US20070032853A1 - 40-O-(2-hydroxy)ethyl-rapamycin coated stent - Google Patents
40-O-(2-hydroxy)ethyl-rapamycin coated stent Download PDFInfo
- Publication number
- US20070032853A1 US20070032853A1 US10/108,004 US10800402A US2007032853A1 US 20070032853 A1 US20070032853 A1 US 20070032853A1 US 10800402 A US10800402 A US 10800402A US 2007032853 A1 US2007032853 A1 US 2007032853A1
- Authority
- US
- United States
- Prior art keywords
- stent
- hydroxy
- rapamycin
- ethyl
- coating
- Prior art date
- Legal status (The legal status is an assumption and is not a legal conclusion. Google has not performed a legal analysis and makes no representation as to the accuracy of the status listed.)
- Abandoned
Links
- 229960002930 sirolimus Drugs 0.000 title claims description 195
- 238000000576 coating method Methods 0.000 claims abstract description 239
- 239000011248 coating agent Substances 0.000 claims abstract description 178
- 238000000034 method Methods 0.000 claims abstract description 118
- 229920000642 polymer Polymers 0.000 claims description 180
- 230000004888 barrier function Effects 0.000 claims description 123
- 229940079593 drug Drugs 0.000 claims description 117
- 239000003814 drug Substances 0.000 claims description 117
- 239000000126 substance Substances 0.000 claims description 26
- 230000001225 therapeutic effect Effects 0.000 claims description 17
- 229920000219 Ethylene vinyl alcohol Polymers 0.000 claims description 13
- 210000004204 blood vessel Anatomy 0.000 claims description 11
- 238000002513 implantation Methods 0.000 claims description 10
- 238000001727 in vivo Methods 0.000 claims description 10
- 208000037803 restenosis Diseases 0.000 claims description 9
- 230000001954 sterilising effect Effects 0.000 claims description 8
- 238000002844 melting Methods 0.000 claims description 6
- 230000008018 melting Effects 0.000 claims description 6
- 230000002792 vascular Effects 0.000 claims description 6
- 230000009477 glass transition Effects 0.000 claims description 5
- 239000000654 additive Substances 0.000 claims description 4
- 230000008859 change Effects 0.000 claims description 4
- 238000012986 modification Methods 0.000 claims description 4
- 230000004048 modification Effects 0.000 claims description 4
- 230000000996 additive effect Effects 0.000 claims description 3
- 238000011161 development Methods 0.000 claims description 3
- 238000012377 drug delivery Methods 0.000 claims description 3
- 125000001301 ethoxy group Chemical group [H]C([H])([H])C([H])([H])O* 0.000 claims description 2
- 230000002401 inhibitory effect Effects 0.000 claims description 2
- 230000009467 reduction Effects 0.000 claims description 2
- 239000013543 active substance Substances 0.000 abstract description 27
- 239000010410 layer Substances 0.000 description 201
- 239000000243 solution Substances 0.000 description 124
- 239000000203 mixture Substances 0.000 description 115
- 239000002904 solvent Substances 0.000 description 113
- FXHOOIRPVKKKFG-UHFFFAOYSA-N N,N-Dimethylacetamide Chemical compound CN(C)C(C)=O FXHOOIRPVKKKFG-UHFFFAOYSA-N 0.000 description 89
- 238000005507 spraying Methods 0.000 description 88
- 229940113088 dimethylacetamide Drugs 0.000 description 86
- LFQSCWFLJHTTHZ-UHFFFAOYSA-N Ethanol Chemical compound CCO LFQSCWFLJHTTHZ-UHFFFAOYSA-N 0.000 description 82
- OFBQJSOFQDEBGM-UHFFFAOYSA-N Pentane Chemical compound CCCCC OFBQJSOFQDEBGM-UHFFFAOYSA-N 0.000 description 58
- 239000002987 primer (paints) Substances 0.000 description 44
- 230000008569 process Effects 0.000 description 29
- 238000004128 high performance liquid chromatography Methods 0.000 description 28
- -1 poly(hydroxyvalerate) Polymers 0.000 description 27
- 229920001577 copolymer Polymers 0.000 description 20
- 229920001490 poly(butyl methacrylate) polymer Polymers 0.000 description 20
- 239000004480 active ingredient Substances 0.000 description 19
- WEVYAHXRMPXWCK-UHFFFAOYSA-N Acetonitrile Chemical compound CC#N WEVYAHXRMPXWCK-UHFFFAOYSA-N 0.000 description 18
- ZMXDDKWLCZADIW-UHFFFAOYSA-N N,N-Dimethylformamide Chemical compound CN(C)C=O ZMXDDKWLCZADIW-UHFFFAOYSA-N 0.000 description 18
- 239000007921 spray Substances 0.000 description 18
- 239000012530 fluid Substances 0.000 description 17
- 238000009736 wetting Methods 0.000 description 16
- RJURFGZVJUQBHK-UHFFFAOYSA-N actinomycin D Natural products CC1OC(=O)C(C(C)C)N(C)C(=O)CN(C)C(=O)C2CCCN2C(=O)C(C(C)C)NC(=O)C1NC(=O)C1=C(N)C(=O)C(C)=C2OC(C(C)=CC=C3C(=O)NC4C(=O)NC(C(N5CCCC5C(=O)N(C)CC(=O)N(C)C(C(C)C)C(=O)OC4C)=O)C(C)C)=C3N=C21 RJURFGZVJUQBHK-UHFFFAOYSA-N 0.000 description 15
- SOGAXMICEFXMKE-UHFFFAOYSA-N Butylmethacrylate Chemical compound CCCCOC(=O)C(C)=C SOGAXMICEFXMKE-UHFFFAOYSA-N 0.000 description 14
- 230000001186 cumulative effect Effects 0.000 description 14
- 238000010438 heat treatment Methods 0.000 description 14
- 239000011159 matrix material Substances 0.000 description 13
- OKKJLVBELUTLKV-UHFFFAOYSA-N Methanol Chemical compound OC OKKJLVBELUTLKV-UHFFFAOYSA-N 0.000 description 12
- 229920003171 Poly (ethylene oxide) Polymers 0.000 description 12
- 239000002202 Polyethylene glycol Substances 0.000 description 12
- WYURNTSHIVDZCO-UHFFFAOYSA-N Tetrahydrofuran Chemical compound C1CCOC1 WYURNTSHIVDZCO-UHFFFAOYSA-N 0.000 description 12
- 230000004907 flux Effects 0.000 description 12
- 238000010171 animal model Methods 0.000 description 11
- 230000007423 decrease Effects 0.000 description 11
- 238000009792 diffusion process Methods 0.000 description 11
- 239000000758 substrate Substances 0.000 description 11
- CSCPPACGZOOCGX-UHFFFAOYSA-N Acetone Chemical compound CC(C)=O CSCPPACGZOOCGX-UHFFFAOYSA-N 0.000 description 10
- 239000008199 coating composition Substances 0.000 description 10
- 238000011282 treatment Methods 0.000 description 10
- 239000005977 Ethylene Substances 0.000 description 9
- KFZMGEQAYNKOFK-UHFFFAOYSA-N Isopropanol Chemical compound CC(C)O KFZMGEQAYNKOFK-UHFFFAOYSA-N 0.000 description 9
- YXFVVABEGXRONW-UHFFFAOYSA-N Toluene Chemical compound CC1=CC=CC=C1 YXFVVABEGXRONW-UHFFFAOYSA-N 0.000 description 9
- 230000000694 effects Effects 0.000 description 9
- 239000000463 material Substances 0.000 description 9
- IAZDPXIOMUYVGZ-UHFFFAOYSA-N Dimethylsulphoxide Chemical compound CS(C)=O IAZDPXIOMUYVGZ-UHFFFAOYSA-N 0.000 description 8
- VGGSQFUCUMXWEO-UHFFFAOYSA-N Ethene Chemical compound C=C VGGSQFUCUMXWEO-UHFFFAOYSA-N 0.000 description 8
- HTTJABKRGRZYRN-UHFFFAOYSA-N Heparin Chemical compound OC1C(NC(=O)C)C(O)OC(COS(O)(=O)=O)C1OC1C(OS(O)(=O)=O)C(O)C(OC2C(C(OS(O)(=O)=O)C(OC3C(C(O)C(O)C(O3)C(O)=O)OS(O)(=O)=O)C(CO)O2)NS(O)(=O)=O)C(C(O)=O)O1 HTTJABKRGRZYRN-UHFFFAOYSA-N 0.000 description 8
- RJURFGZVJUQBHK-IIXSONLDSA-N actinomycin D Chemical group C[C@H]1OC(=O)[C@H](C(C)C)N(C)C(=O)CN(C)C(=O)[C@@H]2CCCN2C(=O)[C@@H](C(C)C)NC(=O)[C@H]1NC(=O)C1=C(N)C(=O)C(C)=C2OC(C(C)=CC=C3C(=O)N[C@@H]4C(=O)N[C@@H](C(N5CCC[C@H]5C(=O)N(C)CC(=O)N(C)[C@@H](C(C)C)C(=O)O[C@@H]4C)=O)C(C)C)=C3N=C21 RJURFGZVJUQBHK-IIXSONLDSA-N 0.000 description 8
- 210000001367 artery Anatomy 0.000 description 8
- 239000003795 chemical substances by application Substances 0.000 description 8
- 229910052737 gold Inorganic materials 0.000 description 7
- 239000010931 gold Substances 0.000 description 7
- 229920000669 heparin Polymers 0.000 description 7
- 230000005855 radiation Effects 0.000 description 7
- IJGRMHOSHXDMSA-UHFFFAOYSA-N Atomic nitrogen Chemical compound N#N IJGRMHOSHXDMSA-UHFFFAOYSA-N 0.000 description 6
- 108010092160 Dactinomycin Proteins 0.000 description 6
- IAYPIBMASNFSPL-UHFFFAOYSA-N Ethylene oxide Chemical compound C1CO1 IAYPIBMASNFSPL-UHFFFAOYSA-N 0.000 description 6
- PXHVJJICTQNCMI-UHFFFAOYSA-N Nickel Chemical compound [Ni] PXHVJJICTQNCMI-UHFFFAOYSA-N 0.000 description 6
- CTQNGGLPUBDAKN-UHFFFAOYSA-N O-Xylene Chemical compound CC1=CC=CC=C1C CTQNGGLPUBDAKN-UHFFFAOYSA-N 0.000 description 6
- 229960002897 heparin Drugs 0.000 description 6
- 238000004659 sterilization and disinfection Methods 0.000 description 6
- YLQBMQCUIZJEEH-UHFFFAOYSA-N tetrahydrofuran Natural products C=1C=COC=1 YLQBMQCUIZJEEH-UHFFFAOYSA-N 0.000 description 6
- XLYOFNOQVPJJNP-UHFFFAOYSA-N water Substances O XLYOFNOQVPJJNP-UHFFFAOYSA-N 0.000 description 6
- 239000008096 xylene Substances 0.000 description 6
- DKPFZGUDAPQIHT-UHFFFAOYSA-N Butyl acetate Natural products CCCCOC(C)=O DKPFZGUDAPQIHT-UHFFFAOYSA-N 0.000 description 5
- LRHPLDYGYMQRHN-UHFFFAOYSA-N N-Butanol Chemical compound CCCCO LRHPLDYGYMQRHN-UHFFFAOYSA-N 0.000 description 5
- 230000002411 adverse Effects 0.000 description 5
- 239000012298 atmosphere Substances 0.000 description 5
- 229960000640 dactinomycin Drugs 0.000 description 5
- 210000001105 femoral artery Anatomy 0.000 description 5
- PCHJSUWPFVWCPO-UHFFFAOYSA-N gold Chemical compound [Au] PCHJSUWPFVWCPO-UHFFFAOYSA-N 0.000 description 5
- 239000012528 membrane Substances 0.000 description 5
- 210000002966 serum Anatomy 0.000 description 5
- 238000012360 testing method Methods 0.000 description 5
- 238000007669 thermal treatment Methods 0.000 description 5
- USFZMSVCRYTOJT-UHFFFAOYSA-N Ammonium acetate Chemical compound N.CC(O)=O USFZMSVCRYTOJT-UHFFFAOYSA-N 0.000 description 4
- 239000005695 Ammonium acetate Substances 0.000 description 4
- SNIOPGDIGTZGOP-UHFFFAOYSA-N Nitroglycerin Chemical compound [O-][N+](=O)OCC(O[N+]([O-])=O)CO[N+]([O-])=O SNIOPGDIGTZGOP-UHFFFAOYSA-N 0.000 description 4
- 239000000006 Nitroglycerin Substances 0.000 description 4
- 239000003570 air Substances 0.000 description 4
- 229940043376 ammonium acetate Drugs 0.000 description 4
- 235000019257 ammonium acetate Nutrition 0.000 description 4
- 238000002583 angiography Methods 0.000 description 4
- 230000001028 anti-proliverative effect Effects 0.000 description 4
- NNBZCPXTIHJBJL-UHFFFAOYSA-N decalin Chemical compound C1CCCC2CCCCC21 NNBZCPXTIHJBJL-UHFFFAOYSA-N 0.000 description 4
- 230000001419 dependent effect Effects 0.000 description 4
- 239000004715 ethylene vinyl alcohol Substances 0.000 description 4
- 229960003711 glyceryl trinitrate Drugs 0.000 description 4
- 125000001475 halogen functional group Chemical group 0.000 description 4
- 230000003902 lesion Effects 0.000 description 4
- 238000002156 mixing Methods 0.000 description 4
- 239000000178 monomer Substances 0.000 description 4
- 239000002245 particle Substances 0.000 description 4
- 229920001200 poly(ethylene-vinyl acetate) Polymers 0.000 description 4
- 229920001610 polycaprolactone Polymers 0.000 description 4
- 239000004632 polycaprolactone Substances 0.000 description 4
- 229920002635 polyurethane Polymers 0.000 description 4
- 239000004814 polyurethane Substances 0.000 description 4
- 238000003756 stirring Methods 0.000 description 4
- 210000001519 tissue Anatomy 0.000 description 4
- 229920002554 vinyl polymer Polymers 0.000 description 4
- 239000003643 water by type Substances 0.000 description 4
- BQCIDUSAKPWEOX-UHFFFAOYSA-N 1,1-Difluoroethene Chemical compound FC(F)=C BQCIDUSAKPWEOX-UHFFFAOYSA-N 0.000 description 3
- BSYNRYMUTXBXSQ-UHFFFAOYSA-N Aspirin Chemical compound CC(=O)OC1=CC=CC=C1C(O)=O BSYNRYMUTXBXSQ-UHFFFAOYSA-N 0.000 description 3
- UHOVQNZJYSORNB-UHFFFAOYSA-N Benzene Chemical compound C1=CC=CC=C1 UHOVQNZJYSORNB-UHFFFAOYSA-N 0.000 description 3
- VYZAMTAEIAYCRO-UHFFFAOYSA-N Chromium Chemical compound [Cr] VYZAMTAEIAYCRO-UHFFFAOYSA-N 0.000 description 3
- YMWUJEATGCHHMB-UHFFFAOYSA-N Dichloromethane Chemical compound ClCCl YMWUJEATGCHHMB-UHFFFAOYSA-N 0.000 description 3
- IMROMDMJAWUWLK-UHFFFAOYSA-N Ethenol Chemical compound OC=C IMROMDMJAWUWLK-UHFFFAOYSA-N 0.000 description 3
- XEKOWRVHYACXOJ-UHFFFAOYSA-N Ethyl acetate Chemical compound CCOC(C)=O XEKOWRVHYACXOJ-UHFFFAOYSA-N 0.000 description 3
- 229920006370 Kynar Polymers 0.000 description 3
- ZOKXTWBITQBERF-UHFFFAOYSA-N Molybdenum Chemical compound [Mo] ZOKXTWBITQBERF-UHFFFAOYSA-N 0.000 description 3
- FAPWRFPIFSIZLT-UHFFFAOYSA-M Sodium chloride Chemical compound [Na+].[Cl-] FAPWRFPIFSIZLT-UHFFFAOYSA-M 0.000 description 3
- 208000007536 Thrombosis Diseases 0.000 description 3
- 229960001138 acetylsalicylic acid Drugs 0.000 description 3
- 239000000853 adhesive Substances 0.000 description 3
- 230000001070 adhesive effect Effects 0.000 description 3
- 239000005557 antagonist Substances 0.000 description 3
- 239000003146 anticoagulant agent Substances 0.000 description 3
- 239000004019 antithrombin Substances 0.000 description 3
- 238000013459 approach Methods 0.000 description 3
- 230000009286 beneficial effect Effects 0.000 description 3
- 230000015572 biosynthetic process Effects 0.000 description 3
- 210000004369 blood Anatomy 0.000 description 3
- 239000008280 blood Substances 0.000 description 3
- 239000011651 chromium Substances 0.000 description 3
- 239000011247 coating layer Substances 0.000 description 3
- 238000004090 dissolution Methods 0.000 description 3
- 238000001704 evaporation Methods 0.000 description 3
- 230000008020 evaporation Effects 0.000 description 3
- 239000007789 gas Substances 0.000 description 3
- RZXDTJIXPSCHCI-UHFFFAOYSA-N hexa-1,5-diene-2,5-diol Chemical compound OC(=C)CCC(O)=C RZXDTJIXPSCHCI-UHFFFAOYSA-N 0.000 description 3
- 229960004592 isopropanol Drugs 0.000 description 3
- 230000000670 limiting effect Effects 0.000 description 3
- 239000007788 liquid Substances 0.000 description 3
- 239000011733 molybdenum Substances 0.000 description 3
- VLKZOEOYAKHREP-UHFFFAOYSA-N n-Hexane Chemical compound CCCCCC VLKZOEOYAKHREP-UHFFFAOYSA-N 0.000 description 3
- 229910052757 nitrogen Inorganic materials 0.000 description 3
- 239000003960 organic solvent Substances 0.000 description 3
- 229920001223 polyethylene glycol Polymers 0.000 description 3
- 229920001296 polysiloxane Polymers 0.000 description 3
- 230000002829 reductive effect Effects 0.000 description 3
- 229920002379 silicone rubber Polymers 0.000 description 3
- 239000010935 stainless steel Substances 0.000 description 3
- 229910001220 stainless steel Inorganic materials 0.000 description 3
- 210000005166 vasculature Anatomy 0.000 description 3
- 210000003462 vein Anatomy 0.000 description 3
- KIUKXJAPPMFGSW-DNGZLQJQSA-N (2S,3S,4S,5R,6R)-6-[(2S,3R,4R,5S,6R)-3-Acetamido-2-[(2S,3S,4R,5R,6R)-6-[(2R,3R,4R,5S,6R)-3-acetamido-2,5-dihydroxy-6-(hydroxymethyl)oxan-4-yl]oxy-2-carboxy-4,5-dihydroxyoxan-3-yl]oxy-5-hydroxy-6-(hydroxymethyl)oxan-4-yl]oxy-3,4,5-trihydroxyoxane-2-carboxylic acid Chemical compound CC(=O)N[C@H]1[C@H](O)O[C@H](CO)[C@@H](O)[C@@H]1O[C@H]1[C@H](O)[C@@H](O)[C@H](O[C@H]2[C@@H]([C@@H](O[C@H]3[C@@H]([C@@H](O)[C@H](O)[C@H](O3)C(O)=O)O)[C@H](O)[C@@H](CO)O2)NC(C)=O)[C@@H](C(O)=O)O1 KIUKXJAPPMFGSW-DNGZLQJQSA-N 0.000 description 2
- IAKHMKGGTNLKSZ-INIZCTEOSA-N (S)-colchicine Chemical compound C1([C@@H](NC(C)=O)CC2)=CC(=O)C(OC)=CC=C1C1=C2C=C(OC)C(OC)=C1OC IAKHMKGGTNLKSZ-INIZCTEOSA-N 0.000 description 2
- QPFMBZIOSGYJDE-UHFFFAOYSA-N 1,1,2,2-tetrachloroethane Chemical compound ClC(Cl)C(Cl)Cl QPFMBZIOSGYJDE-UHFFFAOYSA-N 0.000 description 2
- ARXJGSRGQADJSQ-UHFFFAOYSA-N 1-methoxypropan-2-ol Chemical compound COCC(C)O ARXJGSRGQADJSQ-UHFFFAOYSA-N 0.000 description 2
- QTBSBXVTEAMEQO-UHFFFAOYSA-M Acetate Chemical compound CC([O-])=O QTBSBXVTEAMEQO-UHFFFAOYSA-M 0.000 description 2
- 206010002091 Anaesthesia Diseases 0.000 description 2
- XKRFYHLGVUSROY-UHFFFAOYSA-N Argon Chemical compound [Ar] XKRFYHLGVUSROY-UHFFFAOYSA-N 0.000 description 2
- HEDRZPFGACZZDS-UHFFFAOYSA-N Chloroform Chemical compound ClC(Cl)Cl HEDRZPFGACZZDS-UHFFFAOYSA-N 0.000 description 2
- PMATZTZNYRCHOR-CGLBZJNRSA-N Cyclosporin A Chemical compound CC[C@@H]1NC(=O)[C@H]([C@H](O)[C@H](C)C\C=C\C)N(C)C(=O)[C@H](C(C)C)N(C)C(=O)[C@H](CC(C)C)N(C)C(=O)[C@H](CC(C)C)N(C)C(=O)[C@@H](C)NC(=O)[C@H](C)NC(=O)[C@H](CC(C)C)N(C)C(=O)[C@H](C(C)C)NC(=O)[C@H](CC(C)C)N(C)C(=O)CN(C)C1=O PMATZTZNYRCHOR-CGLBZJNRSA-N 0.000 description 2
- 108010036949 Cyclosporine Proteins 0.000 description 2
- AOJJSUZBOXZQNB-TZSSRYMLSA-N Doxorubicin Chemical compound O([C@H]1C[C@@](O)(CC=2C(O)=C3C(=O)C=4C=CC=C(C=4C(=O)C3=C(O)C=21)OC)C(=O)CO)[C@H]1C[C@H](N)[C@H](O)[C@H](C)O1 AOJJSUZBOXZQNB-TZSSRYMLSA-N 0.000 description 2
- JOYRKODLDBILNP-UHFFFAOYSA-N Ethyl urethane Chemical compound CCOC(N)=O JOYRKODLDBILNP-UHFFFAOYSA-N 0.000 description 2
- OHCQJHSOBUTRHG-KGGHGJDLSA-N FORSKOLIN Chemical compound O=C([C@@]12O)C[C@](C)(C=C)O[C@]1(C)[C@@H](OC(=O)C)[C@@H](O)[C@@H]1[C@]2(C)[C@@H](O)CCC1(C)C OHCQJHSOBUTRHG-KGGHGJDLSA-N 0.000 description 2
- 108050007372 Fibroblast Growth Factor Proteins 0.000 description 2
- 102000018233 Fibroblast Growth Factor Human genes 0.000 description 2
- ZHNUHDYFZUAESO-UHFFFAOYSA-N Formamide Chemical compound NC=O ZHNUHDYFZUAESO-UHFFFAOYSA-N 0.000 description 2
- 241001465754 Metazoa Species 0.000 description 2
- CERQOIWHTDAKMF-UHFFFAOYSA-N Methacrylic acid Chemical compound CC(=C)C(O)=O CERQOIWHTDAKMF-UHFFFAOYSA-N 0.000 description 2
- NWIBSHFKIJFRCO-WUDYKRTCSA-N Mytomycin Chemical compound C1N2C(C(C(C)=C(N)C3=O)=O)=C3[C@@H](COC(N)=O)[C@@]2(OC)[C@@H]2[C@H]1N2 NWIBSHFKIJFRCO-WUDYKRTCSA-N 0.000 description 2
- IMNFDUFMRHMDMM-UHFFFAOYSA-N N-Heptane Chemical compound CCCCCCC IMNFDUFMRHMDMM-UHFFFAOYSA-N 0.000 description 2
- MWUXSHHQAYIFBG-UHFFFAOYSA-N Nitric oxide Chemical compound O=[N] MWUXSHHQAYIFBG-UHFFFAOYSA-N 0.000 description 2
- 239000002033 PVDF binder Substances 0.000 description 2
- 229930012538 Paclitaxel Natural products 0.000 description 2
- 229920000331 Polyhydroxybutyrate Polymers 0.000 description 2
- 229920002367 Polyisobutene Polymers 0.000 description 2
- WCUXLLCKKVVCTQ-UHFFFAOYSA-M Potassium chloride Chemical compound [Cl-].[K+] WCUXLLCKKVVCTQ-UHFFFAOYSA-M 0.000 description 2
- PXIPVTKHYLBLMZ-UHFFFAOYSA-N Sodium azide Chemical compound [Na+].[N-]=[N+]=[N-] PXIPVTKHYLBLMZ-UHFFFAOYSA-N 0.000 description 2
- 210000001744 T-lymphocyte Anatomy 0.000 description 2
- XTXRWKRVRITETP-UHFFFAOYSA-N Vinyl acetate Chemical compound CC(=O)OC=C XTXRWKRVRITETP-UHFFFAOYSA-N 0.000 description 2
- 238000002441 X-ray diffraction Methods 0.000 description 2
- 229910045601 alloy Inorganic materials 0.000 description 2
- 239000000956 alloy Substances 0.000 description 2
- 150000001412 amines Chemical class 0.000 description 2
- 230000037005 anaesthesia Effects 0.000 description 2
- 238000004458 analytical method Methods 0.000 description 2
- 238000002399 angioplasty Methods 0.000 description 2
- 230000000118 anti-neoplastic effect Effects 0.000 description 2
- 230000000702 anti-platelet effect Effects 0.000 description 2
- 229940127219 anticoagulant drug Drugs 0.000 description 2
- 230000004872 arterial blood pressure Effects 0.000 description 2
- 229920000249 biocompatible polymer Polymers 0.000 description 2
- 238000001815 biotherapy Methods 0.000 description 2
- IISBACLAFKSPIT-UHFFFAOYSA-N bisphenol A Chemical compound C=1C=C(O)C=CC=1C(C)(C)C1=CC=C(O)C=C1 IISBACLAFKSPIT-UHFFFAOYSA-N 0.000 description 2
- 229920001400 block copolymer Polymers 0.000 description 2
- 238000007664 blowing Methods 0.000 description 2
- 210000002302 brachial artery Anatomy 0.000 description 2
- DQXBYHZEEUGOBF-UHFFFAOYSA-N but-3-enoic acid;ethene Chemical compound C=C.OC(=O)CC=C DQXBYHZEEUGOBF-UHFFFAOYSA-N 0.000 description 2
- 238000005119 centrifugation Methods 0.000 description 2
- MVPPADPHJFYWMZ-UHFFFAOYSA-N chlorobenzene Chemical compound ClC1=CC=CC=C1 MVPPADPHJFYWMZ-UHFFFAOYSA-N 0.000 description 2
- 229910052804 chromium Inorganic materials 0.000 description 2
- 229960001265 ciclosporin Drugs 0.000 description 2
- 229910017052 cobalt Inorganic materials 0.000 description 2
- 239000010941 cobalt Substances 0.000 description 2
- GUTLYIVDDKVIGB-UHFFFAOYSA-N cobalt atom Chemical compound [Co] GUTLYIVDDKVIGB-UHFFFAOYSA-N 0.000 description 2
- 150000001875 compounds Chemical class 0.000 description 2
- 239000002872 contrast media Substances 0.000 description 2
- 238000007796 conventional method Methods 0.000 description 2
- 238000004132 cross linking Methods 0.000 description 2
- 239000002178 crystalline material Substances 0.000 description 2
- JHIVVAPYMSGYDF-UHFFFAOYSA-N cyclohexanone Chemical compound O=C1CCCCC1 JHIVVAPYMSGYDF-UHFFFAOYSA-N 0.000 description 2
- 229930182912 cyclosporin Natural products 0.000 description 2
- DIOQZVSQGTUSAI-UHFFFAOYSA-N decane Chemical compound CCCCCCCCCC DIOQZVSQGTUSAI-UHFFFAOYSA-N 0.000 description 2
- 230000003247 decreasing effect Effects 0.000 description 2
- SWXVUIWOUIDPGS-UHFFFAOYSA-N diacetone alcohol Chemical compound CC(=O)CC(C)(C)O SWXVUIWOUIDPGS-UHFFFAOYSA-N 0.000 description 2
- 238000001035 drying Methods 0.000 description 2
- 229920006242 ethylene acrylic acid copolymer Polymers 0.000 description 2
- 239000005038 ethylene vinyl acetate Substances 0.000 description 2
- 238000000605 extraction Methods 0.000 description 2
- 229940126864 fibroblast growth factor Drugs 0.000 description 2
- 229920002313 fluoropolymer Polymers 0.000 description 2
- 239000004811 fluoropolymer Substances 0.000 description 2
- 230000006870 function Effects 0.000 description 2
- 230000004927 fusion Effects 0.000 description 2
- 239000002628 heparin derivative Substances 0.000 description 2
- WQPDUTSPKFMPDP-OUMQNGNKSA-N hirudin Chemical compound C([C@@H](C(=O)N[C@@H](CCC(O)=O)C(=O)N[C@@H](CCC(O)=O)C(=O)N[C@@H]([C@@H](C)CC)C(=O)N1[C@@H](CCC1)C(=O)N[C@@H](CCC(O)=O)C(=O)N[C@@H](CCC(O)=O)C(=O)N[C@@H](CC=1C=CC(OS(O)(=O)=O)=CC=1)C(=O)N[C@@H](CC(C)C)C(=O)N[C@@H](CCC(N)=O)C(O)=O)NC(=O)[C@H](CC(O)=O)NC(=O)CNC(=O)[C@H](CC(O)=O)NC(=O)[C@H](CC(N)=O)NC(=O)[C@H](CC=1NC=NC=1)NC(=O)[C@H](CO)NC(=O)[C@H](CCC(N)=O)NC(=O)[C@H]1N(CCC1)C(=O)[C@H](CCCCN)NC(=O)[C@H]1N(CCC1)C(=O)[C@@H](NC(=O)CNC(=O)[C@H](CCC(O)=O)NC(=O)CNC(=O)[C@@H](NC(=O)[C@@H](NC(=O)[C@H]1NC(=O)[C@H](CCC(N)=O)NC(=O)[C@H](CC(N)=O)NC(=O)[C@H](CCCCN)NC(=O)[C@H](CCC(O)=O)NC(=O)CNC(=O)[C@H](CC(O)=O)NC(=O)[C@H](CO)NC(=O)CNC(=O)[C@H](CC(C)C)NC(=O)[C@H]([C@@H](C)CC)NC(=O)[C@@H]2CSSC[C@@H](C(=O)N[C@@H](CCC(O)=O)C(=O)NCC(=O)N[C@@H](CO)C(=O)N[C@@H](CC(N)=O)C(=O)N[C@H](C(=O)N[C@H](C(NCC(=O)N[C@@H](CCC(N)=O)C(=O)NCC(=O)N[C@@H](CC(N)=O)C(=O)N[C@@H](CCCCN)C(=O)N2)=O)CSSC1)C(C)C)NC(=O)[C@H](CC(C)C)NC(=O)[C@H]1NC(=O)[C@H](CC(C)C)NC(=O)[C@H](CC(N)=O)NC(=O)[C@H](CCC(N)=O)NC(=O)CNC(=O)[C@H](CO)NC(=O)[C@H](CCC(O)=O)NC(=O)[C@H]([C@@H](C)O)NC(=O)[C@@H](NC(=O)[C@H](CC(O)=O)NC(=O)[C@@H](NC(=O)[C@H](CC=2C=CC(O)=CC=2)NC(=O)[C@@H](NC(=O)[C@@H](N)C(C)C)C(C)C)[C@@H](C)O)CSSC1)C(C)C)[C@@H](C)O)[C@@H](C)O)C1=CC=CC=C1 WQPDUTSPKFMPDP-OUMQNGNKSA-N 0.000 description 2
- 229920002674 hyaluronan Polymers 0.000 description 2
- 229960003160 hyaluronic acid Drugs 0.000 description 2
- 230000002209 hydrophobic effect Effects 0.000 description 2
- 239000003018 immunosuppressive agent Substances 0.000 description 2
- 238000000338 in vitro Methods 0.000 description 2
- 230000002757 inflammatory effect Effects 0.000 description 2
- 230000028709 inflammatory response Effects 0.000 description 2
- 239000004615 ingredient Substances 0.000 description 2
- 239000003112 inhibitor Substances 0.000 description 2
- 239000003999 initiator Substances 0.000 description 2
- 238000011835 investigation Methods 0.000 description 2
- 239000002609 medium Substances 0.000 description 2
- 229910052750 molybdenum Inorganic materials 0.000 description 2
- 229910052759 nickel Inorganic materials 0.000 description 2
- 229910001000 nickel titanium Inorganic materials 0.000 description 2
- 229960001592 paclitaxel Drugs 0.000 description 2
- 239000004014 plasticizer Substances 0.000 description 2
- 239000005015 poly(hydroxybutyrate) Substances 0.000 description 2
- 229920001606 poly(lactic acid-co-glycolic acid) Polymers 0.000 description 2
- 229920000058 polyacrylate Polymers 0.000 description 2
- 229920000570 polyether Polymers 0.000 description 2
- 229920001228 polyisocyanate Polymers 0.000 description 2
- 239000005056 polyisocyanate Substances 0.000 description 2
- 238000006116 polymerization reaction Methods 0.000 description 2
- 229920005996 polystyrene-poly(ethylene-butylene)-polystyrene Polymers 0.000 description 2
- 239000004800 polyvinyl chloride Substances 0.000 description 2
- 229920000915 polyvinyl chloride Polymers 0.000 description 2
- 229920002981 polyvinylidene fluoride Polymers 0.000 description 2
- 239000011148 porous material Substances 0.000 description 2
- 238000002360 preparation method Methods 0.000 description 2
- BDERNNFJNOPAEC-UHFFFAOYSA-N propan-1-ol Chemical compound CCCO BDERNNFJNOPAEC-UHFFFAOYSA-N 0.000 description 2
- 238000010926 purge Methods 0.000 description 2
- 150000003254 radicals Chemical class 0.000 description 2
- QZAYGJVTTNCVMB-UHFFFAOYSA-N serotonin Chemical compound C1=C(O)C=C2C(CCN)=CNC2=C1 QZAYGJVTTNCVMB-UHFFFAOYSA-N 0.000 description 2
- 239000011780 sodium chloride Substances 0.000 description 2
- 239000007787 solid Substances 0.000 description 2
- 238000012414 sterilization procedure Methods 0.000 description 2
- 229920006132 styrene block copolymer Polymers 0.000 description 2
- RCINICONZNJXQF-MZXODVADSA-N taxol Chemical compound O([C@@H]1[C@@]2(C[C@@H](C(C)=C(C2(C)C)[C@H](C([C@]2(C)[C@@H](O)C[C@H]3OC[C@]3([C@H]21)OC(C)=O)=O)OC(=O)C)OC(=O)[C@H](O)[C@@H](NC(=O)C=1C=CC=CC=1)C=1C=CC=CC=1)O)C(=O)C1=CC=CC=C1 RCINICONZNJXQF-MZXODVADSA-N 0.000 description 2
- 229920001897 terpolymer Polymers 0.000 description 2
- VZGDMQKNWNREIO-UHFFFAOYSA-N tetrachloromethane Chemical compound ClC(Cl)(Cl)Cl VZGDMQKNWNREIO-UHFFFAOYSA-N 0.000 description 2
- 238000002560 therapeutic procedure Methods 0.000 description 2
- 229920001187 thermosetting polymer Polymers 0.000 description 2
- 231100000331 toxic Toxicity 0.000 description 2
- 230000002588 toxic effect Effects 0.000 description 2
- 210000003437 trachea Anatomy 0.000 description 2
- PXXNTAGJWPJAGM-UHFFFAOYSA-N vertaline Natural products C1C2C=3C=C(OC)C(OC)=CC=3OC(C=C3)=CC=C3CCC(=O)OC1CC1N2CCCC1 PXXNTAGJWPJAGM-UHFFFAOYSA-N 0.000 description 2
- KWPACVJPAFGBEQ-IKGGRYGDSA-N (2s)-1-[(2r)-2-amino-3-phenylpropanoyl]-n-[(3s)-1-chloro-6-(diaminomethylideneamino)-2-oxohexan-3-yl]pyrrolidine-2-carboxamide Chemical compound C([C@@H](N)C(=O)N1[C@@H](CCC1)C(=O)N[C@@H](CCCNC(N)=N)C(=O)CCl)C1=CC=CC=C1 KWPACVJPAFGBEQ-IKGGRYGDSA-N 0.000 description 1
- WYTZZXDRDKSJID-UHFFFAOYSA-N (3-aminopropyl)triethoxysilane Chemical compound CCO[Si](OCC)(OCC)CCCN WYTZZXDRDKSJID-UHFFFAOYSA-N 0.000 description 1
- PUDHBTGHUJUUFI-SCTWWAJVSA-N (4r,7s,10s,13r,16s,19r)-10-(4-aminobutyl)-n-[(2s,3r)-1-amino-3-hydroxy-1-oxobutan-2-yl]-19-[[(2r)-2-amino-3-naphthalen-2-ylpropanoyl]amino]-16-[(4-hydroxyphenyl)methyl]-13-(1h-indol-3-ylmethyl)-6,9,12,15,18-pentaoxo-7-propan-2-yl-1,2-dithia-5,8,11,14,17-p Chemical compound C([C@H]1C(=O)N[C@H](CC=2C3=CC=CC=C3NC=2)C(=O)N[C@@H](CCCCN)C(=O)N[C@H](C(N[C@@H](CSSC[C@@H](C(=O)N1)NC(=O)[C@H](N)CC=1C=C2C=CC=CC2=CC=1)C(=O)N[C@@H]([C@@H](C)O)C(N)=O)=O)C(C)C)C1=CC=C(O)C=C1 PUDHBTGHUJUUFI-SCTWWAJVSA-N 0.000 description 1
- GQGRDYWMOPRROR-ZIFKCHSBSA-N (e)-7-[(1r,2r,3s,5s)-3-hydroxy-5-[(4-phenylphenyl)methoxy]-2-piperidin-1-ylcyclopentyl]hept-4-enoic acid Chemical compound O([C@H]1C[C@@H]([C@@H]([C@H]1CC\C=C\CCC(O)=O)N1CCCCC1)O)CC(C=C1)=CC=C1C1=CC=CC=C1 GQGRDYWMOPRROR-ZIFKCHSBSA-N 0.000 description 1
- BYEAHWXPCBROCE-UHFFFAOYSA-N 1,1,1,3,3,3-hexafluoropropan-2-ol Chemical compound FC(F)(F)C(O)C(F)(F)F BYEAHWXPCBROCE-UHFFFAOYSA-N 0.000 description 1
- UOCLXMDMGBRAIB-UHFFFAOYSA-N 1,1,1-trichloroethane Chemical compound CC(Cl)(Cl)Cl UOCLXMDMGBRAIB-UHFFFAOYSA-N 0.000 description 1
- RYHBNJHYFVUHQT-UHFFFAOYSA-N 1,4-Dioxane Chemical compound C1COCCO1 RYHBNJHYFVUHQT-UHFFFAOYSA-N 0.000 description 1
- VOXZDWNPVJITMN-ZBRFXRBCSA-N 17β-estradiol Chemical compound OC1=CC=C2[C@H]3CC[C@](C)([C@H](CC4)O)[C@@H]4[C@@H]3CCC2=C1 VOXZDWNPVJITMN-ZBRFXRBCSA-N 0.000 description 1
- SMZOUWXMTYCWNB-UHFFFAOYSA-N 2-(2-methoxy-5-methylphenyl)ethanamine Chemical compound COC1=CC=C(C)C=C1CCN SMZOUWXMTYCWNB-UHFFFAOYSA-N 0.000 description 1
- ZWEHNKRNPOVVGH-UHFFFAOYSA-N 2-Butanone Chemical compound CCC(C)=O ZWEHNKRNPOVVGH-UHFFFAOYSA-N 0.000 description 1
- NIXOWILDQLNWCW-UHFFFAOYSA-N 2-Propenoic acid Natural products OC(=O)C=C NIXOWILDQLNWCW-UHFFFAOYSA-N 0.000 description 1
- UPMLOUAZCHDJJD-UHFFFAOYSA-N 4,4'-Diphenylmethane Diisocyanate Chemical compound C1=CC(N=C=O)=CC=C1CC1=CC=C(N=C=O)C=C1 UPMLOUAZCHDJJD-UHFFFAOYSA-N 0.000 description 1
- 239000005541 ACE inhibitor Substances 0.000 description 1
- 239000005528 B01AC05 - Ticlopidine Substances 0.000 description 1
- 229920003313 Bynel® Polymers 0.000 description 1
- 229940127291 Calcium channel antagonist Drugs 0.000 description 1
- 229920002134 Carboxymethyl cellulose Polymers 0.000 description 1
- 229920000298 Cellophane Polymers 0.000 description 1
- DQEFEBPAPFSJLV-UHFFFAOYSA-N Cellulose propionate Chemical compound CCC(=O)OCC1OC(OC(=O)CC)C(OC(=O)CC)C(OC(=O)CC)C1OC1C(OC(=O)CC)C(OC(=O)CC)C(OC(=O)CC)C(COC(=O)CC)O1 DQEFEBPAPFSJLV-UHFFFAOYSA-N 0.000 description 1
- 229910000531 Co alloy Inorganic materials 0.000 description 1
- 229910000684 Cobalt-chrome Inorganic materials 0.000 description 1
- 102000008186 Collagen Human genes 0.000 description 1
- 108010035532 Collagen Proteins 0.000 description 1
- 229910000599 Cr alloy Inorganic materials 0.000 description 1
- 229920001651 Cyanoacrylate Polymers 0.000 description 1
- 229920000089 Cyclic olefin copolymer Polymers 0.000 description 1
- XDTMQSROBMDMFD-UHFFFAOYSA-N Cyclohexane Chemical compound C1CCCCC1 XDTMQSROBMDMFD-UHFFFAOYSA-N 0.000 description 1
- SUZLHDUTVMZSEV-UHFFFAOYSA-N Deoxycoleonol Natural products C12C(=O)CC(C)(C=C)OC2(C)C(OC(=O)C)C(O)C2C1(C)C(O)CCC2(C)C SUZLHDUTVMZSEV-UHFFFAOYSA-N 0.000 description 1
- 229920002307 Dextran Polymers 0.000 description 1
- MQIUGAXCHLFZKX-UHFFFAOYSA-N Di-n-octyl phthalate Natural products CCCCCCCCOC(=O)C1=CC=CC=C1C(=O)OCCCCCCCC MQIUGAXCHLFZKX-UHFFFAOYSA-N 0.000 description 1
- 239000004593 Epoxy Substances 0.000 description 1
- JIGUQPWFLRLWPJ-UHFFFAOYSA-N Ethyl acrylate Chemical compound CCOC(=O)C=C JIGUQPWFLRLWPJ-UHFFFAOYSA-N 0.000 description 1
- 108010073385 Fibrin Proteins 0.000 description 1
- 102000009123 Fibrin Human genes 0.000 description 1
- BWGVNKXGVNDBDI-UHFFFAOYSA-N Fibrin monomer Chemical compound CNC(=O)CNC(=O)CN BWGVNKXGVNDBDI-UHFFFAOYSA-N 0.000 description 1
- 108010049003 Fibrinogen Proteins 0.000 description 1
- 102000008946 Fibrinogen Human genes 0.000 description 1
- GHASVSINZRGABV-UHFFFAOYSA-N Fluorouracil Chemical compound FC1=CNC(=O)NC1=O GHASVSINZRGABV-UHFFFAOYSA-N 0.000 description 1
- 102000003886 Glycoproteins Human genes 0.000 description 1
- 108090000288 Glycoproteins Proteins 0.000 description 1
- 102000007625 Hirudins Human genes 0.000 description 1
- 108010007267 Hirudins Proteins 0.000 description 1
- MHAJPDPJQMAIIY-UHFFFAOYSA-N Hydrogen peroxide Chemical compound OO MHAJPDPJQMAIIY-UHFFFAOYSA-N 0.000 description 1
- 102000004286 Hydroxymethylglutaryl CoA Reductases Human genes 0.000 description 1
- 108090000895 Hydroxymethylglutaryl CoA Reductases Proteins 0.000 description 1
- 229940122355 Insulin sensitizer Drugs 0.000 description 1
- PIWKPBJCKXDKJR-UHFFFAOYSA-N Isoflurane Chemical compound FC(F)OC(Cl)C(F)(F)F PIWKPBJCKXDKJR-UHFFFAOYSA-N 0.000 description 1
- 229920002633 Kraton (polymer) Polymers 0.000 description 1
- FBOZXECLQNJBKD-ZDUSSCGKSA-N L-methotrexate Chemical compound C=1N=C2N=C(N)N=C(N)C2=NC=1CN(C)C1=CC=C(C(=O)N[C@@H](CCC(O)=O)C(O)=O)C=C1 FBOZXECLQNJBKD-ZDUSSCGKSA-N 0.000 description 1
- NNJVILVZKWQKPM-UHFFFAOYSA-N Lidocaine Chemical compound CCN(CC)CC(=O)NC1=C(C)C=CC=C1C NNJVILVZKWQKPM-UHFFFAOYSA-N 0.000 description 1
- 108010007859 Lisinopril Proteins 0.000 description 1
- FYYHWMGAXLPEAU-UHFFFAOYSA-N Magnesium Chemical compound [Mg] FYYHWMGAXLPEAU-UHFFFAOYSA-N 0.000 description 1
- 229920000877 Melamine resin Polymers 0.000 description 1
- 229910001182 Mo alloy Inorganic materials 0.000 description 1
- 229920001730 Moisture cure polyurethane Polymers 0.000 description 1
- PCZOHLXUXFIOCF-UHFFFAOYSA-N Monacolin X Natural products C12C(OC(=O)C(C)CC)CC(C)C=C2C=CC(C)C1CCC1CC(O)CC(=O)O1 PCZOHLXUXFIOCF-UHFFFAOYSA-N 0.000 description 1
- ZDZOTLJHXYCWBA-VCVYQWHSSA-N N-debenzoyl-N-(tert-butoxycarbonyl)-10-deacetyltaxol Chemical compound O([C@H]1[C@H]2[C@@](C([C@H](O)C3=C(C)[C@@H](OC(=O)[C@H](O)[C@@H](NC(=O)OC(C)(C)C)C=4C=CC=CC=4)C[C@]1(O)C3(C)C)=O)(C)[C@@H](O)C[C@H]1OC[C@]12OC(=O)C)C(=O)C1=CC=CC=C1 ZDZOTLJHXYCWBA-VCVYQWHSSA-N 0.000 description 1
- 206010028980 Neoplasm Diseases 0.000 description 1
- 229910000990 Ni alloy Inorganic materials 0.000 description 1
- 239000000020 Nitrocellulose Substances 0.000 description 1
- 229920002292 Nylon 6 Polymers 0.000 description 1
- 229920002302 Nylon 6,6 Polymers 0.000 description 1
- 206010061876 Obstruction Diseases 0.000 description 1
- 108091008606 PDGF receptors Proteins 0.000 description 1
- 102100027913 Peptidyl-prolyl cis-trans isomerase FKBP1A Human genes 0.000 description 1
- CYTYCFOTNPOANT-UHFFFAOYSA-N Perchloroethylene Chemical group ClC(Cl)=C(Cl)Cl CYTYCFOTNPOANT-UHFFFAOYSA-N 0.000 description 1
- 229920006169 Perfluoroelastomer Polymers 0.000 description 1
- 102000011653 Platelet-Derived Growth Factor Receptors Human genes 0.000 description 1
- 229910000566 Platinum-iridium alloy Inorganic materials 0.000 description 1
- 229920001244 Poly(D,L-lactide) Polymers 0.000 description 1
- 239000004952 Polyamide Substances 0.000 description 1
- 229920002732 Polyanhydride Polymers 0.000 description 1
- 239000004698 Polyethylene Substances 0.000 description 1
- 229920002873 Polyethylenimine Polymers 0.000 description 1
- 229920000954 Polyglycolide Polymers 0.000 description 1
- 239000004642 Polyimide Substances 0.000 description 1
- 108010039918 Polylysine Proteins 0.000 description 1
- 229920001710 Polyorthoester Polymers 0.000 description 1
- 239000004721 Polyphenylene oxide Substances 0.000 description 1
- 239000004743 Polypropylene Substances 0.000 description 1
- 239000004793 Polystyrene Substances 0.000 description 1
- 239000004372 Polyvinyl alcohol Substances 0.000 description 1
- 229920001328 Polyvinylidene chloride Polymers 0.000 description 1
- 229920000297 Rayon Polymers 0.000 description 1
- 229940127361 Receptor Tyrosine Kinase Inhibitors Drugs 0.000 description 1
- 239000006087 Silane Coupling Agent Substances 0.000 description 1
- 229920002472 Starch Polymers 0.000 description 1
- 229910000831 Steel Inorganic materials 0.000 description 1
- QJJXYPPXXYFBGM-LFZNUXCKSA-N Tacrolimus Chemical compound C1C[C@@H](O)[C@H](OC)C[C@@H]1\C=C(/C)[C@@H]1[C@H](C)[C@@H](O)CC(=O)[C@H](CC=C)/C=C(C)/C[C@H](C)C[C@H](OC)[C@H]([C@H](C[C@H]2C)OC)O[C@@]2(O)C(=O)C(=O)N2CCCC[C@H]2C(=O)O1 QJJXYPPXXYFBGM-LFZNUXCKSA-N 0.000 description 1
- 108010006877 Tacrolimus Binding Protein 1A Proteins 0.000 description 1
- 239000004809 Teflon Substances 0.000 description 1
- 229920006362 Teflon® Polymers 0.000 description 1
- 101000712605 Theromyzon tessulatum Theromin Proteins 0.000 description 1
- 229940122388 Thrombin inhibitor Drugs 0.000 description 1
- 238000003848 UV Light-Curing Methods 0.000 description 1
- 206010047163 Vasospasm Diseases 0.000 description 1
- JXLYSJRDGCGARV-WWYNWVTFSA-N Vinblastine Natural products O=C(O[C@H]1[C@](O)(C(=O)OC)[C@@H]2N(C)c3c(cc(c(OC)c3)[C@]3(C(=O)OC)c4[nH]c5c(c4CCN4C[C@](O)(CC)C[C@H](C3)C4)cccc5)[C@@]32[C@H]2[C@@]1(CC)C=CCN2CC3)C JXLYSJRDGCGARV-WWYNWVTFSA-N 0.000 description 1
- FJWGYAHXMCUOOM-QHOUIDNNSA-N [(2s,3r,4s,5r,6r)-2-[(2r,3r,4s,5r,6s)-4,5-dinitrooxy-2-(nitrooxymethyl)-6-[(2r,3r,4s,5r,6s)-4,5,6-trinitrooxy-2-(nitrooxymethyl)oxan-3-yl]oxyoxan-3-yl]oxy-3,5-dinitrooxy-6-(nitrooxymethyl)oxan-4-yl] nitrate Chemical compound O([C@@H]1O[C@@H]([C@H]([C@H](O[N+]([O-])=O)[C@H]1O[N+]([O-])=O)O[C@H]1[C@@H]([C@@H](O[N+]([O-])=O)[C@H](O[N+]([O-])=O)[C@@H](CO[N+]([O-])=O)O1)O[N+]([O-])=O)CO[N+](=O)[O-])[C@@H]1[C@@H](CO[N+]([O-])=O)O[C@@H](O[N+]([O-])=O)[C@H](O[N+]([O-])=O)[C@H]1O[N+]([O-])=O FJWGYAHXMCUOOM-QHOUIDNNSA-N 0.000 description 1
- WAIPAZQMEIHHTJ-UHFFFAOYSA-N [Cr].[Co] Chemical class [Cr].[Co] WAIPAZQMEIHHTJ-UHFFFAOYSA-N 0.000 description 1
- HKVAMNSJSFKALM-GKUWKFKPSA-N [H][C@@]1(C)/C=C/C=C/C=C(\C)[C@@]([H])(OC)C[C@]2([H])CC[C@@]([H])(C)[C@@](O)(O2)C(=O)C(=O)N2CCCC[C@@]2([H])C(=O)O[C@]([H])([C@]([H])(C)C[C@]2([H])CC[C@@]([H])(OCCO)[C@]([H])(OC)C2)CC(=O)[C@]([H])(C)/C=C(\C)[C@@]([H])(O)[C@@]([H])(OC)C(=O)[C@]([H])(C)C1 Chemical compound [H][C@@]1(C)/C=C/C=C/C=C(\C)[C@@]([H])(OC)C[C@]2([H])CC[C@@]([H])(C)[C@@](O)(O2)C(=O)C(=O)N2CCCC[C@@]2([H])C(=O)O[C@]([H])([C@]([H])(C)C[C@]2([H])CC[C@@]([H])(OCCO)[C@]([H])(OC)C2)CC(=O)[C@]([H])(C)/C=C(\C)[C@@]([H])(O)[C@@]([H])(OC)C(=O)[C@]([H])(C)C1 HKVAMNSJSFKALM-GKUWKFKPSA-N 0.000 description 1
- 230000002159 abnormal effect Effects 0.000 description 1
- 230000005856 abnormality Effects 0.000 description 1
- NIXOWILDQLNWCW-UHFFFAOYSA-M acrylate group Chemical group C(C=C)(=O)[O-] NIXOWILDQLNWCW-UHFFFAOYSA-M 0.000 description 1
- 150000001252 acrylic acid derivatives Chemical class 0.000 description 1
- 229920006243 acrylic copolymer Polymers 0.000 description 1
- 229920000122 acrylonitrile butadiene styrene Polymers 0.000 description 1
- 229920001893 acrylonitrile styrene Polymers 0.000 description 1
- 230000009471 action Effects 0.000 description 1
- 230000001154 acute effect Effects 0.000 description 1
- 229940009456 adriamycin Drugs 0.000 description 1
- 238000013019 agitation Methods 0.000 description 1
- 150000001336 alkenes Chemical class 0.000 description 1
- 229920000180 alkyd Polymers 0.000 description 1
- 230000003444 anaesthetic effect Effects 0.000 description 1
- 229940044094 angiotensin-converting-enzyme inhibitor Drugs 0.000 description 1
- 238000000137 annealing Methods 0.000 description 1
- 230000003110 anti-inflammatory effect Effects 0.000 description 1
- 230000002927 anti-mitotic effect Effects 0.000 description 1
- 230000002421 anti-septic effect Effects 0.000 description 1
- 239000003529 anticholesteremic agent Substances 0.000 description 1
- 239000000739 antihistaminic agent Substances 0.000 description 1
- 239000003080 antimitotic agent Substances 0.000 description 1
- 229940034982 antineoplastic agent Drugs 0.000 description 1
- 239000002246 antineoplastic agent Substances 0.000 description 1
- 239000003963 antioxidant agent Substances 0.000 description 1
- 230000003078 antioxidant effect Effects 0.000 description 1
- 229940127218 antiplatelet drug Drugs 0.000 description 1
- 210000002376 aorta thoracic Anatomy 0.000 description 1
- 229960003856 argatroban Drugs 0.000 description 1
- KXNPVXPOPUZYGB-XYVMCAHJSA-N argatroban Chemical compound OC(=O)[C@H]1C[C@H](C)CCN1C(=O)[C@H](CCCN=C(N)N)NS(=O)(=O)C1=CC=CC2=C1NC[C@H](C)C2 KXNPVXPOPUZYGB-XYVMCAHJSA-N 0.000 description 1
- 229910052786 argon Inorganic materials 0.000 description 1
- YEESUBCSWGVPCE-UHFFFAOYSA-N azanylidyneoxidanium iron(2+) pentacyanide Chemical compound [Fe++].[C-]#N.[C-]#N.[C-]#N.[C-]#N.[C-]#N.N#[O+] YEESUBCSWGVPCE-UHFFFAOYSA-N 0.000 description 1
- LMEKQMALGUDUQG-UHFFFAOYSA-N azathioprine Chemical compound CN1C=NC([N+]([O-])=O)=C1SC1=NC=NC2=C1NC=N2 LMEKQMALGUDUQG-UHFFFAOYSA-N 0.000 description 1
- 229960002170 azathioprine Drugs 0.000 description 1
- 229940125717 barbiturate Drugs 0.000 description 1
- 210000000013 bile duct Anatomy 0.000 description 1
- 230000000975 bioactive effect Effects 0.000 description 1
- 230000003115 biocidal effect Effects 0.000 description 1
- 230000008512 biological response Effects 0.000 description 1
- BJQHLKABXJIVAM-UHFFFAOYSA-N bis(2-ethylhexyl) phthalate Chemical group CCCCC(CC)COC(=O)C1=CC=CC=C1C(=O)OCC(CC)CCCC BJQHLKABXJIVAM-UHFFFAOYSA-N 0.000 description 1
- 238000009835 boiling Methods 0.000 description 1
- 210000000621 bronchi Anatomy 0.000 description 1
- 239000007975 buffered saline Substances 0.000 description 1
- RMRJXGBAOAMLHD-IHFGGWKQSA-N buprenorphine Chemical compound C([C@]12[C@H]3OC=4C(O)=CC=C(C2=4)C[C@@H]2[C@]11CC[C@]3([C@H](C1)[C@](C)(O)C(C)(C)C)OC)CN2CC1CC1 RMRJXGBAOAMLHD-IHFGGWKQSA-N 0.000 description 1
- 229960001736 buprenorphine Drugs 0.000 description 1
- 239000000480 calcium channel blocker Substances 0.000 description 1
- 229960000830 captopril Drugs 0.000 description 1
