US20070010573A1 - Methods and compositions for treating amyloid-related diseases - Google Patents
Methods and compositions for treating amyloid-related diseases Download PDFInfo
- Publication number
- US20070010573A1 US20070010573A1 US11/316,694 US31669405A US2007010573A1 US 20070010573 A1 US20070010573 A1 US 20070010573A1 US 31669405 A US31669405 A US 31669405A US 2007010573 A1 US2007010573 A1 US 2007010573A1
- Authority
- US
- United States
- Prior art keywords
- amyloid
- compound
- subject
- hydrogen
- alkyl
- Prior art date
- Legal status (The legal status is an assumption and is not a legal conclusion. Google has not performed a legal analysis and makes no representation as to the accuracy of the status listed.)
- Abandoned
Links
- 238000000034 method Methods 0.000 title claims abstract description 124
- 208000037265 diseases, disorders, signs and symptoms Diseases 0.000 title claims abstract description 112
- 201000010099 disease Diseases 0.000 title claims abstract description 88
- 239000000203 mixture Substances 0.000 title description 39
- 150000001875 compounds Chemical class 0.000 claims abstract description 290
- 239000008194 pharmaceutical composition Substances 0.000 claims abstract description 19
- -1 1,3-benzodioxol-5-yl Chemical group 0.000 claims description 201
- 208000024827 Alzheimer disease Diseases 0.000 claims description 119
- 239000001257 hydrogen Substances 0.000 claims description 112
- 229910052739 hydrogen Inorganic materials 0.000 claims description 112
- 150000003839 salts Chemical class 0.000 claims description 112
- 125000000217 alkyl group Chemical group 0.000 claims description 110
- 125000004435 hydrogen atom Chemical group [H]* 0.000 claims description 107
- IJGRMHOSHXDMSA-UHFFFAOYSA-N Atomic nitrogen Chemical compound N#N IJGRMHOSHXDMSA-UHFFFAOYSA-N 0.000 claims description 95
- 206010002022 amyloidosis Diseases 0.000 claims description 90
- 125000003118 aryl group Chemical group 0.000 claims description 87
- 230000003941 amyloidogenesis Effects 0.000 claims description 81
- 150000002148 esters Chemical class 0.000 claims description 80
- 238000011282 treatment Methods 0.000 claims description 69
- 102000009091 Amyloidogenic Proteins Human genes 0.000 claims description 57
- 108010048112 Amyloidogenic Proteins Proteins 0.000 claims description 57
- 229910052757 nitrogen Inorganic materials 0.000 claims description 55
- 230000007423 decrease Effects 0.000 claims description 54
- 229910052760 oxygen Inorganic materials 0.000 claims description 48
- QVGXLLKOCUKJST-UHFFFAOYSA-N atomic oxygen Chemical compound [O] QVGXLLKOCUKJST-UHFFFAOYSA-N 0.000 claims description 47
- 125000000753 cycloalkyl group Chemical group 0.000 claims description 47
- 239000001301 oxygen Substances 0.000 claims description 47
- 125000003342 alkenyl group Chemical group 0.000 claims description 46
- 125000000304 alkynyl group Chemical group 0.000 claims description 45
- 125000002883 imidazolyl group Chemical group 0.000 claims description 45
- 125000001164 benzothiazolyl group Chemical group S1C(=NC2=C1C=CC=C2)* 0.000 claims description 43
- 125000001425 triazolyl group Chemical group 0.000 claims description 42
- 230000001225 therapeutic effect Effects 0.000 claims description 41
- 150000001413 amino acids Chemical class 0.000 claims description 38
- 125000000335 thiazolyl group Chemical group 0.000 claims description 37
- 208000037259 Amyloid Plaque Diseases 0.000 claims description 36
- 238000012360 testing method Methods 0.000 claims description 35
- 125000005358 mercaptoalkyl group Chemical group 0.000 claims description 32
- 239000000651 prodrug Substances 0.000 claims description 32
- 229940002612 prodrug Drugs 0.000 claims description 32
- 229910052736 halogen Inorganic materials 0.000 claims description 31
- 230000002401 inhibitory effect Effects 0.000 claims description 30
- 125000003545 alkoxy group Chemical group 0.000 claims description 29
- 150000002367 halogens Chemical class 0.000 claims description 28
- 125000000623 heterocyclic group Chemical group 0.000 claims description 28
- 230000015572 biosynthetic process Effects 0.000 claims description 27
- 125000003710 aryl alkyl group Chemical group 0.000 claims description 25
- 150000001768 cations Chemical class 0.000 claims description 24
- 125000002887 hydroxy group Chemical group [H]O* 0.000 claims description 22
- 125000002496 methyl group Chemical group [H]C([H])([H])* 0.000 claims description 22
- 125000003831 tetrazolyl group Chemical group 0.000 claims description 21
- 208000010877 cognitive disease Diseases 0.000 claims description 19
- 125000004093 cyano group Chemical group *C#N 0.000 claims description 18
- 229910052799 carbon Inorganic materials 0.000 claims description 17
- 125000001997 phenyl group Chemical group [H]C1=C([H])C([H])=C(*)C([H])=C1[H] 0.000 claims description 17
- 125000002924 primary amino group Chemical group [H]N([H])* 0.000 claims description 16
- UFHFLCQGNIYNRP-UHFFFAOYSA-N Hydrogen Chemical compound [H][H] UFHFLCQGNIYNRP-UHFFFAOYSA-N 0.000 claims description 14
- NINIDFKCEFEMDL-UHFFFAOYSA-N Sulfur Chemical group [S] NINIDFKCEFEMDL-UHFFFAOYSA-N 0.000 claims description 14
- 125000004448 alkyl carbonyl group Chemical group 0.000 claims description 14
- 229910052717 sulfur Inorganic materials 0.000 claims description 14
- 239000011593 sulfur Chemical group 0.000 claims description 14
- 206010008111 Cerebral haemorrhage Diseases 0.000 claims description 13
- 125000001797 benzyl group Chemical group [H]C1=C([H])C([H])=C(C([H])=C1[H])C([H])([H])* 0.000 claims description 13
- 125000000449 nitro group Chemical group [O-][N+](*)=O 0.000 claims description 13
- 125000002091 cationic group Chemical group 0.000 claims description 12
- 239000000470 constituent Substances 0.000 claims description 12
- 230000003993 interaction Effects 0.000 claims description 12
- 125000006413 ring segment Chemical group 0.000 claims description 12
- 125000005129 aryl carbonyl group Chemical group 0.000 claims description 11
- 230000001149 cognitive effect Effects 0.000 claims description 11
- 208000027061 mild cognitive impairment Diseases 0.000 claims description 11
- 210000002469 basement membrane Anatomy 0.000 claims description 10
- 125000000113 cyclohexyl group Chemical group [H]C1([H])C([H])([H])C([H])([H])C([H])(*)C([H])([H])C1([H])[H] 0.000 claims description 10
- 230000002265 prevention Effects 0.000 claims description 10
- OKTJSMMVPCPJKN-UHFFFAOYSA-N Carbon Chemical compound [C] OKTJSMMVPCPJKN-UHFFFAOYSA-N 0.000 claims description 9
- 125000004453 alkoxycarbonyl group Chemical group 0.000 claims description 9
- 125000002619 bicyclic group Chemical group 0.000 claims description 9
- 125000004122 cyclic group Chemical group 0.000 claims description 9
- 125000004104 aryloxy group Chemical group 0.000 claims description 8
- 125000002837 carbocyclic group Chemical group 0.000 claims description 8
- 125000006239 protecting group Chemical group 0.000 claims description 8
- 125000000999 tert-butyl group Chemical group [H]C([H])([H])C(*)(C([H])([H])[H])C([H])([H])[H] 0.000 claims description 8
- 206010029350 Neurotoxicity Diseases 0.000 claims description 7
- 206010044221 Toxic encephalopathy Diseases 0.000 claims description 7
- 125000000539 amino acid group Chemical group 0.000 claims description 7
- 230000007135 neurotoxicity Effects 0.000 claims description 7
- 231100000228 neurotoxicity Toxicity 0.000 claims description 7
- QJGQUHMNIGDVPM-UHFFFAOYSA-N nitrogen group Chemical group [N] QJGQUHMNIGDVPM-UHFFFAOYSA-N 0.000 claims description 7
- 125000001147 pentyl group Chemical group C(CCCC)* 0.000 claims description 6
- 125000006527 (C1-C5) alkyl group Chemical group 0.000 claims description 5
- 150000003573 thiols Chemical class 0.000 claims description 5
- 206010061818 Disease progression Diseases 0.000 claims description 4
- 102000003886 Glycoproteins Human genes 0.000 claims description 4
- 108090000288 Glycoproteins Proteins 0.000 claims description 4
- 230000005750 disease progression Effects 0.000 claims description 4
- 125000006273 (C1-C3) alkyl group Chemical group 0.000 claims description 3
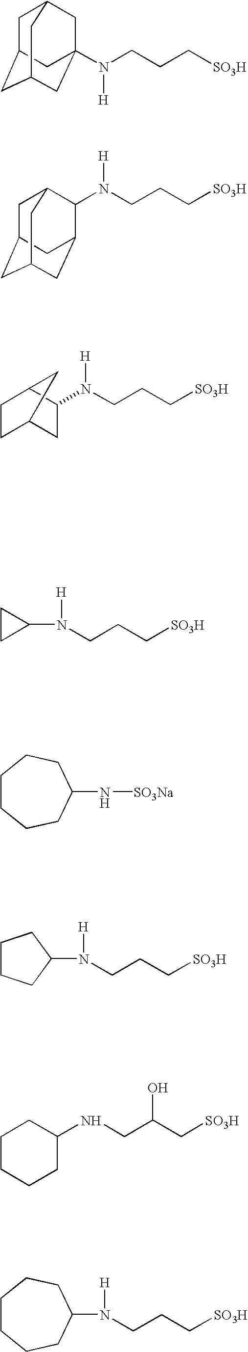
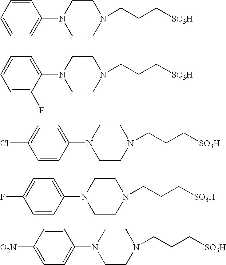
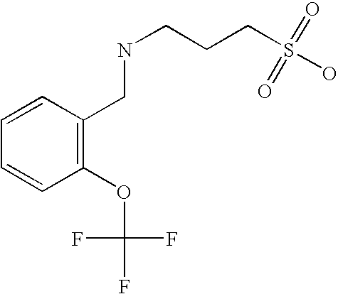
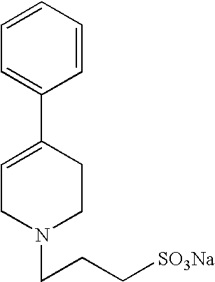
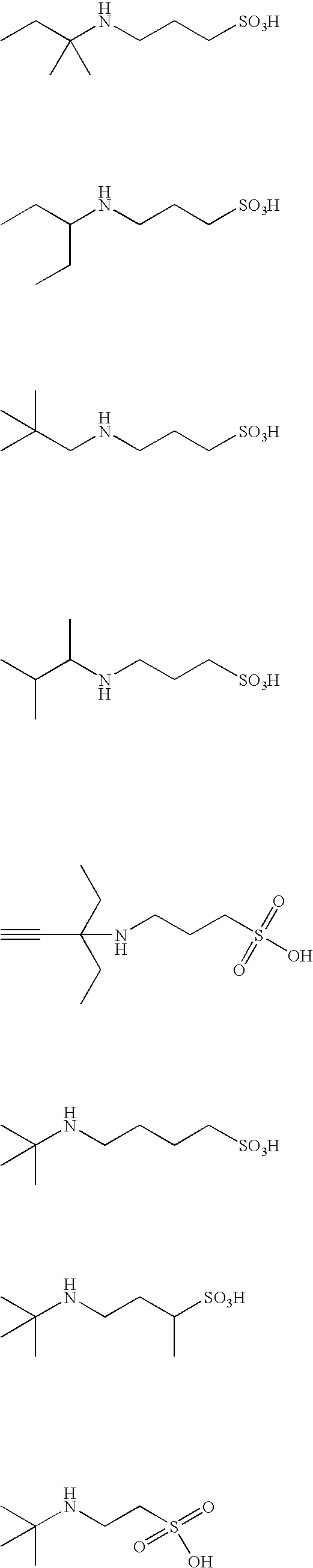
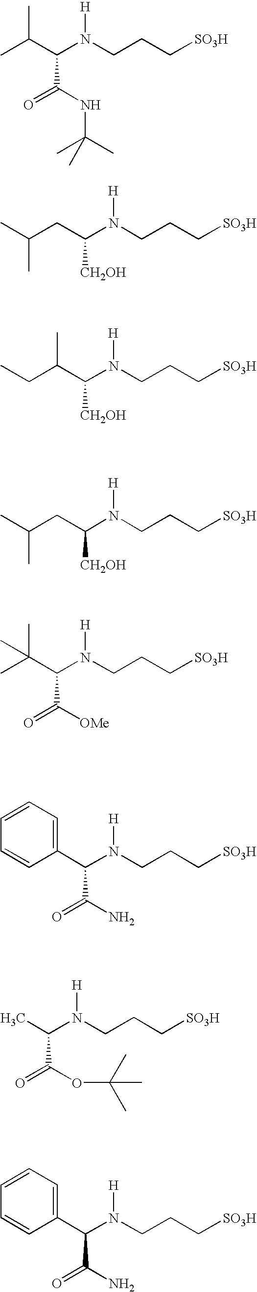
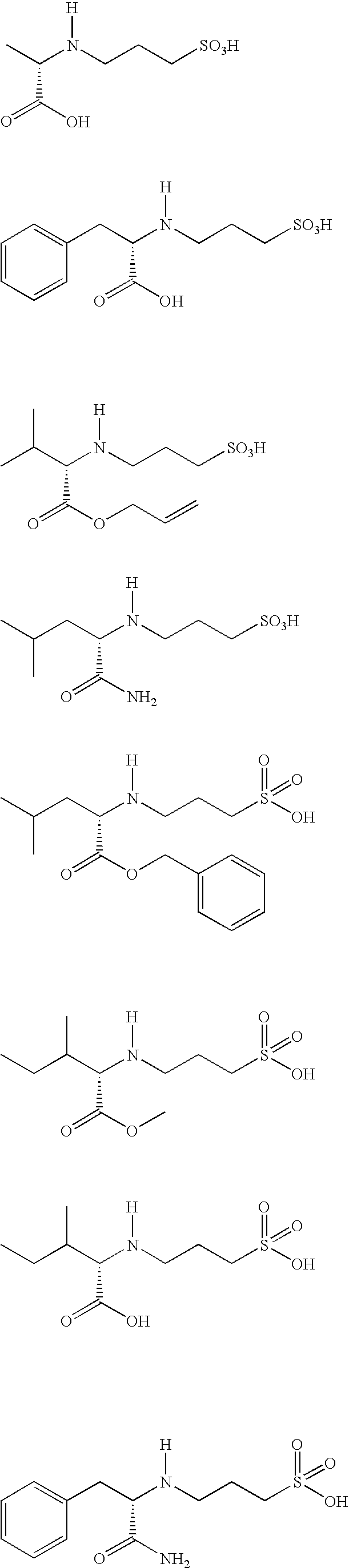
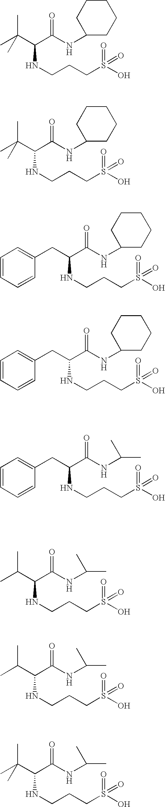
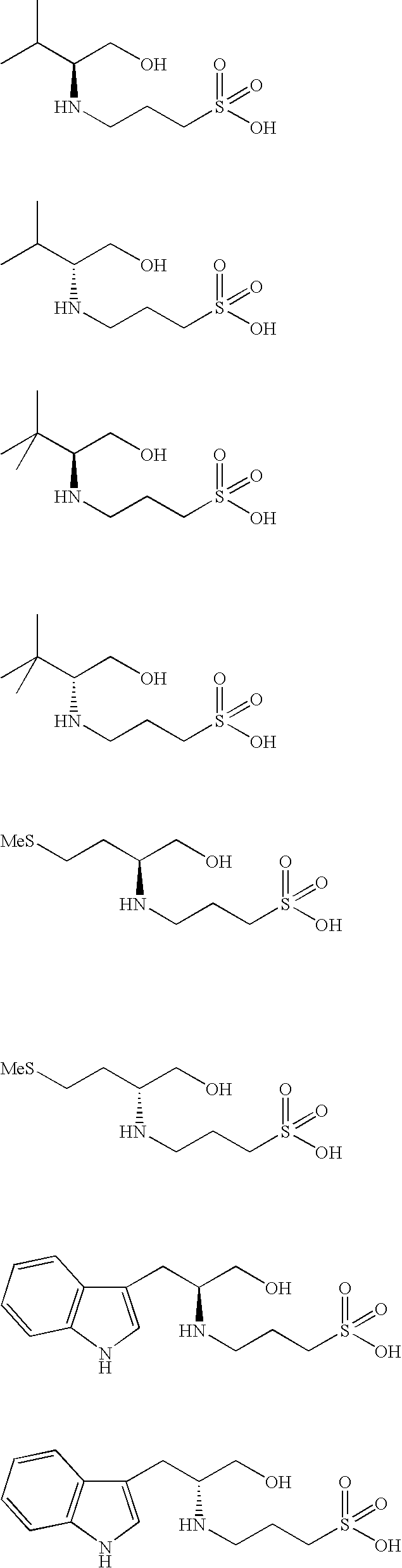
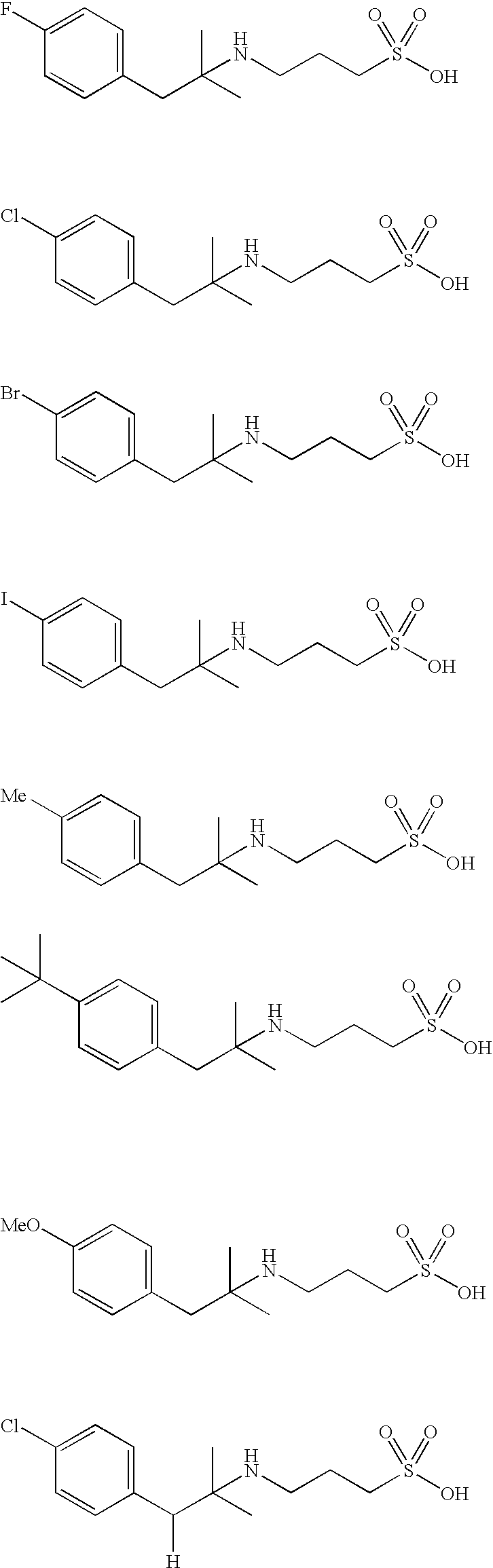
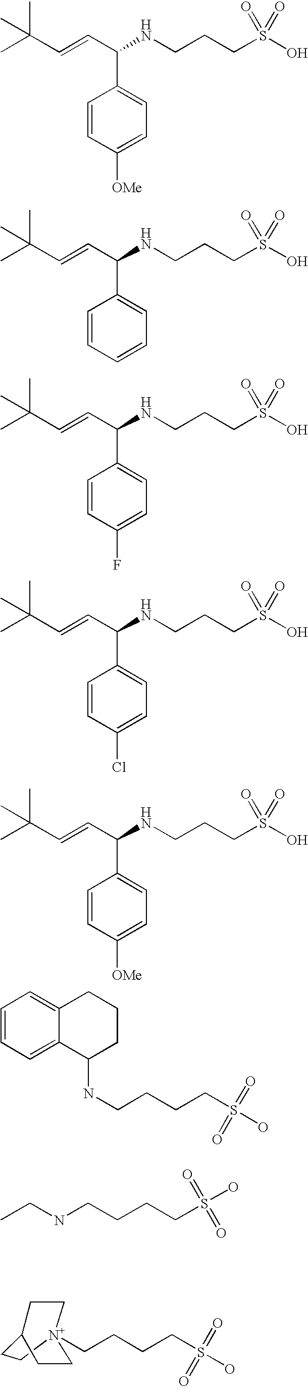
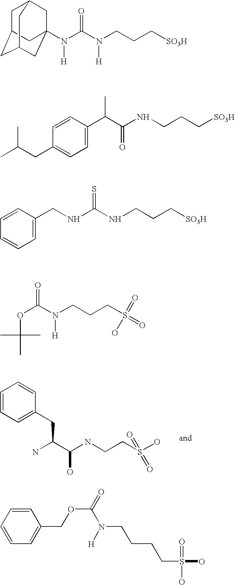
- DSIHEWRAJBNNLQ-UHFFFAOYSA-N 3-(4-phenyl-3,6-dihydro-2h-pyridin-1-yl)propane-1-sulfonic acid Chemical compound C1N(CCCS(=O)(=O)O)CCC(C=2C=CC=CC=2)=C1 DSIHEWRAJBNNLQ-UHFFFAOYSA-N 0.000 claims description 3
- 125000003435 aroyl group Chemical group 0.000 claims description 3
- 125000004350 aryl cycloalkyl group Chemical group 0.000 claims description 3
- 125000000959 isobutyl group Chemical group [H]C([H])([H])C([H])(C([H])([H])[H])C([H])([H])* 0.000 claims description 3
- 125000001449 isopropyl group Chemical group [H]C([H])([H])C([H])(*)C([H])([H])[H] 0.000 claims description 3
- 125000001909 leucine group Chemical group [H]N(*)C(C(*)=O)C([H])([H])C(C([H])([H])[H])C([H])([H])[H] 0.000 claims description 3
- 125000004217 4-methoxybenzyl group Chemical group [H]C1=C([H])C(=C([H])C([H])=C1OC([H])([H])[H])C([H])([H])* 0.000 claims description 2
- 208000016988 Hemorrhagic Stroke Diseases 0.000 claims description 2
- 208000020658 intracerebral hemorrhage Diseases 0.000 claims description 2
- 125000003136 n-heptyl group Chemical group [H]C([H])([H])C([H])([H])C([H])([H])C([H])([H])C([H])([H])C([H])([H])C([H])([H])* 0.000 claims description 2
- GWYFCOCPABKNJV-UHFFFAOYSA-N isovaleric acid Chemical group CC(C)CC(O)=O GWYFCOCPABKNJV-UHFFFAOYSA-N 0.000 claims 2
- 125000000325 methylidene group Chemical group [H]C([H])=* 0.000 claims 2
- 125000000579 2,2-diphenylethyl group Chemical group [H]C1=C([H])C([H])=C(C([H])=C1[H])C([H])(C1=C([H])C([H])=C([H])C([H])=C1[H])C([H])([H])* 0.000 claims 1
- 125000001972 isopentyl group Chemical group [H]C([H])([H])C([H])(C([H])([H])[H])C([H])([H])C([H])([H])* 0.000 claims 1
- 230000004850 protein–protein interaction Effects 0.000 claims 1
- LMBFAGIMSUYTBN-MPZNNTNKSA-N teixobactin Chemical compound C([C@H](C(=O)N[C@@H]([C@@H](C)CC)C(=O)N[C@@H](CO)C(=O)N[C@H](CCC(N)=O)C(=O)N[C@H]([C@@H](C)CC)C(=O)N[C@@H]([C@@H](C)CC)C(=O)N[C@@H](CO)C(=O)N[C@H]1C(N[C@@H](C)C(=O)N[C@@H](C[C@@H]2NC(=N)NC2)C(=O)N[C@H](C(=O)O[C@H]1C)[C@@H](C)CC)=O)NC)C1=CC=CC=C1 LMBFAGIMSUYTBN-MPZNNTNKSA-N 0.000 claims 1
- 210000004556 brain Anatomy 0.000 description 104
- 108090000765 processed proteins & peptides Proteins 0.000 description 76
- 239000003795 chemical substances by application Substances 0.000 description 64
- 102000013455 Amyloid beta-Peptides Human genes 0.000 description 56
- 108010090849 Amyloid beta-Peptides Proteins 0.000 description 56
- 108010041872 Islet Amyloid Polypeptide Proteins 0.000 description 52
- 102000036770 Islet Amyloid Polypeptide Human genes 0.000 description 52
- 210000004027 cell Anatomy 0.000 description 50
- 238000000151 deposition Methods 0.000 description 45
- 210000002381 plasma Anatomy 0.000 description 45
- 108010064397 amyloid beta-protein (1-40) Proteins 0.000 description 40
- 208000005145 Cerebral amyloid angiopathy Diseases 0.000 description 38
- 108090000623 proteins and genes Proteins 0.000 description 38
- 108010064539 amyloid beta-protein (1-42) Proteins 0.000 description 37
- 229940024606 amino acid Drugs 0.000 description 35
- 230000008021 deposition Effects 0.000 description 35
- 206010012289 Dementia Diseases 0.000 description 34
- 230000035772 mutation Effects 0.000 description 32
- 102000004196 processed proteins & peptides Human genes 0.000 description 32
- 102000004169 proteins and genes Human genes 0.000 description 31
- 241001465754 Metazoa Species 0.000 description 28
- 239000003814 drug Substances 0.000 description 26
- 230000008859 change Effects 0.000 description 25
- 208000035475 disorder Diseases 0.000 description 24
- 230000000694 effects Effects 0.000 description 24
- 239000011734 sodium Substances 0.000 description 24
- 125000004432 carbon atom Chemical group C* 0.000 description 23
- NOESYZHRGYRDHS-UHFFFAOYSA-N insulin Chemical compound N1C(=O)C(NC(=O)C(CCC(N)=O)NC(=O)C(CCC(O)=O)NC(=O)C(C(C)C)NC(=O)C(NC(=O)CN)C(C)CC)CSSCC(C(NC(CO)C(=O)NC(CC(C)C)C(=O)NC(CC=2C=CC(O)=CC=2)C(=O)NC(CCC(N)=O)C(=O)NC(CC(C)C)C(=O)NC(CCC(O)=O)C(=O)NC(CC(N)=O)C(=O)NC(CC=2C=CC(O)=CC=2)C(=O)NC(CSSCC(NC(=O)C(C(C)C)NC(=O)C(CC(C)C)NC(=O)C(CC=2C=CC(O)=CC=2)NC(=O)C(CC(C)C)NC(=O)C(C)NC(=O)C(CCC(O)=O)NC(=O)C(C(C)C)NC(=O)C(CC(C)C)NC(=O)C(CC=2NC=NC=2)NC(=O)C(CO)NC(=O)CNC2=O)C(=O)NCC(=O)NC(CCC(O)=O)C(=O)NC(CCCNC(N)=N)C(=O)NCC(=O)NC(CC=3C=CC=CC=3)C(=O)NC(CC=3C=CC=CC=3)C(=O)NC(CC=3C=CC(O)=CC=3)C(=O)NC(C(C)O)C(=O)N3C(CCC3)C(=O)NC(CCCCN)C(=O)NC(C)C(O)=O)C(=O)NC(CC(N)=O)C(O)=O)=O)NC(=O)C(C(C)CC)NC(=O)C(CO)NC(=O)C(C(C)O)NC(=O)C1CSSCC2NC(=O)C(CC(C)C)NC(=O)C(NC(=O)C(CCC(N)=O)NC(=O)C(CC(N)=O)NC(=O)C(NC(=O)C(N)CC=1C=CC=CC=1)C(C)C)CC1=CN=CN1 NOESYZHRGYRDHS-UHFFFAOYSA-N 0.000 description 23
- 230000001965 increasing effect Effects 0.000 description 22
- XLYOFNOQVPJJNP-UHFFFAOYSA-N water Substances O XLYOFNOQVPJJNP-UHFFFAOYSA-N 0.000 description 21
- 239000013543 active substance Substances 0.000 description 19
- 210000001175 cerebrospinal fluid Anatomy 0.000 description 19
- 125000001424 substituent group Chemical group 0.000 description 19
- LFQSCWFLJHTTHZ-UHFFFAOYSA-N Ethanol Chemical compound CCO LFQSCWFLJHTTHZ-UHFFFAOYSA-N 0.000 description 18
- 230000006933 amyloid-beta aggregation Effects 0.000 description 18
- 238000003556 assay Methods 0.000 description 18
- HVYWMOMLDIMFJA-DPAQBDIFSA-N cholesterol Chemical compound C1C=C2C[C@@H](O)CC[C@]2(C)[C@@H]2[C@@H]1[C@@H]1CC[C@H]([C@H](C)CCCC(C)C)[C@@]1(C)CC2 HVYWMOMLDIMFJA-DPAQBDIFSA-N 0.000 description 18
- 238000005755 formation reaction Methods 0.000 description 18
- 229910001868 water Inorganic materials 0.000 description 18
- 238000009825 accumulation Methods 0.000 description 17
- 239000012634 fragment Substances 0.000 description 17
- 208000002780 macular degeneration Diseases 0.000 description 17
- 229940124597 therapeutic agent Drugs 0.000 description 17
- 239000003981 vehicle Substances 0.000 description 17
- 230000003942 amyloidogenic effect Effects 0.000 description 16
- 238000000338 in vitro Methods 0.000 description 16
- 201000010374 Down Syndrome Diseases 0.000 description 15
- 229910006069 SO3H Inorganic materials 0.000 description 15
- 206010044688 Trisomy 21 Diseases 0.000 description 15
- 206010064930 age-related macular degeneration Diseases 0.000 description 15
- 230000002829 reductive effect Effects 0.000 description 15
- 239000000243 solution Substances 0.000 description 15
- 239000002904 solvent Substances 0.000 description 15
- 241000699670 Mus sp. Species 0.000 description 14
- 230000035508 accumulation Effects 0.000 description 14
- 239000002253 acid Substances 0.000 description 14
- 239000002585 base Substances 0.000 description 14
- 201000008319 inclusion body myositis Diseases 0.000 description 14
- 238000004519 manufacturing process Methods 0.000 description 14
- 208000024891 symptom Diseases 0.000 description 14
- 208000023769 AA amyloidosis Diseases 0.000 description 13
- 230000007541 cellular toxicity Effects 0.000 description 13
- 230000004770 neurodegeneration Effects 0.000 description 13
- 210000000056 organ Anatomy 0.000 description 13
- 208000001072 type 2 diabetes mellitus Diseases 0.000 description 13
- 206010035226 Plasma cell myeloma Diseases 0.000 description 12
- DZHSAHHDTRWUTF-SIQRNXPUSA-N amyloid-beta polypeptide 42 Chemical compound C([C@@H](C(=O)N[C@@H](C)C(=O)N[C@@H](CCC(O)=O)C(=O)N[C@@H](CC(O)=O)C(=O)N[C@H](C(=O)NCC(=O)N[C@@H](CO)C(=O)N[C@@H](CC(N)=O)C(=O)N[C@@H](CCCCN)C(=O)NCC(=O)N[C@@H](C)C(=O)N[C@H](C(=O)N[C@@H]([C@@H](C)CC)C(=O)NCC(=O)N[C@@H](CC(C)C)C(=O)N[C@@H](CCSC)C(=O)N[C@@H](C(C)C)C(=O)NCC(=O)NCC(=O)N[C@@H](C(C)C)C(=O)N[C@@H](C(C)C)C(=O)N[C@@H]([C@@H](C)CC)C(=O)N[C@@H](C)C(O)=O)[C@@H](C)CC)C(C)C)NC(=O)[C@H](CC=1C=CC=CC=1)NC(=O)[C@@H](NC(=O)[C@H](CC(C)C)NC(=O)[C@H](CCCCN)NC(=O)[C@H](CCC(N)=O)NC(=O)[C@H](CC=1N=CNC=1)NC(=O)[C@H](CC=1N=CNC=1)NC(=O)[C@@H](NC(=O)[C@H](CCC(O)=O)NC(=O)[C@H](CC=1C=CC(O)=CC=1)NC(=O)CNC(=O)[C@H](CO)NC(=O)[C@H](CC(O)=O)NC(=O)[C@H](CC=1N=CNC=1)NC(=O)[C@H](CCCNC(N)=N)NC(=O)[C@H](CC=1C=CC=CC=1)NC(=O)[C@H](CCC(O)=O)NC(=O)[C@H](C)NC(=O)[C@@H](N)CC(O)=O)C(C)C)C(C)C)C1=CC=CC=C1 DZHSAHHDTRWUTF-SIQRNXPUSA-N 0.000 description 12
- 238000006243 chemical reaction Methods 0.000 description 12
- 230000019771 cognition Effects 0.000 description 12
- 230000006378 damage Effects 0.000 description 12
- 206010012601 diabetes mellitus Diseases 0.000 description 12
- 125000001072 heteroaryl group Chemical group 0.000 description 12
- 229940125396 insulin Drugs 0.000 description 12
- 230000007170 pathology Effects 0.000 description 12
- 229910052708 sodium Inorganic materials 0.000 description 12
- 208000034846 Familial Amyloid Neuropathies Diseases 0.000 description 11
- 206010019889 Hereditary neuropathic amyloidosis Diseases 0.000 description 11
- 208000005531 Immunoglobulin Light-chain Amyloidosis Diseases 0.000 description 11
- 102000004877 Insulin Human genes 0.000 description 11
- 108090001061 Insulin Proteins 0.000 description 11
- 210000000227 basophil cell of anterior lobe of hypophysis Anatomy 0.000 description 11
- 210000004369 blood Anatomy 0.000 description 11
- 239000008280 blood Substances 0.000 description 11
- 230000015556 catabolic process Effects 0.000 description 11
- 230000030833 cell death Effects 0.000 description 11
- 210000002569 neuron Anatomy 0.000 description 11
- 201000007905 transthyretin amyloidosis Diseases 0.000 description 11
- 208000023761 AL amyloidosis Diseases 0.000 description 10
- 102000002659 Amyloid Precursor Protein Secretases Human genes 0.000 description 10
- 206010061218 Inflammation Diseases 0.000 description 10
- 230000002490 cerebral effect Effects 0.000 description 10
- DDRJAANPRJIHGJ-UHFFFAOYSA-N creatinine Chemical compound CN1CC(=O)NC1=N DDRJAANPRJIHGJ-UHFFFAOYSA-N 0.000 description 10
- 229940079593 drug Drugs 0.000 description 10
- 125000005843 halogen group Chemical group 0.000 description 10
- 230000004054 inflammatory process Effects 0.000 description 10
- 210000002966 serum Anatomy 0.000 description 10
- 238000003786 synthesis reaction Methods 0.000 description 10
- 210000001519 tissue Anatomy 0.000 description 10
- 238000011830 transgenic mouse model Methods 0.000 description 10
- 102000001049 Amyloid Human genes 0.000 description 9
- 108010094108 Amyloid Proteins 0.000 description 9
- 108010043324 Amyloid Precursor Protein Secretases Proteins 0.000 description 9
- VOPWNXZWBYDODV-UHFFFAOYSA-N Chlorodifluoromethane Chemical compound FC(F)Cl VOPWNXZWBYDODV-UHFFFAOYSA-N 0.000 description 9
- RTZKZFJDLAIYFH-UHFFFAOYSA-N Diethyl ether Chemical compound CCOCC RTZKZFJDLAIYFH-UHFFFAOYSA-N 0.000 description 9
- 206010016207 Familial Mediterranean fever Diseases 0.000 description 9
- PEDCQBHIVMGVHV-UHFFFAOYSA-N Glycerine Chemical compound OCC(O)CO PEDCQBHIVMGVHV-UHFFFAOYSA-N 0.000 description 9
- 108010071690 Prealbumin Proteins 0.000 description 9
- 238000004220 aggregation Methods 0.000 description 9
- 125000003282 alkyl amino group Chemical group 0.000 description 9
- 125000004429 atom Chemical group 0.000 description 9
- 238000000502 dialysis Methods 0.000 description 9
- 125000001495 ethyl group Chemical group [H]C([H])([H])C([H])([H])* 0.000 description 9
- 239000007788 liquid Substances 0.000 description 9
- 238000002360 preparation method Methods 0.000 description 9
- 239000007787 solid Substances 0.000 description 9
- 101710137189 Amyloid-beta A4 protein Proteins 0.000 description 8
- 101710151993 Amyloid-beta precursor protein Proteins 0.000 description 8
- 102100022704 Amyloid-beta precursor protein Human genes 0.000 description 8
- UHOVQNZJYSORNB-UHFFFAOYSA-N Benzene Chemical compound C1=CC=CC=C1 UHOVQNZJYSORNB-UHFFFAOYSA-N 0.000 description 8
- 208000003407 Creutzfeldt-Jakob Syndrome Diseases 0.000 description 8
- 229920002683 Glycosaminoglycan Polymers 0.000 description 8
- XEEYBQQBJWHFJM-UHFFFAOYSA-N Iron Chemical compound [Fe] XEEYBQQBJWHFJM-UHFFFAOYSA-N 0.000 description 8
- 102000029797 Prion Human genes 0.000 description 8
- 108091000054 Prion Proteins 0.000 description 8
- 108010067787 Proteoglycans Proteins 0.000 description 8
- 102000016611 Proteoglycans Human genes 0.000 description 8
- 125000002252 acyl group Chemical group 0.000 description 8
- 150000001412 amines Chemical class 0.000 description 8
- 238000010171 animal model Methods 0.000 description 8
- 125000003917 carbamoyl group Chemical group [H]N([H])C(*)=O 0.000 description 8
- 239000012039 electrophile Substances 0.000 description 8
- 210000000981 epithelium Anatomy 0.000 description 8
- 230000006870 function Effects 0.000 description 8
- 230000005764 inhibitory process Effects 0.000 description 8
- 239000012038 nucleophile Substances 0.000 description 8
- 239000002245 particle Substances 0.000 description 8
- 238000012545 processing Methods 0.000 description 8
- 238000006467 substitution reaction Methods 0.000 description 8
- 206010002023 Amyloidoses Diseases 0.000 description 7
- 108091016585 CD44 antigen Proteins 0.000 description 7
- 102000008055 Heparan Sulfate Proteoglycans Human genes 0.000 description 7
- 229920002971 Heparan sulfate Polymers 0.000 description 7
- 101000823051 Homo sapiens Amyloid-beta precursor protein Proteins 0.000 description 7
- 102100022033 Presenilin-1 Human genes 0.000 description 7
- FAPWRFPIFSIZLT-UHFFFAOYSA-M Sodium chloride Chemical compound [Na+].[Cl-] FAPWRFPIFSIZLT-UHFFFAOYSA-M 0.000 description 7
- 108090000054 Syndecan-2 Proteins 0.000 description 7
- 102000009190 Transthyretin Human genes 0.000 description 7
- 230000002159 abnormal effect Effects 0.000 description 7
- 230000002776 aggregation Effects 0.000 description 7
- 125000003368 amide group Chemical group 0.000 description 7
- 125000000484 butyl group Chemical group [H]C([*])([H])C([H])([H])C([H])([H])C([H])([H])[H] 0.000 description 7
- 150000001721 carbon Chemical group 0.000 description 7
- 150000007942 carboxylates Chemical class 0.000 description 7
- 239000000460 chlorine Substances 0.000 description 7
- 238000003776 cleavage reaction Methods 0.000 description 7
- 230000003247 decreasing effect Effects 0.000 description 7
- 238000006731 degradation reaction Methods 0.000 description 7
- 238000001727 in vivo Methods 0.000 description 7
- 230000000670 limiting effect Effects 0.000 description 7
- 230000007246 mechanism Effects 0.000 description 7
- 229920000609 methyl cellulose Polymers 0.000 description 7
- 235000010981 methylcellulose Nutrition 0.000 description 7
- 239000001923 methylcellulose Substances 0.000 description 7
- 210000001087 myotubule Anatomy 0.000 description 7
- 239000002243 precursor Substances 0.000 description 7
- 125000004076 pyridyl group Chemical group 0.000 description 7
- 230000002207 retinal effect Effects 0.000 description 7
- 230000007017 scission Effects 0.000 description 7
- 239000000725 suspension Substances 0.000 description 7
- CXWXQJXEFPUFDZ-UHFFFAOYSA-N tetralin Chemical compound C1=CC=C2CCCCC2=C1 CXWXQJXEFPUFDZ-UHFFFAOYSA-N 0.000 description 7
- 231100000331 toxic Toxicity 0.000 description 7
- 230000002588 toxic effect Effects 0.000 description 7
- 231100000419 toxicity Toxicity 0.000 description 7
- 125000002023 trifluoromethyl group Chemical group FC(F)(F)* 0.000 description 7
- OYPRJOBELJOOCE-UHFFFAOYSA-N Calcium Chemical compound [Ca] OYPRJOBELJOOCE-UHFFFAOYSA-N 0.000 description 6
- DGAQECJNVWCQMB-PUAWFVPOSA-M Ilexoside XXIX Chemical compound C[C@@H]1CC[C@@]2(CC[C@@]3(C(=CC[C@H]4[C@]3(CC[C@@H]5[C@@]4(CC[C@@H](C5(C)C)OS(=O)(=O)[O-])C)C)[C@@H]2[C@]1(C)O)C)C(=O)O[C@H]6[C@@H]([C@H]([C@@H]([C@H](O6)CO)O)O)O.[Na+] DGAQECJNVWCQMB-PUAWFVPOSA-M 0.000 description 6
- 241000699660 Mus musculus Species 0.000 description 6
- 229910019142 PO4 Inorganic materials 0.000 description 6
- 208000002193 Pain Diseases 0.000 description 6
- 208000024777 Prion disease Diseases 0.000 description 6
- DNIAPMSPPWPWGF-UHFFFAOYSA-N Propylene glycol Chemical compound CC(O)CO DNIAPMSPPWPWGF-UHFFFAOYSA-N 0.000 description 6
- WYURNTSHIVDZCO-UHFFFAOYSA-N Tetrahydrofuran Chemical compound C1CCOC1 WYURNTSHIVDZCO-UHFFFAOYSA-N 0.000 description 6
- 125000004442 acylamino group Chemical group 0.000 description 6
- 125000001931 aliphatic group Chemical group 0.000 description 6
- 125000002877 alkyl aryl group Chemical group 0.000 description 6
- 125000004414 alkyl thio group Chemical group 0.000 description 6
- 229910052794 bromium Inorganic materials 0.000 description 6
- 239000000872 buffer Substances 0.000 description 6
- 239000011575 calcium Substances 0.000 description 6
- 229910052791 calcium Inorganic materials 0.000 description 6
- 125000003178 carboxy group Chemical group [H]OC(*)=O 0.000 description 6
- 229910052801 chlorine Inorganic materials 0.000 description 6
- 230000006866 deterioration Effects 0.000 description 6
- 238000011161 development Methods 0.000 description 6
- 230000018109 developmental process Effects 0.000 description 6
- 230000002708 enhancing effect Effects 0.000 description 6
- 229910052731 fluorine Inorganic materials 0.000 description 6
- 238000009472 formulation Methods 0.000 description 6
- 238000001631 haemodialysis Methods 0.000 description 6
- 230000000322 hemodialysis Effects 0.000 description 6
- 230000000977 initiatory effect Effects 0.000 description 6
- 230000007774 longterm Effects 0.000 description 6
- 230000036407 pain Effects 0.000 description 6
- 210000000496 pancreas Anatomy 0.000 description 6
- NBIIXXVUZAFLBC-UHFFFAOYSA-K phosphate Chemical compound [O-]P([O-])([O-])=O NBIIXXVUZAFLBC-UHFFFAOYSA-K 0.000 description 6
- 239000010452 phosphate Substances 0.000 description 6
- 230000000750 progressive effect Effects 0.000 description 6
- 125000001436 propyl group Chemical group [H]C([*])([H])C([H])([H])C([H])([H])[H] 0.000 description 6
- 238000007920 subcutaneous administration Methods 0.000 description 6
- 230000009261 transgenic effect Effects 0.000 description 6
- 238000012384 transportation and delivery Methods 0.000 description 6
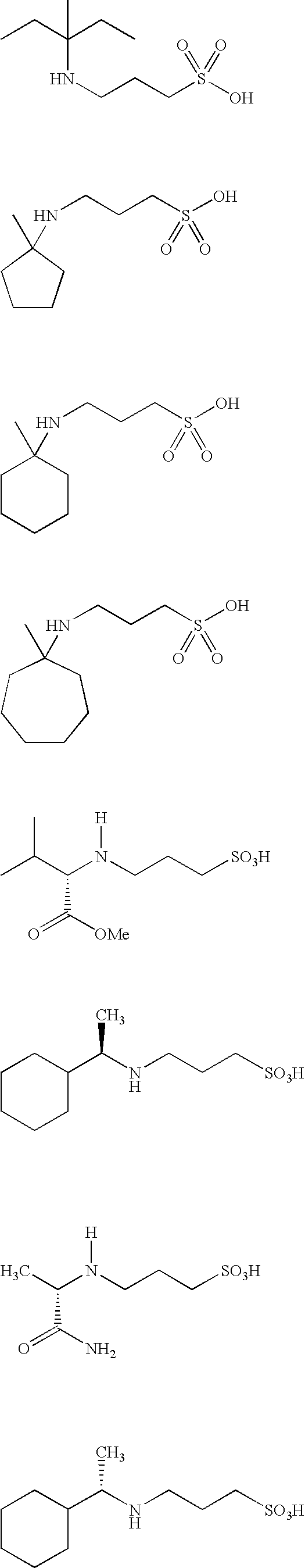
- AMCWEVVOEXERBU-UHFFFAOYSA-N 3-[(1-ethynylcyclohexyl)amino]propane-1-sulfonic acid Chemical compound OS(=O)(=O)CCCNC1(C#C)CCCCC1 AMCWEVVOEXERBU-UHFFFAOYSA-N 0.000 description 5
- WKBOTKDWSSQWDR-UHFFFAOYSA-N Bromine atom Chemical compound [Br] WKBOTKDWSSQWDR-UHFFFAOYSA-N 0.000 description 5
- ZAMOUSCENKQFHK-UHFFFAOYSA-N Chlorine atom Chemical compound [Cl] ZAMOUSCENKQFHK-UHFFFAOYSA-N 0.000 description 5
- 108020004705 Codon Proteins 0.000 description 5
- 208000019736 Cranial nerve disease Diseases 0.000 description 5
- 208000020406 Creutzfeldt Jacob disease Diseases 0.000 description 5
- 208000010859 Creutzfeldt-Jakob disease Diseases 0.000 description 5
- 206010016202 Familial Amyloidosis Diseases 0.000 description 5
- 208000007487 Familial Cerebral Amyloid Angiopathy Diseases 0.000 description 5
- PXGOKWXKJXAPGV-UHFFFAOYSA-N Fluorine Chemical compound FF PXGOKWXKJXAPGV-UHFFFAOYSA-N 0.000 description 5
- ROHFNLRQFUQHCH-UHFFFAOYSA-N Leucine Natural products CC(C)CC(N)C(O)=O ROHFNLRQFUQHCH-UHFFFAOYSA-N 0.000 description 5
- 208000022435 Light chain deposition disease Diseases 0.000 description 5
- WHXSMMKQMYFTQS-UHFFFAOYSA-N Lithium Chemical compound [Li] WHXSMMKQMYFTQS-UHFFFAOYSA-N 0.000 description 5
- FYYHWMGAXLPEAU-UHFFFAOYSA-N Magnesium Chemical compound [Mg] FYYHWMGAXLPEAU-UHFFFAOYSA-N 0.000 description 5
- 208000034578 Multiple myelomas Diseases 0.000 description 5
- 206010028980 Neoplasm Diseases 0.000 description 5
- ZLMJMSJWJFRBEC-UHFFFAOYSA-N Potassium Chemical compound [K] ZLMJMSJWJFRBEC-UHFFFAOYSA-N 0.000 description 5
- 206010036673 Primary amyloidosis Diseases 0.000 description 5
- 102100029290 Transthyretin Human genes 0.000 description 5
- 208000016463 Wild type ABeta2M amyloidosis Diseases 0.000 description 5
- 230000009471 action Effects 0.000 description 5
- 238000001994 activation Methods 0.000 description 5
- 125000005907 alkyl ester group Chemical group 0.000 description 5
- 238000004458 analytical method Methods 0.000 description 5
- 125000000129 anionic group Chemical group 0.000 description 5
- 230000001746 atrial effect Effects 0.000 description 5
- GDTBXPJZTBHREO-UHFFFAOYSA-N bromine Substances BrBr GDTBXPJZTBHREO-UHFFFAOYSA-N 0.000 description 5
- 150000001735 carboxylic acids Chemical class 0.000 description 5
- 230000001684 chronic effect Effects 0.000 description 5
- 230000006999 cognitive decline Effects 0.000 description 5
- 230000003920 cognitive function Effects 0.000 description 5
- 208000014826 cranial nerve neuropathy Diseases 0.000 description 5
- 229940109239 creatinine Drugs 0.000 description 5
- 230000034994 death Effects 0.000 description 5
- 230000006735 deficit Effects 0.000 description 5
- 238000003745 diagnosis Methods 0.000 description 5
- 125000004663 dialkyl amino group Chemical group 0.000 description 5
- 239000006185 dispersion Substances 0.000 description 5
- 208000015756 familial Alzheimer disease Diseases 0.000 description 5
- 239000000835 fiber Substances 0.000 description 5
- 239000011737 fluorine Substances 0.000 description 5
- 125000002541 furyl group Chemical group 0.000 description 5
- 230000036541 health Effects 0.000 description 5
- 125000004051 hexyl group Chemical group [H]C([H])([H])C([H])([H])C([H])([H])C([H])([H])C([H])([H])C([H])([H])* 0.000 description 5
- 238000011065 in-situ storage Methods 0.000 description 5
- 208000015181 infectious disease Diseases 0.000 description 5
- 230000003834 intracellular effect Effects 0.000 description 5
- 229960003136 leucine Drugs 0.000 description 5
- 229910052744 lithium Inorganic materials 0.000 description 5
- 210000002540 macrophage Anatomy 0.000 description 5
- 239000011777 magnesium Substances 0.000 description 5
- 229910052749 magnesium Inorganic materials 0.000 description 5
- 125000000956 methoxy group Chemical group [H]C([H])([H])O* 0.000 description 5
- 150000007522 mineralic acids Chemical class 0.000 description 5
- 230000016273 neuron death Effects 0.000 description 5
- 230000002981 neuropathic effect Effects 0.000 description 5
- 231100000252 nontoxic Toxicity 0.000 description 5
- 230000003000 nontoxic effect Effects 0.000 description 5
- 208000033808 peripheral neuropathy Diseases 0.000 description 5
- 239000011591 potassium Substances 0.000 description 5
- 229910052700 potassium Inorganic materials 0.000 description 5
- 230000008569 process Effects 0.000 description 5
- 239000000047 product Substances 0.000 description 5
- 125000000168 pyrrolyl group Chemical group 0.000 description 5
- 239000000523 sample Substances 0.000 description 5
- 239000000126 substance Substances 0.000 description 5
- 125000001273 sulfonato group Chemical group [O-]S(*)(=O)=O 0.000 description 5
- 239000006228 supernatant Substances 0.000 description 5
- 230000009885 systemic effect Effects 0.000 description 5
- 238000002560 therapeutic procedure Methods 0.000 description 5
- 125000001544 thienyl group Chemical group 0.000 description 5
- 150000003568 thioethers Chemical group 0.000 description 5
- 230000001988 toxicity Effects 0.000 description 5
- 125000004169 (C1-C6) alkyl group Chemical group 0.000 description 4
- QKNYBSVHEMOAJP-UHFFFAOYSA-N 2-amino-2-(hydroxymethyl)propane-1,3-diol;hydron;chloride Chemical compound Cl.OCC(N)(CO)CO QKNYBSVHEMOAJP-UHFFFAOYSA-N 0.000 description 4
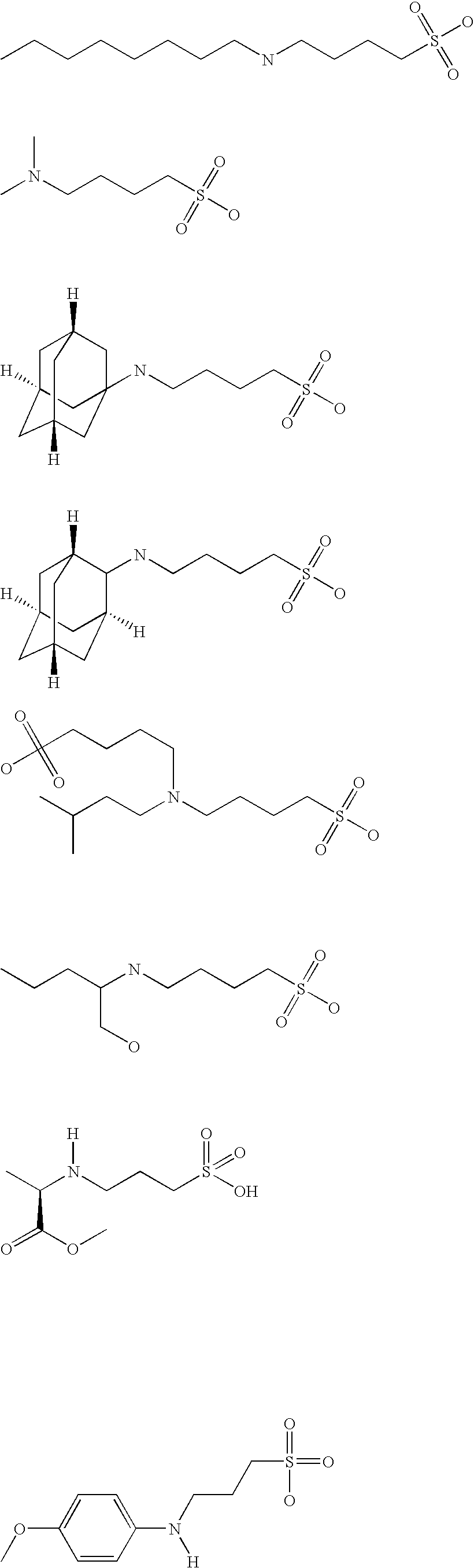
- RSVQKBYTFFJXRP-UHFFFAOYSA-N 3-(1-adamantylamino)propane-1-sulfonic acid Chemical compound C1C(C2)CC3CC2CC1(NCCCS(=O)(=O)O)C3 RSVQKBYTFFJXRP-UHFFFAOYSA-N 0.000 description 4
- 208000020687 AH amyloidosis Diseases 0.000 description 4
- QGZKDVFQNNGYKY-UHFFFAOYSA-O Ammonium Chemical compound [NH4+] QGZKDVFQNNGYKY-UHFFFAOYSA-O 0.000 description 4
- 230000007082 Aβ accumulation Effects 0.000 description 4
- 208000032849 Hereditary cerebral hemorrhage with amyloidosis Diseases 0.000 description 4
- 101000772194 Homo sapiens Transthyretin Proteins 0.000 description 4
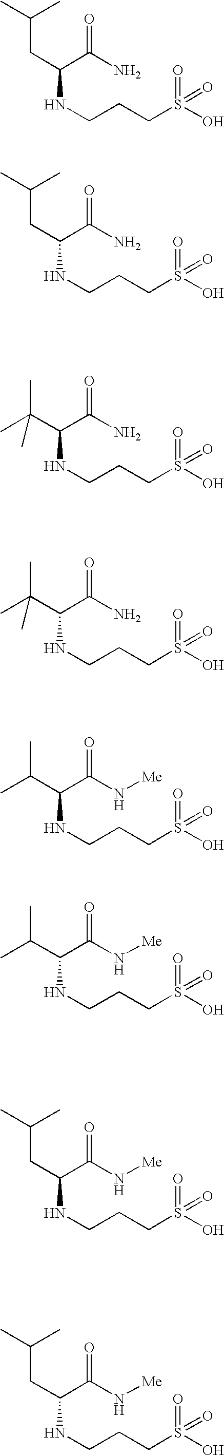
- ROHFNLRQFUQHCH-YFKPBYRVSA-N L-leucine Chemical compound CC(C)C[C@H](N)C(O)=O ROHFNLRQFUQHCH-YFKPBYRVSA-N 0.000 description 4
- COLNVLDHVKWLRT-QMMMGPOBSA-N L-phenylalanine Chemical class OC(=O)[C@@H](N)CC1=CC=CC=C1 COLNVLDHVKWLRT-QMMMGPOBSA-N 0.000 description 4
- 238000008214 LDL Cholesterol Methods 0.000 description 4
- MUBZPKHOEPUJKR-UHFFFAOYSA-N Oxalic acid Chemical compound OC(=O)C(O)=O MUBZPKHOEPUJKR-UHFFFAOYSA-N 0.000 description 4
- 102100022036 Presenilin-2 Human genes 0.000 description 4
- 108010050254 Presenilins Proteins 0.000 description 4
- 206010039811 Secondary amyloidosis Diseases 0.000 description 4
- 208000006011 Stroke Diseases 0.000 description 4
- QAOWNCQODCNURD-UHFFFAOYSA-L Sulfate Chemical compound [O-]S([O-])(=O)=O QAOWNCQODCNURD-UHFFFAOYSA-L 0.000 description 4
- HCHKCACWOHOZIP-UHFFFAOYSA-N Zinc Chemical compound [Zn] HCHKCACWOHOZIP-UHFFFAOYSA-N 0.000 description 4
- 238000010521 absorption reaction Methods 0.000 description 4
- 230000002378 acidificating effect Effects 0.000 description 4
- 230000004913 activation Effects 0.000 description 4
- 230000032683 aging Effects 0.000 description 4
- 125000005194 alkoxycarbonyloxy group Chemical group 0.000 description 4
- 125000004947 alkyl aryl amino group Chemical group 0.000 description 4
- 125000003806 alkyl carbonyl amino group Chemical group 0.000 description 4
- 125000005196 alkyl carbonyloxy group Chemical group 0.000 description 4
- 102000003802 alpha-Synuclein Human genes 0.000 description 4
- 108090000185 alpha-Synuclein Proteins 0.000 description 4
- 101150031224 app gene Proteins 0.000 description 4
- 210000001367 artery Anatomy 0.000 description 4
- 125000001769 aryl amino group Chemical group 0.000 description 4
- 125000004658 aryl carbonyl amino group Chemical group 0.000 description 4
- 125000005199 aryl carbonyloxy group Chemical group 0.000 description 4
- 125000005110 aryl thio group Chemical group 0.000 description 4
- 125000005200 aryloxy carbonyloxy group Chemical group 0.000 description 4
- 229910052788 barium Inorganic materials 0.000 description 4
- DSAJWYNOEDNPEQ-UHFFFAOYSA-N barium atom Chemical compound [Ba] DSAJWYNOEDNPEQ-UHFFFAOYSA-N 0.000 description 4
- 210000004204 blood vessel Anatomy 0.000 description 4
- 230000037396 body weight Effects 0.000 description 4
- 125000001951 carbamoylamino group Chemical group C(N)(=O)N* 0.000 description 4
- 125000002915 carbonyl group Chemical group [*:2]C([*:1])=O 0.000 description 4
- 239000003153 chemical reaction reagent Substances 0.000 description 4
- 125000001309 chloro group Chemical group Cl* 0.000 description 4
- 230000001054 cortical effect Effects 0.000 description 4
- 125000001559 cyclopropyl group Chemical group [H]C1([H])C([H])([H])C1([H])* 0.000 description 4
- 125000004986 diarylamino group Chemical group 0.000 description 4
- 230000004064 dysfunction Effects 0.000 description 4
- 125000006575 electron-withdrawing group Chemical group 0.000 description 4
- 239000000839 emulsion Substances 0.000 description 4
- 230000003619 fibrillary effect Effects 0.000 description 4
- 230000035557 fibrillogenesis Effects 0.000 description 4
- 230000002068 genetic effect Effects 0.000 description 4
- 230000002209 hydrophobic effect Effects 0.000 description 4
- 125000001041 indolyl group Chemical group 0.000 description 4
- 230000002757 inflammatory effect Effects 0.000 description 4
- 239000004615 ingredient Substances 0.000 description 4
- 238000001361 intraarterial administration Methods 0.000 description 4
- 238000007918 intramuscular administration Methods 0.000 description 4
- 150000002500 ions Chemical class 0.000 description 4
- 229910052742 iron Inorganic materials 0.000 description 4
- 210000004153 islets of langerhan Anatomy 0.000 description 4
- 238000002955 isolation Methods 0.000 description 4
- 150000002576 ketones Chemical class 0.000 description 4
- 208000017169 kidney disease Diseases 0.000 description 4
- 230000003907 kidney function Effects 0.000 description 4
- 210000004185 liver Anatomy 0.000 description 4
- 238000004949 mass spectrometry Methods 0.000 description 4
- 230000001404 mediated effect Effects 0.000 description 4
- 201000000050 myeloid neoplasm Diseases 0.000 description 4
- 230000000926 neurological effect Effects 0.000 description 4
- 125000004433 nitrogen atom Chemical group N* 0.000 description 4
- 150000007524 organic acids Chemical class 0.000 description 4
- 238000004806 packaging method and process Methods 0.000 description 4
- 230000001575 pathological effect Effects 0.000 description 4
- 239000003755 preservative agent Substances 0.000 description 4
- 125000000561 purinyl group Chemical group N1=C(N=C2N=CNC2=C1)* 0.000 description 4
- 125000003373 pyrazinyl group Chemical group 0.000 description 4
- 125000003226 pyrazolyl group Chemical group 0.000 description 4
- 125000000714 pyrimidinyl group Chemical group 0.000 description 4
- 125000000719 pyrrolidinyl group Chemical group 0.000 description 4
- 230000009467 reduction Effects 0.000 description 4
- 238000011160 research Methods 0.000 description 4
- 206010039073 rheumatoid arthritis Diseases 0.000 description 4
- 150000003384 small molecules Chemical class 0.000 description 4
- 239000011780 sodium chloride Substances 0.000 description 4
- 159000000000 sodium salts Chemical group 0.000 description 4
- 230000000087 stabilizing effect Effects 0.000 description 4
- 238000010186 staining Methods 0.000 description 4
- 150000003467 sulfuric acid derivatives Chemical class 0.000 description 4
- 208000011580 syndromic disease Diseases 0.000 description 4
- VZCYOOQTPOCHFL-UHFFFAOYSA-N trans-butenedioic acid Natural products OC(=O)C=CC(O)=O VZCYOOQTPOCHFL-UHFFFAOYSA-N 0.000 description 4
- 238000002054 transplantation Methods 0.000 description 4
- 230000009278 visceral effect Effects 0.000 description 4
- 208000027121 wild type ATTR amyloidosis Diseases 0.000 description 4
- 229910052725 zinc Inorganic materials 0.000 description 4
- 239000011701 zinc Substances 0.000 description 4
- FUOOLUPWFVMBKG-UHFFFAOYSA-N 2-Aminoisobutyric acid Chemical compound CC(C)(N)C(O)=O FUOOLUPWFVMBKG-UHFFFAOYSA-N 0.000 description 3
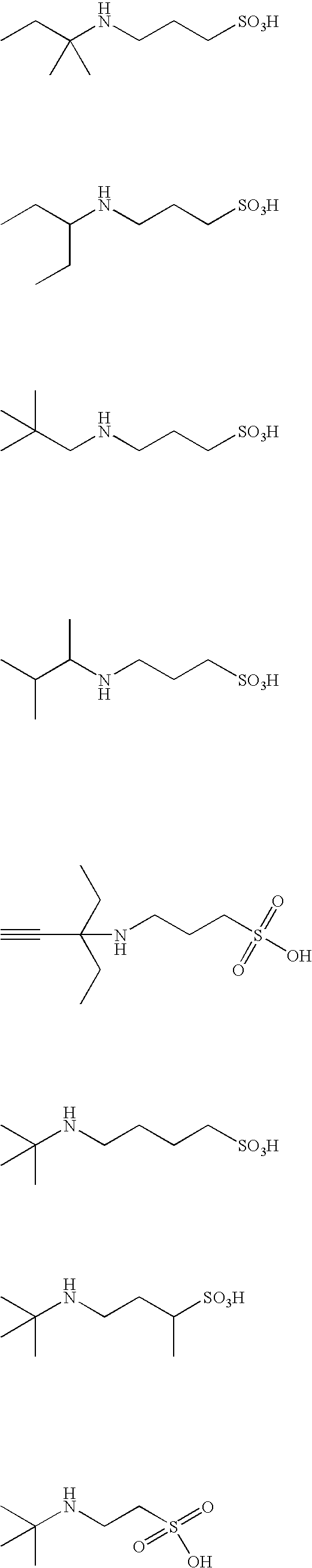
- JNZRFFBJVROMMM-UHFFFAOYSA-N 2-methyl-2-(3-sulfopropylamino)propanoic acid Chemical compound OC(=O)C(C)(C)NCCCS(O)(=O)=O JNZRFFBJVROMMM-UHFFFAOYSA-N 0.000 description 3
- IHLBZMMQENYTQH-UHFFFAOYSA-N 3-(2,2-dimethylpropylamino)propane-1-sulfonic acid Chemical compound CC(C)(C)CNCCCS(O)(=O)=O IHLBZMMQENYTQH-UHFFFAOYSA-N 0.000 description 3
- ZCYVEMRRCGMTRW-UHFFFAOYSA-N 7553-56-2 Chemical compound [I] ZCYVEMRRCGMTRW-UHFFFAOYSA-N 0.000 description 3
- QTBSBXVTEAMEQO-UHFFFAOYSA-M Acetate Chemical compound CC([O-])=O QTBSBXVTEAMEQO-UHFFFAOYSA-M 0.000 description 3
- CSCPPACGZOOCGX-UHFFFAOYSA-N Acetone Chemical compound CC(C)=O CSCPPACGZOOCGX-UHFFFAOYSA-N 0.000 description 3
- WEVYAHXRMPXWCK-UHFFFAOYSA-N Acetonitrile Chemical compound CC#N WEVYAHXRMPXWCK-UHFFFAOYSA-N 0.000 description 3
- 102000007592 Apolipoproteins Human genes 0.000 description 3
- 108010071619 Apolipoproteins Proteins 0.000 description 3
- 108010025628 Apolipoproteins E Proteins 0.000 description 3
- 102000013918 Apolipoproteins E Human genes 0.000 description 3
- 206010003694 Atrophy Diseases 0.000 description 3
- 201000004569 Blindness Diseases 0.000 description 3
- 102000055006 Calcitonin Human genes 0.000 description 3
- 108060001064 Calcitonin Proteins 0.000 description 3
- 239000004215 Carbon black (E152) Substances 0.000 description 3
- 208000031229 Cardiomyopathies Diseases 0.000 description 3
- 208000024172 Cardiovascular disease Diseases 0.000 description 3
- 208000028698 Cognitive impairment Diseases 0.000 description 3
- 102000008186 Collagen Human genes 0.000 description 3
- 108010035532 Collagen Proteins 0.000 description 3
- XFXPMWWXUTWYJX-UHFFFAOYSA-N Cyanide Chemical compound N#[C-] XFXPMWWXUTWYJX-UHFFFAOYSA-N 0.000 description 3
- 102000012192 Cystatin C Human genes 0.000 description 3
- 108010061642 Cystatin C Proteins 0.000 description 3
- FBPFZTCFMRRESA-FSIIMWSLSA-N D-Glucitol Natural products OC[C@H](O)[C@H](O)[C@@H](O)[C@H](O)CO FBPFZTCFMRRESA-FSIIMWSLSA-N 0.000 description 3
- FBPFZTCFMRRESA-JGWLITMVSA-N D-glucitol Chemical compound OC[C@H](O)[C@@H](O)[C@H](O)[C@H](O)CO FBPFZTCFMRRESA-JGWLITMVSA-N 0.000 description 3
- 206010011878 Deafness Diseases 0.000 description 3
- 229920000045 Dermatan sulfate Polymers 0.000 description 3
- 206010012735 Diarrhoea Diseases 0.000 description 3
- YMWUJEATGCHHMB-UHFFFAOYSA-N Dichloromethane Chemical compound ClCCl YMWUJEATGCHHMB-UHFFFAOYSA-N 0.000 description 3
- 238000002965 ELISA Methods 0.000 description 3
- 102000004190 Enzymes Human genes 0.000 description 3
- 108090000790 Enzymes Proteins 0.000 description 3
- XEKOWRVHYACXOJ-UHFFFAOYSA-N Ethyl acetate Chemical compound CCOC(C)=O XEKOWRVHYACXOJ-UHFFFAOYSA-N 0.000 description 3
- 102000004878 Gelsolin Human genes 0.000 description 3
- 108090001064 Gelsolin Proteins 0.000 description 3
- 206010018341 Gliosis Diseases 0.000 description 3
- DHMQDGOQFOQNFH-UHFFFAOYSA-N Glycine Chemical compound NCC(O)=O DHMQDGOQFOQNFH-UHFFFAOYSA-N 0.000 description 3
- 102000015779 HDL Lipoproteins Human genes 0.000 description 3
- 108010010234 HDL Lipoproteins Proteins 0.000 description 3
- VEXZGXHMUGYJMC-UHFFFAOYSA-N Hydrochloric acid Chemical compound Cl VEXZGXHMUGYJMC-UHFFFAOYSA-N 0.000 description 3
- 102000013463 Immunoglobulin Light Chains Human genes 0.000 description 3
- 108010065825 Immunoglobulin Light Chains Proteins 0.000 description 3
- 206010023230 Joint stiffness Diseases 0.000 description 3
- 102100025818 Major prion protein Human genes 0.000 description 3
- 208000007054 Medullary Carcinoma Diseases 0.000 description 3
- 208000010190 Monoclonal Gammopathy of Undetermined Significance Diseases 0.000 description 3
- 201000002795 Muckle-Wells syndrome Diseases 0.000 description 3
- 102000016943 Muramidase Human genes 0.000 description 3
- 108010014251 Muramidase Proteins 0.000 description 3
- 108010062010 N-Acetylmuramoyl-L-alanine Amidase Proteins 0.000 description 3
- 206010029164 Nephrotic syndrome Diseases 0.000 description 3
- 102000035195 Peptidases Human genes 0.000 description 3
- 108091005804 Peptidases Proteins 0.000 description 3
- 108010036933 Presenilin-1 Proteins 0.000 description 3
- 108010036908 Presenilin-2 Proteins 0.000 description 3
- 102000015499 Presenilins Human genes 0.000 description 3
- 239000004365 Protease Substances 0.000 description 3
- 102000001708 Protein Isoforms Human genes 0.000 description 3
- 108010029485 Protein Isoforms Proteins 0.000 description 3
- 241000700159 Rattus Species 0.000 description 3
- 206010062237 Renal impairment Diseases 0.000 description 3
- 206010039966 Senile dementia Diseases 0.000 description 3
- 102000054727 Serum Amyloid A Human genes 0.000 description 3
- HEMHJVSKTPXQMS-UHFFFAOYSA-M Sodium hydroxide Chemical compound [OH-].[Na+] HEMHJVSKTPXQMS-UHFFFAOYSA-M 0.000 description 3
- 229930006000 Sucrose Natural products 0.000 description 3
- CZMRCDWAGMRECN-UGDNZRGBSA-N Sucrose Chemical compound O[C@H]1[C@H](O)[C@@H](CO)O[C@@]1(CO)O[C@@H]1[C@H](O)[C@@H](O)[C@H](O)[C@@H](CO)O1 CZMRCDWAGMRECN-UGDNZRGBSA-N 0.000 description 3
- QAOWNCQODCNURD-UHFFFAOYSA-N Sulfuric acid Chemical compound OS(O)(=O)=O QAOWNCQODCNURD-UHFFFAOYSA-N 0.000 description 3
- YXFVVABEGXRONW-UHFFFAOYSA-N Toluene Chemical compound CC1=CC=CC=C1 YXFVVABEGXRONW-UHFFFAOYSA-N 0.000 description 3
- 208000024780 Urticaria Diseases 0.000 description 3
- 150000007513 acids Chemical class 0.000 description 3
- 210000001642 activated microglia Anatomy 0.000 description 3
- 239000000443 aerosol Substances 0.000 description 3
- 150000001299 aldehydes Chemical class 0.000 description 3
- 125000002723 alicyclic group Chemical group 0.000 description 3
- 150000004703 alkoxides Chemical group 0.000 description 3
- 125000004457 alkyl amino carbonyl group Chemical group 0.000 description 3
- 125000004644 alkyl sulfinyl group Chemical group 0.000 description 3
- 125000004691 alkyl thio carbonyl group Chemical group 0.000 description 3
- 125000003275 alpha amino acid group Chemical group 0.000 description 3
- VREFGVBLTWBCJP-UHFFFAOYSA-N alprazolam Chemical compound C12=CC(Cl)=CC=C2N2C(C)=NN=C2CN=C1C1=CC=CC=C1 VREFGVBLTWBCJP-UHFFFAOYSA-N 0.000 description 3
- 150000001408 amides Chemical class 0.000 description 3
- 125000003277 amino group Chemical group 0.000 description 3
- 150000008064 anhydrides Chemical class 0.000 description 3
- 239000003963 antioxidant agent Substances 0.000 description 3
- 235000006708 antioxidants Nutrition 0.000 description 3
- 210000002565 arteriole Anatomy 0.000 description 3
- 230000037444 atrophy Effects 0.000 description 3
- 125000000852 azido group Chemical group *N=[N+]=[N-] 0.000 description 3
- 125000003785 benzimidazolyl group Chemical group N1=C(NC2=C1C=CC=C2)* 0.000 description 3
- WPYMKLBDIGXBTP-UHFFFAOYSA-N benzoic acid Chemical compound OC(=O)C1=CC=CC=C1 WPYMKLBDIGXBTP-UHFFFAOYSA-N 0.000 description 3
- 230000008436 biogenesis Effects 0.000 description 3
- 230000008499 blood brain barrier function Effects 0.000 description 3
- 210000001218 blood-brain barrier Anatomy 0.000 description 3
- 210000001124 body fluid Anatomy 0.000 description 3
- 239000010839 body fluid Substances 0.000 description 3
- BBBFJLBPOGFECG-VJVYQDLKSA-N calcitonin Chemical compound N([C@H](C(=O)N[C@@H](CC(C)C)C(=O)NCC(=O)N[C@@H](CCCCN)C(=O)N[C@@H](CC(C)C)C(=O)N[C@@H](CO)C(=O)N[C@@H](CCC(N)=O)C(=O)N[C@@H](CCC(O)=O)C(=O)N[C@@H](CC(C)C)C(=O)N[C@@H](CC=1NC=NC=1)C(=O)N[C@@H](CCCCN)C(=O)N[C@@H](CC(C)C)C(=O)N[C@@H](CCC(N)=O)C(=O)N[C@@H]([C@@H](C)O)C(=O)N[C@@H](CC=1C=CC(O)=CC=1)C(=O)N1[C@@H](CCC1)C(=O)N[C@@H](CCCNC(N)=N)C(=O)N[C@@H]([C@@H](C)O)C(=O)N[C@@H](CC(N)=O)C(=O)N[C@@H]([C@@H](C)O)C(=O)NCC(=O)N[C@@H](CO)C(=O)NCC(=O)N[C@@H]([C@@H](C)O)C(=O)N1[C@@H](CCC1)C(N)=O)C(C)C)C(=O)[C@@H]1CSSC[C@H](N)C(=O)N[C@@H](CO)C(=O)N[C@@H](CC(N)=O)C(=O)N[C@@H](CC(C)C)C(=O)N[C@@H](CO)C(=O)N[C@@H]([C@@H](C)O)C(=O)N1 BBBFJLBPOGFECG-VJVYQDLKSA-N 0.000 description 3
- 229960004015 calcitonin Drugs 0.000 description 3
- 201000011510 cancer Diseases 0.000 description 3
- 208000026106 cerebrovascular disease Diseases 0.000 description 3
- 208000019902 chronic diarrheal disease Diseases 0.000 description 3
- 208000037976 chronic inflammation Diseases 0.000 description 3
- 230000007278 cognition impairment Effects 0.000 description 3
- 229920001436 collagen Polymers 0.000 description 3
- IQFVPQOLBLOTPF-HKXUKFGYSA-L congo red Chemical compound [Na+].[Na+].C1=CC=CC2=C(N)C(/N=N/C3=CC=C(C=C3)C3=CC=C(C=C3)/N=N/C3=C(C4=CC=CC=C4C(=C3)S([O-])(=O)=O)N)=CC(S([O-])(=O)=O)=C21 IQFVPQOLBLOTPF-HKXUKFGYSA-L 0.000 description 3
- 208000022993 cryopyrin-associated periodic syndrome Diseases 0.000 description 3
- 125000001511 cyclopentyl group Chemical group [H]C1([H])C([H])([H])C([H])([H])C([H])(*)C1([H])[H] 0.000 description 3
- 231100000895 deafness Toxicity 0.000 description 3
- AVJBPWGFOQAPRH-FWMKGIEWSA-L dermatan sulfate Chemical compound CC(=O)N[C@H]1[C@H](O)O[C@H](CO)[C@H](OS([O-])(=O)=O)[C@@H]1O[C@H]1[C@H](O)[C@@H](O)[C@H](O)[C@H](C([O-])=O)O1 AVJBPWGFOQAPRH-FWMKGIEWSA-L 0.000 description 3
- 229940051593 dermatan sulfate Drugs 0.000 description 3
- 125000004473 dialkylaminocarbonyl group Chemical group 0.000 description 3
- 235000005911 diet Nutrition 0.000 description 3
- 230000037213 diet Effects 0.000 description 3
- 229940088598 enzyme Drugs 0.000 description 3
- 201000006061 fatal familial insomnia Diseases 0.000 description 3
- BTCSSZJGUNDROE-UHFFFAOYSA-N gamma-aminobutyric acid Chemical compound NCCCC(O)=O BTCSSZJGUNDROE-UHFFFAOYSA-N 0.000 description 3
- 210000001035 gastrointestinal tract Anatomy 0.000 description 3
- 229960004198 guanidine Drugs 0.000 description 3
- 208000016354 hearing loss disease Diseases 0.000 description 3
- 208000019855 heavy chain deposition disease Diseases 0.000 description 3
- 125000005842 heteroatom Chemical group 0.000 description 3
- 229940088597 hormone Drugs 0.000 description 3
- 239000005556 hormone Substances 0.000 description 3
- 229930195733 hydrocarbon Natural products 0.000 description 3
- 201000001421 hyperglycemia Diseases 0.000 description 3
- 230000006872 improvement Effects 0.000 description 3
- 238000011534 incubation Methods 0.000 description 3
- 208000019715 inherited Creutzfeldt-Jakob disease Diseases 0.000 description 3
- 229910052740 iodine Inorganic materials 0.000 description 3
- 239000011630 iodine Substances 0.000 description 3
- 230000002427 irreversible effect Effects 0.000 description 3
- SUMDYPCJJOFFON-UHFFFAOYSA-N isethionic acid Chemical compound OCCS(O)(=O)=O SUMDYPCJJOFFON-UHFFFAOYSA-N 0.000 description 3
- 210000003734 kidney Anatomy 0.000 description 3
- 239000002502 liposome Substances 0.000 description 3
- 230000014759 maintenance of location Effects 0.000 description 3
- VZCYOOQTPOCHFL-UPHRSURJSA-N maleic acid Chemical compound OC(=O)\C=C/C(O)=O VZCYOOQTPOCHFL-UPHRSURJSA-N 0.000 description 3
- 229910052751 metal Inorganic materials 0.000 description 3
- 239000002184 metal Substances 0.000 description 3
- 244000005700 microbiome Species 0.000 description 3
- 230000007388 microgliosis Effects 0.000 description 3
- 230000004048 modification Effects 0.000 description 3
- 238000012986 modification Methods 0.000 description 3
- 201000005328 monoclonal gammopathy of uncertain significance Diseases 0.000 description 3
- 230000000877 morphologic effect Effects 0.000 description 3
- 210000002241 neurite Anatomy 0.000 description 3
- 208000015122 neurodegenerative disease Diseases 0.000 description 3
- 210000002682 neurofibrillary tangle Anatomy 0.000 description 3
- 230000004112 neuroprotection Effects 0.000 description 3
- 230000004768 organ dysfunction Effects 0.000 description 3
- 230000008520 organization Effects 0.000 description 3
- 125000000160 oxazolidinyl group Chemical group 0.000 description 3
- 230000036961 partial effect Effects 0.000 description 3
- 230000008506 pathogenesis Effects 0.000 description 3
- 230000035515 penetration Effects 0.000 description 3
- 230000002093 peripheral effect Effects 0.000 description 3
- 230000036470 plasma concentration Effects 0.000 description 3
- 229920001223 polyethylene glycol Polymers 0.000 description 3
- 231100000857 poor renal function Toxicity 0.000 description 3
- 239000000843 powder Substances 0.000 description 3
- 208000022256 primary systemic amyloidosis Diseases 0.000 description 3
- 230000012846 protein folding Effects 0.000 description 3
- 238000000746 purification Methods 0.000 description 3
- 125000002098 pyridazinyl group Chemical group 0.000 description 3
- 229910052705 radium Inorganic materials 0.000 description 3
- 229910052701 rubidium Inorganic materials 0.000 description 3
- 229920006395 saturated elastomer Polymers 0.000 description 3
- 239000000600 sorbitol Substances 0.000 description 3
- 210000000952 spleen Anatomy 0.000 description 3
- 125000000547 substituted alkyl group Chemical group 0.000 description 3
- 239000000758 substrate Substances 0.000 description 3
- 239000005720 sucrose Substances 0.000 description 3
- 125000005420 sulfonamido group Chemical group S(=O)(=O)(N*)* 0.000 description 3
- 230000008961 swelling Effects 0.000 description 3
- JADVWWSKYZXRGX-UHFFFAOYSA-M thioflavine T Chemical compound [Cl-].C1=CC(N(C)C)=CC=C1C1=[N+](C)C2=CC=C(C)C=C2S1 JADVWWSKYZXRGX-UHFFFAOYSA-M 0.000 description 3
- 210000001685 thyroid gland Anatomy 0.000 description 3
- 230000009466 transformation Effects 0.000 description 3
- 201000008827 tuberculosis Diseases 0.000 description 3
- 210000003462 vein Anatomy 0.000 description 3
- 230000004393 visual impairment Effects 0.000 description 3
- OGNSCSPNOLGXSM-UHFFFAOYSA-N (+/-)-DABA Natural products NCCC(N)C(O)=O OGNSCSPNOLGXSM-UHFFFAOYSA-N 0.000 description 2
- UQWNNUPJBDWRHC-UWVGGRQHSA-N (3s,4s)-4-amino-5-cyclohexyl-3-hydroxypentanoic acid Chemical compound OC(=O)C[C@H](O)[C@@H](N)CC1CCCCC1 UQWNNUPJBDWRHC-UWVGGRQHSA-N 0.000 description 2
- 125000004191 (C1-C6) alkoxy group Chemical group 0.000 description 2
- 125000006729 (C2-C5) alkenyl group Chemical group 0.000 description 2
- 125000006730 (C2-C5) alkynyl group Chemical group 0.000 description 2
- 125000006552 (C3-C8) cycloalkyl group Chemical group 0.000 description 2
- ASOKPJOREAFHNY-UHFFFAOYSA-N 1-Hydroxybenzotriazole Chemical compound C1=CC=C2N(O)N=NC2=C1 ASOKPJOREAFHNY-UHFFFAOYSA-N 0.000 description 2
- PAJPWUMXBYXFCZ-UHFFFAOYSA-N 1-aminocyclopropanecarboxylic acid Chemical compound OC(=O)C1(N)CC1 PAJPWUMXBYXFCZ-UHFFFAOYSA-N 0.000 description 2
- IIZPXYDJLKNOIY-JXPKJXOSSA-N 1-palmitoyl-2-arachidonoyl-sn-glycero-3-phosphocholine Chemical compound CCCCCCCCCCCCCCCC(=O)OC[C@H](COP([O-])(=O)OCC[N+](C)(C)C)OC(=O)CCC\C=C/C\C=C/C\C=C/C\C=C/CCCCC IIZPXYDJLKNOIY-JXPKJXOSSA-N 0.000 description 2
- PBLZLIFKVPJDCO-UHFFFAOYSA-N 12-aminododecanoic acid Chemical compound NCCCCCCCCCCCC(O)=O PBLZLIFKVPJDCO-UHFFFAOYSA-N 0.000 description 2
- 125000005955 1H-indazolyl group Chemical group 0.000 description 2
- PGYSZIVTMWVKPT-UHFFFAOYSA-N 2-(tert-butylamino)ethanesulfonic acid Chemical compound CC(C)(C)NCCS(O)(=O)=O PGYSZIVTMWVKPT-UHFFFAOYSA-N 0.000 description 2
- TXHAHOVNFDVCCC-UHFFFAOYSA-N 2-(tert-butylazaniumyl)acetate Chemical compound CC(C)(C)NCC(O)=O TXHAHOVNFDVCCC-UHFFFAOYSA-N 0.000 description 2
- HZAXFHJVJLSVMW-UHFFFAOYSA-N 2-Aminoethan-1-ol Chemical compound NCCO HZAXFHJVJLSVMW-UHFFFAOYSA-N 0.000 description 2
- CDULPPOISZOUTK-UHFFFAOYSA-N 2-azaniumyl-3,4-dihydro-1h-naphthalene-2-carboxylate Chemical compound C1=CC=C2CC(N)(C(O)=O)CCC2=C1 CDULPPOISZOUTK-UHFFFAOYSA-N 0.000 description 2
- 125000001494 2-propynyl group Chemical group [H]C#CC([H])([H])* 0.000 description 2
- JFXBKQAJJQHJMN-UHFFFAOYSA-N 3-(1,3-benzodioxol-5-ylmethylamino)propane-1-sulfonic acid Chemical compound OS(=O)(=O)CCCNCC1=CC=C2OCOC2=C1 JFXBKQAJJQHJMN-UHFFFAOYSA-N 0.000 description 2
- FWANHOSFGLVKOM-UHFFFAOYSA-N 3-(1-methoxypropan-2-ylamino)propane-1-sulfonic acid Chemical compound COCC(C)NCCCS(O)(=O)=O FWANHOSFGLVKOM-UHFFFAOYSA-N 0.000 description 2
- AWSWPLNLFDUJQW-UHFFFAOYSA-N 3-(2,2-dimethylpropanoylamino)propane-1-sulfonic acid Chemical compound CC(C)(C)C(=O)NCCCS(O)(=O)=O AWSWPLNLFDUJQW-UHFFFAOYSA-N 0.000 description 2
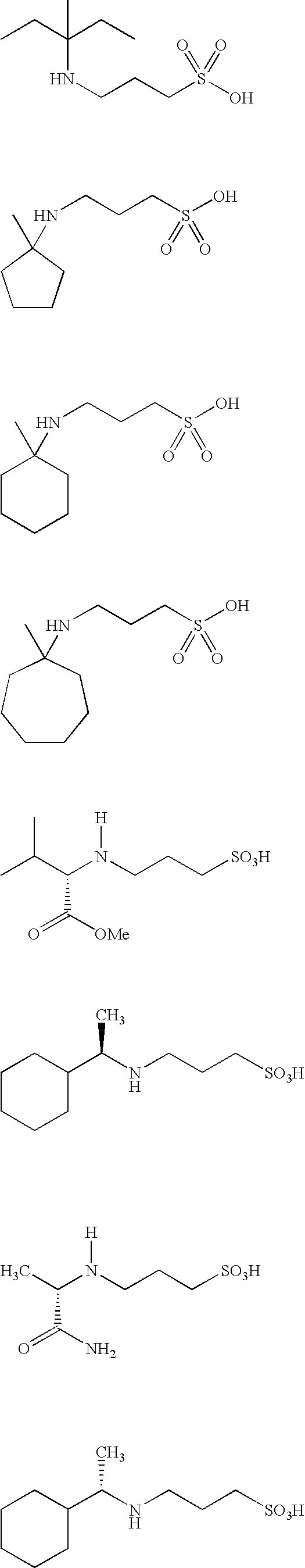
- CNKGQQANGNFUEI-UHFFFAOYSA-N 3-(2-adamantylamino)propane-1-sulfonic acid Chemical compound C1C(C2)CC3CC1C(NCCCS(=O)(=O)O)C2C3 CNKGQQANGNFUEI-UHFFFAOYSA-N 0.000 description 2
- SZRKEGMPNCFZAP-UHFFFAOYSA-N 3-(2-methylbutan-2-ylamino)propane-1-sulfonic acid Chemical compound CCC(C)(C)NCCCS(O)(=O)=O SZRKEGMPNCFZAP-UHFFFAOYSA-N 0.000 description 2
- FRYDXTMIPFGIPZ-UHFFFAOYSA-N 3-(2-methylpropylamino)propane-1-sulfonic acid Chemical compound CC(C)CNCCCS(O)(=O)=O FRYDXTMIPFGIPZ-UHFFFAOYSA-N 0.000 description 2
- VPDOWRWNGLOTMV-UHFFFAOYSA-N 3-(2-phenylpropan-2-ylamino)propane-1-sulfonic acid Chemical compound OS(=O)(=O)CCCNC(C)(C)C1=CC=CC=C1 VPDOWRWNGLOTMV-UHFFFAOYSA-N 0.000 description 2
- BGZJQENTTIDTBU-UHFFFAOYSA-N 3-(3-bicyclo[2.2.1]heptanylamino)propane-1-sulfonic acid Chemical compound C1CC2C(NCCCS(=O)(=O)O)CC1C2 BGZJQENTTIDTBU-UHFFFAOYSA-N 0.000 description 2
- MBASPYOBDAUEIB-UHFFFAOYSA-N 3-(3-methylbutan-2-ylamino)propane-1-sulfonic acid Chemical compound CC(C)C(C)NCCCS(O)(=O)=O MBASPYOBDAUEIB-UHFFFAOYSA-N 0.000 description 2
- MNLSOJWQCPOBQP-UHFFFAOYSA-N 3-(3-methylbutylamino)propane-1-sulfonic acid Chemical compound CC(C)CCNCCCS(O)(=O)=O MNLSOJWQCPOBQP-UHFFFAOYSA-N 0.000 description 2
- UPRCOSRJPFDSMM-UHFFFAOYSA-N 3-(benzhydrylcarbamoylamino)propane-1-sulfonic acid Chemical compound C=1C=CC=CC=1C(NC(=O)NCCCS(=O)(=O)O)C1=CC=CC=C1 UPRCOSRJPFDSMM-UHFFFAOYSA-N 0.000 description 2
- DZPHBMKZLYOOQY-UHFFFAOYSA-N 3-(cycloheptylamino)propane-1-sulfonic acid Chemical compound OS(=O)(=O)CCCNC1CCCCCC1 DZPHBMKZLYOOQY-UHFFFAOYSA-N 0.000 description 2
- RJZQSWRHTZHGJH-UHFFFAOYSA-N 3-(cyclopentylamino)propane-1-sulfonic acid Chemical compound OS(=O)(=O)CCCNC1CCCC1 RJZQSWRHTZHGJH-UHFFFAOYSA-N 0.000 description 2
- VLCUXLMAJCSBIM-UHFFFAOYSA-N 3-(cyclopropylamino)propane-1-sulfonic acid Chemical compound OS(=O)(=O)CCCNC1CC1 VLCUXLMAJCSBIM-UHFFFAOYSA-N 0.000 description 2
- CTTMFPGEHCZZIR-UHFFFAOYSA-N 3-(ethylamino)propane-1-sulfonic acid Chemical compound CCNCCCS(O)(=O)=O CTTMFPGEHCZZIR-UHFFFAOYSA-N 0.000 description 2
- TYLMUYLPSQLSMO-UHFFFAOYSA-N 3-(pentan-3-ylamino)propane-1-sulfonic acid Chemical compound CCC(CC)NCCCS(O)(=O)=O TYLMUYLPSQLSMO-UHFFFAOYSA-N 0.000 description 2
- ZBSWKBYXONRLTM-UHFFFAOYSA-N 3-(propan-2-ylamino)propane-1-sulfonic acid Chemical compound CC(C)NCCCS(O)(=O)=O ZBSWKBYXONRLTM-UHFFFAOYSA-N 0.000 description 2
- AJOMXCNJGRAIHS-UHFFFAOYSA-N 3-(tert-butylamino)propane-1-sulfonic acid Chemical compound CC(C)(C)NCCCS(O)(=O)=O AJOMXCNJGRAIHS-UHFFFAOYSA-N 0.000 description 2
- UVBGYQPEIOWDHR-UHFFFAOYSA-N 3-[(1-hydroxy-2-methylpropan-2-yl)amino]propane-1-sulfonic acid Chemical compound OCC(C)(C)NCCCS(O)(=O)=O UVBGYQPEIOWDHR-UHFFFAOYSA-N 0.000 description 2
- NEIQBJTUWSHRNP-UHFFFAOYSA-N 3-[(2,3-dimethoxyphenyl)methylamino]propane-1-sulfonic acid Chemical compound COC1=CC=CC(CNCCCS(O)(=O)=O)=C1OC NEIQBJTUWSHRNP-UHFFFAOYSA-N 0.000 description 2
- OYUQLOJSGLQOEI-UHFFFAOYSA-N 3-[(2,3-dimethylcyclohexyl)amino]propane-1-sulfonic acid Chemical compound CC1CCCC(NCCCS(O)(=O)=O)C1C OYUQLOJSGLQOEI-UHFFFAOYSA-N 0.000 description 2
- DZPPJTZGVWFBHO-UHFFFAOYSA-N 3-[(2,4-dimethoxyphenyl)methylamino]propane-1-sulfonic acid Chemical compound COC1=CC=C(CNCCCS(O)(=O)=O)C(OC)=C1 DZPPJTZGVWFBHO-UHFFFAOYSA-N 0.000 description 2
- XRVODYMKWSKHAI-UHFFFAOYSA-N 3-[(3,4,5-trimethoxyphenyl)methylamino]propane-1-sulfonic acid Chemical compound COC1=CC(CNCCCS(O)(=O)=O)=CC(OC)=C1OC XRVODYMKWSKHAI-UHFFFAOYSA-N 0.000 description 2
- SYPFCVHWUFKJQH-UHFFFAOYSA-N 3-[(3,5-dimethoxyphenyl)methylamino]propane-1-sulfonic acid Chemical compound COC1=CC(CNCCCS(O)(=O)=O)=CC(OC)=C1 SYPFCVHWUFKJQH-UHFFFAOYSA-N 0.000 description 2
- UVNLRRQVXHIOKC-UHFFFAOYSA-N 3-[(4-methylcyclohexyl)amino]propane-1-sulfonic acid Chemical compound CC1CCC(NCCCS(O)(=O)=O)CC1 UVNLRRQVXHIOKC-UHFFFAOYSA-N 0.000 description 2
- NNJZFICSLYVEGM-UHFFFAOYSA-N 3-[2-(4-bromophenyl)ethylamino]propane-1-sulfonic acid Chemical compound OS(=O)(=O)CCCNCCC1=CC=C(Br)C=C1 NNJZFICSLYVEGM-UHFFFAOYSA-N 0.000 description 2
- UVRJWPWFIKSVSD-GFCCVEGCSA-N 3-[[(1r)-1-hydroxy-3-phenylpropyl]amino]propane-1-sulfonic acid Chemical compound OS(=O)(=O)CCCN[C@H](O)CCC1=CC=CC=C1 UVRJWPWFIKSVSD-GFCCVEGCSA-N 0.000 description 2
- HHQSXMAUOZTKLO-VHSXEESVSA-N 3-[[(1r,2s)-2-methylcyclohexyl]amino]propane-1-sulfonic acid Chemical compound C[C@H]1CCCC[C@H]1NCCCS(O)(=O)=O HHQSXMAUOZTKLO-VHSXEESVSA-N 0.000 description 2
- UVRJWPWFIKSVSD-LBPRGKRZSA-N 3-[[(1s)-1-hydroxy-3-phenylpropyl]amino]propane-1-sulfonic acid Chemical compound OS(=O)(=O)CCCN[C@@H](O)CCC1=CC=CC=C1 UVRJWPWFIKSVSD-LBPRGKRZSA-N 0.000 description 2
- PECYZEOJVXMISF-UHFFFAOYSA-N 3-aminoalanine Chemical compound [NH3+]CC(N)C([O-])=O PECYZEOJVXMISF-UHFFFAOYSA-N 0.000 description 2
- FBTSQILOGYXGMD-LURJTMIESA-N 3-nitro-L-tyrosine Chemical compound OC(=O)[C@@H](N)CC1=CC=C(O)C([N+]([O-])=O)=C1 FBTSQILOGYXGMD-LURJTMIESA-N 0.000 description 2
- QGNAQMRKVPZNSP-UHFFFAOYSA-N 4-(tert-butylamino)butane-1-sulfonic acid Chemical compound CC(C)(C)NCCCCS(O)(=O)=O QGNAQMRKVPZNSP-UHFFFAOYSA-N 0.000 description 2
- DWXHIMSEIJYUBT-UHFFFAOYSA-N 4-(tert-butylamino)butane-2-sulfonic acid Chemical compound OS(=O)(=O)C(C)CCNC(C)(C)C DWXHIMSEIJYUBT-UHFFFAOYSA-N 0.000 description 2
- DFVFTMTWCUHJBL-UHFFFAOYSA-N 4-azaniumyl-3-hydroxy-6-methylheptanoate Chemical compound CC(C)CC(N)C(O)CC(O)=O DFVFTMTWCUHJBL-UHFFFAOYSA-N 0.000 description 2
- JJMDCOVWQOJGCB-UHFFFAOYSA-N 5-aminopentanoic acid Chemical compound [NH3+]CCCCC([O-])=O JJMDCOVWQOJGCB-UHFFFAOYSA-N 0.000 description 2
- ODHCTXKNWHHXJC-VKHMYHEASA-N 5-oxo-L-proline Chemical compound OC(=O)[C@@H]1CCC(=O)N1 ODHCTXKNWHHXJC-VKHMYHEASA-N 0.000 description 2
- 208000024667 ABeta amyloidosis, Dutch type Diseases 0.000 description 2
- 208000023697 ABri amyloidosis Diseases 0.000 description 2
- 208000018282 ACys amyloidosis Diseases 0.000 description 2
- 208000017227 ADan amyloidosis Diseases 0.000 description 2
- 102100040026 Agrin Human genes 0.000 description 2
- QGZKDVFQNNGYKY-UHFFFAOYSA-N Ammonia Chemical compound N QGZKDVFQNNGYKY-UHFFFAOYSA-N 0.000 description 2
- 102400000573 Amyloid-beta protein 40 Human genes 0.000 description 2
- 102400000574 Amyloid-beta protein 42 Human genes 0.000 description 2
- 206010059245 Angiopathy Diseases 0.000 description 2
- 241000272517 Anseriformes Species 0.000 description 2
- 102000005666 Apolipoprotein A-I Human genes 0.000 description 2
- 108010059886 Apolipoprotein A-I Proteins 0.000 description 2
- 108010060159 Apolipoprotein E4 Proteins 0.000 description 2
- CIWBSHSKHKDKBQ-JLAZNSOCSA-N Ascorbic acid Chemical compound OC[C@H](O)[C@H]1OC(=O)C(O)=C1O CIWBSHSKHKDKBQ-JLAZNSOCSA-N 0.000 description 2
- 201000001320 Atherosclerosis Diseases 0.000 description 2
- 102100036597 Basement membrane-specific heparan sulfate proteoglycan core protein Human genes 0.000 description 2
- BVKZGUZCCUSVTD-UHFFFAOYSA-M Bicarbonate Chemical compound OC([O-])=O BVKZGUZCCUSVTD-UHFFFAOYSA-M 0.000 description 2
- LSNNMFCWUKXFEE-UHFFFAOYSA-M Bisulfite Chemical compound OS([O-])=O LSNNMFCWUKXFEE-UHFFFAOYSA-M 0.000 description 2
- 201000000166 CST3-related cerebral amyloid angiopathy Diseases 0.000 description 2
- 101710132601 Capsid protein Proteins 0.000 description 2
- BVKZGUZCCUSVTD-UHFFFAOYSA-L Carbonate Chemical compound [O-]C([O-])=O BVKZGUZCCUSVTD-UHFFFAOYSA-L 0.000 description 2
- 241000282693 Cercopithecidae Species 0.000 description 2
- HEDRZPFGACZZDS-UHFFFAOYSA-N Chloroform Chemical compound ClC(Cl)Cl HEDRZPFGACZZDS-UHFFFAOYSA-N 0.000 description 2
- KRKNYBCHXYNGOX-UHFFFAOYSA-K Citrate Chemical compound [O-]C(=O)CC(O)(CC([O-])=O)C([O-])=O KRKNYBCHXYNGOX-UHFFFAOYSA-K 0.000 description 2
- FBPFZTCFMRRESA-KVTDHHQDSA-N D-Mannitol Chemical compound OC[C@@H](O)[C@@H](O)[C@H](O)[C@H](O)CO FBPFZTCFMRRESA-KVTDHHQDSA-N 0.000 description 2
- 238000008157 ELISA kit Methods 0.000 description 2
- QUSNBJAOOMFDIB-UHFFFAOYSA-N Ethylamine Chemical compound CCN QUSNBJAOOMFDIB-UHFFFAOYSA-N 0.000 description 2
- YNQLUTRBYVCPMQ-UHFFFAOYSA-N Ethylbenzene Chemical compound CCC1=CC=CC=C1 YNQLUTRBYVCPMQ-UHFFFAOYSA-N 0.000 description 2
- 108010037362 Extracellular Matrix Proteins Proteins 0.000 description 2
- 102000010834 Extracellular Matrix Proteins Human genes 0.000 description 2
- 241000282326 Felis catus Species 0.000 description 2
- ZRALSGWEFCBTJO-UHFFFAOYSA-N Guanidine Chemical compound NC(N)=N ZRALSGWEFCBTJO-UHFFFAOYSA-N 0.000 description 2
- WZUVPPKBWHMQCE-UHFFFAOYSA-N Haematoxylin Chemical compound C12=CC(O)=C(O)C=C2CC2(O)C1C1=CC=C(O)C(O)=C1OC2 WZUVPPKBWHMQCE-UHFFFAOYSA-N 0.000 description 2
- 241000282412 Homo Species 0.000 description 2
- PMMYEEVYMWASQN-DMTCNVIQSA-N Hydroxyproline Chemical compound O[C@H]1CN[C@H](C(O)=O)C1 PMMYEEVYMWASQN-DMTCNVIQSA-N 0.000 description 2
- 208000035150 Hypercholesterolemia Diseases 0.000 description 2
- 206010020772 Hypertension Diseases 0.000 description 2
- 201000000162 ITM2B-related cerebral amyloid angiopathy 1 Diseases 0.000 description 2
- 201000000194 ITM2B-related cerebral amyloid angiopathy 2 Diseases 0.000 description 2
- 102000006496 Immunoglobulin Heavy Chains Human genes 0.000 description 2
- 108010019476 Immunoglobulin Heavy Chains Proteins 0.000 description 2
- 206010023232 Joint swelling Diseases 0.000 description 2
- SNDPXSYFESPGGJ-UHFFFAOYSA-N L-norVal-OH Natural products CCCC(N)C(O)=O SNDPXSYFESPGGJ-UHFFFAOYSA-N 0.000 description 2
- LRQKBLKVPFOOQJ-YFKPBYRVSA-N L-norleucine Chemical compound CCCC[C@H]([NH3+])C([O-])=O LRQKBLKVPFOOQJ-YFKPBYRVSA-N 0.000 description 2
- FEWJPZIEWOKRBE-JCYAYHJZSA-L L-tartrate(2-) Chemical compound [O-]C(=O)[C@H](O)[C@@H](O)C([O-])=O FEWJPZIEWOKRBE-JCYAYHJZSA-L 0.000 description 2
- JVTAAEKCZFNVCJ-UHFFFAOYSA-M Lactate Chemical compound CC(O)C([O-])=O JVTAAEKCZFNVCJ-UHFFFAOYSA-M 0.000 description 2
- CSNNHWWHGAXBCP-UHFFFAOYSA-L Magnesium sulfate Chemical compound [Mg+2].[O-][S+2]([O-])([O-])[O-] CSNNHWWHGAXBCP-UHFFFAOYSA-L 0.000 description 2
- 229930195725 Mannitol Natural products 0.000 description 2
- AFVFQIVMOAPDHO-UHFFFAOYSA-N Methanesulfonic acid Chemical compound CS(O)(=O)=O AFVFQIVMOAPDHO-UHFFFAOYSA-N 0.000 description 2
- BZLVMXJERCGZMT-UHFFFAOYSA-N Methyl tert-butyl ether Chemical compound COC(C)(C)C BZLVMXJERCGZMT-UHFFFAOYSA-N 0.000 description 2
- IMNFDUFMRHMDMM-UHFFFAOYSA-N N-Heptane Chemical class CCCCCCC IMNFDUFMRHMDMM-UHFFFAOYSA-N 0.000 description 2
- NQTADLQHYWFPDB-UHFFFAOYSA-N N-Hydroxysuccinimide Chemical compound ON1C(=O)CCC1=O NQTADLQHYWFPDB-UHFFFAOYSA-N 0.000 description 2
- 229910002651 NO3 Inorganic materials 0.000 description 2
- NHNBFGGVMKEFGY-UHFFFAOYSA-N Nitrate Chemical compound [O-][N+]([O-])=O NHNBFGGVMKEFGY-UHFFFAOYSA-N 0.000 description 2
- 229910004727 OSO3H Inorganic materials 0.000 description 2
- 241000283973 Oryctolagus cuniculus Species 0.000 description 2
- 208000002774 Paraproteinemias Diseases 0.000 description 2
- 208000037581 Persistent Infection Diseases 0.000 description 2
- ISWSIDIOOBJBQZ-UHFFFAOYSA-N Phenol Chemical compound OC1=CC=CC=C1 ISWSIDIOOBJBQZ-UHFFFAOYSA-N 0.000 description 2
- GLUUGHFHXGJENI-UHFFFAOYSA-N Piperazine Chemical compound C1CNCCN1 GLUUGHFHXGJENI-UHFFFAOYSA-N 0.000 description 2
- 239000002202 Polyethylene glycol Substances 0.000 description 2
- ODHCTXKNWHHXJC-GSVOUGTGSA-N Pyroglutamic acid Natural products OC(=O)[C@H]1CCC(=O)N1 ODHCTXKNWHHXJC-GSVOUGTGSA-N 0.000 description 2
- 108700028909 Serum Amyloid A Proteins 0.000 description 2
- PMZURENOXWZQFD-UHFFFAOYSA-L Sodium Sulfate Chemical compound [Na+].[Na+].[O-]S([O-])(=O)=O PMZURENOXWZQFD-UHFFFAOYSA-L 0.000 description 2
- PXIPVTKHYLBLMZ-UHFFFAOYSA-N Sodium azide Chemical compound [Na+].[N-]=[N+]=[N-] PXIPVTKHYLBLMZ-UHFFFAOYSA-N 0.000 description 2
- 229930182558 Sterol Natural products 0.000 description 2
- 201000004810 Vascular dementia Diseases 0.000 description 2
- 208000027418 Wounds and injury Diseases 0.000 description 2
- 238000002441 X-ray diffraction Methods 0.000 description 2
- 238000002835 absorbance Methods 0.000 description 2
- ODHCTXKNWHHXJC-UHFFFAOYSA-N acide pyroglutamique Natural products OC(=O)C1CCC(=O)N1 ODHCTXKNWHHXJC-UHFFFAOYSA-N 0.000 description 2
- 125000000641 acridinyl group Chemical group C1(=CC=CC2=NC3=CC=CC=C3C=C12)* 0.000 description 2
- 230000023445 activated T cell autonomous cell death Effects 0.000 description 2
- 239000008186 active pharmaceutical agent Substances 0.000 description 2
- 125000005073 adamantyl group Chemical group C12(CC3CC(CC(C1)C3)C2)* 0.000 description 2
- 230000002411 adverse Effects 0.000 description 2
- 150000001335 aliphatic alkanes Chemical class 0.000 description 2
- 239000003513 alkali Substances 0.000 description 2
- 125000004183 alkoxy alkyl group Chemical group 0.000 description 2
- QWCKQJZIFLGMSD-UHFFFAOYSA-N alpha-aminobutyric acid Chemical compound CCC(N)C(O)=O QWCKQJZIFLGMSD-UHFFFAOYSA-N 0.000 description 2
- FEWOUVRMGWFWIH-ILZZQXMPSA-N amyloid-beta polypeptide 40 Chemical compound C([C@@H](C(=O)N[C@@H](C)C(=O)N[C@@H](CCC(O)=O)C(=O)N[C@@H](CC(O)=O)C(=O)N[C@H](C(=O)NCC(=O)N[C@@H](CO)C(=O)N[C@@H](CC(N)=O)C(=O)N[C@@H](CCCCN)C(=O)NCC(=O)N[C@@H](C)C(=O)N[C@H](C(=O)N[C@@H]([C@@H](C)CC)C(=O)NCC(=O)N[C@@H](CC(C)C)C(=O)N[C@@H](CCSC)C(=O)N[C@@H](C(C)C)C(=O)NCC(=O)NCC(=O)N[C@@H](C(C)C)C(=O)N[C@@H](C(C)C)C(O)=O)[C@@H](C)CC)C(C)C)NC(=O)[C@H](CC=1C=CC=CC=1)NC(=O)[C@@H](NC(=O)[C@H](CC(C)C)NC(=O)[C@H](CCCCN)NC(=O)[C@H](CCC(N)=O)NC(=O)[C@H](CC=1N=CNC=1)NC(=O)[C@H](CC=1N=CNC=1)NC(=O)[C@@H](NC(=O)[C@H](CCC(O)=O)NC(=O)[C@H](CC=1C=CC(O)=CC=1)NC(=O)CNC(=O)[C@H](CO)NC(=O)[C@H](CC(O)=O)NC(=O)[C@H](CC=1N=CNC=1)NC(=O)[C@H](CCCNC(N)=N)NC(=O)[C@H](CC=1C=CC=CC=1)NC(=O)[C@H](CCC(O)=O)NC(=O)[C@H](C)NC(=O)[C@@H](N)CC(O)=O)C(C)C)C(C)C)C1=CC=CC=C1 FEWOUVRMGWFWIH-ILZZQXMPSA-N 0.000 description 2
- RWZYAGGXGHYGMB-UHFFFAOYSA-N anthranilic acid Chemical compound NC1=CC=CC=C1C(O)=O RWZYAGGXGHYGMB-UHFFFAOYSA-N 0.000 description 2
- 230000001640 apoptogenic effect Effects 0.000 description 2
- 230000006907 apoptotic process Effects 0.000 description 2
- 239000007864 aqueous solution Substances 0.000 description 2
- 125000005160 aryl oxy alkyl group Chemical group 0.000 description 2
- 125000005279 aryl sulfonyloxy group Chemical group 0.000 description 2
- 208000037875 astrocytosis Diseases 0.000 description 2
- 230000007341 astrogliosis Effects 0.000 description 2
- 210000003719 b-lymphocyte Anatomy 0.000 description 2
- 230000001580 bacterial effect Effects 0.000 description 2
- 230000008901 benefit Effects 0.000 description 2
- 125000004603 benzisoxazolyl group Chemical group O1N=C(C2=C1C=CC=C2)* 0.000 description 2
- 125000004196 benzothienyl group Chemical group S1C(=CC2=C1C=CC=C2)* 0.000 description 2
- 208000006752 brain edema Diseases 0.000 description 2
- 239000006172 buffering agent Substances 0.000 description 2
- FATUQANACHZLRT-KMRXSBRUSA-L calcium glucoheptonate Chemical compound [Ca+2].OC[C@@H](O)[C@@H](O)[C@H](O)[C@@H](O)C(O)C([O-])=O.OC[C@@H](O)[C@@H](O)[C@H](O)[C@@H](O)C(O)C([O-])=O FATUQANACHZLRT-KMRXSBRUSA-L 0.000 description 2
- 125000000609 carbazolyl group Chemical group C1(=CC=CC=2C3=CC=CC=C3NC12)* 0.000 description 2
- 239000001768 carboxy methyl cellulose Substances 0.000 description 2
- 239000000969 carrier Substances 0.000 description 2
- 230000005779 cell damage Effects 0.000 description 2
- 208000037887 cell injury Diseases 0.000 description 2
- 210000003169 central nervous system Anatomy 0.000 description 2
- 239000002738 chelating agent Substances 0.000 description 2
- MVPPADPHJFYWMZ-UHFFFAOYSA-N chlorobenzene Chemical compound ClC1=CC=CC=C1 MVPPADPHJFYWMZ-UHFFFAOYSA-N 0.000 description 2
- OSASVXMJTNOKOY-UHFFFAOYSA-N chlorobutanol Chemical compound CC(C)(O)C(Cl)(Cl)Cl OSASVXMJTNOKOY-UHFFFAOYSA-N 0.000 description 2
- 125000003016 chromanyl group Chemical group O1C(CCC2=CC=CC=C12)* 0.000 description 2
- 125000004230 chromenyl group Chemical group O1C(C=CC2=CC=CC=C12)* 0.000 description 2
- 230000006020 chronic inflammation Effects 0.000 description 2
- 235000019504 cigarettes Nutrition 0.000 description 2
- 125000000259 cinnolinyl group Chemical group N1=NC(=CC2=CC=CC=C12)* 0.000 description 2
- 229940121657 clinical drug Drugs 0.000 description 2
- 238000000576 coating method Methods 0.000 description 2
- 239000003086 colorant Substances 0.000 description 2
- 125000000582 cycloheptyl group Chemical group [H]C1([H])C([H])([H])C([H])([H])C([H])([H])C([H])(*)C([H])([H])C1([H])[H] 0.000 description 2
- 125000000640 cyclooctyl group Chemical group [H]C1([H])C([H])([H])C([H])([H])C([H])([H])C([H])(*)C([H])([H])C([H])([H])C1([H])[H] 0.000 description 2
- 125000002704 decyl group Chemical group [H]C([H])([H])C([H])([H])C([H])([H])C([H])([H])C([H])([H])C([H])([H])C([H])([H])C([H])([H])C([H])([H])C([H])([H])* 0.000 description 2
- 230000007850 degeneration Effects 0.000 description 2
- 230000001419 dependent effect Effects 0.000 description 2
- SBZXBUIDTXKZTM-UHFFFAOYSA-N diglyme Chemical compound COCCOCCOC SBZXBUIDTXKZTM-UHFFFAOYSA-N 0.000 description 2
- 239000003085 diluting agent Substances 0.000 description 2
- ZUOUZKKEUPVFJK-UHFFFAOYSA-N diphenyl Chemical compound C1=CC=CC=C1C1=CC=CC=C1 ZUOUZKKEUPVFJK-UHFFFAOYSA-N 0.000 description 2
- 239000002612 dispersion medium Substances 0.000 description 2
- POULHZVOKOAJMA-UHFFFAOYSA-M dodecanoate Chemical compound CCCCCCCCCCCC([O-])=O POULHZVOKOAJMA-UHFFFAOYSA-M 0.000 description 2
- 239000002552 dosage form Substances 0.000 description 2
- 208000036536 dutch type ABeta amyloidosis Diseases 0.000 description 2
- 239000000975 dye Substances 0.000 description 2
- 208000025688 early-onset autosomal dominant Alzheimer disease Diseases 0.000 description 2
- 238000007336 electrophilic substitution reaction Methods 0.000 description 2
- 230000002124 endocrine Effects 0.000 description 2
- 230000007613 environmental effect Effects 0.000 description 2
- 125000004185 ester group Chemical group 0.000 description 2
- 125000001033 ether group Chemical group 0.000 description 2
- 125000000816 ethylene group Chemical group [H]C([H])([*:1])C([H])([H])[*:2] 0.000 description 2
- 238000011156 evaluation Methods 0.000 description 2
- 210000002744 extracellular matrix Anatomy 0.000 description 2
- 210000001723 extracellular space Anatomy 0.000 description 2
- 239000000796 flavoring agent Substances 0.000 description 2
- 125000001153 fluoro group Chemical group F* 0.000 description 2
- 235000013355 food flavoring agent Nutrition 0.000 description 2
- 235000003599 food sweetener Nutrition 0.000 description 2
- 125000002485 formyl group Chemical group [H]C(*)=O 0.000 description 2
- VZCYOOQTPOCHFL-OWOJBTEDSA-L fumarate(2-) Chemical compound [O-]C(=O)\C=C\C([O-])=O VZCYOOQTPOCHFL-OWOJBTEDSA-L 0.000 description 2
- 125000000524 functional group Chemical group 0.000 description 2
- 229960003692 gamma aminobutyric acid Drugs 0.000 description 2
- PJJJBBJSCAKJQF-UHFFFAOYSA-N guanidinium chloride Chemical compound [Cl-].NC(N)=[NH2+] PJJJBBJSCAKJQF-UHFFFAOYSA-N 0.000 description 2
- 229940093915 gynecological organic acid Drugs 0.000 description 2
- 230000035876 healing Effects 0.000 description 2
- 210000002216 heart Anatomy 0.000 description 2
- 210000005003 heart tissue Anatomy 0.000 description 2
- 125000004475 heteroaralkyl group Chemical group 0.000 description 2
- 125000005223 heteroarylcarbonyl group Chemical group 0.000 description 2
- IPCSVZSSVZVIGE-UHFFFAOYSA-M hexadecanoate Chemical compound CCCCCCCCCCCCCCCC([O-])=O IPCSVZSSVZVIGE-UHFFFAOYSA-M 0.000 description 2
- 150000002430 hydrocarbons Chemical group 0.000 description 2
- QAOWNCQODCNURD-UHFFFAOYSA-M hydrogensulfate Chemical compound OS([O-])(=O)=O QAOWNCQODCNURD-UHFFFAOYSA-M 0.000 description 2
- XLYOFNOQVPJJNP-UHFFFAOYSA-M hydroxide Chemical compound [OH-] XLYOFNOQVPJJNP-UHFFFAOYSA-M 0.000 description 2
- NPZTUJOABDZTLV-UHFFFAOYSA-N hydroxybenzotriazole Substances O=C1C=CC=C2NNN=C12 NPZTUJOABDZTLV-UHFFFAOYSA-N 0.000 description 2
- 125000002632 imidazolidinyl group Chemical group 0.000 description 2
- 125000002636 imidazolinyl group Chemical group 0.000 description 2
- 125000003387 indolinyl group Chemical group N1(CCC2=CC=CC=C12)* 0.000 description 2
- 125000003406 indolizinyl group Chemical group C=1(C=CN2C=CC=CC12)* 0.000 description 2
- 238000002329 infrared spectrum Methods 0.000 description 2
- 208000014674 injury Diseases 0.000 description 2
- 239000000543 intermediate Substances 0.000 description 2
- 125000003384 isochromanyl group Chemical group C1(OCCC2=CC=CC=C12)* 0.000 description 2
- 125000004594 isoindolinyl group Chemical group C1(NCC2=CC=CC=C12)* 0.000 description 2
- 125000000904 isoindolyl group Chemical group C=1(NC=C2C=CC=CC12)* 0.000 description 2
- QWTDNUCVQCZILF-UHFFFAOYSA-N isopentane Chemical compound CCC(C)C QWTDNUCVQCZILF-UHFFFAOYSA-N 0.000 description 2
- 125000002183 isoquinolinyl group Chemical group C1(=NC=CC2=CC=CC=C12)* 0.000 description 2
- JYTUSYBCFIZPBE-AMTLMPIISA-M lactobionate Chemical compound [O-]C(=O)[C@H](O)[C@@H](O)[C@@H]([C@H](O)CO)O[C@@H]1O[C@H](CO)[C@H](O)[C@H](O)[C@H]1O JYTUSYBCFIZPBE-AMTLMPIISA-M 0.000 description 2
- 229940099584 lactobionate Drugs 0.000 description 2
- 229940070765 laurate Drugs 0.000 description 2
- 235000010445 lecithin Nutrition 0.000 description 2
- 239000000787 lecithin Substances 0.000 description 2
- 229940067606 lecithin Drugs 0.000 description 2
- 239000000594 mannitol Substances 0.000 description 2
- 235000010355 mannitol Nutrition 0.000 description 2
- 206010027175 memory impairment Diseases 0.000 description 2
- 230000004060 metabolic process Effects 0.000 description 2
- 150000004702 methyl esters Chemical class 0.000 description 2
- UAEPNZWRGJTJPN-UHFFFAOYSA-N methylcyclohexane Chemical compound CC1CCCCC1 UAEPNZWRGJTJPN-UHFFFAOYSA-N 0.000 description 2
- 125000001570 methylene group Chemical group [H]C([H])([*:1])[*:2] 0.000 description 2
- LXCFILQKKLGQFO-UHFFFAOYSA-N methylparaben Chemical compound COC(=O)C1=CC=C(O)C=C1 LXCFILQKKLGQFO-UHFFFAOYSA-N 0.000 description 2
- 125000002816 methylsulfanyl group Chemical group [H]C([H])([H])S[*] 0.000 description 2
- 230000000813 microbial effect Effects 0.000 description 2
- 230000006724 microglial activation Effects 0.000 description 2
- 238000012544 monitoring process Methods 0.000 description 2
- 125000002757 morpholinyl group Chemical group 0.000 description 2
- VLKZOEOYAKHREP-UHFFFAOYSA-N n-Hexane Chemical class CCCCCC VLKZOEOYAKHREP-UHFFFAOYSA-N 0.000 description 2
- 210000004898 n-terminal fragment Anatomy 0.000 description 2
- 125000004593 naphthyridinyl group Chemical group N1=C(C=CC2=CC=CN=C12)* 0.000 description 2
- 238000002663 nebulization Methods 0.000 description 2
- 230000007823 neuropathy Effects 0.000 description 2
- 201000001119 neuropathy Diseases 0.000 description 2
- QIQXTHQIDYTFRH-UHFFFAOYSA-N octadecanoic acid Chemical compound CCCCCCCCCCCCCCCCCC(O)=O QIQXTHQIDYTFRH-UHFFFAOYSA-N 0.000 description 2
- 229940049964 oleate Drugs 0.000 description 2
- ZQPPMHVWECSIRJ-KTKRTIGZSA-M oleate Chemical compound CCCCCCCC\C=C/CCCCCCCC([O-])=O ZQPPMHVWECSIRJ-KTKRTIGZSA-M 0.000 description 2
- 235000005985 organic acids Nutrition 0.000 description 2
- 150000002894 organic compounds Chemical class 0.000 description 2
- 125000002971 oxazolyl group Chemical group 0.000 description 2
- 125000004430 oxygen atom Chemical group O* 0.000 description 2
- 238000007911 parenteral administration Methods 0.000 description 2
- 230000001717 pathogenic effect Effects 0.000 description 2
- 230000037361 pathway Effects 0.000 description 2
- 210000000578 peripheral nerve Anatomy 0.000 description 2
- 239000000546 pharmaceutical excipient Substances 0.000 description 2
- 230000000144 pharmacologic effect Effects 0.000 description 2
- 125000004934 phenanthridinyl group Chemical group C1(=CC=CC2=NC=C3C=CC=CC3=C12)* 0.000 description 2
- 125000004625 phenanthrolinyl group Chemical group N1=C(C=CC2=CC=C3C=CC=NC3=C12)* 0.000 description 2
- 125000001791 phenazinyl group Chemical group C1(=CC=CC2=NC3=CC=CC=C3N=C12)* 0.000 description 2
- 125000001484 phenothiazinyl group Chemical group C1(=CC=CC=2SC3=CC=CC=C3NC12)* 0.000 description 2
- 125000005954 phenoxathiinyl group Chemical group 0.000 description 2
- 125000001644 phenoxazinyl group Chemical group C1(=CC=CC=2OC3=CC=CC=C3NC12)* 0.000 description 2
- 125000000951 phenoxy group Chemical group [H]C1=C([H])C([H])=C(O*)C([H])=C1[H] 0.000 description 2
- COLNVLDHVKWLRT-UHFFFAOYSA-N phenylalanine Natural products OC(=O)C(N)CC1=CC=CC=C1 COLNVLDHVKWLRT-UHFFFAOYSA-N 0.000 description 2
- 229960005190 phenylalanine Drugs 0.000 description 2
- 125000004592 phthalazinyl group Chemical group C1(=NN=CC2=CC=CC=C12)* 0.000 description 2
- 125000003386 piperidinyl group Chemical group 0.000 description 2
- 208000010626 plasma cell neoplasm Diseases 0.000 description 2
- 230000004845 protein aggregation Effects 0.000 description 2
- 201000001474 proteinuria Diseases 0.000 description 2
- 230000006337 proteolytic cleavage Effects 0.000 description 2
- 125000001042 pteridinyl group Chemical group N1=C(N=CC2=NC=CN=C12)* 0.000 description 2
- 125000004309 pyranyl group Chemical group O1C(C=CC=C1)* 0.000 description 2
- 125000003072 pyrazolidinyl group Chemical group 0.000 description 2
- 125000002755 pyrazolinyl group Chemical group 0.000 description 2
- 125000001422 pyrrolinyl group Chemical group 0.000 description 2
- 238000011002 quantification Methods 0.000 description 2
- 125000002294 quinazolinyl group Chemical group N1=C(N=CC2=CC=CC=C12)* 0.000 description 2
- 125000002943 quinolinyl group Chemical group N1=C(C=CC2=CC=CC=C12)* 0.000 description 2
- 125000001567 quinoxalinyl group Chemical group N1=C(C=NC2=CC=CC=C12)* 0.000 description 2
- 239000011541 reaction mixture Substances 0.000 description 2
- 230000004044 response Effects 0.000 description 2
- FSYKKLYZXJSNPZ-UHFFFAOYSA-N sarcosine Chemical compound C[NH2+]CC([O-])=O FSYKKLYZXJSNPZ-UHFFFAOYSA-N 0.000 description 2
- 208000008864 scrapie Diseases 0.000 description 2
- 238000007423 screening assay Methods 0.000 description 2
- 125000002914 sec-butyl group Chemical group [H]C([H])([H])C([H])([H])C([H])(*)C([H])([H])[H] 0.000 description 2
- 230000003248 secreting effect Effects 0.000 description 2
- 230000035945 sensitivity Effects 0.000 description 2
- 230000000391 smoking effect Effects 0.000 description 2
- UVEHZTXQDLDNEA-UHFFFAOYSA-M sodium;3-(phenylmethoxycarbonylamino)propane-1-sulfonate Chemical compound [Na+].[O-]S(=O)(=O)CCCNC(=O)OCC1=CC=CC=C1 UVEHZTXQDLDNEA-UHFFFAOYSA-M 0.000 description 2
- 238000000527 sonication Methods 0.000 description 2
- 241000894007 species Species 0.000 description 2
- 239000007858 starting material Substances 0.000 description 2
- 150000003432 sterols Chemical class 0.000 description 2
- 235000003702 sterols Nutrition 0.000 description 2
- 238000003860 storage Methods 0.000 description 2
- KDYFGRWQOYBRFD-UHFFFAOYSA-L succinate(2-) Chemical compound [O-]C(=O)CCC([O-])=O KDYFGRWQOYBRFD-UHFFFAOYSA-L 0.000 description 2
- 239000004094 surface-active agent Substances 0.000 description 2
- 239000003765 sweetening agent Substances 0.000 description 2
- 235000020357 syrup Nutrition 0.000 description 2
- 239000006188 syrup Substances 0.000 description 2
- 239000003826 tablet Substances 0.000 description 2
- 230000008685 targeting Effects 0.000 description 2
- 229940095064 tartrate Drugs 0.000 description 2
- NUMQCACRALPSHD-UHFFFAOYSA-N tert-butyl ethyl ether Chemical compound CCOC(C)(C)C NUMQCACRALPSHD-UHFFFAOYSA-N 0.000 description 2
- VZGDMQKNWNREIO-UHFFFAOYSA-N tetrachloromethane Chemical compound ClC(Cl)(Cl)Cl VZGDMQKNWNREIO-UHFFFAOYSA-N 0.000 description 2
- YLQBMQCUIZJEEH-UHFFFAOYSA-N tetrahydrofuran Natural products C=1C=COC=1 YLQBMQCUIZJEEH-UHFFFAOYSA-N 0.000 description 2
- 125000001712 tetrahydronaphthyl group Chemical group C1(CCCC2=CC=CC=C12)* 0.000 description 2
- 231100001274 therapeutic index Toxicity 0.000 description 2
- 125000004001 thioalkyl group Chemical group 0.000 description 2
- 125000003396 thiol group Chemical class [H]S* 0.000 description 2
- 230000000699 topical effect Effects 0.000 description 2
- 125000005490 tosylate group Chemical group 0.000 description 2
- 238000000844 transformation Methods 0.000 description 2
- ITMCEJHCFYSIIV-UHFFFAOYSA-M triflate Chemical compound [O-]S(=O)(=O)C(F)(F)F ITMCEJHCFYSIIV-UHFFFAOYSA-M 0.000 description 2
- 229940070710 valerate Drugs 0.000 description 2
- NQPDZGIKBAWPEJ-UHFFFAOYSA-N valeric acid Chemical compound CCCCC(O)=O NQPDZGIKBAWPEJ-UHFFFAOYSA-N 0.000 description 2
- 230000003612 virological effect Effects 0.000 description 2
- 230000003442 weekly effect Effects 0.000 description 2
- 230000004584 weight gain Effects 0.000 description 2
- 235000019786 weight gain Nutrition 0.000 description 2
- FQRURPFZTFUXEZ-MRVPVSSYSA-N (2s)-2,3,3,3-tetrafluoro-2-(n-fluoroanilino)propanoic acid Chemical compound OC(=O)[C@](F)(C(F)(F)F)N(F)C1=CC=CC=C1 FQRURPFZTFUXEZ-MRVPVSSYSA-N 0.000 description 1
- ZZUUVVCQWAEUFI-NSHDSACASA-N (2s)-2-(3-aminopropylsulfonylamino)-3-phenylpropanoic acid Chemical compound NCCCS(=O)(=O)N[C@H](C(O)=O)CC1=CC=CC=C1 ZZUUVVCQWAEUFI-NSHDSACASA-N 0.000 description 1
- BVAUMRCGVHUWOZ-ZETCQYMHSA-N (2s)-2-(cyclohexylazaniumyl)propanoate Chemical compound OC(=O)[C@H](C)NC1CCCCC1 BVAUMRCGVHUWOZ-ZETCQYMHSA-N 0.000 description 1
- IYKLZBIWFXPUCS-VIFPVBQESA-N (2s)-2-(naphthalen-1-ylamino)propanoic acid Chemical compound C1=CC=C2C(N[C@@H](C)C(O)=O)=CC=CC2=C1 IYKLZBIWFXPUCS-VIFPVBQESA-N 0.000 description 1
- RWLSBXBFZHDHHX-VIFPVBQESA-N (2s)-2-(naphthalen-2-ylamino)propanoic acid Chemical compound C1=CC=CC2=CC(N[C@@H](C)C(O)=O)=CC=C21 RWLSBXBFZHDHHX-VIFPVBQESA-N 0.000 description 1
- NRCSJHVDTAAISV-QMMMGPOBSA-N (2s)-2-amino-3-(3,4-dichlorophenyl)propanoic acid Chemical compound OC(=O)[C@@H](N)CC1=CC=C(Cl)C(Cl)=C1 NRCSJHVDTAAISV-QMMMGPOBSA-N 0.000 description 1
- WAMWSIDTKSNDCU-ZETCQYMHSA-N (2s)-2-azaniumyl-2-cyclohexylacetate Chemical compound OC(=O)[C@@H](N)C1CCCCC1 WAMWSIDTKSNDCU-ZETCQYMHSA-N 0.000 description 1
- GTVVZTAFGPQSPC-QMMMGPOBSA-N (2s)-2-azaniumyl-3-(4-nitrophenyl)propanoate Chemical compound OC(=O)[C@@H](N)CC1=CC=C([N+]([O-])=O)C=C1 GTVVZTAFGPQSPC-QMMMGPOBSA-N 0.000 description 1
- CQYBNXGHMBNGCG-FXQIFTODSA-N (2s,3as,7as)-2,3,3a,4,5,6,7,7a-octahydro-1h-indol-1-ium-2-carboxylate Chemical compound C1CCC[C@@H]2[NH2+][C@H](C(=O)[O-])C[C@@H]21 CQYBNXGHMBNGCG-FXQIFTODSA-N 0.000 description 1
- LJRDOKAZOAKLDU-UDXJMMFXSA-N (2s,3s,4r,5r,6r)-5-amino-2-(aminomethyl)-6-[(2r,3s,4r,5s)-5-[(1r,2r,3s,5r,6s)-3,5-diamino-2-[(2s,3r,4r,5s,6r)-3-amino-4,5-dihydroxy-6-(hydroxymethyl)oxan-2-yl]oxy-6-hydroxycyclohexyl]oxy-4-hydroxy-2-(hydroxymethyl)oxolan-3-yl]oxyoxane-3,4-diol;sulfuric ac Chemical compound OS(O)(=O)=O.N[C@@H]1[C@@H](O)[C@H](O)[C@H](CN)O[C@@H]1O[C@H]1[C@@H](O)[C@H](O[C@H]2[C@@H]([C@@H](N)C[C@@H](N)[C@@H]2O)O[C@@H]2[C@@H]([C@@H](O)[C@H](O)[C@@H](CO)O2)N)O[C@@H]1CO LJRDOKAZOAKLDU-UDXJMMFXSA-N 0.000 description 1
- 125000004178 (C1-C4) alkyl group Chemical group 0.000 description 1
- 125000004454 (C1-C6) alkoxycarbonyl group Chemical group 0.000 description 1
- 125000004916 (C1-C6) alkylcarbonyl group Chemical group 0.000 description 1
- 125000006700 (C1-C6) alkylthio group Chemical group 0.000 description 1
- 125000006313 (C5-C8) alkyl group Chemical group 0.000 description 1
- NQRKYASMKDDGHT-UHFFFAOYSA-N (aminooxy)acetic acid Chemical compound NOCC(O)=O NQRKYASMKDDGHT-UHFFFAOYSA-N 0.000 description 1
- UWYVPFMHMJIBHE-OWOJBTEDSA-N (e)-2-hydroxybut-2-enedioic acid Chemical compound OC(=O)\C=C(\O)C(O)=O UWYVPFMHMJIBHE-OWOJBTEDSA-N 0.000 description 1
- 108091032973 (ribonucleotides)n+m Proteins 0.000 description 1
- NYPYHUZRZVSYKL-UHFFFAOYSA-N -3,5-Diiodotyrosine Natural products OC(=O)C(N)CC1=CC(I)=C(O)C(I)=C1 NYPYHUZRZVSYKL-UHFFFAOYSA-N 0.000 description 1
- SCYULBFZEHDVBN-UHFFFAOYSA-N 1,1-Dichloroethane Chemical compound CC(Cl)Cl SCYULBFZEHDVBN-UHFFFAOYSA-N 0.000 description 1
- BWKMGYQJPOAASG-UHFFFAOYSA-N 1,2,3,4-tetrahydroisoquinoline-3-carboxylic acid Chemical compound C1=CC=C2CNC(C(=O)O)CC2=C1 BWKMGYQJPOAASG-UHFFFAOYSA-N 0.000 description 1
- 125000004502 1,2,3-oxadiazolyl group Chemical group 0.000 description 1
- 125000004511 1,2,3-thiadiazolyl group Chemical group 0.000 description 1
- 125000001399 1,2,3-triazolyl group Chemical group N1N=NC(=C1)* 0.000 description 1
- 125000004504 1,2,4-oxadiazolyl group Chemical group 0.000 description 1
- 125000004514 1,2,4-thiadiazolyl group Chemical group 0.000 description 1
- 125000001376 1,2,4-triazolyl group Chemical group N1N=C(N=C1)* 0.000 description 1
- 125000004506 1,2,5-oxadiazolyl group Chemical group 0.000 description 1
- 125000004517 1,2,5-thiadiazolyl group Chemical group 0.000 description 1
- 125000001781 1,3,4-oxadiazolyl group Chemical group 0.000 description 1
- 125000004520 1,3,4-thiadiazolyl group Chemical group 0.000 description 1
- RYHBNJHYFVUHQT-UHFFFAOYSA-N 1,4-Dioxane Chemical compound C1COCCO1 RYHBNJHYFVUHQT-UHFFFAOYSA-N 0.000 description 1
- QXQAPNSHUJORMC-UHFFFAOYSA-N 1-chloro-4-propylbenzene Chemical compound CCCC1=CC=C(Cl)C=C1 QXQAPNSHUJORMC-UHFFFAOYSA-N 0.000 description 1
- LDMOEFOXLIZJOW-UHFFFAOYSA-N 1-dodecanesulfonic acid Chemical class CCCCCCCCCCCCS(O)(=O)=O LDMOEFOXLIZJOW-UHFFFAOYSA-N 0.000 description 1
- HNEGJTWNOOWEMH-UHFFFAOYSA-N 1-fluoropropane Chemical group [CH2]CCF HNEGJTWNOOWEMH-UHFFFAOYSA-N 0.000 description 1
- IXPNQXFRVYWDDI-UHFFFAOYSA-N 1-methyl-2,4-dioxo-1,3-diazinane-5-carboximidamide Chemical compound CN1CC(C(N)=N)C(=O)NC1=O IXPNQXFRVYWDDI-UHFFFAOYSA-N 0.000 description 1
- 125000001637 1-naphthyl group Chemical group [H]C1=C([H])C([H])=C2C(*)=C([H])C([H])=C([H])C2=C1[H] 0.000 description 1
- 125000001462 1-pyrrolyl group Chemical group [*]N1C([H])=C([H])C([H])=C1[H] 0.000 description 1
- GUOSQNAUYHMCRU-UHFFFAOYSA-N 11-Aminoundecanoic acid Chemical compound NCCCCCCCCCCC(O)=O GUOSQNAUYHMCRU-UHFFFAOYSA-N 0.000 description 1
- FPIPGXGPPPQFEQ-UHFFFAOYSA-N 13-cis retinol Natural products OCC=C(C)C=CC=C(C)C=CC1=C(C)CCCC1(C)C FPIPGXGPPPQFEQ-UHFFFAOYSA-N 0.000 description 1
- YBYIRNPNPLQARY-UHFFFAOYSA-N 1H-indene Natural products C1=CC=C2CC=CC2=C1 YBYIRNPNPLQARY-UHFFFAOYSA-N 0.000 description 1
- 125000000453 2,2,2-trichloroethyl group Chemical group [H]C([H])(*)C(Cl)(Cl)Cl 0.000 description 1
- UVAMFBJPMUMURT-UHFFFAOYSA-N 2,3,4,5,6-pentafluorobenzenethiol Chemical class FC1=C(F)C(F)=C(S)C(F)=C1F UVAMFBJPMUMURT-UHFFFAOYSA-N 0.000 description 1
- LYLKYOCIGPXQFH-UHFFFAOYSA-N 2,3,4,5-tetrafluoro-6-hydroxybenzenesulfonic acid Chemical compound OC1=C(F)C(F)=C(F)C(F)=C1S(O)(=O)=O LYLKYOCIGPXQFH-UHFFFAOYSA-N 0.000 description 1
- LBLYYCQCTBFVLH-UHFFFAOYSA-N 2-Methylbenzenesulfonic acid Chemical compound CC1=CC=CC=C1S(O)(=O)=O LBLYYCQCTBFVLH-UHFFFAOYSA-N 0.000 description 1
- VHPXSBIFWDAFMB-UHFFFAOYSA-N 2-amino-Delta(2)-thiazoline-4-carboxylic acid Chemical compound NC1=[NH+]C(C([O-])=O)CS1 VHPXSBIFWDAFMB-UHFFFAOYSA-N 0.000 description 1
- OZDAOHVKBFBBMZ-UHFFFAOYSA-N 2-aminopentanedioic acid;hydrate Chemical compound O.OC(=O)C(N)CCC(O)=O OZDAOHVKBFBBMZ-UHFFFAOYSA-N 0.000 description 1
- WTOFYLAWDLQMBZ-UHFFFAOYSA-N 2-azaniumyl-3-thiophen-2-ylpropanoate Chemical compound OC(=O)C(N)CC1=CC=CS1 WTOFYLAWDLQMBZ-UHFFFAOYSA-N 0.000 description 1
- 125000004174 2-benzimidazolyl group Chemical group [H]N1C(*)=NC2=C([H])C([H])=C([H])C([H])=C12 0.000 description 1
- 125000005999 2-bromoethyl group Chemical group 0.000 description 1
- 125000001340 2-chloroethyl group Chemical group [H]C([H])(Cl)C([H])([H])* 0.000 description 1
- 125000004777 2-fluoroethyl group Chemical group [H]C([H])(F)C([H])([H])* 0.000 description 1
- NYCRCTMDYITATC-UHFFFAOYSA-N 2-fluorophenylalanine Chemical compound OC(=O)C(N)CC1=CC=CC=C1F NYCRCTMDYITATC-UHFFFAOYSA-N 0.000 description 1
- 125000002941 2-furyl group Chemical group O1C([*])=C([H])C([H])=C1[H] 0.000 description 1
- JWUJQDFVADABEY-UHFFFAOYSA-N 2-methyltetrahydrofuran Chemical class CC1CCCO1 JWUJQDFVADABEY-UHFFFAOYSA-N 0.000 description 1
- 125000001622 2-naphthyl group Chemical group [H]C1=C([H])C([H])=C2C([H])=C(*)C([H])=C([H])C2=C1[H] 0.000 description 1
- 125000000094 2-phenylethyl group Chemical group [H]C1=C([H])C([H])=C(C([H])=C1[H])C([H])([H])C([H])([H])* 0.000 description 1
- 125000004105 2-pyridyl group Chemical group N1=C([*])C([H])=C([H])C([H])=C1[H] 0.000 description 1
- 125000000389 2-pyrrolyl group Chemical group [H]N1C([*])=C([H])C([H])=C1[H] 0.000 description 1
- 125000000175 2-thienyl group Chemical group S1C([*])=C([H])C([H])=C1[H] 0.000 description 1
- NYPYHUZRZVSYKL-ZETCQYMHSA-N 3,5-diiodo-L-tyrosine Chemical compound OC(=O)[C@@H](N)CC1=CC(I)=C(O)C(I)=C1 NYPYHUZRZVSYKL-ZETCQYMHSA-N 0.000 description 1
- XRKJQIKBSZMUSW-UHFFFAOYSA-N 3-(1-adamantylcarbamoylamino)propane-1-sulfonic acid Chemical class C1C(C2)CC3CC2CC1(NC(=O)NCCCS(=O)(=O)O)C3 XRKJQIKBSZMUSW-UHFFFAOYSA-N 0.000 description 1
- CWNXBEHIDRARCC-UHFFFAOYSA-N 3-(2,2-diphenylethylamino)propane-1-sulfonic acid Chemical compound C=1C=CC=CC=1C(CNCCCS(=O)(=O)O)C1=CC=CC=C1 CWNXBEHIDRARCC-UHFFFAOYSA-N 0.000 description 1
- AJHPGXZOIAYYDW-UHFFFAOYSA-N 3-(2-cyanophenyl)-2-[(2-methylpropan-2-yl)oxycarbonylamino]propanoic acid Chemical compound CC(C)(C)OC(=O)NC(C(O)=O)CC1=CC=CC=C1C#N AJHPGXZOIAYYDW-UHFFFAOYSA-N 0.000 description 1
- CZDRGRUWRYHMHH-UHFFFAOYSA-N 3-(2-methylbutylamino)propane-1-sulfonic acid Chemical compound CCC(C)CNCCCS(O)(=O)=O CZDRGRUWRYHMHH-UHFFFAOYSA-N 0.000 description 1
- FQWMUSGFVCIRKG-UHFFFAOYSA-N 3-(4-acetyl-4-phenylpiperidin-1-yl)propane-1-sulfonic acid Chemical compound C=1C=CC=CC=1C1(C(=O)C)CCN(CCCS(O)(=O)=O)CC1 FQWMUSGFVCIRKG-UHFFFAOYSA-N 0.000 description 1
- SDYIOJLGAYUJQN-UHFFFAOYSA-N 3-(4-cyano-4-phenylpiperidin-1-yl)propane-1-sulfonic acid Chemical compound C1CN(CCCS(=O)(=O)O)CCC1(C#N)C1=CC=CC=C1 SDYIOJLGAYUJQN-UHFFFAOYSA-N 0.000 description 1
- URRIMIQMWHURGK-UHFFFAOYSA-N 3-(4-phenyl-3,6-dihydro-2h-pyridin-1-yl)butanoic acid;hydrochloride Chemical compound Cl.C1N(C(CC(O)=O)C)CCC(C=2C=CC=CC=2)=C1 URRIMIQMWHURGK-UHFFFAOYSA-N 0.000 description 1
- FUNOCOFRUROSPL-UHFFFAOYSA-N 3-(4-phenyl-3,6-dihydro-2h-pyridin-1-yl)propanoic acid Chemical compound C1N(CCC(=O)O)CCC(C=2C=CC=CC=2)=C1 FUNOCOFRUROSPL-UHFFFAOYSA-N 0.000 description 1
- SCAJBFLPUGPTKW-UHFFFAOYSA-N 3-(4-phenylpiperazin-1-ium-1-yl)propane-1-sulfonate Chemical compound C1C[NH+](CCCS(=O)(=O)[O-])CCN1C1=CC=CC=C1 SCAJBFLPUGPTKW-UHFFFAOYSA-N 0.000 description 1
- TWMAESQHABZOAO-UHFFFAOYSA-N 3-(benzylcarbamothioylamino)propane-1-sulfonic acid Chemical class OS(=O)(=O)CCCNC(=S)NCC1=CC=CC=C1 TWMAESQHABZOAO-UHFFFAOYSA-N 0.000 description 1
- BSNLFKYVXHSYIO-UHFFFAOYSA-N 3-(benzylcarbamoylamino)propane-1-sulfonic acid Chemical class OS(=O)(=O)CCCNC(=O)NCC1=CC=CC=C1 BSNLFKYVXHSYIO-UHFFFAOYSA-N 0.000 description 1
- SHBIJENCRXCAJH-UHFFFAOYSA-N 3-(cyclobutylamino)propane-1-sulfonic acid Chemical compound OS(=O)(=O)CCCNC1CCC1 SHBIJENCRXCAJH-UHFFFAOYSA-N 0.000 description 1
- INEWUCPYEUEQTN-UHFFFAOYSA-N 3-(cyclohexylamino)-2-hydroxy-1-propanesulfonic acid Chemical compound OS(=O)(=O)CC(O)CNC1CCCCC1 INEWUCPYEUEQTN-UHFFFAOYSA-N 0.000 description 1
- XXIKKBPTWQTKFG-UHFFFAOYSA-N 3-(dibenzylamino)propane-1-sulfonic acid Chemical compound C=1C=CC=CC=1CN(CCCS(=O)(=O)O)CC1=CC=CC=C1 XXIKKBPTWQTKFG-UHFFFAOYSA-N 0.000 description 1
- NAPYSSUDQHCCRK-UHFFFAOYSA-N 3-(dodecylcarbamoylamino)propane-1-sulfonic acid Chemical class CCCCCCCCCCCCNC(=O)NCCCS(O)(=O)=O NAPYSSUDQHCCRK-UHFFFAOYSA-N 0.000 description 1
- PXPZOGMBWUKZCQ-UHFFFAOYSA-N 3-(hexylcarbamoylamino)propane-1-sulfonic acid Chemical class CCCCCCNC(=O)NCCCS(O)(=O)=O PXPZOGMBWUKZCQ-UHFFFAOYSA-N 0.000 description 1
- QYRUZUFYMLAJLQ-UHFFFAOYSA-N 3-(tert-butylcarbamoylamino)propane-1-sulfonic acid Chemical compound CC(C)(C)NC(=O)NCCCS(O)(=O)=O QYRUZUFYMLAJLQ-UHFFFAOYSA-N 0.000 description 1
- VXVRAHLGPQTYNI-UHFFFAOYSA-N 3-[(2-phenylacetyl)amino]propane-1-sulfonic acid Chemical compound OS(=O)(=O)CCCNC(=O)CC1=CC=CC=C1 VXVRAHLGPQTYNI-UHFFFAOYSA-N 0.000 description 1
- RJBWQPJXIGJVBH-UHFFFAOYSA-N 3-[(3,4-dihydroxyphenyl)methylamino]propane-1-sulfonic acid Chemical compound OC1=CC=C(CNCCCS(O)(=O)=O)C=C1O RJBWQPJXIGJVBH-UHFFFAOYSA-N 0.000 description 1
- SXDCURLAEIRUAB-UHFFFAOYSA-N 3-[(3,4-dimethoxyphenyl)methylamino]propane-1-sulfonic acid Chemical compound COC1=CC=C(CNCCCS(O)(=O)=O)C=C1OC SXDCURLAEIRUAB-UHFFFAOYSA-N 0.000 description 1
- AKJQFHDUQIWSSK-UHFFFAOYSA-N 3-[(3,5-dimethyl-1-adamantyl)amino]propane-1-sulfonic acid Chemical compound C1C(C2)CC3(C)CC1(C)CC2(NCCCS(O)(=O)=O)C3 AKJQFHDUQIWSSK-UHFFFAOYSA-N 0.000 description 1
- RWGIBAQTENYQDY-UHFFFAOYSA-N 3-[2-[4-(2-methylpropyl)phenyl]propanoylamino]propane-1-sulfonic acid Chemical compound CC(C)CC1=CC=C(C(C)C(=O)NCCCS(O)(=O)=O)C=C1 RWGIBAQTENYQDY-UHFFFAOYSA-N 0.000 description 1
- RTOHIRMHQVCKMP-UHFFFAOYSA-N 3-[4-(2-fluorophenyl)piperazin-1-yl]propane-1-sulfonic acid Chemical compound C1CN(CCCS(=O)(=O)O)CCN1C1=CC=CC=C1F RTOHIRMHQVCKMP-UHFFFAOYSA-N 0.000 description 1
- UPHBDYQXVXIUMO-UHFFFAOYSA-N 3-[4-(4-bromophenyl)-4-hydroxypiperidin-1-yl]propane-1-sulfonic acid Chemical compound C=1C=C(Br)C=CC=1C1(O)CCN(CCCS(O)(=O)=O)CC1 UPHBDYQXVXIUMO-UHFFFAOYSA-N 0.000 description 1
- LUXZKIXKLPZCIO-UHFFFAOYSA-N 3-[4-(4-chlorophenyl)piperazin-1-yl]propane-1-sulfonic acid Chemical compound C1CN(CCCS(=O)(=O)O)CCN1C1=CC=C(Cl)C=C1 LUXZKIXKLPZCIO-UHFFFAOYSA-N 0.000 description 1
- TZSHWDXUHYEZGS-UHFFFAOYSA-N 3-[4-(4-fluorophenyl)-3,6-dihydro-2h-pyridin-1-yl]propane-1-sulfonic acid Chemical compound C1N(CCCS(=O)(=O)O)CCC(C=2C=CC(F)=CC=2)=C1 TZSHWDXUHYEZGS-UHFFFAOYSA-N 0.000 description 1
- IYMAJDNWTTWVBY-UHFFFAOYSA-N 3-[4-(4-fluorophenyl)piperazin-1-ium-1-yl]propane-1-sulfonate Chemical compound C1C[NH+](CCCS(=O)(=O)[O-])CCN1C1=CC=C(F)C=C1 IYMAJDNWTTWVBY-UHFFFAOYSA-N 0.000 description 1
- TXEAFYXSJBRBAD-UHFFFAOYSA-N 3-[4-(4-nitrophenyl)piperazin-1-yl]propane-1-sulfonic acid Chemical compound C1CN(CCCS(=O)(=O)O)CCN1C1=CC=C([N+]([O-])=O)C=C1 TXEAFYXSJBRBAD-UHFFFAOYSA-N 0.000 description 1
- FETORMZGQPEZET-JTQLQIEISA-N 3-[[(1s)-1-(4-methoxyphenyl)ethyl]amino]propane-1-sulfonic acid Chemical compound COC1=CC=C([C@H](C)NCCCS(O)(=O)=O)C=C1 FETORMZGQPEZET-JTQLQIEISA-N 0.000 description 1
- GTBMBOOYUPJTAA-OLZOCXBDSA-N 3-[[(1s,2r)-1-hydroxy-3-methoxy-1-phenylpropan-2-yl]amino]propane-1-sulfonic acid Chemical compound OS(=O)(=O)CCCN[C@H](COC)[C@@H](O)C1=CC=CC=C1 GTBMBOOYUPJTAA-OLZOCXBDSA-N 0.000 description 1
- JRDTYICTKBQJKP-FMCLSXCISA-N 3-[[(1s,3r,4r,5r)-4,5,6,6-tetramethyl-3-bicyclo[3.1.1]heptanyl]amino]propane-1-sulfonic acid Chemical compound C1[C@]2(C)[C@@H](C)[C@H](NCCCS(O)(=O)=O)C[C@@]1([H])C2(C)C JRDTYICTKBQJKP-FMCLSXCISA-N 0.000 description 1
- FKFXZNYHZZZYPN-ZETCQYMHSA-N 3-[[(2s)-1-amino-3-methyl-1-oxobutan-2-yl]amino]propane-1-sulfonic acid Chemical compound CC(C)[C@@H](C(N)=O)NCCCS(O)(=O)=O FKFXZNYHZZZYPN-ZETCQYMHSA-N 0.000 description 1
- KRJOHJXIZVHFFT-VIFPVBQESA-N 3-[[(2s)-1-hydroxy-4-methylpentan-2-yl]amino]propane-1-sulfonic acid Chemical compound CC(C)C[C@@H](CO)NCCCS(O)(=O)=O KRJOHJXIZVHFFT-VIFPVBQESA-N 0.000 description 1
- ONOUJNYJNSFUHB-SFHVURJKSA-N 3-[[(2s)-1-oxo-3-phenyl-1-phenylmethoxypropan-2-yl]amino]propane-1-sulfonic acid Chemical compound C([C@H](NCCCS(=O)(=O)O)C(=O)OCC=1C=CC=CC=1)C1=CC=CC=C1 ONOUJNYJNSFUHB-SFHVURJKSA-N 0.000 description 1
- LEVFHSOORBCZQL-UHFFFAOYSA-N 3-[tert-butyl(methyl)amino]propane-1-sulfonic acid Chemical compound CC(C)(C)N(C)CCCS(O)(=O)=O LEVFHSOORBCZQL-UHFFFAOYSA-N 0.000 description 1
- BMYNFMYTOJXKLE-UHFFFAOYSA-N 3-azaniumyl-2-hydroxypropanoate Chemical compound NCC(O)C(O)=O BMYNFMYTOJXKLE-UHFFFAOYSA-N 0.000 description 1
- ACWBBAGYTKWBCD-ZETCQYMHSA-N 3-chloro-L-tyrosine Chemical compound OC(=O)[C@@H](N)CC1=CC=C(O)C(Cl)=C1 ACWBBAGYTKWBCD-ZETCQYMHSA-N 0.000 description 1
- BXRLWGXPSRYJDZ-UHFFFAOYSA-N 3-cyanoalanine Chemical compound OC(=O)C(N)CC#N BXRLWGXPSRYJDZ-UHFFFAOYSA-N 0.000 description 1
- 125000003682 3-furyl group Chemical group O1C([H])=C([*])C([H])=C1[H] 0.000 description 1
