 μM, 1 μM, 500 nM, 100 nM, 10 nM, 1 nM, or even lower. A suitable assay that can be used is the assay described in Example 3, “Assay for Ramos B-Cell Line Stimulated with IL-4.” In certain embodiments, the active 2,4-pyrimidinediamine compounds have an IC50 of less than or equal to 5 μM, greater than 5 μM but less than 20 μM, greater than 20 μM, or greater than 20 μM but less than 50 μM in the assay described in Example 3.
- Additionally, the 2,4-pyrimidinediamine active compounds typically inhibit an activity of human primary T-cells with an IC50 in the range of about 20 μM or less, typically in the range of about 10 μM, 1 μM, 500 nM, 100 nM, 10 nM, 1 nM, or even lower. The IC50 against human primary T-cells can be determined in a standard in vitro assay with isolated human primary T-cells. A suitable assay that can be used is the assay described in Example 4, “Primary Human T-cell Proliferation Assay Stimulated with IL-2.” In certain embodiments, the active 2,4-pyrimidinediamine compounds have an IC50 of less than or equal to 5 μM, greater than 5 μM but less than 20 μM, greater than 20 μM, or greater than 20 μM but less than 50 μM in the assay described in Example 4.
- The 2,4-pyrimidinediamine active compounds also typically inhibit expression of ICAM1 (CD54) induced by IFNγ exposure in U937 or A549 cells with an IC50 in the range of about 20 μM or less, typically in the range of about 10 μM, 1 μM, 500 nM, 100 nM, 10 nM, 1 nM, or even lower. The IC50 against expression of ICAM (CD54) in IFNγ stimulated cells can be determined in a functional cellular assay with an isolated A549 or U937 cell line. Suitable assays that can be used are the assays described in Examples 5 and 6, “A549 Epithelial Line Stimulated with IFNγ” and “U937 IFNγ ICAM1 FACS Assay,” respectively. In certain embodiments, the active 2,4-pyrimidinediamine compounds have an IC50 of less than or equal to 20 μM, greater than 20 μM, or greater than 20 μM but less than 50 μM in the assays described in Example 5 and 6.
- E. Pharmaceutical Compositions of the Invention
- Pharmaceutical compositions comprising the 2,4-pyrimidinediamine compounds described herein (or prodrugs thereof) can be manufactured by means of conventional mixing, dissolving, granulating, dragee-making levigating, emulsifying, encapsulating, entrapping, or lyophilization processes. The compositions can be formulated in conventional manner using one or more physiologically acceptable carriers, diluents, excipients, or auxiliaries which facilitate processing of the active compounds into preparations which can be used pharmaceutically.
- The 2,4-pyrimidinediamine compound or prodrug can be formulated in the pharmaceutical compositions per se, or in the form of a hydrate, solvate, N-oxide, or pharmaceutically acceptable salt, as described herein. Typically, such salts are more soluble in aqueous solutions than the corresponding free acids and bases, but salts having lower solubility than the corresponding free acids and bases may also be formed.
- In one embodiment, this invention provides a pharmaceutical formulation comprising a compound selected from the compounds of the invention, as described herein, or a prodrug thereof, and at least one pharmaceutically acceptable excipient, diluent, preservative, stabilizer, or mixture thereof.
- In another embodiment, the methods can be practiced as a therapeutic approach towards the treatment of the conditions described herein. Thus, in a specific embodiment, the 2,4-pyrimidinediamine compounds (and the various forms described herein, including pharmaceutical formulations comprising the compounds (in the various forms)) can be used to treat the conditions described herein in animal subjects, including humans. The methods generally comprise administering to the subject an amount of a compound of the invention, or a salt, prodrug, hydrate, or N-oxide thereof, effective to treat the condition. In one embodiment, the subject is a non-human mammal, including, but not limited to, bovine, horse, feline, canine, rodent, or primate. In another embodiment, the subject is a human.
- The compounds can be provided in a variety of formulations and dosages. The compounds can be provided in a pharmaceutically acceptable form, including where the compound or prodrug can be formulated in the pharmaceutical compositions per se, or in the form of a hydrate, solvate, N-oxide, or pharmaceutically acceptable salt, as described herein. Typically, such salts are more soluble in aqueous solutions than the corresponding free acids and bases, but salts having lower solubility than the corresponding free acids and bases may also be formed. It is to be understood that reference to the compound, 2,4-pyrimidinediamine compound, or “active” in discussions of formulations is also intended to include, where appropriate as known to those of skill in the art, formulation of the prodrugs of the 2,4-pyrimidinediamine compounds.
- In one embodiment, the compounds are provided as non-toxic pharmaceutically acceptable salts, as noted previously. Suitable pharmaceutically acceptable salts of the compounds of this invention include acid addition salts such as those formed with hydrochloric acid, fumaric acid, p-toluenesulphonic acid, maleic acid, succinic acid, acetic acid, citric acid, tartaric acid, carbonic acid, or phosphoric acid. Salts of amine groups may also comprise quaternary ammonium salts in which the amino nitrogen atom carries a suitable organic group such as an alkyl, alkenyl, alkynyl, or substituted alkyl moiety. Furthermore, where the compounds of the invention carry an acidic moiety, suitable pharmaceutically acceptable salts thereof may include metal salts such as alkali metal salts, e.g., sodium or potassium salts; and alkaline earth metal salts, e.g., calcium or magnesium salts.
- The pharmaceutically acceptable salts of the present invention can be formed by conventional means, such as by reacting the free base form of the product with one or more equivalents of the appropriate acid in a solvent or medium in which the salt is insoluble or in a solvent such as water which is removed in vacuo, by freeze drying, or by exchanging the anions of an existing salt for another anion on a suitable ion exchange resin.
- The present invention includes within its scope solvates of the 2,4-pyrimidinediamine compounds and salts thereof, for example, hydrates.
- The 2,4-pyrimidinediamine compounds may have one or more asymmetric centers and may accordingly exist both as enantiomers and as diastereoisomers. It is to be understood that all such isomers and mixtures thereof are encompassed within the scope of the present invention.
- The 2,4-pyrimidinediamine compounds can be administered by oral, parenteral (e.g., intramuscular, intraperitoneal, intravenous, ICV, intracisternal injection or infusion, subcutaneous injection, or implant), by inhalation spray nasal, vaginal, rectal, sublingual, urethral (e.g., urethral suppository) or topical routes of administration (e.g., gel, ointment, cream, aerosol, etc.) and can be formulated, alone or together, in suitable dosage unit formulations containing conventional non-toxic pharmaceutically acceptable carriers, adjuvants, excipients, and vehicles appropriate for each route of administration. In addition to the treatment of warm-blooded animals such as mice, rats, horses, cattle, sheep, dogs, cats, and monkeys, the compounds of the invention can be effective in humans.
- The pharmaceutical compositions for the administration of the 2,4-pyrimidinediamine compounds can be conveniently presented in dosage unit form and can be prepared by any of the methods well known in the art of pharmacy. The pharmaceutical compositions can be, for example, prepared by uniformly and intimately bringing the active ingredient into association with a liquid carrier, a finely divided solid carrier or both, and then, if necessary, shaping the product into the desired formulation. In the pharmaceutical composition the active object compound is included in an amount sufficient to produce the desired therapeutic effect. For example, pharmaceutical compositions of the invention may take a form suitable for virtually any mode of administration, including, for example, topical, ocular, oral, buccal, systemic, nasal, injection, transdermal, rectal, and vaginal, or a form suitable for administration by inhalation or insufflation.
- For topical administration, the JAK-selective compound(s) or prodrug(s) can be formulated as solutions, gels, ointments, creams, suspensions, etc., as is well-known in the art.
- Systemic formulations include those designed for administration by injection (e.g., subcutaneous, intravenous, intramuscular, intrathecal, or intraperitoneal injection) as well as those designed for transdermal, transmucosal, oral, or pulmonary administration.
- Useful injectable preparations include sterile suspensions, solutions, or emulsions of the active compound(s) in aqueous or oily vehicles. The compositions may also contain formulating agents, such as suspending, stabilizing, and/or dispersing agents. The formulations for injection can be presented in unit dosage form, e.g., in ampules or in multidose containers, and may contain added preservatives.
- Alternatively, the injectable formulation can be provided in powder form for reconstitution with a suitable vehicle, including but not limited to sterile pyrogen free water, buffer, and dextrose solution, before use. To this end, the active compound(s) can be dried by any art-known technique, such as lyophilization, and reconstituted prior to use.
- For transmucosal administration, penetrants appropriate to the barrier to be permeated are used in the formulation. Such penetrants are known in the art.
- For oral administration, the pharmaceutical compositions may take the form of, for example, lozenges, tablets, or capsules prepared by conventional means with pharmaceutically acceptable excipients such as binding agents (e.g., pregelatinised maize starch, polyvinylpyrrolidone, or hydroxypropyl methylcellulose); fillers (e.g., lactose, microcrystalline cellulose, or calcium hydrogen phosphate); lubricants (e.g., magnesium stearate, talc, or silica); disintegrants (e.g., potato starch or sodium starch glycolate); or wetting agents (e.g., sodium lauryl sulfate). The tablets can be coated by methods well known in the art with, for example, sugars, films, or enteric coatings. Additionally, the pharmaceutical compositions containing the 2,4-substituted pyrmidinediamine as active ingredient or prodrug thereof in a form suitable for oral use may also include, for example, troches, lozenges, aqueous, or oily suspensions, dispersible powders or granules, emulsions, hard or soft capsules, or syrups or elixirs. Compositions intended for oral use can be prepared according to any method known to the art for the manufacture of pharmaceutical compositions, and such compositions may contain one or more agents selected from the group consisting of sweetening agents, flavoring agents, coloring agents, and preserving agents in order to provide pharmaceutically elegant and palatable preparations. Tablets contain the active ingredient (including drug and/or prodrug) in admixture with non-toxic pharmaceutically acceptable excipients which are suitable for the manufacture of tablets. These excipients can be for example, inert diluents, such as calcium carbonate, sodium carbonate, lactose, calcium phosphate or sodium phosphate; granulating and disintegrating agents (e.g., corn starch or alginic acid); binding agents (e.g. starch, gelatin, or acacia); and lubricating agents (e.g., magnesium stearate, stearic acid, or talc). The tablets can be left uncoated or they can be coated by known techniques to delay disintegration and absorption in the gastrointestinal tract and thereby provide a sustained action over a longer period. For example, a time delay material such as glyceryl monostearate or glyceryl distearate can be employed. They may also be coated by the techniques described in the U.S. Pat. Nos. 4,256,108; 4,166,452; and 4,265,874 to form osmotic therapeutic tablets for control release. The pharmaceutical compositions of the invention may also be in the form of oil-in-water emulsions.
- Liquid preparations for oral administration may take the form of, for example, elixirs, solutions, syrups, or suspensions, or they can be presented as a dry product for constitution with water or other suitable vehicle before use. Such liquid preparations can be prepared by conventional means with pharmaceutically acceptable additives such as suspending agents (e.g., sorbitol syrup, cellulose derivatives, or hydrogenated edible fats); emulsifying agents (e.g., lecithin, or acacia); non-aqueous vehicles (e.g., almond oil, oily esters, ethyl alcohol, cremophore™, or fractionated vegetable oils); and preservatives (e.g., methyl or propyl-p-hydroxybenzoates or sorbic acid). The preparations may also contain buffer salts, preservatives, flavoring, coloring, and sweetening agents as appropriate.
- Preparations for oral administration can be suitably formulated to give controlled release of the active compound or prodrug, as is well known.
- For buccal administration, the compositions may take the form of tablets or lozenges formulated in the conventional manner.
- For rectal and vaginal routes of administration, the active compound(s) can be formulated as solutions (for retention enemas), suppositories, or ointments containing conventional suppository bases such as cocoa butter or other glycerides.
- For nasal administration or administration by inhalation or insufflation, the active compound(s) or prodrug(s) can be conveniently delivered in the form of an aerosol spray from pressurized packs or a nebulizer with the use of a suitable propellant (e.g., dichlorodifluoromethane, trichlorofluoromethane, dichlorotetrafluoroethane, fluorocarbons, carbon dioxide, or other suitable gas). In the case of a pressurized aerosol, the dosage unit can be determined by providing a valve to deliver a metered amount. Capsules and cartridges for use in an inhaler or insufflator (for example, capsules and cartridges comprised of gelatin) can be formulated containing a powder mix of the compound and a suitable powder base such as lactose or starch.
- The pharmaceutical compositions can be in the form of a sterile injectable aqueous or oleaginous suspension. This suspension can be formulated according to the known art using those suitable dispersing or wetting agents and suspending agents which have been mentioned above. The sterile injectable preparation may also be a sterile injectable solution or suspension in a non-toxic parenterally-acceptable diluent or solvent. Among the acceptable vehicles and solvents that can be employed are water, Ringer's solution, and isotonic sodium chloride solution. The 2,4-pyrimidinediamine compounds may also be administered in the form of suppositories for rectal or urethral administration of the drug. In particular embodiments, the compounds can be formulated as urethral suppositories, for example, for use in the treatment of fertility conditions, particularly in males (e.g., for the treatment of testicular dysfunction).
- According to the invention, 2,4-pyrimidinediamine compounds can be used for manufacturing a composition or medicament, including medicaments suitable for rectal or urethral administration. The invention also relates to methods for manufacturing compositions including 2,4-pyrimidinediamine compounds in a form that is suitable for urethral or rectal adminstration, including suppositories.
- For topical use, creams, ointments, jellies, gels, solutions, suspensions, etc., containing the 2,4-pyrimidinediamine compounds can be employed. In certain embodiments, the 2,4-pyrimidinediamine compounds can be formulated for topical administration with polyethylene glycol (PEG). These formulations may optionally comprise additional pharmaceutically acceptable ingredients such as diluents, stabilizers, and/or adjuvants. In particular embodiments, the topical formulations are formulated for the treatment of allergic conditions and/or skin conditions including psoriasis, contact dermatitis, and atopic dermatitis, among others described herein.
- According to the invention, 2,4-pyrimidinediamine compounds can be used for manufacturing a composition or medicament, including medicaments suitable for topical administration. The invention also relates to methods for manufacturing compositions including 2,4-pyrimidinediamine compounds in a form that is suitable for topical administration.
- According to the present invention, 2,4-pyrimidinediamine compounds can also be delivered by any of a variety of inhalation devices and methods known in the art, including, for example: U.S. Pat. No. 6,241,969; U.S. Pat. No. 6,060,069; U.S. Pat. No. 6,238,647; U.S. Pat. No. 6,335,316; U.S. Pat. No. 5,364,838; U.S. Pat. No. 5,672,581; WO96/32149; WO95/24183; U.S. Pat. No. 5,654,007; U.S. Pat. No. 5,404,871; U.S. Pat. No. 5,672,581; U.S. Pat. No. 5,743,250; U.S. Pat. No. 5,419,315; U.S. Pat. No. 5,558,085; WO98/33480; U.S. Pat. No. 5,364,833; U.S. Pat. No. 5,320,094; U.S. Pat. No. 5,780,014; U.S. Pat. Nos. 5,658,878; 5,518,998; 5,506,203; U.S. Pat. No. 5,661,130; U.S. Pat. No. 5,655,523; U.S. Pat. No. 5,645,051; U.S. Pat. No. 5,622,166; U.S. Pat. No. 5,577,497; U.S. Pat. No. 5,492,112; U.S. Pat. No. 5,327,883; U.S. Pat. No. 5,277,195; U.S. Pat. App. No. 20010041190; U.S. Pat. App. No. 20020006901; and U.S. Pat. App. No. 20020034477.
- Included among the devices which can be used to administer particular examples of the 2,4-pyrimidinediamine compounds are those well-known in the art, such as metered dose inhalers, liquid nebulizers, dry powder inhalers, sprayers, thermal vaporizers, and the like. Other suitable technology for administration of particular 2,4-pyrimidinediamine compounds includes electrohydrodynamic aerosolizers.
- In addition, the inhalation device is preferably practical, in the sense of being easy to use, small enough to carry conveniently, capable of providing multiple doses, and durable. Some specific examples of commercially available inhalation devices are Turbohaler (Astra, Wilmington, Del.), Rotahaler (Glaxo, Research Triangle Park, N.C.), Diskus (Glaxo, Research Triangle Park, N.C.), the Ultravent nebulizer (Mallinckrodt), the Acorn II nebulizer (Marquest Medical Products, Totowa, N.J.) the Ventolin metered dose inhaler (Glaxo, Research Triangle Park, N.C.), and the like. In one embodiment, 2,4-pyrimidinediamine compounds can be delivered by a dry powder inhaler or a sprayer.
- As those skilled in the art will recognize, the formulation of 2,4-pyrimidinediamine compounds, the quantity of the formulation delivered, and the duration of administration of a single dose depend on the type of inhalation device employed as well as other factors. For some aerosol delivery systems, such as nebulizers, the frequency of administration and length of time for which the system is activated will depend mainly on the concentration of 2,4-pyrimidinediamine compounds in the aerosol. For example, shorter periods of administration can be used at higher concentrations of 2,4-pyrimidinediamine compounds in the nebulizer solution. Devices such as metered dose inhalers can produce higher aerosol concentrations and can be operated for shorter periods to deliver the desired amount of 2,4-pyrimidinediamine compounds in some embodiments. Devices such as dry powder inhalers deliver active agent until a given charge of agent is expelled from the device. In this type of inhaler, the amount of 2,4-pyrimidinediamine compounds in a given quantity of the powder determines the dose delivered in a single administration. The formulation of 2,4-pyrimidinediamine is selected to yield the desired particle size in the chosen inhalation device.
- Formulations of 2,4-pyrimidinediamine compounds for administration from a dry powder inhaler may typically include a finely divided dry powder containing 2,4-pyrimidinediamine compounds, but the powder can also include a bulking agent, buffer, carrier, excipient, another additive, or the like. Additives can be included in a dry powder formulation of 2,4-pyrimidinediamine compounds, for example, to dilute the powder as required for delivery from the particular powder inhaler, to facilitate processing of the formulation, to provide advantageous powder properties to the formulation, to facilitate dispersion of the powder from the inhalation device, to stabilize to the formulation (e.g., antioxidants or buffers), to provide taste to the formulation, or the like. Typical additives include mono-, di-, and polysaccharides; sugar alcohols and other polyols, such as, for example, lactose, glucose, raffinose, melezitose, lactitol, maltitol, trehalose, sucrose, mannitol, starch, or combinations thereof; surfactants, such as sorbitols, diphosphatidyl choline, or lecithin; and the like.
- The present invention also relates to a pharmaceutical composition including 2,4-pyrimidinediamine compounds suitable for administration by inhalation. According to the invention, 2,4-pyrimidinediamine compounds can be used for manufacturing a composition or medicament, including medicaments suitable for administration by inhalation. The invention also relates to methods for manufacturing compositions including 2,4-pyrimidinediamine compounds in a form that is suitable for administration, including administration by inhalation. For example, a dry powder formulation can be manufactured in several ways, using conventional techniques, such as described in any of the publications mentioned above and incorporated expressly herein by reference, and, for example, Baker, et al., U.S. Pat. No. 5,700,904, the entire disclosure of which is incorporated expressly herein by reference. Particles in the size range appropriate for maximal deposition in the lower respiratory tract can be made by micronizing, milling, or the like. And a liquid formulation can be manufactured by dissolving the 2,4-pyrimidinediamine compounds in a suitable solvent, such as water, at an appropriate pH, including buffers or other excipients.
- Pharmaceutical compositions comprising the 2,4-pyrimidinediamine compounds described herein (or prodrugs thereof) can be manufactured by means of conventional mixing, dissolving, granulating, dragee-making levigating, emulsifying, encapsulating, entrapping, or lyophilization processes. The compositions can be formulated in conventional manner using one or more physiologically acceptable carriers, diluents, excipients, or auxiliaries which facilitate processing of the active compounds into preparations which can be used pharmaceutically.
- For ocular administration, the 2,4-pyrimidinediamine compound(s) or prodrug(s) can be formulated as a solution, emulsion, suspension, etc., suitable for administration to the eye. A variety of vehicles suitable for administering compounds to the eye are known in the art. Specific non-limiting examples are described in U.S. Pat. No. 6,261,547; U.S. Pat. No. 6,197,934; U.S. Pat. No. 6,056,950; U.S. Pat. No. 5,800,807; U.S. Pat. No. 5,776,445; U.S. Pat. No. 5,698,219; U.S. Pat. No. 5,521,222; U.S. Pat. No. 5,403,841; U.S. Pat. No. 5,077,033; U.S. Pat. No. 4,882,150; and U.S. Pat. No. 4,738,851.
- For prolonged delivery, the 2,4-pyrimidinediamine compound(s) or prodrug(s) can be formulated as a depot preparation for administration by implantation or intramuscular injection. The active ingredient can be formulated with suitable polymeric or hydrophobic materials (e.g., as an emulsion in an acceptable oil) or ion exchange resins, or as sparingly soluble derivatives (e.g., as a sparingly soluble salt). Alternatively, transdermal delivery systems manufactured as an adhesive disc or patch which slowly releases the active compound(s) for percutaneous absorption can be used. To this end, permeation enhancers can be used to facilitate transdermal penetration of the active compound(s). Suitable transdermal patches are described in, for example, U.S. Pat. No. 5,407,713; U.S. Pat. No. 5,352,456; U.S. Pat. No. 5,332,213; U.S. Pat. No. 5,336,168; U.S. Pat. No. 5,290,561; U.S. Pat. No. 5,254,346; U.S. Pat. No. 5,164,189; U.S. Pat. No. 5,163,899; U.S. Pat. No. 5,088,977; U.S. Pat. No. 5,087,240; U.S. Pat. No. 5,008,110; and U.S. Pat. No. 4,921,475.
- Alternatively, other pharmaceutical delivery systems can be employed. Liposomes and emulsions are well-known examples of delivery vehicles that can be used to deliver active compound(s) or prodrug(s). Certain organic solvents such as dimethylsulfoxide (DMSO) may also be employed, although usually at the cost of greater toxicity.
- The pharmaceutical compositions may, if desired, be presented in a pack or dispenser device which may contain one or more unit dosage forms containing the active compound(s). The pack may, for example, comprise metal or plastic foil, such as a blister pack. The pack or dispenser device can be accompanied by instructions for administration.
- The 2,4-pyrimidinediamine compound(s) or prodrug(s) described herein, or compositions thereof, will generally be used in an amount effective to achieve the intended result, for example, in an amount effective to treat or prevent the particular condition being treated. The compound(s) can be administered therapeutically to achieve therapeutic benefit or prophylactically to achieve prophylactic benefit. By therapeutic benefit is meant eradication or amelioration of the underlying disorder being treated and/or eradication or amelioration of one or more of the symptoms associated with the underlying disorder such that the patient reports an improvement in feeling or condition, notwithstanding that the patient may still be afflicted with the underlying disorder. For example, administration of a compound to a patient suffering from an allergy provides therapeutic benefit not only when the underlying allergic response is eradicated or ameliorated, but also when the patient reports a decrease in the severity or duration of the symptoms associated with the allergy following exposure to the allergen. As another example, therapeutic benefit in the context of asthma includes an improvement in respiration following the onset of an asthmatic attack or a reduction in the frequency or severity of asthmatic episodes. As another specific example, therapeutic benefit in the context of transplantation rejection includes the ability to alleviate an acute rejection episode, such as, for example, HVGR or GVHR, or the ability to prolong the time period between onset of acute rejection episodes and/or onset of chronic rejection. Therapeutic benefit also includes halting or slowing the progression of the disease, regardless of whether improvement is realized.
- The amount of compound administered will depend upon a variety of factors, including, for example, the particular condition being treated, the mode of administration, the severity of the condition being treated, the age and weight of the patient, the bioavailability of the particular active compound. Determination of an effective dosage is well within the capabilities of those skilled in the art.
- As known by those of skill in the art, the preferred dosage of 2,4-pyrimidinediamine compounds will also depend on the age, weight, general health, and severity of the condition of the individual being treated. Dosage may also need to be tailored to the sex of the individual and/or the lung capacity of the individual, where administered by inhalation. Dosage may also be tailored to individuals suffering from more than one condition or those individuals who have additional conditions which affect lung capacity and the ability to breathe normally, for example, emphysema, bronchitis, pneumonia, and respiratory infections. Dosage, and frequency of administration of the compounds or prodrugs thereof, will also depend on whether the compounds are formulated for treatment of acute episodes of a condition or for the prophylactic treatment of a disorder. For example, acute episodes of allergic conditions, including allergy-related asthma, transplant rejection, etc. A skilled practitioner will be able to determine the optimal dose for a particular individual.
- For prophylactic administration, the compound can be administered to a patient at risk of developing one of the previously described conditions. For example, if it is unknown whether a patient is allergic to a particular drug, the compound can be administered prior to administration of the drug to avoid or ameliorate an allergic response to the drug. Alternatively, prophylactic administration can be applied to avoid the onset of symptoms in a patient diagnosed with the underlying disorder. For example, a compound can be administered to an allergy sufferer prior to expected exposure to the allergen. Compounds may also be administered prophylactically to healthy individuals who are repeatedly exposed to agents known to one of the above-described maladies to prevent the onset of the disorder. For example, a compound can be administered to a healthy individual who is repeatedly exposed to an allergen known to induce allergies, such as latex, in an effort to prevent the individual from developing an allergy. Alternatively, a compound can be administered to a patient suffering from asthma prior to partaking in activities which trigger asthma attacks to lessen the severity of, or avoid altogether, an asthmatic episode.
- In the context of transplant rejection, the compound can be administered while the patient is not having an acute rejection reaction to avoid the onset of rejection and/or prior to the appearance of clinical indications of chronic rejection. The compound can be administered systemically to the patient as well as administered to the tissue or organ prior to transplanting the tissue or organ in the patient.
- The amount of compound administered will depend upon a variety of factors, including, for example, the particular indication being treated, the mode of administration, whether the desired benefit is prophylactic or therapeutic, the severity of the indication being treated and the age and weight of the patient, and the bioavailability of the particular active compound. Determination of an effective dosage is well within the capabilities of those skilled in the art.
- Effective dosages can be estimated initially from in vitro assays. For example, an initial dosage for use in animals can be formulated to achieve a circulating blood or serum concentration of active compound that is at or above an IC50 of the particular compound as measured in as in vitro assay. Calculating dosages to achieve such circulating blood or serum concentrations taking into account the bioavailability of the particular compound is well within the capabilities of skilled artisans. For guidance, the reader is referred to Fingl & Woodbury, “General Principles,” In: Goodman and Gilman's The Pharmaceutical Basis of Therapeutics, Chapter 1, pp. 1-46, latest edition, Pergamagon Press, and the references cited therein.
- Initial dosages can also be estimated from in vivo data, such as animal models. Animal models useful for testing the efficacy of compounds to treat or prevent the various diseases described above are well-known in the art. Suitable animal models of hypersensitivity or allergic reactions are described in Foster, (1995) Allergy 50(21Suppl):6-9, discussion 34-38 and Tumas et al., (2001), J. Allergy Clin. Immunol. 107(6):1025-1033. Suitable animal models of allergic rhinitis are described in Szelenyi et al., (2000), Arzneimittelforschung 50(11):1037-42; Kawaguchi et al., (1994), Clin. Exp. Allergy 24(3):238-244 and Sugimoto et al., (2000), Immunopharmacology 48(1):1-7. Suitable animal models of allergic conjunctivitis are described in Carreras et al., (1993), Br. J. Ophthalmol. 77(8):509-514; Saiga et al., (1992), Ophthalmic Res. 24(1):45-50; and Kunert et al., (2001), Invest. Ophthalmol. Vis. Sci. 42(11):2483-2489. Suitable animal models of systemic mastocytosis are described in O'Keefe et al., (1987), J. Vet. Intern. Med. 1(2):75-80 and Bean-Knudsen et al., (1989), Vet. Pathol. 26(1):90-92. Suitable animal models of hyper IgE syndrome are described in Claman et al., (1990), Clin. Immunol. Immunopathol. 56(1):46-53. Suitable animal models of B-cell lymphoma are described in Hough et al., (1998), Proc. Natl. Acad. Sci. USA 95:13853-13858 and Hakim et al., (1996), J. Immunol. 157(12):5503-5511. Suitable animal models of atopic disorders such as atopic dermatitis, atopic eczema, and atopic asthma are described in Chan et al., (2001), J. Invest. Dermatol. 117(4):977-983 and Suto et al., (1999), Int. Arch. Allergy Immunol. 120(Suppl 1):70-75. Suitable animal models of transplant rejection, such as models of HVGR, are described in O'Shea et al., (2004), Nature Reviews Drug Discovery 3:555-564; Cetkovic-Curlje & Tibbles, (2004), Current Pharmaceutical Design 10:1767-1784; and Chengelian et al., (2003), Science 302:875-878. Ordinarily skilled artisans can routinely adapt such information to determine dosages suitable for human administration.
- Dosage amounts will typically be in the range of from about 0.0001 or 0.001 or 0.01 mg/kg/day to about 100 mg/kg/day, but can be higher or lower, depending upon, among other factors, the activity of the compound, its bioavailability, the mode of administration, and various factors discussed above. Dosage amount and interval can be adjusted individually to provide plasma levels of the compound(s) which are sufficient to maintain therapeutic or prophylactic effect. For example, the compounds can be administered once per week, several times per week (e.g., every other day), once per day, or multiple times per day, depending upon, among other things, the mode of administration, the specific indication being treated, and the judgment of the prescribing physician. In cases of local administration or selective uptake, such as local topical administration, the effective local concentration of active compound(s) may not be related to plasma concentration. Skilled artisans will be able to optimize effective local dosages without undue experimentation.
- Preferably, the compound(s) will provide therapeutic or prophylactic benefit without causing substantial toxicity. Toxicity of the compound(s) can be determined using standard pharmaceutical procedures. The dose ratio between toxic and therapeutic (or prophylactic) effect is the therapeutic index. Compounds(s) that exhibit high therapeutic indices are preferred.
- The foregoing disclosure pertaining to the dosage requirements for the 2,4-sbustituted pyrimidinediamine compounds is pertinent to dosages required for prodrugs, with the realization, apparent to the skilled artisan, that the amount of prodrug(s) administered will also depend upon a variety of factors, including, for example, the bioavailability of the particular prodrug(s) and the conversation rate and efficiency into active drug compound under the selected route of administration. Determination of an effective dosage of prodrug(s) for a particular use and mode of administration is well within the capabilities of those skilled in the art.
- Effective dosages can be estimated initially from in vitro activity and metabolism assays. For example, an initial dosage of prodrug for use in animals can be formulated to achieve a circulating blood or serum concentration of the metabolite active compound that is at or above an IC50 of the particular compound as measured in as in vitro assay, such as the in vitro CHMC or BMMC and other in vitro assays described in U.S. application Ser. No. 10/355,543 filed Jan. 31, 2003 (US2004/0029902A1), international application Serial No. PCT/US03/03022 filed Jan. 31, 2003 (WO 03/063794), U.S. application Ser. No. 10/631,029 filed Jul. 29, 2003, international application Serial No. PCT/US03/24087 (WO2004/014382), U.S. application Ser. No. 10/903,263 filed Jul. 30, 2004, and international application Serial No. PCT/US2004/24716 (WO005/016893). Calculating dosages to achieve such circulating blood or serum concentrations, taking into account the bioavailability of the particular prodrug via the desired route of administration, is well within the capabilities of skilled artisans. For guidance, the reader is referred to Fingl & Woodbury, “General Principles,” In: Goodman and Gilman's The Pharmaceutical Basis of Therapeutics, Chapter 1, pp. 1-46, latest edition, Pagamonon Press, and the references cited therein.
- Also provided are kits for administration of the 2,4-pyrimidinediamine, prodrug thereof, or pharmaceutical formulations comprising the compound that may include a dosage amount of at least one 2,4-pyrimidinediamine or a composition comprising at least one 2,4-pyrimidinediamine, as disclosed herein. Kits may further comprise suitable packaging and/or instructions for use of the compound. Kits may also comprise a means for the delivery of the at least one 2,4-pyrimidinediamine or compositions comprising at least one 2,4-pyrimidinediamine, such as an inhaler, spray dispenser (e.g., nasal spray), syringe for injection, or pressure pack for capsules, tables, suppositories, or other device as described herein.
- Additionally, the compounds of the present invention can be assembled in the form of kits. The kit provides the compound and reagents to prepare a composition for administration. The composition can be in a dry or lyophilized form or in a solution, particularly a sterile solution. When the composition is in a dry form, the reagent may comprise a pharmaceutically acceptable diluent for preparing a liquid formulation. The kit may contain a device for administration or for dispensing the compositions, including, but not limited to, syringe, pipette, transdermal patch, or inhalant.
- The kits may include other therapeutic compounds for use in conjunction with the compounds described herein. In one embodiment, the therapeutic agents are immunosuppressant or anti-allergan compounds. These compounds can be provided in a separate form or mixed with the compounds of the present invention.
- The kits will include appropriate instructions for preparation and administration of the composition, side effects of the compositions, and any other relevant information. The instructions can be in any suitable format, including, but not limited to, printed matter, videotape, computer readable disk, or optical disc.
- In one embodiment, this invention provides a kit comprising a compound selected from the compounds of the invention or a prodrug thereof, packaging, and instructions for use.
- In another embodiment, this invention provides a kit comprising the pharmaceutical formulation comprising a compound selected from the compounds of the invention or a prodrug thereof and at least one pharmaceutically acceptable excipient, diluent, preservative, stabilizer, or mixture thereof, packaging, and instructions for use.
- In another aspect of the invention, kits for treating an individual who suffers from or is susceptible to the conditions described herein are provided, comprising a container comprising a dosage amount of an 2,4-pyrimidinediamine or composition, as disclosed herein, and instructions for use. The container can be any of those known in the art and appropriate for storage and delivery of oral, intravenous, topical, rectal, urethral, or inhaled formulations.
- Kits may also be provided that contain sufficient dosages of the 2,4-pyrimidinediamine or composition to provide effective treatment for an individual for an extended period, such as a week, 2 weeks, 3, weeks, 4 weeks, 6 weeks, or 8 weeks or more.
- F. General Synthesis of the Compounds of the Invention
- The 2,4-pyrimidinediamine compounds and prodrugs of the invention may be synthesized via a variety of different synthetic routes using commercially available starting materials and/or starting materials prepared by conventional synthetic methods. Suitable exemplary methods that may be routinely adapted to synthesize the 2,4-pyrimidinediamine compounds and prodrugs of the invention are found in U.S. Pat. No. 5,958,935, the disclosure of which is incorporated herein by reference. Specific examples describing the synthesis of numerous 2,4-pyrimidinediamine compounds and prodrugs, as well as intermediates therefore, are described in copending U.S. application Ser. No. 10/355,543, filed Jan. 31, 2003 (US2004/0029902A1), the contents of which are incorporated herein by reference. Suitable exemplary methods that may be routinely used and/or adapted to synthesize active 2,4-substituted pyrimidinediamine compounds can also be found in international application Serial No. PCT/US03/03022 filed Jan. 31, 2003 (WO 03/063794), U.S. application Ser. No. 10/631,029 filed Jul. 29, 2003, international application Serial No. PCT/US03/24087 (WO2004/014382), U.S. application Ser. No. 10/903,263 filed Jul. 30, 2004, and international application Serial No. PCT/US2004/24716 (WO005/016893), the disclosures of which are incorporated herein by reference. All of the compounds described herein (including prodrugs) may be prepared by routine adaptation of these methods.
- Specific exemplary synthetic methods for the 2,4-substituted pyrimidinediamines described herein are also described in Examples 1 and 2, below. Those of skill in the art will also be able to readily adapt these examples for the synthesis of additional 2,4-substituted pyrimidinediamines as described herein.
- A variety of exemplary synthetic routes that can be used to synthesize the 2,4-pyrimidinediamine compounds of the invention are described in Schemes (I)-(VII), below. These methods may be routinely adapted to synthesize the 2,4-substituted pyrimidinediamine compounds and prodrugs described herein.
- In one exemplary embodiment, the compounds can be synthesized from substituted or unsubstituted uracils as illustrated in Scheme (I), below:
- In Scheme (I), ring A, (R2)q, (R3)p, R4, R5, X, and Y are as defined herein. According to Scheme (I), uracil A-1 is dihalogenated at the 2- and 4-positions using a standard halogenating agent such as POCl3 (or other standard halogenating agent) under standard conditions to yield 2,4-dichloropyrimidine A-2. Depending upon the X substituent, in pyrimidinediamine A-2, the chloride at the C4 position is more reactive towards nucleophiles than the chloride at the C2 position. This differential reactivity can be exploited to synthesize 2,4-pyrimidinediamines A-7 by first reacting 2,4-dichloropyrimidine A-2 with one equivalent of amine A-3, yielding 4N-substituted-2-chloro-4-pyrimidineamine A-4, followed by amine A-5 to yield a 2,4-pyrimidinediamine derivative A-6, where N4 nitrogen can be selectively alkylated to give compounds of formula A-7.
- Typically, the C4 halide is more reactive towards nucleophiles, as illustrated in the Scheme. However, as will be recognized by skilled artisans, the identity of the X substituent may alter this reactivity. For example, when X is trifluoromethyl, a 50:50 mixture of 4N-substituted-4-pyrimidineamine A-4 and the corresponding 2N-substituted-2-pyrimidineamine is obtained. The regioselectivity of the reaction can also be controlled by adjusting the solvent and other synthetic conditions (such as temperature), as is well-known in the art.
- The reactions depicted in Scheme (I) may proceed more quickly when the reaction mixtures are heated via microwave. When heating in this fashion, the following conditions may be used: heat to 175° C. in ethanol for 5-20 min. in a Smith Reactor (Personal Chemistry, Uppsala, Sweden) in a sealed tube (at 20 bar pressure).
- The uracil 1 starting materials may be purchased from commercial sources or prepared using standard techniques of organic chemistry. Commercially available uracils that can be used as starting materials in Scheme (I) include, by way of example and not limitation, uracil (Aldrich #13,078-8; CAS Registry 66-22-8); 5-bromouracil (Aldrich #85,247-3; CAS Registry 51-20-7; 5-fluorouracil (Aldrich #85,847-1; CAS Registry 51-21-8); 5-iodouracil (Aldrich #85,785-8; CAS Registry 696-07-1); 5-nitrouracil (Aldrich #85,276-7; CAS Registry 611-08-5); 5-(trifluoromethyl)-uracil (Aldrich #22,327-1; CAS Registry 54-20-6). Additional 5-substituted uracils are available from General Intermediates of Canada, Inc., Edmonton, Calif. and/or Interchim, Cedex, France, or may be prepared using standard techniques. Myriad textbook references teaching suitable synthetic methods are provided infra.
- Amines A-3 and A-5 may be purchased from commercial sources or, alternatively, may be synthesized utilizing standard techniques. For example, suitable amines may be synthesized from nitro precursors using standard chemistry. Specific exemplary reactions are provided in the Examples section. See also Vogel, 1989, Practical Organic Chemistry, Addison Wesley Longman, Ltd. and John Wiley & Sons, Inc.
- Skilled artisans will recognize that in some instances, amines A-3 and A-5 and/or substituent X on uracil A-1 may include functional groups that require protection during synthesis. The exact identity of any protecting group(s) used will depend upon the identity of the functional group being protected, and will be apparent to those of skill in the art. Guidance for selecting appropriate protecting groups, as well as synthetic strategies for their attachment and removal, may be found, for example, in Greene & Wuts, Protective Groups in Organic Synthesis, 3d Edition, John Wiley & Sons, Inc., New York (1999) and the references cited therein (hereinafter “Greene & Wuts”).
- Thus, protecting group refers to a group of atoms that, when attached to a reactive functional group in a molecule, mask, reduce or prevent the reactivity of the functional group. Typically, a protecting group may be selectively removed as desired during the course of a synthesis. Examples of protecting groups can be found in Greene and Wuts, as mentioned above, and additionally, in Harrison et al., Compendium of Synthetic Organic Methods, Vols. 1-8, 1971-1996, John Wiley & Sons, NY. Representative amino protecting groups include, but are not limited to, formyl, acetyl, trifluoroacetyl, benzyl, benzyloxycarbonyl (“CBZ”), tert-butoxycarbonyl (“Boc”), trimethylsilyl (“TMS”), 2-trimethylsilyl-ethanesulfonyl (“TES”), trityl and substituted trityl groups, allyloxycarbonyl, 9-fluorenylmethyloxycarbonyl (“FMOC”), nitro-veratryloxycarbonyl (“NVOC”) and the like. Representative hydroxyl protecting groups include, but are not limited to, those where the hydroxyl group is either acylated to form acetate and benzoate esters or alkylated to form benzyl and trityl ethers, as well as alkyl ethers, tetrahydropyranyl ethers, trialkylsilyl ethers (e.g., TMS or TIPPS groups) and allyl ethers.
- A specific embodiment of Scheme (I) utilizing 5-fluorouracil (Aldrich #32,937-1), compound A-8 where Y is hydrogen, as a starting material is illustrated in Scheme (Ia), below:
- In Scheme (Ia), ring A, (R2)q, (R3)p, R4, R5, and Y are as previously defined for Scheme (I). Asymmetric 2N,4N-disubstituted-5-fluoro-2,4-pyrimidinediamine A-11 may be obtained by reacting 2,4-dichloro-5-fluoropyrimidine A-9 with one equivalent of amine A-3 (to yield 2-chloro-N4-substituted-5-fluoro-4-pyrimidineamine A-10) followed by one or more equivalents of amine A-5.
- In another exemplary embodiment, the 2,4-pyrimidinediamine compounds of the invention may be synthesized from substituted or unsubstituted cytosines as illustrated in Schemes (IIa) and (IIb), below:
- In Schemes (IIa) and (IIb), ring A, (R2)q, (R3)p, R4, R5, X, and Y are as previously defined for Scheme (I) and PG represents a protecting group. Referring to Scheme (IIa), the C4 exocyclic amine of cytosine A-12 is first protected with a suitable protecting group PG to yield N4-protected cytosine A-13. For specific guidance regarding protecting groups useful in this context, see Vorbrüggen and Ruh-Pohlenz, 2001, Handbook of Nucleoside Synthesis, John Wiley & Sons, NY, pp. 1-631 (“Vorbrüggen”). Protected cytosine A-13 is halogenated at the C2 position using a standard halogenation reagent under standard conditions to yield 2-chloro-4N-protected-4-pyrimidineamine A-14. Reaction with amine A-5 gives A-15, which on deprotection of the C4 exocyclic amine, gives A-16. Reaction of A-16 with amine A-3 yields 2,4-pyrimidinediamine derivative A-6.
- Alternatively, referring to Scheme (IIb), cytosine A-12 may be reacted with amine A-3 or protected amine A-19 to yield N4-substituted cytosine A-17 or A-20, respectively. These substituted cytosines may then be halogenated as previously described, deprotected (in the case of N4-substituted cytosine A-20) and reacted with amine A-5 to yield a 2,4-pyrimidinediamine A-11a.
- Commercially-available cytosines that may be used as starting materials in Schemes (IIa) and (IIb) include, but are not limited to, cytosine (Aldrich #14,201-8; CAS Registry 71-30-7); N4-acetylcytosine (Aldrich #37,791-0; CAS Registry 14631-20-0); 5-fluorocytosine (Aldrich #27,159-4; CAS Registry 2022-85-7); and 5-(trifluoromethyl)-cytosine. Other suitable cytosines useful as starting materials in Schemes (IIa) are available from General Intermediates of Canada, Inc., Edmonton, Calif. and/or Interchim, Cedex, France, or may be prepared using standard techniques. Myriad textbook references teaching suitable synthetic methods are provided infra.
- In still another exemplary embodiment, the 2,4-pyrimidinediamine compounds of the invention may be synthesized from substituted or unsubstituted 2-amino-4-pyrimidinols as illustrated in Scheme (III), below:
- In Scheme (III), ring A, (R2)q, (R3)p, R4, R5, X, and Y are as previously defined for Scheme (I) and LG is a leaving group as discussed in more detail in connection with Scheme IV, infra. Referring to Scheme (III), 2-amino-4-pyrimidinol A-22 is reacted with arylating agent A-23 to yield N2-substituted-4-pyrimidinol A-24, which is then halogenated as previously described to yield N2-substituted-4-halo-2-pyrimidineamine A-25. Further reaction with amine A-3 affords a 2,4-pyrimidinediamine derivative A-6.
- Suitable commercially-available 2-amino-4-pyrimidinols A-22 that can be used as starting materials in Scheme (III) are available from General Intermediates of Canada, Inc., Edmonton, Calif. and/or Interchim, Cedex, France, or may be prepared using standard techniques. Myriad textbook references teaching suitable synthetic methods are provided infra.
- Alternatively, the 2,4-pyrimidinediamine compounds of the invention may be prepared from substituted or unsubstituted 4-amino-2-pyrimidinols as illustrated in Scheme (IV), below:
- In Scheme (IV), ring A, (R2)q, (R3)p, R4, R5, X, and Y are as previously defined for Scheme (I). Referring to Scheme (IV), the C2-hydroxyl of 4-amino-2-pyrimidinol A-26 is more reactive towards nucleophiles than the C4-amino such that reaction with amine A-5 yields N2-substituted-2,4-pyrimidinediamine A-27. Subsequent reaction with compound A-28, which includes a suitable leaving group, or amine A-3 yields a 2,4-pyrimidinediamine derivative A-6. Compound A-28 may include virtually any leaving group that can be displaced by the C4-amino of N2-substituted-2,4-pyrimidinediamine A-27. Suitable leaving groups include, but are not limited to, halogens, methanesulfonyloxy (mesyloxy; “OMs”), trifluoromethanesulfonyloxy (“OTf”) and p-toluenesulfonyloxy (tosyloxy; “OTs”), benzene sulfonyloxy (“besylate”) and m-nitro benzene sulfonyloxy (“nosylate”). Other suitable leaving groups will be apparent to those of skill in the art.
- Substituted 4-amino-2-pyrimidinol starting materials may be obtained commercially or synthesized using standard techniques. Myriad textbook references teaching suitable synthetic methods are provided infra.
- In still another exemplary embodiment, the 2,4-pyrimidinediamine compounds of the invention can be prepared from 2-chloro-4-aminopyrimidines or 2-amino-4-chloropyrimidines as illustrated in Scheme (V), below:
- In Scheme (V), ring A, (R2)q, alk, (R3)p, R4, R5, X, and Y are as defined for Scheme (I) and leaving group is as defined for Scheme (IV). Referring to Scheme (V), 2-amino-4-chloropyrimidine A-29 is reacted with amine A-3 to yield 4N-substituted-2,4-pyrimidinediamine A-30 which, following reaction with compound A-23 or amine A-5, yields a N2,N4-2,4-pyrimidinediamine derivative A-6. Alternatively, 2-chloro-4-amino-pyrimidine A-31 may be reacted with compound A-28 to give compound A-32 which on reaction with amine A-5 yields A-6.
- A variety of pyrimidines A-29 and A-31 suitable for use as starting materials in Scheme (V) are commercially available from General Intermediates of Canada, Inc., Edmonton, Calif. and/or Interchim, Cedex, France, or may be prepared using standard techniques. Myriad textbook references teaching suitable synthetic methods are provided infra.
- Alternatively, 4-chloro-2-pyrimidineamines A-29a may be prepared as illustrated in Scheme (Va):
- In Scheme (Va), X is as previously defined for Scheme I. In Scheme (Va), dialdehyde A-33 is reacted with guanidine to yield 2-pyrimidineamine A-34. Reaction with a peracid such as m-chloroperbenzoic acid, trifluoroperacetic acid or urea hydrogen peroxide complex yields N-oxide A-35, which is then halogenated to give 4-chloro-2-pyrimidineamine A-29a. The corresponding 4-halo-2-pyrimidineamines may be obtained by using suitable halogenation reagents.
- In yet another exemplary embodiment, the 2,4-pyrimidinediamine compounds of the invention can be prepared from substituted or unsubstituted uridines as illustrated in Scheme (VI), below:
- In Scheme (VI), ring A, (R2)q, (R3)p, R4, R5, X, and Y are as previously defined for Scheme (I) and PG represents a protecting group, as discussed in connection with Scheme (IIb). According to Scheme (VI), uridine A-36 has a C4 reactive center such that reaction with amine A-3 or protected amine A-19 yields N4-substituted cytidine A-37 or A-38, respectively. Acid-catalyzed deprotection of N4-substituted A-37 or A-38 (when “PG” represents an acid-labile protecting group) yields N4-substituted cytosine A-39, which may be subsequently halogenated at the C2-position and reacted with amine A-5 to yield a 2,4-pyrimidinediamine derivative A-6.
- Cytidines may also be used as starting materials in an analogous manner, as illustrated in Scheme (VII), below:
- In Scheme (VII), ring A, (R2)q, (R3)p, R4, R5, X, and Y are as previously defined in Scheme (I) and PG represents a protecting group as discussed above. Referring to Scheme (VII), like uridine A-36, cytidine A-40 has a C4 reactive center such that reaction with amine A-3 or protected amine A-19 yields N4-substituted cytidine A-37 or A-38, respectively. These cytidines A-37 and A-38 are then treated as previously described for Scheme (VI) to yield a 2,4-pyrimidinediamine derivative A-6.
- Although Schemes (VI) and (VII) are exemplified with ribosylnucleosides, skilled artisans will appreciate that the corresponding 2′-deoxyribo and 2′,3′-dideoxyribo nucleosides, as well as nucleosides including sugars or sugar analogs other than ribose, would also work.
- Numerous uridines and cytidines useful as starting materials in Schemes (VI) and (VII) are known in the art, and include, by way of example and not limitation, 5-trifluoromethyl-2′-deoxycytidine (Chem. Sources #ABCR F07669; CAS Registry 66,384-66-5); 5-bromouridine (Chem. Sources Int'l 2000; CAS Registry 957-75-5); 5-iodo-2′-deoxyuridine (Aldrich #1-775-6; CAS Registry 54-42-2); 5-fluorouridine (Aldrich #32,937-1; CAS Registry 316-46-1); 5-iodouridine (Aldrich #85,259-7; CAS Registry 1024-99-3); 5-(trifluoromethyl)uridine (Chem. Sources Int'l 2000; CAS Registry 70-00-8); 5-trifluoromethyl-2′-deoxyuridine (Chem. Sources Int'l 2000; CAS Registry 70-00-8). Additional uridines and cytidines that can be used as starting materials in Schemes (VI) and (VII) are available from General Intermediates of Canada, Inc., Edmonton, Calif. and/or Interchim, Cedex, France, or may be prepared using standard techniques. Myriad textbook references teaching suitable synthetic methods are provided infra.
- Although many of the synthetic schemes discussed above do not illustrate the use of protecting groups, skilled artisans will recognize that in some instances certain substituents, such as, for example, R2 and/or R4, may include functional groups requiring protection. The exact identity of the protecting group used will depend upon, among other things, the identity of the functional group being protected and the reaction conditions used in the particular synthetic scheme and will be apparent to those of skill in the art. Guidance for selecting protecting groups and their attachment and removal suitable for a particular application can be found, for example, in Greene & Wuts, supra.
- Prodrugs as described herein can be prepared by routine modification of the above-described methods. Alternatively, such prodrugs can be prepared by reacting a suitably protected 2,4-pyrimidinediamine 6 with a suitable progroup. Conditions for carrying out such reactions and for deprotecting the product to yield a prodrugs as described herein are well-known.
- Myriad references teaching methods useful for synthesizing pyrimidines generally, as well as starting materials described in Schemes (I)-(VII), are known in the art. For specific guidance, the reader is referred to Brown, D. J., “The Pyrimidines”, in The Chemistry of Heterocyclic Compounds, Volume 16 (Weissberger, A., Ed.), 1962, Interscience Publishers, (A Division of John Wiley & Sons), New York (“Brown I”); Brown, D. J., “The Pyrimidines”, in The Chemistry of Heterocyclic Compounds, Volume 16, Supplement I (Weissberger, A. and Taylor, E. C., Ed.), 1970, Wiley-Interscience, (A Division of John Wiley & Sons), New York (Brown II”); Brown, D. J., “The Pyrimidines”, in The Chemistry of Heterocyclic Compounds, Volume 16, Supplement II (Weissberger, A. and Taylor, E. C., Ed.), 1985, An Interscience Publication (John Wiley & Sons), New York (“Brown III”); Brown, D. J., “The Pyrimidines” in The Chemistry of Heterocyclic Compounds, Volume 52 (Weissberger, A. and Taylor, E. C., Ed.), 1994, John Wiley & Sons, Inc., New York, pp. 1-1509 (Brown IV”); Kenner, G. W. and Todd, A., in Heterocyclic Compounds, Volume 6, (Elderfield, R. C., Ed.), 1957, John Wiley, New York, Chapter 7 (pyrimidines); Paquette, L. A., Principles of Modern Heterocyclic Chemistry, 1968, W. A. Benjamin, Inc., New York, pp. 1-401 (uracil synthesis pp. 313, 315; pyrimidinediamine synthesis pp. 313-316; amino pyrimidinediamine synthesis pp. 315); Joule, J. A., Mills, K. and Smith, G. F., Heterocyclic Chemistry, 3rd Edition, 1995, Chapman and Hall, London, UK, pp. 1-516; Vorbrüggen, H. and Ruh-Pohlenz, C., Handbook of Nucleoside Synthesis, John Wiley & Sons, New York, 2001, pp. 1-631 (protection of pyrimidines by acylation pp. 90-91; silylation of pyrimidines pp. 91-93); Joule, J. A., Mills, K. and Smith, G. F., Heterocyclic Chemistry, 4th Edition, 2000, Blackwell Science, Ltd, Oxford, UK, pp. 1-589; and Comprehensive Organic Synthesis, Volumes 1-9 (Trost, B. M. and Fleming, I., Ed.), 1991, Pergamon Press, Oxford, UK.
- Pharmaceutically acceptable salts also include salts formed when an acidic proton present in the parent compound is either replaced by a metal ion (e.g., an alkali metal ion, an alkaline earth metal ion or an aluminum ion) or coordinates with an organic base (e.g., ethanolamine, diethanolamine, triethanolamine, N-methylglucamine, morpholine, piperidine, dimethylamine, diethylamine, triethylamine, ammonia, etc.).
- The 2,4-pyrimidinediamine compounds and prodrugs thereof, as well as the salts thereof, may also be in the form of hydrates, solvates and N-oxides, as are well-known in the art.
- In another embodiment, this invention provides a compound, or stereoisomer, tautomer, prodrug, solvate, or pharmaceutically acceptable salt thereof, selected from Tables I and II.
- The invention is further understood by reference to the following examples, which are intended to be purely exemplary of the invention. The present invention is not limited in scope by the exemplified embodiments, which are intended as illustrations of single aspects of the invention only. Any methods that are functionally equivalent are within the scope of the invention. Various modifications of the invention in addition to those described herein will become apparent to those skilled in the art from the foregoing description and accompanying figures. Such modifications fall within the scope of the appended claims.
- In the examples below as well as throughout the application, the following abbreviations have the following meanings. If not defined, the terms have their generally accepted meanings.
-
- TFA=trifluoroacetic acid
- mL=milliliter
- mmol=millimole
- ng=nanogram
- nM=nanomolar
- DMSO=dimethylsulfoxie
- s=singlet
- d=doublet
- t=triplet
- q=quartet
- m=multiplet
- dd=double doublet
- br=broad
- MS=mass spectrum
- LC=liquid chromatography
- Pd/C=palladium over carbon
- HCl=hydrochloric acid
- uL=microliter
- mg=milligram
- psi=pound per square inch
- NH4Cl=ammonium chloride
- N=normal
- μM=micromolar
- rpm=revolutions per minute
- rt=room temperature
- iPrOH=isopropanol
- aq.=aqueous
-
- 3-Phenyl-1-propanol (1 mL) and (diethylamino)sulfur trifluoride (1.2 mL) were dissolved in dichloromethane (10 mL). The reaction solution was stirred at rt for 3 d. The reaction mixture was passed through a short silica gel column and washed with dichloromethane. The collected solution was evaporated to give 1-fluoro-3-phenylpropane as light yellow oil. 1H NMR (DMSO-d6): δ 1.84-2.02 (m, 2H), 2.65 (t, J=7.5 Hz, 2H), 4.34 (t, J=5.7 Hz, 1H), 4.50 (t, J=5.7 Hz, 1H), 7.20 (m, 5H); 19F NMR (282 MHz, DMSO-d6): δ-79.22.
- 1-Fluoro-3-phenylpropane was dissolved in acetic anhydride (10 mL) and to the solution was added acetic acid (1 mL) and fuming nitric acid (1 mL) at 0° C. The reaction mixture was reacted at rt and to 60° C. for 1 h, then diluted with ethyl acetate (100 mL). The organic solution was washed with water (3×100 mL) and brine (100 mL), and evaporated to give 1-fluoro-3-(4-nitrophenyl)propane.
- 1-Fluoro-3-(4-nitrophenyl)propane was dissolved in methanol (50 mL) and to the solution was added 10% Pd—C. The reaction mixture was reacted under hydrogen atmosphere (˜40 psi) for 1 h. The catalyst was filtered off over celite. The filtrate was evaporated to give 4-(3-fluoropropyl)analine.
- 4-(3-Fluoropropyl)aniline and 2,6-dichloro-5-fluoropyrimidine (1.5 g) were dissolved in methanol (5 mL) and water (1 mL). The reaction solution was stirred at rt for 3 d. The reaction solution was diluted with water (100 mL) and extracted with ethyl acetate (2×100 mL). The organic layers were evaporated and purified by flash column chromatography (EtOAc/hexanes=1/4, 1/2) to give 2-chloro-5-fluoro-N4-[4-(3-fluoropropyl)phenyl]-4-pyrimidineamine.
- 2-Chloro-5-fluoro-N4-[4-(3-fluoropropyl)phenyl]-4-pyrimidineamine (100 mg) and sulfanilamide (100 mg) were suspended in isopropanol (1 mL) and TFA (5 drops). The solution was heated at 100° C. overnight. The solution was evaporated and purified by flash column chromatography (2.0 M NH3/MeOH in dichloromethane=1-3%) and recrystallized from ethyl acetate to give N2-(4-aminosulfonylphenyl)-5-fluoro-N4-[4-(3-fluoropropyl)phenyl]-2,4-pyrimidinediamine. 1H NMR (DMSO-d6): δ 1.89-2.02 (m, 2H), 2.67 (t, J=8.1 Hz, 2H), 4.38 (t, J=5.7 Hz, 1H), 4.53 (t, J=5.7 Hz, 1H), 7.11 (br, 2H), 7.19 (d, J=8.1 Hz, 2H), 7.60 (d, J=8.7 Hz, 2H), 7.65 (d, J=8.1 Hz, 2H), 7.80 (d, J=8.7 Hz, 2H), 8.12 (d, J=3.9 Hz, 1H), 9.38 (br, 1H), 9.57 (br, 1H); 19F NMR (282 MHz, DMSO-d6): δ-201.79; LCMS: purity: 91.96%; MS (m/e): 420.74 (MH+).
- The following compounds were made in a similar fashion to the above example or by methods described herein or known to skilled artisans.
- 2-Chloro-5-fluoro-N4-[4-(prop-2-ynyloxy)phenyl]-4-pyrimidineamine (0.514 g, 1.85 mmol), 3-(aminosulfonyl)-4-methylaniline (0.689 g, 3.70 mmol), and trifluoroacetic acid (0.186 mL, 2.41 mmol) were combined with iPrOH (6.0 mL) in a sealed vial and heated at 100° C. for 3 h. The reaction mixture was cooled to room temperature and diluted with 1 N HCl (80 mL). N2-(3-Aminosulfonyl-4-methylphenyl)-5-fluoro-N4-[4-(prop-2-ynyloxy)phenyl]-2,4-pyrimidinediamine VI-53) was isolated as a white solid by suction filtration (0.703 g). 1H NMR (DMSO-d6): δ 10.08 (bs, 2H), 8.19 (d, J=4.5 Hz, 1H), 7.89 (s, 1H), 7.74 (dd, J=2.4 and 8.4 Hz, 1H), 7.58 (d, J=8.7 Hz, 2H), 7.32 (bs, 2H), 7.23 (d, J=8.4 Hz, 1H), 6.97 (d, J=8.4 Hz, 2H), 4.79 (d, J=2.1 Hz, 2H), 3.59-3.55 (m, 1H), 2.53 (s, 3H); LCMS: purity: 97%; MS (m/e): 428 (MH+).
- 1H NMR (DMSO-d6): δ 9.58 (s, 1H), 9.31 (s, 1H), 8.26 (d, J=2.4 Hz, 1H), 8.06 (d, J=3.6 Hz, 1H), 8.02 (dd, J=2.4 and 9.0 Hz, 1H), 7.68 (d, J=8.7 Hz, 2H), 7.45 (s, 2H), 7.39 (d, J=8.7 Hz, 1H), 6.96 (d, J=9.0 Hz, 2H), 4.78 (d, J=2.4 Hz, 2H), 3.55 (t, J=2.4 Hz, 1H); LCMS: purity: 97%; MS (m/e): 449 (MH+).
- 1H NMR (DMSO-d6): δ 12.01 (s, 1H), 9.44 (s, 1H), 9.26 (s, 1H), 8.16 (d, J=2.4 Hz, 1H), 8.06 (dd, J=0.3 and 3.3 Hz, 1H), 8.00 (dd, J=2.1 and 7.8 Hz, 1H), 7.69 (d, J=8.7 Hz, 2H), 7.19 (d, J=8.4 Hz, 1H), 6.95 (d, J=8.7 Hz, 2H), 4.77 (d, J=2.1 Hz, 2H), 3.56 (t, J=2.1 Hz, 1H), 2.49 (s, 3H), 2.24 (q, J=7.2 Hz, 2H), 0.89 (t, J=7.2 Hz, 3H); LCMS: purity: 98%; MS (m/e): 484 (MH+).
- 1H NMR (DMSO-d6): δ 9.45 (s, 1H), 9.35 (s, 1H), 8.12-8.07 (m, 2H), 7.93 (dd, J=2.1 and 8.4 Hz, 1H), 7.49 (d, J=8.1 Hz, 1H), 7.42 (t, J=2.1 Hz, 1H), 7.27-7.16 (m, 4H), 6.69 (dd, J=2.7 and 8.7 Hz, 1H), 4.77 (d, J=2.4 Hz, 2H), 3.58 (t, J=2.4 Hz, 1H), 2.49 (s, 3H); LCMS: purity: 98%; MS (m/e): 428 (MH+).
- 1H NMR (DMSO-d6): δ 10.09-9.90 (m, 2H), 8.17 (d, J=4.5 Hz, 1H), 7.87 (s, 1H), 7.80 (dd, J=2.1 and 8.4 Hz, 1H), 7.49-7.42 (m, 2H), 7.32 (s, 2H), 7.20 (d, J=8.1 Hz, 1H), 6.99 (d, J=8.4 Hz, 1H), 4.81 (d, J=2.1 Hz, 2H), 3.57 (t, J=2.1 Hz, 1H), 2.52 (s, 3H), 2.13 (s, 3H); LCMS: purity: 99%; MS (m/e): 442 (MH+).
- 1H NMR (DMSO-d6): δ 10.06 (s, 1H), 8.22 (d, J=4.5 Hz, 1H), 7.89 (d, J=2.1 Hz, 1H), 7.82-7.75 (m, 2H), 7.65 (dd, J=2.4 and 9.0 Hz, 1H), 7.32 (s, 2H), 7.24 (d, J=8.1 Hz, 1H), 7.19 (d, J=8.7 Hz, 1H), 4.90 (d, J=2.1 Hz, 2H), 3.63 (t, J=2.1 Hz, 1H), 2.52 (s, 3H); LCMS: purity: 99%; MS (m/e): 463 (MH+).
- 1H NMR (DMSO-d6): δ 9.94 (s, 2H), 8.19 (d, J=4.5 Hz, 1H), 7.96 (s, 1H), 7.82 (d, J=8.4 Hz, 1H), 7.75 (d, J=13.2 Hz, 1H), 7.48 (d, J=8.7 Hz, 1H), 7.31 (s, 2H), 7.23 (d, J=7.8 Hz, 1H), 7.17 (d, J=9.6 Hz, 1H), 4.88-4.86 (m, 2H), 3.64-3.61 (m, 1H), 2.53 (s, 3H); LCMS: purity: 98%; MS (m/e): 446 (MH+).
- 1H NMR (DMSO-d6): δ 10.10 (s, 2H), 8.19 (d, J=4.8 Hz, 1H), 7.90 (d, J=2.1 Hz, 1H), 7.73 (dd, J=1.8 and 8.1 Hz, 1H), 7.57 (d, J=9.0 Hz, 2H), 7.32 (s, 2H), 7.23 (d, J=8.1 Hz, 1H), 6.95 (d, J=9.0 Hz, 2H), 4.74-4.70 (m, 2H), 2.53 (s, 3H), 1.83 (t, J=2.1 Hz, 3H); LCMS: purity: 98%; MS (m/e): 442 (MH+).
- 4-Nitrophenol (1.00 g, 7.19 mmol), propargyl bromide (80 wt % in toluene; 0.788 mL, 7.09 mmol), and K2CO3 (1.08 g, 7.84 mmol) were stirred in acetone (16.0 mL) at 60° C. for 18 h. The reaction mixture was cooled to room temperature and diluted with water (200 mL). 4-(prop-2-ynyloxy)nitrobenzene was isolated as a white solid by suction filtration (1.12 g). 1H NMR (CDCl3): δ 8.22 (d, J=9.0 Hz, 2H), 7.05 (d, J=9.0 Hz, 2H), 4.80 (d, J=2.4 Hz, 2H), 2.59 (t, J=2.4 Hz, 1H).
- 4-(Prop-2-ynyloxy)nitrobenzene (0.910 g, 5.13 mmol), iron (1.42 g, 25.3 mmol), and NH4Cl (0.719 g, 12.8 mmol) were vigorously stirred in EtOH/water (1:1, 55 mL) at 70° C. for 15 minutes. The reaction mixture was filtered hot through Celite and concentrated in vacuo. The residue was suspended in 10% 2N ammoniacal methanol in dichloromethane, sonicated, and filtered through Celite. Concentration gave 4-(prop-2-ynyloxy)aniline as a brown oil which was used without further purification. In general, isolated prop-2-ynyloxyanilines were unstable and were therefore used immediately after the second filtration. 1H NMR (CDCl3): δ 6.82 (d, J=8.7 Hz, 2H), 6.64 (d, J=8.7 Hz, 2H), 4.61 (d, J=2.4 Hz, 2H), 2.50 (t, J=2.4 Hz, 1H).
- Crude 4-(prop-2-ynyloxy)aniline (0.750 g, 5.10 mmol) and 2,4-dichloro-5-fluoropyrimidine (1.27 g, 0.760 mmol) were stirred in MeOH/water (4:1, 35 mL) at room temperature for 18 h. The reaction mixture was diluted with EtOAc (200 mL) and washed with 1 N HCl (50 mL) and brine (50 mL). The organic layer was dried (MgSO4), filtered and concentrated in vacuo. The residue was purified by column chromatography (silica gel, hexanes ramped to EtOAc:hexanes (1:10)) to provide 2-chloro-5-fluoro-N4-[4-(prop-2-ynyloxy)phenyl]-4-pyrimidineamine as a light brown solid (0.514 g). 1H NMR (CDCl3): δ 8.03 (d, J=2.7 Hz, 1H), 7.53 (d, J=8.7 Hz, 2H), 7.02 (d, J=8.7 Hz, 2H), 6.86 (s, 1H), 4.71 (d, J=2.4 Hz, 2H), 2.55 (t, J=2.4 Hz, 1H); LCMS: purity: 99%; MS (m/e): 279 (MH+).
- 2-Chloro-5-fluoro-N4-[4-(prop-2-ynyloxy)phenyl]-4-pyrimidineamine (0.514 g, 1.85 mmol), 3-(aminosulfonyl)-4-methylaniline (0.689 g, 3.70 mmol), and trifluoroacetic acid (0.186 mL, 2.41 mmol) were combined with iPrOH (6.0 mL) in a sealed vial and heated at 100° C. for 3 h. The reaction mixture was cooled to room temperature and diluted with 1 N HCl (80 mL). N2-(3-Aminosulfonyl-4-methylphenyl)-5-fluoro-N4-[4-(prop-2-ynyloxy)phenyl]-2,4-pyrimidinediamine (VI-53) was isolated as a white solid by suction filtration (0.703 g). 1H NMR (DMSO-d6): δ 10.08 (bs, 2H), 8.19 (d, J=4.5 Hz, 1H), 7.89 (s, 1H), 7.74 (dd, J=2.4 and 8.4 Hz, 1H), 7.58 (d, J=8.7 Hz, 2H), 7.32 (bs, 2H), 7.23 (d, J=8.4 Hz, 1H), 6.97 (d, J=8.4 Hz, 2H), 4.79 (d, J=2.1 Hz, 2H), 3.59-3.55 (m, 1H), 2.53 (s, 3H); LCMS: purity: 97%; MS (m/e): 428 (MH+).
- N2-(3-Aminosulfonyl-4-methylphenyl)-5-fluoro-N4-[4-(prop-2-ynyloxy)phenyl]-2,4-pyrimidinediamine (0.200 g, 0.467 mmol), DMAP (40 mg, 0.33 mmol)) and triethylamine (0.118 mL, 0.847 mmol) were stirred in THF (6.0 mL). Propionic anhydride (0.180 mL, 1.40 mmol) was added to the solution dropwise. The reaction mixture was stirred at rt overnight. The solution was diluted with ethyl acetate (50 mL) and washed with water (5×25 mL) and brine (10 mL). The organic layer was dried (MgSO4), filtered, and evaporated. The residue was suspended in ethyl acetate (25 mL), sonicated and filtered off to give a prodrug of VI-53, 5-fluoro-N2-(4-methyl-3-propionylaminosulfonylphenyl)-N4-[4-(prop-2-ynyloxy)phenyl]-2,4-pyrimidinediamine (VI-56; 0.20 g). 1H NMR (DMSO-d6): δ 12.01 (s, 1H), 9.44 (s, 1H), 9.26 (s, 1H), 8.16 (d, J=2.4 Hz, 1H), 8.06 (dd, J=0.3 and 3.3 Hz, 1H), 8.00 (dd, J=2.1 and 7.8 Hz, 1H), 7.69 (d, J=8.7 Hz, 2H), 7.19 (d, J=8.4 Hz, 1H), 6.95 (d, J=8.7 Hz, 2H), 4.77 (d, J=2.1 Hz, 2H), 3.56 (t, J=2.1 Hz, 1H), 2.49 (s, 3H), 2.24 (q, J=7.2 Hz, 2H), 0.89 (t, J=7.2 Hz, 3H); LCMS: purity: 98%; MS (m/e): 484 (MH+).
