US20070128557A1 - Phototool coating - Google Patents
Phototool coating Download PDFInfo
- Publication number
- US20070128557A1 US20070128557A1 US11/671,366 US67136607A US2007128557A1 US 20070128557 A1 US20070128557 A1 US 20070128557A1 US 67136607 A US67136607 A US 67136607A US 2007128557 A1 US2007128557 A1 US 2007128557A1
- Authority
- US
- United States
- Prior art keywords
- phototool
- ate
- fluorinated
- layer
- photoresist
- Prior art date
- Legal status (The legal status is an assumption and is not a legal conclusion. Google has not performed a legal analysis and makes no representation as to the accuracy of the status listed.)
- Abandoned
Links
Images
Classifications
-
- G—PHYSICS
- G03—PHOTOGRAPHY; CINEMATOGRAPHY; ANALOGOUS TECHNIQUES USING WAVES OTHER THAN OPTICAL WAVES; ELECTROGRAPHY; HOLOGRAPHY
- G03F—PHOTOMECHANICAL PRODUCTION OF TEXTURED OR PATTERNED SURFACES, e.g. FOR PRINTING, FOR PROCESSING OF SEMICONDUCTOR DEVICES; MATERIALS THEREFOR; ORIGINALS THEREFOR; APPARATUS SPECIALLY ADAPTED THEREFOR
- G03F1/00—Originals for photomechanical production of textured or patterned surfaces, e.g., masks, photo-masks, reticles; Mask blanks or pellicles therefor; Containers specially adapted therefor; Preparation thereof
- G03F1/68—Preparation processes not covered by groups G03F1/20 - G03F1/50
- G03F1/76—Patterning of masks by imaging
- G03F1/78—Patterning of masks by imaging by charged particle beam [CPB], e.g. electron beam patterning of masks
-
- G—PHYSICS
- G03—PHOTOGRAPHY; CINEMATOGRAPHY; ANALOGOUS TECHNIQUES USING WAVES OTHER THAN OPTICAL WAVES; ELECTROGRAPHY; HOLOGRAPHY
- G03F—PHOTOMECHANICAL PRODUCTION OF TEXTURED OR PATTERNED SURFACES, e.g. FOR PRINTING, FOR PROCESSING OF SEMICONDUCTOR DEVICES; MATERIALS THEREFOR; ORIGINALS THEREFOR; APPARATUS SPECIALLY ADAPTED THEREFOR
- G03F7/00—Photomechanical, e.g. photolithographic, production of textured or patterned surfaces, e.g. printing surfaces; Materials therefor, e.g. comprising photoresists; Apparatus specially adapted therefor
- G03F7/20—Exposure; Apparatus therefor
- G03F7/2002—Exposure; Apparatus therefor with visible light or UV light, through an original having an opaque pattern on a transparent support, e.g. film printing, projection printing; by reflection of visible or UV light from an original such as a printed image
- G03F7/2014—Contact or film exposure of light sensitive plates such as lithographic plates or circuit boards, e.g. in a vacuum frame
-
- B—PERFORMING OPERATIONS; TRANSPORTING
- B82—NANOTECHNOLOGY
- B82Y—SPECIFIC USES OR APPLICATIONS OF NANOSTRUCTURES; MEASUREMENT OR ANALYSIS OF NANOSTRUCTURES; MANUFACTURE OR TREATMENT OF NANOSTRUCTURES
- B82Y30/00—Nanotechnology for materials or surface science, e.g. nanocomposites
-
- G—PHYSICS
- G03—PHOTOGRAPHY; CINEMATOGRAPHY; ANALOGOUS TECHNIQUES USING WAVES OTHER THAN OPTICAL WAVES; ELECTROGRAPHY; HOLOGRAPHY
- G03F—PHOTOMECHANICAL PRODUCTION OF TEXTURED OR PATTERNED SURFACES, e.g. FOR PRINTING, FOR PROCESSING OF SEMICONDUCTOR DEVICES; MATERIALS THEREFOR; ORIGINALS THEREFOR; APPARATUS SPECIALLY ADAPTED THEREFOR
- G03F1/00—Originals for photomechanical production of textured or patterned surfaces, e.g., masks, photo-masks, reticles; Mask blanks or pellicles therefor; Containers specially adapted therefor; Preparation thereof
- G03F1/38—Masks having auxiliary features, e.g. special coatings or marks for alignment or testing; Preparation thereof
- G03F1/48—Protective coatings
-
- G—PHYSICS
- G03—PHOTOGRAPHY; CINEMATOGRAPHY; ANALOGOUS TECHNIQUES USING WAVES OTHER THAN OPTICAL WAVES; ELECTROGRAPHY; HOLOGRAPHY
- G03F—PHOTOMECHANICAL PRODUCTION OF TEXTURED OR PATTERNED SURFACES, e.g. FOR PRINTING, FOR PROCESSING OF SEMICONDUCTOR DEVICES; MATERIALS THEREFOR; ORIGINALS THEREFOR; APPARATUS SPECIALLY ADAPTED THEREFOR
- G03F7/00—Photomechanical, e.g. photolithographic, production of textured or patterned surfaces, e.g. printing surfaces; Materials therefor, e.g. comprising photoresists; Apparatus specially adapted therefor
-
- G—PHYSICS
- G03—PHOTOGRAPHY; CINEMATOGRAPHY; ANALOGOUS TECHNIQUES USING WAVES OTHER THAN OPTICAL WAVES; ELECTROGRAPHY; HOLOGRAPHY
- G03F—PHOTOMECHANICAL PRODUCTION OF TEXTURED OR PATTERNED SURFACES, e.g. FOR PRINTING, FOR PROCESSING OF SEMICONDUCTOR DEVICES; MATERIALS THEREFOR; ORIGINALS THEREFOR; APPARATUS SPECIALLY ADAPTED THEREFOR
- G03F7/00—Photomechanical, e.g. photolithographic, production of textured or patterned surfaces, e.g. printing surfaces; Materials therefor, e.g. comprising photoresists; Apparatus specially adapted therefor
- G03F7/20—Exposure; Apparatus therefor
Definitions
- the present invention relates in general to contact printing and, more particularly, to a coating composition and a method of coating a phototool used in a photolithographic process.
- the fabrication of flexible circuits involves the creation of several layers of dielectric and conductive materials that are in intimate contact with layers adjacent to them. At least one of these layers may be patterned by selectively introducing material into or removing material from that layer.
- the pattern may be created by photolithographic processes. For example, a layer of photoresist material is applied onto the surface of the layer to be patterned.
- a phototool having transparent and opaque areas in the form of the desired pattern is used to selectively expose the photoresist to ultraviolet light. The light will either cause portions of the photoresist to undergo a crosslinking reaction in the exposed areas as in the case of a negative photoresist or will undergo reaction to break down the polymer structure in the exposed areas as is the case with a positive photoresist.
- the desired portion of the photoresist may be removed by an appropriate solvent.
- the exposed underlying area may be etched away in the case of subtractive processing or added to in the case of additive processing. In either case the layer is patterned.
- Photolithographic processes enable the creation of flexible circuits having excellent feature resolution as well as allowing high throughput of the manufacturing process. If different patterns are applied to different layers, the phototool must be correctly aligned on the photoresist layer.
- the phototool may be secured to the photoresist by clamping or vacuum when the phototool is placed in contact with the photoresist during this photolithographic process.
- Conventional phototools often comprise chrome and glass regions. The light passes through the glass regions but not the chrome regions. Both glass and chrome are high surface energy materials, which can cause particles of the photoresist or dust to adhere to the phototool. When particles stick to the glass, light is absorbed and as a result does not reach the photoresist. This can result in inadequate exposure of a given area, which in turn creates defects. Furthermore, particles that adhere to the phototool can create a gap between the phototool and the photoresist surface, reducing resolution of the resulting image.
- One embodiment of the present invention provides a method of patterning a device using a phototool having transparent portions and a first and second surface, comprising (a) applying a layer comprising a fluorinated phosph(on)ate material to the first surface of the phototool; (b) placing the coated first surface of the phototool against the device such that the layer of fluorinated phosph(on)ate is in contact with the device; and (c) applying radiation to the second surface of the phototool for affecting a pattern in the device.
- Another embodiment of the present invention provides a method of creating patterns in a patternable material comprising (a) applying a layer of a fluorinated phosph(on)ate material to a first surface of a phototool; (b) applying photoresist to a surface of the patternable material; (c) placing the first surface of the phototool in contact with the photoresist; (d) applying radiation to the phototool so a pattern is created in the photoresist; (e) removing a portion of the photoresist to expose a portion of the patternable material surface; and (f) modifying the exposed surface of the patternable material where the photoresist was removed.
- Another embodiment of the present invention provides an article comprising a phototool having transparent portions and opaque portions and having a first and second surface with a layer of a fluorinated phosph(on)ate material on the first surface.
- An advantage of at least one embodiment of the present invention is to provide a phototool having a durable coating with low surface energy.
- Another advantage of at least one embodiment of the present invention is to extend phototool service life by reducing cleaning requirements.
- Another advantage of at least one embodiment of the present invention is to improve circuit making yield, especially in fine pitch circuit making.
- fluorinated phosph(on)ate means any species having a fluorocarbon tail and a phosphate, phosphonic acid, or phosphonate (ester, salt, or acid) headgroup.
- phototool means any type of mask that is used in conjunction with radiation exposure to pattern a layer of radiation-sensitive material by blocking portions of the layer from the radiation.
- FIG. 1 is a cross sectional view of a simple photolithography apparatus.
- FIGS. 2 a is a photomicrographic image of an uncoated phototool mask that has been marked with a permanent marker.
- FIGS. 2 b is a photomicrographic image of a phototool mask coated with a fluorinated phosph(on)ate/silane blend that has been marked with a permanent marker.
- FIG. 3 is a graphical comparison of the contact angle of deionized water on the glass and chrome oxide regions on an uncoated phototool and a phototool coated with a fluorinated phosph(on)ate/silane blend.
- FIG. 4 is a graphical comparison of the contact angle of deionized water on the glass and chrome oxide regions on a phototool coated with a fluorinated phosph(on)ate/silane blend during an ink rub test.
- FIG. 5 is a graph illustrating the number of repeat defects occurring during the use of both a coated and an uncoated phototool.
- An aspect of the present invention is a thin coating comprising a fluorinated phosph(on)ate material applied to a phototool surface to provide very low surface energy. These low energy surfaces can inhibit dirt and other particles from adhering to the phototool surface. This reduces the incidence of imaging defects during photolithographic processes, such as those used to make flexible circuits. The ability to prevent adhesion of particles to the phototool allows for better yields on fine pitch flexible circuits.
- the fabrication of flexible circuits involves the creation of several layers of dielectric and conductive materials that are in intimate contact. At least one of these layers may be patterned by selectively introducing material into or removing material from that layer to form circuit traces or features in the dielectric film such as windows, vias, etc.
- the pattern may be created by photolithographic processes. An image of the desired pattern is created by shining UV light through a phototool having the desired pattern onto a suitable receptor material, e.g., photoresist, which is in contact with the layer to be patterned.
- a phototool comprises a UV-transparent base material such as a glass, quartz, or the like with a patterned UV-opaque material such as chrome, chrome oxide, or the like on a surface of the UV-transparent base material.
- a layer of low surface energy material comprising one or more fluorinated phosph(on)ates, such as a perfluoropolyether phosphate or a perfluoropolyether phosphonate (ester, salt, or acid), diluted in a suitable solvent is applied to the phototool surface by a conventional coating process, such as spray coating, spin coating, dip coating, or the like.