- UQTZMGFTRHFAAM-ZETCQYMHSA-N 3-iodo-L-tyrosine Chemical compound OC(=O)[C@@H](N)CC1=CC=C(O)C(I)=C1 UQTZMGFTRHFAAM-ZETCQYMHSA-N 0.000 description 1
- MQHLULPKDLJASZ-QMMMGPOBSA-N 3-methyl-L-tyrosine zwitterion Chemical compound CC1=CC(C[C@H](N)C(O)=O)=CC=C1O MQHLULPKDLJASZ-QMMMGPOBSA-N 0.000 description 1
- 125000006201 3-phenylpropyl group Chemical group [H]C1=C([H])C([H])=C(C([H])=C1[H])C([H])([H])C([H])([H])C([H])([H])* 0.000 description 1
- 125000003349 3-pyridyl group Chemical group N1=C([H])C([*])=C([H])C([H])=C1[H] 0.000 description 1
- 125000001397 3-pyrrolyl group Chemical group [H]N1C([H])=C([*])C([H])=C1[H] 0.000 description 1
- 125000001541 3-thienyl group Chemical group S1C([H])=C([*])C([H])=C1[H] 0.000 description 1
- VOUAQYXWVJDEQY-QENPJCQMSA-N 33017-11-7 Chemical compound OC(=O)CC[C@H](N)C(=O)N[C@@H](C)C(=O)N[C@@H](CCC(O)=O)C(=O)N[C@@H](CC(O)=O)C(=O)N[C@@H](CC(C)C)C(=O)N[C@@H](CCC(N)=O)C(=O)N[C@@H](C(C)C)C(=O)NCC(=O)N[C@@H](CCC(N)=O)C(=O)N[C@@H](C(C)C)C(=O)N[C@@H](CCC(O)=O)C(=O)N[C@@H](CC(C)C)C(=O)NCC(=O)NCC(=O)NCC(=O)N1CCC[C@H]1C(=O)NCC(=O)N[C@@H](C)C(=O)NCC(=O)N[C@@H](CO)C(=O)N[C@@H](CC(C)C)C(=O)N[C@@H](CCC(N)=O)C(=O)N1[C@H](C(=O)N[C@@H](CC(C)C)C(=O)N[C@@H](C)C(=O)N[C@@H](CC(C)C)C(=O)N[C@@H](CCC(O)=O)C(=O)NCC(=O)N[C@@H](CO)C(=O)N[C@@H](CC(C)C)C(=O)N[C@@H](CCC(N)=O)C(O)=O)CCC1 VOUAQYXWVJDEQY-QENPJCQMSA-N 0.000 description 1
- YERNQLVULLQTRA-UHFFFAOYSA-N 4-(1-adamantylamino)butane-1-sulfonic acid Chemical compound C1C(C2)CC3CC2CC1(NCCCCS(=O)(=O)O)C3 YERNQLVULLQTRA-UHFFFAOYSA-N 0.000 description 1
- CMUHFUGDYMFHEI-QMMMGPOBSA-N 4-amino-L-phenylalanine Chemical compound OC(=O)[C@@H](N)CC1=CC=C(N)C=C1 CMUHFUGDYMFHEI-QMMMGPOBSA-N 0.000 description 1
- HVBSAKJJOYLTQU-UHFFFAOYSA-N 4-aminobenzenesulfonic acid Chemical compound NC1=CC=C(S(O)(=O)=O)C=C1 HVBSAKJJOYLTQU-UHFFFAOYSA-N 0.000 description 1
- ALYNCZNDIQEVRV-UHFFFAOYSA-M 4-aminobenzoate Chemical compound NC1=CC=C(C([O-])=O)C=C1 ALYNCZNDIQEVRV-UHFFFAOYSA-M 0.000 description 1
- GAMYYCRTACQSBR-UHFFFAOYSA-N 4-azabenzimidazole Chemical compound C1=CC=C2NC=NC2=N1 GAMYYCRTACQSBR-UHFFFAOYSA-N 0.000 description 1
- QISOBCMNUJQOJU-UHFFFAOYSA-N 4-bromo-1h-pyrazole-5-carboxylic acid Chemical compound OC(=O)C=1NN=CC=1Br QISOBCMNUJQOJU-UHFFFAOYSA-N 0.000 description 1
- 125000006281 4-bromobenzyl group Chemical group [H]C1=C([H])C(=C([H])C([H])=C1Br)C([H])([H])* 0.000 description 1
- 125000004800 4-bromophenyl group Chemical group [H]C1=C([H])C(*)=C([H])C([H])=C1Br 0.000 description 1
- NIGWMJHCCYYCSF-QMMMGPOBSA-N 4-chloro-L-phenylalanine Chemical compound OC(=O)[C@@H](N)CC1=CC=C(Cl)C=C1 NIGWMJHCCYYCSF-QMMMGPOBSA-N 0.000 description 1
- 125000006283 4-chlorobenzyl group Chemical group [H]C1=C([H])C(=C([H])C([H])=C1Cl)C([H])([H])* 0.000 description 1
- 125000001255 4-fluorophenyl group Chemical group [H]C1=C([H])C(*)=C([H])C([H])=C1F 0.000 description 1
- PZNQZSRPDOEBMS-QMMMGPOBSA-N 4-iodo-L-phenylalanine Chemical compound OC(=O)[C@@H](N)CC1=CC=C(I)C=C1 PZNQZSRPDOEBMS-QMMMGPOBSA-N 0.000 description 1
- 125000006306 4-iodophenyl group Chemical group [H]C1=C([H])C(*)=C([H])C([H])=C1I 0.000 description 1
- 125000006181 4-methyl benzyl group Chemical group [H]C1=C([H])C(=C([H])C([H])=C1C([H])([H])[H])C([H])([H])* 0.000 description 1
- 125000000590 4-methylphenyl group Chemical group [H]C1=C([H])C(=C([H])C([H])=C1*)C([H])([H])[H] 0.000 description 1
- 125000005986 4-piperidonyl group Chemical group 0.000 description 1
- 125000000339 4-pyridyl group Chemical group N1=C([H])C([H])=C([*])C([H])=C1[H] 0.000 description 1
- KDDQRKBRJSGMQE-UHFFFAOYSA-N 4-thiazolyl Chemical group [C]1=CSC=N1 KDDQRKBRJSGMQE-UHFFFAOYSA-N 0.000 description 1
- 125000002471 4H-quinolizinyl group Chemical group C=1(C=CCN2C=CC=CC12)* 0.000 description 1
- NJVWBSNUDITJDJ-UHFFFAOYSA-N 5-aminopentane-1-sulfonic acid Chemical compound NCCCCCS(O)(=O)=O NJVWBSNUDITJDJ-UHFFFAOYSA-N 0.000 description 1
- SQDAZGGFXASXDW-UHFFFAOYSA-N 5-bromo-2-(trifluoromethoxy)pyridine Chemical compound FC(F)(F)OC1=CC=C(Br)C=N1 SQDAZGGFXASXDW-UHFFFAOYSA-N 0.000 description 1
- LDCYZAJDBXYCGN-VIFPVBQESA-N 5-hydroxy-L-tryptophan Chemical compound C1=C(O)C=C2C(C[C@H](N)C(O)=O)=CNC2=C1 LDCYZAJDBXYCGN-VIFPVBQESA-N 0.000 description 1
- 229940000681 5-hydroxytryptophan Drugs 0.000 description 1
- CWDWFSXUQODZGW-UHFFFAOYSA-N 5-thiazolyl Chemical group [C]1=CN=CS1 CWDWFSXUQODZGW-UHFFFAOYSA-N 0.000 description 1
- KIDCLLZBQFQFAZ-UHFFFAOYSA-N 6-aminohexane-1-sulfonic acid Chemical compound NCCCCCCS(O)(=O)=O KIDCLLZBQFQFAZ-UHFFFAOYSA-N 0.000 description 1
- SLXKOJJOQWFEFD-UHFFFAOYSA-N 6-aminohexanoic acid Chemical compound NCCCCCC(O)=O SLXKOJJOQWFEFD-UHFFFAOYSA-N 0.000 description 1
- HBAQYPYDRFILMT-UHFFFAOYSA-N 8-[3-(1-cyclopropylpyrazol-4-yl)-1H-pyrazolo[4,3-d]pyrimidin-5-yl]-3-methyl-3,8-diazabicyclo[3.2.1]octan-2-one Chemical class C1(CC1)N1N=CC(=C1)C1=NNC2=C1N=C(N=C2)N1C2C(N(CC1CC2)C)=O HBAQYPYDRFILMT-UHFFFAOYSA-N 0.000 description 1
- UQXNEWQGGVUVQA-UHFFFAOYSA-N 8-aminooctanoic acid Chemical compound NCCCCCCCC(O)=O UQXNEWQGGVUVQA-UHFFFAOYSA-N 0.000 description 1
- 101150079978 AGRN gene Proteins 0.000 description 1
- 101150037123 APOE gene Proteins 0.000 description 1
- 206010048998 Acute phase reaction Diseases 0.000 description 1
- 108700019743 Agrin Proteins 0.000 description 1
- 108020004774 Alkaline Phosphatase Proteins 0.000 description 1
- 102000002260 Alkaline Phosphatase Human genes 0.000 description 1
- 108700028369 Alleles Proteins 0.000 description 1
- 102100033312 Alpha-2-macroglobulin Human genes 0.000 description 1
- 208000000044 Amnesia Diseases 0.000 description 1
- 102000018430 Amyloid-beta precursor proteins Human genes 0.000 description 1
- 108050007552 Amyloid-beta precursor proteins Proteins 0.000 description 1
- 241000272525 Anas platyrhynchos Species 0.000 description 1
- 206010002383 Angina Pectoris Diseases 0.000 description 1
- 206010002556 Ankylosing Spondylitis Diseases 0.000 description 1
- 102000009081 Apolipoprotein A-II Human genes 0.000 description 1
- 108010087614 Apolipoprotein A-II Proteins 0.000 description 1
- 102100029470 Apolipoprotein E Human genes 0.000 description 1
- 101710095339 Apolipoprotein E Proteins 0.000 description 1
- 206010003210 Arteriosclerosis Diseases 0.000 description 1
- 208000036487 Arthropathies Diseases 0.000 description 1
- BSYNRYMUTXBXSQ-UHFFFAOYSA-N Aspirin Chemical compound CC(=O)OC1=CC=CC=C1C(O)=O BSYNRYMUTXBXSQ-UHFFFAOYSA-N 0.000 description 1
- 241000416162 Astragalus gummifer Species 0.000 description 1
- 101800001288 Atrial natriuretic factor Proteins 0.000 description 1
- 102400001282 Atrial natriuretic peptide Human genes 0.000 description 1
- 101800001890 Atrial natriuretic peptide Proteins 0.000 description 1
- 206010061666 Autonomic neuropathy Diseases 0.000 description 1
- 210000002237 B-cell of pancreatic islet Anatomy 0.000 description 1
- 241000894006 Bacteria Species 0.000 description 1
- 206010004146 Basal cell carcinoma Diseases 0.000 description 1
- 208000027496 Behcet disease Diseases 0.000 description 1
- 208000009137 Behcet syndrome Diseases 0.000 description 1
- 102100021257 Beta-secretase 1 Human genes 0.000 description 1
- BTBUEUYNUDRHOZ-UHFFFAOYSA-N Borate Chemical compound [O-]B([O-])[O-] BTBUEUYNUDRHOZ-UHFFFAOYSA-N 0.000 description 1
- 241000283690 Bos taurus Species 0.000 description 1
- 208000024806 Brain atrophy Diseases 0.000 description 1
- COVZYZSDYWQREU-UHFFFAOYSA-N Busulfan Chemical compound CS(=O)(=O)OCCCCOS(C)(=O)=O COVZYZSDYWQREU-UHFFFAOYSA-N 0.000 description 1
- 108010075254 C-Peptide Proteins 0.000 description 1
- 125000000882 C2-C6 alkenyl group Chemical group 0.000 description 1
- 125000003601 C2-C6 alkynyl group Chemical group 0.000 description 1
- 125000000041 C6-C10 aryl group Chemical group 0.000 description 1
- 125000005915 C6-C14 aryl group Chemical group 0.000 description 1
- 101100016363 Caenorhabditis elegans his-67 gene Proteins 0.000 description 1
- 102000005701 Calcium-Binding Proteins Human genes 0.000 description 1
- 108010045403 Calcium-Binding Proteins Proteins 0.000 description 1
- 102000007590 Calpain Human genes 0.000 description 1
- 108010032088 Calpain Proteins 0.000 description 1
- 241000282472 Canis lupus familiaris Species 0.000 description 1
- 241000283707 Capra Species 0.000 description 1
- 229920002134 Carboxymethyl cellulose Polymers 0.000 description 1
- 201000009030 Carcinoma Diseases 0.000 description 1
- 102000011727 Caspases Human genes 0.000 description 1
- 108010076667 Caspases Proteins 0.000 description 1
- 208000005024 Castleman disease Diseases 0.000 description 1
- 229920000623 Cellulose acetate phthalate Polymers 0.000 description 1
- 241000282994 Cervidae Species 0.000 description 1
- 241001647372 Chlamydia pneumoniae Species 0.000 description 1
- 229920001287 Chondroitin sulfate Polymers 0.000 description 1
- 102000004266 Collagen Type IV Human genes 0.000 description 1
- 108010042086 Collagen Type IV Proteins 0.000 description 1
- 208000011231 Crohn disease Diseases 0.000 description 1
- XDTMQSROBMDMFD-UHFFFAOYSA-N Cyclohexane Chemical compound C1CCCCC1 XDTMQSROBMDMFD-UHFFFAOYSA-N 0.000 description 1
- 108090000695 Cytokines Proteins 0.000 description 1
- 102000004127 Cytokines Human genes 0.000 description 1
- 108020004414 DNA Proteins 0.000 description 1
- RWSOTUBLDIXVET-UHFFFAOYSA-N Dihydrogen sulfide Chemical class S RWSOTUBLDIXVET-UHFFFAOYSA-N 0.000 description 1
- ZAFNJMIOTHYJRJ-UHFFFAOYSA-N Diisopropyl ether Chemical compound CC(C)OC(C)C ZAFNJMIOTHYJRJ-UHFFFAOYSA-N 0.000 description 1
- XTHFKEDIFFGKHM-UHFFFAOYSA-N Dimethoxyethane Chemical compound COCCOC XTHFKEDIFFGKHM-UHFFFAOYSA-N 0.000 description 1
- 108010042407 Endonucleases Proteins 0.000 description 1
- 102000004533 Endonucleases Human genes 0.000 description 1
- 108090000371 Esterases Proteins 0.000 description 1
- 239000001856 Ethyl cellulose Substances 0.000 description 1
- ZZSNKZQZMQGXPY-UHFFFAOYSA-N Ethyl cellulose Chemical compound CCOCC1OC(OC)C(OCC)C(OCC)C1OC1C(O)C(O)C(OC)C(CO)O1 ZZSNKZQZMQGXPY-UHFFFAOYSA-N 0.000 description 1
- PIICEJLVQHRZGT-UHFFFAOYSA-N Ethylenediamine Chemical compound NCCN PIICEJLVQHRZGT-UHFFFAOYSA-N 0.000 description 1
- 229910052693 Europium Inorganic materials 0.000 description 1
- 108050001049 Extracellular proteins Proteins 0.000 description 1
- NIGWMJHCCYYCSF-UHFFFAOYSA-N Fenclonine Chemical compound OC(=O)C(N)CC1=CC=C(Cl)C=C1 NIGWMJHCCYYCSF-UHFFFAOYSA-N 0.000 description 1
- 101710163305 Fibril protein Proteins 0.000 description 1
- 108010049003 Fibrinogen Proteins 0.000 description 1
- 102000008946 Fibrinogen Human genes 0.000 description 1
- 102000016359 Fibronectins Human genes 0.000 description 1
- 108010067306 Fibronectins Proteins 0.000 description 1
- BDAGIHXWWSANSR-UHFFFAOYSA-M Formate Chemical compound [O-]C=O BDAGIHXWWSANSR-UHFFFAOYSA-M 0.000 description 1
- 241000233866 Fungi Species 0.000 description 1
- 241000287828 Gallus gallus Species 0.000 description 1
- 108010010803 Gelatin Proteins 0.000 description 1
- 208000003736 Gerstmann-Straussler-Scheinker Disease Diseases 0.000 description 1
- 206010072075 Gerstmann-Straussler-Scheinker syndrome Diseases 0.000 description 1
- 239000004471 Glycine Substances 0.000 description 1
- 229940121710 HMGCoA reductase inhibitor Drugs 0.000 description 1
- 206010019196 Head injury Diseases 0.000 description 1
- 206010019280 Heart failures Diseases 0.000 description 1
- HTTJABKRGRZYRN-UHFFFAOYSA-N Heparin Chemical compound OC1C(NC(=O)C)C(O)OC(COS(O)(=O)=O)C1OC1C(OS(O)(=O)=O)C(O)C(OC2C(C(OS(O)(=O)=O)C(OC3C(C(O)C(O)C(O3)C(O)=O)OS(O)(=O)=O)C(CO)O2)NS(O)(=O)=O)C(C(O)=O)O1 HTTJABKRGRZYRN-UHFFFAOYSA-N 0.000 description 1
- 208000003923 Hereditary Corneal Dystrophies Diseases 0.000 description 1
- 208000028782 Hereditary disease Diseases 0.000 description 1
- 102000008949 Histocompatibility Antigens Class I Human genes 0.000 description 1
- 108010088652 Histocompatibility Antigens Class I Proteins 0.000 description 1
- 208000017604 Hodgkin disease Diseases 0.000 description 1
- 208000021519 Hodgkin lymphoma Diseases 0.000 description 1
- 208000010747 Hodgkins lymphoma Diseases 0.000 description 1
- 101100268553 Homo sapiens APP gene Proteins 0.000 description 1
- 101000959594 Homo sapiens Agrin Proteins 0.000 description 1
- 101001000001 Homo sapiens Basement membrane-specific heparan sulfate proteoglycan core protein Proteins 0.000 description 1
- 101000894895 Homo sapiens Beta-secretase 1 Proteins 0.000 description 1
- 101000611183 Homo sapiens Tumor necrosis factor Proteins 0.000 description 1
- CPELXLSAUQHCOX-UHFFFAOYSA-N Hydrogen bromide Chemical compound Br CPELXLSAUQHCOX-UHFFFAOYSA-N 0.000 description 1
- AVXURJPOCDRRFD-UHFFFAOYSA-N Hydroxylamine Chemical class ON AVXURJPOCDRRFD-UHFFFAOYSA-N 0.000 description 1
- 108700002232 Immediate-Early Genes Proteins 0.000 description 1
- 108010021625 Immunoglobulin Fragments Proteins 0.000 description 1
- 102000008394 Immunoglobulin Fragments Human genes 0.000 description 1
- 208000026350 Inborn Genetic disease Diseases 0.000 description 1
- 206010022489 Insulin Resistance Diseases 0.000 description 1
- 108010002352 Interleukin-1 Proteins 0.000 description 1
- 108090001005 Interleukin-6 Proteins 0.000 description 1
- 208000012659 Joint disease Diseases 0.000 description 1
- 208000003456 Juvenile Arthritis Diseases 0.000 description 1
- 206010059176 Juvenile idiopathic arthritis Diseases 0.000 description 1
- 229920000288 Keratan sulfate Polymers 0.000 description 1
- SNDPXSYFESPGGJ-BYPYZUCNSA-N L-2-aminopentanoic acid Chemical compound CCC[C@H](N)C(O)=O SNDPXSYFESPGGJ-BYPYZUCNSA-N 0.000 description 1
- LOOZZTFGSTZNRX-VIFPVBQESA-N L-Homotyrosine Chemical compound OC(=O)[C@@H](N)CCC1=CC=C(O)C=C1 LOOZZTFGSTZNRX-VIFPVBQESA-N 0.000 description 1
- AHLPHDHHMVZTML-BYPYZUCNSA-N L-Ornithine Chemical compound NCCC[C@H](N)C(O)=O AHLPHDHHMVZTML-BYPYZUCNSA-N 0.000 description 1
- ZGUNAGUHMKGQNY-ZETCQYMHSA-N L-alpha-phenylglycine zwitterion Chemical compound OC(=O)[C@@H](N)C1=CC=CC=C1 ZGUNAGUHMKGQNY-ZETCQYMHSA-N 0.000 description 1
- JTTHKOPSMAVJFE-VIFPVBQESA-N L-homophenylalanine Chemical compound OC(=O)[C@@H](N)CCC1=CC=CC=C1 JTTHKOPSMAVJFE-VIFPVBQESA-N 0.000 description 1
- UKAUYVFTDYCKQA-VKHMYHEASA-N L-homoserine Chemical compound OC(=O)[C@@H](N)CCO UKAUYVFTDYCKQA-VKHMYHEASA-N 0.000 description 1
- AGPKZVBTJJNPAG-WHFBIAKZSA-N L-isoleucine Chemical compound CC[C@H](C)[C@H](N)C(O)=O AGPKZVBTJJNPAG-WHFBIAKZSA-N 0.000 description 1
- DGYHPLMPMRKMPD-UHFFFAOYSA-N L-propargyl glycine Natural products OC(=O)C(N)CC#C DGYHPLMPMRKMPD-UHFFFAOYSA-N 0.000 description 1
- DZLNHFMRPBPULJ-VKHMYHEASA-N L-thioproline Chemical compound OC(=O)[C@@H]1CSCN1 DZLNHFMRPBPULJ-VKHMYHEASA-N 0.000 description 1
- 102000007330 LDL Lipoproteins Human genes 0.000 description 1
- 108010007622 LDL Lipoproteins Proteins 0.000 description 1
- 102000007547 Laminin Human genes 0.000 description 1
- 108010085895 Laminin Proteins 0.000 description 1
- 206010024229 Leprosy Diseases 0.000 description 1
- 235000010643 Leucaena leucocephala Nutrition 0.000 description 1
- 240000007472 Leucaena leucocephala Species 0.000 description 1
- 206010025391 Macroglossia Diseases 0.000 description 1
- 244000137850 Marrubium vulgare Species 0.000 description 1
- 208000026139 Memory disease Diseases 0.000 description 1
- 229920000168 Microcrystalline cellulose Polymers 0.000 description 1
- 241000699666 Mus <mouse, genus> Species 0.000 description 1
- 241000238367 Mya arenaria Species 0.000 description 1
- CHJJGSNFBQVOTG-UHFFFAOYSA-N N-methyl-guanidine Natural products CNC(N)=N CHJJGSNFBQVOTG-UHFFFAOYSA-N 0.000 description 1
- 229910003827 NRaRb Inorganic materials 0.000 description 1
- 206010029240 Neuritis Diseases 0.000 description 1
- GRYLNZFGIOXLOG-UHFFFAOYSA-N Nitric acid Chemical compound O[N+]([O-])=O GRYLNZFGIOXLOG-UHFFFAOYSA-N 0.000 description 1
- CTQNGGLPUBDAKN-UHFFFAOYSA-N O-Xylene Chemical compound CC1=CC=CC=C1C CTQNGGLPUBDAKN-UHFFFAOYSA-N 0.000 description 1
- 206010057178 Osteoarthropathies Diseases 0.000 description 1
- 206010031256 Osteomyelitis chronic Diseases 0.000 description 1
- PEMUHKUIQHFMTH-UHFFFAOYSA-N P-Bromo-DL-phenylalanine Chemical compound OC(=O)C(N)CC1=CC=C(Br)C=C1 PEMUHKUIQHFMTH-UHFFFAOYSA-N 0.000 description 1
- 229930040373 Paraformaldehyde Natural products 0.000 description 1
- 241001494479 Pecora Species 0.000 description 1
- 102000015731 Peptide Hormones Human genes 0.000 description 1
- 108010038988 Peptide Hormones Proteins 0.000 description 1
- GKZIWHRNKRBEOH-HOTGVXAUSA-N Phe-Phe Chemical compound C([C@H]([NH3+])C(=O)N[C@@H](CC=1C=CC=CC=1)C([O-])=O)C1=CC=CC=C1 GKZIWHRNKRBEOH-HOTGVXAUSA-N 0.000 description 1
- 102100026918 Phospholipase A2 Human genes 0.000 description 1
- 108010058864 Phospholipases A2 Proteins 0.000 description 1
- NBIIXXVUZAFLBC-UHFFFAOYSA-N Phosphoric acid Chemical compound OP(O)(O)=O NBIIXXVUZAFLBC-UHFFFAOYSA-N 0.000 description 1
- OAICVXFJPJFONN-UHFFFAOYSA-N Phosphorus Chemical compound [P] OAICVXFJPJFONN-UHFFFAOYSA-N 0.000 description 1
- 108010015078 Pregnancy-Associated alpha 2-Macroglobulins Proteins 0.000 description 1
- 208000004210 Pressure Ulcer Diseases 0.000 description 1
- 108010076181 Proinsulin Proteins 0.000 description 1
- 102000003946 Prolactin Human genes 0.000 description 1
- 108010057464 Prolactin Proteins 0.000 description 1
- 206010036832 Prolactinoma Diseases 0.000 description 1
- ONIBWKKTOPOVIA-UHFFFAOYSA-N Proline Natural products OC(=O)C1CCCN1 ONIBWKKTOPOVIA-UHFFFAOYSA-N 0.000 description 1
- 102100021923 Prolow-density lipoprotein receptor-related protein 1 Human genes 0.000 description 1
- 101710202113 Prolow-density lipoprotein receptor-related protein 1 Proteins 0.000 description 1
- XBDQKXXYIPTUBI-UHFFFAOYSA-M Propionate Chemical compound CCC([O-])=O XBDQKXXYIPTUBI-UHFFFAOYSA-M 0.000 description 1
- 229940124158 Protease/peptidase inhibitor Drugs 0.000 description 1
- 201000004681 Psoriasis Diseases 0.000 description 1
- 208000036824 Psoriatic arthropathy Diseases 0.000 description 1
- 206010037601 Pyelonephritis chronic Diseases 0.000 description 1
- 208000033464 Reiter syndrome Diseases 0.000 description 1
- 208000001647 Renal Insufficiency Diseases 0.000 description 1
- 206010038389 Renal cancer Diseases 0.000 description 1
- 208000006265 Renal cell carcinoma Diseases 0.000 description 1
- 206010038748 Restrictive cardiomyopathy Diseases 0.000 description 1
- 108010077895 Sarcosine Proteins 0.000 description 1
- 201000010848 Schnitzler Syndrome Diseases 0.000 description 1
- 101710190759 Serum amyloid A protein Proteins 0.000 description 1
- 229920001800 Shellac Polymers 0.000 description 1
- 241000700584 Simplexvirus Species 0.000 description 1
- 206010042674 Swelling Diseases 0.000 description 1
- ZMZDMBWJUHKJPS-UHFFFAOYSA-M Thiocyanate anion Chemical compound [S-]C#N ZMZDMBWJUHKJPS-UHFFFAOYSA-M 0.000 description 1
- 229920001615 Tragacanth Polymers 0.000 description 1
- 208000032109 Transient ischaemic attack Diseases 0.000 description 1
- 239000007983 Tris buffer Substances 0.000 description 1
- 206010067584 Type 1 diabetes mellitus Diseases 0.000 description 1
- FPIPGXGPPPQFEQ-BOOMUCAASA-N Vitamin A Natural products OC/C=C(/C)\C=C\C=C(\C)/C=C/C1=C(C)CCCC1(C)C FPIPGXGPPPQFEQ-BOOMUCAASA-N 0.000 description 1
- 208000027207 Whipple disease Diseases 0.000 description 1
- BBAWTPDTGRXPDG-UHFFFAOYSA-N [1,3]thiazolo[4,5-b]pyridine Chemical compound C1=CC=C2SC=NC2=N1 BBAWTPDTGRXPDG-UHFFFAOYSA-N 0.000 description 1
- 230000005856 abnormality Effects 0.000 description 1
- 229940022663 acetate Drugs 0.000 description 1
- KXKVLQRXCPHEJC-UHFFFAOYSA-N acetic acid trimethyl ester Natural products COC(C)=O KXKVLQRXCPHEJC-UHFFFAOYSA-N 0.000 description 1
- DPXJVFZANSGRMM-UHFFFAOYSA-N acetic acid;2,3,4,5,6-pentahydroxyhexanal;sodium Chemical compound [Na].CC(O)=O.OCC(O)C(O)C(O)C(O)C=O DPXJVFZANSGRMM-UHFFFAOYSA-N 0.000 description 1
- 125000002777 acetyl group Chemical group [H]C([H])([H])C(*)=O 0.000 description 1
- 150000000476 acetylides Chemical class 0.000 description 1
- 239000004480 active ingredient Substances 0.000 description 1
- 230000004658 acute-phase response Effects 0.000 description 1
- 125000002015 acyclic group Chemical group 0.000 description 1
- 125000004423 acyloxy group Chemical group 0.000 description 1
- 230000007000 age related cognitive decline Effects 0.000 description 1
- 150000001298 alcohols Chemical class 0.000 description 1
- 150000001338 aliphatic hydrocarbons Chemical class 0.000 description 1
- 150000001336 alkenes Chemical class 0.000 description 1
- 125000000278 alkyl amino alkyl group Chemical group 0.000 description 1
- 125000005157 alkyl carboxy group Chemical group 0.000 description 1
- 125000005599 alkyl carboxylate group Chemical group 0.000 description 1
- 125000002947 alkylene group Chemical group 0.000 description 1
- FPIPGXGPPPQFEQ-OVSJKPMPSA-N all-trans-retinol Chemical compound OC\C=C(/C)\C=C\C=C(/C)\C=C\C1=C(C)CCCC1(C)C FPIPGXGPPPQFEQ-OVSJKPMPSA-N 0.000 description 1
- 150000001370 alpha-amino acid derivatives Chemical class 0.000 description 1
- AZDRQVAHHNSJOQ-UHFFFAOYSA-N alumane Chemical class [AlH3] AZDRQVAHHNSJOQ-UHFFFAOYSA-N 0.000 description 1
- 229910052782 aluminium Inorganic materials 0.000 description 1
- XAGFODPZIPBFFR-UHFFFAOYSA-N aluminium Chemical compound [Al] XAGFODPZIPBFFR-UHFFFAOYSA-N 0.000 description 1
- 229910000147 aluminium phosphate Inorganic materials 0.000 description 1
- 150000003862 amino acid derivatives Chemical class 0.000 description 1
- 229960004050 aminobenzoic acid Drugs 0.000 description 1
- 229960002684 aminocaproic acid Drugs 0.000 description 1
- 125000002344 aminooxy group Chemical group [H]N([H])O[*] 0.000 description 1
- 229910021529 ammonia Inorganic materials 0.000 description 1
- 210000004727 amygdala Anatomy 0.000 description 1
- 230000007450 amyloidogenic pathway Effects 0.000 description 1
- 210000003484 anatomy Anatomy 0.000 description 1
- ALYNCZNDIQEVRV-UHFFFAOYSA-N aniline-p-carboxylic acid Natural products NC1=CC=C(C(O)=O)C=C1 ALYNCZNDIQEVRV-UHFFFAOYSA-N 0.000 description 1
- 150000001449 anionic compounds Chemical class 0.000 description 1
- 150000001450 anions Chemical class 0.000 description 1
- 125000002178 anthracenyl group Chemical group C1(=CC=CC2=CC3=CC=CC=C3C=C12)* 0.000 description 1
- 239000003242 anti bacterial agent Substances 0.000 description 1
- 230000000844 anti-bacterial effect Effects 0.000 description 1
- 239000003429 antifungal agent Substances 0.000 description 1
- 229940121375 antifungal agent Drugs 0.000 description 1
- 239000000427 antigen Substances 0.000 description 1
- 102000036639 antigens Human genes 0.000 description 1
- 108091007433 antigens Proteins 0.000 description 1
- 238000013459 approach Methods 0.000 description 1
- 230000009118 appropriate response Effects 0.000 description 1
- 239000012062 aqueous buffer Substances 0.000 description 1
- 150000004945 aromatic hydrocarbons Chemical class 0.000 description 1
- 208000011775 arteriosclerosis disease Diseases 0.000 description 1
- 150000007860 aryl ester derivatives Chemical class 0.000 description 1
- 125000000732 arylene group Chemical group 0.000 description 1
- 235000010323 ascorbic acid Nutrition 0.000 description 1
- 229960005070 ascorbic acid Drugs 0.000 description 1
- 239000011668 ascorbic acid Substances 0.000 description 1
- 238000011914 asymmetric synthesis Methods 0.000 description 1
- 208000006521 atrial standstill Diseases 0.000 description 1
- 150000001540 azides Chemical class 0.000 description 1
- 150000001541 aziridines Chemical class 0.000 description 1
- 125000004931 azocinyl group Chemical group N1=C(C=CC=CC=C1)* 0.000 description 1
- 125000003828 azulenyl group Chemical group 0.000 description 1
- 230000003542 behavioural effect Effects 0.000 description 1
- 230000009286 beneficial effect Effects 0.000 description 1
- 125000004604 benzisothiazolyl group Chemical group S1N=C(C2=C1C=CC=C2)* 0.000 description 1
- 125000000499 benzofuranyl group Chemical group O1C(=CC2=C1C=CC=C2)* 0.000 description 1
- 125000003354 benzotriazolyl group Chemical group N1N=NC2=C1C=CC=C2* 0.000 description 1
- 125000004935 benzoxazolinyl group Chemical group O1C(=NC2=C1C=CC=C2)* 0.000 description 1
- 125000004541 benzoxazolyl group Chemical group O1C(=NC2=C1C=CC=C2)* 0.000 description 1
- 125000003236 benzoyl group Chemical group [H]C1=C([H])C([H])=C(C([H])=C1[H])C(*)=O 0.000 description 1
- 125000005512 benztetrazolyl group Chemical group 0.000 description 1
- 125000000649 benzylidene group Chemical group [H]C(=[*])C1=C([H])C([H])=C([H])C([H])=C1[H] 0.000 description 1
- UCMIRNVEIXFBKS-UHFFFAOYSA-N beta-alanine Chemical compound NCCC(O)=O UCMIRNVEIXFBKS-UHFFFAOYSA-N 0.000 description 1
- 150000001576 beta-amino acids Chemical class 0.000 description 1
- 230000004193 beta-amyloid degradation Effects 0.000 description 1
- 108091007737 beta-secretases Proteins 0.000 description 1
- 150000001602 bicycloalkyls Chemical group 0.000 description 1
- 239000011230 binding agent Substances 0.000 description 1
- 238000010256 biochemical assay Methods 0.000 description 1
- 239000000090 biomarker Substances 0.000 description 1
- 235000010290 biphenyl Nutrition 0.000 description 1
- 239000004305 biphenyl Substances 0.000 description 1
- 230000036765 blood level Effects 0.000 description 1
- 208000005881 bovine spongiform encephalopathy Diseases 0.000 description 1
- 230000007177 brain activity Effects 0.000 description 1
- 210000004958 brain cell Anatomy 0.000 description 1
- 208000025698 brain inflammatory disease Diseases 0.000 description 1
- 238000009395 breeding Methods 0.000 description 1
- 230000001488 breeding effect Effects 0.000 description 1
- 150000001649 bromium compounds Chemical class 0.000 description 1
- 201000009267 bronchiectasis Diseases 0.000 description 1
- 239000006189 buccal tablet Substances 0.000 description 1
- 230000009460 calcium influx Effects 0.000 description 1
- 239000002775 capsule Substances 0.000 description 1
- 150000001718 carbodiimides Chemical class 0.000 description 1
- 125000004623 carbolinyl group Chemical group 0.000 description 1
- 239000011203 carbon fibre reinforced carbon Substances 0.000 description 1
- 229950005499 carbon tetrachloride Drugs 0.000 description 1
- 150000004649 carbonic acid derivatives Chemical class 0.000 description 1
- 235000010948 carboxy methyl cellulose Nutrition 0.000 description 1
- 150000001732 carboxylic acid derivatives Chemical class 0.000 description 1
- 125000002843 carboxylic acid group Chemical group 0.000 description 1
- 239000008112 carboxymethyl-cellulose Substances 0.000 description 1
- 230000000747 cardiac effect Effects 0.000 description 1
- 208000003295 carpal tunnel syndrome Diseases 0.000 description 1
- NSQLIUXCMFBZME-MPVJKSABSA-N carperitide Chemical compound C([C@H]1C(=O)NCC(=O)NCC(=O)N[C@@H](CCCNC(N)=N)C(=O)N[C@@H](CCSC)C(=O)N[C@@H](CC(O)=O)C(=O)N[C@@H](CCCNC(N)=N)C(=O)N[C@H](C(NCC(=O)N[C@@H](C)C(=O)N[C@@H](CCC(N)=O)C(=O)N[C@@H](CO)C(=O)NCC(=O)N[C@@H](CC(C)C)C(=O)NCC(=O)N[C@@H](CSSC[C@@H](C(=O)N1)NC(=O)[C@H](CO)NC(=O)[C@H](CO)NC(=O)[C@H](CCCNC(N)=N)NC(=O)[C@H](CCCNC(N)=N)NC(=O)[C@H](CC(C)C)NC(=O)[C@@H](N)CO)C(=O)N[C@@H](CC(N)=O)C(=O)N[C@@H](CO)C(=O)N[C@@H](CC=1C=CC=CC=1)C(=O)N[C@@H](CCCNC(N)=N)C(=O)N[C@@H](CC=1C=CC(O)=CC=1)C(O)=O)=O)[C@@H](C)CC)C1=CC=CC=C1 NSQLIUXCMFBZME-MPVJKSABSA-N 0.000 description 1
- 230000006652 catabolic pathway Effects 0.000 description 1
- 239000003054 catalyst Substances 0.000 description 1
- 238000000423 cell based assay Methods 0.000 description 1
- 230000008568 cell cell communication Effects 0.000 description 1
- 238000004113 cell culture Methods 0.000 description 1
- 230000003915 cell function Effects 0.000 description 1
- 230000006727 cell loss Effects 0.000 description 1
- 230000001413 cellular effect Effects 0.000 description 1
- 229940081734 cellulose acetate phthalate Drugs 0.000 description 1
- 238000005119 centrifugation Methods 0.000 description 1
- 210000001638 cerebellum Anatomy 0.000 description 1
- 125000003636 chemical group Chemical group 0.000 description 1
- 235000013330 chicken meat Nutrition 0.000 description 1
- 150000001805 chlorine compounds Chemical class 0.000 description 1
- FZFAMSAMCHXGEF-UHFFFAOYSA-N chloro formate Chemical compound ClOC=O FZFAMSAMCHXGEF-UHFFFAOYSA-N 0.000 description 1
- 229960004926 chlorobutanol Drugs 0.000 description 1
- 229960001701 chloroform Drugs 0.000 description 1
- 235000012000 cholesterol Nutrition 0.000 description 1
- 229940059329 chondroitin sulfate Drugs 0.000 description 1
- 210000002987 choroid plexus Anatomy 0.000 description 1
- 238000004587 chromatography analysis Methods 0.000 description 1
- 208000037893 chronic inflammatory disorder Diseases 0.000 description 1
- 201000006368 chronic pyelonephritis Diseases 0.000 description 1
- 208000035850 clinical syndrome Diseases 0.000 description 1
- 239000011248 coating agent Substances 0.000 description 1
- 230000006998 cognitive state Effects 0.000 description 1
- 238000002648 combination therapy Methods 0.000 description 1
- 230000000295 complement effect Effects 0.000 description 1
- 238000013329 compounding Methods 0.000 description 1
- 238000010276 construction Methods 0.000 description 1
- 238000007796 conventional method Methods 0.000 description 1
- 238000010411 cooking Methods 0.000 description 1
- 206010011005 corneal dystrophy Diseases 0.000 description 1
- 208000029078 coronary artery disease Diseases 0.000 description 1
- 210000004351 coronary vessel Anatomy 0.000 description 1
- 239000006071 cream Substances 0.000 description 1
- 201000003278 cryoglobulinemia Diseases 0.000 description 1
- 125000006165 cyclic alkyl group Chemical group 0.000 description 1
- 150000001923 cyclic compounds Chemical class 0.000 description 1
- 125000006448 cycloalkyl cycloalkyl group Chemical group 0.000 description 1
- FIUANIHAOGKZPK-UHFFFAOYSA-N cycloheptanesulfonic acid Chemical compound OS(=O)(=O)C1CCCCCC1 FIUANIHAOGKZPK-UHFFFAOYSA-N 0.000 description 1
- GBEWVFVMUXHESI-UHFFFAOYSA-N cyclopentylsulfamic acid Chemical compound OS(=O)(=O)NC1CCCC1 GBEWVFVMUXHESI-UHFFFAOYSA-N 0.000 description 1
- 210000004292 cytoskeleton Anatomy 0.000 description 1
- 230000003013 cytotoxicity Effects 0.000 description 1
- 231100000135 cytotoxicity Toxicity 0.000 description 1
- 125000004856 decahydroquinolinyl group Chemical group N1(CCCC2CCCCC12)* 0.000 description 1
- 230000005786 degenerative changes Effects 0.000 description 1
- 230000003412 degenerative effect Effects 0.000 description 1
- 230000001934 delay Effects 0.000 description 1
- 230000000994 depressogenic effect Effects 0.000 description 1
- 108010040063 dermatan sulfate proteoglycan Proteins 0.000 description 1
- 238000013461 design Methods 0.000 description 1
- 230000001687 destabilization Effects 0.000 description 1
- 238000001514 detection method Methods 0.000 description 1
- 239000003599 detergent Substances 0.000 description 1
- 230000001627 detrimental effect Effects 0.000 description 1
- MHDVGSVTJDSBDK-UHFFFAOYSA-N dibenzyl ether Chemical group C=1C=CC=CC=1COCC1=CC=CC=C1 MHDVGSVTJDSBDK-UHFFFAOYSA-N 0.000 description 1
- ZBCBWPMODOFKDW-UHFFFAOYSA-N diethanolamine Chemical compound OCCNCCO ZBCBWPMODOFKDW-UHFFFAOYSA-N 0.000 description 1
- 229960004132 diethyl ether Drugs 0.000 description 1
- HPNMFZURTQLUMO-UHFFFAOYSA-N diethylamine Chemical compound CCNCC HPNMFZURTQLUMO-UHFFFAOYSA-N 0.000 description 1
- 238000003748 differential diagnosis Methods 0.000 description 1
- 230000004069 differentiation Effects 0.000 description 1
- UGMCXQCYOVCMTB-UHFFFAOYSA-K dihydroxy(stearato)aluminium Chemical compound CCCCCCCCCCCCCCCCCC(=O)O[Al](O)O UGMCXQCYOVCMTB-UHFFFAOYSA-K 0.000 description 1
- 239000012470 diluted sample Substances 0.000 description 1
- AFABGHUZZDYHJO-UHFFFAOYSA-N dimethyl butane Natural products CCCC(C)C AFABGHUZZDYHJO-UHFFFAOYSA-N 0.000 description 1
- SWSQBOPZIKWTGO-UHFFFAOYSA-N dimethylaminoamidine Natural products CN(C)C(N)=N SWSQBOPZIKWTGO-UHFFFAOYSA-N 0.000 description 1
- 230000003467 diminishing effect Effects 0.000 description 1
- OMBRFUXPXNIUCZ-UHFFFAOYSA-N dioxidonitrogen(1+) Chemical compound O=[N+]=O OMBRFUXPXNIUCZ-UHFFFAOYSA-N 0.000 description 1
- 125000005982 diphenylmethyl group Chemical group [H]C1=C([H])C([H])=C(C([H])=C1[H])C([H])(*)C1=C([H])C([H])=C([H])C([H])=C1[H] 0.000 description 1
- 231100000676 disease causative agent Toxicity 0.000 description 1
- 239000002934 diuretic Substances 0.000 description 1
- PMMYEEVYMWASQN-UHFFFAOYSA-N dl-hydroxyproline Natural products OC1C[NH2+]C(C([O-])=O)C1 PMMYEEVYMWASQN-UHFFFAOYSA-N 0.000 description 1
- 239000003937 drug carrier Substances 0.000 description 1
- 239000000890 drug combination Substances 0.000 description 1
- 238000009510 drug design Methods 0.000 description 1
- 239000003596 drug target Substances 0.000 description 1
- 230000002526 effect on cardiovascular system Effects 0.000 description 1
- 238000002330 electrospray ionisation mass spectrometry Methods 0.000 description 1
- 230000008030 elimination Effects 0.000 description 1
- 238000003379 elimination reaction Methods 0.000 description 1
- 239000003995 emulsifying agent Substances 0.000 description 1
- 206010014599 encephalitis Diseases 0.000 description 1
- 210000002472 endoplasmic reticulum Anatomy 0.000 description 1
- 150000002118 epoxides Chemical class 0.000 description 1
- 229940011871 estrogen Drugs 0.000 description 1
- 239000000262 estrogen Substances 0.000 description 1
- AFAXGSQYZLGZPG-UHFFFAOYSA-N ethanedisulfonic acid Chemical compound OS(=O)(=O)CCS(O)(=O)=O AFAXGSQYZLGZPG-UHFFFAOYSA-N 0.000 description 1
- 150000002170 ethers Chemical class 0.000 description 1
- 229940052303 ethers for general anesthesia Drugs 0.000 description 1
- 125000005745 ethoxymethyl group Chemical group [H]C([H])([H])C([H])([H])OC([H])([H])* 0.000 description 1
- 235000019439 ethyl acetate Nutrition 0.000 description 1
- 235000019325 ethyl cellulose Nutrition 0.000 description 1
- 229920001249 ethyl cellulose Polymers 0.000 description 1
- 229960004667 ethyl cellulose Drugs 0.000 description 1
- 125000004494 ethyl ester group Chemical group 0.000 description 1
- OGPBJKLSAFTDLK-UHFFFAOYSA-N europium atom Chemical compound [Eu] OGPBJKLSAFTDLK-UHFFFAOYSA-N 0.000 description 1
- 238000001704 evaporation Methods 0.000 description 1
- 230000008020 evaporation Effects 0.000 description 1
- 230000005284 excitation Effects 0.000 description 1
- 230000029142 excretion Effects 0.000 description 1
- 238000002474 experimental method Methods 0.000 description 1
- 238000000605 extraction Methods 0.000 description 1
- 230000002600 fibrillogenic effect Effects 0.000 description 1
- 229940012952 fibrinogen Drugs 0.000 description 1
- 102000034240 fibrous proteins Human genes 0.000 description 1
- 108091005899 fibrous proteins Proteins 0.000 description 1
- 239000000945 filler Substances 0.000 description 1
- 238000001914 filtration Methods 0.000 description 1
- 238000013100 final test Methods 0.000 description 1
- 239000012530 fluid Substances 0.000 description 1
- 125000003983 fluorenyl group Chemical group C1(=CC=CC=2C3=CC=CC=C3CC12)* 0.000 description 1
- GNBHRKFJIUUOQI-UHFFFAOYSA-N fluorescein Chemical compound O1C(=O)C2=CC=CC=C2C21C1=CC=C(O)C=C1OC1=CC(O)=CC=C21 GNBHRKFJIUUOQI-UHFFFAOYSA-N 0.000 description 1
- 125000004785 fluoromethoxy group Chemical group [H]C([H])(F)O* 0.000 description 1
- 238000013467 fragmentation Methods 0.000 description 1
- 238000006062 fragmentation reaction Methods 0.000 description 1
- 239000012458 free base Substances 0.000 description 1
- 125000003838 furazanyl group Chemical group 0.000 description 1
- 102000038383 gamma-secretases Human genes 0.000 description 1
- 108091007739 gamma-secretases Proteins 0.000 description 1
- 239000000499 gel Substances 0.000 description 1
- 239000008273 gelatin Substances 0.000 description 1
- 229920000159 gelatin Polymers 0.000 description 1
- 239000007903 gelatin capsule Substances 0.000 description 1
- 235000019322 gelatine Nutrition 0.000 description 1
- 235000011852 gelatine desserts Nutrition 0.000 description 1
- 229940052308 general anesthetics halogenated hydrocarbons Drugs 0.000 description 1
- 208000016361 genetic disease Diseases 0.000 description 1
- 230000008826 genomic mutation Effects 0.000 description 1
- 230000007387 gliosis Effects 0.000 description 1
- 230000009229 glucose formation Effects 0.000 description 1
- 238000007446 glucose tolerance test Methods 0.000 description 1
- 150000004676 glycans Polymers 0.000 description 1
- 229960002449 glycine Drugs 0.000 description 1
- 210000002288 golgi apparatus Anatomy 0.000 description 1
- 150000004795 grignard reagents Chemical class 0.000 description 1
- 230000036433 growing body Effects 0.000 description 1
- 230000012010 growth Effects 0.000 description 1
- 201000009277 hairy cell leukemia Diseases 0.000 description 1
- 150000004820 halides Chemical class 0.000 description 1
- 150000008282 halocarbons Chemical class 0.000 description 1
- 229960002897 heparin Drugs 0.000 description 1
- 229920000669 heparin Polymers 0.000 description 1
- 230000002440 hepatic effect Effects 0.000 description 1
- 210000003494 hepatocyte Anatomy 0.000 description 1
- 125000003187 heptyl group Chemical group [H]C([*])([H])C([H])([H])C([H])([H])C([H])([H])C([H])([H])C([H])([H])C([H])([H])[H] 0.000 description 1
- 208000017105 hereditary amyloidosis Diseases 0.000 description 1
- 239000008241 heterogeneous mixture Substances 0.000 description 1
- 230000000971 hippocampal effect Effects 0.000 description 1
- 230000001744 histochemical effect Effects 0.000 description 1
- 102000046783 human APP Human genes 0.000 description 1
- 229920002674 hyaluronan Polymers 0.000 description 1
- KIUKXJAPPMFGSW-MNSSHETKSA-N hyaluronan Chemical compound CC(=O)N[C@H]1[C@H](O)O[C@H](CO)[C@@H](O)C1O[C@H]1[C@H](O)[C@@H](O)[C@H](O[C@H]2[C@@H](C(O[C@H]3[C@@H]([C@@H](O)[C@H](O)[C@H](O3)C(O)=O)O)[C@H](O)[C@@H](CO)O2)NC(C)=O)[C@@H](C(O)=O)O1 KIUKXJAPPMFGSW-MNSSHETKSA-N 0.000 description 1
- 229940099552 hyaluronan Drugs 0.000 description 1
- ZMZDMBWJUHKJPS-UHFFFAOYSA-N hydrogen thiocyanate Natural products SC#N ZMZDMBWJUHKJPS-UHFFFAOYSA-N 0.000 description 1
- 230000003301 hydrolyzing effect Effects 0.000 description 1
- 239000002471 hydroxymethylglutaryl coenzyme A reductase inhibitor Substances 0.000 description 1
- 229960002591 hydroxyproline Drugs 0.000 description 1
- 239000001866 hydroxypropyl methyl cellulose Substances 0.000 description 1
- 235000010979 hydroxypropyl methyl cellulose Nutrition 0.000 description 1
- 229920003088 hydroxypropyl methyl cellulose Polymers 0.000 description 1
- UFVKGYZPFZQRLF-UHFFFAOYSA-N hydroxypropyl methyl cellulose Chemical compound OC1C(O)C(OC)OC(CO)C1OC1C(O)C(O)C(OC2C(C(O)C(OC3C(C(O)C(O)C(CO)O3)O)C(CO)O2)O)C(CO)O1 UFVKGYZPFZQRLF-UHFFFAOYSA-N 0.000 description 1
- 229940031704 hydroxypropyl methylcellulose phthalate Drugs 0.000 description 1
- 229920003132 hydroxypropyl methylcellulose phthalate Polymers 0.000 description 1
- 230000000260 hypercholesteremic effect Effects 0.000 description 1
- 208000036260 idiopathic disease Diseases 0.000 description 1
- 238000005286 illumination Methods 0.000 description 1
- 238000010191 image analysis Methods 0.000 description 1
- 238000007654 immersion Methods 0.000 description 1
- 238000002649 immunization Methods 0.000 description 1
- 230000003053 immunization Effects 0.000 description 1
- 238000003018 immunoassay Methods 0.000 description 1
- 238000003119 immunoblot Methods 0.000 description 1
- 230000002163 immunogen Effects 0.000 description 1
- 230000005847 immunogenicity Effects 0.000 description 1
- 238000000099 in vitro assay Methods 0.000 description 1
- 230000002779 inactivation Effects 0.000 description 1
- 125000003392 indanyl group Chemical group C1(CCC2=CC=CC=C12)* 0.000 description 1
- 125000003453 indazolyl group Chemical group N1N=C(C2=C1C=CC=C2)* 0.000 description 1
- 125000003454 indenyl group Chemical group C1(C=CC2=CC=CC=C12)* 0.000 description 1
- 125000004926 indolenyl group Chemical group 0.000 description 1
- QNRXNRGSOJZINA-UHFFFAOYSA-N indoline-2-carboxylic acid Chemical compound C1=CC=C2NC(C(=O)O)CC2=C1 QNRXNRGSOJZINA-UHFFFAOYSA-N 0.000 description 1
- 239000003701 inert diluent Substances 0.000 description 1
- 239000012442 inert solvent Substances 0.000 description 1
- 230000002458 infectious effect Effects 0.000 description 1
- 230000004968 inflammatory condition Effects 0.000 description 1
- 208000027866 inflammatory disease Diseases 0.000 description 1
- 238000001802 infusion Methods 0.000 description 1
- 208000021005 inheritance pattern Diseases 0.000 description 1
- 239000007972 injectable composition Substances 0.000 description 1
- 229910001412 inorganic anion Inorganic materials 0.000 description 1
- 150000007529 inorganic bases Chemical class 0.000 description 1
- 229910052500 inorganic mineral Inorganic materials 0.000 description 1
- 230000003914 insulin secretion Effects 0.000 description 1
- 210000004692 intercellular junction Anatomy 0.000 description 1
- 230000002452 interceptive effect Effects 0.000 description 1
- 238000007917 intracranial administration Methods 0.000 description 1
- 238000010255 intramuscular injection Methods 0.000 description 1
- 239000007927 intramuscular injection Substances 0.000 description 1
- 238000010253 intravenous injection Methods 0.000 description 1
- 238000011835 investigation Methods 0.000 description 1
- 150000004694 iodide salts Chemical class 0.000 description 1
- PNDPGZBMCMUPRI-UHFFFAOYSA-N iodine Chemical compound II PNDPGZBMCMUPRI-UHFFFAOYSA-N 0.000 description 1
- 125000002346 iodo group Chemical group I* 0.000 description 1
- 125000004936 isatinoyl group Chemical group N1(C(=O)C(=O)C2=CC=CC=C12)C(=O)* 0.000 description 1
- 229940045996 isethionic acid Drugs 0.000 description 1
- 125000001977 isobenzofuranyl group Chemical group C=1(OC=C2C=CC=CC12)* 0.000 description 1
- 125000005438 isoindazolyl group Chemical group 0.000 description 1
- SRJOCJYGOFTFLH-UHFFFAOYSA-N isonipecotic acid Chemical compound OC(=O)C1CCNCC1 SRJOCJYGOFTFLH-UHFFFAOYSA-N 0.000 description 1
- 125000005956 isoquinolyl group Chemical group 0.000 description 1
- 125000001786 isothiazolyl group Chemical group 0.000 description 1
- 239000007951 isotonicity adjuster Substances 0.000 description 1
- 125000000842 isoxazolyl group Chemical group 0.000 description 1
- 210000001503 joint Anatomy 0.000 description 1
- 201000002215 juvenile rheumatoid arthritis Diseases 0.000 description 1
- KXCLCNHUUKTANI-RBIYJLQWSA-N keratan Chemical compound CC(=O)N[C@@H]1[C@@H](O)C[C@@H](COS(O)(=O)=O)O[C@H]1O[C@@H]1[C@@H](O)[C@H](O[C@@H]2[C@H](O[C@@H](O[C@H]3[C@H]([C@@H](COS(O)(=O)=O)O[C@@H](O)[C@@H]3O)O)[C@H](NC(C)=O)[C@H]2O)COS(O)(=O)=O)O[C@H](COS(O)(=O)=O)[C@@H]1O KXCLCNHUUKTANI-RBIYJLQWSA-N 0.000 description 1
- 201000006370 kidney failure Diseases 0.000 description 1
- 231100000859 kill neurons Toxicity 0.000 description 1
- 150000003951 lactams Chemical class 0.000 description 1
- 150000002596 lactones Chemical class 0.000 description 1
- 230000008449 language Effects 0.000 description 1
- 239000010410 layer Substances 0.000 description 1
- 231100000518 lethal Toxicity 0.000 description 1
- 230000001665 lethal effect Effects 0.000 description 1
- 210000004558 lewy body Anatomy 0.000 description 1
- 125000005647 linker group Chemical group 0.000 description 1
- 150000002632 lipids Chemical class 0.000 description 1
- 239000006193 liquid solution Substances 0.000 description 1
- 238000011866 long-term treatment Methods 0.000 description 1
- 239000006210 lotion Substances 0.000 description 1
- 239000000314 lubricant Substances 0.000 description 1
- 210000004072 lung Anatomy 0.000 description 1
- 210000003712 lysosome Anatomy 0.000 description 1
- 230000001868 lysosomic effect Effects 0.000 description 1
- 239000004325 lysozyme Substances 0.000 description 1
- 235000010335 lysozyme Nutrition 0.000 description 1
- 229960000274 lysozyme Drugs 0.000 description 1
- 229920002521 macromolecule Polymers 0.000 description 1
- 229910052943 magnesium sulfate Inorganic materials 0.000 description 1
- 235000019341 magnesium sulphate Nutrition 0.000 description 1
- 238000012423 maintenance Methods 0.000 description 1
- 230000036210 malignancy Effects 0.000 description 1
- 239000003550 marker Substances 0.000 description 1
- 238000001819 mass spectrum Methods 0.000 description 1
- 239000000463 material Substances 0.000 description 1
- 235000012054 meals Nutrition 0.000 description 1
- 238000005259 measurement Methods 0.000 description 1
- 238000002483 medication Methods 0.000 description 1
- 208000023356 medullary thyroid gland carcinoma Diseases 0.000 description 1
- 210000004379 membrane Anatomy 0.000 description 1
- 239000012528 membrane Substances 0.000 description 1
- 230000006984 memory degeneration Effects 0.000 description 1
- 208000023060 memory loss Diseases 0.000 description 1
- 230000003340 mental effect Effects 0.000 description 1
- 230000002503 metabolic effect Effects 0.000 description 1
- 229930182817 methionine Natural products 0.000 description 1
- 150000002741 methionine derivatives Chemical class 0.000 description 1
- 125000004184 methoxymethyl group Chemical group [H]C([H])([H])OC([H])([H])* 0.000 description 1
- 235000010270 methyl p-hydroxybenzoate Nutrition 0.000 description 1
- 239000004292 methyl p-hydroxybenzoate Substances 0.000 description 1
- GYNNXHKOJHMOHS-UHFFFAOYSA-N methyl-cycloheptane Natural products CC1CCCCCC1 GYNNXHKOJHMOHS-UHFFFAOYSA-N 0.000 description 1
- 229940073584 methylene chloride Drugs 0.000 description 1
- 229960002216 methylparaben Drugs 0.000 description 1
- 235000019813 microcrystalline cellulose Nutrition 0.000 description 1
- 239000008108 microcrystalline cellulose Substances 0.000 description 1
- 229940016286 microcrystalline cellulose Drugs 0.000 description 1
- 210000003632 microfilament Anatomy 0.000 description 1
- 210000000274 microglia Anatomy 0.000 description 1
- 235000010755 mineral Nutrition 0.000 description 1
- 239000011707 mineral Substances 0.000 description 1
- 230000009456 molecular mechanism Effects 0.000 description 1
- 125000002911 monocyclic heterocycle group Chemical group 0.000 description 1
- 125000004573 morpholin-4-yl group Chemical group N1(CCOCC1)* 0.000 description 1
- 208000010125 myocardial infarction Diseases 0.000 description 1
- LNOPIUAQISRISI-UHFFFAOYSA-N n'-hydroxy-2-propan-2-ylsulfonylethanimidamide Chemical compound CC(C)S(=O)(=O)CC(N)=NO LNOPIUAQISRISI-UHFFFAOYSA-N 0.000 description 1
- 125000000740 n-pentyl group Chemical group [H]C([H])([H])C([H])([H])C([H])([H])C([H])([H])C([H])([H])* 0.000 description 1
- 210000004897 n-terminal region Anatomy 0.000 description 1
- 125000005487 naphthalate group Chemical group 0.000 description 1
- 125000001624 naphthyl group Chemical group 0.000 description 1
- 230000001452 natriuretic effect Effects 0.000 description 1
- 230000001613 neoplastic effect Effects 0.000 description 1
- 210000005036 nerve Anatomy 0.000 description 1
- 230000001537 neural effect Effects 0.000 description 1
- 238000002610 neuroimaging Methods 0.000 description 1
- 230000000324 neuroprotective effect Effects 0.000 description 1
- 231100000189 neurotoxic Toxicity 0.000 description 1
- 230000002887 neurotoxic effect Effects 0.000 description 1
- 229910017604 nitric acid Inorganic materials 0.000 description 1
- 150000002825 nitriles Chemical class 0.000 description 1
- 125000001400 nonyl group Chemical group [H]C([*])([H])C([H])([H])C([H])([H])C([H])([H])C([H])([H])C([H])([H])C([H])([H])C([H])([H])C([H])([H])[H] 0.000 description 1
- 238000010899 nucleation Methods 0.000 description 1
- 238000001584 occupational therapy Methods 0.000 description 1
- 125000004930 octahydroisoquinolinyl group Chemical group C1(NCCC2CCCC=C12)* 0.000 description 1
- 125000002347 octyl group Chemical group [H]C([*])([H])C([H])([H])C([H])([H])C([H])([H])C([H])([H])C([H])([H])C([H])([H])C([H])([H])[H] 0.000 description 1
- 239000003921 oil Substances 0.000 description 1
- 235000019198 oils Nutrition 0.000 description 1
- 210000004789 organ system Anatomy 0.000 description 1
- 150000002891 organic anions Chemical class 0.000 description 1
- 150000007530 organic bases Chemical class 0.000 description 1
- 239000012044 organic layer Substances 0.000 description 1
- 239000003960 organic solvent Substances 0.000 description 1
- 125000001979 organolithium group Chemical group 0.000 description 1
- 125000002524 organometallic group Chemical group 0.000 description 1
- 125000001715 oxadiazolyl group Chemical group 0.000 description 1
- 229940039748 oxalate Drugs 0.000 description 1
- QNNHQVPFZIFNFK-UHFFFAOYSA-N oxazolo[4,5-b]pyridine Chemical compound C1=CC=C2OC=NC2=N1 QNNHQVPFZIFNFK-UHFFFAOYSA-N 0.000 description 1
- 125000004095 oxindolyl group Chemical group N1(C(CC2=CC=CC=C12)=O)* 0.000 description 1
- LDCYZAJDBXYCGN-UHFFFAOYSA-N oxitriptan Natural products C1=C(O)C=C2C(CC(N)C(O)=O)=CNC2=C1 LDCYZAJDBXYCGN-UHFFFAOYSA-N 0.000 description 1
- 125000006505 p-cyanobenzyl group Chemical group [H]C1=C([H])C(=C([H])C([H])=C1C#N)C([H])([H])* 0.000 description 1
- 125000006503 p-nitrobenzyl group Chemical group [H]C1=C([H])C(=C([H])C([H])=C1[N+]([O-])=O)C([H])([H])* 0.000 description 1
- 125000001037 p-tolyl group Chemical group [H]C1=C([H])C(=C([H])C([H])=C1*)C([H])([H])[H] 0.000 description 1
- 229920002866 paraformaldehyde Polymers 0.000 description 1
- 210000004738 parenchymal cell Anatomy 0.000 description 1
- 239000008188 pellet Substances 0.000 description 1
- 229960001639 penicillamine Drugs 0.000 description 1
- 125000004115 pentoxy group Chemical group [*]OC([H])([H])C([H])([H])C([H])([H])C(C([H])([H])[H])([H])[H] 0.000 description 1
- 239000000813 peptide hormone Substances 0.000 description 1
- 239000000137 peptide hydrolase inhibitor Substances 0.000 description 1
- 238000010647 peptide synthesis reaction Methods 0.000 description 1
- 125000005010 perfluoroalkyl group Chemical group 0.000 description 1
- 125000005327 perimidinyl group Chemical group N1C(=NC2=CC=CC3=CC=CC1=C23)* 0.000 description 1
- 108010049224 perlecan Proteins 0.000 description 1
- 230000002688 persistence Effects 0.000 description 1
- 230000002085 persistent effect Effects 0.000 description 1
- 239000003208 petroleum Substances 0.000 description 1
- 239000008177 pharmaceutical agent Substances 0.000 description 1
- 239000000825 pharmaceutical preparation Substances 0.000 description 1
- 238000011422 pharmacological therapy Methods 0.000 description 1
- 125000001828 phenalenyl group Chemical group C1(C=CC2=CC=CC3=CC=CC1=C23)* 0.000 description 1
- 125000001792 phenanthrenyl group Chemical group C1(=CC=CC=2C3=CC=CC=C3C=CC12)* 0.000 description 1
- 229960003742 phenol Drugs 0.000 description 1
- WLJVXDMOQOGPHL-UHFFFAOYSA-N phenylacetic acid Chemical compound OC(=O)CC1=CC=CC=C1 WLJVXDMOQOGPHL-UHFFFAOYSA-N 0.000 description 1
- 108010073025 phenylalanylphenylalanine Proteins 0.000 description 1
- 239000008363 phosphate buffer Substances 0.000 description 1
- 229910052698 phosphorus Inorganic materials 0.000 description 1
- 239000011574 phosphorus Substances 0.000 description 1
- 125000004193 piperazinyl group Chemical group 0.000 description 1
- 125000004928 piperidonyl group Chemical group 0.000 description 1
- 125000005936 piperidyl group Chemical group 0.000 description 1
- 229960005235 piperonyl butoxide Drugs 0.000 description 1
- 125000004591 piperonyl group Chemical group C(C1=CC=2OCOC2C=C1)* 0.000 description 1
- 239000000902 placebo Substances 0.000 description 1
- 229940068196 placebo Drugs 0.000 description 1
- 230000007505 plaque formation Effects 0.000 description 1
- 210000004180 plasmocyte Anatomy 0.000 description 1
- 229920000642 polymer Polymers 0.000 description 1
- 229920005862 polyol Polymers 0.000 description 1
- 150000003077 polyols Chemical class 0.000 description 1
- 239000000244 polyoxyethylene sorbitan monooleate Substances 0.000 description 1
- 235000010482 polyoxyethylene sorbitan monooleate Nutrition 0.000 description 1
- 229920001184 polypeptide Polymers 0.000 description 1
- 150000004804 polysaccharides Polymers 0.000 description 1
- 229940068968 polysorbate 80 Drugs 0.000 description 1
- 229920000053 polysorbate 80 Polymers 0.000 description 1
- 229940100467 polyvinyl acetate phthalate Drugs 0.000 description 1
- 239000013641 positive control Substances 0.000 description 1
- 230000001323 posttranslational effect Effects 0.000 description 1
- 230000002335 preservative effect Effects 0.000 description 1
- 150000003141 primary amines Chemical class 0.000 description 1
- 229940097325 prolactin Drugs 0.000 description 1
- 150000003147 proline derivatives Chemical class 0.000 description 1
- 230000002035 prolonged effect Effects 0.000 description 1
- KCXFHTAICRTXLI-UHFFFAOYSA-N propane-1-sulfonic acid Chemical compound CCCS(O)(=O)=O KCXFHTAICRTXLI-UHFFFAOYSA-N 0.000 description 1
- 125000004368 propenyl group Chemical group C(=CC)* 0.000 description 1
- 230000000069 prophylactic effect Effects 0.000 description 1
- 238000011321 prophylaxis Methods 0.000 description 1
- 210000002307 prostate Anatomy 0.000 description 1
- 230000004224 protection Effects 0.000 description 1
- 238000000159 protein binding assay Methods 0.000 description 1
- 230000017854 proteolysis Effects 0.000 description 1
- 230000002797 proteolythic effect Effects 0.000 description 1
- 125000005494 pyridonyl group Chemical group 0.000 description 1
- 150000003242 quaternary ammonium salts Chemical class 0.000 description 1
- 125000005493 quinolyl group Chemical group 0.000 description 1
- 125000004621 quinuclidinyl group Chemical group N12C(CC(CC1)CC2)* 0.000 description 1
- 239000000376 reactant Substances 0.000 description 1
- 208000002574 reactive arthritis Diseases 0.000 description 1
- 230000008707 rearrangement Effects 0.000 description 1
- 238000001953 recrystallisation Methods 0.000 description 1
- 201000010174 renal carcinoma Diseases 0.000 description 1
- 208000012263 renal involvement Diseases 0.000 description 1
- 238000009256 replacement therapy Methods 0.000 description 1
- 238000001226 reprecipitation Methods 0.000 description 1
- 238000012552 review Methods 0.000 description 1
- 238000007363 ring formation reaction Methods 0.000 description 1
- 238000005070 sampling Methods 0.000 description 1
- 229940043230 sarcosine Drugs 0.000 description 1
- 229930195734 saturated hydrocarbon Natural products 0.000 description 1
- 238000012216 screening Methods 0.000 description 1
- 150000003335 secondary amines Chemical class 0.000 description 1
- 230000000580 secretagogue effect Effects 0.000 description 1
- 230000028327 secretion Effects 0.000 description 1
- 239000013049 sediment Substances 0.000 description 1
- 210000001625 seminal vesicle Anatomy 0.000 description 1
- 238000000926 separation method Methods 0.000 description 1
- 239000004208 shellac Substances 0.000 description 1
- ZLGIYFNHBLSMPS-ATJNOEHPSA-N shellac Chemical compound OCCCCCC(O)C(O)CCCCCCCC(O)=O.C1C23[C@H](C(O)=O)CCC2[C@](C)(CO)[C@@H]1C(C(O)=O)=C[C@@H]3O ZLGIYFNHBLSMPS-ATJNOEHPSA-N 0.000 description 1
- 229940113147 shellac Drugs 0.000 description 1
- 235000013874 shellac Nutrition 0.000 description 1
- 235000010413 sodium alginate Nutrition 0.000 description 1
- 239000000661 sodium alginate Substances 0.000 description 1
- 229940005550 sodium alginate Drugs 0.000 description 1
- WXMKPNITSTVMEF-UHFFFAOYSA-M sodium benzoate Chemical compound [Na+].[O-]C(=O)C1=CC=CC=C1 WXMKPNITSTVMEF-UHFFFAOYSA-M 0.000 description 1
- 235000010234 sodium benzoate Nutrition 0.000 description 1
- 239000004299 sodium benzoate Substances 0.000 description 1
- 235000019812 sodium carboxymethyl cellulose Nutrition 0.000 description 1
- 229920001027 sodium carboxymethylcellulose Polymers 0.000 description 1
- 229910052938 sodium sulfate Inorganic materials 0.000 description 1
- 235000011152 sodium sulphate Nutrition 0.000 description 1
- DTJWOMAUBNPXGV-UHFFFAOYSA-M sodium;2-hydroxy-3-(phenylmethoxycarbonylamino)propane-1-sulfonate Chemical compound [Na+].[O-]S(=O)(=O)CC(O)CNC(=O)OCC1=CC=CC=C1 DTJWOMAUBNPXGV-UHFFFAOYSA-M 0.000 description 1
- HBVPKDZTPPVGNG-UHFFFAOYSA-M sodium;4-(phenylmethoxycarbonylamino)butane-1-sulfonate Chemical compound [Na+].[O-]S(=O)(=O)CCCCNC(=O)OCC1=CC=CC=C1 HBVPKDZTPPVGNG-UHFFFAOYSA-M 0.000 description 1
- 238000010532 solid phase synthesis reaction Methods 0.000 description 1
- 150000003413 spiro compounds Chemical class 0.000 description 1
- 230000007480 spreading Effects 0.000 description 1
- 238000003892 spreading Methods 0.000 description 1
- 230000006641 stabilisation Effects 0.000 description 1
- 238000011105 stabilization Methods 0.000 description 1
- 238000010561 standard procedure Methods 0.000 description 1
- DFVFTMTWCUHJBL-BQBZGAKWSA-N statine Chemical compound CC(C)C[C@H](N)[C@@H](O)CC(O)=O DFVFTMTWCUHJBL-BQBZGAKWSA-N 0.000 description 1
- 230000001954 sterilising effect Effects 0.000 description 1
- 238000004659 sterilization and disinfection Methods 0.000 description 1
- 238000010254 subcutaneous injection Methods 0.000 description 1
- 239000007929 subcutaneous injection Substances 0.000 description 1
- 125000005415 substituted alkoxy group Chemical group 0.000 description 1
- 125000003107 substituted aryl group Chemical group 0.000 description 1
- 235000000346 sugar Nutrition 0.000 description 1
- 150000005846 sugar alcohols Polymers 0.000 description 1
- 150000008163 sugars Chemical class 0.000 description 1
- 125000000446 sulfanediyl group Chemical group *S* 0.000 description 1
- PXQLVRUNWNTZOS-UHFFFAOYSA-N sulfanyl Chemical compound [SH] PXQLVRUNWNTZOS-UHFFFAOYSA-N 0.000 description 1
- 150000003871 sulfonates Chemical class 0.000 description 1
- 125000000472 sulfonyl group Chemical group *S(*)(=O)=O 0.000 description 1
- 125000004434 sulfur atom Chemical group 0.000 description 1
- 239000000375 suspending agent Substances 0.000 description 1
- 230000002459 sustained effect Effects 0.000 description 1
- 238000002636 symptomatic treatment Methods 0.000 description 1
- 206010042772 syncope Diseases 0.000 description 1
- 238000012385 systemic delivery Methods 0.000 description 1
- 229960003080 taurine Drugs 0.000 description 1
- HVZJRWJGKQPSFL-UHFFFAOYSA-N tert-Amyl methyl ether Chemical compound CCC(C)(C)OC HVZJRWJGKQPSFL-UHFFFAOYSA-N 0.000 description 1
- 150000003512 tertiary amines Chemical class 0.000 description 1
- 238000010998 test method Methods 0.000 description 1
- 125000003718 tetrahydrofuranyl group Chemical group 0.000 description 1
- 125000005888 tetrahydroindolyl group Chemical group 0.000 description 1
- 125000003039 tetrahydroisoquinolinyl group Chemical group C1(NCCC2=CC=CC=C12)* 0.000 description 1
- 125000000147 tetrahydroquinolinyl group Chemical group N1(CCCC2=CC=CC=C12)* 0.000 description 1
- 229940126585 therapeutic drug Drugs 0.000 description 1
- 230000004797 therapeutic response Effects 0.000 description 1
- 125000004627 thianthrenyl group Chemical group C1(=CC=CC=2SC3=CC=CC=C3SC12)* 0.000 description 1
- 239000002562 thickening agent Substances 0.000 description 1
- 150000003553 thiiranes Chemical class 0.000 description 1
- RTKIYNMVFMVABJ-UHFFFAOYSA-L thimerosal Chemical compound [Na+].CC[Hg]SC1=CC=CC=C1C([O-])=O RTKIYNMVFMVABJ-UHFFFAOYSA-L 0.000 description 1
- 229940033663 thimerosal Drugs 0.000 description 1
- 125000002813 thiocarbonyl group Chemical group *C(*)=S 0.000 description 1
- 150000007944 thiolates Chemical group 0.000 description 1
- DZLNHFMRPBPULJ-UHFFFAOYSA-N thioproline Chemical compound OC(=O)C1CSCN1 DZLNHFMRPBPULJ-UHFFFAOYSA-N 0.000 description 1
- 239000005495 thyroid hormone Substances 0.000 description 1
- 229940036555 thyroid hormone Drugs 0.000 description 1
- 230000036962 time dependent Effects 0.000 description 1
- JOXIMZWYDAKGHI-UHFFFAOYSA-M toluene-4-sulfonate Chemical compound CC1=CC=C(S([O-])(=O)=O)C=C1 JOXIMZWYDAKGHI-UHFFFAOYSA-M 0.000 description 1
- 238000011200 topical administration Methods 0.000 description 1
- 235000010487 tragacanth Nutrition 0.000 description 1
- 239000000196 tragacanth Substances 0.000 description 1
- 229940116362 tragacanth Drugs 0.000 description 1
- FGMPLJWBKKVCDB-UHFFFAOYSA-N trans-L-hydroxy-proline Natural products ON1CCCC1C(O)=O FGMPLJWBKKVCDB-UHFFFAOYSA-N 0.000 description 1
- 238000013518 transcription Methods 0.000 description 1
- 230000035897 transcription Effects 0.000 description 1
- 201000010875 transient cerebral ischemia Diseases 0.000 description 1
- 238000013519 translation Methods 0.000 description 1
- 230000032258 transport Effects 0.000 description 1
- 125000004306 triazinyl group Chemical group 0.000 description 1
- 125000004784 trichloromethoxy group Chemical group ClC(O*)(Cl)Cl 0.000 description 1
- 125000004950 trifluoroalkyl group Chemical group 0.000 description 1
- 125000005951 trifluoromethanesulfonyloxy group Chemical group 0.000 description 1
- LENZDBCJOHFCAS-UHFFFAOYSA-N tris Chemical compound OCC(N)(CO)CO LENZDBCJOHFCAS-UHFFFAOYSA-N 0.000 description 1
- 239000003656 tris buffered saline Substances 0.000 description 1
- 125000002221 trityl group Chemical group [H]C1=C([H])C([H])=C([H])C([H])=C1C([*])(C1=C(C(=C(C(=C1[H])[H])[H])[H])[H])C1=C([H])C([H])=C([H])C([H])=C1[H] 0.000 description 1
- 210000002700 urine Anatomy 0.000 description 1
- 238000001291 vacuum drying Methods 0.000 description 1
- 238000009777 vacuum freeze-drying Methods 0.000 description 1
- 230000002792 vascular Effects 0.000 description 1
- 210000005166 vasculature Anatomy 0.000 description 1
- 235000015112 vegetable and seed oil Nutrition 0.000 description 1
- 239000008158 vegetable oil Substances 0.000 description 1
- 201000010653 vesiculitis Diseases 0.000 description 1
- 210000001835 viscera Anatomy 0.000 description 1
- 235000019155 vitamin A Nutrition 0.000 description 1
- 239000011719 vitamin A Substances 0.000 description 1
- 229940045997 vitamin a Drugs 0.000 description 1
- 235000012431 wafers Nutrition 0.000 description 1
- 239000011534 wash buffer Substances 0.000 description 1
- 239000003643 water by type Substances 0.000 description 1
- 239000001993 wax Substances 0.000 description 1
- 230000036642 wellbeing Effects 0.000 description 1
- 239000000080 wetting agent Substances 0.000 description 1
- 125000001834 xanthenyl group Chemical group C1=CC=CC=2OC3=CC=CC=C3C(C12)* 0.000 description 1
- 239000008096 xylene Substances 0.000 description 1
Classifications
-
- C—CHEMISTRY; METALLURGY
- C07—ORGANIC CHEMISTRY
- C07C—ACYCLIC OR CARBOCYCLIC COMPOUNDS
- C07C309/00—Sulfonic acids; Halides, esters, or anhydrides thereof
- C07C309/01—Sulfonic acids
- C07C309/02—Sulfonic acids having sulfo groups bound to acyclic carbon atoms
- C07C309/03—Sulfonic acids having sulfo groups bound to acyclic carbon atoms of an acyclic saturated carbon skeleton
- C07C309/13—Sulfonic acids having sulfo groups bound to acyclic carbon atoms of an acyclic saturated carbon skeleton containing nitrogen atoms, not being part of nitro or nitroso groups, bound to the carbon skeleton
- C07C309/14—Sulfonic acids having sulfo groups bound to acyclic carbon atoms of an acyclic saturated carbon skeleton containing nitrogen atoms, not being part of nitro or nitroso groups, bound to the carbon skeleton containing amino groups bound to the carbon skeleton
-
- A—HUMAN NECESSITIES
- A61—MEDICAL OR VETERINARY SCIENCE; HYGIENE
- A61P—SPECIFIC THERAPEUTIC ACTIVITY OF CHEMICAL COMPOUNDS OR MEDICINAL PREPARATIONS
- A61P17/00—Drugs for dermatological disorders
-
- A—HUMAN NECESSITIES
- A61—MEDICAL OR VETERINARY SCIENCE; HYGIENE
- A61P—SPECIFIC THERAPEUTIC ACTIVITY OF CHEMICAL COMPOUNDS OR MEDICINAL PREPARATIONS
- A61P25/00—Drugs for disorders of the nervous system
- A61P25/28—Drugs for disorders of the nervous system for treating neurodegenerative disorders of the central nervous system, e.g. nootropic agents, cognition enhancers, drugs for treating Alzheimer's disease or other forms of dementia
-
- A—HUMAN NECESSITIES
- A61—MEDICAL OR VETERINARY SCIENCE; HYGIENE
- A61P—SPECIFIC THERAPEUTIC ACTIVITY OF CHEMICAL COMPOUNDS OR MEDICINAL PREPARATIONS
- A61P9/00—Drugs for disorders of the cardiovascular system
-
- C—CHEMISTRY; METALLURGY
- C07—ORGANIC CHEMISTRY
- C07C—ACYCLIC OR CARBOCYCLIC COMPOUNDS
- C07C307/00—Amides of sulfuric acids, i.e. compounds having singly-bound oxygen atoms of sulfate groups replaced by nitrogen atoms, not being part of nitro or nitroso groups
- C07C307/02—Monoamides of sulfuric acids or esters thereof, e.g. sulfamic acids
-
- C—CHEMISTRY; METALLURGY
- C07—ORGANIC CHEMISTRY
- C07C—ACYCLIC OR CARBOCYCLIC COMPOUNDS
- C07C309/00—Sulfonic acids; Halides, esters, or anhydrides thereof
- C07C309/01—Sulfonic acids
- C07C309/02—Sulfonic acids having sulfo groups bound to acyclic carbon atoms
- C07C309/03—Sulfonic acids having sulfo groups bound to acyclic carbon atoms of an acyclic saturated carbon skeleton
- C07C309/13—Sulfonic acids having sulfo groups bound to acyclic carbon atoms of an acyclic saturated carbon skeleton containing nitrogen atoms, not being part of nitro or nitroso groups, bound to the carbon skeleton
-
- C—CHEMISTRY; METALLURGY
- C07—ORGANIC CHEMISTRY
- C07C—ACYCLIC OR CARBOCYCLIC COMPOUNDS
- C07C309/00—Sulfonic acids; Halides, esters, or anhydrides thereof
- C07C309/01—Sulfonic acids
- C07C309/02—Sulfonic acids having sulfo groups bound to acyclic carbon atoms
- C07C309/03—Sulfonic acids having sulfo groups bound to acyclic carbon atoms of an acyclic saturated carbon skeleton
- C07C309/13—Sulfonic acids having sulfo groups bound to acyclic carbon atoms of an acyclic saturated carbon skeleton containing nitrogen atoms, not being part of nitro or nitroso groups, bound to the carbon skeleton
- C07C309/14—Sulfonic acids having sulfo groups bound to acyclic carbon atoms of an acyclic saturated carbon skeleton containing nitrogen atoms, not being part of nitro or nitroso groups, bound to the carbon skeleton containing amino groups bound to the carbon skeleton
- C07C309/15—Sulfonic acids having sulfo groups bound to acyclic carbon atoms of an acyclic saturated carbon skeleton containing nitrogen atoms, not being part of nitro or nitroso groups, bound to the carbon skeleton containing amino groups bound to the carbon skeleton the nitrogen atom of at least one of the amino groups being part of any of the groups, X being a hetero atom, Y being any atom
-
- C—CHEMISTRY; METALLURGY
- C07—ORGANIC CHEMISTRY
- C07C—ACYCLIC OR CARBOCYCLIC COMPOUNDS
- C07C309/00—Sulfonic acids; Halides, esters, or anhydrides thereof
- C07C309/01—Sulfonic acids
- C07C309/02—Sulfonic acids having sulfo groups bound to acyclic carbon atoms
- C07C309/19—Sulfonic acids having sulfo groups bound to acyclic carbon atoms of a saturated carbon skeleton containing rings
-
- C—CHEMISTRY; METALLURGY
- C07—ORGANIC CHEMISTRY
- C07C—ACYCLIC OR CARBOCYCLIC COMPOUNDS
- C07C309/00—Sulfonic acids; Halides, esters, or anhydrides thereof
- C07C309/01—Sulfonic acids
- C07C309/02—Sulfonic acids having sulfo groups bound to acyclic carbon atoms
- C07C309/23—Sulfonic acids having sulfo groups bound to acyclic carbon atoms of an unsaturated carbon skeleton containing rings other than six-membered aromatic rings
-
- C—CHEMISTRY; METALLURGY
- C07—ORGANIC CHEMISTRY
- C07C—ACYCLIC OR CARBOCYCLIC COMPOUNDS
- C07C309/00—Sulfonic acids; Halides, esters, or anhydrides thereof
- C07C309/01—Sulfonic acids
- C07C309/28—Sulfonic acids having sulfo groups bound to carbon atoms of six-membered aromatic rings of a carbon skeleton
- C07C309/45—Sulfonic acids having sulfo groups bound to carbon atoms of six-membered aromatic rings of a carbon skeleton containing nitrogen atoms, not being part of nitro or nitroso groups, bound to the carbon skeleton
- C07C309/46—Sulfonic acids having sulfo groups bound to carbon atoms of six-membered aromatic rings of a carbon skeleton containing nitrogen atoms, not being part of nitro or nitroso groups, bound to the carbon skeleton having the sulfo groups bound to carbon atoms of non-condensed six-membered aromatic rings
-
- C—CHEMISTRY; METALLURGY
- C07—ORGANIC CHEMISTRY
- C07C—ACYCLIC OR CARBOCYCLIC COMPOUNDS
- C07C309/00—Sulfonic acids; Halides, esters, or anhydrides thereof
- C07C309/63—Esters of sulfonic acids
- C07C309/64—Esters of sulfonic acids having sulfur atoms of esterified sulfo groups bound to acyclic carbon atoms
- C07C309/69—Esters of sulfonic acids having sulfur atoms of esterified sulfo groups bound to acyclic carbon atoms of a carbon skeleton substituted by nitrogen atoms, not being part of nitro or nitroso groups
-
- C—CHEMISTRY; METALLURGY
- C07—ORGANIC CHEMISTRY
- C07C—ACYCLIC OR CARBOCYCLIC COMPOUNDS
- C07C311/00—Amides of sulfonic acids, i.e. compounds having singly-bound oxygen atoms of sulfo groups replaced by nitrogen atoms, not being part of nitro or nitroso groups
- C07C311/30—Sulfonamides, the carbon skeleton of the acid part being further substituted by singly-bound nitrogen atoms, not being part of nitro or nitroso groups
- C07C311/31—Sulfonamides, the carbon skeleton of the acid part being further substituted by singly-bound nitrogen atoms, not being part of nitro or nitroso groups having the sulfur atoms of the sulfonamide groups bound to acyclic carbon atoms
- C07C311/32—Sulfonamides, the carbon skeleton of the acid part being further substituted by singly-bound nitrogen atoms, not being part of nitro or nitroso groups having the sulfur atoms of the sulfonamide groups bound to acyclic carbon atoms of an acyclic saturated carbon skeleton
-
- C—CHEMISTRY; METALLURGY
- C07—ORGANIC CHEMISTRY
- C07C—ACYCLIC OR CARBOCYCLIC COMPOUNDS
- C07C311/00—Amides of sulfonic acids, i.e. compounds having singly-bound oxygen atoms of sulfo groups replaced by nitrogen atoms, not being part of nitro or nitroso groups
- C07C311/30—Sulfonamides, the carbon skeleton of the acid part being further substituted by singly-bound nitrogen atoms, not being part of nitro or nitroso groups
- C07C311/45—Sulfonamides, the carbon skeleton of the acid part being further substituted by singly-bound nitrogen atoms, not being part of nitro or nitroso groups at least one of the singly-bound nitrogen atoms being part of any of the groups, X being a hetero atom, Y being any atom, e.g. N-acylaminosulfonamides
- C07C311/46—Y being a hydrogen or a carbon atom
-
- C—CHEMISTRY; METALLURGY
- C07—ORGANIC CHEMISTRY
- C07C—ACYCLIC OR CARBOCYCLIC COMPOUNDS
- C07C323/00—Thiols, sulfides, hydropolysulfides or polysulfides substituted by halogen, oxygen or nitrogen atoms, or by sulfur atoms not being part of thio groups
- C07C323/23—Thiols, sulfides, hydropolysulfides or polysulfides substituted by halogen, oxygen or nitrogen atoms, or by sulfur atoms not being part of thio groups containing thio groups and nitrogen atoms, not being part of nitro or nitroso groups, bound to the same carbon skeleton
- C07C323/24—Thiols, sulfides, hydropolysulfides or polysulfides substituted by halogen, oxygen or nitrogen atoms, or by sulfur atoms not being part of thio groups containing thio groups and nitrogen atoms, not being part of nitro or nitroso groups, bound to the same carbon skeleton having the sulfur atoms of the thio groups bound to acyclic carbon atoms of the carbon skeleton
- C07C323/25—Thiols, sulfides, hydropolysulfides or polysulfides substituted by halogen, oxygen or nitrogen atoms, or by sulfur atoms not being part of thio groups containing thio groups and nitrogen atoms, not being part of nitro or nitroso groups, bound to the same carbon skeleton having the sulfur atoms of the thio groups bound to acyclic carbon atoms of the carbon skeleton the carbon skeleton being acyclic and saturated
-
- C—CHEMISTRY; METALLURGY
- C07—ORGANIC CHEMISTRY
- C07C—ACYCLIC OR CARBOCYCLIC COMPOUNDS
- C07C323/00—Thiols, sulfides, hydropolysulfides or polysulfides substituted by halogen, oxygen or nitrogen atoms, or by sulfur atoms not being part of thio groups
- C07C323/50—Thiols, sulfides, hydropolysulfides or polysulfides substituted by halogen, oxygen or nitrogen atoms, or by sulfur atoms not being part of thio groups containing thio groups and carboxyl groups bound to the same carbon skeleton
- C07C323/51—Thiols, sulfides, hydropolysulfides or polysulfides substituted by halogen, oxygen or nitrogen atoms, or by sulfur atoms not being part of thio groups containing thio groups and carboxyl groups bound to the same carbon skeleton having the sulfur atoms of the thio groups bound to acyclic carbon atoms of the carbon skeleton
- C07C323/57—Thiols, sulfides, hydropolysulfides or polysulfides substituted by halogen, oxygen or nitrogen atoms, or by sulfur atoms not being part of thio groups containing thio groups and carboxyl groups bound to the same carbon skeleton having the sulfur atoms of the thio groups bound to acyclic carbon atoms of the carbon skeleton the carbon skeleton being further substituted by nitrogen atoms, not being part of nitro or nitroso groups
- C07C323/58—Thiols, sulfides, hydropolysulfides or polysulfides substituted by halogen, oxygen or nitrogen atoms, or by sulfur atoms not being part of thio groups containing thio groups and carboxyl groups bound to the same carbon skeleton having the sulfur atoms of the thio groups bound to acyclic carbon atoms of the carbon skeleton the carbon skeleton being further substituted by nitrogen atoms, not being part of nitro or nitroso groups with amino groups bound to the carbon skeleton
-
- C—CHEMISTRY; METALLURGY
- C07—ORGANIC CHEMISTRY
- C07C—ACYCLIC OR CARBOCYCLIC COMPOUNDS
- C07C335/00—Thioureas, i.e. compounds containing any of the groups, the nitrogen atoms not being part of nitro or nitroso groups
- C07C335/04—Derivatives of thiourea
- C07C335/06—Derivatives of thiourea having nitrogen atoms of thiourea groups bound to acyclic carbon atoms
- C07C335/10—Derivatives of thiourea having nitrogen atoms of thiourea groups bound to acyclic carbon atoms of an unsaturated carbon skeleton
- C07C335/12—Derivatives of thiourea having nitrogen atoms of thiourea groups bound to acyclic carbon atoms of an unsaturated carbon skeleton the carbon skeleton containing six-membered aromatic rings
-
- C—CHEMISTRY; METALLURGY
- C07—ORGANIC CHEMISTRY
- C07C—ACYCLIC OR CARBOCYCLIC COMPOUNDS
- C07C335/00—Thioureas, i.e. compounds containing any of the groups, the nitrogen atoms not being part of nitro or nitroso groups
- C07C335/30—Isothioureas
- C07C335/32—Isothioureas having sulfur atoms of isothiourea groups bound to acyclic carbon atoms
-
- C—CHEMISTRY; METALLURGY
- C07—ORGANIC CHEMISTRY
- C07C—ACYCLIC OR CARBOCYCLIC COMPOUNDS
- C07C381/00—Compounds containing carbon and sulfur and having functional groups not covered by groups C07C301/00 - C07C337/00
- C07C381/02—Thiosulfates
-
- C—CHEMISTRY; METALLURGY
- C07—ORGANIC CHEMISTRY
- C07D—HETEROCYCLIC COMPOUNDS
- C07D209/00—Heterocyclic compounds containing five-membered rings, condensed with other rings, with one nitrogen atom as the only ring hetero atom
- C07D209/02—Heterocyclic compounds containing five-membered rings, condensed with other rings, with one nitrogen atom as the only ring hetero atom condensed with one carbocyclic ring
- C07D209/04—Indoles; Hydrogenated indoles
- C07D209/08—Indoles; Hydrogenated indoles with only hydrogen atoms or radicals containing only hydrogen and carbon atoms, directly attached to carbon atoms of the hetero ring
-
- C—CHEMISTRY; METALLURGY
- C07—ORGANIC CHEMISTRY
- C07D—HETEROCYCLIC COMPOUNDS
- C07D209/00—Heterocyclic compounds containing five-membered rings, condensed with other rings, with one nitrogen atom as the only ring hetero atom
- C07D209/02—Heterocyclic compounds containing five-membered rings, condensed with other rings, with one nitrogen atom as the only ring hetero atom condensed with one carbocyclic ring
- C07D209/04—Indoles; Hydrogenated indoles
- C07D209/10—Indoles; Hydrogenated indoles with substituted hydrocarbon radicals attached to carbon atoms of the hetero ring
- C07D209/14—Radicals substituted by nitrogen atoms, not forming part of a nitro radical
-
- C—CHEMISTRY; METALLURGY
- C07—ORGANIC CHEMISTRY
- C07D—HETEROCYCLIC COMPOUNDS
- C07D209/00—Heterocyclic compounds containing five-membered rings, condensed with other rings, with one nitrogen atom as the only ring hetero atom
- C07D209/02—Heterocyclic compounds containing five-membered rings, condensed with other rings, with one nitrogen atom as the only ring hetero atom condensed with one carbocyclic ring
- C07D209/04—Indoles; Hydrogenated indoles
- C07D209/10—Indoles; Hydrogenated indoles with substituted hydrocarbon radicals attached to carbon atoms of the hetero ring
- C07D209/18—Radicals substituted by carbon atoms having three bonds to hetero atoms with at the most one bond to halogen, e.g. ester or nitrile radicals
-
- C—CHEMISTRY; METALLURGY
- C07—ORGANIC CHEMISTRY
- C07D—HETEROCYCLIC COMPOUNDS
- C07D209/00—Heterocyclic compounds containing five-membered rings, condensed with other rings, with one nitrogen atom as the only ring hetero atom
- C07D209/02—Heterocyclic compounds containing five-membered rings, condensed with other rings, with one nitrogen atom as the only ring hetero atom condensed with one carbocyclic ring
- C07D209/04—Indoles; Hydrogenated indoles
- C07D209/10—Indoles; Hydrogenated indoles with substituted hydrocarbon radicals attached to carbon atoms of the hetero ring
- C07D209/18—Radicals substituted by carbon atoms having three bonds to hetero atoms with at the most one bond to halogen, e.g. ester or nitrile radicals
- C07D209/20—Radicals substituted by carbon atoms having three bonds to hetero atoms with at the most one bond to halogen, e.g. ester or nitrile radicals substituted additionally by nitrogen atoms, e.g. tryptophane
-
- C—CHEMISTRY; METALLURGY
- C07—ORGANIC CHEMISTRY
- C07D—HETEROCYCLIC COMPOUNDS
- C07D209/00—Heterocyclic compounds containing five-membered rings, condensed with other rings, with one nitrogen atom as the only ring hetero atom
- C07D209/02—Heterocyclic compounds containing five-membered rings, condensed with other rings, with one nitrogen atom as the only ring hetero atom condensed with one carbocyclic ring
- C07D209/44—Iso-indoles; Hydrogenated iso-indoles
-
- C—CHEMISTRY; METALLURGY
- C07—ORGANIC CHEMISTRY
- C07D—HETEROCYCLIC COMPOUNDS
- C07D209/00—Heterocyclic compounds containing five-membered rings, condensed with other rings, with one nitrogen atom as the only ring hetero atom
- C07D209/02—Heterocyclic compounds containing five-membered rings, condensed with other rings, with one nitrogen atom as the only ring hetero atom condensed with one carbocyclic ring
- C07D209/44—Iso-indoles; Hydrogenated iso-indoles
- C07D209/48—Iso-indoles; Hydrogenated iso-indoles with oxygen atoms in positions 1 and 3, e.g. phthalimide
-
- C—CHEMISTRY; METALLURGY
- C07—ORGANIC CHEMISTRY
- C07D—HETEROCYCLIC COMPOUNDS
- C07D211/00—Heterocyclic compounds containing hydrogenated pyridine rings, not condensed with other rings
- C07D211/04—Heterocyclic compounds containing hydrogenated pyridine rings, not condensed with other rings with only hydrogen or carbon atoms directly attached to the ring nitrogen atom
- C07D211/06—Heterocyclic compounds containing hydrogenated pyridine rings, not condensed with other rings with only hydrogen or carbon atoms directly attached to the ring nitrogen atom having no double bonds between ring members or between ring members and non-ring members
- C07D211/36—Heterocyclic compounds containing hydrogenated pyridine rings, not condensed with other rings with only hydrogen or carbon atoms directly attached to the ring nitrogen atom having no double bonds between ring members or between ring members and non-ring members with hetero atoms or with carbon atoms having three bonds to hetero atoms with at the most one bond to halogen, e.g. ester or nitrile radicals, directly attached to ring carbon atoms
- C07D211/40—Oxygen atoms
- C07D211/44—Oxygen atoms attached in position 4
- C07D211/46—Oxygen atoms attached in position 4 having a hydrogen atom as the second substituent in position 4
-
- C—CHEMISTRY; METALLURGY
- C07—ORGANIC CHEMISTRY
- C07D—HETEROCYCLIC COMPOUNDS
- C07D211/00—Heterocyclic compounds containing hydrogenated pyridine rings, not condensed with other rings
- C07D211/04—Heterocyclic compounds containing hydrogenated pyridine rings, not condensed with other rings with only hydrogen or carbon atoms directly attached to the ring nitrogen atom
- C07D211/06—Heterocyclic compounds containing hydrogenated pyridine rings, not condensed with other rings with only hydrogen or carbon atoms directly attached to the ring nitrogen atom having no double bonds between ring members or between ring members and non-ring members
- C07D211/36—Heterocyclic compounds containing hydrogenated pyridine rings, not condensed with other rings with only hydrogen or carbon atoms directly attached to the ring nitrogen atom having no double bonds between ring members or between ring members and non-ring members with hetero atoms or with carbon atoms having three bonds to hetero atoms with at the most one bond to halogen, e.g. ester or nitrile radicals, directly attached to ring carbon atoms
- C07D211/60—Carbon atoms having three bonds to hetero atoms with at the most one bond to halogen, e.g. ester or nitrile radicals
- C07D211/62—Carbon atoms having three bonds to hetero atoms with at the most one bond to halogen, e.g. ester or nitrile radicals attached in position 4
- C07D211/64—Carbon atoms having three bonds to hetero atoms with at the most one bond to halogen, e.g. ester or nitrile radicals attached in position 4 having an aryl radical as the second substituent in position 4
-
- C—CHEMISTRY; METALLURGY
- C07—ORGANIC CHEMISTRY
- C07D—HETEROCYCLIC COMPOUNDS
- C07D211/00—Heterocyclic compounds containing hydrogenated pyridine rings, not condensed with other rings
- C07D211/04—Heterocyclic compounds containing hydrogenated pyridine rings, not condensed with other rings with only hydrogen or carbon atoms directly attached to the ring nitrogen atom
- C07D211/68—Heterocyclic compounds containing hydrogenated pyridine rings, not condensed with other rings with only hydrogen or carbon atoms directly attached to the ring nitrogen atom having one double bond between ring members or between a ring member and a non-ring member
- C07D211/70—Heterocyclic compounds containing hydrogenated pyridine rings, not condensed with other rings with only hydrogen or carbon atoms directly attached to the ring nitrogen atom having one double bond between ring members or between a ring member and a non-ring member with only hydrogen atoms, hydrocarbon or substituted hydrocarbon radicals, directly attached to ring carbon atoms
-
- C—CHEMISTRY; METALLURGY
- C07—ORGANIC CHEMISTRY
- C07D—HETEROCYCLIC COMPOUNDS
- C07D217/00—Heterocyclic compounds containing isoquinoline or hydrogenated isoquinoline ring systems
- C07D217/02—Heterocyclic compounds containing isoquinoline or hydrogenated isoquinoline ring systems with only hydrogen atoms or radicals containing only carbon and hydrogen atoms, directly attached to carbon atoms of the nitrogen-containing ring; Alkylene-bis-isoquinolines
- C07D217/04—Heterocyclic compounds containing isoquinoline or hydrogenated isoquinoline ring systems with only hydrogen atoms or radicals containing only carbon and hydrogen atoms, directly attached to carbon atoms of the nitrogen-containing ring; Alkylene-bis-isoquinolines with hydrocarbon or substituted hydrocarbon radicals attached to the ring nitrogen atom
-
- C—CHEMISTRY; METALLURGY
- C07—ORGANIC CHEMISTRY
- C07D—HETEROCYCLIC COMPOUNDS
- C07D217/00—Heterocyclic compounds containing isoquinoline or hydrogenated isoquinoline ring systems
- C07D217/02—Heterocyclic compounds containing isoquinoline or hydrogenated isoquinoline ring systems with only hydrogen atoms or radicals containing only carbon and hydrogen atoms, directly attached to carbon atoms of the nitrogen-containing ring; Alkylene-bis-isoquinolines
- C07D217/10—Quaternary compounds
-
- C—CHEMISTRY; METALLURGY
- C07—ORGANIC CHEMISTRY
- C07D—HETEROCYCLIC COMPOUNDS
- C07D235/00—Heterocyclic compounds containing 1,3-diazole or hydrogenated 1,3-diazole rings, condensed with other rings
- C07D235/02—Heterocyclic compounds containing 1,3-diazole or hydrogenated 1,3-diazole rings, condensed with other rings condensed with carbocyclic rings or ring systems
- C07D235/04—Benzimidazoles; Hydrogenated benzimidazoles
- C07D235/24—Benzimidazoles; Hydrogenated benzimidazoles with hetero atoms or with carbon atoms having three bonds to hetero atoms with at the most one bond to halogen, e.g. ester or nitrile radicals, directly attached in position 2
- C07D235/28—Sulfur atoms
-
- C—CHEMISTRY; METALLURGY
- C07—ORGANIC CHEMISTRY
- C07D—HETEROCYCLIC COMPOUNDS
- C07D257/00—Heterocyclic compounds containing rings having four nitrogen atoms as the only ring hetero atoms
- C07D257/02—Heterocyclic compounds containing rings having four nitrogen atoms as the only ring hetero atoms not condensed with other rings
- C07D257/04—Five-membered rings
-
- C—CHEMISTRY; METALLURGY
- C07—ORGANIC CHEMISTRY
- C07D—HETEROCYCLIC COMPOUNDS
- C07D295/00—Heterocyclic compounds containing polymethylene-imine rings with at least five ring members, 3-azabicyclo [3.2.2] nonane, piperazine, morpholine or thiomorpholine rings, having only hydrogen atoms directly attached to the ring carbon atoms
- C07D295/04—Heterocyclic compounds containing polymethylene-imine rings with at least five ring members, 3-azabicyclo [3.2.2] nonane, piperazine, morpholine or thiomorpholine rings, having only hydrogen atoms directly attached to the ring carbon atoms with substituted hydrocarbon radicals attached to ring nitrogen atoms
- C07D295/08—Heterocyclic compounds containing polymethylene-imine rings with at least five ring members, 3-azabicyclo [3.2.2] nonane, piperazine, morpholine or thiomorpholine rings, having only hydrogen atoms directly attached to the ring carbon atoms with substituted hydrocarbon radicals attached to ring nitrogen atoms substituted by singly bound oxygen or sulfur atoms
- C07D295/084—Heterocyclic compounds containing polymethylene-imine rings with at least five ring members, 3-azabicyclo [3.2.2] nonane, piperazine, morpholine or thiomorpholine rings, having only hydrogen atoms directly attached to the ring carbon atoms with substituted hydrocarbon radicals attached to ring nitrogen atoms substituted by singly bound oxygen or sulfur atoms with the ring nitrogen atoms and the oxygen or sulfur atoms attached to the same carbon chain, which is not interrupted by carbocyclic rings
-
- C—CHEMISTRY; METALLURGY
- C07—ORGANIC CHEMISTRY
- C07D—HETEROCYCLIC COMPOUNDS
- C07D295/00—Heterocyclic compounds containing polymethylene-imine rings with at least five ring members, 3-azabicyclo [3.2.2] nonane, piperazine, morpholine or thiomorpholine rings, having only hydrogen atoms directly attached to the ring carbon atoms
- C07D295/04—Heterocyclic compounds containing polymethylene-imine rings with at least five ring members, 3-azabicyclo [3.2.2] nonane, piperazine, morpholine or thiomorpholine rings, having only hydrogen atoms directly attached to the ring carbon atoms with substituted hydrocarbon radicals attached to ring nitrogen atoms
- C07D295/08—Heterocyclic compounds containing polymethylene-imine rings with at least five ring members, 3-azabicyclo [3.2.2] nonane, piperazine, morpholine or thiomorpholine rings, having only hydrogen atoms directly attached to the ring carbon atoms with substituted hydrocarbon radicals attached to ring nitrogen atoms substituted by singly bound oxygen or sulfur atoms
- C07D295/084—Heterocyclic compounds containing polymethylene-imine rings with at least five ring members, 3-azabicyclo [3.2.2] nonane, piperazine, morpholine or thiomorpholine rings, having only hydrogen atoms directly attached to the ring carbon atoms with substituted hydrocarbon radicals attached to ring nitrogen atoms substituted by singly bound oxygen or sulfur atoms with the ring nitrogen atoms and the oxygen or sulfur atoms attached to the same carbon chain, which is not interrupted by carbocyclic rings
- C07D295/088—Heterocyclic compounds containing polymethylene-imine rings with at least five ring members, 3-azabicyclo [3.2.2] nonane, piperazine, morpholine or thiomorpholine rings, having only hydrogen atoms directly attached to the ring carbon atoms with substituted hydrocarbon radicals attached to ring nitrogen atoms substituted by singly bound oxygen or sulfur atoms with the ring nitrogen atoms and the oxygen or sulfur atoms attached to the same carbon chain, which is not interrupted by carbocyclic rings to an acyclic saturated chain
-
- C—CHEMISTRY; METALLURGY
- C07—ORGANIC CHEMISTRY
- C07D—HETEROCYCLIC COMPOUNDS
- C07D317/00—Heterocyclic compounds containing five-membered rings having two oxygen atoms as the only ring hetero atoms
- C07D317/08—Heterocyclic compounds containing five-membered rings having two oxygen atoms as the only ring hetero atoms having the hetero atoms in positions 1 and 3
- C07D317/44—Heterocyclic compounds containing five-membered rings having two oxygen atoms as the only ring hetero atoms having the hetero atoms in positions 1 and 3 ortho- or peri-condensed with carbocyclic rings or ring systems
- C07D317/46—Heterocyclic compounds containing five-membered rings having two oxygen atoms as the only ring hetero atoms having the hetero atoms in positions 1 and 3 ortho- or peri-condensed with carbocyclic rings or ring systems condensed with one six-membered ring
- C07D317/48—Methylenedioxybenzenes or hydrogenated methylenedioxybenzenes, unsubstituted on the hetero ring
- C07D317/50—Methylenedioxybenzenes or hydrogenated methylenedioxybenzenes, unsubstituted on the hetero ring with only hydrogen atoms, hydrocarbon or substituted hydrocarbon radicals, directly attached to atoms of the carbocyclic ring
-
- C—CHEMISTRY; METALLURGY
- C07—ORGANIC CHEMISTRY
- C07D—HETEROCYCLIC COMPOUNDS
- C07D401/00—Heterocyclic compounds containing two or more hetero rings, having nitrogen atoms as the only ring hetero atoms, at least one ring being a six-membered ring with only one nitrogen atom
- C07D401/02—Heterocyclic compounds containing two or more hetero rings, having nitrogen atoms as the only ring hetero atoms, at least one ring being a six-membered ring with only one nitrogen atom containing two hetero rings
- C07D401/04—Heterocyclic compounds containing two or more hetero rings, having nitrogen atoms as the only ring hetero atoms, at least one ring being a six-membered ring with only one nitrogen atom containing two hetero rings directly linked by a ring-member-to-ring-member bond
-
- C—CHEMISTRY; METALLURGY
- C07—ORGANIC CHEMISTRY
- C07D—HETEROCYCLIC COMPOUNDS
- C07D403/00—Heterocyclic compounds containing two or more hetero rings, having nitrogen atoms as the only ring hetero atoms, not provided for by group C07D401/00
- C07D403/02—Heterocyclic compounds containing two or more hetero rings, having nitrogen atoms as the only ring hetero atoms, not provided for by group C07D401/00 containing two hetero rings
- C07D403/04—Heterocyclic compounds containing two or more hetero rings, having nitrogen atoms as the only ring hetero atoms, not provided for by group C07D401/00 containing two hetero rings directly linked by a ring-member-to-ring-member bond
-
- C—CHEMISTRY; METALLURGY
- C07—ORGANIC CHEMISTRY
- C07D—HETEROCYCLIC COMPOUNDS
- C07D403/00—Heterocyclic compounds containing two or more hetero rings, having nitrogen atoms as the only ring hetero atoms, not provided for by group C07D401/00
- C07D403/02—Heterocyclic compounds containing two or more hetero rings, having nitrogen atoms as the only ring hetero atoms, not provided for by group C07D401/00 containing two hetero rings
- C07D403/06—Heterocyclic compounds containing two or more hetero rings, having nitrogen atoms as the only ring hetero atoms, not provided for by group C07D401/00 containing two hetero rings linked by a carbon chain containing only aliphatic carbon atoms
-
- C—CHEMISTRY; METALLURGY
- C07—ORGANIC CHEMISTRY
- C07D—HETEROCYCLIC COMPOUNDS
- C07D453/00—Heterocyclic compounds containing quinuclidine or iso-quinuclidine ring systems, e.g. quinine alkaloids
- C07D453/02—Heterocyclic compounds containing quinuclidine or iso-quinuclidine ring systems, e.g. quinine alkaloids containing not further condensed quinuclidine ring systems
-
- C—CHEMISTRY; METALLURGY
- C07—ORGANIC CHEMISTRY
- C07D—HETEROCYCLIC COMPOUNDS
- C07D471/00—Heterocyclic compounds containing nitrogen atoms as the only ring hetero atoms in the condensed system, at least one ring being a six-membered ring with one nitrogen atom, not provided for by groups C07D451/00 - C07D463/00
- C07D471/02—Heterocyclic compounds containing nitrogen atoms as the only ring hetero atoms in the condensed system, at least one ring being a six-membered ring with one nitrogen atom, not provided for by groups C07D451/00 - C07D463/00 in which the condensed system contains two hetero rings
- C07D471/04—Ortho-condensed systems
-
- C—CHEMISTRY; METALLURGY
- C07—ORGANIC CHEMISTRY
- C07F—ACYCLIC, CARBOCYCLIC OR HETEROCYCLIC COMPOUNDS CONTAINING ELEMENTS OTHER THAN CARBON, HYDROGEN, HALOGEN, OXYGEN, NITROGEN, SULFUR, SELENIUM OR TELLURIUM
- C07F9/00—Compounds containing elements of Groups 5 or 15 of the Periodic Table
- C07F9/02—Phosphorus compounds
- C07F9/06—Phosphorus compounds without P—C bonds
- C07F9/16—Esters of thiophosphoric acids or thiophosphorous acids
- C07F9/165—Esters of thiophosphoric acids
- C07F9/1651—Esters of thiophosphoric acids with hydroxyalkyl compounds with further substituents on alkyl
-
- C—CHEMISTRY; METALLURGY
- C07—ORGANIC CHEMISTRY
- C07F—ACYCLIC, CARBOCYCLIC OR HETEROCYCLIC COMPOUNDS CONTAINING ELEMENTS OTHER THAN CARBON, HYDROGEN, HALOGEN, OXYGEN, NITROGEN, SULFUR, SELENIUM OR TELLURIUM
- C07F9/00—Compounds containing elements of Groups 5 or 15 of the Periodic Table
- C07F9/02—Phosphorus compounds
- C07F9/06—Phosphorus compounds without P—C bonds
- C07F9/22—Amides of acids of phosphorus
- C07F9/24—Esteramides
- C07F9/2454—Esteramides the amide moiety containing a substituent or a structure which is considered as characteristic
- C07F9/2458—Esteramides the amide moiety containing a substituent or a structure which is considered as characteristic of aliphatic amines
-
- C—CHEMISTRY; METALLURGY
- C07—ORGANIC CHEMISTRY
- C07K—PEPTIDES
- C07K5/00—Peptides containing up to four amino acids in a fully defined sequence; Derivatives thereof
- C07K5/04—Peptides containing up to four amino acids in a fully defined sequence; Derivatives thereof containing only normal peptide links
- C07K5/08—Tripeptides
- C07K5/0802—Tripeptides with the first amino acid being neutral
- C07K5/0812—Tripeptides with the first amino acid being neutral and aromatic or cycloaliphatic
-
- C—CHEMISTRY; METALLURGY
- C07—ORGANIC CHEMISTRY
- C07C—ACYCLIC OR CARBOCYCLIC COMPOUNDS
- C07C2601/00—Systems containing only non-condensed rings
- C07C2601/02—Systems containing only non-condensed rings with a three-membered ring
-
- C—CHEMISTRY; METALLURGY
- C07—ORGANIC CHEMISTRY
- C07C—ACYCLIC OR CARBOCYCLIC COMPOUNDS
- C07C2601/00—Systems containing only non-condensed rings
- C07C2601/04—Systems containing only non-condensed rings with a four-membered ring
-
- C—CHEMISTRY; METALLURGY
- C07—ORGANIC CHEMISTRY
- C07C—ACYCLIC OR CARBOCYCLIC COMPOUNDS
- C07C2601/00—Systems containing only non-condensed rings
- C07C2601/06—Systems containing only non-condensed rings with a five-membered ring
- C07C2601/08—Systems containing only non-condensed rings with a five-membered ring the ring being saturated
-
- C—CHEMISTRY; METALLURGY
- C07—ORGANIC CHEMISTRY
- C07C—ACYCLIC OR CARBOCYCLIC COMPOUNDS
- C07C2601/00—Systems containing only non-condensed rings
- C07C2601/06—Systems containing only non-condensed rings with a five-membered ring
- C07C2601/10—Systems containing only non-condensed rings with a five-membered ring the ring being unsaturated
-
- C—CHEMISTRY; METALLURGY
- C07—ORGANIC CHEMISTRY
- C07C—ACYCLIC OR CARBOCYCLIC COMPOUNDS
- C07C2601/00—Systems containing only non-condensed rings
- C07C2601/12—Systems containing only non-condensed rings with a six-membered ring
- C07C2601/14—The ring being saturated
-
- C—CHEMISTRY; METALLURGY
- C07—ORGANIC CHEMISTRY
- C07C—ACYCLIC OR CARBOCYCLIC COMPOUNDS
- C07C2601/00—Systems containing only non-condensed rings
- C07C2601/18—Systems containing only non-condensed rings with a ring being at least seven-membered
-
- C—CHEMISTRY; METALLURGY
- C07—ORGANIC CHEMISTRY
- C07C—ACYCLIC OR CARBOCYCLIC COMPOUNDS
- C07C2602/00—Systems containing two condensed rings
- C07C2602/02—Systems containing two condensed rings the rings having only two atoms in common
- C07C2602/04—One of the condensed rings being a six-membered aromatic ring
- C07C2602/08—One of the condensed rings being a six-membered aromatic ring the other ring being five-membered, e.g. indane
-
- C—CHEMISTRY; METALLURGY
- C07—ORGANIC CHEMISTRY
- C07C—ACYCLIC OR CARBOCYCLIC COMPOUNDS
- C07C2602/00—Systems containing two condensed rings
- C07C2602/02—Systems containing two condensed rings the rings having only two atoms in common
- C07C2602/04—One of the condensed rings being a six-membered aromatic ring
- C07C2602/10—One of the condensed rings being a six-membered aromatic ring the other ring being six-membered, e.g. tetraline
-
- C—CHEMISTRY; METALLURGY
- C07—ORGANIC CHEMISTRY
- C07C—ACYCLIC OR CARBOCYCLIC COMPOUNDS
- C07C2602/00—Systems containing two condensed rings
- C07C2602/36—Systems containing two condensed rings the rings having more than two atoms in common
- C07C2602/42—Systems containing two condensed rings the rings having more than two atoms in common the bicyclo ring system containing seven carbon atoms
-
- C—CHEMISTRY; METALLURGY
- C07—ORGANIC CHEMISTRY
- C07C—ACYCLIC OR CARBOCYCLIC COMPOUNDS
- C07C2603/00—Systems containing at least three condensed rings
- C07C2603/56—Ring systems containing bridged rings
- C07C2603/58—Ring systems containing bridged rings containing three rings
- C07C2603/70—Ring systems containing bridged rings containing three rings containing only six-membered rings
- C07C2603/74—Adamantanes
Definitions
- Amyloidosis refers to a pathological condition characterized by the presence of amyloid fibrils.
