US20060183884A1 - Compounds and methods for modulating cell adhesion - Google Patents
Compounds and methods for modulating cell adhesion Download PDFInfo
- Publication number
- US20060183884A1 US20060183884A1 US11/299,289 US29928905A US2006183884A1 US 20060183884 A1 US20060183884 A1 US 20060183884A1 US 29928905 A US29928905 A US 29928905A US 2006183884 A1 US2006183884 A1 US 2006183884A1
- Authority
- US
- United States
- Prior art keywords
- seq
- chavc
- cadherin
- cells
- modulating agent
- Prior art date
- Legal status (The legal status is an assumption and is not a legal conclusion. Google has not performed a legal analysis and makes no representation as to the accuracy of the status listed.)
- Abandoned
Links
- 230000021164 cell adhesion Effects 0.000 title claims abstract description 222
- 238000000034 method Methods 0.000 title claims abstract description 201
- 150000001875 compounds Chemical class 0.000 title description 26
- 108050007957 Cadherin Proteins 0.000 claims abstract description 386
- 102000000905 Cadherin Human genes 0.000 claims abstract description 384
- 108010069514 Cyclic Peptides Proteins 0.000 claims abstract description 226
- 102000001189 Cyclic Peptides Human genes 0.000 claims abstract description 226
- 108090000765 processed proteins & peptides Proteins 0.000 claims abstract description 210
- 239000003795 chemical substances by application Substances 0.000 claims description 459
- 210000004027 cell Anatomy 0.000 claims description 383
- HXKZJLWGSWQKEA-LSJOCFKGSA-N His-Ala-Val Chemical compound CC(C)[C@@H](C(O)=O)NC(=O)[C@H](C)NC(=O)[C@@H](N)CC1=CN=CN1 HXKZJLWGSWQKEA-LSJOCFKGSA-N 0.000 claims description 96
- 125000000539 amino acid group Chemical group 0.000 claims description 27
- 230000015572 biosynthetic process Effects 0.000 claims description 27
- 210000004509 vascular smooth muscle cell Anatomy 0.000 claims description 27
- 239000000463 material Substances 0.000 claims description 26
- 230000002792 vascular Effects 0.000 claims description 18
- 208000014674 injury Diseases 0.000 claims description 17
- 210000004899 c-terminal region Anatomy 0.000 claims description 15
- 230000002490 cerebral effect Effects 0.000 claims description 14
- 208000037803 restenosis Diseases 0.000 claims description 12
- 235000018417 cysteine Nutrition 0.000 claims description 10
- XUJNEKJLAYXESH-UHFFFAOYSA-N cysteine Natural products SCC(N)C(O)=O XUJNEKJLAYXESH-UHFFFAOYSA-N 0.000 claims description 10
- 230000008733 trauma Effects 0.000 claims description 9
- 238000000502 dialysis Methods 0.000 claims description 8
- XUJNEKJLAYXESH-REOHCLBHSA-N L-Cysteine Chemical compound SC[C@H](N)C(O)=O XUJNEKJLAYXESH-REOHCLBHSA-N 0.000 claims description 7
- 210000000988 bone and bone Anatomy 0.000 claims description 6
- RMVRSNDYEFQCLF-UHFFFAOYSA-N phenyl mercaptan Natural products SC1=CC=CC=C1 RMVRSNDYEFQCLF-UHFFFAOYSA-N 0.000 claims description 6
- 125000002777 acetyl group Chemical group [H]C([H])([H])C(*)=O 0.000 claims description 4
- ZONXBXMWKSOXCA-RXMQYKEDSA-N (2r)-2-sulfanylpyrrolidine-2-carboxylic acid Chemical compound OC(=O)[C@]1(S)CCCN1 ZONXBXMWKSOXCA-RXMQYKEDSA-N 0.000 claims description 3
- LJRDOKAZOAKLDU-UDXJMMFXSA-N (2s,3s,4r,5r,6r)-5-amino-2-(aminomethyl)-6-[(2r,3s,4r,5s)-5-[(1r,2r,3s,5r,6s)-3,5-diamino-2-[(2s,3r,4r,5s,6r)-3-amino-4,5-dihydroxy-6-(hydroxymethyl)oxan-2-yl]oxy-6-hydroxycyclohexyl]oxy-4-hydroxy-2-(hydroxymethyl)oxolan-3-yl]oxyoxane-3,4-diol;sulfuric ac Chemical compound OS(O)(=O)=O.N[C@@H]1[C@@H](O)[C@H](O)[C@H](CN)O[C@@H]1O[C@H]1[C@@H](O)[C@H](O[C@H]2[C@@H]([C@@H](N)C[C@@H](N)[C@@H]2O)O[C@@H]2[C@@H]([C@@H](O)[C@H](O)[C@@H](CO)O2)N)O[C@@H]1CO LJRDOKAZOAKLDU-UDXJMMFXSA-N 0.000 claims description 3
- VRVRGVPWCUEOGV-UHFFFAOYSA-N 2-aminothiophenol Chemical compound NC1=CC=CC=C1S VRVRGVPWCUEOGV-UHFFFAOYSA-N 0.000 claims description 3
- DKIDEFUBRARXTE-UHFFFAOYSA-N 3-mercaptopropanoic acid Chemical compound OC(=O)CCS DKIDEFUBRARXTE-UHFFFAOYSA-N 0.000 claims description 3
- 201000008450 Intracranial aneurysm Diseases 0.000 claims description 3
- 125000003368 amide group Chemical group 0.000 claims description 3
- 239000000539 dimer Substances 0.000 claims description 3
- 210000003709 heart valve Anatomy 0.000 claims description 3
- 229960001639 penicillamine Drugs 0.000 claims description 3
- 230000015590 smooth muscle cell migration Effects 0.000 claims description 3
- 125000002485 formyl group Chemical group [H]C(*)=O 0.000 claims description 2
- 125000004170 methylsulfonyl group Chemical group [H]C([H])([H])S(*)(=O)=O 0.000 claims description 2
- 230000026799 smooth muscle cell apoptotic process Effects 0.000 claims 2
- 125000000151 cysteine group Chemical group N[C@@H](CS)C(=O)* 0.000 claims 1
- 230000001404 mediated effect Effects 0.000 abstract description 102
- 102000004196 processed proteins & peptides Human genes 0.000 abstract description 68
- 239000000203 mixture Substances 0.000 abstract description 37
- 206010028980 Neoplasm Diseases 0.000 description 129
- 108050000637 N-cadherin Proteins 0.000 description 115
- 230000000694 effects Effects 0.000 description 113
- 241000124008 Mammalia Species 0.000 description 77
- 239000003814 drug Substances 0.000 description 77
- 229940079593 drug Drugs 0.000 description 70
- 241000282414 Homo sapiens Species 0.000 description 56
- 229940024606 amino acid Drugs 0.000 description 55
- 235000001014 amino acid Nutrition 0.000 description 55
- 150000001413 amino acids Chemical class 0.000 description 54
- 230000014511 neuron projection development Effects 0.000 description 54
- 210000001519 tissue Anatomy 0.000 description 52
- 210000002569 neuron Anatomy 0.000 description 51
- 210000003491 skin Anatomy 0.000 description 45
- 210000002889 endothelial cell Anatomy 0.000 description 44
- 238000011282 treatment Methods 0.000 description 43
- 238000003556 assay Methods 0.000 description 42
- LOKCTEFSRHRXRJ-UHFFFAOYSA-I dipotassium trisodium dihydrogen phosphate hydrogen phosphate dichloride Chemical compound P(=O)(O)(O)[O-].[K+].P(=O)(O)([O-])[O-].[Na+].[Na+].[Cl-].[K+].[Cl-].[Na+] LOKCTEFSRHRXRJ-UHFFFAOYSA-I 0.000 description 41
- 239000002953 phosphate buffered saline Substances 0.000 description 41
- 238000002347 injection Methods 0.000 description 36
- 239000007924 injection Substances 0.000 description 36
- 125000005647 linker group Chemical group 0.000 description 35
- 210000004204 blood vessel Anatomy 0.000 description 34
- 206010061535 Ovarian neoplasm Diseases 0.000 description 33
- 241000699670 Mus sp. Species 0.000 description 31
- 201000011510 cancer Diseases 0.000 description 31
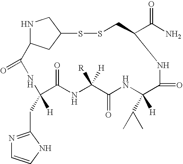
- CGLKMKUZGHLASK-XZLUIIIWSA-N 2-[(4r,7s,10s,13s,16s,19r)-19-acetamido-4-carbamoyl-16-(1h-imidazol-5-ylmethyl)-13-methyl-6,9,12,15,18-pentaoxo-10-propan-2-yl-1,2-dithia-5,8,11,14,17-pentazacycloicos-7-yl]acetic acid Chemical compound N1C(=O)[C@@H](NC(C)=O)CSSC[C@@H](C(N)=O)NC(=O)[C@H](CC(O)=O)NC(=O)[C@H](C(C)C)NC(=O)[C@H](C)NC(=O)[C@@H]1CC1=CN=CN1 CGLKMKUZGHLASK-XZLUIIIWSA-N 0.000 description 30
- 230000006870 function Effects 0.000 description 30
- 230000008685 targeting Effects 0.000 description 29
- 230000033115 angiogenesis Effects 0.000 description 28
- 230000005764 inhibitory process Effects 0.000 description 28
- 239000000523 sample Substances 0.000 description 28
- YMWUJEATGCHHMB-UHFFFAOYSA-N Dichloromethane Chemical compound ClCCl YMWUJEATGCHHMB-UHFFFAOYSA-N 0.000 description 27
- 208000027418 Wounds and injury Diseases 0.000 description 27
- 239000008194 pharmaceutical composition Substances 0.000 description 27
- 239000012634 fragment Substances 0.000 description 24
- 102000003940 Occludin Human genes 0.000 description 23
- 108090000304 Occludin Proteins 0.000 description 23
- 230000027455 binding Effects 0.000 description 23
- 229920005989 resin Polymers 0.000 description 23
- 239000011347 resin Substances 0.000 description 23
- -1 tert-butyloxycarbonyl (Boc) group Chemical group 0.000 description 23
- FAPWRFPIFSIZLT-UHFFFAOYSA-M Sodium chloride Chemical compound [Na+].[Cl-] FAPWRFPIFSIZLT-UHFFFAOYSA-M 0.000 description 22
- 210000002241 neurite Anatomy 0.000 description 22
- 239000011780 sodium chloride Substances 0.000 description 22
- 230000002401 inhibitory effect Effects 0.000 description 21
- 108010044426 integrins Proteins 0.000 description 21
- 102000006495 integrins Human genes 0.000 description 21
- IYMAXBFPHPZYIK-BQBZGAKWSA-N Arg-Gly-Asp Chemical compound NC(N)=NCCC[C@H](N)C(=O)NCC(=O)N[C@@H](CC(O)=O)C(O)=O IYMAXBFPHPZYIK-BQBZGAKWSA-N 0.000 description 20
- 238000007792 addition Methods 0.000 description 20
- 208000037265 diseases, disorders, signs and symptoms Diseases 0.000 description 20
- 230000001965 increasing effect Effects 0.000 description 20
- 239000003112 inhibitor Substances 0.000 description 20
- 238000013508 migration Methods 0.000 description 20
- 239000007787 solid Substances 0.000 description 20
- 238000011191 terminal modification Methods 0.000 description 20
- 206010052428 Wound Diseases 0.000 description 19
- 206010033128 Ovarian cancer Diseases 0.000 description 18
- 230000004888 barrier function Effects 0.000 description 18
- 210000004369 blood Anatomy 0.000 description 18
- 239000008280 blood Substances 0.000 description 18
- 238000001727 in vivo Methods 0.000 description 18
- 238000011580 nude mouse model Methods 0.000 description 18
- 230000035515 penetration Effects 0.000 description 18
- 230000004044 response Effects 0.000 description 18
- 239000011159 matrix material Substances 0.000 description 17
- 238000007363 ring formation reaction Methods 0.000 description 17
- 238000012360 testing method Methods 0.000 description 17
- 201000010099 disease Diseases 0.000 description 16
- 230000002708 enhancing effect Effects 0.000 description 16
- 239000000243 solution Substances 0.000 description 16
- 210000004881 tumor cell Anatomy 0.000 description 16
- 102000002029 Claudin Human genes 0.000 description 15
- 108050009302 Claudin Proteins 0.000 description 15
- OKKJLVBELUTLKV-UHFFFAOYSA-N Methanol Chemical compound OC OKKJLVBELUTLKV-UHFFFAOYSA-N 0.000 description 15
- 230000008901 benefit Effects 0.000 description 15
- 210000002919 epithelial cell Anatomy 0.000 description 15
- 238000005755 formation reaction Methods 0.000 description 15
- 239000011521 glass Substances 0.000 description 15
- 241001465754 Metazoa Species 0.000 description 14
- 241000699660 Mus musculus Species 0.000 description 14
- 230000006907 apoptotic process Effects 0.000 description 14
- 210000003169 central nervous system Anatomy 0.000 description 14
- 210000004248 oligodendroglia Anatomy 0.000 description 14
- 235000018102 proteins Nutrition 0.000 description 14
- 102000004169 proteins and genes Human genes 0.000 description 14
- 108090000623 proteins and genes Proteins 0.000 description 14
- DTQVDTLACAAQTR-UHFFFAOYSA-N Trifluoroacetic acid Chemical compound OC(=O)C(F)(F)F DTQVDTLACAAQTR-UHFFFAOYSA-N 0.000 description 13
- 125000003277 amino group Chemical group 0.000 description 13
- 239000000975 dye Substances 0.000 description 13
- 238000002474 experimental method Methods 0.000 description 13
- 230000012010 growth Effects 0.000 description 13
- 230000003993 interaction Effects 0.000 description 13
- 230000005012 migration Effects 0.000 description 13
- 230000004083 survival effect Effects 0.000 description 13
- 238000003786 synthesis reaction Methods 0.000 description 13
- 230000029663 wound healing Effects 0.000 description 13
- 102000004190 Enzymes Human genes 0.000 description 12
- 108090000790 Enzymes Proteins 0.000 description 12
- 206010027476 Metastases Diseases 0.000 description 12
- 229940088598 enzyme Drugs 0.000 description 12
- 238000009472 formulation Methods 0.000 description 12
- 238000011534 incubation Methods 0.000 description 12
- 239000003550 marker Substances 0.000 description 12
- 210000003668 pericyte Anatomy 0.000 description 12
- 230000008569 process Effects 0.000 description 12
- 230000009467 reduction Effects 0.000 description 12
- 239000002356 single layer Substances 0.000 description 12
- 238000001356 surgical procedure Methods 0.000 description 12
- 230000001225 therapeutic effect Effects 0.000 description 12
- 230000004614 tumor growth Effects 0.000 description 12
- 241000283690 Bos taurus Species 0.000 description 11
- 102100024155 Cadherin-11 Human genes 0.000 description 11
- 102000001706 Immunoglobulin Fab Fragments Human genes 0.000 description 11
- 108010054477 Immunoglobulin Fab Fragments Proteins 0.000 description 11
- 241000700159 Rattus Species 0.000 description 11
- 239000005557 antagonist Substances 0.000 description 11
- 239000000427 antigen Substances 0.000 description 11
- 108091007433 antigens Proteins 0.000 description 11
- 102000036639 antigens Human genes 0.000 description 11
- 230000030833 cell death Effects 0.000 description 11
- 230000012292 cell migration Effects 0.000 description 11
- 238000010168 coupling process Methods 0.000 description 11
- 238000005859 coupling reaction Methods 0.000 description 11
- 125000004122 cyclic group Chemical group 0.000 description 11
- 231100000673 dose–response relationship Toxicity 0.000 description 11
- 230000003511 endothelial effect Effects 0.000 description 11
- 201000001441 melanoma Diseases 0.000 description 11
- 238000004264 monolayer culture Methods 0.000 description 11
- 108010000953 osteoblast cadherin Proteins 0.000 description 11
- 230000035699 permeability Effects 0.000 description 11
- 239000000126 substance Substances 0.000 description 11
- 238000002560 therapeutic procedure Methods 0.000 description 11
- 241000699666 Mus <mouse, genus> Species 0.000 description 10
- JGFZNNIVVJXRND-UHFFFAOYSA-N N,N-Diisopropylethylamine (DIPEA) Chemical compound CCN(C(C)C)C(C)C JGFZNNIVVJXRND-UHFFFAOYSA-N 0.000 description 10
- 125000003047 N-acetyl group Chemical group 0.000 description 10
- 230000001464 adherent effect Effects 0.000 description 10
- 150000001408 amides Chemical group 0.000 description 10
- 230000009286 beneficial effect Effects 0.000 description 10
- 238000006243 chemical reaction Methods 0.000 description 10
- 208000029078 coronary artery disease Diseases 0.000 description 10
- 230000006378 damage Effects 0.000 description 10
- 230000001419 dependent effect Effects 0.000 description 10
- 239000007933 dermal patch Substances 0.000 description 10
- 238000000338 in vitro Methods 0.000 description 10
- NOESYZHRGYRDHS-UHFFFAOYSA-N insulin Chemical compound N1C(=O)C(NC(=O)C(CCC(N)=O)NC(=O)C(CCC(O)=O)NC(=O)C(C(C)C)NC(=O)C(NC(=O)CN)C(C)CC)CSSCC(C(NC(CO)C(=O)NC(CC(C)C)C(=O)NC(CC=2C=CC(O)=CC=2)C(=O)NC(CCC(N)=O)C(=O)NC(CC(C)C)C(=O)NC(CCC(O)=O)C(=O)NC(CC(N)=O)C(=O)NC(CC=2C=CC(O)=CC=2)C(=O)NC(CSSCC(NC(=O)C(C(C)C)NC(=O)C(CC(C)C)NC(=O)C(CC=2C=CC(O)=CC=2)NC(=O)C(CC(C)C)NC(=O)C(C)NC(=O)C(CCC(O)=O)NC(=O)C(C(C)C)NC(=O)C(CC(C)C)NC(=O)C(CC=2NC=NC=2)NC(=O)C(CO)NC(=O)CNC2=O)C(=O)NCC(=O)NC(CCC(O)=O)C(=O)NC(CCCNC(N)=N)C(=O)NCC(=O)NC(CC=3C=CC=CC=3)C(=O)NC(CC=3C=CC=CC=3)C(=O)NC(CC=3C=CC(O)=CC=3)C(=O)NC(C(C)O)C(=O)N3C(CCC3)C(=O)NC(CCCCN)C(=O)NC(C)C(O)=O)C(=O)NC(CC(N)=O)C(O)=O)=O)NC(=O)C(C(C)CC)NC(=O)C(CO)NC(=O)C(C(C)O)NC(=O)C1CSSCC2NC(=O)C(CC(C)C)NC(=O)C(NC(=O)C(CCC(N)=O)NC(=O)C(CC(N)=O)NC(=O)C(NC(=O)C(N)CC=1C=CC=CC=1)C(C)C)CC1=CN=CN1 NOESYZHRGYRDHS-UHFFFAOYSA-N 0.000 description 10
- 230000036515 potency Effects 0.000 description 10
- 125000006239 protecting group Chemical group 0.000 description 10
- 238000010561 standard procedure Methods 0.000 description 10
- 150000003573 thiols Chemical class 0.000 description 10
- WFDIJRYMOXRFFG-UHFFFAOYSA-N Acetic anhydride Chemical compound CC(=O)OC(C)=O WFDIJRYMOXRFFG-UHFFFAOYSA-N 0.000 description 9
- IAZDPXIOMUYVGZ-UHFFFAOYSA-N Dimethylsulphoxide Chemical compound CS(C)=O IAZDPXIOMUYVGZ-UHFFFAOYSA-N 0.000 description 9
- CKLJMWTZIZZHCS-REOHCLBHSA-N L-aspartic acid Chemical compound OC(=O)[C@@H](N)CC(O)=O CKLJMWTZIZZHCS-REOHCLBHSA-N 0.000 description 9
- 238000002399 angioplasty Methods 0.000 description 9
- 210000001130 astrocyte Anatomy 0.000 description 9
- 230000004663 cell proliferation Effects 0.000 description 9
- 230000002354 daily effect Effects 0.000 description 9
- 238000001514 detection method Methods 0.000 description 9
- 238000012377 drug delivery Methods 0.000 description 9
- 210000002950 fibroblast Anatomy 0.000 description 9
- 238000002513 implantation Methods 0.000 description 9
- 239000007758 minimum essential medium Substances 0.000 description 9
- 230000004048 modification Effects 0.000 description 9
- 238000012986 modification Methods 0.000 description 9
- 102000005962 receptors Human genes 0.000 description 9
- 108020003175 receptors Proteins 0.000 description 9
- PYWVYCXTNDRMGF-UHFFFAOYSA-N rhodamine B Chemical compound [Cl-].C=12C=CC(=[N+](CC)CC)C=C2OC2=CC(N(CC)CC)=CC=C2C=1C1=CC=CC=C1C(O)=O PYWVYCXTNDRMGF-UHFFFAOYSA-N 0.000 description 9
- XLYOFNOQVPJJNP-UHFFFAOYSA-N water Substances O XLYOFNOQVPJJNP-UHFFFAOYSA-N 0.000 description 9
- YBJHBAHKTGYVGT-ZKWXMUAHSA-N (+)-Biotin Chemical compound N1C(=O)N[C@@H]2[C@H](CCCCC(=O)O)SC[C@@H]21 YBJHBAHKTGYVGT-ZKWXMUAHSA-N 0.000 description 8
- VGIRNWJSIRVFRT-UHFFFAOYSA-N 2',7'-difluorofluorescein Chemical compound OC(=O)C1=CC=CC=C1C1=C2C=C(F)C(=O)C=C2OC2=CC(O)=C(F)C=C21 VGIRNWJSIRVFRT-UHFFFAOYSA-N 0.000 description 8
- PECYZEOJVXMISF-UHFFFAOYSA-N 3-aminoalanine Chemical compound [NH3+]CC(N)C([O-])=O PECYZEOJVXMISF-UHFFFAOYSA-N 0.000 description 8
- 108091003079 Bovine Serum Albumin Proteins 0.000 description 8
- 208000026310 Breast neoplasm Diseases 0.000 description 8
- 102000016289 Cell Adhesion Molecules Human genes 0.000 description 8
- 108010067225 Cell Adhesion Molecules Proteins 0.000 description 8
- 101000714537 Homo sapiens Cadherin-2 Proteins 0.000 description 8
- 230000001640 apoptogenic effect Effects 0.000 description 8
- 230000036765 blood level Effects 0.000 description 8
- 210000004556 brain Anatomy 0.000 description 8
- 239000013553 cell monolayer Substances 0.000 description 8
- 238000012062 charged aerosol detection Methods 0.000 description 8
- 210000003711 chorioallantoic membrane Anatomy 0.000 description 8
- 238000001360 collision-induced dissociation Methods 0.000 description 8
- 238000011960 computer-aided design Methods 0.000 description 8
- 230000008878 coupling Effects 0.000 description 8
- 239000000032 diagnostic agent Substances 0.000 description 8
- 229940039227 diagnostic agent Drugs 0.000 description 8
- 125000000524 functional group Chemical group 0.000 description 8
- 102000048721 human CDH2 Human genes 0.000 description 8
- 239000007943 implant Substances 0.000 description 8
- 239000002609 medium Substances 0.000 description 8
- 210000004379 membrane Anatomy 0.000 description 8
- 239000012528 membrane Substances 0.000 description 8
- 230000009401 metastasis Effects 0.000 description 8
- 210000005036 nerve Anatomy 0.000 description 8
- 230000003647 oxidation Effects 0.000 description 8
- 238000007254 oxidation reaction Methods 0.000 description 8
- 125000002924 primary amino group Chemical group [H]N([H])* 0.000 description 8
- 125000006853 reporter group Chemical group 0.000 description 8
- 231100000241 scar Toxicity 0.000 description 8
- 210000002966 serum Anatomy 0.000 description 8
- 238000010186 staining Methods 0.000 description 8
- 229940124597 therapeutic agent Drugs 0.000 description 8
- 238000011200 topical administration Methods 0.000 description 8
- 206010006187 Breast cancer Diseases 0.000 description 7
- 239000006144 Dulbecco’s modified Eagle's medium Substances 0.000 description 7
- 108010067306 Fibronectins Proteins 0.000 description 7
- 102000016359 Fibronectins Human genes 0.000 description 7
- DHMQDGOQFOQNFH-UHFFFAOYSA-N Glycine Chemical compound NCC(O)=O DHMQDGOQFOQNFH-UHFFFAOYSA-N 0.000 description 7
- ONIBWKKTOPOVIA-BYPYZUCNSA-N L-Proline Chemical compound OC(=O)[C@@H]1CCCN1 ONIBWKKTOPOVIA-BYPYZUCNSA-N 0.000 description 7
- AYFVYJQAPQTCCC-GBXIJSLDSA-N L-threonine Chemical compound C[C@@H](O)[C@H](N)C(O)=O AYFVYJQAPQTCCC-GBXIJSLDSA-N 0.000 description 7
- ZMXDDKWLCZADIW-UHFFFAOYSA-N N,N-Dimethylformamide Chemical compound CN(C)C=O ZMXDDKWLCZADIW-UHFFFAOYSA-N 0.000 description 7
- 229930040373 Paraformaldehyde Natural products 0.000 description 7
- 125000003178 carboxy group Chemical group [H]OC(*)=O 0.000 description 7
- 230000001413 cellular effect Effects 0.000 description 7
- 239000003153 chemical reaction reagent Substances 0.000 description 7
- 238000005516 engineering process Methods 0.000 description 7
- 150000002148 esters Chemical class 0.000 description 7
- 210000001035 gastrointestinal tract Anatomy 0.000 description 7
- 239000003102 growth factor Substances 0.000 description 7
- 238000011065 in-situ storage Methods 0.000 description 7
- 229920002866 paraformaldehyde Polymers 0.000 description 7
- 238000010647 peptide synthesis reaction Methods 0.000 description 7
- 239000004033 plastic Substances 0.000 description 7
- 229920003023 plastic Polymers 0.000 description 7
- 238000011084 recovery Methods 0.000 description 7
- 210000000329 smooth muscle myocyte Anatomy 0.000 description 7
- 210000003462 vein Anatomy 0.000 description 7
- MWOGMBZGFFZBMK-LJZWMIMPSA-N (2s)-2-[[(2s)-2-[[2-[[(2s,3s)-2-[[(2s)-2-amino-3-(4-hydroxyphenyl)propanoyl]amino]-3-methylpentanoyl]amino]acetyl]amino]-3-hydroxypropanoyl]amino]-5-(diaminomethylideneamino)pentanoic acid Chemical compound NC(N)=NCCC[C@@H](C(O)=O)NC(=O)[C@H](CO)NC(=O)CNC(=O)[C@H]([C@@H](C)CC)NC(=O)[C@@H](N)CC1=CC=C(O)C=C1 MWOGMBZGFFZBMK-LJZWMIMPSA-N 0.000 description 6
- 241000283707 Capra Species 0.000 description 6
- 108010035532 Collagen Proteins 0.000 description 6
- 102000008186 Collagen Human genes 0.000 description 6
- WZUVPPKBWHMQCE-UHFFFAOYSA-N Haematoxylin Chemical compound C12=CC(O)=C(O)C=C2CC2(O)C1C1=CC=C(O)C(O)=C1OC2 WZUVPPKBWHMQCE-UHFFFAOYSA-N 0.000 description 6
- 101000984015 Homo sapiens Cadherin-1 Proteins 0.000 description 6
- 108060003951 Immunoglobulin Proteins 0.000 description 6
- KDXKERNSBIXSRK-UHFFFAOYSA-N Lysine Natural products NCCCCC(N)C(O)=O KDXKERNSBIXSRK-UHFFFAOYSA-N 0.000 description 6
- NWIBSHFKIJFRCO-WUDYKRTCSA-N Mytomycin Chemical compound C1N2C(C(C(C)=C(N)C3=O)=O)=C3[C@@H](COC(N)=O)[C@@]2(OC)[C@@H]2[C@H]1N2 NWIBSHFKIJFRCO-WUDYKRTCSA-N 0.000 description 6
- SECXISVLQFMRJM-UHFFFAOYSA-N N-Methylpyrrolidone Chemical compound CN1CCCC1=O SECXISVLQFMRJM-UHFFFAOYSA-N 0.000 description 6
- 230000000903 blocking effect Effects 0.000 description 6
- 230000004712 cancer cell adhesion Effects 0.000 description 6
- 210000000170 cell membrane Anatomy 0.000 description 6
- 229920001436 collagen Polymers 0.000 description 6
- 238000009833 condensation Methods 0.000 description 6
- 230000005494 condensation Effects 0.000 description 6
- 238000011156 evaluation Methods 0.000 description 6
- 239000012091 fetal bovine serum Substances 0.000 description 6
- 102000047933 human CDH1 Human genes 0.000 description 6
- 102000018358 immunoglobulin Human genes 0.000 description 6
- 210000003734 kidney Anatomy 0.000 description 6
- 239000010410 layer Substances 0.000 description 6
- 230000001537 neural effect Effects 0.000 description 6
- 230000003389 potentiating effect Effects 0.000 description 6
- 230000035755 proliferation Effects 0.000 description 6
- 230000009257 reactivity Effects 0.000 description 6
- 210000000130 stem cell Anatomy 0.000 description 6
- 238000013268 sustained release Methods 0.000 description 6
- 239000012730 sustained-release form Substances 0.000 description 6
- 208000024891 symptom Diseases 0.000 description 6
- 238000002054 transplantation Methods 0.000 description 6
- 108010052768 tyrosyl-isoleucyl-glycyl-seryl-arginine Proteins 0.000 description 6
- BDNKZNFMNDZQMI-UHFFFAOYSA-N 1,3-diisopropylcarbodiimide Chemical compound CC(C)N=C=NC(C)C BDNKZNFMNDZQMI-UHFFFAOYSA-N 0.000 description 5
- 208000037260 Atherosclerotic Plaque Diseases 0.000 description 5
- QOSSAOTZNIDXMA-UHFFFAOYSA-N Dicylcohexylcarbodiimide Chemical compound C1CCCCC1N=C=NC1CCCCC1 QOSSAOTZNIDXMA-UHFFFAOYSA-N 0.000 description 5
- 101000979249 Homo sapiens Neuromodulin Proteins 0.000 description 5
- 102000004877 Insulin Human genes 0.000 description 5
- 108090001061 Insulin Proteins 0.000 description 5
- DCXYFEDJOCDNAF-REOHCLBHSA-N L-asparagine Chemical compound OC(=O)[C@@H](N)CC(N)=O DCXYFEDJOCDNAF-REOHCLBHSA-N 0.000 description 5
- WHUUTDBJXJRKMK-VKHMYHEASA-N L-glutamic acid Chemical compound OC(=O)[C@@H](N)CCC(O)=O WHUUTDBJXJRKMK-VKHMYHEASA-N 0.000 description 5
- KDXKERNSBIXSRK-YFKPBYRVSA-N L-lysine Chemical compound NCCCC[C@H](N)C(O)=O KDXKERNSBIXSRK-YFKPBYRVSA-N 0.000 description 5
- 239000004472 Lysine Substances 0.000 description 5
- 102100023206 Neuromodulin Human genes 0.000 description 5
- 208000031481 Pathologic Constriction Diseases 0.000 description 5
- 210000001744 T-lymphocyte Anatomy 0.000 description 5
- 238000010521 absorption reaction Methods 0.000 description 5
- 238000006640 acetylation reaction Methods 0.000 description 5
- 239000000556 agonist Substances 0.000 description 5
- 206010003246 arthritis Diseases 0.000 description 5
- 239000011324 bead Substances 0.000 description 5
- 239000000872 buffer Substances 0.000 description 5
- 108010018828 cadherin 5 Proteins 0.000 description 5
- 230000008859 change Effects 0.000 description 5
- 238000003776 cleavage reaction Methods 0.000 description 5
- 239000011248 coating agent Substances 0.000 description 5
- 238000000576 coating method Methods 0.000 description 5
- 239000002299 complementary DNA Substances 0.000 description 5
- 229940125898 compound 5 Drugs 0.000 description 5
- 239000003433 contraceptive agent Substances 0.000 description 5
- 230000000875 corresponding effect Effects 0.000 description 5
- 239000006071 cream Substances 0.000 description 5
- 230000003247 decreasing effect Effects 0.000 description 5
- BGRWYRAHAFMIBJ-UHFFFAOYSA-N diisopropylcarbodiimide Natural products CC(C)NC(=O)NC(C)C BGRWYRAHAFMIBJ-UHFFFAOYSA-N 0.000 description 5
- 239000012530 fluid Substances 0.000 description 5
- GNBHRKFJIUUOQI-UHFFFAOYSA-N fluorescein Chemical compound O1C(=O)C2=CC=CC=C2C21C1=CC=C(O)C=C1OC1=CC(O)=CC=C21 GNBHRKFJIUUOQI-UHFFFAOYSA-N 0.000 description 5
- 239000012737 fresh medium Substances 0.000 description 5
- 229940088597 hormone Drugs 0.000 description 5
- 210000004408 hybridoma Anatomy 0.000 description 5
- 230000001969 hypertrophic effect Effects 0.000 description 5
- 238000003384 imaging method Methods 0.000 description 5
- 230000002163 immunogen Effects 0.000 description 5
- 230000006872 improvement Effects 0.000 description 5
- 230000006882 induction of apoptosis Effects 0.000 description 5
- 229940125396 insulin Drugs 0.000 description 5
- 239000003446 ligand Substances 0.000 description 5
- 208000002780 macular degeneration Diseases 0.000 description 5
- 238000002595 magnetic resonance imaging Methods 0.000 description 5
- 230000014399 negative regulation of angiogenesis Effects 0.000 description 5
- 210000003061 neural cell Anatomy 0.000 description 5
- 239000007800 oxidant agent Substances 0.000 description 5
- 238000002360 preparation method Methods 0.000 description 5
- 230000002829 reductive effect Effects 0.000 description 5
- 238000000611 regression analysis Methods 0.000 description 5
- 230000007017 scission Effects 0.000 description 5
- 239000007790 solid phase Substances 0.000 description 5
- 238000013212 standard curve analysis Methods 0.000 description 5
- 230000009885 systemic effect Effects 0.000 description 5
- 238000012546 transfer Methods 0.000 description 5
- 210000002700 urine Anatomy 0.000 description 5
- 125000003088 (fluoren-9-ylmethoxy)carbonyl group Chemical group 0.000 description 4
- LMDZBCPBFSXMTL-UHFFFAOYSA-N 1-ethyl-3-(3-dimethylaminopropyl)carbodiimide Chemical compound CCN=C=NCCCN(C)C LMDZBCPBFSXMTL-UHFFFAOYSA-N 0.000 description 4
- OYIFNHCXNCRBQI-UHFFFAOYSA-N 2-aminoadipic acid Chemical compound OC(=O)C(N)CCCC(O)=O OYIFNHCXNCRBQI-UHFFFAOYSA-N 0.000 description 4
- RZVAJINKPMORJF-UHFFFAOYSA-N Acetaminophen Chemical compound CC(=O)NC1=CC=C(O)C=C1 RZVAJINKPMORJF-UHFFFAOYSA-N 0.000 description 4
- 102100024153 Cadherin-15 Human genes 0.000 description 4
- 102100029758 Cadherin-4 Human genes 0.000 description 4
- 102000014914 Carrier Proteins Human genes 0.000 description 4
- 108010078791 Carrier Proteins Proteins 0.000 description 4
- 208000032544 Cicatrix Diseases 0.000 description 4
- WXOFKRKAHJQKLT-BQBZGAKWSA-N Cys-Lys Chemical compound NCCCC[C@@H](C(O)=O)NC(=O)[C@@H](N)CS WXOFKRKAHJQKLT-BQBZGAKWSA-N 0.000 description 4
- 208000016192 Demyelinating disease Diseases 0.000 description 4
- 229920002307 Dextran Polymers 0.000 description 4
- BWGNESOTFCXPMA-UHFFFAOYSA-N Dihydrogen disulfide Chemical compound SS BWGNESOTFCXPMA-UHFFFAOYSA-N 0.000 description 4
- XBGGUPMXALFZOT-VIFPVBQESA-N Gly-Tyr Chemical compound NCC(=O)N[C@H](C(O)=O)CC1=CC=C(O)C=C1 XBGGUPMXALFZOT-VIFPVBQESA-N 0.000 description 4
- AHLPHDHHMVZTML-BYPYZUCNSA-N L-Ornithine Chemical compound NCCC[C@H](N)C(O)=O AHLPHDHHMVZTML-BYPYZUCNSA-N 0.000 description 4
- AHLPHDHHMVZTML-UHFFFAOYSA-N Orn-delta-NH2 Natural products NCCCC(N)C(O)=O AHLPHDHHMVZTML-UHFFFAOYSA-N 0.000 description 4
- UTJLXEIPEHZYQJ-UHFFFAOYSA-N Ornithine Natural products OC(=O)C(C)CCCN UTJLXEIPEHZYQJ-UHFFFAOYSA-N 0.000 description 4
- 241000283973 Oryctolagus cuniculus Species 0.000 description 4
- RVQDZELMXZRSSI-IUCAKERBSA-N Pro-Lys Chemical compound NCCCC[C@@H](C(O)=O)NC(=O)[C@@H]1CCCN1 RVQDZELMXZRSSI-IUCAKERBSA-N 0.000 description 4
- 108700040559 Protocadherins Proteins 0.000 description 4
- 108010086890 R-cadherin Proteins 0.000 description 4
- 206010060872 Transplant failure Diseases 0.000 description 4
- 102000005789 Vascular Endothelial Growth Factors Human genes 0.000 description 4
- 108010019530 Vascular Endothelial Growth Factors Proteins 0.000 description 4
- 108010006886 Vitrogen Proteins 0.000 description 4
- 230000021736 acetylation Effects 0.000 description 4
- 239000002253 acid Substances 0.000 description 4
- 210000000577 adipose tissue Anatomy 0.000 description 4
- 238000001042 affinity chromatography Methods 0.000 description 4
- 238000004458 analytical method Methods 0.000 description 4
- 239000002246 antineoplastic agent Substances 0.000 description 4
- 238000013459 approach Methods 0.000 description 4
- 150000001540 azides Chemical class 0.000 description 4
- 229960002685 biotin Drugs 0.000 description 4
- 235000020958 biotin Nutrition 0.000 description 4
- 239000011616 biotin Substances 0.000 description 4
- 210000000069 breast epithelial cell Anatomy 0.000 description 4
- 238000002512 chemotherapy Methods 0.000 description 4
- OROGSEYTTFOCAN-DNJOTXNNSA-N codeine Chemical compound C([C@H]1[C@H](N(CC[C@@]112)C)C3)=C[C@H](O)[C@@H]1OC1=C2C3=CC=C1OC OROGSEYTTFOCAN-DNJOTXNNSA-N 0.000 description 4
- 229940125904 compound 1 Drugs 0.000 description 4
- 230000002254 contraceptive effect Effects 0.000 description 4
- 238000007796 conventional method Methods 0.000 description 4
- 230000034994 death Effects 0.000 description 4
- 231100000517 death Toxicity 0.000 description 4
- 238000010511 deprotection reaction Methods 0.000 description 4
- 238000011161 development Methods 0.000 description 4
- 230000018109 developmental process Effects 0.000 description 4
- 208000035475 disorder Diseases 0.000 description 4
- 239000012153 distilled water Substances 0.000 description 4
- 230000003203 everyday effect Effects 0.000 description 4
- 239000012894 fetal calf serum Substances 0.000 description 4
- XBGGUPMXALFZOT-UHFFFAOYSA-N glycyl-L-tyrosine hemihydrate Natural products NCC(=O)NC(C(O)=O)CC1=CC=C(O)C=C1 XBGGUPMXALFZOT-UHFFFAOYSA-N 0.000 description 4
- 108010087823 glycyltyrosine Proteins 0.000 description 4
- 210000003780 hair follicle Anatomy 0.000 description 4
- 238000004128 high performance liquid chromatography Methods 0.000 description 4
- HNDVDQJCIGZPNO-UHFFFAOYSA-N histidine Natural products OC(=O)C(N)CC1=CN=CN1 HNDVDQJCIGZPNO-UHFFFAOYSA-N 0.000 description 4
- 239000005556 hormone Substances 0.000 description 4
- 230000002209 hydrophobic effect Effects 0.000 description 4
- CGIGDMFJXJATDK-UHFFFAOYSA-N indomethacin Chemical compound CC1=C(CC(O)=O)C2=CC(OC)=CC=C2N1C(=O)C1=CC=C(Cl)C=C1 CGIGDMFJXJATDK-UHFFFAOYSA-N 0.000 description 4
- 230000001939 inductive effect Effects 0.000 description 4
- 108010045069 keyhole-limpet hemocyanin Proteins 0.000 description 4
- 230000003902 lesion Effects 0.000 description 4
- BQJCRHHNABKAKU-KBQPJGBKSA-N morphine Chemical compound O([C@H]1[C@H](C=C[C@H]23)O)C4=C5[C@@]12CCN(C)[C@@H]3CC5=CC=C4O BQJCRHHNABKAKU-KBQPJGBKSA-N 0.000 description 4
- 238000007491 morphometric analysis Methods 0.000 description 4
- 210000000651 myofibroblast Anatomy 0.000 description 4
- 150000007523 nucleic acids Chemical class 0.000 description 4
- 229960003104 ornithine Drugs 0.000 description 4
- 102000013415 peroxidase activity proteins Human genes 0.000 description 4
- 108040007629 peroxidase activity proteins Proteins 0.000 description 4
- 239000012071 phase Substances 0.000 description 4
- 229920000729 poly(L-lysine) polymer Polymers 0.000 description 4
- 230000035935 pregnancy Effects 0.000 description 4
- 230000000630 rising effect Effects 0.000 description 4
- 230000037387 scars Effects 0.000 description 4
- 210000004116 schwann cell Anatomy 0.000 description 4
- 210000004989 spleen cell Anatomy 0.000 description 4
- 230000004936 stimulating effect Effects 0.000 description 4
- 239000011550 stock solution Substances 0.000 description 4
- 239000000758 substrate Substances 0.000 description 4
- 238000007910 systemic administration Methods 0.000 description 4
- 230000000699 topical effect Effects 0.000 description 4
- 108010047303 von Willebrand Factor Proteins 0.000 description 4
- 102100036537 von Willebrand factor Human genes 0.000 description 4
- 229960001134 von willebrand factor Drugs 0.000 description 4
- MTCFGRXMJLQNBG-REOHCLBHSA-N (2S)-2-Amino-3-hydroxypropansäure Chemical compound OC[C@H](N)C(O)=O MTCFGRXMJLQNBG-REOHCLBHSA-N 0.000 description 3
- JMTMSDXUXJISAY-UHFFFAOYSA-N 2H-benzotriazol-4-ol Chemical compound OC1=CC=CC2=C1N=NN2 JMTMSDXUXJISAY-UHFFFAOYSA-N 0.000 description 3
- QTBSBXVTEAMEQO-UHFFFAOYSA-N Acetic acid Chemical compound CC(O)=O QTBSBXVTEAMEQO-UHFFFAOYSA-N 0.000 description 3
- WEVYAHXRMPXWCK-UHFFFAOYSA-N Acetonitrile Chemical compound CC#N WEVYAHXRMPXWCK-UHFFFAOYSA-N 0.000 description 3
- DCXYFEDJOCDNAF-UHFFFAOYSA-N Asparagine Natural products OC(=O)C(N)CC(N)=O DCXYFEDJOCDNAF-UHFFFAOYSA-N 0.000 description 3
- 241000283724 Bison bonasus Species 0.000 description 3
- ISMDILRWKSYCOD-GNKBHMEESA-N C(C1=CC=CC=C1)[C@@H]1NC(OCCCCCCCCCCCNC([C@@H](NC(C[C@@H]1O)=O)C(C)C)=O)=O Chemical compound C(C1=CC=CC=C1)[C@@H]1NC(OCCCCCCCCCCCNC([C@@H](NC(C[C@@H]1O)=O)C(C)C)=O)=O ISMDILRWKSYCOD-GNKBHMEESA-N 0.000 description 3
- 229940123672 Cadherin antagonist Drugs 0.000 description 3
- 102100024156 Cadherin-12 Human genes 0.000 description 3
- 102100029761 Cadherin-5 Human genes 0.000 description 3
- 101710097574 Cadherin-8 Proteins 0.000 description 3
- 102100025331 Cadherin-8 Human genes 0.000 description 3
- 229940126639 Compound 33 Drugs 0.000 description 3
- 150000008574 D-amino acids Chemical class 0.000 description 3
- 102000006375 Desmocollins Human genes 0.000 description 3
- 108010019063 Desmocollins Proteins 0.000 description 3
- 102000011799 Desmoglein Human genes 0.000 description 3
- 108050002238 Desmoglein Proteins 0.000 description 3
- KCXVZYZYPLLWCC-UHFFFAOYSA-N EDTA Chemical compound OC(=O)CN(CC(O)=O)CCN(CC(O)=O)CC(O)=O KCXVZYZYPLLWCC-UHFFFAOYSA-N 0.000 description 3
- 201000009273 Endometriosis Diseases 0.000 description 3
- LFQSCWFLJHTTHZ-UHFFFAOYSA-N Ethanol Chemical compound CCO LFQSCWFLJHTTHZ-UHFFFAOYSA-N 0.000 description 3
- 108091008794 FGF receptors Proteins 0.000 description 3
- 102000044168 Fibroblast Growth Factor Receptor Human genes 0.000 description 3
- WHUUTDBJXJRKMK-UHFFFAOYSA-N Glutamic acid Natural products OC(=O)C(N)CCC(O)=O WHUUTDBJXJRKMK-UHFFFAOYSA-N 0.000 description 3
- 239000004471 Glycine Substances 0.000 description 3
- 108010056325 HAV peptide Proteins 0.000 description 3
- 241000282412 Homo Species 0.000 description 3
- 101000714553 Homo sapiens Cadherin-3 Proteins 0.000 description 3
- 206010061218 Inflammation Diseases 0.000 description 3
- 125000000010 L-asparaginyl group Chemical group O=C([*])[C@](N([H])[H])([H])C([H])([H])C(=O)N([H])[H] 0.000 description 3
- ZDXPYRJPNDTMRX-VKHMYHEASA-N L-glutamine Chemical compound OC(=O)[C@@H](N)CCC(N)=O ZDXPYRJPNDTMRX-VKHMYHEASA-N 0.000 description 3
- AGPKZVBTJJNPAG-WHFBIAKZSA-N L-isoleucine Chemical compound CC[C@H](C)[C@H](N)C(O)=O AGPKZVBTJJNPAG-WHFBIAKZSA-N 0.000 description 3
- 125000003440 L-leucyl group Chemical group O=C([*])[C@](N([H])[H])([H])C([H])([H])C(C([H])([H])[H])([H])C([H])([H])[H] 0.000 description 3
- COLNVLDHVKWLRT-QMMMGPOBSA-N L-phenylalanine Chemical compound OC(=O)[C@@H](N)CC1=CC=CC=C1 COLNVLDHVKWLRT-QMMMGPOBSA-N 0.000 description 3
- 125000000769 L-threonyl group Chemical group [H]N([H])[C@]([H])(C(=O)[*])[C@](O[H])(C([H])([H])[H])[H] 0.000 description 3
- OUYCCCASQSFEME-QMMMGPOBSA-N L-tyrosine Chemical compound OC(=O)[C@@H](N)CC1=CC=C(O)C=C1 OUYCCCASQSFEME-QMMMGPOBSA-N 0.000 description 3
- 101000984025 Mus musculus Cadherin-1 Proteins 0.000 description 3
- 101000714535 Mus musculus Cadherin-2 Proteins 0.000 description 3
- 101000714552 Mus musculus Cadherin-3 Proteins 0.000 description 3
- 125000000729 N-terminal amino-acid group Chemical group 0.000 description 3
- 238000005481 NMR spectroscopy Methods 0.000 description 3
- 206010029113 Neovascularisation Diseases 0.000 description 3
- 102000011830 Neural cell adhesion Human genes 0.000 description 3
- 108050002172 Neural cell adhesion Proteins 0.000 description 3
- 208000012868 Overgrowth Diseases 0.000 description 3
- 206010035226 Plasma cell myeloma Diseases 0.000 description 3
- 206010060862 Prostate cancer Diseases 0.000 description 3
- 208000000236 Prostatic Neoplasms Diseases 0.000 description 3
- 201000004681 Psoriasis Diseases 0.000 description 3
- 239000006146 Roswell Park Memorial Institute medium Substances 0.000 description 3
- MTCFGRXMJLQNBG-UHFFFAOYSA-N Serine Natural products OCC(N)C(O)=O MTCFGRXMJLQNBG-UHFFFAOYSA-N 0.000 description 3
- GLNADSQYFUSGOU-GPTZEZBUSA-J Trypan blue Chemical compound [Na+].[Na+].[Na+].[Na+].C1=C(S([O-])(=O)=O)C=C2C=C(S([O-])(=O)=O)C(/N=N/C3=CC=C(C=C3C)C=3C=C(C(=CC=3)\N=N\C=3C(=CC4=CC(=CC(N)=C4C=3O)S([O-])(=O)=O)S([O-])(=O)=O)C)=C(O)C2=C1N GLNADSQYFUSGOU-GPTZEZBUSA-J 0.000 description 3
- 208000007097 Urinary Bladder Neoplasms Diseases 0.000 description 3
- KZSNJWFQEVHDMF-UHFFFAOYSA-N Valine Chemical compound CC(C)C(N)C(O)=O KZSNJWFQEVHDMF-UHFFFAOYSA-N 0.000 description 3
- SMNRFWMNPDABKZ-WVALLCKVSA-N [[(2R,3S,4R,5S)-5-(2,6-dioxo-3H-pyridin-3-yl)-3,4-dihydroxyoxolan-2-yl]methoxy-hydroxyphosphoryl] [[[(2R,3S,4S,5R,6R)-4-fluoro-3,5-dihydroxy-6-(hydroxymethyl)oxan-2-yl]oxy-hydroxyphosphoryl]oxy-hydroxyphosphoryl] hydrogen phosphate Chemical compound OC[C@H]1O[C@H](OP(O)(=O)OP(O)(=O)OP(O)(=O)OP(O)(=O)OC[C@H]2O[C@H]([C@H](O)[C@@H]2O)C2C=CC(=O)NC2=O)[C@H](O)[C@@H](F)[C@@H]1O SMNRFWMNPDABKZ-WVALLCKVSA-N 0.000 description 3
- 125000003275 alpha amino acid group Chemical group 0.000 description 3
- VREFGVBLTWBCJP-UHFFFAOYSA-N alprazolam Chemical compound C12=CC(Cl)=CC=C2N2C(C)=NN=C2CN=C1C1=CC=CC=C1 VREFGVBLTWBCJP-UHFFFAOYSA-N 0.000 description 3
- 150000001412 amines Chemical class 0.000 description 3
- 150000008064 anhydrides Chemical class 0.000 description 3
- 239000003242 anti bacterial agent Substances 0.000 description 3
- 230000000259 anti-tumor effect Effects 0.000 description 3
- 229940088710 antibiotic agent Drugs 0.000 description 3
- 235000009582 asparagine Nutrition 0.000 description 3
- 229960001230 asparagine Drugs 0.000 description 3
- 238000011888 autopsy Methods 0.000 description 3
- 230000006399 behavior Effects 0.000 description 3
- 239000012472 biological sample Substances 0.000 description 3
- 238000001574 biopsy Methods 0.000 description 3
- 230000037396 body weight Effects 0.000 description 3
- 210000001185 bone marrow Anatomy 0.000 description 3
- 239000006227 byproduct Substances 0.000 description 3
- 150000001718 carbodiimides Chemical class 0.000 description 3
- 238000003352 cell adhesion assay Methods 0.000 description 3
- 239000001913 cellulose Substances 0.000 description 3
- 229920002678 cellulose Polymers 0.000 description 3
- 229940126214 compound 3 Drugs 0.000 description 3
- 230000001086 cytosolic effect Effects 0.000 description 3
- 231100000433 cytotoxic Toxicity 0.000 description 3
- 230000001472 cytotoxic effect Effects 0.000 description 3
- 231100000135 cytotoxicity Toxicity 0.000 description 3
- 230000003013 cytotoxicity Effects 0.000 description 3
- 230000001627 detrimental effect Effects 0.000 description 3
- UAOMVDZJSHZZME-UHFFFAOYSA-N diisopropylamine Chemical compound CC(C)NC(C)C UAOMVDZJSHZZME-UHFFFAOYSA-N 0.000 description 3
- 238000010790 dilution Methods 0.000 description 3
- 239000012895 dilution Substances 0.000 description 3
- YQGOJNYOYNNSMM-UHFFFAOYSA-N eosin Chemical compound [Na+].OC(=O)C1=CC=CC=C1C1=C2C=C(Br)C(=O)C(Br)=C2OC2=C(Br)C(O)=C(Br)C=C21 YQGOJNYOYNNSMM-UHFFFAOYSA-N 0.000 description 3
- 230000005713 exacerbation Effects 0.000 description 3
- 239000000835 fiber Substances 0.000 description 3
- 230000004927 fusion Effects 0.000 description 3
- 238000002523 gelfiltration Methods 0.000 description 3
- 239000001963 growth medium Substances 0.000 description 3
- NPZTUJOABDZTLV-UHFFFAOYSA-N hydroxybenzotriazole Substances O=C1C=CC=C2NNN=C12 NPZTUJOABDZTLV-UHFFFAOYSA-N 0.000 description 3
- 206010020718 hyperplasia Diseases 0.000 description 3
- 210000000987 immune system Anatomy 0.000 description 3
- 238000010166 immunofluorescence Methods 0.000 description 3
- 238000012744 immunostaining Methods 0.000 description 3
- 238000010348 incorporation Methods 0.000 description 3
- 230000004054 inflammatory process Effects 0.000 description 3
- 230000003834 intracellular effect Effects 0.000 description 3
- 238000001990 intravenous administration Methods 0.000 description 3
- 210000002510 keratinocyte Anatomy 0.000 description 3
- 238000002372 labelling Methods 0.000 description 3
- 210000004924 lung microvascular endothelial cell Anatomy 0.000 description 3
- 230000003211 malignant effect Effects 0.000 description 3
- 238000005259 measurement Methods 0.000 description 3
- KQSSATDQUYCRGS-UHFFFAOYSA-N methyl glycinate Chemical compound COC(=O)CN KQSSATDQUYCRGS-UHFFFAOYSA-N 0.000 description 3
- 210000003632 microfilament Anatomy 0.000 description 3
- 229960004857 mitomycin Drugs 0.000 description 3
- 201000006417 multiple sclerosis Diseases 0.000 description 3
- 201000000050 myeloid neoplasm Diseases 0.000 description 3
- SHDMMLFAFLZUEV-UHFFFAOYSA-N n-methyl-1,1-diphenylmethanamine Chemical compound C=1C=CC=CC=1C(NC)C1=CC=CC=C1 SHDMMLFAFLZUEV-UHFFFAOYSA-N 0.000 description 3
- 238000003522 neurite outgrowth assay Methods 0.000 description 3
- 230000007935 neutral effect Effects 0.000 description 3
- 108020004707 nucleic acids Proteins 0.000 description 3
- 102000039446 nucleic acids Human genes 0.000 description 3
- 230000035790 physiological processes and functions Effects 0.000 description 3
- 229920000642 polymer Polymers 0.000 description 3
- 230000002265 prevention Effects 0.000 description 3
- 230000001737 promoting effect Effects 0.000 description 3
- 210000001147 pulmonary artery Anatomy 0.000 description 3
- 238000000746 purification Methods 0.000 description 3
- 230000002285 radioactive effect Effects 0.000 description 3
- 238000001959 radiotherapy Methods 0.000 description 3
- 230000001105 regulatory effect Effects 0.000 description 3
- 238000010532 solid phase synthesis reaction Methods 0.000 description 3
- 210000000278 spinal cord Anatomy 0.000 description 3
- 230000036262 stenosis Effects 0.000 description 3
- 208000037804 stenosis Diseases 0.000 description 3
- 210000000225 synapse Anatomy 0.000 description 3
- OUYCCCASQSFEME-UHFFFAOYSA-N tyrosine Natural products OC(=O)C(N)CC1=CC=C(O)C=C1 OUYCCCASQSFEME-UHFFFAOYSA-N 0.000 description 3
- 230000008728 vascular permeability Effects 0.000 description 3
- 238000005406 washing Methods 0.000 description 3
- AOSZTAHDEDLTLQ-AZKQZHLXSA-N (1S,2S,4R,8S,9S,11S,12R,13S,19S)-6-[(3-chlorophenyl)methyl]-12,19-difluoro-11-hydroxy-8-(2-hydroxyacetyl)-9,13-dimethyl-6-azapentacyclo[10.8.0.02,9.04,8.013,18]icosa-14,17-dien-16-one Chemical compound C([C@@H]1C[C@H]2[C@H]3[C@]([C@]4(C=CC(=O)C=C4[C@@H](F)C3)C)(F)[C@@H](O)C[C@@]2([C@@]1(C1)C(=O)CO)C)N1CC1=CC=CC(Cl)=C1 AOSZTAHDEDLTLQ-AZKQZHLXSA-N 0.000 description 2
- ABJSOROVZZKJGI-OCYUSGCXSA-N (1r,2r,4r)-2-(4-bromophenyl)-n-[(4-chlorophenyl)-(2-fluoropyridin-4-yl)methyl]-4-morpholin-4-ylcyclohexane-1-carboxamide Chemical compound C1=NC(F)=CC(C(NC(=O)[C@H]2[C@@H](C[C@@H](CC2)N2CCOCC2)C=2C=CC(Br)=CC=2)C=2C=CC(Cl)=CC=2)=C1 ABJSOROVZZKJGI-OCYUSGCXSA-N 0.000 description 2
- QFLWZFQWSBQYPS-AWRAUJHKSA-N (3S)-3-[[(2S)-2-[[(2S)-2-[5-[(3aS,6aR)-2-oxo-1,3,3a,4,6,6a-hexahydrothieno[3,4-d]imidazol-4-yl]pentanoylamino]-3-methylbutanoyl]amino]-3-(4-hydroxyphenyl)propanoyl]amino]-4-[1-bis(4-chlorophenoxy)phosphorylbutylamino]-4-oxobutanoic acid Chemical compound CCCC(NC(=O)[C@H](CC(O)=O)NC(=O)[C@H](Cc1ccc(O)cc1)NC(=O)[C@@H](NC(=O)CCCCC1SC[C@@H]2NC(=O)N[C@H]12)C(C)C)P(=O)(Oc1ccc(Cl)cc1)Oc1ccc(Cl)cc1 QFLWZFQWSBQYPS-AWRAUJHKSA-N 0.000 description 2
- IAKHMKGGTNLKSZ-INIZCTEOSA-N (S)-colchicine Chemical compound C1([C@@H](NC(C)=O)CC2)=CC(=O)C(OC)=CC=C1C1=C2C=C(OC)C(OC)=C1OC IAKHMKGGTNLKSZ-INIZCTEOSA-N 0.000 description 2
- UNILWMWFPHPYOR-KXEYIPSPSA-M 1-[6-[2-[3-[3-[3-[2-[2-[3-[[2-[2-[[(2r)-1-[[2-[[(2r)-1-[3-[2-[2-[3-[[2-(2-amino-2-oxoethoxy)acetyl]amino]propoxy]ethoxy]ethoxy]propylamino]-3-hydroxy-1-oxopropan-2-yl]amino]-2-oxoethyl]amino]-3-[(2r)-2,3-di(hexadecanoyloxy)propyl]sulfanyl-1-oxopropan-2-yl Chemical compound O=C1C(SCCC(=O)NCCCOCCOCCOCCCNC(=O)COCC(=O)N[C@@H](CSC[C@@H](COC(=O)CCCCCCCCCCCCCCC)OC(=O)CCCCCCCCCCCCCCC)C(=O)NCC(=O)N[C@H](CO)C(=O)NCCCOCCOCCOCCCNC(=O)COCC(N)=O)CC(=O)N1CCNC(=O)CCCCCN\1C2=CC=C(S([O-])(=O)=O)C=C2CC/1=C/C=C/C=C/C1=[N+](CC)C2=CC=C(S([O-])(=O)=O)C=C2C1 UNILWMWFPHPYOR-KXEYIPSPSA-M 0.000 description 2
- GSWYUZQBLVUEPH-UHFFFAOYSA-N 3-(azaniumylmethyl)benzoate Chemical compound NCC1=CC=CC(C(O)=O)=C1 GSWYUZQBLVUEPH-UHFFFAOYSA-N 0.000 description 2
- 238000010600 3H thymidine incorporation assay Methods 0.000 description 2
- 102000010825 Actinin Human genes 0.000 description 2
- 108010063503 Actinin Proteins 0.000 description 2
- 102000007469 Actins Human genes 0.000 description 2
- 108010085238 Actins Proteins 0.000 description 2
- 229920000936 Agarose Polymers 0.000 description 2
- ALZVPLKYDKJKQU-XVKPBYJWSA-N Ala-Tyr Chemical compound C[C@H](N)C(=O)N[C@H](C(O)=O)CC1=CC=C(O)C=C1 ALZVPLKYDKJKQU-XVKPBYJWSA-N 0.000 description 2
- 208000024827 Alzheimer disease Diseases 0.000 description 2
- 206010003210 Arteriosclerosis Diseases 0.000 description 2
- 208000022211 Arteriovenous Malformations Diseases 0.000 description 2
- CIWBSHSKHKDKBQ-JLAZNSOCSA-N Ascorbic acid Chemical compound OC[C@H](O)[C@H]1OC(=O)C(O)=C1O CIWBSHSKHKDKBQ-JLAZNSOCSA-N 0.000 description 2
- KLKHFFMNGWULBN-VKHMYHEASA-N Asn-Gly Chemical compound NC(=O)C[C@H](N)C(=O)NCC(O)=O KLKHFFMNGWULBN-VKHMYHEASA-N 0.000 description 2
- 206010004446 Benign prostatic hyperplasia Diseases 0.000 description 2
- 101710196882 Cadherin-12 Proteins 0.000 description 2
- 101710196875 Cadherin-15 Proteins 0.000 description 2
- 101710196896 Cadherin-22 Proteins 0.000 description 2
- 102100022481 Cadherin-22 Human genes 0.000 description 2
- 102100029756 Cadherin-6 Human genes 0.000 description 2
- 101710097553 Cadherin-7 Proteins 0.000 description 2
- 102100025329 Cadherin-7 Human genes 0.000 description 2
- OYPRJOBELJOOCE-UHFFFAOYSA-N Calcium Chemical compound [Ca] OYPRJOBELJOOCE-UHFFFAOYSA-N 0.000 description 2
- 102000005701 Calcium-Binding Proteins Human genes 0.000 description 2
- 108010045403 Calcium-Binding Proteins Proteins 0.000 description 2
- 241000282465 Canis Species 0.000 description 2
- 102000029816 Collagenase Human genes 0.000 description 2
- 108060005980 Collagenase Proteins 0.000 description 2
- 229940126657 Compound 17 Drugs 0.000 description 2
- WQZGKKKJIJFFOK-QTVWNMPRSA-N D-mannopyranose Chemical compound OC[C@H]1OC(O)[C@@H](O)[C@@H](O)[C@@H]1O WQZGKKKJIJFFOK-QTVWNMPRSA-N 0.000 description 2
- 201000004624 Dermatitis Diseases 0.000 description 2
- 206010012689 Diabetic retinopathy Diseases 0.000 description 2
- 241000283074 Equus asinus Species 0.000 description 2
- 102000010834 Extracellular Matrix Proteins Human genes 0.000 description 2
- 108010037362 Extracellular Matrix Proteins Proteins 0.000 description 2
- 208000010412 Glaucoma Diseases 0.000 description 2
- WQZGKKKJIJFFOK-GASJEMHNSA-N Glucose Natural products OC[C@H]1OC(O)[C@H](O)[C@@H](O)[C@@H]1O WQZGKKKJIJFFOK-GASJEMHNSA-N 0.000 description 2
- HTTJABKRGRZYRN-UHFFFAOYSA-N Heparin Chemical compound OC1C(NC(=O)C)C(O)OC(COS(O)(=O)=O)C1OC1C(OS(O)(=O)=O)C(O)C(OC2C(C(OS(O)(=O)=O)C(OC3C(C(O)C(O)C(O3)C(O)=O)OS(O)(=O)=O)C(CO)O2)NS(O)(=O)=O)C(C(O)=O)O1 HTTJABKRGRZYRN-UHFFFAOYSA-N 0.000 description 2
- MHAJPDPJQMAIIY-UHFFFAOYSA-N Hydrogen peroxide Chemical compound OO MHAJPDPJQMAIIY-UHFFFAOYSA-N 0.000 description 2
- 102000018071 Immunoglobulin Fc Fragments Human genes 0.000 description 2
- 108010091135 Immunoglobulin Fc Fragments Proteins 0.000 description 2
- 108010056045 K cadherin Proteins 0.000 description 2
- 208000002260 Keloid Diseases 0.000 description 2
- QNAYBMKLOCPYGJ-REOHCLBHSA-N L-alanine Chemical compound C[C@H](N)C(O)=O QNAYBMKLOCPYGJ-REOHCLBHSA-N 0.000 description 2
- 150000008575 L-amino acids Chemical class 0.000 description 2
- ROHFNLRQFUQHCH-YFKPBYRVSA-N L-leucine Chemical compound CC(C)C[C@H](N)C(O)=O ROHFNLRQFUQHCH-YFKPBYRVSA-N 0.000 description 2
- 125000002842 L-seryl group Chemical group O=C([*])[C@](N([H])[H])([H])C([H])([H])O[H] 0.000 description 2
- 108010085895 Laminin Proteins 0.000 description 2
- 102000007547 Laminin Human genes 0.000 description 2
- ROHFNLRQFUQHCH-UHFFFAOYSA-N Leucine Natural products CC(C)CC(N)C(O)=O ROHFNLRQFUQHCH-UHFFFAOYSA-N 0.000 description 2
- 108010018562 M-cadherin Proteins 0.000 description 2
- 229920001367 Merrifield resin Polymers 0.000 description 2
- OPFJDXRVMFKJJO-ZHHKINOHSA-N N-{[3-(2-benzamido-4-methyl-1,3-thiazol-5-yl)-pyrazol-5-yl]carbonyl}-G-dR-G-dD-dD-dD-NH2 Chemical compound S1C(C=2NN=C(C=2)C(=O)NCC(=O)N[C@H](CCCN=C(N)N)C(=O)NCC(=O)N[C@H](CC(O)=O)C(=O)N[C@H](CC(O)=O)C(=O)N[C@H](CC(O)=O)C(N)=O)=C(C)N=C1NC(=O)C1=CC=CC=C1 OPFJDXRVMFKJJO-ZHHKINOHSA-N 0.000 description 2
- 208000012902 Nervous system disease Diseases 0.000 description 2
- 208000025966 Neurological disease Diseases 0.000 description 2
- 102100037369 Nidogen-1 Human genes 0.000 description 2
- 108010058846 Ovalbumin Proteins 0.000 description 2
- 241001494479 Pecora Species 0.000 description 2
- NQRYJNQNLNOLGT-UHFFFAOYSA-N Piperidine Chemical compound C1CCNCC1 NQRYJNQNLNOLGT-UHFFFAOYSA-N 0.000 description 2
- 241000276498 Pollachius virens Species 0.000 description 2
- 239000004743 Polypropylene Substances 0.000 description 2
- 208000004403 Prostatic Hyperplasia Diseases 0.000 description 2
- 206010037649 Pyogenic granuloma Diseases 0.000 description 2
- 206010038933 Retinopathy of prematurity Diseases 0.000 description 2
- 206010039710 Scleroderma Diseases 0.000 description 2
- VYPSYNLAJGMNEJ-UHFFFAOYSA-N Silicium dioxide Chemical compound O=[Si]=O VYPSYNLAJGMNEJ-UHFFFAOYSA-N 0.000 description 2
- 206010043189 Telangiectasia Diseases 0.000 description 2
- 108010008125 Tenascin Proteins 0.000 description 2
- 102000007000 Tenascin Human genes 0.000 description 2
- AYFVYJQAPQTCCC-UHFFFAOYSA-N Threonine Natural products CC(O)C(N)C(O)=O AYFVYJQAPQTCCC-UHFFFAOYSA-N 0.000 description 2
- 239000004473 Threonine Substances 0.000 description 2
- 206010052779 Transplant rejections Diseases 0.000 description 2
- DZHDVYLBNKMLMB-ZFWWWQNUSA-N Trp-Lys Chemical compound C1=CC=C2C(C[C@H](N)C(=O)N[C@@H](CCCCN)C(O)=O)=CNC2=C1 DZHDVYLBNKMLMB-ZFWWWQNUSA-N 0.000 description 2
- 102000008790 VE-cadherin Human genes 0.000 description 2
- OBTCMSPFOITUIJ-FSPLSTOPSA-N Val-Asp Chemical compound CC(C)[C@H](N)C(=O)N[C@H](C(O)=O)CC(O)=O OBTCMSPFOITUIJ-FSPLSTOPSA-N 0.000 description 2
- 102100035140 Vitronectin Human genes 0.000 description 2
- 108010031318 Vitronectin Proteins 0.000 description 2
- 230000003187 abdominal effect Effects 0.000 description 2
- 238000002679 ablation Methods 0.000 description 2
- 230000002159 abnormal effect Effects 0.000 description 2
- 230000005856 abnormality Effects 0.000 description 2
- 238000009825 accumulation Methods 0.000 description 2
- 239000000853 adhesive Substances 0.000 description 2
- 230000001070 adhesive effect Effects 0.000 description 2
- 235000004279 alanine Nutrition 0.000 description 2
- 108010070783 alanyltyrosine Proteins 0.000 description 2
- 150000001298 alcohols Chemical class 0.000 description 2
- 230000036626 alertness Effects 0.000 description 2
- 238000007083 alkoxycarbonylation reaction Methods 0.000 description 2
- 238000007112 amidation reaction Methods 0.000 description 2
- 238000010976 amide bond formation reaction Methods 0.000 description 2
- 229940035676 analgesics Drugs 0.000 description 2
- 239000012491 analyte Substances 0.000 description 2
- RDOXTESZEPMUJZ-UHFFFAOYSA-N anisole Chemical compound COC1=CC=CC=C1 RDOXTESZEPMUJZ-UHFFFAOYSA-N 0.000 description 2
- 239000000730 antalgic agent Substances 0.000 description 2
- 229940121363 anti-inflammatory agent Drugs 0.000 description 2
- 239000002260 anti-inflammatory agent Substances 0.000 description 2
- 239000000935 antidepressant agent Substances 0.000 description 2
- 229940005513 antidepressants Drugs 0.000 description 2
- 230000000890 antigenic effect Effects 0.000 description 2
- 239000002220 antihypertensive agent Substances 0.000 description 2
- 239000004599 antimicrobial Substances 0.000 description 2
- 239000002543 antimycotic Substances 0.000 description 2
- 229940041181 antineoplastic drug Drugs 0.000 description 2
- 230000005744 arteriovenous malformation Effects 0.000 description 2
- 229940009098 aspartate Drugs 0.000 description 2
- 235000003704 aspartic acid Nutrition 0.000 description 2
- 239000012298 atmosphere Substances 0.000 description 2
- 210000003719 b-lymphocyte Anatomy 0.000 description 2
- 125000001797 benzyl group Chemical group [H]C1=C([H])C([H])=C(C([H])=C1[H])C([H])([H])* 0.000 description 2
- OQFSQFPPLPISGP-UHFFFAOYSA-N beta-carboxyaspartic acid Natural products OC(=O)C(N)C(C(O)=O)C(O)=O OQFSQFPPLPISGP-UHFFFAOYSA-N 0.000 description 2
- 239000003364 biologic glue Substances 0.000 description 2
- 230000017531 blood circulation Effects 0.000 description 2
- 229940098773 bovine serum albumin Drugs 0.000 description 2
- 210000000481 breast Anatomy 0.000 description 2
- 229910052791 calcium Inorganic materials 0.000 description 2
- 239000011575 calcium Substances 0.000 description 2
- 238000004364 calculation method Methods 0.000 description 2
- 239000002775 capsule Substances 0.000 description 2
- 150000001732 carboxylic acid derivatives Chemical class 0.000 description 2
- 231100000504 carcinogenesis Toxicity 0.000 description 2
- 210000001715 carotid artery Anatomy 0.000 description 2
- 239000000969 carrier Substances 0.000 description 2
- 238000004113 cell culture Methods 0.000 description 2
- 230000007910 cell fusion Effects 0.000 description 2
- 230000004709 cell invasion Effects 0.000 description 2
- 239000000919 ceramic Substances 0.000 description 2
- HVYWMOMLDIMFJA-DPAQBDIFSA-N cholesterol Chemical compound C1C=C2C[C@@H](O)CC[C@]2(C)[C@@H]2[C@@H]1[C@@H]1CC[C@H]([C@H](C)CCCC(C)C)[C@@]1(C)CC2 HVYWMOMLDIMFJA-DPAQBDIFSA-N 0.000 description 2
- 238000004587 chromatography analysis Methods 0.000 description 2
- 238000003501 co-culture Methods 0.000 description 2
- ZPUCINDJVBIVPJ-LJISPDSOSA-N cocaine Chemical compound O([C@H]1C[C@@H]2CC[C@@H](N2C)[C@H]1C(=O)OC)C(=O)C1=CC=CC=C1 ZPUCINDJVBIVPJ-LJISPDSOSA-N 0.000 description 2
- 229960004126 codeine Drugs 0.000 description 2
- 229960002424 collagenase Drugs 0.000 description 2
- 229940126086 compound 21 Drugs 0.000 description 2
- 238000004624 confocal microscopy Methods 0.000 description 2
- 210000002808 connective tissue Anatomy 0.000 description 2
- 239000000356 contaminant Substances 0.000 description 2
- 210000004351 coronary vessel Anatomy 0.000 description 2
- 239000012228 culture supernatant Substances 0.000 description 2
- 229940127089 cytotoxic agent Drugs 0.000 description 2
- 230000003210 demyelinating effect Effects 0.000 description 2
- 210000001047 desmosome Anatomy 0.000 description 2
- 206010012601 diabetes mellitus Diseases 0.000 description 2
- 238000003745 diagnosis Methods 0.000 description 2
- 230000029087 digestion Effects 0.000 description 2
- 239000002934 diuretic Substances 0.000 description 2
- 229940030606 diuretics Drugs 0.000 description 2
- 239000002552 dosage form Substances 0.000 description 2
- 210000003743 erythrocyte Anatomy 0.000 description 2
- 239000000284 extract Substances 0.000 description 2
- 238000000605 extraction Methods 0.000 description 2
- 238000001943 fluorescence-activated cell sorting Methods 0.000 description 2
- 238000011010 flushing procedure Methods 0.000 description 2
- ZZUFCTLCJUWOSV-UHFFFAOYSA-N furosemide Chemical compound C1=C(Cl)C(S(=O)(=O)N)=CC(C(O)=O)=C1NCC1=CC=CO1 ZZUFCTLCJUWOSV-UHFFFAOYSA-N 0.000 description 2
- 229960003883 furosemide Drugs 0.000 description 2
- 230000002068 genetic effect Effects 0.000 description 2
- 239000008103 glucose Substances 0.000 description 2
- 229930195712 glutamate Natural products 0.000 description 2
- 229940049906 glutamate Drugs 0.000 description 2
- RWSXRVCMGQZWBV-WDSKDSINSA-N glutathione Chemical compound OC(=O)[C@@H](N)CCC(=O)N[C@@H](CS)C(=O)NCC(O)=O RWSXRVCMGQZWBV-WDSKDSINSA-N 0.000 description 2
- 125000003630 glycyl group Chemical group [H]N([H])C([H])([H])C(*)=O 0.000 description 2
- LNEPOXFFQSENCJ-UHFFFAOYSA-N haloperidol Chemical compound C1CC(O)(C=2C=CC(Cl)=CC=2)CCN1CCCC(=O)C1=CC=C(F)C=C1 LNEPOXFFQSENCJ-UHFFFAOYSA-N 0.000 description 2
- 201000011066 hemangioma Diseases 0.000 description 2
- 230000002008 hemorrhagic effect Effects 0.000 description 2
- OROGSEYTTFOCAN-UHFFFAOYSA-N hydrocodone Natural products C1C(N(CCC234)C)C2C=CC(O)C3OC2=C4C1=CC=C2OC OROGSEYTTFOCAN-UHFFFAOYSA-N 0.000 description 2