- 5-Fluoro-N2-(4-methyl-3-propionylaminosulfonylphenyl)-N4-[4-(prop-2-ynyloxy)phenyl]-2,4-pyrimidinediamine (0.125 g, 0.258 mmol) was suspended in acetonitrile (1.5 mL) and water (1.5 mL) and cooled in an ice bath. A solution of 1 N NaOH aq. (0.260 mL) was added dropwise. The reaction mixture was stirred until it became clear, filtered through glass wool, and lyophilized to give the sodium salt of the prodrug (independently designated as 1-14). 1H NMR (DMSO-d6): δ 9.17 (bs, 2H), 8.01 (d, J=3.6 Hz, 1H), 7.89 (s, 1H), 7.78-7.69 (m, 3H), 6.99-6.92 (m, 3H), 4.76 (d, J=2.1 Hz, 1H), 2.43 (s, 3H), 1.95 (q, J=7.2 Hz, 2H), 0.86 (t, J=7.2 Hz, 3H); LCMS: purity: 98%; MS (m/e): 484 (MH+).
- The following compounds were made in a similar manner by methods described herein or known to skilled artisans.
- 1H NMR (DMSO-d6): δ 9.59 (s, 1H), 9.39 (s, 1H), 9.32 (s, 1H), 9.22 (s, 1H), 8.02 (m, 4H), 7.37-7.22 (m, 5H), 6.82 (d, 1H, J=8.7 Hz), 2.15 (s, 3H); LCMS: purity: 92%; MS (m/z): 433 (MH+).
- 1H NMR (DMSO-d6): δ 9.57 (s, 1H), 9.32 (s, 1H), 9.28 (s, 1H), 9.18 (s, 1H), 8.00 (m, 2H), 7.91 (m, 2H), 7.35 (d, 1H, J=8.4 Hz), 7.21 (s, 2H), 7.09 (d, 1H, J=8.4 Hz), 6.82 (d, 1H, J=8.4 Hz), 3.25 (s, 3H), 2.05 (s, 3H); LCMS: purity: 90%; MS (m/z): 447 (MH+).
- 1H NMR (DMSO-d6): δ 9.74 (s, 1H), 9.53 (s, 1H), 9.28 (2s, 2H), 8.05 (d, 1H, J=3.9 Hz), 7.94 (d, 1H, J=2.4 Hz), 7.77 (d, 2H, J=9.0 Hz), 7.55 (d, 2H, J=9.0 Hz), 7.24 (s, 1H), 7.09 (s, 2H), 6.85 (d, 1H, J=8.7 Hz), 2.05 (s, 3H); LCMS: purity: 95%; MS (m/z): 433 (MH+).
- 1H NMR (DMSO-d6): δ 9.87 (s, 1H), 9.74 (s, 1H), 8.19 (d, 1H, 3.6 Hz), 8.07 (d, 1H, J=8.1 Hz), 7.87 (s, 1H), 7.77 (s, 1H), 7.64 (d, 1H, J=9.0 Hz), 7.47 (t, 1H, J=7.8 Hz), 7.29 (d, 1H, J=7.5 Hz), 7.13 (d, 1H, J=8.7 Hz), 3.84 (s, 3H), 2.49 (s, 6H); LCMS: purity: 95%; MS (m/z): 452 (MH+).
- 1H NMR (DMSO-d6): δ 9.75 (s, 1H), 9.44 (s, 1H), 8.15 (d, 1H, 3.6 Hz), 7.84 (m, 3H), 7.54 (m, 3H), 7.15 (d, 1H, J=9.0 Hz), 3.85 (s, 3H), 2.49 (s, 6H); LCMS: purity: 97%; MS (m/z): 452 (MH+).
- 1H NMR (DMSO-d6): δ 10.40-9.84 (m, 2H), 8.15 (d, J=4.8 Hz, 1H), 7.89 (s, 1H), 7.77 (dd, J=1.8 and 8.1 Hz, 1H), 7.61 (d, J=8.7 Hz, 2H), 7.43 (d, J=8.7 Hz, 1H), 7.39 (s, 2H), 6.95 (d, J=9.0 Hz, 2H), 4.77 (d, J=1.8 Hz, 2H), 3.77 (q, J=6.9 Hz, 1H), 3.56 (t, J=1.8 Hz, 1H), 1.20 (d, J=6.9 Hz, 6H); LCMS: purity: 98%; MS (m/e): 456 (MH+).
- 1H NMR (DMSO-d6): δ 9.27 (s, 1H), 9.02 (s, 1H), 8.08 (s, 1H), 7.96 (d, J=3.0 Hz, 1H), 7.92 (d, J=8.1 Hz, 1H), 7.47 (d, J=8.4 Hz, 2H), 7.19 (s, 2H), 7.13 (d, J=9.0 Hz, 1H), 6.63 (d, J=8.7 Hz, 2H), 5.85 (t, J=6.0 Hz, 1H), 3.85 (s, 2H), 3.06-3.04 (m, 1H), 2.48 (s, 3H); LCMS: purity: 98%; MS (m/e): 427 (MH+).
- 1H NMR (DMSO-d6): δ 9.34 (s, 1H), 9.17 (s, 1H), 8.09 (d, J=2.1 Hz, 1H), 8.01 (d, J=3.6 Hz, 1H), 7.91 (dd, J=2.1 Hz, 1H), 7.63 (d, J=8.7 Hz, 2H), 7.22 (s, 2H), 7.16 (d, J=8.7 Hz, 1H), 6.91 (d, J=9.3 Hz, 2H), 4.11 (d, J=2.12 Hz, 4H), 3.17 (t, J=2.1 Hz, 2H), 2.50 (s, 3H); LCMS: purity: 98%; MS (m/e): 465 (MH+).
- 1H NMR (DMSO-d6): δ 9.75 (s, 2H), 8.13 (d, J=3.9 Hz, 1H), 7.93-7.89 (m, 1H), 7.84 (dd, J=2.4 and 8.4 Hz, 1H), 7.63 (d, J=9.0 Hz, 2H), 7.41-7.34 (m, 1H), 7.24 (d, J=8.1 Hz, 1H), 6.96 (d, J=9.0 Hz, 2H), 4.78 (d, J=2.4 Hz, 2H), 3.57 (t, J=2.4 Hz, 1H), 2.49 (s, 3H), 2.40 (d, J=4.8 Hz, 3H); LCMS: purity: 96%; MS (m/e): 443 (MH+).
- 1H NMR (DMSO-d6): δ 9.34 (s, 1H), 9.25 (s, 1H), 8.09-8.06 (m, 1H), 8.03 (d, J=3.9 Hz, 1H), 7.96-7.87 (m, 1H), 7.69 (d, J=9.0 Hz, 2H), 7.67-7.63 (m, 1H), 7.18 (d, J=8.4 Hz, 1H), 6.94 (d, J=9.0 Hz, 2H), 4.77 (d, J=2.1 Hz, 2H), 3.58-3.55 (m, 1H), 3.00-2.86 (m, 1H), 2.80-2.70 (m, 2H), 2.49 (s, 3H), 2.20 (s, 3H), 2.13-2.99 (m, 2H), 1.66-1.40 (m, 4H); LCMS: purity: 96%; MS (m/e): 526 (MH+).
- 1H NMR (DMSO-d6): δ 9.38 (s, 1H), 9.25 (s, 1H), 8.09 (d, J=2.1 Hz, 1H), 8.04 (d, J=3.6 Hz, 1H), 7.93 (dd, J=2.4 and 8.7 Hz, 1H), 7.69 (d, J=8.7 Hz, 2H), 7.41 (d, J=8.7 Hz, 1H), 6.96 (d, J=9.0 Hz, 2H), 6.84 (s, 2H), 4.77 (d, J=2.1 Hz, 2H), 3.55 (t, J=2.1 Hz, 1H), 2.94-2.86 (m, 4H), 2.53-2.44 (m, 4H), 2.25 (s, 3H); LCMS: purity: 93%; MS (m/e): 512 (MH+).
- 1H NMR (DMSO-d6): δ 9.72 (bs, 2H), 8.13 (d, J=4.2 Hz, 1H), 8.00 (s, 1H), 7.93-7.86 (m, 1H), 7.82 (dd, J=2.1 and 8.1 Hz, 1H), 7.68 (d, J=8.4 Hz, 2H), 7.27 (s, 2H), 7.23-7.16 (m, 3H), 4.63 (d, J=2.1 Hz, 2H), 4.16 (d, J=5.7 Hz, 2H), 3.48 (t, J=2.4 Hz, 1H), 2.42 (s, 3H); LCMS: purity: 95%; MS (m/e): 486 (MH+).
- 1H NMR (DMSO-d6): δ 9.73 (s, 1H), 9.66 (s, 1H), 8.15 (d, J=4.2 Hz, 1H), 8.02 (s, 1H), 7.95-7.87 (m, 2H), 7.69 (d, J=8.4 Hz, 2H), 7.41-7.36 (m, 2H), 7.29 (s, 2H), 7.21 (d, J=8.4 Hz, 2H), 4.63 (d, J=2.1 Hz, 2H), 4.16 (d, J=5.7 Hz, 2H), 3.48 (t, J=2.1 Hz, 2H); LCMS: purity: 97%; MS (m/e): 471 (MH+).
- 1H NMR (DMSO-d6): δ 9.84 (s, 1H), 9.70 (s, 1H), 8.23 (d, J=3.6 Hz, 1H), 8.14-8.06 (m, 3H), 8.02 (t, J=6.0 Hz, 1H), 7.97-7.92 (m, 1H), 7.72 (d, J=8.7 Hz, 2H), 7.47-7.37 (m, 2H), 7.30 (s, 2H), 3.67 (dd, J=2.4 and 5.7 Hz, 2H), 3.07 (t, J=2.4 Hz, 1H); LCMS: purity: 96%; MS (m/e): 478 (MH+).
- 1H NMR (DMSO-d6): δ 9.86 (s, 1H), 9.64 (s, 1H), 8.21 (d, J=3.9 Hz, 1H), 8.13-8.08 (m, 2H), 8.06-8.00 (m, 2H), 7.87 (dd, J=2.4 and 8.4 Hz, 1H), 7.70 (d, J=8.7 Hz, 2H), 7.28 (s, 2H), 7.23 (d, J=8.4 Hz, 1H), 3.67 (dd, J=2.4 and 6.0 Hz, 2H), 3.07 (t, J=2.7 Hz, 1H), 2.52 (s, 3H); LCMS: purity: 96%; MS (m/e): 492 (MH+).
- 1H NMR (DMSO-d6): δ 9.89 (s, 1H), 9.81 (s, 1H), 8.26 (d, J=3.3 Hz, 1H), 8.10-8.03 (m, 3H), 7.84 (d, J=9.0, 2H), 7.73 (d, J=9.0 Hz, 2H), 7.68 (d, J=9.0 Hz, 2H), 7.17 (s, 2H), 3.68 (dd, J=2.7 and 5.7 Hz, 2H), 3.06 (t, J=2.7 Hz, 1H); LCMS: purity: 96 MS (m/e): 477 (MH+).
- 1H NMR (DMSO-d6): δ 9.76 (s, 1H), 9.66 (s, 1H), 8.14 (d, J=4.2 Hz, 1H), 8.07 (t, J=6.3 Hz, 1H), 7.99-7.94 (m, 2H), 7.64 (d, J=9.0 Hz, 2H), 7.45-7.32 (m, 2H), 6.96 (d, J=9.0 Hz, 2H), 4.78 (d, J=1.8 Hz, 2H), 3.67-3.63 (m, 2H), 3.62-3.56 (m, 1H); LCMS: purity: 96%; MS (m/e): 452 (MH+).
- 1H NMR (DMSO-d6): δ 9.92 (s, 1H), 9.64 (s, 1H), 8.32 (d, J=7.5 Hz, 1H), 8.19 (d, J=3.9 Hz, 1H), 8.14 (d, J=6.0 Hz, 1H), 8.06-8.03 (m, 1H), 8.00-7.97 (m, 1H), 7.81 (dd, J=2.1 and 8.4 Hz, 1H), 7.57-7.46 (m, 2H), 7.27 (s, 2H), 7.22 (d, J=8.7 Hz, 1H), 3.69 (dd, J=2.4 and 5.7 Hz, 2H), 3.06 (t, J=2.7 Hz, 1H), 2.44 (s, 3H); LCMS: purity: 96%; MS (m/e): 492 (MH+).
- 1H NMR (DMSO-d6): δ 9.77 (s, 1H), 9.63 (s, 1H), 8.33-8.27 (m, 1H), 8.21 (d, J=3.6 Hz, 1H), 8.15 (t, J=6.3 Hz, 1H), 7.99-7.96 (m, 1H), 7.79 (d, J=8.7 Hz, 2H), 7.64 (d, J=9.0 Hz, 2H), 7.59-7.48 (m, 2H), 7.12 (s, 2H), 3.71 (dd, J=2.4 and 5.7 Hz, 2H), 3.06 (t, J=2.4 Hz, 1H); LCMS: purity: 95%; MS (m/e): 477 (MH+).
- 1H NMR (DMSO-d6): δ 9.80 (s, 1H), 9.60 (s, 1H), 8.39-8.34 (m, 1H), 8.20 (d, J=3.6 Hz, 1H), 8.15 (t, J=6.0 Hz, 1H), 8.10-8.06 (m, 1H), 8.02-7.98 (m, 1H), 7.94-7.88 (m, 1H), 7.54 (t, J=8.1 Hz, 1H), 7.49-7.34 (m, 3H), 7.28 (s, 2H), 3.70 (dd, J=2.4 and 5.4 Hz, 2H), 3.07 (t, J=2.4 Hz, 1H); LCMS: purity: 98%; MS (m/e): 477 (MH+).
- 1H NMR (DMSO-d6): δ 10.47 (s, 1H), 9.71 (s, 1H), 7.86 (s, 1H), 7.71-7.68 (m, 1H), 7.67-7.63 (m, 1H), 7.42 (d, J=8.7 Hz, 2H), 7.36 (s, 2H), 7.18 (d, J=8.7 Hz, 1H), 6.99 (d, J=9.0 Hz, 2H), 4.81 (d, J=2.1 Hz, 2H), 3.58 (t, J=2.1 Hz, 1H), 2.53 (s, 3H), 2.15 (s, 3H); LCMS: purity: 98%; MS (m/z): 425 (MH+).
- 1H NMR (DMSO-d6): δ 10.47 (s, 1H), 9.68 (s, 1H), 7.88 (s, 1H), 7.79 (d, J=6.9 Hz, 1H), 7.65 (s, 1H), 7.52 (d, J=8.1 Hz, 1H), 7.45-7.38 (m, 3H), 7.36 (s, 2H), 7.00 (d, J=9.3 Hz, 2H), 4.81 (d, J=2.4 Hz, 2H), 3.60 (t, J=2.4 Hz, 1H), 2.16 (s, 3H); LCMS: purity: 99%; MS (m/z): 410 (MH+).
- 1H NMR (DMSO-d6): δ 10.77 (s, 1H), 9.81 (s, 1H), 7.94 (s, 1H), 7.64 (d, J=8.7 Hz, 2H), 7.58 (d, J=9.0 Hz, 2H), 7.45 (d, J=8.7 Hz, 2H), 7.27 (s, 2H), 7.06 (d, J=8.7 Hz, 2H), 4.83 (d, J=2.4 Hz, 2H), 3.56 (t, J=2.4 Hz, 1H), 2.16 (s, 3H); LCMS: purity: 99%; MS (m/z): 410 (MH+).
- 1H NMR (DMSO-d6): δ 9.78 (s, 1H), 8.61 (s, 1H), 8.30 (s, 1H), 7.93-7.86 (m, 1H), 7.76 (dd, J=2.1 and 8.1 Hz, 2H), 7.35 (d, J=9.0 Hz, 2H), 7.22 (s, 2H), 6.99 (d, J=9.0 Hz, 3H), 4.82 (d, J=2.4 Hz, 2H), 3.57 (t, J=2.4 Hz, 1H), 2.47 (s, 3H); LCMS: purity: 90%; MS (m/z): 479 (MH+).
- 1H NMR (DMSO-d6): δ 9.51 (s, 1H), 8.80 (s, 1H), 8.14 (s, 1H), 8.06-8.04 (m, 1H), 7.91 (dd, J=2.1 and 8.1 Hz, 1H), 7.61 (d, J=8.7 Hz, 2H), 7.28 (s, 2H), 7.16 (d, J=8.1 Hz, 1H), 7.03 (d, J=8.7 Hz, 2H), 4.86 (d, J=2.4 Hz, 2H), 3.63 (t, J=2.4 Hz, 1H), 2.46 (s, 3H); LCMS: purity: 99%; MS (m/z): 445 (MH+).
- 1H NMR (DMSO-d6): δ 9.68 (s, 1H), 8.90 (s, 1H), 8.15-8.13 (m, 1H), 7.73 (d, J=8.7 Hz, 2H), 7.55 (d, J=8.4 Hz, 2H), 7.49 (d, J=8.4 Hz, 2H), 7.12 (s, 2H), 7.01 (d, J=9.0 Hz, 2H), 4.82-4.80 (m, 2H), 3.57-3.55 (m, 1H); LCMS: purity: 97%; MS (m/z): 431 (MH+).
- 1H NMR (DMSO-d6): δ 9.56 (s, 1H), 8.80 (s, 1H), 8.11 (s, 1H), 7.96-7.94 (m, 2H), 7.53 (d, J=8.7 Hz, 2H), 7.35-7.29 (m, 2H), 7.25 (s, 2H), 6.98 (d, J=8.7 Hz, 2H), 4.79 (d, J=2.1 Hz, 2H), 3.59 (t, J=2.1 Hz, 1H); LCMS: purity: 98%; MS (m/z): 431 (MH+).
- 1H NMR (CD3OD): δ 8.07 (d, J=2.4 Hz, 1H), 7.87 (d, J=3.9 Hz, 1H), 7.73 (dd, J=2.4 and 8.1 Hz, 1H), 7.55 (d, J=9.3 Hz, 2H), 7.15 (d, J=8.4 Hz, 1H), 6.93 (d, J=9.0 Hz, 2H), 4.11 (t, J=6.6 Hz, 2H), 2.65 (dt, J=2.7 and 6.6 Hz, 2H), 2.59 (s, 3H), 2.34 (t, J=2.7 Hz, 1H); LCMS: purity: 96%; MS (m/z): 443 (MH+).
- 1H NMR (CD3OD): δ 7.84-7.79 (m, 1H), 7.64 (d, J=9.3 Hz, 2H), 7.57 (d, J=8.7 Hz, 2H), 7.43 (d, J=9.0 Hz, 2H), 6.85 (d, J=8.7 Hz, 2H), 4.01 (t, J=6.6 Hz, 2H), 2.57 (dt, J=2.7 and 6.6 Hz, 2H), 2.25 (t, J=2.7 Hz, 1H); LCMS: purity: 90%; MS (m/z): 429 (MH+).
- 1H NMR (CD3OD): δ 7.97 (t, J=1.8 Hz, 1H), 7.79 (d, J=3.6 Hz, 1H), 7.75-7.71 (m, 1H), 7.45 (d, J=9.0 Hz, 2H), 7.35-7.31 (m, 1H), 7.23 (t, J=8.1 Hz, 1H), 6.82 (d, J=9.0 Hz, 2H), 3.99 (t, J=6.9 Hz, 2H), 2.55 (dt, J=2.7 and 6.9 Hz, 2H), 2.24 (t, J=2.7 Hz, 1H); LCMS: purity: 91%; MS (m/z): 429 (MH+).
- 1H NMR (DMSO-d6): δ 9.98 (s, 1H), 9.38 (s, 1H), 8.46 (s, 1H), 8.02-7.86 (m, 1H), 7.83 (d, J=7.8 Hz, 1H), 7.49-7.37 (m, 2H), 7.26 (s, 2H), 7.15-7.06 (m, 2H), 6.97 (d, J=8.7 Hz, 2H), 4.80 (d, J=1.8 Hz, 2H), 3.58-3.56 (m, 1H), 2.44 (s, 3H); LCMS: purity: 99%; MS (m/z): 435 (MH+).
- 1H NMR (DMSO-d6): δ 10.07 (s, 1H), 9.44 (s, 1H), 8.49 (s, 1H), 7.96-7.82 (m, 2H), 7.48-7.38 (m, 3H), 7.36-7.15 (m, 4H), 6.97 (d, J=8.7 Hz, 2H), 4.80 (d, J=2.1 Hz, 2H), 3.59 (t, J=2.1 Hz, 1H); LCMS: purity: 93%; MS (m/z): 421 (MH+).
- 1H NMR (DMSO-d6): δ 10.17 (s, 1H), 9.54 (s, 1H), 8.51 (s, 1H), 7.73 (d, J=8.7 Hz, 2H), 7.57 (d, J=8.7 Hz, 2H), 7.42 (d, J=9.0 Hz, 2H), 7.17 (s, 2H), 7.01 (d, J=8.7 Hz, 2H), 4.82 (d, J=2.1 Hz, 2H), 3.55 (t, J=2.1 Hz, 1H); LCMS: purity: 97%; MS (m/z): 421 (MH+).
- 1H NMR (DMSO-d6): δ 10.13 (s, 1H), 10.03 (s, 1H), 8.22 (d, J=4.5 Hz, 1H), 7.94-7.82 (m, 2H), 7.60 (d, J=8.7 Hz, 2H), 7.48-7.40 (m, 2H), 7.33 (s, 2H), 6.98 (d, J=8.4 Hz, 2H), 4.79 (d, J=2.1 Hz, 2H), 3.61-3.58 (m, 1H); LCMS: purity: 97%; MS (m/z): 414 (MH+).
- 1H NMR (DMSO-d6): δ 9.98 (s, 1H), 9.81 (s, 1H), 8.19 (d, J=4.5 Hz, 1H), 7.75 (d, J=8.4 Hz, 2H), 7.66-7.57 (m, 4H), 7.18 (s, 2H), 7.01 (d, J=9.0 Hz, 2H), 4.80 (d, J=1.5 Hz, 2H), 3.57-3.56 (m, 1H); LCMS: purity: 95%; MS (m/z): 414 (MH+).
- 1H NMR (DMSO-d6): δ 9.43 (s, 1H), 9.34 (s, 1H), 8.10 (s, 1H), 8.07 (d, J=3.9 Hz, 1H), 7.92-7.87 (m, 1H), 7.70 (d, J=8.1 Hz, 2H), 7.24-7.15 (m, 5H), 2.79-2.77 (m, 1H), 2.73 (t, J=6.9 Hz, 2H), 2.50 (s, 3H), 2.48-2.42 (m, 2H); LCMS: purity: 98%; MS (m/z): 426 (MH+).
- 1H NMR (DMSO-d6): δ 9.92 (s), 8.74 (s), 8.35 (s), 8.34 (s), 7.87 (d, J=8.4 Hz), 7.84-7.73 (m), 7.66-7.61 (m), 7.54 (t, J=7.8 Hz), 7.39-7.31 (m), 7.25-7.18 (m), 7.00 (d, J=9.0 Hz), 6.82-6.74 (m), 4.82 (d, J=2.1 Hz), 4.70 (d, J=2.1 Hz), 3.59 (t, J=2.1 Hz), 3.59 (t, J=2.1 Hz), 3.53 (t, J=2.1 Hz); LCMS: purity: 98%; MS (m/z): 464 (MH+).
- 1H NMR (DMSO-d6): δ 10.13 (s), 8.94 (s), 8.40 (s), 8.39 (s), 7.78 (d, J=9.0 Hz), 7.64 (d, J=8.7 Hz), 7.51 (d, J=9.0 Hz), 7.42-7.32 (m), 7.20-7.11 (m), 7.03 (d, J=8.4 Hz), 6.84-6.77 (m), 4.83 (d, J=2.1 Hz), 4.70 (d, J=2.1 Hz), 3.56 (t, J=2.1 Hz), 3.53 (t, J=2.1 Hz); LCMS: purity: 96%; MS (m/z): 464 (MH+).
- 1H NMR (DMSO-d6): δ 9.18 (s, 1H), 8.28 (s, 1H), 8.06 (s, 1H), 7.92 (br d, 1H, J=8.1 Hz), 7.76 (s, 1H), 7.63 (d, 2H, J=8.7 Hz), 7.19 (s, 2H), 7.10 (d, 1H, J=8.1 Hz), 6.95 (d, 2H, J=9.0 Hz), 4.77 (s, 2H), 3.31 (s, 3H), 1.71 (m, 1H), 0.9 (m, 2H), 0.56 (m, 2H); LCMS: purity: 91%; MS (m/z): 450 (MH+).
- 1H NMR (DMSO-d6): δ 9.16 (s, 1H), 9.14 (s, 1H), 8.01 (d, J=3.6 Hz, 1H), 7.85 (d, J=2.1 Hz, 1H), 7.75-7.70 (m, 3H), 6.97-6.92 (m, 3H), 4.76 (d, J=1.8 Hz, 2H), 3.55 (t, J=2.4 Hz, 1H), 2.42 (s, 3H), 1.91 (q, J=7.5 Hz, 2H), 0.85 (t, J=7.5 Hz, 3H); LCMS: purity: 97%; MS (m/z): 484 (parent, MH+).
- 1H NMR (DMSO-d6): δ 9.16 (s, 2H), 8.00 (d, J=3.6 Hz, 1H), 7.88 (d, J=1.8 Hz, 1H), 7.75-7.69 (m, 3H), 6.97-6.92 (m, 3H), 4.76 (d, J=1.8 Hz, 2H), 3.55 (t, J=2.1 Hz, 1H), 2.43 (s, 3H), 1.94 (q, J=7.5 Hz, 2H), 0.87 (t, J=7.5 Hz, 3H); LCMS: purity: 98%; MS (m/z): 484 (parent, MH+).
- 1H NMR (CD3OD): δ 8.09 (d, J=5.4 Hz, 1H), 7.82 (d, J=9.0 Hz, 2H), 7.62 (d, J=8.4 Hz, 2H), 7.51 (d, J=8.7 Hz, 2H), 7.33 (d, J=8.1 Hz, 2H), 2.87 (t, J=6.9 Hz, 2H), 2.52 (dt, J=2.7 and 6.9 Hz, 2H), 2.31 (t, J=2.7 Hz, 1H); LCMS: purity: 95%; MS (m/z): 412 (MH+).
- 1H NMR (DMSO-d6): δ 9.35 (s, 1H), 9.23 (s, 1H), 8.27 (s, 1H), 8.10 (s, 1H), 8.03 (d, J=3.6 Hz, 1H), 7.87 (d, J=8.1 Hz, 1H), 7.69 (d, J=9.0 Hz, 2H), 7.39-7.28 (m, 5H), 7.22 (s, 2H), 7.16 (d, J=8.4 Hz, 1H), 6.99 (d, J=8.7 Hz, 2H), 5.60 (s, 2H), 5.11 (s, 2H), 2.44 (s, 3H); LCMS: purity: 92%; MS (m/z): 562 (MH+).
- 1H NMR (DMSO-d6): δ 9.35 (s, 1H), 9.23 (s, 1H), 8.27 (s, 1H), 8.10 (s, 1H), 8.03 (d, J=3.9 Hz, 1H), 7.87 (d, J=8.7 Hz, 1H), 7.69 (d, J=8.7 Hz, 2H), 7.22 (s, 2H), 7.16 (d, J=8.4 Hz, 1H), 7.01 (d, J=9.3 Hz, 2H), 5.10 (s, 2H), 4.54-4.42 (m, 1H), 2.12-2.01 (m, 2H), 1.87-1.61 (m, 5H), 1.50-1.32 (m, 2H), 1.31-1.18 (m, 1H); LCMS: purity: 98%; MS (m/z): 554 (MH+).
- 1H NMR (DMSO-d6): δ 10.33 (s, 1H), 9.43 (s, 1H), 9.27 (s, 1H), 8.08-8.01 (m, 3H), 7.70 (d, J=9.0 Hz, 2H), 7.23 (d, J=8.4 Hz, 1H), 6.95 (d, J=9.0 Hz, 2H), 4.79-4.76 (m, 2H), 3.59-3.57 (m, 4H), 2.49 (s, 3H); LCMS: purity: 98%; MS (m/z): 458 (MH+).
- 1H NMR (DMSO-d6): δ 10.06-9.94 (m, 2H), 9.72 (s, 1H), 8.18 (d, J=4.5 Hz, 1H), 7.94-7.85 (m, 2H), 7.61 (d, J=8.7 Hz, 2H), 7.26 (d, J=9.0 Hz, 1H), 6.96 (d, J=9.0 Hz, 2H), 4.79 (d, J=2.1 Hz, 2H), 3.59-3.57 (m, 1H), 2.56 (s, 3H), 1.08 (s, 9H); LCMS: purity: 95%; MS (m/z): 501 (MH+).
- 1H NMR (D2O): δ 7.61 (d, J=3.9 Hz, 1H), 7.57-7.55 (m, 1H), 7.36-7.31 (m, 1H), 7.12 (d, J=8.7 Hz, 2H), 6.88 (d, J=8.7 Hz, 1H), 6.72 (d, J=9.0 Hz, 2H), 4.77-4.75 (m, 2H), 3.60 (t, J=6.0 Hz, 1H), 3.09 (t, J=6.9 Hz, 2H), 2.84-2.81 (m, 1H), 2.35 (s, 3H), 2.03 (q, J=5.7 Hz, 2H), 1.80-1.72 (m, 2H), 1.61-1.48 (m, 2H), 0.855 (t, J=7.5 Hz, 3H); LCMS: purity: 98%; MS (m/z): 484 (parent, MH+).
- 1H NMR (DMSO-d6): δ 9.16 (s, 2H), 8.00 (d, J=3.6 Hz, 1H), 7.85 (d, J=1.8 Hz, 1H), 7.75-7.69 (m, 3H), 6.97-6.90 (m, 3H), 5.27 (t, J=4.8 Hz, 1H), 4.76 (d, J=1.8 Hz, 2H), 3.86-3.77 (m, 2H), 3.56-3.54 (m, 1H), 3.40-3.54 (m, 2H), 3.08 (s, 9H), 2.42 (s, 3H); LCMS: purity: 99%; MS (m/z): 484 (parent, MH+).
- 1H NMR (DMSO-d6): δ 10.53 (s, 1H), 8.76 (s, 1H), 8.02-7.97 (m, 1H), 7.90 (d, J=7.5 Hz, 1H), 7.53-7.46 (m, 2H), 7.36 (d, J=2.4 Hz, 1H), 7.32 (s, 2H), 7.17 (dd, J=9.3 and 2.4 Hz, 1H), 7.06 (d, J=9.3 Hz, 1H), 4.76 (s, 2H), 3.95-3.87 (m, 2H), 3.83 (s, 3H), 1.01 (t, J=7.8 Hz, 3H); LCMS: purity: 99%; MS (m/z): 538 (MH+).
- 1H NMR (DMSO-d6): δ 10.01 (s, 1H), 9.87 (s, 1H), 8.34 (d, 2H, J=8.8 Hz), 8.29 (d, 1H, J=3.2 Hz), 8.25 (d, 2H, J=8.8 Hz), 8.13 (s, 1H), 7.98 (d, 1H, J=8.5 Hz), 7.83 (dd, 2H, J=3.2 and 8.5 Hz), 7.55 (dd, 2H, J=3.2 and 8.5 Hz), 7.51 (d, 1H, J=8.0 Hz), 7.41 (d, 1H, J=8.0 Hz), 7.31 (br s, 2H); LCMS: purity: 93%; MS (m/z): 476 (MH+).
- 1H NMR (DMSO-d6): δ 9.96 (s, 1H), 9.87 (s, 1H), 8.31 (d, 2H, J=8.8 Hz), 8.29 (d, 1H, J=3.5 Hz), 8.21 (d, 2H, J=8.8 Hz), 7.87 (d, 2H, J=8.8 Hz), 7.81 (dd, 2H, J=3.2 and 8.5 Hz), 7.72 (d, 2H, J=8.8 Hz), 7.51 (dd, 2H, J=3.2 and 8.5 Hz), 7.17 (br s, 2H); LCMS: purity: 93%; MS (m/z): 476 (MH+).
- 1H NMR (DMSO-d6): δ 10.60 (s, 1H), 9.78 (s, 1H), 8.37 (d, 2H, J=8.8 Hz), 8.06 (s, 1H), 8.02 (d, 2H, J=8.5 Hz), 7.92-7.81 (m, 4H), 7.65-7.54 (m, 4H), 7.38 (s, 2H), 2.24 (s, 3H); LCMS: purity: 96%; MS (m/z): 472 (MH+).
- 1H NMR (DMSO-d6): δ 10.65 (s, 1H), 9.80 (s, 1H), 8.45 (d, 2H, J=8.5 Hz), 8.09 (s, 1H), 8.04 (d, 2H, J=8.5 Hz), 7.85-7.78 (m, 4H), 7.71 (d, 2H, J=8.8 Hz), 7.56-7.54 (m, 2H), 7.32 (s, 2H), 2.24 (s, 3H); LCMS: purity: 96%; MS (m/z): 472 (MH+).
- 1H NMR (DMSO-d6): δ 10.31 (s, 1H), 9.59 (s, 1H), 8.37 (d, 2H, J=8.5 Hz), 8.05 (app d, 3H, J=8.8 Hz), 7.87-7.80 (m, 4H), 7.52-7.49 (m, 2H), 7.41 (d, 1H, J=8.5 Hz), 7.34 (s, 2H), 2.53 (s, 3H), 2.21 (s, 3H); LCMS: purity: 96%; MS (m/z): 486 (MH+).
- 1H NMR (DMSO-d6): δ 9.56 (s, 1H), 9.51 (s, 1H), 8.14 (d, 1H, J=3.5 Hz), 8.07 (s, 1H), 7.93 (d, 1H, J=8.5 Hz), 7.85 (d, 2H, J=8.5 Hz), 7.77-7.74 (m, 2H), 7.52-7.49 (m, 2H), 7.41 (d, 1H, J=8.5 Hz), 8.34 (s, 1H), 7.30 (d, 2H, J+8.5 Hz), 7.27 (s, 2H), 4.49 (s, 2H); LCMS: purity: 95%; MS (m/z): 490 (MH+).
- 1H NMR (DMSO-d6): δ 9.67 (s, 1H), 9.56 (s, 1H), 8.17 (d, 1H, J=3.5 Hz), 7.84-7.75 (m, 6H), 7.67 (d, 2H, J=8.8 Hz), 7.52-7.45 (m, 4H), 7.18 (s, 2H), 4.52 (s, 2H); LCMS: purity: 95%; MS (m/z): 490 (MH+).
- 1H NMR (DMSO-d6): δ 9.50 (s, 1H), 9.48 (s, 1H), 8.11 (d, 1H, J=3.5 Hz), 8.07 (s, 1H), 7.89-77 (m, 3H), 7.77-7.74 (m, 2H), 7.55-7.48 (m, 2H), 7.41 (d, 2H, J=8.5 Hz), 7.24 (s, 2H), 7.14 (d, 1H, J=8.5 Hz), 4.49 (s, 2H), 2.45 (s, 3H); LCMS: purity: 96%; MS (m/z): 504 (MH+).
- 1H NMR (DMSO-d6): δ 9.23 (s, 1H), 8.30 (s, 1H), 8.12 (d, 1H, J=0.9 Hz), 8.04 (s, 1H), 7.98-7.97 (m, 1H), 7.88 (s, 1H), 7.64 (d, 2H, J=8.8 Hz), 7.47-7.45 (m, 2H), 7.27 (d, 2H, J=8.8 Hz), 7.21 (app s, 4H), 7.12-7.09 (m, 2H), 4.14 (s, 2H), 2.09 (s, 3H); LCMS: purity: 99%; MS (m/z): 486 (MH+).
- 1H NMR (DMSO-d6): δ 9.33 (s, 1H), 8.34 (s, 1H), 8.12 (d, 1H, J=0.9 Hz), 7.91 (s, 1H), 7.81 (d, 2H, J=8.8 Hz), 7.63 (d, 2H, J=8.2 Hz), 7.60 (d, 2H, J=8.8 Hz), 7.48-7.46 (m, 2H), 7.29 (d, 2H, J=8.2 Hz), 7.13-7.08 (m, 4H), 4.16 (s, 2H), 2.10 (s, 3H); LCMS: purity: 99%; MS (m/z): 486 (MH+).
- 1H NMR (DMSO-d6): δ 10.55 (s, 1H), 9.77 (s, 1H), 7.93 (s, 1H), 7.78-7.75 (m, 2H), 7.68-7.67 (m, 2H), 7.58 (d, 2H, J=8.5 Hz), 7.52-7.49 (m, 4H), 7.34 (s, 2H), 7.08 (d, 1H, J=8.2 Hz), 4.55 (s, 2H), 2.37 (s, 3H), 2.16 (s, 3H); LCMS: purity: 97%; MS (m/z): 500 (MH+).
- 1H NMR (DMSO-d6): δ 9.66 (s, 1H), 9.47 (s, 1H), 8.19 (s, 1H), 8.14 (d, 1H, J=3.5 Hz), 7.99 (d, 1H, J=7.6 Hz), 7.92 (s, 1H), 7.81 (d, 1H, J=8.5 Hz), 7.76-7.73 (m, 2H, 7.50-7.47 (m, 2H), 7.42-7.33 (m, 3H), 7.28 (s, 2H), 7.16 (d, 1H, J=7.6 Hz), 4.56 (s, 2H); LCMS: purity: 99%; MS (m/z): 490 (MH+).
- 1H NMR (DMSO-d6): δ 9.75 (s, 1H), 9.51 (s, 1H), 8.17 (d, 1H, J=3.8 Hz), 7.87 (app d, 3H, J=8.8 Hz), 7.77-7.25 (m, 3H), 7.65 (d, 2H, J=8.8 Hz), 7.49-7.46 (m, 2H), 7.37 (t, 1H, J=7.6 Hz), 7.18 (d, 1H, J=7.6 Hz), 7.14 (s, 2H), 4.54 (s, 2H); LCMS: purity: 98%; MS (m/z): 490 (MH+).
- 1H NMR (DMSO-d6): δ 9.27 (s, 1H), 8.31 (s, 1H), 8.05-8.03 (app m, 2H), 7.89 (s, 1H), 7.74 (d, 1H, J=8.2 Hz), 7.55 (s, 1H), 7.45-7.43 (m, 2H), 7.35-7.23 (m, 5H), 7.11-7.07 (m, 2H), 7.01 (d, 1H, J=7.2 Hz), 4.16 (s, 2H), 2.08 (s, 3H); LCMS: purity: 99%; MS (m/z): 486 (MH+).
- 1H NMR (DMSO-d6): δ 10.88 (s, 1H), 9.84 (s, 1H), 8.00 (s, 1H), 7.76-7.73 (m, 2H), 7.66-7.58 (m, 6H), 7.50-7.43 (m, 4H), 7.30 (s, 2H), 4.56 (s, 2H), 2.15 (s, 3H); LCMS: purity: 99%; MS (m/z): 486 (MH+).
- 1H NMR (DMSO-d6): δ 9.51 (s, 1H), 9.49 (s, 1H), 8.14(m, 3H), 7.99 (d, 3H, J=9.0 Hz), 7.87 (dd, 1H, J=2.1 and 8.1 Hz), 7.72 (m, 4H), 7.25 (s, 2H), 7.21 (d, 1H, J=8.4 Hz), 2.48 (s, 3H); LCMS: MS (m/z): 475 (MH+).
- 1H NMR (DMSO-d6): δ 9.55 (s, 1H), 9.52 (s, 1H), 8.16 (d, 1H, J=3.6 Hz), 8.05 (s, 1H), 8.00 (t, 2H, J=1.8 Hz), 7.95 (s, 1H), 7.90 (d, 3H, J=8.7 Hz), 7.82 (d, 3H, J=8.1 Hz), 7.47 (m, 2H), 7.26 (s, 2H), 7.18 (t, 2H, J=8.1 Hz); LCMS: MS (m/z): 461
- 1H NMR (DMSO-d6): δ 9.69 (s, 1H), 9.60 (s, 1H), 8.33 (d, 1H, J=3.6 Hz), 7.93-7.76 (m, 9H), 7.55 (m, 3H), 7.08 (s, 2H); LCMS: MS (m/z): 461 (MH+).
- 1H NMR (DMSO-d6): δ 9.49 (s, 1H), 9.45 (s, 1H), 8.12 (d, 1H, J=3.9 Hz), 8.05 (s, 1H), 8.00 (s, 1H), 7.95-7.79 (m, 6H), 7.44 (m, 2H), 7.24 (s, 2H), 6.82 (d, 1H, J=8.4 Hz), 2.41 (s, 3H); LCMS: MS (m/z): 475 (MH+).
- 1H NMR (DMSO-d6): δ 9.49 (s, 1H), 9.45 (s, 1H), 8.14 (d, 1H, J=3.3 Hz), 8.05 (s, 1H), 7.89 (m, 5H), 7.79 (d, 2H, J=4.8 Hz), 7.44 (m, 2H), 7.34 (q, 1H, J=4.8 Hz), 6.86 (d, 1H, J=8.1 Hz), 2.39 (d, 3H, J=5.1 Hz), 2.37 (s, 3H); LCMS: MS (m/z): 489 (MH+).
- 1H NMR (DMSO-d6): δ 9.60 (s, 1H), 9.55 (s, 1H), 8.16 (d, 1H, J=3.6 Hz), 8.13 (s, 2H), 7.98 (m, 4H), 7.78-7.61 (m, 4H), 7.41 (m, 2H), 7.28 (s, 2H); LCMS: MS (m/z): 461 (MH+).
- 1H NMR (DMSO-d6): δ 9.52 (s, 1H), 9.50 (s, 1H), 8.14 (d, 1H, J=3.6 Hz), 8.12 (s, 1H), 8.06-7.91 (m, 5H), 7.78-7.61 (m, 4H), 7.35 (q, 1H, J=5.1 Hz), 7.25 (d, 1H, J=8.1 Hz), 2.47 (s, 3H), 2.41 (d, 3H, J=4.5 Hz); LCMS: MS (m/z): 489 (MH+).
- 1H NMR (DMSO-d6): δ 9.66 (s, 1H), 9.58 (s, 1H), 8.19 (d, 1H, J=3.6 Hz), 7.96-7.75 (m, 9H), 7.50 (m, 3H), 7.08 (s, 2H); LCMS: MS (m/z): 461 (MH+).
- 1H NMR (DMSO-d6): δ 9.26 (s, 1H), 8.27 (s, 1H), 8.02 (s, 1H), 7.98 (d, 2H, J=8.4 Hz), 7.88 (s, 1H), 7.63 (d, 3H, J=7.8 Hz), 7.22 (m, 8H), 3.93 (s, 2H), 2.10 (s, 3H); LCMS: MS (m/z): 447 (MH+).
- 1H NMR (DMSO-d6): δ 9.15 (s, 1H), 8.45 (d, 1H, J=4.2 Hz), 8.24 (s, 1H), 8.04 (d, 1H, J=2.1 Hz), 7.91 (dd, 2H, J=2.1 and 8.2 Hz), 7.85 (s, 1H), 7.63 (d, 2H, J=8.4 Hz), 7.26 (d, 2H, J=5.4 Hz), 7.18 (d, 4H, J=6.6 Hz), 6.97 (d, 1H, J=8.4 Hz), 3.94 (s, 2H), 2.45 (s, 3H), 2.08 (s, 3H); LCMS: MS (m/z): 461 (MH+).
- 1H NMR (DMSO-d6): δ 9.16 (s, 1H), 8.45 (d, 1H, J=6.0 Hz), 8.26 (s, 1H), 7.97 (d, 2H, J=6.3 Hz), 7.86 (s, 1H), 7.63 (d, 2H, J=8.1 Hz), 7.30 (q, 1H, J=5.1 Hz), 7.26 (d, 2H, J=5.4 Hz), 7.19 (d, 2H, J=8.1 Hz), 7.00 (d, 1H, J=9.0 Hz), 3.94 (s, 2H), 2.41 (d, 6H, J=6.0 Hz), 2.09 (s, 3H); LCMS: MS (m/z): 475 (MH+).
- 1H NMR (DMSO-d6): δ 9.36 (s, 1H), 8.46 (d, 1H, J=5.7 Hz), 8.34 (s, 1H), 8.11 (s, 1H), 7.90 (s, 1H), 7.79 (d, 2H, J=8.7 Hz), 7.57 (t, 4H, J=9.3 Hz), 7.26 (d, 2H, J=5.7 Hz), 7.22 (d, 2H, J=8.4 Hz), 7.09 (s, 2H), 3.96 (s, 2H), 2.11 (s, 3H); LCMS: MS (m/z): 447 (MH+).
- 1H NMR (DMSO-d6, 300 MHz): δ 10.95 (s, 1H), 9.94 (s, 1H), 8.70 (d, 1H, J=5.1 Hz), 8.12 (t, 1H, J=7.8 Hz), 7.95 (s, 1H), 7.77 (d, 1H, J=8.1 Hz), 7.59 (m, 5H), 7.44 (d, 2H, J=8.7 Hz), 7.03 (s, 2H), 7.13 (d, 2H, J=9.0 Hz), 5.35 (s, 2H), 2.16 (s, 3H); LCMS: MS (m/z): 463 (MH+).
- 1H NMR (DMSO-d6): δ 9.43 (s, 1H), 9.40 (s, 1H), 8.41 (s, 1H), 8.38 (d, 1H, J=4.8 Hz), 8.10 (d, 1H, J=3.9 Hz), 8.02 (d, 1H, J=2.1 Hz), 7.91 (d, 1H, J=6.3 Hz), 7.79 (d, 2H, J=8.4 Hz), 7.67 (d, 1H, J=7.5 Hz), 7.34 (q, 1H, J=5.1 Hz), 7.27 (d, 3H, J=8.1 Hz), 7.20 (d, 1H, J=8.4 Hz), 4.19 (s, 2H), 2.47 (s, 3H), 2.41 (d, 6H, J=4.2 Hz); LCMS: MS (m/z): 511 (MH+).
- 1H NMR (DMSO-d6): δ 9.41 (s, 1H), 9.36 (s, 1H), 8.57 (s, 1H), 8.46 (d, 1H, J=3.6 Hz), 8.14 (d, 1H, J=2.1 Hz), 8.12 (d, 1H, J=3.9 Hz), 7.93 (dd, 1H, J=2.1 and 8.2 Hz), 7.76 (d, 2H, J=8.4 Hz), 7.69 (d, 1H, J=7.8 Hz), 7.37 (dd, 1H, J=5.1 and 7.9 Hz), 7.26 (d, 4H, J=8.4 Hz), 7.14 (d, 1H, J=8.4 Hz), 4.01 (s, 2H), 2.55 (s, 3H); LCMS: MS (m/z): 465 (MH+).
- 1H NMR (DMSO-d6): δ 9.36 (s, 1H), 8.51 (s, 1H), 8.38 (d, 1H, J=4.8 Hz), 8.35 (s, 1H), 7.90 (s, 1H), 7.79 (d, 2H, J=8.7 Hz), 7.66 (d, 1H, J=7.5 Hz), 7.56 (m, 4H), 7.33 (dd, 1H, J=4.5 and 7.6 Hz), 7.22 (d, 2H, J=8.4 Hz), 7.15 (s, 2H), 3.97 (s, 2H), 2.10 (s, 3H); LCMS: MS (m/z): 447 (MH+).
- 1H NMR (DMSO-d6): δ 11.74 (s, 1H), 9.48 (s, 1H), 8.56 (d, 1H, J=3.9 Hz), 8.32 (s, 1H), 7.88 (s, 2H), 7.81 (d, 2H, J=9.0 Hz), 7.63 (d, 2H, J=9.0 Hz), 7.52 (t, 3H, J=8.7 Hz), 7.33 (t, 1H, J=7.5 Hz), 7.02 (d, 2H, J=9.0 Hz), 5.19 (s, 2H), 2.16 (q, 2H, J=7.2 Hz), 2.10 (s, 3H), 0.87 (t, 3H, J=7.5 Hz); LCMS: MS (m/z): 519 (MH+).
- 1H NMR (D2O): δ 8.30 (s, 1H), 7.63 (d, 1H, J=7.5 Hz), 7.45-7.17 (m, 7H), 7.01 (br s, 2H), 6.64 (s, 2H), 4.90 (s, 2H), 2.03 (q, 2H, J=7.2 Hz), 1.69 (s, 3H), 0.87 (t, 3H, J=7.8 Hz); LCMS: MS (m/z): 519 (MH+).
- 1H NMR (DMSO-d6): δ 9.52 (s, 1H), 9.40 (s, 1H), 8.56 (s, 1H), 8.45 (d, 1H, J=4.5 Hz), 8.15 (m, 2H), 7.99 (d, 1H, J=7.8 Hz), 7.76 (d, 2H, J=8.4 Hz), 7.69 (d, 1H, J=7.8 Hz), 7.31 (m, 7H), 4.01 (s, 2H); LCMS: MS (m/z): 451 (MH+).
- 1H NMR (DMSO-d6): δ 9.24 (s, 1H), 8.51 (s, 1H), 8.40 (d, 1H, J=4.2 Hz), 8.26 (s, 1H), 8.03 (s, 1H), 7.98 (d, 1H, J=8.1 Hz), 7.87 (s, 1H), 7.63 (m, 3H), 7.21 (m, 6H), 3.95 (s, 2H), 2.09 (s, 3H); LCMS: MS (m/z): 447 (MH+).
- 1H NMR (DMSO-d6): δ 9.42 (s, 1H), 9.39 (s, 1H), 8.41 (s, 1H), 8.38 (d, 1H, J=4.2 Hz), 8.27 (s, 1H), 8.10 (m, 3H), 7.86 (dd, 1H, J=2.4 and 8.4 Hz), 7.79 (d, 2H, J=8.7 Hz), 7.67 (d, 1H, J=7.5 Hz), 7.25 (m, 5H), 7.17 (d, 1H, J=8.4 Hz), 4.19 (s, 2H), 2.48 (s, 3H); LCMS: MS (m/z): 497 (MH+).
- 1H NMR (DMSO-d6): δ 9.64 (s, 1H), 9.49 (s, 1H), 8.42 (d, 1H, J=1.8 Hz), 8.38 (dd, 1H, J=1.5 and 4.8 Hz), 8.15 (d, 1H, J=3.6 Hz), 7.72 (m, 7H), 7.30 (m, 3H), 7.16 (s, 2H), 4.21 (s, 2H); LCMS: MS (m/z): 483 (MH+).
- 1H NMR (DMSO-d6): δ 9.22 (s, 1H), 8.67 (s, 1H), 8.53 (d, 1H, J=4.5 Hz), 8.20 (s, 1H), 8.02 (s, 1H), 7.98 (d, 1H, J=8.1 Hz), 7.86 (d, 2H, J=9.9 Hz), 7.59 (d, 2H, J=8.7 Hz), 7.41 (dd, 1H, J=4.8 and 7.9 Hz), 7.24 (m, 4H), 6.99 (d, 2H, J=8.7 Hz), 5.15 (s, 2H), 2.09 (s, 3H); LCMS: MS (m/z): 463 (MH+).
- 1H NMR (DMSO-d6): δ 9.10 (s, 1H), 8.67 (s, 1H), 8.52 (d, 1H, J=4.2 Hz), 8.16 (s, 1H), 8.06 (d, 1H, J=2.1 Hz), 7.88 (t, 1H, J=9.3 Hz), 7.82 (s, 2H), 7.60 (d, 2H, J=9.0 Hz), 7.41 (dd, 1H, J=5.1 and 7.6 Hz), 7.18 (s, 2H), 7.06 (d, 1H, J=8.1 Hz), 5.15 (s, 2H), 2.47 (s, 3H), 2.08 (s, 3H); LCMS: MS (m/z): 477 (MH+).
- 1H NMR (DMSO-d6): δ 9.11 (s, 1H), 8.67 (s, 1H), 8.54 (d, 1H, J=3.9 Hz), 8.18 (s, 1H), 7.96 (d, 2H, J=7.5 Hz), 7.86 (d, 1H, J=8.1 Hz), 7.83 (s, 1H), 7.59 (d, 2H, J=7.8 Hz), 7.42 (d, 1H, J=7.2 Hz), 7.28 (q, 1H, J=4.8 Hz), 7.09 (d, 1H, J=8.7 Hz), 6.99 (d, 2H, J=8.7 Hz), 5.15 (s, 1H), 2.44 (s, 3H), 2.41 (d, 3H, J=4.8 Hz), 2.08 (s, 3H); LCMS: MS (m/z): 491 (MH+).
- 1H NMR (DMSO-d6): δ 9.34 (s, 1H), 8.67 (br s, 1H), 8.52 (d, 1H, J=3.9 Hz), 8.30 (s, 1H), 7.88 (d, 2H, J=9.3 Hz), 7.76 (d, 2H, J=8.7 Hz), 7.53 (t, 4H, J=9.0 Hz), 7.42 (dd, 1H, J=4.8 and 7.8 Hz), 7.10 (s, 2H), 7.02 (d, 2H, J=8.4 Hz), 5.16 (s, 2H), 2.09 (s, 3H); LCMS: MS (m/z): 463 (MH+).
- 1H NMR (DMSO-d6): δ 9.28 (s, 1H), 8.62 (br s, 2H), 8.26 (s, 1H), 8.04 (m, 1H), 7.90 (d, 1H, J=3.3 Hz), 7.64 (d, 2H, J=8.7 Hz), 7.49 (s, 2H), 7.27 (m, 4H), 7.03 (d, 2H, J=9.3 Hz), 5.24 (s, 2H), 2.15 (s, 3H); LCMS: MS (m/z): 463 (MH+).
- 1H NMR (DMSO-d6): δ 11.99 (s, 1H), 11.01 (s, 1H), 9.97 (s, 1H), 8.69 (d, 1H, J=5.1 Hz), 8.09 (t, 1H, J=7.8 Hz), 7.95 (s, 1H), 7.72 (t, 3H, J=8.7 Hz), 7.57 (t, 3H, J=8.7 Hz), 7.43 (d, 2H, J=9.0 Hz), 7.13 (d, 2H, J=9.3 Hz), 5.35 (s, 2H), 2.19 (m, 5H), 0.84 (t, 3H, J=7.2 Hz); LCMS: MS (m/z): 519 (MH+).
- 1H NMR (DMSO-d6): δ 9.11 (s, 1H), 8.54 (d, 2H, J=5.1 Hz), 8.16 (s, 1H), 8.03 (s, 1H), 7.88 (d, 1H, J=8.4 Hz), 7.80 (s, 1H), 7.58 (d, 2H, J=8.7 Hz), 7.41 (d, 2H, J=5.1 Hz), 7.18 (s, 2H), 7.02 (d, 1H, J=8.4 Hz), 6.95 (d, 2H, J=9.0 Hz), 5.17 (s, 2H), 2.45 (s, 3H), 2.06 (s, 3H); LCMS: MS (m/z): 477 (MH+).
- 1H NMR (DMSO-d6): δ 9.21 (s, 1H), 8.95 (s, 1H), 8.58 (s, 1H), 8.37 (s, 1H), 7.97 (d, 2H, J=8.4 Hz), 7.89 (s, 1H), 7.80 (d, 2H, J=8.1 Hz), 7.31 (q, 1H, J=4.8 Hz), 7.81 (d, 2H, J=9.3 Hz), 7.13 (d, 2H, J=8.4 Hz), 2.40 (d, 6H, J=4.8 Hz), 2.11 (s, 3H); LCMS: MS (m/z): 478 (MH+).
- 1H NMR (DMSO-d6): δ 9.37 (s, 1H), 8.43 (s, 1H), 8.10 (s, 1H), 7.96 (m, 2H), 7.83 (d, 2H, J=8.1 Hz), 7.39 (d, 2H, J=8.4 Hz), 7.34 (m, 2H), 7.24 (s, 2H), 4.05 (s, 1H), 2.13 (s, 3H); LCMS: MS (m/z): 380 (MH+).
- 1H NMR (DMSO-d6): δ 9.24 (s, 1H), 8.37 (s, 1H), 8.12 (s, 1H), 7.90 (m, 1H), 7.85 (d, 2H, J=8.7 Hz), 7.39 (d, 2H, J=9.0 Hz), 7.21 (s, 2H), 7.16 (d, 1H, J=8.4 Hz), 4.06 (s, 1H), 2.48 (s, 3H), 2.12 (s, 3H); LCMS: MS (m/z): 394 (MH+).
- 1H NMR (DMSO-d6): δ 9.52 (s, 1H), 8.67 (s, 1H), 8.03 (s, 1H), 7.92 (s, 4H), 7.84 (d, 2H, J=8.4 Hz), 7.62 (d, 2H, J=8.7 Hz), 7.11 (s, 2H), 4.06 (s, 1H), 2.17 (s, 3H); LCMS: MS (m/z): 380 (MH+).
- 1H NMR (DMSO-d6): δ 9.30 (s, 1H), 8.95 (s, 1H), 8.58 (s, 1H), 8.38(s, 1H), 8.07 (s, 1H), 7.97 (d, 1H, J=6.9 Hz), 7.91 (s, 1H), 7.81 (d, 2H, J=9.3 Hz), 7.32 (m, 2H), 7.22 (s, 2H), 7.12 (m, 3H), 2.13 (s, 3H); LCMS: MS (m/z): 450 (MH+).
- 1H NMR (DMSO-d6): δ 9.25 (s, 1H), 8.37 (s, 1H), 8.02 (s, 1H), 7.94 (d, 1H, J=8.4 Hz), 7.91 (s, 1H), 7.82 (d, 2H, J=6.9 Hz), 7.37 (d, 2H, J=6.9 Hz), 7.30 (d, 1H, J=6.6 Hz), 7.17 (d, 1H, J=7.8 Hz), 4.06 (s, 1H), 2.44 (s, 3H), 2.40 (d, 3H, J=2.7 Hz), 2.09 (s, 3H); LCMS: MS (m/z): 408 (MH+).
- 1H NMR (DMSO-d6): δ 9.85 (s, 1H), 8.66 (s, 1H), 8.55 (d, 1H, J=3.9 Hz), 8.31 (s, 1H), 7.82 (m, 3H), 7.51 (d, 2H, J=7.5 Hz), 7.31 (m, 4H), 7.24 (s, 2H), 7.01 (d, 3H, J=9.0 Hz), 5.19 (s, 2H); LCMS: MS (m/z): 517 (MH+).
- 1H NMR (DMSO-d6): δ 9.40 (s, 1H), 8.96 (s, 1H), 8.59 (s, 2H), 8.54 (s, 1H), 7.93 (s, 1H), 7.81 (d, 2H, J=8.7 Hz), 7.76 (d, 2H, J=8.7 Hz), 7.58 (d, 2H, J=8.7 Hz), 7.17 (d, 2H, J=8.7 Hz), 7.09 (s, 2H), 2.13 (s, 3H); LCMS: MS (m/z): 450 (MH+).
- 1H NMR (DMSO-d6): δ 9.35 (s, 1H), 8.57 (d, 2H, J=5.1 Hz), 8.32 (s, 1H), 7.87 (d, 1H, J=4.8 Hz), 8.77 (d, 2H, J=9.0 Hz), 7.53 (t, 4H, J=8.7 Hz), 7.45 (d, 2H, J=5.1 Hz), 7.10 (s, 2H), 7.01 (d, 2H, J=8.4 Hz), 5.19 (s, 2H), 2.09 (s, 3H); LCMS: MS (m/z): 463 (MH+).
- 1H NMR (DMSO-d6): δ 10.03 (s, 1H), 8.85 (s, 1H), 8.64 (m, 1H), 8.42 (s, 1H), 7.90 (m, 1H), 7.70 (d, 2H, J=8.4 Hz), 7.62 (d, 1H, J=7.8 Hz), 7.58 (d, 2H, J=8.4 Hz), 7.40 (d, 3H, J=8.7 Hz), 7.22 (s, 2H), 7.13 (d, 2H, J=8.7 Hz), 5.28 (s, 2H); LCMS: MS (m/z): 517 (MH+).
- 1H NMR (DMSO-d6): δ 9.26 (s, 1H), 8.67 (s, 1H), 8.52 (d, 1H, J=4.8 Hz), 8.26 (d, 1H, J=4.8 Hz), 8.17 (d, 1H, J=8.4 Hz), 7.93 (s, 1H), 7.85 (m, 2H), 7.57 (d, 2H, J=9.0 Hz), 7.41 (m, 1H), 7.29 (t, 1H, J=8.1 Hz), 7.13 (d, 1H, J=8.7 Hz), 7.00 (d, 1H, J=9.3 Hz), 5.16 (s, 2H), 2.58 (s, 6H), 2.09 (s, 3H); LCMS: MS (m/z): 491 (MH+).
- 1H NMR (DMSO-d6): δ 9.47 (s, 1H), 8.66 (s, 1H), 8.53 (d, 1H, J=4.8 Hz), 8.35 (s, 1H), 8.29 (s, 1H), 7.85 (t, 4H, J=8.7 Hz), 7.47 (m, 4H), 7.03 (d, 2H, J=8.4 Hz), 5.15 (s, 2H), 2.53 (s, 6H), 2.10 (s, 3H); LCMS: MS (m/z): 491 (MH+).
- 1H NMR (DMSO-d6): δ 9.68 (s, 1H), 9.36 (s, 1H), 8.56 (d, 1H, J=3.9 Hz), 8.10 (d, 1H, J=3.6 Hz), 8.85 (m, 3H), 7.61 (d, 2H, J=8.7 Hz), 7.51 (d, 3H, J=8.7 Hz), 7.33 (t, 1H, J=6.3 Hz), 7.01 (d, 2H, J=8.7 Hz), 5.17 (s, 2H), 2.54 (s, 6H); LCMS: MS (m/z): 495 (MH+).
- 1H NMR (DMSO-d6): δ 9.19 (s, 1H), 8.95 (s, 1H), 8.58 (d, 1H, J=0.6 Hz), 8.35 (s, 1H), 8.10 (s, 1H), 8.07 (d, 1H, J=1.8 Hz), 7.89 (m, 2H), 7.80 (d, 2H, J=8.7 Hz), 7.14 (m, 5H), 2.46 (s, 3H), 2.11 (s, 3H); LCMS: MS (m/z): 464 (MH+).
- 1H NMR (DMSO-d6): δ 9.25 (s, 1H), 8.57 (d, 1H, J=4.8 Hz), 8.22 (s, 1H), 8.05 (d, 2H, J=9.6 Hz), 7.82 (m, 3H), 7.58 (d, 2H, J=8.7 Hz), 7.52 (d, 1H, J=7.2 Hz), 7.33 (t, 1H, J=4.8 Hz), 7.23 (m, 2H), 6.99 (d, 2H, J=8.7 Hz), 5.18 (s, 2H), 2.09 (s, 4H), 0.47 (m, 2H), 0.42 (m, 2H); LCMS: MS (m/z): 503 (MH+).
- 1H NMR (DMSO-d6): δ 9.48 (s, 1H), 8.45 (s, 1H), 8.10 (d, 1H, J=0.9 Hz), 7.95 (s, 1H), 7.77 (m, 3H), 7.59 (d, 2H, J=8.4 Hz), 7.35 (t, 1H, J=8.1 Hz), 7.19 (d, 1H, J=6.6 Hz), 7.08 (s, 2H), 4.12 (s, 1H), 2.12 (s, 3H); LCMS: MS (m/z): 380 (MH+).
- 1H NMR (DMSO-d6): δ 9.42 (s, 1H), 8.57 (d, 1H, J=4.8 Hz), 8.32 (s, 1H), 7.83 (m, 4H), 7.61 (d, 1H, J=1.8 Hz), 7.51 (m, 4H), 7.33 (t, 1H, J=7.2 Hz), 7.01 (d, 2H, J=8.7 Hz), 5.18 (s, 2H), 2.09 (s, 3H), 2.05 (m, 1H), 0.42 (m, 2H), 0.35 (m, 2H); LCMS: MS (m/z): 503 (MH+).
- 1H NMR (DMSO-d6): δ 9.26 (s, 1H), 8.67 (s, 1H), 8.53 (d, 1H, J=3.0 Hz), 8.22 (s, 1H), 8.05 (m, 2H), 7.87 (d, 2H, J=9.0 Hz), 7.79 (d, 1H, J=2.4 Hz), 7.58 (d, 2H, J=9.0 Hz), 7.42 (dd, 1H, J=7.6 and 5.1 Hz), 7.24 (m, 2H), 7.00 (d, 2H, J=9.0 Hz), 5.16 (s, 2H), 2.09 (s, 4H), 0.47 (m, 2H), 0.41 (m, 2H); LCMS: MS (m/z): 503 (MH+).
- 1H NMR (DMSO-d6): δ 9.33 (s, 1H), 8.96 (s, 1H), 8.58 (s, 2H), 8.38 (s, 1H), 8.09 (s, 1H), 8.04 (d, 1H, J=8.4 Hz), 7.92 (s, 1H), 7.81 (d, 2H, J=8.7 Hz), 7.78 (d, 1H, J=2.4 Hz), 7.35 (t, 1H, J=7.8 Hz), 7.24 (d, 1H, J=7.8 Hz), 7.14 (d, 1H, J=9.0 Hz), 2.10 (s, 3H), 2.09 (m, 1H), 0.46 (m, 2H), 0.40 (m, 2H); LCMS: MS (m/z): 490 (MH+).
- 1H NMR (DMSO-d6): δ 9.47 (s, 1H), 8.96 (s, 1H), 8.58 (s, 2H), 8.47 (s, 1H), 7.94 (s, 1H), 7.84 (d, 2H, J=8.7 Hz), 7.75 (d, 2H, J=9.0 Hz), 7.60 (d, 1H, J=2.7 Hz), 7.55 (d, 2H, J=9.0 Hz), 7.16 (d, 2H, J=9.0 Hz), 2.14 (s, 3H), 2.05 (m, 1H), 0.42 (m, 2H), 0.35 (m, 2H); LCMS: MS (m/z): 490 (MH+).
- 1H NMR (DMSO-d6): δ 9.41 (s, 1H), 8.68 (s, 1H), 8.53 (s, 1H), 8.33 (s, 1H), 7.88 (d, 2H, J=6.3 Hz), 7.80 (d, 2H, J=8.4 Hz), 7.64 (d, 1H, J=2.4 Hz), 7.53 (d, 2H, J=3.3 Hz), 7.50 (d, 2H, J=3.3 Hz), 7.42 (dd, 1H, J=7.9 and 4.8 Hz), 7.03 (d, 2H, J=8.7 Hz), 5.16 (s, 2H), 2.09 (s, 3H), 2.05 (m, 1H), 0.43 (m, 2H), 0.36 (m, 2H); LCMS: MS (m/z): 503 (MH+).
- 1H NMR (DMSO-d6): δ 9.36 (s, 1H), 8.34 (s, 1H), 8.10 (d, 1H, J=0.9 Hz), 8.03 (d, 2H, J=6.6 Hz), 7.90 (m, 2H), 7.73 (s, 1H), 7.32 (m, 3H), 7.23 (s, 1H), 7.13 (d, 1H, J=7.8 Hz), 4.14 (s, 1H), 2.11 (s, 3H); LCMS: MS (m/z): 380 (MH+).
- 1H NMR (DMSO-d6): δ 9.25 (s, 1H), 8.30 (s, 1H), 8.10 (d, 1H, J=1.2 Hz), 8.03 (s, 1H), 7.95 (d, 1H, J=8.1 Hz), 7.89 (br s, 1H), 7.74 (s, 1H), 7.31 (t, 2H, J=8.1 Hz), 7.21 (s, 2H), 7.13 (m, 2H), 4.14 (s, 1H), 2.47 (s, 3H), 2.10 (s, 3H); LCMS: MS (m/z): 394 (MH+).
- 1H NMR (DMSO-d6): δ 9.26 (s, 1H), 8.32 (s, 1H), 8.09 (d, 1H, J=1.2 Hz), 8.00 (d, 1H, J=8.4 Hz), 7.96 (s, 1H), 7.88 (m, 1H), 7.74 (s, 1H), 7.31 (t, 2H, J=9.0 Hz), 7.11 (d, 1H, J=8.4 Hz), 7.13 (d, 1H, J=7.5 Hz), 4.14 (s, 1H), 2.44 (s, 3H), 2.41 (d, 3H, J=4.8 Hz), 2.10 (s, 3H); LCMS: MS (m/z): 408 (MH+).
- 1H NMR (DMSO-d6): δ 9.48 (s, 1H), 9.29 (s, 1H), 8.56 (d, 1H, J=3.6 Hz), 8.11 (d, 1H, J=8.4 Hz), 8.07 (d, 1H, J=3.6 Hz), 7.96 (s, 1H), 7.81 (t, 1H, J=7.5 Hz), 7.65 (d, 1H, J=8.4 Hz), 7.51 (t, 2H, J=7.2 Hz), 7.34 (m, 2H), 7.18 (d, 1H, J=7.8 Hz), 7.00 (t, 2H, J=9.3 Hz), 5.17 (s, 2H), 2.58 (s, 6H); LCMS: MS (m/z): 495 (MH+).