- Amyloid is a generic term referring to a group of diverse but specific protein deposits (intracellular or extracellular) which are seen in a number of different diseases. Though diverse in their occurrence, all amyloid deposits have common morphologic properties, stain with specific dyes (e.g., Congo red), and have a characteristic red-green birefringent appearance in polarized light after staining. They also share common ultrastructural features and common X-ray diffraction and infrared spectra.
- specific dyes e.g., Congo red
- Amyloid-related diseases can either be restricted to one organ or spread to several organs. The first instance is referred to as “localized amyloidosis” while the second is referred to as “systemic amyloidosis.”
- amyloid diseases can be idiopathic, but most of these diseases appear as a complication of a previously existing disorder.
- primary amyloidosis (AL amyloid) can appear without any other pathology or can follow plasma cell dyscrasia or multiple myeloma.
- Secondary amyloidosis is usually seen associated with chronic infection (such as tuberculosis) or chronic inflammation (such as rheumatoid arthritis).
- a familial form of secondary amyloidosis is also seen in other types of familial amyloidosis, e.g., Familial Mediterranean Fever (FMF).
- FMF Familial Mediterranean Fever
- This familial type of amyloidosis is genetically inherited and is found in specific population groups. In both primary and secondary amyloidosis, deposits are found in several organs and are thus considered systemic amyloid diseases.
- “Localized amyloidoses” are those that tend to involve a single organ system. Different amyloids are also characterized by the type of protein present in the deposit. For example, neurodegenerative diseases such as scrapie, bovine spongiform encephalitis, Creutzfeldt-Jakob disease, and the like are characterized by the appearance and accumulation of a protease-resistant form of a prion protein (referred to as AScr or PrP-27) in the central nervous system. Similarly, Alzheimer's disease, another neurodegenerative disorder, is characterized by neuritic plaques and neurofibrillary tangles.
- amyloid plaques found in the parenchyma and the blood vessel is formed by the deposition of fibrillar A ⁇ amyloid protein.
- Other diseases such as adult-onset diabetes (type II diabetes) are characterized by the localized accumulation of amyloid fibrils in the pancreas.
- amyloids have formed, there is no known, widely accepted therapy or treatment which significantly dissolves amyloid deposits in situ, prevents further amyloid deposition or prevents the initiation of amyloid deposition.
- Each amyloidogenic protein has the ability to undergo a conformational change and to organize into ⁇ -sheets and form insoluble fibrils which may be deposited extracellularly or intracellularly.
- Each amyloidogenic protein although different in amino acid sequence, has the same property of forming fibrils and binding to other elements such as proteoglycan, amyloid P and complement component.
- each amyloidogenic protein has amino acid sequences which, although different, show similarities such as regions with the ability to bind to the glycosaminoglycan (GAG) portion of proteoglycan (referred to as the GAG binding site) as well as other regions which promote ⁇ -sheet formation.
- GAG glycosaminoglycan
- Proteoglycans are macromolecules of various sizes and structures that are distributed almost everywhere in the body.
- GAGs polysaccharide chains
- amyloid fibrils once deposited, can become toxic to the surrounding cells.
- the A ⁇ fibrils organized as senile plaques have been shown to be associated with dead neuronal cells, dystrophic neurites, astrocytosis, and microgliosis in patients with Alzheimer's disease.
- oligomeric (soluble) as well as fibrillar A ⁇ peptide was shown to be capable of triggering an activation process of microglia (brain macrophages), which would explain the presence of microgliosis and brain inflammation found in the brain of patients with Alzheimer's disease.
- Both oligomeric and fibrillar A ⁇ peptide can also induce neuronal cell death in vitro. See, e.g., M P Lambert, et al., Proc. Natl. Acad. Sci. USA 95, 6448-53 (1998).
- amyloidogenic protein IAPP when organized in oligomeric forms or in fibrils, has been shown to induce ⁇ -islet cell toxicity in vitro.
- appearance of IAPP fibrils in the pancreas of type II diabetic patients contributes to the loss of the ⁇ islet cells (Langerhans) and organ dysfunction which can lead to insulinemia.
- amyloidosis is related to ⁇ 2 microglobulin and is found in long-term hemodialysis patients. Patients undergoing long term hemodialysis will develop ⁇ 2 -microglobulin fibrils in the carpal tunnel and in the collagen rich-tissues in several joints. This causes severe pains, joint stiffness and swelling.
- Amyloidosis is also characteristic of Alzheimer's disease. Alzheimer's disease is a devastating disease of the brain that results in progressive memory loss leading to dementia, physical disability, and death over a relatively long period of time. With the aging populations in developed countries, the number of Alzheimer's patients is reaching epidemic proportions.
- amyloid or senile plaques surrounded by misshapen nerve terminals (dystrophic neurites) and activated microglia. (microgliosis and astrocytosis).
- a main constituent of these amyloid plaques is the amyloid- ⁇ peptide (A ⁇ ), a 39-43 amino-acid protein that is produced through cleavage of the ⁇ -amyloid precursor protein (APP).
- a ⁇ Alzheimer's disease
- APP amyloid precursor protein
- ER endoplasmic reticulum
- Golgi apparatus or the endosomal-lysosomal pathway, and most is normally secreted as a 40 (“A ⁇ 1-40”) or 42 (“A ⁇ 1-42”) amino acid peptide (Selkoe, Annu. Rev. Cell Biol. 10, 373-403 (1994)).
- a role for A ⁇ as a primary cause for Alzheimer's disease is supported by the presence of extracellular A ⁇ deposits in senile plaques of Alzheimer's disease, the increased production of A ⁇ in cells harboring mutant Alzheimer's disease associated genes, e.g., amyloid precursor protein, presenilin I and presenilin II; and the toxicity of extracellular soluble (oligomeric) or fibrillar A ⁇ to cells in culture. See, e.g., Gervais, Eur. Biopharm. Review, 40-42 (Autumn 2001); May, DDT 6, 459-62 (2001). Although symptomatic treatments exist for Alzheimer's disease, this disease cannot be prevented or cured at this time.
- Alzheimer's disease is characterized by diffuse and neuritic plaques, cerebral angiopathy, and neurofibrillary tangles.
- Plaque and blood vessel amyloid is believed to be formed by the deposition of insoluble A ⁇ amyloid protein, which may be described as diffuse or fibrillary. Both soluble oligomeric A ⁇ and fibrillar A ⁇ are also believed to be neurotoxic and inflammatory.
- CAA cerebral amyloid angiopathy
- the present invention relates to the use of certain compounds in the treatment of amyloid-related diseases.
- the invention relates to a method of treating or preventing an amyloid-related disease in a subject comprising administering to the subject a therapeutic amount of a compound of the invention.
- the invention also pertains to each of the novel compounds of the invention as described herein.
- the compounds for use in the invention are those according to the following Formulae, such that, when administered, amyloid fibril formation, organ specific dysfunction (e.g., neurodegeneration), or cellular toxicity is reduced or inhibited.
- the invention pertains, at least in part to compounds of Formula I: wherein:
- R 1 is a substituted or unsubstituted cycloalkyl, heterocyclic, aryl, arylcycloalkyl, bicyclic or tricyclic ring, a bicyclic or tricyclic fused ring group, or a substituted or unsubstituted C 2 -C 10 alkyl group;
- R 2 is selected from a group consisting of hydrogen, alkyl, mercaptoalkyl, alkenyl, alkynyl, cycloalkyl, aryl, arylalkyl, thiazolyl, triazolyl, imidazolyl, benzothiazolyl, and benzoimidazolyl;
- Y is SO 3 ⁇ X + , OSO 3 ⁇ X + , or SSO 3 ⁇ X + ;
- X + is hydrogen, a cationic group, or an ester-forming group (i.e., as in a prodrug, which are described elsewhere herein);
- each of L 1 and L 2 is independently a substituted or unsubstituted C 1 -C 5 alkyl group or absent, or a pharmaceutically acceptable salt thereof, provided that when R 1 is alkyl, L 1 is absent.
- the invention pertains, at least in part to compounds of Formula II: wherein:
- R 1 is a substituted or unsubstituted cyclic, bicyclic, tricyclic, or benzoheterocyclic group or a substituted or unsubstituted C 2 -C 10 alkyl group;
- R 2 is hydrogen, alkyl, mercaptoalkyl, alkenyl, alkynyl, cycloalkyl, aryl, arylalkyl, thiazolyl, triazolyl, imidazolyl, benzothiazolyl, benzoimidazolyl, or linked to R 1 to form a heterocycle;
- Y is SO 3 ⁇ X + , OSO 3 ⁇ X + , or SSO 3 ⁇ X + ;
- X + is hydrogen, a cationic group, or an ester forming moiety
- n 0 or 1
- n 1, 2, 3, or 4;
- L is substituted or unsubstituted C 1 -C 3 alkyl group or absent, or a pharmaceutically acceptable salt thereof, provided that when R 1 is alkyl, L is absent.
- the invention pertains, at least in part to compounds of Formula III: wherein:
- A is nitrogen or oxygen
- R 11 is hydrogen, salt-forming cation, ester forming group, —(CH 2 ) x -Q, or when A is nitrogen, A and R 11 taken together may be the residue of a natural or unnatural amino acid or a salt or ester thereof;
- Q is hydrogen, thiazolyl, triazolyl, imidazolyl, benzothiazolyl, or benzoimidazolyl;
- x 0, 1, 2, 3, or 4;
- n 0, 1, 2, 3, 4, 5, 6, 7, 8, 9, or 10;
- R 3 , R 3a , R 4 , R 4a , R 5 , R 5a , R 6 , R 6a , R 7 and R 7a are each independently hydrogen, alkyl, mercaptoalkyl, alkenyl, alkynyl, cycloalkyl, aryl, alkylcarbonyl, arylcarbonyl, alkoxycarbonyl, cyano, halogen, amino, tetrazolyl, or two R groups on adjacent ring atoms taken together with the ring atoms form a double bond, provided that one of R 3 , R 3a , R 4 , R 4a , R 5 , R 5a , R 6 , R 6a , R 7 and R 7a is a moiety of Formula IIIa: wherein:
- n 0, 1, 2, 3, or 4;
- R A , R B , R C , R D , and R E are independently selected from a group of hydrogen, halogen, hydroxyl, alkyl, alkoxyl, halogenated alkyl, mercaptoalkyl, alkenyl, alkynyl, cycloalkyl, aryl, cyano, thiazolyl, triazolyl, imidazolyl, tetrazolyl, benzothiazolyl, and benzoimidazolyl; and pharmaceutically acceptable salts and esters thereof, provided that said compound is not 3-(4-phenyl-1,2,3,6-tetrahydro-1-pyridyl)-1-propanesulfonic acid.
- the invention pertains at least in part to compounds of Formula IV: wherein:
- A is nitrogen or oxygen
- R 11 is hydrogen, salt-forming cation, ester forming group, —(CH 2 ) x -Q, or when A is nitrogen, A and R 11 taken together may be the residue of a natural or unnatural amino acid or a salt or ester thereof;
- Q is hydrogen, thiazolyl, triazolyl, imidazolyl, benzothiazolyl, or benzoimidazolyl;
- x 0, 1, 2, 3, or 4;
- n 0, 1, 2, 3, 4, 5, 6, 7, 8, 9, or 10;
- R 4 , R 4a , R 5 , R 5a , R 6 , R 6a , R 7 , and R 7a are each independently hydrogen, alkyl, mercaptoalkyl, alkenyl, alkynyl, cycloalkyl, aryl, alkylcarbonyl, arylcarbonyl, alkoxycarbonyl, cyano, halogen, amino, tetrazolyl, R 4 and R 5 taken together, with the ring atoms they are attached to, form a double bond, or R 6 and R 7 taken together, with the ring atoms they are attached to, form a double bond;
- n 0, 1, 2, 3, or 4;
- R 8 , R 9 , R 10 , R 11 , and R 12 are independently selected from a group of hydrogen, halogen, hydroxyl, alkyl, alkoxyl, halogenated alkyl, mercaptoalkyl, alkenyl, alkynyl, cycloalkyl, aryl, cyano, thiazolyl, triazolyl, imidazolyl, tetrazolyl, benzothiazolyl, and benzoimidazolyl, and pharmaceutically acceptable salts and esters thereof.
- the invention includes compounds of Formula V: wherein:
- A is nitrogen or oxygen
- R 11 is hydrogen, salt-forming cation, ester forming group, —(CH 2 ) x -Q or when A is nitrogen, A and R 11 taken together may be the residue of a natural or unnatural amino acid or a salt or ester thereof;
- Q is hydrogen, thiazolyl, triazolyl, imidazolyl, benzothiazolyl, or benzoimidazolyl;
- x 0, 1, 2, 3, or 4;
- n 0, 1, 2, 3, 4, 5, 6, 7, 8, 9, or 10;
- aa is a natural or unnatural amino acid residue
- n 0, 1, 2, or 3;
- R 14 is hydrogen or protecting group
- R 15 is hydrogen, alkyl or aryl, and pharmaceutically acceptable salts and prodrugs thereof.
- the invention includes compounds of the Formula VI: wherein:
- n 1, 2, 3, 4, 5, 6, 7, 8, 9, or 10;
- A is oxygen or nitrogen
- R 11 is hydrogen, salt-forming cation, ester forming group, —(CH 2 ) x -Q, or when A is nitrogen, A and R 11 taken together may be the residue of a natural or unnatural amino acid or a salt or ester thereof;
- Q is hydrogen, thiazolyl, triazolyl, imidazolyl, benzothiazolyl, or benzoimidazolyl;
- x 0, 1, 2, 3, or 4;
- R 19 is hydrogen, alkyl or aryl
- Y 1 is oxygen, sulfur, or nitrogen
- Y 2 is carbon, nitrogen, or oxygen
- R 20 is hydrogen, alkyl, amino, mercaptoalkyl, alkenyl, alkynyl, cycloalkyl, aryl, arylalkyl, thiazolyl, triazolyl, tetrazolyl, imidazolyl, benzothiazolyl, or benzoimidazolyl;
- R 21 is hydrogen, alkyl, mercaptoalkyl, alkenyl, alkynyl, cycloalkyl, aryl, arylalkyl, thiazolyl, triazolyl, tetrazolyl, imidazolyl, benzothiazolyl, benzoimidazolyl, or absent if Y 2 is oxygen;
- R 22 is hydrogen, alkyl, mercaptoalkyl, alkenyl, alkynyl, cycloalkyl, aryl, arylalkyl, thiazolyl, triazolyl, tetrazolyl, imidazolyl, benzothiazolyl, benzoimidazolyl; or R 22 is hydrogen, hydroxyl, alkoxy or aryloxy if Y 1 is nitrogen; or R 22 is absent if Y 1 is oxygen or sulfur;or R 22 and R 21 may be linked to form a cyclic moiety if Y 1 is nitrogen;
- R 23 is hydrogen, alkyl, amino, mercaptoalkyl, alkenyl, alkynyl, cycloalkyl, aryl, arylalkyl, thiazolyl, triazolyl, tetrazolyl, imidazolyl, benzothiazolyl, or benzoimidazolyl, or absent if Y 2 is nitrogen or oxygen;
- the invention includes compounds of Formula VII: wherein:
- n 2, 3, or 4;
- A is oxygen or nitrogen
- R 11 is hydrogen, salt-forming cation, ester forming group, —(CH 2 ) x -Q, or when A is nitrogen, A and R 11 taken together may be the residue of a natural or unnatural amino acid or a salt or ester thereof;
- Q is hydrogen, thiazolyl, triazolyl, imidazolyl, benzothiazolyl, or benzoimidazolyl;
- x 0, 1, 2, 3, or 4;
- G is a direct bond or oxygen, nitrogen, or sulfur
- z 0, 1, 2, 3, 4, or 5;
- n 0 or 1
- R 24 is selected from a group consisting of hydrogen, alkyl, mercaptoalkyl, alkenyl, alkynyl, aroyl, alkylcarbonyl, aminoalkylcarbonyl, cycloalkyl, aryl, arylalkyl, thiazolyl, triazolyl, imidazolyl, benzothiazolyl, and benzoimidazolyl;
- each R 25 is independently selected from hydrogen, halogen, cyano, hydroxyl, alkoxy, thiol, amino, nitro, alkyl, aryl, carbocyclic, or heterocyclic, and pharmaceutically acceptable salts thereof.
- the compounds disclosed herein prevent or inhibit amyloid protein assembly into insoluble fibrils which, in vivo, are deposited in various organs, or it favors clearance of pre-formed deposits or slows deposition in patients already having deposits.
- the compound may also prevent the amyloid protein, in its soluble, oligomeric form or in its fibrillar form, from binding or adhering to a cell surface and causing cell damage or toxicity.
- the compound may block amyloid-induced cellular toxicity or macrophage activation.
- the compound may block amyloid-induced neurotoxicity or microglial activation.
- the compound protects cells from amyloid induced cytotoxicity of B-islet cells.
- the compound may enhance clearance from a specific organ, e.g., the brain or it decreases concentration of the amyloid protein in such a way that amyloid fibril formation is prevented in the targeted organ.
- the compounds of the invention may be administered therapeutically or prophylactically to treat diseases associated with amyloid fibril formation, aggregation or deposition.
- the compounds of the invention may act to ameliorate the course of an amyloid related disease using any of the following mechanisms (this list is meant to be illustrative and not limiting): slowing the rate of amyloid fibril formation or deposition; lessening the degree of amyloid deposition; inhibiting, reducing, or preventing amyloid fibril formation; inhibiting neurodegeneration or cellular toxicity induced by amyloid; inhibiting amyloid induced inflammation; enhancing the clearance of amyloid; or favoring the degradation of amyloid protein prior to its organization in fibrils.
- the compounds of the invention may be administered therapeutically or prophylactically to treat diseases associated with amyloid- ⁇ fibril formation, aggregation or deposition.
- the compounds of the invention may act to ameliorate the course of an amyloid- ⁇ related disease using any of the following mechanisms (this list is meant to be illustrative and not limiting): slowing the rate of amyloid- ⁇ fibril formation or deposition; lessening the degree of amyloid- ⁇ deposition; inhibiting, reducing, or preventing amyloid- ⁇ fibril formation; inhibiting neurodegeneration or cellular toxicity induced by amyloid- ⁇ ; inhibiting amyloid- ⁇ induced inflammation; enhancing the clearance of amyloid- ⁇ from the brain; or favoring the degradation of amyloid- ⁇ protein prior to its organization in fibrils.
- Therapeutic compounds of the invention may be effective in controlling amyloid- ⁇ deposition either following their entry into the brain (following penetration of the blood brain barrier) or from the periphery.
- a compound When acting from the periphery, a compound may alter the equilibrium of A ⁇ between the brain and the plasma so as to favor the exit of A ⁇ from the brain. It may also increase the catabolism of neuronal A ⁇ and change the rate of exit from the brain. An increase in the exit of A ⁇ from the brain would result in a decrease in A ⁇ brain and cerebral spinal fluid (CSF) concentration and therefore favor a decrease in A ⁇ deposition.
- CSF cerebral spinal fluid
- compounds that penetrate the brain could control deposition by acting directly on brain A ⁇ e.g., by maintaining it in a non-fibrillar form, favoring its clearance from the brain, or by slowing down APP processing.
- These compounds could also prevent A ⁇ in the brain from interacting with the cell surface and therefore prevent neurotoxicity, neurodegeneration or inflammation. They may also decrease A ⁇ production by activated microglia.
- the compounds may also increase degradation by macrophages or neuronal cells.
- the method is used to treat Alzheimer's disease (e.g., sporadic, familial, or early AD).
- the method can also be used prophylactically or therapeutically to treat other clinical occurrences of amyloid- ⁇ deposition, such as in Down's syndrome individuals and in patients with cerebral amyloid angiopathy (“CAA”) or hereditary cerebral hemorrhage.
- CAA cerebral amyloid angiopathy
- the method is used to treat mild cognitive impairment.
- Mild Cognitive Impairment (“MCI”) is a condition characterized by a state of mild but measurable impairment in thinking skills, which is not necessarily associated with the presence of dementia. MCI frequently, but not necessarily, precedes Alzheimer's disease.
- the compounds of the invention can be used prophylactically or therapeutically in the treatment of disorders in which amyloid-beta protein is abnormally deposited at non-neurological locations, such as treatment of IBM by delivery of the compounds to muscle fibers.
- a ⁇ is associated with abnormal extracellular deposits, known as drusen, that accumulate along the basal surface of the retinal pigmented epithelium in individuals with age-related macular degeneration (AMD). AMD is a cause of irreversible vision loss in older individuals. It is believed that A ⁇ deposition could be an important component of the local inflammatory events that contribute to atrophy of the retinal pigmented epithelium, drusen biogenesis, and the pathogenesis of AMD (Johnson, et al., Proc. Natl. Acad. Sci. USA 99(18), 11830-5 (2002)).
- the present invention therefore relates to the use of compounds of Formulae I, II, III, IV, V, VI, VII, or otherwise described herein in the prevention or treatment of amyloid-related diseases, including, inter alia, Alzheimer's disease, cerebral amyloid angiopathy, mild cognitive impairment, inclusion body myositis, Down's syndrome, macular degeneration, as well as other types of amyloidosis like IAPP-related amyloidosis (e.g., diabetes), primary (AL) amyloidosis, secondary (AA) amyloidosis and ⁇ 2 microglobulin-related (dialysis-related) amyloidosis.
- amyloid-related diseases including, inter alia, Alzheimer's disease, cerebral amyloid angiopathy, mild cognitive impairment, inclusion body myositis, Down's syndrome, macular degeneration, as well as other types of amyloidosis like IAPP-related amyloidosis (e.g., diabetes), primary (AL) amyloido
- IAPP Type II diabetes related amyloidosis
- the amyloidogenic protein IAPP induces ⁇ -islet cell toxicity when organized in oligomeric forms or in fibrils.
- appearance of IAPP fibrils in the pancreas of type II diabetic patients contributes to the loss of the ⁇ islet cells (Langerhans) and organ dysfunction which leads to insulinemia.
- a amyloid Primary amyloidosis (AL amyloid) is usually found associated with plasma cell dyscrasia and multiple myeloma. It can also be found as an idiopathic disease.
- AA amyloidosis is usually seen associated with chronic infection (such as tuberculosis) or chronic inflammation (such as rheumatoid arthritis).
- a familial form of secondary amyloidosis is also seen in Familial Mediterranean Fever (FMF).
- FMF Familial Mediterranean Fever
- ⁇ 2 microglobulin-related (dialysis-related) amyloidosis is found in long-term hemodialysis patients. Patients undergoing long term hemodialysis will develop ⁇ 2 -microglobulin fibrils in the carpal tunnel and in the collagen rich tissues in several joints. This causes severe pains, joint stiffness and swelling. These deposits are due to the inability to maintain low levels of ⁇ 2 M in plasma of dialyzed patients. Increased plasma concentrations of ⁇ 2 M protein will induce structural changes and may lead to the deposition of modified ⁇ 2 M as insoluble fibrils in the joints.
- the present invention relates to the use of compounds of Formulae I, II, III, IV, V, VI, VII, or compounds otherwise described herein in the treatment of amyloid-related diseases.
- compounds of Formulae I, II, III, IV, V, VI, VII, or compounds otherwise described herein are set forth below.
- AA amyloidosis is a manifestation of a number of diseases that provoke a sustained acute phase response. Such diseases include chronic inflammatory disorders, chronic local or systemic microbial infections, and malignant neoplasms. The most common form of reactive or secondary (AA) amyloidosis is seen as the result of long-standing inflammatory conditions. For example, patients with Rheumatoid Arthritis or Familial Mediterranean Fever (which is a genetic disease) can develop AA amyloidosis.
- Rheumatoid Arthritis or Familial Mediterranean Fever which is a genetic disease
- Familial Mediterranean Fever which is a genetic disease
- AA fibrils are generally composed of 8,000 Dalton fragments (AA peptide or protein) formed by proteolytic cleavage of serum amyloid A protein (ApoSAA), a circulating apolipoprotein which is mainly synthesized in hepatocytes in response to such cytokines as IL-1, IL-6 and TNF. Once secreted, ApoSAA is complexed with HDL. Deposition of AA fibrils can be widespread in the body, with a preference for parenchymal organs. The kidneys are usually a deposition site, and the liver and the spleen may also be affected. Deposition is also seen in the heart, gastrointestinal tract, and the skin.
- ApoSAA serum amyloid A protein
- AA amyloidosis Underlying diseases which can lead to the development of AA amyloidosis include, but are not limited to inflammatory diseases, such as rheumatoid arthritis, juvenile chronic arthritis, ankylosing spondylitis, psoriasis, psoriatic arthropathy, Reiter's syndrome, Adult Still's disease, Behcet's syndrome, and Crohn's disease.
- AA deposits are also produced as a result of chronic microbial infections, such as leprosy, tuberculosis, bronchiectasis, decubitus ulcers, chronic pyelonephritis, osteomyelitis, and Whipple's disease.
- Certain malignant neoplasms can also result in AA fibril amyloid deposits. These include such conditions as Hodgkin's lymphoma, renal carcinoma, carcinomas of gut, lung and urogenital tract, basal cell carcinoma, and hairy cell leukemia. Other underlying conditions that may be associated with AA amyloidosis are Castleman's disease and Schnitzler's syndrome.
- AL amyloid deposition is generally associated with almost any dyscrasia of the B lymphocyte lineage, ranging from malignancy of plasma cells (multiple myeloma) to benign monoclonal gammopathy. At times, the presence of amyloid deposits may be a primary indicator of the underlying dyscrasia. AL amyloidosis is also described in detail in Current Drug Targets, 2004, 5 159-171.
- Fibrils of AL amyloid deposits are composed of monoclonal immunoglobulin light chains or fragments thereof. More specifically, the fragments are derived from the N-terminal region of the light chain (kappa or lambda) and contain all or part of the variable (V L ) domain thereof. Deposits generally occur in the mesenchymal tissues, causing peripheral and autonomic neuropathy, carpal tunnel syndrome, macroglossia, restrictive cardiomyopathy, arthropathy of large joints, immune dyscrasias, myelomas, as well as occult dyscrasias. However, it should be noted that almost any tissue, particularly visceral organs such as the kidney, liver, spleen and heart, may be involved.
- hereditary systemic amyloidoses There are many forms of hereditary systemic amyloidoses. Although they are relatively rare conditions, adult onset of symptoms and their inheritance patterns (usually autosomal dominant) lead to persistence of such disorders in the general population. Generally, the syndromes are attributable to point mutations in the precursor protein leading to production of variant amyloidogenic peptides or proteins. Table 1 summarizes the fibril composition of exemplary forms of these disorders.
- Table 1 The data provided in Table 1 are exemplary and are not intended to limit the scope of the invention. For example, more than 40 separate point mutations in the transthyretin gene have been described, all of which give rise to clinically similar forms of familial amyloid polyneuropathy.
- any hereditary amyloid disorder can also occur sporadically, and both hereditary and sporadic forms of a disease present with the same characteristics with regard to amyloid.
- the most prevalent form of secondary AA amyloidosis occurs sporadically, e.g. as a result of ongoing inflammation, and is not associated with Familial Mediterranean Fever.
- general discussion relating to hereditary amyloid disorders below can also be applied to sporadic amyloidoses.
- Transthyretin is a 14 kiloDalton protein that is also sometimes referred to as prealbumin. It is produced by the liver and choroid plexus, and it functions in transporting thyroid hormones and vitamin A. At least 50 variant forms of the protein, each characterized by a single amino acid change, are responsible for various forms of familial amyloid polyneuropathy. For example, substitution of proline for leucine at position 55 results in a particularly progressive form of neuropathy; substitution of methionine for leucine at position 111 resulted in a severe cardiopathy in Danish patients.
- ATTR fibril components can be extracted from such plaques and their structure and sequence determined according to the methods known in the art (e.g., Gustavsson, A., et al., Laboratory Invest. 73: 703-708, 1995; Kametani, F., et al., Biochem. Biophys. Res. Commun. 125: 622-628, 1984; Pras, M., et al., PNAS 80: 539-42, 1983).
- apolipoprotein A1 e.g., Gly ⁇ Arg26; Trp ⁇ Arg50; Leu ⁇ Arg60
- ⁇ stertag type characterized by deposits of the protein apolipoprotein Al or fragments thereof (AApoAI).
- HDL high density lipoprotein
- a mutation in the alpha chain of the enzyme lysozyme (e.g., Ile ⁇ Thr56 or Asp ⁇ His57) is the basis of another form of ⁇ stertag-type non-neuropathic hereditary amyloid reported in English families.
- fibrils of the mutant lysozyme protein (Alys) are deposited, and patients generally exhibit impaired renal function.
- This protein unlike most of the fibril-forming proteins described herein, is usually present in whole (unfragmented) form (Benson, M. D., et al. CIBA Fdn. Symp. 199: 104-131, 1996).
- Immunoglobulin light chains tend to form aggregates in various morphologies, including fibrillar (e.g., AL amyloidosis and AH amyloidosis), granular (e.g., light chain deposition disease. (LCDD), heavy chain deposition disease (HCDD), and light-heavy chain deposition disease (LHCDD)), crystalline (e.g., Acquired Farconi's Syndome), and microtubular (e.g., Cryoglobulinemia).
- fibrillar e.g., AL amyloidosis and AH amyloidosis
- granular e.g., light chain deposition disease. (LCDD), heavy chain deposition disease (HCDD), and light-heavy chain deposition disease (LHCDD)
- crystalline e.g., Acquired Farconi's Syndome
- microtubular e.g., Cryoglobulinemia
- ⁇ chains such as ⁇ VI chains ( ⁇ 6 chains)
- ⁇ III chains are also slightly elevated.
- Merlini et al. C LIN C HEM L AB M ED 39(11):1065-75 (2001).
- Heavy chain amyloidosis (AH) is generally characterized by aggregates of gamma chain amyloid proteins of the IgG1 subclass. Eulitz et al., P ROC N ATL A CAD S CI USA 87:6542-46 (1990).
- AL and LCDD have been distinguished from other amyloid diseases due to their relatively small population monoclonal light chains, which are manufactured by neoplastic expansion of an antibody-producing B cell.
- AL aggregates typically are well-ordered fibrils of lambda chains.
- LCDD aggregates are relatively amorphous aggregations of both kappa and lambda chains, with a majority being kappa, in some cases ⁇ IV. Bellotti et al., J OURNAL OF S TRUCTURAL B IOLOGY 13:280-89 (2000).
- potential methods of detecting and monitoring treatment of subjects having or at risk of having AL, LCDD, AH, and the like include but are not limited to immunoassaying plasma or urine for the presence or depressed deposition of amyloidogenic light or heavy chains, e.g., amyloid ⁇ , amyloid ⁇ , amyloid ⁇ IV, amyloid ⁇ , or amyloid ⁇ 1.
- amyloidogenic light or heavy chains e.g., amyloid ⁇ , amyloid ⁇ , amyloid ⁇ IV, amyloid ⁇ , or amyloid ⁇ 1.
- Brain amyloidosis includes those diseases, conditions, pathologies, and other abnormalities of the structure or function of the brain, including components thereof, in which the causative agent is amyloid.
- the area of the brain affected in an amyloid-related disease may be the stroma including the vasculature or the parenchyma including functional or anatomical regions, or neurons themselves. A subject need not have received a definitive diagnosis of a specifically recognized amyloid-related disease.
- the term “amyloid related disease” includes brain amyloidosis.
- Amyloid- ⁇ peptide (“A ⁇ ”) is a 39-43 amino acid peptide derived by proteolysis from a large protein known as Beta Amyloid Precursor Protein (“ ⁇ APP”). Mutations in ⁇ APP result in familial forms of Alzheimer's disease, Down's syndrome, cerebral amyloid angiopathy, and senile dementia, characterized by cerebral deposition of plaques composed of A ⁇ fibrils and other components, which are described in further detail below.
- Known mutations in APP associated with Alzheimer's disease occur proximate to the cleavage sites of ⁇ or ⁇ -secretase, or within A ⁇ .
- position 717 is proximate to the site of gamma-secretase cleavage of APP in its processing to A ⁇
- positions 670/671 are proximate to the site of ⁇ -secretase cleavage. Mutations at any of these residues may result in Alzheimer's disease, presumably by causing an increase in the amount of the 42/43 amino acid form of A ⁇ generated from APP.
- the familial form of Alzheimer's disease represents only 10% of the subject population. Most occurrences of Alzheimer's disease are sporadic cases where APP and A ⁇ do not possess any mutation.
- the structure and sequence of A ⁇ peptides of various lengths are well known in the art.
- Such peptides can be made according to methods known in the art, or extracted from the brain according to known methods (e.g., Glenner and Wong, Biochem. Biophys. Res. Comm. 129,-885-90 (1984); Glenner and Wong, Biochem. Biophys. Res. Comm. 122, 1131-35 (1984)).
- various forms of the peptides are commercially available.
- APP is expressed and constitutively catabolized in most cells. The dominant catabolic pathway appears to be cleavage of APP within the A ⁇ sequence by an enzyme provisionally termed ⁇ -secretase, leading to release of a soluble ectodomain fragment known as APPs ⁇ .
- APP can also be cleaved by enzymes known as ⁇ - and ⁇ -secretase at the N— and C-termini of the A ⁇ , respectively, followed by release of A ⁇ into the extracellular space.
- ⁇ -secretase Vasser, et al., Science 286:735-741, 1999
- presenilins have been implicated in ⁇ -secretase activity (De Strooper, et al., Nature 391, 387-90 (1998)).
- a ⁇ 40 is the predominant form produced, 5-7% of total A ⁇ exists as A ⁇ 42 (Cappai et al., Int. J. Biochem. Cell Biol. 31. 885-89 (1999)).
- a ⁇ peptide appears to dramatically alter its biochemical/biophysical properties. Specifically, the additional two amino acids at the C-terminus of A ⁇ 42 are very hydrophobic, presumably increasing the propensity of A ⁇ 42 to aggregate.
- Jarrett, et al. demonstrated that A ⁇ 42 aggregates very rapidly in vitro compared to A ⁇ 40, suggesting that the longer forms of A ⁇ may be the important pathological proteins that are involved in the initial seeding of the neuritic plaques in Alzheimer's disease (Jarrett, et al., Biochemistry 32, 4693-97 (1993); Jarrett, et al., Ann. N.Y. Acad. Sci. 695, 144-48 (1993)).
- PS1 Presenilin-1
- PS2 Presenilin-2
- CAA disorders include, but are not limited to,.hereditary cerebral hemorrhage with amyloidosis of Icelandic type (HCHWA-I); the Dutch variant of HCHWA (HCHWA-D; a mutation in A ⁇ ); the Flemish mutation of A ⁇ ; the Arctic mutation of A ⁇ ; the Italian mutation of A ⁇ ; the Iowa mutation of A ⁇ ; familial British dementia; and familial Danish dementia.
- CAA may also be sporadic.
- ⁇ amyloid As used herein, the terms “ ⁇ amyloid,” “amyloid- ⁇ ,” and the like refer to amyloid ⁇ proteins or peptides, amyloid ⁇ precursor proteins or peptides, intermediates, and modifications and fragments thereof, unless otherwise specifically indicated.
- a ⁇ refers to any peptide produced by proteolytic processing of the APP gene product, especially peptides which are associated with amyloid pathologies, including A ⁇ 1-39, A ⁇ 1-40, A ⁇ 1-41, A ⁇ 1-42, and A ⁇ 1-43.
- a ⁇ 1-42 may be referred to herein as “A ⁇ (1-42)” or simply as “A ⁇ 42” or “A ⁇ 42” (and likewise for any other amyloid peptides discussed herein).
- a ⁇ (1-42) or simply as “A ⁇ 42” or “A ⁇ 42” (and likewise for any other amyloid peptides discussed herein).
- a ⁇ 42 or “A ⁇ 42” (and likewise for any other amyloid peptides discussed herein).
- ⁇ amyloid amyloid- ⁇ ”
- a ⁇ are synonymous.
- amyloid refers to amyloidogenic proteins, peptides, or fragments thereof which can be soluble (e.g., monomeric or oligomeric) or insoluble (e.g., having fibrillary structure or in amyloid plaque). See, e.g., M P Lambert, et al., Proc. Nat'l Acad. Sci. USA 95, 6448-53 (1998).
- Amyloidosis or “amyloid disease” or “amyloid-related disease” refers to a pathological condition characterized by the presence of amyloid fibers.
- Amyloid is a generic term referring to a group of diverse but specific protein deposits (intracellular or extracellular) which are seen in a number of different diseases. Though diverse in their occurrence, all amyloid deposits have common morphologic properties, stain with specific dyes (e.g., Congo red), and have a characteristic red-green birefringent appearance in polarized light after staining. They also share common ultrastructural features and common X-ray diffraction and infrared spectra.
- specific dyes e.g., Congo red
- Gelsolin is a calcium binding protein that binds to fragments and actin filaments. Mutations at position 187 (e.g., Asp ⁇ Asn; Asp ⁇ Tyr) of the protein result in a form of hereditary systemic amyloidosis, usually found in patients from Finland, as well as persons of Dutch or Japanese origin. In afflicted individuals, fibrils formed from gelsolin fragments (Agel), usually consist of amino acids 173-243 (68 kDa carboxyterminal fragment) and are deposited in blood vessels and basement membranes, resulting in corneal dystrophy and cranial neuropathy which progresses to peripheral neuropathy, dystrophic skin changes and deposition in other organs. (Kangas, H., et al. Human Mol. Genet. 5(9): 1237-1243, 1996).
- mutant alpha chain of fibrinogen (AfibA) and mutant cystatin C (Acys) also form fibrils and produce characteristic hereditary disorders.
- AfibA fibrils form deposits characteristic of a nonneuropathic hereditary amyloid with renal disease; Acys deposits are characteristic of a hereditary cerebral amyloid angiopathy reported in Iceland (Isselbacher, Harrison's Principles of Internal Medicine, McGraw-Hill, San Francisco, 1995; Benson, et al.).
- CAA cerebral amyloid angiopathy
- prion disease Certain forms of prion disease are now considered to be heritable, accounting for up to 15% of cases, which were previously thought to be predominantly infectious in nature. (Baldwin, et al., in Research Advances in Alzheimer's Disease and Related Disorders, John Wiley and Sons, New York, 1995). In hereditary and sporadic prion disorders, patients develop plaques composed of abnormal isoforms of the normal prion protein (PrP Sc ).
- a predominant mutant isoform, PrP Sc also referred to as AScr, differs from the normal cellular protein in its resistance to protease degradation, insolubility after detergent extraction, deposition in secondary lysosomes, post-translational synthesis, and high ⁇ -pleated sheet content. Genetic linkage has been established for at least five mutations resulting in Creutzfeldt-Jacob disease (CJD), Gerstmann-St syndrome (GSS), and fatal familial insomnia (FFI).
- CJD Creutzfeldt-Jacob disease
- GSS Gerstmann-St syndrome
- FFI fatal familial insomnia
- GSS GSS segregates with a mutation at codon 117.
- Mutations at codons 198 and 217 result in a form of GSS in which neuritic plaques characteristic of Alzheimer's disease contain PrP instead of A ⁇ peptide.
- Certain forms of familial CJD have been associated with mutations at codons 200 and 210; mutations at codons 129 and 178 have been found in both familial CJD and FFI. (Baldwin, supra).
- amyloid Local deposition of amyloid is common in the brain, particularly in elderly individuals.
- the most frequent type of amyloid in the brain is composed primarily of A ⁇ peptide fibrils, resulting in dementia or sporadic (non-hereditary) Alzheimer's disease.
- the most common occurrences of cerebral amyloidosis are sporadic and not familial.
- the incidence of sporadic Alzheimer's disease and sporadic CAA greatly exceeds the incidence of familial AD and CAA.
- sporadic and familial forms of the disease cannot be distinguished from each other (they differ only in the presence or absence of an inherited genetic mutation); for example, the clinical symptoms and the amyloid plaques formed in both sporadic and familial AD are very similar, if not identical.
- Cerebral amyloid angiopathy refers to the specific deposition of amyloid fibrils in the walls of leptomingeal and cortical arteries, arterioles and veins. It is commonly associated with Alzheimer's disease, Down's syndrome and normal aging, as well as with a variety of familial conditions related to stroke or dementia (see Frangione et al., Amyloid: J. Protein Folding Disord. 8, Suppl. 1, 36-42 (2001)). CAA can occur sporadically or be hereditary.
- Amyloid deposition increases with age. For example, fibrils of wild type transthyretin (TTR) are commonly found in the heart tissue of elderly individuals. These may be asymptomatic, clinically silent, or may result in heart failure. Asymptomatic fibrillar focal deposits may also occur in the brain (A ⁇ ), corpora amylacea of the prostate ( ⁇ 2 microglobulin), joints and seminal vesicles.
- TTR transthyretin
- DAA Dialysis-Related Amyloidosis
- ⁇ 2 microglobulin ⁇ 2 M fibrils commonly develop in patients receiving long term hemodialysis or peritoneal dialysis.
- ⁇ 2 microglobulin is a 11.8 kiloDalton polypeptide and is the light chain of Class I MHC antigens, which are present on all nucleated cells.
- ⁇ 2 M is usually distributed in the extracellular space unless there is an impaired renal function, in which case ⁇ 2 M is transported into tissues where it polymerizes to form amyloid fibrils. Failure of clearance such as in the case of impaired renal function, leads to deposition in the carpal tunnel and other sites (primarily in collagen-rich tissues of the joints).
- ⁇ 2 M molecules are not produced by cleavage of a longer precursor protein and are generally present in unfragmented form in the fibrils. (Benson, supra). Retention and accumulation of this amyloid precursor has been shown to be the main pathogenic process underlying DRA.
- DRA is characterized by peripheral joint osteoarthropathy (e.g., joint stiffness, pain, swelling, etc.). Isoforms of ⁇ 2 M, glycated ⁇ 2 M, or polymers of ⁇ 2 M in tissue are the most amyloidogenic form (as opposed to native ⁇ 2 M).
- ⁇ 2 M is confined largely to osteoarticular sites. Visceral depositions are rare. Occasionally, these deposits may involve blood vessels and other important anatomic sites.
- DAA Diabetes-Related Amyloidosis
- Islet hyalinosis (amyloid deposition) was first described over a century ago as the presence of fibrous protein aggregates in the pancreas of patients with severe hyperglycemia (Opie, E L., J Exp. Med. 5: 397-428, 1901).
- islet amyloid composed predominantly of islet amyloid polypeptide (IAPP), or amylin
- IAPP islet amyloid polypeptide
- amylin is a characteristic histopathological marker in over 90% of all cases of Type II diabetes (also known as Non-Insulin Dependent Diabetes, or NIDDM).
- IAPP islet amyloid polypeptide
- amylin amylin
- IAPP insulin-dependent diabetes
- NIDDM Type II diabetes
- IAPP has also been shown to induce ⁇ -islet cell toxicity in vitro, indicating that appearance of IAPP fibrils in the pancreas of Type II or Type I diabetic patients (post-islet transplantation) could contribute to the loss of the ⁇ -cell islets (Langerhans) and organ dysfunction.
- pancreatic IAPP leads to formation of oligomeric IAPP, leading to a buildup of IAPP-amyloid as insoluble fibrous deposits which eventually destroys the insulin-producing ⁇ cells of the islet, resulting in ⁇ cell depletion and failure (Westermark, P., Grimelius, L., Acta Path. Microbiol. Scand., sect. A.
- IAPP fibrils are likely to continue to grow after the cells are transplanted and cause death or dysfunction of the cells. This may occur even when the cells are from a healthy donor and the patient receiving the transplant does not have a disease that is characterized by the presence of fibrils.
- compounds of the present invention may also be used in preparing tissues or cells for transplantation according to the methods described in International Patent Application (PCT) number WO 01/003680.
- the compounds of the invention may also stabilize the ratio of the concentrations of Pro-IAPP/IAPP, pro-Insulin/Insulin and C-peptide levels.
- the results of the different tests such as the arginine-insulin secretion test, the glucose tolerance test, insulin tolerance and sensitivity tests, could all be used as markers of reduced ⁇ -cell mass and/or accumulation of amyloid deposits.
- Such class of drugs could be used together with other drugs targeting insulin resistance, hepatic glucose production, and insulin secretion.
- Such compounds might prevent insulin therapy by preserving ⁇ -cell function and be applicable to preserving islet transplants.
- Endocrine organs may harbor amyloid deposits, particularly in aged individuals.
- Hormone-secreting tumors may also contain hormone-derived amyloid plaques, the fibrils of which are made up of polypeptide hormones such as calcitonin (medullary carcinoma of the thyroid), and atrial natriuretic peptide (isolated atrial amyloidosis). Sequences and structures of these proteins are well known in the art.
- amyloid disease There are a variety of other forms of amyloid disease that are normally manifest as localized deposits of amyloid. In general, these diseases are probably the result of the localized production or lack of catabolism of specific fibril precursors or a predisposition of a particular tissue (such as the joint) for fibril deposition. Examples of such idiopathic deposition include nodular AL amyloid, cutaneous amyloid, endocrine amyloid, and tumor-related amyloid.
- amyloid related diseases include those described in Table 1, such as familial amyloid polyneuropathy (FAP), senile systemic amyloidosis, Tenosynovium, familial amyloidosis, Ostertag-type, non-neuropathic amyloidosis, cranial neuropathy, hereditary cerebral hemorrhage, familial dementia, chronic dialysis, familial Creutzfeldt-Jakob disease; Gerstmann-St syndromessler-Scheinker syndrome, hereditary spongiform encephalopathies, prion diseases, familial Mediterranean fever, Muckle-Well's syndrome, nephropathy, deafness, urticaria, limb pain, cardiomyopathy, cutaneous deposits, multiple myeloma, benign monoclonal gammopathy, maccoglobulinaemia, myeloma associated amyloidosis, medullary carcinomas of the thyroid, isolated atrial amyloid, and diabetes.
- FAP familial am
- the compounds of the invention may be administered therapeutically or prophylactically to treat diseases associated with amyloid fibril formation, aggregation or deposition, regardless of the clinical setting.
- the compounds of the invention may act to ameliorate the course of an amyloid related disease using any of the following mechanisms, such as, for example but not limited to: slowing the rate of amyloid fibril formation or deposition; lessening the degree of amyloid deposition; inhibiting, reducing, or preventing amyloid fibril formation; inhibiting amyloid induced inflammation; enhancing the clearance of amyloid from, for example, the brain; or protecting cells from amyloid induced (oligomers or fibrillar) toxicity.
- the compounds of the invention may be administered therapeutically or prophylactically to treat diseases associated with amyloid- ⁇ fibril formation, aggregation or deposition.
- the compounds of the invention may act to ameliorate the course of an amyloid- ⁇ related disease using any of the following mechanisms (this list is meant to be illustrative and not limiting): slowing the rate of amyloid- ⁇ fibril formation or deposition; lessening the degree of amyloid- ⁇ deposition; inhibiting, reducing, or preventing amyloid- ⁇ fibril formation; inhibiting neurodegeneration or cellular toxicity induced by amyloid- ⁇ ; inhibiting amyloid- ⁇ induced inflammation; enhancing the clearance of amyloid- ⁇ from the brain; or favoring greater catabolism of A ⁇ .
- Compounds of the invention may be effective in controlling amyloid- ⁇ deposition either following their entry into the-brain (following penetration of the blood brain barrier) or from the periphery.
- a compound When acting from the periphery, a compound may alter the equilibrium of A ⁇ between the brain and the plasma so as to favor the exit of A ⁇ from the brain.
- An increase in the exit of A ⁇ from the brain would result in a decrease in A ⁇ brain concentration and therefore favor a decrease in A ⁇ deposition.
- compounds that penetrate the brain may control deposition by acting directly on brain A ⁇ , e.g., by maintaining it in a non-fibrillar form or favoring its clearance from the brain.
- the compounds may slow down APP processing; may increase degradation of A ⁇ fibrils by macrophages or by neuronal cells; or may decrease A ⁇ production by activated microglia. These compounds could also prevent A ⁇ in the brain from interacting with the cell surface and therefore prevent neurotoxicity, neurodegeneration, or inflammation.
- the method is used to treat Alzheimer's disease (e.g., sporadic or familial AD).
- the method can also be used prophylactically or therapeutically to treat other clinical occurrences of amyloid- ⁇ deposition, such as in Down's syndrome individuals and in patients with cerebral amyloid angiopathy (“CAA”), hereditary cerebral hemorrhage, or early Alzheimer's disease.
- CAA cerebral amyloid angiopathy
- the method is used to treat mild cognitive impairment.
- Mild Cognitive Impairment (“MCI”) is a condition characterized by a state of mild but measurable impairment in thinking skills, which is not necessarily associated with the presence of dementia. MCI frequently, but not necessarily, precedes Alzheimer's disease.
- the compounds of the invention can be used prophylactically or therapeutically in the treatment of disorders in which amyloid-beta protein is abnormally deposited at non-neurological locations, such as treatment of IBM by delivery of the compounds to muscle fibers.
- a ⁇ is associated with abnormal extracellular deposits, known as drusen, that accumulate along the basal surface of the retinal pigmented epithelium in individuals with age-related macular degeneration (ARMD).
- ARMD is a cause of irreversible vision loss in older individuals. It is believed that A ⁇ deposition could be an important component of the local inflammatory events that contribute to atrophy of the retinal pigmented epithelium, drusen biogenesis, and the pathogenesis of ARMD (Johnson, et al., Proc. Natl. Acad. Sci. USA 99(18), 11830-5 (2002)).
- the invention also relates to a method of treating or preventing an amyloid-related disease in a subject (preferably a human) comprising administering to the subject a therapeutic amount of a compound according to the following Formulae or otherwise described herein, such that amyloid fibril formation or deposition, neurodegeneration, or cellular toxicity is reduced or inhibited.
- the invention in another embodiment, relates to a method of treating or preventing an amyloid-related disease in a subject (preferably a human) comprising administering to the subject a therapeutic amount of a compound according to the following Formulae or otherwise described herein, such that cognitive function is improved or stabilized or further deterioration in cognitive function is prevented, slowed, or stopped in patients with brain amyloidosis, e.g., Alzheimer's disease, Down's syndrome or cerebral amyloid angiopathy.
- brain amyloidosis e.g., Alzheimer's disease, Down's syndrome or cerebral amyloid angiopathy.
- the therapeutic compounds of the invention may treat amyloidosis related to type II diabetes by, for example, stabilizing glycemia, preventing or reducing the loss of ⁇ cell mass, reducing or preventing hyperglycemia due to loss of ⁇ cell mass, and modulating (e.g., increasing or stabilizing) insulin production.
- the compounds of the invention may also stabilize the ratio of the concentrations of pro-IAPP/IAPP.
- the therapeutic compounds of the invention may treat AA (secondary) amyloidosis and/or AL (primary) amyloidosis, by stabilizing renal function, decreasing proteinuria, increasing creatinine clearance (e.g., by at least 50% or greater or by at least 100% or greater), by leading to remission of chronic diarrhea or weight gain (e.g., 10% or greater), or by reducing serum creatinine. Visceral amyloid content as determined, e.g., by SAP scintigraphy may also be reduced.
- the present invention relates, at least in part, to the use of certain chemical compounds (and pharmaceutical formulations thereof) in the prevention or treatment of amyloid-related diseases, including, inter alia, Alzheimer's disease, cerebral amyloid angiopathy, inclusion body myositis, Down's syndrome, diabetes related amyloidosis, hemodialysis-related amyloidosis ( ⁇ 2 M), primary amyloidosis (e.g., ⁇ or ⁇ chain-related), familial amyloid polyneuropathy (FAP), senile systemic amyloidosis, familial amyloidosis, Ostertag-type non-neuropathic amyloidosis, cranial neuropathy, hereditary cerebral hemorrhage, familial dementia, chronic dialysis, familial Creutzfeldt-Jakob disease, Gerstmann-St syndromessler-Scheinker syndrome, hereditary spongiform encephalopathies, prion diseases, familial Mediterranean fever, Muckle-Well'
- alkenes can include either the E- or Z-geometry, where appropriate.
- the compounds of the present invention may exist in unsolvated as well as solvated forms with acceptable solvents such as water, THF, ethanol, and the like. In general, the solvated forms are considered equivalent to the unsolvated forms for the purposes of the present invention.
- a “small molecule” refers to a compound that is not itself the product of gene transcription or translation (e.g., protein, RNA, or DNA) and preferably has a low molecular weight, e.g., less than about 2500 amu.
- nucleophile is art-recognized to mean a chemical group having a reactive pair of electrons that reacts with a compound by displacing a leaving group (commonly another nucleophile), such as commonly occur in aliphatic chemistry as unimolecular (known as “S N 1”) or bimolecular (“S N 2 ”) reactions.
- a leaving group commonly occur in aliphatic chemistry as unimolecular (known as “S N 1”) or bimolecular (“S N 2 ”) reactions.
- S N 1 unimolecular
- S N 2 bimolecular
- nucleophiles include uncharged compounds such as amines, mercaptans, and alcohols, and charged groups such as alkoxides, thiolates, carbanions, and a variety of organic and inorganic anions.
- Illustrative anionic nucleophiles include, inter alia, simple anions such as azide, cyanide, thiocyanate, acetate, formate, or chloroformate, and bisulfite.
- Organometallic reagents such as organocuprates, organozincs, organolithiums, Grignard reagents, enolates, and acetylides, will under appropriate reaction conditions, be suitable nucleophiles.
- an “electrophile” means an atom, molecule, or ion able to accept an electron pair, particularly a pair of electrons from a nucleophile, such as typically occurs during an electrophilic substitution reaction.
- an electrophile binds to a substrate with the expulsion of another electrophile, e.g., the substitution of a proton by another electrophile such as a nitronium ion on an aromatic substrate (e.g., benzene).
- Electrophiles include cyclic compounds such as epoxides, aziridines, episulfides, cyclic sulfates, carbonates, lactones, and lactams; and non-cyclic electrophiles include sulfates, sulfonates (e.g., tosylates), chlorides, bromides, and iodides.
- an electrophile may be a saturated carbon atom (e.g., a methylene group) bonded to a leaving group; however, an electrophile may also be an unsaturated group, such as an aldehyde, ketone, ester, or conjugated ( ⁇ , ⁇ -unsaturated) analog thereof, which upon reaction with a nucleophile forms an adduct.
- an electrophile may also be an unsaturated group, such as an aldehyde, ketone, ester, or conjugated ( ⁇ , ⁇ -unsaturated) analog thereof, which upon reaction with a nucleophile forms an adduct.
- leaving group generally refers to a group that is readily displaced and substituted by a nucleophile (e.g., an amine, a thiol, an alcohol, or cyanide).
- a nucleophile e.g., an amine, a thiol, an alcohol, or cyanide.
- Such leaving groups are well known and include carboxylates, N-hydroxysuccinimide (“NHS”), N-hydroxybenzotriazole, a halogen (fluorine, chlorine, bromine, or iodine), alkoxides, and thioalkoxides.
- alkane sulfonyloxy groups e.g., C 1 -C 4 alkane such as methane sulfonyloxy, ethane sulfonyloxy, propane sulfonyloxy, and butane sulfonyloxy groups
- halogenated analogs e.g., halogeno(C 1 -C 4 alkane) sulfonyloxy groups, such as trifluoromethane sulfonyloxy (i.e., triflate), 2,2,2-trichloroethane sulfonyloxy, 3,3,3-tribromopropane sulfonyloxy, and 4,4,4-trifluorobutane sulfonyloxy groups), as well as arylsulfonyloxy groups (e.g., C 6 -C 10 aryl optionally substituted
- Activated esters may be represented by the formula —COL, where L is a leaving group, typical examples of which include N-hydroxysulfosuccinimidyl and N-hydroxysuccinimidyl groups; aryloxy groups substituted with electron-withdrawing groups (e.g., p-nitro, pentafluoro, pentachloro, p-cyano, or p-trifluoromethyl); and carboxylic acids activated by a carbodiimide to form an anhydride or mixed anhydride, e.g., —OCOR a or —OCNR a NHR b , where R a and R b are independently C 1 -C 6 alkyl, C 5 -C 8 alkyl (e.g., cyclohexyl), C 1 -C 6 perfluoroalkyl, or C 1 -C 6 alkoxy groups.
- L is a leaving group, typical examples of which include N-hydroxysulfosuccin
- An activated ester may be formed in situ or may be an isolable reagent.
- Sulfosuccinimidyl esters, pentafluorothiophenol esters, and sulfotetrafluorophenol are preferred activated esters.
- ester leaving group may be, for example, substituted or unsubstituted C 1 -C 6 alkyl (such as methyl, ethyl, propyl, isopropyl, butyl, isobutyl, sec-butyl, tert-butyl, pentyl, or hexyl), or substituted or unsubstituted C 6 -C 14 aryl or heterocyclic groups, such as 2-fluoroethyl, 2-chloroethyl, 2-bromoethyl, 2,2-dibromoethyl, 2,2,2-trichloroethyl, 3-fluoropropyl, 4-chlorobutyl, methoxymethyl, 1,1-dimethyl-1-methoxymethyl, ethoxymethyl, N-propoxymethyl, isopropoxymethyl, N-butoxymethyl, tert-butoxymethyl, 1-ethoxyethyl, 1-methyl-1-methoxyethyl, 1-
- the term “electron-withdrawing group” is art-recognized and describes the ability of a substituent to attract valence electrons (e.g., pi-electrons) from neighboring atoms, e.g. the substitutent is more electronegative than neighboring atoms, or it draws electrons to itself more than a hydrogen atom would at the same position.
- the Hammett sigma value ( ⁇ ) is an accepted measure of a group's electron-donating and withdrawing ability, especially the sigma para value ( ⁇ p ). See, e.g., “Advanced Organic Chemistry” by J. March, 5 th Ed., John Wiley & Sons, Inc., New York, pp. 368-75 (2001).
- Exemplary electron-withdrawing groups include nitro, acyl(ketone), formyl(aldehyde), sulfonyl, trifluoromethyl, halogeno (e.g., chloro and fluoro), and cyano groups, among others.
- an “electron-donating group” designates a substituent that contributes electrons more than hydrogen would if it occupied the same position in the molecule. Examples include amino (including alkylamino and dialkylamino), aryl, alkoxy (including aralkoxy), aryloxy, mercapto and alkylthio, and hydroxyl groups, among others.
- alkyl groups include saturated hydrocarbons having one or more carbon atoms, including straight-chain alkyl groups (e.g., methyl, ethyl, propyl, butyl, pentyl, hexyl, heptyl, octyl, nonyl, decyl, etc.), cyclic alkyl groups (or “cycloalkyl” or “alicyclic” or “carbocyclic” groups) (e.g., cyclopropyl, cyclopentyl, cyclohexyl, cycloheptyl, cyclooctyl, etc.), branched-chain alkyl groups (isopropyl, tert-butyl, sec-butyl, isobutyl, etc.), and alkyl-substituted alkyl groups (e.g., alkyl-substituted cycloalkyl groups and cycloalkyl-
- aliphatic group includes organic moieties characterized by straight or branched-chains, typically having between 1 and 22 carbon atoms. In complex structures, the chains may be branched, bridged, or cross-linked. Aliphatic groups include alkyl groups, alkenyl groups, and alkynyl groups.
- a straight-chain or branched-chain alkyl group may have 30 or fewer carbon atoms in its backbone, e.g., C 1 -C 30 for straight-chain or C 3 -C 30 for branched-chain.
- a straight-chain or branched-chain alkyl group may have 20 or fewer carbon atoms in its backbone, e.g., C 1 -C 20 for straight-chain or C 3 -C 20 for branched-chain, and more preferably 18 or fewer.
- preferred cycloalkyl groups have from 4-10 carbon atoms in their ring structure, and more preferably have 4-7 carbon atoms in the ring structure.
- the term “lower alkyl” refers to alkyl groups having from 1 to 6 carbons in the chain, and to cycloalkyl groups having from 3 to 6 carbons in the ring structure.
- lower as in “lower aliphatic,” “lower alkyl,” “lower alkenyl,” etc. as used herein means that the moiety has at least one and less than about 8 carbon atoms.
- a straight-chain or branched-chain lower alkyl group has 6 or fewer carbon atoms in its backbone (e.g., C 1 -C 6 for straight-chain, C 3 -C 6 for branched-chain), and more preferably 4 or fewer.
- preferred cycloalkyl groups have from 3-8 carbon atoms in their ring structure, and more preferably have 5 or 6 carbons in the ring structure.
- C 1 -C 6 as in “C 1 -C 6 alkyl” means alkyl groups containing 1 to 6 carbon atoms.
- alkyl includes both “unsubstituted alkyls” and “substituted alkyls,” the latter of which refers to alkyl groups having substituents replacing one or more hydrogens on one or more carbons of the hydrocarbon backbone.
- substituents may include, for example, alkenyl, alkynyl, halogeno, hydroxyl, alkylcarbonyloxy, arylcarbonyloxy, alkoxycarbonyloxy, aryloxy, aryloxycarbonyloxy, carboxylate, alkylcarbonyl, arylcarbonyl, alkoxycarbonyl, aminocarbonyl, alkylaminocarbonyl, dialkylaminocarbonyl, alkylthiocarbonyl, alkoxyl, phosphate, phosphonato, phosphinato, cyano, amino (including alkyl-amino, dialkylamino, arylamino, diarylamino, and alkylarylamino), acylamino (including alkylcarbonylamino, arylcarbonylamino, carbamoyl and ureido), imino, sulfhydryl, alkylthio, arylthio, thiocarboxy
- arylalkyl is an alkyl group substituted with an aryl group (e.g., phenylmethyl (i.e., benzyl)).
- alkylaryl moiety is an aryl group substituted with an alkyl group (e.g., p-methylphenyl (i.e., p-tolyl)).
- n-alkyl means a straight-chain (i.e., unbranched) unsubstituted alkyl group.
- An “alkylene” group is a divalent analog of the corresponding alkyl group.
- alkenyl and alkynyl refer to unsaturated aliphatic groups analogous to alkyls, but which contain at least one double or triple carbon-carbon bond respectively. Suitable alkenyl and alkynyl groups include groups having 2 to about 12 carbon atoms, preferably from 2 to about 6 carbon atoms.
- aromatic group or “aryl group” includes unsaturated and aromatic cyclic hydrocarbons as well as unsaturated and aromatic heterocycles containing one or more rings.
- Aryl groups may also be fused or bridged with alicyclic or heterocyclic rings that are not aromatic so as to form a polycycle (e.g., tetralin).
- An “arylene” group is a divalent analog of an aryl group.
- Aryl groups can also be fused or bridged with alicyclic or heterocyclic rings which are not aromatic so as to form a polycycle (e.g., tetralin).
- heterocyclic group includes closed ring structures analogous to carbocyclic groups in which one or more of the carbon atoms in the ring is an element other than carbon, for example, nitrogen, sulfur, or oxygen. Heterocyclic groups may be saturated or unsaturated. Additionally, heterocyclic groups (such as pyrrolyl, pyridyl, isoquinolyl, quinolyl, purinyl, and furyl) may have aromatic character, in which case they may be referred to as “heteroaryl” or “heteroaromatic” groups.
- heteroaryl and heterocyclic (including heteroaryl) groups may also be substituted at one or more constituent atoms.
- heteroaromatic and heteroalicyclic groups may have 1 to 3 separate or fused rings with 3 to about 8 members per ring and one or more N, O, or S heteroatoms.
- heteroatom includes atoms of any element other than carbon or hydrogen, preferred examples of which include nitrogen, oxygen, sulfur, and phosphorus.
- Heterocyclic groups may be saturated or unsaturated or aromatic.
- heterocycles include, but are not limited to, acridinyl; azocinyl;. benzimidazolyl; benzofuranyl; benzothiofuranyl; benzothiophenyl; benzoxazolyl; benzthiazolyl; benztriazolyl; benztetrazolyl; benzisoxazolyl; benzisothiazolyl; benzimidazolinyl; carbazolyl; 4aH-carbazolyl; carbolinyl; chromanyl; chromenyl; cinnolinyl; decahydroquinolinyl; 2H,6H-1,5,2-dithiazinyl; dihydrofuro[2,3-b]tetrahydrofuran; furanyl; furazanyl;.imidazolidinyl; imidazolinyl; imidazolyl; 1H-indazolyl; indolenyl; indoliny
- Preferred heterocycles include, but are not limited to, pyridinyl; furanyl; thienyl; pyrrolyl; pyrazolyl; pyrrolidinyl; imidazolyl; indolyl; benzimidazolyl; 1H-indazolyl; oxazolidinyl; benzotriazolyl; benzisoxazolyl; oxindolyl; benzoxazolinyl; and isatinoyl groups. Also included are fused ring and spiro compounds containing, for example, the above heterocycles.
- a common hydrocarbon aryl group is a phenyl group having one ring.
- Two-ring hydrocarbon aryl groups include naphthyl, indenyl, benzocyclooctenyl, benzocycloheptenyl, pentalenyl, and azulenyl groups, as well as the partially hydrogenated analogs thereof such as indanyl and tetrahydronaphthyl.
- Exemplary three-ring hydrocarbon aryl groups include acephthylenyl, fluorenyl, phenalenyl, phenanthrenyl, and anthracenyl groups.
- Aryl groups also include heteromonocyclic aryl groups, i.e., single-ring heteroaryl groups, such as thienyl, furyl, pyranyl, pyrrolyl, imidazolyl, pyrazolyl, pyridinyl, pyrazinyl, pyrimidinyl, and pyridazinyl groups; and oxidized analogs thereof such as pyridonyl, oxazolonyl, pyrazolonyl, isoxazolonyl, and thiazolonyl groups.
- heteromonocyclic aryl groups i.e., single-ring heteroaryl groups, such as thienyl, furyl, pyranyl, pyrrolyl, imidazolyl, pyrazolyl, pyridinyl, pyrazinyl, pyrimidinyl, and pyridazinyl groups
- oxidized analogs thereof such as pyridonyl,
- the corresponding hydrogenated (i.e., non-aromatic) heteromonocylic groups include pyrrolidinyl, pyrrolinyl, imidazolidinyl, imidazolinyl, pyrazolidinyl, pyrazolinyl, piperidyl and piperidino, piperazinyl, and morpholino and morpholinyl groups.
- Aryl groups also include fused two-ring heteroaryls such as indolyl, isoindolyl, indolizinyl, indazolyl, quinolinyl, isoquinolinyl, phthalazinyl, quinoxalinyl, quinazolinyl, cinnolinyl, chromenyl, isochromenyl, benzothienyl, benzimidazolyl, benzothiazolyl, purinyl, quinolizinyl, isoquinolonyl, quinolonyl, naphthyridinyl, and pteridinyl groups, as well as the partially hydrogenated analogs such as chromanyl, isochromanyl, indolinyl, isoindolinyl, and tetrahydroindolyl groups.
- heteroaryls such as indolyl, isoindolyl, indolizinyl, indazolyl,
- Aryl groups also include fused three-ring groups such as phenoxathiinyl, carbazolyl, phenanthridinyl, acridinyl, perimidinyl, phenanthrolinyl, phenazinyl, phenothiazinyl, phenoxazinyl, and dibenzofuranyl groups.
- each Ar group may be selected from the group consisting of substituted or unsubstituted phenyl, pyrrolyl, furyl, thienyl, thiazolyl, isothiaozolyl, imidazolyl, triazolyl, tetrazolyl, pyrazolyl, oxazolyl, isooxazolyl, pyridinyl, pyrazinyl, pyridazinyl, and pyrimidinyl groups.
- phenyl substituted or unsubstituted phenyl, 1-naphthyl, 2-naphthyl, biphenyl, 1-pyrrolyl, 2-pyrrolyl, 3-pyrrolyl, 3-pyrazolyl, 2-imidazolyl, 4-imidazolyl, pyrazinyl, 2-oxazolyl, 4-oxazolyl, 5-oxazolyl, 3-isoxazolyl, 4-isoxazolyl, 5-isoxazolyl, 2-thiazolyl, 4-thiazolyl, 5-thiazolyl, 2-furyl, 3-furyl, 2-thienyl, 3-thienyl, 2-pyridyl, 3-pyridyl, 4-pyridyl, 2-pyrimidyl, 4-pyrimidyl, 5-benzothiazolyl, purinyl, 2-benzimidazolyl, 5-indolyl, 1-isoquinolyl, 5-isoquinolyl, 2-quinoxaliny
- amine refers to an unsubstituted or substituted moiety of the formula —NR a R b , in which R a and R b are each independently hydrogen, alkyl, aryl, or heterocyclyl, or R a and R b , taken together with the nitrogen atom to which they are attached, form a cyclic moiety having from 3 to 8 atoms in the ring.
- amino includes cyclic amino moieties such as piperidinyl or pyrrolidinyl groups, unless otherwise stated.
- alkylamino as used herein means an alkyl group having an amino group attached thereto.
- Suitable alkylamino groups include groups having 1 to about 12 carbon atoms, preferably from 1 to about 6 carbon atoms.
- amino includes compounds or moieties in which a nitrogen atom is covalently bonded to at least one carbon or heteroatom.
- dialkylamino includes groups wherein the nitrogen atom is bound to at least two alkyl groups.
- arylamino and diarylamino include groups wherein the nitrogen is bound to at least one or two aryl groups, respectively.
- alkylarylamino refers to an amino group which is bound to at least one alkyl group and at least one aryl group.
- alkaminoalkyl refers to an alkyl, alkenyl, or alkynyl group substituted with an alkylamino group.
- amide or “aminocarbonyl” includes compounds or moieties which contain a nitrogen atom which is bound to the carbon of a carbonyl or a thiocarbonyl group.
- alkylthio refers to an alkyl group, having a sulfhydryl group attached thereto. Suitable alkylthio groups include groups having 1 to about 12 carbon atoms, preferably from 1 to about 6 carbon atoms.
- alkylcarboxyl as used herein means an alkyl group having a carboxyl group attached thereto.
- alkoxy as used herein means an alkyl group having an oxygen atom attached thereto.
- Representative alkoxy groups include groups having 1 to about 12 carbon atoms, preferably 1 to about 6 carbon atoms, e.g., methoxy, ethoxy, propoxy, tert-butoxy and the like.
- Examples of alkoxy groups include methoxy, ethoxy, isopropyloxy, propoxy, butoxy, and pentoxy groups.
- the alkoxy groups can be substituted with groups such as alkenyl, alkynyl, halogen, hydroxyl, alkylcarbonyloxy, arylcarbonyloxy, alkoxycarbonyloxy, aryloxycarbonyloxy, carboxylate, alkylcarbonyl, arylcarbonyl, alkoxycarbonyl, aminocarbonyl, alkylaminocarbonyl, dialkylaminocarbonyl, alkylthiocarbonyl, alkoxyl, phosphate, phosphonato, phosphinato, cyano, amino (including alkyl amino, dialkylamino, arylamino, diarylamino, and alkylarylamino), acylamino (including alkylcarbonylamino, arylcarbonylamino, carbamoyl and ureido), imino, sulfhydryl, alkylthio, arylthio, thiocarboxylate, sul
- halogen substituted alkoxy groups include, but are not limited to, fluoromethoxy, difluoromethoxy, trifluoromethoxy, chloromethoxy, dichloromethoxy, trichloromethoxy, etc., as well as perhalogenated alkyloxy groups.
- acylamino includes moieties wherein an amino moiety is bonded to an acyl group.
- the acylamino group includes alkylcarbonylamino, arylcarbonylamino, carbamoyl and ureido groups.
- alkoxyalkyl examples include alkyl groups, as described above, which further include oxygen, nitrogen or sulfur atoms replacing one or more carbons of the hydrocarbon backbone.
- carbonyl or “carboxy” includes compounds and moieties which contain a carbon connected with a double bond to an oxygen atom.
- moieties which contain a carbonyl include aldehydes, ketones, carboxylic acids, amides, esters, anhydrides, etc.
- ether or “ethereal” includes compounds or moieties which contain an oxygen bonded to two carbon atoms.
- an ether or ethereal group includes “alkoxyalkyl” which refers to an alkyl, alkenyl, or alkynyl group substituted with an alkoxy group.
- a “sulfonate” group is a —SO 3 H or —SO 3 ⁇ X + group bonded to a carbon atom, where X + is a cationic counter ion group.
- a “sulfonic acid” compound has a —SO 3 H or —SO 3 ⁇ X + group bonded to a carbon atom, where X+ is a cationic group.
- a “sulfate” as used herein is a —OSO 3 H or —OSO 3 ⁇ X + group bonded to a carbon atom
- a “sulfuric acid” compound has a —SO 3 H or —OSO 3 ⁇ X + group bonded to a carbon atom, where X + is a cationic group.
- a suitable cationic group may be a hydrogen atom.
- the cationic group may actually be another group on the therapeutic compound that is positively charged at physiological pH, for example an amino group.
- a “counter ion” is required to maintain electroneutrality.
- anionic counter ions include halide, triflate, sulfate, nitrate, hydroxide, carbonate, bicarbonate, acetate, phosphate, oxalate, cyanide, alkylcarboxylate, N-hydroxysuccinimide, N-hydroxybenzotriazole, alkoxide, thioalkoxide, alkane sulfonyloxy, halogenated alkane sulfonyloxy, arylsulfonyloxy, bisulfate, oxalate, valerate, oleate, palmitate, stearate, laurate, borate, benzoate, lactate, citrate, maleate, fumarate, succinate, tartrate, naphthylate mesylate, glucoheptonate, or lactobionate.
- nitro means —NO 2 ;
- halogen or halogeno or halo designates —F, —Cl, —Br or —I;
- thiol means SH; and
- hydroxyl means —OH.
- acyl refers to a carbonyl group that is attached through its carbon atom to a hydrogen (i.e., a formyl), an aliphatic group (e.g., acetyl), an aromatic group (e.g., benzoyl), and the like.
- substituted acyl includes acyl groups where one or more of the hydrogen atoms on one or more carbon atoms are replaced by, for example, an alkyl group, alkynyl group, halogen, hydroxyl, alkylcarbonyloxy, arylcarbonyloxy, alkoxycarbonyloxy, aryloxycarbonyloxy, carboxylate, alkylcarbonyl, arylcarbonyl, alkoxycarbonyl, aminocarbonyl, alkylaminocarbonyl, dialkylaminocarbonyl, alkylthiocarbonyl, alkoxyl, phosphate, phosphonato, phosphinato, cyano, amino (including alkyl amino, dialkylamino, arylamino, diarylamino, and alkylarylamino), acylamino (including alkylcarbonylamino, arylcarbonylamino, carbamoyl and ureido), imino,
- the chemical moieties of the compounds of the invention may be “substituted or unsubstituted.”
- substituted means that the moiety has substituents placed on the moiety other than hydrogen (i.e., in most cases, replacing a hydrogen), which allow the molecule to perform its intended function.
- substituents include moieties selected from straight or branched alkyl (preferably C 1 -C 5 ), cycloalkyl (preferably C 3 -C 8 ), alkoxy (preferably C 1 -C 6 ), thioalkyl (preferably C 1 -C 6 ), alkenyl (preferably C 2 -C 6 ), alkynyl (preferably C 2 -C 6 ), heterocyclic, carbocyclic, aryl (e.g., phenyl), aryloxy (e.g., phenoxy), aralkyl (e.g., benzyl), aryloxyalkyl (e.g., phenyloxyalkyl), arylacetamidoyl, alkylaryl, heteroaralkyl, alkylcarbonyl and arylcarbonyl or other such acyl group, heteroarylcarbonyl, and heteroaryl groups, as well as (CR′R′′) 0-3 NR′R′′ (e.g.,
- a substituent may be selected from straight or branched alkyl (preferably C 1 -C 5 ), cycloalkyl (preferably C 3 -C 8 ), alkoxy (preferably C 1 -C 6 ), thioalkyl (preferably C 1 -C 6 ), alkenyl (preferably C 2 -C 6 ), alkynyl (preferably C 2 -C 6 ), heterocyclic, carbocyclic, aryl (e.g., phenyl), aryloxy (e.g., phenoxy), aralkyl (e.g., benzyl), aryloxyalkyl (e.g., phenyloxyalkyl), arylacetamidoyl, alkylaryl, heteroaralkyl, alkylcarbonyl and arylcarbonyl or other such acyl group, heteroarylcarbonyl, or heteroaryl group, (CR′R′′) 0-10 NR′R′′ (e.g.,
- substitution or “substituted with” includes the implicit proviso that such substitution is in accordance with the permitted valence of the substituted atom and the substituent, and that the substitution results in a stable compound, e.g., which does not spontaneously undergo transformation such as by rearrangement, cyclization, elimination, etc.
- substituted is meant to include all permissible substituents of organic compounds.
- the permissible substituents include acyclic and cyclic, branched and unbranched, carbocyclic and heterocyclic, aromatic and nonaromatic substituents of organic compounds.
- the permissible substituents can be one or more.
- a “substituent” may be selected from the group consisting of, for example, halogeno, trifluoromethyl, nitro, cyano, C 1 -C 6 alkyl, C 2 -C 6 alkenyl, C 2 -C 6 alkynyl, C 1 -C 6 alkylcarbonyloxy, arylcarbonyloxy, C 1 -C 6 alkoxycarbonyloxy, aryloxycarbonyloxy, C 1 -C 6 alkylcarbonyl, C 1 -C 6 alkoxycarbonyl, C 1 -C 6 alkoxy, C 1 -C 6 alkylthio, arylthio, heterocyclyl, aralkyl, and aryl (including heteroaryl) groups.
- the invention pertains to compounds of Formula I: wherein:
- R 1 is a substituted or unsubstituted cycloalkyl, heterocyclic, aryl, arylcycloalkyl, bicyclic or tricyclic ring, a bicyclic or tricyclic fused ring group, or a substituted or unsubstituted C 2 -C 10 alkyl group;
- R 2 is selected from a group consisting of hydrogen, alkyl, mercaptoalkyl, alkenyl, alkynyl, cycloalkyl, aryl, arylalkyl, thiazolyl, triazolyl; imidazolyl, benzothiazolyl, and benzoimidazolyl;
- Y is SO 3 ⁇ X + , OSO 3 ⁇ X + , or SSO 3 ⁇ X + ;
- X + is hydrogen, a cationic group, or ester-forming group
- each of L 1 and L 2 is independently a substituted or unsubstituted C 1 -C 5 alkyl group or absent, or a pharmaceutically acceptable salt thereof, provided that when R 1 is alkyl, L 1 is absent.
- the invention pertains to compounds of Formula II: wherein:
- R 1 is a substituted or unsubstituted cyclic, bicyclic, tricyclic, or benzoheterocyclic group or a substituted or unsubstituted C 2 -C 10 alkyl group;
- R 2 is hydrogen, alkyl, mercaptoalkyl, alkenyl, alkynyl, cycloalkyl, aryl, arylalkyl, thiazolyl, triazolyl, imidazolyl, benzothiazolyl, benzoimidazolyl, or linked to R 1 to form a heterocycle;
- Y is SO 3 ⁇ X + , OSO 3 ⁇ X + , or SSO 3 ⁇ X + ;
- X + is hydrogen, a cationic group, or an ester forming moiety
- n 0 or 1
- n 1, 2, 3, or 4;
- L is substituted or unsubstituted C 1 -C 3 alkyl group or absent, or a pharmaceutically acceptable salt thereof, provided that when R 1 is alkyl, L is absent.
- R 2 is hydrogen.
- R 1 is straight chain alkyl, for example, ethyl, n-pentyl, n-heptyl, or n-octyl.
- R 1 is t-butyl.
- R 1 is C 7 -C 10 bicycloalkyl or tricycloalkyl, such as, for example, tricyclo[3.3.1.0 3,7 ]decyl (or adamantyl), bicyclo[2.1.2]heptyl, or indolyl.
- R 1 is tetrahydronaphthyl.
- L 2 is —(CH 2 ) 3 —. In another further embodiment, L 2 is —(CH 2 ) 4 — or —(CH 2 ) 5 —. In yet another further embodiment, L 2 is —(CH 2 ) 2 —. In yet another further embodiment, L 2 is substituted alkyl, e.g., —CH 2 —(CHOH)—CH 2 —.
- L 1 is CH 2 CH 2 or absent.
- R 1 is branched alkyl, e.g., t-butyl. In another embodiment, R 1 is adamanyl. In another embodiment, R 1 is cyclic alkyl, e.g., cyclopropyl, cyclohexyl, cycloheptyl, cyclo-octyl, etc. The cycloalkyl moieties may be substituted further, e.g., with additional alkyl groups or other groups which allow the molecule to perform its intended function. In another embodiment, R 1 is alkyl substituted with a propargyl moiety (e.g., HC ⁇ C—). In another embodiment, R 1 is cyclohexyl substituted withone or more methyl or propargyl groups.
- R 1 is branched alkyl, e.g., t-butyl. In another embodiment, R 1 is adamanyl. In another embodiment, R 1 is cyclic alkyl, e.g.,
- L 1 is a C 1 -C 2 alkyl linker group (e.g., —CH(CH 3 )— or —(CH 2 ) 2 —.
- R 1 is phenyl.
- R 1 is substituted with a methoxy group.
- L 1 is C 3 , e.g., —(CH 2 ) 3 — or C(CH 3 ) 2 —.
- L 1 is substituted, e.g., with an alkoxy, carboxylate (—COOH), benzyl, amido (—C ⁇ O—NH—), or ester (C ⁇ O—C—O) group.
- the ester group is a methyl, ethyl, propyl, butyl, cyclohexyl, or benzyl ester. In other embodiments, the ester group may be propenyl.
- L 1 is substituted with a carboxylate group.
- R 1 is substituted with a subsituted amido group, wherein the amido group is substituted with an alkyl, e.g., methyl, ethyl, propyl, butyl, pentyl, or hexyl group.
- the alkyl R 1 group is a substituted with a —C ⁇ O—NH—OH, C ⁇ O—NH 2 , or an amido group.
- the amido group is substituted with an alkyl (e.g., methyl, ethyl, propyl, butyl, pentyl, hexyl, cyclohexyl, etc.), a benzyl or an aryl group.
- the amido group is substituted with a —CH(CH 2 ) 2 group.
- R 1 itself may be substituted with a phenyl or may be branched or straight chain alkyl.
- R 1 may also be substituted with a thioether moiety.
- thioethers include S—Me, S—Et, etc.
- the alkyl R 1 moiety is substituted with both an aryl or a thioether moiety and an amido moiety.
- the alkyl R 1 moiety may be substituted with both a thioether and a carboxylate moiety.
- alkyl R 1 groups are substituted with hydroxyl.
- R 1 groups, e.g., alkyl R 1 groups may also be substituted with both thioether and hydroxyl groups.
- R 1 groups, e.g., alkyl R 1 groups are substituted with cyano groups.
- R 1 groups including —CN moieties include —C(CH 3 ) 2 CN, cyclohexyl substituted with one or more cyano groups, etc.
- alkyl R 1 groups are substituted with aryl groups.
- the aryl groups may be substituted phenyl, for example.
- the substituted phenyl may be substituted with one or more substituents such as hydroxy, cyano and alkoxy.
- alkyl R 1 groups are substituted with tetrazolyl or substituted or unsubstituted benzyl.
- L 1 is —C(CH 3 ) 2 —(CH 2 )—. In another embodiment, L 1 is —(C(CH 3 ) 2 —CHOH—. In yet another embodiment, L 1 is —(C(CH 3 ) 2 CH(OMe)—.
- R 1 is substituted or unsubstituted phenyl. In a further embodiment, R 1 is para-substituted phenyl. Examples of substitutuents include but are not limited to fluorine, chlorine, bromine, iodine, methyl, t-butyl, alkoxy, methoxy, etc. In other embodiment, R 1 is substituted at the meta position.
- substituents include methoxy, chloro, methyl, t-butyl, fluoro, alkyl, alkoxy, iodo, trifluoroalkyl, methoxy, etc.
- R 1 is phenyl substituted in the ortho position, with similar substituents.
- L 1 comprises a cycloalkyl moiety, e.g., cyclopentyl.
- L 1 comprises an alkyenyl group and, optionally, a substituted aryl group, with substittuents similar to those described about.
- R 1 is cyclopropyl or cyclohexyl.
- the cyclopropyl or cyclohexyl group is subsituted with an ether group or an alkyl group.
- the ether group is a benzyl ether group.
- R 1 is alkyl, it is substituted with groups such as phenyl, or hydroxy.
- the compound of the invention is selected from the group consisting of: and pharmaceutically acceptable salts, esters, and prodrugs thereof.
- the invention pertains to compounds of Formula III: wherein:
- A is nitrogen or oxygen
- R 11 is hydrogen, salt-forming cation, ester forming group, —(CH 2 ) x -Q or when A is nitrogen, A and R 11 taken together may be the residue of a natural or unnatural amino acid or a salt or ester thereof;
- Q is hydrogen, thiazolyl, triazolyl, imidazolyl, benzothiazolyl, or benzoimidazolyl;
- x 0, 1, 2, 3, or 4;
- n 0, 1, 2, 3, 4, 5, 6, 7, 8, 9, or 10;
- R 3 , R 3a , R 4 , R 4a , R 5 , R 5a , R 6 , R 6a , R 7 and R 7a are each independently hydrogen, alkyl, mercaptoalkyl, alkenyl, alkynyl, cycloalkyl, aryl, alkylcarbonyl, arylcarbonyl, alkoxycarbonyl, cyano, halogen, amino, tetrazolyl, or two R groups on adjacent ring atoms taken together with the ring atoms form a double bond, provided that one of R 3 , R 3a , R 4 , R 4a , R 5 , R 5a , R 6 , R 6a , R 7 and R 7a is a moiety of the Formula IIIa:
- n 0, 1, 2, 3, or 4;
- R A , R B , R C , R D , and R E are independently selected from a group of hydrogen, halogen, hydroxyl, alkyl, alkoxyl, halogenated alkyl, mercaptoalkyl, alkenyl, alkynyl, cycloalkyl, aryl, cyano, thiazolyl, triazolyl, imidazolyl, tetrazolyl, benzothiazolyl, and benzoimidazolyl; and pharmaceutically acceptable salts and esters thereof, provided that said compound is not 3-(4-phenyl-1,2,3,6-tetrahydro-1-pyridyl)-1-propanesulfonic acid.
- n 2, 3 or 4.
- R 3 and R 4 are taken together with the carbon atoms to which they are attached to form a double bond.
- R A , R B , R C , R D , and R E are each hydrogen.
- R A , R B , R D , and R E are each hydrogen and R C is a halogen, such as fluorine, chlorine, iodine, or bromine.
- R 3 or R 5a is a moiety of Formula IIIa.
- R 4 , R 5 , R 6 , and R 7 are each hydrogen. In another further embodiment, R 4a , R 5a , R 6a , and R 7a are each hydrogen.
- R 3a is hydroxyl, cyano, acyl, or hydroxyl.
- R 11 and A taken together are a natural or unnatural amino acid residue or a pharmaceutically acceptable salt or ester thereof.
- amino acid residues include esters and salts of phenylalanine and leucine.
- n 0, 1, or 3.
- Examples of compounds of Formula III include, but are not limited to: and pharmaceutically acceptable salts, esters, and prodrugs thereof.
- the invention pertains to compounds of Formula IV: wherein:
- A is nitrogen or oxygen
- R 11 is hydrogen, salt-forming cation, ester forming group, —(CH 2 ) x -Q, or when A is nitrogen, A and R 11 taken together may be the residue of a natural or unnatural amino acid or a salt or ester thereof;
- Q is hydrogen, thiazolyl, triazolyl, imidazolyl, benzothiazolyl, or benzoimidazolyl;
- x 0, 1, 2, 3, or 4;
- R 4 , R 4a , R 5 , R 5a , R 6 , R 6a , R 7 , and R 7a are each independently hydrogen, alkyl, mercaptoalkyl, alkenyl, alkynyl, cycloalkyl, aryl, alkylcarbonyl, arylcarbonyl, alkoxycarbonyl, cyano, halogen, amino, tetrazolyl, R 4 and R 5 taken together, with the ring atoms they are attached to, form a double bond, or R 6 and R 7 taken together, with the ring atoms they are attached to, form a double bond;
- n 0, 1, 2, 3, or 4;
- R 8 , R 9 , R 10 , R 11 , and R 12 are independently selected from a group of hydrogen, halogen, hydroxyl, alkyl, alkoxyl, halogenated alkyl, mercaptoalkyl, alkenyl, alkynyl, cycloalkyl, aryl, cyano, thiazolyl, triazolyl, imidazolyl, tetrazolyl, benzothiazolyl, and benzoimidazolyl, and pharmaceutically acceptable salts and esters thereof.
- R 11 is a salt-forming cation.
- salt forming cations include pharmaceutically acceptable salts described herein as well as lithium, sodium, potassium, magnesium, calcium, barium, zinc, iron, and ammonium.
- R 11 is an ester-forming group.
- An ester-forming group includes groups which when bound form an ester. Examples of such groups include substituted or unsubstituted alkyl, aryl, alkenyl, alkynyl, or cycloalkyl.
- A is oxygen.
- m is 0 or 1.
- n is 2, 3, or 4.
- R 4 , R 5 , R 6 and R 7 are each hydrogen.
- R 4a , R 5a , R 6a , and R 7a also may be hydrogen.
- Examples of R 4 , R 5 , R 10 , R 11 , and R 12 include hydrogen.
- R 8 , R 9 , R 11 , R 12 are each hydrogen, and R 10 is a halogen, (e.g., fluorine, chlorine, bromine, or iodine), nitro, or alkyl (e.g., methyl, ethyl, butyl).
- A-R 11 may be the residue of an amino acid, e.g., a phenylalanine residue.
- R 9 , R 10 , R 11 and R 12 are each hydrogen, and R 5 is not hydrogen, e.g., halogen, e.g., fluorine, bromine, chlorine, or iodine.
- the compound is:
- the invention pertains to compounds of Formula V: wherein:
- A is nitrogen or oxygen
- R 11 is hydrogen, salt-forming cation, ester forming group, —(CH 2 ) x -Q, or when A is nitrogen, A and R 11 taken together may be the residue of a natural or unnatural amino acid or a salt or ester thereof;
- Q is hydrogen, thiazolyl, triazolyl, imidazolyl, benzothiazolyl, or benzoimidazolyl;
- x 0, 1, 2, 3, or 4;
- n 0, 1, 2, 3, 4, 5, 6, 7, 8, 9, or 10;
- aa is a natural or unnatural amino acid residue
- n 0, 1, 2, or 3;
- R 14 is hydrogen or protecting group
- R 15 is hydrogen, alkyl or aryl, and pharmaceutically acceptable salts, esters and prodrugs thereof.
- R 11 is a salt-forming cation.
- salt forming cations include pharmaceutically acceptable salts described herein as well as lithium, sodium, potassium, magnesium, calcium, barium, zinc, iron, and ammonium.
- R 11 is an ester-forming group.
- An ester-forming group includes groups which when bound form an ester. Examples of such groups include substituted or unsubstituted alkyl, aryl, alkenyl, alkynyl, or cycloalkyl.
- A is oxygen.
- n 2, 3 or 4.
- m is 0.
- A-R 11 is a residue of a natural amino acid, or a salt or ester thereof.
- amino acid residues include, but are not limited to, leucine or phenylalanine residues, and pharmaceutically acceptable salts and esters thereof. Examples of possible esters include methyl, ethyl, and t-butyl.
- m is 1.
- aa include natural and unnatural amino acid residues such as phenylalanine, glycine, and leucine.
- (aa) m is a residue of phe-phe, or an ester thereof.
- R 15 is hydrogen or substituted alkyl, e.g., arylalkyl.
- unnatural amino acid refers to any derivative of a natural amino acid including D forms, and ⁇ - and ⁇ -amino acid derivatives. It is noted that certain amino acids, e.g., hydroxyproline, that are classified as a non-natural amino acid herein, may be found in nature within a certain organism or a particular protein. Amino acids with many different protecting groups appropriate for immediate use in the solid phase synthesis of peptides are commercially available.
- non-natural amino acids and amino acid derivatives may be used according to the invention (common abbreviations in parentheses): ⁇ -alanine ( ⁇ -ALA), ⁇ -aminobutyric acid (GABA), 2-aminobutyric acid (2-Abu), ⁇ , ⁇ -dehydro-2-aminobutyric acid (8-AU), 1-aminocyclopropane-1-carboxylic acid (ACPC), aminoisobutyric acid (Aib), 2-amino-thiazoline-4-carboxylic acid, 5-aminovaleric acid (5-Ava), 6-aminohexanoic acid (6-Ahx), 8-aminooctanoic acid (8-Aoc), 11-aminoundecanoic acid (11-Aun), 12-aminododecanoic acid (12-Ado), 2-aminobenzoic acid (2-Abz), 3-aminobenzoic acid (3-
- the invention pertains, at least in part, to compounds of Formula VI: wherein:
- n 1, 2, 3, 4, 5, 6, 7, 8, 9, or 10;
- A is oxygen or nitrogen
- R 11 is hydrogen, salt-forming cation, ester forming group, —(CH 2 ) x -Q, or when A is nitrogen, A and R 11 taken together may be the residue of a natural or unnatural amino acid or a salt or ester thereof;
- Q is hydrogen, thiazolyl, triazolyl, imidazolyl, benzothiazolyl, or benzoimidazolyl;
- x 0, 1, 2, 3, or 4;
- R 19 is hydrogen, alkyl or aryl
- Y 1 is oxygen, sulfur, or nitrogen
- Y 2 is carbon, nitrogen, or oxygen
- R 20 is hydrogen, alkyl, amino, mercaptoalkyl, alkenyl, alkynyl, cycloalkyl, aryl, arylalkyl, thiazolyl, triazolyl, tetrazolyl, imidazolyl, benzothiazolyl, or benzoimidazolyl;
- R 12 is hydrogen, alkyl, mercaptoalkyl, alkenyl, alkynyl, cycloalkyl, aryl, arylalkyl, thiazolyl, triazolyl, tetrazolyl, imidazolyl, benzothiazolyl, benzoimidazolyl, or absent if Y 2 is oxygen;
- R 22 is hydrogen, alkyl, mercaptoalkyl, alkenyl, alkynyl, cycloalkyl, aryl, arylalkyl, thiazolyl, triazolyl, tetrazolyl, imidazolyl, benzothiazolyl, benzoimidazolyl; or R 22 is hydrogen, hydroxyl, alkoxy or aryloxy if Y 1 is nitrogen; or R 22 is absent if Y 1 is oxygen or sulfur; or R 22 and R 21 may be linked to form a cyclic moiety if Y 1 is nitrogen;
- R 23 is hydrogen, alkyl, amino, mercaptoalkyl, alkenyl, alkynyl, cycloalkyl, aryl, arylalkyl, thiazolyl, triazolyl, tetrazolyl, imidazolyl, benzothiazolyl, or benzoimidazolyl, or absent if Y 2 is nitrogen or oxygen;
- R 11 is a salt-forming cation.
- salt forming cations include pharmaceutically acceptable salts described herein as well as lithium, sodium, potassium, magnesium, calcium, barium, zinc, iron, and ammonium.
- the salt is a sodium salt.
- A is oxygen.
- Y 1 is oxygen or sulfur, and R 22 is absent.
- Y 2 is oxygen and R 21 is absent.
- R 20 include benzyl, aryl (e.g., phenyl), alkyl, cycloalkyl (e.g., adamantyl), etc.
- Y 2 is nitrogen and R 21 is hydrogen.
- R 21 is benzyl.
- R 20 and R 21 are linked to form a pyridyl ring.
- Y 1 is sulfur.
- Examples of compounds of the invention include and pharmaceutically acceptable salts, esters, and prodrugs thereof.
- the invention pertains to compounds of Formula VII: wherein:
- n 2, 3, or 4;
- A is oxygen or nitrogen
- R 11 is hydrogen, salt-forming cation, ester forming group, —(CH 2 ) x -Q, or when A is nitrogen, A and R 11 taken together may be the residue of a natural or unnatural amino acid or a salt or ester thereof;
- Q is hydrogen, thiazolyl, triazolyl, imidazolyl, benzothiazolyl, or benzoimidazolyl;
- x 0, 1, 2, 3, or 4;
- G is a direct bond or oxygen, nitrogen, or sulfur
- z 0, 1, 2, 3, 4, or 5;
- n 0 or 1
- R 24 is selected from a group consisting of hydrogen, alkyl, mercaptoalkyl, alkenyl, alkynyl, aroyl, alkylcarbonyl, aminoalkylcarbonyl, cycloalkyl, aryl, arylalkyl, thiazolyl, triazolyl, imidazolyl, benzothiazolyl, and benzoimidazolyl;
- each R 25 is independently selected from hydrogen, halogen, cyano, hydroxyl, alkoxy, thiol, amino, nitro, alkyl, aryl, carbocyclic, or heterocyclic, and pharmaceutically acceptable salts, esters, and prodrugs thereof.
- R 11 is hydrogen.
- A is oxygen.
- n may be 3 and in may be 1.
- R 24 is hydrogen or benzyl.
- R 25 is hydroxyl or alkoxy, e.g., methoxy, ethoxy, etc.
- two or more R 25 substituents can be linked to form a fused ring (e.g., to form a methylendioxyphenyl moiety).
- Examples of compounds of the invention include: and pharmaceutically acceptable salts, esters, and prodrugs thereof
- the invention pertains to both salt forms and acid/base forms of the compounds of the invention.
- the invention pertains not only to the particular salt forms of compounds shown herein as salts, but also the invention includes other pharmaceutically acceptable salts, and the acid and/or base form of the compound.
- the invention also pertains to salt forms of compounds shown herein.
- the invention does not pertain to the compounds described in WO 00/64420 and WO 96/28187. In this embodiment, the invention does not pertain to methods of using the compounds described in WO 00/64420 and WO 96/28187 for the treatment of diseases or disorders described therein. In a further embodiment, the invention pertains to methods of using the compounds described in WO 00/64420 and WO 96/28187 for methods described in this application, which are not described in WO 00/64420 and WO 96/28187. Both of WO 00/64420 and WO 96/28187 are incorporated by reference herein in their entirety.
- the invention pertains to methods of the invention which use and pharmaceutical compositions comprising, the compounds of Table 2A.
- the compounds of the invention do not include the compounds of Table 2A.
- TABLE 2A BzNHCH 2 CH 2 CH 2 SO 3 Na AcNHCH 2 CH 2 CH 2 SO 3 Na CH 3 (CH 2 ) 8 NH(CH 2 ) 3 SO 3 H CH 3 (CH 2 ) 9 NH(CH 2 ) 3 SO 3 H CH 3 (CH 2 ) 11 NH(CH 2 ) 3 SO 3 H CH 3 (CH 2 ) 10 NH(CH 2 ) 3 SO 3 H CH 3 (CH 2 ) 12 NH(CH 2 ) 3 SO 3 H HOCH 2 CH 2 CH 2 NHCH 2 CH 2 CH 2 SO 3 H CH 3 (CH 2 ) 13 NH(CH 2 ) 3 SO 3 H CH 3 (CH 2 ) 15 NH(CH 2 ) 3 SO 3 H CH 3 (CH 2 ) 17 NHCH 2 CH 2 CH 2 SO 3 H CH 3 (CH 2 ) 13 N
- subject includes living organisms in which amyloidosis can occur, or which are susceptible to amyloid diseases, e.g., Alzheimer's disease, Down's syndrome, CAA, dialysis-related ( ⁇ 2 M) amyloidosis, secondary (AA) amyloidosis, primary (AL) amyloidosis, hereditary amyloidosis, diabetes, etc.
- amyloid diseases e.g., Alzheimer's disease, Down's syndrome, CAA, dialysis-related ( ⁇ 2 M) amyloidosis, secondary (AA) amyloidosis, primary (AL) amyloidosis, hereditary amyloidosis, diabetes, etc.
- subjects include humans, chickens, ducks, peking ducks, geese, monkeys, deer, cows, rabbits, sheep, goats, dogs, cats, mice, rats, and transgenic species thereof.
- compositions of the present invention to a subject to be treated can be carried out using known procedures, at dosages and for periods of time effective to modulate amyloid aggregation or amyloid-induced toxicity in the subject as further described herein.
- An effective amount of the therapeutic compound necessary to achieve a therapeutic effect may vary according to factors such as the amount of amyloid already deposited at the clinical site in the subject, the age, sex, and weight of the subject, and the ability of the therapeutic compound to modulate amyloid aggregation in the subject.
- Dosage regimens can be adjusted to provide the optimum therapeutic response. For example, several divided doses may be administered daily or the dose may be proportionally reduced as indicated by the exigencies of the therapeutic situation.
- the subject is in need of treatment by the methods of the invention, and is selected for treatment based on this need.
- a subject in need of treatment is art-recognized, and includes subjects that have been identified as having a disease or disorder related to amyloid-deposition or amyloidosis, has a symptom of such a disease or disorder, or is at risk of such a disease or disorder, and would be expected, based on diagnosis, e.g., medical diagnosis, to benefit frormh treatment (e.g., curing, healing, preventing, alleviating, relieving, altering, remedying, ameliorating, improving, or affecting the disease or disorder, the symptom of the disease or disorder, or the risk of the disease or disorder).
- benefit frormh treatment e.g., curing, healing, preventing, alleviating, relieving, altering, remedying, ameliorating, improving, or affecting the disease or disorder, the symptom of the disease or disorder, or the risk of the disease or disorder.
- the subject is a human.
- the subject may be a human over 30 years old, human over 40 years old, a human over 50 years old, a human over 60 years old, a human over 70 years old, a human over 80 years old, a human over 85 years old, a human over 90 years old, or a human over 95 years old.
- the subject may be a female human, including a postmenopausal female human, who may be on hormone (estrogen) replacement therapy.
- the subject may also be a male human.
- the subject is under 40 years old.
- a subject may be a human at risk for Alzheimer's disease, e.g., being over the age of 40 or having a predisposition for Alzheimer's disease.
- Alzheimer's disease predisposing factors identified or proposed in the scientific literature include, among others, a genotype predisposing a subject to Alzheimer's disease; environmental factors predisposing a subject to Alzheimer's disease; past history of infection by viral and bacterial agents predisposing a subject to Alzheimer's disease; and vascular factors predisposing a subject to Alzheimer's disease.
- a subject may also have one or more risk factors for cardiovascular disease (e.g., atherosclerosis of the coronary arteries, angina pectoris, and myocardial infarction) or cerebrovascular disease (e.g., atherosclerosis of the intracranial or extracranial arteries, stroke, syncope, and transient ischemic attacks), such as hypercholesterolemia, hypertension, diabetes, cigarette smoking, familial or previous history of coronary artery disease, cerebrovascular disease, and cardiovascular disease.
- cardiovascular disease e.g., atherosclerosis of the coronary arteries, angina pectoris, and myocardial infarction
- cerebrovascular disease e.g., atherosclerosis of the intracranial or extracranial arteries, stroke, syncope, and transient ischemic attacks
- hypercholesterolemia typically is defined as a serum total cholesterol concentration of greater than about 5.2 mmol/L (about 200 mg/dL).
