US20060153745A1 - Fluid processing device for oligonucleotide synthesis and analysis - Google Patents
Fluid processing device for oligonucleotide synthesis and analysis Download PDFInfo
- Publication number
- US20060153745A1 US20060153745A1 US11/092,180 US9218005A US2006153745A1 US 20060153745 A1 US20060153745 A1 US 20060153745A1 US 9218005 A US9218005 A US 9218005A US 2006153745 A1 US2006153745 A1 US 2006153745A1
- Authority
- US
- United States
- Prior art keywords
- surface tension
- manifold
- tension control
- processing device
- fluid processing
- Prior art date
- Legal status (The legal status is an assumption and is not a legal conclusion. Google has not performed a legal analysis and makes no representation as to the accuracy of the status listed.)
- Abandoned
Links
- PRFDQHCVOVMMJC-UHFFFAOYSA-L COP(=O)([O-])OP(=O)([O-])O Chemical compound COP(=O)([O-])OP(=O)([O-])O PRFDQHCVOVMMJC-UHFFFAOYSA-L 0.000 description 2
- 0 *C1C(B)OC(COP(=O)([O-])OC2C(COP(=O)([O-])OC3C(CC)OC(B)C3O)OC(B)C2O)C1*.*C1C(B)OC(COP(=O)([O-])OC2CC(B)OC2COP(=O)([O-])OC2CC(B)OC2CC)C1* Chemical compound *C1C(B)OC(COP(=O)([O-])OC2C(COP(=O)([O-])OC3C(CC)OC(B)C3O)OC(B)C2O)C1*.*C1C(B)OC(COP(=O)([O-])OC2CC(B)OC2COP(=O)([O-])OC2CC(B)OC2CC)C1* 0.000 description 1
- KWVZSQBRYRGOSB-UHFFFAOYSA-N BC1OC2(COC(C)C)COC1C2OC(C)C.BC1OC2(COC(C)C)COC2C1OC(C)C Chemical compound BC1OC2(COC(C)C)COC1C2OC(C)C.BC1OC2(COC(C)C)COC2C1OC(C)C KWVZSQBRYRGOSB-UHFFFAOYSA-N 0.000 description 1
Images
Classifications
-
- B—PERFORMING OPERATIONS; TRANSPORTING
- B01—PHYSICAL OR CHEMICAL PROCESSES OR APPARATUS IN GENERAL
- B01L—CHEMICAL OR PHYSICAL LABORATORY APPARATUS FOR GENERAL USE
- B01L3/00—Containers or dishes for laboratory use, e.g. laboratory glassware; Droppers
- B01L3/50—Containers for the purpose of retaining a material to be analysed, e.g. test tubes
- B01L3/502—Containers for the purpose of retaining a material to be analysed, e.g. test tubes with fluid transport, e.g. in multi-compartment structures
- B01L3/5027—Containers for the purpose of retaining a material to be analysed, e.g. test tubes with fluid transport, e.g. in multi-compartment structures by integrated microfluidic structures, i.e. dimensions of channels and chambers are such that surface tension forces are important, e.g. lab-on-a-chip
- B01L3/50273—Containers for the purpose of retaining a material to be analysed, e.g. test tubes with fluid transport, e.g. in multi-compartment structures by integrated microfluidic structures, i.e. dimensions of channels and chambers are such that surface tension forces are important, e.g. lab-on-a-chip characterised by the means or forces applied to move the fluids
-
- B—PERFORMING OPERATIONS; TRANSPORTING
- B01—PHYSICAL OR CHEMICAL PROCESSES OR APPARATUS IN GENERAL
- B01J—CHEMICAL OR PHYSICAL PROCESSES, e.g. CATALYSIS OR COLLOID CHEMISTRY; THEIR RELEVANT APPARATUS
- B01J19/00—Chemical, physical or physico-chemical processes in general; Their relevant apparatus
- B01J19/0046—Sequential or parallel reactions, e.g. for the synthesis of polypeptides or polynucleotides; Apparatus and devices for combinatorial chemistry or for making molecular arrays
-
- B—PERFORMING OPERATIONS; TRANSPORTING
- B01—PHYSICAL OR CHEMICAL PROCESSES OR APPARATUS IN GENERAL
- B01L—CHEMICAL OR PHYSICAL LABORATORY APPARATUS FOR GENERAL USE
- B01L3/00—Containers or dishes for laboratory use, e.g. laboratory glassware; Droppers
- B01L3/50—Containers for the purpose of retaining a material to be analysed, e.g. test tubes
- B01L3/502—Containers for the purpose of retaining a material to be analysed, e.g. test tubes with fluid transport, e.g. in multi-compartment structures
- B01L3/5027—Containers for the purpose of retaining a material to be analysed, e.g. test tubes with fluid transport, e.g. in multi-compartment structures by integrated microfluidic structures, i.e. dimensions of channels and chambers are such that surface tension forces are important, e.g. lab-on-a-chip
- B01L3/502738—Containers for the purpose of retaining a material to be analysed, e.g. test tubes with fluid transport, e.g. in multi-compartment structures by integrated microfluidic structures, i.e. dimensions of channels and chambers are such that surface tension forces are important, e.g. lab-on-a-chip characterised by integrated valves
-
- B—PERFORMING OPERATIONS; TRANSPORTING
- B01—PHYSICAL OR CHEMICAL PROCESSES OR APPARATUS IN GENERAL
- B01L—CHEMICAL OR PHYSICAL LABORATORY APPARATUS FOR GENERAL USE
- B01L3/00—Containers or dishes for laboratory use, e.g. laboratory glassware; Droppers
- B01L3/50—Containers for the purpose of retaining a material to be analysed, e.g. test tubes
- B01L3/502—Containers for the purpose of retaining a material to be analysed, e.g. test tubes with fluid transport, e.g. in multi-compartment structures
- B01L3/5027—Containers for the purpose of retaining a material to be analysed, e.g. test tubes with fluid transport, e.g. in multi-compartment structures by integrated microfluidic structures, i.e. dimensions of channels and chambers are such that surface tension forces are important, e.g. lab-on-a-chip