- 125000002887 hydroxy group Chemical group [H]O* 0.000 description 2
- 208000008384 ileus Diseases 0.000 description 2
- 125000002883 imidazolyl group Chemical group 0.000 description 2
- 238000003018 immunoassay Methods 0.000 description 2
- 229940072221 immunoglobulins Drugs 0.000 description 2
- 230000001976 improved effect Effects 0.000 description 2
- 201000001371 inclusion conjunctivitis Diseases 0.000 description 2
- 229960000905 indomethacin Drugs 0.000 description 2
- 238000001802 infusion Methods 0.000 description 2
- 238000003780 insertion Methods 0.000 description 2
- 230000037431 insertion Effects 0.000 description 2
- 238000007918 intramuscular administration Methods 0.000 description 2
- 239000007928 intraperitoneal injection Substances 0.000 description 2
- 230000001788 irregular Effects 0.000 description 2
- 230000002262 irrigation Effects 0.000 description 2
- 238000003973 irrigation Methods 0.000 description 2
- 229960000310 isoleucine Drugs 0.000 description 2
- AGPKZVBTJJNPAG-UHFFFAOYSA-N isoleucine Natural products CCC(C)C(N)C(O)=O AGPKZVBTJJNPAG-UHFFFAOYSA-N 0.000 description 2
- 210000001117 keloid Anatomy 0.000 description 2
- 150000003951 lactams Chemical class 0.000 description 2
- 208000032839 leukemia Diseases 0.000 description 2
- 230000000670 limiting effect Effects 0.000 description 2
- 239000002502 liposome Substances 0.000 description 2
- 229920002521 macromolecule Polymers 0.000 description 2
- 210000004962 mammalian cell Anatomy 0.000 description 2
- 238000007726 management method Methods 0.000 description 2
- 238000004519 manufacturing process Methods 0.000 description 2
- 239000012567 medical material Substances 0.000 description 2
- 206010027191 meningioma Diseases 0.000 description 2
- 230000003340 mental effect Effects 0.000 description 2
- 239000011859 microparticle Substances 0.000 description 2
- 210000003470 mitochondria Anatomy 0.000 description 2
- 238000012544 monitoring process Methods 0.000 description 2
- 239000000178 monomer Substances 0.000 description 2
- 229960005181 morphine Drugs 0.000 description 2
- 238000013425 morphometry Methods 0.000 description 2
- 210000003365 myofibril Anatomy 0.000 description 2
- 239000002105 nanoparticle Substances 0.000 description 2
- 201000003142 neovascular glaucoma Diseases 0.000 description 2
- 108010008217 nidogen Proteins 0.000 description 2
- 230000000269 nucleophilic effect Effects 0.000 description 2
- 230000003287 optical effect Effects 0.000 description 2
- 210000000056 organ Anatomy 0.000 description 2
- 210000002220 organoid Anatomy 0.000 description 2
- 229940092253 ovalbumin Drugs 0.000 description 2
- 230000001590 oxidative effect Effects 0.000 description 2
- 229960005489 paracetamol Drugs 0.000 description 2
- 239000012188 paraffin wax Substances 0.000 description 2
- 238000007911 parenteral administration Methods 0.000 description 2
- 230000007170 pathology Effects 0.000 description 2
- 230000000737 periodic effect Effects 0.000 description 2
- 210000003200 peritoneal cavity Anatomy 0.000 description 2
- 235000020030 perry Nutrition 0.000 description 2
- COLNVLDHVKWLRT-UHFFFAOYSA-N phenylalanine Natural products OC(=O)C(N)CC1=CC=CC=C1 COLNVLDHVKWLRT-UHFFFAOYSA-N 0.000 description 2
- 239000008363 phosphate buffer Substances 0.000 description 2
- 239000006187 pill Substances 0.000 description 2
- 239000000902 placebo Substances 0.000 description 2
- 229940068196 placebo Drugs 0.000 description 2
- 229920000139 polyethylene terephthalate Polymers 0.000 description 2
- 238000003752 polymerase chain reaction Methods 0.000 description 2
- 229920001184 polypeptide Polymers 0.000 description 2
- 229920001155 polypropylene Polymers 0.000 description 2
- 238000001556 precipitation Methods 0.000 description 2
- 239000002243 precursor Substances 0.000 description 2
- 230000002035 prolonged effect Effects 0.000 description 2
- 238000000159 protein binding assay Methods 0.000 description 2
- 230000002797 proteolythic effect Effects 0.000 description 2
- 230000006340 racemization Effects 0.000 description 2
- 238000007634 remodeling Methods 0.000 description 2
- 230000008439 repair process Effects 0.000 description 2
- 238000009256 replacement therapy Methods 0.000 description 2
- 238000012216 screening Methods 0.000 description 2
- 239000000932 sedative agent Substances 0.000 description 2
- 229940125723 sedative agent Drugs 0.000 description 2
- 238000000926 separation method Methods 0.000 description 2
- 125000003607 serino group Chemical group [H]N([H])[C@]([H])(C(=O)[*])C(O[H])([H])[H] 0.000 description 2
- 238000007086 side reaction Methods 0.000 description 2
- 231100000245 skin permeability Toxicity 0.000 description 2
- 210000002460 smooth muscle Anatomy 0.000 description 2
- 238000001179 sorption measurement Methods 0.000 description 2
- UCSJYZPVAKXKNQ-HZYVHMACSA-N streptomycin Chemical compound CN[C@H]1[C@H](O)[C@@H](O)[C@H](CO)O[C@H]1O[C@@H]1[C@](C=O)(O)[C@H](C)O[C@H]1O[C@@H]1[C@@H](NC(N)=N)[C@H](O)[C@@H](NC(N)=N)[C@H](O)[C@H]1O UCSJYZPVAKXKNQ-HZYVHMACSA-N 0.000 description 2
- 238000007920 subcutaneous administration Methods 0.000 description 2
- 125000001424 substituent group Chemical group 0.000 description 2
- 238000006467 substitution reaction Methods 0.000 description 2
- 239000006228 supernatant Substances 0.000 description 2
- 238000002198 surface plasmon resonance spectroscopy Methods 0.000 description 2
- 230000000946 synaptic effect Effects 0.000 description 2
- 201000004595 synovitis Diseases 0.000 description 2
- 208000009056 telangiectasis Diseases 0.000 description 2
- 125000000999 tert-butyl group Chemical group [H]C([H])([H])C(*)(C([H])([H])[H])C([H])([H])[H] 0.000 description 2
- 150000003568 thioethers Chemical class 0.000 description 2
- 210000001578 tight junction Anatomy 0.000 description 2
- 230000001988 toxicity Effects 0.000 description 2
- 231100000419 toxicity Toxicity 0.000 description 2
- 231100000041 toxicology testing Toxicity 0.000 description 2
- 206010044325 trachoma Diseases 0.000 description 2
- 238000013271 transdermal drug delivery Methods 0.000 description 2
- 230000026683 transduction Effects 0.000 description 2
- 238000010361 transduction Methods 0.000 description 2
- 102000035160 transmembrane proteins Human genes 0.000 description 2
- 108091005703 transmembrane proteins Proteins 0.000 description 2
- 125000002221 trityl group Chemical group [H]C1=C([H])C([H])=C([H])C([H])=C1C([*])(C1=C(C(=C(C(=C1[H])[H])[H])[H])[H])C1=C([H])C([H])=C([H])C([H])=C1[H] 0.000 description 2
- 230000001173 tumoral effect Effects 0.000 description 2
- 239000013598 vector Substances 0.000 description 2
- 239000003981 vehicle Substances 0.000 description 2
- 230000003442 weekly effect Effects 0.000 description 2
- OIXLLKLZKCBCPS-RZVRUWJTSA-N (2s)-2-azanyl-5-[bis(azanyl)methylideneamino]pentanoic acid Chemical compound OC(=O)[C@@H](N)CCCNC(N)=N.OC(=O)[C@@H](N)CCCNC(N)=N OIXLLKLZKCBCPS-RZVRUWJTSA-N 0.000 description 1
- APQIUTYORBAGEZ-UHFFFAOYSA-N 1,1-dibromoethane Chemical compound CC(Br)Br APQIUTYORBAGEZ-UHFFFAOYSA-N 0.000 description 1
- AZQWKYJCGOJGHM-UHFFFAOYSA-N 1,4-benzoquinone Chemical compound O=C1C=CC(=O)C=C1 AZQWKYJCGOJGHM-UHFFFAOYSA-N 0.000 description 1
- ASOKPJOREAFHNY-UHFFFAOYSA-N 1-Hydroxybenzotriazole Chemical compound C1=CC=C2N(O)N=NC2=C1 ASOKPJOREAFHNY-UHFFFAOYSA-N 0.000 description 1
- BLCJBICVQSYOIF-UHFFFAOYSA-N 2,2-diaminobutanoic acid Chemical compound CCC(N)(N)C(O)=O BLCJBICVQSYOIF-UHFFFAOYSA-N 0.000 description 1
- JVSFQJZRHXAUGT-UHFFFAOYSA-N 2,2-dimethylpropanoyl chloride Chemical compound CC(C)(C)C(Cl)=O JVSFQJZRHXAUGT-UHFFFAOYSA-N 0.000 description 1
- SNDPXSYFESPGGJ-UHFFFAOYSA-N 2-aminopentanoic acid Chemical compound CCCC(N)C(O)=O SNDPXSYFESPGGJ-UHFFFAOYSA-N 0.000 description 1
- YVOOPGWEIRIUOX-UHFFFAOYSA-N 2-azanyl-3-sulfanyl-propanoic acid Chemical compound SCC(N)C(O)=O.SCC(N)C(O)=O YVOOPGWEIRIUOX-UHFFFAOYSA-N 0.000 description 1
- HBAHZZVIEFRTEY-UHFFFAOYSA-N 2-heptylcyclohex-2-en-1-one Chemical compound CCCCCCCC1=CCCCC1=O HBAHZZVIEFRTEY-UHFFFAOYSA-N 0.000 description 1
- IQUPABOKLQSFBK-UHFFFAOYSA-N 2-nitrophenol Chemical compound OC1=CC=CC=C1[N+]([O-])=O IQUPABOKLQSFBK-UHFFFAOYSA-N 0.000 description 1
- TVZRAEYQIKYCPH-UHFFFAOYSA-N 3-(trimethylsilyl)propane-1-sulfonic acid Chemical compound C[Si](C)(C)CCCS(O)(=O)=O TVZRAEYQIKYCPH-UHFFFAOYSA-N 0.000 description 1
- 125000004042 4-aminobutyl group Chemical group [H]C([*])([H])C([H])([H])C([H])([H])C([H])([H])N([H])[H] 0.000 description 1
- SLXKOJJOQWFEFD-UHFFFAOYSA-N 6-aminohexanoic acid Chemical compound NCCCCCC(O)=O SLXKOJJOQWFEFD-UHFFFAOYSA-N 0.000 description 1
- ZCYVEMRRCGMTRW-UHFFFAOYSA-N 7553-56-2 Chemical compound [I] ZCYVEMRRCGMTRW-UHFFFAOYSA-N 0.000 description 1
- 206010001258 Adenoviral infections Diseases 0.000 description 1
- QNAYBMKLOCPYGJ-UHFFFAOYSA-N Alanine Chemical compound CC([NH3+])C([O-])=O QNAYBMKLOCPYGJ-UHFFFAOYSA-N 0.000 description 1
- 102000003730 Alpha-catenin Human genes 0.000 description 1
- 108090000020 Alpha-catenin Proteins 0.000 description 1
- 239000004475 Arginine Substances 0.000 description 1
- 208000023275 Autoimmune disease Diseases 0.000 description 1
- 108090001008 Avidin Proteins 0.000 description 1
- 208000004736 B-Cell Leukemia Diseases 0.000 description 1
- 241000894006 Bacteria Species 0.000 description 1
- 108060000903 Beta-catenin Proteins 0.000 description 1
- 102000015735 Beta-catenin Human genes 0.000 description 1
- 206010005003 Bladder cancer Diseases 0.000 description 1
- 201000006474 Brain Ischemia Diseases 0.000 description 1
- WKBOTKDWSSQWDR-UHFFFAOYSA-N Bromine atom Chemical compound [Br] WKBOTKDWSSQWDR-UHFFFAOYSA-N 0.000 description 1
- 125000001433 C-terminal amino-acid group Chemical group 0.000 description 1
- COXVTLYNGOIATD-HVMBLDELSA-N CC1=C(C=CC(=C1)C1=CC(C)=C(C=C1)\N=N\C1=C(O)C2=C(N)C(=CC(=C2C=C1)S(O)(=O)=O)S(O)(=O)=O)\N=N\C1=CC=C2C(=CC(=C(N)C2=C1O)S(O)(=O)=O)S(O)(=O)=O Chemical compound CC1=C(C=CC(=C1)C1=CC(C)=C(C=C1)\N=N\C1=C(O)C2=C(N)C(=CC(=C2C=C1)S(O)(=O)=O)S(O)(=O)=O)\N=N\C1=CC=C2C(=CC(=C(N)C2=C1O)S(O)(=O)=O)S(O)(=O)=O COXVTLYNGOIATD-HVMBLDELSA-N 0.000 description 1
- 201000009030 Carcinoma Diseases 0.000 description 1
- 229940123169 Caspase inhibitor Drugs 0.000 description 1
- 102000009016 Cholera Toxin Human genes 0.000 description 1
- 108010049048 Cholera Toxin Proteins 0.000 description 1
- 102100028757 Chondroitin sulfate proteoglycan 4 Human genes 0.000 description 1
- 102000012422 Collagen Type I Human genes 0.000 description 1
- 108010022452 Collagen Type I Proteins 0.000 description 1
- 108020004635 Complementary DNA Proteins 0.000 description 1
- 239000004971 Cross linker Substances 0.000 description 1
- 241000195493 Cryptophyta Species 0.000 description 1
- FBPFZTCFMRRESA-KVTDHHQDSA-N D-Mannitol Chemical compound OC[C@@H](O)[C@@H](O)[C@H](O)[C@H](O)CO FBPFZTCFMRRESA-KVTDHHQDSA-N 0.000 description 1
- VVNCNSJFMMFHPL-VKHMYHEASA-N D-penicillamine Chemical compound CC(C)(S)[C@@H](N)C(O)=O VVNCNSJFMMFHPL-VKHMYHEASA-N 0.000 description 1
- 239000003155 DNA primer Substances 0.000 description 1
- 206010012289 Dementia Diseases 0.000 description 1
- LTMHDMANZUZIPE-AMTYYWEZSA-N Digoxin Natural products O([C@H]1[C@H](C)O[C@H](O[C@@H]2C[C@@H]3[C@@](C)([C@@H]4[C@H]([C@]5(O)[C@](C)([C@H](O)C4)[C@H](C4=CC(=O)OC4)CC5)CC3)CC2)C[C@@H]1O)[C@H]1O[C@H](C)[C@@H](O[C@H]2O[C@@H](C)[C@H](O)[C@@H](O)C2)[C@@H](O)C1 LTMHDMANZUZIPE-AMTYYWEZSA-N 0.000 description 1
- 238000002965 ELISA Methods 0.000 description 1
- 241000196324 Embryophyta Species 0.000 description 1
- 108010067770 Endopeptidase K Proteins 0.000 description 1
- 102000003951 Erythropoietin Human genes 0.000 description 1
- 108090000394 Erythropoietin Proteins 0.000 description 1
- 208000007530 Essential hypertension Diseases 0.000 description 1
- 108010058861 Fibrin Fibrinogen Degradation Products Proteins 0.000 description 1
- 229910052688 Gadolinium Inorganic materials 0.000 description 1
- GYHNNYVSQQEPJS-UHFFFAOYSA-N Gallium Chemical compound [Ga] GYHNNYVSQQEPJS-UHFFFAOYSA-N 0.000 description 1
- 241000287828 Gallus gallus Species 0.000 description 1
- 101000984012 Gallus gallus Cadherin-1 Proteins 0.000 description 1
- 208000018522 Gastrointestinal disease Diseases 0.000 description 1
- CEAZRRDELHUEMR-URQXQFDESA-N Gentamicin Chemical compound O1[C@H](C(C)NC)CC[C@@H](N)[C@H]1O[C@H]1[C@H](O)[C@@H](O[C@@H]2[C@@H]([C@@H](NC)[C@@](C)(O)CO2)O)[C@H](N)C[C@@H]1N CEAZRRDELHUEMR-URQXQFDESA-N 0.000 description 1
- 229930182566 Gentamicin Natural products 0.000 description 1
- SXRSQZLOMIGNAQ-UHFFFAOYSA-N Glutaraldehyde Chemical compound O=CCCCC=O SXRSQZLOMIGNAQ-UHFFFAOYSA-N 0.000 description 1
- 108010024636 Glutathione Proteins 0.000 description 1
- 102000003886 Glycoproteins Human genes 0.000 description 1
- 108090000288 Glycoproteins Proteins 0.000 description 1
- 206010019280 Heart failures Diseases 0.000 description 1
- 208000002250 Hematologic Neoplasms Diseases 0.000 description 1
- 208000032843 Hemorrhage Diseases 0.000 description 1
- 229920002971 Heparan sulfate Polymers 0.000 description 1
- 241000238631 Hexapoda Species 0.000 description 1
- 101000762238 Homo sapiens Cadherin-12 Proteins 0.000 description 1
- 101000916489 Homo sapiens Chondroitin sulfate proteoglycan 4 Proteins 0.000 description 1
- 102000002265 Human Growth Hormone Human genes 0.000 description 1
- 108010000521 Human Growth Hormone Proteins 0.000 description 1
- 239000000854 Human Growth Hormone Substances 0.000 description 1
- UFHFLCQGNIYNRP-UHFFFAOYSA-N Hydrogen Chemical compound [H][H] UFHFLCQGNIYNRP-UHFFFAOYSA-N 0.000 description 1
- LCWXJXMHJVIJFK-UHFFFAOYSA-N Hydroxylysine Natural products NCC(O)CC(N)CC(O)=O LCWXJXMHJVIJFK-UHFFFAOYSA-N 0.000 description 1
- PMMYEEVYMWASQN-DMTCNVIQSA-N Hydroxyproline Chemical compound O[C@H]1CN[C@H](C(O)=O)C1 PMMYEEVYMWASQN-DMTCNVIQSA-N 0.000 description 1
- VSNHCAURESNICA-UHFFFAOYSA-N Hydroxyurea Chemical compound NC(=O)NO VSNHCAURESNICA-UHFFFAOYSA-N 0.000 description 1
- 206010020772 Hypertension Diseases 0.000 description 1
- HEFNNWSXXWATRW-UHFFFAOYSA-N Ibuprofen Chemical compound CC(C)CC1=CC=C(C(C)C(O)=O)C=C1 HEFNNWSXXWATRW-UHFFFAOYSA-N 0.000 description 1
- 102000008394 Immunoglobulin Fragments Human genes 0.000 description 1
- 108010021625 Immunoglobulin Fragments Proteins 0.000 description 1
- 206010062016 Immunosuppression Diseases 0.000 description 1
- 108010030465 Integrin alpha6beta1 Proteins 0.000 description 1
- 102000014150 Interferons Human genes 0.000 description 1
- 108010050904 Interferons Proteins 0.000 description 1
- 102000010789 Interleukin-2 Receptors Human genes 0.000 description 1
- 108010038453 Interleukin-2 Receptors Proteins 0.000 description 1
- 102000015696 Interleukins Human genes 0.000 description 1
- 108010063738 Interleukins Proteins 0.000 description 1
- 108091092195 Intron Proteins 0.000 description 1
- 125000000570 L-alpha-aspartyl group Chemical group [H]OC(=O)C([H])([H])[C@]([H])(N([H])[H])C(*)=O 0.000 description 1
- ODKSFYDXXFIFQN-BYPYZUCNSA-P L-argininium(2+) Chemical compound NC(=[NH2+])NCCC[C@H]([NH3+])C(O)=O ODKSFYDXXFIFQN-BYPYZUCNSA-P 0.000 description 1
- 229930182816 L-glutamine Natural products 0.000 description 1
- 125000002061 L-isoleucyl group Chemical group [H]N([H])[C@]([H])(C(=O)[*])[C@](C([H])([H])[H])([H])C(C([H])([H])[H])([H])[H] 0.000 description 1
- 125000001176 L-lysyl group Chemical group [H]N([H])[C@]([H])(C(=O)[*])C([H])([H])C([H])([H])C([H])([H])C(N([H])[H])([H])[H] 0.000 description 1
- FFEARJCKVFRZRR-BYPYZUCNSA-N L-methionine Chemical compound CSCC[C@H](N)C(O)=O FFEARJCKVFRZRR-BYPYZUCNSA-N 0.000 description 1
- QIVBCDIJIAJPQS-VIFPVBQESA-N L-tryptophane Chemical compound C1=CC=C2C(C[C@H](N)C(O)=O)=CNC2=C1 QIVBCDIJIAJPQS-VIFPVBQESA-N 0.000 description 1
- 125000003798 L-tyrosyl group Chemical group [H]N([H])[C@]([H])(C(=O)[*])C([H])([H])C1=C([H])C([H])=C(O[H])C([H])=C1[H] 0.000 description 1
- KZSNJWFQEVHDMF-BYPYZUCNSA-N L-valine Chemical compound CC(C)[C@H](N)C(O)=O KZSNJWFQEVHDMF-BYPYZUCNSA-N 0.000 description 1
- 108090001090 Lectins Proteins 0.000 description 1
- 102000004856 Lectins Human genes 0.000 description 1
- 102000008072 Lymphokines Human genes 0.000 description 1
- 108010074338 Lymphokines Proteins 0.000 description 1
- 206010025323 Lymphomas Diseases 0.000 description 1
- 238000000134 MTT assay Methods 0.000 description 1
- 231100000002 MTT assay Toxicity 0.000 description 1
- 229930195725 Mannitol Natural products 0.000 description 1
- NOOJLZTTWSNHOX-UWVGGRQHSA-N Melanostatin Chemical compound NC(=O)CNC(=O)[C@H](CC(C)C)NC(=O)[C@@H]1CCCN1 NOOJLZTTWSNHOX-UWVGGRQHSA-N 0.000 description 1
- 102000012750 Membrane Glycoproteins Human genes 0.000 description 1
- 108010090054 Membrane Glycoproteins Proteins 0.000 description 1
- XADCESSVHJOZHK-UHFFFAOYSA-N Meperidine Chemical compound C=1C=CC=CC=1C1(C(=O)OCC)CCN(C)CC1 XADCESSVHJOZHK-UHFFFAOYSA-N 0.000 description 1
- 108091005975 Myofilaments Proteins 0.000 description 1
- NQTADLQHYWFPDB-UHFFFAOYSA-N N-Hydroxysuccinimide Chemical compound ON1C(=O)CCC1=O NQTADLQHYWFPDB-UHFFFAOYSA-N 0.000 description 1
- RTHCYVBBDHJXIQ-UHFFFAOYSA-N N-methyl-3-phenyl-3-[4-(trifluoromethyl)phenoxy]propan-1-amine Chemical compound C=1C=CC=CC=1C(CCNC)OC1=CC=C(C(F)(F)F)C=C1 RTHCYVBBDHJXIQ-UHFFFAOYSA-N 0.000 description 1
- 229920002274 Nalgene Polymers 0.000 description 1
- 108010069196 Neural Cell Adhesion Molecules Proteins 0.000 description 1
- 102100027347 Neural cell adhesion molecule 1 Human genes 0.000 description 1
- 239000000020 Nitrocellulose Substances 0.000 description 1
- 108091028043 Nucleic acid sequence Proteins 0.000 description 1
- CTQNGGLPUBDAKN-UHFFFAOYSA-N O-Xylene Chemical compound CC1=CC=CC=C1C CTQNGGLPUBDAKN-UHFFFAOYSA-N 0.000 description 1
- 231100000229 OECD 452 Chronic Toxicity Study Toxicity 0.000 description 1
- 229930012538 Paclitaxel Natural products 0.000 description 1
- 108090000526 Papain Proteins 0.000 description 1
- 229930182555 Penicillin Natural products 0.000 description 1
- JGSARLDLIJGVTE-MBNYWOFBSA-N Penicillin G Chemical compound N([C@H]1[C@H]2SC([C@@H](N2C1=O)C(O)=O)(C)C)C(=O)CC1=CC=CC=C1 JGSARLDLIJGVTE-MBNYWOFBSA-N 0.000 description 1
- OAICVXFJPJFONN-UHFFFAOYSA-N Phosphorus Chemical compound [P] OAICVXFJPJFONN-UHFFFAOYSA-N 0.000 description 1
- 239000004952 Polyamide Substances 0.000 description 1
- 239000004698 Polyethylene Substances 0.000 description 1
- 108010039918 Polylysine Proteins 0.000 description 1
- 239000004793 Polystyrene Substances 0.000 description 1
- ONIBWKKTOPOVIA-UHFFFAOYSA-N Proline Natural products OC(=O)C1CCCN1 ONIBWKKTOPOVIA-UHFFFAOYSA-N 0.000 description 1
- 239000004365 Protease Substances 0.000 description 1
- 229940123924 Protein kinase C inhibitor Drugs 0.000 description 1
- 108010067787 Proteoglycans Proteins 0.000 description 1
- 208000028017 Psychotic disease Diseases 0.000 description 1
- 108020004511 Recombinant DNA Proteins 0.000 description 1
- 206010038997 Retroviral infections Diseases 0.000 description 1
- 230000021699 Schwann cell migration Effects 0.000 description 1
- 201000004239 Secondary hypertension Diseases 0.000 description 1
- 102000003800 Selectins Human genes 0.000 description 1
- 108090000184 Selectins Proteins 0.000 description 1
- VMHLLURERBWHNL-UHFFFAOYSA-M Sodium acetate Chemical compound [Na+].CC([O-])=O VMHLLURERBWHNL-UHFFFAOYSA-M 0.000 description 1
- 206010041349 Somnolence Diseases 0.000 description 1
- 229920001872 Spider silk Polymers 0.000 description 1
- 108010090804 Streptavidin Proteins 0.000 description 1
- 229930006000 Sucrose Natural products 0.000 description 1
- CZMRCDWAGMRECN-UGDNZRGBSA-N Sucrose Chemical compound O[C@H]1[C@H](O)[C@@H](CO)O[C@@]1(CO)O[C@@H]1[C@H](O)[C@@H](O)[C@H](O)[C@@H](CO)O1 CZMRCDWAGMRECN-UGDNZRGBSA-N 0.000 description 1
- 239000000150 Sympathomimetic Substances 0.000 description 1
- 210000000662 T-lymphocyte subset Anatomy 0.000 description 1
- 102000000591 Tight Junction Proteins Human genes 0.000 description 1
- 108010002321 Tight Junction Proteins Proteins 0.000 description 1
- QIVBCDIJIAJPQS-UHFFFAOYSA-N Tryptophan Natural products C1=CC=C2C(CC(N)C(O)=O)=CNC2=C1 QIVBCDIJIAJPQS-UHFFFAOYSA-N 0.000 description 1
- 108010059993 Vancomycin Proteins 0.000 description 1
- 206010072810 Vascular wall hypertrophy Diseases 0.000 description 1
- 229940122803 Vinca alkaloid Drugs 0.000 description 1
- GPKUGWDQUVWHIC-UHFFFAOYSA-N [4-(4-hydrazinylphenyl)phenyl]hydrazine tetrahydrochloride Chemical compound Cl.Cl.Cl.Cl.NNC1=CC=C(C=C1)C1=CC=C(NN)C=C1 GPKUGWDQUVWHIC-UHFFFAOYSA-N 0.000 description 1
- 238000012084 abdominal surgery Methods 0.000 description 1
- 230000002378 acidificating effect Effects 0.000 description 1
- 150000007513 acids Chemical class 0.000 description 1
- 229920006397 acrylic thermoplastic Polymers 0.000 description 1
- 230000004913 activation Effects 0.000 description 1
- 231100000215 acute (single dose) toxicity testing Toxicity 0.000 description 1
- 230000001154 acute effect Effects 0.000 description 1
- 239000000654 additive Substances 0.000 description 1
- 210000002867 adherens junction Anatomy 0.000 description 1
- 230000011759 adipose tissue development Effects 0.000 description 1
- 239000002671 adjuvant Substances 0.000 description 1
- 206010064930 age-related macular degeneration Diseases 0.000 description 1
- 230000002776 aggregation Effects 0.000 description 1
- 238000004220 aggregation Methods 0.000 description 1
- 238000011256 aggressive treatment Methods 0.000 description 1
- 125000003172 aldehyde group Chemical group 0.000 description 1
- 125000003545 alkoxy group Chemical group 0.000 description 1
- 125000005907 alkyl ester group Chemical group 0.000 description 1
- 208000026935 allergic disease Diseases 0.000 description 1
- 150000001370 alpha-amino acid derivatives Chemical class 0.000 description 1
- 150000001371 alpha-amino acids Chemical class 0.000 description 1
- 235000008206 alpha-amino acids Nutrition 0.000 description 1
- 125000000266 alpha-aminoacyl group Chemical group 0.000 description 1
- WNROFYMDJYEPJX-UHFFFAOYSA-K aluminium hydroxide Chemical compound [OH-].[OH-].[OH-].[Al+3] WNROFYMDJYEPJX-UHFFFAOYSA-K 0.000 description 1
- 238000003277 amino acid sequence analysis Methods 0.000 description 1
- 238000007098 aminolysis reaction Methods 0.000 description 1
- 229960000836 amitriptyline Drugs 0.000 description 1
- KRMDCWKBEZIMAB-UHFFFAOYSA-N amitriptyline Chemical compound C1CC2=CC=CC=C2C(=CCCN(C)C)C2=CC=CC=C21 KRMDCWKBEZIMAB-UHFFFAOYSA-N 0.000 description 1
- 230000000202 analgesic effect Effects 0.000 description 1
- 229940035674 anesthetics Drugs 0.000 description 1
- 238000002583 angiography Methods 0.000 description 1
- 210000004102 animal cell Anatomy 0.000 description 1
- 238000010171 animal model Methods 0.000 description 1
- 230000000954 anitussive effect Effects 0.000 description 1
- 230000000507 anthelmentic effect Effects 0.000 description 1
- 239000000921 anthelmintic agent Substances 0.000 description 1
- 229940124339 anthelmintic agent Drugs 0.000 description 1
- 230000003257 anti-anginal effect Effects 0.000 description 1
- 230000002456 anti-arthritic effect Effects 0.000 description 1
- 230000000844 anti-bacterial effect Effects 0.000 description 1
- 230000001078 anti-cholinergic effect Effects 0.000 description 1
- 230000003474 anti-emetic effect Effects 0.000 description 1
- 230000002924 anti-infective effect Effects 0.000 description 1
- 229940124599 anti-inflammatory drug Drugs 0.000 description 1
- 230000003110 anti-inflammatory effect Effects 0.000 description 1
- 229940044684 anti-microtubule agent Drugs 0.000 description 1
- 230000001754 anti-pyretic effect Effects 0.000 description 1
- 230000002421 anti-septic effect Effects 0.000 description 1
- 230000002365 anti-tubercular Effects 0.000 description 1
- 229940124345 antianginal agent Drugs 0.000 description 1
- 229940124346 antiarthritic agent Drugs 0.000 description 1
- 239000003146 anticoagulant agent Substances 0.000 description 1
- 229940127219 anticoagulant drug Drugs 0.000 description 1
- 239000000729 antidote Substances 0.000 description 1
- 229940075522 antidotes Drugs 0.000 description 1
- 239000002111 antiemetic agent Substances 0.000 description 1
- 229940125683 antiemetic agent Drugs 0.000 description 1
- 229940121375 antifungal agent Drugs 0.000 description 1
- 229940125715 antihistaminic agent Drugs 0.000 description 1
- 239000000739 antihistaminic agent Substances 0.000 description 1
- 229940030600 antihypertensive agent Drugs 0.000 description 1
- 229940127088 antihypertensive drug Drugs 0.000 description 1
- 229960005475 antiinfective agent Drugs 0.000 description 1
- 239000003430 antimalarial agent Substances 0.000 description 1
- 229940033495 antimalarials Drugs 0.000 description 1
- 239000002282 antimigraine agent Substances 0.000 description 1
- 229940125684 antimigraine agent Drugs 0.000 description 1
- 229940045988 antineoplastic drug protein kinase inhibitors Drugs 0.000 description 1
- 239000003963 antioxidant agent Substances 0.000 description 1
- 235000006708 antioxidants Nutrition 0.000 description 1
- 239000000164 antipsychotic agent Substances 0.000 description 1
- 229940005529 antipsychotics Drugs 0.000 description 1
- 239000002221 antipyretic Substances 0.000 description 1
- 229940125716 antipyretic agent Drugs 0.000 description 1
- 229940064004 antiseptic throat preparations Drugs 0.000 description 1
- 239000004019 antithrombin Substances 0.000 description 1
- 239000003434 antitussive agent Substances 0.000 description 1
- 229940124584 antitussives Drugs 0.000 description 1
- 239000003443 antiviral agent Substances 0.000 description 1
- 229940121357 antivirals Drugs 0.000 description 1
- 239000002249 anxiolytic agent Substances 0.000 description 1
- 230000000949 anxiolytic effect Effects 0.000 description 1
- 229940005530 anxiolytics Drugs 0.000 description 1
- 238000003782 apoptosis assay Methods 0.000 description 1
- 239000002830 appetite depressant Substances 0.000 description 1
- 239000012736 aqueous medium Substances 0.000 description 1
- ODKSFYDXXFIFQN-UHFFFAOYSA-N arginine Natural products OC(=O)C(N)CCCNC(N)=N ODKSFYDXXFIFQN-UHFFFAOYSA-N 0.000 description 1
- 108010072041 arginyl-glycyl-aspartic acid Proteins 0.000 description 1
- 208000011775 arteriosclerosis disease Diseases 0.000 description 1
- 210000001367 artery Anatomy 0.000 description 1
- 229960005070 ascorbic acid Drugs 0.000 description 1
- 235000010323 ascorbic acid Nutrition 0.000 description 1
- 239000011668 ascorbic acid Substances 0.000 description 1
- 238000002820 assay format Methods 0.000 description 1
- 230000001363 autoimmune Effects 0.000 description 1
- 210000003050 axon Anatomy 0.000 description 1
- 210000000649 b-lymphocyte subset Anatomy 0.000 description 1
- 229910052788 barium Inorganic materials 0.000 description 1
- DSAJWYNOEDNPEQ-UHFFFAOYSA-N barium atom Chemical compound [Ba] DSAJWYNOEDNPEQ-UHFFFAOYSA-N 0.000 description 1
- 210000002469 basement membrane Anatomy 0.000 description 1
- FEMYXXCBVRPCFV-UHFFFAOYSA-N benzenesulfinylbenzene;trichloro(methyl)silane Chemical compound C[Si](Cl)(Cl)Cl.C=1C=CC=CC=1S(=O)C1=CC=CC=C1 FEMYXXCBVRPCFV-UHFFFAOYSA-N 0.000 description 1
- RROBIDXNTUAHFW-UHFFFAOYSA-N benzotriazol-1-yloxy-tris(dimethylamino)phosphanium Chemical compound C1=CC=C2N(O[P+](N(C)C)(N(C)C)N(C)C)N=NC2=C1 RROBIDXNTUAHFW-UHFFFAOYSA-N 0.000 description 1
- 238000005574 benzylation reaction Methods 0.000 description 1
- 239000002876 beta blocker Substances 0.000 description 1
- 229940097320 beta blocking agent Drugs 0.000 description 1
- WQZGKKKJIJFFOK-VFUOTHLCSA-N beta-D-glucose Chemical compound OC[C@H]1O[C@@H](O)[C@H](O)[C@@H](O)[C@@H]1O WQZGKKKJIJFFOK-VFUOTHLCSA-N 0.000 description 1
- 150000001576 beta-amino acids Chemical class 0.000 description 1
- 230000001588 bifunctional effect Effects 0.000 description 1
- 230000008275 binding mechanism Effects 0.000 description 1
- 239000012867 bioactive agent Substances 0.000 description 1
- 229920002988 biodegradable polymer Polymers 0.000 description 1
- 239000004621 biodegradable polymer Substances 0.000 description 1
- 239000003124 biologic agent Substances 0.000 description 1
- 230000008512 biological response Effects 0.000 description 1
- 229960000074 biopharmaceutical Drugs 0.000 description 1
- 208000034158 bleeding Diseases 0.000 description 1
- 230000000740 bleeding effect Effects 0.000 description 1
- 230000008499 blood brain barrier function Effects 0.000 description 1
- 210000000601 blood cell Anatomy 0.000 description 1
- 210000001218 blood-brain barrier Anatomy 0.000 description 1
- 239000001045 blue dye Substances 0.000 description 1
- 238000006664 bond formation reaction Methods 0.000 description 1
- GDTBXPJZTBHREO-UHFFFAOYSA-N bromine Substances BrBr GDTBXPJZTBHREO-UHFFFAOYSA-N 0.000 description 1
- 229910052794 bromium Inorganic materials 0.000 description 1
- 239000007975 buffered saline Substances 0.000 description 1
- 230000004611 cancer cell death Effects 0.000 description 1
- 239000012830 cancer therapeutic Substances 0.000 description 1
- 230000005773 cancer-related death Effects 0.000 description 1
- 150000001720 carbohydrates Chemical class 0.000 description 1
- 235000014633 carbohydrates Nutrition 0.000 description 1
- 229910052799 carbon Inorganic materials 0.000 description 1
- 125000002915 carbonyl group Chemical group [*:2]C([*:1])=O 0.000 description 1
- 150000007942 carboxylates Chemical group 0.000 description 1
- 230000015556 catabolic process Effects 0.000 description 1
- 239000003054 catalyst Substances 0.000 description 1
- 239000000799 cathartic agent Substances 0.000 description 1
- 230000003915 cell function Effects 0.000 description 1
- 230000010261 cell growth Effects 0.000 description 1
- 230000015861 cell surface binding Effects 0.000 description 1
- 230000003833 cell viability Effects 0.000 description 1
- 230000008614 cellular interaction Effects 0.000 description 1
- 230000036755 cellular response Effects 0.000 description 1
- 210000001638 cerebellum Anatomy 0.000 description 1
- 210000001175 cerebrospinal fluid Anatomy 0.000 description 1
- 239000002738 chelating agent Substances 0.000 description 1
- JQXXHWHPUNPDRT-YOPQJBRCSA-N chembl1332716 Chemical compound O([C@](C1=O)(C)O\C=C/[C@@H]([C@H]([C@@H](OC(C)=O)[C@H](C)[C@H](O)[C@H](C)[C@@H](O)[C@@H](C)/C=C\C=C(C)/C(=O)NC=2C(O)=C3C(O)=C4C)C)OC)C4=C1C3=C(O)C=2\C=N\N1CCN(C)CC1 JQXXHWHPUNPDRT-YOPQJBRCSA-N 0.000 description 1
- 239000013043 chemical agent Substances 0.000 description 1
- 239000007795 chemical reaction product Substances 0.000 description 1
- ZPEIMTDSQAKGNT-UHFFFAOYSA-N chlorpromazine Chemical compound C1=C(Cl)C=C2N(CCCN(C)C)C3=CC=CC=C3SC2=C1 ZPEIMTDSQAKGNT-UHFFFAOYSA-N 0.000 description 1
- 229960001076 chlorpromazine Drugs 0.000 description 1
- 235000012000 cholesterol Nutrition 0.000 description 1
- 230000007665 chronic toxicity Effects 0.000 description 1
- 231100000160 chronic toxicity Toxicity 0.000 description 1
- 229960003920 cocaine Drugs 0.000 description 1
- 229960001338 colchicine Drugs 0.000 description 1
- 229940096422 collagen type i Drugs 0.000 description 1
- 238000012875 competitive assay Methods 0.000 description 1
- 229940125782 compound 2 Drugs 0.000 description 1
- 239000000039 congener Substances 0.000 description 1
- 229940124558 contraceptive agent Drugs 0.000 description 1
- 208000006111 contracture Diseases 0.000 description 1
- 239000002872 contrast media Substances 0.000 description 1
- 238000013270 controlled release Methods 0.000 description 1
- 230000001276 controlling effect Effects 0.000 description 1
- 238000007887 coronary angioplasty Methods 0.000 description 1
- 230000002596 correlated effect Effects 0.000 description 1
- 239000003431 cross linking reagent Substances 0.000 description 1
- 239000013078 crystal Substances 0.000 description 1
- 230000006735 deficit Effects 0.000 description 1
- YSMODUONRAFBET-UHFFFAOYSA-N delta-DL-hydroxylysine Natural products NCC(O)CCC(N)C(O)=O YSMODUONRAFBET-UHFFFAOYSA-N 0.000 description 1
- 229940080861 demerol Drugs 0.000 description 1
- 238000013461 design Methods 0.000 description 1
- 238000010586 diagram Methods 0.000 description 1
- VILAVOFMIJHSJA-UHFFFAOYSA-N dicarbon monoxide Chemical compound [C]=C=O VILAVOFMIJHSJA-UHFFFAOYSA-N 0.000 description 1
- 230000004069 differentiation Effects 0.000 description 1
- 238000009792 diffusion process Methods 0.000 description 1
- LTMHDMANZUZIPE-PUGKRICDSA-N digoxin Chemical compound C1[C@H](O)[C@H](O)[C@@H](C)O[C@H]1O[C@@H]1[C@@H](C)O[C@@H](O[C@@H]2[C@H](O[C@@H](O[C@@H]3C[C@@H]4[C@]([C@@H]5[C@H]([C@]6(CC[C@@H]([C@@]6(C)[C@H](O)C5)C=5COC(=O)C=5)O)CC4)(C)CC3)C[C@@H]2O)C)C[C@@H]1O LTMHDMANZUZIPE-PUGKRICDSA-N 0.000 description 1
- 229960005156 digoxin Drugs 0.000 description 1
- LTMHDMANZUZIPE-UHFFFAOYSA-N digoxine Natural products C1C(O)C(O)C(C)OC1OC1C(C)OC(OC2C(OC(OC3CC4C(C5C(C6(CCC(C6(C)C(O)C5)C=5COC(=O)C=5)O)CC4)(C)CC3)CC2O)C)CC1O LTMHDMANZUZIPE-UHFFFAOYSA-N 0.000 description 1
- 229940043279 diisopropylamine Drugs 0.000 description 1
- 239000003085 diluting agent Substances 0.000 description 1
- 239000013024 dilution buffer Substances 0.000 description 1
- 230000003292 diminished effect Effects 0.000 description 1
- MGHPNCMVUAKAIE-UHFFFAOYSA-N diphenylmethanamine Chemical compound C=1C=CC=CC=1C(N)C1=CC=CC=C1 MGHPNCMVUAKAIE-UHFFFAOYSA-N 0.000 description 1
- 238000002845 discoloration Methods 0.000 description 1
- 208000037765 diseases and disorders Diseases 0.000 description 1
- 238000007323 disproportionation reaction Methods 0.000 description 1
- 238000010494 dissociation reaction Methods 0.000 description 1
- 230000005593 dissociations Effects 0.000 description 1
- 238000009826 distribution Methods 0.000 description 1
- PMMYEEVYMWASQN-UHFFFAOYSA-N dl-hydroxyproline Natural products OC1C[NH2+]C(C([O-])=O)C1 PMMYEEVYMWASQN-UHFFFAOYSA-N 0.000 description 1
- 230000007783 downstream signaling Effects 0.000 description 1
- 238000001647 drug administration Methods 0.000 description 1
- 239000003937 drug carrier Substances 0.000 description 1
- 238000013399 early diagnosis Methods 0.000 description 1
- 230000002900 effect on cell Effects 0.000 description 1
- 230000008030 elimination Effects 0.000 description 1
- 238000003379 elimination reaction Methods 0.000 description 1
- 238000005538 encapsulation Methods 0.000 description 1
- 230000010595 endothelial cell migration Effects 0.000 description 1
- 239000003623 enhancer Substances 0.000 description 1
- 238000006911 enzymatic reaction Methods 0.000 description 1
- 239000006167 equilibration buffer Substances 0.000 description 1
- YSMODUONRAFBET-UHNVWZDZSA-N erythro-5-hydroxy-L-lysine Chemical compound NC[C@H](O)CC[C@H](N)C(O)=O YSMODUONRAFBET-UHNVWZDZSA-N 0.000 description 1
- 229940105423 erythropoietin Drugs 0.000 description 1
- 125000004185 ester group Chemical group 0.000 description 1
- LCFXLZAXGXOXAP-QPJJXVBHSA-N ethyl (2e)-2-cyano-2-hydroxyiminoacetate Chemical compound CCOC(=O)C(=N\O)\C#N LCFXLZAXGXOXAP-QPJJXVBHSA-N 0.000 description 1
- 125000004494 ethyl ester group Chemical group 0.000 description 1
- WBJINCZRORDGAQ-UHFFFAOYSA-N ethyl formate Chemical compound CCOC=O WBJINCZRORDGAQ-UHFFFAOYSA-N 0.000 description 1
- 229960003699 evans blue Drugs 0.000 description 1
- 239000003172 expectorant agent Substances 0.000 description 1
- 230000003419 expectorant effect Effects 0.000 description 1
- 229940066493 expectorants Drugs 0.000 description 1
- 239000013604 expression vector Substances 0.000 description 1
- 230000035558 fertility Effects 0.000 description 1
- 230000001605 fetal effect Effects 0.000 description 1
- 210000003754 fetus Anatomy 0.000 description 1
- 239000011152 fibreglass Substances 0.000 description 1
- 239000000208 fibrin degradation product Substances 0.000 description 1
- 239000003527 fibrinolytic agent Substances 0.000 description 1
- 230000003480 fibrinolytic effect Effects 0.000 description 1
- 238000001914 filtration Methods 0.000 description 1
- 239000007850 fluorescent dye Substances 0.000 description 1
- 230000022244 formylation Effects 0.000 description 1
- 238000006170 formylation reaction Methods 0.000 description 1
- UIWYJDYFSGRHKR-UHFFFAOYSA-N gadolinium atom Chemical compound [Gd] UIWYJDYFSGRHKR-UHFFFAOYSA-N 0.000 description 1
- IZOOGPBRAOKZFK-UHFFFAOYSA-K gadopentetate Chemical compound [Gd+3].OC(=O)CN(CC([O-])=O)CCN(CC([O-])=O)CCN(CC(O)=O)CC([O-])=O IZOOGPBRAOKZFK-UHFFFAOYSA-K 0.000 description 1
- 229910052733 gallium Inorganic materials 0.000 description 1
- BTCSSZJGUNDROE-UHFFFAOYSA-N gamma-aminobutyric acid Chemical compound NCCCC(O)=O BTCSSZJGUNDROE-UHFFFAOYSA-N 0.000 description 1
- 150000002270 gangliosides Chemical class 0.000 description 1
- 210000003976 gap junction Anatomy 0.000 description 1
- 238000001502 gel electrophoresis Methods 0.000 description 1
- 239000003193 general anesthetic agent Substances 0.000 description 1
- 235000013922 glutamic acid Nutrition 0.000 description 1
- 239000004220 glutamic acid Substances 0.000 description 1
- ZDXPYRJPNDTMRX-UHFFFAOYSA-N glutamine Natural products OC(=O)C(N)CCC(N)=O ZDXPYRJPNDTMRX-UHFFFAOYSA-N 0.000 description 1
- 229960002743 glutamine Drugs 0.000 description 1
- 229960003180 glutathione Drugs 0.000 description 1
- 210000002288 golgi apparatus Anatomy 0.000 description 1
- 210000003714 granulocyte Anatomy 0.000 description 1
- 210000000020 growth cone Anatomy 0.000 description 1
- 239000000122 growth hormone Substances 0.000 description 1
- 229940093915 gynecological organic acid Drugs 0.000 description 1
- 229960003878 haloperidol Drugs 0.000 description 1
- 230000035876 healing Effects 0.000 description 1
- 230000005802 health problem Effects 0.000 description 1
- 229960002897 heparin Drugs 0.000 description 1
- 229920000669 heparin Polymers 0.000 description 1
- 239000012510 hollow fiber Substances 0.000 description 1
- 229940125697 hormonal agent Drugs 0.000 description 1
- 239000003688 hormone derivative Substances 0.000 description 1
- 238000001794 hormone therapy Methods 0.000 description 1
- 238000006698 hydrazinolysis reaction Methods 0.000 description 1
- 229910052739 hydrogen Inorganic materials 0.000 description 1
- 239000001257 hydrogen Substances 0.000 description 1
- 150000001261 hydroxy acids Chemical class 0.000 description 1
- QJHBJHUKURJDLG-UHFFFAOYSA-N hydroxy-L-lysine Natural products NCCCCC(NO)C(O)=O QJHBJHUKURJDLG-UHFFFAOYSA-N 0.000 description 1
- 229960001330 hydroxycarbamide Drugs 0.000 description 1
- 229960002591 hydroxyproline Drugs 0.000 description 1
- 230000002390 hyperplastic effect Effects 0.000 description 1
- 239000003326 hypnotic agent Substances 0.000 description 1
- 230000000147 hypnotic effect Effects 0.000 description 1
- 229960001680 ibuprofen Drugs 0.000 description 1
- BCGWQEUPMDMJNV-UHFFFAOYSA-N imipramine Chemical compound C1CC2=CC=CC=C2N(CCCN(C)C)C2=CC=CC=C21 BCGWQEUPMDMJNV-UHFFFAOYSA-N 0.000 description 1
- 210000003297 immature b lymphocyte Anatomy 0.000 description 1
- 230000008105 immune reaction Effects 0.000 description 1
- 230000028993 immune response Effects 0.000 description 1
- 238000010820 immunofluorescence microscopy Methods 0.000 description 1
- 238000003125 immunofluorescent labeling Methods 0.000 description 1
- 229940027941 immunoglobulin g Drugs 0.000 description 1
- 230000001506 immunosuppresive effect Effects 0.000 description 1
- 229910052738 indium Inorganic materials 0.000 description 1
- APFVFJFRJDLVQX-UHFFFAOYSA-N indium atom Chemical compound [In] APFVFJFRJDLVQX-UHFFFAOYSA-N 0.000 description 1
- 230000010661 induction of programmed cell death Effects 0.000 description 1
- 208000027866 inflammatory disease Diseases 0.000 description 1
- 238000011221 initial treatment Methods 0.000 description 1
- 238000012482 interaction analysis Methods 0.000 description 1
- 210000004692 intercellular junction Anatomy 0.000 description 1
- 229940047124 interferons Drugs 0.000 description 1
- 229940047122 interleukins Drugs 0.000 description 1
- 238000007917 intracranial administration Methods 0.000 description 1
- 238000007912 intraperitoneal administration Methods 0.000 description 1
- 238000007913 intrathecal administration Methods 0.000 description 1
- 238000010253 intravenous injection Methods 0.000 description 1
- PNDPGZBMCMUPRI-UHFFFAOYSA-N iodine Chemical compound II PNDPGZBMCMUPRI-UHFFFAOYSA-N 0.000 description 1
- 229910052740 iodine Inorganic materials 0.000 description 1
- 239000011630 iodine Substances 0.000 description 1
- 238000004255 ion exchange chromatography Methods 0.000 description 1
- 230000002427 irreversible effect Effects 0.000 description 1
- 239000012948 isocyanate Substances 0.000 description 1
- 150000002513 isocyanates Chemical class 0.000 description 1
- 150000002576 ketones Chemical class 0.000 description 1
- 210000003292 kidney cell Anatomy 0.000 description 1
- 230000002147 killing effect Effects 0.000 description 1
- 150000002596 lactones Chemical class 0.000 description 1
- 239000004816 latex Substances 0.000 description 1
- 229920000126 latex Polymers 0.000 description 1
- 239000002523 lectin Substances 0.000 description 1
- 239000007788 liquid Substances 0.000 description 1
- 230000004807 localization Effects 0.000 description 1
- 239000006210 lotion Substances 0.000 description 1
- 210000001165 lymph node Anatomy 0.000 description 1
- 210000004698 lymphocyte Anatomy 0.000 description 1
- 210000003563 lymphoid tissue Anatomy 0.000 description 1
- 125000003588 lysine group Chemical group [H]N([H])C([H])([H])C([H])([H])C([H])([H])C([H])([H])C([H])(N([H])[H])C(*)=O 0.000 description 1
- 238000012423 maintenance Methods 0.000 description 1
- 239000000594 mannitol Substances 0.000 description 1
- 235000010355 mannitol Nutrition 0.000 description 1
- 230000000873 masking effect Effects 0.000 description 1
- 238000004949 mass spectrometry Methods 0.000 description 1
- 235000012054 meals Nutrition 0.000 description 1
- 238000003328 mesylation reaction Methods 0.000 description 1
- 239000002207 metabolite Substances 0.000 description 1
- 229910052751 metal Inorganic materials 0.000 description 1
- 239000002184 metal Substances 0.000 description 1
- 150000002739 metals Chemical class 0.000 description 1
- 229930182817 methionine Natural products 0.000 description 1
- UZKWTJUDCOPSNM-UHFFFAOYSA-N methoxybenzene Substances CCCCOC=C UZKWTJUDCOPSNM-UHFFFAOYSA-N 0.000 description 1
- 125000002496 methyl group Chemical group [H]C([H])([H])* 0.000 description 1
- 230000011987 methylation Effects 0.000 description 1
- 238000007069 methylation reaction Methods 0.000 description 1
- 230000001617 migratory effect Effects 0.000 description 1
- 238000010369 molecular cloning Methods 0.000 description 1
- 238000000302 molecular modelling Methods 0.000 description 1
- 230000000877 morphologic effect Effects 0.000 description 1
- 230000004660 morphological change Effects 0.000 description 1
- 210000000663 muscle cell Anatomy 0.000 description 1
- 208000031225 myocardial ischemia Diseases 0.000 description 1
- 210000004897 n-terminal region Anatomy 0.000 description 1
- 239000003887 narcotic antagonist Substances 0.000 description 1
- 230000001338 necrotic effect Effects 0.000 description 1
- 239000013642 negative control Substances 0.000 description 1
- 230000023578 negative regulation of cell adhesion Effects 0.000 description 1
- 231100000417 nephrotoxicity Toxicity 0.000 description 1
- 210000000653 nervous system Anatomy 0.000 description 1
- 210000004498 neuroglial cell Anatomy 0.000 description 1
- 230000000926 neurological effect Effects 0.000 description 1
- 230000007996 neuronal plasticity Effects 0.000 description 1
- 230000007823 neuropathy Effects 0.000 description 1
- 201000001119 neuropathy Diseases 0.000 description 1
- 229920001220 nitrocellulos Polymers 0.000 description 1
- 239000000041 non-steroidal anti-inflammatory agent Substances 0.000 description 1
- 229940021182 non-steroidal anti-inflammatory drug Drugs 0.000 description 1
- 229920001778 nylon Polymers 0.000 description 1
- 210000000956 olfactory bulb Anatomy 0.000 description 1
- 210000000535 oligodendrocyte precursor cell Anatomy 0.000 description 1
- 238000011275 oncology therapy Methods 0.000 description 1
- 210000001328 optic nerve Anatomy 0.000 description 1
- 150000007524 organic acids Chemical class 0.000 description 1
- 235000005985 organic acids Nutrition 0.000 description 1
- 229960001592 paclitaxel Drugs 0.000 description 1
- 229940055729 papain Drugs 0.000 description 1
- 235000019834 papain Nutrition 0.000 description 1
- 239000000734 parasympathomimetic agent Substances 0.000 description 1
- 230000001499 parasympathomimetic effect Effects 0.000 description 1
- 229940005542 parasympathomimetics Drugs 0.000 description 1
- 230000036961 partial effect Effects 0.000 description 1
- 239000002245 particle Substances 0.000 description 1
- 238000004810 partition chromatography Methods 0.000 description 1
- 230000001575 pathological effect Effects 0.000 description 1
- 230000037361 pathway Effects 0.000 description 1
- 229940049954 penicillin Drugs 0.000 description 1
- 230000010412 perfusion Effects 0.000 description 1
- 210000005259 peripheral blood Anatomy 0.000 description 1
- 239000011886 peripheral blood Substances 0.000 description 1
- 210000000578 peripheral nerve Anatomy 0.000 description 1
- 239000000810 peripheral vasodilating agent Substances 0.000 description 1
- 229960002116 peripheral vasodilator Drugs 0.000 description 1
- 230000002085 persistent effect Effects 0.000 description 1
- 239000000546 pharmaceutical excipient Substances 0.000 description 1
- 230000000144 pharmacologic effect Effects 0.000 description 1
- 150000002989 phenols Chemical class 0.000 description 1
- 239000013034 phenoxy resin Substances 0.000 description 1
- 229920006287 phenoxy resin Polymers 0.000 description 1
- 150000003013 phosphoric acid derivatives Chemical class 0.000 description 1
- 229910052698 phosphorus Inorganic materials 0.000 description 1
- 239000011574 phosphorus Substances 0.000 description 1
- 239000002504 physiological saline solution Substances 0.000 description 1
- 210000002826 placenta Anatomy 0.000 description 1
- 230000003169 placental effect Effects 0.000 description 1
- 238000007747 plating Methods 0.000 description 1
- 229920003229 poly(methyl methacrylate) Polymers 0.000 description 1
- 229920002492 poly(sulfone) Polymers 0.000 description 1
- 229920002647 polyamide Polymers 0.000 description 1
- 229920000728 polyester Polymers 0.000 description 1
- 229920000573 polyethylene Polymers 0.000 description 1
- 239000005020 polyethylene terephthalate Substances 0.000 description 1
- 229920000656 polylysine Polymers 0.000 description 1
- 108091033319 polynucleotide Proteins 0.000 description 1
- 102000040430 polynucleotide Human genes 0.000 description 1
- 239000002157 polynucleotide Substances 0.000 description 1
- 229920002223 polystyrene Polymers 0.000 description 1
- 229920005990 polystyrene resin Polymers 0.000 description 1
- 229920001343 polytetrafluoroethylene Polymers 0.000 description 1
- 239000004810 polytetrafluoroethylene Substances 0.000 description 1
- 229920002635 polyurethane Polymers 0.000 description 1
- 239000004814 polyurethane Substances 0.000 description 1
- 229920000915 polyvinyl chloride Polymers 0.000 description 1
- 239000004800 polyvinyl chloride Substances 0.000 description 1
- 230000004978 positive regulation of smooth muscle cell proliferation Effects 0.000 description 1
- 230000002980 postoperative effect Effects 0.000 description 1
- OXCMYAYHXIHQOA-UHFFFAOYSA-N potassium;[2-butyl-5-chloro-3-[[4-[2-(1,2,4-triaza-3-azanidacyclopenta-1,4-dien-5-yl)phenyl]phenyl]methyl]imidazol-4-yl]methanol Chemical compound [K+].CCCCC1=NC(Cl)=C(CO)N1CC1=CC=C(C=2C(=CC=CC=2)C2=N[N-]N=N2)C=C1 OXCMYAYHXIHQOA-UHFFFAOYSA-N 0.000 description 1
- XOFYZVNMUHMLCC-ZPOLXVRWSA-N prednisone Chemical compound O=C1C=C[C@]2(C)[C@H]3C(=O)C[C@](C)([C@@](CC4)(O)C(=O)CO)[C@@H]4[C@@H]3CCC2=C1 XOFYZVNMUHMLCC-ZPOLXVRWSA-N 0.000 description 1
- 229960004618 prednisone Drugs 0.000 description 1
- 230000002028 premature Effects 0.000 description 1
- 239000003755 preservative agent Substances 0.000 description 1
- 238000009117 preventive therapy Methods 0.000 description 1
- 210000001948 pro-b lymphocyte Anatomy 0.000 description 1
- 239000000047 product Substances 0.000 description 1
- 230000005522 programmed cell death Effects 0.000 description 1
- AAEVYOVXGOFMJO-UHFFFAOYSA-N prometryn Chemical compound CSC1=NC(NC(C)C)=NC(NC(C)C)=N1 AAEVYOVXGOFMJO-UHFFFAOYSA-N 0.000 description 1
- 230000000069 prophylactic effect Effects 0.000 description 1
- AQHHHDLHHXJYJD-UHFFFAOYSA-N propranolol Chemical compound C1=CC=C2C(OCC(O)CNC(C)C)=CC=CC2=C1 AQHHHDLHHXJYJD-UHFFFAOYSA-N 0.000 description 1
- 239000003881 protein kinase C inhibitor Substances 0.000 description 1
- 239000003909 protein kinase inhibitor Substances 0.000 description 1
- 229940035613 prozac Drugs 0.000 description 1
- 239000002516 radical scavenger Substances 0.000 description 1
- 238000003127 radioimmunoassay Methods 0.000 description 1
- 239000011541 reaction mixture Substances 0.000 description 1
- 238000010188 recombinant method Methods 0.000 description 1
- 230000027425 release of sequestered calcium ion into cytosol Effects 0.000 description 1
- 238000011160 research Methods 0.000 description 1
- 230000000717 retained effect Effects 0.000 description 1
- 230000002207 retinal effect Effects 0.000 description 1
- 230000001177 retroviral effect Effects 0.000 description 1
- 238000004366 reverse phase liquid chromatography Methods 0.000 description 1
- 238000004007 reversed phase HPLC Methods 0.000 description 1
- 238000012552 review Methods 0.000 description 1
- 206010039073 rheumatoid arthritis Diseases 0.000 description 1
- 210000003705 ribosome Anatomy 0.000 description 1
- 229960001225 rifampicin Drugs 0.000 description 1
- 210000003935 rough endoplasmic reticulum Anatomy 0.000 description 1
- 239000012146 running buffer Substances 0.000 description 1
- 150000003839 salts Chemical class 0.000 description 1
- 238000005070 sampling Methods 0.000 description 1
- 210000003752 saphenous vein Anatomy 0.000 description 1
- 238000013341 scale-up Methods 0.000 description 1
- 238000003345 scintillation counting Methods 0.000 description 1
- 238000007790 scraping Methods 0.000 description 1
- 150000003335 secondary amines Chemical class 0.000 description 1
- 230000011664 signaling Effects 0.000 description 1
- 239000000377 silicon dioxide Substances 0.000 description 1
- 208000017520 skin disease Diseases 0.000 description 1
- 239000001632 sodium acetate Substances 0.000 description 1
- 235000017281 sodium acetate Nutrition 0.000 description 1
- 239000006104 solid solution Substances 0.000 description 1
- 239000002904 solvent Substances 0.000 description 1
- 230000009870 specific binding Effects 0.000 description 1
- 238000002798 spectrophotometry method Methods 0.000 description 1
- 238000004611 spectroscopical analysis Methods 0.000 description 1
- 238000001228 spectrum Methods 0.000 description 1
- 238000010183 spectrum analysis Methods 0.000 description 1
- 208000020431 spinal cord injury Diseases 0.000 description 1
- 238000012289 standard assay Methods 0.000 description 1
- 239000012086 standard solution Substances 0.000 description 1
- 150000003431 steroids Chemical class 0.000 description 1
- 239000000021 stimulant Substances 0.000 description 1
- 229960005322 streptomycin Drugs 0.000 description 1
- 229910052712 strontium Inorganic materials 0.000 description 1
- CIOAGBVUUVVLOB-UHFFFAOYSA-N strontium atom Chemical compound [Sr] CIOAGBVUUVVLOB-UHFFFAOYSA-N 0.000 description 1
- 238000012916 structural analysis Methods 0.000 description 1
- 239000005720 sucrose Substances 0.000 description 1
- 239000013589 supplement Substances 0.000 description 1
- 230000008093 supporting effect Effects 0.000 description 1
- 230000001629 suppression Effects 0.000 description 1
- 238000011477 surgical intervention Methods 0.000 description 1
- 239000000725 suspension Substances 0.000 description 1
- 230000002459 sustained effect Effects 0.000 description 1
- 230000001975 sympathomimetic effect Effects 0.000 description 1
- 229940064707 sympathomimetics Drugs 0.000 description 1
- 230000003956 synaptic plasticity Effects 0.000 description 1
- 229920001059 synthetic polymer Polymers 0.000 description 1
- RCINICONZNJXQF-MZXODVADSA-N taxol Chemical compound O([C@@H]1[C@@]2(C[C@@H](C(C)=C(C2(C)C)[C@H](C([C@]2(C)[C@@H](O)C[C@H]3OC[C@]3([C@H]21)OC(C)=O)=O)OC(=O)C)OC(=O)[C@H](O)[C@@H](NC(=O)C=1C=CC=CC=1)C=1C=CC=CC=1)O)C(=O)C1=CC=CC=C1 RCINICONZNJXQF-MZXODVADSA-N 0.000 description 1
- 229910052713 technetium Inorganic materials 0.000 description 1
- GKLVYJBZJHMRIY-UHFFFAOYSA-N technetium atom Chemical compound [Tc] GKLVYJBZJHMRIY-UHFFFAOYSA-N 0.000 description 1
- 125000004213 tert-butoxy group Chemical group [H]C([H])([H])C(O*)(C([H])([H])[H])C([H])([H])[H] 0.000 description 1
- ISXSCDLOGDJUNJ-UHFFFAOYSA-N tert-butyl prop-2-enoate Chemical compound CC(C)(C)OC(=O)C=C ISXSCDLOGDJUNJ-UHFFFAOYSA-N 0.000 description 1
- 239000010409 thin film Substances 0.000 description 1
- 230000002992 thymic effect Effects 0.000 description 1
- 230000000451 tissue damage Effects 0.000 description 1
- 231100000827 tissue damage Toxicity 0.000 description 1
- 238000003325 tomography Methods 0.000 description 1
- 238000007070 tosylation reaction Methods 0.000 description 1
- 231100000331 toxic Toxicity 0.000 description 1
- 230000002588 toxic effect Effects 0.000 description 1
- 230000002110 toxicologic effect Effects 0.000 description 1
- 231100000027 toxicology Toxicity 0.000 description 1
- 239000003053 toxin Substances 0.000 description 1
- 231100000765 toxin Toxicity 0.000 description 1
- 108700012359 toxins Proteins 0.000 description 1
- 208000024363 trachea neoplasm Diseases 0.000 description 1
- 239000003204 tranquilizing agent Substances 0.000 description 1
- 230000002936 tranquilizing effect Effects 0.000 description 1
- 230000037317 transdermal delivery Effects 0.000 description 1
- 230000009466 transformation Effects 0.000 description 1
- 230000007704 transition Effects 0.000 description 1
- 238000011269 treatment regimen Methods 0.000 description 1
- 210000002993 trophoblast Anatomy 0.000 description 1
- 201000008827 tuberculosis Diseases 0.000 description 1
- 125000001493 tyrosinyl group Chemical group [H]OC1=C([H])C([H])=C(C([H])=C1[H])C([H])([H])C([H])(N([H])[H])C(*)=O 0.000 description 1
- 210000003606 umbilical vein Anatomy 0.000 description 1
- 201000005112 urinary bladder cancer Diseases 0.000 description 1
- 230000002485 urinary effect Effects 0.000 description 1
- 239000004474 valine Substances 0.000 description 1
- MYPYJXKWCTUITO-LYRMYLQWSA-N vancomycin Chemical compound O([C@@H]1[C@@H](O)[C@H](O)[C@@H](CO)O[C@H]1OC1=C2C=C3C=C1OC1=CC=C(C=C1Cl)[C@@H](O)[C@H](C(N[C@@H](CC(N)=O)C(=O)N[C@H]3C(=O)N[C@H]1C(=O)N[C@H](C(N[C@@H](C3=CC(O)=CC(O)=C3C=3C(O)=CC=C1C=3)C(O)=O)=O)[C@H](O)C1=CC=C(C(=C1)Cl)O2)=O)NC(=O)[C@@H](CC(C)C)NC)[C@H]1C[C@](C)(N)[C@H](O)[C@H](C)O1 MYPYJXKWCTUITO-LYRMYLQWSA-N 0.000 description 1
- 229960003165 vancomycin Drugs 0.000 description 1
- MYPYJXKWCTUITO-UHFFFAOYSA-N vancomycin Natural products O1C(C(=C2)Cl)=CC=C2C(O)C(C(NC(C2=CC(O)=CC(O)=C2C=2C(O)=CC=C3C=2)C(O)=O)=O)NC(=O)C3NC(=O)C2NC(=O)C(CC(N)=O)NC(=O)C(NC(=O)C(CC(C)C)NC)C(O)C(C=C3Cl)=CC=C3OC3=CC2=CC1=C3OC1OC(CO)C(O)C(O)C1OC1CC(C)(N)C(O)C(C)O1 MYPYJXKWCTUITO-UHFFFAOYSA-N 0.000 description 1
- 210000003556 vascular endothelial cell Anatomy 0.000 description 1
- 210000005166 vasculature Anatomy 0.000 description 1
- 239000002550 vasoactive agent Substances 0.000 description 1
- 230000007998 vessel formation Effects 0.000 description 1
- 125000000391 vinyl group Chemical group [H]C([*])=C([H])[H] 0.000 description 1
- 229920002554 vinyl polymer Polymers 0.000 description 1
- 238000012800 visualization Methods 0.000 description 1
- PJVWKTKQMONHTI-UHFFFAOYSA-N warfarin Chemical compound OC=1C2=CC=CC=C2OC(=O)C=1C(CC(=O)C)C1=CC=CC=C1 PJVWKTKQMONHTI-UHFFFAOYSA-N 0.000 description 1
- 229960005080 warfarin Drugs 0.000 description 1
- 239000011534 wash buffer Substances 0.000 description 1
- 238000001262 western blot Methods 0.000 description 1
- 239000008096 xylene Substances 0.000 description 1
- 210000005253 yeast cell Anatomy 0.000 description 1
Images
Classifications
-
- C—CHEMISTRY; METALLURGY
- C07—ORGANIC CHEMISTRY
- C07K—PEPTIDES
- C07K7/00—Peptides having 5 to 20 amino acids in a fully defined sequence; Derivatives thereof
- C07K7/04—Linear peptides containing only normal peptide links
- C07K7/06—Linear peptides containing only normal peptide links having 5 to 11 amino acids
-
- C—CHEMISTRY; METALLURGY
- C07—ORGANIC CHEMISTRY
- C07K—PEPTIDES
- C07K14/00—Peptides having more than 20 amino acids; Gastrins; Somatostatins; Melanotropins; Derivatives thereof
- C07K14/435—Peptides having more than 20 amino acids; Gastrins; Somatostatins; Melanotropins; Derivatives thereof from animals; from humans
- C07K14/705—Receptors; Cell surface antigens; Cell surface determinants
-
- C—CHEMISTRY; METALLURGY
- C07—ORGANIC CHEMISTRY
- C07K—PEPTIDES
- C07K7/00—Peptides having 5 to 20 amino acids in a fully defined sequence; Derivatives thereof
- C07K7/50—Cyclic peptides containing at least one abnormal peptide link
- C07K7/54—Cyclic peptides containing at least one abnormal peptide link with at least one abnormal peptide link in the ring
- C07K7/56—Cyclic peptides containing at least one abnormal peptide link with at least one abnormal peptide link in the ring the cyclisation not occurring through 2,4-diamino-butanoic acid
-
- C—CHEMISTRY; METALLURGY
- C07—ORGANIC CHEMISTRY
- C07K—PEPTIDES
- C07K7/00—Peptides having 5 to 20 amino acids in a fully defined sequence; Derivatives thereof
- C07K7/64—Cyclic peptides containing only normal peptide links
-
- A—HUMAN NECESSITIES
- A61—MEDICAL OR VETERINARY SCIENCE; HYGIENE
- A61K—PREPARATIONS FOR MEDICAL, DENTAL OR TOILETRY PURPOSES
- A61K38/00—Medicinal preparations containing peptides
Definitions
- methods for reducing unwanted cellular adhesion in a mammal, comprising contacting an N-cadherin expressing cell with, or administering to a mammal, a cell adhesion modulating agent as described above, wherein the modulating agent inhibits cadherin-mediated cell adhesion.
