US20060217363A1 - Methods and therapeutic combinations for the treatment of hypercholesterolemia and xanthoma using sterol absorption inhibitors - Google Patents
Methods and therapeutic combinations for the treatment of hypercholesterolemia and xanthoma using sterol absorption inhibitors Download PDFInfo
- Publication number
- US20060217363A1 US20060217363A1 US11/439,490 US43949006A US2006217363A1 US 20060217363 A1 US20060217363 A1 US 20060217363A1 US 43949006 A US43949006 A US 43949006A US 2006217363 A1 US2006217363 A1 US 2006217363A1
- Authority
- US
- United States
- Prior art keywords
- group
- aryl
- independently selected
- coor
- lower alkyl
- Prior art date
- Legal status (The legal status is an assumption and is not a legal conclusion. Google has not performed a legal analysis and makes no representation as to the accuracy of the status listed.)
- Abandoned
Links
- 0 *C([1*])(CC)CC([2*])([3*])CC1C(=O)N(C)C1C Chemical compound *C([1*])(CC)CC([2*])([3*])CC1C(=O)N(C)C1C 0.000 description 41
- PPZTYYYBPYYPRK-UHFFFAOYSA-N C.C.CC(C)C.CCC.CO Chemical compound C.C.CC(C)C.CCC.CO PPZTYYYBPYYPRK-UHFFFAOYSA-N 0.000 description 4
- OLNTVTPDXPETLC-XPWALMASSA-N O=C1[C@H](CC[C@H](O)C2=CC=C(F)C=C2)[C@@H](C2=CC=C(O)C=C2)N1C1=CC=C(F)C=C1 Chemical compound O=C1[C@H](CC[C@H](O)C2=CC=C(F)C=C2)[C@@H](C2=CC=C(O)C=C2)N1C1=CC=C(F)C=C1 OLNTVTPDXPETLC-XPWALMASSA-N 0.000 description 4
- PTEFTEBWIQFICD-UHFFFAOYSA-N BC=C(C)C.C Chemical compound BC=C(C)C.C PTEFTEBWIQFICD-UHFFFAOYSA-N 0.000 description 1
- IKTXJPFNFKUMAI-UHFFFAOYSA-N C.C.C.C.C.CC1CCC(O)C1.CC1CCCN1.CCC1=CC=C(O)C=C1.CCC1=CC=CC=C1.CCC1=CN=CN1.CCC1=CNC2=CC=CC=C12 Chemical compound C.C.C.C.C.CC1CCC(O)C1.CC1CCCN1.CCC1=CC=C(O)C=C1.CCC1=CC=CC=C1.CCC1=CN=CN1.CCC1=CNC2=CC=CC=C12 IKTXJPFNFKUMAI-UHFFFAOYSA-N 0.000 description 1
- BLJDUNRJRVWDIF-UHFFFAOYSA-N C.C.C.CC(C)C.CCC.CO Chemical compound C.C.C.CC(C)C.CCC.CO BLJDUNRJRVWDIF-UHFFFAOYSA-N 0.000 description 1
- QHTMKULNTVMCKK-QFSZCBAXSA-N C.CC1O[C@H](C)[C@@H](C)[C@H](C)[C@H]1C.CC1O[C@H](C)[C@@H](C)[C@H](C)[C@H]1C.CCC1OC(C)[C@H](C)[C@@H](C)[C@@H]1C Chemical compound C.CC1O[C@H](C)[C@@H](C)[C@H](C)[C@H]1C.CC1O[C@H](C)[C@@H](C)[C@H](C)[C@H]1C.CCC1OC(C)[C@H](C)[C@@H](C)[C@@H]1C QHTMKULNTVMCKK-QFSZCBAXSA-N 0.000 description 1
- WNXJIVFYUVYPPR-UHFFFAOYSA-N C1COCO1 Chemical compound C1COCO1 WNXJIVFYUVYPPR-UHFFFAOYSA-N 0.000 description 1
- ANVRSCYDIDPBTC-UHFFFAOYSA-N CC(CCC1C(=O)N(C2=CC=C(F)C=C2)C1C1=CC=C(O)C=C1)C1=CC=C(F)C=C1 Chemical compound CC(CCC1C(=O)N(C2=CC=C(F)C=C2)C1C1=CC=C(O)C=C1)C1=CC=C(F)C=C1 ANVRSCYDIDPBTC-UHFFFAOYSA-N 0.000 description 1
- PIAREVDUNFOQGY-DXWKJQMMSA-N CC(CC[C@H](C(C1C=C2)(C1=CC=C2O)N1c(cc2)ccc2F)C1=O)c(cc1)ccc1F Chemical compound CC(CC[C@H](C(C1C=C2)(C1=CC=C2O)N1c(cc2)ccc2F)C1=O)c(cc1)ccc1F PIAREVDUNFOQGY-DXWKJQMMSA-N 0.000 description 1
- ZKFCTYKNAZGFSI-ZQTORBQFSA-N CC1=CC=C(C2C(CC[C@H](OC3O[C@H](C(=O)O)[C@@H](O)[C@H](O)[C@H]3O)C3=CC=C(F)C=C3)C(=O)N2C2=CC=C(F)C=C2)C=C1 Chemical compound CC1=CC=C(C2C(CC[C@H](OC3O[C@H](C(=O)O)[C@@H](O)[C@H](O)[C@H]3O)C3=CC=C(F)C=C3)C(=O)N2C2=CC=C(F)C=C2)C=C1 ZKFCTYKNAZGFSI-ZQTORBQFSA-N 0.000 description 1
- OHACMJAMDKRMSW-UHFFFAOYSA-N CC=NC Chemical compound CC=NC OHACMJAMDKRMSW-UHFFFAOYSA-N 0.000 description 1
- INLNROGRXAYZLP-UHFFFAOYSA-N O=C(C(C1[AlH2])P)N1[AlH2] Chemical compound O=C(C(C1[AlH2])P)N1[AlH2] INLNROGRXAYZLP-UHFFFAOYSA-N 0.000 description 1
- XIVYNUVIBVWJPJ-UHFFFAOYSA-N O=C(O)C1OC(OC2=CC=C(C3C(CCC(OC4OC(C(=O)O)C(O)C(O)C4O)C4=CC=C(F)C=C4)C(=O)N3C3=CC=C(F)C=C3)C=C2)C(O)C(O)C1O Chemical compound O=C(O)C1OC(OC2=CC=C(C3C(CCC(OC4OC(C(=O)O)C(O)C(O)C4O)C4=CC=C(F)C=C4)C(=O)N3C3=CC=C(F)C=C3)C=C2)C(O)C(O)C1O XIVYNUVIBVWJPJ-UHFFFAOYSA-N 0.000 description 1
Classifications
-
- A—HUMAN NECESSITIES
- A61—MEDICAL OR VETERINARY SCIENCE; HYGIENE
- A61K—PREPARATIONS FOR MEDICAL, DENTAL OR TOILETRY PURPOSES
- A61K45/00—Medicinal preparations containing active ingredients not provided for in groups A61K31/00 - A61K41/00
- A61K45/06—Mixtures of active ingredients without chemical characterisation, e.g. antiphlogistics and cardiaca
-
- A—HUMAN NECESSITIES
- A61—MEDICAL OR VETERINARY SCIENCE; HYGIENE
- A61K—PREPARATIONS FOR MEDICAL, DENTAL OR TOILETRY PURPOSES
- A61K31/00—Medicinal preparations containing organic active ingredients
-
- A—HUMAN NECESSITIES
- A61—MEDICAL OR VETERINARY SCIENCE; HYGIENE
- A61K—PREPARATIONS FOR MEDICAL, DENTAL OR TOILETRY PURPOSES
- A61K31/00—Medicinal preparations containing organic active ingredients
- A61K31/33—Heterocyclic compounds
- A61K31/395—Heterocyclic compounds having nitrogen as a ring hetero atom, e.g. guanethidine or rifamycins
- A61K31/397—Heterocyclic compounds having nitrogen as a ring hetero atom, e.g. guanethidine or rifamycins having four-membered rings, e.g. azetidine
-
- A—HUMAN NECESSITIES
- A61—MEDICAL OR VETERINARY SCIENCE; HYGIENE
- A61K—PREPARATIONS FOR MEDICAL, DENTAL OR TOILETRY PURPOSES
- A61K31/00—Medicinal preparations containing organic active ingredients
- A61K31/70—Carbohydrates; Sugars; Derivatives thereof
- A61K31/7042—Compounds having saccharide radicals and heterocyclic rings
- A61K31/7052—Compounds having saccharide radicals and heterocyclic rings having nitrogen as a ring hetero atom, e.g. nucleosides, nucleotides
-
- A—HUMAN NECESSITIES
- A61—MEDICAL OR VETERINARY SCIENCE; HYGIENE
- A61P—SPECIFIC THERAPEUTIC ACTIVITY OF CHEMICAL COMPOUNDS OR MEDICINAL PREPARATIONS
- A61P17/00—Drugs for dermatological disorders
-
- A—HUMAN NECESSITIES
- A61—MEDICAL OR VETERINARY SCIENCE; HYGIENE
- A61P—SPECIFIC THERAPEUTIC ACTIVITY OF CHEMICAL COMPOUNDS OR MEDICINAL PREPARATIONS
- A61P35/00—Antineoplastic agents
Definitions
- the present invention relates to methods and therapeutic combinations for treating and preventing xanthomas in a subject including the administration of certain sterol and/or 5 ⁇ -stanol absorption inhibitors.
- Xanthomas are a common skin disorder associated with the accumulation of fatty materials under the surface of the skin. Xanthomas are most commonly associated with those who have high triglyceride and cholesterol levels.
- Xanthoma is characterized by a lesion or bump that appears on the surface of the skin. Although the lesions or bumps are usually painless and soft to the touch, they are of a yellow color and may vary in size from very small up to a few inches, making them unsightly. Furthermore, the xanthoma itself may be indicative of an underlying disease such as diabetes, primary biliary cirrhosis, some types of cancer, or hypercholesterolemia.
- Xanthomas which are more specifically, benign fatty tumors, may be removed by surgical means, but if no other treatment is provided, they are likely to reform.
- the present invention provides a method of preventing or decreasing the incidence of xanthomas in a subject comprising the step of administering to a subject in need of such treatment an effective amount of at least one sterol absorption inhibitor, at least one 5 ⁇ -stanol absorption inhibitor, or a pharmaceutically acceptable salt or solvate thereof, to prevent or decrease the incidence of xanthomas in the subject.
- the present invention provides a method of preventing or decreasing the incidence of xanthomas in a subject comprising the step of administering to a subject in need of such treatment an effective amount of at least one sterol and/or 5 ⁇ -stanol absorption inhibitor represented by Formulae I-XII below or a pharmaceutically acceptable salt or a solvate thereof to prevent or decrease the incidence of xanthomas in the subject.
- Therapeutic combinations also are provided comprising: (a) a first amount of at least one sterol and/or 5 ⁇ -stanol absorption inhibitor or a pharmaceutically acceptable salt or a solvate thereof; and (b) a second amount of at least one cholesterol biosynthesis inhibitor, wherein the first amount and the second amount together comprise a therapeutically effective amount for the treatment or prevention of xanthomas in a subject.
- the present invention is directed to methods of treating or preventing xanthomas by administering an effective amount of a composition or a therapeutic combination comprising at least one (one or more) sterol absorption inhibitor(s) and/or at least one (one or more) 5 ⁇ -stanol absorption inhibitor(s), such as but not limited to, substituted azetidinone or substituted ⁇ -lactam sterol absorption inhibitors discussed in detail below.
- terapéuticaally effective amount means that amount of a therapeutic agent of the composition, such as the sterol and/or 5 ⁇ -stanol absorption inhibitor(s) and other pharmacological or therapeutic agents described below, that will elicit a biological or medical response of a tissue, system, or subject that is being sought by the administrator (such as a researcher, doctor or veterinarian) which includes alleviation of the symptoms of the xanthoma condition or disease being treated and the prevention, slowing or halting of progression of the condition, including but not limited to decreasing the number of xanthomas and/or the size of the xanthomas.
- a therapeutic agent of the composition such as the sterol and/or 5 ⁇ -stanol absorption inhibitor(s) and other pharmacological or therapeutic agents described below.
- suitable subjects that can be treated according to the methods of the present invention include mammals, such as humans or dogs, and other animals.
- “combination therapy” or “therapeutic combination” means the administration of two or more therapeutic agents, such as sterol or 5 ⁇ -stanol absorption inhibitor(s) and other lipid lowering agents discussed below, such as cholesterol biosynthesis inhibitor(s), to prevent or treat xanthomas.
- Such administration includes coadministration of these therapeutic agents in a substantially simultaneous manner, such as in a single tablet or capsule having a fixed ratio of active ingredients or in multiple, separate capsules for each therapeutic agent.
- such administration includes use of each type of therapeutic agent in a sequential manner. In either case, the treatment using the combination therapy will provide beneficial effects in treating xanthomas.
- a potential advantage of the combination therapy disclosed herein may be a reduction in the required amount of an individual therapeutic compound or the overall total amount of therapeutic compounds that are effective in treating xanthomas.
- the side effects of the individual compounds can be reduced as compared to a monotherapy, which can improve patient compliance.
- therapeutic agents can be selected to provide a broader range of complimentary effects or complimentary modes of action.
- compositions, pharmaceutical compositions and therapeutic combinations of the present invention comprise one or more sterol absorption inhibitors or 5 ⁇ -stanol absorption inhibitors, such as for example substituted azetidinone or substituted ⁇ -lactam sterol absorption inhibitors discussed in detail below.
- sterol absorption inhibitor means a compound capable of inhibiting the absorption of one or more sterols, including but not limited to cholesterol or phytosterols (such as sitosterol, campesterol, stigmasterol and avenosterol) when administered in a therapeutically effective (sterol absorption inhibiting) amount to a subject.
- 5 ⁇ -stanol absorption inhibitor means a compound capable of inhibiting the absorption of one or more 5 ⁇ -stanols (such as cholestanol, 5 ⁇ -campestanol, 5 ⁇ -sitostanol) when administered in a therapeutically effective (5 ⁇ -stanol absorption inhibiting) amount to a subject.
- 5 ⁇ -stanols such as cholestanol, 5 ⁇ -campestanol, 5 ⁇ -sitostanol
- Mixtures of sterol absorption inhibitor(s) and 5 ⁇ -stanol absorption inhibitor(s) also are contemplated.
- sterol or 5 ⁇ -stanol absorption inhibitors useful in the compositions, therapeutic combinations and methods of the present invention are represented by Formula (I) below: or a pharmaceutically acceptable salt thereof or a solvate thereof, wherein, in Formula (I) above:
- Ar 1 and Ar 2 are independently selected from the group consisting of aryl and R 4 -substituted aryl;
- Ar 3 is aryl or R 5 -substituted aryl
- X, Y and Z are independently selected from the group consisting of —CH 2 —, —CH(lower alkyl)- and —C(dilower alkyl)-;
- R and R 2 are independently selected from the group consisting of —O 6 , —O(CO)R 6 , —O(CO)OR 9 and —O(CO)NR 6 R 7 ;
- R 1 and R 3 are independently selected from the group consisting of hydrogen, lower alkyl and aryl;
- R 4 is 1-5 substituents independently selected from the group consisting of lower alkyl, —OR 6 , —O(CO)R 6 , —O(CO)OR 9 , —O(CH 2 ) 1-5 OR 6 , —O(CO)NR 6 R 7 , —NR 6 R 7 , —NR 6 (CO)R 7 , —NR 6 (CO)OR 9 , —NR 6 (CO)NR 7 R 8 , —NR 6 SO 2 R 9 , —COOR 6 , —CONR 6 R 7 , —COR 6 , —SO 2 NR 6 R 7 , S(O) 0-2 R 9 , —O(CH 2 ) 1-10 —COOR 6 , —O(CH 2 ) 1-10 CONR 6 R 7 , -(lower alkylene)COOR 6 , —CH ⁇ CH—COOR 6 , —CF 3 , —CN, —NO 2 and halogen;
- R 5 is 1-5 substituents independently selected from the group consisting of —OR 6 , —O(CO)R 6 , —O(CO)OR 9 , —O(CH 2 ) 1-5 OR 6 , —O(CO)NR 6 R 7 , —NR 6 R 7 , —NR 6 (CO)R 7 , —NR 6 (CO)OR 9 , —NR 6 (CO)NR 7 R 8 , —NR 6 SO 2 R 9 , —COOR 6 , —CONR 6 R 7 , —COR 6 , —SO 2 NR 6 R 7 , S(O) 0-2 R 9 , —O(CH 2 ) 1-10 —COOR 6 , —O(CH 2 ) 1-10 CONR 6 R 7 , -(lower alkylene)COOR 6 and —CH ⁇ CH—COOR 6 ;
- R 6 , R 7 and R 8 are independently selected from the group consisting of hydrogen, lower alkyl, aryl and aryl-substituted lower alkyl;
- R 9 is lower alkyl, aryl or aryl-substituted lower alkyl.
- R 4 is 1-3 independently selected substituents
- R 5 is preferably 1-3 independently selected substituents.
- alkyl or “lower alkyl” means straight or branched alkyl chains having from 1 to 6 carbon atoms and “alkoxy” means alkoxy groups having 1 to 6 carbon atoms.
- alkyl groups include, for example methyl, ethyl, propyl, and butyl groups.
- alkenyl means straight or branched carbon chains having one or more double bonds in the chain, conjugated or unconjugated.
- alkynyl means straight or branched carbon chains having one or more triple bonds in the chain. Where an alkyl, alkenyl or alkynyl chain joins two other variables and is therefore bivalent, the terms alkylene, alkenylene and alkynylene are used.
- Cycloalkyl means a saturated carbon ring of 3 to 6 carbon atoms, while “cycloalkylene” refers to a corresponding bivalent ring, wherein the points of attachment to other groups include all positional isomers.
- Halogeno refers to fluorine, chlorine, bromine or iodine radicals.
- Aryl means phenyl, naphthyl, indenyl, tetrahydronaphthyl or indanyl.
- Phenylene means a bivalent phenyl group, including ortho, meta and para-substitution.
- R, R 1 , R 2 and R 3 are said to be independently selected from a group of substituents, mean that R, R 1 , R 2 and R 3 are independently selected, but also that where an R, R 1 , R 2 and R 3 variable occurs more than once in a molecule, each occurrence is independently selected (e.g., if R is —OR 6 , wherein R 6 is hydrogen, R 2 can be —OR 6 wherein R 6 is lower alkyl).
- R 6 is hydrogen
- R 2 can be —OR 6 wherein R 6 is lower alkyl
- Compounds of the invention have at least one asymmetrical carbon atom and therefore all isomers, including enantiomers, stereoisomers, rotamers, tautomers and racemates of the compounds of Formulae I-XII are contemplated as being part of this invention.
- the invention includes d and I isomers in both pure form and in admixture, including racemic mixtures.
- Isomers can be prepared using conventional techniques, either by reacting optically pure or optically enriched starting materials or by separating isomers of a compound of the Formulas I-XII. Isomers may also include geometric isomers, e.g., when a double bond is present.
- Compounds of the invention with an amino group can form pharmaceutically acceptable salts with organic and inorganic acids.
- suitable acids for salt formation are hydrochloric, sulfuric, phosphoric, acetic, citric, oxalic, malonic, salicylic, malic, fumaric, succinic, ascorbic, maleic, methanesulfonic and other mineral and carboxylic acids well known to those in the art.
- the salt is prepared by contacting the free base form with a sufficient amount of the desired acid to produce a salt.
- the free base form may be regenerated by treating the salt with a suitable dilute aqueous base solution such as dilute aqueous sodium bicarbonate.
- the free base form differs from its respective salt form somewhat in certain physical properties, such as solubility in polar solvents, but the salt is otherwise equivalent to its respective free base forms for purposes of the invention.
- Certain compounds of the invention are acidic (e.g., those compounds which possess a carboxyl group). These compounds form pharmaceutically acceptable salts with inorganic and organic bases. Examples of such salts are the sodium, potassium, calcium, aluminum, gold and silver salts. Also included are salts formed with pharmaceutically acceptable amines such as ammonia, alkyl amines, hydroxyalkylamines, N-methylglucamine and the like.
- solvate means a molecular or ionic complex of molecules or ions of solvent with those of solute (for example, one or more compounds of Formulae I-XII, isomers of the compounds of Formulae I-XII, or prodrugs of the compounds of Formulae I-XII).
- useful solvents include polar, protic solvents such as water and/or alcohols (for example methanol).
- Prodrugs of the compounds of Formulae I-XII are contemplated as being part of this invention.
- “prodrug” means compounds that are drug precursors which, following administration to a patient, release the drug in vivo via some chemical or physiological process (e.g., a prodrug on being brought to the physiological pH or through enzyme action is converted to the desired drug form).
- Preferred compounds of Formula (I) are those in which Ar 1 is phenyl or R 4 -substituted phenyl, more preferably (4-R 4 )-substituted phenyl.
- Ar 2 is preferably phenyl or R 4 -substituted phenyl, more preferably (4-R 4 )-substituted phenyl.
- Ar 3 is preferably R 5 -substituted phenyl, more preferably (4-R 5 )-substituted phenyl.
- R 4 is preferably a halogen.
- R 4 is preferably halogen or —OR 6 and R 5 is preferably —OR 6 , wherein R 6 is lower alkyl or hydrogen.
- R 6 is lower alkyl or hydrogen.
- Especially preferred are compounds wherein each of Ar 1 and Ar 2 is 4-fluorophenyl and Ar 3 is 4-hydroxyphenyl or 4-methoxyphenyl.
- X, Y and Z are each preferably —CH 2 —.
- R 1 and R 3 are each preferably hydrogen.
- R and R 2 are preferably —OR 6 wherein R 6 is hydrogen, or a group readily metabolizable to a hydroxyl (such as —O(CO)R 6 , —O(CO)OR 9 and —O(CO)NR 6 R 7 , defined above).
- m, n, p, q and r is preferably 2, 3 or 4, more preferably 3.
- Preferred are compounds wherein m, n and r are each zero, q is 1 and p is 2.
- compounds of Formula (I) in which p, q and n are each zero, r is 1 and m is 2 or 3. More preferred are compounds wherein m, n and r are each zero, q is 1, p is 2, Z is —CH 2 — and R is —OR 6 , especially when R 6 is hydrogen.
- Another group of preferred compounds of Formula (I) is that in which Ar 1 is phenyl or R 4 -substituted phenyl, Ar 2 is phenyl or R 4 -substituted phenyl and Ar 3 is R 5 -substituted phenyl. Also preferred are compounds in which Ar 1 is phenyl or R 4 -substituted phenyl, Ar 2 is phenyl or R 4 -substituted phenyl, Ar 3 is R 5 -substituted phenyl, and the sum of m, n, p, q and r is 2, 3 or 4, more preferably 3.
- Ar 1 is phenyl or R 4 -substituted phenyl
- Ar 2 is phenyl or R 4 -substituted phenyl
- Ar 3 is R 5 -substituted phenyl
- m, n and r are each zero, q is 1 and p is 2, or wherein p, q and n are each zero, r is 1 and m is 2 or 3.
- a sterol or 5 ⁇ -stanol absorption inhibitor of Formula (I) useful in the compositions, therapeutic combinations and methods of the present invention is represented by Formula (II) (ezetimibe) below: or a pharmaceutically acceptable salt or solvate thereof.
- the compound of Formula (II) can be in anhydrous or hydrated form.
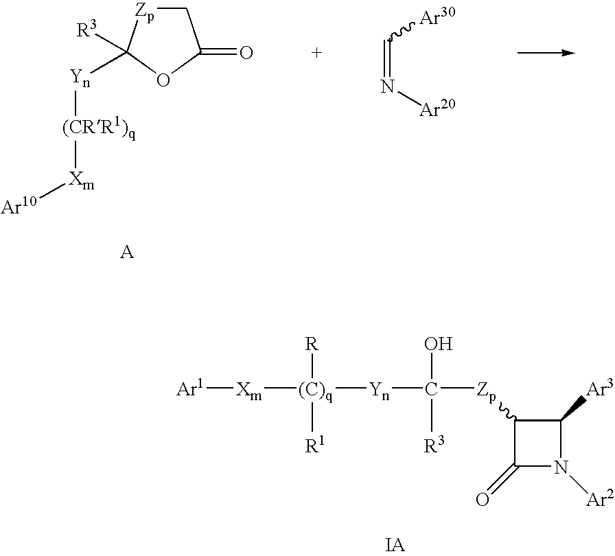
- Compounds of Formula I can be prepared by a variety of methods well known to those skilled in the art, for example such as are disclosed in U.S. Pat. Nos. 5,631,365, 5,767,115, 5,846,966, 6,207,822, U.S. patent application Ser. No. 10/105,710 filed Mar. 25, 2002, and PCT Patent Application WO 93/02048, each of which is incorporated herein by reference, and in the Example below.
- suitable compounds of Formula I can be prepared by a method comprising the steps of:
- step (b) reacting the product of step (a) with an imine of the formula wherein Ar 20 is Ar 2 , a suitably protected hydroxy-substituted aryl or a suitably protected amino-substituted aryl; and Ar 30 is Ar 3 , a suitably protected hydroxy-substituted aryl or a suitably protected amino-substituted aryl;
- Ar 1 is R 3 -substituted aryl
- Ar 2 is R 4 -substituted aryl
- Ar 3 is R 5 -substituted aryl
- Y and Z are independently selected from the group consisting of —CH 2 —, —CH(lower alkyl)- and —C(dilower alkyl)-;
- A is selected from —O—, —S—, —S(O)— or —S(O) 2 —;
- R 1 is selected from the group consisting of —OR 6 , —O(CO)R 6 , —O(CO)OR 9 and —O(CO)NR 6 R 7 ;
- R 2 is selected from the group consisting of hydrogen, lower alkyl and aryl; or R 1 and R 2 together are ⁇ O;
- q 1, 2 or 3;
- p 0, 1, 2, 3 or 4;
- R 5 is 1-3 substituents independently selected from the group consisting of —OR 6 , —O(CO)R 6 , —O(CO)OR 9 , —O(CH 2 ) 1-5 OR 9 , —O(CO)NR 6 R 7 , —NR 6 R 7 , —NR 6 (CO)R 7 , —NR 6 (CO)OR 9 , —NR 6 (CO)NR 7 R 8 , —NR 6 SO 2 -lower alkyl, —NR 6 SO 2 -aryl, —CONR 6 R 7 , —COR 6 , —SO 2 NR 6 R 7 , S(O) 0-2 -alkyl, S(O) 0-2 -aryl, —O(CH 2 ) 1-10 —COOR 6 , —O(CH 2 ) 1-10 CONR 6 R 7 , o-halogeno, m-halogeno, o-lower alkyl, m-lower alkyl,
- R 3 and R 4 are independently 1-3 substituents independently selected from the group consisting of R 5 , hydrogen, p-lower alkyl, aryl, —NO 2 , —CF 3 and p-halogeno;
- R 6 , R 7 and R 8 are independently selected from the group consisting of hydrogen, lower alkyl, aryl and aryl-substituted lower alkyl; and R 9 is lower alkyl, aryl or aryl-substituted lower alkyl.
- Preferred compounds of Formula I include those in which Ar 1 is R 3 -substituted phenyl, especially (4-R 3 )substituted phenyl.
- Ar 2 is preferably R 4 -substituted phenyl, especially (4-R 4 )-substituted phenyl.
- Ar 2 is preferably R 4 -substituted phenyl, especially (4-R 5 )-substituted phenyl.
- Mono-substitution of each of Ar 1 , Ar 2 and Ar 3 is preferred.
- Y and Z are each preferably —CH 2 —.
- R 2 is preferably hydrogen.
- R 1 is preferably —OR 6 wherein R 6 is hydrogen, or a group readily metabolizable to a hydroxyl (such as —O(CO)R 6 , —O(CO)OR 9 and —O(CO)NR 6 R 7 , defined above). Also preferred are compounds wherein R 1 and R 2 together are ⁇ O.
- the sum of q and p is preferably 1 or 2, more preferably 1.
- Preferred are compounds wherein p is zero and q is 1. More preferred are compounds wherein p is zero, q is 1, Y is —CH 2 — and R 1 is —OR 6 , especially when R 6 is hydrogen.
- Ar 1 is R 3 -substituted phenyl
- Ar 2 is R 4 -substituted phenyl
- Ar 3 is R 5 -substituted phenyl.
- Ar 1 is R 3 -substituted phenyl
- Ar 2 is R 4 -substituted phenyl
- Ar 3 is R 5 -substituted phenyl
- the sum of p and q is 1 or 2, especially 1. More preferred are compounds wherein Ar 1 is R 3 -substituted phenyl, Ar 2 is R 4 -substituted phenyl, Ar 3 is R 5 -substituted phenyl, p is zero and q is 1.
- A is preferably —O—.
- R 3 is preferably —COOR 6 , —CONR 6 R 7 , —COR 6 , —SO 2 NR 6 R 7 , S(O) 0-2 -alkyl, S(O) 0-2 -aryl, NO 2 or halogeno.
- a more preferred definition for R 3 is halogeno, especially fluoro or chloro.
- R 4 is preferably hydrogen, lower alkyl, —OR 6 , —O(CO)R 6 , —O(CO)OR 9 , —O(CO)NR 6 R 7 , —NR 6 R 7 , COR 6 or halogeno, wherein R 6 and R 7 are preferably independently hydrogen or lower alkyl, and R 9 is preferably lower alkyl.
- R 4 is hydrogen or halogeno, especially fluoro or chloro.
- R 5 is preferably —OR 6 , —O(CO)R 6 , —O(CO)OR 9 , —O(CO)NR 6 R 7 , —NR 6 R 7 , -(lower alkylene)-COOR 6 or —CH ⁇ CH—COOR 6 , wherein R 6 and R 7 are preferably independently hydrogen or lower alkyl, and R 9 is preferably lower alkyl.
- R 5 is —OR 6 , -(lower alkylene)-COOR 6 or —CH ⁇ CH—COOR 6 , wherein R 6 is preferably hydrogen or lower alkyl.
- sterol or 5 ⁇ -stanol absorption inhibitors useful in the compositions, therapeutic combinations and methods of the present invention are represented by Formula (IV): or a pharmaceutically acceptable salt thereof or a solvate thereof, wherein, in Formula (IV) above:
- A is selected from the group consisting of R 2 -substituted heterocycloalkyl, R 2 -substituted heteroaryl, R 2 -substituted benzofused heterocycloalkyl, and R 2 -substituted benzofused heteroaryl;
- Ar 1 is aryl or R 3 -substituted aryl
- Ar 2 is aryl or R 4 -substituted aryl
- Q is a bond or, with the 3-position ring carbon of the azetidinone, forms the spiro group
- R 1 is selected from the group consisting of:
- R 5 is selected from:
- R 1 also can be selected from:
- M is —O—, —S—, —S(O)— or —S(O) 2 —;
- X, Y and Z are independently selected from the group consisting of —CH 2 —, —CH(C 1 -C 6 alkyl)- and —C(di-(C 1 -C 6 ) alkyl);
- R 10 and R 12 are independently selected from the group consisting of —OR 14 , —O(CO)R 14 , —O(CO)OR 16 and —O(CO)NR 14 R 15 ;
- R 11 and R 13 are independently selected from the group consisting of hydrogen, (C 1 -C 6 )alkyl and aryl; or R 10 and R 11 together are ⁇ O, or R 12 and R 13 together are ⁇ O;
- d is 1, 2 or 3;
- h 0, 1, 2, 3 or 4;
- v 0 or 1
- j and k are independently 1-5, provided that the sum of j, k and v is 1-5;
- R 2 is 1-3 substituents on the ring carbon atoms selected from the group consisting of hydrogen, (C 1 -C 10 )alkyl, (C 2 -C 10 )alkenyl, (C 2 -C 10 )alkynyl, (C 3 -C 6 )cycloalkyl, (C 3 -C 6 )cycloalkenyl, R 17 -substituted aryl, R 17 -substituted benzyl, R 17 -substituted benzyloxy, R 17 -substituted aryloxy, halogeno, —NR 14 R 15 , NR 14 R 15 (C 1 -C 6 alkylene)-, NR 14 R 15 C(O)(C 1 -C 6 alkylene)-, —NHC(O)R 16 , OH, C 1 -C 6 alkoxy, —OC(O)R 16 , —COR 14 , hydroxy(C 1
- J is —O—, —NH—, —NR 18 — or —CH 2 —;
- R 3 and R 4 are independently selected from the group consisting of 1-3 substituents independently selected from the group consisting of (C 1 -C 6 )alkyl, —OR 14 , —O(CO)R 14 , —O(CO)OR 16 , —O(CH 2 ) 1-5 OR 14 , —O(CO)NR 14 R 15 , —NR 14 R 15 , —NR 14 (CO)R 15 , —NR 14 (CO)OR 16 , —NR 14 (CO)NR 15 R 19 , —NR 14 SO 2 R 16 , —COOR 14 , —CONR 14 R 15 , —COR 14 , —SO 2 NR 14 R 15 , S(O) 0-2 R 16 , —O(CH 2 ) 1-10 —COOR 14 , —O(CH 2 ) 1-10 CONR 14 R 15 , —(C 1 -C 6 alkylene)-COOR 14 , —CH ⁇ CH—COOR 14 ,
- R 8 is hydrogen, (C 1 -C 6 )alkyl, aryl (C 1 -C 6 )alkyl, —C(O)R 14 or —COOR 14 ;
- R 9 and R 17 are independently 1-3 groups independently selected from the group consisting of hydrogen, (C 1 -C 6 )alkyl, (C 1 -C 6 )alkoxy, —COOH, NO 2 , —NR 14 R 15 , OH and halogeno;
- R 14 and R 15 are independently selected from the group consisting of hydrogen, (C 1 -C 6 )alkyl, aryl and aryl-substituted (C 1 -C 6 )alkyl;
- R 16 is (C 1 -C 6 )alkyl, aryl or R 17 -substituted aryl;
- R 18 is hydrogen or (C 1 -C 6 )alkyl
- R 19 is hydrogen, hydroxy or (C 1 -C 6 )alkoxy.
- “A” is preferably an R 2 -substituted, 6-membered heterocycloalkyl ring containing 1 or 2 nitrogen atoms.
- Preferred heterocycloalkyl rings are piperidinyl, piperazinyl and morpholinyl groups.
- the ring “A” is preferably joined to the phenyl ring through a ring nitrogen.
- Preferred R 2 substituents are hydrogen and lower alkyl.
- R 19 is preferably hydrogen.
- Ar 2 is preferably phenyl or R 4 -phenyl, especially (4-R 4 )-substituted phenyl.
- R 4 are lower alkoxy, especially methoxy, and halogeno, especially fluoro.
- Ar 1 is preferably phenyl or R 3 -substituted phenyl, especially (4-R 3 )-substituted phenyl.
- Q is a bond and R 1 is lower alkylene, preferably propylene;
- Q is a spiro group as defined above, wherein preferably R 6 and R 7 are each ethylene and R 5 is
- Q is a bond and R 1 is wherein the variables are chosen such that R 1 is —O—CH 2 —CH(OH)—;
- Q is a bond and R 1 is wherein the variables are chosen such that R 1 is —CH(OH)—(CH 2 ) 2 —;
- Q is a bond and R 1 is wherein the variables are chosen such that R 1 is —CH(OH)—CH 2 —S(O) 0-2 —.
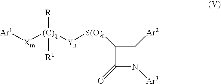
- sterol or 5 ⁇ -stanol absorption inhibitors useful in the compositions, therapeutic combinations and methods of the present invention are represented by Formula (V): or a pharmaceutically acceptable salt thereof or a solvate thereof, wherein, in Formula (V) above:
- Ar 1 is aryl, R 10 -substituted aryl or heteroaryl
- Ar 2 is aryl or R 4 -substituted aryl
- Ar 3 is aryl or R 5 -substituted aryl
- X and Y are independently selected from the group consisting of —CH 2 —, —CH(lower alkyl)- and —C(dilower alkyl)-;
- R is —OR 6 , —O(CO)R 6 , —O(CO)OR 9 or —O(CO)NR 6 R 7 ;
- R 1 is hydrogen, lower alkyl or aryl; or R and R 1 together are ⁇ O;
- q is 0 or 1
- r 0, 1 or 2;
- n and n are independently 0, 1, 2, 3, 4 or 5; provided that the sum of m, n and q is 1, 2, 3, 4 or 5;
- R 4 is 1-5 substituents independently selected from the group consisting of lower alkyl, —OR 6 , —O(CO)R 6 , —O(CO)OR 9 , —O(CH 2 ) 1-5 OR 6 , —O(CO)NR 6 R 7 , —NR 6 R 7 , —NR 6 (CO)R 7 , —NR 6 (CO)OR 9 , —NR 6 (CO)NR 7 R 8 , —NR 6 SO 2 R 9 , —COOR 6 , —CONR 6 R 7 , —COR 6 , —SO 2 NR 6 R 7 , S(O) 0-2 R 9 , —O(CH 2 ) 1-10 —COOR 6 , —O(CH 2 ) 1-10 CONR 6 R 7 , -(lower alkylene)COOR 6 and —CH ⁇ CH—COOR 6 ;
- R 5 is 1-5 substituents independently selected from the group consisting of —OR 6 , —O(CO)R 6 , —O(CO)OR 9 , —O(CH 2 ) 1-5 OR 6 , —O(CO)NR 6 R 7 , —NR 6 R 7 , —NR 6 (CO)R 7 , —NR 6 (CO)OR 9 , —NR 6 (CO)NR 7 R 8 , —NR 6 SO 2 R 9 , —COOR 6 , —CONR 6 R 7 , —COR 6 , —SO 2 NR 6 R 7 , S(O) 0-2 R 9 , —O(CH 2 ) 1-10 —COOR 6 , —O(CH 2 ) 1-10 CONR 6 R 7 , —CF 3 , —CN, —NO 2 , halogen,
- R 6 , R 7 and R 8 are independently selected from the group consisting of hydrogen, lower alkyl, aryl and aryl-substituted lower alkyl;
- R 9 is lower alkyl, aryl or aryl-substituted lower alkyl
- R 10 is 1-5 substituents independently selected from the group consisting of lower alkyl, —OR 6 , —O(CO)R 6 , —O(CO)OR 9 , —O(CH 2 ) 1-5 OR 6 , —O(CO)NR 6 R 7 , —NR 6 R 7 , —NR 6 (CO)R 7 , —NR 6 (CO)OR 9 , —NR 6 (CO)NR 7 R 8 , —NR 6 SO 2 R 9 , —COOR 6 , —CONR 6 R 7 , —COR 6 , —SO 2 NR 6 R 7 , —S(O) 0-2 R 9 , —O(CH 2 ) 1-10 —COOR 6 , —O(CH 2 ) 1-10 CONR 6 R 7 , —CF 3 , —CN, —NO 2 and halogen.
- R 4 , R 5 and R 10 are each preferably 1-3 independently selected substituents as set forth above.
- Preferred are compounds of Formula (V) wherein Ar 1 is phenyl, R 10 -substituted phenyl or thienyl, especially (4-R 10 )-substituted phenyl or thienyl.
- Ar 2 is preferably R 4 -substituted phenyl, especially (4-R 4 )-substituted phenyl.
- Ar 3 is preferably phenyl or R 5 -substituted phenyl, especially (4-R 5 )-substituted phenyl.
- R 10 When Ar 1 is R 10 -substituted phenyl, R 10 is preferably halogeno, especially fluoro.
- Ar 2 When Ar 2 is R 4 -substituted phenyl, R 4 is preferably —OR 6 , especially wherein R 6 is hydrogen or lower alkyl.
- Ar 3 When Ar 3 is R 5 -substituted phenyl, R 5 is preferably halogeno, especially fluoro.
- Especially preferred are compounds of Formula (V) wherein Ar 1 is phenyl, 4-fluorophenyl or thienyl, Ar 2 is 4-(alkoxy or hydroxy)phenyl, and Ar 3 is phenyl or 4-fluorophenyl.
- X and Y are each preferably —CH 2 —.
- the sum of m, n and q is preferably 2, 3 or 4, more preferably 2.
- n is preferably 1 to 5.
- Preferences for X, Y, Ar 1 , Ar 2 and Ar 3 are the same in each of Formulae (VA) and (VB).
- the sum of m and n is preferably 2, 3 or 4, more preferably 2. Also preferred are compounds wherein the sum of m and n is 2, and r is 0 or 1.
- R 1 is preferably hydrogen and R is preferably —OR 6 wherein R 6 is hydrogen, or a group readily metabolizable to a hydroxyl (such as —O(CO)R 6 , —O(CO)OR 9 and —O(CO)NR 6 R 7 , defined above), or R and R 1 together form a ⁇ O group.