- B01L3/502769—Containers for the purpose of retaining a material to be analysed, e.g. test tubes with fluid transport, e.g. in multi-compartment structures by integrated microfluidic structures, i.e. dimensions of channels and chambers are such that surface tension forces are important, e.g. lab-on-a-chip characterised by multiphase flow arrangements
- B01L3/502784—Containers for the purpose of retaining a material to be analysed, e.g. test tubes with fluid transport, e.g. in multi-compartment structures by integrated microfluidic structures, i.e. dimensions of channels and chambers are such that surface tension forces are important, e.g. lab-on-a-chip characterised by multiphase flow arrangements specially adapted for droplet or plug flow, e.g. digital microfluidics
-
- B—PERFORMING OPERATIONS; TRANSPORTING
- B01—PHYSICAL OR CHEMICAL PROCESSES OR APPARATUS IN GENERAL
- B01L—CHEMICAL OR PHYSICAL LABORATORY APPARATUS FOR GENERAL USE
- B01L3/00—Containers or dishes for laboratory use, e.g. laboratory glassware; Droppers
- B01L3/50—Containers for the purpose of retaining a material to be analysed, e.g. test tubes
- B01L3/502—Containers for the purpose of retaining a material to be analysed, e.g. test tubes with fluid transport, e.g. in multi-compartment structures
- B01L3/5027—Containers for the purpose of retaining a material to be analysed, e.g. test tubes with fluid transport, e.g. in multi-compartment structures by integrated microfluidic structures, i.e. dimensions of channels and chambers are such that surface tension forces are important, e.g. lab-on-a-chip
- B01L3/502769—Containers for the purpose of retaining a material to be analysed, e.g. test tubes with fluid transport, e.g. in multi-compartment structures by integrated microfluidic structures, i.e. dimensions of channels and chambers are such that surface tension forces are important, e.g. lab-on-a-chip characterised by multiphase flow arrangements
- B01L3/502784—Containers for the purpose of retaining a material to be analysed, e.g. test tubes with fluid transport, e.g. in multi-compartment structures by integrated microfluidic structures, i.e. dimensions of channels and chambers are such that surface tension forces are important, e.g. lab-on-a-chip characterised by multiphase flow arrangements specially adapted for droplet or plug flow, e.g. digital microfluidics
- B01L3/502792—Containers for the purpose of retaining a material to be analysed, e.g. test tubes with fluid transport, e.g. in multi-compartment structures by integrated microfluidic structures, i.e. dimensions of channels and chambers are such that surface tension forces are important, e.g. lab-on-a-chip characterised by multiphase flow arrangements specially adapted for droplet or plug flow, e.g. digital microfluidics for moving individual droplets on a plate, e.g. by locally altering surface tension
-
- B—PERFORMING OPERATIONS; TRANSPORTING
- B01—PHYSICAL OR CHEMICAL PROCESSES OR APPARATUS IN GENERAL
- B01L—CHEMICAL OR PHYSICAL LABORATORY APPARATUS FOR GENERAL USE
- B01L7/00—Heating or cooling apparatus; Heat insulating devices
- B01L7/52—Heating or cooling apparatus; Heat insulating devices with provision for submitting samples to a predetermined sequence of different temperatures, e.g. for treating nucleic acid samples
-
- B—PERFORMING OPERATIONS; TRANSPORTING
- B82—NANOTECHNOLOGY
- B82Y—SPECIFIC USES OR APPLICATIONS OF NANOSTRUCTURES; MEASUREMENT OR ANALYSIS OF NANOSTRUCTURES; MANUFACTURE OR TREATMENT OF NANOSTRUCTURES
- B82Y30/00—Nanotechnology for materials or surface science, e.g. nanocomposites
-
- F—MECHANICAL ENGINEERING; LIGHTING; HEATING; WEAPONS; BLASTING
- F15—FLUID-PRESSURE ACTUATORS; HYDRAULICS OR PNEUMATICS IN GENERAL
- F15D—FLUID DYNAMICS, i.e. METHODS OR MEANS FOR INFLUENCING THE FLOW OF GASES OR LIQUIDS
- F15D1/00—Influencing flow of fluids
-
- F—MECHANICAL ENGINEERING; LIGHTING; HEATING; WEAPONS; BLASTING
- F15—FLUID-PRESSURE ACTUATORS; HYDRAULICS OR PNEUMATICS IN GENERAL
- F15D—FLUID DYNAMICS, i.e. METHODS OR MEANS FOR INFLUENCING THE FLOW OF GASES OR LIQUIDS
- F15D1/00—Influencing flow of fluids
- F15D1/02—Influencing flow of fluids in pipes or conduits
- F15D1/06—Influencing flow of fluids in pipes or conduits by influencing the boundary layer
-
- B—PERFORMING OPERATIONS; TRANSPORTING
- B01—PHYSICAL OR CHEMICAL PROCESSES OR APPARATUS IN GENERAL
- B01J—CHEMICAL OR PHYSICAL PROCESSES, e.g. CATALYSIS OR COLLOID CHEMISTRY; THEIR RELEVANT APPARATUS
- B01J2219/00—Chemical, physical or physico-chemical processes in general; Their relevant apparatus
- B01J2219/00274—Sequential or parallel reactions; Apparatus and devices for combinatorial chemistry or for making arrays; Chemical library technology
- B01J2219/00277—Apparatus
- B01J2219/00351—Means for dispensing and evacuation of reagents
- B01J2219/00364—Pipettes
- B01J2219/00367—Pipettes capillary
-
- B—PERFORMING OPERATIONS; TRANSPORTING
- B01—PHYSICAL OR CHEMICAL PROCESSES OR APPARATUS IN GENERAL
- B01J—CHEMICAL OR PHYSICAL PROCESSES, e.g. CATALYSIS OR COLLOID CHEMISTRY; THEIR RELEVANT APPARATUS