- a perfluoropolyether silane may be included in the applied coating.
- the coating may then be air dried to remove the solvent, followed by baking in the oven, typically at a temperature of about 100° C. to about 150° C. for about 30 minutes, to remove any residual solvent, induce crosslinking of the perfluoropolyether silane, and enhance the bonding of the coating to the phototool surface.
- coated phototools may be used in photolithographic processes, such as those used to pattern metal and dielectric layers of a flexible circuit.
- a photolithographic process the patterned side of the phototool is brought into contact with a UV-receptor material.
- UV light is transmitted toward the patterned phototool, the light passes through the transparent regions, but is reflected by the opaque regions, thereby exposing selected portions of the UV-receptor material to the light.
- the phototool is lifted from the surface of the UV-receptor material, preferably without any sticking of the UV-receptor material or other foreign material to the phototool.
- the UV-receptor material is typically a photoresist.
- a layer of photoresist material is applied onto the surface of a flexible circuit layer to be patterned.
- the UV light that passes through the phototool is absorbed by the photoresist.
- the light will either cause the exposed portions of the photoresist to undergo a crosslinking reaction, as in the case of a negative photoresist, or will cause a depolymerization reaction to break down the polymer structure in the exposed areas, as is the case with a positive photoresist.
- the desired portion of the photoresist may then be removed by an appropriate solvent.
- the flexible circuits may then be processed by conventional methods, such as those described in U.S. Pat. Nos. 5,227,008; 6,177,357; or 6,403,211.
- the exposed underlying area may be etched away in the case of subtractive processing or dielectric patterning, or material may be added in the case of additive processing.
- FIG. 1 is a cross sectional view of a simple photolithography apparatus 100 .
- the photolithography apparatus 100 includes at least one phototool 110 , layered circuit substrate 130 which comprises at least one layer of photoresist 120 and base layer 140 .
- Base layer 140 is made of a polymer (typically polyimide) layer 142 , and a metal (typically copper) layer 144 .
- Phototool 110 comprises a transparent material 112 , typically of glass or quartz, with coated regions of opaque material 114 , typically chromium having an oxide surface, interspersed on a surface of transparent material 112 in a manner well known to those skilled in the art.
- a layer of low surface energy fluorinated phosph(on)ate material 118 is applied to surface 116 of the transparent material 112 (including opaque material 114 ).
- the fluorinated phosph(on)ate materials typically have molecular weights in the range of 400 to 5000, more preferably 1000 to 3000, and have 3 or more monomer units in the fluorinated segments.
- Suitable fluorinated phosph(on)ate materials include perfluoropolyether phosphonic acids and fluorinated monophosphate esters, which represent useful classes of self-assembling materials due to their ability to form robust monolayer films on a wide range of metal (oxide) surfaces.
- Other suitable fluorinated phosph(on)ate materials include partially and fully fluorinated alkanephosphonic acids and perfluorooctyl derivatives. These materials are extremely effective in imparting low surface energy properties to many metal (oxide) surfaces.
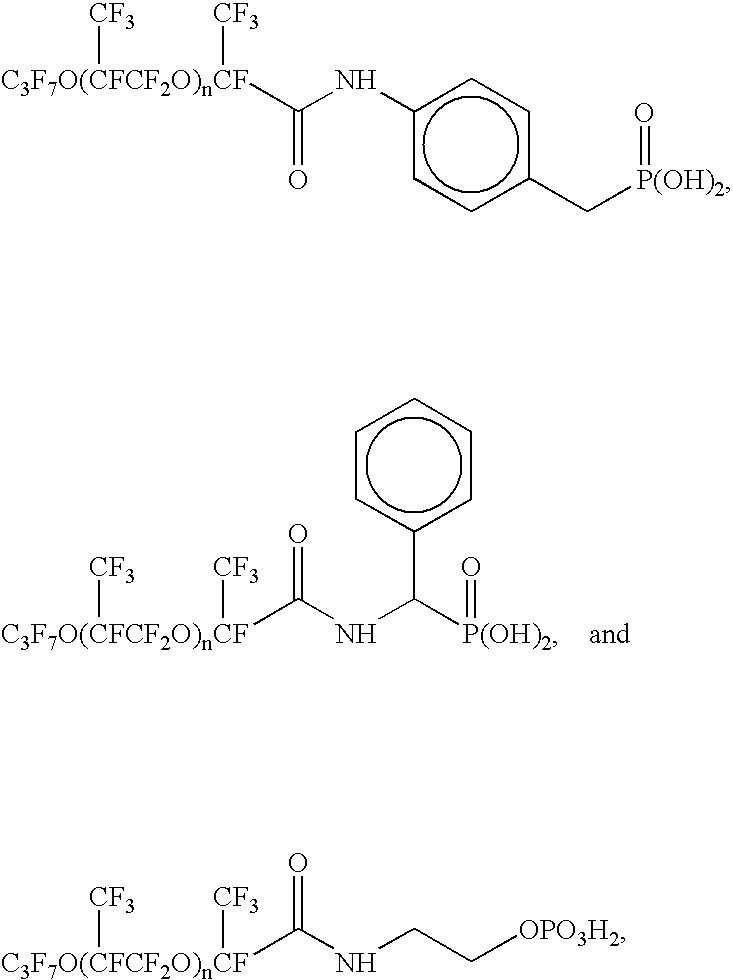
- fluorinated phosph(on)ates include amide-linked perfluoropolyether phosphonic acids such as those shown in Formulae I and II.
- An additional class of amide-linked perfluoropolyether monophosphate esters is shown in Formula III.
- n is in the range of 3 to about 30, more preferably 3 to about 15, and most preferably 3 to about 10.
- fluorinated phosph(on)ates include poly(hexafluoropropyleneoxide-co-difluoromethylene oxide) alcohol ethoxylated phosphate.
- perfluoropolyether group structures as well as other acceptable linking group structures, see U.S. Pat. No. 6,277,485 at column 7, line 29 through column 8 line 7.
- suitable linking group structure between the perfluoropolyether and the phosph(on)ate see U.S. Pat. No. 6,277,485 at column 8, lines 7-20.
- the fluorinated phosph(on)ate forms a self-assembled monolayer on the transparent and opaque surfaces of the phototool.
- Fluorinated phosph(on)ate monolayers are particularly likely to form on metal oxides such as chromium, aluminum, copper, and nickel oxides. They can also form on glass and quartz, but adhere more readily to metal oxides.
- Self-assembled monolayers are advantageous because they are generally extremely thin, on the order of 10 nm or less, and consequently do not alter the optical or surface structural properties of the original substrate.
- the fluorinated phosph(on)ate layer is about 1 nm to about 10 nm thick. In at least one embodiment, the fluorinated phosph(on)ate layer is about 6 nm thick.
- fluorinated phosph(on)ate material will adhere to UV-transparent materials, such as glass, in addition to UV-opaque materials, such as chrome oxide, fluorinated silanes typically adhere to glass better than fluorinated phosph(on)ates. Accordingly, the fluorinated phosph(on)ate material may be used alone or with a fluorinated silane.
- a suitable fluorinated silane is of the following Formula IV: R f —[—R 1 —SiY 3-x R 2 x ] y
- R f is a monovalent or divalent polyfluoropolyether group
- the connecting group R 1 is a divalent alkylene group, arylene group, or combinations thereof, optionally containing one or more heteroatoms (e.g., oxygen, nitrogen, or sulfur) or functional groups (e.g., carbonyl, amido, or sulfonamido) and optionally substituted with halogen atoms, preferably containing about 2 to about 16 carbon atoms (more preferably, about 3 to about 10 carbon atoms);
- R 2 is a lower alkyl group (i.e., a (C 1 -C 4 )alkyl group, preferably, a methyl group);
- Y is a halide, a lower alkoxy group (i.e., a (C 1 -C 4 )
- the polyfluoropolyether group (R f ) can include linear, branched, and/or cyclic structures, that may be saturated or unsaturated, and substituted with one or more oxygen atoms. It is preferably a perfluorinated group (i.e., all C—H bonds are replaced by C—F bonds).
- it includes perfluorinated repeating units selected from the group of —(C n F 2n )—, —(C n F 2n O)—, —(CF(Z))—, —(CF(Z)O)—, —(CF(Z)C n F 2n O)—, —(C n F 2n CF(Z)O)—, —(CF 2 CF(Z)O)—, and combinations thereof.
- repeating units Z is a perfluoroalkyl group, an oxygen-substituted perfluoroalkyl group, a perfluoroalkoxy group, or an oxygen-substituted perfluoroalkoxy group, all of which can be linear, branched, or cyclic, and preferably have about 1 to about 9 carbon atoms and 0 to about 4 oxygen atoms.
- the number of repeat units in the polyfluoropolyether group (R f ) is sufficient to form a compound having a number average molecular weight of at least about 400, and preferably, sufficient to form a polyfluoropolyether group having a number average molecular weight of at least about 1000.
- the terminal groups can be (C n F 2n+1 )—, (C n F 2n+1 O)—, (X′C n F 2n O)—, or (X′C n F 2n+1 )— wherein X′ is H, Cl, or Br, for example.
- these terminal groups are perfluorinated.
- n is 1 or more, and preferably 1 to about 4.
- particularly preferred structures are —CF 2 O(CF 2 O) m (C 2 F 4 O) p CF 2 —, —CF 2 O(C 2 F 4 O) p CF 2 —, and —CF(CF 3 )(OCF 2 CF(CF 3 )) p′ OC n F 2n O (CF(CF 3 )CF 2 O) p CF(CF 3 )—.
- Particularly preferred structures for a monovalent perfluoropolyether group include C 3 F 7 O(CF(CF 3 )CF 2 O) p CF(CF 3 )— and CF 3 O(C 2 F 4 O) p CF 2 — wherein an average value for (p+p′) is 0 to about 50.
- the divalent R 1 group can include linear, branched, or cyclic structures, that may be saturated or unsaturated.
- the R 1 group can contain one or more heteroatoms (e.g., oxygen, nitrogen, or sulfur) or functional groups (e.g., carbonyl, amido, or sulfonamido). It can also be substituted with halogen atoms, preferably, fluorine atoms, although this is less desirable, as this might lead to instability of the compound.
- the divalent R 1 group is a hydrocarbon group, preferably, a linear hydrocarbon group, optionally containing heteroatoms or functional groups, and more preferably, containing at least one functional group.
- R 1 groups include —C(O)NH 2 (CH 2 ) 3 —, —CH 2 O(CH 2 ) 3 —, and —(C n H 2n )—, wherein n is about 2 to about 6.
- a preferred R 1 group is —C(O)NH 2 (CH 2 ) 3 —.
- Compounds of Formula IV suitable for use in the present invention have a molecular weight (number average) of at least about 400, and preferably, at least about 1000. Typically, they are no greater than about 5000, but this is normally limited by availability, viscosity, and ease of cure, and preferably, no greater than about 3000, depending upon the viscosity and cure time characteristics desired.
- Examples of preferred fluorinated silanes include, but are not limited to, the following structures:
- each silane R 1 includes nitrogen. More preferably, at least one X group per molecule is C(O)NH(CH 2 ) 3 Si(OR) 3 (wherein R is methyl, ethyl, or mixtures thereof), and the other X group, if not a silane, is OCF 3 , or OC 3 F 7 .