- methods for modulating tumor blood flow, comprising contacting a cadherin-expressing endothelial cell with, or administering to a mammal, a modulating agent described herein.
- the modulating agent is preferably one that enhances cadherin-mediated cell adhesion while in others the modulating agent is preferably one that inhibits cadherin-mediated cell adhesion.
- methods are provided for modulating FGF receptor activity.
- modulating agents that preferably inhibit cadherin-mediated cell adhesion are used for preventing the interaction between FGF receptor monomers.
- modulating agents that enhance N-cadherin cell adhesion are preferably employed for their ability to promote the interaction between FGF receptor monomers.
- SEQ ID NO:4 corresponds to the human P-cadherin EC1 domain.
- SEQ ID NO:31 corresponds to N—Ac- CLRAHGVC -NH 2
- SEQ ID NO:48 corresponds to N—Ac- KSHAVSSD -NH 2.
- SEQ ID NO:52 corresponds to YIGSR.
- SEQ ID NO:56 corresponds to Trp-Lys/Arg-Aaa-Baa-Ser/Ala-Tyr/Phe-Caa-Gly.
- SEQ ID NO:58 corresponds to IYSY.
- SEQ ID NO:59 corresponds to TSSY.
- SEQ ID NO:61 corresponds to VSAF.
- SEQ ID NO:62 corresponds to FmocCysAsp(t-Bu)GlyTyr(t-Bu)ProLys(Boc)Asp(t-Bu)CysLys(t-Bu)Gly-OMe.
- SEQ ID NO:68 corresponds to N—Ac- Cys-His-Ala-Val-Pen -NH 2.
- SEQ ID NO:71 corresponds to Mpr-Tyr-Ser-His-Ala-Val-Ser-Ser-Cys -NH 2.
- SEQ ID NO:76 corresponds to N—Ac- CHAVDINGC -NH 2.
- SEQ ID NO:85 corresponds to N—Ac- CFSHAVC -NH 2.
- SEQ ID NO:90 corresponds to N—Ac—S- CHAVC -S—NH 2.
- SEQ ID NO:100 corresponds to YCHAVC .
- FIG. 4 is a histogram depicting the mean neurite length in microns for neurons grown in the presence (solid bars) or absence (cross-hatched bars) of 500 ⁇ g/mL of the representative cyclic peptide N—Ac- CHAVC -NH 2 (SEQ ID NO:10).
- the mean neurite length is shown for neurons cultured on 3T3 cells transfected with cDNA encoding N-CAM (second pair of bars), L1 (third pair of bars) or N-cadherin (fourth pair of bars).
- FIGS. 7A-7C are photographs showing monolayer cultures of bovine endothelial cells in the presence ( FIG. 7A ) and absence ( FIG. 7C ) of a representative cyclic peptide or in the presence of an inactive control peptide ( FIG. 7B ).
- FIG. 7A shows the cells 30 minutes after exposure to 500 ⁇ g/mL N—Ac- CAHAVDC -NH 2 (SEQ ID NO:26).
- FIG. 7B shows the cells 30 minutes after exposure to the control peptide N—Ac- CAHGVDC -NH 2 (SEQ ID NO:27).
- FIG. 7C shows the cells in the absence of cyclic peptide. Note that the endothelial cells retracted from one another in the presence of N—Ac- CAHAVDC -NH 2 (SEQ ID NO:26).
- FIGS. 10A and 10B are photographs showing monolayer cultures of human ovarian cancer cells (SKOV3) 24 hours after exposure to 500 ⁇ g/mL of the representative cyclic peptide N—Ac- CHAVC -NH 2 (SEQ ID NO:10) ( FIG. 10A ) or the control peptide N—Ac- CHGVC -NH 2 (SEQ ID NO:11) ( FIG. 10B ). Note that the SKOV3 cells round-up when cultured in the presence of 0.5 mg/ml N—Ac- CHAVC -NH 2 (SEQ ID NO:10).
- 13C shows the cells 24 hours after being cultured in the presence of 10 ⁇ g/ml of N—Ac- CHAVSC -NH 2 (SEQ ID NO:38) Note that the cells retract form one another in the presence of 100 ⁇ g/ml of N—Ac- CHAVSC -NH 2 (SEQ ID NO:38), whereas they round up in the presence of 1 mg/ml of this peptide.
- FIGS. 15A and 15B are photographs showing monolayer cultures of A1N4 human breast epithelial cells in the presence ( FIG. 15B ) and absence ( FIG. 15A ) of a representative cyclic peptide.
- the cells have been immunolabeled for E-cadherin.
- FIG. 15B shows the cells 48 hours after being cultured in the presence of 500 ⁇ g/ml of N—Ac- CHAVC -NH 2 (SEQ ID NO:10).
- FIG. 15A shows untreated monolayer cultures of A1N4 human breast epithelial cells. Note that the distribution of E-cadherin is non-contiguous in cells treated with the cyclic peptide. Furthermore, gaps have appeared in the monolayer of cells treated with the peptide.
- FIG. 17 is a histogram illustrating the effect of 500 ⁇ g/ml of a representative cyclic peptide (N—Ac- CHAVC -NH 2 ; SEQ ID NO:10; treatment bars) on the penetration of Rhodamine Green through the skin, as compared to the effect of the control peptide N—Ac- CHGVC -NH 2 (SEQ ID NO:11; control bars).
- Penetration was determined by converting fluorescent units to a concentration unit of microgram/5 ml (volume of the receiver compartment) using a standard curve and regression analysis equations.
- FIGS. 35A-35D are photographs illustrating the ability of a representative cyclic peptide to induce apoptosis in cancer cells.
- SKOV3 human ovarian cancer cells containing either N—Ac- CHAVC -NH 2 (SEQ ID NO:10) or a control peptide (N—Ac- CHGVC -NH 2 ; SEQ. ID NO:11) in MEM with 10% FBS were plated onto poly-L-lysine coated glass slides. The cells were cultured for 48 hours and fixed with 4% paraformaldehyde for 30 minutes at room temperature. The slides were then washed three times with PBS and assessed for cell death using the In situ cell death detection kit (Boehringer Mannheim; Laval, Quebec).
- FIG. 43 is graph showing the mean tumor volume of breast tumors grown in nude mice. Tumor cells were implanted into the mammary fat pad and tumors were grown for 21 days. Mice were then injected once daily for four days with either 20 mg/kg of the representative modulating agent N—Ac- CHAVC -NH 2 (SEQ ID NO:10) or saline, as indicated. Mice were sacrificed and tumors were measured three weeks after the last injection.
- N—Ac- CHAVC -NH 2 SEQ ID NO:10
- cyclic peptide refers to a peptide or salt thereof that comprises (1) an intramolecular covalent bond between two non-adjacent residues and (2) at least one classical cadherin cell adhesion recognition (CAR) sequence HAV (His-Ala-Val).
- the intramolecular bond may be a backbone to backbone, side-chain to backbone or side-chain to side-chain bond (i.e., terminal functional groups of a linear peptide and/or side chain functional groups of a terminal or interior residue may be linked to achieve cyclization).
- Preferred intramolecular bonds include, but are not limited to, disulfide, amide and thioether bonds.
- a cyclic peptide preferably comprises an N-acetyl group (i.e., the amino group present on the amino terminal residue of the peptide prior to cyclization is acetylated) or an N-formyl group (i.e., the amino group present on the amino terminal residue of the peptide prior to cyclization is formylated), or the amino group present on the amino terminal residue of the peptide prior to cyclization is mesylated. It has been found, within the context of the present invention, that the presence of such terminal groups may enhance cyclic peptide activity for certain applications.
- One particularly preferred cyclic peptide is NAc- CHAVC -NH 2 (SEQ ID NO:10).
- Another preferred cyclic peptide is N—Ac- CHAVC -Y—NH 2 (SEQ ID NO:84).
- Other cyclic peptides include, but are not limited to: N—Ac- CHAVDC -NH 2 (SEQ ID NO:20), N—Ac- CHAVDIC -NH 2 (SEQ ID NO:50), N—Ac- CHAVDINC -NH 2 (SEQ ID NO:51), N—Ac- CHAVDINGC -NH 2 (SEQ ID NO:76), N—Ac- CAHAVC -NH 2 (SEQ ID NO:22), N—Ac- CAHAVDC -NH 2 (SEQ ID NO:26), N—Ac- CAHAVDIC -NH 2 (SEQ ID NO:24), N—Ac- CRAHAVDC -NH 2 (SEQ ID NO:28), N—Ac- CLRAHAVC -NH 2 (SEQ ID NO:30), N—Ac- CLRAHAVDC -NH 2 (S
- cyclic peptides generally comprise at least one additional residue, such that the size of the cyclic peptide ring ranges from 4 to about 15 residues, preferably from 5 to 10 residues.
- additional residue(s) may be present on the N-terminal and/or C-terminal side of a CAR sequence, and may be derived from sequences that flank the HAV sequence within one or more naturally occurring cadherins (e.g., N-cadherin, E-cadherin, P-cadherin, R-cadherin or other cadherins containing the HAV sequence) with or without amino acid substitutions and/or other modifications.
- Small cyclic peptides may generally be used to specifically modulate cell adhesion of neural and/or other cell types, e.g., by topical administration, systemic administration, and/or any other mode of administration appropriate for a given indication, with or without linking a targeting agent to the peptide, as discussed below.
- Residues other than common amino acids that may be present with a cyclic peptide include, but are not limited to, penicillamine, ⁇ , ⁇ -tetramethylene cysteine, ⁇ , ⁇ -pentamethylene cysteine, ⁇ -mercaptopropionic acid, ⁇ , ⁇ -pentamethylene- ⁇ -mercaptopropionic acid, 2-mercaptobenzene, 2-mercaptoaniline, 2-mercaptoproline, ornithine, diaminobutyric acid, ⁇ -aminoadipic acid, m-aminomethylbenzoic acid and ⁇ , ⁇ -diaminopropionic acid.
- Newly synthesized peptides can be purified, for example, by gel filtration, HPLC, partition chromatography and/or ion-exchange chromatography, and may be characterized by, for example, mass spectrometry or amino acid sequence analysis.
- Boc strategy C-terminal amidated peptides can be obtained using benzhydrylamine or methylbenzhydrylamine resins, which yield peptide amides directly upon cleavage with HF.
- the selectivity of the side-chain blocking groups and of the peptide-resin link depends upon the differences in the rate of acidolytic cleavage.
- Orthogonal systems have been introduced in which the side-chain blocking groups and the peptide-resin link are completely stable to the reagent used to remove the ⁇ -protecting group at each step of the synthesis. The most common of these methods involves the 9-fluorenylmethyloxycarbonyl (Fmoc) approach.
- Fmoc 9-fluorenylmethyloxycarbonyl
- cyclization may be accomplished by linking one terminus and a residue side chain or using two side chains, as in KHAVD (SEQ ID NO:12) or KSHAVSSD (SEQ ID NO:48), with or without an N-terminal acetyl group and/or a C-terminal amide.
- Residues capable of forming a lactam bond include lysine, ornithine (Orn), ⁇ -amino adipic acid, m-aminomethylbenzoic acid, ⁇ , ⁇ -diaminopropionic acid, glutamate or aspartate.
- the formation of the inactive N-acylurea, resulting from O ⁇ N migration can be circumvented by converting the O-acylurea to an active ester by reaction with an N-hydroxy compound such as 1-hydroxybenzotriazole, 1-hydroxysuccinimide, 1-hydroxynorbornene carboxamide or ethyl 2-hydroximino-2-cyanoacetate.
- an N-hydroxy compound such as 1-hydroxybenzotriazole, 1-hydroxysuccinimide, 1-hydroxynorbornene carboxamide or ethyl 2-hydroximino-2-cyanoacetate.
- these additives also serve as catalysts during cyclization and assist in lowering racemization.
- cyclization can be performed using the azide method, in which a reactive azide intermediate is generated from an alkyl ester via a hydrazide.
- a thioether linkage may be formed between the side chain of a thiol-containing residue and an appropriately derivatized ⁇ -amino acid.
- a lysine side chain can be coupled to bromoacetic acid through the carbodiimide coupling method (DCC, EDAC) and then reacted with the side chain of any of the thiol containing residues mentioned above to form a thioether linkage.
- DCC carbodiimide coupling method
- EDAC carbodiimide coupling method
- any two thiol containing side-chains can be reacted with dibromoethane and diisopropylamine in DMF. Examples of thiol-containing linkages are shown below:
- Cyclization may also be achieved using ⁇ 1 , ⁇ 1 -Ditryptophan (i.e., Ac- Trp-Gly-Gly-Trp -OMe) (SEQ ID NO:74), as shown below:
- cell adhesion modulating agent refers to a molecule comprising at least one cyclic peptide that contains the classical cadherin cell adhesion recognition (CAR) sequence HAV (His-Ala-Val), as described above.
- CAR cadherin cell adhesion recognition
- HAV His-Ala-Val
- multiple CAR sequences may be present within a modulating agent.
- additional CAR sequences i.e., any sequences specifically bound by an adhesion molecule
- an “adhesion molecule” is any molecule that mediates cell adhesion via a receptor on the cell's surface.
- Adhesion molecules include members of the cadherin gene superfamily that are not classical cadherins (e.g., proteins that do not contain an HAV sequence and/or one or more of the other characteristics recited above for classical cadherins), such as desmogleins (Dsg) and desmocollins (Dsc); integrins; members of the immunoglobulin supergene family, such as N-CAM; and other uncategorized transmembrane proteins, such as occludin, as well as extracellular matrix proteins such as laminin, fibronectin, collagens, vitronectin, entactin and tenascin.
- Dsg desmogleins
- Dsc desmocollins
- integrins members of the immunoglobulin supergene family, such as N-CAM
- other uncategorized transmembrane proteins such as occludin, as well as extracellular matrix proteins such as laminin, fibronectin, collagens, vitronect
- HAV-containing cyclic peptides and other peptide or protein sequences may be joined head-to-tail (i.e., the linker may be covalently attached to the carboxyl or amino group of each peptide sequence), head-to-side chain and/or tail-to-side chain.
- Modulating agents comprising one or more linkers may form linear or branched structures.
- modulating agents having a branched structure comprise three different CAR sequences, such as RGD, YIGSR (SEQ ID NO:52) and HAV, one or more of which are present within a cyclic peptide.
- modulating agents having a branched structure comprise RGD, YIGSR (SEQ ID NO:52), HAV and KYSFNYDGSE (SEQ ID NO:53).
- modulating agents having a branched structure comprise HAV and LYHY (SEQ ID NO:55), along with one or more of NQK, NRN, NKD, EKD and ERD.
- Bi-functional modulating agents that comprise an HAV sequence with flanking E-cadherin-specific sequences joined via a linker to an HAV sequence with flanking N-cadherin-specific sequences are also preferred for certain embodiments.
- a modulating agent may consist entirely of one or more cyclic peptides, or may contain additional peptide and/or no n-peptide sequences.
- Peptide portions may be synthesized as described above or may be prepared using recombinant methods. Within such methods, all or part of a modulating agent can be synthesized in living cells, using any of a variety of expression vectors known to those of ordinary skill in the art to be appropriate for the particular host cell. Suitable host cells may include bacteria, yeast cells, mammalian cells, insect cells, plant cells, algae and other animal cells (e.g., hybridoma, CHO, myeloma).
- antigen-binding fragments of antibodies may be preferred.
- Such fragments include Fab fragments, which may be prepared using standard techniques. Briefly, immunoglobulins may be purified from rabbit serum by affinity chromatography on Protein A bead columns (Harlow and Lane, Antibodies: A Laboratory Manual , Cold Spring Harbor Laboratory, 1988; see especially page 309) and digested by papain to yield Fab and Fc fragments. The Fab and Fc fragments may be separated by affinity chromatography on protein A bead columns (Harlow and Lane, 1988, pages 628-29).
- Suitable methods for linking a modulating agent to a support material will depend upon the composition of the support and the intended use, and will be readily apparent to those of ordinary skill in the art. Attachment may generally be achieved through noncovalent association, such as adsorption or affinity or, preferably, via covalent attachment (which may be a direct linkage between a modulating agent and functional groups on the support, or may be a linkage by way of a cross-linking agent or linker). Attachment of a modulating agent by adsorption may be achieved by contact, in a suitable buffer, with a solid support for a suitable amount of time. The contact time varies with temperature, but is generally between about 5 seconds and 1 day, and typically between about 10 seconds and 1 hour.
- a pharmaceutical composition may further comprise a modulator of cell adhesion that is mediated by one or more molecules other than cadherins.
- modulators may generally be prepared as described above, incorporating one or more non-cadherin CAR sequences and/or antibodies thereto in place of the cadherin CAR sequences and antibodies.
- colchicine or vinca alkaloids examples include antimigraine agents, antimicrobials, antiphsychotics, antipyretics, antiseptics, anti-signaling agents (e.g., protein kinase C inhibitors or inhibitors of intracellular calcium mobilization), antiarthritics, antithrombin agents, antituberculotics, antitussives, antivirals, appetite suppressants, cardioactive drugs, chemical dependency drugs, cathartics, chemotherapeutic agents, coronary, cerebral or peripheral vasodilators, contraceptive agents, depressants, diuretics, expectorants, growth factors, hormonal agents, hypnotics, immunosuppression agents, narcotic antagonists, parasympathomimetics, sedatives, stimulants, sympathomimetics, toxins (e.g., cholera toxin), tranquilizers and urinary antiinfectives.
- antimigraine agents e.g., antimicrobials, antiphsychotics, anti
- diagnostic agents may be incorporated into a pharmaceutical composition, either finked to a modulating agent or free within the composition.
- Diagnostic agents include any substance administered to illuminate a physiological function within a patient, while leaving other physiological functions generally unaffected. Diagnostic agents include metals, radioactive isotopes and radioopaque agents (e.g., gallium, technetium, indium, strontium, iodine, barium, bromine and phosphorus-containing compounds), radiolucent agents, contrast agents, dyes (e.g., fluorescent dyes and chromophores) and enzymes that catalyze a colorimetric or fluorometric reaction. In general, such agents may be attached using a variety of techniques as described above, and may be present in any orientation.
- compositions described herein may be administered as part of a sustained release formulation (i.e., a formulation such as a capsule or sponge that effects a slow release of cyclic peptide following administration).
- sustained release formulations may generally be prepared using well known technology and administered by, for example, oral, rectal or subcutaneous implantation, or by implantation at the desired target site.
- Sustained-release formulations may contain a cyclic peptide dispersed in a carrier matrix and/or contained within a reservoir surrounded by a rate controlling membrane (see, e.g., European Patent Application 710,491A).
- Carriers for use within such formulations are biocompatible, and may also be biodegradable; preferably the formulation provides a relatively constant level of cyclic peptide release.
- the amount of cyclic peptide contained within a sustained release formulation depends upon the site of implantation, the rate and expected duration of release and the nature of the condition to be treated or prevented.
- compositions of the present invention may be administered in a manner appropriate to the disease to be treated (or prevented). Appropriate dosages and the duration and frequency of administration will be determined by such factors as the condition of the patient, the type and severity of the patient's disease and the method of administration. In general, an appropriate dosage and treatment regimen provides the modulating agent(s) in an amount sufficient to provide therapeutic and/or prophylactic benefit.
- a modulating agent or pharmaceutical composition as described herein may be administered at a dosage ranging from 0.001 to 50 mg/kg body weight, preferably from 0.1 to 20 mg/kg, on a regimen of single or multiple daily doses.
- a cream typically comprises an amount of modulating agent ranging from 0.00001% to 1%, preferably 0.0001% to 0.2%, and more preferably from 0.0001% to 0.002%.
- Fluid compositions typically contain about 10 ng/ml to 5 mg/ml, preferably from about 10 ⁇ g to 2 mg/mL cyclic peptide. Appropriate dosages may generally be determined using experimental models and/or clinical trials. In general, the use of the minimum dosage that is sufficient to provide effective therapy is preferred. Patients may generally be monitored for therapeutic effectiveness using assays suitable for the condition being treated or prevented, which will be familiar to those of ordinary skill in the art.
- modulating agents as described herein may also be used to disrupt or enhance cell adhesion in a variety of other contexts.
- one or more modulating agents may generally be administered alone, or within a pharmaceutical composition.
- a targeting agent may be employed to increase the local concentration of modulating agent at the target site.
- Transdermal delivery of drugs is a convenient and non-invasive method that can be used to maintain relatively constant blood levels of a drug.
- it is necessary to perturb adhesion between the epithelial cells (keratinocytes) and the endothelial cells of the microvasculature.
- keratinocytes epithelial cells
- endothelial cells of the microvasculature Using currently available techniques, only small, uncharged molecules may be delivered across skin in vivo.
- the methods described herein are not subject to the same degree of limitation. Accordingly, a wide variety of drugs may be transported across the epithelial and endothelial cell layers of skin, for systemic or topical administration. Such drugs may be delivered to melanomas or may enter the blood stream of the mammal for delivery to other sites within the body.
- modulating agents for use within such methods comprise one or more cyclic peptides such as NAc- CHAVC -NH 2 (SEQ ID NO:10), CHAVC -Y—NH 2 (SEQ ID NO:84), N—Ac- CHAVDC -NH 2 (SEQ ID NO:20), N—Ac- CHAVDIC -NH 2 (SEQ ID NO:50), N—Ac- CHAVDINC -NH 2 (SEQ ID NO:51), N—Ac- CHAVDINGC -NH 2 (SEQ ID NO:76), N—Ac- CAHAVC -NH 2 (SEQ ID NO:22), N—Ac- CAHAVDC -NH 2 (SEQ ID NO:26), N—Ac- CAHAVDIC -NH 2 (SEQ ID NO:24), N—Ac- CRAHAVDC -NH 2 (SEQ ID NO:10), NAc- CHAVDC -NH 2 (SEQ ID NO:10), CHAVC -Y—NH 2 (SEQ
- Multifunctional modulating agents comprising the cadherin CAR sequence HAV linked to one or more of the Dsc and/or the Dsg CAR sequences may also be used to disrupt epithelial cell adhesion.
- Such modulating agents may also, or alternatively, comprise the fibronectin CAR sequence RGD, which is recognized by integrins, the occludin CAR sequence LYHY (SEQ ID NO:55) and/or a claudin CAR sequences as described above.
- a separate modulator of non-classical cadherin-mediated cell adhesion may be administered in conjunction with the modulating agent(s), either within the same pharmaceutical composition or separately.
- Modulating agent(s) and drug(s) may be contained within the same composition or skin patch, or may be separately administered, although administration at the same time and site is preferred.
- the amount of modulating agent administered via the skin varies with the nature of the condition to be treated or prevented, but may vary as described above. Such levels may be achieved by appropriate adjustments to the device used, or by applying a cream formulated as described above. Transfer of the drug across the skin and to the target tissue may be predicted based on in vitro studies using, for example, a Franz cell apparatus, and evaluated in vivo by appropriate means that will be apparent to those of ordinary skill in the art. As an example, monitoring of the serum level of the administered drug over time provides a convenient measure of the drug transfer across the skin.
- Transdermal drug delivery as described herein is particularly useful in situations in which a constant rate of drug delivery is desired, to avoid fluctuating blood levels of a drug.
- morphine is an analgesic commonly used immediately following surgery.
- intramuscular, intravenous When given intermittently in a parenteral form (intramuscular, intravenous), the patient usually feels sleepy during the first hour, is well during the next 2 hours and is in pain during the last hour because the blood level goes up quickly after the injection and goes down below the desirable level before the 4 hour interval prescribed for re-injection is reached.
- Transdermal administration as described herein permits the maintenance of constant levels for long periods of time (e.g., days), which allows adequate pain control and mental alertness at the same time. Insulin provides another such example.
- the baseline level may be maintained using transdermal administration of insulin, as described herein.
- Antibiotics may also be administered at a constant rate, maintaining adequate bactericidal blood levels, while avoiding the high levels that are often responsible for the toxicity (e.g., levels of gentamycin that are too high typically result in renal toxicity).
- patients with mental problems e.g., patients with Alzheimer's disease or psychosis
- patients who simply forget to take their drugs as prescribed are less likely to do so if they merely have to put on a skin patch periodically (e.g., every 3 days).
- Patients with diseases that are without symptoms, like patients with hypertension, are especially at risk of forgetting to take their medication as prescribed.
- Modulating agents for use within such methods include those designed to disrupt E-cadherin and/or N-cadherin mediated cell adhesion, and may comprise one or more cyclic peptides such as NAc- CHAVC -NH 2 (SEQ ID NO:10), CHAVC -Y—NH 2 (SEQ ID NO:84), N—Ac- CHAVDC -NH 2 (SEQ ID NO:20), N—Ac- CHAVDIC -NH 2 (SEQ ID NO:50), N—Ac- CHAVDINC -NH 2 (SEQ ID NO:51), N—Ac- CHAVDINGC -NH 2 (SEQ ID NO:76), N—Ac- CAHAVC -NH 2 (SEQ ID NO:22), N—Ac- CAHAVDC
- a modulating agent is capable of disrupting cell adhesion mediated by multiple adhesion molecules.
- a single branched modulating agent (or multiple agents linked to a single molecule or support material) may disrupt E-cadherin, N-cadherin, occludin, Dsc and Dsg mediated cell adhesion, thereby disrupting adherens junctions, tight junctions and desmosomes.
- Suitable drugs may be identified by those of ordinary skill in the art based upon the type of cancer to be treated (e.g., mitomycin C for bladder cancer).
- the amount of cyclic peptide administered varies with the method of administration and the nature of the tumor, within the typical ranges provided above, preferably ranging from about 1 ⁇ g/mL to about 2 mg/mL, and more preferably from about 10 ⁇ g/mL to 100 ⁇ g/mL.
- Transfer of the drug to the target tumor may be evaluated by appropriate means that will be apparent to those of ordinary skill in the art, such as a reduction in tumor size.
- Drugs may also be labeled (e.g., using radionuclides) to permit direct observation of transfer to the target tumor using standard imaging techniques.
- Exemplary cancers treated according to this embodiment include cancers expressing N-cadherin, including, but not limited to, carcinomas, melanomas and leukemias.
- a modulating agent prevents detectable tumor growth and/or results in a substantial decrease in tumor size (i.e., a reduction of at least 50%) and/or a substantial decrease in tumor cell proliferation, migration and/or survival according to assays known in the art and/or described herein.
- Modulating agents comprising cyclic peptides may be used, for example, to treat leukemias.
- Preferred modulating agents for use within such methods include those that disrupt N-cadherin mediated cell adhesion, and comprise one or more cyclic peptides such as NAc- CHAVC -NH 2 (SEQ ID NO:10), CHAVC -Y—NH 2 (SEQ ID NO:84), N—Ac- CHAVDC -NH 2 (SEQ ID NO:20), N—Ac- CHAVDIC -NH 2 (SEQ ID NO:50), N—Ac- CHAVDINC -NH 2 (SEQ ID NO:51), N—Ac- CHAVDINGC -NH 2 (SEQ ID NO:76), N—Ac- CAHAVC -NH 2 (SEQ ID NO:22), N—Ac- CAHAVDC -NH 2 (SEQ ID NO:26), N—Ac- CAHAVDIC -NH 2 (SEQ ID NO:24), N—A
- a modulating agent may comprise the sequence RGD, which is recognized by integrins, and/or the occludin CAR sequence LYHY (SEQ ID NO:55) separated via a linker.
- CAR sequences that may be present include an OB-cadherin CAR sequence; dsc CAR sequence. dsg CAR sequence and/or claudin CAR sequence.
- a separate modulator of integrin-OB-cadherin-, dsc-, dsg-, claudin- and/or occludin-mediated cell adhesion may be administered in conjunction with the modulating agent(s), either within the same pharmaceutical composition or separately.
- a modulating agent may be administered alone (e.g., via the skin) or within a pharmaceutical composition.
- injection or topical administration as described above may be preferred.
- flushing the peritoneal cavity with a composition comprising one or more modulating agents may prevent metastasis of ovarian tumor cells.
- Other tumors e.g., bladder tumors, bronchial tumors or tracheal tumors
- the composition may be administered systemically, and targeted to the tumor using any of a variety of specific targeting agents, as described above.
- the amount of modulating agent administered varies depending upon the method of administration and the nature of the cancer, but may vary within the ranges identified above.
- the effectiveness of the cancer treatment or inhibition of metastasis may be evaluated using well known clinical observations such as the level of serum markers (e.g., CEA or PSA).
- a modulating agent may be used to inhibit angiogenesis (i.e., the growth of blood vessels from pre-existing blood vessels) in a mammal.
- angiogenesis i.e., the growth of blood vessels from pre-existing blood vessels
- inhibition of angiogenesis may be beneficial in patients afflicted with diseases such as cancer or arthritis.
- Preferred modulating agents for inhibition of angiogenesis include those comprising one or more of NAc- CHAVC -NH 2 (SEQ ID NO:10), CHAVC -Y—NH 2 (SEQ ID NO:84), N—Ac- CHAVDC -NH 2 (SEQ ID NO:20), N—Ac- CHAVDIC -NH 2 (SEQ ID NO:50), N—Ac- CHAVDINC -NH 2 (SEQ ID NO:51), N—Ac- CHAVDINGC -NH 2 (SEQ ID NO:76), N—Ac- CAHAVC -NH 2 (SEQ ID NO:22), N—Ac- CAHAVDC -NH 2 (SEQ ID NO:26), N—Ac- CAHAVDIC -NH 2 (SEQ ID NO:24), N—Ac- CRAHAVDC -NH 2 (SEQ ID NO:28), N—Ac- CLRAHAVC -NH 2 (SEQ ID NO:30), N—Ac- CLRAHAVDC
- a targeting agent may be beneficial, particularly when the administration is systemic. Suitable modes of administration and dosages depend upon the condition to be prevented or treated but, in general, administration by injection is appropriate. Dosages may vary as described above. The effectiveness of the inhibition may be evaluated grossly by assessing the inability of the tumor to maintain growth and microscopically by an absence of nerves at the periphery of the tumor.
- Such matrices may be used in contexts in which it is desirable to enhance adhesion mediated by multiple cell adhesion molecules.
- the modulating agent itself may comprise multiple HAV sequences and/or antibodies (or fragments thereof), separated by linkers as described above. Either way, the modulating agent(s) function as a “biological glue” to bind multiple cadherin-expressing cells within a variety of contexts.
- the modulating agent will comprise two or more HAV-coning motifs, properly spaced so as to provide a desired level of enhanced N-cadherin-mediated cell adhesion, migration and/or survival.
- Modulating agents that are linked to a biocompatible and biodegradable matrix such as cellulose or collagen are particularly preferred.
- a modulating agent should have a free amino or hydroxyl group.
- Multi-functional modulating agents further comprising the fibronectin CAR sequence RGD, which is recognized by integrins, as well CAR sequences for OB-cadherin, claudin, dsc and/or dsg, may also be used as potent stimulators of wound healing and/or to reduce scar tissue.
- the modulating agents are generally administered topically to the wound, where they may facilitate closure of the wound and may augment, or even replace, stitches.
- administration of matrix-linked modulating agents may facilitate cell adhesion in foreign tissue implants (e.g., skin grafting and prosthetic implants) and may prolong the duration and usefulness of collagen injection.
- the amount of matrix-linked cyclic peptide administered to a wound, graft or implant site varies with the severity of the wound and/or the nature of the wound, graft, or implant, but may vary as discussed above.
- a neuron may be contacted (e.g., via implantation) with modulating agent(s) linked to a support material such as a suture, fiber nerve guide or other prosthetic device such that the neurite outgrowth is directed along the support material.
- a support material such as a suture, fiber nerve guide or other prosthetic device
- a tubular nerve guide may be employed, in which the lumen of the nerve guide contains a composition comprising the modulating agent(s).
- nerve guides or other supported modulating agents may be implanted using well known techniques to, for example, facilitate the growth of severed neuronal connections and/or to treat spinal cord injuries.
- Multiple sclerosis patients suitable for treatment may be identified by criteria that establish a diagnosis of clinically definite or clinically probable MS (see Poser et al., Ann. Neurol. 13:227, 1983).
- Candidate patients for preventive therapy may be identified by the presence of genetic factors, such as HLA-type DR2a and DR2b, or by the presence of early disease of the relapsing remitting type.
- OPs are highly motile and are able to migrate from transplant sites to lesioned areas where they differentiate into mature myelin-forming oligodendrocytes and contribute to repair of demyelinated axons (see e.g., Groves et al., Nature 362:453-55, 1993; Baron-Van Evercooren et al., Glia 16:147-64, 1996).
- OPs can be isolated using routine techniques known in the art (see e.g., Milner and French-Constant, Development 120:3497-3506, 1994), from many regions of the CNS including brain, cerebellum, spinal cord, optic nerve and olfactory bulb.
- OPs are obtained from embryonic or neonatal rather than adult tissue.
- OPs may be isolated from human embryonic spinal cord and cultures of neurospheres established.
- Human fetal tissue is a potential valuable and renewable source of donor OP's for future, long range transplantation therapies of demyelinating diseases such as MS.
- OPs can be expanded in vitro if cultured as “homotypic aggregates” or “spheres” (Avellana-Adalid et al, J. Neurosci. Res. 45:558-70, 1996).
- Spheres (sometimes called “oligospheres” or “neurospheres”) are formed when OPs are grown in suspension in the presence of growth factors such as PDGF and FGF.
- OPs can be harvested from spheres by mechanical dissociation and used for subsequent transplantation or establishment of new spheres in culture. Alternatively, the spheres themselves may be transplanted, providing a “focal reservoir” of OPs (Avellana-Adalid et al, J. Neurosci. Res. 45:558-70, 1996).
- a modulating agent may be administered alone or within a pharmaceutical composition.
- the duration and frequency of administration will be determined by such factors as the condition of the patient, and the type and severity of the patient's disease.
- the cyclic peptide or pharmaceutical composition may be administered at a dosage ranging from 0.1 mg/kg to 20 mg/kg, although appropriate dosages may be determined by clinical trials.
- Methods of administration include injection, intravenous or intrathecal (i.e., directly in cerebrospinal fluid).
- Effective treatment of multiple sclerosis may be evidenced by any of the following criteria: EDSS (extended disability status scale), appearance of exacerbations or MRI (magnetic resonance imaging).
- the EDSS is a means to grade clinical impairment due to MS (Kurtzke, Neurology 33:1444, 1983), and a decrease of one full step defines an effective treatment in the context of the present invention (Kurtzke, Ann. Neurol. 36:573-79, 1994).
- Exacerbations are defined as the appearance of a new symptom that is attributable to MS and accompanied by an appropriate new neurologic abnormality (Sipe et al., Neurology 34:1368, 1984).
- Efficacy of the modulating agent in the context of prevention may be judged based on clinical measurements such as the relapse rate and EDSS. Other criteria include a change in area and volume of T2 images on MRI, and the number and volume of lesions determined by gadolinium enhanced images.
- the present invention provides methods for facilitating migration of an N-cadherin expressing cell on astrocytes, comprising contacting an N-cadherin expressing cell with (a) a cell adhesion modulating agent that inhibits cadherin-mediated cell adhesion, wherein the modulating agent comprises a cyclic peptide that comprises the sequence HAV; and (b) one or more astrocytes; and thereby facilitating migration of the N-cadherin expressing cell on the astrocytes.
- Preferred N-cadherin expressing cells include Schwann cells, oligodendrocytes and oligodendrocyte progenitor cells.
- Modulating agents may also be administered to patients afflicted with certain skin disorders (such as cutaneous lymphomas), acute B cell leukemia and excessive immune reactions involving the humoral immune system and generation of immunoglobulins, such as allergic responses and antibody-mediated graft rejection.
- skin disorders such as cutaneous lymphomas
- acute B cell leukemia and excessive immune reactions involving the humoral immune system and generation of immunoglobulins, such as allergic responses and antibody-mediated graft rejection.
- patients with circulating cadherin-positive malignant cells e.g., during regimes where chemotherapy or radiation therapy is eliminating a major portion of the malignant cells in bone marrow and other lymphoid tissue
- Such treatment may also benefit patients undergoing transplantation with peripheral blood stem cells.
- Preferred modulating agents for use within such methods include those that disrupt E-cadherin and/or N-cadherin mediated cell adhesion, and comprise one or more cyclic peptides such as NAc- CHAVC -NH 2 (SEQ ID NO:10), CHAVC -Y—NH 2 (SEQ ID NO:84), N—Ac- CHAVDC -NH 2 (SEQ ID NO:20), N—Ac- CHAVDIC -NH 2 (SEQ ID NO:50), N—Ac- CHAVDINC -NH 2 (SEQ ID NO:51), N—Ac- CHAVDINGC -NH 2 (SEQ ID NO:76), N—Ac- CAHAVC -NH 2 (SEQ ID NO:22), N—Ac- CAHAVDC -NH 2 (SEQ ID NO:26), N—Ac- CAHAVDIC -NH 2 (SEQ ID NO:24), N—Ac- CRAHAVDC -NH 2 (SEQ ID NO:28), N
- the present invention provides methods and kits for preventing pregnancy in a mammal.
- disruption of E-cadherin function prevents the adhesion of trophoblasts and their subsequent fusion to form syncitiotrophoblasts.
- one or more modulating agents as described herein may be incorporated into any of a variety of well known contraceptive devices, such as sponges suitable for intravaginal insertion (see, e.g., U.S. Pat. No. 5,417,224) or capsules for subdermal implantation.
- Other modes of administration are possible, however, including transdermal administration, for modulating agents linked to an appropriate targeting agent.
- Suitable methods for incorporation into a contraceptive device depend upon the type of device and are well known in the art. Such devices facilitate administration of the cyclic peptide(s) to the uterine region and may provide a sustained release of the cyclic peptide(s).
- cyclic peptide(s) may be administered via a contraceptive device at a dosage ranging from 0.1 to 20 mg/g, although appropriate dosages may be determined by monitoring hCG levels in the urine.
- hCG is produced by the placenta, and levels of this hormone rise in the urine of pregnant women.
- the urine hCG levels can be assessed by radio-immunoassay using well known techniques.
- Kits for preventing pregnancy generally comprise a contraceptive device impregnated with one or more cyclic peptides.
- a sustained release formulation of one or more cyclic peptides may be implanted, typically subdermally, in a mammal for the prevention of pregnancy. Such implantation may be performed using well known techniques.
- the implanted formulation provides a dosage as described above, although the minimum effective dosage may be determined by those of ordinary skill in the art using, for example, an evaluation of hCG levels in the urine of women.
- the present invention also provides methods for increasing vasopermeability in a mammal by administering one or more modulating agents or pharmaceutical compositions.
- modulating agents as described herein may be used to increase vascular permeability.
- preferred modulating agents for use within such methods include peptides capable of decreasing both endothelial and tumor cell adhesion.
- Such modulating agents may be used to facilitate the penetration of anti-tumor therapeutic or diagnostic agents (e.g., monoclonal antibodies) through endothelial cell permeability barriers and tumor barriers.
- modulating agents for use within such methods include those that comprise one or more cyclic peptides such as NAc- CHAVC -NH 2 (SEQ ID NO:10), CHAVC -Y—NH 2 (SEQ ID NO:84), N—Ac- CHAVDC -NH 2 (SEQ ID NO:20), N—Ac- CHAVDIC -NH 2 (SEQ ID NO:50), N—Ac- CHAVDINC -NH 2 (SEQ ID NO:51), N—Ac- CHAVDINGC -NH 2 (SEQ ID NO:76), N—Ac- CAHAVC -NH 2 (SEQ ID NO:22), N—Ac- CAHAVDC -NH 2 (SEQ ID NO:26), N—Ac- CAHAVDIC -NH 2 (SEQ ID NO:24), N—Ac- CRAHAVDC -NH 2 (SEQ ID NO:28), N—Ac- CLRAHAVC -NH 2 (SEQ ID NO:30), N—Ac-
- a preferred modulating agent may comprise an occludin CAR sequence LYHY (SEQ ID NO:55) and/or a CAR sequence for OB-cadherin or claudin.
- an additional sequence may be separated from the HAV sequence via a linker.
- a separate modulator of occludin mediated cell adhesion may be administered in conjunction with one or modulating agents, either within the same pharmaceutical composition or separately.
- preferred modulating agents for use within such methods include cyclic peptides capable of decreasing both endothelial and tumor cell adhesion.
- Such modulating agents may be used to facilitate the penetration of anti-tumor therapeutic or diagnostic agents (e.g., monoclonal antibodies) through endothelial cell permeability barriers and tumor barriers.
- a modulating agent may comprise an HAV sequence with flanking E-cadherin-specific sequences and an HAV sequence with flanking N-cadherin-specific sequences.
- separate modulating agents capable of disrupting N- and E-cadherin mediated adhesion may be administered concurrently.
- a modulating agent is further capable of disrupting cell adhesion mediated by multiple adhesion molecules.
- Such an agent may additionally comprise an RGD sequence, a Dsc CAR sequence, a Dsg CAR sequence and/or the occludin CAR sequence LYHY (SEQ ID NO:55).
- a separate modulator of non-classical cadherin-mediated cell adhesion may be administered in conjunction with the modulating agent(s), either within the same pharmaceutical composition or separately.
- Fab fragments directed against any of the above CAR sequences may also be employed, either incorporated into a modulating agent or within a separate modulator that is administered concurrently.
- Treatment with a modulating agent may be appropriate, for example, prior to administration of an anti-tumor therapeutic or diagnostic agent (e.g., a monoclonal antibody or other macromolecule), an antimicrobial agent or an anti-inflammatory agent, in order to increase the concentration of such agents in the vicinity of the target tumor, organism or inflammation without increasing the overall dose to the patient.
- Modulating agents for use within such methods may be linked to a targeting agent to further increase the local concentration of modulating agent, although systemic administration of a vasoactive agent even in the absence of a targeting agent increases the perfusion of certain tumors relative to other tissues.
- Suitable targeting agents include antibodies and other molecules that specifically bind to tumor cells or to components of structurally abnormal blood vessels.
- a targeting agent may be an antibody that binds to a fibrin degradation product or a cell enzyme such as a peroxidase that is released by granulocytes or other cells in necrotic or inflamed tissues.
- methods for facilitating wound healing comprising contacting an cadherin-expressing cell with, or administering to a mammal, a modulating agent described herein.
- the body responds inappropriately to tissue damage, resulting in an excessive wound healing response.
- this can result in formation of hypertrophic scars and keloids (Tredget E. E., Nedelec B., Scott P. G. and Ghahary A. Hypertrophic scars, keloids and contractures. Surgical Clinics of North America (1997) 77 (3) 701-730).
- a major factor in this dysfunctional wound-healing response is the activity of myofibroblast cells.
- Myofibroblasts are specialized cells with contractile properties of smooth muscle. Their appearance and contractility are essential for the healing of a wound (Tomasek J. J., Gabbiani G., Hinz B., Chaponnier C. and Brown R. A. Myofibroblasts and mechanoregulation of connective tissue remodelling. Nature Reviews Molecular Cell Biology (2002) 3 349-363; Singer A. J. and Clark R. A. F. Cutaneous wound healing. New England Journal of Medicine (1999) 341 (10) pp 738-746). They are formed by transformation from normally quiescent fibroblasts that are resident in the tissue surrounding the damage.
- the present invention provides methods for disrupting neovasculature (i.e., newly formed blood vessels). Such methods may be used to disrupt normal or pathological neovasculature in a variety of contexts. Disruption of neovasculature is therapeutic for conditions in which the presence of newly formed blood vessels is related to the underlying disorder, its symptoms or its complications.
- modulating agents for use within such methods include those that comprise one or more cyclic peptides such as N—Ac- CHAVC -NH 2 (SEQ ID NO:10), CHAVC -Y—NH 2 (SEQ ID NO:84), N—Ac- CHAVDC -NH 2 (SEQ ID NO:20), N—Ac- CHAVDIC -NH 2 (SEQ ID NO:50), N—Ac- CHAVDINC -NH 2 (SEQ ID NO:51), N—Ac- CHAVDINGC -NH 2 (SEQ ID NO:76), N—Ac- CAHAVC -NH 2 (SEQ ID NO:22), N—Ac- CAHAVDC -NH 2 (SEQ ID NO:26), N—Ac- CAHAVDIC -NH 2 (SEQ ID NO:24), N—Ac- CRAHAVDC -NH 2 (SEQ ID NO:28), N—Ac- CLRAHAVC -NH 2 (SEQ ID NO:30), N——A
- smooth muscle cells and pericytes include those cells derived from the medial layers of vessels and adventitia vessels which proliferate in intimal hyperplastic vascular sites following injury, such as that caused during PTCA.
- Characteristics of smooth muscle cells include a histological morphology (under light microscopic examination) of a spindle shape with an oblong nucleus located centrally in the cell with nucleoli present and myofibrils in the sarcoplasm. Under electron microscopic examination, smooth muscle cells have long slender mitochondria in the juxtanuclear sarcoplasm, a few tubular elements of granular endoplasmic reticulum, and numerous clusters of free ribosomes. A small Golgi complex may also be located near one pole of the nucleus.
- the majority of the sarcoplasm is occupied by thin, parallel myofilaments that may be, for the most part, oriented to the long axis of the muscle cell. These actin containing myofibrils may be arranged in bundles with mitochondria interspersed among them. Scattered through the contractile substance of the cell may also be oval dense areas, with similar dense areas distributed at intervals along the inner aspects of the plasmalemma.
- Pericytes include a histological morphology (under light microscopic examination) characterized by an irregular cell shape. Pericytes are found within the basement membrane that surrounds vascular endothelial cells and their identity may be confirmed by positive immuno-staining with antibodies specific for alpha smooth muscle actin (e.g., anti-alpha-sml, Biomakor, Rehovot, Israel), HMW-MAA, and pericyte ganglioside antigens such as MAb 3G5 (11); and, negative immuno-staining with antibodies to cytokeratins (i.e., epithelial and fibroblast markers) and Von Willebrand factor (i.e., an endothelial marker). Both vascular smooth muscle cells and pericytes are positive by immunostaining with the NR-AN-01 monoclonal antibody.
- alpha smooth muscle actin e.g., anti-alpha-sml, Biomakor, Rehovot, Israel
- HMW-MAA e.
- vascular smooth muscle cells or pericytes comprising contacting a cadherin expressing cell with, or administering to a mammal, a cell adhesion modulating agent as described herein, wherein the modulating agent is preferably an inhibitor of cadherin-mediated cell adhesion.
- a cell adhesion modulating agent as described herein, wherein the modulating agent is preferably an inhibitor of cadherin-mediated cell adhesion.
- Particularly illustrative uses according to this embodiment relate to preventing the formation or advance of restenosis, vein bypass graft failure, allograft vasculopathy, dialysis graft failure, thin cap fibroatheroma, and other vessel stenoses.
- the modulating agents of the invention are thus useful, for example, in inhibiting the activity of vascular smooth muscle cells, e.g., for reducing, delaying, or eliminating stenosis following angioplasty.
- reducing means decreasing the intimal thickening that results from stimulation of smooth muscle cell proliferation following angioplasty, either in an animal model or in man.
- Delaying means delaying the time until onset of visible intimal hyperplasia (e.g., observed histologically or by angiographic examination) following angioplasty and may also be accompanied by “reduced” restenosis.
- “Eliminating” restenosis following angioplasty means completely “reducing” and/or completely “delaying” intimal hyperplasia in a patient to an extent which makes it no longer necessary to surgically intervene, i.e., to re-establish a suitable blood flow through the vessel by repeat angioplasty, atheroectomy, or coronary artery bypass surgery.
- the effects of reducing, delaying, or eliminating stenosis may be determined by methods routine to those skilled in the art including, but not limited to, angiography, ultrasonic evaluation, fluoroscopic imaging, fiber optic endoscopic examination or biopsy and histology.
- the therapeutic conjugates of the invention achieve these advantageous effects by specifically binding to the cellular membranes of smooth muscle cells and pericytes.
- the modulating agents of the invention may be used in situations in which angioplasty is not sufficient to open a blocked artery, such as those situations which require the insertion of an intravascular stent.
- the stent, as well as other medical devices and implants described herein, preferably have linked or coated to the surface, or interspersed within, one or more modulating agents of the invention.
- a metallic, plastic or biodegradable intravascular stent is coated with a biodegradable coating or with a porous non-biodegradable coating, having dispersed therein the sustained-release dosage form.
- a biodegradable stent may also have the therapeutic agent impregnated therein, i.e., in the stent matrix.
- methods for treating a traumatized vessel comprising contacting a cadherin expressing cell with, or administering to a mammal, a cell adhesion modulating agent as provided herein, wherein the modulating agent is preferably an inhibitor of cadherin-mediated cell adhesion.
- a cell adhesion modulating agent as provided herein, wherein the modulating agent is preferably an inhibitor of cadherin-mediated cell adhesion.
- Particularly illustrative uses according to this embodiment include the treatment of trauma that may occur during stent placement, organ transplant, vein bypass, angioplasty, dialysis graft placement, and the like. Administration of the modulating agent may occur before, during or after the vascular trauma
- the modulating agents of the present invention may delivered to a cadherin expressing cell, or a subject, by essentially any delivery approach suitable to a given indication and compatible with the delivery of modulating agents provided herein.
- administration of a modulating agent provided herein is accomplished via a catheter.
- administration of an agent is accomplished using an infusion needle.
- Such polyclonal and monoclonal antibodies may be raised against a cyclic peptide using conventional techniques known to those of ordinary skill in the art. See, e.g. Harlow and Lane, Antibodies: A Laboratory Manual , Cold Spring Harbor Laboratory, 1988.
- an immunogen comprising the cyclic peptide is initially injected into any of a wide variety of mammals (e.g., mice, rats, rabbits, sheep or goats). Because of its small size, the cyclic peptide should be joined to a carrier protein, such as bovine serum albumin or keyhole limpet hemocyanin. Following one or more injections, the animals are bled periodically.
- Polyclonal antibodies specific for the cyclic peptide may then be purified from such antisera by, for example, affinity chromatography using the polypeptide coupled to a suitable solid support.
- Assays typically involve using an antibody to detect the presence or absence of a cadherin (free or on the surface of a cell), or proteolytic fragment containing the EC1 domain in a suitable biological sample, such as tumor or normal tissue biopsies, blood, lymph node, serum or urine samples, or other tissue, homogenate, or extract thereof obtained from a patient.
- a suitable biological sample such as tumor or normal tissue biopsies, blood, lymph node, serum or urine samples, or other tissue, homogenate, or extract thereof obtained from a patient.
- the solid support may be any material known to those of ordinary skill in the art to which the antibody may be attached, such as a test well in a microtiter plate, a nitrocellulose filter or another suitable membrane.
- the support may be a bead or disc, such as glass, fiberglass, latex or a plastic such as polystyrene or polyvinylchloride.
- the antibody may be immobilized on the solid support using a variety of techniques known to those in the art, which are amply described in the patent and scientific literature.
- cyclic peptides or antibodies thereto may be used to facilitate cell identification and sorting in vitro or imaging in vivo, permitting the selection of cells expressing different cadherins (or different cadherin levels).
- the cyclic peptide(s) or antibodies for use in such methods are linked to a detectable marker. Suitable markers are well known in the art and include radionuclides, luminescent groups, fluorescent groups, enzymes, dyes, constant immunoglobulin domains and biotin.
- a cyclic peptide or antibody linked to a fluorescent marker such as fluorescein, is contacted with the cells, which are then analyzed by fluorescence activated cell sorting (FACS).
- This Example illustrates the solid phase synthesis of representative cyclic peptides.
- N—Ac- CHAVC -NH 2 (SEQ ID NO:10) was synthesized on a 396-5000 Advanced ChemTech synthesizer using a Rink resin (4-(2′,4′-Dimethoxyphenyl-Fmoc-aminomethyl)-phenoxy resin), which provided C-terminal amides using Fmoc chemistries.
- the Fmoc protecting group on the resin was removed with piperidine and coupling of the amino acids to the resin initiated. Two coupling reactions in NMP (N-methylpyrrolidinone) per amino acid were performed.
- the first coupling was carried out using DIC (diisopropylcarbodiimide) and the second coupling used HBTU (O-benzotriazole-N,N,N′,N′,-tetramethyluronium hexafluorophosphate) in the presence of DIPEA (diisopropylethylamine). Both couplings were done in the presence of HOBt (hydroxybenzotriazole) with the exception of histidine and the final cysteine.
- HOBt hydroxybenzotriazole
- the trityl protecting group of the imidazole side chain of histidine is not stable in the presence of is HOBt.
- control 3T3 fibroblasts and 3T3 fibroblasts that express N-cadherin were established by overnight culture of 80,000 cells in individual wells of an 8-chamber well tissue culture slide.
- 3000 cerebellar neurons isolated from post-natal day 3 mouse brains were cultured for 18 hours on the various monolayers in control media (SATO/2% FCS), or media supplemented with various concentrations of the cyclic peptide N—Ac- CHAVC -NH 2 (SEQ ID NO:10) or a control peptide without the HAV sequence (N—Ac- CHGVC -NH 2 ; SEQ ID NO:11).
- the cultures were then fixed and stained for GAP43, which specifically binds to the neurons and their neurites. The length of the longest neurite on each GAP43 positive neuron was then measured by computer assisted morphometry.
- the cyclic peptide N—Ac- CHAVC -NH 2 (SEQ ID NO: 10) (used at a concentration of 500 ⁇ g/ml) did not inhibit neurite outgrowth on 3T3 cells not expressing N-cadherin, N-CAM, or L1 (control cells), thus indicating that the peptide is not toxic and that it has no non-specific effects on neurite outgrowth ( FIG. 22 ). These data also indicate that the peptide does not effect integrin function.
- Bovine pulmonary artery endothelial cells were harvested by sterile ablation and digestion in 0.1% collagenase (type II; Worthington Enzymes, Freehold, N.J.). Cells were maintained in Dulbecco's minimum essential medium (Clonetics, San Diego, Calif.) supplemented with 10% fetal calf serum (Atlantic Biologicals, Nor cross, GA) and 1% antibiotic-antimycotic at 37° C. in 7% CO 2 in air. Cultures were passaged weekly in trypsin-EDTA (Gibco, Grand Island, N.Y.) and seeded onto tissue culture plastic at 20,000 cell/cm 2 for all experiments.
- collagenase type II; Worthington Enzymes, Freehold, N.J.
- Cells were maintained in Dulbecco's minimum essential medium (Clonetics, San Diego, Calif.) supplemented with 10% fetal calf serum (Atlantic Biologicals, Nor cross, GA) and 1% antibiotic-antimy
- Endothelial cultures were used at 1 week in culture, which is approximately 3 days after culture confluency was established.
- the cells used in all protocols were between 4th passage and 10th passage.
- the cells were seeded onto coverslips and treated 30 minutes with N—Ac- CHAVC -NH 2 (SEQ ID NO:10) or N—Ac- CHGVC -NH 2 (SEQ ID NO:11) at 500 ⁇ g/ml and then fixed with 1% paraformaldehyde.
- the human ovarian cancer cell line SKOV3 (ATCC #HTB-77) expresses N-cadherin.
- SKOV3 cells were cultured in a modified MEM-based media containing 10% FCS. Cells were grown in T-250 culture flasks and maintained by periodic subculturing. Cyclic peptides were tested on cells grown in individual wells of 96-well culture dishes (surface area of each well was 0.32 cm 2 ). Cells were harvested from flasks and seeded at a density of 50,000 cells per well in 0.1 mL media containing the cyclic peptides at concentrations of 1, 0.1, or 0.01 mg/mL, or in the absence of cyclic peptide. Media control wells were also established. Cultures were evaluated periodically by microscopic examination under both bright field and phase contrast conditions. Cultures were maintained for 48 hours.
- FIG. 9A (compare to FIG. 9C ) and 10 A, the peptide N—Ac- CHAVC -N 2 (SEQ ID NO:10) (final concentration of 1 mg/mL media) disrupted SKOV3 cell adhesion within 24 hours, whereas the control N—Ac- CHGVC -NH 2 (SEQ ID NO:11) had no affect on cell adhesion ( FIGS. 9B and 10B ).
- the effect of different amounts of N—Ac- CHAVC -NH 2 (SEQ ID NO:10) after 48 hours is shown in FIGS. 9 D-F.
- FIGS. 9 D-F In the presence of N—Ac- CHGVC -NH 2 , (SEQ ID NO:11) ( FIGS.
- the cyclic peptide N—Ac- CHAVC -Y—NH 2 (SEQ ID NO:_______ (final concentration of 1 mg/mL media) disrupted SKOV3 cell adhesion within 24 hours, whereas the control (vehicle alone (PBS)) had no effect on cell adhesion.
- the cyclic peptides N—Ac- CAHAVDIC -NH 2 (SEQ ID NO:24), N—Ac- CAHAVDC -NH 2 (SEQ ID NO:26) and N—Ac- KHAVD -NH 2 (SEQ ID NO:12) were inactive in the SKOV3 cells, indicating that not all cyclic HAV-containing peptides are capable of disrupting epithelial cell adhesion at concentrations of 0.01-1 mg/mL. It is not unexpected that the potencies of the cyclic peptides will vary.
- Blood vessels are composed of adherent endothelial cells. This Example illustrates the use of a representative cyclic peptide to block angiogenesis (the growth of blood vessels from pre-existing blood vessels).
- cyclic peptides The ability of representative cyclic peptides to inhibit angiogenesis is illustrated by the results presented in Table 2. For each concentration of cyclic peptide, the percent inhibition of angiogenesis (relative to the level of angiogenesis in the absence of cyclic peptide) is provided. Assays were performed in the presence (+) or absence ( ⁇ ) of 0.01 mM VEGF. For example, the cyclic peptide N—Ac- CHAVC -NH 2 (SEQ ID NO:10) inhibited angiogenesis by 46%, 51%, and 51% at concentrations of 3, 17, and 33 ⁇ g/mesh, respectively.
- This Example further illustrates the ability of representative cyclic peptides to disrupt human ovarian cancer cell adhesion.
- This Example illustrates the ability of a representative cyclic peptide to disrupt melanoma cell adhesion.
- Coverslips were blocked for 1 hour in 3% ovalbumin/PBS and incubated for a further 1 hour in the presence of rabbit pan-cadherin antibody (Sigma Chemical Co., St. Louis, Mo.) diluted 1:500.
- Primary and secondary antibodies were diluted in PBS containing 6% normal goat serum.
- coverslips were washed 3 times for 5 minutes each in PBS and incubated for 1 hour in goat anti-rabbit immunoglobulin G conjugated to fluorescein (Kiekegard and Perry, South San Francisco, Calif.) diluted 1:100.
- coverslips were mounted in Vectashield (Vector Labs, Burlingame, Calif.) and viewed with a Zeiss infinity corrected microscope.
- Photographs, shown in FIG. 14 show an absence of cell membrane staining and the appearance of bright intracellular vesicular staining in cells treated with N—Ac- CHAVC -NH 2 (SEQ ID NO:10).
- N—Ac- CHGVC -NH 2 SEQ ID NO: 11
- the staining concentrated at points of cell-cell contact.
- This Example illustrates the ability of a representative cyclic peptide to disrupt human breast epithelial cell adhesion.
- A1N4 human breast epithelial cells (kindly provided by Martha Stampfer, Lawrence Berkeley Laboratory, Berkeley, Calif.) were plated on glass coverslips and cultured in F12/DME containing 0.5% FCS and 10 ng/mL EGF for 24 hours.
- Fresh medium containing the cyclic peptides (final concentration 500 ⁇ g/mL media) N—Ac- CHAVC -NH 2 (SEQ ID NO:10) or N—Ac- CHGVC -NH 2 (SEQ ID NO:11) was then added. Following 24 hours of culture in the presence of the peptides, the medium was removed and fresh medium containing the peptides was added. The cells were fixed 24 hours later with cold methanol and stored in phosphate buffered saline (PBS).
- PBS phosphate buffered saline
- Coverslips were blocked for 1 hour in 3% ovalbumin/PBS and incubated for a further 1 hour in the presence of 1 ⁇ g/mL mouse anti-E-cadherin antibody (Zymed, Gaithersburg, Md.). Primary and secondary antibodies were diluted in PBS containing 6% normal goat serum. Following incubation in the primary antibody, coverslips were washed 3 times for 5 minutes each in PBS and incubated for 1 hour with goat anti-mouse conjugated to fluorescein (Kiekegard and Perry, South San Francisco, Calif.) diluted 1:100. Following a further wash in PBS (3 ⁇ 5 minutes) coverslips were mounted in Vectashield (Vector Labs, Burlingame, Calif.) and viewed with a Zeiss infinity corrected microscope.
- Vectashield Vector Labs, Burlingame, Calif.
- Photographs, shown in FIGS. 15A and 15B show reduced E-cadherin staining with a stitched appearance in cells treated with N—Ac- CHAVC -NH 2 (SEQ ID NO:10).
- N—Ac- CHAVC -NH 2 SEQ ID NO:10
- holes are present in the monolayer where the cells have retracted from one another.
- cells exposed to N—Ac- CHGVC -NH 2 displayed E-cadherin staining concentrated at points of cell-cell contact and formed a tightly adherent monolayer.
- N—Ac- CHAVC -NH 2 (SEQ ID NO:10) and the control peptide N—Ac- CHGVC -NH 2 (SEQ ID NO:11) were evaluated for possible cytotoxic effects on human microvascular endothelial (HMVEC; Clonetics), human umbilical vein endothelial (HUVEC; ATCC #CRL-1730), IAFp2 (human fibroblast cell line; Institute Armand-Frapier, Montreal, Quebec), WI-38 (human fibroblast cell line; ATCC #CCL-75), MDA-MB231 (human breast cancer cell line; ATCC #HTB-26), and PC-3 (human prostate cancer is cell line; ATCC #CRL-1435) cells utilizing the MTT assay (Plumb et al., Cancer Res.
- N—Ac- CHAVSC -NH 2 (SEQ ID NO:38), N—Ac- CHGVSC -NH 2 (SEQ ID NO:39), N—Ac- CVAHC -NH 2 (SEQ ID NO:18), N—Ac- CVGHC -NH 2 (SEQ ID NO:19) and N—Ac- CSHAVSSC -NH 2 (SEQ ID NO:42) inhibited the proliferation of HUVEC at concentrations (IC 50 values) of 57 ⁇ M, 42 ⁇ M, 8 ⁇ M, 30 ⁇ M and 69 ⁇ M respectively, as judged by 3 H-thymidine incorporation assays.
- N—Ac- CSHAVSSC -NH 2 (SEQ ID NO:42) also inhibited the proliferation of MDA-MB231 cells at a concentration of 76 ⁇ M and HMVEC cells at a concentration of 70 ⁇ M (Tables 5 and 6).
- N—Ac- CHAVSC -NH 2 (SEQ ID NO:38) inhibited the proliferation of MDA-MB231 cells at a concentration of 52 ⁇ M.
- H- CHAVC -NH 2 (SEQ ID NO:10; 2 mg/kg, 20 mg/kg and 125 mg/kg) were injected into mice intraperitoneally every day for three days. During the recovery period (days 4-8), animals were observed for clinical symptoms. Body weight was measured (Table 22) and no significant differences occurred. In addition, no clinical symptoms were observed on the treatment or recovery days. Following the four day recovery period, autopsies were performed and no abnormalities were observed.
- mice were injected intraperitoneally for seven consecutive days with to 20 mg/kg of N—Ac- CHAVC -NH 2 (SEQ ID NO:10) and sacrificed 24 hr after treatment. No gross or histopathological findings related to the treatment were found.
- This Example illustrates the stability of a representative cyclic peptide in mouse whole blood.
- This Example illustrates the effect of sequences that flank the HAV sequence, sequences external to the cyclic peptide ring and terminal modifications on specificity for N-cadherin-mediated responses.
- the mean length of the longest neurite per cell was measured for 150-200 neurons sampled in replicate cultures as previously described (Williams et al., Neuron 13:583-594, 1994). The percentage inhibition of neurite outgrowth at various peptide concentrations was calculated as the average of at least three independent experiments. Dose-response curves were evaluated and the EC 50 values determined.
- FIG. 22 also illustrates inhibition of neurite outgrowth in neurons cultured over N-cadherin expressing cells in the presence of N—Ac- CHAVC -NH 2 (SEQ ID NO:10; compound 1, 500 ⁇ g/mL).
- N—Ac- CHGVC -NH 2 SEQ ID NO:11; compound 2, 500 ⁇ g/mL
- the corresponding control peptide N—Ac- CHGVC -NH 2 SEQ ID NO:11; compound 2, 500 ⁇ g/mL
- N—Ac- CHAVC -NH 2 SEQ ID NO:10 is capable of acting as an antagonist and inhibiting cadherin function.
- Peptides included in Table 8 are placed into one of three groups.
- the first group comprising compounds 1 and 3 can be viewed as potential general or non-specific cadherin inhibitors.
- the second group which includes compounds 23, 25, 27, 29, and 31, were designed as putative E-cadherin specific inhibitors by incorporation of flanking amino acids from the HAV region of native human E-cadherin.
- the remaining HAV-containing compounds were designed as putative N-cadherin inhibitors by virtue of their HAV flanking amino acids being derived from the native human N-cadherin sequence.
- a detrimental affect e.g., compound 17, N—Ac- CLRAHAVC -NH 2 ; SEQ ID NO:30
- addition of an aspartic acid residue on the C-terminus compound 5, N—Ac- CHAVDC -NH 2 ; SEQ ID NO:20
- EC 50 0.060 mM
- EC 50 0.070 mM
- N—Ac- CHAVDC -NH 2 (SEQ ID NO:20) EC 50 0.093 mM
- N-Ac- CAHGVDC -NH 2 27 4.0 ⁇ 6.9 11.
- HAV-Containing Peptides In order to further assess the effects of modifying the amino acids flanking the HAV sequence on receptor selectivity, a series of HAV-containing peptides were evaluated for their ability to inhibit neurite outgrowth. These peptides correspond to cyclized sequences derived from the human N-cadherin (RFHLRAHAVDINGN; SEQ ID NO:80) and E-cadherin (TLFSHAVSSNGN; SEQ ID NO:81) sequences immediately adjacent to the surrounding the active site (HAV).
- RFHLRAHAVDINGN human N-cadherin
- TEZSNGN E-cadherin sequences immediately adjacent to the surrounding the active site (HAV).
- N—Ac- CHAVYC -NH 2 SEQ ID NO:94
- N—Ac- CHAVPC -NH 2 SEQ ID NO:99
- TABLE 9 Effect of Additional C-terminal Residues on Neurite Outgrowth Test Peptide (125 ⁇ g/mL) SEQ ID % Inhibition EC 50 (mM) 5.
- N-Ac- CHAVDIC -NH 2 50 88.3 ⁇ 7.5 0.060 34.
- HAV-containing peptides on the L1 response.
- Other cell adhesion molecules such as L1
- L1 can stimulate neurite outgrowth, and this response shares the same downstream signaling steps as the N-cadherin response.
- N-cadherin antagonists N—Ac- CHAVDC -NH 2 (compound 5; SEQ ID NO:20), N—Ac- CHAVDIC -NH 2 (compound 33; SEQ ID NO:50) and N—Ac- CHAVDINC -NH 2 (compound 34; SEQ ID NO:51)
- cerebellar neurons were cultured over either control 3T3 cell monolayers, or monolayers of 3T3 cells stably transfected with cDNA encoding L1 in the presence and absence of each peptide.
- This Example illustrates the effect of sequences that flank the HAV sequence, sequences external to the cyclic peptide ring and terminal modifications on specificity for E-cadherin-mediated responses.
- HAV-containing peptides were evaluated for their ability to disrupt adhesion of MDCK cells, as measured by a decrease in the electrical resistance across the monolayer.
- These peptides correspond to cyclized sequences derived from the human N-cadherin (RFHLRAHAVDINGN; SEQ ID NO:80) and E-cadherin (TLFSHAVSSNGN: SEQ ID NO:81) sequences immediately adjacent to and surrounding the active site (HAV).
- MDCK Madin Darby canine kidney
- Millicells Millipore, Bedford, Mass.
- DMEM Dulbecco's Modified Eagle Medium
- fetal calf serum Sigma, St. Louis, Mo.
- the electrical resistance was measured using the EVOM device (World Precision Instruments, Sarasota, Fla.). At the time of measurement, fresh medium, with or without the modulating agent, may be added to the Millicells.
- Peptide Synthesis Peptides were synthesized as described in Example 1. All peptides were prepared as a stock solution at a concentration of 5-10 mg/ml in distilled water, and stored in small aliquots at ⁇ 80° C. until needed.
- N—Ac- CHAVC -NH 2 SEQ ID NO:10
- the first category can be viewed as general or non-specific cadherin inhibitors.
- N—Ac- CHAVC -NH 2 SEQ ID NO:10
- HAV cadherin CAR sequence
- An EC 50 value of 0.27 mM was obtained from the dose-response curve. This observation demonstrates that N—Ac- CHAVC -NH 2 (SEQ ID NO:10) is capable of acting as an E-cadherin antagonist and decreasing electrical resistance across a monolayer of MDCK cells.
- the second group (N—Ac- CHAVDC -NH 2 (SEQ ID NO:20), N—Ac- CHAVDIC -NH 2 (SEQ ID NO:50), N—Ac- CAHAVDC -NH 2 (SEQ ID NO:26) and N—Ac- CHAVDINC -NH 2 (SEQ ID NO:51)) are N-cadherin specific, as shown from the neurite outgrowth assay. Flanking the HAV motif with amino acids found in the human N-cadherin sequence resulted in complete abrogation of E-cadherin specific activity.
- HAV-containing compounds N—Ac- CSHAVC -NH 2 (SEQ ID NO:36), N—Ac- CFSHAVC -NH 2 (SEQ ID NO:85), N—Ac- CLFSHAVC -NH 2 (SEQ ID NO:86), N—Ac- CHAVSC -NH 2 (SEQ ID NO:38), N—Ac- CSHAVSC -NH 2 (SEQ ID NO:40), N—Ac- CSHAVSSC -NH 2 (SEQ ID NO:42) and N—Ac- CHAVSSC -NH 2 (SEQ ID NO:44)) were designated as putative E-cadherin specific inhibitors by virtue of their HAV flanking amino acids being derived from the native human E-cadherin sequence.
- addition of a third amino acid to the N-terminus did result in loss of activity in this assay (N—Ac- CLFSHAVC -NH 2 ; SEQ ID NO:86.).
- Tumor tissue was dissected and fixed in PBS with 4% paraformaldehyde for 48 hours. Specimens were then dehydrated in a series of alcohol incubations, and embedded in paraffin wax. Tissues were sectioned, rehydrated and stained with hematoxylin/eosin for morphological purposes. Representative sections obtained from treated and untreated mice are shown in FIGS. 28B and 28A , respectively.
- FIG. 29 presents the results in graph form, showing the percent reduction in tumor volume over the four day treatment period.