- B01J2219/00—Chemical, physical or physico-chemical processes in general; Their relevant apparatus
- B01J2219/00274—Sequential or parallel reactions; Apparatus and devices for combinatorial chemistry or for making arrays; Chemical library technology
- B01J2219/00277—Apparatus
- B01J2219/00351—Means for dispensing and evacuation of reagents
- B01J2219/00364—Pipettes
- B01J2219/00367—Pipettes capillary
- B01J2219/00369—Pipettes capillary in multiple or parallel arrangements
-
- B—PERFORMING OPERATIONS; TRANSPORTING
- B01—PHYSICAL OR CHEMICAL PROCESSES OR APPARATUS IN GENERAL
- B01J—CHEMICAL OR PHYSICAL PROCESSES, e.g. CATALYSIS OR COLLOID CHEMISTRY; THEIR RELEVANT APPARATUS
- B01J2219/00—Chemical, physical or physico-chemical processes in general; Their relevant apparatus
- B01J2219/00274—Sequential or parallel reactions; Apparatus and devices for combinatorial chemistry or for making arrays; Chemical library technology
- B01J2219/00277—Apparatus
- B01J2219/00351—Means for dispensing and evacuation of reagents
- B01J2219/00389—Feeding through valves
-
- B—PERFORMING OPERATIONS; TRANSPORTING
- B01—PHYSICAL OR CHEMICAL PROCESSES OR APPARATUS IN GENERAL
- B01J—CHEMICAL OR PHYSICAL PROCESSES, e.g. CATALYSIS OR COLLOID CHEMISTRY; THEIR RELEVANT APPARATUS
- B01J2219/00—Chemical, physical or physico-chemical processes in general; Their relevant apparatus
- B01J2219/00274—Sequential or parallel reactions; Apparatus and devices for combinatorial chemistry or for making arrays; Chemical library technology
- B01J2219/00277—Apparatus
- B01J2219/00351—Means for dispensing and evacuation of reagents
- B01J2219/00436—Maskless processes
- B01J2219/00439—Maskless processes using micromirror arrays
-
- B—PERFORMING OPERATIONS; TRANSPORTING
- B01—PHYSICAL OR CHEMICAL PROCESSES OR APPARATUS IN GENERAL
- B01J—CHEMICAL OR PHYSICAL PROCESSES, e.g. CATALYSIS OR COLLOID CHEMISTRY; THEIR RELEVANT APPARATUS
- B01J2219/00—Chemical, physical or physico-chemical processes in general; Their relevant apparatus
- B01J2219/00274—Sequential or parallel reactions; Apparatus and devices for combinatorial chemistry or for making arrays; Chemical library technology
- B01J2219/00277—Apparatus
- B01J2219/00351—Means for dispensing and evacuation of reagents
- B01J2219/00436—Maskless processes
- B01J2219/00441—Maskless processes using lasers
-
- B—PERFORMING OPERATIONS; TRANSPORTING
- B01—PHYSICAL OR CHEMICAL PROCESSES OR APPARATUS IN GENERAL
- B01J—CHEMICAL OR PHYSICAL PROCESSES, e.g. CATALYSIS OR COLLOID CHEMISTRY; THEIR RELEVANT APPARATUS
- B01J2219/00—Chemical, physical or physico-chemical processes in general; Their relevant apparatus
- B01J2219/00274—Sequential or parallel reactions; Apparatus and devices for combinatorial chemistry or for making arrays; Chemical library technology
- B01J2219/00277—Apparatus
- B01J2219/00351—Means for dispensing and evacuation of reagents
- B01J2219/00436—Maskless processes
- B01J2219/00448—Maskless processes using microlens arrays
-
- B—PERFORMING OPERATIONS; TRANSPORTING
- B01—PHYSICAL OR CHEMICAL PROCESSES OR APPARATUS IN GENERAL
- B01J—CHEMICAL OR PHYSICAL PROCESSES, e.g. CATALYSIS OR COLLOID CHEMISTRY; THEIR RELEVANT APPARATUS
- B01J2219/00—Chemical, physical or physico-chemical processes in general; Their relevant apparatus
- B01J2219/00274—Sequential or parallel reactions; Apparatus and devices for combinatorial chemistry or for making arrays; Chemical library technology
- B01J2219/00277—Apparatus
- B01J2219/00351—Means for dispensing and evacuation of reagents
- B01J2219/00436—Maskless processes
- B01J2219/0045—Maskless processes using optical fibres
-
- B—PERFORMING OPERATIONS; TRANSPORTING
- B01—PHYSICAL OR CHEMICAL PROCESSES OR APPARATUS IN GENERAL
- B01J—CHEMICAL OR PHYSICAL PROCESSES, e.g. CATALYSIS OR COLLOID CHEMISTRY; THEIR RELEVANT APPARATUS
- B01J2219/00—Chemical, physical or physico-chemical processes in general; Their relevant apparatus
- B01J2219/00274—Sequential or parallel reactions; Apparatus and devices for combinatorial chemistry or for making arrays; Chemical library technology
- B01J2219/00583—Features relative to the processes being carried out
- B01J2219/00603—Making arrays on substantially continuous surfaces
- B01J2219/00675—In-situ synthesis on the substrate
-
- B—PERFORMING OPERATIONS; TRANSPORTING
- B01—PHYSICAL OR CHEMICAL PROCESSES OR APPARATUS IN GENERAL
- B01J—CHEMICAL OR PHYSICAL PROCESSES, e.g. CATALYSIS OR COLLOID CHEMISTRY; THEIR RELEVANT APPARATUS
- B01J2219/00—Chemical, physical or physico-chemical processes in general; Their relevant apparatus
- B01J2219/00274—Sequential or parallel reactions; Apparatus and devices for combinatorial chemistry or for making arrays; Chemical library technology
- B01J2219/0068—Means for controlling the apparatus of the process
- B01J2219/00695—Synthesis control routines, e.g. using computer programs
-
- B—PERFORMING OPERATIONS; TRANSPORTING
- B01—PHYSICAL OR CHEMICAL PROCESSES OR APPARATUS IN GENERAL
- B01J—CHEMICAL OR PHYSICAL PROCESSES, e.g. CATALYSIS OR COLLOID CHEMISTRY; THEIR RELEVANT APPARATUS