- FAKRSMQSSFJEIM-RQJHMYQMSA-N captopril Chemical compound SC[C@@H](C)C(=O)N1CCC[C@H]1C(O)=O FAKRSMQSSFJEIM-RQJHMYQMSA-N 0.000 description 1
- 229960004562 carboplatin Drugs 0.000 description 1
- 190000008236 carboplatin Chemical compound 0.000 description 1
- 239000001768 carboxy methyl cellulose Substances 0.000 description 1
- 235000010948 carboxy methyl cellulose Nutrition 0.000 description 1
- 239000008112 carboxymethyl-cellulose Substances 0.000 description 1
- 229940082638 cardiac stimulant phosphodiesterase inhibitors Drugs 0.000 description 1
- 210000000748 cardiovascular system Anatomy 0.000 description 1
- 230000015556 catabolic process Effects 0.000 description 1
- 230000022131 cell cycle Effects 0.000 description 1
- 230000004663 cell proliferation Effects 0.000 description 1
- 230000001413 cellular effect Effects 0.000 description 1
- 229920002678 cellulose Polymers 0.000 description 1
- 239000001913 cellulose Substances 0.000 description 1
- 229920002301 cellulose acetate Polymers 0.000 description 1
- 229920006217 cellulose acetate butyrate Polymers 0.000 description 1
- 229920001727 cellulose butyrate Polymers 0.000 description 1
- 229920003086 cellulose ether Polymers 0.000 description 1
- 229920006218 cellulose propionate Polymers 0.000 description 1
- 210000001175 cerebrospinal fluid Anatomy 0.000 description 1
- 230000002057 chronotropic effect Effects 0.000 description 1
- 229960005025 cilazapril Drugs 0.000 description 1
- HHHKFGXWKKUNCY-FHWLQOOXSA-N cilazapril Chemical compound C([C@@H](C(=O)OCC)N[C@@H]1C(N2[C@@H](CCCN2CCC1)C(O)=O)=O)CC1=CC=CC=C1 HHHKFGXWKKUNCY-FHWLQOOXSA-N 0.000 description 1
- DQLATGHUWYMOKM-UHFFFAOYSA-L cisplatin Chemical compound N[Pt](N)(Cl)Cl DQLATGHUWYMOKM-UHFFFAOYSA-L 0.000 description 1
- 229960004316 cisplatin Drugs 0.000 description 1
- 229960004703 clobetasol propionate Drugs 0.000 description 1
- CBGUOGMQLZIXBE-XGQKBEPLSA-N clobetasol propionate Chemical compound C1CC2=CC(=O)C=C[C@]2(C)[C@]2(F)[C@@H]1[C@@H]1C[C@H](C)[C@@](C(=O)CCl)(OC(=O)CC)[C@@]1(C)C[C@@H]2O CBGUOGMQLZIXBE-XGQKBEPLSA-N 0.000 description 1
- 239000010952 cobalt-chrome Substances 0.000 description 1
- 229960001338 colchicine Drugs 0.000 description 1
- OHCQJHSOBUTRHG-UHFFFAOYSA-N colforsin Natural products OC12C(=O)CC(C)(C=C)OC1(C)C(OC(=O)C)C(O)C1C2(C)C(O)CCC1(C)C OHCQJHSOBUTRHG-UHFFFAOYSA-N 0.000 description 1
- 229920001436 collagen Polymers 0.000 description 1
- 238000002586 coronary angiography Methods 0.000 description 1
- 238000007887 coronary angioplasty Methods 0.000 description 1
- 201000011634 coronary artery vasospasm Diseases 0.000 description 1
- 210000004351 coronary vessel Anatomy 0.000 description 1
- 229940088547 cosmegen Drugs 0.000 description 1
- 238000002788 crimping Methods 0.000 description 1
- 239000013078 crystal Substances 0.000 description 1
- NLCKLZIHJQEMCU-UHFFFAOYSA-N cyano prop-2-enoate Chemical class C=CC(=O)OC#N NLCKLZIHJQEMCU-UHFFFAOYSA-N 0.000 description 1
- 230000001086 cytosolic effect Effects 0.000 description 1
- 239000000824 cytostatic agent Substances 0.000 description 1
- 230000001085 cytostatic effect Effects 0.000 description 1
- 238000006731 degradation reaction Methods 0.000 description 1
- 238000013461 design Methods 0.000 description 1
- UREBDLICKHMUKA-CXSFZGCWSA-N dexamethasone Chemical compound C1CC2=CC(=O)C=C[C@]2(C)[C@]2(F)[C@@H]1[C@@H]1C[C@@H](C)[C@@](C(=O)CO)(O)[C@@]1(C)C[C@@H]2O UREBDLICKHMUKA-CXSFZGCWSA-N 0.000 description 1
- 229960003957 dexamethasone Drugs 0.000 description 1
- 125000004386 diacrylate group Chemical group 0.000 description 1
- GAURFLBIDLSLQU-UHFFFAOYSA-N diethoxy(methyl)silicon Chemical compound CCO[Si](C)OCC GAURFLBIDLSLQU-UHFFFAOYSA-N 0.000 description 1
- GYZLOYUZLJXAJU-UHFFFAOYSA-N diglycidyl ether Chemical compound C1OC1COCC1CO1 GYZLOYUZLJXAJU-UHFFFAOYSA-N 0.000 description 1
- IZEKFCXSFNUWAM-UHFFFAOYSA-N dipyridamole Chemical compound C=12N=C(N(CCO)CCO)N=C(N3CCCCC3)C2=NC(N(CCO)CCO)=NC=1N1CCCCC1 IZEKFCXSFNUWAM-UHFFFAOYSA-N 0.000 description 1
- 229960002768 dipyridamole Drugs 0.000 description 1
- 208000037265 diseases, disorders, signs and symptoms Diseases 0.000 description 1
- 208000035475 disorder Diseases 0.000 description 1
- 239000006185 dispersion Substances 0.000 description 1
- 229960003668 docetaxel Drugs 0.000 description 1
- 238000001493 electron microscopy Methods 0.000 description 1
- 229910000701 elgiloys (Co-Cr-Ni Alloy) Inorganic materials 0.000 description 1
- 238000010828 elution Methods 0.000 description 1
- 210000002919 epithelial cell Anatomy 0.000 description 1
- 229960001123 epoprostenol Drugs 0.000 description 1
- KAQKFAOMNZTLHT-VVUHWYTRSA-N epoprostenol Chemical compound O1C(=CCCCC(O)=O)C[C@@H]2[C@@H](/C=C/[C@@H](O)CCCCC)[C@H](O)C[C@@H]21 KAQKFAOMNZTLHT-VVUHWYTRSA-N 0.000 description 1
- 239000003822 epoxy resin Substances 0.000 description 1
- 210000003238 esophagus Anatomy 0.000 description 1
- 229960005309 estradiol Drugs 0.000 description 1
- 229930182833 estradiol Natural products 0.000 description 1
- UFRKOOWSQGXVKV-UHFFFAOYSA-N ethene;ethenol Chemical compound C=C.OC=C UFRKOOWSQGXVKV-UHFFFAOYSA-N 0.000 description 1
- 229920005648 ethylene methacrylic acid copolymer Polymers 0.000 description 1
- 229920000840 ethylene tetrafluoroethylene copolymer Polymers 0.000 description 1
- 229920006213 ethylene-alphaolefin copolymer Polymers 0.000 description 1
- 229920005680 ethylene-methyl methacrylate copolymer Polymers 0.000 description 1
- 238000002474 experimental method Methods 0.000 description 1
- 238000013213 extrapolation Methods 0.000 description 1
- 230000002349 favourable effect Effects 0.000 description 1
- 210000003191 femoral vein Anatomy 0.000 description 1
- 229950003499 fibrin Drugs 0.000 description 1
- 229940012952 fibrinogen Drugs 0.000 description 1
- 239000010419 fine particle Substances 0.000 description 1
- 238000002594 fluoroscopy Methods 0.000 description 1
- 229960002949 fluorouracil Drugs 0.000 description 1
- 238000011010 flushing procedure Methods 0.000 description 1
- IVJISJACKSSFGE-UHFFFAOYSA-N formaldehyde;1,3,5-triazine-2,4,6-triamine Chemical class O=C.NC1=NC(N)=NC(N)=N1 IVJISJACKSSFGE-UHFFFAOYSA-N 0.000 description 1
- 239000012737 fresh medium Substances 0.000 description 1
- 239000003102 growth factor Substances 0.000 description 1
- LNEPOXFFQSENCJ-UHFFFAOYSA-N haloperidol Chemical compound C1CC(O)(C=2C=CC(Cl)=CC=2)CCN1CCCC(=O)C1=CC=C(F)C=C1 LNEPOXFFQSENCJ-UHFFFAOYSA-N 0.000 description 1
- 238000003306 harvesting Methods 0.000 description 1
- 208000019622 heart disease Diseases 0.000 description 1
- 210000003709 heart valve Anatomy 0.000 description 1
- 230000000004 hemodynamic effect Effects 0.000 description 1
- ZFGMDIBRIDKWMY-PASTXAENSA-N heparin Chemical compound CC(O)=N[C@@H]1[C@@H](O)[C@H](O)[C@@H](COS(O)(=O)=O)O[C@@H]1O[C@@H]1[C@@H](C(O)=O)O[C@@H](O[C@H]2[C@@H]([C@@H](OS(O)(=O)=O)[C@@H](O[C@@H]3[C@@H](OC(O)[C@H](OS(O)(=O)=O)[C@H]3O)C(O)=O)O[C@@H]2O)CS(O)(=O)=O)[C@H](O)[C@H]1O ZFGMDIBRIDKWMY-PASTXAENSA-N 0.000 description 1
- GNOIPBMMFNIUFM-UHFFFAOYSA-N hexamethylphosphoric triamide Chemical compound CN(C)P(=O)(N(C)C)N(C)C GNOIPBMMFNIUFM-UHFFFAOYSA-N 0.000 description 1
- FUZZWVXGSFPDMH-UHFFFAOYSA-N hexanoic acid Chemical compound CCCCCC(O)=O FUZZWVXGSFPDMH-UHFFFAOYSA-N 0.000 description 1
- 229940006607 hirudin Drugs 0.000 description 1
- 229920001519 homopolymer Polymers 0.000 description 1
- 239000001257 hydrogen Substances 0.000 description 1
- 229910052739 hydrogen Inorganic materials 0.000 description 1
- 230000007062 hydrolysis Effects 0.000 description 1
- 238000006460 hydrolysis reaction Methods 0.000 description 1
- 210000003090 iliac artery Anatomy 0.000 description 1
- 230000002055 immunohistochemical effect Effects 0.000 description 1
- 229960003444 immunosuppressant agent Drugs 0.000 description 1
- 230000001861 immunosuppressant effect Effects 0.000 description 1
- 229940125721 immunosuppressive agent Drugs 0.000 description 1
- 208000014674 injury Diseases 0.000 description 1
- 230000000297 inotrophic effect Effects 0.000 description 1
- 238000003780 insertion Methods 0.000 description 1
- 230000037431 insertion Effects 0.000 description 1
- GJRQTCIYDGXPES-UHFFFAOYSA-N iso-butyl acetate Natural products CC(C)COC(C)=O GJRQTCIYDGXPES-UHFFFAOYSA-N 0.000 description 1
- FGKJLKRYENPLQH-UHFFFAOYSA-M isocaproate Chemical compound CC(C)CCC([O-])=O FGKJLKRYENPLQH-UHFFFAOYSA-M 0.000 description 1
- 229960002725 isoflurane Drugs 0.000 description 1
- FZWBNHMXJMCXLU-BLAUPYHCSA-N isomaltotriose Chemical compound O[C@@H]1[C@@H](O)[C@H](O)[C@@H](CO)O[C@@H]1OC[C@@H]1[C@@H](O)[C@H](O)[C@@H](O)[C@@H](OC[C@@H](O)[C@@H](O)[C@H](O)[C@@H](O)C=O)O1 FZWBNHMXJMCXLU-BLAUPYHCSA-N 0.000 description 1
- JMMWKPVZQRWMSS-UHFFFAOYSA-N isopropanol acetate Natural products CC(C)OC(C)=O JMMWKPVZQRWMSS-UHFFFAOYSA-N 0.000 description 1
- 229940011051 isopropyl acetate Drugs 0.000 description 1
- GWYFCOCPABKNJV-UHFFFAOYSA-N isovaleric acid Chemical compound CC(C)CC(O)=O GWYFCOCPABKNJV-UHFFFAOYSA-N 0.000 description 1
- OQAGVSWESNCJJT-UHFFFAOYSA-N isovaleric acid methyl ester Natural products COC(=O)CC(C)C OQAGVSWESNCJJT-UHFFFAOYSA-N 0.000 description 1
- 108010021336 lanreotide Proteins 0.000 description 1
- 229960002437 lanreotide Drugs 0.000 description 1
- 239000012633 leachable Substances 0.000 description 1
- 229960004194 lidocaine Drugs 0.000 description 1
- 125000005647 linker group Chemical group 0.000 description 1
- RLAWWYSOJDYHDC-BZSNNMDCSA-N lisinopril Chemical compound C([C@H](N[C@@H](CCCCN)C(=O)N1[C@@H](CCC1)C(O)=O)C(O)=O)CC1=CC=CC=C1 RLAWWYSOJDYHDC-BZSNNMDCSA-N 0.000 description 1
- 229960002394 lisinopril Drugs 0.000 description 1
- 210000004185 liver Anatomy 0.000 description 1
- 238000011068 loading method Methods 0.000 description 1
- PCZOHLXUXFIOCF-BXMDZJJMSA-N lovastatin Chemical compound C([C@H]1[C@@H](C)C=CC2=C[C@H](C)C[C@@H]([C@H]12)OC(=O)[C@@H](C)CC)C[C@@H]1C[C@@H](O)CC(=O)O1 PCZOHLXUXFIOCF-BXMDZJJMSA-N 0.000 description 1
- 229960004844 lovastatin Drugs 0.000 description 1
- QLJODMDSTUBWDW-UHFFFAOYSA-N lovastatin hydroxy acid Natural products C1=CC(C)C(CCC(O)CC(O)CC(O)=O)C2C(OC(=O)C(C)CC)CC(C)C=C21 QLJODMDSTUBWDW-UHFFFAOYSA-N 0.000 description 1
- 239000003055 low molecular weight heparin Substances 0.000 description 1
- 229940127215 low-molecular weight heparin Drugs 0.000 description 1
- 210000004072 lung Anatomy 0.000 description 1
- 239000011777 magnesium Substances 0.000 description 1
- 229910052749 magnesium Inorganic materials 0.000 description 1
- 230000014759 maintenance of location Effects 0.000 description 1
- 238000005259 measurement Methods 0.000 description 1
- 238000002483 medication Methods 0.000 description 1
- 239000000155 melt Substances 0.000 description 1
- 108020004084 membrane receptors Proteins 0.000 description 1
- 102000006240 membrane receptors Human genes 0.000 description 1
- 239000007769 metal material Substances 0.000 description 1
- 229960000485 methotrexate Drugs 0.000 description 1
- 238000013508 migration Methods 0.000 description 1
- 230000005012 migration Effects 0.000 description 1
- 229960004857 mitomycin Drugs 0.000 description 1
- 238000012544 monitoring process Methods 0.000 description 1
- 125000004108 n-butyl group Chemical group [H]C([H])([H])C([H])([H])C([H])([H])C([H])([H])* 0.000 description 1
- HLXZNVUGXRDIFK-UHFFFAOYSA-N nickel titanium Chemical compound [Ti].[Ti].[Ti].[Ti].[Ti].[Ti].[Ti].[Ti].[Ti].[Ti].[Ti].[Ni].[Ni].[Ni].[Ni].[Ni].[Ni].[Ni].[Ni].[Ni].[Ni].[Ni].[Ni].[Ni].[Ni] HLXZNVUGXRDIFK-UHFFFAOYSA-N 0.000 description 1
- HYIMSNHJOBLJNT-UHFFFAOYSA-N nifedipine Chemical compound COC(=O)C1=C(C)NC(C)=C(C(=O)OC)C1C1=CC=CC=C1[N+]([O-])=O HYIMSNHJOBLJNT-UHFFFAOYSA-N 0.000 description 1
- 229960001597 nifedipine Drugs 0.000 description 1
- 229920001220 nitrocellulos Polymers 0.000 description 1
- 229960002460 nitroprusside Drugs 0.000 description 1
- 239000012454 non-polar solvent Substances 0.000 description 1
- ZCYXXKJEDCHMGH-UHFFFAOYSA-N nonane Chemical compound CCCC[CH]CCCC ZCYXXKJEDCHMGH-UHFFFAOYSA-N 0.000 description 1
- BKIMMITUMNQMOS-UHFFFAOYSA-N normal nonane Natural products CCCCCCCCC BKIMMITUMNQMOS-UHFFFAOYSA-N 0.000 description 1
- TVMXDCGIABBOFY-UHFFFAOYSA-N octane Chemical compound CCCCCCCC TVMXDCGIABBOFY-UHFFFAOYSA-N 0.000 description 1
- 150000003891 oxalate salts Chemical class 0.000 description 1
- 239000005022 packaging material Substances 0.000 description 1
- 230000036407 pain Effects 0.000 description 1
- 230000036961 partial effect Effects 0.000 description 1
- PNJWIWWMYCMZRO-UHFFFAOYSA-N pent‐4‐en‐2‐one Natural products CC(=O)CC=C PNJWIWWMYCMZRO-UHFFFAOYSA-N 0.000 description 1
- RVZRBWKZFJCCIB-UHFFFAOYSA-N perfluorotributylamine Chemical compound FC(F)(F)C(F)(F)C(F)(F)C(F)(F)N(C(F)(F)C(F)(F)C(F)(F)C(F)(F)F)C(F)(F)C(F)(F)C(F)(F)C(F)(F)F RVZRBWKZFJCCIB-UHFFFAOYSA-N 0.000 description 1
- 150000002978 peroxides Chemical class 0.000 description 1
- 230000000144 pharmacologic effect Effects 0.000 description 1
- WVDDGKGOMKODPV-ZQBYOMGUSA-N phenyl(114C)methanol Chemical compound O[14CH2]C1=CC=CC=C1 WVDDGKGOMKODPV-ZQBYOMGUSA-N 0.000 description 1
- 239000008363 phosphate buffer Substances 0.000 description 1
- 239000002571 phosphodiesterase inhibitor Substances 0.000 description 1
- HWLDNSXPUQTBOD-UHFFFAOYSA-N platinum-iridium alloy Chemical class [Ir].[Pt] HWLDNSXPUQTBOD-UHFFFAOYSA-N 0.000 description 1
- 229920000083 poly(allylamine) Polymers 0.000 description 1
- 229920001308 poly(aminoacid) Polymers 0.000 description 1
- 229920001713 poly(ethylene-co-vinyl alcohol) Polymers 0.000 description 1
- 229920006211 poly(glycolic acid-co-trimethylene carbonate) Polymers 0.000 description 1
- 229920001849 poly(hydroxybutyrate-co-valerate) Polymers 0.000 description 1
- 229920000218 poly(hydroxyvalerate) Polymers 0.000 description 1
- 229920000747 poly(lactic acid) Polymers 0.000 description 1
- 239000002745 poly(ortho ester) Substances 0.000 description 1
- 229920002463 poly(p-dioxanone) polymer Polymers 0.000 description 1
- 229920002627 poly(phosphazenes) Polymers 0.000 description 1
- 229920002432 poly(vinyl methyl ether) polymer Polymers 0.000 description 1
- 229920002239 polyacrylonitrile Polymers 0.000 description 1
- 229920001281 polyalkylene Polymers 0.000 description 1
- 229920002647 polyamide Polymers 0.000 description 1
- 229920000768 polyamine Polymers 0.000 description 1
- 229920001083 polybutene Polymers 0.000 description 1
- 229920001748 polybutylene Polymers 0.000 description 1
- 239000004417 polycarbonate Substances 0.000 description 1
- 229920000515 polycarbonate Polymers 0.000 description 1
- 239000000622 polydioxanone Substances 0.000 description 1
- 229920000647 polyepoxide Polymers 0.000 description 1
- 229920000728 polyester Polymers 0.000 description 1
- 229920000573 polyethylene Polymers 0.000 description 1
- 229920001721 polyimide Polymers 0.000 description 1
- 229920000656 polylysine Polymers 0.000 description 1
- 239000002861 polymer material Substances 0.000 description 1
- 229920005862 polyol Polymers 0.000 description 1
- 229920000098 polyolefin Polymers 0.000 description 1
- 150000003077 polyols Chemical class 0.000 description 1
- 229920006324 polyoxymethylene Polymers 0.000 description 1
- 229920001155 polypropylene Polymers 0.000 description 1
- 229920002223 polystyrene Polymers 0.000 description 1
- 229920001343 polytetrafluoroethylene Polymers 0.000 description 1
- 239000004810 polytetrafluoroethylene Substances 0.000 description 1
- 229920000166 polytrimethylene carbonate Polymers 0.000 description 1
- 229920002689 polyvinyl acetate Polymers 0.000 description 1
- 239000011118 polyvinyl acetate Substances 0.000 description 1
- 229920002451 polyvinyl alcohol Polymers 0.000 description 1
- 229920006216 polyvinyl aromatic Polymers 0.000 description 1
- 229920001290 polyvinyl ester Polymers 0.000 description 1
- 229920001289 polyvinyl ether Polymers 0.000 description 1
- 229920006215 polyvinyl ketone Polymers 0.000 description 1
- 239000005033 polyvinylidene chloride Substances 0.000 description 1
- 229920006214 polyvinylidene halide Polymers 0.000 description 1
- 229920000036 polyvinylpyrrolidone Polymers 0.000 description 1
- 239000001267 polyvinylpyrrolidone Substances 0.000 description 1
- 235000013855 polyvinylpyrrolidone Nutrition 0.000 description 1
- 230000029279 positive regulation of transcription, DNA-dependent Effects 0.000 description 1
- 239000001103 potassium chloride Substances 0.000 description 1
- 235000011164 potassium chloride Nutrition 0.000 description 1
- 230000003389 potentiating effect Effects 0.000 description 1
- 239000002244 precipitate Substances 0.000 description 1
- 239000000047 product Substances 0.000 description 1
- 230000035755 proliferation Effects 0.000 description 1
- SCUZVMOVTVSBLE-UHFFFAOYSA-N prop-2-enenitrile;styrene Chemical compound C=CC#N.C=CC1=CC=CC=C1 SCUZVMOVTVSBLE-UHFFFAOYSA-N 0.000 description 1
- XPGAWFIWCWKDDL-UHFFFAOYSA-N propan-1-olate;zirconium(4+) Chemical compound [Zr+4].CCC[O-].CCC[O-].CCC[O-].CCC[O-] XPGAWFIWCWKDDL-UHFFFAOYSA-N 0.000 description 1
- RLJWTAURUFQFJP-UHFFFAOYSA-N propan-2-ol;titanium Chemical compound [Ti].CC(C)O.CC(C)O.CC(C)O.CC(C)O RLJWTAURUFQFJP-UHFFFAOYSA-N 0.000 description 1
- 230000000069 prophylactic effect Effects 0.000 description 1
- 238000011321 prophylaxis Methods 0.000 description 1
- QQONPFPTGQHPMA-UHFFFAOYSA-N propylene Natural products CC=C QQONPFPTGQHPMA-UHFFFAOYSA-N 0.000 description 1
- 125000004805 propylene group Chemical group [H]C([H])([H])C([H])([*:1])C([H])([H])[*:2] 0.000 description 1
- 150000003815 prostacyclins Chemical class 0.000 description 1
- 239000002089 prostaglandin antagonist Substances 0.000 description 1
- 108090000623 proteins and genes Proteins 0.000 description 1
- ZAHRKKWIAAJSAO-UHFFFAOYSA-N rapamycin Natural products COCC(O)C(=C/C(C)C(=O)CC(OC(=O)C1CCCCN1C(=O)C(=O)C2(O)OC(CC(OC)C(=CC=CC=CC(C)CC(C)C(=O)C)C)CCC2C)C(C)CC3CCC(O)C(C3)OC)C ZAHRKKWIAAJSAO-UHFFFAOYSA-N 0.000 description 1
- 239000002964 rayon Substances 0.000 description 1
- 239000002464 receptor antagonist Substances 0.000 description 1
- 229940044551 receptor antagonist Drugs 0.000 description 1
- 210000002254 renal artery Anatomy 0.000 description 1
- 229920005989 resin Polymers 0.000 description 1
- 239000011347 resin Substances 0.000 description 1
- 230000000241 respiratory effect Effects 0.000 description 1
- 230000029058 respiratory gaseous exchange Effects 0.000 description 1
- 230000000717 retained effect Effects 0.000 description 1
- 229920006395 saturated elastomer Polymers 0.000 description 1
- 229940076279 serotonin Drugs 0.000 description 1
- 150000004756 silanes Chemical class 0.000 description 1
- 229920005573 silicon-containing polymer Polymers 0.000 description 1
- QFJCIRLUMZQUOT-HPLJOQBZSA-N sirolimus Chemical compound C1C[C@@H](O)[C@H](OC)C[C@@H]1C[C@@H](C)[C@H]1OC(=O)[C@@H]2CCCCN2C(=O)C(=O)[C@](O)(O2)[C@H](C)CC[C@H]2C[C@H](OC)/C(C)=C/C=C/C=C/[C@@H](C)C[C@@H](C)C(=O)[C@H](OC)[C@H](O)/C(C)=C/[C@@H](C)C(=O)C1 QFJCIRLUMZQUOT-HPLJOQBZSA-N 0.000 description 1
- 210000000329 smooth muscle myocyte Anatomy 0.000 description 1
- 239000000344 soap Substances 0.000 description 1
- 238000010129 solution processing Methods 0.000 description 1
- NHXLMOGPVYXJNR-ATOGVRKGSA-N somatostatin Chemical class C([C@H]1C(=O)N[C@H](C(N[C@@H](CO)C(=O)N[C@@H](CSSC[C@@H](C(=O)N[C@@H](CCCCN)C(=O)N[C@@H](CC(N)=O)C(=O)N[C@@H](CC=2C=CC=CC=2)C(=O)N[C@@H](CC=2C=CC=CC=2)C(=O)N[C@@H](CC=2C3=CC=CC=C3NC=2)C(=O)N[C@@H](CCCCN)C(=O)N[C@H](C(=O)N1)[C@@H](C)O)NC(=O)CNC(=O)[C@H](C)N)C(O)=O)=O)[C@H](O)C)C1=CC=CC=C1 NHXLMOGPVYXJNR-ATOGVRKGSA-N 0.000 description 1
- 238000001228 spectrum Methods 0.000 description 1
- 238000010561 standard procedure Methods 0.000 description 1
- 239000008107 starch Substances 0.000 description 1
- 235000019698 starch Nutrition 0.000 description 1
- 150000003431 steroids Chemical class 0.000 description 1
- 229920000468 styrene butadiene styrene block copolymer Polymers 0.000 description 1
- 150000003440 styrenes Chemical class 0.000 description 1
- 238000001356 surgical procedure Methods 0.000 description 1
- 230000002459 sustained effect Effects 0.000 description 1
- 238000007910 systemic administration Methods 0.000 description 1
- 230000009885 systemic effect Effects 0.000 description 1
- 229960001967 tacrolimus Drugs 0.000 description 1
- QJJXYPPXXYFBGM-SHYZHZOCSA-N tacrolimus Natural products CO[C@H]1C[C@H](CC[C@@H]1O)C=C(C)[C@H]2OC(=O)[C@H]3CCCCN3C(=O)C(=O)[C@@]4(O)O[C@@H]([C@H](C[C@H]4C)OC)[C@@H](C[C@H](C)CC(=C[C@@H](CC=C)C(=O)C[C@H](O)[C@H]2C)C)OC QJJXYPPXXYFBGM-SHYZHZOCSA-N 0.000 description 1
- 229910052715 tantalum Inorganic materials 0.000 description 1
- GUVRBAGPIYLISA-UHFFFAOYSA-N tantalum atom Chemical compound [Ta] GUVRBAGPIYLISA-UHFFFAOYSA-N 0.000 description 1
- 238000010998 test method Methods 0.000 description 1
- 229950011008 tetrachloroethylene Drugs 0.000 description 1
- BFKJFAAPBSQJPD-UHFFFAOYSA-N tetrafluoroethene Chemical compound FC(F)=C(F)F BFKJFAAPBSQJPD-UHFFFAOYSA-N 0.000 description 1
- VXUYXOFXAQZZMF-UHFFFAOYSA-N tetraisopropyl titanate Substances CC(C)O[Ti](OC(C)C)(OC(C)C)OC(C)C VXUYXOFXAQZZMF-UHFFFAOYSA-N 0.000 description 1
- 238000001029 thermal curing Methods 0.000 description 1
- 229920001169 thermoplastic Polymers 0.000 description 1
- 239000003868 thrombin inhibitor Substances 0.000 description 1
- PHWBOXQYWZNQIN-UHFFFAOYSA-N ticlopidine Chemical compound ClC1=CC=CC=C1CN1CC(C=CS2)=C2CC1 PHWBOXQYWZNQIN-UHFFFAOYSA-N 0.000 description 1
- 229960005001 ticlopidine Drugs 0.000 description 1
- 238000002054 transplantation Methods 0.000 description 1
- 230000008733 trauma Effects 0.000 description 1
- YWBFPKPWMSWWEA-UHFFFAOYSA-O triazolopyrimidine Chemical compound BrC1=CC=CC(C=2N=C3N=CN[N+]3=C(NCC=3C=CN=CC=3)C=2)=C1 YWBFPKPWMSWWEA-UHFFFAOYSA-O 0.000 description 1
- GPRLSGONYQIRFK-MNYXATJNSA-N triton Chemical compound [3H+] GPRLSGONYQIRFK-MNYXATJNSA-N 0.000 description 1
- 229950007952 vapiprost Drugs 0.000 description 1
- 210000004509 vascular smooth muscle cell Anatomy 0.000 description 1
- 239000003981 vehicle Substances 0.000 description 1
- 229960003048 vinblastine Drugs 0.000 description 1
- JXLYSJRDGCGARV-XQKSVPLYSA-N vincaleukoblastine Chemical compound C([C@@H](C[C@]1(C(=O)OC)C=2C(=CC3=C([C@]45[C@H]([C@@]([C@H](OC(C)=O)[C@]6(CC)C=CCN([C@H]56)CC4)(O)C(=O)OC)N3C)C=2)OC)C[C@@](C2)(O)CC)N2CCC2=C1NC1=CC=CC=C21 JXLYSJRDGCGARV-XQKSVPLYSA-N 0.000 description 1
- OGWKCGZFUXNPDA-XQKSVPLYSA-N vincristine Chemical compound C([N@]1C[C@@H](C[C@]2(C(=O)OC)C=3C(=CC4=C([C@]56[C@H]([C@@]([C@H](OC(C)=O)[C@]7(CC)C=CCN([C@H]67)CC5)(O)C(=O)OC)N4C=O)C=3)OC)C[C@@](C1)(O)CC)CC1=C2NC2=CC=CC=C12 OGWKCGZFUXNPDA-XQKSVPLYSA-N 0.000 description 1
- 229960004528 vincristine Drugs 0.000 description 1
- OGWKCGZFUXNPDA-UHFFFAOYSA-N vincristine Natural products C1C(CC)(O)CC(CC2(C(=O)OC)C=3C(=CC4=C(C56C(C(C(OC(C)=O)C7(CC)C=CCN(C67)CC5)(O)C(=O)OC)N4C=O)C=3)OC)CN1CCC1=C2NC2=CC=CC=C12 OGWKCGZFUXNPDA-UHFFFAOYSA-N 0.000 description 1
- 125000000391 vinyl group Chemical group [H]C([*])=C([H])[H] 0.000 description 1
Images
Classifications
-
- A—HUMAN NECESSITIES
- A61—MEDICAL OR VETERINARY SCIENCE; HYGIENE
- A61F—FILTERS IMPLANTABLE INTO BLOOD VESSELS; PROSTHESES; DEVICES PROVIDING PATENCY TO, OR PREVENTING COLLAPSING OF, TUBULAR STRUCTURES OF THE BODY, e.g. STENTS; ORTHOPAEDIC, NURSING OR CONTRACEPTIVE DEVICES; FOMENTATION; TREATMENT OR PROTECTION OF EYES OR EARS; BANDAGES, DRESSINGS OR ABSORBENT PADS; FIRST-AID KITS
- A61F2/00—Filters implantable into blood vessels; Prostheses, i.e. artificial substitutes or replacements for parts of the body; Appliances for connecting them with the body; Devices providing patency to, or preventing collapsing of, tubular structures of the body, e.g. stents
- A61F2/82—Devices providing patency to, or preventing collapsing of, tubular structures of the body, e.g. stents
- A61F2/844—Devices providing patency to, or preventing collapsing of, tubular structures of the body, e.g. stents folded prior to deployment
-
- A—HUMAN NECESSITIES
- A61—MEDICAL OR VETERINARY SCIENCE; HYGIENE
- A61L—METHODS OR APPARATUS FOR STERILISING MATERIALS OR OBJECTS IN GENERAL; DISINFECTION, STERILISATION OR DEODORISATION OF AIR; CHEMICAL ASPECTS OF BANDAGES, DRESSINGS, ABSORBENT PADS OR SURGICAL ARTICLES; MATERIALS FOR BANDAGES, DRESSINGS, ABSORBENT PADS OR SURGICAL ARTICLES
- A61L27/00—Materials for grafts or prostheses or for coating grafts or prostheses
- A61L27/50—Materials characterised by their function or physical properties, e.g. injectable or lubricating compositions, shape-memory materials, surface modified materials
- A61L27/54—Biologically active materials, e.g. therapeutic substances
-
- A—HUMAN NECESSITIES
- A61—MEDICAL OR VETERINARY SCIENCE; HYGIENE
- A61L—METHODS OR APPARATUS FOR STERILISING MATERIALS OR OBJECTS IN GENERAL; DISINFECTION, STERILISATION OR DEODORISATION OF AIR; CHEMICAL ASPECTS OF BANDAGES, DRESSINGS, ABSORBENT PADS OR SURGICAL ARTICLES; MATERIALS FOR BANDAGES, DRESSINGS, ABSORBENT PADS OR SURGICAL ARTICLES
- A61L31/00—Materials for other surgical articles, e.g. stents, stent-grafts, shunts, surgical drapes, guide wires, materials for adhesion prevention, occluding devices, surgical gloves, tissue fixation devices
- A61L31/14—Materials characterised by their function or physical properties, e.g. injectable or lubricating compositions, shape-memory materials, surface modified materials
- A61L31/16—Biologically active materials, e.g. therapeutic substances
-
- A—HUMAN NECESSITIES
- A61—MEDICAL OR VETERINARY SCIENCE; HYGIENE
- A61F—FILTERS IMPLANTABLE INTO BLOOD VESSELS; PROSTHESES; DEVICES PROVIDING PATENCY TO, OR PREVENTING COLLAPSING OF, TUBULAR STRUCTURES OF THE BODY, e.g. STENTS; ORTHOPAEDIC, NURSING OR CONTRACEPTIVE DEVICES; FOMENTATION; TREATMENT OR PROTECTION OF EYES OR EARS; BANDAGES, DRESSINGS OR ABSORBENT PADS; FIRST-AID KITS
- A61F2250/00—Special features of prostheses classified in groups A61F2/00 - A61F2/26 or A61F2/82 or A61F9/00 or A61F11/00 or subgroups thereof
- A61F2250/0058—Additional features; Implant or prostheses properties not otherwise provided for
- A61F2250/0067—Means for introducing or releasing pharmaceutical products into the body
-
- A—HUMAN NECESSITIES
- A61—MEDICAL OR VETERINARY SCIENCE; HYGIENE
- A61L—METHODS OR APPARATUS FOR STERILISING MATERIALS OR OBJECTS IN GENERAL; DISINFECTION, STERILISATION OR DEODORISATION OF AIR; CHEMICAL ASPECTS OF BANDAGES, DRESSINGS, ABSORBENT PADS OR SURGICAL ARTICLES; MATERIALS FOR BANDAGES, DRESSINGS, ABSORBENT PADS OR SURGICAL ARTICLES
- A61L2300/00—Biologically active materials used in bandages, wound dressings, absorbent pads or medical devices
- A61L2300/40—Biologically active materials used in bandages, wound dressings, absorbent pads or medical devices characterised by a specific therapeutic activity or mode of action
- A61L2300/416—Anti-neoplastic or anti-proliferative or anti-restenosis or anti-angiogenic agents, e.g. paclitaxel, sirolimus
-
- A—HUMAN NECESSITIES
- A61—MEDICAL OR VETERINARY SCIENCE; HYGIENE
- A61L—METHODS OR APPARATUS FOR STERILISING MATERIALS OR OBJECTS IN GENERAL; DISINFECTION, STERILISATION OR DEODORISATION OF AIR; CHEMICAL ASPECTS OF BANDAGES, DRESSINGS, ABSORBENT PADS OR SURGICAL ARTICLES; MATERIALS FOR BANDAGES, DRESSINGS, ABSORBENT PADS OR SURGICAL ARTICLES
- A61L2300/00—Biologically active materials used in bandages, wound dressings, absorbent pads or medical devices
- A61L2300/60—Biologically active materials used in bandages, wound dressings, absorbent pads or medical devices characterised by a special physical form
- A61L2300/602—Type of release, e.g. controlled, sustained, slow
-
- A—HUMAN NECESSITIES
- A61—MEDICAL OR VETERINARY SCIENCE; HYGIENE
- A61L—METHODS OR APPARATUS FOR STERILISING MATERIALS OR OBJECTS IN GENERAL; DISINFECTION, STERILISATION OR DEODORISATION OF AIR; CHEMICAL ASPECTS OF BANDAGES, DRESSINGS, ABSORBENT PADS OR SURGICAL ARTICLES; MATERIALS FOR BANDAGES, DRESSINGS, ABSORBENT PADS OR SURGICAL ARTICLES
- A61L2300/00—Biologically active materials used in bandages, wound dressings, absorbent pads or medical devices
- A61L2300/60—Biologically active materials used in bandages, wound dressings, absorbent pads or medical devices characterised by a special physical form
- A61L2300/606—Coatings
Definitions
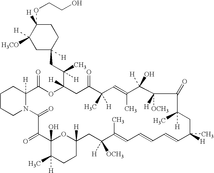
- the invention relates to drug eluting implantable devices, one example of which is a stent. More particularly, the invention relates to sustained delivery of 40-O-(2-hydroxy)ethyl-rapamycin from a stent.
- Percutaneous transluminal coronary angioplasty is a procedure for treating heart disease.
- a catheter assembly having a balloon portion is introduced percutaneously into the cardiovascular system of a patient via the brachial or femoral artery.
- the catheter assembly is advanced through the coronary vasculature until the balloon portion is positioned across the occlusive lesion.
- the balloon is inflated to a predetermined size to remodel the vessel wall.
- the balloon is then deflated to a smaller profile to allow the catheter to be withdrawn from the patient's vasculature.
- a problem associated with the above procedure includes formation of intimal flaps or torn arterial linings, which can collapse and occlude the conduit after the balloon is deflated. Vasospasms and recoil of the vessel wall also threaten vessel closure. Moreover, thrombosis and restenosis of the artery may develop over several months after the procedure, which may necessitate another angioplasty procedure or a surgical by-pass operation. To reduce the partial or total occlusion of the artery by the collapse of arterial lining and to reduce the chance of the development of thrombosis and restenosis, an expandable, intraluminal prosthesis, also known as a stent, is implanted in the lumen to maintain the vascular patency.
- Stents act as scaffoldings, functioning to physically hold open and, if desired, to expand the wall of the passageway.
- stents are capable of being compressed so that they can be inserted through small lumens via catheters and then expanded to a larger diameter once they are at the desired location.
- Mechanical intervention via stents has reduced the rate of restenosis as compared to balloon angioplasty.
- restenosis is still a significant clinical problem with rates ranging from 20-40%. When restenosis does occur in the stented segment, its treatment can be challenging, as clinical options are more limited as compared to lesions that were treated solely with a balloon.
- Stents are used not only for mechanical intervention but also as vehicles for providing biological therapy.
- Biological therapy can be achieved by medicating the stents.
- Medicated stents provide for the local administration of a therapeutic substance at the diseased site. In order to provide an efficacious concentration to the treated site, systemic administration of such medication often produces adverse or even toxic side effects for the patient.
- Local delivery is a preferred method of treatment in that smaller total levels of medication are administered in comparison to systemic dosages, but are concentrated at a specific site. Local delivery thus produces fewer side effects and achieves more favorable results.
- One proposed method of medicating stents involves the use of a polymeric carrier coated onto the surface of the stent.
- a composition including a solvent, a polymer dissolved in the solvent, and a therapeutic substance dispersed in the blend is applied to the stent by immersing the stent in the composition or by spraying the composition onto the stent.
- the solvent is allowed to evaporate, leaving on the stent strut surfaces a coating of the polymer and the therapeutic substance impregnated in the polymer.
- a potential shortcoming of the foregoing method of medicating stents is that the release rate of the therapeutic substance may be too high to provide an efficacious treatment. This shortcoming may be especially pronounced with certain therapeutic substances. For instance, it has been found that the release rate of 40-O-(2-hydroxy)ethyl-rapamycin from a standard polymeric coating is greater than 50% in about 24 hours. Thus, there is a need for a coating that reduces the release rate of 40-O-(2-hydroxy)ethyl-rapamycin in order to provide a more efficacious release rate profile. The present invention provides a coating to meet this need.
- a stent including a radially expandable body and a coating covering at least a portion of the body, the coating having 40-O-(2-hydroxy)ethyl-rapamycin, or an analog or derivative thereof, wherein the release rate of the 40-O-(2-hydroxy)ethyl-rapamycin, or the analog or derivative thereof, in 24 hours after the implantation of the stent is less than about 50% of the total amount contained in the coating.
- a method of inhibiting or eliminating the development of restenosis following a stent placement procedure including implanting a stent which can elude 40-O-(2-hydroxy)ethyl-rapamycin, or an analog or derivative thereof, at a release rate of less than 50% of the total amount of the drug carried by the stent in a 24 hour period following the implantation procedure.
- a method of providing drug delivery capability for a stent including coating a stent with a polymer containing 40-O-(2-hydroxy)ethyl-rapamycin, or analog or derivative thereof, wherein the coating has an in vivo release rate of less than 50% of the total amount of the 40-O-(2-hydroxy)ethyl-rapamycin, or analog or derivative thereof, in a 24 hour period.
- a method of treating a polymeric coating on a stent to reduce the rate of release of the drug from the coating including exposing the coating to a temperature of a sufficient degree to cause modifications in the structure of the polymer which allows for the reduction of the release rate of the drug through the polymer.
- a method of treating a coated stent containing a therapeutic substance to reduce the rate of release of the therapeutic substance from the coating including subjecting the coating to a stimuli so as to change the property of at least a region of the coating such that the change of the property of the region of the coating causes the therapeutic substance to be released more slowly from the region that has the changed property.
- a method of preparing a coated stent containing 40-O-(2-hydroxy)ethyl-rapamycin, or analog or derivative thereof, for an implantation procedure including sterilizing the stent while maintaining the peak purity of the 40-O-(2-hydroxy)ethyl-rapamycin, or analog or derivative thereof, at a level greater than 90%.
- FIGS. 1A-1C illustrate coatings deposited over an implantable medical substrate in accordance with various embodiments of the present invention
- FIGS. 2-3 are graphs showing the release rate of 40-O-(2-hydroxy)ethyl-rapamycin from stent coatings in accordance with embodiments of the present invention.
- FIG. 4 is a chromatograph as referred to in Examples 32 and 33;
- FIG. 5 is a graph showing the release rate of 40-O-(2-hydroxy)ethyl-rapamycin from stent coatings in accordance with an embodiment of the present invention.
- a method of forming a coating for an implantable device including applying a first composition with 40-O-(2-hydroxy)ethyl-rapamycin, or a functional analog or structural derivative thereof, to at least a portion of an implantable device to form a first layer.
- the release rate of 40-O-(2-hydroxy)ethyl-rapamycin is advantageously controlled by various methods and coatings as described below.
- the release rate of the 40-O-(2-hydroxy)ethyl-rapamycin, or analog or derivative thereof can be less than about 50% in 24 hours.
- 40-O-(2-hydroxy)ethyl-rapamycin is an immunosuppressant which is under investigation primarily for use with cyclosporine/steroids to prevent acute rejection episodes in renal transplant recipients. 40-O-(2-hydroxy)ethyl-rapamycin is also under investigation for rejection prophylaxis following other types of transplantation (e.g., lung, liver).
- the chemical structure for 40-O-(2-hydroxy)ethyl-rapamycin is as follows: Examples of analogs or derivatives of 40-O-(2-hydroxy)ethyl-rapamycin include but are not limited to 40-O-(3-hydroxy)propyl-rapamycin and 40-O-[2-(2-hydroxy)ethoxy]ethyl-rapamycin.
- 40-O-(2-hydroxy)ethyl-rapamycin binds to the cytosolic immunophyllin FKBP12 and inhibits growth factor-driven cell proliferation, including that of T-cells and vascular smooth muscle cells.
- the actions of 40-O-(2-hydroxy)ethyl-rapamycin occur late in the cell cycle (i.e., late G1 stage) compared to other immunosuppressive agents such as tacrolimus or cyclosporine which block transcriptional activation of early T-cell-specific genes.
- 40-O-(2-hydroxy)ethyl-rapamycin can act as a potent anti-proliferative agent, it is believed that 40-O-(2-hydroxy)ethyl-rapamycin can be an effective agent to treat restenosis by being delivered to a local treatment site from a polymeric coated implantable device such as a stent.
- composition including 40-O-(2-hydroxy)ethyl-rapamycin can be applied to the implantable device in various ways.
- a first layer can be formed on the implantable device by (1) immersing the implantable device into a solution containing 40-O-(2-hydroxy)ethyl-rapamycin dissolved in a suitable solvent, or (2) spray coating the implantable device with the same solution containing 40-O-(2-hydroxy)ethyl-rapamycin to form a reservoir layer.
- the implantable device can include cavities or micro-pores for containing the 40-O-(2-hydroxy)ethyl-rapamycin.
- the 40-O-(2-hydroxy)ethyl-rapamycin can also be blended with a polymer and applied to the implantable device to form the reservoir layer.
- Polymer “Polymer,” “poly,” and “polymeric” are defined as compounds that are the product of a polymerization reaction and are inclusive of homopolymers, copolymers, terpolymers etc., including random, alternating, block, and graft variations thereof.
- the polymers should have a high capacity of adherence to the surface of an implantable device, such as a metallic surface of a stent, and a high capacity of adherence to polymeric surfaces.
- the ratio of 40-O-(2-hydroxy)ethyl-rapamycin, or analog or derivative thereof, to polymer by weight in the reservoir layer is about 1:2.8 to about 1:1. It has been found that this particular range of 40-O-(2-hydroxy)ethyl-rapamycin:polymer ratio provides a beneficial release rate of the 40-O-(2-hydroxy)ethyl-rapamycin from the polymer matrix.
- the 40-O-(2-hydroxy)ethyl-rapamycin when blended with a polymer for the reservoir layer, is in the amount of about 50 ⁇ g to about 500 ⁇ g, more narrowly about 90 ⁇ g to about 350 ⁇ g, and the polymer is in the amount of about 50 ⁇ g to about 1000 ⁇ g, more narrowly about 90 ⁇ g to about 500 ⁇ g.
- the polymer is in the amount of about 50 ⁇ g to about 1000 ⁇ g, more narrowly about 90 ⁇ g to about 500 ⁇ g.
- solvent is defined as a liquid substance or composition that is compatible with the components of the composition and is capable of dissolving the component(s) at the concentration desired in the composition.
- solvents include chloroform, acetone, water (buffered saline), dimethylsulfoxide (DMSO), propylene glycol methyl ether (PM,) iso-propylalcohol (IPA), n-propylalcohol, methanol, ethanol, tetrahydrofuran (THF), dimethylformamide (DMF), dimethylacetamide (DMAC), benzene, toluene, xylene, hexane, cyclohexane, pentane, heptane, octane, nonane, decane, decalin, ethyl acetate, butyl acetate, isobutyl acetate, isopropyl acetate, butanol, diacetone alcohol, benzyl alcohol, 2-butanone, cyclohexanone, dioxane, methylene chloride, carbon tetrachloride, tetrachlor
- the polymer can be added to the solvent at ambient pressure and under anhydrous atmosphere. If necessary, gentle heating and stirring and/or mixing can be employed to effect dissolution of the polymer into the solvent, for example 12 hours in a water bath at about 60° C.