- 1H NMR (DMSO-d6): δ 9.37 (s, 1H), 8.57 (d, 1H, J=3.6 Hz), 8.39 (s, 1H), 780 (m, 4H), 7.55 (m, 5H), 7.33 (t, 1H, J=6.9 Hz), 7.09 (s, 2H), 7.03 (d, 2H, J=8.7 Hz), 5.19 (s, 2H), 1.72 (m, 1H), 0.92 (m, 2H), 0.58 (m, 2H); LCMS: MS (m/z): 489 (MH+).
- 1H NMR (DMSO-d6): δ 9.28 (s, 1H), 8.57 (d, 1H, J=4.5 Hz), 8.32 (s, 1H), 8.03 (s, 1H), 7.98 (d, 1H, J=7.8 Hz), 7.82 (m, 2H), 7.62 (d, 2H, J=9.0 Hz), 7.52 (d, 1H, J=7.8 Hz), 7.34 (d, 1H, J=6.9 Hz), 7.22 (m, 4H), 6.99 (d, 2H, J=9.0 Hz), 5.18 (s, 2H), 1.71 (m, 1H), 0.91 (m, 2H), 0.57 (m, 2H); LCMS: MS (m/z): 489 (MH+).
- 1H NMR (DMSO-d6): δ 9.28 (s, 1H), 8.51 (s, 1H), 8.39 (s, 1H), 8.29 (s, 1H), 8.04 (s, 2H), 7.88 (s, 1H), 7.79 (d, 1H, J=2.1 Hz), 7.63 (d, 3H, J=8.4 Hz), 7.31 (q, 1H, J=2.7 Hz), 7.20 (d, 4H, J=7.8 Hz), 3.95 (s, 2H), 2.10 (s, 4H), 0.47 (m, 2H), 0.40 (m, 2H); LCMS: MS (m/z): 487 (MH+).
- 1H NMR (DMSO-d6): δ 9.48 (s, 1H), 9.29 (s, 1H), 8.56 (d, 2H, J=4.8 Hz), 8.07 (d, 2H, J=3.3 Hz), 8.01 (d, 1H, J=7.8 Hz), 7.82 (m, 2H), 7.67 (d, 2H, J=8.7 Hz), 7.51 (d, 1H, J=7.8 Hz), 7.31 (m, 3H), 6.99 (d, 2H, J=9.0 Hz), 5.17 (s, 2H), 2.09 (m, 1H), 0.47 (m, 2H), 0.39 (m, 2H); LCMS: MS (m/z): 507 (MH+).
- 1H NMR (DMSO-d6): δ 9.63 (s, 1H), 9.35 (s, 1H), 8.55 (d, 2H, J=4.2 Hz), 8.10 (d, 1H, J=3.3 Hz), 7.83 (m, 3H), 7.59 (m, 6H), 7.33 (t, 1H, J=6.6 Hz), 7.03 (d, 2H, J=9.0 Hz), 5.17 (s, 2H), 2.06 (m, 1H), 0.43 (m, 2H), 0.36 (m, 2H); LCMS: MS (m/z): 507 (MH+).
- 1H NMR (DMSO-d6): δ 9.24 (s, 1H), 8.45 (d, 2H, J=5.4 Hz), 8.30 (s, 1H), 8.04 (s, 2H), 7.89 (s, 1H), 7.80 (d, 1H, J=2.1 Hz), 7.63 (d, 2H, J=8.1 Hz), 7.26 (d, 2H, J=5.7 Hz), 7.20 (m, 3H), 3.95 (s, 2H), 2.10 (s, 4H), 0.48 (m, 2H), 0.40 (m, 2H); LCMS: MS (m/z): 487 (MH+).
- 1H NMR (DMSO-d6): δ 9.45 (s, 1H), 8.46 (d, 2H, J=4.5 Hz), 8.38 (s, 1H), 7.91 (s, 2H), 7.83 (d, 2H, J=8.7 Hz), 7.62 (d, 1H, J=2.7 Hz), 7.58 (d, 2H, J=8.4 Hz), 7.53 (d, 2H, J=8.7 Hz), 7.26 (d, 2H, J=5.4 Hz), 7.21 (d, 2H, J=8.1 Hz), 3.96 (s, 2H), 2.11 (s, 3H), 2.06 (m, 1H), 0.43 (m, 2H), 0.36 (m, 2H); LCMS: MS (m/z): 487 (MH+).
- 1H NMR (DMSO-d6): δ 9.85 (s, 1H), 8.94 (s, 1H), 8.57 (d, 1H, J=4.2 Hz), 7.88 (s, 1H), 7.82 (d, 1H, J=7.8 Hz), 7.69 (d, 2H, J=8.4 Hz), 7.53 (m, 4H), 7.47 (d, 1H, J=8.7 Hz), 7.34 (t, 1H, J=7.5 Hz), 7.04 (d, 2H, J=8.7 Hz), 5.19 (s, 2H), 2.59 (t, 2H, J=6.3 Hz), 2.12 (s, 3H), 0.76 (m, 1H), 0.31 (q, 2H, J=7.8 Hz), 0.04 (q, 2H, J=4.8 Hz); LCMS: MS (m/z): 517 (MH+).
- 1H NMR (DMSO-d6): δ 9.35 (s, 1H), 8.67 (s, 1H), 8.69 (s, 1H), 8.56 (s, 1H), 8.32 (s, 1H), 7.88 (d, 1H, J=7.8 Hz), 7.77 (d, 2H, J=8.1 Hz), 7.49 (m, 6H), 7.03 (d, 2H, J=8.7 Hz), 5.16 (s, 2H), 2.58 (t, 2H, J=6.6 Hz), 2.09 (s, 3H), 0.76 (m, 1H), 0.33 (q, 2H, J=7.8 Hz), 0.05 (q, 2H, J=4.8 Hz); LCMS: MS (m/z): 517 (MH+).
- 1H NMR (DMSO-d6): δ 9.22 (s, 1H), 8.57 (d, 1H, J=4.5 Hz), 8.23 (s, 1H), 8.03 (d, 1H, J=6.6 Hz), 7.83 (m, 2H), 7.57 (d, 3H, J=8.4 Hz), 7.52 (d, 1H, J=7.5 Hz), 7.34 (t, 1H, J=7.2 Hz), 7.22 (m, 2H), 6.99 (d, 2H, J=8.4 Hz), 5.17 (s, 2H), 2.64 (t, 2H, J=6.3 Hz), 2.09 (s, 3H), 0.81 (m, 1H), 0.34 (q, 2H, J=7.8 Hz), 0.08 (q, 2H, J=4.8 Hz); LCMS: MS (m/z): 517 (MH+).
- 1H NMR (DMSO-d6): δ 9.22 (s, 1H), 8.67 (s, 1H), 8.54 (s, 1H), 8.22 (s, 1H), 8.03 (d, 1H, J=6.6 Hz), 7.97 (s, 1H), 7.87 (d, 2H, J=10.8 Hz), 7.58 (d, 3H, J=8.1 Hz), 7.42 (q, 1H, J=3.0 Hz), 7.21 (m, 2H), 6.99 (d, 2H, J=8.4 Hz), 5.16 (s, 2H), 2.64 (t, 2H, J=6.3 Hz), 2.09 (s, 3H), 0.82 (m, 1H), 0.34 (q, 2H, J=7.5 Hz), 0.08 (q, 2H, J=4.8 Hz); LCMS: MS (m/z): 517 (MH+).
- 1H NMR (DMSO-d6): δ 9.45 (s, 1H), 8.96 (s, 1H), 8.58 (s, 2H), 8.47 (s, 1H), 7.94 (s, 1H), 7.81 (d, 2H, J=8.4 Hz), 7.74 (d, 2H, J=9.0 Hz), 7.53 (d, 2H, J=9.0 Hz), 7.42 (t, 1H, J=5.7 Hz), 7.16 (d, 2H, J=8.7 Hz), 2.58 (t, 2H, J=6.6 Hz), 2.13 (s, 3H), 0.76 (m, 1H), 0.31 (q, 2H, J=7.8 Hz), 0.04 (q, 2H, J=4.8 Hz); LCMS: MS (m/z): 504 (MH+).
- 1H NMR (DMSO-d6): δ 9.29 (s, 1H), 8.57 (d, 1H, J=3.3 Hz), 8.25 (s, 1H), 8.08 (m, 2H), 7.83 (m, 2H), 7.56 (d, 2H, J=9.0 Hz), 7.52 (d, 1H, J=8.4 Hz), 7.34 (t, 1H, J=6.6 Hz), 7.27 (m, 2H), 7.00 (d, 2H, J=9.0 Hz), 5.18 (s, 2H), 2.85 (m, 1H), 2.66 (q, 2H, J=7.2 Hz), 2.09 (s, 3H), 1.06 (m, 2H), 0.93 (m, 5H); LCMS: MS (m/z): 559 (MH+).
- 1H NMR (DMSO-d6): δ 10.76 (s, 1H), 9.83 (s, 1H), 8.67 (d, 1H, J=4.8 Hz), 8.04 (t, 1H, J=8.1 Hz), 7.90(s, 1H), 7.84 (d, 1H, J=8.1 Hz), 7.74 (s, 1H), 7.68 (d, 1H, J=7.8 Hz), 7.53 (m, 2H), 7.40 (d, 2H, J=7.8 Hz), 7.30 (t, 1H, J=7.5 Hz), 7.06 (d, 2H, J=7.8 Hz), 5.29 (s, 2H), 2.90 (br s, 1H), 2.65 (q, 2H, J=7.2 Hz), 2.16 (s, 3H), 1.06 (m, 2H), 0.91 (m, 5H); LCMS: MS (m/z): 559 (MH+).
- 1H NMR (DMSO-d6): δ 9.57 (s, 1H), 8.79 (s, 1H), 8.56 (d, 1H, J=4.5 Hz), 8.11 (s, 1H), 8.00 (d, 1H, J=7.5 Hz), 7.94 (s, 1H), 7.82 (m, 2H), 7.52 (d, 3H, J=8.7 Hz), 7.34 (t, 1H, J=6.9 Hz), 7.26 (m, 2H), 7.01 (d, 2H, J=9.0 Hz), 5.19 (s, 2H), 2.07 (m, 1H), 0.47 (m, 2H), 0.39 (m, 2H); LCMS: MS (m/z): 523 (MH+).
- 1H NMR (DMSO-d6): δ 9.66 (s, 1H), 8.87 (s, 1H), 8.55 (d, 1H, J=5.1 Hz), 8.11 (s, 1H), 7.81 (d, 1H, J=7.5 Hz), 7.70 (d, 2H, J=8.7 Hz), 7.48 (m, 6H), 7.32 (t, 1H, J=7.5 Hz), 7.02 (d, 2H, J=8.7 Hz), 5.17 (s, 2H), 2.56 (t, 2H, J=6.9 Hz), 0.74 (m, 1H), 0.29 (q, 2H, J=8.1 Hz), 0.03 (q, 2H, J=4.8 Hz); LCMS: MS (m/z): 537 (MH+).
- 1H NMR (DMSO-d6): δ 9.72 (s, 1H), 8.91 (s, 1H), 8.56 (d, 1H, J=4.5 Hz), 8.14 (s, 1H), 7.83 (t, 1H, J=7.8 Hz), 7.75 (d, 1H, J=8.4 Hz), 7.66 (s, 1H), 7.53 (d, 3H, J=8.7 Hz), 7.46 (d, 2H, J=8.4 Hz), 7.33 (t, 1H, J=6.6 Hz), 7.04 (d, 2H, J=8.7 Hz), 5.19 (s, 2H), 2.04 (br s, 1H), 0.43 (m, 2H), 0.34 (m, 2H); LCMS: MS (m/z): 523 (MH+).
- 1H NMR (DMSO-d6): δ 9.53 (s, 1H), 8.80 (s, 1H), 8.57 (d, 1H, J=4.2 Hz), 8.10 (s, 1H), 7.97 (d, 1H, J=7.2 Hz), 7.88 (s, 1H), 7.83 (t, 1H, J=7.5 Hz), 7.62 (t, 1H, J=6.0 Hz), 7.51 (d, 3H, J=8.7 Hz), 7.34 (t, 1H, J=6.9 Hz), 7.24 (m, 2H), 7.01 (d, 2H, J=9.0 Hz), 5.19 (s, 2H), 2.63 (t, 2H, J=6.3 Hz), 0.79 (m, 1H), 0.34 (m, 2H), 0.07 (m, 2H); LCMS: MS (m/z): 537 (MH+).
- 1H NMR (DMSO-d6): δ 10.34 (s, 1H), 9.40 (s, 1H), 8.49 (d, 1H, J=4.5 Hz), 7.94 (s, 1H), 7.79 (t, 1H, J=7.8 Hz), 7.64 (s, 3H), 7.52 (d, 1H, J=8.4 Hz), 7.46 (d, 1H, J=8.1 Hz), 7.37 (d, 3H, J=8.4 Hz), 7.29 (m, 3H), 4.36 (s, 2H), 2.15 (s, 3H); LCMS: MS (m/z): 479 (MH+).
- 1H NMR (DMSO-d6): δ 9.30 (s, 1H), 8.44 (d, 2H, J=4.2 Hz), 8.29 (s, 1H), 8.07 (s, 1H), 7.98 (m, 1H), 7.90 (s, 1H), 7.69 (m, 3H), 7.37 (d, 1H, J=7.5 Hz), 7.28 (m, 7H), 4.26 (s, 2H), 2.10 (s, 3H); LCMS: MS (m/z): 479 (MH+).
- 1H NMR (DMSO-d6): δ 9.19 (s, 1H), 8.45 (d, 2H, J=4.8 Hz), 8.25 (s, 1H), 8.09 (s, 1H), 7.88 (m, 2H), 7.69 (m, 3H), 7.35 (d, 2H, J=7.8 Hz), 7.28 (d, 2H, J=8.4 Hz), 7.21 (m, 3H), 7.11 (d, 1H, J=8.1 Hz), 4.26 (s, 2H), 2.48 (s, 3H), 2.09 (s, 3H); LCMS: MS (m/z): 493 (MH+).
- 1H NMR (DMSO-d6): δ 9.33 (s, 1H), 8.45 (d, 2H, J=4.8 Hz), 8.30 (s, 1H), 8.08 (s, 1H), 8.04 (d, 1H, J=7.8 Hz), 7.90 (s, 1H), 7.80 (s, 1H), 7.69 (m, 3H), 7.30 (m, 6H), 4.26 (s, 2H), 2.10 (s, 4H), 0.47 (m, 2H), 0.41 (m, 2H); LCMS: MS (m/z): 519 (MH+).
- 1H NMR (DMSO-d6): δ 9.49 (s, 1H), 8.46 (s, 1H), 8.40 (s, 1H), 7.93 (s, 1H), 7.84 (d, 2H, J=7.5 Hz), 7.70 (t, 1H, J=7.8 Hz), 7.63 (d, 3H, J=7.5 Hz), 7.56 (d, 2H, J=8.1 Hz), 7.37 (d, 1H, J=7.2. Hz), 7.31(d, 2H, J=8.7 Hz), 7.22 (t, 1H, J=7.2 Hz), 4.27 (s, 2H), 2.11 (s, 3H), 2.06 (m, 1H), 0.45 (m, 2H), 0.35 (m, 2H); LCMS: MS (m/z): 519 (MH+).
- 1H NMR (DMSO-d6): δ 9.85 (s, 1H), 9.51 (s, 1H), 8.43 (s, 2H), 8.14-8.13(d, J=3.6 Hz, 1H), 7.85-7.82 (d, J=8.4 Hz, 2H), 7.79 (s, 1H), 7.50 (s, 4H), 7.25-7.22 (d, J=8.4 Hz, 2H), 2.85-2.83 (m, 4H); LCMS: MS (m/z): 491.92 (MH+).
- 1H NMR (DMSO-d6): δ 9.64 (s, 1H), 9.37 (s, 1H), 8.17 (s, 2H), 8.03 (s, 1H), 7.85-7.84 (m, 2H), 7.35 (1H), 7.25 (s, 2H), 7.18-7.15 (d, J=8.4 Hz, 2H), 2.98-2.85 (m, 2H), 2.88-2.86 (t, 2H); LCMS: MS (m/z): 494.99 (MH+).
- 1H NMR (DMSO-d6): δ 9.68 (s, 1H), 9.48 (s, 1H), 8.20 (m, 2H), 8.02 (s, 1H), 7.97-7.94 (m, 1H), 7.86 (1H), 7.35 (s, 3H), 7.27 (s, 2H), 2.99-2.97 (m, 2H), 2.89-2.87 (t, 2H); LCMS: MS (m/z): 480.94 (MH+).
- 1H NMR (DMSO-d6): δ 9.73 (s, 1H), 9.60 (s, 1H), 8.23 (s, 1H), 8.07 (s, 1H), 7.86 (s, 1H), 7.77-7.74 (d, J=9.0 Hz, 2H), 7.63-7.61 (d, J=8.4 Hz, 2H), 7.40 (s, 1H), 7.13 (s, 2H), 2.99-2.96 (m, 2H), 2.89-2.87 (t, 2H); LCMS: MS (m/z): 480.94 (MH+).
- 1H NMR (DMSO-d6): δ 11.80 (br s, 1H), 9.55 (s, 1H), 8.40 (s, 1H), 7.92 (s, 1H), 7.84-7.82 (d, J=7.8 Hz, 1H), 7.66-7.59 (m, 2H), 7.27-7.25 (d, J=7.5 Hz, 1H), 2.87-2.83 (m, 2H), 2.21-2.17 (t, 2H), 0.90-0.85 (t, 3H); LCMS: MS (m/z): 465.02 (MH+).
- 1H NMR (DMSO-d6): δ 9.08 (s, 1H), 8.24 (s, 1H), 7.87 (s, 1H), 7.66-7.47 (m, 6H), 7.25-7.22 (d, J=6.9 Hz, 2H), 2.88-2.82 (m, 4H), 2.10 (s, 3H), 1.89-1.86 (q, 2H), 0.87-0.82 (t, 3H); LCMS: MS (m/z): 465.02 (MH+).
- 1H NMR (DMSO-d6): δ 9.17 (s, 1H), 8.16 (s, 1H), 8.03 (s, 1H), 7.99-7.96 (d, J=7.8 Hz, 1H), 7.85 (s, 1H), 7.59-7.56 (d, J=8.7 Hz, 1H), 7.47 (s, 1H), 7.16-7.10 (m, 3H), 2.86-2.84 (t, 2H), 2.80-2.75 (t, 2H), 2.28 (s, 3H), 2.09 (s, 3H); LCMS: MS (m/z): 437.47 (MH+).
- 1H NMR (DMSO-d6): δ 9.40 (br s, 1H), 8.06-8.04 (bd, J=6.9 Hz, 1H), 7.98 (br s, 1H), 7.88 (s, 1H), 7.56-7.54 (bd, J=8.7 Hz, 1H), 7.46 (s, 1H), 7.36-7.30 (m, 2H), 7.23 (s, 2H), 7.17-7.15 (d, J=8.1 Hz, 2H), 2.89-2.85 (t, 2H), 2.80-2.75 (t, 2H), 2.28 (s, 3H), 2.11 (s, 3H); LCMS: MS (m/z): 423.48 (MH+).
- 1H NMR (DMSO-d6): δ 9.80 (br s, 1H), 8.75 (br s, 1H), 7.91 (s, 1H), 7.88 (s, 1H), 7.74-7.71 (d, J=9.0 Hz, 2H), 7.59-7.56 (d, J=9.0 Hz, 2H), 7.42 (s, 2H), 7.21-7.17 (d, J=8.7 Hz, 1H), 7.13 (s, 2H), 2.93-2.88 (t, 2H), 2.81-2.76 (t, 2H), 2.30 (s, 3H), 2.13 (s, 3H); LCMS: MS (m/z): 423.48 (MH+).
- 1H NMR (DMSO-d6): δ 10.55 (s, 1H), 9.37 (s, 1H), 9.32 (s, 1H), 8.10 (d, 2H, J=10.2 Hz), 7.91 (d, 1H, J=9.3 Hz), 7.70 (d, 2H, J=8.4 Hz), 7.49 (s, 1H), 7.21 (m, 5H), 6.93 (s, 1H), 3.71 (s, 3H), 3.56 (s, 2H), 2.48 (s, 3H); LCMS: purity: 96%; MS (m/z): 511 (MH+).
- 1H NMR (DMSO-d6): δ 9.84 (s, 1H), 9.65 (s, 1H), 8.24 (d, 1H, 4.5 Hz), 8.17 (d, 3H, J=8.4 Hz), 7.91 (d, 1H, J=8.1 Hz), 7.67 (d, 2H, J=8.7 Hz), 7.40 (m, 2H), 2.49 (s, 6H); LCMS: purity: 93%; MS (m/z): 467 (MH+).
- 1H NMR (DMSO-d6): δ 9.80 (s, 1H), 9.53 (s, 1H), 8.16 (m, 4H), 7.87 (d, 1H, J=8.4 Hz), 7.66 (d, 2H, J=8.7 Hz), 7.23 (m, 3H), 2.51 (s, 3H), 2.49 (s, 6H); LCMS: purity: 95%; MS (m/z): 481 (MH+).
- 1H NMR (DMSO-d6): δ 9.67 (s, 1H), 8.90 (s, 1H), 8.58 (d, 1H, J=4.8 Hz), 8.14 (s, 1H), 7.86 (t, 1H, J=7.5 Hz), 7.72 (d, 2H, J=8.7 Hz), 7.56 (d, 4H, J=8.1 Hz), 7.48 (dd, 1H, J=3.3 and 8.8 Hz), 7.36 (t, 1H, J=6.6 Hz), 7.14 (s, 1H), 7.04 (d, 2H, J=9.0 Hz), 5.21 (s, 2H); LCMS: MS (m/z): 483 (MH+).
- 1H NMR (DMSO-d6): δ 9.56 (s, 1H), 8.81 (s, 1H), 8.58 (d, 1H, J=4.8 Hz), 8.11 (s, 1H), 7.88 (m, 3H), 7.53 (m, 3H), 7.35 (m, 2H), 7.25 (s, 2H), 7.19 (t, 1H, J=7.5 Hz), 7.01 (d, 2H, J=9.0 Hz), 5.20 (s, 2H); LCMS: MS (m/z): 483 (MH+).
- 1H NMR (DMSO-d6): δ 9.43 (s, 1H), 8.72 (s, 1H), 8.56 (d, 1H, J=4.5 Hz), 8.07 (s, 1H), 7.98 (s, 1H), 7.82 (m, 2H), 7.53 (m, 4H), 7.33 (t, 1H, J=6.6 Hz), 7.21 (s, 2H), 7.05 (d, 1H, J=9.3 Hz), 7.00(d, 2H, J=9.0 Hz), 5.18 (s, 2H), 2.47 (s, 3H); LCMS: MS (m/z): 497 (MH+).
- 1H NMR (DMSO-d6): δ 7.90 (s, 1H), 7.69 (m, 2H), 7.34 (m, 3H), 7.17 (m, 3H) 3.48 (s, 2H), 2.48 (s, 3H), 2.14 (s, 3H); LCMS: purity: 99%; MS (m/z): 457 (MH+).
- 1H NMR (DMSO-d6): δ 7.94 (s, 1H), 7.80 (m, 1H), 7.67 (s, 1H), 7.49 (m, 1H), 7.35 (m, 3H), 7.15 (m, 2H), 3.48 (s, 2H), 2.15 (s, 3H); LCMS: purity: 99%; MS (m/z): 443 (MH+).
- 1H NMR (DMSO-d6): δ 7.96 (s, 1H), 7.60 (m, 4H), 7.36 (m, 1H), 7.18 (m, 3H), 3.49 (s, 2H), 2.15 (s, 3H); LCMS: purity: 99%; MS (m/z): 443 (MH+).
- 1H NMR (DMSO-d6): δ 7.95 (s, 1H), 7.72 (s, 1H), 7.62 (m, 1H) 7.38 (m, 1H), 7.28 (m, 1H), 7.12 (m, 3H), 4.67 (s, 2H), 3.02 (s, 3H), 2.15 (s, 3H); LCMS: purity: 99%; MS (m/z): 455 (MH+)
- 1H NMR (DMSO-d6): δ 7.94 (s, 1H), 7.76 (m, 1H), 7.51 (s, 1H), 7.34 (m, 1H), 7.25(m, 3H), 7.16 (m, 1H), 6.99 (m, 1H), 5.67 (s, 2H), 3.07 s, 3H), 2.16 (s, 3H); LCMS: purity: 99%; MS (m/z): 441 (MH+)
- 1H NMR (DMSO-d6): δ 7.97 (s, 1H), 7.59 (s, 4H), 7.25 (m, 2H), 7.06 (m, 1H), 4.69 (s, 2H), 3.17 (s, 3H), 2.16 (s, 3H)); LCMS: purity: 99%; MS (m/z): 441 (MH+)
- 1H NMR (DMSO-d6): δ 8.15 (m, 1H), 7.79 (m, 1H), 7.50 (m, 1H), 7.25 (m, 3H), 4.60 (s, 2H), 3.78 (m, 2H), 2.48 (s, 3H), 1.10 (m, 3H); LCMS: purity: 99%; MS (m/z): 473 (MH+).
- 1H NMR (DMSO-d6): δ 8.08 (m, 1H) 8.02 (s, 1H), 7.82 (m, 1H), 7.60 (m, 1H), 7.28(m, 3H), 7.21 s, 2H), 6.98 (m, 1H), 4.60 (s, 2H), 3.80 (m, 2H), 1.10 (m, 3H); LCMS: purity: 99%; MS (m/z): 459 (MH+).
- 1H NMR (DMSO-d6): δ 8.15 (m, 1H), 7.76 (m, 2H), 7.60 (m, 3H), 7.36 (m, 1H), 7.12 (m, 1H), 6.99 (m, 1H), 4.61 (s, 2H), 3.84 (m, 2H), 1.13 (m, 3H); LCMS: purity: 99%; MS (m/z): 459 (MH+).
- 1H NMR (DMSO-d6): δ 8.17 (m, 1H), 8.07 (s, 1H), 7.88 (m, 1H), 7.56 (s, 1H), 7.33 m, 3H), 3.86 (m, 2H), 3.47 (s, 2H), 1.11 (m, 3H); LCMS: purity: 99%; MS (m/z): 475 (MH+).
- 1H NMR (DMSO-d6): δ 9.43 (m, 1H), 9.11 (s, 1H), 8.26 (s, 1H), 8.02 (m, 1H), 7.69 (s, 1H), 7.42 (m, 2H), 7.30 (m, 3H), 7.10 (m, 1H), 2.57 (s, 3H), 1.72 (s, 3H); LCMS: purity: 99%; MS (m/z): 501 (MH+).
- 1H NMR (DMSO-d6): δ 8.19 (m, 1H), 7.82 (m, 3H), 7.62 (m, 1H), 7.55 (s, 1H), 7.34 (s, 1H), 7.13 (s, 1H), 3.88 (m, 1H), 3.47 (s, 2H), 1.14 (m, 3H); LCMS: purity: 99%; MS (m/z): 475 (MH+).
- 1H NMR (DMSO-d6): δ 9.12 (s, 1H), 8.51 (s, 1H), 8.40 (s, 1H), 7.93 (s, 1H), 7.63 (m, 3H), 7.48 (m, 2H), 7.29 (m, 1H), 3.50 (s, 2H), 2.10 (s, 3H), 1.82 (m, 2H), 0.82 (m, 3H); LCMS: purity: 99%; MS (m/z): 536 (MH+).
- 1H NMR (DMSO-d6): δ 10.24 (s, 1H), 9.63 (s, 1H), 7.93 (s, 1H), 7.77 (s, 1H), 7.64 (m, 1H), 7.52 (s, 3H), 7.39 (m, 3H), 7.15 (m, 1H), 4.50 (s, 2H), 3.56 (s, 2H), 2.50 (s, 3H), 2.11 (s, 3H)); LCMS: purity: 99%; MS (m/z): 495 (MH+).
- 1H NMR (DMSO-d6): δ 10.39 (s, 1H), 9.58 (s, 1H), 7.97 (s, 1H), 7.78 (m, 2H), 7.48 (m, 2H), 7.36 (m, 4H), 4.56 (s, 2H), 3.57 (s, 2H), 2.17 (s, 3H)); LCMS: purity: 99%; MS (m/z): 481 (MH+).
- 1H NMR (DMSO-d6): δ 10.09 (s, 1H), 9.24 (s, 1H), 7.97 (s, 1H), 7.62 (m, 5H), 7.43 (m, 2H), 7.19 (s, 1H), 4.64 (s, 2H), 3.57 (s, 2H), 2.16 (s, 3H)); LCMS: purity: 99%; MS (m/z): 481 (MH+).
- 1H NMR (DMSO-d6): δ 7.97 (s, 1H), 7.81 (s, 1H), 7.62 (m, 2H), 7.45 (s, 1H), 7.33 (m, 4H), 7.14 (m, 1H), 3.77 (m, 2H), 3.48 (s, 2H), 2.17 (s, 3H), 1.00 (m, 1H)); LCMS: purity: 99%; MS (m/z): 485 (MH+).
- 1H NMR (DMSO-d6): δ 7.93 (s, 1H), 7.81 (m, 2H), 7.44 (m, 7H), 3.82 (m, 2H), 3.48 (s, 2H), 2.17 (s, 3H), 1.05 (m, 3H); LCMS: purity: 99%; MS (m/z): 471 (MH+).
- 1H NMR (DMSO-d6): δ 7.96 (s, 1H), 7.66 (m, 4H), 7.41 (m, 3H), 7.18 (s, 1H), 3.87 (m, 2H), 2.16 (s, 3H), 1.08 (m, 1H); LCMS: purity: 99%; MS (m/z): 471 (MH+).
- 1H NMR (DMSO-d6): δ 7.96 (s, 1H), 7.63 (m, 4H), 7.42 (m, 3H), 7.18 (s, 1H), 3.82 (m, 2H), 3.48 (s, 2H), 2.17 (s, 3H), 1.49 (m, 2H), 0.77 (m, 3H); LCMS: purity: 99%; MS (m/z): 485 (MH+).
- LCMS: purity: 99%; MS (m/z): 485 (MH+).
- LCMS: purity: 99%; MS (m/z): 499 (MH+).
- LCMS: purity: 99%; MS (m/z): 522 (MH+).
- 1H NMR (DMSO-d6): δ 7.90 (s, 1H), 7.71 (m, 2H), 7.58 (m, 1H), 7.29 (m, 1H), 7.16 (m, 3H), 3.48 (s, 2H), 2.75 (m, 2H), 2.47 (s, 1H), 2.14 (s, 3H), 0.91 (m, 3H); LCMS: purity: 99%; MS (m/z): 471 (MH+).
- 1H NMR (DMSO-d6): δ 7.86 (s, 1H), 7.74 (s, 1H), 7.58 (m, 1H), 7.18 (m, 1H), 7.07 (m, 1H), 6.96 (m, 2H), 4.58 (s, 2H), 2.75 (m, 2H), 2.47 (s, 1H), 2.14 (s, 3H), 0.92 (m, 3H); LCMS: purity: 99%; MS (m/z): 471 (MH+).
- 1H NMR (DMSO-d6): δ 8.46 (s, 1H), 8.00 (s, 1H), 7.87 (m, 2H), 7.62 (s, 1H), 7.50 (s, 2H), 7.29 (m, 1H), 7.12 (m, 1H), 3.50 (s, 2H), 3.17 (s, 3H), 2.76 (m, 2H), 2.47 (s, 3H), 2.11 (s, 3H), 0.94 (m, 3H); LCMS: purity: 99%; MS (m/z): 499 (MH+).
- 1H NMR (DMSO-d6): δ 9.62 (s, 1H), 8.84 (s, 1H), 7.92 (s, 1H), 7.78 (m, 1H), 7.50 (m, 3H), 7.31 (m, 1H), 7.14 (m, 1H), 3.77 (m, 2H), 3.47 (s, 2H), 2.76 (m, 2H), 2.48 (s, 3H), 1.04 (m, 3H), 0.95 (m, 3H); LCMS: purity: 99%; MS (m/z): 512 (MH+).
- 1H NMR (DMSO-d6): δ 9.30 (s, 1H), 8.68 (s, 1H), 7.99 (s, 1H), 7.92 (s, 1H), 7.81 (m, 1H), 7.49 (m, 2H), 7.34 (m, 1H), 7.15 (m, 1H), 4.55 (s, 2H), 3.55 (s, 2H), 2.77 (m, 2H), 2.48 (s, 3H), 2.12 (m, 2H), 0.94 (m, 3H); LCMS: purity: 99%; MS (m/z): 526 (MH+).
- 1H NMR (DMSO-d6): δ 9.30 (s, 1H), 8.68 (s, 1H), 7.99 (s, 1H), 7.92 (s, 1H), 7.81 (m, 1H), 7.49 (m, 2H), 7.34 (m, 1H), 7.15 (m, 1H), 4.55 (s, 2H), 3.55 (s, 2H), 2.77 (m, 2H), 2.48 (s, 3H), 2.12 (m, 2H), 0.94 (m, 3H); LCMS: purity: 99%; MS (m/z): 523 (MH+).
- 1H NMR (DMSO-d6): δ 9.15 (s, 1H), 8.31 (s, 1H), 8.14 (s, 1H), 7.99 (s, 1H), 7.88 (m, 2H), 7.41 (m, 3H), 7.08 (m, 1H), 6.94 (m, 1H), 4.62 (s, 2H), 3.12 (s, 3H), 2.76 (m, 2H), 2.48 (s, 3H), 2.09 (s, 3H), 0.93 (m, 3H); LCMS: purity: 99%; MS (m/z): 483 (MH+).
- LCMS: purity: 99%; MS (m/z): 513 (MH+).
- 1H NMR (DMSO-d6): δ 8.18 (m, 1H), 7.80 (m, 3H), 7.63 (m, 1H), 7.35 (m, 1H), 7.12 (s, 2H), 3.84 (m, 2H), 1.55 (m, 2H), 0.82 (m, 3H); LCMS: purity: 99%; MS (m/z): 489 (MH+).
- 1H NMR (DMSO-d6): δ 8.14 (m, 2H), 7.90 (m, 1H), 7.78 (m, 1H), 7.57 (s, 1H), 7.31 (m, 5H), 3.82 (m, 2H), 3.47 (s, 2H), 1.54 (m, 2H), 0.81 (m, 3H); LCMS: purity: 99%; MS (m/z): 489 (MH+).
- 1H NMR (DMSO-d6): δ 8.11 (m, 2H), 7.82 (m, 2H), 7.58 (s, 1H), 7.32 (m, 1H), 7.19 (m, 3H), 3.79 (m, 2H), 3.46 (s, 2H), 2.48 (s, 3H), 1.50 (m, 2H), 0.80 (m, 2H); LCMS: purity: 99%; MS (m/z): 489 (MH+).
- 1H NMR (DMSO-d6): δ 8.20 (s, 1H), 7.99 (s, 1H), 7.90 (m, 1H), 7.50 (m, 2H), 7.33 (m, 5H), 3.51 (s, 2H), 3.24 (s, 3H); LCMS: purity: 99%; MS (m/z): 477 (MH+).
- 1H NMR (DMSO-d6): δ 8.20 (s, 1H), 7.97 (s, 1H), 7.78 (m, 1H), 7.56 (s, 1H), 7.45 (m, 1H), 7.32 (m, 1H), 7.28 (m, 2H), 7.09 (m, 2H), 3.51 (s, 2H), 3.19 (s, 3H), 2.47 (s, 3H); LCMS: purity: 99%; MS (m/z): 491 (MH+).
- 1H NMR (DMSO-d6): δ 8.20 (s, 1H), 7.80 (m, 1H), 7.72 (m, 1H), 7.63 (m, 2H), 7.55 (s, 1H), 7.35 (m, 1H), 7.11 (s, 2H), 3.88 (m, 1H), 3.47 (s, 2H), 1.51 (m, 1H), 1.24 (m, 2H), 0.82 (m, 3H); LCMS: purity: 99%; MS (m/z): 503 (MH+).
- 1H NMR (DMSO-d6): δ 8.15 (m, 2H), 7.89 (m, 1H), 7.75 (m, 1H), 7.59 (s, 1H), 7.34 (m, 3H), 7.25 (s, 1H), 3.85 (m, 2H), 3.46 (s, 2H), 1.48 (m, 2H), 1.24 (m, 2H), 0.82 (m, 3H); LCMS: purity: 99%; MS (m/z): 503 (MH+).
- 1H NMR (DMSO-d6): δ 8.12 (m, 2H), 7.82 (m, 1H), 7.75 (m, 1H), 7.60 (s, 1H), 7.31 (m, 1H), 7.22 (s, 2H), 7.16 (m, 1H), 3.83 (m, 2H), 3.46 (s, 2H), 2.48 (s, 3H), 1.46 (m, 2H), 1.23 (m, 2H), 0.82 (m, 3H); LCMS: purity: 99%; MS (m/z): 517 (MH+).
- LCMS: purity: 99%; MS (m/z): 517 (MH+).
- LCMS: purity: 99%; MS (m/z): 506 (MH+).
- 1H NMR (DMSO-d6): δ 9.19 (s, 1H), 8.84 (s, 1H), 8.14 (s, 1H), 7.49 (s, 1H), 7.40 (m, 1H), 7.27 (m, 1H), 6.91 (s, 2H), 3.62 (s, 2H), 3.55 (s, 3H) 1.39 (m, 2H), 0.71 (m, 3H); LCMS: purity: 99%; MS (m/z): 520 (MH+).
- 1H NMR (DMSO-d6): δ 9.54 (d, 2H, J=8.1 Hz), 8.17 (d, 1H, J=3.6 Hz), 8.13 (s, 1H), 7.94 (d, 1H, J=8.4 Hz), 7.85 (d, 1H, J=8.1 Hz), 7.44 (d, 1H, J=9.0 Hz), 7.26 (s, 2H), 7.21 (d, 1H, J=8.1 Hz), 4.72 (s, 2H), 3.10 (s, 1H), 1.45 (s, 6H); LCMS: purity: 89%; MS (m/z): 498 (MH+).
- 1H NMR (DMSO-d6): δ 9.53 (d, 2H, J=6.3 Hz), 8.17 (d, 1H, J=3.3 Hz), 8.13 (d, 1H, J=1.5 Hz), 7.93 (d, 1H, J=8.4 Hz), 7.85 (d, 1H, J=8.1 Hz), 7.44 (d, 1H, J=9.0 Hz), 7.25 (s, 2H), 7.21 (d, 1H, J=8.1 Hz), 4.79 (s, 2H), 3.09 (s, 1H), 2.49 (s, 3H), 1.45 (s, 6H); LCMS: purity: 95%; MS (m/z): 512 (MH+).
- 1H NMR (DMSO-d6): δ 9.49 (s, 1H), 9.45 (s, 1H), 8.13 (d, 2H, J=10.2 Hz), 7.82 (t, 2H, J=8.1 Hz), 7.39 (d, 1H, J=8.7 Hz), 7.24 (s, 2H), 7.17 (d, 1H, J=8.7 Hz), 3.14 (s, 3H), 2.48 (s, 3H), 1.43 (s, 6H); LCMS: purity: 98%; MS (m/z): 488 (MH+).
- 1H NMR (DMSO-d6): δ 9.50 (s, 1H), 9.45 (s, 1H), 8.16 (d, 1H, J=3.3 Hz), 8.12 (s, 1H), 7.85 (m, 2H), 7.39 (d, 1H, J=8.1 Hz), 7.25 (s, 2H), 7.20 (d, 2H, J=8.1 Hz), 4.15 (m, 2H), 3.43 (m, 4H), 2.55 (m, 2H), 2.49 (s, 3H), 2.39 (m, 4H), 1.44 (s, 6H); LCMS: purity: 96%; MS (m/z): 588 (MH+).
- 1H NMR (DMSO-d6): δ 11.28 (s, 1H), 10.66 (s, 1H), 9.70 (s, 1H), 8.08 (s, 1H), 7.98 (s, 1H), 7.65 (m, 4H), 7.22 (s, 2H), 4.15 (m, 2H), 3.43 (m, 4H), 2.55 (m, 2H), 2.39 (m, 4H), 1.45 (s, 6H); LCMS: purity: 89%; MS (m/z): 573 (MH+).
- 1H NMR (DMSO-d6): δ 9.65 (s, 1H), 9.55 (s, 1H), 8.20 (d, 2H, J=3.3 Hz), 8.10 (d, 1H, J=7.5 Hz), 8.02 (s, 1H), 7.79 (d, 1H, J=8.1 Hz), 7.42 (m, 2H), 7.23 (d, 1H, J=7.2 Hz), 2.59 (s, 3H), 2.49 (s, 6H), 1.45 (s, 6H); LCMS: purity: 95%; MS (m/z): 502 (MH+).
- 1H NMR (DMSO-d6): δ 9.67(s, 1H), 9.64 (s, 1H), 8.22 (d, 1H, J=3.0 Hz), 8.06 (m, 2H), 7.91 (d, 1H, J=8.7 Hz), 7.46 (m, 2H), 7.24 (d, 1H, J=8.1 Hz), 4.8 (s, 2H), 2.49(s, 6H), 2.24 (s, 1H), 1.45 (s, 6H); LCMS: purity: 88%; MS (m/z): 526 (MH+).
- 1H NMR (DMSO-d6): δ 11.09 (s, 1H), 9.61 (s, 1H), 9.34 (s, 1H), 8.17 (d, 2H, 3.3 Hz), 8.13 (d, 1H, J=8.4 Hz), 7.96 (s, 1H), 7.61 (d, 1H, J=9.0 Hz), 7.39 (m, 2H), 7.22 (d, 1H, J=7.8 Hz), 2.49 (s, 6H), 1.43 (s, 6H); LCMS: purity: 96%; MS (m/z): 472 (MH+).
- 1H NMR (DMSO-d6): δ 9.65 (s, 1H), 9.55 (s, 1H), 8.20 (d, 2H, J=3.3 Hz), 8.10 (d, 1H, J=7.5 Hz), 8.02 (s, 1H), 7.79 (d, 1H, J=8.1 Hz), 7.42 (m, 2H), 7.23 (d, 1H, J=7.2 Hz), 1.45 (s, 6H); LCMS: purity: 88%; MS (m/z): 476 (MH+).
- 1HNMR (DMSO-d6): δ 11.08 (s, 1H), 9.46 (s, 1H), 8.12 (d, 1H, J=3.6 Hz), 8.07 (d, 1H, J=2.1 Hz), 7.88 (m, 1H), 7.64 (d, 1H, J=8.4 Hz), 7.38 (d, 1H, J=10.2 Hz), 7.24 (s, 2H), 7.16 (d, 1H, J=8.1 Hz), 2.49 (s, 3H), 1.43 (s, 6H); LCMS: purity: 90%; MS (m/z): 490 (MH+).
- 1H NMR (DMSO-d6): δ 11.28 (s, 1H), 10.66 (s, 1H), 9.70 (s, 1H), 8.08 (s, 1H), 7.98 (s, 1H), 7.65 (m, 5H), 7.22 (s, 2H), 1.45 (s, 6H); LCMS: purity: 88%; MS (m/z): 476 (MH+).
- 1H NMR (DMSO-d6): δ 10.82 (s, 1H), 10.74 (s, 1H), 9.82 (s, 1H), 7.93 (s, 1H), 7.85 (d, 1H, J=8.2 Hz), 7.62 (s, 1H), 7.50 (d, 1H, J=8.2 Hz), 7.38 (s, 2H), 7.30 (t, 1H, J=8.2 Hz), 7.08-6.94 (m, 3H), 2.14 (s, 3H), 1.40 (s, 6H); LCMS: purity: 99%; MS (m/z): 455 (MH+).
- 1H NMR (DMSO-d6): δ 10.82 (s, 1H), 10.77 (s, 1H), 9.82 (s, 1H), 7.95 (s, 1H), 7.59 (app s, 4H), 7.24 (s, 2H), 7.09 (d, 1H, J=8.8 Hz), 7.03-6.99 (m, 2H), 2.14 (s, 3H), 1.43 (s, 6H); LCMS: purity: 99%; MS (m/z): 455 (MH+).
- 1H NMR (DMSO-d6): δ 10.64 (s, 1H), 9.78 (s, 1H), 7.94 (s, 1H), 7.83 (d, 1H, J=8.5 Hz), 7.66 (s, 1H), 7.49 (d, 1H, J=8.2 Hz), 7.38 (s, 2H), 7.28-7.18 (m, 3H), 7.00 (d, 1H, J=8.5 Hz), 3.14 (s, 3H), 2.16 (s, 3H), 1.41 (s, 6H); LCMS: purity: 95%; MS (m/z): 469 (MH+).
- 1H NMR (DMSO-d6): δ 10.54 (s, 1H), 9.69 (s, 1H), 7.96 (s, 1H), 7.62 (d, 2H, J=8.8 Hz), 7.57 (d, 2H, J=8.8 Hz), 7.29 (s, 1H), 7.24-7.21 (m, 2H), 7.05 (s, 1H, J=8.5 Hz), 3.18 (s, 3H), 2.16 (s, 3H), 1.43 (s, 6H); LCMS: purity: 94%; MS (m/z): 469 (MH+).
- 1H NMR (DMSO-d6): δ 9.64 (s, 1H), 9.53 (s, 1H), 8.19 (d, 1H, J=3.3 Hz), 8.13 (s, 1H), 7.90 (d, 1H, J=7.3 Hz), 7.81 (d, 1H, J=8.5 Hz), 7.42-7.37 (m, 3H), 7.28 (s, 2H), 3.33 (s, 3H), 1.44 (s, 6H); LCMS: purity: 92%; MS (m/z): 474 (MH+).
- 1H NMR (DMSO-d6): δ 9.72 (s, 1H), 9.63 (s, 1H), 8.22 (d, 1H, J=3.5 Hz), 7.80 (d, 2H, J=8.8 Hz), 7.71 (d, 1H, J=8.5 Hz), 7.63 (d, 2H, J=8.8 Hz), 7.43 (d, 1H, J=8.5 Hz), 7.13 (s, 2H), 3.33 (s, 3H), 1.45 (s, 6H); LCMS: purity: 98%; MS (m/z): 474 (MH+).
- 1H NMR (DMSO-d6): δ 10.52 (s, 1H), 9.77 (s, 1H), 7.93 (s, 1H), 7.78 (d, 1H, J=7.9 Hz), 7.66 (s, 1H), 7.49 (d, 1H, J=7.9 Hz), 7.36 (s, 2H), 7.27-7.25 (m, 3H), 7.03 (d, 1H, J=7.9 Hz), 4.55 (s, 2H), 3.20 (app s, 1H), 2.16 (s, 3H), 1.41 (s, 6H); LCMS: purity: 96%; MS (m/z): 493 (MH+).
- 1H NMR (DMSO-d6): δ 9.87 (s, 1H), 9.08 (s, 1H), 7.69 (d, 2H, J=8.5 Hz), 7.56 (d, 2H, J=8.2 Hz), 7.36 (d, 2H, J=8.5 Hz), 7.14 (s, 12H), 7.04 (d, 1H, J=8.2 Hz), 4.61 (s, 2H), 3.20 (app s, 1H), 2.14 (s, 3H), 1.43 (s, 6H); LCMS: purity: 96%; MS (m/z): 493 (MH+).
- 1H NMR (DMSO-d6): δ 10.93 (s, 1H), 10.65 (s, 1H), 8.12 (d, 1H, J=7.0 Hz), 7.93 (s, 1H), 7.83(m, 1H), 7.63-7.59 (m, 2H), 7.44-7.36 (m, 4H), 3.33 (s, 3H), 1.43 (s, 6H); LCMS: purity: 96%; MS (m/z): 456 (MH+).
- 1H NMR (DMSO-d6): δ 10.86 (s, 1H), 10.48 (s, 1H), 8.12 (d, 1H, J=7.0 Hz), 7.80 (d, 1H, J=8.8 Hz), 7.76 (d, 2H, J=8.8 Hz), 7.46 (app d, 1H, J=8.5 Hz), 7.41 (d, 1H, J=8.5 Hz), 7.33 (s, 2H), 3.35 (s, 3H), 1.44 (s, 6H); LCMS: purity: 92%; MS (m/z): 456 (MH+).
- 1H NMR (DMSO-d6): δ 9.39 (s, 1H), 8.47 (s, 1H), 8.06 (s, 1H), 7.99-9.97 (m, 1H), 7.94 (s, 1H), 7.61 (d, 2H, J=8.5 Hz), 7.30-7.25 (m, 5H), 3.31 (s, 3H), 2.13 (s, 3H), 1.34 (s, 6H); LCMS: purity: 97%; MS (m/z): 485 (MH+).
- 1H NMR (DMSO-d6): δ 10.56 (s, 1H), 9.70 (s, 1H), 7.99 (s, 1H), 7.63 (d, 2H, J=8.8 Hz), 7.60 (d, 2H, J=8.8 Hz), 7.48-7.35 (m, 3H), 7.23 (s, 2H), 3.27 (s, 3H), 2.18 (s, 3H), 1.36 (s, 6H); LCMS: purity: 98%; MS (m/z): 485 (MH+).
- 1H NMR (DMSO-d6): δ 9.60 (s, 1H), 9.54 (s, 1H), 8.20 (d, 1H, J=2.9 Hz), 8.15 (s, 1H), 7.88 (d, 1H, J=8.2 Hz), 7.84 (d, 1H, J=8.2 Hz), 7.42-7.34 (m, 5H), 7.27 (s, 2H), 3.89 (d, 2H J=7.3 Hz), 1.43 (s, 6H), 1.36-1.30 (m, 1H), 0.38-0.34 (m, 4H); LCMS: purity: 95%; MS (m/z): 514 (MH+).
- 1H NMR (DMSO-d6): δ 9.70 (s, 1H), 9.65 (s, 1H), 8.22 (d, 1H, J=4.5 Hz), 7.79 (d, 2H, J=8.8 Hz), 7.74 (d, 1H, J=8.5 Hz), 6.64 (d, 2H, J=8.8 Hz), 7.43 (d, 1H, J=8.5 Hz), 7.13 (s, 2H), 3.89 (d, 2H J=7.0 Hz), 1.44 (s, 6H), 1.37-1.28 (m, 1H), 0.37-0.35 (m, 4H); LCMS: purity: 98%; MS (m/z): 514 (MH+).
- 1H NMR (DMSO-d6): δ 9.27 (s, 1H), 8.51 (s, 1H), 8.10 (s, 1H), 7.95 (s, 2H), 7.70 (s, 1H), 7.64 (d, 1H, J=8.0 Hz), 7.33-7.24 (m, 5H), 4.67 (s, 2H), 3.17 (app s, 1H), 2.13 (s, 3H), 1.34 (s, 6H). LCMS: purity: 98%; MS (m/z): 509 (MH+).
- 1H NMR (DMSO-d6): δ 9.38 (s, 1H), 8.58 (s, 1H), 7.97 (s, 1H), 7.80 (d, 2H, J=8.5 Hz), 7.65 (s, 1H), 7.57 (d, 3H, J=8.5 Hz), 7.34 (d, 1H, J=8.5 Hz0, 7.08 (s, 2H), 4.67 (s, 2H), 3.17 (app s, 1H), 2.14 (s, 3H), 1.36 (s, 6H); LCMS: purity: 97%; MS (m/z): 509 (MH+).
- 1H NMR (DMSO-d6): δ 11.25 (s, 1H), 10.55 (s, 1H), 9.82 (s, 1H), 7.98 (s, 1H), 7.80-7.74 (m, 2H), 7.51 (d, 1H, J=8.5 Hz), 7.44-7.35 (m, 4H), 7.19 (d, 1H, J=8.8 Hz), 2.14 (s, 3H), 1.44 (s, 6H); LCMS: purity: 96%; MS (m/z): 456 (MH+).
- 1H NMR (DMSO-d6): δ 11.24 (s, 1H), 10.36 (s, 1H), 9.54 (s, 1H), 8.00 (s, 1H), 7.65 (d, 2H, J=9.01 Hz), 7.62 (d, 2H, J=9.0 Hz), 7.47 (d, 1H, J=8.5 Hz), 9.34 (d, 1H, J=8.5 Hz), 7.21 (s, 2H), 2.14 (s, 3H), 1.44 (s, 6H); LCMS: purity: 92%; MS (m/z): 456 (MH+).
- 1H NMR (DMSO-d6): δ 10.56 (s, 1H), 9.78 (s, 1H), 7.91 (s, 1H), 7.68 (d, 1H, J=8.5 Hz), 7.66 (s, 1H), 7.51 (q, 1H, J=4.5 Hz), 7.28 (d, 1H, J=1.7 Hz), 7.16 (dd, 1H, J=1.7 and 8.8 Hz), 7.06 (d, 1H, J=8.8 Hz), 6.99 (d, 1H, J=8.5 Hz), 3.04 (s, 3H), 2.43 (s, 3H), 2.35 (d, 3H, J=4.5 Hz), 2.15 (s, 3H), 1.41 (s, 6H); LCMS: purity: 98%; MS (m/z): 497 (MH+).
- 1H NMR (DMSO-d6): δ 9.24 (s, 1H), 8.40 (s, 1H), 7.99 (s, 1H), 7.92-7.89 (m, 2H), 7.63 (s, 1H), 7.54 (d, 1H, J=7.9 Hz), 7.33-7.28 (m, 2H), 7.14 (d, 1H, J=8.5 Hz), 3.50 (s, 2H), 3.18 (s, 3H), 2.42 (s, 3H), 2.39 (d, 3H, J=4.9 Hz), 2.11 (s, 3H); LCMS: purity: 98%; MS (m/z): 485 (MH+).
- 1H NMR (DMSO-d6): δ 9.99 (s, 1H), 8.13 (s, 2H), 7.99 (d, 1H, J=8.2 Hz), 7.89 (d, 1H, J=8.2 Hz), 7.50-7.42 (m, 3H), 7.32 (s, 2H), 3.29 (s, 3H), 1.43 (s, 6H), 0.28 (s, 9H); LCMS: purity: 98%; MS (m/z): 552 (MH+).
- 1H NMR (DMSO-d6): δ 9.95 (s, 1H), 8.35 (s, 1H), 8.17 (s, 1H), 8.11 (s, 1H), 7.94-7.90 (m, 2H), 7.44-7.41 (m, 3H), 7.31 (s, 2H), 4.77 (s, 1H), 3.30 (s, 3H), 1.44 (s, 6H); LCMS: purity: 99%; MS (m/z): 480 (MH+).
- 1H NMR (DMSO-d6): δ 9.48 (s, 1H), 8.43 (s, 1H), 8.12 (s, 1H), 7.98 (s, 2H), 7.94 (d, 1H, J=8.2 Hz), 7.85 (d, 1H, J=8.8 Hz), 7.40-7.27 (m, 5H), 3.35 (s, 3H), 2.15 (s, 3H), 1.43 (s, 6H); LCMS: purity: 98%; MS (m/z): 470 (MH+).
- 1H NMR (DMSO-d6): δ 10.21 (s, 1H), 9.42 (s, 1H), 8.01 (s, 1H), 7.67 (d, 2H, J=8.8 Hz), 7.62 (d, 1H, J=8.8 Hz), 7.49 (s, 2H), 7.21 (s, 2H), 3.33 (s, 3H), 2.17 (s, 3H), 1.46 (s, 6H); LCMS: purity: 98%; MS (m/z): 470 (MH+).
- 1H NMR (DMSO-d6): δ 10.21 (s, 1H), 9.45 (s, 1H), 7.95 (s, 1H), 7.84 (s, 1H), 7.71 (d, 1H, J=8.2 Hz), 7.61 (t, 1H, J=5.8 Hz), 7.47 (app d, 1H, J=8.5 Hz), 7.41 (d, 1H, J=8.5 Hz), 7.18 (d, 1H, J=8.2 Hz), 3.29 (s, 3H), 2.76-2.73 (m, 2H), 2.47 (s, 3H), 2.16 (s, 3H), 1.44 (s, 6H), 0.91 (t, 3H, J=7.0 Hz). LCMS: purity: 99%; MS (m/z): 512 (MH+).
- 1H NMR (DMSO-d6): δ 10.40 (s, 1H), 9.71 (s, 1H), 7.86 (s, 1H), 7.62 (app s, 4H), 7.48-7.37 (m, 3H), 7.21 (s, 2H), 3.54 (s, 2H), 3.26 (s, 3H), 1.82-1.79 (m, 1H), 1.06-1.01 (m, 2H), 0.69-0.66 (m, 2H). LCMS: purity: 99%; MS (m/z): 483 (MH+).
- 1H NMR (DMSO-d6): δ 10.33 (s, 1H), 9.63 (s, 1H), 7.83 (s, 1H), 7.79-7.77 (m, 2H), 7.48 (s, 2H), 7.41-7.32 (m, 5H), 3.52 (s, 2H), 3.18 (s, 3H), 1.82-1.79 (m, 1H), 0.99-0.96 (m, 2H), 0.67-0.66 (m, 2H). LCMS: purity: 99%; MS (m/z): 483 (MH+).
- 1H NMR (DMSO-d6): δ 11.27 (s, 1H), 10.52 (s, 1H), 9.85 (s, 1H), 7.96 (s, 1H), 7.73-7.70 (m, 2H), 7.64 (t, 1H, J=5.5 Hz), 7.41 (d, 1H, J=8.2 Hz), 7.25 (d, 1H, J=8.5 Hz), 7.19 (d, 1H, J=8.2 Hz), 2.75 (dq, 2H, J=5.5 and 7.3 Hz), 2.14 (s, 3H), 1.42 (s, 6H), 0.90 (t, 3H, J=7.3 Hz). LCMS: purity: 95%; MS (m/z): 498 (MH+).
- 1H NMR (DMSO-d6): δ 11.26 (s, 1H), 10.45 (s, 1H), 9.80 (s, 1H), 7.95 (s, 1H), 7.76 (s, 1H), 7.69 (d, 1H, J=8.5 Hz), 7.42 (d, 1H, J=8.5 Hz), 7.37 (s, 2H), 7.27 (d, 1H, J=8.5 Hz), 7.17 (d, 1H, J=8.5 Hz), 2.47 (s, 3H), 2.14 (s, 3H), 1.42 (s, 6H); LCMS: purity: 98%; MS (m/z): 470 (MH+).
- 1H NMR (DMSO-d6): δ 9.24 (s, 1H), 8.38 (s, 1H), 8.07 (s, 1H), 7.93-7.90 (m, 2H), 7.65 (s, 1H), 7.61 (d, 1H, J=8.8 Hz), 7.28 (d, 1H, J=8.2 Hz), 7.23 (s, 2H), 7.07 (d, 1H, J=8.2 Hz), 3.27 (s, 3H), 2.46 (s, 3H), 2.11 (s, 3H), 1.34 (s, 6H); LCMS: purity: 99%; MS (m/z): 499 (MH+).
- 1H NMR (DMSO-d6): δ 10.24 (s, 1H), 9.78 (s, 1H), 7.96 (s, 1H), 7.79 (s, 1H), 7.63 (d, 1H, J=8.2 Hz), 7.46-7.37 (m, 4H), 7.16 (d, 1H, J=8.5 Hz), 3.29 (s, 3H), 2.50 (s, 3H), 2.17 (s, 3H), 1.44 (s, 6H); LCMS: purity: 96%; MS (m/z): 484 (MH+).
- 1H NMR (DMSO-d6): δ 10.48 (s, 1H), 9.61 (s, 1H), 8.00 (s, 1H), 7.82 (s, 1H), 7.72 (d, 1H, J=8.2 Hz), 7.49 (d, 1H, J=8.2 Hz), 7.44-7.35 (m, 5H), 4.75 (s, 2H), 3.90 (t, 2H, J=7.0 Hz), 2.18 (s, 3H), 1.55 (hex, 2H, J=7.0 Hz), 0.78 (t, 3H, J=7.0 Hz); LCMS: purity: 90%; MS (m/z): 470 (MH+).
- 1H NMR (DMSO-d6): δ 9.55 (s, 1H), 8.51 (s, 1H), 8.01 (s, 1H), 7.80 (d, 2H, J=8.8 Hz), 7.66 (d, 1H, J=8.5 Hz), 7.61 (d, 2H, J=8.8 Hz), 7.41 (d, 1H, J=8.5 Hz), 7.12 (s, 2H), 4.73 (s, 2H), 3.97 (t, 2H, J=7.0 Hz), 2.15 (s, 3H), 1.62 (hex, 2H, J=7.0 Hz), 0.84 (t, 3H, J=7.0 Hz); LCMS: purity: 92%; MS (m/z): 470 (MH+).
- 1H NMR (DMSO-d6): δ 9.30 (s, 1H), 8.25 (s, 1H), 8.14 (s, 1H), 7.96 (s, 1H), 7.87 (d, 1H, J=8.5 Hz), 7.81 (d, 1H, J=8.5 Hz), 7.37 (d, 1H, J=8.5 Hz), 7.23 (s, 2H), 7.16 (d, 1H, J=8.5 Hz), 4.70 (s, 2H), 3.98 (t, 2H, J=7.0 Hz), 2.48 (s, 3H), 2.13 (s, 3H), 1.62 (hex, 2H, J=7.0 Hz), 0.84 (t, 3H, J=7.0 Hz); LCMS: purity: 99%; MS (m/z): 484 (MH+).
- 1H NMR (DMSO-d6): δ 9.30 (s, 1H), 8.28 (s, 1H), 8.08 (s, 1H), 7.96 (s, 1H), 7.90 (d, 1H, J=8.2 Hz), 7.79 (d, 1H, J=8.5 Hz), 7.48 (t, 1H, J=4.5 Hz), 7.37 (d, 1H, J=8.5 Hz), 7.18 (d, 1H, J=8.2 Hz), 4.70 (s, 2H), 3.97 (t, 2H, J=6.4 Hz), 2.80 (dq, 2H, J=4.5 and 7.0 Hz), 2.45 (s, 3H), 2.13 (s, 3H), 1.61 (hex, 2H, J=7.0 Hz), 0.93 (t, 3H, J=6.4H), 0.84 (t, 3H, J=7.0 Hz); LCMS: purity: 99%; MS (m/z): 510 (MH+).
- 1H NMR (DMSO-d6): δ 10.61 (s, 1H), 9.85 (s, 1H), 8.00 (s, 1H), 7.77 (s, 1H), 7.73 (d, 1H, J=8.2 Hz), 7.53 (d, 1H, J=8.2 Hz), 7.44-7.33 (m, 5H), 4.77 (s, 2H), 3.26 (s, 3H), 2.18 (s, 3H); LCMS: purity: 98%; MS (m/z): 442 (MH+).
- 1H NMR (DMSO-d6): δ 10.76 (s, 1H), 9.96 (s, 1H), 8.03 (s, 1H), 7.66 (d, 2H, J=8.8 Hz), 7.60 (d, 2H, J=8.8 Hz), 7.50 (d, 1H, J=8.2 Hz), 7.39 (d, 1H, J=8.2 Hz), 7.27 (s, 2H), 4.80 (s, 2H), 3.30 (s, 3H), 2.18 (s, 3H); LCMS: purity: 92%; MS (m/z): 442 (MH+).
- 1H NMR (DMSO-d6): δ 10.31 (s, 1H), 9.60 (s, 1H), 7.96 (s, 1H), 7.85 (s, 1H), 7.66 (d, 1H, J=7.9 Hz), 7.42 (app d, 2H, J=8.5 Hz), 7.35 (s, 2H), 7.21 (d, 1H, J=7.9 Hz), 4.77 (s, 2H), 3.26 (s, 3H), 2.51 (s, 3H), 2.16 (s, 3H); LCMS: purity: 97%; MS (m/z): 456 (MH+).
- 1H NMR (DMSO-d6): δ 10.37 (s, 1H), 9.61 (s, 1H), 7.97 (s, 1H), 7.83 (s, 1H), 7.67 (d, 1H, J=8.2 Hz), 7.61 (t, 1H, J=5.8 Hz), 7.41 (app d, 2H, J=8.2 Hz), 7.22 (d, 1H, J=8.2 Hz), 4.76 (s, 2H), 3.24 (s, 3H), 2.74 (dq, 2H, J=5.8 and 7.3 Hz), 2.47 (s, 3H), 2.16 (s, 3H), 0.91 (t, 3H, J=7.3 Hz); LCMS: purity: 97%; MS (m/z): 484 (MH+).
- 1H NMR (DMSO-d6): δ 9.46 (s, 1H), 8.38 (s, 1H), 8.13 (s, 1H), 8.02 (d, 1H, J=8.2 Hz), 7.98 (s, 1H), 7.86 (d, 1H, J=8.5 Hz), 7.82 (s, 1H), 7.41-7.36 (m, 2H), 7.27 (d, 1H, J=7.3 Hz), 3.34 (s, 3H), 2.14 (s, 3H), 2.11-2.09 (m, 1H), 1.43 (s, 6H), 0.47-0.39 (m, 4H); LCMS: purity: 99%; MS (m/z): 510 (MH+).
- 1H NMR (DMSO-d6): δ 9.60 (s, 1H), 8.57 (s, 1H), 8.01 (s, 1H), 7.85 (d, 2H, J=8.5 Hz), 7.66-7.62 (m, 2H), 7.55 (d, 1H, J=8.5 Hz), 7.43 (d, 1H, J=8.5 Hz), 3.34 (s, 3H), 2.14 (s, 3H), 2.03-2.02 (m, 1H), 1.45 (s, 6H), 0.44-0.33 (m, 4H); LCMS: purity: 99%; MS (m/z): 510 (MH+).
- 1H NMR (DMSO-d6): δ 9.34 (s, 1H), 8.33 (s, 1H), 8.10 (app s, 1H), 7.97 (d, 2H, J=8.5 Hz), 7.88 (m, 2H), 7.36 (d, 1H, J=8.8 Hz), 7.17 (d, 1H, J=8.5 Hz), 3.34 (s, 3H), 2.43 (s, 3H), 2.13 (app s, 4H), 1.43 (s, 6H), 0.42-0.34 (m, 4H); LCMS: purity: 99%; MS (m/z): 524 (MH+).
- 1H NMR (DMSO-d6): δ 9.32 (s, 1H), 8.34 (s, 1H), 8.03 (s, 1H), 7.96-7.94 (app m, 2H), 7.85 (d, 1H, J=8.5 Hz), 7.38 (d, 1H, J=8.5 Hz), 7.33 (q, 1H, J=4.7 Hz), 7.17 (d, 1H, J=8.5 Hz), 3.34 (s, 3H), 2.41 (s, 3H), 2.39 (d, 3H, J=4.7 Hz), 2.13 (s, 3H), 1.43 (s, 6H); LCMS: purity: 99%; MS (m/z): 498 (MH+).
- 1H NMR (DMSO-d6): δ 11.09 (s, 1H), 9.41 (s, 1H), 8.19 (s, 1H), 8.11 (s, 1H), 7.96-7.93 (app m, 2H), 7.74 (d, 1H, J=8.5 Hz), 7.38-7.29 (m, 3H), 7.25 (s, 2H), 4.62 (s, 2H), 2.11 (s, 3H); LCMS: purity: 99%; MS (m/z): 428 (MH+).
- 1H NMR (DMSO-d6): δ 11.13 (s, 1H), 9.50 (s, 1H), 8.36 (s, 1H), 7.98 (s, 1H), 7.79 (d, 2H, J=8.8 Hz), 7.59 (overlapped d, 3H, J=8.8 Hz), 7.39 (d, 1H, J=8.5 Hz), 7.10 (s, 2H), 4.63 (s, 2H), 2.11 (s, 3H); LCMS: purity: 99%; MS (m/z): 428 (MH+).
- 1H NMR (DMSO-d6): δ 11.08 (s, 1H), 9.29 (s, 1H), 8.12 (s, 2H), 7.93 (s, 1H), 7.89 (d, 1H, J=8.2 Hz), 7.76 (d, 1H, J=8.5 Hz), 7.35 (d, 1H, J=8.2 Hz), 7.23 (s, 2H), 7.16 (d, 1H, J=8.5 Hz), 4.61 (s, 2H), 2.48 (s, 3H), 2.09 (s, 3H); LCMS: purity: 99%; MS (m/z): 442 (MH+).
- 1H NMR (DMSO-d6): δ 11.09 (s, 1H), 9.30 (s, 1H), 8.16 (s, 1H), 7.97-7.94 (m, 3H), 7.73 (d, 1H, J=8.8 Hz), 7.35 (d, 1H, 8.8 Hz), 7.32 (q, 1H, J=4.7 Hz), 7.19 (d, 1H, J=8.5 Hz), 4.61 (s, 2H), 2.44 (s, 3H), 2.40 (d, 3H, J=4.7 Hz), 2.09 (s, 3H); LCMS: purity: 99%; MS (m/z): 456 (MH+).
- 1H NMR (DMSO-d6): δ 11.09 (s, 1H), 9.30 (s, 1H), 8.15 (s, 1H), 8.05 (s, 1H), 7.93-7.92 (m, 2H), 7.74 (d, 1H, J=8.5 Hz), 7.48 (t, 1H, J=5.5 Hz), 7.35 (d, 1H, J=8.5 Hz), 7.18 (d, 1H, J=8.5 Hz), 4.61 (s, 2H), 2.84 (dq, 2H, J=5.5 and 7.3 Hz), 2.45 (s, 3H), 2.09 (s, 3H), 0.95 (t, 3H, J=7.3 Hz); LCMS: purity: 99%; MS (m/z): 456 (MH+).
- 1H NMR (DMSO-d6): δ 12.08 (br s, 1H), 10.68 (s, 1H), 9.26 (s, 1H), 8.36 (s, 1H), 8.12 (app s, 2H), 7.87 (s, 1H), 7.31 (app s, 2H), 7.21-7.17 (m, 2H), 6.91 (d, 1H, J=8.5 Hz), 4.55 (s, 2H), 2.18 (q, 2H, J=7.3 Hz), 2.08 (s, 3H), 0.86 (t, 3H, J=7.3 Hz); LCMS: purity: 99%; MS (m/z): 483 (MH+).