- the values of m and p in these structures can vary, as long as the material has a number average molecular weight of at least about 400. Preferably, an average value of m is within a range of about 1 to about 50, and an average value of (p+p′) is within a range of about 4 to about 40.
- polymeric materials such compounds exist as mixtures upon synthesis, which are suitable for use. These mixtures may also contain perfluoropolyether chains bearing no functional groups (inert fluids) or more than two terminal groups (branched structures) as a consequence of the methods used in their synthesis. Typically, mixtures of polymeric materials containing less than about 10% by weight of nonfunctionalized polymers (e.g., those without silane groups, for to example) can be used. Furthermore, mixtures of any of the individually listed compounds of Formula IV can be used.
- the compounds of Formula IV can be synthesized using standard techniques. For example, commercially available or readily synthesized perfluoropolyether esters can be combined with a functionalized alkoxysilane, such as a 3-aminopropylalkoxysilane, as described in U.S. Pat. No. 3,810,874, column 7, line 41 to column 8, line 49.
- a functionalized alkoxysilane such as a 3-aminopropylalkoxysilane
- Suitable blends of perfluoropolyether silanes and phosphates are disclosed in U.S. Pat. No. 5,602,225 at column 1, line 34 to column 3, line 53. Suitable perfluoropolyether phosphates are also described in EP Pat. No. 603,697.
- the fluorinated phosph(on)ate material, or fluorinated phosph(on)ate/fluorinated silane blend may be applied in any one of several conventional ways, such as spin coating, spraying, dipping, or vapor deposition.
- An advantage of the fluorinated phosph(on)ates is their solubility (or dispersability) in hydrofluoroethers such as HFE 7100, as well as solubility in organic solvents such as isopropanol. This solubility allows uniform films of excess material to be applied by spray or spin coating from a solution. The substrate can then be heated to accelerate monolayer formation, and the excess can be rinsed or wiped away leaving a monolayer film.
- the solvent(s) used to apply the coating composition preferably include those that are substantially inert (i.e., substantially nonreactive with the fluorinated phosph(on)ate and fluorinated silane), aprotic, and capable of dispersing or dissolving (preferably, substantially completely dissolving) the fluorinated phosph(on)ate and fluorinated silane.
- suitable solvents include, but are not limited to, fluorinated hydrocarbons, particularly fluorine-substituted alkanes, ethers, particularly alkyl perfluoroalkyl ethers, and hydrochlorofluoro alkanes and ethers. Mixtures of such solvents can be used.
- a particularly preferred class of solvents is hydrofluoroethers, including methyl perfluorobutyl ether and ethyl perfluorobutyl ether, which can be represented by the following general Formula V: R f —(O—R h ) x (I) where x is an integer of 1 to 3; when x is 1, R f is selected from the group consisting of linear or branched perfluoroalkyl groups having from 2 to about 15 carbon atoms, perfluorocycloalkyl-containing perfluoroalkyl groups having from 5 to about 15 carbon atoms, and perfluorocycloalkyl groups having from 3 to about 12 carbon atoms; when x is 2, R f is selected from the group consisting of linear or branched perfluoroalkanediyl groups or perfluoroalkylidene groups having from 2 to about 15 carbon atoms, perfluorocycloalkyl- or perfluorocycloalkylene-containing perflu
- perfluorocycloalkyl and perfluorocycloalkylene groups contained within the perfluoroalkyl, perfluoroalkanediyl, perfluoroalkylidene and perfluoroalkanetriyl groups can optionally (and independently) be substituted with, e.g., one or more perfluoroalkyl groups having from 1 to about 4 carbon atoms.
- Perfluoropolyether silane prepared as described in U.S. Pat. No. 6,277,485, Example 2 and column 13, lines 44-58, and poly(hexafluoropropyleneoxide-co-difluoromethylene oxide) alcohol ethoxylated phosphate(“perfluoropolyether phosphate”), available from Aldrich as Catalog # 45,767-1, were diluted into a hydrofluoroether solvent available under the trade name NOVEC Engineered Fluid HFE-7100 from 3M Company (St. Paul, Minn.). The concentrations were approximately 0.075 wt % ECC-1000 and 0.025 wt % perfluoropolyether phosphate.
- a phototool comprising a glass substrate, pattern-coated with chromium oxide was cleaned by sonication in isopropyl alcohol, then 10 min exposure to air plasma using a Harrick (Ossining, N.Y.) PDC-3xG plasma cleaner/sterilizer.
- the phototool was then dip coated in the dilute solution.
- the dip coating withdrawal speed was 3.4 mm/sec using an automated dip coating apparatus.
- the phototool coating was cured at 120° C. for 30 min. (The dilute solution may, alternatively, be applied using a clean room wipe to wipe the solution onto the phototool. Once the solution has air dried, it can then be cured at 120° C. for 30 min.) After curing, the phototool was allowed to air cool overnight.
- the excess coating material was then wiped off with a knitted polyester cleanroom wipe available under the tradename SPEC-WIPE to form a uniform thin coating.
- the coated phototool was subjected to a number of tests as was an uncoated phototool, for comparison.
- FIGS. 2 a and 2 b are photomicrographic images of uncoated and coated phototools, respectively, that have been marked. As can be seen, the ink does not bead on the untreated surface (the marks of the permanent marker are still evident), but the ink beads on the coated surface, indicating that the treated surface repels ink as a result of its lower surface energy due to the fluorinated coating.
- the effectiveness of the treatment can also be shown by comparing contact angle measurements as shown in FIG. 3 .
- Static drop contact angles were measured by a standard projection method with de-ionized (DI) water.
- DI de-ionized
- the durability of the coating was tested by conducting an ink rub test with an abrasion-resistance testing apparatus, described in U.S. Pat. No. 2,734,375, obtained from Sutherland Paper Company, Kalamazoo, Mich., with 2 lbs of weight on the glass and chrome oxide portions of the phototool using (1) a dry clean room wipe and (2) a clean room wipe loaded with isopropyl alcohol (solvent) and comparing the contact angle of the treated surface, at various stages of the test, to the contact angle of untreated chromium oxide (about 70) and glass (about 50).
- the perfluoroether phosphate/silane coating increased the durability of the surface in both the dry and alcohol rub tests, especially on the chrome oxide portion of the photomask.
- Flexible circuits were made by conventional means, such as those described in U.S. Pat. Nos. 5,227,008, using a coated phototool of the present invention to pattern the conductive copper layer.
- flexible circuits were made by the same method with an uncoated phototool.
- the initial yield improvement for 30-micron pitch circuits was determined by optical inspection for the number of repeating defects between the flexible circuits made with the coated and uncoated phototools. The results are shown in FIG. 5 .
- the coated phototool produced far fewer repeat defects than the uncoated phototool in the greater than 1200 imaging steps made with each phototool.
- the phototools were cleaned and handled in the same manner and frequency.
- a portion of the fluorinated phosph(on)ate product was diluted to 0.25 wt % in HFE-7 100 (methyl perfluorobutyl ether) and shaken to obtain a clear solution.
- HFE-7 100 methyl perfluorobutyl ether
- Quarter-wafer pieces of aluminum- and chromium-coated silicon wafers (100 mm diameter, obtained from WaferNet, San Jose, Calif.) were cleaned by 5 min. exposure in a home-built UV/ozone chamber, and immediately treated with the above solution.
- One aluminum piece was immersed in the solution for 1 hour at room temperature, then rinsed for 1 min. in HFE 7100 and allowed to dry in air.
- One aluminum and one chromium piece were treated by spin coating the solution (500 rpm/5 sec then 2000 rpm/ 15 sec), then the coated wafer was heated on a vacuum hotplate at 150° C. for 3 min., rinsed in HFE 7100, and allowed to dry in air.
- the wafers were subjected to measurement of water and hexadecane contact angles. Measurements were made using as-received reagent-grade hexadecane (Aldrich) and deionized water filtered through a filtration system obtained from Millipore Corporation (Billerica, Mass.), on a video contact angle analyzer available as product number VCA-2500XE from AST Products (Billerica, Mass.). Reported values are the averages of measurements on at least three drops measured on both sides, and are shown in Table 1. Drop volumes were 5 ⁇ L for static measurements and 1-3 ⁇ L for advancing and receding. For hexadecane, only advancing and receding contact angles are reported because static and advancing values were found to be nearly equal.
- the phosphonate was dissolved in diethyl ether and bromotrimethylsilane (17.6 g, 0.115 mole, Aldrich) was added all at once. The solution was stirred for 24 hours at ambient temperature and an additional 10 g of the silane added. After several hours, anhydrous methanol was added to decompose the unreacted silane as well as the silyl ester. The solvent was removed from the resulting homogeneous solution and the residue treated two more times with anhydrous methanol in an analogous manner. The final methanol solution after reduction in volume by rotary evaporation was poured into water and the solid phosphonic acid filtered and air-dried. Analysis by proton, phosphorus-31, and carbon- 13 NMR confirmed the structure.
- diethyl ( ⁇ -aminobenzyl)phosphonate hydrochloride (10.5 g, 0.037 mole, Aldrich), triethylamine (7.58 g, 0.075 mole), and MTBE (100 ml) were combined in a 250 ml round bottom flask equipped with a magnetic stirrer and water condenser.
- Samples of Formulae I and II phosphonic acids were diluted to 0.2 wt % in isopropyl alcohol and shaken to obtain clear solutions.
- Four quarter-wafer pieces of aluminum-coated silicon wafer (100 mm diameter, obtained from WaferNet, San Jose, Calif.) were cleaned by 5 min exposure in a home-built UV/ozone chamber, and immediately treated with the above solutions. Two pieces were treated with each solution, one by 1 hour immersion at room temperature followed by 1 min. rinse in isopropyl alcohol, the other by spin coating (500 rpm/5 sec. then 2000 rpm/15 sec.) followed by heating 3 min. at 150° C. on a vacuum hotplate, then rinsing 1 min. in isopropyl alcohol.
Landscapes
- Physics & Mathematics (AREA)
- General Physics & Mathematics (AREA)
- Engineering & Computer Science (AREA)
- Chemical & Material Sciences (AREA)
- Nanotechnology (AREA)
- Materials Engineering (AREA)
- Condensed Matter Physics & Semiconductors (AREA)
- Crystallography & Structural Chemistry (AREA)
- Composite Materials (AREA)
- Plasma & Fusion (AREA)
- Application Of Or Painting With Fluid Materials (AREA)
- Paints Or Removers (AREA)
- Macromonomer-Based Addition Polymer (AREA)
Abstract
A phototool having a fluorinated phosph(on)ate coating and methods of using the phototool.
Description
- This application is a divisional of U.S. Ser. No. 10/645,020, filed Aug. 21, 2003, now allowed, the disclosure of which is incorporated by reference in its entirety herein.
- The present invention relates in general to contact printing and, more particularly, to a coating composition and a method of coating a phototool used in a photolithographic process.
- Current product trends in electronics are requiring flexible circuits of finer and finer pitch. A repeating defect caused by small particles that adhere to a phototool during the imaging step of the flexible circuit making process may significantly reduce the product yield.
- The fabrication of flexible circuits involves the creation of several layers of dielectric and conductive materials that are in intimate contact with layers adjacent to them. At least one of these layers may be patterned by selectively introducing material into or removing material from that layer. The pattern may be created by photolithographic processes. For example, a layer of photoresist material is applied onto the surface of the layer to be patterned. A phototool having transparent and opaque areas in the form of the desired pattern is used to selectively expose the photoresist to ultraviolet light. The light will either cause portions of the photoresist to undergo a crosslinking reaction in the exposed areas as in the case of a negative photoresist or will undergo reaction to break down the polymer structure in the exposed areas as is the case with a positive photoresist. The desired portion of the photoresist may be removed by an appropriate solvent. The exposed underlying area may be etched away in the case of subtractive processing or added to in the case of additive processing. In either case the layer is patterned.