- the polymer can comprise from about 0.1% to about 35%, more narrowly from about 0.5% to about 20% by weight of the total weight of the composition
- the solvent can comprise from about 59.9% to about 99.8%, more narrowly from about 79% to about 99% by weight of the total weight of the composition
- the 40-O-(2-hydroxy)ethyl-rapamycin can comprise from about 0.1% to about 40%, more narrowly from about 1% to about 9% by weight of the total weight of the composition.
- weight ratios of more than 9% for the active ingredient are achievable without compromising the effectiveness of the adhesion. Selection of a specific weight ratio of the polymer and solvent is dependent on factors such as, but not limited to, the material from which the device is made, the geometrical structure of the device, and the type and amount of the active ingredient employed.
- a second solvent such as tetrahydrofuran (THF) or dimethylformamide (DMF)
- THF tetrahydrofuran
- DMF dimethylformamide
- the second solvent can be added to the composition or the 40-O-(2-hydroxy)ethyl-rapamycin can be added to the second solvent prior to mixture with the blend.
- the 40-O-(2-hydroxy)ethyl-rapamycin should be in true solution or saturated in the blended composition. If the 40-O-(2-hydroxy)ethyl-rapamycin is not completely soluble in the composition, operations including mixing, stirring, and/or agitation can be employed to effect homogeneity of the residues.
- the 40-O-(2-hydroxy)ethyl-rapamycin can also be first added to the second solvent prior to admixing with the composition.
- the 40-O-(2-hydroxy)ethyl-rapamycin may be added so that the dispersion is in fine particles.
- polymers that can be combined with 40-O-(2-hydroxy)ethyl-rapamycin for the reservoir layer include ethylene vinyl alcohol copolymer (commonly known by the generic name EVOH or by the trade name EVAL), poly(hydroxyvalerate); poly(L-lactic acid); polycaprolactone; poly(lactide-co-glycolide); poly(hydroxybutyrate); poly(hydroxybutyrate-co-valerate); polydioxanone; polyorthoester; polyanhydride; poly(glycolic acid); poly(D,L-lactic acid); poly(glycolic acid-co-trimethylene carbonate); polyphosphoester; polyphosphoester urethane; poly(amino acids); cyanoacrylates; poly(trimethylene carbonate); poly(iminocarbonate); copoly(ether-esters) (e.g.
- EVAL ethylene vinyl alcohol copolymer
- poly(hydroxyvalerate) poly(L-lactic acid); polycaprolactone; poly
- PEO/PLA polyalkylene oxalates; polyphosphazenes; biomolecules, such as fibrin, fibrinogen, cellulose, starch, collagen and hyaluronic acid; polyurethanes; silicones; polyesters; polyolefins; polyisobutylene and ethylene-alphaolefin copolymers; acrylic polymers and copolymers; vinyl halide polymers and copolymers, such as polyvinyl chloride; polyvinyl ethers, such as polyvinyl methyl ether; polyvinylidene halides, such as polyvinylidene fluoride and polyvinylidene chloride; polyacrylonitrile; polyvinyl ketones; polyvinyl aromatics, such as polystyrene; polyvinyl esters, such as polyvinyl acetate; copolymers of vinyl monomers with each other and olefins, such as ethylene-methyl methacrylate copolymers, acryl
- Ethylene vinyl alcohol is functionally a very suitable choice of polymer.
- Ethylene vinyl alcohol copolymer refers to copolymers comprising residues of both ethylene and vinyl alcohol monomers.
- ethylene vinyl alcohol copolymer may also be a terpolymer so as to include small amounts of additional monomers, for example less than about five (5) mole percentage of styrenes, propylene, or other suitable monomers.
- Ethylene vinyl alcohol copolymers are available commercially from companies such as Aldrich Chemical Company, Milwaukee, Wis., or EVAL Company of America, Lisle, Ill., or can be prepared by conventional polymerization procedures that are well known to one of ordinary skill in the art.
- the copolymer of EVAL allows for good control capabilities of the release rate of the 40-O-(2-hydroxy)ethyl-rapamycin.
- an increase in the amount of the ethylene comonomer content decreases the rate that the 40-O-(2-hydroxy)ethyl-rapamycin is released from the copolymer matrix.
- the release rate of the 40-O-(2-hydroxy)ethyl-rapamycin typically decreases as the hydrophilicity of the copolymer decreases.
- An increase in the amount of the ethylene comonomer content increases the overall hydrophobicity of the copolymer, especially as the content of vinyl alcohol is concomitantly reduced.
- release rate and the cumulative amount of the active ingredient that is released is directly proportional to the total initial content of the ingredient in the copolymer matrix. Accordingly, a wide spectrum of release rates can be achieved by modifying the ethylene comonomer content and the initial amount of the 40-O-(2-hydroxy)ethyl-rapamycin.
- another active agent can also be added to the first composition.
- the additional active agent may be any substance capable of exerting a therapeutic or prophylactic effect in the practice of the present invention.
- active agents include antiproliferative, antineoplastic, antiinflammatory, antiplatelet, anticoagulant, antifibrin, antithrombin, antimitotic, antibiotic, and antioxidant substances as well as combinations thereof.
- a suitable example of an antiproliferative substance is actinomycin D, or derivatives and analogs thereof (manufactured by Sigma-Aldrich 1001 West Saint Paul Avenue, Milwaukee, Wis. 53233; or COSMEGEN available from Merck).
- actinomycin D Synonyms of actinomycin D include dactinomycin, actinomycin IV, actinomycin I 1 , actinomycin X 1 , and actinomycin C 1 .
- suitable antineoplastics include paclitaxel and docetaxel.
- antiplatelets examples include aspirin, sodium heparin, low molecular weight heparin, hirudin, argatroban, forskolin, vapiprost, prostacyclin and prostacyclin analogs, dextran, D-phe-pro-arg-chloromethylketone (synthetic antithrombin), dipyridamole, glycoprotein IIb/IIIa platelet membrane receptor antagonist, recombinant hirudin, thrombin inhibitor (available from Biogen), and 7E-3B® (an antiplatelet drug from Centocor).
- aspirin sodium heparin, low molecular weight heparin, hirudin, argatroban, forskolin, vapiprost, prostacyclin and prostacyclin analogs, dextran, D-phe-pro-arg-chloromethylketone (synthetic antithrombin), dipyridamole, glycoprotein IIb/IIIa platelet membrane receptor antagonist, recombin
- Suitable antimitotic agents include methotrexate, azathioprine, vincristine, vinblastine, fluorouracil, adriamycin, and mutamycin.
- suitable cytostatic or antiproliferative agents include angiopeptin (a somatostatin analog from Ibsen), angiotensin converting enzyme inhibitors such as CAPTOPRIL (available from Squibb), CILAZAPRIL (available from Hoffman-LaRoche), or LISINOPRIL (available from Merck & Co., Whitehouse Station, N.J.); calcium channel blockers (such as Nifedipine), colchicine, fibroblast growth factor (FGF) antagonists, histamine antagonist, LOVASTATIN (an inhibitor of HMG-CoA reductase, a cholesterol lowering drug from Merck &Co.), monoclonal antibodies (such as PDGF receptors), nitroprusside, phosphodiesterase inhibitors, prostaglandin inhibitor (available form Glaz
- compositions include alpha-interferon; genetically engineered epithelial cells; dexamethasone; rapamycin; estradiol; clobetasol propionate; cisplatin; insulin sensitizers; receptor tyrosine kinase inhibitors; and carboplatin.
- Exposure of the composition to the active ingredient should not adversely alter the active ingredient's composition or characteristic. Accordingly, the particular active ingredient is selected for compatibility with the blended composition.
- the dosage or concentration of 40-O-(2-hydroxy)ethyl-rapamycin or other active agent required to produce a therapeutic effect should be less than the level at which the 40-O-(2-hydroxy)ethyl-rapamycin or other active agent produces unwanted toxic effects and greater than the level at which non-therapeutic results are obtained.
- the dosage or concentration of 40-O-(2-hydroxy)ethyl-rapamycin or other active agent required to inhibit the desired cellular activity of the vascular region can depend upon factors such as the particular circumstances of the patient; the nature of the trauma; the nature of the therapy desired; the time over which the ingredient administered resides at the vascular site; and if other bioactive substances are employed, the nature and type of the substance or combination of substances.
- Therapeutically effective dosages can be determined empirically, for example by infusing vessels from suitable animal model systems and using immunohistochemical, fluorescent or electron microscopy methods to detect the agent and its effects, or by conducting suitable in vitro studies. Standard pharmacological test procedures to determine dosages are understood by one of ordinary skill in the art.
- the release rate of the 40-O-(2-hydroxy)ethyl-rapamycin may be too high to be clinically useful.
- the percentage of 40-O-(2-hydroxy)ethyl-rapamycin released from a stent coating without a barrier layer in 24 hours was determined to be 58.55 as measured in a porcine serum release rate procedure.
- the release rate from the coating of Example 22 may be too high for a treatment using 40-O-(2-hydroxy)ethyl-rapamycin as the active agent.
- the barrier layer of the present invention can reduce the rate of release or delay the time at which the 40-O-(2-hydroxy)ethyl-rapamycin is released from the reservoir layer.
- the barrier layer can be applied on a selected region of the reservoir layer to form a rate reducing member.
- the composition for the barrier layer can be substantially free of active agents.
- compounds such as polyethylene glycol, heparin, heparin derivatives having hydrophobic counterions, or polyethylene oxide can be added to the barrier layer.
- the choice of polymer for the barrier layer can be the same as the selected polymer for the reservoir.
- polymers that can be used for a barrier layer can include polytetrafluoroethylene, perfluoro elastomers, ethylene-tetrafluoroethylene copolymer, fluoroethylene-alkyl vinyl ether copolymer, polyhexafluoropropylene, low density linear polyethylenes having high molecular weights, ethylene-olefin copolymers, atactic polypropylene, polyisobutene, polybutylenes, polybutenes, styrene-ethylene-styrene block copolymers, styrene-butylene-styrene block copolymers, styrene-butadiene-styrene block copolymers, and ethylene methacrylic acid copolymers of low methacrylic acid content.
- Ethylene vinyl alcohol is functionally a very suitable choice of polymer.
- the copolymer allows for good control capabilities over the release rate of the 40-O-(2-hydroxy)ethyl-rapamycin.
- an increase in the amount of the ethylene comonomer content decreases the rate that the 40-O-(2-hydroxy)ethyl-rapamycin is released from the copolymer matrix.
- the release rate of the 40-O-(2-hydroxy)ethyl-rapamycin decreases as the hydrophilicity of the polymer decreases.
- An increase in the amount of the ethylene comonomer content increases the overall hydrophobicity of the copolymer, especially as the content of vinyl alcohol is concomitantly reduced.
- Fluoropolymers are also a suitable choice for the barrier layer composition.
- polyvinylidene fluoride otherwise known as KYNAR, available from ATOFINA Chemicals, Philadelphia, Pa.
- HFE FLUX REMOVER Techspray, Amarillo, Tex.
- EVAL Evapor deposition
- solution processing of fluoropolymers is possible, particularly the low crystallinity varieties such as CYTOP available from Asahi Glass and TEFLON AF available from DuPont.
- polybutylmethacrylate can be used for the barrier layer.
- Polybutylmethacrylate for example, can be dissolved in a solution of xylene, acetone and HFE FLUX REMOVER.
- the barrier layer can also be styrene-ethylene/butylene-styrene block copolymer.
- Styrene-ethylene/butylene-styrene block copolymer e.g., Kraton G-series
- non-polar solvents such as, but not limited to, toluene, xylene, and decalin.
- polymers for the rate-limiting membrane include, but are not limited to, ethylene-anhydride copolymers; ethylene vinyl acetate copolymers having, for example, a mol % of vinyl acetate of from about 9% to about 25%; and ethylene-acrylic acid copolymers having, for example, a mol % of acrylic acid of from about 2% to about 25%.
- the ethylene-anhydride copolymer available from Bynel adheres well to EVAL and thus would function well as a barrier layer over a reservoir layer made from EVAL.
- the copolymer can be dissolved in organic solvents, such as dimethylsulfoxide and dimethylacetamide.
- Ethylene vinyl acetate polymers can be dissolved in organic solvents, such as toluene and n-butyl acetate.
- Ethylene-acrylic acid copolymers can be dissolved in organic solvents, such as methanol, isopropyl alcohol, and dimethylsulfoxide.
- a cross-linked silicone elastomer is a cross-linked silicone elastomer. Loose silicone and silicone with very low cross-linking are thought to cause an inflammatory biological response. However, it is believed that a thoroughly cross-linked silicone elastomer, having low levels of leachable silicone polymer and oligomer, is an essentially non-inflammatory substance.
- Silicone elastomers such as Nusil MED-4750, MED-4755, or MED2-6640, having high tensile strengths, for example between 1200 psi and 1500 psi, will likely have the best durability during crimping, delivery, and expansion of a stent as well as good adhesion to a reservoir layer, e.g., EVAL or the surface of an implantable device.
- a reservoir layer e.g., EVAL or the surface of an implantable device.
- compositions for a rate-reducing membrane or diffusion barrier layer are prepared by methods wherein all components are combined, then blended. More particularly, a predetermined amount of a polymer can be added to a predetermined amount of a compatible solvent.
- the selected solvent should be capable of placing the polymer into solution at the concentration desired.
- the polymer can be added to the solvent at ambient pressure and under anhydrous atmosphere. If necessary, gentle heating and stirring and/or mixing can be employed to effect dissolution of the polymer into the solvent, for example 12 hours in a water bath at about 60° C.
- the polymer can comprise from about 0.1% to about 35%, more narrowly from about 1% to about 20% by weight of the total weight of the composition, and the solvent can comprise from about 65% to about 99.9%, more narrowly from about 80% to about 98% by weight of the total weight of the composition. Selection of a specific weight ratio of the polymer and solvent is dependent on factors such as, but not limited to, the type of polymer and solvent employed, the type of underlying reservoir layer, and the method of application.
- the barrier layer contains a polymer in the amount of about 25 ⁇ g to about 500 ⁇ g, more narrowly about 65 ⁇ g to about 350 ⁇ g. This particular range for the amount of barrier polymer can provide a beneficial release rate of the 40-O-(2-hydroxy)ethyl-rapamycin from the polymer matrix.
- a primer layer can serve as a functionally useful intermediary layer between the surface of the device and an active ingredient-containing or reservoir coating.
- the primer layer provides an adhesive tie between the reservoir coating and the device—which, in effect, would also allow for the quantity of the active ingredient in the reservoir coating to be increased without compromising the ability of the reservoir coating to be effectively contained on the device during delivery and, if applicable, expansion of the device.
- composition for a primer layer is prepared by conventional methods wherein all components are combined, then blended. More particularly, a predetermined amount of a polymer or a prepolymer can be added to a predetermined amount of a solvent or a combination of solvents.
- the mixture can be prepared at ambient pressure and under anhydrous atmosphere. Heating and stirring and/or mixing can be employed to effect dissolution of the polymer into the solvent.
- suitable polymers for the primer layer include, but are not limited to, polyisocyanates, such as triisocyanurate and polyisocyanate polyether polyurethanes based on diphenylmethane diisocyanate; acrylates, such as copolymers of ethyl acrylate and methacrylic acid; titanates, such as tetra-iso-propyl titanate and tetra-n-butyl titanate; zirconates, such as n-propyl zirconate and n-butyl zirconate; silane coupling agents, such as 3-aminopropyltriethoxysilane and (3-glydidoxypropyl) methyldiethoxysilane; high amine content polymers, such as polyethyleneamine, polyallylamine, and polylysine; polymers with a high content of hydrogen bonding groups, such as polyethylene-co-polyvinyl alcohol, ethylene vinyl acetate, and melamine formaldeh
- polymers that can be used for the primer material also include those polymers that can be used for the reservoir layer as described above.
- the use of the same polymer significantly reduces or eliminates any interfacial incompatibilities, such as lack of an adhesive tie or bond, which may exist with the employment of two different polymeric layers.
- Ethylene vinyl alcohol is a very suitable choice of polymer for the primer layer.
- the copolymer possesses good adhesive qualities to the surface of a stent, particularly stainless steel surfaces, and has illustrated the ability to expand with a stent without any significant detachment of the copolymer from the surface of the stent.
- the copolymer can comprise a mole percent of ethylene of from about 27% to about 48%.
- the polymer can comprise from about 0.1% to about 35%, more narrowly from about 1% to about 20% by weight of the total weight of the composition, and the solvent can comprise from about 65% to about 99.9%, more narrowly from about 80% to about 98% by weight of the total weight of the primer composition.
- a specific weight ratio is dependent on factors such as the material from which the implantable device is made, the geometrical structure of the device, the choice of polymer-solvent combination, and the method of application.
- a fluid can be added to the composition to enhance the wetting of the primer composition for a more uniform coating application.
- a suitable fluid typically has a high capillary permeation.
- Capillary permeation or wetting is the movement of a fluid on a solid substrate driven by interfacial energetics.
- Capillary permeation is quantitated by a contact angle, defined as an angle at the tangent of a droplet in a fluid phase that has taken an equilibrium shape on a solid surface. A low contact angle indicates a higher wetting liquid.
- a suitably high capillary permeation corresponds to a contact angle less than about 90° C.
- the wetting fluid typically, should have a viscosity not greater than about 50 centipoise, narrowly about 0.3 to about 5 centipoise, more narrowly about 0.4 to about 2.5 centipoise.
- the wetting fluid accordingly, when added to the composition, reduces the viscosity of composition.
- the wetting fluid should be compatible with the polymer and the solvent and should not precipitate the polymer.
- the wetting fluid can also act as the solvent.
- Useful examples of the wetting fluid include, but are not limited to, tetrahydrofuran (THF), dimethylformamide (DMF), 1-butanol, n-butyl acetate, dimethyl acetamide (DMAC), and mixtures and combinations thereof
- finishing layer that is especially biocompatible on the surface of the coating that is exposed to the biological lumen when inserted into a patient.
- suitable biocompatible polymers or biocompatible agents for the finishing layer include, but are not limited to ethylene vinyl alcohol copolymer, polyethylene oxide, polyethylene glycol, hyaluronic acid, polyvinyl pyrrolidone, heparin, heparin derivatives such as those having hydrophobic counterions, and phosphylcholine.
- composition can be by any conventional method, such as by spraying the composition onto the prosthesis or by immersing the prosthesis in the composition.
- Operations such as wiping, centrifugation, blowing, or other web-clearing acts can also be performed to achieve a more uniform coating.
- wiping refers to physical removal of excess coating from the surface of the stent
- centrifugation refers to rapid rotation of the stent about an axis of rotation
- blowing refers to application of air at a selected pressure to the deposited coating. Any excess coating can also be vacuumed off the surface of the device.
- the addition of a wetting fluid leads to a consistent application of the composition which also causes the coating to be uniformly deposited on the surface of the prosthesis.
- the deposited primer composition should be exposed to a heat treatment at a temperature range greater than about the glass transition temperature (T g ) and less than about the melting temperature (T m ) of the selected polymer.
- T g glass transition temperature
- T m melting temperature
- the device should be exposed to the heat treatment for any suitable duration of time that would allow for the formation of the primer coating on the surface of the device as well as for the evaporation of the solvent or combination of solvent and wetting fluid. It is understood that essentially all of the solvent and the wetting fluid will be removed from the composition, but traces or residues may remain blended with the polymer.
- Table 1 lists the T g and T m for some of the polymers used in the embodiments of the present invention. T g and T m of polymers are attainable by one of ordinary skill in the art. The cited exemplary temperature and time for exposure are provided by way of illustration and are not meant to be limiting.
- thermoset primer polymers With the use of one of the aforementioned thermoset primer polymers, the use of initiators may be required.
- epoxy systems consisting of diglycidyl ether of bisphenol A resins can be cured with amine curatives, thermoset polyurethane prepolymers can cured with polyols, polyamines, or water (moisture), and acrylated urethane can be cured with UV light. If baked, the temperature can be above the T g of the selected polymer.
- the solvent is allowed to evaporate.
- the composition containing the active ingredient can be applied to a designated region of the primer coating or the surface of the device.
- the solvent(s) or the combination of solvent(s) and the wetting fluid is removed from the composition by allowing the solvent(s) or combination of the solvent(s) and the wetting fluid to evaporate.
- the evaporation can be induced by heating the device at a predetermined temperature for a predetermined period of time.
- the device can be heated at a temperature of about 60° C. for about 12 hours to about 24 hours.
- the heating can be conducted in an anhydrous atmosphere and at ambient pressure and should not exceed the temperature which would adversely affect the active ingredient.
- the heating can also be conducted under a vacuum condition. It is understood that essentially all of the solvent and the wetting fluid will be removed from the composition, but traces or residues may remain blended with the polymer.
- the diffusion barrier layer can be formed on a designated region of the active ingredient-containing coating subsequent to the evaporation of the solvent(s) or solvent(s)/wetting fluid and the drying of the polymer for the active ingredient-containing coating.
- the rate-reducing membrane may be formed directly over active-ingredient containing cavities within the surface of the prosthesis.
- the diffusion barrier layer can be applied by spraying the composition onto the device or immersing the device in the composition, then drying the polymer. The above-described processes can be similarly repeated for the formation of the diffusion barrier layer.
- the 40-O-(2-hydroxy)ethyl-rapamycin can diffuse from the polymer matrix at a rate that could be too high for certain clinical conditions. Accordingly, the coating can be exposed to a temperature that is effective to decrease the diffusion rate of the 40-O-(2-hydroxy)ethyl-rapamycin from the polymer matrix. In particular, the coating can be exposed to a sufficient temperature effective to decrease the release rate of the 40-O-(2-hydroxy)ethyl-rapamycin, or analog or derivative thereof, by about 50% as compared to a control group, as demonstrated in Example 17 below.
- the temperature will be between the glass transition temperature (T g ) and the melting temperature (T m ) of the polymer.
- the temperature can be the annealing temperature of the polymer (about equal to T g +T m /2).
- the thermal treatment can be conducted in an anhydrous atmosphere and at ambient pressure. The treatment can also be conducted under a vacuum condition.
- the exposure temperature should not adversely affect the characteristics of the 40-O-(2-hydroxy)ethyl-rapamycin or other active agents present in the coating.
- additives can be mixed with the polymer before or during the coating process to shift the thermal profile of the polymer (i.e., decrease the T g and T m of the polymer).
- a plasticizer which is usually a low molecular weight nonvolatile molecule, can be dissolved with the polymer before the application process.
- the plasticizer can be an active agent.
- a representative example of an additive is dioctyl phthalate.
- one of the polymers in the coating exposed to the temperature is a semi-crystalline (e.g., polyvinyl chloride and EVAL) polymer.
- semi-crystalline e.g., polyvinyl chloride and EVAL
- Others types of energy, such as RF energy, can also be used to increase the percent crystallinity.
- “Percent crystallinity” refers to the percentage of the polymer material that is in a crystalline form. Those of ordinary skill in the art understand that there are several methods for determining the percent crystallinity in polymers. These methods are, for example, described in L. H. Sperline, Introduction to Physical Polymer Science (3rd ed. 2001). The first involves the determination of the heat of fusion of the whole sample by calorimetric methods. The heat of fusion per mole of crystalline material can be estimated independently by melting point depression experiments.
- a second method involves the determination of the density of the crystalline portion via X-ray analysis of the crystal structure, and determining the theoretical density of a 100% crystalline material.
- a third method stems from the fact that X-ray diffraction depends on the number of electrons involved and is thus proportional to the density. Besides Bragg diffraction lines for the crystalline portion, there is an amorphous halo caused by the amorphous portion of the polymer.
- the amorphous halo occurs at a slightly smaller angle than the corresponding crystalline peak, because the atomic spacings are larger.
- the amorphous halo is broader than the corresponding crystalline peak, because of the molecular disorder.
- the heat emitter used to thermal treat the coating can be any apparatus that emits thermal radiation.
- the heat emitter can be a cauterizer tip.
- the heat emitter can also be a blower that includes a heating device so that the blower can direct a warm gas (e.g., air, argon or nitrogen) onto the implantable device.
- the heating device can be any heating device as known by those of ordinary skill in the art.
- the heating device can be an electric heater incorporating heating coils.
- the thermal radiation from the heat emitter can be directed to only certain portions of the implantable device or only for certain durations so that the diffusion rates of the 40-O-(2-hydroxy)ethyl-rapamycin from the polymer differs in various portions of the coating.
- the implantable device can have two or more segments along the longitudinal axis of the implantable device, such as a first segment, a second segment and a third segment.
- the thermal radiation could be directed substantially only at the first segment and the third segment, for instance, by using a cauterizer tip.
- the thermal radiation could be set higher for the first and third segments, or the thermal radiation could be directed at the first and third segments for a longer duration than the second segment.
- the polymer along the first segment and the third segment would have a greater percent crystallinity than the polymer along the second segment. Therefore, the diffusion rates of the active agent from the polymer matrix along the first segment and the third segment would be less than the diffusion rate along the second segment.
- the shallower regions of the coating will have a higher percent crystallinity than the deeper regions.
- the first or shallowest region would have a higher percent crystallinity than the fourth or deepest region.
- the implantable device can be sterilized by various methods.
- a coating containing 40-O-(2-hydroxy)ethyl-rapamycin cannot be sterilized with many techniques because the 40-O-(2-hydroxy)ethyl-rapamycin is degraded by the processes.
- a polymer coating containing 40-O-(2-hydroxy)ethyl-rapamycin could not be sterilized with an e-beam procedure because the free radicals produced during the process would degrade the 40-O-(2-hydroxy)ethyl-rapamycin.
- the coatings of the present invention protect the 40-O-(2-hydroxy)ethyl-rapamycin during sterilization procedures (e.g., using an e-beam or ethylene oxide process). In fact, subsequent to sterilization, the peak purity of the 40-O-(2-hydroxy)ethyl-rapamycin has been greater than 90% when included in the coatings of the present invention.
- the particular procedure used to sterilize the coating can also be used to expose the coating to a temperature that is effective to decrease the diffusion rate of the 40-O-(2-hydroxy)ethyl-rapamycin from the polymer matrix.
- the coating can be exposed to a sufficient temperature effective to decrease the release rate of the 40-O-(2-hydroxy)ethyl-rapamycin, or analog or derivative thereof, by about 50% as compared to a control group.
- the device or prosthesis coated in accordance with embodiments of the present invention may be any suitable medical substrate that can be implanted in a human or veterinary patient.
- implantable devices include self-expandable stents, balloon-expandable stents, stent-grafts, grafts (e.g., aortic grafts), artificial heart valves, cerebrospinal fluid shunts, pacemaker electrodes, and endocardial leads (e.g., FINELINE and ENDOTAK, available from Guidant Corporation, Santa Clara, Calif.).
- the underlying structure of the device can be of virtually any design.
- the device can be made of a metallic material or an alloy such as, but not limited to, cobalt chromium alloy (ELGILOY), stainless steel (316 L), high nitrogen stainless steel, e.g., BIODUR 108, cobalt chrome alloy L-605, “MP35N,” “MP20N,” ELASTINITE (Nitinol), tantalum, nickel-titanium alloy, platinum-iridium alloy, gold, magnesium, or combinations thereof.
- ELGILOY cobalt chromium alloy
- 316 L stainless steel
- high nitrogen stainless steel e.g., BIODUR 108, cobalt chrome alloy L-605, “MP35N,” “MP20N,” ELASTINITE (Nitinol), tantalum, nickel-titanium alloy, platinum-iridium alloy, gold, magnesium, or combinations thereof.
- BIODUR 108 cobalt chrome alloy L-605, “MP35N,” “MP20N,” ELASTINITE (Nitinol)
- tantalum nickel-t
- MP35N consists of 35% cobalt, 35% nickel, 20% chromium, and 10% molybdenum.
- MP20N consists of 50% cobalt, 20% nickel, 20% chromium, and 10% molybdenum.
- Devices made from bioabsorbable or biostable polymers could also be used with the embodiments of the present invention.
- the embodiments of the present invention may be particularly useful for the coatings of small vessel stents.
- Small vessels stents can be generally categorized as having inner diameters of less than 2.5 mm in an expanded state. Because of their small size, small vessel stents offer unique challenges for drug delivery. In particular, as compared to conventionally sized stents, small vessel stents have a greater surface:volume ratio. Therefore, when a small vessel stent is inserted into a biological lumen, the vessel tissue surrounding a small vessel stent is exposed to a greater concentration of polymer and active agent.
- the various embodiments of the present invention can be used to address some of the challenges offered by the use of small vessel stents. For example, it is thought that it is especially important that small vessel stents have lower amounts of polymer in their coatings, as compared to larger sized stents, in order to reduce the risk of an inflammatory response by the vessel tissue. However, it may also be important to have a barrier layer on the stent coating in order to have a low release rate of the active agents, such as 40-O-(2-hydroxy)ethyl-rapamycin. With the inclusion of the barrier layer, the amount of polymer on the coating may be sufficient to cause an unwanted inflammatory response.
- one approach would be to provide a thinner barrier layer on the polymer matrix as compared to larger sized stents, and then heat treat the barrier layer to increase the crystallinity of the barrier layer polymer, thereby decreasing the release rate of the active agent from the reservoir region.
- the polymer used for the barrier layer can initially have a very high percent crystallinity.
- the reservoir layer can be heat treated to reduce the release rate of active agent from the reservoir region without the use of a barrier layer.
- a finishing layer on the stent that contains a highly biocompatible polymer such as polyethylene glycol, or biocompatible agents such as heparin.
- a finishing layer can be applied over a barrier layer so that the coating offers a usefully low release rate of an active agent and also provides a highly biocompatible coating.
- FIGS. 1A, 1B , and 1 C Some of the various embodiments of the present invention are illustrated by FIGS. 1A, 1B , and 1 C.
- the Figures have not been drawn to scale, and the thickness of the various layers have been over or under emphasized for illustrative purposes.
- a body of a medical substrate 20 such as a stent, is illustrated having a surface 22 .
- Medical substrate 20 includes cavities or micro-pores 24 formed in the body for releasably containing an active ingredient, as illustrated by dotted region 26 .
- a barrier layer or rate-reducing membrane 28 is disposed on surface 22 of medical substrate 20 , covering cavities 24 .
- Barrier layer 28 functions to reduce the rate of release of an active agent (e.g., 40-O-(2-hydroxy)ethyl-rapamycin) from medical substrate 20 .
- medical substrate 20 is illustrated having a primer layer 30 formed on surface 22 .
- An active agent-containing or reservoir coating 32 is deposited on primer layer 30 .
- Primer layer 30 serves as an intermediary layer for increasing the adhesion between reservoir coating 32 and surface 22 .
- Increasing the amount of active ingredient admixed within the polymer diminishes the adhesiveness of reservoir layer 32 to surface 22 .
- using an active agent-free polymer as an intermediary primer layer 30 allows for a higher active ingredient content for reservoir layer 32 .
- Barrier layer 28 is formed over at least a selected portion of reservoir layer 32 .
- barrier layer 28 can be deposited only on selected areas of reservoir layer 32 so as to provide a variety of selected release parameters. Such selected patterns may become particularly useful if a combination of active agents are used, each of which requires a different release parameter.
- FIG. 1C illustrates medical substrate 20 having a first reservoir layer 32 A disposed on a selected portion of surface 22 of medical substrate 20 .
- First reservoir layer 32 A contains a first active agent, e.g., 40-O-(2-hydroxy)ethyl-rapamycin.
- a second reservoir layer 32 B can also be disposed on surface 22 .
- Second reservoir layer 32 B contains a second active ingredient, e.g., taxol.
- First and second reservoir layers 32 A and 32 B are covered by first and second barrier layers 28 A and 28 B, respectively.
- the polymeric material in barrier layer 28 B has been exposed to thermal treatment, whereas the polymeric material in barrier layer 28 A has not.
- the polymeric material in barrier 28 B has a higher percent crystallinity than the polymeric material in barrier layer 28 A. Accordingly, by producing a coating such as the one shown in FIG. 1C , a wide array of release parameters can be obtained for any selected combination of active agents.
- Barrier layer 28 can have any suitable thickness, as the thickness of barrier layer 28 is dependent on parameters such as, but not limited to, the desired rate of release and the procedure for which the stent will be used.
- barrier layer 28 can have a thickness of about 0.1 to about 10 microns, more narrowly from about 0.25 to about 5 microns.
- the impregnated reservoir layer 32 can have a thickness of about 0.5 microns to about 1.5 microns.
- the particular thickness of reservoir layer 32 is based on the type of procedure for which medical substrate 20 is employed and the amount of the active agent to be delivered.
- the amount of the active agent to be included on the prosthesis can be further increased by applying a plurality of reservoir layers 32 on top of one another.
- the optional primer layer 30 can have any suitable thickness, examples of which can be in the range of about 0.1 to about 10 microns, more narrowly about 0.1 to about 2 microns.
- the active agent can be applied to a device, e.g., a stent, retained on the device during delivery and released at a desired control rate and for a predetermined duration of time at the site of implantation.
- a stent having the above-described coating layers is useful for a variety of medical procedures, including, by way of example, treatment of obstructions caused by tumors in bile ducts, esophagus, trachea/bronchi and other biological passageways.
- a stent having the above-described coating layers is particularly useful for treating occluded regions of blood vessels caused by abnormal or inappropriate migration and proliferation of smooth muscle cells, thrombosis, and restenosis. Stents may be placed in a wide array of blood vessels, both arteries and veins. Representative examples of sites include the iliac, renal, and coronary arteries.
- an angiogram is first performed to determine the appropriate positioning for stent therapy.
- Angiography is typically accomplished by injecting a radiopaque contrasting agent through a catheter inserted into an artery or vein as an x-ray is taken.
- a guidewire is then advanced through the lesion or proposed site of treatment.
- Over the guidewire is passed a delivery catheter, which allows a stent in its collapsed configuration to be inserted into the passageway.
- the delivery catheter is inserted either percutaneously, or by surgery, into the femoral artery, brachial artery, femoral vein, or brachial vein, and advanced into the appropriate blood vessel by steering the catheter through the vascular system under fluoroscopic guidance.
- a stent having the above-described coating layers may then be expanded at the desired area of treatment.
- a post insertion angiogram may also be utilized to confirm appropriate positioning.
- 35 13 mm PENTA stents (available from Guidant Corporation) were coated by spraying a 2% (w/w) solution of poly(ethylene-co-vinyl alcohol) (44 mole % ethylene) (“EVAL”) in 98% (w/w) dimethylacetamide. The solvent was removed by baking at 140° C. for 2 hours.
- EVAL poly(ethylene-co-vinyl alcohol)
- a solution of 1.9% (w/w) EVAL and 0.7% (w/w) 40-O-(2-hydroxy)ethyl-rapamycin in a mixture of 68.2% (w/w) dimethylacetamide and 29.2% (w/w) ethanol was spray coated onto the stents to a thickness with a target of 175 ⁇ g of 40-O-(2-hydroxy)ethyl-rapamycin on each stent.
- the stents were then baked at 50° C. for 2 hours.
- a barrier layer was formed by spraying the stents with a 4% (w/w) solution of EVAL in a mixture of 76% (w/w) dimethylacetamide and 20% (w/w) pentane. Another 2 hour bake at 50° C. was performed to remove the solvent.
- a select number of stents were analyzed to compare the target coating formulation with the final coating formulation.
- the results are as follows:
- For the primer layer there was a target dry weight of 40 ⁇ g of polymer, and a measured average dry weight of 43 ⁇ 3 ⁇ g of polymer.
- the target drug:polymer ratio was 1:2.857
- the target dry weight for the entire reservoir coating was 675 ⁇ g
- the average actual dry weight was 683 ⁇ 19 ⁇ g.
- the average total drug content of the stent coatings was determined by the process described in Example 2.
- the average drug content was 133 ⁇ g or 152 ⁇ g/cm 2 .
- the target dry weight of polymer was 300 ⁇ g and the measured average dry weight was 320 ⁇ 13 ⁇ g.
- a drug-coated stent was placed in a volumetric flask.
- An appropriate amount of the extraction solvent acetonitrile with 0.02% BHT as protectant was added (e.g., in a 10 ml volumetric flask, with about 9 ml solvent added).
- the flask was sonicated for a sufficient time to extract all of the drug from the reservoir region.
- the solution in the flask was filled to mark with the solvent solution.
- the drug solution was the analyzed by HPLC.
- the HPLC system consisted of a Waters 2690 system with an analytical pump, a column compartment (set at 40° C.), an auto-sampler, and a 996 PDA detector.
- the column was an YMC Pro C18 (150 mm ⁇ 4.6 I.D., 3 ⁇ m particle size), maintained at a temperature of 40° C.
- the mobile phase consisted of 75% acetonitrile and 25% 20 mMolar ammonium acetate.
- the flow rate was set on 1 ml/min.
- the HPLC release rate results were quantified by comparing the results with a reference standard. The total drug content of the stent was then calculated.
- 34 13 mm PENTA stents were coated by spraying a 2% (w/w) solution of EVAL and 98% (w/w) dimethylacetamide. The solvent was removed by baking at 140° C. for 2 hours.
- a solution of 1.9% (w/w) EVAL and 1.1% (w/w) 40-O-(2-hydroxy)ethyl-rapamycin in a mixture of 67.9% (w/w) dimethylacetamide and 29.1% (w/w) ethanol was spray coated onto the stents to a thickness with a target of 275 ⁇ g of 40-O-(2-hydroxy)ethyl-rapamycin on each stent. The stents were then baked at 50° C. for 2 hours.
- a barrier layer was formed by spraying the stents with a 4% (w/w) solution of EVAL in a mixture of 76% (w/w) dimethylacetamide and 20% (w/w) pentane. Another 2 hour bake at 50° C. was performed to remove the solvent.
- a select number of stents were analyzed to compare the target coating formulation with the final coating formulation.
- the results are as follows:
- For the primer layer there was a target dry weight of 40 ⁇ g of polymer, and a measured average dry weight of 43 ⁇ 3 ⁇ g of polymer.
- the target drug:polymer ratio was 1:1.75
- the target dry weight for the entire reservoir coating was 757 ⁇ g
- the average actual dry weight was 752 ⁇ 23 ⁇ g.
- the average total drug content of the stent coatings was determined by the process described in Example 2.
- the average drug content was 205 ⁇ g or 235 ⁇ g/cm 2 .
- the target dry weight of polymer was 200 ⁇ g and the measured average dry weight was 186 ⁇ 13 ⁇ g.
- 24 13 mm PENTA stents were coated by spraying a 2% (w/w) solution of EVAL and 98% (w/w) dimethylacetamide. The solvent was removed by baking at 140° C. for 2 hours.
- a solution of 1.9% (w/w) EVAL and 1.2% (w/w) 40-O-(2-hydroxy)ethyl-rapamycin in a mixture of 67.8% (w/w) dimethylacetamide and 29.1% (w/w) ethanol was spray coated onto the stents to a thickness with a target of 325 ⁇ g of 40-O-(2-hydroxy)ethyl-rapamycin on each stent. The stents were then baked at 50° C. for 2 hours.
- a barrier layer was formed by spraying the stents with a 4% (w/w) solution of EVAL in a mixture of 76% (w/w) dimethylacetamide and 20% (w/w) pentane. Another 2 hour bake at 50° C. was performed to remove the solvent.
- a select number of stents were analyzed to compare the target coating formulation with the final coating formulation.
- the results are as follows:
- For the primer layer there was a target dry weight of 40 ⁇ g of polymer, and a measured average dry weight of 41 ⁇ 2 ⁇ g of polymer.
- the target drug:polymer ratio was 1:1.6, the target dry weight for the entire reservoir coating was 845 ⁇ g and the average actual dry weight was 861 ⁇ 16 ⁇ g.
- the average total drug content of the stent coatings was determined by the process described in Example 2. The average drug content was 282 ⁇ g or 323 ⁇ g/cm 2 .
- the target dry weight of polymer was 125 ⁇ g and the measured average dry weight was 131 ⁇ 9 ⁇ g.
- This Example 5 is referred to as the “Release Rate Profile Procedure.”
- a drug-coated stent was placed on a stent holder of a Vankel Bio-Dis release rate tester (Vankel, Inc., Cary, N.C.).
- the stent was dipped into an artificial medium which stabilizes the 40-O-(2-hydroxy)ethyl-rapamycin in the testing solution, including a phosphate buffer saline solution (10 mM, pH 7.4) with 1% TRITON X-100 (Sigma Corporation), for a designated amount of time (e.g., 3 hours).
- the solution was analyzed for the amount of drug released from the stent coating using an HPLC process.
- the HPLC system consisted of a Waters 2690 system with an analytical pump, a column compartment (set at 40° C.), an auto-sampler, and a 996 PDA detector.
- the column was an YMC Pro C18 (150 mm ⁇ 4.6 I.D., 3 ⁇ m particle size), maintained at a temperature of 40° C.
- the mobile phase consisted of 75% acetonitrile and 25% 20 mMolar ammonium acetate. The flow rate was set on 1 ml/min. After the drug solution was analyzed by HPLC the results were quantified by comparing the release rate results with a reference standard.
- the stent was then dipped in a fresh medium solution for the necessary amount of time (e.g., another 3 hours) and the drug released in the solution was analyzed again according to the HPLC procedure described above. The procedure was repeated according to the number of data points required. The release rate profile could then be generated by plotting cumulative drug released in the medium vs. time.
- a comparison of the release rates for the stents from Examples 1, 3 and 4 is graphically shown in FIG. 2 .
- Example 7 is referred to as the “3 day In Vivo Release Rate Procedure” or the “9 day In Vivo Release Rate Procedure,” depending on the number of days the stents are inserted into the experimental animal.
- the stents harvested from the experimental animals were tested using an HPLC procedure to determine how much drug remained on the stents.
- a drug-coated stent removed from the experimental animal was placed in a volumetric flask.
- An appropriate amount of the extraction solvent acetonitrile with 0.02% BHT as protectant was added (e.g., in a 10 ml volumetric flask, with about 9 ml solvent added).
- the flask was sonicated for a sufficient time to extract all of the drug from the reservoir region. Then, the solution in the flask was filled to mark with the solvent solution.
- the HPLC system consisted of a Waters 2690 system with an analytical pump, a column compartment (set at 40° C.), an auto-sampler, and a 996 PDA detector.
- the column was an YMC Pro C18 (150 mm ⁇ 4.6 I.D., 3 ⁇ m particle size), maintained at a temperature of 40° C.
- the mobile phase consisted of 75% acetonitrile and 25% 20 mMolar ammonium acetate.
- the flow rate was set on 1 ml/min.
- the HPLC release rate results were quantified by comparing the results with a reference standard.
- the total drug released in vivo was the difference between the average drug loaded on the stents and the amount of drug remaining on the stents after the stent implantation into the experimental animal.
- the release rate of 40-O-(2-hydroxy)ethyl-rapamycin from the stents with coatings produced by the process under Example 1 were tested using a 3 day in vivo process as described in Example 7.
- stents from Example 1 were implanted into experimental animals and then the stents were tested by HPLC to determine how much 40-O-(2-hydroxy)ethyl-rapamycin diffused from the stent coating into the blood vessel.
- HPLC analysis 21.8 ⁇ g of the 40-O-(2-hydroxy)ethyl-rapamycin was released from the coating in 3 days, or 16.4% of the total drug content of the coating.
- the release rate of 40-O-(2-hydroxy)ethyl-rapamycin from the stents with coatings produced by the process under Example 3 were tested using a 3 day in vivo process as described in Example 7.
- stents from Example 3 were implanted into experimental animals and then the stents were tested by HPLC to determine how much 40-O-(2-hydroxy)ethyl-rapamycin diffused from the stent coating into the blood vessel. According to the HPLC analysis, 7.8 ⁇ g of the 40-O-(2-hydroxy)ethyl-rapamycin was released from the coating in 3 days, or 3.8% of the total drug content of the coating.
- the release rate of 40-O-(2-hydroxy)ethyl-rapamycin from the stents with coatings produced by the process under Example 4 were tested using a 3 day in vivo process as described in Example 7.
- stents from Example 4 were implanted into experimental animals and then the stents were tested by HPLC to determine how much 40-O-(2-hydroxy)ethyl-rapamycin diffused from the stent coating into the blood vessel. According to the HPLC analysis, 50.8 ⁇ g of the 40-O-(2-hydroxy)ethyl-rapamycin was released from the coating in 3 days, or 18% of the total drug content of the coating.
- the release rate of 40-O-(2-hydroxy)ethyl-rapamycin from the stents with coatings produced by the process under Example 3 were tested using a 9 day in vivo process as described in Example 7.
- stents from Example 3 were implanted into experimental animals and then the stents were tested by HPLC to determine how much 40-O-(2-hydroxy)ethyl-rapamycin diffused from the stent coating into the blood vessel. According to the HPLC analysis, 29.7% of the 40-O-(2-hydroxy)ethyl-rapamycin was released from the coating in 9 days.
- the release rate of 40-O-(2-hydroxy)ethyl-rapamycin from the stents with coatings produced by the process under Example 4 were tested using a 9 day in vivo process as described in Example 7.
- stents from Example 4 were implanted into experimental animals and then the stents were tested by HPLC to determine how much 40-O-(2-hydroxy)ethyl-rapamycin diffused from the stent coating into the blood vessel. According to the HPLC analysis, 39.4% of the 40-O-(2-hydroxy)ethyl-rapamycin was released from the coating in 9 days.
- a 13 mm PIXEL stent (available from Guidant Corporation) was coated.
- the stent had a yellowish-gold coating that included ethylene vinyl alcohol copolymer and actinomycin D.
- the ends of the stent were heated with a cauterizer tip for fifteen (15) seconds at a current setting of 2.2 Amps, which corresponded to a temperature of about 106° C. at a distance of about 0.006 inches from the stent.
- the stent was submerged in a 50% (w/w) methanol:water bath. After twenty-four (24) hours, the stent was observed to have drug present at the stent end rings as indicated by a yellowish hue. The middle section of the stent, however, was clear, indicating that the drug had been released through the polymer. This process was repeated on 40 stents yielding similar results for all the stents.
- PIXEL stents 13 mm PIXEL stents were coated.
- the stents had yellowish-gold coatings that included ethylene vinyl alcohol copolymer and actinomycin D.
- the stents were separated into three experimental groups, and the ends of the stents were heated with a cauterizer tip according to the parameters shown in Table 5 for each group. After the stents were exposed to heat from the cauterizer tip, the stent was submerged in a 50% (w/w) methanol:water bath. After twenty-four (24) hours, the stents were observed as summarized in Table 5.
- 8 mm PIXEL stents were coated by spraying a 2% (w/w) solution of EVAL and 98% (w/w) dimethylacetamide. The solvent was removed by baking at 140° C. for 2 hours. A solution of EVAL and 40-O-(2-hydroxy)ethyl-rapamycin in a mixture of 70% (w/w) dimethylacetamide and 30% (w/w) ethanol was spray coated onto the stents. The stents were then baked at 50° C. for 2 hours. A barrier layer was formed by spraying the stents with a solution of EVAL in a mixture of 80% (w/w) dimethylacetamide and 20% (w/w) pentane. Another 2 hour bake at 50° C. was performed to remove the solvent.
- a select number of stents were analyzed to compare the target coating formulation with the final coating formulation.
- the results are as follows: For the primer layer, there was a target dry weight of 26 ⁇ g of polymer, and a measured average dry weight of 28 ⁇ 3 ⁇ g of polymer. For the reservoir layer, the target drug:polymer ratio was 1:1.25, and the measured average drug content was 128 ⁇ g. For the barrier layer, the measured average dry weight was 84 ⁇ g.
- 8 mm PIXEL stents were coated by spraying a 2% (w/w) solution of EVAL and 98% (w/w) dimethylacetamide. The solvent was removed by baking at 140° C. for 2 hours. A solution of EVAL and 40-O-(2-hydroxy)ethyl-rapamycin in a mixture of 70% (w/w) dimethylacetamide and 30% (w/w) ethanol was spray coated onto the stents. The stents were then baked at 50° C. for 2 hours. A barrier layer was formed by spraying the stents with a solution of EVAL in a mixture of 80% (w/w) dimethylacetamide and 20% (w/w) pentane. Another 2 hour bake at 50° C. was performed to remove the solvent.
- a select number of stents were analyzed to compare the target coating formulation with the final coating formulation.
- the results are as follows: For the primer layer, there was a target dry weight of 26 ⁇ g of polymer, and a measured average dry weight of 28 ⁇ 2 ⁇ g of polymer. For the reservoir layer, the target drug:polymer ratio was 1:1.5, and the measured average drug content was 130 ⁇ g. For the barrier layer, the measured average dry weight was 81 ⁇ g.
- stents were then heat treated by exposing the stents to a heat of 80° C. for 2 hours.
- Example 15-16 A comparison of the release rates for the stents from Examples 15-16 is graphically shown in FIG. 3 .
- the results unexpectedly show that the stent coatings that were exposed to thermal treatment in Example 16 have a significantly lower release rate than the stent coatings of Example 15.
- This Example 18 is referred to as the “Porcine Serum Release Rate Procedure.”
- a drug-coated stent was placed on a stent holder of a Vankel Bio-Dis release rate tester.
- the stent was dipped into porcine serum, with 0.1% sodium azide added, for 24 hrs.
- the stent was removed from the porcine serum and the drug solution analyzed by an HPLC procedure to determine how much drug was released into the porcine serum.
- the HPLC system consisted of a Waters 2690 system with an analytical pump, a column compartment (set at 40° C.), an auto-sampler, and a 996 PDA detector.
- the column was an YMC Pro C18 (150 mm ⁇ 4.6 I.D., 3 ⁇ m particle size), maintained at a temperature of 40° C.
- the mobile phase consisted of 75% acetonitrile and 25% 20 mMolar ammonium acetate.
- the flow rate was set on 1 ml/min.
- the HPLC release rate results were quantified by comparing the results with a reference standard.
- 13 mm PENTA stents were coated by spraying a 2% (w/w) solution of EVAL and 98% (w/w) dimethylacetamide. The solvent was removed by baking at 140° C. for 2 hours. A solution of EVAL and 40-O-(2-hydroxy)ethyl-rapamycin in a mixture of 70% (w/w) dimethylacetamide and 30% (w/w) ethanol was spray coated onto the stents. The stents were then baked at 50° C. for 2 hours. A barrier layer was formed by spraying the stents with a solution of EVAL in a mixture of 80% (w/w) dimethylacetamide and 20% (w/w) pentane. Another 2 hour bake at 50° C. was performed to remove the solvent.
- a select number of stents were analyzed to quantify the coating components.
- the primer layer there was a target dry weight of 40 ⁇ g of polymer, and a measured average dry weight of 45 ⁇ 1 ⁇ g of polymer.
- the drug:polymer ratio was 1:1, and the measured average drug content was 151 ⁇ g as determined by Example 2.
- the measured average dry weight was 234 ⁇ g.
- 13 mm PENTA stents were coated by spraying a 2% (w/w) solution of EVAL and 98% (w/w) dimethylacetamide. The solvent was removed by baking at 140° C. for 2 hours. A solution of EVAL and 40-O-(2-hydroxy)ethyl-rapamycin in a mixture of 70% (w/w) dimethylacetamide and 30% (w/w) ethanol was spray coated onto the stents. The stents were then baked at 50° C. for 2 hours. A barrier layer was formed by spraying the stents with a solution of EVAL in a mixture of 80% (w/w) dimethylacetamide and 20% (w/w) pentane. Another 2 hour bake at 50° C. was performed to remove the solvent.
- a select number of stents were analyzed to quantify the coating components.
- the primer layer there was a target dry weight of 40 ⁇ g of polymer, and a measured average dry weight of 44 ⁇ 3 ⁇ g of polymer.
- the drug:polymer ratio was 1:1.8, and the measured average drug content was 97 ⁇ g as determined by Example 2.
- the measured average dry weight was 184 ⁇ g.
- 13 mm PENTA stents were coated by spraying a 2% (w/w) solution of EVAL and 98% (w/w) dimethylacetamide. The solvent was removed by baking at 140° C. for 2 hours. A solution of EVAL and 40-O-(2-hydroxy)ethyl-rapamycin in a mixture of 70% (w/w) dimethylacetamide and 30% (w/w) ethanol was spray coated onto the stents. The stents were then baked at 50° C. for 2 hours. A barrier layer was formed by spraying the stents with a solution of EVAL in a mixture of 80% (w/w) dimethylacetamide and 20% (w/w) pentane. Another 2 hour bake at 50° C. was performed to remove the solvent.
- a select number of stents were analyzed to quantify the coating components.
- the primer layer there was a target dry weight of 40 ⁇ g of polymer, and a measured average dry weight of 41 ⁇ 1 ⁇ g of polymer.