- 1H NMR (DMSO-d6): δ 11.95 (br s, 1H), 9.37 (s, 1H), 8.43 (s, 1H), 8.15 (s, 1H), 8.04 (m, 1H), 7.91 (s, 1H), 7.76 (s, 1H), 7.58 (d, 1H, J=8.8 Hz), 7.33-7.32 (m, 2H), 7.08 (d, 1H, J=8.5 Hz), 4.70 (s, 2H), 2.94 (q, 2H, J=7.3 Hz), 2.18 (q, 2H, J=7.3 Hz), 2.10 (s, 3H), 1.02 (t, 3H, J=7.3 Hz), 0.86 (t, 3H, J=7.3 Hz); LCMS: purity: 98%; MS (m/z): 539 (MH+).
- 1H NMR (DMSO-d6): δ 11.75 (s, 1H), 9.58 (s, 1H), 8.46 (s, 1H), 7.93 (s, 1H), 7.83 (d, 2H, J=8.8 Hz), 7.60 (d, 2H, J=8.8 Hz), 7.31 (app d, 2H, J=8.2 Hz), 6.97 (d, 1H, 8.2 Hz), 3.21 (s, 3H), 2.16 (q, 2H, J=7.3 Hz), 2.11 (s, 3H), 1.42 (s, 6H), 0.85 (t, 3H, J=7.3 Hz); LCMS: purity: 94%; MS (m/z): 525 (MH+).
- 1H NMR (DMSO-d6): δ 10.67 (s, 1H), 8.89 (s, 1H), 8.26 (s, 1H), 7.88-7.79 (m, 3H), 7.25-7.17 (m, 3H), 7.06 (t, 1H, J=7.9 Hz), 6.90 (d, 1H, J=8.5 Hz), 4.54 (s, 2H), 2.06 (s, 3H), 1.89 (q, 2H, J=7.6 Hz), 0.83 (t, 3H, J=7.6 Hz). LCMS: purity: 94%;
- 1H NMR (DMSO-d6): δ 9.11 (s, 1H), 8.32 (s, 1H), 7.88 (s, 1H), 7.59 (d, 2H, J=8.5 Hz), 7.46 (d, 2H, J=8.5 Hz), 7.39 (d, 1H, J=8.5 Hz), 7.33 (s, 1H), 6.93 (d, 1H, J=8.5 Hz), 3.24 (s, 3H), 2.09 (s, 3H), 1.87 (q, 2H, J=7.6 Hz), 1.41 (s, 6H), 0.82 (t, 3H, J=7.6 Hz); LCMS: purity: 99%;
- 1H NMR (DMSO-d6): δ 8.19 (s, 1H), 8.00 (s, 1H), 7.90 (m, 1H), 7.53 (m, 2H), 7.29 (m, 4H), 3.82 (m, 2H), 3.47 (s, 2H), 1.50 (m, 2H), 0.79 (m, 3H); LCMS: purity: 99%; MS (m/z): 506 (MH+).
- 1H NMR (DMSO-d6): δ 8.16 (s, 1H), 8.02 (s, 1H), 7.81 (m, 1H), 7.56 (m, 2H), 7.34 (s, 1H), 7.22 (s, 2H), 7.12 (m, 1H), 3.80 (m, 2H), 3.47 (s, 2H), 2.47 (s, 3H), 1.48 (m, 2H), 0.78 (m, 3H); LCMS: purity: 99%; MS (m/z): 520 (MH+).
- 1H NMR (DMSO-d6): δ 8.17 (s, 1H), 7.94 (s, 1H), 7.83 (m, 1H), 7.50 (m, 3H), 7.34 (m, 1H), 7.13 (m, 1H), 3.76 (m, 2H), 3.48 (s, 2H), 2.78 (m, 2H), 2.44 (s, 3H), 1.45 (m, 2H), 0.94 (m, 3H), 0.76 (m, 3H); LCMS: purity: 99%; MS (m/z): 548 (MH+).
- 1H NMR (DMSO-d6): δ 7.99 (s, 1H), 7.58 (m, 4H), 7.25 (m, 4H), 7.08 (m, 1H), 4.67 (s, 2H), 3.74 (m, 2H), 2.18 (s, 3H), 1.48 (m, 2H), 0.79 (m, 3H); LCMS: purity: 99%; MS (m/z): 469 (MH+).
- 1H NMR (DMSO-d6): δ 8.20 (m, 1H), 7.74 (m, 2H), 7.62 (m, 2H), 7.54 (m, 1H), 7.46 (m, 1H), 7.35 (s, 1H), 6.99 (m, 1H), 6.66 (m, 1H), 4.63 (s, 2H), 3.76 (m, 2H), 1.55 (m, 2H), 0.84 (m, 3H); LCMS: purity: 99%; MS (m/z): 473 (MH+).
- 1H NMR (DMSO-d6): δ 8.26 (s, 1H), 7.68 (m, 2H), 7.56 (m, 2H), 7.32 (m, 3H), 7.04 (m, 1H), 4.65 (s, 2H), 3.77 (m, 2H), 1.53 (m, 2H), 0.82 (m, 3H); LCMS: purity: 99%; MS (m/z): 489 (MH+).
- 1H NMR (DMSO-d6): δ 8.17 (s, 1H), 7.96 (s, 1H), 7.75 (m, 1H), 7.34 (m, 4H), 7.22 (s, 2H), 7.05 (m, 4H), 4.62 (s, 2H), 3.70 (m, 2H), 2.47 (s, 3H), 1.50 (m, 2H), 0.80 (m, 3H); LCMS: purity: 99%; MS (m/z): 503 (MH+).
- 1H NMR (DMSO-d6): δ 7.88 (s, 1H), 7.68 (m, 2H), 7.44 (m, 1H), 7.19 (m, 1H), 7.02 (m, 2H), 6.97 (m, 1H), 4.59 (s, 2H), 2.46 (s, 3H), 2.35 (m, 3H), 2.13 (s, 3H); LCMS: purity: 99%; MS (m/z): 455 (MH+).
- 1H NMR (DMSO-d6): δ 7.91 (s, 1H), 7.70 (m, 2H), 7.47 (m, 1H), 7.30 (m, 1H), 7.15 (m, 3H), 3.48 (s, 2H), 2.47 (s, 3H), 2.36 (m, 3H), 2.14 (s, 3H); LCMS: purity: 99%; MS (m/z): 471 (MH+).
- 1H NMR (DMSO-d6): δ 8.17 (s, 1H), 7.96 (s, 1H), 7.92 (m, 1H), 7.32 (m, 5H), 6.98 (m, 1H), 4.64 (s, 2H), 3.16 (s, 3H); LCMS: purity: 99%; MS (m/z): 461 (MH+).
- 1H NMR (DMSO-d6): δ 8.22 (s, 1H), 7.90 (s, 1H), 7.74 (m, 1H), 7.26 (m, 5H), 7.06 (m, 2H), 6.98 (m, 1H), 4.65 (s, 2H), 3.09 (s, 3H), 2.46 (s, 3H); LCMS: purity: 99%; MS (m/z): 475 (MH+).
- 1H NMR (DMSO-d6): δ 8.16 (s, 1H), 7.88 (s, 1H), 7.82 (m, 1H), 7.35 (s, 2H), 7.30 (m, 1H), 7.12 (m, 1H), 6.96 (m, 1H), 4.64 (s, 2H), 3.09 (s, 3H), 2.42 (s, 3H), 2.36 (m, 3H); LCMS: purity: 99%; MS (m/z): 489 (MH+).
- 1H NMR (DMSO-d6): δ 8.19 (s, 1H), 7.90 (s, 1H), 7.80 (m, 1H), 7.45 (m, 2H), 7.37 (s, 1H), 7.29 (m, 1H), 6.95 (m, 1H), 4.64 (s, 2H), 3.08 (s, 3H), 2.74 (m, 2H), 2.43 (s, 3H), 0.92 (m, 3H); LCMS: purity: 99%; MS (m/z): 503 (MH+).
- 1H NMR (DMSO-d6): δ 7.86 (, m, 3H), 7.59 (m, 1H), 7.31 (m, 5H), 6.99 (m, 1H), 4.62 (s, 2H), 3.70 (m, 2H), 2.14 (s, 3H), 1.46 (m, 2H), 0.79 (m, 3H); LCMS: purity: 99%; MS (m/z): 469 (MH+).
- 1H NMR (DMSO-d6): δ 8.11 (s, 1H), 8.01 (s, 1H), 7.86 (s, 1H), 7.79 (m, 1H), 7.40 (m, 1H), 7.32 (m, 1H), 7.20 (s, 2H), 7.08 (m, 1H), 6.95 (m, 1H), 4.61 (s, 2H), 3.71 (m, 2H), 2.47 (s, 3H), 2.11 (s, 3H), 1.50 (m, 2H), 0.80 (m, 3H); LCMS: purity: 99%; MS (m/z): 482 (MH+).
- 1H NMR (DMSO-d6): δ 7.88 (s, 1H), 7.79 (m, 1H), 7.39 (m, 1H), 7.22 (m, 2H), 7.15 (m, 1H), 6.98 (m, 1H), 4.63 (s, 2H), 3.60 (m, 2H), 2.43 (s, 3H), 2.34 (m, 3H), 2.13 (s, 3H), 1.43 (m, 2H), 0.76 (m, 3H); LCMS: purity: 99%; MS (m/z): 497 (MH+).
- 1H NMR (DMSO-d6): δ 8.11 (s, 1H), 7.89 (m, 1H), 7.64 (m, 1H), 7.37 (m, 2H), 7.25 (s, 1H), 6.96 (m, 1H), 4.60 (s, 2H), 3.75 (m, 2H), 1.54 (m, 2H), 0.84 (m, 3H); LCMS: purity: 99%; MS (m/z): 473 (MH+).
- 1H NMR (DMSO-d6): δ 8.10 (m, 2H), 7.82 (m, 1H), 7.64 (m, 1H), 7.38 (s, 1H), 7.22 (s, 2H), 7.14 (m, 1H), 6.95 (m, 1H), 4.59 (s, 2H), 3.75 (m, 2H), 2.47 (s, 3H), 1.56 (m, 2H), 0.84 (m, 3H); LCMS: purity: 99%; MS (m/z): 487 (MH+).
- 1H NMR (DMSO-d6): δ 8.09 (m, 2H), 8.00 (m, 1H), 7.87 (m, 1H), 7.60 (m, 1H), 7.39 (s, 1H), 7.33 (m, 2H), 7.18 (m, 1H), 6.95 (m, 1H), 4.60 (s, 2H), 3.70 (m, 2H), 2.38 (s, 3H), 1.52 (m, 2H), 0.82 (m, 3H); LCMS: purity: 99%; MS (m/z): 501 (MH+).
- 1H NMR (DMSO-d6): δ 8.09 (m, 1H), 8.02 (s, 1H), 7.84 (m, 1H), 7.61 (m, 1H), 7.46 (m, 1H), 7.39 (s, 1H), 7.16 (m, 1H), 6.95 (m, 1H), 4.60 (s, 2H), 3.70 (m, 2H), 2.77 (m, 2H), 2.44 (s, 3H), 1.52 (m, 2H), 0.93 (m, 3H), 0.81 (m, 3H); LCMS: purity: 99%; MS (m/z): 515 (MH+).
- 1H NMR (DMSO-d6): δ 8.12 (m, 1H), 7.91 (s, 1H), 7.83 (m, 1H), 7.34 (m, 2H), 7.10 (m, 1H), 6.97 (m, 1H), 4.62 (s, 2H), 3.69 (m, 2H), 2.41 (s, 3H), 2.37 (m, 3H), 1.50 (m, 2H), 0.79 (m, 3H); LCMS: purity: 99%; MS (m/z): 518 (MH+).
- 1H NMR (DMSO-d6): δ 8.13 (s, 1H), 7.93 (s, 1H), 7.81 (m, 1H), 7.45 (m, 1H), 7.34 (m, 2H), 7.10 (m, 1H), 6.96 (m, 1H), 4.62 (s, 2H), 3.86 (m, 2H), 2.76 (m, 2H), 1.47 (m, 2H), 0.91 (m, 3H), 0.79 (m, 3H); LCMS: purity: 99%; MS (m/z): 532 (MH+).
- 1H NMR (DMSO-d6): δ 8.38 (s, 1H), 8.13 (s, 1H), 7.99 (s, 1H), 7.90 (m, 2H), 7.63 (m, 1H), 7.57 (s, 1H), 7.29 (m, 2H), 7.13 (m, 1H), 3.81 (m, 2H), 3.46 (s, 2H), 2.42 (s, 3H), 2.38 (m, 3H), 2.11 (s, 3H), 1.06 (m, 3H); LCMS: purity: 99%; MS (m/z): 499 (MH+).
- 1H NMR (DMSO-d6): δ 8.30 (s, 1H), 7.83 (s, 1H), 7.65 (m, 1H), 7.50 (s, 1H), 7.27 (m, 5H), 7.16 (s, 1H), 7.09 (m, 1H), 6.99 (m, 1H), 4.63 (s, 2H), 3.73 (m, 2H), 1.02 (m, 3H); LCMS: purity: 99%; MS (m/z): 475 (MH+).
- 1H NMR (DMSO-d6): δ 8.18 (s, 1H), 7.88 (m, 2H), 7.34 (m, 6H), 6.97 (m, 1H), 4.62 (s, 2H), 3.81 (m, 2H), 2.47 (s, 3H), 1.02 (m, 3H); LCMS: purity: 99%; MS (m/z): 489 (MH+).
- 1H NMR (DMSO-d6): δ 7.89 (s, 1H), 7.78 (s, 1H), 7.65 (m, 1H), 7.55 (m, 1H), 7.20 (m, 2H), 7.13 (m, 1H), 6.98 (m, 1H), 4.63 (s, 2H), 2.70 (m, 2H), 2.44 (s, 3H), 1.40 (m, 2H), 0.91 (m, 3H), 0.75 (m, 3H); LCMS: purity: 99%; MS (m/z): 511 (MH+).
- 1H NMR (DMSO-d6): δ 8.15 (s, 1H), 7.98 (s, 1H), 7.88 (m, 1H), 7.32 (m, 6H), 6.98 (m, 1H), 4.62 (s, 2H), 3.74 (m, 2H), 1.52 (m, 2H), 0.81 (m, 3H); LCMS: purity: 99%; MS (m/z): 489 (MH+).
- 1H NMR (DMSO-d6): δ 9.20 (s, 1H), 8.38 (s, 1H), 8.12 (s, 1H), 7.99 (s, 1H), 7.88 (m, 2H), 7.57 (m, 2H), 7.30 (m, 2H), 7.14 (m, 1H), 3.76 (m, 2H), 2.42 (s, 3H), 1.46 (m, 2H), 0.75 (m, 3H); LCMS: purity: 99%; MS (m/z): 513 (MH+).
- 1H NMR (DMSO-d6): δ 9.55 (s, 1H), 8.96 (s, 1H), 8.17 (s, 1H), 7.92 (s, 1H), 7.84 (m, 1H), 7.58 (s, 1H), 7.50 (m, 1H), 7.37 (m, 2H), 7.14 (m, 1H), 3.51 (s, 2H), 3.17 (s, 3H), 2.43 (s, 3H), 2.37 (m, 3H); LCMS: purity: 99%; MS (m/z): 506 (MH+).
- 1H NMR (DMSO-d6): δ 9.53 (s, 1H), 8.96 (s, 1H), 8.17 (s, 1H), 7.92 (s, 1H), 7.84 (m, 1H), 7.53 (m, 2H), 7.32 (m, 2H), 7.14 (m, 1H), 3.76 (s, 2H), 3.48 (s, 2H), 2.42 (s, 3H), 1.45 (m, 2H), 0.76 (m, 3H); LCMS: purity: 99%; MS (m/z): 534 (MH+).
- 1H NMR (DMSO-d6): δ 9.48 (s, 1H), 8.89 (s, 1H), 8.13 (s, 1H), 7.91 (s, 1H), 7.84 (m, 1H), 7.33 (m, 3H), 7.10 (m, 1H), 6.97 (m, 1H), 4.61 (s, 2H), 3.77 (m, 2H), 3.48 (s, 2H), 2.41 (s, 3H), 2.37 (m, 2H), 1.06 (m, 3H); LCMS: purity: 99%; MS (m/z): 503 (MH+).
- 1H NMR (DMSO-d6): δ 9.47 (s, 1H), 8.89 (s, 1H), 8.13 (s, 1H), 7.92 (s, 1H), 7.81 (m, 1H), 7.47 (m, 1H), 7.39 (m, 1H), 7.35 (m, 1H), 7.10 (m, 1H), 6.97 (m, 1H), 4.62 (s, 2H), 3.76 (m, 2H), 2.77 (m, 2H), 2.43 (s, 3H), 1.05 (m, 3H), 0.93 (m, 3H); LCMS: purity: 99%; MS (m/z): 518 (MH+).
- 1H NMR (DMSO-d6): δ 8.16 (s, 1H), 7.96 (m, 2H), 7.33 (m, 5H), 6.98 (m, 1H), 4.64 (s, 2H), 3.15 (s, 3H), 2.33 (m, 3H); LCMS: purity: 99%; MS (m/z): 475 (MH+).
- 1H NMR (DMSO-d6): δ 8.16 (s, 1H), 7.96 (m, 2H), 7.37 (m, 5H), 6.98 (m, 1H), 4.62 (s, 2H), 3.80 (m, 2H), 2.33 (m, 3H), 1.08 (m, 3H); LCMS: purity: 99%; MS (m/z): 489 (MH+).
- 1H NMR (DMSO-d6): δ 8.17 (s, 1H), 7.95 (m, 2H), 7.33 (m, 5H), 6.98 (m, 1H), 4.62 (s, 2H), 3.73 (m, 2H), 2.37 (m, 3H), 1.51 (m, 2H), 0.80 (m, 3H); LCMS: purity: 99%; MS (m/z): 503 (MH+).
- 1H NMR (DMSO-d6): δ 8.20 (s, 1H), 7.97 (m, 2H), 7.57 (s, 1H), 7.49 (m, 1H), 7.35(m, 3H), 7.26 (m, 1H), 3.51 (s, 2H), 3.23 (s, 3H), 2.38 (m, 3H); LCMS: purity: 99%; MS (m/z): 491 (MH+).
- 1H NMR (DMSO-d6): δ 8.20 (s, 1H), 7.97 (m, 2H), 7.57 (s, 1H), 7.49 (m, 1H), 7.35(m, 3H), 7.26 (m, 1H), 3.51 (s, 2H), 3.23 (s, 3H), 2.38 (m, 3H); LCMS: purity: 99%; MS (m/z): 491 (MH+).
- 1H NMR (DMSO-d6): δ 8.28 (s, 1H), 8.11 (s, 1H), 8.06 (s, 1H), 7.83 (m, 2H), 7.42(m, 2H), 7.21 (s, 2H), 7.09 (m, 1H), 6.97 (m, 1H), 4.63 (m, 3H), 4.50 (m, 1H), 4.18 (m, 1H), 4.06(m, 1H), 2.47 (s, 3H), 2.11 (s, 3H); LCMS: purity: 99%; MS (m/z): 487 (MH+).
- 1H NMR (DMSO-d6): δ 8.40 (s, 1H), 7.92 (s, 1H), 7.77 (m, 1H), 7.54 (m, 1H), 7.39 (m, 2H), 7.09 (s, 1H), 7.00 (m, 1H), 4.69 (m, 3H), 4.53 (m, 1H), 4.22 (m, 1H), 4.14 (m, 1H), 2.10 (s, 3H); LCMS: purity: 99%; MS (m/z): 473 (MH+).
- 1H NMR (DMSO-d6): δ 8.32 (s, 1H), 8.11 (s, 1H), 8.07 (s, 1H), 7.45 (m, 2H), 7.25 (m, 4H), 6.98 (m, 1H), 4.65 (m, 3H), 4.51 (m, 1H), 4.19 (m, 1H), 4.11 (m, 1H), 2.09 (s, 3H); LCMS: purity: 99%; MS (m/z): 473 (MH+).
- 1H NMR (DMSO-d6): δ 8.17 (s, 1H), 7.72 (m, 2H), 7.55 (m, 2H), 7.35 (m, 2H), 7.12 (s, 2H), 7.03 (m, 1H), 4.68 (m, 3H), 4.52 (m, 1H), 4.22 (m, 1H), 4.14 (m, 1H); LCMS: purity: 99%; MS (m/z): 493 (MH+).
- 1H NMR (DMSO-d6): δ 8.12 (s, 1H), 8.00 (s, 1H), 7.81 (m, 1H), 7.40 (m, 3H), 7.23 (s, 2H), 7.08 (m, 1H), 7.00 (m, 1H), 4.64 (m, 3H), 4.49 (m, 1H), 4.15 (m, 1H), 4.09 (m, 1H), 2.46 (s, 3H); LCMS: purity: 99%; MS (m/z): 507 (MH+).
- 1H NMR (DMSO-d6): δ 9.35 (s, 1H), 8.52 (s, 1H), 8.08 (s, 1H), 7.95 (s, 1H), 7.91 (d, 1H, J=3.9 Hz), 7.69 (s, 1H), 7.61 (d, 1H, J=9.0 Hz), 7.29 (m, 3H), 7.24 (s, 2H), 3.34 (s, 3H), 2.13 (s, 3H); LCMS: MS (m/z): 477 (MH+).
- 1H NMR (DMSO-d6): δ 9.24 (s, 1H), 8.50 (s, 1H), 8.07 (s, 1H), 7.91 (s, 1H), 7.82 (d, 1H, J=8.1 Hz), 7.67 (s, 1H), 7.60 (d, 1H, J=9.3 Hz), 7.27 (d, 2H, J=8.7 Hz), 7.20 (s, 2H), 7.07 (d, 1H, J=8.1 Hz), 3.26 (s, 3H), 2.46 (s, 3H), 2.12 (s, 3H); 19F NMR (DMSO-d6): δ-75.77; LCMS: MS (m/z): 491 (MH+).
- 1H NMR (DMSO-d6): δ 9.44 (s, 1H), 8.57 (s, 1H), 7.97 (s, 1H), 7.79 (d, 2H, J=8.4 Hz), 7.59 (m, 4H), 7.31 (d, 1H, J=9.3 Hz), 7.09 (s, 2H), 3.38 (s, 3H), 2.14 (s, 3H); 19F NMR (DMSO-d6): δ-75.85; LCMS: MS (m/z): 477 (MH+).
- 1H NMR (DMSO-d6): δ 12.13 (s, 1H), 10.37 (s, 1H), 9.61 (s, 1H), 7.95 (s, 1H), 7.62 (s, 4H), 7.59 (m, 4H), 7.30 (m, 5H), 2.15 (s, 3H); 19F NMR (DMSO-d6): δ-76.65; LCMS: MS (m/z): 463 (MH+).
- 1H NMR (DMSO-d6): δ 11.92 (s, 1H), 9.24 (s, 1H), 8.52 (s, 1H), 8.07 (s, 1H), 7.94 (m, 2H), 7.49 (m, 1H), 7.41 (s, 1H), 7.25 (m 5H), 2.11 (s, 3H); 19F NMR (DMSO-d6): δ-76.65; LCMS: MS (m/z): 463 (MH+).
- 1H NMR (DMSO-d6): δ 11.91 (s, 1H), 9.12 (s, 1H), 8.49 (s, 1H), 8.06 (s, 1H), 7.88 (d, 2H, J=5.4 Hz), 7.47 (d, 1H, J=9.0 Hz), 7.22 (m, 3H), 7.06 (d, 1H, J=8.4 Hz), 2.46 (s, 3H), 2.10 (s, 3H); 19F NMR (DMSO-d6): δ-76.84; LCMS: MS (m/z): 477 (MH+).
- 1H NMR (DMSO-d6): δ 9.95 (s, 1H), 9.22 (s, 1H), 8.38 (d, 1H, J=4.2 Hz), 7.91 (s, 1H), 7.87 (br s, 1H), 7.72 (t, 2H, J=7.5 Hz), 7.46 (m, 3H), 7.30 (m, 6H), 5.18 (s, 2H), 2.10 (s, 3H); 19F NMR (DMSO-d6): δ-76.16; LCMS: MS (m/z): 554 (MH+).
- 1H NMR (DMSO-d6): δ 10.59 (s, 1H), 9.90 (s, 1H), 8.38 (d, 1H, J=4.5 Hz), 7.91 (s, 1H), 7.73 (m 3H), 7.50-7.22 (m, 8H), 7.09 (d, 1H, J=8.1 Hz), 5.08 (s, 2H), 2.51 (s, 3H), 2.12 (s, 3H); 19F NMR (DMSO-d6): δ-76.02; LCMS: MS (m/z): 568 (MH+).
- 1H NMR (DMSO-d6): δ 9.41 (s, 1H), 8.46 (s, 1H), 8.42 (d, 1H, J=5.4 Hz), 7.94 (s, 1H), 7.79 (d, 2H, J=8.4 Hz), 7.66 (m, 5H), 7.33 (m, 2H), 7.23 (t, 1H, J=7.5 Hz), 7.11 (s, 2H), 5.29 (s, 2H), 2.07 (s, 3H); 19F NMR (DMSO-d6): δ-76.44; LCMS: MS (m/z): 554 (MH+).
- 1H NMR (DMSO-d6): δ 11.24 (s, 1H), 10.50 (s, 1H), 9.62 (s, 1H), 8.12 (d, 1H, J=1.5 Hz), 7.94 (s, 1H), 7.76 (t, 2H, J=9.0 Hz), 7.63 (s, 1H), 7.52 (d, 2H, J=7.8 Hz), 7.39 (m, 3H), 2.16 (s, 3H), 1.42 (s, 6H); LCMS: purity: 95%; MS (m/z): 456 (MH+).
- 1H NMR (DMSO-d6): δ 11.24 (s, 1H), 10.50 (s, 1H), 9.28 (s, 1H), 8.31 (s, 2H), 7.88 (m, 3H), 7.14 (d, 1H, J=8.7 Hz), 2.49 (s, 3H), 2.10 (s, 3H), 1.43 (s, 6H); LCMS: purity: 97%; MS (m/z): 470 (MH+).
- 1H NMR (DMSO-d6): δ 11.28 (s, 1H), 10.66 (s, 1H), 9.70 (s, 1H), 8.08 (s, 1H), 7.98 (s, 1H), 7.65 (m, 5H), 7.22 (s, 2H), 2.17 (s, 3H), 1.45 (s, 6H); LCMS: purity: 88%; MS (m/z): 456 (MH+).
- 1H NMR (DMSO-d6): δ 12.62 (s, 1H), 10.31 (s, 1H), 9.50 (s, 1H), 8.46 (s, 1H), 8.19 (s, 1H), 8.00 (s, 1H), 7.66 (s, 4H), 7.17 (s, 2H), 2.18 (s, 3H); 19F NMR (DMSO-d6): δ-75.47; LCMS: MS (m/z): 464 (MH+).
- 1H NMR (DMSO-d6): δ 12.46 (s, 1H), 9.49 (s, 1H), 8.57 (d, 2H, J=9.6 Hz), 8.38 (s, 1H), 8.10 (s, 1H), 7.97 (s, 1H), 7.95 (d, 1H, J=8.1 Hz), 7.34 (m, 2H), 7.24 (s, 2H), 2.14 (s, 3H); 19F NMR (DMSO-d6): δ-75.47; LCMS: MS (m/z): 464 (MH+).
- 1H NMR (DMSO-d6): δ 12.45 (s, 1H), 9.37 (s, 1H), 8.55 (d, 2H, J=6.9 Hz), 8.39 (s, 1H), 8.09 (s, 1H), 7.94 (s, 2H), 7.88 (d, 1H, J=8.1 Hz), 7.22 (s, 2H), 7.16 (d, 1H, J=8.4 Hz), 2.46 (s, 3H), 2.12 (s, 3H); 19F NMR (DMSO-d6): δ-75.47; LCMS: MS (m/z): 478 (MH+).
- 1H NMR (DMSO-d6): δ 9.98 (s, 1H), 9.42 (s, 1H), 8.06-8.05 (d, J=3.6 Hz, 1H), 8.03 (s, 1H), 7.98-7.95 (m, 1H), 7.57 (s, 1H), 7.55-7.52 (d, J=8.4 Hz, 1H), 7.34-7.32 (m, 3H), 6.83-6.79 (d, J=8.7 Hz, 1H), 2.87-2.83 (t, 2H), 2.56-2.52 (t, 2H); LCMS: MS (m/z): 429.06 (MH+).
- 1H NMR (DMSO-d6): δ 9.98 (s, 1H), 9.10 (s, 1H), 8.14 (s, 1H), 8.03 (s, 1H), 7.95-7.93 (d, J=8.4 Hz, 1H), 7.82 (s, 1H), 7.49-7.46 (m, 2H), 7.18 (s, 2H), 7.09-7.07 (d, J=7.8 Hz, 1H), 6.82-6.79 (d, J=8.4 Hz, 1H), 2.86-2.81 (t, 2H), 2.44-2.42 (t, 2H), 2.075 (s, 3H); LCMS: MS (m/z): 439.34 (MH+).
- 1H NMR (DMSO-d6): δ 9.98 (s, 1H), 9.22 (s, 1H), 8.18 (s, 1H), 8.01 (s, 2H), 7.85 (s, 1H), 7.49-7.46 (m, 2H), 7.27 (s, 2H), 7.20 (s, 2H), 6.82-6.79 (d, J=8.1 Hz, 1H), 2.88-2.85 (t, 2H), 2.44-2.42 (t, 2H), 2.08 (s, 3H); LCMS: MS (m/z): 425.37 (MH+).
- 1H NMR (DMSO-d6): δ 10.04 (s, 1H), 9.36 (s, 1H), 8.28 (s, 1H), 7.87 (s, 1H), 7.80-7.77 (d, J=8.4 Hz, 2H), 7.55-7.53 (d, J=9.0 Hz, 2H), 7.45 (s, 1H), 7.38-7.35 (d, J=8.4 Hz, 2H), 7.07 (s, 2H), 6.85-6.82 (d, J=8.4 Hz, 1H), 2.88-2.84 (t, 2H), 2.456-242 (t, 2H), 2.09 (s, 3H); LCMS: MS (m/z): 425.37 (MH+).
- 1H NMR (DMSO-d6): δ 10.14 (s, 1H), 9.53 (s, 1H), 8.16 (s, 1H), 7.99-7.94 (m, 2H), 7.21 (s, 2H), 7.18-7.14 (m, 2H), 7.09-7.06 (d, J=8.1 Hz, 1H), 6.86-6.83 (d, J=8.4 Hz, 1H), 4.64 (s, 2H), 3.16 (s, 3H), 2.89-2.84 (t, 2H), 2.45-2.42 (t, 2H), 2.07 (s, 3H); LCMS: MS (m/z): 481.15 (MH+).
- 1H NMR (DMSO-d6): δ 10.14 (s, 1H), 9.65 (s, 1H), 8.14 (s, 1H), 8.02-8.01 (d, J=5.4 Hz, 2H), 7.38-7.35 (m, 2H), 7.23 (s, 2H), 7.15 (s, 1H), 7.10-7.07 (d, J=8.4 Hz, 1H), 6.86-6.63 (d, J=8.4 Hz, 1H), 4.65 (s, 2H), 3.16 (s, 1H), 2.89-2.84 (t, 2H), 2.45-2.42 (t, 2H); LCMS: MS (m/z): 467.12 (MH+).
- 1H NMR (DMSO-d6): δ 9.15 (s, 1H), 8.21 (s, 1H), 8.05 (s, 1H), 7.93-7.90 (d, J=8.4 Hz, 2H), 7.84 (s, 2H), 7.60 (s, 2H), 7.19 (s, 2H), 7.12-7.09 (d, J=8.1 Hz, 1H), 7.036-7.004 (d, J=9.6 Hz, 1H), 3.25 (s, 3H), 2.83-2.8 (t, 2H), 2.56-2.53 (t, 2H), 2.09 (s, 3H); LCMS: MS (m/z): 452.93 (MH+).
- 1H NMR (DMSO-d6): δ 9.27 (s, 1H), 8.25 (s, 1H), 8.02 (s, 1H), 7.99 (s, 1H), 7.87 (s, 1H), 7.59 (s, 2H), 7.32-7.29 (m, 2H), 7.05-7.02 (d, J=9.6 Hz, 2H), 3.25 (s, 3H), 2.87-2.82 (t, 2H), 2.56-2.42 (t, 2H), 2.10 (s, 3H); LCMS: MS (m/z): 438.91 (MH+).
- 1H NMR (DMSO-d6): δ 9.15 (s, 1H), 8.22 (s, 1H), 8.04 (s, 1H), 7.92-7.89 (d, J=8.1 Hz, 1H), 7.85 (s, 1H), 7.61 (s, 1H), 7.58 (s, 1H), 7.21 (br s, 1H), 7.11-7.06 (t, 2H), 3.92-3.89 (q, 2H), 2.83-2.81 (t, 2H), 2.54-2.52 (t, 2H), 2.09 (s, 3H), 1.17-1.13 (t, 3H); LCMS: MS (m/z): 466.99 (MH+).
- 1H NMR (DMSO-d6): δ 9.28 (s, 1H), 8.26 (s, 1H), 8.03 (s, 1H), 7.99 (s, 1H), 7.88 (s, 1H), 7.61 (s, 1H), 7.59 (s, 1H), 7.31-7.29 (m, 2H), 7.19 (br s, 1H), 7.09-7.06 (d, J=9.0 Hz, 1H), 3.92-3.89 (q, 2H), 2.85-2.83 (t, 2H), 2.55-2.52 (t, 2H), 2.11 (s, 3H), 1.17-1.13 (t, 3H); LCMS: MS (m/z): 453.02 (MH+).
- 1H NMR (DMSO-d6): δ 9.40 (s, 1H), 8.35 (s, 1H), 7.90 (s, 1H), 7.80-7.78 (d, J=9.0 Hz, 2H), 7.56 (s, 2H), 7.53 (s, 1H), 7.50-7.47 (d, J=9.0 Hz, 1H), 7.06-7.04 (d, J=8.7 Hz, 2H), 2.85-2.83 (t, 2H), 2.56-2.53 (t, 2H), 2.11 (s, 3H); LCMS: MS (m/z): 439.17 (MH+).
- 1H NMR (DMSO-d6): δ 9.99 (s, 1H), 9.11 (s, 1H), 8.15 (s, 1H), 7.98-7.96 (m, 2H), 7.83 (s, 1H), 7.48-7.43 (m, 3H), 7.12-7.09 (d, J=8.7 Hz, 1H), 6.81-6.76 (d, J=8.1 Hz, 1H), 2.86-2.78 (m, 4H), 2.07 (s, 3H), 0.98-0.93 (t, 3H); LCMS: MS (m/z): 467.11 (MH+).
- 1H NMR (DMSO-d6): δ 10.00 (s, 1H), 9.13 (s, 1H), 8.17-8.14 (d, J=8.7 Hz, 1H), 8.01-7.98 (d, J=9.6 Hz, 1H), 7.95 (s, 1H), 7.83 (s, 1H), 7.48-7.45 (m, 2H), 7.30-7.29 (m, 1H), 7.13-7.10 (d, J=8.1 Hz, 1H), 6.81-6.78 (d, J=8.1 Hz, 1H), 2.86-2.81 (m, 2H), 2.44-2.40 (m, 5H), 2.07 (s, 3H); LCMS: MS (m/z): 453.14 (MH+).
- 1H NMR (DMSO-d6): δ 10.00 (s, 1H), 9.15 (s, 1H), 8.16 (s, 1H), 8.02-8.00 (m, 2H), 7.83 (s, 2H), 7.50-7.46 (m, 2H), 7.13-7.10 (d, J=9.0 Hz, 1H), 6.81-6.79 (d, J=6.0 Hz, 1H), 3.29 (s, 3H), 2.86-2.81 (t, 2H), 2.12 (br s, 1H), 2.07 (s, 3H), 0.4-0.36 (m, 4H); LCMS: MS (m/z): 479.14 (MH+).
- 1H NMR (DMSO-d6): δ 9.16 (s, 1H), 8.23 (s, 1H), 7.96 (br s, 2H), 7.85 (s, 1H), 7.56 (m, 2H), 7.16-7.13 (d, J=9.0 Hz, 1H), 7.04-7.01 (d, J=9.0 Hz, 1H), 3.25 (s, 3H), 2.84-2.80 (t, 2H), 2.56-2.54 (m, 2H), 2.44 (s, 3H), 2.40 (s, 3H), 2.07 (s, 3H); LCMS: MS (m/z): 467.01 (MH+).
- 1H NMR (DMSO-d6): δ 9.15 (s, 1H), 8.23 (s, 1H), 7.99-7.94 (m, 2H), 7.85 (s, 1H), 7.60-7.57 (m, 2H), 7.15-7.12 (d, J=9.0 Hz, 1H), 7.04-7.01 (d, J=9.0 Hz, 1H), 3.45 (s, 3H), 2.09 (s, 3H), 0.97-0.93 (t, 3H); LCMS: MS (m/z): 481.01 (MH+).
- 1H NMR (DMSO-d6): δ 9.15 (s, 1H), 8.22 (s, 1H), 8.04 (s, 1H), 7.96-7.93 (d, J=9.0 Hz, 1H), 7.85 (s, 1H), 7.60-7.57 (m, 2H), 7.15-7.12 (d, J=9.0 Hz, 1H), 7.04-7.01 (d, J=9.0 Hz, 1H), 3.25 (s, 3H), 3.176 (m, 1H), 2.85-2.80 (t, 2H), 2.56-2.51 (t, 2H), 2.09 (s, 3H), 0.96-0.94 (d, J=6.6 Hz, 6H); LCMS: MS (m/z): 495.00 (MH+).
- 1H NMR (DMSO-d6): δ 9.18 (s, 1H), 8.22 (s, 1H), 8.04 (s, 1H), 8.00-7.97 (d, J=9.0 Hz, 1H), 7.85 (s, 1H), 7.61-7.58 (m, 2H), 7.15-7.13 (d, J=8.1 Hz, 1H), 7.04-7.01 (d, J=9.3 Hz, 1H), 3.25 (s, 3H), 2.85-2.83 (t, 2H), 2.56-2.51 (t, 2H), 2.44 (s, 3H), 2.09 (s, 3H), 0.43-0.35 (m, 4H); LCMS: MS (m/z): 493.00 (MH+).
- 1H NMR (DMSO-d6): δ 9.12 (s, 1H), 8.22 (s, 1H), 8.03 (s, 1H), 7.90-7.84 (m, 2H), 7.57 (br s, 2H), 7.15-7.12 (d, J=9.0 Hz, 2H), 7.09-7.06 (d, J=9.0 Hz, 2H), 4.57 (m, 1H), 3.29 (s, 3H), 2.74-2.71 (t, 2H), 2.09 (s, 3H), 1.46-1.43 (d, J=6.6 Hz, 4H); LCMS: MS (m/z): 481.01 (MH+).
- 1H NMR (DMSO-d6): δ 9.14 (s, 1H), 8.23 (s, 1H), 8.01 (s, 2H), 7.96-7.93 (d, J=8.4 Hz, 2H), 7.85 (s, 1H), 7.60-7.57 (m, 2H), 7.24-7.18 (m, 5H), 7.13-7.10 (d, J=8.4 Hz, 2H), 7.03-7.00 (d, J=9.0 Hz, 2H), 3.98 (s, 2H), 3.25 (s, 3H), 2.85-2.80 (t, 2H), 2.56-2.53 (t, 2H), 2.45 (s, 3H), 2.09 (s, 3H); LCMS: MS (m/z): 543.01 (MH+).
- 1H NMR (DMSO-d6): δ 9.99 (s, 1H), 9.12 (s, 1H), 8.16 (s, 1H), 8.02 (s, 1H), 7.98-7.95 (d, J=8.1 Hz, 1H), 7.83 (s, 1H), 7.50-7.42 (m, 2H), 7.12-7.09 (d, J=9.0 Hz, 1H), 6.82-6.79 (d, J=9.0 Hz, 1H), 3.24-3.17 (m, 1H), 2.86-2.81 (t, 2H), 2.08 (s, 3H), 0.97-0.94 (d, J=9.0 Hz, 4H); LCMS: MS (m/z): 481.15 (MH+).
- 1H NMR (DMSO-d6): δ 9.30 (s, 1H), 8.27 (s, 1H), 8.09-8.07 (d, 7.8 Hz, 1H), 7.99 (s, 1H), 7.88 (s, 1H), 7.59 (s, 2H), 7.37-7.32 (m, 2H), 7.21-7.19 (d, J=7.5 Hz, 1H), 7.05-7.02 (d, J=9.3 Hz, 1H), 3.26 (s, 3H), 2.87-2.82 (t, 2H), 2.57-2.54 (t, 2H), 2.40 (s, 3H), 2.11 (s, 3H); LCMS: MS (m/z): 452.97 (MH+).
- 1H NMR (DMSO-d6): δ 9.29 (s, 1H), 8.27 (s, 1H), 8.09-8.07 (d, J=7.8 Hz, 1H), 8.00 (s, 1H), 7.88 (s, 1H), 7.59 (s, 2H), 7.37-7.31 (t, 2H), 7.23-7.20 (d, J=7.8 Hz, 1H), 7.05-7.02 (d, J=9.3 Hz, 1H), 3.26 (s, 3H), 2.87-2.76 (m, 4H), 2.73-2.56 (t, 2H), 2.11 (s, 3H), 0.99-0.94 (t, 3H); LCMS: MS (m/z): 467.02 (MH+).
- 1H NMR (DMSO-d6): δ 9.30 (s, 1H), 8.27 (s, 1H), 8.09-8.04 (m, 2H), 7.88 (s, 1H), 7.56 (s, 1H), 7.34-7.32 (t, 2H), 7.25-7.23 (d, J=7.8 Hz, 1H), 7.05-7.03 (d, J=7.2 Hz, 1H), 3.26 (s, 3H), 2.84 (br s, 2H), 2.11 (s, 3H), 0.47-0.39 (m, 4H); LCMS: MS (m/z): 479.02 (MH+).
- 1H NMR (DMSO-d6): δ 9.30 (s, 1H), 8.27 (s, 1H), 8.03 (s, 2H), 7.88 (s, 1H), 7.59 (s, 2H), 7.43 (br s, 1H), 7.34-7.32 (t, 2H), 7.25-7.23 (d, J=7.8 Hz, 1H), 7.05-7.03 (d, J=7.2 Hz, 1H), 3.26 (s, 3H), 2.86-2.82 (t, 2H), 2.56-2.34 (t, 2H), 2.11 (s, 3H), 0.96-0.94 (d, J=6.3 Hz, 6H); LCMS: MS (m/z): 481.00 (MH+).
- 1H NMR (DMSO-d6): δ 9.47 (s, 1H), 8.76 (s, 1H), 8.10 (s, 2H), 7.98 (s, 1H), 7.87-7.84 (d, J=8.1 Hz, 1H), 7.54 (br s, 2H), 7.22 (s, 1H), 7.13-7.11 (d, J=8.7 Hz, 1H), 7.07-7.04 (d, J=9.3 Hz, 1H), 3.26 (s, 3H), 2.85-2.80 (t, 2H), 2.57-2.54 (t, 2H); LCMS: MS (m/z): 472.91 (MH+).
- 1H NMR (DMSO-d6): δ 9.47 (s, 1H), 8.11 (s, 1H), 7.90 (br s, 3H), 7.53-7.51 (m, 3H), 7.17-7.14 (d, J=8.7 Hz, 2H), 7.07-7.04 (d, J=7.8 Hz, 2H), 3.28 (s, 3H), 3.26 (s, 3H), 2.85-2.80 (t, 2H), 2.57-2.54 (t, 2H), 2.40 (s, 3H); LCMS: MS (m/z): 486.91 (MH+).
- 1H NMR (DMSO-d6): δ 9.46 (s, 1H), 8.80 (br s, 1H), 8.11 (s, 1H), 7.92-7.88 (m, 2H), 7.53-7.51 (m, 3H), 7.16-7.13 (d, J=8.4 Hz, 1H), 7.06-7.03 (d, J=9.0 Hz, 1H), 3.28 (s, 3H), 3.26 (s, 3H), 2.85-2.75 (m, 4H), 2.57-2.54 (t, 2H), 0.97-0.92 (t, 3H); LCMS: MS (m/z): 500.90 (MH+).
- 1H NMR (DMSO-d6): δ 9.49 (s, 1H), 8.80 (br s, 1H), 8.12 (s, 1H), 7.97-7.91 (m, 2H), 7.56-7.54 (m, 2H), 7.17-7.13 (m, 1H), 7.07-7.04 (m, 1H), 3.28 (s, 3H), 3.26 (s, 3H), 2.84-2.80 (m, 2H), 2.12 (br s, 1H), 0.42-0.34(m, 4H); LCMS: MS (m/z): 512.91 (MH+).
- 1H NMR (DMSO-d6): δ 9.46 (s, 1H), 8.80 (br s, 1H), 8.12-8.11 (m, 1H), 7.96-7.87 (m, 2H), 7.56-7.54 (m, 2H), 7.15-7.12 (m, 1H), 7.06-7.03 (m, 1H), 3.26 (s, 3H), 3.19-3.15 (m, 1H), 2.84-2.80 (m, 2H), 0.97-0.93 (m, 6H); LCMS: MS (m/z): 514.96 (MH+).
- 1H NMR (DMSO-d6): δ 9.58 (s, 1H), 8.13 (s, 1H), 7.95 (br s, 2H), 7.53 (br s, 2H), 7.33-7.31 (m, 3H), 7.08 (s, 1H), 7.05 (s, 1H), 3.26 (s, 3H), 2.87-2.82 (t, 2H); LCMS: MS (m/z): 456.85 (MH+).
- 1H NMR (DMSO-d6): δ 9.59 (s, 1H), 8.14 (s, 1H), 8.04-8.01 (d, J=7.8 Hz, 1H), 7.91 (s, 1H), 7.53 (br s, 2H), 7.34-7.32 (m, 1H), 7.26-7.24 (d, J=7.5 Hz, 1H), 7.08-7.05 (d, J=9.3 Hz, 1H), 3.26 (s, 3H), 2.87-2.82 (t, 2H), 2.57-2.52 (t, 3H); LCMS: MS (m/z): 472.91 (MH+).
- 1H NMR (DMSO-d6): δ 9.59 (s, 1H), 8.84 (s, 1H), 8.14 (s, 1H), 8.02-7.99 (d, J=7.8 Hz, 1H), 7.92 (s, 1H), 7.52 (br s, 2H), 7.46-7.43 (t, 1H), 7.37-7.32 (t, 1H), 7.28-7.2 (d, J=8.1 Hz, 1H), 7.08-7.05 (d, J=9.3 Hz, 1H), 3.26 (s, 3H), 2.86-2.82 (t, 2H), 2.78-2.72 (q, 2H), 2.57-2.52 (t, 3H), 0.99-0.94 (t, 3H); LCMS: MS (m/z): 486.91 (MH+).
- 1H NMR (DMSO-d6): δ 9.62 (s, 1H), 8.84 (s, 1H), 8.14 (s, 1H), 8.04-8.02 (d, J=6.9 Hz, 1H), 7.96 (s, 1H), 7.53 (br s, 2H), 7.39-7.28 (m, 2H), 7.28-7.2 (d, J=9.6 Hz, 1H), 3.26 (s, 3H), 2.87-2.82 (t, 2H), 2.57-2.52 (t, 2H), 2.09-2.08 (br s, 1H), 0.48-0.45 (d, J=6.6 Hz, 2H), 0.39 (s, 2H); LCMS: MS (m/z): 498.89 (MH+).
- 1H NMR (DMSO-d6): δ 9.59 (s, 1H), 8.82 (s, 1H), 8.14 (s, 1H), 7.96-7.94 (m, 2H), 7.53 (br s, 2H), 7.34-7.30 (m, 2H), 7.08-7.05 (d, J=8.7 Hz, 1H), 3.26 (s, 3H), 2.85-2.82 (t, 2H), 2.57-2.52 (t, 2H), 0.95-0.93 (d, J=6.3 Hz, 6H); LCMS: MS (m/z): 500.92 (MH+).
- 1H NMR (DMSO-d6): δ 10.05 (s, 1H), 9.47 (s, 1H), 8.73 (s, 1H), 8.08 (s, 1H), 7.96 (s, 2H), 7.89-7.86 (d, J=8.7 Hz, 1H), 7.42-7.38 (m, 2H), 7.23 (s, 1H), 7.09-7.07 (d, J=8.1 Hz, 1H), 6.83-6.80 (d, J=8.4 Hz, 1H), 2.86-2.81 (t, 2H), 2.47-2.42 (t, 2H); LCMS: MS (m/z): 458.91 (MH+).
- 1H NMR (DMSO-d6): δ 10.05 (s, 1H), 9.46 (s, 1H), 8.74 (s, 1H), 8.09 (s, 1H), 7.94-7.88 (m, 2H), 7.42-7.32 (m, 3H), 7.13-7.10 (d, J=8.1 Hz, 1H), 6.83-6.81 (d, J=8.4 Hz, 1H), 2.86-2.81 (t, 2H), 2.42-2.39 (t, 2H); LCMS: MS (m/z): 472.91 (MH+).
- 1H NMR (DMSO-d6): δ 10.07 (s, 1H), 9.61 (s, 1H), 8.95 (s, 1H), 8.12 (s, 1H), 7.87 (br s, 2H), 7.53-7.49 (t, 1H), 7.40-7.35 (m, 2H), 7.14-7.1 (d, J=8.4 Hz, 1H), 6.83-6.81 (d, J=8.1 Hz, 1H), 2.84-2.73 (m, 4H), 0.96-0.91 (t, 3H); LCMS: MS (m/z): 486.93 (MH+).
- 1H NMR (DMSO-d6): δ 10.06 (s, 1H), 9.57 (s, 1H), 8.86 (s, 1H), 8.11 (s, 1H), 7.93-7.89 (m, 2H), 7.42-7.37 (m, 2H), 7.13-7.11 (d, J=8.4 Hz, 1H), 6.83-6.81 (d, J=8.4 Hz, 1H), 2.85-2.80 (t, 2H), 2.45 (s, 3H), 2.10 (br s, 1H), 0.42-0.34 (m, 4H); LCMS: MS (m/z): 498.93 (MH+).
- 1H NMR (DMSO-d6): δ 10.05 (s, 1H), 9.61 (s, 1H), 8.84 (s, 1H), 8.12 (s, 1H), 7.98-7.92 (m, 2H), 7.42-7.25 (m, 5H), 6.84-6.81 (d, J=8.4 Hz, 1H), 2.87-2.82 (t, 2H), 2.45-2.42 (m, 5H); LCMS: MS (m/z): 444.90 (MH+).
- 1H NMR (DMSO-d6): δ 10.05 (s, 1H), 9.58 (s, 1H), 8.80 (s, 1H), 8.12 (s, 1H), 8.04-8.02 (d, J=7.8 Hz, 1H), 7.89 (s, 1H), 7.41-7.23 (m, 4H), 6.84-6.82 (d, J=8.1 Hz, 1H), 2.87-2.82 (t, 2H), 2.42-2.39 (m, 5H); LCMS: MS (m/z): 458.87 (MH+).
- 1H NMR (DMSO-d6): δ 10.05 (s, 1H), 9.56 (s, 1H), 8.78 (s, 1H), 8.12 (s, 1H), 8.03-8.00 (d, J=8.1 Hz, 1H), 7.90 (s, 1H), 7.44-7.27 (m, 4H), 6.84-6.82 (d, J=8.4 Hz, 1H), 2.87-2.72 (m, 4H), 2.42-2.39 (m, 2H), 0.98-0.94 (t, 3H); LCMS: MS (m/z): 472.91 (MH+).
- 1H NMR (DMSO-d6): δ 10.05 (s, 1H), 9.59 (s, 1H), 8.79 (s, 1H), 8.12 (s, 1H), 8.05-8.03 (d, J=7.8 Hz, 1H), 7.94 (s, 1H), 7.42-7.27 (m, 4H), 6.84-6.82 (d, J=8.4 Hz, 1H), 2.87-2.72 (t, 2H), 2.45-2.42 (m, 2H), 2.08 (br s, 1H), 0.47-0.39 (m, 4H); LCMS: MS (m/z): 484.93 (MH+).
- 1H NMR (DMSO-d6): δ 9.99 (s, 1H), 9.23 (s, 1H), 8.20 (s, 1H), 8.13 (s, 1H), 8.05-8.03 (d, J=7.8 Hz, 1H), 7.82 (s, 1H), 7.46-7.44 (m, 2H), 7.18-7.15 (d, J=8.4 Hz, 1H), 6.82-6.79 (d, J=9.0 Hz, 1H), 3.83-3.81 (q, 2H), 3.28 (s, 3H), 2.87-2.72 (t, 2H), 2.08 (s, 3H), 1.26-1.21 (t, 3H), 0.93-0.88 (t, 3H); LCMS: MS (m/z): 523.09 (MH+).
- 1H NMR (DMSO-d6): δ 9.94 (s, 1H), 9.12 (s, 1H), 8.14 (s, 1H), 8.04 (s, 1H), 7.94-7.92 (d, J=6.6 Hz, 1H), 7.82 (s, 1H), 7.55-7.48 (m, 2H), 7.10-7.07 (d, J=8.1 Hz, 1H), 6.82-6.79 (d, J=8.7 Hz, 1H), 3.28 (s, 3H), 2.72 (s, 2H), 2.08 (s, 3H), 1.06 (s, 6H); LCMS: MS (m/z): 467.19 (MH+).
- 1H NMR (DMSO-d6): δ 9.94 (s, 1H), 9.12 (s, 1H), 8.15 (s, 1H), 8.04 (s, 1H), 7.97-7.95 (m, 2H), 7.83 (s, 1H), 7.49-7.48 (m, 2H), 7.12-7.10 (d, J=8.4 Hz, 1H), 6.82-6.79 (d, J=8.1 Hz, 1H), 3.29 (s, 3H), 2.81-2.78 (q, 2H), 2.71 (s, 2H), 2.08 (s, 3H), 1.06 (s, 6H), 0.98-0.93 (t, 3H); LCMS: MS (m/z): 495.36 (MH+).
- 1H NMR (DMSO-d6): δ 10.11 (s, 1H), 9.79 (s, 1H), 8.60 (br s, 1H), 8.30 (s, 1H), 7.97-7.79 (m, 2H), 7.24-7.19 (m, 2H), 6.98 (br s, 1H), 6.86-6.83 (d, J=8.1 Hz, 1H), 3.29 (s, 3H), 2.85-2.81 (t, 2H), 2.08 (s, 3H); LCMS: MS (m/z): 492.58 (MH+).
- 1H NMR (DMSO-d6): δ 10.10 (s, 1H), 9.79 (br s, 1H), 8.60 (br s, 1H), 8.30 (s, 1H), 7.88-7.85 (m, 2H), 7.23-7.18 (m, 2H), 7.02 (br s, 1H), 6.86-6.83 (d, J=8.1 Hz, 1H), 3.29 (s, 3H), 2.86-2.81 (t, 2H), 2.44 (s, 3H), 2.39 (s, 3H); LCMS: MS (m/z): 506.99 (MH+).
- 1H NMR (DMSO-d6): δ 10.09 (s, 1H), 9.79 (br s, 1H), 8.60 (br s, 1H), 8.27 (br s, 1H), 7.85 (m, 2H), 7.22 (m, 2H), 7.01 (br s, 1H), 6.85-6.82 (d, J=8.1 Hz, 1H), 3.29 (s, 3H), 2.83-2.75 (m, 4H), 2.44 (s, 3H), 0.97-0.91 (t, 3H); LCMS: MS (m/z): 520.53 (MH+).
- 1H NMR (DMSO-d6): δ 10.08 (s, 1H), 9.82 (br s, 1H), 8.30 (br s, 1H), 7.95-7.23 (d, J=7.8 Hz, 1H), 7.83 (m, 2H), 7.35-7.33 (d, J=7.8 Hz, 2H), 7.23-7.18 (m, 4H), 6.86-6.83 (d, J=8.7 Hz, 1H), 3.29 (s, 3H), 2.87-2.82 (t, 2H), 2.44-2.42 (t, 2H); LCMS: MS (m/z): 478.95 (MH+).
- 1H NMR (DMSO-d6): δ 10.06 (s, 1H), 9.82 (br s, 1H), 8.26 (br s, 1H), 8.04-8.02 (bd, 1H), 7.80 (br s, 1H), 7.27-7.20 (m, 4H), 6.85-6.82 (d, J=8.4 Hz, 1H), 3.29 (s, 3H), 2.87-2.82 (t, 2H), 2.44-2.42 (t, 2H); LCMS: MS (m/z): 492.99 (MH+).
- 1H NMR (DMSO-d6): δ 10.07 (s, 1H), 9.82 (br s, 1H), 8.64 (br s, 1H), 8.29 (1H), 8.02-7.99 (bd, 1H), 7.80 (br s, 1H), 7.29-7.16 (m, 4H), 6.86-6.83 (d, J=8.1 Hz, 1H), 2.87-2.72 (m, 4H), 0.98-0.94 (t, 3H); LCMS: MS (m/z): 507.02 (MH+).
- 1H NMR (DMSO-d6): δ 9.95 (s, 1H), 8.19 (s, 1H), 7.83 (s, 1H), 7.64 (m, 1H), 7.52 (s, 1H), 7.43-7.36 (m, 4H), 7.19-7.17 (d, J=8.7 Hz, 1H), 6.57-6.84 (d, J=8.7 Hz, 1H), 4.04-3.93 (m, 3H), 3.29 (s, 3H), 2.71-2.61 (m, 6H), 2.40-2.35 (t, 2H), 2.07 (s, 3H), 1.09-1.05 (t, 6H), 0.9-0.85 (t, 3H); LCMS: MS (m/z): 603.10 (MH+).
- 1H NMR (DMSO-d6): δ 9.51 (s, 1H), 9.50 (s, 1H), 8.61 (t, 1H, J=6.0 Hz), 8.22 (d, 1H, J=2.1 Hz), 8.12 (d, 1H, J=3.6 Hz), 8.07 (s, 1H), 7.95 (m, 1H), 7.76 (dd, 1H, J=2.4 and 9.3 Hz), 7.61 (d, 1H, J=9.0 Hz), 7.33 (d, 2H, J=4.8 Hz), 7.26 (s, 2H), 4.50 (m, 4H), 3.38 (m, 2H), 3.29 (m, 2H), 2.43 (m, 4H); LCMS: purity: 99%; MS (m/z): 557 (MH+).
- 1H NMR (DMSO-d6): δ 9.45 (s, 1H), 9.38 (s, 1H), 8.61 (br s, 1H), 8.21 (d, 1H, J=4.8 Hz), 8.09 (m, 2H), 7.87 (dd, 1H, J=2.1 and 7.8 Hz), 7.76 (dd, 1H, J=2.1 and 9.3 Hz), 7.60 (d, 1H, J=9.0 Hz), 7.45 (s, 1H), 7.22 (s, 2H), 7.12 (d, 1H, J=8.4 Hz), 3.58 (m, 4H), 3.30 (s, 3H), 3.40 (m, 2H), 2.45 (m, 6H); LCMS: purity: 96%; MS (m/z): 571 (MH+).
- 1H NMR (DMSO-d6): δ 9.62 (s, 1H), 9.56 (s, 1H), 8.14 (d, 1H, J=3.6 Hz), 8.11 (s, 1H), 7.77 (m, 2H), 7.65-7.53 (m, 2H), 7.42 (d, 2H, J=8.4 Hz), 7.11 (s, 1H), 6.85 (s, 1H), 6.55 (d, 1H, J=8.4 Hz), 5.78 (br s, 1H), 3.67 (m, 4H), 3.51 (m, 2H), 2.60 (m, 2H), 2.50 (m, 4H); LCMS: purity: 90%; MS (m/z): 557 (MH+).
- 1H NMR (DMSO-d6): δ 11.16 (s, 1H), 10.40 (s, 1H), 10.34 (s, 1H), 8.25 (d, 1H, J=5.1 Hz), 7.93 (d, 1H, J=8.1 Hz), 7.80 (s, 1H), 7.74 (s, 1H), 7.46-7.23 (m, 7H), 6.40 (s, 1H); LCMS: purity: 97%; MS (m/z): 399 (MH+).
- 1H NMR (DMSO-d6): δ 11.15 (s, 1H), 10.30 (s, 1H), 10.23 (s, 1H), 8.20 (d, 1H, J=5.1 Hz), 7.80 (s, 2H), 7.78 (s, 1H), 7.45-7.21 (m, 5H), 7.07 (d, 1H, J=8.7 Hz), 6.39 (s, 1H), 2.49 (s, 3H); LCMS: purity: 96%; MS (m/z): 413 (MH+).
- 1H NMR (DMSO-d6): δ 11.16 (s, 1H), 10.21 (s, 1H), 9.63 (s, 1H), 8.23 (t, 1H, J=2.4 Hz), 7.85 (d, 1H, J=8.4 Hz), 7.71 (s, 1H), 7.66 (s, 1H), 7.41-7.32 (m, 3H), 7.27 (s, 1H), 7.17 (d, 1H, J=8.7 Hz), 7.02 (t, 1H, J=7.8 Hz), 6.42 (s, 1H); LCMS: purity: 95%; MS (m/z): 415 (MH+).
- 1H NMR (DMSO-d6): δ 11.19 (s, 1H), 10.32 (s, 1H), 9.85 (s, 1H), 8.25 (s, 1H), 7.70 (m, 2H), 7.65 (s, 1H), 7.42-7.40 (m, 3H), 7.29 (s, 1H), 7.15 (d, 1H, J=8.4 Hz), 6.83 (d, 1H, J=8.1 Hz), 6.42 (s, 1H); LCMS: purity: 99%; MS (m/z): 429 (MH+).
- 1H NMR (DMSO-d6): δ 9.43 (s, 1H), 8.82 (s, 1H), 8.18 (m, 2H), 8.09 (d, 1H, J=1.2 Hz), 7.96 (s, 1H), 7.87 (m, 2H), 7.78 (d, 1H, J=3.6 Hz), 7.43 (br d, 1H, J=9.0 Hz), 7.20 (br s, 2H), 6.93 (br d, 1H, J=8.7 Hz), 6.60 (d, 1H, J=3.3 Hz), 2.75 (m, 1H), 2.45 (s, 3H), 0.74 (m, 2H), 0.62 (m, 2H); LCMS: purity: 94%; MS (m/z): 513 (MH+).
- LCMS: purity: 98%; MS (m/z): 499 (MH+).
- 1H NMR (DMSO-d6): δ 9.35 (s, 1H), 9.30 (s, 1H), 8.16 (m, 1H), 8.05 (m, 2H), 7.92 (br d, 1H, J=8.1 Hz), 7.77 (d, 1H, J=3.6 Hz), 7.56 (br d, 1H, J=8.7 Hz), 7.24 (m, 2H), 7.10 (m, 2H), 6.91 (s, 1H), 6.58 (d, 1H, J=3.9 Hz), 2.74 (m, 1H), 2.48 (s, 3H), 0.73 (m, 2H), 0.63 (m, 2H); LCMS: purity: 96%; MS (m/z): 496 (MH+).
- 1H NMR (DMSO-d6): δ 9.47 (s, 1H), 9.35 (s, 1H), 8.21 (s, 1H), 8.15 (d, 1H, J=9.0 Hz), 8.05 (m, 3H), 7.81 (d, 1H, J=3.6 Hz), 8.57 (d, 1H, J=9.0 Hz), 7.30 (m, 4H), 7.01 (s, 1H), 6.58 (d, 1H, J=3.0 Hz), 2.77 (m, 1H), 0.71 (m, 2H), 0.62 (m, 2H); LCMS: purity: 95%; MS (m/z): 482 (MH+).
- 1H NMR (DMSO-d6): δ 10.30 (s, 1H), 10.21 (s, 1H), 8.23 (d, 1H, J=5.4 Hz), 8.20 (s, 1H), 8.17 (s, 1H), 7.91 (s, 1H), 7.85 (d, 1H, J=3.6 Hz), 7.82 (s, 1H), 7.79 (d, 1H, J=8.4 Hz), 7.45 (d, 1H, J=9.0 Hz), 7.33 (s, 2H), 7.13 (d, 1H, J=8.4 Hz), 6.60 (d, 1H, J=3.3 Hz), 2.82 (d, 3H, J=4.2 Hz), 2.48 (s, 3H); LCMS: purity: 99%; MS (m/z): 470 (MH+).
- 1H NMR (DMSO-d6): δ 10.60 (s, 1H), 10.00 (s, 1H), 8.20 (m, 3H), 7.94 (m, 2H), 7.86 (m, 2H), 7.50 (dd, 1H, J=2.1 and 8.4 Hz), 7.45 (s, 1H), 7.42 (s, 1H), 7.30 (m, 3H), 6.61 (d, 1H, J=3.6 Hz), 2.82 (d, 3H, J=4.2 Hz); LCMS: purity: 99%; MS (m/z): 456 (MH+).
- 1H NMR (DMSO-d6): δ 10.44 (s, 1H), 10.31 (s, 1H), 8.29 (m, 2H), 8.21 (m, 2H), 7.94 (s, 1H), 7.89 (d, 1H, J=3.6 Hz), 7.71 (br d, 2H, J=8.4 Hz), 7.59 (br d, 2H, J=8.4 Hz), 7.46 (dd, 1H, J=1.2 and 8.1 Hz), 7.19 (br s, 1H), 6.65 (d, 1H, J=3.6 Hz), 2.83 (d, 3H, J=4.2 Hz); LCMS: purity: 96%; MS (m/z): 456 (MH+).
- 1H NMR (DMSO-d6): δ 10.55 (s, 1H), 9.87 (s, 1H), 8.32 (d, 1H, J=2.7 Hz), 8.22 (d, 1H, J=9.0 Hz), 7.89 (m, 2H), 7.37 (s, 1H), 7.65 (m, 2H), 7.32 (m, 3H), 6.92 (d, 1H, J=8.4 Hz), 6.62 (d, 1H, J=3.6 Hz), 2.78 (m, 1H), 2.47 (s, 3H), 2.18 (s, 3H), 0.72 (m, 2H), 0.65 (m, 2H); LCMS: purity: 99%; MS (m/z): 492 (MH+).
- 1H NMR (DMSO-d6): 610.70 (s, 1H), 9.91 (s, 1H), 8.31 (s, 1H), 8.24 (d, 1H, J=9.0 Hz), 7.92 (s, 1H), 7.89 (d, 1H, J=3.6 Hz), 7.84 (d, 1H, J=8.1 Hz), 7.74 (s, 1H), 7.57 (s, 1H), 7.45 (d, 1H, J=7.5 Hz), 7.33 (m, 3H), 7.11 (t, 1H, J=8.1 Hz), 6.64 (d, 1H, J=3.3 Hz), 2.78 (m, 1H), 2.19 (s, 3H), 0.74 (m, 2H), 0.65 (m, 2H); LCMS: purity: 99%; MS (m/z): 478 (MH+).
- 1H NMR (DMSO-d6): δ 10.84 (s, 1H), 9.95 (s, 1HO, 8.32 (d, 1H, J=2.7 Hz), 8.28 (d, 1H, J=9.0 Hz), 7.95 (s, 1H), 7.92 (d, 1H, J=3.6 Hz), 7.80 (s, 1H), 7.57 (d, 2H, J=8.7 Hz), 7.50 (d, 2H, J=8.7 Hz), 7.34 (d, 1H, J=9.3 Hz), 7.19 (s, 2H), 6.66 (d, 1H, J=3.3 Hz), 2.79 (m, 1H), 2.19 (s, 3H), 0.74 (m, 2H), 0.69 (m, 2 h); LCMS: purity: 96%; MS (m/z): 478 (MH+).
- 1H NMR (DMSO-d6): δ 10.87 (s, 1H), 9.97 (s, 1H), 8.29 (d, 1H, J=8.7 Hz), 8.23 (d, 1H, J=4.2 Hz), 7.96 (s, 1H), 7.92 (d, 1H, J=3.3 Hz), 7.80 (s, 1H), 7.58 (d, 2H, J=8.7 Hz), 7.49 (d, 1H, J=8.4 Hz), 7.34 (d, 1H, J=9.0 Hz), 7.19 (s, 2H), 6.67 (d, 1H, J=3.3 Hz), 2.85 (d, 3H, J=3.9 Hz), 2.48 (s, 3H), 2.19 (s, 3H); LCMS: purity: 97%; MS (m/z): 466 (MH+).
- 1H NMR (DMSO-d6): δ 10.74 (s, 1H), 9.93 (s, 1H), 8.25 (s, 1H), 8.22 (s, 1H), 7.91 (m, 2H), 7.84 (d, 1H, J=8.1 Hz), 7.74 (s, 1H), 7.57 (s, 1H), 7.43 (d, 1H, J=7.5 Hz), 7.34 (m, 3H), 7.10 (t, 1H, J=8.1 Hz), 6.66 (d, 1H, J=3.3 Hz), 2.83 (d, 3H, J=3.9 Hz); LCMS: purity: 97%; MS (m/z): 452 (MH+).
- 1H NMR (DMSO-d6): δ 10.87 (s, 1H), 9.97 (s, 1H), 8.28 (d, 1H, J=8.7 Hz), 8.23 (d, 1H, J=4.5 Hz), 7.95 (s, 1H), 7.91 (d, 1H, J=3.3 Hz), 7.80 (s, 1H), 7.57 (d, 2H, J=9.0 Hz), 7.49 (d, 2H, J=9.0 Hz), 7.35 (d, 1H, J=9.3 Hz), 7.19 (s, 2H), 6.67 (d, 1H, J=3.3 Hz), 2.85 (d, 3H, J=3.9 Hz), 2.19 (s, 3H); LCMS: purity: 98%; MS (m/z): 452 (MH+).