- sterol or 5 ⁇ -stanol absorption inhibitors useful in the compositions, therapeutic combinations and methods of the present invention are represented by Formula (VI): or a pharmaceutically acceptable salt thereof or a solvate thereof, wherein:
- R 4 is selected from B—(CH 2 ) m C(O)—, wherein m is 0, 1, 2, 3, 4 or 5; B—(CH 2 ) q —, wherein q is 0, 1, 2, 3, 4, 5 or 6; B—(CH 2 ) e -Z-(CH 2 ) r —, wherein Z is —O—, —C(O)—, phenylene, —N(R 8 )— or —S(O) 0-2 —, e is 0, 1, 2, 3, 4 or 5 and r is 0, 1, 2, 3, 4 or 5, provided that the sum of e and r is 0, 1, 2, 3, 4, 5 or 6; B—(C 2 -C 6 alkenylene)-; B—(C 4 -C 6 alkadienylene)-; B—(CH 2 ) t -Z-(C 2 -C 6 alkenylene)-, wherein Z is as defined above, and wherein t is 0, 1, 2 or 3, provided that the sum of t
- B is selected from indanyl, indenyl, naphthyl, tetrahydronaphthyl, heteroaryl or W-substituted heteroaryl, wherein heteroaryl is selected from the group consisting of pyrrolyl, pyridinyl, pyrimidinyl, pyrazinyl, triazinyl, imidazolyl, thiazolyl, pyrazolyl, thienyl, oxazolyl and furanyl, and for nitrogen-containing heteroaryls, the N-oxides thereof, or
- W is 1 to 3 substituents independently selected from the group consisting of lower alkyl, hydroxy lower alkyl, lower alkoxy, alkoxyalkyl, alkoxyalkoxy, alkoxycarbonylalkoxy, (lower alkoxyimino)-lower alkyl, lower alkanedioyl, lower alkyl lower alkanedioyl, allyloxy, —CF 3 , —OCF 3 , benzyl, R 7 -benzyl, benzyloxy, R 7 -benzyloxy, phenoxy, R 7 -phenoxy, dioxolanyl, NO 2 , —N(R 8 )(R 9 ), N(R 8 )(R 9 )-lower alkylene-, N(R 8 )(R 9 )-lower alkylenyloxy-, OH, halogeno, —CN, —N 3 , —NHC(O)OR 10 , —NH
- R 7 is 1-3 groups independently selected from the group consisting of lower alkyl, lower alkoxy, —COOH, NO 2 , —N(R 8 )(R 9 ), OH, and halogeno;
- R 8 and R 9 are independently selected from H or lower alkyl
- R 10 is selected from lower alkyl, phenyl, R 7 -phenyl, benzyl or R 7 -benzyl;
- R 11 is selected from OH, lower alkyl, phenyl, benzyl, R 7 -phenyl or R 7 -benzyl;
- R 12 is selected from H, OH, alkoxy, phenoxy, benzyloxy, —N(R 8 )(R 9 ), lower alkyl, phenyl or R 7 -phenyl;
- R 13 is selected from —O—, —CH 2 —, —NH—, —N(lower alkyl)- or —NC(O)R 19 ;
- R 15 , R 16 and R 17 are independently selected from the group consisting of H and the groups defined for W; or R 15 is hydrogen and R 16 and R 17 , together with adjacent carbon atoms to which they are attached, form a dioxolanyl ring;
- R 19 is H, lower alkyl, phenyl or phenyl lower alkyl
- R 20 and R 21 are independently selected from the group consisting of phenyl, W-substituted phenyl, naphthyl, W-substituted naphthyl, indanyl, indenyl, tetrahydronaphthyl, benzodioxolyl, heteroaryl, W-substituted heteroaryl, benzofused heteroaryl, W-substituted benzofused heteroaryl and cyclopropyl, wherein heteroaryl is as defined above.
- R 21 is selected from phenyl, W-substituted phenyl, indanyl, benzofuranyl, benzodioxolyl, tetrahydronaphthyl, pyridyl, pyrazinyl, pyrimidinyl, quinolyl or cyclopropyl,
- W is lower alkyl, lower alkoxy, OH, halogeno, —N(R 8 )(R 9 ), —NHC(O)OR 10 , —NHC(O)R 10 , NO 2 , —CN, —N 3 , —SH, —S(O) 0-2 -(lower alkyl), —COOR 19 , —CON(R 8 )(R 9 ), —COR 12 , phenoxy, benzyloxy, —OCF 3 , —CH ⁇ C(O)R 12 or tert-butyldimethylsilyloxy, wherein R 8 , R 9 , R 10 , R 12 and R 19 are as defined for Formula IV.
- W is 2 or 3 substituents, the substituents can be the same or different.
- R 20 is phenyl or W-substituted phenyl, wherein preferred meanings of W are as defined above for preferred definitions of R 21 .
- R 20 is phenyl or W-substituted phenyl and R 21 is phenyl, W-substituted phenyl, indanyl, benzofuranyl, benzodioxolyl, tetrahydronaphthyl, pyridyl, pyrazinyl, pyrimidinyl, quinolyl or cyclopropyl;
- W is lower alkyl, lower alkoxy, OH, halogeno, —N(R 8 )(R 9 ), —NHC(O)OR 10 , —NHC(O)R 10 , NO 2 , —CN, —N 3 , —SH, —S(O) 0-2 -(lower alkyl), —COOR 19 , —CON(R 8 )(R 9 ), —COR 12 , phenoxy, benzyloxy, —CH ⁇ CHC(O)R 12
- R 4 is preferably B—(CH 2 ) q — or B—(CH 2 ) e -Z-(CH 2 ) r —, wherein B, Z, q, e and r are as defined above.
- B is preferably wherein R 16 and R 17 are each hydrogen and wherein R 15 is preferably H, OH, lower alkoxy, especially methoxy, or halogeno, especially chloro.
- Z is —O—, e is 0, and r is 0.
- q is 0-2.
- R 20 is preferably phenyl or W-substituted phenyl.
- Preferred W substituents for R 20 are lower alkoxy, especially methoxy and ethoxy, OH, and —C(O)R 12 , wherein R 12 is preferably lower alkoxy.
- R 21 is selected from phenyl, lower alkoxy-substituted phenyl and F-phenyl.
- sterol or 5 ⁇ -stanol absorption inhibitors useful in the compositions, therapeutic combinations and methods of the present invention are represented by Formulas (VIIA) and (VIIB): or a pharmaceutically acceptable salt or solvate thereof, wherein:
- A is —CH ⁇ CH—, —C ⁇ C— or —(CH 2 ) p — wherein p is 0, 1 or 2;
- D is —(CH 2 ) m C(O)— or —(CH 2 ) q — wherein m is 1, 2, 3 or 4 and q is 2, 3 or 4;
- E is C 10 to C 20 alkyl or —C(O)—(C 9 to C 19 )-alkyl, wherein the alkyl is straight or branched, saturated or containing one or more double bonds;
- R is hydrogen, C 1 -C 15 alkyl, straight or branched, saturated or containing one or more double bonds, or B—(CH 2 ) r —, wherein r is 0, 1, 2, or 3;
- R 1 , R 2 , R 3 , R 1′ , R 2′ , and R 3′ are independently selected from the group consisting of hydrogen, lower alkyl, lower alkoxy, carboxy, NO 2 , NH 2 , OH, halogeno, lower alkylamino, dilower alkylamino, —NHC(O)OR 5 , R 6 O 2 SNH— and —S(O) 2 NH 2 ;
- R 4 is wherein n is 0, 1, 2 or 3;
- R 5 is lower alkyl
- R 6 is OH, lower alkyl, phenyl, benzyl or substituted phenyl wherein the substituents are 1-3 groups independently selected from the group consisting of lower alkyl, lower alkoxy, carboxy, NO 2 , NH 2 , OH, halogeno, lower alkylamino and dilower alkylamino; or a pharmaceutically acceptable salt thereof or a prodrug thereof.
- R is hydrogen, saturated or mono-unsaturated C 1 -C 10 alkyl or phenyl.
- Another group of preferred compounds of Formula (VIIA) is that in which D is propyl (i.e., —(CH 2 ) q — and q is 3).
- a third group of preferred compounds of Formula (VIIA) is that wherein R 4 is p-methoxyphenyl or 2,4,6-trimethoxyphenyl.
- Still another group of preferred compounds of Formula (VIIA) is that wherein A is ethylene or a bond (i.e., —(CH 2 ) p — wherein p is zero).
- R 1′ , R 2′ , and R 3′ are preferably each hydrogen, and preferably R 1 is hydrogen, hydroxy, nitro, lower alkoxy, amino or t-butoxycarbonyl-amino and R 2 and R 3 are each hydrogen.
- R 1′ , R 2′ , and R 3′ are each hydrogen;
- R 1 is hydrogen, hydroxy, nitro, lower alkoxy, amino or t-butoxycarbonyl-amino and
- R 2 and R 3 are each hydrogen;
- R is hydrogen, ethyl or phenyl;
- D is propyl;
- R 4 is p-methoxyphenyl or 2,4,6-trimethoxyphenyl; and
- A is ethylene or a bond.
- Preferred compounds of Formula (VIIA), wherein B′ is phenyl are shown in the following table: D R A B R 4 —(CH 2 ) 3 — H — p-MeO- p-MeO-phenyl phenyl —CH 2 C(O)— phenyl — phenyl p-MeO-phenyl —(CH 2 )3— H — phenyl p-MeO-phenyl —(CH 2 ) 3 — H — p-OH- p-MeO-phenyl phenyl —(CH 2 ) 3 — H ethylene p-MeO- p-MeO-phenyl phenyl —(CH 2 ) 3 — H — 3-MeO- p-MeO-phenyl phenyl —(CH 2 ) 3 — ethyl — phenyl p-MeO-phenyl —(CH
- the first-listed compound in the above table having the (3R,4S) absolute stereochemistry is more preferred.
- Preferred compounds of Formula (VIIB) are those wherein R is hydrogen, methyl, ethyl, phenyl or phenylpropyl. Another group of preferred compounds of Formula (VIIB) is that wherein R 4 is p-methoxyphenyl or 2,4,6-trimethoxyphenyl. Still another group of preferred compounds of Formula (VIB) is that wherein A is ethylene or a bond. Yet another group of preferred compounds of Formula (VIIB) is that wherein E is decyl, oleoyl or 7-Z-hexadecenyl. Preferably R 1 , R 2 and R 3 are each hydrogen.
- More preferred compounds of Formula (VIIB) are those wherein R is hydrogen, methyl, ethyl, phenyl or phenylpropyl; R 4 is p-methoxyphenyl or 2,4,6-trimethoxyphenyl; A is ethylene or a bond; E is decyl, oleoyl or 7-Z-hexadecenyl; and R 1 , R 2 and R 3 are each hydrogen.
- a preferred compound of Formula (VIIB) is that wherein E is decyl, R is hydrogen, B-A is phenyl and R 4 is p-methoxyphenyl.
- sterol or 5 ⁇ -stanol absorption inhibitors useful in the compositions and methods of the present invention are represented by Formula (VIII): or a pharmaceutically acceptable salt thereof or a solvate thereof, wherein, in Formula (VIII) above,
- R 26 is H or OG 1 ;
- G and G 1 are independently selected from the group consisting of H, provided that when R 26 is H or OH, G is not H;
- R, R a and R b are independently selected from the group consisting of H, —OH, halogeno, —NH 2 , azido, (C 1 -C 6 )alkoxy(C 1 -C 6 )-alkoxy or —W—R 30 ;
- W is independently selected from the group consisting of —NH—C(O)—, —O—C(O)—, —O—C(O)—N(R 31 )—, —NH—C(O)—N(R 31 )— and —O—C(S)—N(R 31 )—;
- R 2 and R 6 are independently selected from the group consisting of H, (C 1 -C 6 )alkyl, aryl and aryl(C 1 -C 6 )alkyl;
- R 3 , R 4 , R 5 , R 7 , R 3a and R 4a are independently selected from the group consisting of H, (C 1 -C 6 )alkyl, aryl(C 1 -C 6 )alkyl, —C(O)(C 1 -C 6 )alkyl and —C(O)aryl;
- R 30 is selected from the group consisting of R 32 -substituted T, R 32 -substituted-T-(C 1 -C 6 )alkyl, R 32 -substituted-(C 2 -C 4 )alkenyl, R 32 -substituted-(C 1 -C 6 )alkyl, R 32 -substituted-(C 3 -C 7 )cycloalkyl and R 32 -substituted-(C 3 -C7)cycloalkyl(C 1 -C 6 )alkyl;
- R 31 is selected from the group consisting of H and (C 1 -C 4 )alkyl
- T is selected from the group consisting of phenyl, furyl, thienyl, pyrrolyl, oxazolyl, isoxazolyl, thiazolyl, iosthiazolyl, benzothiazolyl, thiadiazolyl, pyrazolyl, imidazolyl and pyridyl;
- R 32 is independently selected from 1-3 substituents independently selected from the group consisting of halogeno, (C 1 -C 4 )alkyl, —OH, phenoxy, —CF 3 , —NO 2 , (C 1 -C 4 )alkoxy, methylenedioxy, oxo, (C 1 -C 4 )alkylsulfanyl, (C 1 -C 4 )alkylsulfinyl, (C 1 -C 4 )alkylsulfonyl, —N(CH 3 ) 2 , —C(O)—NH(C 1 -C 4 )alkyl, —C(O)—N((C 1 -C 4 )alkyl) 2 , —C(O)—(C 1 -C 4 )alkyl, —C(O)—(C 1 -C 4 )alkoxy and pyrrolidinylcarbonyl; or R 32 is a covalent bond
- Ar 1 is aryl or R 10 -substituted aryl
- Ar 2 is aryl or R 11 -substituted aryl
- Q is a bond or, with the 3-position ring carbon of the azetidinone, forms the spiro group
- R 1 is selected from the group consisting of
- R 12 is
- R 13 and R 14 are independently selected from the group consisting of
- a and b are independently 0, 1, 2 or 3, provided both are not zero;
- the R 13 's can be the same or different;
- R 14 's can be the same or different;
- R 1 also can be:
- M is —O—, —S—, —S(O)— or —S(O) 2 —;
- X, Y and Z are independently selected from the group consisting of —CH 2 —, —CH(C 1 -C 6 )alkyl- and —C(di-(C 1 -C 6 )alkyl);
- R 10 and R 11 are independently selected from the group consisting of 1-3 substituents independently selected from the group consisting of (C 1 -C 6 )alkyl, —OR 19 , —O(CO)R 19 , —O(CO)OR 21 , —O(CH 2 ) 1-5 OR 19 , —O(CO)NR 19 R 20 , —NR 19 R 20 , —NR 19 (CO)R 20 , —NR 19 (CO)OR 21 , —NR 19 (CO)NR 20 R 25 , —NR 19 SO 2 R 21 , —COOR 19 , —CONR 19 R 20 , —COR 19 , —SO 2 NR 19 R 20 , S(O) 0-2 R 21 , —O(CH 2 ) 1-10 —COOR 19 , —O(CH 2 ) 1-10 CONR 19 R 20 , —(C 1 -C 6 alkylene)-COOR 19 , —CH ⁇ CH—COOR 19 ,
- R 15 and R 17 are independently selected from the group consisting of —OR 19 , —O(CO)R 19 , —O(CO)OR 21 and —O(CO)NR 19 R 20 ;
- R 16 and R 18 are independently selected from the group consisting of H, (C 1 -C 6 )alkyl and aryl; or R 15 and R 16 together are ⁇ O, or R 17 and R 18 together are ⁇ O;
- d is 1, 2 or 3;
- h 0, 1, 2, 3 or 4;
- s and t are 1, and the sum of m, n, p, s and t is 1-6;
- v 0 or 1
- j and k are independently 1-5, provided that the sum of j, k and v is 1-5;
- Ar 1 can also be pyridyl, isoxazolyl, furanyl, pyrrolyl, thienyl, imidazolyl, pyrazolyl, thiazolyl, pyrazinyl, pyrimidinyl or pyridazinyl;
- R 19 and R 20 are independently selected from the group consisting of H, (C 1 -C 6 )alkyl, aryl and aryl-substituted (C 1 -C 6 )alkyl;
- R 21 is (C 1 -C 6 )alkyl, aryl or R 24 -substituted aryl;
- R 22 is H, (C 1 -C 6 )alkyl, aryl (C 1 -C 6 )alkyl, —C(O)R 19 or —COOR 19 ;
- R 23 and R 24 are independently 1-3 groups independently selected from the group consisting of H, (C 1 -C 6 )alkyl, (C 1 -C 6 )alkoxy, —COOH, NO 2 , —NR 19 R 20 , —OH and halogeno; and
- R 25 is H, —OH or (C 1 -C 6 )alkoxy.
- Ar 2 is preferably phenyl or R 11 -phenyl, especially (4-R 11 )-substituted phenyl.
- R 11 are lower alkoxy, especially methoxy, and halogeno, especially fluoro.
- Ar 1 is preferably phenyl or R 10 -substituted phenyl, especially (4-R 10 )-substituted phenyl.
- R 10 is halogeno, and more preferably fluoro.
- Q is a bond and R 1 is lower alkylene, preferably propylene;
- Q is a spiro group as defined above, wherein preferably R 13 and R 14 are each ethylene and R 12 is and R 1 is —(CH 2 ) q wherein q is 0-6;
- Q is a bond and R 1 is wherein the variables are chosen such that R 1 is —O—CH 2 —CH(OH)—;
- Q is a bond and R 1 wherein the is variables are chosen such that R 1 is —CH(OH)—(CH 2 ) 2 —;
- Q is a bond and R 1 is wherein the variables are chosen such that R 1 is —CH(OH)—CH 2 —S(O) 0-2 —.
- a preferred compound of Formula (VIII) is one wherein G and G 1 are as defined above and in which the remaining variables have the following definitions:
- Ar 1 is phenyl or R 10 -substituted phenyl, wherein R 10 is halogeno;
- Ar 2 is phenyl or R 11 -phenyl, wherein R 11 is 1 to 3 substituents independently selected from the group consisting of C 1 -C 6 alkoxy and halogeno;
- Q is a bond and R 1 is lower alkylene; Q, with the 3-position ring carbon of the azetidinone, forms the group wherein preferably R 13 and R 14 are each ethylene and a and b are each 1, and wherein R 12 is Q is a bond and R 1 is —O—CH 2 —CH(OH)—; Q is a bond and R 1 is —CH(OH)—(CH 2 ) 2 —; or Q is a bond and R 1 is —CH(OH)—CH 2 —S(O) 0-2 —.
- R 2 , R 3 , R 4 , R 5 , R 6 and R 7 are independently selected from the group consisting of H, (C 1 -C 6 )alkyl, benzyl and acetyl.
- Preferred variables for group G or G 1 of the formula: are as follows:
- R 3 , R 3a , R 4 and R 4a are selected from the group consisting of H, (C 1 -C 6 )alkyl, benzyl and acetyl;
- R, R a and R b are independently selected from the group consisting of H, —OH, halogeno, —NH 2 , azido, (C 1 -C 6 )alkoxy(C 1 -C 6 )alkoxy and —W—R 30 ,
- W is —O—C(O)— or —O—C(O)—NR 31 —
- R 31 is H and R 30 is (C 1 -C 6 )alkyl, —C(O)—(C 1 -C 4 )alkoxy-(C 1 -C 6 )alkyl, T, T-(C 1 -C 6 )alkyl, or T or T-(C 1 -C 6 )alkyl wherein T is substituted by one or two halogeno or (C 1 -C 6 )alkyl groups.
- Preferred R 30 substituents are selected from the group consisting of: 2-fluorophenyl, 2,4-difluoro-phenyl, 2, 6-dichlorophenyl, 2-methylphenyl, 2-thienylmethyl, 2-methoxy-carbonylethyl, thiazol-2-yl-methyl, 2-furyl, 2-methoxycarbonylbutyl and phenyl.
- R, R a and R b are as follows:
- R, R a and R b are independently —OH or —O—C(O)—NH—R 30 , especially wherein R a is —OH and R and R b are —O—C(O)—NH—R 30 and R 30 is selected from the preferred substituents identified above, or wherein R and R a are each —OH and R b is —O—C(O)—NH—R 30 wherein R 30 is 2-fluorophenyl, 2,4-difluoro-phenyl, 2,6-dichlorophenyl;
- R a is —OH, halogeno, azido or (C 1 -C 6 )-alkoxy(C 1 -C 6 )alkoxy
- R b is H, halogeno, azido or (C 1 -C 6 )alkoxy(C 1 -C 6 )-alkoxy
- R is —O—C(O)—NH—R 30 , especially compounds wherein R a is —OH, R b is H and R 30 is 2-fluorophenyl;
- R, R a and R b are independently —OH or —O—C(O)—R 30 and R 30 is (C 1 -C 6 )alkyl, T, or T substituted by one or two halogeno or (C 1 -C 6 )alkyl groups, especially compounds wherein R is —OH and R a and R b are —O—C(O)—R 30 wherein R 30 is 2-furyl; and
- R, R a and R b are independently —OH or halogeno.
- Three additional classes of preferred compounds are those wherein the C 1′ anomeric oxy is beta, wherein the C 2′ anomeric oxy is beta, and wherein the R group is alpha.
- G and G 1 are preferably selected from: wherein Ac is acetyl and Ph is phenyl.
- R 26 is H or OH, more preferably H.
- the —O-G substituent is preferably in the 4-position of the phenyl ring to which it is attached.
- sterol or 5 ⁇ -stanol absorption inhibitors useful in the compositions and methods of the present invention are represented by Formula (IX) below: or a pharmaceutically acceptable salt or solvate thereof, wherein in Formula (IX):
- R 1 is selected from the group consisting of H, G, G 1 , G 2 , —SO 3 H and —PO 3 H;
- G is selected from the group consisting of: H, (sugar derivatives)
- R, R a and R b are each independently selected from the group consisting of H, —OH, halo, —NH 2 , azido, (C 1 -C 6 )alkoxy(C 1 -C 6 )alkoxy or —W—R 30 ;
- W is independently selected from the group consisting of —NH—C(O)—, —O—C(O)—, —O—C(O)—N(R 31 )—, —NH—C(O)—N(R 31 )— and —O—C(S)—N(R 31 )—;
- R 2 and R 6 are each independently selected from the group consisting of H, (C 1 -C 6 )alkyl, acetyl, aryl and aryl(C 1 -C 6 )alkyl;
- R 3 , R 4 , R 5 , R 7 , R 3a and R 4a are each independently selected from the group consisting of H, (C 1 -C 6 )alkyl, acetyl, aryl(C 1 -C 6 )alkyl, —C(O)(C 1 -C 6 )alkyl and —C(O)aryl;
- R 30 is independently selected from the group consisting of R 32 -substituted T, R 32 -substituted-T-(C 1 -C 6 )alkyl, R 32 -substituted-(C 2 -C 4 )alkenyl, R 32 -substituted-(C 1 -C 6 )alkyl, R 32 -substituted-(C 3 -C 7 )cycloalkyl and R 32 -substituted-(C 3 -C 7 )cycloalkyl(C 1 -C 6 )alkyl;
- R 31 is independently selected from the group consisting of H and (C 1 -C 4 )alkyl
- T is independently selected from the group consisting of phenyl, furyl, thienyl, pyrrolyl, oxazolyl, isoxazolyl, thiazolyl, isothiazolyl, benzothiazolyl, thiadiazolyl, pyrazolyl, imidazolyl and pyridyl;
- R 32 is independently selected from 1-3 substituents which are each independently selected from the group consisting of H, halo, (C 1 -C 4 )alkyl, —OH, phenoxy, —CF 3 , —NO 2 , (C 1 -C 4 )alkoxy, methylenedioxy, oxo, (C 1 -C 4 )alkylsulfanyl, (C 1 -C 4 )alkylsulfinyl, (C 1 -C 4 )alkylsulfonyl, —N(CH 3 ) 2 , —C(O)—NH(C 1 -C 4 )alkyl, —C(O)—N((C 1 -C 4 )alkyl) 2 , —C(O)—(C 1 -C 4 )alkyl, —C(O)—(C 1 -C 4 )alkoxy and pyrrolidinylcarbonyl; or R 32 is
- G 1 is represented by the structure: wherein R 33 is independently selected from the group consisting of unsubstituted alkyl, R 34 -substituted alkyl, (R 35 )(R 36 )alkyl-,
- R 34 is one to three substituents, each R 34 being independently selected from the group consisting of HOOC—, HS—, (CH 3 )S—, H 2 N—, (NH 2 )(NH)C(NH)—, (NH 2 )C(O)— and HOOCCH(NH 3 + )CH 2 SS—;
- R 35 is independently selected from the group consisting of H and NH 2 —;
- R 36 is independently selected from the group consisting of H, unsubstituted alkyl, R 34 -substituted alkyl, unsubstituted cycloalkyl and R 34 -substituted cycloalkyl;
- G 2 is represented by the structure: wherein R 37 and R 38 are each independently selected from the group consisting of (C 1 -C 6 )alkyl and aryl;
- R 26 is one to five substituents, each R 26 being independently selected from the group consisting of:
- Ar 1 is aryl, R 10 -substituted aryl, heteroaryl or R 10 -substituted heteroaryl;
- Ar 2 is aryl, R 11 -substituted aryl, heteroaryl or R 11 -substituted heteroaryl;
- L is selected from the group consisting of:
- X, Y and Z are each independently selected from the group consisting of —CH 2 —, —CH(C 1 -C 6 )alkyl- and —C(di-(C 1 -C 6 )alkyl)-;
- R 8 is selected from the group consisting of H and alkyl
- R 10 and R 11 are each independently selected from the group consisting of 1-3 substituents which are each independently selected from the group consisting of (C 1 -C 6 )alkyl, —OR 19 , —O(CO)R 19 , —O(CO)OR 21 , —O(CH 2 ) 1-5 OR 19 , —O(CO)NR 19 R 20 , —NR 19 R 20 , —NR 19 (CO)R 20 , —NR 19 (CO)OR 21 , —NR 19 (CO)NR 20 R 25 , —NR 19 SO 2 R 21 , —COOR 19 , —CONR 19 R 20 , —COR 19 , —SO 2 NR 19 R 20 , S(O) 0-2 R 21 , —O(CH 2 ) 1-10 —COOR 19 , —O(CH 2 ) 1-10 CONR 19 R 20 , —(C 1 -C 6 alkylene)-COOR 19 , —CH ⁇ CH—CO
- R 15 and R 17 are each independently selected from the group consisting of —OR 19 , —OC(O)R 19 , —OC(O)OR 21 , —OC(O)NR 19 R 20 ;
- R 16 and R 18 are each independently selected from the group consisting of H, (C 1 -C 6 )alkyl and aryl;
- R 15 and R 16 together are ⁇ O, or R 17 and R 18 together are ⁇ O;
- d is 1, 2 or 3;
- h 0, 1, 2, 3 or 4;
- s is 0 or 1;
- t is 0 or 1;
- n, p are each independently selected from 0-4;
- s and t is 1, and the sum of m, n, p, s and t is 1-6; provided that when p is 0 and t is 1, the sum of m, n and p is 1-5; and provided that when p is 0 and s is 1, the sum of m, t and n is 1-5;
- v 0 or 1
- j and k are each independently 1-5, provided that the sum of j, k and v is 1-5;
- Q is a bond, —(CH 2 ) q —, wherein q is 1-6, or, with the 3-position ring carbon of the azetidinone, forms the spiro group
- R 19 and R 20 are each independently selected from the group consisting of H, (C 1 -C 6 )alkyl, aryl and aryl-substituted (C 1 -C 6 )alkyl;
- R 21 is (C 1 -C 6 )alkyl, aryl or R 24 -substituted aryl;
- R 22 is H, (C 1 -C 6 )alkyl, aryl (C 1 -C 6 )alkyl, —C(O)R 19 or —COOR 19 ;
- R 23 and R 24 are each independently selected from the group consisting of 1-3 substituents which are each independently selected from the group consisting of H, (C 1 -C 6 )alkyl, (C 1 -C 6 )alkoxy, —COOH, NO 2 , —NR 19 R 20 , —OH and halo; and
- R 25 is H, —OH or (C 1 -C 6 )alkoxy.
- a more preferred compound is one represented by formula XI:
- the compounds of Formulae I-XII can be prepared by known methods, including the methods discussed above and, for example, WO 93/02048 describes the preparation of compounds wherein —R 1 -Q- is alkylene, alkenylene or alkylene interrupted by a hetero atom, phenylene or cycloalkylene; WO 94/17038 describes the preparation of compounds wherein Q is a spirocyclic group; WO 95/08532 describes the preparation of compounds wherein —R 1 -Q- is a hydroxy-substituted alkylene group; PCT/US95/03196 describes compounds wherein —R 1 -Q- is a hydroxy-substituted alkylene attached to the Ar 1 moiety through an —O— or S(O) 0-2 -group; and U.S.
- the daily dose of the sterol or 5 ⁇ -stanol absorption inhibitor(s) administered to the subject can range from about 0.1 to about 1000 mg per day, preferably about 0.25 to about 50 mg/day, and more preferably about 10 mg per day, given in a single dose or 2-4 divided doses.
- the exact dose is determined by the attending clinician and is dependent on the potency of the compound administered, the age, weight, condition and response of the patient.
- the weights indicated above refer to the weight of the acid equivalent or the base equivalent of the therapeutic compound derived from the salt.
- the methods, compositions, and therapeutic combinations of the present invention may also include co-administering an effective amount of another therapeutic composition.
- therapeutic compositions may include HMG-CoA reductase inhibitors, peroxisome proliferator-activated receptor activators, obesity medications, probucol or derivatives thereof, low-density lipoprotein receptor activators, Omega 3 fatty acids, nicotinic acid or a derivative thereof, Acyl CoA: cholesterol O-acyl transferase inhibitors, natural water solid fibers, plant sterols, plant stanols, fatty acid esters of plant stanols, antioxidants, vitamins, hormone replacements, obesity control agents, diabetes control agents, blood modifiers, cardiovascular agents, other therapeutic agents described below, and combinations thereof.
- compositions or therapeutic combinations that further comprise at least one (one or more) activators for peroxisome proliferator-activated receptors (PPAR).
- the activators act as agonists for the peroxisome proliferator-activated receptors.
- Three subtypes of PPAR have been identified, and these are designated as peroxisome proliferator-activated receptor alpha (PPAR ⁇ ), peroxisome proliferator-activated receptor gamma (PPAR ⁇ ) and peroxisome proliferator-activated receptor delta (PPAR ⁇ ).
- PPAR ⁇ peroxisome proliferator-activated receptor alpha
- PPAR ⁇ peroxisome proliferator-activated receptor gamma
- PPAR ⁇ peroxisome proliferator-activated receptor delta
- PPAR ⁇ is also referred to in the literature as PPAR ⁇ and as NUC1, and each of these names refers to the same receptor.
- PPAR ⁇ regulates the metabolism of lipids.
- PPAR ⁇ is activated by fibrates and a number of medium and long-chain fatty acids, and it is involved in stimulating ⁇ -oxidation of fatty acids.
- the PPAR ⁇ receptor subtypes are involved in activating the program of adipocyte differentiation and are not involved in stimulating peroxisome proliferation in the liver.
- PPAR ⁇ has been identified as being useful in increasing high density lipoprotein (HDL) levels in humans. See, e.g., WO 97/28149.
- PPAR ⁇ activator compounds are useful for, among other things, lowering triglycerides, moderately lowering LDL levels and increasing HDL levels.
- Useful examples of PPAR ⁇ activators include fibrates.
- fibric acid derivatives include clofibrate (such as ethyl 2-(p-chlorophenoxy)-2-methyl-propionate, for example ATROMID-S® Capsules which are commercially available from Wyeth-Ayerst); gemfibrozil (such as 5-(2,5-dimethylphenoxy)-2,2-dimethylpentanoic acid, for example LOPID® tablets which are commercially available from Parke Davis); ciprofibrate (C.A.S. Registry No. 52214-84-3, see U.S. Pat. No. 3,948,973 which is incorporated herein by reference); bezafibrate (C.A.S. Registry No.
- fenofibrate such as TRICOR® micronized fenofibrate (2-[4-(4-chlorobenzoyl)phenoxy]-2-methyl-propanoic acid, 1-methylethyl ester
- TRICOR® micronized fenofibrate (2-[4-(4-chlorobenzoyl)phenoxy]-2-methyl-propanoic acid, 1-methylethyl ester
- LIPANTHYL® micronized fenofibrate which is commercially available from Labortoire Founier, France
- These compounds can be used in a variety of forms, including but not limited to acid form, salt form, racemates, enantiomers, zwitterions and tautomers.
- Non-limiting examples of suitable PPAR ⁇ activators include derivatives of glitazones or thiazolidinediones, such as, troglitazone (such as REZULIN® troglitazone (-5-[[4-[3,4-dihydro-6-hydroxy-2,5,7,8-tetramethyl-2H-1-benzopyran-2-yl)methoxy]phenyl]methyl]-2,4-thiazolidinedione) commercially available from Parke-Davis); rosiglitazone (such as AVANDIA® rosiglitazone maleate (-5-[[4-[2-(methyl-2-pyridinylamino)ethoxy]phenyl]methyl]-2,4-thiazolidinedione, -2-butenedioate) commercially available from SmithKline Beecham) and pioglitazone (such as ACTOSTM pioglitazone hydrochloride (5-[[4-[2-(5-ethyl
- thiazolidinediones include ciglitazone, englitazone, darglitazone and BRL 49653 as disclosed in WO 98/05331 which is incorporated herein by reference; PPAR ⁇ activator compounds disclosed in WO 00/76488 which is incorporated herein by reference; and PPARy activator compounds disclosed in U.S. Pat. No. 5,994,554 which is incorporated herein by reference.
- PPAR ⁇ activator compounds include certain acetylphenols as disclosed in U.S. Pat. No. 5,859,051 which is incorporated herein by reference; certain quinoline phenyl compounds as disclosed in WO 99/20275 which is incorporated herein by reference; aryl compounds as disclosed by WO 99/38845 which is incorporated herein by reference; certain 1,4-disubstituted phenyl compounds as disclosed in WO 00/63161; certain aryl compounds as disclosed in WO 01/00579 which is incorporated herein by reference; benzoic acid compounds as disclosed in WO 01/12612 & WO 01/12187 which are incorporated herein by reference; and substituted 4-hydroxy-phenylalconic acid compounds as disclosed in WO 97/31907 which is incorporated herein by reference.
- PPAR ⁇ compounds are useful for, among other things, lowering triglyceride levels or raising HDL levels.
- PPAR ⁇ activators include suitable thiazole and oxazole derivatives, such as C.A.S. Registry No. 317318-32-4, as disclosed in WO 01/00603 which is incorporated herein by reference); certain fluoro, chloro or thio phenoxy phenylacetic acids as disclosed in WO 97/28149 which is incorporated herein by reference; suitable non- ⁇ -oxidizable fatty acid analogues as disclosed in U.S. Pat. No. 5,093,365 which is incorporated herein by reference; and PPAR ⁇ compounds as disclosed in WO 99/04815 which is incorporated herein by reference.
- Non-limiting examples include certain substituted aryl compounds as disclosed in U.S. Pat. No. 6,248,781; WO 00/23416; WO 00/23415; WO 00/23425; WO 00/23445; WO 00/23451; and WO 00/63153, all of which are incorporated herein by reference, are described as being useful PPAR ⁇ and/or PPAR ⁇ activator compounds.
- PPAR ⁇ and/or PPAR ⁇ activator compounds include activator compounds as disclosed in WO 97/25042 which is incorporated herein by reference; activator compounds as disclosed in WO 00/63190 which is incorporated herein by reference; activator compounds as disclosed in WO 01/21181 which is incorporated herein by reference; biaryl-oxa(thia)zole compounds as disclosed in WO 01/16120 which is incorporated herein by reference; compounds as disclosed in WO 00/63196 and WO 00/63209 which are incorporated herein by reference; substituted 5-aryl-2,4-thiazolidinediones compounds as disclosed in U.S. Pat. No.
- PPAR activator compounds include substituted benzylthiazolidine-2,4-dione compounds as disclosed in WO 01/14349, WO 01/14350 and WO/01/04351 which are incorporated herein by reference; mercaptocarboxylic compounds as disclosed in WO 00/50392 which is incorporated herein by reference; ascofuranone compounds as disclosed in WO 00/53563 which is incorporated herein by reference; carboxylic compounds as disclosed in WO 99/46232 which is incorporated herein by reference; compounds as disclosed in WO 99/12534 which is incorporated herein by reference; benzene compounds as disclosed in WO 99/15520 which is incorporated herein by reference; o-anisamide compounds as disclosed in WO 01/21578 which is incorporated herein by reference; and PPAR activator compounds as disclosed in WO 01/40192 which is incorporated herein by reference.
- the peroxisome proliferator-activated receptor(s) activator(s) are administered in a therapeutically effective amount to treat the specified condition, for example in a daily dose preferably ranging from about 50 to about 3000 mg per day, and more preferably about 50 to about 2000 mg per day, given in a single dose or 2-4 divided doses.
- a daily dose preferably ranging from about 50 to about 3000 mg per day, and more preferably about 50 to about 2000 mg per day, given in a single dose or 2-4 divided doses.
- the exact dose is determined by the attending clinician and is dependent on such factors as the potency of the compound administered, the age, weight, condition and response of the patient.
- compositions or therapeutic combinations of the present invention can further comprise one or more pharmacological or therapeutic agents or drugs such as cholesterol biosynthesis inhibitors and/or lipid-lowering agents discussed below.
- Non-limiting examples of cholesterol biosynthesis inhibitors for use in the compositions, therapeutic combinations and methods of the present invention include competitive inhibitors of HMG CoA reductase, the rate-limiting step in cholesterol biosynthesis, squalene synthase inhibitors, squalene epoxidase inhibitors and mixtures thereof.
- HMG CoA reductase inhibitors include statins such as lovastatin (for example MEVACOR® which is available from Merck & Co.), pravastatin (for example PRAVACHOL® which is available from Bristol Meyers Squibb), fluvastatin, simvastatin (for example ZOCOR® which is available from Merck & Co.), atorvastatin, cerivastatin, CI-981, rivastatin (sodium 7-(4-fluorophenyl)-2,6-diisopropyl-5-methoxymethylpyridin-3-yl)-3,5-dihydroxy-6-heptanoate), rosuvastatin and pitavastatin (such as NK-104 of Negma Kowa of Japan); HMG CoA synthetase inhibitors, for example L-659,699 ((E,E)-11-[3′R-(hydroxy-methyl)-4′-oxo-2′R-
- a total daily dosage of cholesterol biosynthesis inhibitor(s) can range from about 0.1 to about 160 mg per day, and preferably about 0.2 to about 80 mg/day in single or 2-3 divided doses.
- compositions, therapeutic combinations or methods of the present invention can further comprise one or more bile acid sequestrants.
- Bile acid sequestrants bind bile acids in the intestine, interrupting the enterohepatic circulation of bile acids and causing an increase in the faecal excretion of steroids.
- Use of bile acid sequestrants is desirable because of their non-systemic mode of action.
- Bile acid sequestrants can lower intrahepatic cholesterol and promote the synthesis of apo B/E (LDL) receptors which bind LDL from plasma to further reduce cholesterol levels in the blood.
- LDL apo B/E
- Non-limiting examples of suitable bile acid sequestrants include cholestyramine (a styrene-divinylbenzene copolymer containing quaternary ammonium cationic groups capable of binding bile acids, such as QUESTRAN® or QUESTRAN LIGHT® cholestyramine which are available from Bristol-Myers Squibb), colestipol (a copolymer of diethylenetriamine and 1-chloro-2,3-epoxypropane, such as COLESTID® tablets which are available from Pharmacia), colesevelam hydrochloride (such as WelChol® Tablets (poly(allylamine hydrochloride) cross-linked with epichlorohydrin and alkylated with 1-bromodecane and (6-bromohexyl)-trimethylammonium bromide) which are available from Sankyo), water soluble derivatives such as 3,3-ioene, N-(cycloalkyl) alkylamines and poli
- Suitable inorganic cholesterol sequestrants include bismuth salicylate plus montmorillonite clay, aluminum hydroxide and calcium carbonate antacids.
- a total daily dosage of bile acid sequestrant(s) can range from about 1 to about 50 grams per day, and preferably about 2 to about 16 grams per day in single or 2-4 divided doses.
- compositions or treatments of the present invention can further comprise one or more ileal bile acid transport (“IBAT”) inhibitors (or apical sodium co-dependent bile acid transport (“ASBT”) inhibitors) coadministered with or in combination with the peroxisome proliferator-activated receptor activator(s) and sterol absorption inhibitor(s) discussed above.
- IBAT inhibitors can inhibit bile acid transport to reduce LDL cholesterol levels.
- suitable IBAT inhibitors include benzothiepines such as therapeutic compounds comprising a 2,3,4,5-tetrahydro-1-benzothiepine 1,1-dioxide structure such as are disclosed in PCT Patent Application WO 00/38727 which is incorporated herein by reference.
- a total daily dosage of IBAT inhibitor(s) can range from about 0.01 to about 1000 mg/day, and preferably about 0.1 to about 50 mg/day in single or 2-4 divided doses.
- compositions or treatments of the present invention can further comprise nicotinic acid (niacin) and/or derivatives thereof.
- nicotinic acid derivative means a compound comprising a pyridine-3-carboxylate structure or a pyrazine-2-carboxylate structure, including acid forms, salts, esters, zwitterions and tautomers, where available.
- Examples of nicotinic acid derivatives include niceritrol, nicofuranose and acipimox (5-methyl pyrazine-2-carboxylic acid 4-oxide). Nicotinic acid and its derivatives inhibit hepatic production of VLDL and its metabolite LDL and increases HDL and apo A-1 levels.
- An example of a suitable nicotinic acid product is NIASPAN® (niacin extended-release tablets) which are available from Kos.
- a total daily dosage of nicotinic acid or a derivative thereof can range from about 500 to about 10,000 mg/day, preferably about 1000 to about 8000 mg/day, and more preferably about 3000 to about 6000 mg/day in single or divided doses.
- compositions or treatments of the present invention can further comprise one or more AcylCoA:Cholesterol O-acyltransferase (“ACAT”) Inhibitors, which can reduce VLDL levels, coadministered with or in combination with the peroxisome proliferator-activated receptor activator(s) and sterol absorption inhibitor(s) discussed above.
- ACAT is an enzyme responsible for esterifying excess intracellular cholesterol and may reduce the synthesis of VLDL, which is a product of cholesterol esterification, and overproduction of apo B-100-containing lipoproteins.
- Non-limiting examples of useful ACAT inhibitors include avasimibe ([[2,4,6-tris(1-methylethyl)phenyl]acetyl]sulfamic acid, 2,6-bis(1-methylethyl)phenyl ester, formerly known as CI-1011), HL-004, lecimibide (DuP-128) and CL-277082 (N-(2,4-difluorophenyl)-N-[[4-(2,2-dimethylpropyl)phenyl]methyl]-N-heptylurea). See P. Chang et al., “Current, New and Future Treatments in Dyslipidaemia and Atherosclerosis”, Drugs July 2000;60(1); 55-93, which is incorporated by reference herein.
- a total daily dosage of ACAT inhibitor(s) can range from about 0.1 to about 1000 mg/day in single or 24 divided doses.