- the drug:polymer ratio was 1:1.8, and the measured average drug content was 227 ⁇ g as determined by Example 2.
- the measured average dry weight was 181 ⁇ g.
- 13 mm PENTA stents were coated by spraying a 2% (w/w) solution of EVAL and 98% (w/w) dimethylacetamide. The solvent was removed by baking at 140° C. for 2 hours. A solution of EVAL and 40-O-(2-hydroxy)ethyl-rapamycin in a mixture of 70% (w/w) dimethylacetamide and 30% (w/w) ethanol was spray coated onto the stents. The stents were then baked at 50° C. for 2 hours. No barrier layer was applied for this Example.
- a select number of stents were analyzed to quantify the coating components.
- the primer layer there was a target dry weight of 40 ⁇ g of polymer, and a measured average dry weight of 44 ⁇ 2 ⁇ g of polymer.
- the drug:polymer ratio was 1:1.8, and the measured average drug content was 221 ⁇ g as determined by Example 2.
- 13 mm PENTA stents were coated by spraying a 2% (w/w) solution of EVAL and 98% (w/w) dimethylacetamide. The solvent was removed by baking at 140° C. for 2 hours. A solution of EVAL and 40-O-(2-hydroxy)ethyl-rapamycin in a mixture of 70% (w/w) dimethylacetamide and 30% (w/w) ethanol was spray coated onto the stents. The stents were then baked at 50° C. for 2 hours. A barrier layer was formed by spraying the stents with a solution of EVAL in a mixture of 80% (w/w) dimethylacetamide and 20% (w/w) pentane. Another 2 hour bake at 50° C. was performed to remove the solvent.
- a select number of stents were analyzed to quantify the coating components.
- the primer layer there was a target dry weight of 40 ⁇ g of polymer, and a measured average dry weight of 42 ⁇ g of polymer.
- the drug:polymer ratio was 1:1.5, and the measured average drug content was 184 ⁇ g as determined by Example 2.
- the measured average dry weight was 81 ⁇ g.
- 8 mm PIXEL stents were coated by spraying a 2% (w/w) solution of EVAL and 98% (w/w) dimethylacetamide. The solvent was removed by baking at 140° C. for 2 hours. A solution of EVAL and 40-O-(2-hydroxy)ethyl-rapamycin in a mixture of 70% (w/w) dimethylacetamide and 30% (w/w) ethanol was spray coated onto the stents. The stents were then baked at 50° C. for 2 hours. A barrier layer was formed by spraying the stents with a solution of EVAL in a mixture of 80% (w/w) dimethylacetamide and 20% (w/w) pentane. Another 2 hour bake at 50° C. was performed to remove the solvent.
- a select number of stents were analyzed to quantify the coating components.
- the primer layer there was a target dry weight of 40 ⁇ g of polymer, and a measured average dry weight of 45 ⁇ 1 ⁇ g of polymer.
- the drug:polymer ratio was 1:1.75, and the measured average drug content was 200 ⁇ g as determined by Example 2.
- the measured average dry weight was 180 ⁇ g.
- 8 mm PIXEL stents were coated by spraying a 2% (w/w) solution of EVAL and 98% (w/w) dimethylacetamide. The solvent was removed by baking at 140° C. for 2 hours. A solution of EVAL and 40-O-(2-hydroxy)ethyl-rapamycin in a mixture of 70% (w/w) dimethylacetamide and 30% (w/w) ethanol was spray coated onto the stents. The stents were then baked at 50° C. for 2 hours. A barrier layer was formed by spraying the stents with a solution of EVAL in a mixture of 80% (w/w) dimethylacetamide and 20% (w/w) pentane. Another 2 hour bake at 50° C. was performed to remove the solvent.
- a select number of stents were analyzed to quantify the coating components.
- the primer layer there was a target dry weight of 40 ⁇ g of polymer, and a measured average dry weight of 41 ⁇ 4 ⁇ g of polymer.
- the drug:polymer ratio was 1:1, and the measured average drug content was 167 ⁇ g as determined by Example 2.
- the measured average dry weight was 184 ⁇ g.
- 8 mm PIXEL stents were coated by spraying a 2% (w/w) solution of EVAL and 98% (w/w) dimethylacetamide. The solvent was removed by baking at 140° C. for 2 hours. A solution of EVAL and 40-O-(2-hydroxy)ethyl-rapamycin in a mixture of 70% (w/w) dimethylacetamide and 30% (w/w) ethanol was spray coated onto the stents. The stents were then baked at 50° C. for 2 hours. A barrier layer was formed by spraying the stents with a solution of EVAL in a mixture of 80% (w/w) dimethylacetamide and 20% (w/w) pentane. Another 2 hour bake at 50° C. was performed to remove the solvent.
- a select number of stents were analyzed to quantify the coating components.
- the primer layer there was a target dry weight of 26 ⁇ g of polymer, and a measured average dry weight of 24 ⁇ 2 ⁇ g of polymer.
- the drug:polymer ratio was 1:1.25, and the measured average drug content was 120 ⁇ g as determined by Example 2.
- the measured average dry weight was 138 ⁇ g.
- 13 mm PENTA stents were coated by spraying a 2% (w/w) solution of EVAL and 98% (w/w) dimethylacetamide. The solvent was removed by baking at 140° C. for 2 hours. A solution of EVAL and 40-O-(2-hydroxy)ethyl-rapamycin in a mixture of 70% (w/w) dimethylacetamide and 30% (w/w) ethanol was spray coated onto the stents. The stents were then baked at 50° C. for 2 hours.
- a barrier layer was formed by spraying the stents with a solution of 1% (w/w) polybutylmethacrylate, 5.7% (w/w) acetone, 50% (w/w) xylene and 43.3% (w/w) HFE FLUX REMOVER (Techspray, Amarillo, Tex.). Another 2 hour bake at 50° C. was performed to remove the solvent.
- a select number of stents were analyzed to quantify the coating components.
- the primer layer there was a target dry weight of 40 ⁇ g of polymer, and a measured average dry weight of 44 ⁇ 4 ⁇ g of polymer.
- the drug:polymer ratio was 1:1, and the measured average drug content was 183 ⁇ g as determined by Example 2.
- the measured average dry weight was 168 ⁇ g.
- 13 mm PENTA stents were coated by spraying a 2% (w/w) solution of EVAL and 98% (w/w) dimethylacetamide. The solvent was removed by baking at 140° C. for 2 hours. A solution of EVAL and 40-O-(2-hydroxy)ethyl-rapamycin in a mixture of 70% (w/w) dimethylacetamide and 30% (w/w) ethanol was spray coated onto the stents. The stents were then baked at 50° C. for 2 hours.
- a barrier layer was formed by spraying the stents with a solution of 1% (w/w) polybutylmethacrylate, 5.7% (w/w) acetone, 50% (w/w) xylene and 43.3% (w/w) HFE FLUX REMOVER. Another 2 hour bake at 50° C. was performed to remove the solvent.
- a select number of stents were analyzed to quantify the coating components.
- the primer layer there was a target dry weight of 40 ⁇ g of polymer, and a measured average dry weight of 41 ⁇ 2 ⁇ g of polymer.
- the drug:polymer ratio was 1:1.8, and the measured average drug content was 102 ⁇ g as determined by Example 2.
- the measured average dry weight was 97 ⁇ g.
- 8 mm PIXEL stents were coated by spraying a 2% (w/w) solution of EVAL and 98% (w/w) dimethylacetamide. The solvent was removed by baking at 140° C. for 2 hours. A solution of EVAL and 40-O-(2-hydroxy)ethyl-rapamycin in a mixture of 70% (w/w) dimethylacetamide and 30% (w/w) ethanol was spray coated onto the stents. The stents were then baked at 50° C. for 2 hours.
- a barrier layer was formed by spraying the stents with a solution of 1% (w/w) polybutylmethacrylate, 5.7% (w/w) acetone, 50% (w/w) xylene and 43.3% (w/w) HFE FLUX REMOVER (Techspray, Amarillo, Tex.). Another 2 hour bake at 50° C. was performed to remove the solvent.
- a select number of stents were analyzed to quantify the coating components.
- the primer layer there was a target dry weight of 26 ⁇ g of polymer, and a measured average dry weight of 27 ⁇ 2 ⁇ g of polymer.
- the drug:polymer ratio was 1:1.25, and the measured average drug content was 120 ⁇ g as determined by Example 2.
- the measured average dry weight was 68 ⁇ g.
- Example 3 A select number of stents from Example 3 were tested for the drug release rate from the coatings according to the procedure described in Example 18. It was determined that the average drug released in 24 hours was 22.8 ⁇ g, or 11.1% of the total.
- Example 4 A select number of stents from Example 4 were tested for the drug release rate from the coatings according to the procedure described in Example 18. It was determined that the average drug released in 24 hours was 57.0 ⁇ g, or 20.2% of the total.
- Two stents were coated by spraying a 2% (w/w) solution of EVAL and 98% (w/w) dimethylacetamide to form a primer layer.
- the primer layer there was a target dry weight of 100 ⁇ g of polymer, and the measured dry weights were 93 ⁇ g and 119 ⁇ g, respectively.
- the two stents were then coated with an EVAL-40-O-(2-hydroxy)ethyl-rapamycin blend at a drug:polymer ratio of 2:1 to produce a reservoir layer. After application, it was determined that the reservoir layers had weights of 610 ⁇ g and 590 ⁇ g, respectively.
- the coatings contained about 407 ⁇ g and 393 ⁇ g of 40-O-(2-hydroxy)ethyl-rapamycin, respectively.
- Polymeric barrier layers were also applied to the stents and it was determined that the weights of the barrier layers were 279 ⁇ g and 377 ⁇ g, respectfully.
- the stents from this Example were then sterilized using an ethylene oxide sterilization process.
- the stents were placed in a chamber and exposed to ethylene oxide gas for 6 hours at 130-140° F., with a relative humity of 45-80%.
- the stents were then aerated for about 72 hours at 110-130° F.
- FIG. 4 is a chromatograph showing the peak purity the 40-O-(2-hydroxy)ethyl-rapamycin in one of the coatings, labeled “ETO,” as compared to a reference standard for 40-O-(2-hydroxy)ethyl-rapamycin, labeled “Ref. Std.”
- Two stents were coated by spraying a 2% (w/w) solution of EVAL and 98% (w/w) dimethylacetamide to form a primer layer.
- the primer layer there was a target dry weight of 100 ⁇ g of polymer, and the measured dry weights were 99 ⁇ g and 94 ⁇ g, respectively.
- the two stents were then coated with an EVAL-40-O-(2-hydroxy)ethyl-rapamycin blend at a drug:polymer ratio of 2:1 to produce a reservoir layer. After application, it was determined that the reservoir layers had weights of 586 ⁇ g and 588 ⁇ g, respectively.
- the coatings contained about 391 ⁇ g and 392 ⁇ g of 40-O-(2-hydroxy)ethyl-rapamycin, respectively.
- Polymeric barrier layers were also applied to the stents and it was determined that the weights of the barrier layers were 380 ⁇ g and 369 ⁇ g, respectfully.
- the stents from this Example were then sterilized using an e-beam sterilization process.
- the stents were placed in a stent container which was run through an e-beam chamber. While moving through the e-beam chamber via a conveyor belt, the stent container was exposed to an e-beam with a constant energy level so that the stent container received between 33.11 and 46.24 KGy. The stent therefore at any point along the length of the stent received at a minimum 25 KGy.
- FIG. 4 is a chromatograph showing the peak purity the 40-O-(2-hydroxy)ethyl-rapamycin in one of the coatings, labeled “e-beam,” as compared to a reference standard for 40-O-(2-hydroxy)ethyl-rapamycin, labeled “Ref. Std.”
- 13 mm PENTA stents were coated by spraying a 2% (w/w) solution of EVAL and 98% (w/w) dimethylacetamide. The solvent was removed by baking at 140° C. for 2 hours. A solution of EVAL and 40-O-(2-hydroxy)ethyl-rapamycin in a mixture of 70% (w/w) dimethylacetamide and 30% (w/w) ethanol was spray coated onto the stents. The stents were then baked at 50° C. for 2 hours. A barrier layer was formed by spraying the stents with a solution of EVAL in a mixture of 80% (w/w) dimethylacetamide and 20% (w/w) pentane. Another 2 hour bake at 50° C. was performed to remove the solvent.
- a select number of stents were analyzed to quantify the coating components.
- the primer layer there was a target dry weight of 40 ⁇ g of polymer, and a measured average dry weight of 44 ⁇ 3 ⁇ g of polymer.
- the drug:polymer ratio was 1:2, and the measured average drug content was 245 ⁇ g as determined by Example 2.
- the measured average dry weight was 104 ⁇ g.
- 13 mm PENTA stents were coated by spraying a 2% (w/w) solution of EVAL and 98% (w/w) dimethylacetamide. The solvent was removed by baking at 140° C. for 2 hours. A solution of EVAL and 40-O-(2-hydroxy)ethyl-rapamycin in a mixture of 70% (w/w) dimethylacetamide and 30% (w/w) ethanol was spray coated onto the stents. The stents were then baked at 50° C. for 2 hours. A barrier layer was formed by spraying the stents with a solution of EVAL in a mixture of 80% (w/w) dimethylacetamide and 20% (w/w) pentane. Another 2 hour bake at 50° C. was performed to remove the solvent.
- a select number of stents were analyzed to quantify the coating components.
- the primer layer there was a target dry weight of 40 ⁇ g of polymer, and a measured average dry weight of 45 ⁇ 3 ⁇ g of polymer.
- the drug:polymer ratio was 1:1.5, and the measured average drug content was 337 ⁇ g as determined by Example 2.
- the measured average dry weight was 169 ⁇ g.
- Stents from Example 34 and stents from Example 35 were sterilized according to the process described in Example 32.
- the released rates of the drug in the stent coatings of sterilized stents and non-sterilized were then tested according to the process described in Example 5.
- the results of the release rate test are graphically shown in FIG. 5 .
- a 13 mm PENTA stent can be coated by spraying a solution of EVAL, 40-O-(2-hydroxy)ethyl-rapamycin and ethanol onto the stent. The stent is then baked at 50° C. for 2 hours to yield a reservoir coating with 300 ⁇ g of EVAL and 300 ⁇ g of 40-O-(2-hydroxy)ethyl-rapamycin.
- a barrier layer can be formed by spraying the stent with a solution of EVAL and pentane. A second 2 hour bake at 50° C. can be performed to remove the solvent to yield a barrier coating with 320 ⁇ g of EVAL.
- a 13 mm PENTA stent can be coated by spraying a solution of EVAL and DMAC onto the stent.
- the solvent is removed by baking at 140° C. for 2 hours to yield a primer coating with 100 ⁇ g of EVAL.
- a reservoir layer can be applied by spraying a solution of EVAL, 40-O-(2-hydroxy)ethyl-rapamycin and ethanol onto the stent.
- the stent is then baked at 50° C. for 2 hours to yield a reservoir coating with 200 ⁇ g of EVAL and 400 ⁇ g of 40-O-(2-hydroxy)ethyl-rapamycin.
- a barrier layer can be formed by spraying the stent with a solution of EVAL and pentane.
- a second 2 hour bake at 50° C. is performed to remove the solvent to yield a barrier coating with 350 ⁇ g of EVAL.
- a 13 mm PENTA stent can be coated by spraying a solution of EVAL, 40-O-(2-hydroxy)ethyl-rapamycin and ethanol onto the stent. The stent is then baked at 50° C. for 2 hours to yield a reservoir coating with 500 ⁇ g of EVAL and 250 ⁇ g of 40-O-(2-hydroxy)ethyl-rapamycin.
- a barrier layer can be formed by spraying the stent with a solution of EVAL and pentane. A second 2 hour bake at 50° C. is performed to remove the solvent to yield a barrier coating with 300 ⁇ g of EVAL.
- a 13 mm PENTA stent can be coated by spraying a solution of EVAL, 40-O-(2-hydroxy)ethyl-rapamycin and ethanol onto the stent. The stent is then baked at 50° C. for 2 hours to yield a reservoir coating with 475 ⁇ g of EVAL and 175 ⁇ g of 40-O-(2-hydroxy)ethyl-rapamycin.
- a barrier layer can be formed by spraying the stent with a solution of EVAL and pentane. A second 2 hour bake at 50° C. is performed to remove the solvent to yield a barrier coating with 300 ⁇ g of EVAL.
- An 8 mm PIXEL stent can be coated by spraying a solution of EVAL and 40-O-(2-hydroxy)ethyl-rapamycin in a mixture of dimethylacetamide and ethanol onto the stent.
- the stent is then baked at 50° C. for 2 hours to yield a reservoir coating with 400 ⁇ g of EVAL and 200 ⁇ g of 40-O-(2-hydroxy)ethyl-rapamycin.
- a barrier layer can be formed by spraying the stent with a solution of EVAL and a mixture of dimethylacetamide and pentane.
- a second 2 hour bake at 50° C. is performed to remove the solvent to yield a barrier coating with 300 ⁇ g of EVAL.
- An 8 mm Pixel stent can be coated by spraying a solution of EVAL and 40-O-(2-hydroxy)ethyl-rapamycin in a mixture of dimethylacetamide and ethanol onto the stent.
- the stent is then baked at 50° C. for 2 hours to yield a reservoir coating with 400 ⁇ g of EVAL and 200 ⁇ g of 40-O-(2-hydroxy)ethyl-rapamycin.
- a barrier layer can be formed by spraying the stent with a solution of polybutylmethacrylate (“PBMA”) and HFE FLUX REMOVER.
- PBMA polybutylmethacrylate
- a second 2 hour bake at 50° C. is performed to remove the solvent to yield a barrier coating with 150 ⁇ g of PBMA.
- An 8 mm PIXEL stent can be coated by spraying a solution of EVAL and 40-O-(2-hydroxy)ethyl-rapamycin in a mixture of dimethylacetamide and ethanol onto the stent.
- the stent is then baked at 50° C. for 2 hours to yield a reservoir coating with 200 ⁇ g of EVAL and 200 g of 40-0-(2-hydroxy)ethyl-rapamycin.
- a barrier layer can be formed by spraying the stent with a solution of EVAL and a mixture of dimethylacetamide and pentane.
- a second 2 hour bake at 50° C. is performed to remove the solvent to yield a barrier coating with 200 ⁇ g of EVAL.
- An 8 mm PIXEL stent can be coated by spraying a solution of EVAL and 40-O-(2-hydroxy)ethyl-rapamycin in a mixture of dimethylacetamide and ethanol onto the stent.
- the stent is then baked at 50° C. for 2 hours to yield a reservoir coating with 200 ⁇ g of EVAL and 200 ⁇ g of 40-O-(2-hydroxy)ethyl-rapamycin.
- a barrier layer can formed by spraying the stent with a solution of PBMA and HFE FLUX REMOVER.
- a second 2 hour bake at 50° C. is performed to remove the solvent to yield a barrier coating with 150 ⁇ g of PBMA.
- An 8 mm PIXEL stent can be coated by spraying a solution of EVAL and 40-O-(2-hydroxy)ethyl-rapamycin in a mixture of dimethylacetamide and ethanol onto the stent.
- the stent is then baked at 50° C. for 2 hours to yield a reservoir coating with 200 ⁇ g of EVAL and 200 ⁇ g of 40-O-(2-hydroxy)ethyl-rapamycin.
- a barrier layer can be formed by spraying the stent with a solution of EVAL and a mixture of dimethylacetamide and pentane.
- a second 2 hour bake at 50° C. is performed to remove the solvent to yield a barrier coating with 200 ⁇ g of EVAL.
- An 8 mm PIXEL stent can be coated by spraying a solution of EVAL and 40-O-(2-hydroxy)ethyl-rapamycin in a mixture of dimethylacetamide and ethanol onto the stent.
- the stent is then baked at 50° C. for 2 hours to yield a reservoir coating with 200 ⁇ g of EVAL and 200 ⁇ g of 40-O-(2-hydroxy)ethyl-rapamycin.
- a barrier layer can be formed by spraying the stent with a solution of PBMA and HFE FLUX REMOVER.
- a second 2 hour bake at 50° C. is performed to remove the solvent to yield a barrier coating with 100 ⁇ g of PBMA.
- An 8 mm PIXEL stent can be coated by spraying a solution of EVAL and 40-O-(2-hydroxy)ethyl-rapamycin in a mixture of dimethylacetamide and ethanol onto the stent.
- the stent is then baked at 50° C. for 2 hours to yield a reservoir coating with 270 ⁇ g of EVAL and 150 ⁇ g of 40-O-(2-hydroxy)ethyl-rapamycin.
- a barrier layer can be formed by spraying the stent with a solution of EVAL and a mixture of dimethylacetamide and pentane.
- a second 2 hour bake at 50° C. is performed to remove the solvent to yield a barrier coating with 150 ⁇ g of EVAL.
- An 8 mm PIXEL stent can be coated by spraying a solution of EVAL and 40-O-(2-hydroxy)ethyl-rapamycin in a mixture of dimethylacetamide and ethanol onto the stent.
- the stent is then baked at 50° C. for 2 hours to yield a reservoir coating with 170 ⁇ g of EVAL and 150 ⁇ g of 40-O-(2-hydroxy)ethyl-rapamycin.
- a barrier layer can be formed by spraying the stent with a solution of PBMA and HFE FLUX REMOVER.
- a second 2 hour bake at 50° C. is performed to remove the solvent to yield a barrier coating with 75 ⁇ g of PBMA.
- An 8 mm PIXEL stent can be coated by spraying a solution of EVAL and 40-O-(2-hydroxy)ethyl-rapamycin in a mixture of dimethylacetamide and ethanol onto the stent.
- the stent is then baked at 50° C. for 2 hours to yield a reservoir coating with 150 ⁇ g of EVAL and 150 ⁇ g of 40-O-(2-hydroxy)ethyl-rapamycin.
- a barrier layer can be formed by spraying the stent with a solution of EVAL and a mixture of dimethylacetamide and pentane.
- a second 2 hour bake at 50° C. is performed to remove the solvent to yield a barrier coating with 200 ⁇ g of EVAL.
- a finishing layer can then applied by spraying the stent with a solution of EVAL, polyethyleneoxide (molecular weight of 17.5 K) (“PEO”) and dimethylacetamide.
- EVAL polyethyleneoxide
- PEO polyethyleneoxide
- dimethylacetamide dimethylacetamide
- An 8 mm PIXEL stent can be coated by spraying a solution of EVAL and 40-O-(2-hydroxy)ethyl-rapamycin in a mixture of dimethylacetamide and ethanol onto the stent.
- the stent is then baked at 50° C. for 2 hours to yield a reservoir coating with 270 ⁇ g of EVAL and 150 ⁇ g of 40-O-(2-hydroxy)ethyl-rapamycin.
- a barrier layer can formed by spraying the stent with a solution of EVAL and a mixture of dimethylacetamide and pentane.
- a second 2 hour bake at 50° C. is performed to remove the solvent to yield a barrier coating with 150 ⁇ g of EVAL.
- a finishing layer can then applied by spraying the stent with a solution of EVAL, PEO and dimethylacetamide.
- the stent is baked at 50° C. for 2 hours to remove the solvent to yield a finishing coating with 83 ⁇ g of EVAL and 17 ⁇ g of PEO.
- An 8 mm PIXEL stent can be coated by spraying a solution of EVAL and 40-O-(2-hydroxy)ethyl-rapamycin in a mixture of dimethylacetamide and ethanol onto the stent.
- the stent is then baked at 50° C. for 2 hours to yield a reservoir coating with 200 ⁇ g of EVAL and 200 ⁇ g of 40-O-(2-hydroxy)ethyl-rapamycin.
- a barrier layer can be formed by spraying the stent with a solution of EVAL and a mixture of dimethylacetamide and pentane.
- a second 2 hour bake at 50° C. is performed to remove the solvent to yield a barrier coating with 100 ⁇ g of EVAL.
- An 8 mm PIXEL stent can be coated by spraying a solution of EVAL and 40-O-(2-hydroxy)ethyl-rapamycin in a mixture of dimethylacetamide and ethanol onto the stent.
- the stent is then baked at 50° C. for 2 hours to yield a reservoir coating with 200 ⁇ g of EVAL and 200 ⁇ g of 40-O-(2-hydroxy)ethyl-rapamycin.
- a barrier layer can be formed by spraying the stent with a solution of EVAL, KYNAR and HFE FLUX REMOVER.
- a second 2 hour bake at 50° C. is performed to remove the solvent to yield a barrier coating with 50 ⁇ g of EVAL and 50 ⁇ g of KYNAR.
- An 8 mm PIXEL stent can be coated by spraying a solution of EVAL and 40-O-(2-hydroxy)ethyl-rapamycin in a mixture of dimethylacetamide and ethanol onto the stent.
- the stent is then baked at 50° C. for 2 hours to yield a reservoir coating with 350 ⁇ g of EVAL and 200 ⁇ g of 40-O-(2-hydroxy)ethyl-rapamycin.
- a barrier layer is formed by spraying the stent with a solution of EVAL and a mixture of dimethylacetamide and pentane.
- a second 2 hour bake at 50° C. is performed to remove the solvent to yield a barrier coating with 200 ⁇ g of EVAL.
- An 8 mm PIXEL stent can be coated by spraying a solution of EVAL and 40-O-(2-hydroxy)ethyl-rapamycin in a mixture of dimethylacetamide and ethanol onto the stent.
- the stent is then baked at 50° C. for 2 hours to yield a reservoir coating with 350 ⁇ g of EVAL and 200 ⁇ g of 40-O-(2-hydroxy)ethyl-rapamycin.
- a barrier layer can be formed by spraying the stent with a solution of PBMA and HFE FLUX REMOVER.
- a second 2 hour bake at 50° C. is performed to remove the solvent to yield a barrier coating with 100 ⁇ g of PBMA.
- An 8 mm PIXEL stent can be coated by spraying a solution of EVAL and 40-O-(2-hydroxy)ethyl-rapamycin in a mixture of dimethylacetamide and ethanol onto the stent.
- the stent is then baked at 50° C. for 2 hours to yield a reservoir coating with 350 ⁇ g of EVAL and 200 ⁇ g of 40-O-(2-hydroxy)ethyl-rapamycin.
- a barrier layer can be formed by spraying the stent with a solution of EVAL and a mixture of dimethylacetamide and pentane.
- a second 2 hour bake at 50° C. is performed to remove the solvent to yield a barrier coating with 200 ⁇ g of EVAL.
- An 8 mm PIXEL stent is coated by spraying a solution of EVAL and 40-O-(2-hydroxy)ethyl-rapamycin in a mixture of dimethylacetamide and ethanol onto the stent.
- the stent is then baked at 50° C. for 2 hours to yield a reservoir coating with 350 ⁇ g of EVAL and 200 ⁇ g of 40-O-(2-hydroxy)ethyl-rapamycin.
- a barrier layer can be formed by spraying the stent with a solution of EVAL and a mixture of dimethylacetamide and pentane.
- a second 2 hour bake at 50° C. is performed to remove the solvent to yield a barrier coating with 100 ⁇ g of EVAL.
- a finishing layer can then be applied by spraying the stent with a solution of EVAL, PEO and dimethylacetamide.
- the stent is baked at 50° C. for 2 hours to remove the solvent to yield a finishing coating with 83 ⁇ g of EVAL and 17 ⁇ g of PEO.
- An 8 mm PIXEL stent can be coated by spraying a solution of EVAL and 40-O-(2-hydroxy)ethyl-rapamycin in a mixture of dimethylacetamide and ethanol onto the stent.
- the stent is then baked at 50° C. for 2 hours to yield a reservoir coating with 350 ⁇ g of EVAL and 200 ⁇ g of 40-O-(2-hydroxy)ethyl-rapamycin.
- a barrier layer can be formed by spraying the stent with a solution of PBMA and HFE FLUX REMOVER.
- a second 2 hour bake at 50° C. is performed to remove the solvent to yield a barrier coating with 75 ⁇ g of PBMA.
- a finishing layer can then be applied by spraying the stent with a solution of PBMA, PEO and dimethylacetamide.
- the stent is baked at 50° C. for 2 hours to remove the solvent to yield a finishing coating with 62.5 ⁇ g of PBMA and 12.5 ⁇ g of PEO.
Landscapes
- Health & Medical Sciences (AREA)
- Life Sciences & Earth Sciences (AREA)
- Engineering & Computer Science (AREA)
- Biomedical Technology (AREA)
- Chemical & Material Sciences (AREA)
- Medicinal Chemistry (AREA)
- Veterinary Medicine (AREA)
- Public Health (AREA)
- General Health & Medical Sciences (AREA)
- Animal Behavior & Ethology (AREA)
- Epidemiology (AREA)
- Molecular Biology (AREA)
- Heart & Thoracic Surgery (AREA)
- Vascular Medicine (AREA)
- Transplantation (AREA)
- Oral & Maxillofacial Surgery (AREA)
- Surgery (AREA)
- Dermatology (AREA)
- Cardiology (AREA)
- Materials For Medical Uses (AREA)
- Pharmaceuticals Containing Other Organic And Inorganic Compounds (AREA)
- Nitrogen And Oxygen Or Sulfur-Condensed Heterocyclic Ring Systems (AREA)
Abstract
Description
- 1. Field of the Invention
- The invention relates to drug eluting implantable devices, one example of which is a stent. More particularly, the invention relates to sustained delivery of 40-O-(2-hydroxy)ethyl-rapamycin from a stent.
- 2. Description of the Background
- Percutaneous transluminal coronary angioplasty (PTCA) is a procedure for treating heart disease. A catheter assembly having a balloon portion is introduced percutaneously into the cardiovascular system of a patient via the brachial or femoral artery. The catheter assembly is advanced through the coronary vasculature until the balloon portion is positioned across the occlusive lesion. Once in position across the lesion, the balloon is inflated to a predetermined size to remodel the vessel wall. The balloon is then deflated to a smaller profile to allow the catheter to be withdrawn from the patient's vasculature.
- A problem associated with the above procedure includes formation of intimal flaps or torn arterial linings, which can collapse and occlude the conduit after the balloon is deflated. Vasospasms and recoil of the vessel wall also threaten vessel closure. Moreover, thrombosis and restenosis of the artery may develop over several months after the procedure, which may necessitate another angioplasty procedure or a surgical by-pass operation. To reduce the partial or total occlusion of the artery by the collapse of arterial lining and to reduce the chance of the development of thrombosis and restenosis, an expandable, intraluminal prosthesis, also known as a stent, is implanted in the lumen to maintain the vascular patency.
- Stents act as scaffoldings, functioning to physically hold open and, if desired, to expand the wall of the passageway. Typically, stents are capable of being compressed so that they can be inserted through small lumens via catheters and then expanded to a larger diameter once they are at the desired location. Mechanical intervention via stents has reduced the rate of restenosis as compared to balloon angioplasty. Yet, restenosis is still a significant clinical problem with rates ranging from 20-40%. When restenosis does occur in the stented segment, its treatment can be challenging, as clinical options are more limited as compared to lesions that were treated solely with a balloon.
- Stents are used not only for mechanical intervention but also as vehicles for providing biological therapy. Biological therapy can be achieved by medicating the stents. Medicated stents provide for the local administration of a therapeutic substance at the diseased site. In order to provide an efficacious concentration to the treated site, systemic administration of such medication often produces adverse or even toxic side effects for the patient. Local delivery is a preferred method of treatment in that smaller total levels of medication are administered in comparison to systemic dosages, but are concentrated at a specific site. Local delivery thus produces fewer side effects and achieves more favorable results.
- One proposed method of medicating stents involves the use of a polymeric carrier coated onto the surface of the stent. A composition including a solvent, a polymer dissolved in the solvent, and a therapeutic substance dispersed in the blend is applied to the stent by immersing the stent in the composition or by spraying the composition onto the stent. The solvent is allowed to evaporate, leaving on the stent strut surfaces a coating of the polymer and the therapeutic substance impregnated in the polymer.
- A potential shortcoming of the foregoing method of medicating stents is that the release rate of the therapeutic substance may be too high to provide an efficacious treatment. This shortcoming may be especially pronounced with certain therapeutic substances. For instance, it has been found that the release rate of 40-O-(2-hydroxy)ethyl-rapamycin from a standard polymeric coating is greater than 50% in about 24 hours. Thus, there is a need for a coating that reduces the release rate of 40-O-(2-hydroxy)ethyl-rapamycin in order to provide a more efficacious release rate profile. The present invention provides a coating to meet this need.
- In accordance with one aspect of the invention, a stent is disclosed including a radially expandable body and a coating covering at least a portion of the body, the coating having 40-O-(2-hydroxy)ethyl-rapamycin, or an analog or derivative thereof, wherein the release rate of the 40-O-(2-hydroxy)ethyl-rapamycin, or the analog or derivative thereof, in 24 hours after the implantation of the stent is less than about 50% of the total amount contained in the coating.
- In accordance with a further aspect of the present invention, a method of inhibiting or eliminating the development of restenosis following a stent placement procedure is disclosed including implanting a stent which can elude 40-O-(2-hydroxy)ethyl-rapamycin, or an analog or derivative thereof, at a release rate of less than 50% of the total amount of the drug carried by the stent in a 24 hour period following the implantation procedure.
- In a further aspect, a method of providing drug delivery capability for a stent is disclosed including coating a stent with a polymer containing 40-O-(2-hydroxy)ethyl-rapamycin, or analog or derivative thereof, wherein the coating has an in vivo release rate of less than 50% of the total amount of the 40-O-(2-hydroxy)ethyl-rapamycin, or analog or derivative thereof, in a 24 hour period.
- In yet another aspect of the present invention, a method of treating a polymeric coating on a stent to reduce the rate of release of the drug from the coating is disclosed including exposing the coating to a temperature of a sufficient degree to cause modifications in the structure of the polymer which allows for the reduction of the release rate of the drug through the polymer.
- Also disclosed, in another aspect, is a method of treating a coated stent containing a therapeutic substance to reduce the rate of release of the therapeutic substance from the coating including subjecting the coating to a stimuli so as to change the property of at least a region of the coating such that the change of the property of the region of the coating causes the therapeutic substance to be released more slowly from the region that has the changed property.
- In another aspect of the present invention, a method of preparing a coated stent containing 40-O-(2-hydroxy)ethyl-rapamycin, or analog or derivative thereof, for an implantation procedure is disclosed including sterilizing the stent while maintaining the peak purity of the 40-O-(2-hydroxy)ethyl-rapamycin, or analog or derivative thereof, at a level greater than 90%.
-
FIGS. 1A-1C illustrate coatings deposited over an implantable medical substrate in accordance with various embodiments of the present invention; -
FIGS. 2-3 are graphs showing the release rate of 40-O-(2-hydroxy)ethyl-rapamycin from stent coatings in accordance with embodiments of the present invention; -
FIG. 4 is a chromatograph as referred to in Examples 32 and 33; and -
FIG. 5 is a graph showing the release rate of 40-O-(2-hydroxy)ethyl-rapamycin from stent coatings in accordance with an embodiment of the present invention. - Herein is disclosed a method of forming a coating for an implantable device including applying a first composition with 40-O-(2-hydroxy)ethyl-rapamycin, or a functional analog or structural derivative thereof, to at least a portion of an implantable device to form a first layer. The release rate of 40-O-(2-hydroxy)ethyl-rapamycin is advantageously controlled by various methods and coatings as described below. In particular, by using the methods and coatings of the present invention, the release rate of the 40-O-(2-hydroxy)ethyl-rapamycin, or analog or derivative thereof, can be less than about 50% in 24 hours.
- 40-O-(2-hydroxy)ethyl-rapamycin is an immunosuppressant which is under investigation primarily for use with cyclosporine/steroids to prevent acute rejection episodes in renal transplant recipients. 40-O-(2-hydroxy)ethyl-rapamycin is also under investigation for rejection prophylaxis following other types of transplantation (e.g., lung, liver). The chemical structure for 40-O-(2-hydroxy)ethyl-rapamycin is as follows:
Examples of analogs or derivatives of 40-O-(2-hydroxy)ethyl-rapamycin include but are not limited to 40-O-(3-hydroxy)propyl-rapamycin and 40-O-[2-(2-hydroxy)ethoxy]ethyl-rapamycin. - 40-O-(2-hydroxy)ethyl-rapamycin binds to the cytosolic immunophyllin FKBP12 and inhibits growth factor-driven cell proliferation, including that of T-cells and vascular smooth muscle cells. The actions of 40-O-(2-hydroxy)ethyl-rapamycin occur late in the cell cycle (i.e., late G1 stage) compared to other immunosuppressive agents such as tacrolimus or cyclosporine which block transcriptional activation of early T-cell-specific genes. Since 40-O-(2-hydroxy)ethyl-rapamycin can act as a potent anti-proliferative agent, it is believed that 40-O-(2-hydroxy)ethyl-rapamycin can be an effective agent to treat restenosis by being delivered to a local treatment site from a polymeric coated implantable device such as a stent.
- The composition including 40-O-(2-hydroxy)ethyl-rapamycin can be applied to the implantable device in various ways. In one embodiment, a first layer can be formed on the implantable device by (1) immersing the implantable device into a solution containing 40-O-(2-hydroxy)ethyl-rapamycin dissolved in a suitable solvent, or (2) spray coating the implantable device with the same solution containing 40-O-(2-hydroxy)ethyl-rapamycin to form a reservoir layer. In this embodiment, the implantable device can include cavities or micro-pores for containing the 40-O-(2-hydroxy)ethyl-rapamycin.
- The 40-O-(2-hydroxy)ethyl-rapamycin can also be blended with a polymer and applied to the implantable device to form the reservoir layer. “Polymer,” “poly,” and “polymeric” are defined as compounds that are the product of a polymerization reaction and are inclusive of homopolymers, copolymers, terpolymers etc., including random, alternating, block, and graft variations thereof. The polymers should have a high capacity of adherence to the surface of an implantable device, such as a metallic surface of a stent, and a high capacity of adherence to polymeric surfaces.
- In accordance with one embodiment, when the 40-O-(2-hydroxy)ethyl-rapamycin is blended with a polymer for the reservoir layer, the ratio of 40-O-(2-hydroxy)ethyl-rapamycin, or analog or derivative thereof, to polymer by weight in the reservoir layer is about 1:2.8 to about 1:1. It has been found that this particular range of 40-O-(2-hydroxy)ethyl-rapamycin:polymer ratio provides a beneficial release rate of the 40-O-(2-hydroxy)ethyl-rapamycin from the polymer matrix.
- In accordance with another embodiment, when the 40-O-(2-hydroxy)ethyl-rapamycin is blended with a polymer for the reservoir layer, the 40-O-(2-hydroxy)ethyl-rapamycin, or analog or derivative thereof, is in the amount of about 50 μg to about 500 μg, more narrowly about 90 μg to about 350 μg, and the polymer is in the amount of about 50 μg to about 1000 μg, more narrowly about 90 μg to about 500 μg. These particular ranges of amounts for 40-O-(2-hydroxy)ethyl-rapamycin and a polymer can provide a beneficial release rate of the 40-O-(2-hydroxy)ethyl-rapamycin from the polymer matrix.
- When the polymer solution is being prepared, a predetermined amount of a polymer can be added to a predetermined amount of a compatible solvent. “Solvent” is defined as a liquid substance or composition that is compatible with the components of the composition and is capable of dissolving the component(s) at the concentration desired in the composition. Representative examples of solvents include chloroform, acetone, water (buffered saline), dimethylsulfoxide (DMSO), propylene glycol methyl ether (PM,) iso-propylalcohol (IPA), n-propylalcohol, methanol, ethanol, tetrahydrofuran (THF), dimethylformamide (DMF), dimethylacetamide (DMAC), benzene, toluene, xylene, hexane, cyclohexane, pentane, heptane, octane, nonane, decane, decalin, ethyl acetate, butyl acetate, isobutyl acetate, isopropyl acetate, butanol, diacetone alcohol, benzyl alcohol, 2-butanone, cyclohexanone, dioxane, methylene chloride, carbon tetrachloride, tetrachloroethylene, tetrachloro ethane, chlorobenzene, 1,1,1-trichloroethane, formamide, hexafluoroisopropanol, 1,1,1-trifluoroethanol, and hexamethyl phosphoramide and a combination thereof.
- The polymer can be added to the solvent at ambient pressure and under anhydrous atmosphere. If necessary, gentle heating and stirring and/or mixing can be employed to effect dissolution of the polymer into the solvent, for example 12 hours in a water bath at about 60° C.
- Sufficient amounts of 40-O-(2-hydroxy)ethyl-rapamycin can then be dispersed in the blended composition of the polymer and the solvent. The polymer can comprise from about 0.1% to about 35%, more narrowly from about 0.5% to about 20% by weight of the total weight of the composition, the solvent can comprise from about 59.9% to about 99.8%, more narrowly from about 79% to about 99% by weight of the total weight of the composition, and the 40-O-(2-hydroxy)ethyl-rapamycin can comprise from about 0.1% to about 40%, more narrowly from about 1% to about 9% by weight of the total weight of the composition. More than 9% by weight of the 40-O-(2-hydroxy)ethyl-rapamycin could adversely affect characteristics that are desirable in the polymeric coating, such as adhesion of the coating to the device. With the use of the optional primer layer, weight ratios of more than 9% for the active ingredient are achievable without compromising the effectiveness of the adhesion. Selection of a specific weight ratio of the polymer and solvent is dependent on factors such as, but not limited to, the material from which the device is made, the geometrical structure of the device, and the type and amount of the active ingredient employed.
- Optionally, a second solvent, such as tetrahydrofuran (THF) or dimethylformamide (DMF), can be used to improve the solubility of the 40-O-(2-hydroxy)ethyl-rapamycin in the composition. The second solvent can be added to the composition or the 40-O-(2-hydroxy)ethyl-rapamycin can be added to the second solvent prior to mixture with the blend.
- The 40-O-(2-hydroxy)ethyl-rapamycin should be in true solution or saturated in the blended composition. If the 40-O-(2-hydroxy)ethyl-rapamycin is not completely soluble in the composition, operations including mixing, stirring, and/or agitation can be employed to effect homogeneity of the residues. The 40-O-(2-hydroxy)ethyl-rapamycin can also be first added to the second solvent prior to admixing with the composition. The 40-O-(2-hydroxy)ethyl-rapamycin may be added so that the dispersion is in fine particles.
- Representative examples of polymers that can be combined with 40-O-(2-hydroxy)ethyl-rapamycin for the reservoir layer include ethylene vinyl alcohol copolymer (commonly known by the generic name EVOH or by the trade name EVAL), poly(hydroxyvalerate); poly(L-lactic acid); polycaprolactone; poly(lactide-co-glycolide); poly(hydroxybutyrate); poly(hydroxybutyrate-co-valerate); polydioxanone; polyorthoester; polyanhydride; poly(glycolic acid); poly(D,L-lactic acid); poly(glycolic acid-co-trimethylene carbonate); polyphosphoester; polyphosphoester urethane; poly(amino acids); cyanoacrylates; poly(trimethylene carbonate); poly(iminocarbonate); copoly(ether-esters) (e.g. PEO/PLA); polyalkylene oxalates; polyphosphazenes; biomolecules, such as fibrin, fibrinogen, cellulose, starch, collagen and hyaluronic acid; polyurethanes; silicones; polyesters; polyolefins; polyisobutylene and ethylene-alphaolefin copolymers; acrylic polymers and copolymers; vinyl halide polymers and copolymers, such as polyvinyl chloride; polyvinyl ethers, such as polyvinyl methyl ether; polyvinylidene halides, such as polyvinylidene fluoride and polyvinylidene chloride; polyacrylonitrile; polyvinyl ketones; polyvinyl aromatics, such as polystyrene; polyvinyl esters, such as polyvinyl acetate; copolymers of vinyl monomers with each other and olefins, such as ethylene-methyl methacrylate copolymers, acrylonitrile-styrene copolymers, ABS resins, and ethylene-vinyl acetate copolymers; polyamides, such as Nylon 66 and polycaprolactam; alkyd resins; polycarbonates; polyoxymethylenes; polyimides; polyethers; epoxy resins; polyurethanes; rayon; rayon-triacetate; cellulose acetate; cellulose butyrate; cellulose acetate butyrate; cellophane; cellulose nitrate; cellulose propionate; cellulose ethers; and carboxymethyl cellulose.
- Ethylene vinyl alcohol is functionally a very suitable choice of polymer. Ethylene vinyl alcohol copolymer refers to copolymers comprising residues of both ethylene and vinyl alcohol monomers. One of ordinary skill in the art understands that ethylene vinyl alcohol copolymer may also be a terpolymer so as to include small amounts of additional monomers, for example less than about five (5) mole percentage of styrenes, propylene, or other suitable monomers. Ethylene vinyl alcohol copolymers are available commercially from companies such as Aldrich Chemical Company, Milwaukee, Wis., or EVAL Company of America, Lisle, Ill., or can be prepared by conventional polymerization procedures that are well known to one of ordinary skill in the art.
- The copolymer of EVAL allows for good control capabilities of the release rate of the 40-O-(2-hydroxy)ethyl-rapamycin. As a general rule, an increase in the amount of the ethylene comonomer content decreases the rate that the 40-O-(2-hydroxy)ethyl-rapamycin is released from the copolymer matrix. The release rate of the 40-O-(2-hydroxy)ethyl-rapamycin typically decreases as the hydrophilicity of the copolymer decreases. An increase in the amount of the ethylene comonomer content increases the overall hydrophobicity of the copolymer, especially as the content of vinyl alcohol is concomitantly reduced. It is also thought that the release rate and the cumulative amount of the active ingredient that is released is directly proportional to the total initial content of the ingredient in the copolymer matrix. Accordingly, a wide spectrum of release rates can be achieved by modifying the ethylene comonomer content and the initial amount of the 40-O-(2-hydroxy)ethyl-rapamycin.
- Besides 40-O-(2-hydroxy)ethyl-rapamycin, another active agent can also be added to the first composition. The additional active agent may be any substance capable of exerting a therapeutic or prophylactic effect in the practice of the present invention. Examples of such active agents include antiproliferative, antineoplastic, antiinflammatory, antiplatelet, anticoagulant, antifibrin, antithrombin, antimitotic, antibiotic, and antioxidant substances as well as combinations thereof. A suitable example of an antiproliferative substance is actinomycin D, or derivatives and analogs thereof (manufactured by Sigma-Aldrich 1001 West Saint Paul Avenue, Milwaukee, Wis. 53233; or COSMEGEN available from Merck). Synonyms of actinomycin D include dactinomycin, actinomycin IV, actinomycin I1, actinomycin X1, and actinomycin C1. Examples of suitable antineoplastics include paclitaxel and docetaxel. Examples of suitable antiplatelets, anticoagulants, antifibrins, and antithrombins include aspirin, sodium heparin, low molecular weight heparin, hirudin, argatroban, forskolin, vapiprost, prostacyclin and prostacyclin analogs, dextran, D-phe-pro-arg-chloromethylketone (synthetic antithrombin), dipyridamole, glycoprotein IIb/IIIa platelet membrane receptor antagonist, recombinant hirudin, thrombin inhibitor (available from Biogen), and 7E-3B® (an antiplatelet drug from Centocor). Examples of suitable antimitotic agents include methotrexate, azathioprine, vincristine, vinblastine, fluorouracil, adriamycin, and mutamycin. Examples of suitable cytostatic or antiproliferative agents include angiopeptin (a somatostatin analog from Ibsen), angiotensin converting enzyme inhibitors such as CAPTOPRIL (available from Squibb), CILAZAPRIL (available from Hoffman-LaRoche), or LISINOPRIL (available from Merck & Co., Whitehouse Station, N.J.); calcium channel blockers (such as Nifedipine), colchicine, fibroblast growth factor (FGF) antagonists, histamine antagonist, LOVASTATIN (an inhibitor of HMG-CoA reductase, a cholesterol lowering drug from Merck &Co.), monoclonal antibodies (such as PDGF receptors), nitroprusside, phosphodiesterase inhibitors, prostaglandin inhibitor (available form Glazo), Seramin (a PDGF antagonist), serotonin blockers, thioprotease inhibitors, triazolopyrimidine (a PDGF antagonist), and nitric oxide. Other therapeutic substances or agents that may be appropriate include alpha-interferon; genetically engineered epithelial cells; dexamethasone; rapamycin; estradiol; clobetasol propionate; cisplatin; insulin sensitizers; receptor tyrosine kinase inhibitors; and carboplatin. Exposure of the composition to the active ingredient should not adversely alter the active ingredient's composition or characteristic. Accordingly, the particular active ingredient is selected for compatibility with the blended composition.
- The dosage or concentration of 40-O-(2-hydroxy)ethyl-rapamycin or other active agent required to produce a therapeutic effect should be less than the level at which the 40-O-(2-hydroxy)ethyl-rapamycin or other active agent produces unwanted toxic effects and greater than the level at which non-therapeutic results are obtained. The dosage or concentration of 40-O-(2-hydroxy)ethyl-rapamycin or other active agent required to inhibit the desired cellular activity of the vascular region, for example, can depend upon factors such as the particular circumstances of the patient; the nature of the trauma; the nature of the therapy desired; the time over which the ingredient administered resides at the vascular site; and if other bioactive substances are employed, the nature and type of the substance or combination of substances. Therapeutically effective dosages can be determined empirically, for example by infusing vessels from suitable animal model systems and using immunohistochemical, fluorescent or electron microscopy methods to detect the agent and its effects, or by conducting suitable in vitro studies. Standard pharmacological test procedures to determine dosages are understood by one of ordinary skill in the art.
- In some coatings, the release rate of the 40-O-(2-hydroxy)ethyl-rapamycin may be too high to be clinically useful. For example, in Example 22 below, the percentage of 40-O-(2-hydroxy)ethyl-rapamycin released from a stent coating without a barrier layer in 24 hours was determined to be 58.55 as measured in a porcine serum release rate procedure. The release rate from the coating of Example 22 may be too high for a treatment using 40-O-(2-hydroxy)ethyl-rapamycin as the active agent. The barrier layer of the present invention can reduce the rate of release or delay the time at which the 40-O-(2-hydroxy)ethyl-rapamycin is released from the reservoir layer.
- In accordance with one embodiment, the barrier layer can be applied on a selected region of the reservoir layer to form a rate reducing member. The composition for the barrier layer can be substantially free of active agents. Alternatively, for maximum blood compatibility, compounds such as polyethylene glycol, heparin, heparin derivatives having hydrophobic counterions, or polyethylene oxide can be added to the barrier layer.
- The choice of polymer for the barrier layer can be the same as the selected polymer for the reservoir. The use of the same polymer, as described for some of the embodiments, significantly reduces or eliminates any interfacial incompatibilities, such as lack of adhesion, which may exist in the employment of two different polymeric layers.
- Representative examples of polymers that can be used for a barrier layer can include polytetrafluoroethylene, perfluoro elastomers, ethylene-tetrafluoroethylene copolymer, fluoroethylene-alkyl vinyl ether copolymer, polyhexafluoropropylene, low density linear polyethylenes having high molecular weights, ethylene-olefin copolymers, atactic polypropylene, polyisobutene, polybutylenes, polybutenes, styrene-ethylene-styrene block copolymers, styrene-butylene-styrene block copolymers, styrene-butadiene-styrene block copolymers, and ethylene methacrylic acid copolymers of low methacrylic acid content.
- Ethylene vinyl alcohol is functionally a very suitable choice of polymer. The copolymer allows for good control capabilities over the release rate of the 40-O-(2-hydroxy)ethyl-rapamycin. As a general rule, an increase in the amount of the ethylene comonomer content decreases the rate that the 40-O-(2-hydroxy)ethyl-rapamycin is released from the copolymer matrix. The release rate of the 40-O-(2-hydroxy)ethyl-rapamycin decreases as the hydrophilicity of the polymer decreases. An increase in the amount of the ethylene comonomer content increases the overall hydrophobicity of the copolymer, especially as the content of vinyl alcohol is concomitantly reduced.
- Fluoropolymers are also a suitable choice for the barrier layer composition. For example, polyvinylidene fluoride (otherwise known as KYNAR, available from ATOFINA Chemicals, Philadelphia, Pa.) can be dissolved in HFE FLUX REMOVER (Techspray, Amarillo, Tex.) and can optionally be combined with EVAL to form the barrier layer composition. Also, solution processing of fluoropolymers is possible, particularly the low crystallinity varieties such as CYTOP available from Asahi Glass and TEFLON AF available from DuPont. Solutions of up to about 15% (wt/wt) are possible in perfluoro solvents, such as FC-75 (available from 3M under the brand name FLUORINERT), which are non-polar, low boiling solvents. Such volatility allows the solvent to be easily and quickly evaporated following the application of the polymer-solvent solution to the implantable device.
- In one embodiment, polybutylmethacrylate can be used for the barrier layer. Polybutylmethacrylate, for example, can be dissolved in a solution of xylene, acetone and HFE FLUX REMOVER.
- The barrier layer can also be styrene-ethylene/butylene-styrene block copolymer. Styrene-ethylene/butylene-styrene block copolymer, e.g., Kraton G-series, can be dissolved in non-polar solvents such as, but not limited to, toluene, xylene, and decalin.