- 1H NMR (DMSO-d6): δ 9.56 (s, 1H), 9.40 (s, 1H), 8.17 (m, 3H), 8.11 (d, 1H, J=3.6 Hz), 7.99 (s, 1H), 7.80 (m, 3H), 7.56 (d, 2H, J=8.7 Hz), 7.49 (d, 1H, J=9.0 Hz), 7.08 (s, 2H), 6.60 (d, 1H, J=3.3 Hz), 2.76 (m, 1H), 0.73 (m, 2H), 0.62 (m, 2H); LCMS: purity: 97%; MS (m/z): 482 (MH+).
- 1H NMR (DMSO-d6): δ 9.14 (s, 1H), 8.68 (d, 2H, J=4.2 Hz), 8.33 (s, 1H), 8.06 (d, 2H, J=4.2 Hz), 8.08 (s, 1H), 8.04 (s, 1H), 7.85 (s, 2H), 7.71 (d, 2H, J=5.7 Hz), 7.50 (d, 1H, J=9.0 Hz), 7.19 (s, 2H), 7.09 (s, 2H), 7.00 (d, 1H, J=8.4 Hz), 6.75 (d, 1H, J=3.0 Hz), 2.37 (s, 3H), 2.13 (s, 3H); LCMS: MS (m/z): 486 (MH+).
- 1H NMR (DMSO-d6): δ 9.29 (s, 1H), 8.69 (s, 2H), 8.38 (s, 1H), 8.07 (m, 3H), 7.88-7.71 (m, 6H), 7.50 (d, 1H, J=8.7 Hz), 7.22 (m, 2H), 6.76 (d, 1H, J=3.3 Hz), 2.17 (s, 3H), 2.08 (m, 1H), 0.45 (m, 2H), 0.39 (m, 2H); LCMS: MS (m/z): 512 (MH+).
- 1H NMR (DMSO-d6): δ 9.45 (s, 1H), 8.70 (s, 2H), 8.49 (s, 1H), 7.97 (s, 1H), 7.90 (s, 1H), 7.86 (d, 1H, J=3.3 Hz), 7.82 (d, 3H, J=8.7 Hz), 7.72 (d, 1H, J=3.9 Hz), 7.55 (d, 1H, J=2.4 Hz), 7.45 (m, 4H), 6.76 (d, 1H, J=3.3 Hz), 2.18 (s, 3H), 2.00 (m, 1H), 0.39 (m, 2H), 0.31 (m, 2H); LCMS: MS (m/z): 512 (MH+).
- 1H NMR (DMSO-d6): δ 9.37 (s, 1H), 8.68 (d, 2H, J=5.1 Hz), 8.46 (s, 1H), 8.16 (s, 1H), 8.00 (s, 1H), 7.79 (m, 6H), 7.51 (d, 2H, J=8.7 Hz), 7.45 (d, 1H, J=8.7 Hz), 7.05 (s, 2H), 6.77 (d, 1H, J=3.3 Hz), 2.15 (s, 3H); LCMS: MS (m/z): 472 (MH+).
- 1H NMR (DMSO-d6): δ 9.24 (s, 1H), 8.68 (d, 2H, J=5.7 Hz), 8.35 (s, 1H), 8.08 (s, 1H), 8.02 (s, 2H), 7.88 (s, 1H), 7.84 (d, 1H, J=3.3 Hz), 7.79 (d, 1H, J=8.7 Hz), 7.71 (d, 2H, J=5.4 Hz), 7.51 (d, 1H, J=9.0 Hz), 7.21 (m, 3H), 7.11 (s, 2H), 2.14 (s, 3H); LCMS: MS (m/z): 472 (MH+).
- 1H NMR (CDCl3): δ 8.00 (d, J=2.1 Hz, 1H), 7.84 (d, J=3.0 Hz, 1H), 7.74 (s, 1H), 7.56 (d, J=8.7 Hz, 1H), 7.37 (dd, J=2.4 and 8.4 Hz, 1H), 7.33 (s, 1H), 7.13 (d, J=3.0 Hz, 1H), 7.02 (dd, J=1.5 and 8.1 Hz, 1H), 7.00-6.94 (m, 3H), 6.48 (d, J=3.3 Hz, 1H), 4.02 (t, J=6.9 Hz, 2H), 3.60 (t, J=4.8 Hz, 4H), 2.59 (t, J=7.2 Hz, 2H), 2.52 (s, 3H), 2.31 (t, J=4.8 Hz, 4H); LCMS: purity: 99%; MS (m/z): 426 (MH+).
- 1H NMR (CDCl3): δ 7.98-7.94 (m, 1H), 7.86 (d, J=3.0 Hz, 1H), 7.64 (s, 1H), 7.60-7.55 (m, 1H), 7.52 (d, J=8.7 Hz, 1H), 7.38-7.34 (m, 1H), 7.21 (d, J=7.8 Hz, 1H), 7.14 (s, 1H), 7.06 (d, J=3.0 Hz, 1H), 6.98 (dd, J=1.2 and 8.1 Hz, 1H), 6.84-6.80 (m, 1H), 6.41 (d, J=3.3 Hz, 1H), 4.62 (s, 2H), 4.05 (t, J=6.9 Hz, 2H), 3.58 (t, J=4.5 Hz, 4H), 2.61 (t, J=7.2 Hz, 2H), 2.34 (t, J=4.8 Hz, 4H); LCMS: purity: 95%; MS (m/z): 513 (MH+).
- 1H NMR (CDCl3): δ 8.43 (s, 1H), 8.04 (d, J=2.1 Hz, 1H), 7.91 (d, J=3.0 Hz, 1H), 7.59-7.52 (m, 2H), 7.43 (d, J=3.9 Hz, 1H), 7.33 (dd, J=1.8 and 8.4 Hz, 1H), 7.29 (s, 1H), 7.07 (d, J=8.4 Hz, 1H), 6.97 (d, J=3.0 Hz, 1H), 6.60 (d, J=3.6 Hz, 1H), 6.31-6.26 (m, 1H), 3.63 (t, J=4.8 Hz, 4H), 3.38 (q, J=5.4 Hz, 2H), 2.57 (s, 3H), 2.49 (t, J=5.4 Hz, 2H), 2.43 (t, J=4.8 Hz, 4H); LCMS: purity: 98%; MS (m/z): 570 (MH+).
- 1H NMR (DMSO-d6): δ 9.47 (s, 1H), 9.42 (s, 1H), 8.37 (s, 1H), 8.08 (d, J=3.6 Hz, 1H), 8.06-7.96 (m, 3H), 7.75 (d, J=3.3 Hz, 1H), 7.64 (dd, J=1.5 and 8.4 Hz, 1H), 7.54 (d, J=8.4 Hz, 1H), 7.29-7.17 (m, 4H), 6.64 (d, J=3.3 Hz, 1H), 3.53 (t, J=4.5 Hz, 4H), 3.36 (q, J=6.6 Hz, 2H), 2.49-2.45 (m, 2H), 2.40-2.37 (m, 4H); LCMS: purity: 97%; MS (m/z): 556 (MH+).
- 1H NMR (DMSO-d6): δ 9.56-9.49 (m, 2H), 8.38 (s, 1H), 8.13-8.04 (m, 2H), 7.79-7.74 (m, 3H), 7.56 (s, 2H), 7.49 (d, J=8.7 Hz, 2H), 7.05 (s, 2H), 6.67 (d, J=3.0 Hz, 1H), 3.56-3.50 (m, 4H), 3.42-3.31 (m, 2H), 2.48-2.47 (m, 2H), 2.46-2.36 (m, 4H); LCMS: purity: 95%; MS (m/z): 556 (MH+).
- 1H NMR (DMSO-d6): δ 9.49 (d, 2H, J=8.1 Hz), 8.12 (d, 1H, J=3.0 Hz), 8.05 (s, 2H), 8.02 (s, 1H), 7.97 (s, 2H), 7.94 (d, 1H, J=6.9 Hz), 7.35 (d, 2H, J=7.2), 7.28 (m, 3H), 3.16 (d, 2H, J=4.5 Hz), 2.90 (t, 2H, J=6.3 Hz); LCMS: purity: 97%; MS (m/z): 429 (MH+).
- 1H NMR (DMSO-d6): δ 9.59 (s, 1H), 9.55 (s, 1H), 8.15 (d, 1H, J=3.3 Hz), 7.97 (s, 2H), 7.96 (m, 3H), 7.75 (d, 2H, J=8.4 Hz), 7.30 (d, 1H, J=8.4 Hz), 7.10 (s, 2H), 3.16 (d, 2H, J=4.5 Hz), 2.90 (t, 2H, J=6.3 Hz), 2.49 (s, 3H); LCMS: purity: 85%; MS (m/z): 443 (MH+).
- 1H NMR (DMSO-d6): δ 9.45 (s, 1H), 9.37 (s, 1H), 8.08 (m, 3H), 7.92 (m, 3H), 7.27 (d, 1H, J=6.3 Hz), 7.21 (s, 1H), 7.97 (s, 2H), 7.15 (d, 1H, J=8.4 Hz), 3.16 (d, 2H, J=4.5 Hz), 2.90 (t, 2H, J=6.3 Hz); LCMS: purity: 89%; MS (m/z): 429 (MH+).
- 1H NMR (DMSO-d6): δ 9.50 (s, 1H), 9.39 (s, 1H), 8.17-8.12 (m, 1H), 8.09 (d, J=3.6 Hz, 1H), 8.08-8.05 (m, 1H), 7.97 (d, J=2.4 Hz, 1H), 7.89-7.85 (m, 1H), 7.32 (d, J=8.1 Hz, 1H), 7.22 (s, 2H), 7.11 (d, J=7.8 Hz, 1H), 2.93 (t, J=5.7 Hz, 2H), 2.61 (t, J=6.0 Hz, 2H), 2.09-2.00 (m, 2H); LCMS: purity: 97%; MS (m/z): 442 (MH+).
- 1H NMR (DMSO-d6): δ 9.54 (s, 1H), 9.50 (s, 1H), 8.16-8.10 (m, 2H), 8.04 (s, 1H), 8.00-7.90 (m, 2H), 7.34-7.30 (m, 3H), 7.25 (s, 2H), 2.96-2.89 (m, 2H), 2.63-2.57 (m, 2H), 2.10-2.01 (m, 2H); LCMS: purity: 97%; MS (m/z): 428 (MH+).
- 1H NMR (DMSO-d6): δ 9.61 (s, 1H), 9.59 (s, 1H), 8.16 (d, J=3.6 Hz, 1H), 8.01-7.98 (m, 2H), 7.75 (d, J=8.1 Hz, 2H), 7.57 (d, J=8.7 Hz, 2H), 7.35 (d, J=8.1 Hz, 1H), 7.12 (s, 2H), 2.95 (t, J=5.4 Hz, 2H), 6.63 (t, J=5.4 Hz, 2H), 2.12-2.02 (m, 2H); LCMS: purity: 97%; MS (m/z): 428 (MH+).
- 1H NMR (DMSO-d6): δ 9.64 (s, 1H), 9.51 (s, 1H), 8.17 (d, J=3.3 Hz, 1H), 8.10-8.07 (m, 1H), 7.93-7.87 (m, 1H), 7.86 (s, 1H), 7.80 (s, 2H), 7.25 (s, 2H), 7.21 (d, J=8.7 Hz, 1H), 2.88 (t, J=5.1 Hz, 2H), 2.55 (t, J=6.0 Hz, 2H), 2.51 (s, 3H), 2.03 (q, J=5.4 Hz, 2H); LCMS: purity: 96%; MS (m/z): 443 (MH+).
- 1H NMR (DMSO-d6): δ 9.75 (s, 1H), 9.71 (s, 1H), 8.28 (d, J=3.6 Hz, 1H), 8.17-8.13 (m, 1H), 8.08-8.04 (m, 1H), 7.94 (s, 1H), 7.88 (s, 2H), 7.49 (t, J=8.1 Hz, 1H), 7.46-7.41 (m, 1H), 7.35 (s, 2H), 2.98 (t, J=5.1 Hz, 2H), 2.62 (t, J=6.0 Hz, 2H), 2.10 (q, J=6.0 Hz, 2H); LCMS: purity: 99%; MS (m/z): 428 (MH+).
- 1H NMR (DMSO-d6): δ 9.73 (s, 2H), 8.24 (d, J=3.9 Hz, 1H), 7.86-7.73 (m, 5H), 7.66 (d, J=8.4 Hz, 2H), 7.14 (s, 2H), 2.91 (t, J=5.7 Hz, 2H), 2.56 (t, J=6.3 Hz, 2H), 2.09-2.00 (m, 2H); LCMS: purity: 98%; MS (m/z): 428 (MH+).
- 1H NMR (DMSO-d6): δ 9.73 (s, 1H), 9.13 (s, 1H), 8.44 (d, 2H, J=9.9), 8.23 (s, 1H), 8.11 (s, 1H), 8.03 (d, 2H, J=7.8 Hz), 7.94 (m, 4H), 7.28 (s, 2H), 7.17 (m, 3H); LCMS: purity: 85%; MS (m/z): 469 (MH+).
- 1H NMR (DMSO-d6): δ 9.74 (s, 1H), 9.19 (s, 1H), 8.44 (d, 2H, J=9.9 Hz), 8.22 (s, 1H), 8.11 (s, 1H), 7.92 (m, 5H), 7.48 (s, 1H), 7.27 (m, 3H), 7.05 (d, 1H, J=8.7 Hz), 2.49 (s, 3H); LCMS: purity: 85%; MS (m/z): 483 (MH+).
- 1H NMR (DMSO-d6): δ 9.80 (s, 1H), 9.21 (s, 1H), 8.45 (s, 1H, J=9.9 Hz), 8.34 (s, 1H), 8.26 (s, 1H), 8.08 (s, 1H), 7.88 (m, 6H), 7.56 (d, 2H, J=8.4 Hz), 7.41 (s, 1H), 7.11 (s, 2H); LCMS: purity: 84%; MS (m/z): 469 (MH+).
- 1H NMR (DMSO-d6): δ 9.75 (s, 1H), 8.48 (s, 1H), 8.40 (s, 1H), 7.99 (s, 1H), 7.94 (d, 3H, J=8.4 Hz), 7.79 (d, 3H, J=8.4 Hz), 7.71 (d, 1H, J=8.4 Hz), 7.55 (d, 3H, J=8.1 Hz); LCMS: purity: 85%; MS (m/z): 451 (MH+).
- 1H NMR (DMSO-d6): δ 9.66 (s, 1H), 9.21 (s, 1H), 8.54 (s, 1H), 8.49 (s, 1H), 8.23 (s, 1H), 8.03 (d, 3H, J=7.8 Hz), 7.92 (m, 2H), 7.71(d, 1H, J=9.1 Hz), 7.27(s, 2H), 7.10 (s, 1H, J=8.7 Hz) 2.49 (s, 3H); LCMS: purity: 86%; MS (m/z): 465 (MH+).
- 1H NMR (DMSO-d6): δ 9.73 (s, 1H), 9.54 (s, 1H), 8.70 (s, 1H), 8.54 (s, 1H), 8.18 (d, 1H, J=2.7 Hz), 8.12 (s, 1H), 8.08 (d, 1H, J=9.0 Hz), 7.93 (m, 4H), 7.27 (s, 2H), 7.21 (d, 1H, J=8.4 Hz), 3.90 (s, 3H), 2.49 (s, 3H); LCMS: purity: 90%; MS (m/z): 482 (MH+).
- 1H NMR (DMSO-d6): δ 9.55 (s, 1H), 9.46 (s, 1H), 8.16 (d, 1H, J=1.5 Hz), 8.12 (m, 2H), 7.93 (m, 1H), 7.67 (dd, 1H, J=2.1 and 8.7 Hz), 7.58 (d, 1H, J=8.7 Hz), 7.33 (m, 2H), 7.27 (m, 2H), 2.60 (s, 3H); LCMS: purity: 90%; MS (m/z): 415 (MH+).
- 1H NMR (DMSO-d6): δ 10.34 (s, 1H), 10.23 (s, 1H), 8.32 (d, 1H, J=4.1 Hz), 8.03 (s, 1H), 7.97 (s, 1H), 7.91 (s, 2H), 7.82-7.80 (m, 1H), 7.46-7.41 (m, 2H), 7.30 (br s, 2H), 4.46 (t, 2H, J=6.4 Hz), 3.44 (t, 2H, J=6.4 Hz), 2.85 (s, 3H), 1.97 (q, 2H, J=6.4 Hz); LCMS: purity: 99%; MS (m/z): 472 (MH+).
- 1H NMR (DMSO-d6): δ 9.72 (s, 1H), 9.68 (s, 1H), 8.41 (s, 1H), 8.16 (d, 1H, J=3.8 Hz), 8.10 (s, 1H), 7.94-7.91 (m, 1H), 7.80-7.73 (m, 2H), 7.36 (d, 2H, J=3.7 Hz), 7.30 (s, 2H), 4.44 (t, 2H, J=7.0 Hz), 3.48 (t, 2H, J=7.0 Hz), 1.93 (q, 2H, J=7.0 Hz); LCMS: purity: 98%; MS (m/z): 526 (MH+).
- 1H NMR (DMSO-d6): δ 9.49 (s, 1H), 9.26 (s, 1H), 8.13 (s, 1H), 8.07 (d, 1H, J=3.8 Hz), 7.93-7.91 (m, 2H), 7.42-7.29 (m, 6H), 3.78 (t, 4H, J=4.4 Hz), 3.60 (s, 3H), 3.21 (t, 4H, J=4.4 Hz); LCMS: purity: 98%; MS (m/z): 499 (MH+).
- 1H NMR (DMSO-d6): δ 13.26 (br s, 1H), 9.58 (s, 1H), 9.54 (s, 1H), 8.15 (d, 1H, J=2.9 Hz), 3.66 (s, 1H), 7.89-7.88 (m, 1H), 7.78 (d, 1H, J=8.5 Hz), 7.71 (s, 1H), 7.38-7.34 (m, 3H), 7.25 (s, 2H), 3.79 (app s, 4H), 3.66 (app s, 4H); LCMS: purity: 96%; MS (m/z): 485 (MH+).
- 1H NMR (DMSO-d6): δ 10.70 (s, 1H), 9.99 (s, 1H), 8.05 (s, 1H), 7.94 (s, 1H), 7.83 (s, 1H), 7.77 (d, 2H, J=8.8 Hz), 7.59 (s, 1H), 7.46 (t, 2H, J=8.8 Hz), 7.35 (s, 2H), 7.12 (t, 1H, J=8.8 Hz), 4.32 (d, 2H, J=6.7 Hz), 2.19 (s, 3H), 1.32-1.25 (m, 1H), 0.50-0.45 (m, 2H), 0.45-0.40 (m, 2H); LCMS: purity: 98%; MS (m/z): 450 (MH+).
- 1H NMR (DMSO-d6): δ 10.04 (s, 1H), 9.99 (s, 1H), 8.07 (s, 1H), 7.97 (s, 1H), 7.86 (s, 1H), 7.80 (d, 2H, J=8.8 Hz), 7.54-7.47 (m, 5H), 7.21 (s, 2H), 4.33 (d, 2H, J=6.7 Hz), 2.19 (s, 3H), 1.34-1.28 (m, 1H), 0.55-0.49 (m, 2H), 0.43-0.40 (m, 2H); LCMS: purity: 98%; MS (m/z): 450 (MH+).
- 1H NMR (DMSO-d6): δ 10.59 (s, 1H), 9.92 (s, 1H), 8.06 (s, 1H), 7.92 (s, 1H), 7.86 (s, 1H), 7.76 (d, 1H, J=8.2 Hz), 7.67 (d, 1H, J=8.8 Hz), 7.61 (s, 1H), 7.46 (app t, 2H, J=8.8 Hz), 7.34 (s, 2H), 7.12 (t, 1H, J=8.2 Hz), 4.45 (t, 2H, J=6.4 Hz), 3.25 (t, 2H, J=6.4 Hz), 3.18 (s, 3H), 2.18 (s, 3H), 2.12-2.01 (m, 2H).
- 1H NMR (DMSO-d6): δ 10.52 (s, 1H), 9.82 (s, 1H), 8.07 (s, 1H), 7.94 (s, 1H), 7.91 (s, 1H), 7.68 (d, 1H, J=8.8 Hz), 7.53-7.47 (m, 5H), 7.42 (d, 2H, J=8.5 Hz), 7.19 (s, 2H), 6.86 (s, 2H), 6.58 (d, 1H, J=8.5 Hz), 4.47 (t, 2H, J=6.4 Hz), 3.28 (t, 2H, J=6.4 Hz), 3.18 (s, 3H), 2.18 (s, 3H), 2.18-2.04 (m, 2H).
- 1H NMR (DMSO-d6): δ 10.62 (s, 1H), 9.95 (s, 1H), 8.06 (s, 1H), 7.92 (s, 1H), 7.76-7.70 (m, 2H), 7.59 (s, 1H), 7.45 (app t, 2H, J=8.8 Hz), 7.34 (s, 2H), 7.12 (t, 1H, J=8.2 Hz), 4.47 (t, 2H, J=4.9 Hz), 3.77 (t, 2H, J=4.9 Hz), 3.19 (s, 3H), 2.18 (s, 3H); LCMS: purity: 99%; MS (m/z): 454 (MH+).
- 1H NMR (DMSO-d6): δ 10.61 (s, 1H), 9.95 (s, 1H), 8.05 (s, 1H), 7.92 (s, 1H), 7.84 (s, 1H), 7.74 (d, 2H, J=8.8 Hz), 7.48-7.44 (m 2H), 7.34 (s, 2H), 7.11 (t, 1H, J=8.0 Hz), 4.99 (sept, 1, J=7.0 Hz), 2.19 (s, 3H), 1.49 (d, 6H, J=7.0 Hz); LCMS: purity: 99%; MS (m/z): 438 (MH+).
- 1H NMR (DMSO-d6): δ 10.54 (s, 1H), 9.90 (s, 1H), 8.07 (s, 1H), 7.94 (s, 1H), 7.86 (s, 1H), 7.70 (d, 1H, J=9.0 Hz), 7.53-7.46 (m, 5H), 5.01 (sept, 1H, J=6.4 Hz), 2.19 (s, 3H), 1.51 (d, 6H, J=6.4 Hz); LCMS: purity: 99%; MS (m/z): 438 (MH+).
- 1H NMR (DMSO-d6): δ 10.72 (s, 1H), 9.97 (s, 1H), 8.04 (s, 1H), 7.94 (s, 1H), 7.86 (s, 1H), 7.77 (d, 1H, J=8.2 Hz), 7.68 (d, 1H, J=8.8 Hz), 7.59 (s, 1H), 7.50 (d, 1H, J=8.8 Hz), 7.46 (d, 1H, J=8.8 Hz), 7.35 (s, 2H), 7.16 (t, 1H, J=8.2 Hz), 4.06 (s, 3H), 2.19 (s, 3H); LCMS: purity: 99%; MS (m/z): 410 (MH+).
- 1H NMR (DMSO-d6): δ 10.86 (s, 1H), 10.05 (s, 1H), 8.06 (s, 1H), 7.97 (s, 1H), 7.89 (s, 1H), 7.71 (d, 1H, J=8.1 Hz), 7.57-7.44 (m, 5H), 7.25 (s, 2H), 4.08 (s, 3H), 2.19 (s, 6H); LCMS: purity: 99%; MS (m/z): 410 (MH+).
- 1H NMR (DMSO-d6): δ 10.71 (s, 1H), 9.98 (s, 1H), 8.05 (s, 1H), 7.94 (s, 1H), 7.84 (s, 1H), 7.73 (t, 2H, J=8.8 Hz), 7.60 (s, 1H), 7.47 (t, 2H, J=8.2 Hz), 7.34 (s, 2H), 7.13 (t, 1H, J=8.2 Hz), 4.43 (q, 2H, J=7.3 Hz), 2.19 (s, 3H), 1.41 (t, 3H, J=7.3 Hz); LCMS: purity: 99%; MS (m/z): 424 (MH+).
- 1H NMR (DMSO-d6): δ 10.53 (s, 1H), 9.89 (s, 1H), 8.03 (s, 1H), 7.91 (s, 1H), 7.85 (s, 1H), 7.78-7.71 (m, 2H), 7.62 (s, 1H), 7.45 (d, 2H, J=8.5 Hz), 7.33 (s, 2H), 7.11 (t, 1H, J=8.2 Hz), 4.60-4.58 (m, 1H), 2.19 (s, 3H), 1.94-1.84 (m, 6H), 1.73-1.68 (m, 1H), 1.57-1.47 (m, 2H), 1.34-1.25 (m, 1H); LCMS: purity: 99%; MS (m/z): 478 (MH+).
- 1H NMR (DMSO-d6): δ 10.71 (s, 1H), 10.04 (s, 1H), 8.11 (s, 1H), 7.95 (s, 1H), 7.86 (s, 1H), 7.76 (t, 2H, J=8.8 Hz), 7.57 (s, 1H), 7.54 (d, 1H, J=8.8 Hz), 7.45 (d, 1H, J=8.2 Hz), 7.35 (s, 2H), 7.13 (t, 1H, J=8.2 Hz), 5.37 (s, 2H), 3.45 (s, 1H), 2.19 (s, 3H); LCMS: purity: 96%; MS (m/z): 434 (MH+).
- 1H NMR (DMSO-d6): δ 9.16 (s, 1H), 8.39 (s, 1H), 8.09 (s, 1H), 8.02 (s, 2H), 7.90 (d, 1H, J=8.2 Hz), 7.85 (s, 1H), 7.68 (d, 1H, J=8.8 Hz), 7.63 (d, 1H, J=8.8 Hz), 7.20 (s, 2H), 6.98 (d, 1H, J=8.2 Hz), 5.33 (s, 2H), 3.39 (s, 1H), 2.42 (s, 3H), 2.12 (s, 3H); LCMS: purity: 99%; MS (m/z): 447 (MH+).
- 1H NMR (DMSO-d6): δ 9.13 (s, 1H), 8.38 (s, 1H), 8.08 (s, 1H), 8.02 (s, 1H), 7.98 (s, 1H), 7.94 (d, 1H, J=8.2 Hz), 7.86 (s, 1H), 7.68 (d, 1H, J=8.8 Hz), 7.63 (d, 1H, J=8.8 Hz), 7.43 (q, 1H, J=5.8 Hz), 7.01 (d, 1H, J=8.2 Hz), 5.33 (app s, 2H), 3.39 (s, 1H), 2.79 (dq, 2H, J=5.8 and 7.0 Hz), 0.94 (t, 3H, J=7.0 Hz); LCMS: purity: 99%; MS (m/z): 476 (MH+).
- 1H NMR (DMSO-d6): δ 9.29 (s, 1H), 8.43 (s, 1H), 8.12 (s, 1H), 8.06-8.01 (m, 4H), 7.89 (s, 1H), 7.79 (s, 1H), 7.68 (d, 1H, J=9.1 Hz), 7.63 (d, 1H, J=9.1 Hz), 7.22 (d, 1H, J=4.3 Hz), 5.33 (app s, 2H), 3.41 (app s, 1H), 2.13 (s, 3H), 2.09-2.07 (m, 1H), 0.46-0.38 (m, 4H); LCMS: purity: 99%; MS (m/z): 474 (MH+).
- 1H NMR (DMSO-d6): δ 9.17 (s, 1H), 8.38 (s, 1H), 8.11 (d, 1H, J=4.5 Hz), 8.02 (s, 2H), 7.98 (d, 1H, 8.5 Hz), 7.86-7.84 (app m, 2H), 7.68 (d, 1H, J=8.8 Hz), 7.63 (d, 1H, J=8.8 Hz), 7.01 (d, 1H, J=8.20 Hz), 5.33 (app s, 2H), 3.39 (app s, 1H), 2.40 (s, 3H), 2.11 (app s, 4H), 0.41-0.34 (m, 4H); LCMS: purity: 99%; MS (m/z): 488 (MH+).
- 1H NMR (DMSO-d6): δ 10.58 (s, 1H), 9.92 (s, 1H), 8.07 (s, 1H), 7.93 (s, 1H), 7.85 (s, 1H), 7.77 (d, 1H, J=8.5 Hz), 7.72 (d, 1H, J=9.1 Hz), 7.61 (s, 1H), 7.49 (dd, 1H, J=1.8 and 9.1 Hz), 7.45 (d, 1H, J=8.2 Hz), 7.35 (s, 2H), 7.13 (t, 1H, J=8.2 Hz), 4.50 (t, 2H, J=7.0 Hz), 2.41 (t, 2H, J=7.0 Hz), 2.19 (s, 3H), 2.10 (q, 2H, J=7.0 Hz), 2.02 (s, 3H); LCMS: purity: 97%; MS (m/z): 484 (MH+).
- 1H NMR (DMSO-d6): δ 10.52 (s, 1H), 9.92 (s, 1H), 8.06 (s, 1H), 7.90 (s, 1H), 7.85 (s, 1H), 7.72 (d, 1H, J=9.1 Hz), 7.65 (s, 1H), 7.62 (d, 1H, J=8.5 Hz), 7.49 (dd, 1H, J=1.8 and 9.1 Hz), 7.36 (s, 2H), 6.19 (t, 1H, J=8.5 Hz), 4.50 (t, 2H, J=7.0 Hz), 2.42 (t, 2H, J=7.0 Hz), 2.18 (s, 3H), 2.10 (q, 2H, J=7.0 Hz), 2.02 (s, 3H); LCMS LCMS: purity: 96%; MS (m/z): 498 (MH+).
- 1H NMR (DMSO-d6): δ 10.63 (s, 1H), 9.93 (s, 1H), 8.06 (s, 1H), 7.93 (s, 2H), 7.84 (d, 2H, J=8.5 Hz), 7.72 (d, 1H, J=8.8 Hz), 7.61 (s, 1H), 7.49 (d, 1H, J=8.8 Hz), 7.42 (d, 1H, J=8.2 Hz), 7.16 (t, 1H, J=8.2 Hz), 4.49 (t, 2H, J=7.0 Hz), 2.40 (t, 2H, J=7.0 Hz), 2.19 (s, 3H), 2.09 (q, 2H, J=7.0 Hz), 2.01 (app s, 4H), 0.41-0.32 (m, 4H); LCMS: purity: 97%; MS (m/z): 524 (MH+).
- 1H NMR (DMSO-d6): δ 10.50 (s, 1H), 9.92 (s, 1H), 8.05 (s, 1H), 7.89 (s, 1H), 7.83 (s, 1H), 7.71 (d, 1H, J=8.8 Hz), 7.65-7.60 (m, 3H), 7.49 (d, 1H, J=8.5 Hz), 6.95 (d, 1H, J=8.5 Hz), 4.50 (t, 2H, J=6.4 Hz), 2.71 (dq, 2H, J=6.4 and 7.3 Hz), 2.45 (s, 3H), 2.41 (t, 2H, J=6.4 Hz), 2.18 (s, 3H), 2.10 (q, 2H, J=6.4 Hz), 2.01 (s, 3H), 0.87 (t, 3H, J=7.0 Hz); LCMS: purity: 98%; MS (m/z): 526 (MH+).
- 1H NMR (DMSO-d6): δ 10.52 (s, 1H), 9.93 (s, 1H), 8.05 (s, 1H), 7.90 (s, 1H), 7.83 (s, 1H), 7.73-7.63 (m, 3H), 7.51-7.47 (m, 2H), 6.96 (d, 1H, J=8.2 Hz), 4.50 (t, 2H, J=6.4 Hz), 2.43 (s, 3H), 2.41 (t, 2H, J=6.4 Hz), 2.32 (d, 3H, J=4.7 Hz), 2.18 (s, 3H), 2.10 (q, 2H, J=6.4 Hz), 2.01 (s, 3H); LCMS: purity: 97%; MS (m/z): 512 (MH+).
- 1H NMR (DMSO-d6): δ 9.25 (s, 1H), 8.38 (s, 1H), 8.11 (s, 1H), 8.02-7.97 (m, 3H), 7.87 (s, 1H), 7.64 (d, 1H, J=8.8 Hz), 7.55 (d, 1H, J=8.8 Hz), 7.25-7.22 (m, 2H), 7.12 (t, 2H, J=8.2 Hz), 4.23 (d, 2H, J=6.7 Hz), 2.12 (s, 3H), 1.90-1.89 (m, 1H), 1.64-1.49 (m, 5H), 1.14-0.99 (m, 5H); LCMS: purity: 99%; MS (m/z): 492 (MH+).
- 1H NMR (DMSO-d6): δ 9.14 (s, 1H), 8.34 (s, 1H), 8.12 (s, 1H), 8.00 (s, 1H), 7.97 (d, 1H, J=8.2 Hz), 7.93 (d, 1H, J=8.5 Hz), 7.84 (s, 1H), 7.63 (d, 1H, J=9.1 Hz), 7.55 (d, 1H, J=9.1 Hz), 7.19 (s, 2H), 6.92 (d, 1H, J=8.2 Hz), 4.23 (d, 2H, J=6.7 Hz), 2.43 (s, 3H), 2.10 (s, 3H), 1.90-1.89 (m, 1H), 1.64-1.47 (m, 5H), 1.14-0.99 (m, 5H); LCMS: purity: 99%; MS (m/z): 506 (MH+).
- 1H NMR (DMSO-d6): δ 9.14 (s, 1H), 8.34 (s, 1H), 7.99-7.92 (m, 4H), 7.85 (s, 1H), 7.63 (d, 1H, J=8.8 Hz), 7.55 (d, 1H, J=8.8 Hz), 7.29 (q, 1H, J=4.5 Hz), 6.96 (d, 1H, J=8.2 Hz), 4.23 (d, 2H, J=7.0 Hz), 2.39 (s, 3H), 2.38 (d, 3H, J=4.5 Hz), 2.11 (s, 3H), 1.90-1.89 (m, 1H), 1.64-1.47 (m, 5H), 1.14-0.99 (m, 5H); LCMS: purity: 99%; MS (m/z): 520 (MH+).
- 1H NMR (DMSO-d6): δ 10.52 (s, 1H), 9.90 (s, 1H), 8.07 (s, 1H), 7.95 (s, 1H), 7.77-7.50 (m, 3H), 7.64 (s, 1H), 7.43 (d, 2H, J=8.8 Hz), 7.32-7.29 (m, 3H), 7.07 (t, 1H, J=8.2 Hz), 4.42 (t, 2H, J=5.2 Hz), 3.69 (t, 2H, J=5.2 Hz), 3.10 (s, 3H), 2.20 (s, 3H); LCMS: purity: 99%; MS (m/z): 454 (MH+).
- 1H NMR (DMSO-d6): δ 10.55 (s, 1H), 9.88 (s, 1H), 8.10 (s, 1H), 7.99 (s, 1H), 7.80 (d, 1H, J=8.8 Hz), 7.78 (s, 1H), 7.60 (d, 2H, J=8.5 Hz), 7.48 (d, 2H, J=8.5 Hz), 7.33 (d, 1H, J=8.8 Hz), 7.21 (s, 2H), 4.45 (t, 2H, J=4.9 Hz), 3.69 (t, 2H, J=4.9 Hz), 3.10 (s, 3H), 2.20 (s, 3H); LCMS: purity: 97%; MS (m/z): 454 (MH+).
- 1H NMR (DMSO-d6): δ 9.61 (s, 1H), 8.81 (s, 1H), 7.98-7.91 (m, 5H), 7.69 (d, 1H, J=8.5 Hz), 7.42 (d, 1H, J=8.5 Hz), 7.32 (d, 1H, J=8.8 Hz), 7.25 (s, 2H), 7.14 (t, 1H, J=8.5 Hz), 4.78 (sept, 1H, J=6.4 Hz), 2.16 (s, 3H), 1.42 (d, 6H, J=6.4 Hz); LCMS: purity: 96%; MS (m/z): 438 (MH+).
- 1H NMR (DMSO-d6): δ 10.83 (s, 1H), 10.04 (s, 1H), 8.10 (s, 1H), 8.01 (s, 1H), 7.82 (d, 2H, J=8.8 Hz), 7.57 (d, 2H, J=8.8 Hz), 7.45 (d, 2H, J=8.5 Hz), 7.32 (d, 1H, J=8.5 Hz), 7.19 (s, 2H), 4.84 (sept, 1H, J=6.7 Hz), 2.20 (s, 3H), 1.43 (d, 6H, J=6.7 Hz); LCMS: purity: 99%; MS (m/z): 438 (MH+).
- 1H NMR (DMSO-d6): δ 10.74 (s, 1H), 10.01 (s, 1H), 8.05 (s, 1H), 7.99 (s, 1H), 7.80-7.76 (m, 3H), 7.62 (s, 1H), 7.45 (d, 1H, J=8.2 Hz), 7.35 (s, 2H), 7.30 (d, 1H, J=8.8 Hz), 7.06 (t, 1H, J=8.2 Hz), 3.91 (s, 3H), 2.21 (s, 3H); LCMS: purity: 99%; MS (m/z): 410 (MH+).
- 1H NMR (DMSO-d6): δ 10.82 (s, 1H), 10.06 (s, 1H), 8.08 (s, 1H), 8.03 (s, 1H), 7.82 (d, 2H, J=8.2 Hz), 7.59 (d, 1H, J=8.8 Hz), 7.48 (d, 1H, J=8.8 Hz), 7.32 (d, 1H, J=8.2 Hz), 7.25 (s, 2H), 3.94 (s, 3H), 2.21 (s, 3H); LCMS: purity: 99%; MS (m/z): 410 (MH+).
- 1H NMR (DMSO-d6): δ 10.70 (s, 1H), 9.98 (s, 1H), 8.06 (s, 1H), 7.98 (s, 1H), 7.79-7.77 (m, 3H), 7.63 (s, 1H), 7.44 (d, 1H, J=7.9 Hz), 7.34 (s, 2H), 7.04 (t, 1H, J=7.9 Hz), 4.29 (q, 2H, J=7.0 Hz), 2.21 (s, 3H), 1.34 (t, 3H, J=7.0 Hz); LCMS: purity: 99%; MS (m/z): 424 (MH+).
- 1H NMR (DMSO-d6): δ 10.83 (s, 1H), 10.02 (s, 1H), 8.09 (s, 1H), 8.02 (s, 1H), 7.83-7.80 (m, 2H), 7.58 (d, 2H, J=8.8 Hz), 7.47 (d, 2H, J=8.5 Hz), 7.32 (d, 1H, J=8.8 Hz), 7.22 (s, 2H), 4.33 (q, 2H, J=7.0 Hz), 2.21 (s, 3H), 1.32 (t, 3H, J=7.0 Hz); LCMS: purity: 99%; MS (m/z): 424 (MH+).
- 1H NMR (DMSO-d6): δ 10.58 (s, 1H), 9.92 (s, 1H), 8.04 (s, 1H), 7.95 (s, 1H), 7.08 (s, 1H), 7.76 (d, 1H, J=8.8 Hz), 7.68 (d, 1H, J=8.8 Hz), 7.66 (s, 1H), 7.47 (q, 1H, J=4.5 Hz), 7.30 (d, 1H, J=8.5 Hz), 6.93 (dd, 1H, J=8.5 Hz), 3.86 (s, 3H), 2.43 (s, 3H), 2.30 (d, 3H, J=4.5 Hz), 2.20 (s, 3H); LCMS: purity: 97%; MS (m/z): 438 (MH+).
- 1H NMR (DMSO-d6): δ 10.43 (s, 1H), 9.70 (s, 1H), 7.70 (s, 1H), 7.51 (d, 1H, J=8.8 Hz), 7.45 (app d, 2H, J=8.8 Hz), 7.35 (s, 1H), 7.16 (d, 1H, J=8.2 Hz), 7.06 (s, 2H), 6.98 (d, 1H, J=8.5 Hz), 6.78 (t, 1H, J=8.2 Hz), (3.82 (d, 2H, J=6.7 Hz), 2.22 (s, 3H), 1.93 (s, 3H), 0.91-0.79 (m, 1H), 0.15-0.02 (m, 4H); LCMS: purity: 99%; MS (m/z): 464 (MH+).
- 1H NMR (DMSO-d6): δ 10.15 (s, 1H), 9.54 (s, 1H), 7.64 (s, 1H), 7.44-7.41 (m, 3H), 7.35 (d, 1H, J=8.2 Hz), 7.05 (s, 2H), 6.98 (d, 1H, J=8.5 Hz), 6.59 (d, 1H, J=8.5 Hz), 3.78 (d, 2H, J=6.7 Hz), 2.19 (s, 3H), 2.17 (s, 3H), 1.91 (s, 3H), 0.87-0.85 (m, 1H), 0.14-0.02 (m, 4H); LCMS: purity: 97%; MS (m/z): 478 (MH+).
- 1H NMR (DMSO-d6): δ 9.98 (s, 1H), 9.37 (s, 1H), 7.65 (s, 1H), 7.48-7.46 (app m, 2H), 7.41 (d, 2H, J=8.5 Hz), 7.29 (t, 1H, J=5.9 Hz), 6.99 (d, 1H, J=8.2 Hz), 6.66 (d, 1H, J=8.2 Hz), 3.76 (d, 2H, J=7.0 Hz), 2.41(q, 2H, J=7.0 Hz), 2.17 (s, 3H), 2.14 (s, 3H), 1.92 (s, 3H), 0.63 (t, 3H, J=7.0 Hz), 0.87-0.85 (m, 1H), 0.14-0.02 (m, 4H); LCMS: purity: 97%; MS (m/z): 506 (MH+).
- 1H NMR (DMSO-d6): δ 8.97 (s, 1H), 8.18 (s, 1H), 7.71 (s, 1H), 7.64 (app m, 3H), 7.32 (d, 1H, J=8.8 Hz), 7.09 (d, 1H, J=8.2 Hz), 7.02 (q, 1H, J=4.7 Hz), 6.78 (d, 1H, J=8.2 Hz), 3.79 (d, 2H, J=6.4 Hz), 2.17 (s, 3H), 2.14 (s, 3H), 2.09 (d, 3H, J=4.7 Hz), 1.86 (s, 3H), 0.87-0.85 (m, 1H), 0.14-0.02 (m, 4H); LCMS: purity: 91%; MS (m/z): 492 (MH+).
- 1H NMR (DMSO-d6): δ 9.80 (s, 1H), 9.61 (s, 1H), 8.03 (s, 1H), 7.97-7.94 (m, 1H), 7.39-7.38 (m, 2H), 7.35-7.23 (m, 4H), 6.94 (d, 1H, J=8.2 Hz), 5.78 (s, 1H), 3.20 (s, 3H), 1.40 (s, 6H); LCMS: purity: 99%; MS (m/z): 473 (MH+).
- 1H NMR (DMSO-d6): δ 9.88 (s, 1H), 9.65 (s, 1H), 7.81 (d, 2H, J=8.8 Hz), 7.63 (d, 2H, J=8.8 Hz), 7.25-7.20 (m, 2H), 7.15 (s, 2H), 6.97 (d, 1H, J=8.5 Hz), 5.80 (s, 1H), 3.21 (s, 3H), 1.41 (s, 6H); LCMS: purity: 99%; MS (m/z): 473 (MH+).
- 1H NMR (DMSO-d6): δ 9.40 (s, 1H), 9.36 (s, 1H), 9.04 (s, 1H), 7.90 (d, 2H, J=8.5 Hz), 7.82 (d, 2H, J=8.8 Hz), 7.69 (d, 2H, J=7.9 Hz), 7.63 (d, 2H, J=8.5 Hz), 7.23-7.12 (m, 6H), 6.94 (d, 1H, J=7.9 Hz), 3.23 (s, 3H), 1.41 (s, 6H); LCMS: purity: 99%; MS (m/z): 625 (MH+).
- 1H NMR (DMSO-d6): δ 10.43 (s, 1H), 9.77 (s, 1H), 7.56 (app s, 4H), 7.23-7.21 (m, 3H), 7.17 (d, 1H, J=8.5 Hz), 7.07 (d, 1H, J=8.5 Hz), 3.18 (s, 3H), 2.39 (s, 3H), 2.13 (s, 3H), 1.44 (s, 6H); LCMS: purity: 97%; MS (m/z): 483 (MH+).
- 1H NMR (DMSO-d6): δ 9.59 (s, 1H), 8.64 (s, 1H), 7.98 (d, 1H, J=8.8 Hz), 7.88 (s, 1H), 7.34-7.23 (m, 6H), 6.95 (d, 1H, J=8.5 Hz), 3.19 (s, 3H), 2.04 (s, 3H), 1.41 (s, 6H); LCMS: purity: 98%; MS (m/z): 487 (MH+).
- 1H NMR (DMSO-d6): δ 9.40 (s, 1H), 9.07 (s, 1H), 8.65 (s, 1H), 8.52 (d, 1H, J=4.5 Hz), 8.14 (s, 1H), 8.04 (d, 1H, J=7.2 Hz), 7.85 (d, 1H, J=8.1 Hz), 7.52 (d, 2H, J=9.0 Hz), 7.41 (dd, 1H, J=4.8 and 7.6 Hz), 7.32 (m, 2H), 7.26 (s, 2H), 6.98 (d, 2H, J=9.0 Hz), 6.02 (s, 1H), 5.12 (s, 2H), 2.50 (s, 3H), 2.19 (s, 3H); LCMS: MS (m/z): 463 (MH+).
- 1H NMR (DMSO-d6): δ 9.28 (s, 1H), 9.03 (s, 1H), 8.65 (s, 1H), 8.52 (d, 1H, J=3.3 Hz), 8.22 (s, 1H), 7.92 (dd, 1H, J=2.1 and 7.9 Hz), 7.85 (d, 1H, J=8.1 Hz), 7.53 (d, 2H, J=8.7 Hz), 7.41 (dd, 1H, J=4.8 and 7.6 Hz), 7.25 (s, 1H), 7.14 (d, 1H, J=8.4 Hz), 6.97 (d, 2H, J=9.3 Hz), 5.99 (s, 1H), 5.12 (s, 2H), 2.50 (s, 3H), 2.18 (s, 3H); LCMS: MS (m/z): 477 (MH+).
- 1H NMR (DMSO-d6): δ 9.52 (s, 1H), 9.14 (s, 1H), 8.58 (s, 1H), 8.44 (d, 1H, J=3.6 Hz), 7.81 (t, 3H, J=8.7 Hz), 7.60 (d, 1H, J=2.1 Hz), 7.51 (d, 2H, J=8.7 Hz), 7.40 (d, 2H, J=8.7 Hz), 7.35 (dd, 1H, J=7.8 and 4.8 Hz), 6.92 (d, 2H, J=8.7 Hz), 5.99 (s, 1H), 5.06 (s, 2H), 2.11 (s, 3H), 2.01 (m, 1H), 0.37 (m, 2H), 0.29 (m, 2H); LCMS: MS (m/z): 503 (MH+).
- 1H NMR (DMSO-d6): δ 9.48 (s, 1H), 9.12 (s, 1H), 8.66 (s, 1H), 8.51 (d, 1H, J=3.6 Hz), 8.11 (s, 1H), 7.87 (d, 2H, J=8.7 Hz), 7.60 (d, 2H, J=9.0 Hz), 7.48 (d, 2H, J=8.7 Hz), 7.42 (dd, 1H, J=7.6 and 4.8 Hz), 7.12 (s, 2H), 7.00 (d, 2H, J=9.0 Hz), 6.05 (s, 1H), 5.13 (s, 2H), 2.20 (s, 3H); LCMS: MS (m/z): 463 (MH+).
- 1H NMR (DMSO-d6): δ 9.40 (s, 1H), 9.07 (s, 1H), 8.56 (d, 1H, J=4.5 Hz), 8.15 (s, 1H), 8.05 (m, 1H), 7.82 (m, 1H), 7.52 (m, 3H), 7.34 (m, 3H), 7.26 (s, 2H), 6.97 (d, 2H, J=8.7 Hz), 6.03 (s, 1H), 5.15 (s, 2H), 2.20 (s, 3H); LCMS: MS (m/z): 463 (MH+).
- 1H NMR (DMSO-d6): δ 10.78 (s, 1H), 10.56 (s, 1H), 8.63 (d, 1H, J=4.5 Hz), 7.96 (t, 1H, J=8.1 Hz), 7.76 (d, 3H, J=8.4), 7.69 (br s, 1H), 7.63 (d, 1H, J=7.8 Hz), 7.45 (t, 3H, J=4.5 Hz), 7.36 (s, 2H), 7.07 (d, 2H, J=8.7 Hz), 6.28 (s, 1H), 5.24 (s, 2H), 2.35 (s, 3H); LCMS: MS (m/z): 463 (MH+).
- 1H NMR (DMSO-d6): δ 9.41 (s, 1H), 9.07 (s, 1H), 8.56 (d, 1H, J=5.1 Hz), 8.15 (s, 1H), 8.11 (d, 1H, J=8.1 Hz), 7.82 (m, 2H), 7.52 (t, 3H, J=9.3 Hz), 7.35 (m, 3H), 6.97 (d, 2H, J=9.3 Hz), 6.03 (s, 1H), 5.15 (s, 2H), 2.21 (s, 3H), 2.13 (m, 1H), 0.48 (m, 2H), 0.42 (m, 2H); LCMS: MS (m/z): 503 (MH+).
- 1H NMR (DMSO-d6): δ 9.25 (s, 1H), 9.01 (s, 1H), 8.55 (d, 1H, J=4.8 Hz), 8.21 (s, 1H), 7.92 (dd, 1H, J=8.1 and 2.1 Hz), 7.81 (m, 1H), 7.51 (d, 3H, J=6.9 Hz), 7.32 (dd, 1H, J=7.2 and 5.4 Hz), 7.23(s, 2H), 7.13 (d, 1H, J=8.4 Hz), 6.96 (d, 2H, J=9.0 Hz), 5.99 (s, 1H), 5.14 (s, 2H), 2.48 (s, 3H), 2.18 (s, 3H); LCMS: MS (m/z): 477 (MH+).
- 1H NMR (DMSO-d6): δ 9.56 (s, 1H), 9.14 (s, 1H), 8.56 (m, 1H), 7.92 (d, 2H, J=8.7 Hz), 7.82 (m, 1H), 7.64 (d, 1H, J=2.7 Hz), 7.59 (d, 2H, J=8.7 Hz), 7.49 (t, 3H, J=9.3 Hz), 7.32 (m, 1H), 6.99 (d, 2H, J=9.0 Hz), 6.06 (s, 1H), 5.15 (s, 2H), 2.21 (s, 3H), 2.06 (m, 1H), 0.44 (m, 2H), 0.36 (m, 2H); LCMS: MS (m/z): 503 (MH+).
- 1H NMR (DMSO-d6): δ 9.26 (s, 1H), 9.04 (s, 1H), 8.55 (d, 1H, J=4.2 Hz), 8.10 (s, 1H), 7.96 (d, 1H, J=8.4 Hz), 7.81 (t, 1H, J=7.5 Hz), 7.53 (d, 2H, J=8.7 Hz), 7.49 (d, 1H, J=8.1 Hz), 7.34 (m, 2H), 7.18 (d, 1H, J=8.7 Hz), 6.95 (d, 2H, J=8.7 Hz), 6.00 (s, 1H), 5.14 (s, 2H), 2.45 (d, 6H, J=3.3 Hz), 2.18 (s, 3H); LCMS: MS (m/z): 491 (MH+).
- 1H NMR (DMSO-d6): δ 10.34 (s, 2H), 8.73 (s, 1H), 8.61 (d, 1H, J=4.8 Hz), 8.02 (d, 1H, J=7.8 Hz), 7.97 (s, 1H), 7.86 (d, 2H, J=9.6 Hz), 7.54 (m, 3H), 7.43 (d, 2H, J=8.7 Hz), 6.99 (d, 2H, J=8.4 Hz), 6.19 (s, 1H), 5.17 (s, 2H), 2.32 (s, 3H), 2.08 (m, 1H), 0.46 (m, 2H), 0.40 (m, 2H); LCMS: MS (m/z): 503 (MH+).
- 1H NMR (DMSO-d6): δ 9.26 (s, 1H), 9.04 (s, 1H), 8.65 (s, 1H), 8.51 (d, 1H, J=4.5 Hz), 8.11 (s, 1H), 7.96 (d, 1H, J=8.1 Hz), 7.85 (d, 1H, J=7.5 Hz), 7.54 (d, 2H, J=8.7 Hz), 7.38 (m, 2H), 7.18 (d, 1H, J=8.4 Hz), 6.96 (d, 2H, J=9.3 Hz), 6.00 (s, 1H), 5.11 (s, 2H), 2.45 (d, 6H, J=3.9 Hz), 2.18 (s, 3H); LCMS: MS (m/z): 491 (MH+).
- 1H NMR (DMSO-d6): δ 10.36 (s, 1H), 9.17 9s, 1H), 7.83 (d, 1H, J=7.6 Hz), 7.58 (s, 1H), 7.47 (d, 1H, J=7.9 Hz), 7.38 (s, 2H), 7.24-7.13 (m, 3H), 7.01 (d, 1H, J=8.5 Hz), 3.14 (s, 3H), 2.39 (s, 3H), 1.41 (s, 6H); LCMS LCMS: purity: 96%; MS (m/z): 483 (MH+).
- All remaining compounds disclosed, but not analytically described above were made in a similar manner by methods described herein or known to skilled artisans.
- B-cells stimulated with cytokine Interleukin-4 (IL-4) activate the JAK/Stat pathway through phosphorylation of the JAK family kinases, JAK-1 and JAK-3, which in turn phosphorylate and activate the transcription factor Stat-6. One of the genes upregulated by activated Stat-6 is the low affinity IgE receptor, CD23. To study the effect of inhibitors on the JAK family kinases, human Ramos B cells are stimulated with human IL-4.
- The Ramos B-cell line was acquired from ATCC (ATCC Catalog No. CRL-1596). The cells were cultured in RPMI 1640 (Cellgro, MediaTech, Inc., Herndon, Va., Cat No. 10-040-CM) with 10% fetal bovine serum (FBS), heat inactivated (JRH Biosciences, Inc, Lenexa, Kans., Cat No. 12106-500M) according to ATCC propagation protocol. Cells were maintained at a density of 3.5×105. The day before the experiment, Ramos B-cells were diluted to 3.5×105 cells/mL to ensure that they were in a logarithmic growth phase.
- Cells were spun down and suspended in RPMI with 5% serum. 5×104 cells were used per point in a 96-well tissue culture plate. Cells were pre-incubated with compound or DMSO (Sigma-Aldrich, St. Louis, Mo., Cat No. D2650) vehicle control for 1 hour in a 37° C. incubator. Cells were then stimulated with IL-4 (Peprotech Inc., Rocky Hill, N.J., Cat No. 200-04) for a final concentration of 50 units/mL for 20-24 hours. Cells were then spun down and stained with anti-CD23-PE (BD Pharmingen, San Diego, Calif., Cat No. 555711) and analyzed by FACS. Detection was performed using a BD LSR I System Flow Cytometer, purchased from Becton Dickinson Biosciences of San Jose, Calif. The IC50 calculated based on the results of this assay are provided in Table III.
- Primary human T-cells derived from peripheral blood and pre-activated through stimulation of the T-cell receptor and CD28 proliferate in vitro in response to the cytokine Interleukin-2 (IL-2). This proliferative response is dependent on the activation of JAK-1 and JAK-3 tyrosine kinases, which phosphorylate and activate the transcription factor Stat-5.
- Human primary T cells were prepared as follows. Whole blood was obtained from a healthy volunteer, mixed 1:1 with PBS, layered on to Ficoll Hypaque (Amersham Pharmacia Biotech, Piscataway, N.J., Catalog #17-1440-03) in 2:1 blood/PBS:ficoll ratio and centrifuged for 30 min at 4° C. at 1750 rpm. The lymphocytes at the serum: ficoll interface were recovered and washed twice with 5 volumes of PBS. The cells were resuspended in Yssel's medium (Gemini Bio-products, Woodland, Calif., Catalog #400-103) containing 40 U/mL recombinant IL2 (R and D Systems, Minneapolis, Minn., Catalog #202-IL (20 μg)) and seeded into a flask pre-coated with 1 □g/mL anti-CD3 (BD Pharmingen, San Diego, Calif., Catalog #555336) and 5 □g/mL anti-CD28 (Immunotech, Beckman Coulter of Brea Calif., Catalog #IM1376). The primary T-cells were stimulated for 3 to 4 days, then transferred to a fresh flask and maintained in RPMI with 10% FBS and 40 U/mL IL-2.
- Primary T-cells were washed twice with PBS to remove the IL-2 and resuspended in Yssel's medium at 2×106 cells/mL. 50 μL of cell suspension containing 80 U/mL IL-2 was added to each well of a flat bottom 96 well black plate. For the unstimulated control, IL-2 was omitted from the last column on the plate. Compounds were serially diluted in dimethyl sulfoxide (DMSO, 99.7% pure, cell culture tested, Sigma-Aldrich, St. Louis, Mo., Catalog No. D2650) from 5 mM in 3-fold dilutions and then diluted 1:250 in Yssel's medium. 50 μL of 2× compound was added per well in duplicate and the cells were allowed to proliferate for 72 hours at 37° C.
- Proliferation was measured using CellTiter-Glo® Luminescent Cell Viability Assay (Promega), which determines the number of viable cells in culture based on quantitation of the ATP present, as an indicator of metabolically active cells. The substrate was thawed and allowed to come to room temperature. After mixing the Cell Titer-Glo reagent and diluent together, 100 μL was added to each well. The plates were mixed on an orbital shaker for two minutes to induce lysis and incubated at room temperature for an additional ten minutes to allow the signal to equilibrate. Detection was performed using a Wallac Victor2 1420 multilabel counter purchased from Perkin Elmer, Shelton, Conn. The IC50 calculated based on the results of this assay are provided in Table III.
- A549 lung epithelial cells up-regulate ICAM-1 (CD54) surface expression in response to a variety of different stimuli. Therefore, using ICAM-1 expression as readout, compound effects on different signaling pathways can be assessed in the same cell type. IFNγ up-regulates ICAM-1 through activation of the JAK/Stat pathway. In this example, the up-regulation of ICAM-1 by IFNγ was assessed.
- The A549 lung epithelial carcinoma cell line originated from the American Type Culture Collection. Routine culturing was with F12K media (Mediatech Inc., Lenexa, Kans., Cat. No. 10-025-CV) with 10% fetal bovine serum, 100 I.U. penicillin and 100 ng/mL streptomycin (complete F12k media). Cells were incubated in a humidified atmosphere of 5% CO2 at 37° C. Prior to use in the assay, A549 cells were washed with PBS and trypsinized (Mediatech Inc., Cat. No. 25-052-Cl) to lift the cells. The trypsin cell suspension was neutralized with complete F12K media and centrifuged to pellet the cells. The cell pellet was resuspended in complete F12K media at a concentration of 2.0×105/mL. Cells were seeded at 20,000 per well, 100 μL total volume, in a flat bottom tissue culture plate and allowed to adhere overnight.
- On day two, A549 cells were pre-incubated with a 2,4-pyrimidinediamine test compound or DMSO (control) (Sigma-Aldrich, St. Louis, Mo., Catalog No. D2650) for 1 hour. The cells were then stimulated with IFNγ (75 ng/mL) (Peprotech Inc., Rocky Hill, N.J., Cat. No. 300-02) and allowed to incubate for 24 hours. The final test compound dose range was 30 μM to 14 nM in 200 μL F12K media containing 5% FBS, 0.3% DMSO.
- On day three, the cell media was removed and the cells were washed with 200 μL PBS (phosphate buffered saline). Each well was trypsinized to dissociate the cells, then neutralized by addition of 200 μL complete F12K media. Cells were pelleted and stained with an APC conjugated mouse anti-human ICAM-1 (CD54) (BD Pharmingen, San Diego, Calif., Catalog #559771) antibody for 20 minutes at 4° C. Cells were washed with ice cold FACS buffer (PBS+2% FBS) and surface ICAM-1 expression was analyzed by flow cytometry. Detection was performed using a BD LSR I System Flow Cytometer, purchased from BD Biosciences of San Jose, Calif. Events were gated for live scatter and the geometric mean was calculated (Becton-Dickinson CellQuest software version 3.3, Franklin Lakes, N.J.). Geometric means were plotted against the compound concentration to generate a dose response curve. The IC50 calculated based on the results of this assay are provided in Table III.
- U937 human monocytic cells up-regulate ICAM-1 (CD54) surface expression in response to a variety of different stimuli. Therefore, using ICAM-1 expression as readout, compound effects on different signaling pathways can be assessed in the same cell type. IFNγ up-regulates ICAM-1 through activation of the JAK/Stat pathway. In this example, the up-regulation of ICAM-1 by IFNγ was assessed.
- The U937 human monocytic cell line was obtained from ATCC of Rockville, Md., catalog number CRL-1593.2, and cultured in RPMI-1640 medium containing 10% (v/v) FCS. U937 cells were grown in 10% RPMI. The cells were then plated at a concentration of 100,000 cells per 160 μL in 96 well flat bottom plates. The test compounds were then diluted as follows: 10 mM test compound was diluted 1:5 in DMSO (3 μL 10 mM test compound in 12 μL DMSO), followed by a 1:3 serial dilution of test compound in DMSO (6 μL test compound serially diluted into 12 μL DMSO to give 3-fold dilutions). Then 4 μL of test compound was transferred to 76 μL of 10% RPMI resulting in a 10× solution (100 μM test compound, 5% DMSO). For control wells, 4 μL of DMSO was diluted into 76 μL 10% RPMI.
- The assay was performed in duplicate with 8 points (8 3-fold dilution concentrations from 10 μl) and with 4 wells of DMSO only (control wells) under stimulated conditions and 4 wells of DMSO only under unstimulated conditions.
- The diluted compound plate was mixed 2× using a multimek (Beckman Coulter of Brea, Calif.) and then 20 μL of the diluted compounds was transferred to the 96 well plate containing 160 μL of cells, which were then mixed again twice at low speeds. The cells and compounds were then pre-incubated for 30 minutes at 37° C. with 5% CO2.
- The 10× stimulation mix was made by preparing a 100 ng/mL solution of human IFNγ in 10% RPMI. The cells and compound were then stimulated with 20 μL of IFNγ stimulation mix to give a final concentration of 10 ng/mL IFNγ, 10 μM test compound, and 0.5% DMSO. The cells were kept under conditions for stimulation for 18-24 hours at 37° C. with 5% CO2.
- The cells were transferred to a 96 well round bottom plate for staining and then kept on ice for the duration of the staining procedure. Cells were spun down at 1000 rpm for 5 minutes at 4° C., following which the supernatant was removed. Following removal of the supernatant, 1 μL APC conjugated mouse anti-human ICAM-1 antibody was added per 100 μL FACS buffer. The cells were then incubated on ice in the dark for 30 minutes. Following incubation, 150 μL of FACS buffer was added and the cells were centrifuged at 1000 rpm for 5 minutes at 4° C., following which the supernatant was removed. After removal of the supernatant, 200 μL of FACS buffer was added and the cells were resuspended. After suspension, the cells were centrifuged at 1000 rpm for 5 min at 4° C. Supernatant was then removed prior to resuspension of the cells in 150 μL FACS buffer.
- Detection was performed using a BD LSR I System Flow Cytometer, purchased from BD Biosciences of San Jose, Calif. The live cells were gated for live scatter and the geometric mean of ICAM-APC was measured (Becton-Dickinson CellQuest software version 3.3, Franklin Lakes, N.J.). Both % live cells and ICAM-1 expression was analyzed. The assays for the test compounds were carried out in parallel with a control compound of known activity. The EC50 for the control compound is typically 40-100 nM. The IC50 calculated based on the results of this assay are provided in Table XVI.