- B01J2219/00—Chemical, physical or physico-chemical processes in general; Their relevant apparatus
- B01J2219/00274—Sequential or parallel reactions; Apparatus and devices for combinatorial chemistry or for making arrays; Chemical library technology
- B01J2219/00718—Type of compounds synthesised
- B01J2219/0072—Organic compounds
- B01J2219/00722—Nucleotides
-
- B—PERFORMING OPERATIONS; TRANSPORTING
- B01—PHYSICAL OR CHEMICAL PROCESSES OR APPARATUS IN GENERAL
- B01L—CHEMICAL OR PHYSICAL LABORATORY APPARATUS FOR GENERAL USE
- B01L2200/00—Solutions for specific problems relating to chemical or physical laboratory apparatus
- B01L2200/06—Fluid handling related problems
- B01L2200/0605—Metering of fluids
-
- B—PERFORMING OPERATIONS; TRANSPORTING
- B01—PHYSICAL OR CHEMICAL PROCESSES OR APPARATUS IN GENERAL
- B01L—CHEMICAL OR PHYSICAL LABORATORY APPARATUS FOR GENERAL USE
- B01L2200/00—Solutions for specific problems relating to chemical or physical laboratory apparatus
- B01L2200/10—Integrating sample preparation and analysis in single entity, e.g. lab-on-a-chip concept
-
- B—PERFORMING OPERATIONS; TRANSPORTING
- B01—PHYSICAL OR CHEMICAL PROCESSES OR APPARATUS IN GENERAL
- B01L—CHEMICAL OR PHYSICAL LABORATORY APPARATUS FOR GENERAL USE
- B01L2300/00—Additional constructional details
- B01L2300/08—Geometry, shape and general structure
- B01L2300/0809—Geometry, shape and general structure rectangular shaped
- B01L2300/0816—Cards, e.g. flat sample carriers usually with flow in two horizontal directions
-
- B—PERFORMING OPERATIONS; TRANSPORTING
- B01—PHYSICAL OR CHEMICAL PROCESSES OR APPARATUS IN GENERAL
- B01L—CHEMICAL OR PHYSICAL LABORATORY APPARATUS FOR GENERAL USE
- B01L2300/00—Additional constructional details
- B01L2300/08—Geometry, shape and general structure
- B01L2300/0861—Configuration of multiple channels and/or chambers in a single devices
- B01L2300/0864—Configuration of multiple channels and/or chambers in a single devices comprising only one inlet and multiple receiving wells, e.g. for separation, splitting
-
- B—PERFORMING OPERATIONS; TRANSPORTING
- B01—PHYSICAL OR CHEMICAL PROCESSES OR APPARATUS IN GENERAL
- B01L—CHEMICAL OR PHYSICAL LABORATORY APPARATUS FOR GENERAL USE
- B01L2300/00—Additional constructional details
- B01L2300/16—Surface properties and coatings
- B01L2300/168—Specific optical properties, e.g. reflective coatings
-
- B—PERFORMING OPERATIONS; TRANSPORTING
- B01—PHYSICAL OR CHEMICAL PROCESSES OR APPARATUS IN GENERAL
- B01L—CHEMICAL OR PHYSICAL LABORATORY APPARATUS FOR GENERAL USE
- B01L2400/00—Moving or stopping fluids
- B01L2400/04—Moving fluids with specific forces or mechanical means
- B01L2400/0403—Moving fluids with specific forces or mechanical means specific forces
- B01L2400/0406—Moving fluids with specific forces or mechanical means specific forces capillary forces
-
- B—PERFORMING OPERATIONS; TRANSPORTING
- B01—PHYSICAL OR CHEMICAL PROCESSES OR APPARATUS IN GENERAL
- B01L—CHEMICAL OR PHYSICAL LABORATORY APPARATUS FOR GENERAL USE
- B01L2400/00—Moving or stopping fluids
- B01L2400/04—Moving fluids with specific forces or mechanical means
- B01L2400/0403—Moving fluids with specific forces or mechanical means specific forces
- B01L2400/0409—Moving fluids with specific forces or mechanical means specific forces centrifugal forces
-
- B—PERFORMING OPERATIONS; TRANSPORTING
- B01—PHYSICAL OR CHEMICAL PROCESSES OR APPARATUS IN GENERAL
- B01L—CHEMICAL OR PHYSICAL LABORATORY APPARATUS FOR GENERAL USE
- B01L2400/00—Moving or stopping fluids
- B01L2400/04—Moving fluids with specific forces or mechanical means
- B01L2400/0403—Moving fluids with specific forces or mechanical means specific forces
- B01L2400/0415—Moving fluids with specific forces or mechanical means specific forces electrical forces, e.g. electrokinetic
-
- B—PERFORMING OPERATIONS; TRANSPORTING
- B01—PHYSICAL OR CHEMICAL PROCESSES OR APPARATUS IN GENERAL
- B01L—CHEMICAL OR PHYSICAL LABORATORY APPARATUS FOR GENERAL USE
- B01L2400/00—Moving or stopping fluids
- B01L2400/04—Moving fluids with specific forces or mechanical means
- B01L2400/0403—Moving fluids with specific forces or mechanical means specific forces
- B01L2400/0415—Moving fluids with specific forces or mechanical means specific forces electrical forces, e.g. electrokinetic
- B01L2400/0427—Electrowetting
-
- B—PERFORMING OPERATIONS; TRANSPORTING
- B01—PHYSICAL OR CHEMICAL PROCESSES OR APPARATUS IN GENERAL
- B01L—CHEMICAL OR PHYSICAL LABORATORY APPARATUS FOR GENERAL USE
- B01L2400/00—Moving or stopping fluids
- B01L2400/04—Moving fluids with specific forces or mechanical means
- B01L2400/0403—Moving fluids with specific forces or mechanical means specific forces
- B01L2400/0442—Moving fluids with specific forces or mechanical means specific forces thermal energy, e.g. vaporisation, bubble jet
- B01L2400/0448—Marangoni flow; Thermocapillary effect
-
- B—PERFORMING OPERATIONS; TRANSPORTING
- B01—PHYSICAL OR CHEMICAL PROCESSES OR APPARATUS IN GENERAL
- B01L—CHEMICAL OR PHYSICAL LABORATORY APPARATUS FOR GENERAL USE
- B01L2400/00—Moving or stopping fluids