- genotypes are believed to predispose a subject to Alzheimer's disease. These include the genotypes such as presenilin-1, presenilin-2, and amyloid precursor protein (APP) missense mutations associated with familial Alzheimer's disease, and ⁇ -2-macroglobulin and LRP-1 genotypes, which are thought to increase the risk of acquiring sporadic (late-onset) Alzheimer's disease.
- genotypes such as presenilin-1, presenilin-2, and amyloid precursor protein (APP) missense mutations associated with familial Alzheimer's disease
- APP amyloid precursor protein
- Another genetic risk factor for the development of Alzheimer's disease are variants of ApoE, the gene that encodes apolipoprotein E (particularly the apoE4 genotype), a constituent of the low-density lipoprotein particle. W J Strittmatter, et al., Annu. Rev. Neurosci. 19, 53-77 (1996).
- the molecular mechanisms by which the various ApoE alleles alter the likelihood of developing Alzheimer's disease are unknown, however the role of ApoE in cholesterol metabolism is consistent with the growing body of evidence linking cholesterol metabolism to Alzheimer's disease. For example, chronic use of cholesterol-lowering drugs such as statins has recently been associated with a lower incidence of Alzheimer's disease, and cholesterol-lowering drugs have been shown to reduce pathology in APP transgenic mice.
- Alzheimer's disease has been suggested to alter A ⁇ trafficking (in and out of the brain), and favor retention of A ⁇ in the brain. ApoE4 has also been suggested to favor APP processing toward A ⁇ formation.
- Environmental factors have been proposed as predisposing a subject to Alzheimer's disease, including exposure to aluminum, although the epidemiological evidence is ambiguous.
- prior infection by certain viral or bacterial agents may predispose a subject to Alzheimer's disease, including the herpes simplex virus and chlamydia pneumoniae.
- other predisposing factors for Alzheimer's disease can include risk factors for cardiovascular or cerebrovascular disease, including cigarette smoking, hypertension and diabetes. “At risk for Alzheimer's disease” also encompasses any other predisposing factors not listed above or as yet identified and includes an increased risk for Alzheimer's disease caused by head injury, medications, diet, or lifestyle.
- the methods of the present invention can be used for one or more of the following: to prevent Alzheimer's disease, to treat Alzheimer's disease, or ameliorate symptoms of Alzheimer's disease, or to regulate production of or levels of amyloid ⁇ (A ⁇ ) peptides.
- the human carries one or more mutations in the genes that encode ⁇ -amyloid precursor protein, presenilin-1 or presenilin-2.
- the human carries the Apolipoprotein ⁇ 4 gene.
- the human has a family history of Alzheimer's Disease or a dementia illness.
- the human has trisomy 21 (Down's Syndrome).
- the subject has a normal or low serum total blood cholesterol level.
- the serum total blood cholesterol level is less than about 200 mg/dL, or less than about 180, and it can range from about 150 to about 200 mg/dL.
- the total LDL cholesterol level is less than about 100 mg/dL, or less than about 90 mg/dL and can range from about 30 to about 100 mg/dL.
- the subject has an elevated serum total blood cholesterol level.
- the serum total cholesterol level is at least about 200 mg/dL, or at least about 220 mg/dL and can range from about 200 to about 1000 mg/dL.
- the subject has an elevated total LDL cholesterol level.
- the total LDL cholesterol level is greater than about 100 mg/dL, or even greater than about 110 mg/dL and can range from about 100 to about 1000 mg/dL.
- the human is at least about 40 years of age. In another embodiment, the human is at least about 60 years of age. In another embodiment, the human is at least about 70 years of age. In another embodiment, the human is at least about 80 years of age. In another embodiment, the human is at least about 85 years of age. In one embodiment, the human is between about 60 and about 100 years of age.
- the subject is shown to be at risk by a diagnostic brain imaging technique, for example, one that measures brain activity, plaque deposition, or brain atrophy.
- the subject is shown to be at risk by a cognitive test such as Clinical Dementia Rating (“CDR”), Alzheimer's Disease Assessment Scale-Cognition (“ADAS-Cog”), Disability Assessment for Dementia (“DAD”) or Mini-Mental State Examination (“MMSE”).
- CDR Clinical Dementia Rating
- ADAS-Cog Alzheimer's Disease Assessment Scale-Cognition
- DAD Disability Assessment for Dementia
- MMSE Mini-Mental State Examination
- the subject may exhibit a below average score on a cognitive test, as compared to a historical control of similar age and educational background.
- the subject may also exhibit a reduction in score as compared to previous scores of the subject on the same or similar cognition tests.
- a subject In determining the CDR, a subject is typically assessed and rated in each of six cognitive and behavioural categories: memory, orientation, judgement and problem solving, community affairs, home and hobbies, and personal care.
- the assessment may include historical information provided by the subject, or preferably, a corroborator who knows the subject well.
- the subject is assessed and rated in each of these areas and the overall rating, (0, 0.5, 1.0, 2.0 or 3.0) determined.
- a rating of 0 is considered normal.
- a rating of 1.0 is considered to correspond to mild dementia.
- a subject with a CDR of 0.5 is characterized by mild consistent forgetfulness, partial recollection of events and “benign” forgetfulness.
- the subject is assessed with a rating on the CDR of above 0, of above about 0.5, of above about 1.0, of above about 1.5, of above about 2.0, of above about 2.5, or at about 3.0.
- MMSE Mini-Mental State Examination
- Folstein Mini-mental state. A practical method for grading the cognitive state of patients for the clinician.” J. Psychiatr. Res. 12:189-198, 1975.
- the MMSE evaluates the presence of global intellectual deterioration. See also Folstein “Differential diagnosis of dementia. The clinical process.” Psychiatr Clin North Am. 20:45-57, 1997.
- the MMSE is a means to evaluate the onset of dementia and the presence of global intellectual deterioration, as seen in Alzheimer's disease and multi-infart dementia.
- the MMSE is scored from 1 to 30.
- the MMSE does not evaluate basic cognitive potential, as, for example, the so-called IQ test.
- the subject scores-below 30 at least once on the MMSE.
- the Disability Assessment for Dementia (“DAD”) scale has been developed to measure a patient's ability to perform the activities of daily living (Gélinas I et al. Development of a Functional Measure for Persons with Alzheimer's Disease: The Disability Assessment for Dementia Am. J. Occupational Therapy. 1999; 53: 471-481). Activities of daily living may be assessed according to self care (i.e., dressing and personal hygiene) and instrumental activities (e.g., housework, cooking, and using household devices).
- the objectives of the DAD scale include quantitatively measuring functional abilities in activities of daily living in individuals with cognitive impairments and to help delineate areas of cognitive deficits that may impair performance in activities of daily living. The DAD is administered through an interview with the caregiver.
- the scale assesses the following domains of activities: hygiene, dressing, telephoning, continence, eating, meal preparation, outing activities, finance and correspondence, medication use, leisure and housework.
- a total score is obtained by adding the rating for each question and converting this total score out of 100. Higher scores represent less disability in ADL while lower scores indicate more dysfunction.
- the subject scores below 100 at least once on the DAD. In another embodiment, the subject scores below about 95, below about 90, below about 85, below about 80, below about 75, below about 70, below about 65, below about 60, below about 55, below about 50, below about 45, below about 40, below about 30, below about 20, or below about 10.
- ADAS-Cog Alzheimer's Disease Assessment Scale
- SADAS Standardized Alzheimer's Disease Assessment Scale
- the ADAS-cog is designed to measure, with the use of questionnaires, the progression and the severity of cognitive decline as seen in AD on a 70-point scale.
- the ADAS-cog scale quantifies the number of wrong answers. Consequently, a high score on the scale indicates a more severe case of cognitive decline.
- a subject exhibits a score of greater than 0, greater than about 5, greater than about 10, greater than about 15, greater than about 20, greater than about 25, greater than about 30, greater than about 35, greater than about 40, greater than about 45, greater than about 50, greater than about 55, greater than about 60, greater than about 65, greater than about 68, or about 70.
- the subject exhibits no symptoms of Alzheimer's Disease. In another embodiment, the subject is a human who is at least 40 years of age and exhibits no symptoms of Alzheimer's Disease. In another embodiment, the subject is a human who is at least 40 years of age and exhibits one or more symptoms of Alzheimer's Disease.
- the subject has Mild Cognitive Impairment. In a further embodiment, the subject has a CDR rating of about 0.5. In another embodiment, the subject has early Alzheimer's disease. In another embodiment, the subject has cerebral amyloid angiopathy.
- the levels of amyloid ⁇ peptides in a subject's plasma or cerebrospinal fluid (CSF) can be reduced from levels prior to treatment from about 10 to about 100 percent, or even about 50 to about 100 percent.
- the subject can have an elevated level of amyloid A ⁇ 40 and A ⁇ 42 peptide in the blood and CSF prior to treatment, according to the present methods, of greater than about 10 pg/mL, or greater than about 20 pg/mL, or greater than about 35 pg/mL, or even greater than about 40 pg/mL.
- the elevated level of amyloid A ⁇ 42 peptide can range from about 30 pg/mL to about 200 pg/mL, or even to about 500 pg/mL.
- the measurable levels of amyloid ⁇ peptide in the CSF may decrease from elevated levels present before onset of the disease. This effect is attributed to increased deposition, i.e., trapping of A ⁇ peptide in the brain instead of normal clearance from the brain into the CSF.
- the subject can have an elevated level of amyloid A ⁇ 40 peptide in the blood and CSF prior to treatment, according to the present methods, of greater than about 5 pg A ⁇ 42 /mL or greater than about 50 pg A ⁇ 40 /mL, or greater than about 400 pg/mL.
- the elevated level of amyloid A ⁇ 40 peptide can range from about 200 pg/mL to about 800 pg/mL, to even about 1000 pg/mL.
- the subject can have an elevated level of amyloid A ⁇ 42 peptide in the CSF prior to treatment, according to the present methods, of greater than about 5 pg/mL, or greater than about 10 pg/mL, or greater than about 200 pg/mL, or greater than about 500 pg/mL.
- the level of amyloid ⁇ peptide can range from about 10 pg/mL to about 1,000 pg/mL, or even about 100 pg/mL to about 1,000 pg/mL.
- the subject can have an elevated level of amyloid A ⁇ 40 peptide in the CSF prior to treatment according to the present methods of greater than about 10 pg/mL, or greater than about 50 pg/mL, or even greater than about 100 pg/mL.
- the level of amyloid 0 peptide can range from about 10 pg/mL to about 1,000 pg/mL.
- the amount of amyloid ⁇ peptide in the brain, CSF, blood, or plasma of a subject can be evaluated by enzyme-linked immunosorbent assay (“ELISA”) or quantitative immunoblotting test methods or by quantitative SELDI-TOF which are well known to those skilled in the art, such as is disclosed by Zhang, et al., J. Biol. Chem. 274, 8966-72 (1999) and Zhang, et al., Biochemistry 40, 5049-55 (2001). See also, A. K. Vehmas, et al., DNA Cell Biol. 20(11), 713-21 (2001), P.Lewczuk, et al., Rapid Commun. Mass Spectrom. 17(12), 1291-96 (2003); B. M.
- EIA Europium immunoassay
- the methods of the invention may be applied as a therapy for a subject having Alzheimer's disease or a dementia, or the methods of the invention may be applied as a prophylaxis against Alzheimer's disease or dementia for subject with such a predisposition, as in a subject, e.g., with a genomic mutation in the APP gene, the ApoE gene, or a presenilin gene.
- the subject may have (or may be predisposed to developing or may be suspected of having) vascular dementia, or senile dementia, Mild Cognitive Impairment, or early Alzheimer's disease.
- the subject may have another amyloid-related disease such as cerebral amyloid angiopathy, or the subject may have amyloid deposits, especially amyloid-P amyloid deposits in the brain.
- the present invention pertains to methods of using the compounds and pharmaceutical compositions thereof in the treatment and prevention of amyloid-related diseases.
- the pharmaceutical compositions of the invention may be administered therapeutically or prophylactically to treat diseases associated with amyloid (e.g., AL amyloid protein ( ⁇ or ⁇ -chain related, e.g., amyloid ⁇ , amyloid ⁇ , amyloid ⁇ IV, amyloid ⁇ VI, amyloid ⁇ , amyloid ⁇ 1), A ⁇ , IAPP, ⁇ 2 M, AA, or AH amyloid protein) fibril formation, aggregation or deposition.
- AL amyloid protein ⁇ or ⁇ -chain related, e.g., amyloid ⁇ , amyloid ⁇ , amyloid ⁇ IV, amyloid ⁇ VI, amyloid ⁇ , amyloid ⁇ 1
- a ⁇ , IAPP, ⁇ 2 M, AA, or AH amyloid protein fibril formation, aggregation or deposition.
- compositions of the invention may act to ameliorate the course of an amyloid-related disease using any of the following mechanisms (this list is meant to be illustrative and not limiting): slowing the rate of amyloid fibril formation or deposition; lessening the degree of amyloid deposition; inhibiting, reducing, or preventing amyloid fibril formation; inhibiting neurodegeneration or cellular toxicity induced by amyloid; inhibiting amyloid induced inflammation; enhancing-the clearance of amyloid from the brain; enhancing degradation of A ⁇ in the brain; or favoring clearance of amyloid protein prior to its organization in fibrils.
- “Modulation” of amyloid deposition includes both inhibition, as defined above, and enhancement of amyloid deposition or fibril formation.
- modulating is intended, therefore, to encompass prevention or stopping of amyloid formation or accumulation, inhibition or slowing down of further amyloid formation or accumulation in a subject with ongoing amyloidosis, e.g., already having amyloid deposition, and reducing or reversing of amyloid formation or accumulation in a subject with ongoing amyloidosis; and enhancing amyloid deposition, e.g., increasing the rate or amount of amyloid deposition in vivo or in vitro.
- Amyloid-enhancing compounds may be useful in animal models of amyloidosis, for example, to make possible the development of amyloid deposits in animals in a shorter period of time or to increase amyloid deposits over a selected period of time.
- Amyloid-enhancing compounds may be useful in screening assays for compounds which inhibit amyloidosis in vivo, for example, in animal models, cellular assays and in vitro assays for amyloidosis. Such compounds may be used, for example, to provide faster or more sensitive assays for compounds. Modulation of amyloid deposition is determined relative to an untreated subject or relative to the treated subject prior to treatment.
- “Inhibition” of amyloid deposition includes preventing or stopping of amyloid formation, e.g., fibrillogenesis, clearance of amyloid, e.g., soluble A ⁇ from brain, inhibiting or slowing down of further amyloid deposition in a subject with amyloidosis, e.g., already having amyloid deposits, and reducing or reversing amyloid fibrillogenesis or deposits in a subject with ongoing amyloidosis.
- Inhibition of amyloid deposition is determined relative to an untreated subject, or relative to the treated subject prior to treatment, or, e.g., determined by clinically measurable improvement, e.g., or in the case of a subject with brain amyloidosis, e.g., an Alzheimer's or cerebral amyloid angiopathy subject, stabilization of cognitive function or prevention of a further decrease in cognitive function (i.e., preventing, slowing, or stopping disease progression), or improvement of parameters such as the concentration of A ⁇ or tau in the CSF.
- treatment includes the application or administration of a composition of the invention to a subject, or application or administration of a composition of the invention to a cell or tissue from a subject, who has an amyloid-related disease or condition, has a symptom of such a disease or condition, or is at risk of (or susceptible to) such a disease or condition, with the purpose of curing, healing, alleviating, relieving, altering, remedying, ameliorating, improving, or affecting the disease or condition, the symptom of the disease or condition, or the risk of (or susceptibility to) the disease or condition.
- treating refers to any indicia of success in the treatment or amelioration of an- injury, pathology or condition, including any objective or subjective parameter such as abatement; remission; diminishing of symptoms or making the injury, pathology or condition more tolerable to the subject; slowing in the rate of degeneration or decline; making the final point of degeneration less debilitating; improving a subject's physical or mental well-being; or, in some situations, preventing the onset of dementia.
- the treatment or amelioration of symptoms can be based on objective or subjective parameters; including the results of a physical examination, a psychiatric evaluation, or a cognition test such as CDR, MMSE, DAD, ADAS-Cog, or another test known in the art.
- the methods of the invention successfully treat a subject's dementia by slowing the rate of or lessening the extent of cognitive decline.
- the term “treating” includes maintaining a subject's CDR rating at its base line rating or at 0.
- the term treating includes decreasing a subject's CDR rating by about 0.25 or more, about 0.5 or more, about 1.0 or more, about 1.5 or more, about 2.0 or more, about 2.5 or more, or about 3.0 or more.
- the term “treating” also includes reducing the rate of the increase of a subject's CDR rating as compared to historical controls.
- the term includes reducing the rate of increase of a subject's CDR rating by about 5% or more, about 10% or more, about 20% or more, about 25% or more, about 30% or more, about 40% or more, about 50% or more, about 60% or more, about 70% or more, about 80% or more, about 90% or more, or about 100%, of the increase of the historical or untreated controls.
- the term “treating” also includes maintaining a subject's score on the MMSE.
- the term “treating” includes increasing a subject's MMSE score by about 1, about 2, about 3, about 4, about 5, about 7.5, about 10, about 12.5, about 15, about 17.5, about 20, or about 25 points.
- the term also includes reducing the rate of the decrease of a subject's MMSE score as compared to historical controls.
- the term includes reducing the rate of decrease of a subject's MMSE score by about 5% or less, about 10% or less, about 20% or less, about 25% or less, about 30% or less, about 40% or less, about 50% or less, about 60% or less, about 70% or less, about 80% or less, about 90% or less or about 100% or less, of the decrease of the historical or untreated controls.
- the term “treating” also includes maintaining a subject's score on the DAD.
- the term “treating” includes increasing a subject's DAD score by about 1, about 5, about 10, about 15, about 20, about 30, about 35, about 40, about 50, about 60, about 70, or about 80 points.
- the term also includes reducing the rate of the decrease of a subject's DAD score as compared to historical controls.
- the term includes reducing the rate of decrease of a subject's DAD score by about 5% or less, about 10% or less, about 20% or less, about 25% or less, about 30% or less, about 40% or less, about 50% or less, about 60% or less, about 70% or less, about 80% or less, about 90% or less or about 100% or less, of the decrease of the historical or untreated controls.
- the term “treating” includes maintaining a subject's score on the ADAS-Cog.
- the term “treating” includes decreasing a subject's ADAS-Cog score by about 1 point or greater, by about 2 points or greater, by about 3 points or greater, by about 4 points or greater, by about 5 points or greater, by about 7.5 points or greater, by about 10 points or greater, by about 12.5 points or greater, by about 15 points or greater, by about 17.5 points or greater, by about 20 points or greater, or by about 25 points or greater.
- the term also includes reducing the rate of the increase of a subject's ADAS-Cog score as compared to historical controls.
- the term includes reducing the rate of increase of a subject's ADAS-Cog score by about 5% or more, about 10% or more, about 20% or more, about 25% or more, about 30% or more, about 40% or more, about 50% or more, about 60% or more, about 70% or more, about 80% or more, about 90% or more or about 100% of the increase of the historical or untreated controls.
- the term “treating” e.g., for AA or AL amyloidosis, includes an increase in serum creatinine, e.g., an increase of creatinine clearance of 10% or greater, 20% or greater, 50% or greater, 80% or greater, 90% or greater, 100% or greater, 150% or greater, 200% or greater.
- the term “treating” also may inc luce remission of nephrotic syndrome (NS). It may also include remission of chronic diarrhea and/or a gain in body weight, e.g., by 10% or greater, 15% or greater, or 20% or greater.
- the pharmnaceutical compositions of the invention contain a compound that prevents or inhibits amnyloid fibril formation, either in the brain or other organ of interest (acting locally) or throughout the entire body (acting systemically.).
- Pharmaceutical compositions of the invention may be effective in controlling amyloid deposition either following their entry into the brain (following penetration of the blood brain barrier) or from the periphery.
- a compound of a pharmaceutical composition may alter the equilibrium of amnyloidogenic peptide between the brain and the plasma so as to favor the exit of amnyloidogenic peptide from the brain. It may also favor clearance (or catabolism).
- amyloid protein soluble
- prevenlt amyloid fibril formation and deposition due to a reduction of the. amyloid protein pool in a specific organ, e.g., liver, spleen, pancreas, kidney, joints, brain, etc.
- An increase in the ex it of amyloidogenic peptide from the brain would result in a decrease in amnyloidogenic peptide brain concentration and therefore favor a decrease in amyloidogenic peptide deposition.
- an agent may lower the levels of amyloid ⁇ peptides, e.g., both A ⁇ 40 and A ⁇ 42 in the CSF and the plasma, or the agent may lower the levels of amyloid ⁇ peptides, e.g., A ⁇ 40 and A ⁇ 42 in the CSF and increase it in the plasma.
- compounds that penetrate the brain could control deposition by acting directly on brain amyloidogenic peptide e.g., by maintaining it in a non-fibrillar form or favoring its clearance from the brain, by increasing its degradation in the brain, or protecting brain cells from the detrimental effect of amyloidogenic peptide.
- an agent can also cause a decrease of the concentration of the amyloid protein (i.e., in a specific organ so that the critical concentration needed to trigger amyloid fibril formation or deposition is not reached).
- the compounds described herein may inhibit or reduce an interaction between amyloid and a cell surface constituent, for example, a glycosaminoglycan or proteoglycan constituent of a basement membrane, whereby inhibiting or reducing this interaction produces the observed neuroprotective and cell-protective effects.
- the compound may also prevent an amyloid peptide from binding or adhering to a cell surface, a process which is known to cause cell damage or toxicity.
- the compound may block amyloid-induced cellular toxicity or microglial activation or amyloid-induced neurotoxicity, or inhibit amyloid induced inflammation.
- the compound may also reduce the rate or amount of amyloid aggregation, fibril formation, or deposition, or the compound lessens the degree of amyloid deposition.
- a ⁇ peptide has been shown by several groups to be highly toxic to neurons. Amyloid plaques are directly associated with reactive gliosis, dystrophic neurites and apoptotic cells, suggesting that plaques induce neurodegenerative changes. Neurotoxicity may eventually disrupt or even kill neurons. In vitro, A ⁇ has been shown to induce apoptosis in many different neuronal cell types, such as rat PC-12 cells, primary rat hippocampal and cortical cultures, and the predifferentiated human neurotype SH-SY5Y cell line (Dickson D W (2004) J Clin Invest 114:23-7; Canu et al. (2003) Cerebellum 2:270-278; Li et al. (1996) Brain Research 738:196-204).
- a ⁇ fibrils can induce neurodegeneration, and it has been shown that neuronal cells exposed in vitro to A ⁇ can become apoptotic (Morgan et al. (2004) Prog. Neurobiol. 74:323-349; Stefani et al. (2003) J. Mol. Med. 81:678-99; La Ferla et al. (1997) J. Clin. Invest. 100(2):310-320).
- a progressive neuronal cell loss accompanies the deposition of A ⁇ amyloid fibrils in senile plaques.
- the invention pertains to a method for inhibiting A ⁇ -induced neuronal cell death by administering an effective amount of a compound of the present invention.
- Another aspect of the invention pertains to a method for providing neuroprotection to a subject having an A ⁇ -amyloid related disease, e.g. Alzheimer's disease, that includes administering an effective amount of a compound of the present invention to the subject, such that neuroprotection is provided.
- an A ⁇ -amyloid related disease e.g. Alzheimer's disease
- methods for inhibiting A ⁇ -induced neuronal cell death include administration of an effective amount of a compound of the present invention to a subject such that neuronal cell death is inhibited.
- methods for treating a disease state characterized by A ⁇ -induced neuronal cell death in a subject are provided, e.g., by administering an effective amount of a compound of the present invention.
- disease states include Alzheimer's disease and A ⁇ -amyloid related diseases.
- neuronal cells of a subject includes A ⁇ -induced cell death, e.g., cell death induced directly or indirectly by an A ⁇ peptide.
- a ⁇ -induced cell death may result in initiation of processes such as, for example: the destabilization of the cytoskeleton; DNA fragmentation; the activation of hydrolytic enzymes, such as phospholipase A2; activation of caspases, calcium-activated proteases and/or calcium-activated endonucleases; inflammation mediated by macrophages; calcium influx into a cell; membrane potential changes in a cell; the disruption of cell junctions leading to decreased or absent cell-cell communication; and the activation of expression of genes involved in cell death, e.g., immediate-early genes.
- amyloid- ⁇ disease may be used for mild cognitive impairment; vascular dementia; early Alzheimer's disease; Alzheimer's disease, including sporadic (non-hereditary) Alzheimer's disease and familial (hereditary) Alzheimer's disease; age-related cognitive decline; cerebral amyloid angiopathy (“CAA”); hereditary cerebral hemorrhage; senile dementia; Down's syndrome; inclusion body myositis (“IBM”); or age-related macular degeneration (“ARMD”).
- amyloid- ⁇ is a peptide having 39-43 amino-acids
- amyloid- ⁇ is an amyloidogenic peptide produced from ⁇ APP.
- Mild cognitive impairment is a condition characterized by a state of mild but measurable impairment in thinking skills, which is not necessarily associated with the presence of dementia. MCI frequently, but not necessarily, precedes Alzheimer's disease. It is a diagnosis that has most often been associated with mild memory problems, but it can also be characterized by mild impairments in other thinking skills, such as language or planning skills. However, in general, an individual with MCI will have more significant memory lapses than would be expected for someone of their age or educational background. As the condition progresses, a physician may change the diagnosis to “Mild-to-Moderate Cognitive Impairment,” as is well understood in this art.
- Cerebral amyloid angiopathy refers to the specific deposition of amyloid fibrils in the walls of leptomingeal and cortical arteries, arterioles and in capillaries and veins. It is commonly associated with Alzheimer's disease, Down's syndrome and normal aging, as well as with a variety of familial conditions related to stroke or dementia (see Frangione, et al, Amyloid: J. Protein Folding Disord. 8, Suppl. 1, 36-42 (2001)). CAA can occur sporadically or be hereditary. Multiple mutation sites in either A ⁇ or the APP gene have been identified and are clinically associated with either dementia or cerebral hemorrhage.
- Exemplary CAA disorders include, but are not limited to, hereditary cerebral hemorrhage with amyloidosis of Icelandic type (HCHWA-I); the Dutch variant of HCHWA (HCHWA-D; a mutation in A ⁇ ); the Flemish mutation of A ⁇ ; the Arctic mutation of A ⁇ ; the Italian mutation of A ⁇ ; the Iowa mutation of A ⁇ ; familial British dementia; and familial Danish dementia. Cerebral amyloid angiopathy is known to be associated with cerebral hemorrhage (or hemorrhagic stroke).
- the compounds of the invention can be used prophylactically or therapeutically in the treatment of disorders in which amyloid- ⁇ protein is abnormally deposited at non-neurological locations, such as treatment of IBM by delivery of the compounds to muscle fibers.
- a ⁇ is associated with abnormal extracellular deposits, known as drusen, that accumulate along the basal surface of the retinal pigmented epithelium in individuals with age-related macular degeneration (ARMD).
- ARMD is a cause of irreversible vision loss in older individuals. It is believed that A ⁇ deposition could be an important component of the local inflammatory events that contribute to atrophy of the retinal pigmented epithelium, drusen biogenesis, and the pathogenesis of ARMD (Johnson, et al., Proc. Natl. Acad. Sci. USA 99(18), 11830-5 (2002)). Therefore, the invention also relates to the treatment or prevention of age-related macular degeneration.
- the invention relates to a method for preventing or inhibiting amyloid deposition in a subject.
- a method for preventing or inhibiting amyloid deposition in a subject comprises administering to a subject a therapeutically effective amount of a compound capable of reducing the concentration of amyloid (e.g., AL amyloid protein ( ⁇ or ⁇ -chain related, e.g., amyloid ), amyloid ⁇ , amyloid ⁇ IV, amyloid ⁇ VI, amyloid ⁇ , amyloid ⁇ 1), A ⁇ , IAPP, ⁇ 2 M, AA, AH amyloid protein, or other amyloids), such that amyloid accumulation or deposition is prevented or inhibited.
- AL amyloid protein ⁇ or ⁇ -chain related, e.g., amyloid
- amyloid ⁇ amyloid ⁇
- amyloid ⁇ IV amyloid ⁇ IV
- amyloid ⁇ VI amyloid ⁇
- amyloid ⁇ 1 amyloid
- the invention in another aspect, relates to a method for preventing, reducing, or inhibiting amyloid deposition in a subject.
- a method for preventing, reducing, or inhibiting amyloid deposition in a subject comprises administering to a subject a therapeutically effective amount of a compound capable of inhibiting amyloid (e.g., AL amyloid protein ( ⁇ or ⁇ -chain related, e.g., amyloid ⁇ , amyloid ⁇ , amyloid ⁇ IV, amyloid ⁇ VI, amyloid ⁇ , amyloid ⁇ 1), A ⁇ , IAPP, ⁇ 2 M, AA, AH amyloid protein, or other amyloids), such that amyloid deposition is prevented, reduced, or inhibited.
- AL amyloid protein ⁇ or ⁇ -chain related, e.g., amyloid ⁇ , amyloid ⁇ , amyloid ⁇ IV, amyloid ⁇ VI, amyloid ⁇ , amyloid ⁇ 1
- the invention also relates to a method for modulating, e.g., minimizing, amyloid-associated damage to cells, comprising the step of administering a compound capable of reducing the concentration of amyloid (e.g., AL amyloid protein ( ⁇ or ⁇ -chain related, e.g., amyloid ⁇ , amyloid ⁇ , amyloid ⁇ IV, amyloid ⁇ VI, amyloid ⁇ , amyloid ⁇ 1), AP, IAPP, ⁇ 2 M, AA, AH amyloid protein, or another amyloid), such that said amyloid-associated damage to cells is modulated.
- the methods for modulating amyloid-associated damage to cells comprise a step of administering a compound capable of reducing the concentration of amyloid or reducing the interaction of an amyloid with a cell surface.
- the invention also includes a method for directly or indirectly preventing cell death in a subject, the method comprising administering to a subject a therapeutically effective amount of a compound capable of preventing amyloid (e.g., AL amyloid protein ( ⁇ or ⁇ -chain related, e.g., amyloid ⁇ , amyloid ⁇ , amyloid ⁇ IV, amyloid ⁇ VI, amyloid ⁇ , amyloid ⁇ 1), A ⁇ , IAPP, ⁇ 2 M, AA, AH amyloid protein, or other amyloid) mediated events that lead, directly or indirectly, to cell death.
- a compound capable of preventing amyloid e.g., AL amyloid protein ( ⁇ or ⁇ -chain related, e.g., amyloid ⁇ , amyloid ⁇ , amyloid ⁇ IV, amyloid ⁇ VI, amyloid ⁇ , amyloid ⁇ 1
- the method is used to treat Alzheimer's disease (e.g. sporadic or familial AD).
- the method can also be used prophylactically or therapeutically to treat other clinical occurrences of amyloid- ⁇ deposition, such as in Down's syndrome individuals and in patients with cerebral amyloid angiopathy (“CAA”) or hereditary cerebral hemorrhage.
- CAA cerebral amyloid angiopathy
- the compounds of the invention may be used prophylactically or therapeutically in the treatment of disorders in which amyloid-beta peptide is abnormally deposited at non-neurological locations, such as treatment of IBM by delivery of the compounds to muscle fibers, or treatment of macular degeneration by delivery of the compound(s) of the invention to the basal surface of the retinal pigmented epithelium.
- the present invention also provides a method for modulating amyloid-associated damage to cells, comprising the step of administering a compound capable of reducing the concentration of A ⁇ , or capable of mimimizing the interaction of A ⁇ (soluble oligomeric or fibrillary) with the cell surface, such that said amyloid-associated damage to cells is modulated.
- the methods for modulating amyloid-associated damage to cells comprise a step of administering a compound capable of reducing the concentration of A ⁇ or reducing the interaction of A ⁇ with a cell surface.
- a method for preventing cell death in a subject comprising administering to a subject a therapeutically effective amount of a compound capable of preventing A ⁇ -mediated events that lead, directly or indirectly, to cell death.
- the present invention also provides a method for modulating amyloid-associated damage to cells, comprising the step of administering a compound capable of reducing the concentration of IAPP, or capable of mimimizing the interaction of IAPP (soluble oligomeric or fibrillary) with the cell surface, such that said amyloid-associated damage to cells is modulated.
- the methods for modulating amyloid-associated damage to cells comprise a step of administering a compound capable of reducing the concentration of IAPP or reducing the interaction of IAPP with a cell surface.
- a method for preventing cell death in a subject comprising administering to a subject a therapeutically effective amount of a compound capable of preventing IAPP-mediated events that lead, directly or indirectly, to cell death.
- This invention also provides methods and compositions which are useful in the treatment of amyloidosis.
- the methods of the invention involve administering to a subject a therapeutic compound which inhibits amyloid deposition.
- the compositions and methods of the invention are useful for inhibiting amyloidosis in disorders in which amyloid deposition occurs.
- the methods of the invention can be used therapeutically to treat amyloidosis or can be used prophylactically in a subject susceptible to (hereditary) amyloidosis or identified as being at risk to develop amyloidosis, e.g., hereditary, or identified as being at risk to develop amyloidosis.
- the invention includes a method of inhibiting an interaction between an amyloidogenic protein and a constituent of basement membrane to inhibit amyloid deposition.
- the constituent of basement membrane is a glycoprotein or proteoglycan, preferably heparan sulfate proteoglycan.
- a therapeutic compound used in this method may interfere with binding of a basement membrane constituent to a target binding site on an amyloidogenic protein, thereby inhibiting amyloid deposition.
- the methods of the invention involve administering to a subject a therapeutic compound which inhibits amyloid deposition.
- Basis membrane refers to an extracellular matrix comprising glycoproteins and proteoglycans, including laminin, collagen type IV, fibronectin, perlecan, agrin, dermatan sulfate, and heparan sulfate proteoglycan (HSPG).
- amyloid deposition is inhibited by interfering with an interaction between an amyloidogenic protein and a sulfated glycosaminoglycan such as HSPG, dermatan sulfate, perlecan or agrin sulfate.
- Sulfated glycosaminoglycans are known to be present in all types of amyloids (see Snow, et al. Lab. Invest.
- the ability of a compound to prevent or block the formation or deposition of amyloid may reside in its ability to bind to non-fibrillar, soluble amyloid protein and to maintain its solubililty.
- an in vitro binding assay such as that described in U.S. Pat. No. 5,164,295, the contents of which are hereby incorporated by reference.
- the ability of a compound to bind to an amyloidogenic protein or to inhibit the binding of a basement membrane constituent (e.g. HSPG) to an amyloidogenic protein (e.g. A ⁇ ) can be measured using a mass spectrometry assay where soluble protein, e.g. A ⁇ , IAPP, ⁇ 2 M is incubated with the compound.
- a ⁇ will induce a change in the mass spectrum of the protein.
- Exemplary protocols for a mass spectrometry assay employing A ⁇ and IAPP can be found in the Examples, the results of which are provided in Table 3.
- the protocol can readily be modified to adjust the sensitivity of the data, e.g., by adjusting the amount of protein and/or compound employed.
- binding might be detected for test compounds noted as not having detectable binding employing less sensitive test protocols.
- test compound (20 ⁇ M) is incubated with 50 ⁇ M A ⁇ (1-40) fibers for 1 hour at 37° C. in Tris buffered saline (20 mM Tris, 150 mM NaCl, pH 7.4 containing 0.01 sodium azide). Following incubation, the solution is centrifuged for 20 minutes at 21,000 g to sediment the A ⁇ (1-40) fibers along with any bound test compound. The amount of test compound remaining in the supernatant can then be determined by reading the absorbance.
- test compound bound can then be calculated by comparing the amount remaining in the supernatants of incubations with A ⁇ to the amount remaining in control incubations which do not contain A ⁇ fibers.
- Thioflavin T and Congo Red both of which are known to bind to A ⁇ fibers, may be included in each assay run as positive controls.
- test compounds can be diluted to 40 ⁇ M, which would be twice the concentration in the final test, and then scanned using the Hewlett Packard 8453 UVNIS spectrophotometer to determine if the absorbance is sufficient for detection.
- the invention in another embodiment, pertains to a method for improving cognition in a subject suffering from an amyloid-related disease.
- the method includes administering an effective amount of a therapeutic compound of the invention, such that the subject's cognition is improved.
- the subject's cognition can be tested using methods known in the art such as the Clinical Dementia Rating (“CDR”), Mini-Mental State Examination (“MMSE”), Disability Assessment for Dementia (“DAD”), and/or the Alzheimer's Disease Assessment Scale-Cognition (“ADAS-Cog”).
- CDR Clinical Dementia Rating
- MMSE Mini-Mental State Examination
- DAD Disability Assessment for Dementia
- ADAS-Cog Alzheimer's Disease Assessment Scale-Cognition
- the invention in another embodiment, pertains to a method for treating a subject for an amyloid-related disease.
- the method includes administering a cognitive test to a subject prior to administration of a compound of the invention, administering an effective amount of a compound of the invention to the subject, and administering a cognitive test to the subject subsequent to administration of the-compound, such that the subject is treated for the amyloid-related disease, wherein the subject's score on said cognitive test is improved.
- “Improvement,” “improved” or “improving” in cognition is present within the context of the present invention if there is a statistically significant difference in the direction of normality between the performance of subjects treated using the methods of the invention as compared to members of a placebo group, historical control, or between subsequent tests given to the same subject.
- a subject's CDR is maintained at 0.
- a subject's CDR is decreased (e.g., improved) by about 0.25 or more, about 0.5 or more, about 1.0 or more, about 1.5 or more, about 2.0 or more, about 2.5 or more, or about 3.0 or more.
- the rate of increase of a subject's CDR rating is reduced by about 5% or more, about 10% or more, about 20% or more, about 25% or more, about 30% or more, about 40% or more, about 50% or more, about 60% or more, about 70% or more, about 80% or more, about 90% or more, or about 100% or more of the increase of the historical or untreated controls.
- a subject's score on the MMSE is maintained.
- the subject's score on the MMSE may be increased by about 1, about 2, about 3, about 4, about 5, about 7.5, about 10, about 12.5, about 15, about 17.5, about 20, or about 25 points.
- the rate of the decrease of a subject's MMSE score as compared to historical controls is reduced.
- the rate of the decrease of a subject's MMSE score may be reduced by about 5% or more, about 10% or more, about 20% or more, about 25% or more, about 30% or more, about 40% or more, about 50% or more, about 60% or more, about 70% or more, about 80% or more, about 90% or more, or about 100% or more of the decrease of the historical or untreated controls.
- a subject's score on the DAD is maintained.
- the subject's score on the DAD may be increased by about 1, about 2, about 3, about 4, about 5, about 7.5, about 10, about 15, about 20, about 30, about 40, or about 50 or more points.
- the rate of the decrease of a subject's DAD score as compared to historical controls is reduced.
- the rate of the decrease of a subject's DAD score may be reduced by about 5% or more, about 10% or more, about 20% or more, about 25% or more, about 30% or more, about 40% or more, about 50% or more, about 60% or more, about 70% or more, about 80% or more, about 90% or more, or about 100% or more of the decrease of the historical or untreated controls.
- the invention pertains to a method for treating, slowing or stopping an amyloid-related disease associated with cognitve impairment, by administering to a subject an effective amount of a therapeutic compound of the invention, wherein the annual deterioration of the subject's cognition as measured by ADAS-Cog is less than 8 points per year, less the 6 points per year, less than 5 points per year, less than 4 points per year, or less than 3 points per year.
- the invention pertains to a method for treating, slowing or stopping an arnyloid-related disease associated with, cognition by administering an effective amount of a therapeutic compound of the invention such that the subject's cognition as measured by ADAS-Cog remains constant over a year.
- Constant includes fluctuations of no more than 2 points. Remaining constant includes fluctuations of two points or less. in either direction.
- the subject's cognition improves by 2 points or greater per year, 3 points or greater per year, 4 point or greater per year, 5 points or greater per year, 6 points or greater per year, 7 points or greater per year, 8 points or greater per year, etc. as measured by the ADAS-Cog.
- the rate of the increase of a subject's ADAS-Cog score as compared to historical controls is reduced.
- the rate of the increase of a subject's ADAS-Cog score may be reduced by about 5% or more, about 10% or more, about 20% or more, about 25% or more, about 30% or more, about 40% or more, about 50% or more, about 60% or more, about 70% or more, about 80% or more, about 90% or more or about 100% of the increase of the historical or untreated controls.
- the ratio of A ⁇ 42:A ⁇ 40 in the CSF or plasma of a subject decreases by about 15% or more, about 20% or more, about 25% or more, about 30% or more, about 35% or more, about 40%-or more, about 45% or more, or about 50% or more.
- the levels of A ⁇ in the subject's cerebrospinal fluid decrease by about 15% or more, about 25% or more, about 35% or more, about 45% or more, about 55% or more, about 75% or more, or about 90% or more.
- the invention pertains to any novel chemical compound described herein. That is, the invention relates to novel compounds, and novel methods of their use as described herein, which are within the scope of the Formulae disclosed herein, and which are not disclosed in the cited Patents and Patent Applications.
- the compounds of the present invention may be prepared by the methods illustrated in the general reaction schemes as, for example, described below, or by modifications thereof, using readily available starting materials, reagents and conventional synthesis procedures. In these reactions, it is also possible to make use of variants which are in themselves known, but are not mentioned here. Functional and structural equivalents of the compounds described herein and which have the same general properties, wherein one or more simple variations of substituents are made which do not adversely affect the essential nature or the utility of the compound are also included.
- the compounds of the present invention may be readily prepared in accordance with the synthesis schemes and protocols described herein, as illustrated in the specific procedures provided. However, those skilled in the art will recognize that other synthetic pathways for forming the compounds of this invention may be used, and that the following is provided merely by way of example, and is not limiting to the present invention. See, e.g., “Comprehensive Organic Transformations” by R. Larock, VCH Publishers (1989). It will be further recognized that various protecting and deprotecting strategies will be employed that are standard in the art (See, e.g., “Protective Groups in Organic Synthesis” by Greene and Wuts). Those skilled in the relevant arts will recognize that the selection of any particular protecting group (e.g., amine and carboxyl protecting groups) will depend on the stability of the protected moiety with regards to the subsequent reaction conditions and will understand the appropriate selections.
- protecting group e.g., amine and carboxyl protecting groups
- Suitable solvents are liquids at ambient room temperature and pressure or remain in the liquid state under the temperature and pressure conditions used in the reaction.
- Useful solvents are not particularly restricted provided that they do not interfere with the reaction itself (that is, they preferably are inert solvents), and they dissolve a certain amount of the reactants.
- solvents may be distilled or degassed.
- Solvents may be, for example, aliphatic hydrocarbons (e.g., hexanes, heptanes, ligroin, petroleum ether, cyclohexane, or methylcyclohexane) and halogenated hydrocarbons (e.g., methylenechloride, chloroform, carbontetrachloride, dichloroethane, chlorobenzene, or dichlororbenzene); aromatic hydrocarbons (e.g., benzene, toluene, tetrahydronaphthalene, ethylbenzene, or xylene); ethers (e.g., diglyme, methyl-tert-butyl ether, methyl-tert-amyl ether, ethyl-tert-butyl ether, diethylether, diisopropylether, tetrahydrofuran or methyltetrahydrofurans, dioxane,
- the product is isolated from the reaction mixture according to standard techniques. For example, the solvent is removed by evaporation or filtration if the product is solid, optionally under reduced pressure.
- water may be added to the residue to make the aqueous layer acidic or basic and the precipitated compound filtered, although care should be exercised when handling water-sensitive compounds.
- water may be added to the reaction mixture with a hydrophobic solvent-to extract the target compound.
- the organic layer may be washed with water, dried over anhydrous magnesium sulphate or sodium sulphate, and the solvent is evaporated to obtain the target compound.
- the target compound thus obtained may be purified, if necessary, e.g., by recrystallization, reprecipitation, chromatography, or by converting it to a salt by addition of an acid or base.
- the compounds of the invention may be supplied in a solution with an appropriate solvent or in a solvent-free form (e.g., lyophilized).
- the compounds and buffers necessary for carrying out the methods of the invention may be packaged as a kit, optionlly including a container.
- the kit may be commercially used for treating or preventing amyloid-related disease according to the methods described herein and may include instructions for use in a method of the invention.
- Additional kit components may include acids, bases, buffering agents, inorganic salts, solvents, antioxidants, preservatives, or metal chelators.
- the additional kit components are present as pure compositions, or as aqueous or organic solutions that incorporate one or more additional kit components. Any or all of the kit components optionally further comprise buffers.
- the term “container” includes any receptacle for holding the therapeutic compound.
- the container is the packaging that contains the compound.
- the container is not the packaging that contains the compound, i.e., the container is a receptacle, such as a box or vial that contains the packaged compound or unpackaged compound and the instructions for use of the compound.
- packaging techniques are well known in the art. It should be understood that the instructions for use of the therapeutic compound may be contained on the packaging containing the therapeutic compound, and as such the instructions form an increased functional relationship to the packaged product.
- the present invention relates to pharmaceutical compositions comprising agents according to any of the Formulae herein for the treatment of an amyloid-related disease, as well as methods of manufacturing such pharmaceutical compositions.
- the agents of the present invention may be prepared by the methods illustrated in the general reaction schemes as, for example, in the patents and patent applications refered to herein, or by modifications thereof, using readily available starting materials, reagents and conventional synthesis procedures. In these reactions, it is also possible to make use of variants which are in themselves known, but are not mentioned here. Functional and structural equivalents of the agents described herein and which have the same general properties, wherein one or more simple variations of substituents are made which do not adversely affect the essential nature or the utility of the agent are also included.
- the agents of the invention may be supplied in a solution with an appropriate solvent or in a solvent-free form (e.g., lyophilized).
- the agents and buffers necessary for carrying out the methods of the invention may be packaged as a kit.
- the kit may be commercially used according to the methods described herein and may include instructions for use in a method of the invention.
- Additional kit components may include acids, bases, buffering agents, inorganic salts, solvents, antioxidants, preservatives, or metal chelators.
- the additional kit components are present as pure compositions, or as aqueous or organic solutions that incorporate one or more additional kit components. Any or all of the kit components optionally further comprise buffers.
- the therapeutic agent may also be administered parenterally, intraperitoneally, intraspinally, or intracerebrally.
- Dispersions can be prepared in glycerol, liquid polyethylene glycols, and mixtures thereof and in oils. Under ordinary conditions of storage and use, these preparations may contain a preservative to prevent the growth of microorganisms.
- the agent may be administered to a subject in an appropriate carrier, for example, liposomes, or a diluent.
- suitable diluents include saline and aqueous buffer solutions.
- Liposomes include water-in-oil-in-water CGF emulsions as well as conventional liposomes (Strejan et al., J. Neuroimmunol. 7, 27 (1984)).
- compositions suitable for injectable use include sterile aqueous solutions (where water soluble) or dispersions and sterile powders for the extemporaneous preparation of sterile injectable solutions or dispersion.
- the composition must be sterile and must be fluid to the extent that easy syringability exists. It must be stable under the conditions of manufacture and storage and must be preserved against the contaminating action of microorganisms such as bacteria and fungi.
- Suitable pharmaceutically acceptable vehicles include, without limitation, any non-immunogenic pharmaceutical adjuvants suitable for oral, parenteral, nasal, mucosal, transdermal, intravascular (IV), intraarterial (IA), intramuscular (IM), and subcutaneous (SC) administration routes, such as phosphate buffer saline (PBS).
- IV intravascular
- IA intraarterial
- IM intramuscular
- SC subcutaneous
- PBS phosphate buffer saline
- the vehicle can be a solvent or dispersion medium containing, for example, water, ethanol, polyol (for example, glycerol, propylene glycol, and liquid polyethylene glycol, and the like), suitable mixtures thereof, and vegetable oils.
- the proper fluidity can be maintained, for example, by the use of a coating such as lecithin, by the maintenance of the required particle size in the case of dispersion and by the use of surfactants.
- Prevention of the action of microorganisms can be achieved by various antibacterial and antifungal agents, for example, parabens, chlorobutanol, phenol, ascorbic acid, thimerosal, and the like.
- isotonic agents are included, for example, sugars, sodium chloride, or polyalcohols such as mannitol and sorbitol, in the composition.
- Prolonged absorption of the injectable compositions can be brought about by including in the composition an agent which delays absorption, for example, aluminum monostearate or gelatin.
- Sterile injectable solutions can be prepared by incorporating the therapeutic agent in the required amount in an appropriate solvent with one or a combination of ingredients enumerated above, as required, followed by filtered sterilization.
- dispersions are prepared by incorporating the therapeutic agent into a sterile vehicle which contains a basic dispersion medium and the required other ingredients from those enumerated above.
- the methods of preparation are vacuum drying and freeze-drying which yields a powder of the active ingredient (i.e., the therapeutic agent) plus any additional desired ingredient from a previously sterile-filtered solution thereof.
- the therapeutic agent can be orally administered, for example, with an inert diluent or an assimilable edible carrier.
- the therapeutic agent and other ingredients may also be enclosed in a hard or soft shell gelatin capsule, compressed into tablets, or incorporated directly into the subject's diet.
- the therapeutic agent may be incorporated with excipients and used in the form of ingestible tablets, buccal tablets, troches, capsules, elixirs, suspensions, syrups, wafers, and the like.
- the percentage of the therapeutic agent in the compositions and preparations may, of course, be varied.
- the amount of the therapeutic agent in such therapeutically useful compositions is such that a suitable dosage will be obtained.
- Dosage unit form refers to physically discrete units suited as unitary dosages for the subjects to be treated; each unit containing a predetermined quantity of therapeutic agent calculated to produce the desired therapeutic effect in association with the required pharmaceutical vehicle.
- the specification for the dosage unit forms of the invention are dictated by and directly dependent on (a) the unique characteristics of the therapeutic agent and the particular therapeutic effect to be achieved, and (b) the limitations inherent in the art of compounding such a therapeutic agent for the treatment of amyloid deposition in subjects.
- the present invention therefore includes pharmaceutical formulations comprising the agents of the Formulae described herein, including pharmaceutically acceptable salts thereof, in pharmaceutically acceptable vehicles for aerosol, oral and parenteral administration. Also, the present invention includes such agents, or salts thereof, which have been lyophilized and which may be reconstituted to form pharmaceutically acceptable formulations for administration, as by intravenous, intramuscular, or subcutaneous injection. Administration may also be intradermal or transdermal.
- an agent of the Formulae described herein, and pharmaceutically acceptable salts thereof may be administered orally or through inhalation as a solid, or may be administered intramuscularly or intravenously as a solution, suspension or emulsion. Alternatively, the agents or salts may also be administered by inhalation, intravenously or intramuscularly as a liposomal suspension.
- compositions are also provided which are suitable for administration as an aerosol, by inhalation. These formulations comprise a solution or suspension of the desired agent of any Formula herein, or a salt thereof, or a plurality of solid particles of the agent or salt.
- the desired formulation may be placed in a small chamber and nebulized. Nebulization may be accomplished by compressed air or by ultrasonic energy to form a plurality of liquid droplets or solid particles comprising the agents or salts.
- the liquid droplets or solid particles should have a particle size in the range of about 0.5 to about 5 microns.
- the solid particles can be obtained by processing the solid agent of any Formula described herein, or a salt thereof, in any appropriate manner known in the art, such as by micronization.
- the size of the solid particles or droplets will be, for example, from about 1 to about 2 microns. In this respect, commercial nebulizers are available to achieve this purpose.
- a pharmaceutical formulation suitable for administration as an aerosol may be in the form of a liquid, the formulation will comprise a water-soluble agent of any Formula described herein, or a salt thereof, in a carrier which comprises water.
- a surfactant may be present which lowers the surface tension of the formulation sufficiently to result in the formation of droplets within the desired size range when subjected to nebulization.
- Peroral compositions also include liquid solutions, emulsions, suspensions, and the like.
- the pharmaceutically acceptable vehicles suitable for preparation of such compositions are well known in the art.
- Typical components of carriers for syrups, elixirs, emulsions and suspensions include ethanol, glycerol, propylene glycol, polyethylene glycol, liquid sucrose, sorbitol and water.
- typical suspending agents include methyl cellulose, sodium carboxymethyl cellulose, tragacanth, and sodium alginate;
- typical wetting agents include lecithin and polysorbate 80; and typical preservatives include methyl paraben and sodium benzoate.
- Peroral liquid compositions may also contain one or more components such as sweeteners, flavoring agents and colorants disclosed above.
- compositions may also be coated by conventional methods, typically with pH or time-dependent coatings, such that the subject agent is released in the gastrointestinal tract in the vicinity of the desired topical application, or at various times to extend the desired action.
- dosage forms typically include, but are not limited to, one or more of cellulose acetate phthalate, polyvinylacetate phthalate, hydroxypropyl methyl cellulose phthalate, ethyl cellulose, waxes, and shellac.
- compositions useful for attaining systemic delivery of the subject agents include sublingual, buccal and nasal dosage forms.
- Such compositions typically comprise one or more of soluble filler substances such as sucrose, sorbitol and mannitol; and binders such as acacia, microcrystalline cellulose, carboxymethyl cellulose and hydroxypropyl methyl cellulose. Glidants, lubricants, sweeteners, colorants, antioxidants and flavoring agents disclosed above may also be included.
- compositions of this invention can also be administered topically to a subject, e.g., by the direct laying on or spreading of the composition on the epidermal or epithelial tissue of the subject, or transdermally via a “patch”.
- Such compositions include, for example, lotions, creams, solutions, gels and solids.
- These topical compositions may comprise an effective amount, usually at least about 0.1%, or even from about 1% to about 5%, of an agent of the invention.
- Suitable carriers for topical administration typically remain in place on the skin as a continuous film, and resist being removed by perspiration or immersion in water.
- the carrier is organic in nature and capable of having dispersed or dissolved therein the therapeutic agent.
- the carrier may include pharmaceutically acceptable emolients, emulsifiers, thickening agents, solvents and the like.
- active agents are administered at a therapeutically effective dosage sufficient to inhibit amyloid deposition in a subject.
- a “therapeutically effective” dosage inhibits amyloid deposition by, for example, at least about 20%, or by at least about 40%, or even by at least about 60%, or by at least about 80% relative to untreated subjects.
- a “therapeutically effective” dosage stabilizes cognitive fuiction or prevents a further decrease in cognitive function (i.e., preventing, slowing, or stopping disease progression).
- the present invention accordingly provides therapeutic drugs.
- therapeutic or “drug” is meant an agent having a beneficial ameliorative or prophylactic effect on a specific disease or condition in a living human or non-human animal.
- the agent may improve or stabilize specific organ function.
- renal function may be stabilized or improved by 10% or greater, 20% or greater, 30% or greater, 40% or greater, 50% or greater, 60% or greater, 70% or greater, 80% or greater, or by greater than 90%.
- the agent may maintain or increase ⁇ -islet cell function, as determined by insulin concentration or the Pro-IAPP/IAPP ratio.
- the Pro-IAPP/IAPP ratio is increased by about 10% or greater, about 20% or greater, about 30% or greater, about 40% or greater, or by about 50%.
- the ratio is increased up to 50%.
- a therapeutically effective amount of the agent may be effective to improve glycemia or insulin levels.
- the active agents are administered at a therapeutically effective dosage sufficient to treat AA (secondary) amyloidosis and/or AL (primary) amyloidosis, by stabilizing renal function, decreasing proteinuria, increasing creatinine clearance (e.g., by at least 50% or greater or by at least 100% or greater), remission of chronic diarrhea, or by weight gain (e.g., 10% or greater).
- the agents may be administered at a therapeutically effective dosage sufficient to improve nephrotic syndrome.
- active agents may be administered at a therapeutically effective dosage sufficient to decrease deposition in a subject of amyloid protein, e.g., A ⁇ 40 or A ⁇ 42.
- a therapeutically effective dosage decreases amyloid deposition by, for example, at least about 15%, or by at least about 40%, or even by at least 60%, or at least by about 80% relative to untreated subjects.
- active agents are administered at a therapeutically effective dosage sufficient to increase or enhance amyloid protein, e.g., A ⁇ 40 or A ⁇ 42, in the blood, CSF, or plasma of a subject.
- a therapeutically effective dosage increases the concentration by, for example, at least about 15%, or by at least about 40%, or even by at least 60%, or at least by about 80% relative to untreated subjects.
- active agents are administered at a therapeutically effective dosage sufficient to maintain a subject's CDR rating at its base line rating or at 0.
- the active agents are administered at a therapeutically effective dosage sufficient to decrease a subject's CDR rating by about 0.25 or more, about 0.5 or more, about 1.0 or more, about 1.5 or more, about 2.0 or more, about 2.5 or more, or about 3.0 or more.
- the active agents are administered at a therapeutically effective dosage sufficient to reduce the rate of the increase of a subject's CDR rating as compared to historical or untreated controls.
- the therapeutically effective dosage is sufficient to reduce the rate of increase of a subject's CDR rating (relative to untreated subjects) by about 5% or greater, about 10% or greater, about 20% or greater, about 25% or greater, about 30% or greater, about 40% or greater, about 50% or greater, about 60% or greater, about 70% or greater, about 80% or greater, about 90% or greater or about 100% or greater.
- active agents are administered at a therapeutically effective dosage sufficient to maintain a subject's score on the MMSE.
- the active agents are administered at a therapeutically effective dosage sufficient to increase a subject's MMSE score by about 1, about 2, about 3, about 4, about 5, about 7.5, about 10, about 12.5, about 15, about 17.5, about 20, or about 25 points.
- the active agents are administered at a therapeutically effective dosage sufficient to reduce the rate of the decrease of a subject's MMSE score as compared to historical controls.
- the therapeutically effective dosage is sufficient to reducethecrate of decrease of a subject's MMSE score may be about 5% or less, about 10% or less, about 20% or less, about 25% or less, about 30% or less, about 40% or less, about 50% or less, about 60% or less, about 70%. or less, about 80% or less, about 90% or less or about 100% or less, of the decrease of the historical or untreated controls.
- ADAS-Cog Alzheimer's Disease Assessment Scale
- SADAS Standardized Alzheimer's Disease Assessment Scale
- active agents are administered at a therapeutically effective dosage sufficient to maintain a subject's score on the DAD.
- the active agents are administered at a therapeutically effective dosage sufficient to increase a subject's DAD score by about 1, about 2, about 3, about 4, about 5, about 10, about 15, about 20, about 25, about 30, about 40, or about 50 points or greater.
- the active agents are administered at a therapeutically effective dosage sufficient to reduce the rate of the decrease of a subject's DAD score as compared to historical controls.
- the therapeutically effective dosage is sufficient to reduce the rate of decrease of a subject's DAD score by about 5% or less, about 10% or less, about 20% or less, about 25% or less, about 30% or less, about 40% or less, about 50% or less, about 60% or less, about 70% or less, about 80% or less, about 90% or less or about 100% or less, of the decrease of the historical or untreated controls.
- active agents are administered at a therapeutically effective dosage sufficient to maintain a subject's score on the ADAS-Cog.
- the active agents are administered at a therapeutically effective dosage sufficient to decrease a subject's ADAS-Cog score by about 2 points or greater, by about 3 points or greater, by about 4 points or greater, by about 5 points or greater, by about 7.5 points or greater, by about 10 points or greater, by about 12.5 points or greater, by about 15 points or greater, by about 17.5 points or greater, by about 20 points or greater, or by about 25 points or greater.
- the active agents are administered at a therapeutically effective dosage sufficient to reduce the rate of the increase of a subject's ADAS-Cog scores as compared to historical or untreated controls.
- the therapeutically effective dosage is sufficient to reduce the rate of increase of a subject's ADAS-Cog scores (relative to untreated subjects) by about 5% or greater, about 10% or greater, about 20% or greater, about 25% or greater, about 30% or greater, about 40% or greater, about 50% or greater, about 60% or greater, about 70% or greater, about 80% or greater, about 90% or greater or about 100% or greater.
- active agents are administered at a therapeutically effective dosage sufficient to decrease the ratio of A ⁇ 42:A ⁇ 40 in the CSF or plasma of a subject by about 15% or more, about 20% or more, about 25% or more, about 30% or more, about 35% or more, about 40% or more, about 45% or more, or about 50% or more.
- active agents are administered at a therapeutically effective dosage sufficient to lower levels of A ⁇ in the CSF or plasma of a subject by about 15% or more, about 25% or more, about 35% or more, about 45% or more, about 55% or more, about 75% or more, or about 95% or more.
- Toxicity and therapeutic efficacy of such agents can be determined by standard pharmaceutical procedures in cell cultures or experimental animals, e.g., for determining the LD50 (the dose lethal to 50% of the population) and the ED50 (the dose therapeutically effective in 50% of the population).
- the dose ratio between toxic and therapeutic effects is the therapeutic index and can be expressed as the ratio LD50/ED50; and usually a larger therapeutic index is more efficacious. While agents that exhibit toxic side effects may be used, care should be taken to design a delivery system that targets such agents to the site of affected tissue in order to minimize potential damage to unaffected cells and, thereby, reduce side effects.
- doses depend upon a number of factors within the ken of the ordinarily skilled physician, veterinarian, or researcher.
- the dose(s) of the small molecule will vary, for example, depending upon the identity, size, and condition of the subject or sample being treated, further depending upon the route by which the composition is to be administered, if applicable, and the effect which the practitioner desires the small molecule to have upon the subject.
- Exemplary doses include milligram or microgram amounts of the small molecule per kilogram of subject or sample weight (e.g., about 1 microgram per kilogram to about 500 milligrams per kilogram, about 100 micrograms per kilogram to about 5 milligrams per kilogram, or about 1 microgram per kilogram to about 50 micrograms per kilogram).
- appropriate doses depend upon the potency. Such appropriate doses may be determined using the assays described herein. When one or more of these compounds is to be administered to an animal (e.g., a human), a physician, veterinarian, or researcher may, for example, prescribe a relatively low dose at first, subsequently increasing the dose until an appropriate response is obtained.
- an animal e.g., a human
- a physician, veterinarian, or researcher may, for example, prescribe a relatively low dose at first, subsequently increasing the dose until an appropriate response is obtained.
- the specific dose level for any particular animal subject will depend upon a variety of factors including the activity of the specific agent employed, the age, body weight, general health, gender, and diet of the-subject, the time of administration, the route of administration, the rate of excretion, and any drug combination.
- an agent to inhibit amyloid deposition can be evaluated in an animal model system that may be predictive of efficacy in inhibiting amyloid deposition in human diseases, such as a transgenic mouse expressing human APP or other relevant animal models where A ⁇ deposition is seen or for example in an animal model of AA amyloidosis.
- the ability of an agent to prevent or reduce cognitive impairment in a model system may be indicative of efficacy in humans.
- the ability of an agent can be evaluated by examining the ability of the agent to inhibit amyloid fibril formation in vitro, e.g., using a fibrillogenesis assay such as that described herein, including a ThT, CD, or EM assay.
- binding of an agent to amyloid fibrils may be measured using a MS assay as described herein.
- the ability of the agent to protect cells from amyloid induced toxicity is determined in vitro using biochemical assays to determine percent cell death induced by amyloid protein.
- the ability of an agent to modulate renal function may also be evaluated in an appropriate animal model system.
- the therapeutic agent of the invention may be also be administered ex vivo to inhibit amyloid deposition or treat certain amyloid-related diseases, such as ⁇ 2 M amyloidosis and other amyloidoses related to dialysis.
- Ex vivo administration of the therapeutic agents of the invention can be accomplished by contacting a body fluid (e.g., blood, plasma, etc.) with a therapeutic compound of the invention such that the therapeutic compound is capable of performing its intended function and administering the body fluid to the subject.
- the therapeutic compound of the invention may perform its function ex vivo (e.g., dialysis filter), in vivo (e.g., administered with the body fluid), or both.
- a therapeutic compound of the invention may be used to reduce plasma ⁇ 2 M levels and/or maintain ⁇ 2 M in its soluble form ex vivo, in vivo, or both.
- the present invention is also related to prodrugs of the agents of the Formulae disclosed herein.
- Prodrugs are agents which are converted in vivo to active forms (see, e.g., R. B. Silverman, 1992, “The Organic Chemistry of Drug Design and Drug Action,” Academic Press, Chp. 8).
- Prodrugs can be used to alter the biodistribution (e.g., to allow agents which would not typically enter the reactive site of the protease) or the pharmacokinetics for a particular agent.
- a carboxylic acid group can be esterified, e.g., with a methyl group or an ethyl group to yield an ester.
- the ester When the ester is administered to a subject, the ester is cleaved, enzymatically or non-enzymatically, reductively, oxidatively, or hydrolytically, to reveal the anionic group.
- An anionic group can be esterified with moieties (e.g., acyloxymethyl esters) which are cleaved to reveal an intermediate agent which subsequently decomposes to yield the active agent.
- the prodrug moieties may be metabolized in vivo by esterases or by other mechanisms to carboxylic acids.
- prodrugs examples are well known in the art (see, e.g., Berge, et al., “Pharmaceutical Salts”, J. Pharm. Sci. 66, 1-19 (1977)).
- the prodrugs can be prepared in situ during the final isolation and purification of the agents, or by separately reacting the purified agent in its free acid form with a suitable derivatizing agent.
- Carboxylic acids can be converted into esters via treatment with an alcohol in the presence of a catalyst.
- cleavable carboxylic acid prodrug moieties include substituted and unsubstituted, branched or unbranched lower alkyl ester moieties,. (e.g., ethyl esters, propyl esters, butyl esters, pentyl esters, cyclopentyl esters, hexyl esters, cyclohexyl esters), lower alkenyl esters, dilower alkyl-amino lower-alkyl esters (e.g., dimethylaminoethyl ester), acylamino lower alkyl esters, acyloxy lower alkyl esters (e.g., pivaloyloxymethyl ester), aryl esters (phenyl ester), aryl-lower alkyl esters (e.g., benzyl ester), substituted (e.g., with methyl, halo, or methoxy substituents) aryl and aryl-
- Certain embodiments of the present agents can contain a basic functional group, such as amino or alkylamino, and are, thus, capable of forming pharmaceutically acceptable salts with pharmaceutically acceptable acids.
- pharmaceutically acceptable salts refers to the relatively non-toxic, inorganic and organic acid addition salts of agents of the present invention. These salts can be prepared in situ during the final isolation and purification of the agents of the invention, or by separately reacting a purified agent of the invention in its free base form with a suitable organic or inorganic acid, and isolating the salt thus formed.
- Representative salts include the hydrohalide (including hydrobromide and hydrochloride), sulfate, bisulfate, phosphate, nitrate, acetate, valerate, oleate, palmitate, stearate, laurate, benzoate, lactate, phosphate, tosylate, citrate, maleate, fumarate, succinate, tartrate, napthylate, mesylate, glucoheptonate, lactobionate, 2-hydroxyethanesulfonate, and laurylsulphonate salts and the like. See, e.g. Berge et al., “Pharmaceutical Salts”, J. Pharm. Sci. 66, 1-19 (1977).
- the agents of the present invention may contain one or more acidic functional groups and, thus, are capable of forming pharmaceutically acceptable salts with pharmaceutically acceptable bases.
- pharmaceutically acceptable salts in these instances refers to the relatively non-toxic, inorganic and organic base addition salts of agents of the present invention.
- salts can likewise be prepared in situ during the final isolation and purification of the agents, or by separately reacting the purified agent in its free acid form with a suitable base, such as the hydroxide, carbonate or bicarbonate of a pharmaceutically acceptable metal cation, with ammonia, or with a pharmaceutically acceptable organic primary, secondary or tertiary amine.
- a suitable base such as the hydroxide, carbonate or bicarbonate of a pharmaceutically acceptable metal cation, with ammonia, or with a pharmaceutically acceptable organic primary, secondary or tertiary amine.
- Representative alkali or alkaline earth salts include the lithium, sodium, potassium, calcium, magnesium, and aluminum salts and the like.
- Representative organic amines useful for the formation of base addition salts include ethylamine, diethylamine, ethylenediamine, ethanolamine, diethanolamine, piperazine and the like.
- “Pharmaceutically acceptable salts” also includes, for example, derivatives of agents modified by making acid or base salts thereof, as described further below and elsewhere in the present application.
- Examples of pharmaceutically acceptable salts include mineral or organic acid salts of basic residues such as amines; and alkali or organic salts of acidic residues such as carboxylic acids.
- Pharmaceutically acceptable salts include the conventional non-toxic salts or the quaternary ammonium salts of the parent agent formed, for example, from non-toxic inorganic or organic acids.
- Such conventional non-toxic salts include those derived from inorganic acids such as hydrochloric, hydrobromic, sulfuric, sulfamic, phosphoric, and nitric acid; and the salts prepared from organic acids such as acetic, propionic, succinic, glycolic, stearic, lactic, malic, tartaric, citric, ascorbic, palmoic, maleic, hydroxymaleic, phenylacetic, glutamic, benzoic, salicylic, sulfanilic, 2-acetoxybenzoic, fumaric, toluenesulfonic, methanesulfonic, ethane disulfonic, oxalic, and isethionic acid.
- inorganic acids such as hydrochloric, hydrobromic, sulfuric, sulfamic, phosphoric, and nitric acid
- organic acids such as acetic, propionic, succinic, glycolic, stearic, lactic, malic, tart
- salts may be synthesized from the parent agent which contains a basic or acidic moiety by conventional chemical methods. Generally, such salts may be prepared by reacting the free acid or base forms of these agents with a stoichiometric amount of the appropriate base or acid in water or in an organic solvent, or in a mixture of the two.
- All acid, salt, base, and other ionic and non-ionic forms of the compounds described are included as compounds of the invention.
- the salt forms of the compound are also included.
- the acid and/or basic forms are also included.
- test compounds were synthesized and screened by mass spectrometry (“MS”) assays, except for selected compounds which were purchased from a commercial source.
- MS assay gives data on the ability of compounds to bind to proteins, in this example, to ⁇ -amyloid and IAPP.
- samples were prepared as aqueous solutions (adding 20% ethanol if necessary to solubilize in water), 200 ⁇ M of a test compound and 20 ⁇ M of solubilized A ⁇ 40, or 400 ⁇ M of a test compound and 40 ⁇ M of solubilized A ⁇ 40.
- the pH value of each sample was adjusted to 7.4 ( ⁇ 0.2) by addition of 0. 1% aqueous sodium hydroxide.
- the solutions were then analyzed by electrospray ionization mass spectrometry using a Waters ZQ 4000 mass spectrometer. Samples were introduced by direct infusion at a flow-rate of 25 ⁇ L/min within. 2 hours after sample preparation. The source temperature was kept at 70° C.
- the assay for IAPP was conducted under the same conditions except that 200 ⁇ M or 100 ⁇ M of test compound and 20 ⁇ M of solubilized LAPP were employed.
- the key below describes the codes used in Table 3A to quantify the binding based on the intensity of the absorption.
- Transgenic mice TgCRND8, expressing the human amyloid precursor protein (HAPP) develop a pathology resembling Alzheimer's disease.
- HAPP human amyloid precursor protein
- high levels of A ⁇ 40 and A ⁇ 42 have been documented in the plasma and the brain of these animals at 8-9 weeks of age, followed by early accumulation of amyloid plaques similar to the senile plaques observed in AD patients.
- These animals also display progressive cognitive deficits that parallel the appearance of degenerative changes. See, e.g., (Chishti, et al., J. Biol. Chem. 276, 21562-70 (2001).
- mice from the 3 rd and 4 th B6C3F1 generations were used in this example and given daily subcutaneous or oral administrations of one of a series of compounds for 14 or 28 days.
- the following abbreviations are used to designate these animals from the 3 rd and 4 th generation backcross in the present protocol: TgCRND8-2.B6C3F1(N 3 ); TgCRND8-2.B6C3F1(N 4 ).
- Baseline animals (Group 1) consisted of naive TgCRND8-2. B6C3F1(N 3 ) at 11 ⁇ 1 weeks of age. These mice were used to determine the A ⁇ levels in the plasma and brain of naive transgenic animals at the initiation of treatment.
- animals received daily administration of their respective treatment for a period of 14 or 28 days (groups 2-21), at a dose of 250 mg/kg at 10 ml/kg or of vehicle only (water; group 2) or 1% methyl cellulose only (group 21).
- the route of administration was subcutaneous for water-soluble compounds and oral for compounds solubilized in methylcellulose 1% (MC 1%).
- MC 1% methylcellulose 1%
- mice used in this study were derived from a breeding colony at Institut Armand Frappier, and were well-acclimated to the animal facility environment prior to initiation of the study. Animals were assigned, according to age and gender, into the following experimental groups: TABLE 5 Groups of Mice Daily Dose Duration of Treatment Group No.
- Brains were weighted frozen and homogenized with 4 volumes of ice cold 50 mM Tris-Cl pH 8.0 buffer with protease inhibitor cocktail (4 mL of buffer for 1 g of wet brain). Samples were spun at 15000 g for 20 minutes and the supernatants were transferred to fresh tubes. One hundred fifty (150) ⁇ l from each supernatant were mixed with 250 ⁇ l of 8M guanidine-HCL/50 mM Tris-HCL pH 8.0 (ratio of 0.6 vol supernatant: 1 vol 8M guanidium/Tris-HCL 50 mM pH8.0) and 400 ⁇ L 5 M guanidium/Tris-HCL 50 mM pH8.0 were added.
- the tubes were vortexed for 30 seconds and frozen at ⁇ 80° C.
- pellets were treated with 7 volumes of 5 M guanidine-HCL/50 mM Tris-HCL pH 8.0 (7 mL of guanidine for 1 g of wet brain), vortexed for 30 seconds and frozen at ⁇ 80° C. Samples were thawed at room temperature, sonicated at 80° C. for 15 minutes and frozen again. This cycle was repeated 3 times to ensure homogeneity and samples were returned to ⁇ 80° C. pending analysis.
- a ⁇ levels were evaluated in plasma and brain samples by ELISA using Human A ⁇ 40 and A ⁇ 42 Fluorometric ELISA kits from Biosource (Cat. No. 89-344 and 89-348) according to manufacturer's recommended procedures. In short, samples were thawed at room temperature, sonicated for 5 minutes at 80° C. (sonication for brain homogenates; no sonication for plasma samples) and kept on ice. A ⁇ peptides were captured using 100 ⁇ l of the diluted samples to the plate and incubated without shaking at 4° C. overnight. The samples were aspirated and the wells were rinsed 4 times with wash buffer obtained from the Biosource ELISA kit.
- the anti-A ⁇ 40 or anti-A ⁇ 42 rabbit polyclonal antiserum (specific for the A ⁇ 40 or A ⁇ 42 peptide) was added (100 ⁇ l) and the plate was incubated at room temperature for 2 hours with shaking. The wells were aspirated and washed 4 times before adding 100 ⁇ l of the alkaline phosphatase labeled anti-rabbit antibody and incubating at room temperature for 2 hours with shaking. The plates were then rinsed 5 times and the fluorescent substrate (100 ⁇ l) was added to the plate. The plate was incubated for 35 minutes at room temperature and the plate was read using a titer plate reader at an excitation wavelength of 460 nm and emission at 560 nm.
- Compounds were scored based on their ability to modulate levels of A ⁇ peptides in the plasma and the cerebral soluble/insoluble levels in the brain.
- Levels of A ⁇ observed in the plasma and brain of treated animals were normalized using values from vehicle-treated (water) or methylcellulose-treated control groups and ranked according to the strength of the pharmacological effect. Results are shown in Tables 3 to 11. Increases in the levels of A ⁇ peptides are indicated using “+” symbols, while decreases in the levels of A ⁇ peptides are indicated using “ ⁇ ” symbols. The strongest effects are recorded as “+++” or “ ⁇ ” while the weakest are shown as “+” or “ ⁇ ”.
- increases in the levels of A ⁇ (relative to untreated control) of 20 to 39% are scored as “+”; increases of 40 to 69% are scored as “++”; and increases of 70% or higher are scored as “+++”.
- Decreases in the levels of A ⁇ of 5 to 19% are scored as “ ⁇ ”; decreases of 20 to 38% are scored as “ ⁇ ”; and decreases of 39% or more are scored as “ ⁇ ”.
- the tables show levels of A ⁇ peptides in the plasma and brain of TgCRND8 mice treated for 14 and 28 days with compounds of the invention.
- Tables 6A and 6C show the data from Day 14 and Day 28 for the Plasma Vehicle group, respectively.
- Tables 6B and 7 show the data for the Plasma Methylcellulose group on Days 14 and 28, respectively.
- Tables 8 and 10 show the data on Days 14 and 28 for the Brain homogenate vehicle group, respectively.
- Tables 9 and 11 show the data for brain homogenate for the Methylcellulose group on Days 14 and 28, respectively. TABLE 6A Plasma Vehicle Group, Day 14 Treatment A ⁇ 40 Change A ⁇ 42 Change BY + + CV + ++ DC + ⁇ + ++ BX +++ ++
- Transgenic mice as those used in the short-term treatment, overexpress a human APP gene with the Swedish and Indiana mutations leading to the production of high levels of the amyloid peptides and to the development of an early-onset, aggressive development of brain amyloidosis.
- the high levels of A: peptides and the relative overabundance of A ⁇ 42 compared to A ⁇ 40 are believed to be associated with the severe and early degenerative pathology observed.
- the pattern of amyloid deposition, presence of dystrophic neuritis, and cognitive deficit has been well documented in this transgenic mouse line.
- the levels of A ⁇ peptides in the brain of these mice increase dramatically as the animals age. While the total amyloid peptide levels increase from ⁇ 1.6 ⁇ 10 5 pg/g of brain to ⁇ 3.8 ⁇ 10 6 between 9 and 17 weeks of age.
- mice used in the study consisted of animals bearing one copy of the hAPP gene ( ⁇ ) from the 2 nd and 3 rd generation progenies (N 2 and N 3 ) derived from backcrosses from TgCRND8.FVB(N 2 )AJ(N 3 ) with B6AF1/J hybrid animals.
- N 1 TgCRND 8.
- FVB ( N 2 ) AJ ( N 3 ) ⁇ B 6 AF 1 /J N 2 TgCRND 8.
- B 6 AF 1 /J ( N 1 ) ⁇ B 6 AF 1 /J N 3 TgCRND 8.
- B 6 AF 1 /J ( N 1 ) ⁇ B 6 AF 1 /J N 3 TgCRND 8.
- Baseline animals consisted of 9 ⁇ 1 week old naive TgCRND8.B6AF1/J animals from the 2 nd and 3 rd generations. These mice were used to determine the extent of cerebral amyloid deposits and A ⁇ levels in the plasma and brain of naive transgenic animals at the initiation of treatment.
- mice received daily administration of their respective treatment for a period of 8 or 16 weeks, at a dose of 30 or 100 mg/kg at 10 ml/kg.
- the route of administration was subcutaneous for water-soluble compounds (Compound BX) and oral for compounds solubilized in methylcellulose 1% (MC 1%) (Compounds BW and BZ).
- MC 1%) methylcellulose 1%
- a ⁇ levels were measured as described above in the short term treatment study. Compounds were scored based on their ability to modulate levels of A ⁇ peptides in the plasma and the cerebral soluble/insoluble levels in the brain. Levels of A ⁇ observed in the plasma and brain of treated animals were compared to that of vehicle-treated (water) or methylcellulose-treated control groups and ranked according to the strength of the pharmacological effect. Results are shown in Table 12. Increases in the levels of A ⁇ peptides are indicated using “+” symbols, while decreases in the levels of A ⁇ peptides are indicated using “ ⁇ ” symbols. The strongest effects are recorded as “+++” or “ ⁇ ” while the weakest are shown as “+” or “ ⁇ ”.
- increases in the levels of A ⁇ (relative to vehicle treated control) of 5 to 14% are scored as “+”; increases of 15 to 29% are scored as “++”; and increases of 30% or higher are scored as “+++”.
- Decreases in the levels of A ⁇ of 5 to 14% are scored as “ ⁇ ”; decreases of 15 to 29% are scored as “ ⁇ ”; and decreases of 30% or more are scored as “ ⁇ ”.
- changes of 4% or less in either direction are scored as “0”.
- Table 12 shows levels of A ⁇ peptides in the plasma and brain of TgCRND8 mice treated for 8 and 16 weeks with compounds of the invention. Treatment with these compounds after 8 and/or 16 weeks in many cases resulted in a change in the levels of A ⁇ 40 and/or A ⁇ 42 in the plasma and/or brain. For example, administration of compound BX generally resulted in a dramatic decrease in the amount of A ⁇ in the brain at both 8 and 16 weeks. Compound BW also resulted in a dramatic decrease in brain and plasma levels of A ⁇ at 8 weeks and plasma levels at 16 weeks.
- the plaques in the brains of the mice were quantified as follows. Mice were transcardially perfused with saline solution. Brains were dissected out and separated in 2 hemispheres. The left hemisphere was immersed in freshly-prepared 4% paraformaldehyde for 3 hrs at 4° C., then transfered into 30% sucrose at 4° C. When cryoprotection was achieved (24-48 hours), brains were frozen in isopentane at ⁇ 45° C. and subsequently stored at ⁇ 80° C. until sectioning. Coronal 40 ⁇ m-thick sections were performed, and stained with thioflavin S (1% solution in water) for 8 min.
- AD Alzheimer Disease
- ⁇ -synuclein the highly hydrophobic non-amyloid component (NAC) region of ⁇ -synuclein has also been described as the second most abundant component of amyloid plaques in the brain of AD patients, after.
- NAC non-amyloid component
- NAC non-amyloid beta
- the ability of the compounds of the present invention to bind to NAC peptide in aqueous solution was evaluated.
- the binding ability correlates to the intensities of the peptide-compound complex peaks observed by the Electrospray Mass Spectrum. Millipore distilled deionized water was used to prepare all aqueous solutions. For pH determination a Beckman ⁇ 36 pH meter fitted with a Corning Semi-Micro Combination pH Electrode was employed.
- NAC (MW 3260.6 Da) at 20 ⁇ M was first analyzed at pH 7.40 and the usual sodium clusters was observed at +2, +3 and +4 at m/z 1335.5, 1116.7 and 843.4 respectively.
- the optimal cone voltage was determined to be 20V.
- Mass spectrometry Mass spectrometric analysis was performed using a Waters ZQ 4000 mass spectrometer equipped with a Waters 2795 sample manager. MassLynx 4.0 (earlier by MassLynx 3.5) was used for data processing and analysis. Test compounds were mixed with disaggregated peptides in aqueous media (6.6% EtOH) at a 5:1 ratio (20 ⁇ M NAC: 100 ⁇ M of test compound or 40 ⁇ M NAC: 200 ⁇ M of test compound). The pH of the mixture was adjusted to 7.4 ( ⁇ 0.2) using 0.1% NaOH (3-5 ⁇ L). Periodically, NAC peptide solution at 20 ⁇ M or 40 ⁇ M was also prepared in the same fashion and run as control.
- the spectra were obtained by introducing the solutions to the electrospray source by direct infusion using a syringe pump at a flow rate of 25 ⁇ l/min, and scanning from 100 to 2100 Da in the positive mode.
- the scan time was 0.9 sec per scan with an inter-scan delay of 0.1 sec and the run time was 5 min for each sample. All the mass spectra were sum of 300 scans.
- the desolvation and source temperature was 70° C. and the cone and capillary voltage were maintained at 20 V and 3.2 kV respectively.
- the present invention also relates to novel compounds and the synthesis thereof Accordingly, the following examples are presented to illustrate how some of those compounds may be prepared.
- Cyclopentylamine (3.95 mL, 40 mmol) was added to a solution of 1,3-propane sultone (5.5 g, 45 mmol) in THF (80 mL). The mixture was heated at reflux with an oil-bath for 4 hours. Stirring was difficult, some acetone and ethanol were added to restore stirring. The mixture was cooled to room temperature. The solid was collected by filtration, dried in a vacuum oven for 1 hour at 60° C. (5.47 g). The solid material was dissolved in methanol/water (35 mL/2.5 mL, v/v) at reflux. The mixture was cooled slowly to room temperature overnight, and further cooled in a fridge.
- the product was collected by filtration, rinsed with methanol (15 mL), air-dried for 15 minutes, and further dried in a vacuum oven at 60° C. overnight.
- the product, Compound CJ was obtained as long fine white needles (4.79 g).
- a second crop was obtained from the combined crude and first recrystallization mother liquor (0.84 g). Both crops were pure and were combined, total 5.63 g, 68% yield. m.p. 280-82° C.
- Cycloheptylamine (3.9 mL, 30 mmol) was added to a solution of 1,3-propane sultone (4.1 g, 33 mmol) in THF (65 mL). The mixture was heated at reflux for 5 hours with a heating mantle. The mixture was cooled to room temperature and the solid-was collected by filtration, and then dried in a vacuum oven for 1 hour at 60° C. (6.21 g). The solid material was dissolved in methanol/water (30 mL/3 mL, v/v). The solution was cooled slowly to room temperature, and further cooled with an ice-bath.
- Component 1 L-(N-Boc)-Phe-L-Phe
- Component 2 3-amino1-propanesulfonic acid isobutyl ester
- Step 1 3-azido-1-propanesulfonic acid, sodium salt (5)
- 3-Azidopropanesulfonic acid, sodium salt 5 (1.87 g, 10.0 mmol) was suspended in dry benzene (20 mL), and PCl 5 (2.3 g, 10.5 mmol) was added to the suspension. The mixture was stirred at room temperature for 30 minutes, then at gentle reflux for about 1 hour. The benzene and P(O)Cl3 were removed by evaporation under reduced pressure. Benzene was added to the crude mixture and the solvent was removed again under reduced pressure. The residue was dried in vacuo. The dried residue was dissolved in dichloromethane (anhydrous, 15 mL) and cooled at ⁇ 10° C. using an ice/acetone bath.
- the mixture was diluted with dichloromethane (50 mL) and the organic layer was washed sequentially with 1N NaHSO 4 , aqueous saturated NaHCO 3 , and brine, and dried over sodium sulfate. The solvent was removed by evaporation under reduced pressure. Three compounds in the mixture were shown on TLC. Since the impurities were less soluble in methanol, repeated treatment with methanol followed by filtration removed most of the impurities. Column chromatography on silica gel (2% MeOH in CHCl 3 ) afforded the tripeptide 3 as amber glassy solid (156.1 mg, 12%).
- the mixture was heated under refluxed for 30 minutes and then was cooled to room temperature.
- the white solid was collected by filtration, washed with ether, then dried in the vacuum oven for 45 minutes.
- the resulting solid (423.1 mg) was dissolved in a mixture of water/tert-butanol (7:3, 5 mL) and treated with Amberlite IR-120 plus (washed, 15 g dry weight) for 2 minutes at room temperature.
- the resin was removed by filtration and washed 3 times with the mixed solvents of water and tert-butanol (10 mL). Concentrated HCl (4 mL) was added. The solvents were removed under reduced pressure, and the resulting solid was dried in vacuum.
- the azide (2.70 g, 7.94 mmol) was stirred under H 2 (40 psi) with 10% Pd/C (348 mg) in ethanol (16 mL) at room temperature overnight. The solid was removed by filtration over Celite. The filtrate was treated with TMSCl/EtOH in attempt to obtain a crystalline hydrochloride salt of the product. The solvent was evaporated to give a thick residue (2.2 g, 6.27 mmol, 79%) that crystallized under none of the conditions tried.
- the crude hydrochloric acid salt was dissolved in dichloromethane and washed once with saturated sodium bicarbonate. The organic layer was recovered and dried over sodium sulfate. The solvent was removed by evaporation under reduced pressure.
- the hydrolysis was done by the conventional LiOH/MeOH method.
- the product was purified by recrystallization from EtOAc and Hexanes.
- the dimer was the major species on the MS.
- the solid was dissolved into methanol and treated with HCl overnight at room temperature. The solvent was evaporated and the residue was dried in vacuo. The product was obtained as a white foamy solid (180.4 mg, 97%).
- the 1 H and 13 C NMR were consistent with the structure of compound AB.
- the solid (1.96 g, 5.8 mmol) was dissolved in a minimum amount of water. To the solution was added aqueous NH 4 OH (28-30%, 15 mL). The reaction mixture was stirred at room temperature over weekend. The solvent was removed under reduced pressure and EtOAc (15 mL) was added. The mixture was heated under reflux. The hot solution was filtered. The filtrate was cooled-to room temperature and was stored in the fridge. The solid was collected by filtration, washed with EtOAc, to give 4-iodophenylalanine amide.
- the amide (1.3 g, 4.4 mmol) was dissolved in 15 mL of 2-butanone with a few drops of DMF before 1,3-propane sultone (560 mg, 4.9 mmol) was added.
- the reaction mixture was stirred at reflux for 2 hours.
- the mixture was cooled to room temperature.
- the solid was collected by filtration, washed with acetone (2 ⁇ 20 mL) and dried in vacuo.
- the solid was suspended in MeOH (25 mL) and a small amount of water (1 mL). The suspension was stirred at reflux.
- the solid material was collected by filtration while the mixture was still hot.
- the solid was washed with hot MeOH (2 ⁇ 10 mL).
- Compound CO was obtained as a white solid (320 mg).
- the 4-(4-fluorophenyl)-1,2,3,6-tetrahydropyridine hydrochloride (2.58 g, 14.5 mmol) was treated with 1N NaOH (20 mL). The aqueous mixture was extracted with CH 2 Cl 2 (20 mL). The organic layer was separated and dried over MgSO 4 . The solvents were removed by evaporation under reduced pressure.
- the 4-(4-chlorophenyl)-1,2,3,6-tetrahydropyridine hydrochloride (2.52 g, 10.9 mmol) was treated with 1N NaOH (20 mL); and aqueous mixture was extracted with CH 2 Cl 2 (20 mL). The organic layer was separated, dried over Na 2 SO 4 , and filtered. The solvent was removed under reduced pressure.
- the 1-(4-chlorophenyl)piperazine dihydrochloride (2.5 g, 9.3 mmol) was treated with 1N NaOH (40 mL); and the aqueous mixture was extracted with CH 2 Cl 2 (40 mL). The organic layer was separated, dried over Na 2 SO 4 , filtered and solvent was removed under reduced pressure.
- the 4-cyano-4-phenylpiperidine hydrochloride (2.0 g, 9.0 mmol) was treated with 1N NaOH (20 mL) and the aqueous phase was extracted with CH 2 Cl 2 (20 mL). The organic layer was separated, dried over MgSO 4 , filtered and solvent was removed under reduced pressure.
- the 4-phenyl-1,2,3,6-tetrahydropyridine hydrochloride (2.01 g, 10.2 mmol) was treated with 1N NaOH (20 mL) and the aqueous phase wa extracted with CH 2 Cl 2 (20 mL). The organic layer was separated, dried over MgSO 4 , filtered and solvent was removed under reduced pressure.
- the ester (5.7 mmol) was dissolved in 6N HCl (40 mL). The reaction mixture was stirred at room temperature for 5 hours and at reflux for 1 hour before it was cooled to room temperature. The reaction mixture was extracted with CH 2 Cl 2 (3 ⁇ 30 mL). The aqueous phase was evaporated under reduced pressure. The residue was dissolved in water (20 mL); and the aqueous solution was concentrated to dryness under reduced pressure. The resultant material was further dried in vacuo, affording compound R, 973 mg (61%).
- Tetrahydrofuran (THF, 800 mL) was placed a 3 neck 2-L flask (equipped with a condenser) and cooled to 5° C. with an ice-bath.
- aqueous ethylamine 70 wt. % solution in water, 85 mL, 1.07 mol
- 1,3-propane sultone 25.08 g, 201 mmol
- THF 1,3-propane sultone
- the solid material was recrystallized from methanol (100 mL). After the mixture was cooled using an ice-bath, the solid was collected by filtration, rinsed with cold methanol, and dried in a vacuum oven at 40° C. Compound CV was obtained as white fine needles (19.12 g, 57%). The 1 H and 13 C NMR were consistent with the structure.
- the 1-adamantanamine hydrochloride (80 g, 0.426 mol) was treated with NaOH (10%, 400 mL) in water. The aqueous mixture was extracted with dichloromethane (1 ⁇ 400 mL, 2 ⁇ 100 mL). The combined organic layers were washed with brine (50 mL) and dried over sodium sulfate (10 g). Solvent was removed under reduced pressure. The resulting white waxy solid was co-evaporated with acetonitrile (50 mL). The wet solid was suspended in acetonitrile (200 mL).
- the suspension mixture was added dropwise over 20 min to a solution of 1,3-propane sultone (53 g, 0.426 mol) in acetonitrile (300 mL) and THF (200 mL). The thick mixture was stirred for 2 hours under reflux with a mechanical stirrer. The suspension was then cooled to 13° C. The solid was collected by suction-filtration, rinsed with acetonitrile (2 ⁇ 100 mL) and ether (1 ⁇ 100 mL), air-dried for 30 min, and further dried in vacuo at 60° C. overnight (104.17 g for crop 1). Another crop was collected from the filtrate and dried in vacuo in the same manner (3.39 g for crop 2). Both crops gave identical proton NMR spectrum. The two batches were combined for further purification.
- the solid was suspended in methanol (720 mL) and the mixture was heated to reflux. Water (490 mL) was added dropwise over 45 min, while maintaining reflux. After complete dissolution of the solid, the solution was kept under reflux for 30 minute. The mixture was left in the power-off heating mantle and allowed to cool slowly. After 90 min, the temperature reached 40° C. The heating mantle was replaced by a thermostated water bath. The mixture was cooled to 5° C. and stirred overnight at this temperature. The white flaky solid was collected by filtration, rinsed with cold (0° C.) methanol (2 ⁇ 125 mL), air-dried for 60 minutes, and then dried in the vacuum oven at 60° C. overnight.
- the 2-aminoadamantane hydrochloride (2 ⁇ 5 g) was treated with NaOH in water.
- the aqueous mixture was extracted with dichloromethane.
- the organic layer was dried over magnesium sulfate.
- the solvent was removed under reduced pressure.
- the resulting white solid was dried 30 minutes at room temperature under vacuum.
- a solution of 1,3-propane sultone (7.4 g, 60 mmol) in THF was added to a solution of the free amine (7.98 g, 52 mmol) in THF (70 mL, total).
- the mixture was heated under reflux for 4 h, cooled into an ice bath.
- the solid was collected by filtration, air-dried for 15 min., and further dried in vacuo (11.2 g).
- 3-amino-1-propanesulfonic acid (2.0 g, 14.4 mmol) was dissolved a NaOH (1.2 g, 30.2 mmol) solution in a mixture of 1,4-dioxane (5 mL) and water (15 mL). The mixture was cooled to 0° C. before pivaloyl chloride (2.8 mL, 21.6 mmol) in 1,4-dioxane (5 mL) was added dropwise. The reaction mixture was allowed to warm up to room temperature and it was stirred at 65° C. for 4 h. The solvent was evaporated under reduced pressure. The resulting solid was dissolved in water (30 mL), and treated with Dowex 50WX8 resin.
- the solid was collected by suction filtration, air-dried for 30 minutes, and further dried in a vacuum oven at 60° C. for 40 hours (crop 1, 4.47 g).
- the combined mother liquor was stored at ⁇ 20° C. for 40 hours.
- a second crop of the solid was collected by filtration, rinsed with acetone (2 ⁇ 15 mL), air-dried (1 hour), and further dried in a vacuum oven at 60° C. for 24 hours.
- Compound DY was obtained in two crops (total 7.82 g, 42% yield).
- Mexiletine hydrochloride (2.45 g, 11.3 mmol) was freed with 1N NaOH (50 mL), extracted with ethyl acetate (2 ⁇ 50 mL). The combined extract was dried over sodium sulfate. The solvent was evaporated. A solution of 1,3-propane sultone (1.46 g, 11.9 mmol) in THF (35 mL) was added to the free amine. The mixture was heated at reflux for 4 hours. The mixture was cooled to room temperature; and the resultant solid material was collected by filtration, rinsed with THF (5 mL). The solid was dried overnight at 40° C.
Landscapes
- Chemical & Material Sciences (AREA)
- Organic Chemistry (AREA)
- Health & Medical Sciences (AREA)
- General Health & Medical Sciences (AREA)
- Life Sciences & Earth Sciences (AREA)
- Molecular Biology (AREA)
- Biochemistry (AREA)
- Medicinal Chemistry (AREA)
- Engineering & Computer Science (AREA)
- Bioinformatics & Cheminformatics (AREA)
- General Chemical & Material Sciences (AREA)
- Pharmacology & Pharmacy (AREA)
- Nuclear Medicine, Radiotherapy & Molecular Imaging (AREA)
- Animal Behavior & Ethology (AREA)
- Chemical Kinetics & Catalysis (AREA)
- Public Health (AREA)
- Veterinary Medicine (AREA)
- Neurology (AREA)
- Biomedical Technology (AREA)
- Neurosurgery (AREA)
- Biophysics (AREA)
- Genetics & Genomics (AREA)
- Proteomics, Peptides & Aminoacids (AREA)
- Hospice & Palliative Care (AREA)
- Psychiatry (AREA)
- Heart & Thoracic Surgery (AREA)
- Cardiology (AREA)
- Dermatology (AREA)
- Acyclic And Carbocyclic Compounds In Medicinal Compositions (AREA)
- Pharmaceuticals Containing Other Organic And Inorganic Compounds (AREA)
Abstract
Methods, compounds, pharmaceutical compositions and kits are described for treating or preventing amyloid-related disease.
Description
- This application claims priority to U.S. Provisional Patent Application 60/638,819, filed on Dec. 22, 2004. This application is also a continuation-in-part of U.S. patent appplication Ser. No. 10/871,514, filed Jun. 18, 2004, which claims priority to U.S. patent application Ser. No. 10/871,365 filed Jun. 18, 2004, U.S. Provisional Patent Application No. 60/512,047, filed Oct. 17, 2003, and U.S. Provisional Patent Application No. 60/480,906, filed Jun. 23, 2003, all entitled Methods and Compositions for Treating Amyloid-Related Diseases. This application is also related to U.S. Provisional Application Serial No. 60/638,636, filed Dec. 22, 2004.
- This application is also related to U.S. Provisional Patent Application No. 60/512,017, filed Oct. 17, 2003, U.S. Provisional Patent Application No. 60/480,918, filed Jun. 23, 2003, and U.S. patent application Ser. No. 10/871,613, filed Jun. 18, 2004, all entitled Methods for Treating Protein Aggregation Disorders.
- This application is related to U.S. Provisional Patent Application No. 60/512,116, filed Oct. 17, 2003, U.S. Provisional Patent Application No. 60/480,984, filed Jun. 23, 2003, and U.S. application Ser. No. 10/871,549, filed Jun. 18, 2004, all entitled Pharmaceutical Formulations of Amyloid-Inhibiting Compounds.
- This application is related to U.S. Provisional Patent Application No. 60/436,379, filed Dec. 24, 2002, U.S. Provisional Patent Application No. 60/482,214, filed Jun. 23 2003, entitled Combination Therapy for the Treatment of Alzheimer's Disease, U.S. patent application Ser. No. 10/746,138, filed Dec. 24, 2003, International Patent Application No. PCT/CA2003/002011, filed Dec. 24, 2003, and U.S. patent application Ser. No. 10/871,537, filed Jun. 18, 2004, entitled Therapeutic Formulations for the Treatment of Beta-Amyloid Related Diseases.
- This application is related to U.S. Provisional Patent Application No. 60/512,135, filed Oct. 17, 2003, U.S. Provisional Patent Application No. 60/482,058, filed Jun. 23, 2003, both entitled Synthetic Process for Preparing Compounds for Treating Amyloidosis, and U.S. patent application Ser. No. 10/871,543, filed Jun. 18, 2004, entitled Improved Pharmaceutical Drug Candidates and Method for Preparation Thereof.
- This application is related to U.S. Provisional Patent Application Ser. No. 60/512,018, filed on Oct. 17, 2003 and U.S. Provisional Patent Application Ser. No. 60/480,928, filed on Jun. 23, 2003, and U.S. application Ser. No. 10/871,512, filed Jun. 18, 2004, all entitled Methods and Compositions for Treating Amyloid-and Epileptogenesis-Associated Diseases.
- This application is also related to Method for Treating Amyloidosis, U.S. patent application Ser. No. 08/463,548, now U.S. Pat. No. 5,972,328.
- The entire contents of each of these patent applications and patents are hereby expressly incorporated herein by reference including without limitation the specification, claims, and abstract, as well as any figures, tables, or drawings thereof.
- Amyloidosis refers to a pathological condition characterized by the presence of amyloid fibrils. Amyloid is a generic term referring to a group of diverse but specific protein deposits (intracellular or extracellular) which are seen in a number of different diseases. Though diverse in their occurrence, all amyloid deposits have common morphologic properties, stain with specific dyes (e.g., Congo red), and have a characteristic red-green birefringent appearance in polarized light after staining. They also share common ultrastructural features and common X-ray diffraction and infrared spectra.
- Amyloid-related diseases can either be restricted to one organ or spread to several organs. The first instance is referred to as “localized amyloidosis” while the second is referred to as “systemic amyloidosis.”
- Some amyloid diseases can be idiopathic, but most of these diseases appear as a complication of a previously existing disorder. For example, primary amyloidosis (AL amyloid) can appear without any other pathology or can follow plasma cell dyscrasia or multiple myeloma.
- Secondary amyloidosis is usually seen associated with chronic infection (such as tuberculosis) or chronic inflammation (such as rheumatoid arthritis). A familial form of secondary amyloidosis is also seen in other types of familial amyloidosis, e.g., Familial Mediterranean Fever (FMF). This familial type of amyloidosis is genetically inherited and is found in specific population groups. In both primary and secondary amyloidosis, deposits are found in several organs and are thus considered systemic amyloid diseases.
- “Localized amyloidoses” are those that tend to involve a single organ system. Different amyloids are also characterized by the type of protein present in the deposit. For example, neurodegenerative diseases such as scrapie, bovine spongiform encephalitis, Creutzfeldt-Jakob disease, and the like are characterized by the appearance and accumulation of a protease-resistant form of a prion protein (referred to as AScr or PrP-27) in the central nervous system. Similarly, Alzheimer's disease, another neurodegenerative disorder, is characterized by neuritic plaques and neurofibrillary tangles. In this case, the amyloid plaques found in the parenchyma and the blood vessel is formed by the deposition of fibrillar Aβ amyloid protein. Other diseases such as adult-onset diabetes (type II diabetes) are characterized by the localized accumulation of amyloid fibrils in the pancreas.
- Once these amyloids have formed, there is no known, widely accepted therapy or treatment which significantly dissolves amyloid deposits in situ, prevents further amyloid deposition or prevents the initiation of amyloid deposition.
- Each amyloidogenic protein has the ability to undergo a conformational change and to organize into β-sheets and form insoluble fibrils which may be deposited extracellularly or intracellularly. Each amyloidogenic protein, although different in amino acid sequence, has the same property of forming fibrils and binding to other elements such as proteoglycan, amyloid P and complement component. Moreover, each amyloidogenic protein has amino acid sequences which, although different, show similarities such as regions with the ability to bind to the glycosaminoglycan (GAG) portion of proteoglycan (referred to as the GAG binding site) as well as other regions which promote β-sheet formation. Proteoglycans are macromolecules of various sizes and structures that are distributed almost everywhere in the body. They can be found in the intracellular compartment, on the surface of cells, and as part of the extracellular matrix. The basic structure of all proteoglycans is comprised of a core protein and at least one, but frequently more, polysaccharide chains (GAGs) attached to the core protein. Many different GAGs have been discovered including chondroitin sulfate, dermatan sulfate, keratan sulfate, heparin, and hyaluronan.
- In specific cases, amyloid fibrils, once deposited, can become toxic to the surrounding cells. For example, the Aβ fibrils organized as senile plaques have been shown to be associated with dead neuronal cells, dystrophic neurites, astrocytosis, and microgliosis in patients with Alzheimer's disease. When tested in vitro, oligomeric (soluble) as well as fibrillar Aβ peptide was shown to be capable of triggering an activation process of microglia (brain macrophages), which would explain the presence of microgliosis and brain inflammation found in the brain of patients with Alzheimer's disease. Both oligomeric and fibrillar Aβ peptide can also induce neuronal cell death in vitro. See, e.g., M P Lambert, et al., Proc. Natl. Acad. Sci. USA 95, 6448-53 (1998).
- In another type of amyloidosis seen in patients with type II diabetes, the amyloidogenic protein IAPP, when organized in oligomeric forms or in fibrils, has been shown to induce β-islet cell toxicity in vitro. Hence, appearance of IAPP fibrils in the pancreas of type II diabetic patients contributes to the loss of the β islet cells (Langerhans) and organ dysfunction which can lead to insulinemia.
- Another type of amyloidosis is related to β2 microglobulin and is found in long-term hemodialysis patients. Patients undergoing long term hemodialysis will develop β2-microglobulin fibrils in the carpal tunnel and in the collagen rich-tissues in several joints. This causes severe pains, joint stiffness and swelling.
- Amyloidosis is also characteristic of Alzheimer's disease. Alzheimer's disease is a devastating disease of the brain that results in progressive memory loss leading to dementia, physical disability, and death over a relatively long period of time. With the aging populations in developed countries, the number of Alzheimer's patients is reaching epidemic proportions.
- People suffering from Alzheimer's disease develop a progressive dementia in adulthood, accompanied by three main structural changes in the brain: diffuse loss of neurons in multiple parts of the brain; accumulation of intracellular protein deposits termed neurofibrillary tangles; and accumulation of extracellular protein deposits termed amyloid or senile plaques, surrounded by misshapen nerve terminals (dystrophic neurites) and activated microglia. (microgliosis and astrocytosis). A main constituent of these amyloid plaques is the amyloid-β peptide (Aβ), a 39-43 amino-acid protein that is produced through cleavage of the β-amyloid precursor protein (APP). Extensive research has been conducted on the relevance of Aβ deposits in Alzheimer's disease, see, e.g., Selkoe, Trends in Cell Biology 8, 447-453 (1998). Aβ naturally arises from the metabolic processing of the amyloid precursor protein (“APP”) in the endoplasmic reticulum (“ER”), the Golgi apparatus, or the endosomal-lysosomal pathway, and most is normally secreted as a 40 (“Aβ1-40”) or 42 (“Aβ1-42”) amino acid peptide (Selkoe, Annu. Rev. Cell Biol. 10, 373-403 (1994)). A role for Aβ as a primary cause for Alzheimer's disease is supported by the presence of extracellular Aβ deposits in senile plaques of Alzheimer's disease, the increased production of Aβ in cells harboring mutant Alzheimer's disease associated genes, e.g., amyloid precursor protein, presenilin I and presenilin II; and the toxicity of extracellular soluble (oligomeric) or fibrillar Aβ to cells in culture. See, e.g., Gervais, Eur. Biopharm. Review, 40-42 (Autumn 2001); May, DDT6, 459-62 (2001). Although symptomatic treatments exist for Alzheimer's disease, this disease cannot be prevented or cured at this time.
- Alzheimer's disease is characterized by diffuse and neuritic plaques, cerebral angiopathy, and neurofibrillary tangles. Plaque and blood vessel amyloid is believed to be formed by the deposition of insoluble Aβ amyloid protein, which may be described as diffuse or fibrillary. Both soluble oligomeric Aβ and fibrillar Aβ are also believed to be neurotoxic and inflammatory.
- Another type of amyloidosis is cerebral amyloid angiopathy (CAA). CAA is the specific deposition of amyloid-β fibrils in the walls of leptomingeal and cortical arteries, arterioles and veins. It is commonly associated with Alzheimer's disease, Down's syndrome and normal aging, as well as with a variety of familial conditions related to stroke or dementia (see Frangione et al., Amyloid: J. Protein Folding Disord. 8, Suppl. 1, 36-42 (2001)).
- Presently available therapies for treatment of β-amyloid diseases are almost entirely symptomatic, providing only temporary or partial clinical benefit. Although some pharmaceutical agents have been described that offer partial symptomatic relief, no comprehensive pharmacological therapy is currently available for the prevention or treatment of, for example, Alzheimer's disease.
- The present invention relates to the use of certain compounds in the treatment of amyloid-related diseases. In particular, the invention relates to a method of treating or preventing an amyloid-related disease in a subject comprising administering to the subject a therapeutic amount of a compound of the invention. The invention also pertains to each of the novel compounds of the invention as described herein. Among the compounds for use in the invention are those according to the following Formulae, such that, when administered, amyloid fibril formation, organ specific dysfunction (e.g., neurodegeneration), or cellular toxicity is reduced or inhibited.
-
- R1 is a substituted or unsubstituted cycloalkyl, heterocyclic, aryl, arylcycloalkyl, bicyclic or tricyclic ring, a bicyclic or tricyclic fused ring group, or a substituted or unsubstituted C2-C10 alkyl group;
- R2 is selected from a group consisting of hydrogen, alkyl, mercaptoalkyl, alkenyl, alkynyl, cycloalkyl, aryl, arylalkyl, thiazolyl, triazolyl, imidazolyl, benzothiazolyl, and benzoimidazolyl;
- Y is SO3 −X+, OSO3 −X+, or SSO3 −X+;
- X+ is hydrogen, a cationic group, or an ester-forming group (i.e., as in a prodrug, which are described elsewhere herein); and
- each of L1 and L2 is independently a substituted or unsubstituted C1-C5 alkyl group or absent, or a pharmaceutically acceptable salt thereof, provided that when R1 is alkyl, L1 is absent.
-
- R1 is a substituted or unsubstituted cyclic, bicyclic, tricyclic, or benzoheterocyclic group or a substituted or unsubstituted C2-C10 alkyl group;
- R2 is hydrogen, alkyl, mercaptoalkyl, alkenyl, alkynyl, cycloalkyl, aryl, arylalkyl, thiazolyl, triazolyl, imidazolyl, benzothiazolyl, benzoimidazolyl, or linked to R1 to form a heterocycle;
- Y is SO3 −X+, OSO3 −X+, or SSO3 −X+;
- X+ is hydrogen, a cationic group, or an ester forming moiety;
- m is 0 or 1;
- n is 1, 2, 3, or 4;
- L is substituted or unsubstituted C1-C3 alkyl group or absent, or a pharmaceutically acceptable salt thereof, provided that when R1 is alkyl, L is absent.
-
- A is nitrogen or oxygen;
- R11 is hydrogen, salt-forming cation, ester forming group, —(CH2)x-Q, or when A is nitrogen, A and R11 taken together may be the residue of a natural or unnatural amino acid or a salt or ester thereof;
- Q is hydrogen, thiazolyl, triazolyl, imidazolyl, benzothiazolyl, or benzoimidazolyl;
- x is 0, 1, 2, 3, or 4;
- n is 0, 1, 2, 3, 4, 5, 6, 7, 8, 9, or 10;
- R3, R3a, R4, R4a, R5, R5a, R6, R6a, R7 and R7a are each independently hydrogen, alkyl, mercaptoalkyl, alkenyl, alkynyl, cycloalkyl, aryl, alkylcarbonyl, arylcarbonyl, alkoxycarbonyl, cyano, halogen, amino, tetrazolyl, or two R groups on adjacent ring atoms taken together with the ring atoms form a double bond, provided that one of R3, R3a, R4, R4a, R5, R5a, R6, R6a, R7 and R7a is a moiety of Formula IIIa:
wherein: - m is 0, 1, 2, 3, or 4;
- RA, RB, RC, RD, and RE are independently selected from a group of hydrogen, halogen, hydroxyl, alkyl, alkoxyl, halogenated alkyl, mercaptoalkyl, alkenyl, alkynyl, cycloalkyl, aryl, cyano, thiazolyl, triazolyl, imidazolyl, tetrazolyl, benzothiazolyl, and benzoimidazolyl; and pharmaceutically acceptable salts and esters thereof, provided that said compound is not 3-(4-phenyl-1,2,3,6-tetrahydro-1-pyridyl)-1-propanesulfonic acid.
-
- A is nitrogen or oxygen;
- R11 is hydrogen, salt-forming cation, ester forming group, —(CH2)x-Q, or when A is nitrogen, A and R11 taken together may be the residue of a natural or unnatural amino acid or a salt or ester thereof;
- Q is hydrogen, thiazolyl, triazolyl, imidazolyl, benzothiazolyl, or benzoimidazolyl;
- x is 0, 1, 2, 3, or 4;
- n is 0, 1, 2, 3, 4, 5, 6, 7, 8, 9, or 10;
- R4, R4a, R5, R5a, R6, R6a, R7, and R7a are each independently hydrogen, alkyl, mercaptoalkyl, alkenyl, alkynyl, cycloalkyl, aryl, alkylcarbonyl, arylcarbonyl, alkoxycarbonyl, cyano, halogen, amino, tetrazolyl, R4 and R5 taken together, with the ring atoms they are attached to, form a double bond, or R6 and R7 taken together, with the ring atoms they are attached to, form a double bond;
- m is 0, 1, 2, 3, or 4;
- R8, R9, R10, R11, and R12 are independently selected from a group of hydrogen, halogen, hydroxyl, alkyl, alkoxyl, halogenated alkyl, mercaptoalkyl, alkenyl, alkynyl, cycloalkyl, aryl, cyano, thiazolyl, triazolyl, imidazolyl, tetrazolyl, benzothiazolyl, and benzoimidazolyl, and pharmaceutically acceptable salts and esters thereof.
-
- A is nitrogen or oxygen;
- R11 is hydrogen, salt-forming cation, ester forming group, —(CH2)x-Q or when A is nitrogen, A and R11 taken together may be the residue of a natural or unnatural amino acid or a salt or ester thereof;
- Q is hydrogen, thiazolyl, triazolyl, imidazolyl, benzothiazolyl, or benzoimidazolyl;
- x is 0, 1, 2, 3, or 4;
- n is 0, 1, 2, 3, 4, 5, 6, 7, 8, 9, or 10;
- aa is a natural or unnatural amino acid residue;
- m is 0, 1, 2, or 3;
- R14 is hydrogen or protecting group;
- R15 is hydrogen, alkyl or aryl, and pharmaceutically acceptable salts and prodrugs thereof.
-
- n is 1, 2, 3, 4, 5, 6, 7, 8, 9, or 10;
- A is oxygen or nitrogen;
- R11 is hydrogen, salt-forming cation, ester forming group, —(CH2)x-Q, or when A is nitrogen, A and R11 taken together may be the residue of a natural or unnatural amino acid or a salt or ester thereof;
- Q is hydrogen, thiazolyl, triazolyl, imidazolyl, benzothiazolyl, or benzoimidazolyl;
- x is 0, 1, 2, 3, or 4;
- R19 is hydrogen, alkyl or aryl;
- Y1 is oxygen, sulfur, or nitrogen;
- Y2 is carbon, nitrogen, or oxygen;
- R20 is hydrogen, alkyl, amino, mercaptoalkyl, alkenyl, alkynyl, cycloalkyl, aryl, arylalkyl, thiazolyl, triazolyl, tetrazolyl, imidazolyl, benzothiazolyl, or benzoimidazolyl;
- R21 is hydrogen, alkyl, mercaptoalkyl, alkenyl, alkynyl, cycloalkyl, aryl, arylalkyl, thiazolyl, triazolyl, tetrazolyl, imidazolyl, benzothiazolyl, benzoimidazolyl, or absent if Y2 is oxygen;
- R22 is hydrogen, alkyl, mercaptoalkyl, alkenyl, alkynyl, cycloalkyl, aryl, arylalkyl, thiazolyl, triazolyl, tetrazolyl, imidazolyl, benzothiazolyl, benzoimidazolyl; or R22 is hydrogen, hydroxyl, alkoxy or aryloxy if Y1 is nitrogen; or R22 is absent if Y1 is oxygen or sulfur;or R22 and R21 may be linked to form a cyclic moiety if Y1 is nitrogen;
- R23 is hydrogen, alkyl, amino, mercaptoalkyl, alkenyl, alkynyl, cycloalkyl, aryl, arylalkyl, thiazolyl, triazolyl, tetrazolyl, imidazolyl, benzothiazolyl, or benzoimidazolyl, or absent if Y2 is nitrogen or oxygen;
- or pharmaceutically acceptable salts thereof.
-
- n is 2, 3, or 4;
- A is oxygen or nitrogen;
- R11 is hydrogen, salt-forming cation, ester forming group, —(CH2)x-Q, or when A is nitrogen, A and R11 taken together may be the residue of a natural or unnatural amino acid or a salt or ester thereof;
- Q is hydrogen, thiazolyl, triazolyl, imidazolyl, benzothiazolyl, or benzoimidazolyl;
- x is 0, 1, 2, 3, or 4;
- G is a direct bond or oxygen, nitrogen, or sulfur;
- z is 0, 1, 2, 3, 4, or 5;
- m is 0 or 1;
- R24 is selected from a group consisting of hydrogen, alkyl, mercaptoalkyl, alkenyl, alkynyl, aroyl, alkylcarbonyl, aminoalkylcarbonyl, cycloalkyl, aryl, arylalkyl, thiazolyl, triazolyl, imidazolyl, benzothiazolyl, and benzoimidazolyl;
- each R25 is independently selected from hydrogen, halogen, cyano, hydroxyl, alkoxy, thiol, amino, nitro, alkyl, aryl, carbocyclic, or heterocyclic, and pharmaceutically acceptable salts thereof.
- In one embodiment, the compounds disclosed herein prevent or inhibit amyloid protein assembly into insoluble fibrils which, in vivo, are deposited in various organs, or it favors clearance of pre-formed deposits or slows deposition in patients already having deposits. In another embodiment, the compound may also prevent the amyloid protein, in its soluble, oligomeric form or in its fibrillar form, from binding or adhering to a cell surface and causing cell damage or toxicity. In yet another embodiment, the compound may block amyloid-induced cellular toxicity or macrophage activation. In another embodiment, the compound may block amyloid-induced neurotoxicity or microglial activation. In another embodiment, the compound protects cells from amyloid induced cytotoxicity of B-islet cells. In another embodiment, the compound may enhance clearance from a specific organ, e.g., the brain or it decreases concentration of the amyloid protein in such a way that amyloid fibril formation is prevented in the targeted organ.
- The compounds of the invention may be administered therapeutically or prophylactically to treat diseases associated with amyloid fibril formation, aggregation or deposition. The compounds of the invention may act to ameliorate the course of an amyloid related disease using any of the following mechanisms (this list is meant to be illustrative and not limiting): slowing the rate of amyloid fibril formation or deposition; lessening the degree of amyloid deposition; inhibiting, reducing, or preventing amyloid fibril formation; inhibiting neurodegeneration or cellular toxicity induced by amyloid; inhibiting amyloid induced inflammation; enhancing the clearance of amyloid; or favoring the degradation of amyloid protein prior to its organization in fibrils.
- The compounds of the invention may be administered therapeutically or prophylactically to treat diseases associated with amyloid-β fibril formation, aggregation or deposition. The compounds of the invention may act to ameliorate the course of an amyloid-β related disease using any of the following mechanisms (this list is meant to be illustrative and not limiting): slowing the rate of amyloid-β fibril formation or deposition; lessening the degree of amyloid-β deposition; inhibiting, reducing, or preventing amyloid-β fibril formation; inhibiting neurodegeneration or cellular toxicity induced by amyloid-β; inhibiting amyloid-β induced inflammation; enhancing the clearance of amyloid-β from the brain; or favoring the degradation of amyloid-β protein prior to its organization in fibrils.
- Therapeutic compounds of the invention may be effective in controlling amyloid-β deposition either following their entry into the brain (following penetration of the blood brain barrier) or from the periphery. When acting from the periphery, a compound may alter the equilibrium of Aβ between the brain and the plasma so as to favor the exit of Aβ from the brain. It may also increase the catabolism of neuronal Aβ and change the rate of exit from the brain. An increase in the exit of Aβ from the brain would result in a decrease in Aβ brain and cerebral spinal fluid (CSF) concentration and therefore favor a decrease in Aβ deposition. Alternatively, compounds that penetrate the brain could control deposition by acting directly on brain Aβ e.g., by maintaining it in a non-fibrillar form, favoring its clearance from the brain, or by slowing down APP processing. These compounds could also prevent Aβ in the brain from interacting with the cell surface and therefore prevent neurotoxicity, neurodegeneration or inflammation. They may also decrease Aβ production by activated microglia. The compounds may also increase degradation by macrophages or neuronal cells.
- In one embodiment, the method is used to treat Alzheimer's disease (e.g., sporadic, familial, or early AD). The method can also be used prophylactically or therapeutically to treat other clinical occurrences of amyloid-β deposition, such as in Down's syndrome individuals and in patients with cerebral amyloid angiopathy (“CAA”) or hereditary cerebral hemorrhage.
- In another embodiment, the method is used to treat mild cognitive impairment. Mild Cognitive Impairment (“MCI”) is a condition characterized by a state of mild but measurable impairment in thinking skills, which is not necessarily associated with the presence of dementia. MCI frequently, but not necessarily, precedes Alzheimer's disease.
- Additionally, abnormal accumulation of APP and of amyloid-β protein in muscle fibers has been implicated in the pathology of sporadic inclusion body myositis (IBM) (Askanas, et al., Proc. Natl. Acad. Sci. USA 93, 1314-1319 (1996); Askanas, et al., Current Opinion in Rheumatology 7, 486-496 (1995)). Accordingly, the compounds of the invention can be used prophylactically or therapeutically in the treatment of disorders in which amyloid-beta protein is abnormally deposited at non-neurological locations, such as treatment of IBM by delivery of the compounds to muscle fibers.
- Additionally, it has been shown that Aβ is associated with abnormal extracellular deposits, known as drusen, that accumulate along the basal surface of the retinal pigmented epithelium in individuals with age-related macular degeneration (AMD). AMD is a cause of irreversible vision loss in older individuals. It is believed that Aβ deposition could be an important component of the local inflammatory events that contribute to atrophy of the retinal pigmented epithelium, drusen biogenesis, and the pathogenesis of AMD (Johnson, et al., Proc. Natl. Acad. Sci. USA 99(18), 11830-5 (2002)).
- The present invention therefore relates to the use of compounds of Formulae I, II, III, IV, V, VI, VII, or otherwise described herein in the prevention or treatment of amyloid-related diseases, including, inter alia, Alzheimer's disease, cerebral amyloid angiopathy, mild cognitive impairment, inclusion body myositis, Down's syndrome, macular degeneration, as well as other types of amyloidosis like IAPP-related amyloidosis (e.g., diabetes), primary (AL) amyloidosis, secondary (AA) amyloidosis and β2 microglobulin-related (dialysis-related) amyloidosis.
- In Type II diabetes related amyloidosis (IAPP), the amyloidogenic protein IAPP induces β-islet cell toxicity when organized in oligomeric forms or in fibrils. Hence, appearance of IAPP fibrils in the pancreas of type II diabetic patients contributes to the loss of the β islet cells (Langerhans) and organ dysfunction which leads to insulinemia.
- Primary amyloidosis (AL amyloid) is usually found associated with plasma cell dyscrasia and multiple myeloma. It can also be found as an idiopathic disease.
- Secondary (AA) amyloidosis is usually seen associated with chronic infection (such as tuberculosis) or chronic inflammation (such as rheumatoid arthritis). A familial form of secondary amyloidosis is also seen in Familial Mediterranean Fever (FMF).
- β2 microglobulin-related (dialysis-related) amyloidosis is found in long-term hemodialysis patients. Patients undergoing long term hemodialysis will develop β2-microglobulin fibrils in the carpal tunnel and in the collagen rich tissues in several joints. This causes severe pains, joint stiffness and swelling. These deposits are due to the inability to maintain low levels of β2M in plasma of dialyzed patients. Increased plasma concentrations of β2M protein will induce structural changes and may lead to the deposition of modified β2M as insoluble fibrils in the joints.
- The present invention relates to the use of compounds of Formulae I, II, III, IV, V, VI, VII, or compounds otherwise described herein in the treatment of amyloid-related diseases. For convenience, some definitions of terms referred to herein are set forth below.
- Amyloid-Related Diseases
- AA (Reactive) Amyloidosis
- Generally, AA amyloidosis is a manifestation of a number of diseases that provoke a sustained acute phase response. Such diseases include chronic inflammatory disorders, chronic local or systemic microbial infections, and malignant neoplasms. The most common form of reactive or secondary (AA) amyloidosis is seen as the result of long-standing inflammatory conditions. For example, patients with Rheumatoid Arthritis or Familial Mediterranean Fever (which is a genetic disease) can develop AA amyloidosis. The terms “AA amyloidosis” and “secondary (AA) amyloidosis” are used interchangeably.
- AA fibrils are generally composed of 8,000 Dalton fragments (AA peptide or protein) formed by proteolytic cleavage of serum amyloid A protein (ApoSAA), a circulating apolipoprotein which is mainly synthesized in hepatocytes in response to such cytokines as IL-1, IL-6 and TNF. Once secreted, ApoSAA is complexed with HDL. Deposition of AA fibrils can be widespread in the body, with a preference for parenchymal organs. The kidneys are usually a deposition site, and the liver and the spleen may also be affected. Deposition is also seen in the heart, gastrointestinal tract, and the skin.
- Underlying diseases which can lead to the development of AA amyloidosis include, but are not limited to inflammatory diseases, such as rheumatoid arthritis, juvenile chronic arthritis, ankylosing spondylitis, psoriasis, psoriatic arthropathy, Reiter's syndrome, Adult Still's disease, Behcet's syndrome, and Crohn's disease. AA deposits are also produced as a result of chronic microbial infections, such as leprosy, tuberculosis, bronchiectasis, decubitus ulcers, chronic pyelonephritis, osteomyelitis, and Whipple's disease. Certain malignant neoplasms can also result in AA fibril amyloid deposits. These include such conditions as Hodgkin's lymphoma, renal carcinoma, carcinomas of gut, lung and urogenital tract, basal cell carcinoma, and hairy cell leukemia. Other underlying conditions that may be associated with AA amyloidosis are Castleman's disease and Schnitzler's syndrome.