- FIG. 42A shows photographs of four tumors from mice treated with saline. These tumors are well vascularized.
- FIG. 42B shows photographs of four tumors treated with peptide. These tumors are covered with pools of blood, and extensive rupturing of blood vessels can be seen on the surface of the tumors. The vascular effects of peptide treatment slow tumor growth.
- FIG. 43 shows the effect of the modulating agent on tumor volume.
- MKL-F cells were injected into mammary fat pad, as described above, and the tumors were grown for 21 days before injection. Mice were then injected once daily for four days with either 20 mg/kg of the representative modulating agent N—Ac- CHAVC -NH 2 (SEQ ID NO:10) or saline as a control. Mice were sacrificed 21 days after the last injection. Tumor volume was measured at day 18 following injection of cells, day 22 (following the first injection of modulating agent), and days 29, 32, 36, 39 and 42. Mean tumor volume for mice treated with modulating agent and saline alone is presented in FIG. 43 .
- Blood vessels are composed of adherent endothelial cells. This Example illustrates the use of a representative cyclic peptide to block angiogenesis (the growth of blood vessels from pre-existing blood vessels).
- SKOV3 human ovarian cancer cells cultured in the presence of either N—Ac- CHAVC -NH 2 (SEQ ID NO:10) or a control peptide (N—Ac- CHGVC -NH 2 ; SEQ ID NO:11) in MEM with 10% FBS were plated onto poly-L-lysine coated glass slides. The cells were cultured for 24 or 48 hours and fixed with 4% paraformaldehyde for 30 minutes at room temperature. The slides were then washed three times with PBS and assessed for cell death.
- Cells were treated with 0.5 or 0.25 mg/mL of N—Ac- CHAVC -NH 2 (SEQ ID NO:10) or the control N—Ac- CHGVC -NH 2 (SEQ ID NO:11), as indicated.
- Cell death was measured as described by Gavrieli et al., J. Cell. Biol. 119:493-501, 1992 and using the In situ cell death detection kit (Boehringer Mannheim; Laval, Quebec).
- FIGS. 35A-35D show the results of such an assay, in which the cells were treated with the peptides for 48 hours.
- the fluorescent green nuclei evident in FIGS. 35C and 35D indicate that the cells are dead.
- cells treated with the control peptide did not die.
- a bar graph further illustrating the ability of N—Ac- CHAVC -NH 2 (SEQ ID NO:10) to induce apoptosis is shown in FIG. 36 .
- This Example illustrates the use of a representative modulating agent for inducing apoptosis in tumor cells and reducing tumor volume in vivo.
- SKOV3 cells (ATCC) were grown to 70% confluence in Minimum Essential Medium (Life Technologies, Grand Island, N.Y.) supplemented with 10% Fetal Bovine Serum (Wisent, St. Bruno, Quebec) in a humidified atmosphere containing 5% CO 2 . Cells were then dissociated with 0.02% PBS/EDTA. Total cell count and viable cell number was determined by trypan blue stain and a hemacytometer.
- Tumor tissue was dissected and fixed in PBS with 4% paraformaldehyde for 48 hours. Specimens were then dehydrated in a series of alcohol incubations, and embedded in paraffin wax. Apoptosis was assessed using the Apoptag kit (Intergen, Purchase N.Y.) according to the manufacturer's protocol, with slight modifications. More specifically, sections were deparaffinized and re-hydrated. After a five minute wash with PBS, the slides were treated with 20 ⁇ g/ml Proteinase K in PBS for 15 minutes at room temperature. This was followed by two washes with distilled water (2 minutes each wash). Endogenous peroxidase activity was blocked by incubation with 3% hydrogen peroxide (in PBS) for 5 minutes.
- Apoptag kit Intergen, Purchase N.Y.
- Peroxidase-conjugated anti-digoxigenin antibody was added (65 ⁇ l of a diluted stock solution (supplied with kit)) to the slides, which were incubated overnight in a humidified chamber at 4° C. Subsequent visualization of apoptotic cells was achieved by washing (4 ⁇ ) the slides with PBS, followed by the application of the peroxidase substrate (DAB; diaminobenzidine tetrahydrochloride) for approximately 3-6 minutes at room temperature. The reaction was terminated by washing with distilled water, after which the slides were counterstained with hematoxylin. The specimens were then dehydrated through brief washes in ethanol, followed by washes in xylene, then mounted with Permount and cover-slipped.
- DAB peroxidase substrate
- FIGS. 38A-38H Representative sections obtained from treated and untreated mice are shown in FIGS. 38A-38H (10 ⁇ magnification) and 39 A- 39 H (40 ⁇ magnification). In these sections, cells stained brown are undergoing apoptosis.
- the tumors treated with N—Ac- CHAVC -NH 2 (SEQ ID NO:10) show an increase in apoptotic cells with longer treatment, as compared to tumors treated with saline.
- FIGS. 40B, 40D and 40 F show tumor sections obtained from mice treated with N—Ac- CHAVC -NH 2 (SEQ ID NO:10) at 20 mg/kg once daily for four days and then sacrificed 11 days after the last treatment ( FIGS. 40A, 40C and 40 E show saline controls).
- the magnification in FIGS. 40A-40B was 4 ⁇
- in FIGS. 40C-40D was 10 ⁇
- in FIGS. 40E-40F was 40 ⁇ ).
- Tumors from mice treated with the peptide modulating agent showed an extensive area of apoptotic cells within the center of the tumor, as compared to the control tumors.
- This Example further illustrates the use of representative modulating agents to inhibit neurite outgrowth.
- a series of cyclic peptide modulating agents was tested for their ability to inhibit neurite outgrowth. Certain peptides were non-selective (i.e. not specific for a particular cadherin), while others were designed to incorporate flanking sequences of N-cadherin or E-cadherin. The percentage inhibition of neurite outgrowth for each compound (at 250 ⁇ g/mL) was then evaluated as described in Example 2, except that neurons were isolated from rats, rather than mice.
- the results are presented in Table 17 and FIG. 44 .
- the non-selective peptide N—Ac- CHAVC -NH 2 (SEQ ID NO:10) significantly inhibited neurite outgrowth when the peptide contained N-acetyl and C-amide groups, but not in the absence of the N-acetyl group.
- Control peptides comprising an HGV sequence did not inhibit neurite outgrowth detectably.
- Most of the N-cadherin specific peptides did inhibit neurite outgrowth, but none of the E-cadherin specific peptides had a detectable effect.
- E-cadherin and N-cadherin expression was evaluated in a series of ovarian carcinoma cell lines, using the RT-PCR approach described above
- the E-cadherin specific primer used were:
- Human saphenous vein vascular smooth muscle cells were explanted from surplus segments of vein from patients undergoing coronary artery bypass surgery.
- Cells were maintained in Dulbecco's modified essential medium supplemented with 100 ⁇ g/mL penicillin, 100 IU/mL streptomycin, 2 mmol/L L -glutamine and 10% fetal calf serum and were grown to confluence on glass coverslips in the presence or absence of collagen type I. The cell layer was then subjected to scrape-wounding by drawing a fine cell scraper across the coverslip.
- Vascular smooth muscle cells that are treated in this manner respond to the wounding of the confluent monolayer by migrating into the wound (Hammerle et al (1991) Vasa 20, 207-215).
- the migratory capacity of the vascular smooth muscle cells was assessed by measuring the distance of migration into the wound area (outermost 100 ⁇ m from the wound) using image analysis software at 24 hours after wounding.
- FIG. 45A shows representative experiments wherein cell migration is inhibited by cadherin modulating agents.
- a histogram shown in FIG. 45B shows reduced vascular smooth muscle cell migration on glass or collagen-coated coverslips in the presence of a cadherin-modulating agent
- Human saphenous vein vascular smooth muscle cells were explanted from surplus segments of vein from patients undergoing coronary artery bypass surgery.
- Cells were maintained in Dulbecco's modified essential medium supplemented with 100 ⁇ g/mL penicillin, 100 IU/mL streptomycin, 2 mmol/L L -glutamine and 10% fetal calf serum and were grown in agarose-coated wells. Under these conditions the cells are unable to attach to the underlying substratum and adhere to one another by cell-cell contacts only, forming aggregates. The percentage of dead cells was assessed by staining with Trypan blue or by fixing the cells and staining with Hoescht (H-33342).
Landscapes
- Chemical & Material Sciences (AREA)
- Organic Chemistry (AREA)
- Health & Medical Sciences (AREA)
- Life Sciences & Earth Sciences (AREA)
- Molecular Biology (AREA)
- General Health & Medical Sciences (AREA)
- Genetics & Genomics (AREA)
- Medicinal Chemistry (AREA)
- Biophysics (AREA)
- Proteomics, Peptides & Aminoacids (AREA)
- Biochemistry (AREA)
- Cell Biology (AREA)
- Immunology (AREA)
- Toxicology (AREA)
- Zoology (AREA)
- Gastroenterology & Hepatology (AREA)
- Medicines That Contain Protein Lipid Enzymes And Other Medicines (AREA)
- Peptides Or Proteins (AREA)
Abstract
Cyclic peptides comprising a cadherin cell adhesion recognition sequence HAV, and compositions comprising such cyclic peptides, are provided. Methods for using such peptides for modulating cadherin-mediated cell adhesion in a variety of contexts are also provided.
Description
- This application is a continuation-in-part of U.S. application Ser. No. 10/464,071, filed Jun. 18, 2003, now pending; which application is a continuation of U.S. application Ser. No. 09/544,782, filed Apr. 7, 2000, now pending; which application is a continuation-in-part of U.S. application Ser. No. 09/458,870, filed Dec. 10, 1999, now issued as U.S. Pat. No. 6,465,427; which application is a continuation-in-part of U.S. application Ser. No. 09/357,717, filed Jul. 20, 1999, now issued as U.S. Pat. No. 6,417,325; which application is a continuation-in-part of U.S. application Ser. No. 09/248,074, filed Feb. 10, 1999, now issued as U.S. Pat. No. 6,346,512; which application is a continuation-in-part of U.S. application Ser. No. 08/996,679, filed Dec. 23, 1997, now issued as U.S. Pat. No. 6,169,071; which application is a continuation-in-part of U.S. application Ser. No. 08/893,534, filed Jul. 11, 1997, which application is now issued as U.S. Pat. No. 6,031,072; which application claims the benefit under 35 U.S.C. § 1.119(e) of U.S. A No. 60/021,612, filed Jul. 12, 1996, all of which applications are incorporated herein by reference in their entireties.
- This application is also a continuation-in-part of U.S. application Ser. No. 10/359,546, filed Feb. 4, 2003, now pending; which application is a continuation of U.S. application Ser. No. 09/248,015, filed Feb. 10, 1999, now issued as U.S. Pat. No. 6,562,786; which application is a continuation-in-part of U.S. application Ser. No. 08/996,679, filed Dec. 23, 1997, now issued as U.S. Pat. No. 6,169,071; which application is a continuation-in-part of U.S. application Ser. No. 08/893,534, filed Jul. 11, 1997, now issued as U.S. Pat. No. 6,031,072; which application claims the benefit under 35 U.S.C. § 1.119(e) of U.S. A No. 60/021,612, filed Jul. 12, 1996, all of which applications are incorporated herein by reference in their entireties.
- The present invention relates generally to methods for modulating cell adhesion, and more particularly to cyclic peptides comprising a cadherin cell adhesion recognition sequence, and to the use of such cyclic peptides for inhibiting or enhancing cadherin-mediated cell adhesion.
- Cell adhesion is a complex process that is important for maintaining tissue integrity and generating physical and permeability barriers within the body. All tissues are divided into discrete compartments, each of which is composed of a specific cell type that adheres to similar cell types. Such adhesion triggers the formation of intercellular junctions (i.e., readily definable contact sites on the surfaces of adjacent cells that are adhering to one another), also known as fight junctions, gap junctions and belt desmosomes. The formation of such junctions gives rise to physical and permeability barriers that restrict the free passage of cells and other biological substances from one tissue compartment to another. For example, the blood vessels of all tissues are composed of endothelial cells. In order for components in the blood to enter a given tissue compartment, they must first pass from the lumen of a blood vessel through the barrier formed by the endothelial cells of that vessel. Similarly, in order for substances to enter the body via the gut, the substances must first pass through a barrier formed by the epithelial cells of that tissue. To enter the blood via the skin, both epithelial and endothelial cell layers must be crossed.
- Cell adhesion is mediated by specific cell surface adhesion molecules (CAMs). There are many different families of CAMs, including the immunoglobulin, integrin, selectin and cadherin superfamilies, and each cell type expresses a unique combination of these molecules. Cadherins are a rapidly expanding family of calcium-dependent CAMs (Munro et al., In: Cell Adhesion and Invasion in Cancer Metastasis, P. Brodt, ed., pp. 17-34, R G Landes Co. (Austin Tex., 1996). The classical cadherins (abbreviated CADs) are integral membrane glycoproteins that generally promote cell adhesion through homophilic interactions (a CAD on the surface of one cell binds to an identical CAD on the surface of another cell), although CADs also appear to be capable of forming heterotypic complexes under certain circumstances and with lower affinity. Cadherins have been shown to regulate epithelial, endothelial, neural and cancer cell adhesion, and different CADs are expressed on different cell types. N (neural)-cadherin is predominantly expressed by neural cells, endothelial cells and a variety of cancer cell types. E (epithelial)-cadherin is predominantly expressed by epithelial cells. Other illustrative CADs include P (placental)-cadherin, which is found in human skin and R (retinal)—cadherin. A detailed discussion of the classical cadherins is provided in Munro S B et al., 1996, In: Cell Adhesion and Invasion in Cancer Metastasis, P. Brodt, ed., pp. 17-34 (RG Landes Company, Austin Tex.).
- The structures of the CADs are generally similar. As illustrated in
FIG. 1 , CADs are composed of five extracellular domains (EC1-EC5), a single hydrophobic domain (TM) that transverses the plasma membrane (PM), and two cytoplasmic domains (CP1 and CP2). The calcium binding motifs DXNDN (SEQ ID NO:8), DXD and LDRE (SEQ ID NO:9) are interspersed throughout the extracellular domains. The first extracellular domain (EC1) contains the classical cadherin cell adhesion recognition (CAR) sequence, HAV (His-Ala-Val), along with flanking sequences on either side of the CAR sequence that may play a role in conferring specificity. Synthetic peptides containing the CAR sequence and antibodies directed against the CAR sequence have been shown to inhibit CAD-dependent processes (Munro et al., supra; Blaschuk et al., J. Mol. Biol. 211:679-82, 1990; Blaschuk et al., Develop. Biol. 139:227-29, 1990; Alexander et al., J. Cell. Physiol 156:610-18, 1993). The three-dimensional solution and crystal structures of the EC1 domain have been determined (Overduin et al., Science 267:386-389, 1995; Shapiro et al., Nature 374:327-337, 1995). - Although cell adhesion is required for certain normal physiological functions, there are situations in which cell adhesion is undesirable. For example, many pathologies (such as cancer, autoimmune and inflammatory diseases) involve abnormal cellular adhesion and/or migration. Cell adhesion may also play a role in graft rejection. In such circumstances, modulation of cell adhesion may be desirable.
- Cancer is a significant health problem throughout the world. Although advances have been made in detection and therapy of cancer, no universally successful method for the prevention or treatment of human cancer is currently available. For example, among women, breast and ovarian cancer are prevalent in the United States and other countries. Breast cancer, in particular, remains the second leading cause of cancer-related deaths in women, affecting more than 180,000 women in the United States each year. For women in North America, the life-time odds of getting breast cancer are now one in eight. Management of the disease currently relies on a combination of early diagnosis (through routine breast screening procedures) and aggressive treatment, which may include one or more of a variety of treatments such as surgery, radiotherapy, chemotherapy and hormone therapy.
- Prostate cancer is the most common form of cancer among males, with an estimated incidence of 30% in men over the age of 50. Human prostate cancer has the propensity to metastasize to bone. Treatment is commonly based on surgery and/or radiation therapy, but these methods are ineffective in a significant percentage of cases, and this prevalent disease is currently the second leading cause of cancer death among men in the U.S.
- Cell adhesion is a complex process that is important for tumor growth. Interactions between cell adhesion molecules, such as classical cadherins, are responsible for binding of tumor cells to one another, as well as for angiogenesis (i.e., the growth of blood vessels from pre-existing blood vessels). Many cancerous tumors are solid masses of cells which require nourishment via blood vessels, and the formation of new capillaries is a prerequisite for tumor growth and the emergence of metastases. Inhibition of undesirable cell adhesion mediated by classical cadherins provides promising new approaches for cancer therapy.
- Accordingly, there is a need in the art for improved cancer therapeutic agents that inhibit tumor growth and/or metastasis by either modulating adhesion of cancer cells, or modulating the adhesion between the endothelial cells of both newly formed and pre-existing tumor blood vessels. There is also a need in the art for compounds that induce apoptosis in cancer cells. The present invention fulfills these needs and further provides other related advantages.
- Nerve growth is promoted by a wide range of molecules, including the cell surface adhesion molecules (CAMs) NCAM and N-cadherin. In particular, N-cadherin is the predominant mediator of calcium-dependent adhesion in the nervous system. N-cadherin is known to promote neurite outgrowth via a homophilic binding mechanism. N-cadherin is normally found on both the advancing growth cone and on cellular substrates, and the inhibition of N-cadherin function results in diminished neurite outgrowth. Such inhibition may be the result of pathology or injury involving severed neuronal connections and/or spinal cord damage. In such cases, enhancement of N-cadherin mediated neurite outgrowth would be beneficial. However, previous attempts to promote neurite outgrowth have achieved limited success due, in part, to difficulties associated with maintaining continuous growth over a particular defined region.
- Accordingly, there is a need in the art for compounds that modulate neural cell adhesion, migration and/or survival, such as compounds that direct neurite outgrowth, without the above-mentioned disadvantages. The present invention fulfills this need and further provides other related advantages.
- In addition, permeability barriers arising from cell adhesion create difficulties for the delivery of drugs to specific tissues and tumors within the body. For example, skin patches are a convenient tool for administering drugs through the skin. However, the use of skin patches has been limited to small, hydrophobic molecules because of the epithelial and endothelial cell barriers. Similarly, endothelial cells render the blood capillaries largely impermeable to drugs, and the blood/brain barrier has hampered the targeting of drugs to the central nervous system. In addition, many solid tumors develop internal barriers that limit the delivery of anti-tumor drugs and antibodies to inner cells.
- Attempts to facilitate the passage of drugs across such barriers generally rely on specific receptors or carrier proteins that transport molecules across barriers in vivo. However, such methods are often inefficient, due to low endogenous transport rates or to the poor functioning of a carrier protein with drugs. While improved efficiency has been achieved using a variety of chemical agents that disrupt cell adhesion, such agents are typically associated with undesirable side-effects, may require invasive procedures for administration and may result in irreversible effects. It has been suggested that linear synthetic peptides containing a cadherin CAR sequence may be employed for drug transport (WO 91/04745), but such peptides are often metabolically unstable and are generally considered to be poor therapeutic agents.
- Accordingly, there is a need in the art for compounds that modulate cell adhesion and improve drug delivery across permeability barriers without such disadvantages. The present invention fulfills this need and further provides other related advantages.
- Percutaneous transluminal coronary angioplasty (PTCA) is widely used as the primary treatment modality in many patients with coronary artery disease. PTCA can relieve myocardial ischemia in patients with coronary artery disease by reducing lumen obstruction and improving coronary flow. The use of this surgical procedure has grown rapidly. However, stenosis following PTCA remains a serious problem. In addition, stents are deployed in a large proportion of vascular interventions (˜70-90%) and the injury to the vessel wall from a stent can be a stimulus for restenosis. Restenosis results in significant morbidity and mortality and frequently necessitates further interventions such as repeat angioplasty or coronary bypass surgery. No surgical intervention or post-surgical treatment has proven universally effective in preventing restenosis. The processes responsible for restenosis are not completely understood but may result from a complex interplay among several different biologic agents and pathways, including overgrowth of smooth muscle cells in the intimal layers of the vessel.
- Accordingly, there is a need in the art for compounds that modulate, and preferably inhibit, smooth muscle cell adhesion, proliferation, migration and/or survival. The present invention fulfills this need and further provides other related advantages.
-
- wherein X1, and X2 are optional, and if present, are independently selected from the group consisting of amino acid residues and combinations thereof in which the residues are linked by peptide bonds, and wherein X1 and X2 independently range in size from 0 to 10 residues, such that the sum of residues contained within X1 and X2 ranges from 1 to 12; wherein Y1 and Y2 are independently selected from the group consisting of amino acid residues, and wherein a covalent bond is formed between residues Y1 and Y2; and wherein Z1 and Z2 are optional, and if present, are independently selected from the group consisting of amino acid residues and combinations thereof in which the residues are linked by peptide bonds. Such cyclic peptides may comprise modifications such as an N-acetyl or N-alkoxybenzyl group and/or a C-terminal amide or ester group. Cyclic peptides may be cyclized via, for example, a disulfide bond; an amide bond between terminal functional groups, between residue side-chains or between one terminal functional group and one residue side chain; a thioether bond or δ1δ1-ditryptophan, or a derivative thereof.
- Within certain embodiments, a cyclic peptide has the formula:
wherein Y1 and Y2 are optional and, if present are independently selected from the group consisting of amino acid residues and combinations thereof in which the residues are linked by peptide bonds, and wherein Y1 and Y2 range in size from 0 to 10 residues; and wherein X and Z are independently selected from the group consisting of amino acid residues, wherein a disulfide bond is formed between residues X and Z; and wherein X has a terminal modification (e.g., an N-acetyl group). - Within further embodiments, a cyclic peptide has the formula:
wherein Z1 and Z2 are selected from the group consisting of amino acid residues and combinations thereof in which the residues are linked by peptide bonds, and wherein Z1 and Z2 range in size from 1 to 10 residues; and wherein X and Y are independently selected from the group consisting of amino acid residues, wherein a disulfide bond is formed between residues X and Y; and wherein X has a terminal modification (e.g., an N-acetyl group). - Certain specific cyclic peptides provided by the present invention include N—Ac-CHAVC-NH2 (SEQ ID NO:10), N—Ac-CHAVC-Y—NH2 (SEQ ID NO:84), N—N—Ac-CHAVDC-NH2 (SEQ ID NO:20), N—Ac-CHAVDIC-NH2 (SEQ ID NO:50), N—Ac-CHAVDINC-NH2 (SEQ ID NO:51), N—Ac-CHAVDINGC-NH2 (SEQ ID NO:76), N—Ac-CAHAVC-NH2 (SEQ ID NO:22), N—Ac-CAHAVDC-NH2 (SEQ ID NO:26), N—Ac-CAHAVDIC-NH2 (SEQ ID NO:24), N—Ac-CRAHAVDC-NH2 (SEQ ID NO:28), N—Ac-CLRAHAVC-NH2 (SEQ ID NO:30), N—Ac-CLRAHAVDC-NH2 (SEQ ID NO:32), N—Ac-CSHAVC-NH2 (SEQ ID NO:36), N—Ac-CFSHAVC-NH2 (SEQ ID NO:85), N—Ac-CLRSHAVC-NH2 (SEQ ID NO:—86), N—Ac-CHAVSC-NH2 (SEQ ID NO:38), N—Ac-CSHAVSC-NH2 (SEQ ID NO:40), N—Ac-CSHAVSSC-NH2 (SEQ ID NO:42), N—Ac-CHAVSSC-NH2 (SEQ ID NO:44), N—Ac-KHAVD-NH2 (SEQ ID NO:12), N—Ac-DHAVK-NH2 (SEQ ID NO:14), N—Ac-KHAVE-NH2 (SEQ ID NO:16), N—Ac-AHAVDI-NH2 (SEQ ID NO:34), N—Ac-SHAVDSS-NH2 (SEQ ID NO:77), N—Ac-KSHAVSSD-NH2 (SEQ ID NO:48), N—Ac-CHAVC-S—NH2 (SEQ ID NO:87), N—Ac—S-CHAVC-NH2 (SEQ ID NO:88), N—Ac-CHAVC-SS—NH2 (SEQ ID NO:89), N—Ac—S-CHAVC-S—NH2 (SEQ ID NO:90), N—Ac-CHAVC-T-NH2 (SEQ ID NO:91), N—Ac-CHAVC-E-NH2 (SEQ ID NO:92), N—Ac-CHAVC-D-NH2 (SEQ ID NO:93), N—Ac-CHAVYC-NH2 (SEQ ID NO:94), CH3—SO2—HN-CHAVC-Y—NH2 (SEQ ID NO:95), CH3—SO2—HN-CHAVC-NH2 (SEQ ID NO:96), HC(O)—NH-CHAVC-NH2 (SEQ ID NO:96), N—Ac-CHAVPen-NH2 (SEQ ID NO:97), N—Ac-PenHAVC-NH2 (SEQ ID NO:98) and N—Ac-CHAVPC-NH2. (SEQ ID NO:99), as well as derivatives thereof in which the N—Ac group is replaced by a different terminal group. Moreover, cyclic peptides comprising dimers and other multimers of HAV binding motifs, such as those illustratively described above, are also provided by the invention.
- Within further aspects, the present invention provides cell adhesion modulating agents that comprise a cyclic peptide as described above. Within specific embodiments, such modulating agents may be linked to one or more of a targeting agent, a drug, a solid support or support molecule, or a detectable marker. In addition, or alternatively, a cell adhesion modulating agent may further comprising one or more of: (a) a cell adhesion recognition sequence that is bound by an adhesion molecule other than a cadherin, wherein the cell adhesion recognition sequence is separated from any HAV sequence(s) by a linker; and/or (b) an antibody or antigen-binding fragment thereof that specifically binds to a cell adhesion recognition sequence bound by an adhesion molecule other than a cadherin.
- The present invention further provides pharmaceutical compositions comprising a cell adhesion modulating agent as described above, in combination with a pharmaceutically acceptable carrier. Such compositions may further comprise a drug. Alternatively, or in addition, such compositions may comprise: (a) a peptide comprising a cell adhesion recognition sequence that is bound by an adhesion molecule other than a cadherin; and/or (b) an antibody or antigen-binding fragment thereof that specifically binds to a cell adhesion recognition sequence bound by an adhesion molecule other than a cadherin.
- Within further aspects, methods are provided for modulating cell adhesion, comprising contacting a cadherin-expressing cell with a cell adhesion modulating agent as described above.
- Within further aspects, methods are provided for modulating cell proliferation, comprising contacting a cadherin-expressing cell with a cell adhesion modulating agent as described above.
- Within further aspects, methods are provided for modulating cell migration, comprising contacting a cadherin-expressing cell with a cell adhesion modulating agent as described above.
- Within further aspects, methods are provided for modulating cell survival, comprising contacting a cadherin-expressing cell with a cell adhesion modulating agent as described above. In certain embodiments, for example, cyclic peptides comprising dimers or multimers of an HAV motif are provided for extending the survival of cells, such neural cells.
- Within a further aspect, methods are provided for reducing unwanted cellular adhesion in a mammal, comprising contacting an N-cadherin expressing cell with, or administering to a mammal, a cell adhesion modulating agent as described above, wherein the modulating agent inhibits cadherin-mediated cell adhesion.
- In a further aspect, a method is provided for enhancing the delivery of a drug, e.g., to a tumor in a mammal, comprising contacting a cadherin expressing cell with, or administering to a mammal, a cell adhesion modulating agent as described above and a drug, wherein the modulating agent inhibits cadherin-mediated cell adhesion.
- Within related aspects, methods for treating cancer and/or inhibiting metastasis of tumor cells in a mammal are provided, comprising contacting a cadherin expressing cell with, or administering to a mammal afflicted with cancer, a cell adhesion modulating agent as described above, wherein the modulating agent inhibits cadherin-mediated cell adhesion.
- In a further aspect, methods are provided for inducing apoptosis in a cadherin-expressing cell, comprising contacting a cadherin-expressing cell with, or administering to a mammal, a cell adhesion modulating agent as described above, wherein the modulating agent inhibits cadherin-mediated cell adhesion.
- In a further aspect, methods are provided for inhibiting apoptosis in a cadherin-expressing cell, comprising contacting a cadherin-expressing cell with, or administering to a mammal, a cell adhesion modulating agent as described above.
- The present invention also provides, within other aspects, methods for inhibiting angiogenesis in a mammal, comprising contacting a cadherin-expressing cell with, or administering to a mammal, a cell adhesion modulating agent as described above, wherein the modulating agent inhibits cadherin-mediated cell adhesion.
- The present invention also provides, within other aspects, methods for stimulating angiogenesis in a mammal, comprising contacting a cadherin-expressing cell with, or administering to a mammal, a cell adhesion modulating agent as described above, wherein the modulating agent enhances cadherin-mediated cell adhesion.
- Methods are further provided, within other aspects, for stimulating blood vessel regression, comprising contacting a cadherin-expressing cell with, or administering to a mammal, a cell adhesion modulating agent as described above, wherein the modulating agent inhibits cadherin-mediated cell adhesion.
- Within a further embodiment, the present invention provides methods for enhancing drug delivery to the central nervous system of a mammal, comprising contacting a cadherin-expressing cell with, or administering to a mammal, a cell adhesion modulating agent as described above, wherein the modulating agent inhibits cadherin-mediated cell adhesion.
- In still further aspects, methods are provided for enhancing cell adhesion. Within one such aspect, for example, methods for enhancing wound healing in a mammal are provided, comprising contacting a wound in a mammal with a cell adhesion modulating agent as described above, wherein the modulating agent enhances cadherin-mediated cell adhesion.
- Within a related aspect, the present invention provides methods for enhancing adhesion of foreign tissue implanted within a mammal, comprising contacting a site of implantation of foreign tissue in a mammal with a cell adhesion modulating agent as described above, wherein the modulating agent enhances cadherin-mediated cell adhesion.
- In a further aspect, the present invention provides methods for treating a demyelinating neurological disease in a mammal, comprising contacting a cadherin-expressing cell with, or administering to a mammal, a cell adhesion modulating agent as described above, wherein the modulating agent inhibits cadherin-mediated cell adhesion.
- Within a related aspect, the present invention provides methods for facilitating migration of an N-cadherin expressing cell on astrocytes, comprising contacting an N-cadherin expressing cell with (a) a cell adhesion modulating agent that inhibits cadherin-mediated cell adhesion, wherein the modulating agent comprises a cyclic peptide that comprises the sequence HAV; and (b) one or more astrocytes; and thereby facilitating migration of the N-cadherin expressing cell on the astrocytes.
- The present invention also provides methods for modulating the immune system of a mammal, comprising administering to a mammal a cell adhesion modulating agent as described above, wherein the modulating agent inhibits cadherin-mediated cell adhesion.
- In yet another aspect, methods for preventing pregnancy in a mammal are provided, comprising administering to a mammal a cell adhesion modulating agent as described above, wherein the modulating agent inhibits cadherin-mediated cell adhesion.
- Within a further aspect, methods are provided for increasing vasopermeability in a mammal, comprising contacting a cadherin-expressing cell with, or administering to a mammal, a cell adhesion modulating agent as described above, wherein the modulating agent inhibits cadherin-mediated cell adhesion.
- The present invention further provides methods for inhibiting synaptic stability in a mammal, comprising contacting a cadherin-expressing cell with, or administering to a mammal, a cell adhesion modulating agent as described above, wherein the modulating agent inhibits cadherin-mediated cell adhesion.
- In other embodiments of the invention, there are provided methods for modulating the behavior, e.g., cell adhesion, proliferation, migration and/or survival, of vascular smooth muscle cells (VSMC) or pericytes, comprising contacting a cadherin expressing VSMC or pericyte cell with, or administering to a mammal, a cell adhesion modulating agent as described above.
- In a related embodiment, there are provided methods for regulating the overgrowth and/or migration of vascular smooth muscle cells or pericytes, comprising contacting a cadherin expressing cell with, or administering to a mammal, a cell adhesion modulating agent as described herein, wherein the modulating agent is preferably an inhibitor of cadherin-mediated cell adhesion. Particularly illustrative uses according to this embodiment relate to preventing the formation or advance of restenosis, vein bypass graft failure, allograft vasculopathy, dialysis graft failure, thin cap fibroatheroma, and other vessel stenoses. Related embodiments include the treatment of essential and secondary hypertension, atheroma, arteriosclerosis, or other indications in which endothelial injury or trauma has occurred.
- In another related embodiment, there are provided methods for maintaining vessel luminal area following vascular trauma, comprising contacting a cadherin expressing cell with, or administering to a mammal, a cell adhesion modulating agent as provided herein, wherein the modulating agent is preferably an inhibitor of cadherin-mediated cell adhesion.
- In another related embodiment, there are provided methods for treating a traumatized vessel, comprising contacting a cadherin expressing cell with, or administering to a mammal, a cell adhesion modulating agent as provided herein, wherein the modulating agent is preferably an inhibitor of cadherin-mediated cell adhesion. Particularly illustrative uses according to this embodiment include the treatment of trauma that may occur during stent placement, organ transplant, vein bypass, angioplasty, dialysis graft placement, and the like.
- In still other embodiments, one or more modulating agents are provided as an active component of a medical device (e.g. a balloon, stent, shunt, catheter, stent graft, vascular graft, vascular patch, filter, adventitial wrap, intraluminal paving system, cerebral stent, cerebral aneurysm filter coil, myocardical plug, pacemaker lead, dialysis access graft, heart valve, etc.). For example, the modulating agents of the invention may be linked to, coated on, or dispersed within essentially any medical device using known techniques in order to provide or deliver modulating agent in a desired physiological and/or anatomical context.
- In these and other embodiments, the modulating agents of the present invention may delivered to a cadherin expressing cell, or a subject, by essentially any delivery approach suitable to a given indication and compatible with the delivery of modulating agents provided herein. In one embodiment, administration of a modulating agent provided herein is accomplished via a catheter. In another embodiment, administration of an agent is accomplished using an infusion needle.
- There are also provided according to the invention methods for enhancing the survival of neurons and/or suppressing neural injury, for example as a result of stroke or other type of brain ischemia, comprising contacting a cadherin expressing neural cell with, or administering to a mammal, a cell adhesion modulating agent as described above, wherein the modulating agent preferably is one that enhances cadherin-mediated cell adhesion.
- Related embodiments of the invention are provided for treatment for stroke recovery, reversing or establishing plateau in dementias, treatment for trauma to the CNS, spine and peripheral nerves, as well as treatment of neuropathies.
- In another embodiment, there are provided methods for enhancing neurite outgrowth comprising contacting a cadherin expressing neural cell with, or administering to a mammal, a cell adhesion modulating agent as described above, wherein the modulating agent is preferably one that enhances cadherin-mediated cell adhesion.
- In another embodiment, there are provided methods for facilitating the removal of hair follicles from skin, e.g., viable or intact hair follicles, comprising contacting a cadherin expressing cell with, or administering to a mammal, a cell adhesion modulating agent of the invention. Certain aspects of this embodiment find particular utility in removing unwanted hair follicles and/or in the re-transplantation of hair follicles at a site of the body different from that in which they originated.
- In other embodiments, methods are provided for stimulating angiogenesis comprising contacting a cadherin expressing cell with, or administering to a mammal, a modulating agent provided herein, wherein the modulating agent enhances cadherin-mediated cell adhesion.
- In still other embodiments, there are provided methods for modulating endothelial cell behavior, e.g., endothelial cell migration, proliferation, survival and/or adhesion comprising contacting a cadherin expressing cell with, or administering to a mammal, a modulating agent provided herein.
- Within further embodiments, methods are provided for modulating endothelial cell adhesion, comprising contacting a cadherin-expressing endothelial cell with, or administering to a mammal, a cell adhesion modulating agent as described herein. In certain preferred embodiments, the modulating agent inhibits N-cadherin mediated cell adhesion, resulting in the reduction of unwanted endothelial cell adhesion in the mammal.
- Within further aspects, methods are provided for increasing vasopermeability in a mammal, comprising contacting a cadherin-expressing endothelial cell with, or administering to a mammal, a cell adhesion modulating agent as described above, wherein the modulating agent is preferably one that inhibits cadherin-mediated cell adhesion.
- Methods are also provided, within further aspects, for disrupting neovasculature in a mammal, comprising contacting a cadherin expressing cell with, or administering to a mammal, a modulating agent as described above, wherein the modulating agent inhibits cadherin-mediated cell adhesion.
- Within further aspects, methods are provided for inhibiting the development of endometriosis in a mammal, comprising contacting a cadherin expressing cell with, or administering to a mammal, a modulating agent as described above, wherein the agent is preferably one that inhibits cadherin-mediated cell adhesion.
- In another embodiment, method are provided for modulating adipogenesis (a process dependent on angiogenesis) comprising contacting a cadherin-expressing cell with, or administering to a mammal, a modulating agent described herein, wherein the modulating agent is preferably one that inhibits cadherin-mediated cell adhesion.
- In another embodiment, methods are provided for modulating tumor blood flow, comprising contacting a cadherin-expressing endothelial cell with, or administering to a mammal, a modulating agent described herein. Depending on the application, in certain embodiments the modulating agent is preferably one that enhances cadherin-mediated cell adhesion while in others the modulating agent is preferably one that inhibits cadherin-mediated cell adhesion.
- In still further embodiments, methods are provided for the treatment of disease conditions that are dependent on angiogenesis and neovascularization. Disruption of neovasculature is therapeutic for conditions in which the presence of newly formed blood vessels is related to the underlying disorder, its symptoms or its complications. For example, disorders that may be treated include, but are not limited to, benign prostatic hyperplasia, diabetic retinopathy, vascular restenosis, arteriovenous malformations, meningioma, hemangioma, neovascular glaucoma, psoriasis, angiofiboma, arthritis, atherosclerotic plaques, corneal graft neovascularization, hemophilic joints, hypertrophic scars, hemorrhagic telangiectasia, pyogenic granuloma, retrolental fibroplasias, scleroderma trachoma, vascular adhesions, synovitis, dermatitis, endometriosis, macular degeneration and exudative macular degeneration. These methods comprise contacting an N-cadherin-expressing cell with, or administering to a mammal, a modulating agent described herein, wherein the modulating agent preferably is one that inhibits cadherin-mediated cell adhesion.
- In other embodiments, methods are provided for modulating FGF receptor activity. In one such embodiment, modulating agents that preferably inhibit cadherin-mediated cell adhesion are used for preventing the interaction between FGF receptor monomers. In another embodiment, modulating agents that enhance N-cadherin cell adhesion are preferably employed for their ability to promote the interaction between FGF receptor monomers.
- In yet another embodiment, methods are provided for modulating tumor permeability barriers to drugs, such as chemotherapeutic agents, comprising contacting a cadherin-expressing cell with, or administering to a mammal, a modulating agent described herein.
- In another embodiment, methods are provided for the modulation of bone adhesion, for example in the context of bone grafts, comprising contacting a cadherin-expressing cell with, or administering to a mammal, a modulating agent described herein, preferably a modulating agent that enhances cadherin-mediated cell adhesion. Modulating agents according to the invention may be effective, for example, in promoting bone adhesion to grafts. A single HAV-containing peptide attached to the solid support may serve as an agonist in this and other embodiments of the invention.
- In another embodiment, there are provided methods for facilitating wound healing, comprising contacting a cadherin-expressing cell with, or administering to a mammal, a modulating agent described herein.
- These and other aspects of the invention will become evident upon reference to the following detailed description and attached drawings. All references disclosed herein are hereby incorporated by reference in their entirety as if each were individually noted for incorporation.
- Sequence Identifiers
- SEQ ID NO:1 corresponds the human N-cadherin EC1 domain.
- SEQ ID NO:2 corresponds to the mouse N-cadherin EC1 domain
- SEQ ID NO:3 corresponds to the cow N-cadherin EC1 domain.
- SEQ ID NO:4 corresponds to the human P-cadherin EC1 domain.
- SEQ ID NO:5 corresponds to the mouse P-cadherin EC1 domain.
- SEQ ID NO:6 corresponds to the human E-cadherin EC1 domain.
- SEQ ID NO:7 corresponds to the mouse E-cadherin EC1 domain.
- SEQ ID NO:8 corresponds to DXNDN.
- SEQ ID NO:9 corresponds to LDRE.
- SEQ ID NO:10 corresponds to N—Ac-CHAVC-NH2.
- SEQ ID NO:11 corresponds to N—Ac-CHGVC-NH2.
- SEQ ID NO:12 corresponds to N—Ac-KHAVD-NH2.
- SEQ ID NO:13 corresponds to N—Ac-KHGVD-NH2
- SEQ ID NO:14 corresponds to N—Ac-DHAVK-NH2.
- SEQ ID NO:15 corresponds to DHGVK
- SEQ ID NO:16 corresponds to N—Ac-KHAVE-NH2.
- SEQ ID NO:17 corresponds to KHGVE
- SEQ ID NO:18 corresponds to N—Ac-CVAHC-NH2.
- SEQ ID NO:19 corresponds to N—Ac-CVGHC-NH2.
- SEQ ID NO:20 corresponds to N—Ac-CHAVDC-NH2.
- SEQ ID NO:21 corresponds to N—Ac-CHGVDC-NH2
- SEQ ID NO:22 corresponds to N—Ac-CAHAVC-NH2.
- SEQ ID NO:23 corresponds to N—Ac-CAHGVC-NH2
- SEQ ID NO:24 corresponds to N—Ac-CAHAVDIC-NH2.
- SEQ ID NO:25 corresponds to H-CAHGVDIC-NH2.
- SEQ ID NO:26 corresponds to N—Ac-CAHAVDC-NH2.
- SEQ ID NO:27 corresponds to N—Ac-CAHGVDC-NH2.
- SEQ ID NO:28 corresponds to N—Ac-CRAHAVDC-NH2.
- SEQ ID NO:29 corresponds to N—Ac-CRAHGVDC-NH2
- SEQ ID NO:30 corresponds to N—Ac-CLRAHAVC-NH2.
- SEQ ID NO:31 corresponds to N—Ac-CLRAHGVC-NH2
- SEQ ID NO:32 corresponds to N—Ac-CLRAHAVDC-NH2.
- SEQ ID NO:33 corresponds to N—Ac-CLRAHGVDC-NH2
- SEQ ID NO:34 corresponds to N—Ac-AHAVDI-NH2.
- SEQ ID NO:35 corresponds to AHGVDI
- SEQ ID NO:36 corresponds to N—Ac-CSHAVC-NH2.
- SEQ ID NO:37 corresponds to N—Ac-CSHGVC-NH2.
- SEQ ID NO:38 corresponds to N—Ac-CHAVSC-NH2.
- SEQ ID NO:39 corresponds to N—Ac-CHGVSC-NH2.
- SEQ ID NO:40 corresponds to N—Ac-CSHAVSC-NH2.
- SEQ ID NO:41 corresponds to N—Ac-CSHGVSC-NH2
- SEQ ID NO:42 corresponds to N—Ac-CSHAVSSC-NH2.
- SEQ ID NO:43 corresponds with N—Ac-CSHGVSSC-NH2.
- SEQ ID NO:44 corresponds to N—Ac-CHAVSSC-NH2.
- SEQ ID NO:45 corresponds to N—Ac-CHGVSSC-NH2.
- SEQ ID NO:46 corresponds to SHAVSS.
- SEQ ID NO:47 corresponds to SHGVSS
- SEQ ID NO:48 corresponds to N—Ac-KSHAVSSD-NH2.
- SEQ ID NO:49 corresponds to KSHGVSSD
- SEQ ID NO:50 corresponds to N—Ac-CHAVDIC-NH2.
- SEQ ID NO:51 corresponds to N—Ac-CHAVDINC-NH2.
- SEQ ID NO:52 corresponds to YIGSR.
- SEQ ID NO:53 corresponds to KYSFNYDGSE.
- SEQ ID NO:54 corresponds to IWKHKGRDVILKKDVRF.
- SEQ ID NO:55 corresponds to LYHY.
- SEQ ID NO:56 corresponds to Trp-Lys/Arg-Aaa-Baa-Ser/Ala-Tyr/Phe-Caa-Gly.
- SEQ ID NO:57 corresponds to Aaa-Phe-Baa-Ile/Leu/Val-Asp/Asn/Glu-Caa-Daa-Ser/Thr/Asn-Gly.
- SEQ ID NO:58 corresponds to IYSY.
- SEQ ID NO:59 corresponds to TSSY.
- SEQ ID NO:60 corresponds to VTAF.
- SEQ ID NO:61 corresponds to VSAF.
- SEQ ID NO:62 corresponds to FmocCysAsp(t-Bu)GlyTyr(t-Bu)ProLys(Boc)Asp(t-Bu)CysLys(t-Bu)Gly-OMe.
- SEQ ID NO:63 corresponds to FmocCysAsp(t-Bu)GlyTyr(t-Bu)ProLys(Boc)Asp(t-Bu)CysLys(t-Bu)Gly-Ome.
- SEQ ID NOs:64 corresponds to BocCys(X)GlyAsnLeuSer(t-Bu)Thr(t-Bu)Cys(Y)MetLeuGlyOH.
- SEQ ID NO:65 corresponds to BocCysGlyAsnLeuSer(t-Bu)Thr(t-Bu)CysMetLeuGlyOH.
- SEQ ID NO:66 corresponds to H-CysTyrIleGlnAsnCysProLeuGly-NH2.
- SEQ ID NO:67 corresponds to H-CysTyrIleGlnAsnCysProLeuGly-NH2.
- SEQ ID NO:68 corresponds to N—Ac-Cys-His-Ala-Val-Pen-NH2.
- SEQ ID NO:69 corresponds to N—Ac-Ile-Tmc-Tyr-Ser-His-Ala-Val-Ser-Cys-Glu-NH2.
- SEQ ID NO:70 corresponds to N—Ac-Ile-Pmc-Tyr-Ser-His-Ala-Val-Ser-Ser-Cys-NH2.
- SEQ ID NO:71 corresponds to Mpr-Tyr-Ser-His-Ala-Val-Ser-Ser-Cys-NH2.
- SEQ ID NO:72 corresponds to Pmp-Tyr-Ser-His-Ala-Val-Ser-Ser-Cys-NH2.
- SEQ ID NO:73 corresponds to HAVSS.
- SEQ ID NO:74 corresponds to Ac-Trp-Gly-Gly-Trp-Ome.
- SEQ ID NO:75 corresponds to FHLRAHAVDINGNQV-NH2.
- SEQ ID NO:76 corresponds to N—Ac-CHAVDINGC-NH2.
- SEQ ID NO:77 corresponds to N—Ac-SHAVDSS-NH2.
- SEQ ID NO:78 corresponds to GVNPTAQSSGSLYGSQIYALCNQFYTPAAT-GLYVDQYLYHYCVVDPQE.
- SEQ ID NO:79 corresponds to N—Ac-LRAHAVDING-NH2.
- SEQ ID NO:80 corresponds to RFHLRAHAVDINGN.
- SEQ ID NO:81 corresponds to E-cadherin TLFSHAVSSNGN.
- SEQ ID NO:82 corresponds to XDXE.
- SEQ ID NO:83 corresponds to DVNE.
- SEQ ID NO:84 corresponds to N—Ac-CHAVC-Y—NH2.
- SEQ ID NO:85 corresponds to N—Ac-CFSHAVC-NH2.
- SEQ ID NO:86 corresponds to N—Ac-CLFSHAVC-NH2.
- SEQ ID NO:87 corresponds to N—Ac-CHAVC-S—NH2.
- SEQ ID NO:88 corresponds to N—Ac—S-CHAVC-NH2.
- SEQ ID NO:89 corresponds to N—Ac-CHAVC-SS—NH2.
- SEQ ID NO:90 corresponds to N—Ac—S-CHAVC-S—NH2.
- SEQ ID NO:91 corresponds to N—Ac-CHAVC-T-NH2.
- SEQ ID NO:92 corresponds to CHAVC-E-NH2.
- SEQ ID NO:93 corresponds to N—Ac-CHAVC-D-NH2.
- SEQ ID NO:94 corresponds to N—Ac-CHAVYC-NH2.
- SEQ ID NO:95 corresponds to CH3—SO2-HN-CHAVC-Y—NH2.
- SEQ ID NO:96 corresponds to CH3—SO2—HN-CHAVC-NH2.
- SEQ ID NO:97 corresponds to N—Ac-CHAVPen-NH2.
- SEQ ID NO:98 corresponds to N—Ac-PenHAVC-NH2.
- SEQ ID NO:99 corresponds to N—Ac-CHAVPC-NH2.
- SEQ ID NO:100 corresponds to YCHAVC.
- SEQ ID NO:101 corresponds to H—C(O)NH-CHAVCS-NH2
-
FIG. 1 is a diagram depicting the structure of classical CADs. The five extracellular domains are designated EC1-EC5, the hydrophobic domain that transverses the plasma membrane (PM) is represented by TM, and the two cytoplasmic domains are represented by CP1 and CP2. The calcium binding motifs are shown by DXNDN (SEQ ID NO:8), DXD, LDRE (SEQ ID NO:9), XDXE (SEQ ID NO:82) and DVNE (SEQ ID NO:83). The CAR sequence, HAV, is shown within EC1. Cytoplasmic proteins β-catenin (β), α-catenin (α) and α-actinin (ACT), which mediate the interaction between CADs and microfilaments (MF) are also shown. -
FIG. 2 provides the amino acid sequences of mammalian classical cadherin EC1 domains: human N-cadherin (SEQ ID NO:1), mouse N-cadherin (SEQ ID NO:2), cow N-cadherin (SEQ ID NO:3), human P-cadherin (SEQ ID NO:4), mouse P-cadherin (SEQ ID NO:5), human E-cadherin (SEQ ID NO:6) and mouse E-cadherin (SEQ ID NO:7). Other classical cadherins are known and include, for example, R-cadherin and, from chicken, L-CAM and Br-cadherin (not shown). -
FIGS. 3A-3I provides the structures of representative cyclic peptides of the present invention (structures on the left hand side; SEQ ID Nos. 10, 12, 14, 16, 18, 20, 22, 24, 26, 28, 30, 32, 34, 36, 38, 40, 42, 44, 46, 48), along with similar, but inactive, structures (on the right; SEQ ID Nos. 11, 13, 15, 17, 19, 21, 23, 25, 27, 29, 31, 33, 35, 37, 39, 41, 43, 45, 47, 49). -
FIG. 4 is a histogram depicting the mean neurite length in microns for neurons grown in the presence (solid bars) or absence (cross-hatched bars) of 500 μg/mL of the representative cyclic peptide N—Ac-CHAVC-NH2 (SEQ ID NO:10). In the first pair of bars, neurons were grown on a monolayer of untransfected 3T3 cells. In the remaining columns, the mean neurite length is shown for neurons cultured on 3T3 cells transfected with cDNA encoding N-CAM (second pair of bars), L1 (third pair of bars) or N-cadherin (fourth pair of bars). -
FIGS. 5A-5C are photographs showing monolayer cultures of bovine endothelial cells in the presence (FIG. 5A ) and absence (FIG. 5C ) of a representative cyclic peptide or in the presence of an inactive control peptide (FIG. 5B ).FIG. 5A shows thecells 30 minutes after exposure to 500 μg/mL N—Ac-CHAVC-NH2 (SEQ ID NO:10).FIG. 5B shows thecells 30 minutes after exposure to the control peptide N—Ac-CHGVC-NH2 (SEQ ID NO:11).FIG. 5C shows the cells in the absence of cyclic peptide. Note that the endothelial cells retracted from one another in the presence of N—Ac-CHAVC-NH2 (SEQ ID NO:10). -
FIGS. 6A-6C are photographs showing monolayer cultures of bovine endothelial cells in the presence (FIG. 6A ) and absence (FIG. 6C ) of a representative cyclic peptide or in the presence of an inactive control peptide (FIG. 6B ).FIG. 6A shows thecells 30 minutes after exposure to 500 μg/mL N—Ac-CAHAVDIC-NH2 (SEQ ID NO:24).FIG. 6B shows thecells 30 minutes after exposure to the control peptide N—Ac-CAHGVDIC-NH2 (SEQ ID NO:25).FIG. 6C shows the cells in the absence of cyclic peptide. In this case, neither of the cyclic peptides show activity. -
FIGS. 7A-7C are photographs showing monolayer cultures of bovine endothelial cells in the presence (FIG. 7A ) and absence (FIG. 7C ) of a representative cyclic peptide or in the presence of an inactive control peptide (FIG. 7B ).FIG. 7A shows thecells 30 minutes after exposure to 500 μg/mL N—Ac-CAHAVDC-NH2 (SEQ ID NO:26).FIG. 7B shows thecells 30 minutes after exposure to the control peptide N—Ac-CAHGVDC-NH2 (SEQ ID NO:27).FIG. 7C shows the cells in the absence of cyclic peptide. Note that the endothelial cells retracted from one another in the presence of N—Ac-CAHAVDC-NH2 (SEQ ID NO:26). -
FIGS. 8A-8C are photographs showing monolayer cultures of bovine endothelial cells in the presence (FIG. 8A ) and absence (FIG. 8C ) of a representative cyclic peptide or in the presence of an inactive control peptide (FIG. 8B ).FIG. 8A shows thecells 30 minutes after exposure to 500 μg/mL N—Ac-CSHAVSSC-NH2 (SEQ ID NO:42).FIG. 8B shows thecells 30 minutes after exposure to the control peptide N—Ac-CSHGVSSC-NH2 (SEQ ID NO:43).FIG. 8C shows the cells in the absence of cyclic peptide. Note that the endothelial cells retracted from one another and round up in the presence of N—Ac-CSHAVSSC-NH2 (SEQ ID NO:42). -
FIGS. 9A-9F are photographs showing monolayer cultures of human ovarian cancer cells (SKOV3) in the presence (FIGS. 9A and D-F) and absence (FIG. 9C ) of a representative cyclic peptide or in the presence of an inactive control peptide (FIG. 9B ).FIG. 9A shows thecells 24 hours after being cultured in the presence of 500 μg/mL N—Ac-CHAVC-NH2 (SEQ ID NO:10; 10× magnification).FIG. 9B shows the cells (10× magnification) 24 hours after being cultured in the presence of the control peptide N—Ac-CHGVC-NH2 (SEQ ID NO:11).FIG. 9C shows the cells (10× magnification) in the absence of cyclic peptide. FIGS. 9D-F show the cells (20× magnification) 48 hours after exposure to N—Ac-CHAVC-NH2 (SEQ ID NO:10) at concentrations of 1 mg/mL, 100 μg/mL and 10 μg/mL, respectively. Note that the SKOV3 cells retract from one another and round-up when cultured in the presence of either 0.5 or 1 mg/ml N—Ac-CHAVC-NH2 (SEQ ID NO:10). -
FIGS. 10A and 10B are photographs showing monolayer cultures of human ovarian cancer cells (SKOV3) 24 hours after exposure to 500 μg/mL of the representative cyclic peptide N—Ac-CHAVC-NH2 (SEQ ID NO:10) (FIG. 10A ) or the control peptide N—Ac-CHGVC-NH2 (SEQ ID NO:11) (FIG. 10B ). Note that the SKOV3 cells round-up when cultured in the presence of 0.5 mg/ml N—Ac-CHAVC-NH2 (SEQ ID NO:10). -
FIGS. 11A-11D are photographs of monolayer cultures of normal rat kidney (NRK) cells untreated (FIG. 11A ) or after 48 hours of exposure to 1 mg/mL H-CHAVSC-OH (SEQ ID NO:38) (FIG. 11B ), the control peptide N—Ac-CHGVC-NH2 (SEQ ID NO:11), (FIG. 11C ) or the representative cyclic peptide N—Ac-CHAVC-NH2 (SEQ ID NO:10), (FIG. 11D ). Note that NRK cells retract from one another when cultured in the presence of N—Ac-CHAVC-NH2 (SEQ ID NO:10). Furthermore the NRK cells do not form cobblestone-like monolayers when exposed to this peptide. -
FIGS. 12A-12D are immunofluorescence photographs of the monolayer normal rat kidney (NRK) cultures shown in FIGS. 11A-D immunolabeled for E-cadherin.FIG. 12A shows untreated cells and FIGS. 12B-D show cells after 48 hours of exposure to either 1 mg/mL H-CHAVSC-OH (SEQ ID NO:38) (FIG. 12B ), the control peptide N—Ac-CHGVC-NH2 (SEQ ID NO:11), (FIG. 12C ) or the representative cyclic peptide N—Ac-CHAVC-NH2 (SEQ ID NO:10), (FIG. 12D ). Note that E-cadherin expression is greatly reduced in the cells treated with N—Ac-CHAVC-NH2 (SEQ ID NO:10), as compared to the E-cadherin levels expressed by untreated cells and cells treated with the other two cyclic peptides -
FIGS. 13A-13C are photographs showing monolayer cultures of human ovarian cancer cells (OVCAR3) in the presence of varying concentrations of a representative cyclic peptide.FIG. 13A shows thecells 24 hours after being cultured in the presence of 1 mg/ml of N—Ac-CHAVSC-NH2 (SEQ ID NO:38).FIG. 13B shows thecells 24 hours after being cultured in the presence of 100 μg/ml of N—Ac-CHAVSC-NH2 (SEQ ID NO:38).FIG. 13C shows thecells 24 hours after being cultured in the presence of 10 μg/ml of N—Ac-CHAVSC-NH2 (SEQ ID NO:38) Note that the cells retract form one another in the presence of 100 μg/ml of N—Ac-CHAVSC-NH2 (SEQ ID NO:38), whereas they round up in the presence of 1 mg/ml of this peptide. -
FIGS. 14A and 14B are photographs showing cultures of human melanoma ME115 cells in the presence (FIG. 14B ) and absence (FIG. 14A ) of a representative cyclic peptide. The cells have been immunolabeled for cadherin.FIG. 14B shows thecells 48 hours after being cultured in the presence of 500 μg/ml of N—Ac-CHAVC-NH2 (SEQ ID NO:10).FIG. 14A shows untreated cultures of human melanoma ME115 cells. Note that cadherin is localized in intracellular vesicles in cells treated with peptide, whereas it is present at the surface in the untreated cells. -
FIGS. 15A and 15B are photographs showing monolayer cultures of A1N4 human breast epithelial cells in the presence (FIG. 15B ) and absence (FIG. 15A ) of a representative cyclic peptide. The cells have been immunolabeled for E-cadherin.FIG. 15B shows thecells 48 hours after being cultured in the presence of 500 μg/ml of N—Ac-CHAVC-NH2 (SEQ ID NO:10).FIG. 15A shows untreated monolayer cultures of A1N4 human breast epithelial cells. Note that the distribution of E-cadherin is non-contiguous in cells treated with the cyclic peptide. Furthermore, gaps have appeared in the monolayer of cells treated with the peptide. -
FIG. 16 is a histogram illustrating the effect of 500 μg/ml of a representative cyclic peptide (N—Ac-CHAVC-NH2; SEQ ID NO:10; treatment bars) on the penetration of Oregon Green through the skin, as compared to the effect of the control peptide N—Ac-CHGVC-NH2 (SEQ ID NO:11; control bars). Penetration was determined by converting fluorescent units to a concentration unit of microgram/5 ml (volume of the receiver compartment) using a standard curve and regression analysis equations. -
FIG. 17 is a histogram illustrating the effect of 500 μg/ml of a representative cyclic peptide (N—Ac-CHAVC-NH2; SEQ ID NO:10; treatment bars) on the penetration of Rhodamine Green through the skin, as compared to the effect of the control peptide N—Ac-CHGVC-NH2 (SEQ ID NO:11; control bars). Penetration was determined by converting fluorescent units to a concentration unit of microgram/5 ml (volume of the receiver compartment) using a standard curve and regression analysis equations. -
FIG. 18 is a histogram illustrating the effect of 2.5 mg/ml of a representative cyclic peptide (N—Ac-CHAVC-NH2; SEQ ID NO:10; treatment bars) on the penetration of Oregon Green through the skin, as compared to the effect of the control peptide N—Ac-CHGVC-NH2 (SEQ ID NO:11; control bars). Penetration was determined by converting fluorescent units to a concentration unit of microgram/5 ml (volume of the receiver compartment) using a standard curve and regression analysis equations. -
FIG. 19 is a histogram illustrating the effect of 2.5 mg/ml of a representative cyclic peptide (N—Ac-CHAVC-NH2; SEQ ID NO:10; treatment bars) on the penetration of Rhodamine Green through the skin, as compared to the effect of the control peptide N—Ac-CHGVC-NH2 (SEQ ID NO:11; control bars). Penetration was determined by converting fluorescent units to a concentration unit of microgram/5 ml (volume of the receiver compartment) using a standard curve and regression analysis equations. -
FIG. 20 is a graph illustrating the results of a study to assess the chronic toxicity of a representative cyclic peptide. The graph presents the mean body weight during the three-day treatment period (one intraperitoneal injection per day) and the four subsequent recovery days. Three different doses are illustrated, as indicated. -
FIG. 21 is a graph illustrating the stability of a representative cyclic peptide in mouse whole blood. The percent of the cyclic peptide remaining in the blood was assayed at various time points, as indicated. -
FIG. 22 is a bar graph showing the effect of N—Ac-CHAVC-NH2 (SEQ ID NO:10) and N—Ac-CHGVC-NH2 (SEQ ID NO:11) on N-cadherin-mediated neurite outgrowth. Mean neurite length is shown for cerebellar neurons cultured for 14 hours on monolayers of control 3T3 cells (unshaded), on N-cadherin expressing 3T3 cells (diagonal rising right), on N-cadherin expressing 3T3 cells in media supplemented with N—Ac-CHAVC-NH2 (SEQ ID NO:10; diagonal cross hatch) and on N-cadherin expressing 3T3 cells in media supplemented with N—Ac-CHGVC-NH2 (SEQ ID NO:11; diagonal rising left). The results show the mean length of the longest neurite measured in a single representative experiment, and the error bars show the s.e.m. -
FIG. 23 is a graph showing dose-response curves that illustrate the inhibition of neurite outgrowth over both 3T3 cells and N-cadherin expressing 3T3 cells in the presence of increasing concentrations of N—Ac-CHAVC-NH2 (SEQ ID NO:10). The peptide had no effect on the basal growth over 3T3 cells. The EC50 value was determined to be 0.22 mM. -
FIG. 24 is a bar graph illustrating the effects of the cyclic peptides N—Ac-CHAVDC-NH2 (SEQ ID NO:20), N—Ac-CHAVDIC-NH2 (SEQ ID NO:50) and N—Ac-CHAVDINC-NH2 (SEQ ID NO:51) on L1 function. Cerebellar neurons were cultured on monolayers of control 3T3 cells and L1 expressing 3T3 cells for 16-18 hours in control media (unshaded) or control media supplemented with peptides N—Ac-CHAVDC-NH2 (SEQ ID NO:20; diagonal rising right), N—Ac-CHAVDIC-NH2 (SEQ ID NO:50; diagonal cross hatch) or N—Ac-CHAVDINC-NH2 (SEQ ID NO:51; diagonal rising left) at a concentration of 100 μg/mL. The cultures were then fixed and neurite outgrowth determined by measuring the length of the longest neurite from a total of 150-200 neurons sampled in replicate cultures for each experimental condition. The results show L1 response, measured as a percentage increase in the mean length of the longest neurite relative to the 3T3 control value, for neurons grown in the absence or presence of the test peptide. The results are pooled from three independent experiments, and the bars show the s.e.m. -
FIG. 25 is a graph dose-response curve that illustrates the inhibition of neurite outgrowth over N-cadherin expressing 3T3 cells in the presence of increasing concentrations of N—Ac-CHAVDC-NH2 (SEQ ID NO:20). -
FIG. 26 is a graph dose-response curve that illustrates the inhibition of neurite outgrowth over N-cadherin expressing 3T3 cells in the presence of increasing concentrations of N—Ac-CHAVDIC-NH2 (SEQ ID NO:50). -
FIG. 27 is a graph dose-response curve that illustrates the inhibition of neurite outgrowth over N-cadherin expressing 3T3 cells in the presence of increasing concentrations of N—Ac-CHAVDINC-NH2 (SEQ ID NO:51). -
FIGS. 28A and 28B are photographs of human ovarian tumors grown in nude mice. Human ovarian cancer cells (SKOV3) were injected subcutaneously into nude mice. Tumors were grown to a size of 100 mm3. Animals were then injected intraperitoneally, on four consecutive days, with 20 mg/kg of the representative cyclic peptide N—Ac-CHAVC-NH2 (FIG. 11B ; SEQ ID NO:10) or saline (FIG. 28A ). Mice were sacrificed, and tumor tissue was sectioned and stained with bematoxylin/eosin. -
FIG. 29 is a graph showing the relative tumor volume change for human ovarian tumors in nude mice following intraperitoneal injection for four consecutive days as indicated, with 20 mg/kg of the representative cyclic peptide N—Ac-CHAVC-NH2 (solid squares; SEQ ID NO:10) or saline (open squares). -
FIGS. 30A and 30B are photographs of human ovarian tumors grown in nude mice. Animals were injected intraperitoneally, on four consecutive days, with 2 mg/kg of the representative cyclic peptide modulating agent N—Ac-CHAVC-NH2 (FIG. 30A ; SEQ ID NO:10) or saline (FIG. 30B ). Mice were sacrificed 24 hours after the last injection, and tumor tissue was sectioned and stained with hematoxylin/eosin. -
FIG. 31 is a photograph of a human ovarian tumor grown in a nude mouse, as described forFIG. 30A , showing leakage of red blood cells into the tumor mass. -
FIG. 32 is a photograph of a human ovarian tumor grown in a nude mouse, as described forFIG. 30A , showing a blood vessel that has been breached. -
FIG. 33 is a photograph of a human ovarian tumor grown in a nude mouse, as described forFIG. 30B (i.e., untreated tumor), where the tumor section is stained for Von Willebrand Factor VIII. -
FIG. 34 is a photograph of a human ovarian tumor grown in a nude mouse, as described forFIG. 30A (i.e., tumor treated with the representative cyclic peptide modulating agent N—Ac-CHAVC-NH2 (SEQ ID NO:10)), where the tumor section is stained for Von Willebrand Factor VIII. -
FIGS. 35A-35D are photographs illustrating the ability of a representative cyclic peptide to induce apoptosis in cancer cells. SKOV3 human ovarian cancer cells containing either N—Ac-CHAVC-NH2 (SEQ ID NO:10) or a control peptide (N—Ac-CHGVC-NH2; SEQ. ID NO:11) in MEM with 10% FBS were plated onto poly-L-lysine coated glass slides. The cells were cultured for 48 hours and fixed with 4% paraformaldehyde for 30 minutes at room temperature. The slides were then washed three times with PBS and assessed for cell death using the In situ cell death detection kit (Boehringer Mannheim; Laval, Quebec).FIGS. 35A and 35B show SKOV3 cells treated for 48 hours with the control peptide N—Ac-CHGVC-NH2 (SEQ ID NO:11) at a concentration of 0.5 mg/mL (FIG. 35A ) or 0.25 mg/mL (FIG. 35B ).FIGS. 35C and 35D show SKOV3 cells treated for 48 hours with N—Ac-CHAVC-NH2 (SEQ ID NO:10) at a concentration of 0.5 mg/mL (FIG. 35C ) or 0.25 mg/mL (FIG. 35D ). The fluorescent green nuclei inFIGS. 35C and 35D indicate cell death. -
FIG. 36 is a histogram showing the percentage of dead cells following treatment with a representative cyclic peptide or a control peptide. SKOV human ovarian cancer cells containing either N—Ac-CHAVC-NH2 (SEQ ID NO:10) or a control peptide (N—Ac-CHGVC-NH2; SEQ ID NO:11) in MEM with 10% FBS were plated onto poly-L-lysine coated glass slides. The cells were cultured for 24 or 48 hours and fixed with 4% paraformaldehyde for 30 minutes at room temperature. The slides were then washed three times with PBS and assessed for cell death. Cells were treated with 0.5 or 0.25 mg/mL of N—Ac-CHAVC-NH2 (SEQ ID NO:10) or the control N—Ac-CHGVC-NH2 (SEQ ID NO:11). as indicated. Cell death was measured as described by Gavrieli et al, J. Cell. Biol. 119:493-501, 1992 and using the In situ cell death detection kit (Boehringer Mannheim; Laval, Quebec). -
FIGS. 37A and 37B are photographs illustrating the effect of N—Ac-CHAVC-Y—NH2 (SEQ ID NO:84) on SKOV3 cell adhesion. A confluent culture of SKOV3 cells was briefly trypsinated and counted using a hemacytometer. The cells were diluted to 5×103/mL in MEM (Gibco BRL) containing 10% FBS (Wisent). A 10 mg/mL solution of peptide was added directly to the media at a concentration of 1 mg/mL. The plate was incubated in a humidified chamber at 37° C. for 24 hours in 5% CO2. Morphological changes were evaluated after 24 hours.FIG. 37A shows the results for the control cells, andFIG. 37B shows the results for 1 mg/mL N—Ac-CHAVC-Y—NH2 (SEQ ID NO:84). -
FIGS. 38A-38H are photographs illustrating the effect of the representative modulating agent N—Ac-CHAVC-NH2 (SEQ ID NO:10) on apoptosis in human ovarian tumors grown in nude mice. The photographs show cross sections of tumors from mice treated with saline alone (FIGS. 38A, 38C , 38E and 38G) or with N—Ac-CHAVC-NH2 (SEQ ID NO:10) (FIGS. 38B, 38D , 38F and 38H) once daily for 48 hours (FIGS. 38A-38B ), 96 hours (FIGS. 38C-38D ), 120 hours (FIGS. 38E-38F ) or 168 hours (FIGS. 38G-38H ), and sacrificed 24 hours after the last treatment. Cells stained brown are undergoing apoptosis. The magnification in each photograph was 10×. -
FIGS. 39A-39H are photographs illustrating the effect of the representative modulating agent N—Ac-CHAVC-NH2 (SEQ ID NO:10) on apoptosis in human ovarian tumors grown in nude mice. The photographs show cross sections of tumors from mice treated with saline alone (FIGS. 39A, 39C , 39E and 39G) or with N—Ac-CHAVC-NH2 (SEQ ID NO:10) (FIGS. 39B, 39D , 39F and 39H) once daily for 48 hours (FIGS. 39A-39B ), 96 hours (FIGS. 39C-39D ), 120 hours (FIGS. 39E-39F ) or 168 hours (FIGS. 39G-39H ), and sacrificed 24 hours after the last treatment. Cells stained brown are undergoing apoptosis. The magnification in each photograph was 40×. -
FIGS. 40A-40F are photographs illustrating the effect of the representative modulating agent N—Ac-CHAVC-NH2 (SEQ ID NO:10) on apoptosis in human ovarian tumors grown in nude mice.FIGS. 40B, 40D and 40F show tumor sections obtained from mice treated with N—Ac-CHAVC-NH2 (SEQ ID NO:10) at 20 mg/kg once daily for four days, and sacrificed 11 days after the last treatmentFIGS. 40A, 40C and 40E show saline controls. The magnification was 4× inFIGS. 40A-40B , 10× inFIGS. 40C-40D and 40× inFIGS. 40E-40F . -
FIG. 41 is a graph illustrating the effect of the representative modulating agent N—Ac-CHAVC-NH2 (SEQ ID NO:10) on tumor size of human ovarian tumors grown in nude mice. Mice were treated with 2 mg/kg peptide, 0.2 mg/kg peptide or saline alone, as indicated, over a period of 1-5 days. The relative change in tumor volume following each day of treatment is shown. -
FIGS. 42A and 42B present photographs of breast cancer tumors grown in nude mice. After implanting tumor cells into the mammary fat pad, tumors were grown for 3-6 weeks. Mice were then injected once daily for four days with either 20 mg/kg of the representative modulating agent N—Ac-CHAVC-NH2 (SEQ ID NO:10) (FIG. 42B ) or saline as a control (FIG. 42A ). Mice were sacrificed and tumors were photographed 24 hours after the last injection. -
FIG. 43 is graph showing the mean tumor volume of breast tumors grown in nude mice. Tumor cells were implanted into the mammary fat pad and tumors were grown for 21 days. Mice were then injected once daily for four days with either 20 mg/kg of the representative modulating agent N—Ac-CHAVC-NH2 (SEQ ID NO:10) or saline, as indicated. Mice were sacrificed and tumors were measured three weeks after the last injection. -
FIG. 44 is a histogram illustrating the ability of various representative modulating agents to inhibit neurite outgrowth. The percent inhibition is shown for the cyclic peptide modulating agents indicated. -
FIG. 45A shows representative photographs of vascular smooth muscle cells on glass coverslips in the presence of Ac-CHGVC-NH2 (SEQ ID NO: 11) (control peptide) or Ac-CHAVC-NH2 (SEQ ID NO: 10) at 24 hr post-wounding. The cell monolayer was “wounded” by scraping away the cells to the right of the dashed line.FIG. 45B is a histogram showing the migration of vascular smooth muscle cells on glass or collagen-coated coverslips in the presence of cadherin modulating agent Ac-CHAVC-NH2 (SEQ ID NO: 10) (black bars) or control peptide Ac-CHGVC-NH2 (SEQ ID NO: 11)(white bars). Data is presented as percentage of control. -
FIG. 46A is a histogram showing the percentage of apoptotic vascular smooth muscle cells at the wound-edge on glass coverslips. Apoptotic cells were identified by insitu end labeling 24 hr post-wounding in the presence of cadherin modulating agent Ac-CHAVC-NH2 (SEQ ID NO: 10) (black bars) or control peptide Ac-CHGVC-NH2 (SEQ ID NO: 11)(white bars). Data is presented as percentage of labeled cells out of total cells in wound edge.FIG. 46B is a histogram showing the percentage of apoptotic vascular smooth muscle cells at the wound-edge on glass coverslips. Apoptotic cells were identified by insitu end labeling 24 hr post-wounding in the presence of cadherin modulating agent Ac-CHAVDIC-NH2 (SEQ ID NO: 50)(black bars) or control peptide Ac-CHGVDIC-NH2 (white bars). Data is presented as percentage of labeled cells out of total cells in wound edge.FIG. 46C shows representative photographs of vascular smooth muscle cells on glass coverslips after in situ end labeling to detect apoptotic nuclei. Cells that are treated with cadherin modulating agent Ac-CHAVC-NH2 (SEQ ID NO: 10) are labeled at the wound edge (arrow) whereas those that are treated with Ac-CHAVC-NH2 (SEQ ID NO: 10) in the presence of caspase inhibitor are not labeled (arrowhead). -
FIG. 47A is a histogram showing the percentage of dead vascular smooth muscle cells within aggregates cultured in agarose coated wells. Dead cells were identified by Trypan blue staining after incubation for 24 hr in the presence of cadherin modulating agent Ac-CHAVC-NH2 (SEQ ID NO: 10)(black bars) or control peptide Ac-CHGVC-NH2 (SEQ ID NO:11)(white bars). Data is presented as percentage total cells that are stained.FIG. 47B is a histogram showing the percentage of apoptotic vascular smooth muscle cells within aggregates cultured in agarose coated wells. Living cells were identified by Hoescht (H-33342) after incubation for 24 hr in the presence of cadherin modulating agent Ac-CHAVC-NH2 (SEQ ID NO: 10)(black bars) or control peptide Ac-CHGVC-NH2 (SEQ ID NO: 11) (white bars). Data is presented as (100%—proportion of total cells that are stained). - As noted above, the present invention provides cell adhesion modulating agents comprising cyclic peptides that are capable of modulating classical cadherin-mediated processes, such as cell adhesion, cell proliferation, cell migration and/or cell survival. Cyclic peptides provided herein generally contain the classical cadherin cell adhesion recognition (CAR) sequence HAV (i.e., His-Ala-Val) within the cyclized portion of the peptide (i.e., within the peptide ring). Certain modulating agents described herein inhibit cell adhesion. Such modulating agents may generally be used, for example, to treat diseases or other conditions characterized by undesirable cell adhesion or to facilitate drug delivery to a specific tissue or tumor. Alternatively, certain modulating agents may be used to enhance cell adhesion (e.g., to supplement or replace stitches or to facilitate wound healing) or to enhance or direct neurite outgrowth.