- Other choices of polymers for the rate-limiting membrane include, but are not limited to, ethylene-anhydride copolymers; ethylene vinyl acetate copolymers having, for example, a mol % of vinyl acetate of from about 9% to about 25%; and ethylene-acrylic acid copolymers having, for example, a mol % of acrylic acid of from about 2% to about 25%. The ethylene-anhydride copolymer available from Bynel adheres well to EVAL and thus would function well as a barrier layer over a reservoir layer made from EVAL. The copolymer can be dissolved in organic solvents, such as dimethylsulfoxide and dimethylacetamide. Ethylene vinyl acetate polymers can be dissolved in organic solvents, such as toluene and n-butyl acetate. Ethylene-acrylic acid copolymers can be dissolved in organic solvents, such as methanol, isopropyl alcohol, and dimethylsulfoxide.
- Yet another choice of polymer for the rate-limiting membrane is a cross-linked silicone elastomer. Loose silicone and silicone with very low cross-linking are thought to cause an inflammatory biological response. However, it is believed that a thoroughly cross-linked silicone elastomer, having low levels of leachable silicone polymer and oligomer, is an essentially non-inflammatory substance. Silicone elastomers, such as Nusil MED-4750, MED-4755, or MED2-6640, having high tensile strengths, for example between 1200 psi and 1500 psi, will likely have the best durability during crimping, delivery, and expansion of a stent as well as good adhesion to a reservoir layer, e.g., EVAL or the surface of an implantable device.
- The embodiments of the composition for a rate-reducing membrane or diffusion barrier layer are prepared by methods wherein all components are combined, then blended. More particularly, a predetermined amount of a polymer can be added to a predetermined amount of a compatible solvent. The selected solvent should be capable of placing the polymer into solution at the concentration desired.
- The polymer can be added to the solvent at ambient pressure and under anhydrous atmosphere. If necessary, gentle heating and stirring and/or mixing can be employed to effect dissolution of the polymer into the solvent, for example 12 hours in a water bath at about 60° C. The polymer can comprise from about 0.1% to about 35%, more narrowly from about 1% to about 20% by weight of the total weight of the composition, and the solvent can comprise from about 65% to about 99.9%, more narrowly from about 80% to about 98% by weight of the total weight of the composition. Selection of a specific weight ratio of the polymer and solvent is dependent on factors such as, but not limited to, the type of polymer and solvent employed, the type of underlying reservoir layer, and the method of application.
- In an embodiment, the barrier layer contains a polymer in the amount of about 25 μg to about 500 μg, more narrowly about 65 μg to about 350 μg. This particular range for the amount of barrier polymer can provide a beneficial release rate of the 40-O-(2-hydroxy)ethyl-rapamycin from the polymer matrix.
- The presence of an active ingredient in a polymeric matrix can interfere with the ability of the matrix to adhere effectively to the surface of the device. Increasing the quantity of the active ingredient reduces the effectiveness of the adhesion. High drug loadings in the coating can hinder the retention of the coating on the surface of the device. A primer layer can serve as a functionally useful intermediary layer between the surface of the device and an active ingredient-containing or reservoir coating. The primer layer provides an adhesive tie between the reservoir coating and the device—which, in effect, would also allow for the quantity of the active ingredient in the reservoir coating to be increased without compromising the ability of the reservoir coating to be effectively contained on the device during delivery and, if applicable, expansion of the device.
- The composition for a primer layer is prepared by conventional methods wherein all components are combined, then blended. More particularly, a predetermined amount of a polymer or a prepolymer can be added to a predetermined amount of a solvent or a combination of solvents. The mixture can be prepared at ambient pressure and under anhydrous atmosphere. Heating and stirring and/or mixing can be employed to effect dissolution of the polymer into the solvent.
- Representative examples of suitable polymers for the primer layer include, but are not limited to, polyisocyanates, such as triisocyanurate and polyisocyanate polyether polyurethanes based on diphenylmethane diisocyanate; acrylates, such as copolymers of ethyl acrylate and methacrylic acid; titanates, such as tetra-iso-propyl titanate and tetra-n-butyl titanate; zirconates, such as n-propyl zirconate and n-butyl zirconate; silane coupling agents, such as 3-aminopropyltriethoxysilane and (3-glydidoxypropyl) methyldiethoxysilane; high amine content polymers, such as polyethyleneamine, polyallylamine, and polylysine; polymers with a high content of hydrogen bonding groups, such as polyethylene-co-polyvinyl alcohol, ethylene vinyl acetate, and melamine formaldehydes; and unsaturated polymers and prepolymers, such as polycaprolactone diacrylates, polyacrylates with at least two acrylate groups, and polyacrylated polyurethanes. With the use of unsaturated prepolymers, a free radical or UV initiator can be added to the composition for the thermal or UV curing or cross-linking process, as is understood by one of ordinary skill in the art.
- Representative examples of polymers that can be used for the primer material also include those polymers that can be used for the reservoir layer as described above. The use of the same polymer significantly reduces or eliminates any interfacial incompatibilities, such as lack of an adhesive tie or bond, which may exist with the employment of two different polymeric layers.
- Ethylene vinyl alcohol is a very suitable choice of polymer for the primer layer. The copolymer possesses good adhesive qualities to the surface of a stent, particularly stainless steel surfaces, and has illustrated the ability to expand with a stent without any significant detachment of the copolymer from the surface of the stent. The copolymer can comprise a mole percent of ethylene of from about 27% to about 48%.
- By way of example, and not limitation, the polymer can comprise from about 0.1% to about 35%, more narrowly from about 1% to about 20% by weight of the total weight of the composition, and the solvent can comprise from about 65% to about 99.9%, more narrowly from about 80% to about 98% by weight of the total weight of the primer composition. A specific weight ratio is dependent on factors such as the material from which the implantable device is made, the geometrical structure of the device, the choice of polymer-solvent combination, and the method of application.
- In accordance with another embodiment, a fluid can be added to the composition to enhance the wetting of the primer composition for a more uniform coating application. To enhance the wetting of the composition, a suitable fluid typically has a high capillary permeation. Capillary permeation or wetting is the movement of a fluid on a solid substrate driven by interfacial energetics. Capillary permeation is quantitated by a contact angle, defined as an angle at the tangent of a droplet in a fluid phase that has taken an equilibrium shape on a solid surface. A low contact angle indicates a higher wetting liquid. A suitably high capillary permeation corresponds to a contact angle less than about 90° C. The wetting fluid, typically, should have a viscosity not greater than about 50 centipoise, narrowly about 0.3 to about 5 centipoise, more narrowly about 0.4 to about 2.5 centipoise. The wetting fluid, accordingly, when added to the composition, reduces the viscosity of composition.
- The wetting fluid should be compatible with the polymer and the solvent and should not precipitate the polymer. The wetting fluid can also act as the solvent. Useful examples of the wetting fluid include, but are not limited to, tetrahydrofuran (THF), dimethylformamide (DMF), 1-butanol, n-butyl acetate, dimethyl acetamide (DMAC), and mixtures and combinations thereof
- Depending on the polymer used for the reservoir or barrier layers, it may be advantageous to form a finishing layer that is especially biocompatible on the surface of the coating that is exposed to the biological lumen when inserted into a patient. Representative examples of suitable biocompatible polymers or biocompatible agents for the finishing layer include, but are not limited to ethylene vinyl alcohol copolymer, polyethylene oxide, polyethylene glycol, hyaluronic acid, polyvinyl pyrrolidone, heparin, heparin derivatives such as those having hydrophobic counterions, and phosphylcholine.
- Application of the composition can be by any conventional method, such as by spraying the composition onto the prosthesis or by immersing the prosthesis in the composition. Operations such as wiping, centrifugation, blowing, or other web-clearing acts can also be performed to achieve a more uniform coating. Briefly, wiping refers to physical removal of excess coating from the surface of the stent; centrifugation refers to rapid rotation of the stent about an axis of rotation; and blowing refers to application of air at a selected pressure to the deposited coating. Any excess coating can also be vacuumed off the surface of the device. The addition of a wetting fluid leads to a consistent application of the composition which also causes the coating to be uniformly deposited on the surface of the prosthesis.
- With the use of the thermoplastic polymers for the primer, such as ethylene vinyl alcohol copolymer, polycaprolactone, poly(lactide-co-glycolide), poly(hydroxybutyrate), etc., the deposited primer composition should be exposed to a heat treatment at a temperature range greater than about the glass transition temperature (Tg) and less than about the melting temperature (Tm) of the selected polymer. Unexpected results have been discovered with treatment of the composition under this temperature range, specifically strong adhesion or bonding of the coating to the metallic surface of a stent. The device should be exposed to the heat treatment for any suitable duration of time that would allow for the formation of the primer coating on the surface of the device as well as for the evaporation of the solvent or combination of solvent and wetting fluid. It is understood that essentially all of the solvent and the wetting fluid will be removed from the composition, but traces or residues may remain blended with the polymer.
- Table 1 lists the Tg and Tm for some of the polymers used in the embodiments of the present invention. Tg and Tm of polymers are attainable by one of ordinary skill in the art. The cited exemplary temperature and time for exposure are provided by way of illustration and are not meant to be limiting.
TABLE 1 Exemplary Exemplary Duration of Temperature Time For Polymer Tg (° C.) Tm (° C.) (° C.) Heating EVAL 55 165 140 4 hours polycaprolactone −60 60 50 2 hours ethylene vinyl 36 63 45 2 hours acetate (e.g., 33% vinyl acetate content) Polyvinyl 75-85* 200-220* 165 2 hours alcohol
*Exact temperature depends on the degree of hydrolysis which is also known as the amount of residual acetate.
- With the use of one of the aforementioned thermoset primer polymers, the use of initiators may be required. By way of example, epoxy systems consisting of diglycidyl ether of bisphenol A resins can be cured with amine curatives, thermoset polyurethane prepolymers can cured with polyols, polyamines, or water (moisture), and acrylated urethane can be cured with UV light. If baked, the temperature can be above the Tg of the selected polymer.
- With the use of the inorganic primer polymers, such as silanes, titanates, and zirconates, the solvent is allowed to evaporate.
- The composition containing the active ingredient can be applied to a designated region of the primer coating or the surface of the device. The solvent(s) or the combination of solvent(s) and the wetting fluid is removed from the composition by allowing the solvent(s) or combination of the solvent(s) and the wetting fluid to evaporate. The evaporation can be induced by heating the device at a predetermined temperature for a predetermined period of time. For example, the device can be heated at a temperature of about 60° C. for about 12 hours to about 24 hours. The heating can be conducted in an anhydrous atmosphere and at ambient pressure and should not exceed the temperature which would adversely affect the active ingredient. The heating can also be conducted under a vacuum condition. It is understood that essentially all of the solvent and the wetting fluid will be removed from the composition, but traces or residues may remain blended with the polymer.
- The diffusion barrier layer can be formed on a designated region of the active ingredient-containing coating subsequent to the evaporation of the solvent(s) or solvent(s)/wetting fluid and the drying of the polymer for the active ingredient-containing coating. Alternatively, in embodiments in which a polymeric reservoir coating is not employed, the rate-reducing membrane may be formed directly over active-ingredient containing cavities within the surface of the prosthesis. The diffusion barrier layer can be applied by spraying the composition onto the device or immersing the device in the composition, then drying the polymer. The above-described processes can be similarly repeated for the formation of the diffusion barrier layer.
- After the coating has been formed on the implantable device, depending on the polymers used in the coating, the 40-O-(2-hydroxy)ethyl-rapamycin can diffuse from the polymer matrix at a rate that could be too high for certain clinical conditions. Accordingly, the coating can be exposed to a temperature that is effective to decrease the diffusion rate of the 40-O-(2-hydroxy)ethyl-rapamycin from the polymer matrix. In particular, the coating can be exposed to a sufficient temperature effective to decrease the release rate of the 40-O-(2-hydroxy)ethyl-rapamycin, or analog or derivative thereof, by about 50% as compared to a control group, as demonstrated in Example 17 below.
- Typically, the temperature will be between the glass transition temperature (Tg) and the melting temperature (Tm) of the polymer. For example, the temperature can be the annealing temperature of the polymer (about equal to Tg+Tm/2). The thermal treatment can be conducted in an anhydrous atmosphere and at ambient pressure. The treatment can also be conducted under a vacuum condition.
- The exposure temperature should not adversely affect the characteristics of the 40-O-(2-hydroxy)ethyl-rapamycin or other active agents present in the coating. In order to prevent possible degradation of the active agents or the polymers in the coating, additives can be mixed with the polymer before or during the coating process to shift the thermal profile of the polymer (i.e., decrease the Tg and Tm of the polymer). For example, a plasticizer, which is usually a low molecular weight nonvolatile molecule, can be dissolved with the polymer before the application process. The plasticizer can be an active agent. A representative example of an additive is dioctyl phthalate.
- In one embodiment, one of the polymers in the coating exposed to the temperature is a semi-crystalline (e.g., polyvinyl chloride and EVAL) polymer. Without being bound by any particular theory, it is believed that the diffusion rate of the active agent from the polymer is decreased because the thermal radiation increases the percent crystallinity of the polymer. Others types of energy, such as RF energy, can also be used to increase the percent crystallinity. “Percent crystallinity” refers to the percentage of the polymer material that is in a crystalline form. Those of ordinary skill in the art understand that there are several methods for determining the percent crystallinity in polymers. These methods are, for example, described in L. H. Sperline, Introduction to Physical Polymer Science (3rd ed. 2001). The first involves the determination of the heat of fusion of the whole sample by calorimetric methods. The heat of fusion per mole of crystalline material can be estimated independently by melting point depression experiments.
- A second method involves the determination of the density of the crystalline portion via X-ray analysis of the crystal structure, and determining the theoretical density of a 100% crystalline material. The density of the amorphous material can be determined from an extrapolation of the density from the melt to the temperature of interest. Then the percent crystallinity is given by:
where ρexpt1 represents the experimental density, and ρamorph and ρ100% cryst are the densities of the amorphous and crystalline portions, respectively. - A third method stems from the fact that X-ray diffraction depends on the number of electrons involved and is thus proportional to the density. Besides Bragg diffraction lines for the crystalline portion, there is an amorphous halo caused by the amorphous portion of the polymer. The amorphous halo occurs at a slightly smaller angle than the corresponding crystalline peak, because the atomic spacings are larger. The amorphous halo is broader than the corresponding crystalline peak, because of the molecular disorder. This third method can be quantified by the crystallinity index, CI, where
and where Ac and Aa represent the area under the Bragg diffraction line and corresponding amorphous halo, respectively. - The heat emitter used to thermal treat the coating can be any apparatus that emits thermal radiation. For example, the heat emitter can be a cauterizer tip. The heat emitter can also be a blower that includes a heating device so that the blower can direct a warm gas (e.g., air, argon or nitrogen) onto the implantable device. The heating device can be any heating device as known by those of ordinary skill in the art. For example, the heating device can be an electric heater incorporating heating coils.
- In one embodiment of the present invention, the thermal radiation from the heat emitter can be directed to only certain portions of the implantable device or only for certain durations so that the diffusion rates of the 40-O-(2-hydroxy)ethyl-rapamycin from the polymer differs in various portions of the coating. In one example, the implantable device can have two or more segments along the longitudinal axis of the implantable device, such as a first segment, a second segment and a third segment. The thermal radiation could be directed substantially only at the first segment and the third segment, for instance, by using a cauterizer tip. Alternatively, the thermal radiation could be set higher for the first and third segments, or the thermal radiation could be directed at the first and third segments for a longer duration than the second segment. As a result, the polymer along the first segment and the third segment would have a greater percent crystallinity than the polymer along the second segment. Therefore, the diffusion rates of the active agent from the polymer matrix along the first segment and the third segment would be less than the diffusion rate along the second segment.
- In another embodiment, by limiting the time that the coating is exposed to thermal radiation so that the percent crystallinity is not maximized throughout the entire thickness of the coating, the shallower regions of the coating will have a higher percent crystallinity than the deeper regions. In a particular example, if the coating has four regions with the fourth region as the deepest, by limiting the thermal treatment, the first or shallowest region would have a higher percent crystallinity than the fourth or deepest region. One of ordinary skill in the art will understand that the duration and temperature of the exposure will depend on the desired diffusion rate of the polymer, and the inherent characteristics of the polymers used in the coating.
- After the implantable device has been coated according to the various embodiments of the present invention, the implantable device can be sterilized by various methods. According to conventional thought, a coating containing 40-O-(2-hydroxy)ethyl-rapamycin cannot be sterilized with many techniques because the 40-O-(2-hydroxy)ethyl-rapamycin is degraded by the processes. For example, it was thought that a polymer coating containing 40-O-(2-hydroxy)ethyl-rapamycin could not be sterilized with an e-beam procedure because the free radicals produced during the process would degrade the 40-O-(2-hydroxy)ethyl-rapamycin. Similarly, it has been thought that exposing a coating with 40-O-(2-hydroxy)ethyl-rapamycin to ethylene oxide or peroxide gas would also degrade the 40-O-(2-hydroxy)ethyl-rapamycin. However, it has unexpectedly been found that the coatings of the present invention protect the 40-O-(2-hydroxy)ethyl-rapamycin during sterilization procedures (e.g., using an e-beam or ethylene oxide process). In fact, subsequent to sterilization, the peak purity of the 40-O-(2-hydroxy)ethyl-rapamycin has been greater than 90% when included in the coatings of the present invention.
- In an embodiment of the present invention, the particular procedure used to sterilize the coating can also be used to expose the coating to a temperature that is effective to decrease the diffusion rate of the 40-O-(2-hydroxy)ethyl-rapamycin from the polymer matrix. In particular, during the sterilization procedure (e.g., the ethylene oxide procedure) the coating can be exposed to a sufficient temperature effective to decrease the release rate of the 40-O-(2-hydroxy)ethyl-rapamycin, or analog or derivative thereof, by about 50% as compared to a control group.
- The device or prosthesis coated in accordance with embodiments of the present invention may be any suitable medical substrate that can be implanted in a human or veterinary patient. Examples of such implantable devices include self-expandable stents, balloon-expandable stents, stent-grafts, grafts (e.g., aortic grafts), artificial heart valves, cerebrospinal fluid shunts, pacemaker electrodes, and endocardial leads (e.g., FINELINE and ENDOTAK, available from Guidant Corporation, Santa Clara, Calif.). The underlying structure of the device can be of virtually any design. The device can be made of a metallic material or an alloy such as, but not limited to, cobalt chromium alloy (ELGILOY), stainless steel (316 L), high nitrogen stainless steel, e.g., BIODUR 108, cobalt chrome alloy L-605, “MP35N,” “MP20N,” ELASTINITE (Nitinol), tantalum, nickel-titanium alloy, platinum-iridium alloy, gold, magnesium, or combinations thereof. “MP35N” and “MP20N” are trade names for alloys of cobalt, nickel, chromium and molybdenum available from Standard Press Steel Co., Jenkintown, Pa. “MP35N” consists of 35% cobalt, 35% nickel, 20% chromium, and 10% molybdenum. “MP20N” consists of 50% cobalt, 20% nickel, 20% chromium, and 10% molybdenum. Devices made from bioabsorbable or biostable polymers could also be used with the embodiments of the present invention.
- The embodiments of the present invention may be particularly useful for the coatings of small vessel stents. Small vessels stents can be generally categorized as having inner diameters of less than 2.5 mm in an expanded state. Because of their small size, small vessel stents offer unique challenges for drug delivery. In particular, as compared to conventionally sized stents, small vessel stents have a greater surface:volume ratio. Therefore, when a small vessel stent is inserted into a biological lumen, the vessel tissue surrounding a small vessel stent is exposed to a greater concentration of polymer and active agent.
- The various embodiments of the present invention can be used to address some of the challenges offered by the use of small vessel stents. For example, it is thought that it is especially important that small vessel stents have lower amounts of polymer in their coatings, as compared to larger sized stents, in order to reduce the risk of an inflammatory response by the vessel tissue. However, it may also be important to have a barrier layer on the stent coating in order to have a low release rate of the active agents, such as 40-O-(2-hydroxy)ethyl-rapamycin. With the inclusion of the barrier layer, the amount of polymer on the coating may be sufficient to cause an unwanted inflammatory response. In order to address these countervailing concerns, one approach would be to provide a thinner barrier layer on the polymer matrix as compared to larger sized stents, and then heat treat the barrier layer to increase the crystallinity of the barrier layer polymer, thereby decreasing the release rate of the active agent from the reservoir region. In an alternative embodiment, the polymer used for the barrier layer can initially have a very high percent crystallinity. In yet another embodiment, the reservoir layer can be heat treated to reduce the release rate of active agent from the reservoir region without the use of a barrier layer.
- In another particular example, it is thought that it is especially important for small vessel stents to have a biocompatible coating. One approach to address this need is to provide a finishing layer on the stent that contains a highly biocompatible polymer such as polyethylene glycol, or biocompatible agents such as heparin. For example, a finishing layer can be applied over a barrier layer so that the coating offers a usefully low release rate of an active agent and also provides a highly biocompatible coating.
- Some of the various embodiments of the present invention are illustrated by
FIGS. 1A, 1B , and 1C. The Figures have not been drawn to scale, and the thickness of the various layers have been over or under emphasized for illustrative purposes. - Referring to
FIG. 1A , a body of amedical substrate 20, such as a stent, is illustrated having asurface 22.Medical substrate 20 includes cavities or micro-pores 24 formed in the body for releasably containing an active ingredient, as illustrated by dottedregion 26. A barrier layer or rate-reducingmembrane 28 is disposed onsurface 22 ofmedical substrate 20, coveringcavities 24.Barrier layer 28 functions to reduce the rate of release of an active agent (e.g., 40-O-(2-hydroxy)ethyl-rapamycin) frommedical substrate 20. - Referring to
FIG. 1B ,medical substrate 20 is illustrated having aprimer layer 30 formed onsurface 22. An active agent-containing orreservoir coating 32 is deposited onprimer layer 30.Primer layer 30 serves as an intermediary layer for increasing the adhesion betweenreservoir coating 32 andsurface 22. Increasing the amount of active ingredient admixed within the polymer diminishes the adhesiveness ofreservoir layer 32 to surface 22. Accordingly, using an active agent-free polymer as anintermediary primer layer 30 allows for a higher active ingredient content forreservoir layer 32.Barrier layer 28 is formed over at least a selected portion ofreservoir layer 32. One of ordinary skill in the art can appreciate thatbarrier layer 28 can be deposited only on selected areas ofreservoir layer 32 so as to provide a variety of selected release parameters. Such selected patterns may become particularly useful if a combination of active agents are used, each of which requires a different release parameter. -
FIG. 1C illustratesmedical substrate 20 having afirst reservoir layer 32A disposed on a selected portion ofsurface 22 ofmedical substrate 20.First reservoir layer 32A contains a first active agent, e.g., 40-O-(2-hydroxy)ethyl-rapamycin. Asecond reservoir layer 32B can also be disposed onsurface 22.Second reservoir layer 32B contains a second active ingredient, e.g., taxol. First and 32A and 32B are covered by first and second barrier layers 28A and 28B, respectively. In accordance with one embodiment, the polymeric material insecond reservoir layers barrier layer 28B has been exposed to thermal treatment, whereas the polymeric material inbarrier layer 28A has not. As a result, the polymeric material inbarrier 28B has a higher percent crystallinity than the polymeric material inbarrier layer 28A. Accordingly, by producing a coating such as the one shown inFIG. 1C , a wide array of release parameters can be obtained for any selected combination of active agents. -
Barrier layer 28 can have any suitable thickness, as the thickness ofbarrier layer 28 is dependent on parameters such as, but not limited to, the desired rate of release and the procedure for which the stent will be used. For example,barrier layer 28 can have a thickness of about 0.1 to about 10 microns, more narrowly from about 0.25 to about 5 microns. - By way of example, and not limitation, the impregnated
reservoir layer 32 can have a thickness of about 0.5 microns to about 1.5 microns. The particular thickness ofreservoir layer 32 is based on the type of procedure for whichmedical substrate 20 is employed and the amount of the active agent to be delivered. The amount of the active agent to be included on the prosthesis can be further increased by applying a plurality of reservoir layers 32 on top of one another. Theoptional primer layer 30 can have any suitable thickness, examples of which can be in the range of about 0.1 to about 10 microns, more narrowly about 0.1 to about 2 microns. - In accordance with the above-described method, the active agent can be applied to a device, e.g., a stent, retained on the device during delivery and released at a desired control rate and for a predetermined duration of time at the site of implantation. A stent having the above-described coating layers is useful for a variety of medical procedures, including, by way of example, treatment of obstructions caused by tumors in bile ducts, esophagus, trachea/bronchi and other biological passageways. A stent having the above-described coating layers is particularly useful for treating occluded regions of blood vessels caused by abnormal or inappropriate migration and proliferation of smooth muscle cells, thrombosis, and restenosis. Stents may be placed in a wide array of blood vessels, both arteries and veins. Representative examples of sites include the iliac, renal, and coronary arteries.
- Briefly, an angiogram is first performed to determine the appropriate positioning for stent therapy. Angiography is typically accomplished by injecting a radiopaque contrasting agent through a catheter inserted into an artery or vein as an x-ray is taken. A guidewire is then advanced through the lesion or proposed site of treatment. Over the guidewire is passed a delivery catheter, which allows a stent in its collapsed configuration to be inserted into the passageway. The delivery catheter is inserted either percutaneously, or by surgery, into the femoral artery, brachial artery, femoral vein, or brachial vein, and advanced into the appropriate blood vessel by steering the catheter through the vascular system under fluoroscopic guidance. A stent having the above-described coating layers may then be expanded at the desired area of treatment. A post insertion angiogram may also be utilized to confirm appropriate positioning.
- The embodiments of the present invention will be illustrated by the following set forth examples.
- 35 13 mm PENTA stents (available from Guidant Corporation) were coated by spraying a 2% (w/w) solution of poly(ethylene-co-vinyl alcohol) (44 mole % ethylene) (“EVAL”) in 98% (w/w) dimethylacetamide. The solvent was removed by baking at 140° C. for 2 hours. A solution of 1.9% (w/w) EVAL and 0.7% (w/w) 40-O-(2-hydroxy)ethyl-rapamycin in a mixture of 68.2% (w/w) dimethylacetamide and 29.2% (w/w) ethanol was spray coated onto the stents to a thickness with a target of 175 μg of 40-O-(2-hydroxy)ethyl-rapamycin on each stent. The stents were then baked at 50° C. for 2 hours. A barrier layer was formed by spraying the stents with a 4% (w/w) solution of EVAL in a mixture of 76% (w/w) dimethylacetamide and 20% (w/w) pentane. Another 2 hour bake at 50° C. was performed to remove the solvent.
- A select number of stents were analyzed to compare the target coating formulation with the final coating formulation. The results are as follows: For the primer layer, there was a target dry weight of 40 μg of polymer, and a measured average dry weight of 43±3 μg of polymer. For the reservoir layer, the target drug:polymer ratio was 1:2.857, the target dry weight for the entire reservoir coating was 675 μg and the average actual dry weight was 683±19 μg. Also for the reservoir layer, the average total drug content of the stent coatings was determined by the process described in Example 2. The average drug content was 133 μg or 152 μg/cm2. For the barrier layer, the target dry weight of polymer was 300 μg and the measured average dry weight was 320±13 μg.
- A drug-coated stent was placed in a volumetric flask. An appropriate amount of the extraction solvent acetonitrile with 0.02% BHT as protectant was added (e.g., in a 10 ml volumetric flask, with about 9 ml solvent added). The flask was sonicated for a sufficient time to extract all of the drug from the reservoir region. Then, the solution in the flask was filled to mark with the solvent solution. The drug solution was the analyzed by HPLC. The HPLC system consisted of a Waters 2690 system with an analytical pump, a column compartment (set at 40° C.), an auto-sampler, and a 996 PDA detector. The column was an YMC Pro C18 (150 mm×4.6 I.D., 3 μm particle size), maintained at a temperature of 40° C. The mobile phase consisted of 75% acetonitrile and 25% 20 mMolar ammonium acetate. The flow rate was set on 1 ml/min. The HPLC release rate results were quantified by comparing the results with a reference standard. The total drug content of the stent was then calculated.
- 34 13 mm PENTA stents were coated by spraying a 2% (w/w) solution of EVAL and 98% (w/w) dimethylacetamide. The solvent was removed by baking at 140° C. for 2 hours. A solution of 1.9% (w/w) EVAL and 1.1% (w/w) 40-O-(2-hydroxy)ethyl-rapamycin in a mixture of 67.9% (w/w) dimethylacetamide and 29.1% (w/w) ethanol was spray coated onto the stents to a thickness with a target of 275 μg of 40-O-(2-hydroxy)ethyl-rapamycin on each stent. The stents were then baked at 50° C. for 2 hours. A barrier layer was formed by spraying the stents with a 4% (w/w) solution of EVAL in a mixture of 76% (w/w) dimethylacetamide and 20% (w/w) pentane. Another 2 hour bake at 50° C. was performed to remove the solvent.
- A select number of stents were analyzed to compare the target coating formulation with the final coating formulation. The results are as follows: For the primer layer, there was a target dry weight of 40 μg of polymer, and a measured average dry weight of 43±3 μg of polymer. For the reservoir layer, the target drug:polymer ratio was 1:1.75, the target dry weight for the entire reservoir coating was 757 μg and the average actual dry weight was 752±23 μg. Also for the reservoir layer, the average total drug content of the stent coatings was determined by the process described in Example 2. The average drug content was 205 μg or 235 μg/cm2. For the barrier layer, the target dry weight of polymer was 200 μg and the measured average dry weight was 186±13 μg.
- 24 13 mm PENTA stents were coated by spraying a 2% (w/w) solution of EVAL and 98% (w/w) dimethylacetamide. The solvent was removed by baking at 140° C. for 2 hours. A solution of 1.9% (w/w) EVAL and 1.2% (w/w) 40-O-(2-hydroxy)ethyl-rapamycin in a mixture of 67.8% (w/w) dimethylacetamide and 29.1% (w/w) ethanol was spray coated onto the stents to a thickness with a target of 325 μg of 40-O-(2-hydroxy)ethyl-rapamycin on each stent. The stents were then baked at 50° C. for 2 hours. A barrier layer was formed by spraying the stents with a 4% (w/w) solution of EVAL in a mixture of 76% (w/w) dimethylacetamide and 20% (w/w) pentane. Another 2 hour bake at 50° C. was performed to remove the solvent.
- A select number of stents were analyzed to compare the target coating formulation with the final coating formulation. The results are as follows: For the primer layer, there was a target dry weight of 40 μg of polymer, and a measured average dry weight of 41±2 μg of polymer. For the reservoir layer, the target drug:polymer ratio was 1:1.6, the target dry weight for the entire reservoir coating was 845 μg and the average actual dry weight was 861±16 μg. Also for the reservoir layer, the average total drug content of the stent coatings was determined by the process described in Example 2. The average drug content was 282 μg or 323 μg/cm2. For the barrier layer, the target dry weight of polymer was 125 μg and the measured average dry weight was 131±9 μg.
- This Example 5 is referred to as the “Release Rate Profile Procedure.” A drug-coated stent was placed on a stent holder of a Vankel Bio-Dis release rate tester (Vankel, Inc., Cary, N.C.). The stent was dipped into an artificial medium which stabilizes the 40-O-(2-hydroxy)ethyl-rapamycin in the testing solution, including a phosphate buffer saline solution (10 mM, pH 7.4) with 1% TRITON X-100 (Sigma Corporation), for a designated amount of time (e.g., 3 hours). Then the solution was analyzed for the amount of drug released from the stent coating using an HPLC process. The HPLC system consisted of a Waters 2690 system with an analytical pump, a column compartment (set at 40° C.), an auto-sampler, and a 996 PDA detector. The column was an YMC Pro C18 (150 mm×4.6 I.D., 3 μm particle size), maintained at a temperature of 40° C. The mobile phase consisted of 75% acetonitrile and 25% 20 mMolar ammonium acetate. The flow rate was set on 1 ml/min. After the drug solution was analyzed by HPLC the results were quantified by comparing the release rate results with a reference standard.
- If the experimental protocol required that the stent coating be subjected to experimental conditions for an additional time, the stent was then dipped in a fresh medium solution for the necessary amount of time (e.g., another 3 hours) and the drug released in the solution was analyzed again according to the HPLC procedure described above. The procedure was repeated according to the number of data points required. The release rate profile could then be generated by plotting cumulative drug released in the medium vs. time.
- The release rate of 40-O-(2-hydroxy)ethyl-rapamycin from the stents with coatings produced by the processes under Examples 1, 3 and 4 were tested using the in vitro HPLC process as described in Example 5. The solution for each stent underwent two HPLC runs, and the results were averaged.
- The following Table 2 summarizes the results of the release rate procedure for two stents from Example 1:
TABLE 2 Time (hrs) 3 6 9 12 23 32 48 Cumulative 3.72 5.62 7.12 8.43 12.28 15.31 20.28 Release from Stent 1 (μg) Cumulative 4.18 6.53 8.54 10.29 15.64 19.66 26.3 Release from Stent 2 (μg) - The following Table 3 summarizes the results of the release rate procedure for two stents from Example 3:
TABLE 3 Time (hrs) 3 6 9 12 23 32 48 Cumulative 29.73 45.35 57.79 68.19 95.2 110.85 130.75 Release from Stent 1 (μg) Cumulative 26.36 41.2 53.5 63.99 93.93 112.31 135.7 Release from Stent 2 (μg) - The following Table 4 summarizes the results of the release rate procedure for two stents from Example 4:
TABLE 4 Time (hrs) 3 6 9 12 23 32 48 Cumulative 46.24 67.4 82.79 94.92 124.72 141.96 165.12 Release from Stent 1 (μg) Cumulative 44.66 66.74 82.26 94.49 123.92 140.07 159.65 Release from Stent 2 (μg) - A comparison of the release rates for the stents from Examples 1, 3 and 4 is graphically shown in
FIG. 2 . - The following Example 7 is referred to as the “3 day In Vivo Release Rate Procedure” or the “9 day In Vivo Release Rate Procedure,” depending on the number of days the stents are inserted into the experimental animal. The following are the materials used for this Example:
-
- 1. Experimental animal: One 30-45 kg Yorkshire cross pig;
- 2. BMW™ wires 0.014″, 190 cm;
- 3. Guide wire 0.035″, 190 cm;
- 4. Viking guide catheters, 7 F;
- 5. Introducer sheaths (8-10 F);
- 6.
ACS 20/20 Indeflator™ Inflation Device; - 7. Saline; solution with heparin;
- 8. Nitroglycerin, Lidocaine, other inotropic/chronotropic drugs;
- 9. Standard surgical equipment, anesthetic, and medications as necessary;
- 10. Respiratory and hemodynamic monitoring systems;
- 11. Positive pressure ventilator and associated breathing circuits;
- 12. ACT machine and accessories;
- 13. PTCA accessories;
- 14. Ambulatory defibrillator;
- 15. Fluoroscopy equipment; and
- 16. Non-ionic contrast agent;
- The following was the procedure used for this Example:
- A. Animal Preparation.
- 1. Administer Aspirin (325 mg PO) once daily starting one day prior to stent implantation.
- 2. Sedate the pig.
- 3. Intubate the trachea via an oral approach.
- 4. Deliver isoflurane (up to about 5%) to achieve and maintain an adequate plane of anesthesia.
- 5. Shave the sheath introduction area free of hair and scrub the surgical site with surgical soap and/or antiseptic solution.
- 6. Place a 7 F introducer sheath into the right or left femoral artery.
- 7. Obtain an arterial blood sample for a baseline ACT.
- 8. Administer
heparin 200 units/kg IV (not to exceed 100,000 units) and obtain a blood sample for measurement of ACT 5-10 minutes later. - 9. Repeat heparin as needed to maintain ACT≧300 seconds.
- 10. Measure and record arterial blood pressure, heart rate and electrocardiogram (ECG).
- B. Angiography for Vessel Selection.
- 1. Advance the guiding catheter over the guidewire into the aortic arch and cannulate the desired vessel.
- 2. Administer nitroglycerin (200 μg) intra-luminally prior to baseline angiography.
- 3. Perform baseline angiogram and record images on cine.
- 4. With the diameter of the guiding catheter as a reference, select vasculature that will allow a target stent to artery ratio of about 1.1:1.0.
- C. Stent Preparation and Deployment.
- 1. Perform online QCA and measure baseline proximal, target, and distal reference sites.
- 2. Administer nitroglycerin (200 μg) intra-luminally prior to stent deployment, then as needed to control coronary artery vasospasm.
- 3. Inspect the stent delivery system. Ensure that the stent is correctly positioned on the balloon. Inspect the stent for any abnormalities.
- 4. Flush guidewire lumen with heparinized saline until fluid exits the guidewire notch.
- 5. Prepare Indeflator/syringe with diluted (approximately 50:50) contrast medium.
- 6. Attach syringe to test catheter inflation port; use standard techniques to fill the inflation lumen with diluted contrast.
- 7. Purge syringe and test catheter inflation lumen of all air.
- 8. Purge Indeflator of all air and attach to test catheter inflation port.
- 9. Position an appropriate guidewire in the distal bed of the target artery.
- 10. Insert the stent delivery system through the guiding catheter over the guidewire.
- 11. Advance the stent delivery system to the pre-selected arterial deployment site.
- 12. Position balloon for inflation.
- 13. Refer to IFU for inflation strategy. If no IFU available, inflate the balloon at a slow steady rate to a pressure that expands the stent to the desired diameter. Hold at this pressure for 30 seconds.
- 14. Record inflated balloon by pulling image on cine. Perform on-line QCA and measure the inflated balloon diameter.
- 15. Deflate balloon by pulling negative pressure. While withdrawing the system, observe tactually and fluoroscopically. Record any resistance.
- 16. Administer nitroglycerin (200 μg) intra-luminally.
- 17. Assess patency, deployment, and placement of stent via coronary angiography.
- 18. Assess TIMI angiographic low grade.
- 19. Record on cine and video.
- 20. Measure post-proximal, target, and distal MLD with QCA.
- 21. Repeat Section C with remaining stent delivery system.
- 22. Measure and record heart rate, arterial blood pressure and electrocardiogram (ECG).
- D. Stent Procedure End.
- 1. Remove the guidewire, guiding catheter and introducer sheath.
- 2. Remove introducer sheath from the femoral artery.
- 3. Apply pressure to the femoral artery at the side of sheath entry.
- 4. Allow the animal to recover from anesthesia in an individual cage.
- 5. Give Buprenorphine (0.05 mg/kg) PRN as needed for pain.
- 6. Administer Ticlopidine (250 mg PO) and aspirin (325 mg PO) once daily until date of follow-up angiography.
- E. Study End.
- 1. Euthanize the pig with an overdose of barbiturates and/or potassium chloride.
- 2. Excise the heart without flushing the vessels.
- 3. Harvest all stented arteries.
- 4. Remove the stent from all treated arteries and place them in dark colored amber vials for subsequent drug concentration analysis.
- 5. Snap freeze the arterial tissue in liquid nitrogen and store at −70° C. until subsequent analysis of tissue for drug concentrations as determined by HPLC.
- The stents harvested from the experimental animals were tested using an HPLC procedure to determine how much drug remained on the stents. A drug-coated stent removed from the experimental animal was placed in a volumetric flask. An appropriate amount of the extraction solvent acetonitrile with 0.02% BHT as protectant was added (e.g., in a 10 ml volumetric flask, with about 9 ml solvent added). The flask was sonicated for a sufficient time to extract all of the drug from the reservoir region. Then, the solution in the flask was filled to mark with the solvent solution. The HPLC system consisted of a Waters 2690 system with an analytical pump, a column compartment (set at 40° C.), an auto-sampler, and a 996 PDA detector. The column was an YMC Pro C18 (150 mm×4.6 I.D., 3 μm particle size), maintained at a temperature of 40° C. The mobile phase consisted of 75% acetonitrile and 25% 20 mMolar ammonium acetate. The flow rate was set on 1 ml/min. The HPLC release rate results were quantified by comparing the results with a reference standard. The total drug released in vivo was the difference between the average drug loaded on the stents and the amount of drug remaining on the stents after the stent implantation into the experimental animal.
- The release rate of 40-O-(2-hydroxy)ethyl-rapamycin from the stents with coatings produced by the process under Example 1 were tested using a 3 day in vivo process as described in Example 7. In particular, stents from Example 1 were implanted into experimental animals and then the stents were tested by HPLC to determine how much 40-O-(2-hydroxy)ethyl-rapamycin diffused from the stent coating into the blood vessel. According to the HPLC analysis, 21.8 μg of the 40-O-(2-hydroxy)ethyl-rapamycin was released from the coating in 3 days, or 16.4% of the total drug content of the coating.
- The release rate of 40-O-(2-hydroxy)ethyl-rapamycin from the stents with coatings produced by the process under Example 3 were tested using a 3 day in vivo process as described in Example 7. In particular, stents from Example 3 were implanted into experimental animals and then the stents were tested by HPLC to determine how much 40-O-(2-hydroxy)ethyl-rapamycin diffused from the stent coating into the blood vessel. According to the HPLC analysis, 7.8 μg of the 40-O-(2-hydroxy)ethyl-rapamycin was released from the coating in 3 days, or 3.8% of the total drug content of the coating.
- The release rate of 40-O-(2-hydroxy)ethyl-rapamycin from the stents with coatings produced by the process under Example 4 were tested using a 3 day in vivo process as described in Example 7. In particular, stents from Example 4 were implanted into experimental animals and then the stents were tested by HPLC to determine how much 40-O-(2-hydroxy)ethyl-rapamycin diffused from the stent coating into the blood vessel. According to the HPLC analysis, 50.8 μg of the 40-O-(2-hydroxy)ethyl-rapamycin was released from the coating in 3 days, or 18% of the total drug content of the coating.
- The release rate of 40-O-(2-hydroxy)ethyl-rapamycin from the stents with coatings produced by the process under Example 3 were tested using a 9 day in vivo process as described in Example 7. In particular, stents from Example 3 were implanted into experimental animals and then the stents were tested by HPLC to determine how much 40-O-(2-hydroxy)ethyl-rapamycin diffused from the stent coating into the blood vessel. According to the HPLC analysis, 29.7% of the 40-O-(2-hydroxy)ethyl-rapamycin was released from the coating in 9 days.
- The release rate of 40-O-(2-hydroxy)ethyl-rapamycin from the stents with coatings produced by the process under Example 4 were tested using a 9 day in vivo process as described in Example 7. In particular, stents from Example 4 were implanted into experimental animals and then the stents were tested by HPLC to determine how much 40-O-(2-hydroxy)ethyl-rapamycin diffused from the stent coating into the blood vessel. According to the HPLC analysis, 39.4% of the 40-O-(2-hydroxy)ethyl-rapamycin was released from the coating in 9 days.
- A 13 mm PIXEL stent (available from Guidant Corporation) was coated. The stent had a yellowish-gold coating that included ethylene vinyl alcohol copolymer and actinomycin D. The ends of the stent were heated with a cauterizer tip for fifteen (15) seconds at a current setting of 2.2 Amps, which corresponded to a temperature of about 106° C. at a distance of about 0.006 inches from the stent.
- After the stent was exposed to heat from the cauterizer tip, the stent was submerged in a 50% (w/w) methanol:water bath. After twenty-four (24) hours, the stent was observed to have drug present at the stent end rings as indicated by a yellowish hue. The middle section of the stent, however, was clear, indicating that the drug had been released through the polymer. This process was repeated on 40 stents yielding similar results for all the stents.
- 13 mm PIXEL stents were coated. The stents had yellowish-gold coatings that included ethylene vinyl alcohol copolymer and actinomycin D. The stents were separated into three experimental groups, and the ends of the stents were heated with a cauterizer tip according to the parameters shown in Table 5 for each group. After the stents were exposed to heat from the cauterizer tip, the stent was submerged in a 50% (w/w) methanol:water bath. After twenty-four (24) hours, the stents were observed as summarized in Table 5.
TABLE 5 Exposure Experimental Current Time Group (Amps) (Seconds) Observation 1 2.0 10 Least gold coloration in the end sections compared to the stents from Experimental Groups 2 and 3, indicating the least amount of drug remaining in the stent coating. 2 2.2 8 Moderate gold coloration in the end sections. 3 2.4 5 Most gold coloration in the end sections compared to the stents from Experimental Groups 1 and2 indicating the most amount of drug remaining in the stent coating. - It was observed that the coating in the middle section of the stents, which did not have significant exposure to heat from the cauterizer tip, was clear. This indicates that the drug had been eluted from the stents. On the other hand, the end rings of the stents which had been exposed to heat from the cauterizer tip still appeared gold in color, indicating the presence of drug in the stent coating. The results above indicate that varying the amount of time and heat exposure can modify the elution rate of drug from the stent.
- 8 mm PIXEL stents were coated by spraying a 2% (w/w) solution of EVAL and 98% (w/w) dimethylacetamide. The solvent was removed by baking at 140° C. for 2 hours. A solution of EVAL and 40-O-(2-hydroxy)ethyl-rapamycin in a mixture of 70% (w/w) dimethylacetamide and 30% (w/w) ethanol was spray coated onto the stents. The stents were then baked at 50° C. for 2 hours. A barrier layer was formed by spraying the stents with a solution of EVAL in a mixture of 80% (w/w) dimethylacetamide and 20% (w/w) pentane. Another 2 hour bake at 50° C. was performed to remove the solvent.
- A select number of stents were analyzed to compare the target coating formulation with the final coating formulation. The results are as follows: For the primer layer, there was a target dry weight of 26 μg of polymer, and a measured average dry weight of 28±3 μg of polymer. For the reservoir layer, the target drug:polymer ratio was 1:1.25, and the measured average drug content was 128 μg. For the barrier layer, the measured average dry weight was 84 μg.
- 8 mm PIXEL stents were coated by spraying a 2% (w/w) solution of EVAL and 98% (w/w) dimethylacetamide. The solvent was removed by baking at 140° C. for 2 hours. A solution of EVAL and 40-O-(2-hydroxy)ethyl-rapamycin in a mixture of 70% (w/w) dimethylacetamide and 30% (w/w) ethanol was spray coated onto the stents. The stents were then baked at 50° C. for 2 hours. A barrier layer was formed by spraying the stents with a solution of EVAL in a mixture of 80% (w/w) dimethylacetamide and 20% (w/w) pentane. Another 2 hour bake at 50° C. was performed to remove the solvent.
- A select number of stents were analyzed to compare the target coating formulation with the final coating formulation. The results are as follows: For the primer layer, there was a target dry weight of 26 μg of polymer, and a measured average dry weight of 28±2 μg of polymer. For the reservoir layer, the target drug:polymer ratio was 1:1.5, and the measured average drug content was 130 μg. For the barrier layer, the measured average dry weight was 81 μg.
- After the solvent had been substantially removed and the coatings had been formed, a select number of stents were then heat treated by exposing the stents to a heat of 80° C. for 2 hours.
- The release rate of 40-O-(2-hydroxy)ethyl-rapamycin from the stents with coatings produced by the processes under Examples 15 and 16 were tested using the process described in Example 5. The following Table 6 summarizes the results of the release rate procedure for three stents from Example 15:
TABLE 6 Time (hrs) 3 6 9 12 24 32 48 Cumulative 15.44 24.63 32.20 38.43 56.04 64.81 77.36 Release from Stent 1 (μg) Cumulative 12.70 21.29 28.57 34.55 51.19 59.27 71.15 Release from Stent 2 (μg) Cumulative 13.00 21.92 29.31 35.40 52.55 60.48 72.05 Release from Stent 3 (μg) - The following Table 7 summarizes the results of the release rate procedure for three stents from Example 16:
TABLE 7 Time (hrs) 3 6 9 12 24 32 48 Cumulative 5.52 9.37 12.73 15.71 24.33 29.20 38.02 Release from Stent 1 (μg) Cumulative 6.73 10.86 14.39 17.41 25.99 30.29 38.00 Release from Stent 2 (μg) Cumulative 5.76 9.14 12.02 14.50 21.21 24.61 31.23 Release from Stent 3 (μg) - A comparison of the release rates for the stents from Examples 15-16 is graphically shown in
FIG. 3 . The results unexpectedly show that the stent coatings that were exposed to thermal treatment in Example 16 have a significantly lower release rate than the stent coatings of Example 15. - This Example 18 is referred to as the “Porcine Serum Release Rate Procedure.” A drug-coated stent was placed on a stent holder of a Vankel Bio-Dis release rate tester. The stent was dipped into porcine serum, with 0.1% sodium azide added, for 24 hrs. The stent was removed from the porcine serum and the drug solution analyzed by an HPLC procedure to determine how much drug was released into the porcine serum. The HPLC system consisted of a Waters 2690 system with an analytical pump, a column compartment (set at 40° C.), an auto-sampler, and a 996 PDA detector. The column was an YMC Pro C18 (150 mm×4.6 I.D., 3 μm particle size), maintained at a temperature of 40° C. The mobile phase consisted of 75% acetonitrile and 25% 20 mMolar ammonium acetate. The flow rate was set on 1 ml/min. The HPLC release rate results were quantified by comparing the results with a reference standard.
- 13 mm PENTA stents were coated by spraying a 2% (w/w) solution of EVAL and 98% (w/w) dimethylacetamide. The solvent was removed by baking at 140° C. for 2 hours. A solution of EVAL and 40-O-(2-hydroxy)ethyl-rapamycin in a mixture of 70% (w/w) dimethylacetamide and 30% (w/w) ethanol was spray coated onto the stents. The stents were then baked at 50° C. for 2 hours. A barrier layer was formed by spraying the stents with a solution of EVAL in a mixture of 80% (w/w) dimethylacetamide and 20% (w/w) pentane. Another 2 hour bake at 50° C. was performed to remove the solvent.
- A select number of stents were analyzed to quantify the coating components. For the primer layer, there was a target dry weight of 40 μg of polymer, and a measured average dry weight of 45±1 μg of polymer. For the reservoir layer, the drug:polymer ratio was 1:1, and the measured average drug content was 151 μg as determined by Example 2. For the barrier layer, the measured average dry weight was 234 μg.
- After the coatings were formed on the stents, a select number of stents were tested for the drug release rate from the coatings according to the procedure described in Example 18. It was determined that the average drug released in 24 hours was 32.6 μg, or 21.6% of the total.
- 13 mm PENTA stents were coated by spraying a 2% (w/w) solution of EVAL and 98% (w/w) dimethylacetamide. The solvent was removed by baking at 140° C. for 2 hours. A solution of EVAL and 40-O-(2-hydroxy)ethyl-rapamycin in a mixture of 70% (w/w) dimethylacetamide and 30% (w/w) ethanol was spray coated onto the stents. The stents were then baked at 50° C. for 2 hours. A barrier layer was formed by spraying the stents with a solution of EVAL in a mixture of 80% (w/w) dimethylacetamide and 20% (w/w) pentane. Another 2 hour bake at 50° C. was performed to remove the solvent.
- A select number of stents were analyzed to quantify the coating components. For the primer layer, there was a target dry weight of 40 μg of polymer, and a measured average dry weight of 44±3 μg of polymer. For the reservoir layer, the drug:polymer ratio was 1:1.8, and the measured average drug content was 97 μg as determined by Example 2. For the barrier layer, the measured average dry weight was 184 μg.
- After the coatings were formed on the stents, a select number of stents were tested for the drug release rate from the coatings according to the procedure described in Example 18. It was determined that the average drug released in 24 hours was 24.1 μg, or 24.8% of the total.
- 13 mm PENTA stents were coated by spraying a 2% (w/w) solution of EVAL and 98% (w/w) dimethylacetamide. The solvent was removed by baking at 140° C. for 2 hours. A solution of EVAL and 40-O-(2-hydroxy)ethyl-rapamycin in a mixture of 70% (w/w) dimethylacetamide and 30% (w/w) ethanol was spray coated onto the stents. The stents were then baked at 50° C. for 2 hours. A barrier layer was formed by spraying the stents with a solution of EVAL in a mixture of 80% (w/w) dimethylacetamide and 20% (w/w) pentane. Another 2 hour bake at 50° C. was performed to remove the solvent.
- A select number of stents were analyzed to quantify the coating components. For the primer layer, there was a target dry weight of 40 μg of polymer, and a measured average dry weight of 41±1 μg of polymer. For the reservoir layer, the drug:polymer ratio was 1:1.8, and the measured average drug content was 227 μg as determined by Example 2. For the barrier layer, the measured average dry weight was 181 μg.
- After the coatings were formed on the stents, a select number of stents were tested for the drug release rate from the coatings according to the procedure described in Example 18. It was determined that the average drug released in 24 hours was 27.5 μg, or 12.1% of the total.
- 13 mm PENTA stents were coated by spraying a 2% (w/w) solution of EVAL and 98% (w/w) dimethylacetamide. The solvent was removed by baking at 140° C. for 2 hours. A solution of EVAL and 40-O-(2-hydroxy)ethyl-rapamycin in a mixture of 70% (w/w) dimethylacetamide and 30% (w/w) ethanol was spray coated onto the stents. The stents were then baked at 50° C. for 2 hours. No barrier layer was applied for this Example.