- compositions or treatments of the present invention can further comprise one or more Cholesteryl Ester Transfer Protein (“CETP”) Inhibitors coadministered with or in combination with the peroxisome proliferator-activated receptor activator(s) and sterol absorption inhibitor(s) discussed above.
- CETP is responsible for the exchange or transfer of cholesteryl ester carrying HDL and triglycerides in VLDL.
- Non-limiting examples of suitable CETP inhibitors are disclosed in PCT Patent Application No. WO 00/38721 and U.S. Pat. No. 6,147,090, which are incorporated herein by reference.
- Pancreatic cholesteryl ester hydrolase (pCEH) inhibitors such as WAY-121898 also can be coadministered with or in combination with the peroxisome proliferator-activated receptor(s) activator and sterol absorption inhibitor(s) discussed above.
- a total daily dosage of CETP inhibitor(s) can range from about 0.01 to about 1000 mg/day, and preferably about 0.5 to about 20 mg/kg body weight/day in single or divided doses.
- compositions or treatments of the present invention can further comprise probucol or derivatives thereof (such as AGI-1067 and other derivatives disclosed in U.S. Pat. Nos. 6,121,319 and 6,147,250), which can reduce LDL levels, coadministered with or in combination with the peroxisome proliferator-activated receptor activator(s) and sterol absorption inhibitor(s) discussed above.
- probucol or derivatives thereof such as AGI-1067 and other derivatives disclosed in U.S. Pat. Nos. 6,121,319 and 6,147,250
- a total daily dosage of probucol or derivatives thereof can range from about 10 to about 2000 mg/day, and preferably about 500 to about 1500 mg/day in single or 2-4 divided doses.
- compositions or treatments of the present invention can further comprise low-density lipoprotein (LDL) receptor activators, coadministered with or in combination with the peroxisome proliferator-activated receptor activator(s) and sterol absorption inhibitor(s) discussed above.
- LDL-receptor activators include HOE-402, an imidazolidinyl-pyrimidine derivative that directly stimulates LDL receptor activity. See M. Huettinger et al., “Hypolipidemic activity of HOE-402 is Mediated by Stimulation of the LDL Receptor Pathway”, Arterioscler. Thromb. 1993; 13:1005-12.
- a total daily dosage of LDL receptor activator(s) can range from about 1 to about 1000 mg/day in single or 2-4 divided doses.
- compositions or treatments of the present invention can further comprise fish oil, which contains Omega 3 fatty acids (3-PUFA), which can reduce VLDL and triglyceride levels, coadministered with or in combination with the peroxisome proliferator-activated receptor activator(s) and sterol absorption inhibitor(s) discussed above.
- fish oil which contains Omega 3 fatty acids (3-PUFA)
- 3-PUFA Omega 3 fatty acids
- a total daily dosage of fish oil or Omega 3 fatty acids can range from about 1 to about 30 grams per day in single or 2-4 divided doses.
- compositions or treatments of the present invention can further comprise natural water soluble fibers, such as psyllium, guar, oat and pectin, which can reduce cholesterol levels.
- natural water soluble fibers such as psyllium, guar, oat and pectin
- a total daily dosage of natural water soluble fibers can range from about 0.1 to about 10 grams per day in single or 2-4 divided doses.
- compositions or treatments of the present invention can further comprise plant sterols, plant stanols and/or fatty acid esters of plant stanols, such as sitostanol ester used in BENECOL® margarine, which can reduce cholesterol levels.
- plant sterols, plant stanols and/or fatty acid esters of plant stanols can range from about 0.5 to about 20 grams per day in single or 2-4 divided doses.
- compositions or treatments of the present invention can further comprise antioxidants, such as probucol, tocopherol, ascorbic acid, ⁇ -carotene and selenium, or vitamins such as vitamin B 6 or vitamin B 12 .
- antioxidants such as probucol, tocopherol, ascorbic acid, ⁇ -carotene and selenium
- vitamins such as vitamin B 6 or vitamin B 12 .
- a total daily dosage of antioxidants or vitamins can range from about 0.05 to about 10 grams per day in single or 2-4 divided doses.
- compositions or treatments of the present invention can further comprise monocyte and macrophage inhibitors such as polyunsaturated fatty acids (PUFA), thyroid hormones including throxine analogues such as CGS-26214 (a thyroxine compound with a fluorinated ring), gene therapy and use of recombinant proteins such as recombinant apo E.
- monocyte and macrophage inhibitors such as polyunsaturated fatty acids (PUFA), thyroid hormones including throxine analogues such as CGS-26214 (a thyroxine compound with a fluorinated ring), gene therapy and use of recombinant proteins such as recombinant apo E.
- PUFA polyunsaturated fatty acids
- thyroid hormones including throxine analogues such as CGS-26214 (a thyroxine compound with a fluorinated ring)
- gene therapy such as recombinant proteins
- recombinant proteins such as recombinant
- the present invention also provides a composition or therapeutic combination comprising (a) at least one AcylCoA:Cholesterol O-acyltransferase Inhibitor and (b) at least one substituted azetidinone compound or substituted ⁇ -lactam compound or a pharmaceutically acceptable salt thereof or a prodrug thereof.
- compositions or therapeutic combinations that further comprise hormone replacement agents and compositions.
- Useful hormone agents and compositions include androgens, estrogens, progestins, their pharmaceutically acceptable salts and derivatives. Combinations of these agents and compositions also are useful.
- the dosage of androgen and estrogen combinations vary, desirably from about 1 mg to about 4 mg androgen and from about 1 mg to about 3 mg estrogen.
- Examples include, but are not limited to, androgen and estrogen combinations such as the combination of esterified estrogens (sodium estrone sulfate and sodium equilin sulfate) and methyltestosterone (17-hydroxy-17-methyl-, (17B)-androst-4-en-3-one) available from Solvay Pharmaceuticals, Inc., Marietta, Ga., under the tradename ESTRATEST.
- Estrogens and estrogen combinations may vary in dosage from about 0.01 mg up to 8 mg, desirably from about 0.3 mg to about 3.0 mg.
- Examples of useful estrogens and estrogen combinations include:
- esterified estrogen combinations such as sodium estrone sulfate and sodium equilin sulfate; available from Solvay under the tradename ESTRATAB and from Monarch Pharmaceuticals, Bristol, Tenn., under the tradename MENEST;
- estropipate (piperazine estra-1,3,5(10)-trien-17-one, 3-(sulfooxy)-estrone sulfate); available from Pharmacia & Upjohn, Peapack, N.J., under the tradename OGEN and from Women First Health Care, Inc., San Diego, Calif., under the tradename ORTHO-EST; and
- Progestins and estrogens may also be administered with a variety of dosages, generally from about 0.05 to about 2.0 mg progestin and about 0.001 mg to about 2 mg estrogen, desirably from about 0.1 mg to about 1 mg progestin and about 0.01 mg to about 0.5 mg estrogen.
- Examples of progestin and estrogen combinations that may vary in dosage and regimen include:
- estradiol estra-1,3,5(10)-triene-3,17 ⁇ -diol hemihydrate
- norethindrone 17 ⁇ -acetoxy-19-nor-17 ⁇ -pregn-4-en-20-yn-3-one
- Pharmacia & Upjohn Peapack, N.J., under the tradename ACTIVELLA
- conjugated estrogens sodium estrone sulfate and sodium equilin sulfate
- medroxyprogesterone acetate (20-dione, 17-(acetyloxy)-6-methy-, (6( ⁇ ))-pregn-4-ene-3); available from Wyeth-Ayerst under the tradenames PREMPHASE and PREMPRO.
- a dosage of progestins may vary from about 0.05 mg to about 10 mg or up to about 200 mg if microsized progesterone is administered.
- progestins include norethindrone; available from ESI Lederle, Inc., Philadelphia, Pa., under the tradename AYGESTIN, from Ortho-McNeil under the tradename MICRONOR, and from Watson under the tradename NOR-QD; norgestrel; available from Wyeth-Ayerst under the tradename OVRETTE; micronized progesterone (pregn-4-ene-3,20-dione); available from Solvay under the tradename PROMETRIUM; and medroxyprogesterone acetate; available from Pharmacia & Upjohn under the tradename PROVERA.
- compositions, therapeutic combinations or methods of the present invention can further comprise one or more obesity control medications.
- Useful obesity control medications include, but are not limited to, drugs that reduce energy intake or suppress appetite, drugs that increase energy expenditure and nutrient-partitioning agents.
- Suitable obesity control medications include, but are not limited to, noradrenergic agents (such as diethylpropion, mazindol, phenylpropanolamine, phentermine, phendimetrazine, phendamine tartrate, methamphetamine, phendimetrazine and tartrate); serotonergic agents (such as sibutramine, fenfluramine, dexfenfluramine, fluoxetine, fluvoxamine and paroxtine); thermogenic agents (such as ephedrine, caffeine, theophylline, and selective ⁇ 3-adrenergic agonists); an alpha-blocking agent; a kainite or AMPA receptor antagonist; a leptin-lipolysis stimulated
- compositions, therapeutic combinations or methods of the present invention can further comprise one or more blood modifiers.
- blood modifiers include but are not limited to anti-coagulants (argatroban, bivalirudin, dalteparin sodium, desirudin, dicumarol, lyapolate sodium, nafamostat mesylate, phenprocoumon, tinzaparin sodium, warfarin sodium); antithrombotic (anagrelide hydrochloride, bivalirudin, cilostazol, dalteparin sodium, danaparoid sodium, dazoxiben hydrochloride, efegatran sulfate, enoxaparin sodium, fluretofen, ifetroban, ifetroban sodium, lamifiban, lotrafiban hydrochloride, napsagatran, orbofiban acetate, roxifiban acetate, sibrafiban, tinzaparin sodium, trifenagrel, abcixima
- compositions, therapeutic combinations or methods of the present invention can further comprise one or more cardiovascular agents.
- cardiovascular agents include but are not limited to calcium channel blockers (clentiazem maleate, amlodipine besylate, isradipine, nimodipine, felodipine, nilvadipine, nifedipine, teludipine hydrochloride, diltiazem hydrochloride, belfosdil, verapamil hydrochloride, fostedil); adrenergic blockers (fenspiride hydrochloride, labetalol hydrochloride, proroxan, alfuzosin hydrochloride, acebutolol, acebutolol hydrochloride, alprenolol hydrochloride, atenolol, bunolol hydrochloride, carteolol hydrochloride, celiprolol hydrochloride, cetamolol hydrochloride, ciclo
- compositions, therapeutic combinations or methods of the present invention can further comprise one or more antidiabetic medications for reducing blood glucose levels in a human.
- antidiabetic medications include, but are not limited to, drugs that reduce energy intake or suppress appetite, drugs that increase energy expenditure and nutrient-partitioning agents.
- Suitable antidiabetic medications include, but are not limited to, sulfonylurea (such as acetohexamide, chlorpropamide, gliamilide, gliclazide, glimepiride, glipizide, glyburide, glibenclamide, tolazamide, and tolbutamide), meglitinide (such as repaglinide and nateglinide), biguanide (such as metformin and buformin), thiazolidinedione (such as troglitazone, rosiglitazone, pioglitazone, ciglitazone, englitazone, and darglitazone), alpha-glucosidase inhibitor (such as acarbose, miglitol, camiglibose, and voglibose), certain peptides (such as amlintide, pramlintide, exendin, and GLP-1 agonistic peptides
- compositions and therapeutic combinations of the present invention can be administered to a mammal in need of such treatment in a therapeutically effective amount to treat conditions such as xanthomas.
- the compositions and treatments can be administered by any suitable means that produce contact of these compounds with the site of action in the body, for example in the plasma, liver or small intestine of a mammal or human.
- the daily dosage for the various compositions and therapeutic combinations described above can be administered to a patient in a single dose or in multiple subdoses, as desired. Subdoses can be administered 2 to 6 times per day, for example. Sustained release dosages can be used. Where the sterol absorption inhibitor(s) and other therapeutic agent are administered in separate dosages, the number of doses of each component given per day may not necessarily be the same, e.g., one component may have a greater duration of activity and will therefore need to be administered less frequently.
- compositions, therapeutic combinations or medicaments of the present invention can further comprise one or more pharmaceutically acceptable carriers, one or more excipients and/or one or more additives.
- the pharmaceutical compositions can comprise about 1 to about 99 weight percent of active ingredient (one or more compounds of Formula I-XII), and preferably about 5 to about 95 percent active ingredient.
- Useful pharmaceutically acceptable carriers can be solid, liquid or gas.
- Non-limiting examples of pharmaceutically acceptable carriers include solids and/or liquids such as magnesium carbonate, magnesium stearate, talc, sugar, lactose, ethanol, glycerol, water and the like.
- the amount of carrier in the treatment composition or therapeutic combination can range from about 5 to about 99 weight percent of the total weight of the treatment composition or therapeutic combination.
- Non-limiting examples of suitable pharmaceutically acceptable excipients and additives include non-toxic compatible fillers, binders such as starch, polyvinyl pyrrolidone or cellulose ethers, disintegrants such as sodium starch glycolate, crosslinked polyvinyl pyrrolidone or croscarmellose sodium, buffers, preservatives, anti-oxidants, lubricants, flavorings, thickeners, coloring agents, wetting agents such as sodium lauryl sulfate, emulsifiers and the like.
- the amount of excipient or additive can range from about 0.1 to about 95 weight percent of the total weight of the treatment composition or therapeutic combination.
- carrier(s), excipients and additives can vary. Further examples of pharmaceutically acceptable carriers and methods of manufacture for various compositions can be found in A. Gennaro (ed.), Remington: The Science and Practice of Pharmacy, 20 th Edition, (2000), Lippincott Williams & Wilkins, Baltimore, Md.
- Useful solid form preparations include powders, tablets, dispersible granules, capsules, cachets and suppositories.
- An example of a preparation of a preferred solid form dosage formulation is provided below.
- Useful liquid form preparations include solutions, suspensions and emulsions. As an example may be mentioned water or water-propylene glycol solutions for parenteral injection or addition of sweeteners and opacifiers for oral solutions, suspensions and emulsions. Liquid form preparations may also include solutions for intranasal administration.
- Aerosol preparations suitable for inhalation may include solutions and solids in powder form, which may be in combination with a pharmaceutically acceptable carrier, such as an inert compressed gas, e.g. nitrogen.
- a pharmaceutically acceptable carrier such as an inert compressed gas, e.g. nitrogen.
- solid form preparations which are intended to be converted, shortly before use, to liquid form preparations for either oral or parenteral administration.
- liquid forms include solutions, suspensions and emulsions.
- the compounds of the invention may also be deliverable transdermally.
- the transdermal compositions can take the form of creams, lotions, aerosols and/or emulsions and can be included in a transdermal patch of the matrix or reservoir type as are conventional in the art for this purpose.
- the compound is administered orally.
- the present invention provides the use of at least one compound represented by Formulae (I-XII) for manufacture of a medicament (such as one of the compositions discussed above) for the treatment of xanthomas.
- the term “Active Compound I” designates a sterol or 5 ⁇ -stanol absorption inhibitor described herein above.
- sterol absorption inhibitor for coadministration in seperate tablets or capsules, representative formulations comprising a sterol absorption inhibitor such as are discussed above are well known in the art and representative formulations comprising an additional treatment such as a cholesterol biosynthesis inhibitor discussed above are well known in the art. It is contemplated that where the two active ingredients are administered as a single composition, the dosage forms disclosed above for a sterol absorption inhibitor may readily be moldified using the knowledge of one skilled in the art.
- kits are contemplated wherein two separate units are combined: a pharmaceutical composition comprising at least one sterol absorption inhibitor and a separate pharmaceutical composition comprising at least one additional treatment described above.
- the kit will preferably include directions for the administration of the separate components.
- the kit form is particularly advantageous when the separate components must be administered in different dosage forms (e.g., oral and parenteral) or are administered at different dosage intervals.
- the treatment compositions and therapeutic combinations of the present invention can prevent or reduce the incidence, size or number of xanthomas, inhibit the intestinal absorption of cholesterol in mammals, and can be useful in the treatment and/or prevention of vascular conditions, such as atherosclerosis, hypercholesterolemia and sitosterolemia, vascular inflammation, stroke, obesity and lowering of plasma levels of cholesterol in subjects, in particular in humans.
- vascular means relating to blood vessels, including but not limited to arteries and/or veins, and includes cardiovascular, cerebrovascular, peripheral vascular and combinations thereof.
- compositions and therapeutic combinations of the present invention can reduce xanthomas by reducing plasma concentration of at least one sterol or 5 ⁇ -stanol selected from the group consisting of phytosterols (such as sitosterol, campesterol, stigmasterol and avenosterol), 5 ⁇ -stanols (such as cholestanol, 5 ⁇ -campestanol, 5 ⁇ -sitostanol), cholesterol and mixtures thereof.
- phytosterols such as sitosterol, campesterol, stigmasterol and avenosterol
- 5 ⁇ -stanols such as cholestanol, 5 ⁇ -campestanol, 5 ⁇ -sitostanol
- cholesterol and mixtures thereof.
- the plasma concentration can be reduced by administering to a subject in need of such treatment an effective amount of at least one treatment composition comprising at least one sterol and/or 5 ⁇ -stanol absorption inhibitor described above or a treatment composition or therapeutic combination comprising at least one sterol or 5 ⁇ -stanol absorption inhibitor described above.
- the reduction in plasma concentration of sterols can range from about 1 to about 70 percent, and preferably about 10 to about 50 percent.
- Methods of measuring serum total blood cholesterol and total LDL cholesterol are well known to those skilled in the art and for example include those disclosed in PCT WO 99/38498 at page 11, incorporated by reference herein.
- Methods of determining levels of other sterols in serum are disclosed in H. Gylling et al., “Serum Sterols During Stanol Ester Feeding in a Mildly Hypercholesterolemic Population”, J. Lipid Res. 40: 593-600 (1999), incorporated by reference herein.
- Step 1) To a solution of (S)-4-phenyl-2-oxazolidinone (41 g, 0.25 mol) in CH 2 Cl 2 (200 ml), was added 4-dimethylaminopyridine (2.5 g, 0.02 mol) and triethylamine (84.7 ml, 0.61 mol) and the reaction mixture was cooled to 0° C. Methyl-4-(chloroformyl)butyrate (50 g, 0.3 mol) was added as a solution in CH 2 Cl 2 (375 ml) dropwise over 1 h, and the reaction was allowed to warm to 22° C.
- Step 2 To a solution of TiCl 4 (18.2 ml, 0.165 mol) in CH 2 Cl 2 (600 ml) at 0° C., was added titanium isopropoxide (16.5 ml, 0.055 mol). After 15 min, the product of Step 1 (49.0 g, 0.17 mol) was added as a solution in CH 2 Cl 2 (100 ml). After 5 min., diisopropylethylamine (DIPEA) (65.2 ml, 0.37 mol) was added and the reaction mixture was stirred at 0° C.
- DIPEA diisopropylethylamine
- Step 3 To a solution of the product of Step 2 (8.9 g, 14.9 mmol) in toluene (100 ml) at 50° C., was added N,O-bis(trimethylsilyl)acetamide (BSA) (7.50 ml, 30.3 mmol). After 0.5 h, solid TBAF (0.39 g, 1.5 mmol) was added and the reaction mixture stirred at 50° C. for an additional 3 h. The reaction mixture was cooled to 22° C., CH 3 OH (10 ml), was added. The reaction mixture was washed with HCl (1N), NaHCO 3 (1N) and NaCl (sat'd.), and the organic layer was dried over MgSO 4 .
- BSA N,O-bis(trimethylsilyl)acetamide
- Step 4) To a solution of the product of Step 3 (0.94 g, 2.2 mmol) in CH 3 OH (3 ml), was added water (1 ml) and LiOH.H 2 O (102 mg, 2.4 mmole). The reaction mixture was stirred at 22° C. for 1 h and then additional LiOH.H 2 O (54 mg, 1.3 mmole) was added. After a total of 2 h, HCl (1N) and EtOAc was added, the layers were separated, the organic layer was dried and concentrated in vacuo.
- Step 5 To an efficiently stirred suspension of 4-fluorophenylzinc chloride (4.4 mmol) prepared from 4-fluorophenylmagnesium bromide (1M in THF, 4.4 ml, 4.4 mmol) and ZnCl 2 (0.6 g, 4.4 mmol) at 4° C., was added tetrakis(triphenyl-phosphine)palladium (0.25 g, 0.21 mmol) followed by the product of Step 4 (0.94 g, 2.2 mmol) as a solution in THF (2 ml). The reaction was stirred for 1 h at 0° C. and then for 0.5 h at 22° C.
- Step 6) To the product of Step 5 (0.95 g, 1.91 mmol) in THF (3 ml), was added (R)-tetrahydro-1-methyl-3,3-diphenyl-1H,3H-pyrrolo-[1,2-c][1,3,2]oxazaborole (120 mg, 0.43 mmol) and the mixture was cooled to ⁇ 20° C. After 5 min, borohydride-dimethylsulfide complex (2M in THF, 0.85 ml, 1.7 mmol) was added dropwise over 0.5 h.
- Step 6′ (Alternative): To a solution of the product of Step 5 (0.14 g, 0.3 mmol) in ethanol (2 ml), was added 10% Pd/C (0.03 g) and the reaction was stirred under a pressure (60 psi) of H 2 gas for 16 h. The reaction mixture was filtered and the solvent was concentrated to afford a 1:1 mixture of compounds 6A and 6B.
Landscapes
- Health & Medical Sciences (AREA)
- Life Sciences & Earth Sciences (AREA)
- General Health & Medical Sciences (AREA)
- Chemical & Material Sciences (AREA)
- Veterinary Medicine (AREA)
- Medicinal Chemistry (AREA)
- Public Health (AREA)
- Pharmacology & Pharmacy (AREA)
- Animal Behavior & Ethology (AREA)
- Epidemiology (AREA)
- Nuclear Medicine, Radiotherapy & Molecular Imaging (AREA)
- Organic Chemistry (AREA)
- General Chemical & Material Sciences (AREA)
- Molecular Biology (AREA)
- Chemical Kinetics & Catalysis (AREA)
- Engineering & Computer Science (AREA)
- Bioinformatics & Cheminformatics (AREA)
- Dermatology (AREA)
- Pharmaceuticals Containing Other Organic And Inorganic Compounds (AREA)
- Steroid Compounds (AREA)
- Medicines That Contain Protein Lipid Enzymes And Other Medicines (AREA)
Abstract
The present invention provides therapeutic combinations and methods including at least one sterol or 5α-stanol absorption inhibitor that can be useful for treating xanthomas and hypercholesterolemia.
Description
- This application is a continuation of U.S. application Ser. No. 10/247,095, filed on Sep. 19, 2002, and claims the benefit of priority from U.S. Provisional Patent Application Ser. No. 60/323,942, filed Sep. 21, 2001.
- The present invention relates to methods and therapeutic combinations for treating and preventing xanthomas in a subject including the administration of certain sterol and/or 5α-stanol absorption inhibitors.
- Xanthomas are a common skin disorder associated with the accumulation of fatty materials under the surface of the skin. Xanthomas are most commonly associated with those who have high triglyceride and cholesterol levels.
- Xanthoma is characterized by a lesion or bump that appears on the surface of the skin. Although the lesions or bumps are usually painless and soft to the touch, they are of a yellow color and may vary in size from very small up to a few inches, making them unsightly. Furthermore, the xanthoma itself may be indicative of an underlying disease such as diabetes, primary biliary cirrhosis, some types of cancer, or hypercholesterolemia.
- Xanthomas, which are more specifically, benign fatty tumors, may be removed by surgical means, but if no other treatment is provided, they are likely to reform.
- Therefore, there is a need for a method of treating and therapeutic combinations to treat xanthomas that not only reduce the incidence of xanthomas, but also prevent their formation.
- In one embodiment, the present invention provides a method of preventing or decreasing the incidence of xanthomas in a subject comprising the step of administering to a subject in need of such treatment an effective amount of at least one sterol absorption inhibitor, at least one 5α-stanol absorption inhibitor, or a pharmaceutically acceptable salt or solvate thereof, to prevent or decrease the incidence of xanthomas in the subject.
- In another embodiment, the present invention provides a method of preventing or decreasing the incidence of xanthomas in a subject comprising the step of administering to a subject in need of such treatment an effective amount of at least one sterol and/or 5α-stanol absorption inhibitor represented by Formulae I-XII below or a pharmaceutically acceptable salt or a solvate thereof to prevent or decrease the incidence of xanthomas in the subject.
- Therapeutic combinations also are provided comprising: (a) a first amount of at least one sterol and/or 5α-stanol absorption inhibitor or a pharmaceutically acceptable salt or a solvate thereof; and (b) a second amount of at least one cholesterol biosynthesis inhibitor, wherein the first amount and the second amount together comprise a therapeutically effective amount for the treatment or prevention of xanthomas in a subject.
- Other than in the operating examples, or where otherwise indicated, all numbers expressing quantities of ingredients, reaction conditions, and so forth used in the specification and claims are to be understood as being modified in all instances by the term “about”.
- In one embodiment, the present invention is directed to methods of treating or preventing xanthomas by administering an effective amount of a composition or a therapeutic combination comprising at least one (one or more) sterol absorption inhibitor(s) and/or at least one (one or more) 5α-stanol absorption inhibitor(s), such as but not limited to, substituted azetidinone or substituted β-lactam sterol absorption inhibitors discussed in detail below.
- The term “therapeutically effective amount” means that amount of a therapeutic agent of the composition, such as the sterol and/or 5α-stanol absorption inhibitor(s) and other pharmacological or therapeutic agents described below, that will elicit a biological or medical response of a tissue, system, or subject that is being sought by the administrator (such as a researcher, doctor or veterinarian) which includes alleviation of the symptoms of the xanthoma condition or disease being treated and the prevention, slowing or halting of progression of the condition, including but not limited to decreasing the number of xanthomas and/or the size of the xanthomas.
- Examples of suitable subjects that can be treated according to the methods of the present invention include mammals, such as humans or dogs, and other animals.
- As used herein, “combination therapy” or “therapeutic combination” means the administration of two or more therapeutic agents, such as sterol or 5α-stanol absorption inhibitor(s) and other lipid lowering agents discussed below, such as cholesterol biosynthesis inhibitor(s), to prevent or treat xanthomas. Such administration includes coadministration of these therapeutic agents in a substantially simultaneous manner, such as in a single tablet or capsule having a fixed ratio of active ingredients or in multiple, separate capsules for each therapeutic agent. Also, such administration includes use of each type of therapeutic agent in a sequential manner. In either case, the treatment using the combination therapy will provide beneficial effects in treating xanthomas. A potential advantage of the combination therapy disclosed herein may be a reduction in the required amount of an individual therapeutic compound or the overall total amount of therapeutic compounds that are effective in treating xanthomas. By using a combination of therapeutic agents, the side effects of the individual compounds can be reduced as compared to a monotherapy, which can improve patient compliance. Also, therapeutic agents can be selected to provide a broader range of complimentary effects or complimentary modes of action.
- As discussed above, the compositions, pharmaceutical compositions and therapeutic combinations of the present invention comprise one or more sterol absorption inhibitors or 5α-stanol absorption inhibitors, such as for example substituted azetidinone or substituted β-lactam sterol absorption inhibitors discussed in detail below. As used herein, “sterol absorption inhibitor” means a compound capable of inhibiting the absorption of one or more sterols, including but not limited to cholesterol or phytosterols (such as sitosterol, campesterol, stigmasterol and avenosterol) when administered in a therapeutically effective (sterol absorption inhibiting) amount to a subject. “5α-stanol absorption inhibitor” means a compound capable of inhibiting the absorption of one or more 5α-stanols (such as cholestanol, 5α-campestanol, 5α-sitostanol) when administered in a therapeutically effective (5α-stanol absorption inhibiting) amount to a subject. Mixtures of sterol absorption inhibitor(s) and 5α-stanol absorption inhibitor(s) also are contemplated.
-
- Ar1 and Ar2 are independently selected from the group consisting of aryl and R4-substituted aryl;
- Ar3 is aryl or R5-substituted aryl;
- X, Y and Z are independently selected from the group consisting of —CH2—, —CH(lower alkyl)- and —C(dilower alkyl)-;
- R and R2 are independently selected from the group consisting of —O6, —O(CO)R6, —O(CO)OR9 and —O(CO)NR6R7;
- R1 and R3 are independently selected from the group consisting of hydrogen, lower alkyl and aryl;
- q is 0 or 1; r is 0 or 1; m, n and p are independently selected from 0, 1, 2, 3 or 4; provided that at least one of q and r is 1, and the sum of m, n, p, q and r is 1, 2, 3, 4, 5 or 6; and provided that when p is 0 and r is 1, the sum of m, q and n is 1, 2, 3, 4 or 5;
- R4 is 1-5 substituents independently selected from the group consisting of lower alkyl, —OR6, —O(CO)R6, —O(CO)OR9, —O(CH2)1-5OR6, —O(CO)NR6R7, —NR6R7, —NR6(CO)R7, —NR6(CO)OR9, —NR6(CO)NR7R8, —NR6SO2R9, —COOR6, —CONR6R7, —COR6, —SO2NR6R7, S(O)0-2R9, —O(CH2)1-10—COOR6, —O(CH2)1-10CONR6R7, -(lower alkylene)COOR6, —CH═CH—COOR6, —CF3, —CN, —NO2 and halogen;
- R5 is 1-5 substituents independently selected from the group consisting of —OR6, —O(CO)R6, —O(CO)OR9, —O(CH2)1-5OR6, —O(CO)NR6R7, —NR6R7, —NR6(CO)R7, —NR6(CO)OR9, —NR6(CO)NR7R8, —NR6SO2R9, —COOR6, —CONR6R7, —COR6, —SO2NR6R7, S(O)0-2R9, —O(CH2)1-10—COOR6, —O(CH2)1-10CONR6R7, -(lower alkylene)COOR6 and —CH═CH—COOR6;
- R6, R7 and R8 are independently selected from the group consisting of hydrogen, lower alkyl, aryl and aryl-substituted lower alkyl; and
- R9 is lower alkyl, aryl or aryl-substituted lower alkyl.
- Preferably, R4 is 1-3 independently selected substituents, and R5 is preferably 1-3 independently selected substituents.
- As used herein, the term “alkyl” or “lower alkyl” means straight or branched alkyl chains having from 1 to 6 carbon atoms and “alkoxy” means alkoxy groups having 1 to 6 carbon atoms. Non-limiting examples of lower alkyl groups include, for example methyl, ethyl, propyl, and butyl groups.
- “Alkenyl” means straight or branched carbon chains having one or more double bonds in the chain, conjugated or unconjugated. Similarly, “alkynyl” means straight or branched carbon chains having one or more triple bonds in the chain. Where an alkyl, alkenyl or alkynyl chain joins two other variables and is therefore bivalent, the terms alkylene, alkenylene and alkynylene are used.
- “Cycloalkyl” means a saturated carbon ring of 3 to 6 carbon atoms, while “cycloalkylene” refers to a corresponding bivalent ring, wherein the points of attachment to other groups include all positional isomers.
- “Halogeno” refers to fluorine, chlorine, bromine or iodine radicals.
- “Aryl” means phenyl, naphthyl, indenyl, tetrahydronaphthyl or indanyl.
- “Phenylene” means a bivalent phenyl group, including ortho, meta and para-substitution.
- The statements wherein, for example, R, R1, R2 and R3, are said to be independently selected from a group of substituents, mean that R, R1, R2 and R3 are independently selected, but also that where an R, R1, R2 and R3 variable occurs more than once in a molecule, each occurrence is independently selected (e.g., if R is —OR6, wherein R6 is hydrogen, R2 can be —OR6 wherein R6 is lower alkyl). Those skilled in the art will recognize that the size and nature of the substituent(s) will affect the number of substituents that can be present.
- Compounds of the invention have at least one asymmetrical carbon atom and therefore all isomers, including enantiomers, stereoisomers, rotamers, tautomers and racemates of the compounds of Formulae I-XII are contemplated as being part of this invention. The invention includes d and I isomers in both pure form and in admixture, including racemic mixtures. Isomers can be prepared using conventional techniques, either by reacting optically pure or optically enriched starting materials or by separating isomers of a compound of the Formulas I-XII. Isomers may also include geometric isomers, e.g., when a double bond is present.
- Those skilled in the art will appreciate that for some of the compounds of the Formulas I-XII, one isomer will show greater pharmacological activity than other isomers.
- Compounds of the invention with an amino group can form pharmaceutically acceptable salts with organic and inorganic acids. Examples of suitable acids for salt formation are hydrochloric, sulfuric, phosphoric, acetic, citric, oxalic, malonic, salicylic, malic, fumaric, succinic, ascorbic, maleic, methanesulfonic and other mineral and carboxylic acids well known to those in the art. The salt is prepared by contacting the free base form with a sufficient amount of the desired acid to produce a salt. The free base form may be regenerated by treating the salt with a suitable dilute aqueous base solution such as dilute aqueous sodium bicarbonate. The free base form differs from its respective salt form somewhat in certain physical properties, such as solubility in polar solvents, but the salt is otherwise equivalent to its respective free base forms for purposes of the invention.
- Certain compounds of the invention are acidic (e.g., those compounds which possess a carboxyl group). These compounds form pharmaceutically acceptable salts with inorganic and organic bases. Examples of such salts are the sodium, potassium, calcium, aluminum, gold and silver salts. Also included are salts formed with pharmaceutically acceptable amines such as ammonia, alkyl amines, hydroxyalkylamines, N-methylglucamine and the like.
- As used herein, “solvate” means a molecular or ionic complex of molecules or ions of solvent with those of solute (for example, one or more compounds of Formulae I-XII, isomers of the compounds of Formulae I-XII, or prodrugs of the compounds of Formulae I-XII). Non-limiting examples of useful solvents include polar, protic solvents such as water and/or alcohols (for example methanol).
- Prodrugs of the compounds of Formulae I-XII are contemplated as being part of this invention. As used herein, “prodrug” means compounds that are drug precursors which, following administration to a patient, release the drug in vivo via some chemical or physiological process (e.g., a prodrug on being brought to the physiological pH or through enzyme action is converted to the desired drug form).
- Preferred compounds of Formula (I) are those in which Ar1 is phenyl or R4-substituted phenyl, more preferably (4-R4)-substituted phenyl. Ar2 is preferably phenyl or R4-substituted phenyl, more preferably (4-R4)-substituted phenyl. Ar3 is preferably R5-substituted phenyl, more preferably (4-R5)-substituted phenyl. When Ar1 is (4-R4)-substituted phenyl, R4 is preferably a halogen. When Ar3 and Ar3 are R4— and R5-substituted phenyl, respectively, R4 is preferably halogen or —OR6 and R5 is preferably —OR6, wherein R6 is lower alkyl or hydrogen. Especially preferred are compounds wherein each of Ar1 and Ar2 is 4-fluorophenyl and Ar3 is 4-hydroxyphenyl or 4-methoxyphenyl.
- X, Y and Z are each preferably —CH2—. R1 and R3 are each preferably hydrogen. R and R2 are preferably —OR6 wherein R6 is hydrogen, or a group readily metabolizable to a hydroxyl (such as —O(CO)R6, —O(CO)OR9 and —O(CO)NR6R7, defined above).
- The sum of m, n, p, q and r is preferably 2, 3 or 4, more preferably 3. Preferred are compounds wherein m, n and r are each zero, q is 1 and p is 2.
- Also preferred are compounds of Formula (I) in which p, q and n are each zero, r is 1 and m is 2 or 3. More preferred are compounds wherein m, n and r are each zero, q is 1, p is 2, Z is —CH2— and R is —OR6, especially when R6 is hydrogen.
- Also more preferred are compounds of Formula (I) wherein p, q and n are each zero, r is 1, m is 2, X is —CH2— and R2 is —OR6, especially when R6 is hydrogen.
- Another group of preferred compounds of Formula (I) is that in which Ar1 is phenyl or R4-substituted phenyl, Ar2 is phenyl or R4-substituted phenyl and Ar3 is R5-substituted phenyl. Also preferred are compounds in which Ar1 is phenyl or R4-substituted phenyl, Ar2 is phenyl or R4-substituted phenyl, Ar3 is R5-substituted phenyl, and the sum of m, n, p, q and r is 2, 3 or 4, more preferably 3. More preferred are compounds wherein Ar1 is phenyl or R4-substituted phenyl, Ar2 is phenyl or R4-substituted phenyl, Ar3 is R5-substituted phenyl, and wherein m, n and r are each zero, q is 1 and p is 2, or wherein p, q and n are each zero, r is 1 and m is 2 or 3.
- In a preferred embodiment, a sterol or 5α-stanol absorption inhibitor of Formula (I) useful in the compositions, therapeutic combinations and methods of the present invention is represented by Formula (II) (ezetimibe) below:
or a pharmaceutically acceptable salt or solvate thereof. The compound of Formula (II) can be in anhydrous or hydrated form. - Compounds of Formula I can be prepared by a variety of methods well known to those skilled in the art, for example such as are disclosed in U.S. Pat. Nos. 5,631,365, 5,767,115, 5,846,966, 6,207,822, U.S. patent application Ser. No. 10/105,710 filed Mar. 25, 2002, and PCT Patent Application WO 93/02048, each of which is incorporated herein by reference, and in the Example below. For example, suitable compounds of Formula I can be prepared by a method comprising the steps of:
- (a) treating with a strong base a lactone of the Formula A or B:
wherein R′ and R2′ are R and R2, respectively, or are suitably protected hydroxy groups; Ar10 is Ar1, a suitably protected hydroxy-substituted aryl or a suitably protected amino-substituted aryl; and the remaining variables are as defined above for Formula I, provided that in lactone of formula B, when n and r are each zero, p is 1-4; -
- c) quenching the reaction with an acid;
- d) optionally removing the protecting groups from R′, R2′, Ar10, Ar20 and Ar30, when present; and
- e) optionally functionalizing hydroxy or amino substituents at R, R2, Ar1, Ar2 and Ar3.
-
-
- Ar1 is R3-substituted aryl;
- Ar2 is R4-substituted aryl;
- Ar3 is R5-substituted aryl;
- Y and Z are independently selected from the group consisting of —CH2—, —CH(lower alkyl)- and —C(dilower alkyl)-;
- A is selected from —O—, —S—, —S(O)— or —S(O)2—;
- R1 is selected from the group consisting of —OR6, —O(CO)R6, —O(CO)OR9 and —O(CO)NR6R7; R2 is selected from the group consisting of hydrogen, lower alkyl and aryl; or R1 and R2 together are ═O;
- q is 1, 2 or 3;
- p is 0, 1, 2, 3 or 4;
- R5 is 1-3 substituents independently selected from the group consisting of —OR6, —O(CO)R6, —O(CO)OR9, —O(CH2)1-5OR9, —O(CO)NR6R7, —NR6R7, —NR6(CO)R7, —NR6(CO)OR9, —NR6(CO)NR7R8, —NR6SO2-lower alkyl, —NR6SO2-aryl, —CONR6R7, —COR6, —SO2NR6R7, S(O)0-2-alkyl, S(O)0-2-aryl, —O(CH2)1-10—COOR6, —O(CH2)1-10CONR6R7, o-halogeno, m-halogeno, o-lower alkyl, m-lower alkyl, -(lower alkylene)-COOR6, and —CH═CH—COOR6;
- R3 and R4 are independently 1-3 substituents independently selected from the group consisting of R5, hydrogen, p-lower alkyl, aryl, —NO2, —CF3 and p-halogeno;
- R6, R7 and R8 are independently selected from the group consisting of hydrogen, lower alkyl, aryl and aryl-substituted lower alkyl; and R9 is lower alkyl, aryl or aryl-substituted lower alkyl.
- Preferred compounds of Formula I include those in which Ar1 is R3-substituted phenyl, especially (4-R3)substituted phenyl. Ar2 is preferably R4-substituted phenyl, especially (4-R4)-substituted phenyl. Ar2 is preferably R4-substituted phenyl, especially (4-R5)-substituted phenyl. Mono-substitution of each of Ar1, Ar2 and Ar3 is preferred.
- Y and Z are each preferably —CH2—. R2 is preferably hydrogen. R1 is preferably —OR6 wherein R6 is hydrogen, or a group readily metabolizable to a hydroxyl (such as —O(CO)R6, —O(CO)OR9 and —O(CO)NR6R7, defined above). Also preferred are compounds wherein R1 and R2 together are ═O.
- The sum of q and p is preferably 1 or 2, more preferably 1. Preferred are compounds wherein p is zero and q is 1. More preferred are compounds wherein p is zero, q is 1, Y is —CH2— and R1 is —OR6, especially when R6 is hydrogen.
- Another group of preferred compounds is that in which Ar1 is R3-substituted phenyl, Ar2 is R4-substituted phenyl and Ar3 is R5-substituted phenyl.
- Also preferred are compounds wherein Ar1 is R3-substituted phenyl, Ar2 is R4-substituted phenyl, Ar3 is R5-substituted phenyl, and the sum of p and q is 1 or 2, especially 1. More preferred are compounds wherein Ar1 is R3-substituted phenyl, Ar2 is R4-substituted phenyl, Ar3 is R5-substituted phenyl, p is zero and q is 1.
- A is preferably —O—.
- R3 is preferably —COOR6, —CONR6R7, —COR6, —SO2NR6R7, S(O)0-2-alkyl, S(O)0-2-aryl, NO2 or halogeno. A more preferred definition for R3 is halogeno, especially fluoro or chloro.
- R4 is preferably hydrogen, lower alkyl, —OR6, —O(CO)R6, —O(CO)OR9, —O(CO)NR6R7, —NR6R7, COR6 or halogeno, wherein R6 and R7 are preferably independently hydrogen or lower alkyl, and R9 is preferably lower alkyl. A more preferred definition for R4 is hydrogen or halogeno, especially fluoro or chloro.
- R5 is preferably —OR6, —O(CO)R6, —O(CO)OR9, —O(CO)NR6R7, —NR6R7, -(lower alkylene)-COOR6 or —CH═CH—COOR6, wherein R6 and R7 are preferably independently hydrogen or lower alkyl, and R9 is preferably lower alkyl. A more preferred definition for R5 is —OR6, -(lower alkylene)-COOR6 or —CH═CH—COOR6, wherein R6 is preferably hydrogen or lower alkyl.