- Cyclic Peptides
- The term “cyclic peptide,” as used herein, refers to a peptide or salt thereof that comprises (1) an intramolecular covalent bond between two non-adjacent residues and (2) at least one classical cadherin cell adhesion recognition (CAR) sequence HAV (His-Ala-Val). The intramolecular bond may be a backbone to backbone, side-chain to backbone or side-chain to side-chain bond (i.e., terminal functional groups of a linear peptide and/or side chain functional groups of a terminal or interior residue may be linked to achieve cyclization). Preferred intramolecular bonds include, but are not limited to, disulfide, amide and thioether bonds. In addition to the classical cadherin CAR sequence HAV, a modulating agent may comprise additional CAR sequences, which may or may not be cadherin CAR sequences, and/or antibodies or fragments thereof that specifically recognize a CAR sequence. Additional CAR sequences may be present within the cyclic peptide containing the HAV sequence, within a separate cyclic peptide component of the modulating agent and/or in a non-cyclic portion of the modulating agent. Antibodies and antigen-binding fragments thereof are typically present in a non-cyclic portion of the modulating agent.
- Certain preferred cyclic peptides satisfy the formula:
wherein X1, and X2 are independently selected from the group consisting of amino acid residues, with a covalent bond formed between residues X1 and X2; and wherein Y1 and Y2 are optional and, if present, are independently selected from the group consisting of amino acid residues and combinations thereof in which the residues are linked by peptide bonds. -
- wherein Y1 and Y2 are optional and, if present are independently selected from the group consisting of amino acid residues and combinations thereof in which the residues are linked by peptide bonds, and wherein Y1 and Y2 range in size from 0 to 10 residues; and wherein X and Z are independently selected from the group consisting of amino acid residues, wherein a disulfide bond is formed between residues X and Z; and wherein X has a terminal modification (e.g., an N-acetyl group).
- Other cyclic peptides have the formula:
wherein Z1 and Z2 are selected from the group consisting of amino acid residues and combinations thereof in which the residues are linked by peptide bonds, and wherein Z1 and Z2 range in size from 1 to 10 residues; and wherein X and Y are independently selected from the group consisting of amino acid residues, wherein a disulfide bond is formed between residues X and Y; and wherein X has a terminal modification (e.g. an N-acetyl group). - Within certain embodiments, a cyclic peptide preferably comprises an N-acetyl group (i.e., the amino group present on the amino terminal residue of the peptide prior to cyclization is acetylated) or an N-formyl group (i.e., the amino group present on the amino terminal residue of the peptide prior to cyclization is formylated), or the amino group present on the amino terminal residue of the peptide prior to cyclization is mesylated. It has been found, within the context of the present invention, that the presence of such terminal groups may enhance cyclic peptide activity for certain applications. One particularly preferred cyclic peptide is NAc-CHAVC-NH2 (SEQ ID NO:10). Another preferred cyclic peptide is N—Ac-CHAVC-Y—NH2 (SEQ ID NO:84). Other cyclic peptides include, but are not limited to: N—Ac-CHAVDC-NH2 (SEQ ID NO:20), N—Ac-CHAVDIC-NH2 (SEQ ID NO:50), N—Ac-CHAVDINC-NH2 (SEQ ID NO:51), N—Ac-CHAVDINGC-NH2 (SEQ ID NO:76), N—Ac-CAHAVC-NH2 (SEQ ID NO:22), N—Ac-CAHAVDC-NH2 (SEQ ID NO:26), N—Ac-CAHAVDIC-NH2 (SEQ ID NO:24), N—Ac-CRAHAVDC-NH2 (SEQ ID NO:28), N—Ac-CLRAHAVC-NH2 (SEQ ID NO:30), N—Ac-CLRAHAVDC-NH2 (SEQ ID NO:32), N—Ac-CSHAVC-NH2 (SEQ ID NO:36), N—Ac-CFSHAVC-NH12 (SEQ ID NO:85), N—Ac-CLFSHAVC-NH2 (SEQ ID NO:86), N—Ac-CHAVSC-NH2 (SEQ ID NO:38), N—Ac-CSHAVSC-NH2 (SEQ ID NO:40), N—Ac-CSHAVSSC-NH2 (SEQ ID NO:42), N—Ac-CHAVSSC-NH2 (SEQ ID NO:44), N—Ac-KHAVD-NH2 (SEQ ID NO:12), N—Ac-DHAVK-NH2 (SEQ ID NO:14), N—Ac-KHAVE-NH2 (SEQ ID NO:16), N—Ac-AHAVDI-NH2 (SEQ ID NO:34), N—Ac-SHAVDSS-NH2 (SEQ ID NO:77), N—Ac-KSHAVSSD-NH2 (SEQ ID NO:48), N—Ac-CHAVC-S—NH2 (SEQ ID NO:87), N—Ac—S-CHAVC-NH2 (SEQ ID NO:88), N—Ac-CHAVC-SS—NH2 (SEQ ID NO:89), N—Ac—S-CHAVC-S—NH2 (SEQ ID NO:90), N—Ac-CHAVC-T-NH2 (SEQ ID NO:91), N—Ac-CHAVC-E-NH2 (SEQ ID NO:92), N—Ac-CHAVC-D-NH2 (SEQ ID NO:93), N—Ac-CHAVYC-NH2 (SEQ ID NO:94), CH3—SO2—HN-CHAVC-Y—NH2 (SEQ ID NO:95), CH3—SO2—HN-CHAVC-NH2 (SEQ ID NO:96), HC(O)NH-CHAVC-NH2 (SEQ ID NO:96), N—Ac-CHAVPen-NH2 (SEQ ID NO:97), N—Ac-PenHAVC-NH2 (SEQ ID NO:98) and N—Ac-CHAVPC-NH2 (SEQ ID NO:99).
- In addition to the CAR sequence(s), cyclic peptides generally comprise at least one additional residue, such that the size of the cyclic peptide ring ranges from 4 to about 15 residues, preferably from 5 to 10 residues. Such additional residue(s) may be present on the N-terminal and/or C-terminal side of a CAR sequence, and may be derived from sequences that flank the HAV sequence within one or more naturally occurring cadherins (e.g., N-cadherin, E-cadherin, P-cadherin, R-cadherin or other cadherins containing the HAV sequence) with or without amino acid substitutions and/or other modifications. Flanking sequences for endogenous N-, E-, P- and R-cadherin are shown in
FIG. 2 , and in SEQ ID NOs: 1 to 7. Database accession numbers for representative naturally occurring cadherins are as follows: human N-cadherin M34064, mouse N-cadherin M31131 and M22556, cow N-cadherin X53615, human P-cadherin X63629, mouse P-cadherin X06340, human E-cadherin Z13009, mouse E-cadherin X06115. Alternatively, additional residues present on one or both sides of the CAR sequence(s) may be unrelated to an endogenous sequence (e.g., residues that facilitate cyclization). - Within certain preferred embodiments, as discussed below, relatively small cyclic peptides that do not contain significant sequences flanking the HAV sequence are preferred for modulating N-cadherin and E-cadherin mediated cell adhesion. Such peptides may contain an N-acetyl group and a C-amide group (e.g., the 5-residue rings N—Ac-CHAVC-NH2 (SEQ ID NO:10), N—Ac-KHAVD-NH2 (SEQ ID NO:12), H—C(O)-CHAVC-NH2 (SEQ ID NO:10) or CH3—SO2—NH-CHAVC-NH2 (SEQ ID NO:96)). The finding, within certain embodiments of the present invention, that such relatively small cyclic peptides may be effective and all-purpose modulators of cadherin mediated processes, such as cell adhesion, represents a unexpected discovery. Such cyclic peptides can be thought of as “master keys” that fit into peptide binding sites of each of the different classical cadherins, and are capable of modulating cell adhesion of, for example, neural cells, endothelial cells, epithelial cells and/or certain cancer cells. Small cyclic peptides may generally be used to specifically modulate cell adhesion of neural and/or other cell types, e.g., by topical administration, systemic administration, and/or any other mode of administration appropriate for a given indication, with or without linking a targeting agent to the peptide, as discussed below.
- Within other preferred embodiments, a cyclic peptide may contain sequences that flank the HAV sequence on one or both sides that are designed to confer specificity for cell adhesion mediated by one or more specific cadherins, resulting in tissue and/or cell-type specificity. Suitable flanking sequences for conferring specificity include, but are not limited to, endogenous sequences present in one or more naturally occurring cadherins, and cyclic peptides having specificity may be identified using the representative screens provided herein. For example, it has been found, within the context of the present invention, that cyclic peptides that contain additional residues derived from the native E-cadherin sequence on the N-terminal side of the CAR sequence are specific for epithelial cells (i.e., such peptides disrupt E-cadherin mediated cell adhesion to a greater extent than they disrupt N-cadherin expression). The addition of appropriate endogenous sequences may similarly result in peptides that disrupt N-cadherin mediated cell adhesion. For example, it has been found within the context of the present invention that the addition of one or more amino acid residues on the C-terminal side of the HAV sequence in an endogenous N-cadherin results in cyclic peptides that are potent inhibitors of cadherin-mediated processes, such as neurite outgrowth.
- To facilitate the preparation of cyclic peptides having a desired specificity, nuclear magnetic resonance (NMR) and computational techniques may be used to determine the conformation of a peptide that confers a known specificity. NMR is widely used for structural analysis of molecules Cross-peak intensities in nuclear Overhauser enhancement (NOE) spectra, coupling constants and chemical shifts depend on the conformation of a compound. NOE data provide the interproton distance between protons through space and across the ring of the cyclic peptide. This information may be used to facilitate calculation of the low energy conformations for the HAV sequence. Conformation may then be correlated with tissue specificity to permit the identification of peptides that are similarly tissue specific or have enhanced tissue specificity.
- Cyclic peptides as described herein may comprise residues of L-amino acids, D-amino acids, or any combination thereof. Amino acids may be from natural or non-natural sources, provided that at least one amino group and at least one carboxyl group are present in the molecule; α- and β-amino acids are generally preferred. The 20 L-amino acids commonly found in proteins are identified herein by the conventional three-letter or one-letter abbreviations indicated in Table 1, and the corresponding D-amino acids are designated by a lower case one letter symbol. Modulating agents and cyclic peptides may also contain one or more rare amino acids (such as 4-hydroxyproline or hydroxylysine), organic acids or amides and/or derivatives of common amino acids, such as amino acids having the C-terminal carboxylate esterified (e.g., benzyl, methyl or ethyl ester) or amidated and/or having modifications of the N-terminal amino group (e.g., acetylation or alkoxycarbonylation), with or without any of a wide variety of side-chain modifications and/or substitutions (e.g., methylation, benzylation, t-butylation, tosylation, alkoxycarbonylation, and the like). Preferred derivatives include amino acids having an N-acetyl group (such that the amino group that represents the N-terminus of the linear peptide prior to cyclization is acetylated) and/or a C-terminal amide group (i.e., the carboxy terminus of the linear peptide prior to cyclization is amidated). Residues other than common amino acids that may be present with a cyclic peptide include, but are not limited to, penicillamine, β,β-tetramethylene cysteine, β,β-pentamethylene cysteine, β-mercaptopropionic acid, β,β-pentamethylene-β-mercaptopropionic acid, 2-mercaptobenzene, 2-mercaptoaniline, 2-mercaptoproline, ornithine, diaminobutyric acid, α-aminoadipic acid, m-aminomethylbenzoic acid and α,β-diaminopropionic acid.
TABLE 1 Amino acid one-letter and three-letter abbreviations A Ala Alanine R Arg Arginine D Asp Aspartic acid N Asn Asparagine C Cys Cysteine Q Gln Glutamine E Glu Glutamic acid G Gly Glycine H His Histidine I Ile Isoleucine L Leu Leucine K Lys Lysine M Met Methionine F Phe Phenylalanine P Pro Proline S Ser Serine T Thr Threonine W Trp Tryptophan Y Tyr Tyrosine V Val Valine - Cyclic peptides as described herein may be synthesized by methods well known in the art, including recombinant DNA methods and chemical synthesis. Chemical synthesis may generally be performed using standard solution phase or solid phase peptide synthesis techniques, in which a peptide linkage occurs through the direct condensation of the α-amino group of one amino acid with the α-carboxy group of the other amino acid with the elimination of a water molecule. Peptide bond synthesis by direct condensation, as formulated above, requires suppression of the reactive character of the amino group of the first and of the carboxyl group of the second amino acid. The masking substituents must permit their ready removal, without inducing breakdown of the labile peptide molecule.
- In solution phase synthesis, a wide variety of coupling methods and protecting groups may be used (see Gross and Meienhofer, eds., “The Peptides: Analysis, Synthesis, Biology,” Vol. 1-4 (Academic Press, 1979); Bodansky and Bodansky, “The Practice of Peptide Synthesis,” 2d ed. (Springer Verlag, 1994)). In addition, intermediate purification and linear scale up are possible. Those of ordinary skill in the art will appreciate that solid phase and solution synthesis requires consideration of main chain and side chain protecting groups and activation method. In addition, careful segment selection is necessary to minimize racemization during segment condensation. Solubility considerations are also a factor.
- Solid phase peptide synthesis uses an insoluble polymer for support during organic synthesis. The polymer-supported peptide chain permits the use of simple washing and filtration steps instead of laborious purifications at intermediate steps. Solid-phase peptide synthesis may generally be performed according to the method of Merrifield et al., J. Am. Chem. Soc. 85:2149, 1963, which involves assembling a linear peptide chain on a resin support using protected amino acids. Solid phase peptide synthesis typically utilizes either the Boc or Fmoc strategy. The Boc strategy uses a 1% cross-linked polystyrene resin. The standard protecting group for α-amino functions is the tert-butyloxycarbonyl (Boc) group. This group can be removed with dilute solutions of strong acids such as 25% trifluoroacetic acid (TFA). The next Boc-amino acid is typically coupled to the amino acyl resin using dicyclohexylcarbodiimide (DCC). Following completion of the assembly, the peptide-resin is treated with anhydrous HF to cleave the benzyl ester link and liberate the free peptide. Side-chain functional groups are usually blocked during synthesis by benzyl-derived blocking groups, which are also cleaved by HF. The free peptide is then extracted from the resin with a suitable solvent, purified and characterized. Newly synthesized peptides can be purified, for example, by gel filtration, HPLC, partition chromatography and/or ion-exchange chromatography, and may be characterized by, for example, mass spectrometry or amino acid sequence analysis. In the Boc strategy, C-terminal amidated peptides can be obtained using benzhydrylamine or methylbenzhydrylamine resins, which yield peptide amides directly upon cleavage with HF.
- In the procedures discussed above, the selectivity of the side-chain blocking groups and of the peptide-resin link depends upon the differences in the rate of acidolytic cleavage. Orthogonal systems have been introduced in which the side-chain blocking groups and the peptide-resin link are completely stable to the reagent used to remove the α-protecting group at each step of the synthesis. The most common of these methods involves the 9-fluorenylmethyloxycarbonyl (Fmoc) approach. Within this method, the side-chain protecting groups and the peptide-resin link are completely stable to the secondary amines used for cleaving the N-α-Fmoc group. The side-chain protection and the peptide-resin link are cleaved by mild acidolysis. The repeated contact with base makes the Merrifield resin unsuitable for Fmoc chemistry, and p-alkoxybenzyl esters linked to the resin are generally used. Deprotection and cleavage are generally accomplished using TFA.
- Those of ordinary skill in the art will recognize that, in solid phase synthesis, deprotection and coupling reactions must go to completion and the side-chain blocking groups must be stable throughout the entire synthesis. In addition, solid phase synthesis is generally most suitable when peptides are to be made on a small scale.
- Acetylation of the N-terminal can be accomplished by reacting the final peptide with acetic anhydride before cleavage from the resin. C-amidation is accomplished using an appropriate resin such as methylbenzhydrylamine resin using the Boc technology.
- Following synthesis of a linear peptide, with or without N-acetylation and/or C-amidation, cyclization may be achieved by any of a variety of techniques well known in the art. Within one embodiment, a bond may be generated between reactive amino acid side chains. For example, a disulfide bridge may be formed from a linear peptide comprising two thiol-containing residues by oxidizing the peptide using any of a variety of methods. Within one such method, air oxidation of thiols can generate disulfide linkages over a period of several days using either basic or neutral aqueous media. The peptide is used in high dilution to minimize aggregation and intermolecular side reactions. This method suffers from the disadvantage of being slow but has the advantage of only producing H2O as a side product. Alternatively, strong oxidizing agents such as 12 and K3Fe(CN)6 can be used to form disulfide linkages. Those of ordinary skill in the art will recognize that care must be taken not to oxidize the sensitive side chains of Met, Tyr, Trp or His. Cyclic peptides produced by this method require purification using standard techniques, but this oxidation is applicable at acid pHs. By way of example, strong oxidizing agents can be used to perform the cyclization shown below (SEQ ID NOs: 62 and 63), in which the underlined portion is cyclized:
-
- FmocCysAsp(t-Bu)GlyTyr(t-Bu)ProLys(Boc)Asp(t-Bu)CysLys(t-Bu)Gly-OMe→FmocCysAsp(t-Bu)GlyTyr(t-Bu)ProLys(Boc)Asp(t-Bu)CysLys(t-Bu)Gly-OMe
- Oxidizing agents also allow concurrent deprotection/oxidation of suitable S-protected linear precursors to avoid premature, nonspecific oxidation of free cysteine, as shown below (SEQ ID NOs: 64 and 65), where X and Y=S-Trt or S-Acm:
-
- BocCys(X)GlyAsnLeuSer(t-Bu)Thr(t-Bu)Cys(Y)MetLeuGlyOH→BocCysGlyAsnLeuSer(t-Bu)Thr(t-Bu)CysMetLeuGlyOH
- DMSO, unlike I2 and K3Fe(CN)6, is a mild oxidizing agent which does not cause oxidative side reactions of the nucleophilic amino acids mentioned above. DMSO is miscible with H2O at all concentrations, and oxidations can be performed at acidic to neutral pHs with harmless byproducts. Methyltrichlorosilane-diphenylsulfoxide may alternatively be used as an oxidizing agent, for concurrent deprotection/oxidation of S-Acm, S-Tacm or S-t-Bu of cysteine without affecting other nucleophilic amino acids. There are no polymeric products resulting from intermolecular disulfide bond formation. In the example below (SEQ ID NOs: 66 and 67), X is Acm, Tacm or t-Bu:
-
- H-Cys(X)TyrIleGlnAsnCys(X)ProLeuGly-NH2→H-CysTyrIleGlnAsnCysProLeuGly-NH2
- Suitable thiol-containing residues for use in such oxidation methods include, but are not limited to, cysteine, β,β-dimethyl cysteine (penicillamine or Pen), β,β-tetramethylene cysteine (Tmc), β-pentamethylene cysteine (Pmc), β-mercaptopropionic acid (Mpr), β,β-pentamethylene-α-mercaptopropionic acid (Pmp), 2-mercaptobenzene, 2-mercaptoaniline and 2-mercaptoproline. Peptides containing such residues are illustrated by the following representative formulas, in which the underlined portion is cyclized, N-acetyl groups are indicated by N—Ac and C-terminal amide groups are represented by —NH2.
i) N-Ac-Cys-His-Ala-Val-Cys—NH2 (SEQ ID NO:10) ii) N-Ac-Cys-Ala-His-Ala-Val-Asp-Ile-Cys—NH2 (SEQ ID NO:24) iii) N-Ac-Cys-Ser-His-Ala-Val-Cys—NH2 (SEQ ID NO:36) iv) N-Ac-Cys-His-Ala-Val-Ser-Cys—NH2 (SEQ ID NO:38) v) N-Ac-Cys-Ala-His-Ala-Val-Asp-Cys—NH2 (SEQ ID NO:26) vi) N-Ac-Cys-Ser-His-Ala-Val-Ser-Ser-Cys—NH2 (SEQ ID NO:42) vii) N-Ac-Cys-His-Ala-Val-Ser-Cys—OH (SEQ ID NO:38) viii) H-Cys-Ala-His-Ala-Val-Asp-Cys—NH2 (SEQ ID NO:26) ix) N-Ac-Cys-His-Ala-Val-Pen—NH2 (SEQ ID NO:68) x) N-Ac-Ile-Tmc-Tyr-Ser-His-Ala-Val-Ser-Cys-Glu—NH2 (SEQ ID NO:69) xi) N-Ac-Ile-Pmc-Tyr-Ser-His-Ala-Val-Ser-Ser-Cys—NH2 (SEQ ID NO:70) xii) Mpr-Tyr-Ser-His-Ala-Val-Ser-Ser-Cys—NH2 (SEQ ID NO:71) xiii) Pmp-Tyr-Ser-His-Ala-Val-Ser-Ser-Cys—NH2 (SEQ ID NO:72) xii) xiii) - It will be readily apparent to those of ordinary skill in the art that, within each of these representative formulas, any of the above thiol-containing residues may be employed in place of one or both of the thiol-containing residues recited.
- Within another embodiment, cyclization may be achieved by amide bond formation. For example, a peptide bond may be formed between terminal functional groups (i.e., the amino and carboxy termini of a linear peptide prior to cyclization). Two such cyclic peptides are AHAVDI (SEQ ID NO:34) and SHAVSS (SEQ ID NO:46), with or without an N-terminal acetyl group and/or a C-terminal amide. Within another such embodiment, the linear peptide comprises a D-amino acid (e.g., HAVsS; SEQ ID NO:73). Alternatively, cyclization may be accomplished by linking one terminus and a residue side chain or using two side chains, as in KHAVD (SEQ ID NO:12) or KSHAVSSD (SEQ ID NO:48), with or without an N-terminal acetyl group and/or a C-terminal amide. Residues capable of forming a lactam bond include lysine, ornithine (Orn), α-amino adipic acid, m-aminomethylbenzoic acid, α,β-diaminopropionic acid, glutamate or aspartate.
- Methods for forming amide bonds are well known in the art and are based on well established principles of chemical reactivity. Within one such method, carbodiimide-mediated lactam formation can be accomplished by reaction of the carboxylic acid with DCC, DIC, EDAC or DCCI, resulting in the formation of an O-acylurea that can be reacted immediately with the free amino group to complete the cyclization. The formation of the inactive N-acylurea, resulting from O→N migration, can be circumvented by converting the O-acylurea to an active ester by reaction with an N-hydroxy compound such as 1-hydroxybenzotriazole, 1-hydroxysuccinimide, 1-hydroxynorbornene carboxamide or ethyl 2-hydroximino-2-cyanoacetate. In addition to minimizing O→N migration, these additives also serve as catalysts during cyclization and assist in lowering racemization. Alternatively, cyclization can be performed using the azide method, in which a reactive azide intermediate is generated from an alkyl ester via a hydrazide. Hydrazinolysis of the terminal ester necessitates the use of a t-butyl group for the protection of side chain carboxyl functions in the acylating component. This limitation can be overcome by using diphenylphosphoryl acid (DPPA), which furnishes an azide directly upon reaction with a carboxyl group. The slow reactivity of azides and the formation of isocyanates by their disproportionation restrict the usefulness of this method. The mixed anhydride method of lactam formation is widely used because of the facile removal of reaction by-products. The anhydride is formed upon reaction of the carboxylate anion with an alkyl chloroformate or pivaloyl chloride. The attack of the amino component is then guided to the carbonyl carbon of the acylating component by the electron donating effect of the alkoxy group or by the steric bulk of the pivaloyl chloride t-butyl group, which obstructs attack on the wrong carbonyl group. Mixed anhydrides with phosphoric acid derivatives have also been successfully used. Alternatively, cyclization can be accomplished using activated esters. The presence of electron withdrawing substituents on the alkoxy carbon of esters increases their susceptibility to aminolysis. The high reactivity of esters of nitrophenol, N-hydroxy compounds and polyhalogenated phenols has made these “active esters” useful in the synthesis of amide bonds. The last few years have witnessed the development of benzotriazolyloxytris-(dimethylamino)phosphonium hexafluorophosphonate (BOP) and its congeners as advantageous coupling reagents. Their performance is generally superior to that of the well established carbodiimide amide bond formation reactions.
- Within a further embodiment, a thioether linkage may be formed between the side chain of a thiol-containing residue and an appropriately derivatized α-amino acid. By way of example, a lysine side chain can be coupled to bromoacetic acid through the carbodiimide coupling method (DCC, EDAC) and then reacted with the side chain of any of the thiol containing residues mentioned above to form a thioether linkage. In order to form dithioethers, any two thiol containing side-chains can be reacted with dibromoethane and diisopropylamine in DMF. Examples of thiol-containing linkages are shown below:
-
- Representative structures of cyclic peptides are provided in
FIG. 3 . WithinFIG. 3 , certain cyclic peptides having the ability to modulate cell adhesion (shown on the left) are paired with similar inactive structures (on the right). The structures and formulas recited herein are provided solely for the purpose of illustration, and are not intended to limit the scope of the cyclic peptides described herein. - Cell Adhesion Modulating Agents
- The term “cell adhesion modulating agent,” as used herein, refers to a molecule comprising at least one cyclic peptide that contains the classical cadherin cell adhesion recognition (CAR) sequence HAV (His-Ala-Val), as described above. As noted above, multiple CAR sequences may be present within a modulating agent. Further, additional CAR sequences (i.e., any sequences specifically bound by an adhesion molecule) may be included within a modulating agent. As used herein, an “adhesion molecule” is any molecule that mediates cell adhesion via a receptor on the cell's surface. Adhesion molecules include members of the cadherin gene superfamily that are not classical cadherins (e.g., proteins that do not contain an HAV sequence and/or one or more of the other characteristics recited above for classical cadherins), such as desmogleins (Dsg) and desmocollins (Dsc); integrins; members of the immunoglobulin supergene family, such as N-CAM; and other uncategorized transmembrane proteins, such as occludin, as well as extracellular matrix proteins such as laminin, fibronectin, collagens, vitronectin, entactin and tenascin. Preferred CAR sequences for inclusion within a modulating agent include (a) Arg-Gly-Asp (RGD), which is bound by integrins (see Cardarelli et al., J. Biol. Chem. 267:23159-64, 1992); (b) Tyr-Ile-Gly-Ser-Arg (YIGSR; SEQ ID NO:52), which is bound by α6β1 integrin; (c) KYSFNYDGSE (SEQ ID NO:53), which is bound by N-CAM; (d) the N-CAM heparin sulfate-binding site IWKHKGRDVILKKDVRF (SEQ ID NO:54); (e) the occludin CAR sequence LYHY (SEQ ID NO:55); (f) claudin CAR sequences comprising at least four consecutive amino acids present within a claudin region that has the formula: Trp-Lys/Arg-Aaa-Baa-Ser/Ala-Tyr/Phe-Caa-Gly (SEQ ID NO:56), wherein Aaa, Baa and Caa indicate independently selected amino acid residues; Lys/Arg is an amino acid that is lysine or arginine; Ser/Ala is an amino acid that is serine or alanine; and Tyr/Phe is an amino acid that is tyrosine or phenylalanine; and (g) nonclassical cadherin CAR sequences comprising at least three consecutive amino acids present within a nonclassical cadherin region that has the formula: Aaa-Phe-Baa-Ile/Leu/Val-Asp/Asn/Glu-Caa-Daa-Ser/Thr/Asn-Gly (SEQ ID NO:57), wherein Aaa, Baa, Caa and Daa are independently selected amino acid residues; Ile/Leu/Val is an amino acid that is selected from the group consisting of isoleucine, leucine and valine, Asp/Asn/Glu is an amino acid that is selected from the group consisting of aspartate, asparagine and glutamate; and Ser/Thr/Asn is an amino acid that is selected from the group consisting of serine, threonine or asparagine. Representative claudin CAR sequences include IYSY (SEQ ID NO:58), TSSY (SEQ ID NO:59), VTAF (SEQ ID NO:60) and VSAF (SEQ ID NO:61). Representative nonclassical cadherin CAR sequences include the VE-cadherin (cadherin-5) CAR sequence DAE; the cadherin-6 CAR sequences EEY, NEN, ESE and DSG; the cadherin-7 CAR sequences DEN, EPK and DAN; the cadherin-8 CAR sequences EEF and NDV; the OB-cadherin (cadherin-11) CAR sequences DDK, EEY and EAQ; the cadherin-12 CAR sequences DET and DPK; the cadherin-14 CAR sequences DDT, DPK and DAN; the cadherin-15 CAR sequences DKF and DEL; the PB-cadherin CAR sequences EEY, DEL, DPK and DAD; the protocadherin CAR sequences DLV, NRD, DPK and DPS; the dsg CAR sequences NQK, NRN and NKD; the dsc CAR sequences EKD and ERD and the cadherin-related neuronal receptor CAR sequences DPV, DAD, DSV, DSN, DSS, DEK and NEK.
- Linkers may, but need not, be used to separate CAR sequences and/or antibody sequences within a modulating agent. Linkers may also, or alternatively, be used to attach one or more modulating agents to a support molecule or material, as described below. A linker may be any molecule (including peptide and/or non-peptide sequences as well as single amino acids or other molecules), that does not contain a CAR sequence and that can be covalently linked to at least two peptide sequences. Using a linker, HAV-containing cyclic peptides and other peptide or protein sequences may be joined head-to-tail (i.e., the linker may be covalently attached to the carboxyl or amino group of each peptide sequence), head-to-side chain and/or tail-to-side chain. Modulating agents comprising one or more linkers may form linear or branched structures. Within one embodiment, modulating agents having a branched structure comprise three different CAR sequences, such as RGD, YIGSR (SEQ ID NO:52) and HAV, one or more of which are present within a cyclic peptide. Within another embodiment, modulating agents having a branched structure comprise RGD, YIGSR (SEQ ID NO:52), HAV and KYSFNYDGSE (SEQ ID NO:53). In a third embodiment, modulating agents having a branched structure comprise HAV and LYHY (SEQ ID NO:55), along with one or more of NQK, NRN, NKD, EKD and ERD. Bi-functional modulating agents that comprise an HAV sequence with flanking E-cadherin-specific sequences joined via a linker to an HAV sequence with flanking N-cadherin-specific sequences are also preferred for certain embodiments.
- Linkers preferably produce a distance between CAR sequences between 0.1 to 10,000 nm, more preferably about 0.1-400 nm. A separation distance between recognition sites may generally be determined according to the desired function of the modulating agent. In certain embodiments, for inhibitors of cell adhesion, a small linker distance (e.g., 0.1400 nm), may be desired. In certain other embodiments, for enhancers of cell adhesion, a longer linker distance (e.g., 400-10,000 nm) may be desired. However, these linker distances may vary substantially from one antagonist to another, and from one agonist to another, while still giving rise to a desired level of activity. One linker that can be used for such purposes is (H2N(CH2)nCO2H)m, or derivatives thereof, where n ranges from 1 to 10 and m ranges from 1 to 4000. For example, if glycine (H2NCH2CO2H) or a multimer thereof is used as a linker, each glycine unit corresponds to a linking distance of 2.45 angstroms, or 0.245 nm, as determined by calculation of its lowest energy conformation when linked to other amino acids using molecular modeling techniques. Similarly, aminopropanoic acid corresponds to a linking distance of 3.73 angstroms, aminobutanoic acid to 4.96 angstroms, aminopentanoic acid to 6.30 angstroms and amino hexanoic acid to 6.12 angstroms. Other linkers that may be used will be apparent to those of ordinary skill in the art and include, for example, linkers based on repeat units of 2,3-diaminopropanoic acid, lysine and/or ornithine. 2,3-Diaminopropanoic acid can provide a linking distance of either 2.51 or 3.11 angstroms depending on whether the side-chain amino or terminal amino is used in the linkage. Similarly, lysine can provide linking distances of either 2.44 or 6.95 angstroms and ornithine 2.44 or 5.61 angstroms. Peptide and non-peptide linkers may generally be incorporated into a modulating agent using any appropriate method known in the art.
- Modulating agents that inhibit cell adhesion may contain one or more HAV sequences, provided that such sequences are adjacent to one another (e.g.i.e., without intervening sequences) or in close proximity (e.g.i.e., separated by peptide and/or non-peptide linkers to give a distance between the CAR sequences that in some embodiments may range from about 0.1 to 400 nm). In other embodiments, the spacing between HAV motifs present within an HAV-containing multimer may vary while still giving rise to a desired level of inhibitory activity. Moreover, the degree of inhibitory activity of a given HAV-containing multimer may vary depending upon the concentration of the agent employed relative to the number of N-cadherin molecules being targeted in a given sample or subject, i.e., the level of saturation of the system being treated. Means for evaluating the antagonist activity of an HAV-containing multimer are provided elsewhere herein. It will be apparent that other CAR sequences, as discussed above, may also be included. Such modulating agents may generally be used within methods in which it is desirable to simultaneously disrupt cell adhesion mediated by multiple adhesion molecules. Within certain preferred embodiments, an additional CAR sequence is derived from a cell adhesion molecule other than N-cadherin, for example a CAR from fibronectin recognized by an integrin (i.e., RGD; see Cardarelli et al., J. Biol. Chem. 267:23159-23164, 1992), or is derived from an occludin CAR sequence (e.g., LYHY; SEQ ID NO:55). One or more antibodies, or fragments thereof, may similarly be used within such embodiments.
- Modulating agents that enhance cell adhesion may also contain multiple HAV sequence motifs, provided such sequences are adjacent to one another in spatial orientation relative to one another that is effective for engaging two cadherin molecules, and thereby enhances cadherin-mediated adhesion and other cadherin-dependent processes. For example, dimeric forms of HAV-containing peptides may be useful in certain embodiments in which enhancement of N-cadherin-mediated processes is desired. The cyclic peptide N-AC-CHAVDINGHAVDIC-NH2, for example, presents the HAV motifs in an antiparallel fashion, and has been shown to be capable of stimulating neurite outgrowth (Williams et al. JBC, 277: 6, 4361-4367, 2002). This and other dimeric forms of HAV-containing cyclic peptides are also useful in the embodiments described herein. Cyclic peptides comprising the sequence CHAV-x-HAVC, wherein X is 4-10 amino acids in length may be particularly preferred in certain embodiments. The spacing between HAV-containing motifs present within an HAV-containing multimer may vary while still giving rise to a desired level of agonist activity. A spacing of 1-10 amino acid residues, preferably 4-10 amino acid residues, between HAV-motifs in an HAV-containing multimer, for example, may be desirable in certain embodiments. Moreover, the degree of agonist activity of a given HAV-containing multimer may vary depending upon the concentration of the agent employed relative to the number of cadherin molecules being targeted in a given sample or subject, i.e., the level of saturation of the system being treated. Means for evaluating the agonist activity of an HAV-containing multimer are provided elsewhere herein. Enhancement of cell adhesion may also be achieved by attachment of a single HAV motif, multiple HAV-motifs and/or multiple modulating agents to a support molecule or material, as discussed further below. Such modulating agents may additionally comprise one or more CAR sequence for one or more different adhesion molecules (including, but not limited to, other CAMs) and/or one or more antibodies or fragments thereof that bind to such sequences, to enhance cell adhesion mediated by multiple adhesion molecules.
- As noted above, a modulating agent may consist entirely of one or more cyclic peptides, or may contain additional peptide and/or no n-peptide sequences. Peptide portions may be synthesized as described above or may be prepared using recombinant methods. Within such methods, all or part of a modulating agent can be synthesized in living cells, using any of a variety of expression vectors known to those of ordinary skill in the art to be appropriate for the particular host cell. Suitable host cells may include bacteria, yeast cells, mammalian cells, insect cells, plant cells, algae and other animal cells (e.g., hybridoma, CHO, myeloma). The DNA sequences expressed in this manner may encode portions of an endogenous cadherin or other adhesion molecule. Such sequences may be prepared based on known cDNA or genomic sequences (see Blaschuk et al., J. Mol. Biol. 211:679-682, 1990), or from sequences isolated by screening an appropriate library with probes designed based on the sequences of known cadherins. Such screens may generally be performed as described in Sambrook et al., Molecular Cloning: A Laboratory Manual, Cold Spring Harbor Laboratories, Cold Spring Harbor, N.Y., 1989 (and references cited therein). Polymerase chain reaction (PCR) may also be employed, using oligonucleotide primers in methods well known in the art, to isolate nucleic acid molecules encoding all or a portion of an endogenous adhesion molecule. To generate a nucleic acid molecule encoding a peptide portion of a modulating agent, an endogenous sequence may be modified using well known techniques. For example, portions encoding one or more CAR sequences may be joined, with or without separation by nucleic acid regions encoding linkers, as discussed above. Alternatively, portions of the desired nucleic acid sequences may be synthesized using well known techniques, and then ligated together to form a sequence encoding a portion of the modulating agent.
- As noted above, portions of a modulating agent may comprise an antibody, or antigen-binding fragment thereof, that specifically binds to a CAR sequence. As used herein, an antibody, or antigen-binding fragment thereof, is said to “specifically bind” to a CAR sequence (with or without flanking amino acids) if it reacts at a detectable level (within, for example, an ELISA, as described by Newton et al., Develop. Dynamics 197:1-13, 1993) with a peptide containing that sequence, and does not react detectably with peptides containing a different CAR sequence or a sequence in which the order of amino acid residues in the cadherin CAR sequence and/or flanking sequence is altered.
- Antibodies and fragments thereof may be prepared using standard techniques. See, e.g., Harlow and Lane, Antibodies: A Laboratory Manual, Cold Spring Harbor Laboratory, 1988. In one such technique, an immunogen comprising a CAR sequence is initially injected into any of a wide variety of mammals (e.g., mice, rats, rabbits, sheep or goats). Small immunogens (i.e., less than about 20 amino acids) should be joined to a carrier protein, such as bovine serum albumin or keyhole limpet hemocyanin. Following one or more injections, the animals are bled periodically. Polyclonal antibodies specific for the CAR sequence may then be purified from such antisera by, for example, affinity chromatography using the modulating agent or antigenic portion thereof coupled to a suitable solid support.
- Monoclonal antibodies specific for a CAR sequence may be prepared, for example, using the technique of Kohler and Milstein, Eur. J. Immunol. 6:511-519, 1976, and improvements thereto. Briefly, these methods involve the preparation of immortal cell lines capable of producing antibodies having the desired specificity from spleen cells obtained from an animal immunized as described above. The spleen cells are immortalized by, for example, fusion with a myeloma cell fusion partner, preferably one that is syngeneic with the immunized animal. Single colonies are selected and their culture supernatants tested for binding activity against the modulating agent or antigenic portion thereof. Hybridomas having high reactivity and specificity are preferred.
- Monoclonal antibodies may be isolated from the supernatants of growing hybridoma colonies, with or without the use of various techniques known in the art to enhance the yield. Contaminants may be removed from the antibodies by conventional techniques, such as chromatography, gel filtration, precipitation, and extraction. Antibodies having the desired activity may generally be identified using immunofluorescence analyses of tissue sections, cell or other samples where the target cadherin is localized.
- Within certain embodiments, monoclonal antibodies may be specific for particular cadherins (e.g., the antibodies bind to E-cadherin, but do not bind significantly to N-cadherin, or vise versa). Such antibodies may be prepared as described above, using an immunogen that comprises (in addition to the HAV sequence) sufficient flanking sequence to generate the desired specificity (e.g., 5 amino acids on each side is generally sufficient). One representative immunogen is the 15-mer FHLRAHAVDINGNQV-NH2 (SEQ ID NO:75), linked to KLH (see Newton et al., Dev. Dynamics 197:1-13, 1993). To evaluate the specificity of a particular antibody, representative assays as described herein and/or conventional antigen-binding assays may be employed. Such antibodies may generally be used for therapeutic, diagnostic and assay purposes, as described herein. For example, such antibodies may be linked to a drug and administered to a mammal to target the drug to a particular cadherin-expressing cell, such as a leukemic cell in the blood.
- Within certain embodiments, the use of antigen-binding fragments of antibodies may be preferred. Such fragments include Fab fragments, which may be prepared using standard techniques. Briefly, immunoglobulins may be purified from rabbit serum by affinity chromatography on Protein A bead columns (Harlow and Lane, Antibodies: A Laboratory Manual, Cold Spring Harbor Laboratory, 1988; see especially page 309) and digested by papain to yield Fab and Fc fragments. The Fab and Fc fragments may be separated by affinity chromatography on protein A bead columns (Harlow and Lane, 1988, pages 628-29).
- Evaluation of Modulating Agent Activity
- As noted above, cyclic peptides and other modulating agents as described herein are capable of modulating (i.e., enhancing or inhibiting) cadherin-mediated cell adhesion. The ability of a modulating agent to modulate cell adhesion may generally be evaluated in vitro, for example by assaying the effect on one or more of the following: (1) neurite outgrowth, (2) adhesion between endothelial cells, (3) adhesion between epithelial cells (e.g., normal rat kidney cells and/or human skin) and/or (4) adhesion between cancer cells. Other assays for the evaluation of cadherin-mediated function will be readily apparent in view of the disclosure herein. In general, a modulating agent is an inhibitor of cell adhesion if, within one or more of these representative assays, contact of the test cells with the modulating agent results in a discernible disruption of cell adhesion or other cadherin-mediated function. Modulating agents that enhance cell adhesion are considered to be modulators of cell adhesion if they are capable of enhancing one or more cadherin-mediated functions, for example neurite outgrowth as described below and/or are capable of promoting cell adhesion, as judged by plating assays to assess epithelial cell adhesion to a modulating agent attached to a support material, such as tissue culture plastic. For modulating agents that affect N-cadherin mediated functions, assays involving endothelial or cancer cell adhesion or neurite outgrowth are preferred.
- One illustrative screen for the ability to modulate classical cadherin-mediated cell adhesion may be performed by evaluating the ability of a modulating agent to bind to a classical cadherin using any binding assay known to those of ordinary skill in the art. For example, a Pharmacia Biosensor machine may be used, as discussed in Jonsson et al., Biotechniques 11:520-27, 1991. A specific example of a technology that measures the interaction of peptides with molecules can be found in Williams et al., J. Biol. Chem. 272, 22349-22354, 1997. Alternatively, real-time BIA (Biomolecular Interaction Analysis) uses the optical phenomenon surface plasmon resonance to monitor biomolecular interactions. The detection depends upon changes in the mass concentration of macromolecules at the biospecific interface, which in turn depends upon the immobilization of test molecule or peptide (referred to as the ligand) to the surface of a Biosensor chip, followed by binding of the interacting molecule (referred to as the analyte) to the ligand. Binding to the chip is measured in real-time in arbitrary units of resonance (RU).
- By way of example, surface plasmon resonance experiments may be carried out using a BIAcore X™ Biosensor (Pharmacia Ltd., BIAcore, Uppsala, Sweden). Parallel flow cells of
CM 5 sensor chips may be derivatized, using the amine coupling method, with streptavidin (200 μg/ml) in 10 mM Sodium Acetate, pH 4.0, according to the manufacturer's protocol. Approximately 2100-2600 resonance units (RU) of ligand may be immobilized, corresponding to a concentration of about 2.1-2.6 ng/mm2. The chips may then coated be with a classical cadherin (or portion thereof) derivatized to biotin. Any non-specifically bound protein is removed. - To determine binding, test analytes (e.g. peptides containing the CAR sequence) may be placed in running buffer and passed simultaneously over test and control flow cells. After a period of free buffer flow, any analyte remaining bound to the surface may be removed with, for example, a pulse of 0.1% SDS bringing the signal back to baseline. Specific binding to the derivatized sensor chips may be determined automatically by the system by subtraction of test from control flow cell responses. In general, a modulating agent binds to a classical cadherin at a detectable level within such as assay. The level of binding is preferably at least that observed for the full length classical cadherin under similar conditions.
- Within a representative neurite outgrowth assay, neurons may be cultured on a monolayer of cells (e.g., 3T3) that express N-cadherin. Neurons grown on such cells (under suitable conditions and for a sufficient period of time) extend longer neurites than neurons cultured on cells that do not express N-cadherin. For example, neurons may be cultured on monolayers of 3T3 cells transfected with cDNA encoding N-cadherin essentially as described by Doherty and Walsh, Curr. Op. Neurobiol. 4:49-55, 1994; Williams et al., Neuron 13:583-594, 1994; Hall et al., Cell Adhesion and Commun. 3:441-450, 1996; Doherty and Walsh, Mol. Cell. Neurosci. 8:99-111, 1994; and Safell et al., Neuron 18:231-242, 1997. Briefly, monolayers of control 3T3 fibroblasts and 3T3 fibroblasts that express N-cadherin may be established by overnight culture of 80,000 cells in individual wells of an 8-chamber well tissue culture slide. 3000 cerebellar neurons isolated from
post-natal day 3 mouse brains may be cultured for 18 hours on the various monolayers in control media (SATO/2% FCS), or media supplemented with various concentrations of the modulating agent or control peptide. The cultures may then be fixed and stained for GAP43 which specifically binds to the neurons and their neurites. The length of the longest neurite on each GAP43 positive neuron may be measured by computer assisted morphometry. - A modulating agent that modulates N-cadherin-mediated cell adhesion may inhibit or enhance such neurite outgrowth. In at least some embodiments, under the conditions described above, the presence of 500 μg/mL of a modulating agent that disrupts neural cell adhesion should result in a decrease in the mean neurite length by at least 50%, relative to the length in the absence of modulating agent or in the presence of a negative control peptide. Alternatively, certain embodiments, the presence of 500 μg/mL of a modulating agent that enhances neural cell adhesion should result in an increase in the mean neurite length by at least 50%.
- Within one representative cell adhesion assay, the addition of a modulating agent to cells that express a cadherin results in disruption of cell adhesion. A “cadherin-expressing cell,” as used herein, may be any type of cell that expresses at least one cadherin on the cell surface at a detectable level, using standard techniques such as immunocytochemical protocols (Blaschuk and Farookhi, Dev. Biol. 136:564-567, 1989). Cadherin-expressing cells include endothelial (e.g., bovine pulmonary artery endothelial cells), epithelial and/or cancer cells (e.g., the human ovarian cancer cell line SKOV3 (ATCC #HTB-77)). For example, such cells may be plated under standard conditions that permit cell adhesion in the presence and absence of modulating agent (e.g., 500 μg/mL). Disruption of cell adhesion may be determined visually within 24 hours, by observing retraction of the cells from one another.
- For use within one such assay, bovine pulmonary artery endothelial cells may be harvested by sterile ablation and digestion in 0.1% collagenase (type II; Worthington Enzymes, Freehold, N.J.). Cells may be maintained in Dulbecco's minimum essential medium supplemented with 10% fetal calf serum and 1% antibiotic-antimycotic at 37° C. in 7% CO2 in air. Cultures may be passaged weekly in trypsin-EDTA and seeded onto tissue culture plastic at 20,000 cells/cm2. Endothelial cultures may be used at 1 week in culture, which is approximately 3 days after culture confluency is established. The cells may be seeded onto coverslips and treated (e.g., for 30 minutes) with modulating agent or a control compound at, for example, 500 μg/ml and then fixed with 1% paraformaldehyde. As noted above, disruption of cell adhesion may be determined visually within 24 hours, by observing retraction of the cells from one another. This assay evaluates the effect of a modulating agent on N-cadherin mediated cell adhesion.
- Within another such assay, the effect of a modulating agent on normal rat kidney (NRK) cells may be evaluated. According to a representative procedure, NRK cells (ATCC #1571-CRL) may be plated at 10-20,000 cells per 35 mm tissue culture flasks containing DMEM with 10% FCS and subtured periodically (Laird et al., J. Cell Biol. 131:1193-1203, 1995). Cells may be harvested and replated in 35 mm tissue culture flasks containing 1 mm coverslips and incubated until 50-65% confluent (24-36 hours). At this time, coverslips may be transferred to a 24-well plate, washed once with fresh DMEM and exposed to modulating agent at a concentration of, for example, 1 mg/mL for 24 hours. Fresh modulating agent may then be added, and the cells left for an additional 24 hours. Cells may be fixed with 100% methanol for 10 minutes and then washed three times with PBS. Coverslips may be blocked for 1 hour in 2% BSA/PBS and incubated for a further 1 hour in the presence of mouse anti-E-cadherin antibody (Transduction Labs, 1:250 dilution). Primary and secondary antibodies may be diluted in 2% BSA/PBS. Following incubation in the primary antibody, coverslips may be washed three times for 5 minutes each in PBS and incubated for 1 hour with donkey anti-mouse antibody conjugated to fluorescein (diluted 1-200). Following further washes in PBS (3×5 min) coverslips can be mounted and viewed by confocal microscopy.
- In the absence of modulating agent, NRK cells form characteristic tightly adherent monolayers with a cobblestone morphology in which cells display a polygonal shape. NRK cells that are treated with a modulating agent that disrupts E-cadherin mediated cell adhesion may assume a non-polygonal and elongated morphology (i.e., a fibroblast-like shape) within 48 hours of treatment with 1 mg/mL of modulating agent. Gaps appear in confluent cultures of such cells. In addition, 1 mg/mL of such a modulating agent reproducibly induces a readily apparent reduction in cell surface staining of E-cadherin, as judged by immunofluorescence microscopy (Laird et al., J. Cell Biol. 131:1193-1203, 1995), of at least 75% within 48 hours.
- Another cell adhesion assay involves evaluating the effect of a modulating agent on permeability of adherent epithelial and/or endothelial cell layers. For example, the effect on permeability of human skin may be evaluated. Such skin may be derived from a natural source or may be synthetic. Human abdominal skin for use in such assays may generally be obtained from humans at autopsy within 24 hours of death. Briefly, a cyclic peptide and a test marker (e.g., the fluorescent markers Oregon Green™ and Rhodamine Green™ Dextran) may be dissolved in a sterile buffer, and the ability of the marker to penetrate through the skin and into a receptor fluid may be measured using a Franz Cell apparatus (Franz, Curr. Prob. Dermatol. 7:58-68, 1978; Franz, J. Invest. Dermatol. 64:190-195, 1975). In general, a modulating agent that enhances the permeability of human skin results in a statistically significant increase in the amount of marker in the receptor compartment after 648 hours in the presence of 500 μg/mL modulating agent. This assay evaluates the effect of a modulating agent on E-cadherin mediated cell adhesion.
- Yet another assay evaluates the effect of a modulating agent on the electrical resistance across a monolayer of cells. For example, Madin Darby canine kidney (MDCK) cells can be exposed to the modulating agent dissolved in medium (e.g., at a final concentration of 0.5 mg/ml for a period of 24 hours). The effect on electrical resistance can be measured using standard techniques. This assay evaluates the effect of a modulating agent on tight junction formation in epithelial cells. In general, the presence of 500 μg/mL modulating agent should result in a statistically significant decrease in electrical resistance after 24 hours.
- Another cell adhesion assay evaluates the ability of a modulating agent to block angiogenesis (the growth of blood vessels from pre-existing blood vessels). This ability may be assayed using the chick chorioallantoic membrane assay described by Iruela-Arispe et al., Molecular Biology of the Cell 6:327-343, 1995. Briefly, a modulating agent may be embedded in a mesh composed of vitrogen at one or more concentrations (e.g., ranging from about 1 to 100 μg/mesh). The mesh(es) may then be applied to chick chorioallantoic membranes. After 24 hours, the effect of the peptide may be determined using computer assisted morphometric analysis. A modulating agent should inhibit angiogenesis by at least 25% at a concentration of 33 μg/mesh.
- Alternatively, an agent may be evaluated in vivo by assessing the effect on vascular permeability utilizing the Miles assay (McClure et al., J. Pharmacological & Toxicological Methods 32:49-52, 1994). Briefly, a candidate modulating agent may be dissolved in phosphate buffered saline (PBS) at a concentration of 100 μg/ml. Adult rats may be given 100 μl subdermal injections of each peptide solution into their shaved backs, followed 15 minutes later by a single 250 μl injection of 1% Evans blue dissolved in PBS into their tail veins. The subdermal injection sites may be visually monitored for the appearance of blue dye. Once the dye appears (about 15 minutes after injection), each subdermal injection site may be excised, weighed, and placed in 1 ml dimethylformamide for 24 hours to extract the dye. The optical density of the dye extracts may then be determined at 620 nm. In general, the injection of 0.1 ml of modulating agent (at a concentration of 0.1 mg/ml) into the backs of rats causes an increase of dye accumulation at the injection sites of at least 50%, as compared to dye accumulation at sites into which PBS has been injected.
- An illustrative assay for evaluating the modulating of vascular smooth muscle cell migration may be performed as follows (as described in Example 23). Human saphenous vein vascular smooth muscle cells are explanted from surplus segments of vein from patients undergoing coronary artery bypass surgery. Cells are maintained in Dulbecco's modified essential medium supplemented with penicillin, streptomycin, L-glutamine and 10% fetal calf serum and are grown to confluence on glass coverslips in the presence or absence of collagen type I. The cell layer is then subjected to scrape-wounding by drawing a fine cell scraper across the coverslip. Proliferation of the vascular smooth muscle cells is inhibited by addition of 2 mM hydroxyurea to the culture media. Vascular smooth muscle cells that are treated in this manner respond to the wounding of the confluent monolayer by migrating into the wound (Hammerle et al (1991)
Vasa 20, 207-215). The migratory capacity of the vascular smooth muscle cells is assessed by measuring the distance of migration into the wound area (outermost 100 μm from the wound) using image analysis software at 24 hours after wounding. - Direct assays of induction of apoptosis may be performed using any standard technique. For example, cadherin-expressing cells (e.g., SKOV3 human ovarian cancer cells) may be plated onto poly-L-lysine coated glass slides and cultured with 500 μg/mL of modulating agent for 24-48 hours. Cells may then be fixed and assayed for cell death using any of a variety of well known methods. For example, an in situ cell death detection kit may be purchased from Boehringer Mannheim (Laval, Quebec) and used according to the manufacturer's instructions.
- Modulating Agent Modification and Formulations
- A modulating agent as described herein may, but need not, be linked to one or more additional molecules. In particular, as discussed below, it may be beneficial for certain applications to link multiple modulating agents (which may, but need not, be identical) to a support molecule (e.g., keyhole limpet hemocyanin) or a solid support, such as a polymeric matrix (which may be formulated as a membrane or microstructure, such as an ultra thin film), a container surface (e.g., the surface of a tissue culture plate or the interior surface of a bioreactor), or a bead or other particle, which may be prepared from a variety of materials including glass, plastic or ceramics. For certain applications, biodegradable support materials are preferred, such as cellulose and derivatives thereof, collagen, spider silk or any of a variety of polyesters (e.g., those derived from hydroxy acids and/or lactones) or sutures (see U.S. Pat. No. 5,245,012). Within certain embodiments, modulating agents and molecules comprising other CAR sequence(s) (e.g., an RGD and/or LYHY (SEQ ID NO:55) sequence) may be attached to a support such as a polymeric matrix, preferably in an alternating pattern.
- Suitable methods for linking a modulating agent to a support material will depend upon the composition of the support and the intended use, and will be readily apparent to those of ordinary skill in the art. Attachment may generally be achieved through noncovalent association, such as adsorption or affinity or, preferably, via covalent attachment (which may be a direct linkage between a modulating agent and functional groups on the support, or may be a linkage by way of a cross-linking agent or linker). Attachment of a modulating agent by adsorption may be achieved by contact, in a suitable buffer, with a solid support for a suitable amount of time. The contact time varies with temperature, but is generally between about 5 seconds and 1 day, and typically between about 10 seconds and 1 hour.
- Covalent attachment of a modulating agent to a molecule or solid support may generally be achieved by first reacting the support material with a bifunctional reagent that will also react with a functional group, such as a hydroxyl, thiol, carboxyl, ketone or amino group, on the modulating agent. For example, a modulating agent may be bound to an appropriate polymeric support or coating using benzoquinone, by condensation of an aldehyde group on the support with an amine and an active hydrogen on the modulating agent or by condensation of an amino group on the support with a carboxylic acid on the modulating agent. A preferred method of generating a linkage is via amino groups using glutaraldehyde. A modulating agent may be linked to cellulose via ester linkages. Similarly, amide linkages may be suitable for linkage to other molecules such as keyhole limpet hemocyanin or other support materials. Multiple modulating agents and/or molecules comprising other CAR sequences may be attached, for example, by random coupling, in which equimolar amounts of such molecules are mixed with a matrix support and allowed to couple at random.
- Although modulating agents as described herein may preferentially bind to specific tissues or cells, and thus may be sufficient to target a desired site in vivo, it may be beneficial for certain applications to include an additional targeting agent. Accordingly, a targeting agent may also, or alternatively, be linked to a modulating agent to facilitate targeting to one or more specific tissues. As used herein, a “targeting agent,” may be any substance (such as a compound or cell) that, when linked to a modulating agent enhances the transport of the modulating agent to a target tissue, thereby increasing the local concentration of the modulating agent. Targeting agents include antibodies or fragments thereof, receptors, ligands and other molecules that bind to cells of, or in the vicinity of, the target tissue. Known targeting agents include serum hormones, antibodies against cell surface antigens, lectins, adhesion molecules, tumor cell surface binding ligands, steroids, cholesterol, lymphokines, fibrinolytic enzymes and those drugs and proteins that bind to a desired target site. Among the many monoclonal antibodies that may serve as targeting agents are anti-TAC, or other interleukin-2 receptor antibodies; 9227 and NR-ML-05, reactive with the 250 kilodalton human melanoma-associated proteoglycan; and NR-LU-10, reactive with a pancarcinoma glycoprotein. An antibody targeting agent may be an intact (whole) molecule, a fragment thereof, or a functional equivalent thereof. Examples of antibody fragments are F(ab)2, −Fab′, Fab and F[v] fragments, which may be produced by conventional methods or by genetic or protein engineering. Linkage is generally covalent and may be achieved by, for example, direct condensation or other reactions, or by way of bi- or multi-functional linkers. Within other embodiments, it may also be possible is to target a polynucleotide encoding a modulating agent to a target tissue, thereby increasing the local concentration of modulating agent. Such targeting may be achieved using well known techniques, including retroviral and adenoviral infection.
- For certain embodiments, it may be beneficial to also, or alternatively, link a drug to a modulating agent. As used herein, the term “drug” refers to any bioactive agent intended for administration to a mammal to prevent or treat a disease or other undesirable condition. Drugs include hormones, growth factors, proteins, peptides and other compounds. The use of certain specific drugs within the context of the present invention is discussed below.
- Within certain aspects of the present invention, one or more modulating agents as described herein may be present within a pharmaceutical composition. A pharmaceutical composition comprises one or more modulating agents in combination with one or more pharmaceutically or physiologically acceptable carriers, diluents or excipients. Such compositions may comprise buffers (e.g., neutral buffered saline or phosphate buffered saline), carbohydrates (e.g., glucose, mannose, sucrose or dextrans), mannitol, proteins, polypeptides or amino acids such as glycine, antioxidants, chelating agents such as EDTA or glutathione, adjuvants (e.g., aluminum hydroxide) and/or preservatives. Within yet other embodiments, compositions of the present invention may be formulated as a lyophilizate. A modulating agent (alone or in combination with a targeting agent and/or drug) may, but need not, be encapsulated within liposomes using well known technology. Compositions of the present invention may be formulated for any appropriate manner of administration, including for example, topical, oral, nasal, intravenous, intracranial, intraperitoneal, subcutaneous, or intramuscular administration. For certain topical applications, formulation as a cream or lotion, using well known components, is preferred.
- For certain embodiments, as discussed below, a pharmaceutical composition may further comprise a modulator of cell adhesion that is mediated by one or more molecules other than cadherins. Such modulators may generally be prepared as described above, incorporating one or more non-cadherin CAR sequences and/or antibodies thereto in place of the cadherin CAR sequences and antibodies. Such compositions are particularly useful for situations in which it is desirable to inhibit cell adhesion mediated by multiple cell-adhesion molecules, such as other members of the cadherin gene superfamily that are not classical cadherins (e.g., Dsg and Dsc); claudins; integrins; members of the immunoglobulin supergene family, such as N-CAM; and other uncategorized transmembrane proteins, such as occludin, as well as extracellular matrix proteins such as laminin, fibronectin, collagens, vitronectin, entactin and tenascin. Preferred CAR sequences for use are as described above.
- A pharmaceutical composition may also contain one or more drugs, which may be linked to a modulating agent or may be free within the composition. Virtually any drug may be administered in combination with a cyclic peptide as described herein, for a variety of purposes as described below. Examples of types of drugs that may be administered with a cyclic peptide include analgesics, anesthetics, antianginals, antifungals, antibiotics, anticancer drugs (e.g., taxol or mitomycin C), antiinflammatories (e.g., ibuprofen and indomethacin), anthelmintics, antidepressants, antidotes, antiemetics, antihistamines, antihypertensives, antimalarials, antimicrotubule agents (e.g. colchicine or vinca alkaloids), antimigraine agents, antimicrobials, antiphsychotics, antipyretics, antiseptics, anti-signaling agents (e.g., protein kinase C inhibitors or inhibitors of intracellular calcium mobilization), antiarthritics, antithrombin agents, antituberculotics, antitussives, antivirals, appetite suppressants, cardioactive drugs, chemical dependency drugs, cathartics, chemotherapeutic agents, coronary, cerebral or peripheral vasodilators, contraceptive agents, depressants, diuretics, expectorants, growth factors, hormonal agents, hypnotics, immunosuppression agents, narcotic antagonists, parasympathomimetics, sedatives, stimulants, sympathomimetics, toxins (e.g., cholera toxin), tranquilizers and urinary antiinfectives.
- For imaging purposes, any of a variety of diagnostic agents may be incorporated into a pharmaceutical composition, either finked to a modulating agent or free within the composition. Diagnostic agents include any substance administered to illuminate a physiological function within a patient, while leaving other physiological functions generally unaffected. Diagnostic agents include metals, radioactive isotopes and radioopaque agents (e.g., gallium, technetium, indium, strontium, iodine, barium, bromine and phosphorus-containing compounds), radiolucent agents, contrast agents, dyes (e.g., fluorescent dyes and chromophores) and enzymes that catalyze a colorimetric or fluorometric reaction. In general, such agents may be attached using a variety of techniques as described above, and may be present in any orientation.
- The compositions described herein may be administered as part of a sustained release formulation (i.e., a formulation such as a capsule or sponge that effects a slow release of cyclic peptide following administration). Such formulations may generally be prepared using well known technology and administered by, for example, oral, rectal or subcutaneous implantation, or by implantation at the desired target site. Sustained-release formulations may contain a cyclic peptide dispersed in a carrier matrix and/or contained within a reservoir surrounded by a rate controlling membrane (see, e.g., European Patent Application 710,491A). Carriers for use within such formulations are biocompatible, and may also be biodegradable; preferably the formulation provides a relatively constant level of cyclic peptide release. The amount of cyclic peptide contained within a sustained release formulation depends upon the site of implantation, the rate and expected duration of release and the nature of the condition to be treated or prevented.
- Pharmaceutical compositions of the present invention may be administered in a manner appropriate to the disease to be treated (or prevented). Appropriate dosages and the duration and frequency of administration will be determined by such factors as the condition of the patient, the type and severity of the patient's disease and the method of administration. In general, an appropriate dosage and treatment regimen provides the modulating agent(s) in an amount sufficient to provide therapeutic and/or prophylactic benefit. Within particularly preferred embodiments of the invention, a modulating agent or pharmaceutical composition as described herein may be administered at a dosage ranging from 0.001 to 50 mg/kg body weight, preferably from 0.1 to 20 mg/kg, on a regimen of single or multiple daily doses. For topical administration, a cream typically comprises an amount of modulating agent ranging from 0.00001% to 1%, preferably 0.0001% to 0.2%, and more preferably from 0.0001% to 0.002%. Fluid compositions typically contain about 10 ng/ml to 5 mg/ml, preferably from about 10 μg to 2 mg/mL cyclic peptide. Appropriate dosages may generally be determined using experimental models and/or clinical trials. In general, the use of the minimum dosage that is sufficient to provide effective therapy is preferred. Patients may generally be monitored for therapeutic effectiveness using assays suitable for the condition being treated or prevented, which will be familiar to those of ordinary skill in the art.
- Modulating Agent Methods of Use
- In general, the modulating agents and compositions described herein may be used for modulating the adhesion of classical cadherin-expressing cells (i.e., cells that express one or more of E-cadherin, N-cadherin, P-cadherin, R-cadherin and/or other cadherin(s) containing the HAV sequence, including as yet undiscovered classical cadherins) in vitro and/or in vivo. To modulate classical cadherin-mediated cell adhesion, a cadherin-expressing cell is contacted with a modulating agent either in vivo or in vitro. As noted above, modulating agents for purposes that involve the disruption of cadherin-mediated cell adhesion may comprise a cyclic peptide containing a single HAV sequence or multiple HAV sequences in close proximity, and/or an antibody (or an antigen-binding fragment thereof) that recognizes a cadherin CAR sequence. When it is desirable to also disrupt cell adhesion mediated by other adhesion molecules, a modulating agent may additionally comprise one or more CAR sequences bound by such adhesion molecules (and/or antibodies or fragments thereof that bind such sequences), preferably separated by linkers. As noted above, such linkers may or may not comprise one or more amino acids. For enhancing cell adhesion, a modulating agent may contain multiple HAV sequences or antibodies (or fragments), preferably separated by linkers, and/or may be linked to a single molecule or to a support material as described above.
- Certain methods involving the disruption of cell adhesion as described herein have an advantage over prior techniques in that they permit the passage of molecules that are large and/or charged across barriers of cadherin-expressing cells. As discussed in greater detail below, modulating agents as described herein may also be used to disrupt or enhance cell adhesion in a variety of other contexts. Within the methods described herein, one or more modulating agents may generally be administered alone, or within a pharmaceutical composition. In each specific method described herein, as noted above, a targeting agent may be employed to increase the local concentration of modulating agent at the target site.
- In one such aspect, the present invention provides methods for reducing unwanted cellular adhesion by administering a modulating agent as described herein. Unwanted cellular adhesion can occur between tumor cells, between tumor cells and normal cells or between normal cells as a result of surgery, injury, chemotherapy, disease, inflammation or other condition jeopardizing cell viability or function. Preferred modulating agents for use within such methods comprise one or more cyclic peptides such as NAc-CHAVC-NH2 (SEQ ID NO:10), CHAVC-Y—NH2 (SEQ ID NO:84), N—Ac-CHAVDC-NH2 (SEQ ID NO:20), N—Ac-CHAVDIC-NH2 (SEQ ID NO:50), N—Ac-CHAVDINC-NH2 (SEQ ID NO:51), N—Ac-CHAVDINGC-NH2 (SEQ ID NO:76), N—Ac-CAHAVC-NH2 (SEQ ID NO:22), N—Ac-CAHAVDC-NH2 (SEQ ID NO:26), N—Ac-CAHAVDIC-NH2 (SEQ ID NO:24), N—Ac-CRAHAVDC-NH2 (SEQ ID NO:28), N—Ac-CLRAHAVC-NH2 (SEQ ID NO:30), N—Ac-CLRAHAVDC-NH2 (SEQ ID NO:32), N—Ac-CSHAVC-NH2 (SEQ ID NO:36), N—Ac-CFSHAVC-NH2 (SEQ ID NO:85), N—Ac-CLFSHAVC-NH2 (SEQ ID NO:86), N—Ac-CHAVSC-NH2 (SEQ ID NO:38), N—Ac-CSHAVSC-NH2 (SEQ ID NO:40), N—Ac-CSHAVSSC-NH2 (SEQ ID NO:42), N—Ac-CHAVSSC-NH2 (SEQ ID NO:44), N—Ac-KHAVD-NH2 (SEQ ID NO:12), N—Ac-DHAVK-NH2 (SEQ ID NO:14), N—Ac-KHAVE-NH2 (SEQ ID NO:16), N—Ac-AHAVDI-NH2 (SEQ ID NO:34), N—Ac-SHAVDSS-NH2 (SEQ ID NO:77), N—Ac-KSHAVSSD-NH2 (SEQ ID NO:48), N—Ac-CHAVC-S—NH2 (SEQ ID NO:87), N—Ac—S-CHAVC-NH2 (SEQ ID NO:88), N—Ac-CHAVC-SS—NH2 (SEQ ID NO:89), N—Ac—S-CHAVC-S—NH2 (SEQ ID NO:90), N—Ac-CHAVC-T-NH2 (SEQ ID NO:91), N—Ac-CHAVC-E-NH2 (SEQ ID NO:92), N—Ac-CHAVC-D-NH2 (SEQ ID NO:93), N—Ac-CHAVYC-NH2 (SEQ ID NO:94), CH3—SO2—HN-CHAVC-Y—NH2 (SEQ ID NO:95), CH3—SO2—HN-CHAVC-NH2 (SEQ ID NO:96), HC(O)—NH-CHAVC-NH2 (SEQ ID NO:96), N—Ac-CHAVPen-NH2 (SEQ ID NO:97), N—Ac-PenHAVC-NH2 (SEQ ID NO:98), N—Ac-CHAVPC-NH2 (SEQ ID NO:99) and derivatives thereof (e.g., in which terminal modifications are varied). In addition, a modulating agent may comprise the sequence RGD, which is bound by integrins, and/or the sequence LYHY (SEQ ID NO:55), which is bound by occludin, separated from the HAV sequence via a linker. Other CAR sequences that may be present include OB-cadherin, dsg and dsc CAR-sequences as described above. Alternatively, a separate modulator of integrin, occludin-, OB-cadherin-, dsc- and/or dsg-mediated cell adhesion may be administered in conjunction with the modulating agent(s), either within the same pharmaceutical composition or separately. Topical administration of the modulating agent(s) is generally preferred, but other means may also be employed. Preferably, a fluid composition for topical administration (comprising, for example, physiological saline) comprises an amount of cyclic peptide as described above, and more preferably an amount ranging from 10 μg/mL to 1 mg/mL. Creams may generally be formulated as described above. Topical administration in the surgical field may be given once at the end of surgery by irrigation of the wound, as an intermittent or continuous irrigation with use of surgical drains in the post operative period, or by the use of drains specifically inserted in an area of inflammation, injury or disease in cases where surgery does not need to be performed. Alternatively, parenteral or transcutaneous administration may be used to achieve similar results.