-
TABLE XVI Compound# Example 3 Example 4 Example 5 Example 6 I-1 0.58883 I-2 0.91074 I-3 2.91159 I-4 0.92757 I-5 0.23862 I-6 0.05631 0.18115 11.3381 0.56491 I-7 0.12204 0.62467 1.36955 I-8 9.6557 I-9 0.20172 1.18287 I-10 0.16427 0.72381 9999 I-11 0.07598 0.33972 4.98157 I-12 0.08692 0.18673 3.84551 0.40964 I-13 0.09897 0.18455 3.11335 0.36684 I-14 3.9717 I-15 0.15987 0.36325 1.74329 I-16 0.09062 0.20944 4.12861 0.9643 I-17 0.14725 0.7175 I-18 0.1016 0.74156 26.8087 1.80963 I-19 0.19376 1.34478 18.7049 I-20 0.07056 0.31112 8888 0.65688 I-21 0.25111 2.01413 I-22 0.09458 0.34829 9999 3.85373 I-23 0.90444 0.92854 I-24 0.54911 0.78345 I-25 9999 43.2745 I-26 0.16137 I-27 0.096 I-28 0.3601 I-29 3.1748 I-30 0.04613 I-31 0.02917 I-32 0.04198 I-33 0.11876 I-34 0.03289 I-35 0.03313 I-36 0.03244 I-37 0.19494 I-38 0.17116 I-39 0.12326 I-40 0.1951 I-41 0.29727 I-42 0.26593 I-43 0.04988 I-44 0.07934 I-45 0.1238 I-46 0.15086 I-47 0.16052 I-48 0.64827 I-51 0.13816 I-52 0.23808 I-53 0.33618 I-54 0.21807 I-55 0.71158 I-59 0.2374 I-60 0.14052 I-61 0.1093 I-62 0.11468 I-63 0.11177 I-64 0.41132 I-65 1.05115 I-66 0.51551 I-67 0.22227 I-68 0.8456 I-69 0.27768 I-70 0.54816 I-71 0.54136 I-72 0.31887 I-73 0.56108 I-74 0.12317 I-75 0.11694 I-76 0.44175 I-77 0.25507 I-78 0.38156 I-79 0.12195 I-80 0.26912 I-81 0.18064 I-82 0.06095 I-83 0.0862 I-84 0.09387 I-85 0.10336 I-86 8888 I-87 0.27512 I-88 0.11687 I-89 0.09514 I-90 0.81211 I-91 0.81786 I-92 0.06732 I-93 0.02794 I-94 0.18902 I-95 0.44443 I-96 0.0221 I-97 0.03683 I-98 0.04735 I-99 0.03839 I-100 0.02449 I-101 3.25554 I-102 0.02801 I-103 0.08024 I-104 0.03276 I-105 0.03853 I-106 8888 I-107 0.04379 I-108 0.10983 I-109 0.22296 I-110 0.0932 I-111 0.01658 I-112 8888 I-113 0.22474 I-114 0.16879 I-115 2.16483 I-116 0.03501 I-117 0.0883 I-118 0.07874 I-119 0.06483 I-120 0.0567 I-121 0.06566 I-122 0.06544 I-123 0.07925 I-124 0.06886 I-125 0.09939 I-126 0.21138 I-127 1.40399 I-128 0.28895 I-129 0.44066 I-130 0.15185 I-131 0.46697 I-132 0.18718 I-133 0.1338 I-134 0.08876 I-135 0.17813 I-136 0.14713 I-137 0.16271 I-138 0.1295 I-139 0.11879 I-140 0.23943 I-141 0.31633 I-142 0.31241 I-143 0.24109 I-144 0.26986 I-145 0.25713 I-146 8888 I-147 0.05191 I-148 0.09457 I-149 0.16941 I-150 0.1785 I-151 0.75302 I-152 0.23126 I-153 0.17485 I-154 0.17902 I-155 1.18651 I-156 1.22223 I-157 0.10979 I-158 0.04359 I-159 0.10514 I-160 0.27146 I-161 0.32917 I-162 0.29937 I-164 0.03769 I-165 0.12467 I-166 1.23597 I-167 1.69135 I-168 1.16121 I-169 1.9066 I-170 4.56694 I-171 4.5946 I-172 2.65302 I-173 3.6015 II-1 0.06278 II-2 0.0708 II-3 0.13528 II-4 0.03477 II-5 0.02742 II-6 0.03617 II-7 0.16981 II-8 0.18476 II-9 0.09174 II-10 0.18848 II-11 1.62437 II-12 0.10548 II-13 0.34694 II-14 0.09812 II-15 0.09176 II-16 0.05807 II-17 0.05667 II-18 0.04894 II-19 0.02503 II-20 0.01453 II-21 0.02649 II-22 0.0412 II-23 0.03145 II-24 0.03988 II-25 0.0293 II-26 0.0386 II-27 0.11727 II-28 0.11135 II-29 0.16827 II-30 0.03354 II-31 0.15239 II-32 0.08213 II-33 0.1146 II-34 0.17313 II-35 0.03963 II-36 0.0428 II-37 0.14234 II-38 0.1698 II-39 0.30542 II-40 0.07722 II-41 0.13138 II-42 0.05984 II-43 0.40526 II-44 0.30361 II-45 0.09722 II-46 0.73455 II-47 2.3678 II-48 1.01604 II-49 0.70719 II-50 1.79436 II-51 0.02821 II-52 0.09409 II-53 0.06062 II-54 0.03389 II-55 0.05295 II-56 0.02662 II-57 0.03909 II-58 0.12587 II-59 0.09887 II-60 0.07361 II-61 0.05514 II-62 0.17722 II-63 0.24017 II-64 0.0218 II-65 0.0318 II-66 0.3652 II-67 0.27696 II-68 0.07926 II-69 0.07675 II-70 0.02215 II-71 0.05818 II-72 0.06664 II-73 0.03474 II-75 0.23084 II-76 0.03324 II-77 0.04827 II-78 0.08631 II-79 0.20973 II-80 0.26899 II-81 0.04921 II-82 0.04426 II-83 0.03099 II-84 0.05443 II-85 0.05181 II-86 0.02811 II-87 0.06017 II-88 0.08972 II-89 0.01944 II-90 0.03184 II-91 0.03777 II-92 0.04694 II-93 0.13408 II-94 0.13222 II-95 0.13949 II-96 0.12317 II-97 0.06322 II-98 0.08041 II-99 0.02883 II-100 0.02091 II-101 0.02305 II-102 10.9923 II-103 14.9065 II-104 0.61722 II-105 9.64659 II-106 0.57865 II-107 0.07206 II-108 0.07334 II-109 0.10686 II-110 0.02339 II-111 0.05539 II-112 0.02334 II-113 0.04931 II-114 0.02354 II-115 0.03278 II-116 0.02384 II-117 0.01926 II-118 0.02394 II-119 0.04288 II-120 0.02086 II-121 0.03773 II-122 0.05584 II-123 0.1137 II-124 0.06469 II-125 0.17923 II-126 0.16763 II-127 0.04306 II-128 0.04618 II-129 0.10358 II-130 0.03942 II-131 0.03925 II-132 0.08576 II-133 0.04078 II-134 0.06427 II-135 0.04851 II-136 0.08682 II-137 0.05017 II-138 0.05092 II-139 0.06908 II-140 0.06989 II-141 0.05806 II-142 0.04613 II-143 0.12027 II-144 0.052 II-145 0.0358 II-146 0.05473 II-147 0.0421 II-148 0.03589 II-153 0.10434 0.49112 II-154 0.1188 0.42968 II-155 0.34523 II-156 0.54493 II-158 0.0398 II-159 0.30605 III-1 0.3938 III-2 0.42678 III-3 3.95745 III-4 6.22803 III-5 13.5258 III-6 11.4909 III-7 0.68203 III-8 0.07065 III-9 8888 III-10 8888 III-11 1.19919 III-12 0.99332 III-13 0.07418 III-14 0.10552 III-15 0.07197 III-16 0.07887 III-17 0.18806 III-18 0.04348 III-19 0.0339 III-20 0.05605 III-21 0.0476 III-22 0.07058 III-23 0.16406 III-24 0.15525 III-25 0.39612 III-26 0.32907 III-27 0.03522 III-28 0.04546 III-29 0.17532 III-30 0.15996 III-31 0.15224 III-32 0.06737 III-33 0.08662 III-34 0.07732 III-35 0.16649 III-36 0.14572 III-37 0.07175 III-38 0.10957 III-39 0.0783 III-40 0.17059 III-41 0.29526 III-42 0.03585 III-43 0.03017 III-44 0.02037 III-45 0.01849 III-46 0.02727 III-47 0.01758 III-48 0.0109 III-49 0.02654 III-50 0.36033 III-51 0.1547 III-52 0.09388 III-53 0.25845 III-54 0.13356 III-55 0.18704 III-56 0.25134 III-57 0.23342 III-58 0.31347 III-59 0.97066 IV-1 4.24132 IV-2 0.53537 IV-3 0.54897 IV-4 0.24151 IV-5 0.13001 IV-6 0.06548 IV-7 0.06514 IV-8 0.23639 IV-9 0.12561 IV-10 0.45051 IV-11 0.27842 IV-12 0.17725 IV-13 0.25429 IV-14 0.10556 IV-15 0.13375 IV-16 0.09427 IV-17 0.06277 IV-18 0.12339 IV-19 0.1533 IV-20 0.05719 IV-21 0.06757 IV-22 0.13937 IV-23 0.30002 IV-24 0.06837 IV-25 0.07845 IV-26 0.08127 V-1 0.71416 V-2 0.87336 V-3 1.78498 V-4 3.10528 V-5 0.66164 VI-1 0.52676 VI-2 0.24479 VI-3 4444.04 VI-4 0.11366 VI-5 0.16244 VI-6 0.3315 VII-1 0.04503 VII-2 0.09261 VII-3 8888 VIII-1 0.30064 VIII-2 0.27024 VIII-3 0.1811 VIII-4 0.27002 VIII-5 0.12014 VIII-6 0.24217 IX-1 1.33312 IX-2 2.03026 IX-3 0.27023 IX-4 0.7115 X-1 2.42416 XI-1 0.03803 XI-2 8888 XI-3 0.03916 XI-4 0.05818 XI-5 0.04489 XI-6 0.05029 XI-7 8888 XI-8 0.03957 XI-9 8888 XI-10 0.03276 XI-11 0.04428 XI-12 0.06114 XI-13 0.05029 XI-14 0.05683 XI-15 0.04365 XI-16 0.08923 XI-17 0.10424 XI-18 0.03342 XI-19 0.07527 XI-20 0.15483 XI-21 0.07858 XI-22 0.05984 XI-23 0.05836 XI-24 0.19038 XI-25 0.26237 XII-1 0.0552 XII-2 0.0332 XII-3 0.02299 XII-4 0.01815 XII-5 0.05878 XII-6 0.04921 XII-7 0.0472 XII-8 0.03249 XII-9 0.0933 XII-10 0.06967 XII-11 0.08572 XII-12 0.11466 XII-13 0.08429 XIII-1 0.1172 1.33205 XIII-2 0.12638 0.26273 XIII-3 0.11639 0.54402 XIII-4 1.05977 13.6345 XIII-5 0.84204 6.27771 XIII-6 1.09203 16.8746 XIV-2 0.71698 XV-1 3.37863 XV-2 1.36705 XV-3 11.6182 XV-4 0.22159 XV-5 0.22655 XV-6 0.88957 XV-7 0.90083 XV-8 1.14078 XV-9 0.5426 XV-10 0.65508 XV-11 0.54052 XV-12 0.83413 XV-13 0.79424 XV-14 1.10198 XV-15 0.94467 XV-16 2.22941 XV-17 2.4076 XV-18 0.28168
Claims (28)
1. A compound of the formula I:
a solvate, prodrug or pharmaceutically acceptable salt thereof; wherein:
X is selected from the group consisting of alkyl, substituted alkyl, alkoxy, substituted alkoxy, amino, substituted amino, carboxyl, carboxyl ester, cyano, halo, nitro, alkenyl, substituted alkenyl, alkynyl and substituted alkynyl;
Y is selected from the group consisting of hydrogen, alkyl substituted alkyl, amino, substituted amino, and halo;
R is selected from the group consisting of hydrogen, alkyl, substituted alkyl, alkenyl, substituted alkenyl, alkynyl, substituted alkynyl, cycloalkyl and substituted cycloalkyl;
ring A is selected from the group consisting of aryl, heteroaryl, cycloalkyl, cycloalkenyl and heterocyclic, wherein ring A is not indolyl or benzimidazolyl;
p is 0, 1, 2 or 3;
q is 1, 2 or 3 when ring A is a single ring, or q is 0, 1, 2, 3, 4, or 5 when ring A comprises multiple rings;
each R2 independently is selected from the group consisting of alkyl, substituted alkyl, alkoxy, substituted alkoxy, amino, substituted amino, aryl, substituted aryl, aryloxy, substituted aryloxy, cycloalkyl, substituted cycloalkyl heteroaryl, substituted heteroaryl, heterocyclic, substituted heterocyclic, heterocyclyloxy, substituted carboxyl, carboxyl ester, hydroxyl, acylamino, aminosufonyl, alkynyl, substituted alkynyl, alkylthio, substituted alkylthio, aminocarbonyl, acyl, oxo, and halo;
each R3 independently is selected from the group consisting of alkyl, substituted alkyl, cycloalkyl, substituted cycloalkyl, heterocyclic, substituted heterocyclic, halo, and aminosulfonyl; and
R4 and R5 independently are selected from the group consisting of hydrogen, alkyl, substituted alkyl, alkenyl, substituted alkenyl, alkynyl, substituted alkynyl, alkoxy, cycloalkyl, substituted cycloalkyl, and acyl; or
R4 and R5 together with the nitrogen atom bound thereto, form a heterocyclic or substituted heterocyclic group;
provided that:
if q=0, then X is not bromo;
if ring A is cycloalkyl, then X is not bromo;
if q=2 and each of R2 is methoxy, halo, trihalomethyl or trihalomethoxy, then R4 and R5 are not one hydrogen and one methyl;
if q=2 and R2 is fluoro and methyl, then R is not substituted alkenyl; and
if ring A is phenyl, q=1 and R2 is chloro, then R4 and R5 are not one hydrogen and one methyl.
2. The compound of claim 1 , wherein Y is hydrogen.
3. The compound of claim 1 , wherein X is hydrogen.
5. The compound of claim 1 , wherein
ring A is phenyl;
R is hydrogen;
X is halo, cyano or alkyl; and
q is 1 or 2.
6. A compound selected from the group consisting of:
I-1: N4-(3-Acetylamino-4-hydroxyphenyl)-N2-(3-aminosulfonylphenyl)-5-fluoro-2,4-pyrimidinediamine;
I-2: N4-(3-Acetylamino-4-hydroxyphenyl)-N2-(3-aminosulfonyl-4-methylphenyl)-5-fluoro-2,4-pyrimidinediamine;
I-3: N4-(3-Acetylamino-4-hydroxyphenyl)-N2-(4-aminosulfonylphenyl)-5-fluoro-2,4-pyrimidinediamine;
I-4: N4-(3-Chloro-4-methoxyphenyl)-N2-(3-N,N-dimethylaminosulfonylphenyl)-5-fluoro-2,4-pyrimidinediamine;
I-5: N4-(3-Chloro-4-methoxyphenyl)-N2-(4-N,N-dimethylaminosulfonylphenyl)-5-fluoro-2,4-pyrimidinediamine;
I-6: N2-(3-Aminosulfonyl-4-methylphenyl)-5-fluoro-N4-[4-(prop-2-ynyloxy)phenyl]-2,4-pyrimidinediamine;
I-7: N2-(3-Aminosulfonyl-4-chlorophenyl)-5-fluoro-N4-[4-(prop-2-ynyloxy)phenyl]-2,4-pyrimidinediamine;
I-8: 5-Fluoro-N2-(4-methyl-3-propionylaminosulfonylphenyl)-N4-[4-(prop-2-ynyloxy)phenyl]-2,4-pyrimidinediamine;
I-9: N2-(3-Aminosulfonyl-4-methylphenyl)-5-fluoro-N4-[3-(prop-2-ynyloxy)phenyl]-2,4-pyrimidinediamine;
I-10: N2-(3-Aminosulfonyl-4-methylphenyl)-5-fluoro-N4-[3-methyl-4-(prop-2-ynyloxy)phenyl]-2,4-pyrimidinediamine;
I-11: N2-(3-Aminosulfonyl-4-methylphenyl)-N4-[3-chloro-4-(prop-2-ynyloxy)phenyl]-5-fluoro-2,4-pyrimidinediamine;
I-12: N2-(3-Aminosulfonyl-4-methylphenyl)-5-fluoro-N4-[3-fluoro-4-(prop-2-ynyloxy)phenyl]-2,4-pyrimidinediamine;
I-13: N2-(3-Aminosulfonyl-4-methylphenyl)-N4-[4-(but-2-ynyloxy)phenyl]-5-fluoro-2,4-pyrimidinediamine;
I-14 N2-(4-methyl-3-propionylaminosulfonylphenyl)-5-fluoro-N4-[4-(prop-2-ynyloxy)phenyl]-2,4-pyrimidinediamine;
I-15: N2-[3-Aminosulfonyl-4-(2-propyl)phenyl]-5-fluoro-N4-[4-(prop-2-ynyloxy)phenyl]-2,4-pyrimidinediamine;
I-16: N2-(3-Aminosulfonyl-4-methylphenyl)-5-fluoro-N4-[4-(prop-2-ynylamino)phenyl]-2,4-pyrimidinediamine;
I-17: N2-(3-Aminosulfonyl-4-methylphenyl)-N4-{4-[bis(prop-2-ynyl)amino]phenyl}-5-fluoro-2,4-pyrimidinediamine;
I-18: 5-Fluoro-N2-(4-methyl-3-methylaminosulfonylphenyl)-N4-[4-(prop-2-ynyloxy)phenyl]-2,4-pyrimidinediamine;
I-19: 5-Fluoro-N2-{[4-methyl-3-((1-methylpiperidin-4-yl)aminosulfonyl)]phenyl}-N4-[4-(prop-2-ynyloxy)phenyl]-2,4-pyrimidinediamine;
I-20: N2-[3-Aminosulfonyl-4-(1-methylpiperazin-4-yl)phenyl]-5-fluoro-N4-[4-(prop-2-ynyloxy)phenyl]-2,4-pyrimidinediamine;
I-21: N2-(3-Aminosulfonyl-4-methylphenyl)-5-fluoro-N4-{4-[(prop-2-ynyloxy)carbonylaminomethyl]phenyl}-2,4-pyrimidinediamine;
I-22: N2-(3-Aminosulfonylphenyl)-5-fluoro-N4-{4-[(prop-2-ynyloxy)carbonylaminomethyl]phenyl}-2,4-pyrimidinediamine;
I-23: N2-(3-Aminosulfonylphenyl)-5-fluoro-N4-[4-(prop-2-ynylaminosulfonyl)phenyl]-2,4-pyrimidinediamine;
I-24: N2-(3-Aminosulfonyl-4-methylphenyl)-5-fluoro-N4-[4-(prop-2-ynylaminosulfonyl)phenyl]-2,4-pyrimidinediamine;
I-25: N2-(4-Aminosulfonylphenyl)-5-fluoro-N4-[4-(prop-2-ynylaminosulfonyl)phenyl]-2,4-pyrimidinediamine;
I-26 5-Fluoro-N2-[3-(prop-2-ynylaminosulfonyl)phenyl]-N4-[4-(prop-2-ynyloxy)phenyl]-2,4-pyrimidinediamine;
I-27: N2-(3-Aminosulfonyl-4-methylphenyl)-5-fluoro-N4-[3-(prop-2-ynylaminosulfonyl)phenyl]-2,4-pyrimidinediamine;
I-28: N2-(4-Aminosulfonylphenyl)-5-fluoro-N4-[3-(prop-2-ynylaminosulfonyl)phenyl]-2,4-pyrimidinediamine;
I-29: N2-(3-Aminosulfonylphenyl)-5-fluoro-N4-[3-(prop-2-ynylaminosulfonyl)phenyl]-2,4-pyrimidinediamine;
I-30: N2-(3-Aminosulfonyl-4-methylphenyl)-5-methyl-N4-[4-(2-propynyloxy)phenyl]-2,4-pyrimidinediamine;
I-31: N2-(3-Aminosulfonylphenyl)-5-methyl-N4-[4-(2-propynyloxy)phenyl]-2,4-pyrimidinediamine;
I-32: N2-(4-Aminosulfonylphenyl)-5-methyl-N4-[4-(2-propynyloxy)phenyl]-2,4-pyrimidinediamine;
I-33: N2-(3-Aminosulfonyl-4-methylphenyl)-N4-[4-(2-propynyloxy)phenyl]-5-trifluoromethyl-2,4-pyrimidinediamine;
I-34: N2-(3-Aminosulfonyl-4-methylphenyl)-5-chloro-N4-[4-(2-propynyloxy)phenyl]-2,4-pyrimidinediamine;
I-35: N2-(4-Aminosulfonylphenyl)-5-chloro-N4-[4-(2-propynyloxy)phenyl]-2,4-pyrimidinediamine;
I-36: N2-(3-Aminosulfonylphenyl)-5-chloro-N4-[4-(2-propynyloxy)phenyl]-2,4-pyrimidinediamine;
I-37: N2-(3-Aminosulfonyl-4-methylphenyl)-N4-[4-(3-butynyloxy)phenyl]-5-fluoro-2,4-pyrimidinediamine;
I-38: N2-(4-Aminosulfonylphenyl)-N4-[4-(3-butynyloxy)phenyl]-5-fluoro-2,4-pyrimidinediamine;
I-39: N2-(3-Aminosulfonylphenyl)-N4-[4-(3-butynyloxy)phenyl]-5-fluoro-2,4-pyrimidinediamine;
I-40: N2-(3-Aminosulfonyl-4-methylphenyl)-5-cyano-N4-[4-(2-propynyloxy)phenyl]-2,4-pyrimidinediamine;
I-41: N2-(3-Aminosulfonylphenyl)-5-cyano-N4-[4-(2-propynyloxy)phenyl]-2,4-pyrimidinediamine;
I-42: N2-(4-Aminosulfonylphenyl)-5-cyano-N4-[4-(2-propynyloxy)phenyl]-2,4-pyrimidinediamine;
I-43: N2-(3-Aminosulfonylphenyl)-5-fluoro-N4-[4-(2-propynyloxy)phenyl]-2,4-pyrimidinediamine;
I-44: N2-(4-Aminosulfonylphenyl)-5-fluoro-N4-[4-(2-propynyloxy)phenyl]-2,4-pyrimidinediamine;
I-45: N2-(3-Aminosulfonyl-4-methylphenyl)-N4-[4-(3-butynyl)phenyl]-5-fluoro-2,4-pyrimidinediamine;
I-46: N2-(3-Aminosulfonylphenyl)-N4-[4-(2-propynyloxy)phenyl]-5-trifluoromethyl-2,4-pyrimidinediamine;
I-47: N2-(4-Aminosulfonylphenyl)-N4-[4-(2-propynyloxy)phenyl]-5-trifluoromethyl-2,4-pyrimidinediamine;
I-48: N2-(3-Aminosulfonyl-4-methylphenyl)-5-cyclopropyl-N4-[4-(2-propynyloxy)phenyl]-2,4-pyrimidinediamine;
I-49: 5-Fluoro-N2-[4-methyl-3-(N-propionylaminosulfonyl)phenyl]-N4-[4-(2-propynyloxy)phenyl]-2,4-pyrimidinediamine Potassium Salt;
I-50: 5-Fluoro-N2-[4-methyl-3-(N-propionylaminosulfonyl)phenyl]-N4-[4-(2-propynyloxy)phenyl]-2,4-pyrimidinediamine Calcium Salt;
I-51: N2-(4-Aminosulfonylphenyl)-N4-[4-(3-butynyl)phenyl]-5-fluoro-2,4-pyrimidinediamine;
I-52: N2-(3-Aminosulfonyl-4-methylphenyl)-N4-[4-((1-benzyl-1H-1,2,3-triazol-4-yl)methoxy)phenyl]-5-fluoro-2,4-pyrimidinediamine;
I-53: N2-(3-Aminosulfonyl-4-methylphenyl)-N4-[4-((1-cyclohexyl-1H-1,2,3-triazol-4-yl)methoxy)phenyl]-5-fluoro-2,4-pyrimidinediamine;
I-54: 5-Fluoro-N2-[3-(N-methoxyaminosulfonyl)phenyl]-N4-[4-(2-propynyloxy)phenyl]-2,4-pyrimidinediamine;
I-55: 5-Fluoro-N2-[3-((2-methyl-2-propoxy)aminosulfonyl)phenyl]-N4-[4-(2-propynyloxy)phenyl]-2,4-pyrimidinediamine;
I-56: 5-Fluoro-N2-[4-methyl-3-(N-propionylaminosulfonyl)phenyl]-N4-[4-(2-propynyloxy)phenyl]-2,4-pyrimidinediamine Arginine Salt;
I-57: 5-Fluoro-N2-[4-methyl-3-(N-propionylaminosulfonyl)phenyl]-N4-[4-(2-propynyloxy)phenyl]-2,4-pyrimidinediamine Choline Salt;
I-58: N2-(3-Aminosulfonylphenyl)-N4-(ethoxycarbonylmethyl)-N4-(3-chloro-4-methoxyphenyl)-5-nitro-2,4-pyrimidinediamine;
I-59: N2-(3-Aminosulfonylphenyl)-N4-[4-(1H-benzimidazol-2-yl)phenyl]-5-fluoro-2,4-pyrimidinediamine;
I-60: N2-(4-Aminosulfonylphenyl)-N4-[4-(1H-benzimidazol-2-yl)phenyl]-5-fluoro-2,4-pyrimidinediamine;
I-61: N2-(3-Aminosulfonylphenyl)-N4-[4-(1H-benzimidazol-2-yl)phenyl]-5-methyl-2,4-pyrimidinediamine;
I-62: N2-(4-Aminosulfonylphenyl)-N4-[4-(1H-benzimidazol-2-yl)phenyl]-5-methyl-2,4-pyrimidinediamine;
I-63: N2-(3-Aminosulfonyl-4-methylphenyl)-N4-[4-(1H-benzimidazol-2-yl)phenyl]-5-methyl-2,4-pyrimidinediamine;
I-64: N2-(3-Aminosulfonylphenyl)-N4-[4-(1H-benzimidazol-2-ylmethyl)phenyl]-5-fluoro-2,4-pyrimidinediamine;
I-65: N2-(4-Aminosulfonylphenyl)-N4-[4-(1H-benzimidazol-2-ylmethyl)phenyl]-5-fluoro-2,4-pyrimidinediamine;
I-66: N2-(3-Aminosulfonyl-4-methylphenyl)-N4-[4-(1H-benzimidazol-2-ylmethyl)phenyl]-5-fluoro-2,4-pyrimidinediamine;
I-67: N2-(3-Aminosulfonylphenyl)-N4-[4-(1H-benzimidazol-2-ylmethyl)phenyl]-5-methyl-2,4-pyrimidinediamine;
I-68: N2-(4-Aminosulfonylphenyl)-N4-[4-(1H-benzimidazol-2-ylmethyl)phenyl]-5-methyl-2,4-pyrimidinediamine;
I-69: N2-(3-Aminosulfonyl-4-methylphenyl)-N4-[4-(1H-benzimidazol-2-ylmethyl)phenyl]-5-methyl-2,4-pyrimidinediamine;
I-70: N2-(3-Aminosulfonylphenyl)-N4-[3-(1H-benzimidazol-2-ylmethyl)phenyl]-5-fluoro-2,4-pyrimidinediamine;
I-71: N2-(4-Aminosulfonylphenyl)-N4-[3-(1H-benzimidazol-2-ylmethyl)phenyl]-5-fluoro-2,4-pyrimidinediamine;
I-72: N2-(3-Aminosulfonylphenyl)-N4-[3-(1H-benzimidazol-2-ylmethyl)phenyl]-5-methyl-2,4-pyrimidinediamine;
I-73: N2-(4-Aminosulfonylphenyl)-N4-[3-(1H-benzimidazol-2-ylmethyl)phenyl]-5-methyl-2,4-pyrimidinediamine;
I-74: N2-(3-Aminosulfonyl-4-methylphenyl)-N4-[3-(4-cyanophenyl)phenyl]-5-fluoro-2,4-pyrimidinediamine;
I-75: N2-(3-Aminosulfonylphenyl)-N4-[4-(3-cyanophenyl)phenyl]-5-fluoro-2,4-pyrimidinediamine;
I-76: N2-(4-Aminosulfonylphenyl)-N4-[3-(4-cyanophenyl)phenyl]-5-fluoro-2,4-pyrimidinediamine;
I-77: N2-(3-Aminosulfonyl-4-methylphenyl)-N4-[4-(3-cyanophenyl)phenyl]-5-fluoro-2,4-pyrimidinediamine;
I-78: N4-[4-(3-Cyanophenyl)phenyl]-5-fluoro-N2-[4-methyl-3-(N-methylaminosulfonyl)phenyl]-2,4-pyrimidinediamine;
I-79: N2-(3-Aminosulfonylphenyl)-N4-[3-(4-cyanophenyl)phenyl]-5-fluoro-2,4-pyrimidinediamine;
I-80: N4-[3-(4-Cyanophenyl)phenyl]-5-fluoro-N2-[4-methyl-3-(N-methylaminosulfonyl)phenyl]-2,4-pyrimidinediamine;
I-81: N2-(4-Aminosulfonylphenyl)-N4-[4-(3-cyanophenyl)phenyl]-5-fluoro-2,4-pyrimidinediamine;
I-82: N2-(3-Aminosulfonylphenyl)-5-methyl-N4-[4-(4-pyridinylmethyl)phenyl]-2,4-pyrimidinediamine;
I-83: N2-(3-Aminosulfonyl-4-methylphenyl)-5-methyl-N4-[4-(4-pyridinylmethyl)phenyl]-2,4-pyrimidinediamine;
I-84: 5-Methyl-N2-[4-methyl-3-(N-methylaminosulfonyl)phenyl]-N4-[4-(4-pyridinylmethyl)phenyl]-2,4-pyrimidinediamine;
I-85: N2-(4-Aminosulfonylphenyl)-5-methyl-N4-[4-(4-pyridinylmethyl)phenyl]-2,4-pyrimidinediamine;
I-86: N2-(4-Aminosulfonylphenyl)-5-methyl-N4-[4-(2-pyridinylmethyleneoxy)phenyl]-2,4-pyrimidinediamine Hydrogen Chloride Salt;
I-87: 5-Fluoro-N2-[4-methyl-3-(N-methylaminosulfonyl)phenyl]-N4-[4-(3-pyridinylmethylenethio)phenyl]-2,4-pyrimidinediamine;
I-88: N2-(3-Aminosulfonyl-4-methylphenyl)-5-fluoro-N4-[4-(3-pyridinylmethyl)phenyl]-2,4-pyrimidinediamine;
I-89: N2-(4-Aminosulfonylphenyl)-5-methyl-N4-[4-(3-pyridinylmethyl)phenyl]-2,4-pyrimidinediamine;
I-90: 5-Methyl-N2-[4-(N-propionylaminosulfonyl)phenyl]-N4-[4-(2-pyridinylmethyleneoxy)phenyl]-2,4-pyrimidinediamine;
I-91: 5-Methyl-N2-[4-(N-propionylaminosulfonyl)phenyl]-N4-[4-(2-pyridinylmethyleneoxy)phenyl]-2,4-pyrimidinediamine Sodium Salt;
I-92: N2-(3-Aminosulfonylphenyl)-5-fluoro-N4-[4-(3-pyridinylmethyl)phenyl]-2,4-pyrimidinediamine;
I-93: N2-(3-Aminosulfonylphenyl)-5-methyl-N4-[4-(3-pyridinylmethyl)phenyl]-2,4-pyrimidinediamine;
I-94: N2-(3-Aminosulfonyl-4-methylphenyl)-5-fluoro-N4-[4-(3-pyridinylmethylenethio)phenyl]-2,4-pyrimidinediamine;
I-95: N2-(4-Aminosulfonylphenyl)-5-fluoro-N4-[4-(3-pyridinylmethylenethio)phenyl]-2,4-pyrimidinediamine;
I-96: N2-(3-Aminosulfonylphenyl)-5-methyl-N4-[4-(3-pyridinylmethyleneoxy)phenyl]-2,4-pyrimidinediamine;
I-97: N2-(3-Aminosulfonyl-4-methylphenyl)-5-methyl-N4-[4-(3-pyridinylmethyleneoxy)phenyl]-2,4-pyrimidinediamine;
I-98: 5-Methyl-N2-[4-methyl-3-(N-methylaminosulfonyl)phenyl]-N4-[4-(3-pyridinylmethyleneoxy)phenyl]-2,4-pyrimidinediamine;
I-99: N2-(4-Aminosulfonylphenyl)-5-methyl-N4-[4-(3-pyridinylmethyleneoxy)phenyl]-2,4-pyrimidinediamine;
I-100: N2-(3-Aminosulfonylphenyl)-5-methyl-N4-[4-(4-pyridinylmethyleneoxy)phenyl]-2,4-pyrimidinediamine;
I-101: 5-Methyl-N2-[4-(N-propionylaminosulfonyl)phenyl]-N4-[4-(2-pyridinylmethyleneoxy)phenyl]-2,4-pyrimidinediamine Hydrogen Chloride Salt;
I-102: N2-(3-Aminosulfonyl-4-methylphenyl)-5-methyl-N4-[4-(4-pyridinylmethyleneoxy)phenyl]-2,4-pyrimidinediamine;
I-103: 5-Methyl-N2-[4-methyl-3-(N-methylaminosulfonyl)phenyl]-N4-[4-(5-pyrimidinyloxy)phenyl]-2,4-pyrimidinediamine;
I-104: N2-(3-Aminosulfonylphenyl)-N4-(4-ethynylphenyl)-5-methyl-2,4-pyrimidinediamine;
I-105: N2-(3-Aminosulfonyl-4-methylphenyl)-N4-(4-ethynylphenyl)-5-methyl-2,4-pyrimidinediamine;
I-106: N2-(4-Aminosulfonylphenyl)-N4-(4-ethynylphenyl)-5-methyl-2,4-pyrimidinediamine;
I-107: N2-(3-Aminosulfonylphenyl)-5-methyl-N4-[4-(5-pyrimidinyloxy)phenyl]-2,4-pyrimidinediamine;
I-108: N4-(4-Ethynylphenyl)-5-methyl-N2-[4-methyl-3-(N-methylaminosulfonyl)phenyl]-2,4-pyrimidinediamine;
I-109: N2-(3-Aminosulfonylphenyl)-N4-[4-(2-pyridinylmethyleneoxy)phenyl]-5-trifluoromethyl-2,4-pyrimidinediamine;
I-110: N2-(4-Aminosulfonylphenyl)-5-methyl-N4-[4-(5-pyrimidinyloxy)phenyl]-2,4-pyrimidinediamine;
I-111: N2-(4-Aminosulfonylphenyl)-5-methyl-N4-[4-(4-pyridinylmethyleneoxy)phenyl]-2,4-pyrimidinediamine;
I-112: N2-(4-Aminosulfonylphenyl)-N4-[4-(2-pyridinylmethyleneoxy)phenyl]-5-trifluoromethyl-2,4-pyrimidinediamine;
I-113: N2-[3-(N,N-Dimethylaminosulfonyl)phenyl]-5-methyl-N4-[4-(3-pyridinylmethyleneoxy)phenyl]-2,4-pyrimidinediamine;
I-114: N2-[4-(N,N-Dimethylaminosulfonyl)phenyl]-5-methyl-N4-[4-(3-pyridinylmethyleneoxy)phenyl]-2,4-pyrimidinediamine;
I-115: N2-[4-(N,N-Dimethylaminosulfonyl)phenyl]-5-fluoro-N4-[4-(2-pyridinylmethyleneoxy)phenyl]-2,4-pyrimidinediamine;
I-116: N2-(3-Aminosulfonyl-4-methylphenyl)-5-methyl-N4-[4-(5-pyrimidinyloxy)phenyl]-2,4-pyrimidinediamine;
I-117: N2-[3-(N-Cyclopropylaminosulfonyl)phenyl]-5-methyl-N4-[4-(2-pyridinylmethyleneoxy)phenyl]-2,4-pyrimidinediamine;
I-118: N2-(4-Aminosulfonylphenyl)-N4-(3-ethynylphenyl)-5-methyl-2,4-pyrimidinediamine;
I-119: N2-[4-(N-Cyclopropylaminosulfonyl)phenyl]-5-methyl-N4-[4-(2-pyridinylmethyleneoxy)phenyl]-2,4-pyrimidinediamine;
I-120: N2-[3-(N-Cyclopropylaminosulfonyl)phenyl]-5-methyl-N4-[4-(3-pyridinylmethyleneoxy)phenyl]-2,4-pyrimidinediamine;
I-121: N2-[3-(N-Cyclopropylaminosulfonyl)phenyl]-5-methyl-N4-[4-(5-pyrimidinyloxy)phenyl]-2,4-pyrimidinediamine;
I-122: N2-[4-(N-Cyclopropylaminosulfonyl)phenyl]-5-methyl-N4-[4-(5-pyrimidinyloxy)phenyl]-2,4-pyrimidinediamine;
I-123: N2-[4-(N-Cyclopropylaminosulfonyl)phenyl]-5-methyl-N4-[4-(3-pyridinylmethyleneoxy)phenyl]-2,4-pyrimidinediamine;
I-124: N2-(3-Aminosulfonylphenyl)-N4-(3-ethynylphenyl)-5-methyl-2,4-pyrimidinediamine;
I-125: N2-(3-Aminosulfonyl-4-methylphenyl)-N4-(3-ethynylphenyl)-5-methyl-2,4-pyrimidinediamine;
I-126: N4-(3-Ethynylphenyl)-5-methyl-N2-[4-methyl-3-(N-methylaminosulfonyl)phenyl]-2,4-pyrimidinediamine;
I-127: N2-[3-(N,N-Dimethylaminosulfonyl)phenyl]-5-fluoro-N4-[4-(2-pyridinylmethyleneoxy)phenyl]-2,4-pyrimidinediamine;
I-128: N2-(4-Aminosulfonylphenyl)-5-cyclopropyl-N4-[4-(2-pyridinylmethyleneoxy)phenyl]-2,4-pyrimidinediamine;
I-129: N2-(3-Aminosulfonylphenyl)-5-cyclopropyl-N4-[4-(2-pyridinylmethyleneoxy)phenyl]-2,4-pyrimidinediamine;
I-130: N2-[3-(N-Cyclopropylaminosulfonyl)phenyl]-5-methyl-N4-[4-(3-pyridinylmethyl)phenyl]-2,4-pyrimidinediamine;
I-131: N2-[3-N-(Cyclopropylaminosulfonyl)phenyl]-5-fluoro-N4-[4-(2-pyridinylmethyleneoxy)phenyl]-2,4-pyrimidinediamine;
I-132: N2-[4-(N-Cyclopropylaminosulfonyl)phenyl]-5-fluoro-N4-[4-(2-pyridinylmethyleneoxy)phenyl]-2,4-pyrimidinediamine;
I-133: N2-[3-(N-Cyclopropylaminosulfonyl)phenyl]-5-methyl-N4-[4-(4-pyridinylmethyl)phenyl]-2,4-pyrimidinediamine;
I-134: N2-[4-(N-Cyclopropylaminosulfonyl)phenyl]-5-methyl-N4-[4-(4-pyridinylmethyl)phenyl]-2,4-pyrimidinediamine;
I-135: N2-[4-(N-Cyclopropylmethylaminosulfonyl)phenyl]-5-methyl-N4-[4-(2-pyridinylmethyleneoxy)phenyl]-2,4-pyrimidinediamine;
I-136: N2-[4-(N-Cyclopropylmethylaminosulfonyl)phenyl]-5-methyl-N4-[4-(3-pyridinylmethyleneoxy)phenyl]-2,4-pyrimidinediamine;
I-137: N2-[3-(N-Cyclopropylmethylaminosulfonyl)phenyl]-5-methyl-N4-[4-(2-pyridinylmethyleneoxy)phenyl]-2,4-pyrimidinediamine;
I-138: N2-[3-(N-Cyclopropylmethylaminosulfonyl)phenyl]-5-methyl-N4-[4-(3-pyridinylmethyleneoxy)phenyl]-2,4-pyrimidinediamine;
I-139: N2-[4-(N-Cyclopropylmethylaminosulfonyl)phenyl]-5-methyl-N4-[4-(5-pyrimidinyloxy)phenyl]-2,4-pyrimidinediamine;
I-140: N2-[3-(N-Cyclopropyl-N-propionylaminosulfonyl)phenyl]-5-methyl-N4-[4-(2-pyridinylmethyleneoxy)phenyl]-2,4-pyrimidinediamine;
I-141: N2-[3-(N-Cyclopropyl-N-propionylaminosulfonyl)phenyl]-5-methyl-N4-[4-(2-pyridinylmethyleneoxy)phenyl]-2,4-pyrimidinediamine Hydrogen Chloride Salt;
I-142: 5-Chloro-N2-[3-(N-cyclopropylaminosulfonyl)phenyl]-N4-[4-(2-pyridinylmethyleneoxy)phenyl]-2,4-pyrimidinediamine;
I-143: 5-Chloro-N2-[4-(N-cyclopropylmethylaminosulfonyl)phenyl]-N4-[4-(2-pyridinylmethyleneoxy)phenyl]-2,4-pyrimidinediamine;
I-144: 5-Chloro-N2-[4-(N-cyclopropylaminosulfonyl)phenyl]-N4-[4-(2-pyridinylmethyleneoxy)phenyl]-2,4-pyrimidinediamine;
I-145: 5-Chloro-N2-[3-(N-cyclopropylmethylaminosulfonyl)phenyl]-N4-[4-(2-pyridinylmethyleneoxy)phenyl]-2,4-pyrimidinediamine;
I-146: N2-(4-Aminosulfonylphenyl)-5-methyl-N4-[4-(2-pyridinylmethylenethio)phenyl]-2,4-pyrimidinediamine;
I-147: N2-(3-Aminosulfonylphenyl)-5-methyl-N4-[4-(2-pyridinylmethylenethio)phenyl]-2,4-pyrimidinediamine;
I-148: N2-(3-Aminosulfonyl-4-methylphenyl)-5-methyl-N4-[4-(2-pyridinylmethylenethio)phenyl]-2,4-pyrimidinediamine;
I-149: N2-[3-(N-Cyclopropylaminosulfonyl)phenyl]-5-methyl-N4-[4-(2-pyridinylmethylenethio)phenyl]-2,4-pyrimidinediamine;
I-150: N2-[4-(N-Cyclopropylaminosulfonyl)phenyl]-5-methyl-N4-[4-(2-pyridinylmethylenethio)phenyl]-2,4-pyrimidinediamine;
I-151: N2-[3,5-Bis(aminosulfonyl)phenyl]-N4-[4-(2-cyanoethyl)phenyl]-5-fluoro-2,4-pyrimidinediamine;
I-152: N2-(3-Aminosulfonyl-4-methylphenyl)-N4-[3-(2-cyanoethyl)-5-trifluoromethylphenyl]-5-fluoro-2,4-pyrimidinediamine;
I-153: N2-(3-Aminosulfonylphenyl)-N4-[3-(2-cyanoethyl)-5-trifluoromethylphenyl]-5-fluoro-2,4-pyrimidinediamine;
I-154: N2-(4-Aminosulfonylphenyl)-N4-[3-(2-cyanoethyl)-5-trifluoromethylphenyl]-5-fluoro-2,4-pyrimidinediamine;
I-155: N4-[4-(2-Cyanoethyl)phenyl]-5-methyl-N2-[4(N-propionylaminosulfonyl)phenyl]-2,4-pyrimidinediamine;
I-156: N4-[4-(2-Cyanoethyl)phenyl]-5-methyl-N2-[4-(N-propionylaminosulfonyl)phenyl]-2,4-pyrimidinediamine Sodium Salt;
I-157: N2-(3-Aminosulfonyl-4-methylphenyl)-N4-[4-(2-cyanoethyl)-3-methylphenyl]-5-methyl-2,4-pyrimidinediamine;
I-158: N2-(3-Aminosulfonylphenyl)-N4-[4-(2-cyanoethyl)-3-methylphenyl]-5-methyl-2,4-pyrimidinediamine;
I-159: N2-(4-Aminosulfonylphenyl)-N4-[4-(2-cyanoethyl)-3-methylphenyl]-5-methyl-2,4-pyrimidinediamine;
I-160: N2-(3-Aminosulfonyl-4-methylphenyl)-5-fluoro-N4-[4-((1-methyl-1H-pyrazol-3-yl)aminocarbonylmethylene)phenyl]-2,4-pyrimidinediamine;
I-161: N2-(3-Aminosulfonylphenyl)-N4-(4-N,N-dimethylaminosulfonylphenyl)-5-fluoro-2,4-pyrimidinediamine;
I-162: N2-(3-Aminosulfonyl-4-methylphenyl)-N4-(4-N,N-dimethylaminosulfonylphenyl)-5-fluoro-2,4-pyrimidinediamine;
I-163: N2-(4-Aminosulfonylphenyl)-5-chloro-N4-[4-(2-pyridinylmethyleneoxy)phenyl]-2,4-pyrimidinediamine;
I-164: N2-(3-Aminosulfonylphenyl)-5-chloro-N4-[4-(2-pyridinylmethyleneoxy)phenyl]-2,4-pyrimidinediamine;
I-165: N2-(3-Aminosulfonyl-4-methylphenyl)-5-chloro-N4-[4-(2-pyridinylmethyleneoxy)phenyl]-2,4-pyrimidinediamine;
I-166: N2-(3-(N-butyrylsulfamoyl)-4-methylphenyl)-5-fluoro-N4-[4-(2-propynyloxy)phenyl]-2,4-pyrimidinediamine;
I-167: N2-(3-(N-isobutyrylsulfamoyl)-4-methylphenyl)-5-fluoro-N4-[4-(2-propynyloxy)phenyl]-2,4-pyrimidinediamine;
I-168: N2-(3-(N-butyrylsulfamoyl)-4-methylphenyl)-5-fluoro-N4-[4-(2-propynyloxy)phenyl]-2,4-pyrimidinediamine sodium salt;
I-169: N2-(3-(N-isobutyrylsulfamoyl)-4-methylphenyl)-5-fluoro-N4-[4-(2-propynyloxy)phenyl]-2,4-pyrimidinediamine sodium salt;
I-170: N2-(3-(N-hexanoylsulfamoyl)-4-methylphenyl)-5-fluoro-N4-[4-(2-propynyloxy)phenyl]-2,4-pyrimidinediamine;
I-171: N2-(3-(N-pentanoylsulfamoyl)-4-methylphenyl)-5-fluoro-N4-[4-(2-propynyloxy)phenyl]-2,4-pyrimidinediamine;
I-172: N2-(3-(N-hexanoylsulfamoyl)-4-methylphenyl)-5-fluoro-N4-[4-(2-propynyloxy)phenyl]-2,4-pyrimidinediamine sodium salt;
I-173: N2-(3-(N-pentanoylsulfamoyl)-4-methylphenyl)-5-fluoro-N4-[4-(2-propynyloxy)phenyl]-2,4-pyrimidinediamine sodium salt;
II-1: N2-(3-Aminosulfonyl-4-methylphenyl)-5-methyl-N4-(3-oxo-2H,4H-benzo[1,4]thiazin-6-yl)-2,4-pyrimidinediamine;
II-2: N2-(3-Aminosulfonylphenyl)-5-methyl-N4-(3-oxo-2H,4H-benzo[1,4]thiazin-6-yl)-2,4-pyrimidinediamine;
II-3: N2-(4-Aminosulfonylphenyl)-5-methyl-N4-(3-oxo-2H,4H-benzo[1,4]thiazin-6-yl)-2,4-pyrimidinediamine;
II-4: N2-(3-Aminosulfonyl-4-methylphenyl)-5-methyl-N4-(4-methyl-3-oxo-2H-benzo[1,4]oxazin-6-yl)-2,4-pyrimidinediamine;
II-5: N2-(3-Aminosulfonylphenyl)-5-methyl-N4-(4-methyl-3-oxo-2H-benzo[1,4]oxazin-6-yl)-2,4-pyrimidinediamine;
II-6: N2-(4-Aminosulfonylphenyl)-5-methyl-N4-(4-methyl-3-oxo-2H-benzo[1,4]oxazin-6-yl)-2,4-pyrimidinediamine;
II-7: N2-(3-Aminosulfonyl-4-methylphenyl)-N4-(4-ethyl-3-oxo-2H-benzo[1,4]oxazin-6-yl)-5-fluoro-2,4-pyrimidinediamine;
II-8: N2-(3-Aminosulfonylphenyl)-N4-(4-ethyl-3-oxo-2H-benzo[1,4]oxazin-6-yl)-5-fluoro-pyrimidinediamine;
II-9: N2-(4-Aminosulfonylphenyl)-N4-(4-ethyl-3-oxo-2H-benzo[1,4]oxazin-6-yl)-5-fluoro-2,4-pyrimidinediamine;
II-10: N2-(3-Aminosulfonylphenyl)-N4-(4-ethyl-3-oxo-2H-benzo[1,4]thiazin-6-yl)-5-fluoro-2,4-pyrimidinediamine;
II-11: Racemic-N4-(2-aminocarbonyl-2-methyl-3-oxo-4H-benzo[1,4]oxazin-6-yl)-N2-(3-Aminosulfonyl-4-methylphenyl)-5-fluoro-2,4-pyrimidinediamine;
II-12: N2-(4-Aminosulfonylphenyl)-N4-(4-ethyl-3-oxo-2H-benzo[1,4]thiazin-6-yl)-5-fluoro-2,4-pyrimidinediamine;
II-13: 5-Methyl-N4-(4-methyl-3-oxo-2H-benzo[1,4]thiazin-6-yl)-N2-[4-(N-propionylaminosulfonyl)phenyl]-2,4-pyrimidinediamine;
II-14: N2-(3-Aminosulfonyl-4-methylphenyl)-5-methyl-N4-[3-oxo-4-(2-propynyl)-2H-benzo[1,4]thiazin-6-yl]-2,4-pyrimidinediamine;
II-15: N2-(3-Aminosulfonylphenyl)-5-methyl-N4-[3-oxo-4-(2-propynyl)-2H-benzo[1,4]thiazin-6-yl]-2,4-pyrimidinediamine;
II-16: N2-(4-Aminosulfonylphenyl)-5-methyl-N4-[3-oxo-4-(2-propynyl)-2H-benzo[1,4]thiazin-6-yl]-2,4-pyrimidinediamine;
II-17: N2-(3-Aminosulfonyl-4-methylphenyl)-N4-(4-ethyl-3-oxo-2H-benzo[1,4]thiazin-6-yl)-5-methyl-2,4-pyrimidinediamine;
II-18: N2-(3-Aminosulfonylphenyl)-N4-(4-ethyl-3-oxo-2H-benzo[1,4]thiazin-6-yl)-5-methyl-2,4-pyrimidinediamine;
II-19: N2-(4-Aminosulfonylphenyl)-5-methyl-N4-(4-ethyl-3-oxo-2H-benzo[1,4]thiazin-6-yl)-5-methyl-2,4-pyrimidinediamine;
II-20: N2-(4-Aminosulfonylphenyl)-5-methyl-N4-(3-oxo-4-propyl-2H-benzo[1,4]thiazin-6-yl)-2,4-pyrimidinediamine;
II-21: N2-(3-Aminosulfonylphenyl)-5-methyl-N4-(3-oxo-4-propyl-2H-benzo[1,4]thiazin-6-yl)-2,4-pyrimidinediamine;
II-22: N2-(3-Aminosulfonyl-4-methylphenyl)-5-methyl-N4-(3-oxo-4-propyl-2H-benzo[1,4]thiazin-6-yl)-2,4-pyrimidinediamine;
II-23: N2-(4-Aminosulfonylphenyl)-5-bromo-N4-(4-methyl-3-oxo-2H-benzo[1,4]thiazin-6-yl)-2,4-pyrimidinediamine;
II-24: N2-[3-(N-Ethylaminosulfonyl)-4-methylphenyl]-5-methyl-N4-(3-oxo-2H,4H-benzo[1,4]thiazin-6-yl)-2,4-pyrimidinediamine;
II-25: N2-[3-(N-Ethylaminosulfonyl)-4-methylphenyl]-5-methyl-N4-(3-oxo-2H,4H-benzo[1,4]oxazin-6-yl)-2,4-pyrimidinediamine;
II-26: N2-[3-(N-Ethylaminosulfonyl)-4-methylphenyl]-5-methyl-N4-(4-methyl-3-oxo-2H-benzo[1,4]thiazin-6-yl)-2,4-pyrimidinediamine;
II-27: N2-[3-(N-Ethylaminosulfonyl)-4-methylphenyl]-N4-(4-ethyl-3-oxo-2H-benzo[1,4]thiazin-6-yl)-5-methyl-2,4-pyrimidinediamine;
II-28: N2-[3-(N-Ethylaminosulfonyl)-4-methylphenyl]-5-methyl-N4-(3-oxo-4-propyl-2H-benzo[1,4]thiazin-6-yl)-2,4-pyrimidinediamine;
II-29: N2-[3-(N-Ethylaminosulfonyl)-4-methylphenyl]-5-methyl-N4-(3-oxo-4-(2-propynyl)-2H-benzo[1,4]thiazin-6-yl)-2,4-pyrimidinediamine;
II-30: N2-[3-(N-Ethylaminosulfonyl)-4-methylphenyl]-5-methyl-N4-(4-methyl-3-oxo-2H-benzo[1,4]oxazin-6-yl)-2,4-pyrimidinediamine;
II-31: N2-(3-Aminosulfonyl-4-methylphenyl)-N4-(4-butyl-3-oxo-2H-benzo[1,4]thiazin-6-yl)-5-methyl-2,4-pyrimidinediamine;
II-32: N2-(4-Aminosulfonylphenyl)-5-fluoro-N4-(3-oxo-4-propyl-2H-benzo[1,4]thiazin-6-yl)-2,4-pyrimidinediamine;
II-33: N2-(3-Aminosulfonylphenyl)-5-fluoro-N4-(3-oxo-4-propyl-2H-benzo[1,4]thiazin-6-yl)-2,4-pyrimidinediamine;
II-34: N2-(3-Aminosulfonyl-4-methylphenyl)-5-fluoro-N4-(3-oxo-4-propyl-2H-benzo[1,4]thiazin-6-yl)-2,4-pyrimidinediamine;
II-35: N2-(3-Aminosulfonylphenyl)-5-chloro-N4-(4-methyl-3-oxo-2H-benzo[1,4]thiazin-6-yl)-2,4-pyrimidinediamine;
II-36: N2-(3-Aminosulfonyl-4-methylphenyl)-5-chloro-N4-(4-methyl-3-oxo-2H-benzo[1,4]thiazin-6-yl)-2,4-pyrimidinediamine;
II-37: N2-(4-Aminosulfonylphenyl)-N4-(4-butyl-3-oxo-2H-benzo[1,4]thiazin-6-yl)-5-fluoro-2,4-pyrimidinediamine;
II-38: N2-(3-Aminosulfonylphenyl)-N4-(4-butyl-3-oxo-2H-benzo[1,4]thiazin-6-yl)-5-fluoro-2,4-pyrimidinediamine;
II-39: N2-(3-Aminosulfonyl-4-methylphenyl)-N4-(4-butyl-3-oxo-2H-benzo[1,4]thiazin-6-yl)-5-fluoro-2,4-pyrimidinediamine;
II-40: N2-(3-Aminosulfonylphenyl)-N4-(4-butyl-3-oxo-2H-benzo[1,4]thiazin-6-yl)-5-methyl-2,4-pyrimidinediamine;
II-41: N2-(4-Aminosulfonylphenyl)-N4-(4-butyl-3-oxo-2H-benzo[1,4]thiazin-6-yl)-5-chloro-2,4-pyrimidinediamine;
II-42: N2-[3-(N-Ethylaminosulfonyl)-4-methylphenyl]-5-chloro-N4-(4-methyl-3-oxo-2H-benzo[1,4]thiazin-6-yl)-2,4-pyrimidinediamine;
II-43: N2-(3-Aminosulfonylphenyl)-N4-[2,2-dimethyl-3-oxo-4-(2-propynyl)-5-pyrido[1,4]oxazin-6-yl]-5-fluoro-2,4-pyrimidinediamine;
II-44: N2-(3-Aminosulfonyl-4-methylphenyl)-N4-[2,2-dimethyl-3-oxo-4-(2-propynyl)-5-pyrido[1,4]oxazin-6-yl]-5-fluoro-2,4-pyrimidinediamine;
II-45: N2-(3-Aminosulfonyl-4-methylphenyl)-5-fluoro-N4-(3-oxo-2,2,4-trimethyl-5-pyrido[1,4]oxazin-6-yl)-2,4-pyrimidinediamine;
II-46: N2-(3-Aminosulfonyl-4-methylphenyl)-N4-[2,2-dimethyl-3-oxo-4-(2-(N-morpholinyl)ethyl)-5-pyrido[1,4]oxazin-6-yl]-5-fluoro-2,4-pyrimidinediamine;
II-47: N2-(4-Aminosulfonylphenyl)-N4-[2,2-dimethyl-3-oxo-4-(2-(N-morpholinyl)ethyl)-5-pyrido[1,4]oxazin-6-yl]-5-fluoro-2,4-pyrimidinediamine;
II-48: N2-(3-N,N-Dimethylaminosulfonylphenyl)-5-fluoro-N4-[3-oxo-2,2,4-trimethyl-5-pyrido[1,4]oxazin-6-yl]-2,4-pyrimidinediamine;
II-49: N2-(3-N,N-Dimethylaminosulfonylphenyl)-N4-[2,2-dimethyl-3-oxo-4-(2-propynyl)-5-pyrido[1,4]oxazin-6-yl]-5-fluoro-2,4-pyrimidinediamine;
II-50: N2-(3-N,N-Dimethylaminosulfonylphenyl)-N4-[2,2-dimethyl-3-oxo-4H-5-pyrido[1,4]oxazin-6-yl]-5-fluoro-2,4-pyrimidinediamine;
II-51: N2-(3-Aminosulfonylphenyl)-5-chloro-N4-[2,2-dimethyl-3-oxo-4H-5-pyrido[1,4]oxazin-6-yl]-2,4-pyrimidinediamine;
II-52: N2-(3-Aminosulfonyl-4-methylphenyl)-5-chloro-N4-[2,2-dimethyl-3-oxo-4H-5-pyrido[1,4]oxazin-6-yl]-2,4-pyrimidinediamine;
II-53: N2-(4-Aminosulfonylphenyl)-5-chloro-N4-[2,2-dimethyl-3-oxo-4H-5-pyrido[1,4]oxazin-6-yl]-2,4-pyrimidinediamine;
II-54: N2-(3-Aminosulfonylphenyl)-N4-(2,2-dimethyl-3-oxo-4H-benzo[1,4]oxazin-6-yl)-5-methyl-2,4-pyrimidinediamine;
II-55: N2-(4-Aminosulfonylphenyl)-N4-(2,2-dimethyl-3-oxo-4H-benzo[1,4]oxazin-6-yl)-5-methyl-2,4-pyrimidinediamine;
II-56: N2-(3-Aminosulfonylphenyl)-N4-(3-oxo-2,2,4-trimethylbenzo[1,4]oxazin-6-yl)-5-methyl-2,4-pyrimidinediamine;
II-57: N2-(4-Aminosulfonylphenyl)-N4-(3-oxo-2,2,4-trimethylbenzo[1,4]oxazin-6-yl)-5-methyl-2,4-pyrimidinediamine;
II-58: N2-(3-Aminosulfonylphenyl)-5-fluoro-N4-(3-oxo-2,2,4-trimethyl-5-pyrido[1,4]oxazin-6-yl)-2,4-pyrimidinediamine;
II-59: N2-(4-Aminosulfonylphenyl)-5-fluoro-N4-(3-oxo-2,2,4-trimethyl-5-pyrido[1,4]oxazin-6-yl)-2,4-pyrimidinediamine;
II-60: N2-(3-Aminosulfonylphenyl)-N4-(2,2-dimethyl-3-oxo-4-(2-propynyl)-benzo[1,4]oxazin-6-yl)-5-methyl-2,4-pyrimidinediamine;
II-61: N2-(4-Aminosulfonylphenyl)-N4-(2,2-dimethyl-4-(2-propynyl)-3-oxo-benzo[1,4]oxazin-6-yl)-5-methyl-2,4-pyrimidinediamine;
II-62: N2-(3-Aminosulfonylphenyl)-N4-(3-oxo-2,2,4-trimethyl-5-pyrido[1,4]oxazin-6-yl)-2,4-pyrimidinediamine;
II-63: N2-(4-Aminosulfonylphenyl)-N4-(3-oxo-2,2,4-trimethyl-5-pyrido[1,4]oxazin-6-yl)-2,4-pyrimidinediamine;
II-64: N2-(3-Aminosulfonylphenyl)-5-methyl-N4-(3-oxo-2,2,4-trimethylbenzo[1,4]thiazin-6-yl)-2,4-pyrimidinediamine;
II-65: N2-(4-Aminosulfonylphenyl)-5-methyl-N4-(2,2,4-trimethyl-3-oxobenzo[1,4]thiazin-6-yl)-2,4-pyrimidinediamine;
II-66: N2-(3-Aminosulfonylphenyl)-N4-(4-cyclopropylmethyl-2,2-dimethyl-3-oxo-5-pyrido[1,4]oxazin-6-yl)-5-fluoro-2,4-pyrimidinediamine;
II-67: N2-(4-Aminosulfonylphenyl)-N4-(4-cyclopropylmethyl-2,2-dimethyl-3-oxo-5-pyrido[1,4]oxazin-6-yl)-5-fluoro-2,4-pyrimidinediamine;
II-68: N2-(3-Aminosulfonylphenyl)-N4-[2,2-dimethyl-3-oxo-4-(2-propynyl)benzo[1,4]thiazin-6-yl]-5-methyl-2,4-pyrimidinediamine;
II-69: N2-(4-Aminosulfonylphenyl)-N4-[2,2-dimethyl-3-oxo-4-(2-propynyl)benzo[1,4]thiazin-6-yl]-5-methyl-2,4-pyrimidinediamine;
II-70: N2-(3-Aminosulfonylphenyl)-N4-(2,2-dimethyl-3-oxo-4H-5-pyrido[1,4]oxazin-6-yl)-5-methyl-2,4-pyrimidinediamine;
II-71: N2-(4-Aminosulfonylphenyl)-N4-(2,2-dimethyl-3-oxo-4H-5-pyrido[1,4]oxazin-6-yl)-5-methyl-2,4-pyrimidinediamine;
II-72: 5-Methyl-N2-[4-methyl-3-(N-methylaminosulfonyl)phenyl]-N4-(3-oxo-2,2,4-trimethylbenzo[1,4]oxazin-6-yl)-2,4-pyrimidinediamine;
II-73: 5-Methyl-N2-[4-methyl-3-(N-methylaminosulfonyl)phenyl]-N4-(4-methyl-3-oxo-2H-benzo[1,4]thiazin-6-yl)-2,4-pyrimidinediamine;
II-74: N2-(3-Aminosulfonylphenyl)-N4-(3-oxo-2,2,4-trimethyl-5-pyrido[1,4]oxazin-6-yl)-5-[2-(trimethylsilyl)ethynyl]-2,4-pyrimidinediamine;
II-75: N2-(3-Aminosulfonylphenyl)-5-ethynyl-N4-(3-oxo-2,2,4-trimethyl-5-pyrido[1,4]oxazin-6-yl)-2,4-pyrimidinediamine;
II-76: N2-(3-Aminosulfonylphenyl)-5-methyl-N4-(3-oxo-2,2,4-trimethyl-5-pyrido[1,4]oxazin-6-yl)-2,4-pyrimidinediamine;
II-77: N2-(4-Aminosulfonylphenyl)-5-methyl-N4-(3-oxo-2,2,4-trimethyl-5-pyrido[1,4]oxazin-6-yl)-2,4-pyrimidinediamine;
II-78: N2-[3-(N-Ethylaminosulfonyl)-4-methylphenyl]-5-methyl-N4-(3-oxo-2,2,4-trimethyl-5-pyrido[1,4]oxazin-6-yl)-2,4-pyrimidinediamine;
II-79: N2-(4-Aminosulfonylphenyl)-5-cyclopropyl-N4-(4-methyl-3-oxo-2H-benzo[1,4]thiazin-6-yl)-2,4-pyrimidinediamine;
II-80: N2-(3-Aminosulfonylphenyl)-5-cyclopropyl-N4-(4-methyl-3-oxo-2H-benzo[1,4]thiazin-6-yl)-2,4-pyrimidinediamine;
II-81: N4-(2,2-Dimethyl-3-oxo-4H-5-pyrido[1,4]oxazin-6-yl)-N2-[3-(N-ethylaminosulfonyl)-4-methylphenyl]-5-methyl-2,4-pyrimidinediamine;
II-82: N2-(3-Aminosulfonyl-4-methylphenyl)-N4-(2,2-dimethyl-3-oxo-4H-5-pyrido[1,4]oxazin-6-yl)-5-methyl-2,4-pyrimidinediamine;
II-83: N2-(3-Aminosulfonyl-4-methylphenyl)-5-methyl-N4-(3-oxo-2,2,4-trimethylbenzo[1,4]thiazin-6-yl)-2,4-pyrimidinediamine;
II-84: N2-(3-Aminosulfonyl-4-methylphenyl)-5-methyl-N4-(3-oxo-2,2,4-trimethyl-5-pyrido[1,4]oxazin-6-yl)-2,4-pyrimidinediamine;
II-85: N2-(3-Aminosulfonylphenyl)-5-methyl-N4-[3-oxo-4-propyl-2H-5-pyrido[1,4]oxazin-6-yl]-2,4-pyrimidinediamine;
II-86: N2-(4-Aminosulfonylphenyl)-5-methyl-N4-[3-oxo-4-propyl-2H-5-pyrido[1,4]oxazin-6-yl]-2,4-pyrimidinediamine;
II-87: N2-(3-Aminosulfonyl-4-methylphenyl)-5-methyl-N4-[3-oxo-4-propyl-2H-5-pyrido[1,4]oxazin-6-yl]-2,4-pyrimidinediamine;
II-88: N2-[3-(N-Ethylaminosulfonyl)-4-methylphenyl]-5-methyl-N4-[3-oxo-4-propyl-2H-5-pyrido[1,4]oxazin-6-yl]-2,4-pyrimidinediamine;
II-89: N2-(3-Aminosulfonylphenyl)-5-methyl-N4-(4-methyl-3-oxo-2H-5-pyrido[1,4]oxazin-6-yl)-2,4-pyrimidinediamine;
II-90: N2-[4-Aminosulfonylphenyl])-5-methyl-N4-(4-methyl-3-oxo-2H-5-pyrido[1,4]oxazin-6-yl)-2,4-pyrimidinediamine;
II-91: N2-(3-Aminosulfonyl-4-methylphenyl)-5-methyl-N4-(4-methyl-3-oxo-2H-5-pyrido[1,4]oxazin-6-yl)-2,4-pyrimidinediamine;
II-92: N2-[3-(N-Ethylaminosulfonyl)-4-methylphenyl]-5-methyl-N4-(4-methyl-3-oxo-2H-5-pyrido[1,4]oxazin-6-yl)-2,4-pyrimidinediamine;
II-93: N2-[3-(N-Cyclopropylaminosulfonyl)phenyl]-5-methyl-N4-(3-oxo-2,2,4-trimethyl-5-pyrido[1,4]oxazin-6-yl)-2,4-pyrimidinediamine;
II-94: N2-[4-(N-Cyclopropylaminosulfonyl)phenyl]-5-methyl-N4-(4-methyl-3-oxo-2H-5-pyrido[1,4]oxazin-6-yl)-2,4-pyrimidinediamine;
II-95: N2-[3-(N-Cyclopropylaminosulfonyl)-4-methylphenyl]-5-methyl-N4-(3-oxo-2,2,4-trimethyl-5-pyrido[1,4]oxazin-6-yl)-2,4-pyrimidinediamine;
II-96: 5-Methyl-N2-[4-methyl-3-(N-methylaminosulfonyl)phenyl]-N4-(3-oxo-2,2,4-trimethyl-5-pyrido[1,4]oxazin-6-yl)-2,4-pyrimidinediamine;
II-97: N2-(3-Aminosulfonylphenyl)-5-methyl-N4-(3-oxo-2H,4H-5-pyrido[1,4]oxazin-6-yl)-2,4-pyrimidinediamine;
II-98: N2-(4-Aminosulfonylphenyl)-5-methyl-N4-(3-oxo-2H,4H-5-pyrido[1,4]oxazin-6-yl)-2,4-pyrimidinediamine;
II-99: N2-(3-Aminosulfonyl-4-methylphenyl)-5-methyl-N4-(3-oxo-2H,4H-5-pyrido[1,4]oxazin-6-yl)-2,4-pyrimidinediamine;
II-100: 5-Methyl-N2-[4-methyl-3-(N-methylaminosulfonyl)phenyl]-N4-(3-oxo-2H,4H-5-pyrido[1,4]oxazin-6-yl)-2,4-pyrimidinediamine;
II-101: N2-[3-(N-Ethylaminosulfonyl)-4-methylphenyl]-5-methyl-N4-(3-oxo-2H,4H-5-pyrido[1,4]oxazin-6-yl)-2,4-pyrimidinediamine;
II-102: 5-Methyl-N4-(3-oxo-2H,4H-benzo[1,4]oxazin-6-yl)-N2-[3-(N-propionylaminosulfonyl)phenyl[-2,4-pyrimidinediamine;
II-103: 5-Methyl-N4-[3-oxo-4-propionyl-2H-benzo[1,4]oxazin-6-yl]-N2-[3-(N-propionylaminosulfonyl)phenyl]-2,4-pyrimidinediamine;
II-104: 5-Methyl-N4-(3-oxo-2,2,4-trimethylbenzo[1,4]oxazin-6-yl)-N2-[4-(N-propionylaminosulfonyl)phenyl]-2,4-pyrimidinediamine;
II-105: 5-Methyl-N4-(3-oxo-2H,4H-benzo[1,4]oxazin-6-yl)-N2-[3-(N-propionylaminosulfonyl)phenyl]-2,4-pyrimidinediamine Sodium Salt;
II-106: 5-Methyl-N4-(3-oxo-2,2,4-trimethylbenzo[1,4]oxazin-6-yl)-N2-[4-(N-propionylaminosulfonyl)phenyl]-2,4-pyrimidinediamine Sodium Salt;
II-107: N2-(3-Aminosulfonylphenyl)-5-chloro-N4-(3-oxo-4-propyl-2H-benzo[1,4]thiazin-6-yl)-2,4-pyrimidinediamine;
II-108: N2-(3-Aminosulfonyl-4-methylphenyl)-5-chloro-N4-(3-oxo-4-propyl-2H-benzo[1,4]thiazin-6-yl)-2,4-pyrimidinediamine;
II-109: N2-[3-(N-Ethylaminosulfonyl)-4-methylphenyl]-5-chloro-N4-(3-oxo-4-propyl-2H-benzo[1,4]thiazin-6-yl)-2,4-pyrimidinediamine;
II-110: N2-(4-Aminosulfonylphenyl)-5-methyl-N4-(3-oxo-4-propyl-2H-benzo[1,4]oxazin-6-yl)-2,4-pyrimidinediamine;
II-111: N2-(4-Aminosulfonylphenyl)-5-fluoro-N4-(3-oxo-4-propyl-2H-benzo[1,4]oxazin-6-yl)-2,4-pyrimidinediamine;
II-112: N2-(4-Aminosulfonylphenyl)-5-chloro-N4-(3-oxo-4-propyl-2H-benzo[1,4]oxazin-6-yl)-2,4-pyrimidinediamine;
II-113: N2-(3-Aminosulfonyl-4-methylphenyl)-5-chloro-N4-(3-oxo-4-propyl-2H-benzo[1,4]oxazin-6-yl)-2,4-pyrimidinediamine;
II-114: 5-Methyl-N2-[4-methyl-3-(N-methylaminosulfonyl)phenyl]-N4-(3-oxo-2H,4H-benzo[1,4]oxazin-6-yl)-2,4-pyrimidinediamine;
II-115: 5-Methyl-N2-[4-methyl-3-(N-methylaminosulfonyl)phenyl]-N4-(3-oxo-2H,4H-benzo[1,4]thiazin-6-yl)-2,4-pyrimidinediamine;
II-116: N2-(3-Aminosulfonylphenyl)-5-chloro-N4-(4-methyl-3-oxo-2H-benzo[1,4]oxazin-6-yl)-2,4-pyrimidinediamine;
II-117: N2-(3-Aminosulfonyl-4-methylphenyl)-5-chloro-N4-(4-methyl-3-oxo-2H-benzo[1,4]oxazin-6-yl)-2,4-pyrimidinediamine;
II-118: 5-Chloro-N2-[4-methyl-3-(N-methylaminosulfonyl)phenyl]-N4-(4-methyl-3-oxo-2H-benzo[1,4]oxazin-6-yl)-2,4-pyrimidinediamine;
II-119: 5-Chloro-N2-[3-(N-ethylaminosulfonyl)-4-methylphenyl]-N4-(4-methyl-3-oxo-2H-benzo[1,4]oxazin-6-yl)-2,4-pyrimidinediamine;
II-120: N2-(3-Aminosulfonylphenyl)-5-methyl-N4-(3-oxo-4-propyl-2H-benzo[1,4]oxazin-6-yl)-2,4-pyrimidinediamine;
II-121: N2-(3-Aminosulfonyl-4-methylphenyl)-5-methyl-N4-(3-oxo-4-propyl-2H-benzo[1,4]oxazin-6-yl)-2,4-pyrimidinediamine;
II-122: 5-Methyl-N2-[4-methyl-3-(N-methylaminosulfonyl)phenyl]-N4-(3-oxo-4-propyl-2H-benzo[1,4]oxazin-6-yl)-2,4-pyrimidinediamine;
II-123: N2-(3-Aminosulfonylphenyl)-5-fluoro-N4-(3-oxo-4-propyl-2H-benzo[1,4]oxazin-6-yl)-2,4-pyrimidinediamine;
II-124: N2-(3-Aminosulfonyl-4-methylphenyl)-5-fluoro-N4-(3-oxo-4-propyl-2H-benzo[1,4]oxazin-6-yl)-2,4-pyrimidinediamine;
II-125: 5-Fluoro-N2-[4-methyl-3-(N-methylaminosulfonyl)phenyl]-N4-(3-oxo-4-propyl-2H-benzo[1,4]oxazin-6-yl)-2,4-pyrimidinediamine;
II-126: N2-[3-(N-Ethylaminosulfonyl)-4-methylphenyl]-5-fluoro-N4-(3-oxo-4-propyl-2H-benzo[1,4]oxazin-6-yl)-2,4-pyrimidinediamine;
II-127: 5-Chloro-N2-[4-methyl-3-(N-methylaminosulfonyl)phenyl]-N4-(3-oxo-4-propyl-2H-benzo[1,4]oxazin-6-yl)-2,4-pyrimidinediamine;
II-128: 5-Chloro-N2-[3-(N-ethylaminosulfonyl)-4-methylphenyl]-N4-(3-oxo-4-propyl-2H-benzo[1,4]oxazin-6-yl)-2,4-pyrimidinediamine;
II-129: N4-(4-Ethyl-3-oxo-2H-benzo[1,4]oxazin-6-yl)-5-methyl-N2-[4-methyl-3-(N-methylaminosulfonyl)phenyl]-2,4-pyrimidinediamine;
II-130: N2-(3-Aminosulfonylphenyl)-5-chloro-N4-(4-ethyl-3-oxo-2H-benzo[1,4]oxazin-6-yl)-2,4-pyrimidinediamine;
II-131: N2-(3-Aminosulfonyl-4-methylphenyl)-5-chloro-N4-(4-ethyl-3-oxo-2H-benzo[1,4]oxazin-6-yl)-2,4-pyrimidinediamine;
II-132: N2-[3-(N-Ethylaminosulfonyl)-4-methylphenyl]-5-methyl-N4-(3-oxo-4-propyl-2H-benzo[1,4]oxazin-6-yl)-2,4-pyrimidinediamine;
II-133: N2-(3-Aminosulfonylphenyl)-5-chloro-N4-(3-oxo-4-propyl-2H-benzo[1,4]oxazin-6-yl)-2,4-pyrimidinediamine;
II-134: 5-Methyl-N2-[4-methyl-3-(N-methylaminosulfonyl)phenyl]-N4-(3-oxo-4-propyl-2H-benzo[1,4]thiazin-6-yl)-2,4-pyrimidinediamine;
II-135: 5-Chloro-N2-[4-methyl-3-(N-methylaminosulfonyl)phenyl]-N4-(4-methyl-3-oxo-2H-benzo[1,4]thiazin-6-yl)-2,4-pyrimidinediamine;
II-136: 5-Chloro-N2-[4-methyl-3-(N-methylaminosulfonyl)phenyl]-N4-(3-oxo-4-propyl-2H-benzo[1,4]thiazin-6-yl)-2,4-pyrimidinediamine;
II-137: 5-Chloro-N4-(4-ethyl-3-oxo-2H-benzo[1,4]oxazin-6-yl)-N2-[4-methyl-3-(N-methylaminosulfonyl)phenyl]-2,4-pyrimidinediamine;
II-138: 5-Chloro-N4-(4-ethyl-3-oxo-2H-benzo[1,4]oxazin-6-yl)-N2-[3-(N-ethylaminosulfonyl)-4-methylphenyl]-2,4-pyrimidinediamine;
II-139: 5-Chloro-N4-(4-methyl-3-oxo-2H-benzo[1,4]oxazin-6-yl)-N2-[3-(N-methylaminosulfonyl)phenyl]-2,4-pyrimidinediamine;
II-140: 5-Chloro-N4-(4-ethyl-3-oxo-2H-benzo[1,4]oxazin-6-yl)-N2-[3-(N-methylaminosulfonyl)phenyl]-2,4-pyrimidinediamine;
II-141: 5-Chloro-N2-[3-(N-methylaminosulfonyl)phenyl]-N4-(3-oxo-4-propyl-2H-benzo[1,4]oxazin-6-yl)-2,4-pyrimidinediamine;
II-142: 5-Chloro-N4-(4-methyl-3-oxo-2H-benzo[1,4]thiazin-6-yl)-N2-[3-(N-methylaminosulfonyl)phenyl]-2,4-pyrimidinediamine;
II-143: 5-Chloro-N2-[3-(N-methylaminosulfonyl)phenyl]-N4-(3-oxo-4-propyl-2H-benzo[1,4]thiazin-6-yl)-2,4-pyrimidinediamine;
II-144: N2-(3-Aminosulfonyl-4-methylphenyl)-N4-[4-(2-fluoroethyl)-3-oxo-2H-benzo[1,4]oxazin-6-yl]-5-methyl-2,4-pyrimidinediamine;
II-145: N2-(4-Aminosulfonylphenyl)-N4-[4-(2-fluoroethyl)-3-oxo-2H-benzo[1,4]oxazin-6-yl]-5-methyl-2,4-pyrimidinediamine;
II-146: N2-(3-Aminosulfonylphenyl)-N4-[4-(2-fluoroethyl)-3-oxo-2H-benzo[1,4]oxazin-6-yl]-5-methyl-2,4-pyrimidinediamine;
II-147: N2-(4-Aminosulfonylphenyl)-5-chloro-N4-[4-(2-fluoroethyl)-3-oxo-2H-benzo[1,4]oxazin-6-yl]-2,4-pyrimidinediamine;
II-148: N2-(3-Aminosulfonyl-4-methylphenyl)-5-chloro-N4-[4-(2-fluoroethyl)-3-oxo-2H-benzo[1,4]oxazin-6-yl]-2,4-pyrimidinediamine;
II-149: N2-(3-Aminosulfonylphenyl)-N4-(2,2-difluoro-4-methyl-3-oxobenzo[1,4]oxazin-6-yl)-5-methyl-2,4-pyrimidinediamine;
II-150: N2-(3-Aminosulfonyl-4-methylphenyl)-N4-(2,2-difluoro-4-methyl-3-oxobenzo[1,4]oxazin-6-yl)-5-methyl-2,4-pyrimidinediamine;
II-151: N2-(4-Aminosulfonylphenyl)-N4-(2,2-difluoro-4-methyl-3-oxobenzo[1,4]oxazin-6-yl)-5-methyl-2,4-pyrimidinediamine;
II-152: N2-(4-Aminosulfonylphenyl)-N4-(2,2-difluoro-3-oxo-4H-benzo[1,4]oxazin-6-yl)-5-methyl-2,4-pyrimidinediamine;
II-153: N2-(3-Aminosulfonylphenyl)-N4-(2,2-difluoro-3-oxo-4H-benzo[1,4]oxazin-6-yl)-5-methyl-2,4-pyrimidinediamine;
II-154: N2-(3-Aminosulfonyl-4-methylphenyl)-N4-(2,2-difluoro-3-oxo-4H-benzo[1,4]oxazin-6-yl)-5-methyl-2,4-pyrimidinediamine;
II-155: N2-(3-Aminosulfonylphenyl)-N4-[2,2-difluoro-3-oxo-4-(2-pyridinylmethyl)benzo[1,4]oxazin-6-yl]-5-methyl-2,4-pyrimidinediamine;
II-156: N2-(3-Aminosulfonyl-4-methylphenyl)-N4-[2,2-difluoro-3-oxo-4-(2-pyridinylmethyl)benzo[1,4]oxazin-6-yl]-5-methyl-2,4-pyrimidinediamine;
II-157: N2-(4-Aminosulfonylphenyl)-N4-[2,2-difluoro-3-oxo-4-(2-pyridinylmethyl)benzo[1,4]oxazin-6-yl]-5-methyl-2,4-pyrimidinediamine;
II-158: N2-(4-(N-propionylsulfamoyl)phenyl)-N4-(2,2-dimethyl-4-methyl-3-oxobenzo[1,4]oxazin-6-yl)-5-methyl-2,4-pyrimidinediamine choline salt;
II-159: N2-(4-(N-propionylsulfamoyl)phenyl)-N4-(4-propyl-3-oxobenzo[1,4]oxazin-6-yl)-5-chloro-2,4-pyrimidinediamine sodium salt;
II-160: N2-(4-Aminosulfonylphenyl)-N4-(2,2-dimethyl-4-propyl-3-oxobenzo[1,4]oxazin-6-yl)-5-chloro-2,4-pyrimidinediamine;
II-161: N2-(4-Aminosulfonylphenyl)-5-chloro-N4-[3-oxo-4-(2-propynyl)-2H-benzo[1,4]thiazin-6-yl]-2,4-pyrimidinediamine;
II-162: N2-(4-Aminosulfonylphenyl)-N4-(4-ethyl-3-oxobenzo[1,4]oxazin-6-yl)-5-chloro-2,4-pyrimidinediamine;
III-1: N2-(3-Aminosulfonylphenyl)-N4-[2,2-dimethyl-3-oxo-4H-5-pyrido[1,4]oxazin-7-yl]-5-methyl-2,4-pyrimidinediamine;
III-2: N2-(3-Aminosulfonyl-4-methylphenyl)-N4-[2,2-dimethyl-3-oxo-4H-5-pyrido[1,4]oxazin-7-yl]-5-methyl-2,4-pyrimidinediamine;