- B01L2400/04—Moving fluids with specific forces or mechanical means
- B01L2400/0475—Moving fluids with specific forces or mechanical means specific mechanical means and fluid pressure
- B01L2400/0487—Moving fluids with specific forces or mechanical means specific mechanical means and fluid pressure fluid pressure, pneumatics
-
- B—PERFORMING OPERATIONS; TRANSPORTING
- B01—PHYSICAL OR CHEMICAL PROCESSES OR APPARATUS IN GENERAL
- B01L—CHEMICAL OR PHYSICAL LABORATORY APPARATUS FOR GENERAL USE
- B01L2400/00—Moving or stopping fluids
- B01L2400/06—Valves, specific forms thereof
-
- B—PERFORMING OPERATIONS; TRANSPORTING
- B01—PHYSICAL OR CHEMICAL PROCESSES OR APPARATUS IN GENERAL
- B01L—CHEMICAL OR PHYSICAL LABORATORY APPARATUS FOR GENERAL USE
- B01L2400/00—Moving or stopping fluids
- B01L2400/06—Valves, specific forms thereof
- B01L2400/0688—Valves, specific forms thereof surface tension valves, capillary stop, capillary break
-
- C—CHEMISTRY; METALLURGY
- C40—COMBINATORIAL TECHNOLOGY
- C40B—COMBINATORIAL CHEMISTRY; LIBRARIES, e.g. CHEMICAL LIBRARIES
- C40B40/00—Libraries per se, e.g. arrays, mixtures
- C40B40/04—Libraries containing only organic compounds
- C40B40/06—Libraries containing nucleotides or polynucleotides, or derivatives thereof
-
- C—CHEMISTRY; METALLURGY
- C40—COMBINATORIAL TECHNOLOGY
- C40B—COMBINATORIAL CHEMISTRY; LIBRARIES, e.g. CHEMICAL LIBRARIES
- C40B50/00—Methods of creating libraries, e.g. combinatorial synthesis
- C40B50/14—Solid phase synthesis, i.e. wherein one or more library building blocks are bound to a solid support during library creation; Particular methods of cleavage from the solid support
-
- C—CHEMISTRY; METALLURGY
- C40—COMBINATORIAL TECHNOLOGY
- C40B—COMBINATORIAL CHEMISTRY; LIBRARIES, e.g. CHEMICAL LIBRARIES
- C40B60/00—Apparatus specially adapted for use in combinatorial chemistry or with libraries
- C40B60/14—Apparatus specially adapted for use in combinatorial chemistry or with libraries for creating libraries
-
- Y—GENERAL TAGGING OF NEW TECHNOLOGICAL DEVELOPMENTS; GENERAL TAGGING OF CROSS-SECTIONAL TECHNOLOGIES SPANNING OVER SEVERAL SECTIONS OF THE IPC; TECHNICAL SUBJECTS COVERED BY FORMER USPC CROSS-REFERENCE ART COLLECTIONS [XRACs] AND DIGESTS
- Y10—TECHNICAL SUBJECTS COVERED BY FORMER USPC
- Y10T—TECHNICAL SUBJECTS COVERED BY FORMER US CLASSIFICATION
- Y10T137/00—Fluid handling
- Y10T137/0318—Processes
- Y10T137/0391—Affecting flow by the addition of material or energy
-
- Y—GENERAL TAGGING OF NEW TECHNOLOGICAL DEVELOPMENTS; GENERAL TAGGING OF CROSS-SECTIONAL TECHNOLOGIES SPANNING OVER SEVERAL SECTIONS OF THE IPC; TECHNICAL SUBJECTS COVERED BY FORMER USPC CROSS-REFERENCE ART COLLECTIONS [XRACs] AND DIGESTS
- Y10—TECHNICAL SUBJECTS COVERED BY FORMER USPC
- Y10T—TECHNICAL SUBJECTS COVERED BY FORMER US CLASSIFICATION
- Y10T137/00—Fluid handling
- Y10T137/206—Flow affected by fluid contact, energy field or coanda effect [e.g., pure fluid device or system]
-
- Y—GENERAL TAGGING OF NEW TECHNOLOGICAL DEVELOPMENTS; GENERAL TAGGING OF CROSS-SECTIONAL TECHNOLOGIES SPANNING OVER SEVERAL SECTIONS OF THE IPC; TECHNICAL SUBJECTS COVERED BY FORMER USPC CROSS-REFERENCE ART COLLECTIONS [XRACs] AND DIGESTS
- Y10—TECHNICAL SUBJECTS COVERED BY FORMER USPC
- Y10T—TECHNICAL SUBJECTS COVERED BY FORMER US CLASSIFICATION
- Y10T137/00—Fluid handling
- Y10T137/206—Flow affected by fluid contact, energy field or coanda effect [e.g., pure fluid device or system]
- Y10T137/2224—Structure of body of device
-
- Y—GENERAL TAGGING OF NEW TECHNOLOGICAL DEVELOPMENTS; GENERAL TAGGING OF CROSS-SECTIONAL TECHNOLOGIES SPANNING OVER SEVERAL SECTIONS OF THE IPC; TECHNICAL SUBJECTS COVERED BY FORMER USPC CROSS-REFERENCE ART COLLECTIONS [XRACs] AND DIGESTS
- Y10—TECHNICAL SUBJECTS COVERED BY FORMER USPC
- Y10T—TECHNICAL SUBJECTS COVERED BY FORMER US CLASSIFICATION
- Y10T436/00—Chemistry: analytical and immunological testing
- Y10T436/11—Automated chemical analysis
- Y10T436/115831—Condition or time responsive
-
- Y—GENERAL TAGGING OF NEW TECHNOLOGICAL DEVELOPMENTS; GENERAL TAGGING OF CROSS-SECTIONAL TECHNOLOGIES SPANNING OVER SEVERAL SECTIONS OF THE IPC; TECHNICAL SUBJECTS COVERED BY FORMER USPC CROSS-REFERENCE ART COLLECTIONS [XRACs] AND DIGESTS
- Y10—TECHNICAL SUBJECTS COVERED BY FORMER USPC
- Y10T—TECHNICAL SUBJECTS COVERED BY FORMER US CLASSIFICATION
- Y10T436/00—Chemistry: analytical and immunological testing
- Y10T436/12—Condition responsive control
-
- Y—GENERAL TAGGING OF NEW TECHNOLOGICAL DEVELOPMENTS; GENERAL TAGGING OF CROSS-SECTIONAL TECHNOLOGIES SPANNING OVER SEVERAL SECTIONS OF THE IPC; TECHNICAL SUBJECTS COVERED BY FORMER USPC CROSS-REFERENCE ART COLLECTIONS [XRACs] AND DIGESTS
- Y10—TECHNICAL SUBJECTS COVERED BY FORMER USPC
- Y10T—TECHNICAL SUBJECTS COVERED BY FORMER US CLASSIFICATION
- Y10T436/00—Chemistry: analytical and immunological testing
- Y10T436/25—Chemistry: analytical and immunological testing including sample preparation
- Y10T436/2575—Volumetric liquid transfer
Definitions
- the present teachings relate to fluid processing devices and methods for using the same.