- A select number of stents were analyzed to quantify the coating components. For the primer layer, there was a target dry weight of 40 μg of polymer, and a measured average dry weight of 44±2 μg of polymer. For the reservoir layer, the drug:polymer ratio was 1:1.8, and the measured average drug content was 221 μg as determined by Example 2.
- After the coatings were formed on the stents, a select number of stents were tested for the drug release rate from the coatings according to the procedure described in Example 18. It was determined that the average drug released in 24 hours was 129.4 μg, or 58.55% of the total.
- 13 mm PENTA stents were coated by spraying a 2% (w/w) solution of EVAL and 98% (w/w) dimethylacetamide. The solvent was removed by baking at 140° C. for 2 hours. A solution of EVAL and 40-O-(2-hydroxy)ethyl-rapamycin in a mixture of 70% (w/w) dimethylacetamide and 30% (w/w) ethanol was spray coated onto the stents. The stents were then baked at 50° C. for 2 hours. A barrier layer was formed by spraying the stents with a solution of EVAL in a mixture of 80% (w/w) dimethylacetamide and 20% (w/w) pentane. Another 2 hour bake at 50° C. was performed to remove the solvent.
- A select number of stents were analyzed to quantify the coating components. For the primer layer, there was a target dry weight of 40 μg of polymer, and a measured average dry weight of 42 μg of polymer. For the reservoir layer, the drug:polymer ratio was 1:1.5, and the measured average drug content was 184 μg as determined by Example 2. For the barrier layer, the measured average dry weight was 81 μg.
- After the coatings were formed on the stents, a select number of stents were tested for the drug release rate from the coatings according to the procedure described in Example 18. It was determined that the average drug released in 24 hours was 70.1 μg, or 38.1% of the total.
- 8 mm PIXEL stents were coated by spraying a 2% (w/w) solution of EVAL and 98% (w/w) dimethylacetamide. The solvent was removed by baking at 140° C. for 2 hours. A solution of EVAL and 40-O-(2-hydroxy)ethyl-rapamycin in a mixture of 70% (w/w) dimethylacetamide and 30% (w/w) ethanol was spray coated onto the stents. The stents were then baked at 50° C. for 2 hours. A barrier layer was formed by spraying the stents with a solution of EVAL in a mixture of 80% (w/w) dimethylacetamide and 20% (w/w) pentane. Another 2 hour bake at 50° C. was performed to remove the solvent.
- A select number of stents were analyzed to quantify the coating components. For the primer layer, there was a target dry weight of 40 μg of polymer, and a measured average dry weight of 45±1 μg of polymer. For the reservoir layer, the drug:polymer ratio was 1:1.75, and the measured average drug content was 200 μg as determined by Example 2. For the barrier layer, the measured average dry weight was 180 μg.
- After the coatings were formed on the stents, a select number of stents were tested for the drug release rate from the coatings according to the procedure described in Example 18. It was determined that the average drug released in 24 hours was 39.0 μg, or 19.5% of the total.
- 8 mm PIXEL stents were coated by spraying a 2% (w/w) solution of EVAL and 98% (w/w) dimethylacetamide. The solvent was removed by baking at 140° C. for 2 hours. A solution of EVAL and 40-O-(2-hydroxy)ethyl-rapamycin in a mixture of 70% (w/w) dimethylacetamide and 30% (w/w) ethanol was spray coated onto the stents. The stents were then baked at 50° C. for 2 hours. A barrier layer was formed by spraying the stents with a solution of EVAL in a mixture of 80% (w/w) dimethylacetamide and 20% (w/w) pentane. Another 2 hour bake at 50° C. was performed to remove the solvent.
- A select number of stents were analyzed to quantify the coating components. For the primer layer, there was a target dry weight of 40 μg of polymer, and a measured average dry weight of 41±4 μg of polymer. For the reservoir layer, the drug:polymer ratio was 1:1, and the measured average drug content was 167 μg as determined by Example 2. For the barrier layer, the measured average dry weight was 184 μg.
- After the coatings were formed on the stents, a select number of stents were tested for the drug release rate from the coatings according to the procedure described in Example 18. It was determined that the average drug released in 24 hours was 6.0 μg, or 3.6% of the total.
- 8 mm PIXEL stents were coated by spraying a 2% (w/w) solution of EVAL and 98% (w/w) dimethylacetamide. The solvent was removed by baking at 140° C. for 2 hours. A solution of EVAL and 40-O-(2-hydroxy)ethyl-rapamycin in a mixture of 70% (w/w) dimethylacetamide and 30% (w/w) ethanol was spray coated onto the stents. The stents were then baked at 50° C. for 2 hours. A barrier layer was formed by spraying the stents with a solution of EVAL in a mixture of 80% (w/w) dimethylacetamide and 20% (w/w) pentane. Another 2 hour bake at 50° C. was performed to remove the solvent.
- A select number of stents were analyzed to quantify the coating components. For the primer layer, there was a target dry weight of 26 μg of polymer, and a measured average dry weight of 24±2 μg of polymer. For the reservoir layer, the drug:polymer ratio was 1:1.25, and the measured average drug content was 120 μg as determined by Example 2. For the barrier layer, the measured average dry weight was 138 μg.
- After the coatings were formed on the stents, a select number of stents were tested for the drug release rate from the coatings according to the procedure described in Example 18. It was determined that the average drug released in 24 hours was 11.0 μg, or 9.2% of the total.
- 13 mm PENTA stents were coated by spraying a 2% (w/w) solution of EVAL and 98% (w/w) dimethylacetamide. The solvent was removed by baking at 140° C. for 2 hours. A solution of EVAL and 40-O-(2-hydroxy)ethyl-rapamycin in a mixture of 70% (w/w) dimethylacetamide and 30% (w/w) ethanol was spray coated onto the stents. The stents were then baked at 50° C. for 2 hours. A barrier layer was formed by spraying the stents with a solution of 1% (w/w) polybutylmethacrylate, 5.7% (w/w) acetone, 50% (w/w) xylene and 43.3% (w/w) HFE FLUX REMOVER (Techspray, Amarillo, Tex.). Another 2 hour bake at 50° C. was performed to remove the solvent.
- A select number of stents were analyzed to quantify the coating components. For the primer layer, there was a target dry weight of 40 μg of polymer, and a measured average dry weight of 44±4 μg of polymer. For the reservoir layer, the drug:polymer ratio was 1:1, and the measured average drug content was 183 μg as determined by Example 2. For the barrier layer, the measured average dry weight was 168 μg.
- After the coatings were formed on the stents, a select number of stents were tested for the drug release rate from the coatings according to the procedure described in Example 18. It was determined that the average drug released in 24 hours was 21.6 μg, or 11.8% of the total.
- 13 mm PENTA stents were coated by spraying a 2% (w/w) solution of EVAL and 98% (w/w) dimethylacetamide. The solvent was removed by baking at 140° C. for 2 hours. A solution of EVAL and 40-O-(2-hydroxy)ethyl-rapamycin in a mixture of 70% (w/w) dimethylacetamide and 30% (w/w) ethanol was spray coated onto the stents. The stents were then baked at 50° C. for 2 hours. A barrier layer was formed by spraying the stents with a solution of 1% (w/w) polybutylmethacrylate, 5.7% (w/w) acetone, 50% (w/w) xylene and 43.3% (w/w) HFE FLUX REMOVER. Another 2 hour bake at 50° C. was performed to remove the solvent.
- A select number of stents were analyzed to quantify the coating components. For the primer layer, there was a target dry weight of 40 μg of polymer, and a measured average dry weight of 41±2 μg of polymer. For the reservoir layer, the drug:polymer ratio was 1:1.8, and the measured average drug content was 102 μg as determined by Example 2. For the barrier layer, the measured average dry weight was 97 μg.
- After the coatings were formed on the stents, a select number of stents were tested for the drug release rate from the coatings according to the procedure described in Example 18. It was determined that the average drug released in 24 hours was 9.1 μg, or 8.9% of the total.
- 8 mm PIXEL stents were coated by spraying a 2% (w/w) solution of EVAL and 98% (w/w) dimethylacetamide. The solvent was removed by baking at 140° C. for 2 hours. A solution of EVAL and 40-O-(2-hydroxy)ethyl-rapamycin in a mixture of 70% (w/w) dimethylacetamide and 30% (w/w) ethanol was spray coated onto the stents. The stents were then baked at 50° C. for 2 hours. A barrier layer was formed by spraying the stents with a solution of 1% (w/w) polybutylmethacrylate, 5.7% (w/w) acetone, 50% (w/w) xylene and 43.3% (w/w) HFE FLUX REMOVER (Techspray, Amarillo, Tex.). Another 2 hour bake at 50° C. was performed to remove the solvent.
- A select number of stents were analyzed to quantify the coating components. For the primer layer, there was a target dry weight of 26 μg of polymer, and a measured average dry weight of 27±2 μg of polymer. For the reservoir layer, the drug:polymer ratio was 1:1.25, and the measured average drug content was 120 μg as determined by Example 2. For the barrier layer, the measured average dry weight was 68 μg.
- After the coatings were formed on the stents, a select number of stents were tested for the drug release rate from the coatings according to the procedure described in Example 18. It was determined that the average drug released in 24 hours was 22.0 μg, or 18.3% of the total.
- A select number of stents from Example 3 were tested for the drug release rate from the coatings according to the procedure described in Example 18. It was determined that the average drug released in 24 hours was 22.8 μg, or 11.1% of the total.
- A select number of stents from Example 4 were tested for the drug release rate from the coatings according to the procedure described in Example 18. It was determined that the average drug released in 24 hours was 57.0 μg, or 20.2% of the total.
- Two stents were coated by spraying a 2% (w/w) solution of EVAL and 98% (w/w) dimethylacetamide to form a primer layer. For the primer layer, there was a target dry weight of 100 μg of polymer, and the measured dry weights were 93 μg and 119 μg, respectively. The two stents were then coated with an EVAL-40-O-(2-hydroxy)ethyl-rapamycin blend at a drug:polymer ratio of 2:1 to produce a reservoir layer. After application, it was determined that the reservoir layers had weights of 610 μg and 590 μg, respectively. From the total weight of the reservoir layers and the drug:polymer ratio, it was estimated that the coatings contained about 407 μg and 393 μg of 40-O-(2-hydroxy)ethyl-rapamycin, respectively. Polymeric barrier layers were also applied to the stents and it was determined that the weights of the barrier layers were 279 μg and 377 μg, respectfully.
- The stents from this Example were then sterilized using an ethylene oxide sterilization process. In particular, the stents were placed in a chamber and exposed to ethylene oxide gas for 6 hours at 130-140° F., with a relative humity of 45-80%. The stents were then aerated for about 72 hours at 110-130° F.
- After sterilization, the coatings were then analyzed using an HPLC to determine the peak purity of the drug in the stent coatings. It was determined that the 40-O-(2-hydroxy)ethyl-rapamycin in the coatings had peak purities of about greater than 95%.
FIG. 4 is a chromatograph showing the peak purity the 40-O-(2-hydroxy)ethyl-rapamycin in one of the coatings, labeled “ETO,” as compared to a reference standard for 40-O-(2-hydroxy)ethyl-rapamycin, labeled “Ref. Std.” - Two stents were coated by spraying a 2% (w/w) solution of EVAL and 98% (w/w) dimethylacetamide to form a primer layer. For the primer layer, there was a target dry weight of 100 μg of polymer, and the measured dry weights were 99 μg and 94 μg, respectively. The two stents were then coated with an EVAL-40-O-(2-hydroxy)ethyl-rapamycin blend at a drug:polymer ratio of 2:1 to produce a reservoir layer. After application, it was determined that the reservoir layers had weights of 586 μg and 588 μg, respectively. From the total weight of the reservoir layers and the drug:polymer ratio, it was estimated that the coatings contained about 391 μg and 392 μg of 40-O-(2-hydroxy)ethyl-rapamycin, respectively. Polymeric barrier layers were also applied to the stents and it was determined that the weights of the barrier layers were 380 μg and 369 μg, respectfully.
- The stents from this Example were then sterilized using an e-beam sterilization process. In particular, the stents were placed in a stent container which was run through an e-beam chamber. While moving through the e-beam chamber via a conveyor belt, the stent container was exposed to an e-beam with a constant energy level so that the stent container received between 33.11 and 46.24 KGy. The stent therefore at any point along the length of the stent received at a minimum 25 KGy.
- After sterilization, the coating was then analyzed using an HPLC to determine the peak purity of the drug in the stent coating. It was determined that the 40-O-(2-hydroxy)ethyl-rapamycin in the coating had a peak purity of about greater than 95%.
FIG. 4 is a chromatograph showing the peak purity the 40-O-(2-hydroxy)ethyl-rapamycin in one of the coatings, labeled “e-beam,” as compared to a reference standard for 40-O-(2-hydroxy)ethyl-rapamycin, labeled “Ref. Std.” - 13 mm PENTA stents were coated by spraying a 2% (w/w) solution of EVAL and 98% (w/w) dimethylacetamide. The solvent was removed by baking at 140° C. for 2 hours. A solution of EVAL and 40-O-(2-hydroxy)ethyl-rapamycin in a mixture of 70% (w/w) dimethylacetamide and 30% (w/w) ethanol was spray coated onto the stents. The stents were then baked at 50° C. for 2 hours. A barrier layer was formed by spraying the stents with a solution of EVAL in a mixture of 80% (w/w) dimethylacetamide and 20% (w/w) pentane. Another 2 hour bake at 50° C. was performed to remove the solvent.
- A select number of stents were analyzed to quantify the coating components. For the primer layer, there was a target dry weight of 40 μg of polymer, and a measured average dry weight of 44±3 μg of polymer. For the reservoir layer, the drug:polymer ratio was 1:2, and the measured average drug content was 245 μg as determined by Example 2. For the barrier layer, the measured average dry weight was 104 μg.
- After the coatings were formed on the stents, a select number of stents were tested for the drug release rate from the coatings according to the procedure described in Example 18. It was determined that the average drug released in 24 hours was 23.5 μg, or 9.6% of the total.
- 13 mm PENTA stents were coated by spraying a 2% (w/w) solution of EVAL and 98% (w/w) dimethylacetamide. The solvent was removed by baking at 140° C. for 2 hours. A solution of EVAL and 40-O-(2-hydroxy)ethyl-rapamycin in a mixture of 70% (w/w) dimethylacetamide and 30% (w/w) ethanol was spray coated onto the stents. The stents were then baked at 50° C. for 2 hours. A barrier layer was formed by spraying the stents with a solution of EVAL in a mixture of 80% (w/w) dimethylacetamide and 20% (w/w) pentane. Another 2 hour bake at 50° C. was performed to remove the solvent.
- A select number of stents were analyzed to quantify the coating components. For the primer layer, there was a target dry weight of 40 μg of polymer, and a measured average dry weight of 45±3 μg of polymer. For the reservoir layer, the drug:polymer ratio was 1:1.5, and the measured average drug content was 337 μg as determined by Example 2. For the barrier layer, the measured average dry weight was 169 μg.
- After the coatings were formed on the stents, a select number of stents were tested for the drug release rate from the coatings according to the procedure described in Example 18. It was determined that the average drug released in 24 hours was 37.1 μg, or 11.0% of the total.
- Stents from Example 34 and stents from Example 35 were sterilized according to the process described in Example 32. The released rates of the drug in the stent coatings of sterilized stents and non-sterilized were then tested according to the process described in Example 5. The results of the release rate test are graphically shown in
FIG. 5 . - A 13 mm PENTA stent can be coated by spraying a solution of EVAL, 40-O-(2-hydroxy)ethyl-rapamycin and ethanol onto the stent. The stent is then baked at 50° C. for 2 hours to yield a reservoir coating with 300 μg of EVAL and 300 μg of 40-O-(2-hydroxy)ethyl-rapamycin. A barrier layer can be formed by spraying the stent with a solution of EVAL and pentane. A second 2 hour bake at 50° C. can be performed to remove the solvent to yield a barrier coating with 320 μg of EVAL.
- A 13 mm PENTA stent can be coated by spraying a solution of EVAL and DMAC onto the stent. The solvent is removed by baking at 140° C. for 2 hours to yield a primer coating with 100 μg of EVAL. A reservoir layer can be applied by spraying a solution of EVAL, 40-O-(2-hydroxy)ethyl-rapamycin and ethanol onto the stent. The stent is then baked at 50° C. for 2 hours to yield a reservoir coating with 200 μg of EVAL and 400 μg of 40-O-(2-hydroxy)ethyl-rapamycin. A barrier layer can be formed by spraying the stent with a solution of EVAL and pentane. A second 2 hour bake at 50° C. is performed to remove the solvent to yield a barrier coating with 350 μg of EVAL.
- A 13 mm PENTA stent can be coated by spraying a solution of EVAL, 40-O-(2-hydroxy)ethyl-rapamycin and ethanol onto the stent. The stent is then baked at 50° C. for 2 hours to yield a reservoir coating with 500 μg of EVAL and 250 μg of 40-O-(2-hydroxy)ethyl-rapamycin. A barrier layer can be formed by spraying the stent with a solution of EVAL and pentane. A second 2 hour bake at 50° C. is performed to remove the solvent to yield a barrier coating with 300 μg of EVAL.
- A 13 mm PENTA stent can be coated by spraying a solution of EVAL, 40-O-(2-hydroxy)ethyl-rapamycin and ethanol onto the stent. The stent is then baked at 50° C. for 2 hours to yield a reservoir coating with 475 μg of EVAL and 175 μg of 40-O-(2-hydroxy)ethyl-rapamycin. A barrier layer can be formed by spraying the stent with a solution of EVAL and pentane. A second 2 hour bake at 50° C. is performed to remove the solvent to yield a barrier coating with 300 μg of EVAL.
- An 8 mm PIXEL stent can be coated by spraying a solution of EVAL and 40-O-(2-hydroxy)ethyl-rapamycin in a mixture of dimethylacetamide and ethanol onto the stent. The stent is then baked at 50° C. for 2 hours to yield a reservoir coating with 400 μg of EVAL and 200 μg of 40-O-(2-hydroxy)ethyl-rapamycin. A barrier layer can be formed by spraying the stent with a solution of EVAL and a mixture of dimethylacetamide and pentane. A second 2 hour bake at 50° C. is performed to remove the solvent to yield a barrier coating with 300 μg of EVAL.
- An 8 mm Pixel stent can be coated by spraying a solution of EVAL and 40-O-(2-hydroxy)ethyl-rapamycin in a mixture of dimethylacetamide and ethanol onto the stent. The stent is then baked at 50° C. for 2 hours to yield a reservoir coating with 400 μg of EVAL and 200 μg of 40-O-(2-hydroxy)ethyl-rapamycin. A barrier layer can be formed by spraying the stent with a solution of polybutylmethacrylate (“PBMA”) and HFE FLUX REMOVER. A second 2 hour bake at 50° C. is performed to remove the solvent to yield a barrier coating with 150 μg of PBMA.
- An 8 mm PIXEL stent can be coated by spraying a solution of EVAL and 40-O-(2-hydroxy)ethyl-rapamycin in a mixture of dimethylacetamide and ethanol onto the stent. The stent is then baked at 50° C. for 2 hours to yield a reservoir coating with 200 μg of EVAL and 200 g of 40-0-(2-hydroxy)ethyl-rapamycin. A barrier layer can be formed by spraying the stent with a solution of EVAL and a mixture of dimethylacetamide and pentane. A second 2 hour bake at 50° C. is performed to remove the solvent to yield a barrier coating with 200 μg of EVAL.
- An 8 mm PIXEL stent can be coated by spraying a solution of EVAL and 40-O-(2-hydroxy)ethyl-rapamycin in a mixture of dimethylacetamide and ethanol onto the stent. The stent is then baked at 50° C. for 2 hours to yield a reservoir coating with 200 μg of EVAL and 200 μg of 40-O-(2-hydroxy)ethyl-rapamycin. A barrier layer can formed by spraying the stent with a solution of PBMA and HFE FLUX REMOVER. A second 2 hour bake at 50° C. is performed to remove the solvent to yield a barrier coating with 150 μg of PBMA.
- An 8 mm PIXEL stent can be coated by spraying a solution of EVAL and 40-O-(2-hydroxy)ethyl-rapamycin in a mixture of dimethylacetamide and ethanol onto the stent. The stent is then baked at 50° C. for 2 hours to yield a reservoir coating with 200 μg of EVAL and 200 μg of 40-O-(2-hydroxy)ethyl-rapamycin. A barrier layer can be formed by spraying the stent with a solution of EVAL and a mixture of dimethylacetamide and pentane. A second 2 hour bake at 50° C. is performed to remove the solvent to yield a barrier coating with 200 μg of EVAL.
- An 8 mm PIXEL stent can be coated by spraying a solution of EVAL and 40-O-(2-hydroxy)ethyl-rapamycin in a mixture of dimethylacetamide and ethanol onto the stent. The stent is then baked at 50° C. for 2 hours to yield a reservoir coating with 200 μg of EVAL and 200 μg of 40-O-(2-hydroxy)ethyl-rapamycin. A barrier layer can be formed by spraying the stent with a solution of PBMA and HFE FLUX REMOVER. A second 2 hour bake at 50° C. is performed to remove the solvent to yield a barrier coating with 100 μg of PBMA.
- An 8 mm PIXEL stent can be coated by spraying a solution of EVAL and 40-O-(2-hydroxy)ethyl-rapamycin in a mixture of dimethylacetamide and ethanol onto the stent. The stent is then baked at 50° C. for 2 hours to yield a reservoir coating with 270 μg of EVAL and 150 μg of 40-O-(2-hydroxy)ethyl-rapamycin. A barrier layer can be formed by spraying the stent with a solution of EVAL and a mixture of dimethylacetamide and pentane. A second 2 hour bake at 50° C. is performed to remove the solvent to yield a barrier coating with 150 μg of EVAL.
- An 8 mm PIXEL stent can be coated by spraying a solution of EVAL and 40-O-(2-hydroxy)ethyl-rapamycin in a mixture of dimethylacetamide and ethanol onto the stent. The stent is then baked at 50° C. for 2 hours to yield a reservoir coating with 170 μg of EVAL and 150 μg of 40-O-(2-hydroxy)ethyl-rapamycin. A barrier layer can be formed by spraying the stent with a solution of PBMA and HFE FLUX REMOVER. A second 2 hour bake at 50° C. is performed to remove the solvent to yield a barrier coating with 75 μg of PBMA.
- An 8 mm PIXEL stent can be coated by spraying a solution of EVAL and 40-O-(2-hydroxy)ethyl-rapamycin in a mixture of dimethylacetamide and ethanol onto the stent. The stent is then baked at 50° C. for 2 hours to yield a reservoir coating with 150 μg of EVAL and 150 μg of 40-O-(2-hydroxy)ethyl-rapamycin. A barrier layer can be formed by spraying the stent with a solution of EVAL and a mixture of dimethylacetamide and pentane. A second 2 hour bake at 50° C. is performed to remove the solvent to yield a barrier coating with 200 μg of EVAL. A finishing layer can then applied by spraying the stent with a solution of EVAL, polyethyleneoxide (molecular weight of 17.5 K) (“PEO”) and dimethylacetamide. The stent is baked at 50° C. for 2 hours to remove the solvent to yield a finishing coating with 83 μg of EVAL and 17 μg of PEO.
- An 8 mm PIXEL stent can be coated by spraying a solution of EVAL and 40-O-(2-hydroxy)ethyl-rapamycin in a mixture of dimethylacetamide and ethanol onto the stent. The stent is then baked at 50° C. for 2 hours to yield a reservoir coating with 270 μg of EVAL and 150 μg of 40-O-(2-hydroxy)ethyl-rapamycin. A barrier layer can formed by spraying the stent with a solution of EVAL and a mixture of dimethylacetamide and pentane. A second 2 hour bake at 50° C. is performed to remove the solvent to yield a barrier coating with 150 μg of EVAL. A finishing layer can then applied by spraying the stent with a solution of EVAL, PEO and dimethylacetamide. The stent is baked at 50° C. for 2 hours to remove the solvent to yield a finishing coating with 83 μg of EVAL and 17 μg of PEO.
- An 8 mm PIXEL stent can be coated by spraying a solution of EVAL and 40-O-(2-hydroxy)ethyl-rapamycin in a mixture of dimethylacetamide and ethanol onto the stent. The stent is then baked at 50° C. for 2 hours to yield a reservoir coating with 200 μg of EVAL and 200 μg of 40-O-(2-hydroxy)ethyl-rapamycin. A barrier layer can be formed by spraying the stent with a solution of EVAL and a mixture of dimethylacetamide and pentane. A second 2 hour bake at 50° C. is performed to remove the solvent to yield a barrier coating with 100 μg of EVAL.
- An 8 mm PIXEL stent can be coated by spraying a solution of EVAL and 40-O-(2-hydroxy)ethyl-rapamycin in a mixture of dimethylacetamide and ethanol onto the stent. The stent is then baked at 50° C. for 2 hours to yield a reservoir coating with 200 μg of EVAL and 200 μg of 40-O-(2-hydroxy)ethyl-rapamycin. A barrier layer can be formed by spraying the stent with a solution of EVAL, KYNAR and HFE FLUX REMOVER. A second 2 hour bake at 50° C. is performed to remove the solvent to yield a barrier coating with 50 μg of EVAL and 50 μg of KYNAR.
- An 8 mm PIXEL stent can be coated by spraying a solution of EVAL and 40-O-(2-hydroxy)ethyl-rapamycin in a mixture of dimethylacetamide and ethanol onto the stent. The stent is then baked at 50° C. for 2 hours to yield a reservoir coating with 350 μg of EVAL and 200 μg of 40-O-(2-hydroxy)ethyl-rapamycin. A barrier layer is formed by spraying the stent with a solution of EVAL and a mixture of dimethylacetamide and pentane. A second 2 hour bake at 50° C. is performed to remove the solvent to yield a barrier coating with 200 μg of EVAL.
- An 8 mm PIXEL stent can be coated by spraying a solution of EVAL and 40-O-(2-hydroxy)ethyl-rapamycin in a mixture of dimethylacetamide and ethanol onto the stent. The stent is then baked at 50° C. for 2 hours to yield a reservoir coating with 350 μg of EVAL and 200 μg of 40-O-(2-hydroxy)ethyl-rapamycin. A barrier layer can be formed by spraying the stent with a solution of PBMA and HFE FLUX REMOVER. A second 2 hour bake at 50° C. is performed to remove the solvent to yield a barrier coating with 100 μg of PBMA.
- An 8 mm PIXEL stent can be coated by spraying a solution of EVAL and 40-O-(2-hydroxy)ethyl-rapamycin in a mixture of dimethylacetamide and ethanol onto the stent. The stent is then baked at 50° C. for 2 hours to yield a reservoir coating with 350 μg of EVAL and 200 μg of 40-O-(2-hydroxy)ethyl-rapamycin. A barrier layer can be formed by spraying the stent with a solution of EVAL and a mixture of dimethylacetamide and pentane. A second 2 hour bake at 50° C. is performed to remove the solvent to yield a barrier coating with 200 μg of EVAL.
- An 8 mm PIXEL stent is coated by spraying a solution of EVAL and 40-O-(2-hydroxy)ethyl-rapamycin in a mixture of dimethylacetamide and ethanol onto the stent. The stent is then baked at 50° C. for 2 hours to yield a reservoir coating with 350 μg of EVAL and 200 μg of 40-O-(2-hydroxy)ethyl-rapamycin. A barrier layer can be formed by spraying the stent with a solution of EVAL and a mixture of dimethylacetamide and pentane. A second 2 hour bake at 50° C. is performed to remove the solvent to yield a barrier coating with 100 μg of EVAL. A finishing layer can then be applied by spraying the stent with a solution of EVAL, PEO and dimethylacetamide. The stent is baked at 50° C. for 2 hours to remove the solvent to yield a finishing coating with 83 μg of EVAL and 17 μg of PEO.
- An 8 mm PIXEL stent can be coated by spraying a solution of EVAL and 40-O-(2-hydroxy)ethyl-rapamycin in a mixture of dimethylacetamide and ethanol onto the stent. The stent is then baked at 50° C. for 2 hours to yield a reservoir coating with 350 μg of EVAL and 200 μg of 40-O-(2-hydroxy)ethyl-rapamycin. A barrier layer can be formed by spraying the stent with a solution of PBMA and HFE FLUX REMOVER. A second 2 hour bake at 50° C. is performed to remove the solvent to yield a barrier coating with 75 μg of PBMA. A finishing layer can then be applied by spraying the stent with a solution of PBMA, PEO and dimethylacetamide. The stent is baked at 50° C. for 2 hours to remove the solvent to yield a finishing coating with 62.5 μg of PBMA and 12.5 μg of PEO.
- While particular embodiments of the present invention have been shown and described, it will be obvious to those skilled in the art that changes and modifications can be made without departing from this invention in its broader aspects.
Claims (25)
Priority Applications (21)
| Application Number | Priority Date | Filing Date | Title |
|---|---|---|---|
| US10/108,004 US20070032853A1 (en) | 2002-03-27 | 2002-03-27 | 40-O-(2-hydroxy)ethyl-rapamycin coated stent |
| JP2003579899A JP2005521477A (en) | 2002-03-27 | 2003-03-13 | 40-O- (2-hydroxy) ethyl-rapamycin coated stent |
| DE60325839T DE60325839D1 (en) | 2002-03-27 | 2003-03-13 | WITH 40-O- (2-HYDROXY) ETHYL-RAPAMYCIN COATED STENT |
| AU2003225802A AU2003225802A1 (en) | 2002-03-27 | 2003-03-13 | 40-o-(2-hydroxy)ethyl-rapamycin coated stent |
| PCT/US2003/007908 WO2003082368A1 (en) | 2002-03-27 | 2003-03-13 | 40-o-(2-hydroxy)ethyl-rapamycin coated stent |
| AT03745538T ATE420675T1 (en) | 2002-03-27 | 2003-03-13 | 40-O-(2-HYDROXY)ETHYL-RAPAMYCIN COATED STENT |
| EP03745538A EP1490125B2 (en) | 2002-03-27 | 2003-03-13 | 40-o-(2-hydroxy)ethyl-rapamycin coated stent |
| US10/603,794 US7682647B2 (en) | 1999-09-03 | 2003-06-25 | Thermal treatment of a drug eluting implantable medical device |
| US10/856,984 US7807211B2 (en) | 1999-09-03 | 2004-05-27 | Thermal treatment of an implantable medical device |
| US11/527,971 US8961588B2 (en) | 2002-03-27 | 2006-09-26 | Method of coating a stent with a release polymer for 40-O-(2-hydroxy)ethyl-rapamycin |
| US11/527,826 US20070026131A1 (en) | 2002-03-27 | 2006-09-26 | 40-O-(2-hydroxy)ethyl-rapamycin coated stent |
| US11/527,893 US8173199B2 (en) | 2002-03-27 | 2006-09-26 | 40-O-(2-hydroxy)ethyl-rapamycin coated stent |
| US12/699,127 US8053019B2 (en) | 1999-09-03 | 2010-02-03 | Thermal treatment of a drug eluting implantable medical device |
| US12/766,758 US8632845B2 (en) | 2000-12-28 | 2010-04-23 | Method of drying bioabsorbable coating over stents |
| US12/879,938 US20110001271A1 (en) | 1999-09-03 | 2010-09-10 | Thermal Treatment Of An Implantable Medical Device |
| US12/883,117 US20110003068A1 (en) | 1999-09-03 | 2010-09-15 | Thermal Treatment Of An Implantable Medical Device |
| US12/884,106 US8586125B2 (en) | 1999-09-03 | 2010-09-16 | Thermal treatment of an implantable medical device |
| US14/155,217 US8980364B2 (en) | 2000-12-28 | 2014-01-14 | Method of drying bioabsorbable coating over stents |
| US14/659,276 US9204981B2 (en) | 2000-12-28 | 2015-03-16 | Method of drying bioabsorbable coating over stents |
| US14/928,823 US9375876B2 (en) | 2000-12-28 | 2015-10-30 | Method of drying bioabsorbable coating over stents |
| US15/282,971 US20170020697A1 (en) | 2002-03-27 | 2016-09-30 | 40-o-(2-hydroxy)ethyl-rapamycin coated stent |
Applications Claiming Priority (1)
| Application Number | Priority Date | Filing Date | Title |
|---|---|---|---|
| US10/108,004 US20070032853A1 (en) | 2002-03-27 | 2002-03-27 | 40-O-(2-hydroxy)ethyl-rapamycin coated stent |
Related Parent Applications (3)
| Application Number | Title | Priority Date | Filing Date |
|---|---|---|---|
| US09/751,691 Division US6503556B2 (en) | 1999-09-03 | 2000-12-28 | Methods of forming a coating for a prosthesis |
| US10/304,360 Continuation-In-Part US20030072868A1 (en) | 1999-09-03 | 2002-11-25 | Methods of forming a coating for a prosthesis |
| US10/603,794 Division US7682647B2 (en) | 1999-09-03 | 2003-06-25 | Thermal treatment of a drug eluting implantable medical device |
Related Child Applications (8)
| Application Number | Title | Priority Date | Filing Date |
|---|---|---|---|
| US10/304,360 Continuation-In-Part US20030072868A1 (en) | 1999-09-03 | 2002-11-25 | Methods of forming a coating for a prosthesis |
| US10/603,794 Continuation-In-Part US7682647B2 (en) | 1999-09-03 | 2003-06-25 | Thermal treatment of a drug eluting implantable medical device |
| US10/856,984 Continuation-In-Part US7807211B2 (en) | 1999-09-03 | 2004-05-27 | Thermal treatment of an implantable medical device |
| US11/527,893 Division US8173199B2 (en) | 2002-03-27 | 2006-09-26 | 40-O-(2-hydroxy)ethyl-rapamycin coated stent |
| US11/527,826 Division US20070026131A1 (en) | 2002-03-27 | 2006-09-26 | 40-O-(2-hydroxy)ethyl-rapamycin coated stent |
| US11/527,971 Division US8961588B2 (en) | 2002-03-27 | 2006-09-26 | Method of coating a stent with a release polymer for 40-O-(2-hydroxy)ethyl-rapamycin |
| US12/766,758 Continuation-In-Part US8632845B2 (en) | 2000-12-28 | 2010-04-23 | Method of drying bioabsorbable coating over stents |
| US15/282,971 Continuation US20170020697A1 (en) | 2002-03-27 | 2016-09-30 | 40-o-(2-hydroxy)ethyl-rapamycin coated stent |
Publications (1)
| Publication Number | Publication Date |
|---|---|
| US20070032853A1 true US20070032853A1 (en) | 2007-02-08 |
Family
ID=28673588
Family Applications (5)
| Application Number | Title | Priority Date | Filing Date |
|---|---|---|---|
| US10/108,004 Abandoned US20070032853A1 (en) | 1999-09-03 | 2002-03-27 | 40-O-(2-hydroxy)ethyl-rapamycin coated stent |
| US11/527,893 Expired - Fee Related US8173199B2 (en) | 2002-03-27 | 2006-09-26 | 40-O-(2-hydroxy)ethyl-rapamycin coated stent |
| US11/527,971 Expired - Fee Related US8961588B2 (en) | 2002-03-27 | 2006-09-26 | Method of coating a stent with a release polymer for 40-O-(2-hydroxy)ethyl-rapamycin |
| US11/527,826 Abandoned US20070026131A1 (en) | 2002-03-27 | 2006-09-26 | 40-O-(2-hydroxy)ethyl-rapamycin coated stent |
| US15/282,971 Abandoned US20170020697A1 (en) | 2002-03-27 | 2016-09-30 | 40-o-(2-hydroxy)ethyl-rapamycin coated stent |
Family Applications After (4)
| Application Number | Title | Priority Date | Filing Date |
|---|---|---|---|
| US11/527,893 Expired - Fee Related US8173199B2 (en) | 2002-03-27 | 2006-09-26 | 40-O-(2-hydroxy)ethyl-rapamycin coated stent |
| US11/527,971 Expired - Fee Related US8961588B2 (en) | 2002-03-27 | 2006-09-26 | Method of coating a stent with a release polymer for 40-O-(2-hydroxy)ethyl-rapamycin |
| US11/527,826 Abandoned US20070026131A1 (en) | 2002-03-27 | 2006-09-26 | 40-O-(2-hydroxy)ethyl-rapamycin coated stent |
| US15/282,971 Abandoned US20170020697A1 (en) | 2002-03-27 | 2016-09-30 | 40-o-(2-hydroxy)ethyl-rapamycin coated stent |
Country Status (7)
| Country | Link |
|---|---|
| US (5) | US20070032853A1 (en) |
| EP (1) | EP1490125B2 (en) |
| JP (1) | JP2005521477A (en) |
| AT (1) | ATE420675T1 (en) |
| AU (1) | AU2003225802A1 (en) |
| DE (1) | DE60325839D1 (en) |
| WO (1) | WO2003082368A1 (en) |
Cited By (19)
| Publication number | Priority date | Publication date | Assignee | Title |
|---|---|---|---|---|
| US20080145402A1 (en) * | 2001-09-10 | 2008-06-19 | Abbott Cardiovascular Systems Inc. | Medical Devices Containing Rapamycin Analogs |
| US20090041845A1 (en) * | 2007-08-08 | 2009-02-12 | Lothar Walter Kleiner | Implantable medical devices having thin absorbable coatings |
| US20090093875A1 (en) * | 2007-05-01 | 2009-04-09 | Abbott Laboratories | Drug eluting stents with prolonged local elution profiles with high local concentrations and low systemic concentrations |
| US20090110711A1 (en) * | 2007-10-31 | 2009-04-30 | Trollsas Mikael O | Implantable device having a slow dissolving polymer |
| US20090306120A1 (en) * | 2007-10-23 | 2009-12-10 | Florencia Lim | Terpolymers containing lactide and glycolide |
| US20100167916A1 (en) * | 2008-12-15 | 2010-07-01 | Chevron U.S.A., Inc. | Ionic liquid catalyst comprising an alkyl-pyridinium haloaluminate and an impurity |
| US20100198343A1 (en) * | 2000-12-28 | 2010-08-05 | Advanced Cardiovascular Systems, Inc. | Coating for implantable devices and a method of forming the same |
| US20100209476A1 (en) * | 2008-05-21 | 2010-08-19 | Abbott Cardiovascular Systems Inc. | Coating comprising a terpolymer comprising caprolactone and glycolide |
| US8183337B1 (en) | 2009-04-29 | 2012-05-22 | Abbott Cardiovascular Systems Inc. | Method of purifying ethylene vinyl alcohol copolymers for use with implantable medical devices |
| US8293318B1 (en) | 2006-08-29 | 2012-10-23 | Abbott Cardiovascular Systems Inc. | Methods for modulating the release rate of a drug-coated stent |
| US8562669B2 (en) | 2008-06-26 | 2013-10-22 | Abbott Cardiovascular Systems Inc. | Methods of application of coatings composed of hydrophobic, high glass transition polymers with tunable drug release rates |
| US8580180B2 (en) | 2005-07-29 | 2013-11-12 | Advanced Cardiovascular Systems, Inc. | Polymeric stent polishing method and apparatus |
| US8697110B2 (en) | 2009-05-14 | 2014-04-15 | Abbott Cardiovascular Systems Inc. | Polymers comprising amorphous terpolymers and semicrystalline blocks |
| US9090745B2 (en) | 2007-06-29 | 2015-07-28 | Abbott Cardiovascular Systems Inc. | Biodegradable triblock copolymers for implantable devices |
| US9468706B2 (en) | 2004-03-22 | 2016-10-18 | Abbott Cardiovascular Systems Inc. | Phosphoryl choline coating compositions |
| US9539332B2 (en) | 2004-08-05 | 2017-01-10 | Abbott Cardiovascular Systems Inc. | Plasticizers for coating compositions |
| US9737638B2 (en) | 2007-06-20 | 2017-08-22 | Abbott Cardiovascular Systems, Inc. | Polyester amide copolymers having free carboxylic acid pendant groups |
| US9814553B1 (en) | 2007-10-10 | 2017-11-14 | Abbott Cardiovascular Systems Inc. | Bioabsorbable semi-crystalline polymer for controlling release of drug from a coating |
| US10155881B2 (en) | 2007-05-30 | 2018-12-18 | Abbott Cardiovascular Systems Inc. | Substituted polycaprolactone for coating |
Families Citing this family (133)
| Publication number | Priority date | Publication date | Assignee | Title |
|---|---|---|---|---|
| US7896914B2 (en) * | 1995-06-07 | 2011-03-01 | Cook Incorporated | Coated implantable medical device |
| US7611533B2 (en) * | 1995-06-07 | 2009-11-03 | Cook Incorporated | Coated implantable medical device |
| US7550005B2 (en) * | 1995-06-07 | 2009-06-23 | Cook Incorporated | Coated implantable medical device |
| CA2178541C (en) * | 1995-06-07 | 2009-11-24 | Neal E. Fearnot | Implantable medical device |
| US6774278B1 (en) * | 1995-06-07 | 2004-08-10 | Cook Incorporated | Coated implantable medical device |
| US7867275B2 (en) * | 1995-06-07 | 2011-01-11 | Cook Incorporated | Coated implantable medical device method |
| US20070203520A1 (en) * | 1995-06-07 | 2007-08-30 | Dennis Griffin | Endovascular filter |
| US7846202B2 (en) * | 1995-06-07 | 2010-12-07 | Cook Incorporated | Coated implantable medical device |
| US6776792B1 (en) | 1997-04-24 | 2004-08-17 | Advanced Cardiovascular Systems Inc. | Coated endovascular stent |
| US7713297B2 (en) | 1998-04-11 | 2010-05-11 | Boston Scientific Scimed, Inc. | Drug-releasing stent with ceramic-containing layer |
| US7807211B2 (en) * | 1999-09-03 | 2010-10-05 | Advanced Cardiovascular Systems, Inc. | Thermal treatment of an implantable medical device |
| US20070032853A1 (en) | 2002-03-27 | 2007-02-08 | Hossainy Syed F | 40-O-(2-hydroxy)ethyl-rapamycin coated stent |
| US7682647B2 (en) * | 1999-09-03 | 2010-03-23 | Advanced Cardiovascular Systems, Inc. | Thermal treatment of a drug eluting implantable medical device |
| US8236048B2 (en) | 2000-05-12 | 2012-08-07 | Cordis Corporation | Drug/drug delivery systems for the prevention and treatment of vascular disease |
| US20050002986A1 (en) * | 2000-05-12 | 2005-01-06 | Robert Falotico | Drug/drug delivery systems for the prevention and treatment of vascular disease |
| US20040243097A1 (en) * | 2000-05-12 | 2004-12-02 | Robert Falotico | Antiproliferative drug and delivery device |
| US6783793B1 (en) | 2000-10-26 | 2004-08-31 | Advanced Cardiovascular Systems, Inc. | Selective coating of medical devices |
| US8632845B2 (en) | 2000-12-28 | 2014-01-21 | Abbott Cardiovascular Systems Inc. | Method of drying bioabsorbable coating over stents |
| US6780424B2 (en) | 2001-03-30 | 2004-08-24 | Charles David Claude | Controlled morphologies in polymer drug for release of drugs from polymer films |
| US7247313B2 (en) * | 2001-06-27 | 2007-07-24 | Advanced Cardiovascular Systems, Inc. | Polyacrylates coatings for implantable medical devices |
| US8741378B1 (en) | 2001-06-27 | 2014-06-03 | Advanced Cardiovascular Systems, Inc. | Methods of coating an implantable device |
| US7056338B2 (en) | 2003-03-28 | 2006-06-06 | Conor Medsystems, Inc. | Therapeutic agent delivery device with controlled therapeutic agent release rates |
| US6994867B1 (en) | 2002-06-21 | 2006-02-07 | Advanced Cardiovascular Systems, Inc. | Biocompatible carrier containing L-arginine |
| US7033602B1 (en) | 2002-06-21 | 2006-04-25 | Advanced Cardiovascular Systems, Inc. | Polycationic peptide coatings and methods of coating implantable medical devices |
| US7217426B1 (en) | 2002-06-21 | 2007-05-15 | Advanced Cardiovascular Systems, Inc. | Coatings containing polycationic peptides for cardiovascular therapy |
| US7011842B1 (en) | 2002-06-21 | 2006-03-14 | Advanced Cardiovascular Systems, Inc. | Polycationic peptide coatings and methods of making the same |
| US7070798B1 (en) | 2002-06-21 | 2006-07-04 | Advanced Cardiovascular Systems, Inc. | Coatings for implantable medical devices incorporating chemically-bound polymers and oligomers of L-arginine |
| US8506617B1 (en) | 2002-06-21 | 2013-08-13 | Advanced Cardiovascular Systems, Inc. | Micronized peptide coated stent |
| US7056523B1 (en) | 2002-06-21 | 2006-06-06 | Advanced Cardiovascular Systems, Inc. | Implantable medical devices incorporating chemically conjugated polymers and oligomers of L-arginine |
| DK1521603T3 (en) | 2002-07-12 | 2011-04-18 | Cook Inc | Coated medical device |
| US7951392B2 (en) | 2002-08-16 | 2011-05-31 | Boston Scientific Scimed, Inc. | Microarray drug delivery coatings |
| US6896965B1 (en) | 2002-11-12 | 2005-05-24 | Advanced Cardiovascular Systems, Inc. | Rate limiting barriers for implantable devices |
| US7758880B2 (en) | 2002-12-11 | 2010-07-20 | Advanced Cardiovascular Systems, Inc. | Biocompatible polyacrylate compositions for medical applications |
| US7776926B1 (en) | 2002-12-11 | 2010-08-17 | Advanced Cardiovascular Systems, Inc. | Biocompatible coating for implantable medical devices |
| US7074276B1 (en) | 2002-12-12 | 2006-07-11 | Advanced Cardiovascular Systems, Inc. | Clamp mandrel fixture and a method of using the same to minimize coating defects |
| US7758881B2 (en) * | 2004-06-30 | 2010-07-20 | Advanced Cardiovascular Systems, Inc. | Anti-proliferative and anti-inflammatory agent combination for treatment of vascular disorders with an implantable medical device |
| US7094256B1 (en) | 2002-12-16 | 2006-08-22 | Advanced Cardiovascular Systems, Inc. | Coatings for implantable medical device containing polycationic peptides |
| US7063884B2 (en) | 2003-02-26 | 2006-06-20 | Advanced Cardiovascular Systems, Inc. | Stent coating |
| EP1470828A1 (en) * | 2003-04-25 | 2004-10-27 | Medtronic Vascular, Inc. | Plasticized stent coatings |
| US7279174B2 (en) | 2003-05-08 | 2007-10-09 | Advanced Cardiovascular Systems, Inc. | Stent coatings comprising hydrophilic additives |
| US20050118344A1 (en) | 2003-12-01 | 2005-06-02 | Pacetti Stephen D. | Temperature controlled crimping |
| US9114198B2 (en) | 2003-11-19 | 2015-08-25 | Advanced Cardiovascular Systems, Inc. | Biologically beneficial coatings for implantable devices containing fluorinated polymers and methods for fabricating the same |
| US7220816B2 (en) | 2003-12-16 | 2007-05-22 | Advanced Cardiovascular Systems, Inc. | Biologically absorbable coatings for implantable devices based on poly(ester amides) and methods for fabricating the same |
| US7435788B2 (en) | 2003-12-19 | 2008-10-14 | Advanced Cardiovascular Systems, Inc. | Biobeneficial polyamide/polyethylene glycol polymers for use with drug eluting stents |
| US7563324B1 (en) | 2003-12-29 | 2009-07-21 | Advanced Cardiovascular Systems Inc. | System and method for coating an implantable medical device |
| US7601285B2 (en) * | 2003-12-31 | 2009-10-13 | Boston Scientific Scimed, Inc. | Medical device with varying physical properties and method for forming same |
| EP1718245A4 (en) | 2004-02-12 | 2008-03-19 | Univ Akron | COVERINGS OF MEDICAL DEVICES FIXED MECHANICALLY |
| US8828416B2 (en) * | 2004-03-09 | 2014-09-09 | Cordis Corporation | Local vascular delivery of topotecan in combination with rapamycin to prevent restenosis following vascular injury |
| US7695731B2 (en) * | 2004-03-22 | 2010-04-13 | Cordis Corporation | Local vascular delivery of etoposide in combination with rapamycin to prevent restenosis following vascular injury |
| US7875282B2 (en) * | 2004-03-22 | 2011-01-25 | Cordis Corporation | Coated medical device for local vascular delivery of Panzem® in combination with rapamycin to prevent restenosis following vascular injury |
| CA2559741A1 (en) * | 2004-03-26 | 2005-10-20 | Surmodics, Inc. | A medical article having a bioactive agent-releasing component with photoreactive groups |
| CA2560507C (en) * | 2004-03-26 | 2011-08-16 | Surmodics, Inc. | Composition and method for preparing biocompatible surfaces |
| US7553377B1 (en) | 2004-04-27 | 2009-06-30 | Advanced Cardiovascular Systems, Inc. | Apparatus and method for electrostatic coating of an abluminal stent surface |
| US8293890B2 (en) | 2004-04-30 | 2012-10-23 | Advanced Cardiovascular Systems, Inc. | Hyaluronic acid based copolymers |
| US9561309B2 (en) | 2004-05-27 | 2017-02-07 | Advanced Cardiovascular Systems, Inc. | Antifouling heparin coatings |
| US7563780B1 (en) | 2004-06-18 | 2009-07-21 | Advanced Cardiovascular Systems, Inc. | Heparin prodrugs and drug delivery stents formed therefrom |
| US20050287184A1 (en) * | 2004-06-29 | 2005-12-29 | Hossainy Syed F A | Drug-delivery stent formulations for restenosis and vulnerable plaque |
| US8709469B2 (en) | 2004-06-30 | 2014-04-29 | Abbott Cardiovascular Systems Inc. | Anti-proliferative and anti-inflammatory agent combination for treatment of vascular disorders with an implantable medical device |