III-3: N2-(4-Aminosulfonylphenyl)-N4-[2,2-dimethyl-3-oxo-4H-5-pyrido[1,4]oxazin-7-yl]-5-methyl-2,4-pyrimidinediamine;
III-4: N2-(4-Aminosulfonylphenyl)-N4-(2,2-difluoro-3-oxo-4H-5-pyrido[1,4]oxazin-7-yl)-5-methyl-2,4-pyrimidinediamine;
III-5: N2-(3-Aminosulfonylphenyl)-N4-(2,2-difluoro-3-oxo-4H-5-pyrido[1,4]oxazin-7-yl)-5-methyl-2,4-pyrimidinediamine;
III-6: N2-(3-Aminosulfonyl-4-methylphenyl)-N4-(2,2-difluoro-3-oxo-4H-5-pyrido[1,4]oxazin-7-yl)-5-methyl-2,4-pyrimidinediamine;
III-7: N2-(3-Aminosulfonylphenyl)-5-fluoro-N4-(2-oxo-1,2,3,4-tetrahydroquinolin-6-yl)-2,4-pyrimidinediamine;
III-8: N2-(3-Aminosulfonyl-4-methylphenyl)-5-methyl-N4-(2-oxo-1,2,3,4-tetrahydroquinolin-6-yl)-2,4-pyrimidinediamine;
III-9: N2-(3-Aminosulfonylphenyl)-5-methyl-N4-(2-oxo-1,2,3,4-tetrahydroquinolin-6-yl)-2,4-pyrimidinediamine;
III-10: N2-(4-Aminosulfonylphenyl)-5-methyl-N4-(2-oxo-1,2,3,4-tetrahydroquinolin-6-yl)-2,4-pyrimidinediamine;
III-11: N2-(3-Aminosulfonyl-4-methylphenyl)-5-methyl-N4-(2-oxo-1-(2-propynyl)-1,2,3,4-tetrahydroquinolin-6-yl)-2,4-pyrimidinediamine;
III-12: N2-(3-Aminosulfonylphenyl)-5-methyl-N4-(2-oxo-1-(2-propynyl)-1,2,3,4-tetrahydroquinolin-6-yl)-2,4-pyrimidinediamine;
III-13: N2-(3-Aminosulfonyl-4-methylphenyl)-5-methyl-N4-(1-methyl-2-oxo-1,2,3,4-tetrahydroquinolin-6-yl)-2,4-pyrimidinediamine;
III-14: N2-(3-Aminosulfonylphenyl)-5-methyl-N4-(1-methyl-2-oxo-1,2,3,4-tetrahydroquinolin-6-yl)-2,4-pyrimidinediamine;
III-15: N2-(3-Aminosulfonyl-4-methylphenyl)-N4-(1-ethyl-2-oxo-1,2,3,4-tetrahydroquinolin-6-yl)-5-methyl-2,4-pyrimidinediamine;
III-16: N2-(3-Aminosulfonylphenyl)-N4-(1-ethyl-2-oxo-1,2,3,4-tetrahydroquinolin-6-yl)-5-methyl-2,4-pyrimidinediamine;
III-17: N2-(4-Aminosulfonylphenyl)-5-methyl-N4-(1-methyl-2-oxo-1,2,3,4-tetrahydroquinolin-6-yl)-2,4-pyrimidinediamine;
III-18: N2-[3-(N-Ethylaminosulfonyl)-4-methylphenyl]-5-methyl-N4-(2-oxo-1,2,3,4-tetrahydroquinolin-6-yl)-2,4-pyrimidinediamine;
III-19: 5-Methyl-N2-[3-(N-methylaminosulfonyl)-4-methylphenyl]-N4-(2-oxo-1,2,3,4-tetrahydroquinolin-6-yl)-2,4-pyrimidinediamine;
III-20: N2-[3-(N-Cyclopropylaminosulfonyl)-4-methylphenyl]-5-methyl-N4-(2-oxo-1,2,3,4-tetrahydroquinolin-6-yl)-2,4-pyrimidinediamine
III-21: 5-Methyl-N2-[3-(N-methylaminosulfonyl)-4-methylphenyl]-N4-(1-methyl-2-oxo-1,2,3,4-tetrahydroquinolin-6-yl)-2,4-pyrimidinediamine;
III-22: N2-[3-(N-Ethylaminosulfonyl)-4-methylphenyl]-5-methyl-N4-(1-methyl-2-oxo-1,2,3,4-tetrahydroquinolin-6-yl)-2,4-pyrimidinediamine;
III-23: 5-Methyl-N2-[3-(N-(1-methylethyl)aminosulfonyl)-4-methylphenyl]-N4-(1-methyl-2-oxo-1,2,3,4-tetrahydroquinolin-6-yl)-2,4-pyrimidinediamine;
III-24: N2-[3-(N-Cyclopropylaminosulfonyl)-4-methylphenyl]-5-methyl-N4-(1-methyl-2-oxo-1,2,3,4-tetrahydroquinolin-6-yl)-2,4-pyrimidinediamine;
III-25: N2-(3-Aminosulfonyl-4-methylphenyl)-5-methyl-N4-[1-(1-methylethyl)-2-oxo-1,2,3,4-tetrahydroquinolin-6-yl]-2,4-pyrimidinediamine;
III-26: N2-[3-(N-Benzylaminosulfonyl)-4-methylphenyl]-5-methyl-N4-(1-methyl-2-oxo-1,2,3,4-tetrahydroquinolin-6-yl)-2,4-pyrimidinediamine;
III-27: 5-Methyl-N2-[3-(N-(1-methylethyl)aminosulfonyl)phenyl]-N4-(2-oxo-1,2,3,4-tetrahydroquinolin-6-yl)-2,4-pyrimidinediamine;
III-28: 5-Methyl-N2-[3-(N-methylaminosulfonyl)phenyl]-N4-(1-methyl-2-oxo-1,2,3,4-tetrahydroquinolin-6-yl)-2,4-pyrimidinediamine;
III-29: N2-[3-(N-Ethylaminosulfonyl)phenyl]-5-methyl-N4-(1-methyl-2-oxo-1,2,3,4-tetrahydroquinolin-6-yl)-2,4-pyrimidinediamine;
III-30: N2-[3-(N-Cyclopropylaminosulfonyl)phenyl]-5-methyl-N4-(1-methyl-2-oxo-1,2,3,4-tetrahydroquinolin-6-yl)-2,4-pyrimidinediamine;
III-31: 5-Methyl-N2-[3-(N-(1-methylethyl)aminosulfonyl)phenyl]-N4-(1-methyl-2-oxo-1,2,3,4-tetrahydroquinolin-6-yl)-2,4-pyrimidinediamine;
III-32: N2-(3-Aminosulfonyl-4-methylphenyl)-5-chloro-N4-(1-methyl-2-oxo-1,2,3,4-tetrahydroquinolin-6-yl)-2,4-pyrimidinediamine;
III-33: 5-Chloro-N2-[3-(N-methylaminosulfonyl)-4-methylphenyl]-N4-(1-methyl-2-oxo-1,2,3,4-tetrahydroquinolin-6-yl)-2,4-pyrimidinediamine;
III-34: 5-Chloro-N2-[3-(N-ethylaminosulfonyl)-4-methylphenyl]-N4-(1-methyl-2-oxo-1,2,3,4-tetrahydroquinolin-6-yl)-2,4-pyrimidinediamine;
III-35: 5-Chloro-N2-[3-(N-cyclopropylaminosulfonyl)-4-methylphenyl]-N4-(1-methyl-2-oxo-1,2,3,4-tetrahydroquinolin-6-yl)-2,4-pyrimidinediamine;
III-36: 5-Chloro-N2-[3-(N-(1-methylethyl)aminosulfonyl)-4-methylphenyl]-N4-(1-methyl-2-oxo-1,2,3,4-tetrahydroquinolin-6-yl)-2,4-pyrimidinediamine;
III-37: N2-(3-Aminosulfonylphenyl)-5-chloro-N4-(1-methyl-2-oxo-1,2,3,4-tetrahydroquinolin-6-yl)-2,4-pyrimidinediamine;
III-38: 5-Chloro-N2-[3-(N-methylaminosulfonyl)phenyl]-N4-(1-methyl-2-oxo-1,2,3,4-tetrahydroquinolin-6-yl)-2,4-pyrimidinediamine;
III-39: 5-Chloro-N2-[3-(N-ethylaminosulfonyl)phenyl]-N4-(1-methyl-2-oxo-1,2,3,4-tetrahydroquinolin-6-yl)-2,4-pyrimidinediamine;
III-40: 5-Chloro-N2-[3-(N-cyclopropylaminosulfonyl)phenyl]-N4-(1-methyl-2-oxo-1,2,3,4-tetrahydroquinolin-6-yl)-2,4-pyrimidinediamine;
III-41: 5-Chloro-N2-[3-(N-(1-methylethyl)aminosulfonyl)phenyl]-N4-(1-methyl-2-oxo-1,2,3,4-tetrahydroquinolin-6-yl)-2,4-pyrimidinediamine;
III-42: N2-(3-Aminosulfonyl-4-methylphenyl)-5-chloro-N4-(2-oxo-1,2,3,4-tetrahydroquinolin-6-yl)-2,4-pyrimidinediamine;
III-43: 5-Chloro-N2-[3-(N-methylaminosulfonyl)-4-methylphenyl]-N4-(2-oxo-1,2,3,4-tetrahydroquinolin-6-yl)-2,4-pyrimidinediamine;
III-44: 5-Chloro-N2-[3-(N-ethylaminosulfonyl)-4-methylphenyl]-N4-(2-oxo-1,2,3,4-tetrahydroquinolin-6-yl)-2,4-pyrimidinediamine;
III-45: 5-Chloro-N2-[3-(N-cyclopropylaminosulfonyl)-4-methylphenyl]-N4-(2-oxo-1,2,3,4-tetrahydroquinolin-6-yl)-2,4-pyrimidinediamine;
III-46: N2-(3-Aminosulfonylphenyl)-5-chloro-N4-(2-oxo-1,2,3,4-tetrahydroquinolin-6-yl)-2,4-pyrimidinediamine;
III-47: 5-Chloro-N2-[3-(N-methylaminosulfonyl)phenyl]-N4-(2-oxo-1,2,3,4-tetrahydroquinolin-6-yl)-2,4-pyrimidinediamine;
III-48: 5-Chloro-N2-[3-(N-ethylaminosulfonyl)phenyl]-N4-(2-oxo-1,2,3,4-tetrahydroquinolin-6-yl)-2,4-pyrimidinediamine;
III-49: 5-Chloro-N2-[3-(N-cyclopropylaminosulfonyl)phenyl]-N4-(2-oxo-1,2,3,4-tetrahydroquinolin-6-yl)-2,4-pyrimidinediamine;
III-50: N2-[3-(N-Ethyl-N-propionylaminosulfonyl)-4-methylphenyl]-5-methyl-N4-(2-oxo-1,2,3,4-tetrahydroquinolin-6-yl)-2,4-pyrimidinediamine;
III-51: N2-(3-Aminosulfonyl-4-methylphenyl)-N4-(3,3-dimethyl-2-oxo-1,2,3,4-tetrahydroquinolin-6-yl)-5-methyl-2,4-pyrimidinediamine;
III-52: N2-[3-(N-Ethylaminosulfonyl)-4-methylphenyl]-N4-(3,3-dimethyl-2-oxo-1,2,3,4-tetrahydroquinolin-6-yl)-5-methyl-2,4-pyrimidinediamine;
III-53: N2-(3-Aminosulfonyl-4-methylphenyl)-N4-(2-oxo-1,2,3,4-tetrahydroquinolin-6-yl)-5-trifluoromethyl-2,4-pyrimidinediamine;
III-54: N2-[3-(N-methylaminosulfonyl)-4-methylphenyl]-N4-(2-oxo-1,2,3,4-tetrahydroquinolin-6-yl)-5-trifluoromethyl-2,4-pyrimidinediamine;
III-55: N2-[3-(N-Ethylaminosulfonyl)-4-methylphenyl]-N4-(2-oxo-1,2,3,4-tetrahydroquinolin-6-yl)-5-trifluoromethyl-2,4-pyrimidinediamine;
III-56: N2-(3-Aminosulfonylphenyl)-N4-(2-oxo-1,2,3,4-tetrahydroquinolin-6-yl)-5-trifluoromethyl-2,4-pyrimidinediamine;
III-57: N2-[3-(N-Methylaminosulfonyl)phenyl]-N4-(2-oxo-1,2,3,4-tetrahydroquinolin-6-yl)-5-trifluoromethyl-2,4-pyrimidinediamine;
III-58: N2-[3-(N-Ethylaminosulfonyl)phenyl]-N4-(2-oxo-1,2,3,4-tetrahydroquinolin-6-yl)-5-trifluoromethyl-2,4-pyrimidinediamine;
III-59: N2-[3-(N-Diethoxyphosphinyl-N-ethylaminosulfonyl)-4-methylphenyl)-5-methyl-N4-(2-oxo-1,2,3,4-tetrahydroquinolin-6-yl)-2,4-pyrimidinediamine;
IV-1: N2-(3-Aminosulfonylphenyl)-5-fluoro-N4-[2-(2-(N-morpholinyl)ethylaminocarbonyl)benzofuran-5-yl]-2,4-pyrimidinediamine;
IV-2: N2-(3-Aminosulfonyl-4-methylphenyl)-5-fluoro-N4-[2-(2-(N-morpholinyl)ethylaminocarbonyl)benzofuran-5-yl]-2,4-pyrimidinediamine;
IV-3: N2-(4-Aminosulfonylphenyl)-5-fluoro-N4-[2-(2-(N-morpholinyl)ethylaminocarbonyl)benzofuran-5-yl]-2,4-pyrimidinediamine;
IV-4: N2-(3-Aminosulfonylphenyl)-5-fluoro-N4-(1H-indol-5-yl)-2,4-pyrimidinediamine;
IV-5: N2-(3-Aminosulfonyl-4-methylphenyl)-5-fluoro-N4-(1H-indol-5-yl)-2,4-pyrimidinediamine;
IV-6: N2-(3-Aminosulfonylphenyl)-5-chloro-N4-(1H-indol-5-yl)-2,4-pyrimidinediamine;
IV-7: N2-(3-Aminosulfonyl-4-methylphenyl)-5-chloro-N4-(1H-indol-5-yl)-2,4-pyrimidinediamine;
IV-8: N2-(3-Aminosulfonyl-4-methylphenyl)-5-chloro-N4-[1-(cyclopropylaminocarbonyl)-1H-indol-5-yl]-2,4-pyrimidinediamine;
IV-9: N2-(4-Aminosulfonylphenyl)-5-chloro-N4-[1-(cyclopropylaminocarbonyl)-1H-indol-5-yl]-2,4-pyrimidinediamine;
IV-10: N2-(3-Aminosulfonyl-4-methylphenyl)-N4-[1-(cyclopropylaminocarbonyl)-1H-indol-5-yl]-5-fluoro-2,4-pyrimidinediamine;
IV-11: N2-(3-Aminosulfonylphenyl)-N4-[1-(cyclopropylaminocarbonyl)-1H-indol-5-yl]-5-fluoro-2,4-pyrimidinediamine;
IV-12: N2-(3-Aminosulfonyl-4-methylphenyl)-5-fluoro-N4-[1-(methylaminocarbonyl)-1H-indol-5-yl]-2,4-pyrimidinediamine;
IV-13: N2-(3-Aminosulfonylphenyl)-5-fluoro-N4-[1-(methylaminocarbonyl)-1H-indol-5-yl]-2,4-pyrimidinediamine;
IV-14: N2-(4-Aminosulfonylphenyl)-5-fluoro-N4-[1-(methylaminocarbonyl)-1H-indol-5-yl]-2,4-pyrimidinediamine;
IV-15: N2-(3-Aminosulfonyl-4-methylphenyl)-N4-[1-(cyclopropylaminocarbonyl)-1H-indol-5-yl]-5-methyl-2,4-pyrimidinediamine;
IV-16: N2-(3-Aminosulfonylphenyl)-N4-[1-(cyclopropylaminocarbonyl)-1H-indol-5-yl]-5-methyl-2,4-pyrimidinediamine;
IV-17: N2-(4-Aminosulfonylphenyl)-N4-[1-(cyclopropylaminocarbonyl)-1H-indol-5-yl]-5-methyl-2,4-pyrimidinediamine;
IV-18: N2-(3-Aminosulfonyl-4-methylphenyl)-5-methyl-N4-[1-(methylaminocarbonyl)-1H-indol-5-yl]-2,4-pyrimidinediamine;
IV-19: N2-(3-Aminosulfonylphenyl)-5-methyl-N4-[1-(methylaminocarbonyl)-1H-indol-5-yl]-2,4-pyrimidinediamine;
IV-20: N2-(4-Aminosulfonylphenyl)-5-methyl-N4-[1-(methylaminocarbonyl)-1H-indol-5-yl]-2,4-pyrimidinediamine;
IV-21: N2-(4-Aminosulfonylphenyl)-N4-[1-(cyclopropylaminocarbonyl)-1H-indol-5-yl]-5-fluoro-2,4-pyrimidinediamine;
IV-22: N2-(3-Aminosulfonyl-4-methylphenyl)-5-methyl-N4-[1-(4-pyridinyl)-1H-indol-5-yl]-2,4-pyrimidinediamine;
IV-23: N2-[3-(N-Cyclopropylaminosulfonyl)phenyl]-5-methyl-N4-[1-(4-pyridinyl)-1H-indol-5-yl]-2,4-pyrimidinediamine;
IV-24: N2-[4-(N-Cyclopropylaminosulfonyl)phenyl]-5-methyl-N4-[1-(4-pyridinyl)-1H-indol-5-yl]-2,4-pyrimidinediamine;
IV-25: N2-(4-Aminosulfonylphenyl)-5-methyl-N4-[1-(4-pyridinyl)-1H-indol-5-yl]-2,4-pyrimidinediamine;
IV-26: N2-(3-Aminosulfonylphenyl)-5-methyl-N4-[1-(4-pyridinyl)-1H-indol-5-yl]-2,4-pyrimidinediamine;
V-1: N2-(3-Aminosulfonyl-4-methylphenyl)-5-fluoro-N4-[1-(2-(N-morpholinyl)ethyl)-1H-indol-6-yl]-2,4-pyrimidinediamine;
V-2: N2-(3-Aminosulfonylphenyl)-5-fluoro-N4-[1-(2-(N-morpholinyl)ethyl)-1H-indol-6-yl]-2,4-pyrimidinediamine;
V-3: N2-(3-Aminosulfonyl-4-methylphenyl)-5-fluoro-N4-[1-(2-(N-morpholinyl)ethylaminocarbonyl)-1H-indol-6-yl]-2,4-pyrimidinediamine;
V-4: N2-(3-Aminosulfonylphenyl)-5-fluoro-N4-[1-(2-(N-morpholinyl)ethylaminocarbonyl)-1H-indol-6-yl]-2,4-pyrimidinediamine;
V-5: N2-(4-Aminosulfonylphenyl)-5-fluoro-N4-[1-(2-(N-morpholinyl)ethylaminocarbonyl)-1H-indol-6-yl]-2,4-pyrimidinediamine;
VI-1: N2-(3-Aminosulfonylphenyl)-5-fluoro-N4-(1-oxo-1,2,3,4-tetrahydroisoquinolin-7-yl)-2,4-pyrimidinediamine;
VI-2: N2-(3-Aminosulfonyl-4-methylphenyl)-5-fluoro-N4-(1-oxo-1,2,3,4-tetrahydroisoquinolin-7-yl)-2,4-pyrimidinediamine;
VI-3: N2-(4-Aminosulfonylphenyl)-5-fluoro-N4-(1-oxo-1,2,3,4-tetrahydroisoquinolin-7-yl)-2,4-pyrimidinediamine;
VI-4: N2-(3-Aminosulfonyl-4-methylphenyl)-5-fluoro-N4-(8-oxo-5,6,7,8-tetrahydronapthalen-2-yl)-2,4-pyrimidinediamine;
VI-5: N2-(3-Aminosulfonylphenyl)-5-fluoro-N4-(8-oxo-5,6,7,8-tetrahydronapthalen-2-yl)-2,4-pyrimidinediamine;
VI-6: N2-(4-Aminosulfonylphenyl)-5-fluoro-N4-(8-oxo-5,6,7,8-tetrahydronapthalen-2-yl)-2,4-pyrimidinediamine;
VII-1: N2-(3-Aminosulfonyl-4-methylphenyl)-5-fluoro-N4-(5-oxo-5,6,7,8-tetrahydronapthalen-2-yl)-2,4-pyrimidinediamine;
VII-2: N2-(3-Aminosulfonylphenyl)-5-fluoro-N4-(5-oxo-5,6,7,8-tetrahydronapthalen-2-yl)-2,4-pyrimidinediamine;
VII-3: N2-(4-Aminosulfonylphenyl)-5-fluoro-N4-(5-oxo-5,6,7,8-tetrahydronapthalen-2-yl)-2,4-pyrimidinediamine;
VIII-1: N4-(6-Aminocarbonylnaphthalen-2-yl)-N2-(3-aminosulfonylphenyl)-5-chloro-2,4-pyrimidinediamine;
VIII-2: N4-(6-Aminocarbonylnaphthalen-2-yl)-N2-(3-aminosulfonyl-4-methylphenyl)-5-chloro-2,4-pyrimidinediamine;
VIII-3: N4-(6-Aminocarbonylnaphthalen-2-yl)-N2-(4-aminosulfonylphenyl)-5-chloro-2,4-pyrimidinediamine;
VIII-4: N2-(4-Aminosulfonylphenyl)-5-chloro-N4-(6-cyanonaphthalen-2-yl)-2,4-pyrimidinediamine;
VIII-5: N2-(3-Aminosulfonyl-4-methylphenyl)-5-chloro-N4-(6-cyanonaphthalen-2-yl)-2,4-pyrimidinediamine;
VIII-6: N2-(3-Aminosulfonyl-4-methylphenyl)-5-fluoro-N4-(6-methoxycarbonyl-naphthalen-2-yl)-2,4-pyrimidinediamine;
IX-1: N2-(3-Aminosulfonylphenyl)-5-fluoro-N4-(2-methylbenzoxazol-5-yl)-2,4-pyrimidinediamine;
IX-2: N2-(3-Aminosulfonylphenyl)-5-fluoro-N4-[1-(3-hydroxypropyl)-2-methyl-1H-benzimidazol-5-yl]-2,4-pyrimidinediamine;
IX-3: N2-(3-Aminosulfonylphenyl)-5-fluoro-N4-[1-(3-hydroxypropyl)-2-trifluoromethyl-1H-benzimidazol-5-yl]-2,4-pyrimidinediamine;
IX-4: N2-(3-Aminosulfonylphenyl)-5-fluoro-N4-[1-methyl-2-(4-morpholino)-1H-benzimidazol-5-yl]-2,4-pyrimidinediamine;
X-1: N2-(3-Aminosulfonylphenyl)-5-fluoro-N4-[2-(N-morpholinyl)-1H-benzimidazol-6-yl]-2,4-pyrimidinediamine;
XI-1: N2-(3-Aminosulfonylphenyl)-N4-(1-cyclopropylmethyl-1H-indazol-5-yl)-5-methyl-2,4-pyrimidinediamine;
XI-2: N2-(4-Aminosulfonylphenyl)-N4-(1-cyclopropylmethyl-1H-indazol-5-yl)-5-methyl-2,4-pyrimidinediamine;
XI-3: N2-(3-Aminosulfonylphenyl)-N4-[1-(3-methoxypropyl)-1H-indazol-5-yl]-5-methyl-2,4-pyrimidinediamine;
XI-4: N2-(4-Aminosulfonylphenyl)-N4-[1-(3-methoxypropyl)-1H-indazol-5-yl]-5-methyl-2,4-pyrimidinediamine;
XI-5: N2-(3-Aminosulfonylphenyl)-N4-[1-(2-methoxyethyl)-1H-indazol-5-yl]-5-methyl-2,4-pyrimidinediamine;
XI-6: N2-(3-Aminosulfonylphenyl)-5-methyl-N4-[1-(1-methylethyl)-1H-indazol-5-yl]-2,4-pyrimidinediamine;
XI-7: N2-(4-Aminosulfonylphenyl)-5-methyl-N4-[1-(1-methylethyl)-1H-indazol-5-yl)-2,4-pyrimidinediamine;
XI-8: N2-(3-Aminosulfonylphenyl)-5-methyl-N4-(1-methyl-1H-indazol-5-yl)-2,4-pyrimidinediamine;
XI-9: N2-(4-Aminosulfonylphenyl)-5-methyl-N4-(1-methyl-1H-indazol-5-yl)-2,4-pyrimidinediamine;
XI-10: N2-(3-Aminosulfonylphenyl)-N4-(1-ethyl-1H-indazol-5-yl)-5-methyl-2,4-pyrimidinediamine;
XI-12: N2-(3-Aminosulfonylphenyl)-N4-(1-cyclohexyl-1H-indazol-5-yl)-5-methyl-2,4-pyrimidinediamine;
XI-13: N2-(3-Aminosulfonylphenyl)-5-methyl-N4-[1-(2-propynyl)-1H-indazol-5-yl]-2,4-pyrimidinediamine;
XI-14: N2-(3-Aminosulfonyl-4-methylphenyl)-5-methyl-N4-[1-(2-propynyl)-1H-indazol-5-yl]-2,4-pyrimidinediamine;
XI-15: N2-[3-(N-Ethylaminosulfonyl)-4-methylphenyl]-5-methyl-N4-[1-(2-propynyl)-1H-indazol-5-yl]-2,4-pyrimidinediamine;
XI-16: N2-[3-(N-Cyclopropylaminosulfonyl)phenyl]-5-methyl-N4-[1-(2-propynyl)-1H-indazol-5-yl]-2,4-pyrimidinediamine;
XI-17: N2-[3-(N-Cyclopropylaminosulfonyl)-4-methylphenyl]-5-methyl-N4-[1-(2-propynyl)-1H-indazol-5-yl]-2,4-pyrimidinediamine;
XI-18: N2-(3-Aminosulfonylphenyl)-5-methyl-N4-[1-(3-methylthiopropyl)-1H-indazol-5-yl]-2,4-pyrimidinediamine;
XI-19: N2-(3-Aminosulfonyl-4-methylphenyl)-5-methyl-N4-[1-(3-methylthiopropyl)-1H-indazol-5-yl]-2,4-pyrimidinediamine;
XI-20: N2-[3-(N-Cyclopropylaminosulfonyl)phenyl]-5-methyl-N4-[1-(3-methylthiopropyl)-1H-indazol-5-yl]-2,4-pyrimidinediamine;
XI-21: N2-[3-(N-Ethylaminosulfonyl)-4-methylphenyl]-5-methyl-N4-[1-(3-methylthiopropyl)-1H-indazol-5-yl]-2,4-pyrimidinediamine;
XI-22: 5-Methyl-N2-[4-methyl-3-(N-methylaminosulfonyl)phenyl]-N4-[1-(3-methylthiopropyl)-1H-indazol-5-yl]-2,4-pyrimidinediamine;
XI-23: N2-(3-Aminosulfonylphenyl)-N4-(1-cyclohexylmethyl-1H-indazol-5-yl)-5-methyl-2,4-pyrimidinediamine;
XI-24: N2-(3-Aminosulfonyl-4-methylphenyl)-N4-(1-cyclohexylmethyl-1H-indazol-5-yl)-5-methyl-2,4-pyrimidinediamine;
XI-25: N4-(1-Cyclohexylmethyl-1H-indazol-5-yl)-5-methyl-N2-[4-methyl-3-(N-methylaminosulfonyl)phenyl]-2,4-pyrimidinediamine;
XII-1: N2-(3-Aminosulfonylphenyl)-N4-[1-(2-methoxyethyl)-1H-indazol-6-yl]-5-methyl-2,4-pyrimidinediamine;
XII-2: N2-(4-Aminosulfonylphenyl)-N4-[1-(2-methylethyl)-1H-indazol-6-yl]-5-methyl-2,4-pyrimidinediamine;
XII-3: N2-(3-Aminosulfonylphenyl)-5-methyl-N4-[1-(1-methylethyl)-1H-indazol-6-yl]-2,4-pyrimidinediamine;
XII-4: N2-(4-Aminosulfonylphenyl)-5-methyl-N4-[1-(1-methylethyl)-1H-indazol-6-yl]-2,4-pyrimidinediamine;
XII-5: N2-(3-Aminosulfonylphenyl)-5-methyl-N4-(1-methyl-1H-indazol-6-yl)-2,4-pyrimidinediamine;
XII-6: N2-(4-Aminosulfonylphenyl)-5-methyl-N4-(1-methyl-1H-indazol-6-yl)-2,4-pyrimidinediamine;
XII-7: N2-(3-Aminosulfonylphenyl)-N4-(1-ethyl-1H-indazol-6-yl)-5-methyl-2,4-pyrimidinediamine;
XII-8: N2-(4-Aminosulfonylphenyl)-N4-(1-ethyl-1H-indazol-6-yl)-5-methyl-2,4-pyrimidinediamine;
XII-9: 5-Methyl-N4-(1-methyl-1H-indazol-6-yl)-N2-[4-methyl-3-(N-methylaminosulfonyl)phenyl]-2,4-pyrimidinediamine;
XII-10: N2-(3-Aminosulfonylphenyl)-N4-[1-cyclopropylmethyl-3-methyl-1H-indazol-6-yl]-5-methyl-2,4-pyrimidinediamine;
XII-11: N2-(3-Aminosulfonyl-4-methylphenyl)-N4-[1-cyclopropylmethyl-3-methyl-1H-indazol-6-yl]-5-methyl-2,4-pyrimidinediamine;
XII-12: N4-[1-Cyclopropylmethyl-3-methyl-1H-indazol-6-yl]-N2-[3-(N-ethylaminosulfonyl)-4-methylphenyl]-5-methyl-2,4-pyrimidinediamine;
XII-13: N4-(1-Cyclopropylmethyl-3-methyl-1H-indazol-6-yl)-5-methyl-N2-[4-methyl-3-(N-methylaminosulfonyl)phenyl]-2,4-pyrimidinediamine;
XIII-1: N4-(2,3-dihydrobenzo[b][1,4]dioxin-6-yl)-5-fluoro-N2-[4-Aminosulfonyl)phenyl]-2,4-pyrimidinediamine;
XIII-2: N4-(2,3-dihydrobenzo[b][1,4]dioxin-6-yl)-5-fluoro-N2-[3-Aminosulfonyl)phenyl]-2,4-pyrimidinediamine;
XIII-3: 5 N4-(2,3-dihydrobenzo[b][1,4]dioxin-6-yl)-5-fluoro-N2-[4-methyl-3-aminosulfonyl)phenyl]-2,4-pyrimidinediamine;
XIII-4: N4-(2,3-dihydrobenzo[b][1,4]dioxin-6-yl)-N4-methyl-5-fluoro-N2-[4-Aminosulfonyl)phenyl]-2,4-pyrimidinediamine;
XIII-5: N4-(2,3-dihydrobenzo[b][1,4]dioxin-6-yl)-N4-methyl-5-fluoro-N2-[3-Aminosulfonyl)phenyl]-2,4-pyrimidinediamine;
XIII-6: N4-(2,3-dihydrobenzo[b][1,4]dioxin-6-yl)-N4-methyl-5-fluoro-N2-[4-methyl-3-aminosulfonyl)phenyl]-2,4-pyrimidinediamine;
XIV-1: N4-(3-acetamido-2,3-dihydro-1H-indenyl)-5-methyl-N2-[3-Aminosulfonyl)phenyl]-2,4-pyrimidinediamine;
XIV-2: N4-(3-acetamido-2,3-dihydro-1H-indenyl)-5-methyl-N2-[4-Aminosulfonyl)phenyl]-2,4-pyrimidinediamine;
XV-1: N2-(3-Aminosulfonylphenyl)-6-fluoro-N4-(3-oxo-2,2,4-trimethylbenzo[1,4]oxazin-6-yl)-2,4-pyrimidinediamine;
XV-2: N2-(4-Aminosulfonylphenyl)-6-fluoro-N4-(3-oxo-2,2,4-trimethylbenzo[1,4]oxazin-6-yl)-2,4-pyrimidinediamine;
XV-3: N2,N6-Bis(4-aminosulfonylphenyl)-N4-(3-oxo-2,2,4-trimethylbenzo[1,4]oxazin-6-yl)-2,4,6-pyrimidinetriamine;
XV-4: N2-(4-Aminosulfonylphenyl)-5,6-dimethyl-N4-(3-oxo-2,2,4-trimethylbenzo[1,4]oxazin-6-yl)-2,4-pyrimidinediamine;
XV-5: N2-(3-Aminosulfonylphenyl)-6-fluoro-5-methyl-N4-(3-oxo-2,2,4-trimethylbenzo[1,4]oxazin-6-yl)-2,4-pyrimidinediamine;
XV-6: N2-(3-Aminosulfonylphenyl)-6-methyl-N4-[4-(3-pyridinylmethyleneoxy)phenyl]-2,4-pyrimidinediamine;
XV-7: 3-Aminosulfonyl-4-methylphenyl)-6-methyl-N4-[4-(3-pyridinylmethyleneoxy)phenyl]-2,4-pyrimidinediamine;
XV-8: N2-[4-(N-Cyclopropylaminosulfonyl)phenyl]-6-methyl-N4-[4-(3-pyridinylmethyleneoxy)phenyl]-2,4-pyrimidinediamine;
XV-9: N2-(4-Aminosulfonylphenyl)-6-methyl-N4-[4-(3-pyridinylmethyleneoxy)phenyl]-2,4-pyrimidinediamine;
XV-10: N2-(3-Aminosulfonylphenyl)-6-methyl-N4-[4-(2-pyridinylmethyleneoxy)phenyl]-2,4-pyrimidinediamine;
XV-11: N2-(4-Aminosulfonylphenyl)-6-methyl-N4-[4-(2-pyridinylmethyleneoxy)phenyl]-2,4-pyrimidinediamine;
XV-12: N2-[3-(N-Cyclopropylaminosulfonyl)phenyl)]-6-methyl-N4-[4-(2-pyridinylmethyleneoxy)phenyl]-2,4-pyrimidinediamine;
XV-13: N2-(3-Aminosulfonyl-4-methylphenyl)-6-methyl-N4-[4-(2-pyridinylmethyleneoxy)phenyl]-2,4-pyrimidinediamine;
XV-14: N2-[4-(N-Cyclopropylaminosulfonyl)phenyl]-6-methyl-N4-[4-(2-pyridinylmethyleneoxy)phenyl]-2,4-pyrimidinediamine;
XV-15: 6-Methyl-N2-[4-methyl-3-(N-methylaminosulfonyl)phenyl]-N4-[4-(2-pyridinylmethyleneoxy)phenyl]-2,4-pyrimidinediamine;
XV-16: N2-[3-(N-Cyclopropylaminosulfonyl)phenyl]-6-methyl-N4-[4-(3-pyridinylmethyleneoxy)phenyl]-2,4-pyrimidinediamine;
XV-17: 6-Methyl-N2-[4-methyl-3-(N-methylaminosulfonyl)phenyl]-N4-[4-(3-pyridinylmethyleneoxy)phenyl]-2,4-pyrimidinediamine; and
XV-18: N2-(3-Aminosulfonylphenyl)-5,6-dimethyl-N4-(3-oxo-2,2,4-trimethylbenzo[1,4]oxazin-6-yl)-2,4-pyrimidinediamine;
or a solvate, prodrug or pharmaceutically acceptable salt thereof.
7. A method of inhibiting an activity of a JAK kinase, comprising contacting the JAK kinase with an amount of a compound effective to inhibit an activity of the JAK kinase wherein the compound is selected from the compounds of any one of claims 1 to 6 .
8. A method of inhibiting an activity of a JAK kinase, comprising contacting in vitro a JAK3 kinase with an amount of a compound effective to inhibit an activity of the JAK kinase wherein the compound is selected from the compounds of any one of claims 1 to 6 .
9. A method of treating a T-cell mediated autoimmune disease, comprising administering to a patient suffering from such an autoimmune disease an amount of a compound effective to treat the autoimmune disease wherein the compound is selected from the compounds of any one of claims 1 to 6 .
10. The method of claim 9 in which the compound is administered in combination with, or adjunctively to, a compound that inhibits Syk kinase with an IC50 of about 10 μM or less.
11. A method of treating or preventing allograft transplant rejection in a transplant recipient, comprising administering to the transplant recipient an amount of a compound effective to treat or prevent the allograft transplant rejection wherein the compound is selected from the compounds of any one of claims 1 to 6 .
12. The method of claim 11 , wherein the compound is administered to a tissue or an organ prior to transplanting the tissue or organ in the allograft transplant recipient
13. The method of claim 11 in which the allograft transplant rejection is acute rejection.
14. The method of claim 11 in which the allograft transplant rejection is chronic rejection.
15. The method of claim 11 in which the allograft transplant rejection is mediated by HVGR or GVHR.
16. The method of claim 11 in which the transplant recipient receives an allograft transplant organis selected from a kidney, a heart, a liver and a lung.
17. The method of claim 11 in which the compound is administered in combination with, or adjunctively to, an immunosuppressant.
18. The method of claim 17 in which the immunosuppressant is selected from cyclosporine, tacrolimus, sirolimus, an inhibitor of IMPDH, mycophenolate, mycophanolate mofetil, an anti-T-Cell antibody and OKT3.
19. A method of treating or preventing a Type IV hypersensitivity reaction, comprising administering to a subject an amount of a compound of effective to treat or prevent the hypersensitivity reaction wherein the compound is selected from the compounds of any one of claims 1 to 6 .
20. The method of claim 18 which is practical prophylactically, and the compound selected from the compounds of any one of claims 1 to 6 .
21. A method of inhibiting a signal transduction cascade in which JAK3 kinase plays a role, comprising contacting a cell expressing a receptor involved in said signaling cascade with a compound wherein the compound is selected from the compounds of any one of claims 1 to 6 .
22. A method of treating or preventing a JAK kinase-mediated disease, comprising administering to a subject an amount of compound effective to treat or prevent the JAK kinase-mediated disease wherein the compound is selected from the compounds of any one of claims 1 to 6.
23. The method of claim 22 in which the JAK kinase-mediated disease is HVGR or GVHR.
24. The method of claim 22 in which the JAK kinase-mediated disease is acute allograft rejection.
25. The method of claim 22 in which the JAK kinase-mediated diseases is chronic allograft rejection.
26. A pharmaceutical formulation comprising a compound selected from the compounds of any one of claims 1 to 6 .
27. A kit comprising a compound selected from the compounds of any one of claims 1 to 6 or a prodrug thereof, packaging and instructions for use.
28. A kit comprising the pharmaceutical formulation of claim 27 , packaging, and instructions for use.
Priority Applications (6)
| Application Number | Priority Date | Filing Date | Title |
|---|---|---|---|
| US11/678,429 US20070203161A1 (en) | 2006-02-24 | 2007-02-23 | Compositions and methods for inhibition of the jak pathway |
| PCT/US2007/088241 WO2008079907A1 (en) | 2006-12-20 | 2007-12-19 | Compositions and methods for inhibition of the jak pathway |
| US12/030,069 US9593082B2 (en) | 2005-06-08 | 2008-02-12 | Compositions and methods for inhibition of the JAK pathway |
| US12/711,534 US7915273B2 (en) | 2007-02-23 | 2010-02-24 | Compositions and methods for inhibition of the JAK pathway |
| US15/290,918 US20170121291A1 (en) | 2006-02-24 | 2016-10-11 | Compositions and methods for inhibition of the jak pathway |
| US16/404,481 US11667611B2 (en) | 2006-02-24 | 2019-05-06 | Compositions and methods for inhibition of the JAK pathway |
Applications Claiming Priority (4)
| Application Number | Priority Date | Filing Date | Title |
|---|---|---|---|
| US77663606P | 2006-02-24 | 2006-02-24 | |
| US11/450,901 US7491732B2 (en) | 2005-06-08 | 2006-06-08 | Compositions and methods for inhibition of the JAK pathway |
| US87109806P | 2006-12-20 | 2006-12-20 | |
| US11/678,429 US20070203161A1 (en) | 2006-02-24 | 2007-02-23 | Compositions and methods for inhibition of the jak pathway |
Related Parent Applications (1)
| Application Number | Title | Priority Date | Filing Date |
|---|---|---|---|
| US11/450,901 Continuation-In-Part US7491732B2 (en) | 2005-06-08 | 2006-06-08 | Compositions and methods for inhibition of the JAK pathway |
Related Child Applications (2)
| Application Number | Title | Priority Date | Filing Date |
|---|---|---|---|
| US12/030,069 Continuation US9593082B2 (en) | 2005-06-08 | 2008-02-12 | Compositions and methods for inhibition of the JAK pathway |
| US12/711,534 Continuation US7915273B2 (en) | 2007-02-23 | 2010-02-24 | Compositions and methods for inhibition of the JAK pathway |
Publications (1)
| Publication Number | Publication Date |
|---|---|
| US20070203161A1 true US20070203161A1 (en) | 2007-08-30 |
Family
ID=42241257
Family Applications (5)
| Application Number | Title | Priority Date | Filing Date |
|---|---|---|---|
| US11/678,429 Abandoned US20070203161A1 (en) | 2005-06-08 | 2007-02-23 | Compositions and methods for inhibition of the jak pathway |
| US12/030,069 Expired - Fee Related US9593082B2 (en) | 2005-06-08 | 2008-02-12 | Compositions and methods for inhibition of the JAK pathway |
| US12/711,534 Active US7915273B2 (en) | 2007-02-23 | 2010-02-24 | Compositions and methods for inhibition of the JAK pathway |
| US15/290,918 Abandoned US20170121291A1 (en) | 2006-02-24 | 2016-10-11 | Compositions and methods for inhibition of the jak pathway |
| US16/404,481 Active 2026-06-30 US11667611B2 (en) | 2006-02-24 | 2019-05-06 | Compositions and methods for inhibition of the JAK pathway |
Family Applications After (4)
| Application Number | Title | Priority Date | Filing Date |
|---|---|---|---|
| US12/030,069 Expired - Fee Related US9593082B2 (en) | 2005-06-08 | 2008-02-12 | Compositions and methods for inhibition of the JAK pathway |
| US12/711,534 Active US7915273B2 (en) | 2007-02-23 | 2010-02-24 | Compositions and methods for inhibition of the JAK pathway |
| US15/290,918 Abandoned US20170121291A1 (en) | 2006-02-24 | 2016-10-11 | Compositions and methods for inhibition of the jak pathway |
| US16/404,481 Active 2026-06-30 US11667611B2 (en) | 2006-02-24 | 2019-05-06 | Compositions and methods for inhibition of the JAK pathway |
Country Status (2)
| Country | Link |
|---|---|
| US (5) | US20070203161A1 (en) |
| WO (1) | WO2008079907A1 (en) |
Cited By (53)
| Publication number | Priority date | Publication date | Assignee | Title |
|---|---|---|---|---|
| US20050209230A1 (en) * | 2002-02-01 | 2005-09-22 | Rajinder Singh | 2,4-Pyrimidinediamine compounds and their uses |
| US20050234049A1 (en) * | 2003-07-30 | 2005-10-20 | Rajinder Singh | Methods of treating or preventing autoimmune diseases with 2, 4-pyrimidinediamine compounds |
| US20060234983A1 (en) * | 2005-01-19 | 2006-10-19 | Rigel Pharmaceuticals, Inc. | Prodrugs of 2,4-pyrimidinediamine compounds and their uses |
| US20060293311A1 (en) * | 2005-06-08 | 2006-12-28 | Rigel Pharmaceuticals, Inc. | Compositions and methods for inhibition of the jak pathway |
| US20070001033A1 (en) * | 2005-06-17 | 2007-01-04 | Magneti Marelli Powertrain S.P.A. | Fuel injector |
| US20070129362A1 (en) * | 2005-12-06 | 2007-06-07 | Somasekhar Bhamidipati | Pyrimidine-2,4-diamines and their uses |
| US20070197782A1 (en) * | 2006-02-17 | 2007-08-23 | Rigel Pharmaceuticals, Inc. | 2,4-pyrimidinediamine compounds for treating or preventing autoimmune diseases |
| US20070203162A1 (en) * | 2006-02-24 | 2007-08-30 | Rigel Pharmaceuticals, Inc. | Compositions and methods for inhibition of the jak pathway |
| US20070299095A1 (en) * | 2002-07-29 | 2007-12-27 | Rigel Pharmaceuticals, Inc. | Methods of treating or preventing autoimmune diseases with 2,4-pyrimidinediamine compounds |
| WO2008079907A1 (en) * | 2006-12-20 | 2008-07-03 | Rigel Pharmaceuticals, Inc. | Compositions and methods for inhibition of the jak pathway |
| US20080194603A1 (en) * | 2006-10-19 | 2008-08-14 | Rigel Pharmaceuticals, Inc. | Compositions and methods for inhibition of the jak pathway |
| US20090062270A1 (en) * | 2004-11-24 | 2009-03-05 | Rigel Pharmaceuticals, Inc. | Spiro 2,4 pyrimidinediamine compounds and their uses |
| US7576053B2 (en) | 2005-06-13 | 2009-08-18 | Rigel Pharmaceuticals, Inc. | Methods and compositions for treating degenerative bone disorders |
| US20100029610A1 (en) * | 2008-06-27 | 2010-02-04 | Avila Therapeutics, Inc. | Heteroaryl Compounds and Uses Thereof |
| US20100056524A1 (en) * | 2008-04-02 | 2010-03-04 | Mciver Edward Giles | Compound |
| US20100179165A1 (en) * | 2009-01-14 | 2010-07-15 | Tarikere Gururaja | Methods for treating inflammatory disorders using 2,4-pyrimidinediamine compounds |
| US20100179164A1 (en) * | 2009-01-14 | 2010-07-15 | Hui Li | 2,4-pyrimidinediamine compounds for treatment of inflammatory disorders |
| US20100249092A1 (en) * | 2008-06-27 | 2010-09-30 | Avila Therapeutics, Inc. | Heteroaryl compounds and uses thereof |
| US7834024B2 (en) | 2007-03-26 | 2010-11-16 | Rigel Pharmaceuticals, Inc. | Compositions and methods for inhibition of the JAK pathway |
| WO2010141406A2 (en) | 2009-06-01 | 2010-12-09 | Osi Pharmaceuticals, Inc. | Amino pyrimidine anticancer compounds |
| US20110028503A1 (en) * | 2009-07-28 | 2011-02-03 | Rigel Pharmaceuticals, Inc. | Compositions and methods for inhibition of the jak pathway |
| WO2011018518A1 (en) | 2009-08-14 | 2011-02-17 | Boehringer Ingelheim International Gmbh | Regioselective preparation of 2 -amino-5-trifluoromethylpyrimidine derivatives |
| WO2011018517A1 (en) | 2009-08-14 | 2011-02-17 | Boehringer Ingelheim International Gmbh | Regioselective preparation of 2-amino-5-trifluoromethylpyrimidine derivatives |
| US7947698B2 (en) | 2007-03-23 | 2011-05-24 | Rigel Pharmaceuticals, Inc. | Compositions and methods for inhibition of the JAK pathway |
| US20110144059A1 (en) * | 2006-11-21 | 2011-06-16 | Rigel Pharmaceuticals, Inc. | Prodrugs of 2,4-pyrimidinediamine compounds and their uses |
| WO2012015972A1 (en) * | 2010-07-28 | 2012-02-02 | Rigel Pharmaceuticals, Inc. | Compositions and methods for inhibition of the jak pathway |
| WO2012074951A1 (en) | 2010-11-29 | 2012-06-07 | OSI Pharmaceuticals, LLC | Macrocyclic kinase inhibitors |
| WO2012122452A1 (en) | 2011-03-10 | 2012-09-13 | Rigel Pharmaceuticals, Inc. | 2,4 substituted pyrimidinediamines for use in discoid lupus |
| WO2012142160A1 (en) * | 2011-04-12 | 2012-10-18 | Rigel Pharmaceuticals, Inc. | Methods for inhibiting allograft rejection |
| US20130150334A1 (en) * | 2011-12-08 | 2013-06-13 | Rigel Pharmaceuticals, Inc. | Topical formulation for administering a compound |
| US8563568B2 (en) | 2010-08-10 | 2013-10-22 | Celgene Avilomics Research, Inc. | Besylate salt of a BTK inhibitor |
| WO2014043257A1 (en) * | 2012-09-12 | 2014-03-20 | Rigel Pharmaceuticals, Inc. | Treatment for vitiligo |
| US8796255B2 (en) | 2010-11-10 | 2014-08-05 | Celgene Avilomics Research, Inc | Mutant-selective EGFR inhibitors and uses thereof |
| US8927547B2 (en) | 2010-05-21 | 2015-01-06 | Noviga Research Ab | Pyrimidine derivatives |
| US8975249B2 (en) | 2010-11-01 | 2015-03-10 | Celgene Avilomics Research, Inc. | Heterocyclic compounds and uses thereof |
| US8993585B2 (en) | 2007-07-17 | 2015-03-31 | Rigel Pharmaceuticals, Inc. | Cyclic amine substituted pyrimidinediamines as PKC inhibitors |
| US9006241B2 (en) | 2011-03-24 | 2015-04-14 | Noviga Research Ab | Pyrimidine derivatives |
| US9012462B2 (en) | 2008-05-21 | 2015-04-21 | Ariad Pharmaceuticals, Inc. | Phosphorous derivatives as kinase inhibitors |
| US9056839B2 (en) | 2012-03-15 | 2015-06-16 | Celgene Avilomics Research, Inc. | Solid forms of an epidermal growth factor receptor kinase inhibitor |
| US9108927B2 (en) | 2012-03-15 | 2015-08-18 | Celgene Avilomics Research, Inc. | Salts of an epidermal growth factor receptor kinase inhibitor |
| US9126950B2 (en) | 2012-12-21 | 2015-09-08 | Celgene Avilomics Research, Inc. | Heteroaryl compounds and uses thereof |
| US9145387B2 (en) | 2013-02-08 | 2015-09-29 | Celgene Avilomics Research, Inc. | ERK inhibitors and uses thereof |
| US9238629B2 (en) | 2010-11-01 | 2016-01-19 | Celgene Avilomics Research, Inc. | Heteroaryl compounds and uses thereof |
| US9273077B2 (en) | 2008-05-21 | 2016-03-01 | Ariad Pharmaceuticals, Inc. | Phosphorus derivatives as kinase inhibitors |
| US9364476B2 (en) | 2011-10-28 | 2016-06-14 | Celgene Avilomics Research, Inc. | Methods of treating a Bruton's Tyrosine Kinase disease or disorder |
| US9415049B2 (en) | 2013-12-20 | 2016-08-16 | Celgene Avilomics Research, Inc. | Heteroaryl compounds and uses thereof |
| US9492471B2 (en) | 2013-08-27 | 2016-11-15 | Celgene Avilomics Research, Inc. | Methods of treating a disease or disorder associated with Bruton'S Tyrosine Kinase |
| US9611283B1 (en) | 2013-04-10 | 2017-04-04 | Ariad Pharmaceuticals, Inc. | Methods for inhibiting cell proliferation in ALK-driven cancers |
| US9834518B2 (en) | 2011-05-04 | 2017-12-05 | Ariad Pharmaceuticals, Inc. | Compounds for inhibiting cell proliferation in EGFR-driven cancers |
| US9834571B2 (en) | 2012-05-05 | 2017-12-05 | Ariad Pharmaceuticals, Inc. | Compounds for inhibiting cell proliferation in EGFR-driven cancers |
| US9908884B2 (en) | 2009-05-05 | 2018-03-06 | Dana-Farber Cancer Institute, Inc. | EGFR inhibitors and methods of treating disorders |
| US10005760B2 (en) | 2014-08-13 | 2018-06-26 | Celgene Car Llc | Forms and compositions of an ERK inhibitor |
| US11351168B1 (en) | 2008-06-27 | 2022-06-07 | Celgene Car Llc | 2,4-disubstituted pyrimidines useful as kinase inhibitors |
Families Citing this family (20)
| Publication number | Priority date | Publication date | Assignee | Title |
|---|---|---|---|---|
| US8268851B2 (en) | 2008-12-23 | 2012-09-18 | Rigel Pharmaceuticals, Inc. | Compositions and methods for inhibition of the JAK pathway |
| US8809343B2 (en) | 2008-12-26 | 2014-08-19 | Fudan University | Pyrimidine derivative, preparation method and use thereof |
| WO2010091142A1 (en) * | 2009-02-04 | 2010-08-12 | President And Fellows Of Harvard College | Compositions and methods for labeling and imaging phospholipids |
| EP2512246B1 (en) * | 2009-12-17 | 2015-09-30 | Merck Sharp & Dohme Corp. | Aminopyrimidines as syk inhibitors |
| CN102791131A (en) * | 2010-01-13 | 2012-11-21 | 葛兰素史密斯克莱有限责任公司 | Compounds and methods |
| US9198911B2 (en) | 2010-11-02 | 2015-12-01 | The Trustees Of Columbia University In The City Of New York | Methods for treating hair loss disorders |
| WO2014091265A1 (en) * | 2012-12-11 | 2014-06-19 | Aurigene Discovery Technologies Limited | Pyrimidine-2,4-diamine derivatives as kinase inhibitors |
| MX2016009974A (en) | 2014-01-31 | 2016-10-31 | Dana Farber Cancer Inst Inc | Diaminopyrimidine benzenesulfone derivatives and uses thereof. |
| WO2015117087A1 (en) | 2014-01-31 | 2015-08-06 | Dana-Farber Cancer Institute, Inc. | Uses of diazepane derivatives |
| CN104829542B (en) * | 2014-02-10 | 2018-02-02 | 中国科学院上海药物研究所 | Aniline pyrimidine class compound, its preparation method and medical usage |
| EP3177626A4 (en) | 2014-08-08 | 2017-12-27 | Dana Farber Cancer Institute, Inc. | Diazepane derivatives and uses thereof |
| US10702527B2 (en) | 2015-06-12 | 2020-07-07 | Dana-Farber Cancer Institute, Inc. | Combination therapy of transcription inhibitors and kinase inhibitors |
| CA2996977A1 (en) | 2015-09-11 | 2017-03-16 | Dana-Farber Cancer Institute, Inc. | Acetamide thienotriazolodiazepines and uses thereof |
| KR20180049058A (en) | 2015-09-11 | 2018-05-10 | 다나-파버 캔서 인스티튜트 인크. | Cyanothienotriazolodiazepines and their uses |
| SG10201913450PA (en) | 2015-11-25 | 2020-03-30 | Dana Farber Cancer Inst Inc | Bivalent bromodomain inhibitors and uses thereof |
| JOP20180094A1 (en) | 2017-10-18 | 2019-04-18 | Hk Inno N Corp | Heterocyclic compound as a protein kinase inhibito |
| CN111194319A (en) | 2017-10-19 | 2020-05-22 | 拜耳动物保健有限责任公司 | Use of fused heteroaromatic pyrrolidones for treating and preventing diseases in animals |
| KR102195348B1 (en) * | 2018-11-15 | 2020-12-24 | 에이치케이이노엔 주식회사 | Novel compound as a protein kinase inhibitor, and the pharmaceutical composition comprising thereof |
| CN110256465B (en) * | 2019-07-13 | 2021-08-13 | 南方医科大学 | A kind of 2,4-diaminopyrimidine containing dihydropyranothiazole and application thereof |
| CN119431398A (en) * | 2023-07-31 | 2025-02-14 | 中国科学院上海有机化学研究所 | Anti-tumor application of R406 and its derivatives in combination with TRAIL |
Citations (48)
| Publication number | Priority date | Publication date | Assignee | Title |
|---|---|---|---|---|
| US4166452A (en) * | 1976-05-03 | 1979-09-04 | Generales Constantine D J Jr | Apparatus for testing human responses to stimuli |
| US4256108A (en) * | 1977-04-07 | 1981-03-17 | Alza Corporation | Microporous-semipermeable laminated osmotic system |
| US4265874A (en) * | 1980-04-25 | 1981-05-05 | Alza Corporation | Method of delivering drug with aid of effervescent activity generated in environment of use |
| US5700904A (en) * | 1995-06-07 | 1997-12-23 | Eli Lilly And Company | Preparation of an acylated protein powder |
| US5728536A (en) * | 1993-07-29 | 1998-03-17 | St. Jude Children's Research Hospital | Jak kinases and regulation of Cytokine signal transduction |
| US5958935A (en) * | 1995-11-20 | 1999-09-28 | Celltech Therapeutics Limited | Substituted 2-anilinopyrimidines useful as protein kinase inhibitors |
| US6080747A (en) * | 1999-03-05 | 2000-06-27 | Hughes Institute | JAK-3 inhibitors for treating allergic disorders |
| US6133305A (en) * | 1997-09-26 | 2000-10-17 | Sugen, Inc. | 3-(substituted)-2-indolinones compounds and use thereof as inhibitors of protein kinase activity |
| US6316635B1 (en) * | 1995-06-07 | 2001-11-13 | Sugen, Inc. | 2-indolinone derivatives as modulators of protein kinase activity |
| US6433018B1 (en) * | 2001-08-31 | 2002-08-13 | The Research Foundation Of State University Of New York | Method for reducing hypertrophy and ischemia |
| US20020115173A1 (en) * | 2000-12-11 | 2002-08-22 | Children's Medical Center Corporation | Short peptides from the 'A-region' of protein kinases which selectively modulate protein kinase activity |
| US6486185B1 (en) * | 1997-05-07 | 2002-11-26 | Sugen, Inc. | 3-heteroarylidene-2-indolinone protein kinase inhibitors |
| US6528509B1 (en) * | 2000-02-05 | 2003-03-04 | Vertex Pharmacuticals, Incorporated | Pyrazole compositions useful as inhibitors of ERK |
| US20030149064A1 (en) * | 2000-03-01 | 2003-08-07 | Pease Elizabeth Janet | Pyrimidine compounds |
| US6608048B2 (en) * | 2000-03-28 | 2003-08-19 | Wyeth Holdings | Tricyclic protein kinase inhibitors |
| US6610688B2 (en) * | 1999-12-21 | 2003-08-26 | Sugen, Inc. | 4-substituted 7-aza-indolin-2-ones and their use as protein kinase inhibitors |
| US6635651B2 (en) * | 1999-11-30 | 2003-10-21 | Parker Hughes Institute | Inhibitors of thrombin induced platelet aggregation |
| US20030236244A1 (en) * | 2002-05-30 | 2003-12-25 | Ledford Brian E. | Inhibitors of JAK and CDK2 protein kinases |
| US6677368B2 (en) * | 2000-12-20 | 2004-01-13 | Sugen, Inc. | 4-aryl substituted indolinones |
| US6683082B2 (en) * | 1997-05-07 | 2004-01-27 | Sugen, Inc. | Bicyclic protein kinase inhibitors |
| US20040029902A1 (en) * | 2002-02-01 | 2004-02-12 | Rajinder Singh | 2,4-Pyrimidinediamine compounds and their uses |
| US6696448B2 (en) * | 1996-06-05 | 2004-02-24 | Sugen, Inc. | 3-(piperazinylbenzylidenyl)-2-indolinone compounds and derivatives as protein tyrosine kinase inhibitors |
| US6710052B2 (en) * | 2000-03-01 | 2004-03-23 | Astrazeneca | Pyrimidine compounds |
| US20040060603A1 (en) * | 2000-06-09 | 2004-04-01 | Song Kil Bong | Automatic valve device |
| US20040102455A1 (en) * | 2001-01-30 | 2004-05-27 | Burns Christopher John | Method of inhibiting kinases |
| US20040142404A1 (en) * | 2001-01-30 | 2004-07-22 | Wilks Andrew Frederick | Protein kinase signalling |
| US20040147507A1 (en) * | 2002-11-01 | 2004-07-29 | Mark Ledeboer | Compositions useful as inhibitors of JAK and other protein kinases |
| US6777417B2 (en) * | 2001-09-10 | 2004-08-17 | Sugen, Inc. | 3-(4,5,6,7-tetrahydroindol-2-ylmethylidiene-2-indolinone derivatives as kinase inhibitors |
| US6784195B2 (en) * | 2000-02-05 | 2004-08-31 | Vertex Pharmaceuticals Incorporated | Pyrazole compositions useful as inhibitors of ERK |
| US20040214817A1 (en) * | 2002-11-15 | 2004-10-28 | Pierce Albert C. | Diaminotriazoles useful as inhibitors of protein kinases |
| US6815439B2 (en) * | 1999-03-04 | 2004-11-09 | Smithkline Beecham Corporation | Substituted aza-oxindole derivatives |
| US6825190B2 (en) * | 2001-06-15 | 2004-11-30 | Vertex Pharmaceuticals Incorporated | Protein kinase inhibitors and uses thereof |
| US6908920B2 (en) * | 2000-07-11 | 2005-06-21 | Astrazeneca Ab | Pyrimidine derivatives |
| US20050176743A1 (en) * | 2003-10-16 | 2005-08-11 | Ulrich Luecking | Sulfoximine-substituted pyrimidines as CDK-and/or VEGF inhibitors, their production and use as pharmaceutical agents |
| US20050209224A1 (en) * | 2003-07-30 | 2005-09-22 | Rajinder Singh | Methods of treating or preventing autoimmune diseases with 2, 4-pyrimidinediamine compounds |
| US6998391B2 (en) * | 2002-02-07 | 2006-02-14 | Supergen.Inc. | Method for treating diseases associated with abnormal kinase activity |
| US20060058525A1 (en) * | 2004-09-01 | 2006-03-16 | Rajinder Singh | Synthesis of 2,4-pyrimidinediamine compounds |
| US7074793B2 (en) * | 1999-02-12 | 2006-07-11 | Cephalon, Inc. | Cyclic substituted fused pyrrolocarbazoles and isoindolones |
| US20060167254A1 (en) * | 2004-11-24 | 2006-07-27 | Rigel Pharmaceuticals, Inc. | Spiro 2,4-pyrimidinediamine compounds and their uses |
| US7105529B2 (en) * | 1997-09-05 | 2006-09-12 | Smithkline Beecham Corporation | Substituted oxindole derivatives as protein tyrosine and as protein serine/threonine kinase inhibitors and compositions and methods of treating chemotherapy and radiation therapy side effects |
| US20060211657A1 (en) * | 2005-01-19 | 2006-09-21 | Rigel Pharmaceuticals, Inc. | Prodrugs of 2,4-pyrimidinediamine compounds and their uses |
| US20060270694A1 (en) * | 2005-05-03 | 2006-11-30 | Rigel Pharmaceuticals, Inc. | JAK kinase inhibitors and their uses |
| US20070060603A1 (en) * | 2002-07-29 | 2007-03-15 | Rajinder Singh | Methods of treating or preventing autoimmune diseases with 2,4-pyrimidinediamine compounds |
| US20070117775A1 (en) * | 2005-10-31 | 2007-05-24 | Rigel Pharmaceuticals, Inc. | Compositions and Methods For Treating Inflammatory Disorders |
| US20070129360A1 (en) * | 2005-12-06 | 2007-06-07 | Somasekhar Phamidipati | Pyrimidine-2,4-diamines and Their Uses |
| US20070197782A1 (en) * | 2006-02-17 | 2007-08-23 | Rigel Pharmaceuticals, Inc. | 2,4-pyrimidinediamine compounds for treating or preventing autoimmune diseases |
| US20070203162A1 (en) * | 2006-02-24 | 2007-08-30 | Rigel Pharmaceuticals, Inc. | Compositions and methods for inhibition of the jak pathway |
| US7491732B2 (en) * | 2005-06-08 | 2009-02-17 | Rigel Pharmaceuticals, Inc. | Compositions and methods for inhibition of the JAK pathway |
Family Cites Families (120)
| Publication number | Priority date | Publication date | Assignee | Title |
|---|---|---|---|---|
| CN87210811U (en) | 1987-07-25 | 1988-04-20 | 徐正斌 | Handy drug feeding box |
| EP0723533A1 (en) * | 1993-10-12 | 1996-07-31 | The Du Pont Merck Pharmaceutical Company | 1n-alkyl-n-arylpyrimidinamines and derivatives thereof |
| IL137922A0 (en) | 1998-02-17 | 2001-10-31 | Tularik Inc | Anti-viral pyrimidine derivatives |
| EP1091739A1 (en) | 1998-06-30 | 2001-04-18 | Parker Hughes Institute | Method for inhibiting c-jun expression using jak-3 inhibitors |
| KR20010089171A (en) | 1998-08-21 | 2001-09-29 | 추후제출 | Quinazoline derivatives |
| ES2274634T3 (en) | 1998-08-29 | 2007-05-16 | Astrazeneca Ab | PIRIMIDINE COMPOUNDS. |
| EA004049B1 (en) | 1998-11-10 | 2003-12-25 | Янссен Фармацевтика Н.В. | Hiv replication pyrimidines |
| GB9828511D0 (en) * | 1998-12-24 | 1999-02-17 | Zeneca Ltd | Chemical compounds |
| GB9904995D0 (en) | 1999-03-04 | 1999-04-28 | Glaxo Group Ltd | Substituted aza-oxindole derivatives |
| US7125875B2 (en) | 1999-04-15 | 2006-10-24 | Bristol-Myers Squibb Company | Cyclic protein tyrosine kinase inhibitors |
| GB9914258D0 (en) | 1999-06-18 | 1999-08-18 | Celltech Therapeutics Ltd | Chemical compounds |
| JP4078074B2 (en) | 1999-12-10 | 2008-04-23 | ファイザー・プロダクツ・インク | Pyrrolo [2,3-d] pyrimidine compound |
| EP1246823A1 (en) | 1999-12-28 | 2002-10-09 | Pharmacopeia, Inc. | Pyrimidine and triazine kinase inhibitors |
| US20020065270A1 (en) | 1999-12-28 | 2002-05-30 | Moriarty Kevin Joseph | N-heterocyclic inhibitors of TNF-alpha expression |
| AU2968701A (en) | 2000-01-24 | 2001-07-31 | Genzyme Corporation | Jak/stat pathway inhibitors and the uses thereof |
| US20030004174A9 (en) | 2000-02-17 | 2003-01-02 | Armistead David M. | Kinase inhibitors |
| GB0004890D0 (en) | 2000-03-01 | 2000-04-19 | Astrazeneca Uk Ltd | Chemical compounds |
| GB0004887D0 (en) | 2000-03-01 | 2000-04-19 | Astrazeneca Uk Ltd | Chemical compounds |
| AR028261A1 (en) | 2000-03-28 | 2003-04-30 | Wyeth Corp | TRICICLIC INHIBITORS OF PROTEIN QUINASA |
| CA2407754C (en) | 2000-05-08 | 2009-09-15 | Janssen Pharmaceutica N.V. | Prodrugs of hiv replication inhibiting pyrimidines |
| CA2406562C (en) | 2000-05-08 | 2009-09-15 | Janssen Pharmaceutica N.V. | Hiv replication inhibiting pyrimidines and triazines |
| CA2412560C (en) | 2000-06-26 | 2008-12-30 | Pfizer Products Inc. | Pyrrolo[2,3-d]pyrimidine compounds as immunosuppressive agents |
| WO2002043735A1 (en) | 2000-11-29 | 2002-06-06 | Parker Hughes Institute | Inhibitors of thrombin induced platelet aggregation |
| CN102250071A (en) | 2000-12-21 | 2011-11-23 | 沃泰克斯药物股份有限公司 | Pyrazole compounds useful as protein kinase inhibitors |
| CN1307173C (en) * | 2000-12-21 | 2007-03-28 | 葛兰素集团有限公司 | Pyrimidinamines as modulators of angiogenesis |
| US6575673B2 (en) | 2001-01-29 | 2003-06-10 | Lockheed Martin Corporation | Advanced aerospace drill motor |
| GB0103926D0 (en) | 2001-02-17 | 2001-04-04 | Astrazeneca Ab | Chemical compounds |
| JP4309657B2 (en) | 2001-02-20 | 2009-08-05 | アストラゼネカ・アクチエボラーグ | 2-Allylamino-pyrimidine for the treatment of GSK-3-related disorders |
| DE50213202D1 (en) * | 2001-05-29 | 2009-02-26 | Bayer Schering Pharma Ag | CDK INHIBITOR PYRIMIDINES, THEIR PREPARATION AND THEIR USE AS DRUGS |
| US7301023B2 (en) | 2001-05-31 | 2007-11-27 | Pfizer Inc. | Chiral salt resolution |
| EP1397142A4 (en) | 2001-06-19 | 2004-11-03 | Bristol Myers Squibb Co | Pyrimidine inhibitors of phosphodiesterase (pde) 7 |
| US6878697B2 (en) | 2001-06-21 | 2005-04-12 | Ariad Pharmaceuticals, Inc. | Phenylamino-pyrimidines and uses thereof |
| JO3429B1 (en) | 2001-08-13 | 2019-10-20 | Janssen Pharmaceutica Nv | Hiv inhibiting pyrimidines derivatives |
| US6939874B2 (en) * | 2001-08-22 | 2005-09-06 | Amgen Inc. | Substituted pyrimidinyl derivatives and methods of use |
| US7115617B2 (en) * | 2001-08-22 | 2006-10-03 | Amgen Inc. | Amino-substituted pyrimidinyl derivatives and methods of use |
| WO2003020698A2 (en) | 2001-09-06 | 2003-03-13 | Prochon Biotech Ltd. | Protein tyrosine kinase inhibitors |
| WO2003030909A1 (en) | 2001-09-25 | 2003-04-17 | Bayer Pharmaceuticals Corporation | 2- and 4-aminopyrimidines n-substtituded by a bicyclic ring for use as kinase inhibitors in the treatment of cancer |
| WO2003026665A1 (en) | 2001-09-26 | 2003-04-03 | Bayer Pharmaceuticals Corporation | 2-phenylamino-4-(5-pyrazolylamino)-pyrimidine derivatives as kinase inhibitors, in particular, src kinase inhibitors |