- Methods for making compounds of Formula III are well known to those skilled in the art. Non-limiting examples of suitable methods are disclosed in U.S. Pat. No. 5,688,990, which is incorporated herein by reference.
-
- A is selected from the group consisting of R2-substituted heterocycloalkyl, R2-substituted heteroaryl, R2-substituted benzofused heterocycloalkyl, and R2-substituted benzofused heteroaryl;
- Ar1 is aryl or R3-substituted aryl;
- Ar2 is aryl or R4-substituted aryl;
-
- R1 is selected from the group consisting of:
-
- —(CH2)q—, wherein q is 2-6, provided that when Q forms a spiro ring, q can also be zero or 1;
- —(CH2)e-G-(CH2)r—, wherein G is —O—, —C(O)—, phenylene, —NR8— or —S(O)0-2—, e is 0-5 and r is 0-5, provided that the sum of e and r is 1-6;
- —(C2-C6 alkenylene)-; and
- —(CH2)f—V—(CH2)g—, wherein V is C3-C6 cycloalkylene, f is 1-5 and g is 0-5, provided that the sum of f and g is 1-6;
-
- R6 and R7 are independently selected from the group consisting of —CH2—, —CH(C1-C6 alkyl)-, —C(di-(C1-C6) alkyl), —CH═CH— and —C(C1-C6 alkyl)=CH—; or R5 together with an adjacent R6, or R5 together with an adjacent R7, form a —CH═CH— or a —CH═C(C1-C6 alkyl)- group;
- a and b are independently 0, 1, 2 or 3, provided both are not zero; provided that when R6is —CH═CH— or —C(C1-C6 alkyl)=CH—, a is 1; provided that when R7 is —CH═CH— or —C(C1-C6 alkyl)=CH—, b is 1; provided that when a is 2 or 3, the R6's can be the same or different; and provided that when b is 2 or 3, the R7's can be the same or different;
-
- where M is —O—, —S—, —S(O)— or —S(O)2—;
- X, Y and Z are independently selected from the group consisting of —CH2—, —CH(C1-C6 alkyl)- and —C(di-(C1-C6) alkyl);
- R10 and R12 are independently selected from the group consisting of —OR14, —O(CO)R14, —O(CO)OR16 and —O(CO)NR14R15;
- R11 and R13 are independently selected from the group consisting of hydrogen, (C1-C6)alkyl and aryl; or R10 and R11 together are ═O, or R12 and R13 together are ═O;
- d is 1, 2 or 3;
- h is 0, 1, 2, 3 or 4;
- s is 0 or 1; t is 0 or 1; m, n and p are independently 0-4; provided that at least one of s and t is 1, and the sum of m, n, p, s and t is 1-6; provided that when p is 0 and t is 1, the sum of m, s and n is 1-5; and provided that when p is 0 and s is 1, the sum of m, t and n is 1-5;
- v is 0 or 1;
- j and k are independently 1-5, provided that the sum of j, k and v is 1-5;
- R2 is 1-3 substituents on the ring carbon atoms selected from the group consisting of hydrogen, (C1-C10)alkyl, (C2-C10)alkenyl, (C2-C10)alkynyl, (C3-C6)cycloalkyl, (C3-C6)cycloalkenyl, R17-substituted aryl, R17-substituted benzyl, R17-substituted benzyloxy, R17-substituted aryloxy, halogeno, —NR14R15, NR14R15(C1-C6 alkylene)-, NR14R15C(O)(C1-C6 alkylene)-, —NHC(O)R16, OH, C1-C6 alkoxy, —OC(O)R16, —COR14, hydroxy(C1-C6)alkyl, (C1-C6)alkoxy(C1-C6)alkyl, NO2, —S(O)0-2R16, —SO2NR14R15 and —(C1-C6 alkylene)COOR14; when R2 is a substituent on a heterocycloalkyl ring, R2 is as defined, or is ═O or
and, where R2 is a substituent on a substitutable ring nitrogen, it is hydrogen, (C1-C6)alkyl, aryl, (C1-C6)alkoxy, aryloxy, (C1-C6)alkylcarbonyl, arylcarbonyl, hydroxy, —(CH2)1-6CONR18R18, - wherein J is —O—, —NH—, —NR18— or —CH2—;
- R3 and R4 are independently selected from the group consisting of 1-3 substituents independently selected from the group consisting of (C1-C6)alkyl, —OR14, —O(CO)R14, —O(CO)OR16, —O(CH2)1-5OR14, —O(CO)NR14R15, —NR14R15, —NR14(CO)R15, —NR14(CO)OR16, —NR14(CO)NR15R19, —NR14SO2R16, —COOR14, —CONR14R15, —COR14, —SO2NR14R15, S(O)0-2R16, —O(CH2)1-10—COOR14, —O(CH2)1-10CONR14R15, —(C1-C6 alkylene)-COOR14, —CH═CH—COOR14, —CF3, —CN, —NO2 and halogen;
- R8 is hydrogen, (C1-C6)alkyl, aryl (C1-C6)alkyl, —C(O)R14 or —COOR14;
- R9 and R17 are independently 1-3 groups independently selected from the group consisting of hydrogen, (C1-C6)alkyl, (C1-C6)alkoxy, —COOH, NO2, —NR14R15, OH and halogeno;
- R14 and R15 are independently selected from the group consisting of hydrogen, (C1-C6)alkyl, aryl and aryl-substituted (C1-C6)alkyl;
- R16 is (C1-C6)alkyl, aryl or R17-substituted aryl;
- R18 is hydrogen or (C1-C6)alkyl; and
- R19 is hydrogen, hydroxy or (C1-C6)alkoxy.
- As used in Formula (IV) above, “A” is preferably an R2-substituted, 6-membered heterocycloalkyl ring containing 1 or 2 nitrogen atoms. Preferred heterocycloalkyl rings are piperidinyl, piperazinyl and morpholinyl groups. The ring “A” is preferably joined to the phenyl ring through a ring nitrogen. Preferred R2 substituents are hydrogen and lower alkyl. R19 is preferably hydrogen.
- Ar2 is preferably phenyl or R4-phenyl, especially (4-R4)-substituted phenyl. Preferred definitions of R4 are lower alkoxy, especially methoxy, and halogeno, especially fluoro.
- Ar1 is preferably phenyl or R3-substituted phenyl, especially (4-R3)-substituted phenyl.
- There are several preferred definitions for the —R1-Q- combination of variables:
- Q is a bond and R1 is lower alkylene, preferably propylene;
-
-
-
-
- Methods for making compounds of Formula IV are well known to those skilled in the art. Non-limiting examples of suitable methods are disclosed in U.S. Pat. No. 5,656,624, which is incorporated herein by reference.
-
- Ar1 is aryl, R10-substituted aryl or heteroaryl;
- Ar2 is aryl or R4-substituted aryl;
- Ar3 is aryl or R5-substituted aryl;
- X and Y are independently selected from the group consisting of —CH2—, —CH(lower alkyl)- and —C(dilower alkyl)-;
- R is —OR6, —O(CO)R6, —O(CO)OR9 or —O(CO)NR6R7; R1 is hydrogen, lower alkyl or aryl; or R and R1 together are ═O;
- q is 0 or 1;
- r is 0, 1 or 2;
- m and n are independently 0, 1, 2, 3, 4 or 5; provided that the sum of m, n and q is 1, 2, 3, 4 or 5;
- R4 is 1-5 substituents independently selected from the group consisting of lower alkyl, —OR6, —O(CO)R6, —O(CO)OR9, —O(CH2)1-5OR6, —O(CO)NR6R7, —NR6R7, —NR6(CO)R7, —NR6(CO)OR9, —NR6(CO)NR7R8, —NR6SO2R9, —COOR6, —CONR6R7, —COR6, —SO2NR6R7, S(O)0-2R9, —O(CH2)1-10—COOR6, —O(CH2)1-10CONR6R7, -(lower alkylene)COOR6 and —CH═CH—COOR6;
- R5 is 1-5 substituents independently selected from the group consisting of —OR6, —O(CO)R6, —O(CO)OR9, —O(CH2)1-5OR6, —O(CO)NR6R7, —NR6R7, —NR6(CO)R7, —NR6(CO)OR9, —NR6(CO)NR7R8, —NR6SO2R9, —COOR6, —CONR6R7, —COR6, —SO2NR6R7, S(O)0-2R9, —O(CH2)1-10—COOR6, —O(CH2)1-10CONR6R7, —CF3, —CN, —NO2, halogen,
- -(lower alkylene)COOR6 and —CH═CH—COOR6;
- R6, R7 and R8 are independently selected from the group consisting of hydrogen, lower alkyl, aryl and aryl-substituted lower alkyl;
- R9 is lower alkyl, aryl or aryl-substituted lower alkyl; and
- R10 is 1-5 substituents independently selected from the group consisting of lower alkyl, —OR6, —O(CO)R6, —O(CO)OR9, —O(CH2)1-5OR6, —O(CO)NR6R7, —NR6R7, —NR6(CO)R7, —NR6(CO)OR9, —NR6(CO)NR7R8, —NR6SO2R9, —COOR6, —CONR6R7, —COR6, —SO2NR6R7, —S(O)0-2R9, —O(CH2)1-10—COOR6, —O(CH2)1-10CONR6R7, —CF3, —CN, —NO2 and halogen.
-
- R4, R5 and R10 are each preferably 1-3 independently selected substituents as set forth above. Preferred are compounds of Formula (V) wherein Ar1 is phenyl, R10-substituted phenyl or thienyl, especially (4-R10)-substituted phenyl or thienyl. Ar2 is preferably R4-substituted phenyl, especially (4-R4)-substituted phenyl. Ar3 is preferably phenyl or R5-substituted phenyl, especially (4-R5)-substituted phenyl. When Ar1 is R10-substituted phenyl, R10 is preferably halogeno, especially fluoro. When Ar2 is R4-substituted phenyl, R4 is preferably —OR6, especially wherein R6 is hydrogen or lower alkyl. When Ar3 is R5-substituted phenyl, R5 is preferably halogeno, especially fluoro. Especially preferred are compounds of Formula (V) wherein Ar1 is phenyl, 4-fluorophenyl or thienyl, Ar2 is 4-(alkoxy or hydroxy)phenyl, and Ar3 is phenyl or 4-fluorophenyl.
- X and Y are each preferably —CH2—. The sum of m, n and q is preferably 2, 3 or 4, more preferably 2. When q is 1, n is preferably 1 to 5.
- Preferences for X, Y, Ar1, Ar2 and Ar3 are the same in each of Formulae (VA) and (VB).
- In compounds of Formula (VA), the sum of m and n is preferably 2, 3 or 4, more preferably 2. Also preferred are compounds wherein the sum of m and n is 2, and r is 0 or 1.
- In compounds of Formula (VB), the sum of m and n is preferably 1, 2 or 3, more preferably 1. Especially preferred are compounds wherein m is zero and n is 1. R1 is preferably hydrogen and R is preferably —OR6 wherein R6 is hydrogen, or a group readily metabolizable to a hydroxyl (such as —O(CO)R6, —O(CO)OR9 and —O(CO)NR6R7, defined above), or R and R1 together form a ═O group.
- Methods for making compounds of Formula V are well known to those skilled in the art. Non-limiting examples of suitable methods are disclosed in U.S. Pat. No. 5,624,920, which is incorporated herein by reference.
-
-
- R2 and R3 are independently selected from the group consisting of: —CH2—, —CH(lower alkyl)-, —C(di-lower alkyl)-, —CH═CH— and —C(lower alkyl)=CH—; or R1 together with an adjacent R2, or R1 together with an adjacent R3, form a —CH═CH— or a —CH═C(lower alkyl)- group;
- u and v are independently 0, 1, 2 or 3, provided both are not zero; provided that when R2 is —CH═CH— or —C(lower alkyl)=CH—, v is 1; provided that when R3 is —CH═CH— or —C(lower alkyl)=CH—, u is 1; provided that when v is 2 or 3, the R2's can be the same or different; and provided that when u is 2 or 3, the R3's can be the same or different;
- R4 is selected from B—(CH2)mC(O)—, wherein m is 0, 1, 2, 3, 4 or 5; B—(CH2)q—, wherein q is 0, 1, 2, 3, 4, 5 or 6; B—(CH2)e-Z-(CH2)r—, wherein Z is —O—, —C(O)—, phenylene, —N(R8)— or —S(O)0-2—, e is 0, 1, 2, 3, 4 or 5 and r is 0, 1, 2, 3, 4 or 5, provided that the sum of e and r is 0, 1, 2, 3, 4, 5 or 6; B—(C2-C6 alkenylene)-; B—(C4-C6 alkadienylene)-; B—(CH2)t-Z-(C2-C6 alkenylene)-, wherein Z is as defined above, and wherein t is 0, 1, 2 or 3, provided that the sum of t and the number of carbon atoms in the alkenylene chain is 2, 3, 4, 5 or 6; B—(CH2)f—V—(CH2)g—, wherein V is C3-C6 cycloalkylene, f is 1, 2, 3, 4 or 5 and g is 0, 1, 2, 3, 4 or 5, provided that the sum of f and g is 1, 2, 3, 4, 5 or 6; B—(CH2)t—V—(C2-C6 alkenylene)- or B—(C2-C6 alkenylene)-V—(CH2)t—, wherein V and t are as defined above, provided that the sum of t and the number of carbon atoms in the alkenylene chain is 2, 3, 4, 5 or 6;
- B—(CH2)a-Z-(CH2)b—V—(CH2)d—, wherein Z and V are as defined above and a, b and d are independently 0, 1, 2, 3, 4, 5 or 6, provided that the sum of a, b and d is 0, 1, 2, 3, 4, 5 or 6; or T-(CH2)s—, wherein T is cycloalkyl of 3-6 carbon atoms and s is 0, 1, 2, 3, 4, 5 or 6; or
-
- B is selected from indanyl, indenyl, naphthyl, tetrahydronaphthyl, heteroaryl or W-substituted heteroaryl, wherein heteroaryl is selected from the group consisting of pyrrolyl, pyridinyl, pyrimidinyl, pyrazinyl, triazinyl, imidazolyl, thiazolyl, pyrazolyl, thienyl, oxazolyl and furanyl, and for nitrogen-containing heteroaryls, the N-oxides thereof, or
- W is 1 to 3 substituents independently selected from the group consisting of lower alkyl, hydroxy lower alkyl, lower alkoxy, alkoxyalkyl, alkoxyalkoxy, alkoxycarbonylalkoxy, (lower alkoxyimino)-lower alkyl, lower alkanedioyl, lower alkyl lower alkanedioyl, allyloxy, —CF3, —OCF3, benzyl, R7-benzyl, benzyloxy, R7-benzyloxy, phenoxy, R7-phenoxy, dioxolanyl, NO2, —N(R8)(R9), N(R8)(R9)-lower alkylene-, N(R8)(R9)-lower alkylenyloxy-, OH, halogeno, —CN, —N3, —NHC(O)OR10, —NHC(O)R10, R11O2SNH—, (R11O2S)2N—, —S(O)2NH2, —S(O)0-2R8, tert-butyldimethyl-silyloxymethyl, —C(O)R12, —COOR19, —CON(R8)(R9), —CH═CHC(O)R12, -lower alkylene-C(O)R12, R10C(O)(lower alkylenyloxy)-, N(R8)(R9)C(O)(lower alkylenyloxy)- and
for substitution on ring carbon atoms, and the substituents on the substituted heteroaryl ring nitrogen atoms, when present, are selected from the group consisting of lower alkyl, lower alkoxy, —C(O)OR10, —C(O)R10, OH, N(R8)(R9)-lower alkylene-, N(R8)(R9)-lower alkylenyloxy-, —S(O)2NH2 and 2-(trimethylsilyl)-ethoxymethyl; - R7 is 1-3 groups independently selected from the group consisting of lower alkyl, lower alkoxy, —COOH, NO2, —N(R8)(R9), OH, and halogeno;
- R8 and R9 are independently selected from H or lower alkyl;
- R10 is selected from lower alkyl, phenyl, R7-phenyl, benzyl or R7-benzyl;
- R11 is selected from OH, lower alkyl, phenyl, benzyl, R7-phenyl or R7-benzyl;
-
- R13 is selected from —O—, —CH2—, —NH—, —N(lower alkyl)- or —NC(O)R19;
- R15, R16 and R17 are independently selected from the group consisting of H and the groups defined for W; or R15 is hydrogen and R16 and R17, together with adjacent carbon atoms to which they are attached, form a dioxolanyl ring;
- R19 is H, lower alkyl, phenyl or phenyl lower alkyl; and
- R20 and R21 are independently selected from the group consisting of phenyl, W-substituted phenyl, naphthyl, W-substituted naphthyl, indanyl, indenyl, tetrahydronaphthyl, benzodioxolyl, heteroaryl, W-substituted heteroaryl, benzofused heteroaryl, W-substituted benzofused heteroaryl and cyclopropyl, wherein heteroaryl is as defined above.
- One group of preferred compounds of Formula VI is that in which R21 is selected from phenyl, W-substituted phenyl, indanyl, benzofuranyl, benzodioxolyl, tetrahydronaphthyl, pyridyl, pyrazinyl, pyrimidinyl, quinolyl or cyclopropyl,
- wherein W is lower alkyl, lower alkoxy, OH, halogeno, —N(R8)(R9), —NHC(O)OR10, —NHC(O)R10, NO2, —CN, —N3, —SH, —S(O)0-2-(lower alkyl), —COOR19, —CON(R8)(R9), —COR12, phenoxy, benzyloxy, —OCF3, —CH═C(O)R12 or tert-butyldimethylsilyloxy, wherein R8, R9, R10, R12 and R19 are as defined for Formula IV. When W is 2 or 3 substituents, the substituents can be the same or different.
- Another group of preferred compounds of Formula VI is that in which R20 is phenyl or W-substituted phenyl, wherein preferred meanings of W are as defined above for preferred definitions of R21.
- More preferred are compounds of Formula VI wherein R20 is phenyl or W-substituted phenyl and R21 is phenyl, W-substituted phenyl, indanyl, benzofuranyl, benzodioxolyl, tetrahydronaphthyl, pyridyl, pyrazinyl, pyrimidinyl, quinolyl or cyclopropyl; W is lower alkyl, lower alkoxy, OH, halogeno, —N(R8)(R9), —NHC(O)OR10, —NHC(O)R10, NO2, —CN, —N3, —SH, —S(O)0-2-(lower alkyl), —COOR19, —CON(R8)(R9), —COR12, phenoxy, benzyloxy, —CH═CHC(O)R12, —OCF3 or tert-butyl-dimethyl-silyloxy, wherein when W is 2 or 3 substituents, the substituents can be the same or different, and wherein R8, R9, R10, R12 and R19 are as defined in Formula VI.
-
- Another group of preferred compounds of Formula VI is in which R2 and R3 are each —CH2— and the sum of u and v is 2, 3 or 4, with u=v=2 being more preferred.
-
- Preferably Z is —O—, e is 0, and r is 0.
- Preferably q is 0-2.
- R20 is preferably phenyl or W-substituted phenyl.
- Preferred W substituents for R20 are lower alkoxy, especially methoxy and ethoxy, OH, and —C(O)R12, wherein R12 is preferably lower alkoxy.
- Preferably R21 is selected from phenyl, lower alkoxy-substituted phenyl and F-phenyl.
- Especially preferred are compounds of Formula VI wherein R1 is
R2 and R3 are each —CH2—, u=v=2, R4 is B—(CH2)q—, wherein B is phenyl or phenyl substituted by lower alkoxy or chloro, q is 0-2, R20 is phenyl, OH-phenyl, lower alkoxy-substituted phenyl or lower alkoxycarbonyl-substituted phenyl, and R21 is phenyl, lower alkoxy-substituted phenyl or F-phenyl. - Methods for making compounds of Formula VI are well known to those skilled in the art. Non-limiting examples of suitable methods are disclosed in U.S. Pat. No. 5,698,548, which is incorporated herein by reference.
-
-
- D is —(CH2)mC(O)— or —(CH2)q— wherein m is 1, 2, 3 or 4 and q is 2, 3 or 4;
- is E is C10 to C20 alkyl or —C(O)—(C9 to C19)-alkyl, wherein the alkyl is straight or branched, saturated or containing one or more double bonds;
- R is hydrogen, C1-C15 alkyl, straight or branched, saturated or containing one or more double bonds, or B—(CH2)r—, wherein r is 0, 1, 2, or 3;
- R1, R2, R3, R1′, R2′, and R3′ are independently selected from the group consisting of hydrogen, lower alkyl, lower alkoxy, carboxy, NO2, NH2, OH, halogeno, lower alkylamino, dilower alkylamino, —NHC(O)OR5, R6O2SNH— and —S(O)2NH2;
-
- R5 is lower alkyl; and
- R6 is OH, lower alkyl, phenyl, benzyl or substituted phenyl wherein the substituents are 1-3 groups independently selected from the group consisting of lower alkyl, lower alkoxy, carboxy, NO2, NH2, OH, halogeno, lower alkylamino and dilower alkylamino; or a pharmaceutically acceptable salt thereof or a prodrug thereof.
- Preferred are compounds of Formula (VIIA) wherein R is hydrogen, saturated or mono-unsaturated C1-C10 alkyl or phenyl. Another group of preferred compounds of Formula (VIIA) is that in which D is propyl (i.e., —(CH2)q— and q is 3). A third group of preferred compounds of Formula (VIIA) is that wherein R4 is p-methoxyphenyl or 2,4,6-trimethoxyphenyl. Still another group of preferred compounds of Formula (VIIA) is that wherein A is ethylene or a bond (i.e., —(CH2)p— wherein p is zero). R1′, R2′, and R3′ are preferably each hydrogen, and preferably R1 is hydrogen, hydroxy, nitro, lower alkoxy, amino or t-butoxycarbonyl-amino and R2 and R3 are each hydrogen.
- More preferred are compounds of Formula (VIIA) wherein R1′, R2′, and R3′ are each hydrogen; R1 is hydrogen, hydroxy, nitro, lower alkoxy, amino or t-butoxycarbonyl-amino and R2 and R3 are each hydrogen; R is hydrogen, ethyl or phenyl; D is propyl; R4 is p-methoxyphenyl or 2,4,6-trimethoxyphenyl; and A is ethylene or a bond.
- Preferred compounds of Formula (VIIA), wherein B′ is phenyl, are shown in the following table:
D R A B R4 —(CH2)3— H — p-MeO- p-MeO-phenyl phenyl —CH2C(O)— phenyl — phenyl p-MeO-phenyl —(CH2)3— H — phenyl p-MeO-phenyl —(CH2)3— H — p-OH- p-MeO-phenyl phenyl —(CH2)3— H ethylene p-MeO- p-MeO-phenyl phenyl —(CH2)3— H — 3-MeO- p-MeO-phenyl phenyl —(CH2)3— ethyl — phenyl p-MeO-phenyl —(CH2)3— phenyl — phenyl p-MeO-phenyl —(CH2)3— ethyl — phenyl 2,4,6-tri-MeO- phenyl —(CH2)3— methyl — phenyl p-MeO-phenyl —(CH2)3— H — p-NH2- p-MeO-phenyl phenyl - The first-listed compound in the above table having the (3R,4S) absolute stereochemistry is more preferred.
- Preferred compounds of Formula (VIIB) are those wherein R is hydrogen, methyl, ethyl, phenyl or phenylpropyl. Another group of preferred compounds of Formula (VIIB) is that wherein R4 is p-methoxyphenyl or 2,4,6-trimethoxyphenyl. Still another group of preferred compounds of Formula (VIB) is that wherein A is ethylene or a bond. Yet another group of preferred compounds of Formula (VIIB) is that wherein E is decyl, oleoyl or 7-Z-hexadecenyl. Preferably R1, R2 and R3 are each hydrogen.
- More preferred compounds of Formula (VIIB) are those wherein R is hydrogen, methyl, ethyl, phenyl or phenylpropyl; R4 is p-methoxyphenyl or 2,4,6-trimethoxyphenyl; A is ethylene or a bond; E is decyl, oleoyl or 7-Z-hexadecenyl; and R1, R2 and R3 are each hydrogen.
- A preferred compound of Formula (VIIB) is that wherein E is decyl, R is hydrogen, B-A is phenyl and R4 is p-methoxyphenyl.
-
- R26 is H or OG1;
-
- R, Ra and Rb are independently selected from the group consisting of H, —OH, halogeno, —NH2, azido, (C1-C6)alkoxy(C1-C6)-alkoxy or —W—R30;
- W is independently selected from the group consisting of —NH—C(O)—, —O—C(O)—, —O—C(O)—N(R31)—, —NH—C(O)—N(R31)— and —O—C(S)—N(R31)—;
- R2 and R6 are independently selected from the group consisting of H, (C1-C6)alkyl, aryl and aryl(C1-C6)alkyl;
- R3, R4, R5, R7, R3a and R4a are independently selected from the group consisting of H, (C1-C6)alkyl, aryl(C1-C6)alkyl, —C(O)(C1-C6)alkyl and —C(O)aryl;
- R30 is selected from the group consisting of R32-substituted T, R32-substituted-T-(C1-C6)alkyl, R32-substituted-(C2-C4)alkenyl, R32-substituted-(C1-C6)alkyl, R32-substituted-(C3-C7)cycloalkyl and R32-substituted-(C3-C7)cycloalkyl(C1-C6)alkyl;
- R31 is selected from the group consisting of H and (C1-C4)alkyl;
- T is selected from the group consisting of phenyl, furyl, thienyl, pyrrolyl, oxazolyl, isoxazolyl, thiazolyl, iosthiazolyl, benzothiazolyl, thiadiazolyl, pyrazolyl, imidazolyl and pyridyl;
- R32 is independently selected from 1-3 substituents independently selected from the group consisting of halogeno, (C1-C4)alkyl, —OH, phenoxy, —CF3, —NO2, (C1-C4)alkoxy, methylenedioxy, oxo, (C1-C4)alkylsulfanyl, (C1-C4)alkylsulfinyl, (C1-C4)alkylsulfonyl, —N(CH3)2, —C(O)—NH(C1-C4)alkyl, —C(O)—N((C1-C4)alkyl)2, —C(O)—(C1-C4)alkyl, —C(O)—(C1-C4)alkoxy and pyrrolidinylcarbonyl; or R32 is a covalent bond and R31, the nitrogen to which it is attached and R32 form a pyrrolidinyl, piperidinyl, N-methyl-piperazinyl, indolinyl or morpholinyl group, or a (C1-C4)alkoxycarbonyl-substituted pyrrolidinyl, piperidinyl, N-methylpiperazinyl, indolinyl or morpholinyl group;
- Ar1 is aryl or R10-substituted aryl;
- Ar2 is aryl or R11-substituted aryl;
-
- R1 is selected from the group consisting of
-
- —(CH2)q—, wherein q is 2-6, provided that when Q forms a spiro ring, q can also be zero or 1;
- —(CH2)e-E-(CH2)r—, wherein E is —O—, —C(O)—, phenylene, —NR22— or —S(O)0-2—, e is 0-5 and r is 0-5, provided that the sum of e and r is 1-6;
- —(C2-C6)alkenylene-; and
- —(CH2)f—V—(CH2)g—, wherein V is C3-C6 cycloalkylene, f is 1-5 and g is 0-5, provided that the sum of f and g is 1-6;
-
- R13 and R14 are independently selected from the group consisting of
- —CH2—, —CH(C1-C6 alkyl)-, —C(di-(C1-C6) alkyl), —CH═CH— and —C(C1-C6 alkyl)=CH—; or R12 together with an adjacent R13, or R12 together with an adjacent R14, form a —CH═CH— or a —CH═C(C1-C6 alkyl)-group;
- a and b are independently 0, 1, 2 or 3, provided both are not zero;
- provided that when R13 is —CH═CH— or —C(C1-C6 alkyl)=CH—, a is 1;
- provided that when R14 is —CH═CH— or —C(C1-C6 alkyl)=CH—, b is 1;
- provided that when a is 2 or 3, the R13's can be the same or different; and
- provided that when b is 2 or 3, the R14's can be the same or different;
-
- M is —O—, —S—, —S(O)— or —S(O)2—;
- X, Y and Z are independently selected from the group consisting of —CH2—, —CH(C1-C6)alkyl- and —C(di-(C1-C6)alkyl);
- R10 and R11 are independently selected from the group consisting of 1-3 substituents independently selected from the group consisting of (C1-C6)alkyl, —OR19, —O(CO)R19, —O(CO)OR21, —O(CH2)1-5OR19, —O(CO)NR19R20, —NR19R20, —NR19(CO)R20, —NR19(CO)OR21, —NR19(CO)NR20R25, —NR19SO2R21, —COOR19, —CONR19R20, —COR19, —SO2NR19R20, S(O)0-2R21, —O(CH2)1-10—COOR19, —O(CH2)1-10CONR19R20, —(C1-C6 alkylene)-COOR19, —CH═CH—COOR19, —CF3, —CN, —NO2 and halogen;
- R15 and R17 are independently selected from the group consisting of —OR19, —O(CO)R19, —O(CO)OR21 and —O(CO)NR19R20;
- R16 and R18 are independently selected from the group consisting of H, (C1-C6)alkyl and aryl; or R15 and R16 together are ═O, or R17 and R18 together are ═O;
- d is 1, 2 or 3;
- h is 0, 1, 2, 3 or 4;
- s is 0 or 1; t is 0 or 1; m, n and p are independently 0-4;
- provided that at least one of s and t is 1, and the sum of m, n, p, s and t is 1-6;
- provided that when p is 0 and t is 1, the sum of m, s and n is 1-5; and provided that when p is 0 and s is 1, the sum of m, t and n is 1-5;
- v is 0 or 1;
- j and k are independently 1-5, provided that the sum of j, k and v is 1-5;
-
- R19 and R20 are independently selected from the group consisting of H, (C1-C6)alkyl, aryl and aryl-substituted (C1-C6)alkyl;
- R21 is (C1-C6)alkyl, aryl or R24-substituted aryl;
- R22 is H, (C1-C6)alkyl, aryl (C1-C6)alkyl, —C(O)R19 or —COOR19;
- R23 and R24 are independently 1-3 groups independently selected from the group consisting of H, (C1-C6)alkyl, (C1-C6)alkoxy, —COOH, NO2, —NR19R20, —OH and halogeno; and
- R25 is H, —OH or (C1-C6)alkoxy.
- Ar2 is preferably phenyl or R11-phenyl, especially (4-R11)-substituted phenyl. Preferred definitions of R11 are lower alkoxy, especially methoxy, and halogeno, especially fluoro.
- Ar1 is preferably phenyl or R10-substituted phenyl, especially (4-R10)-substituted phenyl. Preferably R10 is halogeno, and more preferably fluoro.
- There are several preferred definitions for the —R1-Q- combination of variables:
- Q is a bond and R1 is lower alkylene, preferably propylene;
-
-
-
-
- A preferred compound of Formula (VIII) therefore, is one wherein G and G1 are as defined above and in which the remaining variables have the following definitions:
- Ar1 is phenyl or R10-substituted phenyl, wherein R10 is halogeno;
- Ar2 is phenyl or R11-phenyl, wherein R11 is 1 to 3 substituents independently selected from the group consisting of C1-C6 alkoxy and halogeno;
- Q is a bond and R1 is lower alkylene; Q, with the 3-position ring carbon of the azetidinone, forms the group
wherein preferably R13 and R14 are each ethylene and a and b are each 1, and wherein R12 is
Q is a bond and R1 is —O—CH2—CH(OH)—; Q is a bond and R1 is —CH(OH)—(CH2)2—; or Q is a bond and R1 is —CH(OH)—CH2—S(O)0-2—. -
- R2, R3, R4, R5, R6 and R7 are independently selected from the group consisting of H, (C1-C6)alkyl, benzyl and acetyl.
-
- R3, R3a, R4 and R4a are selected from the group consisting of H, (C1-C6)alkyl, benzyl and acetyl;
- R, Ra and Rb are independently selected from the group consisting of H, —OH, halogeno, —NH2, azido, (C1-C6)alkoxy(C1-C6)alkoxy and —W—R30,
- wherein W is —O—C(O)— or —O—C(O)—NR31—, R31 is H and R30 is (C1-C6)alkyl, —C(O)—(C1-C4)alkoxy-(C1-C6)alkyl, T, T-(C1-C6)alkyl, or T or T-(C1-C6)alkyl wherein T is substituted by one or two halogeno or (C1-C6)alkyl groups.
- Preferred R30 substituents are selected from the group consisting of: 2-fluorophenyl, 2,4-difluoro-phenyl, 2, 6-dichlorophenyl, 2-methylphenyl, 2-thienylmethyl, 2-methoxy-carbonylethyl, thiazol-2-yl-methyl, 2-furyl, 2-methoxycarbonylbutyl and phenyl.
- Preferred combinations of R, Ra and Rb are as follows:
- 1) R, Ra and Rb are independently —OH or —O—C(O)—NH—R30, especially wherein Ra is —OH and R and Rb are —O—C(O)—NH—R30 and R30 is selected from the preferred substituents identified above, or wherein R and Ra are each —OH and Rb is —O—C(O)—NH—R30 wherein R30 is 2-fluorophenyl, 2,4-difluoro-phenyl, 2,6-dichlorophenyl;
- 2) Ra is —OH, halogeno, azido or (C1-C6)-alkoxy(C1-C6)alkoxy, Rb is H, halogeno, azido or (C1-C6)alkoxy(C1-C6)-alkoxy, and R is —O—C(O)—NH—R30, especially compounds wherein Ra is —OH, Rb is H and R30 is 2-fluorophenyl;
- 3) R, Ra and Rb are independently —OH or —O—C(O)—R30 and R30 is (C1-C6)alkyl, T, or T substituted by one or two halogeno or (C1-C6)alkyl groups, especially compounds wherein R is —OH and Ra and Rb are —O—C(O)—R30 wherein R30 is 2-furyl; and
-
- Preferably, R26 is H or OH, more preferably H. The —O-G substituent is preferably in the 4-position of the phenyl ring to which it is attached.
-
- R1 is selected from the group consisting of H, G, G1, G2, —SO3H and —PO3H;
-
- wherein R, Ra and Rb are each independently selected from the group consisting of H, —OH, halo, —NH2, azido, (C1-C6)alkoxy(C1-C6)alkoxy or —W—R30;
- W is independently selected from the group consisting of —NH—C(O)—, —O—C(O)—, —O—C(O)—N(R31)—, —NH—C(O)—N(R31)— and —O—C(S)—N(R31)—;
- R2 and R6 are each independently selected from the group consisting of H, (C1-C6)alkyl, acetyl, aryl and aryl(C1-C6)alkyl;
- R3, R4, R5, R7, R3a and R4a are each independently selected from the group consisting of H, (C1-C6)alkyl, acetyl, aryl(C1-C6)alkyl, —C(O)(C1-C6)alkyl and —C(O)aryl;
- R30 is independently selected from the group consisting of R32-substituted T, R32-substituted-T-(C1-C6)alkyl, R32-substituted-(C2-C4)alkenyl, R32-substituted-(C1-C6)alkyl, R32-substituted-(C3-C7)cycloalkyl and R32-substituted-(C3-C7)cycloalkyl(C1-C6)alkyl;
- R31 is independently selected from the group consisting of H and (C1-C4)alkyl;
- T is independently selected from the group consisting of phenyl, furyl, thienyl, pyrrolyl, oxazolyl, isoxazolyl, thiazolyl, isothiazolyl, benzothiazolyl, thiadiazolyl, pyrazolyl, imidazolyl and pyridyl;
- R32 is independently selected from 1-3 substituents which are each independently selected from the group consisting of H, halo, (C1-C4)alkyl, —OH, phenoxy, —CF3, —NO2, (C1-C4)alkoxy, methylenedioxy, oxo, (C1-C4)alkylsulfanyl, (C1-C4)alkylsulfinyl, (C1-C4)alkylsulfonyl, —N(CH3)2, —C(O)—NH(C1-C4)alkyl, —C(O)—N((C1-C4)alkyl)2, —C(O)—(C1-C4)alkyl, —C(O)—(C1-C4)alkoxy and pyrrolidinylcarbonyl; or R32 is a covalent bond and R31, the nitrogen to which it is attached and R32 form a pyrrolidinyl, piperidinyl, N-methyl-piperazinyl, indolinyl or morpholinyl group, or a (C1-C4)alkoxycarbonyl-substituted pyrrolidinyl, piperidinyl, N-methylpiperazinyl, indolinyl or morpholinyl group;
-
- R34 is one to three substituents, each R34 being independently selected from the group consisting of HOOC—, HS—, (CH3)S—, H2N—, (NH2)(NH)C(NH)—, (NH2)C(O)— and HOOCCH(NH3 +)CH2SS—;
- R35 is independently selected from the group consisting of H and NH2—;
- R36 is independently selected from the group consisting of H, unsubstituted alkyl, R34-substituted alkyl, unsubstituted cycloalkyl and R34-substituted cycloalkyl;
-
- R26 is one to five substituents, each R26 being independently selected from the group consisting of:
-
- a) H;
- b) —OH;
- c) —OCH3;
- d) fluorine;
- e) chlorine;
- f) —O-G;
- g) —O-G1;
- h) —O-G2;
- i) —SO3H; and
- j) —PO3H;
provided that when R1 is H, R26 is not H, —OH, —OCH3 or —O-G;
- Ar1 is aryl, R10-substituted aryl, heteroaryl or R10-substituted heteroaryl;
- Ar2 is aryl, R11-substituted aryl, heteroaryl or R11-substituted heteroaryl;
- L is selected from the group consisting of:
-
- a) a covalent bond;
- b) —(CH2)q—, wherein q is 1-6;
- c) —(CH2)e-E-(CH2)r—, wherein E is —O—, —C(O)—, phenylene, —NR22— or —S(O)0-2—, e is 0-5 and r is 0-5, provided that the sum of e and r is 1-6;
- d) —(C2-C6)alkenylene-;
- e) —(CH2)f—V—(CH2)g—, wherein V is C3-C6cycloalkylene, f is 1-5 and g is 0-5, provided that the sum of f and g is 1-6; and
- f)
wherein M is —O—, —S—, —S(O)— or —S(O)2—;
- X, Y and Z are each independently selected from the group consisting of —CH2—, —CH(C1-C6)alkyl- and —C(di-(C1-C6)alkyl)-;
- R8 is selected from the group consisting of H and alkyl;
- R10 and R11 are each independently selected from the group consisting of 1-3 substituents which are each independently selected from the group consisting of (C1-C6)alkyl, —OR19, —O(CO)R19, —O(CO)OR21, —O(CH2)1-5OR19, —O(CO)NR19R20, —NR19R20, —NR19(CO)R20, —NR19(CO)OR21, —NR19(CO)NR20R25, —NR19SO2R21, —COOR19, —CONR19R20, —COR19, —SO2NR19R20, S(O)0-2R21, —O(CH2)1-10—COOR19, —O(CH2)1-10CONR19R20, —(C1-C6 alkylene)-COOR19, —CH═CH—COOR19, —CF3, —CN, —NO2 and halo;
- R15 and R17 are each independently selected from the group consisting of —OR19, —OC(O)R19, —OC(O)OR21, —OC(O)NR19R20;
- R16 and R18 are each independently selected from the group consisting of H, (C1-C6)alkyl and aryl;
- or R15 and R16 together are ═O, or R17and R18 together are ═O;
- d is 1, 2 or 3;
- h is 0, 1, 2, 3 or 4;
- s is 0 or 1;
- t is 0 or 1;
- m, n and p are each independently selected from 0-4;
- provided that at least one of s and t is 1, and the sum of m, n, p, s and t is 1-6; provided that when p is 0 and t is 1, the sum of m, n and p is 1-5; and provided that when p is 0 and s is 1, the sum of m, t and n is 1-5;
- v is 0 or 1;
- j and k are each independently 1-5, provided that the sum of j, k and v is 1-5;
-
-
- R13 and R14 are each independently selected from the group consisting of —CH2—, —CH(C1-C6 alkyl)-, —C(di-(C1-C6) alkyl), —CH═CH— and —C(C1-C6 alkyl)=CH—; or R12 together with an adjacent R13, or R12 together with an adjacent R14, form a —CH═CH— or a —CH═C(C1-C6 alkyl)-group;
- a and b are each independently 0, 1, 2 or 3, provided both are not zero; provided that when R13 is —CH═CH— or —C(C1-C6 alkyl)=CH—, a is 1; provided that when R14 is —CH═CH— or —C(C1-C6 alkyl)=CH—, b is 1; provided that when a is 2 or 3, the R13's can be the same or different; and provided that when b is 2 or 3, the R14's can be the same or different;
and when Q is a bond and L is
then Ar1 can also be pyridyl, isoxazolyl, furanyl, pyrrolyl, thienyl, imidazolyl, pyrazolyl, thiazolyl, pyrazinyl, pyrimidinyl or pyridazinyl; - R19 and R20 are each independently selected from the group consisting of H, (C1-C6)alkyl, aryl and aryl-substituted (C1-C6)alkyl;
- R21 is (C1-C6)alkyl, aryl or R24-substituted aryl;
- R22 is H, (C1-C6)alkyl, aryl (C1-C6)alkyl, —C(O)R19 or —COOR19;
- R23 and R24 are each independently selected from the group consisting of 1-3 substituents which are each independently selected from the group consisting of H, (C1-C6)alkyl, (C1-C6)alkoxy, —COOH, NO2, —NR19R20, —OH and halo; and
- R25 is H, —OH or (C1-C6)alkoxy.