- Photolithographic processes enable the creation of flexible circuits having excellent feature resolution as well as allowing high throughput of the manufacturing process. If different patterns are applied to different layers, the phototool must be correctly aligned on the photoresist layer. The phototool may be secured to the photoresist by clamping or vacuum when the phototool is placed in contact with the photoresist during this photolithographic process.
- However, defects in the pattern or the phototool are routinely experienced, especially when the phototool is used repeatedly to print several substrates consecutively without cleaning the phototool. Consequently, phototools must be inspected and cleaned regularly. This greatly affects the throughput of the lithographic process as well as introducing added cost if the defects cannot be eliminated and the phototools must be replaced.
- Conventional phototools often comprise chrome and glass regions. The light passes through the glass regions but not the chrome regions. Both glass and chrome are high surface energy materials, which can cause particles of the photoresist or dust to adhere to the phototool. When particles stick to the glass, light is absorbed and as a result does not reach the photoresist. This can result in inadequate exposure of a given area, which in turn creates defects. Furthermore, particles that adhere to the phototool can create a gap between the phototool and the photoresist surface, reducing resolution of the resulting image.
- One embodiment of the present invention provides a method of patterning a device using a phototool having transparent portions and a first and second surface, comprising (a) applying a layer comprising a fluorinated phosph(on)ate material to the first surface of the phototool; (b) placing the coated first surface of the phototool against the device such that the layer of fluorinated phosph(on)ate is in contact with the device; and (c) applying radiation to the second surface of the phototool for affecting a pattern in the device.
- Another embodiment of the present invention provides a method of creating patterns in a patternable material comprising (a) applying a layer of a fluorinated phosph(on)ate material to a first surface of a phototool; (b) applying photoresist to a surface of the patternable material; (c) placing the first surface of the phototool in contact with the photoresist; (d) applying radiation to the phototool so a pattern is created in the photoresist; (e) removing a portion of the photoresist to expose a portion of the patternable material surface; and (f) modifying the exposed surface of the patternable material where the photoresist was removed.
- Another embodiment of the present invention provides an article comprising a phototool having transparent portions and opaque portions and having a first and second surface with a layer of a fluorinated phosph(on)ate material on the first surface.
- An advantage of at least one embodiment of the present invention is to provide a phototool having a durable coating with low surface energy.
- Another advantage of at least one embodiment of the present invention is to extend phototool service life by reducing cleaning requirements.
- Another advantage of at least one embodiment of the present invention is to improve circuit making yield, especially in fine pitch circuit making.
- As used in this application:
- “fluorinated phosph(on)ate” means any species having a fluorocarbon tail and a phosphate, phosphonic acid, or phosphonate (ester, salt, or acid) headgroup.
- “phototool” means any type of mask that is used in conjunction with radiation exposure to pattern a layer of radiation-sensitive material by blocking portions of the layer from the radiation.
-
FIG. 1 is a cross sectional view of a simple photolithography apparatus. -
FIGS. 2 a is a photomicrographic image of an uncoated phototool mask that has been marked with a permanent marker. -
FIGS. 2 b is a photomicrographic image of a phototool mask coated with a fluorinated phosph(on)ate/silane blend that has been marked with a permanent marker. -
FIG. 3 is a graphical comparison of the contact angle of deionized water on the glass and chrome oxide regions on an uncoated phototool and a phototool coated with a fluorinated phosph(on)ate/silane blend. -
FIG. 4 is a graphical comparison of the contact angle of deionized water on the glass and chrome oxide regions on a phototool coated with a fluorinated phosph(on)ate/silane blend during an ink rub test. -
FIG. 5 is a graph illustrating the number of repeat defects occurring during the use of both a coated and an uncoated phototool. - An aspect of the present invention is a thin coating comprising a fluorinated phosph(on)ate material applied to a phototool surface to provide very low surface energy. These low energy surfaces can inhibit dirt and other particles from adhering to the phototool surface. This reduces the incidence of imaging defects during photolithographic processes, such as those used to make flexible circuits. The ability to prevent adhesion of particles to the phototool allows for better yields on fine pitch flexible circuits.
- The fabrication of flexible circuits involves the creation of several layers of dielectric and conductive materials that are in intimate contact. At least one of these layers may be patterned by selectively introducing material into or removing material from that layer to form circuit traces or features in the dielectric film such as windows, vias, etc. The pattern may be created by photolithographic processes. An image of the desired pattern is created by shining UV light through a phototool having the desired pattern onto a suitable receptor material, e.g., photoresist, which is in contact with the layer to be patterned.
- A phototool comprises a UV-transparent base material such as a glass, quartz, or the like with a patterned UV-opaque material such as chrome, chrome oxide, or the like on a surface of the UV-transparent base material.
- According to one aspect of the present invention, a layer of low surface energy material comprising one or more fluorinated phosph(on)ates, such as a perfluoropolyether phosphate or a perfluoropolyether phosphonate (ester, salt, or acid), diluted in a suitable solvent is applied to the phototool surface by a conventional coating process, such as spray coating, spin coating, dip coating, or the like. A perfluoropolyether silane may be included in the applied coating. The coating may then be air dried to remove the solvent, followed by baking in the oven, typically at a temperature of about 100° C. to about 150° C. for about 30 minutes, to remove any residual solvent, induce crosslinking of the perfluoropolyether silane, and enhance the bonding of the coating to the phototool surface.
- These coated phototools may be used in photolithographic processes, such as those used to pattern metal and dielectric layers of a flexible circuit. In a photolithographic process, the patterned side of the phototool is brought into contact with a UV-receptor material. When UV light is transmitted toward the patterned phototool, the light passes through the transparent regions, but is reflected by the opaque regions, thereby exposing selected portions of the UV-receptor material to the light. After exposure, the phototool is lifted from the surface of the UV-receptor material, preferably without any sticking of the UV-receptor material or other foreign material to the phototool.
- The UV-receptor material is typically a photoresist. For example, a layer of photoresist material is applied onto the surface of a flexible circuit layer to be patterned. The UV light that passes through the phototool is absorbed by the photoresist. The light will either cause the exposed portions of the photoresist to undergo a crosslinking reaction, as in the case of a negative photoresist, or will cause a depolymerization reaction to break down the polymer structure in the exposed areas, as is the case with a positive photoresist. The desired portion of the photoresist may then be removed by an appropriate solvent. The flexible circuits may then be processed by conventional methods, such as those described in U.S. Pat. Nos. 5,227,008; 6,177,357; or 6,403,211. For example, the exposed underlying area may be etched away in the case of subtractive processing or dielectric patterning, or material may be added in the case of additive processing.
-
FIG. 1 is a cross sectional view of asimple photolithography apparatus 100. Thephotolithography apparatus 100 includes at least onephototool 110, layeredcircuit substrate 130 which comprises at least one layer ofphotoresist 120 andbase layer 140.Base layer 140 is made of a polymer (typically polyimide)layer 142, and a metal (typically copper)layer 144.Phototool 110 comprises atransparent material 112, typically of glass or quartz, with coated regions ofopaque material 114, typically chromium having an oxide surface, interspersed on a surface oftransparent material 112 in a manner well known to those skilled in the art. Per the present invention, a layer of low surface energy fluorinated phosph(on)atematerial 118 is applied to surface 116 of the transparent material 112 (including opaque material 114). - The fluorinated phosph(on)ate materials typically have molecular weights in the range of 400 to 5000, more preferably 1000 to 3000, and have 3 or more monomer units in the fluorinated segments. Suitable fluorinated phosph(on)ate materials include perfluoropolyether phosphonic acids and fluorinated monophosphate esters, which represent useful classes of self-assembling materials due to their ability to form robust monolayer films on a wide range of metal (oxide) surfaces. Other suitable fluorinated phosph(on)ate materials include partially and fully fluorinated alkanephosphonic acids and perfluorooctyl derivatives. These materials are extremely effective in imparting low surface energy properties to many metal (oxide) surfaces. Other suitable phosphonic acids may be based on partially fluorinated alkyl segments such as those in CF3(CF2)m(CH2)nPO3H2, where m=3-10; and n=4-22 as disclosed in commonly assigned and co-pending U.S. patent application Ser. No. 10/161258 entitled “Fluorinated Phosphonic Acids.”
-
- In each of Formulae I to III, the value of n is in the range of 3 to about 30, more preferably 3 to about 15, and most preferably 3 to about 10.
- Other suitable fluorinated phosph(on)ates include poly(hexafluoropropyleneoxide-co-difluoromethylene oxide) alcohol ethoxylated phosphate. For a discussion of perfluoropolyether group structures, as well as other acceptable linking group structures, see U.S. Pat. No. 6,277,485 at column 7, line 29 through column 8 line 7. For a discussion of suitable linking group structure between the perfluoropolyether and the phosph(on)ate, see U.S. Pat. No. 6,277,485 at column 8, lines 7-20. Other suitable linking groups include C6-C20 aryl-containing linking groups such as arylene, alkarylene, and aralkylene, either unsubstituted or substituted with heteroatoms or heteroatom-containing functional groups such as —N(R), —O—, —S—, —CO—, —N(R)CO—, —N(R)SO2—, and —CO2—, where R=H or C1-C4 alkyl.
- In at least one embodiment of the invention, the fluorinated phosph(on)ate forms a self-assembled monolayer on the transparent and opaque surfaces of the phototool. Fluorinated phosph(on)ate monolayers are particularly likely to form on metal oxides such as chromium, aluminum, copper, and nickel oxides. They can also form on glass and quartz, but adhere more readily to metal oxides. Self-assembled monolayers are advantageous because they are generally extremely thin, on the order of 10 nm or less, and consequently do not alter the optical or surface structural properties of the original substrate. In most embodiments the fluorinated phosph(on)ate layer is about 1 nm to about 10 nm thick. In at least one embodiment, the fluorinated phosph(on)ate layer is about 6 nm thick.
- Although the fluorinated phosph(on)ate material will adhere to UV-transparent materials, such as glass, in addition to UV-opaque materials, such as chrome oxide, fluorinated silanes typically adhere to glass better than fluorinated phosph(on)ates. Accordingly, the fluorinated phosph(on)ate material may be used alone or with a fluorinated silane.