- AL Amyloidoses (Primary Amyloidosis)
- AL amyloid deposition is generally associated with almost any dyscrasia of the B lymphocyte lineage, ranging from malignancy of plasma cells (multiple myeloma) to benign monoclonal gammopathy. At times, the presence of amyloid deposits may be a primary indicator of the underlying dyscrasia. AL amyloidosis is also described in detail in Current Drug Targets, 2004, 5 159-171.
- Fibrils of AL amyloid deposits are composed of monoclonal immunoglobulin light chains or fragments thereof. More specifically, the fragments are derived from the N-terminal region of the light chain (kappa or lambda) and contain all or part of the variable (VL) domain thereof. Deposits generally occur in the mesenchymal tissues, causing peripheral and autonomic neuropathy, carpal tunnel syndrome, macroglossia, restrictive cardiomyopathy, arthropathy of large joints, immune dyscrasias, myelomas, as well as occult dyscrasias. However, it should be noted that almost any tissue, particularly visceral organs such as the kidney, liver, spleen and heart, may be involved.
- Hereditary Systemic Amyloidoses
- There are many forms of hereditary systemic amyloidoses. Although they are relatively rare conditions, adult onset of symptoms and their inheritance patterns (usually autosomal dominant) lead to persistence of such disorders in the general population. Generally, the syndromes are attributable to point mutations in the precursor protein leading to production of variant amyloidogenic peptides or proteins. Table 1 summarizes the fibril composition of exemplary forms of these disorders.
TABLE 1 Fibril Composition of Exemplary Amyloid-Related Diseases Genetic Fibril Peptide/Protein Variant Clinical Syndrome ATTR protein from Transthyretin Met30, many Familial amyloid polyneuropathy (FAP), and fragments others (Mainly peripheral nerves) ATTR protein from Transthyretin Thr45, Ala60, Cardiac involvement predominant without and fragments Ser84, Met111, neuropathy, familial amyloid polyneuropathy, Ile122 senile systemic amyloidosis, Tenosynovium N-terminal fragment of Arg26 Familial amyloid polyneuropathy (FAP), Apolipoprotein A1 (apoAI) (mainly peripheral nerves) N-terminal fragment of Arg26, Arg50, Ostertag-type, non-neuropathic (predominantly Apoliproprotein A1 (AapoAI) Arg 60, others visceral involvement) AapoAII from Apolipoprotein AII Familial amyloidosis Lysozyme (Alys) Thr56, His67 Ostertag-type, non-neuropathic (predominantly visceral involvement) Fibrogen alpha chain fragment Leu554, Val Cranial neuropathy with lattic corneal 526 dystrophy Gelsolin fragment (Agel) Asn187, Cranial neuropathy with lattice corneal Tyr187 dystrophy Cystatin C fragment (ACys) Glu68 Hereditary cerebral hemorrhage (cerebral amyloid angiopathy) - Icelandic type β-amyloid protein (Aβ) derived from Gln693 Hereditary cerebral hemorrhage (cerebral Amyloid Precursor Protein (APP) amyloid angiopathy) - Dutch type β-amyloid protein (Aβ) derived from Ile717, Phe717, Familial Alzheimer's Disease Amyloid Precursor Protein (APP) Gly717 β-amyloid protein (Aβ) derived from Gln 618 Alzheimer's disease, Down's syndrome, Amyloid Precursor Protein (APP), hereditary cerebral hemorrhage with e.g., bPP 695 amyloidosis, Dutch type β-amyloid protein (Aβ) derived from Asn670, Familial Dementia - probably Alzheimer's Amyloid Precursor Protein (APP) Leu671 Disease Prion Protein (PrP, APrPSC) derived Leu102, Familial Creutzfeldt-Jakob disease; from Prp precursor protein (51-91 Val167, Gerstmann-Straussler-Scheinker syndrome insert) Asn178, (hereditary spongiform encephalopathies, prion Lys200 diseases) AA derived from Serum amyloid A Familial Mediterranean fever, predominant protein (ApoSAA) renal involvement (autosomal recessive) AA derived from Serum amyloid A Muckle-Well's syndrome, nephropathy, protein (ApoSAA) deafness, urticaria, limb pain Unknown Cardiomyopathy with persistent atrial standstill Unknown Cutaneous deposits (bullous, papular, pustulodermal) AH amyloid protein, derived from AγI Myeloma associated amyloidosis immunoglobulin heavy chain (gamma I) ACal amyloid protein from (Pro) calcitonin Medullary carcinomas of the thyroid (pro)calcitonin AANF amyloid protein from atrial Isolated atrial amyloid natriuretic factor Apro from Prolactin Prolactinomas Abri/ADan from ABri peptide British and Danish familial Dementia
Data derived from Tan SY, Pepys MB. Amyloidosis. Histopathology, 25(5), 403-414 (November 1994), WHO/IUIS Nomenclature Subcommittee, Nomenclature of Amyloid and Amyloidosis. Bulletin of the World Health Organisation 1993; 71: 10508; and Merlini et al., Clin Chem Lab Med 2001; 39(11): 1065-75.
- The data provided in Table 1 are exemplary and are not intended to limit the scope of the invention. For example, more than 40 separate point mutations in the transthyretin gene have been described, all of which give rise to clinically similar forms of familial amyloid polyneuropathy.
- In general, any hereditary amyloid disorder can also occur sporadically, and both hereditary and sporadic forms of a disease present with the same characteristics with regard to amyloid. For example, the most prevalent form of secondary AA amyloidosis occurs sporadically, e.g. as a result of ongoing inflammation, and is not associated with Familial Mediterranean Fever. Thus general discussion relating to hereditary amyloid disorders below can also be applied to sporadic amyloidoses.
- Transthyretin (TTR) is a 14 kiloDalton protein that is also sometimes referred to as prealbumin. It is produced by the liver and choroid plexus, and it functions in transporting thyroid hormones and vitamin A. At least 50 variant forms of the protein, each characterized by a single amino acid change, are responsible for various forms of familial amyloid polyneuropathy. For example, substitution of proline for leucine at position 55 results in a particularly progressive form of neuropathy; substitution of methionine for leucine at position 111 resulted in a severe cardiopathy in Danish patients.
- Amyloid deposits isolated from heart tissue of patients with systemic amyloidosis have revealed that the deposits are composed of a heterogeneous mixture of TTR and fragments thereof, collectively referred to as ATTR, the full length sequences of which have been characterized. ATTR fibril components can be extracted from such plaques and their structure and sequence determined according to the methods known in the art (e.g., Gustavsson, A., et al., Laboratory Invest. 73: 703-708, 1995; Kametani, F., et al., Biochem. Biophys. Res. Commun. 125: 622-628, 1984; Pras, M., et al., PNAS 80: 539-42, 1983).
- Persons having point mutations in the molecule apolipoprotein A1 (e.g., Gly→Arg26; Trp→Arg50; Leu→Arg60) exhibit a form of amyloidosis (“Östertag type”) characterized by deposits of the protein apolipoprotein Al or fragments thereof (AApoAI). These patients have low levels of high density lipoprotein (HDL) and present with a peripheral neuropathy or renal failure.
- A mutation in the alpha chain of the enzyme lysozyme (e.g., Ile→Thr56 or Asp→His57) is the basis of another form of Östertag-type non-neuropathic hereditary amyloid reported in English families. Here, fibrils of the mutant lysozyme protein (Alys) are deposited, and patients generally exhibit impaired renal function. This protein, unlike most of the fibril-forming proteins described herein, is usually present in whole (unfragmented) form (Benson, M. D., et al. CIBA Fdn. Symp. 199: 104-131, 1996).
- Immunoglobulin light chains tend to form aggregates in various morphologies, including fibrillar (e.g., AL amyloidosis and AH amyloidosis), granular (e.g., light chain deposition disease. (LCDD), heavy chain deposition disease (HCDD), and light-heavy chain deposition disease (LHCDD)), crystalline (e.g., Acquired Farconi's Syndome), and microtubular (e.g., Cryoglobulinemia). AL and AH amyloidosis is indicated by the formation of insoluble fibrils of immunoglobulin light chains and heavy chain, respectively, and/or their fragments. In AL fibrils, lambda (λ) chains such as λ VI chains (λ6 chains), are found in greater concentrations than kappa (κ) chains. λIII chains are also slightly elevated. Merlini et al., C
LIN CHEM LAB MED 39(11):1065-75 (2001). Heavy chain amyloidosis (AH) is generally characterized by aggregates of gamma chain amyloid proteins of the IgG1 subclass. Eulitz et al., PROC NATL ACAD SCI USA 87:6542-46 (1990). - Comparison of amyloidogenic to non-amyloidogenic light chains has revealed that the former can include replacements or substitutions that appear to destabilize the folding of the protein and promote aggregation. AL and LCDD have been distinguished from other amyloid diseases due to their relatively small population monoclonal light chains, which are manufactured by neoplastic expansion of an antibody-producing B cell. AL aggregates typically are well-ordered fibrils of lambda chains. LCDD aggregates are relatively amorphous aggregations of both kappa and lambda chains, with a majority being kappa, in some cases κIV. Bellotti et al., J
OURNAL OF STRUCTURAL BIOLOGY 13:280-89 (2000). Comparison of amyloidogenic and non-amyloidogenic heavy chains in patients having AH amyloidosis has revealed missing and/or altered components. Eulitz et al., PROC NATL ACAD SCI USA 87:6542-46 (1990) (pathogenic heavy chain characterized by significantly lower molecular mass than non-amyloidogenic heavy chains); and Solomon et al. AM J HEMAT 45(2) 171-6 (1994) (amyloidogenic heavy chain characterized as consisting solely of the VH-D portion of the non-amyloidogenic heavy chain). - Accordingly, potential methods of detecting and monitoring treatment of subjects having or at risk of having AL, LCDD, AH, and the like, include but are not limited to immunoassaying plasma or urine for the presence or depressed deposition of amyloidogenic light or heavy chains, e.g., amyloid λ, amyloid κ, amyloid κIV, amyloid γ, or amyloid γ1.
- Brain Amyloidosis
- The most frequent type of amyloid in the brain is composed primarily of Aβ peptide fibrils, resulting in dementia associated with sporadic (non-hereditary) Alzheimer's disease. In fact, the incidence of sporadic Alzheimer's disease greatly exceeds forms shown to be hereditary. Nevertheless, fibril peptides forming plaques are very similar in both types. Brain amyloidosis includes those diseases, conditions, pathologies, and other abnormalities of the structure or function of the brain, including components thereof, in which the causative agent is amyloid. The area of the brain affected in an amyloid-related disease may be the stroma including the vasculature or the parenchyma including functional or anatomical regions, or neurons themselves. A subject need not have received a definitive diagnosis of a specifically recognized amyloid-related disease. The term “amyloid related disease” includes brain amyloidosis.
- Amyloid-β peptide (“Aβ”) is a 39-43 amino acid peptide derived by proteolysis from a large protein known as Beta Amyloid Precursor Protein (“βAPP”). Mutations in βAPP result in familial forms of Alzheimer's disease, Down's syndrome, cerebral amyloid angiopathy, and senile dementia, characterized by cerebral deposition of plaques composed of Aβ fibrils and other components, which are described in further detail below. Known mutations in APP associated with Alzheimer's disease occur proximate to the cleavage sites of β or γ-secretase, or within Aβ. For example, position 717 is proximate to the site of gamma-secretase cleavage of APP in its processing to Aβ, and positions 670/671 are proximate to the site of β-secretase cleavage. Mutations at any of these residues may result in Alzheimer's disease, presumably by causing an increase in the amount of the 42/43 amino acid form of Aβ generated from APP. The familial form of Alzheimer's disease represents only 10% of the subject population. Most occurrences of Alzheimer's disease are sporadic cases where APP and Aβ do not possess any mutation. The structure and sequence of Aβ peptides of various lengths are well known in the art. Such peptides can be made according to methods known in the art, or extracted from the brain according to known methods (e.g., Glenner and Wong, Biochem. Biophys. Res. Comm. 129,-885-90 (1984); Glenner and Wong, Biochem. Biophys. Res. Comm. 122, 1131-35 (1984)). In addition, various forms of the peptides are commercially available. APP is expressed and constitutively catabolized in most cells. The dominant catabolic pathway appears to be cleavage of APP within the Aβ sequence by an enzyme provisionally termed α-secretase, leading to release of a soluble ectodomain fragment known as APPsα. This cleavage precludes the formation of Aβ peptide. In contrast to this non-amyloidogenic pathway, APP can also be cleaved by enzymes known as β- and γ-secretase at the N— and C-termini of the Aβ, respectively, followed by release of Aβ into the extracellular space. To date, BACE has been identified as β-secretase (Vasser, et al., Science 286:735-741, 1999) and presenilins have been implicated in γ-secretase activity (De Strooper, et al., Nature 391, 387-90 (1998)). The 39-43 amino acid Aβ peptide is produced by sequential proteolytic cleavage of the amyloid precursor protein (APP) by the β and γ secretases enzyme. Although Aβ40 is the predominant form produced, 5-7% of total Aβ exists as Aβ42 (Cappai et al., Int. J. Biochem. Cell Biol. 31. 885-89 (1999)).
- The length of the Aβ peptide appears to dramatically alter its biochemical/biophysical properties. Specifically, the additional two amino acids at the C-terminus of Aβ42 are very hydrophobic, presumably increasing the propensity of Aβ42 to aggregate. For example, Jarrett, et al. demonstrated that Aβ42 aggregates very rapidly in vitro compared to Aβ40, suggesting that the longer forms of Aβ may be the important pathological proteins that are involved in the initial seeding of the neuritic plaques in Alzheimer's disease (Jarrett, et al., Biochemistry 32, 4693-97 (1993); Jarrett, et al., Ann. N.Y. Acad. Sci. 695, 144-48 (1993)). This hypothesis has been further substantiated by the recent analysis of the contributions of specific forms of Aβ in cases of genetic familial forms of Alzheimer's disease (“FAD”). For example, the “London” mutant form of APP (APPV717I) linked to FAD selectively increases the production of Aβ 42/43 forms versus Aβ 40 (Suzuki, et al., Science 264, 1336-40 (1994)) while the “Swedish” mutant form of APP (APPK670N/M671L) increases levels of both Aβ40 and Aβ42/43 (Citron, et al., Nature 360, 672-674 (1992); Cai, et al., Science 259, 514-16, (1993)). Also, it has been observed that FAD-linked mutations in the Presenilin-1 (“PS1”) or Presenilin-2 (“PS2”) genes will lead to a selective increase in Aβ42/43 production but not Aβ40 (Borchelt, et al., Neuron 17, 1005-13 (1996)). This finding was corroborated in transgenic mouse models expressing PS mutants that demonstrate a selective increase in brain Aβ42 (Borchelt, op cit.; Duff, et al., Neurodegeneration 5(4), 293-98 (1996)). Thus the leading hypothesis regarding the etiology of Alzheimer's disease is that an increase in Aβ42 brain concentration due to an increased production and release of Aβ42 or a decrease in clearance (degradation or brain clearance) is a causative event in the disease pathology.
- Multiple mutation sites in either Aβ or the APP gene have been identified and are clinically associated with either dementia or cerebral hemorrhage. Exemplary CAA disorders include, but are not limited to,.hereditary cerebral hemorrhage with amyloidosis of Icelandic type (HCHWA-I); the Dutch variant of HCHWA (HCHWA-D; a mutation in Aβ); the Flemish mutation of Aβ; the Arctic mutation of Aβ; the Italian mutation of Aβ; the Iowa mutation of Aβ; familial British dementia; and familial Danish dementia. CAA may also be sporadic.
- As used herein, the terms “β amyloid,” “amyloid-β,” and the like refer to amyloid β proteins or peptides, amyloid β precursor proteins or peptides, intermediates, and modifications and fragments thereof, unless otherwise specifically indicated. In particular, “Aβ” refers to any peptide produced by proteolytic processing of the APP gene product, especially peptides which are associated with amyloid pathologies, including Aβ1-39, Aβ1-40, Aβ1-41, Aβ1-42, and Aβ1-43. For convenience of nomenclature, “Aβ1-42”may be referred to herein as “Aβ(1-42)” or simply as “Aβ42” or “Aβ42” (and likewise for any other amyloid peptides discussed herein). As used herein, the terms “β amyloid,” “amyloid-β,” and “Aβ” are synonymous.
- Unless otherwise specified, the term “amyloid” refers to amyloidogenic proteins, peptides, or fragments thereof which can be soluble (e.g., monomeric or oligomeric) or insoluble (e.g., having fibrillary structure or in amyloid plaque). See, e.g., M P Lambert, et al., Proc. Nat'l Acad. Sci. USA 95, 6448-53 (1998). “Amyloidosis” or “amyloid disease” or “amyloid-related disease” refers to a pathological condition characterized by the presence of amyloid fibers. “Amyloid” is a generic term referring to a group of diverse but specific protein deposits (intracellular or extracellular) which are seen in a number of different diseases. Though diverse in their occurrence, all amyloid deposits have common morphologic properties, stain with specific dyes (e.g., Congo red), and have a characteristic red-green birefringent appearance in polarized light after staining. They also share common ultrastructural features and common X-ray diffraction and infrared spectra.
- Gelsolin is a calcium binding protein that binds to fragments and actin filaments. Mutations at position 187 (e.g., Asp→Asn; Asp→Tyr) of the protein result in a form of hereditary systemic amyloidosis, usually found in patients from Finland, as well as persons of Dutch or Japanese origin. In afflicted individuals, fibrils formed from gelsolin fragments (Agel), usually consist of amino acids 173-243 (68 kDa carboxyterminal fragment) and are deposited in blood vessels and basement membranes, resulting in corneal dystrophy and cranial neuropathy which progresses to peripheral neuropathy, dystrophic skin changes and deposition in other organs. (Kangas, H., et al. Human Mol. Genet. 5(9): 1237-1243, 1996).
- Other mutated proteins, such as mutant alpha chain of fibrinogen (AfibA) and mutant cystatin C (Acys) also form fibrils and produce characteristic hereditary disorders. AfibA fibrils form deposits characteristic of a nonneuropathic hereditary amyloid with renal disease; Acys deposits are characteristic of a hereditary cerebral amyloid angiopathy reported in Iceland (Isselbacher, Harrison's Principles of Internal Medicine, McGraw-Hill, San Francisco, 1995; Benson, et al.). In at least some cases, patients with cerebral amyloid angiopathy (CAA) have been shown to have amyloid fibrils containing a non-mutant form of cystatin C in conjunction with amyloid beta protein (Nagai, A., et al. Molec. Chem. Neuropathol. 33: 63-78, 1998).
- Certain forms of prion disease are now considered to be heritable, accounting for up to 15% of cases, which were previously thought to be predominantly infectious in nature. (Baldwin, et al., in Research Advances in Alzheimer's Disease and Related Disorders, John Wiley and Sons, New York, 1995). In hereditary and sporadic prion disorders, patients develop plaques composed of abnormal isoforms of the normal prion protein (PrPSc).
- A predominant mutant isoform, PrPSc, also referred to as AScr, differs from the normal cellular protein in its resistance to protease degradation, insolubility after detergent extraction, deposition in secondary lysosomes, post-translational synthesis, and high β-pleated sheet content. Genetic linkage has been established for at least five mutations resulting in Creutzfeldt-Jacob disease (CJD), Gerstmann-Sträussler-Scheinker syndrome (GSS), and fatal familial insomnia (FFI). (Baldwin, supra) Methods for extracting fibril peptides from scrapie fibrils, determining sequences and making such peptides are known in the art (e.g., Beekes, M., et al. J. Gen. Virol. 76: 2567-76, 1995).
- For example, one form of GSS has been linked to a PrP mutation at codon 102, while telencephalic GSS segregates with a mutation at codon 117. Mutations at codons 198 and 217 result in a form of GSS in which neuritic plaques characteristic of Alzheimer's disease contain PrP instead of Aβ peptide. Certain forms of familial CJD have been associated with mutations at codons 200 and 210; mutations at codons 129 and 178 have been found in both familial CJD and FFI. (Baldwin, supra).
- Cerebral Amyloidosis
- Local deposition of amyloid is common in the brain, particularly in elderly individuals. The most frequent type of amyloid in the brain is composed primarily of Aβ peptide fibrils, resulting in dementia or sporadic (non-hereditary) Alzheimer's disease. The most common occurrences of cerebral amyloidosis are sporadic and not familial. For example, the incidence of sporadic Alzheimer's disease and sporadic CAA greatly exceeds the incidence of familial AD and CAA. Moreover, sporadic and familial forms of the disease cannot be distinguished from each other (they differ only in the presence or absence of an inherited genetic mutation); for example, the clinical symptoms and the amyloid plaques formed in both sporadic and familial AD are very similar, if not identical.
- Cerebral amyloid angiopathy (CAA) refers to the specific deposition of amyloid fibrils in the walls of leptomingeal and cortical arteries, arterioles and veins. It is commonly associated with Alzheimer's disease, Down's syndrome and normal aging, as well as with a variety of familial conditions related to stroke or dementia (see Frangione et al., Amyloid: J. Protein Folding Disord. 8, Suppl. 1, 36-42 (2001)). CAA can occur sporadically or be hereditary.
- Senile Systemic Amyloidosis
- Amyloid deposition, either systemic or focal, increases with age. For example, fibrils of wild type transthyretin (TTR) are commonly found in the heart tissue of elderly individuals. These may be asymptomatic, clinically silent, or may result in heart failure. Asymptomatic fibrillar focal deposits may also occur in the brain (Aβ), corpora amylacea of the prostate (β2 microglobulin), joints and seminal vesicles.
- Dialysis-Related Amyloidosis (DRA)
- Plaques composed of β2 microglobulin (β2M) fibrils commonly develop in patients receiving long term hemodialysis or peritoneal dialysis. β2 microglobulin is a 11.8 kiloDalton polypeptide and is the light chain of Class I MHC antigens, which are present on all nucleated cells. Under normal circumstances, β2M is usually distributed in the extracellular space unless there is an impaired renal function, in which case β2M is transported into tissues where it polymerizes to form amyloid fibrils. Failure of clearance such as in the case of impaired renal function, leads to deposition in the carpal tunnel and other sites (primarily in collagen-rich tissues of the joints). Unlike other fibril proteins, β2M molecules are not produced by cleavage of a longer precursor protein and are generally present in unfragmented form in the fibrils. (Benson, supra). Retention and accumulation of this amyloid precursor has been shown to be the main pathogenic process underlying DRA. DRA is characterized by peripheral joint osteoarthropathy (e.g., joint stiffness, pain, swelling, etc.). Isoforms of β2M, glycated β2M, or polymers of β2M in tissue are the most amyloidogenic form (as opposed to native β2M). Unlike other types of amyloidosis, β2M is confined largely to osteoarticular sites. Visceral depositions are rare. Occasionally, these deposits may involve blood vessels and other important anatomic sites.
- Despite improved dialysis methods for removal of β2M, the majority of patients have plasmatic β2M concentrations that remain dramatically higher than normal. These elevated β2M concentrations generally lead to Diabetes-Related Amyloidosis (DRA) and cormorbidities that contribute to mortality.
- Islet Amyloid Polypeptide and Diabetes
- Islet hyalinosis (amyloid deposition) was first described over a century ago as the presence of fibrous protein aggregates in the pancreas of patients with severe hyperglycemia (Opie, E L., J Exp. Med. 5: 397-428, 1901). Today, islet amyloid, composed predominantly of islet amyloid polypeptide (IAPP), or amylin, is a characteristic histopathological marker in over 90% of all cases of Type II diabetes (also known as Non-Insulin Dependent Diabetes, or NIDDM). These fibrillar accumulations result from the aggregation of the islet amyloid polypeptide (IAPP) or amylin, which is a 37 amino acid peptide, derived from a larger precursor peptide, called pro-IAPP.
- IAPP is co-secreted with insulin in response to β-cell secretagogues. This pathological feature is not associated with insulin-dependent (Type I) diabetes and is a unifying characteristic for the heterogeneous clinical phenotypes diagnosed as NIDDM (Type II diabetes).
- Longitudinal studies in cats and immunocytochemical investigations in monkeys have shown that a progressive increase in islet amyloid is associated with a dramatic decrease in the population of insulin-secreting β-cells and increased severity of the disease. More recently, transgenic studies have strengthened the relationship between IAPP plaque formation and β-cell apoptosis and dysfunction, indicating that amyloid deposition is a principal factor in increasing severity of Type II diabetes.
- IAPP has also been shown to induce β-islet cell toxicity in vitro, indicating that appearance of IAPP fibrils in the pancreas of Type II or Type I diabetic patients (post-islet transplantation) could contribute to the loss of the β-cell islets (Langerhans) and organ dysfunction. In patients with Type II diabetes, the accumulation of pancreatic IAPP leads to formation of oligomeric IAPP, leading to a buildup of IAPP-amyloid as insoluble fibrous deposits which eventually destroys the insulin-producing β cells of the islet, resulting in β cell depletion and failure (Westermark, P., Grimelius, L., Acta Path. Microbiol. Scand., sect. A. 81: 291-300, 1973; de Koning, E J P., et al., Diabetologia 36: 378-384, 1993; and Lorenzo, A., et al., Nature 368::756-760, 1994). Accumulation of IAPP as fibrous deposits can also have an impact on the ratio of pro-IAPP to IAPP normally found in plasma by increasing this ratio due to the trapping of IAPP in deposits. Reduction of β cell mass can be manifested by hyperglycemia and insulinemia. This β-cell mass loss can lead to a need for insulin therapy.
- Diseases caused by the death or malfunctioning of a particular type or types of cells can be treated by transplanting into the patient healthy cells of the relevant type of cell. This approach has been used for Type I diabetes patients. Often pancreatic islet cells from a donor are cultured in vitro prior to transplantation, to allow them to recover after the isolation procedure or to reduce their immunogenicity. However, in many instances islet cell transplantation is unsuccessful, due to death of the transplanted cells. One reason for this poor success rate is IAPP, which organizes into toxic oligomers. Toxic effects may result from intracellular and extracellular accumulation of fibril oligomers. The IAPP oligomers can form fibrils and become toxic to the cells in vitro. In addition, IAPP fibrils are likely to continue to grow after the cells are transplanted and cause death or dysfunction of the cells. This may occur even when the cells are from a healthy donor and the patient receiving the transplant does not have a disease that is characterized by the presence of fibrils. For example, compounds of the present invention may also be used in preparing tissues or cells for transplantation according to the methods described in International Patent Application (PCT) number WO 01/003680.
- The compounds of the invention may also stabilize the ratio of the concentrations of Pro-IAPP/IAPP, pro-Insulin/Insulin and C-peptide levels. In addition, as biological markers of efficacy, the results of the different tests, such as the arginine-insulin secretion test, the glucose tolerance test, insulin tolerance and sensitivity tests, could all be used as markers of reduced β-cell mass and/or accumulation of amyloid deposits. Such class of drugs could be used together with other drugs targeting insulin resistance, hepatic glucose production, and insulin secretion. Such compounds might prevent insulin therapy by preserving β-cell function and be applicable to preserving islet transplants.
- Hormone-Derived Amyloidoses
- Endocrine organs may harbor amyloid deposits, particularly in aged individuals. Hormone-secreting tumors may also contain hormone-derived amyloid plaques, the fibrils of which are made up of polypeptide hormones such as calcitonin (medullary carcinoma of the thyroid), and atrial natriuretic peptide (isolated atrial amyloidosis). Sequences and structures of these proteins are well known in the art.
- Miscellaneous Amyloidoses
- There are a variety of other forms of amyloid disease that are normally manifest as localized deposits of amyloid. In general, these diseases are probably the result of the localized production or lack of catabolism of specific fibril precursors or a predisposition of a particular tissue (such as the joint) for fibril deposition. Examples of such idiopathic deposition include nodular AL amyloid, cutaneous amyloid, endocrine amyloid, and tumor-related amyloid. Other amyloid related diseases include those described in Table 1, such as familial amyloid polyneuropathy (FAP), senile systemic amyloidosis, Tenosynovium, familial amyloidosis, Ostertag-type, non-neuropathic amyloidosis, cranial neuropathy, hereditary cerebral hemorrhage, familial dementia, chronic dialysis, familial Creutzfeldt-Jakob disease; Gerstmann-Sträussler-Scheinker syndrome, hereditary spongiform encephalopathies, prion diseases, familial Mediterranean fever, Muckle-Well's syndrome, nephropathy, deafness, urticaria, limb pain, cardiomyopathy, cutaneous deposits, multiple myeloma, benign monoclonal gammopathy, maccoglobulinaemia, myeloma associated amyloidosis, medullary carcinomas of the thyroid, isolated atrial amyloid, and diabetes.
- The compounds of the invention may be administered therapeutically or prophylactically to treat diseases associated with amyloid fibril formation, aggregation or deposition, regardless of the clinical setting. The compounds of the invention may act to ameliorate the course of an amyloid related disease using any of the following mechanisms, such as, for example but not limited to: slowing the rate of amyloid fibril formation or deposition; lessening the degree of amyloid deposition; inhibiting, reducing, or preventing amyloid fibril formation; inhibiting amyloid induced inflammation; enhancing the clearance of amyloid from, for example, the brain; or protecting cells from amyloid induced (oligomers or fibrillar) toxicity.
- In an embodiment, the compounds of the invention may be administered therapeutically or prophylactically to treat diseases associated with amyloid-β fibril formation, aggregation or deposition. The compounds of the invention may act to ameliorate the course of an amyloid-β related disease using any of the following mechanisms (this list is meant to be illustrative and not limiting): slowing the rate of amyloid-β fibril formation or deposition; lessening the degree of amyloid-β deposition; inhibiting, reducing, or preventing amyloid-β fibril formation; inhibiting neurodegeneration or cellular toxicity induced by amyloid-β; inhibiting amyloid-β induced inflammation; enhancing the clearance of amyloid-β from the brain; or favoring greater catabolism of Aβ.
- Compounds of the invention may be effective in controlling amyloid-β deposition either following their entry into the-brain (following penetration of the blood brain barrier) or from the periphery. When acting from the periphery, a compound may alter the equilibrium of Aβ between the brain and the plasma so as to favor the exit of Aβ from the brain. An increase in the exit of Aβ from the brain would result in a decrease in Aβ brain concentration and therefore favor a decrease in Aβ deposition. In addition, compounds that penetrate the brain may control deposition by acting directly on brain Aβ, e.g., by maintaining it in a non-fibrillar form or favoring its clearance from the brain. The compounds may slow down APP processing; may increase degradation of Aβ fibrils by macrophages or by neuronal cells; or may decrease Aβ production by activated microglia. These compounds could also prevent Aβ in the brain from interacting with the cell surface and therefore prevent neurotoxicity, neurodegeneration, or inflammation.
- In a preferred embodiment, the method is used to treat Alzheimer's disease (e.g., sporadic or familial AD). The method can also be used prophylactically or therapeutically to treat other clinical occurrences of amyloid-β deposition, such as in Down's syndrome individuals and in patients with cerebral amyloid angiopathy (“CAA”), hereditary cerebral hemorrhage, or early Alzheimer's disease.
- In another embodiment, the method is used to treat mild cognitive impairment. Mild Cognitive Impairment (“MCI”) is a condition characterized by a state of mild but measurable impairment in thinking skills, which is not necessarily associated with the presence of dementia. MCI frequently, but not necessarily, precedes Alzheimer's disease.
- Additionally, abnormal accumulation of APP and of amyloid-β protein in muscle fibers has been implicated in the pathology of sporadic inclusion body myositis (IBM) (Askanas, V., et al. (1996) Proc. Natl. Acad. Sci. USA 93: 1314-1319; Askanas, V. et al. (1995) Current Opinion in Rheumatology 7: 486-496). Accordingly, the compounds of the invention can be used prophylactically or therapeutically in the treatment of disorders in which amyloid-beta protein is abnormally deposited at non-neurological locations, such as treatment of IBM by delivery of the compounds to muscle fibers.
- Additionally, it has been shown that Aβ is associated with abnormal extracellular deposits, known as drusen, that accumulate along the basal surface of the retinal pigmented epithelium in individuals with age-related macular degeneration (ARMD). ARMD is a cause of irreversible vision loss in older individuals. It is believed that Aβ deposition could be an important component of the local inflammatory events that contribute to atrophy of the retinal pigmented epithelium, drusen biogenesis, and the pathogenesis of ARMD (Johnson, et al., Proc. Natl. Acad. Sci. USA 99(18), 11830-5 (2002)).
- In another embodiment, the invention also relates to a method of treating or preventing an amyloid-related disease in a subject (preferably a human) comprising administering to the subject a therapeutic amount of a compound according to the following Formulae or otherwise described herein, such that amyloid fibril formation or deposition, neurodegeneration, or cellular toxicity is reduced or inhibited. In another embodiment, the invention relates to a method of treating or preventing an amyloid-related disease in a subject (preferably a human) comprising administering to the subject a therapeutic amount of a compound according to the following Formulae or otherwise described herein, such that cognitive function is improved or stabilized or further deterioration in cognitive function is prevented, slowed, or stopped in patients with brain amyloidosis, e.g., Alzheimer's disease, Down's syndrome or cerebral amyloid angiopathy. These compounds can also improve quality of daily living in these subjects.
- The therapeutic compounds of the invention may treat amyloidosis related to type II diabetes by, for example, stabilizing glycemia, preventing or reducing the loss of β cell mass, reducing or preventing hyperglycemia due to loss of β cell mass, and modulating (e.g., increasing or stabilizing) insulin production. The compounds of the invention may also stabilize the ratio of the concentrations of pro-IAPP/IAPP.
- The therapeutic compounds of the invention may treat AA (secondary) amyloidosis and/or AL (primary) amyloidosis, by stabilizing renal function, decreasing proteinuria, increasing creatinine clearance (e.g., by at least 50% or greater or by at least 100% or greater), by leading to remission of chronic diarrhea or weight gain (e.g., 10% or greater), or by reducing serum creatinine. Visceral amyloid content as determined, e.g., by SAP scintigraphy may also be reduced.
- Compounds of the Invention
- The present invention relates, at least in part, to the use of certain chemical compounds (and pharmaceutical formulations thereof) in the prevention or treatment of amyloid-related diseases, including, inter alia, Alzheimer's disease, cerebral amyloid angiopathy, inclusion body myositis, Down's syndrome, diabetes related amyloidosis, hemodialysis-related amyloidosis (β2M), primary amyloidosis (e.g., λ or κ chain-related), familial amyloid polyneuropathy (FAP), senile systemic amyloidosis, familial amyloidosis, Ostertag-type non-neuropathic amyloidosis, cranial neuropathy, hereditary cerebral hemorrhage, familial dementia, chronic dialysis, familial Creutzfeldt-Jakob disease, Gerstmann-Sträussler-Scheinker syndrome, hereditary spongiform encephalopathies, prion diseases, familial Mediterranean fever, Muckle-Well's syndrome, nephropathy, deafness, urticaria, limb pain, cardiomyopathy, cutaneous deposits, multiple myeloma, benign monoclonal gammopathy, maccoglobulinaemia, myeloma associated amyloidosis, medullary carcinomas of the thyroid, and isolated atrial amyloid.
- The chemical structures herein are drawn according to the conventional standards known in the art. Thus, where an atom, such as a carbon atom, as drawn appears to have an unsatisfied valency, then that valency is assumed to be satisfied by a hydrogen atom even though that hydrogen atom is not necessarily explicitly drawn. The structures of some of the compounds of this invention include stereogenic carbon atoms. It is to be understood that isomers arising from such asymmetry (e.g., all enantiomers and diastereomers) are included within the scope of this invention unless indicated otherwise. That is, unless otherwise stipulated, any chiral carbon center may be of either (R)— or (S)-stereochemistry. Such isomers can be obtained in substantially pure form by classical separation techniques and by stereochemically-controlled synthesis. Furthermore, alkenes can include either the E- or Z-geometry, where appropriate. In addition, the compounds of the present invention may exist in unsolvated as well as solvated forms with acceptable solvents such as water, THF, ethanol, and the like. In general, the solvated forms are considered equivalent to the unsolvated forms for the purposes of the present invention.
- A “small molecule” refers to a compound that is not itself the product of gene transcription or translation (e.g., protein, RNA, or DNA) and preferably has a low molecular weight, e.g., less than about 2500 amu.
- In general, the term “nucleophile” is art-recognized to mean a chemical group having a reactive pair of electrons that reacts with a compound by displacing a leaving group (commonly another nucleophile), such as commonly occur in aliphatic chemistry as unimolecular (known as “SN1”) or bimolecular (“SN 2”) reactions. Examples of nucleophiles include uncharged compounds such as amines, mercaptans, and alcohols, and charged groups such as alkoxides, thiolates, carbanions, and a variety of organic and inorganic anions. Illustrative anionic nucleophiles include, inter alia, simple anions such as azide, cyanide, thiocyanate, acetate, formate, or chloroformate, and bisulfite. Organometallic reagents such as organocuprates, organozincs, organolithiums, Grignard reagents, enolates, and acetylides, will under appropriate reaction conditions, be suitable nucleophiles.
- Similarly, an “electrophile” means an atom, molecule, or ion able to accept an electron pair, particularly a pair of electrons from a nucleophile, such as typically occurs during an electrophilic substitution reaction. In an electrophilic substitution reaction, an electrophile binds to a substrate with the expulsion of another electrophile, e.g., the substitution of a proton by another electrophile such as a nitronium ion on an aromatic substrate (e.g., benzene). Electrophiles include cyclic compounds such as epoxides, aziridines, episulfides, cyclic sulfates, carbonates, lactones, and lactams; and non-cyclic electrophiles include sulfates, sulfonates (e.g., tosylates), chlorides, bromides, and iodides. Generally, an electrophile may be a saturated carbon atom (e.g., a methylene group) bonded to a leaving group; however, an electrophile may also be an unsaturated group, such as an aldehyde, ketone, ester, or conjugated (α,β-unsaturated) analog thereof, which upon reaction with a nucleophile forms an adduct.
- The term “leaving group” generally refers to a group that is readily displaced and substituted by a nucleophile (e.g., an amine, a thiol, an alcohol, or cyanide). Such leaving groups are well known and include carboxylates, N-hydroxysuccinimide (“NHS”), N-hydroxybenzotriazole, a halogen (fluorine, chlorine, bromine, or iodine), alkoxides, and thioalkoxides. A variety of sulfur-based leaving groups are routinely used in synthetic chemistry, including alkane sulfonyloxy groups (e.g., C1-C4 alkane such as methane sulfonyloxy, ethane sulfonyloxy, propane sulfonyloxy, and butane sulfonyloxy groups) and the halogenated analogs (e.g., halogeno(C1-C4 alkane) sulfonyloxy groups, such as trifluoromethane sulfonyloxy (i.e., triflate), 2,2,2-trichloroethane sulfonyloxy, 3,3,3-tribromopropane sulfonyloxy, and 4,4,4-trifluorobutane sulfonyloxy groups), as well as arylsulfonyloxy groups (e.g., C6-C10 aryl optionally substituted with 1 to 3 C1-C4 alkyl groups, such as benzene sulfonyloxy, α-naphthylsulfonyloxy, β-naphthylsulfonyloxy, p-toluenesulfonyloxy (i.e., tosylates), 4-tert-butylbenzene sulfonyloxy, mesitylene sulfonyloxy, and 6-ethyl-α-naphthylsulfonyloxy groups).
- “Activated esters” may be represented by the formula —COL, where L is a leaving group, typical examples of which include N-hydroxysulfosuccinimidyl and N-hydroxysuccinimidyl groups; aryloxy groups substituted with electron-withdrawing groups (e.g., p-nitro, pentafluoro, pentachloro, p-cyano, or p-trifluoromethyl); and carboxylic acids activated by a carbodiimide to form an anhydride or mixed anhydride, e.g., —OCORa or —OCNRaNHRb, where Ra and Rb are independently C1-C6 alkyl, C5-C8 alkyl (e.g., cyclohexyl), C1-C6 perfluoroalkyl, or C1-C6 alkoxy groups. An activated ester may be formed in situ or may be an isolable reagent. Sulfosuccinimidyl esters, pentafluorothiophenol esters, and sulfotetrafluorophenol are preferred activated esters. However, the ester leaving group may be, for example, substituted or unsubstituted C1-C6 alkyl (such as methyl, ethyl, propyl, isopropyl, butyl, isobutyl, sec-butyl, tert-butyl, pentyl, or hexyl), or substituted or unsubstituted C6-C14 aryl or heterocyclic groups, such as 2-fluoroethyl, 2-chloroethyl, 2-bromoethyl, 2,2-dibromoethyl, 2,2,2-trichloroethyl, 3-fluoropropyl, 4-chlorobutyl, methoxymethyl, 1,1-dimethyl-1-methoxymethyl, ethoxymethyl, N-propoxymethyl, isopropoxymethyl, N-butoxymethyl, tert-butoxymethyl, 1-ethoxyethyl, 1-methyl-1-methoxyethyl, 1-(isopropoxy)ethyl, 3-methoxypropyl-4-methoxybutyl, fluoromethoxymethyl, 2,2,2-trichloroethoxymethyl, bis(2-chloroethoxy)methyl, 3-fluoropropoxymethyl, 4-chlorobutoxyethyl, dibromomethoxyethyl, 2-chloroethoxypropyl, fluoromethoxybutyl, 2-methoxyethoxymethyl, ethoxymethoxyethyl, methoxyethoxypropyl, methoxyethoxybutyl, benzyl, phenethyl, 3-phenylpropyl, 4-phenylbutyl, α-naphthylmethyl, β-naphthylmethyl, diphenylmethyl, triphenylmethyl, α-naphthyldipheylmethyl, 9-anthrylmethyl, 4-methylbenzyl, 2,4,6-trimethylbenzyl, 3,4,5-trimethylbenzyl, 4-methoxybenzyl, 4-methoxyphenyldiphenylmethyl, 2-nitrobenzyl, 4-nitrobenzyl, 4-chlorobenzyl, 4-bromobenzyl, 4-cyanobenzyl, 4-cyanobenzyldiphenylmethyl, or bis(2-nitrophenyl)methyl groups.
- The term “electron-withdrawing group” is art-recognized and describes the ability of a substituent to attract valence electrons (e.g., pi-electrons) from neighboring atoms, e.g. the substitutent is more electronegative than neighboring atoms, or it draws electrons to itself more than a hydrogen atom would at the same position. The Hammett sigma value (σ) is an accepted measure of a group's electron-donating and withdrawing ability, especially the sigma para value (σp). See, e.g., “Advanced Organic Chemistry” by J. March, 5th Ed., John Wiley & Sons, Inc., New York, pp. 368-75 (2001). The Hammett constant values are generally negative for electron-donating groups (σp=−0.66 for NH2) and positive for electron-withdrawing groups (σp=0.78 for a nitro group), σp indicating para substitution. Exemplary electron-withdrawing groups include nitro, acyl(ketone), formyl(aldehyde), sulfonyl, trifluoromethyl, halogeno (e.g., chloro and fluoro), and cyano groups, among others. Conversely, an “electron-donating group” designates a substituent that contributes electrons more than hydrogen would if it occupied the same position in the molecule. Examples include amino (including alkylamino and dialkylamino), aryl, alkoxy (including aralkoxy), aryloxy, mercapto and alkylthio, and hydroxyl groups, among others.
- As used herein, “alkyl” groups include saturated hydrocarbons having one or more carbon atoms, including straight-chain alkyl groups (e.g., methyl, ethyl, propyl, butyl, pentyl, hexyl, heptyl, octyl, nonyl, decyl, etc.), cyclic alkyl groups (or “cycloalkyl” or “alicyclic” or “carbocyclic” groups) (e.g., cyclopropyl, cyclopentyl, cyclohexyl, cycloheptyl, cyclooctyl, etc.), branched-chain alkyl groups (isopropyl, tert-butyl, sec-butyl, isobutyl, etc.), and alkyl-substituted alkyl groups (e.g., alkyl-substituted cycloalkyl groups and cycloalkyl-substituted alkyl groups). The term “aliphatic group” includes organic moieties characterized by straight or branched-chains, typically having between 1 and 22 carbon atoms. In complex structures, the chains may be branched, bridged, or cross-linked. Aliphatic groups include alkyl groups, alkenyl groups, and alkynyl groups.
- In certain embodiments, a straight-chain or branched-chain alkyl group may have 30 or fewer carbon atoms in its backbone, e.g., C1-C30 for straight-chain or C3-C30 for branched-chain. In certain embodiments, a straight-chain or branched-chain alkyl group may have 20 or fewer carbon atoms in its backbone, e.g., C1-C20 for straight-chain or C3-C20 for branched-chain, and more preferably 18 or fewer. Likewise, preferred cycloalkyl groups have from 4-10 carbon atoms in their ring structure, and more preferably have 4-7 carbon atoms in the ring structure. The term “lower alkyl” refers to alkyl groups having from 1 to 6 carbons in the chain, and to cycloalkyl groups having from 3 to 6 carbons in the ring structure.
- Unless the number of carbons is otherwise specified, “lower” as in “lower aliphatic,” “lower alkyl,” “lower alkenyl,” etc. as used herein means that the moiety has at least one and less than about 8 carbon atoms. In certain embodiments, a straight-chain or branched-chain lower alkyl group has 6 or fewer carbon atoms in its backbone (e.g., C1-C6 for straight-chain, C3-C6 for branched-chain), and more preferably 4 or fewer. Likewise, preferred cycloalkyl groups have from 3-8 carbon atoms in their ring structure, and more preferably have 5 or 6 carbons in the ring structure. The term “C1-C6” as in “C1-C6 alkyl” means alkyl groups containing 1 to 6 carbon atoms.
- Moreover, unless otherwise specified the term alkyl includes both “unsubstituted alkyls” and “substituted alkyls,” the latter of which refers to alkyl groups having substituents replacing one or more hydrogens on one or more carbons of the hydrocarbon backbone. Such substituents may include, for example, alkenyl, alkynyl, halogeno, hydroxyl, alkylcarbonyloxy, arylcarbonyloxy, alkoxycarbonyloxy, aryloxy, aryloxycarbonyloxy, carboxylate, alkylcarbonyl, arylcarbonyl, alkoxycarbonyl, aminocarbonyl, alkylaminocarbonyl, dialkylaminocarbonyl, alkylthiocarbonyl, alkoxyl, phosphate, phosphonato, phosphinato, cyano, amino (including alkyl-amino, dialkylamino, arylamino, diarylamino, and alkylarylamino), acylamino (including alkylcarbonylamino, arylcarbonylamino, carbamoyl and ureido), imino, sulfhydryl, alkylthio, arylthio, thiocarboxylate, sulfates, alkylsulfinyl, sulfonato, sulfamoyl, sulfonamido, nitro, trifluoromethyl, cyano, azido, heterocyclic, alkylaryl, or aromatic (including heteroaromatic) groups.
- An “arylalkyl” group is an alkyl group substituted with an aryl group (e.g., phenylmethyl (i.e., benzyl)). An “alkylaryl” moiety is an aryl group substituted with an alkyl group (e.g., p-methylphenyl (i.e., p-tolyl)). The term “n-alkyl” means a straight-chain (i.e., unbranched) unsubstituted alkyl group. An “alkylene” group is a divalent analog of the corresponding alkyl group. The terms “alkenyl” and “alkynyl” refer to unsaturated aliphatic groups analogous to alkyls, but which contain at least one double or triple carbon-carbon bond respectively. Suitable alkenyl and alkynyl groups include groups having 2 to about 12 carbon atoms, preferably from 2 to about 6 carbon atoms.
- The term “aromatic group” or “aryl group” includes unsaturated and aromatic cyclic hydrocarbons as well as unsaturated and aromatic heterocycles containing one or more rings. Aryl groups may also be fused or bridged with alicyclic or heterocyclic rings that are not aromatic so as to form a polycycle (e.g., tetralin). An “arylene” group is a divalent analog of an aryl group. Aryl groups can also be fused or bridged with alicyclic or heterocyclic rings which are not aromatic so as to form a polycycle (e.g., tetralin).
- The term “heterocyclic group” includes closed ring structures analogous to carbocyclic groups in which one or more of the carbon atoms in the ring is an element other than carbon, for example, nitrogen, sulfur, or oxygen. Heterocyclic groups may be saturated or unsaturated. Additionally, heterocyclic groups (such as pyrrolyl, pyridyl, isoquinolyl, quinolyl, purinyl, and furyl) may have aromatic character, in which case they may be referred to as “heteroaryl” or “heteroaromatic” groups.
- Unless otherwise stipulated, aryl and heterocyclic (including heteroaryl) groups may also be substituted at one or more constituent atoms. Examples of heteroaromatic and heteroalicyclic groups may have 1 to 3 separate or fused rings with 3 to about 8 members per ring and one or more N, O, or S heteroatoms. In general, the term “heteroatom” includes atoms of any element other than carbon or hydrogen, preferred examples of which include nitrogen, oxygen, sulfur, and phosphorus. Heterocyclic groups may be saturated or unsaturated or aromatic.
- Examples of heterocycles include, but are not limited to, acridinyl; azocinyl;. benzimidazolyl; benzofuranyl; benzothiofuranyl; benzothiophenyl; benzoxazolyl; benzthiazolyl; benztriazolyl; benztetrazolyl; benzisoxazolyl; benzisothiazolyl; benzimidazolinyl; carbazolyl; 4aH-carbazolyl; carbolinyl; chromanyl; chromenyl; cinnolinyl; decahydroquinolinyl; 2H,6H-1,5,2-dithiazinyl; dihydrofuro[2,3-b]tetrahydrofuran; furanyl; furazanyl;.imidazolidinyl; imidazolinyl; imidazolyl; 1H-indazolyl; indolenyl; indolinyl; indolizinyl; indolyl; 3H-indolyl; isobenzofuranyl; isochromanyl; isoindazolyl; isoindolinyl; isoindolyl; isoquinolinyl; isothiazolyl; isoxazolyl; methylenedioxyphenyl; morpholinyl; naphthyridinyl; octahydroisoquinolinyl; oxadiazolyl; 1,2,3-oxadiazolyl; 1,2,4-oxadiazolyl; 1,2,5-oxadiazolyl; 1,3,4-oxadiazolyl; oxazolidinyl; oxazolyl; oxazolidinyl; pyrimidinyl; phenanthridinyl; phenanthrolinyl; phenazinyl; phenothiazinyl; phenoxathiinyl; phenoxazinyl; phthalazinyl; piperazinyl; piperidinyl; piperidonyl; 4-piperidonyl; piperonyl; pteridinyl; purinyl; pyranyl; pyrazinyl; pyrazolidinyl; pyrazolinyl; pyrazolyl; pyridazinyl; pyridooxazole; pyridoimidazole; pyridothiazole; pyridinyl; pyridyl; pyrimidinyl; pyrrolidinyl; pyrrolinyl; 2H-pyrrolyl; pyrrolyl; quinazolinyl; quinolinyl; 4H-quinolizinyl; quinoxalinyl; quinuclidinyl; tetrahydrofuranyl; tetrahydroisoquinolinyl; tetrahydroquinolinyl; tetrazolyl; 6H-1,2,5-thiadiazinyl; 1,2,3-thiadiazolyl; 1,2,4-thiadiazolyl; 1,2,5-thiadiazolyl; 1,3,4-thiadiazolyl; thianthrenyl; thiazolyl; thienyl; thienothiazolyl; thienooxazolyl; thienoimidazolyl; thiophenyl; triazinyl; 1,2,3-triazolyl; 1,2,4-triazolyl; 1,2,5-triazolyl; 1,3,4-triazolyl; and xanthenyl. Preferred heterocycles include, but are not limited to, pyridinyl; furanyl; thienyl; pyrrolyl; pyrazolyl; pyrrolidinyl; imidazolyl; indolyl; benzimidazolyl; 1H-indazolyl; oxazolidinyl; benzotriazolyl; benzisoxazolyl; oxindolyl; benzoxazolinyl; and isatinoyl groups. Also included are fused ring and spiro compounds containing, for example, the above heterocycles.
- A common hydrocarbon aryl group is a phenyl group having one ring. Two-ring hydrocarbon aryl groups include naphthyl, indenyl, benzocyclooctenyl, benzocycloheptenyl, pentalenyl, and azulenyl groups, as well as the partially hydrogenated analogs thereof such as indanyl and tetrahydronaphthyl. Exemplary three-ring hydrocarbon aryl groups include acephthylenyl, fluorenyl, phenalenyl, phenanthrenyl, and anthracenyl groups.
- Aryl groups also include heteromonocyclic aryl groups, i.e., single-ring heteroaryl groups, such as thienyl, furyl, pyranyl, pyrrolyl, imidazolyl, pyrazolyl, pyridinyl, pyrazinyl, pyrimidinyl, and pyridazinyl groups; and oxidized analogs thereof such as pyridonyl, oxazolonyl, pyrazolonyl, isoxazolonyl, and thiazolonyl groups. The corresponding hydrogenated (i.e., non-aromatic) heteromonocylic groups include pyrrolidinyl, pyrrolinyl, imidazolidinyl, imidazolinyl, pyrazolidinyl, pyrazolinyl, piperidyl and piperidino, piperazinyl, and morpholino and morpholinyl groups.
- Aryl groups also include fused two-ring heteroaryls such as indolyl, isoindolyl, indolizinyl, indazolyl, quinolinyl, isoquinolinyl, phthalazinyl, quinoxalinyl, quinazolinyl, cinnolinyl, chromenyl, isochromenyl, benzothienyl, benzimidazolyl, benzothiazolyl, purinyl, quinolizinyl, isoquinolonyl, quinolonyl, naphthyridinyl, and pteridinyl groups, as well as the partially hydrogenated analogs such as chromanyl, isochromanyl, indolinyl, isoindolinyl, and tetrahydroindolyl groups. Aryl groups also include fused three-ring groups such as phenoxathiinyl, carbazolyl, phenanthridinyl, acridinyl, perimidinyl, phenanthrolinyl, phenazinyl, phenothiazinyl, phenoxazinyl, and dibenzofuranyl groups.
- Some typical aryl groups include substituted or unsubstituted 5- and 6-membered single-ring groups. In another aspect, each Ar group may be selected from the group consisting of substituted or unsubstituted phenyl, pyrrolyl, furyl, thienyl, thiazolyl, isothiaozolyl, imidazolyl, triazolyl, tetrazolyl, pyrazolyl, oxazolyl, isooxazolyl, pyridinyl, pyrazinyl, pyridazinyl, and pyrimidinyl groups. Further examples include substituted or unsubstituted phenyl, 1-naphthyl, 2-naphthyl, biphenyl, 1-pyrrolyl, 2-pyrrolyl, 3-pyrrolyl, 3-pyrazolyl, 2-imidazolyl, 4-imidazolyl, pyrazinyl, 2-oxazolyl, 4-oxazolyl, 5-oxazolyl, 3-isoxazolyl, 4-isoxazolyl, 5-isoxazolyl, 2-thiazolyl, 4-thiazolyl, 5-thiazolyl, 2-furyl, 3-furyl, 2-thienyl, 3-thienyl, 2-pyridyl, 3-pyridyl, 4-pyridyl, 2-pyrimidyl, 4-pyrimidyl, 5-benzothiazolyl, purinyl, 2-benzimidazolyl, 5-indolyl, 1-isoquinolyl, 5-isoquinolyl, 2-quinoxalinyl, 5-quinoxalinyl, 3-quinolyl, and 6-quinolyl groups.
- The term “amine” or “amino,” as used herein, refers to an unsubstituted or substituted moiety of the formula —NRaRb, in which Ra and Rb are each independently hydrogen, alkyl, aryl, or heterocyclyl, or Ra and Rb, taken together with the nitrogen atom to which they are attached, form a cyclic moiety having from 3 to 8 atoms in the ring. Thus, the term amino includes cyclic amino moieties such as piperidinyl or pyrrolidinyl groups, unless otherwise stated. Thus, the term “alkylamino” as used herein means an alkyl group having an amino group attached thereto. Suitable alkylamino groups include groups having 1 to about 12 carbon atoms, preferably from 1 to about 6 carbon atoms. The term amino includes compounds or moieties in which a nitrogen atom is covalently bonded to at least one carbon or heteroatom. The term “dialkylamino” includes groups wherein the nitrogen atom is bound to at least two alkyl groups. The term “arylamino” and “diarylamino” include groups wherein the nitrogen is bound to at least one or two aryl groups, respectively. The term “alkylarylamino” refers to an amino group which is bound to at least one alkyl group and at least one aryl group. The term “alkaminoalkyl” refers to an alkyl, alkenyl, or alkynyl group substituted with an alkylamino group. The term “amide” or “aminocarbonyl” includes compounds or moieties which contain a nitrogen atom which is bound to the carbon of a carbonyl or a thiocarbonyl group.
- The term “alkylthio” refers to an alkyl group, having a sulfhydryl group attached thereto. Suitable alkylthio groups include groups having 1 to about 12 carbon atoms, preferably from 1 to about 6 carbon atoms.
- The term “alkylcarboxyl” as used herein means an alkyl group having a carboxyl group attached thereto.
- The term “alkoxy” as used herein means an alkyl group having an oxygen atom attached thereto. Representative alkoxy groups include groups having 1 to about 12 carbon atoms, preferably 1 to about 6 carbon atoms, e.g., methoxy, ethoxy, propoxy, tert-butoxy and the like. Examples of alkoxy groups include methoxy, ethoxy, isopropyloxy, propoxy, butoxy, and pentoxy groups. The alkoxy groups can be substituted with groups such as alkenyl, alkynyl, halogen, hydroxyl, alkylcarbonyloxy, arylcarbonyloxy, alkoxycarbonyloxy, aryloxycarbonyloxy, carboxylate, alkylcarbonyl, arylcarbonyl, alkoxycarbonyl, aminocarbonyl, alkylaminocarbonyl, dialkylaminocarbonyl, alkylthiocarbonyl, alkoxyl, phosphate, phosphonato, phosphinato, cyano, amino (including alkyl amino, dialkylamino, arylamino, diarylamino, and alkylarylamino), acylamino (including alkylcarbonylamino, arylcarbonylamino, carbamoyl and ureido), imino, sulfhydryl, alkylthio, arylthio, thiocarboxylate, sulfates, alkylsulfinyl, sulfonato, sulfamoyl, sulfonamido, nitro, trifluoromethyl, cyano, azido, heterocyclyl, alkylaryl, or an aromatic or heteroaromatic moieties. Examples of halogen substituted alkoxy groups include, but are not limited to, fluoromethoxy, difluoromethoxy, trifluoromethoxy, chloromethoxy, dichloromethoxy, trichloromethoxy, etc., as well as perhalogenated alkyloxy groups.
- The term “acylamino” includes moieties wherein an amino moiety is bonded to an acyl group. For example, the acylamino group includes alkylcarbonylamino, arylcarbonylamino, carbamoyl and ureido groups.
- The terms “alkoxyalkyl”, “alkylaminoalkyl” and “thioalkoxyalkyl” include alkyl groups, as described above, which further include oxygen, nitrogen or sulfur atoms replacing one or more carbons of the hydrocarbon backbone.
- The term “carbonyl” or “carboxy” includes compounds and moieties which contain a carbon connected with a double bond to an oxygen atom. Examples of moieties which contain a carbonyl include aldehydes, ketones, carboxylic acids, amides, esters, anhydrides, etc.
- The term “ether” or “ethereal” includes compounds or moieties which contain an oxygen bonded to two carbon atoms. For example, an ether or ethereal group includes “alkoxyalkyl” which refers to an alkyl, alkenyl, or alkynyl group substituted with an alkoxy group.
- A “sulfonate” group is a —SO3H or —SO3 −X+ group bonded to a carbon atom, where X+ is a cationic counter ion group. Similarly, a “sulfonic acid” compound has a —SO3H or —SO3 −X+ group bonded to a carbon atom, where X+ is a cationic group. A “sulfate” as used herein is a —OSO3H or —OSO3 −X+ group bonded to a carbon atom, and a “sulfuric acid” compound has a —SO3H or —OSO3 −X+ group bonded to a carbon atom, where X+ is a cationic group. According to the invention, a suitable cationic group may be a hydrogen atom. In certain cases, the cationic group may actually be another group on the therapeutic compound that is positively charged at physiological pH, for example an amino group.
- A “counter ion” is required to maintain electroneutrality. Examples of anionic counter ions include halide, triflate, sulfate, nitrate, hydroxide, carbonate, bicarbonate, acetate, phosphate, oxalate, cyanide, alkylcarboxylate, N-hydroxysuccinimide, N-hydroxybenzotriazole, alkoxide, thioalkoxide, alkane sulfonyloxy, halogenated alkane sulfonyloxy, arylsulfonyloxy, bisulfate, oxalate, valerate, oleate, palmitate, stearate, laurate, borate, benzoate, lactate, citrate, maleate, fumarate, succinate, tartrate, naphthylate mesylate, glucoheptonate, or lactobionate. Compounds containing a cationic group covalently bonded to an anionic group may be referred to as an “internal salt.”
- The term “nitro” means —NO2; the term “halogen” or “halogeno” or “halo” designates —F, —Cl, —Br or —I; the term “thiol,” “thio,” or “mercapto” means SH; and the term “hydroxyl” or “hydroxy” means —OH.
- The term “acyl” refers to a carbonyl group that is attached through its carbon atom to a hydrogen (i.e., a formyl), an aliphatic group (e.g., acetyl), an aromatic group (e.g., benzoyl), and the like. The term “substituted acyl” includes acyl groups where one or more of the hydrogen atoms on one or more carbon atoms are replaced by, for example, an alkyl group, alkynyl group, halogen, hydroxyl, alkylcarbonyloxy, arylcarbonyloxy, alkoxycarbonyloxy, aryloxycarbonyloxy, carboxylate, alkylcarbonyl, arylcarbonyl, alkoxycarbonyl, aminocarbonyl, alkylaminocarbonyl, dialkylaminocarbonyl, alkylthiocarbonyl, alkoxyl, phosphate, phosphonato, phosphinato, cyano, amino (including alkyl amino, dialkylamino, arylamino, diarylamino, and alkylarylamino), acylamino (including alkylcarbonylamino, arylcarbonylamino, carbamoyl and ureido), imino, sulfhydryl, alkylthio, arylthio, thiocarboxylate, sulfates, alkylsulfinyl, sulfonato, sulfamoyl, sulfonamido, nitro, trifluoromethyl, cyano, azido, heterocyclyl, alkylaryl, or an aromatic or heteroaromatic moiety.
- Unless otherwise specified, the chemical moieties of the compounds of the invention, including those groups discussed above, may be “substituted or unsubstituted.” In some embodiments, the term “substituted” means that the moiety has substituents placed on the moiety other than hydrogen (i.e., in most cases, replacing a hydrogen), which allow the molecule to perform its intended function. Examples of substituents include moieties selected from straight or branched alkyl (preferably C1-C5), cycloalkyl (preferably C3-C8), alkoxy (preferably C1-C6), thioalkyl (preferably C1-C6), alkenyl (preferably C2-C6), alkynyl (preferably C2-C6), heterocyclic, carbocyclic, aryl (e.g., phenyl), aryloxy (e.g., phenoxy), aralkyl (e.g., benzyl), aryloxyalkyl (e.g., phenyloxyalkyl), arylacetamidoyl, alkylaryl, heteroaralkyl, alkylcarbonyl and arylcarbonyl or other such acyl group, heteroarylcarbonyl, and heteroaryl groups, as well as (CR′R″)0-3NR′R″ (e.g., —NH2), (CR′R″)0-3CN (e.g., —CN), —NO2, halogen (e.g., —F, —Cl, —Br, or —I), (CR′R″)0-3C(halogen)3 (e.g., —CF3), (CR′R″)0-3CH(halogen)2, (CR′R″)0-3CH2(halogen), (CR′R″)0-3CONR′R″, (CR′R″)0-3(CNH)NR′R″, (CR′R″)0-3S(O)1-2NR′R″, (CR′R″)0-3CHO, (CR′R″)0-3O(CR′R″)0-3H, (CR′R″)0-3S(O)0-3R′ (e.g., —SO3H), (CR′R″)0-3O(CR′R″)0-3H (e.g., —CH2OCH3 and —OCH3), (CR′R″)0-3S(CR′R″)0-3H (e.g., —SH and —SCH3), (CR′R″)0-3OH (e.g., —OH), (CR′R″)0-3COR′, (CR′R″)0-3(substituted or unsubstituted phenyl), (CR′R″)0-3(C3-C8 cycloalkyl), (CR′R″)0-3CO2R′ (e.g., —CO2H), and (CR′R″)0-3OR′ groups, wherein R′ and R″ are each independently hydrogen, a C1-C5 alkyl, C2-C5 alkenyl, C2-C5 alkynyl, or aryl group; or the side chain of any naturally occurring amino acid.
- In another embodiment, a substituent may be selected from straight or branched alkyl (preferably C1-C5), cycloalkyl (preferably C3-C8), alkoxy (preferably C1-C6), thioalkyl (preferably C1-C6), alkenyl (preferably C2-C6), alkynyl (preferably C2-C6), heterocyclic, carbocyclic, aryl (e.g., phenyl), aryloxy (e.g., phenoxy), aralkyl (e.g., benzyl), aryloxyalkyl (e.g., phenyloxyalkyl), arylacetamidoyl, alkylaryl, heteroaralkyl, alkylcarbonyl and arylcarbonyl or other such acyl group, heteroarylcarbonyl, or heteroaryl group, (CR′R″)0-10NR′R″ (e.g., —NH2), (CR′R″)0-10CN (e.g., —CN), NO2, halogen (e.g., F, Cl, Br, or I), (CR′R″)0-10C(halogen)3 (e.g., —CF3), (CR′R″)0-10CH(halogen)2, (CR′R″)0-10CH2(halogen), (CR′R″)0-10CONR′R″, (CR′R″)0-10(CNH)NR′R″, (CR′R″)0-10S(O)1-2NR′R″, (CR′R″)0-10CHO, (CR′R″)0-10O(CR′R″)0-10H, (CR′R″)0-10S(O)0-3R′ (e.g., —SO3H), (CR′R″)0-10O(CR′R″)0-10H (e.g., —CH2OCH3 and —OCH3), (CR′R″)0-10S(CR′R″)0-3H (e.g., —SH and —SCH3), (CR′R″)0-10OH (e.g., —OH), (CR′R″)0-10COR′, (CR′R″)0-10(substituted or unsubstituted phenyl), (CR′R″)0-10(C3-C8 cycloalkyl), (CR′R″)0-10CO2R′ (e.g., —CO2H), or (CR′R″)0-10OR′ group, or the side chain of any naturally occurring amino acid; wherein R′ and R″ are each independently hydrogen, a C1-C5 alkyl, C2-C5 alkenyl, C2-C5 alkynyl, or aryl group, or R′ and R″ taken together are a benzylidene group or a —(CH2)2O(CH2)2— group.
- It will be understood that “substitution” or “substituted with” includes the implicit proviso that such substitution is in accordance with the permitted valence of the substituted atom and the substituent, and that the substitution results in a stable compound, e.g., which does not spontaneously undergo transformation such as by rearrangement, cyclization, elimination, etc. As used herein, the term “substituted” is meant to include all permissible substituents of organic compounds. In a broad aspect, the permissible substituents include acyclic and cyclic, branched and unbranched, carbocyclic and heterocyclic, aromatic and nonaromatic substituents of organic compounds. The permissible substituents can be one or more.
- In some embodiments, a “substituent” may be selected from the group consisting of, for example, halogeno, trifluoromethyl, nitro, cyano, C1-C6 alkyl, C2-C6 alkenyl, C2-C6 alkynyl, C1-C6 alkylcarbonyloxy, arylcarbonyloxy, C1-C6 alkoxycarbonyloxy, aryloxycarbonyloxy, C1-C6 alkylcarbonyl, C1-C6 alkoxycarbonyl, C1-C6 alkoxy, C1-C6 alkylthio, arylthio, heterocyclyl, aralkyl, and aryl (including heteroaryl) groups.
-
- R1 is a substituted or unsubstituted cycloalkyl, heterocyclic, aryl, arylcycloalkyl, bicyclic or tricyclic ring, a bicyclic or tricyclic fused ring group, or a substituted or unsubstituted C2-C10 alkyl group;
- R2 is selected from a group consisting of hydrogen, alkyl, mercaptoalkyl, alkenyl, alkynyl, cycloalkyl, aryl, arylalkyl, thiazolyl, triazolyl; imidazolyl, benzothiazolyl, and benzoimidazolyl;
- Y is SO3 −X+, OSO3 −X+, or SSO3 −X+;
- X+ is hydrogen, a cationic group, or ester-forming group; and
- each of L1 and L2 is independently a substituted or unsubstituted C1-C5 alkyl group or absent, or a pharmaceutically acceptable salt thereof, provided that when R1 is alkyl, L1 is absent.
-
- R1 is a substituted or unsubstituted cyclic, bicyclic, tricyclic, or benzoheterocyclic group or a substituted or unsubstituted C2-C10 alkyl group;
- R2 is hydrogen, alkyl, mercaptoalkyl, alkenyl, alkynyl, cycloalkyl, aryl, arylalkyl, thiazolyl, triazolyl, imidazolyl, benzothiazolyl, benzoimidazolyl, or linked to R1 to form a heterocycle;
- Y is SO3 −X+, OSO3 −X+, or SSO3 −X+;
- X+ is hydrogen, a cationic group, or an ester forming moiety;
- m is 0 or 1;
- n is 1, 2, 3, or 4;
- L is substituted or unsubstituted C1-C3 alkyl group or absent, or a pharmaceutically acceptable salt thereof, provided that when R1 is alkyl, L is absent.
- In a further embodiment, R2 is hydrogen. In another further embodiment, R1 is straight chain alkyl, for example, ethyl, n-pentyl, n-heptyl, or n-octyl. In another embodiment, R1 is t-butyl. In yet another alternate embodiment, R1 is C7-C10 bicycloalkyl or tricycloalkyl, such as, for example, tricyclo[3.3.1.03,7]decyl (or adamantyl), bicyclo[2.1.2]heptyl, or indolyl. In another alternate embodiment, R1 is tetrahydronaphthyl.
- In one embodiment, L2 is —(CH2)3—. In another further embodiment, L2 is —(CH2)4— or —(CH2)5—. In yet another further embodiment, L2 is —(CH2)2—. In yet another further embodiment, L2 is substituted alkyl, e.g., —CH2—(CHOH)—CH2—.
- In another embodiment, L1 is CH2CH2 or absent.
- In a further embodiment, R1 is branched alkyl, e.g., t-butyl. In another embodiment, R1 is adamanyl. In another embodiment, R1 is cyclic alkyl, e.g., cyclopropyl, cyclohexyl, cycloheptyl, cyclo-octyl, etc. The cycloalkyl moieties may be substituted further, e.g., with additional alkyl groups or other groups which allow the molecule to perform its intended function. In another embodiment, R1 is alkyl substituted with a propargyl moiety (e.g., HC≡C—). In another embodiment, R1 is cyclohexyl substituted withone or more methyl or propargyl groups.
- In other embodiments, L1 is a C1-C2 alkyl linker group (e.g., —CH(CH3)— or —(CH2)2—. In a further embodiment, R1 is phenyl. In certain embodiments, R1 is substituted with a methoxy group. In other embodiments, L1 is C3, e.g., —(CH2)3— or C(CH3)2—. In certain embodiments, L1 is substituted, e.g., with an alkoxy, carboxylate (—COOH), benzyl, amido (—C═O—NH—), or ester (C═O—C—O) group. In certain embodiment, the ester group is a methyl, ethyl, propyl, butyl, cyclohexyl, or benzyl ester. In other embodiments, the ester group may be propenyl. In other embodiments, L1 is substituted with a carboxylate group. In a further embodiment, R1 is substituted with a subsituted amido group, wherein the amido group is substituted with an alkyl, e.g., methyl, ethyl, propyl, butyl, pentyl, or hexyl group. In another embodiment, the alkyl R1 group is a substituted with a —C═O—NH—OH, C═O—NH2, or an amido group. In certain embodiments, the amido group is substituted with an alkyl (e.g., methyl, ethyl, propyl, butyl, pentyl, hexyl, cyclohexyl, etc.), a benzyl or an aryl group. In another embodiment, the amido group is substituted with a —CH(CH2)2 group. R1 itself may be substituted with a phenyl or may be branched or straight chain alkyl. In certain embodiments, R1 may also be substituted with a thioether moiety. Examples of thioethers include S—Me, S—Et, etc. In certain embodiments, the alkyl R1 moiety is substituted with both an aryl or a thioether moiety and an amido moiety. In other embodiments, the alkyl R1 moiety may be substituted with both a thioether and a carboxylate moiety. In other embodiments, alkyl R1 groups are substituted with hydroxyl. R1 groups, e.g., alkyl R1 groups, may also be substituted with both thioether and hydroxyl groups. In other embodiments, R1 groups, e.g., alkyl R1 groups are substituted with cyano groups. Examples of R1 groups including —CN moieties include —C(CH3)2CN, cyclohexyl substituted with one or more cyano groups, etc.
- In other embodiments, alkyl R1 groups are substituted with aryl groups. The aryl groups may be substituted phenyl, for example. The substituted phenyl may be substituted with one or more substituents such as hydroxy, cyano and alkoxy. In other embodiments, alkyl R1 groups are substituted with tetrazolyl or substituted or unsubstituted benzyl.
- In a further embodiment, L1 is —C(CH3)2—(CH2)—. In another embodiment, L1 is —(C(CH3)2—CHOH—. In yet another embodiment, L1 is —(C(CH3)2CH(OMe)—. In another embodiment, R1 is substituted or unsubstituted phenyl. In a further embodiment, R1 is para-substituted phenyl. Examples of substitutuents include but are not limited to fluorine, chlorine, bromine, iodine, methyl, t-butyl, alkoxy, methoxy, etc. In other embodiment, R1 is substituted at the meta position. Examples of substituents include methoxy, chloro, methyl, t-butyl, fluoro, alkyl, alkoxy, iodo, trifluoroalkyl, methoxy, etc. In another embodiment, R1 is phenyl substituted in the ortho position, with similar substituents. In another embodiment, L1 comprises a cycloalkyl moiety, e.g., cyclopentyl. In another embodiment, L1 comprises an alkyenyl group and, optionally, a substituted aryl group, with substittuents similar to those described about.
- In certain embodiments, R1 is cyclopropyl or cyclohexyl. In certain embodiments, the cyclopropyl or cyclohexyl group is subsituted with an ether group or an alkyl group. In certain further embodiments, the ether group is a benzyl ether group.
- In another embodiment, wherein R1 is alkyl, it is substituted with groups such as phenyl, or hydroxy.
-
-
- A is nitrogen or oxygen;
- R11 is hydrogen, salt-forming cation, ester forming group, —(CH2)x-Q or when A is nitrogen, A and R11 taken together may be the residue of a natural or unnatural amino acid or a salt or ester thereof;
- Q is hydrogen, thiazolyl, triazolyl, imidazolyl, benzothiazolyl, or benzoimidazolyl;
- x is 0, 1, 2, 3, or 4;
- n is 0, 1, 2, 3, 4, 5, 6, 7, 8, 9, or 10;
- R3, R3a, R4, R4a, R5, R5a, R6, R6a, R7 and R7a are each independently hydrogen, alkyl, mercaptoalkyl, alkenyl, alkynyl, cycloalkyl, aryl, alkylcarbonyl, arylcarbonyl, alkoxycarbonyl, cyano, halogen, amino, tetrazolyl, or two R groups on adjacent ring atoms taken together with the ring atoms form a double bond, provided that one of R3, R3a, R4, R4a, R5, R5a, R6, R6a, R7 and R7a is a moiety of the Formula IIIa:
- wherein:
- m is 0, 1, 2, 3, or 4;
- RA, RB, RC, RD, and RE are independently selected from a group of hydrogen, halogen, hydroxyl, alkyl, alkoxyl, halogenated alkyl, mercaptoalkyl, alkenyl, alkynyl, cycloalkyl, aryl, cyano, thiazolyl, triazolyl, imidazolyl, tetrazolyl, benzothiazolyl, and benzoimidazolyl; and pharmaceutically acceptable salts and esters thereof, provided that said compound is not 3-(4-phenyl-1,2,3,6-tetrahydro-1-pyridyl)-1-propanesulfonic acid.
- In a further embodiment, n is 2, 3 or 4.
- In another embodiment, R11 is a salt-forming cation. Examples of salt forming cations include pharmaceutically acceptable salts described herein as well as lithium, sodium, potassium, magnesium, calcium, barium, zinc, iron, and ammonium. In another embodiment, R11 is an ester-forming group. An ester-forming group includes groups which when bound form an ester. Examples of such groups include substituted or unsubstituted alkyl, aryl, alkenyl, alkynyl, or cycloalkyl. In another embodiment, A is oxygen.
- In another embodiment, R3 and R4 are taken together with the carbon atoms to which they are attached to form a double bond. In another embodiment, RA, RB, RC, RD, and RE are each hydrogen. RA, RB, RD, and RE are each hydrogen and RC is a halogen, such as fluorine, chlorine, iodine, or bromine.
- In another embodiment, R3 or R5a is a moiety of Formula IIIa.
- In another embodiment, R4, R5, R6, and R7 are each hydrogen. In another further embodiment, R4a, R5a, R6a, and R7a are each hydrogen.
- In another, R3a is hydroxyl, cyano, acyl, or hydroxyl.
- In another further embodiment, R11 and A taken together are a natural or unnatural amino acid residue or a pharmaceutically acceptable salt or ester thereof. Examples of amino acid residues include esters and salts of phenylalanine and leucine.
- In another embodiment, m is 0, 1, or 3.
-
-
- A is nitrogen or oxygen;
- R11 is hydrogen, salt-forming cation, ester forming group, —(CH2)x-Q, or when A is nitrogen, A and R11 taken together may be the residue of a natural or unnatural amino acid or a salt or ester thereof;
- Q is hydrogen, thiazolyl, triazolyl, imidazolyl, benzothiazolyl, or benzoimidazolyl;
- x is 0, 1, 2, 3, or 4;
- n is 0, 1, 2, 3, 4, 5, 6, 7, 8, 9, or 10;
- R4, R4a, R5, R5a, R6, R6a, R7, and R7a are each independently hydrogen, alkyl, mercaptoalkyl, alkenyl, alkynyl, cycloalkyl, aryl, alkylcarbonyl, arylcarbonyl, alkoxycarbonyl, cyano, halogen, amino, tetrazolyl, R4 and R5 taken together, with the ring atoms they are attached to, form a double bond, or R6 and R7 taken together, with the ring atoms they are attached to, form a double bond;
- m is 0, 1, 2, 3, or 4;
- R8, R9, R10, R11, and R12 are independently selected from a group of hydrogen, halogen, hydroxyl, alkyl, alkoxyl, halogenated alkyl, mercaptoalkyl, alkenyl, alkynyl, cycloalkyl, aryl, cyano, thiazolyl, triazolyl, imidazolyl, tetrazolyl, benzothiazolyl, and benzoimidazolyl, and pharmaceutically acceptable salts and esters thereof.
- In another embodiment, R11 is a salt-forming cation. Examples of salt forming cations include pharmaceutically acceptable salts described herein as well as lithium, sodium, potassium, magnesium, calcium, barium, zinc, iron, and ammonium. In another embodiment, R11 is an ester-forming group. An ester-forming group includes groups which when bound form an ester. Examples of such groups include substituted or unsubstituted alkyl, aryl, alkenyl, alkynyl, or cycloalkyl. In another embodiment, A is oxygen.
- In another embodiment, m is 0 or 1. In another further embodiment, n is 2, 3, or 4. In another further embodiment, R4, R5, R6 and R7 are each hydrogen. R4a, R5a, R6a, and R7a also may be hydrogen. Examples of R4, R5, R10, R11, and R12 include hydrogen. In another embodiment R8, R9, R11, R12 are each hydrogen, and R10 is a halogen, (e.g., fluorine, chlorine, bromine, or iodine), nitro, or alkyl (e.g., methyl, ethyl, butyl). In another embodiment, A-R11 may be the residue of an amino acid, e.g., a phenylalanine residue. In another embodiment, R9, R10, R11 and R12 are each hydrogen, and R5 is not hydrogen, e.g., halogen, e.g., fluorine, bromine, chlorine, or iodine.
-
- and pharmaceutically acceptable salts, esters, and prodrugs thereof.
-
- A is nitrogen or oxygen;
- R11 is hydrogen, salt-forming cation, ester forming group, —(CH2)x-Q, or when A is nitrogen, A and R11 taken together may be the residue of a natural or unnatural amino acid or a salt or ester thereof;
- Q is hydrogen, thiazolyl, triazolyl, imidazolyl, benzothiazolyl, or benzoimidazolyl;
- x is 0, 1, 2, 3, or 4;
- n is 0, 1, 2, 3, 4, 5, 6, 7, 8, 9, or 10;
- aa is a natural or unnatural amino acid residue;
- m is 0, 1, 2, or 3;
- R14 is hydrogen or protecting group;
- R15 is hydrogen, alkyl or aryl, and pharmaceutically acceptable salts, esters and prodrugs thereof.
- In another embodiment, R11 is a salt-forming cation. Examples of salt forming cations include pharmaceutically acceptable salts described herein as well as lithium, sodium, potassium, magnesium, calcium, barium, zinc, iron, and ammonium. In another embodiment, R11 is an ester-forming group. An ester-forming group includes groups which when bound form an ester. Examples of such groups include substituted or unsubstituted alkyl, aryl, alkenyl, alkynyl, or cycloalkyl. In another embodiment, A is oxygen.
- In an embodiment, n is 2, 3 or 4. In certain embodiments, m is 0. In certain embodiments, A-R11 is a residue of a natural amino acid, or a salt or ester thereof. Examples of amino acid residues, include, but are not limited to, leucine or phenylalanine residues, and pharmaceutically acceptable salts and esters thereof. Examples of possible esters include methyl, ethyl, and t-butyl.
- In another embodiment, m is 1. Examples of aa include natural and unnatural amino acid residues such as phenylalanine, glycine, and leucine.
- In another embodiment, (aa)m is a residue of phe-phe, or an ester thereof.
- In certain embodiments, R15 is hydrogen or substituted alkyl, e.g., arylalkyl.
- The term “unnatural amino acid” refers to any derivative of a natural amino acid including D forms, and α- and β-amino acid derivatives. It is noted that certain amino acids, e.g., hydroxyproline, that are classified as a non-natural amino acid herein, may be found in nature within a certain organism or a particular protein. Amino acids with many different protecting groups appropriate for immediate use in the solid phase synthesis of peptides are commercially available. In addition to the twenty most common naturally occurring amino acids, the following examples of non-natural amino acids and amino acid derivatives may be used according to the invention (common abbreviations in parentheses): β-alanine (β-ALA), γ-aminobutyric acid (GABA), 2-aminobutyric acid (2-Abu), α,β-dehydro-2-aminobutyric acid (8-AU), 1-aminocyclopropane-1-carboxylic acid (ACPC), aminoisobutyric acid (Aib), 2-amino-thiazoline-4-carboxylic acid, 5-aminovaleric acid (5-Ava), 6-aminohexanoic acid (6-Ahx), 8-aminooctanoic acid (8-Aoc), 11-aminoundecanoic acid (11-Aun), 12-aminododecanoic acid (12-Ado), 2-aminobenzoic acid (2-Abz), 3-aminobenzoic acid (3-Abz), 4-aminobenzoic acid(4-Abz), 4-amino-3-hydroxy-6-methylheptanoic acid (Statine, Sta), aminooxyacetic acid (Aoa), 2-aminotetraline-2-carboxylic acid (ATC), 4-amino-5-cyclohexyl-3-hydroxypentanoic acid (ACHPA), para-aminophenylalanine (4-NH2-Phe), biphenylalanine (Bip), para-bromophenylalanine (4-Br-Phe), ortho-chlorophenylalanine] (2-Cl-Phe), meta-chlorophenylalanine (3-Cl-Phe), para-chlorophenylalanine (4-Cl-Phe), meta-chlorotyrosine (3-Cl-Tyr), para-benzoylphenylalanine (Bpa), tert-butylglycine (TLG), cyclohexylalanine (Cha), cyclohexylglycine (Chg), 2,3-diaminopropionic acid (Dpr), 2,4-diaminobutyric acid (Dbu), 3,4-dichlorophenylalanine (3,4-Cl2-Phe), 3,4-diflurorphenylalanine (3,4-F2-Phe), 3,5-diiodotyrosine (3,5-I2-Tyr), ortho-fluorophenylalanine (2-F-Phe), meta-fluorophenylalanine (3-F-Phe), para-fluorophenylalanine (4-F-Phe), meta-fluorotyrosine (3-F-Tyr), homoserine (Hse), homophenylalanine (Hfe), homotyrosine (Htyr), 5-hydroxytryptophan (5-OH-Trp), hydroxyproline (Hyp), para-iodophenylalanine (4-I-Phe), 3-iodotyrosine (3-I-Tyr), indoline-2-carboxylic acid (Idc), isonipecotic acid (Inp), meta-methyltyrosine (3-Me-Tyr), 1-naphthylalanine (1-Nal), 2-naphthylalanine (2-Nal), para-nitrophenylalanine (4-NO2-Phe), 3-nitrotyrosine (3-NO2-Tyr), norleucine (Nle), norvaline (Nva), ornithine (Orn), ortho-phosphotyrosine (H2PO3-Tyr), octahydroindole-2-carboxylic acid (Oic), penicillamine (Pen), pentafluorophenylalanine (F5-Phe), phenylglycine (Phg), pipecolic acid (Pip), propargylglycine (Pra), pyroglutamic acid (PGLU), sarcosine (Sar), tetrahydroisoquinoline-3-carboxylic acid (Tic), thienylalanine, and thiazolidine-4-carboxylic acid (thioproline, Th). Additionally, N-alkylated amino acids may be used, as well as amino acids having amine-containing side chains (such as Lys and Orn) in which the amine has been acylated or or alkylated.
-
-
- n is 1, 2, 3, 4, 5, 6, 7, 8, 9, or 10;
- A is oxygen or nitrogen;
- R11 is hydrogen, salt-forming cation, ester forming group, —(CH2)x-Q, or when A is nitrogen, A and R11 taken together may be the residue of a natural or unnatural amino acid or a salt or ester thereof;
- Q is hydrogen, thiazolyl, triazolyl, imidazolyl, benzothiazolyl, or benzoimidazolyl;
- x is 0, 1, 2, 3, or 4;
- R19 is hydrogen, alkyl or aryl;
- Y1 is oxygen, sulfur, or nitrogen;
- Y2 is carbon, nitrogen, or oxygen;
- R20 is hydrogen, alkyl, amino, mercaptoalkyl, alkenyl, alkynyl, cycloalkyl, aryl, arylalkyl, thiazolyl, triazolyl, tetrazolyl, imidazolyl, benzothiazolyl, or benzoimidazolyl;
- R12 is hydrogen, alkyl, mercaptoalkyl, alkenyl, alkynyl, cycloalkyl, aryl, arylalkyl, thiazolyl, triazolyl, tetrazolyl, imidazolyl, benzothiazolyl, benzoimidazolyl, or absent if Y2 is oxygen;
- R22 is hydrogen, alkyl, mercaptoalkyl, alkenyl, alkynyl, cycloalkyl, aryl, arylalkyl, thiazolyl, triazolyl, tetrazolyl, imidazolyl, benzothiazolyl, benzoimidazolyl; or R22 is hydrogen, hydroxyl, alkoxy or aryloxy if Y1 is nitrogen; or R22 is absent if Y1 is oxygen or sulfur; or R22 and R21 may be linked to form a cyclic moiety if Y1 is nitrogen;
- R23 is hydrogen, alkyl, amino, mercaptoalkyl, alkenyl, alkynyl, cycloalkyl, aryl, arylalkyl, thiazolyl, triazolyl, tetrazolyl, imidazolyl, benzothiazolyl, or benzoimidazolyl, or absent if Y2 is nitrogen or oxygen;
- or pharmaceutically acceptable salts thereof.
- In another embodiment, R11 is a salt-forming cation. Examples of salt forming cations include pharmaceutically acceptable salts described herein as well as lithium, sodium, potassium, magnesium, calcium, barium, zinc, iron, and ammonium. In a further embodiment, the salt is a sodium salt. In a further, embodiment, A is oxygen.
- In another embodiment, Y1 is oxygen or sulfur, and R22 is absent.
- In another embodiment, Y2 is oxygen and R21 is absent. Examples of R20 include benzyl, aryl (e.g., phenyl), alkyl, cycloalkyl (e.g., adamantyl), etc. In other embodiment, Y2 is nitrogen and R21 is hydrogen. In other embodiment, R21 is benzyl. In another further embodiment, R20 and R21 are linked to form a pyridyl ring. In another embodiment, Y1 is sulfur.
-
-
- n is 2, 3, or 4;
- A is oxygen or nitrogen;
- R11 is hydrogen, salt-forming cation, ester forming group, —(CH2)x-Q, or when A is nitrogen, A and R11 taken together may be the residue of a natural or unnatural amino acid or a salt or ester thereof;
- Q is hydrogen, thiazolyl, triazolyl, imidazolyl, benzothiazolyl, or benzoimidazolyl;
- x is 0, 1, 2, 3, or 4;
- G is a direct bond or oxygen, nitrogen, or sulfur;
- z is 0, 1, 2, 3, 4, or 5;
- m is 0 or 1;
- R24 is selected from a group consisting of hydrogen, alkyl, mercaptoalkyl, alkenyl, alkynyl, aroyl, alkylcarbonyl, aminoalkylcarbonyl, cycloalkyl, aryl, arylalkyl, thiazolyl, triazolyl, imidazolyl, benzothiazolyl, and benzoimidazolyl;
- each R25 is independently selected from hydrogen, halogen, cyano, hydroxyl, alkoxy, thiol, amino, nitro, alkyl, aryl, carbocyclic, or heterocyclic, and pharmaceutically acceptable salts, esters, and prodrugs thereof.
- In one embodiment, R11 is hydrogen. In another, A is oxygen. For example, n may be 3 and in may be 1. In other embodiments, R24 is hydrogen or benzyl.
- In certain embodiments, z is 0, 2, or 3. In others, R25 is hydroxyl or alkoxy, e.g., methoxy, ethoxy, etc. In certain embodiments, two or more R25 substituents can be linked to form a fused ring (e.g., to form a methylendioxyphenyl moiety).
-
-
- The invention pertains to both salt forms and acid/base forms of the compounds of the invention. For example, the invention pertains not only to the particular salt forms of compounds shown herein as salts, but also the invention includes other pharmaceutically acceptable salts, and the acid and/or base form of the compound. The invention also pertains to salt forms of compounds shown herein.
- Compounds of the invention are also shown in Table 2 below.
TABLE 2 Structure/ ID Name of Compound B 2-phenyl-1-sulfopropyl-1,2,3,6-tetrahydropyridine C 4-(3-phenylpropyl)-1-sulfopropylpyridine D 4-(3-phenylpropyl)-1-sulfopropyl-2,3,6-tetrahydropyridine E 3-(4-cyano-4-phenylpiperidin-1-yl)-1-propanesulfonic acid F 3-[4-(4-fluorophenyl)-1,2,3,6-tetrahydropyridin-1-yl]-1-propanesulfonic acid G 3-[4-(4-bromophenyl)-4-hydroxypiperidin-1-yl]-1-propanesulfonic acid H 3-[4-(4-chlorophennyl)-4-hydroxypiperidin-1-yl]-1-propanesulfonic acid I 3-(4-acetyl-4-phenylpiperidin-1-yl)-1-propanesulfonic acid J 3-[4-(4-chlorophenyl)-1,2,3,6-tetrahydropyridin-1-y42l]-1-propanesulfonic acid K 3-(4-phenylpiperazin-1-yl)-1-propanesulfonic acid L 3-[4-(4-chlorophenyl)piperazin-1-yl]-1-propanesulfonic acid M 3-[4-(2-fluorophenyl)piperazin-1-yl]-1-propanesulfonic acid N 3-[4-(4-nitrophenyl)piperazin-1-yl]-1-propanesulfonic acid P 3-[4-(4-fluorophenyl)piperazin-1-yl]-1-propanesulfonic acid Q 3-(4-phenyl-1,2,3,6-tetrahydropyridin-1-yl)propanoic acid R 3-(4-phenyl-1,2,3,6-tetrahydropyridin-1-yl)butanoic acid hydrochloride S 3-(3,4-dimethoxybenzyl)amino)-1-propanesulfonic acid X L-Phe-L-Phe-Taurine Y N-Boc-L-Phe-homoTau-L-Phe-Oet Z L-Phe-homotau-L-Phe-OEt hydrochloride AA L-(N-Boc)-Phe-(3-aminopropane-1-sulfonyl)-L-Phe, sodium salt AB L-Phe-(3-aminopropane-1-sulfonyl)-L-Phe, methyl ester AC N-benzyloxycarbonyl-3-amino-2-hydroxy-1-propanesulfonic acid sodium salt AD N-benzyloxycarbonyl-4-amino-1-butanesulfonic acid sodium salt AE N-benzyloxycarbonyl-3-amino-1-propanesulfonic acid sodium salt AF 3-{[(benzhydrylamino) carbonyl]amino}-1-propanesulfonic acid AG 3-[(phenylacetyl)amino]-1-propanesulfonic acid, sodium salt AH 3-{[(benzylamino)carbonyl]amino}-1-propanesulfonic acid, sodium salt AI 3-{[(hexylamino)carbonyl]amino}-1-propanesulfonic acid, sodium salt AJ 3-{[(dodecylamino)carbonyl]amino}-1-propanesulfonic acid, sodium salt AK 3-{[(adamantylamino)carbonyl]amino}-1-propanesulfonic acid, sodium salt AL 3-{[2-(4-isobutylphenyl)propanoyl]amino}-1-propanesulfonic acid, sodium AM 3-{[(benzylamino)carbonothioyl]amino}-1-propanesulfonic acid, sodium salt AU N-(3-dibenzylamino-1-propanesulfonyl)-L-phenylalanine, sodium salt AV 3-dibenzylamino-1-propanesulfonic acid AW 3-[((1,3-benzodioxol-5-yl)methyl)amino]-1-propanesulfonic acid AX 3-(3,4-dimethoxybenzyl amino)-1-propanesulfonic acid AY 3-(3,4,5-trimethoxybenzylamino)-1-propanesulfonic acid AZ 3-(2,3-dimethoxybenzylamino)-1-propane sulfonic acid BA 3-(3,5-dimethoxybenzylamino)-1-propane sulfonic acid BB 3-(2,4-dimethoxybenzylamino)-1-propanesulfonic acid BC 3-(3,4-dihydroxybenzyl amino)-1-propanesulfonic acid BW 3-(1-adamantyl)amino-1-propanesulfonic acid BX 3-(t-butyl)amino-1-propanesulfonic acid BY 3-(2-norbornyl)amino-1-propanesulfonic acid BZ 3-(2-adamantyl)amino-1-propanesulfonic acid CC 5-amino-1-pentanesulfonic acid CD 6-amino-1-hexanesulfonic acid CE 3-isobutylamino-1-propanesulfonic acid CG 3-isopropylamino-1-propanesulfonic acid CH 3-isoamylamino-1-propanesulfonic acid CI 3-(cyclopropylamino)-1-propanesulfonic acid CJ 3-(cyclopentylamino)-1-propanesulfonic acid CK 3-(cycloheptylamino)-1-propanesulfonic acid CL N-(3-aminopropane-1-sulfonyl)-phenylalanine, ethyl ester CM cyclopentylsulfamic acid, sodium salt CN cycloheptylsulfonic acid, sodium salt CO 4-iodo-N-(3-sulfopropyl)-L-phenylalanine amide CV 3-(ethytamino)-1-propanesulfonic acid CY 3-(3,5-dimethyl-1-adamantylamino)-1-propanesulfonic acid DC 3-cyclohexylamino-2-hydroxy-1-propanesulfonic acid DD 3-(3-pentyl)amino-1-propanesulfonic acid DE DG 3-(tert-amyl)amino-1-propanesulfonic acid DH 3-(1,1-dimethyl-2-hydroxyethyl)amino-1-propanesulfonic acid DI 3-(1-carboxy-1-methylethylamino)-1-propanesulfonic acid DJ 3-[(1R,2S)-2-methylcyclohexyl]amino-1-propanesulfonic acid DK 3-(2,3-dimethylcyclohexyl)amino-1-propanesulfonic acid DL 3-neopentylamino-1-propanesulfonic acid DM 3-cumylamino-1-propanesulfonic acid DN DO 3-[(1R)-1-indanamino]-1-propanesulfonic acid DP 3-(N-tert-butylcarbamyl)amino-1-propanesulfonic acid DQ 3-(1,2-dimethyl-1-propyl)amino-1-propanesulfonic acid DR 3-(4-methylcyclohexyl)amino-1-propanesulfonic acid DS 3-(2-methyl-1-butyl)amino-1-propanesulfonic acid DT 3-pivaloylamino-1-propanesulfonic acid DU 2-(tert-butyl)amino-1-ethanesulfonic acid DV 3-(cyclohexanemethyl)amino-1-propanesulfonic acid DW 3-(1,1-diethylpropargyl)amino-1-propanesulfonic acid DX 3-(1-ethynylcyclohexyl)amino-1-propanesulfonic acid DY 3-(2-hydroxy-2-phenyl)amino-1-propanesulfonic acid DZ 3-[(S)-1-(4-methoxyphenyl)ethyl]amino-1-propanesulfonic acid EA 3-(4-bromophenethyl)amino-1-propanesulfonic acid EB 3-[(S)-1-indanamino]-1-propanesulfonic acid EC 3-cyclobutylamino-1-propanesulfonic acid ED 3-(3,3,5-trimethylcyclohexyl)amino]-1-propanesulfonic acid EE 3-(2-indanamino)-1-propanesulfonic acid EF 3-(4-biphenylamino)-1-propanesulfonic acid EG 3-[(1R,2S)-2-hydroxy-1-(methoxymethyl)-2-phenylethyl]amino-1- propanesulfonic acid EH 3-[(1R,2R,3R,5S)-1,2,6,6-tetramethylbicyclo[3.1.1]hept-3-yl]amino-1- propanesulfonic acid EI 3-(2-methoxy-1-methylethyl)amino-1-propanesulfonic acid EJ 3-[(1R)-2-benzyl-1-hydroxyethyl]amino-1-propanesulfonic acid EK 3-[(1S)-2-benzyl-1-hydroxyethyl]amino-1-propanesulfonic acid EL EN 3-(N-methyl-N-tert-butylamino)-1-propanesulfonic acid EO 3-[(1R,2S)-2-hydroxyindan-1-amino]-1-propanesulfonic acid EP 3-[(1S)-1-(hydroxymethyl)-2-methytpropyl]amino-1-propanesulfonic acid EQ 3-[(1S)-1-carbamoyl-2-methylpropyl]amino-1-propanesulfonic acid ER 4-(tert-butylamino)-1-butanesulfonic acid ES 4-(tert-butylamino)-2-butanesulfonic acid ET 3-(2,2-diphenylethyl)amino-1-propanesulfonic acid EV 3-(4-mexiletino)-1-propanesulfonic acid EW 3-(1-benzyl-2-methoxyethyl))amino-1-propanesulfonic acid EY EZ FA FH FL FM FN FO 3-[1-(N-hydroxycarbamoyl)-2-phenylethyl)amino-1-propanesulfonic acid FP FQ FR FS FT FU FV FW FX FY FZ GA GB GC GD GE GF GH GI GJ GK GL GM GN GO GP GQ GR GS GT GU GZ HA HB HC HD HE HF HG HI HJ HK HL HM HN HO HP HQ HR HS HT HU HV HW HX HY HZ IA IB IC ID IE IF IG IH II IJ IK IL IM IN IO IP IR IS IT IU IV IW IX IY IZ JA JB JC JD JE JF JG JH JI JJ JK JL JM JN JO JP JQ JR JS JT JU JV JW JX JY JZ KA KB KH KI KJ KK KL KM KN KP KQ KR KS KT KV KW KX KY LA LC LD LE LF LG LH LI LJ LK LL LM LN LO LP LQ NE NG NH NI NJ NK NL - It should be noted that in the above table and throughout the application when an atom is shown without hydrogens, but hydrogens are required or chemically necessary to form a stable compound, hydrogens should be inferred to be part of the compound.
- In one embodiment, the invention does not pertain to the compounds described in WO 00/64420 and WO 96/28187. In this embodiment, the invention does not pertain to methods of using the compounds described in WO 00/64420 and WO 96/28187 for the treatment of diseases or disorders described therein. In a further embodiment, the invention pertains to methods of using the compounds described in WO 00/64420 and WO 96/28187 for methods described in this application, which are not described in WO 00/64420 and WO 96/28187. Both of WO 00/64420 and WO 96/28187 are incorporated by reference herein in their entirety.
- In another embodiment, the invention pertains to methods of the invention which use and pharmaceutical compositions comprising, the compounds of Table 2A. In another embodiment, the compounds of the invention do not include the compounds of Table 2A.
TABLE 2A BzNHCH2CH2CH2SO3Na AcNHCH2CH2CH2SO3Na CH3(CH2)8NH(CH2)3SO3H CH3(CH2)9NH(CH2)3SO3H CH3(CH2)11NH(CH2)3SO3H CH3(CH2)10NH(CH2)3SO3H CH3(CH2)12 NH(CH2)3SO3H HOCH2CH2CH2NHCH2CH2CH2SO3H CH3(CH2)13NH(CH2)3SO3H CH3(CH2)15NH(CH2)3SO3H CH3(CH2)17NHCH2CH2CH2SO3H CH3(CH2)13N+(CH3)2[(CH2)3SO3 −] NaO3SOCH2(CH2)3CH2OSO3Na HOCH2CH2CH2CH2SO3Na (NaO3SCH2CH2CH2CH2)2O CH3C(CH2OSO3Na)3 NH2CH2CH2CH2SO3Na HC(CH2OSO3Na)3 NH2C(CH2OSO3Na)3 NH2CH2CH2OSO3H NaO3SNHCH2CH2OSO3Na NaO3SNHCH2CH2CH2OSO3Na HN(CH2CH2OSO3Na)2 H2NCH2CH2CH2OSO3Na NaO3SN(CH2CH2OSO3Na)2 H2NCH2CH2SO3H NaO3SOCH2CH2CH2SO3Na CH3CH2CH2CH2SO3Na CH3(CH2)8CH2SO3Na CH3CH2CH2SO3Na CH3CH2SO3Na CH3CH2CH2CH2CH2SO3Na - It should be understood that the use of any of the compounds described herein or in the applications identified in “The Related Applications” Section is within the scope of the present invention and is intended to be encompassed by the present invention and each of the applications are expressly incorporated herein at least for these purposes, and are furthermore expressly incorporated for all other purposes.
- Subjects and Patient Populations
- The term “subject” includes living organisms in which amyloidosis can occur, or which are susceptible to amyloid diseases, e.g., Alzheimer's disease, Down's syndrome, CAA, dialysis-related (β2M) amyloidosis, secondary (AA) amyloidosis, primary (AL) amyloidosis, hereditary amyloidosis, diabetes, etc. Examples of subjects include humans, chickens, ducks, peking ducks, geese, monkeys, deer, cows, rabbits, sheep, goats, dogs, cats, mice, rats, and transgenic species thereof. Administration of the compositions of the present invention to a subject to be treated can be carried out using known procedures, at dosages and for periods of time effective to modulate amyloid aggregation or amyloid-induced toxicity in the subject as further described herein. An effective amount of the therapeutic compound necessary to achieve a therapeutic effect may vary according to factors such as the amount of amyloid already deposited at the clinical site in the subject, the age, sex, and weight of the subject, and the ability of the therapeutic compound to modulate amyloid aggregation in the subject. Dosage regimens can be adjusted to provide the optimum therapeutic response. For example, several divided doses may be administered daily or the dose may be proportionally reduced as indicated by the exigencies of the therapeutic situation.
- In certain embodiments of the invention, the subject is in need of treatment by the methods of the invention, and is selected for treatment based on this need. A subject in need of treatment is art-recognized, and includes subjects that have been identified as having a disease or disorder related to amyloid-deposition or amyloidosis, has a symptom of such a disease or disorder, or is at risk of such a disease or disorder, and would be expected, based on diagnosis, e.g., medical diagnosis, to benefit frormh treatment (e.g., curing, healing, preventing, alleviating, relieving, altering, remedying, ameliorating, improving, or affecting the disease or disorder, the symptom of the disease or disorder, or the risk of the disease or disorder).
- In an exemplary aspect of the invention, the subject is a human. For example, the subject may be a human over 30 years old, human over 40 years old, a human over 50 years old, a human over 60 years old, a human over 70 years old, a human over 80 years old, a human over 85 years old, a human over 90 years old, or a human over 95 years old. The subject may be a female human, including a postmenopausal female human, who may be on hormone (estrogen) replacement therapy. The subject may also be a male human. In another embodiment, the subject is under 40 years old.
- A subject may be a human at risk for Alzheimer's disease, e.g., being over the age of 40 or having a predisposition for Alzheimer's disease. Alzheimer's disease predisposing factors identified or proposed in the scientific literature include, among others, a genotype predisposing a subject to Alzheimer's disease; environmental factors predisposing a subject to Alzheimer's disease; past history of infection by viral and bacterial agents predisposing a subject to Alzheimer's disease; and vascular factors predisposing a subject to Alzheimer's disease. A subject may also have one or more risk factors for cardiovascular disease (e.g., atherosclerosis of the coronary arteries, angina pectoris, and myocardial infarction) or cerebrovascular disease (e.g., atherosclerosis of the intracranial or extracranial arteries, stroke, syncope, and transient ischemic attacks), such as hypercholesterolemia, hypertension, diabetes, cigarette smoking, familial or previous history of coronary artery disease, cerebrovascular disease, and cardiovascular disease. Hypercholesterolemia typically is defined as a serum total cholesterol concentration of greater than about 5.2 mmol/L (about 200 mg/dL).
- Several genotypes are believed to predispose a subject to Alzheimer's disease. These include the genotypes such as presenilin-1, presenilin-2, and amyloid precursor protein (APP) missense mutations associated with familial Alzheimer's disease, and α-2-macroglobulin and LRP-1 genotypes, which are thought to increase the risk of acquiring sporadic (late-onset) Alzheimer's disease. E.van Uden, et al., J. Neurosci. 22(21), 9298-304 (2002); J. J. Goto, et al., J. Mol. Neurosci. 19(1-2), 37-41 (2002). Another genetic risk factor for the development of Alzheimer's disease are variants of ApoE, the gene that encodes apolipoprotein E (particularly the apoE4 genotype), a constituent of the low-density lipoprotein particle. W J Strittmatter, et al., Annu. Rev. Neurosci. 19, 53-77 (1996). The molecular mechanisms by which the various ApoE alleles alter the likelihood of developing Alzheimer's disease are unknown, however the role of ApoE in cholesterol metabolism is consistent with the growing body of evidence linking cholesterol metabolism to Alzheimer's disease. For example, chronic use of cholesterol-lowering drugs such as statins has recently been associated with a lower incidence of Alzheimer's disease, and cholesterol-lowering drugs have been shown to reduce pathology in APP transgenic mice. These and other studies suggest that cholesterol may affect APP processing. ApoE4 has been suggested to alter Aβ trafficking (in and out of the brain), and favor retention of Aβ in the brain. ApoE4 has also been suggested to favor APP processing toward Aβ formation. Environmental factors have been proposed as predisposing a subject to Alzheimer's disease, including exposure to aluminum, although the epidemiological evidence is ambiguous. In addition, prior infection by certain viral or bacterial agents may predispose a subject to Alzheimer's disease, including the herpes simplex virus and chlamydia pneumoniae. Finally, other predisposing factors for Alzheimer's disease can include risk factors for cardiovascular or cerebrovascular disease, including cigarette smoking, hypertension and diabetes. “At risk for Alzheimer's disease” also encompasses any other predisposing factors not listed above or as yet identified and includes an increased risk for Alzheimer's disease caused by head injury, medications, diet, or lifestyle.
- The methods of the present invention can be used for one or more of the following: to prevent Alzheimer's disease, to treat Alzheimer's disease, or ameliorate symptoms of Alzheimer's disease, or to regulate production of or levels of amyloid β (Aβ) peptides. In an embodiment, the human carries one or more mutations in the genes that encode β-amyloid precursor protein, presenilin-1 or presenilin-2. In another embodiment, the human carries the Apolipoprotein ε4 gene. In another embodiment, the human has a family history of Alzheimer's Disease or a dementia illness. In another embodiment, the human has trisomy 21 (Down's Syndrome). In another embodiment, the subject has a normal or low serum total blood cholesterol level. In another embodiment, the serum total blood cholesterol level is less than about 200 mg/dL, or less than about 180, and it can range from about 150 to about 200 mg/dL. In another embodiment, the total LDL cholesterol level is less than about 100 mg/dL, or less than about 90 mg/dL and can range from about 30 to about 100 mg/dL. Methods of measuring serum total blood cholesterol and total LDL cholesterol are well known to those skilled in the art and for example include those disclosed in WO 99/38498 at p. 11, incorporated by reference herein. Methods of determining levels of other sterols in serum are disclosed in H. Gylling, et al., “Serum Sterols During Stanol Ester Feeding in a Mildly Hypercholesterolemic Population”, J. Lipid Res. 40: 593-600 (1999).
- In another embodiment, the subject has an elevated serum total blood cholesterol level. In another embodiment, the serum total cholesterol level is at least about 200 mg/dL, or at least about 220 mg/dL and can range from about 200 to about 1000 mg/dL. In another embodiment, the subject has an elevated total LDL cholesterol level. In another embodiment, the total LDL cholesterol level is greater than about 100 mg/dL, or even greater than about 110 mg/dL and can range from about 100 to about 1000 mg/dL.
- In another embodiment, the human is at least about 40 years of age. In another embodiment, the human is at least about 60 years of age. In another embodiment, the human is at least about 70 years of age. In another embodiment, the human is at least about 80 years of age. In another embodiment, the human is at least about 85 years of age. In one embodiment, the human is between about 60 and about 100 years of age.
- In still a further embodiment, the subject is shown to be at risk by a diagnostic brain imaging technique, for example, one that measures brain activity, plaque deposition, or brain atrophy.
- In still a further embodiment, the subject is shown to be at risk by a cognitive test such as Clinical Dementia Rating (“CDR”), Alzheimer's Disease Assessment Scale-Cognition (“ADAS-Cog”), Disability Assessment for Dementia (“DAD”) or Mini-Mental State Examination (“MMSE”). The subject may exhibit a below average score on a cognitive test, as compared to a historical control of similar age and educational background. The subject may also exhibit a reduction in score as compared to previous scores of the subject on the same or similar cognition tests.
- In determining the CDR, a subject is typically assessed and rated in each of six cognitive and behavioural categories: memory, orientation, judgement and problem solving, community affairs, home and hobbies, and personal care. The assessment may include historical information provided by the subject, or preferably, a corroborator who knows the subject well. The subject is assessed and rated in each of these areas and the overall rating, (0, 0.5, 1.0, 2.0 or 3.0) determined. A rating of 0 is considered normal. A rating of 1.0 is considered to correspond to mild dementia. A subject with a CDR of 0.5 is characterized by mild consistent forgetfulness, partial recollection of events and “benign” forgetfulness. In one embodiment the subject is assessed with a rating on the CDR of above 0, of above about 0.5, of above about 1.0, of above about 1.5, of above about 2.0, of above about 2.5, or at about 3.0.
- Another test is the Mini-Mental State Examination (MMSE), as described by Folstein “Mini-mental state. A practical method for grading the cognitive state of patients for the clinician.” J. Psychiatr. Res. 12:189-198, 1975. The MMSE evaluates the presence of global intellectual deterioration. See also Folstein “Differential diagnosis of dementia. The clinical process.” Psychiatr Clin North Am. 20:45-57, 1997. The MMSE is a means to evaluate the onset of dementia and the presence of global intellectual deterioration, as seen in Alzheimer's disease and multi-infart dementia. The MMSE is scored from 1 to 30. The MMSE does not evaluate basic cognitive potential, as, for example, the so-called IQ test. Instead, it tests intellectual skills. A person of “normal” intellectual capabilities will score a “30” on the MMSE objective test (however, a person with a MMSE score of 30 could also score well below “normal” on an IQ test). See, e.g., Kaufer, J. Neuropsychiatry Clin. Neurosci. 10:55-63, 1998; Becke, Alzheimer Dis Assoc Disord. 12:54-57, 1998; Ellis, Arch. Neurol. 55:360-365, 1998; Magni, Int. Psychogeriatr. 8:127-134, 1996; Monsch, Acta Neurol. Scand. 92:145-150, 1995. In one embodiment, the subject scores-below 30 at least once on the MMSE. In another embodiment, the subject scores below about 28, below about 26, below about 24, below about 22, below about 20, below about 18, below about 16, below about 14, below about 12, below about 10, below about 8, below about 6, below about 4, below about 2, or below about 1.
- The Disability Assessment for Dementia (“DAD”) scale has been developed to measure a patient's ability to perform the activities of daily living (Gélinas I et al. Development of a Functional Measure for Persons with Alzheimer's Disease: The Disability Assessment for Dementia Am. J. Occupational Therapy. 1999; 53: 471-481). Activities of daily living may be assessed according to self care (i.e., dressing and personal hygiene) and instrumental activities (e.g., housework, cooking, and using household devices). The objectives of the DAD scale include quantitatively measuring functional abilities in activities of daily living in individuals with cognitive impairments and to help delineate areas of cognitive deficits that may impair performance in activities of daily living. The DAD is administered through an interview with the caregiver. It measures actual performance in activities of daily living of the individual as observed over a 2 week period prior to the interview. The scale assesses the following domains of activities: hygiene, dressing, telephoning, continence, eating, meal preparation, outing activities, finance and correspondence, medication use, leisure and housework. A total score is obtained by adding the rating for each question and converting this total score out of 100. Higher scores represent less disability in ADL while lower scores indicate more dysfunction. In one embodiment, the subject scores below 100 at least once on the DAD. In another embodiment, the subject scores below about 95, below about 90, below about 85, below about 80, below about 75, below about 70, below about 65, below about 60, below about 55, below about 50, below about 45, below about 40, below about 30, below about 20, or below about 10.
- Another means to evaluate cognition, particularly Alzheimer's disease, is the Alzheimer's Disease Assessment Scale (ADAS-Cog), or a variation termed the Standardized Alzheimer's Disease Assessment Scale (SADAS). It is commonly used as an efficacy measure in clinical drug trials of Alzheimer's disease and related disorders characterized by cognitive decline. SADAS and ADAS-Cog were not designed to diagnose Alzheimer's disease; they are useful in characterizing symptoms of dementia and are a relatively sensitive indicator of dementia progression. (See, e.g., Doraiswamy, Neurology 48:1511-1517, 1997; and Standish, J. Am. Geriatr. Soc. 44:712-716, 1996.) Annual deterioration in untreated Alzheimer's disease patients is approximately 8 points per year (See, eg., Raskind, M Prim. Care Companion J Clin Psychiatry August 2000; 2(4):134-138).
- The ADAS-cog is designed to measure, with the use of questionnaires, the progression and the severity of cognitive decline as seen in AD on a 70-point scale. The ADAS-cog scale quantifies the number of wrong answers. Consequently, a high score on the scale indicates a more severe case of cognitive decline. In one embodiment, a subject exhibits a score of greater than 0, greater than about 5, greater than about 10, greater than about 15, greater than about 20, greater than about 25, greater than about 30, greater than about 35, greater than about 40, greater than about 45, greater than about 50, greater than about 55, greater than about 60, greater than about 65, greater than about 68, or about 70.
- In another embodiment, the subject exhibits no symptoms of Alzheimer's Disease. In another embodiment, the subject is a human who is at least 40 years of age and exhibits no symptoms of Alzheimer's Disease. In another embodiment, the subject is a human who is at least 40 years of age and exhibits one or more symptoms of Alzheimer's Disease.
- In another embodiment, the subject has Mild Cognitive Impairment. In a further embodiment, the subject has a CDR rating of about 0.5. In another embodiment, the subject has early Alzheimer's disease. In another embodiment, the subject has cerebral amyloid angiopathy.
- By using the methods of the present invention, the levels of amyloid β peptides in a subject's plasma or cerebrospinal fluid (CSF) can be reduced from levels prior to treatment from about 10 to about 100 percent, or even about 50 to about 100 percent.
- In an alternative embodiment, the subject can have an elevated level of amyloid Aβ40 and Aβ42 peptide in the blood and CSF prior to treatment, according to the present methods, of greater than about 10 pg/mL, or greater than about 20 pg/mL, or greater than about 35 pg/mL, or even greater than about 40 pg/mL. In another embodiment, the elevated level of amyloid Aβ42 peptide can range from about 30 pg/mL to about 200 pg/mL, or even to about 500 pg/mL. One skilled in the art would understand that as Alzheimer's disease progresses, the measurable levels of amyloid β peptide in the CSF may decrease from elevated levels present before onset of the disease. This effect is attributed to increased deposition, i.e., trapping of Aβ peptide in the brain instead of normal clearance from the brain into the CSF.
- In an alternative embodiment, the subject can have an elevated level of amyloid Aβ40 peptide in the blood and CSF prior to treatment, according to the present methods, of greater than about 5 pg Aβ42/mL or greater than about 50 pg Aβ40/mL, or greater than about 400 pg/mL. In another embodiment, the elevated level of amyloid Aβ40 peptide can range from about 200 pg/mL to about 800 pg/mL, to even about 1000 pg/mL.
- In another embodiment, the subject can have an elevated level of amyloid Aβ42 peptide in the CSF prior to treatment, according to the present methods, of greater than about 5 pg/mL, or greater than about 10 pg/mL, or greater than about 200 pg/mL, or greater than about 500 pg/mL. In another embodiment, the level of amyloid β peptide can range from about 10 pg/mL to about 1,000 pg/mL, or even about 100 pg/mL to about 1,000 pg/mL.
- In another embodiment, the subject can have an elevated level of amyloid Aβ40 peptide in the CSF prior to treatment according to the present methods of greater than about 10 pg/mL, or greater than about 50 pg/mL, or even greater than about 100 pg/mL. In another embodiment, the level of amyloid 0 peptide can range from about 10 pg/mL to about 1,000 pg/mL.
- The amount of amyloid β peptide in the brain, CSF, blood, or plasma of a subject can be evaluated by enzyme-linked immunosorbent assay (“ELISA”) or quantitative immunoblotting test methods or by quantitative SELDI-TOF which are well known to those skilled in the art, such as is disclosed by Zhang, et al., J. Biol. Chem. 274, 8966-72 (1999) and Zhang, et al., Biochemistry 40, 5049-55 (2001). See also, A. K. Vehmas, et al., DNA Cell Biol. 20(11), 713-21 (2001), P.Lewczuk, et al., Rapid Commun. Mass Spectrom. 17(12), 1291-96 (2003); B. M. Austen, et al., J. Peptide Sci. 6, 459-69 (2000); and H.Davies, et al., BioTechniques 27, 1258-62 (1999). These tests are performed on samples of the brain or blood which have been prepared in a manner well known to one skilled in the art. Another example of a useful method for measuring levels of amyloid β peptides is by Europium immunoassay (EIA). See, e.g., WO 99/38498 at p.11.
- The methods of the invention may be applied as a therapy for a subject having Alzheimer's disease or a dementia, or the methods of the invention may be applied as a prophylaxis against Alzheimer's disease or dementia for subject with such a predisposition, as in a subject, e.g., with a genomic mutation in the APP gene, the ApoE gene, or a presenilin gene. The subject may have (or may be predisposed to developing or may be suspected of having) vascular dementia, or senile dementia, Mild Cognitive Impairment, or early Alzheimer's disease. In addition to Alzheimer's disease, the subject may have another amyloid-related disease such as cerebral amyloid angiopathy, or the subject may have amyloid deposits, especially amyloid-P amyloid deposits in the brain.
- Treatment of Amyloid-Related Diseases
- The present invention pertains to methods of using the compounds and pharmaceutical compositions thereof in the treatment and prevention of amyloid-related diseases. The pharmaceutical compositions of the invention may be administered therapeutically or prophylactically to treat diseases associated with amyloid (e.g., AL amyloid protein (λ or κ-chain related, e.g., amyloid λ, amyloid κ, amyloid κIV, amyloid λVI, amyloid γ, amyloid γ1), Aβ, IAPP, β2M, AA, or AH amyloid protein) fibril formation, aggregation or deposition.
- The pharmaceutical compositions of the invention may act to ameliorate the course of an amyloid-related disease using any of the following mechanisms (this list is meant to be illustrative and not limiting): slowing the rate of amyloid fibril formation or deposition; lessening the degree of amyloid deposition; inhibiting, reducing, or preventing amyloid fibril formation; inhibiting neurodegeneration or cellular toxicity induced by amyloid; inhibiting amyloid induced inflammation; enhancing-the clearance of amyloid from the brain; enhancing degradation of Aβ in the brain; or favoring clearance of amyloid protein prior to its organization in fibrils. “Modulation” of amyloid deposition includes both inhibition, as defined above, and enhancement of amyloid deposition or fibril formation. The term “modulating” is intended, therefore, to encompass prevention or stopping of amyloid formation or accumulation, inhibition or slowing down of further amyloid formation or accumulation in a subject with ongoing amyloidosis, e.g., already having amyloid deposition, and reducing or reversing of amyloid formation or accumulation in a subject with ongoing amyloidosis; and enhancing amyloid deposition, e.g., increasing the rate or amount of amyloid deposition in vivo or in vitro. Amyloid-enhancing compounds may be useful in animal models of amyloidosis, for example, to make possible the development of amyloid deposits in animals in a shorter period of time or to increase amyloid deposits over a selected period of time. Amyloid-enhancing compounds may be useful in screening assays for compounds which inhibit amyloidosis in vivo, for example, in animal models, cellular assays and in vitro assays for amyloidosis. Such compounds may be used, for example, to provide faster or more sensitive assays for compounds. Modulation of amyloid deposition is determined relative to an untreated subject or relative to the treated subject prior to treatment.
- “Inhibition” of amyloid deposition includes preventing or stopping of amyloid formation, e.g., fibrillogenesis, clearance of amyloid, e.g., soluble Aβ from brain, inhibiting or slowing down of further amyloid deposition in a subject with amyloidosis, e.g., already having amyloid deposits, and reducing or reversing amyloid fibrillogenesis or deposits in a subject with ongoing amyloidosis. Inhibition of amyloid deposition is determined relative to an untreated subject, or relative to the treated subject prior to treatment, or, e.g., determined by clinically measurable improvement, e.g., or in the case of a subject with brain amyloidosis, e.g., an Alzheimer's or cerebral amyloid angiopathy subject, stabilization of cognitive function or prevention of a further decrease in cognitive function (i.e., preventing, slowing, or stopping disease progression), or improvement of parameters such as the concentration of Aβ or tau in the CSF.
- As used herein, “treatment” of a subject includes the application or administration of a composition of the invention to a subject, or application or administration of a composition of the invention to a cell or tissue from a subject, who has an amyloid-related disease or condition, has a symptom of such a disease or condition, or is at risk of (or susceptible to) such a disease or condition, with the purpose of curing, healing, alleviating, relieving, altering, remedying, ameliorating, improving, or affecting the disease or condition, the symptom of the disease or condition, or the risk of (or susceptibility to) the disease or condition. The term “treating” refers to any indicia of success in the treatment or amelioration of an- injury, pathology or condition, including any objective or subjective parameter such as abatement; remission; diminishing of symptoms or making the injury, pathology or condition more tolerable to the subject; slowing in the rate of degeneration or decline; making the final point of degeneration less debilitating; improving a subject's physical or mental well-being; or, in some situations, preventing the onset of dementia. The treatment or amelioration of symptoms can be based on objective or subjective parameters; including the results of a physical examination, a psychiatric evaluation, or a cognition test such as CDR, MMSE, DAD, ADAS-Cog, or another test known in the art. For example, the methods of the invention successfully treat a subject's dementia by slowing the rate of or lessening the extent of cognitive decline.
- In one embodiment, the term “treating” includes maintaining a subject's CDR rating at its base line rating or at 0. In another embodiment, the term treating includes decreasing a subject's CDR rating by about 0.25 or more, about 0.5 or more, about 1.0 or more, about 1.5 or more, about 2.0 or more, about 2.5 or more, or about 3.0 or more. In another embodiment, the term “treating” also includes reducing the rate of the increase of a subject's CDR rating as compared to historical controls. In another embodiment, the term includes reducing the rate of increase of a subject's CDR rating by about 5% or more, about 10% or more, about 20% or more, about 25% or more, about 30% or more, about 40% or more, about 50% or more, about 60% or more, about 70% or more, about 80% or more, about 90% or more, or about 100%, of the increase of the historical or untreated controls.
- In another embodiment, the term “treating” also includes maintaining a subject's score on the MMSE. The term “treating” includes increasing a subject's MMSE score by about 1, about 2, about 3, about 4, about 5, about 7.5, about 10, about 12.5, about 15, about 17.5, about 20, or about 25 points. The term also includes reducing the rate of the decrease of a subject's MMSE score as compared to historical controls. In another embodiment, the term includes reducing the rate of decrease of a subject's MMSE score by about 5% or less, about 10% or less, about 20% or less, about 25% or less, about 30% or less, about 40% or less, about 50% or less, about 60% or less, about 70% or less, about 80% or less, about 90% or less or about 100% or less, of the decrease of the historical or untreated controls.