- Examples of compounds of Formula (IX) which are useful in the methods and combinations of the present invention and methods for making such compounds are disclosed in U.S. patent application Ser. No. 10/166,942, filed Jun. 11, 2002, incorporated herein by reference. An example of a useful compound of this invention is one represented by the formula X:
wherein R1 is defined as above. -
-
- The compounds of Formulae I-XII can be prepared by known methods, including the methods discussed above and, for example, WO 93/02048 describes the preparation of compounds wherein —R1-Q- is alkylene, alkenylene or alkylene interrupted by a hetero atom, phenylene or cycloalkylene; WO 94/17038 describes the preparation of compounds wherein Q is a spirocyclic group; WO 95/08532 describes the preparation of compounds wherein —R1-Q- is a hydroxy-substituted alkylene group; PCT/US95/03196 describes compounds wherein —R1-Q- is a hydroxy-substituted alkylene attached to the Ar1 moiety through an —O— or S(O)0-2-group; and U.S. Ser. No. 08/463,619, filed Jun. 5, 1995, describes the preparation of compounds wherein —R1-Q- is a hydroxy-substituted alkylene group attached the azetidinone ring by a —S(O)0-2-group.
- The daily dose of the sterol or 5α-stanol absorption inhibitor(s) administered to the subject can range from about 0.1 to about 1000 mg per day, preferably about 0.25 to about 50 mg/day, and more preferably about 10 mg per day, given in a single dose or 2-4 divided doses. The exact dose, however, is determined by the attending clinician and is dependent on the potency of the compound administered, the age, weight, condition and response of the patient.
- For administration of pharmaceutically acceptable salts of the above compounds, the weights indicated above refer to the weight of the acid equivalent or the base equivalent of the therapeutic compound derived from the salt.
- The methods, compositions, and therapeutic combinations of the present invention may also include co-administering an effective amount of another therapeutic composition. These therapeutic compositions may include HMG-CoA reductase inhibitors, peroxisome proliferator-activated receptor activators, obesity medications, probucol or derivatives thereof, low-density lipoprotein receptor activators, Omega 3 fatty acids, nicotinic acid or a derivative thereof, Acyl CoA: cholesterol O-acyl transferase inhibitors, natural water solid fibers, plant sterols, plant stanols, fatty acid esters of plant stanols, antioxidants, vitamins, hormone replacements, obesity control agents, diabetes control agents, blood modifiers, cardiovascular agents, other therapeutic agents described below, and combinations thereof.
- Also useful in the present invention are compositions or therapeutic combinations that further comprise at least one (one or more) activators for peroxisome proliferator-activated receptors (PPAR). The activators act as agonists for the peroxisome proliferator-activated receptors. Three subtypes of PPAR have been identified, and these are designated as peroxisome proliferator-activated receptor alpha (PPARα), peroxisome proliferator-activated receptor gamma (PPARγ) and peroxisome proliferator-activated receptor delta (PPARδ). It should be noted that PPARδ is also referred to in the literature as PPARβ and as NUC1, and each of these names refers to the same receptor.
- PPARα regulates the metabolism of lipids. PPARα is activated by fibrates and a number of medium and long-chain fatty acids, and it is involved in stimulating β-oxidation of fatty acids. The PPARγ receptor subtypes are involved in activating the program of adipocyte differentiation and are not involved in stimulating peroxisome proliferation in the liver. PPARδ has been identified as being useful in increasing high density lipoprotein (HDL) levels in humans. See, e.g., WO 97/28149.
- PPARα activator compounds are useful for, among other things, lowering triglycerides, moderately lowering LDL levels and increasing HDL levels. Useful examples of PPARα activators include fibrates.
- Non-limiting examples of suitable fibric acid derivatives (“fibrates”) include clofibrate (such as ethyl 2-(p-chlorophenoxy)-2-methyl-propionate, for example ATROMID-S® Capsules which are commercially available from Wyeth-Ayerst); gemfibrozil (such as 5-(2,5-dimethylphenoxy)-2,2-dimethylpentanoic acid, for example LOPID® tablets which are commercially available from Parke Davis); ciprofibrate (C.A.S. Registry No. 52214-84-3, see U.S. Pat. No. 3,948,973 which is incorporated herein by reference); bezafibrate (C.A.S. Registry No. 41859-67-0, see U.S. Pat. No. 3,781,328 which is incorporated herein by reference); clinofibrate (C.A.S. Registry No. 30299-08-2, see U.S. Pat. No. 3,716,583 which is incorporated herein by reference); binifibrate (C.A.S. Registry No. 69047-39-8, see BE 884722 which is incorporated herein by reference); lifibrol (C.A.S. Registry No. 96609-16-4); fenofibrate (such as TRICOR® micronized fenofibrate (2-[4-(4-chlorobenzoyl)phenoxy]-2-methyl-propanoic acid, 1-methylethyl ester) which is commercially available from Abbott Laboratories or LIPANTHYL® micronized fenofibrate which is commercially available from Labortoire Founier, France) and mixtures thereof. These compounds can be used in a variety of forms, including but not limited to acid form, salt form, racemates, enantiomers, zwitterions and tautomers.
- Other examples of PPARα activators useful in the practice of the present invention include suitable fluorophenyl compounds as disclosed in U.S. Pat. No. 6,028,109 which is incorporated herein by reference; certain substituted phenylpropionic compounds as disclosed in WO 00/75103 which is incorporated herein by reference; and PPARα activator compounds as disclosed in WO 98/43081 which is incorporated herein by reference.
- Non-limiting examples of suitable PPARγ activators include derivatives of glitazones or thiazolidinediones, such as, troglitazone (such as REZULIN® troglitazone (-5-[[4-[3,4-dihydro-6-hydroxy-2,5,7,8-tetramethyl-2H-1-benzopyran-2-yl)methoxy]phenyl]methyl]-2,4-thiazolidinedione) commercially available from Parke-Davis); rosiglitazone (such as AVANDIA® rosiglitazone maleate (-5-[[4-[2-(methyl-2-pyridinylamino)ethoxy]phenyl]methyl]-2,4-thiazolidinedione, -2-butenedioate) commercially available from SmithKline Beecham) and pioglitazone (such as ACTOS™ pioglitazone hydrochloride (5-[[4-[2-(5-ethyl-2-pyridinyl)ethoxy]phenyl]methyl]-2,4-]thiazolidinedione monohydrochloride) commercially available from Takeda Pharmaceuticals). Other useful thiazolidinediones include ciglitazone, englitazone, darglitazone and BRL 49653 as disclosed in WO 98/05331 which is incorporated herein by reference; PPARγ activator compounds disclosed in WO 00/76488 which is incorporated herein by reference; and PPARy activator compounds disclosed in U.S. Pat. No. 5,994,554 which is incorporated herein by reference.
- Other useful PPARγ activator compounds include certain acetylphenols as disclosed in U.S. Pat. No. 5,859,051 which is incorporated herein by reference; certain quinoline phenyl compounds as disclosed in WO 99/20275 which is incorporated herein by reference; aryl compounds as disclosed by WO 99/38845 which is incorporated herein by reference; certain 1,4-disubstituted phenyl compounds as disclosed in WO 00/63161; certain aryl compounds as disclosed in WO 01/00579 which is incorporated herein by reference; benzoic acid compounds as disclosed in WO 01/12612 & WO 01/12187 which are incorporated herein by reference; and substituted 4-hydroxy-phenylalconic acid compounds as disclosed in WO 97/31907 which is incorporated herein by reference.
- PPARδ compounds are useful for, among other things, lowering triglyceride levels or raising HDL levels. Non-limiting examples of PPARδ activators include suitable thiazole and oxazole derivatives, such as C.A.S. Registry No. 317318-32-4, as disclosed in WO 01/00603 which is incorporated herein by reference); certain fluoro, chloro or thio phenoxy phenylacetic acids as disclosed in WO 97/28149 which is incorporated herein by reference; suitable non-β-oxidizable fatty acid analogues as disclosed in U.S. Pat. No. 5,093,365 which is incorporated herein by reference; and PPARδ compounds as disclosed in WO 99/04815 which is incorporated herein by reference.
- Moreover, compounds that have multiple functionality for activating various combinations of PPARα, PPARγ and PPARδ are also useful with the practice of the present invention. Non-limiting examples include certain substituted aryl compounds as disclosed in U.S. Pat. No. 6,248,781; WO 00/23416; WO 00/23415; WO 00/23425; WO 00/23445; WO 00/23451; and WO 00/63153, all of which are incorporated herein by reference, are described as being useful PPARα and/or PPARγ activator compounds. Other non-limiting examples of useful PPARα and/or PPARγ activator compounds include activator compounds as disclosed in WO 97/25042 which is incorporated herein by reference; activator compounds as disclosed in WO 00/63190 which is incorporated herein by reference; activator compounds as disclosed in WO 01/21181 which is incorporated herein by reference; biaryl-oxa(thia)zole compounds as disclosed in WO 01/16120 which is incorporated herein by reference; compounds as disclosed in WO 00/63196 and WO 00/63209 which are incorporated herein by reference; substituted 5-aryl-2,4-thiazolidinediones compounds as disclosed in U.S. Pat. No. 6,008,237 which is incorporated herein by reference; arylthiazolidinedione and aryloxazolidinedione compounds as disclosed in WO 00/78312 and WO 00/78313G which are incorporated herein by reference; GW2331 or (2-(4-[difluorophenyl]-1heptylureido)ethyl]phenoxy)-2-methylbutyric compounds as disclosed in WO 98/05331 which is incorporated herein by reference; aryl compounds as disclosed in U.S. Pat. No. 6,166,049 which is incorporated herein by reference; oxazole compounds as disclosed in WO 01/17994 which is incorporated herein by reference; and dithiolane compounds as disclosed in WO 01/25225 and WO 01/25226 which are incorporated herein by reference.
- Other useful PPAR activator compounds include substituted benzylthiazolidine-2,4-dione compounds as disclosed in WO 01/14349, WO 01/14350 and WO/01/04351 which are incorporated herein by reference; mercaptocarboxylic compounds as disclosed in WO 00/50392 which is incorporated herein by reference; ascofuranone compounds as disclosed in WO 00/53563 which is incorporated herein by reference; carboxylic compounds as disclosed in WO 99/46232 which is incorporated herein by reference; compounds as disclosed in WO 99/12534 which is incorporated herein by reference; benzene compounds as disclosed in WO 99/15520 which is incorporated herein by reference; o-anisamide compounds as disclosed in WO 01/21578 which is incorporated herein by reference; and PPAR activator compounds as disclosed in WO 01/40192 which is incorporated herein by reference.
- The peroxisome proliferator-activated receptor(s) activator(s) are administered in a therapeutically effective amount to treat the specified condition, for example in a daily dose preferably ranging from about 50 to about 3000 mg per day, and more preferably about 50 to about 2000 mg per day, given in a single dose or 2-4 divided doses. The exact dose, however, is determined by the attending clinician and is dependent on such factors as the potency of the compound administered, the age, weight, condition and response of the patient.
- The compositions or therapeutic combinations of the present invention can further comprise one or more pharmacological or therapeutic agents or drugs such as cholesterol biosynthesis inhibitors and/or lipid-lowering agents discussed below.
- Non-limiting examples of cholesterol biosynthesis inhibitors for use in the compositions, therapeutic combinations and methods of the present invention include competitive inhibitors of HMG CoA reductase, the rate-limiting step in cholesterol biosynthesis, squalene synthase inhibitors, squalene epoxidase inhibitors and mixtures thereof. Non-limiting examples of suitable HMG CoA reductase inhibitors include statins such as lovastatin (for example MEVACOR® which is available from Merck & Co.), pravastatin (for example PRAVACHOL® which is available from Bristol Meyers Squibb), fluvastatin, simvastatin (for example ZOCOR® which is available from Merck & Co.), atorvastatin, cerivastatin, CI-981, rivastatin (sodium 7-(4-fluorophenyl)-2,6-diisopropyl-5-methoxymethylpyridin-3-yl)-3,5-dihydroxy-6-heptanoate), rosuvastatin and pitavastatin (such as NK-104 of Negma Kowa of Japan); HMG CoA synthetase inhibitors, for example L-659,699 ((E,E)-11-[3′R-(hydroxy-methyl)-4′-oxo-2′R-oxetanyl]-3,5,7R-trimethyl-2,4-undecadienoic acid); squalene synthesis inhibitors, for example squalestatin 1; and squalene epoxidase inhibitors, for example, NB-598 ((E)-N-ethyl-N-(6,6-dimethyl-2-hepten-4-ynyl)-3-[(3,3′-bithiophen-5-yl)methoxy]benzene-methanamine hydrochloride) and other sterol biosynthesis inhibitors such as DMP-565. Preferred HMG CoA reductase inhibitors include lovastatin, pravastatin and simvastatin. The most preferred HMG CoA reductase inhibitor is simvastatin.
- Generally, a total daily dosage of cholesterol biosynthesis inhibitor(s) can range from about 0.1 to about 160 mg per day, and preferably about 0.2 to about 80 mg/day in single or 2-3 divided doses.
- The compositions, therapeutic combinations or methods of the present invention can further comprise one or more bile acid sequestrants. Bile acid sequestrants bind bile acids in the intestine, interrupting the enterohepatic circulation of bile acids and causing an increase in the faecal excretion of steroids. Use of bile acid sequestrants is desirable because of their non-systemic mode of action. Bile acid sequestrants can lower intrahepatic cholesterol and promote the synthesis of apo B/E (LDL) receptors which bind LDL from plasma to further reduce cholesterol levels in the blood.
- Non-limiting examples of suitable bile acid sequestrants include cholestyramine (a styrene-divinylbenzene copolymer containing quaternary ammonium cationic groups capable of binding bile acids, such as QUESTRAN® or QUESTRAN LIGHT® cholestyramine which are available from Bristol-Myers Squibb), colestipol (a copolymer of diethylenetriamine and 1-chloro-2,3-epoxypropane, such as COLESTID® tablets which are available from Pharmacia), colesevelam hydrochloride (such as WelChol® Tablets (poly(allylamine hydrochloride) cross-linked with epichlorohydrin and alkylated with 1-bromodecane and (6-bromohexyl)-trimethylammonium bromide) which are available from Sankyo), water soluble derivatives such as 3,3-ioene, N-(cycloalkyl) alkylamines and poliglusam, insoluble quaternized polystyrenes, saponins and mixtures thereof. Other useful bile acid sequestrants are disclosed in PCT Patent Applications Nos. WO 97/11345 and WO 98/57652, and U.S. Pat. Nos. 3,692,895 and 5,703,188 which are incorporated herein by reference. Suitable inorganic cholesterol sequestrants include bismuth salicylate plus montmorillonite clay, aluminum hydroxide and calcium carbonate antacids.
- Generally, a total daily dosage of bile acid sequestrant(s) can range from about 1 to about 50 grams per day, and preferably about 2 to about 16 grams per day in single or 2-4 divided doses.
- The compositions or treatments of the present invention can further comprise one or more ileal bile acid transport (“IBAT”) inhibitors (or apical sodium co-dependent bile acid transport (“ASBT”) inhibitors) coadministered with or in combination with the peroxisome proliferator-activated receptor activator(s) and sterol absorption inhibitor(s) discussed above. The IBAT inhibitors can inhibit bile acid transport to reduce LDL cholesterol levels. Non-limiting examples of suitable IBAT inhibitors include benzothiepines such as therapeutic compounds comprising a 2,3,4,5-tetrahydro-1-benzothiepine 1,1-dioxide structure such as are disclosed in PCT Patent Application WO 00/38727 which is incorporated herein by reference.
- Generally, a total daily dosage of IBAT inhibitor(s) can range from about 0.01 to about 1000 mg/day, and preferably about 0.1 to about 50 mg/day in single or 2-4 divided doses.
- The compositions or treatments of the present invention can further comprise nicotinic acid (niacin) and/or derivatives thereof. As used herein, “nicotinic acid derivative” means a compound comprising a pyridine-3-carboxylate structure or a pyrazine-2-carboxylate structure, including acid forms, salts, esters, zwitterions and tautomers, where available. Examples of nicotinic acid derivatives include niceritrol, nicofuranose and acipimox (5-methyl pyrazine-2-carboxylic acid 4-oxide). Nicotinic acid and its derivatives inhibit hepatic production of VLDL and its metabolite LDL and increases HDL and apo A-1 levels. An example of a suitable nicotinic acid product is NIASPAN® (niacin extended-release tablets) which are available from Kos.
- Generally, a total daily dosage of nicotinic acid or a derivative thereof can range from about 500 to about 10,000 mg/day, preferably about 1000 to about 8000 mg/day, and more preferably about 3000 to about 6000 mg/day in single or divided doses.
- The compositions or treatments of the present invention can further comprise one or more AcylCoA:Cholesterol O-acyltransferase (“ACAT”) Inhibitors, which can reduce VLDL levels, coadministered with or in combination with the peroxisome proliferator-activated receptor activator(s) and sterol absorption inhibitor(s) discussed above. ACAT is an enzyme responsible for esterifying excess intracellular cholesterol and may reduce the synthesis of VLDL, which is a product of cholesterol esterification, and overproduction of apo B-100-containing lipoproteins.
- Non-limiting examples of useful ACAT inhibitors include avasimibe ([[2,4,6-tris(1-methylethyl)phenyl]acetyl]sulfamic acid, 2,6-bis(1-methylethyl)phenyl ester, formerly known as CI-1011), HL-004, lecimibide (DuP-128) and CL-277082 (N-(2,4-difluorophenyl)-N-[[4-(2,2-dimethylpropyl)phenyl]methyl]-N-heptylurea). See P. Chang et al., “Current, New and Future Treatments in Dyslipidaemia and Atherosclerosis”, Drugs July 2000;60(1); 55-93, which is incorporated by reference herein.
- Generally, a total daily dosage of ACAT inhibitor(s) can range from about 0.1 to about 1000 mg/day in single or 24 divided doses.
- The compositions or treatments of the present invention can further comprise one or more Cholesteryl Ester Transfer Protein (“CETP”) Inhibitors coadministered with or in combination with the peroxisome proliferator-activated receptor activator(s) and sterol absorption inhibitor(s) discussed above. CETP is responsible for the exchange or transfer of cholesteryl ester carrying HDL and triglycerides in VLDL.
- Non-limiting examples of suitable CETP inhibitors are disclosed in PCT Patent Application No. WO 00/38721 and U.S. Pat. No. 6,147,090, which are incorporated herein by reference. Pancreatic cholesteryl ester hydrolase (pCEH) inhibitors such as WAY-121898 also can be coadministered with or in combination with the peroxisome proliferator-activated receptor(s) activator and sterol absorption inhibitor(s) discussed above.
- Generally, a total daily dosage of CETP inhibitor(s) can range from about 0.01 to about 1000 mg/day, and preferably about 0.5 to about 20 mg/kg body weight/day in single or divided doses.
- The compositions or treatments of the present invention can further comprise probucol or derivatives thereof (such as AGI-1067 and other derivatives disclosed in U.S. Pat. Nos. 6,121,319 and 6,147,250), which can reduce LDL levels, coadministered with or in combination with the peroxisome proliferator-activated receptor activator(s) and sterol absorption inhibitor(s) discussed above.
- Generally, a total daily dosage of probucol or derivatives thereof can range from about 10 to about 2000 mg/day, and preferably about 500 to about 1500 mg/day in single or 2-4 divided doses.
- The compositions or treatments of the present invention can further comprise low-density lipoprotein (LDL) receptor activators, coadministered with or in combination with the peroxisome proliferator-activated receptor activator(s) and sterol absorption inhibitor(s) discussed above. Non-limiting examples of suitable LDL-receptor activators include HOE-402, an imidazolidinyl-pyrimidine derivative that directly stimulates LDL receptor activity. See M. Huettinger et al., “Hypolipidemic activity of HOE-402 is Mediated by Stimulation of the LDL Receptor Pathway”, Arterioscler. Thromb. 1993; 13:1005-12.
- Generally, a total daily dosage of LDL receptor activator(s) can range from about 1 to about 1000 mg/day in single or 2-4 divided doses.
- The compositions or treatments of the present invention can further comprise fish oil, which contains Omega 3 fatty acids (3-PUFA), which can reduce VLDL and triglyceride levels, coadministered with or in combination with the peroxisome proliferator-activated receptor activator(s) and sterol absorption inhibitor(s) discussed above. Generally, a total daily dosage of fish oil or Omega 3 fatty acids can range from about 1 to about 30 grams per day in single or 2-4 divided doses.
- The compositions or treatments of the present invention can further comprise natural water soluble fibers, such as psyllium, guar, oat and pectin, which can reduce cholesterol levels. Generally, a total daily dosage of natural water soluble fibers can range from about 0.1 to about 10 grams per day in single or 2-4 divided doses.
- The compositions or treatments of the present invention can further comprise plant sterols, plant stanols and/or fatty acid esters of plant stanols, such as sitostanol ester used in BENECOL® margarine, which can reduce cholesterol levels. Generally, a total daily dosage of plant sterols, plant stanols and/or fatty acid esters of plant stanols can range from about 0.5 to about 20 grams per day in single or 2-4 divided doses.
- The compositions or treatments of the present invention can further comprise antioxidants, such as probucol, tocopherol, ascorbic acid, β-carotene and selenium, or vitamins such as vitamin B6 or vitamin B12. Generally, a total daily dosage of antioxidants or vitamins can range from about 0.05 to about 10 grams per day in single or 2-4 divided doses.
- The compositions or treatments of the present invention can further comprise monocyte and macrophage inhibitors such as polyunsaturated fatty acids (PUFA), thyroid hormones including throxine analogues such as CGS-26214 (a thyroxine compound with a fluorinated ring), gene therapy and use of recombinant proteins such as recombinant apo E. Generally, a total daily dosage of these agents can range from about 0.01 to about 1000 mg/day in single or 2-4 divided doses.
- The present invention also provides a composition or therapeutic combination comprising (a) at least one AcylCoA:Cholesterol O-acyltransferase Inhibitor and (b) at least one substituted azetidinone compound or substituted β-lactam compound or a pharmaceutically acceptable salt thereof or a prodrug thereof.
- Also useful with the present invention are compositions or therapeutic combinations that further comprise hormone replacement agents and compositions. Useful hormone agents and compositions include androgens, estrogens, progestins, their pharmaceutically acceptable salts and derivatives. Combinations of these agents and compositions also are useful.
- The dosage of androgen and estrogen combinations vary, desirably from about 1 mg to about 4 mg androgen and from about 1 mg to about 3 mg estrogen. Examples include, but are not limited to, androgen and estrogen combinations such as the combination of esterified estrogens (sodium estrone sulfate and sodium equilin sulfate) and methyltestosterone (17-hydroxy-17-methyl-, (17B)-androst-4-en-3-one) available from Solvay Pharmaceuticals, Inc., Marietta, Ga., under the tradename ESTRATEST.
- Estrogens and estrogen combinations may vary in dosage from about 0.01 mg up to 8 mg, desirably from about 0.3 mg to about 3.0 mg. Examples of useful estrogens and estrogen combinations include:
- (a) the blend of nine (9) synthetic estrogenic substances including sodium estrone sulfate, sodium equilin sulfate, sodium 17α-dihydroequilin sulfate, sodium 17α-estradiol sulfate, sodium 17β-dihydroequilin sulfate, sodium 17α-dihydroequilenin sulfate, sodium 17β-dihydroequilenin sulfate, sodium equilenin sulfate and sodium 17β-estradiol sulfate; available from Duramed Pharmaceuticals, Inc., Cincinnati, Ohio, under the tradename CENESTIN;
- (b) ethinyl estradiol (19-nor-17α-pregna-1,3,5(10)-trien-20-yne-3,17-diol; available by Schering Plough Corporation, Kenilworth, N.J., under the tradename ESTINYL;
- (c) esterified estrogen combinations such as sodium estrone sulfate and sodium equilin sulfate; available from Solvay under the tradename ESTRATAB and from Monarch Pharmaceuticals, Bristol, Tenn., under the tradename MENEST;
- (d) estropipate (piperazine estra-1,3,5(10)-trien-17-one, 3-(sulfooxy)-estrone sulfate); available from Pharmacia & Upjohn, Peapack, N.J., under the tradename OGEN and from Women First Health Care, Inc., San Diego, Calif., under the tradename ORTHO-EST; and
- (e) conjugated estrogens (17α-dihydroequilin, 17α-estradiol, and 17β-dihydroequilin); available from Wyeth-Ayerst Pharmaceuticals, Philadelphia, Pa., under the tradename PREMARIN.
- Progestins and estrogens may also be administered with a variety of dosages, generally from about 0.05 to about 2.0 mg progestin and about 0.001 mg to about 2 mg estrogen, desirably from about 0.1 mg to about 1 mg progestin and about 0.01 mg to about 0.5 mg estrogen. Examples of progestin and estrogen combinations that may vary in dosage and regimen include:
- (a) the combination of estradiol (estra-1,3,5(10)-triene-3,17β-diol hemihydrate) and norethindrone (17β-acetoxy-19-nor-17α-pregn-4-en-20-yn-3-one); which is available from Pharmacia & Upjohn, Peapack, N.J., under the tradename ACTIVELLA;
- (b) the combination of levonorgestrel (d(−)-13β-ethyl-17α-ethinyl-17β-hydroxygon-4-en-3-one) and ethinyl estradial; available from Wyeth-Ayerst under the tradename ALESSE, from Watson Laboratories, Inc., Corona, Calif., under the tradenames LEVORA and TRIVORA, Monarch Pharmaceuticals, under the tradename NORDETTE, and from Wyeth-Ayerst under the tradename TRIPHASIL;
- (c) the combination of ethynodiol diacetate (19-nor-17α-pregn-4-en-20-yne-3β,17-diol diacetate) and ethinyl estradiol; available from G. D. Searle & Co., Chicago, Ill., under the tradename DEMULEN and from Watson under the tradename ZOVIA;
- (d) the combination of desogestrel (13-ethyl-11-methylene-18,19-dinor-17α-pregn-4-en-20-yn-17-ol) and ethinyl estradiol; available from Organon under the tradenames DESOGEN and MIRCETTE, and from Ortho-McNeil Pharmaceutical, Raritan, N.J., under the tradename ORTHO-CEPT;
- (e) the combination of norethindrone and ethinyl estradiol; available from Parke-Davis, Morris Plains, N.J., under the tradenames ESTROSTEP and FEMHRT, from Watson under the tradenames MICROGESTIN, NECON, and TRI-NORINYL, from Ortho-McNeil under the tradenames MODICON and ORTHO-NOVUM, and from Warner Chilcott Laboratories, Rockaway, N.J., under the tradename OVCON;
- (f) the combination of norgestrel ((±)-13-ethyl-17-hydroxy-18,19-dinor-17α-preg-4-en-20-yn-3-one) and ethinyl estradiol; available from Wyeth-Ayerst under the tradenames OVRAL and LO/OVRAL, and from Watson under the tradenames OGESTREL and LOW-OGESTREL;
- (g) the combination of norethindrone, ethinyl estradiol, and mestranol (3-methoxy-19-nor-17α-pregna-1,3,5(10)-trien-20-yn-17-ol); available from Watson under the tradenames BREVICON and NORINYL;
- (h) the combination of 17β-estradiol (estra-1,3,5(10)-triene-3,17β-diol) and micronized norgestimate (17α-17-(Acetyloxyl)-13-ethyl-18,19-dinorpregn-4-en-20-yn-3-one3-oxime); available from Ortho-McNeil under the tradename ORTHO-PREFEST;
- (i) the combination of norgestimate (18,19-dinor-17-pregn-4-en-20-yn-3-one, 17-(acetyloxy)-13-ethyl-,oxime, (17(α)-(+)-) and ethinyl estradiol; available from Ortho-McNeil under the tradenames ORTHO CYCLEN and ORTHO TRI-CYCLEN; and
- j) the combination of conjugated estrogens (sodium estrone sulfate and sodium equilin sulfate) and medroxyprogesterone acetate (20-dione, 17-(acetyloxy)-6-methy-, (6(α))-pregn-4-ene-3); available from Wyeth-Ayerst under the tradenames PREMPHASE and PREMPRO.
- In general, a dosage of progestins may vary from about 0.05 mg to about 10 mg or up to about 200 mg if microsized progesterone is administered. Examples of progestins include norethindrone; available from ESI Lederle, Inc., Philadelphia, Pa., under the tradename AYGESTIN, from Ortho-McNeil under the tradename MICRONOR, and from Watson under the tradename NOR-QD; norgestrel; available from Wyeth-Ayerst under the tradename OVRETTE; micronized progesterone (pregn-4-ene-3,20-dione); available from Solvay under the tradename PROMETRIUM; and medroxyprogesterone acetate; available from Pharmacia & Upjohn under the tradename PROVERA.
- The compositions, therapeutic combinations or methods of the present invention can further comprise one or more obesity control medications. Useful obesity control medications include, but are not limited to, drugs that reduce energy intake or suppress appetite, drugs that increase energy expenditure and nutrient-partitioning agents. Suitable obesity control medications include, but are not limited to, noradrenergic agents (such as diethylpropion, mazindol, phenylpropanolamine, phentermine, phendimetrazine, phendamine tartrate, methamphetamine, phendimetrazine and tartrate); serotonergic agents (such as sibutramine, fenfluramine, dexfenfluramine, fluoxetine, fluvoxamine and paroxtine); thermogenic agents (such as ephedrine, caffeine, theophylline, and selective β3-adrenergic agonists); an alpha-blocking agent; a kainite or AMPA receptor antagonist; a leptin-lipolysis stimulated receptor; a phosphodiesterase enzyme inhibitor; a compound having nucleotide sequences of the mahogany gene; a fibroblast growth factor-10 polypeptide; a monoamine oxidase inhibitor (such as befloxatone, moclobemide, brofaromine, phenoxathine, esuprone, befol, toloxatone, pirlindol, amiflamine, sercloremine, bazinaprine, lazabemide, milacemide and caroxazone); a compound for increasing lipid metabolism (such as evodiamine compounds); and a lipase inhibitor (such as orlistat). Generally, a total dosage of the above-described obesity control medications can range from 1 to 3,000 mg/day, desirably from about 1 to 1,000 mg/day and more desirably from about 1 to 200 mg/day in single or 2-4 divided doses.
- The compositions, therapeutic combinations or methods of the present invention can further comprise one or more blood modifiers. Useful blood modifiers include but are not limited to anti-coagulants (argatroban, bivalirudin, dalteparin sodium, desirudin, dicumarol, lyapolate sodium, nafamostat mesylate, phenprocoumon, tinzaparin sodium, warfarin sodium); antithrombotic (anagrelide hydrochloride, bivalirudin, cilostazol, dalteparin sodium, danaparoid sodium, dazoxiben hydrochloride, efegatran sulfate, enoxaparin sodium, fluretofen, ifetroban, ifetroban sodium, lamifiban, lotrafiban hydrochloride, napsagatran, orbofiban acetate, roxifiban acetate, sibrafiban, tinzaparin sodium, trifenagrel, abciximab, zolimomab aritox); fibrinogen receptor antagonists (roxifiban acetate, fradafiban, orbofiban, lotrafiban hydrochloride, tirofiban, xemilofiban, monoclonal antibody 7E3, sibrafiban); platelet inhibitors (cilostazol, clopidogrel bisulfate, epoprostenol, epoprostenol sodium, ticlopidine hydrochloride, aspirin, ibuprofen, naproxen, sulindae, idomethacin, mefenamate, droxicam, diclofenac, sulfinpyrazone, piroxicam, dipyridamole); platelet aggregation inhibitors (acadesine, beraprost, beraprost sodium, ciprostene calcium, itazigrel, lifarizine, lotrafiban hydrochloride, orbofiban acetate, oxagrelate, fradafiban, is orbofiban, tirofiban, xemilofiban); hemorrheologic agents (pentoxifylline); lipoprotein associated coagulation inhibitor; Factor VIIa inhibitors (4H-31-benzoxazin-4-ones, 4H-3,1-benzoxazin-4-thiones, quinazolin-4-ones, quinazolin-4-thiones, benzothiazin-4-ones, imidazolyl-boronic acid-derived peptide analogues TFPI-derived peptides, naphthalene-2-sulfonic acid {1-[3-(aminoiminomethyl)-benzyl]-2-oxo-pyrrolidin-3-(S)-yl}amide trifluoroacetate, dibenzofuran-2-sulfonic acid {1-[3-(aminomethyl)-benzyl]-5-oxo-pyrrolidin-3-yl}-amide, tolulene-4-sulfonic acid {1-[3-(aminoiminomethyl)-benzyl]-2-oxo-pyrrolidin-3-(S)-yl}-amide trifluoroacetate, 3,4-dihydro-1H-isoquinoline-2-sulfonic acid {1-[3-(aminoiminomethyl)-benzyl]-2-oxo-pyrrolin-3-(S)-yl}-amide trifluoroacetate); Factor Xa inhibitors (disubstituted pyrazolines, disubstituted triazolines, substituted n-[(aminoiminomethyl)phenyl]propylamides, substituted n-[(aminomethyl)phenyl]propylamides, tissue factor pathway inhibitor (TFPI), low molecular weight heparins, heparinoids, benzimidazolines, benzoxazolinones, benzopiperazinones, indanones, dibasic (amidinoaryl) propanoic acid derivatives, amidinophenyl-pyrrolidines, amidinophenyl-pyrrolines, amidinophenyl-isoxazolidines, amidinoindoles, amidinoazoles, bis-arlysulfonylaminobenzamide derivatives, peptidic Factor Xa inhibitors).
- The compositions, therapeutic combinations or methods of the present invention can further comprise one or more cardiovascular agents. Useful cardiovascular agents include but are not limited to calcium channel blockers (clentiazem maleate, amlodipine besylate, isradipine, nimodipine, felodipine, nilvadipine, nifedipine, teludipine hydrochloride, diltiazem hydrochloride, belfosdil, verapamil hydrochloride, fostedil); adrenergic blockers (fenspiride hydrochloride, labetalol hydrochloride, proroxan, alfuzosin hydrochloride, acebutolol, acebutolol hydrochloride, alprenolol hydrochloride, atenolol, bunolol hydrochloride, carteolol hydrochloride, celiprolol hydrochloride, cetamolol hydrochloride, cicloprolol hydrochloride, dexpropranolol hydrochloride, diacetolol hydrochloride, dilevalol hydrochloride, esmolol hydrochloride, exaprolol hydrochloride, flestolol sulfate, labetalol hydrochloride, levobetaxolol hydrochloride, levobunolol hydrochloride, metalol hydrochloride, metoprolol, metoprolol tartrate, nadolol, pamatolol sulfate, penbutolol sulfate, practolol, propranolol hydrochloride, sotalol hydrochloride, timolol, timolol maleate, tiprenolol hydrochloride, tolamolol, bisoprolol, bisoprolol fumarate, nebivolol); adrenergic stimulants; angiotensin converting enzyme (ACE) inhibitors (benazepril hydrochloride, benazeprilat, captopril, delapril hydrochloride, fosinopril sodium, libenzapril, moexipril hydrochloride, pentopril, perindopril, quinapril hydrochloride, quinaprilat, ramipril, spirapril hydrochloride, spiraprilat, teprotide, enalapril maleate, lisinopril, zofenopril calcium, perindopril erbumine); antihypertensive agents (althiazide, benzthiazide, captopril, carvedilol, chlorothiazide sodium, clonidine hydrochloride, cyclothiazide, delapril hydrochloride, dilevalol hydrochloride, doxazosin mesylate, fosinopril sodium, guanfacine hydrochloride, methyldopa, metoprolol succinate, moexipril hydrochloride, monatepil maleate, pelanserin hydrochloride, phenoxybenzamine hydrochloride, prazosin hydrochloride, primidolol, quinapril hydrochloride, quinaprilat, ramipril, terazosin hydrochloride, candesartan, candesartan cilexetil, telmisartan, amlodipine besylate, amlodipine maleate, bevantolol hydrochloride); angiotensin II receptor antagonists (candesartan, irbesartan, losartan potassium, candesartan cilexetil, telmisartan); anti-anginal agents (amlodipine besylate, amlodipine maleate, betaxolol hydrochloride, bevantolol hydrochloride, butoprozine hydrochloride, carvedilol, cinepazet maleate, metoprolol succinate, molsidomine, monatepil maleate, primidolol, ranolazine hydrochoride, tosifen, verapamil hydrochloride); coronary vasodilators (fostedil, azaclorzine hydrochloride, chromonar hydrochloride, clonitrate, diltiazem hydrochloride, dipyridamole, droprenilamine, erythrityl tetranitrate, isosorbide dinitrate, isosorbide mononitrate, lidoflazine, mioflazine hydrochloride, mixidine, molsidomine, nicorandil, nifedipine, nisoldipine, nitroglycerine, oxprenolol hydrochloride, pentrinitrol, perhexiline maleate, prenylamine, propatyl nitrate, terodiline hydrochloride, tolamolol, verapamil); diuretics (the combination product of hydrochlorothiazide and spironolactone and the combination product of hydrochlorothiazide and triamterene).
- The compositions, therapeutic combinations or methods of the present invention can further comprise one or more antidiabetic medications for reducing blood glucose levels in a human. Useful antidiabetic medications include, but are not limited to, drugs that reduce energy intake or suppress appetite, drugs that increase energy expenditure and nutrient-partitioning agents. Suitable antidiabetic medications include, but are not limited to, sulfonylurea (such as acetohexamide, chlorpropamide, gliamilide, gliclazide, glimepiride, glipizide, glyburide, glibenclamide, tolazamide, and tolbutamide), meglitinide (such as repaglinide and nateglinide), biguanide (such as metformin and buformin), thiazolidinedione (such as troglitazone, rosiglitazone, pioglitazone, ciglitazone, englitazone, and darglitazone), alpha-glucosidase inhibitor (such as acarbose, miglitol, camiglibose, and voglibose), certain peptides (such as amlintide, pramlintide, exendin, and GLP-1 agonistic peptides), and orally administrable insulin or insulin composition for intestinal delivery thereof. Generally, a total dosage of the above-described antidiabetic medications can range from 0.1 to 1,000 mg/day in single or 2-4 divided doses.
- Mixtures of any of the pharmacological or therapeutic agents described above can be used in the compositions and therapeutic combinations of these other embodiments of the present invention.
- The compositions and therapeutic combinations of the present invention can be administered to a mammal in need of such treatment in a therapeutically effective amount to treat conditions such as xanthomas. The compositions and treatments can be administered by any suitable means that produce contact of these compounds with the site of action in the body, for example in the plasma, liver or small intestine of a mammal or human.
- The daily dosage for the various compositions and therapeutic combinations described above can be administered to a patient in a single dose or in multiple subdoses, as desired. Subdoses can be administered 2 to 6 times per day, for example. Sustained release dosages can be used. Where the sterol absorption inhibitor(s) and other therapeutic agent are administered in separate dosages, the number of doses of each component given per day may not necessarily be the same, e.g., one component may have a greater duration of activity and will therefore need to be administered less frequently.
- The compositions, therapeutic combinations or medicaments of the present invention can further comprise one or more pharmaceutically acceptable carriers, one or more excipients and/or one or more additives. The pharmaceutical compositions can comprise about 1 to about 99 weight percent of active ingredient (one or more compounds of Formula I-XII), and preferably about 5 to about 95 percent active ingredient.
- Useful pharmaceutically acceptable carriers can be solid, liquid or gas. Non-limiting examples of pharmaceutically acceptable carriers include solids and/or liquids such as magnesium carbonate, magnesium stearate, talc, sugar, lactose, ethanol, glycerol, water and the like. The amount of carrier in the treatment composition or therapeutic combination can range from about 5 to about 99 weight percent of the total weight of the treatment composition or therapeutic combination. Non-limiting examples of suitable pharmaceutically acceptable excipients and additives include non-toxic compatible fillers, binders such as starch, polyvinyl pyrrolidone or cellulose ethers, disintegrants such as sodium starch glycolate, crosslinked polyvinyl pyrrolidone or croscarmellose sodium, buffers, preservatives, anti-oxidants, lubricants, flavorings, thickeners, coloring agents, wetting agents such as sodium lauryl sulfate, emulsifiers and the like. The amount of excipient or additive can range from about 0.1 to about 95 weight percent of the total weight of the treatment composition or therapeutic combination. One skilled in the art would understand that the amount of carrier(s), excipients and additives (if present) can vary. Further examples of pharmaceutically acceptable carriers and methods of manufacture for various compositions can be found in A. Gennaro (ed.), Remington: The Science and Practice of Pharmacy, 20th Edition, (2000), Lippincott Williams & Wilkins, Baltimore, Md.
- Useful solid form preparations include powders, tablets, dispersible granules, capsules, cachets and suppositories. An example of a preparation of a preferred solid form dosage formulation is provided below.
- Useful liquid form preparations include solutions, suspensions and emulsions. As an example may be mentioned water or water-propylene glycol solutions for parenteral injection or addition of sweeteners and opacifiers for oral solutions, suspensions and emulsions. Liquid form preparations may also include solutions for intranasal administration.
- Aerosol preparations suitable for inhalation may include solutions and solids in powder form, which may be in combination with a pharmaceutically acceptable carrier, such as an inert compressed gas, e.g. nitrogen.
- Also useful are solid form preparations which are intended to be converted, shortly before use, to liquid form preparations for either oral or parenteral administration. Such liquid forms include solutions, suspensions and emulsions.
- The compounds of the invention may also be deliverable transdermally. The transdermal compositions can take the form of creams, lotions, aerosols and/or emulsions and can be included in a transdermal patch of the matrix or reservoir type as are conventional in the art for this purpose.
- Preferably the compound is administered orally.
- In another embodiment, the present invention provides the use of at least one compound represented by Formulae (I-XII) for manufacture of a medicament (such as one of the compositions discussed above) for the treatment of xanthomas.
- The following formulation exemplifies a dosage form of this invention. In the formulation, the term “Active Compound I” designates a sterol or 5α-stanol absorption inhibitor described herein above.
-
Tablets No. Ingredient mg/tablet 1 Active Compound I 10 2 Lactose monohydrate NF 55 3 Microcrystalline cellulose NF 20 4 Povidone USP (K29-32) 4 5 Croscarmellose sodium NF 8 6 Sodium lauryl sulfate NF 2 7 Magnesium stearate NF 1 Total 100
Method of Manufacture - Mix Item No. 4 with purified water in suitable mixer to form binder solution. Spray the binder solution and then water over Items 1, 2 and 6 and a portion of item 5 in a fluidized bed processor to granulate the ingredients. Continue fluidization to dry the damn granules. Screen the dried granule and blend with Item No. 3 and the remainder of Item No. 5. Add Item No. 7 and mix. Compress the mixture to appropriate size and weight on a suitable tablet machine.