- a fluid processing device includes a plurality of reaction sites, a first manifold in fluid communication with each of the reaction sites, a second manifold in fluid communication with each of the reaction sites, and at least one surface tension control valve positioned in at least one channel between the first manifold and at least one of the reaction sites.
- the reaction sites can each comprise support structures, for example beads, or an inner surface, suitable for the attachment of oligomers or oligomer precursors thereto.
- the fluid processing device can comprise a plurality of surface tension control valves each in fluid communication with the first manifold and one or more of the reaction sites.
- the fluid processing device can comprise reactants and/or reaction components capable of producing an oligomer in at least one of the reaction sites, or a system that includes sources of reactants and/or reaction components.
- a system can comprise a fluid processing device as described herein, and an electromagnetic radiation source capable of emitting electromagnetic radiation and directing the radiation toward one or more surface tension control valves in the device.
- the system can comprise other valve-actuating devices besides an electromagnetic radiation source.
- Exemplary actuators can comprise heaters adapted to direct heat toward one or more surface tension control valves, or an electrical source adapted to supply an electrical signal to one or more surface tension control valves.
- a system comprising an electromagnetic radiation source or other actuating source, a reflective device, a pump, and a thermocycler.
- the system can be adapted so that the reflective device can direct electromagnetic radiation emitted from the electromagnetic radiation source toward the one or more surface tension control valves to selectively open or close the respective one or more surface tension control valves.
- the pump can be adapted to add or remove materials from the channels and reaction sites.
- the thermocycler can be adapted to control the temperature of the reaction sites, for example, to promote an isothermal or thermally cycled nucleic acid sequence amplification and/or detection assay.
- the system can comprise one or more control units to control the actuating source, to control the reflective device, to control the pump, and/or to control the thermocycler.
- a method for synthesizing oligonucleotides or other chemical structures, from component building blocks.
- the method can comprise, for example, introducing a first monomer into a first fluid distribution manifold of a fluid processing device; opening at least one surface tension control valve in fluid communication with both the first fluid distribution manifold and at least one respective reaction site, to form an open surface tension control valve; moving the first monomer from the first manifold, through the at least one open surface tension control valve, and into the at least one respective reaction site; and attaching the first monomer to a first structure in the at least one respective reaction site to form an extended structure.
- the first monomer can be, for example, a nucleotide, a nucleotide base, a nucleotide analog, a protected chemical building block, or another monomeric building block, unit, or structure that can bond with and extend off of a support or precursor structure.
- the first monomer can be a protected first monomer
- the extended structure can be a protected extended structure
- the method can further comprise: washing the at least one respective reaction site subsequent to the attaching; closing the at least one surface tension control valve; introducing a deprotecting agent into the first manifold; opening the at least one surface tension control valve to form at least one reopened surface tension control valve; moving the deprotecting agent from the first manifold, through the at least one reopened surface tension control valve, and into the at least one respective reaction site; and deprotecting the extended protected structure to form a deprotected extended structure.
- An additional monomer can then be added to the deprotected extended structure and the process can be repeated.
- FIG. 1 is a cross-sectional view through a portion of a device according to various embodiments and including a surface tension control valve;
- FIG. 2A is a cross-sectional view through a portion of a device according to various embodiments and including a surface tension control valve in a closed state;
- FIG. 2B is the same cross-sectional view shown in FIG. 2A , but after the surface tension control valve has been opened;
- FIG. 3A is a side view of a surface tension control valve showing in phantom the effect that actuation of a surface tension control device has on the shape of a drop of water;
- FIG. 3B is a side view of a surface tension control device showing in phantom the effect that actuation of the device has on the shape of a drop of water;
- FIG. 3C is a partial cross-sectional view of a surface tension control device showing the direction of movement of a drop of water, resulting from actuation of the valve;
- FIG. 4A is a cross-sectional view through a portion of a device according to various embodiments and showing a light-activated surface tension control valve in a closed state;
- FIG. 4B is the same cross-sectional view as shown in FIG. 4A , but wherein the light-activated surface tension control valve is in an open state;
- FIG. 4C is the same cross-sectional view as shown in FIG. 4A , but wherein the light-activated surface tension control valve is in an open state and liquid has passed through the valve;
- FIG. 4D is the same cross-sectional view as shown in FIG. 4A , but wherein the valve is in a closed state after liquid has passed through the valve;
- FIG. 5 is a top plan view of a portion of a fluid processing device according to various embodiments.
- FIG. 6 is a top plan close-up view of a portion of a fluid processing device according to various embodiments.
- FIG. 7 is a perspective view of a system for processing a fluid processing device according to various embodiments.
- FIG. 8 is a perspective view of a system for processing a fluid processing device according to various embodiments.
- FIG. 9 is a perspective view of yet another system for processing a fluid processing device according to various embodiments.
- a fluid processing device can be used to manipulate the delivery of reactants or reaction components to a reaction site to enable the production of one or more compounds comprising multiple building blocks, for example, one or more desired oligomers or one or more desired oligonucleotides.
- Oligomers as defined herein can include polymers of amino acids, polymers of sugars, polymers of nucleotide bases, polymers of nucleotide analogs, and/or polymers of other nucleotide monomeric units herein referred to as nucleotides.