- A suitable fluorinated silane is of the following Formula IV:
Rf—[—R1—SiY3-xR2 x]y
where: Rf is a monovalent or divalent polyfluoropolyether group; the connecting group R1 is a divalent alkylene group, arylene group, or combinations thereof, optionally containing one or more heteroatoms (e.g., oxygen, nitrogen, or sulfur) or functional groups (e.g., carbonyl, amido, or sulfonamido) and optionally substituted with halogen atoms, preferably containing about 2 to about 16 carbon atoms (more preferably, about 3 to about 10 carbon atoms); R2 is a lower alkyl group (i.e., a (C1-C4)alkyl group, preferably, a methyl group); Y is a halide, a lower alkoxy group (i.e., a (C1-C4)alkoxy group, preferably, a methoxy or ethoxy group), or a lower acyloxy group (e.g., —OC(O)R3 wherein R3 is a (C1-C4)alkyl group); x is 0 or 1; and y is 1 (when Rf is monovalent) or 2 (when Rf is divalent). Suitable compounds typically have a number average molecular weight of at least about 400, and preferably, at least about 1000. Preferably, x=0 and Y is a lower alkoxy group. - The polyfluoropolyether group (Rf) can include linear, branched, and/or cyclic structures, that may be saturated or unsaturated, and substituted with one or more oxygen atoms. It is preferably a perfluorinated group (i.e., all C—H bonds are replaced by C—F bonds). More preferably, it includes perfluorinated repeating units selected from the group of —(CnF2n)—, —(CnF2nO)—, —(CF(Z))—, —(CF(Z)O)—, —(CF(Z)CnF2nO)—, —(CnF2nCF(Z)O)—, —(CF2CF(Z)O)—, and combinations thereof. In these repeating units Z is a perfluoroalkyl group, an oxygen-substituted perfluoroalkyl group, a perfluoroalkoxy group, or an oxygen-substituted perfluoroalkoxy group, all of which can be linear, branched, or cyclic, and preferably have about 1 to about 9 carbon atoms and 0 to about 4 oxygen atoms. The number of repeat units in the polyfluoropolyether group (Rf) is sufficient to form a compound having a number average molecular weight of at least about 400, and preferably, sufficient to form a polyfluoropolyether group having a number average molecular weight of at least about 1000. For the monovalent polyfluoropolyether group (wherein y is 1 in Formula IV above), the terminal groups can be (CnF2n+1)—, (CnF2n+1O)—, (X′CnF2nO)—, or (X′CnF2n+1)— wherein X′ is H, Cl, or Br, for example. Preferably, these terminal groups are perfluorinated. In these repeating units or terminal groups, n is 1 or more, and preferably 1 to about 4.
- Preferred structures for a divalent perfluoropolyether group include —CF2O(CF2O)m(C2F4O)pCF2—, —CF(CF3)(OCF2CF(CF3))p′OCnF2nO(CF(CF3)CF2O)pCF(CF3)—, and —(CF2)3O(C4F8O)p(CF2)3—, where an average value for m is 0 to about 50 and an average value for (p+p′) is 0 to about 50, with the proviso that both m and p cannot be 0 in the same group and where n=1-6. Of these, particularly preferred structures are —CF2O(CF2O)m(C2F4O)pCF2—, —CF2O(C2F4O)pCF2—, and —CF(CF3)(OCF2CF(CF3))p′OCnF2nO (CF(CF3)CF2O)pCF(CF3)—. Particularly preferred structures for a monovalent perfluoropolyether group include C3F7O(CF(CF3)CF2O)pCF(CF3)— and CF3O(C2F4O)pCF2— wherein an average value for (p+p′) is 0 to about 50. As synthesized, these compounds typically include a mixture of polymers. The divalent R1 group can include linear, branched, or cyclic structures, that may be saturated or unsaturated. The R1 group can contain one or more heteroatoms (e.g., oxygen, nitrogen, or sulfur) or functional groups (e.g., carbonyl, amido, or sulfonamido). It can also be substituted with halogen atoms, preferably, fluorine atoms, although this is less desirable, as this might lead to instability of the compound. Preferably, the divalent R1 group is a hydrocarbon group, preferably, a linear hydrocarbon group, optionally containing heteroatoms or functional groups, and more preferably, containing at least one functional group. Examples of R1 groups include —C(O)NH2(CH2)3—, —CH2O(CH2)3—, and —(CnH2n)—, wherein n is about 2 to about 6. A preferred R1 group is —C(O)NH2(CH2)3—.
- Compounds of Formula IV suitable for use in the present invention have a molecular weight (number average) of at least about 400, and preferably, at least about 1000. Typically, they are no greater than about 5000, but this is normally limited by availability, viscosity, and ease of cure, and preferably, no greater than about 3000, depending upon the viscosity and cure time characteristics desired.
- Examples of preferred fluorinated silanes include, but are not limited to, the following structures:
- XCF2O(CF2O)m(C2F4O)pCF2X, C3F7O(CF(CF3)CF2O)2CF(CF3)X, XCF(CF3)(OCF2CF(CF3))p′OCnF2nO(CF(CF3)CF2O)pCF(CF3)X, XCF2O(C2F4O)pCF2X, and CF3O(C2F4O)pCF2X, X(CF2)3O(C4F8O)p(CF2)3X, where —X is —R1—SiY3-xR2 x as defined above in Formula IV or a nonsilane-containing terminal group as defined above ((CnF2n+1)—, (X′CnF2nO)—, or (X′CnF2n+1O)— wherein X′ is H, Cl, or Br), with the provis that at least one X group per molecule is a silane. Preferably, in each silane R1 includes nitrogen. More preferably, at least one X group per molecule is C(O)NH(CH2)3Si(OR)3 (wherein R is methyl, ethyl, or mixtures thereof), and the other X group, if not a silane, is OCF3, or OC3F7. The values of m and p in these structures can vary, as long as the material has a number average molecular weight of at least about 400. Preferably, an average value of m is within a range of about 1 to about 50, and an average value of (p+p′) is within a range of about 4 to about 40. As these are polymeric materials, such compounds exist as mixtures upon synthesis, which are suitable for use. These mixtures may also contain perfluoropolyether chains bearing no functional groups (inert fluids) or more than two terminal groups (branched structures) as a consequence of the methods used in their synthesis. Typically, mixtures of polymeric materials containing less than about 10% by weight of nonfunctionalized polymers (e.g., those without silane groups, for to example) can be used. Furthermore, mixtures of any of the individually listed compounds of Formula IV can be used.
- The compounds of Formula IV can be synthesized using standard techniques. For example, commercially available or readily synthesized perfluoropolyether esters can be combined with a functionalized alkoxysilane, such as a 3-aminopropylalkoxysilane, as described in U.S. Pat. No. 3,810,874, column 7, line 41 to column 8, line 49.
- Suitable blends of perfluoropolyether silanes and phosphates are disclosed in U.S. Pat. No. 5,602,225 at column 1, line 34 to
column 3, line 53. Suitable perfluoropolyether phosphates are also described in EP Pat. No. 603,697. - The fluorinated phosph(on)ate material, or fluorinated phosph(on)ate/fluorinated silane blend may be applied in any one of several conventional ways, such as spin coating, spraying, dipping, or vapor deposition. An advantage of the fluorinated phosph(on)ates is their solubility (or dispersability) in hydrofluoroethers such as HFE 7100, as well as solubility in organic solvents such as isopropanol. This solubility allows uniform films of excess material to be applied by spray or spin coating from a solution. The substrate can then be heated to accelerate monolayer formation, and the excess can be rinsed or wiped away leaving a monolayer film.
- The solvent(s) used to apply the coating composition preferably include those that are substantially inert (i.e., substantially nonreactive with the fluorinated phosph(on)ate and fluorinated silane), aprotic, and capable of dispersing or dissolving (preferably, substantially completely dissolving) the fluorinated phosph(on)ate and fluorinated silane. Examples of appropriate solvents include, but are not limited to, fluorinated hydrocarbons, particularly fluorine-substituted alkanes, ethers, particularly alkyl perfluoroalkyl ethers, and hydrochlorofluoro alkanes and ethers. Mixtures of such solvents can be used.
- A particularly preferred class of solvents is hydrofluoroethers, including methyl perfluorobutyl ether and ethyl perfluorobutyl ether, which can be represented by the following general Formula V:
Rf—(O—Rh)x(I)
where x is an integer of 1 to 3; when x is 1, Rf is selected from the group consisting of linear or branched perfluoroalkyl groups having from 2 to about 15 carbon atoms, perfluorocycloalkyl-containing perfluoroalkyl groups having from 5 to about 15 carbon atoms, and perfluorocycloalkyl groups having from 3 to about 12 carbon atoms; when x is 2, Rf is selected from the group consisting of linear or branched perfluoroalkanediyl groups or perfluoroalkylidene groups having from 2 to about 15 carbon atoms, perfluorocycloalkyl- or perfluorocycloalkylene-containing perfluoroalkanediyl or perfluoroalkylidene groups having from 6 to about 15 carbon atoms, and perfluorocycloalkanediyl groups or perfluorocycloalkylidene groups having from 3 to about 12 carbon atoms; when x is 3, Rf is selected from the group consisting of linear or branched perfluoroalkanetriyl groups having from 2 to about 15 carbon atoms, perfluorocycloalkyl- or perfluorocycloalkylene-containing perfluoroalkanetriyl groups having from 6 to about 15 carbon atoms, and perfluorocycloalkanetriyl groups having from 3 to about 12 carbon atoms; each Rh is independently selected from the group consisting of linear or branched alkyl groups having from 1 to about 8 carbon atoms, cycloalkyl-containing alkyl groups having from 4 to about 8 carbon atoms, and cycloalkyl groups having from 3 to about 8 carbon atoms; wherein either or both of the groups Rf and Rh can contain (optionally contain) one or more catenary heteroatoms; and wherein the sum of the number of carbon atoms in Rf and the number of carbon atoms in Rh is greater than or equal to 4. The perfluorocycloalkyl and perfluorocycloalkylene groups contained within the perfluoroalkyl, perfluoroalkanediyl, perfluoroalkylidene and perfluoroalkanetriyl groups can optionally (and independently) be substituted with, e.g., one or more perfluoroalkyl groups having from 1 to about 4 carbon atoms. - Perfluoropolyether silane, prepared as described in U.S. Pat. No. 6,277,485, Example 2 and column 13, lines 44-58, and poly(hexafluoropropyleneoxide-co-difluoromethylene oxide) alcohol ethoxylated phosphate(“perfluoropolyether phosphate”), available from Aldrich as Catalog # 45,767-1, were diluted into a hydrofluoroether solvent available under the trade name NOVEC Engineered Fluid HFE-7100 from 3M Company (St. Paul, Minn.). The concentrations were approximately 0.075 wt % ECC-1000 and 0.025 wt % perfluoropolyether phosphate.
- A phototool comprising a glass substrate, pattern-coated with chromium oxide was cleaned by sonication in isopropyl alcohol, then 10 min exposure to air plasma using a Harrick (Ossining, N.Y.) PDC-3xG plasma cleaner/sterilizer. The phototool was then dip coated in the dilute solution. The dip coating withdrawal speed was 3.4 mm/sec using an automated dip coating apparatus. The phototool coating was cured at 120° C. for 30 min. (The dilute solution may, alternatively, be applied using a clean room wipe to wipe the solution onto the phototool. Once the solution has air dried, it can then be cured at 120° C. for 30 min.) After curing, the phototool was allowed to air cool overnight. The excess coating material was then wiped off with a knitted polyester cleanroom wipe available under the tradename SPEC-WIPE to form a uniform thin coating.
- The coated phototool was subjected to a number of tests as was an uncoated phototool, for comparison.
- The effectiveness of the coating treatment on ink repellency was tested by marking the surface with a permanent marker available under the tradename SHARPIE.