- In another embodiment, the term “treating” also includes maintaining a subject's score on the DAD. The term “treating” includes increasing a subject's DAD score by about 1, about 5, about 10, about 15, about 20, about 30, about 35, about 40, about 50, about 60, about 70, or about 80 points. The term also includes reducing the rate of the decrease of a subject's DAD score as compared to historical controls. In another embodiment, the term includes reducing the rate of decrease of a subject's DAD score by about 5% or less, about 10% or less, about 20% or less, about 25% or less, about 30% or less, about 40% or less, about 50% or less, about 60% or less, about 70% or less, about 80% or less, about 90% or less or about 100% or less, of the decrease of the historical or untreated controls.
- In yet another embodiment, the term “treating” includes maintaining a subject's score on the ADAS-Cog. The term “treating” includes decreasing a subject's ADAS-Cog score by about 1 point or greater, by about 2 points or greater, by about 3 points or greater, by about 4 points or greater, by about 5 points or greater, by about 7.5 points or greater, by about 10 points or greater, by about 12.5 points or greater, by about 15 points or greater, by about 17.5 points or greater, by about 20 points or greater, or by about 25 points or greater. The term also includes reducing the rate of the increase of a subject's ADAS-Cog score as compared to historical controls. In another embodiment, the term includes reducing the rate of increase of a subject's ADAS-Cog score by about 5% or more, about 10% or more, about 20% or more, about 25% or more, about 30% or more, about 40% or more, about 50% or more, about 60% or more, about 70% or more, about 80% or more, about 90% or more or about 100% of the increase of the historical or untreated controls.
- In another embodiment, the term “treating” e.g., for AA or AL amyloidosis, includes an increase in serum creatinine, e.g., an increase of creatinine clearance of 10% or greater, 20% or greater, 50% or greater, 80% or greater, 90% or greater, 100% or greater, 150% or greater, 200% or greater. The term “treating” also may inc luce remission of nephrotic syndrome (NS). It may also include remission of chronic diarrhea and/or a gain in body weight, e.g., by 10% or greater, 15% or greater, or 20% or greater.
- Without wishing to be bound by theory, in s ome aspects the pharmnaceutical compositions of the invention contain a compound that prevents or inhibits amnyloid fibril formation, either in the brain or other organ of interest (acting locally) or throughout the entire body (acting systemically.). Pharmaceutical compositions of the invention may be effective in controlling amyloid deposition either following their entry into the brain (following penetration of the blood brain barrier) or from the periphery. When acting from the periphery, a compound of a pharmaceutical composition may alter the equilibrium of amnyloidogenic peptide between the brain and the plasma so as to favor the exit of amnyloidogenic peptide from the brain. It may also favor clearance (or catabolism). of the amyloid protein (soluble), and then prevenlt amyloid fibril formation and deposition due to a reduction of the. amyloid protein pool in a specific organ, e.g., liver, spleen, pancreas, kidney, joints, brain, etc. An increase in the ex it of amyloidogenic peptide from the brain would result in a decrease in amnyloidogenic peptide brain concentration and therefore favor a decrease in amyloidogenic peptide deposition. In particular, an agent may lower the levels of amyloid β peptides, e.g., both Aβ40 and Aβ42 in the CSF and the plasma, or the agent may lower the levels of amyloid β peptides, e.g., Aβ40 and Aβ42 in the CSF and increase it in the plasma. Alternatively, compounds that penetrate the brain could control deposition by acting directly on brain amyloidogenic peptide e.g., by maintaining it in a non-fibrillar form or favoring its clearance from the brain, by increasing its degradation in the brain, or protecting brain cells from the detrimental effect of amyloidogenic peptide. An agent can also cause a decrease of the concentration of the amyloid protein (i.e., in a specific organ so that the critical concentration needed to trigger amyloid fibril formation or deposition is not reached). Furthermore, the compounds described herein may inhibit or reduce an interaction between amyloid and a cell surface constituent, for example, a glycosaminoglycan or proteoglycan constituent of a basement membrane, whereby inhibiting or reducing this interaction produces the observed neuroprotective and cell-protective effects. For example, the compound may also prevent an amyloid peptide from binding or adhering to a cell surface, a process which is known to cause cell damage or toxicity. Similarly, the compound may block amyloid-induced cellular toxicity or microglial activation or amyloid-induced neurotoxicity, or inhibit amyloid induced inflammation. The compound may also reduce the rate or amount of amyloid aggregation, fibril formation, or deposition, or the compound lessens the degree of amyloid deposition. The foregoing mechanisms of action should not be construed as limiting the scope of the invention inasmuch as the invention may be practiced without such information.
- The Aβ peptide has been shown by several groups to be highly toxic to neurons. Amyloid plaques are directly associated with reactive gliosis, dystrophic neurites and apoptotic cells, suggesting that plaques induce neurodegenerative changes. Neurotoxicity may eventually disrupt or even kill neurons. In vitro, Aβ has been shown to induce apoptosis in many different neuronal cell types, such as rat PC-12 cells, primary rat hippocampal and cortical cultures, and the predifferentiated human neurotype SH-SY5Y cell line (Dickson D W (2004) J Clin Invest 114:23-7; Canu et al. (2003) Cerebellum 2:270-278; Li et al. (1996) Brain Research 738:196-204). Numerous reports have shown that Aβ fibrils can induce neurodegeneration, and it has been shown that neuronal cells exposed in vitro to Aβ can become apoptotic (Morgan et al. (2004) Prog. Neurobiol. 74:323-349; Stefani et al. (2003) J. Mol. Med. 81:678-99; La Ferla et al. (1997) J. Clin. Invest. 100(2):310-320). In Alzheimer's disease, a progressive neuronal cell loss accompanies the deposition of Aβ amyloid fibrils in senile plaques.
- In yet another aspect, the invention pertains to a method for inhibiting Aβ-induced neuronal cell death by administering an effective amount of a compound of the present invention.
- Another aspect of the invention pertains to a method for providing neuroprotection to a subject having an Aβ-amyloid related disease, e.g. Alzheimer's disease, that includes administering an effective amount of a compound of the present invention to the subject, such that neuroprotection is provided.
- In another aspect, methods for inhibiting Aβ-induced neuronal cell death are provided that include administration of an effective amount of a compound of the present invention to a subject such that neuronal cell death is inhibited.
- In another aspect, methods for treating a disease state characterized by Aβ-induced neuronal cell death in a subject are provided, e.g., by administering an effective amount of a compound of the present invention. Non-limiting examples of such disease states include Alzheimer's disease and Aβ-amyloid related diseases.
- The term “neuroprotection” includes protection of neuronal cells of a subject from Aβ-induced cell death, e.g., cell death induced directly or indirectly by an Aβ peptide. Aβ-induced cell death may result in initiation of processes such as, for example: the destabilization of the cytoskeleton; DNA fragmentation; the activation of hydrolytic enzymes, such as phospholipase A2; activation of caspases, calcium-activated proteases and/or calcium-activated endonucleases; inflammation mediated by macrophages; calcium influx into a cell; membrane potential changes in a cell; the disruption of cell junctions leading to decreased or absent cell-cell communication; and the activation of expression of genes involved in cell death, e.g., immediate-early genes.
- The term “amyloid-β disease” (or “amyloid-β related disease,” which terms as used herein are synonymous) may be used for mild cognitive impairment; vascular dementia; early Alzheimer's disease; Alzheimer's disease, including sporadic (non-hereditary) Alzheimer's disease and familial (hereditary) Alzheimer's disease; age-related cognitive decline; cerebral amyloid angiopathy (“CAA”); hereditary cerebral hemorrhage; senile dementia; Down's syndrome; inclusion body myositis (“IBM”); or age-related macular degeneration (“ARMD”). According to certain aspects of the invention, amyloid-β is a peptide having 39-43 amino-acids, or amyloid-β is an amyloidogenic peptide produced from βAPP.
- Mild cognitive impairment (“MCI”) is a condition characterized by a state of mild but measurable impairment in thinking skills, which is not necessarily associated with the presence of dementia. MCI frequently, but not necessarily, precedes Alzheimer's disease. It is a diagnosis that has most often been associated with mild memory problems, but it can also be characterized by mild impairments in other thinking skills, such as language or planning skills. However, in general, an individual with MCI will have more significant memory lapses than would be expected for someone of their age or educational background. As the condition progresses, a physician may change the diagnosis to “Mild-to-Moderate Cognitive Impairment,” as is well understood in this art.
- Cerebral amyloid angiopathy (“CAA”) refers to the specific deposition of amyloid fibrils in the walls of leptomingeal and cortical arteries, arterioles and in capillaries and veins. It is commonly associated with Alzheimer's disease, Down's syndrome and normal aging, as well as with a variety of familial conditions related to stroke or dementia (see Frangione, et al, Amyloid: J. Protein Folding Disord. 8, Suppl. 1, 36-42 (2001)). CAA can occur sporadically or be hereditary. Multiple mutation sites in either Aβ or the APP gene have been identified and are clinically associated with either dementia or cerebral hemorrhage. Exemplary CAA disorders include, but are not limited to, hereditary cerebral hemorrhage with amyloidosis of Icelandic type (HCHWA-I); the Dutch variant of HCHWA (HCHWA-D; a mutation in Aβ); the Flemish mutation of Aβ; the Arctic mutation of Aβ; the Italian mutation of Aβ; the Iowa mutation of Aβ; familial British dementia; and familial Danish dementia. Cerebral amyloid angiopathy is known to be associated with cerebral hemorrhage (or hemorrhagic stroke).
- Additionally, abnormal accumulation of APP and of amyloid-β protein in muscle fibers has been implicated in the pathology of sporadic inclusion body myositis (“IBM”) (Askanas, et al., Proc. Natl. Acad. Sci. USA 93, 1314-19 (1996); Askanas, et al., Current Opinion in Rheumatology 7, 486-96 (1995)). Accordingly, the compounds of the invention can be used prophylactically or therapeutically in the treatment of disorders in which amyloid-β protein is abnormally deposited at non-neurological locations, such as treatment of IBM by delivery of the compounds to muscle fibers.
- Additionally, it has been shown that Aβ is associated with abnormal extracellular deposits, known as drusen, that accumulate along the basal surface of the retinal pigmented epithelium in individuals with age-related macular degeneration (ARMD). ARMD is a cause of irreversible vision loss in older individuals. It is believed that Aβ deposition could be an important component of the local inflammatory events that contribute to atrophy of the retinal pigmented epithelium, drusen biogenesis, and the pathogenesis of ARMD (Johnson, et al., Proc. Natl. Acad. Sci. USA 99(18), 11830-5 (2002)). Therefore, the invention also relates to the treatment or prevention of age-related macular degeneration.
- Also, the invention relates to a method for preventing or inhibiting amyloid deposition in a subject. For example, such a method comprises administering to a subject a therapeutically effective amount of a compound capable of reducing the concentration of amyloid (e.g., AL amyloid protein (λ or κ-chain related, e.g., amyloid ), amyloid κ, amyloid κIV, amyloid λVI, amyloid γ, amyloid γ1), Aβ, IAPP, β2M, AA, AH amyloid protein, or other amyloids), such that amyloid accumulation or deposition is prevented or inhibited.
- In another aspect, the invention relates to a method for preventing, reducing, or inhibiting amyloid deposition in a subject. For example, such a method comprises administering to a subject a therapeutically effective amount of a compound capable of inhibiting amyloid (e.g., AL amyloid protein (λ or κ-chain related, e.g., amyloid λ, amyloid κ, amyloid κIV, amyloid λVI, amyloid γ, amyloid γ1), Aβ, IAPP, β2M, AA, AH amyloid protein, or other amyloids), such that amyloid deposition is prevented, reduced, or inhibited.
- The invention also relates to a method for modulating, e.g., minimizing, amyloid-associated damage to cells, comprising the step of administering a compound capable of reducing the concentration of amyloid (e.g., AL amyloid protein (λ or κ-chain related, e.g., amyloid λ, amyloid κ, amyloid κIV, amyloid λVI, amyloid γ, amyloid γ1), AP, IAPP, β2M, AA, AH amyloid protein, or another amyloid), such that said amyloid-associated damage to cells is modulated. In certain aspects of the invention, the methods for modulating amyloid-associated damage to cells comprise a step of administering a compound capable of reducing the concentration of amyloid or reducing the interaction of an amyloid with a cell surface.
- The invention also includes a method for directly or indirectly preventing cell death in a subject, the method comprising administering to a subject a therapeutically effective amount of a compound capable of preventing amyloid (e.g., AL amyloid protein (λ or κ-chain related, e.g., amyloid λ, amyloid κ, amyloid κIV, amyloid λVI, amyloid γ, amyloid γ1), Aβ, IAPP, β2M, AA, AH amyloid protein, or other amyloid) mediated events that lead, directly or indirectly, to cell death.
- In an embodiment, the method is used to treat Alzheimer's disease (e.g. sporadic or familial AD). The method can also be used prophylactically or therapeutically to treat other clinical occurrences of amyloid-β deposition, such as in Down's syndrome individuals and in patients with cerebral amyloid angiopathy (“CAA”) or hereditary cerebral hemorrhage.
- The compounds of the invention may be used prophylactically or therapeutically in the treatment of disorders in which amyloid-beta peptide is abnormally deposited at non-neurological locations, such as treatment of IBM by delivery of the compounds to muscle fibers, or treatment of macular degeneration by delivery of the compound(s) of the invention to the basal surface of the retinal pigmented epithelium.
- The present invention also provides a method for modulating amyloid-associated damage to cells, comprising the step of administering a compound capable of reducing the concentration of Aβ, or capable of mimimizing the interaction of Aβ (soluble oligomeric or fibrillary) with the cell surface, such that said amyloid-associated damage to cells is modulated. In certain aspects of the invention, the methods for modulating amyloid-associated damage to cells comprise a step of administering a compound capable of reducing the concentration of Aβ or reducing the interaction of Aβ with a cell surface.
- In accordance with the present invention, there is further provided a method for preventing cell death in a subject, said method comprising administering to a subject a therapeutically effective amount of a compound capable of preventing Aβ-mediated events that lead, directly or indirectly, to cell death.
- The present invention also provides a method for modulating amyloid-associated damage to cells, comprising the step of administering a compound capable of reducing the concentration of IAPP, or capable of mimimizing the interaction of IAPP (soluble oligomeric or fibrillary) with the cell surface, such that said amyloid-associated damage to cells is modulated. In certain aspects of the invention, the methods for modulating amyloid-associated damage to cells comprise a step of administering a compound capable of reducing the concentration of IAPP or reducing the interaction of IAPP with a cell surface.
- In accordance with the present invention, there is further provided a method for preventing cell death in a subject, said method comprising administering to a subject a therapeutically effective amount of a compound capable of preventing IAPP-mediated events that lead, directly or indirectly, to cell death.
- This invention also provides methods and compositions which are useful in the treatment of amyloidosis. The methods of the invention involve administering to a subject a therapeutic compound which inhibits amyloid deposition. Accordingly, the compositions and methods of the invention are useful for inhibiting amyloidosis in disorders in which amyloid deposition occurs. The methods of the invention can be used therapeutically to treat amyloidosis or can be used prophylactically in a subject susceptible to (hereditary) amyloidosis or identified as being at risk to develop amyloidosis, e.g., hereditary, or identified as being at risk to develop amyloidosis. In certain embodiments, the invention includes a method of inhibiting an interaction between an amyloidogenic protein and a constituent of basement membrane to inhibit amyloid deposition. The constituent of basement membrane is a glycoprotein or proteoglycan, preferably heparan sulfate proteoglycan. A therapeutic compound used in this method may interfere with binding of a basement membrane constituent to a target binding site on an amyloidogenic protein, thereby inhibiting amyloid deposition.
- In some aspects, the methods of the invention involve administering to a subject a therapeutic compound which inhibits amyloid deposition. “Inhibition of amyloid deposition,” includes the prevention of amyloid formation, inhibition of further amyloid deposition in a subject with ongoing amyloidosis and reduction of amyloid deposits in a subject with ongoing amyloidosis. Inhibition of amyloid deposition is determined relative to an untreated subject or relative to the treated subject prior to treatment. In an embodiment, amyloid deposition is inhibited by inhibiting an interaction between an amyloidogenic protein and a constituent of basement membrane. “Basement membrane” refers to an extracellular matrix comprising glycoproteins and proteoglycans, including laminin, collagen type IV, fibronectin, perlecan, agrin, dermatan sulfate, and heparan sulfate proteoglycan (HSPG). In one embodiment, amyloid deposition is inhibited by interfering with an interaction between an amyloidogenic protein and a sulfated glycosaminoglycan such as HSPG, dermatan sulfate, perlecan or agrin sulfate. Sulfated glycosaminoglycans are known to be present in all types of amyloids (see Snow, et al. Lab. Invest. 56, 120-23 (1987)) and amyloid deposition and HSPG deposition occur coincidentally in animal models of amyloidosis (see Snow, et al. Lab. Invest. 56, 665-75 (1987) and Gervais, F. et al. Curr. Med. Chem., 3, 361-370 (2003)). Consensus binding site motifs for HSPG in amyloidogenic proteins have been described (see, e.g., Cardin and Weintraub Arteriosclerosis 9, 21-32 (1989)).
- The ability of a compound to prevent or block the formation or deposition of amyloid may reside in its ability to bind to non-fibrillar, soluble amyloid protein and to maintain its solubililty.
- The ability of a therapeutic compound of the invention to inhibit an interaction between an amyloidogenic protein and a glycoprotein or proteoglycan constituent of a basement membrane can be assessed by an in vitro binding assay, such as that described in U.S. Pat. No. 5,164,295, the contents of which are hereby incorporated by reference. Alternatively, the ability of a compound to bind to an amyloidogenic protein or to inhibit the binding of a basement membrane constituent (e.g. HSPG) to an amyloidogenic protein (e.g. Aβ) can be measured using a mass spectrometry assay where soluble protein, e.g. Aβ, IAPP, β2M is incubated with the compound. A compound which binds to, e.g. Aβ, will induce a change in the mass spectrum of the protein. Exemplary protocols for a mass spectrometry assay employing Aβ and IAPP can be found in the Examples, the results of which are provided in Table 3. The protocol can readily be modified to adjust the sensitivity of the data, e.g., by adjusting the amount of protein and/or compound employed. Thus, e.g., binding might be detected for test compounds noted as not having detectable binding employing less sensitive test protocols.
- Alternative methods for screening compounds exist and can readily be employed by a skilled practitioner to provide an indication of the ability of test compounds to bind to, e.g., fibrillar Aβ. One such screening assay is an ultraviolet absorption assay. In an exemplary protocol, a test compound (20 μM) is incubated with 50 μM Aβ(1-40) fibers for 1 hour at 37° C. in Tris buffered saline (20 mM Tris, 150 mM NaCl, pH 7.4 containing 0.01 sodium azide). Following incubation, the solution is centrifuged for 20 minutes at 21,000 g to sediment the Aβ(1-40) fibers along with any bound test compound. The amount of test compound remaining in the supernatant can then be determined by reading the absorbance. The fraction of test compound bound can then be calculated by comparing the amount remaining in the supernatants of incubations with Aβ to the amount remaining in control incubations which do not contain Aβ fibers. Thioflavin T and Congo Red, both of which are known to bind to Aβ fibers, may be included in each assay run as positive controls. Before assaying, test compounds can be diluted to 40 μM, which would be twice the concentration in the final test, and then scanned using the Hewlett Packard 8453 UVNIS spectrophotometer to determine if the absorbance is sufficient for detection.
- In another embodiment, the invention pertains to a method for improving cognition in a subject suffering from an amyloid-related disease. The method includes administering an effective amount of a therapeutic compound of the invention, such that the subject's cognition is improved. The subject's cognition can be tested using methods known in the art such as the Clinical Dementia Rating (“CDR”), Mini-Mental State Examination (“MMSE”), Disability Assessment for Dementia (“DAD”), and/or the Alzheimer's Disease Assessment Scale-Cognition (“ADAS-Cog”).
- In another embodiment, the invention pertains to a method for treating a subject for an amyloid-related disease. The method includes administering a cognitive test to a subject prior to administration of a compound of the invention, administering an effective amount of a compound of the invention to the subject, and administering a cognitive test to the subject subsequent to administration of the-compound, such that the subject is treated for the amyloid-related disease, wherein the subject's score on said cognitive test is improved.
- “Improvement,” “improved” or “improving” in cognition is present within the context of the present invention if there is a statistically significant difference in the direction of normality between the performance of subjects treated using the methods of the invention as compared to members of a placebo group, historical control, or between subsequent tests given to the same subject.
- In one embodiment, a subject's CDR is maintained at 0. In another embodiment, a subject's CDR is decreased (e.g., improved) by about 0.25 or more, about 0.5 or more, about 1.0 or more, about 1.5 or more, about 2.0 or more, about 2.5 or more, or about 3.0 or more. In another embodiment, the rate of increase of a subject's CDR rating is reduced by about 5% or more, about 10% or more, about 20% or more, about 25% or more, about 30% or more, about 40% or more, about 50% or more, about 60% or more, about 70% or more, about 80% or more, about 90% or more, or about 100% or more of the increase of the historical or untreated controls.
- In one embodiment, a subject's score on the MMSE is maintained. Alternatively, the subject's score on the MMSE may be increased by about 1, about 2, about 3, about 4, about 5, about 7.5, about 10, about 12.5, about 15, about 17.5, about 20, or about 25 points. In another alternative, the rate of the decrease of a subject's MMSE score as compared to historical controls is reduced. For example, the rate of the decrease of a subject's MMSE score may be reduced by about 5% or more, about 10% or more, about 20% or more, about 25% or more, about 30% or more, about 40% or more, about 50% or more, about 60% or more, about 70% or more, about 80% or more, about 90% or more, or about 100% or more of the decrease of the historical or untreated controls.
- In one embodiment, a subject's score on the DAD is maintained. Alternatively, the subject's score on the DAD may be increased by about 1, about 2, about 3, about 4, about 5, about 7.5, about 10, about 15, about 20, about 30, about 40, or about 50 or more points. In another alternative, the rate of the decrease of a subject's DAD score as compared to historical controls is reduced. For example, the rate of the decrease of a subject's DAD score may be reduced by about 5% or more, about 10% or more, about 20% or more, about 25% or more, about 30% or more, about 40% or more, about 50% or more, about 60% or more, about 70% or more, about 80% or more, about 90% or more, or about 100% or more of the decrease of the historical or untreated controls.
- In one embodiment, the invention pertains to a method for treating, slowing or stopping an amyloid-related disease associated with cognitve impairment, by administering to a subject an effective amount of a therapeutic compound of the invention, wherein the annual deterioration of the subject's cognition as measured by ADAS-Cog is less than 8 points per year, less the 6 points per year, less than 5 points per year, less than 4 points per year, or less than 3 points per year. In a further embodiment, the invention pertains to a method for treating, slowing or stopping an arnyloid-related disease associated with, cognition by administering an effective amount of a therapeutic compound of the invention such that the subject's cognition as measured by ADAS-Cog remains constant over a year. “Constant” includes fluctuations of no more than 2 points. Remaining constant includes fluctuations of two points or less. in either direction. In a further embodiment, the subject's cognition improves by 2 points or greater per year, 3 points or greater per year, 4 point or greater per year, 5 points or greater per year, 6 points or greater per year, 7 points or greater per year, 8 points or greater per year, etc. as measured by the ADAS-Cog. In another alternative, the rate of the increase of a subject's ADAS-Cog score as compared to historical controls is reduced. For example, the rate of the increase of a subject's ADAS-Cog score may be reduced by about 5% or more, about 10% or more, about 20% or more, about 25% or more, about 30% or more, about 40% or more, about 50% or more, about 60% or more, about 70% or more, about 80% or more, about 90% or more or about 100% of the increase of the historical or untreated controls.
- In another embodimernt, the ratio of Aβ42:Aβ40 in the CSF or plasma of a subject decreases by about 15% or more, about 20% or more, about 25% or more, about 30% or more, about 35% or more, about 40%-or more, about 45% or more, or about 50% or more. In another embodiment, the levels of Aβ in the subject's cerebrospinal fluid decrease by about 15% or more, about 25% or more, about 35% or more, about 45% or more, about 55% or more, about 75% or more, or about 90% or more.
- It is to be understood that wherever values and ranges are provided herein, e.g., in ages of subject populations, dosages, and blood levels, all values and ranges encompassed by these values and ranges, are meant to be encompassed within the scope of the present invention. Moreover, all values in these values and ranges may also be the upper or lower limits of a range.
- Furthermore, the invention pertains to any novel chemical compound described herein. That is, the invention relates to novel compounds, and novel methods of their use as described herein, which are within the scope of the Formulae disclosed herein, and which are not disclosed in the cited Patents and Patent Applications.
- Synthesis of Compounds of the Invention
- In general, the compounds of the present invention may be prepared by the methods illustrated in the general reaction schemes as, for example, described below, or by modifications thereof, using readily available starting materials, reagents and conventional synthesis procedures. In these reactions, it is also possible to make use of variants which are in themselves known, but are not mentioned here. Functional and structural equivalents of the compounds described herein and which have the same general properties, wherein one or more simple variations of substituents are made which do not adversely affect the essential nature or the utility of the compound are also included.
- The compounds of the present invention may be readily prepared in accordance with the synthesis schemes and protocols described herein, as illustrated in the specific procedures provided. However, those skilled in the art will recognize that other synthetic pathways for forming the compounds of this invention may be used, and that the following is provided merely by way of example, and is not limiting to the present invention. See, e.g., “Comprehensive Organic Transformations” by R. Larock, VCH Publishers (1989). It will be further recognized that various protecting and deprotecting strategies will be employed that are standard in the art (See, e.g., “Protective Groups in Organic Synthesis” by Greene and Wuts). Those skilled in the relevant arts will recognize that the selection of any particular protecting group (e.g., amine and carboxyl protecting groups) will depend on the stability of the protected moiety with regards to the subsequent reaction conditions and will understand the appropriate selections.
- Further illustrating the knowledge of those skilled in the art is the following sampling of the extensive chemical literature: “Chemistry of the Amino Acids” by J. P. Greenstein and M. Winitz, John Wiley & Sons, Inc., New York (1961); “Comprehensive Organic Transformations” by R. Larock, VCH Publishers (1989); T. D. Ocain, et al., J. Med. Chem. 31, 2193-99 (1988); E. M. Gordon, et al., J. Med. Chem. 31, 2199-10 (1988); “Practice of Peptide Synthesis” by M. Bodansky and A. Bodanszky, Springer-Verlag, New York (1984); “Protective Groups in Organic Synthesis” by T. Greene and P. Wuts (1991); “Asymmetric Synthesis: Construction of Chiral Molecules Using Amino Acids” by G. M. Coppola and H. F. Schuster, John Wiley & Sons, Inc., New York (1987); “The Chemical Synthesis of Peptides” by J. Jones, Oxford University Press, New York (1991); and “Introduction of Peptide Chemistry” by P. D. Bailey, John Wiley & Sons, Inc., New York (1992).
- The synthesis of compounds of the invention is carried out in a solvent. Suitable solvents are liquids at ambient room temperature and pressure or remain in the liquid state under the temperature and pressure conditions used in the reaction. Useful solvents are not particularly restricted provided that they do not interfere with the reaction itself (that is, they preferably are inert solvents), and they dissolve a certain amount of the reactants. Depending on the circumstances, solvents may be distilled or degassed. Solvents may be, for example, aliphatic hydrocarbons (e.g., hexanes, heptanes, ligroin, petroleum ether, cyclohexane, or methylcyclohexane) and halogenated hydrocarbons (e.g., methylenechloride, chloroform, carbontetrachloride, dichloroethane, chlorobenzene, or dichlororbenzene); aromatic hydrocarbons (e.g., benzene, toluene, tetrahydronaphthalene, ethylbenzene, or xylene); ethers (e.g., diglyme, methyl-tert-butyl ether, methyl-tert-amyl ether, ethyl-tert-butyl ether, diethylether, diisopropylether, tetrahydrofuran or methyltetrahydrofurans, dioxane, dimethoxyethane, or diethyleneglycol dimethylether); nitriles (e.g., acetonitrile); ketones (e.g., acetone); esters (e.g., methyl acetate or ethyl acetate); and mixtures thereof.
- In general, after completion of the reaction, the product is isolated from the reaction mixture according to standard techniques. For example, the solvent is removed by evaporation or filtration if the product is solid, optionally under reduced pressure. After the completion of the reaction, water may be added to the residue to make the aqueous layer acidic or basic and the precipitated compound filtered, although care should be exercised when handling water-sensitive compounds. Similarly, water may be added to the reaction mixture with a hydrophobic solvent-to extract the target compound. The organic layer may be washed with water, dried over anhydrous magnesium sulphate or sodium sulphate, and the solvent is evaporated to obtain the target compound. The target compound thus obtained may be purified, if necessary, e.g., by recrystallization, reprecipitation, chromatography, or by converting it to a salt by addition of an acid or base.
- The compounds of the invention may be supplied in a solution with an appropriate solvent or in a solvent-free form (e.g., lyophilized). In another aspect of the invention, the compounds and buffers necessary for carrying out the methods of the invention may be packaged as a kit, optionlly including a container. The kit may be commercially used for treating or preventing amyloid-related disease according to the methods described herein and may include instructions for use in a method of the invention. Additional kit components may include acids, bases, buffering agents, inorganic salts, solvents, antioxidants, preservatives, or metal chelators. The additional kit components are present as pure compositions, or as aqueous or organic solutions that incorporate one or more additional kit components. Any or all of the kit components optionally further comprise buffers.
- The term “container” includes any receptacle for holding the therapeutic compound. For example, in one embodiment, the container is the packaging that contains the compound. In other embodiments, the container is not the packaging that contains the compound, i.e., the container is a receptacle, such as a box or vial that contains the packaged compound or unpackaged compound and the instructions for use of the compound. Moreover, packaging techniques are well known in the art. It should be understood that the instructions for use of the therapeutic compound may be contained on the packaging containing the therapeutic compound, and as such the instructions form an increased functional relationship to the packaged product.
- Pharmaceutical Preparations
- In another embodiment, the present invention relates to pharmaceutical compositions comprising agents according to any of the Formulae herein for the treatment of an amyloid-related disease, as well as methods of manufacturing such pharmaceutical compositions.
- In general, the agents of the present invention may be prepared by the methods illustrated in the general reaction schemes as, for example, in the patents and patent applications refered to herein, or by modifications thereof, using readily available starting materials, reagents and conventional synthesis procedures. In these reactions, it is also possible to make use of variants which are in themselves known, but are not mentioned here. Functional and structural equivalents of the agents described herein and which have the same general properties, wherein one or more simple variations of substituents are made which do not adversely affect the essential nature or the utility of the agent are also included.
- The agents of the invention may be supplied in a solution with an appropriate solvent or in a solvent-free form (e.g., lyophilized). In another aspect of the invention, the agents and buffers necessary for carrying out the methods of the invention may be packaged as a kit. The kit may be commercially used according to the methods described herein and may include instructions for use in a method of the invention. Additional kit components may include acids, bases, buffering agents, inorganic salts, solvents, antioxidants, preservatives, or metal chelators. The additional kit components are present as pure compositions, or as aqueous or organic solutions that incorporate one or more additional kit components. Any or all of the kit components optionally further comprise buffers.
- The therapeutic agent may also be administered parenterally, intraperitoneally, intraspinally, or intracerebrally. Dispersions can be prepared in glycerol, liquid polyethylene glycols, and mixtures thereof and in oils. Under ordinary conditions of storage and use, these preparations may contain a preservative to prevent the growth of microorganisms.
- To administer the therapeutic agent by other than parenteral administration, it may be necessary to coat the agent with, or co-administer the agent with, a material to prevent its inactivation. For example, the therapeutic agent may be administered to a subject in an appropriate carrier, for example, liposomes, or a diluent. Pharmaceutically acceptable diluents include saline and aqueous buffer solutions. Liposomes include water-in-oil-in-water CGF emulsions as well as conventional liposomes (Strejan et al., J. Neuroimmunol. 7, 27 (1984)).
- Pharmaceutical compositions suitable for injectable use include sterile aqueous solutions (where water soluble) or dispersions and sterile powders for the extemporaneous preparation of sterile injectable solutions or dispersion. In all cases, the composition must be sterile and must be fluid to the extent that easy syringability exists. It must be stable under the conditions of manufacture and storage and must be preserved against the contaminating action of microorganisms such as bacteria and fungi.
- Suitable pharmaceutically acceptable vehicles include, without limitation, any non-immunogenic pharmaceutical adjuvants suitable for oral, parenteral, nasal, mucosal, transdermal, intravascular (IV), intraarterial (IA), intramuscular (IM), and subcutaneous (SC) administration routes, such as phosphate buffer saline (PBS).
- The vehicle can be a solvent or dispersion medium containing, for example, water, ethanol, polyol (for example, glycerol, propylene glycol, and liquid polyethylene glycol, and the like), suitable mixtures thereof, and vegetable oils. The proper fluidity can be maintained, for example, by the use of a coating such as lecithin, by the maintenance of the required particle size in the case of dispersion and by the use of surfactants. Prevention of the action of microorganisms can be achieved by various antibacterial and antifungal agents, for example, parabens, chlorobutanol, phenol, ascorbic acid, thimerosal, and the like. In many cases, isotonic agents are included, for example, sugars, sodium chloride, or polyalcohols such as mannitol and sorbitol, in the composition. Prolonged absorption of the injectable compositions can be brought about by including in the composition an agent which delays absorption, for example, aluminum monostearate or gelatin.
- Sterile injectable solutions can be prepared by incorporating the therapeutic agent in the required amount in an appropriate solvent with one or a combination of ingredients enumerated above, as required, followed by filtered sterilization. Generally, dispersions are prepared by incorporating the therapeutic agent into a sterile vehicle which contains a basic dispersion medium and the required other ingredients from those enumerated above. In the case of sterile powders for the preparation of sterile injectable solutions, the methods of preparation are vacuum drying and freeze-drying which yields a powder of the active ingredient (i.e., the therapeutic agent) plus any additional desired ingredient from a previously sterile-filtered solution thereof.
- The therapeutic agent can be orally administered, for example, with an inert diluent or an assimilable edible carrier. The therapeutic agent and other ingredients may also be enclosed in a hard or soft shell gelatin capsule, compressed into tablets, or incorporated directly into the subject's diet. For oral therapeutic administration, the therapeutic agent may be incorporated with excipients and used in the form of ingestible tablets, buccal tablets, troches, capsules, elixirs, suspensions, syrups, wafers, and the like. The percentage of the therapeutic agent in the compositions and preparations may, of course, be varied. The amount of the therapeutic agent in such therapeutically useful compositions is such that a suitable dosage will be obtained.
- It is especially advantageous to formulate parenteral compositions in dosage unit form for ease of administration and uniformity of dosage. Dosage unit form as used herein refers to physically discrete units suited as unitary dosages for the subjects to be treated; each unit containing a predetermined quantity of therapeutic agent calculated to produce the desired therapeutic effect in association with the required pharmaceutical vehicle. The specification for the dosage unit forms of the invention are dictated by and directly dependent on (a) the unique characteristics of the therapeutic agent and the particular therapeutic effect to be achieved, and (b) the limitations inherent in the art of compounding such a therapeutic agent for the treatment of amyloid deposition in subjects.
- The present invention therefore includes pharmaceutical formulations comprising the agents of the Formulae described herein, including pharmaceutically acceptable salts thereof, in pharmaceutically acceptable vehicles for aerosol, oral and parenteral administration. Also, the present invention includes such agents, or salts thereof, which have been lyophilized and which may be reconstituted to form pharmaceutically acceptable formulations for administration, as by intravenous, intramuscular, or subcutaneous injection. Administration may also be intradermal or transdermal.
- In accordance with the present invention, an agent of the Formulae described herein, and pharmaceutically acceptable salts thereof, may be administered orally or through inhalation as a solid, or may be administered intramuscularly or intravenously as a solution, suspension or emulsion. Alternatively, the agents or salts may also be administered by inhalation, intravenously or intramuscularly as a liposomal suspension.
- Pharmaceutical formulations are also provided which are suitable for administration as an aerosol, by inhalation. These formulations comprise a solution or suspension of the desired agent of any Formula herein, or a salt thereof, or a plurality of solid particles of the agent or salt. The desired formulation may be placed in a small chamber and nebulized. Nebulization may be accomplished by compressed air or by ultrasonic energy to form a plurality of liquid droplets or solid particles comprising the agents or salts. The liquid droplets or solid particles should have a particle size in the range of about 0.5 to about 5 microns. The solid particles can be obtained by processing the solid agent of any Formula described herein, or a salt thereof, in any appropriate manner known in the art, such as by micronization. The size of the solid particles or droplets will be, for example, from about 1 to about 2 microns. In this respect, commercial nebulizers are available to achieve this purpose.
- A pharmaceutical formulation suitable for administration as an aerosol may be in the form of a liquid, the formulation will comprise a water-soluble agent of any Formula described herein, or a salt thereof, in a carrier which comprises water. A surfactant may be present which lowers the surface tension of the formulation sufficiently to result in the formation of droplets within the desired size range when subjected to nebulization.
- Peroral compositions also include liquid solutions, emulsions, suspensions, and the like. The pharmaceutically acceptable vehicles suitable for preparation of such compositions are well known in the art. Typical components of carriers for syrups, elixirs, emulsions and suspensions include ethanol, glycerol, propylene glycol, polyethylene glycol, liquid sucrose, sorbitol and water. For a suspension, typical suspending agents include methyl cellulose, sodium carboxymethyl cellulose, tragacanth, and sodium alginate; typical wetting agents include lecithin and polysorbate 80; and typical preservatives include methyl paraben and sodium benzoate. Peroral liquid compositions may also contain one or more components such as sweeteners, flavoring agents and colorants disclosed above.
- Pharmaceutical compositions may also be coated by conventional methods, typically with pH or time-dependent coatings, such that the subject agent is released in the gastrointestinal tract in the vicinity of the desired topical application, or at various times to extend the desired action. Such dosage forms typically include, but are not limited to, one or more of cellulose acetate phthalate, polyvinylacetate phthalate, hydroxypropyl methyl cellulose phthalate, ethyl cellulose, waxes, and shellac.
- Other compositions useful for attaining systemic delivery of the subject agents include sublingual, buccal and nasal dosage forms. Such compositions typically comprise one or more of soluble filler substances such as sucrose, sorbitol and mannitol; and binders such as acacia, microcrystalline cellulose, carboxymethyl cellulose and hydroxypropyl methyl cellulose. Glidants, lubricants, sweeteners, colorants, antioxidants and flavoring agents disclosed above may also be included.
- The compositions of this invention can also be administered topically to a subject, e.g., by the direct laying on or spreading of the composition on the epidermal or epithelial tissue of the subject, or transdermally via a “patch”. Such compositions include, for example, lotions, creams, solutions, gels and solids. These topical compositions may comprise an effective amount, usually at least about 0.1%, or even from about 1% to about 5%, of an agent of the invention. Suitable carriers for topical administration typically remain in place on the skin as a continuous film, and resist being removed by perspiration or immersion in water. Generally, the carrier is organic in nature and capable of having dispersed or dissolved therein the therapeutic agent. The carrier may include pharmaceutically acceptable emolients, emulsifiers, thickening agents, solvents and the like.
- In one embodiment, active agents are administered at a therapeutically effective dosage sufficient to inhibit amyloid deposition in a subject. A “therapeutically effective” dosage inhibits amyloid deposition by, for example, at least about 20%, or by at least about 40%, or even by at least about 60%, or by at least about 80% relative to untreated subjects. In the case of an Alzheimer's subject, a “therapeutically effective” dosage stabilizes cognitive fuiction or prevents a further decrease in cognitive function (i.e., preventing, slowing, or stopping disease progression). The present invention accordingly provides therapeutic drugs. By “therapeutic” or “drug” is meant an agent having a beneficial ameliorative or prophylactic effect on a specific disease or condition in a living human or non-human animal.
- In the case of AA or AL amyloidosis, the agent may improve or stabilize specific organ function. As an example, renal function may be stabilized or improved by 10% or greater, 20% or greater, 30% or greater, 40% or greater, 50% or greater, 60% or greater, 70% or greater, 80% or greater, or by greater than 90%.
- In the case of IAPP, the agent may maintain or increase β-islet cell function, as determined by insulin concentration or the Pro-IAPP/IAPP ratio. In a further embodiment, the Pro-IAPP/IAPP ratio is increased by about 10% or greater, about 20% or greater, about 30% or greater, about 40% or greater, or by about 50%. In a further embodiment, the ratio is increased up to 50%. In addition, a therapeutically effective amount of the agent may be effective to improve glycemia or insulin levels.
- In another-embodiment, the active agents are administered at a therapeutically effective dosage sufficient to treat AA (secondary) amyloidosis and/or AL (primary) amyloidosis, by stabilizing renal function, decreasing proteinuria, increasing creatinine clearance (e.g., by at least 50% or greater or by at least 100% or greater), remission of chronic diarrhea, or by weight gain (e.g., 10% or greater). In addition, the agents may be administered at a therapeutically effective dosage sufficient to improve nephrotic syndrome.
- Furthermore, active agents may be administered at a therapeutically effective dosage sufficient to decrease deposition in a subject of amyloid protein, e.g., Aβ40 or Aβ42. A therapeutically effective dosage decreases amyloid deposition by, for example, at least about 15%, or by at least about 40%, or even by at least 60%, or at least by about 80% relative to untreated subjects.
- In another embodiment, active agents are administered at a therapeutically effective dosage sufficient to increase or enhance amyloid protein, e.g., Aβ40 or Aβ42, in the blood, CSF, or plasma of a subject. A therapeutically effective dosage increases the concentration by, for example, at least about 15%, or by at least about 40%, or even by at least 60%, or at least by about 80% relative to untreated subjects.
- In yet another embodiment, active agents are administered at a therapeutically effective dosage sufficient to maintain a subject's CDR rating at its base line rating or at 0. In another embodiment, the active agents are administered at a therapeutically effective dosage sufficient to decrease a subject's CDR rating by about 0.25 or more, about 0.5 or more, about 1.0 or more, about 1.5 or more, about 2.0 or more, about 2.5 or more, or about 3.0 or more. In another embodiment, the active agents are administered at a therapeutically effective dosage sufficient to reduce the rate of the increase of a subject's CDR rating as compared to historical or untreated controls. In another embodiment, the therapeutically effective dosage is sufficient to reduce the rate of increase of a subject's CDR rating (relative to untreated subjects) by about 5% or greater, about 10% or greater, about 20% or greater, about 25% or greater, about 30% or greater, about 40% or greater, about 50% or greater, about 60% or greater, about 70% or greater, about 80% or greater, about 90% or greater or about 100% or greater.
- In yet another embodiment, active agents are administered at a therapeutically effective dosage sufficient to maintain a subject's score on the MMSE. In another embodiment, the active agents are administered at a therapeutically effective dosage sufficient to increase a subject's MMSE score by about 1, about 2, about 3, about 4, about 5, about 7.5, about 10, about 12.5, about 15, about 17.5, about 20, or about 25 points. In another embodiment, the active agents are administered at a therapeutically effective dosage sufficient to reduce the rate of the decrease of a subject's MMSE score as compared to historical controls. In another embodiment, the therapeutically effective dosage is sufficient to reducethecrate of decrease of a subject's MMSE score may be about 5% or less, about 10% or less, about 20% or less, about 25% or less, about 30% or less, about 40% or less, about 50% or less, about 60% or less, about 70%. or less, about 80% or less, about 90% or less or about 100% or less, of the decrease of the historical or untreated controls.
- Another means to evaluate cognition, particularly Alzheimer's disease, is the Alzheimer's Disease Assessment Scale (ADAS-Cog), or a variation termed the Standardized Alzheimer's Disease Assessment Scale (SADAS). It is commonly used as an efficacy measure in clinical drug trials of Alzheimer's disease and related disorders characterized by cognitive decline. SADAS and ADAS-Cog were not designed to diagnose Alzheimer's disease; they are useful in characterizing symptoms of dementia and are a relatively sensitive indicator of dementia progression. (See, e.g., Doraiswamy, Neurology 48:1511-1517, 1997; and Standish, J. Am. Geriatr. Soc. 44:712-716, 1996.) Annual deterioration in untreated Alzheimer's disease patients is approximately 8 points per year (See, eg., Raskind, M Prim. Care Companion J Clin Psychiatry August 2000; 2(4):134-138).
- In yet another embodiment, active agents are administered at a therapeutically effective dosage sufficient to maintain a subject's score on the DAD. In another embodiment, the active agents are administered at a therapeutically effective dosage sufficient to increase a subject's DAD score by about 1, about 2, about 3, about 4, about 5, about 10, about 15, about 20, about 25, about 30, about 40, or about 50 points or greater. In another embodiment, the active agents are administered at a therapeutically effective dosage sufficient to reduce the rate of the decrease of a subject's DAD score as compared to historical controls. In another embodiment, the therapeutically effective dosage is sufficient to reduce the rate of decrease of a subject's DAD score by about 5% or less, about 10% or less, about 20% or less, about 25% or less, about 30% or less, about 40% or less, about 50% or less, about 60% or less, about 70% or less, about 80% or less, about 90% or less or about 100% or less, of the decrease of the historical or untreated controls.
- In yet another embodiment, active agents are administered at a therapeutically effective dosage sufficient to maintain a subject's score on the ADAS-Cog. In another embodiment, the active agents are administered at a therapeutically effective dosage sufficient to decrease a subject's ADAS-Cog score by about 2 points or greater, by about 3 points or greater, by about 4 points or greater, by about 5 points or greater, by about 7.5 points or greater, by about 10 points or greater, by about 12.5 points or greater, by about 15 points or greater, by about 17.5 points or greater, by about 20 points or greater, or by about 25 points or greater. In another embodiment, the active agents are administered at a therapeutically effective dosage sufficient to reduce the rate of the increase of a subject's ADAS-Cog scores as compared to historical or untreated controls. In another embodiment, the therapeutically effective dosage is sufficient to reduce the rate of increase of a subject's ADAS-Cog scores (relative to untreated subjects) by about 5% or greater, about 10% or greater, about 20% or greater, about 25% or greater, about 30% or greater, about 40% or greater, about 50% or greater, about 60% or greater, about 70% or greater, about 80% or greater, about 90% or greater or about 100% or greater.
- In another embodiment, active agents are administered at a therapeutically effective dosage sufficient to decrease the ratio of Aβ42:Aβ40 in the CSF or plasma of a subject by about 15% or more, about 20% or more, about 25% or more, about 30% or more, about 35% or more, about 40% or more, about 45% or more, or about 50% or more.
- In another embodiment, active agents are administered at a therapeutically effective dosage sufficient to lower levels of Aβ in the CSF or plasma of a subject by about 15% or more, about 25% or more, about 35% or more, about 45% or more, about 55% or more, about 75% or more, or about 95% or more.
- Toxicity and therapeutic efficacy of such agents can be determined by standard pharmaceutical procedures in cell cultures or experimental animals, e.g., for determining the LD50 (the dose lethal to 50% of the population) and the ED50 (the dose therapeutically effective in 50% of the population). The dose ratio between toxic and therapeutic effects is the therapeutic index and can be expressed as the ratio LD50/ED50; and usually a larger therapeutic index is more efficacious. While agents that exhibit toxic side effects may be used, care should be taken to design a delivery system that targets such agents to the site of affected tissue in order to minimize potential damage to unaffected cells and, thereby, reduce side effects.
- It is understood that appropriate doses depend upon a number of factors within the ken of the ordinarily skilled physician, veterinarian, or researcher. The dose(s) of the small molecule will vary, for example, depending upon the identity, size, and condition of the subject or sample being treated, further depending upon the route by which the composition is to be administered, if applicable, and the effect which the practitioner desires the small molecule to have upon the subject. Exemplary doses include milligram or microgram amounts of the small molecule per kilogram of subject or sample weight (e.g., about 1 microgram per kilogram to about 500 milligrams per kilogram, about 100 micrograms per kilogram to about 5 milligrams per kilogram, or about 1 microgram per kilogram to about 50 micrograms per kilogram). It is furthermore understood that appropriate doses depend upon the potency. Such appropriate doses may be determined using the assays described herein. When one or more of these compounds is to be administered to an animal (e.g., a human), a physician, veterinarian, or researcher may, for example, prescribe a relatively low dose at first, subsequently increasing the dose until an appropriate response is obtained. In addition, it is understood that the specific dose level for any particular animal subject will depend upon a variety of factors including the activity of the specific agent employed, the age, body weight, general health, gender, and diet of the-subject, the time of administration, the route of administration, the rate of excretion, and any drug combination.
- The ability of an agent to inhibit amyloid deposition can be evaluated in an animal model system that may be predictive of efficacy in inhibiting amyloid deposition in human diseases, such as a transgenic mouse expressing human APP or other relevant animal models where Aβ deposition is seen or for example in an animal model of AA amyloidosis. Likewise, the ability of an agent to prevent or reduce cognitive impairment in a model system may be indicative of efficacy in humans. Alternatively, the ability of an agent can be evaluated by examining the ability of the agent to inhibit amyloid fibril formation in vitro, e.g., using a fibrillogenesis assay such as that described herein, including a ThT, CD, or EM assay. Also the binding of an agent to amyloid fibrils may be measured using a MS assay as described herein. The ability of the agent to protect cells from amyloid induced toxicity is determined in vitro using biochemical assays to determine percent cell death induced by amyloid protein. The ability of an agent to modulate renal function may also be evaluated in an appropriate animal model system.
- The therapeutic agent of the invention may be also be administered ex vivo to inhibit amyloid deposition or treat certain amyloid-related diseases, such as β2M amyloidosis and other amyloidoses related to dialysis. Ex vivo administration of the therapeutic agents of the invention can be accomplished by contacting a body fluid (e.g., blood, plasma, etc.) with a therapeutic compound of the invention such that the therapeutic compound is capable of performing its intended function and administering the body fluid to the subject. The therapeutic compound of the invention may perform its function ex vivo (e.g., dialysis filter), in vivo (e.g., administered with the body fluid), or both. For example, a therapeutic compound of the invention may be used to reduce plasma β2M levels and/or maintain β2M in its soluble form ex vivo, in vivo, or both.
- Prodrugs
- The present invention is also related to prodrugs of the agents of the Formulae disclosed herein. Prodrugs are agents which are converted in vivo to active forms (see, e.g., R. B. Silverman, 1992, “The Organic Chemistry of Drug Design and Drug Action,” Academic Press, Chp. 8). Prodrugs can be used to alter the biodistribution (e.g., to allow agents which would not typically enter the reactive site of the protease) or the pharmacokinetics for a particular agent. For example, a carboxylic acid group, can be esterified, e.g., with a methyl group or an ethyl group to yield an ester. When the ester is administered to a subject, the ester is cleaved, enzymatically or non-enzymatically, reductively, oxidatively, or hydrolytically, to reveal the anionic group. An anionic group can be esterified with moieties (e.g., acyloxymethyl esters) which are cleaved to reveal an intermediate agent which subsequently decomposes to yield the active agent. The prodrug moieties may be metabolized in vivo by esterases or by other mechanisms to carboxylic acids.
- Examples of prodrugs and their uses are well known in the art (see, e.g., Berge, et al., “Pharmaceutical Salts”, J. Pharm. Sci. 66, 1-19 (1977)). The prodrugs can be prepared in situ during the final isolation and purification of the agents, or by separately reacting the purified agent in its free acid form with a suitable derivatizing agent. Carboxylic acids can be converted into esters via treatment with an alcohol in the presence of a catalyst.
- Examples of cleavable carboxylic acid prodrug moieties include substituted and unsubstituted, branched or unbranched lower alkyl ester moieties,. (e.g., ethyl esters, propyl esters, butyl esters, pentyl esters, cyclopentyl esters, hexyl esters, cyclohexyl esters), lower alkenyl esters, dilower alkyl-amino lower-alkyl esters (e.g., dimethylaminoethyl ester), acylamino lower alkyl esters, acyloxy lower alkyl esters (e.g., pivaloyloxymethyl ester), aryl esters (phenyl ester), aryl-lower alkyl esters (e.g., benzyl ester), substituted (e.g., with methyl, halo, or methoxy substituents) aryl and aryl-lower alkyl esters, amides, lower-alkyl amides, dilower alkyl amides, and hydroxy amides.
- Pharmaceutically Acceptable Salts
- Certain embodiments of the present agents can contain a basic functional group, such as amino or alkylamino, and are, thus, capable of forming pharmaceutically acceptable salts with pharmaceutically acceptable acids. The term “pharmaceutically acceptable salts” in this respect, refers to the relatively non-toxic, inorganic and organic acid addition salts of agents of the present invention. These salts can be prepared in situ during the final isolation and purification of the agents of the invention, or by separately reacting a purified agent of the invention in its free base form with a suitable organic or inorganic acid, and isolating the salt thus formed.
- Representative salts include the hydrohalide (including hydrobromide and hydrochloride), sulfate, bisulfate, phosphate, nitrate, acetate, valerate, oleate, palmitate, stearate, laurate, benzoate, lactate, phosphate, tosylate, citrate, maleate, fumarate, succinate, tartrate, napthylate, mesylate, glucoheptonate, lactobionate, 2-hydroxyethanesulfonate, and laurylsulphonate salts and the like. See, e.g. Berge et al., “Pharmaceutical Salts”, J. Pharm. Sci. 66, 1-19 (1977).
- In other cases, the agents of the present invention may contain one or more acidic functional groups and, thus, are capable of forming pharmaceutically acceptable salts with pharmaceutically acceptable bases. The term “pharmaceutically acceptable salts” in these instances refers to the relatively non-toxic, inorganic and organic base addition salts of agents of the present invention.
- These salts can likewise be prepared in situ during the final isolation and purification of the agents, or by separately reacting the purified agent in its free acid form with a suitable base, such as the hydroxide, carbonate or bicarbonate of a pharmaceutically acceptable metal cation, with ammonia, or with a pharmaceutically acceptable organic primary, secondary or tertiary amine. Representative alkali or alkaline earth salts include the lithium, sodium, potassium, calcium, magnesium, and aluminum salts and the like. Representative organic amines useful for the formation of base addition salts include ethylamine, diethylamine, ethylenediamine, ethanolamine, diethanolamine, piperazine and the like.
- “Pharmaceutically acceptable salts” also includes, for example, derivatives of agents modified by making acid or base salts thereof, as described further below and elsewhere in the present application. Examples of pharmaceutically acceptable salts include mineral or organic acid salts of basic residues such as amines; and alkali or organic salts of acidic residues such as carboxylic acids. Pharmaceutically acceptable salts include the conventional non-toxic salts or the quaternary ammonium salts of the parent agent formed, for example, from non-toxic inorganic or organic acids. Such conventional non-toxic salts include those derived from inorganic acids such as hydrochloric, hydrobromic, sulfuric, sulfamic, phosphoric, and nitric acid; and the salts prepared from organic acids such as acetic, propionic, succinic, glycolic, stearic, lactic, malic, tartaric, citric, ascorbic, palmoic, maleic, hydroxymaleic, phenylacetic, glutamic, benzoic, salicylic, sulfanilic, 2-acetoxybenzoic, fumaric, toluenesulfonic, methanesulfonic, ethane disulfonic, oxalic, and isethionic acid. Pharmaceutically acceptable salts may be synthesized from the parent agent which contains a basic or acidic moiety by conventional chemical methods. Generally, such salts may be prepared by reacting the free acid or base forms of these agents with a stoichiometric amount of the appropriate base or acid in water or in an organic solvent, or in a mixture of the two.
- All acid, salt, base, and other ionic and non-ionic forms of the compounds described are included as compounds of the invention. For example, if a compound is shown as an acid herein, the salt forms of the compound are also included. Likewise, if a compound is shown as a salt, the acid and/or basic forms are also included.
- Those skilled in the art will recognize, or be able to ascertain using no more than routine experimentation, numerous equivalents to the specific procedures, embodiments, claims, and examples described herein. Such equivalents are considered to be within the scope of this invention and covered by the claims appended hereto. The contents of all references, issued patents, and published patent applications cited throughout this application are hereby incorporated by reference. The invention is further illustrated by the following examples, which should not be construed as further limiting.
- Binding and Antifibrillogenic Assays
- The test compounds were synthesized and screened by mass spectrometry (“MS”) assays, except for selected compounds which were purchased from a commercial source. The MS assay gives data on the ability of compounds to bind to proteins, in this example, to β-amyloid and IAPP.
- In the MS assay for Aβ40, samples were prepared as aqueous solutions (adding 20% ethanol if necessary to solubilize in water), 200 μM of a test compound and 20 μM of solubilized Aβ40, or 400 μM of a test compound and 40 μM of solubilized Aβ40. The pH value of each sample was adjusted to 7.4 (±0.2) by addition of 0. 1% aqueous sodium hydroxide. The solutions were then analyzed by electrospray ionization mass spectrometry using a Waters ZQ 4000 mass spectrometer. Samples were introduced by direct infusion at a flow-rate of 25 μL/min within. 2 hours after sample preparation. The source temperature was kept at 70° C. and the cone voltage was 20 V for all the analysis. Data were processed using Masslynx 3.5 software. The MS assay gives data on the ability of compounds to bind to soluble Aβ, whereas the ThT, EM and CD assays give data on inhibition of fibrillogenesis. The results from the assay for binding to Aβ are summarized in Tables 3A-3D. In Tables 3A-3D, a blank box means that a value was not determined for that compound in that assay.
- The assay for IAPP was conducted under the same conditions except that 200 μM or 100 μM of test compound and 20 μM of solubilized LAPP were employed. The key below describes the codes used in Table 3A to quantify the binding based on the intensity of the absorption.
TABLE 3A Relative Binding Affinities of Compounds of the Invention MS binding ID IAPP Aβ1-40 B ++ + C + D + E +++ + F +++ + G ++ + H +++ + I +++ ++ J +++ + K ++ − L ++ + M ++ − N + − P ++ − Q − − AC ++ + AD + AE + AF +++ + AG ++ ++ AH ++ + AK +++ ++ AL +++ ++ AM ++ + AW ++ ++ AX + ++ AY ++ +++ AZ +++ ++ BA ++ ++ BB +++ +++ BC − + BV + +++ BW ++ +++ BX ++ +++ BY ++ +++ BZ +++ CC − ++ CD +++ ++ CE + +++ CG ++ +++ CH +++ +++ CI + +++ CJ ++ +++ CK +++ +++ CM + CV + +++ CY +++ +++ DC ++ +++ DD +++ DE + − DF +++ − DG − + DH + ++ DI − − DJ +++ − DK ++ +++ DL − + DM + ++ DN + ++ DO ++ +++ DP − + DQ − + DR + + DS + + DT + + DU +++ +++ DV +++ +++ DW +++ ++ DX +++ +++ DY ++ +++ DZ +++ +++ EA + ++ EB +++ +++ EC +++ ED ++ +++ EE ++ +++ EF − + EG +++ +++ EH +++ +++ EI − − EJ + ++ EK +++ +++ EL + ++ EN + + EO − + EP ++ + EQ − + ER ++ ES +++ +++ ET +++ EV +++ EW +++ EY +++ +++ EZ +++ +++ FA ++ +++ FH − − FO − − FP +++ ++ FQ ++ + FR +++ ++ FS +++ +++ FT − − FU ++ ++ FV − − FW + − FX +++ +++ FY +++ +++ FZ ++ + GA + − GB +++ + GC − − GD +++ ++ GE ++ GF + GH ++ + GI ++ + GJ ++ ++ GK + + GL ++ ++ GM ++ − GN − − GO − − GP + − GQ − − GR − − GS ++ + GT + − GU ++ + GZ + − HA − − HB − − HC ++ + HD − − HE + − HF ++ − HG + + HI ++ HJ ++ − HK − − NG ++ NH + NI + NJ +++ NK + NL +++ Key to Table 3A Aβ1-40 10/Code 400 μM 200 μM Strong Binding +++ 90-100% 60-100% Moderate Binding ++ 70-89% 30-69% Weak Binding + 45-59% 20-44% Little/no detectable − 20-39% 20-39% binding IAPP 200 μM 100 μM (20% EtOH) (20% EtOH) Strong Binding +++ >75% >50% Moderate Binding ++ 40-75% 30-50% Weak Binding + 20-40% 15-30% Little/no detectable − 0-20% 0-15% binding - Compounds in Table 3B were tested under the following conditions: 30 μM Aβ peptide, 150 μM compound; 60-100% binding=(+++), 40-59% binding=(++), 20-39% binding=(+), <20%=(−), blank=not determined.
TABLE 3B Relative Binding Affinities of Compounds of the Invention MS binding ID IAPP Aβ1-40 AI +++ FN ++ IY +++ ++ JH +++ ++ JI +++ +++ JP +++ JQ +++ JR +++ ++ JV ++ KB +++ KH ++ KJ +++ KM +++ KN ++ KS +++ KT ++ LK ++ LN +++ - Compounds in Table 3C were tested under the following conditions 20 μM Aβ peptide, 100 μM compound; 75-100% binding=(+++), 40-74% binding=(++), 20-39% binding=(+), <20%=(−), blank=not determined.
TABLE 3C Relative Binding Affinities of Compounds of the Invention MS binding ID IAPP Aβ1-40 IW +++ ++ IX +++ ++ IZ +++ − JA ++ + JB + + JC + JD ++ + JE ++ − JF ++ + JG +++ JJ +++ ++ JK + − JL ++ ++ JM + − JN + ++ JO ++ + JS + JT + JU ++ JW ++ JX ++ JY +++ JZ +++ KA ++ KI + KK +++ KL ++ KQ + LD ++ LE ++ LF + LG ++ LH + LI +++ LJ +++ LL ++ LM +++ LQ +++ - Compounds in Table 3D were tested under the following conditions: 40 μM Aβ peptide, 400 μM compound; 75-100% binding=(+++), 40-74% binding=(++) , 20-39% binding=(+), <20% (−), blank=not determined.
TABLE 3D Relative Binding Affinities of Compounds of the Invention MS binding ID IAPP Aβ1-40 S ++ − HL + ++ HM − + HN − HP − HQ + HR − ++ HS − HT + ++ HU + +++ HV + ++ HW − HX − HY − HZ − IA + +++ IB + IF − IG ++ +++ IH + II − IJ + IK + IL + IM − IN + IP + IR + IS + IT + IU − KV + KW + KX + KY + LA − LC − LP +++
Effects of Short Term Treatment in Adult Transgenic CRND8 Mice Overexpressing βAPP - Transgenic mice, TgCRND8, expressing the human amyloid precursor protein (HAPP) develop a pathology resembling Alzheimer's disease. In particular, high levels of Aβ40 and Aβ42 have been documented in the plasma and the brain of these animals at 8-9 weeks of age, followed by early accumulation of amyloid plaques similar to the senile plaques observed in AD patients. These animals also display progressive cognitive deficits that parallel the appearance of degenerative changes. See, e.g., (Chishti, et al., J. Biol. Chem. 276, 21562-70 (2001).
- The short term therapeutic effect of 19 compounds of the invention was studied. These compounds were administered over a 14 or 28 day period at the end of which the levels of Aβ peptides in the plasma and brain of TgCRND8 animals were determined.
- Methods
- Male and female transgenic mice from the 3rd and 4th B6C3F1 generations were used in this example and given daily subcutaneous or oral administrations of one of a series of compounds for 14 or 28 days. The following abbreviations are used to designate these animals from the 3rd and 4th generation backcross in the present protocol: TgCRND8-2.B6C3F1(N3); TgCRND8-2.B6C3F1(N4).
- Baseline animals (Group 1) consisted of naive TgCRND8-2. B6C3F1(N3) at 11±1 weeks of age. These mice were used to determine the Aβ levels in the plasma and brain of naive transgenic animals at the initiation of treatment.
- Starting at 11 weeks of age (±1 week) animals received daily administration of their respective treatment for a period of 14 or 28 days (groups 2-21), at a dose of 250 mg/kg at 10 ml/kg or of vehicle only (water; group 2) or 1% methyl cellulose only (group 21). The route of administration was subcutaneous for water-soluble compounds and oral for compounds solubilized in methylcellulose 1% (MC 1%). At the end of the treatment periods, plasma and perfused brains were collected for quantification of Afl levels.
TABLE 4 Test System Species: Mouse Strain: TgCRND8-2.B6C3F1(N3) & (N4) Genotype: hAPP +/− Gender: Male and Female Age at Day 1: 11 ± 1 weeks Body Weight at Day 10 to 30 g 1: Number of Animals/ Baseline: 8 Group at Day 1: Vehicle and Treated: 12-15 Suppliers: TgCRND8-2 founders were obtained from the Centre for Research in Neurodegenerative Diseases, University of Toronto. The inbred B6C3F1 were obtained from Charles River (Quebec, Canada). - The mice used in this study were derived from a breeding colony at Institut Armand Frappier, and were well-acclimated to the animal facility environment prior to initiation of the study. Animals were assigned, according to age and gender, into the following experimental groups:
TABLE 5 Groups of Mice Daily Dose Duration of Treatment Group No. Treatment (mg/kg) (days) 1 Baseline NA NA 2 Water NA 14 & 28 4 BY 250 14 & 28 6 CV 250 14 & 28 12 CY NA 14 & 28 15 BW 250 14 & 28 16 BZ 250 14 & 28 18 BX 250 14 & 28 20 DC 250 14 & 28 21 Methylcellulose 1% 100 14 & 28 22 DD 250 14 & 28 23 DH 250 14 & 28 24 DM 250 14 & 28 25 DX 250 14 & 28 26 DY 250 14 & 28 27 DZ 250 14 & 28 28 ED 250 14 & 28 29 EG 250 14 & 28
Animal Health Monitoring - All animals were examined daily for signs of ill health when handled in the morning for their daily treatment and twice a day for mortality checks (once daily during weekends and holidays). Detailed examinations were performed on the treatment initiation, weekly during the study, and once before terminal procedures. More frequent observations were undertaken when considered appropriate. Death and all individual clinical signs were individually recorded. Individual body weights were recorded at randomization, once weekly during the study, and once before terminal procedures.
- Sample Collection
- At 11±1 weeks of age for the Baseline group, and at the end of the treatment period (14 or 28 days) for Groups 2 to 21, at 24 hours after the last compound administration animals were sacrificed and samples collected. An approximate blood volume of 500 μl was collected from the orbital sinus and kept on ice until centrifugation at 4° C. at a minimum speed of 3,000 rpm for 10 minutes. Plasma samples were immediately frozen and stored at −80° C. pending analysis. The brains were removed, frozen, and stored at −80° C. awaiting analysis.
- Measurements of Aβ Levels
- Brains were weighted frozen and homogenized with 4 volumes of ice cold 50 mM Tris-Cl pH 8.0 buffer with protease inhibitor cocktail (4 mL of buffer for 1 g of wet brain). Samples were spun at 15000 g for 20 minutes and the supernatants were transferred to fresh tubes. One hundred fifty (150) μl from each supernatant were mixed with 250 μl of 8M guanidine-HCL/50 mM Tris-HCL pH 8.0 (ratio of 0.6 vol supernatant: 1 vol 8M guanidium/Tris-HCL 50 mM pH8.0) and 400 μL 5 M guanidium/Tris-HCL 50 mM pH8.0 were added. The tubes were vortexed for 30 seconds and frozen at −80° C. In parallel, pellets were treated with 7 volumes of 5 M guanidine-HCL/50 mM Tris-HCL pH 8.0 (7 mL of guanidine for 1 g of wet brain), vortexed for 30 seconds and frozen at −80° C. Samples were thawed at room temperature, sonicated at 80° C. for 15 minutes and frozen again. This cycle was repeated 3 times to ensure homogeneity and samples were returned to −80° C. pending analysis.
- Aβ levels were evaluated in plasma and brain samples by ELISA using Human Aβ40 and Aβ42 Fluorometric ELISA kits from Biosource (Cat. No. 89-344 and 89-348) according to manufacturer's recommended procedures. In short, samples were thawed at room temperature, sonicated for 5 minutes at 80° C. (sonication for brain homogenates; no sonication for plasma samples) and kept on ice. Aβ peptides were captured using 100 μl of the diluted samples to the plate and incubated without shaking at 4° C. overnight. The samples were aspirated and the wells were rinsed 4 times with wash buffer obtained from the Biosource ELISA kit. The anti-Aβ40 or anti-Aβ42 rabbit polyclonal antiserum (specific for the Aβ40 or Aβ42 peptide) was added (100 μl) and the plate was incubated at room temperature for 2 hours with shaking. The wells were aspirated and washed 4 times before adding 100 μl of the alkaline phosphatase labeled anti-rabbit antibody and incubating at room temperature for 2 hours with shaking. The plates were then rinsed 5 times and the fluorescent substrate (100 μl) was added to the plate. The plate was incubated for 35 minutes at room temperature and the plate was read using a titer plate reader at an excitation wavelength of 460 nm and emission at 560 nm.
- Compounds were scored based on their ability to modulate levels of Aβ peptides in the plasma and the cerebral soluble/insoluble levels in the brain. Levels of Aβ observed in the plasma and brain of treated animals were normalized using values from vehicle-treated (water) or methylcellulose-treated control groups and ranked according to the strength of the pharmacological effect. Results are shown in Tables 3 to 11. Increases in the levels of Aβ peptides are indicated using “+” symbols, while decreases in the levels of Aβ peptides are indicated using “−” symbols. The strongest effects are recorded as “+++” or “−−−” while the weakest are shown as “+” or “−”.
- Specifically, increases in the levels of Aβ (relative to untreated control) of 20 to 39% are scored as “+”; increases of 40 to 69% are scored as “++”; and increases of 70% or higher are scored as “+++”. Decreases in the levels of Aβ of 5 to 19% are scored as “−”; decreases of 20 to 38% are scored as “−−”; and decreases of 39% or more are scored as “−−−”.
- The data are presented in Tables 6-11. Treatment with these compounds after 14 and/or 28 days resulted in a significant change in the cerebral levels of Aβ40 and/or Aβ42 (Tables 8-11). Furthermore, treatment with these compounds, for instance, Compound BX (3-(t-butyl)amino-1-propanesulfonic acid), resulted after 14 and 28 days (Tables 6-7) in a significant increase in the levels of Aβ peptides in the plasma. This suggests that some of these compounds may act by a peripheral sink effect, sequestering Aβ peptides in the plasma and thereby facilitating their clearance from the CNS as previously suggested for treatment by passive immunization using anti-Aβ monoclonal antibody m266 (DeMattos et al., Science 295(5563):2264-7).
- The tables show levels of Aβ peptides in the plasma and brain of TgCRND8 mice treated for 14 and 28 days with compounds of the invention.
- Tables 6A and 6C show the data from Day 14 and Day 28 for the Plasma Vehicle group, respectively. Tables 6B and 7 show the data for the Plasma Methylcellulose group on Days 14 and 28, respectively. Tables 8 and 10 show the data on Days 14 and 28 for the Brain homogenate vehicle group, respectively. Tables 9 and 11 show the data for brain homogenate for the Methylcellulose group on Days 14 and 28, respectively.
TABLE 6A Plasma Vehicle Group, Day 14 Treatment Aβ40 Change Aβ42 Change BY + + CV + ++ DC +\+ ++ BX +++ ++ -
TABLE 6B Plasma Methylcellulose Group, Day 14 Treatment Aβ40 Change Aβ42 Change BZ + BW CY -
TABLE 6C Plasma Vehicle Group, Day 28 Treatment Aβ40 Change Aβ42 Change BY CV ++ ++ DC ++ BX +++ -
TABLE 7 Plasma Methylcellulose Group, Day 28 Treatment Aβ40 Change Aβ42 Change BZ ++ ++ BW + CY + -
TABLE 8 Brain Homogenate Vehicle Group, Day 14 Aβ40 Change Aβ42 Change Treatment Soluble Insoluble Soluble Insoluble BY +++ +++ +++ CV** − DC −− + −− BX − −−− −− −−− DD − DX −− − DY −− −− DZ −− EG − −− −− −− DH −− −−− −−− DM + − − ED − +
**The effect of this compound in the brain has only been tested on its ability to modulate the total levels of Aβ40 and Aβ42 peptides rather than measuring soluble and insoluble levels independently.
-
TABLE 9 Brain Homogenate Methylcellulose Group, Day 14 Aβ40 Change Aβ42 Change Treatment Soluble Insoluble Soluble Insoluble BZ −−− −− BW −−− −− −−− CY − +++ ++ -
TABLE 10 Brain Homogenate Vehicle Group, Day 28 Aβ40 Change Aβ42 Change Treatment Soluble Insoluble Soluble Insoluble BY + +++ +++ CV** ++ +++ DC − + ++ +++ BX −−− −−− −− − DD − DX −− − −− DY −−− − −− DZ − −− −− −− EG −− −− DH − − DM − −− −− −− ED − −− − −
**The effect of this compound in the brain has only been tested on its ability to modulate the total levels of Aβ40 and 42 peptides rather than measuring soluble and insoluble levels independently.
-
TABLE 11 Brain Homogenate Methylcellulose Group, Day 28 Aβ40 Change Aβ42 Change Treatment Soluble Insoluble Soluble Insoluble BZ −− −− −− BW − − − −− CY ++ +++ +++ +
Effects of Long Term Treatment in Adult Transgenic CRND8 Mice Overexpressing βAPP - Transgenic mice, TgCRND8, as those used in the short-term treatment, overexpress a human APP gene with the Swedish and Indiana mutations leading to the production of high levels of the amyloid peptides and to the development of an early-onset, aggressive development of brain amyloidosis. The high levels of A: peptides and the relative overabundance of Aβ42 compared to Aβ40 are believed to be associated with the severe and early degenerative pathology observed. The pattern of amyloid deposition, presence of dystrophic neuritis, and cognitive deficit has been well documented in this transgenic mouse line. The levels of Aβ peptides in the brain of these mice increase dramatically as the animals age. While the total amyloid peptide levels increase from ˜1.6×105 pg/g of brain to ˜3.8×106 between 9 and 17 weeks of age.
- While the early deposition of amyloid in this model allows the rapid testing of compounds in a relatively short time frame, the aggressivity of this model and the high levels of Aβ peptides renders therapeutic assessment in the longer term a more difficult task.
- The long-term therapeutic effects of compounds of the present invention on cerebral amyloid deposition and β-amyloid (Aβ) levels in the plasma and in the brains of transgenic mice, TgCRND8, expressing the human amyloid precursor protein (hAPP) was studied. These compounds were administered over an 8 or 16 week period at the end of which the levels of Aβ peptides in the plasma and brain of TgCRND8 animals were determined. The goal of this study was to evaluate the efficacy of the compounds at modulating the progression of the amyloidogenic process in the brain and in the plasma of a transgenic mouse model of Alzheimer's disease (AD)
- Methods
- The mice used in the study consisted of animals bearing one copy of the hAPP gene (±) from the 2nd and 3rd generation progenies (N2 and N3) derived from backcrosses from TgCRND8.FVB(N2)AJ(N3) with B6AF1/J hybrid animals.
N 1 =TgCRND8.FVB(N 2)AJ(N 3)×B6AF1/J
N 2 =TgCRND8.FVB(N 2)AJ(N 3).B6AF1/J(N 1)×B6AF1/J
N 3 =TgCRND8.FVB(N 2)AJ(N 3).B6AF1/J(N 2)×B6AF1/J - The following abbreviations are used to designate these animals in the present study: TgCRND8.B6AF1/J(N2); TgCRND8.B6AF1/J(N3). Male and female transgenic mice were given daily subcutaneous (compound BX) or oral (compounds BW and BZ) administrations of the appropriate compounds for 8 or 16 weeks.
- Baseline animals consisted of 9±1 week old naive TgCRND8.B6AF1/J animals from the 2nd and 3rd generations. These mice were used to determine the extent of cerebral amyloid deposits and Aβ levels in the plasma and brain of naive transgenic animals at the initiation of treatment.
- Starting at 9 weeks of age (±1 week) animals received daily administration of their respective treatment for a period of 8 or 16 weeks, at a dose of 30 or 100 mg/kg at 10 ml/kg. The route of administration was subcutaneous for water-soluble compounds (Compound BX) and oral for compounds solubilized in methylcellulose 1% (MC 1%) (Compounds BW and BZ). At the end of the treatment periods, plasma and perfused brains were collected for quantification of Aβ levels.
- Animal health was monitored, samples were collected and Aβ levels were measured as described above in the short term treatment study. Compounds were scored based on their ability to modulate levels of Aβ peptides in the plasma and the cerebral soluble/insoluble levels in the brain. Levels of Aβ observed in the plasma and brain of treated animals were compared to that of vehicle-treated (water) or methylcellulose-treated control groups and ranked according to the strength of the pharmacological effect. Results are shown in Table 12. Increases in the levels of Aβ peptides are indicated using “+” symbols, while decreases in the levels of Aβ peptides are indicated using “−” symbols. The strongest effects are recorded as “+++” or “−−−” while the weakest are shown as “+” or “−”.
- Specifically, increases in the levels of Aβ (relative to vehicle treated control) of 5 to 14% are scored as “+”; increases of 15 to 29% are scored as “++”; and increases of 30% or higher are scored as “+++”. Decreases in the levels of Aβ of 5 to 14% are scored as “−”; decreases of 15 to 29% are scored as “−−”; and decreases of 30% or more are scored as “−−−”. Additionally, changes of 4% or less in either direction are scored as “0”.
- Table 12 shows levels of Aβ peptides in the plasma and brain of TgCRND8 mice treated for 8 and 16 weeks with compounds of the invention. Treatment with these compounds after 8 and/or 16 weeks in many cases resulted in a change in the levels of Aβ40 and/or Aβ42 in the plasma and/or brain. For example, administration of compound BX generally resulted in a dramatic decrease in the amount of Aβ in the brain at both 8 and 16 weeks. Compound BW also resulted in a dramatic decrease in brain and plasma levels of Aβ at 8 weeks and plasma levels at 16 weeks.
- For the ThioS studies, the plaques in the brains of the mice were quantified as follows. Mice were transcardially perfused with saline solution. Brains were dissected out and separated in 2 hemispheres. The left hemisphere was immersed in freshly-prepared 4% paraformaldehyde for 3 hrs at 4° C., then transfered into 30% sucrose at 4° C. When cryoprotection was achieved (24-48 hours), brains were frozen in isopentane at −45° C. and subsequently stored at −80° C. until sectioning. Coronal 40 μm-thick sections were performed, and stained with thioflavin S (1% solution in water) for 8 min. After differentiation of the thioflavin S staining, sections were counterstained with hematoxylin for 5 minutes. Two sets of pictures were captured simultaneously. A first set of pictures was captured under brightfield illumination to obtain morphological details of the section; a second set of pictures was captured under a green, specific, fluorescent filter (fluorescein filter, Ex 495 nm, Em 525 nm). Image analysis to quantify the number of plaques and the area occupied by these plaques was performed using Image Pro Plus software (Media Cybernetics, Md., USA).
- The data from the histological ThioS studies is summarized in Table 13. Increases in the areas and numbers of plaques are indicated using “+” symbols, while decreases in the areas and numbers of the plaques are indicated using “−” symbols. Preliminary histochemical experiments using ThioS staining of brain sections indicated that both the number of plaques and the area occupied by the plaques were decreased in mice treated with 30 mg/kg of compound BX.
- Specifically, increases in the areas and numbers of plaques (relative to vehicle treated control) of 10 to 19.99% are scored as “+”. Decreases in the areas and numbers of plaques of 10 to 19.99% are scored as “−”. Additionally, changes of 9.99% or less in either direction are scored as “0”.
TABLE 12 Effects of Compounds BX, BW and BZ on levels of Aβ in plasma and brain Brain Dose Timepoint Plasma Abeta40 Abeta42 Compound (mg/kg) (weeks) Abeta40 Abeta42 soluble insoluble soluble insoluble BX 30 8 wks + + −−− −−− −−− −− BX 100 8 wks ++ +++ + ++ + 0 BX 30 16 wks − − −− −−− 0 − BX 100 16 wks − 0 − −−− 0 −− BW 30 8 wks −−− −−− − −− −− 0 BW 100 8 wks − − −− −−− −− −−− BW 30 16 wks −− −− + ++ − + BW 100 16 wks − − ++ + + ++ BZ 30 8 wks 0 0 0 −− 0 −−− BZ 100 8 wks ++ +++ ++ 0 0 − BZ 30 16 wks 0 + 0 + + 0 BZ 100 16 wks ++ ++ −− 0 − + -
TABLE 13 Histological effects of compounds BW and BX on numbers of plaques and areas occupied by plaques ThioS Sites Dose Timepoint Analyzed Surface Area Change in Plaque Change in Plaque Compound (mg/kg) (weeks) (μm2) Number Area BX 30 16 wks 7,773,230 − − BX 100 16 wks 7,803,230 0 + BW 30 16 wks 7,563,737 0 0 BW 100 16 wks 7,812,844 − 0
Evaluation of Compounds Binding to NAC Peptide by Mass Spectrometry - Recent findings have demonstrated that a high percentage of Alzheimer Disease (AD) patients also form Lewy bodies, most abundantly in the amygdala (Hamilton. 2000. Brain Pathol, 10:378; Mukaetova-Ladinska, et al. 2000. J Neuropathol Exp Neurol 59:408). Interestingly, the highly hydrophobic non-amyloid component (NAC) region of α-synuclein has also been described as the second most abundant component of amyloid plaques in the brain of AD patients, after. Alpha-synuclein has been shown to form fibrils in vitro. Futhermore it binds to Aβ and promotes its aggregation (Yoshimoto, et al. 1995. Proc Natl Acad Sci USA 92:9141). It was in fact originally identified as the precursor of the non-amyloid beta (Aβ) component (NAD) of AD plaques (Ueda, et al. 1993. Proc Nati Acad Sci USA 90:11282; Iwai. 2000. Biochem Biophys Acta 1502:95; Masliah, et al. 1996. Am J Pathol 148:201). NAC is a 35 amino acid long peptide with highly hydrophobic stretches which can self-aggregate and form fibrils in vitro., Moreover, these fibrils can efficiently seed the formation of Aβ fibrils in vitro (Han, et al. 1995. Chem Biol.2: 163-169; Iwai, et al. 1995. Biochemistry 34:10139). It is in fact through its NAC domain that alpha-synuclein retains its fibrillogenic properties. Modulating the properties of NAC or targeting NAC with the compounds of the invention could therefore be a valid therapeutic avenue to inhibit the formation of protein aggregates and inclusions associated with alpha-synucleopathies, as well as the formation of aggregates between the beta-amyloid peptide and NAC of alpha-synuclein.
- The ability of the compounds of the present invention to bind to NAC peptide in aqueous solution was evaluated. The binding ability correlates to the intensities of the peptide-compound complex peaks observed by the Electrospray Mass Spectrum. Millipore distilled deionized water was used to prepare all aqueous solutions. For pH determination a Beckman Φ36 pH meter fitted with a Corning Semi-Micro Combination pH Electrode was employed.
- NAC (MW 3260.6 Da) at 20 μM was first analyzed at pH 7.40 and the usual sodium clusters was observed at +2, +3 and +4 at m/z 1335.5, 1116.7 and 843.4 respectively. The optimal cone voltage was determined to be 20V.
- Mass spectrometry—Mass spectrometric analysis was performed using a Waters ZQ 4000 mass spectrometer equipped with a Waters 2795 sample manager. MassLynx 4.0 (earlier by MassLynx 3.5) was used for data processing and analysis. Test compounds were mixed with disaggregated peptides in aqueous media (6.6% EtOH) at a 5:1 ratio (20 μM NAC: 100 μM of test compound or 40 μM NAC: 200 μM of test compound). The pH of the mixture was adjusted to 7.4 (±0.2) using 0.1% NaOH (3-5 μL). Periodically, NAC peptide solution at 20 μM or 40 μM was also prepared in the same fashion and run as control. The spectra were obtained by introducing the solutions to the electrospray source by direct infusion using a syringe pump at a flow rate of 25 μl/min, and scanning from 100 to 2100 Da in the positive mode. The scan time was 0.9 sec per scan with an inter-scan delay of 0.1 sec and the run time was 5 min for each sample. All the mass spectra were sum of 300 scans. The desolvation and source temperature was 70° C. and the cone and capillary voltage were maintained at 20 V and 3.2 kV respectively.
- The total area under the peaks for the bound NAC-compound complex divided by total area under the peaks for unbound NAC was determined for each compound tested. The results are summarized in Table 14 below.
TABLE 14 NAC Peptide Binding Data Structure Binding Strength* NaO3SCH2(CH2)2CH2SO3Na − NaO3SOCH2CH2CH2OSO3Na − NH2CH2CH2OSO3H − H2NCH2CH2CH2OSO3Na ++ H2NCH2CH2SO3H + ++ ++ + +++
*+++ = Strong; when the total binding is 120% and higher
++ = Moderate; when the total binding is between 120% and 70%
+ = Weak; when the total binding is between 70% and 30%
− = None; when the total binding is between 30% and 0%
- The present invention also relates to novel compounds and the synthesis thereof Accordingly, the following examples are presented to illustrate how some of those compounds may be prepared.
- Synthesis of Compounds of the Invention
-
- Isopropylamine (2.5 mL, 29 mmol) was added to a solution of 1,3-propane sultone (3.05 g, 25 mmol) in a mixture of dichloromethane/ether (40 mL, 1:1). The mixture was heated at reflux for 3 hours. The reaction mixture was cooled to room temperature and hexane (10 mL) was added. The solid material was collected by filtration, rinsed with ether (10 mL), and dried in vacuo. Compound CG was obtained as a fine white powder (2.98 g, 65.6% yield). m.p. 240-43° C. 1H NMR (500 MHz, D2O) δ 1.06 (d, J=6.3 Hz, 6H), 1.86 (qt, J=7.6 Hz, 2H), 2.76 (t, J=7.6 Hz, 2H), 3.14 (t, J=7.8 Hz, 2H), 3.13-3.21 (m, J=6.6 Hz, 1H). 13C NMR (125 MHz, D2O) δ 18.2, 21.5, 25.8, 43.4, 47.9, 50.8.
-
- Cyclopropylamine (3.7 mL, 52 mmol) was added to a solution of 1,3-propane sultone (6.9 g, 55.3 mmol) in THF (60 mL). The mixture was heated with an oil-bath at 42° C. for 2 hours. Stirring was difficult and part of the solid formed a crust above the stirred mixture. The mixture was heated at reflux for 1 hour, cooled to room temperature. The solid material was collected by filtration, dried in a vacuum oven for 2 hours at 60° C. (4.95 g). The solid was recrystallized in methanol/water (35 mL/5 mL, v/v). The mixture was cooled in a fridge then the solid was collected by filtration, rinsed with methanol (15 mL), air-dried for 15 minutes, and further dried in a vacuum oven at 60° C. overnight. Compound CI was obtained as long, fine, white needles (3.74 g, 40% yield). m.p. 234-236° C. 1H NMR (500 MHz, D2O) δ 0.62-0.71 (m, 4H), 1.92 (qt, J=7.6 Hz, 2H), 2.51-2.55 (m, J=3.7 Hz, 1H), 2.78 (d, J=7.3 Hz, 2H), 3.09 (t, J=7.8 Hz, 2H). 13C NMR (125 MHz, D2O) δ 3.0, 21.2, 30.0, 46.8, 47.9. FT-IR (KBr) νmax 3051, 1570, 1465, 1039
-
- Cyclopentylamine (3.95 mL, 40 mmol) was added to a solution of 1,3-propane sultone (5.5 g, 45 mmol) in THF (80 mL). The mixture was heated at reflux with an oil-bath for 4 hours. Stirring was difficult, some acetone and ethanol were added to restore stirring. The mixture was cooled to room temperature. The solid was collected by filtration, dried in a vacuum oven for 1 hour at 60° C. (5.47 g). The solid material was dissolved in methanol/water (35 mL/2.5 mL, v/v) at reflux. The mixture was cooled slowly to room temperature overnight, and further cooled in a fridge. The product was collected by filtration, rinsed with methanol (15 mL), air-dried for 15 minutes, and further dried in a vacuum oven at 60° C. overnight. The product, Compound CJ, was obtained as long fine white needles (4.79 g). A second crop was obtained from the combined crude and first recrystallization mother liquor (0.84 g). Both crops were pure and were combined, total 5.63 g, 68% yield. m.p. 280-82° C. 1H NMR (500 MHz, D2O) δ 1.34-1.43 (m, 4H), 1.46-1.54 (m, 2H), 1.82-1.90 (m, 4H), 2.76 (7, J=7.6 Hz, 2H), 2.95 (t, J=7.8 Hz, 2H), 3.35 (qt, J=7.2 Hz, 1H). 13C NMR (125 MHz, D2O) 67 21.5, 23.6, 29.3, 45.1, 47.9, 59.5. FT-IR (KBr) νmax 3558, 3501, 2972, 1647, 1587, 1466
-
- Cycloheptylamine (3.9 mL, 30 mmol) was added to a solution of 1,3-propane sultone (4.1 g, 33 mmol) in THF (65 mL). The mixture was heated at reflux for 5 hours with a heating mantle. The mixture was cooled to room temperature and the solid-was collected by filtration, and then dried in a vacuum oven for 1 hour at 60° C. (6.21 g). The solid material was dissolved in methanol/water (30 mL/3 mL, v/v). The solution was cooled slowly to room temperature, and further cooled with an ice-bath. The solid product was collected by filtration, rinsed with methanol, air-dried for 15 minutes, and further dried in a vacuum oven at 60° C. Compound CK was obtained as small white flakes (5.08 g, 72% yield). m.p. 341-43° C. 1H NMR (500 MHz, D2O) δ 1.21-1.42 (m, 8H), 1.45-1.51 (m, 2H), 1.79-1.89 (m, 4H), 2.76 (7, J=7.3 Hz, 2H), 2.96 (t, J=7.8 Hz, 2H), 3.35 (m, J=4.6 Hz, 1H). 13C NMR (125 MHz, D2O) δ 21.6, 23.3, 27.3,,30.5, 43.6, 48.0, 59.6. FT-IR (KBr) νmax 2924, 1615, 1464, 1243.
-
- 3-Amino-2-hydroxy-1-propanesulfonic acid (15.51 g, 100 mmol) was dissolved in water (150 mL) with the help of 1 equivalent of NaOH (4.08 g). A solution of CBZ-OSuc (27.4 g, 110 mmol) in MeCN (300 mL) was added. After stirring for 4 hours at room temperature, the solvent was evaporated under reduced pressure. The wet cake (one equivalent in weight of water) was then suspended in acetone (400 mL) and heated under reflux for 20 minutes. The mixture was cooled to room temperature and the solid was collected by filtration, washed with acetone and dried overnight in then vacuum oven at 40° C. Compound AC was obtained as a white fine solid (28.85 g, 87.6 mmol, 88%). The 1H and 13C NMR were consistent with the structure.
-
- 4-Amino-1-butanesulfonic acid sodium salt (0.516 g, 2.95 mmol. was dissolved in water for a final concentration of 0.5 M (slightly yellow solution). A solution of CBZ-OSuc in CH3CN (2 M, 1.55 mL, 3.1 mmol, 1.05 eq.) was added. The reagent precipitated. A mixture of 1,4-dioxane and ethanol was added until almost all of the solid was dissolved. After 3.75 h, the solvent was evaporated under reduced pressure. The solid was dried in vacuo over the weekends. The solid was then suspended in acetone and heated under reflux for 30 minutes. The mixture was cooled to room temperature and the solid was collected by filtration, washed with acetone and dried overnight in vacuo. Compound AD was obtained as a white fine solid (0.7610 g, 2.32 mmol, 78%). The 1H NMR was consistent with the structure.
-
- 3-Amino-1-propanesulfonic acid sodium salt (1.09 g, 6.76 mmol) was dissolved in water for a final concentration of 0.5 M. A solution of CBZ-OSuc in CH3CN (2 M, 3.55 mL, 7.1 mmol, 1.05 eq.) was added. The reagent precipitated. A mixture of 1,4-dioxane and ethanol was added until almost all the solid was dissolved. After 3.75 hours, the solvent was evaporated under reduced pressure. The solid was dried in vacuo over the weekends. The solid was then suspended in acetone and heated under reflux for 30 minutes. The mixture was cooled to room temperature and the solid was collected by filtration, washed with acetone and-dried overnight in vacuo. Compound AE was obtained as a white fine solid (1.58 g, 5.06 mmol, 75%). The 1H NMR was consistent with the structure. 90% pure (10% mol of homotaurine).
-
-
- A solution of (Boc)2O (800 mg, 3.5 mmol) in 1,4-dioxane (5 mL) was added to a cold (0° C.) solution of di-L-Phe-Phe (1 g, 3.20 mmol) in 1,4-dioxane (6 mL) and 1N NaOH (3.3 mL). The mixture was stirred at 0-5° C. for 2 hours. Another portion of (BOC)2O (100 mg) was added and the mixture was stirred for an additional 60 minutes at 0-5° C. then at room temperature for 30 minutes. The mixture was then evaporated to dryness. The solid was taken in a mixture of water/EtOAc and pH was adjusted to 2 with 2N HCl. The aqueous layer was extracted 3 times with EtOAc. The combined organic layers were dried with brine and the solvent was evaporated. Some solid was insoluble in a mixture of EtOAc/CHCl3: it was removed by filtration. The desired N-Boc-L-Phe-L-Phe 1 was obtained as a white foamy solid (913.7 mg, 2.215 mmol, 71% yield).
-
- A solution of 1,3-propane sultone 4 (6.12 g, 49.1 mmol) in acetone (30 mL) was added to a mixture of sodium azide (3.22 g, 49.1 mmol) in water/acetone (70 mL, 20 to 50). The clear solution was stirred at room temperature. The reaction was completed within 1 hour. The solvent was removed by evaporation under reduced pressure. The solid obtained was rinsed with hot ether (50 mL) and then with ether at room temperature (150 ml). The solid was then dried in the vacuum oven at 40° C. for overnight. The title compound 5 was obtained as a white solid (8.69 g, 46.4 mmol, 95% yield).
- 3-Azidopropanesulfonic acid, sodium salt 5 (1.87 g, 10.0 mmol) was suspended in dry benzene (20 mL), and PCl5 (2.3 g, 10.5 mmol) was added to the suspension. The mixture was stirred at room temperature for 30 minutes, then at gentle reflux for about 1 hour. The benzene and P(O)Cl3 were removed by evaporation under reduced pressure. Benzene was added to the crude mixture and the solvent was removed again under reduced pressure. The residue was dried in vacuo. The dried residue was dissolved in dichloromethane (anhydrous, 15 mL) and cooled at −10° C. using an ice/acetone bath.
- A solution of isobutanol (1.00 mL, 10.8 mmol) and 2,6-lutidine (1.3 mL, 11.2 mmol) in dichloromethane (10 mL) was added slowly to the cold sulfonyl chloride solution. The mixture was stirred at −10° C. for 5 minutes then at room temperature for 2 hours. The reaction was quenched with water and dichloromethane was added to extract the product. The organic layer was washed once with water, aqueous saturated NaHCO3, brine, and then dried over magnesium sulfate. The solvent was removed by evaporation under reduced pressure and the residue was dried in vacuo. The remaining 2,6-lutidine hydrochloride was removed by washing the residue with ether. The resulting oil (1.78 g) was then applied on flash column (silica gel, EtOAc in Hexanes from 15% to 20%) to give afford the desired ester as an oil (790 mg, 35%).
- A solution of isobutyl 3-azidopropanesulfonate (1.13 g, 5.11 mmol) in isobutanol (10 mL) was added under H2, via a cannula, to a suspension of Pd/C (10%, 200 mg) in isobutanol (4 mL) which had been saturated with H2. The mixture was then stirred under H2 (40 psi) at room temperature overnight. The solid was then removed by filtration. The filtrate was evaporated to dryness. And the residue was dried in vacuo. The title compound 2, homotaurine isobutyl ester, was obtained as brown oil (808.7 mg, 81%).
- HOBT (340 mg, 2.215 mmol) was added to a cold (0-5° C.) solution of N-Boc-L-Phe-L-Phe 1 (913.7 mg, 2.215 mmol) and homotaurine isobutyl ester 2 (423 mg, 2,21 mmol) in dichloromethane (anhydrous, 30 mL.). After 5 minutes, a solution of 1-cyclohexyl-3-(2-morpholinoethyl)carbodiimide metho-p-toluenesulfonate (982 mg, 2.215 mmol) in dichloromethane (10 mL) was added dropwise. The solution was stirred overnight at room temperature. The mixture was diluted with dichloromethane (50 mL) and the organic layer was washed sequentially with 1N NaHSO4, aqueous saturated NaHCO3, and brine, and dried over sodium sulfate. The solvent was removed by evaporation under reduced pressure. Three compounds in the mixture were shown on TLC. Since the impurities were less soluble in methanol, repeated treatment with methanol followed by filtration removed most of the impurities. Column chromatography on silica gel (2% MeOH in CHCl3) afforded the tripeptide 3 as amber glassy solid (156.1 mg, 12%).
-
- Concentrated HCl (0.7 mL) was added to a cold (0° C.) solution of N-Boc-L-Phe-L-Phe-homotaurine isobutyl ester (202 mg, 0.343 mmol) in methanol. The mixture was stirred at room temperature for 2 hours and then left standing in the refrigerator overnight. The solvent was removed under reduced pressure and the residual solid was dried in vacuo to afford the L-Phe-L-Phe-homotaurine isobutyl ester as a white solid (171.8 mg, 95%).
-
- A solution of N-BOC-L-phenylalanine-N-hydroxusuccinimide ester (400 mg, 1.1 mmol) in a mixture of ethanol (6 mL) and 1,4-dioxane (4 mL) was added to a solution of L-Phe-Homotaurine (273 mg, 1.0 mmol) in 1N NaOH (1.05 mL), water (3 mL) and ethanol (4 mL). The mixture was stirred at room temperature overnight. The solvent was removed under reduced pressure and the solid (601.9 mg) was suspended in a mixture of acetone (8 mL) and isopropanol (0.2 mL) and stirred overnight at room temperature. The mixture was heated under refluxed for 30 minutes and then was cooled to room temperature. The white solid was collected by filtration, washed with ether, then dried in the vacuum oven for 45 minutes. The resulting solid (423.1 mg) was dissolved in a mixture of water/tert-butanol (7:3, 5 mL) and treated with Amberlite IR-120 plus (washed, 15 g dry weight) for 2 minutes at room temperature. The resin was removed by filtration and washed 3 times with the mixed solvents of water and tert-butanol (10 mL). Concentrated HCl (4 mL) was added. The solvents were removed under reduced pressure, and the resulting solid was dried in vacuum. The compound was purified by recrystallization from a mixed solvent of THF and MeOH. The resulting solid was heated under reflux in methanol (about 3 mL) to remove the yellowish color. The solid was dried in vacuo. Compound X was obtained as white solid (84.4 mg, 20%). The 1H and 13C NMR were consistent with the structure.
-
- The 3-chloropropane-1-sulfonyl chloride (10 mmol, 1.21 mL) was added dropwise to a cold (−10° C.) solution of L-phenylalanine ethyl ester (10 mmol, 2.3 g) and 4-methylmorpholine (20 mmol, 2.2 mL) in dichloromethane (30 mL). The mixture was stirred for 30 minutes at −10° C. and for 2 hours at room temperature. The mixture was diluted with dichloromethane (40 mL) and washed twice with water, once with brine, dried over sodium sulfate. Evaporation of the solvent under reduced pressure gave rise to almost pure 3-chloropropyl sulfonamide as a yellow-oil in quantitative yield. The 1H and 13C NMR were consistent with the structure.
- A mixture of the 3-chloropropyl sulfonamide (10 mmol), sodium azide (20 mmol) and a catalytic amount of Bu4NI in DMF (40 ml) was heated at 60° C. for 24 hours. The mixture was diluted with ethyl acetate, washed with water three times, and once with brine, dried over sodium sulfate. Evaporation of the solvent gave rise to the azide as a brown-oil (3.0489 g, 8.96 mmol, 90%). The 1H and 13C NMR were consistent with the structure.
- The azide (2.70 g, 7.94 mmol) was stirred under H2 (40 psi) with 10% Pd/C (348 mg) in ethanol (16 mL) at room temperature overnight. The solid was removed by filtration over Celite. The filtrate was treated with TMSCl/EtOH in attempt to obtain a crystalline hydrochloride salt of the product. The solvent was evaporated to give a thick residue (2.2 g, 6.27 mmol, 79%) that crystallized under none of the conditions tried. The crude hydrochloric acid salt was dissolved in dichloromethane and washed once with saturated sodium bicarbonate. The organic layer was recovered and dried over sodium sulfate. The solvent was removed by evaporation under reduced pressure. The residue was dissolved in methanol and treated with activated charcoal. The solid was removed by filtration over Celite and the filtrate was evaporated to dryness. The residue was dried in vacuo to afford a tan oil (1.3969 g, 56% from the azide). The 1H and 13C NMR were consistent with the structure of Compound CL.
-
- A solution of N-t-BOC-L-Phe N-hydroxysuccinimide ester (2.80 mmol, 1.01 g) in dichloromethane (12 mL) was added to a cold (0° C.) solution of 3-aminopropane-1-sulfonyl-L-Phe-OEt (2.66 mmol, 839 mg) in dichloromethane (10 mL). The mixture was stirred overnight at room temperature. The mixture was diluted with dichloromethane, and washed with 2N HCl, aqueous saturated NaHCO3, and brine. The organic layer was dried over magnesium sulfate and the solvent was removed under reduced pressure. The residue was applied on flash column chromatography on silica gel (2% MeOH in CHCl3). A portion of the pure desired material (600 mg) was isolated. The remaining product was mixed with 40% of the succinimide. Some 3-aminopropanol (70 μL) was added to the mixture that was dissolved in dichloromethane (8 mL) and cooled to 0° C. The mixture was stirred for 1 hour at room temperature. The mixture was diluted with dichloromethane, and washed with 2N HCl, aqueous saturated NaHCO3,brine. The organic layer was dried over magnesium sulfate and the solvent was removed under reduced pressure. The product was purified by flash column chromatography on silica gel (2% MeOH in CHCl3). Another portion of the pure desired material (432.4 mg) was isolated along with the adduct of the succinimide and 3-aminopropanol (220.6 mg, 0.684 mmol). Compound Y was obtained as a white crystalline foamy solid (1030 mg, 1.83 mmol, 65%). The 1H and 13C NMR were consistent with the structure.
-
- Concentrated HCl (0.8 mL) was added to a cold (0° C.) solution of the N-Boc-L-Phe-(3-Aminopropane-1-Sulfonyl)-L-Phe, Ethyl Ester (197 mg, 0.350 mmol) in ethanol (8 mL). The mixture was cooled using an ice/water bath and stirred for 45 min and for 3 hours at room temperature. And the mixture was kept in freezer (−20° C.) over the weekend. The solvent was removed under reduced pressure. The residual ethanol was removed by coevaporation 3 times with chloroform under reduced pressure. The residue was dried in vacuo to give an off-white crystalline solid (175.3 mg) in quantitative yield. The 1H and 13C NMR were consistent with the structure of Compound Z.
-
- One equivalent of 1N NaOH (202 μL) was added to a solution of L-(N-Boc)-Phe-(3-aminopropane-1-sulfonyl)-L-Phe, ethyl ester (110 mg, 0.197 mmol) in methanol (2 mL). The mixture was stirred overnight at room temperature. A white suspension was observed after overnight stirring. MeOH (1 mL), water (1 mL) and 1N NaOH (10 μL) were added. The mixture was stirred in a warm water bath for about 2 hours. The solvent methanol was removed under reduced pressure. The wet residue was then freeze-dried to give compound AA as a white powder in quantitative yield (110.2 mg). The 1H and 13C NMR were consistent with the structure.
-
- The hydrolysis was done by the conventional LiOH/MeOH method. The product was purified by recrystallization from EtOAc and Hexanes.
- The L-(N-Boc)-Phe-(3-aminopropane-1-sulfonyl)-L-Phe-OH (203 mg, 0.382 mmol) was dissolved in methanol (4 mL) and the solution was cooled to 0° C. Concentrated HCl (0.35 mL) was added and the mixture was stirred for 2 hours at 0° C. and for 2.5 h at room temperature. The volatile solvents were removed under reduced pressure. The aqueous residue was freeze-dried to give the product as a white solid (171.4 mg). The NMR and MS showed to product to be a mixture of the free acid and the methyl ester. The MS showed also a strong association of the peptide. The dimer was the major species on the MS. The solid was dissolved into methanol and treated with HCl overnight at room temperature. The solvent was evaporated and the residue was dried in vacuo. The product was obtained as a white foamy solid (180.4 mg, 97%). The 1H and 13C NMR were consistent with the structure of compound AB.
-
- Thionyl chloride (8.2 mL, 112.5 mmol) was added to a cold MeOH (60 mL, in an ice-bath). The ice bath was removed and 4-iodo-L-phenylalanine (6.55 g, 22.4 mmol) was added to the mixture. The solution was stirred at reflux for 2 h. The solvent was removed under reduced pressure. The residual solid was dissolved in MeOH (40 mL) and the solution was poured into Et2O (300 mL). The solid was collected by filtration, washed with Et2O (2×50 mL) and dried in vacuo.
- The solid (1.96 g, 5.8 mmol) was dissolved in a minimum amount of water. To the solution was added aqueous NH4OH (28-30%, 15 mL). The reaction mixture was stirred at room temperature over weekend. The solvent was removed under reduced pressure and EtOAc (15 mL) was added. The mixture was heated under reflux. The hot solution was filtered. The filtrate was cooled-to room temperature and was stored in the fridge. The solid was collected by filtration, washed with EtOAc, to give 4-iodophenylalanine amide.
- The amide (1.3 g, 4.4 mmol) was dissolved in 15 mL of 2-butanone with a few drops of DMF before 1,3-propane sultone (560 mg, 4.9 mmol) was added. The reaction mixture was stirred at reflux for 2 hours. The mixture was cooled to room temperature. The solid was collected by filtration, washed with acetone (2×20 mL) and dried in vacuo. The solid was suspended in MeOH (25 mL) and a small amount of water (1 mL). The suspension was stirred at reflux. The solid material was collected by filtration while the mixture was still hot. The solid was washed with hot MeOH (2×10 mL). Compound CO was obtained as a white solid (320 mg).
-
- The 4-(4-fluorophenyl)-1,2,3,6-tetrahydropyridine hydrochloride (2.58 g, 14.5 mmol) was treated with 1N NaOH (20 mL). The aqueous mixture was extracted with CH2Cl2 (20 mL). The organic layer was separated and dried over MgSO4. The solvents were removed by evaporation under reduced pressure.
- To a solution of 4-(4-fluorophenyl)-1,2,3,6-tetrahydropyridine (1.96 g, 13.7 mmol) in acetone (30 mL) was added 1,3-propane sultone (1.74 g, 14.5 mmol). The mixture was stirred at reflux overnight. Only a small amount of compound precipitated. The resulting suspension was cooled to room temperature with stirring and a larger amount of solid precipitated. The suspension was heated with the addition of a small amount of MeOH until complete dissolution of the solid. The resulting solution was stirred at reflux for a few minutes and was cooled to room temperature with stirring. The solid was collected by filtration, washed with MeOH and dried in vacuo. This allowed the isolation of compound F, 1.33 g (32%).
-
- To a solution of 4-(4-bromophenyl)-4-piperidinol (2.51 g, 9.8 mmol) in MeOH (25 mL) was added 1,3-propane sultone (1.28 g, 10.7 mmol). The mixture was stirred at reflux for 2 h. Only a small amount of compound precipitated. The resulting suspension was cooled to room temperature with stirring and a solution of 50% MeOH/Acetone was added to precipitate a maximum of compound. The solid was collected by filtration, washed with 50% MeOH/Acetone (2×25 mL) and dried in vacuo. This allowed the isolation of compound G, 2.11 g (57%).
-
- To a solution of 4-(4-chlorophenyl)-4-piperidinol (2.5 g, 11.8 mmol) in acetone (25 mL) was added 1,3-propane sultone (1.56 g, 13.0 mmol). The mixture was stirred at reflux for 2 h. The reaction mixture was cooled to room temperature. The solid was collected by filtration, washed with acetone (2×20 mL) and dried in vacuo. This allowed the isolation of compound H, 2.83 g (72%).
-
- 4-Acetyl-4-phenylpiperidine hydrochloride (3.32 g, 12.5 mmol) was treated with 1N NaOH (20 mL). The aqueous mixture was extracted with CH2Cl2 (20 mL). The organic layer was separated, dried over Na2SO4, filtered, and the solvent was removed under reduced pressure.
- To a solution of 4-acetylphenylpiperidine (1.83 g, 9.0 mmol) in acetone (22 mL) was added 1,3-propane sultone (1.20 g, 10.0 mmol). The mixture was stirred at reflux for 2 hours. The reaction mixture was cooled to room temperature. The solid was collected by filtration, washed with acetone (2×20 mL) and dried in vacuo. This allowed the isolation of compound I, 2.65 g (90%).
-
- The 4-(4-chlorophenyl)-1,2,3,6-tetrahydropyridine hydrochloride (2.52 g, 10.9 mmol) was treated with 1N NaOH (20 mL); and aqueous mixture was extracted with CH2Cl2 (20 mL). The organic layer was separated, dried over Na2SO4, and filtered. The solvent was removed under reduced pressure.
- To a solution of 4-(4-chlorophenyl)-1,2,3,6-tetrahydropyridine (2.07 g, 10.7 mmol) in acetone (25 mL) was added 1,3-propane sultone (1.41 g, 11.8 mmol). The mixture was stirred at reflux for 2 h. The reaction mixture was cooled to room temperature. The solid was collected by filtration, washed with acetone (2×20 mL) and dried in vacuo. The product was suspended in 50% MeOH/acetone (75 mL). The suspension was stirres at reflux for 5 minutes before 25 mL of cold acetone was added. The solid material was filtered and washed with acetone (2×25 mL). This allowed the isolation of compound J, 1.48 g (44%).
-
- To a solution of 1-phenylpiperazine (2.0 g, 1.9 mL, 12.3 mmol) in acetone (20 mL) was added 1,3-propane sultone (1.53 g, 12.9 mmol). The mixture was stirred at reflux for 2 hours. The reaction mixture was cooled to room temperature. The solid was collected by filtration, washed with acetone (2×25 mL) and dried in vacuo. This allowed the isolation of compound K, 3.04 g (87%).
-
- The 1-(4-chlorophenyl)piperazine dihydrochloride (2.5 g, 9.3 mmol) was treated with 1N NaOH (40 mL); and the aqueous mixture was extracted with CH2Cl2 (40 mL). The organic layer was separated, dried over Na2SO4, filtered and solvent was removed under reduced pressure.
- To a solution of 1-(4-chlorophenyl)piperazine (1.62 g, 8.2 mmol) in acetone (20 mL) was added 1,3-propane sultone (1.06 g, 8.6 mmol). The-mixture was stirred at reflux for 2 h. The reaction mixture was cooled to room temperature. The solid was collected by filtration, washed-with acetone (2×25 mL) and dried in vacuo. This allowed the isolation of compound L, 2.11 g (81%).
-
- To a solution of 1-(2-fluorophenyl)piperazine (2.5 g, 2.2 mL, 13.9 mmol) in acetone (25 mL) was added 1,3-propane sultone (1.73 g, 14.6 mmol). The mixture was stirred at reflux for 2 hours. The reaction mixture was cooled to room temperature. The solid was collected by filtration, washed with acetone (2×25 mL) and dried in vacuo. This allowed the isolation of compound M, 3.56 g (85%).
-
- To a solution of 1-(4-nitrophenyl)piperazine (2.58 g, 12.1 mmol) in acetone (25 mL) was added 1,3-propane sultone (1.06 g, 8.6 mmol). The mixture was stirred at reflux for 2 h. The reaction was cooled to room temperature. The solid was collected by filtration, washed with acetone (2×25 mL) and dried in vacuo. This allowed the isolation of compound N, 2.85 g (71%).
-
- To a solution of 1-(4-fluorophenyl)piperazine (2.0 g, 11.1 mmol) in acetone (20 mL) was added 1,3-propane sultone (1.46 g, 11.7 mmol). The mixture was stirred at reflux for 2 hours. The reaction mixture was cooled to room temperature. The solid was collected by filtration, washed with acetone (2×25 mL) and dried in vacuo. This allowed the isolation of compound P, 2.62 g (78%).
-
- The 4-phenyl-1,2,3,6-tetrahydropyridine hydrochloride (1.5 g 7.8 mmol) suspended in 16 mL of CH2Cl2. To this suspension was added triethylamine (2.1 mL, 15.3 mmol) followed by methyl 3-bromopropionate (1.0 mL, 9.2 mmol). The reaction was stirred at room temperature for 4 h and at reflux for 2 h. The reaction mixture was washed with water, 1N HCl (2×20 mL), 1N NaOH (2×20 mL) and Brine (1×20 mL). The organic layer was separated, dried over Na2SO4, filtered; and solvent was removed under reduced pressure.
- To the crude product was added 2N NaOH (15 mL). The mixture was stirred at reflux for 1h. The reaction mixture was washed with CH2Cl2 (3×20 mL) and neutralized with concentrated HCl. The aqueous solution was concentrated to dryness under reduced pressure, to give a solid residue. Sodium chloride in the residue was removed in the following way (three repeats): dissolving the residue in a minimum amount of water, treating the aqueous solution with acetone, removing the resultant solid material by filtration, and concentrate the filtrate to dryness under reduced pressure. This allowed the isolation of compound Q (159.4 mg).
-
- To a solution of dibenzylamine (9.8 mL, 50.8 mmol) in toluene.(50 mL) was added 1,3-propane sultone (6.50 g, 53.3 mmol). The mixture was stirred at reflux for 3 h. A sticky paste was formed at the bottom of the flask. The reaction mixture was cooled to room temperature. The top layer was decanted; and the paste was partially dissolved in EtOAc with heating. The mixture was poured in a 10% EtOAc/Hexanes (200 mL). The mixture was heated and the paste was spread on the walls of the conical flask. The solvent was removed. This process was repeated twice. MeOH (75 mL) was added to the paste. The mixture was heated until a white solid appeared. The solid was collected by filtration, washed with cold MeOH, and dried in vacuo, affording compound AV, 7.03 g (43%).
-
- The 4-cyano-4-phenylpiperidine hydrochloride (2.0 g, 9.0 mmol) was treated with 1N NaOH (20 mL) and the aqueous phase was extracted with CH2Cl2 (20 mL). The organic layer was separated, dried over MgSO4, filtered and solvent was removed under reduced pressure.
- To a solution of piperidine (1.43 g, 7.7 mmol) in acetone (20 mL) was added 1,3-propane sultone (1.02 g, 8.5 mmol). The mixture was stirred at reflux for 2 h. The resulting suspension was cooled to room temperature. The solid was collected by filtration, washed with acetone and dried in vacuo. The solid was recrystallized from MeOH (and traces of water) to afford compound E, 800 mg (34%).
-
- The 4-phenyl-1,2,3,6-tetrahydropyridine hydrochloride (2.01 g, 10.2 mmol) was treated with 1N NaOH (20 mL) and the aqueous phase wa extracted with CH2Cl2 (20 mL). The organic layer was separated, dried over MgSO4, filtered and solvent was removed under reduced pressure.
- The resulting 4-phenyl-1,2,3,6-tetrahydropyridine (1.55 g, 9.7 mmol) was dissolved in 20 mL of 2-butanone. To this solution was added potassium carbonate (2.02 g, 14.6 mmol). The mixture was stirred 30 minutes at room temperature; ethyl 4-bromobutyrate (1.46 mL, 10.1 mmol) was added. The reaction mixture was stirred at reflux for 5 hours. After cooling to room temperature, inorganic-salts were filtered. The solvent was evaporated under reduced pressure. The residue was dissolved in CH2Cl2 (30 mL). The organic phase was washed with water (2×30 mL), 2N HCl (2×30 mL) and Brine (2×30 mL). The organic layer was dried with Na2SO4, filtered, evaporated under reduced pressure and dried in vacuo. This allowed the isolation of 1.55 g (58%) of the desired ester.
- The ester (5.7 mmol) was dissolved in 6N HCl (40 mL). The reaction mixture was stirred at room temperature for 5 hours and at reflux for 1 hour before it was cooled to room temperature. The reaction mixture was extracted with CH2Cl2 (3×30 mL). The aqueous phase was evaporated under reduced pressure. The residue was dissolved in water (20 mL); and the aqueous solution was concentrated to dryness under reduced pressure. The resultant material was further dried in vacuo, affording compound R, 973 mg (61%).
-
- To a solution of piperonylamine (2.5 mL, 19.8 mmol) in acetone (30 mL) was added 1,3-propane sultone (2.52 g, 20.8 mmol). The mixture stirred at reflux for 2 hours. The reaction mixture was cooled to room temperature. The solid material was collected by filtration, washed with acetone (2×25 mL) and dried in vacuo. The product was suspended in 90% Acetone/MeOH (75 mL). The suspension was stirred at reflux for 30 sec., the solid was collected by filtration and dried in vacuo. This allowed the isolation of compound AW, 2.56 g (45%).
-
- To a solution of 3,4,5-trimethoxybenzylamine (2.2 mL, 12.7 mmol) in 2-butanone (20 mL) was added 1,3-propane sultone (1.66 g, 13.3 mmol). The mixture was stirred at reflux for 2 hours. The reaction mixture was cooled to room temperature. The solid was collected by filtration, washed with acetone (2×25 mL) and dried in vacuo. The product was suspended in 90% Acetone/MeOH (75 mL). The suspension was stirred at reflux for 30 sec., the solid was collected by filtration, and dried in vacuo; affording compound AY, 2.61 g (64%).
-
- To a solution of 2,3-dimethoxybenzylamine (2.2 mL, 15.0 mmol) in 2-butanone (20 mL) was added 1,3-propane sultone (1.97 g, 15.8 mmol). The mixture was stirred at reflux for 2 hours. The reaction mixture was cooled to room temperature. The solid was collected by filtration, washed with acetone (2×25 mL) and dried in vacuo. The crude product was suspended in 90% Acetone/MeOH (75 mL). The suspension was stirred at reflux for 30 seconds, the solid was collected by filtration, and dried in vacuo; affording compound AZ, 1.95 g (45%).
-
- The 3-amino-1-propanesulfonic acid (1.0 g, 7.2 mmol) was dissolved in 3N NaOH (370 mg, 9.4 mmol in 3 mL of water). After the solution was cooled to 0° C., diphenylmethyl isocyanate (1.4 mL, 7.2 mmol) was added. The reaction mixture was allowed to warm up to room temperature, stirred for 8 h (r.t.), and followed by addition of 3N NaOH (3 mL). The reaction mixture was stirred for 18 h. The pH of the reaction mixture was brought to 3 with 5N HCl. The solvent was evaporated under reduced pressure. EtOH (15 mL) was added and the mixture was stirred at reflux for 30 sec. The hot mixture was filtered. The filtrate was evaporated to dryness. This process was repeated 2 more times. The final product was dried in vacuo, affording compound AF, 837 mg (34%).
-
- To a solution of 3,5-dimethoxybenzylamine (2.5 g, 15.0 mmol) in 2-butanone (22 mL) was added 1,3-propane sultone (1.95 g, 15.8 mmol). The mixture was stirred at reflux for 2 hours. The reaction mixture was cooled to room temperature. The solid was collected by filtration, washed with acetone (2×25 mL), and dried in vacuo. This allowed the isolation of compound BA, 2.89 g (67%).
-
- The 2,4-dimethoxybenzylamine hydrochloride (2.51 g, 12.3 mmol) was treated with 1N NaOH (20 mL) and the aqueous phase was extracted with CH2Cl2 (20 mL). The organic layer was separated, dried over MgSO4, and filtered. Solvent was removed under reduced pressure to give the amine (free base form).
- To a solution of 2,4-dimethoxybenzylamine (1.71 g, 10.3 mmol) in 2-butanone (15 mL) was added 1,3-propane sultone (1.31 g, 10.7 mmol). The mixture was stirred at reflux for 2.5 h. The reaction mixture was cooled to room temperature. The supernatant was decanted; and the paste was washed with acetone (2×30 mL), and dissolved in MeOH with heating. Acetone addition to the methanolic solution caused precipitation. The solid material was collected by filtration, washed with acetone (2×25 mL), and dried in vacuo; affording compound BB, 1.14 g (38%).
-
- 3-amino-1-propanesulfonic acid (1.0 g, 7.2 mmol) was dissolved in solution of 3M NaOH (7.2 mL). The mixture was cooled to 0° C. before phenylacetyl chloride (1.4 mL, 10.8 mmol) was added. The reaction mixture was allowed to warm up to room temperature and it was stirred for 22 h. The solvent was evaporated under reduced pressure. The residue was suspended in 50% EtOH/Acetone. The mixture was stirred at reflux for 30 sec. The solid material was collected by filtration and dried in vacuo. The-product was recrystallized from 95% EtOH/H2O and dried in vacuo. This allowed the isolation of compound AG, 880 mg (44%).
-
- 3-amino-1-propanesulfonic acid (1.06 g, 7.7 mmol) was dissolved in 1.5N NaOH (5.3 mL). To this solution was added benzyl isocyanate (927 μL, 7.7 mmol). The reaction mixture was stirred at 70° C. for 30 min, followed by addition to the mixture one-equivalent of benzyl isocyanate (927 μL, 7.7 mmol). The reaction mixture was stirred for 1 hour. The solvent was evaporated under reduced pressure. The residue was suspended in hot acetone. The solid material was collected by filtration, washed with hot acetone, and dried in vacuo; affording compound AH, 2.07 g (92%).
-
- 3-amino-1-propanesulfonic acid (1.06 g, 7.7 mmol) was dissolved in 1.5N NaOH (5.3 mL). To this solution was added n-dodecyl isocyanate (1.7 mL, 7.7 mmol). The reaction mixture was stirred at 70° C. for 30 min followed by addition to the mixture one-equivalent of n-dodecyl isocyanate (1.7 mL, 7.7 mmol). The reaction mixture was stirred for 1 h. The solvent was removed under reduced pressure. The residual material was suspended in hot acetone. The solid material was collected by filtration, washed with hot acetone, and dried in vacuo; affording compound AJ, 2.47g (86%).
-
- 3-amino-1-propanesulfonic acid (1.06 g, 7.7 mmol) was dissolved in 1.5N NaOH (5.3 mL). To this solution was added 1-adamantyl isocyanate (1.36 g 7.7 mmol) in hot EtOH (5 mL). The reaction mixture was stirred at 70° C. for 30 min followed by-addition (to the mixture) of one-equivalent of 1-adamantyl isocyanate (1.37, 7.7 mmol) in hot EtOH (5 mL). The reaction mixture was stirred for 1 h. The solvent was removed under reduced pressure. The residue was suspended in hot acetone. The solid material was collected by filtration, washed with hot acetone, and dried in vacuo. The solid was recrystallized from EtOH, affording compound AK, 519.4 mg (20%).
-
- Thionyl chloride (1.6 mL, 21.1 mmol) was added to ibuprofen (1.02 g, 4.9 mmol). The reaction mixture was heated to reflux for 4 h. The solvent was evaporated, dried in vacuo, giving corresponding acid chloride.
- 3-amino-1-propanesulfonic acid (308 mg, 2.2 mmol) was dissolved in 1.5N NaOH (3 mL). To this solution was added dropwise the acid chloride (500.8 mg, 4.4 mmol, prepared above). The reaction mixture was stirred at 70° C. overnight. The solvent was removed under reduced pressure. The residue was suspended in acetone. The suspension was stirred at reflux for 30 seconds. The solid material was removed by filtration. The filtrate was evaporated to dryness under reduced pressure. The residual material was subjected to separation by flash chromatography (80% CH2Cl2/MeOH). This allowed the isolation of compound AL, 237 mg (14%).
-
- 3-amino-1-propanesulfonic acid (1.07 g, 7.7 mmol) was dissolved in 1.5N NaOH (5.3 mL). To this solution was added benzyl isothiocyanate (1.02 mL, 7.7 mmol). The reaction mixture was stirred at 70° C. for 0.5 h; a second-equivalent of benzyl isocyanate (1.02 mL, 7.7 mmol) was added. The reaction mixture was stirred for 1 h. The solvent was evaporated under reduced pressure. The residue was suspended in hot acetone. The solid material was collected by filtration, washed with hot acetone, and dried in vacuo. The residual material was recrystallized from MeOH (traces of water), affording compound AM, 1.00 g (42%).
-
- To a solution of 3,4-dimethoxybenzylamine (2.2 mL, 15.0 mmol) in 2-butanone (20 mL) was added 1,3-propane sultone (1.98 g, 15.8 mmol). The mixture was stirred at reflux for 2 hours. The reaction mixture was cooled to room temperature. The solid was collected by filtration, washed with acetone (2×25 mL) and dried in vacuo. The crude product was suspended in 75% Acetone/MeOH (75 mL). The suspension was stirred at reflux for 30 sec.; the solid material was collected by filtration, washed with acetone (2×25 mL), and dried in vacuo. The solid (1.94 g, 6.7 mmol) was dissolved hydrobromic acid (48%, 27 mL). The solution was stirred at 100° C. for 4 h. The solvent was removed under reduced pressure. The residue was dissolved in water (20 mL). The aqueous phase was washed with CH2Cl2 (3×20 mL), and evaporated under educed pressure. The solid residue was suspended in hot MeOH (75 mL). The suspension was stirred at reflux for 30 sec.; the solid was collected by filtration, washed with 50% MeOH/acetone, and dried in vacuo. This allowed the isolation of compound S, 1.22 g (70%).
-
- To a solution of 4-(3-phenylpropyl)pyridine (14.5 mL, 76 mmol) in 2-butanone (150 mL) was added 1,3-propane sultone (10.0 g, 83.6 mmol). The mixture was stirred at reflux for 1.5 h. Once the reaction mixture was cooled to room temperature, the precipitate was collected by filtration and washed with acetone. The solid material was recrystallized from EtOH (traces of Et2O), affording compound C, 15.8 g (66%).