- the device described herein can be useful in carrying out chemical compound synthesis methods using building blocks, exemplified herein with oligonucleotide synthesis methods.
- oligonucleotide synthesis methods can comprise, for example, various oligonucleotide extension reactions, protecting and/or deprotecting reactions, capping reactions, washing steps, cleaving reactions, and the like.
- Exemplary oligonucleotide synthesis reactions can include those described, for example, in U.S. patent application Ser. No. 10/891,650, filed Jul. 15, 2004, which is incorporated herein in its entirety by reference.
- nucleotide base refers to a substituted or unsubstituted aromatic ring or substituted or unsubstituted aromatic rings.
- the aromatic ring or rings contain at least one nitrogen atom.
- the nucleotide base is capable of forming Watson-Crick and/or Hoogsteen hydrogen bonds with an appropriately complementary nucleotide base.
- nucleotide bases and analogs thereof include, but are not limited to, naturally occurring nucleotide bases, adenine, guanine, cytosine, 6 methyl-cytosine, uracil, thymine, and analogs of the naturally occurring nucleotide bases, e.g., 7-deazaadenine, 7-deazaguanine, 7-deaza-8-azaguanine, 7-deaza-8-azaadenine, N6- ⁇ 2 -isopentenyladenine (6iA), N6- ⁇ 2-isopentenyl-2-methylthioadenine (2ms6iA), N2-dimethylguanine (dmG), 7-methylguanine (7mG), inosine, nebularine, 2-aminopurine, 2-amino-6-chloropurine, 2,6-diaminopurine, hypoxanthine, pseudouridine, pseudocytosine, pseudoisocytosine, 5-propynyl
- nucleotide refers to a compound comprising a nucleotide base linked to the C-1′ carbon of a sugar, such as ribose, arabinose, xylose, and pyranose, and sugar analogs thereof.
- a sugar such as ribose, arabinose, xylose, and pyranose
- nucleotide also encompasses nucleotide analogs.
- the sugar may be substituted or unsubstituted.
- Substituted ribose sugars include, but are not limited to, those riboses in which one or more of the carbon atoms, for example the 2′-carbon atom, is substituted with one or more of the same or different Cl, F, —R, —OR, —NR2 or halogen groups, where each R is independently H, C1-C6 alkyl, or C5-C14 aryl.
- Exemplary riboses include, but are not limited to, 2′-(C1-C6)alkoxyribose, 2′-(C5-C14)aryloxyribose, 2′,3′-didehydroribose, 2′-deoxy-3′-haloribose, 2′-deoxy-3′-fluororibose, 2′-deoxy-3′-chlororibose, 2′-deoxy-3′-aminoribose, 2′-deoxy-3′-(C1-C6)alkylribose, 2′-deoxy-3′-(C1-C6)alkoxyribose and 2′-deoxy-3′-(C5-C14)aryloxyribose, ribose, 2′-deoxyribose, 2′,3′-dideoxyribose, 2′-haloribose, 2′-fluororibose, 2′-chlororibos
- Modifications at the 2′- or 3′-position of ribose include, but are not limited to, hydrogen, hydroxy, methoxy, ethoxy, allyloxy, isopropoxy, butoxy, isobutoxy, methoxyethyl, alkoxy, phenoxy, azido, amino, alkylamino, fluoro, chloro, and bromo.
- Nucleotides include, but are not limited to, the natural D optical isomer, as well as the L optical isomer forms (see, e.g., Garbesi (1993) Nucl. Acids Res. 21:4159-65; Fujimori (1990) J. Amer. Chem. Soc.
- nucleotide base is purine, e.g. A or G
- the ribose sugar is attached to the N9-position of the nucleotide base.
- nucleotide base is pyrimidine, e.g. C, T or U
- the pentose sugar is attached to the N1-position of the nucleotide base, except for pseudouridines, in which the pentose sugar is attached to the C5 position of the uracil nucleotide base (see, e.g., Kornberg and Baker, (1992) DNA Replication, 2nd Ed., Freeman, San Francisco, Calif.).
- One or more of the pentose carbons of a nucleotide may be substituted with a phosphate ester having the formula: where ⁇ is an integer from 0 to 4. In certain embodiments, ⁇ is 2 and the phosphate ester is attached to the 3′- or 5′-carbon of the pentose.
- the nucleotides are those in which the nucleotide base is a purine, a 7-deazapurine, a pyrimidine, or an analog thereof.
- Nucleotide 5′-triphosphate refers to a nucleotide with a triphosphate ester group at the 5′ position, and are sometimes denoted as “NTP”, or “dNTP” and “ddNTP” to particularly point out the structural features of the ribose sugar.
- the triphosphate ester group may include sulfur substitutions for the various oxygens, e.g. -thio-nucleotide 5′-triphosphates.
- nucleotide analog refers to embodiments in which the pentose sugar and/or the nucleotide base and/or one or more of the phosphate esters of a nucleotide may be replaced with its respective analog.
- exemplary pentose sugar analogs are those described above.
- nucleotide analogs have a nucleotide base analog as described above.
- exemplary phosphate ester analogs include, but are not limited to, alkylphosphonates, methylphosphonates, phosphoramidates, phosphotriesters, phosphorothioates, phosphorodithioates, phosphoroselenoates, phosphorodiselenoates, phosphoroanilothioates, phosphoroanilidates, phosphoroamidates, boronophosphates, and the like, and may include associated counterions.
- nucleotide analog nucleotide analog monomers that can be polymerized into polynucleotide analogs in which the DNA/RNA phosphate ester and/or sugar phosphate ester backbone is replaced with a different type of internucleotide linkage.
- exemplary polynucleotide analogs include, but are not limited to, peptide nucleic acids, in which the sugar phosphate backbone of the polynucleotide is replaced by a peptide backbone.
- intercalating nucleic acids INAs, as described in Christensen and Pedersen, 2002
- AEGIS bases Eragen, U.S. Pat. No. 5,432,272.
- polynucleotide As used herein, the terms “polynucleotide”, “oligonucleotide”, and “nucleic acid” are used interchangeably and mean single-stranded or double-stranded polymers of nucleotide monomers, including 2′-deoxyribonucleotides (DNA) and ribonucleotides (RNA) linked by internucleotide phosphodiester bond linkages, or internucleotide analogs, and associated counter ions, e.g., H+, NH4+, trialkylammonium, Mg2+, Na+ and the like.