FIGS. 2 a and 2 b are photomicrographic images of uncoated and coated phototools, respectively, that have been marked. As can be seen, the ink does not bead on the untreated surface (the marks of the permanent marker are still evident), but the ink beads on the coated surface, indicating that the treated surface repels ink as a result of its lower surface energy due to the fluorinated coating. - The effectiveness of the treatment can also be shown by comparing contact angle measurements as shown in
FIG. 3 . Static drop contact angles were measured by a standard projection method with de-ionized (DI) water. As the data show, the glass and chrome oxide surfaces treated with perfluoropolyether phosphate and silane had larger contact angles indicating a lower surface energy than their untreated counterparts. - The durability of the coating was tested by conducting an ink rub test with an abrasion-resistance testing apparatus, described in U.S. Pat. No. 2,734,375, obtained from Sutherland Paper Company, Kalamazoo, Mich., with 2 lbs of weight on the glass and chrome oxide portions of the phototool using (1) a dry clean room wipe and (2) a clean room wipe loaded with isopropyl alcohol (solvent) and comparing the contact angle of the treated surface, at various stages of the test, to the contact angle of untreated chromium oxide (about 70) and glass (about 50). As shown by the data in
FIG. 4 , the perfluoroether phosphate/silane coating increased the durability of the surface in both the dry and alcohol rub tests, especially on the chrome oxide portion of the photomask. - Flexible circuits were made by conventional means, such as those described in U.S. Pat. Nos. 5,227,008, using a coated phototool of the present invention to pattern the conductive copper layer. For comparison, flexible circuits were made by the same method with an uncoated phototool. The initial yield improvement for 30-micron pitch circuits was determined by optical inspection for the number of repeating defects between the flexible circuits made with the coated and uncoated phototools. The results are shown in
FIG. 5 . As can be seen, the coated phototool produced far fewer repeat defects than the uncoated phototool in the greater than 1200 imaging steps made with each phototool. The phototools were cleaned and handled in the same manner and frequency. - The procedure disclosed in J. Fluorine Chem. 1999, 95, 51 was followed for the preparation of the phosphate compound of Formula III. Pyrophosphoric acid (25.5 g, 0.14 mole, Aldrich) was placed in a 250 ml round bottom flask equipped with an overhead stirrer, water condenser, and thermocouple. The acid was heated to 60° C. at which point it was a viscous liquid. To this liquid was added in several two ml portions, C3F7O[CF(CF3)CF2O]nCF(CF3)CONHC2H4OH, (MN=1220, 50 g, 0.041 mole, n=3-10). This addition was slightly exothermic. After the addition was completed, the reaction mixture was held at 60° C. for two hours. Isopropyl acetate (35 ml) was added and the resulting solution then stirred with 150 ml of 2% aqueous HCl for four hours. The lower fluorochemical-containing phase was then separated and dissolved in about 300 ml methyl t-butyl ether (MTBE) and the ether solution then washed twice with an equal volume of 2N HCl solution. The MTBE solution was separated, dried over magnesium sulfate, filtered, and the solvents removed by rotary evaporation. The infrared spectrum of the resulting product showed a strong carbonyl stretch at 1709 cm-1. Proton and phosphorus-31 NMR analysis showed that the product was about 75% the desired fluorinated phosph(on)ate and 25% unreacted starting amide alcohol.
- A portion of the fluorinated phosph(on)ate product was diluted to 0.25 wt % in HFE-7 100 (methyl perfluorobutyl ether) and shaken to obtain a clear solution. Quarter-wafer pieces of aluminum- and chromium-coated silicon wafers (100 mm diameter, obtained from WaferNet, San Jose, Calif.) were cleaned by 5 min. exposure in a home-built UV/ozone chamber, and immediately treated with the above solution. One aluminum piece was immersed in the solution for 1 hour at room temperature, then rinsed for 1 min. in HFE 7100 and allowed to dry in air. One aluminum and one chromium piece were treated by spin coating the solution (500 rpm/5 sec then 2000 rpm/ 15 sec), then the coated wafer was heated on a vacuum hotplate at 150° C. for 3 min., rinsed in HFE 7100, and allowed to dry in air.
- The wafers were subjected to measurement of water and hexadecane contact angles. Measurements were made using as-received reagent-grade hexadecane (Aldrich) and deionized water filtered through a filtration system obtained from Millipore Corporation (Billerica, Mass.), on a video contact angle analyzer available as product number VCA-2500XE from AST Products (Billerica, Mass.). Reported values are the averages of measurements on at least three drops measured on both sides, and are shown in Table 1. Drop volumes were 5 μL for static measurements and 1-3 μL for advancing and receding. For hexadecane, only advancing and receding contact angles are reported because static and advancing values were found to be nearly equal.
TABLE 1 Water and Hexadecane Contact Angles for Coatings of Formula III Composition on Metal-Coated Silicon Wafers Contact Angles (°) Substrate Applicationa Liquid Static Advancing Receding Aluminum 1 hr/ RT Water 120 124 115 ″ Hexadecane — 76 64 SC/H/R Water 117 126 112 ″ Hexadecane — 79 61 Chromium SC/H/R Water 135 143 112 ″ Hexadecane — 87 50
a1 hr/RT = 1 hr immersion at room temperature; SC/H/R = spin coat, heat 150° C./3 min, rinse.
- The above data show that the Formula III compound rendered the surfaces of both metals highly hydro- and oleophobic.
- To make the compound of Formula I, diethyl (4-aminobenzyl)phosphonate (10 g, 0.041 mole, Aldrich), triethylamine (4.15 g, 0.041 mole) and methyl t-butyl ether (100 ml) were combined in a 250 ml round bottom flask equipped with an overhead stirrer and water condenser under nitrogen. To this mixture was added, dropwise over about 1.5 hours, C3F7O[CF(CF3)CF2O]nCF(CF3)COF, (MW=1017, 41.8 g, 0.041 mole). Near the end of the addition the solution became nearly homogeneous. After stirring for 16 hours at ambient temperature, the solution was diluted with additional MTBE and washed with about 5% aqeuous sodium bicarbonate and then once with 2N HCl. After drying over magnesium sulfate the solvent was removed by rotary evaporation. The amide carbonyl was seen at 1721.5 cm-1 in the infrared spectrum of the resulting product.
- Without further purification, the phosphonate was dissolved in diethyl ether and bromotrimethylsilane (17.6 g, 0.115 mole, Aldrich) was added all at once. The solution was stirred for 24 hours at ambient temperature and an additional 10 g of the silane added. After several hours, anhydrous methanol was added to decompose the unreacted silane as well as the silyl ester. The solvent was removed from the resulting homogeneous solution and the residue treated two more times with anhydrous methanol in an analogous manner. The final methanol solution after reduction in volume by rotary evaporation was poured into water and the solid phosphonic acid filtered and air-dried. Analysis by proton, phosphorus-31, and carbon- 13 NMR confirmed the structure.
- To make the compound of Formula II, diethyl (α-aminobenzyl)phosphonate hydrochloride (10.5 g, 0.037 mole, Aldrich), triethylamine (7.58 g, 0.075 mole), and MTBE (100 ml) were combined in a 250 ml round bottom flask equipped with a magnetic stirrer and water condenser. C3F7O[CF(CF3)CF2O]nCF(CF3)COF, (MW=1017,35 g, 0.034 mole) was added in one portion and the resulting mixture stirred for 16 hours at ambient temperature. No remaining acid fluoride was observed by infrared analysis at the end of this reaction period. Water was added and the lower fluorochemical-containing phase separated and washed two more times with dilute HCl in order to remove any residual triethylamine salts as well as unreacted phosphonate starting material. The solvent was removed via rotary evaporation and then treated with bromotrimethylsilane (21 g, 0.14 mole). In this case a small amount of diethyl ether was added and the solution refluxed for six hours and then stirred for an additional 18 hours at ambient temperature.
- The workup of the composition followed that described above in Example 3. However, it was found that this procedure was insufficient to completely hydrolyze the diethyl phosphonate. The partially hydrolyzed mixture (20.2 g) was then treated with an additional 20 g bromotrimethysilane and heated to reflux (about 80° C.) for eighteen hours. The removal of the silyl ester by the addition of several portions of methanol proceeded as described in Example 3 although the final product was not precipitated from water. The infrared spectrum of the product showed a carbonyl peak at 1712 cm-1. The structure was confirmed by proton, fluorine-19, and carbon-13 NMR analysis.
- Samples of Formulae II and III compounds were diluted to 0.1 wt % in HFE 7100 and shaken to obtain clear solutions. Formula I compound could not be readily dissolved directly into HFE 7100, so it was first diluted to 5 wt % in isopropyl alcohol and shaken to dissolve the solid. This solution was filtered through a 0.45 μm filter cartridge to remove a small amount of undissolved material. The resulting clear solution (4.97 wt % solids by gravimetry) was diluted (1 g) with 49 g HFE-7100 to prepare a 0.1 wt % solution, which was clear and storage-stable with respect to formation of precipitate for at least several weeks at room temperature.
- Three quarter-wafer pieces each of aluminum- and chromium-coated silicon wafers (100 mm diameter, obtained from WaferNet, San Jose, Calif.) were cleaned by 5 min. exposure in a home-built UV/ozone chamber, and immediately treated with the above solutions by spin coating. This was done by applying 2 ml coating solution by pipette to the wafer while it was spinning at 2000 rpm. The wafers were then heated on a vacuum hotplate at 150° C. for 3 min., allowed to cool, then rinsed for 1 min in HFE-7100 and allowed to dry in air. Water contact angles were measured using the procedures and apparatus described in Example 2. Results appear in Table 2.
TABLE 2 Water Contact Angles for Coatings of Formulae I, II, and III Compounds on Metal-Coated Silicon Wafers Compound Substrate Static CA (°) Adv CA (°) Rec CA (°) Formula I Aluminum 120 123 114 Chromium 133 140 110 Formula II Aluminum 122 125 105 Chromium 130 140 113 Formula III Aluminum 122 126 117 Chromium 132 139 111 - Samples of Formulae I and II phosphonic acids were diluted to 0.2 wt % in isopropyl alcohol and shaken to obtain clear solutions. Four quarter-wafer pieces of aluminum-coated silicon wafer (100 mm diameter, obtained from WaferNet, San Jose, Calif.) were cleaned by 5 min exposure in a home-built UV/ozone chamber, and immediately treated with the above solutions. Two pieces were treated with each solution, one by 1 hour immersion at room temperature followed by 1 min. rinse in isopropyl alcohol, the other by spin coating (500 rpm/5 sec. then 2000 rpm/15 sec.) followed by heating 3 min. at 150° C. on a vacuum hotplate, then rinsing 1 min. in isopropyl alcohol. The coated wafer pieces were blown dry under nitrogen, then subjected to measurement of water contact angles using the procedures and apparatus described in Example 2. Results appear in Table 3.
TABLE 3 Water Contact Angles for Coatings of Formula I and II Compounds on Aluminum-Coated Silicon Wafers Compound Applicationa Static CA (°) Adv CA (°) Rec CA (°) Formula I 1 hr/RT 115 124 92 SC/H/R 111 123 92 Formula II 1 hr/RT 103 112 57 SC/H/R 99 114 65
a1 hr/RT = 1 hr immersion at room temperature; SC/H/R = spin coat, heat 150° C./3 min, rinse.
- Comparison of these data with results from Example 2 shows that coatings with higher contact angles were obtained using HFE 7100 as the solvent.
- Although the present invention has been described with reference to specific figures and embodiments, workers skilled in the art will recognize that changes may be made in form and detail without departing from the spirit and scope of the invention.
Claims (15)
1. A method of patterning a device using a phototool comprising:
(a) applying a layer comprising a fluorinated phosph(on)ate material to a first surface of the phototool;
(b) placing the coated first surface of the phototool against the device such that the layer of fluorinated phosph(on)ate is in contact with the device; and
(c) applying radiation to a second surface of the phototool for affecting a pattern in the device.