-
- 4-(3-phenylpropyl)-1-sulfopropylpyridine (10.7 g, 33.5 mmol) was dissolved in 60 mL of MeOH. The solution was cooled to 0° C. before sodium borohydride (2.55 g, 67.0 mmol) was added portionwise. The reaction mixture was stirred for 0.5 hour at room temperature. Water (10 mL) and concentrated HCl (5 mL) were successively added to the mixture. The inorganic material was removed by filtration. The filtrate was concentrated to dryness under reduced pressure and dried in vacuo. The resultant viscous residue was dissolved in MeOH (60 mL). The solution was stirred with Amberlite IR-120 ion exchange resin (8.3 g) for 15 min. The resin was removed by filtration and washed with MeOH. The filtrate and washing was combined and concentrated to dryness under reduced pressure. The residual material was recrystallized from water, affording compound D (8.05 g, 75%) as white crystals.
-
- Tetrahydrofuran (THF, 800 mL) was placed a 3 neck 2-L flask (equipped with a condenser) and cooled to 5° C. with an ice-bath. To the cold THF was added aqueous ethylamine (70 wt. % solution in water, 85 mL, 1.07 mol), followed by addition of a cold solution of 1,3-propane sultone (25.08 g, 201 mmol) in THF (100 mL) over 24-min period. The mixture was stirred, while cooled with an ice-bath, for 1h. The ice-bath was removed and the mixture was stirred at room temperature overnight. It was then heated under reflux for 1 h to distill off the ethylamine. The hot mixture was biphasic. Upon cooling, a solid crystallized at the bottom of the flask. Ether (400 mL) was added and the mixture was cooled to −20° C. The supernatant was decanted. Methanol (about 120 mL) was added to the residue. The mixture was heated to reflux; and complete dissolution of the solid material was achieved. After the solution was cooled to room temperature, precipitates formed. The mixture was cooled in an ice-bath; and the solid material was collected by filtration, rinsed with cold methanol and dried in vacuo (20.66 g, pure by NMR analysis). The solid material was recrystallized from methanol (100 mL). After the mixture was cooled using an ice-bath, the solid was collected by filtration, rinsed with cold methanol, and dried in a vacuum oven at 40° C. Compound CV was obtained as white fine needles (19.12 g, 57%). The 1H and 13C NMR were consistent with the structure.
-
- The 1-adamantanamine hydrochloride (80 g, 0.426 mol) was treated with NaOH (10%, 400 mL) in water. The aqueous mixture was extracted with dichloromethane (1×400 mL, 2×100 mL). The combined organic layers were washed with brine (50 mL) and dried over sodium sulfate (10 g). Solvent was removed under reduced pressure. The resulting white waxy solid was co-evaporated with acetonitrile (50 mL). The wet solid was suspended in acetonitrile (200 mL). The suspension mixture was added dropwise over 20 min to a solution of 1,3-propane sultone (53 g, 0.426 mol) in acetonitrile (300 mL) and THF (200 mL). The thick mixture was stirred for 2 hours under reflux with a mechanical stirrer. The suspension was then cooled to 13° C. The solid was collected by suction-filtration, rinsed with acetonitrile (2×100 mL) and ether (1×100 mL), air-dried for 30 min, and further dried in vacuo at 60° C. overnight (104.17 g for crop 1). Another crop was collected from the filtrate and dried in vacuo in the same manner (3.39 g for crop 2). Both crops gave identical proton NMR spectrum. The two batches were combined for further purification.
- The solid was suspended in methanol (720 mL) and the mixture was heated to reflux. Water (490 mL) was added dropwise over 45 min, while maintaining reflux. After complete dissolution of the solid, the solution was kept under reflux for 30 minute. The mixture was left in the power-off heating mantle and allowed to cool slowly. After 90 min, the temperature reached 40° C. The heating mantle was replaced by a thermostated water bath. The mixture was cooled to 5° C. and stirred overnight at this temperature. The white flaky solid was collected by filtration, rinsed with cold (0° C.) methanol (2×125 mL), air-dried for 60 minutes, and then dried in the vacuum oven at 60° C. overnight. Compound BW was obtained as a white flaky solid (white plates, 88.48 g, 76% yield for the first crop). The 1H NMR and MS were consistent with the structure. A second crop (8.62 g) of compound BW was obtained from the mother liquid. The 1H NMR was identical to that of the first crop. This made the reaction a total yield of 83% from the hydrochloride.
-
- To a solution of 2-aminonorbornane (7.3 g, 65.7 mmol) in 2-butanone (50 mL) was added dropwise a solution of 1,3-propane sulfone (8.1 g, 65.7 mmol) in 2-butanone (10 mL). The mixture was stirred at 60° C. for 1h. The suspension was cooled to room temperature. The solid material was collected by filtration and washed with ethanol (2×20 mL). The crude material was recrystallized from 95% EtOH to afford compound BY as a white crystalline solid (8.2 g, 53% yield).
-
- The 2-aminoadamantane hydrochloride (2×5 g) was treated with NaOH in water. The aqueous mixture was extracted with dichloromethane. The organic layer was dried over magnesium sulfate. The solvent was removed under reduced pressure. The resulting white solid was dried 30 minutes at room temperature under vacuum. A solution of 1,3-propane sultone (7.4 g, 60 mmol) in THF was added to a solution of the free amine (7.98 g, 52 mmol) in THF (70 mL, total). The mixture was heated under reflux for 4 h, cooled into an ice bath. The solid was collected by filtration, air-dried for 15 min., and further dried in vacuo (11.2 g). Recrystallization was done with methanol/water (60 mL/35 mL). After cooled in a fridge, the solid was collected by filtration, rinsed with methanol, dried in the vacuum oven at 60-° C. overnight. A white crystalline sandy solid (small-plates, 10.45 g, 74% yield) was obtained. The 1H and 13C NMR were consistent with the structure of Compound BZ.
-
- To a solution of 3,4-dimethoxybenzylamine (2.2 mL, 15.0 mmol) in acetone (20 mL) was added 1,3-propane sultone (1.97 g, 15.8 mmol). The mixture was stirred at reflux for 2 hours. The reaction mixture was cooled to room temperature. The solid material was collected by filtration, washed with acetone (2×25 mL) and dried in vacuo. The crude product was suspended in 90% acetone/MeOH (75 mL). The suspension was stirred at reflux for 30 sec., the solid material was collected by filtration, and dried in vacuo. Compound S (1.84 g, 43%) was isolated as a white solid. 1H NMR (D2O, 500 MHz) δ ppm 6.96 (m, 3H), 4.06 (s, 2H), 3.74 (s, 6H), 3.07 (t, 1H, J=7.8 Hz), 2.86 (t, 1H, J=7.8 Hz), 2.01 (m, 2H). 13C NMR (D2O, 125 MHz) δ ppm 149.23, 148.50, 123.63, 123.37, 55.90, 55.86, 50.96, 48.06, 45.62, 21.39. ES-MS 290 (M+1).
-
- To a solution of 1,2-diphenylethylamine (2.49 g, 12.7 mmol) in 2-butanone (15 mL) was added 1,3-propane sultone (1.67 g, 13.3 mmol). The mixture was stirred at reflux for 2 hours. The reaction mixture was cooled to room temperature. The solid material was collected by filtration, washed with acetone (2×25 mL), and dried in vacuo, to give compound ET: 3.02 g (74%). 1H NMR (DMSO, 500 MHz) δ ppm 8.58 (s (broad), 1H), 7.34 (m, 8H), 7.23 (t, 2H, J=7.3 Hz), 4.32 (t, 1H, J=7.8 Hz), 3.68 (d, 2H, J=7.3 Hz), 3.08 (t, 2H, J=6.1 Hz), 2.57 (t, 2H, J=7.3 Hz), 1.92 (m, 2H). 13C NMR (DMSO, 125 MHz) δ ppm 141.63, 129.46, 128.47, 127.76, 50.85, 49.91, 48.53, 22.07. ES-MS 318 (M−1).
-
- To a solution of tert-butylamine (1.0 mL, 9.5 mmol) in tetrahydrofuran (15 mL) was added 2,4-butane sultone (1.33 g, 10.0 mmol). The mixture was stirred at reflux for 2 hours. The reaction mixture was cooled to room temperature. The solid product was collected by filtration, washed with THF (2×20 mL); and dried in vacuo; affording compound ES: 1H NMR (DMSO, 500 MHz) δ ppm 2.97 (t, 2H, J=6.6 Hz), 2.62 (m, 1H), 1.95 (m, 0.5H), 1.750 (m, 0.5H), 1.22 (s, 9H), 1.12 (d, 3H, J=6.8 Hz). 13C NMR (DMSO, 125 MHz) δ ppm 56.17 53.15, 29.87, 25.87, 17.05. ES-MS 207 (M−1).
-
- To a solution of tert-butylamine (1.0 mL, 9.5 mmol) in tetrahydrofuran (4 mL) was added 1,4-butane sultone (1.36 g, 10.0 mmol) at room temperature. The solution was stirred at reflux for 2 hours. The reaction mixture was cooled to room temperature. The solid product was collected by filtration, washed with acetone (2×20 mL), and dried in vacuo; affording compound ER 690 mg, (34%); 1H NMR (D2O, 500 MHz) δ ppm 2.92 (t, 2H, J=7.1 Hz), 2.82 (t, 2H, J=7.1 Hz), 1.68 (m, 4H), 1.22 (s, 9H). 13C NMR (D2O, 125 MHz) δ ppm 57.07, 50.30, 40.95, 25.28, 24.96, 21.62. ES-MS 210 (M−1).
-
- To a solution of 1-ethylpropylamine (10.0 g, 115 mmol) in tetrahydrofuran (80 mL) was added a solution of 1,3-propane sultone (13.7 g, 110 mmol) in 20 mL of THF. The solution was stirred at reflux for 2 hours. The reaction mixture was cooled to room temperature. The solid product was collected by filtration, washed with acetone (2×50 mL), and dried in vacuo., to afford compound DD (18.1, 80%): 1H NMR (D2O, 500 MHz) δ ppm 3.08 (t, 2H, J=7.3 Hz), 3.01 (m, 1H), 2.87 (t, 2H, J=7.3 Hz) 2.00 (m, 2H), 1.59 (m, 4H), 0.82 (t, 6H, J=7.3 Hz). 13C NMR (D2O, 125 MHz) δ ppm 60.87, 48.14, 43.68, 21.81. 21.60, 8.25. ES-MS 208. (M−1).
-
- To a solution of tert-amylamine (2.0 g, 23.3 mmol) in tetrahydrofuran (15 mL) was added 1,3-propane sultone (2.76 g, 22.2 mmol). The solution was stirred at reflux for 2 hours. The reaction mixture was cooled to room temperature. The solid product was collected by filtration, washed with acetone (2×25 mL), and dried in vacuo, to afford compound DG (3.3 g, 73%): 1H NMR (D2O, 500 MHz) δ ppm 3.04 (t, 2H, J=7.8 Hz), 2.89 (t, 2H, J=7.8 Hz), 2.87 (t, 2H, J=7.3 Hz), 1.97 (m, 2H), 1.55 (m, 2H), 1.18 (s, 6H), 0.82 (t, 6H, J=7.3 Hz). 13C NMR (D2O, 125 MHz) δ ppm 60.42, 48.17, 39.88, 30.81, 22.23, 21.98, 7.25. ES-MS 208 (M−1).
-
- To a solution of 2-amino-2-methyl-1-propanol (2.0 g, 21.4 mmol) in tetrahydrofuran (15 mL) was added 1,3-propane sultone (2.66 g, 21.4 mmol). The mixture was stirred at reflux for 2 hours. The reaction mixture was cooled to room temperature. The crude product was collected by filtration, washed with acetone (2×25 mL). The solid was suspended in EtOH (50 mL). The suspension was stirred at reflux for 5 minutes. The solid was collected by filtration and dried in a vacuum oven (50° C.), affording compound DH (2.5 g, 58%): 1H NMR (D2O, 500 MHz) δ ppm 3.48 (s, 2H), 3.04 (t, 2H, J=7.8 Hz), 2.90 (t, 2H, J=7.3 Hz), 2.00 (m, 2H), 1.18 (s, 6H). 13C NMR (D2O, 125 MHz) δ ppm 64.88, 60.27, 48.19, 40.10, 21.92, 20.02. ES-MS 210 (M−1).
-
- To a cold (5° C.) mixture of 2-aminoisobutyric acid (2.0 g, 19.4 mmol), NaOH (776 mg, 19.4 mmol) in 1,4-dioxane (10 mL) and water (4 mL) was added via syringe pump (over a 4-hour period), a solution 1,3-propane sultone (2.02 g, 16.2 mmol) in 1,4-dioxane (total: 4 mL). The solution was stirred at room temperature for 2 hours before it was allowed to warm up to room temperature. The reaction mixture was stirred under these conditions overnight. The solvent was evaporated under reduced pressure. The resultant solid material was recrystallized from 5% water/EtOH. The resulting solid was dissolved in water; and the aqueous solution was passed through an ion exchange column (Dowex 50WX 8, 100 g, solvent: water). The solvent was evaporated under reduced pressure. The product was lyophilized to afford Compound DI (880 mg, 28%). 1H NMR (D2O, 500 MHz) δ ppm 3.00 (t, 2H, J=7.6 Hz), 2.91 (t, 2H, J=7.3 Hz), 2.01 (m, 2H), 1.34 (s, 6H). 13C NMR (D2O, 125 MHz) δ ppm 176.93, 63.89, 48.13, 42.04, 22.15, 21.86. ES-MS 224 (M−1).
-
- To a solution of 2-methylcyclohexylamine (98% cis and trans isomers, 10.0 g, 88.3 mmol) in tetrahydrofuran (60 mL) was slowly added a solution of 1,3-propane sultone (10.5 g, 84.1 mmol) in THF (20 mL). The mixture was stirred at reflux for 2 hours. The reaction mixture was cooled to room temperature. The solid material was collected by filtration, washed with acetone (2×50 mL). The solid was dissolved in 50% EtOH/water (200 mL); and solution was treated with Dowex 50WX8 resin (15 g). The suspension stirred at room temperature for 15 min. The resin was removed by filtration. The filtrate was concentrated to half of the original volume on a rotary evaporator. The solid product slowly crystallized. The product was collected by filtration, washed with acetone (2×50 mL) and dried in a vacuum oven (50° C.), to afford compound DJ (10.4 g, 53%): 1H NMR (D2O, 500 MHz) δ ppm 3.15 (m, 1H), 3.03 (m, 1H), 2.88 (t, 2H, J=7.3 Hz), 2.76 (m, 1H), 1.98 (m, 3H), 1.68 (m, 2H), 1.51 (m, 2H), 1.18 (m, 3H), 1.01 (m, 1H), 0.92 (m, 3H). 13C NMR (D2O, 125 MHz) δ ppm 62.97, 48.16, 42.72, 34.77, 33.50, 27.57, 24.51, 24.23, 21.51, 17.80. ES-MS 234 (M−1).
-
- To a solution of 2,3-dimethylcyclohexylamine (10.0 g, 79.0 mmol) in tetrahydrofuran (60 mL) was slowly added a solution of 1,3-propane sultone (9.3 g, 75.0 mmol) in THF (20 mL). The solution was stirred at reflux for 2 hours. The reaction mixture was cooled to room temperature. The solid was collected by filtration, washed with THF (50 mL) and acetone (50 mL). The solid was dissolved in 25% EtOH/water (150 mL), and treated with Dowex 50WX8 resin (15 g). The suspension stirred at room temperature for 5 minutes. The resin was removed by filtration. The filtrate was concentrated to dryness under reduced pressure; and the solid residue was suspended in acetone (100 mL). The solid material was collected by filtration, and dried in vacuo; affording compound DK (7.4 g, 43%). 1H NMR (D2O, 500 MHz) δ ppm 3.29 (m, 0.5H), 3.09 (m, 2H), 2.88 (t, 2H, J=7.3 Hz), 2.80 (m, 0.5H), 1.99 (m, 3H), 1.40 (m, 7H), 0.81 (m, 6H). 13C NMR (D2O, 125 MHz) δ ppm 62.85, 61.56, 59.88, 58.22, 48.26, 48.15, 44.29, 43.84, 43.59, 42.65, 42.01, 41.03, 37.34, 36.12, 34.73, 34.45, 33.88, 33.64, 29.39, 28.00, 26.50, 24.25, 24.02, 23.64, 22.42, 21.55, 21.45, 21.35, 19.38, 19.13, 18.82, 18.40, 14.38, 13.39, 4.59. ES-MS 248 (M−1).
-
- To a solution of neopentylamine (8.5 g, 98 mmol) in tetrahydrofuran (75 mL) was slowly added a solution of 1,3-propane sultone (11.5 g, 93 mmol) in THF (20 mL). The solution was stirred at reflux for 2 hours. The reaction mixture was cooled to room temperature. The solid was collected by filtration, washed with acetone (2×50 mL). The solid was suspended in EtOH (150 mL). The suspension was stirred at reflux for 15 minutes. The solid product was collected by filtration, washed with acetone (2×50 mL), and dried in vacuo, to afford compound DL (13.3 g, 69%). 1H NMR (D2O, 500 MHz) δ ppm 3.09 (t, 2H, J=7.3 Hz), 2.89 (t, 2H, J=7.3 Hz), 2.78 (s, 2H), 2.04 (m, 2H), 0.901 (s, 9H). 13C NMR (D2O, 125 MHz) δ ppm 59.44, 48.31, 47.83, 29.91, 26.42, 21.06. ES-MS 208 (M−1).
-
- To a solution of cumylamine (10.5 g, 78 mmol) in tetrahydrofuran (75 mL) was slowly added a solution of 1,3-propane sultone (9.2 g, 74 mmol) in THF (20 mL). The mixture was stirred at reflux for 4 h. The reaction mixture was cooled to room temperature. The solid was collected by filtration, and washed with THF (2×35 mL). The solid was suspended in EtOH (80 mL). The suspension was stirred at reflux for 15 minutes. The solid product was collected by filtration, washed with EtOH (35 mL) and acetone (35 mL). The resulting solid was dried in vacuo, affording compound DM (5.6 g, 30%). 1H NMR (D2O, 500 MHz) δ ppm 7.41 (m, 5H), 2.74 (m, 4H), 1.88 (m, 2H), 1.66 (s, 6H). 13C NMR (D2O, 125 MHz) δ ppm 138.36, 129.44, 129.41, 126.52, 61.56, 48.04, 41.21, 24.80,21.81. ES-MS 256 (M−1).
-
- To a solution of (R)-(+)-1-(4-methoxyphenyl)ethylamine (5.83 g, 38,6 mmol) in tetrahydrofuran (25 mL) was slowly added 1,3-propanesultone (4.56 g, 36.8 mmol). The solution was stirred at reflux for 4 hours. The reaction mixture was cooled to room temperature. The solid was collected by filtration, washed with THF (25 mL) and acetone (25 mL). The solid was suspended in EtOH (200 mL). The suspension was stirred at reflux for 15 min. The solid was collected by filtration, washed with cold EtOH (50 mL), and dried in a vacuum oven (50° C.), to afford compound FN (5.6 g, 56%). 1H NMR (D2O, 500 MHz) δ ppm 7.26 (d, 2H, J=8.3 Hz), 6.90 (d, 2H, J=8.3 Hz), 4.22 (m, 1H), 3.68 (s, 3H), 2.92 (m, 1H), 2.76 (m, 3H), 1.90 (m, 2H), 1.49 (d, 3H, J=6.8 Hz). 13C NMR (D2O, 125 MHz) δ ppm 159.87, 129.34, 128.18, 114.85, 57.99, 55.58, 48.05, 44.21, 21.45, 18.21. ES-MS 272 (M−1).
-
- To a solution of (R)-(−)-1-aminoindan (1.0 g, 7.5 mmol) in tetrahydrofuran (10 mL) was slowly added 1,3-propane sultone (890 mg, 7.1 mmol). The mixture was stirred at reflux for 2 hours. The reaction mixture was cooled to room temperature. The solid material was collected by filtration, and washed with THF (20 mL) and acetone (20 mL). The solid was suspended in 80% acetone/EtOH (40 mL). The suspension was stirred at reflux for 30 sec. The solid product was collected by filtration, washed with acetone (2×20 mL), and dried in vacuo, to afford compound DO (1.1 g, 61%). 1H NMR (D2O, 500 MHz) δ ppm 7.41 (d, 1H, J=7.3 Hz), 7.30 (m, 2H), 7.24 (m, 1H), 4.72 (m, 1H), 3.14 (t, 2H, J=7.8 Hz), 3.02 (m, 1H), 2.88 (m, 3H), 2.43 (m, 1H), 2.12 (m, 1H), 2.01 (m, 2H). 13C NMR (D2O, 125 MHz) δ ppm 145.38, 136.39, 130.31, 127.20, 125.72, 125.54, 62.98, 48.10, 43.93, 29.84, 28.62, 21.64. [α]D=−1.3° (c=0.00515 in water). ES-MS 254 (M−1).
-
- 3-amino-1-propanesulfonic acid (2.0 g, 14.3 mmol) was dissolved in 1.6M NaOH (10 mL). To this solution was added tert-butyl isocyanate (1.1 g, 14.3 mmol). The reaction mixture was stirred at 70° C. for 1 h, followed by addition of one equivalent of tert-butyl isocyanate (1.1 g, 14.3 mmol). The reaction mixture was stirred for 1 h. The solvent was evaporated under reduced pressure. The residue was suspended in EtOH (30 mL). The solid product was collected by filtration, washed with EtOH (20 mL) and acetone (20 mL). The resulting solid was dried in vacuo, to afford the sodium salt of compound DP (2.1 g, 66%). 1H NMR (D2O, 500 MHz) δ ppm 3.03 (t, 2H, J=6.6 Hz), 2.76 (t, 2H, J=7.6 Hz), 1.72 (m, 2H), 1.12 (s, 9H). 13C NMR (D2O, 125 MHz) δ ppm 160.35, 50.26, 48.74, 38.31, 28.86, 25.24. ES-MS 280 (M+Na).
-
- To a solution of 1,2-dimethylpropylamine (10.0 g, 115 mmol) in tetrahydrofuran (80 mL) was slowly added a solution of 1,3-propane sultone (13.7 g, 110 mmol) in THF (20 mL). The solution was stirred at reflux for 2 hours. The reaction mixture was cooled to room temperature. The solid product was collected by filtration, washed with THF (50 mL) and EtOH (50 mL). The resulting solid was dried in vacuo, to afford compound DQ (17.5 g, 76%). 1H NMR (D2O, 500 MHz) δ ppm 3.07 (m, 3H), 2.88 (t, 2H, J=7.3 Hz), 1.97 (m, 3H), 1.10 (d, 3H, J=6.8 Hz), 0.85 (d, 3H, J=6.8 Hz), 0.81 (d, 3H, J=6.8 Hz). 13C NMR (D2O, 125 MHz) δ ppm 59.79, 48.19, 44.18, 29.72, 21.51, 18.44, 15.02, 10.71. ES-MS 232 (M+Na).
-
- To a solution of 4-methylcyclohexylamine (97% cis and trans isomers, 11.0 g, 97.4 mmol) in tetrahydrofuran (70 mL) was slowly added a solution of 1,3-propane sultone (11.5 g, 92.8 mmol) in THF (20 mL). The mixture was stirred at reflux for 2 hours. The reaction mixture was cooled to room temperature. The solid material was collected by filtration, washed with THF (50 mL) and acetone (50 mL). The solid was suspended EtOH. The suspension was stirred at room temperature for 5 minutes. The solid product was collected by filtration, washed with EtOH (50 mL), and dried in a vacuum oven (50° C.), to afford compound DR (16.1 g, 75%). 1H NMR (D2O, 500 MHz) δ ppm 3.08 (m, 2.5H), 2.93 (m, 0.5H), 2.87 (m, 2H), 1.99 (m, 4H), 1.64 (m, 3H), 1.47 (m, 1H), 1.24 (m, 2H), 0.88 (m, 1H), 0.78 (m, 3H). 13C NMR (D2O, 125 MHz) δ ppm 57.35, 56.52, 48.16, 18.05, 43.73, 43.30, 32.45, 31.13, 28.92, 28.69, 27.77, 24.55, 21.65, 21.53, 21.20, 18.38. ES-MS 236 (M+1).
-
- To a solution of (±)-2-methylbutylamine (10 g, 115 mmol) in tetrahydrofuran (80 mL) was slowly added a solution of 1,3-propane sultone (13.5 g, 109 mmol) in THF (20 mL). The mixture was stirred at reflux for 2 hours. The reaction mixture was cooled to room temperature. The solid material was collected by filtration, washed with acetone (2×30 mL). The solid was suspended 95% Acetone/EtOH (200 mL). The suspension was stirred at room temperature for 5 minutes. The solid product was collected by filtration, and dried in a vacuum oven (50° C.), to afford compound DS (17.6 g, 78%). 1H NMR (D2O, 500 MHz) δ ppm 3.07 (t, 2H, J=7.8 Hz), 2.93 (m, 3H), 2.76 (m, 1H), 2.01 (m, 2H), 1.67 (m, 1H), 1.30 (m, 1H), 1.09 (m, 1H), 0.81 (d, 3H, J=6.8 Hz), 0.77 (t, 3H, J=6.8 Hz). 13C NMR (D2O, 125 MHz) δ ppm 53.48, 48.13, 46.92, 31.96, 26.38, 21.29, 16.11, 10.19. ES-MS 210 (M+1).
-
- 3-amino-1-propanesulfonic acid (2.0 g, 14.4 mmol) was dissolved a NaOH (1.2 g, 30.2 mmol) solution in a mixture of 1,4-dioxane (5 mL) and water (15 mL). The mixture was cooled to 0° C. before pivaloyl chloride (2.8 mL, 21.6 mmol) in 1,4-dioxane (5 mL) was added dropwise. The reaction mixture was allowed to warm up to room temperature and it was stirred at 65° C. for 4 h. The solvent was evaporated under reduced pressure. The resulting solid was dissolved in water (30 mL), and treated with Dowex 50WX8 resin. The suspension was stirred for 5 minutes and the resin was removed by filtration. The filtrate was evaporated under reduced pressure. The residual material was suspended in 20% EtOH/Acetone. The mixture was stirres at reflux for 30 seconds. The solid product was collected by filtration, and dried in vacuo, to afford compound DT (1.3 g, 41%). 1H NMR (D2O, 500 MHz) δ ppm 3.16 (t, 2H, J=6.8 Hz), 2.75 (t, 2H, J=7.8 Hz), 1.78 (m, 2H), 1.1 (s, 9H). 13C NMR (D2O, 125 MHz) δ ppm 182.75, 48.70, 38.57, 38.18, 26.65, 24.27. ES-MS 222 (M−1).
-
- To a solution of 3,3,5-trimethylcyclohexylamine (5.0 g, 35.4 mmol) in tetrahydrofuran (35 mL) was slowly added a solution of 1,3-propane sultone (4.17 g, 33.7 mmol) in THF. The mixture was stirred at reflux for 2 hours. The reaction mixture was cooled to room temperature. The solid material was collected by filtration, washed with acetone (2×25 mL). The solid was suspended 90% Acetone/EtOH (100 mL) The suspension was stirred at room temperature for 5 min. The solid product was collected by filtration, and dried in a vacuum oven (50° C.), affording compound ED (5.9 g, 67%). 1H NMR (D2O, 500 MHz) δ ppm 3.20 (m, 1H), 3.08 (m, 2H), 2.87 (t, 2H, J=6.8 Hz), 1.96 (m, 3H), 1.60 (m, 2H), 1.29 (m, 1H), 1.01 (m, 1H), 0.84 (s, 3H), 0.73 (m, 8H). 13C NMR (D2O, 125 MHz) δ ppm 54.98, 48.06, 46.51, 43.28, 40.96, 37.02, 32.07, 31.23, 26.68, 24.28, 21.67, 21.52. ES-MS 262 (M−1).
-
- To a solution of 2-aminoindan (2.50 g, 18.8 mmol) in tetrahydrofuran (25 mL) was slowly added 1,3-propane sultone (2.24 g, 17.9 mmol). The mixture was stirred at reflux for 2.5 h. The reaction mixture was cooled to room temperature. The solid material was collected by filtration, washed with acetone (2×25 mL). The crude product was suspended in 90% Acetone/EtOH (100 mL). The suspension was stirred at room temperature for 5 minutes. The solid product was collected by filtration and dried in a vacuum oven (50° C.), to afford compound EE (3.1 g, 67%). 1H NMR (DMSO, 500 MHz) δ ppm 7.25 (m, 2H), 7.20 (m, 2H), 4.00 (m, 1H), 3.30 (m, 2H), 3.13 (m, 2H), 3.02 (m, 2H), 2.64 (m, 2H), 1.96 (m, 2H). 13C NMR (DMSO, 125 MHz) δ ppm 130.98, 127.80, 125.25, 57.70, 49.24, 45.87, 36.32, 22.66. ES-MS 254 (M−1).
-
- To a solution of 4-aminobiphenyl (3.0 g, 17.8 mmol) in tetrahydrofuran (25 mL) was slowly added 1,3-propane sultone (2.11 g, 16.9 mmol). The solution was stirred at reflux for 3 h. The reaction mixture was cooled to room temperature. The solid material was collected by filtration, washed with acetone (2×25 mL). The crude product was dissolved in a hot solution of 80% MeOH/H2O (120 mL). To this warm solution was added Dowex 50WX8 ion exchange resin (10 g). The hot suspension was stirred for 5 minutes and the resin was removed by filtration. The filtrate was concentrated to dryness under reduced pressure. The residual solid was dried in a vacuum oven (50° C.), affording compound EF (283 mg, 6%). 1H NMR (DMSO, 500 MHz) δ ppm 7.77 (d, 2H, J=7.8 Hz), 7.66 (d, 2H, J=7.8 Hz), 7.46 (m, 3H), 7.37 (m, 1H), 3.44 (m, 2H), 2.68 (m, 2H), 1.98 (m, 2H). 13C NMR (DMSO, 125 MHz) δ ppm 139.74, 129.69, 128.74, 128.33, 127.31, 122.23, 49.70, 22.93. ES-MS 290 (M−1).
-
- To a solution of (1S,2S)-2-amino-3-methoxy-1-phenyl-1-propanol (1.0 g, 5.5 mmol) in tetrahydrofuran (10 mL) was slowly added 1,3-propane sultone (662 mg, 5.3 mmol). The mixture was stirred at reflux for 2.5 h. The reaction mixture was cooled to room temperature. The solid material was collected by filtration, washed with acetone (2×25 mL). The crude product was suspended 80% Acetone/EtOH. The suspension was stirred at reflux for 30 seconds. The solid product was collected by filtration and dried in a vacuum oven (50° C.), to afford compound EG (1.0 g, 63%). 1H NMR (D2O, 500 MHz) δ ppm 7.32 (m, 5H), 4.77 (d, 1H, J=9.8 Hz), 3.53 (m, 1H), 3.37 (m, 1H).3.26 (m, 1H), 3.17 (m, 6H), 2.91 (t, 2H, J=7.3 Hz), 2.07 (m, 2H). 13C NMR (D2O, 125 MHz) δ ppm 139.09, 129.33, 129.27, 127.11, 70.85, 66.29, 62.62, 58.76, 48.14, 44.24, 21.47. [α]D=+42.6° (c=0.00091 in water), ES-MS 302 (M−1).
-
- To a solution of (1R,2R,3R,5S)-(−)-isopinocampheylamine (2.0 g, 13.0 mmol) in tetrahydrofuran (20 mL) was slowly added 1,3-propanesultone (1.56 g, 12.5 mmol). The mixture was stirred at reflux for 2 hours. The reaction mixture was cooled to room temperature. The solid product was collected by filtration, washed with acetone (2×25 mL), and dried in a vacuum oven (50° C.), to afford compound EH (2.7 g, 80%). 1H NMR (DMSO, 500 MHz) δ ppm 3.32 (m, 2H), 3.09 (d, 2H), 2.67 (m, 2H), 2.30 (m, 2H), 1.96 (m, 4H), 1.75 (m, 2H), 1.18 (s, 3H), 1.11 (m, 4H), 0.90 (s, 3H). 13C NMR (DMSO, 125 MHz) δ ppm 55.97, 50.11, 47.55, 45.86, 41.15, 40.91, 38.94, 32.81, 31.61, 27.96, 23.85, 22.59, 21.21, [α]D=−17.2° (c=0.00083 in water), ES-MS 274 (M−1).
-
- To a solution of 2-amino-1-methoxypropane (5.0 g, 17.8 mmol) in tetrahydrofuran (25 mL) was slowly added 1,3-propane sultone (2.12 g, 17.0 mmol). The mixture was stirred at reflux for 4 h. The reaction mixture was cooled to room temperature. The solid product was collected by filtration, washed with acetone (2×25 mL), and dried in a vacuum oven (50° C.), to afford compound EI (3.1 g, 86%). 1H NMR (D2O, 500 MHz) δ ppm 3.53 (m, 1H), 3.41 (m, 2H), 3.27 (s, 3H), 3.11 (m, 2H), 2.89 (t, 2H, J=7.3 Hz), 2.00 (m, 2H), 1.18 (d, 3H, J=5.9 Hz). 13C NMR (D2O, 125 MHz) δ ppm 71.73, 58.80, 53.79, 48.08, 43.55, 21.52, 12.79. ES-MS 210 (M−1).
-
- To a solution of (R)-(+)-2-amino-3-phenyl-1-propanol (1.0 g, 6.6 mmol) in tetrahydrofuran (10 mL) was slowly added 1,3-propane sultone (785 mg, 6.3 mmol). The mixture was stirred at reflux for 2 hours. The reaction mixture was cooled to room temperature. The solid material was collected by filtration, washed with acetone (2×25 mL). The crude product was suspended 80% acetone/EtOH (100 mL). The suspension was stirred at reflux for 30 seconds. The solid product was collected by filtration, washed with acetone (2×25 mL), and dried in a vacuum oven (50° C.), to afford compound EJ (890 mg, 52%). 1H NMR (DMSO, 500 MHz) δ ppm 8.58 (s (broad), 1H), 7.26 (m, 5H), 5.30 (s (broad), 1H), 3.53 (m, 1H), 3.31 (m, 2H).3.14 (t, 2H), 2.98 (m, 1H), 2.80 (m, 1H), 2.62 (t, 2H), 1.98 (m, 2H). 13C NMR (DMSO, 125 MHz) δ ppm 137.31, 130.00, 129,26, 127.49, 60.16, 57.78, 49.90, 45.34, 33.78, 22.49. [α]D=+9.7° (c=0.00118 in water). ES-MS 272 (M−1).
-
- To a solution of (S)-(−)-2-amino-3-phenyl-1-propanol (2.0 g, 13.2 mmol) in tetrahydrofuran (20 mL) was slowly added 1,3-propane sultone (1.57, 12.6 mmol). The mixture was stirred at reflux for 2 hours. The reaction mixture was cooled to room temperature. The solid material was collected by filtration, washed with acetone (2×25 mL). The crude product was suspended 80% Acetone/EtOH. The suspension was stirred at reflux for 30 seconds. The solid product was collected by filtration, and dried in a vacuum oven (50° C.), to afford compound EK (1.9 g,56%). 1H NMR (DMSO, 500 MHz) δ ppm 8.63 (s (broad), 1H), 7.27 (m, 5H), 5.31 (s (broad), 1H), 3.53 (m, 1H), 3.25 (m, 2H).3.15 (t, 2H), 2.98 (m, 1H), 2.80 (m, 1H), 2.61 (t, 2H), 1.99 (m, 2H). 13C NMR (DMSO, 125 MHz) δ ppm 137.31, 130.01, 129,27, 127.49, 60.18, 57.77, 49.88, 45.32, 33.78, 22.49. [α]D=−7.5° (c=0.00118, H2O). ES-MS 272 (M−1).
-
- To a solution of N-methyl-tert-butylamine (2.0 g, 22.9 mmol) in acetone (25 mL) was slowly added 1,3-propane sultone (2.72 g, 21.8 mmol). The mixture was stirred at reflux for 3 h. The reaction mixture was cooled to room temperature. The solid material was collected by filtration, washed with acetone (2×25 mL). The crude product was suspended in 80% Acetone/EtOH. The suspension was stirred at reflux for 30 seconds. The solid product was collected by filtration, and dried in a vacuum oven (50° C.), to afford compound EN (2.9 g, 65%). 1H NMR (DMSO, 500 MHz) δ ppm 9.40 (s (broad), 1H), 3.45 (m, 1H), 2.85 (m, 1H), 2.59 (m, 5H), 1.99 (m, 2H), 1.28 (s, 9H). 13C NMR (DMSO, 125 MHz) δ ppm 63.23, 51.12, 49.73, 34.79, 25.50, 21.72. ES-MS 208 (M−1).
-
- To a solution of (1R,2S)-1-amino-2-indanol (2.37 g, 15.9 mmol) in tetrahydrofuran (25 mL) was slowly added 1,3-propane sultone (1.89 g, 15.1 mmol). The mixture was stirred at reflux for 2 hours. The reaction mixture was cooled to room temperature. The solid material was collected by filtration, and washed with acetone (2×25 mL). The crude product was suspended in 80% acetone/ethanol (75 mL). The suspension was stirred at reflux for 30 seconds. The solid product was collected by filtration, and dried in a vacuum oven (50° C.), to afford the compound EO (2.7 g, 65%). 1H NMR (D2O, 500 MHz) δ ppm 7.36 (d, 1H, J=7.4 Hz), 7.24 (m, 3H), 4.70 (q, 1H, J=5.5 Hz), 4.53 (d, 1H, J=5.4 Hz), 3.23 (t, 2H, J=7.8 Hz), 3.10 (m, 1H), 2.89 (m, 3H), (m, 1H), 2.08 (m, 2H). 13C NMR (D2O, 125 MHz) δ ppm 141.60, 134.30, 130.53, 127.61, 126.10, 125.69, 70.42, 64.08, 48.25, 44.73, 38.33, 21.50. [α]D=+3.0° (c=0.0018, water) ES-MS 272 (M+1).
-
- To a solution of (S)-(−)-2-amino-3-methyl-1-butanol (2.50 g, 24.2 mmol) in tetrahydrofuran (35 mL) was slowly added 1,3-propane sultone (2.89 g, 23.0 mmol). The mixture was stirred at reflux for 3 h. The reaction mixture was cooled to room temperature. The solid material was collected by filtration, washed with acetone (2×25 mL). The crude product was suspended in 80% acetone/ethanol (75 mL). The suspension was stirred at reflux for 30 secondes. The solid product was collected by filtration, and dried in a vacuum oven (50° C.), to afford compound EP (2.9 g, 56%). 1H NMR (D2O, 500 MHz) δ ppm 3.78 (dd,1H), 3.62 (dd, 1H), 3.13 (m, 2H), 2.90 (m, 1H), 2.88 (t, 3H), 1.90 (m, 3H), 0.90 (d, 3H), 0.84 (d, 3H). 13C NMR (D2O, 125 MHz) δ ppm 64.74, 57.24, 48.20, 44.44, 26.98, 21.49, 18.53, 17.00. [α]D=+4.1° (c=0.0017 in water), ES-MS 224 (M−1).
-
- L-valinamide hydrochloride (2.50 g, 16.4 mmol) was treated with a saturated solution of K2CO3 (75 mL). The mixture was extracted with EtOAc (3×75 mL). The organic extracts were combined, dried over Na2SO4. The solid material was removed by filtration, and the filtrate was concentrated to dryness under reduced pressure. The residual material was dried in vacuo.
- To a solution of L-valinamide (1.57 g, 13.5 mmol) in tetrahydrofuran (20 mL) was slowly added 1,3-propane sultone (1.61 g, 12.9 mmol). The mixture was stirred at reflux for 2 hours. The reaction mixture was cooled to room temperature. The solid material was collected by filtration, washed with acetone (2×25 mL). The crude product was dissolved in water (60 mL) and treated with ion exchange resin Dowex Marathon C (strongly acidic, 15 g). The mixture was stirred for 15 minutes. The resin was removed by filtration. The filtrate was poured into EtOH (250 mL). The solid product, after the completion of the precipitation, was collected by filtration, and dried in vacuo, to afford compound EQ (1.6 g, 51%). 1H NMR (D2O, 500 MHz) δ ppm 3.63 (d, 1H), 3.05 (m, 2H), 2.85 (m, 2H), 2.05 (m, 4H), 0.93 (d, 3H), 0.88 (d, 3H). 13C NMR (D2O, 125 MHz) δ ppm 170.24., 65.92, 48.16, 46.31, 29.59, 21.31, 18.02, 17.07. [α]D=+10.5° (c=0.0027 in water), ES-MS 237 (M−1).
-
- Isobutylamine (2.4 mL, 24 mmol) was added to a solution of 1,3-propane sultone (3.04 g, 24.5 mmol) in 2-butanone (20 mL). The mixture was heated to reflux. After about 10 minutes, the mixture had turned into a lump. It was cooled to room temperature. Acetone was added and the lump was crushed. The solid was collected by filtration and dried in-vacuo (2.2 g). The white solid was suspended in ethanol (10 mL) and the mixture brought to reflux. A significant amount of the solid dissolved. Water was added slowly until a clear pink solution was obtained. The solution was left at room temperature overnight. The flask was placed in a fridge for 2 hours. The solid product was collected by filtration, rinsed with ethanol (5 mL), washed with ether (10 mL), and dried in-vacuo. Compound CE was obtained as long, fine white needles (1.87 g, 40% yield). m.p. 255-57° C. 1H NMR (500 MHz, D2O) δ 0.88 (d, J=6.8 Hz, 6H), 1.85-1.93 (m, J=6.8 Hz, 1H), 2.03 (qt, J=7.6 Hz, 2H), 2.80 (d, J=7.3 Hz, 2H), 2.90 (t, J=7.3 Hz, 2H), 3.08 (t, J=8.1 Hz, 2H). 13C NMR (125 MHz, D2O) δ 19.2, 21.2, 25.8, 46.9, 48.1, 54.9 ES-MS 196 (M+1). FT-IR (KBr) νmax 3566, 2973, 2021, 1719.
-
- Isoamylamine (4 mL, 34.5 mmol) was added to a solution of 1,3-propane sultone (4.7 g, 38 mmol) in 2-butanone (70 mL). The mixture was warmed to reflux. After 30 minutes, the mixture was too thick to stir. Acetone (15 mL) was added. The reflux was maintained for a total of 4 hours. The suspension was cooled at room temperature. The white solid was collected by filtration, rinsed with acetone (10 mL), then with ether (10 mL). Compound CH was obtained as a very light, fluffy white solid (4.48 g, 62% yield). m.p. 220° C.: decomposed. 1H NMR (500 MHz, D2O) δ 0.65 (d, J=6.3 Hz, 6H), 1.29 (q, J=7.7 Hz, 2H), 1.35-1.42 (m, J=6.6 Hz, 1H), 1.86 (qt, J=7.6 Hz, 2H), 2.74 (t, J=7.3 Hz, 2H), 2.81 (t, J=8.1 Hz, 2H), 2.93 (t, J=7.8 Hz, 2H). 13C NMR (125 MHz, D2O) δ 21.3, 21.4, 25.2, 34.2, 46.1, 46.2, 47.9
-
- A solution of 2-bromoethanesulfonic acid, sodium salt (4.2 g, 20 mmol) in water (total 12 mL) was added over 6 hours to a 42° C. solution of t-butylamine (10 mL, 94 mmol) in a mixture of water (10 mL) and 1,4-dioxane (10 mL). The mixture was stirred at 42° for 18 hours. The mixture was then heated to 60° C. for 24 h. By proton NMR, 30% of elimination product (vinylsulfonic acid) was observed. The mixture was concentrated to dryness and treated with ethanol at refluxing temperature. The solid material was collected (crop 1). The mother liquor was concentrated to dryness and the solid was again treated with ethanol at refluxing temperature, and the solid material was collected (crop 2). Both crops of the solid material were dissolved in water, and the resultant aqueous solutions passed in sequence through a Dowex 50 W X 8 ion-exchange column (100 g resin). The fractions containing the title compound were collected and concentrated to dryness. The solid material obtained was recrystallized from a mixture of ethanol (20 mL) and water (2 mL). The crystals were collected by filtration, dried in a vacuum oven at 60° C. for 18 hours. Compound DU was obtained as fine white needles (860 mg, 24% yield). 1H NMR (500 MHz, D2O) δ 1.16 (s, 9H), 3.02 (t, J=6.8 Hz, 2H), 3.19 (t, J=6.8 Hz, 2H). 13C NMR (125 MHz, D2O) δ 24.8, 37.3, 47.0, 57.8. ES-MS 182 (M+1)
-
- A mixture of cyclohexanemethylamine (11.12 mL, 0.085 mol) and 1,3-propane sultone (11.00 g, 0.090 mol) in acetonitrile (120 mL) was heated at reflux for 2 hours. The mixture was cooled to room temperature. The solid was collected by filtration, air-dried for 20 minutes (19 g). The solid was suspended in methanol (100 mL) and the suspension was heat to reflux. Water (4 mL) was added dropwise until a clear solution was obtained at refluxing temperature. The mixture was then cooled to 5° C. with stirring. The solid was collected by suction filtration, air-dried for 45 minutes, and further dried in a vacuum oven at 60° C. for over 3 days. Compound DV was obtained as white flakes, (16.23 g, 81% yield.). 1H NMR (500 MHz, D2O) δ 0.82 (br q, J=11 Hz, 2H), 0.91-1.09 (m, 3H), 1.43-1.53 (m, 6H), 1.93 (qt, J=7.3 Hz, 2H), 2.71 (d, J=6.3 Hz, 2H), 2.80 (t, J=7.3 Hz, 2H), 2.71 (t, J=7.8 Hz, 2H). 13C NMR (125 MHz, D2O) δ 21.2, 25.0, 25.5, 29.9, 34.7, 46.8, 48.1, 53.7. ES-MS 236 (M+1)
-
- A mixture of 1,1-diethylpropargylamine (5 g, 45 mmol) and 1,3-propane sultone (6.05 g, 49.5 mmol) in THF (25 mL) was heated at reflux for 5 hours. The mixture was cooled to room temperature. The solid was collected by filtration, rinsed with diisopropylether (2×10 mL) then dried overnight in the vacuum oven (7.16 g). The solid was suspended in ethanol (30 mL) and the suspension was heated at reflux for 1 hour. The mixture was then cooled to room temperature and the solid was collected by suction filtration, air-dried for 5 m, and further dried in a vacuum oven at 60° C. overnight (5.86 g). There was still a significant amount of ethanol present. The solid was further dried in the vacuum oven for 40 hours. Compound DW was obtained as a fine white solid, (5.66 g, 81% yield). 1H NMR (500 MHz, D2O) δ 0.92 (t, J=7.6 Hz, 2H), 1.71 (q, J=7.3 Hz, 3H), 1.93 (qt, J=7.3 Hz, 2H), 2.81 (t, J=7.3 Hz, 2H), 2.94 (s, 1H), 3.13 (t, J=7.6 Hz, 2H). 13C NMR (125 MHz, D2O) δ 7.2, 21.6, 27.8, 41.4, 48.1, 62.2, 78.6, 78.9. ES-MS 234 (M+1)
-
- A mixture of 1-ethynylcyclohexylamine (6 g, 48.7 mmol) and 1,3-propane sultone (6.55 g, 53.6 mmol) in THF (35 mL) was heated at reflux for 2 hours (thick paste). The mixture was cooled to room temperature. The solid was collected by filtration, rinsed with THF (3×5 mL), air-dried 15 minutes (7.3 g). The solid was suspended in ethanol (30 mL) and the suspension was heated at reflux for 1 hour. The mixture was then cooled to room temperature and the solid was collected by suction filtration, rinsed with ethanol (2×5 mL), air-dried for 10 min, and further dried in a vacuum oven at 60° C. overnight (crop 1, 7.10 g). The combined mother liquors were stirred overnight at room temperature. There was a lot of solid. The solid was collected by filtration, rinsed with acetone (3×5 mL), air-dried for 30 minutes, and then suspended in ethanol (12 mL). The suspension was heated at reflux for 1 hour. The mixture was then cooled to room temperature and the solid was collected by suction filtration, rinsed with ethanol (2×5 mL), air-dried for 2 minutes, and further dried in a vacuum oven at 60° C. overnight (crop 2: 1.85 g). Compound DX was obtained as a fine white solid (two crops in total 8.95 g, 75% yield). 1H NMR(500 MHz, D2O) δ 0.95-1.05 (m, 1H), 1.38-1.54 (m, 5H), 1.60-1.64 (m, 2H), 1.94 (qt, J=7.8 Hz, 2H), 2.85 (t, J=7.3 Hz, 2H), 3.01 (s, 1H), 3.22 (t, J=7.8 Hz, 2H). 13C NMR (125 MHz, D2O) δ 21.8, 22.3, 24.2 34.4, 40.9, 48.0, 59.2, 78.6, 79.3. ES-MS 243.0 (M−1).
-
- A mixture of (±)-2-Amino-1-phenylethanol (9.9 g, 72 mmol) and 1,3-propane sultone (9.3 g, 76 mmol) in acetonitrile (70 mL) and ethanol (2 mL) was heated at reflux for 1.5 hours. The mixture was cooled to room temperature. The solid was collected by filtration, rinsed with acetonitrile (2×25 mL) air-dried for 20 minutes (21.3 g). The solid was suspended in methanol (110 mL) and the suspension was heated to reflux. Water (4 mL) was added dropwise until a clear solution was obtained. The mixture was then cooled to room temperature. The solid was collected by suction filtration, air-dried for 30 minutes, and further dried in a vacuum oven at 60° C. for 40 hours (crop 1, 4.47 g). The combined mother liquor was stored at −20° C. for 40 hours. A second crop of the solid was collected by filtration, rinsed with acetone (2×15 mL), air-dried (1 hour), and further dried in a vacuum oven at 60° C. for 24 hours. Compound DY was obtained in two crops (total 7.82 g, 42% yield). 1H NMR (500 MHz, D2O) δ, 2.03-2.06 (m, 2H), 2.90 (t, J=7.3 Hz, 2H), 3.16 (t, J=7.3 Hz, 2H), 3.20-3.24 (m, 2H), 4.92-4.95(m, 1H), 7.30-7.37 (m, 5H). 13C NMR (125 MHz, D2O) δ 21.3, 46.6, 78.1, 53.2, 69.0, 126.1, 129.0, 129.2, 139.6. ES-MS 260 (M+1).
-
- A mixture of (S)-(−)-(4-methoxyphenyl)ethylamine (1.83 g, 12.1 mmol) and 1,3-propane sultone (1.6 g, 13 mmol) in acetonitrile (25 mL) was heated at reflux for 2.5 hours. The mixture was cooled to room temperature. The solid was collected by filtration, rinsed with acetonitrile (2×5 mL) air-dried for 15 minutes (3.07 g). The solid was suspended in ethanol (15 mL) and the suspension was heated at reflux for 1 hour. The mixture was then cooled to room temperature. The solid was collected by suction filtration, rinsed with ethanol (2×10 mL), air-dried for 15 minutes, and further dried in a vacuum oven at 60° C. for 18 hours. Compound DZ was obtained as a white solid (2.95 g, 10.8 mmol, 89% yield). 1H NMR (500 MHz, D2O) δ 1.52 (d, J=6.8 Hz, 3H), 1.88-1.98 (m, 2H), 2.76-2.79 (m, 3H), 2.80-2.98 (m, 1H), 3.71 (s, 3H), 4.25 (qt, J=6.7 Hz, 2H), 6.93 (d, J=8.3 Hz, 2H), 7.29 (d, J=8.3 Hz, 2H). 13C NMR (125 MHz, D2O) δ 18.3, 21.5, 44.2, 48.1, 55.6, 58.0, 114.9, 128.2, 129.4, 159.9. ES-MS 274. (M+1). [α]D=−28.8° (c=0.0038 in water)
-
- A mixture of 4-Bromophenethylamine (4 g, 20 mmol) and 1,3-propane sultone (2.56 g, 21 mmol) in acetonitrile (30 mL) was heated at reflux for 2.5 hours. The mixture was cooled to room temperature. The solid was collected by filtration, rinsed with acetonitrile (2×5 mL) air-dried for 15 minutes (9.57 g), and further dried for 15 minutes in vacuo (8.02 g). The solid was suspended in ethanol (40 mL) and the suspension was heated at reflux for 1 hour. The mixture was then cooled to room temperature. The solid was collected by suction filtration, rinsed with ethanol (2×5 mL), air-dried for 15 minutes, and further dried in a vacuum oven at 60° C. for 18 hours. Compound EA was obtained as a white solid (6.04 g, 18.8 mmol, 94% yield). 1H NMR (500 MHz, DMSO) δ 1.95 (t, J=6.3 Hz, 3H), 2.63 (t, J=6.1 Hz, 2H), 2.88 (t, J=7.6 Hz, 2H), 3.09 (t, J=6.3 Hz, 2H), 3.15 (t, J=7.8 Hz, 2H), 7.25 (2, J=7.8 Hz, 2H), 7.53 (2, J=7.8 Hz, 2H), 8.63 (br s, 2H). 13C NMR (125 MHz, DMSO) δ 21.8, 31.0, 46.7, 47.2, 48.8, 119.9, 131.0, 131.4, 136.5. ES-MS 324 (M+1).
-
- A mixture of (S)-(−)-1-aminoindan (0.92 g, 6.9 mmol) and 1,3-propane sultone (0.93 g, 7.6 mmol) in acetonitrile (15 mL) was heated at reflux for 2.5 hours. The mixture was cooled to room temperature. The solid was collected by filtration, rinsed with acetonitrile (2×4 mL), air-dried for 15 minutes. The solid was suspended in ethanol (12 mL) and the suspension was heated at reflux for 1 hour. The mixture was then cooled to room temperature. The solid was collected by suction filtration, rinsed with ethanol (2×4 mL), air-dried for 15 minutes, and further dried in a vacuum oven at 60° C. over the weekend. Compound EB was obtained as a light pink solid (1.54 g, 87% yield). 1H NMR (500 MHz, D2O) δ 2.00 (qt, J=7.3 Hz, 2H), 2.09-2.13 (m, 1H), 2.40-2.45 (m, 1H), 2.84-2.87 (m, 3H), 2.98-3.04 (m, 1H), 3.12 (t, J=7.8 Hz, 2H), 4.67-4.70 (m, 1H), 7.22 (m, 2H), 7.29-7.32 (m, 2H), 7.40 (d, J=7.8 Hz, 1H). 13C NMR (125 MHz, D2O) δ 21.6, 28.6, 29.8, 43.9, 48.1, 63.0, 125.5, 125.7, 127.2, 130.3, 136.3, 145.4. ES-MS 256 (M+1). [α]D=−1.0° (c=0.003095 in water).
-
- A mixture of cyclobutylamine (1.11 g, 15.6 mmol) and 1,3-propane sultone (2 g, 17 mmol) in acetonitrile (18 mL) was heated at reflux. The mixture turned to a lump within 15 minutes. THF (10 mL) was added. The reflux was maintained for 1 hour. The mixture was cooled to room temperature. The solid was collected by filtration, rinsed with acetonitrile (2×4 mL), air-dried for 60 minutes (2.41 g). The solid was suspended in methanol (20 mL) and the suspension was heated at reflux until all the solid material was dissolved. The mixture was then cooled to room temperature. The solid thus formed was collected by suction filtration, rinsed with methanol (2×4 mL), air-dried for 20 minutes, and further dried in a vacuum oven at 40° C. for 18 hours. Compound EC was obtained as a white solid (1.81 g, 60% yield). 1H NMR (500 MHz, D2O) δ 1.70-1.77 (m, 2H), 1.94-2.03 (m, 4H), 2.18 (br s, 2H), 2.85 (t, J=6.8 Hz, 1H), 2.95 (t, J=7.3 Hz, 1H), 3.63-3.66 (m, 1H). 13C NMR (125 MHz, D2O) δ 14.5, 21.5, 26.1, 43.6, 48.0, 51.8. ES-MS 194 (M+1).
-
- Mexiletine hydrochloride (2.45 g, 11.3 mmol) was freed with 1N NaOH (50 mL), extracted with ethyl acetate (2×50 mL). The combined extract was dried over sodium sulfate. The solvent was evaporated. A solution of 1,3-propane sultone (1.46 g, 11.9 mmol) in THF (35 mL) was added to the free amine. The mixture was heated at reflux for 4 hours. The mixture was cooled to room temperature; and the resultant solid material was collected by filtration, rinsed with THF (5 mL). The solid was dried overnight at 40° C. The filtrated dried in air overnight to afford a brownish solid (1.45 g) it was less pure than the first crop thus discarded. Compound EV was obtained as a white solid (1.19 g, 56% (99% crude) yield). 1H NMR (500 MHz, DMSO) δ 1.39 (d, J=6.3 Hz, 3H), 2.02 (t, J=5.9 Hz, 2H), 2.26 (s, 6H), 2.67 (t, J=5.9 Hz, 2H), 3.21 (br d, J=19.5 Hz, 2H), 3.61 (br s, 1H), 3.8303.91 (m, 2H), 6.95 (t, J=7.3 Hz, 1H), 7.04 (m, 2H), 8.91 (br s, 2H). 13C NMR (125 MHz, DMSO) δ 13.3, 16.0, 21.8, 44.6, 49.2, 52.9, 70.8, 124.3, 128.9, 130.4, 154.2. ES-MS 302 (M+1).
-
- S-(+)-2-Amino-1-methoxy-3-phenylpropane hydrochloride (2.06 g, 10.0 mmol) was freed with saturated potassium carbonate (20 mL). The aqueous mixture was extracted with ethyl acetate (3×15 mL); and the combined extract was dried over sodium sulfate. The solvent was evaporated. A solution of 1,3-propane sultone (1.29 g, 10.5 mmol) in THF (15 mL) was added to the free amine. The mixture was heated at reflux for 4 hours. The mixture was cooled to room temperature and stirred for I hour. The solid was collected by filtration, rinsed with acetone (5 mL). The solid was dried overnight at 40° C. Compound EW was obtained as a white solid (2.48 g, 83% yield). 1H NMR (500 MHz, DMSO) δ 1.99 (m, 2H), 2.65 (t, J=6.1 Hz, 2H), 2.80 (t, J=12.0 Hz, 1H), 3.05 (m, 2H), 3.17 (m, 3H), 3.22 (dd, J=3.4 Hz, 10.7 Hz, 2H), 3.33 (m, 1H), 3.43 (d, J=10.7 Hz, 2H), 3.50 (m, 1H), 7.27 (m, 3H), 7.35 (t, J=7.1 Hz, 2H), 8.86 (br d, 1H). 13C NMR (125 MHz, DMSO) δ 21.8, 33.4, 45.0, 49.2, 57.8, 58.5, 68.1, 126.9, 128.7, 129.2, 136.3. ES-MS 310 (M+1). [α]D=−0.8° (c=0.0025 in water).
-
- A solution of hydroxylamine 50% in water (wt./wt, 7 mL) was added to a solution of L-N-(3-sulfopropyl)phenylalanine ethyl ester (1.00 g, 3.17 mmol in water (5 mL). The mixture was stirred at room temperature for 24 hours. The mixture was concentrated to dryness. The resulting solid was dissolved in a mixture of hot methanol (10 mL) and water; and the mixture was stored at 5° C. for 3 days. Only a very small amount of solid had formed. Upon addition of acetone (3 mL), a large amount of solid formed. The solid was collected by suction-filtration, rinsed with acetone (2×5 mL) then dried overnight at 40° C. in a vacuum oven. Compound FO was obtained as a white solid (700 mg, 73%). 1H NMR (500 MHz, D2O) δ 2.03-2.07 (m, 2H), 2.88-2.90 (M, 2H), 2.99-3.03 (M, 1H), 3.07-3.12 (M, 1H), 3.18-3.23 (m, 1H), 3.82-3.85 (m, 1H), 7.15 (d, J=6.8 Hz, 2H), 7.26-7.31 (m, 3H). 13C(125 MHz, D2O) δ 19.3, 33.8, 43.2, 45.8, 57.9, 126.0, 127.1, 127.3, 131.4, 162.2. ES-MS 303 (M+Na). [α]D=40° (c=0.001983 in water).
-
- L-Phenylalanine benzylester hydrochloride (2.0 g, 6.9 mmol) was treated with a saturated aqueous solution of K2CO3 (50 mL) and EtOAc (3×50 mL) was added. The organic extracts were separated, combined, dried with Na2SO4, filtered, evaporated under reduced pressure and dried in vacuo.
- To a solution of L-Phenylalanine benzylester (1.8 g, 6.8 mmol) in 1,4-dioxane (10 mL) was added 1,3-propanesultone (708 mg, 6.5 mmol). The solution was stirred at reflux. After 1 hour, 20 mL of 1,4-dioxane was added to allow for good stirring. The reaction was stirred at reflux for an additional 1 hour. It was cooled to room temperature. The solid was collected by filtration, washed with acetone (2×25 mL). The product was suspended 80% Acetone/EtOH. The suspension was stirred at reflux for 30 seconds. The solid was filtered and dried in the vacuum oven (50° C.) affording the title compound (1.14 g, 46%). 1H NMR (DMSO, 500 MHz) δ ppm 7.27 (m, 6H), 7.12 (m, 4H), 5.05 (dd, 2H, J=12.3 Hz), 4.49 (m, 1H).3.29 (m, 1H), 3.00 (m, 1H), 2.98 (m, 1H), 2.61 (t, 2H, J=6.5 Hz), 1.97 (m, 2H). 13C (DMSO, 125 MHz) δ ppm 168.88, 135.21, 134.90, 130.00, 129.31, 129.07, 128.01, 67.98, 60.50, 49.77, 46.72, 35.87, 22.43. [α]D=+4.8° (c=0.00073 in water), ES-MS 378 (M+1).
-
- L-valine methylester hydrochloride (5.0 g, 29.8 mmol) was treated with a saturated solution of K2CO3 (75 mL) and EtOAc (3×75 mL) was added. The organic extracts were separated, combined, dried with Na2SO4, filtered, evaporated under reduced pressure and dried in vacuo.
- To a solution of L-valine methylester in THF (25 mL) was slowly added 1,3-propanesultone (2.49 g, 19.9 mmol). The solution was stirred at reflux for 2 hours. The reaction was cooled to room temperature. The solid was collected by filtration, washed with acetone (2×30 mL). It was dried in the vacuum oven (50° C.) affording the title compound (2.52 g, 50%). 1H NMR (D2O, 500 MHz) δ ppm 3.92 (m, 1H), 3.75 (s, 3H), 3.13 (t, 2H), J=6.8 Hz), 2.88 (t, 2H, J=6.8 Hz), 2.24 (m, 1H), 2.06 (m, 2H)), 0.96 (d, 3H, J=6.8 Hz), 0.88 (d, 3H, J=6.8 Hz). 13C (D2O, 125 MHz) δ ppm 169.35, 65.85, 55.61, 48.14, 45.59, 29.48, 21.32, 18.25, 16.57. [α]D=+9.6° (c=0.0014 in water), ES-MS 254 (M+1).
-
- To a solution of (R)-(−)-cyclohexylethylamine (2.5 g, 19.7 mmol) in tetrahydrofuran (25 mL) was slowly added 1,3-propanesultone (2.33 g, 18.7 mmol). The solution was stirred at reflux for 2 hours. The reaction was cooled to room temperature. The solid was collected by filtration, washed with acetone (2×25 mL) and dried in vacuo, affording the title compound (3.47 g, 74%). 1H NMR (D2O, 500 MHz) δ ppm 3.09 (m, 3H), 2.88 (t, 2H, J=7.3 Hz), 2.00 (m, 2H), 1.58 (m, 6H), 1.13 (m, 5H), 1.03 (m,3H). 13C (D2O, 125 MHz) δ ppm 58.37, 48.17, 44.00, 39.84, 29.00, 26.01, 25.82, 25.73, 25.47, 21.51, 11.79. [α]D=+4.5° (c=0.0022 in water), ES-MS 250 (M−1).
-
- To a solution of (S)-(+)-cyclohexylethylamine (5.0 g, 39.3 mmol) in tetrahydrofuran (50 mL) was slowly added 1,3-propanesultone (4.66 g, 37.4 mmol). The solution was stirred at reflux for 2 hours. The reaction was cooled to room temperature. The solid was collected by filtration and washed with acetone (2×25 mL). The solid was suspended in 80% acetone/EtOH (200 mL). The suspension was stirred at reflux for 30 seconds before the solid was filtered and dried in vacuo, affording the title compound (6.13 g, 66%). 1H NMR (D2O, 500 MHz) δ ppm 3.09 (m, 3H), 2.88 (t, 2H, J=7.3 Hz), 2.00 (m, 2H), 1.55 (m, 6H), 1.13 (m, 5H), 1.03 (m,3H). 13C (D2O, 125 MHz) δ ppm 59.37, 48.17, 44.00, 39.84, 29.00, 26.01, 25.82, 25.73, 25.47, 21.51, 11.78. [α]D=−2.8° (c=0.0014 in water), ES-MS 250 (M−1).
-
- To a solution of 4-tert-butylcyclohexylethylamine (mixture of cis and trans isomers, 2.5 g, 16.1 mmol) in tetrahydrofuran (30 mL) was slowly added 1,3-propanesultone (1.84 g, 15.3 mmol). The solution was stirred at reflux for 2 hours. The reaction was cooled to room temperature. The solid was collected by filtration and washed with acetone (2×35 mL). The solid was suspended in 80% acetone/EtOH (200 mL). The suspension was stirred at reflux for 30 seconds before the solid was filtered and dried in vacuo, affording the title compound (3.07 g, 72%). 1H NMR (DMSO, 500 MHz) δ ppm 3.21 (m, 0.5H), 3.04 (m, 2H), 2.89 (m, 1H), 2.67 (m, 0.5H), 1.97 (m, 4H), 1.77 (m, 1H), 1.52 (m, 1H), 1.19 (m, 2H), 0.96 (m, 2H), 0.81 (s, 9H). 13C (DMSO, 125 MHz) δ ppm56.47, 53.62, 50.44, 49.77, 47.56, 47.04, 46.28, 44.49, 32.98, 32.74, 29.61, 28.10, 28.03, 25.57, 22.68, 22.48, 21.01. ES-MS 276 (M−1).
-
- To a solution of (1S,2S)-2-benzyloxycyclopentylamine (1.0 g, 5.2 mmol) in tetrahydrofuran (12 mL) was slowly added 1,3-propanesultone (601 mg, 5.0 mmol). The solution was stirred at reflux for 2 hours. The reaction was cooled to room temperature. The solid was collected by filtration, washed with acetone (2×25 mL) and dried in vacuo, affording the title compound (1.36 g, 87%). 1H NMR (D2O, 500 MHz) δ ppm 7.32 (m, 5H), 4.53 (d, 1H, J=11.2 Hz), 4.41 (d, 1H, J=11.2 Hz), 4.01 (m, 1H), 3.36 (m, 1H), 3.00 (t, 2H, J=7.8 Hz), 2.80 (t, 2H, J=7.8 Hz), 2.00 (m, 4H), 1.64 (m, 3H), 1.49 (m, 1H). 13C NMR (D2O, 125 MHz) δ ppm 136.99, 129.06, 129.01, 128.77, 81.78, 71.81, 63.88, 48.01, 45.33, 29.91, 27.43, 21.60, 20.93. [α]D=+31.1° (c=0.0064 in water). ES-MS 314 (M+1).
-
- To a solution of (1R,2R)-2-benzyloxycyclopentylamine (1.0 g, 5.2 mmol) in tetrahydrofuran (12 mL) was slowly added 1,3-propanesultone (601 mg, 5.0 mmol). The solution was stirred at reflux for 2 hours. The reaction was cooled to room temperature. The solid was collected by filtration and washed with acetone (2×15 mL). The product was suspended in EtOH and the solvent was evaporated (to remove THF residue). The solid was dried in vacuo, affording the title compound (717 mg, 46%). 1H NMR (D2O, 500 MHz) δ ppm 7.32 (m, 5H), 4.53 (d, 1H, J=11.2 Hz), 4.42 (d, 1H, J=11.2 Hz), 4.02 (m, 1H), 3.36 (m, 1H), 3.01 (t, 2H, J=7.8 Hz), 2.81 (t, 2H, J=7.8 Hz), 2.01 (m, 4H), 1.65 (m, 3H), 1.49 (m, 1H). 13C NMR (D2O, 125 MHz) δ ppm 137.00, 129.07, 129.01, 128.77, 81.78, 71.81, 63.89, 48.02, 45.34, 29.93, 27.43, 21.61, 20.94. [α]D=−38.8° (c=0.00122 in water). ES-MS 314 (M+1).
-
- To a solution of L-Phenylalanine cyclohexylamide (2.5 g, 10.1 mmol) in tetrahydrofuran (25 mL) was added 1,3-propanesultone (1.17 g, 9.7 mmol). The solution was stirred at reflux for 2 hours. It was cooled to room temperature. The solid was collected by filtration, washed with acetone (2×25 mL) and dried in the vacuum oven (50° C.), affording the title compound (1.39 g, 39%). 1H NMR (D2O, 500 MHz) δ ppm 7.21 (m, 3H), 7.08 (m, 2H), 4.42 (m, 0.5H), 3.83 (m, 1H).3.29 (m, 1H), 3.15 (m, 1H), 3.02 (m, 2H), 1.02 (m, (m, 3H), 2.49 (m, 0.5H), 2.01 (m, 2H), 1.54 (m, 1H), 1.45 (m, 1H), 1.33 (m, 2H), 1.02 (m, 4H), 0.55 (m, 1H). 13C (D2O, 125 MHz) δ ppm 133.71, 129.54, 129.18, 128.03, 62.08, 49.25, 47.97, 45.41, 36.29, 31.73, 31.46, 24.86, 24.28, 24.20, 21.39. [α]D=+36.4° (c=0.0019 in water), ES-MS 369 (M+1).
-
- To a solution of (1S,2S)-2-benzyloxycyclohexylamine (1.0 g, 5.2 mmol) in tetrahydrofuran (12 mL) was slowly added 1,3-propanesultone (601 mg, 5.0 mmol). The solution was stirred at reflux for 2 hours. The reaction was cooled to room temperature. The solid was collected by filtration, washed with acetone (2×20 mL) and dried in the vacuum oven (50° C.), affording the title compound (1.15 g, 75%). 1H NMR (D2O, 500 MHz) δ ppm 7.34 (m, 5H), 4.62 (d, 1H, J=11.2 Hz), 4.42 (d, 1H, J=11.2 Hz), 3.40 (m, 1H), 2.97 (m, 2H), 2.90 (m, 1H), 2.76 (t, 2H, J=6.5 Hz), 2.26 (m, 1H), 1.92 (m, 3H), 1.66 (m, 2H), 1.18 (m, 4H). 13C NMR (D2O, 125 MHz) δ ppm 137.22, 129.34, 129.11, 128.84, 76.74, 70.26, 60.84, 48.02, 42.74, 29.49, 26.43, 23.57, 23.02, 21.53. [α]D=+74.8° (c=0.00207 in water). ES-MS 326 (M−1).
-
- To a solution of (1R,2R)-2-benzyloxycyclohexylamine (1.0 g, 5.2 mmol) in tetrahydrofuran (12 mL) was slowly added 1,3-propanesultone (601 mg, 5.0 mmol). The solution was stirred at reflux for 2 hours. The reaction was cooled to room temperature. The solid was collected by filtration and washed with acetone (2×35 mL). The solid was suspended in 80% acetone/EtOH (200 mL). The suspension was stirred at reflux for 30 seconds before the solid was filtered and dried in the vacuum oven (50° C.), affording the title compound (844 mg. 55%). 1H NMR (D2O, 500 MHz) δ ppm 7.32 (m, 5H), 4.60 (d, 1H, J=11.2 Hz), 4.40 (d, 1H, J=11.2 Hz), 3.39 (m, 1H), 2.94 (m, 2H), 2.85 (m, 1H), 2.74 (t, 2H, J=6.5 Hz), 2.24 (m, 1H), 1.90 (m, 3H), 1.64 (m, 2H), 1.14 (m, 4H). 13C NMR (D2O, 125 MHz) δ ppm 137.35, 129.28, 129.19, 128.90, 76.90, 70.35, 60.97, 48.12, 42.90, 29.59, 26.53, 23.64, 23.09, 21.63. [α]D=−68.9° (c=0.0026 in water). ES-MS 326 (M−1).
-
- L-valine benzylester p-tosylate (2.5 g, 6.6 mmol) was treated with a saturated solution of K2CO3 (50 mL) and EtOAc (3×50 mL). The organic extracts were separated, combined, dried with Na2SO4, filtered, evaporated under reduced pressure and dried in vacuo.
- To a solution of L-valine benzylester in MeOH (12 mL) was slowly added 1,3-propanesultone (604 mg, 5.0 mmol). The solution was stirred at reflux for 2 hours. The reaction was cooled to room temperature. The solid was collected by filtration, washed with cold MeOH and acetone (2×25 mL). It was dried in the vacuum oven (50° C.), affording the title compound (649 mg, 39%). 1H NMR (D2O, 500 MHz) δ ppm 7.47 (m, 5H), 5.41 (d, 1H, J=11.7 Hz), 5.31 (d, 3H, J=11.7 Hz), 4.04 (m, 1H), 3.19 (m, 2H), 2.95 (t, 2H, J=6.8 Hz), 2.35 (m, 1H), 2.14 (m, 2H), 1.04 (d, 3H, J=6.3 Hz), 0.95 (d, 3H, J=6.3 Hz). 13C(D2O, 125 MHz) δ ppm 168.75, 134.81, 129.38, 129.31, 129.17, 69.00, 65.96, 48.24, 46.71, 29.67, 21.40, 18.39, 16.65. [α]D=−7.2° (c=0.0015 in water), ES-MS 330 (M+1).
-
- L-alanine ethyl ester hydrochloride (2.5 g, 16.3 mmol) was treated with a saturated solution of K2CO3 (50 mL) and EtOAc (3×50 mL). The organic extracts were separated, combined, dried with Na2SO4, filtered, evaporated under reduced pressure and dried in vacuo.
- To a solution of L-alanine ethyl ester (1.67 g, 14.3 mmol) in tetrahydrofuran (25 mL) was slowly added 1,3-propanesultone (1.42 g, 11.9 mmol). The solution was stirred at reflux for 2 hours. The reaction was cooled to room temperature. The solid was collected by filtration, washed with acetone (2×25 mL) and dried in vacuo, affording the title compound (1.19 g, 42%). 1H NMR (D2O, 500 MHz) δ ppm 4.16 (m, 2H), 4.01 (m, 1H), 3.12 (m, 2H), 2.87 (t, 2H, J=7.3 Hz), 2.01 (m, 2H), 1.43 (d, 3H, J=7.3 Hz), 1.14 (t, 3H, J=6.8 Hz). 13C (D2O, 125 MHz) δ ppm 170.22, 63.84, 55.69, 47.94, 44.73, 21.51, 14.05, 13.25. [α]D=−2.4° (c=0.0022 in water), ES-MS 240 (M+1).
-
- L-valine methylester hydrochloride (5.0 g, 29.8 mmol) was treated with a saturated solution of K2CO3 (75 mL) and EtOAc (3×75 mL). The organic extracts were separated, combined, dried with Na2SO4, filtered, evaporated under reduced pressure and dried in vacuo.
- To a solution of L-valine methylester in tetrahydrofuran (25 mL) was slowly added 1,3-propanesultone (2.49 g, 19.9 mmol). The solution was stirred at reflux for 2.5 hours. The reaction was cooled to room temperature. The solid was collected by filtration, washed with acetone (2×30 mL) and dried in vacuo affording the desired ester.
- The ester (860 mg, 3.4 mmol) was dissolved in 2M NaOH (1.20 g of NaOH and 15 mL of water). The reaction was stirred at room temperature overnight. Dowex Marathon C ion exchange resin (strongly acidic) was added to the solution. The suspension was stirred for 15 minutes before the resin was removed by filtration. The filtrate was evaporated under reduced pressure and dried in vacuo, affording the title compound (645 mg, 79%). 1H NMR (D2O, 500 MHz) δ ppm 3.66 (m, 1H), 3.09 (t, 2H, J=6.3 Hz), 2.86 (t, 2H, J=7.3 Hz), 2.17 (m, 1H), 2.07 (m, 2H)), 0.93 (d, 3H, J=6.8 Hz), 0.87 (d, 3H, J=6.8 Hz). 13C (D2O, 125 MHz) δ ppm 171.24, 66.83, 48.28, 46.77, 29.33, 21.44, 18.30, 16.98. [α]D=−16.5° (c=0.0020 in water), ES-MS 238 (M−1).
-
- L-Leucine methylester hydrochloride (5.0 g, 27.5 mmol) was treated with a saturated solution of K2CO3 (50 mL) and EtOAc (3×50 mL) was added. The organic extracts were separated, combined, dried with Na2SO4, filtered, evaporated under reduced pressure and dried in vacuo.
- To a solution of L-valine methylester (3.74 g, 25.6 mmol) in tetrahydrofuran (35 mL) was slowly added 1,3-propanesultone (2.04 g, 17.2 mmol). The solution was stirred at reflux for 3 hours. The reaction was cooled to room temperature. The solid was collected by filtration. Dowex Marathon C ion exchange resin (strongly acidic) was added to the solution. The suspension was stirred for 15 minutes before the resin was removed by filtration. The filtrate was evaporated under reduced pressure. The solid was suspended in acetone (50 mL), filtered and dried in vacuo, affording the title compound (1.80 g, 39%). 1H NMR (D2O, 500 MHz) δ ppm 3.99 (m, 1H), 3.72 (s, 3H), 3.12 (m, 2H), 2.87 (t, 2H, J=7.3 Hz), 2.02 (m, 2H), 1.74 (m, 1H), 1.60 (m, 2H), 0.81 (d, 3H, J=5.4 Hz), 0.87 (d, 3H, J=6.8 Hz). 13C (D2O, 125 MHz) δ ppm 170.60, 58.91, 53.81, 48.08, 45.50, 38.17, 24.44, 22.15, 21.59, 20.93. [α]D=+13.8° (c=0.0016 in water), ES-MS 268 (M+1).
-
- L-valine tert-butylamide hydrochloride (2.5 g, 12.0 mmol) was treated with a saturated solution of K2CO3 (50 mL) and EtOAc (3×50 mL) was added. The organic extracts were separated, combined, dried with Na2SO4, filtered, evaporated under reduced pressure and dried in vacuo.
- To a solution of L-valine tert-butylamide (1.87 g, 11.0 mmol) in 1,4-dioxane (20 mL) was added 1,3-propanesultone (1.07. g, 9.0 mmol). The solution was stirred at reflux for 5 hours. The reaction was cooled to room temperature. The solid was collected by filtration, washed with acetone (2×30 mL) and dried in vacuo, affording the title compound (801 mg, 25%). 1H NMR (D2O, 500 MHz) δ ppm 3.43 (m, 1H), 3.00 (m, 2H), 2.85 (m, 2H), 2.03 (m, 3H), 1.21 (m, 9H), 0.92 (d, 3H, J=6.3 Hz), 0.85 (d, 3H, J=6.8 Hz). 13C (D2O, 125 MHz) δ ppm 166.47, 66.55, 52.56, 48.23, 46.11, 29.91, 27.81, 21.29, 18.30, 17.44. [α]D=−11.6° (c=0.0023 in water), ES-MS 293 (M−1).
-
- To a solution of L-(+)-leucinol (5.0 g, 42.8 mmol) in THF (65 mL) was slowly added 1,3-propanesultone (4.85 g, 40.7 mmol in THF (10 mL)). The solution was stirred at reflux for 2 hours. The reaction was cooled to room temperature. The solid was collected by filtration and washed with acetone (2×50 mL). The solid was dissolved in 50% water/EtOH (400 mL). Dowex Marathon C ion exchange resin (strongly acidic) was added to the solution. The suspension was stirred for 15 minutes before the resin was removed by filtration. The filtrate was evaporated under reduced pressure. The solid was suspended in acetone (150 mL), filtered and dried in the vacuum oven (50° C.), affording the title compound (6.11 g, 63%). 1H NMR (D2O, 500 MHz) δ ppm 3.77 (m, 1H), 3.59 (m, 1H), 3.23 (m, 1H), 3.13 (m, 2H), 2.90 (m, 2H), 2.02 (m, 2H), 1.53 (m, 2H), 1.35 (m, 1H), 0.81 (d, 3H, J=16.1 Hz). 13C (D2O, 125 MHz) δ ppm 58.72, 58.00, 48.17, 43.54, 35.96, 24.34, 22.53, 21.62, 20.89. [α]D=+16.6° (c=0.0022 in water), ES-MS 240 (M+1).
-
- To a solution of L-(+)-isoleucinol (2.0 g, 17.1 mmol) in THF (30 mL) was slowly added 1,3-propanesultone (1.94 g, 16.3 mmol). The solution was stirred at reflux for 2 hours. The reaction was cooled to room temperature. The solid was collected by filtration and washed with acetone (2×20 mL). The solid was dissolved in 70% water/EtOH (240 mL). Dowex Marathon C ion exchange resin (strongly acidic, 15 g) was added to the solution. The suspension was stirred for 15 minutes before the resin was removed by filtration. The filtrate was evaporated under reduced pressure. The solid was suspended in acetone (60 mL), filtered and dried in the vacuum oven (50° C.), affording the title compound (1.70 g, 44%). 1H NMR (D2O, 500 MHz) δ ppm 3.78 (d, 1H, J=13.1 Hz), 3.64 (m, 1H), 3.14 (m, 3H), 2.03 (m, 2H), 1.75 (m, 1H), 1.32 (m, 1H), 1.17 (m, 1H), 0.79 (m, 6H). 13C (D2O, 125 MHz) δ ppm 63.42, 57.38, 48.27, 44.77, 33.64, 25.91, 21.52, 13.31, 10.94. [α]D=+20.4° (c=0.00212 in water), ES-MS 240 (M+1).
-
- To a solution of D-(−)-leucinol (2.0 g, 17.1 mmol) in THF (30 mL) was slowly added 1,3-propanesultone (1.94 g, 16.3 mmol). The solution was stirred at reflux for 2 hours. The reaction was cooled to room temperature. The solid was collected by filtration and washed with acetone (2×20 mL). The solid was dissolved in 50% water/EtOH (240 mL). Dowex Marathon C ion exchange resin (strongly acidic) was added to the solution. The suspension was stirred for 15 minutes before the resin was removed by filtration. The filtrate was evaporated under reduced pressure. The solid was suspended in acetone (50 mL), filtered and dried in the vacuum oven (50° C.), affording the title compound (2.55 g, (65%). 1H NMR (D2O, 500 MHz) δ ppm 3.74 (d, 1H, J=12.7 Hz ), 3.56 (d, 1H, J=12.7 Hz), 3.20 (m, 1H), 3.10 (t, 2H, J=7.3 Hz ), 2.87 (t, 2H, J=7.3 Hz), 2.00 (m, 2H), 1.49 (m, 2H), 1.31 (m, 1H), 0.80 (d, 3H, J=6.3 Hz), 0.76 (d, 3H, J=6.3 Hz). 13C (D2O, 125 MHz) δ ppm 58.74, 58.01, 48.19, 43.56, 35.98, 24.34, 22.54, 21.63, 20.90. [α]D=−16.3° (c=0.0019 in water), ES-MS 238 (M−1).
-
- L-Phenylglycine amide hydrochloride (1.0 g, 6.7 mmol) was treated with a solution of K2CO3 (20 mL). The resultant mixture was extracted with EtOAc (3×20 mL). The organic extracts were separated, combined, dried over Na2SO4. The solid material was removed by filtration, and the filtrate was concentrated to dryness under reduced pressure.
- To a solution of L-Phenylglycine amide (670 mg, 5.9 mmol) in tetrahydrofuran (10 mL) and 1,4-dioxane (4 mL) was added 1,3-propanesultone (674 mg, 5.6 mmol). The solution stirred at reflux for 2 hours. The reaction was cooled to room temperature. The solid was collected by filtration and washed with acetone (2×20 mL). The solid was dissolved in 50% water/EtOH mL). Dowex Marathon C ion exchange resin (strongly acidic) was added to the solution. The suspension was stirred for 15 minutes before the resin was removed by filtration. The filtrate was evaporated under reduced pressure. The solid was suspended in acetone (50 mL), filtered and dried in the vacuum oven (50° C.), affording the title compound (743 mg, 50%). 1H NMR (D2O, 500 MHz) δ ppm 7.38 (m, 5H), 4.92, (s, 1H), 3.01 (m, 1H), 2.91 (m, 1H), 2.78 (t, 2H, J=7.3 Hz), 2.0 (m, 2H). 13C (D2O, 125 MHz) δ ppm 170.15, 130.95, 130.24, 129.94, 128.74, 63.40, 47.99, 44.92, 21.27. [α]D=−124 (c=0.0041 in water), ES-MS 271 (M−1).
-
- L-Alanine tert-butylester hydrochloride (2.61 g, 14.4 mmol) was treated with a solution of K2CO3 (75 mL). The resultant mixture was extracted with EtOAc (3×75 mL). The organic extracts were separated, combined, dried over Na2SO4. The solid material was removed by filtration, and the filtrate was concentrated to dryness under reduced pressure.
- To a solution of L-Alanine tert-butylester (1.53 g, 10.5 mmol) in tetrahydrofuran (20 mL) was added 1,3-propanesultone (1.16 g, 9.6 mmol). The solution stirred at reflux for 2 hours. The reaction was cooled to room temperature. The solid was collected by filtration and washed with acetone (2×20 mL). The solid was dissolved in water (80 mL). Dowex Marathon C ion exchange resin (strongly acidic) was added to the solution. The suspension was stirred for 15 minutes before the resin was removed by filtration. The filtrate was evaporated under reduced pressure. The solid was suspended in acetone (80 mL), filtered and dried in the vacuum oven (50° C.), affording the title compound (1.37 g, 54%). 1H NMR (D2O, 500 MHz) δ ppm 3.88 (m, 1H), 3.09 (m, 2H), 2.86 (t, 2H, J=7.3 Hz), 2.00 (m, 2H), 1.39 (d, 3H, J=7.3 Hz), 1.35 (s, 9H). 13C (D2O, 125 MHz) δ ppm 169.13, 86.12, 56.24, 47.94, 44.71, 27.11, 21.52, 14.17. [α]D=−1.1° (c=0.0027 in water), ES-MS 266 (M−1).
-
- D-Phenylglycine amide hydrochloride (1.0 g, 6.7 mmol) was treated with a solution of K2CO3 (20 mL). The resultant mixture was extracted with EtOAc (3×20 mL). The organic extracts were separated, combined, dried over Na2SO4. The solid material was removed by filtration, and the filtrate was concentrated to dryness under reduced pressure.
- To a solution of D-Phenylglycine amide (850 mg, 7.5 mmol) in tetrahydrofuran (10 mL) and 1,4-dioxane (4 mL) was added 1,3-propanesultone (818 mg, 6.8 mmol). The solution stirred at reflux for 2 hours. The reaction was cooled to room temperature. The solid was collected by filtration and washed with acetone (2×20 mL). The solid was dissolved in 50% water/EtOH mL). Dowex Marathon C ion exchange resin (strongly acidic) was added to the solution. The suspension was stirred for 15 minutes before the resin was removed by filtration. The filtrate was evaporated under reduced pressure. The solid was suspended in acetone (50 mL), filtered and dried in the vacuum oven (50° C.), affording the title compound (720 mg, 34%). 1H NMR (D2O, 500 MHz) δ ppm 7.38 (m, 5H), 4.92, (s, 1H), 3.00 (m, 1H), 2.90 (m, 1H), 2.78 (m, 2H), 1.97 (m, 2H). 13C (D2O, 125 MHz) δ ppm 170.14, 130.95, 130.24, 129.94, 128.74, 63.40, 47.99, 44.92, 21.27. [α]D=+106° (c=0.0016 in water), ES-MS 273 (M+1).
-
- L-alanine methylester hydrochloride (5.0 g, 35.8 mmol) was treated with a saturated solution of K2CO3 (75 mL). The mixture was extracted with EtOAc (3×75 mL). The organic extracts were separated, combined, dried with Na2SO4, filtered, evaporated under reduced pressure and dried in vacuo.
- To a solution of L-alanine methylester (2.37 g, 23.3 mmol) in tetrahydrofuran (35 mL) was added 1,3-propanesultone (2.41 g, 20.0 mmol). The solution was stirred at reflux for 2 hours. The reaction was cooled to room temperature. The solid was collected by filtration, washed with acetone (2×30 mL) and dried in vacuo.
- The ester (2.21 g, 9.8 mmol) was dissolved in 2M NaOH (2.40 g of NaOH and 30 mL of water). The reaction was stirred at room temperature overnight. Dowex Marathon C ion exchange resin (strongly acidic) was added to the solution. The suspension was stirred for 15 minutes before the resin was removed by filtration. The filtrate was evaporated under reduced pressure and lyophilized, affording the title compound (1.81 g, 87%). 1H NMR (D2O, 500 MHz) δ ppm 3.76 (m, 1H), 3.07 (m, 2H), 2.85 (t, 2H, J=7.3 Hz), 1.99 (m, 2H), 1.38 (d, 3H, J=7.3 Hz), 0.87 (d, 3H, J=6.8 Hz). 13C (D2O, 125 MHz) δ ppm 173.31, 56.66, 47.97, 44.76, 21.56, 14.51. [α]D=+3.5 (c=0.0023 in water), ES-MS 210 (M−1).
-
- The N-(3-sulfo-propyl)-phenylalanine ethyl ester (DM-258-069, 860 mg, 2.7 mmol) was dissolved in 2N NaOH (1.2 g of NaOH and 15 mL of water). The reaction was stirred at room temperature overnight. Dowex Marathon C ion exchange resin (strongly acidic) was added to the solution. The suspension was stirred for 15 minutes before the resin was removed by filtration. The filtrate was evaporated under reduced pressure and lyophilized, affording the title compound (654 mg, 84%). 1H NMR (D2O, 500 MHz) δ ppm 7.20 (m, 5H), 3.96 (t, 1H, J=6.3 Hz), 3.11 (m, 4H), 2.80 (t, 2H, J=7.3 Hz), 1.95 (m, 2H). 13C (D2O, 125 MHz) δ ppm 171.46, 134.03, 129.50, 129.28, 128.10, 62.02, 47.97, 45.64, 35.23, 21.39.
- [α]D=+14.9° (c=0.0013 in water), ES-MS 286 (M−1).
-
- L-Valine allylester p-tosylate (3.0 g, 9.1 mmol) was treated with a saturated solution of K2CO3 (30 mL). The mixture was extracted with EtOAc (3×30 mL). The organic extracts were separated, combined, dried with Na2SO4, filtered and evaporated under reduced pressure.
- To a solution of L-valine allylester (1.30 g, 8.3 mmol) in tetrahydrofuran (6 mL), 1,4-dioxane (6 mL) and MeOH (0.5 mL) was added 1,3-propanesultone (910 mg, 7.5 mmol). The solution was stirred at reflux for 2 hours. The reaction was cooled to room temperature. The solvent was evaporated under reduced pressure. The sticky paste was suspended in 20% acetone/ether. The solid was filtered and dissolved EtOH (75 mL). Dowex Marathon C ion exchange resin (strongly acidic) was added to the solution. The suspension was stirred for 15 minutes before the resin was removed by filtration. The filtrate was evaporated to dryness under reduced pressure, affording the title compound (605 mg, 26%). 1H NMR (D2O, 500 MHz) δ ppm 5.84 (m, 1H), 5.27 (d, 1H, J=17.1 Hz), 5.19 (m, 1H, J=10.3 Hz ), 3.91 (d, 1H, J=3.9 Hz), 3.10 (t, 2H, J=7.3 Hz), 2.85 (t, 2H, J=7.3 Hz), 2.22 (m, 1H), 2.03 (m, 2H), 0.93 (d, 3H, J=6.8 Hz), 0.85 (d, 3H, J=6.8 Hz). 13C (D2O, 125 MHz) δ ppm 168.55, 130.90, 120.31, 67.58, 65.82, 48.09, 46.57, 29.53, 21.29, 18.25, 16.57. [α]D=+5.0° (c=0.0011 in water), ES-MS 278 (M−1).
-
- L-Leucinamide hydrochloride (5.0 g, 30.0 mmol) was treated with a saturated solution of K2CO3 (100 mL). The mixture was extracted with EtOAc (3×100 mL). The organic extracts were separated, combined, dried with Na2SO4, filtered and evaporated under reduced pressure.
- To a solution of L-Leucinamide (3.20 g, 24.5 mmol) in tetrahydrofuran (35 mL) was added 1,3-propanesultone (2.82 g, 23.3 mmol). The solution was stirred at reflux for 2 hours. The reaction mixture was cooled to room temperature. The solid was filtered and washed with acetone (2×25 mL). The solid was dissolved in 50% EtOH/water (200 mL). Dowex Marathon C ion exchange resin (strongly acidic, 25 g) was added to the solution. The suspension was stirred for 15 minutes before the resin was removed by filtration. The filtrate was evaporated to dryness under reduced pressure. The solid was suspended in acetone (75 mL), and it was then filtered and dried in vacuo, affording the title compound (3.13 g, 53%).
- 1H NMR (D2O, 500 MHz) δ ppm 3.79 (m, 1H), 3.04 (m, 2H), 2.85 (m, 2H), 2.02 (m, 2H), 1.65 (m, 1H), 1.54 (m, 2H), 0.80 (m, 6H). 13C (D2O, 125 MHz) δ ppm 171.46, 59.42, 48.04, 45.46, 39.04, 24.27, 22.24, 21.49, 21.17. [α]D=+13.5° (c=0.0026 in water), ES-MS 251 (M−1).
-
- L-Leucine benzylester p-tosylate (5.0 g, 12.7 mmol) was treated with a saturated solution of K2CO3 (100 mL). The mixture was extracted with EtOAc (3×100 mL). The organic extracts were separated, combined, dried with Na2SO4, filtered and evaporated under reduced pressure.
- To a solution of L-Leucine benzylester (2.81 g, 12.7 mmol) in tetrahydrofuran (6 mL), 1,4-dioxane (6 mL) and MeOH (6 mL) was added 1,3-propane sultone (1.40 g, 11.5 mmol). The solution was stirred at reflux for 2.5 hours. The reaction mixture was cooled to room temperature. The solid was filtered and washed with acetone (2×20 mL). The filtrate was evaporated under reduced pressure. The residue was dissolved in acetone (20 mL). The product was precipitated with Et2O (200 mL). The solid material was filtered. Both solids were combined and dissolved in 50% EtOH/water (200 mL). Dowex Marathon C ion exchange resin (strongly acidic) was added to the solution. The suspension was stirred for 15 minutes before the resin was removed by filtration. The filtrate was evaporated under reduced pressure and lyophilized, affording the title compound (1.87 g, 47%). 1H NMR (DMSO, 500 MHz) δ ppm 9.34 (s (broad), 1H), 7.39 (m, 5H), 5.25 (s, 2H), 4.10 (m, 1H), 3.09 (m, 2H), 2.60 (m, 2H), 1.95 (m, 2H), 1.64 (m, 3H), 0.86 (m, 6H). 13C (DMSO, 125 MHz) δ ppm 168.90, 134.91, 128.53, 128.50, 128.41, 67.38, 57.37, 49.17, 45.79, 38.06, 24.07, 22.79, 21.78, 21.33. [α]D=+1.8° (c=0.0017 in water), ES-MS 344 (M+1).
-
- L-Isoleucine methylester hydrochloride (5.0 g, 27.5 mmol) was treated with a saturated solution of K2CO3 (100 mL). The mixture was extracted with EtOAc (3×100 mL). The organic layers were separated, combined, dried with Na2SO4, filtered and evaporated under reduced pressure.
- To a solution of L-Isoleucine methlylester (3.43 g, 23.6 mmol) in acetone (30 mL) was added 1,3-propane sultone (2.62 g, 21.5 mmol). The solution was stirred at reflux for 2 h. The reaction mixture was cooled to room temperature. The solid was filtered and washed with acetone (2×20 mL). The filtrate was evaporated under reduced pressure. The residue was suspended in acetone (50 mL). The solid was filtered. The solid materials were combined and dissolved in water (100 mL). Dowex Marathon C ion exchange resin (strongly acidic) was added to the solution. The suspension was stirred for 15 minutes before the resin was removed by filtration. The filtrate was evaporated under reduced pressure. The solid product was suspended in acetone (100 mL), filtered and dried in vacuo, affording the title compound (3.23 g, 56%). 1H NMR (D2O, 500 MHz) δ ppm 4.00 (m, 1H), 3.74 (s, 3H), 3.14 (t, 2H, J=7.8 Hz), 2.89 (t, 2H, J=7.3 Hz ), 2.05 (m, 2H), 1.97 (m, 1H), 1.41 (m. 1H), 1.23 (m, 1H), 0.83 (m, 6H). 13C (D2O, 125 MHz) δ ppm 169.29, 64.51, 53.55, 48.14, 46.52, 36.07, 25.92, 21.34, 13.76, 11.09. [α]D=+22.6° (c=0.0023 in water), ES-MS 266 (M−1).
-
- L-Isoleucine methylester hydrochloride (5.0 g, 27.5 mmol) was treated with a saturated solution of K2CO3 (100 mL). The mixture was extracted with EtOAc (3×100 mL). The organic layers were separated, combined, dried with Na2SO4, filtered and evaporated under reduced pressure.
- To a solution of L-Isoleucine methlylester (3.43 g, 23.6 mmol) in acetone (30 mL) was added 1,3-propane sultone (2.62 g, 21.5 mmol). The solution was stirred at reflux for 2 hours. The reaction mixture was cooled to room temperature. The solid was filtered and washed with acetone (2×20 mL). The filtrate was evaporated under reduced pressure. The residue was suspended in acetone (50 mL). The solid was filtered. The solid materials were combined and dissolved in water (100 mL). Dowex Marathon C ion exchange resin (strongly acidic) was added to the solution. The suspension was stirred for 15 minutes before the resin was removed by filtration. The filtrate was evaporated under reduced pressure. The solid product was suspended in acetone (100 mL), filtered and dried in vacuo (3.23 g, 56%).
- The solid (1.0 g, 3.7 mmol) was dissolved in 2M NaOH (30 mL). The reaction mixture was stirred at room temperature overnight. Dowex Marathon C ion exchange resin (strongly acidic, 15 g) was added to the solution. The suspension was stirred for 15 minutes before the resin was removed by filtration. The filtrate was coevaporated with EtOH and lyophilized, affording the title compound (740 mg, 83%). 1H NMR (D2O, 500 MHz) δ ppm 4.00 (m, 1H), 3.59 (m, 3H), 3.07 (t, 2H, J=7.3 Hz), 2.86 (m, 2H), 2.02 (m, 2H), 1.84 (m, 1H), 1.39 (m. 1H), 1.19 (m, 1H), 0.81 (m, 6H). 13C (D2O, 125 MHz) δ ppm 169.29, 64.51, 53.55, 48.14, 46.52, 36.07, 25.92, 21.34, 13.76, 11.09. [α]D=+30.4° (c=0.0031 in water), ES-MS 252 (M−1).
-
- L-Phenylalaninamide hydrochloride (5.0 g, 24.9 mmol) was treated with a saturated solution of K2CO3 (75 mL). The mixture was extracted with EtOAc (3×75 mL). The organic layers were separated, combined, dried with Na2SO4, filtered and evaporated under reduced pressure.
- To a solution of L-Phenylalaninamide (3.93 g, 23.9 mmol) in acetonitrile (25 mL) was added 1,3-propane sultone (2.70 g, 21.8 mmol). The solution was stirred at reflux for 2 hours. The reaction mixture was cooled to room temperature. The solid was filtered and washed with acetonitrile (2×25 mL). The solid product was suspended in EtOH (100 mL). The suspension was stirred at reflux for 1 hour. The solid material was filtered and dried in vacuo, affording the title compound (5.18 g, 83%). 1H NMR (D2O, 500 MHz) δ ppm 7.24 (m, 3H), 7.16 (m, 2H), 4.02 (m, 1H), 3.15 (m, 1H), 3.01(m, 3H), 2.83 (m, 2H), 2.02 (m, 2H), 1.98 (m, 2H). 13C (D2O, 125 MHz) δ ppm 170.48, 133.72, 129.58, 129.21, 128.11, 61.55, 47.95, 45.52, 36.21, 21.44. [α]D=+23.1° (c=0.0021 in water), ES-MS 285 (M−1).
-
- D-Leucine methylester hydrochloride (2.63 g, 14.5 mmol) was treated with a saturated solution of K2CO3 (50 mL). The aqueous mixture was extracted with EtOAc (3×50 mL). The organic layers were separated, combined, dried with Na2SO4, filtered and evaporated under reduced pressure.
- To a solution of D-Leucine methylester (1.58 g, 10.9 mmol) in acetonitrile (35 mL) was added 1,3-propanesultone (1.21 g, 9.9 mmol). The solution was stirred at reflux for 2 hours. The reaction mixture was cooled to room temperature. The solid material was collected by filtration, recrystallized from EtOH and dried in vacuo, affording the title compound (1.59 g, 60%). 1H NMR (D2O, 500 MHz) δ ppm 3.98 (m, 1H), 3.70 (s, 3H), 3.11 (m, 2H), 2.85 (m, 2H), 2.00 (m, 2H), 1.72 (m, 1H), 1.60 (m, 2H), 0.81 (m, 6H). 13C (D2O, 125 MHz) δ ppm 170.51, 58.78, 53.69, 47.97, 45.36, 38.09, 24.34, 22.07, 21.51, 20.82.
- [α]D=+13.1° (c=0.0019 in water), ES-MS 266 (M−1).
-
- D-Valinamide hydrochloride (2.49 g, 14.7 mmol) was treated with a solution of K2CO3 (50 mL). The organic mixture was extracted with EtOAc (3×50 mL). The organic extracts were separated, combined, dried with Na2SO4, filtered, evaporated under reduced pressure and dried in vacuo.
- To a solution of D-valinamide (1.76 g, 14.7 mmol) in acetonitrile (30 mL) was slowly added 1,3-propanesultone (1.75 g, 14.4 mmol). The solution was stirred at reflux for 2 hours. The reaction mixture was cooled to room temperature. The solid was collected by filtration, washed with acetonitrile (2×25 mL). The solid product was dissolved in water (75 mL). Dowex Marathon C resin (strongly acidic) was added to the solution. The suspension was stirred for 15 minutes before the resin was removed by filtration. The filtrate was evaporated under reduced pressure. The solid material was suspended in acetone (50 mL), filtered and dried in vacuo, affording the title compound (1.57 g, 51%). 1H NMR (D2O, 500 MHz) δ ppm 3.80 (m, 1H), 3.19 (m, 2H), 3.00 (m, 2H), 2.25 (m, 1H), 2.16 (m, 2H), 1.08 (d, 3H, J=6.8 Hz), 1.02 (d, 3H, J=6.8 Hz). 13C (D2O, 125 MHz) δ ppm 169.94, 65.86, 48.10, 46.27, 29.54, 21.23, 17.99, 17.02. [α]D=−12.4° (c=0.0037 in water), ES-MS 237 (M−1).
-
- D-Phenylalaninamide hydrochloride (2.53 g, 12.6 mmol) was treated with a saturated solution of K2CO3 (50 mL). The mixture was extracted with EtOAc (3×50 mL). The organic layers were separated, combined, dried with Na2SO4, filtered and evaporated under reduced pressure.
- To a solution of D-Phenylalaninamide (1.83 g, 11.1 mmol) in acetonitrile (20 mL) was added 1,3-propane sultone (1.29 g, 10.6 mmol). The solution was stirred at reflux for 2.5 hours. The reaction mixture was cooled to room temperature. The solid was filtered and washed with acetonitrile (2×20 mL). The solid product was suspended in EtOH (75 mL). The suspension was stirred at reflux for 1 hours. The solid material was filtered, washed with acetone (1×25 mL) and dried in vacuo, affording the title compound (2.62 g, 89%). 1H NMR (D2O, 500 MHz) δ ppm 7.28 (m, 3H), 7.19 (m, 2H), 4.05 (m, 1H), 3.19 (dd, 1H, J=5.3 Hz, 14.2 Hz), 3.04 (m, 3H), 2.86 (t, 2H, J=5.8 Hz), 2.03 (m, 2H). 13C (D2O, 125 MHz) δ ppm 170.39, 133.73, 129.62, 129.26, 128.15, 61.57, 47.99, 45.57, 36.21, 21.45. [α]D=−20.7° (c=0.0038 in water), ES-MS 285 (M−1).
-
- L-Isoleucine benzylester p-tosylate (2.50 g, 6.4 mmol) was treated with a saturated solution of K2CO3 (30 mL). The mixture was extracted with EtOAc (3×30 mL). The organic extracts were separated, combined, dried with Na2SO4, filtered and evaporated under reduced pressure.
- To a solution of L-isoleucine benzylester (1.41 g, 6.4 mmol) in acetonitrile (12 mL) was added 1,3-propane sultone (706 mg, 5.8 mmol). The solution was stirred at reflux for 2 hours. The reaction mixture was cooled to room temperature. The solid was filtered and washed with acetone (2×20 mL). The solid material was dissolved in 50% EtOH/water (50 mL). Dowex Marathon C ion exchange resin (strongly acidic, 10 g) was added to the solution. The suspension was stirred for 15 minutes before the resin was removed by filtration. The filtrate was evaporated under reduced pressure and lyophilized affording the title compound (778 mg, 39%). 1H NMR (D2O, 500 MHz) δ ppm 7.49 (m, 5H), 5.42 (d, 1H, J=11.7 Hz), 5.31 (d, 1H, J=11.7 Hz), 3.24 (m, 2H), 2.98 (m, 2H), 2.13 (m, 3H), 1.46 (m, 1H), 1.34 (m, 1H), 0.93 (m, 6H). 13C (D2O, 125 MHz) δ ppm 168.53, 134.69, 129.28, 129.22, 129.06, 68.86, 64.45, 48.12, 46.56, 36.21, 25.97, 21.31, 13.73, 11.05. [α]D=−1.5° (c=0.0031 in water), ES-MS 342 (M−1).
-
- D-Leucinamide hydrochloride (1.0 g, 6.0 mmol) was treated with a saturated solution of K2CO3 (30 mL). The aqueous mixture was extracted with EtOAc (3×30 mL). The organic extracts were separated, combined, dried with Na2SO4, filtered and evaporated under reduced pressure.
- To a solution of D-Leucinamide (6.0 mmol) in acetonitrile (35 mL) was added 1,3-propanesultone (666 mg, 5.5 mmol). The solution was stirred at reflux for 2 hours. The reaction mixture was cooled to room temperature. The solid was filtered and washed with MeCN (2×20 mL). The solid was suspended in EtOH (50 mL). The suspension was stirred at reflux for 1 hour. The mixture was cooled to room temperature. The solid material was filtered, washed with acetone (1×20 mL) and dried in a vacuum oven (50° C.), affording the title compound (1.03 g, 74%): 1H NMR (D2O, 500 MHz) δ ppm 3.81 (m, 1H), 3.07 (m, 2H), 2.85 (t, 2H, J=7.3 Hz), 2.03 (m, 2H), 1.68 (t, 1H, J=7.8 Hz), 1.58 (m, 2H), 0.83 (m, 6H).
- 13C (D2O, 125 MHz) δ ppm 171.45, 59.39, 48.01, 45.41, 39.02, 24.24, 22.21, 21.47, 21.13.
- [α]D=−13.7° (c=0.0019 in water), ES-MS 251 (M−1).
-
- For the Ritter reaction, the flask was closed with a septum and connected to a 20% NaOH scrubber. Sodium cyanide (powdered, 5.5 g, 112 mmol) was added to acetic acid (30 mL) in one portion. The mixture was stirred for 10 minutes at room temperature. A solution of sulfuric acid (16 mL) in acetic acid (15 mL) was added dropwise over a 20 minute period. Then, a solution of 1-methyl-1-cyclopentanol (10 g, 99.8 mmol) in acetic acid (5 mL) was added dropwise over a 5 minute period. The mixture was stirred at room temperature for 22 hours then poured over ice (approx. 100 g). The pH of the solution was adjusted to 9 with the addition of 50% NaOH (about 135 g). The layers were separated and the aqueous layer was extracted with ether (1×40 mL). The combined organic layers were washed with saturated sodium carbonate (1×10 mL) then dried over sodium sulfate. The ether was evaporated under reduced pressure to afford light brown oil (12.04 g, 94.7 mmol, 95%). The oil showed to be a mixture of cis and trans formamide but what otherwise pure enough to be used as such. 1H NMR (500 MHz, CDCl3) δ [1.40 and 1.45 (s, 3H)], 1.68-1.76 (m, 7 H), 1.97-1.98 (m, 1H), [5.42 and 6.24 (br s, 1H)], [8.05 (s) and 8.24 (d, J=12.2 Hz) for 1H]; 13C NMR (125 MHz, CDCl3) δ 23.1, 23.6, 25.5, 28.2, 39.5, 40.7, 60.7, 61.3, 160.7, 163.9
- A solution of NaOH (25%, 80 mL) was added to the crude 1-methyl-1-cyclopentylformamide (12.00 g, 94.7 mmol). The mixture was heated to reflux for 2.5 hours then cooled at room temperature. Some sodium chloride (20 g) was added to facilitate the phase separation. The layers were separated and the aqueous layer was extracted with toluene (1×15 mL). The combined organic layers were agitated. The addition of isopropyl ether (2.5 mL, chloroform (1 g) and cyclohexane (6.5 g) did not improved the seperation of the solution. The combined organic layers were washed with brine (1×10 mL) then dried over sodium sulfate and filtered. The filtrate was used as such in the next step.
- 1H NMR (500 MHz, CDCl3) δ 1.22 (s, 3H), 1.47-1.75 (4 m, 9H): 13C NMR (125 MHz, CDCl3) δ 24.1, 29.6, 42.2, 58.4
- A solution of 1,3-propanesultone (9.4 g, 75 mmol) in 2-butanone (35 mL) was added dropwise to a the crude solution of 1-methyl-1-cyclopentylamine (mixture of solvent from previous step).
- The mixture was heated to reflux for 20 hours then was cooled to room temperature. The solid was collected by suction-filtration and rinsed with acetone (2×10 mL). The solid was dried overnight at 45° C. in the vacuum oven. The title compound was obtained as a fine white solid (16.26 g, 73.47 mmol, 74% overall yield). 1H NMR (500 MHz, D2O) δ 1.31 (s, 3H), 1.591.6-1-85 (m, 8H), 2.03-2.06 (m, 2H), 2.96 (t, J=6.8 Hz,2H), 3.15 (t, J=7.6 Hz,2H); 13C NRM (125 MHz, D2O) δ 22.1, 22.5, 23.6, 36.5, 41.4, 48.1, 66.8.1; ES-MS 220 (M−H)
-
- For the Ritter reaction, the flask was closed with a septum and connected to a 20% NaOH scrubber. Potassium cyanide (powdered, 3.3 g, 50 mmol) was added in portions to acetic acid (13 mL). The mixture was stirred for 10 minutes at room temperature. A solution of sulfuric acid (7 mL) in acetic acid (7 mL) was added drop-wise over a 10 minute period. Then, a solution of 1-methyl-1-cyclohexanol (5 g, 43.8 mmol) in acetic acid (4 mL) was added dropwise over a 5 minute period. The mixture was stirred at room temperature for 22 hours then poured over ice (approx. 50 g). The pH of the solution was adjusted to 9 with the addition of 50% NaOH (about 70 g). The layers were separated and the aqueous layer was extracted with ether (2×20 mL). The combined organic layers were washed with saturated sodium carbonate (1×10 mL) then dried over sodium sulfate. The ether was evaporated under reduced pressure to afford a clear yellow oil (6.56 g, quantitative). The oil showed to be a mixture of cis and trans formamide but what otherwise pure enough to be used as such.
- 1H NMR (500 MHz, CDCl3) δ 1.33-1.53 (3m, 11H), 1.67 (br s, 1H), 1.99 (m, 1H), [5.16 and 6.09 (br s, 1H)], [8.11 (s) and 8.25 (d, J=12.2 Hz) for 1H]; 13C NMR (125 MHz, CDCl3) δ 23.1, 23.6, 25.5, 28.2, 39.5, 40.7, 60.7, 61.3, 160.7, 163.9
- A solution of NaOH (20%, 40 mL) was added to the crude 1-methyl-1-cyclohexylformamide (43.8 mmol). The mixture was heated to reflux for 3 hours then cooled at room temperature. Some sodium chloride (7.5 g) was added to facilitate the phase separation. The layers were separated and the aqueous layer was extracted with MTBK (1×10 mL). The combined organic layers were washed with brine (1×5 mL) the dried over sodium sulfate and filtered. The filtrate was used as such in the next step. 1H NMR (500 MHz, CDCl3) δ 1.08 (s, 3H), 1.33-1.51 (m, 10H); 13C NMR (125 MHz, CDCl3) δ 22.8, 25.8, 29.6, 40.8, 48.6
- A solution of 1,3-propanesultone (5.00 g, 40 mmol) in toluene (10 mL) was added dropwise to a the crude solution of 1-methyl-1-cyclohexylamine in MTBK (total volume 30 mL). The mixture was heated to reflux for 18 hours then cooled to room temperature. The solid was collected by suction filtration, rinsed with acetone (2×8 mL). The solid was dried overnight at 45° C. in the vacuum oven. The title compound was obtained as a fine white solid (9.22 g). However, the proton NMR and the ES-MS were not clean. The solid was suspended in methanol (45 mL) and the suspension was warmed to reflux. Water (12 mL) was added dropwise until a clear yellow solution was obtained. The mixture was slowly cool to room temperature with stirring. The solid was collected by suction-filtration, rinsed with methanol (2×5 mL). Another crop was collected from the filtrate. Both crops were dried overnight at 45° C. in the vacuum oven. The title compound was obtained as a fine white solid (6.82 g, 29.0 mmol, 66% overall yield). Both crops were identical and were mixed for submitting the compound. 1H NMR (500 MHz, D2O) δ 1.04-1.11 (m, 1H), 1.19 (s, 3H), 1.31 (q, J=12.2 Hz, 2H), 1.40 (qt, J=12.2 Hz, 2H),1.46-1.62 (m, 2H), 1.63 (br d, J=11.7 Hz, 2H), 1.94 (q, J=7.3 Hz, 2H), 2.86 (t, J=7.1 Hz,2H), 3.03 (t, J=7.6 Hz, 2H); 13C NMR (125 MHz, D2O) δ 19.1, 21.5, 22.0, 24.6, 34.1, 39.1, 48.2, 60.2; ES-MS 236 (M+H).
-
- For the Ritter reaction, the flask was closed with a septum and connected to a 20% NaOH scrubber. Potassium cyanide (powdered, 2.8 g, 43 mmol) was added in portions to acetic acid (10 mL). The mixture was stirred for 10 minutes at room temperature. A solution of sulfuric acid (7 mL) in acetic acid (7 mL) was added drop-wise over a 20 minute period. Then, the 1-methyl-1-cycloheptanol (5 g, 39.0 mmol) was added drop-wise over 5 minutes. The mixture was stirred at room temperature for 22 h then cooled to 0° C. with a ice/water bath. The pH of the solution was adjusted to 9 with the addition of 50% NaOH (about 70 g). The layers were separated and the aqueous layer was extracted with ether (1×20 mL). The combined organic layers were washed with saturated sodium carbonate (1×5 mL) then dried over sodium sulfate. The ether was evaporated under reduced pressure to afford a clear yellow oil (5.71 g, 94%). The oil showed to be a mixture of cis and trans formamide but what otherwise pure enough to be used as such. 1H NMR (500 MHz, CDCl3) δ 1.34 (s, 1.5H), 1.43 (s, 1.5H), 1.49-1.60 (m, 8H), 1.96-2.00 (m, 1H), [5.28 and 5.95 (br s, 1H)], [8.06 (s) and 8.28 (d, J=12.2 Hz) for 1H]; 13C NMR (125 MHz, CDCl3) δ 22.2, 22.4, 27.7, 29.3, 29.4, 30.7, 40.5, 42.5, 56.0, 57.4, 160.5, 163.3
- A solution of NaOH (25%, 40 mL) was added to the crude 1-methyl-1-cycloheptylformamide (5.7 g). The mixture was heated to reflux for 3 hours then cooled at room temperature. Some sodium chloride (7.5 g) was added to facilitate the phase separation. The layers were separated and the aqueous layer was extracted with MTBK (1×10 mL). The combined organic layers were washed with brine (1×5 mL) the dried over sodium sulfate and filtered. The filtrate was used as such in the next step. 1H NMR (500 MHz, CD3OD) δ 1.10 (s, 3H), 1.40-1.48 (m, 2H), 1.5-1.65 (m, 10H); 13C NMR (500 CD3OD) δ 24.0, 31.2, 31.4, 44.4, 53.6
- A solution of 1,3-propanesultone (4.3 g, 35 mmol) in toluene (10 mL) was added dropwise to a the crude solution of 1-methyl-1-cycloheptylamine in MTBK (total volume 30 mL). The mixture was heated to reflux for 18 hours then was cooled to room temperature. The solid was collected by suction filtration, rinsed with acetone (2×5 mL). The solid was dried overnight at 45° C. in the vacuum oven. The title compound was obtained as a fine white solid (7.77 g, 31.2 mmol, 80% overall yield). 1H NMR (500 MHz, D2O) δ 1.27 (s, 3H),1.40-1.60 (m, 8H),1.71-1.81 (m, 4H), 2.00-2.06 (m, 2H), 2.95 (t, J=6.3 Hz,2H), 3.13 (t, J=7.1 Hz, 2H); 13C NMR (125 MHz, D2O) δ 22.0, 22.1, 23.3, 29.5, 37.1, 40.0, 48.3, 64.0; ES-MS 250(M+H)
-
- D-Leucine benzylester p-tosylate (2.5 g, 6.3 mmol) was treated with an aqueous solution of K2CO3 (30 mL). The mixture was extracted with EtOAc (3×30 mL). The organic extracts were separated, combined, dried with Na2SO4, filtered, evaporated under reduced pressure and dried in vacuo.
- To a solution of D-Leucine benzylester (6.3 mmol) in acetonitrile (9 mL) and MeOH (3 mL) was added 1,3-propane sultone (691 mg, 5.7 mmol). The solution was stirred at reflux for 2.5 hours. The reaction mixture was cooled to room temperature. The solid material was filtered and washed with aconitrile (2×20 mL). The solid was dissolved in 20% water/EtOH (75 mL). Dowex Marathon C ion exchange resin (strongly acidic) was added to the solution. The suspension was stirred for 15 minutes before the resin was removed by filtration. The filtrate was evaporated under reduced pressure and dried in vacuo, affording the title compound (960 mg, 49%). 1H NMR (D2O, 500 MHz) δ ppm 7.52 (m, 5H), 5.41 (d, 1H, J=12.2 Hz), 5.35 (d, 1H, J=12.2 Hz), 4.16 (m, 1H), 3.22 (m, 2H), 2.97 (t, 2H, J=6.8 Hz), 2.16 (m, 2H), 1.88 (m, 1H), 1.79 (m, 1H), 1.76 (m, 1H), 0.94 (d, 6H, J=3.9 Hz).
- 13C (DMSO, 125 MHz) δ ppm 169.60, 135.62, 129.24, 129.21, 129.11, 68.08, 58.09, 49.87, 46.48, 24.77, 23.50, 22.50, 22.04. [α]D=−2.1° (c=0.00095 in water), ES-MS 344 (M+1).
-
- To a solution of 6-amino-2-methyl-2-heptanol (2.5 g, 17.2 mmol) in acetonitrile (22 mL) was added 1,3-propane sultone (2.0 g, 16.4 mmol). The solution was stirred at reflux for 2 hours. The reaction mixture was cooled to room temperature. The solid material was filtered and washed with acetonitrile (2×20 mL). The solid was dissolved in 20% MeOH (75 mL). Dowex Marathon C ion exchange resin (strongly acidic) was added to the solution. The suspension was stirred for 15 minutes before the resin was removed by filtration. The filtrate was evaporated under reduced pressure. The solid was suspended in acetone (150 mL), and then the solid material was filtered and dried in vacuo, affording the title compound (3.08 g, 70%). 1H NMR (D2O, 500 MHz) δ ppm 3.19 (m, 1H), 3.08 (m, 2H), 2.88 (t, 2H, J=7.3 Hz), 1.99 (m, 2H), 1.60 (m, 2H), 1.36 (m, 4H), 1.18 (d, 3H, J=6.8 Hz), 1.07 (s, 6H). 13C (D2O, 125 MHz) δ ppm 71.63, 54.73, 48.08, 43.46, 42.27, 32.97, 27.78, 27.73, 21.64, 19.67, 15.43. ES-MS 268 (M+1).
-
- D-Alanine methylester hydrochloride (3.0 g, 21.5 mmol) was treated with a aqueous solution of K2CO3 (50 mL). The mixture was extracted with EtOAc (3×50 mL). The organic extracts were separated, combined, dried with Na2SO4, filtered and evaporated under reduced pressure.
- To a solution of D-Alanine methylester (1.33 g, 12.9 mmol) in acetonitrile (15 mLwas added 1,3-propane sultone (1.42 g, 11.7 mmol). The solution was stirred at reflux for 2 hours. The reaction mixture was cooled to room temperature. The solid material was filtered and washed with acetonitrile (2×15 mL). The solid was dissolved in water (30 mL). Dowex Marathon C ion exchange resin (strongly acidic) was added to the solution. The suspension was stirred for 15 minutes before the resin was removed by filtration. The filtrate was evaporated under reduced pressure and dried in vacuo, affording the title compound (1.52 g, 42%). 1H NMR (D2O, 500 MHz) δ ppm 4.07 (m, 1H), 3.72 (s, 3H), 3.14 (m, 2H), 2.89 (t, 2H, J=7.3 Hz), 2.03 (m, 2H), 1.46 (dd, 3H, J=1.95 Hz, 7.3 Hz). 13C (DMSO, 125 MHz) δ ppm 170.74, 55.62, 53.82, 47.96, 44.76, 21.53, 14.03. [α]D=+1.40 (c=0.0088 in water), ES-MS 224 (M−1).
-
- To a solution of 1,2,3,4-tetrahydro-1-naphthylamine (2.01 g, 13.6 mmol) in 2-butanone (15 mL) was added 2,4-butane sultone (1.95 g, 14.3 mmol). The solution was stirred at for 2 hours. The reaction was cooled to room temperature. The solid was collected by filtration, washed with acetone (2×25mL) and dried in vacuo. 1H NMR (DMSO, 500 MHz) δ ppm 8.56 (s (broad), 1H), 7.49 (dd, 1H, J=8.0 Hz, 11.9 Hz), 7.29 (m, 1H), 7.26 (m, 1H), 7.19 (d, 1H, J=8.0 Hz), 4.40 (d, 1H, J=13.7 Hz), 3.14 (m, 2H), 2.75 (m, 3H), 1.96 (m, 5H), 1.40 (m, 1H), 1.23 (m, 3H). 13C (DMSO, 125 MHz) δ ppm 138.81, 131.81, 130.40, 130.28, 130.16, 129.41, 126.76, 126.73, 54.97, 54.58, 54.08, 44.18, 43.23, 29.50, 28.84, 24.84, 24.76, 18.23, 18.20, 17.79, 17.01. ES-MS 284 (M+1).
-
- To a solution of octylamine (2.00 g, 15.5 mmol) in 2-butanone (17 mL) was added 2,4-butane sultone (2.21 g, 16.2 mmol). The solution was stirred at reflux for 2 hours. The reaction was cooled to room temperature. The solid was collected by filtration, washed with acetone (2×25 mL) and dried in vacuo. It was suspended in a solution of 25% EtOH/acetone (50 mL). The suspension was stirred for 5 minutes. The solid was collected by filtration, washed with acetone (2×25 mL) and dried in vacuo. 1H NMR (DMSO, 500 MHz) δ ppm 8.45 (s (broad), 1H), 3.01 (m, 1H), 2.84 (m, 2H), 2.58 (m, 1H), 1.92 (m, 1H), 1.75 (m, 1H), 1.51 (m, 2H), 1.10 (d, 1H, J=6.8 Hz), 0.85 (t, 3H, J=6.8 Hz). 13C (DMSO, 125 MHz) δ ppm 53.05, 47.27, 46.15, 31.83, 29.42, 29.13, 26.51, 26.27, 22.75, 17.19, 14.64. ES-MS 266 (M+1).
-
- 1-adamantaneamine hydrochloride (2.51 g, 13.3 mmol) was treated with 1N NaOH (20 mL) and CH2Cl2 (3×20 mL). The organic extracts were combined, dried with Na2SO4, filtered, evaporated under reduced pressure and dried in vacuo.
- To a solution of 2-adamantanamine (1.99 g, 13.1 mmol) in acetonitrile (15 mL) was added 2,4-butane sultone (1.87 g, 13.8 mmol). The solution was stirred at reflux for 2 hours. The reaction was cooled to room temperature. The solid was collected by filtration, washed with acetonitrile (3×25 mL) and dried in vacuo. 1H NMR (DMSO, 500 MHz) δ ppm 8.53 (s (broad), 1H), 3.33 (m, 2H), 2.61 (m, 1H), 2.10 (s, 3H), 1.93 (m, 1H), 1.77 (m, 7H), 1.61 (m, 6H), 1.12 (d, 1H, J=6.8 Hz). 13C (DMSO, 125 MHz) δ ppm 56.20, 53.34, 35.85, 29.75, 29.04, 17.206. ES-MS 288 (M+1).