| US7494665B1 (en) | 2004-07-30 | 2009-02-24 | Advanced Cardiovascular Systems, Inc. | Polymers containing siloxane monomers |
| US7311980B1 (en) | 2004-08-02 | 2007-12-25 | Advanced Cardiovascular Systems, Inc. | Polyactive/polylactic acid coatings for an implantable device |
| US7244443B2 (en) | 2004-08-31 | 2007-07-17 | Advanced Cardiovascular Systems, Inc. | Polymers of fluorinated monomers and hydrophilic monomers |
| US7166680B2 (en) | 2004-10-06 | 2007-01-23 | Advanced Cardiovascular Systems, Inc. | Blends of poly(ester amide) polymers |
| US8603634B2 (en) | 2004-10-27 | 2013-12-10 | Abbott Cardiovascular Systems Inc. | End-capped poly(ester amide) copolymers |
| US7390497B2 (en) | 2004-10-29 | 2008-06-24 | Advanced Cardiovascular Systems, Inc. | Poly(ester amide) filler blends for modulation of coating properties |
| US7481835B1 (en) | 2004-10-29 | 2009-01-27 | Advanced Cardiovascular Systems, Inc. | Encapsulated covered stent |
| US20060093643A1 (en) * | 2004-11-04 | 2006-05-04 | Stenzel Eric B | Medical device for delivering therapeutic agents over different time periods |
| US7214759B2 (en) | 2004-11-24 | 2007-05-08 | Advanced Cardiovascular Systems, Inc. | Biologically absorbable coatings for implantable devices based on polyesters and methods for fabricating the same |
| US7632307B2 (en) | 2004-12-16 | 2009-12-15 | Advanced Cardiovascular Systems, Inc. | Abluminal, multilayer coating constructs for drug-delivery stents |
| US7604818B2 (en) | 2004-12-22 | 2009-10-20 | Advanced Cardiovascular Systems, Inc. | Polymers of fluorinated monomers and hydrocarbon monomers |
| US7419504B2 (en) | 2004-12-27 | 2008-09-02 | Advanced Cardiovascular Systems, Inc. | Poly(ester amide) block copolymers |
| US7202325B2 (en) | 2005-01-14 | 2007-04-10 | Advanced Cardiovascular Systems, Inc. | Poly(hydroxyalkanoate-co-ester amides) and agents for use with medical articles |
| KR100511618B1 (en) * | 2005-01-17 | 2005-08-31 | 이경범 | Multi-layer coating of drug release controllable coronary stent and method for manufacturing the same |
| US7637941B1 (en) | 2005-05-11 | 2009-12-29 | Advanced Cardiovascular Systems, Inc. | Endothelial cell binding coatings for rapid encapsulation of bioerodable stents |
| US7622070B2 (en) | 2005-06-20 | 2009-11-24 | Advanced Cardiovascular Systems, Inc. | Method of manufacturing an implantable polymeric medical device |
| AU2006270221B2 (en) * | 2005-07-15 | 2012-01-19 | Micell Technologies, Inc. | Polymer coatings containing drug powder of controlled morphology |
| US20090062909A1 (en) | 2005-07-15 | 2009-03-05 | Micell Technologies, Inc. | Stent with polymer coating containing amorphous rapamycin |
| US20070032865A1 (en) * | 2005-08-05 | 2007-02-08 | Otis David R | Prosthesis having a coating and systems and methods of making the same |
| US7591841B2 (en) | 2005-12-16 | 2009-09-22 | Advanced Cardiovascular Systems, Inc. | Implantable devices for accelerated healing |
| US7638156B1 (en) | 2005-12-19 | 2009-12-29 | Advanced Cardiovascular Systems, Inc. | Apparatus and method for selectively coating a medical article |
| US7601383B2 (en) | 2006-02-28 | 2009-10-13 | Advanced Cardiovascular Systems, Inc. | Coating construct containing poly (vinyl alcohol) |
| US20070224235A1 (en) | 2006-03-24 | 2007-09-27 | Barron Tenney | Medical devices having nanoporous coatings for controlled therapeutic agent delivery |
| US8187620B2 (en) | 2006-03-27 | 2012-05-29 | Boston Scientific Scimed, Inc. | Medical devices comprising a porous metal oxide or metal material and a polymer coating for delivering therapeutic agents |
| CA2650590C (en) | 2006-04-26 | 2018-04-03 | Micell Technologies, Inc. | Coatings containing multiple drugs |
| US9561351B2 (en) | 2006-05-31 | 2017-02-07 | Advanced Cardiovascular Systems, Inc. | Drug delivery spiral coil construct |
| US8815275B2 (en) | 2006-06-28 | 2014-08-26 | Boston Scientific Scimed, Inc. | Coatings for medical devices comprising a therapeutic agent and a metallic material |
| JP2009542359A (en) | 2006-06-29 | 2009-12-03 | ボストン サイエンティフィック リミテッド | Medical device with selective covering |
| US9028859B2 (en) | 2006-07-07 | 2015-05-12 | Advanced Cardiovascular Systems, Inc. | Phase-separated block copolymer coatings for implantable medical devices |
| WO2008033711A2 (en) | 2006-09-14 | 2008-03-20 | Boston Scientific Limited | Medical devices with drug-eluting coating |
| CA2667228C (en) | 2006-10-23 | 2015-07-14 | Micell Technologies, Inc. | Holder for electrically charging a substrate during coating |
| US7981150B2 (en) | 2006-11-09 | 2011-07-19 | Boston Scientific Scimed, Inc. | Endoprosthesis with coatings |
| US11426494B2 (en) | 2007-01-08 | 2022-08-30 | MT Acquisition Holdings LLC | Stents having biodegradable layers |
| JP5603598B2 (en) | 2007-01-08 | 2014-10-08 | ミセル テクノロジーズ、インコーポレイテッド | Stent with biodegradable layer |
| US8070797B2 (en) | 2007-03-01 | 2011-12-06 | Boston Scientific Scimed, Inc. | Medical device with a porous surface for delivery of a therapeutic agent |
| US8431149B2 (en) | 2007-03-01 | 2013-04-30 | Boston Scientific Scimed, Inc. | Coated medical devices for abluminal drug delivery |
| US8067054B2 (en) | 2007-04-05 | 2011-11-29 | Boston Scientific Scimed, Inc. | Stents with ceramic drug reservoir layer and methods of making and using the same |
| US7976915B2 (en) | 2007-05-23 | 2011-07-12 | Boston Scientific Scimed, Inc. | Endoprosthesis with select ceramic morphology |
| US9056155B1 (en) | 2007-05-29 | 2015-06-16 | Abbott Cardiovascular Systems Inc. | Coatings having an elastic primer layer |
| US8002823B2 (en) | 2007-07-11 | 2011-08-23 | Boston Scientific Scimed, Inc. | Endoprosthesis coating |
| US7942926B2 (en) | 2007-07-11 | 2011-05-17 | Boston Scientific Scimed, Inc. | Endoprosthesis coating |
| US9284409B2 (en) | 2007-07-19 | 2016-03-15 | Boston Scientific Scimed, Inc. | Endoprosthesis having a non-fouling surface |
| US7931683B2 (en) | 2007-07-27 | 2011-04-26 | Boston Scientific Scimed, Inc. | Articles having ceramic coated surfaces |
| US8815273B2 (en) | 2007-07-27 | 2014-08-26 | Boston Scientific Scimed, Inc. | Drug eluting medical devices having porous layers |
| WO2009018340A2 (en) | 2007-07-31 | 2009-02-05 | Boston Scientific Scimed, Inc. | Medical device coating by laser cladding |
| JP2010535541A (en) | 2007-08-03 | 2010-11-25 | ボストン サイエンティフィック リミテッド | Coating for medical devices with large surface area |
| US8661630B2 (en) | 2008-05-21 | 2014-03-04 | Abbott Cardiovascular Systems Inc. | Coating comprising an amorphous primer layer and a semi-crystalline reservoir layer |
| US8029554B2 (en) | 2007-11-02 | 2011-10-04 | Boston Scientific Scimed, Inc. | Stent with embedded material |
| US8216632B2 (en) | 2007-11-02 | 2012-07-10 | Boston Scientific Scimed, Inc. | Endoprosthesis coating |
| US7938855B2 (en) | 2007-11-02 | 2011-05-10 | Boston Scientific Scimed, Inc. | Deformable underlayer for stent |
| US8216600B2 (en) | 2007-11-14 | 2012-07-10 | Cordis Corporation | Polymeric materials for medical devices |
| SG192523A1 (en) | 2008-04-17 | 2013-08-30 | Micell Technologies Inc | Stents having bioabsorbable layers |
| JP5581311B2 (en) | 2008-04-22 | 2014-08-27 | ボストン サイエンティフィック サイムド,インコーポレイテッド | MEDICAL DEVICE HAVING INORGANIC MATERIAL COATING AND MANUFACTURING METHOD THEREOF |
| WO2009132176A2 (en) | 2008-04-24 | 2009-10-29 | Boston Scientific Scimed, Inc. | Medical devices having inorganic particle layers |
| EP2303350A2 (en) | 2008-06-18 | 2011-04-06 | Boston Scientific Scimed, Inc. | Endoprosthesis coating |
| WO2011009096A1 (en) | 2009-07-16 | 2011-01-20 | Micell Technologies, Inc. | Drug delivery medical device |
| EP2313122B1 (en) | 2008-07-17 | 2019-03-06 | Micell Technologies, Inc. | Drug delivery medical device |
| US8231980B2 (en) | 2008-12-03 | 2012-07-31 | Boston Scientific Scimed, Inc. | Medical implants including iridium oxide |
| US8071156B2 (en) | 2009-03-04 | 2011-12-06 | Boston Scientific Scimed, Inc. | Endoprostheses |
| CN102481195B (en) | 2009-04-01 | 2015-03-25 | 米歇尔技术公司 | coated stent |
| EP3366326A1 (en) | 2009-04-17 | 2018-08-29 | Micell Technologies, Inc. | Stents having controlled elution |
| US8287937B2 (en) | 2009-04-24 | 2012-10-16 | Boston Scientific Scimed, Inc. | Endoprosthese |
| US20110022492A1 (en) * | 2009-07-22 | 2011-01-27 | Jeyhan Karaoguz | Method and system for selecting services and/or content in a network comprising multiple service and/or content providers |
| US11369498B2 (en) | 2010-02-02 | 2022-06-28 | MT Acquisition Holdings LLC | Stent and stent delivery system with improved deliverability |
| US8795762B2 (en) | 2010-03-26 | 2014-08-05 | Battelle Memorial Institute | System and method for enhanced electrostatic deposition and surface coatings |
| US8685433B2 (en) | 2010-03-31 | 2014-04-01 | Abbott Cardiovascular Systems Inc. | Absorbable coating for implantable device |
| US10232092B2 (en) | 2010-04-22 | 2019-03-19 | Micell Technologies, Inc. | Stents and other devices having extracellular matrix coating |
| EP2593039B1 (en) | 2010-07-16 | 2022-11-30 | Micell Technologies, Inc. | Drug delivery medical device |
| WO2012166819A1 (en) | 2011-05-31 | 2012-12-06 | Micell Technologies, Inc. | System and process for formation of a time-released, drug-eluting transferable coating |
| CA2841360A1 (en) | 2011-07-15 | 2013-01-24 | Micell Technologies, Inc. | Drug delivery medical device |
| US10188772B2 (en) | 2011-10-18 | 2019-01-29 | Micell Technologies, Inc. | Drug delivery medical device |
| KR20150143476A (en) | 2013-03-12 | 2015-12-23 | 미셀 테크놀로지즈, 인코포레이티드 | Bioabsorbable biomedical implants |
| JP2016519965A (en) | 2013-05-15 | 2016-07-11 | マイセル・テクノロジーズ,インコーポレイテッド | Bioabsorbable biomedical implant |
| EP2994175A1 (en) | 2014-02-04 | 2016-03-16 | Abbott Cardiovascular Systems, Inc. | Drug delivery scaffold or stent with a novolimus and lactide based coating such that novolimus has a minimum amount of bonding to the coating |
| US11883565B2 (en) * | 2017-03-17 | 2024-01-30 | Gyrus Acmi, Inc. | Ureteral stent |
Citations (96)
| Publication number | Priority date | Publication date | Assignee | Title |
|---|---|---|---|---|
| US4151413A (en) * | 1977-06-29 | 1979-04-24 | Texaco Inc. | Method of measuring horizontal fluid flow behind casing in subsurface formations with sequential logging for interfering isotope compensation and increased measurement accuracy |
| US4316885A (en) * | 1980-08-25 | 1982-02-23 | Ayerst, Mckenna And Harrison, Inc. | Acyl derivatives of rapamycin |
| US4325903A (en) * | 1980-07-15 | 1982-04-20 | Celanese Corporation | Processing of melt processible liquid crystal polymer by control of thermal history |
| US4329383A (en) * | 1979-07-24 | 1982-05-11 | Nippon Zeon Co., Ltd. | Non-thrombogenic material comprising substrate which has been reacted with heparin |
| US4395538A (en) * | 1981-09-17 | 1983-07-26 | Toyo Seikan Kaisha, Ltd. | Adhesive for production of metal bottles |
| US4650803A (en) * | 1985-12-06 | 1987-03-17 | University Of Kansas | Prodrugs of rapamycin |
| US4733665A (en) * | 1985-11-07 | 1988-03-29 | Expandable Grafts Partnership | Expandable intraluminal graft, and method and apparatus for implanting an expandable intraluminal graft |
| US4800882A (en) * | 1987-03-13 | 1989-01-31 | Cook Incorporated | Endovascular stent and delivery system |
| US4865846A (en) * | 1988-06-03 | 1989-09-12 | Kaufman Herbert E | Drug delivery system |
| US4941870A (en) * | 1986-11-10 | 1990-07-17 | Ube-Nitto Kasei Co., Ltd. | Method for manufacturing a synthetic vascular prosthesis |
| US5100883A (en) * | 1991-04-08 | 1992-03-31 | American Home Products Corporation | Fluorinated esters of rapamycin |
| US5102876A (en) * | 1991-05-07 | 1992-04-07 | American Home Products Corporation | Reduction products of rapamycin |
| US5112457A (en) * | 1990-07-23 | 1992-05-12 | Case Western Reserve University | Process for producing hydroxylated plasma-polymerized films and the use of the films for enhancing the compatiblity of biomedical implants |
| US5114718A (en) * | 1990-09-20 | 1992-05-19 | The Procter & Gamble Company | Sustained release compositions for treating periodontol disease |
| US5118677A (en) * | 1991-05-20 | 1992-06-02 | American Home Products Corporation | Amide esters of rapamycin |
| US5118678A (en) * | 1991-04-17 | 1992-06-02 | American Home Products Corporation | Carbamates of rapamycin |
| US5120725A (en) * | 1991-05-29 | 1992-06-09 | American Home Products Corporation | Bicyclic rapamycins |
| US5120727A (en) * | 1991-05-29 | 1992-06-09 | American Home Products Corporation | Rapamycin dimers |
| US5120842A (en) * | 1991-04-01 | 1992-06-09 | American Home Products Corporation | Silyl ethers of rapamycin |
| US5138051A (en) * | 1991-08-07 | 1992-08-11 | American Home Products Corporation | Rapamycin analogs as immunosuppressants and antifungals |
| US5151413A (en) * | 1991-11-06 | 1992-09-29 | American Home Products Corporation | Rapamycin acetals as immunosuppressant and antifungal agents |
| US5221740A (en) * | 1992-01-16 | 1993-06-22 | American Home Products Corporation | Oxepane isomers of rapamycin useful as immunosuppressive agents |
| US5328471A (en) * | 1990-02-26 | 1994-07-12 | Endoluminal Therapeutics, Inc. | Method and apparatus for treatment of focal disease in hollow tubular organs and other tissue lumens |
| US5383928A (en) * | 1992-06-10 | 1995-01-24 | Emory University | Stent sheath for local drug delivery |
| US5417981A (en) * | 1992-04-28 | 1995-05-23 | Terumo Kabushiki Kaisha | Thermoplastic polymer composition and medical devices made of the same |
| US5455040A (en) * | 1990-07-26 | 1995-10-03 | Case Western Reserve University | Anticoagulant plasma polymer-modified substrate |
| US5480599A (en) * | 1992-04-09 | 1996-01-02 | Huels Aktiengesellschaft | Method of manufacturing foam beads |
| US5527907A (en) * | 1993-11-19 | 1996-06-18 | Abbott Laboratories | Macrolide immunomodulators |
| US5601889A (en) * | 1992-05-29 | 1997-02-11 | Ferro Corporation | Radio frequency weldable polymer articles |
| US5605696A (en) * | 1995-03-30 | 1997-02-25 | Advanced Cardiovascular Systems, Inc. | Drug loaded polymeric material and method of manufacture |
| US5628730A (en) * | 1990-06-15 | 1997-05-13 | Cortrak Medical, Inc. | Phoretic balloon catheter with hydrogel coating |
| US5649977A (en) * | 1994-09-22 | 1997-07-22 | Advanced Cardiovascular Systems, Inc. | Metal reinforced polymer stent |
| US5665772A (en) * | 1992-10-09 | 1997-09-09 | Sandoz Ltd. | O-alkylated rapamycin derivatives and their use, particularly as immunosuppressants |
| US5667767A (en) * | 1995-07-27 | 1997-09-16 | Micro Therapeutics, Inc. | Compositions for use in embolizing blood vessels |
| US5670558A (en) * | 1994-07-07 | 1997-09-23 | Terumo Kabushiki Kaisha | Medical instruments that exhibit surface lubricity when wetted |
| US5672605A (en) * | 1993-11-19 | 1997-09-30 | Abbott Laboratories | Macrolide immunomodulators |
| US5707867A (en) * | 1993-10-27 | 1998-01-13 | The Regents Of The University Of California | Antiviral compounds |
| US5716981A (en) * | 1993-07-19 | 1998-02-10 | Angiogenesis Technologies, Inc. | Anti-angiogenic compositions and methods of use |
| US5798355A (en) * | 1995-06-07 | 1998-08-25 | Gpi Nil Holdings, Inc. | Inhibitors of rotamase enzyme activity |
| US5800392A (en) * | 1995-01-23 | 1998-09-01 | Emed Corporation | Microporous catheter |
| US5824049A (en) * | 1995-06-07 | 1998-10-20 | Med Institute, Inc. | Coated implantable medical device |
| US5858746A (en) * | 1992-04-20 | 1999-01-12 | Board Of Regents, The University Of Texas System | Gels for encapsulation of biological materials |
| US5865814A (en) * | 1995-06-07 | 1999-02-02 | Medtronic, Inc. | Blood contacting medical device and method |
| US5869127A (en) * | 1995-02-22 | 1999-02-09 | Boston Scientific Corporation | Method of providing a substrate with a bio-active/biocompatible coating |
| US5898029A (en) * | 1994-04-12 | 1999-04-27 | The John Hopkins University | Direct influences on nerve growth of agents that interact with immunophilins in combination with neurotrophic factors |
| US5897911A (en) * | 1997-08-11 | 1999-04-27 | Advanced Cardiovascular Systems, Inc. | Polymer-coated stent structure |
| US5912253A (en) * | 1993-12-17 | 1999-06-15 | Novartis Ag | Rapamycin derivatives |
| US5932243A (en) * | 1993-05-27 | 1999-08-03 | Novartis Ag | Galenical formulations |
| US5971954A (en) * | 1990-01-10 | 1999-10-26 | Rochester Medical Corporation | Method of making catheter |
| US6010530A (en) * | 1995-06-07 | 2000-01-04 | Boston Scientific Technology, Inc. | Self-expanding endoluminal prosthesis |
| US6013621A (en) * | 1997-10-17 | 2000-01-11 | The Rockfeller University | Method of treating psychosis and/or hyperactivity |
| US6015815A (en) * | 1997-09-26 | 2000-01-18 | Abbott Laboratories | Tetrazole-containing rapamycin analogs with shortened half-lives |
| US6015541A (en) * | 1997-11-03 | 2000-01-18 | Micro Therapeutics, Inc. | Radioactive embolizing compositions |
| US6042875A (en) * | 1997-04-30 | 2000-03-28 | Schneider (Usa) Inc. | Drug-releasing coatings for medical devices |
| US6051648A (en) * | 1995-12-18 | 2000-04-18 | Cohesion Technologies, Inc. | Crosslinked polymer compositions and methods for their use |
| US6056993A (en) * | 1997-05-30 | 2000-05-02 | Schneider (Usa) Inc. | Porous protheses and methods for making the same wherein the protheses are formed by spraying water soluble and water insoluble fibers onto a rotating mandrel |
| US6060451A (en) * | 1990-06-15 | 2000-05-09 | The National Research Council Of Canada | Thrombin inhibitors based on the amino acid sequence of hirudin |
| US6080488A (en) * | 1995-02-01 | 2000-06-27 | Schneider (Usa) Inc. | Process for preparation of slippery, tenaciously adhering, hydrophilic polyurethane hydrogel coating, coated polymer and metal substrate materials, and coated medical devices |
| US6096070A (en) * | 1995-06-07 | 2000-08-01 | Med Institute Inc. | Coated implantable medical device |
| US6099562A (en) * | 1996-06-13 | 2000-08-08 | Schneider (Usa) Inc. | Drug coating with topcoat |
| US6110483A (en) * | 1997-06-23 | 2000-08-29 | Sts Biopolymers, Inc. | Adherent, flexible hydrogel and medicated coatings |
| US6110188A (en) * | 1998-03-09 | 2000-08-29 | Corvascular, Inc. | Anastomosis method |
| US6113629A (en) * | 1998-05-01 | 2000-09-05 | Micrus Corporation | Hydrogel for the therapeutic treatment of aneurysms |
| US6121027A (en) * | 1997-08-15 | 2000-09-19 | Surmodics, Inc. | Polybifunctional reagent having a polymeric backbone and photoreactive moieties and bioactive groups |
| US6120536A (en) * | 1995-04-19 | 2000-09-19 | Schneider (Usa) Inc. | Medical devices with long term non-thrombogenic coatings |
| US6120904A (en) * | 1995-02-01 | 2000-09-19 | Schneider (Usa) Inc. | Medical device coated with interpenetrating network of hydrogel polymers |
| US6129761A (en) * | 1995-06-07 | 2000-10-10 | Reprogenesis, Inc. | Injectable hydrogel compositions |
| US6139573A (en) * | 1997-03-05 | 2000-10-31 | Scimed Life Systems, Inc. | Conformal laminate stent device |
| US6200985B1 (en) * | 1995-06-09 | 2001-03-13 | Novartis Ag | Rapamycin derivatives |
| US6228934B1 (en) * | 1998-06-09 | 2001-05-08 | Metabolix, Inc. | Methods and apparatus for the production of amorphous polymer suspensions |
| US6245753B1 (en) * | 1998-05-28 | 2001-06-12 | Mediplex Corporation, Korea | Amphiphilic polysaccharide derivatives |
| US6251136B1 (en) * | 1999-12-08 | 2001-06-26 | Advanced Cardiovascular Systems, Inc. | Method of layering a three-coated stent using pharmacological and polymeric agents |
| US6258121B1 (en) * | 1999-07-02 | 2001-07-10 | Scimed Life Systems, Inc. | Stent coating |
| US6273913B1 (en) * | 1997-04-18 | 2001-08-14 | Cordis Corporation | Modified stent useful for delivery of drugs along stent strut |
| US6284788B1 (en) * | 1997-02-21 | 2001-09-04 | Bayer Aktiengesellschaft | Use of known agonists of the central cannabinoid receptor CB1 |
| US6287628B1 (en) * | 1999-09-03 | 2001-09-11 | Advanced Cardiovascular Systems, Inc. | Porous prosthesis and a method of depositing substances into the pores |
| US20010029351A1 (en) * | 1998-04-16 | 2001-10-11 | Robert Falotico | Drug combinations and delivery devices for the prevention and treatment of vascular disease |
| US20020007215A1 (en) * | 2000-05-19 | 2002-01-17 | Robert Falotico | Drug/drug delivery systems for the prevention and treatment of vascular disease |
| US20020007214A1 (en) * | 2000-05-19 | 2002-01-17 | Robert Falotico | Drug/drug delivery systems for the prevention and treatment of vascular disease |
| US20020005206A1 (en) * | 2000-05-19 | 2002-01-17 | Robert Falotico | Antiproliferative drug and delivery device |
| US20020007213A1 (en) * | 2000-05-19 | 2002-01-17 | Robert Falotico | Drug/drug delivery systems for the prevention and treatment of vascular disease |
| US20020016625A1 (en) * | 2000-05-12 | 2002-02-07 | Robert Falotico | Drug/drug delivery systems for the prevention and treatment of vascular disease |
| US6379381B1 (en) * | 1999-09-03 | 2002-04-30 | Advanced Cardiovascular Systems, Inc. | Porous prosthesis and a method of depositing substances into the pores |
| US20020051730A1 (en) * | 2000-09-29 | 2002-05-02 | Stanko Bodnar | Coated medical devices and sterilization thereof |
| US6384046B1 (en) * | 1996-03-27 | 2002-05-07 | Novartis Ag | Use of 40-O-(2-hydroxy)ethylrapamycin for treatment of restenosis and other disorders |
| US20020127263A1 (en) * | 2001-02-27 | 2002-09-12 | Wenda Carlyle | Peroxisome proliferator-acitvated receptor gamma ligand eluting medical device |
| US6503954B1 (en) * | 2000-03-31 | 2003-01-07 | Advanced Cardiovascular Systems, Inc. | Biocompatible carrier containing actinomycin D and a method of forming the same |
| US20030039696A1 (en) * | 2001-08-20 | 2003-02-27 | Porter Stephen C | Embolic compositions with non-cyanoacrylate rheology modifying agents |
| US20030144727A1 (en) * | 2002-01-31 | 2003-07-31 | Rosenthal Arthur L. | Medical device for delivering biologically active material |
| US6713119B2 (en) * | 1999-09-03 | 2004-03-30 | Advanced Cardiovascular Systems, Inc. | Biocompatible coating for a prosthesis and a method of forming the same |
| US6743462B1 (en) * | 2001-05-31 | 2004-06-01 | Advanced Cardiovascular Systems, Inc. | Apparatus and method for coating implantable devices |
| US6753071B1 (en) * | 2001-09-27 | 2004-06-22 | Advanced Cardiovascular Systems, Inc. | Rate-reducing membrane for release of an agent |
| US6787179B2 (en) * | 2001-06-29 | 2004-09-07 | Ethicon, Inc. | Sterilization of bioactive coatings |
| US6890546B2 (en) * | 1998-09-24 | 2005-05-10 | Abbott Laboratories | Medical devices containing rapamycin analogs |
| US7077859B2 (en) * | 2000-12-22 | 2006-07-18 | Avantec Vascular Corporation | Apparatus and methods for variably controlled substance delivery from implanted prostheses |
| US20060198870A1 (en) * | 1998-09-24 | 2006-09-07 | Mollison Karl W | Medical devices containing rapamycin analogs |
Family Cites Families (348)
| Publication number | Priority date | Publication date | Assignee | Title |
|---|---|---|---|---|
| FR732895A (en) | 1932-10-18 | 1932-09-25 | Consortium Elektrochem Ind | Articles spun in polyvinyl alcohol |
| US2386454A (en) | 1940-11-22 | 1945-10-09 | Bell Telephone Labor Inc | High molecular weight linear polyester-amides |
| US3849514A (en) | 1967-11-17 | 1974-11-19 | Eastman Kodak Co | Block polyester-polyamide copolymers |
| US3773737A (en) | 1971-06-09 | 1973-11-20 | Sutures Inc | Hydrolyzable polymers of amino acid and hydroxy acids |
| ZA737247B (en) * | 1972-09-29 | 1975-04-30 | Ayerst Mckenna & Harrison | Rapamycin and process of preparation |
| US4374669A (en) | 1975-05-09 | 1983-02-22 | Mac Gregor David C | Cardiovascular prosthetic devices and implants with porous systems |
| SU790725A1 (en) | 1979-07-27 | 1983-01-23 | Ордена Ленина Институт Элементоорганических Соединений Ан Ссср | Process for preparing alkylaromatic polyimides |
| US4226243A (en) | 1979-07-27 | 1980-10-07 | Ethicon, Inc. | Surgical devices of polyesteramides derived from bis-oxamidodiols and dicarboxylic acids |
| SU811750A1 (en) | 1979-08-07 | 1983-09-23 | Институт Физиологии Им.С.И.Бериташвили | Bis-bicarbonates of aliphatic diols as monomers for preparing polyurethanes and process for producing the same |
| SU872531A1 (en) | 1979-08-07 | 1981-10-15 | Институт Физиологии Им.И.С.Бериташвили Ан Гсср | Method of producing polyurethans |
| US4396538A (en) * | 1979-09-04 | 1983-08-02 | Mobil Oil Corporation | Hydrotreating/hydrocracking catalyst |
| SU876663A1 (en) | 1979-11-11 | 1981-10-30 | Институт Физиологии Им. Академика И.С.Бериташвили Ан Гсср | Method of producing polyarylates |
| SU1016314A1 (en) | 1979-12-17 | 1983-05-07 | Институт Физиологии Им.И.С.Бериташвили | Process for producing polyester urethanes |
| US4343931A (en) | 1979-12-17 | 1982-08-10 | Minnesota Mining And Manufacturing Company | Synthetic absorbable surgical devices of poly(esteramides) |
| US4529792A (en) | 1979-12-17 | 1985-07-16 | Minnesota Mining And Manufacturing Company | Process for preparing synthetic absorbable poly(esteramides) |
| SU905228A1 (en) | 1980-03-06 | 1982-02-15 | Институт Физиологии Им. Акад.И.С. Бериташвили Ан Гсср | Method for preparing thiourea |
| US6221102B1 (en) | 1983-12-09 | 2001-04-24 | Endovascular Technologies, Inc. | Intraluminal grafting system |
| SU1293518A1 (en) | 1985-04-11 | 1987-02-28 | Тбилисский зональный научно-исследовательский и проектный институт типового и экспериментального проектирования жилых и общественных зданий | Installation for testing specimen of cross-shaped structure |
| US4656242A (en) | 1985-06-07 | 1987-04-07 | Henkel Corporation | Poly(ester-amide) compositions |
| US4611051A (en) | 1985-12-31 | 1986-09-09 | Union Camp Corporation | Novel poly(ester-amide) hot-melt adhesives |
| US4882168A (en) | 1986-09-05 | 1989-11-21 | American Cyanamid Company | Polyesters containing alkylene oxide blocks as drug delivery systems |
| US5721131A (en) | 1987-03-06 | 1998-02-24 | United States Of America As Represented By The Secretary Of The Navy | Surface modification of polymers with self-assembled monolayers that promote adhesion, outgrowth and differentiation of biological cells |
| US6387379B1 (en) | 1987-04-10 | 2002-05-14 | University Of Florida | Biofunctional surface modified ocular implants, surgical instruments, medical devices, prostheses, contact lenses and the like |
| US5527337A (en) | 1987-06-25 | 1996-06-18 | Duke University | Bioabsorbable stent and method of making the same |
| US5059211A (en) | 1987-06-25 | 1991-10-22 | Duke University | Absorbable vascular stent |
| DE3738134A1 (en) | 1987-10-09 | 1989-06-01 | Amazonen Werke Dreyer H | AGRICULTURAL ORDER COMBINATION |
| US4886062A (en) | 1987-10-19 | 1989-12-12 | Medtronic, Inc. | Intravascular radially expandable stent and method of implant |
| ATE120466T1 (en) | 1987-12-09 | 1995-04-15 | Fisons Plc | MACROCYCLIC COMPOUNDS. |
| US5019096A (en) | 1988-02-11 | 1991-05-28 | Trustees Of Columbia University In The City Of New York | Infection-resistant compositions, medical devices and surfaces and methods for preparing and using same |
| JP2561309B2 (en) * | 1988-03-28 | 1996-12-04 | テルモ株式会社 | Medical material and manufacturing method thereof |
| US4931287A (en) | 1988-06-14 | 1990-06-05 | University Of Utah | Heterogeneous interpenetrating polymer networks for the controlled release of drugs |
| ATE121954T1 (en) | 1988-08-24 | 1995-05-15 | Marvin J Slepian | ENDOLUMINAL SEAL WITH BIDEGRADABLE POLYMERS. |
| US4977901A (en) | 1988-11-23 | 1990-12-18 | Minnesota Mining And Manufacturing Company | Article having non-crosslinked crystallized polymer coatings |
| ATE103820T1 (en) † | 1988-12-29 | 1994-04-15 | Deknatel Tech Corp | ABSORBABLE COATING AND BLEND. |
| IL90193A (en) | 1989-05-04 | 1993-02-21 | Biomedical Polymers Int | Polurethane-based polymeric materials and biomedical articles and pharmaceutical compositions utilizing the same |
| US5100899A (en) | 1989-06-06 | 1992-03-31 | Roy Calne | Methods of inhibiting transplant rejection in mammals using rapamycin and derivatives and prodrugs thereof |
| US5272012A (en) | 1989-06-23 | 1993-12-21 | C. R. Bard, Inc. | Medical apparatus having protective, lubricious coating |
| GB8916901D0 (en) | 1989-07-24 | 1989-09-06 | Sandoz Ltd | Improvements in or relating to organic compounds |
| AU651084B2 (en) | 1990-01-30 | 1994-07-14 | Akzo N.V. | Article for the controlled delivery of an active substance, comprising a hollow space fully enclosed by a wall and filled in full or in part with one or more active substances |
| EP0518940A4 (en) | 1990-02-26 | 1993-05-12 | Marvin J. Slepian | Method and apparatus for treatment of tubular organs |
| US5306501A (en) | 1990-05-01 | 1994-04-26 | Mediventures, Inc. | Drug delivery by injection with thermoreversible gels containing polyoxyalkylene copolymers |
| US5298260A (en) | 1990-05-01 | 1994-03-29 | Mediventures, Inc. | Topical drug delivery with polyoxyalkylene polymer thermoreversible gels adjustable for pH and osmolality |
| US5300295A (en) | 1990-05-01 | 1994-04-05 | Mediventures, Inc. | Ophthalmic drug delivery with thermoreversible polyoxyalkylene gels adjustable for pH |
| US5292516A (en) | 1990-05-01 | 1994-03-08 | Mediventures, Inc. | Body cavity drug delivery with thermoreversible gels containing polyoxyalkylene copolymers |
| AU7998091A (en) | 1990-05-17 | 1991-12-10 | Harbor Medical Devices, Inc. | Medical device polymer |
| CA2038605C (en) | 1990-06-15 | 2000-06-27 | Leonard Pinchuk | Crack-resistant polycarbonate urethane polymer prostheses and the like |
| US5155210A (en) | 1990-09-11 | 1992-10-13 | Brunswick Corporation | Methods of conjugating actinomycin d |
| US6248129B1 (en) | 1990-09-14 | 2001-06-19 | Quanam Medical Corporation | Expandable polymeric stent with memory and delivery apparatus and method |
| US5163952A (en) | 1990-09-14 | 1992-11-17 | Michael Froix | Expandable polymeric stent with memory and delivery apparatus and method |
| US5258020A (en) | 1990-09-14 | 1993-11-02 | Michael Froix | Method of using expandable polymeric stent with memory |
| US5462990A (en) | 1990-10-15 | 1995-10-31 | Board Of Regents, The University Of Texas System | Multifunctional organic polymers |
| GB9027793D0 (en) | 1990-12-21 | 1991-02-13 | Ucb Sa | Polyester-amides containing terminal carboxyl groups |
| US5330768A (en) | 1991-07-05 | 1994-07-19 | Massachusetts Institute Of Technology | Controlled drug delivery using polymer/pluronic blends |
| US5169851A (en) * | 1991-08-07 | 1992-12-08 | American Home Products Corporation | Rapamycin analog as immunosuppressants and antifungals |
| US5162333A (en) | 1991-09-11 | 1992-11-10 | American Home Products Corporation | Aminodiesters of rapamycin |
| US5500013A (en) | 1991-10-04 | 1996-03-19 | Scimed Life Systems, Inc. | Biodegradable drug delivery vascular stent |
| US5273760A (en) * | 1991-12-24 | 1993-12-28 | Euroceltigue, S.A. | Stabilized controlled release substrate having a coating derived from an aqueous dispersion of hydrophobic polymer |
| US5282823A (en) | 1992-03-19 | 1994-02-01 | Medtronic, Inc. | Intravascular radially expandable stent |
| US5599352A (en) | 1992-03-19 | 1997-02-04 | Medtronic, Inc. | Method of making a drug eluting stent |
| GB9206736D0 (en) | 1992-03-27 | 1992-05-13 | Sandoz Ltd | Improvements of organic compounds and their use in pharmaceutical compositions |
| US5219980A (en) | 1992-04-16 | 1993-06-15 | Sri International | Polymers biodegradable or bioerodiable into amino acids |
| DE4224401A1 (en) | 1992-07-21 | 1994-01-27 | Pharmatech Gmbh | New biodegradable homo- and co-polymer(s) for pharmaceutical use - produced by polycondensation of prod. from heterolytic cleavage of aliphatic polyester with functionalised (cyclo)aliphatic cpd. |
| US5399665A (en) | 1992-11-05 | 1995-03-21 | Massachusetts Institute Of Technology | Biodegradable polymers for cell transplantation |
| US5258389A (en) | 1992-11-09 | 1993-11-02 | Merck & Co., Inc. | O-aryl, O-alkyl, O-alkenyl and O-alkynylrapamycin derivatives |
| FR2699168B1 (en) | 1992-12-11 | 1995-01-13 | Rhone Poulenc Chimie | Method of treating a material comprising a polymer by hydrolysis. |
| EP0604022A1 (en) | 1992-12-22 | 1994-06-29 | Advanced Cardiovascular Systems, Inc. | Multilayered biodegradable stent and method for its manufacture |
| US5468253A (en) | 1993-01-21 | 1995-11-21 | Ethicon, Inc. | Elastomeric medical device |
| US20020055710A1 (en) | 1998-04-30 | 2002-05-09 | Ronald J. Tuch | Medical device for delivering a therapeutic agent and method of preparation |
| US5824048A (en) | 1993-04-26 | 1998-10-20 | Medtronic, Inc. | Method for delivering a therapeutic substance to a body lumen |
| US5464650A (en) | 1993-04-26 | 1995-11-07 | Medtronic, Inc. | Intravascular stent and method |
| US5716410A (en) | 1993-04-30 | 1998-02-10 | Scimed Life Systems, Inc. | Temporary stent and method of use |
| US5846981A (en) | 1993-05-28 | 1998-12-08 | Gpi Nil Holdings Inc. | Inhibitors of rotamase enzyme activity |
| JPH0767895A (en) | 1993-06-25 | 1995-03-14 | Sumitomo Electric Ind Ltd | Antibacterial artificial blood vessel and antibacterial surgical suture |
| EG20321A (en) | 1993-07-21 | 1998-10-31 | Otsuka Pharma Co Ltd | Medical material and process for producing the same |
| DE4327024A1 (en) | 1993-08-12 | 1995-02-16 | Bayer Ag | Thermoplastically processable and biodegradable aliphatic polyesteramides |
| US5380299A (en) | 1993-08-30 | 1995-01-10 | Med Institute, Inc. | Thrombolytic treated intravascular medical device |
| WO1995010989A1 (en) | 1993-10-19 | 1995-04-27 | Scimed Life Systems, Inc. | Intravascular stent pump |
| US5723004A (en) | 1993-10-21 | 1998-03-03 | Corvita Corporation | Expandable supportive endoluminal grafts |
| US5759205A (en) | 1994-01-21 | 1998-06-02 | Brown University Research Foundation | Negatively charged polymeric electret implant |
| US6051576A (en) | 1994-01-28 | 2000-04-18 | University Of Kentucky Research Foundation | Means to achieve sustained release of synergistic drugs by conjugation |
| CA2190121A1 (en) | 1994-03-15 | 1995-09-21 | Edith Mathiowitz | Polymeric gene delivery system |
| US5496831A (en) | 1994-05-13 | 1996-03-05 | The General Hospital Corporation | Inhibition of insulin-induced adiposis |
| US5567410A (en) | 1994-06-24 | 1996-10-22 | The General Hospital Corporation | Composotions and methods for radiographic imaging |
| US5629077A (en) | 1994-06-27 | 1997-05-13 | Advanced Cardiovascular Systems, Inc. | Biodegradable mesh and film stent |
| DE4424242A1 (en) | 1994-07-09 | 1996-01-11 | Ernst Peter Prof Dr M Strecker | Endoprosthesis implantable percutaneously in a patient's body |
| US5788979A (en) | 1994-07-22 | 1998-08-04 | Inflow Dynamics Inc. | Biodegradable coating with inhibitory properties for application to biocompatible materials |
| US5516881A (en) | 1994-08-10 | 1996-05-14 | Cornell Research Foundation, Inc. | Aminoxyl-containing radical spin labeling in polymers and copolymers |
| US5578073A (en) | 1994-09-16 | 1996-11-26 | Ramot Of Tel Aviv University | Thromboresistant surface treatment for biomaterials |
| US5485496A (en) | 1994-09-22 | 1996-01-16 | Cornell Research Foundation, Inc. | Gamma irradiation sterilizing of biomaterial medical devices or products, with improved degradation and mechanical properties |
| FR2724938A1 (en) | 1994-09-28 | 1996-03-29 | Lvmh Rech | POLYMERS FUNCTIONALIZED BY AMINO ACIDS OR AMINO ACID DERIVATIVES, THEIR USE AS SURFACTANTS, IN PARTICULAR, IN COSMETIC COMPOSITIONS AND IN PARTICULAR NAIL POLISH. |
| ES2155534T3 (en) | 1994-10-12 | 2001-05-16 | Focal Inc | ADMINISTRATION DIRECTED THROUGH BIODEGRADABLE POLYMERS. |
| US5836965A (en) | 1994-10-19 | 1998-11-17 | Jendersee; Brad | Stent delivery and deployment method |
| DE69525957T2 (en) | 1994-10-26 | 2002-11-14 | Novartis Ag | Use of an unsaturated fatty alcohol |
| IL115742A (en) | 1994-10-26 | 2000-06-01 | Novartis Ag | Pharmaceutical compositions comprising a difficultly soluble active agent a hydrophilic phase a lipophilic phase and a surfactant |
| US5637113A (en) | 1994-12-13 | 1997-06-10 | Advanced Cardiovascular Systems, Inc. | Polymer film for wrapping a stent structure |
| US5575818A (en) | 1995-02-14 | 1996-11-19 | Corvita Corporation | Endovascular stent with locking ring |
| US5702754A (en) | 1995-02-22 | 1997-12-30 | Meadox Medicals, Inc. | Method of providing a substrate with a hydrophilic coating and substrates, particularly medical devices, provided with such coatings |
| US6231600B1 (en) | 1995-02-22 | 2001-05-15 | Scimed Life Systems, Inc. | Stents with hybrid coating for medical devices |
| IL112834A (en) | 1995-03-01 | 2000-12-06 | Yeda Res & Dev | Pharmaceutical compositions for controlled release of soluble receptors |
| US6100346A (en) | 1995-03-06 | 2000-08-08 | Ethicon, Inc. | Copolymers of polyoxaamides |
| US5837313A (en) | 1995-04-19 | 1998-11-17 | Schneider (Usa) Inc | Drug release stent coating process |
| US20020091433A1 (en) | 1995-04-19 | 2002-07-11 | Ni Ding | Drug release coated stent |
| US5925720A (en) | 1995-04-19 | 1999-07-20 | Kazunori Kataoka | Heterotelechelic block copolymers and process for producing the same |
| US5674242A (en) | 1995-06-06 | 1997-10-07 | Quanam Medical Corporation | Endoprosthetic device with therapeutic compound |
| US5696135A (en) | 1995-06-07 | 1997-12-09 | Gpi Nil Holdings, Inc. | Inhibitors of rotamase enzyme activity effective at stimulating neuronal growth |
| WO1998017331A1 (en) | 1995-06-07 | 1998-04-30 | Cook Incorporated | Silver implantable medical device |
| US6774278B1 (en) | 1995-06-07 | 2004-08-10 | Cook Incorporated | Coated implantable medical device |
| US7611533B2 (en) | 1995-06-07 | 2009-11-03 | Cook Incorporated | Coated implantable medical device |
| US7550005B2 (en) | 1995-06-07 | 2009-06-23 | Cook Incorporated | Coated implantable medical device |
| AU6169896A (en) | 1995-06-07 | 1996-12-30 | American National Red Cross, The | Supplemented and unsupplemented tissue sealants, methods of their production and use |
| BE1009856A5 (en) | 1995-07-14 | 1997-10-07 | Sandoz Sa | Pharmaceutical composition in the form of a solid release including macrolide and a vehicle. |
| US5877224A (en) | 1995-07-28 | 1999-03-02 | Rutgers, The State University Of New Jersey | Polymeric drug formulations |
| US5723219A (en) | 1995-12-19 | 1998-03-03 | Talison Research | Plasma deposited film networks |
| US5658995A (en) | 1995-11-27 | 1997-08-19 | Rutgers, The State University | Copolymers of tyrosine-based polycarbonate and poly(alkylene oxide) |
| DE19545678A1 (en) | 1995-12-07 | 1997-06-12 | Goldschmidt Ag Th | Copolymers of polyamino acid esters |
| US6033582A (en) | 1996-01-22 | 2000-03-07 | Etex Corporation | Surface modification of medical implants |
| US6054553A (en) | 1996-01-29 | 2000-04-25 | Bayer Ag | Process for the preparation of polymers having recurring agents |
| US5912224A (en) | 1996-02-22 | 1999-06-15 | The General Hospital Corporation | Methods and compositions for enhancing cellular response to TGF-β ligands |
| CA2199890C (en) | 1996-03-26 | 2002-02-05 | Leonard Pinchuk | Stents and stent-grafts having enhanced hoop strength and methods of making the same |
| US5713949A (en) | 1996-08-06 | 1998-02-03 | Jayaraman; Swaminathan | Microporous covered stents and method of coating |
| US5932299A (en) | 1996-04-23 | 1999-08-03 | Katoot; Mohammad W. | Method for modifying the surface of an object |
| US5955509A (en) | 1996-05-01 | 1999-09-21 | Board Of Regents, The University Of Texas System | pH dependent polymer micelles |
| US5610241A (en) | 1996-05-07 | 1997-03-11 | Cornell Research Foundation, Inc. | Reactive graft polymer with biodegradable polymer backbone and method for preparing reactive biodegradable polymers |
| ATE302599T1 (en) | 1996-05-24 | 2005-09-15 | Angiotech Pharm Inc | PREPARATIONS AND METHODS FOR THE TREATMENT OR PREVENTION OF DISEASES OF THE BODY PASSAGES |
| US5876433A (en) | 1996-05-29 | 1999-03-02 | Ethicon, Inc. | Stent and method of varying amounts of heparin coated thereon to control treatment |
| US5874165A (en) | 1996-06-03 | 1999-02-23 | Gore Enterprise Holdings, Inc. | Materials and method for the immobilization of bioactive species onto polymeric subtrates |
| US6143037A (en) | 1996-06-12 | 2000-11-07 | The Regents Of The University Of Michigan | Compositions and methods for coating medical devices |
| NL1003459C2 (en) | 1996-06-28 | 1998-01-07 | Univ Twente | Copoly (ester amides) and copoly (ester urethanes). |
| US5711958A (en) | 1996-07-11 | 1998-01-27 | Life Medical Sciences, Inc. | Methods for reducing or eliminating post-surgical adhesion formation |
| EP0937082A2 (en) | 1996-07-12 | 1999-08-25 | Ariad Pharmaceuticals, Inc. | Materials and method for treating or preventing pathogenic fungal infection |
| US5830178A (en) | 1996-10-11 | 1998-11-03 | Micro Therapeutics, Inc. | Methods for embolizing vascular sites with an emboilizing composition comprising dimethylsulfoxide |
| US6096785A (en) | 1996-07-30 | 2000-08-01 | Novartis Nutrition Ag | Amino acid compositions and use thereof in treating renal dysfunction |
| US6060518A (en) | 1996-08-16 | 2000-05-09 | Supratek Pharma Inc. | Polymer compositions for chemotherapy and methods of treatment using the same |
| AU4090997A (en) | 1996-08-30 | 1998-03-19 | Helix Medical Corporation | Medical devices having microbial resistant material properties |
| WO1998009523A1 (en) | 1996-09-05 | 1998-03-12 | Massachusetts Institute Of Technology | Compositions and methods for treatment of neurological disorders and neurodegenerative diseases |
| CZ283516B6 (en) | 1996-09-12 | 1998-04-15 | Galena A.S. | Therapeutical preparations, particularly for internal administration in the form of self-micro-emulsifying therapeutic systems |
| US5913871A (en) | 1996-09-25 | 1999-06-22 | Medtronic, Inc. | Balloon modification for improved stent fixation and deployment |
| US5783657A (en) | 1996-10-18 | 1998-07-21 | Union Camp Corporation | Ester-terminated polyamides of polymerized fatty acids useful in formulating transparent gels in low polarity liquids |
| US6530951B1 (en) | 1996-10-24 | 2003-03-11 | Cook Incorporated | Silver implantable medical device |
| ZA9710342B (en) | 1996-11-25 | 1998-06-10 | Alza Corp | Directional drug delivery stent and method of use. |
| US6120491A (en) | 1997-11-07 | 2000-09-19 | The State University Rutgers | Biodegradable, anionic polymers derived from the amino acid L-tyrosine |
| US6315791B1 (en) | 1996-12-03 | 2001-11-13 | Atrium Medical Corporation | Self-expanding prothesis |
| US6042820A (en) | 1996-12-20 | 2000-03-28 | Connaught Laboratories Limited | Biodegradable copolymer containing α-hydroxy acid and α-amino acid units |
| US5980972A (en) | 1996-12-20 | 1999-11-09 | Schneider (Usa) Inc | Method of applying drug-release coatings |
| US5997517A (en) | 1997-01-27 | 1999-12-07 | Sts Biopolymers, Inc. | Bonding layers for medical device surface coatings |
| ES2192762T3 (en) | 1997-01-28 | 2003-10-16 | United States Surgical Corp | POLYESTERAMIDE, ITS PREPARATION AND SURGICAL DEVICES MANUFACTURED FROM IT. |
| EP0967933B1 (en) | 1997-01-28 | 2004-12-29 | United States Surgical Corporation | Polyesteramide, its preparation and surgical devices fabricated therefrom |
| DE69826639T2 (en) | 1997-01-28 | 2005-10-06 | United States Surgical Corp., Norwalk | SURGICAL ARTICLES MADE FROM POLYESTERAMIDES WITH GROUPS DERIVED FROM AMINO ACIDS AND ALTERNATIVELY WITH GROUPS DERIVED FROM ALPHA HYDROXYLIC ACIDS |
| WO1998036784A1 (en) | 1997-02-20 | 1998-08-27 | Cook Incorporated | Coated implantable medical device |
| US6063796A (en) | 1997-04-04 | 2000-05-16 | Merck & Co., Inc. | Somatostatin agonists |
| US6057338A (en) | 1997-04-04 | 2000-05-02 | Merck & Co., Inc. | Somatostatin agonists |
| CN1259053A (en) | 1997-04-11 | 2000-07-05 | 藤泽药品工业株式会社 | Medicinal composition |
| US6240616B1 (en) | 1997-04-15 | 2001-06-05 | Advanced Cardiovascular Systems, Inc. | Method of manufacturing a medicated porous metal prosthesis |
| US5843172A (en) | 1997-04-15 | 1998-12-01 | Advanced Cardiovascular Systems, Inc. | Porous medicated stent |
| US6514686B2 (en) | 1997-04-28 | 2003-02-04 | The University Of British Columbia | Method and composition for modulating amyloidosis |
| US6180632B1 (en) | 1997-05-28 | 2001-01-30 | Aventis Pharmaceuticals Products Inc. | Quinoline and quinoxaline compounds which inhibit platelet-derived growth factor and/or p56lck tyrosine kinases |
| US6245760B1 (en) | 1997-05-28 | 2001-06-12 | Aventis Pharmaceuticals Products, Inc | Quinoline and quinoxaline compounds which inhibit platelet-derived growth factor and/or p56lck tyrosine kinases |
| US6159978A (en) | 1997-05-28 | 2000-12-12 | Aventis Pharmaceuticals Product, Inc. | Quinoline and quinoxaline compounds which inhibit platelet-derived growth factor and/or p56lck tyrosine kinases |
| KR20010020611A (en) | 1997-07-01 | 2001-03-15 | 아테로제닉스, 인코포레이티드 | Antioxidant enhancement of therapy for hyperproliferative conditions |
| US6211249B1 (en) | 1997-07-11 | 2001-04-03 | Life Medical Sciences, Inc. | Polyester polyether block copolymers |
| US5980928A (en) | 1997-07-29 | 1999-11-09 | Terry; Paul B. | Implant for preventing conjunctivitis in cattle |
| US5980564A (en) | 1997-08-01 | 1999-11-09 | Schneider (Usa) Inc. | Bioabsorbable implantable endoprosthesis with reservoir |
| BR9811864A (en) | 1997-08-08 | 2000-08-15 | Procter & Gamble | Laundry detergent compositions with amino acid-based polymers to provide appearance and integrity benefits to fabrics washed with them |
| US6316522B1 (en) | 1997-08-18 | 2001-11-13 | Scimed Life Systems, Inc. | Bioresorbable hydrogel compositions for implantable prostheses |
| US5972027A (en) | 1997-09-30 | 1999-10-26 | Scimed Life Systems, Inc | Porous stent drug delivery system |
| JP2001520170A (en) | 1997-10-16 | 2001-10-30 | ボード・オヴ・リージェンツ,ザ・ユニヴァーシティ・オヴ・テキサス・システム | Animal models for cardiac hypertrophy and treatment methods related to NF-AT3 function |
| US6120788A (en) | 1997-10-16 | 2000-09-19 | Bioamide, Inc. | Bioabsorbable triglycolic acid poly(ester-amide)s |
| GB9723669D0 (en) | 1997-11-07 | 1998-01-07 | Univ Aberdeen | Skin penetration enhancing components |