- For coadministration in seperate tablets or capsules, representative formulations comprising a sterol absorption inhibitor such as are discussed above are well known in the art and representative formulations comprising an additional treatment such as a cholesterol biosynthesis inhibitor discussed above are well known in the art. It is contemplated that where the two active ingredients are administered as a single composition, the dosage forms disclosed above for a sterol absorption inhibitor may readily be moldified using the knowledge of one skilled in the art.
- Since the present invention relates to reducing the size or number of xanthomas by treatment with a combination of active ingredients wherein the active ingredients may be administered separately, the invention also relates to combining separate pharmaceutical compositions in kit form. That is, a kit is contemplated wherein two separate units are combined: a pharmaceutical composition comprising at least one sterol absorption inhibitor and a separate pharmaceutical composition comprising at least one additional treatment described above. The kit will preferably include directions for the administration of the separate components. The kit form is particularly advantageous when the separate components must be administered in different dosage forms (e.g., oral and parenteral) or are administered at different dosage intervals.
- The treatment compositions and therapeutic combinations of the present invention can prevent or reduce the incidence, size or number of xanthomas, inhibit the intestinal absorption of cholesterol in mammals, and can be useful in the treatment and/or prevention of vascular conditions, such as atherosclerosis, hypercholesterolemia and sitosterolemia, vascular inflammation, stroke, obesity and lowering of plasma levels of cholesterol in subjects, in particular in humans. As used herein, “vascular” means relating to blood vessels, including but not limited to arteries and/or veins, and includes cardiovascular, cerebrovascular, peripheral vascular and combinations thereof.
- In another embodiment of the present invention, the compositions and therapeutic combinations of the present invention can reduce xanthomas by reducing plasma concentration of at least one sterol or 5α-stanol selected from the group consisting of phytosterols (such as sitosterol, campesterol, stigmasterol and avenosterol), 5α-stanols (such as cholestanol, 5α-campestanol, 5α-sitostanol), cholesterol and mixtures thereof. The plasma concentration can be reduced by administering to a subject in need of such treatment an effective amount of at least one treatment composition comprising at least one sterol and/or 5α-stanol absorption inhibitor described above or a treatment composition or therapeutic combination comprising at least one sterol or 5α-stanol absorption inhibitor described above. The reduction in plasma concentration of sterols can range from about 1 to about 70 percent, and preferably about 10 to about 50 percent. Methods of measuring serum total blood cholesterol and total LDL cholesterol are well known to those skilled in the art and for example include those disclosed in PCT WO 99/38498 at page 11, incorporated by reference herein. Methods of determining levels of other sterols in serum are disclosed in H. Gylling et al., “Serum Sterols During Stanol Ester Feeding in a Mildly Hypercholesterolemic Population”, J. Lipid Res. 40: 593-600 (1999), incorporated by reference herein.
- Illustrating the invention is the following example which, however, is not to be considered as limiting the invention to their details. Unless otherwise indicated, all parts and percentages in the following examples, as well as throughout the specification, are by weight.
- Step 1): To a solution of (S)-4-phenyl-2-oxazolidinone (41 g, 0.25 mol) in CH2Cl2 (200 ml), was added 4-dimethylaminopyridine (2.5 g, 0.02 mol) and triethylamine (84.7 ml, 0.61 mol) and the reaction mixture was cooled to 0° C. Methyl-4-(chloroformyl)butyrate (50 g, 0.3 mol) was added as a solution in CH2Cl2 (375 ml) dropwise over 1 h, and the reaction was allowed to warm to 22° C. After 17 h, water and H2SO4 (2N, 100 ml), was added the layers were separated, and the organic layer was washed sequentially with NaOH (10%), NaCl (sat'd) and water. The organic layer was dried over MgSO4 and concentrated to obtain a semicrystalline product.
- Step 2): To a solution of TiCl4 (18.2 ml, 0.165 mol) in CH2Cl2 (600 ml) at 0° C., was added titanium isopropoxide (16.5 ml, 0.055 mol). After 15 min, the product of Step 1 (49.0 g, 0.17 mol) was added as a solution in CH2 Cl 2 (100 ml). After 5 min., diisopropylethylamine (DIPEA) (65.2 ml, 0.37 mol) was added and the reaction mixture was stirred at 0° C. for 1 h, the reaction mixture was cooled to −20° C., and 4-benzyloxybenzylidine(4-fluoro)aniline (114.3 g, 0.37 mol) was added as a solid. The reaction mixture was stirred vigorously for 4 h at −20° C., then acetic acid was added as a solution in CH2Cl2 dropwise over 15 min, the reaction mixture was allowed to warm to 0° C., and H2SO4 (2N) was added. The reaction mixture was stirred an additional 1 h, the layers were separated, washed with water, separated and the organic layer was dried. The crude product was crystallized from ethanol/water to obtain the pure intermediate.
- Step 3): To a solution of the product of Step 2 (8.9 g, 14.9 mmol) in toluene (100 ml) at 50° C., was added N,O-bis(trimethylsilyl)acetamide (BSA) (7.50 ml, 30.3 mmol). After 0.5 h, solid TBAF (0.39 g, 1.5 mmol) was added and the reaction mixture stirred at 50° C. for an additional 3 h. The reaction mixture was cooled to 22° C., CH3OH (10 ml), was added. The reaction mixture was washed with HCl (1N), NaHCO3 (1N) and NaCl (sat'd.), and the organic layer was dried over MgSO4.
- Step 4): To a solution of the product of Step 3 (0.94 g, 2.2 mmol) in CH3OH (3 ml), was added water (1 ml) and LiOH.H2O (102 mg, 2.4 mmole). The reaction mixture was stirred at 22° C. for 1 h and then additional LiOH.H2O (54 mg, 1.3 mmole) was added. After a total of 2 h, HCl (1N) and EtOAc was added, the layers were separated, the organic layer was dried and concentrated in vacuo. To a solution of the resultant product (0.91 g, 2.2 mmol) in CH2Cl2 at 22° C., was added ClCOCOCl (0.29 ml, 3.3 mmol) and the mixture stirred for 16 h. The solvent was removed in vacuo.
- Step 5): To an efficiently stirred suspension of 4-fluorophenylzinc chloride (4.4 mmol) prepared from 4-fluorophenylmagnesium bromide (1M in THF, 4.4 ml, 4.4 mmol) and ZnCl2 (0.6 g, 4.4 mmol) at 4° C., was added tetrakis(triphenyl-phosphine)palladium (0.25 g, 0.21 mmol) followed by the product of Step 4 (0.94 g, 2.2 mmol) as a solution in THF (2 ml). The reaction was stirred for 1 h at 0° C. and then for 0.5 h at 22° C. HCl (1N, 5 ml) was added and the mixture was extracted with EtOAc. The organic layer was concentrated to an oil and purified by silica gel chromatography to obtain 1-(4-fluorophenyl)-4(S)-(4-hydroxyphenyl)-3(R)-(3-oxo-3-phenylpropyl)-2-azetidinone:
- HRMS calc'd for C24H19F2NO3=408.1429, found 408.1411.
- Step 6): To the product of Step 5 (0.95 g, 1.91 mmol) in THF (3 ml), was added (R)-tetrahydro-1-methyl-3,3-diphenyl-1H,3H-pyrrolo-[1,2-c][1,3,2]oxazaborole (120 mg, 0.43 mmol) and the mixture was cooled to −20° C. After 5 min, borohydride-dimethylsulfide complex (2M in THF, 0.85 ml, 1.7 mmol) was added dropwise over 0.5 h. After a total of 1.5 h , CH3OH was added followed by HCl (1 N) and the reaction mixture was extracted with EtOAc to obtain 1-(4-fluorophenyl)-3(R)-[3(S)-(4-fluorophenyl)-3-hydroxypropyl)]-4(S)-[4-(phenylmethoxy)phenyl]-2-azetidinone (compound 6A-1) as an oil. 1H in CDCl3 d H3=4.68. J=2.3 Hz. Cl (M+H) 500.
- Use of (S)-tetra-hydro-1-methyl-3,3-diphenyl-1H,3H-pyrrolo-[1,2-c][1,3,2]oxazaborole gives the corresponding 3(R)-hydroxypropyl azetidinone (compound 6B-1). 1H in CDCl3 d H3=4.69. J=2.3 Hz. Cl (M+H) 500.
- To a solution of compound 6A-1 (0.4 g, 0.8 mmol) in ethanol (2 ml), was added 10% Pd/C (0.03 g) and the reaction mixture was stirred under a pressure (60 psi) of H2 gas for 16 h. The reaction mixture was filtered and the solvent was concentrated to obtain compound 6A. Mp 164-166° C.; Cl (M+H) 410. [α]D 25=−28.1° (c 3, CH3OH) Elemental analysis calc'd for C24H21F2NO3: C 70.41; H 5.17; N 3.42; found C 70.25; H 5.19; N 3.54.
- Similarly treat compound 6B-1 to obtain compound 6B. Mp 129.5-132.5° C.; Cl (M+H) 410. Elemental analysis calc'd for C24H21F2NO3: C, 70.41; H, 5.17; N, 3.42; found C, 70.30; H, 5.14; N, 3.52.
- Step 6′ (Alternative): To a solution of the product of Step 5 (0.14 g, 0.3 mmol) in ethanol (2 ml), was added 10% Pd/C (0.03 g) and the reaction was stirred under a pressure (60 psi) of H2 gas for 16 h. The reaction mixture was filtered and the solvent was concentrated to afford a 1:1 mixture of compounds 6A and 6B.
- It will be appreciated by those skilled in the art that changes could be made to the embodiments described above without departing from the broad inventive concept thereof. It is understood, therefore, that this invention is not limited to the particular embodiments disclosed, but it is intended to cover modifications that are within the spirit and scope of the invention, as defined by the appended claims.
Claims (24)
1. A method of treating hypercholesterolemia and decreasing the incidence of xanthomas in a subject comprising the step of administering to a subject in need of such treatment an effective amount of a combination of (i) at least one sterol absorption inhibitor, at least one 5α-stanol absorption inhibitor, or a pharmaceutically acceptable salt or solvate thereof and (ii) at least one HMG CoA reductase inhibitor as a cholesterol biosynthesis inhibitor, to treat hypercholesterolemia and decrease the incidence of xanthomas in the subject, wherein the at least one sterol or 5α-stanol absorption inhibitor is represented by Formula (I):
or a pharmaceutically acceptable salt thereof or a solvate thereof, wherein:
Ar1 and Ar2 are independently selected from the group consisting of aryl and R4-substituted aryl;
Ar3 is aryl or R5-substituted aryl;
X, Y and Z are independently selected from the group consisting of —CH2-, —CH(lower alkyl)- and —C(dilower alkyl)-;
R and R2 are independently selected from the group consisting of —OR6, —O(CO)R6, —O(CO)OR9 and —O(CO)NR6R7;
R1 and R3 are independently selected from the group consisting of hydrogen, lower alkyl and aryl;
q is 0 or 1;
r is 0 or 1;
m, n and p are independently selected from 0, 1, 2, 3 or 4; provided that at least one of q and r is 1, and the sum of m, n, p, q and r is 1, 2, 3, 4, 5 or 6; and provided that when p is 0 and r is 1, the sum of m, q and n is 1, 2, 3, 4 or 5;
R4 is 1-5 substituents independently selected from the group consisting of lower alkyl, —OR6, —O(CO)R6, —O(CO)OR9, —O(CH2)1-5OR6, —O(CO)NR6R7, —NR6R7, —NR6(CO)R7, —NR6(CO)OR9, —NR6(CO)NR7R8, —NR6SO2R9, —COOR6, —CONR6R7, —COR6, —SO2NR6R7, S(O)0-2R9, —O(CH2)1-10—COOR6, —O(CH2)1-10CONR6R7, -(lower alkylene)COOR6, —CH═CH—COOR6, —CF3, —CN, —NO2 and halogen;
R5 is 1-5 substituents independently selected from the group consisting of —OR6, —O(CO)R6, —O(CO)OR9, —O(CH2)1-50R6, —O(CO)NR6R7, —NR6R7, —NR6(CO)R7, —NR6(CO)OR9, —NR6(CO)NR7R8, —NR6SO2R9, —COOR6, —CONR6R7, —COR6, —SO2NR6R7, S(O)0-2R9, —O(CH2)1-10—COOR6, —O(CH2)1-10CONR6R7, -(lower alkylene)COOR6 and —CH═CH—COOR6;
R6, R7 and R8 are independently selected from the group consisting of hydrogen, lower alkyl, aryl and aryl-substituted lower alkyl; and
R9 is lower alkyl, aryl or aryl-substituted lower alkyl.
3. The method according to claim 1 , wherein the HMG-CoA reductase inhibitor is selected from the group consisting of pravastatin, lovastatin, simvastatin, fluvastatin, rivastatin, rosuvastatin, atorvastatin, cerivastatin, and combinations thereof.
4. The method according to claim 1 , further comprising the step of co-administering probucol or derivatives thereof.
5. The method according to claim 1 , further comprising the step of co-administering at least one low-density lipoprotein receptor activator.
6. The method according to claim 1 , further comprising the step of co-administering at least one Omega 3 fatty acid.
7. The method according to claim 1 , further comprising the step of co-administering nicotinic acid or a derivative thereof.
8. The method according to claim 1 , further comprising the step of co-administering at least one AcylCoA:Cholesterol O-acyltransferase Inhibitor.
9. The method according to claim 1 , further comprising the step of co-administering at least one natural water soluble fiber.
10. The method according to claim 1 , further comprising the step of co-administering at least one of plant sterols, plant stanols or fatty acid esters of plant stanols.
11. The method according to claim 1 , further comprising the step of co-administering at least one antioxidant or vitamin.
12. A therapeutic combination comprising (a) a first amount of at least one sterol absorption inhibitor, at least one 5α-stanol absorption inhibitor, or a pharmaceutically acceptable salt or solvate thereof and (b) a second amount of at least one HMG CoA reductase inhibitor as a cholesterol biosynthesis inhibitor, wherein the first amount and the second amount together comprise a therapeutically effective amount for the treatment of hypercholesterolemia and xanthomas in a subject, wherein the at least one sterol or 5α-stanol absorption inhibitor is represented by Formula (I):
or a pharmaceutically acceptable salt thereof or a solvate thereof, wherein:
Ar1 and Ar2 are independently selected from the group consisting of aryl and R4-substituted aryl;
Ar3 is aryl or R5-substituted aryl;
X, Y and Z are independently selected from the group consisting of —CH2-, —CH(lower alkyl)- and —C(dilower alkyl)-;
R and R2 are independently selected from the group consisting of —OR6, —O(CO)R6, —O(CO)OR9 and —O(CO)NR6R7;
R1 and R3 are independently selected from the group consisting of hydrogen, lower alkyl and aryl;
q is 0 or 1;
r is 0 or 1;
m, n and p are independently selected from 0, 1, 2, 3 or 4; provided that at least one of q and r is 1, and the sum of m, n, p, q and r is 1, 2, 3, 4, 5 or 6; and provided that when p is 0 and r is 1, the sum of m, q and n is 1, 2, 3, 4 or 5;
R4 is 1-5 substituents independently selected from the group consisting of lower alkyl, —OR6, —O(CO)R6, —O(CO)OR9, —O(CH2)1-5OR6, —O(CO)NR6R7, —NR6R7, —NR6(CO)R7, —NR6(CO)OR9, —NR6(CO)NR7R8, —NR6SO2R9, —COOR6, —CONR6R7, —COR6, —SO2NR6R7, S(O)0-2R9, —O(CH2)1-10—COOR6, —O(CH2)1-10CONR6R7, -(lower alkylene)COOR6, —CH═CH—COOR6, —CF3, —CN, —NO2 and halogen;
R5 is 1-5 substituents independently selected from the group consisting of —OR6, —O(CO)R6, —O(CO)OR9, —O(CH2)1-5OR6, —O(CO)NR6R7, —NR6R7, —NR6(CO)R7, —NR6(CO)OR9, —NR6(CO)NR7R8, —NR6SO2R9, —COOR6, —CONR6R7, —COR6, —SO2NR6R7, S(O)0-2R9, —O(CH2)1-10—COOR6, —O(CH2)1-10CONR6R7, -(lower alkylene)COOR6 and —CH═CH—COOR6;
R6, R7 and R8 are independently selected from the group consisting of hydrogen, lower alkyl, aryl and aryl-substituted lower alkyl; and
R9 is lower alkyl, aryl or aryl-substituted lower alkyl.
13. The method according to claim 1 , wherein the at least one sterol absorption inhibitor, at least one 5a-stanol absorption inhibitor, or a pharmaceutically acceptable salt or solvate thereof is administered in an amount ranging from about 0.1 to about 1000 mg per day.
14. The method according to claim 13 , wherein the at least one sterol absorption inhibitor, at least one 5α-stanol absorption inhibitor, or a pharmaceutically acceptable salt or solvate thereof is administered in an amount of about 10 mg per day.
15. The method according to claim 1 , wherein the HMG CoA reductase inhibitor is administered in an amount of about 0.2 to about 80 mg per day.
16. The method according to claim 15 , wherein the HMG CoA reductase inhibitor is administered in an amount of about 20 mg per day.
17. The method according to claim 1 , wherein the HMG CoA reductase inhibitor is simvastatin.
18. The method according to claim 12 , wherein the at least one sterol absorption inhibitor, at least one 5α-stanol absorption inhibitor, or a pharmaceutically acceptable salt or solvate thereof is administered in an amount ranging from about 0.1 to about 1000 mg per day.
19. The method according to claim 18 , wherein the at least one sterol absorption inhibitor, at least one 5α-stanol absorption inhibitor, or a pharmaceutically acceptable salt or solvate thereof is administered in an amount of about 10 mg per day.
20. The method according to claim 12 , wherein the HMG CoA reductase inhibitor is administered in an amount of about 0.2 to about 80 mg per day.
21. The method according to claim 20 , wherein the HMG CoA reductase inhibitor is administered in an amount of about 20 mg per day.
22. The method according to claim 12 , wherein the HMG CoA reductase inhibitor is simvastatin.
23. A method of treating hypercholesterolemia and decreasing the incidence of xanthomas in a subject comprising the step of administering to a subject in need of such treatment an effective amount of a combination of (i) a sterol absorption inhibitor of Formula (II):
and (ii) simvastatin, to treat hypercholesterolemia and decrease the incidence of xanthomas in the subject.
24. A therapeutic combination comprising (a) a first amount of a sterol absorption inhibitor of Formula (II):
and (b) a second amount of simvastatin, wherein the first amount and the second amount together comprise a therapeutically effective amount for the treatment of hypercholesterolemia and xanthomas in a subject.
Priority Applications (1)
| Application Number | Priority Date | Filing Date | Title |
|---|---|---|---|
| US11/439,490 US20060217363A1 (en) | 2001-09-21 | 2006-05-22 | Methods and therapeutic combinations for the treatment of hypercholesterolemia and xanthoma using sterol absorption inhibitors |
Applications Claiming Priority (3)
| Application Number | Priority Date | Filing Date | Title |
|---|---|---|---|
| US32394201P | 2001-09-21 | 2001-09-21 | |
| US10/247,095 US7132415B2 (en) | 2001-09-21 | 2002-09-19 | Methods and therapeutic combinations for the treatment of xanthoma using sterol absorption inhibitors |
| US11/439,490 US20060217363A1 (en) | 2001-09-21 | 2006-05-22 | Methods and therapeutic combinations for the treatment of hypercholesterolemia and xanthoma using sterol absorption inhibitors |
Related Parent Applications (1)
| Application Number | Title | Priority Date | Filing Date |
|---|---|---|---|
| US10/247,095 Continuation US7132415B2 (en) | 2001-09-21 | 2002-09-19 | Methods and therapeutic combinations for the treatment of xanthoma using sterol absorption inhibitors |
Publications (1)
| Publication Number | Publication Date |
|---|---|
| US20060217363A1 true US20060217363A1 (en) | 2006-09-28 |
Family
ID=23261375
Family Applications (2)
| Application Number | Title | Priority Date | Filing Date |
|---|---|---|---|
| US10/247,095 Expired - Fee Related US7132415B2 (en) | 2001-09-21 | 2002-09-19 | Methods and therapeutic combinations for the treatment of xanthoma using sterol absorption inhibitors |
| US11/439,490 Abandoned US20060217363A1 (en) | 2001-09-21 | 2006-05-22 | Methods and therapeutic combinations for the treatment of hypercholesterolemia and xanthoma using sterol absorption inhibitors |
Family Applications Before (1)
| Application Number | Title | Priority Date | Filing Date |
|---|---|---|---|
| US10/247,095 Expired - Fee Related US7132415B2 (en) | 2001-09-21 | 2002-09-19 | Methods and therapeutic combinations for the treatment of xanthoma using sterol absorption inhibitors |
Country Status (13)
| Country | Link |
|---|---|
| US (2) | US7132415B2 (en) |
| EP (1) | EP1429756B1 (en) |
| JP (1) | JP2005504091A (en) |
| AT (1) | ATE345793T1 (en) |
| AU (1) | AU2002336609B2 (en) |
| CA (1) | CA2460340C (en) |
| CY (1) | CY1105892T1 (en) |
| DE (1) | DE60216300T2 (en) |
| DK (1) | DK1429756T3 (en) |
| ES (1) | ES2272776T3 (en) |
| MX (1) | MXPA04002573A (en) |
| PT (1) | PT1429756E (en) |
| WO (1) | WO2003026643A2 (en) |
Families Citing this family (26)
| Publication number | Priority date | Publication date | Assignee | Title |
|---|---|---|---|---|
| IL156445A0 (en) | 2001-01-26 | 2004-01-04 | Schering Corp | Combinations of peroxisome proliferator-activated receptor (ppar) activator(s) and sterol absorption inhibitor(s) and treatments for vascular indications |
| GB0215579D0 (en) | 2002-07-05 | 2002-08-14 | Astrazeneca Ab | Chemical compounds |
| CA2499501A1 (en) * | 2002-09-27 | 2004-04-08 | Martek Biosciences Corporation | Prophylactic docosahexaenoic acid therapy for patients with subclinical inflammation |
| US20040092499A1 (en) | 2002-11-06 | 2004-05-13 | Schering Corporation | Methods and therapeutic combinations for the treatment of autoimmune disorders |
| US7459442B2 (en) | 2003-03-07 | 2008-12-02 | Schering Corporation | Substituted azetidinone compounds, processes for preparing the same, formulations and uses thereof |
| WO2004081002A1 (en) | 2003-03-07 | 2004-09-23 | Schering Corporation | Substituted azetidinone compounds, formulations and uses thereof for the treatment of hypercholesterolemia |
| CN1756755A (en) | 2003-03-07 | 2006-04-05 | 先灵公司 | Substituted azetidinone compounds, formulations and uses thereof for the treatment of hypercholesterolemia |
| ATE418551T1 (en) | 2003-03-07 | 2009-01-15 | Schering Corp | SUBSTITUTED AZETIDINONE DERIVATIVES, THEIR PHARMACEUTICAL FORMULATIONS AND THEIR USE IN THE TREATMENT OF HYPERCHOLESTEROLEMIA |
| EP1522541A1 (en) * | 2003-10-07 | 2005-04-13 | Lipideon Biotechnology AG | Novel hypocholesterolemic compounds |
| WO2005046797A2 (en) * | 2003-11-05 | 2005-05-26 | Schering Corporation | Combinations of lipid modulating agents and substituted azetidinones and treatments for vascular conditions |
| WO2005061452A1 (en) | 2003-12-23 | 2005-07-07 | Astrazeneca Ab | Diphenylazetidinone derivates possessing cholesterol absorption inhibitory activity |
| US7838552B2 (en) | 2004-06-04 | 2010-11-23 | Forest Laboratories Holdings Limited | Compositions comprising nebivolol |
| US7803838B2 (en) | 2004-06-04 | 2010-09-28 | Forest Laboratories Holdings Limited | Compositions comprising nebivolol |
| EP1688161A1 (en) * | 2004-11-02 | 2006-08-09 | Switch Biotech Aktiengesellschaft | Use of pirlindole for the treatment of diseases which are characterized by proliferation of t-lymphocytes and/or hyperproliferation of keratinocytes in particular atopic dermatitis and psoriasis |
| UY29607A1 (en) | 2005-06-20 | 2007-01-31 | Astrazeneca Ab | CHEMICAL COMPOUNDS |
| AR057072A1 (en) | 2005-06-22 | 2007-11-14 | Astrazeneca Ab | CHEMICAL COMPOUNDS DERIVED FROM 2-AZETIDINONE, PHARMACEUTICAL FORMULATION AND A COMPOUND PREPARATION PROCESS |
| SA06270191B1 (en) | 2005-06-22 | 2010-03-29 | استرازينيكا ايه بي | Novel 2-Azetidinone Derivatives as Cholesterol Absorption Inhibitors for the Treatment of Hyperlipidaemic Conditions |
| AR060623A1 (en) | 2006-04-27 | 2008-07-02 | Astrazeneca Ab | COMPOUNDS DERIVED FROM 2-AZETIDINONE AND A PREPARATION METHOD |
| SI2547679T1 (en) | 2010-03-19 | 2015-12-31 | Pfizer Inc. | 2,3 dihydro-1h-inden-1-yl-2,7-diazaspiro(3.6)nonane derivatives and their use as antagonists or inverse agonists of the ghrelin receptor |
| EP4137137A1 (en) | 2010-05-26 | 2023-02-22 | Satiogen Pharmaceuticals, Inc. | Bile acid recycling inhibitors and satiogens for treatment of diabetes, obesity, and inflammatory gastrointestinal conditions |
| PT2771003T (en) | 2011-10-28 | 2017-07-26 | Lumena Pharmaceuticals Llc | Bile acid recycling inhibitors for treatment of pediatric cholestatic liver diseases |
| EP2770990A4 (en) | 2011-10-28 | 2015-03-11 | Lumena Pharmaceuticals Inc | BILY ACID RECYCLING INHIBITORS FOR THE TREATMENT OF HYPERCHOLEMIA AND HEPATIC CHOLESTATIC DISEASE |
| AU2014228850A1 (en) | 2013-03-15 | 2015-10-29 | Lumena Pharmaceuticals Llc | Bile acid recycling inhibitors for treatment of primary sclerosing cholangitis and inflammatory bowel disease |
| MX2015013196A (en) | 2013-03-15 | 2016-04-15 | Lumena Pharmaceuticals Inc | Bile acid recycling inhibitors for treatment of barrett's esophagus and gastroesophageal reflux disease. |
| CN107106464B (en) * | 2015-01-08 | 2020-09-11 | 江崎格力高株式会社 | Antioxidant and Antioxidant/Anti-UV Cosmetics |
| WO2020167964A1 (en) | 2019-02-12 | 2020-08-20 | Mirum Pharmaceuticals, Inc. | Genotype and dose-dependent response to an asbti in patients with bile salt export pump deficiency |
Citations (94)
| Publication number | Priority date | Publication date | Assignee | Title |
|---|---|---|---|---|
| US3716583A (en) * | 1969-04-16 | 1973-02-13 | Sumitomo Chemical Co | Phenoxy carboxylic acid derivative |
| US3948973A (en) * | 1972-08-29 | 1976-04-06 | Sterling Drug Inc. | Halocyclopropyl substituted phenoxyalkanoic acids |
| US4072705A (en) * | 1975-02-12 | 1978-02-07 | Orchimed S.A. | Phenylmethylphenoxy propionic acid esters |
| US4075000A (en) * | 1975-05-27 | 1978-02-21 | Eli Lilly And Company | Herbicidal use of 4-amino-3,3-dimethyl-1-phenyl-2-azetidinones |
| US4144232A (en) * | 1976-12-23 | 1979-03-13 | Eli Lilly And Company | Substituted azetidin-2-one antibiotics |
| US4148923A (en) * | 1972-05-31 | 1979-04-10 | Synthelabo | 1-(3'-Trifluoromethylthiophenyl)-2-ethylaminopropane pharmaceutical composition and method for treating obesity |
| US4250191A (en) * | 1978-11-30 | 1981-02-10 | Edwards K David | Preventing renal failure |
| US4260743A (en) * | 1979-12-31 | 1981-04-07 | Gist-Brocades N.V. | Preparation of β-lactams and intermediates therefor |
| US4375475A (en) * | 1979-08-17 | 1983-03-01 | Merck & Co., Inc. | Substituted pyranone inhibitors of cholesterol synthesis |
| US4443372A (en) * | 1982-06-23 | 1984-04-17 | Chevron Research Company | 1-Alkyl derivatives of 3-aryloxy-4-(2-carbalkoxy)-phenyl-azet-2-ones as plant growth regulators |
| US4444784A (en) * | 1980-08-05 | 1984-04-24 | Merck & Co., Inc. | Antihypercholesterolemic compounds |
| US4500456A (en) * | 1981-03-09 | 1985-02-19 | Eli Lilly And Company | Preparation of 4-fluoroazetidinones using FClO3 |
| US4564609A (en) * | 1983-03-25 | 1986-01-14 | Yamanouchi Pharmaceutical Co., Ltd. | 4-Substituted-2-azetidinone compound, process of producing the compounds, and medicaments containing the compounds |
| US4567195A (en) * | 1981-02-20 | 1986-01-28 | Schering, Aktiengesellschaft | Azaprostacyclins, their preparation and pharmaceutical use |
| US4576753A (en) * | 1975-10-06 | 1986-03-18 | Fujisawa Pharmaceutical Co., Ltd. | Azetidinone compounds and processes for preparation thereof |
| US4576748A (en) * | 1984-09-17 | 1986-03-18 | Merck & Co., Inc. | 3-Hydroxy-3-aminoethyl β-lactams |
| US4576749A (en) * | 1983-10-03 | 1986-03-18 | E. R. Squibb & Sons, Inc. | 3-Acylamino-1-carboxymethylaminocarbonyl-2-azetidinones |
| US4581170A (en) * | 1984-08-03 | 1986-04-08 | E. R. Squibb & Sons, Inc. | N-hydroxyl protecting groups and process and intermediates for the preparation of 3-acylamino-1-hydroxy-2-azetidinones |
| US4642903A (en) * | 1985-03-26 | 1987-02-17 | R. P. Scherer Corporation | Freeze-dried foam dosage form |
| US4654362A (en) * | 1983-12-05 | 1987-03-31 | Janssen Pharmaceutica, N.V. | Derivatives of 2,2'-iminobisethanol |
| US4739101A (en) * | 1986-04-30 | 1988-04-19 | Fournier Innovation Et Synergie | Method for the preparation of fibrates |
| US4800079A (en) * | 1986-08-08 | 1989-01-24 | Ethypharm Sa | Medicine based on fenofibrate, and a method of preparing it |
| US4803266A (en) * | 1986-10-17 | 1989-02-07 | Taisho Pharmaceutical Co., Ltd. | 3-Oxoalkylidene-2-azetidinone derivatives |
| US4814354A (en) * | 1986-09-26 | 1989-03-21 | Warner-Lambert Company | Lipid regulating agents |
| US4895726A (en) * | 1988-02-26 | 1990-01-23 | Fournier Innovation Et Synergie | Novel dosage form of fenofibrate |
| US4983597A (en) * | 1989-08-31 | 1991-01-08 | Merck & Co., Inc. | Beta-lactams as anticholesterolemic agents |
| US4990535A (en) * | 1989-05-03 | 1991-02-05 | Schering Corporation | Pharmaceutical composition comprising loratadine, ibuprofen and pseudoephedrine |
| US5091525A (en) * | 1987-10-07 | 1992-02-25 | Eli Lilly And Company | Monohydrate and DMF solvates of a new carbacephem antibiotic |
| US5093365A (en) * | 1988-06-02 | 1992-03-03 | Norsk Hydro A.S. | Non-β-oxidizable fatty acid analogues with the effect to reduce the concentration of cholesterol and triglycerides in blood of mammals |
| US5099034A (en) * | 1989-06-30 | 1992-03-24 | Shionogi & Co., Ltd. | Phospholipase a2 inhibitor |
| US5106833A (en) * | 1987-07-23 | 1992-04-21 | Washington University | Coagulation inhibitors |
| US5178878A (en) * | 1989-10-02 | 1993-01-12 | Cima Labs, Inc. | Effervescent dosage form with microparticles |
| US5188825A (en) * | 1989-12-28 | 1993-02-23 | Iles Martin C | Freeze-dried dosage forms and methods for preparing the same |
| US5190970A (en) * | 1990-10-19 | 1993-03-02 | E. R. Squibb & Sons, Inc. | Method for preventing onset of or treating Type II diabetes employing a cholesterol lowering drug alone or in combination with an ace inhibitor |
| US5204461A (en) * | 1990-11-08 | 1993-04-20 | Takasago International Corporation | Process for preparing (1'r,3s)-3-(1'-hydroxyethyl)-azetidin-2-one and derivatives thereof |
| US5278176A (en) * | 1992-08-21 | 1994-01-11 | Abbott Laboratories | Nicotine derivatives that enhance cognitive function |
| USH1286H (en) * | 1989-06-05 | 1994-02-01 | E. R. Squibb & Sons, Inc. | Method for treating peripheral atherosclerotic disease employing a cholesterol lowering drug, an ace inhibitor, or a combination thereof |
| US5286631A (en) * | 1986-12-15 | 1994-02-15 | Eli Lilly And Company | Process for producing the A10255 complex and corresponding microorganism |
| US5298497A (en) * | 1990-05-15 | 1994-03-29 | E. R. Squibb & Sons, Inc. | Method for preventing onset of hypertension employing a cholesterol lowering drug |
| US5306817A (en) * | 1991-07-23 | 1994-04-26 | Schering Corporation | Process for the stereospecific synthesis of azetidinones |
| US5384124A (en) * | 1988-07-21 | 1995-01-24 | Farmalyoc | Solid porous unitary form comprising micro-particles and/or nano-particles, and its preparation |
| US5385885A (en) * | 1988-01-15 | 1995-01-31 | Gasic; Gregory P. | Inhibition of smooth muscle cell proliferation by antistasin and tick anticoagulant peptide |
| US5399363A (en) * | 1991-01-25 | 1995-03-21 | Eastman Kodak Company | Surface modified anticancer nanoparticles |
| US5401513A (en) * | 1989-09-15 | 1995-03-28 | Cima Labs, Inc. | Magnesium carbonate and oil tableting aid and flavoring additive |
| US5410035A (en) * | 1990-08-07 | 1995-04-25 | Matsutani Chemical Industries Co., Ltd. | Food composition having hypotensive effect |
| US5503846A (en) * | 1993-03-17 | 1996-04-02 | Cima Labs, Inc. | Base coated acid particles and effervescent formulation incorporating same |
| US5510118A (en) * | 1995-02-14 | 1996-04-23 | Nanosystems Llc | Process for preparing therapeutic compositions containing nanoparticles |
| US5510466A (en) * | 1988-11-15 | 1996-04-23 | Massachusetts Institute Of Technology | Scavenger receptor protein and antibody thereto |
| US5591456A (en) * | 1995-02-10 | 1997-01-07 | Nanosystems L.L.C. | Milled naproxen with hydroxypropyl cellulose as a dispersion stabilizer |
| US5595761A (en) * | 1994-01-27 | 1997-01-21 | The Board Of Regents Of The University Of Oklahoma | Particulate support matrix for making a rapidly dissolving tablet |
| US5607697A (en) * | 1995-06-07 | 1997-03-04 | Cima Labs, Incorporated | Taste masking microparticles for oral dosage forms |
| US5612367A (en) * | 1990-12-12 | 1997-03-18 | Zeneca Limited | Method of enhancing bioavailability of pharmaceutical agents |
| US5612353A (en) * | 1995-06-07 | 1997-03-18 | Rhone-Poulenc Rorer Pharmaceuticals Inc. | Substituted (sulfinic acid, sulfonic acid, sulfonylamino or sulfinylamino) N-[(aminoiminomethyl)phenylalkyl]-azaheterocyclylamide compounds |
| US5612378A (en) * | 1995-06-06 | 1997-03-18 | 3-Dimensional Pharmaceuticals, Inc. | Bis-arylsulfonylaminobenzamide derivatives and the use thereof as factor Xa inhibitors |
| US5618707A (en) * | 1996-01-04 | 1997-04-08 | Schering Corporation | Stereoselective microbial reduction of 5-fluorophenyl-5-oxo-pentanoic acid and a phenyloxazolidinone condensation product thereof |
| US5622985A (en) * | 1990-06-11 | 1997-04-22 | Bristol-Myers Squibb Company | Method for preventing a second heart attack employing an HMG CoA reductase inhibitor |
| US5622719A (en) * | 1993-09-10 | 1997-04-22 | Fuisz Technologies Ltd. | Process and apparatus for making rapidly dissolving dosage units and product therefrom |
| US5624920A (en) * | 1994-11-18 | 1997-04-29 | Schering Corporation | Sulfur-substituted azetidinone compounds useful as hypocholesterolemic agents |
| US5705388A (en) * | 1994-12-23 | 1998-01-06 | Ribozyme Pharmaceuticals, Inc. | CETP Ribozymes |
| US5709886A (en) * | 1995-02-03 | 1998-01-20 | Eurand America, Incorporated | Effervescent microcapsules |
| US5718388A (en) * | 1994-05-25 | 1998-02-17 | Eastman Kodak | Continuous method of grinding pharmaceutical substances |
| US5728827A (en) * | 1993-07-09 | 1998-03-17 | Schering Corporation | Process for the synthesis of azetidinones |
| US5734077A (en) * | 1995-09-14 | 1998-03-31 | Adir Et Compagnie | Substituted 2,2-dimethyl-omega-phenoxyalkanoic acids and esters |
| US5739321A (en) * | 1996-05-31 | 1998-04-14 | Schering Corporation | 3-hydroxy γ-lactone based enantionselective synthesis of azetidinones |
| US5744467A (en) * | 1994-11-18 | 1998-04-28 | Schering Corporation | Sulfur-substituted azetidinone compounds useful as hypocholesterolemic agents |
| US5856473A (en) * | 1995-11-02 | 1999-01-05 | Schering Corporation | Process for preparing 1-(4-fluorophenyl)-3(R)-(3(S)-hydroxy-3-( phenyl or 4-fluorophenyl!)-propyl)-4(S)-(4-hydroxyphenyl)-2-azetidinone |
| US5859051A (en) * | 1996-02-02 | 1999-01-12 | Merck & Co., Inc. | Antidiabetic agents |
| US5858409A (en) * | 1996-04-17 | 1999-01-12 | Fmc Corporation | Hydrolyzed cellulose granulations for pharmaceuticals |
| US5862999A (en) * | 1994-05-25 | 1999-01-26 | Nano Systems L.L.C. | Method of grinding pharmaceutical substances |
| US5869098A (en) * | 1997-08-20 | 1999-02-09 | Fuisz Technologies Ltd. | Fast-dissolving comestible units formed under high-speed/high-pressure conditions |
| US5880148A (en) * | 1995-02-02 | 1999-03-09 | Laboratoires Fournier S.A. | Combination of fenofibrate and vitamin E, and method of use of same in therapeutic treatments |
| US5883109A (en) * | 1996-07-24 | 1999-03-16 | Bristol-Myers Squibb Company | Method for lowering serum lipid levels employing an MTP inhibitor in combination with another cholesterol lowering drug |
| US5886171A (en) * | 1996-05-31 | 1999-03-23 | Schering Corporation | 3-hydroxy gamma-lactone based enantioselective synthesis of azetidinones |
| US6028109A (en) * | 1996-03-30 | 2000-02-22 | Glaxo Wellcome Inc. | Use of agonists of the peroxisome proliferator activated receptor alpha for treating obesity |
| US6027747A (en) * | 1997-11-11 | 2000-02-22 | Terracol; Didier | Process for the production of dry pharmaceutical forms and the thus obtained pharmaceutical compositions |