3. The method of claim 1 wherein the fluorinated phosph(on)ate is poly(hexafluoropropyleneoxide-co-difluoromethylene oxide) alcohol ethoxylated phosphate.
4. The method of claim 1 wherein the thickness of the layer of the fluorinated phosph(on)ate material is less than or equal to about 6 nm.
5. The method of claim 1 wherein the fluorinated phosph(on)ate is applied using a dilute solution in hydrofluoroether solvent.
6. The method of claim 5 wherein the dilute solution further comprises a perfluoropolyether silane.
7. The method of claim 1 wherein the fluorinated phosph(on)ate comprises a phosphate group.
8. The method of claim 1 wherein the fluorinated phosph(on)ate comprises a phosphonate ester, salt, or acid group.
9. The method of claim 1 wherein the fluorinated phosph(on)ate comprises a monophosphate ester.
10. The method of claim 1 wherein the fluorinated phosph(on)ate comprises a phosphonic acid.
11. A method of creating patterns in a patternable material comprising
(a) applying a layer of a fluorinated phosph(on) ate material to a first surface of a phototool;
(b) applying photoresist to a surface of the patternable material;
(c) placing the first surface of the phototool in contact with the photoresist;
(d) applying radiation to the phototool to form a pattern in the photoresist;
(e) removing a portion of the photoresist to expose a portion of the patternable material surface; and
(f) modifying the exposed surface of the patternable material where the photoresist was removed.
12. The method of claim 11 wherein (f) comprises removing material from the exposed surface.
13. The method of claim 11 wherein (f) comprises adding material to the exposed surface.
14. The method of claim 11 wherein the patternable layer is a dielectric layer.
15. The method of claim 11 wherein the patternable layer is a metal layer.
Priority Applications (1)
| Application Number | Priority Date | Filing Date | Title |
|---|---|---|---|
| US11/671,366 US20070128557A1 (en) | 2003-08-21 | 2007-02-05 | Phototool coating |
Applications Claiming Priority (2)
| Application Number | Priority Date | Filing Date | Title |
|---|---|---|---|
| US10/645,020 US7189479B2 (en) | 2003-08-21 | 2003-08-21 | Phototool coating |
| US11/671,366 US20070128557A1 (en) | 2003-08-21 | 2007-02-05 | Phototool coating |
Related Parent Applications (1)
| Application Number | Title | Priority Date | Filing Date |
|---|---|---|---|
| US10/645,020 Division US7189479B2 (en) | 2003-08-21 | 2003-08-21 | Phototool coating |
Publications (1)
| Publication Number | Publication Date |
|---|---|
| US20070128557A1 true US20070128557A1 (en) | 2007-06-07 |
Family
ID=34194211
Family Applications (2)
| Application Number | Title | Priority Date | Filing Date |
|---|---|---|---|
| US10/645,020 Expired - Fee Related US7189479B2 (en) | 2003-08-21 | 2003-08-21 | Phototool coating |
| US11/671,366 Abandoned US20070128557A1 (en) | 2003-08-21 | 2007-02-05 | Phototool coating |
Family Applications Before (1)
| Application Number | Title | Priority Date | Filing Date |
|---|---|---|---|
| US10/645,020 Expired - Fee Related US7189479B2 (en) | 2003-08-21 | 2003-08-21 | Phototool coating |
Country Status (6)
| Country | Link |
|---|---|
| US (2) | US7189479B2 (en) |
| EP (1) | EP1656588A2 (en) |
| JP (1) | JP2007503016A (en) |
| KR (1) | KR20060080182A (en) |
| CN (1) | CN1839351A (en) |
| WO (1) | WO2005024520A2 (en) |
Cited By (8)
| Publication number | Priority date | Publication date | Assignee | Title |
|---|---|---|---|---|
| US20100285227A1 (en) * | 2007-12-31 | 2010-11-11 | Yapel Robert A | Method for applying a coatable material |
| US20110008733A1 (en) * | 2008-03-11 | 2011-01-13 | 3M Innovative Properties Company | Phototools having a protective layer |
| US20110027493A1 (en) * | 2008-03-26 | 2011-02-03 | Yapel Robert A | Methods of slide coating fluids containing multi unit polymeric precursors |
| US20110059249A1 (en) * | 2008-03-26 | 2011-03-10 | 3M Innovative Properties Company | Methods of slide coating two or more fluids |
| US8420281B2 (en) | 2009-09-16 | 2013-04-16 | 3M Innovative Properties Company | Epoxy-functionalized perfluoropolyether polyurethanes |
| US8748060B2 (en) | 2009-09-16 | 2014-06-10 | 3M Innovative Properties Company | Fluorinated coating and phototools made therewith |
| US9051423B2 (en) | 2009-09-16 | 2015-06-09 | 3M Innovative Properties Company | Fluorinated coating and phototools made therewith |
| US9096712B2 (en) | 2009-07-21 | 2015-08-04 | 3M Innovative Properties Company | Curable compositions, method of coating a phototool, and coated phototool |
Families Citing this family (22)
| Publication number | Priority date | Publication date | Assignee | Title |
|---|---|---|---|---|
| KR20060080920A (en) * | 2003-08-21 | 2006-07-11 | 쓰리엠 이노베이티브 프로퍼티즈 컴파니 | Perfluoropolyether amide-bonded phosphonates, phosphates, and derivatives thereof |
| EP1759245B1 (en) * | 2004-05-28 | 2008-11-05 | Obducat AB | Modified metal mold for use in imprinting processes |
| WO2007112312A2 (en) * | 2006-03-24 | 2007-10-04 | 3M Innovative Properties Company | Medicinal formulation container with a treated metal surface |
| US8337959B2 (en) * | 2006-11-28 | 2012-12-25 | Nanonex Corporation | Method and apparatus to apply surface release coating for imprint mold |
| US20090114618A1 (en) * | 2007-06-21 | 2009-05-07 | 3M Innovative Properties Company | Method of making hierarchical articles |
| US20090041986A1 (en) * | 2007-06-21 | 2009-02-12 | 3M Innovative Properties Company | Method of making hierarchical articles |
| US20080315459A1 (en) * | 2007-06-21 | 2008-12-25 | 3M Innovative Properties Company | Articles and methods for replication of microstructures and nanofeatures |
| BRPI0910075A2 (en) * | 2008-03-26 | 2015-12-29 | 3M Innovative Properties Co | Methods for applying two or more fluids as a slip coat |
| MX2011006673A (en) * | 2008-12-18 | 2011-07-20 | 3M Innovative Properties Co | Method of contacting hydrocarbon-bearing formations with fluorinated phosphate and phosphonate compositions. |
| JP5617239B2 (en) * | 2009-12-25 | 2014-11-05 | 富士通株式会社 | Member for forming resist pattern with protective film, method for producing the same, and method for producing resist pattern |
| US8747092B2 (en) | 2010-01-22 | 2014-06-10 | Nanonex Corporation | Fast nanoimprinting apparatus using deformale mold |
| WO2014145826A2 (en) | 2013-03-15 | 2014-09-18 | Nanonex Corporation | System and methods of mold/substrate separation for imprint lithography |
| WO2014145360A1 (en) | 2013-03-15 | 2014-09-18 | Nanonex Corporation | Imprint lithography system and method for manufacturing |
| US20160289458A1 (en) * | 2015-04-03 | 2016-10-06 | Moxtek, Inc. | Hydrophobic Phosphonate and Silane Chemistry |
| US10054717B2 (en) * | 2015-04-03 | 2018-08-21 | Moxtek, Inc. | Oxidation and moisture barrier layers for wire grid polarizer |
| US20160291227A1 (en) | 2015-04-03 | 2016-10-06 | Moxtek, Inc. | Wire Grid Polarizer with Water-Soluble Materials |
| US10534120B2 (en) | 2015-04-03 | 2020-01-14 | Moxtek, Inc. | Wire grid polarizer with protected wires |
| KR102089835B1 (en) * | 2016-01-27 | 2020-03-16 | 주식회사 엘지화학 | Film mask, preparing method thereof and pattern forming method using the same |
| US11029596B2 (en) | 2016-01-27 | 2021-06-08 | Lg Chem, Ltd. | Film mask, method for manufacturing same, and method for forming pattern using film mask and pattern formed thereby |
| CN108351604B (en) | 2016-01-27 | 2020-10-30 | 株式会社Lg化学 | Film mask, method for manufacturing the same, pattern forming method using the film mask, and pattern formed by the film mask |
| CN114326304B (en) * | 2021-12-30 | 2024-08-20 | 苏州瑞红电子化学品有限公司 | Etching-resistant positive photoresist |
| JP7365086B1 (en) * | 2023-04-04 | 2023-10-19 | 株式会社ハーベス | Perfluoropolyether group-containing phosphonate compound, surface treatment agent, and article treated with the surface treatment agent |
Citations (21)
| Publication number | Priority date | Publication date | Assignee | Title |
|---|---|---|---|---|
| US3306855A (en) * | 1966-03-24 | 1967-02-28 | Du Pont | Corrosion and rust inhibited poly (hexafluoropropylene oxide) oil compositions |
| US3492374A (en) * | 1963-06-14 | 1970-01-27 | Du Pont | Polyfluoropolyoxa-alkyl phosphates |
| US3810874A (en) * | 1969-03-10 | 1974-05-14 | Minnesota Mining & Mfg | Polymers prepared from poly(perfluoro-alkylene oxide) compounds |
| US4514489A (en) * | 1983-09-01 | 1985-04-30 | Motorola, Inc. | Photolithography process |
| US4735890A (en) * | 1982-09-16 | 1988-04-05 | Tokyo Ohka Kogyo Kabushiki Kaisha | Photomasks for photolithographic fine patterning |
| US5032279A (en) * | 1989-09-21 | 1991-07-16 | Occidental Chemical Corporation | Separation of fluids using polyimidesiloxane membrane |
| US5132446A (en) * | 1988-04-19 | 1992-07-21 | Daikin Industries, Ltd. | Fluorine-containing phosphate ester, its preparation and its use for preventing rust |
| US5256318A (en) * | 1990-04-07 | 1993-10-26 | Daikin Industries Ltd. | Leather treatment and process for treating leather |
| US5286567A (en) * | 1991-07-23 | 1994-02-15 | Shin-Etsu Chemical Co., Ltd. | Pellicle for photolithographic mask |
| US5356736A (en) * | 1989-03-31 | 1994-10-18 | Hitachi Maxell, Ltd. | Organic electrolyte solution type cell |
| US5550277A (en) * | 1995-01-19 | 1996-08-27 | Paciorek; Kazimiera J. L. | Perfluoroalkyl and perfluoroalkylether substituted aromatic phosphates, phosphonates and related compositions |
| US5602225A (en) * | 1994-10-13 | 1997-02-11 | Ausimont S.P.A. | Process for imparting oil- and water-repellency to textile fibres, skin, leather and the like |
| US5851674A (en) * | 1997-07-30 | 1998-12-22 | Minnesota Mining And Manufacturing Company | Antisoiling coatings for antireflective surfaces and methods of preparation |
| US6177357B1 (en) * | 1999-04-30 | 2001-01-23 | 3M Innovative Properties Company | Method for making flexible circuits |
| US6184187B1 (en) * | 1998-04-07 | 2001-02-06 | E. I. Dupont De Nemours And Company | Phosphorus compounds and their use as corrosion inhibitors for perfluoropolyethers |