- In another aspect, methods are provided for enhancing the delivery of a drug through the skin of a mammal. Transdermal delivery of drugs is a convenient and non-invasive method that can be used to maintain relatively constant blood levels of a drug. In general, to facilitate drug delivery via the skin, it is necessary to perturb adhesion between the epithelial cells (keratinocytes) and the endothelial cells of the microvasculature. Using currently available techniques, only small, uncharged molecules may be delivered across skin in vivo. The methods described herein are not subject to the same degree of limitation. Accordingly, a wide variety of drugs may be transported across the epithelial and endothelial cell layers of skin, for systemic or topical administration. Such drugs may be delivered to melanomas or may enter the blood stream of the mammal for delivery to other sites within the body.
- To enhance the delivery of a drug through the skin, a modulating agent as described herein and a drug are contacted with the skin surface. Preferred modulating agents for use within such methods comprise one or more cyclic peptides such as NAc-CHAVC-NH2 (SEQ ID NO:10), CHAVC-Y—NH2 (SEQ ID NO:84), N—Ac-CHAVDC-NH2 (SEQ ID NO:20), N—Ac-CHAVDIC-NH2 (SEQ ID NO:50), N—Ac-CHAVDINC-NH2 (SEQ ID NO:51), N—Ac-CHAVDINGC-NH2 (SEQ ID NO:76), N—Ac-CAHAVC-NH2 (SEQ ID NO:22), N—Ac-CAHAVDC-NH2 (SEQ ID NO:26), N—Ac-CAHAVDIC-NH2 (SEQ ID NO:24), N—Ac-CRAHAVDC-NH2 (SEQ ID NO:28), N—Ac-CLRAHAVC-NH2 (SEQ ID NO:30), N—Ac-CLRAHAVDC-NH2 (SEQ ID NO:32), N—Ac-CSHAVC-NH2 (SEQ ID NO:36), N—Ac-CFSHAVC-NH2 (SEQ ID NO:85), N—Ac-CLFSHAVC-NH2 (SEQ ID NO:86), N—Ac-CHAVSC-NH2 (SEQ ID NO:38), N—Ac-CSHAVSC-NH2 (SEQ ID NO:40), N—Ac-CSHAVSSC-NH2 (SEQ ID NO:42), N—Ac-CHAVSSC-NH2 (SEQ ID NO:44), N—Ac-KHAVD-NH2 (SEQ ID NO:12), N—Ac-DHAVK-NH2 (SEQ ID NO:14), N—Ac-KHAVE-NH2 (SEQ ID NO:16), N—Ac-AHAVDI-NH2 (SEQ ID NO:34), N—Ac-SHAVDSS-NH2 (SEQ ID NO:77), N—Ac-KSHAVSSD-NH2 (SEQ ID NO:48), N—Ac-CHAVC-S—NH2 (SEQ ID NO: 87), N—Ac—S-CHAVC-NH2 (SEQ ID NO:88), N—Ac-CHAVC-SS—NH2 (SEQ ID NO:89), N—Ac—S-CHAVC-S—NH2 (SEQ ID NO:90), N—Ac-CHAVC-T-NH2 (SEQ ID NO:91), N—Ac-CHAVC-E-NH2 (SEQ ID NO:92), N—Ac-CHAVC-D-NH2 (SEQ ID NO:93), N—Ac-CHAVYC-NH2 (SEQ ID NO:94), CH3—SO2—HN-CHAVC-Y—NH2 (SEQ ID NO:95), CH3—SO2—HN-CHAVC-NH2 (SEQ ID NO:96), HC(O)—NH-CHAVC-NH2 (SEQ ID NO:96), N—Ac-CHAVPen-NH2 (SEQ ID NO:97), N—Ac-PenHAVC-NH2 (SEQ ID NO:98), N—Ac-CHAVPC-NH2 (SEQ ID NO:99) and derivatives thereof (e.g., in which terminal modifications are varied). Multifunctional modulating agents comprising the cadherin CAR sequence HAV linked to one or more of the Dsc and/or the Dsg CAR sequences may also be used to disrupt epithelial cell adhesion. Such modulating agents may also, or alternatively, comprise the fibronectin CAR sequence RGD, which is recognized by integrins, the occludin CAR sequence LYHY (SEQ ID NO:55) and/or a claudin CAR sequences as described above. Alternatively, a separate modulator of non-classical cadherin-mediated cell adhesion may be administered in conjunction with the modulating agent(s), either within the same pharmaceutical composition or separately.
- Contact may be achieved by direct application of the modulating agent, generally within a composition formulated as a cream or gel, or using any of a variety of skin contact devices for transdermal application (such as those described in European Patent Application No. 566,816 A; U.S. Pat. No. 5,613,958; U.S. Pat. No. 5,505,956). A skin patch provides a convenient method of administration (particularly for slow-release formulations). Such patches may contain a reservoir of modulating agent and drug separated from the skin by a membrane through which the drug diffuses. Within other patch designs, the modulating agent and drug may be dissolved or suspended in a polymer or adhesive matrix that is then placed in direct contact with the patient's skin. The modulating agent and drug may then diffuse from the matrix into the skin. Modulating agent(s) and drug(s) may be contained within the same composition or skin patch, or may be separately administered, although administration at the same time and site is preferred. In general, the amount of modulating agent administered via the skin varies with the nature of the condition to be treated or prevented, but may vary as described above. Such levels may be achieved by appropriate adjustments to the device used, or by applying a cream formulated as described above. Transfer of the drug across the skin and to the target tissue may be predicted based on in vitro studies using, for example, a Franz cell apparatus, and evaluated in vivo by appropriate means that will be apparent to those of ordinary skill in the art. As an example, monitoring of the serum level of the administered drug over time provides a convenient measure of the drug transfer across the skin.
- Transdermal drug delivery as described herein is particularly useful in situations in which a constant rate of drug delivery is desired, to avoid fluctuating blood levels of a drug. For example, morphine is an analgesic commonly used immediately following surgery. When given intermittently in a parenteral form (intramuscular, intravenous), the patient usually feels sleepy during the first hour, is well during the next 2 hours and is in pain during the last hour because the blood level goes up quickly after the injection and goes down below the desirable level before the 4 hour interval prescribed for re-injection is reached. Transdermal administration as described herein permits the maintenance of constant levels for long periods of time (e.g., days), which allows adequate pain control and mental alertness at the same time. Insulin provides another such example. Many diabetic patients need to maintain a constant baseline level of insulin which is different from their needs at the time of meals. The baseline level may be maintained using transdermal administration of insulin, as described herein. Antibiotics may also be administered at a constant rate, maintaining adequate bactericidal blood levels, while avoiding the high levels that are often responsible for the toxicity (e.g., levels of gentamycin that are too high typically result in renal toxicity).
- Drug delivery by the methods of the present invention also provide a more convenient method of drug administration. For example, it is often particularly difficult to administer parenteral drugs to newborns and infants because of the difficulty associated with finding veins of acceptable caliber to catheterize. However, newborns and infants often have a relatively large skin surface as compared to adults. Transdermal drug delivery permits easier management of such patients and allows certain types of care that can presently be given only in hospitals to be given at home. Other patients who typically have similar difficulties with venous catheterization are patients undergoing chemotherapy or patients on dialysis. In addition, for patients undergoing prolonged therapy, transdermal administration as described herein is more convenient than parenteral administration.
- Transdermal administration as described herein also allows the gastrointestinal tract to be bypassed in situations where parenteral uses would not be practical. For example, there is a growing need for methods suitable for administration of therapeutic small peptides and proteins, which are typically digested within the gastrointestinal tract. The methods described herein permit administration of such compounds and allow easy administration over long periods of time. Patients who have problems with absorption through their gastrointestinal tract because of prolonged ileus or specific gastrointestinal diseases limiting drug absorption may also benefit from drugs formulated for transdermal application as described herein.
- Further, there are many clinical situations where it is difficult to maintain compliance. For example, patients with mental problems (e.g., patients with Alzheimer's disease or psychosis) are easier to manage if a constant delivery rate of drug is provided without having to rely on their ability to take their medication at specific times of the day. Also patients who simply forget to take their drugs as prescribed are less likely to do so if they merely have to put on a skin patch periodically (e.g., every 3 days). Patients with diseases that are without symptoms, like patients with hypertension, are especially at risk of forgetting to take their medication as prescribed.
- For patients taking multiple drugs, devices for transdermal application such as skin patches may be formulated with combinations of drugs that are frequently used together. For example, many heart failure patients are given digoxin in combination with furosemide. The combination of both drugs into a single skin patch facilitates administration, reduces the risk of errors (taking the correct pills at the appropriate time is often confusing to older people), reduces the psychological strain of taking “so many pills,” reduces skipped dosage because of irregular activities and improves compliance.
- The methods described herein are particularly applicable to humans, but also have a variety of veterinary uses, such as the administration of growth factors or hormones (e.g., for fertility control) to an animal.
- As noted above, a wide variety of drugs may be administered according to the methods provided herein. Some examples of drug categories that may be administered transdermally include anti-inflammatory drugs (e.g. in arthritis and in other condition) such as all NSAID, indomethacin, prednisone, etc.; analgesics (especially when oral absorption is not possible, such as after surgery, and when parenteral administration is not convenient or desirable), including morphine, codeine, Demerol, acetaminophen and combinations of these (e.g., codeine plus acetaminophen); antibiotics such as Vancomycin (which is not absorbed by the GI tract and is frequently given intravenously) or a combination of INH and Rifampicin (e.g., for tuberculosis); anticoagulants such as heparin (which is not well absorbed by the GI tract and is generally given parenterally, resulting in fluctuation in the blood levels with an increased risk of bleeding at high levels and risks of inefficacy at lower levels) and Warfarin (which is absorbed by the GI tract but cannot be administered immediately after abdominal surgery because of the normal ileus following the procedure); antidepressants (e.g., in situations where compliance is an issue as in Alzheimer's disease or when maintaining stable blood levels results in a significant reduction of anti-cholinergic side effects and better tolerance by patients), such as amitriptylin, imipramin, prozac, etc.; antihypertensive drugs (e.g., to improve compliance and reduce side effects associated with fluctuating blood levels), such as diuretics and beta-blockers (which can be administered by the same patch; e.g., furosemide and propanolol); antipsychotics (e.g., to facilitate compliance and make it easier for care giver and family members to make sure that the drug is received), such as haloperidol and chlorpromazine; and anxiolytics or sedatives (e.g., to avoid the reduction of alertness related to high blood levels after oral administration and allow a continual benefit throughout the day by maintaining therapeutic levels constant).
- Numerous other drugs may be administered as described herein, including naturally occurring and synthetic hormones, growth factors, proteins and peptides. For example, insulin and human growth hormone, growth factors like erythropoietin, interleukins and interferons may be delivered via the skin.
- Kits for administering a drug via the skin of a mammal are also provided within the present invention. Such kits generally comprise a device for transdermal application (i.e., skin patch) in combination with, or impregnated with, one or more modulating agents. A drug may additionally be included within such kits.
- Within a related embodiment, the use of modulating agents as described herein to increase skin permeability may also facilitate sampling of the blood compartment by passive diffusion, permitting detection and/or measurement of the levels of specific molecules circulating in the blood. For example, application of one or more modulating agents to the skin, via a skin patch as described herein, permits the patch to function like a sponge to accumulate a small quantity of fluid containing a representative sample of the serum. The patch is then removed after a specified amount of time and analyzed by suitable techniques for the compound of interest (e.g., a medication, hormone, growth factor, metabolite or marker). Alternatively, a patch may be impregnated with reagents to permit a color change if a specific substance (e.g., an enzyme) is detected. Substances that can be detected in this manner include, but are not limited to, illegal drugs such as cocaine, HIV enzymes, glucose and PSA. This technology is of particular benefit for home testing kits.
- Within a further aspect, methods are provided for enhancing delivery of a drug to a tumor in a mammal, comprising administering a modulating agent in combination with a drug to a tumor-bearing mammal. Modulating agents for use within such methods include those designed to disrupt E-cadherin and/or N-cadherin mediated cell adhesion, and may comprise one or more cyclic peptides such as NAc-CHAVC-NH2 (SEQ ID NO:10), CHAVC-Y—NH2 (SEQ ID NO:84), N—Ac-CHAVDC-NH2 (SEQ ID NO:20), N—Ac-CHAVDIC-NH2 (SEQ ID NO:50), N—Ac-CHAVDINC-NH2 (SEQ ID NO:51), N—Ac-CHAVDINGC-NH2 (SEQ ID NO:76), N—Ac-CAHAVC-NH2 (SEQ ID NO:22), N—Ac-CAHAVDC-NH2 (SEQ ID NO:26), N—Ac-CAHAVDIC-NH2 (SEQ ID NO:24), N—Ac-CRAHAVDC-NH2 (SEQ ID NO:28), N—Ac-CLRAHAVC-NH2 (SEQ ID NO:30), N—Ac-CLRAHAVDC-NH2 (SEQ ID NO:32), N—Ac-CSHAVC-NH2 (SEQ ID NO:36), N—Ac-CFSHAVC-NH2 (SEQ ID NO:85), N—Ac-CLFSHAVC-NH2 (SEQ ID NO:86), N—Ac-CHAVSC-NH2 (SEQ ID NO:38), N—Ac-CSHAVSC-NH2 (SEQ ID NO:40), N—Ac-CSHAVSSC-NH2 (SEQ ID NO:42), N—Ac-CHAVSSC-NH2 (SEQ ID NO:44), N—Ac-KHAVD-NH2 (SEQ ID NO:12), N—Ac-DHAVK-NH2 (SEQ ID NO:14), N—Ac-KHAVE-NH2 (SEQ ID NO:16), N—Ac-AHAVDI-NH2 (SEQ ID NO:34), N—Ac-SHAVDSS-NH2 (SEQ ID NO:77), N—Ac-KSHAVSSD-NH2 (SEQ ID NO:48), N—Ac-CHAVC-S—NH2 (SEQ ID NO:87), N—Ac—S-CHAVC-NH2 (SEQ ID NO:88), N—Ac-CHAVC-SS—NH2 (SEQ ID NO:89), N—Ac—S-CHAVC-S—NH2 (SEQ ID NO:90), N—Ac-CHAVC-T-NH2 (SEQ ID NO:91), N—Ac-CHAVC-E-NH2 (SEQ ID NO:92), N—Ac-CHAVC-D-NH2 (SEQ ID NO:93), N—Ac-CHAVYC-NH2 (SEQ ID NO:94), CH3—SO2—HN-CHAVC-Y—NH2 (SEQ ID NO:95), CH3—SO—HN-CHAVC-NH2 (SEQ ID NO:96), HC(O)NH-CHAVC-NH2 (SEQ ID NO:96), N—Ac-CHAVPen-NH2 (SEQ ID NO:97), N—Ac-PenHAVC-NH2 (SEQ ID NO:98), N—Ac-CHAVPC-NH2 (SEQ ID NO:99) and derivatives thereof (e.g. in which terminal modifications are varied). Bi-functional modulating agents that comprise an HAV sequence with flanking E-cadherin-specific sequences and an HAV sequence with flanking N-cadherin-specific sequences are also preferred.
- In one particularly preferred embodiment, a modulating agent is capable of disrupting cell adhesion mediated by multiple adhesion molecules. For example, a single branched modulating agent (or multiple agents linked to a single molecule or support material) may disrupt E-cadherin, N-cadherin, occludin, Dsc and Dsg mediated cell adhesion, thereby disrupting adherens junctions, tight junctions and desmosomes. Such an agent may comprise the cadherin CAR sequence (HAV), as well as one or more of the fibronectin CAR sequence RGD, which is recognized by integrins; a dsg CAR sequence; a dsc CAR sequence; a claudin CAR sequence; an occludin CAR sequence and/or an OB-cadherin CAR sequence. Such agents serve as multifunctional disrupters of cell adhesion. Alternatively, a separate modulator of non-classical cadherin-mediated cell adhesion may be administered in conjunction with the modulating agent(s), either within the same pharmaceutical composition or separately. Antibodies or Fab fragments directed against a cadherin CAR sequence and/or an occludin CAR sequence may also be employed, either incorporated into a modulating agent or within a separate modulator that is administered concurrently.
- Preferably, the cyclic peptide and the drug are formulated within the same composition or drug delivery device prior to administration in general, a cyclic peptide may enhance drug delivery to any tumor, and the method of administration may be chosen based on the type of target tumor. For example, injection or topical administration as described above may be preferred for melanomas and other accessible tumors (e.g., metastases from primary ovarian tumors may be treated by flushing the peritoneal cavity with the composition). Other tumors (e.g., bladder tumors) may be treated by injection of the cyclic peptide and the drug (such as mitomycin C) into the site of the tumor. In other instances, the composition may be administered systemically, and targeted to the tumor using any of a variety of specific targeting agents. Suitable drugs may be identified by those of ordinary skill in the art based upon the type of cancer to be treated (e.g., mitomycin C for bladder cancer). In general, the amount of cyclic peptide administered varies with the method of administration and the nature of the tumor, within the typical ranges provided above, preferably ranging from about 1 μg/mL to about 2 mg/mL, and more preferably from about 10 μg/mL to 100 μg/mL. Transfer of the drug to the target tumor may be evaluated by appropriate means that will be apparent to those of ordinary skill in the art, such as a reduction in tumor size. Drugs may also be labeled (e.g., using radionuclides) to permit direct observation of transfer to the target tumor using standard imaging techniques.
- Within a related aspect, the present invention provides methods for inhibiting the development of a cancer (i.e., for treating or preventing cancer and/or inhibiting metastasis) in a mammal. Cancer tumors are solid masses of cells, growing out of control, which require nourishment via blood vessels. The formation of new capillaries is a prerequisite for tumor growth and the emergence of metastases. Administration of a modulating agent as described herein may disrupt the growth of such blood vessels, thereby providing effective therapy for the cancer and/or inhibiting metastasis. Cancers that may be treated using modulating agents provided herein include any cancer in which the tumor cells or the supporting vasculature are dependent upon cadherin function, particularly N-cadherin function. Exemplary cancers treated according to this embodiment include cancers expressing N-cadherin, including, but not limited to, carcinomas, melanomas and leukemias. Preferably, a modulating agent prevents detectable tumor growth and/or results in a substantial decrease in tumor size (i.e., a reduction of at least 50%) and/or a substantial decrease in tumor cell proliferation, migration and/or survival according to assays known in the art and/or described herein.
- Modulating agents comprising cyclic peptides may be used, for example, to treat leukemias. Preferred modulating agents for use within such methods include those that disrupt N-cadherin mediated cell adhesion, and comprise one or more cyclic peptides such as NAc-CHAVC-NH2 (SEQ ID NO:10), CHAVC-Y—NH2 (SEQ ID NO:84), N—Ac-CHAVDC-NH2 (SEQ ID NO:20), N—Ac-CHAVDIC-NH2 (SEQ ID NO:50), N—Ac-CHAVDINC-NH2 (SEQ ID NO:51), N—Ac-CHAVDINGC-NH2 (SEQ ID NO:76), N—Ac-CAHAVC-NH2 (SEQ ID NO:22), N—Ac-CAHAVDC-NH2 (SEQ ID NO:26), N—Ac-CAHAVDIC-NH2 (SEQ ID NO:24), N—Ac-CRAHAVDC-NH2 (SEQ ID NO:28), N—Ac-CLRAHAVC-NH2 (SEQ ID NO:30), N—Ac-CLRAHAVDC-NH2 (SEQ ID NO:32), N—Ac-CSHAVC-NH2 (SEQ ID NO:36), N—Ac-CFSHAVC-NH2 (SEQ ID NO:85), N—Ac-CLFSHAVC-NH2 (SEQ ID NO:86), N—Ac-CHAVSC-NH2 (SEQ ID NO:38), N—Ac-CSHAVSC-NH2 (SEQ ID NO:40), N—Ac-CSHAVSSC-NH2 (SEQ ID NO:42), N—Ac-CHAVSSC-NH2 (SEQ ID NO:44), N—Ac-KHAVD-NH2 (SEQ ID NO:12), N—Ac-DHAVK-NH2 (SEQ ID NO:14), N—Ac-KHAVE-NH2 (SEQ ID NO:16), N—Ac-AHAVDI-NH2 (SEQ ID NO:34), N—Ac-SHAVDSS-NH2 (SEQ ID NO:77), N—Ac-KSHAVSSD-NH2 (SEQ ID NO:48), N—Ac-CHAVC-S—NH2 (SEQ ID NO:87), N—Ac—S-CHAVC-NH2 (SEQ ID NO:88), N—Ac-CHAVC-SS—NH2 (SEQ ID NO:89), N—Ac—S-CHAVC-S—NH2 (SEQ ID NO:90), N—Ac-CHAVC-T-NH2 (SEQ ID NO:91), N—Ac-CHAVC-E-NH2 (SEQ ID NO:92), N—Ac-CHAVC-D-NH2 (SEQ ID NO:93), N—Ac-CHAVYC-NH2 (SEQ ID NO:94), CH3—SO2—HN-CHAVC-Y—NH2 (SEQ ID NO:95), CH3—SO2—HN-CHAVC-NH2 (SEQ ID NO:96), HC(O)—NH-CHAVC-NH2 (SEQ ID NO:96), N—Ac-CHAVPen-NH2 (SEQ ID NO:97), N—Ac-PenHAVC-NH2 (SEQ ID NO:98), N—Ac-CHAVPC-NH2 (SEQ ID NO:99) and derivatives thereof (e.g., in which terminal modifications are varied). In addition, a modulating agent may comprise the sequence RGD, which is recognized by integrins, and/or the occludin CAR sequence LYHY (SEQ ID NO:55) separated via a linker. Other CAR sequences that may be present include an OB-cadherin CAR sequence; dsc CAR sequence. dsg CAR sequence and/or claudin CAR sequence. Alternatively, a separate modulator of integrin-OB-cadherin-, dsc-, dsg-, claudin- and/or occludin-mediated cell adhesion may be administered in conjunction with the modulating agent(s), either within the same pharmaceutical composition or separately.
- A modulating agent may be administered alone (e.g., via the skin) or within a pharmaceutical composition. For melanomas and certain other accessible tumors, injection or topical administration as described above may be preferred. For ovarian cancers, flushing the peritoneal cavity with a composition comprising one or more modulating agents may prevent metastasis of ovarian tumor cells. Other tumors (e.g., bladder tumors, bronchial tumors or tracheal tumors) may be treated by injection of the modulating agent into the cavity. In other instances, the composition may be administered systemically, and targeted to the tumor using any of a variety of specific targeting agents, as described above. In general, the amount of modulating agent administered varies depending upon the method of administration and the nature of the cancer, but may vary within the ranges identified above. The effectiveness of the cancer treatment or inhibition of metastasis may be evaluated using well known clinical observations such as the level of serum markers (e.g., CEA or PSA).
- Within a further related aspect, a modulating agent may be used to inhibit angiogenesis (i.e., the growth of blood vessels from pre-existing blood vessels) in a mammal. In general, inhibition of angiogenesis may be beneficial in patients afflicted with diseases such as cancer or arthritis. Preferred modulating agents for inhibition of angiogenesis include those comprising one or more of NAc-CHAVC-NH2 (SEQ ID NO:10), CHAVC-Y—NH2 (SEQ ID NO:84), N—Ac-CHAVDC-NH2 (SEQ ID NO:20), N—Ac-CHAVDIC-NH2 (SEQ ID NO:50), N—Ac-CHAVDINC-NH2 (SEQ ID NO:51), N—Ac-CHAVDINGC-NH2 (SEQ ID NO:76), N—Ac-CAHAVC-NH2 (SEQ ID NO:22), N—Ac-CAHAVDC-NH2 (SEQ ID NO:26), N—Ac-CAHAVDIC-NH2 (SEQ ID NO:24), N—Ac-CRAHAVDC-NH2 (SEQ ID NO:28), N—Ac-CLRAHAVC-NH2 (SEQ ID NO:30), N—Ac-CLRAHAVDC-NH2 (SEQ ID NO:32), N—Ac-KHAVD-NH2 (SEQ ID NO:12), N—Ac-DHAVK-NH2 (SEQ ID NO:14), N—Ac-KHAVE-NH2 (SEQ ID NO:16), N—Ac-AHAVDI-NH2 (SEQ ID NO:34), N—Ac-CHAVC-S—NH2 (SEQ ID NO:87). N—Ac—SCHAVC-NH2 (SEQ ID NO:88), N—Ac-CHAVC-SS—NH2 (SEQ ID NO:89), N—Ac—SCHAVC-S—NH2 (SEQ ID NO:90), N—Ac-CHAVC-T-NH2 (SEQ ID NO:91), N—Ac-CHAVC-E-NH2 (SEQ ID NO:92), N—Ac-CHAVC-D-NH2 (SEQ ID NO:93), N—Ac-CHAVYC-NH2 (SEQ ID NO:94), CH3—SO2—HN-CHAVC-Y—NH2 (SEQ ID NO:95), CH3—SO2—HN-CHAVC-NH2 (SEQ ID NO:96), HC(O)NH-CHAVC-NH2 (SEQ ID NO:96), N—Ac-CHAVPen-NH2 (SEQ ID NO:97), N—Ac-PenHAVC-NH2 (SEQ ID NO:98), N—Ac-CHAVPC-NH2 (SEQ ID NO:99) and derivatives thereof (e.g., in which terminal modifications are varied). In addition, a modulating agent for use in inhibiting angiogenesis may comprise the sequence RGD, which is recognized by integrins, the occludin CAR sequence LYHY (SEQ ID NO:55) and/or a claudin CAR sequence, separated from the HAV sequence via a linker. Alternatively, a separate modulator of integrin- and/or occludin-mediated cell adhesion may be administered in conjunction with the modulating agent(s), either within the same pharmaceutical composition or separately.
- The effect of a particular modulating agent on angiogenesis may generally be determined by evaluating the effect of the peptide on blood vessel formation. Such a determination may generally be performed, for example, using a chick chorioallantoic membrane assay (Iruela-Arispe et al., Molecular Biology of the Cell 6:327-343, 1995). Briefly, a modulating agent may be embedded in a mesh composed of vitrogen at one or more concentrations (e.g., ranging from about 1 to 100 μg/mesh). The mesh(es) may then be applied to chick chorioallantoic membranes. After 24 hours, the effect of the peptide may be determined using computer assisted morphometric analysis. A modulating agent should inhibit angiogenesis by at least 25% at a concentration of 33 μg/mesh.
- The addition of a targeting agent may be beneficial, particularly when the administration is systemic. Suitable modes of administration and dosages depend upon the condition to be prevented or treated but, in general, administration by injection is appropriate. Dosages may vary as described above. The effectiveness of the inhibition may be evaluated grossly by assessing the inability of the tumor to maintain growth and microscopically by an absence of nerves at the periphery of the tumor.
- In another embodiment, methods are provided for causing the regression of blood vessels for the treatment of conditions such as cancer, psoriasis, arthritis, and age-related macular degeneration. Cancer tumors are solid masses of cells, growing out of control, which require nourishment via blood vessels. The formation of new capillaries is a prerequisite for tumor growth and the emergence of metastases. Administration of the modulating agents described herein may disrupt blood vessels and cause them to regress, thereby providing effective therapy for patients afflicted with diseases such as cancer. Certain preferred modulating agents for use within such methods comprise, in addition to an HAV sequence, a nonclassical cadherin CAR sequence (preferably an OB-cadherin or cadherin-5 CAR sequence) or RGD. Preferably, the peptide portion(s) of such modulating agents comprise 6-16 amino acids. Administration may be topical, via injection or by other means, and the addition of a targeting agent may be beneficial, particularly when the administration is systemic. Suitable modes of administration and dosages depend upon the location and nature of the endothelial cells and/or pericytes for which disruption of cell adhesion is desired but, in general, dosages may vary as described above. The addition of a targeting agent may be beneficial, particularly when the administration is systemic. Suitable modes of administration and dosages depend upon the condition to be prevented or treated but, in general, administration by injection is appropriate. Dosages may vary as described above.
- In yet another related aspect, the present invention provides methods for inducing apoptosis in a cadherin-expressing cell. In general, patients afflicted with cancer may benefit from such treatment Preferred modulating agents for use within such methods include those that comprise one or more cyclic peptides such as NAc-CHAVC-NH2 (SEQ NO:10), CHAVC-Y—NH2 (SEQ ID NO:84), N—Ac-CHAVDC-NH2 (SEQ ID NO:20), N—Ac-CHAVDIC-NH2 (SEQ ID NO:50), N—Ac-CHAVDINC-NH2 (SEQ ID NO:51), N—Ac-CHAVDINGC-NH2 (SEQ ID NO:76), N—Ac-CAHAVC-NH2 (SEQ ID NO:22), N—Ac-CAHAVDC-NH2 (SEQ ID NO:26), N—Ac-CAHAVDIC-NH2 (SEQ ID NO:24), N—Ac-CRAHAVDC-NH2 (SEQ ID NO:28), N—Ac-CLRAHAVC-NH2 (SEQ ID NO:30), N—Ac-CLRAHAVDC-NH2 (SEQ ID NO:32), N—Ac-CSHAVC-NH2 (SEQ ID NO:36), N—Ac-CFSHAVC-NH2 (SEQ ID NO:85), N—Ac-CLFSHAVC-NH2 (SEQ ID NO:86), N—Ac-CHAVSC-NH2 (SEQ ID NO:38), N—Ac-CSHAVSC-NH2 (SEQ ID NO:40), N—Ac-CSHAVSSC-NH2 (SEQ ID NO:42), N—Ac-CHAVSSC-NH2 (SEQ ID NO:44), N—Ac-KHAVD-NH2 (SEQ ID NO:12), N—Ac-DHAVK-NH2 (SEQ ID NO:14), N—Ac-KHAVE-NH2 (SEQ ID NO:16), N—Ac-AHAVDI-NH2 (SEQ ID NO:34), N—Ac-SHAVDSS-NH2 (SEQ ID NO:77), N—Ac-KSHAVSSD-NH2 (SEQ ID NO:48), N—Ac-CHAVC-S—NH2 (SEQ ID NO:87), N—Ac—S-CHAVC-NH2 (SEQ ID NO:88), N—Ac-CHAVC-SS—NH2 (SEQ ID NO:89), N—Ac—S-CHAVC-S—NH2 (SEQ ID NO:90), N—Ac-CHAVC-T-NH2 (SEQ ID NO:91), N—Ac-CHAVC-E-NH2 (SEQ ID NO:92), N—Ac-CHAVC-D-NH2 (SEQ ID NO:93), N—Ac-CHAVYC-NH2 (SEQ ID NO:94), CH3—SO2—HN-CHAVC-Y—NH2 (SEQ ID NO:95), CH3—SO2—HN-CHAVC-NH2 (SEQ ID NO:96), HC(O)—NH-CHAVC-NH2 (SEQ ID NO:96), N—Ac-CHAVPen-NH2 (SEQ ID NO:97), N—Ac-PenHAVC-NH2 (SEQ ID NO:98), N—Ac-CHAVPC-NH2 (SEQ ID NO:99) and derivatives thereof (e.g., in which terminal modifications are varied). Modulating agents comprising a CAR sequence for a second adhesion molecule (e.g., RGD, LYHY (SEQ ID NO:55) or a CAR sequence for OB-cadherin, a desmoglein, a desmocollin or claudin) are also preferred. Alternatively, a separate modulator of cell adhesion mediated by an adhesion molecule that is not a cadherin may be administered in conjunction with the modulating agent(s), either within the same pharmaceutical composition or separately. Administration may be topical, via injection or by other means, and the addition of a targeting agent may be beneficial, particularly when the administration is systemic. Suitable modes of administration and dosages depend upon the location and nature of the cells for which induction of apoptosis is desired but, in general, dosages may vary as described above. A biopsy may be performed to evaluate the level of induction of apoptosis.
- The present invention also provides methods for enhancing drug delivery to the central nervous system of a mammal. The blood/brain barrier is largely impermeable to most neuroactive agents, and delivery of drugs to the brain of a mammal often requires invasive procedures. Using a modulating agent as described herein, however, delivery may be by, for example, systemic administration of a cyclic peptide-drug-targeting agent combination, injection of a cyclic peptide (alone or in combination with a drug and/or targeting agent) into the carotid artery or application of a skin patch comprising a modulating agent to the head of the patient Certain preferred cyclic peptides for use within such methods are relatively small (e.g., a ring size of 4-10 residues; preferably 5-7 residues) and include peptides comprising a 5-residue ring such as N—Ac-CHAVC-NH2 (SEQ ID NO:10) and N—Ac-KHAVD-NH2 (SEQ ID NO:12). Other preferred modulating agents comprise one or more cyclic peptides such as NAc-CHAVC-NH2 (SEQ ID NO:10), CHAVC-Y—NH2 (SEQ ID NO:84), N—Ac-CHAVDC-NH2 (SEQ ID NO:20), N—Ac-CHAVDIC-NH2 (SEQ ID NO:50), N—Ac-CHAVDINC-NH2 (SEQ ID NO:51), N—Ac-CHAVDINGC-NH12 (SEQ ID NO:76), N—Ac-CAHAVC-NH2 (SEQ ID NO:22), N—Ac-CAHAVDC-NH2 (SEQ ID NO:26), N—Ac-CAHAVDIC-NH2 (SEQ ID NO:24), N—Ac-CRAHAVDC-NH2 (SEQ ID NO:28), N—Ac-CLRAHAVC-NH2 (SEQ ID NO:30), N—Ac-CLRAHAVDC-NH2 (SEQ ID NO:32), N—Ac-CSHAVC-NH2 (SEQ ID NO:36), N—Ac-CFSHAVC-NH2 (SEQ ID NO:85), N—Ac-CLFSHAVC-NH2 (SEQ ID NO:86), N—Ac-CHAVSC-NH2 (SEQ ID NO:38), N—Ac-CSHAVSC-NH2 (SEQ ID NO:40), N—Ac-CSHAVSSC-NH2 (SEQ ID NO:42), N—Ac-CHAVSSC-NH2 (SEQ ID NO:44), N—Ac-KHAVD-NH2 (SEQ ID NO:12), N—Ac-DHAVK-NH2 (SEQ ID NO:14), N—Ac-KHAVE-NH2 (SEQ ID NO:16), N—Ac-AHAVDI-NH2 (SEQ ID NO:34), N—Ac-SHAVDSS-NH2 (SEQ ID No:77), N—Ac-KSHAVSSD-NH2 (SEQ ID NO:48), N—Ac-CHAVC-S—NH2 (SEQ ID NO:87), N—Ac—S-CHAVC-NH2 (SEQ ID NO:88), N—Ac-CHAVC-SS—NH2 (SEQ ID NO:89), N—Ac—S-CHAVC-S—NH2 (SEQ ID NO:90), N—Ac-CHAVC-T-NH2 (SEQ ID NO:91), N—Ac-CHAVC-E-NH2 (SEQ ID NO:92), N—Ac-CHAVC-D-NH2 (SEQ ID NO:93), N—Ac-CHAVYC-NH2 (SEQ ID NO:94), CH3—SO2—HN-CHAVC-Y—NH2 (SEQ ID NO:95), CH3—SO2—HN-CHAVC-NH2 (SEQ ID NO:96), HC(O)NH-CHAVC-NH2 (SEQ ID NO:96), N—Ac-CHAVPen-NH2 (SEQ ID NO:97), N—Ac-PenHAVC-NH2 (SEQ ID NO:98), N—Ac-CHAVPC-NH2 (SEQ ID NO:99) and derivatives thereof (e.g., in which terminal modifications are varied). Also preferred are bi-functional modulating agents comprising an occludin CAR sequence LYHY (SEQ ID NO:55) and/or claudin CAR sequence, preferably joined by a linker. Alternatively, a separate modulator of occludin-mediated cell adhesion may be administered in conjunction with the modulating agent(s), either within the same pharmaceutical composition or separately. Modulating agents may further comprise antibodies or Fab fragments directed against the N-cadherin CAR sequence FHLRAHAVDINGNQV-NH2 (SEQ ID NO:75). Fab fragments directed against the occludin CAR sequence GVNPTAQSSGSLYGSQIYALCNQFYTPAAT-GLYVDQYLYHYCVVDPQE (SEQ ID NO:78) may also be employed, either incorporated into the modulating agent or administered concurrently as a separate modulator.
- In general, the amount of modulating agent administered varies with the method of administration and the nature of the condition to be treated or prevented, but typically varies as described above. Transfer of the drug to the central nervous system may be evaluated by appropriate means that will be apparent to those of ordinary skill in the art, such as magnetic resonance imaging (I or PET scan (positron emitted tomography).
- In still further aspects, the present invention provides methods for enhancing adhesion of cadherin-expressing cells. Within certain embodiments, a modulating agent may be linked to a support molecule or to a solid support as described above, resulting in a matrix that comprises multiple modulating agents. Within one such embodiment, the support is a polymeric matrix to which modulating agents and molecules comprising other CAR sequence(s) are attached (e.g., modulating agents and molecules comprising RGD, LYHY (SEQ ID NO:55) or a CAR sequence for OB-cadherin, a desmoglein, a desmocollin or claudin, may be attached to the same matrix, preferably in an alternating pattern). Such matrices may be used in contexts in which it is desirable to enhance adhesion mediated by multiple cell adhesion molecules. Alternatively, the modulating agent itself may comprise multiple HAV sequences and/or antibodies (or fragments thereof), separated by linkers as described above. Either way, the modulating agent(s) function as a “biological glue” to bind multiple cadherin-expressing cells within a variety of contexts.
- Within one embodiment, such modulating agents may be used to enhance wound healing and/or reduce scar tissue in a mammal. Preferred modulating agents for use within such methods include those that comprise one or more cyclic peptides such as NAc-CHAVC-NH2 (SEQ ID NO:10), CHAVC-Y—NH2 (SEQ ID NO:84), N—Ac-CHAVDC-NH2 (SEQ ID NO:20), N—Ac-CHAVDIC-NH2 (SEQ ID NO:50), N—Ac-CHAVDINC-NH2 (SEQ ID NO:51), N—Ac-CHAVDINGC-NH2 (SEQ ID NO:76), N—Ac-CAHAVC-NH2 (SEQ ID NO:22), N—Ac-CAHAVDC-NH2 (SEQ ID NO:26), N—Ac-CAHAVDIC-NH2 (SEQ ID NO:24), N—Ac-CRAHAVDC-NH2 (SEQ ID NO:28), N—Ac-CLRAHAVC-NH2 (SEQ ID NO:30), N—Ac-CLRAHAVDC-NH2 (SEQ ID NO:32), N—Ac-CSHAVC-NH2 (SEQ ID NO:36), N—Ac-CFSHAVC-NH2 (SEQ ID NO:85), N—Ac-CLFSHAVC-NH2 (SEQ ID NO:86), N—Ac-CHAVSC-NH2 (SEQ ID NO:38), N—Ac-CSHAVSC-NH2 (SEQ ID NO:40), N—Ac-CSHAVSSC-NH2 (SEQ ID NO:42), N—Ac-CHAVSSC-NH2 (SEQ ID NO:44), N—Ac-KHAVD-NH2 (SEQ ID NO:12), N—Ac-DHAVK-NH2 (SEQ ID NO:14), N—Ac-KHAVE-NH2 (SEQ ID NO:16), N—Ac-AHAVDI-NH2 (SEQ ID NO:34), N—Ac-SHAVDSS-NH2 (SEQ ID NO:77), N—Ac-KSHAVSSD-NH2 (SEQ ID NO:48), N—Ac-CHAVC-S—NH2 (SEQ ID NO:87), N—Ac—S-CHAVC-NH2 (SEQ ID NO:88), N—Ac-CHAVC-SS—NH2 (SEQ ID NO:89), N—Ac—S-CHAVC-S—NH2 (SEQ ID NO:90), N—Ac-CHAVC-T-NH2 (SEQ ID NO:91), N—Ac-CHAVC-E-NH2 (SEQ ID NO:92), N—Ac-CHAVC-D-NH2 (SEQ ID NO:93), N—Ac-CHAVYC-NH2 (SEQ ID NO:94), CH3—SO2-HN-CHAVC-Y—NH2 (SEQ ID NO:95), CH3—SO2—HN-CHAVC-NH2 (SEQ ID NO:96), HC(O)NH-CHAVC-NH2 (SEQ ID NO:96), N—Ac-CHAVPen-NH2 (SEQ ID NO:97), N—Ac-PenHAVC-NH2 (SEQ ID NO:98), N—Ac-CHAVPC-NH2 (SEQ ID NO:99) and derivatives thereof (e.g., in which terminal modifications are varied). In certain preferred embodiments, the modulating agent will comprise two or more HAV-coning motifs, properly spaced so as to provide a desired level of enhanced N-cadherin-mediated cell adhesion, migration and/or survival. Modulating agents that are linked to a biocompatible and biodegradable matrix such as cellulose or collagen are particularly preferred. For use within such methods, a modulating agent should have a free amino or hydroxyl group. Multi-functional modulating agents further comprising the fibronectin CAR sequence RGD, which is recognized by integrins, as well CAR sequences for OB-cadherin, claudin, dsc and/or dsg, may also be used as potent stimulators of wound healing and/or to reduce scar tissue. Such agents may also, or alternatively, comprise the occludin CAR sequence LYHY (SEQ ID NO:55). Alternatively, one or more separate modulators of integrin-, Dsc-, Dsg-, claudin-, OB-cadherin- and/or occludin-mediated cell adhesion may be administered in conjunction with the modulating agent(s), either within the same pharmaceutical composition or separately.
- The modulating agents are generally administered topically to the wound, where they may facilitate closure of the wound and may augment, or even replace, stitches. Similarly, administration of matrix-linked modulating agents may facilitate cell adhesion in foreign tissue implants (e.g., skin grafting and prosthetic implants) and may prolong the duration and usefulness of collagen injection. In general, the amount of matrix-linked cyclic peptide administered to a wound, graft or implant site varies with the severity of the wound and/or the nature of the wound, graft, or implant, but may vary as discussed above.
- Within another embodiment, one or more modulating agents may be linked to the interior surface of a tissue culture plate or other cell culture support, such as for use in a bioreactor. Such linkage may be performed by any suitable technique, as described above. Modulating agents linked in this fashion may generally be used to immobilize cadherin-expressing cells. For example, dishes or plates coated with one or more modulating agents may be used to immobilize cadherin-expressing cells within a variety of assays and screens. Within bioreactors (i.e., systems for larger scale production of cells or organoids), modulating agents may generally be used to improve cell attachment and stabilize cell growth. Modulating agents may also be used within bioreactors to support the formation and function of highly differentiated organoids derived, for example, from dispersed populations of fetal mammalian cells. Bioreactors containing biomatrices of cyclic peptide(s) may also be used to facilitate the production of specific proteins.
- Modulating agents as described herein may be used within a variety of bioreactor configurations. In general, a bioreactor is designed with an interior surface area sufficient to support larger numbers of adherent cells. This surface area can be provided using membranes, tubes, microtiter wells, columns, hollow fibers, roller bottles, plates, dishes, beads or a combination thereof. A bioreactor may be compartmentalized. The support material within a bioreactor may be any suitable material known in the art; preferably, the support material does not dissolve or swell in water. Preferred support materials include, but are not limited to, synthetic polymers such as acrylics, vinyls, polyethylene, polypropylene, polytetrafluoroethylene, nylons, polyurethanes, polyamides, polysulfones and poly(ethylene terephthalate); ceramics; glass and silica.
- Modulating agents may also be used, within other aspects of the present invention, to enhance and/or direct neurological growth. In one aspect, neurite outgrowth may be enhanced and/or directed by contacting a neuron with one or more modulating agents. Preferred modulating agents for use within such methods are linked to a polymeric matrix or other support and include those peptides without substantial flanking sequences, as described above. In particularly preferred embodiments, the modulating agent comprises one or more cyclic peptides such as NAc-CHAVC-NH2 (SEQ ID NO: 10), CHAVC-Y—NH2 (SEQ ID NO:84), N—Ac-CHAVDC-NH2 (SEQ ID NO:20), N—Ac-CHAVDIC-NH2 (SEQ ID NO:50), N—Ac-CHAVDINC-NH2 (SEQ ID NO:51), N—Ac-CHAVDINGC-NH2 (SEQ ID NO:76), N—Ac-CAHAVC-NH2 (SEQ ID NO:22), N—Ac-CAHAVDC-NH2 (SEQ ID NO:26), N—Ac-CAHAVDIC-NH2 (SEQ ID NO:24), N—Ac-CRAHAVDC-NH2 (SEQ ID NO:28), N—Ac-CLRAHAVC-NH2 (SEQ ID NO:30), N—Ac-CLRAHAVDC-NH2 (SEQ ID NO:32), N—Ac-CSHAVC-NH2 (SEQ ID NO:36), N—Ac-CFSHAVC-NH2 (SEQ ID NO:85), N—Ac-CLFSHAVC-NH2 (SEQ ID NO:86), N—Ac-CHAVSC-NH2 (SEQ ID NO:38), N—Ac-CSHAVSC-NH2 (SEQ ID NO:40), N—Ac-CSHAVSSC-NH2 (SEQ ID NO:42), N—Ac-CHAVSSC-NH2 (SEQ ID NO:44), N—Ac-KHAVD-NH2 (SEQ ID NO:12), N—Ac-DHAVK-NH2 (SEQ ID NO:14), N—Ac-KHAVE-NH2 (SEQ ID NO:16), N—Ac-AHAVDI-NH2 (SEQ ID NO:34), N—Ac-SHAVDSS-NH2 (SEQ ID NO:77), N—Ac-KSHAVSSD-NH2 (SEQ ID NO:48), N—Ac-CHAVC-S—NH2 (SEQ ID NO:87), N—Ac—S-CHAVC-NH2 (SEQ ID NO:88), N—Ac-CHAVC-SS—NH2 (SEQ ID NO:89), N—Ac—S-CHAVC-S—NH2 (SEQ ID NO:90), N—Ac-CHAVC-T-NH2 (SEQ ID NO:91), N—Ac-CHAVC-E-NH2 (SEQ ID NO:92), N—Ac-CHAVC-D-NH2 (SEQ ID NO:93), N—Ac-CHAVYC-NH2 (SEQ ID NO:94), CH3—SO2-HN-CHAVC-Y—NH2 (SEQ ID NO:95), CH3—SO2—HN-CHAVC-NH2 (SEQ ID NO:96), HC(O) NH-CHAVC-NH2 (SEQ ID NO:96), N—Ac-CHAVPen-NH2 (SEQ ID NO:97), N—Ac-PenHAVC-NH2 (SEQ ID NO:98), N—Ac-CHAVPC-NH2 (SEQ ID NO:99) and derivatives thereof (e.g., in which terminal modifications are varied). In certain preferred embodiments, the modulating agent will comprise two or more HAV-containing motifs, properly spaced so as to provide a desired level of enhanced cadherin-mediated cell adhesion, migration and/or survival. In addition, a modulating agent further comprising RGD and/or YIGSR (SEQ ID NO:52), which are bound by integrins, and/or the N-CAM CAR sequence KYSFNYDGSE (SEQ ID NO:53) may further facilitate neurite outgrowth. Other CAR sequences that may also, or alternatively, be included are CAR sequences for cadherin-7, cadherin-8, cadherin-12, cadherin-14, cadherin-15, PB-cadherin, protocadherins and cadherin-related neuronal receptors. Modulating agents comprising antibodies, or fragments thereof, may be used within this aspect of the present invention without the use of linkers or support materials. Preferred antibody modulating agents include Fab fragments directed against the N-cadherin CAR sequence FHLRAHAVDINGNQV-NH2 (SEQ ID NO:75). Fab fragments directed against the N-CAM CAR sequence KYSFNYDGSE (SEQ ID NO:53) may also be employed, either incorporated into the modulating agent or administered concurrently as a separate modulator.
- The method of achieving contact and the amount of modulating agent used will depend upon the location of the neuron and the extent and nature of the outgrowth desired. For example, a neuron may be contacted (e.g., via implantation) with modulating agent(s) linked to a support material such as a suture, fiber nerve guide or other prosthetic device such that the neurite outgrowth is directed along the support material. Alternatively, a tubular nerve guide may be employed, in which the lumen of the nerve guide contains a composition comprising the modulating agent(s). In vivo, such nerve guides or other supported modulating agents may be implanted using well known techniques to, for example, facilitate the growth of severed neuronal connections and/or to treat spinal cord injuries. It will be apparent to those of ordinary skill in the art that the structure and composition of the support should be appropriate for the particular injury being treated In vitro, a polymeric matrix may similarly be used to direct the growth of neurons onto patterned surfaces as described, for example, in U.S. Pat. No. 5,510,628.
- Within another such aspect, one or more modulating agents may be used for therapy of a demyelinating neurological disease in a mammal. There are a number of demyelinating diseases, such as multiple sclerosis, characterized by oligodendrocyte death. It has been found, within the context of the present invention, that Schwann cell migration on astrocytes is inhibited by N-cadherin. Modulating agents that disrupt N-cadherin mediated cell adhesion as described herein may be implanted into the central nervous system with cells capable of replenishing an oligodendrocyte population, such as Schwann cells, oligodendrocytes or oligodendrocyte precursor cells. Such therapy may facilitate of the cell capable of replenishing an oligodendrocyte population and permit the practice of Schwann cell or oligodendrocyte replacement therapy.
- Multiple sclerosis patients suitable for treatment may be identified by criteria that establish a diagnosis of clinically definite or clinically probable MS (see Poser et al., Ann. Neurol. 13:227, 1983). Candidate patients for preventive therapy may be identified by the presence of genetic factors, such as HLA-type DR2a and DR2b, or by the presence of early disease of the relapsing remitting type.
- Schwann cell grafts may be implanted directly into the brain along with the modulating agent(s) using standard techniques. Preferred modulating agents for use within such methods include those that comprise one or more cyclic peptides provided herein. Modulating agents comprising antibodies, or fragments thereof, may also be used within this aspect of the present invention. Preferred antibody modulating agents include Fab fragments directed against the N-cadherin CAR sequence FHLRAHAVDINGNQV-NH2 (SEQ ID NO:75). Suitable amounts of cyclic peptide generally range as described above, preferably from about 10 μg/mL to about 1 mg/mL.
- Alternatively, a modulating agent may be implanted with oligodendrocyte progenitor cells (OPs) derived from donors not afflicted with the demyelinating disease. The myelinating cell of the CNS is the oligodendrocyte. Although mature oligodendrocytes and immature cells of the oligodendrocyte lineage, such as the
oligodendrocyte type 2 astrocyte progenitor, have been used for transplantation, OPs are more widely used. OPs are highly motile and are able to migrate from transplant sites to lesioned areas where they differentiate into mature myelin-forming oligodendrocytes and contribute to repair of demyelinated axons (see e.g., Groves et al., Nature 362:453-55, 1993; Baron-Van Evercooren et al., Glia 16:147-64, 1996). OPs can be isolated using routine techniques known in the art (see e.g., Milner and French-Constant, Development 120:3497-3506, 1994), from many regions of the CNS including brain, cerebellum, spinal cord, optic nerve and olfactory bulb. Substantially greater yields of OP's are obtained from embryonic or neonatal rather than adult tissue. OPs may be isolated from human embryonic spinal cord and cultures of neurospheres established. Human fetal tissue is a potential valuable and renewable source of donor OP's for future, long range transplantation therapies of demyelinating diseases such as MS. - OPs can be expanded in vitro if cultured as “homotypic aggregates” or “spheres” (Avellana-Adalid et al, J. Neurosci. Res. 45:558-70, 1996). Spheres (sometimes called “oligospheres” or “neurospheres”) are formed when OPs are grown in suspension in the presence of growth factors such as PDGF and FGF. OPs can be harvested from spheres by mechanical dissociation and used for subsequent transplantation or establishment of new spheres in culture. Alternatively, the spheres themselves may be transplanted, providing a “focal reservoir” of OPs (Avellana-Adalid et al, J. Neurosci. Res. 45:558-70, 1996).
- An alternative source of OP may be spheres derived from CNS stein cells. Recently, Reynolds and Weiss, Dev. Biol. 165:1-13, 1996 have described spheres formed from EGF-responsive cells derived from embryonic neuroepithelium, which appear to retain the pluripotentiality exhibited by neuroepithelium in vivo. Cells dissociated from these spheres are able to differentiate into neurons, oligodendrocytes and astrocytes when plated on adhesive substrates in the absence of EGF, suggesting that EGF-responsive cells derived from undifferentiated embryonic neuroepithelium may represent CNS stem cells (Reynolds and Weiss, Dev. Biol. 165:1-13, 1996). Spheres derived from CNS stem cells provide an alternative source of OP which may be manipulated in vitro for transplantation in vivo. Spheres composed of CNS stem cells may further provide a microenvironment conducive to increased survival, migration, and differentiation of the OPs in vivo.
- The use of neurospheres for the treatment of MS may be facilitated by modulating agents that enhance cell migration from the spheres. In the absence of modulating agent, the cells within the spheres adhere tightly to one another and migration out of the spheres is hindered. Modulating agents that disrupt N-cadherin mediated cell adhesion as described herein, when injected with neurospheres into the central nervous system, may improve cell migration and increase the efficacy of OP replacement therapy. Neurosphere grafts may be implanted directly into the central nervous system along with the modulating agent(s) using standard techniques.
- Alternatively, a modulating agent may be administered alone or within a pharmaceutical composition. The duration and frequency of administration will be determined by such factors as the condition of the patient, and the type and severity of the patient's disease. Within particularly preferred embodiments of the invention, the cyclic peptide or pharmaceutical composition may be administered at a dosage ranging from 0.1 mg/kg to 20 mg/kg, although appropriate dosages may be determined by clinical trials. Methods of administration include injection, intravenous or intrathecal (i.e., directly in cerebrospinal fluid).
- Effective treatment of multiple sclerosis may be evidenced by any of the following criteria: EDSS (extended disability status scale), appearance of exacerbations or MRI (magnetic resonance imaging). The EDSS is a means to grade clinical impairment due to MS (Kurtzke, Neurology 33:1444, 1983), and a decrease of one full step defines an effective treatment in the context of the present invention (Kurtzke, Ann. Neurol. 36:573-79, 1994). Exacerbations are defined as the appearance of a new symptom that is attributable to MS and accompanied by an appropriate new neurologic abnormality (Sipe et al., Neurology 34:1368, 1984). Therapy is deemed to be effective if there is a statistically significant difference in the rate or proportion of exacerbation-free patients between the treated group and the placebo group or a statistically significant difference in the time to first exacerbation or duration and severity in the treated group compared to control group. MRI can be used to measure active lesions using gadolinium-DTPA-enhanced imaging (McDonald et al. Ann. Neurol. 36:14, 1994) or the location and extent of lesions using T2-weighted techniques. The presence, location and extent of MS lesions may be determined by radiologists using standard techniques. Improvement due to therapy is established when there is a statistically significant improvement in an individual patient compared to baseline or in a treated group versus a placebo group.
- Efficacy of the modulating agent in the context of prevention may be judged based on clinical measurements such as the relapse rate and EDSS. Other criteria include a change in area and volume of T2 images on MRI, and the number and volume of lesions determined by gadolinium enhanced images.
- Within a related aspect, the present invention provides methods for facilitating migration of an N-cadherin expressing cell on astrocytes, comprising contacting an N-cadherin expressing cell with (a) a cell adhesion modulating agent that inhibits cadherin-mediated cell adhesion, wherein the modulating agent comprises a cyclic peptide that comprises the sequence HAV; and (b) one or more astrocytes; and thereby facilitating migration of the N-cadherin expressing cell on the astrocytes. Preferred N-cadherin expressing cells include Schwann cells, oligodendrocytes and oligodendrocyte progenitor cells.
- Within another aspect, modulating agents as described herein may be used for modulating the immune system of a mammal in any of several ways. Cadherins are expressed on immature B and T cells (thymocytes and bone marrow pre-B cells), as well as on specific subsets of activated B and T lymphocytes and some hematological malignancies (see Lee et al., J. Immunol. 152:5653-5659, 1994; Munro et al., Cellular Immunol. 169:309-312, 1996; Tsutsui et al., J. Biochem. 120:1034-1039, 1996; Cepek et al., Proc. Natl. Acad. Sci. USA 93:6567-6571, 1996). Modulating agents may generally be used to modulate specific steps within cellular interactions during an immune response or during the dissemination of malignant lymphocytes.
- For example, a modulating agent as described herein may be used to treat diseases associated with excessive generation of otherwise normal T cells. Without wishing to be bound by any particular theory, it is believed that the interaction of cadherins on maturing T cells and B cell subsets contributes to protection of these cells from programmed cell death. A modulating agent may decrease such interactions, leading to the induction of programmed cell death Accordingly, modulating agents may be used to treat certain types of diabetes and rheumatoid arthritis, particularly in young children where the cadherin expression on thymic pre-T cells is greatest.
- Modulating agents may also be administered to patients afflicted with certain skin disorders (such as cutaneous lymphomas), acute B cell leukemia and excessive immune reactions involving the humoral immune system and generation of immunoglobulins, such as allergic responses and antibody-mediated graft rejection. In addition, patients with circulating cadherin-positive malignant cells (e.g., during regimes where chemotherapy or radiation therapy is eliminating a major portion of the malignant cells in bone marrow and other lymphoid tissue) may benefit from treatment with a cyclic peptide. Such treatment may also benefit patients undergoing transplantation with peripheral blood stem cells.
- Preferred modulating agents for use within such methods include those that disrupt E-cadherin and/or N-cadherin mediated cell adhesion, and comprise one or more cyclic peptides such as NAc-CHAVC-NH2 (SEQ ID NO:10), CHAVC-Y—NH2 (SEQ ID NO:84), N—Ac-CHAVDC-NH2 (SEQ ID NO:20), N—Ac-CHAVDIC-NH2 (SEQ ID NO:50), N—Ac-CHAVDINC-NH2 (SEQ ID NO:51), N—Ac-CHAVDINGC-NH2 (SEQ ID NO:76), N—Ac-CAHAVC-NH2 (SEQ ID NO:22), N—Ac-CAHAVDC-NH2 (SEQ ID NO:26), N—Ac-CAHAVDIC-NH2 (SEQ ID NO:24), N—Ac-CRAHAVDC-NH2 (SEQ ID NO:28), N—Ac-CLRAHAVC-NH2 (SEQ ID NO:30), N—Ac-CLRAHAVDC-NH2 (SEQ ID NO:32), N—Ac-CSHAVC-NH2 (SEQ ID NO:36), N—Ac-CFSHAVC-NH2 (SEQ ID NO:85), N—Ac-CLFSHAVC-NH2 (SEQ ID NO:86), N—Ac-CHAVSC-NH2 (SEQ ID NO:38), N—Ac-CSHAVSC-NH2 (SEQ ID NO:40), N—Ac-CSHAVSSC-NH2 (SEQ ID NO:42), N—Ac-CHAVSSC-NH2 (SEQ ID NO:44), N—Ac-KHAVD-NH2 (SEQ ID NO:12), N—Ac-DHAVK-NH2 (SEQ ID NO:14), N—Ac-KHAVE-NH2 (SEQ ID NO:16), N—Ac-AHAVDI-NH2 (SEQ ID NO:34), N—Ac-SHAVDSS-NH2 (SEQ ID NO:77), N—Ac-KSHAVSSD-NH2 (SEQ ID NO:48), N—Ac-CHAVC-S—NH2 (SEQ ID NO:87), N—Ac—S-CHAVC-NH2 (SEQ ID NO:88), N—Ac-CHAVC-SS—NH2 (SEQ ID NO:89), N—Ac—S-CHAVC-S—NH2 (SEQ ID NO:90), N—Ac-CHAVC-T-NH2 (SEQ ID NO:91), N—Ac-CHAVC-E-NH2 (SEQ ID NO:92), N—Ac-CHAVC-D-NH2 (SEQ ID NO:93), N—Ac-CHAVYC-NH2 (SEQ ID NO:94), CH3—SO2—HN-CHAVC-Y—NH2 (SEQ ID NO:95), CH3—SO2—HN-CHAVC-NH2 (SEQ ID NO:96), HC(O)—NH-CHAVC-NH2 (SEQ ID NO:96), N—Ac-CHAVPen-NH2 (SEQ ID NO:97), N—Ac-PenHAVC-NH2 (SEQ ID NO:98), N—Ac-CHAVPC-NH2 (SEQ ID NO:99) and derivatives thereof (e.g., in which terminal modifications are varied). In addition, a preferred modulating agent may comprise one or more additional CAR sequences, such as the sequence RGD, which is bound by integrins, as well as CAR sequences for occludin, N-CAM, OB-cadherin, cadherin-5, cadherin-6 and cadherin-8. As noted above, such additional sequence(s) may be separated from the HAV sequence via a linker. Alternatively, a separate modulator of integrin-mediated cell adhesion may be administered in conjunction with the modulating agent(s), either within the same pharmaceutical composition or separately.
- Within the above methods, the modulating agent(s) are preferably administered systemically (usually by injection) or topically. A cyclic peptide may be linked to a targeting agent. As noted above, a modulating agent may further be linked to a targeting agent For example, targeting to the bone marrow may be beneficial. A suitable dosage is sufficient to effect a statistically significant reduction in the population of B and/or T cells that express cadherin and/or an improvement in the clinical manifestation of the disease being treated. Typical dosages range as described above.
- Within further aspects, the present invention provides methods and kits for preventing pregnancy in a mammal. In general, disruption of E-cadherin function prevents the adhesion of trophoblasts and their subsequent fusion to form syncitiotrophoblasts. In one embodiment, one or more modulating agents as described herein may be incorporated into any of a variety of well known contraceptive devices, such as sponges suitable for intravaginal insertion (see, e.g., U.S. Pat. No. 5,417,224) or capsules for subdermal implantation. Other modes of administration are possible, however, including transdermal administration, for modulating agents linked to an appropriate targeting agent. Preferred modulating agents for use within such methods include those that comprise one or more cyclic peptides such as NAc-CHAVC-NH2 (SEQ ID NO:10), CHAVC-Y—NH2 (SEQ ID NO:84), N—Ac-CHAVDC-NH2 (SEQ ID NO:20), N—Ac-CHAVDIC-NH2 (SEQ ID NO:50), N—Ac-CHAVDINC-NH2 (SEQ ID NO:51), N—Ac-CHAVDINGC-NH2 (SEQ ID NO:76), N—Ac-CAHAVC-NH2 (SEQ ID NO:22), N—Ac-CAHAVDC-NH2 (SEQ ID NO:26), N—Ac-CAHAVDIC-NH2 (SEQ ID NO:24), N—Ac-CRAHAVDC-NH2 (SEQ ID NO:28), N—Ac-CLRAHAVC-NH2 (SEQ ID NO:30), N—Ac-CLRAHAVDC-NH2 (SEQ ID NO:32), N—Ac-CSHAVC-NH2 (SEQ ID NO:36), N—Ac-CFSHAVC-NH2 (SEQ ID NO:85), N—Ac-CLFSHAVC-NH2 (SEQ ID NO:86), N—Ac-CHAVSC-NH2 (SEQ ID NO:38), N—Ac-CSHAVSC-NH2 (SEQ ID NO:40), N—Ac-CSHAVSSC-NH2 (SEQ ID NO:42), N—Ac-CHAVSSC-NH2 (SEQ ID NO:44), N—Ac-KHAVD-NH2 (SEQ ID NO:12), N—Ac-DHAVK-NH2 (SEQ ID NO:14), N—Ac-KHAVE-NH2 (SEQ ID NO:16), N—Ac-AHAVDI-NH2 (SEQ ID NO:34), N—Ac-SHAVDSS-NH2 (SEQ ID NO:77), N—Ac-KSHAVSSD-NH2 (SEQ ID NO:48), N—Ac-CHAVC-S—NH2 (SEQ ID NO:87), N—Ac—S-CHAVC-NH2 (SEQ ID NO:88), N—Ac-CHAVC-SS—NH2 (SEQ ID NO:89), N—Ac—S-N—Ac—S-CHAVC-S—NH2 (SEQ ID NO:90), N—Ac-CHAVC-T-NH2 (SEQ ID NO:91), N—Ac-CHAVC-E-NH2 (SEQ ID NO:92), N—Ac-CHAVC-D-NH2 (SEQ ID NO:93), N—Ac—S-CHAVYC-NH2 (SEQ ID NO:94), CH3—SO2—HN-CHAVC-Y—NH2 (SEQ ID NO:95), CH3—SO2—HN-CHAVC-NH2 (SEQ ID NO:96), HC(O)—NH-CHAVC-NH2 (SEQ ID NO:96), N—Ac-CHAVPen-NH2 (SEQ ID NO:97), N—Ac-PenHAVC-NH2 (SEQ ID NO:98), N—Ac-CHAVPC-NH2 (SEQ ID NO:99) and derivatives thereof (e.g., in which terminal modifications are varied). In addition, a preferred modulating agent may comprise additional CAR sequences, such as the sequence RGD, which is bound by integrins. As noted above, such additional sequences may be separated from the HAV sequence via a linker. Alternatively, a separate modulator of integrin-mediated cell adhesion may be administered in conjunction with the modulating agent(s), either within the same pharmaceutical composition or separately.
- Suitable methods for incorporation into a contraceptive device depend upon the type of device and are well known in the art. Such devices facilitate administration of the cyclic peptide(s) to the uterine region and may provide a sustained release of the cyclic peptide(s). In general, cyclic peptide(s) may be administered via a contraceptive device at a dosage ranging from 0.1 to 20 mg/g, although appropriate dosages may be determined by monitoring hCG levels in the urine. hCG is produced by the placenta, and levels of this hormone rise in the urine of pregnant women. The urine hCG levels can be assessed by radio-immunoassay using well known techniques. Kits for preventing pregnancy generally comprise a contraceptive device impregnated with one or more cyclic peptides.
- Alternatively, a sustained release formulation of one or more cyclic peptides may be implanted, typically subdermally, in a mammal for the prevention of pregnancy. Such implantation may be performed using well known techniques. Preferably, the implanted formulation provides a dosage as described above, although the minimum effective dosage may be determined by those of ordinary skill in the art using, for example, an evaluation of hCG levels in the urine of women.
- The present invention also provides methods for increasing vasopermeability in a mammal by administering one or more modulating agents or pharmaceutical compositions. Within blood vessels, endothelial cell adhesion (mediated by N-cadherin) results in decreased vascular permeability. Accordingly, modulating agents as described herein may be used to increase vascular permeability. Within certain embodiments, preferred modulating agents for use within such methods include peptides capable of decreasing both endothelial and tumor cell adhesion. Such modulating agents may be used to facilitate the penetration of anti-tumor therapeutic or diagnostic agents (e.g., monoclonal antibodies) through endothelial cell permeability barriers and tumor barriers. Particularly preferred modulating agents for use within such methods include those that comprise one or more cyclic peptides such as NAc-CHAVC-NH2 (SEQ ID NO:10), CHAVC-Y—NH2 (SEQ ID NO:84), N—Ac-CHAVDC-NH2 (SEQ ID NO:20), N—Ac-CHAVDIC-NH2 (SEQ ID NO:50), N—Ac-CHAVDINC-NH2 (SEQ ID NO:51), N—Ac-CHAVDINGC-NH2 (SEQ ID NO:76), N—Ac-CAHAVC-NH2 (SEQ ID NO:22), N—Ac-CAHAVDC-NH2 (SEQ ID NO:26), N—Ac-CAHAVDIC-NH2 (SEQ ID NO:24), N—Ac-CRAHAVDC-NH2 (SEQ ID NO:28), N—Ac-CLRAHAVC-NH2 (SEQ ID NO:30), N—Ac-CLRAHAVDC-NH2 (SEQ ID NO:32), N—Ac-CSHAVC-NH2 (SEQ ID NO:36), N—Ac-CFSHAVC-NH2 (SEQ ID NO:85), N—Ac-CLFSHAVC-NH2 (SEQ ID NO:86), N—Ac-CHAVSC-NH2 (SEQ ID NO:38), N—Ac-CSHAVSC-NH2 (SEQ ID NO:40), N—Ac-CSHAVSSC-NH2 (SEQ ID NO:42), N—Ac-CHAVSSC-NH2 (SEQ ID NO:44), N—Ac-KHAVD-NH12 (SEQ ID NO:12), N—Ac-DHAVK-NH2 (SEQ ID NO:14), N—Ac-KHAVE-NH2 (SEQ ID NO:16), N—Ac-AHAVDI-NH2 (SEQ ID NO:34), N—Ac-SHAVDSS-NH2 (SEQ ID NO:77), N—Ac-KSHAVSSD-NH2 (SEQ ID NO:48), N—Ac-CHAVC-S—NH2 (SEQ ID NO:87), N—Ac—S-CHAVC-NH2 (SEQ ID NO:88), N—Ac-CHAVC-SS—NH2 (SEQ ID NO:89), N—Ac—S-CHAVC-S—NH2 (SEQ ID NO:90), N—Ac-CHAVC-T-NH2 (SEQ ID NO:91), N—Ac-CHAVC-E-NH2 (SEQ ID NO:92), N—Ac-CHAVC-D-NH2 (SEQ ID NO:93), N—Ac-CHAVYC-NH2 (SEQ ID NO:94), CH3—SO2-HN-CHAVC-Y—NH2 (SEQ ID NO:95), CH3—SO2—HN-CHAVC-NH2 (SEQ ID NO:96), HC(O)—NH-CHAVC-NH2 (SEQ ID NO:96), N—Ac-CHAVPen-NH2 (SEQ ID NO:97), N—Ac-PenHAVC-NH2 (SEQ ID NO:98), N—Ac-CHAVPC-NH2 (SEQ ID NO:99) and derivatives thereof (e.g., in which terminal modifications are varied). In addition, a preferred modulating agent may comprise an occludin CAR sequence LYHY (SEQ ID NO:55) and/or a CAR sequence for OB-cadherin or claudin. As noted above, such an additional sequence may be separated from the HAV sequence via a linker. Alternatively, a separate modulator of occludin mediated cell adhesion may be administered in conjunction with one or modulating agents, either within the same pharmaceutical composition or separately.
- Within certain embodiments, preferred modulating agents for use within such methods include cyclic peptides capable of decreasing both endothelial and tumor cell adhesion. Such modulating agents may be used to facilitate the penetration of anti-tumor therapeutic or diagnostic agents (e.g., monoclonal antibodies) through endothelial cell permeability barriers and tumor barriers. For example, a modulating agent may comprise an HAV sequence with flanking E-cadherin-specific sequences and an HAV sequence with flanking N-cadherin-specific sequences. Alternatively, separate modulating agents capable of disrupting N- and E-cadherin mediated adhesion may be administered concurrently.
- In one particularly preferred embodiment, a modulating agent is further capable of disrupting cell adhesion mediated by multiple adhesion molecules. Such an agent may additionally comprise an RGD sequence, a Dsc CAR sequence, a Dsg CAR sequence and/or the occludin CAR sequence LYHY (SEQ ID NO:55). Alternatively, a separate modulator of non-classical cadherin-mediated cell adhesion may be administered in conjunction with the modulating agent(s), either within the same pharmaceutical composition or separately. Fab fragments directed against any of the above CAR sequences may also be employed, either incorporated into a modulating agent or within a separate modulator that is administered concurrently.
- Treatment with a modulating agent may be appropriate, for example, prior to administration of an anti-tumor therapeutic or diagnostic agent (e.g., a monoclonal antibody or other macromolecule), an antimicrobial agent or an anti-inflammatory agent, in order to increase the concentration of such agents in the vicinity of the target tumor, organism or inflammation without increasing the overall dose to the patient. Modulating agents for use within such methods may be linked to a targeting agent to further increase the local concentration of modulating agent, although systemic administration of a vasoactive agent even in the absence of a targeting agent increases the perfusion of certain tumors relative to other tissues. Suitable targeting agents include antibodies and other molecules that specifically bind to tumor cells or to components of structurally abnormal blood vessels. For example, a targeting agent may be an antibody that binds to a fibrin degradation product or a cell enzyme such as a peroxidase that is released by granulocytes or other cells in necrotic or inflamed tissues.
- Administration via intravenous injection or transdermal administration is generally preferred. Effective dosages are generally sufficient to increase localization of a subsequently administered diagnostic or therapeutic agent to an extent that improves the clinical efficacy of therapy of accuracy of diagnosis to a statistically significant degree. Comparison may be made between treated and untreated tumor host animals to whom equivalent doses of the diagnostic or therapeutic agent are administered. In general, dosages range as described above.
- Within a further aspect, modulating agents as described herein may be used for controlled inhibition of synaptic stability, resulting in increased synaptic plasticity. Within this aspect, administration of one or more modulating agents may be advantageous for repair processes within the brain, as well as learning and memory, in which neural plasticity is a key early event in the remodeling of synapses. Cell adhesion molecules, particularly N-cadherin and E-cadherin, can function to stabilize synapses, and loss of this function is thought to be the initial step in the remodeling of the synapse that is associated with learning and memory (Doherty et al., J. Neurobiology, 26:437-446, 1995; Martin and Kandel, Neuron, 17:567-570, 1996; Fannon and Colman, Neuron, 17:423434, 1996). Inhibition of cadherin function by administration of one or more modulating agents that inhibit cadherin function may stimulate learning and memory.