| US6030990A (en) * | 1995-06-02 | 2000-02-29 | Kyorin Pharmaceutical Co., Ltd. | N-benzyldioxothiazolidylbenzamide derivatives and process for producing the same |
| US6033656A (en) * | 1999-05-04 | 2000-03-07 | Sumitomo Chemical Company, Limited | Method of preventing or alleviating mammalian obesity |
| US6040147A (en) * | 1997-04-02 | 2000-03-21 | The Brigham And Women's Hospital, Inc. | Systemic inflammatory markers as diagnostic tools in the prevention of atherosclerotic diseases and as tools to aid in the selection of agents to be used for the prevention and treatment of atherosclerotic disease |
| US6043257A (en) * | 1997-08-18 | 2000-03-28 | E. I. Du Pont De Nemours And Company | Amidinoindoles, amidinoazoles, and analogs thereof |
| US6174665B1 (en) * | 1999-09-10 | 2001-01-16 | Biex, Inc. | Hormone replacement therapy monitoring |
| US6180625B1 (en) * | 1998-03-24 | 2001-01-30 | Novo Nordisk A/S | Heterocyclic compounds regulating clotting |
| US6180138B1 (en) * | 1999-01-29 | 2001-01-30 | Abbott Laboratories | Process for preparing solid formulations of lipid-regulating agents with enhanced dissolution and absorption |
| US6180660B1 (en) * | 1997-08-26 | 2001-01-30 | Merck & Co., Inc. | Cholesterol-lowering therapy |
| US6191117B1 (en) * | 2000-07-10 | 2001-02-20 | Walter E. Kozachuk | Methods of producing weight loss and treatment of obesity |
| US6191159B1 (en) * | 1998-03-27 | 2001-02-20 | Dupont Pharmaceuticals Company | Disubstituted pyrazolines and triazolines as factor Xa inhibitors |
| US6200998B1 (en) * | 1997-12-19 | 2001-03-13 | Merck & Co., Inc. | Arylthiazolidinedione derivitives |
| US6207822B1 (en) * | 1998-12-07 | 2001-03-27 | Schering Corporation | Process for the synthesis of azetidinones |
| US6207699B1 (en) * | 1999-06-18 | 2001-03-27 | Richard Brian Rothman | Pharmaceutical combinations for treating obesity and food craving |
| US6207697B1 (en) * | 1997-09-09 | 2001-03-27 | Dupont Pharmaceuticals Company | Benzimidazolinones, benzoxazolinones, benzopiperazinones, indanones, and derivatives thereof as inhibitors of factor Xa |
| US20020006919A1 (en) * | 1999-12-08 | 2002-01-17 | Thosar Shilpa S. | Nanoparticulate eplerenone compositions |
| US20030013729A1 (en) * | 2001-04-09 | 2003-01-16 | Dr. Reddy's Laboratories Ltd. | New monocyclic derivatives of aryl alkanoic acids and their use in medicine: process for their preparation and pharmaceutical compositions containing them |
| US20030013699A1 (en) * | 2001-05-25 | 2003-01-16 | Davis Harry R. | Methods for treating alzheimer's disease and/or regulating levels of amyloid beta peptides in a subject |
| US20030053981A1 (en) * | 2001-01-26 | 2003-03-20 | Schering Corporation | Combinations of bile acid sequestrant(s) and sterol absorption inhibitor(s) and treatments for vascular indications |
| US6982251B2 (en) * | 2000-12-20 | 2006-01-03 | Schering Corporation | Substituted 2-azetidinones useful as hypocholesterolemic agents |
Family Cites Families (342)
| Publication number | Priority date | Publication date | Assignee | Title |
|---|---|---|---|---|
| US2809194A (en) * | 1957-10-08 | Thiadiazine type natriuretic agents | ||
| US3108097A (en) * | 1963-10-22 | Ehnojs | ||
| FR1103113A (en) | 1954-04-15 | 1955-10-31 | Trimethylol alkanes and their preparation process | |
| FR1217929A (en) | 1958-03-03 | 1960-05-06 | Ciba Geigy | Process for the preparation of 6-chloro-7-sulfamyl-3,4-dihydro-1,2,4-benzothiadiazine 1,1-dioxide and its salts |
| NL238796A (en) * | 1958-05-07 | |||
| DE1302648B (en) | 1960-09-27 | |||
| NL127065C (en) * | 1964-04-22 | |||
| NL137318C (en) * | 1964-06-09 | |||
| GB1415295A (en) | 1971-10-14 | 1975-11-26 | Orchimed Sa | Substituted phenoxy-alkyl-carboxylic acids and derivatives thereof |
| US3692895A (en) * | 1970-09-08 | 1972-09-19 | Norman A Nelson | Method of reducing hypercholesteremia in humans employing a copolymer of polyethylenepolyamine and a bifunctional substance, such as epichlorohydria |
| DE2230383C3 (en) * | 1971-10-01 | 1981-12-03 | Boehringer Mannheim Gmbh, 6800 Mannheim | Phenoxyalkylcarboxylic acid derivatives and processes for making the same |
| US4626549A (en) * | 1974-01-10 | 1986-12-02 | Eli Lilly And Company | Treatment of obesity with aryloxyphenylpropylamines |
| US4179515A (en) * | 1975-02-12 | 1979-12-18 | Orchimed S. A. | Benzoylphenoxy propionic acid, esters thereof and pharmaceutical composition |
| US4235896A (en) * | 1975-02-12 | 1980-11-25 | Orchimed S.A. | Benzyl-phenoxy acid esters and hyperlipaemia compositions containing the same |
| US4472309A (en) * | 1975-10-06 | 1984-09-18 | Fujisawa Pharmaceutical Co., Ltd. | 2-Azetidinone compounds and processes for preparation thereof |
| US4304718A (en) * | 1975-10-06 | 1981-12-08 | Fujisawa Pharmaceutical Co., Ltd. | 2-Azetidinone compounds and processes for preparation thereof |
| US4166907A (en) * | 1976-11-01 | 1979-09-04 | E. R. Squibb & Sons, Inc. | 3,3-Dichloro-2-azetidinone derivatives having antiinflammatory activity |
| FR2403078A1 (en) * | 1977-09-19 | 1979-04-13 | Lafon Labor | NEW PROCESS FOR THE PREPARATION OF PHARMACEUTICAL, COSMETIC OR DIAGNOSIS FORMS |
| IT1157365B (en) * | 1977-10-24 | 1987-02-11 | Sandoz Ag | MEDICATIONS TO TREAT OBESITY OR REDUCE BODY WEIGHT |
| FR2408577A1 (en) | 1977-11-14 | 1979-06-08 | Devinter Sa | NEW PROCESS FOR THE SYNTHESIS OF ISOBUTYRIC PARA CHLOROBENZOYL PHENOXY ESTERS |
| NZ191762A (en) | 1978-10-19 | 1982-09-14 | Merck & Co Inc | Hypocholesteremic composition containing cholesterol synthesis inhibitor and anion exchange resin |
| ES488665A0 (en) | 1980-02-15 | 1980-12-16 | Especialidades Farmaco Terape | PROCEDURE FOR OBTAINING A NEW ANTI-AGES-CLEROTIC COMPOUND |
| FR2494112B1 (en) | 1980-11-19 | 1986-01-10 | Laruelle Claude | |
| US4784734A (en) * | 1981-04-10 | 1988-11-15 | Otsuka Kagaku Yakuhin Kabushiki Kaisha | Azetidinone derivatives and process for the preparation of the same |
| US4602003A (en) * | 1982-05-17 | 1986-07-22 | Medical Research Foundation Of Oregon | Synthetic compounds to inhibit intestinal absorption of cholesterol in the treatment of hypercholesterolemia |
| US4602005A (en) * | 1982-05-17 | 1986-07-22 | Medical Research Foundation Of Oregon | Tigogenin cellobioside for treating hypercholesterolemia and atherosclerosis |
| US4534786A (en) * | 1982-06-23 | 1985-08-13 | Chevron Research Company | 1-Alkyl derivatives of 3-aryloxy-4-(2-carbalkoxy)-phenyl-azet-2-ones as plant growth regulators |
| US4595532A (en) * | 1983-02-02 | 1986-06-17 | University Of Notre Dame Du Lac | N-(substituted-methyl)-azetidin-2-ones |
| US4675399A (en) * | 1983-03-28 | 1987-06-23 | Notre Dame University | Cyclization process for β-lactams |
| EP0126709B1 (en) * | 1983-03-28 | 1991-04-03 | Ciba-Geigy Ag | Process for the preparation of optically active azetidinones |
| WO1985004876A1 (en) * | 1984-04-24 | 1985-11-07 | Takeda Chemical Industries, Ltd. | 2-azetidinone derivatives and process for their preparation |
| US5229510A (en) | 1983-12-01 | 1993-07-20 | Merck & Co., Inc. | β-lactams useful in determining the amount of elastase in a clinical sample |
| US5229381A (en) | 1983-12-01 | 1993-07-20 | Merck & Co., Inc. | Substituted azetidinones as anti-inflammatory and antidegenerative agents |
| US4680391A (en) * | 1983-12-01 | 1987-07-14 | Merck & Co., Inc. | Substituted azetidinones as anti-inflammatory and antidegenerative agents |
| FR2561916B1 (en) * | 1984-03-30 | 1987-12-11 | Lafon Labor | GALENIC FORM FOR ORAL ADMINISTRATION AND METHOD FOR PREPARING IT BY LYOPHILIZATION OF AN OIL-TO-WATER EMISSION |
| US4633017A (en) * | 1984-08-03 | 1986-12-30 | E. R. Squibb & Sons, Inc. | N-hydroxy protecting groups and process for the preparation of 3-acylamino-1-hydroxy-2-azetidinones |
| US4647576A (en) | 1984-09-24 | 1987-03-03 | Warner-Lambert Company | Trans-6-[2-(substitutedpyrrol-1-yl)alkyl]-pyran-2-one inhibitors of cholesterol synthesis |
| US4620867A (en) * | 1984-09-28 | 1986-11-04 | Chevron Research Company | 1-carbalkoxyalkyl-3-aryloxy-4-(substituted-2'-carboxyphenyl)-azet-2-ones as plant growth regulators and herbicides |
| AR240698A1 (en) * | 1985-01-19 | 1990-09-28 | Takeda Chemical Industries Ltd | Process for the preparation of 5-(4-(2-(5-ethyl-2-pyridil)-ethoxy)benzyl)-2,4-thiazolodinedione and their salts |
| US4680289A (en) * | 1985-06-05 | 1987-07-14 | Progenics, Inc. | Treatment of obesity and diabetes using sapogenins |
| JPH0679559B2 (en) | 1985-06-06 | 1994-10-12 | 三共株式会社 | Process for producing optically active azetidinone derivative |
| WO1987004429A1 (en) | 1986-01-23 | 1987-07-30 | The Upjohn Company | Antimicrobial n-acyl-2-azetidinones |
| EP0234484B1 (en) * | 1986-02-19 | 1993-10-20 | Sanraku Incorporated | Novel azetidinone derivatives |
| GB8607312D0 (en) * | 1986-03-25 | 1986-04-30 | Ici Plc | Therapeutic agents |
| DE3621861A1 (en) * | 1986-06-30 | 1988-01-14 | Laszlo Dr Med Ilg | USE OF ARYLOXYCARBONIC ACID DERIVATIVES AGAINST DERMATOLOGICAL DISEASES |
| JPS6317859A (en) | 1986-07-11 | 1988-01-25 | Sagami Chem Res Center | Fluoroazetidinone derivative |
| FI874311A7 (en) | 1986-10-03 | 1988-04-04 | Lilly Co Eli | 7-/(meta-substituted)phenylglycine/-1-carba-1-dethiacephalosporins. |
| AU604806B2 (en) | 1986-12-15 | 1991-01-03 | Eli Lilly And Company | Antibiotic a10255 complex and factors, microorganisms, process and production therefor |
| US5229362A (en) | 1986-12-15 | 1993-07-20 | Eli Lilly And Company | Antibiotic A10255 complex and factors, and process and production therefor |
| JPS63156788A (en) | 1986-12-22 | 1988-06-29 | Sanraku Inc | Optically active azetidinones |
| EP0276807A3 (en) | 1987-01-27 | 1988-10-12 | Warner-Lambert Company | Lipid regulating compositions |
| US5110730A (en) * | 1987-03-31 | 1992-05-05 | The Scripps Research Institute | Human tissue factor related DNA segments |
| EP0288973B1 (en) | 1987-04-28 | 1993-01-13 | Fujisawa Astra Ltd. | Benzothiazolinone derivatives, their production and pharmaceutical composition |
| EG18529A (en) | 1987-10-06 | 1993-04-30 | Lilly Co Eli | Process for preparing b-lactam hydrate |
| US4834846A (en) * | 1987-12-07 | 1989-05-30 | Merck & Co., Inc. | Process for deblocking N-substituted β-lactams |
| DE3807895A1 (en) * | 1988-03-10 | 1989-09-21 | Knoll Ag | PRODUCTS CONTAINING A CALCIUM ANTAGONIST AND A LIPID DOWNER |
| EP0333268A1 (en) | 1988-03-18 | 1989-09-20 | Merck & Co. Inc. | Process for synthesis of a chiral 3-beta hydrogen (3R) 4-aroyloxy azetidinone |
| IL89835A0 (en) | 1988-04-11 | 1989-12-15 | Merck & Co Inc | Substituted azetidinones,their preparation and pharmaceutical compositions containing them |
| US4952689A (en) | 1988-10-20 | 1990-08-28 | Taisho Pharmaceutical Co., Ltd. | 3-(substituted propylidene)-2-azetidinone derivates for blood platelet aggregation |
| CA2002596A1 (en) | 1988-11-14 | 1990-05-14 | Thomas M. Eckrich | Hydrates of b-lactam antibiotic |
| US5112616A (en) * | 1988-11-30 | 1992-05-12 | Schering Corporation | Fast dissolving buccal tablet |
| US5073374A (en) * | 1988-11-30 | 1991-12-17 | Schering Corporation | Fast dissolving buccal tablet |
| US4876365A (en) * | 1988-12-05 | 1989-10-24 | Schering Corporation | Intermediate compounds for preparing penems and carbapenems |
| US5260305A (en) | 1988-12-12 | 1993-11-09 | E. R. Squibb & Sons, Inc. | Combination of pravastatin and nicotinic acid or related acid and method for lowering serum cholesterol using such combination |
| FR2640621B1 (en) | 1988-12-19 | 1992-10-30 | Centre Nat Rech Scient | N-ARYL-AZETIDINONES, PROCESS FOR THEIR PREPARATION AND THEIR USE AS ELASTASE INHIBITORS |
| US5021461A (en) * | 1989-07-26 | 1991-06-04 | Merrell Dow Pharmaceuticals Inc. | Method of treating diabetes mellitus with bisphenol derivatives |
| IL95574A (en) | 1989-09-09 | 1994-11-11 | Knoll Ag | Colestyramine preparation |
| US5223264A (en) | 1989-10-02 | 1993-06-29 | Cima Labs, Inc. | Pediatric effervescent dosage form |
| CA2039763A1 (en) | 1990-04-30 | 1991-10-31 | Henry Y. Pan | Combination of pravastatin and a fibric acid derivative, and method for treating dyslipidemia using such combination |
| CA2040865C (en) | 1990-05-15 | 2002-07-23 | James L. Bergey | Method for preventing, stabilizing or causing regression of atherosclerosis employing a combination of a cholesterol lowering drug and an ace inhibitor |
| CA2042526A1 (en) | 1990-06-11 | 1991-12-12 | Adeoye Y. Olukotun | Method for preventing a second heart attack employing an hmg coa reductase inhibitor |
| US5120729A (en) * | 1990-06-20 | 1992-06-09 | Merck & Co., Inc. | Beta-lactams as antihypercholesterolemics |
| CA2048395A1 (en) | 1990-08-23 | 1992-02-24 | Henry Y. Pan | Method for preventing onset of or treating type iii hyperlipoproteinemia employing pravastatin |
| US5120713A (en) * | 1990-09-10 | 1992-06-09 | Applied Research Systems Ars Holding N.V. | Treatment of obesity with an alpha-2-adrenergic agonist and a growth hormone releasing peptide |
| US5075313A (en) | 1990-09-13 | 1991-12-24 | Eli Lilly And Company | 3-aryl-4(3H)quinazolinone CCK antagonists and pharmaceutical formulations thereof |
| IL99658A0 (en) | 1990-10-15 | 1992-08-18 | Merck & Co Inc | Substituted azetidinones and pharmaceutical compositions containing them |
| CA2052014A1 (en) | 1990-10-19 | 1992-04-20 | Henry Y. Pan | Method for preventing diabetic complications employing a cholesterol lowering drug alone or in combination with an ace inhibitor |
| US5130333A (en) * | 1990-10-19 | 1992-07-14 | E. R. Squibb & Sons, Inc. | Method for treating type II diabetes employing a cholesterol lowering drug |
| US5145684A (en) * | 1991-01-25 | 1992-09-08 | Sterling Drug Inc. | Surface modified drug nanoparticles |
| US5552160A (en) | 1991-01-25 | 1996-09-03 | Nanosystems L.L.C. | Surface modified NSAID nanoparticles |
| AU642066B2 (en) | 1991-01-25 | 1993-10-07 | Nanosystems L.L.C. | X-ray contrast compositions useful in medical imaging |
| IT1244699B (en) | 1991-02-01 | 1994-08-08 | Luso Farmaco Inst | PROCESS FOR THE PREPARATION OF 3 ACYLAMINO-4- CARBAMOYLOXY-METHYL-2-AZETIDINONE-L-SULPHONIC ACIDS AND INTERMEDIATES FOR THEIR PREPARATION |
| US5157025A (en) * | 1991-04-01 | 1992-10-20 | E. R. Squibb & Sons, Inc. | Method for lowering serum cholesterol employing a phosphorus containing ace inhibitor alone or in combination with a cholesterol lowering drug |
| US5348953A (en) | 1991-06-25 | 1994-09-20 | Merck & Co., Inc. | Substituted azetidinones as anti-inflammatory and antidegenerative agents |
| US5464632C1 (en) | 1991-07-22 | 2001-02-20 | Prographarm Lab | Rapidly disintegratable multiparticular tablet |
| US5561227A (en) | 1991-07-23 | 1996-10-01 | Schering Corporation | Process for the stereospecific synthesis of azetidinones |
| US5688787A (en) | 1991-07-23 | 1997-11-18 | Schering Corporation | Substituted β-lactam compounds useful as hypochlesterolemic agents and processes for the preparation thereof |
| US5688785A (en) | 1991-07-23 | 1997-11-18 | Schering Corporation | Substituted azetidinone compounds useful as hypocholesterolemic agents |
| JP2620437B2 (en) | 1991-09-27 | 1997-06-11 | 宇部興産株式会社 | Process for producing ω-hydroxy- (ω-3) -ketonitrile and ω-hydroxy fatty acid |
| ATE165367T1 (en) | 1991-10-04 | 1998-05-15 | Procter & Gamble | CHOLESTEROL-LOWERING COMPOUNDS AND METHOD FOR THE PRODUCTION THEREOF |
| US5162117A (en) | 1991-11-22 | 1992-11-10 | Schering Corporation | Controlled release flutamide composition |
| FI942394L (en) | 1991-11-25 | 1994-05-24 | Pfizer | Process for the preparation of steroid peracyl glycosides |
| DE4203932A1 (en) | 1992-02-11 | 1993-08-12 | Deutsche Aerospace | SEND / RECEIVE MODULE |
| US6063764A (en) | 1992-06-01 | 2000-05-16 | Washington University & Chiron Corp. | Method for using lipoprotein associated coagulation inhibitor to treat sepsis |
| US5629295A (en) | 1992-06-26 | 1997-05-13 | Pfizer Inc. | Steroidal glycosides for treating hypercholesterolemia |
| JPH08502752A (en) | 1992-10-27 | 1996-03-26 | メルク エンド カンパニー インコーポレーテッド | Novel substituted azetidinones as anti-inflammatory and anti-modifying agents |
| US5631363A (en) | 1992-11-13 | 1997-05-20 | Tanabe Seiyaku Co., Ltd. | Azetidinone compound and process for preparation thereof |
| AU660852B2 (en) | 1992-11-25 | 1995-07-06 | Elan Pharma International Limited | Method of grinding pharmaceutical substances |
| WO1994020535A1 (en) | 1992-12-11 | 1994-09-15 | Corvas International, Inc. | ECOTIN AS A FACTOR Xa, XIa, AND XIIa INHIBITOR |
| US5429824A (en) | 1992-12-15 | 1995-07-04 | Eastman Kodak Company | Use of tyloxapole as a nanoparticle stabilizer and dispersant |
| US5358852A (en) | 1992-12-21 | 1994-10-25 | Eastman Kodak Company | Use of calcium in immunoassay for measurement of C-reactive protein |
| LT3300B (en) * | 1992-12-23 | 1995-06-26 | Schering Corp | Combination of a cholesterol biosynhtesis inhibitor and a beta- lactam cholesterol absorbtion inhibitor |
| LT3595B (en) | 1993-01-21 | 1995-12-27 | Schering Corp | Spirocycloalkyl-substituted azetidinones useful as hypocholesterolemic agents |
| US5563264A (en) | 1993-02-10 | 1996-10-08 | Shionogi & Co., Ltd. | Preparation of βlactam compounds |
| US5412092A (en) | 1993-04-23 | 1995-05-02 | Bristol-Myers Squibb Company | N-substituted 2-azetidinones |
| IL109568A0 (en) | 1993-05-19 | 1994-08-26 | Fujisawa Pharmaceutical Co | Urea derivatives, pharmaceutical compositions containing the same and processes for the preparation thereof |
| US5703188A (en) | 1993-06-02 | 1997-12-30 | Geltex Pharmaceuticals, Inc. | Process for removing bile salts from a patient and compositions therefor |
| US5550229A (en) | 1993-06-23 | 1996-08-27 | Tanabe Seiyaku Co., Ltd. | Alkylation process for preparing azetidinone compound and starting compound therefor |
| ES2162867T3 (en) | 1993-07-09 | 2002-01-16 | Scherer Corp R P | METHOD OF MANUFACTURE OF DOSAGE FORMS OF LIOFILIZED PHARMACOS. |
| WO1995004533A2 (en) | 1993-08-04 | 1995-02-16 | Andrulis Pharmaceuticals Corporation | Treatment of rheumatoid arthritis with thalidomide alone or in combination with other anti-inflammatory agents |
| WO1995006470A1 (en) | 1993-08-30 | 1995-03-09 | Merck & Co., Inc. | Prevention and treatment of alzheimer's disease |
| US5895664A (en) | 1993-09-10 | 1999-04-20 | Fuisz Technologies Ltd. | Process for forming quickly dispersing comestible unit and product therefrom |
| US5851553A (en) | 1993-09-10 | 1998-12-22 | Fuisz Technologies, Ltd. | Process and apparatus for making rapidly dissolving dosage units and product therefrom |
| US5631365A (en) | 1993-09-21 | 1997-05-20 | Schering Corporation | Hydroxy-substituted azetidinone compounds useful as hypocholesterolemic agents |
| US5976570A (en) | 1993-12-21 | 1999-11-02 | Applied Analytical Industries, Inc. | Method for preparing low dose pharmaceutical products |
| AU7948394A (en) | 1993-12-28 | 1995-07-17 | Pfizer Inc. | Hypocholesterolemic agents |
| US6369103B1 (en) | 1994-01-18 | 2002-04-09 | Bristol-Myers Squibb Company | Method for preventing or reducing risk of onset of cardiovascular events employing an HMG CoA reductase inhibitor |
| US5576014A (en) | 1994-01-31 | 1996-11-19 | Yamanouchi Pharmaceutical Co., Ltd | Intrabuccally dissolving compressed moldings and production process thereof |
| GB9401892D0 (en) | 1994-02-01 | 1994-03-30 | Boots Co Plc | Therapeutic agents |
| US5635210A (en) | 1994-02-03 | 1997-06-03 | The Board Of Regents Of The University Of Oklahoma | Method of making a rapidly dissolving tablet |
| US5627176A (en) | 1994-03-25 | 1997-05-06 | Schering Corporation | Substituted azetidinone compounds useful as hypocholesterolemic agents |
| GB9406074D0 (en) | 1994-03-26 | 1994-05-18 | Glaxo Spa | Chemical process |
| DE4414538A1 (en) | 1994-04-26 | 1995-11-02 | Klinge Co Chem Pharm Fab | Preparations for the therapy of combined hyperlipidemia containing a p-oxybenzoic acid derivative and a fibrate |
| US5554746A (en) | 1994-05-16 | 1996-09-10 | Isis Pharmaceuticals, Inc. | Lactam nucleic acids |
| US5567439A (en) | 1994-06-14 | 1996-10-22 | Fuisz Technologies Ltd. | Delivery of controlled-release systems(s) |
| MX9606319A (en) | 1994-06-20 | 1997-05-31 | Schering Corp | Substituted azetidinone compounds useful as hypocholesterolemic agents. |
| US6429289B1 (en) | 1994-06-23 | 2002-08-06 | Massachusetts Institute Of Technology | Class BI and CI scavenger receptors |
| AU2453295A (en) | 1994-09-20 | 1996-04-19 | Pfizer Inc. | Combination of a cholesterol absorption inhibitor and a cholesterol synthesis inhibitor |
| GB9421836D0 (en) | 1994-10-28 | 1994-12-14 | Scherer Corp R P | Process for preparing solid pharmaceutical dosage forms of hydrophobic substances |
| GB9421816D0 (en) | 1994-10-29 | 1994-12-14 | Smithkline Beecham Plc | Novel compounds |
| US5656624A (en) * | 1994-12-21 | 1997-08-12 | Schering Corporation | 4-[(heterocycloalkyl or heteroaromatic)-substituted phenyl]-2-azetidinones useful as hypolipidemic agents |
| BR9510420A (en) | 1994-12-22 | 2004-04-20 | Smithkline Beecham Plc | Replaced Azetidin-2-ones for atherosclerosis treatment |
| US5902726A (en) | 1994-12-23 | 1999-05-11 | Glaxo Wellcome Inc. | Activators of the nuclear orphan receptor peroxisome proliferator-activated receptor gamma |
| ES2176354T3 (en) | 1994-12-28 | 2002-12-01 | Janssen Pharmaceutica Nv | USE OF NEBIVOLOL AS AN ANTI-ATEROGENIC AGENT. |
| US5545628A (en) | 1995-01-10 | 1996-08-13 | Galephar P.R. Inc. | Pharmaceutical composition containing fenofibrate |
| US5518738A (en) | 1995-02-09 | 1996-05-21 | Nanosystem L.L.C. | Nanoparticulate nsaid compositions |
| US5747001A (en) | 1995-02-24 | 1998-05-05 | Nanosystems, L.L.C. | Aerosols containing beclomethazone nanoparticle dispersions |
| US5998441A (en) | 1995-02-28 | 1999-12-07 | Eli Lilly And Company | Benzothiophene compounds, intermediates, compositions, and methods |
| US5639739A (en) | 1995-03-24 | 1997-06-17 | The Dupont Merck Pharmaceutical Company | Imidazole containing aminoboronic acids |
| US5759865A (en) | 1995-05-03 | 1998-06-02 | Eli Lilly And Company | Combinatorial process for synthesizing azetidinone analogs |
| DE19518988A1 (en) | 1995-05-29 | 1996-12-05 | Basf Ag | Use of aryl substituted cyclobutylalkylamines to treat obesity |
| WO1996040255A2 (en) | 1995-06-07 | 1996-12-19 | G.D. Searle & Co. | Method to treat cardiofibrosis with a combination therapy of an angiotensin ii antagonist and an epoxy-steroidal aldosterone antagonist |
| TW474809B (en) | 1995-07-03 | 2002-02-01 | Sankyo Co | A pharmaceutical composition for arteriosclerosis or xanthoma consisting of HMG-CoA reductase inhibitors and insulin sensitizers |
| FR2737121B1 (en) | 1995-07-27 | 1997-10-03 | Cl Pharma | NEW GALENIC FORMULATIONS OF FENOFIBRATE AND THEIR APPLICATIONS |
| US5698527A (en) | 1995-08-08 | 1997-12-16 | Merck & Co., Inc. | Steroidal glycosides as antihyperlipidemic agents |
| ATE219495T1 (en) * | 1995-10-31 | 2002-07-15 | Schering Corp | SUGAR SUBSTITUTED 2-AZETIDINONE USABLE AS HYPOCHOLESTERDENIC DRUGS |
| US5808056A (en) | 1995-10-31 | 1998-09-15 | Merck & Co., Inc. | Process for preparing substituted azetidinones |
| US5955105A (en) | 1995-11-14 | 1999-09-21 | Knoll Pharmaceutical Company | Stabilized thyroid hormone preparations and methods of making same |
| US5925333A (en) | 1995-11-15 | 1999-07-20 | Massachusetts Institute Of Technology | Methods for modulation of lipid uptake |
| JPH09143156A (en) | 1995-11-17 | 1997-06-03 | Tanabe Seiyaku Co Ltd | Production of acetoxyazetidinone derivative and its synthetic intermediate |
| US5807577A (en) | 1995-11-22 | 1998-09-15 | Lab Pharmaceutical Research International Inc. | Fast-melt tablet and method of making same |
| US5807578A (en) | 1995-11-22 | 1998-09-15 | Lab Pharmaceutical Research International Inc. | Fast-melt tablet and method of making same |
| WO1997021676A1 (en) | 1995-12-08 | 1997-06-19 | Smithkline Beecham Plc | Azetidinone compounds for the treatment of atherosclerosis |
| US6080767A (en) | 1996-01-02 | 2000-06-27 | Aventis Pharmaceuticals Products Inc. | Substituted n-[(aminoiminomethyl or aminomethyl)phenyl]propyl amides |
| GB9600464D0 (en) | 1996-01-09 | 1996-03-13 | Smithkline Beecham Plc | Novel method |
| WO1997028149A1 (en) | 1996-02-02 | 1997-08-07 | Merck & Co., Inc. | Method for raising hdl cholesterol levels |
| US5847008A (en) | 1996-02-02 | 1998-12-08 | Merck & Co., Inc. | Method of treating diabetes and related disease states |
| GB9604242D0 (en) | 1996-02-28 | 1996-05-01 | Glaxo Wellcome Inc | Chemical compounds |
| DE19608750A1 (en) | 1996-03-06 | 1997-09-11 | Durachemie Gmbh & Co Kg | Process for the production of fenofibrate preparations |
| IL117702A0 (en) | 1996-03-28 | 1996-07-23 | Tel Aviv Medical Center Resear | Drug for hyperlipoproteinemia |
| EP0915843A1 (en) | 1996-04-26 | 1999-05-19 | Smithkline Beecham Plc | Azetidinone derivatives for the treatment of atheroscleroses |
| US5843984A (en) | 1996-05-09 | 1998-12-01 | Eli Lilly And Company | Sulfated benzothiophene derivatives, methods of use and formulations containing same |
| US6245743B1 (en) | 1996-06-05 | 2001-06-12 | Cor Therapeutics, Inc. | Inhibitors of factor Xa |
| GB9611947D0 (en) | 1996-06-07 | 1996-08-07 | Glaxo Group Ltd | Medicaments |
| EP0852117A4 (en) | 1996-06-12 | 1999-02-03 | Kyowa Hakko Kogyo Kk | ACTIVE SUBSTANCES FOR IMPROVED FATTY CHANGES |
| US5965553A (en) | 1996-06-20 | 1999-10-12 | Pfizer Inc. | Squalene synthetase inhibitors |
| AU4228997A (en) | 1996-07-09 | 1998-02-02 | Merck & Co., Inc. | Method for treating homozygous familial hypercholesterolemia |
| US6139873A (en) | 1996-07-10 | 2000-10-31 | Cedars-Sinai Medical Center | Combined pharmaceutical estrogen-androgen-progestin |
| US5952003A (en) | 1996-08-01 | 1999-09-14 | Novartis Corporation | Terazosin capsules |
| WO1998005331A2 (en) | 1996-08-02 | 1998-02-12 | Ligand Pharmaceuticals Incorporated | Prevention or treatment of type 2 diabetes or cardiovascular disease with ppar modulators |
| US6057342A (en) | 1996-08-16 | 2000-05-02 | Dupont Pharmaceutical Co. | Amidinophenyl-pyrrolidines, -pyrrolines, and -isoxazolidines and derivatives thereof |
| US6251852B1 (en) | 1996-09-18 | 2001-06-26 | Merck & Co., Inc. | Combination therapy for reducing the risks associated with cardiovascular disease |
| US6235706B1 (en) | 1996-09-18 | 2001-05-22 | Merck & Co., Inc. | Combination therapy for reducing the risks associated with cardiovascular disease |
| US5972389A (en) | 1996-09-19 | 1999-10-26 | Depomed, Inc. | Gastric-retentive, oral drug dosage forms for the controlled-release of sparingly soluble drugs and insoluble matter |
| CA2266639A1 (en) | 1996-09-23 | 1998-03-26 | Rajeshwar Singh | 3,4-disubstituted azetidin-2-one derivatives useful as cysteine proteinase regulators |
| US6139865A (en) | 1996-10-01 | 2000-10-31 | Eurand America, Inc. | Taste-masked microcapsule compositions and methods of manufacture |
| US6262047B1 (en) | 1996-10-11 | 2001-07-17 | Cor Therapeutics, Inc. | Selective factor Xa inhibitors |
| US5756470A (en) | 1996-10-29 | 1998-05-26 | Schering Corporation | Sugar-substituted 2-azetidinones useful as hypocholesterolemic agents |
| SI0946185T2 (en) | 1996-11-27 | 2010-08-31 | Aventis Pharma Inc | PHARMACEUTICAL COMPOSITION COMPRISING A COMPOUND HAVING ANTI-Xa ACTIVITY AND A PLATELET AGGREGATION ANTAGONIST COMPOUND |
| US6090839A (en) | 1996-12-23 | 2000-07-18 | Merck & Co., Inc. | Antidiabetic agents |
| US6066653A (en) | 1997-01-17 | 2000-05-23 | Bristol-Myers Squibb Co. | Method of treating acid lipase deficiency diseases with an MTP inhibitor and cholesterol lowering drugs |
| CA2276467A1 (en) | 1997-01-17 | 1998-07-23 | Bristol-Myers Squibb Company | Method for treating atherosclerosis with an mpt inhibitor and cholesterol lowering drugs |
| FR2758461A1 (en) | 1997-01-17 | 1998-07-24 | Pharma Pass | PHARMACEUTICAL COMPOSITION HAVING HIGH BIOAVAILABILITY AND PROCESS FOR PREPARING THE SAME |
| FR2758459B1 (en) | 1997-01-17 | 1999-05-07 | Pharma Pass | FENOFIBRATE PHARMACEUTICAL COMPOSITION HAVING HIGH BIODAVAILABILITY AND PROCESS FOR PREPARING THE SAME |
| WO1998043081A1 (en) | 1997-03-26 | 1998-10-01 | Ligand Pharmaceuticals Incorporated | Treatment of gastrointestinal disease with ppar modulators |
| US6024981A (en) | 1997-04-16 | 2000-02-15 | Cima Labs Inc. | Rapidly dissolving robust dosage form |
| DE19716120A1 (en) | 1997-04-17 | 1998-10-22 | Europ Lab Molekularbiolog | Use of cholesterol-lowering agents |
| EP0977573A1 (en) | 1997-04-24 | 2000-02-09 | MERCK SHARP & DOHME LTD. | Use of an nk-1 receptor antagonist and an ssri for treating obesity |
| CZ301985B6 (en) | 1997-05-14 | 2010-08-25 | Atherogenics, Inc. | Medicament based on probucol monoester with succinic acid for treating cardiovascular disease |
| US6423754B1 (en) | 1997-06-18 | 2002-07-23 | Geltex Pharmaceuticals, Inc. | Method for treating hypercholesterolemia with polyallylamine polymers |
| DE69840510D1 (en) | 1997-07-24 | 2009-03-12 | Astellas Pharma Inc | MEDICAL COMPOSITIONS WITH CHOLESTEROL EFFLUENT EFFECT |
| US20010006644A1 (en) | 1997-07-31 | 2001-07-05 | David J. Bova | Combinations of hmg-coa reductase inhibitors and nicotinic acid and methods for treating hyperlipidemia once a day at night |
| DK1017390T3 (en) | 1997-07-31 | 2007-06-11 | Kos Life Sciences Inc | Coated tablet comprising nicotinic acid or a compound metabolized to nicotinic acid in a sustained-release form and an HMG-CoA reductase inhibitor in an immediate-release form |
| AU8779898A (en) | 1997-08-11 | 1999-03-01 | Weider Nutrition International, Inc. | Compositions and treatments to reduce side effects of administration of androgenic testosterone precursors |
| WO1999009967A2 (en) | 1997-08-26 | 1999-03-04 | Merck & Co., Inc. | Cholesterol-lowering therapy |
| US6143885A (en) | 1997-08-27 | 2000-11-07 | Merck & Co., Inc. | Preparation of beta-methyl carbapenem intermediates |
| GT199800126A (en) | 1997-08-29 | 2000-01-29 | COMBINATION THERAPY. | |
| WO1999012534A1 (en) | 1997-09-10 | 1999-03-18 | Ono Pharmaceutical Co., Ltd. | Peroxisome proliferator-activated receptor controllers |
| GB2329334A (en) | 1997-09-18 | 1999-03-24 | Reckitt & Colmann Prod Ltd | Cholesterol-lowering agents |
| CA2214895C (en) | 1997-09-19 | 1999-04-20 | Bernard Charles Sherman | Improved pharmaceutical composition comprising fenofibrate |
| AU9002798A (en) | 1997-09-19 | 1999-04-12 | Ono Pharmaceutical Co. Ltd. | Fused or nonfused benzene compounds |
| WO1999015159A2 (en) | 1997-09-24 | 1999-04-01 | Nova Molecular, Inc. | Methods for increasing apoe levels for the treatment of neurodegenerative disease |
| PT1021405E (en) | 1997-10-07 | 2003-02-28 | Boehringer Ingelheim Ca Ltd | AZETIDINONE DERIVATIVES FOR THE TREATMENT OF HCMV INFECTIONS |
| IE970731A1 (en) | 1997-10-07 | 2000-10-04 | Fuisz Internat Ltd | Product and method for the treatment of hyperlipidemia |
| US6147109A (en) | 1997-10-14 | 2000-11-14 | The General Hospital Corporation | Upregulation of Type III endothelial cell Nitric Oxide Synthase by HMG-CoA reductase inhibitors |
| US6005102A (en) | 1997-10-15 | 1999-12-21 | American Home Products Corporation | Aryloxy-alkyl-dialkylamines |
| JP2001520193A (en) | 1997-10-17 | 2001-10-30 | アヴェンティス ファーマシューティカルズ プロダクツ インコーポレイテッド | Therapeutic use of quinoline derivatives |
| WO1999022728A1 (en) | 1997-10-31 | 1999-05-14 | Arch Development Corporation | Methods and compositions for regulation of 5-alpha reductase activity |
| US20030153541A1 (en) * | 1997-10-31 | 2003-08-14 | Robert Dudley | Novel anticholesterol compositions and method for using same |
| AU1809499A (en) | 1997-12-10 | 1999-06-28 | Awadhesh K. Mishra | Self-emulsifying fenofibrate formulations |
| US5985936A (en) | 1997-12-18 | 1999-11-16 | Forbes Medi-Tech, Inc. | Method of preventing and delaying onset of Alzheimer's disease and composition therefor |
| EP1051161B1 (en) | 1998-01-28 | 2006-03-22 | Warner-Lambert Company Llc | Method for treating alzheimer's disease |
| JP2002501909A (en) | 1998-01-29 | 2002-01-22 | ドクター・レディーズ・リサーチ・ファウンデーション | Novel alkanoic acid and its use in medicine, its production process and pharmaceutical composition containing it |
| JP4253126B2 (en) | 1998-01-29 | 2009-04-08 | アムジェン インコーポレイテッド | PPAR-gamma modulator |
| US6133001A (en) | 1998-02-23 | 2000-10-17 | Schering Corporation | Stereoselective microbial reduction for the preparation of 1-(4-fluorophenyl)-3(R)-[3(S)-Hydroxy-3-(4-fluorophenyl)propyl)]-4(S)-(4 -hydroxyphenyl)-2-azetidinone |
| DE69941777D1 (en) | 1998-03-10 | 2010-01-21 | Ono Pharmaceutical Co | CARBOXYLENE DERIVATIVES AND MEDICAMENTS CONTAINING THESE AS ACTIVE ACTIVE SUBSTANCES |
| US6235311B1 (en) | 1998-03-18 | 2001-05-22 | Bristol-Myers Squibb Company | Pharmaceutical composition containing a combination of a statin and aspirin and method |
| US6080778A (en) | 1998-03-23 | 2000-06-27 | Children's Medical Center Corporation | Methods for decreasing beta amyloid protein |
| CN1208326C (en) | 1998-04-23 | 2005-06-29 | 雷迪实验室有限公司 | Heterocyclic compound and its application in medicine, its preparation method and pharmaceutical composition containing them |
| RU2219167C2 (en) | 1998-04-29 | 2003-12-20 | Орто-Макнейл Фармасьютикал, Инк. | N-substituted aminotetralines as ligands for receptor of y5 of neuropeptide y useful in treatment of obesity and other disorders |
| CN100357281C (en) | 1998-05-27 | 2007-12-26 | 雷迪实验室有限公司 | Bicyclic compounds, process for their preparation and pharmaceutical composition containing them |
| US6262042B1 (en) | 1998-05-29 | 2001-07-17 | Research Triangle Institute | 17β-amino and hydroxylamino-11β-arylsteroids and their derivatives having agonist or antagonist hormonal properties |
| FR2779347A1 (en) | 1998-06-05 | 1999-12-03 | Arlette Guerry | Micronization of medicaments to improve homogeneity and bioavailability of active compound |
| AU754767B2 (en) | 1998-06-24 | 2002-11-21 | Merck & Co., Inc. | Compositions and methods for treating elevated blood cholesterol |
| JP2002518449A (en) | 1998-06-24 | 2002-06-25 | メルク エンド カムパニー インコーポレーテッド | Compositions and methods for treating high blood cholesterol |
| US6099865A (en) | 1998-07-08 | 2000-08-08 | Fmc Corporation | Croscarmellose taste masking |
| FR2781222A1 (en) | 1998-07-17 | 2000-01-21 | Lipha | New cyclic peroxisome proliferator activated receptor activators, used to prevent or treat dyslipidemia, atherosclerosis and diabetes |
| DE69911975T2 (en) | 1998-07-31 | 2004-09-09 | Novo Nordisk A/S | IN-VITRO STIMULATION OF BETA CELL REPRODUCTION |
| JP2002522425A (en) | 1998-08-07 | 2002-07-23 | カイロン コーポレイション | Substituted isoxazoles as estrogen receptor modulators |
| FR2783421B1 (en) | 1998-09-17 | 2000-11-24 | Cll Pharma | PROCESS FOR THE PREPARATION OF NOVEL GALENIC FORMULATIONS OF FENOFIBRATE, GALENIC FORMULATIONS OBTAINED BY SAID PROCESS AND THEIR APPLICATIONS |
| US6147090A (en) | 1998-09-17 | 2000-11-14 | Pfizer Inc. | 4-carboxyamino-2-methyl-1,2,3,4,-tetrahydroquinolines |
| EA007427B1 (en) | 1998-09-30 | 2006-10-27 | Варнер Ламберт Компани | Method for preventing or delaying catheter-based revascularization |