| NZ504711A (en) | 1997-12-03 | 2002-02-01 | Fujisawa Pharmaceutical Co | Soft-pellet drug and process for the preparation thereof |
| US5962007A (en) | 1997-12-19 | 1999-10-05 | Indigo Medical, Inc. | Use of a multi-component coil medical construct |
| US6221425B1 (en) | 1998-01-30 | 2001-04-24 | Advanced Cardiovascular Systems, Inc. | Lubricious hydrophilic coating for an intracorporeal medical device |
| WO1999039720A1 (en) | 1998-02-04 | 1999-08-12 | Applied Genetics Incorporated Dermatics | Compositions and methods for modulating cytokine release in response to genotoxic agents |
| PT1056454E (en) | 1998-02-23 | 2003-08-29 | Fujisawa Pharmaceutical Co | UTILIZATION OF MACROLID COMPOUNDS FOR THE TREATMENT OF GLAUCOMA |
| AUPP223198A0 (en) | 1998-03-06 | 1998-04-02 | Fujisawa Pharmaceutical Co., Ltd. | New use |
| ID25908A (en) | 1998-03-06 | 2000-11-09 | Novartis Ag | EMULSION PRACTONCENTRATES CONTAINING CYCLOSPORINE OR MACROLIDES |
| US6001117A (en) | 1998-03-19 | 1999-12-14 | Indigo Medical, Inc. | Bellows medical construct and apparatus and method for using same |
| TR200002771T2 (en) | 1998-03-26 | 2001-02-21 | Fujisawa Pharmaceutical Co.,Ltd. | Preparations with sustained release |
| US6258371B1 (en) | 1998-04-03 | 2001-07-10 | Medtronic Inc | Method for making biocompatible medical article |
| US20030040790A1 (en) | 1998-04-15 | 2003-02-27 | Furst Joseph G. | Stent coating |
| JPH11299901A (en) | 1998-04-16 | 1999-11-02 | Johnson & Johnson Medical Kk | Stent and method for manufacturing the same |
| US7658727B1 (en) | 1998-04-20 | 2010-02-09 | Medtronic, Inc | Implantable medical device with enhanced biocompatibility and biostability |
| ES2179646T3 (en) | 1998-04-27 | 2003-01-16 | Surmodics Inc | COATING THAT RELEASES A BIOACTIVE AGENT. |
| US20020188037A1 (en) | 1999-04-15 | 2002-12-12 | Chudzik Stephen J. | Method and system for providing bioactive agent release coating |
| GB9810949D0 (en) | 1998-05-22 | 1998-07-22 | Hewlett Healthcare Limited | Formulation |
| DK1079843T3 (en) | 1998-05-22 | 2007-07-30 | Boys Town Nat Res Hospital | Use of α1beta1 integrin receptor inhibitors and TFG beta1 inhibitors for the treatment of kidney disease |
| US6281225B1 (en) | 1998-06-11 | 2001-08-28 | Cerus Corporation | Inhibiting proliferation of arterial smooth muscle cells |
| US6153252A (en) | 1998-06-30 | 2000-11-28 | Ethicon, Inc. | Process for coating stents |
| US6652581B1 (en) | 1998-07-07 | 2003-11-25 | Boston Scientific Scimed, Inc. | Medical device with porous surface for controlled drug release and method of making the same |
| AU4645299A (en) | 1998-07-08 | 2000-02-01 | Advanced Biocompatible Coatings Inc. | Biocompatible metallic stents with hydroxy methacrylate coating |
| GB9817650D0 (en) | 1998-08-14 | 1998-10-07 | Danbiosyst Uk | Oral formulation |
| US6605294B2 (en) | 1998-08-14 | 2003-08-12 | Incept Llc | Methods of using in situ hydration of hydrogel articles for sealing or augmentation of tissue or vessels |
| WO2000010622A1 (en) | 1998-08-20 | 2000-03-02 | Cook Incorporated | Coated implantable medical device |
| US6248127B1 (en) | 1998-08-21 | 2001-06-19 | Medtronic Ave, Inc. | Thromboresistant coated medical device |
| US6335029B1 (en) | 1998-08-28 | 2002-01-01 | Scimed Life Systems, Inc. | Polymeric coatings for controlled delivery of active agents |
| EP1119379A1 (en) | 1998-09-02 | 2001-08-01 | Boston Scientific Limited | Drug delivery device for stent |
| AUPP584198A0 (en) | 1998-09-14 | 1998-10-08 | Fujisawa Pharmaceutical Co., Ltd. | New use |
| WO2000018446A1 (en) | 1998-09-25 | 2000-04-06 | Cathnet-Science S.A. | Multi-layered sleeve for intravascular expandable device |
| US6011125A (en) | 1998-09-25 | 2000-01-04 | General Electric Company | Amide modified polyesters |
| US6206915B1 (en) | 1998-09-29 | 2001-03-27 | Medtronic Ave, Inc. | Drug storing and metering stent |
| US6293959B1 (en) | 1998-11-16 | 2001-09-25 | Cordis Corporation | Balloon catheter and stent delivery system having enhanced stent retention and method |
| GB9826656D0 (en) | 1998-12-03 | 1999-01-27 | Novartis Ag | Organic compounds |
| EP1135165A1 (en) | 1998-12-03 | 2001-09-26 | Boston Scientific Limited | Stent having drug crystals thereon |
| GB9826882D0 (en) | 1998-12-07 | 1999-01-27 | Novartis Ag | Organic compounds |
| WO2000038590A1 (en) | 1998-12-23 | 2000-07-06 | Stephen George Edward Barker | Endoluminal stent |
| CN1224420C (en) | 1998-12-24 | 2005-10-26 | 苏坎波公司 | Therapeutic agent for visual cell dysfunction |
| US6120847A (en) | 1999-01-08 | 2000-09-19 | Scimed Life Systems, Inc. | Surface treatment method for stent coating |
| US6530950B1 (en) | 1999-01-12 | 2003-03-11 | Quanam Medical Corporation | Intraluminal stent having coaxial polymer member |
| WO2000042949A2 (en) | 1999-01-22 | 2000-07-27 | Gore Enterprise Holdings, Inc. | A biliary stent-graft |
| US6419692B1 (en) | 1999-02-03 | 2002-07-16 | Scimed Life Systems, Inc. | Surface protection method for stents and balloon catheters for drug delivery |
| US6143354A (en) | 1999-02-08 | 2000-11-07 | Medtronic Inc. | One-step method for attachment of biomolecules to substrate surfaces |
| US6066156A (en) | 1999-03-11 | 2000-05-23 | Advanced Cardiovascular Systems, Inc. | Temperature activated adhesive for releasably attaching stents to balloons |
| US6364903B2 (en) | 1999-03-19 | 2002-04-02 | Meadox Medicals, Inc. | Polymer coated stent |
| AU4063300A (en) | 1999-03-29 | 2000-10-16 | Cardiosynopsis, Inc. | Stent with an integrated film coating for deployment throughout the body |
| WO2000064506A1 (en) | 1999-04-23 | 2000-11-02 | Agion Technologies, L.L.C. | Stent having antimicrobial agent |
| MXPA01010988A (en) | 1999-04-30 | 2004-04-21 | Sucampo Ag | Use of macrolide compounds for the treatment of dry eye. |
| DE29908768U1 (en) | 1999-05-19 | 1999-08-12 | Starck, Bernd, Dipl.-Ing., 75443 Ötisheim | Highly flexible cover for stents and / or stent-crafts and / or stent-vascular prostheses |
| EP1180013B1 (en) * | 1999-05-27 | 2006-03-08 | Biocompatibles UK Limited | Local drug delivery |
| AUPQ078799A0 (en) | 1999-06-04 | 1999-06-24 | Fujisawa Pharmaceutical Co., Ltd. | New use |
| US6283947B1 (en) | 1999-07-13 | 2001-09-04 | Advanced Cardiovascular Systems, Inc. | Local drug delivery injection catheter |
| US6494862B1 (en) | 1999-07-13 | 2002-12-17 | Advanced Cardiovascular Systems, Inc. | Substance delivery apparatus and a method of delivering a therapeutic substance to an anatomical passageway |
| US6177523B1 (en) | 1999-07-14 | 2001-01-23 | Cardiotech International, Inc. | Functionalized polyurethanes |
| CA2383451A1 (en) | 1999-08-24 | 2001-03-01 | Ariad Gene Therapeutics, Inc. | 28-epirapalogs |
| FI19991852A7 (en) | 1999-09-01 | 2001-03-02 | Yli Urpo Antti | Novel multilayer material comprising an active ingredient and its preparation |
| US6749626B1 (en) | 2000-03-31 | 2004-06-15 | Advanced Cardiovascular Systems, Inc. | Actinomycin D for the treatment of vascular disease |
| US20040029952A1 (en) | 1999-09-03 | 2004-02-12 | Yung-Ming Chen | Ethylene vinyl alcohol composition and coating |
| US6503556B2 (en) | 2000-12-28 | 2003-01-07 | Advanced Cardiovascular Systems, Inc. | Methods of forming a coating for a prosthesis |
| US6790228B2 (en) | 1999-12-23 | 2004-09-14 | Advanced Cardiovascular Systems, Inc. | Coating for implantable devices and a method of forming the same |
| US6759054B2 (en) | 1999-09-03 | 2004-07-06 | Advanced Cardiovascular Systems, Inc. | Ethylene vinyl alcohol composition and coating |
| US20070032853A1 (en) | 2002-03-27 | 2007-02-08 | Hossainy Syed F | 40-O-(2-hydroxy)ethyl-rapamycin coated stent |
| US7807211B2 (en) | 1999-09-03 | 2010-10-05 | Advanced Cardiovascular Systems, Inc. | Thermal treatment of an implantable medical device |
| EP1214108B1 (en) | 1999-09-03 | 2007-01-10 | Advanced Cardiovascular Systems, Inc. | A porous prosthesis and a method of depositing substances into the pores |
| US7682647B2 (en) | 1999-09-03 | 2010-03-23 | Advanced Cardiovascular Systems, Inc. | Thermal treatment of a drug eluting implantable medical device |
| US6360577B2 (en) | 1999-09-22 | 2002-03-26 | Scimed Life Systems, Inc. | Apparatus for contracting, or crimping stents |
| TWI256395B (en) | 1999-09-29 | 2006-06-11 | Wyeth Corp | Regioselective synthesis of rapamycin derivatives |
| US6203551B1 (en) | 1999-10-04 | 2001-03-20 | Advanced Cardiovascular Systems, Inc. | Chamber for applying therapeutic substances to an implant device |
| US6331313B1 (en) | 1999-10-22 | 2001-12-18 | Oculex Pharmaceticals, Inc. | Controlled-release biocompatible ocular drug delivery implant devices and methods |
| US6475235B1 (en) | 1999-11-16 | 2002-11-05 | Iowa-India Investments Company, Limited | Encapsulated stent preform |
| US6613432B2 (en) | 1999-12-22 | 2003-09-02 | Biosurface Engineering Technologies, Inc. | Plasma-deposited coatings, devices and methods |
| US6908624B2 (en) | 1999-12-23 | 2005-06-21 | Advanced Cardiovascular Systems, Inc. | Coating for implantable devices and a method of forming the same |
| US6283949B1 (en) | 1999-12-27 | 2001-09-04 | Advanced Cardiovascular Systems, Inc. | Refillable implantable drug delivery pump |
| AU2599501A (en) | 1999-12-29 | 2001-07-09 | Advanced Cardiovascular Systems Inc. | Device and active component for inhibiting formation of thrombus-inflammatory cell matrix |
| US6899731B2 (en) | 1999-12-30 | 2005-05-31 | Boston Scientific Scimed, Inc. | Controlled delivery of therapeutic agents by insertable medical devices |
| JP4473390B2 (en) | 2000-01-07 | 2010-06-02 | 川澄化学工業株式会社 | Stent and stent graft |
| AU2001230889A1 (en) | 2000-01-11 | 2001-07-24 | Intralytix, Inc. | Method and device for sanitation using bacteriophages |
| US6406739B1 (en) | 2000-01-12 | 2002-06-18 | Alcon Universal Ltd. | Coating compositions and methods for reducing edge glare in implantable ophthalmic lenses |
| US6527801B1 (en) | 2000-04-13 | 2003-03-04 | Advanced Cardiovascular Systems, Inc. | Biodegradable drug delivery material for stent |
| US6270779B1 (en) | 2000-05-10 | 2001-08-07 | United States Of America | Nitric oxide-releasing metallic medical devices |
| US6395326B1 (en) | 2000-05-31 | 2002-05-28 | Advanced Cardiovascular Systems, Inc. | Apparatus and method for depositing a coating onto a surface of a prosthesis |
| US6673385B1 (en) | 2000-05-31 | 2004-01-06 | Advanced Cardiovascular Systems, Inc. | Methods for polymeric coatings stents |
| US6585765B1 (en) | 2000-06-29 | 2003-07-01 | Advanced Cardiovascular Systems, Inc. | Implantable device having substances impregnated therein and a method of impregnating the same |
| US20020077693A1 (en) | 2000-12-19 | 2002-06-20 | Barclay Bruce J. | Covered, coiled drug delivery stent and method |
| WO2002003890A1 (en) | 2000-07-06 | 2002-01-17 | Biosurface Engineering Technologies, Inc. | Drug diffusion coatings, applications and methods |
| US6555157B1 (en) | 2000-07-25 | 2003-04-29 | Advanced Cardiovascular Systems, Inc. | Method for coating an implantable device and system for performing the method |
| AU2001278055A1 (en) | 2000-07-27 | 2002-02-13 | Rutgers, The State University | Therapeutic polyesters and polyamides |
| US6451373B1 (en) | 2000-08-04 | 2002-09-17 | Advanced Cardiovascular Systems, Inc. | Method of forming a therapeutic coating onto a surface of an implantable prosthesis |
| US6503538B1 (en) | 2000-08-30 | 2003-01-07 | Cornell Research Foundation, Inc. | Elastomeric functional biodegradable copolyester amides and copolyester urethanes |
| US6585926B1 (en) | 2000-08-31 | 2003-07-01 | Advanced Cardiovascular Systems, Inc. | Method of manufacturing a porous balloon |
| WO2002026162A2 (en) | 2000-09-26 | 2002-04-04 | Advanced Cardiovascular Systems, Inc. | A method of loading a substance onto an implantable device |
| US6716444B1 (en) | 2000-09-28 | 2004-04-06 | Advanced Cardiovascular Systems, Inc. | Barriers for polymer-coated implantable medical devices and methods for making the same |
| US6254632B1 (en) | 2000-09-28 | 2001-07-03 | Advanced Cardiovascular Systems, Inc. | Implantable medical device having protruding surface structures for drug delivery and cover attachment |
| US7261735B2 (en) | 2001-05-07 | 2007-08-28 | Cordis Corporation | Local drug delivery devices and methods for maintaining the drug coatings thereon |
| US20020111590A1 (en) | 2000-09-29 | 2002-08-15 | Davila Luis A. | Medical devices, drug coatings and methods for maintaining the drug coatings thereon |
| US6746773B2 (en) | 2000-09-29 | 2004-06-08 | Ethicon, Inc. | Coatings for medical devices |
| US6506437B1 (en) | 2000-10-17 | 2003-01-14 | Advanced Cardiovascular Systems, Inc. | Methods of coating an implantable device having depots formed in a surface thereof |
| US6783793B1 (en) | 2000-10-26 | 2004-08-31 | Advanced Cardiovascular Systems, Inc. | Selective coating of medical devices |
| US6558733B1 (en) | 2000-10-26 | 2003-05-06 | Advanced Cardiovascular Systems, Inc. | Method for etching a micropatterned microdepot prosthesis |
| US6758859B1 (en) | 2000-10-30 | 2004-07-06 | Kenny L. Dang | Increased drug-loading and reduced stress drug delivery device |
| US6824559B2 (en) | 2000-12-22 | 2004-11-30 | Advanced Cardiovascular Systems, Inc. | Ethylene-carboxyl copolymers as drug delivery matrices |
| US20020082679A1 (en) | 2000-12-22 | 2002-06-27 | Avantec Vascular Corporation | Delivery or therapeutic capable agents |
| JP2004523275A (en) * | 2000-12-22 | 2004-08-05 | アバンテク バスキュラー コーポレーション | Delivery of therapeutic drugs |
| US6574497B1 (en) | 2000-12-22 | 2003-06-03 | Advanced Cardiovascular Systems, Inc. | MRI medical device markers utilizing fluorine-19 |
| US6939375B2 (en) | 2000-12-22 | 2005-09-06 | Avantac Vascular Corporation | Apparatus and methods for controlled substance delivery from implanted prostheses |
| US6544543B1 (en) | 2000-12-27 | 2003-04-08 | Advanced Cardiovascular Systems, Inc. | Periodic constriction of vessels to treat ischemic tissue |
| US6540776B2 (en) | 2000-12-28 | 2003-04-01 | Advanced Cardiovascular Systems, Inc. | Sheath for a prosthesis and methods of forming the same |
| US6663662B2 (en) | 2000-12-28 | 2003-12-16 | Advanced Cardiovascular Systems, Inc. | Diffusion barrier layer for implantable devices |
| US20020087123A1 (en) | 2001-01-02 | 2002-07-04 | Hossainy Syed F.A. | Adhesion of heparin-containing coatings to blood-contacting surfaces of medical devices |
| US6544223B1 (en) | 2001-01-05 | 2003-04-08 | Advanced Cardiovascular Systems, Inc. | Balloon catheter for delivering therapeutic agents |
| US6544582B1 (en) | 2001-01-05 | 2003-04-08 | Advanced Cardiovascular Systems, Inc. | Method and apparatus for coating an implantable device |
| US6645195B1 (en) | 2001-01-05 | 2003-11-11 | Advanced Cardiovascular Systems, Inc. | Intraventricularly guided agent delivery system and method of use |
| US6740040B1 (en) | 2001-01-30 | 2004-05-25 | Advanced Cardiovascular Systems, Inc. | Ultrasound energy driven intraventricular catheter to treat ischemia |
| US20030032767A1 (en) | 2001-02-05 | 2003-02-13 | Yasuhiro Tada | High-strength polyester-amide fiber and process for producing the same |
| CA2437820C (en) | 2001-02-09 | 2008-09-23 | Endoluminal Therapeutics, Inc. | Endomural therapy |
| US20030004141A1 (en) | 2001-03-08 | 2003-01-02 | Brown David L. | Medical devices, compositions and methods for treating vulnerable plaque |
| US6613077B2 (en) | 2001-03-27 | 2003-09-02 | Scimed Life Systems, Inc. | Stent with controlled expansion |
| US6739033B2 (en) | 2001-03-29 | 2004-05-25 | Scimed Life Systems, Inc. | Thermal regulation of a coated work-piece during the reconfiguration of the coated work-piece |
| US6645135B1 (en) | 2001-03-30 | 2003-11-11 | Advanced Cardiovascular Systems, Inc. | Intravascular catheter device and method for simultaneous local delivery of radiation and a therapeutic substance |
| US6780424B2 (en) | 2001-03-30 | 2004-08-24 | Charles David Claude | Controlled morphologies in polymer drug for release of drugs from polymer films |
| US6623448B2 (en) | 2001-03-30 | 2003-09-23 | Advanced Cardiovascular Systems, Inc. | Steerable drug delivery device |
| US6625486B2 (en) | 2001-04-11 | 2003-09-23 | Advanced Cardiovascular Systems, Inc. | Method and apparatus for intracellular delivery of an agent |
| US6764505B1 (en) | 2001-04-12 | 2004-07-20 | Advanced Cardiovascular Systems, Inc. | Variable surface area stent |
| US6712845B2 (en) | 2001-04-24 | 2004-03-30 | Advanced Cardiovascular Systems, Inc. | Coating for a stent and a method of forming the same |
| CN1520297A (en) | 2001-04-26 | 2004-08-11 | ���ߵ���Ƶϵͳ��˾ | Sustained release drug delivery system comprising codrugs |
| US6660034B1 (en) | 2001-04-30 | 2003-12-09 | Advanced Cardiovascular Systems, Inc. | Stent for increasing blood flow to ischemic tissues and a method of using the same |
| US6656506B1 (en) | 2001-05-09 | 2003-12-02 | Advanced Cardiovascular Systems, Inc. | Microparticle coated medical device |
| US7651695B2 (en) | 2001-05-18 | 2010-01-26 | Advanced Cardiovascular Systems, Inc. | Medicated stents for the treatment of vascular disease |
| US7862495B2 (en) | 2001-05-31 | 2011-01-04 | Advanced Cardiovascular Systems, Inc. | Radiation or drug delivery source with activity gradient to minimize edge effects |
| US6605154B1 (en) | 2001-05-31 | 2003-08-12 | Advanced Cardiovascular Systems, Inc. | Stent mounting device |
| US6666880B1 (en) | 2001-06-19 | 2003-12-23 | Advised Cardiovascular Systems, Inc. | Method and system for securing a coated stent to a balloon catheter |
| US7247313B2 (en) | 2001-06-27 | 2007-07-24 | Advanced Cardiovascular Systems, Inc. | Polyacrylates coatings for implantable medical devices |
| US6572644B1 (en) | 2001-06-27 | 2003-06-03 | Advanced Cardiovascular Systems, Inc. | Stent mounting device and a method of using the same to coat a stent |
| US6695920B1 (en) | 2001-06-27 | 2004-02-24 | Advanced Cardiovascular Systems, Inc. | Mandrel for supporting a stent and a method of using the mandrel to coat a stent |
| US6673154B1 (en) | 2001-06-28 | 2004-01-06 | Advanced Cardiovascular Systems, Inc. | Stent mounting device to coat a stent |
| US6565659B1 (en) | 2001-06-28 | 2003-05-20 | Advanced Cardiovascular Systems, Inc. | Stent mounting assembly and a method of using the same to coat a stent |
| US6527863B1 (en) | 2001-06-29 | 2003-03-04 | Advanced Cardiovascular Systems, Inc. | Support device for a stent and a method of using the same to coat a stent |
| US6656216B1 (en) | 2001-06-29 | 2003-12-02 | Advanced Cardiovascular Systems, Inc. | Composite stent with regioselective material |
| US6585755B2 (en) | 2001-06-29 | 2003-07-01 | Advanced Cardiovascular | Polymeric stent suitable for imaging by MRI and fluoroscopy |
| US6706013B1 (en) | 2001-06-29 | 2004-03-16 | Advanced Cardiovascular Systems, Inc. | Variable length drug delivery catheter |
| EP1273314A1 (en) | 2001-07-06 | 2003-01-08 | Terumo Kabushiki Kaisha | Stent |
| US6641611B2 (en) | 2001-11-26 | 2003-11-04 | Swaminathan Jayaraman | Therapeutic coating for an intravascular implant |
| US8303651B1 (en) | 2001-09-07 | 2012-11-06 | Advanced Cardiovascular Systems, Inc. | Polymeric coating for reducing the rate of release of a therapeutic substance from a stent |
| WO2003028590A1 (en) | 2001-09-24 | 2003-04-10 | Medtronic Ave Inc. | Rational drug therapy device and methods |
| US7195640B2 (en) | 2001-09-25 | 2007-03-27 | Cordis Corporation | Coated medical devices for the treatment of vulnerable plaque |
| US20030059520A1 (en) | 2001-09-27 | 2003-03-27 | Yung-Ming Chen | Apparatus for regulating temperature of a composition and a method of coating implantable devices |
| US20030065377A1 (en) | 2001-09-28 | 2003-04-03 | Davila Luis A. | Coated medical devices |
| US20030073961A1 (en) | 2001-09-28 | 2003-04-17 | Happ Dorrie M. | Medical device containing light-protected therapeutic agent and a method for fabricating thereof |
| US8460693B2 (en) | 2001-11-08 | 2013-06-11 | Atrium Medical Corporation | Intraluminal device with a coating containing synthetic fish oil and a therapeutic agent |
| US7585516B2 (en) | 2001-11-12 | 2009-09-08 | Advanced Cardiovascular Systems, Inc. | Coatings for drug delivery devices |
| US6663880B1 (en) | 2001-11-30 | 2003-12-16 | Advanced Cardiovascular Systems, Inc. | Permeabilizing reagents to increase drug delivery and a method of local delivery |
| US6709514B1 (en) | 2001-12-28 | 2004-03-23 | Advanced Cardiovascular Systems, Inc. | Rotary coating apparatus for coating implantable medical devices |
| US7445629B2 (en) | 2002-01-31 | 2008-11-04 | Boston Scientific Scimed, Inc. | Medical device for delivering biologically active material |
| US6887270B2 (en) | 2002-02-08 | 2005-05-03 | Boston Scientific Scimed, Inc. | Implantable or insertable medical device resistant to microbial growth and biofilm formation |
| JP2005520640A (en) | 2002-03-20 | 2005-07-14 | アドヴァンスド カーディオヴァスキュラー システムズ, インコーポレイテッド | Biodegradable hydrophobic polymers for stents |
| US6743463B2 (en) | 2002-03-28 | 2004-06-01 | Scimed Life Systems, Inc. | Method for spray-coating a medical device having a tubular wall such as a stent |
| US6948223B2 (en) | 2002-05-03 | 2005-09-27 | Medtronic Vascular, Inc. | Apparatus for mounting a stent onto a stent delivery system |
| US6865810B2 (en) | 2002-06-27 | 2005-03-15 | Scimed Life Systems, Inc. | Methods of making medical devices |
| US7491233B1 (en) | 2002-07-19 | 2009-02-17 | Advanced Cardiovascular Systems Inc. | Purified polymers for coatings of implantable medical devices |
| US20040054104A1 (en) | 2002-09-05 | 2004-03-18 | Pacetti Stephen D. | Coatings for drug delivery devices comprising modified poly(ethylene-co-vinyl alcohol) |
| US20040063805A1 (en) | 2002-09-19 | 2004-04-01 | Pacetti Stephen D. | Coatings for implantable medical devices and methods for fabrication thereof |
| US7087263B2 (en) | 2002-10-09 | 2006-08-08 | Advanced Cardiovascular Systems, Inc. | Rare limiting barriers for implantable medical devices |
| US8088404B2 (en) | 2003-03-20 | 2012-01-03 | Medtronic Vasular, Inc. | Biocompatible controlled release coatings for medical devices and related methods |
| US20050118344A1 (en) | 2003-12-01 | 2005-06-02 | Pacetti Stephen D. | Temperature controlled crimping |
| US7318944B2 (en) | 2003-08-07 | 2008-01-15 | Medtronic Vascular, Inc. | Extrusion process for coating stents |
| US20050038497A1 (en) | 2003-08-11 | 2005-02-17 | Scimed Life Systems, Inc. | Deformation medical device without material deformation |
| US20050037052A1 (en) | 2003-08-13 | 2005-02-17 | Medtronic Vascular, Inc. | Stent coating with gradient porosity |
| US20050043786A1 (en) | 2003-08-18 | 2005-02-24 | Medtronic Ave, Inc. | Methods and apparatus for treatment of aneurysmal tissue |
| US20050049693A1 (en) | 2003-08-25 | 2005-03-03 | Medtronic Vascular Inc. | Medical devices and compositions for delivering biophosphonates to anatomical sites at risk for vascular disease |
| US20050055078A1 (en) | 2003-09-04 | 2005-03-10 | Medtronic Vascular, Inc. | Stent with outer slough coating |
| US7544381B2 (en) | 2003-09-09 | 2009-06-09 | Boston Scientific Scimed, Inc. | Lubricious coatings for medical device |
| US20050054774A1 (en) | 2003-09-09 | 2005-03-10 | Scimed Life Systems, Inc. | Lubricious coating |
| US20050060020A1 (en) | 2003-09-17 | 2005-03-17 | Scimed Life Systems, Inc. | Covered stent with biologically active material |
| US7371228B2 (en) | 2003-09-19 | 2008-05-13 | Medtronic Vascular, Inc. | Delivery of therapeutics to treat aneurysms |
| US20050065501A1 (en) | 2003-09-23 | 2005-03-24 | Scimed Life Systems, Inc. | Energy activated vaso-occlusive devices |
| US7789891B2 (en) | 2003-09-23 | 2010-09-07 | Boston Scientific Scimed, Inc. | External activation of vaso-occlusive implants |
| US7060319B2 (en) | 2003-09-24 | 2006-06-13 | Boston Scientific Scimed, Inc. | method for using an ultrasonic nozzle to coat a medical appliance |
| US8801692B2 (en) | 2003-09-24 | 2014-08-12 | Medtronic Vascular, Inc. | Gradient coated stent and method of fabrication |
| US7055237B2 (en) | 2003-09-29 | 2006-06-06 | Medtronic Vascular, Inc. | Method of forming a drug eluting stent |
| US20050074406A1 (en) | 2003-10-03 | 2005-04-07 | Scimed Life Systems, Inc. | Ultrasound coating for enhancing visualization of medical device in ultrasound images |
| US6984411B2 (en) | 2003-10-14 | 2006-01-10 | Boston Scientific Scimed, Inc. | Method for roll coating multiple stents |
-
2002
- 2002-03-27 US US10/108,004 patent/US20070032853A1/en not_active Abandoned
-
2003
- 2003-03-13 AT AT03745538T patent/ATE420675T1/en not_active IP Right Cessation
- 2003-03-13 AU AU2003225802A patent/AU2003225802A1/en not_active Abandoned
- 2003-03-13 JP JP2003579899A patent/JP2005521477A/en active Pending
- 2003-03-13 EP EP03745538A patent/EP1490125B2/en not_active Expired - Lifetime
- 2003-03-13 DE DE60325839T patent/DE60325839D1/en not_active Expired - Lifetime
- 2003-03-13 WO PCT/US2003/007908 patent/WO2003082368A1/en not_active Ceased
-
2006
- 2006-09-26 US US11/527,893 patent/US8173199B2/en not_active Expired - Fee Related
- 2006-09-26 US US11/527,971 patent/US8961588B2/en not_active Expired - Fee Related
- 2006-09-26 US US11/527,826 patent/US20070026131A1/en not_active Abandoned
-
2016
- 2016-09-30 US US15/282,971 patent/US20170020697A1/en not_active Abandoned
Patent Citations (102)
| Publication number | Priority date | Publication date | Assignee | Title |
|---|---|---|---|---|
| US4151413A (en) * | 1977-06-29 | 1979-04-24 | Texaco Inc. | Method of measuring horizontal fluid flow behind casing in subsurface formations with sequential logging for interfering isotope compensation and increased measurement accuracy |
| US4329383A (en) * | 1979-07-24 | 1982-05-11 | Nippon Zeon Co., Ltd. | Non-thrombogenic material comprising substrate which has been reacted with heparin |
| US4325903A (en) * | 1980-07-15 | 1982-04-20 | Celanese Corporation | Processing of melt processible liquid crystal polymer by control of thermal history |
| US4316885A (en) * | 1980-08-25 | 1982-02-23 | Ayerst, Mckenna And Harrison, Inc. | Acyl derivatives of rapamycin |
| US4395538A (en) * | 1981-09-17 | 1983-07-26 | Toyo Seikan Kaisha, Ltd. | Adhesive for production of metal bottles |
| US4733665A (en) * | 1985-11-07 | 1988-03-29 | Expandable Grafts Partnership | Expandable intraluminal graft, and method and apparatus for implanting an expandable intraluminal graft |
| US4733665C2 (en) * | 1985-11-07 | 2002-01-29 | Expandable Grafts Partnership | Expandable intraluminal graft and method and apparatus for implanting an expandable intraluminal graft |
| US4733665B1 (en) * | 1985-11-07 | 1994-01-11 | Expandable Grafts Partnership | Expandable intraluminal graft,and method and apparatus for implanting an expandable intraluminal graft |
| US4650803A (en) * | 1985-12-06 | 1987-03-17 | University Of Kansas | Prodrugs of rapamycin |
| US4941870A (en) * | 1986-11-10 | 1990-07-17 | Ube-Nitto Kasei Co., Ltd. | Method for manufacturing a synthetic vascular prosthesis |
| US4800882A (en) * | 1987-03-13 | 1989-01-31 | Cook Incorporated | Endovascular stent and delivery system |
| US4865846A (en) * | 1988-06-03 | 1989-09-12 | Kaufman Herbert E | Drug delivery system |
| US5971954A (en) * | 1990-01-10 | 1999-10-26 | Rochester Medical Corporation | Method of making catheter |
| US5328471A (en) * | 1990-02-26 | 1994-07-12 | Endoluminal Therapeutics, Inc. | Method and apparatus for treatment of focal disease in hollow tubular organs and other tissue lumens |
| US6060451A (en) * | 1990-06-15 | 2000-05-09 | The National Research Council Of Canada | Thrombin inhibitors based on the amino acid sequence of hirudin |
| US5628730A (en) * | 1990-06-15 | 1997-05-13 | Cortrak Medical, Inc. | Phoretic balloon catheter with hydrogel coating |
| US5112457A (en) * | 1990-07-23 | 1992-05-12 | Case Western Reserve University | Process for producing hydroxylated plasma-polymerized films and the use of the films for enhancing the compatiblity of biomedical implants |
| US5455040A (en) * | 1990-07-26 | 1995-10-03 | Case Western Reserve University | Anticoagulant plasma polymer-modified substrate |
| US5114718A (en) * | 1990-09-20 | 1992-05-19 | The Procter & Gamble Company | Sustained release compositions for treating periodontol disease |
| US5120842A (en) * | 1991-04-01 | 1992-06-09 | American Home Products Corporation | Silyl ethers of rapamycin |
| US5120842B1 (en) * | 1991-04-01 | 1993-07-06 | A Failli Amedeo | |
| US5100883A (en) * | 1991-04-08 | 1992-03-31 | American Home Products Corporation | Fluorinated esters of rapamycin |
| US5118678A (en) * | 1991-04-17 | 1992-06-02 | American Home Products Corporation | Carbamates of rapamycin |
| US5102876A (en) * | 1991-05-07 | 1992-04-07 | American Home Products Corporation | Reduction products of rapamycin |
| US5118677A (en) * | 1991-05-20 | 1992-06-02 | American Home Products Corporation | Amide esters of rapamycin |
| US5120725A (en) * | 1991-05-29 | 1992-06-09 | American Home Products Corporation | Bicyclic rapamycins |
| US5120727A (en) * | 1991-05-29 | 1992-06-09 | American Home Products Corporation | Rapamycin dimers |
| US5138051A (en) * | 1991-08-07 | 1992-08-11 | American Home Products Corporation | Rapamycin analogs as immunosuppressants and antifungals |
| US5151413A (en) * | 1991-11-06 | 1992-09-29 | American Home Products Corporation | Rapamycin acetals as immunosuppressant and antifungal agents |
| US5221740A (en) * | 1992-01-16 | 1993-06-22 | American Home Products Corporation | Oxepane isomers of rapamycin useful as immunosuppressive agents |
| US5344833A (en) * | 1992-01-16 | 1994-09-06 | American Home Products Corporation | Oxepane isomers of rapamycin useful as immunosuppressive agents |
| US5480599A (en) * | 1992-04-09 | 1996-01-02 | Huels Aktiengesellschaft | Method of manufacturing foam beads |
| US5858746A (en) * | 1992-04-20 | 1999-01-12 | Board Of Regents, The University Of Texas System | Gels for encapsulation of biological materials |
| US5417981A (en) * | 1992-04-28 | 1995-05-23 | Terumo Kabushiki Kaisha | Thermoplastic polymer composition and medical devices made of the same |
| US5601889A (en) * | 1992-05-29 | 1997-02-11 | Ferro Corporation | Radio frequency weldable polymer articles |
| US5383928A (en) * | 1992-06-10 | 1995-01-24 | Emory University | Stent sheath for local drug delivery |
| US5665772A (en) * | 1992-10-09 | 1997-09-09 | Sandoz Ltd. | O-alkylated rapamycin derivatives and their use, particularly as immunosuppressants |
| US5932243A (en) * | 1993-05-27 | 1999-08-03 | Novartis Ag | Galenical formulations |
| US5716981A (en) * | 1993-07-19 | 1998-02-10 | Angiogenesis Technologies, Inc. | Anti-angiogenic compositions and methods of use |
| US5707867A (en) * | 1993-10-27 | 1998-01-13 | The Regents Of The University Of California | Antiviral compounds |
| US5672605A (en) * | 1993-11-19 | 1997-09-30 | Abbott Laboratories | Macrolide immunomodulators |
| US5527907A (en) * | 1993-11-19 | 1996-06-18 | Abbott Laboratories | Macrolide immunomodulators |
| US5912253A (en) * | 1993-12-17 | 1999-06-15 | Novartis Ag | Rapamycin derivatives |
| US5898029A (en) * | 1994-04-12 | 1999-04-27 | The John Hopkins University | Direct influences on nerve growth of agents that interact with immunophilins in combination with neurotrophic factors |
| US5670558A (en) * | 1994-07-07 | 1997-09-23 | Terumo Kabushiki Kaisha | Medical instruments that exhibit surface lubricity when wetted |
| US5649977A (en) * | 1994-09-22 | 1997-07-22 | Advanced Cardiovascular Systems, Inc. | Metal reinforced polymer stent |
| US5800392A (en) * | 1995-01-23 | 1998-09-01 | Emed Corporation | Microporous catheter |
| US6120904A (en) * | 1995-02-01 | 2000-09-19 | Schneider (Usa) Inc. | Medical device coated with interpenetrating network of hydrogel polymers |
| US6080488A (en) * | 1995-02-01 | 2000-06-27 | Schneider (Usa) Inc. | Process for preparation of slippery, tenaciously adhering, hydrophilic polyurethane hydrogel coating, coated polymer and metal substrate materials, and coated medical devices |
| US5869127A (en) * | 1995-02-22 | 1999-02-09 | Boston Scientific Corporation | Method of providing a substrate with a bio-active/biocompatible coating |
| US5605696A (en) * | 1995-03-30 | 1997-02-25 | Advanced Cardiovascular Systems, Inc. | Drug loaded polymeric material and method of manufacture |
| US6120536A (en) * | 1995-04-19 | 2000-09-19 | Schneider (Usa) Inc. | Medical devices with long term non-thrombogenic coatings |
| US5798355A (en) * | 1995-06-07 | 1998-08-25 | Gpi Nil Holdings, Inc. | Inhibitors of rotamase enzyme activity |
| US6010530A (en) * | 1995-06-07 | 2000-01-04 | Boston Scientific Technology, Inc. | Self-expanding endoluminal prosthesis |
| US5873904A (en) * | 1995-06-07 | 1999-02-23 | Cook Incorporated | Silver implantable medical device |
| US6096070A (en) * | 1995-06-07 | 2000-08-01 | Med Institute Inc. | Coated implantable medical device |
| US6129761A (en) * | 1995-06-07 | 2000-10-10 | Reprogenesis, Inc. | Injectable hydrogel compositions |
| US5824049A (en) * | 1995-06-07 | 1998-10-20 | Med Institute, Inc. | Coated implantable medical device |
| US5865814A (en) * | 1995-06-07 | 1999-02-02 | Medtronic, Inc. | Blood contacting medical device and method |
| US6200985B1 (en) * | 1995-06-09 | 2001-03-13 | Novartis Ag | Rapamycin derivatives |
| US5667767A (en) * | 1995-07-27 | 1997-09-16 | Micro Therapeutics, Inc. | Compositions for use in embolizing blood vessels |
| US6051648A (en) * | 1995-12-18 | 2000-04-18 | Cohesion Technologies, Inc. | Crosslinked polymer compositions and methods for their use |
| US6384046B1 (en) * | 1996-03-27 | 2002-05-07 | Novartis Ag | Use of 40-O-(2-hydroxy)ethylrapamycin for treatment of restenosis and other disorders |
| US6099562A (en) * | 1996-06-13 | 2000-08-08 | Schneider (Usa) Inc. | Drug coating with topcoat |
| US6284788B1 (en) * | 1997-02-21 | 2001-09-04 | Bayer Aktiengesellschaft | Use of known agonists of the central cannabinoid receptor CB1 |
| US6139573A (en) * | 1997-03-05 | 2000-10-31 | Scimed Life Systems, Inc. | Conformal laminate stent device |
| US6273913B1 (en) * | 1997-04-18 | 2001-08-14 | Cordis Corporation | Modified stent useful for delivery of drugs along stent strut |
| US20010027340A1 (en) * | 1997-04-18 | 2001-10-04 | Carol Wright | Stent with therapeutically active dosage of rapamycin coated thereon |
| US6042875A (en) * | 1997-04-30 | 2000-03-28 | Schneider (Usa) Inc. | Drug-releasing coatings for medical devices |
| US6056993A (en) * | 1997-05-30 | 2000-05-02 | Schneider (Usa) Inc. | Porous protheses and methods for making the same wherein the protheses are formed by spraying water soluble and water insoluble fibers onto a rotating mandrel |
| US6110483A (en) * | 1997-06-23 | 2000-08-29 | Sts Biopolymers, Inc. | Adherent, flexible hydrogel and medicated coatings |
| US5897911A (en) * | 1997-08-11 | 1999-04-27 | Advanced Cardiovascular Systems, Inc. | Polymer-coated stent structure |
| US6121027A (en) * | 1997-08-15 | 2000-09-19 | Surmodics, Inc. | Polybifunctional reagent having a polymeric backbone and photoreactive moieties and bioactive groups |
| US6015815A (en) * | 1997-09-26 | 2000-01-18 | Abbott Laboratories | Tetrazole-containing rapamycin analogs with shortened half-lives |
| US6013621A (en) * | 1997-10-17 | 2000-01-11 | The Rockfeller University | Method of treating psychosis and/or hyperactivity |
| US6015541A (en) * | 1997-11-03 | 2000-01-18 | Micro Therapeutics, Inc. | Radioactive embolizing compositions |
| US6110188A (en) * | 1998-03-09 | 2000-08-29 | Corvascular, Inc. | Anastomosis method |
| US20010029351A1 (en) * | 1998-04-16 | 2001-10-11 | Robert Falotico | Drug combinations and delivery devices for the prevention and treatment of vascular disease |
| US6113629A (en) * | 1998-05-01 | 2000-09-05 | Micrus Corporation | Hydrogel for the therapeutic treatment of aneurysms |
| US6245753B1 (en) * | 1998-05-28 | 2001-06-12 | Mediplex Corporation, Korea | Amphiphilic polysaccharide derivatives |
| US6228934B1 (en) * | 1998-06-09 | 2001-05-08 | Metabolix, Inc. | Methods and apparatus for the production of amorphous polymer suspensions |
| US20060198870A1 (en) * | 1998-09-24 | 2006-09-07 | Mollison Karl W | Medical devices containing rapamycin analogs |
| US6890546B2 (en) * | 1998-09-24 | 2005-05-10 | Abbott Laboratories | Medical devices containing rapamycin analogs |
| US6258121B1 (en) * | 1999-07-02 | 2001-07-10 | Scimed Life Systems, Inc. | Stent coating |
| US6287628B1 (en) * | 1999-09-03 | 2001-09-11 | Advanced Cardiovascular Systems, Inc. | Porous prosthesis and a method of depositing substances into the pores |
| US6713119B2 (en) * | 1999-09-03 | 2004-03-30 | Advanced Cardiovascular Systems, Inc. | Biocompatible coating for a prosthesis and a method of forming the same |
| US6379381B1 (en) * | 1999-09-03 | 2002-04-30 | Advanced Cardiovascular Systems, Inc. | Porous prosthesis and a method of depositing substances into the pores |
| US6251136B1 (en) * | 1999-12-08 | 2001-06-26 | Advanced Cardiovascular Systems, Inc. | Method of layering a three-coated stent using pharmacological and polymeric agents |
| US6503954B1 (en) * | 2000-03-31 | 2003-01-07 | Advanced Cardiovascular Systems, Inc. | Biocompatible carrier containing actinomycin D and a method of forming the same |
| US20020016625A1 (en) * | 2000-05-12 | 2002-02-07 | Robert Falotico | Drug/drug delivery systems for the prevention and treatment of vascular disease |
| US20020007213A1 (en) * | 2000-05-19 | 2002-01-17 | Robert Falotico | Drug/drug delivery systems for the prevention and treatment of vascular disease |
| US20020005206A1 (en) * | 2000-05-19 | 2002-01-17 | Robert Falotico | Antiproliferative drug and delivery device |
| US20020007214A1 (en) * | 2000-05-19 | 2002-01-17 | Robert Falotico | Drug/drug delivery systems for the prevention and treatment of vascular disease |
| US20020007215A1 (en) * | 2000-05-19 | 2002-01-17 | Robert Falotico | Drug/drug delivery systems for the prevention and treatment of vascular disease |
| US20020051730A1 (en) * | 2000-09-29 | 2002-05-02 | Stanko Bodnar | Coated medical devices and sterilization thereof |
| US7077859B2 (en) * | 2000-12-22 | 2006-07-18 | Avantec Vascular Corporation | Apparatus and methods for variably controlled substance delivery from implanted prostheses |
| US20020127263A1 (en) * | 2001-02-27 | 2002-09-12 | Wenda Carlyle | Peroxisome proliferator-acitvated receptor gamma ligand eluting medical device |
| US6743462B1 (en) * | 2001-05-31 | 2004-06-01 | Advanced Cardiovascular Systems, Inc. | Apparatus and method for coating implantable devices |
| US6787179B2 (en) * | 2001-06-29 | 2004-09-07 | Ethicon, Inc. | Sterilization of bioactive coatings |
| US20030039696A1 (en) * | 2001-08-20 | 2003-02-27 | Porter Stephen C | Embolic compositions with non-cyanoacrylate rheology modifying agents |
| US6753071B1 (en) * | 2001-09-27 | 2004-06-22 | Advanced Cardiovascular Systems, Inc. | Rate-reducing membrane for release of an agent |
| US20030144727A1 (en) * | 2002-01-31 | 2003-07-31 | Rosenthal Arthur L. | Medical device for delivering biologically active material |
Cited By (29)
| Publication number | Priority date | Publication date | Assignee | Title |
|---|---|---|---|---|
| US9101689B2 (en) | 2000-12-28 | 2015-08-11 | Advanced Cardiovascular Systems, Inc. | Primer coatings for stents with oxide, anionic, or hydroxyl surface moieties |
| US20100198343A1 (en) * | 2000-12-28 | 2010-08-05 | Advanced Cardiovascular Systems, Inc. | Coating for implantable devices and a method of forming the same |
| US20100198342A1 (en) * | 2000-12-28 | 2010-08-05 | Advanced Cardiovascular Systems, Inc. | Coating for implantable devices and a method of forming the same |
| US20080145402A1 (en) * | 2001-09-10 | 2008-06-19 | Abbott Cardiovascular Systems Inc. | Medical Devices Containing Rapamycin Analogs |
| US9468706B2 (en) | 2004-03-22 | 2016-10-18 | Abbott Cardiovascular Systems Inc. | Phosphoryl choline coating compositions |
| US9539332B2 (en) | 2004-08-05 | 2017-01-10 | Abbott Cardiovascular Systems Inc. | Plasticizers for coating compositions |
| US8580180B2 (en) | 2005-07-29 | 2013-11-12 | Advanced Cardiovascular Systems, Inc. | Polymeric stent polishing method and apparatus |
| US8293318B1 (en) | 2006-08-29 | 2012-10-23 | Abbott Cardiovascular Systems Inc. | Methods for modulating the release rate of a drug-coated stent |
| US8637111B2 (en) | 2006-08-29 | 2014-01-28 | Abbott Cardiovascular Systems Inc. | Methods for modulating the release rate of a drug-coated stent |
| US9358096B2 (en) | 2007-05-01 | 2016-06-07 | Abbott Laboratories | Methods of treatment with drug eluting stents with prolonged local elution profiles with high local concentrations and low systemic concentrations |
| US20090093875A1 (en) * | 2007-05-01 | 2009-04-09 | Abbott Laboratories | Drug eluting stents with prolonged local elution profiles with high local concentrations and low systemic concentrations |
| US10155881B2 (en) | 2007-05-30 | 2018-12-18 | Abbott Cardiovascular Systems Inc. | Substituted polycaprolactone for coating |
| US9737638B2 (en) | 2007-06-20 | 2017-08-22 | Abbott Cardiovascular Systems, Inc. | Polyester amide copolymers having free carboxylic acid pendant groups |
| US9468707B2 (en) | 2007-06-29 | 2016-10-18 | Abbott Cardiovascular Systems Inc. | Biodegradable triblock copolymers for implantable devices |
| US9090745B2 (en) | 2007-06-29 | 2015-07-28 | Abbott Cardiovascular Systems Inc. | Biodegradable triblock copolymers for implantable devices |
| US20090041845A1 (en) * | 2007-08-08 | 2009-02-12 | Lothar Walter Kleiner | Implantable medical devices having thin absorbable coatings |
| US9814553B1 (en) | 2007-10-10 | 2017-11-14 | Abbott Cardiovascular Systems Inc. | Bioabsorbable semi-crystalline polymer for controlling release of drug from a coating |
| US20090306120A1 (en) * | 2007-10-23 | 2009-12-10 | Florencia Lim | Terpolymers containing lactide and glycolide |
| US9345668B2 (en) | 2007-10-31 | 2016-05-24 | Abbott Cardiovascular Systems Inc. | Implantable device having a slow dissolving polymer |
| US8889170B2 (en) | 2007-10-31 | 2014-11-18 | Abbott Cardiovascular Systems Inc. | Implantable device having a coating with a triblock copolymer |
| US8642062B2 (en) | 2007-10-31 | 2014-02-04 | Abbott Cardiovascular Systems Inc. | Implantable device having a slow dissolving polymer |
| US20090110711A1 (en) * | 2007-10-31 | 2009-04-30 | Trollsas Mikael O | Implantable device having a slow dissolving polymer |
| US9629944B2 (en) | 2007-10-31 | 2017-04-25 | Abbott Cardiovascular Systems Inc. | Implantable device with a triblock polymer coating |
| US8697113B2 (en) | 2008-05-21 | 2014-04-15 | Abbott Cardiovascular Systems Inc. | Coating comprising a terpolymer comprising caprolactone and glycolide |
| US20100209476A1 (en) * | 2008-05-21 | 2010-08-19 | Abbott Cardiovascular Systems Inc. | Coating comprising a terpolymer comprising caprolactone and glycolide |
| US8562669B2 (en) | 2008-06-26 | 2013-10-22 | Abbott Cardiovascular Systems Inc. | Methods of application of coatings composed of hydrophobic, high glass transition polymers with tunable drug release rates |
| US20100167916A1 (en) * | 2008-12-15 | 2010-07-01 | Chevron U.S.A., Inc. | Ionic liquid catalyst comprising an alkyl-pyridinium haloaluminate and an impurity |
| US8183337B1 (en) | 2009-04-29 | 2012-05-22 | Abbott Cardiovascular Systems Inc. | Method of purifying ethylene vinyl alcohol copolymers for use with implantable medical devices |
| US8697110B2 (en) | 2009-05-14 | 2014-04-15 | Abbott Cardiovascular Systems Inc. | Polymers comprising amorphous terpolymers and semicrystalline blocks |
Also Published As
| Publication number | Publication date |
|---|---|
| EP1490125B2 (en) | 2012-06-27 |
| US8173199B2 (en) | 2012-05-08 |
| US8961588B2 (en) | 2015-02-24 |
| JP2005521477A (en) | 2005-07-21 |
| EP1490125B1 (en) | 2009-01-14 |
| US20070020382A1 (en) | 2007-01-25 |
| EP1490125A1 (en) | 2004-12-29 |
| DE60325839D1 (en) | 2009-03-05 |
| US20070026131A1 (en) | 2007-02-01 |
| WO2003082368A1 (en) | 2003-10-09 |
| AU2003225802A1 (en) | 2003-10-13 |
| ATE420675T1 (en) | 2009-01-15 |
| US20170020697A1 (en) | 2017-01-26 |
| US20070020381A1 (en) | 2007-01-25 |
Similar Documents
| Publication | Publication Date | Title |
|---|---|---|
| US8961588B2 (en) | Method of coating a stent with a release polymer for 40-O-(2-hydroxy)ethyl-rapamycin | |
| EP1644056B1 (en) | Thermal treatment of a drug eluting implantable medical device | |
| US8303651B1 (en) | Polymeric coating for reducing the rate of release of a therapeutic substance from a stent | |
| US7014913B2 (en) | Rate-reducing membrane for release of an agent | |
| US6713119B2 (en) | Biocompatible coating for a prosthesis and a method of forming the same | |
| US8586125B2 (en) | Thermal treatment of an implantable medical device | |
| EP1517716B1 (en) | Polyacrylates coatings for implantable medical devices | |
| US7887871B2 (en) | Method and system for irradiation of a drug eluting implantable medical device | |
| US8377462B2 (en) | PEA-TEMPO/PEA-BZ coatings for controlled delivery of drug from implantable medical devices | |
| HK1079717A (en) | Polyacrylates coating for implantable medical devices |
Legal Events
| Date | Code | Title | Description |
|---|---|---|---|
| AS | Assignment |
Owner name: ADVANCED CARDIOVASCULAR SYSTEMS, INC., CALIFORNIA Free format text: ASSIGNMENT OF ASSIGNORS INTEREST;ASSIGNORS:HOSSAINY, SYED F.A.;STEWARD, GORDON;WILLIAMS, MARK A.;AND OTHERS;REEL/FRAME:013006/0443;SIGNING DATES FROM 20020520 TO 20020605 |
|
| AS | Assignment |
Owner name: ADVANCED CARDIOVASCULAR SYSTEMS, INC., CALIFORNIA Free format text: RE-RECORD TO CORRECT THE NAME OF THIRD ASSIGNOR, PREVIOUSLY RECORDED ON REEL 013006 FRAME 0443, ASSIGNOR CONFIRMS THE ASSIGNMENT OF THE ENTIRE INTEREST.;ASSIGNORS:HOSSAINY, SYED F.A.;STEWART, GORDON;WILLIAMS, MARK A.;AND OTHERS;REEL/FRAME:013353/0313;SIGNING DATES FROM 20020520 TO 20020605 |
|
| AS | Assignment |
Owner name: ADVANCED CARDIOVASCULAR SYSTEMS, INC., CALIFORNIA Free format text: CORRECTIVE ASSIGNMENT TO CORRECT THE SIXTH ASSIGNOR'S NAME, PREVIOUSLY RECORDED AT REEL 013353 FRAME 0313;ASSIGNORS:HOSSAINY, SYED F.A.;STEWART, GORDON;WILLIAMS, MARK A.;AND OTHERS;REEL/FRAME:014698/0080;SIGNING DATES FROM 20020521 TO 20030520 |
|
| STCB | Information on status: application discontinuation |
Free format text: ABANDONED -- FAILURE TO RESPOND TO AN OFFICE ACTION |