- Preferred modulating agents for use within such methods include those that disrupt E-cadherin and/or N-cadherin mediated cell adhesion, and comprise one or more cyclic peptides such as NAc-CHAVC-NH2 (SEQ ID NO:10), CHAVC-Y—NH2 (SEQ ID NO:84), N—Ac-CHAVDC-NH2 (SEQ ID NO:20), N—Ac-CHAVDIC-NH2 (SEQ ID NO:50), N—Ac-CHAVDINC-NH2 (SEQ ID NO:51), N—Ac-CHAVDINGC-NH2 (SEQ ID NO:76), N—Ac-CAHAVC-NH2 (SEQ ID NO:22), N—Ac-CAHAVDC-NH2 (SEQ ID NO:26), N—Ac-CAHAVDIC-NH2 (SEQ ID NO:24), N—Ac-CRAHAVDC-NH2 (SEQ ID NO:28), N—Ac-CLRAHAVC-NH2 (SEQ ID NO:30), N—Ac-CLRAHAVDC-NH2 (SEQ ID NO:32), N—Ac-CSHAVC-NH2 (SEQ ID NO:36), N—Ac-CFSHAVC-NH2 (SEQ ID NO:85), N—Ac-CLFSHAVC-NH2 (SEQ ID NO:86), N—Ac-CHAVSC-NH2 (SEQ ID NO:38), N—Ac-CSHAVSC-NH2 (SEQ ID NO:40), N—Ac-CSHAVSSC-NH2 (SEQ ID NO:42), N—Ac-CHAVSSC-NH2 (SEQ ID NO:44), N—Ac-KHAVD-NH2 (SEQ ID NO:12), N—Ac-DHAVK-NH2 (SEQ ID NO:14), N—Ac-KHAVE-NH2 (SEQ ID NO:16), N—Ac-AHAVDI-NH2 (SEQ ID NO:34), N—Ac-SHAVDSS-NH2 (SEQ ID NO:77), N—Ac-KSHAVSSD-NH2 (SEQ ID NO:48), N—Ac-CHAVC-S—NH2 (SEQ ID NO:87), N—Ac—S-CHAVC-NH2 (SEQ ID NO:88), N—Ac-CHAVC-SS—NH2 (SEQ ID NO:89), N—Ac—S-CHAVC-S—NH2 (SEQ ID NO:90), N—Ac-CHAVC-T-NH2 (SEQ ID NO:91), N—Ac-CHAVC-E-NH2 (SEQ ID NO:92), N—Ac-CHAVC-D-NH2 (SEQ ID NO:93), N—Ac-CHAVYC-NH2 (SEQ ID NO:94), CH3—SO2-HN-CHAVC-Y—NH2 (SEQ ID NO:95), CH3—SO2—HN-CHAVC-NH2 (SEQ ID NO:96), HC(O)—NH-CHAVC-NH2 (SEQ ID NO:96), N—Ac-CHAVPen-NH2 (SEQ ID NO:97), N—Ac-PenHAVC-NH2. (SEQ ID NO:98), N—Ac-CHAVPC-NH2 (SEQ ID NO:99) and derivatives thereof (e.g., in which terminal modifications are varied). In addition, a preferred modulating agent may comprise one or more non-classical cadherin CAR sequences, such as the sequence RGD, which is bound by integrins, the N-CAM CAR sequence KYSFNYDGSE (SEQ ID NO:53) and/or a cadherin-related neuronal receptor CAR sequence. As noted above, such additional sequence(s) may be separated from the HAV sequence via a linker. Alternatively, a separate modulator of integrin and/or N-CAM mediated cell adhesion may be administered in conjunction with the modulating agent(s), either within the same pharmaceutical composition or separately. For such aspects, administration may be via encapsulation into a delivery vehicle such as a liposome, using standard techniques, and injection into, for example, the carotid artery. Alternatively, a modulating agent may be linked to a disrupter of the blood-brain barrier. In general dosages range as described above.
- In another embodiment, there are provided methods for facilitating wound healing, comprising contacting an cadherin-expressing cell with, or administering to a mammal, a modulating agent described herein. In certain diseases and disorders, for example, the body responds inappropriately to tissue damage, resulting in an excessive wound healing response. In the case of skin, this can result in formation of hypertrophic scars and keloids (Tredget E. E., Nedelec B., Scott P. G. and Ghahary A. Hypertrophic scars, keloids and contractures. Surgical Clinics of North America (1997) 77 (3) 701-730). A major factor in this dysfunctional wound-healing response is the activity of myofibroblast cells. Myofibroblasts are specialized cells with contractile properties of smooth muscle. Their appearance and contractility are essential for the healing of a wound (Tomasek J. J., Gabbiani G., Hinz B., Chaponnier C. and Brown R. A. Myofibroblasts and mechanoregulation of connective tissue remodelling. Nature Reviews Molecular Cell Biology (2002) 3 349-363; Singer A. J. and Clark R. A. F. Cutaneous wound healing. New England Journal of Medicine (1999) 341 (10) pp 738-746). They are formed by transformation from normally quiescent fibroblasts that are resident in the tissue surrounding the damage. Under normal circumstances myofibroblasts transform back to their quiescent state when wound healing is complete, but they may be retained as in a hypertrophic scar, or may transform even further toward a true smooth muscle cell phenotype. Cadherins may be important regulators of the transitions between these types of cells. Accordingly, modulating agents provided herein are used in certain embodiments for promoting wound healing or limiting excessive wound healing responses.
- Within further aspects, the present invention provides methods for disrupting neovasculature (i.e., newly formed blood vessels). Such methods may be used to disrupt normal or pathological neovasculature in a variety of contexts. Disruption of neovasculature is therapeutic for conditions in which the presence of newly formed blood vessels is related to the underlying disorder, its symptoms or its complications. For example, disorders that may be treated include, but are not limited to, benign prostatic hyperplasia, diabetic retinopathy, vascular restenosis, arteriovenous malformations, meningioma, hemangioma, neovascular glaucoma, psoriasis, angiofiboma, arthritis, atherosclerotic plaques, corneal graft neovascularization, hemophilic joints, hypertrophic scars, hemorrhagic telangiectasia, pyogenic granuloma, retrolental fibroplasias, scleroderma trachoma, vascular adhesions, synovitis, dermatitis, endometriosis, macular degeneration and exudative macular degeneration. Particularly preferred modulating agents for use within such methods include those that comprise one or more cyclic peptides such as N—Ac-CHAVC-NH2 (SEQ ID NO:10), CHAVC-Y—NH2 (SEQ ID NO:84), N—Ac-CHAVDC-NH2 (SEQ ID NO:20), N—Ac-CHAVDIC-NH2 (SEQ ID NO:50), N—Ac-CHAVDINC-NH2 (SEQ ID NO:51), N—Ac-CHAVDINGC-NH2 (SEQ ID NO:76), N—Ac-CAHAVC-NH2 (SEQ ID NO:22), N—Ac-CAHAVDC-NH2 (SEQ ID NO:26), N—Ac-CAHAVDIC-NH2 (SEQ ID NO:24), N—Ac-CRAHAVDC-NH2 (SEQ ID NO:28), N—Ac-CLRAHAVC-NH2 (SEQ ID NO:30), N—Ac-CLRAHAVDC-NH2 (SEQ ID NO:32), N—Ac-CSHAVC-NH2 (SEQ ID NO:36), N—Ac-CFSHAVC-NH2 (SEQ ID NO:85), N—Ac-CLFSHAVC-NH2 (SEQ ID NO:86), N—Ac-CHAVSC-NH2 (SEQ ID NO:38), N—Ac-CSHAVSC-NH2 (SEQ ID NO:40), N—Ac-CSHAVSSC-NH2 (SEQ ID NO:42), N—Ac-CHAVSSC-NH2 (SEQ ID NO:44), N—Ac-KHAVD-NH2 (SEQ ID NO:12), N—Ac-DHAVK-NH2 (SEQ ID NO:14), N—Ac-KHAVE-NH2 (SEQ ID NO:16), N—Ac-AHAVDI-NH2 (SEQ ID NO:34), N—Ac-SHAVDSS-NH2 (SEQ ID NO:77), N—Ac-KSHAVSSD-NH2 (SEQ ID NO:48), N—Ac-CHAVC-S—NH2 (SEQ ID NO:87), N—Ac—S-CHAVC-NH2 (SEQ ID NO:88), N—Ac-CHAVC-SS—NH2 (SEQ ID NO:89), N—Ac—S-CHAVC-S—NH2 (SEQ ID NO:90), N—Ac-CHAVC-T-NH2 (SEQ ID NO:91), N—Ac-CHAVC-E-NH2 (SEQ ID NO:92), N—Ac-CHAVC-D-NH2 (SEQ ID NO:93), N—Ac-CHAVYC-NH2 (SEQ ID NO:94), CH3—SO2—HN-CHAVC-Y—NH2 (SEQ ID NO:95), N—Ac—Y-CHAVC-NH2 (SEQ ID NO:54), CH3—SO2-HN-CHAVC-NH2 (SEQ ID NO:96), HC(O)—NH-CHAVC-NH2 (SEQ ID NO:96), N—Ac-CHAVPen-NH2 (SEQ ID NO:79), N—Ac-PenHAVC-NH2 (SEQ ID NO:80), N—Ac-CHAVPCNH2 (SEQ ID NO:81) and derivatives thereof (e.g., in which terminal modifications are varied). In addition, a preferred modulating agent may comprise an occludin CAR sequence LYHY (SEQ ID NO:55) and/or a CAR sequence for VE-cadherin, JAM or claudin. As noted above, such an additional sequence may be separated from the HAV sequence via a linker. Alternatively, a separate modulator of occludin-, VE-cadherin-, JAM and/or claudin-mediated cell adhesion may be administered in conjunction with one or modulating agents, either within the same pharmaceutical composition or separately.
- In other embodiments of the invention, there are provided methods for modulating the behavior, e.g., cell adhesion, proliferation, migration and/or survival, of vascular smooth muscle cells (VSMC) or pericytes, comprising contacting a cadherin expressing cell with, or administering to a mammal, a cell adhesion modulating agent as described above.
- As referred to herein, smooth muscle cells and pericytes include those cells derived from the medial layers of vessels and adventitia vessels which proliferate in intimal hyperplastic vascular sites following injury, such as that caused during PTCA.
- Characteristics of smooth muscle cells include a histological morphology (under light microscopic examination) of a spindle shape with an oblong nucleus located centrally in the cell with nucleoli present and myofibrils in the sarcoplasm. Under electron microscopic examination, smooth muscle cells have long slender mitochondria in the juxtanuclear sarcoplasm, a few tubular elements of granular endoplasmic reticulum, and numerous clusters of free ribosomes. A small Golgi complex may also be located near one pole of the nucleus. The majority of the sarcoplasm is occupied by thin, parallel myofilaments that may be, for the most part, oriented to the long axis of the muscle cell. These actin containing myofibrils may be arranged in bundles with mitochondria interspersed among them. Scattered through the contractile substance of the cell may also be oval dense areas, with similar dense areas distributed at intervals along the inner aspects of the plasmalemma.
- Characteristics of pericytes include a histological morphology (under light microscopic examination) characterized by an irregular cell shape. Pericytes are found within the basement membrane that surrounds vascular endothelial cells and their identity may be confirmed by positive immuno-staining with antibodies specific for alpha smooth muscle actin (e.g., anti-alpha-sml, Biomakor, Rehovot, Israel), HMW-MAA, and pericyte ganglioside antigens such as MAb 3G5 (11); and, negative immuno-staining with antibodies to cytokeratins (i.e., epithelial and fibroblast markers) and Von Willebrand factor (i.e., an endothelial marker). Both vascular smooth muscle cells and pericytes are positive by immunostaining with the NR-AN-01 monoclonal antibody.
- In related embodiments, there are provided methods for regulating the overgrowth and/or migration of vascular smooth muscle cells or pericytes, comprising contacting a cadherin expressing cell with, or administering to a mammal, a cell adhesion modulating agent as described herein, wherein the modulating agent is preferably an inhibitor of cadherin-mediated cell adhesion. Particularly illustrative uses according to this embodiment relate to preventing the formation or advance of restenosis, vein bypass graft failure, allograft vasculopathy, dialysis graft failure, thin cap fibroatheroma, and other vessel stenoses.
- The modulating agents of the invention are thus useful, for example, in inhibiting the activity of vascular smooth muscle cells, e.g., for reducing, delaying, or eliminating stenosis following angioplasty. As used herein the term “reducing” means decreasing the intimal thickening that results from stimulation of smooth muscle cell proliferation following angioplasty, either in an animal model or in man. “Delaying” means delaying the time until onset of visible intimal hyperplasia (e.g., observed histologically or by angiographic examination) following angioplasty and may also be accompanied by “reduced” restenosis. “Eliminating” restenosis following angioplasty means completely “reducing” and/or completely “delaying” intimal hyperplasia in a patient to an extent which makes it no longer necessary to surgically intervene, i.e., to re-establish a suitable blood flow through the vessel by repeat angioplasty, atheroectomy, or coronary artery bypass surgery. The effects of reducing, delaying, or eliminating stenosis may be determined by methods routine to those skilled in the art including, but not limited to, angiography, ultrasonic evaluation, fluoroscopic imaging, fiber optic endoscopic examination or biopsy and histology. The therapeutic conjugates of the invention achieve these advantageous effects by specifically binding to the cellular membranes of smooth muscle cells and pericytes.
- In another embodiment, the modulating agents of the invention may be used in situations in which angioplasty is not sufficient to open a blocked artery, such as those situations which require the insertion of an intravascular stent. The stent, as well as other medical devices and implants described herein, preferably have linked or coated to the surface, or interspersed within, one or more modulating agents of the invention. In one embodiment of the invention, a metallic, plastic or biodegradable intravascular stent is coated with a biodegradable coating or with a porous non-biodegradable coating, having dispersed therein the sustained-release dosage form. In an alternative embodiment, a biodegradable stent may also have the therapeutic agent impregnated therein, i.e., in the stent matrix. Utilization of a biodegradable stent with the modulating agent impregnated therein which is further coated with a biodegradable coating or with a porous non-biodegradable coating having the sustained release-dosage form dispersed therein is also contemplated.
- In another related embodiment, there are provided methods for maintaining vessel luminal area following vascular trauma, comprising contacting a cadherin expressing cell with, or administering to a mammal, a cell adhesion modulating agent as provided herein, wherein the modulating agent is preferably an inhibitor of cadherin-mediated cell adhesion.
- In another related embodiment, there are provided methods for treating a traumatized vessel, comprising contacting a cadherin expressing cell with, or administering to a mammal, a cell adhesion modulating agent as provided herein, wherein the modulating agent is preferably an inhibitor of cadherin-mediated cell adhesion. Particularly illustrative uses according to this embodiment include the treatment of trauma that may occur during stent placement, organ transplant, vein bypass, angioplasty, dialysis graft placement, and the like. Administration of the modulating agent may occur before, during or after the vascular trauma
- In these and other embodiments, the modulating agents of the present invention may delivered to a cadherin expressing cell, or a subject, by essentially any delivery approach suitable to a given indication and compatible with the delivery of modulating agents provided herein. In certain embodiments, administration of a modulating agent provided herein is accomplished via a catheter. In other embodiments, administration of an agent is accomplished using an infusion needle.
- According to other aspects of the invention, modulating agents provided herein are linked to, coated upon, or dispersed within, for example, a solid support, such as a polymeric material or matrix. In one embodiment, the polymeric material is a biodegradable polymer suitable for in vivo implantation. In another embodiment, the polymeric material is a plastic. In another embodiment, the polymeric material is a microparticle or nanoparticle or a mixture thereof. Many such polymers, microparticles and nanoparticles have been described and can be selected and used for the controlled release and delivery of modulating agents of the invention using techniques well known and established in the art.
- Certain embodiments will employ an implantable medical material or device, such as a medical device having a modulating agent of the invention linked to, or coated upon, or dispersed within, the medical material or device using known techniques. Such methods allow for the delivery of modulating agent, for example following implantation of the material or device into a mammal. Particularly illustrative medical devices in this regard include intravascular, intervascular and other medical devices, including a balloon, stent, shunt, catheter, stent graft, vascular graft, vascular patch, filter, adventitial wrap, intraluminal paving system, cerebral stent, cerebral aneurysm filter coil, myocardical plug, pacemaker lead, dialysis access graft, heart valve, etc.
- Other aspects of the present invention provide methods that employ antibodies raised against the modulating agents for diagnostic and assay purposes. Such polyclonal and monoclonal antibodies may be raised against a cyclic peptide using conventional techniques known to those of ordinary skill in the art. See, e.g. Harlow and Lane, Antibodies: A Laboratory Manual, Cold Spring Harbor Laboratory, 1988. In one such technique, an immunogen comprising the cyclic peptide is initially injected into any of a wide variety of mammals (e.g., mice, rats, rabbits, sheep or goats). Because of its small size, the cyclic peptide should be joined to a carrier protein, such as bovine serum albumin or keyhole limpet hemocyanin. Following one or more injections, the animals are bled periodically. Polyclonal antibodies specific for the cyclic peptide may then be purified from such antisera by, for example, affinity chromatography using the polypeptide coupled to a suitable solid support.
- Monoclonal antibodies specific for the cyclic peptide of interest may be prepared, for example, using the technique of Kohler and Milstein, Eur. J. Immunol. 6:511-519, 1976, and improvements thereto. Briefly, these methods involve the preparation of immortal cell lines capable of producing antibodies having the desired specificity from spleen cells obtained from an animal immunized as described above. The spleen cells are immortalized by, for example, fusion with a myeloma cell fusion partner, preferably one that is syngeneic with the immunized animal. Single colonies are selected and their culture supernatants tested for binding activity against the immunogen. Hybridomas having high reactivity and specificity are preferred.
- Monoclonal antibodies may be isolated from the supernatants of growing hybridoma colonies, with or without the use of various techniques known in the art to enhance the yield. Contaminants may be removed from the antibodies by conventional techniques, such as chromatography, gel filtration, precipitation, and extraction. Antibodies having the desired activity may generally be identified using immunofluorescence analyses of tissue sections, cell or other samples where the target cadherin is localized.
- Cyclic peptides may also be used to generate monoclonal antibodies, as described above, that are specific for particular cadherins (e.g. antibodies that bind to E-cadherin, but do not bind significantly to N-cadherin, or vise versa). Such antibodies may generally be used for therapeutic, diagnostic and assay purposes.
- Assays typically involve using an antibody to detect the presence or absence of a cadherin (free or on the surface of a cell), or proteolytic fragment containing the EC1 domain in a suitable biological sample, such as tumor or normal tissue biopsies, blood, lymph node, serum or urine samples, or other tissue, homogenate, or extract thereof obtained from a patient.
- There are a variety of assay formats known to those of ordinary skill in the art for using an antibody to detect a target molecule in a sample. See, e.g., Harlow and Lane, Antibodies: A Laboratory Manual, Cold Spring Harbor Laboratory, 1988. For example, the assay may be performed in a Western blot format, wherein a protein preparation from the biological sample is submitted to gel electrophoresis, transferred to a suitable membrane and allowed to react with the antibody. The presence of the antibody on the membrane may then be detected using a suitable detection reagent, as described below.
- In another embodiment, the assay involves the use of antibody immobilized on a solid support to bind to the target cadherin, or a proteolytic fragment containing the EC1 domain, and remove it from the remainder of the sample. The bound cadherin may then be detected using a second antibody or reagent that contains a reporter group. Alternatively, a competitive assay may be utilized, in which a cadherin is labeled with a reporter group and allowed to bind to the immobilized antibody after incubation of the antibody with the sample. The extent to which components of the sample inhibit the binding of the labeled cadherin to the antibody is indicative of the reactivity of the sample with the immobilized antibody, and as a result, indicative of the level of the cadherin in the sample.
- The solid support may be any material known to those of ordinary skill in the art to which the antibody may be attached, such as a test well in a microtiter plate, a nitrocellulose filter or another suitable membrane. Alternatively, the support may be a bead or disc, such as glass, fiberglass, latex or a plastic such as polystyrene or polyvinylchloride. The antibody may be immobilized on the solid support using a variety of techniques known to those in the art, which are amply described in the patent and scientific literature.
- In certain embodiments, the assay for detection of a cadherin in a sample is a two-antibody sandwich assay. This assay may be performed by first contacting an antibody that has been immobilized on a solid support, commonly the well of a microtiter plate, with the biological sample, such that the cadherin within the sample is allowed to bind to the immobilized antibody (a 30 minute incubation time at room temperature is generally sufficient). Unbound sample is then removed from the immobilized cadherin-antibody complexes and a second antibody (containing a reporter group such as an enzyme, dye, radionuclide, luminescent group, fluorescent group or biotin) capable of binding to a different site on the cadherin is added. The amount of second antibody that remains bound to the solid support is then determined using a method appropriate for the specific reporter group. The method employed for detecting the reporter group depends upon the nature of the reporter group. For radioactive groups, scintillation counting or autoradiographic methods are generally appropriate. Spectroscopic methods may be used to detect dyes, luminescent groups and fluorescent groups. Biotin may be detected using avidin, coupled to a different reporter group (commonly a radioactive or fluorescent group or an enzyme). Enzyme reporter groups may generally be detected by the addition of substrate (generally for a specific period of time), followed by spectroscopic or other analysis of the reaction products. Standards and standard additions may be used to determine the level of cadherin in a sample, using well known techniques.
- The present invention also provides kits for use in such immunoassays. Such kits generally comprise one or more antibodies, as described above. In addition, one or more additional compartments or containers of a kit generally enclose elements, such as reagents, buffers and/or wash solutions, to be used in the immunoassay.
- Within further aspects, cyclic peptides or antibodies thereto may be used to facilitate cell identification and sorting in vitro or imaging in vivo, permitting the selection of cells expressing different cadherins (or different cadherin levels). Preferably, the cyclic peptide(s) or antibodies for use in such methods are linked to a detectable marker. Suitable markers are well known in the art and include radionuclides, luminescent groups, fluorescent groups, enzymes, dyes, constant immunoglobulin domains and biotin. Within one preferred embodiment, a cyclic peptide or antibody linked to a fluorescent marker, such as fluorescein, is contacted with the cells, which are then analyzed by fluorescence activated cell sorting (FACS).
- As noted above, in addition to diagnostic and assay purposes, antibodies as described herein may be used in vitro or in vivo to modulate cell adhesion. Within certain embodiments, antibodies may be used within methods in which enhanced cell adhesion is is desired, as described above. For example, antibodies may be used within the above methods for enhancing and/or directing neurite outgrowth in vitro or in vivo. Antibodies may be used within the lumen of a tubular nerve guide or may be attached to a fiber nerve guide, suture or other solid support and used as described above for cyclic peptides. Antibody dosages are sufficient to enhance or direct neurite outgrowth, and will vary with the method of administration and the condition to be treated.
- Antibodies may also be used as a “biological glue,” as described above to bind multiple cadherin-expressing cells within a variety of contexts, such as to enhance wound healing and/or reduce scar tissue, and/or to facilitate cell adhesion in skin grafting or prosthetic implants. In general, the amount of matrix-linked antibody administered to a wound, graft or implant site varies with the severity of the wound and/or the nature of the wound, graft, or implant, but may vary as discussed above. Antibodies may also be linked to any of a variety of support materials, as described above, for use in tissue culture or bioreactors.
- Within certain embodiments, antibodies (or, preferably, antigen-binding fragments thereof) may be used in situations where inhibition of cell adhesion is desired. Such antibodies or fragments may be used, for example, for treatment of demyelinating diseases, such as MS, or to inhibit interactions between tumor cells, as described above. The use of Fab fragments is generally preferred.
- The following Examples are offered by way of illustration and not by way of limitation.
- This Example illustrates the solid phase synthesis of representative cyclic peptides.
- Peptides were generally assembled on methylbenzhydrylamine resin (MBHA resin) for the C-terminal amide peptides. The traditional Merrifield resins were used for any C-terminal acid peptides. Bags of a polypropylene mesh material were filled with the resin and soaked in dichloromethane. The resin packets were washed three times with 5% diisopropylethylamine in dichloromethane and then washed with dichloromethane. The packets are then sorted and placed into a Nalgene bottle containing a solution of the amino acid of interest in dichloromethane. An equal amount of diisopropylcarbodiimide (DIC) in dichloromethane was added to activate the coupling reaction. The bottle was shaken for one hour to ensure completion of the reaction. The reaction mixture was discarded and the packets washed with DMF. The N-α-Boc was removed by acidolysis using a 55% TFA in dichloromethane for 30 minutes leaving the TFA salt of the α-amino group. The bags were washed and the synthesis completed by repeating the same procedure while substituting for the corresponding amino acid at the coupling step. Acetylation of the N-terminal was performed by reacting the peptide resins with a solution of acetic anhydride in dichloromethane in the presence of diisopropylethylamine. The peptide was then side-chain deprotected and cleaved from the resin at 0° C. with liquid HF in the presence of anisole as a carbocation scavenger.
- The crude peptides were purified by reversed-phase high-performance liquid chromatography. Purified linear precursors of the cyclic peptides were solubilized in 75% acetic acid at a concentration of 2-10 mg/mL. A 10% solution of iodine in methanol was added dropwise until a persistent coloration was obtained. A 5% ascorbic acid solution in water was then added to the mixture until discoloration. The disulfide bridge containing compounds were then purified by HPLC and characterized by analytical HPLC and by mass spectral analysis.
- N—Ac-CHAVC-NH2 (SEQ ID NO:10) was synthesized on a 396-5000 Advanced ChemTech synthesizer using a Rink resin (4-(2′,4′-Dimethoxyphenyl-Fmoc-aminomethyl)-phenoxy resin), which provided C-terminal amides using Fmoc chemistries. The Fmoc protecting group on the resin was removed with piperidine and coupling of the amino acids to the resin initiated. Two coupling reactions in NMP (N-methylpyrrolidinone) per amino acid were performed. The first coupling was carried out using DIC (diisopropylcarbodiimide) and the second coupling used HBTU (O-benzotriazole-N,N,N′,N′,-tetramethyluronium hexafluorophosphate) in the presence of DIPEA (diisopropylethylamine). Both couplings were done in the presence of HOBt (hydroxybenzotriazole) with the exception of histidine and the final cysteine. The trityl protecting group of the imidazole side chain of histidine is not stable in the presence of is HOBt. Acetylation of the free amine on the N-terminus was carried out with acetic anhydride in NMP in the presence of DIPEA The linear peptide was then cleaved from the resin with TFA in dichloromethane. This procedure also removed the trityl protecting group on the imidazole side chain of histidine. The crude linear peptide amide was then cyclized using chlorosilane-sulfoxide oxidation method to give the disulfide peptide. The crude cyclic peptide was purified using reverse-phase liquid chromatography. N—Ac-CHAVC-Y-NH2 (SEQ ID NO:84) was synthesized using the same procedure, except that the cleavage cocktail (TFA, Dichloromethane) will also remove the OtBu protecting group of tyrosine.
- Three cell adhesion molecules, N-cadherin, N-CAM and L1, are capable of regulating neurite outgrowth (Doherty and Walsh, Curr. Op Neurobiol. 4:49-55, 1994; Williams et al., Neuron 13:583-594, 1994; Hall et al., Cell Adhesion and Commun. 3:441-450, 1996; Doherty and Walsh, Mol. Cell. Neurosci. 8:99-111, 1994; Safell et al., Neuron 18:231-242, 1997). Neurons cultured on monolayers of 3T3 cells that have been transfected with cDNAs encoding N-cadherin, N-CAM or L1 extend longer neurites than neurons cultured on 3T3 cells not expressing these cell adhesion molecules. This Example illustrates the use of a representative cyclic peptide to inhibit neurite outgrowth.
- Neurons were cultured on monolayers of 3T3 cells transfected with cDNA encoding N-cadherin essentially as described by Doherty and Walsh, Curr. Op. Neurobiol. 4:49-55, 1994; Williams et al., Neuron 13:583-594, 1994; Hall et al., Cell Adhesion and Commun. 3:441-450, 1996; Doherty and Walsh, Mol. Cell. Neurosci. 8:99-111, 1994; Safell et al., Neuron 18:231-242, 1997. Briefly, monolayers of control 3T3 fibroblasts and 3T3 fibroblasts that express N-cadherin were established by overnight culture of 80,000 cells in individual wells of an 8-chamber well tissue culture slide. 3000 cerebellar neurons isolated from
post-natal day 3 mouse brains were cultured for 18 hours on the various monolayers in control media (SATO/2% FCS), or media supplemented with various concentrations of the cyclic peptide N—Ac-CHAVC-NH2 (SEQ ID NO:10) or a control peptide without the HAV sequence (N—Ac-CHGVC-NH2; SEQ ID NO:11). The cultures were then fixed and stained for GAP43, which specifically binds to the neurons and their neurites. The length of the longest neurite on each GAP43 positive neuron was then measured by computer assisted morphometry. - As shown in
FIG. 22 , culture for 18 hours with N—Ac-CHAVC-NH2 (SEQ ID NO:10) at a concentration of 500 μg/mL inhibited neurite outgrowth on 3T3 cells expressing N-cadherin, whereas the cyclic peptide N—Ac-CHGVC-NH2 (SEQ ID NO:11) (also at a concentration of 500 μg/ml) had no effect on this process. Furthermore, the cyclic peptide N—Ac-CHAVC-NH2 (SEQ ID NO: 10) (used at a concentration of 500 μg/ml) did not inhibit neurite outgrowth on 3T3 cells not expressing N-cadherin, N-CAM, or L1 (control cells), thus indicating that the peptide is not toxic and that it has no non-specific effects on neurite outgrowth (FIG. 22 ). These data also indicate that the peptide does not effect integrin function. - A dose-response study demonstrated that N—Ac-CHAVC-NH2 (SEQ ID NO: 10) significantly inhibited neurite outgrowth on 3T3 cells expressing N-cadherin at a concentration of 50 μg/mL, and completely inhibited neurite outgrowth on these cells at a concentration of 500 μg/mL (
FIG. 23 ). Finally, N—Ac-CHAVC-NH2 (SEQ ID NO:10) (used at a concentration of 500 μg/mL) did not inhibit neurite outgrowth on 3T3 cells expressing either N-CAM or L1 (FIG. 4 ). These results indicate that the peptide N—Ac-CHAVC-NH2 (SEQ ID NO:10) specifically inhibits the function of N-cadherin. Collectively, the results obtained from these studies demonstrate that N—Ac-CHAVC-NH2 (SEQ ID NO:10) is an effective inhibitor of neurite outgrowth by virtue of its ability to disrupt N-cadherin function. - This Example illustrates the use of representative cyclic peptides to disrupt adhesion of endothelial cells, which express N-cadherin.
- Bovine pulmonary artery endothelial cells were harvested by sterile ablation and digestion in 0.1% collagenase (type II; Worthington Enzymes, Freehold, N.J.). Cells were maintained in Dulbecco's minimum essential medium (Clonetics, San Diego, Calif.) supplemented with 10% fetal calf serum (Atlantic Biologicals, Nor cross, GA) and 1% antibiotic-antimycotic at 37° C. in 7% CO2 in air. Cultures were passaged weekly in trypsin-EDTA (Gibco, Grand Island, N.Y.) and seeded onto tissue culture plastic at 20,000 cell/cm2 for all experiments. Endothelial cultures were used at 1 week in culture, which is approximately 3 days after culture confluency was established. The cells used in all protocols were between 4th passage and 10th passage. The cells were seeded onto coverslips and treated 30 minutes with N—Ac-CHAVC-NH2 (SEQ ID NO:10) or N—Ac-CHGVC-NH2 (SEQ ID NO:11) at 500 μg/ml and then fixed with 1% paraformaldehyde.
- The peptide N—Ac-CHAVC-NH2 (SEQ ID NO:10) disrupted the endothelial cell monolayer within 30 minutes after being added to the culture medium, whereas N—Ac-CHGVC-NH2 (SEQ ID NO:1) had no affect on the cells (
FIG. 5 ). Endothelial cell morphology was dramatically affected by N—Ac-CHAVC-NH2 (SEQ ID NO:10), and the cells retracted from one another and became non-adherent. These data demonstrate that N—Ac-CHAVC-NH2 (SEQ ID NO:10) is capable of inhibiting endothelial cell adhesion. - Under the same conditions, the cyclic peptides H-CHAVC-NH2 (SEQ ID NO:10), N—Ac-CAHAVDIC-NH2 (SEQ ID NO:24) (
FIG. 6 ) and N—Ac-CHAVSC-NH2 (SEQ ID NO:38) had no effect on endothelial cell morphology, indicating that not all cyclic HAV-containing peptides are capable of disrupting endothelial cell adhesion at a concentration of 500 μg/mL. It is not unexpected that the potencies of individual cyclic peptides will vary The cyclic peptide N—Ac-CAHAVDC-NH2 (SEQ ID NO:26;FIG. 7 ) had a slight effect while N—Ac-CSHAVSSC-NH2 (SEQ ID NO:42;FIG. 8 ) disrupted the endothelial cell monolayer and caused the cells to retract from one another. - This Example illustrates the use of a representative cyclic peptide to disrupt adhesion of human ovarian cancer cells.
- The human ovarian cancer cell line SKOV3 (ATCC #HTB-77) expresses N-cadherin. SKOV3 cells were cultured in a modified MEM-based media containing 10% FCS. Cells were grown in T-250 culture flasks and maintained by periodic subculturing. Cyclic peptides were tested on cells grown in individual wells of 96-well culture dishes (surface area of each well was 0.32 cm2). Cells were harvested from flasks and seeded at a density of 50,000 cells per well in 0.1 mL media containing the cyclic peptides at concentrations of 1, 0.1, or 0.01 mg/mL, or in the absence of cyclic peptide. Media control wells were also established. Cultures were evaluated periodically by microscopic examination under both bright field and phase contrast conditions. Cultures were maintained for 48 hours.
- As shown in
FIG. 9A (compare toFIG. 9C ) and 10A, the peptide N—Ac-CHAVC-N2 (SEQ ID NO:10) (final concentration of 1 mg/mL media) disrupted SKOV3 cell adhesion within 24 hours, whereas the control N—Ac-CHGVC-NH2 (SEQ ID NO:11) had no affect on cell adhesion (FIGS. 9B and 10B ). The effect of different amounts of N—Ac-CHAVC-NH2 (SEQ ID NO:10) after 48 hours is shown in FIGS. 9D-F. In the presence of N—Ac-CHGVC-NH2, (SEQ ID NO:11) (FIGS. 9B and 10B ) the SKOV3 cells formed tightly adherent monolayers. In contrast, the SKOV3 cells did not spread onto the substrata, nor did they form tightly adherent monolayers in the presence of N—Ac-CHAVC-NH2 (SEQ ID NO:10;FIGS. 9A, 9D and 10A). These data demonstrate that N—Ac-CHAVC-NH2 (SEQ ID NO:10) is capable of inhibiting the function of human N-cadherin. - As shown in
FIGS. 37A-37B , the cyclic peptide N—Ac-CHAVC-Y—NH2 (SEQ ID NO:______ (final concentration of 1 mg/mL media) disrupted SKOV3 cell adhesion within 24 hours, whereas the control (vehicle alone (PBS)) had no effect on cell adhesion. - The cyclic peptides N—Ac-CAHAVDIC-NH2 (SEQ ID NO:24), N—Ac-CAHAVDC-NH2 (SEQ ID NO:26) and N—Ac-KHAVD-NH2 (SEQ ID NO:12) were inactive in the SKOV3 cells, indicating that not all cyclic HAV-containing peptides are capable of disrupting epithelial cell adhesion at concentrations of 0.01-1 mg/mL. It is not unexpected that the potencies of the cyclic peptides will vary.
- Blood vessels are composed of adherent endothelial cells. This Example illustrates the use of a representative cyclic peptide to block angiogenesis (the growth of blood vessels from pre-existing blood vessels).
- The chick chorioallantoic membrane assay was used to assess the effects of cyclic peptides on angiogenesis (Iruela-Arispe et al., Molecular Biology of the Cell 6:327-343, 1995). Cyclic peptides were embedded in a mesh composed of vitrogen at concentrations of 3, 17, and 33 μg/mesh. The meshes were then applied to 12-day-old chick embryonic chorioallantoic membranes. After 24 hours, the effects of the peptides on angiogenesis were assessed by computer assisted morphometric analysis.
- The ability of representative cyclic peptides to inhibit angiogenesis is illustrated by the results presented in Table 2. For each concentration of cyclic peptide, the percent inhibition of angiogenesis (relative to the level of angiogenesis in the absence of cyclic peptide) is provided. Assays were performed in the presence (+) or absence (−) of 0.01 mM VEGF. For example, the cyclic peptide N—Ac-CHAVC-NH2 (SEQ ID NO:10) inhibited angiogenesis by 46%, 51%, and 51% at concentrations of 3, 17, and 33 μg/mesh, respectively. The N-cadherin selective peptides N—Ac-CAHAVDIC-NH2 (SEQ ID NO:24) and N—Ac-CAHAVDC-NH2 (SEQ ID NO:26) also inhibited angiogenesis significantly. The E-cadherin selective cyclic peptides N—Ac-CHAVSC-NH2 (SEQ ID NO:38) and N—Ac-CSHAVSSC-NH2 (SEQ ID NO:42), as well as the scrambled peptide N—Ac-CVAHC-NH2 (SEQ ID NO:18), were found to be relatively inactive in this assay.
TABLE 2 Percent Inhibition of Angiogenesis by Varying Concentrations of Cyclic Peptides Concentration, μg/mesh ± VEGF Compound 3(−) 3(+) 17(−) 17(+) 33(−) 33(+) H-CHAVC- NH 211% 27% 13% 34% 17% 35% (SEQ ID NO: 10) N-Ac-CHAVSC- NH 211% 17% 12% 16% 17% 19% (SEQ ID NO: 38) N-Ac-CVAHC-NH2 −1% 7% 13% 24% 12% 25% (SEQ ID NO: 18) N-Ac-CHAVC- NH 212% 46% 22% 51% 28% 51% (SEQ ID NO: 10) N-Ac-CAHAVDIC-NH2 −1% 21% 15% 37% 33% 49% (SEQ ID NO: 24) N-Ac-CAHAVDC- NH 221% 59% 27% 72% 31% 79% (SEQ ID NO: 26) N-Ac-CSHAVSSC- NH 21% −3% −3% 12% 17% 7% (SEQ ID NO: 42) - NRK cells express E-cadherin, and monolayer cultures of these cells exhibit a cobblestone morphology. This Example illustrates the ability of a representative cyclic peptide to disrupt NRK cell adhesion.
- NRK cells (ATCC #1571-CRL) were plated at 10-20,000 cells per 35 mm tissue culture flasks containing DMEM with 10% FCS and sub-cultured periodically (Laird et al., J. Cell Biol. 131:1193-1203, 1995). Cells were harvested and replated in 35 mm tissue culture flasks containing 1 mm coverslips and incubated until 50-65% confluent (24-36 hours). At this time, coverslips were transferred to a 24-well plate, washed once with fresh DMEM and exposed to cyclic peptide solutions (N—Ac-CHAVC-NH2 (SEQ ID NO:10) and N—Ac-CHGVC-NH2 (SEQ ID NO:11)) at a concentration of 1 mg/mL for 24 hours. Fresh peptide solutions were then added and the cells were left for an additional 24 hours Cells were fixed with 100% methanol for 10 minutes and then washed three times with PBS. Coverslips were blocked for 1 hour in 2% BSA/PBS and incubated for a further 1 hour in the presence of mouse anti-E-cadherin antibody (Transduction Labs, Lexington, Ky.; 1:250 dilution). Primary and secondary antibodies were diluted in 2% BSA/PBS. Following incubation in the primary antibody, coverslips were washed three times for 5 minutes each in PBS and incubated for 1 hour with donkey anti-mouse antibody conjugated to fluorescein (Jackson Immuno Research, West Grove, Pa.; diluted 1:200). Following a further wash in PBS (3×5 min) coverslips were mounted and viewed by confocal microscopy.
- The peptide N—Ac-CHAVC-NH2 (SEQ ID NO:10) disrupted NRK cell adhesion
FIG. 11D , compare to 11A), whereas N—Ac-CHGVC-NH2 (SEQ ID NO:11) had no affect on cell adhesion (FIG. 11C ). In the presence of N—Ac-CHGVC-NH2 (SEQ ID NO:11), the NRK cells formed tightly adherent monolayers with a cobblestone morphology. They also expressed E-cadherin, as judged by immunofluorescent staining protocols (Laird et al., J. Cell Biol. 131:1193-1203, 1995) (FIG. 12C ). In contrast, the NRK cells which were treated with N—Ac-CHAVC-NH2 (SEQ ID NO:10) did not adhere to one another and failed to form a contiguous monolayer (FIG. 11D ). Furthermore, these cells expressed greatly reduced levels of E-cadherin (FIG. 12D ). These data demonstrate that N—Ac-CHAVC-NH2 (SEQ ID NO:10) is capable of disrupting NRK cell adhesion. - The epithelial cells of the skin (known as keratinocytes) express E-cadherin. This Example illustrates the use of a representative cyclic peptide to enhance the permeability of human skin.
- Abdominal skin from humans at autopsy within 24 hours of death was used in these assays. The effect of N—Ac-CHAVC-NH2 (SEQ ID NO:10) and N—Ac-CHGVC-NH2 (SEQ ID NO:11), used at a concentration of 500 μg/ml or 2.5 mg/ml, on the penetration of two fluorescent markers, Oregon Green 488 (charge −1, MW 386 daltons) and Rhodamine Green 3000 Dextran (no charge, MW 3000 daltons) through human skin was then evaluated utilizing a Franz Cell apparatus (Franz, Curr. Prob. Dermatol. 7:5868, 1978; Franz, J. Invest. Dermatol. 64:190-195, 1975). The peptides and markers were dissolved in sterile phosphate buffer, pH 7.2, and phosphate buffer was used as the receptor fluid. 150 μl of solution containing 0.2 mg Oregon Green and 1.0 mg Rhodamine Green was used to evaluate 500 μg/ml peptide; 200 μl of solution containing 0.05 mg Oregon Green and 1.250 mg Rhodamine Green was used to evaluate 2.5 mg/ml peptide. The solution was placed on top of the epidermal side of the skin, and the penetration of the markers through the skin was assessed using a fluorescent spectrophotometric method (in a Perkin Elmer 650-105 Fluorescence Spectrophotometer, and comparing the reading to a standard curve) at 6, 12, 24, 36, and 48 hours after the start of the experiment. The fluorescent units were converted to a concentration unit of microgram/5 ml (volume of the receiver compartment) using a standard curve and regression analysis equations. The curve was linear for the concentrations tested for both markers (r2=1 for OrG and 0.997 for RhG). For each peptide and marker combination, the experiment was performed in triplicate.
- At 500 μg/ml, N—Ac-CHAVC-NH2 (SEQ ID NO:10; sample #1) slightly increased the penetration of Oregon Green through the skin, as compared to the effect of N—Ac-CHGVC-NH2 (SEQ ID NO:11; sample #3) on the penetration of this marker (Table 3 and
FIG. 16 ). The penetration of Rhodamine Green through the skin was significantly increased in the presence of N—Ac-CHAVC-NH2 (SEQ ID NO:10), in comparison to N—Ac-CHGVC-NH2 (SEQ ID NO:11) (Table 4 andFIG. 17 ). - At 2.5 mg/ml, N—Ac-CHAVC-NH2 (SEQ ID NO:10; sample #1) increased the penetration of Oregon Green through the skin, as compared to the effect of N—Ac-CHGVC-NH2 (SEQ ID NO:11; sample #3) on the penetration of this marker (Table 3 and
FIG. 18 ). The penetration of Rhodamine Green through the skin was significantly increased in the presence of N—Ac-CHAVC-NH2 (SEQ ID NO:10), in comparison to N—Ac-CHGVC-NH2 (SEQ ID NO:11) (Table 4 andFIG. 19 ).TABLE 3 *Percutaneous absorption concentration (mg/5 ml) for Oregon Green ™ 488 as a function of time #Sample# t = 6 hours t = 12 hours t = 24 hours t = 36 hours t = 48 hours 500 μg/ml Peptide 1Sample# 1 0.028 0.096 0.470 0.544 0.665 2Sample# 10.167 0.322 1.096 1.56 1.725 3Sample# 10.058 0.352 0.773 0.902 0.971 Mean Sample# 10.084 0.225 0.780 1.00 1.120 1Sample# 30.098 0.200 0.709 0.769 0.923 2Sample# 30.022 0.107 0.864 0.923 1.021 3Sample# 30.045 0.088 0.522 0.714 0.764 Mean Sample# 30.055 0.132 0.698 0.802 0.902 2.5 mg/ml Peptide 1Sample# 1 0.14 0.44 0.67 0.76 0.83 2Sample# 10.11 0.32 0.33 0.88 0.56 3Sample# 10.16 0.45 0.63 0.99 1.06 Mean Sample # 10.14 0.40 0.54 0.88 0.82 1Sample# 30.04 0.11 0.12 0.23 0.36 2Sample# 30.01 0.04 0.11 0.22 0.26 3Sample# 30.06 0.08 0.26 0.29 0.46 Mean Sample # 30.04 0.07 0.16 0.25 0.36 no dye 0 0 0 0 0 no dye 0 0 0 0 0
*Defined as amount found in the receiver compartment (volume = 5 ml)
-
TABLE 4 *Percutaneous absorption concentration (mg/5 ml) for Dextran Rhodamine Green 3000 as a function of time #Sample# t = 6 hours t = 12 hours t = 24 hours t = 36 hours t = 48 hours 500 μg/ml Peptide 1Sample# 1 0.4 3.0 16.174 21.044 25.747 2Sample# 10.8 2.0 4.074 5.556 6.481 3Sample# 11.2 5.556 13.158 17.565 27.826 Mean Sample# 10.8 3.52 11.15 14.72 20.02 1Sample# 30.2 0.6 1.0 1.0 1.8 2Sample# 30.3 1.0 1.4 1.6 5.370 3Sample# 30.2 0.4 0.8 1.0 1.8 Mean Sample# 30.23 0.67 1.07 1.2 2.99 2.5 mg/ml Peptide 1Sample# 1 24.52 45.35 66.28 120.0 146.79 2Sample# 12.4 25.22 35.22 42.36 47.00 3Sample# 111.05 23.83 44.85 51.50 60.1 Mean Sample # 112.66 31.47 48.78 71.28 133.56 1Sample# 31.8 17.02 27.47 33.06 40.86 2Sample# 30.2 2.0 5.56 5.79 8.25 3Sample# 33.8 7.89 13.9 20.35 27.48 Mean Sample # 31.93 8.97 15.64 19.73 25.53 no dye 0 0 0 0 0 no dye 0 0 0 0 0
*Defined as amount found in the receiver compartment (volume = 5 ml)
- This Example further illustrates the ability of representative cyclic peptides to disrupt human ovarian cancer cell adhesion.
- The human ovarian cancer cell line OVCAR-3, which expresses E-cadherin, was used in these experiments. Cells were cultured in RPMI supplemented with insulin and containing 20% FCS. Cells were grown in T-250 culture flasks and maintained by periodic subculturing. Cells were harvested from flasks and seeded in individual wells of 96-well culture dishes (surface area of each well was 0.32 cm2) at a density of 50,000 cells per well in 0.1 ml media containing the cyclic peptides (at concentrations of 1, 0.1, or 0.01 mg/ml). Media control wells were also established. Cultures were evaluated periodically by microscopic examination under both bright field and phase contrast conditions, and were maintained for 48 hours. N—Ac-CHAVC-NH2 (SEQ ID NO:10) was found to be inactive within this assay at these concentrations. However, the cyclic peptide N—Ac-CHAVSC-NH2 (SEQ ID NO:38) disrupted OVCAR-3 adhesion (FIGS. 13A-C)). This data demonstrates that N—Ac-CHAVSC-NH2 (SEQ ID NO:38) specifically affects cells that express E-cadherin.
- This Example illustrates the ability of a representative cyclic peptide to disrupt melanoma cell adhesion.
- Melanoma ME115 cells (kindly provided by Meenhard Herlyn, Wistar Institute, Philadelphia, Pa.) were plated on glass coverslips and cultured for 24 hours in 50% keratinocyte growth medium (Clonetics, San Diego, Calif.) and 50% L15. Fresh medium containing the cyclic peptides (final concentration 500 μg/mL media) N—Ac-CHAVC-NH2 (SEQ ID NO:10) or N—Ac-CHGVC-NH2 (SEQ ID NO:11) was then added. Following 24 hours of culture in the presence of the peptides, the medium was removed and fresh medium containing the peptides was added. The cells were fixed 24 hours later with cold methanol and stored in phosphate buffered saline (PBS).
- Coverslips were blocked for 1 hour in 3% ovalbumin/PBS and incubated for a further 1 hour in the presence of rabbit pan-cadherin antibody (Sigma Chemical Co., St. Louis, Mo.) diluted 1:500. Primary and secondary antibodies were diluted in PBS containing 6% normal goat serum. Following incubation in the primary antibody, coverslips were washed 3 times for 5 minutes each in PBS and incubated for 1 hour in goat anti-rabbit immunoglobulin G conjugated to fluorescein (Kiekegard and Perry, South San Francisco, Calif.) diluted 1:100. Following a further wash in PBS (3×5 minutes) coverslips were mounted in Vectashield (Vector Labs, Burlingame, Calif.) and viewed with a Zeiss infinity corrected microscope.
- Photographs, shown in
FIG. 14 , show an absence of cell membrane staining and the appearance of bright intracellular vesicular staining in cells treated with N—Ac-CHAVC-NH2 (SEQ ID NO:10). In contrast, cells exposed to N—Ac-CHGVC-NH2 (SEQ ID NO: 11) displayed cadherin staining all over the cell membrane. Occasionally, the staining concentrated at points of cell-cell contact. These results indicate that the representative cyclic peptide N—Ac-CHAVC-NH2 (SEQ ID NO:10) disrupts melanoma cell adhesion. - This Example illustrates the ability of a representative cyclic peptide to disrupt human breast epithelial cell adhesion.
- A1N4 human breast epithelial cells (kindly provided by Martha Stampfer, Lawrence Berkeley Laboratory, Berkeley, Calif.) were plated on glass coverslips and cultured in F12/DME containing 0.5% FCS and 10 ng/mL EGF for 24 hours. Fresh medium containing the cyclic peptides (final concentration 500 μg/mL media) N—Ac-CHAVC-NH2 (SEQ ID NO:10) or N—Ac-CHGVC-NH2 (SEQ ID NO:11) was then added. Following 24 hours of culture in the presence of the peptides, the medium was removed and fresh medium containing the peptides was added. The cells were fixed 24 hours later with cold methanol and stored in phosphate buffered saline (PBS).
- Coverslips were blocked for 1 hour in 3% ovalbumin/PBS and incubated for a further 1 hour in the presence of 1 μg/mL mouse anti-E-cadherin antibody (Zymed, Gaithersburg, Md.). Primary and secondary antibodies were diluted in PBS containing 6% normal goat serum. Following incubation in the primary antibody, coverslips were washed 3 times for 5 minutes each in PBS and incubated for 1 hour with goat anti-mouse conjugated to fluorescein (Kiekegard and Perry, South San Francisco, Calif.) diluted 1:100. Following a further wash in PBS (3×5 minutes) coverslips were mounted in Vectashield (Vector Labs, Burlingame, Calif.) and viewed with a Zeiss infinity corrected microscope.
- Photographs, shown in
FIGS. 15A and 15B , show reduced E-cadherin staining with a stitched appearance in cells treated with N—Ac-CHAVC-NH2 (SEQ ID NO:10). In addition, holes are present in the monolayer where the cells have retracted from one another. In contrast, cells exposed to N—Ac-CHGVC-NH2 (SEQ ID NO:11) displayed E-cadherin staining concentrated at points of cell-cell contact and formed a tightly adherent monolayer. - This Example illustrates the initial work to evaluate the cytotoxic effects of representative cyclic peptides.
- N—Ac-CHAVC-NH2 (SEQ ID NO:10) and the control peptide N—Ac-CHGVC-NH2 (SEQ ID NO:11) were evaluated for possible cytotoxic effects on human microvascular endothelial (HMVEC; Clonetics), human umbilical vein endothelial (HUVEC; ATCC #CRL-1730), IAFp2 (human fibroblast cell line; Institute Armand-Frapier, Montreal, Quebec), WI-38 (human fibroblast cell line; ATCC #CCL-75), MDA-MB231 (human breast cancer cell line; ATCC #HTB-26), and PC-3 (human prostate cancer is cell line; ATCC #CRL-1435) cells utilizing the MTT assay (Plumb et al., Cancer Res. 49:4435-4440, 1989). Neither of the peptides was cytotoxic at concentrations up to and including 100 μM. Similarly, neither of the peptides was capable of inhibiting the proliferation of the above cell lines at concentrations up to 100 μM, as judged by 3H-thymidine incorporation assays.
- In fact, none of the compounds tested thus far show any cytotoxicity at concentrations up to and including 100 μM (Table 5 and 6). However, N—Ac-CHAVSC-NH2 (SEQ ID NO:38), N—Ac-CHGVSC-NH2 (SEQ ID NO:39), N—Ac-CVAHC-NH2 (SEQ ID NO:18), N—Ac-CVGHC-NH2 (SEQ ID NO:19) and N—Ac-CSHAVSSC-NH2 (SEQ ID NO:42) inhibited the proliferation of HUVEC at concentrations (IC50 values) of 57 μM, 42 μM, 8 μM, 30 μM and 69 μM respectively, as judged by 3H-thymidine incorporation assays. N—Ac-CSHAVSSC-NH2 (SEQ ID NO:42) also inhibited the proliferation of MDA-MB231 cells at a concentration of 76 μM and HMVEC cells at a concentration of 70 μM (Tables 5 and 6). N—Ac-CHAVSC-NH2 (SEQ ID NO:38) inhibited the proliferation of MDA-MB231 cells at a concentration of 52 μM.
TABLE 5 Evaluation of Peptides for Cytotoxicity and Capacity to Inhibit Cell Proliferation of Normal Cells (IC50 in μM) Normal Cells HMVEC HUVEC IAFp2 WI-38 SEQ Cell Cell Cell Cell Peptide ID prol Cytotox Prol Cytotox Prol Cytotox Prol Cytotox N-Ac-CHGVC-NH2 11 >100 μM >100 μM >100 μM >100 μM >100 μM >100 μM >100 μM >100 μM (control for #1) N-Ac-CHAVC-NH2 10 >100 μM >100 μM >100 μM >100 μM >100 μM >100 μM >100 μM >100 μM (#1) H-CHGVC-NH2 11 >100 μM >100 μM >100 μM >100 μM >100 μM >100 μM >100 μM >100 μM (control for #2) H-CHAVC-NH2 (#2) 10 >100 μM >100 μM >100 μM >100 μM >100 μM >100 μM >100 μM >100 μM N-Ac-CHGVSC-NH2 39 >100 μM >100 μM 42 μM >100 μM >100 μM >100 μM >100 μM >100 μM (control for #18) N-Ac-CHAVSC-NH2* 38 >100 μM >100 μM 57 μM >100 μM >100 μM >100 μM >100 μM >100 μM (#18) N-Ac-CSHGVC-NH2 37 >100 μM >100 μM >100 μM >100 μM >100 μM >100 μM >100 μM >100 μM (control for #16) N-Ac-CSHAVC-NH2 36 >100 μM >100 μM >100 μM >100 μM >100 μM >100 μM >100 μM >100 μM (#16) N-Ac-CAHGVDC- 27 >100 μM >100 μM >100 μM >100 μM >100 μM >100 μM >100 μM >100 μM NH2 (control for #22) N-Ac-CAHAVDC- 26 >100 μM >100 μM >100 μM >100 μM >100 μM >100 μM >100 μM >100 μM NH2 (#22) N-Ac-KHGVD-NH2 13 >100 μM >100 μM >100 μM >100 μM >100 μM >100 μM >100 μM >100 μM (control for #26) N-Ac-KHAVD-NH2 12 >100 μM >100 μM >100 μM >100 μM >100 μM >100 μM >100 μM >100 μM (#26) H-CAHGVDC-NH2 27 >100 μM >100 μM >100 μM >100 μM >100 μM >100 μM >100 μM >100 μM (control for #45) H-CAHAVDC-NH2 26 >100 μM >100 μM >100 μM >100 μM >100 μM >100 μM >100 μM >100 μM (#45) H-CAHGVDIC-NH2 25 >100 μM >100 μM >100 μM >100 μM >100 μM >100 μM >100 μM >100 μM (control for #47) H-CAHAVDIC-NH2 24 >100 μM >100 μM >100 μM >100 μM >100 μM >100 μM >100 μM >100 μM (#47) N-Ac-CVGHC-NH2 19 >100 μM >100 μM 30 μM >100 μM >100 μM >100 μM >100 μM >100 μM (control for #32) N-Ac-CVAHC-NH2 18 >100 μM >100 μM 8 μM >100 μM >100 μM >100 μM >100 μM >100 μM (#32) N-Ac-CAHGVDIC- 25 >100 μM >100 μM >100 μM >100 μM >100 μM >100 μM >100 μM >100 μM NH2 (control for #14) N-Ac-CAHAVDIC- 24 >100 μM >100 μM >100 μM >100 μM >100 μM >100 μM >100 μM >100 μM NH2 (#14) N-Ac-CSHGVSSC- 43 >100 μM >100 μM >100 μM >100 μM >100 μM >100 μM >100 μM >100 μM NH2 (control for #24) N-Ac-CSHAVSSC- 42 70 μM >100 μM 69 μM >100 μM >100 μM >100 μM >100 μM >100 μM NH2* (#24)
*Incompletely soluble RPMI at 1 mM
-
TABLE 6 Evaluation of Peptides for Cytotoxicity and Capacity to Inhibit Cell Proliferation of Tumoral Cells (IC50 in μM) Tumoral Cells SEQ MDA-MB231 PC-3 Peptide ID Cell Prol Cytotox Cell Prol Cytotox N-Ac-CHGVC-NH2 (control for 11 >100 μM >100 μM >100 μM >100 μM #1) N-Ac-CHAVC-NH2 (#1) 10 >100 μM >100 μM >100 μM >100 μM H-CHGVC-NH2 (control for 11 >100 μM >100 μM >100 μM >100 μM #2) H-CHAVC-NH2 (#2) 10 >100 μM >100 μM >100 μM >100 μM N-Ac-CHGVSC-NH2 39 >100 μM >100 μM >100 μM >100 μM (control for #18) N-Ac-CHAVSC-NH2* (#18) 38 52 μM >100 μM >100 μM >100 μM N-Ac-CSHGVC-NH2 37 >100 μM >100 μM >100 μM >100 μM (control for #16) N-Ac-CSHAVC-NH2 (#16) 36 >100 μM >100 μM >100 μM >100 μM N-Ac-CAHGVDC-NH2 27 >100 μM >100 μM >100 μM >100 μM (control for #22) N-Ac-CAHAVDC-NH2 26 >100 μM >100 μM >100 μM >100 μM (#22) N-Ac-KHGVD-NH2 13 >100 μM >100 μM >100 μM >100 μM (control for #26) N-Ac-KHAVD-NH2 (#26) 12 >100 μM >100 μM >100 μM >100 μM H-CAHGVDC-NH2 27 >100 μM >100 μM >100 μM >100 μM (control for #45) H-CAHAVDC-NH2 (#45) 26 >100 μM >100 μM >100 μM >100 μM H-CAHGVDIC-NH2 25 >100 μM >100 μM >100 μM >100 μM (control for #47) H-CAHAVDIC-NH2 (#47) 24 >100 μM >100 μM >100 μM >100 μM N-Ac-CVGHC-NH2 19 >100 μM >100 μM >100 μM >100 μM (control for #32) N-Ac-CVAHC-NH2 (#32) 18 >100 μM >100 μM >100 μM >100 μM N-Ac-CAHGVDIC-NH2 25 >100 μM >100 μM >100 μM >100 μM (control for #14) N-Ac-CAHAVDIC-NH2 24 >100 μM >100 μM >100 μM >100 μM (#14) N-Ac-CSHGVSSC-NH2 43 >100 μM >100 μM >100 μM >100 μM (control for #24) N-Ac-CSHAVSSC-NH2* 42 76 μM >100 μM >100 μM >100 μM (#24)
*Incompletely soluble in RPMI at 1 mM
- This Example illustrates a toxicity study performed using a representative cyclic peptide.
- Varying amounts of H-CHAVC-NH2 (SEQ ID NO:10; 2 mg/kg, 20 mg/kg and 125 mg/kg) were injected into mice intraperitoneally every day for three days. During the recovery period (days 4-8), animals were observed for clinical symptoms. Body weight was measured (Table 22) and no significant differences occurred. In addition, no clinical symptoms were observed on the treatment or recovery days. Following the four day recovery period, autopsies were performed and no abnormalities were observed.
- This Example illustrates further toxicity studies.
- Mice were injected intraperitoneally for seven consecutive days with to 20 mg/kg of N—Ac-CHAVC-NH2 (SEQ ID NO:10) and sacrificed 24 hr after treatment. No gross or histopathological findings related to the treatment were found.
- Mice were injected intraperitoneally with 125 mg/kg of N—Ac-CHAVC-NH2 (SEQ ID NO:10) for three consecutive days and sacrificed on the fourth day. No gross or histopathological findings related to the treatment were found.
- Rat were injected intravenously with 100 mg/kg of N—Ac-CHAVC-NH2 (SEQ ID NO:10) with no gross or histopathological findings related to the treatment.
- Mice were injected intravenously with either a saline control or 200 mg/kg of N—Ac-CHAVC-NH2 (SEQ ID NO:10). Mice were sacrificed after 24 hours, or allowed a 14-day recovery period. In all cases, no animals died during the study, and no gross or histopathological findings related to the treatment were found.
- This Example illustrates the stability of a representative cyclic peptide in mouse whole blood.
- 50 μl of a stock solution containing 12.5 μg/ml H-CHAVC-NH2 (SEQ ID NO:10) was added to mouse whole blood and incubated at 37° C. Aliquots were removed at intervals up to 240 minutes, precipitated with acetonitrile, centrifuged and analyzed by HPLC. The results (Table 7 and
FIG. 21 ) are expressed as % remaining at the various time points, and show generally good stability in blood.TABLE 7 Stability of Representative Cyclic Peptide in Mouse Whole Blood Time (Min.) Area 1Area 2Average % Remaining 0 341344 246905 294124.5 100.00 10 308924 273072 290998 98.94 20 289861 220056 254958.5 86.68 30 353019 310559 331789 112.81 45 376231 270860 323545.5 110.00 60 373695 188255 280975 95.53 90 435555 216709 326132 110.88 120 231694 168880 200287 68.10 240 221952 242148 232050 78.90 - Effect of Cyclic Peptide Modifications on N-Cadherin Receptor Specificity
- This Example illustrates the effect of sequences that flank the HAV sequence, sequences external to the cyclic peptide ring and terminal modifications on specificity for N-cadherin-mediated responses.
- Cell culture and neurite outgrowth assays. Co-cultures of cerebellar neurons on monolayers of control 3T3 cells and monolayers of transfected 3T3 cells that express physiological levels of chick N-cadherin or human L1 were established as previously described (Williams et al., Neuron 13:583-594, 1994). In brief, 80,000 3T3 cells (control and transfected) were plated into individual chambers of an eight-chamber tissue culture slide coated with polylysine and fibronectin and cultured in DMEM/10% FCS. After 24 hours, when confluent monolayers had formed, the medium was removed and 3000 cerebellar neurons isolated from post-natal day 2-3 rats were plated into each well in SATO media (Doherty et al., Nature 343:464-466, 1990) supplemented with 2% FCS. All of the test peptides were added immediately before the neurons as a 2× stock prepared in SATO/2% FCS. The co-cultures were maintained for 16-18 hours, at which time they were fixed and immunostained for GAP-43 which is present only in the neurons and delineates the neuritic processes. The mean length of the longest neurite per cell was measured for 150-200 neurons sampled in replicate cultures as previously described (Williams et al., Neuron 13:583-594, 1994). The percentage inhibition of neurite outgrowth at various peptide concentrations was calculated as the average of at least three independent experiments. Dose-response curves were evaluated and the EC50 values determined.
- Peptide Synthesis. Peptides were synthesized as described in Example 1. All peptides with the exception of N—Ac-CHAVDIC-NH2 (SEQ ID NO:50) were prepared as a stock solution at a concentration of 5-10 mg/ml in distilled water, and stored in small aliquots at −70° C. until needed. For solubility reasons N—Ac-CHAVDIC-NH2 (SEQ ID NO:50) was made up in tissue culture DMSO at a concentration of 20 mg/mL.
- Effects of cyclic HAV peptides on N-cadherin function. The ability of N—Ac-CHAVC-NH2 (SEQ ID NO:10; compound 1) to inhibit neurite outgrowth was initially tested. This cyclic peptide has the cadherin CAR sequence (HAV) and no flanking amino acid residues. Neurons were cultured on confluent monolayers of control (untransfected) and N-cadherin expressing 3T3 cells for 16-18 hours. The cells were then fixed and the length of the longest neurite on 150-200 neurons was determined by standard assay, as described above.
FIG. 22 gives the mean neurite length in a representative experiment where cerebellar neurons have been cultured over control and N-cadherin expressing cells. In the absence of peptide, the mean length of the longest neurite per cell was approximately double on the N-cadherin expressing cells, as compared to 3T3 cells. This response requires N-cadherin function in both the neuron and transfected fibroblast.FIG. 22 also illustrates inhibition of neurite outgrowth in neurons cultured over N-cadherin expressing cells in the presence of N—Ac-CHAVC-NH2 (SEQ ID NO:10;compound 1, 500 μg/mL). In addition, the corresponding control peptide N—Ac-CHGVC-NH2 (SEQ ID NO:11;compound 2, 500 μg/mL) had no effect on neurite outgrowth over N-cadherin expressing monolayers (FIG. 22 ). -
FIG. 23 gives the pooled data from a number of experiments where the neurons have been cultured over control and N-cadherin expressing cells in the presence of increasing concentrations of N—Ac-CHAVC-NH2 (SEQ ID NO:10; compound 1). This compound has no significant effect on the N-cadherin response at concentrations up to 62 μg/ml. A significant inhibition (33+/−4.0%) of the response was seen at a peptide concentration of 125 μg/ml (mean+/−s.e.m, n=3 independent experiments), with a more complete inhibition at 250 μg/1 ml. Results pooled from four independent experiments demonstrated a 68.2+/−5.1% inhibition of the N-cadherin response when the peptide was present at 250 μg/ml (see Table 8). An EC50 value of 0.22 mM was obtained from the dose-response curve. In contrast to the effects of the peptide on neurite outgrowth over N-cadherin expressing cells, it had no significant effect on neurite extension over control 3T3 cells (FIG. 23 ). This observation demonstrates that N—Ac-CHAVC-NH2 (SEQ ID NO:10) is capable of acting as an antagonist and inhibiting cadherin function. Additionally, N—Ac-CHAVC-NH2 (SEQ ID NO:10) does not inhibit integrin receptor function, as the latter is required for neurite extension over 3T3 cells.Compound 1 alone elicits a biological response of similar potency to the linear 10-mer N—Ac-LRAHAVDING-NH2 (SEQ ID NO:79; % inhibition at 250 mg/mL, 68.8+/−4.1). In contrast,compound 3, with a free amino group at the N-terminal region, was inactive (Table 8). - Peptides included in Table 8 are placed into one of three groups. The first group, comprising
1 and 3 can be viewed as potential general or non-specific cadherin inhibitors. The second group, which includescompounds 23, 25, 27, 29, and 31, were designed as putative E-cadherin specific inhibitors by incorporation of flanking amino acids from the HAV region of native human E-cadherin. The remaining HAV-containing compounds were designed as putative N-cadherin inhibitors by virtue of their HAV flanking amino acids being derived from the native human N-cadherin sequence.compounds - Placement of amino acids derived from the N-cadherin sequence on the N-terminus of the HAV sequence appears to either have little affect (
compound 7, N—Ac-CAHAVC-NH2; SEQ ID NO:22) or a detrimental affect (e.g.,compound 17, N—Ac-CLRAHAVC-NH2; SEQ ID NO:30) on activity. In contrast, addition of an aspartic acid residue on the C-terminus (compound 5, N—Ac-CHAVDC-NH2; SEQ ID NO:20) dramatically increased the inhibitory activity of the peptides (Table 1). Addition of amino acid residues on the N-terminus of the CAR sequence in compound 5 (compound 11, N—Ac-CAHAVDC-NH2, SEQ ID NO:26;compound 17, N—Ac-CRAHAVDC-NH2; SEQ ID NO:28) completely eliminated inhibitory activity. Addition of a second amino acid on the C-terminus (Ile) to yield N—Ac-CHAVDIC-NH2 (compound 33; SEQ ID NO:50) further increased activity from that found forcompound 5 and addition of an amino acid to the N-terminus (compound 13, N—Ac-CAHAVDIC-NH2; SEQ ID NO:24) reduced, but did not eliminate, the activity. Again removal of the N-terminus blocking group to yield H-CAHAVDIC-NH2 (compound 11; SEQ ID NO:24) resulted in total loss of activity. Further extension of the C-terminus to yield N—Ac-CHAVDINC-NH2 (compound 34; SEQ ID NO:51) resulted in only a slight loss in activity as exemplified by the small difference in the EC50 values for these two compounds (Table 9). A further addition of a glycine residue (compound 35, N—Ac-CHAVDINGC-NH2 (SEQ ID NO:76) completely abrogates activity. Furthermore, the most active N-cadherin antagonists (N—Ac-CHAVDIC-NH2 (SEQ ID NO:50) EC50=0.060 mM, N—Ac-CHAVDINC-NH2 (SEQ ID NO:51), EC50=0.070 mM and N—Ac-CHAVDC-NH2 (SEQ ID NO:20), EC50 0.093 mM) did not interfere with the ability of neurons to extend neurites over 3T3 cells expressing L1 at concentrations that substantially inhibited the N-cadherin response (FIG. 24 ).TABLE 8 Effects of Non-Specific, N-Cadherin Specific and E-Cadherin Specific Antagonists on N- Cadherin Dependent Neurite Outgrowth Control Peptide Percent Test Peptide (250 μg/mL) ID % Inhibition (250 μg/mL) ID Inhibition Non-Specific 1. N-Ac-CHAVC- NH 210 6.82 ± 5.1 (4) 2. N-Ac-CHGVC- NH 211 4.8 ± 5.3 3. H-CHAVC- NH 210 1.7 ± 1.1 (3) 4. H-CHGVC- NH 211 7.8 ± 7.1 N- Cadherin Specific 5. N-Ac-CHAVDC- NH 220 88.4 ± 3.7 (3) 6. N-Ac-CHGVDC- NH 221 −8.6 ± 5.8 7. N-Ac-CAHAVC- NH 222 5.85 ± 1.0 (3) 8. N-Ac-CAHGVC- NH 223 −6.4 ± 5.6 9. N-Ac-CAHAVDC- NH 226 13.3 ± 8.3 (3) 10. N-Ac-CAHGVDC- NH 227 4.0 ± 6.9 11. H-CAHAVDC- NH 226 1.3 ± 13.0 (3) 12. H-CAHGVDC- NH 227 5.7 ± 7.8 13. N-Ac-CAHAVDIC- NH 224 89.4 (2) 14. N-Ac-CAHGVDIC- NH 225 4.8 ± 6.5 15. H-CAHAVDIC- NH 224 −3.7 ± 2.9 (3) 16. H-CAHGVDIC- NH 225 7.2 ± 8.1 17. N-Ac-CLRAHAVC- NH 230 9.9 ± 6.6 (3) 18. N-Ac-CLRAHGVC- NH 231 −0.5 ± 7.1 19. N-Ac-CRAHAVDC- NH 228 −5.0 ± 4.9 (3) 20. N-Ac-CRAHGVDC- NH 229 −8.0 ± 6.0 21. N-Ac-CLRAHAVDC- NH 232 76.3 ± 6.6 (3) 22. N-Ac-CLRAHGVDC- NH 233 −6.8 ± 6.2 E-Cadherin Specific 23. N-Ac-CSHAVC- NH 236 11.0 ± 8.6 24. N-Ac-CSHGVC-NH2 37 12.5 ± 7.5 25. N-Ac-CHAVSC- NH 238 −2.5 ± 7.4 26. N-Ac-CHGVSC- NH 239 −6.7 ± 5.8 27. N-Ac-CSHAVSC- NH 240 8.3 ± 7.3 28. N-Ac-CSHGVSC-NH2 41 10.8 ± 7.6 29. N-Ac-CSHAVSSC-NH2 42 −12.6 ± 6.4 30. N-Ac-CSHGVSSC-NH2 43 −5.6 ± 5.9 31. N-Ac-CHAVSSC-NH2 44 34.4 ± 11.3 (3) 32. N-Ac-CHGVSSC- NH 245 14.8 ± 6.5 - Structure/Activity Relationships for the Inhibition of Neurite Outgrowth with Cyclic HAV-Containing Peptides. In order to further assess the effects of modifying the amino acids flanking the HAV sequence on receptor selectivity, a series of HAV-containing peptides were evaluated for their ability to inhibit neurite outgrowth. These peptides correspond to cyclized sequences derived from the human N-cadherin (RFHLRAHAVDINGN; SEQ ID NO:80) and E-cadherin (TLFSHAVSSNGN; SEQ ID NO:81) sequences immediately adjacent to the surrounding the active site (HAV).