| US5919672A (en) | 1998-10-02 | 1999-07-06 | Schering Corporation | Resolution of trans-2-(alkoxycarbonylethyl)-lactams useful in the synthesis of 1-(4-fluoro-phenyl)-3(R)- (S)-hydroxy-3-(4-fluorophenyl)-propyl!-4(S)-(4-hydroxyphenyl)-2-azetidinone |
| WO2000023425A1 (en) | 1998-10-21 | 2000-04-27 | Novo Nordisk A/S | New compounds, their preparation and use |
| WO2000023416A1 (en) | 1998-10-21 | 2000-04-27 | Novo Nordisk A/S | New compounds, their preparation and use |
| US6248781B1 (en) | 1998-10-21 | 2001-06-19 | Novo Nordisk A/S | Compounds useful in the treatment of conditions mediated by peroxisome proliferator-activated receptors (PPAR) |
| EP1123297A1 (en) | 1998-10-21 | 2001-08-16 | Novo Nordisk A/S | New compounds, their preparation and use |
| US6353018B1 (en) | 1998-10-21 | 2002-03-05 | Novo Nordisk A/S | Compounds, their preparation and use |
| AU6325599A (en) | 1998-10-21 | 2000-05-08 | Dr. Reddy's Research Foundation | New compounds, their preparation and use |
| CA2253769C (en) | 1998-11-10 | 2000-09-26 | Bernard Charles Sherman | Pharmaceutical compositions comprising fenofibrate |
| US6472421B1 (en) | 1998-11-13 | 2002-10-29 | Nymox Corporation | Methods for treating, preventing, and reducing the risk of the onset of alzheimer's disease using an HMG CoA reductase inhibitor |
| JP2002530122A (en) | 1998-11-25 | 2002-09-17 | サイオス インコーポレイテッド | Prevention and treatment of amyloid-related diseases |
| SA99191255B1 (en) | 1998-11-30 | 2006-11-25 | جي دي سيرل اند كو | celecoxib compounds |
| ES2244238T3 (en) | 1998-12-07 | 2005-12-01 | Schering Corporation | PROCESS FOR SYNTHESIS OF AZETIDINONES. |
| US6277584B1 (en) | 1998-12-16 | 2001-08-21 | Dade Behring Inc. | Method for calibrating a chemical analyzer with improved accuracy at low signal levels |
| CA2355820A1 (en) | 1998-12-18 | 2000-06-29 | Abbott Laboratories | Novel formulations comprising lipid-regulating agents |
| DE19858789A1 (en) | 1998-12-18 | 2000-06-21 | Bayer Ag | Medicament combination of cerivastatin and fibrate, has additive effect in the treatment of lipid metabolism disorders, e.g. dyslipidemia or atherosclerosis |
| KR20010099937A (en) | 1998-12-23 | 2001-11-09 | 윌리암스 로저 에이 | Combinations of cholesteryl ester transfer protein inhibitors and fibric acid derivatives for cardiovascular indications |
| EP1340510A1 (en) | 1998-12-23 | 2003-09-03 | G.D. Searle LLC. | Combinations of cholesteryl ester transfer protein inhibitors and bile acid sequestering agents for cardiovascular indications |
| KR20010102964A (en) | 1998-12-23 | 2001-11-17 | 윌리암스 로저 에이 | Combinations of ileal bile acid transport inhibitors and fibric acid derivatives for cardiovascular indications |
| DE69908643T2 (en) | 1998-12-23 | 2004-05-13 | G.D. Searle Llc, Chicago | COMBINATIONS OF CHOLESTERYL ESTER TRANSFER PROTEIN INHIBITORS AND NICOTIC ACID DERIVATIVES FOR CARDIOVASCULAR INDICATIONS |
| EA005815B1 (en) | 1998-12-23 | 2005-06-30 | Джи.Ди.Сирл Ллс | Combinations od ileal bile acid transport inhibitors and cholesteryl transfer protein inhibitors for cardiovascular indications |
| US6462091B1 (en) | 1998-12-23 | 2002-10-08 | G.D. Searle & Co. | Combinations of cholesteryl ester transfer protein inhibitors and HMG coA reductase inhibitors for cardiovascular indications |
| ATE228012T1 (en) | 1998-12-23 | 2002-12-15 | Searle Llc | COMBINATIONS OF ILEUMGALLIC ACID TRANSPORT INHIBITORS AND BALE ACID SEQUESTRING AGENTS FOR CARDIOVASCULAR INDICATIONS |
| EP1354604A1 (en) | 1998-12-23 | 2003-10-22 | G.D. Searle LLC. | Combinations for cardiovascular indications |
| AU776952B2 (en) | 1998-12-23 | 2004-09-30 | G.D. Searle Llc | Combinations of ileal bile acid transport inhibitors and nicotinic acid derivatives for cardiovascular indications |
| AR022204A1 (en) | 1999-01-08 | 2002-09-04 | Norgine Bv | COMPOUND, PROCESS FOR PREPARATION, PHARMACEUTICAL COMPOSITION AND EDIBLE PRODUCT THAT UNDERSTANDS IT. |
| GB0000710D0 (en) | 1999-02-06 | 2000-03-08 | Zeneca Ltd | Drug combination |
| AU2690600A (en) | 1999-02-24 | 2000-09-14 | Fuji Chemical Industries, Ltd. | 2-mercaptocarboxylic acid derivatives |
| EP1161236A1 (en) | 1999-03-08 | 2001-12-12 | Merck & Co., Inc. | Dihydroxy open-acid and salts of hmg-co-a reductase inhibitors |
| EP1036563A1 (en) | 1999-03-08 | 2000-09-20 | MERCK & CO. INC. | Delayed-release oral formulation of dihydroxy open acid simvastatin and salts and esters thereof |
| EP1637137A3 (en) | 1999-03-10 | 2006-07-05 | G.D. Searle LLC | Method and composition for administering a cyclooxygenase-2 inhibitor to animals |
| EP1176134A4 (en) | 1999-03-11 | 2004-06-30 | Arigen Inc | PPAR NUCLEAR RECEPTOR LIGANDS |
| CA2368187A1 (en) | 1999-03-19 | 2000-09-28 | Brigham And Women's Hospital, Inc. | Upregulation of type iii endothelial cell nitric oxide synthase by hmg-coa reductase inhibitors |
| WO2000057859A1 (en) | 1999-03-31 | 2000-10-05 | Abbott Laboratories | Novel formulations comprising lipid-regulating agents |
| AU4017500A (en) | 1999-03-31 | 2000-10-16 | Abbott Laboratories | Novel formulations comprising lipid-regulating agents |
| CA2367289C (en) | 1999-04-05 | 2008-02-12 | Schering Corporation | Stereoselective microbial reduction for the preparation of 1-(4-fluorophenyl)-3(r)-[3(s)-hydroxy-3-(4-fluorophenyl)propyl)]-4(s)-(4-hydroxyphenyl)-2-azetidinone |
| WO2000063703A1 (en) | 1999-04-16 | 2000-10-26 | Schering Corporation | Use of azetidinone compounds |
| DE60021368T2 (en) | 1999-04-19 | 2006-07-27 | Lexicon Pharmaceuticals (New Jersey), Inc. | PPAR (GAMMA) AGONISTS FOR THE TREATMENT OF TYPE II DIABETES |
| AU3958200A (en) | 1999-04-20 | 2000-11-02 | Novo Nordisk A/S | New compounds, their preparation and use |
| EP1171431A1 (en) | 1999-04-20 | 2002-01-16 | Novo Nordisk A/S | Compounds, their preparation and use |
| PL351312A1 (en) | 1999-04-20 | 2003-04-07 | Novo Nordisk As | New compounds, their preparation and use |
| WO2000063209A1 (en) | 1999-04-20 | 2000-10-26 | Novo Nordisk A/S | New compounds, their preparation and use |
| CA2270306C (en) | 1999-04-27 | 2000-09-26 | Bernard Charles Sherman | Pharmaceutical compositions comprising co-micronized fenofibrate |
| WO2000069445A1 (en) | 1999-05-13 | 2000-11-23 | Geltex Pharmaceuticals, Inc. | Combination therapy for treating hypercholesterolemia |
| EP1183011A4 (en) | 1999-05-14 | 2005-01-19 | Esperion Luv Dev Inc | Method of treating angina and/or anginal equivalents, and pharmaceutical compositions and kit related thereto |
| MXPA01012225A (en) | 1999-05-28 | 2002-08-12 | Abbott Lab | Novel formulations comprising lipid-regulating agents. |
| US6465011B2 (en) | 1999-05-29 | 2002-10-15 | Abbott Laboratories | Formulations comprising lipid-regulating agents |
| JP4618845B2 (en) | 1999-06-09 | 2011-01-26 | 杏林製薬株式会社 | Substituted phenylpropionic acid derivatives as human peroxisome proliferator-activated receptor (PPAR) alpha agonists |
| US6372251B2 (en) | 1999-06-11 | 2002-04-16 | Abbott Laboratories | Formulations comprising lipid-regulating agents |
| GB9913782D0 (en) | 1999-06-14 | 1999-08-11 | Smithkline Beecham Plc | Novel compounds |
| DE60032898T2 (en) | 1999-06-18 | 2007-10-25 | Merck & Co., Inc. | ARYLTHIAZOLIDEINDION AND ARYLOXAZOLIDINE DERIVATIVES |
| DE60029446T2 (en) | 1999-06-18 | 2007-02-08 | Merck & Co., Inc. | ARYLTHIAZOLIDEINDIONE AND ARYLOXAZOIDIDE DERIVATIVES |
| GB9914977D0 (en) | 1999-06-25 | 1999-08-25 | Glaxo Group Ltd | Chemical compounds |
| MXPA01013199A (en) | 1999-06-30 | 2003-08-20 | Tularik Inc | COMPOUNDS FOR THE MODULATION OF PPARgamma ACTIVITY. |
| AU776722B2 (en) | 1999-08-03 | 2004-09-16 | Icos Corporation | Beta-carboline pharmaceutical compositions |
| EP1078632A1 (en) | 1999-08-16 | 2001-02-28 | Sanofi-Synthelabo | Use of monoamine oxydase inhibitors for the manufacture of drugs intended for the treatment of obesity |
| GB9919413D0 (en) | 1999-08-18 | 1999-10-20 | Zeneca Ltd | Chemical compounds |
| GB9919411D0 (en) | 1999-08-18 | 1999-10-20 | Zeneca Ltd | Chemical compounds |
| HUP0202893A3 (en) | 1999-08-23 | 2004-12-28 | Kyorin Seiyaku Kk | Substituted benzylthiazolidine-2,4-dione derivatives and pharmaceutical compositions containing them |
| AU778721B2 (en) | 1999-08-23 | 2004-12-16 | Kyorin Pharmaceutical Co. Ltd. | Substituted benzylthiazolidine-2,4-dione derivatives |
| CA2382574A1 (en) | 1999-08-23 | 2001-03-01 | Kyorin Pharmaceutical Co., Ltd. | Substituted benzylthiazolidine-2,4-dione derivatives |
| DK1206457T3 (en) | 1999-08-27 | 2004-02-16 | Lilly Co Eli | Biaryl-oxa (thia) zole derivatives and their use as modulators PPAPs |
| EP1212101A1 (en) | 1999-08-31 | 2002-06-12 | The Brigham And Women's Hospital, Inc. | Systemic inflammatory markers as diagnostic tools in the prevention of atherosclerotic diseases |
| CN1560249A (en) | 1999-09-08 | 2005-01-05 | 杰南技术公司 | Nucleic acids and polypeptides of fibroblast growth factor-19 (FGF-19) and methods for treating obesity |
| ATE260912T1 (en) | 1999-09-08 | 2004-03-15 | Glaxo Group Ltd | OXAZOLE PPAR ANTAGONISTS |
| CA2385083C (en) | 1999-09-17 | 2007-06-05 | Kyorin Pharmaceutical Co., Ltd. | O-anisamide derivatives |
| EP1225901A2 (en) | 1999-09-21 | 2002-07-31 | Emory University | Uses and compositions for treating platelet-related disorders using anagrelide |
| WO2001021647A2 (en) | 1999-09-22 | 2001-03-29 | Genset | Methods of screening for compounds that modulate the lsr-leptin interaction and their use in the prevention and treatment of obesity-related diseases |
| US6762171B1 (en) | 1999-09-24 | 2004-07-13 | Kyorin Pharmaceutical Co, Ltd. | Fatty acid CoA thioester inhibitory substance of PPARα and PPARγ |
| WO2001025225A2 (en) | 1999-09-30 | 2001-04-12 | Resolution Research Nederland B.V. | Adducts of glycidylesters of alpha, alpha-branched carboxylic acids and acrylic acids and poly(ortho ester) as intermediate for their preparation |
| AU7717500A (en) | 1999-09-30 | 2001-04-30 | Merck & Co., Inc. | Anti-hypercholesterolemic drug combination |
| WO2001025226A1 (en) | 1999-10-05 | 2001-04-12 | Bethesda Pharmaceuticals, Inc. | Dithiolane derivatives |
| JP2003525217A (en) | 1999-10-22 | 2003-08-26 | メルク エンド カムパニー インコーポレーテッド | Obesity treatment drugs |
| NZ518822A (en) | 1999-11-04 | 2004-12-24 | Andrx Corp | Treating a mammal with an APP processing disorder such as Alzheimer's Disease and Down's Syndrome by administering at least one HMG-CoA reductase inhibitor |
| TWI271192B (en) | 1999-11-11 | 2007-01-21 | Kyorin Pharmaceutical Co Ltd | Solid formulation for oral administration |
| JP2003514024A (en) | 1999-11-12 | 2003-04-15 | オンコリティクス バイオテク,インコーポレーテッド | Viruses for the treatment of cell proliferative disorders |
| CZ20021911A3 (en) | 1999-12-03 | 2002-10-16 | Kyoto Pharmaceutical Industries, Ltd. | Novel heterocyclic compounds and their salts as well as their employment in medicine |
| SK287105B6 (en) | 1999-12-20 | 2009-12-07 | Schering Corporation | Bilayer sustained release oral dosage composition |
| US6248359B1 (en) | 2000-01-05 | 2001-06-19 | Laboratorios Phoenix U.S.A., Inc. | Multi-tablet oxybutynin system for treating incontinence |
| US20010028895A1 (en) | 2000-02-04 | 2001-10-11 | Bisgaier Charles L. | Methods of treating alzheimer's disease |
| EP1259494A4 (en) | 2000-02-18 | 2004-09-15 | Merck & Co Inc | ARYLOXY ACETIC ACIDS FOR DIABETES AND LIPID DISEASES |
| ATE312613T1 (en) | 2000-02-29 | 2005-12-15 | Bristol Myers Squibb Co | LOW DOSE ENTECAVIR FORMULATION AND USE |
| ES2263604T5 (en) | 2000-04-10 | 2017-02-07 | Nicholas John Wald | Formulation for the Prevention of Cardiovascular Disease |
| US6316029B1 (en) | 2000-05-18 | 2001-11-13 | Flak Pharma International, Ltd. | Rapidly disintegrating solid oral dosage form |
| US20020013334A1 (en) | 2000-06-15 | 2002-01-31 | Robl Jeffrey A. | HMG-CoA reductase inhibitors and method |
| JP2004513076A (en) | 2000-07-25 | 2004-04-30 | メルク エンド カムパニー インコーポレーテッド | N-substituted indoles useful in the treatment of diabetes |
| US20020132855A1 (en) * | 2000-08-03 | 2002-09-19 | Nelson Edward B. | Use of acetaminophen to prevent and treat arteriosclerosis |
| DE10042447A1 (en) * | 2000-08-29 | 2002-03-28 | Aventis Pharma Gmbh | Vertebrate intestinal protein that absorbs cholesterol and use of this protein to identify inhibitors of intestinal cholesterol transport |
| EP1324995A2 (en) | 2000-09-27 | 2003-07-09 | Merck & Co., Inc. | Benzopyrancarboxylic acid derivatives for the treatment of diabetes and lipid disorders |
| SK286703B6 (en) | 2000-12-20 | 2009-03-05 | Schering Corporation | Sugar-substituted 2-azetidinones, pharmaceutical preparation containing these compounds and use thereof |
| IL156548A0 (en) * | 2000-12-21 | 2004-01-04 | Aventis Pharma Gmbh | Diphenyl azetidinone derivatives, method for the production thereof, medicaments containing these compounds, and their use |
| IL156552A0 (en) | 2000-12-21 | 2004-01-04 | Aventis Pharma Gmbh | Diphenyl azetidinone derivatives, method for the production thereof, medicaments containing these compounds, and their use |
| DE50111751D1 (en) * | 2000-12-21 | 2007-02-08 | Sanofi Aventis Deutschland | NEW DIPHENZYLAZETIDINONE, PROCESS FOR THE PRODUCTION THEREOF, MEDICAMENT CONTAINING THESE COMPOUNDS AND THEIR USE FOR THE TREATMENT OF LIPID METABOLISM DISORDER |
| BR0206644A (en) | 2001-01-26 | 2004-02-25 | Schering Corp | Sterol absorption inhibitor (s) combinations with cardiovascular agent (s) for the treatment of vascular conditions |
| KR20040025890A (en) | 2001-01-26 | 2004-03-26 | 쉐링 코포레이션 | Combinations of sterol absorption inhibitor(s) with blood modifier(s) for treating vascular conditions |
| IL156445A0 (en) * | 2001-01-26 | 2004-01-04 | Schering Corp | Combinations of peroxisome proliferator-activated receptor (ppar) activator(s) and sterol absorption inhibitor(s) and treatments for vascular indications |
| SI1355644T1 (en) * | 2001-01-26 | 2006-10-31 | Schering Corp | The use of substituted azetidinone compounds for the treatment of sitosterolemia |
| TW200840563A (en) | 2001-01-26 | 2008-10-16 | Schering Corp | Combinations of nicotinic acid and derivatives thereof and sterol absorption inhibitor(S) and treatments for vascular indications |
| AU2002251978B2 (en) | 2001-02-09 | 2007-07-19 | Merck & Co., Inc. | 2-aryloxy-2-arylalkanoic acids for diabetes and lipid disorders |
| DE10106787A1 (en) | 2001-02-12 | 2002-08-22 | Nanogate Gmbh | Anhydrous hydrolyzed sol-gel systems |
| CA2438492A1 (en) | 2001-02-15 | 2002-08-22 | Pfizer Products Inc. | Proliferative activator receptor (ppar) compounds |
| WO2002064549A1 (en) | 2001-02-15 | 2002-08-22 | Pfizer Products Inc. | Ppar agonists |
| CA2439920A1 (en) | 2001-03-08 | 2002-09-19 | Merck & Co., Inc. | Antihypertensive agent and cholesterol absorption inhibitor combination therapy |
| WO2002081454A1 (en) | 2001-04-09 | 2002-10-17 | Dr. Reddy's Laboratories Ltd. | Derivatives of aryl acids, their use in medicine, process for their preparation and pharmaceutical compositions containing them |
| WO2003018024A1 (en) | 2001-08-22 | 2003-03-06 | Aventis Pharma Deutschland Gmbh | Combined preparations, containing 1,4-benzothiepine-1,1-dioxide derivatives and other active substances, and the use thereof |
| HRP20040172A2 (en) | 2001-08-22 | 2004-10-31 | Aventis Pharma Gmbh | Combination preparations of aryl substituted propanolamine derivatives with other active ingredients and the use thereof |
| DK1427409T3 (en) * | 2001-09-21 | 2009-01-12 | Schering Corp | Method for Treating or Preventing Vascular Inflammation Using One or More Sterol Absorption Inhibitors |
| US7053080B2 (en) * | 2001-09-21 | 2006-05-30 | Schering Corporation | Methods and therapeutic combinations for the treatment of obesity using sterol absorption inhibitors |
| WO2003039542A1 (en) | 2001-10-17 | 2003-05-15 | Merck & Co. Inc. | Combination therapy for treating alzheimer's disease |
| AU2003217276A1 (en) | 2002-02-28 | 2003-09-16 | Eli Lilly And Company | Method of treating atherosclerosis and hypercholesterolemia |
| WO2003088962A1 (en) | 2002-04-16 | 2003-10-30 | Merck & Co., Inc. | Combination therapy using a ppar alpha/gamma agonist |
-
2002
- 2002-09-19 DK DK02773469T patent/DK1429756T3/en active
- 2002-09-19 WO PCT/US2002/029652 patent/WO2003026643A2/en not_active Ceased
- 2002-09-19 AT AT02773469T patent/ATE345793T1/en active
- 2002-09-19 DE DE60216300T patent/DE60216300T2/en not_active Expired - Lifetime
- 2002-09-19 PT PT02773469T patent/PT1429756E/en unknown
- 2002-09-19 JP JP2003530280A patent/JP2005504091A/en active Pending
- 2002-09-19 MX MXPA04002573A patent/MXPA04002573A/en active IP Right Grant
- 2002-09-19 AU AU2002336609A patent/AU2002336609B2/en not_active Ceased
- 2002-09-19 US US10/247,095 patent/US7132415B2/en not_active Expired - Fee Related
- 2002-09-19 EP EP02773469A patent/EP1429756B1/en not_active Expired - Lifetime
- 2002-09-19 ES ES02773469T patent/ES2272776T3/en not_active Expired - Lifetime
- 2002-09-19 CA CA2460340A patent/CA2460340C/en not_active Expired - Fee Related
-
2006
- 2006-05-22 US US11/439,490 patent/US20060217363A1/en not_active Abandoned
- 2006-12-29 CY CY20061101869T patent/CY1105892T1/en unknown
Patent Citations (99)
| Publication number | Priority date | Publication date | Assignee | Title |
|---|---|---|---|---|
| US3716583A (en) * | 1969-04-16 | 1973-02-13 | Sumitomo Chemical Co | Phenoxy carboxylic acid derivative |
| US4148923A (en) * | 1972-05-31 | 1979-04-10 | Synthelabo | 1-(3'-Trifluoromethylthiophenyl)-2-ethylaminopropane pharmaceutical composition and method for treating obesity |
| US3948973A (en) * | 1972-08-29 | 1976-04-06 | Sterling Drug Inc. | Halocyclopropyl substituted phenoxyalkanoic acids |
| US4072705A (en) * | 1975-02-12 | 1978-02-07 | Orchimed S.A. | Phenylmethylphenoxy propionic acid esters |
| US4075000A (en) * | 1975-05-27 | 1978-02-21 | Eli Lilly And Company | Herbicidal use of 4-amino-3,3-dimethyl-1-phenyl-2-azetidinones |
| US4576753A (en) * | 1975-10-06 | 1986-03-18 | Fujisawa Pharmaceutical Co., Ltd. | Azetidinone compounds and processes for preparation thereof |
| US4144232A (en) * | 1976-12-23 | 1979-03-13 | Eli Lilly And Company | Substituted azetidin-2-one antibiotics |
| US4250191A (en) * | 1978-11-30 | 1981-02-10 | Edwards K David | Preventing renal failure |
| US4375475A (en) * | 1979-08-17 | 1983-03-01 | Merck & Co., Inc. | Substituted pyranone inhibitors of cholesterol synthesis |
| US4260743A (en) * | 1979-12-31 | 1981-04-07 | Gist-Brocades N.V. | Preparation of β-lactams and intermediates therefor |
| US4444784A (en) * | 1980-08-05 | 1984-04-24 | Merck & Co., Inc. | Antihypercholesterolemic compounds |
| US4567195A (en) * | 1981-02-20 | 1986-01-28 | Schering, Aktiengesellschaft | Azaprostacyclins, their preparation and pharmaceutical use |
| US4500456A (en) * | 1981-03-09 | 1985-02-19 | Eli Lilly And Company | Preparation of 4-fluoroazetidinones using FClO3 |
| US4443372A (en) * | 1982-06-23 | 1984-04-17 | Chevron Research Company | 1-Alkyl derivatives of 3-aryloxy-4-(2-carbalkoxy)-phenyl-azet-2-ones as plant growth regulators |
| US4564609A (en) * | 1983-03-25 | 1986-01-14 | Yamanouchi Pharmaceutical Co., Ltd. | 4-Substituted-2-azetidinone compound, process of producing the compounds, and medicaments containing the compounds |
| US4576749A (en) * | 1983-10-03 | 1986-03-18 | E. R. Squibb & Sons, Inc. | 3-Acylamino-1-carboxymethylaminocarbonyl-2-azetidinones |
| US4654362A (en) * | 1983-12-05 | 1987-03-31 | Janssen Pharmaceutica, N.V. | Derivatives of 2,2'-iminobisethanol |
| US4581170A (en) * | 1984-08-03 | 1986-04-08 | E. R. Squibb & Sons, Inc. | N-hydroxyl protecting groups and process and intermediates for the preparation of 3-acylamino-1-hydroxy-2-azetidinones |
| US4576748A (en) * | 1984-09-17 | 1986-03-18 | Merck & Co., Inc. | 3-Hydroxy-3-aminoethyl β-lactams |
| US4642903A (en) * | 1985-03-26 | 1987-02-17 | R. P. Scherer Corporation | Freeze-dried foam dosage form |
| US4739101A (en) * | 1986-04-30 | 1988-04-19 | Fournier Innovation Et Synergie | Method for the preparation of fibrates |
| US4800079A (en) * | 1986-08-08 | 1989-01-24 | Ethypharm Sa | Medicine based on fenofibrate, and a method of preparing it |
| US4814354A (en) * | 1986-09-26 | 1989-03-21 | Warner-Lambert Company | Lipid regulating agents |
| US4803266A (en) * | 1986-10-17 | 1989-02-07 | Taisho Pharmaceutical Co., Ltd. | 3-Oxoalkylidene-2-azetidinone derivatives |
| US5286631A (en) * | 1986-12-15 | 1994-02-15 | Eli Lilly And Company | Process for producing the A10255 complex and corresponding microorganism |
| US5106833A (en) * | 1987-07-23 | 1992-04-21 | Washington University | Coagulation inhibitors |
| US5091525A (en) * | 1987-10-07 | 1992-02-25 | Eli Lilly And Company | Monohydrate and DMF solvates of a new carbacephem antibiotic |
| US5385885A (en) * | 1988-01-15 | 1995-01-31 | Gasic; Gregory P. | Inhibition of smooth muscle cell proliferation by antistasin and tick anticoagulant peptide |
| US4895726A (en) * | 1988-02-26 | 1990-01-23 | Fournier Innovation Et Synergie | Novel dosage form of fenofibrate |
| US5093365A (en) * | 1988-06-02 | 1992-03-03 | Norsk Hydro A.S. | Non-β-oxidizable fatty acid analogues with the effect to reduce the concentration of cholesterol and triglycerides in blood of mammals |
| US5384124A (en) * | 1988-07-21 | 1995-01-24 | Farmalyoc | Solid porous unitary form comprising micro-particles and/or nano-particles, and its preparation |
| US5510466A (en) * | 1988-11-15 | 1996-04-23 | Massachusetts Institute Of Technology | Scavenger receptor protein and antibody thereto |
| US5100675A (en) * | 1989-05-03 | 1992-03-31 | Schering Corporation | Sustained release tablet comprising loratadine, ibuprofen and pseudoephedrine |
| US4990535A (en) * | 1989-05-03 | 1991-02-05 | Schering Corporation | Pharmaceutical composition comprising loratadine, ibuprofen and pseudoephedrine |
| USH1286H (en) * | 1989-06-05 | 1994-02-01 | E. R. Squibb & Sons, Inc. | Method for treating peripheral atherosclerotic disease employing a cholesterol lowering drug, an ace inhibitor, or a combination thereof |
| US5099034A (en) * | 1989-06-30 | 1992-03-24 | Shionogi & Co., Ltd. | Phospholipase a2 inhibitor |
| US4983597A (en) * | 1989-08-31 | 1991-01-08 | Merck & Co., Inc. | Beta-lactams as anticholesterolemic agents |
| US5401513A (en) * | 1989-09-15 | 1995-03-28 | Cima Labs, Inc. | Magnesium carbonate and oil tableting aid and flavoring additive |
| US5178878A (en) * | 1989-10-02 | 1993-01-12 | Cima Labs, Inc. | Effervescent dosage form with microparticles |
| US5188825A (en) * | 1989-12-28 | 1993-02-23 | Iles Martin C | Freeze-dried dosage forms and methods for preparing the same |
| US5298497A (en) * | 1990-05-15 | 1994-03-29 | E. R. Squibb & Sons, Inc. | Method for preventing onset of hypertension employing a cholesterol lowering drug |
| US5593971A (en) * | 1990-05-15 | 1997-01-14 | E. R. Squibb & Sons, Inc. | Method for preventing onset of hypertension employing a cholesterol lowering drug |
| US5622985A (en) * | 1990-06-11 | 1997-04-22 | Bristol-Myers Squibb Company | Method for preventing a second heart attack employing an HMG CoA reductase inhibitor |
| US5410035A (en) * | 1990-08-07 | 1995-04-25 | Matsutani Chemical Industries Co., Ltd. | Food composition having hypotensive effect |
| US5190970A (en) * | 1990-10-19 | 1993-03-02 | E. R. Squibb & Sons, Inc. | Method for preventing onset of or treating Type II diabetes employing a cholesterol lowering drug alone or in combination with an ace inhibitor |
| US5204461A (en) * | 1990-11-08 | 1993-04-20 | Takasago International Corporation | Process for preparing (1'r,3s)-3-(1'-hydroxyethyl)-azetidin-2-one and derivatives thereof |
| US5612367A (en) * | 1990-12-12 | 1997-03-18 | Zeneca Limited | Method of enhancing bioavailability of pharmaceutical agents |
| US5399363A (en) * | 1991-01-25 | 1995-03-21 | Eastman Kodak Company | Surface modified anticancer nanoparticles |
| US5494683A (en) * | 1991-01-25 | 1996-02-27 | Eastman Kodak Company | Surface modified anticancer nanoparticles |
| US5306817A (en) * | 1991-07-23 | 1994-04-26 | Schering Corporation | Process for the stereospecific synthesis of azetidinones |
| US5278176A (en) * | 1992-08-21 | 1994-01-11 | Abbott Laboratories | Nicotine derivatives that enhance cognitive function |
| US5503846A (en) * | 1993-03-17 | 1996-04-02 | Cima Labs, Inc. | Base coated acid particles and effervescent formulation incorporating same |
| US5728827A (en) * | 1993-07-09 | 1998-03-17 | Schering Corporation | Process for the synthesis of azetidinones |
| US5622719A (en) * | 1993-09-10 | 1997-04-22 | Fuisz Technologies Ltd. | Process and apparatus for making rapidly dissolving dosage units and product therefrom |
| US5871781A (en) * | 1993-09-10 | 1999-02-16 | Fuisz Technologies Ltd. | Apparatus for making rapidly-dissolving dosage units |
| US5866163A (en) * | 1993-09-10 | 1999-02-02 | Fuisz Technologies Ltd. | Process and apparatus for making rapidly dissolving dosage units and product therefrom |
| US5595761A (en) * | 1994-01-27 | 1997-01-21 | The Board Of Regents Of The University Of Oklahoma | Particulate support matrix for making a rapidly dissolving tablet |
| US5718388A (en) * | 1994-05-25 | 1998-02-17 | Eastman Kodak | Continuous method of grinding pharmaceutical substances |
| US5862999A (en) * | 1994-05-25 | 1999-01-26 | Nano Systems L.L.C. | Method of grinding pharmaceutical substances |
| US5744467A (en) * | 1994-11-18 | 1998-04-28 | Schering Corporation | Sulfur-substituted azetidinone compounds useful as hypocholesterolemic agents |
| US5624920A (en) * | 1994-11-18 | 1997-04-29 | Schering Corporation | Sulfur-substituted azetidinone compounds useful as hypocholesterolemic agents |
| US5705388A (en) * | 1994-12-23 | 1998-01-06 | Ribozyme Pharmaceuticals, Inc. | CETP Ribozymes |
| US5880148A (en) * | 1995-02-02 | 1999-03-09 | Laboratoires Fournier S.A. | Combination of fenofibrate and vitamin E, and method of use of same in therapeutic treatments |
| US5709886A (en) * | 1995-02-03 | 1998-01-20 | Eurand America, Incorporated | Effervescent microcapsules |
| US5591456A (en) * | 1995-02-10 | 1997-01-07 | Nanosystems L.L.C. | Milled naproxen with hydroxypropyl cellulose as a dispersion stabilizer |
| US5510118A (en) * | 1995-02-14 | 1996-04-23 | Nanosystems Llc | Process for preparing therapeutic compositions containing nanoparticles |
| US6030990A (en) * | 1995-06-02 | 2000-02-29 | Kyorin Pharmaceutical Co., Ltd. | N-benzyldioxothiazolidylbenzamide derivatives and process for producing the same |
| US5612378A (en) * | 1995-06-06 | 1997-03-18 | 3-Dimensional Pharmaceuticals, Inc. | Bis-arylsulfonylaminobenzamide derivatives and the use thereof as factor Xa inhibitors |
| US5607697A (en) * | 1995-06-07 | 1997-03-04 | Cima Labs, Incorporated | Taste masking microparticles for oral dosage forms |
| US5612353A (en) * | 1995-06-07 | 1997-03-18 | Rhone-Poulenc Rorer Pharmaceuticals Inc. | Substituted (sulfinic acid, sulfonic acid, sulfonylamino or sulfinylamino) N-[(aminoiminomethyl)phenylalkyl]-azaheterocyclylamide compounds |
| US5734077A (en) * | 1995-09-14 | 1998-03-31 | Adir Et Compagnie | Substituted 2,2-dimethyl-omega-phenoxyalkanoic acids and esters |
| US5856473A (en) * | 1995-11-02 | 1999-01-05 | Schering Corporation | Process for preparing 1-(4-fluorophenyl)-3(R)-(3(S)-hydroxy-3-( phenyl or 4-fluorophenyl!)-propyl)-4(S)-(4-hydroxyphenyl)-2-azetidinone |
| US5618707A (en) * | 1996-01-04 | 1997-04-08 | Schering Corporation | Stereoselective microbial reduction of 5-fluorophenyl-5-oxo-pentanoic acid and a phenyloxazolidinone condensation product thereof |
| US5859051A (en) * | 1996-02-02 | 1999-01-12 | Merck & Co., Inc. | Antidiabetic agents |
| US6028109A (en) * | 1996-03-30 | 2000-02-22 | Glaxo Wellcome Inc. | Use of agonists of the peroxisome proliferator activated receptor alpha for treating obesity |
| US5858409A (en) * | 1996-04-17 | 1999-01-12 | Fmc Corporation | Hydrolyzed cellulose granulations for pharmaceuticals |
| US5886171A (en) * | 1996-05-31 | 1999-03-23 | Schering Corporation | 3-hydroxy gamma-lactone based enantioselective synthesis of azetidinones |
| US5739321A (en) * | 1996-05-31 | 1998-04-14 | Schering Corporation | 3-hydroxy γ-lactone based enantionselective synthesis of azetidinones |
| US5883109A (en) * | 1996-07-24 | 1999-03-16 | Bristol-Myers Squibb Company | Method for lowering serum lipid levels employing an MTP inhibitor in combination with another cholesterol lowering drug |
| US6040147A (en) * | 1997-04-02 | 2000-03-21 | The Brigham And Women's Hospital, Inc. | Systemic inflammatory markers as diagnostic tools in the prevention of atherosclerotic diseases and as tools to aid in the selection of agents to be used for the prevention and treatment of atherosclerotic disease |
| US6043257A (en) * | 1997-08-18 | 2000-03-28 | E. I. Du Pont De Nemours And Company | Amidinoindoles, amidinoazoles, and analogs thereof |
| US5869098A (en) * | 1997-08-20 | 1999-02-09 | Fuisz Technologies Ltd. | Fast-dissolving comestible units formed under high-speed/high-pressure conditions |
| US6180660B1 (en) * | 1997-08-26 | 2001-01-30 | Merck & Co., Inc. | Cholesterol-lowering therapy |
| US6207697B1 (en) * | 1997-09-09 | 2001-03-27 | Dupont Pharmaceuticals Company | Benzimidazolinones, benzoxazolinones, benzopiperazinones, indanones, and derivatives thereof as inhibitors of factor Xa |
| US6027747A (en) * | 1997-11-11 | 2000-02-22 | Terracol; Didier | Process for the production of dry pharmaceutical forms and the thus obtained pharmaceutical compositions |
| US6200998B1 (en) * | 1997-12-19 | 2001-03-13 | Merck & Co., Inc. | Arylthiazolidinedione derivitives |
| US6180625B1 (en) * | 1998-03-24 | 2001-01-30 | Novo Nordisk A/S | Heterocyclic compounds regulating clotting |
| US6191159B1 (en) * | 1998-03-27 | 2001-02-20 | Dupont Pharmaceuticals Company | Disubstituted pyrazolines and triazolines as factor Xa inhibitors |
| US6207822B1 (en) * | 1998-12-07 | 2001-03-27 | Schering Corporation | Process for the synthesis of azetidinones |
| US6180138B1 (en) * | 1999-01-29 | 2001-01-30 | Abbott Laboratories | Process for preparing solid formulations of lipid-regulating agents with enhanced dissolution and absorption |
| US6033656A (en) * | 1999-05-04 | 2000-03-07 | Sumitomo Chemical Company, Limited | Method of preventing or alleviating mammalian obesity |
| US6207699B1 (en) * | 1999-06-18 | 2001-03-27 | Richard Brian Rothman | Pharmaceutical combinations for treating obesity and food craving |
| US6174665B1 (en) * | 1999-09-10 | 2001-01-16 | Biex, Inc. | Hormone replacement therapy monitoring |
| US20020006919A1 (en) * | 1999-12-08 | 2002-01-17 | Thosar Shilpa S. | Nanoparticulate eplerenone compositions |
| US6191117B1 (en) * | 2000-07-10 | 2001-02-20 | Walter E. Kozachuk | Methods of producing weight loss and treatment of obesity |
| US6982251B2 (en) * | 2000-12-20 | 2006-01-03 | Schering Corporation | Substituted 2-azetidinones useful as hypocholesterolemic agents |
| US20030053981A1 (en) * | 2001-01-26 | 2003-03-20 | Schering Corporation | Combinations of bile acid sequestrant(s) and sterol absorption inhibitor(s) and treatments for vascular indications |
| US20030013729A1 (en) * | 2001-04-09 | 2003-01-16 | Dr. Reddy's Laboratories Ltd. | New monocyclic derivatives of aryl alkanoic acids and their use in medicine: process for their preparation and pharmaceutical compositions containing them |
| US20030013699A1 (en) * | 2001-05-25 | 2003-01-16 | Davis Harry R. | Methods for treating alzheimer's disease and/or regulating levels of amyloid beta peptides in a subject |
Also Published As
| Publication number | Publication date |
|---|---|
| DE60216300D1 (en) | 2007-01-04 |
| WO2003026643A3 (en) | 2003-07-03 |
| AU2002336609B2 (en) | 2006-08-24 |
| JP2005504091A (en) | 2005-02-10 |
| EP1429756B1 (en) | 2006-11-22 |
| US20030119809A1 (en) | 2003-06-26 |
| MXPA04002573A (en) | 2004-06-18 |
| EP1429756A2 (en) | 2004-06-23 |
| ATE345793T1 (en) | 2006-12-15 |
| DE60216300T2 (en) | 2007-06-28 |
| ES2272776T3 (en) | 2007-05-01 |
| DK1429756T3 (en) | 2007-03-19 |
| CA2460340A1 (en) | 2003-04-03 |
| US7132415B2 (en) | 2006-11-07 |
| CA2460340C (en) | 2011-02-15 |
| PT1429756E (en) | 2007-01-31 |
| CY1105892T1 (en) | 2011-02-02 |
| WO2003026643A2 (en) | 2003-04-03 |
Similar Documents
| Publication | Publication Date | Title |
|---|---|---|
| US7030106B2 (en) | Sterol absorption inhibitor compositions | |
| US7053080B2 (en) | Methods and therapeutic combinations for the treatment of obesity using sterol absorption inhibitors | |
| US7056906B2 (en) | Combinations of hormone replacement therapy composition(s) and sterol absorption inhibitor(s) and treatments for vascular conditions in post-menopausal women | |
| US7132415B2 (en) | Methods and therapeutic combinations for the treatment of xanthoma using sterol absorption inhibitors | |
| US20080261942A1 (en) | Combinations of bile acid sequestrant(s) and sterol absorption inhibitor(s) and treatments for vascular indications | |
| AU2002247019B9 (en) | Combinations of peroxisome proliferator-activated receptor (PPAR) activator(s) and sterol absorption inhibitor(s) and treatments for vascular indications | |
| US7417039B2 (en) | Use of substituted azetidinone compounds for the treatment of sitosterolemia | |
| EP1427409B1 (en) | Methods for treating or preventing vascular inflammation using sterol absorption inhibitor(s) | |
| US20020183305A1 (en) | Combinations of nicotinic acid and derivatives thereof and sterol absorption inhibitor(s) and treatments for vascular indications | |
| AU2002247019A1 (en) | Combinations of peroxisome proliferator-activated receptor (PPAR) activator(s) and sterol absorption inhibitor(s) and treatments for vascular indications | |
| AU2002335770A1 (en) | Methods for treating or preventing vascular inflammation using sterol absorption inhibitor(s) | |
| AU2002336609A1 (en) | Treatment of xanthoma with azetidinone derivatives as sterol absorption inhibitors | |
| US20030119808A1 (en) | Methods of treating or preventing cardiovascular conditions while preventing or minimizing muscular degeneration side effects | |
| US7071181B2 (en) | Methods and therapeutic combinations for the treatment of diabetes using sterol absorption inhibitors | |
| EP1859796A2 (en) | Treatment of xanthoma with azetidinone derivatives as sterol absorption inhibitors | |
| EP1911462A2 (en) | Compositions comprising a sterol absorption inhibitor | |
| EP1864680A2 (en) | Combinations of peroxisome proliferator-activated receptor (PPAR) activator(s) and sterol absorption inhibitor(s) and treatments for vascular indications | |
| HK1093025A (en) | Combinations of nicotinic acid and derivatives thereof and sterol absorption inhibitor(s) and treatments for vascular indications | |
| HK1115810A (en) | Combinations of peroxisome proliferator-activated receptor (ppar) activator(s) and sterol absorption inhibitor(s) and treatments for vascular indications | |
| HK1117416A (en) | Compositions comprising a sterol absorption inhibitor | |
| HK1064950B (en) | Methods for treating or preventing vascular inflammation using sterol absorption inhibitor(s) |
Legal Events
| Date | Code | Title | Description |
|---|---|---|---|
| STCB | Information on status: application discontinuation |
Free format text: ABANDONED -- FAILURE TO RESPOND TO AN OFFICE ACTION |
















