| US6277485B1 (en) * | 1998-01-27 | 2001-08-21 | 3M Innovative Properties Company | Antisoiling coatings for antireflective surfaces and methods of preparation |
| US6300042B1 (en) * | 1998-11-24 | 2001-10-09 | Motorola, Inc. | Lithographic printing method using a low surface energy layer |
| US6376065B1 (en) * | 1998-01-27 | 2002-04-23 | 3M Innovative Properties Company | Fluorochemical benzotriazoles |
| US6387787B1 (en) * | 2001-03-02 | 2002-05-14 | Motorola, Inc. | Lithographic template and method of formation and use |
| US6762013B2 (en) * | 2002-10-04 | 2004-07-13 | Eastman Kodak Company | Thermally developable materials containing fluorochemical conductive layers |
| US6824882B2 (en) * | 2002-05-31 | 2004-11-30 | 3M Innovative Properties Company | Fluorinated phosphonic acids |
Family Cites Families (6)
| Publication number | Priority date | Publication date | Assignee | Title |
|---|---|---|---|---|
| JPH071390B2 (en) | 1985-08-19 | 1995-01-11 | 富士写真フイルム株式会社 | How to store multiple photosensitive lithographic printing plates |
| JPH0473652A (en) | 1990-07-13 | 1992-03-09 | Sumitomo Metal Mining Co Ltd | Exposure method |
| JP3009010B2 (en) | 1992-05-08 | 2000-02-14 | 東洋紡績株式会社 | Photosensitive resin laminate |
| IT1256721B (en) | 1992-12-16 | 1995-12-15 | Ausimont Spa | PROCESS FOR IMPROVING OIL AND HYDRO-REPELLENCE TO THE SURFACE OF POROUS CERAMIC MATERIALS |
| JPH1180594A (en) | 1997-08-29 | 1999-03-26 | Toagosei Co Ltd | Resin composition for coating and photomask coated therewith |
| KR20060080920A (en) * | 2003-08-21 | 2006-07-11 | 쓰리엠 이노베이티브 프로퍼티즈 컴파니 | Perfluoropolyether amide-bonded phosphonates, phosphates, and derivatives thereof |
-
2003
- 2003-08-21 US US10/645,020 patent/US7189479B2/en not_active Expired - Fee Related
-
2004
- 2004-06-30 WO PCT/US2004/021017 patent/WO2005024520A2/en not_active Ceased
- 2004-06-30 KR KR1020067003411A patent/KR20060080182A/en not_active Withdrawn
- 2004-06-30 CN CNA2004800239943A patent/CN1839351A/en active Pending
- 2004-06-30 EP EP04756433A patent/EP1656588A2/en not_active Withdrawn
- 2004-06-30 JP JP2006523840A patent/JP2007503016A/en not_active Withdrawn
-
2007
- 2007-02-05 US US11/671,366 patent/US20070128557A1/en not_active Abandoned
Patent Citations (21)
| Publication number | Priority date | Publication date | Assignee | Title |
|---|---|---|---|---|
| US3492374A (en) * | 1963-06-14 | 1970-01-27 | Du Pont | Polyfluoropolyoxa-alkyl phosphates |
| US3306855A (en) * | 1966-03-24 | 1967-02-28 | Du Pont | Corrosion and rust inhibited poly (hexafluoropropylene oxide) oil compositions |
| US3810874A (en) * | 1969-03-10 | 1974-05-14 | Minnesota Mining & Mfg | Polymers prepared from poly(perfluoro-alkylene oxide) compounds |
| US4735890A (en) * | 1982-09-16 | 1988-04-05 | Tokyo Ohka Kogyo Kabushiki Kaisha | Photomasks for photolithographic fine patterning |
| US4514489A (en) * | 1983-09-01 | 1985-04-30 | Motorola, Inc. | Photolithography process |
| US5132446A (en) * | 1988-04-19 | 1992-07-21 | Daikin Industries, Ltd. | Fluorine-containing phosphate ester, its preparation and its use for preventing rust |
| US5356736A (en) * | 1989-03-31 | 1994-10-18 | Hitachi Maxell, Ltd. | Organic electrolyte solution type cell |
| US5032279A (en) * | 1989-09-21 | 1991-07-16 | Occidental Chemical Corporation | Separation of fluids using polyimidesiloxane membrane |
| US5256318A (en) * | 1990-04-07 | 1993-10-26 | Daikin Industries Ltd. | Leather treatment and process for treating leather |
| US5286567A (en) * | 1991-07-23 | 1994-02-15 | Shin-Etsu Chemical Co., Ltd. | Pellicle for photolithographic mask |
| US5602225A (en) * | 1994-10-13 | 1997-02-11 | Ausimont S.P.A. | Process for imparting oil- and water-repellency to textile fibres, skin, leather and the like |
| US5550277A (en) * | 1995-01-19 | 1996-08-27 | Paciorek; Kazimiera J. L. | Perfluoroalkyl and perfluoroalkylether substituted aromatic phosphates, phosphonates and related compositions |
| US5851674A (en) * | 1997-07-30 | 1998-12-22 | Minnesota Mining And Manufacturing Company | Antisoiling coatings for antireflective surfaces and methods of preparation |
| US6277485B1 (en) * | 1998-01-27 | 2001-08-21 | 3M Innovative Properties Company | Antisoiling coatings for antireflective surfaces and methods of preparation |
| US6376065B1 (en) * | 1998-01-27 | 2002-04-23 | 3M Innovative Properties Company | Fluorochemical benzotriazoles |
| US6184187B1 (en) * | 1998-04-07 | 2001-02-06 | E. I. Dupont De Nemours And Company | Phosphorus compounds and their use as corrosion inhibitors for perfluoropolyethers |
| US6300042B1 (en) * | 1998-11-24 | 2001-10-09 | Motorola, Inc. | Lithographic printing method using a low surface energy layer |
| US6177357B1 (en) * | 1999-04-30 | 2001-01-23 | 3M Innovative Properties Company | Method for making flexible circuits |
| US6387787B1 (en) * | 2001-03-02 | 2002-05-14 | Motorola, Inc. | Lithographic template and method of formation and use |
| US6824882B2 (en) * | 2002-05-31 | 2004-11-30 | 3M Innovative Properties Company | Fluorinated phosphonic acids |
| US6762013B2 (en) * | 2002-10-04 | 2004-07-13 | Eastman Kodak Company | Thermally developable materials containing fluorochemical conductive layers |
Cited By (11)
| Publication number | Priority date | Publication date | Assignee | Title |
|---|---|---|---|---|
| US20100285227A1 (en) * | 2007-12-31 | 2010-11-11 | Yapel Robert A | Method for applying a coatable material |
| US20110008733A1 (en) * | 2008-03-11 | 2011-01-13 | 3M Innovative Properties Company | Phototools having a protective layer |
| US20110027702A1 (en) * | 2008-03-11 | 2011-02-03 | 3M Innovative Properties Company | Hardcoat composition |
| US8563221B2 (en) | 2008-03-11 | 2013-10-22 | 3M Innovative Properties Company | Phototools having a protective layer |
| US8663874B2 (en) | 2008-03-11 | 2014-03-04 | 3M Innovative Properties Company | Hardcoat composition |
| US20110027493A1 (en) * | 2008-03-26 | 2011-02-03 | Yapel Robert A | Methods of slide coating fluids containing multi unit polymeric precursors |
| US20110059249A1 (en) * | 2008-03-26 | 2011-03-10 | 3M Innovative Properties Company | Methods of slide coating two or more fluids |
| US9096712B2 (en) | 2009-07-21 | 2015-08-04 | 3M Innovative Properties Company | Curable compositions, method of coating a phototool, and coated phototool |
| US8420281B2 (en) | 2009-09-16 | 2013-04-16 | 3M Innovative Properties Company | Epoxy-functionalized perfluoropolyether polyurethanes |
| US8748060B2 (en) | 2009-09-16 | 2014-06-10 | 3M Innovative Properties Company | Fluorinated coating and phototools made therewith |
| US9051423B2 (en) | 2009-09-16 | 2015-06-09 | 3M Innovative Properties Company | Fluorinated coating and phototools made therewith |
Also Published As
| Publication number | Publication date |
|---|---|
| WO2005024520A3 (en) | 2005-09-09 |
| US20050042553A1 (en) | 2005-02-24 |
| JP2007503016A (en) | 2007-02-15 |
| CN1839351A (en) | 2006-09-27 |
| KR20060080182A (en) | 2006-07-07 |
| WO2005024520A2 (en) | 2005-03-17 |
| EP1656588A2 (en) | 2006-05-17 |
| US7189479B2 (en) | 2007-03-13 |
Similar Documents
| Publication | Publication Date | Title |
|---|---|---|
| US7189479B2 (en) | Phototool coating | |
| US7678426B2 (en) | Perfluoropolyether amide-linked phosphonates, phosphates, and derivatives thereof | |
| JP6469006B2 (en) | Photocurable composition | |
| US7910290B2 (en) | Photoresist topcoat for a photolithographic process | |
| US9073102B2 (en) | Method for cleansing nanoimprinting molds | |
| JP4154595B2 (en) | Imprint mold and method for manufacturing the same | |
| US7923110B2 (en) | Metal nanoparticle having a self-assembled monolayer on its surface, and formation of conductive pattern using the same | |
| JP6192664B2 (en) | Photocurable composition | |
| CN101809064B (en) | Polyamide resin, photosensitive resin composition, method for forming cured relief pattern, and semiconductor device | |
| JP2002283354A (en) | Imprint processing mold and method of manufacturing the same | |
| KR20030013330A (en) | Organosiloxane polymer, photo-curable resin composition, patterning process, and substrate-protecting coat | |
| CN104246610A (en) | Photocurable composition | |
| US8034532B2 (en) | High contact angle topcoat material and use thereof in lithography process | |
| US20130292877A1 (en) | Nanoimprinting method | |
| US7053030B2 (en) | Silicone hyper-branched polymer surfactant, method of preparing the same and method of rinsing using a rinsing solution comprising the same | |
| KR101413076B1 (en) | Positive photosensitive resin composition, photosensitive resin film prepared by using the same, and semiconductor device including the photosensitive resin film | |
| KR102795111B1 (en) | Resist topcoat composition, and method of forming patterns using the composition | |
| KR20130090756A (en) | Method for producing positive photosensitive resin composition, positive photosensitive resin composition, and filter | |
| WO2007011567A1 (en) | Coating agent and metal mask | |
| CN112415852B (en) | Positive photosensitive resin composition | |
| US20260003274A1 (en) | Photosensitive resin composition, cured substance, laminate, manufacturing method for cured substance, manufacturing method for laminate, manufacturing method for semiconductor device, and semiconductor device | |
| JP2022123159A (en) | Polymer, composition, treated substrate, method for producing treated substrate, and method for producing member | |
| JPH06152109A (en) | Printed board and maufacture thereof | |
| CN121002114A (en) | Resin compositions, patterning methods, methods for manufacturing electronic devices, and polymers | |
| TW202544061A (en) | Resin composition, cured material, laminate, method for manufacturing cured material, method for manufacturing laminate, method for manufacturing semiconductor device, and semiconductor device. |
Legal Events
| Date | Code | Title | Description |
|---|---|---|---|
| STCB | Information on status: application discontinuation |
Free format text: ABANDONED -- FAILURE TO PAY ISSUE FEE |
|
| STCB | Information on status: application discontinuation |
Free format text: ABANDONED -- FAILURE TO PAY ISSUE FEE |