| EP1453516A2 (en) * | 2001-10-17 | 2004-09-08 | Boehringer Ingelheim Pharma GmbH & Co.KG | Novel tri-substituted pyrimidines, method for production and use thereof as medicament |
| WO2003032997A1 (en) | 2001-10-17 | 2003-04-24 | Boehringer Ingelheim Pharma Gmbh & Co. Kg | Pyrimidine derivatives, pharmaceutical agent containing said compounds, use and method for making same |
| GT200200234A (en) | 2001-12-06 | 2003-06-27 | NEW CRYSTAL COMPOUNDS | |
| SE0104140D0 (en) | 2001-12-07 | 2001-12-07 | Astrazeneca Ab | Novel Compounds |
| CA2476281A1 (en) * | 2002-02-08 | 2003-08-14 | Smithkline Beecham Corporation | Pyrimidine compounds |
| ATE365165T1 (en) | 2002-03-01 | 2007-07-15 | Smithkline Beecham Corp | DIAMINOPYRIMIDINES AND THEIR USE AS ANGIOGENESIS INHIBITORS |
| US7288547B2 (en) * | 2002-03-11 | 2007-10-30 | Schering Ag | CDK-inhibitory 2-heteroaryl-pyrimidines, their production and use as pharmaceutical agents |
| JP2005526765A (en) | 2002-03-11 | 2005-09-08 | シエーリング アクチエンゲゼルシャフト | CDK-inhibiting 2-heteroaryl-pyrimidines, their production and use as pharmaceuticals |
| GB0206215D0 (en) | 2002-03-15 | 2002-05-01 | Novartis Ag | Organic compounds |
| US7398375B2 (en) | 2002-04-04 | 2008-07-08 | The Regents Of The University Of Michigan | Technique for reduced-tag dynamic scheduling and reduced-tag prediction |
| WO2003095448A1 (en) * | 2002-05-06 | 2003-11-20 | Bayer Pharmaceuticals Corporation | Pyridinyl amino pyrimidine derivatives useful for treating hyper-proliferative disorders |
| EP2316834A1 (en) | 2002-05-06 | 2011-05-04 | Vertex Pharmaceuticals Incorporated | Thiadiazoles or oxadiazoles and their use as inhibitors of JAK protein kinase |
| AR039540A1 (en) | 2002-05-13 | 2005-02-23 | Tibotec Pharm Ltd | MICROBICIDE COMPOUNDS WITH PIRIMIDINE OR TRIAZINE CONTENT |
| US20060252943A1 (en) | 2002-06-17 | 2006-11-09 | Amogh Boloor | Chemical process |
| AU2003244098A1 (en) | 2002-06-28 | 2004-01-19 | Yamanouchi Pharmaceutical Co., Ltd. | Diaminopyrimidinecarboxa mide derivative |
| AU2003262642B2 (en) | 2002-08-14 | 2010-06-17 | Vertex Pharmaceuticals Incorporated | Protein kinase inhibitors and uses thereof |
| PL374700A1 (en) | 2002-09-20 | 2005-10-31 | Alcon, Inc. | The use of cytokine synthesis inhibitors for the treatment of dry eye syndrome |
| EP1562938B1 (en) | 2002-11-04 | 2007-08-29 | Vertex Pharmaceuticals Incorporated | Heteroaryl-pyrimidine derivatives as jak inhibitors |
| US7348335B2 (en) | 2002-11-05 | 2008-03-25 | Vertex Pharmaceuticals Incorporated | Compositions useful as inhibitors of JAK and other protein kinases |
| GB0226582D0 (en) | 2002-11-14 | 2002-12-18 | Cyclacel Ltd | Anti-viral compounds |
| GB0226583D0 (en) | 2002-11-14 | 2002-12-18 | Cyclacel Ltd | Compounds |
| JP2006508976A (en) | 2002-11-21 | 2006-03-16 | ファイザー・プロダクツ・インク | 3-Amino-piperazine derivatives and production method |
| BR0316487A (en) | 2002-11-26 | 2005-10-11 | Pfizer Prod Inc | Whole method of treating transplant rejection |
| AU2003297160A1 (en) | 2002-12-18 | 2004-07-22 | Vertex Pharmaceuticals Incorporated | Benzisoxazole derivatives useful as inhibitors of protein kinases |
| NZ541902A (en) | 2003-02-07 | 2008-12-24 | Janssen Pharmaceutica Nv | Pyrimidine derivatives for the prevention of HIV infection |
| US7514446B2 (en) | 2003-02-20 | 2009-04-07 | Smithkline Beecham Corporation | Pyrimidine compounds |
| CL2004000303A1 (en) | 2003-02-20 | 2005-04-08 | Tibotec Pharm Ltd | COMPOUNDS DERIVED FROM PYRIMIDINS AND TRIAZINES; PREPARATION PROCESS; PHARMACEUTICAL COMPOSITION; AND ITS USE TO INHIBIT HIV REPLICATION. |
| GB0305929D0 (en) | 2003-03-14 | 2003-04-23 | Novartis Ag | Organic compounds |
| CA2522595A1 (en) | 2003-04-03 | 2004-10-28 | Vertex Pharmaceuticals Incorporated | Compositions useful as inhibitors of protein kinases |
| MXPA05011523A (en) | 2003-04-30 | 2006-01-23 | Inst For Pharm Discovery Inc | Substituted heteroaryls as inhibitors of protein tyrosine phosphatases. |
| GB0311276D0 (en) | 2003-05-16 | 2003-06-18 | Astrazeneca Ab | Chemical compounds |
| GB0311274D0 (en) | 2003-05-16 | 2003-06-18 | Astrazeneca Ab | Chemical compounds |
| EP1651595A2 (en) | 2003-05-30 | 2006-05-03 | Rigel Pharmaceuticals, Inc. | Ubiquitin ligase inhibitors |
| IL156495A0 (en) | 2003-06-17 | 2004-01-04 | Prochon Biotech Ltd | Use of fgfr3 antagonists for treating t cell mediated diseases |
| EP1651636A1 (en) | 2003-07-10 | 2006-05-03 | Neurogen Corporation | Substituted heterocyclic diarylamine analogues |
| PT1658292E (en) * | 2003-07-16 | 2007-10-25 | Janssen Pharmaceutica Nv | Triazolopyrimidine derivatives as glycogen synthase kinase 3 inhibitors |
| EP1781659B1 (en) | 2003-07-16 | 2008-11-05 | Janssen Pharmaceutica N.V. | Triazolopyrimidine derivatives as glycogen synthase kinase 3 inhibitors |
| WO2005009980A1 (en) | 2003-07-22 | 2005-02-03 | Neurogen Corporation | Substituted pyridin-2-ylamine analogues |
| US7504429B2 (en) | 2003-07-24 | 2009-03-17 | Merck & Co., Inc. | Tyrosine kinase inhibitors |
| WO2005012262A1 (en) | 2003-07-30 | 2005-02-10 | Cyclacel Limited | 2-aminophenyl-4-phenylpyrimidines as kinase inhibitors |
| DE602004032446D1 (en) | 2003-08-07 | 2011-06-09 | Rigel Pharmaceuticals Inc | 2,4-PYRIMIDINDIAMIN COMPOUNDS AND USES AS ANTIPROLIFERATIVE AGENTS |
| OA13235A (en) | 2003-08-14 | 2006-12-13 | Pfizer | Piperazine derivatives for the treatment of HIV infections. |
| EP2287156B1 (en) | 2003-08-15 | 2013-05-29 | Novartis AG | 2,4-Di(phenylamino)-pyrimidines useful in the treatment of neoplastic diseases, inflammatory and immune system disorders |
| TWI339206B (en) | 2003-09-04 | 2011-03-21 | Vertex Pharma | Compositions useful as inhibitors of protein kinases |
| WO2005028467A1 (en) | 2003-09-15 | 2005-03-31 | Anadys Pharmaceuticals, Inc. | Antibacterial 3,5-diaminopiperidine-substitute aromatic and heteroaromatic compounds |
| US7473489B2 (en) | 2003-09-16 | 2009-01-06 | Okabe Company, Inc. | Battery terminal bolt |
| GB0321710D0 (en) | 2003-09-16 | 2003-10-15 | Novartis Ag | Organic compounds |
| WO2005026130A1 (en) * | 2003-09-18 | 2005-03-24 | Novartis Ag | 2,4-di (phenylamino) pyrimidines useful in the treatment of proliferative disorders |
| ES2361835T3 (en) | 2003-09-25 | 2011-06-22 | Janssen Pharmaceutica Nv | PURINE DERIVATIVES INHIBITORS OF HIV REPLICATION. |
| MXPA06003749A (en) | 2003-10-03 | 2006-06-14 | Pfizer | Imidazopyridine substituted tropane derivatives with ccr5 receptor antagonist activity for the treatment of hiv and inflammation. |
| RU2006122853A (en) | 2003-11-28 | 2008-01-10 | Новартис АГ (CH) | DIARYM UREA DERIVATIVES FOR TREATMENT OF DISEASES DEPENDING ON PROTEINKINASE |
| MY141255A (en) | 2003-12-11 | 2010-03-31 | Memory Pharm Corp | Phosphodiesterase 4 inhibitors, including n-substituted diarylamine analogs |
| EP1694652A1 (en) * | 2003-12-19 | 2006-08-30 | Rigel Pharmaceuticals, Inc. | Stereoisomers and stereoisomeric mixtures of 1-(2,4-pyrimidinediamino)-2-cyclopentanecarboxamide synthetic intermediates |
| ZA200602666B (en) | 2004-01-12 | 2007-09-26 | Cytopia Res Pty Ltd | Selective kinase inhibitors |
| GB0402653D0 (en) | 2004-02-06 | 2004-03-10 | Cyclacel Ltd | Compounds |
| DK1713806T3 (en) | 2004-02-14 | 2013-08-05 | Irm Llc | Compounds and Compositions as Protein Kinase Inhibitors |
| WO2005107760A1 (en) | 2004-04-30 | 2005-11-17 | Irm Llc | Compounds and compositions as inducers of keratinocyte differentiation |
| JP4812763B2 (en) * | 2004-05-18 | 2011-11-09 | ライジェル ファーマシューティカルズ, インコーポレイテッド | Cycloalkyl-substituted pyrimidinediamine compounds and uses thereof |
| CN102417484A (en) | 2004-06-02 | 2012-04-18 | 法莫西克立克斯公司 | Factor viia inhibitor |
| WO2006034872A1 (en) * | 2004-09-29 | 2006-04-06 | Bayer Schering Pharma Aktiengesellschaft | Substituted 2-anilinopyrimidines as cell cycle kinase inhibitors or receptor tyrosine kinase inhibitors, production of said substances and use of the latter as medicaments |
| WO2006035068A2 (en) | 2004-09-30 | 2006-04-06 | Tibotec Pharmaceuticals Ltd. | Hiv inhibiting 5-carbo- or heterocyclic substituted pyrimidines |
| US8211929B2 (en) * | 2004-12-30 | 2012-07-03 | Exelixis, Inc. | Pyrimidine derivatives as kinase modulators and method of use |
| US20070203161A1 (en) | 2006-02-24 | 2007-08-30 | Rigel Pharmaceuticals, Inc. | Compositions and methods for inhibition of the jak pathway |
| CA2607901C (en) * | 2005-06-13 | 2016-08-16 | Rigel Pharmaceuticals, Inc. | Methods and compositions for treating degenerative bone disorders using a syk inhibitory 2,4-pyrimidinediamine |
| WO2007006926A2 (en) * | 2005-07-11 | 2007-01-18 | Sanofi-Aventis | Novel 2,4-dianilinopyrimidine derivatives, the preparation thereof, their use as medicaments, pharmaceutical compositions and, in particular, as ikk inhibitors |
| HUE028987T2 (en) * | 2005-11-01 | 2017-01-30 | Targegen Inc | BI-aryl-meta-pyrimidine inhibitors of kinases |
| US7962290B1 (en) | 2006-01-09 | 2011-06-14 | Rigel Pharmaceuticals, Inc. | Identification of pharmacophores from co-crystals of spleen tyrosine kinase (SYK) and SYK ligands |
| WO2007085540A1 (en) * | 2006-01-27 | 2007-08-02 | Glaxo Group Limited | 1h-indaz0l-4-yl-2 , 4-pyrimidinediamine derivatives |
| GB0605691D0 (en) | 2006-03-21 | 2006-05-03 | Novartis Ag | Organic Compounds |
| JP5161233B2 (en) * | 2006-10-19 | 2013-03-13 | ライジェル ファーマシューティカルズ, インコーポレイテッド | 2,4-pyrimidinamine derivatives as inhibitors of JAK kinase for the treatment of autoimmune diseases |
| CA2673137C (en) | 2006-11-21 | 2015-02-10 | Rigel Pharmaceuticals, Inc. | Prodrug salts of 2,4-pyrimidinediamine compounds and their uses |
| WO2008118822A1 (en) | 2007-03-23 | 2008-10-02 | Rigel Pharmaceuticals, Inc. | Compositions and methods for inhibition of the jak pathway |
| WO2008118823A2 (en) | 2007-03-26 | 2008-10-02 | Rigel Pharmaceuticals, Inc. | Compositions and methods for inhibition of the jak pathway |
| US20090012045A1 (en) | 2007-06-26 | 2009-01-08 | Rigel Pharmaceuticals, Inc. | Methods of Treating Cell Proliferative Disorders |
| NZ582188A (en) | 2007-07-11 | 2012-03-30 | Pfizer | Pharmaceutical compositions and methods of treating dry eye disorders |
| BRPI0814432A2 (en) * | 2007-07-17 | 2017-05-09 | Rigel Pharmaceuticals Inc | cyclic amine substituted pyrimidinadiamines as pkc inhibitors |
| US8268851B2 (en) | 2008-12-23 | 2012-09-18 | Rigel Pharmaceuticals, Inc. | Compositions and methods for inhibition of the JAK pathway |
| CA2749248A1 (en) * | 2009-01-14 | 2010-07-22 | Rigel Pharmaceuticals, Inc. | Methods for treating inflammatory disorders using 2,4-pyrimidinediamine compounds |
| PE20110924A1 (en) * | 2009-01-23 | 2011-12-24 | Rigel Pharmaceuticals Inc | DERIVATIVES OF 2,4-DIAMINE-PYRIMIDINE N2, N4-DISUSTITUTED AS JAK3 INHIBITORS |
| RU2672100C2 (en) * | 2010-07-28 | 2018-11-12 | Райджел Фармасьютикалз, Инк. | Compositions and methods for jak path inhibition |
| BR112013023052A2 (en) | 2011-03-10 | 2017-07-25 | Rigel Pharmaceuticals Inc | methods for treating cutaneous lupus, and an individual, kit, and, use of a compound |
| CA2884710A1 (en) | 2012-09-12 | 2014-03-20 | Rigel Pharmaceuticals, Inc. | Treatment for vitiligo |
-
2007
- 2007-02-23 US US11/678,429 patent/US20070203161A1/en not_active Abandoned
- 2007-12-19 WO PCT/US2007/088241 patent/WO2008079907A1/en not_active Ceased
-
2008
- 2008-02-12 US US12/030,069 patent/US9593082B2/en not_active Expired - Fee Related
-
2010
- 2010-02-24 US US12/711,534 patent/US7915273B2/en active Active
-
2016
- 2016-10-11 US US15/290,918 patent/US20170121291A1/en not_active Abandoned
-
2019
- 2019-05-06 US US16/404,481 patent/US11667611B2/en active Active
Patent Citations (75)
| Publication number | Priority date | Publication date | Assignee | Title |
|---|---|---|---|---|
| US4166452A (en) * | 1976-05-03 | 1979-09-04 | Generales Constantine D J Jr | Apparatus for testing human responses to stimuli |
| US4256108A (en) * | 1977-04-07 | 1981-03-17 | Alza Corporation | Microporous-semipermeable laminated osmotic system |
| US4265874A (en) * | 1980-04-25 | 1981-05-05 | Alza Corporation | Method of delivering drug with aid of effervescent activity generated in environment of use |
| US6969760B2 (en) * | 1993-07-29 | 2005-11-29 | St. Jude Children's Research Hospital | Jak kinases and regulation of cytokine signal transduction |
| US5728536A (en) * | 1993-07-29 | 1998-03-17 | St. Jude Children's Research Hospital | Jak kinases and regulation of Cytokine signal transduction |
| US6210654B1 (en) * | 1993-07-29 | 2001-04-03 | St. Jude Children's Hospital | Jak kinases and regulation of cytokine signal transduction |
| US5700904A (en) * | 1995-06-07 | 1997-12-23 | Eli Lilly And Company | Preparation of an acylated protein powder |
| US6316635B1 (en) * | 1995-06-07 | 2001-11-13 | Sugen, Inc. | 2-indolinone derivatives as modulators of protein kinase activity |
| US5958935A (en) * | 1995-11-20 | 1999-09-28 | Celltech Therapeutics Limited | Substituted 2-anilinopyrimidines useful as protein kinase inhibitors |
| US6696448B2 (en) * | 1996-06-05 | 2004-02-24 | Sugen, Inc. | 3-(piperazinylbenzylidenyl)-2-indolinone compounds and derivatives as protein tyrosine kinase inhibitors |
| US6486185B1 (en) * | 1997-05-07 | 2002-11-26 | Sugen, Inc. | 3-heteroarylidene-2-indolinone protein kinase inhibitors |
| US6683082B2 (en) * | 1997-05-07 | 2004-01-27 | Sugen, Inc. | Bicyclic protein kinase inhibitors |
| US7105529B2 (en) * | 1997-09-05 | 2006-09-12 | Smithkline Beecham Corporation | Substituted oxindole derivatives as protein tyrosine and as protein serine/threonine kinase inhibitors and compositions and methods of treating chemotherapy and radiation therapy side effects |
| US6133305A (en) * | 1997-09-26 | 2000-10-17 | Sugen, Inc. | 3-(substituted)-2-indolinones compounds and use thereof as inhibitors of protein kinase activity |
| US20010007033A1 (en) * | 1997-09-26 | 2001-07-05 | Tang Peng Cho | Novel 3-(substituted)-2-indolinones compounds and use thereof as inhibitors of protein kinase activity |
| US6506763B2 (en) * | 1997-09-26 | 2003-01-14 | Sugen, Inc. | 3-(substituted)-2-indolinones compounds and use thereof as inhibitors of protein kinase activity |
| US7074793B2 (en) * | 1999-02-12 | 2006-07-11 | Cephalon, Inc. | Cyclic substituted fused pyrrolocarbazoles and isoindolones |
| US6815439B2 (en) * | 1999-03-04 | 2004-11-09 | Smithkline Beecham Corporation | Substituted aza-oxindole derivatives |
| US6177433B1 (en) * | 1999-03-05 | 2001-01-23 | Parker Hughes Institute | JAK-3 inhibitors for treating allergic disorders |
| US6313130B1 (en) * | 1999-03-05 | 2001-11-06 | Parker Hughes Institute | JAK-3 inhibitors for treating allergic disorders |
| US6080748A (en) * | 1999-03-05 | 2000-06-27 | Parker Hughes Institute | Therapeutic use of JAK-3 inhibitors |
| US6080747A (en) * | 1999-03-05 | 2000-06-27 | Hughes Institute | JAK-3 inhibitors for treating allergic disorders |
| US6635651B2 (en) * | 1999-11-30 | 2003-10-21 | Parker Hughes Institute | Inhibitors of thrombin induced platelet aggregation |
| US6610688B2 (en) * | 1999-12-21 | 2003-08-26 | Sugen, Inc. | 4-substituted 7-aza-indolin-2-ones and their use as protein kinase inhibitors |
| US7056944B2 (en) * | 2000-02-05 | 2006-06-06 | Vertex Pharmaceuticals Incorporated | Pyrazole compositions useful as inhibitors of erk |
| US6949580B2 (en) * | 2000-02-05 | 2005-09-27 | Vertex Pharmaceuticals Incorporated | Pyrazole compositions useful as inhibitors of ERK |
| US6528509B1 (en) * | 2000-02-05 | 2003-03-04 | Vertex Pharmacuticals, Incorporated | Pyrazole compositions useful as inhibitors of ERK |
| US6593357B1 (en) * | 2000-02-05 | 2003-07-15 | Vertex Pharmaceuticals Incorporated | Pyrazole compositions useful as inhibitors of ERK |
| US6699865B2 (en) * | 2000-02-05 | 2004-03-02 | Vertex Pharmaceuticals Incorporated | Pyrazole compositions useful as inhibitors of ERK |
| US6784195B2 (en) * | 2000-02-05 | 2004-08-31 | Vertex Pharmaceuticals Incorporated | Pyrazole compositions useful as inhibitors of ERK |
| US20030149064A1 (en) * | 2000-03-01 | 2003-08-07 | Pease Elizabeth Janet | Pyrimidine compounds |
| US6710052B2 (en) * | 2000-03-01 | 2004-03-23 | Astrazeneca | Pyrimidine compounds |
| US6608048B2 (en) * | 2000-03-28 | 2003-08-19 | Wyeth Holdings | Tricyclic protein kinase inhibitors |
| US20040060603A1 (en) * | 2000-06-09 | 2004-04-01 | Song Kil Bong | Automatic valve device |
| US6908920B2 (en) * | 2000-07-11 | 2005-06-21 | Astrazeneca Ab | Pyrimidine derivatives |
| US20020137141A1 (en) * | 2000-12-11 | 2002-09-26 | Children's Medical Center Corporation | Short peptides from the 'A-region' of protein kinases which selectively modulate protein kinase activity |
| US20020115173A1 (en) * | 2000-12-11 | 2002-08-22 | Children's Medical Center Corporation | Short peptides from the 'A-region' of protein kinases which selectively modulate protein kinase activity |
| US6677368B2 (en) * | 2000-12-20 | 2004-01-13 | Sugen, Inc. | 4-aryl substituted indolinones |
| US20040142404A1 (en) * | 2001-01-30 | 2004-07-22 | Wilks Andrew Frederick | Protein kinase signalling |
| US20040102455A1 (en) * | 2001-01-30 | 2004-05-27 | Burns Christopher John | Method of inhibiting kinases |
| US6825190B2 (en) * | 2001-06-15 | 2004-11-30 | Vertex Pharmaceuticals Incorporated | Protein kinase inhibitors and uses thereof |
| US6433018B1 (en) * | 2001-08-31 | 2002-08-13 | The Research Foundation Of State University Of New York | Method for reducing hypertrophy and ischemia |
| US6777417B2 (en) * | 2001-09-10 | 2004-08-17 | Sugen, Inc. | 3-(4,5,6,7-tetrahydroindol-2-ylmethylidiene-2-indolinone derivatives as kinase inhibitors |
| US20050209230A1 (en) * | 2002-02-01 | 2005-09-22 | Rajinder Singh | 2,4-Pyrimidinediamine compounds and their uses |
| US20070293524A1 (en) * | 2002-02-01 | 2007-12-20 | Rigel Pharmaceuticals, Inc. | 2,4-pyrimidinediamine compounds and their uses |
| US20070293523A1 (en) * | 2002-02-01 | 2007-12-20 | Rigel Pharmaceuticals, Inc. | 2,4-pyrimidinediamine compounds and their uses |
| US20070225321A1 (en) * | 2002-02-01 | 2007-09-27 | Rigel Pharmaceuticals, Inc. | 2,4-pyrimidinediamine compounds and their uses |
| US20070293522A1 (en) * | 2002-02-01 | 2007-12-20 | Rigel Pharmaceuticals, Inc. | 2,4-pyrimidinediamine compounds and their uses |
| US7332484B2 (en) * | 2002-02-01 | 2008-02-19 | Rigel Pharmaceuticals, Inc. | 2,4-pyrimidinediamine compounds and their uses |
| US7329671B2 (en) * | 2002-02-01 | 2008-02-12 | Rigel Pharmaceuticals, Inc. | 2,4-pyrimidinediamine compounds and their uses |
| US7329672B2 (en) * | 2002-02-01 | 2008-02-12 | Rigel Pharmaceuticals, Inc. | 2,4-pyrimidinediamine compounds and their uses |
| US7060827B2 (en) * | 2002-02-01 | 2006-06-13 | Rigel Pharmaceuticals, Inc. | Intermediates useful for making 2,4-pyrimidinediamine compounds |
| US20060135543A1 (en) * | 2002-02-01 | 2006-06-22 | Rigel Pharmaceuticals, Inc. | 2,4-Pyrimidinediamine compounds and their uses |
| US20040029902A1 (en) * | 2002-02-01 | 2004-02-12 | Rajinder Singh | 2,4-Pyrimidinediamine compounds and their uses |
| US6998391B2 (en) * | 2002-02-07 | 2006-02-14 | Supergen.Inc. | Method for treating diseases associated with abnormal kinase activity |
| US20030236244A1 (en) * | 2002-05-30 | 2003-12-25 | Ledford Brian E. | Inhibitors of JAK and CDK2 protein kinases |
| US20070060603A1 (en) * | 2002-07-29 | 2007-03-15 | Rajinder Singh | Methods of treating or preventing autoimmune diseases with 2,4-pyrimidinediamine compounds |
| US20070299095A1 (en) * | 2002-07-29 | 2007-12-27 | Rigel Pharmaceuticals, Inc. | Methods of treating or preventing autoimmune diseases with 2,4-pyrimidinediamine compounds |
| US20040147507A1 (en) * | 2002-11-01 | 2004-07-29 | Mark Ledeboer | Compositions useful as inhibitors of JAK and other protein kinases |
| US20040214817A1 (en) * | 2002-11-15 | 2004-10-28 | Pierce Albert C. | Diaminotriazoles useful as inhibitors of protein kinases |
| US20050209224A1 (en) * | 2003-07-30 | 2005-09-22 | Rajinder Singh | Methods of treating or preventing autoimmune diseases with 2, 4-pyrimidinediamine compounds |
| US20070167439A1 (en) * | 2003-07-30 | 2007-07-19 | Rigel Pharmaceuticals, Inc. | Methods of treating or preventing autoimmune diseases with 2,4-pyrimidinediamine compounds |
| US20050234049A1 (en) * | 2003-07-30 | 2005-10-20 | Rajinder Singh | Methods of treating or preventing autoimmune diseases with 2, 4-pyrimidinediamine compounds |
| US20050176743A1 (en) * | 2003-10-16 | 2005-08-11 | Ulrich Luecking | Sulfoximine-substituted pyrimidines as CDK-and/or VEGF inhibitors, their production and use as pharmaceutical agents |
| US20060058525A1 (en) * | 2004-09-01 | 2006-03-16 | Rajinder Singh | Synthesis of 2,4-pyrimidinediamine compounds |
| US20060167254A1 (en) * | 2004-11-24 | 2006-07-27 | Rigel Pharmaceuticals, Inc. | Spiro 2,4-pyrimidinediamine compounds and their uses |
| US20060234983A1 (en) * | 2005-01-19 | 2006-10-19 | Rigel Pharmaceuticals, Inc. | Prodrugs of 2,4-pyrimidinediamine compounds and their uses |
| US20060211657A1 (en) * | 2005-01-19 | 2006-09-21 | Rigel Pharmaceuticals, Inc. | Prodrugs of 2,4-pyrimidinediamine compounds and their uses |
| US20060270694A1 (en) * | 2005-05-03 | 2006-11-30 | Rigel Pharmaceuticals, Inc. | JAK kinase inhibitors and their uses |
| US7491732B2 (en) * | 2005-06-08 | 2009-02-17 | Rigel Pharmaceuticals, Inc. | Compositions and methods for inhibition of the JAK pathway |
| US20070117775A1 (en) * | 2005-10-31 | 2007-05-24 | Rigel Pharmaceuticals, Inc. | Compositions and Methods For Treating Inflammatory Disorders |
| US20070129362A1 (en) * | 2005-12-06 | 2007-06-07 | Somasekhar Bhamidipati | Pyrimidine-2,4-diamines and their uses |
| US20070129360A1 (en) * | 2005-12-06 | 2007-06-07 | Somasekhar Phamidipati | Pyrimidine-2,4-diamines and Their Uses |
| US20070197782A1 (en) * | 2006-02-17 | 2007-08-23 | Rigel Pharmaceuticals, Inc. | 2,4-pyrimidinediamine compounds for treating or preventing autoimmune diseases |
| US20070203162A1 (en) * | 2006-02-24 | 2007-08-30 | Rigel Pharmaceuticals, Inc. | Compositions and methods for inhibition of the jak pathway |
Cited By (188)
| Publication number | Priority date | Publication date | Assignee | Title |
|---|---|---|---|---|
| US7550460B2 (en) | 2002-02-01 | 2009-06-23 | Rigel Pharmaceuticals, Inc. | 2,4-pyrimidinediamine compounds and their uses |
| US20070293520A1 (en) * | 2002-02-01 | 2007-12-20 | Rigel Pharmaceuticals, Inc. | 2,4-pyrimidinediamine compounds and their uses |
| US20060135543A1 (en) * | 2002-02-01 | 2006-06-22 | Rigel Pharmaceuticals, Inc. | 2,4-Pyrimidinediamine compounds and their uses |
| US8835430B2 (en) | 2002-02-01 | 2014-09-16 | Rigel Pharmaceuticals, Inc. | 2,4-pyrimidinediamine compounds and their uses |
| US9018204B1 (en) | 2002-02-01 | 2015-04-28 | Rigel Pharmaceuticals, Inc. | 2,4-pyrimidinediamine compounds and their uses |
| US8334296B2 (en) | 2002-02-01 | 2012-12-18 | Rigel Pharmaceuticals, Inc. | 2,4-pyrimidinediamine compounds and their uses |
| US9346765B2 (en) | 2002-02-01 | 2016-05-24 | Rigel Pharmaceuticals, Inc. | 2,4-pyrimidinediamine compounds and their uses |
| US9416112B2 (en) | 2002-02-01 | 2016-08-16 | Rigel Pharmaceuticals, Inc. | 2,4-pyrimidinediamine compounds and their uses |
| US7803939B2 (en) | 2002-02-01 | 2010-09-28 | Rigel Pharmaceuticals, Inc. | 2,4-pyrimidinediamine compounds and their uses |
| US7557210B2 (en) | 2002-02-01 | 2009-07-07 | Rigel Pharmaceuticals, Inc. | 2,4-pyrimidinediamine compounds and their uses |
| US7589200B2 (en) | 2002-02-01 | 2009-09-15 | Rigel Pharmaceuticals, Inc. | 5-Fluoro-4N-phenyl-4-pyrimidineamine compounds |
| US10709703B2 (en) | 2002-02-01 | 2020-07-14 | Rigel Pharmaceuticals, Inc. | 2,4-pyrimidinediamine compounds and their uses |
| US7498435B2 (en) * | 2002-02-01 | 2009-03-03 | Rigel Pharmaceuticals, Inc. | 2,4-pyrimidinediamine compounds and their uses |
| US20110144330A1 (en) * | 2002-02-01 | 2011-06-16 | Rigel Pharmaceuticals, Inc. | 2,4-Pyrimidinediamine Compounds and their Uses |
| US7906644B2 (en) | 2002-02-01 | 2011-03-15 | Rigel Pharmaceuticals, Inc. | 2,4-pyrimidinediamine compounds and their uses |
| US9913842B2 (en) | 2002-02-01 | 2018-03-13 | Rigel Pharmaceuticals, Inc. | 2,4-pyrimidinediamine compounds and their uses |
| US7435814B2 (en) | 2002-02-01 | 2008-10-14 | Rigel Pharmaceuticals, Inc. | 2,4-Pyrimidinediamine compounds and their uses |
| US7655797B2 (en) | 2002-02-01 | 2010-02-02 | Rigel Pharmaceuticals, Inc. | Intermediates for making 2,4-pyrimidinediamine compounds |
| US10682350B2 (en) | 2002-02-01 | 2020-06-16 | Rigel Pharmaceuticals, Inc. | 2,4-pyrimidinediamine compounds and their uses |
| US7485724B2 (en) | 2002-02-01 | 2009-02-03 | Rigel Pharmaceuticals, Inc. | 2,4-pyrimidinediamine compounds and their uses |
| US20050209230A1 (en) * | 2002-02-01 | 2005-09-22 | Rajinder Singh | 2,4-Pyrimidinediamine compounds and their uses |
| US7812029B1 (en) | 2002-07-29 | 2010-10-12 | Rigel Pharmaceuticals, Inc. | Methods of treating or preventing autoimmune diseases with 2,4-pyrimidinediamine compounds |
| US7825116B2 (en) | 2002-07-29 | 2010-11-02 | Rigel Pharmaceuticals, Inc. | N2, N4-bis-aryl-5-fluoro-2,4-pyrimidinediamines |
| US20070299095A1 (en) * | 2002-07-29 | 2007-12-27 | Rigel Pharmaceuticals, Inc. | Methods of treating or preventing autoimmune diseases with 2,4-pyrimidinediamine compounds |
| US8158621B2 (en) | 2002-07-29 | 2012-04-17 | Rigel Pharmaceuticals, Inc. | Methods of treating or preventing autoimmune diseases with 2,4-pyrimidinediamine compounds |
| US20100125069A1 (en) * | 2002-07-29 | 2010-05-20 | Rigel Pharmaceuticals Inc. | Methods of Treating or Preventing Autoimmune Diseases with 2,4-Pyrimidinediamine Compounds |
| US20070225495A1 (en) * | 2003-07-30 | 2007-09-27 | Rigel Pharmaceuticals, Inc. | Methods of treating or preventing autoimmune diseases with 2,4-pyrimidinediamine compounds |
| US7560466B2 (en) | 2003-07-30 | 2009-07-14 | Rigel Pharmaceuticals, Inc. | Methods of treating or preventing autoimmune diseases with 2,4-pyrimidinediamine compounds |
| US8178671B2 (en) | 2003-07-30 | 2012-05-15 | Rigel Pharmaceuticals, Inc. | Methods of treating or preventing autoimmune diseases with 2, 4-pyrimidinediamine compounds |
| US7582648B2 (en) | 2003-07-30 | 2009-09-01 | Rigel Pharmaceuticals, Inc. | Methods of treating or preventing autoimmune diseases with 2,4-pyrimidinediamine compounds |
| US20050234049A1 (en) * | 2003-07-30 | 2005-10-20 | Rajinder Singh | Methods of treating or preventing autoimmune diseases with 2, 4-pyrimidinediamine compounds |
| US20090062270A1 (en) * | 2004-11-24 | 2009-03-05 | Rigel Pharmaceuticals, Inc. | Spiro 2,4 pyrimidinediamine compounds and their uses |
| US7851480B2 (en) | 2004-11-24 | 2010-12-14 | Rigel Pharmaceuticals, Inc. | Spiro 2,4-pyrimidinediamine compounds and their uses |
| US7557207B2 (en) | 2004-11-24 | 2009-07-07 | Rigel Pharmaceuticals, Inc. | Spiro 2,4-pyrimidinediamine compounds and their uses |
| US9532998B2 (en) | 2005-01-19 | 2017-01-03 | Rigel Pharmaceuticals, Inc. | Prodrugs of 2,4-pyrimidinediamine compounds and their uses |
| US8476263B2 (en) | 2005-01-19 | 2013-07-02 | Rigel Pharmaceuticals, Inc. | Prodrugs of 2,4-pyrimidinediamine compounds and their uses |
| US8211888B2 (en) | 2005-01-19 | 2012-07-03 | Rigel Pharmaceuticals, Inc. | Prodrugs of 2,4-pyrimidinediamine compounds and their uses |
| US8785437B2 (en) | 2005-01-19 | 2014-07-22 | Rigel Pharmaceuticals, Inc. | Prodrugs of 2,4-pyrimidinediamine compounds and their uses |
| US8211889B2 (en) | 2005-01-19 | 2012-07-03 | Rigel Pharmaceuticals, Inc. | Prodrugs of 2,4-pyrimidinediamine compounds and their uses |
| US9266912B2 (en) | 2005-01-19 | 2016-02-23 | Rigel Pharmaceuticals, Inc. | Prodrugs of 2,4-pyrimidinediamine compounds and their uses |
| US7989448B2 (en) | 2005-01-19 | 2011-08-02 | Rigel Pharmaceuticals, Inc. | Prodrugs of 2,4-pyrimidinediamine compounds and their uses |
| US20060234983A1 (en) * | 2005-01-19 | 2006-10-19 | Rigel Pharmaceuticals, Inc. | Prodrugs of 2,4-pyrimidinediamine compounds and their uses |
| US7563892B1 (en) | 2005-01-19 | 2009-07-21 | Rigel Pharmaceuticals, Inc. | Prodrugs of 2,4 pyrimidinediamine compounds and their uses |
| US7538108B2 (en) | 2005-01-19 | 2009-05-26 | Rigel Pharmaceuticals, Inc. | Prodrugs of 2,4-pyrimidinediamine compounds and their uses |
| US20090124580A1 (en) * | 2005-01-19 | 2009-05-14 | Rigel Pharmaceuticals, Inc. | Prodrugs of 2,4-pyrimidinediamine compounds and their uses |
| US10577381B2 (en) | 2005-01-19 | 2020-03-03 | Rigel Pharmaceuticals, Inc. | Prodrugs of 2,4-pyrimidinediamine compounds and their uses |
| US7449458B2 (en) | 2005-01-19 | 2008-11-11 | Rigel Pharmaceuticals, Inc. | Prodrugs of 2,4-pyrimidinediamine compounds and their uses |
| US20060293311A1 (en) * | 2005-06-08 | 2006-12-28 | Rigel Pharmaceuticals, Inc. | Compositions and methods for inhibition of the jak pathway |
| US20090041786A1 (en) * | 2005-06-08 | 2009-02-12 | Rigel Pharmaceuticals, Inc. | Compositions and methods for inhibition of the jak pathway |
| US7491732B2 (en) | 2005-06-08 | 2009-02-17 | Rigel Pharmaceuticals, Inc. | Compositions and methods for inhibition of the JAK pathway |
| US10421752B2 (en) | 2005-06-08 | 2019-09-24 | Rigel Pharmaceuticals, Inc. | Compositions and methods for inhibition of the JAK pathway |
| US11827628B2 (en) | 2005-06-08 | 2023-11-28 | Rigel Pharmaceuticals, Inc. | Compositions and methods for inhibition of the JAK pathway |
| US20080221089A1 (en) * | 2005-06-08 | 2008-09-11 | Rigel Pharmaceuticals, Inc. | Compositions and methods for inhibition of the jak pathway |
| US11198689B2 (en) | 2005-06-08 | 2021-12-14 | Rigel Pharmaceuticals, Inc. | Compositions and methods for inhibition of the JAK pathway |
| US8415365B2 (en) | 2005-06-08 | 2013-04-09 | Rigel Pharmaceuticals, Inc. | Compositions and methods for inhibition of the JAK pathway |
| US8399472B2 (en) | 2005-06-08 | 2013-03-19 | Rigel Pharmaceuticals, Inc. | Compositions and methods for inhibition of the JAK pathway |
| US8815848B2 (en) | 2005-06-08 | 2014-08-26 | Rigel Pharmaceuticals, Inc. | Compositions and methods for inhibition of the JAK pathway |
| US9248190B2 (en) | 2005-06-08 | 2016-02-02 | Rigel Pharmaceuticals, Inc. | Compositions and methods for inhibition of the JAK pathway |
| US20080306099A1 (en) * | 2005-06-08 | 2008-12-11 | Rigel Pharmaceuticals, Inc. | Compositions and methods for inhibition of the jak pathway |
| US9732073B2 (en) | 2005-06-08 | 2017-08-15 | Rigel Pharmaceuticals, Inc. | Compositions and methods for inhibition of the JAK pathway |
| US9593082B2 (en) | 2005-06-08 | 2017-03-14 | Rigel Pharmaceuticals, Inc. | Compositions and methods for inhibition of the JAK pathway |
| US7576053B2 (en) | 2005-06-13 | 2009-08-18 | Rigel Pharmaceuticals, Inc. | Methods and compositions for treating degenerative bone disorders |
| US20070001033A1 (en) * | 2005-06-17 | 2007-01-04 | Magneti Marelli Powertrain S.P.A. | Fuel injector |
| US20070129362A1 (en) * | 2005-12-06 | 2007-06-07 | Somasekhar Bhamidipati | Pyrimidine-2,4-diamines and their uses |
| US20070129360A1 (en) * | 2005-12-06 | 2007-06-07 | Somasekhar Phamidipati | Pyrimidine-2,4-diamines and Their Uses |
| US7713987B2 (en) | 2005-12-06 | 2010-05-11 | Rigel Pharmaceuticals, Inc. | Pyrimidine-2,4-diamines and their uses |
| US20070197782A1 (en) * | 2006-02-17 | 2007-08-23 | Rigel Pharmaceuticals, Inc. | 2,4-pyrimidinediamine compounds for treating or preventing autoimmune diseases |
| US8314093B2 (en) | 2006-02-17 | 2012-11-20 | Rigel Pharmaceuticals, Inc. | 2,4-pyrimidinediamine compounds for treating or preventing autoimmune diseases |
| US7659280B2 (en) | 2006-02-17 | 2010-02-09 | Rigel Pharmaceuticals, Inc. | 2,4-pyrimidinediamine compounds for treating or preventing autoimmune diseases |
| US20070203162A1 (en) * | 2006-02-24 | 2007-08-30 | Rigel Pharmaceuticals, Inc. | Compositions and methods for inhibition of the jak pathway |
| US8962643B2 (en) | 2006-02-24 | 2015-02-24 | Rigel Pharmaceuticals, Inc. | Compositions and methods for inhibition of the JAK pathway |
| US11667611B2 (en) | 2006-02-24 | 2023-06-06 | Rigel Pharmaceuticals, Inc. | Compositions and methods for inhibition of the JAK pathway |
| US8193197B2 (en) | 2006-10-19 | 2012-06-05 | Rigel Pharmaceuticals, Inc. | Compositions and methods for inhibition of the JAK pathway |
| US8729087B2 (en) | 2006-10-19 | 2014-05-20 | Rigel Pharmaceuticals, Inc. | Compositions and methods for inhibition of the JAK pathway |
| US20080194603A1 (en) * | 2006-10-19 | 2008-08-14 | Rigel Pharmaceuticals, Inc. | Compositions and methods for inhibition of the jak pathway |
| US9040543B2 (en) | 2006-10-19 | 2015-05-26 | Rigel Pharmaceuticals, Inc. | Compositions and methods for inhibition of the JAK pathway |
| US8912170B2 (en) | 2006-11-21 | 2014-12-16 | Rigel Pharmaceuticals, Inc. | Prodrugs of 2,4-pyrimidinediamine compounds and their uses |
| US20110144059A1 (en) * | 2006-11-21 | 2011-06-16 | Rigel Pharmaceuticals, Inc. | Prodrugs of 2,4-pyrimidinediamine compounds and their uses |
| US8163902B2 (en) | 2006-11-21 | 2012-04-24 | Rigel Pharmaceuticals, Inc. | Prodrugs of 2,4-pyrimidinediamine compounds and their uses |
| US8445485B2 (en) | 2006-11-21 | 2013-05-21 | Rigel Pharmaceuticals, Inc. | Prodrugs of 2,4-pyrimidinediamine compounds and their uses |
| US9283238B2 (en) | 2006-11-21 | 2016-03-15 | Rigel Pharmaceuticals, Inc. | Prodrugs of 2,4-pyrimidinediamine compounds and their uses |
| US9737554B2 (en) | 2006-11-21 | 2017-08-22 | Rigel Pharmaceuticals, Inc. | Prodrugs of 2,4-pyrimidinediamine compounds and their uses |
| US10357505B2 (en) | 2006-11-21 | 2019-07-23 | Rigel Pharmaceuticals, Inc. | Prodrugs of 2,4-pyrimidinediamine compounds and their uses |
| USRE48898E1 (en) | 2006-11-21 | 2022-01-25 | Rigel Pharmaceuticals, Inc. | Prodrugs of 2,4-pyrimidinediamine compounds and their uses |
| WO2008079907A1 (en) * | 2006-12-20 | 2008-07-03 | Rigel Pharmaceuticals, Inc. | Compositions and methods for inhibition of the jak pathway |
| US7947698B2 (en) | 2007-03-23 | 2011-05-24 | Rigel Pharmaceuticals, Inc. | Compositions and methods for inhibition of the JAK pathway |
| US8304422B2 (en) | 2007-03-23 | 2012-11-06 | Rigel Pharmaceuticals, Inc. | Compositions and methods for inhibition of the JAK pathway |
| US7834024B2 (en) | 2007-03-26 | 2010-11-16 | Rigel Pharmaceuticals, Inc. | Compositions and methods for inhibition of the JAK pathway |
| US20110027856A1 (en) * | 2007-03-26 | 2011-02-03 | Rigel Pharmaceuticals, Inc. | Compositions and methods for inhibition of the jak pathway |
| US8299087B2 (en) | 2007-03-26 | 2012-10-30 | Rigel Pharmaceuticals, Inc. | Compositions and methods for inhibition of the JAK pathway |
| US8993585B2 (en) | 2007-07-17 | 2015-03-31 | Rigel Pharmaceuticals, Inc. | Cyclic amine substituted pyrimidinediamines as PKC inhibitors |
| US20100056524A1 (en) * | 2008-04-02 | 2010-03-04 | Mciver Edward Giles | Compound |
| US9012462B2 (en) | 2008-05-21 | 2015-04-21 | Ariad Pharmaceuticals, Inc. | Phosphorous derivatives as kinase inhibitors |
| US9273077B2 (en) | 2008-05-21 | 2016-03-01 | Ariad Pharmaceuticals, Inc. | Phosphorus derivatives as kinase inhibitors |
| US8710222B2 (en) | 2008-06-27 | 2014-04-29 | Celgene Avilomics Research, Inc. | 2,4-disubstituted pyrimidines useful as kinase inhibitors |
| US20100029610A1 (en) * | 2008-06-27 | 2010-02-04 | Avila Therapeutics, Inc. | Heteroaryl Compounds and Uses Thereof |
| US8609679B2 (en) | 2008-06-27 | 2013-12-17 | Celgene Avilomics Research, Inc. | 2,4-diaminopyrimidines useful as kinase inhibitors |
| US8450335B2 (en) | 2008-06-27 | 2013-05-28 | Celgene Avilomics Research, Inc. | 2,4-disubstituted pyrimidines useful as kinase inhibitors |
| US9409921B2 (en) | 2008-06-27 | 2016-08-09 | Celgene Avilomics Research, Inc. | 2,4-disubstituted pyrimidines as kinase inhibitors |
| US10010548B2 (en) | 2008-06-27 | 2018-07-03 | Celgene Car Llc | 2,4-disubstituted pyrimidines useful as kinase inhibitors |
| US9296737B2 (en) | 2008-06-27 | 2016-03-29 | Celgene Avilomics Research, Inc. | Substituted 2,4-diaminopyrimidines as kinase inhibitors |
| US20100249092A1 (en) * | 2008-06-27 | 2010-09-30 | Avila Therapeutics, Inc. | Heteroaryl compounds and uses thereof |
| US10596172B2 (en) | 2008-06-27 | 2020-03-24 | Celgene Car Llc | 2,4-disubstituted pyrimidines useful as kinase inhibitors |
| US10828300B2 (en) | 2008-06-27 | 2020-11-10 | Celgene Car Llc | Substituted 2,4-diaminopyrimidines as kinase inhibitors |
| US8338439B2 (en) | 2008-06-27 | 2012-12-25 | Celgene Avilomics Research, Inc. | 2,4-disubstituted pyrimidines useful as kinase inhibitors |
| US11351168B1 (en) | 2008-06-27 | 2022-06-07 | Celgene Car Llc | 2,4-disubstituted pyrimidines useful as kinase inhibitors |
| US9987276B2 (en) | 2008-06-27 | 2018-06-05 | Celgene Car Llc | Substituted 2,4-diaminopyrimidines as kinase inhibitors |
| US9212181B2 (en) | 2008-06-27 | 2015-12-15 | Celgene Avilomics Research, Inc. | Substituted 2,4-diaminopyrimidines as kinase inhibitors |
| EP2387565A4 (en) * | 2009-01-14 | 2012-07-11 | Rigel Pharmaceuticals Inc | 2,4-pyrimidinediamine compounds for treatment of inflammatory disorders |
| US20100179165A1 (en) * | 2009-01-14 | 2010-07-15 | Tarikere Gururaja | Methods for treating inflammatory disorders using 2,4-pyrimidinediamine compounds |
| US20100179164A1 (en) * | 2009-01-14 | 2010-07-15 | Hui Li | 2,4-pyrimidinediamine compounds for treatment of inflammatory disorders |
| US8334297B2 (en) | 2009-01-14 | 2012-12-18 | Rigel Pharmaceuticals Inc. | 2,4-pyrimidinediamine compounds for treatment of inflammatory disorders |
| US8575165B2 (en) | 2009-01-14 | 2013-11-05 | Rigel Pharmaceuticals, Inc. | Methods for treating inflammatory disorders using 2,4-pyrimidinediamine compounds |
| US9908884B2 (en) | 2009-05-05 | 2018-03-06 | Dana-Farber Cancer Institute, Inc. | EGFR inhibitors and methods of treating disorders |
| US8399433B2 (en) | 2009-06-01 | 2013-03-19 | OSI Pharmaceuticals, LLC | Amino pyrimidine anticancer compounds |
| US20110136764A1 (en) * | 2009-06-01 | 2011-06-09 | Osi Pharmaceuticals, Inc. | Amino pyrimidine anticancer compounds |
| US9096624B2 (en) | 2009-06-01 | 2015-08-04 | OSI Pharmaceuticals, LLC | Amino pyrimidine anticancer compounds |
| WO2010141406A2 (en) | 2009-06-01 | 2010-12-09 | Osi Pharmaceuticals, Inc. | Amino pyrimidine anticancer compounds |
| KR101740076B1 (en) * | 2009-07-28 | 2017-06-08 | 리겔 파마슈티칼스, 인크. | Compositions and methods for inhibition of the jak pathway |
| WO2011017178A1 (en) | 2009-07-28 | 2011-02-10 | Rigel Pharmaceuticals, Inc. | Compositions and methods for inhibition of the jak pathway |
| US20110028503A1 (en) * | 2009-07-28 | 2011-02-03 | Rigel Pharmaceuticals, Inc. | Compositions and methods for inhibition of the jak pathway |
| CN102470135A (en) * | 2009-07-28 | 2012-05-23 | 里格尔药品股份有限公司 | Compositions and methods for inhibiting the JAK pathway |
| CN106420756A (en) * | 2009-07-28 | 2017-02-22 | 里格尔药品股份有限公司 | Compositions and methods for inhibition of the JAK pathway |
| WO2011018518A1 (en) | 2009-08-14 | 2011-02-17 | Boehringer Ingelheim International Gmbh | Regioselective preparation of 2 -amino-5-trifluoromethylpyrimidine derivatives |
| WO2011018517A1 (en) | 2009-08-14 | 2011-02-17 | Boehringer Ingelheim International Gmbh | Regioselective preparation of 2-amino-5-trifluoromethylpyrimidine derivatives |
| US8927547B2 (en) | 2010-05-21 | 2015-01-06 | Noviga Research Ab | Pyrimidine derivatives |
| US20220024907A1 (en) * | 2010-07-28 | 2022-01-27 | Rigel Pharmaceuticals, Inc. | Compositions and methods for inhibition of the jak pathway |
| TWI582090B (en) * | 2010-07-28 | 2017-05-11 | 雷傑製藥公司 | Compositions and methods for inhibition of the jak pathway |
| US9611260B2 (en) | 2010-07-28 | 2017-04-04 | Rigel Pharmaceuticals, Inc. | Compositions and methods for inhibition of the JAK pathway |
| JP2013536179A (en) * | 2010-07-28 | 2013-09-19 | ライジェル ファーマシューティカルズ, インコーポレイテッド | Compositions and methods for inhibition of the JAK pathway |
| US9920041B2 (en) | 2010-07-28 | 2018-03-20 | Rigel Pharmaceuticals, Inc. | Compositions and methods for inhibition of the JAK pathway |
| AU2011282742B2 (en) * | 2010-07-28 | 2015-08-27 | Rigel Pharmaceuticals, Inc. | Compositions and methods for inhibition of the JAK pathway |
| KR101937495B1 (en) * | 2010-07-28 | 2019-01-10 | 리겔 파마슈티칼스, 인크. | Compositions and methods for inhibition of the jak pathway |
| US11174251B2 (en) | 2010-07-28 | 2021-11-16 | Rigel Pharmaceuticals, Inc. | Compositions and methods for inhibition of the JAK pathway |
| US10479783B2 (en) | 2010-07-28 | 2019-11-19 | Rigel Pharmaceuticals, Inc. | Compositions and methods for inhibition of the JAK pathway |
| WO2012015972A1 (en) * | 2010-07-28 | 2012-02-02 | Rigel Pharmaceuticals, Inc. | Compositions and methods for inhibition of the jak pathway |
| RU2672100C2 (en) * | 2010-07-28 | 2018-11-12 | Райджел Фармасьютикалз, Инк. | Compositions and methods for jak path inhibition |
| US8563568B2 (en) | 2010-08-10 | 2013-10-22 | Celgene Avilomics Research, Inc. | Besylate salt of a BTK inhibitor |
| US9604936B2 (en) | 2010-08-10 | 2017-03-28 | Celgene Car Llc | Besylate salt of a BTK inhibitor |
| US10081606B2 (en) | 2010-11-01 | 2018-09-25 | Celgene Car Llc | Heteroaryl compounds and uses thereof |
| US9238629B2 (en) | 2010-11-01 | 2016-01-19 | Celgene Avilomics Research, Inc. | Heteroaryl compounds and uses thereof |
| US9375431B2 (en) | 2010-11-01 | 2016-06-28 | Celgene Avilomics Research, Inc. | 2,4-disubstituted pyrimidine compounds useful as kinase inhibtors |
| US9867824B2 (en) | 2010-11-01 | 2018-01-16 | Celgene Car Llc | Heterocyclic compounds and uses thereof |
| US8975249B2 (en) | 2010-11-01 | 2015-03-10 | Celgene Avilomics Research, Inc. | Heterocyclic compounds and uses thereof |
| US9765038B2 (en) | 2010-11-01 | 2017-09-19 | Celgene Car Llc | Heteroaryl compounds and uses thereof |
| US10434101B2 (en) | 2010-11-01 | 2019-10-08 | Celgene Car Llc | Heterocyclic compounds and uses thereof |
| US11096942B2 (en) | 2010-11-01 | 2021-08-24 | Celgene Car Llc | Heterocyclic compounds and uses thereof |
| US8796255B2 (en) | 2010-11-10 | 2014-08-05 | Celgene Avilomics Research, Inc | Mutant-selective EGFR inhibitors and uses thereof |
| US9409887B2 (en) | 2010-11-10 | 2016-08-09 | Celgene Avilomics Research, Inc. | Mutant-selective EGFR inhibitors and uses thereof |
| US9868723B2 (en) | 2010-11-10 | 2018-01-16 | Celgene Car Llc | Mutant-selective EGFR inhibitors and uses thereof |
| WO2012074951A1 (en) | 2010-11-29 | 2012-06-07 | OSI Pharmaceuticals, LLC | Macrocyclic kinase inhibitors |
| US9133224B2 (en) | 2010-11-29 | 2015-09-15 | OSI Pharmaceuticals, LLC | Macrocyclic kinase inhibitors |
| WO2012122452A1 (en) | 2011-03-10 | 2012-09-13 | Rigel Pharmaceuticals, Inc. | 2,4 substituted pyrimidinediamines for use in discoid lupus |
| US9006241B2 (en) | 2011-03-24 | 2015-04-14 | Noviga Research Ab | Pyrimidine derivatives |
| WO2012142160A1 (en) * | 2011-04-12 | 2012-10-18 | Rigel Pharmaceuticals, Inc. | Methods for inhibiting allograft rejection |
| US8637038B2 (en) | 2011-04-12 | 2014-01-28 | Rigel Pharmaceuticals, Inc. | Methods for inhibiting allograft rejection |
| US9834518B2 (en) | 2011-05-04 | 2017-12-05 | Ariad Pharmaceuticals, Inc. | Compounds for inhibiting cell proliferation in EGFR-driven cancers |
| US9364476B2 (en) | 2011-10-28 | 2016-06-14 | Celgene Avilomics Research, Inc. | Methods of treating a Bruton's Tyrosine Kinase disease or disorder |
| USRE47034E1 (en) * | 2011-12-08 | 2018-09-11 | Rigel Pharmaceuticals, Inc. | Topical formulation for administering a compound |
| US20130150334A1 (en) * | 2011-12-08 | 2013-06-13 | Rigel Pharmaceuticals, Inc. | Topical formulation for administering a compound |
| US9040061B2 (en) * | 2011-12-08 | 2015-05-26 | Rigel Pharmaceuticals, Inc. | Topical formulation for administering a compound |
| US9540335B2 (en) | 2012-03-15 | 2017-01-10 | Celgene Avilomics Research, Inc. | Salts of an epidermal growth factor receptor kinase inhibitor |
| US10005738B2 (en) | 2012-03-15 | 2018-06-26 | Celgene Car Llc | Salts of an epidermal growth factor receptor kinase inhibitor |
| US11292772B2 (en) | 2012-03-15 | 2022-04-05 | Celgene Car Llc | Salts of an epidermal growth factor receptor kinase inhibitor |
| US9056839B2 (en) | 2012-03-15 | 2015-06-16 | Celgene Avilomics Research, Inc. | Solid forms of an epidermal growth factor receptor kinase inhibitor |
| US10004741B2 (en) | 2012-03-15 | 2018-06-26 | Celgene Car Llc | Solid forms of an epidermal growth factor receptor kinase inhibitor |
| US9108927B2 (en) | 2012-03-15 | 2015-08-18 | Celgene Avilomics Research, Inc. | Salts of an epidermal growth factor receptor kinase inhibitor |
| US10946016B2 (en) | 2012-03-15 | 2021-03-16 | Celgene Car Llc | Solid forms of an epidermal growth factor receptor kinase inhibitor |
| US9539255B2 (en) | 2012-03-15 | 2017-01-10 | Celgene Avilomics Research, Inc. | Solid forms of an epidermal growth factor receptor kinase inhibitor |
| US10570099B2 (en) | 2012-03-15 | 2020-02-25 | Celgene Car Llc | Salts of an epidermal growth factor receptor kinase inhibitor |
| US9834571B2 (en) | 2012-05-05 | 2017-12-05 | Ariad Pharmaceuticals, Inc. | Compounds for inhibiting cell proliferation in EGFR-driven cancers |
| US9730930B2 (en) | 2012-09-12 | 2017-08-15 | Rigel Pharmaceuticals, Inc. | Treatment for vitiligo |
| JP2015528501A (en) * | 2012-09-12 | 2015-09-28 | ライジェル ファーマシューティカルズ, インコーポレイテッド | Treatment of vitiligo |
| WO2014043257A1 (en) * | 2012-09-12 | 2014-03-20 | Rigel Pharmaceuticals, Inc. | Treatment for vitiligo |
| US9034881B2 (en) | 2012-09-12 | 2015-05-19 | Rigel Pharmaceuticals, Inc. | Treatment for vitiligo |
| JP2018115205A (en) * | 2012-09-12 | 2018-07-26 | ライジェル ファーマシューティカルズ, インコーポレイテッド | Treatment of vitiligo |
| US9126950B2 (en) | 2012-12-21 | 2015-09-08 | Celgene Avilomics Research, Inc. | Heteroaryl compounds and uses thereof |
| US9549927B2 (en) | 2012-12-21 | 2017-01-24 | Celgene Avilomics Research, Inc. | Heteroaryl compounds and uses thereof |
| US9145387B2 (en) | 2013-02-08 | 2015-09-29 | Celgene Avilomics Research, Inc. | ERK inhibitors and uses thereof |
| US9796700B2 (en) | 2013-02-08 | 2017-10-24 | Celgene Car Llc | ERK inhibitors and uses thereof |
| US9980964B2 (en) | 2013-02-08 | 2018-05-29 | Celgene Car Llc | ERK inhibitors and uses thereof |
| US9504686B2 (en) | 2013-02-08 | 2016-11-29 | Celgene Avilomics Research, Inc. | ERK inhibitors and uses thereof |
| US9561228B2 (en) | 2013-02-08 | 2017-02-07 | Celgene Avilomics Research, Inc. | ERK inhibitors and uses thereof |
| US9611283B1 (en) | 2013-04-10 | 2017-04-04 | Ariad Pharmaceuticals, Inc. | Methods for inhibiting cell proliferation in ALK-driven cancers |
| US9492471B2 (en) | 2013-08-27 | 2016-11-15 | Celgene Avilomics Research, Inc. | Methods of treating a disease or disorder associated with Bruton'S Tyrosine Kinase |
| US9415049B2 (en) | 2013-12-20 | 2016-08-16 | Celgene Avilomics Research, Inc. | Heteroaryl compounds and uses thereof |
| US10202364B2 (en) | 2014-08-13 | 2019-02-12 | Celgene Car Llc | Forms and compositions of an ERK inhibitor |
| US10005760B2 (en) | 2014-08-13 | 2018-06-26 | Celgene Car Llc | Forms and compositions of an ERK inhibitor |
Also Published As
| Publication number | Publication date |
|---|---|
| US7915273B2 (en) | 2011-03-29 |
| US20080221089A1 (en) | 2008-09-11 |
| US20170121291A1 (en) | 2017-05-04 |
| WO2008079907A1 (en) | 2008-07-03 |
| US20190256476A1 (en) | 2019-08-22 |
| US20100152218A1 (en) | 2010-06-17 |
| US9593082B2 (en) | 2017-03-14 |
| US11667611B2 (en) | 2023-06-06 |
Similar Documents
| Publication | Publication Date | Title |
|---|---|---|
| US11667611B2 (en) | Compositions and methods for inhibition of the JAK pathway | |
| US11827628B2 (en) | Compositions and methods for inhibition of the JAK pathway | |
| US8304422B2 (en) | Compositions and methods for inhibition of the JAK pathway | |
| US7834024B2 (en) | Compositions and methods for inhibition of the JAK pathway | |
| US9481654B2 (en) | Compositions and methods for inhibition of the JAK pathway | |
| US8193197B2 (en) | Compositions and methods for inhibition of the JAK pathway |
Legal Events
| Date | Code | Title | Description |
|---|---|---|---|
| AS | Assignment |
Owner name: RIGEL PHARMACEUTICALS, INC., CALIFORNIA Free format text: ASSIGNMENT OF ASSIGNORS INTEREST;ASSIGNORS:ARGADE, ANKUSH;SRAN, ARVINDER;CARROLL, DAVID;AND OTHERS;REEL/FRAME:019120/0980 Effective date: 20070330 |
|
| STCB | Information on status: application discontinuation |
Free format text: ABANDONED -- FAILURE TO PAY ISSUE FEE |
|
| STCB | Information on status: application discontinuation |
Free format text: ABANDONED -- FAILURE TO PAY ISSUE FEE |































