-
- The 2-adamantanamine hydrochloride (2.50 g, 13.3 mmol) was treated with 1N NaOH (20 mL) and CH2Cl2 (3×20 mL). The organic extracts were combined, dried with Na2SO4, filtered, evaporated under reduced pressure and dried in vacuo.
- To a solution of 1-adamantanamine (1.99 g, 13.1 mmol) in acetonitrile (15 mL) was added 2,4-butane sultone (1.87 g, 13.8 mmol). The solution was stirred at reflux for 2 hours. The reaction was cooled to room temperature. The solid was collected by filtration, washed with acetonitrile (2×25 mL) and dried in vacuo. 1H NMR (DMSO, 500 MHz) δ ppm 3.20 (m, 1H), 3.05 (m, 2H), 2.67 (m, 1H), 2.07 (m,2H), 2.00 (m,1H), 1.95 (m, 4H), 1.82 (m, 4H), 1.69 (m, 4H), 1.55 (m, 4H), 1.12 (d, 1H, J=8.0 Hz). 13C (DMSO, 125 MHz) δ ppm62.27, 53.91, 44.33, 37.30, 36.82, 36.77, 30.30, 30.20, 29.57, 29.50, 28.95, 17.12, 26.85, 17.44. ES-MS 288 (M+1).
-
- To a solution of exo-2-aminonorbornane (1.0 g, 9.0 mmol) in tetrahydrofuran (THF, 10 mL) was added 2,4-butane sultone (1.28 g, 9.3 mmol). The solution was stirred at reflux for 3 hours. The reaction was cooled to room temperature. The solid was collected by filtration, washed with THF (2×20 mL) and dried in vacuo. 1H NMR (DMSO, 500 MHz) δ ppm 8.43 (s (broad), 1H), 2.96 (m, 3H), 2.62 (m, 1H), 2.38 (m, 1H), 2.28, (m, 1H), 1.91 (m, 1H), 1.82 (m, 1H), 1.61 (m, 1H), 1.54 (m, 2H), 1.42 (m, 2H), 1.12 (m, 6H). 13C (DMSO, 125 MHz) δ ppm 60.92, 60.79, 53.61, 53.21, 44.55, 44.36, 39.80, 39.55, 36.27, 36.15, 36.11, 35.98, 35.19, 35.13, 29.62, 29.43, 28.07, 26.88, 17.56, 14.11. ES-MS 248 (M+1).
-
- Quinuclidine hydrochloride (2.50 g, 16.9 mmol) was treated with 1N NaOH (20 mL) and CH2Cl2 (4×20 mL). The organic extracts were combined, dried with Na2SO4, filtered, evaporated under reduced pressure and dried in vacuo.
- To a solution of quinuclidine (900 g, 8.2 mmol) in tetrahydrofuran (THF, 18 mL) and MeOH (0.5 mL) was added 2,4-butane sultone (1.16 g, 8.6 mmol). The solution was stirred at reflux overnight. The reaction was cooled to room temperature. The solid was collected by filtration, washed with THF (2×25 mL) and dried in vacuo. 1H NMR (DMSO, 500 MHz) δ ppm 3.40 (m, 7H), 3.20 (td, 1H, J=3.9 Hz, 12.7 Hz), 2.38 (m, 1H), 2.01 (m, 2H), 1.83, (m, 6H), 1.70 (m, 1H), 1.10 (d, 3H, J=12.7 Hz). 13C (DMSO, 125 MHz) δ ppm 62.63, 54.2 52.18, 25.67, 24.07, 19.78, 17.04. ES-MS 208 (M+1).
-
- To a solution of DL-2-aminopentanol (1.0 g, 9.7 mmol) in tetrahydrofuran (11 mL) was added 2,4-butane sultone (1.45 g, 10.2 mmol). The solution was stirred at reflux for 4 hours. The reaction was cooled to room temperature. The supernatant was removed and the solid was dried in vacuo. The product was suspended in 2-propanol (100 mL) and the mixture was stirred for 5 minutes. The white solid was filtered, washed with 2-propanol and dried in vacuo. 1H NMR (D2O, 500 MHz) δ ppm 3.74 (d, 1H, J=12.7 Hz,), 3.59 (dd, 1H, J=5.4 Hz, 12.9 Hz), 3.13 (m, 3H), 2.89 (m, 1H), 2.07 (m, 1H), 1.82, (m, 1H), 1.52 (m, 2H), 1.28 (m, 2H), 1.18 (d, 3H, J=6.8 Hz). 13C (D2O, 125 MHz) δ ppm 59.43, 58.80, 53.47, 42.88, 29.30, 28.43, 18.40, 14.99, 13.23. ES-MS 240 (M+1).
-
- To a solution of nonylamine (2.00 g, 14.0 mmol) in tetrahydrofuran (THF, 15 mL) was added 2,4-butane sultone (2.08 g, 14.7 mmol). The solution stirred at reflux for 5 hours. The reaction was cooled to room temperature. The solid was collected by filtration, washed with THF (2×25 mL) and dried in vacuo.
- The product (1.10 g, 3.9 mmol) was dissolved with heating in a solution of EtOH (20 mL), water (600 uL) and NaOH (163 mg, 4.1 mmol). After a few minutes a white solid precipitated. The solid was collected by filtration, washed with acetone (2×25 mL) and dried in vacuo. 1H NMR (D2O, 500 MHz) δ ppm 2.70 (m, 1H), 2.52 (m, 2H), 2.37 (m, 1H), 1.95 (m, 1H), 1.46 (m, 1H), 1.34 (m, 1H), 1.14 (m, 17H), 0.70 (t, 3H, J=6.8 Hz). 13 C (D2O, 125 MHz) δ ppm 54.31, 52.90, 50.44, 31.31, 28.80, 28.74, 28.57, 27.31, 26.95, 22.20, 14.60, 13.57. ES-MS 302 (M+1).
-
- 2,4-butanesultone (1.27 g, 8.9 mmol) was added to an ice-chilled solution of dimethylamine (40% w/w in water). The solution was stirred at 0° C. for 4 hours. The solvent was evaporated in vacuo until complete dryness. The solid was washed with acetone (50 mL), collected by filtration and dried in vacuo. 1H NMR (D2O, 500 MHz) δ ppm 3.18 (t, 2H, J=8.1 Hz), 2.85 (m, 1H), 2.76 (s, 6H), 2.09 (m, 1H), 1.81 (m, 1H), 1.17 (d, 3H, J=7.3 Hz).
- 13C (D2O, 125 MHz) δ ppm55.65, 53.05, 42.88, 26.72, 14.81. ES-MS 182 a (M+1).
-
- To a solution of benzylamine (1.50 g, 14.0 mmol) in tetrahydrofuran (THF, 18 mL) was added 2,4-butane sultone (1.98 g, 14.6 mmol). The solution was stirred at reflux for 2 hours. The reaction was cooled to room temperature. The solid was collected by filtration, washed with THF (2×25 mL) and dried in vacuo.
- The product (2.55 g, 10.5 mmol) was dissolved with heating in a solution of EtOH (25 mL), water (1.6 mL) and NaOH (440 mg, 11.0 mmol). Diethyl ether (150 mL) was added to the filtrate. The solid was filtered and dried in vacuo. Yield: 27%. 1H NMR (DMSO, 500 MHz) δ ppm 7.29 (m, 4H), 7.20 (m, 1H), 3.67 (m, 2H), 2.56 (m, 1H), 2.45 (m, 2H), 1.98 (m, 1H), 1.36 (m, 1H), 1.04 (d, 3H, J=6.8 Hz). 13C (DMSO, 125 MHz) δ ppm 141.49, 128.73, 128.61, 127.16, 53.49, 52.88, 47.31, 32.67, 16.53. ES-MS 266 (M+1).
-
- A solution of 2,4-butanesultone (1.33 g, 9.3 mmol) in tetrahydrofuran (THF, 3.0 mL) was added via syringe pump over a 2 h period to ethylamine (70% w/w in water, 12.0 mL, 186.0 mmol) at 5° C. The solution was stirred at 5° C. for an additional 2 hours. The solvent was coevaporated with EtOH (3×25mL). The solid was suspended in acetone (25 mL). The suspension was stirred for 5 minutes the solid was filtered, washed with acetone (2×25 mL) and dried in vacuo. Yield: 70%. 1H NMR (D2O, 500 MHz) δ ppm 3.06 (t, 2H, J=8.1 Hz), 2.97 (m, 2H), 2.87 (m, 2H), 2.06 (m, 1H), 1.77 (m, 1H), 1.18 (d, 3H, J=7.3 Hz), 1.14 (t, 3H, J=7.3 Hz). 13C (D2O, 125 MHz) δ ppm 53.16, 44.91, 43.03, 28.20, 14.76, 10.66. ES-MS 182 (M+1).
-
- To a solution of tert-butylamine (1.0 mL, 9.5 mmol) in tetrahydrofuran (4 mL) was added 1,4-butane sultone (1.36 g, 10.0 mmol) at room temperature. The solution was stirred at reflux for 2 hours. The reaction was cooled to room temperature. The solid was collected by filtration, washed with acetone (2×20 mL) and dried in vacuo. Yield: 690 mg (34%). 1H NMR (D2O, 500 MHz) δ ppm 2.92 (t, 2H, J=7.1 Hz), 2.82 (t, 2H, J=7.1 Hz), 1.68 (m, 4H), 1.22 (s, 9H). 13C (D2O, 125 MHz) δ ppm 57.07, 50.30, 40.95, 25.28, 24.96, 21.62. ES-MS 210 (M−1).
-
- A solution of 2,4-butanesultone (1.0 g, 7 mmol) in tetrahydrofuran (THF, 4.0 mL) was added via syringe pump over a 4 h period to ammonium hydroxide (28-30% NH3, 43 mL, 350 mmol) at 5° C. The solution was stirred at 5° C. for an additional 30 minutes. The solvent was coevaporated with EtOH (3×25 mL). The solid was dried in vacuo. Yield: 94%. 1H NMR (D2O, 500 MHz) δ ppm 3.05 (m, 2H), 2.90 (m, 1H), 2.05 (m, 1H), 2.06 (m, 1H), 1.77 (m, 1H), 1.18 (d, 3H, J=6.8 Hz), 1.14 (t, 3H, J=7.3 Hz). 13C (DMSO, 125 MHz) δ ppm 52.75, 38.20, 30.87, 17.27. ES-MS 154 (M+1).
-
- To a solution of piperidine (1.50 g, 17.6 mmol) in tetrahydrofuran (THF, 20 mL) was added 2,4-butanesultone (2.50 g, 18.5 mmol). The solution was stirred at reflux for 3 hours. The reaction was cooled to room temperature. The solid was collected by filtration, washed with THF (2×20 mL) and dried in vacuo.
- The product (3.53 g, 15.9 mmol) was dissolved with heating in a solution of EtOH (30 mL), water (1.3 mL) and NaOH (670 mg, 16.7 mmol). The solution was poured in a large excess of Et2O (500 mL). The solid was filtered, washed with Et2O (1×25 mL) and acetone (1×20 mL) and dried in vacuo. Yield: 64%. 1H NMR (D2O, 500 MHz) δ ppm 2.72 (m, 1H), 2.33 (m, 6H), 1.97 (m, 1H), 1.48 (m, 1H), 1.43 (m, 4H), 1.31 (m, 1H), 1.13 (d, 3H, J=6.8 Hz). 13C (D2O, 125 MHz) δ ppm 55.78, 54.42, 53.61, 27.73, 24.92, 23.59, 14.61. ES-MS 244 (M+1).
-
- A solution of 1,4-butanesultone (2.66 g, 18.6 mmol) in tetrahydrofuran (total volume: 4 mL) was added via syringe pump over a 4 hour period to ethylamine (70% w/w in water, 24 mL, 372 mmol) at 5° C. The solution was stirred at 5° C. for an additional 3 hours before it was warm up to room temperature. The reaction was stirred in these conditions overnight. The solvent was coevaporated with EtOH (1×25 mL). The solid was suspended in 50% acetone/EtOH (50 mL). The suspension was stirred for 5 minutes, the solid was filtered and dried in vacuo. Yield: 75%. 1H NMR (D2O, 500 MHz) δ ppm 2.95 (m, 4H), 2.82 (m, 2H), 1.68 (m, 4H), 1.13 (t, 3H, J=7.3 Hz), 1.14 (t, 3H, J=7.3 Hz). 13C (D2O, 125 MHz) δ ppm50.27, 46.68, 42.99, 24.66, 21.48, 10.64. ES-MS 182 (M+1).
-
- To a solution of quinuclidine (1.5 g, 13.5 mmol) in tetrahydrofuran (THF, 15 mL) was added 1,4-butanesultone (2.0 g, 14.4 mmol) at room temperature. The solution was stirred at reflux for 2 hours. The reaction was cooled to room temperature. The solid was collected by filtration, washed with THF (2×25 mL) and dried in vacuo. 1H NMR (D2O, 500 MHz) δ ppm 3.26 (m, 6H), 3.02 (m, 2H), 2.82 (t, 2H, J=17.3 Hz), 2.04 (m, 1H), 1.84, (m, 6H), 1.75 (m, 2H), 1.64 (m, 2H). 13C (D2O, 125 MHz) δ ppm 63.68, 54.81, 50.14, 23.51, 21.45, 20.58, 19.19. ES-MS 248 (M+1).
-
- A solution of 3-chloro-2-hydroxy-1-propanesulfonic acid, sodium salt (10 g, 48.3 mmol) in water (40 mL total volume) was added via a syringe pump over 4 hours to a cold (2.8-3.1° C.) solution of dimethylamine (40% wt in water, 300 mL) with stirring. The mixture was slowly warmed to room temperature overnight. The mixture was then coevaporated with absolute ethanol (20 mL) and concentrated to dryness. The solid was dried overnight at 60° C. in the vacuum oven. The solid was suspended in ethanol (40 mL) stirred at reflux for 2 hours. The suspension was cooled to 5° C. and the solid was collected by suction-filtration, aspirator-dried 5 minutes, then dried for the weekend at 60° C. in the vacuum oven (wet cake: 13.74 g). The desired material was obtained as an off-white solid (11.65 g, quantitative).
-
- A solution of 1,4-butane sultone (7.5 mL, 73.6 mmol) in 1,4-dioxane (total volume: 10 mL) was added over 4 hours via a syringe pump to a cold (4.3° C.) solution of dimethylamine (40% wt in water, 275 mL). The mixture was stirred for 3 hours at 4° C. after the end of the addition, then overnight at room temperature. The mixture was concentrated to dryness. The solid was suspended in absolute ethanol (50 mL) and the mixture was heated to reflux for 90 minutes. The suspension was cooled to 5° C. and the solid was collected by suction-filtration, rinsed with ethanol (2×10 mL). The solid was dried for 18 h at 60° C. in the vacuum oven. The desired material was obtained as a fine white powder 13.21 g, 72.9 mmol, 99% yield. The 1H and 13C NMR and MS were consistent with the structure.
-
- A solution of 3-chloro-2-hydroxy-1-propanesulfonic acid sodium salt (10 g, 50.9 mmol) in water (total volume: 40 mL) was added over 5 hours, via a syringe pump, to a cold (4.7° C.) solutionsolution of ethyl amine in water. The mixture was stirred for an additional 2 hours at 4.7° C. then for 18 hours at room temperature. NMR: quantitative yield. The mixture was concentrated. A solid could not be obtained: the sodium salt was too hygroscopic. The solution was treated with Amberlite IR-120 Plus, acid form, ion-exchange resin to give the free acid. It was still too hygroscopic to be obtained as a solid form. Submitted as a solution: d=1.314 g/mL, 62.5% w/w of the free acid in water. The 1H and 13C NMR and MS were consistent with the structure.
-
- A solution of 3-chloro-2-hydroxy-1-propanesulfonic acid, sodium salt (15 g, 25 mmol) in water (12 mL total volume) was added over 5 minutes to a mixture of tert-butylamine (12.5 mL), water (6 mL) and methanol (3 mL). The mixture was heated at 35° C. for 1 h, 40° C. for 1 h, 45° C. for 1.5 hours. The mixture was the concentrated to a thick oil. The crude reaction mixture was passed over a column of Dowex 50 X 8 (125 g). The fractions containing the product were concentrated to dryness. The solid was dried overnight at 60° C. in the vacuum oven. The solid was recrystallized in a mixture of methanol (25 mL) and water (7 mL). The mixture was cooled slowly to room temperature, then to 5° C. The solid was collected by suction-filtration, rinsed with ethanol (1×10 mL). The solid was then dried for 18 hours at 60° C. in the vacuum oven. The desired material was obtained as an off-white solid (3.11 g, 14.7 mmol, 59%). The 1H and 13C NMR and MS were consistent with the structure.
-
- A solution of 3-chloro-2-hydroxy-1-propanesulfonic acid, sodium salt (4 g, 20 mmol) in water (17.5 mL total volume) was added over 2 hours to a mixture of octylamine (8 mL), water (20 mL) and 1,4-dioxane (11 mL) at 70-75° C. The mixture was stirred at this temperature for another 2 hours after the end of the addition. The 1,4-dioxane was removed under reduced pressure and the mixture was diluted with water (10 mL). The mixture was extracted with 40% ethyl acetate/hexane (3×40 mL). The aqueous layer was concentrated then the mixture was passed over a column of Dowex 50 X 8 (125 g). The fractions containing the pure product were concentrated to a thick oil then freeze-dried. The desired material was obtained as a white fluffy solid (150 mg, 0.56 mmol, 3%). The 1H and 13C NMR and MS were consistent with the structure.
-
- A solution of 3-chloro-2-hydroxy-1-propanesulfonic acid, sodium salt (2 g, 10 mmol) in water (12 mL total volume) was added over 1 hour to a mixture of quinuclidine (1.63 g, 4.7 mmol), water (10 mL) and 1,4-dioxane (10 mL) at 80° C. The mixture was stirred at this temperature for another 2 hours after the end of the addition. The reaction mixture was concentrated then the mixture was passed over a column of Dowex 50 X 8 (125 g). The fractions containing the pure product were concentrated to a white solid. The solid was dried for 18 hours at 60° C. in the vacuum oven. The desired material was obtained as a white solid (1.92 g, 7.7 mmol, 77%). The 1H and 13C NMR and MS were consistent with the structure.
-
- A solution of 3-chloro-2-hydroxy-1-propanesulfonic acid, sodium salt (4 g, 20 mmol) in water (12.5 mL total volume) was added over 2 hours to a mixture of benzylamine (4.28 g, 40 mmol), water (10 mL) and 1,4-dioxane (5 mL) at 80° C. The mixture was stirred at this temperature for another 2.5 hours after the end of the addition. The reaction mixture was extracted with chloroform (2×40 mL). It was then concentrated to dryness. The crude solid was recrystallized in a mixture of ethanol (30 mL) and water (4 mL). The mixture was left to cool to room temperature for the night. The solid was collected by suction-filtration, rinsed with ethanol (10 mL) and dried in the vacuum oven at 60° C. The desired material was obtained as a white solid (2.67 g, 10 mmol, 50%). The 1H and 13C NMR and MS were consistent with the structure.
-
- A solution of 3-chloro-2-hydroxy-1-propanesulfonic acid, sodium salt (2 g, 10 mmol) in water (9.75 mL total volume) was added over 8 hours to a mixture of 1,2,3,4-tetrahydro-1-nahtylamine (2 g, 13.6 mmol), water (10 mL) and 1,4-dioxane (4 mL) at 40° C. The mixture was stirred at this temperature for another 18 hours after the end of the addition. The reaction was not completed. The mixture was heated for 2 hours at reflux. The mixture was diluted with water (10 mL) and 50% w/w NaOH (0.25 mL) was added. The reaction mixture was extracted with chloroform (2×25 mL). It was then concentrated to a thick oil. The solution was applied on a Dowex 50 W 8 column (100 g). The fractions containing the product were concentrated, treated with activated charcoal (no effect) and freeze-dried. The desired material was obtained as a glassy solid (0.85 g, 3 mmol, 30%). The 1H and 13C NMR and MS were consistent with the structure.
-
- A solution of 3-chloro-2-hydroxy-1-propanesulfonic acid, sodium salt (4 g, 20 mmol) in water (13.35 mL total volume) was added over 5 hours to a solution of piperidine (8 mL g, 80 mmol), in water (15 mL) at 70° C. The mixture was stirred at 80° C. for 2 hours. The reaction was completed. The mixture was stirred at room temperature for the night. The mixture was diluted with water (10 mL) and was extracted with chloroform (3×30 mL). It was then concentrated to a thick oil. The solution was applied on a Dowex 50 W 8 column (100 g). The fractions containing the product were concentrated to dryness then recrystallized in a mixture of ethanol (30 mL) and water (2.1 mL). The mixture was cooled slowly at room temperature. The solid was collected by suction filtration, rinsed with ethanol (2×5 mL) air dried 5 minutes, then 18 hours at 60° C. in the vacuum oven. The desired material was obtained as a fine white solid (3.06 g, 13.7 mmol, 68%). The 1H and 13C NMR and MS were consistent with the structure.
-
- 1-adamantaneamine hydrochloride (2.67 g, 13.3 mmol) was treated with 1N NaOH (20 mL) and CH2Cl2 (3×20 mL). The biphasic solution was shaken. The organic extracts were combined, dried with Na2SO4, filtered, evaporated under reduced pressure and dried in vacuo.
- To a solution of 2-adamantanamine (1.87 g, 12.4 mmol) in tetrahydrofuran (THF, 15 mL) was added 1,4-butane sultone (1.76 g, 13.0 mmol). The solution was stirred at reflux overnight. The reaction was cooled to room temperature. The solid was collected by filtration, washed with THF (1×15 mL) and dried in vacuo. A suspension of the solid in EtOH (25 mL ) was stirred at reflux for 1 hour. The warm mixture was filtered. The solid was dried in vacuo. 1H NMR (D2O, 500 MHz) δ ppm 2.92 (m, 2H), 2.82 (m, 1H), 2.05 (s, 3H), 1.75 (s, 6H), 1.63 (m, 6H), 1.52 (m, 3H). 13C (D2O, 125 MHz) δ ppm 57.62, 50.30, 39.03, 38.14, 35.09, 28.98, 25.25, 21.63. ES-MS 288 (M+1).
-
- To a solution of octylamine (2.20 g, 17.0 mmol) in tetrahydrofuran (11 mL) was added 1,4-butane sultone (2.30 g, 16.2 mmol). The solution was heated to reflux for 5 hours. The reaction was cooled to room temperature. The product formed a gel. A few drops of EtOH were added to dissolve the product. The solution was poured in a large excess of acetone (25 mL). After 5 minutes, a white solid precipitated. The solid was collected by filtration and dried in vacuo. The product was dissolved in EtOH and Dowex 50 X 8 resin (pre-washed, 6 g) was added to the solution. The suspension was stirred for 15 minutes and the resin was filtered. The filtrate was evaporated under educed pressure and the product was dried in vacuo. Yield: 31%. 1H NMR (DMSO, 500 MHz) δ ppm 8.24 (s (broad), 1H), 2.85 (m, 4H), 2.45 (m, 2H), 1.64 (m, 4H), 1.61 (m, 2H), 1.25 (m, 10H), (m, 2H), 0.85 (t, 3H, J=6.8 Hz). 13C (DMSO, 125 MHz) δ ppm 51.22, 47.54, 47.38, 31.82, 29.14, 26.59, 26.13, 25.51, 22.95, 22.75, 14.64. ES-MS 266 (M+1).
-
- To a solution of cyclohexylamine (1.50 g, 15.1 mmol) in tetrahydrofuran (15 mL) was added 2,4-butane sultone (2.04 g, 14.4 mmol). The solution stirred at reflux for 2 hours. The reaction was cooled to room temperature. The solid was collected by filtration and dried in vacuo. Yield: 59%. 1H NMR (DMSO, 500 MHz) δ ppm 8.50 (s (broad), 1H), 3.02 (m, 2H), 2.93 (m, 1H), 2.60 (m, 1H), 1.93 (m, 3H), 1.75 (m, 3H), 1.57 (m, 1H), 1.21 (m, 4H), 1.11 (m, 4H). 13C (DMSO, 125 MHz) δ ppm 56.23, 53.20, 43.09, 29.54, 29.41, 29.39, 25.40, 24.42, 17.23. ES-MS 234 (M−1).
-
- To a solution of DL-2-aminopentanol (1.0 g, 9.7 mmol) in tetrahydrofuran (6 mL) was added 1,4-butane sultone (1.31 g, 9.2 mmol) at room temperature. The solution was stirred at reflux for 5 hours. The reaction was cooled to room temperature. The supernatant was removed and the solid was dried in vacuo. The white solid was filtered, washed with acetone (2×25 mL) and dried in vacuo. Yield: 45%. 1H NMR (DMSO, 500 MHz) δ ppm 8.20 (s (broad), 1H), 5.23 (m, 1H), 3.66 (m, 1H), 3.49 (m, 1H), 3.02 (m, 1H), 2.91 (m, 2H), 2.46 (t, 2H, J=7.3 Hz), 1.65, (m, 4H), 1.54 (m, 2H), 1.38 (m, 2H), 0.88 (t, 3H, J=7.3 Hz).
- 13C (DMSO, 125 MHz) δ ppm 58.83, 58.54, 51.23, 44.77, 29.91, 25.56, 23.06, 18.95, 14.48.
- ES-MS 238 (M−1).
-
- To a solution of veratrylamine (1.50 g, 9.0 mmol) in 1,4-dioxane (8 mL) was added 1,4-butane sultone (1.21 g, 8.5 mmol) at room temperature. The mixture was then heated at reflux for 2 hours. The reaction was cooled to room temperature. The solid was collected by filtration, washed with acetone (2×25 mL) and dried on pump. Yield: 18%. 1H NMR (D2O, 500 MHz) δ 6.96 (m, 3H), 4.04 (s, 2H), 3.74 (m, 6H), 2.95 (t, 2H, J=6.8 Hz), 2.80 (t, 2H, J=7.3 Hz), 1.68, (m, 4H). 13C (D2O, 125 MHz) δ ppm 149.19, 148.50, 123.82, 123.36, 113.25, 112.17, 55.91, 50.88, 50.24, 46.41, 24.55, 21.50. ES-MS 302 (M−1).
-
- 1-adamantaneamine hydrochloride (2.67 g, 14.2 mmol) was treated with 1N NaOH (20 mL) and CH2Cl2 (3×20 mL). The organic extracts were combined, dried with Na2SO4, filtered, evaporated under reduced pressure and dried in vacuo.
- To an 80° C. solution of 1-adamantanamine(2.15 g, 14.2 mmol) in 1,4-dioxane (10 mL) and water (5 mL) was added via syringe pump (1 h addition) a solution of 3-chloro-2-hydroxy-propanesulfonic acid, sodium salt (1.93 g, 9.7 mmol) in 1,4-dioxane (0.5 mL) and water (10 mL). The solution was stirred at reflux overnight. The reaction was cooled to room temperature. The solvent was evaporated under reduced pressure. The solid was suspended in 25% acetone/EtOH. The mixture was heated to reflux for 1 minute. The solid was collected by filtration. The pure product crystallized in the filtrate. The product was filtered, washed with EtOH (2×10 mL), dissolved in water and lyophilized. Yield: 15%. 1H NMR (D2O, 500 MHz) δ ppm 4.18 (m, 1H), 3.22 (m, 1H), 3.01 (m, 2H), 2.94 (m, 1H), 2.06 (s, 3H), 1.77 (m, 7H), 1.61 (d, 3H),1.53 (m, 3H). 13C (D2O, 125 MHz) δ ppm 64.23, 57.99, 55.05, 44.10, 38.10, 35.07, 29.03. ES-MS 288 (M—Na (23)).
-
- 2-adamantanamine hydrochloride (2.50 g, 13.3 mmol) was treated with 1 N NaOH (20 mL) and CH2Cl2 (3×20 mL). The organic extracts were combined, dried with Na2SO4, filtered, evaporated under reduced pressure and dried in vacuo.
- To a solution of 2-adamantanamine (1.06 g, 7.0 mmol) in 1,4-dioxane (6 mL) was added 1,4-butane sultone (955 mg, 6.7 mmol). The solution was stirred at reflux for 5 hours. The reaction was cooled to room temperature. The solid was collected by filtration. It was suspended in EtOH (25 mL) and the mixture was heated to reflux for 1 minute before the solid was filtered. It was washed with EtOH (1×15 mL) and dried in vacuo. Yield: 55%. 1H NMR (D2O, 500 MHz) δ ppm 3.29 (m, 1H), 2.97 (m, 2H), 2.83 (m, 2H), 2.02 (m, 2H), 1.83 (m, 2H), 1.68 (m, 14H). 13C NMR (D2O, 125 MHz) δ ppm 63.07, 50.25, 45.03, 36.55, 36.31, 29.85, 29.05, 26.68, 26.41, 24.47, 21.61. ES-MS 286 (M−1).
-
- To an 80° C. solution of 2-adamantanamine hydrochloride (2.50 g, 13.3 mmol) and sodium hydroxide (586 mg, 14.6 mmol) in 1,4-dioxane (7 mL) and water (7 mL) was added via syringe pump (1 hour addition) a solution of 3-chloro-2-hydroxy-propane sulfonic acid, sodium salt (1.76 g, 8.9 mmol) in 1,4-dioxane (1 mL) and water (9 mL). The solution was stirred at 80° C. for an additional 4 hours. The reaction was cooled to room temperature. The solvent was evaporated under reduced pressure. The solid was suspended in EtOH (25 mL). The mixture was heated to reflux for 1 minute. The solid was removed by filtration. The pure product crystallized in the filtrate. The product was filtered, washed with EtOH (1×10 mL) and dried in vacuo. Yield: 30%. 1H NMR (D2O, 500 MHz) δ ppm 4.30 (m, 1H), 3.35 (m, 2H), 3.03 (m, 3H), 2.07 (m, 2H), 1.84 (m, 2H), 1.75 (m, 4H), 1.65 (d, 6H). 13C (D2O, 125 MHz) δ ppm 63.31, 55.03, 49.51, 36.51, 36.33, 36.26, 29.78, 29.23, 28.81, 26.63, 26.38.
- ES-MS 289 (M+1).
-
- To an 80° C. solution of exo-2-aminonorbornane (910 mg, 8.2 mmol) and sodium hydroxide (242 mg, 6.1 mmol) in 1,4-dioxane (4 mL) and water (4 mL) was added via syringe pump (1 hour addition) a solution of 3-chloro-2-hydroxy-propane sulfonic acid, sodium salt (1.09 g, 5.5 mmol) in 1,4-dioxane (0.5 mL) and water (5.5 mL). The solution was stirred at 80° C. for an additional 5 hours. The reaction was cooled to room temperature. The solvent was evaporated under reduced pressure. The solid was suspended in EtOH (25 mL). The mixture was heated to reflux for 1 minute. The solid was recovered by filtration and it was passed through an ion exchange column (Dowex 50 X 8, 100 g, solvent: water). The product was recrystallized in EtOH/water (99/1). Yield: 17%. 1H NMR (D2O, 500 MHz) δ ppm 4.25 (m, 1H), 3.25 (m, 2H), 3.01 (m, 4H), 2.39 (m, 1H), 2.27 (m, 1H), 1.69 (m, 1H), 1.51 (m, 1H), 1.38 (m, 3H), 1.19 (m, 1H), 1.07 (m, 2H). 13C (D2O, 125 MHz) δ ppm 63.66, 63.50, 62.21, 61.98, 54.94, 50.11, 50.04, 39.26, 39.21, 36.02, 35.97, 35.91, 35.80, 34.70, 34.61, 27.11, 27.08, 26.50, 26.45. ES-MS 250 (M−1).
-
- To a hot solution of isoamylamine (2.0 g, 22.9 mmol) in tetrahydrofuran (THF, 11 mL) was added via syringe pump (2 hour addition) a solution of 2,4-butane sultone (3.1 g, 21.8 mmol in THF (total of 5 mL)). The solution was stirred at reflux for an additional 2 hours. The reaction was cooled to room temperature. The solid was recovered by filtration and it was washed with THF (25 mL) and acetone (25 mL). The solid was dissolved in water (20 mL) and Dowex 50 X 8 (10 g) was suspended in the solution. The mixture was stirred for 15 minutes and the resin was filtered. The solvent was evaporated under reduced pressure. Yield: 28%. 1H NMR (H2O, 500 MHz) δ ppm 3.07 (t, 2H, J=7.8 Hz), 2.92 (t, 2H, J=7.8 Hz), 2.87 (m, 1H), 2.06 (m, 1H), 1.77 (m, 1H), 1.51 (m, 1H), 1.42 (m, 2H), 1.18 (d, 3H, J=6.8 Hz), 0.78 (d, 3H, J=6.3 Hz). 13C (H2O, 125 MHz) δ ppm 53.21, 46.32, 45.73, 34.36, 28.16, 25.35, 21.51, 14.79. ES-MS 224 (M+1).
-
- To a 80° C. solution of isoamylamine (2.0 g, 22.9 mmol) in 1,4-dioxane (9 mL) and water (3 mL) was added via syringe pump (1 h addition) a solution of 3-chloro-2-hydroxy-propane sulfonic acid, sodium salt (3.04 g, 15.3 mmol) in 1,4-dioxane (9.5 mL) and water (0.5 mL). The solution was stirred overnight at 80° C. The solvent was evaporated. The product was passed through an ion exchange column (Dowex 50 X 8, 100 g, solvent: water). It was recrystallized in absolute EtOH and lyophilized. Yield: 27%. 1H NMR (H2O, 500 MHz) δ ppm 4.24 (m, 1H), 3.22 (m, 1H), 3.02 (m, 5H), 1.49 (m, 3H), 0.79 (d, 3H, J=6.3 Hz). 13C (H2O, 125 MHz) δ ppm 63.54, 54.89, 51.53, 46.48, 34.12, 25.46, 21.56, 21.46. ES-MS 226 (M+1).
-
- To a 80° C. solution of DL-2-amino-1-pentanol (1.0 g, 9.7 mmol) in 1,4-dioxane (5 mL) and water (3 mL) was added via syringe pump (1 hour addition) a solution of 3-chloro-2-hydroxy-propane sulfonic acid, sodium salt (1.84 g, 9.2 mmol) in 1,4-dioxane (6 mL) and water (0.5 mL). The solution was stirred overnight at 80° C. The solvent was evaporated. The product was passed through an ion exchange column (Dowex 50 X 8, 100 g, solvent: water). The product was dissolved. It was recrystallized in absolute EtOH and lyophilized.
- Yield: 27%. 1H NMR (H2O, 500 MHz) δ ppm 4.26 (m, 1H), 3.77 (m, 1H), 3.32 (m, 1H), 3.24 (m, 1H), 3.03 (m, 3H), 1.54 (m, 2H), 1.29 (m, 2H), 0.81 (t, 3H, J=7.3 Hz). 13C (H2O, 125 MHz) δ ppm 63.69, 63.60, 59.49, 59.38, 58.81, 58.36, 54.98, 48.68, 48.27, 29.32, 28.85, 18.40, 18.38, 13.12. ES-MS 242 (M+1).
-
- To a hot solution of 2-mercaptobenzimidazole (2.0 g, 13.3 mmol) in 1,4-dioxane (12 mL) and water (3 mL) was added via syringe pump (1 hour addition) a solution of 2,4-butane sultone (1.80 g, 12.7 mmol in 1,4-dioxane (total of 3 mL)). The solution was stirred at reflux for an additional 3 hours. The solid was collected by filtration. It was washed with acetone (2×20 mL) and dried in vacuo. Yield: 86%. 1H NMR (DMSO, 500 MHz) δ ppm 7.64(m, 2H), 7.44 (m, 2H), 3.63 (t, 2H, J=7.3 Hz), 2.68 (m, 1H), 2.10 (m, 1H), 1.90 (m, 1H), 1.15 (d, 3H, J=6.8 Hz). 13C (DMSO, 125 MHz) δ ppm 152.64, 133.32, 125.66, 113.67, 53,10, 39.72, 33.48, 30.14, 16.85. ES-MS 287 (M+1).
-
- To a solution of cyclohexylamine (2.0 g, 20.2 mmol) in 1,4-dioxane (13 mL) was added 1,4-butane sultone (2.61 g, 19.2 mmol). The solution was heated to reflux for 2 hours. The reaction was cooled to room temperature. The solid was collected by filtration, washed with acetone (2×20 mL) and dried in vacuo. Yield: 52%. 1H NMR (D2O, 500 MHz) δ ppm 2.95 (m, 3H), 2.81 (m, 2H), 1.92 (m, 2H), 1.67 (m, 6H), 1.52 (m, 1H), 1.18 (m, 4H), 1.20 (m, 1H). 13C (D2O, 125 MHz) δ ppm 57.32, 50.31, 44.01, 29.02, 24.84, 24.68, 24.07, 24.55. ES-MS 236 (M+1).
-
- The flask was closed with a septum and connected to a 20% NaOH scrubber for the Ritter Reaction. Potassium cyanide (3.25 g, 50 mmol) was added to acetic acid (13 mL) and the mixture was stirred for 10 min at room temperature. A solution of sulfuric acid (7 mL) in acetic acid (6 mL) was added and the resulting suspension was stirred 10 minutes at room temperature. The 3-methyl-3-pentanol (5 g, 48.9 mmol) was added drop-wise over a 5 minute period. The mixture was stirred at room temperature for 4 hours, at which time some chunks of potassium cyanide were still visible.
- Another portion of potassium cyanide (0.6 g, powdered) was added and the mixture was stirred for 18 hours at room temperature. The mixture was purged with nitrogen for 1 h then poured over ice (approx. 50 g). The pH of the solution was adjusted to 9 with the addition of 20% NaOH (use 50% next time to reduce the volume). The layers were separated and the aqueous layer was extracted with ether (1×20 mL). The combined organic layers were washed with saturated potassium carbonate (1×5 mL) then dried over magnesium sulfate. The ether was evaporated under reduced pressure to afford a yellow oil (4.11 g, 31.8 mmol, 64%). The oil showed to be a mixture of cis and trans formamide but what otherwise pure enough to be used as such. 1H NMR (500 MHz, DMSO-d6) δ 0.75-0.80 (m, 6H), 1.11-1.12 (m, 3H), 1.40-1.54 (m, 2H), 1.66-1.73 (m, 2H), 7.35-7.45 (br s and br d, 1H), [7.88 (s) and 8.08 (d, J=11.7 Hz) for 1H); 13C NMR (125 MHz, DMSO-d6) δ 7.7, 7.9, 23.4, 24.2, 30.6, 33.8, 55.6, 160.3, 163.3
- The 1-ethyl-1-methyl-propylformamide (4.00 g, 31.1 mmol) was added to 20% NaOH (40 mL). The mixture was heated to reflux for 4 hours then was left overnight at room temperature. Toluene (10 mL) was added and the layers were separated. The organic layer was dried over sodium sulfate then filtered. The final volume of the filtrate was about 30 mL. It was used as such in the next step.
- A solution of 1,3-propanesultone (2.5 g, 20 mmol) in 2-butanone (10 mL) was added to a solution of 3-methyl-3-ethyl-3-propylamine in toluene (total volume: 30 mL). The mixture was heated to reflux for 5 hours then was cooled to room temperature. The solid was collected by suction-filtration and rinsed with acetone (2×5 mL). The solid was dried overnight at 45° C. in the vacuum oven. The title compound was obtained as a fine white solid (3.63 g, 16.3 mmol, 33% overall yield). 1H NMR (500 MHz, DMSO-d6) δ 0.79 (t, J=7.3 Hz, 6H), 1.15 (s, 3H),1.53-1.59 (m, 4H), 1.97-2.00 (m, 2H), 2.89 (t, J=7.1 Hz, 2H), 3.03 (t, J=7.6 Hz, 2H); 13C NMR (125 MHz, DMSO-d6) δ 6.8, 20.2, 21.9, 27.7, 39.7, 48.2, 63.3
- ES-MS 224; (M+H)
-
- To a cooled solution of sodium methoxide (0.5 M in MeOH, 25 mL1) was added via syringe over a 10 minutes period 2-nitropropane (5.0 g, 56 mmol). The reaction mixture was stirred at room temperature for 30 minutes and recooled before m-anisaldehyde (6.8 mL, 56 mmol) was added. The reaction mixture was stirred at room temperature overnight. The mixture was neutralized with Amberlite IR-120 (strongly acidic). The resin was removed by filtration and washed with MeOH (2×20 mL). The filtrate was evaporated. The resulting oil was purified by flash chromatography: 98% Hexanes/EtOAc to 90% Hexanes/EtOAc, affording the desired nitro compound (5.70 g, 45%).
- To a solution of the nitro compound (5.70 g, 25.3 mmol)) in MeOH (25 mL) was added 6M HCl (25 mL). After cooling to 5° C., zinc powder (8.2 g, 125 mmol) was added. The suspension was stirred at 0-5° C. and at room temperature overnight. The mixture was filtered on a celite pad. The filter cake was washed with MeOH (2×20 mL). The combined filtrates were evaporated under reduced pressure. The residue was dissolved in EtOAc (40 mL). The mixture was exctracted with 5% NaOH (1×40 mL). The aqueous phase was exctracted with EtOAc (2×40 mL). The combined organic extracts were dried with Na2SO4, filtered, evaporated and dried in vacuo to afford the corresponding amine. The amine (2.15 g, 44%) was used without further purification.
- To a solution of amine (2.15 g, 11.0 mmol) in Pinacolone (6 mL) and toluene (6 mL) was added 1,3-propane sultone (1.28 g, 10.5 mmol). The solution was stirred at reflux overnight. The reaction mixture was cooled to room temperature. The solid material was collected by filtration, was washed with acetone (2×20 mL). The solid was suspended in EtOH (30 mL). The suspension was stirred at reflux for 1 hour. The mixture was cooled to room temperature. The white solid was filtered, washed with acetone (2×15 mL) and dried in a vacuum oven at 50° C., affording the title compound, 2.26 g (66%). 1H NMR (DMSO, 500 MHz) δ ppm 8.45 (s (broad), 1H), 7.26 (t, 1H, J=7.9 Hz), 6.89 (m, 3H), 6.30 (d, 1H, J=3.2 Hz), 4.69 (d, 1H, J=3.8 Hz), 3.74 (s, 3H), 3.10 (m, 2H), 2.62 (t, 2H, J=6.7 Hz), 2.00 (m, 2H), 1.07 (m, 6H). 13C (DMSO, 125 MHz) δ ppm 159.24, 142.09, 129.45, 120.80, 114.30, 113.76, 74.16, 62.48, 55.92, 50.10, 41.57, 23.30, 21.18, 19.37. ES-MS 316 (M−1).
-
- NaOMe (0.5M, 40 mL) was added to nitrocyclohexane (2.58 g, 20 mmol) and the solution was stirred for 30 minutes then concentrated to afford a white solid. To this solid was added 4-methylbenzylpyrridinium (6.6 g, 13 mmol) and DMSO (20 mL). The mixture was heated at 100° C. for 15 hours then cooled to rt and diluted with HCl (1M) and EtOAc. After separation of the two phases, the organic layer was washed twice with HCl (1M) then concentrated to obtain an oily crude. Methanol was added to precipitate the pyridinium byproduct which was filtered off, and the filtrate was concentrated and purified by column using Hex:EtOAc 90:10 to obtain the desired nitro (still contaminated with the pyridinium salt). 2 g, 66% yield.
- To a stirred solution of the nitro (2.0 g, 8.58 mmol) in methanol (20 mL) was added a spatula of Raney-Ni in water. The suspension was hydrogenated under atmospheric pressure of hydrogen for 15 hours (TLC indicates complete consumption of the starting material) then filtered on celite and concentrated under reduced pressure. The crude was purified by column using CH2Cl2:MeOH 80:10 to afford 1.2 g of the corresponding amine.
- To a stirred solution of the amine (800 mg, 3.93 mmol) in THF (8 mL) was added 1,3-propane sultone (480 mg, 3.93 mmol). The reaction mixture was stirred at reflux for 15 hours then cooled to room temperature. The solid was collected by filtration and was washed with THF. The solid was suspended in EtOH (10 mL) and stirred at reflux for 1 hour. The suspension was then cooled to room temperature. The solid was collected by filtration, washed with ethanol and dried under high vacuum to afford the title compound, 1.1 g (86%).
- 1H NMR (500 MHz, DMSO-d6) δ 1.18-1.78 (m, 10H), 2.00 (m, 2H), 2.29 (s, 3H), 2.65 (m, 2H), 2.92 (s, 2H), 3.12 (m, 2H), 7.10-7.16 (m, 2H), 8.39 (bs, 2H). 13NMR (125 MHz, DMSO-d6) δ 20.74, 21.35, 22.80, 25.05, 31.60, 41.04, 50.24, 61.63, 129.71, 131.38, 132.44, 136.80. ES-MS 324 (M−1).
-
- To a stirred solution of the phenol (233 mg, 1 mmol) in DMF/THF (2.5 mL/2.5 mL) was added MeI (93 uL, 1.5 mmol) followed by K2CO3 (276 mg, 2 mmol). The suspension was heated at reflux for 15 hours then diluted with HCl (1M) and with EtOAc. The organic layer was washed with HCl(1M) then concentrated under high vacuum. The crude was purified by column using Hex:EtOAc 90:10 to obtain 215 mg of the methoxy (87% yield).
- To a stirred solution of the nitro (300 mg, 1.2 mmol) in methanol (5 mL) was added asmall spatula of Raney-Ni in water. The suspension was hydrogenated under atmospheric pressure of hydrogen for 3 hours (TLC indicates complete consumption of the starting material) then filtered on prewashed celite and concentrated tinder reduced pressure. The crude amine was used as such in the next step.
- To the crude amine (240 mg, 1.34 mmol) in solution in THF (3 mL) was added 1,3-sultone (181 mg, 1.48 mmol) and the mixture was heated at reflux of THF for 12 hours. The suspension of was cooled down and filtered. The solid was dried to afford 270 mg of the homotaurin as a white solid (67% yield). 1H NMR (500 MHz, D2O) δ 1.11 (s, 6H), 2.00 (m, 2H), 2.67 (m, 2H), 2.80 (m, 2H), 3.12 (m, 2H), 3.74 (s, 3H), 6.90 (m, 2H), 7.14 (m, 2H), 8.61 (bs, 2H). ES-MS 272 (M−1). ES-MS 300 (M−1).
-
- To a solution of 2-nitropropane (3.0 g, 34 mmol), p-tolualdehyde (4.0 mL, 34 mmol) and Tetrahydrofuran (30 mL) was added Amberlyst A-21 (7 g). The reaction mixture was stirred at room temperature for 40 hours. The resin was removed by filtration and washed with THF (2×20 mL). The filtrate was evaporated. The resulting oil was purified by flash chromatography: 98% Hexanes/EtOAc to 90% Hexanes/EtOAc, affording the desired nitro compound (820 mg, 12%).
- A suspension of Pd/C and the nitro compound (820 mg, 3.9 mmol) in EtOAc (10 mL) was stirred under H2 (1 atm) overnight. The mixture was filtered on a celite pad. The celite was washed with EtOAc (2×15 mL). The combined filtrates were evaporated under reduced pressure to afford the corresponding amine. The amine (470 mg, 67%) was used without further purification.
- To a solution of amine (470 mg, 2.6 mmol) in pinacolone (5 mL) and Toluene (5 mL) was added 1,3-propane sultone (310 mg, 2.5 mmol). The solution was stirred at reflux for 4 hours. The reaction mixture was cooled to room temperature. The solid was collected by filtration, was washed with acetone (2×10 mL) and dried in vacuo, affording the title compound, 196 mg (26%). 1H NMR (DMSO, 500 MHz) δ ppm 8.46 (s (broad), 1H), 7.24 (d, 2H, J=7.8 Hz), 7.16 (d, 2H, J=8.3 Hz), 6.23 (d, 1H, J=3.9 Hz), 4.68 (d, 1H, J=3.9 Hz), 3.11 (m, 2H), 2.63 (t, 2H, J=6.8 Hz), 2.29 (s, 3H), 2.00 (m, 2H), 1.04 (s, 6H). 13C (DMSO, 125 MHz) δ ppm 137.69, 137.56, 129.03, 128.45, 74.07, 62.38, 49.91, 41.35, 22.99, 21.39, 20.81, 18.76. ES-MS 300 (M−1).
-
- NaOMe (0.5M, 20 mL) was added to 2-nitropropane (890 mg, 10 mmol) and the solution was stirred for 30 minutes then concentrated to afford a white solid. To this solid was added 4-methylbenzylpyrridinium (3.3g, 15 mmol) and DMSO (15 mL). The mixture was heated at 100° C. for 15 hours then cooled to room temperature and diluted with HCl (1M) and EtOAc. After separation of the two phases, the organic layer was washed twice with HCl (1M) then concentrated to obtain an oily crude product. Methanol was added to precipitate the pyridinium byproduct which was filtered off, and the filtrate was concentrated and purified by column using Hex:EtOAc 90:10 to obtain the desired nitro but still contaminated with the pyridinium salt. 1.32 g, 66% yield.
- To a stirred solution of the nitro (700 mg, 3.62 mmol) in methanol (10 mL) was added a small spatula of Raney-Ni in water. The suspension was hydrogenated under atmospheric pressure of hydrogen for 15 hours (TLC indicates complete consumption of the starting material) then filtered on celite and concentrated under reduced pressure. The crude amine was used as such in the next step.
- To a stirred solution of the amine (550 mg, 3.39 mmol) in THF (8 mL) was added 1,3-propane sultone (414 mg, 3.39 mmol). The reaction mixture was stirred at reflux for 6 hours then cooled to room temperature. The solid was collected by filtration and was washed with THF. The solid was suspended in EtOH (5 mL) and stirred at reflux for 1 hour. The suspension was then cooled to room temperature. The solid was collected by filtration, washed with ethanol and dried under high vacuum to afford the title compound, 210 mg (22%). 1H NMR (500 MHz, DMSO-d6) δ 1.13 (s, 6H), 2.00 (m, 2H), 2.66 (dd, J=7.0 & 7.0 Hz, 2H), 2.75 (s, 2H), 3.10 (dd, J=7.0 & 7.0 Hz, 2H), 6.72 (d, J=8.3 Hz, 2H), 7.00 (d, J=8.3 Hz, 2H), 8.60 (bs, 2H), 9.36 (s, 1H). 13NMR (125 MHz, DMSO-d6) δ 23.1, 41.2, 43.2, 49.8, 59.4, 115.7, 125.9, 132.3, 157.1. ES-MS 284 (M−1).
-
- 14 g of washed Amberlyst A21 ion exchange resin were placed in a round bottom flask to which was added nitropropane (14 mL, 120 mmol) and 4F-fluorobenzaldehyde (7.45 g, 60 mmol). The reaction mixture was stirred overnight then diluted with Et2O and filtered. The filtrate was concentrated under rotavap vaccuo then pump vaccuo by heating at 120° C. to remove the excess of aldehyde. The crude was purified by column using Hex:EA 90:10 to afford 3.3 g (25%) of the Henry-aldol product as a colorless solid.
- To a solution of the nitro compound (5 g, 23.5 mmol) in MeOH (100 mL) was added 6M HCl (25 mL). After cooling to 5° C., zinc powder (7.6 g, 117 mmol) was added. The suspension was stirred at room temperature for 3 hours then filtered on a celite pad. The filter cake was washed with MeOH (2×20 mL). The combined filtrates were evaporated under reduced pressure. The residue was dissolved in EtOAc (40 mL), then K2CO3 (1M) was added until basic pH. The organic phase was dried with Na2SO4, filtered, evaporated and dried in vacuo to afford 3.5 g (83% yield) of the corresponding amine. The amine was used without further purification.
- To a stirred solution of the amine (3.3 g, 18.0 mmol) in THF (20 mL) was added 1,3-propane sultone (2.2 g, 18.0 mmol). The reaction mixture was stirred at reflux for 15 hours then cooled to room temperature. The solid was collected by filtration, washed with ethanol and with Et2O then dried under high vacuum to afford the title compound, 4.25 g (77% yield). 1H NMR (500 MHz, DMSO-d6) δ 1.13 (s, 6H), 2.00 (m, 2H), 2.66 (dd, J=7.0 & 7.0 Hz, 2H), 2.75 (s, 2H), 3.10 (dd, J=7.0 & 7.0 Hz, 2H), 6.72 (d, J=8.3 Hz, 2H), 7.00 (d, J=8.3 Hz, 2H), 8.60 (bs, 2H), 9.36 (s, 1H). 13NMR (125 MHz, DMSO-d6) δ 23.1, 41.2, 43.2, 49.8, 59.4, 115.7, 125.8, 132.3, 157.1. 19F (282 MHz, DMSO-d6) δ−115.15 (m, 1F). ES-MS 304 (M−1).
Claims (45)
1. A compound of Formula I:
wherein:
R1 is a substituted or unsubstituted cycloalkyl, heterocyclic, aryl, arylcycloalkyl, bicyclic or tricyclic ring, a bicyclic or tricyclic fused ring group, or a substituted or unsubstituted C2-C10 alkyl group;
R2 is hydrogen or alkyl;
Y is SO3 −X+;
X+ is hydrogen or a cationic group; and
each of L1 and L2 is independently a substituted or unsubstituted C1-C5 alkyl group or absent, or a pharmaceutically acceptable salt, ester or prodrug thereof, provided that when R1 is alkyl, L1 is absent; provided that when R2 is benzyl, L1 is methylene, R1 is phenyl, L2 is —(CH2)3—, Y is not SO3 −X+, provided that when R2 is hydrogen, L2 is —(CH2)3—, L1 is methylene, R1 is 1,3-benzodioxol-5-yl or 3,4-methoxybenzyl, Y is not SO3 −X+, and provided that when R2 is hydrogen, L2 is —(CH2)3—, L1 is absent, R1 is t-butyl, isobutyl, pentyl, n-heptyl, n-octyl, n-nonyl, cyclohexyl, isopropyl, isoamyl, 1-hydroxy-2-propyl, 3,5-dimethyl-1-adamantyl, 1-hydroxy-2-pentyl, 3-methyl butyric acid, -4-methyl-pentanoic acid methyl ester, or 2,2-diphenyl-ethyl, Y is not SO3 −X+.
2. A compound of Formula II:
wherein:
R1 is a substituted or unsubstituted cyclic, bicyclic, tricyclic, or benzoheterocyclic group or a substituted or unsubstituted C2-C10 alkyl group;
R2 is hydrogen, alkyl, mercaptoalkyl, alkenyl, alkynyl, cycloalkyl, aryl, arylalkyl, thiazolyl, triazolyl, imidazolyl, benzothiazolyl, benzoimidazolyl, or linked to R1 to form a heterocycle;
Y is SO3 −X+, OSO3 −X+, or SSO3 −X+;
X+ is hydrogen, a cationic group, or an ester forming moiety;
m is 0;
n is 1, 2, 3, or 4;
L is substituted or unsubstituted C1-C3 alkyl group or absent,
or a pharmaceutically acceptable salt, ester or prodrug thereof, provided that when R1 is alkyl, L is absent.
3.-15. (canceled)
17. A compound of Formula III:
wherein:
A is nitrogen or oxygen;
R11 is hydrogen, salt-forming cation, ester forming group, or —(CH2)x-Q;
Q is hydrogen, thiazolyl, triazolyl, imidazolyl, benzothiazolyl, or benzoimidazolyl;
x is 0, 1, 2, 3, or 4;
n is 0, 1, 2,3, 4, 5, 6, 7, 8, 9, or 10;
R3, R3a, R4, R4a, R5, R5a, R6, R6a, R7 and R7a are each independently hydrogen, alkyl, mercaptoalkyl, alkenyl, alkynyl, cycloalkyl, aryl, alkylcarbonyl, arylcarbonyl, alkoxycarbonyl, cyano, halogen, amino, tetrazolyl, or two R groups on adjacent ring atoms taken together with the ring atoms form a double bond, provided that one of R3, R3a, R5, R5a, R6, and R6a is a moiety of Formula IIIa:
wherein:
m is 0, 1, 2, 3, or 4;
RA, RB, RC, RD, and RE are independently selected from a group of hydrogen, halogen, hydroxyl, alkyl, alkoxyl, halogenated alkyl, mercaptoalkyl, alkenyl, alkynyl, cycloalkyl, aryl, cyano, thiazolyl, triazolyl, imidazolyl, tetrazolyl, benzothiazolyl, and benzoimidazolyl; and pharmaceutically acceptable salts, esters, and prodrugs thereof, provided that said compound is not 3-(4-phenyl-1,2,3,6-tetrahydro-1-pyridyl)-1-propanesulfonic acid, and provided that when R3a, R4, R4a, R5, R5a, R6, R6a, R7 and R7a are hydrogen, and R3 is not a moiety of Formula IIIa.
18.-32. (canceled)
34. A compound of Formula IV:
wherein:
A is nitrogen or oxygen;
R11 is hydrogen, salt-forming cation, ester forming group, or —(CH2)x-Q;
Q is hydrogen, thiazolyl, triazolyl, imidazolyl, benzothiazolyl, or benzoimidazolyl;
x is 0, 1, 2, 3, or 4;
n is 0, 1,2,3, 4, 5, 6, 7, 8, 9, or 10;
R4, R4a, R5, R5a, R6, R6a, R7, and R7a are each independently hydrogen, alkyl, mercaptoalkyl, alkenyl, alkynyl, cycloalkyl, aryl, alkylcarbonyl, arylcarbonyl, alkoxycarbonyl, cyano, halogen, amino, tetrazolyl, R4 and R5 taken together, with the ring atoms they are attached to, form a double bond, or R6 and R7 taken together, with the ring atoms they are attached to, form a double bond;
m is 0, 1, 2, 3, or 4;
R8, R9, R10, R11, and R12 are independently selected from a group of hydrogen, halogen, hydroxyl, alkyl, alkoxyl, halogenated alkyl, mercaptoalkyl, alkenyl, alkynyl, cycloalkyl, aryl, cyano, thiazolyl, triazolyl, imidazolyl, tetrazolyl, benzothiazolyl, and benzoimidazolyl; or pharmaceutically acceptable salts, esters, and prodrugs thereof.
35.-40. (canceled)
42. A compound of Formula V:
wherein:
A is nitrogen or oxygen;
R11 is hydrogen, salt-forming cation, ester forming group, —(CH2)x-Q, or when A is nitrogen, A and R11 taken together may be the residue of a natural or unnatural amino acid or a salt or ester thereof, wherein A and R11 taken together are not a leucine residue;
Q is hydrogen, thiazolyl, triazolyl, imidazolyl, benzothiazolyl, or benzoimidazolyl;
x is 0, 1, 2, 3, or 4;
n is 0, 1,2,3, 4, 5, 6, 7, 8, 9, or 10;
aa is a natural or unnatural amino acid residue;
m is 0, 1, 2, or 3;
R14 is hydrogen or protecting group;
R15 is hydrogen, alkyl or aryl;
and pharmaceutically acceptable salts, esters, or prodrugs thereof.
43.-50. (canceled)
52. The compound of the Formula VI:
wherein:
n is 1, 2, 3, 4, 5, 6, 7, 8, 9, or 10;
A is oxygen or nitrogen;
R11 is hydrogen, salt-forming cation, ester forming group, —(CH2)x-Q, or when A is nitrogen, A and R11 taken together may be the residue of a natural or unnatural amino acid or a salt or ester thereof;
Q is hydrogen, thiazolyl, triazolyl, imidazolyl, benzothiazolyl, or benzoimidazolyl;
x is 0, 1, 2, 3, or 4;
R19 is hydrogen, alkyl or aryl;
Y1 is oxygen, sulfur, or nitrogen;
Y2 is carbon, nitrogen, or oxygen;
R20 is hydrogen, alkyl, amino, mercaptoalkyl, alkenyl, alkynyl, cycloalkyl, aryl, arylalkyl, thiazolyl, triazolyl, tetrazolyl, imidazolyl, benzothiazolyl, or benzoimidazolyl;
R21 is hydrogen, alkyl, mercaptoalkyl, alkenyl, alkynyl, cycloalkyl, aryl, arylalkyl, thiazolyl, triazolyl, tetrazolyl, imidazolyl, benzothiazolyl, benzoimidazolyl, or absent if Y2 is oxygen;
R22 is hydrogen, alkyl, mercaptoalkyl, alkenyl, alkynyl, cycloalkyl, aryl, arylalkyl, thiazolyl, triazolyl, tetrazolyl, imidazolyl, benzothiazolyl, benzoimidazolyl; or R22 is hydrogen, hydroxyl, alkoxy or aryloxy if Y1 is nitrogen; or R22 is absent if Y1 is oxygen or sulfur; or R22 and R21 may be linked to form a cyclic moiety if Y1 is nitrogen;
R23 is hydrogen, alkyl, amino, mercaptoalkyl, alkenyl, alkynyl, cycloalkyl, aryl, arylalkyl, thiazolyl, triazolyl, tetrazolyl, imidazolyl, benzothiazolyl, or benzoimidazolyl, or absent if Y2 is nitrogen or oxygen;
or pharmaceutically acceptable salts, esters, or prodrugs thereof, provided that when n is 3, Y1 is oxygen, Y2 is oxygen, R21 is benzyl, A is oxgen, R19 is not hydrogen; and provided that when n is 3, Y1 is oxygen, Y2 is carbon, each of R20, R21, and R23 is methyl, R19 is not hydrogen, and provided that R21 and R22 are not linked to form an aryl ring.
53.-62. (canceled)
64. A compound of Formula VII, wherein said compound is of the formula:
wherein:
n is 2, 3, or 4;
A is oxygen or nitrogen;
R11 is hydrogen, salt-forming cation, ester forming group, —(CH2)x-Q, or when A is nitrogen, A and R11 taken together may be the residue of a natural or unnatural amino acid or a salt or ester thereof;
Q is hydrogen, thiazolyl, triazolyl, imidazolyl, benzothiazolyl, or benzoimidazolyl;
x is 0, 1, 2, 3, or 4;
G is a direct bond or oxygen, nitrogen, or sulfur;
z is 0, 1, 2, 3, 4, or 5;
m is 0 or 1;
R24 is selected from a group consisting of hydrogen, alkyl, mercaptoalkyl, alkenyl, alkynyl, aroyl, alkylcarbonyl, aminoalkylcarbonyl, cycloalkyl, aryl, arylalkyl, thiazolyl, triazolyl, imidazolyl, benzothiazolyl, and benzoimidazolyl;
each R25 is independently selected from hydrogen, halogen, cyano, hydroxyl, alkoxy, thiol, amino, nitro, alkyl, aryl, carbocyclic, or heterocyclic; and pharmaceutically acceptable salts, esters, and prodrugs thereof.
65.-73. (canceled)
76. (canceled)
77. A kit for use in treating amyloid related disease comprising a compound of claim 1 or Table 2A, and instructions for use in the method of the instant invention.
78. A method of treating or preventing an amyloid-related disease in a subject comprising administering to a subject in need thereof a compound of claim 1 or depicted in the Tables and Figures in an amount effective to treat or prevent an amyloid related disease.
79.-83. (canceled)
84. A method for inhibiting amyloid deposition in a subject comprising administering to a subject an effective amount of a therapeutic compound of claim 1 or depicted in the Tables and Figures or a pharmaceutically acceptable salt thereof, such that said therapeutic compound inhibits an interaction between an amyloidogenic protein and a glycoprotein or proteoglycan constituent of a basement membrane to inhibit amyloid deposition.
85. A method for inhibiting amyloid deposition in a subject comprising orally administering to said subject an effective amount of a therapeutic compound of claim 1 or depicted in the Tables and Figures or a pharmaceutically acceptable salt thereof.
86. A method for reducing amyloid deposits in a subject having amyloid deposits, the method comprising administering to said subject an effective amount of a therapeutic compound of claim 1 or depicted in the Tables and Figures, or pharmaceutically acceptable salts thereof.
87.-88. (canceled)
89. A method for inhibiting amyloid deposition in a subject comprising administering to a subject an effective amount of a therapeutic compound of claim 1 or depicted in the Tables and Figures, or a pharmaceutically acceptable salt thereof, such that amyloid deposition is inhibited.
90.-98. (canceled)
99. A pharmaceutical composition for the treatment or prevention of an amyloid-related disease comprising a compound according to claim 1 .
100. A pharmaceutical composition comprising a compound according to claim 1 .
101. (canceled)
102. A pharmaceutical composition for treating amyloidosis comprising a compound of claim 1 , or a pharmaceutically acceptable salt thereof, in an amount sufficient to inhibit amyloid deposition in a subject.
103.-207. (canceled)
208. A method for preventing, slowing, or stopping disease progression comprising administering to a subject an effective amount of a compound of claim 1 , such that said disease progression is prevented slowed, or stopped.
209. (canceled)
210. A method for treating a subject for an amyloid-related disease, comprising:
administering a cognitive test to a subject prior to administration of a compound of claim 1;
administering an effective amount of the compound to the subject, and
administering a cognitive test to the subject subsequent to administration of said compound, such that said subject is treated for said amyloid-related disease, wherein the subject's score on said cognitive test is improved.
211.-220. (canceled)
221. A method for inhibiting fibril formation, comprising administering to a subject an effective amount of a compound of claim 1 or depicted in the Tables or Figures, wherein said effective amount is effective to inhibit protein-protein interactions, such that fibril formation is inhibited.
222. A method for treating CAA or hereditary cerebral hemorrhage, comprising administering an effective amount of a compound of claim 1 or depicted in the Tables of Figures, wherein said effective amount is effective to decrease or prevent the recurrence of hemorrhagic stroke.
223.-229. (canceled)
230. A method of treating Alzheimer's Disease in a subject, comprising administering to a subject in need thereof a compound of claim 1 in an amount effective to treat Alzheimer's Disease.
231. A method of treating Mild Cognitive Impairment in a subject, comprising administering to a subject in need thereof a compound of claim 1 in an amount effective to treat Mild Cognitive Impairment.
232. A method of treating neurotoxicity associated with Aβ amyloid in a subject, comprising administering to a subject in need thereof a compound of claim 1 in an amount effective to treat neurotoxicity associated with Aβ amyloid.
Priority Applications (3)
| Application Number | Priority Date | Filing Date | Title |
|---|---|---|---|
| US11/316,694 US20070010573A1 (en) | 2003-06-23 | 2005-12-21 | Methods and compositions for treating amyloid-related diseases |
| US12/613,412 US8642801B2 (en) | 2003-06-23 | 2009-11-05 | Methods and compositions for treating amyloid-related diseases |
| US14/132,898 US20140107027A1 (en) | 2003-06-23 | 2013-12-18 | Methods and compositions for treating amyloid-related diseases |
Applications Claiming Priority (5)
| Application Number | Priority Date | Filing Date | Title |
|---|---|---|---|
| US48090603P | 2003-06-23 | 2003-06-23 | |
| US51204703P | 2003-10-17 | 2003-10-17 | |
| US10/871,514 US7414076B2 (en) | 2003-06-23 | 2004-06-18 | Methods and compositions for treating amyloid-related diseases |
| US63881904P | 2004-12-22 | 2004-12-22 | |
| US11/316,694 US20070010573A1 (en) | 2003-06-23 | 2005-12-21 | Methods and compositions for treating amyloid-related diseases |
Related Parent Applications (1)
| Application Number | Title | Priority Date | Filing Date |
|---|---|---|---|
| US10/871,514 Continuation-In-Part US7414076B2 (en) | 2003-06-23 | 2004-06-18 | Methods and compositions for treating amyloid-related diseases |
Related Child Applications (1)
| Application Number | Title | Priority Date | Filing Date |
|---|---|---|---|
| US12/613,412 Continuation US8642801B2 (en) | 2003-06-23 | 2009-11-05 | Methods and compositions for treating amyloid-related diseases |
Publications (1)
| Publication Number | Publication Date |
|---|---|
| US20070010573A1 true US20070010573A1 (en) | 2007-01-11 |
Family
ID=46325164
Family Applications (3)
| Application Number | Title | Priority Date | Filing Date |
|---|---|---|---|
| US11/316,694 Abandoned US20070010573A1 (en) | 2003-06-23 | 2005-12-21 | Methods and compositions for treating amyloid-related diseases |
| US12/613,412 Expired - Fee Related US8642801B2 (en) | 2003-06-23 | 2009-11-05 | Methods and compositions for treating amyloid-related diseases |
| US14/132,898 Abandoned US20140107027A1 (en) | 2003-06-23 | 2013-12-18 | Methods and compositions for treating amyloid-related diseases |
Family Applications After (2)
| Application Number | Title | Priority Date | Filing Date |
|---|---|---|---|
| US12/613,412 Expired - Fee Related US8642801B2 (en) | 2003-06-23 | 2009-11-05 | Methods and compositions for treating amyloid-related diseases |
| US14/132,898 Abandoned US20140107027A1 (en) | 2003-06-23 | 2013-12-18 | Methods and compositions for treating amyloid-related diseases |
Country Status (1)
| Country | Link |
|---|---|
| US (3) | US20070010573A1 (en) |
Cited By (23)
| Publication number | Priority date | Publication date | Assignee | Title |
|---|---|---|---|---|
| US20060252829A1 (en) * | 2005-04-15 | 2006-11-09 | Denis Garceau | Formulations and methods for treating amyloidosis |
| US20070015737A1 (en) * | 1999-07-09 | 2007-01-18 | Neurochem (International) Limited | Compounds for inhibiting diseases and preparing cells for transplantation |
| US20070049638A1 (en) * | 2005-07-21 | 2007-03-01 | Neurochem (International) Limited | Polymorphic forms of 3-amino-1-propanesulfonic acid |
| US20070238788A1 (en) * | 2005-12-22 | 2007-10-11 | Wendy Hauck | Treatment of renal disorders, diabetic nephropathy and dyslipidemias |
| US20070265334A1 (en) * | 1993-03-29 | 2007-11-15 | Neurochem (International) Limited | Method for treating amyloidosis |
| US20080015180A1 (en) * | 2003-06-23 | 2008-01-17 | Neurochem (International) Limited | Methods and compositions for treating amyloid-related diseases |
| US20080146642A1 (en) * | 2006-10-12 | 2008-06-19 | Xianqi Kong | Methods, compounds, compositions and vehicles for delivering 3-amino-1-propanesulfonic acid |
| US20080262088A1 (en) * | 2006-12-22 | 2008-10-23 | Wendy Hauck | Methods, compounds, and compositions for treating metabolic disorders and diabetes |
| WO2009036275A1 (en) * | 2007-09-13 | 2009-03-19 | Link Medicine Corporation | Treatment of neurodegenerative diseases using indatraline analogs |
| WO2010025375A1 (en) * | 2008-08-29 | 2010-03-04 | Treventis Corporation | Compositions and methods of treating amyloid disease |
| US20100113591A1 (en) * | 2003-06-23 | 2010-05-06 | Bellus Health (International) Limited | Methods and compositions for treating amyloid-related diseases |
| US8044100B2 (en) | 2004-12-22 | 2011-10-25 | Bellus Health Inc. | Methods and compositions for treating amyloid-related diseases |
| US20140296476A1 (en) * | 2008-06-26 | 2014-10-02 | Prolynx Llc | Prodrugs and drug-macromolecule conjugates having controlled drug release rates |
| WO2015035673A1 (en) | 2013-09-13 | 2015-03-19 | 万华化学集团股份有限公司 | Polyisocyanate modified with sulphamic acid, preparation method therefor and use thereof |
| US20160210872A1 (en) * | 2013-08-13 | 2016-07-21 | The Children's Hospital Of Philadelphia | Device for language processing enhancement in autism |
| US9556301B1 (en) | 2015-12-02 | 2017-01-31 | King Fahd Universoty of Petroleum and Minerals | Cyclopolymer containing residues of methionine and synthesis and uses thereof |
| JP2018529648A (en) * | 2015-08-10 | 2018-10-11 | アルジオン, インコーポレイテッド | Compositions and methods for treating and preventing neurodegenerative diseases |
| WO2019167958A1 (en) | 2018-02-28 | 2019-09-06 | 東ソー株式会社 | Hydrophilizing agent for production of self-emulsifying polyisocyanate composition, self-emulsifying polyisocyanate composition, coating material composition, and coating film |
| WO2020010236A1 (en) * | 2018-07-06 | 2020-01-09 | Yale University | Methods and compositions for the treatment of amyloid-related disorders |
| WO2020241479A1 (en) | 2019-05-29 | 2020-12-03 | 東ソー株式会社 | Self-emulsifying polyisocyanate composition, two-pack type coating composition and coating film |
| US11046658B2 (en) | 2018-07-02 | 2021-06-29 | Incyte Corporation | Aminopyrazine derivatives as PI3K-γ inhibitors |
| US11568956B2 (en) | 2008-08-29 | 2023-01-31 | Treventis Corporation | Methods for identifying inhibitors of amyloid protein aggregation |
| US11926616B2 (en) | 2018-03-08 | 2024-03-12 | Incyte Corporation | Aminopyrazine diol compounds as PI3K-γ inhibitors |
Families Citing this family (15)
| Publication number | Priority date | Publication date | Assignee | Title |
|---|---|---|---|---|
| MXPA01010835A (en) * | 1999-04-28 | 2003-07-14 | Univ Kingston | COMPOSITIONS AND METHODS TO TREAT AMYLOIDOSIS. |
| KR102448386B1 (en) * | 2014-03-21 | 2022-09-28 | 알제온, 인크. | How to treat a neurological disorder |
| US10071998B2 (en) | 2015-01-20 | 2018-09-11 | Merck Sharp & Dohme Corp. | Iminothiadiazine dioxides bearing an amine-linked substituent as BACE inhibitors, compositions, and their use |
| CN116712423A (en) | 2015-09-10 | 2023-09-08 | 阿尔泽恩股份有限公司 | Methods of treating neurodegenerative disorders in specific patient populations |
| MA44075A (en) | 2015-12-17 | 2021-05-19 | Incyte Corp | N-PHENYL-PYRIDINE-2-CARBOXAMIDE DERIVATIVES AND THEIR USE AS MODULATORS OF PROTEIN / PROTEIN PD-1 / PD-L1 INTERACTIONS |
| SG10202005790VA (en) | 2015-12-22 | 2020-07-29 | Incyte Corp | Heterocyclic compounds as immunomodulators |
| MA47099A (en) | 2016-12-22 | 2021-05-12 | Incyte Corp | BICYCLIC HETEROAROMATIC COMPOUNDS USED AS IMMUNOMODULATORS |
| CN114805211B (en) | 2017-03-21 | 2024-08-23 | 润佳(苏州)医药科技有限公司 | Isotope-enriched 3-amino-1-propanesulfonic acid derivatives, pharmaceutical compositions and uses thereof |
| UA128453C2 (en) | 2018-03-30 | 2024-07-17 | Інсайт Корпорейшн | HETEROCYCLIC COMPOUNDS AS IMMUNOMODULATORS |
| PL3790877T3 (en) | 2018-05-11 | 2023-06-12 | Incyte Corporation | Tetrahydro-imidazo[4,5-c]pyridine derivatives as pd-l1 immunomodulators |
| US20210218238A1 (en) | 2018-06-12 | 2021-07-15 | Commscope Technologies Llc | Cable installation method and system |
| CN115175734B (en) | 2019-09-30 | 2024-04-19 | 因赛特公司 | Pyrido[3,2-D]pyrimidine compounds as immunomodulators |
| CN116059192B (en) | 2019-11-13 | 2024-10-29 | 润佳(苏州)医药科技有限公司 | Use of isotopically enriched 3-amino-1-propanesulfonic acid and derivatives thereof |
| WO2022099018A1 (en) | 2020-11-06 | 2022-05-12 | Incyte Corporation | Process of preparing a pd-1/pd-l1 inhibitor |
| MX2023005362A (en) | 2020-11-06 | 2023-06-22 | Incyte Corp | Process for making a pd-1/pd-l1 inhibitor and salts and crystalline forms thereof. |
Citations (77)
| Publication number | Priority date | Publication date | Assignee | Title |
|---|---|---|---|---|
| US2531468A (en) * | 1949-04-14 | 1950-11-28 | Eastman Kodak Co | Polyvinyl sulfonates and process for their preparation |
| US3218352A (en) * | 1962-05-03 | 1965-11-16 | Abbott Lab | Homotaurine process |
| US3236881A (en) * | 1960-01-09 | 1966-02-22 | Basf Ag | Organic ammonium salts of vinyl sulfonic acid |
| US3658966A (en) * | 1969-09-15 | 1972-04-25 | Kowa Co | Methods of treating hypertension |
| US3872125A (en) * | 1973-03-03 | 1975-03-18 | Sandoz Ag | 3-substituted-4-aryl isoquinolines |
| US3920833A (en) * | 1974-08-08 | 1975-11-18 | Stanley Drug Products Inc | Antifibrinolytic agents |
| US4085134A (en) * | 1974-02-15 | 1978-04-18 | Petrolite Corporation | Amino-phosphonic-sulfonic acids |
| US4187245A (en) * | 1975-06-02 | 1980-02-05 | Petrolite Corporation | Hydroxypropylene-amino-phosphonic-sulfonic acids |
| US4199601A (en) * | 1977-03-23 | 1980-04-22 | La Cooperation Pharmaceutique Francaise | Derivatives of taurine having reinforced neuro-muscular activity |
| US4255448A (en) * | 1979-09-10 | 1981-03-10 | Wisconsin Alumni Research Foundation | Method for reducing epileptiform activity |
| US4355043A (en) * | 1979-05-23 | 1982-10-19 | Les Laboratoires Meram | Novel derivatives of 3-aminopropanesulfonic acid having a reinforced activity on membrane |
| US4386081A (en) * | 1977-12-22 | 1983-05-31 | Astra Lakemedel Aktiebolag | Phosphonoformic acid esters and pharmaceutical compositions containing same |
| US4448779A (en) * | 1981-07-16 | 1984-05-15 | Sanofi | Use of MS salt in geriatric medicine |
| US4522811A (en) * | 1982-07-08 | 1985-06-11 | Syntex (U.S.A.) Inc. | Serial injection of muramyldipeptides and liposomes enhances the anti-infective activity of muramyldipeptides |
| US4528184A (en) * | 1981-11-04 | 1985-07-09 | Kabushiki Kaisha Vitamin Kenkyuso | Polymer-metal complexes containing quaternary nitrogen atoms used in the treatment of hypercholesteremia |
| US4540564A (en) * | 1982-05-18 | 1985-09-10 | University Of Florida | Brain-specific drug delivery |
| US4563470A (en) * | 1982-07-05 | 1986-01-07 | Les Laboratories Meram | N-Substituted α,ωamino and imino-sulfonic acid salts and their application as cationic vectors of high cellular penetration |
| US4713376A (en) * | 1985-11-19 | 1987-12-15 | Toyama Chemical Co., Ltd. | Dementia-improving and therapeutic agents |
| US4737357A (en) * | 1984-10-19 | 1988-04-12 | Rohm Gmbh | Aqueous coating dispersions |
| US4737353A (en) * | 1984-04-13 | 1988-04-12 | Union Carbide Corporation | Beryllium-aluminum-phosphorus-silicon-oxide molecular sieve compositions |
| US4847082A (en) * | 1987-01-21 | 1989-07-11 | Robert Sabin | Method of treatment of Alzheimer's disease using phytic acid |
| US4956347A (en) * | 1987-05-28 | 1990-09-11 | Crinos Industria Farmacobiologica Spa | Use of sulfomucopolysaccharides in the treatment of Alzheimer-type senile dementia |
| US5017566A (en) * | 1987-12-30 | 1991-05-21 | University Of Florida | Redox systems for brain-targeted drug delivery |
| US5023252A (en) * | 1985-12-04 | 1991-06-11 | Conrex Pharmaceutical Corporation | Transdermal and trans-membrane delivery of drugs |
| US5024998A (en) * | 1987-12-30 | 1991-06-18 | University Of Florida | Pharmaceutical formulations for parenteral use |
| US5039794A (en) * | 1986-09-19 | 1991-08-13 | Otsuka Pharmaceutical Co., Ltd. | Tumor egress factor and processes for producing the same |
| US5064923A (en) * | 1986-05-30 | 1991-11-12 | Nippon Paint Co., Ltd. | Crosslinked polymer microparticles derived from betaine monomers having three-dimensional network |
| US5112863A (en) * | 1989-12-05 | 1992-05-12 | Nippon Oil & Fats Co., Ltd. | Antipsychotic drug |
| US5124146A (en) * | 1987-11-18 | 1992-06-23 | The State Of Oregon Acting By And Through The State Board Of Higher Education On Behalf Of Oregon Health Sciences University | Differential delivery of therapeutic agents across the blood brain barrier |
| US5153179A (en) * | 1983-12-01 | 1992-10-06 | Max-Planck-Gesellschaft Zur Foerderung Der Wissenschaft E.V. | Medicament with improved penetration of the tissue membrane |
| US5164295A (en) * | 1991-03-06 | 1992-11-17 | The Upjohn Company | Method for identifying amyloid protein-extracellular matrix protein affinity altering compounds |
| US5166320A (en) * | 1987-04-22 | 1992-11-24 | University Of Connecticut | Carrier system and method for the introduction of genes into mammalian cells |
| US5177064A (en) * | 1990-07-13 | 1993-01-05 | University Of Florida | Targeted drug delivery via phosphonate derivatives |
| US5192753A (en) * | 1991-04-23 | 1993-03-09 | Mcgeer Patrick L | Anti-rheumatoid arthritic drugs in the treatment of dementia |
| US5194654A (en) * | 1989-11-22 | 1993-03-16 | Vical, Inc. | Lipid derivatives of phosphonoacids for liposomal incorporation and method of use |
| US5242932A (en) * | 1991-12-17 | 1993-09-07 | The Rockefeller University | Treatment of amyloidosis associated with alzheimer disease |
| US5254342A (en) * | 1991-09-30 | 1993-10-19 | University Of Southern California | Compositions and methods for enhanced transepithelial and transendothelial transport or active agents |
| US5258402A (en) * | 1992-06-11 | 1993-11-02 | Mcneil-Ppc, Inc. | Imidate derivatives of pharmaceutically useful anticonvulsant sulfamates |
| US5270312A (en) * | 1990-11-05 | 1993-12-14 | Warner-Lambert Company | Substituted piperazines as central nervous system agents |
| US5276059A (en) * | 1992-07-10 | 1994-01-04 | The United States Of America As Represented By The Department Of Health And Human Services | Inhibition of diseases associated with amyloid formation |
| US5284876A (en) * | 1988-02-26 | 1994-02-08 | Neuromedica, Inc. | Method of treating tardive dyskinesia using dopaminergic agents of prodrugs of therapeutic agents |
| US5342977A (en) * | 1991-12-19 | 1994-08-30 | Ciba-Geigy Corp. | Aminosulfonic acid derivatives and processes for their preparation |
| US5374548A (en) * | 1986-05-02 | 1994-12-20 | Genentech, Inc. | Methods and compositions for the attachment of proteins to liposomes using a glycophospholipid anchor |
| US5383988A (en) * | 1992-09-10 | 1995-01-24 | Paragon Trade Brands, Inc. | Modular apparatus for fabricating an absorbent article |
| US5385915A (en) * | 1990-05-16 | 1995-01-31 | The Rockefeller University | Treatment of amyloidosis associated with Alzheimer disease using modulators of protein phosphorylation |
| US5389623A (en) * | 1982-05-18 | 1995-02-14 | University Of Florida | Redox carriers for brain-specific drug delivery |
| US5399331A (en) * | 1985-06-26 | 1995-03-21 | The Liposome Company, Inc. | Method for protein-liposome coupling |
| US5405834A (en) * | 1989-09-04 | 1995-04-11 | Bundgaard; Hans | Prodrug derivatives of thyrotropin-releasing hormone (TRH) |
| US5416016A (en) * | 1989-04-03 | 1995-05-16 | Purdue Research Foundation | Method for enhancing transmembrane transport of exogenous molecules |
| US5430052A (en) * | 1990-07-19 | 1995-07-04 | Nippon Zoki Pharmaceutical Co., Ltd. | Aminoalkanesulfonic acid derivatives and pharmaceutical compositions for use in preventing or treating heart diseases |
| US5434137A (en) * | 1993-05-10 | 1995-07-18 | Black; Keith L. | Method for selective opening of abnormal brain tissue capillaries |
| US5442043A (en) * | 1992-11-27 | 1995-08-15 | Takeda Chemical Industries, Ltd. | Peptide conjugate |
| US5463092A (en) * | 1989-11-22 | 1995-10-31 | Vestar, Inc. | Lipid derivatives of phosphonacids for liposomal incorporation and method of use |
| US5466683A (en) * | 1994-08-25 | 1995-11-14 | Teva Pharmaceutical Industries Ltd. | Water-soluble analogs of carbamazepine |
| US5525727A (en) * | 1982-05-18 | 1996-06-11 | University Of Florida | Brain-specific drug delivery |
| US5527527A (en) * | 1989-09-07 | 1996-06-18 | Alkermes, Inc. | Transferrin receptor specific antibody-neuropharmaceutical agent conjugates |
| US5643562A (en) * | 1993-03-29 | 1997-07-01 | Queen's University Of Kingston | Method for treating amyloidosis |
| US5668117A (en) * | 1991-02-22 | 1997-09-16 | Shapiro; Howard K. | Methods of treating neurological diseases and etiologically related symptomology using carbonyl trapping agents in combination with previously known medicaments |
| US5672683A (en) * | 1989-09-07 | 1997-09-30 | Alkermes, Inc. | Transferrin neuropharmaceutical agent fusion protein |
| US5780510A (en) * | 1993-12-23 | 1998-07-14 | Oklahoma Medical Research Foundation | 2,4-disulfo phenyl butyl nitrone, its salts and their use as pharmaceuticals |
| US5840294A (en) * | 1993-03-29 | 1998-11-24 | Queen's University At Kingston | Method for treating amyloidosis |
| US5858326A (en) * | 1995-06-06 | 1999-01-12 | Neurochem, Inc. | Methods of increasing amyloid deposition |
| US5869469A (en) * | 1997-08-18 | 1999-02-09 | Queen's University At Kingston | Phosphonocarboxylate compounds for treating amyloidosis |
| US5952389A (en) * | 1998-01-13 | 1999-09-14 | Synchroneuron | Methods of treating tardive dyskinesia and other movement disorders |
| US5972328A (en) * | 1993-03-29 | 1999-10-26 | Queen's University At Kingston | Method for treating amyloidosis |
| US5977307A (en) * | 1989-09-07 | 1999-11-02 | Alkermes, Inc. | Transferrin receptor specific ligand-neuropharmaceutical agent fusion proteins |
| US5989592A (en) * | 1996-10-03 | 1999-11-23 | Coastside Bio Resources | Inhibition of complement pathway by sea cucumber fractions |
| US6015835A (en) * | 1996-03-26 | 2000-01-18 | Meddiss, Incorporated | Methods of inducing analgesia or anesthesia and treating or preventing ischemic injury of tissues in general |
| US6015555A (en) * | 1995-05-19 | 2000-01-18 | Alkermes, Inc. | Transferrin receptor specific antibody-neuropharmaceutical or diagnostic agent conjugates |
| US6024977A (en) * | 1990-11-01 | 2000-02-15 | Oregon Health Sciences University | Covalent polar lipid conjugates with neurologically active compounds for targeting |
| US6037327A (en) * | 1997-08-28 | 2000-03-14 | University Of Washington | Specific saccharide compositions and methods for treating Alzheimer's disease and other amyloidoses |
| US6294583B1 (en) * | 1998-01-13 | 2001-09-25 | Synchroneuron, Llc | Methods of treating tardive dyskinesia and other movement disorders |
| US6310073B1 (en) * | 1998-07-28 | 2001-10-30 | Queen's University At Kingston | Methods and compositions to treat glycosaminoglycan-associated molecular interactions |
| US6376557B1 (en) * | 2000-03-16 | 2002-04-23 | Chanda Bhuwalka Zaveri | Methods for treating alopecia |
| US6562836B1 (en) * | 1999-05-24 | 2003-05-13 | Queen's University Of Kingston | Methods and compounds for inhibiting amyloid deposits |
| US6670399B2 (en) * | 1999-12-23 | 2003-12-30 | Neurochem (International) Limited | Compounds and methods for modulating cerebral amyloid angiopathy |
| US20050031651A1 (en) * | 2002-12-24 | 2005-02-10 | Francine Gervais | Therapeutic formulations for the treatment of beta-amyloid related diseases |
Family Cites Families (64)
| Publication number | Priority date | Publication date | Assignee | Title |
|---|---|---|---|---|
| US2376911A (en) | 1941-12-24 | 1945-05-29 | Swiss Company Of Soc Of Chemic | Derivatives of sulphonated amines and process of preparing same |
| DE927992C (en) | 1952-07-27 | 1955-05-23 | Hoechst Ag | Process for the preparation of salts of 1,2-dimethyl-3-phenyl-4-amino-5-pyrazolone |
| US3453309A (en) | 1966-10-14 | 1969-07-01 | Parke Davis & Co | Phenylalkylaminoethyl thiosulfates |
| US3622669A (en) | 1967-10-23 | 1971-11-23 | Merck & Co Inc | 5{62 -taurocholenic acids and 5{62 -taurocholadienic acids in compositions for reducing the concentration of cholesterol and liads in blood serum |
| DE2140278A1 (en) | 1970-01-19 | 1972-03-09 | Crompton and Knowles Corp., Worcester, Mass. (V.St.A.) | Water-soluble dyes and dye intermediates |
| FR2437834A1 (en) | 1978-10-04 | 1980-04-30 | Lejeune Jerome | L-serine or glycine for treatment of cerebral deficiencies - such as mongolism and general mental debility, etc. |
| US4593045A (en) | 1982-07-20 | 1986-06-03 | Societe a Responsabilite Limite dite: B.F.B. Estudes et Recherches Experimentales | N-acetyl-L-aspartyl taurine useful as hypertensive agent |
| FR2536747A1 (en) | 1982-11-29 | 1984-06-01 | Synthelabo | SULFURED BENZYLIDENIC DERIVATIVES, THEIR PREPARATION AND THEIR THERAPEUTIC APPLICATION |
| IT1193590B (en) | 1983-01-07 | 1988-07-08 | Loris Jacopo Bononi | AMINO-ALCHYL-SULPHONIC DERIVATIVES, PROCEDURE FOR THEIR PREPARATION AND PHARMACEUTICAL COMPOSITIONS CONTAINING THEM |
| FR2584090B1 (en) | 1985-06-27 | 1987-08-28 | Roussel Uclaf | NEW SUPPORTS, THEIR PREPARATION AND THE INTERMEDIATES OBTAINED, THEIR APPLICATION TO THE SYNTHESIS OF OLIGONUCLEOTIDES AND THE NEW NUCLEOSIDES AND OLIGONUCLEOTIDES RELATED TO THE SUPPORTS OBTAINED |
| FR2595356B1 (en) | 1986-03-05 | 1991-05-24 | Pasteur Strasbourg Universite | DERIVATIVES OF NITRO OR AMINOBENZYLTETRAHYDROISOQUINOLEINS, PROCESSES FOR OBTAINING SAME, PHARMACEUTICAL COMPOSITIONS CONTAINING SAME, PHARMACOLOGICAL PROPERTIES AND APPLICATIONS |
| IT1211792B (en) | 1987-09-21 | 1989-11-03 | Sigma Tau Ind Farmaceuti | O-ALCANOIL ACID DERIVATIVES 3 AMINO 2- HYDROXYPROPANSULPHONIC ANTICONVULSIVE ADAPTITY AND THEIR PHARMACEUTICAL COMPOSITIONS FOR THE THERAPEUTIC TREATMENT OF EPILEPSY |
| US4968678A (en) | 1988-02-19 | 1990-11-06 | Eli Lilly And Company | Tetrazole excitatory amino acid receptor antagonists |
| ATE87918T1 (en) | 1988-02-19 | 1993-04-15 | Lilly Co Eli | TETRAZOLE COMPOUNDS AS ANTAGONISTS OF EXCITATORY AMINO ACID RECEPTORS. |
| US5061721A (en) | 1989-03-15 | 1991-10-29 | G. D. Searle & Co. | Composition containing d-cycloserine and d-alanine for memory and learning enhancement or treatment of a cognitive or psychotic disorder |
| DE3940410A1 (en) | 1989-12-04 | 1991-06-06 | Schering Ag | NEW USE OF NMDA RECEPTOR ANTAGONISTS |
| DE4004978A1 (en) | 1990-02-19 | 1991-08-22 | Nmi Naturwissenschaftl U Mediz | Preventing therapy for Alzheimer's disease - comprises administering synthetic complexing agent with higher affinity for aluminium ions than ATP and citrate ions |
| JPH0725786A (en) | 1990-05-16 | 1995-01-27 | Univ Rockefeller | Medical treatment of amyloidosis accompanying alzheimer desease |
| DE4021066A1 (en) | 1990-07-03 | 1992-01-09 | Hoechst Ag | LONG-TERM PROPHYLAXIS AGAINST DISEASES CAUSED BY VIRUSES OR BY UNCONVENTIONAL VIRUSES |
| FR2665444B1 (en) | 1990-08-06 | 1992-11-27 | Sanofi Sa | AMINO-BENZOFURAN, BENZOTHIOPHENE OR INDOLE DERIVATIVES, THEIR PREPARATION PROCESS AND THE COMPOSITIONS CONTAINING THEM. |
| GB9117716D0 (en) | 1991-08-16 | 1991-10-02 | Lynxvale Ltd | Gaba derivatives and their therapeutic application |
| ES2137937T3 (en) | 1991-11-29 | 2000-01-01 | Hoechst Ag | PEPTIDES WITH EFFECT OF THE TYPE OF INSULIN. |
| US5318958A (en) | 1992-05-29 | 1994-06-07 | Queen's University At Kingston | Amyloid precursor protein |
| US6004936A (en) | 1992-05-29 | 1999-12-21 | Queen's University At Kingston | Method of use of serum amyloid a protein |
| US20040208875A1 (en) | 1995-03-15 | 2004-10-21 | Queen's University At Kingston | Method for treating amyloidosis |
| DE4313118A1 (en) | 1993-04-22 | 1994-10-27 | Hoechst Ag | Use of 1,2,3,4-tetrahydroisoquinoline derivatives as antimycotics |
| US5776970A (en) | 1994-04-28 | 1998-07-07 | Yeda Research And Development Co. Ltd. | Tryptophan derivatives as protein tyrosine kinase blockers and their use in the treatment of neoplastic diseases |
| DE19531342B4 (en) | 1995-08-25 | 2007-11-29 | Merz Pharma Gmbh & Co. Kgaa | Use of aminoadamantane compounds as immunoregulators |
| US6306909B1 (en) | 1997-03-12 | 2001-10-23 | Queen's University At Kingston | Anti-epileptogenic agents |
| ATE251129T1 (en) | 1998-01-27 | 2003-10-15 | Merck Sante Sas | DERIVATIVES OF AMINOALKANE SULPHONIC, PHOSPHONIC AND PHOSPHINIC ACIDS, THEIR PREPARATION AND THEIR USE AS MEDICAMENTS |
| US20020022657A1 (en) | 1998-02-11 | 2002-02-21 | Francine Gervais | Methods for modulating neuronal cell death |
| US6329356B1 (en) | 1998-04-10 | 2001-12-11 | Neurochem, Inc. | Phosphono-carboxylate compounds for treating amyloidosis |
| WO2001003680A2 (en) | 1999-07-09 | 2001-01-18 | Isis Innovation Limited | Compounds for inhibiting diseases and preparing cells for transplantation |
| EP1090625B1 (en) | 1999-10-05 | 2004-12-22 | Kao Corporation | Topical composition for the skin and use thereof |
| US6455589B1 (en) | 1999-10-28 | 2002-09-24 | The Regents Of The University Of California | Primary N-hydroxylamines |
| US20020094335A1 (en) | 1999-11-29 | 2002-07-18 | Robert Chalifour | Vaccine for the prevention and treatment of alzheimer's and amyloid related diseases |
| AU2001272761A1 (en) | 2000-07-19 | 2002-01-30 | Mitsubishi Pharma Corporation | Sulfonic acid derivatives of hydroxamic acids and their use as medicinal products |
| US20020115717A1 (en) | 2000-07-25 | 2002-08-22 | Francine Gervais | Amyloid targeting imaging agents and uses thereof |
| US7311893B2 (en) | 2000-07-25 | 2007-12-25 | Neurochem (International) Limited | Amyloid targeting imaging agents and uses thereof |
| MXPA03008164A (en) | 2001-03-13 | 2003-12-12 | Univ Kingston | Anti-epileptogenic agents. |
| US7501429B2 (en) | 2001-04-11 | 2009-03-10 | Queen's University At Kingston | Pyrimidine compounds as anti-ictogenic and/or anti-epileptogenic agents |
| EP1397136A1 (en) | 2001-05-25 | 2004-03-17 | Queen's University At Kingston | Heterocyclic beta-aminoacids and their use as anti-epileptogenic agents |
| US7186855B2 (en) | 2001-06-11 | 2007-03-06 | Xenoport, Inc. | Prodrugs of GABA analogs, compositions and uses thereof |
| US6818787B2 (en) | 2001-06-11 | 2004-11-16 | Xenoport, Inc. | Prodrugs of GABA analogs, compositions and uses thereof |
| US20040006092A1 (en) | 2001-08-31 | 2004-01-08 | Neurochem, Inc. | Amidine derivatives for treating amyloidosis |
| US20030077833A1 (en) | 2001-09-07 | 2003-04-24 | Queen's University At Kingston | Diagnositc methods for determining susceptibility to convulsive conditions |
| EP1298125A1 (en) | 2001-09-26 | 2003-04-02 | Aventis Pharma S.A. | Substituted benzimidazole compounds and their use for the treatment of cancer |
| US7825516B2 (en) | 2002-12-11 | 2010-11-02 | International Business Machines Corporation | Formation of aligned capped metal lines and interconnections in multilevel semiconductor structures |
| AU2003291910B2 (en) | 2002-12-24 | 2009-10-01 | Bellus Health (International) Limited | Therapeutic formulations for the treatment of beta-amyloid related diseases |
| MXPA05013977A (en) | 2003-06-23 | 2006-03-09 | Neurochem Int Ltd | Methods and compositions for treating amyloid-related diseases. |
| US20070010573A1 (en) | 2003-06-23 | 2007-01-11 | Xianqi Kong | Methods and compositions for treating amyloid-related diseases |
| US20050038000A1 (en) | 2003-06-23 | 2005-02-17 | Xianqi Kong | Methods and compositions for the treatment of amyloid-and epileptogenesis-associated diseases |
| SI1646659T1 (en) | 2003-06-23 | 2014-07-31 | Kiacta Sarl | Method for the preparation of 1,3-propane disulfonic acid compounds |
| US7253306B2 (en) | 2003-06-23 | 2007-08-07 | Neurochem (International) Limited | Pharmaceutical drug candidates and methods for preparation thereof |
| US20050215562A1 (en) | 2003-06-23 | 2005-09-29 | Patrick Tremblay | Methods for treating protein aggregation disorders |
| US20050142191A1 (en) | 2003-06-23 | 2005-06-30 | Neurochem (International) Limited | Pharmaceutical formulations of amyloid inhibiting compounds |
| US7414076B2 (en) | 2003-06-23 | 2008-08-19 | Neurochem (International) Limited | Methods and compositions for treating amyloid-related diseases |
| US7244764B2 (en) | 2003-06-23 | 2007-07-17 | Neurochem (International) Limited | Methods and compositions for treating amyloid-related diseases |
| US7262223B2 (en) | 2004-01-23 | 2007-08-28 | Neurochem (International) Limited | Amidine derivatives for treating amyloidosis |
| US20080038192A1 (en) | 2004-07-19 | 2008-02-14 | Neurochem Inc. | Diagnostic Methods Of Multiple Organ Amyloidosis |
| EP1828111A2 (en) | 2004-11-12 | 2007-09-05 | Neurochem (International) Limited | Methods and fluorinated compositions for treating amyloid-related diseases |
| EP1817305A2 (en) | 2004-11-16 | 2007-08-15 | Neurochem (International) Limited | Compounds for the treatment of cns and amyloid associated diseases |
| CA2592320C (en) | 2004-12-22 | 2015-11-24 | Neurochem (International) Limited | Methods and compositions for treating amyloid-related diseases |
| TW200716088A (en) | 2005-04-15 | 2007-05-01 | Neurochem Int Ltd | Formulations and methods for treating amyloidosis |
-
2005
- 2005-12-21 US US11/316,694 patent/US20070010573A1/en not_active Abandoned
-
2009
- 2009-11-05 US US12/613,412 patent/US8642801B2/en not_active Expired - Fee Related
-
2013
- 2013-12-18 US US14/132,898 patent/US20140107027A1/en not_active Abandoned
Patent Citations (82)
| Publication number | Priority date | Publication date | Assignee | Title |
|---|---|---|---|---|
| US2531468A (en) * | 1949-04-14 | 1950-11-28 | Eastman Kodak Co | Polyvinyl sulfonates and process for their preparation |
| US3236881A (en) * | 1960-01-09 | 1966-02-22 | Basf Ag | Organic ammonium salts of vinyl sulfonic acid |
| US3218352A (en) * | 1962-05-03 | 1965-11-16 | Abbott Lab | Homotaurine process |
| US3658966A (en) * | 1969-09-15 | 1972-04-25 | Kowa Co | Methods of treating hypertension |
| US3872125A (en) * | 1973-03-03 | 1975-03-18 | Sandoz Ag | 3-substituted-4-aryl isoquinolines |
| US4085134A (en) * | 1974-02-15 | 1978-04-18 | Petrolite Corporation | Amino-phosphonic-sulfonic acids |
| US3920833A (en) * | 1974-08-08 | 1975-11-18 | Stanley Drug Products Inc | Antifibrinolytic agents |
| US4187245A (en) * | 1975-06-02 | 1980-02-05 | Petrolite Corporation | Hydroxypropylene-amino-phosphonic-sulfonic acids |
| US4199601A (en) * | 1977-03-23 | 1980-04-22 | La Cooperation Pharmaceutique Francaise | Derivatives of taurine having reinforced neuro-muscular activity |
| US4267194A (en) * | 1977-03-23 | 1981-05-12 | Les Laboratories Meram | Calcium derivatives of taurine having reinforced neuro-muscular activity |
| US4271189A (en) * | 1977-03-23 | 1981-06-02 | Les Laboratoires Meram | Lithium derivatives of taurine having reinforced neuro-muscular activity |
| US4386081A (en) * | 1977-12-22 | 1983-05-31 | Astra Lakemedel Aktiebolag | Phosphonoformic acid esters and pharmaceutical compositions containing same |
| US4355043A (en) * | 1979-05-23 | 1982-10-19 | Les Laboratoires Meram | Novel derivatives of 3-aminopropanesulfonic acid having a reinforced activity on membrane |
| US4255448A (en) * | 1979-09-10 | 1981-03-10 | Wisconsin Alumni Research Foundation | Method for reducing epileptiform activity |
| US4448779A (en) * | 1981-07-16 | 1984-05-15 | Sanofi | Use of MS salt in geriatric medicine |
| US4528184A (en) * | 1981-11-04 | 1985-07-09 | Kabushiki Kaisha Vitamin Kenkyuso | Polymer-metal complexes containing quaternary nitrogen atoms used in the treatment of hypercholesteremia |
| US5389623A (en) * | 1982-05-18 | 1995-02-14 | University Of Florida | Redox carriers for brain-specific drug delivery |
| US4540564A (en) * | 1982-05-18 | 1985-09-10 | University Of Florida | Brain-specific drug delivery |
| US5525727A (en) * | 1982-05-18 | 1996-06-11 | University Of Florida | Brain-specific drug delivery |
| US4563470A (en) * | 1982-07-05 | 1986-01-07 | Les Laboratories Meram | N-Substituted α,ωamino and imino-sulfonic acid salts and their application as cationic vectors of high cellular penetration |
| US4522811A (en) * | 1982-07-08 | 1985-06-11 | Syntex (U.S.A.) Inc. | Serial injection of muramyldipeptides and liposomes enhances the anti-infective activity of muramyldipeptides |
| US5153179A (en) * | 1983-12-01 | 1992-10-06 | Max-Planck-Gesellschaft Zur Foerderung Der Wissenschaft E.V. | Medicament with improved penetration of the tissue membrane |
| US4737353A (en) * | 1984-04-13 | 1988-04-12 | Union Carbide Corporation | Beryllium-aluminum-phosphorus-silicon-oxide molecular sieve compositions |
| US4737357A (en) * | 1984-10-19 | 1988-04-12 | Rohm Gmbh | Aqueous coating dispersions |
| US5399331A (en) * | 1985-06-26 | 1995-03-21 | The Liposome Company, Inc. | Method for protein-liposome coupling |
| US4713376A (en) * | 1985-11-19 | 1987-12-15 | Toyama Chemical Co., Ltd. | Dementia-improving and therapeutic agents |
| US5023252A (en) * | 1985-12-04 | 1991-06-11 | Conrex Pharmaceutical Corporation | Transdermal and trans-membrane delivery of drugs |
| US5374548A (en) * | 1986-05-02 | 1994-12-20 | Genentech, Inc. | Methods and compositions for the attachment of proteins to liposomes using a glycophospholipid anchor |
| US5064923A (en) * | 1986-05-30 | 1991-11-12 | Nippon Paint Co., Ltd. | Crosslinked polymer microparticles derived from betaine monomers having three-dimensional network |
| US5039794A (en) * | 1986-09-19 | 1991-08-13 | Otsuka Pharmaceutical Co., Ltd. | Tumor egress factor and processes for producing the same |
| US4847082A (en) * | 1987-01-21 | 1989-07-11 | Robert Sabin | Method of treatment of Alzheimer's disease using phytic acid |
| US5166320A (en) * | 1987-04-22 | 1992-11-24 | University Of Connecticut | Carrier system and method for the introduction of genes into mammalian cells |
| US4956347A (en) * | 1987-05-28 | 1990-09-11 | Crinos Industria Farmacobiologica Spa | Use of sulfomucopolysaccharides in the treatment of Alzheimer-type senile dementia |
| US5124146A (en) * | 1987-11-18 | 1992-06-23 | The State Of Oregon Acting By And Through The State Board Of Higher Education On Behalf Of Oregon Health Sciences University | Differential delivery of therapeutic agents across the blood brain barrier |
| US5024998A (en) * | 1987-12-30 | 1991-06-18 | University Of Florida | Pharmaceutical formulations for parenteral use |
| US5017566A (en) * | 1987-12-30 | 1991-05-21 | University Of Florida | Redox systems for brain-targeted drug delivery |
| US5284876A (en) * | 1988-02-26 | 1994-02-08 | Neuromedica, Inc. | Method of treating tardive dyskinesia using dopaminergic agents of prodrugs of therapeutic agents |
| US5416016A (en) * | 1989-04-03 | 1995-05-16 | Purdue Research Foundation | Method for enhancing transmembrane transport of exogenous molecules |
| US5405834A (en) * | 1989-09-04 | 1995-04-11 | Bundgaard; Hans | Prodrug derivatives of thyrotropin-releasing hormone (TRH) |
| US5977307A (en) * | 1989-09-07 | 1999-11-02 | Alkermes, Inc. | Transferrin receptor specific ligand-neuropharmaceutical agent fusion proteins |
| US5672683A (en) * | 1989-09-07 | 1997-09-30 | Alkermes, Inc. | Transferrin neuropharmaceutical agent fusion protein |
| US5527527A (en) * | 1989-09-07 | 1996-06-18 | Alkermes, Inc. | Transferrin receptor specific antibody-neuropharmaceutical agent conjugates |
| US5194654A (en) * | 1989-11-22 | 1993-03-16 | Vical, Inc. | Lipid derivatives of phosphonoacids for liposomal incorporation and method of use |
| US5463092A (en) * | 1989-11-22 | 1995-10-31 | Vestar, Inc. | Lipid derivatives of phosphonacids for liposomal incorporation and method of use |
| US5112863A (en) * | 1989-12-05 | 1992-05-12 | Nippon Oil & Fats Co., Ltd. | Antipsychotic drug |
| US5385915A (en) * | 1990-05-16 | 1995-01-31 | The Rockefeller University | Treatment of amyloidosis associated with Alzheimer disease using modulators of protein phosphorylation |
| US5177064A (en) * | 1990-07-13 | 1993-01-05 | University Of Florida | Targeted drug delivery via phosphonate derivatives |
| US5413996A (en) * | 1990-07-13 | 1995-05-09 | University Of Florida | Targeted drug delivery via phosphonate derivatives |
| US5430052A (en) * | 1990-07-19 | 1995-07-04 | Nippon Zoki Pharmaceutical Co., Ltd. | Aminoalkanesulfonic acid derivatives and pharmaceutical compositions for use in preventing or treating heart diseases |
| US6024977A (en) * | 1990-11-01 | 2000-02-15 | Oregon Health Sciences University | Covalent polar lipid conjugates with neurologically active compounds for targeting |
| US5270312A (en) * | 1990-11-05 | 1993-12-14 | Warner-Lambert Company | Substituted piperazines as central nervous system agents |
| US5668117A (en) * | 1991-02-22 | 1997-09-16 | Shapiro; Howard K. | Methods of treating neurological diseases and etiologically related symptomology using carbonyl trapping agents in combination with previously known medicaments |
| US5164295A (en) * | 1991-03-06 | 1992-11-17 | The Upjohn Company | Method for identifying amyloid protein-extracellular matrix protein affinity altering compounds |
| US5192753A (en) * | 1991-04-23 | 1993-03-09 | Mcgeer Patrick L | Anti-rheumatoid arthritic drugs in the treatment of dementia |
| US5254342A (en) * | 1991-09-30 | 1993-10-19 | University Of Southern California | Compositions and methods for enhanced transepithelial and transendothelial transport or active agents |
| US5242932A (en) * | 1991-12-17 | 1993-09-07 | The Rockefeller University | Treatment of amyloidosis associated with alzheimer disease |
| US5342977A (en) * | 1991-12-19 | 1994-08-30 | Ciba-Geigy Corp. | Aminosulfonic acid derivatives and processes for their preparation |
| US5258402A (en) * | 1992-06-11 | 1993-11-02 | Mcneil-Ppc, Inc. | Imidate derivatives of pharmaceutically useful anticonvulsant sulfamates |
| US5276059A (en) * | 1992-07-10 | 1994-01-04 | The United States Of America As Represented By The Department Of Health And Human Services | Inhibition of diseases associated with amyloid formation |
| US5383988A (en) * | 1992-09-10 | 1995-01-24 | Paragon Trade Brands, Inc. | Modular apparatus for fabricating an absorbent article |
| US5442043A (en) * | 1992-11-27 | 1995-08-15 | Takeda Chemical Industries, Ltd. | Peptide conjugate |
| US5643562A (en) * | 1993-03-29 | 1997-07-01 | Queen's University Of Kingston | Method for treating amyloidosis |
| US5840294A (en) * | 1993-03-29 | 1998-11-24 | Queen's University At Kingston | Method for treating amyloidosis |
| US5728375A (en) * | 1993-03-29 | 1998-03-17 | Queen's University At Kingston | Method for treating amyloidosis |
| US5972328A (en) * | 1993-03-29 | 1999-10-26 | Queen's University At Kingston | Method for treating amyloidosis |
| US5434137A (en) * | 1993-05-10 | 1995-07-18 | Black; Keith L. | Method for selective opening of abnormal brain tissue capillaries |
| US5780510A (en) * | 1993-12-23 | 1998-07-14 | Oklahoma Medical Research Foundation | 2,4-disulfo phenyl butyl nitrone, its salts and their use as pharmaceuticals |
| US5466683A (en) * | 1994-08-25 | 1995-11-14 | Teva Pharmaceutical Industries Ltd. | Water-soluble analogs of carbamazepine |
| US6015555A (en) * | 1995-05-19 | 2000-01-18 | Alkermes, Inc. | Transferrin receptor specific antibody-neuropharmaceutical or diagnostic agent conjugates |
| US5858326A (en) * | 1995-06-06 | 1999-01-12 | Neurochem, Inc. | Methods of increasing amyloid deposition |
| US6316501B1 (en) * | 1996-03-26 | 2001-11-13 | Meddiss, Incorporated | Methods of inducing analgesia or anesthesia and treating or preventing ischemic injury of tissues in general |
| US6015835A (en) * | 1996-03-26 | 2000-01-18 | Meddiss, Incorporated | Methods of inducing analgesia or anesthesia and treating or preventing ischemic injury of tissues in general |
| US5989592A (en) * | 1996-10-03 | 1999-11-23 | Coastside Bio Resources | Inhibition of complement pathway by sea cucumber fractions |
| US5869469A (en) * | 1997-08-18 | 1999-02-09 | Queen's University At Kingston | Phosphonocarboxylate compounds for treating amyloidosis |
| US6037327A (en) * | 1997-08-28 | 2000-03-14 | University Of Washington | Specific saccharide compositions and methods for treating Alzheimer's disease and other amyloidoses |
| US5952389A (en) * | 1998-01-13 | 1999-09-14 | Synchroneuron | Methods of treating tardive dyskinesia and other movement disorders |
| US6294583B1 (en) * | 1998-01-13 | 2001-09-25 | Synchroneuron, Llc | Methods of treating tardive dyskinesia and other movement disorders |
| US6310073B1 (en) * | 1998-07-28 | 2001-10-30 | Queen's University At Kingston | Methods and compositions to treat glycosaminoglycan-associated molecular interactions |
| US6562836B1 (en) * | 1999-05-24 | 2003-05-13 | Queen's University Of Kingston | Methods and compounds for inhibiting amyloid deposits |
| US6670399B2 (en) * | 1999-12-23 | 2003-12-30 | Neurochem (International) Limited | Compounds and methods for modulating cerebral amyloid angiopathy |
| US6376557B1 (en) * | 2000-03-16 | 2002-04-23 | Chanda Bhuwalka Zaveri | Methods for treating alopecia |
| US20050031651A1 (en) * | 2002-12-24 | 2005-02-10 | Francine Gervais | Therapeutic formulations for the treatment of beta-amyloid related diseases |
Cited By (46)
| Publication number | Priority date | Publication date | Assignee | Title |
|---|---|---|---|---|
| US7754761B2 (en) | 1993-03-29 | 2010-07-13 | Bellus Health (International) Limited | Sulfonated compounds and compositions for treating amyloidosis |
| US20070265334A1 (en) * | 1993-03-29 | 2007-11-15 | Neurochem (International) Limited | Method for treating amyloidosis |
| US20070015737A1 (en) * | 1999-07-09 | 2007-01-18 | Neurochem (International) Limited | Compounds for inhibiting diseases and preparing cells for transplantation |
| US7598269B2 (en) | 2003-06-23 | 2009-10-06 | Bellus Health (International) Limited | Methods and compositions for treating amyloid-related diseases |
| US8642801B2 (en) | 2003-06-23 | 2014-02-04 | Bhi Limited Partnership | Methods and compositions for treating amyloid-related diseases |
| US20080015180A1 (en) * | 2003-06-23 | 2008-01-17 | Neurochem (International) Limited | Methods and compositions for treating amyloid-related diseases |
| US20100113591A1 (en) * | 2003-06-23 | 2010-05-06 | Bellus Health (International) Limited | Methods and compositions for treating amyloid-related diseases |
| US8044100B2 (en) | 2004-12-22 | 2011-10-25 | Bellus Health Inc. | Methods and compositions for treating amyloid-related diseases |
| US8835654B2 (en) | 2004-12-22 | 2014-09-16 | Bhi Limited Partnership | Method and compositions for treating amyloid-related diseases |
| US8178580B2 (en) | 2005-04-15 | 2012-05-15 | Kiacta Sarl | Formulations and methods for treating amyloidosis |
| US20060252829A1 (en) * | 2005-04-15 | 2006-11-09 | Denis Garceau | Formulations and methods for treating amyloidosis |
| US20070049638A1 (en) * | 2005-07-21 | 2007-03-01 | Neurochem (International) Limited | Polymorphic forms of 3-amino-1-propanesulfonic acid |
| US20070238788A1 (en) * | 2005-12-22 | 2007-10-11 | Wendy Hauck | Treatment of renal disorders, diabetic nephropathy and dyslipidemias |
| US8372886B2 (en) | 2005-12-22 | 2013-02-12 | Kiacta Sarl | Treatment of renal disorders, diabetic nephropathy and dyslipidemias |
| US20080146642A1 (en) * | 2006-10-12 | 2008-06-19 | Xianqi Kong | Methods, compounds, compositions and vehicles for delivering 3-amino-1-propanesulfonic acid |
| US9499480B2 (en) | 2006-10-12 | 2016-11-22 | Bhi Limited Partnership | Methods, compounds, compositions and vehicles for delivering 3-amino-1-propanesulfonic acid |
| US10857109B2 (en) | 2006-10-12 | 2020-12-08 | Bellus Health, Inc. | Methods, compounds, compositions and vehicles for delivering 3-amino-1-propanesulfonic acid |
| US10238611B2 (en) | 2006-10-12 | 2019-03-26 | Bellus Health Inc. | Methods, compounds, compositions and vehicles for delivering 3-amino-1-propanesulfonic acid |
| US8748656B2 (en) | 2006-10-12 | 2014-06-10 | Bhi Limited Partnership | Methods, compounds, compositions and vehicles for delivering 3-amino-1-propanesulfonic acid |
| US11020360B2 (en) | 2006-10-12 | 2021-06-01 | Bellus Health Inc. | Methods, compounds, compositions and vehicles for delivering 3-amino-1-propanesulfonic acid |
| US20080262088A1 (en) * | 2006-12-22 | 2008-10-23 | Wendy Hauck | Methods, compounds, and compositions for treating metabolic disorders and diabetes |
| US20100292292A1 (en) * | 2007-09-13 | 2010-11-18 | Link Medicine Corporation | Treatment of Neurodegenerative Diseases Using Indatraline Analogs |
| WO2009036275A1 (en) * | 2007-09-13 | 2009-03-19 | Link Medicine Corporation | Treatment of neurodegenerative diseases using indatraline analogs |
| US20140296476A1 (en) * | 2008-06-26 | 2014-10-02 | Prolynx Llc | Prodrugs and drug-macromolecule conjugates having controlled drug release rates |
| US9387254B2 (en) * | 2008-06-26 | 2016-07-12 | Prolynx Llc | Prodrugs and drug-macromolecule conjugates having controlled drug release rates |
| US11568956B2 (en) | 2008-08-29 | 2023-01-31 | Treventis Corporation | Methods for identifying inhibitors of amyloid protein aggregation |
| WO2010025375A1 (en) * | 2008-08-29 | 2010-03-04 | Treventis Corporation | Compositions and methods of treating amyloid disease |
| US8420640B2 (en) | 2008-08-29 | 2013-04-16 | Treventis Corporation | Methods of treating amyloid disease using analogs of 1-(4-nitrophenyl) piperazine |
| US20110218200A1 (en) * | 2008-08-29 | 2011-09-08 | Barden Christopher J | Methods of treating amyloid disease using analogs of 1-(4-nitrophenyl) piperazine |
| US20160210872A1 (en) * | 2013-08-13 | 2016-07-21 | The Children's Hospital Of Philadelphia | Device for language processing enhancement in autism |
| US9975985B2 (en) | 2013-09-13 | 2018-05-22 | Wanhua Chemical Group Co., Ltd. | Polyisocyanate modified with sulphamic acid, preparation method thereof and use thereof |
| WO2015035673A1 (en) | 2013-09-13 | 2015-03-19 | 万华化学集团股份有限公司 | Polyisocyanate modified with sulphamic acid, preparation method therefor and use thereof |
| JP2018529648A (en) * | 2015-08-10 | 2018-10-11 | アルジオン, インコーポレイテッド | Compositions and methods for treating and preventing neurodegenerative diseases |
| US12187668B2 (en) | 2015-08-10 | 2025-01-07 | Alzheon, Inc. | Compositions and methods for treating and preventing neurodegenerative disorders |
| US11053192B2 (en) | 2015-08-10 | 2021-07-06 | Alzheon, Inc. | Compositions and methods for treating and preventing neurodegenerative disorders |
| US9556301B1 (en) | 2015-12-02 | 2017-01-31 | King Fahd Universoty of Petroleum and Minerals | Cyclopolymer containing residues of methionine and synthesis and uses thereof |
| WO2019167958A1 (en) | 2018-02-28 | 2019-09-06 | 東ソー株式会社 | Hydrophilizing agent for production of self-emulsifying polyisocyanate composition, self-emulsifying polyisocyanate composition, coating material composition, and coating film |
| US20200399420A1 (en) * | 2018-02-28 | 2020-12-24 | Tosoh Corporation | Hydrophilizing agent for production of self-emulsifying polyisocyanate composition, self-emulsifying polyisocyanate composition, coating material composition, and coating film |
| US12134677B2 (en) * | 2018-02-28 | 2024-11-05 | Tosoh Corporation | Hydrophilizing agent for production of self-emulsifying polyisocyanate composition, self-emulsifying polyisocyanate composition, coating material composition, and coating film |
| US11926616B2 (en) | 2018-03-08 | 2024-03-12 | Incyte Corporation | Aminopyrazine diol compounds as PI3K-γ inhibitors |
| US12365668B2 (en) | 2018-03-08 | 2025-07-22 | Incyte Corporation | Aminopyrazine diol compounds as PI3K-y inhibitors |
| US11046658B2 (en) | 2018-07-02 | 2021-06-29 | Incyte Corporation | Aminopyrazine derivatives as PI3K-γ inhibitors |
| US12421197B2 (en) | 2018-07-02 | 2025-09-23 | Incyte Corporation | Aminopyrazine derivatives as PI3K-γ inhibitors |
| WO2020010236A1 (en) * | 2018-07-06 | 2020-01-09 | Yale University | Methods and compositions for the treatment of amyloid-related disorders |
| US12419905B2 (en) | 2018-07-06 | 2025-09-23 | Yale University | Methods and compositions for the treatment of amyloid-related disorders |
| WO2020241479A1 (en) | 2019-05-29 | 2020-12-03 | 東ソー株式会社 | Self-emulsifying polyisocyanate composition, two-pack type coating composition and coating film |
Also Published As
| Publication number | Publication date |
|---|---|
| US8642801B2 (en) | 2014-02-04 |
| US20100113591A1 (en) | 2010-05-06 |
| US20140107027A1 (en) | 2014-04-17 |
Similar Documents
| Publication | Publication Date | Title |
|---|---|---|
| US8642801B2 (en) | Methods and compositions for treating amyloid-related diseases | |
| US8835654B2 (en) | Method and compositions for treating amyloid-related diseases | |
| US7598269B2 (en) | Methods and compositions for treating amyloid-related diseases | |
| CA2529257C (en) | Methods and compositions for treating amyloid-related diseases | |
| US7414076B2 (en) | Methods and compositions for treating amyloid-related diseases | |
| US20050038000A1 (en) | Methods and compositions for the treatment of amyloid-and epileptogenesis-associated diseases | |
| US20060183800A1 (en) | Methods and fluorinated compositions for treating amyloid-related diseases | |
| CN1839118B (en) | Methods and compositions for treating amyloid-related diseases | |
| AU2004251717B2 (en) | Treatment of amyloid- and epileptogenesis-associated diseases | |
| AU2011250847B2 (en) | Methods and compositions for treating amyloid-related diseases | |
| MX2007007386A (en) | Methods and compositions for treating amyloid-related diseases |
Legal Events
| Date | Code | Title | Description |
|---|---|---|---|
| AS | Assignment |
Owner name: NEUROCHEM (INTERNATIOAL) LIMITED, SWITZERLAND Free format text: ASSIGNMENT OF ASSIGNORS INTEREST;ASSIGNORS:KONG, XIANGI;MIGNEAULT, DAVID;VALADE, ISABELLE;AND OTHERS;REEL/FRAME:018299/0834;SIGNING DATES FROM 20060714 TO 20060831 |
|
| AS | Assignment |
Owner name: BELLUS HEALTH (INTERNATIONAL) LIMITED, SWITZERLAND Free format text: CHANGE OF NAME;ASSIGNOR:NEUROCHEM (INTERNATIONAL) LIMITED;REEL/FRAME:021373/0663 Effective date: 20080526 |
|
| STCB | Information on status: application discontinuation |
Free format text: ABANDONED -- FAILURE TO RESPOND TO AN OFFICE ACTION |















































































































































































































































































































































































































































































































































































