- The results shown in Table 8 identify four “N-cadherin” peptides (N—Ac-CHAVDC-NH2 (
compound 5; SEQ ID NO:20), N—Ac-CAHAVC-NH2 (compound 7; SEQ ID NO:22), N—Ac-CAHAVDIC-NH2 (compound 13; SEQ ID NO:24) and N—Ac-CLRAHAVDC-NH2 (compound 21; SEQ ID NO:32)) which are potent inhibitors of neurite outgrowth when used at a concentration of 250 μg/mL. All of these peptides except peptide N—Ac-CHAVDC-NH2 (SEQ ID NO:20) lost activity at concentrations of 125 micrograms/mL or below. A dose response curve (FIG. 25 ) for N—Ac-CHAVDC-NH2 (SEQ ID NO:20) indicated that significant activity remained at 33 μg/mL (% inhibition 28.5+/−10) and an EC50 value of 0.093 mM was obtained. These results indicated that the aspartic acid on the carboxy terminus of the HAV motif was likely a key residue for N-cadherin receptor binding. To further explore the influence of the C-terminus residues on activity, N—Ac-CHAVDIC-NH2 (compound 33; SEQ ID NO:50), N—Ac-CHAVDINC-NH2 (compound 34; SEQ ID NO:51) and N—Ac-CHAVDINGC-NH2 (compound 35; SEQ ID NO:76) were synthesized. Both N—Ac-CHAVDIC-NH2 (SEQ ID NO:50) and N—Ac-CHAVDINC-NH2 (SEQ ID NO:51) turned out to be potent inhibitors (Table 9) and dose response curves for these two compounds yield EC50 values of 0.060 mM (FIG. 26 ) and 0.070 mM (FIG. 27 ), respectively. Also included in Table 9 are N—Ac-CHAVYC-NH2 (SEQ ID NO:94) and N—Ac-CHAVPC-NH2 (SEQ ID NO:99), which were found to be potent inhibitors.TABLE 9 Effect of Additional C-terminal Residues on Neurite Outgrowth Test Peptide (125 μg/mL) SEQ ID % Inhibition EC50 (mM) 5. N-Ac-CHAVDC- NH 220 77.1 ± 8.4 0.093 33. N-Ac-CHAVDIC- NH 250 88.3 ± 7.5 0.060 34. N-Ac-CHAVDINC-NH2 51 62.0 ± 3.4 0.070 35. N-Ac-CHAVDINGC-NH2 76 1.5 ± 2.2 N-Ac-CHAVYC-NH2 94 64.9 ± 1.9 0.1283 N-Ac-CHAVPC- NH 299 58.0 ± 4.3 0.1846 - Interestingly, flanking of the HAV motif with amino acids found in human E-cadherin sequence resulted in either a complete (
23, 25, 27 and 29) or substantial (peptide 31) reduction in inhibitory activity (Table 8). In addition, a series of corresponding control peptides, in which the HAV sequence had been replaced by HGV, were also tested in the screen. All sixteen control peptides failed to inhibit the N-cadherin response (see Table 8). Finally, if the N-terminal blocking group was removed these peptides lost activity (Table 8, compounds 3, 15).peptides - Effects of HAV-containing peptides on the L1 response. Other cell adhesion molecules, such as L1, can stimulate neurite outgrowth, and this response shares the same downstream signaling steps as the N-cadherin response. In order to ascertain the specificity of the most active N-cadherin antagonists (N—Ac-CHAVDC-NH2 (
compound 5; SEQ ID NO:20), N—Ac-CHAVDIC-NH2 (compound 33; SEQ ID NO:50) and N—Ac-CHAVDINC-NH2 (compound 34; SEQ ID NO:51)), cerebellar neurons were cultured over either control 3T3 cell monolayers, or monolayers of 3T3 cells stably transfected with cDNA encoding L1 in the presence and absence of each peptide. As previously reported, L1 stimulated neurite outgrowth from cerebellar neurons. This response was not inhibited by any of the above cyclic peptides at concentrations that prevented N-cadherin-mediated neurite outgrowth (FIG. 24 and Table 10).TABLE 10 Specificity of Cadherin Antagonists % Inhibition of % Inhibition of Peptide (125 μg/ml) N-Cadherin Response L1 Response N—Ac-CHAVC-NH2 (SEQ ID NO:10) 33.2 ± 4.0 41.6 ± 8.6 N—Ac-CHAVDC-NH2 (SEQ ID NO:20) 77.1 ± 8.4 9.6 ± 3.3 N—Ac-CHAVDIC-NH2 (SEQ ID NO:50) 88.3 ± 7.5 6.0 ± 4.7 N—Ac-CHAVDINC-NH2 (SEQ ID NO:51) 62.0 ± 3.4 1.7 ± 7.3 - These results demonstrate that cyclic HAV peptides containing flanking amino acids found in N-cadherin are potent inhibitors of neurite outgrowth, whereas cyclic HAV-containing peptides containing flanking amino acids found in E-cadherin are inactive for such purposes. In addition, specificity for the N-cadherin receptor can be built into the peptides by adding flanking amino acids derived from native N-cadherin to the C-terminus, while addition of one or two amino acid residues on the N-terminus appears to be detrimental to activity (addition of a third amino acid on the N-terminus to give N—Ac-CLRAHAVDC-NH2 (
compound 21; SEQ ID NO:32) resulted in partial recovery of activity). Collectively, these results show that the information needed for “non-specific” cadherin binding resides in the HAV sequence, whereas the role of the surrounding amino acids is to either “constrain” the side chains of His and Val into a conformation required for “specific” cadherin (e.g., N-cadherin) recognition or to form additional interactions in the form of ionic bonds, hydrogen-bonds or hydrophobic interactions with the receptor. - Similar studies examined the effect of amino acids adjacent, but external, to the HAV-containing ring of a cyclic peptide on the potency of modulating agents as cadherin antagonists The ability of several cyclic peptides (see Table 11) to inhibit neurite outgrowth was tested as described above. The most active of these was N—Ac-CHAVC-Y—NH2 (SEQ ID NO:84), which was able to inhibit neurite outgrowth 89.9% at a concentration of 125 μg/mL. For comparison purposes, the inhibition of neurite outgrowth was also studied with N—Ac-CHAVYC-NH2 (SEQ ID NO:94), which was also able to inhibit neurite outgrowth (64.9%) at 250 μg/mL. Dose response curves yielded EC50 values of 0.08 and 0.12 mM for N—Ac-CHAVYC-NH2 (SEQ ID NO:94) and N—Ac-CHAVC-Y—NH2 (SEQ ID NO:84) respectively. These results indicate that, in some cases, removal of at least one amino acid from the cyclic structure may improve compound potency.
TABLE 11 Effects of Cadherin Antagonists on N-Cadherin Dependent Neurite Outgrowth Test Peptide (250 μg/ml) Percent Inhibition N—Ac-CHAVCS-NH2 (87) 6.9 ± 5.4 N—Ac-CHAVCSS-NH2 (89) 37.8 ± 4.0 N—Ac-SCHAVCS-NH2 (90) 15.7 ± 5.2 N—Ac-CHAVCY-NH2* (84) 89.8 ± 6.8 N—Ac-YCHAVC-NH2 (100) 10.6 ± 9.7 N—Ac-CHAVCT-NH2 (91) 23.7 ± 6.6 N—Ac-CHAVCD-NH2 (93) 3.3 ± 10.0 N—Ac-CHAVCE-NH2 (92) 32.5 ± 5.2
*tested at 125 μg/ml
- The effect of various terminal amino protecting groups on N-cadherin antagonist potency was similarly evaluated. The results are presented in Table 12. The use of hydrogen-bond acceptor groups such as N-acetyl, N-formyl or mesyl on the N-terminus was found to result in a substantial increase in potency as cadherin antagonists. The EC50 (mM) for CH3—SO2—NH-CHAVC-NH2 (SEQ ID NO:96) was 0.10, and for H—C(O)—NH—CHAVCS—NH2 (SEQ ID NO:101) the EC50 was 0.16
TABLE 12 Effects of N-Terminal Groups on Modulation of N-Cadherin Dependent Neurite Outgrowth Test Peptide (250 μg/ml) Percent Inhibition N—Ac-CHAVC-NH2 (ID NO:10) 68.2 ± 5.1 CH3—SO2—NH-CHAVC-NH2 (ID NO:96) 74.7 ± 10.5 H—C(O)—NH-CHAVCS-NH2 (ID NO:101) 75.8 ± 5.6 H-CHAVC-NH2* (ID NO:10) 1.7 ± 1.1 H-CAHAVDC-NH2* (ID NO:26) 1.3 ± 13.0 H-CAHAVDIC-NH2* (ID NO:24) −3.7 ± 2.9 - This Example illustrates the effect of sequences that flank the HAV sequence, sequences external to the cyclic peptide ring and terminal modifications on specificity for E-cadherin-mediated responses. In order to assess the effects of such modifications on receptor selectivity, a series of HAV-containing peptides were evaluated for their ability to disrupt adhesion of MDCK cells, as measured by a decrease in the electrical resistance across the monolayer. These peptides correspond to cyclized sequences derived from the human N-cadherin (RFHLRAHAVDINGN; SEQ ID NO:80) and E-cadherin (TLFSHAVSSNGN: SEQ ID NO:81) sequences immediately adjacent to and surrounding the active site (HAV).
- Electrical Resistance Across MDCK Cells. Madin Darby canine kidney (MDCK) cells were plated in Millicells (Millipore, Bedford, Mass.), at a density of 300,000 cells per Millicell, and cultured in Dulbecco's Modified Eagle Medium (DMEM; Sigma, St. Louis, Mo.) containing 5% fetal calf serum (Sigma, St. Louis, Mo.) until monolayers formed. Monolayers were exposed to the modulating agent dissolved in medium. The electrical resistance was measured using the EVOM device (World Precision Instruments, Sarasota, Fla.). At the time of measurement, fresh medium, with or without the modulating agent, may be added to the Millicells.
- Peptide Synthesis. Peptides were synthesized as described in Example 1. All peptides were prepared as a stock solution at a concentration of 5-10 mg/ml in distilled water, and stored in small aliquots at −80° C. until needed.
- Table 13 shows EC50 values obtained from the mean electrical resistance across MDCK cell monolayers cultured for 18 hours in medium alone (Control), or medium containing various cyclic peptides with different flanking sequences at a concentration of 0.5 mg/ml.
TABLE 13 Effects of Cyclic Peptides on Electrical Resistance across MDCK Cell Monolayer Test Peptide Seq ID EC50 (mM) Non-Specific N-Ac-CHAVC- NH 210 0.27 E-cadherin Specific N-Ac-CSHAVC- NH 236 0.020 N-Ac-CFSHAVC-NH2 85 0.022 N-Ac-CLFSHAVC-NH2 86 INACTIVE N-Ac-CHAVSC- NH 238 INACTIVE N-Ac-CSHAVSC- NH 240 INACTIVE N-Ac-CSHAVSSC-NH2 42 INACTIVE N-Ac-CHAVSSC-NH2 44 INACTIVE N-cadherin Specific N-Ac-CHAVDC- NH 220 INACTIVE N-Ac-CAHAVDIC- NH 224 INACTIVE N-Ac-CAHAVDC- NH 226 INACTIVE N-Ac-CHAVDINC-NH2 51 INACTIVE - Effects of cyclic HAV peptides on E-cadherin function: Peptides included in Table 13 are placed into one of three categories. The first category (N—Ac-CHAVC-NH2 (SEQ ID NO:10)) can be viewed as general or non-specific cadherin inhibitors. N—Ac-CHAVC-NH2 (SEQ ID NO:10) has the cadherin CAR sequence (HAV) and no flanking amino acid residues. An EC50 value of 0.27 mM was obtained from the dose-response curve. This observation demonstrates that N—Ac-CHAVC-NH2 (SEQ ID NO:10) is capable of acting as an E-cadherin antagonist and decreasing electrical resistance across a monolayer of MDCK cells.
- The second group (N—Ac-CHAVDC-NH2 (SEQ ID NO:20), N—Ac-CHAVDIC-NH2 (SEQ ID NO:50), N—Ac-CAHAVDC-NH2 (SEQ ID NO:26) and N—Ac-CHAVDINC-NH2 (SEQ ID NO:51)) are N-cadherin specific, as shown from the neurite outgrowth assay. Flanking the HAV motif with amino acids found in the human N-cadherin sequence resulted in complete abrogation of E-cadherin specific activity.
- The remaining HAV-containing compounds (N—Ac-CSHAVC-NH2 (SEQ ID NO:36), N—Ac-CFSHAVC-NH2 (SEQ ID NO:85), N—Ac-CLFSHAVC-NH2 (SEQ ID NO:86), N—Ac-CHAVSC-NH2 (SEQ ID NO:38), N—Ac-CSHAVSC-NH2 (SEQ ID NO:40), N—Ac-CSHAVSSC-NH2 (SEQ ID NO:42) and N—Ac-CHAVSSC-NH2 (SEQ ID NO:44)) were designated as putative E-cadherin specific inhibitors by virtue of their HAV flanking amino acids being derived from the native human E-cadherin sequence. Placement of amino acids derived from the E-cadherin sequence on the C-terminus of the HAV sequence appears to have a detrimental affect on activity in this assay. In contrast, addition of a serine residue on the N-terminus dramatically increases the ability of the peptide to decrease the electrical resistance across a monolayer of MDCK cells (N—Ac-CSHAVC-NH2; EC50=0.020 mM; SEQ ID NO:36). The addition of a second amino acid residue to the N-terminus did not appear to affect activity (N—Ac-CFSHAVC-NH2; EC50=00.022 mM; SEQ ID NO:85). However, addition of a third amino acid to the N-terminus did result in loss of activity in this assay (N—Ac-CLFSHAVC-NH2; SEQ ID NO:86.).
- In similar studies, the effect of amino acids adjacent, but external, to the HAV-containing ring was examined. The results, presented in Table 14, indicate that all of the cyclic peptides except N—Ac-CHAVC-E-NH2 (SEQ ID NO:92) could decrease electrical resistance across MDCK cells, with N—Ac-CHAVC-Y—NH2 (SEQ ID NO:84) the most active. Additional amino acids on the C-terminus or the N-terminus did not eliminate activity, but also did not increase antagonist potency.
TABLE 14 Effects of Cyclic Peptides on Electrical Resistance across MDCK Cell Monolayer Test Peptide Seq ID EC50 (mM) N-Ac-CHAVC-S—NH2 87 0.49 N-Ac-S-CHAVC-NH2 88 0.49 N-Ac-CHAVC-T-NH2 91 0.48 N-Ac-CHAVC-SS-NH2 89 0.43 N-Ac-CHAVC-D-NH2 93 0.47 N-Ac-CHAVC-Y—dNH2 85 0.21 N-Ac-CHAVC-E-NH2 92 INACTIVE - In further studies, the effect of various terminal amino protecting groups on E-cadherin antagonist potency was evaluated. The results are presented in Table 15. The most active peptide was CH3—SO2—NH-CHAVCY-NH2 (SEQ ID NO:95) with an EC50 value of 0.14 mM. Interestingly, mesylation of the general inhibitor N—Ac-CHAVC-NH2 (SEQ ID NO:10) to give CH3—SO2-NH-CHAVC-NH2 (SEQ ID NO:96) resulted in a complete loss of activity. Formylation of N—Ac-CHAVC-NH2 (SEQ ID NO:10) to give H—C(O)NH-CHAVC-NH2 (SEQ ID NO:96) also resulted in a decrease in potency.
TABLE 15 Effects of Cyclic Peptides on Electrical Resistance across MDCK Cell Monolayer Test Peptide Seq ID EC50 (mM) CH3—SO2—NH-CHAVC-NH2 96 INACTIVE CH3—SO2—NH-CHAVCY-NH2 95 0.14 H—C(O)—NH-CHAVC-NH2 96 0.56 - This Example illustrates the use of a modulating agent for in vivo tumor reduction.
- SKOV3 cells (ATCC) were grown to 70% confluence in Minimum Essential Medium (Life Technologies, Grand Island, N.Y.) supplemented with 10% Fetal Bovine Serum (Wisent, St. Bruno, Quebec) in a humidified atmosphere containing 5% CO2. Cells were then dissociated with 0.02% PBS/EDTA. Total cell count and viable cell number was determined by trypan blue stain and a hemacytometer.
- Approximately 1×107 cells were resuspended in 400 μl saline and injected in 6-week-old CD-1 nude mice (female, Charles River) subcutaneously. After 20 days of continuous tumor growth, tumor size was about 100 mm3. The tumor-bearing animals were then injected intraperitoneally every day for 4 consecutive days with 20 mg/kg of the representative peptide modulating agent N—Ac-CHAVC-NH2 (SEQ ID NO:10) and saline, for experimental and control respectively. Mice were sacrificed by
cervical dislocation 4 days after final injection. - Tumor tissue was dissected and fixed in PBS with 4% paraformaldehyde for 48 hours. Specimens were then dehydrated in a series of alcohol incubations, and embedded in paraffin wax. Tissues were sectioned, rehydrated and stained with hematoxylin/eosin for morphological purposes. Representative sections obtained from treated and untreated mice are shown in
FIGS. 28B and 28A , respectively. -
FIG. 29 presents the results in graph form, showing the percent reduction in tumor volume over the four day treatment period. These data indicate that treatment with the cyclic peptide modulating agent prevents detectable tumor growth and results in a substantial decrease in tumor size, in comparison to the control. - Within similar experiments, tumor-bearing nude mice as described above were injected intraperitoneally with 2 mg/kg of the representative peptide modulating agent N—Ac-CHAVC-NH2 (SEQ ID NO: 10) and saline, for experimental and control respectively. Injections were performed every day for 4 days. Mice were sacrificed 24 hours after the last injection. Tumor tissue was fixed, sectioned and stained as described above. Representative sections obtained from treated and untreated mice are shown in
FIGS. 30A and 30B , respectively. -
FIGS. 31 and 32 show close up images of the effect of the modulating agent on tumor blood vessels. InFIG. 31 , red blood cells can be seen leaking into the tumor mass.FIG. 32 shows a blood vessel that has been breached and blood cells gathering and escaping at that point. - To further demonstrate the effect of the representative modulating agent N—Ac-CHAVC-NH2 (SEQ ID NO:10) on tumor blood vessels, sections of the tumors described above were stained for Von Willebrand Factor VIII, a blood vessel-specific marker. An untreated tumor is shown in
FIG. 33 , and a treated tumor section is shown inFIG. 34 . Taken together, these results clearly demonstrate that the representative modulating agent is capable of damaging tumor blood vessels and stopping tumor growth in vivo. - In a similar study, the effect of N—Ac-CHAVC-NH2 (SEQ ID NO:10) on ovarian tumor growth was evaluated at 2 mg/kg and 0.2 mg/kg. Mice were treated as described above with saline alone, 2 mg/kg peptide or 0.2 mg/kg peptide once per day for 5 days. The percent change in tumor volume (relative to the tumor size at day 1) was determined. The results are presented in
FIG. 41 . Tumors treated with 0.2 mg/kg peptide grew at a slower rate than tumors treated with saline, and tumor treated with 2 mg/kg peptide showed a slight reduction in volume over the five day study. - Breast cancer tumors were also grown in nude mice, as described above. After implanting tumor cells into the mammary fat pad, mice were injected once daily for four days with either the representative modulating agent N—Ac-CHAVC-NH2 (SEQ ID NO:10) or saline as a control. Mice were sacrificed 24 hours after the last injection, and tumors were photographed.
FIG. 42A shows photographs of four tumors from mice treated with saline. These tumors are well vascularized.FIG. 42B shows photographs of four tumors treated with peptide. These tumors are covered with pools of blood, and extensive rupturing of blood vessels can be seen on the surface of the tumors. The vascular effects of peptide treatment slow tumor growth. -
FIG. 43 shows the effect of the modulating agent on tumor volume. MKL-F cells were injected into mammary fat pad, as described above, and the tumors were grown for 21 days before injection. Mice were then injected once daily for four days with either 20 mg/kg of the representative modulating agent N—Ac-CHAVC-NH2 (SEQ ID NO:10) or saline as a control. Mice were sacrificed 21 days after the last injection. Tumor volume was measured atday 18 following injection of cells, day 22 (following the first injection of modulating agent), and 29, 32, 36, 39 and 42. Mean tumor volume for mice treated with modulating agent and saline alone is presented indays FIG. 43 . - Blood vessels are composed of adherent endothelial cells. This Example illustrates the use of a representative cyclic peptide to block angiogenesis (the growth of blood vessels from pre-existing blood vessels).
- The chick chorioallantoic membrane assay was used to assess the effects of cyclic peptides on angiogenesis (Iruela-Arispe et al., Molecular Biology of the Cell 6:327-343, 1995). Cyclic peptides were embedded in a mesh composed of vitrogen at concentrations of 3, 17, and 33 μg/mesh. The meshes were then applied to 12-day-old chick embryonic chorioallantoic membranes. After 24 hours, the effects of the peptides on angiogenesis were assessed by computer assisted morphometric analysis.
- The ability of representative cyclic peptides to inhibit angiogenesis is illustrated by the results presented in Table 16. For each concentration of cyclic peptide, the percent inhibition of angiogenesis (relative to the level of angiogenesis in the absence of cyclic peptide) is provided. Assays were performed in the presence (+) or absence (−) of 0.01 mM VEGF. For example, the cyclic peptide N—Ac-CHAVC-NH2 (SEQ ID NO:10) inhibited angiogenesis by 46%, 51%, and 51% at concentrations of 3, 17, and 33 μg/mesh, respectively. The N-cadherin selective peptides N—Ac-CAHAVDIC-NH2 (SEQ ID NO:24) and N—Ac-CAHAVDC-NH2 (SEQ ID NO:26) also inhibited angiogenesis significantly. The E-cadherin selective cyclic peptides N—Ac-CHAVSC-NH2 (SEQ ID NO:38) and N—Ac-CSHAVSSC-NH2 (SEQ ID NO:42), as well as the scrambled peptide N—Ac-CVAHCNH2 (SEQ ID NO:18), were found to be relatively inactive in this assay.
TABLE 16 Concentration, μg/mesh ± VEGF Compound 3(−) 3(+) 17(−) 17(+) 33(−) 33(+) H-CHAVC- NH 211% 27% 13% 34% 17% 35% (SEQ ID NO: 10) N-Ac-CHAVSC- NH 211% 17% 12% 16% 17% 19% (SEQ ID NO: 38) N-Ac-CVAHC-NH2 −1% 7% 13% 24% 12% 25% (SEQ ID NO: 18) N-Ac-CHAVC- NH 212% 46% 22% 51% 28% 51% (SEQ ID NO: 10) N-Ac-CAHAVDIC-NH2 −1% 21% 15% 37% 33% 49% (SEQ ID NO: 24) N-Ac-CAHAVDC- NH 221% 59% 27% 72% 31% 79% (SEQ ID NO: 26) N-Ac-CSHAVSSC- NH 21% −3% −3% 12% 17% 7% (SEQ ID NO: 42) - This Example illustrates the use of a representative modulating agent for killing human ovarian cancer cells.
- SKOV3 human ovarian cancer cells cultured in the presence of either N—Ac-CHAVC-NH2 (SEQ ID NO:10) or a control peptide (N—Ac-CHGVC-NH2; SEQ ID NO:11) in MEM with 10% FBS were plated onto poly-L-lysine coated glass slides. The cells were cultured for 24 or 48 hours and fixed with 4% paraformaldehyde for 30 minutes at room temperature. The slides were then washed three times with PBS and assessed for cell death. Cells were treated with 0.5 or 0.25 mg/mL of N—Ac-CHAVC-NH2 (SEQ ID NO:10) or the control N—Ac-CHGVC-NH2 (SEQ ID NO:11), as indicated. Cell death was measured as described by Gavrieli et al., J. Cell. Biol. 119:493-501, 1992 and using the In situ cell death detection kit (Boehringer Mannheim; Laval, Quebec).
-
FIGS. 35A-35D show the results of such an assay, in which the cells were treated with the peptides for 48 hours. The fluorescent green nuclei evident inFIGS. 35C and 35D (cells treated with N—Ac-CHAVC-NH2 (SEQ ID NO:10)) indicate that the cells are dead. In contrast, cells treated with the control peptide (FIGS. 35A and 35B ) did not die. A bar graph further illustrating the ability of N—Ac-CHAVC-NH2 (SEQ ID NO:10) to induce apoptosis is shown inFIG. 36 . These observations indicate that this cyclic peptide can cause human ovarian cancer cell death. - This Example illustrates the use of a representative modulating agent for inducing apoptosis in tumor cells and reducing tumor volume in vivo.
- SKOV3 cells (ATCC) were grown to 70% confluence in Minimum Essential Medium (Life Technologies, Grand Island, N.Y.) supplemented with 10% Fetal Bovine Serum (Wisent, St. Bruno, Quebec) in a humidified atmosphere containing 5% CO2. Cells were then dissociated with 0.02% PBS/EDTA. Total cell count and viable cell number was determined by trypan blue stain and a hemacytometer.
- Approximately 1×107 cells were resuspended in 400 μl saline and injected in 6-week-old CD-1 nude mice (female, Charles River) subcutaneously. After 20 days of continuous tumor growth, tumor size was about 4.0 mm. The tumor-bearing animals were then injected intraperitoneally every day with 20 mg/kg of the representative peptide modulating agent N—Ac-CHAVC-NH2 (SEQ ID NO:10) or saline, for 48 hours, 96 hours, 120 hours or 168 hours. Mice were sacrificed by
cervical dislocation 24 hours after final injection. - Tumor tissue was dissected and fixed in PBS with 4% paraformaldehyde for 48 hours. Specimens were then dehydrated in a series of alcohol incubations, and embedded in paraffin wax. Apoptosis was assessed using the Apoptag kit (Intergen, Purchase N.Y.) according to the manufacturer's protocol, with slight modifications. More specifically, sections were deparaffinized and re-hydrated. After a five minute wash with PBS, the slides were treated with 20 μg/ml Proteinase K in PBS for 15 minutes at room temperature. This was followed by two washes with distilled water (2 minutes each wash). Endogenous peroxidase activity was blocked by incubation with 3% hydrogen peroxide (in PBS) for 5 minutes. Slides were washed twice with PBS (5 minutes/wash). Seventy-five μl of equilibration buffer (supplied with kit) was applied briefly (approximately 10 seconds) to the sections, and was followed by the application of working strength TdT (concentrated enzyme and dilution buffer solutions supplied with kit) and the enzymatic reaction allowed to proceed for 30 minutes at 37° C. The reaction was terminated by incubation in stop/wash buffer for 10 minutes (room temperature). The specimens were washed three times in PBS (1 minute/wash). Peroxidase-conjugated anti-digoxigenin antibody was added (65 μl of a diluted stock solution (supplied with kit)) to the slides, which were incubated overnight in a humidified chamber at 4° C. Subsequent visualization of apoptotic cells was achieved by washing (4×) the slides with PBS, followed by the application of the peroxidase substrate (DAB; diaminobenzidine tetrahydrochloride) for approximately 3-6 minutes at room temperature. The reaction was terminated by washing with distilled water, after which the slides were counterstained with hematoxylin. The specimens were then dehydrated through brief washes in ethanol, followed by washes in xylene, then mounted with Permount and cover-slipped.
- Representative sections obtained from treated and untreated mice are shown in
FIGS. 38A-38H (10× magnification) and 39A-39H (40× magnification). In these sections, cells stained brown are undergoing apoptosis. The tumors treated with N—Ac-CHAVC-NH2 (SEQ ID NO:10) show an increase in apoptotic cells with longer treatment, as compared to tumors treated with saline. -
FIGS. 40B, 40D and 40F show tumor sections obtained from mice treated with N—Ac-CHAVC-NH2 (SEQ ID NO:10) at 20 mg/kg once daily for four days and then sacrificed 11 days after the last treatment (FIGS. 40A, 40C and 40E show saline controls). The magnification inFIGS. 40A-40B was 4×, inFIGS. 40C-40D was 10× and inFIGS. 40E-40F was 40×). Tumors from mice treated with the peptide modulating agent showed an extensive area of apoptotic cells within the center of the tumor, as compared to the control tumors. - This Example further illustrates the use of representative modulating agents to inhibit neurite outgrowth.
- A series of cyclic peptide modulating agents was tested for their ability to inhibit neurite outgrowth. Certain peptides were non-selective (i.e. not specific for a particular cadherin), while others were designed to incorporate flanking sequences of N-cadherin or E-cadherin. The percentage inhibition of neurite outgrowth for each compound (at 250 μg/mL) was then evaluated as described in Example 2, except that neurons were isolated from rats, rather than mice.
- The results are presented in Table 17 and
FIG. 44 . The non-selective peptide N—Ac-CHAVC-NH2 (SEQ ID NO:10) significantly inhibited neurite outgrowth when the peptide contained N-acetyl and C-amide groups, but not in the absence of the N-acetyl group. Control peptides comprising an HGV sequence did not inhibit neurite outgrowth detectably. Most of the N-cadherin specific peptides did inhibit neurite outgrowth, but none of the E-cadherin specific peptides had a detectable effect. These results demonstrate the specificity of modulating agents comprising cyclic peptides with flanking sequences in addition to the HAV sequence.TABLE 17 Evaluation of Peptides for Ability to Inhibit Neurite Outgrowth % Inhibition Peptide Sequence 250 μg/mL Nonselective N—Ac-CHAVC-NH2 (SEQ ID NO:10) 65% N—Ac-CHGVC-NH2 (SEQ ID NO:11) 0% H-CHAVC-NH2 (SEQ ID NO:10) 0% H-CHGVC-NH2 (SEQ ID NO:11) 0% N—Ac-KHAVD-NH2 (SEQ ID NO:12) 0% N—Ac-KHGVD-NH2 (SEQ ID NO:13) 0% H-KHAVD-NH2 (SEQ ID NO:12) 0% H-KHGVD-NH2 (SEQ ID NO:13) 0% N-cadherin specific N—Ac-CHAVDC-NH2 (SEQ ID NO:20) 88% N—Ac-CHGVDC-NH2 (SEQ ID NO:21) 0% N—Ac-CAHAVC-NH2 (SEQ ID NO:22) 51% N—Ac-CAHGVC-NH2 (SEQ ID NO:23) 0% N—Ac-CAHAVDIC-NH2 (SEQ ID NO:24) 82% N—Ac-CAHGVDIC-NH2 (SEQ ID NO:25) 0% N—Ac-CRAHAVDC-NH2 (SEQ ID NO:28) 0% (inhibition observed at 500 μg/mL) N—Ac-CRAHGVDC-NH2 (SEQ ID NO:29) 0% N—Ac-CLRAHAVC-NH2 (SEQ ID NO:30) 0% N—Ac-CLRAHGVC-NH2 (SEQ ID NO:31) 0% N—Ac-CLRAHAVDC-NH2 (SEQ ID NO:32) 60% N—Ac-CLRAHGVDC-NH2 (SEQ ID NO:33) 0% H-CAHAVDC-NH2 (SEQ ID NO:26) 0% H-CAHGVDC-NH2 (SEQ ID NO:27) 0% H-CAHAVDIC-NH2 (SEQ ID NO:24) 0% H-CAHGVDIC-NH2 (SEQ ID NO:25) 0% E-cadherin specific N—Ac-CSHAVC-NH2 (SEQ ID NO:36) 0% N—Ac-CSHGVC-NH2 (SEQ ID NO:37) 0% N—Ac-CHAVSC-NH2 (SEQ ID NO:38) 0% N—Ac-CHGVSC-NH2 (SEQ ID NO:39) 0% N—Ac-CSHAVSC-NH2 (SEQ ID NO:40) 0% N—Ac-CSHGVSC-NH2 (SEQ ID NO:41) 0% N—Ac-CSHAVSSC-NH2 (SEQ ID NO:42) 0% N—Ac-CSHGVSSC-NH2 (SEQ ID NO:43) 0% N—Ac-CHAVSSC-NH2 (SEQ ID NO:44) 0% N—Ac-CHGVSSC-NH2 (SEQ ID NO:45) 0% - This Example illustrates the correlation between N-cadherin and metastatic potential in ovarian carcinoma cell lines.
- E-cadherin and N-cadherin expression was evaluated in a series of ovarian carcinoma cell lines, using the RT-PCR approach described above The E-cadherin specific primer used were:
- Forward 5′-CCTTCCCCCAACACGTCCCCCC-3′(SEQ ID NO:73); and
- Reverse 5′-TCTCCACCTCCTTCTTCATC-3′ (SEQ ID NO:74)
- (Munro and Blaschuk, Biol. Reprod. 55:822-827, 1996). The N-cadherin specific primers used were:
- Forward 5′-CAAGAGCTTGTCACAATCAGG-3′ (SEQ ID NO:75); and
- Reverse 5′-CATTTGGATCATCCGCATC-3′ (SEQ ID NO:76)
- (Munro and Blaschuk, Biol Reprod. 55:822-827, 1996).
- Cell lines examined included OVCAR-3 (Hamilton et al., Cancer Research 43:5379-89,1983); SW626 (Ripamonti et al., Cancer Immunology, Immunotherapy 24:13-18, 1987); CaOV3, SKOV3 and HEY (Buick et al., Cancer Research 45:3668-76, 1985). These cells (except HEY) are also available from American Type Culture Collection (Manassas, Va.).
- The results of these analyses are presented in Table 10, below, in which detectable PCR product is indicated as a “+” and no detectable PCR product is indicated by a “−”.
TABLE 18 N- and E-Cadherin Expression in Ovarian Carcinoma Cell Lines Differentiation Stage Cadherin Cell Line Phenotype and Metastatic Potential E N Normal Epithelial None + − OVCAR-3 Adenocarcinoma Differentiated; low + − metastatic SW626 Adenocarcinoma Differentiated; low + − metastatic CaOV3 Adenocarcinoma ? + + SKOV3 Adenocarcinoma Poor differentiation; − + high metastatic HEY Adenocarcinoma Poor differentiation; − + high metastatic - Human saphenous vein vascular smooth muscle cells were explanted from surplus segments of vein from patients undergoing coronary artery bypass surgery. Cells were maintained in Dulbecco's modified essential medium supplemented with 100 μg/mL penicillin, 100 IU/mL streptomycin, 2 mmol/L
L -glutamine and 10% fetal calf serum and were grown to confluence on glass coverslips in the presence or absence of collagen type I. The cell layer was then subjected to scrape-wounding by drawing a fine cell scraper across the coverslip. Proliferation of the vascular smooth muscle cells was inhibited by addition of 2 mM hydroxyurea to the culture media Vascular smooth muscle cells that are treated in this manner respond to the wounding of the confluent monolayer by migrating into the wound (Hammerle et al (1991)Vasa 20, 207-215). The migratory capacity of the vascular smooth muscle cells was assessed by measuring the distance of migration into the wound area (outermost 100 μm from the wound) using image analysis software at 24 hours after wounding. - Under these conditions, the addition of a cadherin-modulating agent (Ac-CHAVC-NH2 (SEQ ID NO: 10) at 1 mg/mL) reproducibly reduces vascular smooth muscle cell migration by 56±5% and 53±8% on collagen and glass respectively (n=3, Student t-test, p<0.05).
FIG. 45A shows representative experiments wherein cell migration is inhibited by cadherin modulating agents. A histogram shown inFIG. 45B shows reduced vascular smooth muscle cell migration on glass or collagen-coated coverslips in the presence of a cadherin-modulating agent - Human saphenous vein vascular smooth muscle cells were explanted from surplus segments of vein from patients undergoing coronary artery bypass surgery. Cells were maintained in Dulbecco's modified essential medium supplemented with 100 μg/mL penicillin, 100 IU/mL streptomycin, 2 mmol/L
L -glutamine and 10% fetal calf serum and were grown to confluence on glass coverslips. The cell layer was then subjected to scrape-wounding by drawing a fine cell scraper across the coverslip. Proliferation of the vascular smooth muscle cells was inhibited by addition of 2 mM hydroxyurea to the culture media Vascular smooth muscle cells that are treated in this manner respond to the wounding of the confluent monolayer by migrating into the wound (Hammerle et al (1991)Vasa 20, 207-215). The percentage of apoptotic cells in the migrating edge (outermost 100 μm from the wound) was assessed by in situ end labeling at 24 hours after wounding (as in George et al (2001)Gene Therapy 8 668-676). - Addition of cadherin-modulating agent significantly increased apoptosis (Ac-CHAVC-NH2 (SEQ ID NO: 10) at 1 mg/mL by 3±1-fold (n=4, Student t test, p<0.05) or Ac-CHAVDIC-NH2 (SEQ ID NO: 11) at 0.2 mg/ml by 1.3 fold (n-5) student t test p=0.1). The histograms in
FIGS. 46A and 46B show increased vascular smooth muscle cell apoptosis on glass coverslips after scrape-wounding in the presence of a cadherin-modulating agent. The appearance of labeled cells was prevented by incubation in the presence of an inhibitor of caspases, indicating that this process involves a caspase-dependent apoptotic mechanism. Representative photographs of the effect of caspase inhibition are shown inFIG. 46C . - Human saphenous vein vascular smooth muscle cells were explanted from surplus segments of vein from patients undergoing coronary artery bypass surgery. Cells were maintained in Dulbecco's modified essential medium supplemented with 100 μg/mL penicillin, 100 IU/mL streptomycin, 2 mmol/L
L -glutamine and 10% fetal calf serum and were grown in agarose-coated wells. Under these conditions the cells are unable to attach to the underlying substratum and adhere to one another by cell-cell contacts only, forming aggregates. The percentage of dead cells was assessed by staining with Trypan blue or by fixing the cells and staining with Hoescht (H-33342). Trypan blue stain is absorbed only by non-viable cells when the integrity of the cell membrane is breached (Freshney, R. (1987) Culture of Animal Cells: A Manual of Basic Technique, p. 117, Alan R. Liss, Inc., New York) whereas Hoescht stain enters living cells (Shapiro (1981)Cytometry 2, 143-150). - Addition of a cadherin-modulating agent (Ac-CHAVC-NH2 (SEQ ID NO: 10) at 0.5 mg/mL) inhibits aggregation and significantly increases apoptosis and cell death (by 2 fold, n=4, students t-test p<0.05).
FIGS. 47A and 48B show histograms quantifying the increase in cell death and apoptosis after culturing aggregates of cells in the presence of a cadherin-modulating agent. - From the foregoing, it will be evident that although specific embodiments of the invention have been described herein for the purpose of illustrating the invention, various modifications may be made without deviating from the spirit and scope of the invention Accordingly, the present invention is not limited except as by the appended claims.
Claims (18)
1. A cyclic peptide having the formula:
wherein X1, and X2 are optional, and if present, are independently selected from the group consisting of amino acid residues and combinations thereof in which the residues are linked by peptide bonds, and wherein X1 and X2 independently range in size from 0 to 10 residues, such that the sum of residues contained within X1 and X2 ranges from 1 to 12; wherein Y1 and Y2 are independently selected from the group consisting of amino acid residues and wherein a covalent bond is formed between residues Y1 and Y2; and wherein Z1 and Z2 are optional, and if present, are independently selected from the group consisting of amino acid residues and combinations thereof in which the residues are linked by peptide bonds.
2. A cyclic peptide according to claim 1 , the peptide has an N-terminal acetyl, formyl or mesyl group.
3. A cyclic peptide according to claim 1 , wherein X and Y are each independently selected from the group consisting of cysteine, penicillamine, β,β-tetramethylene cysteine, β,β-pentamethylene cysteine, β-mercaptopropionic acid, β,β-pentamethylene-β-mercaptopropionic acid, 2-mercaptobenzene, 2-mercaptoaniline and 2-mercaptoproline.
4. A cyclic peptide according to claim 1 , wherein X and Y are cysteine residues.
5. A cyclic peptide according to claim 1 , wherein the cyclic peptide comprises a sequence selected from the group consisting of: N—Ac-CHAVC-NH2 (SEQ ID NO:10), N—Ac-CHAVC-Y—NH2 (SEQ ID NO:84), N—N—Ac-CHAVDC-NH2 (SEQ ID NO:20), N—Ac-CHAVDIC-NH2 (SEQ ID NO:50), N—Ac-CHAVDINC-NH2 (SEQ ID NO:51), N—Ac-CHAVDINGC-NH2 (SEQ ID NO:76), N—Ac-CAHAVC-NH2 (SEQ ID NO:22), N—Ac-CAHAVDC-NH2 (SEQ ID NO:26), N—Ac-CAHAVDIC-NH2 (SEQ ID NO:24), N—Ac-CRAHAVDC-NH2 (SEQ ID NO:28), N—Ac-CLRAHAVC-NH2 (SEQ ID NO:30), N—Ac-CLRAHAVDC-NH2 (SEQ ID NO:32), N—Ac-CSHAVC-NH2 (SEQ ID NO:36), N—Ac-CFSHAVC-NH2 (SEQ ID NO:85), N—Ac-CLFSHAVC-NH2 (SEQ ID NO:—86), N—Ac-CHAVSC-NH2 (SEQ ID NO:38), N—Ac-CSHAVSC-NH2 (SEQ ID NO:40), N—Ac-CSHAVSSC-NH2 (SEQ ID NO:42), N—Ac-CHAVSSC-NH2 (SEQ ID NO:44), N—Ac-KHAVD-NH2 (SEQ ID NO:12), N—Ac-DHAVK-NH2 (SEQ ID NO:14), N—Ac-KHAVE-NH2 (SEQ ID NO:16), N—Ac-AHAVDI-NH2 (SEQ ID NO:34), N—Ac-SHAVDSS-NH2 (SEQ ID NO:77), N—Ac-KSHAVSSD-NH2 (SEQ ID NO:48), N—Ac-CHAVC-S—NH2 (SEQ ID NO:87), N—Ac—S-CHAVC-NH2 (SEQ ID NO:88), N—Ac-CHAVC-SS—NH2 (SEQ ID NO:89), N—Ac—S-CHAVC-S—NH2 (SEQ ID NO:90), N—Ac-CHAVC-T-NH2 (SEQ ID NO:91), N—Ac-CHAVC-E-NH2 (SEQ ID NO:92), N—Ac-CHAVC-D-NH2 (SEQ ID NO:93), N—Ac-CHAVYC-NH2 (SEQ ID NO:94), CH3—SO2-HN-CHAVC-Y—NH2 (SEQ ID NO:95), CH3—SO2—HN-CHAVC-NH2 (SEQ ID NO:96), HC(O)—NH-CHAVC-NH2 (SEQ ID NO:96), N—Ac-CHAVPen-NH2 (SEQ ID NO:97), N—Ac-PenHAVC-NH2 (SEQ ID NO:98) and N—Ac-CHAVPC-NH2. (SEQ ID NO:99).
6. A cyclic peptide according to claim 5 , wherein the cyclic peptide has an N-terminal acetyl group or CH3—SO2— group, and a C-terminal amide group.
7. A cyclic peptide comprising a dimer or multimer of the sequence His-Ala-Val.
8. A cell adhesion modulating agent comprising a cyclic peptide according to any one of claims 1-7.
9-33. (canceled)
34. A method for modulating vascular smooth muscle cell migration, comprising contacting a vascular smooth muscle cell with a cell adhesion modulating agent according to claim 8 , and thereby modulating vascular smooth muscle cell migration.
35. A method for modulating vascular smooth muscle cell apoptosis, comprising contacting a vascular smooth muscle cell with a cell adhesion modulating agent according to claim 8 , and thereby modulating vascular smooth muscle cell apoptosis.
36. A method for preventing the formation or advance of restenosis, comprising contacting a cadherin expressing cell with a cell adhesion modulating agent according to claim 8 , and thereby preventing the formation or advance of restenosis.
37. A method for maintaining vessel luminal area following vascular trauma, comprising contacting a cadherin expressing cell with a cell adhesion modulating agent according to claim 8 , and thereby maintaining vessel luminal area following vascular trauma.
38. A method for treating a traumatized vessel, comprising contacting a cadherin expressing cell with a cell adhesion modulating agent according to claim 8 , and thereby treating a traumatized vessel.
39-51. (canceled)
52. A method for the modulation of bone adhesion, comprising contacting a cadherin-expressing cell with a modulating agent according to claim 8 , and thereby modulating bone adhesion.
53. An implantable medical device or material linked to, coated with or having interspersed within, a cell adhesion modulating agent according to claim 8 .
54. The medical device of claim 53 , wherein the medical device is selected from the group consisting of a balloon, stent, shunt, catheter, stent graft, vascular graft, vascular patch, filter, adventitial wrap, intraluminal paving system, cerebral stent, cerebral aneurysm filter coil, myocardical plug, pacemaker lead, dialysis access graft, and heart valve.
Priority Applications (1)
| Application Number | Priority Date | Filing Date | Title |
|---|---|---|---|
| US11/299,289 US20060183884A1 (en) | 1996-07-12 | 2005-12-09 | Compounds and methods for modulating cell adhesion |
Applications Claiming Priority (12)
| Application Number | Priority Date | Filing Date | Title |
|---|---|---|---|
| US2161296P | 1996-07-12 | 1996-07-12 | |
| US08/893,534 US6031072A (en) | 1996-07-12 | 1997-07-11 | Compounds and methods for modulating cell adhesion |
| US08/996,679 US6169071B1 (en) | 1996-07-12 | 1997-12-23 | Compounds and methods for modulating cell adhesion |
| US09/248,015 US6562786B1 (en) | 1996-07-12 | 1999-02-10 | Compounds and methods for modulating apoptosis |
| US09/248,074 US6346512B1 (en) | 1996-07-12 | 1999-02-10 | Compounds and methods for modulating cell adhesion |
| US09/357,717 US6417325B1 (en) | 1996-07-12 | 1999-07-20 | Compounds and methods for cancer therapy |
| US09/458,870 US6465427B1 (en) | 1996-07-12 | 1999-12-10 | Compounds and methods for modulating cell adhesion |
| US09/544,782 US6610821B1 (en) | 1996-07-12 | 2000-04-07 | Compounds and methods for modulating endothelial cell adhesion |
| US10/359,546 US7138369B2 (en) | 1996-07-12 | 2003-02-04 | Compounds and methods for modulating apoptosis |
| US46407103A | 2003-06-18 | 2003-06-18 | |
| US10/632,678 US7122623B2 (en) | 1996-07-12 | 2003-08-01 | Compounds and methods for modulating cell adhesion |
| US11/299,289 US20060183884A1 (en) | 1996-07-12 | 2005-12-09 | Compounds and methods for modulating cell adhesion |
Related Parent Applications (2)
| Application Number | Title | Priority Date | Filing Date |
|---|---|---|---|
| US10/359,546 Continuation-In-Part US7138369B2 (en) | 1996-07-12 | 2003-02-04 | Compounds and methods for modulating apoptosis |
| US10/632,678 Continuation US7122623B2 (en) | 1996-07-12 | 2003-08-01 | Compounds and methods for modulating cell adhesion |
Publications (1)
| Publication Number | Publication Date |
|---|---|
| US20060183884A1 true US20060183884A1 (en) | 2006-08-17 |
Family
ID=34115789
Family Applications (2)
| Application Number | Title | Priority Date | Filing Date |
|---|---|---|---|
| US10/632,678 Expired - Fee Related US7122623B2 (en) | 1996-07-12 | 2003-08-01 | Compounds and methods for modulating cell adhesion |
| US11/299,289 Abandoned US20060183884A1 (en) | 1996-07-12 | 2005-12-09 | Compounds and methods for modulating cell adhesion |
Family Applications Before (1)
| Application Number | Title | Priority Date | Filing Date |
|---|---|---|---|
| US10/632,678 Expired - Fee Related US7122623B2 (en) | 1996-07-12 | 2003-08-01 | Compounds and methods for modulating cell adhesion |
Country Status (4)
| Country | Link |
|---|---|
| US (2) | US7122623B2 (en) |
| EP (1) | EP1651672A2 (en) |
| CA (1) | CA2533781A1 (en) |
| WO (1) | WO2005012348A2 (en) |
Cited By (18)
| Publication number | Priority date | Publication date | Assignee | Title |
|---|---|---|---|---|
| US20100201526A1 (en) * | 2009-02-06 | 2010-08-12 | Marjan Hafezi | Pregnancy Belt |
| US20110003851A1 (en) * | 2009-05-28 | 2011-01-06 | Ligand Pharmaceuticals, Inc. | Small molecule hematopoietic growth factor mimetic compounds that activate hematopoietic growth factor receptors |
| EP2385370A1 (en) | 2008-04-10 | 2011-11-09 | Massachusetts Institute of Technology (MIT) | Methods for identification and use of agents targeting cancer stem cells |
| WO2016054411A1 (en) * | 2014-10-01 | 2016-04-07 | Protagonist Therapeutics, Inc. | NOVEL α4β7 PEPTIDE MONOMER AND DIMER ANTAGONISTS |
| US9624268B2 (en) | 2014-07-17 | 2017-04-18 | Protagonist Therapeutics, Inc. | Oral peptide inhibitors of interleukin-23 receptor and their use to treat inflammatory bowel diseases |
| US9714270B2 (en) | 2014-05-16 | 2017-07-25 | Protagonist Therapeutics, Inc. | a4B7 integrin thioether peptide antagonists |
| US9822157B2 (en) | 2013-03-15 | 2017-11-21 | Protagonist Therapeutics, Inc. | Hepcidin analogues and uses thereof |
| US10278957B2 (en) | 2017-09-11 | 2019-05-07 | Protagonist Therapeutics, Inc. | Opioid agonist peptides and uses thereof |
| US10301371B2 (en) | 2014-10-01 | 2019-05-28 | Protagonist Therapeutics, Inc. | Cyclic monomer and dimer peptides having integrin antagonist activity |
| US10407468B2 (en) | 2016-03-23 | 2019-09-10 | Protagonist Therapeutics, Inc. | Methods for synthesizing α4β7 peptide antagonists |
| US10787490B2 (en) | 2015-07-15 | 2020-09-29 | Protaganist Therapeutics, Inc. | Peptide inhibitors of interleukin-23 receptor and their use to treat inflammatory diseases |
| US11041000B2 (en) | 2019-07-10 | 2021-06-22 | Protagonist Therapeutics, Inc. | Peptide inhibitors of interleukin-23 receptor and their use to treat inflammatory diseases |
| US11472842B2 (en) | 2015-12-30 | 2022-10-18 | Protagonist Therapeutics, Inc. | Analogues of hepcidin mimetics with improved in vivo half lives |
| US11753443B2 (en) | 2018-02-08 | 2023-09-12 | Protagonist Therapeutics, Inc. | Conjugated hepcidin mimetics |
| US11845808B2 (en) | 2020-01-15 | 2023-12-19 | Janssen Biotech, Inc. | Peptide inhibitors of interleukin-23 receptor and their use to treat inflammatory diseases |
| US11939361B2 (en) | 2020-11-20 | 2024-03-26 | Janssen Pharmaceutica Nv | Compositions of peptide inhibitors of Interleukin-23 receptor |
| US12018057B2 (en) | 2020-01-15 | 2024-06-25 | Janssen Biotech, Inc. | Peptide inhibitors of interleukin-23 receptor and their use to treat inflammatory diseases |
| US12478617B2 (en) | 2021-07-14 | 2025-11-25 | Janssen Biotech, Inc. | Lipidated peptide inhibitors of interleukin-23 receptor |
Families Citing this family (8)
| Publication number | Priority date | Publication date | Assignee | Title |
|---|---|---|---|---|
| US7122623B2 (en) * | 1996-07-12 | 2006-10-17 | Adherex Technologies, Inc. | Compounds and methods for modulating cell adhesion |
| US7033832B2 (en) * | 2000-10-13 | 2006-04-25 | University Of Medicine And Dentistry Of New Jersey | Endothelial cell—cell cohesion |
| US7553326B2 (en) * | 2003-11-24 | 2009-06-30 | Sweet Richard M | Method and apparatus for preventing dialysis graft intimal hyperplasia |
| US20110034396A1 (en) * | 2005-09-28 | 2011-02-10 | Biovascular, Inc. | Methods and compositions for inhibiting cell migration and treatment of inflammatory conditions |
| US7691839B2 (en) * | 2005-09-28 | 2010-04-06 | Biovascular, Inc. | Methods and compositions for blocking platelet and cell adhesion, cell migration and inflammation |
| US20080194467A1 (en) * | 2006-09-27 | 2008-08-14 | Adherex Technologies, Inc. | Cancer treatment methods using cadherin antagonists in combination with anticancer agents |
| US20090131306A1 (en) * | 2007-06-15 | 2009-05-21 | Adherex Technologies, Inc. | Chemically modified cyclic peptides containing cell adhesion recognition (car) sequences and uses therefor |
| CN114163499B (en) * | 2021-11-11 | 2024-08-02 | 浙江大学 | Neurocalyxin inhibitor and preparation method and application thereof |
Citations (27)
| Publication number | Priority date | Publication date | Assignee | Title |
|---|---|---|---|---|
| US5231082A (en) * | 1989-05-10 | 1993-07-27 | Monsanto Company | Cyclic peptide with anti-metastasis activity |
| US5245551A (en) * | 1991-04-10 | 1993-09-14 | University Of Utah Research Foundation | Method of determining extinction coefficient of fluorescent dye and protein concentration of dye-protein conjugate |
| US5352667A (en) * | 1991-11-22 | 1994-10-04 | Ofer Lider | Non-peptidic surrogates of the Arg-Gly-Asp sequence and pharmaceutical compositions comprising them |
| US5510628A (en) * | 1987-03-06 | 1996-04-23 | Geo-Centers, Inc. | Deep ultraviolet photolithographically defined ultra-thin films for selective cell adhesion and outgrowth and method of manufacturing the same and devices containing the same |
| US5585351A (en) * | 1990-10-30 | 1996-12-17 | La Jolla Cancer Research Foundation | T-cadherin adhesion molecule |
| US5591432A (en) * | 1993-02-17 | 1997-01-07 | Becton, Dickinson And Company | Antibody to the neural cell adhesion molecule and methods of use |
| US5610281A (en) * | 1994-05-03 | 1997-03-11 | Brigham & Women's Hospital, Inc. | Antibodies for modulating heterotypic E-cadherin interactions with human T lymphocytes |
| US5646250A (en) * | 1992-04-17 | 1997-07-08 | Doheny Eye Institute | Cadherin polypeptides |
| US5665590A (en) * | 1994-07-29 | 1997-09-09 | Systemix, Inc. | Method for isolating and directly cloning genes which encode cell-surface and secreted proteins |
| US5784294A (en) * | 1995-06-09 | 1998-07-21 | International Business Machines Corporation | System and method for comparative molecular moment analysis (CoMMA) |
| US5939528A (en) * | 1996-10-23 | 1999-08-17 | Cornell Research Foundation, Inc. | Crystalline FRAP complex |
| US6031072A (en) * | 1996-07-12 | 2000-02-29 | Mcgill University | Compounds and methods for modulating cell adhesion |
| US6169071B1 (en) * | 1996-07-12 | 2001-01-02 | Mcgill University | Compounds and methods for modulating cell adhesion |
| US6207639B1 (en) * | 1996-07-12 | 2001-03-27 | Mcgill University | Compounds and methods for modulating neurite outgrowth |
| US6333307B1 (en) * | 1996-07-12 | 2001-12-25 | Mcgill University | Compounds and method for modulating neurite outgrowth |
| US6346512B1 (en) * | 1996-07-12 | 2002-02-12 | Mcgill University | Compounds and methods for modulating cell adhesion |
| US6417325B1 (en) * | 1996-07-12 | 2002-07-09 | Mcgill University | Compounds and methods for cancer therapy |
| US6465427B1 (en) * | 1996-07-12 | 2002-10-15 | Mcgill University | Compounds and methods for modulating cell adhesion |
| US20030013655A1 (en) * | 1997-09-29 | 2003-01-16 | Blaschuk Orest W. | Compounds and methods for regulating cell adhesion |
| US6551994B1 (en) * | 1997-04-10 | 2003-04-22 | Mcgill University | Compounds and methods for inhibiting the interaction between α-catenin and β-catenin |
| US6610821B1 (en) * | 1996-07-12 | 2003-08-26 | Mcgill University | Compounds and methods for modulating endothelial cell adhesion |
| US20040006011A1 (en) * | 1996-07-12 | 2004-01-08 | Gour Barbara J. | Peptidomimetic modulators of cell adhesion |
| US6682901B2 (en) * | 1998-05-05 | 2004-01-27 | Adherex Technologies, Inc. | Methods for diagnosing and evaluating cancer |
| US6806255B2 (en) * | 1998-07-10 | 2004-10-19 | Adherex Technologies, Inc. | Compounds and methods for modulating adhesion molecule function |
| US7122623B2 (en) * | 1996-07-12 | 2006-10-17 | Adherex Technologies, Inc. | Compounds and methods for modulating cell adhesion |
| US7138369B2 (en) * | 1996-07-12 | 2006-11-21 | Mcgill University | Compounds and methods for modulating apoptosis |
| US7268115B2 (en) * | 2000-01-24 | 2007-09-11 | Adherex Technologies, Inc. | Peptidomimetic modulators of cell adhesion |
Family Cites Families (9)
| Publication number | Priority date | Publication date | Assignee | Title |
|---|---|---|---|---|
| JP2945680B2 (en) | 1988-09-09 | 1999-09-06 | 旭硝子株式会社 | Peptide derivatives and their uses |
| EP0494175A4 (en) | 1989-09-27 | 1993-05-05 | Athena Neurosciences, Inc. | Compositions for cell adhesion inhibition and methods of use |
| WO1994011401A1 (en) | 1992-11-17 | 1994-05-26 | Yale University | Human homolog of the e-cadherin gene and methods based thereon |
| WO1996040781A1 (en) | 1995-06-07 | 1996-12-19 | Tanabe Seiyaku Co., Ltd. | CYCLIC PEPTIDE INHIBITORS OF β1 AND β2 INTEGRIN-MEDIATED ADHESION |
| GB9517098D0 (en) | 1995-08-21 | 1995-10-25 | Imperial College | Receptor |
| DE69737809T2 (en) | 1996-01-22 | 2008-02-21 | Curis, Inc., Cambridge | METHODS OF PREPARING OP-1 MORPHOGEN ANALOGUE |
| AU5256398A (en) | 1996-11-15 | 1998-06-03 | President And Fellows Of Harvard College | Modulation of map kinase phosphatase 1 (mkp-1) |
| GB9806806D0 (en) | 1998-03-30 | 1998-05-27 | Univ Cambridge Tech | Peptides and uses thereof |
| US7476509B2 (en) * | 2002-11-14 | 2009-01-13 | Adherex Technologies Inc. | Compounds and methods for modulating functions of nonclassical cadherins |
-
2003
- 2003-08-01 US US10/632,678 patent/US7122623B2/en not_active Expired - Fee Related
-
2004
- 2004-07-30 CA CA002533781A patent/CA2533781A1/en not_active Abandoned
- 2004-07-30 EP EP04779873A patent/EP1651672A2/en not_active Withdrawn
- 2004-07-30 WO PCT/US2004/024942 patent/WO2005012348A2/en not_active Ceased
-
2005
- 2005-12-09 US US11/299,289 patent/US20060183884A1/en not_active Abandoned
Patent Citations (31)
| Publication number | Priority date | Publication date | Assignee | Title |
|---|---|---|---|---|
| US5510628A (en) * | 1987-03-06 | 1996-04-23 | Geo-Centers, Inc. | Deep ultraviolet photolithographically defined ultra-thin films for selective cell adhesion and outgrowth and method of manufacturing the same and devices containing the same |
| US5231082A (en) * | 1989-05-10 | 1993-07-27 | Monsanto Company | Cyclic peptide with anti-metastasis activity |
| US5585351A (en) * | 1990-10-30 | 1996-12-17 | La Jolla Cancer Research Foundation | T-cadherin adhesion molecule |
| US5245551A (en) * | 1991-04-10 | 1993-09-14 | University Of Utah Research Foundation | Method of determining extinction coefficient of fluorescent dye and protein concentration of dye-protein conjugate |
| US5352667A (en) * | 1991-11-22 | 1994-10-04 | Ofer Lider | Non-peptidic surrogates of the Arg-Gly-Asp sequence and pharmaceutical compositions comprising them |
| US5646250A (en) * | 1992-04-17 | 1997-07-08 | Doheny Eye Institute | Cadherin polypeptides |
| US5591432A (en) * | 1993-02-17 | 1997-01-07 | Becton, Dickinson And Company | Antibody to the neural cell adhesion molecule and methods of use |
| US5610281A (en) * | 1994-05-03 | 1997-03-11 | Brigham & Women's Hospital, Inc. | Antibodies for modulating heterotypic E-cadherin interactions with human T lymphocytes |
| US5665590A (en) * | 1994-07-29 | 1997-09-09 | Systemix, Inc. | Method for isolating and directly cloning genes which encode cell-surface and secreted proteins |
| US5784294A (en) * | 1995-06-09 | 1998-07-21 | International Business Machines Corporation | System and method for comparative molecular moment analysis (CoMMA) |
| US6326352B1 (en) * | 1996-07-12 | 2001-12-04 | Mcgill University | Compounds and methods for modulating cell adhesion |
| US6610821B1 (en) * | 1996-07-12 | 2003-08-26 | Mcgill University | Compounds and methods for modulating endothelial cell adhesion |
| US6169071B1 (en) * | 1996-07-12 | 2001-01-02 | Mcgill University | Compounds and methods for modulating cell adhesion |
| US6207639B1 (en) * | 1996-07-12 | 2001-03-27 | Mcgill University | Compounds and methods for modulating neurite outgrowth |
| US7138369B2 (en) * | 1996-07-12 | 2006-11-21 | Mcgill University | Compounds and methods for modulating apoptosis |
| US6333307B1 (en) * | 1996-07-12 | 2001-12-25 | Mcgill University | Compounds and method for modulating neurite outgrowth |
| US6346512B1 (en) * | 1996-07-12 | 2002-02-12 | Mcgill University | Compounds and methods for modulating cell adhesion |
| US6417325B1 (en) * | 1996-07-12 | 2002-07-09 | Mcgill University | Compounds and methods for cancer therapy |
| US6465427B1 (en) * | 1996-07-12 | 2002-10-15 | Mcgill University | Compounds and methods for modulating cell adhesion |
| US7122623B2 (en) * | 1996-07-12 | 2006-10-17 | Adherex Technologies, Inc. | Compounds and methods for modulating cell adhesion |
| US6967238B2 (en) * | 1996-07-12 | 2005-11-22 | Mcgill University | Compounds and methods for modulating cell adhesion |
| US6031072A (en) * | 1996-07-12 | 2000-02-29 | Mcgill University | Compounds and methods for modulating cell adhesion |
| US20040006011A1 (en) * | 1996-07-12 | 2004-01-08 | Gour Barbara J. | Peptidomimetic modulators of cell adhesion |
| US6914044B2 (en) * | 1996-07-12 | 2005-07-05 | Mcgill University | Compounds and methods for modulating cell adhesion |
| US6780845B2 (en) * | 1996-07-12 | 2004-08-24 | Mcgill University | Compounds and methods for cancer therapy |
| US5939528A (en) * | 1996-10-23 | 1999-08-17 | Cornell Research Foundation, Inc. | Crystalline FRAP complex |
| US6551994B1 (en) * | 1997-04-10 | 2003-04-22 | Mcgill University | Compounds and methods for inhibiting the interaction between α-catenin and β-catenin |
| US20030013655A1 (en) * | 1997-09-29 | 2003-01-16 | Blaschuk Orest W. | Compounds and methods for regulating cell adhesion |
| US6682901B2 (en) * | 1998-05-05 | 2004-01-27 | Adherex Technologies, Inc. | Methods for diagnosing and evaluating cancer |
| US6806255B2 (en) * | 1998-07-10 | 2004-10-19 | Adherex Technologies, Inc. | Compounds and methods for modulating adhesion molecule function |
| US7268115B2 (en) * | 2000-01-24 | 2007-09-11 | Adherex Technologies, Inc. | Peptidomimetic modulators of cell adhesion |
Cited By (37)
| Publication number | Priority date | Publication date | Assignee | Title |
|---|---|---|---|---|
| EP2385370A1 (en) | 2008-04-10 | 2011-11-09 | Massachusetts Institute of Technology (MIT) | Methods for identification and use of agents targeting cancer stem cells |
| US20100201526A1 (en) * | 2009-02-06 | 2010-08-12 | Marjan Hafezi | Pregnancy Belt |
| US20110003851A1 (en) * | 2009-05-28 | 2011-01-06 | Ligand Pharmaceuticals, Inc. | Small molecule hematopoietic growth factor mimetic compounds that activate hematopoietic growth factor receptors |
| US8680150B2 (en) | 2009-05-28 | 2014-03-25 | Ligand Pharmaceuticals, Inc. | Small molecule hematopoietic growth factor mimetic compounds that activate hematopoietic growth factor receptors |
| US10442846B2 (en) | 2013-03-15 | 2019-10-15 | Protagonist Therapeutics, Inc. | Hepcidin analogues and uses thereof |
| US10030061B2 (en) | 2013-03-15 | 2018-07-24 | Protagonist Therapeutics, Inc. | Hepcidin analogues and uses thereof |
| US12269856B2 (en) | 2013-03-15 | 2025-04-08 | Protagonist Therapeutics, Inc. | Hepcidin analogues and uses thereof |
| US11807674B2 (en) | 2013-03-15 | 2023-11-07 | Protagonist Therapeutics, Inc. | Hepcidin analogues and uses thereof |
| US10501515B2 (en) | 2013-03-15 | 2019-12-10 | Protagonist Therapeutics, Inc. | Hepcidin analogues and uses thereof |
| US9822157B2 (en) | 2013-03-15 | 2017-11-21 | Protagonist Therapeutics, Inc. | Hepcidin analogues and uses thereof |
| US11840581B2 (en) | 2014-05-16 | 2023-12-12 | Protagonist Therapeutics, Inc. | α4β7 thioether peptide dimer antagonists |
| US10626146B2 (en) | 2014-05-16 | 2020-04-21 | Protagonist Therapeutics, Inc. | α4β7 thioether peptide dimer antagonists |
| US10059744B2 (en) | 2014-05-16 | 2018-08-28 | Protagonist Therapeutics, Inc. | α4β7 thioether peptide dimer antagonists |
| US9714270B2 (en) | 2014-05-16 | 2017-07-25 | Protagonist Therapeutics, Inc. | a4B7 integrin thioether peptide antagonists |
| US10035824B2 (en) | 2014-07-17 | 2018-07-31 | Protagonist Therapeutics, Inc. | Oral peptide inhibitors of interleukin-23 receptor and their use to treat inflammatory bowel diseases |
| US10196424B2 (en) | 2014-07-17 | 2019-02-05 | Protagonist Therapeutics, Inc. | Oral peptide inhibitors of interleukin-23 receptor and their use to treat inflammatory bowel diseases |
| US9624268B2 (en) | 2014-07-17 | 2017-04-18 | Protagonist Therapeutics, Inc. | Oral peptide inhibitors of interleukin-23 receptor and their use to treat inflammatory bowel diseases |
| US11884748B2 (en) | 2014-07-17 | 2024-01-30 | Protagonist Therapeutics, Inc. | Oral peptide inhibitors of interleukin-23 receptor and their use to treat inflammatory bowel diseases |
| US10023614B2 (en) | 2014-07-17 | 2018-07-17 | Protagonist Therapeutics, Inc. | Oral peptide inhibitors of interleukin-23 receptor and their use to treat inflammatory bowel diseases |
| US10941183B2 (en) | 2014-07-17 | 2021-03-09 | Protagonist Therapeutics, Inc. | Oral peptide inhibitors of interleukin-23 receptor and their use to treat inflammatory bowel diseases |
| US9518091B2 (en) | 2014-10-01 | 2016-12-13 | Protagonist Therapeutics, Inc. | A4B7 peptide monomer and dimer antagonists |
| WO2016054411A1 (en) * | 2014-10-01 | 2016-04-07 | Protagonist Therapeutics, Inc. | NOVEL α4β7 PEPTIDE MONOMER AND DIMER ANTAGONISTS |
| US9809623B2 (en) | 2014-10-01 | 2017-11-07 | Protagonist Therapeutics, Inc. | α4β7 peptide monomer and dimer antagonists |
| US10301371B2 (en) | 2014-10-01 | 2019-05-28 | Protagonist Therapeutics, Inc. | Cyclic monomer and dimer peptides having integrin antagonist activity |
| US11111272B2 (en) | 2014-10-01 | 2021-09-07 | Protagonist Therapeutics, Inc. | α4α7 peptide monomer and dimer antagonists |
| US10787490B2 (en) | 2015-07-15 | 2020-09-29 | Protaganist Therapeutics, Inc. | Peptide inhibitors of interleukin-23 receptor and their use to treat inflammatory diseases |
| US11472842B2 (en) | 2015-12-30 | 2022-10-18 | Protagonist Therapeutics, Inc. | Analogues of hepcidin mimetics with improved in vivo half lives |
| US10407468B2 (en) | 2016-03-23 | 2019-09-10 | Protagonist Therapeutics, Inc. | Methods for synthesizing α4β7 peptide antagonists |
| US10729676B2 (en) | 2017-09-11 | 2020-08-04 | Protagonist Theraputics, Inc. | Opioid agonist peptides and uses thereof |
| US10278957B2 (en) | 2017-09-11 | 2019-05-07 | Protagonist Therapeutics, Inc. | Opioid agonist peptides and uses thereof |
| US11753443B2 (en) | 2018-02-08 | 2023-09-12 | Protagonist Therapeutics, Inc. | Conjugated hepcidin mimetics |
| US12234300B2 (en) | 2018-02-08 | 2025-02-25 | Protagonist Therapeutics, Inc. | Conjugated hepcidin mimetics |
| US11041000B2 (en) | 2019-07-10 | 2021-06-22 | Protagonist Therapeutics, Inc. | Peptide inhibitors of interleukin-23 receptor and their use to treat inflammatory diseases |
| US11845808B2 (en) | 2020-01-15 | 2023-12-19 | Janssen Biotech, Inc. | Peptide inhibitors of interleukin-23 receptor and their use to treat inflammatory diseases |
| US12018057B2 (en) | 2020-01-15 | 2024-06-25 | Janssen Biotech, Inc. | Peptide inhibitors of interleukin-23 receptor and their use to treat inflammatory diseases |
| US11939361B2 (en) | 2020-11-20 | 2024-03-26 | Janssen Pharmaceutica Nv | Compositions of peptide inhibitors of Interleukin-23 receptor |
| US12478617B2 (en) | 2021-07-14 | 2025-11-25 | Janssen Biotech, Inc. | Lipidated peptide inhibitors of interleukin-23 receptor |
Also Published As
| Publication number | Publication date |
|---|---|
| US7122623B2 (en) | 2006-10-17 |
| US20040106545A1 (en) | 2004-06-03 |
| WO2005012348A3 (en) | 2005-04-28 |
| CA2533781A1 (en) | 2005-02-10 |
| EP1651672A2 (en) | 2006-05-03 |
| WO2005012348A2 (en) | 2005-02-10 |
Similar Documents
| Publication | Publication Date | Title |
|---|---|---|
| US7122623B2 (en) | Compounds and methods for modulating cell adhesion | |
| US6914044B2 (en) | Compounds and methods for modulating cell adhesion | |
| US6169071B1 (en) | Compounds and methods for modulating cell adhesion | |
| EP1042365B1 (en) | Compounds and methods for modulating occludin related tissue permeability | |
| US6472368B1 (en) | Compounds and methods for modulating adhesion molecule function | |
| US6358920B1 (en) | Compounds and methods for modulating nonclassical cadherin-mediated functions | |
| WO1999057149A2 (en) | Compounds and methods for modulating nonclassical cadherin-mediated functions | |
| WO2000026360A1 (en) | Compounds and methods for modulating claudin-mediated functions | |
| US6465427B1 (en) | Compounds and methods for modulating cell adhesion | |
| US8603986B2 (en) | Compounds and methods for modulating cadherin-mediated processes | |
| US6346512B1 (en) | Compounds and methods for modulating cell adhesion | |
| US6723700B1 (en) | Compounds and methods for modulating claudin-mediated functions |
Legal Events
| Date | Code | Title | Description |
|---|---|---|---|
| AS | Assignment |
Owner name: ADHEREX TECHNOLOGIES, INC., ONTARIO Free format text: ASSIGNMENT OF ASSIGNORS INTEREST;ASSIGNOR:GEORGE, SARAH JANE;REEL/FRAME:017553/0931 Effective date: 20060315 |
|
| STCB | Information on status: application discontinuation |
Free format text: ABANDONED -- FAILURE TO PAY ISSUE FEE |