- DNA 2′-deoxyribonucleotides
- RNA ribonucleotides linked by internucleotide phosphodiester bond linkages
- counter ions e.g., H+, NH4+, trialkylammonium, Mg2+, Na+ and the like.
- a nucleic acid can be composed entirely of deoxyribonucleotides, entirely of ribonucleotides, or chimeric mixtures thereof.
- the nucleotide monomer units can comprise any of the nucleotides described herein, including, but not limited to, naturally occuring nucleotides and nucleotide analogs.
- Nucleic acids typically range in size from a few monomeric units, e.g. 5-40 when they are sometimes referred to in the art as oligonucleotides, to several thousands of monomeric nucleotide units.
- nucleic acid sequence is represented, it will be understood that the nucleotides are in 5′ to 3′ order from left to right and that “A” denotes deoxyadenosine or an analog thereof, “C” denotes deoxycytidine or an analog thereof, “G” denotes deoxyguanosine or an analog thereof, and “T” denotes thymidine or an analog thereof, unless otherwise noted.
- Nucleic acids include, but are not limited to, genomic DNA, cDNA, hnRNA, mRNA, rRNA, tRNA, fragmented nucleic acid, nucleic acid obtained from subcellular organelles such as mitochondria or chloroplasts, and nucleic acid obtained from microorganisms or DNA or RNA viruses that may be present on or in a biological sample.
- Nucleic acids may be composed of a single type of sugar moiety, e.g., as in the case of RNA and DNA, or mixtures of different sugar moieties, e.g., as in the case of RNA/DNA chimeras.
- nucleic acids are ribopolynucleotides and 2′-deoxyribopolynucleotides according to the structural formulae below: wherein each B is independently the base moiety of a nucleotide, e.g., a purine, a 7-deazapurine, a pyrimidine, or an analog nucleotide; each m defines the length of the respective nucleic acid and can range from zero to thousands, tens of thousands, or even more; each R is independently selected from the group comprising hydrogen, halogen, —R′′, —OR′′, and —NR′′R′′, where each R′′ is independently (C1-C6) alkyl or (C5-C14) aryl,
- nucleotide bases B are covalently attached to the C1′ carbon of the sugar moiety as previously described.
- nucleic acid can also include nucleic acid analogs, polynucleotide analogs, and oligonucleotide analogs.
- nucleic acid analog can also include nucleic acid analogs, polynucleotide analogs, and oligonucleotide analogs.
- nucleic acid analog refers to a nucleic acid that contains at least one nucleotide analog and/or at least one phosphate ester analog and/or at least one pentose sugar analog.
- nucleic acid analogs include nucleic acids in which the phosphate ester and/or sugar phosphate ester linkages are replaced with other types of linkages, such as N-(2-aminoethyl)-glycine amides and other amides (see, e.g., Nielsen et al., 1991, Science 254: 1497-1500; WO 92/20702; U.S. Pat. No. 5,719,262; U.S. Pat. No. 5,698,685); morpholinos (see, e.g., U.S. Pat. No. 5,698,685; U.S. Pat. No. 5,378,841; U.S. Pat. No.
- PNA 2-aminoethylglycine
- PNA 2-aminoethylglycine
- PNA 2-aminoethylglycine
- the surface tension control valve that can be used according to various embodiments are herein exemplified by an implementation represented by a channel having an inner surface that is hydrophobic in the absence of illuminating radiation.
- the surface tension control valve can exploit the fact that under certain circumstances the contact angle for a liquid of interest, or its surface tension, changes and that change can in-turn trigger a movement of the liquid.
- Such circumstances can comprise an applied electric field (electrowetting), an applied electric field and light (optoelectrowetting), an applied local increase of temperature (thermo capillary effect), and the like.
- the liquid can be a liquid sample, for example, a biological sample in water or a biological sample in an aqueous medium. If the liquid is a biological sample, it can comprise, for example, any of the nucleotides, nucleotide bases, and/or nucleotide analogs described herein.
- Exemplary surface tension control valves can comprise the microfluidic electrowetting control devices described in U.S. Patent Application Publication No. US 2004/0231987 A1, published Nov. 25, 2004; the electrostatic actuators for microfluidics described in U.S. Patent Application Publication No. US 2002/0043463 A1, published Apr. 18, 2002; the micropump device as described in U.S. Patent Application Publication No. US 2002/0114715 A1, published Aug. 22, 2002; the electrowetting microfluidic control device described in U.S. Patent Application Publication No. US 2003/0164295 A1, published Sep. 4, 2003; the control devices described in U.S. Patent Application Publication No. US 2002/0168671 A1, published Nov.
- the fluid processing device 100 can comprise a surface tension control valve 108 disposed in a valve channel 106 that is in fluid communication with a supply channel 104 and a reaction region 102 .
- the surface tension control valve comprises a channel with an initially or normally hydrophobic surface.
- the surface tension control valve is adapted to change the contact angle and wetting of a liquid disposed therein with respect to the inner surface of the valve channel 106 . This change can trigger the movement of a liquid through the valve channel 106 .
- examples of the mechanism that can be used to trigger the movement can include the application of an electric field as with electrowetting, the application of an electric field and light as with optoelectrowetting, the application of a local increase in temperature, and the like.
- a portion of a fluid processing device comprising a first conduit 204 separated from a second conduit 206 by a surface tension control valve 208 .
- the pressure created by the surface tension in the surface tension control valve 208 can be sufficient to prevent a liquid 202 , for example, an aqueous biological sample, from entering a second conduit 206 . If the pressure difference across the surface tension control valve exceeds a certain threshold pressure, the resistance to the flow due to the hydrophobic properties of the valve can be overcome, and the liquid can flow through the valve. Likewise, if the pressure of the sample liquid is maintained below the threshold pressure, the valve will hold back the liquid sample and prevent flow into channel 206 . According to various embodiments, by changing the surface tension of the valve from having a hydrophobic property to having a hydrophilic property, liquid movement through the valve can be regulated, even at pressure below the threshold pressure described above.
- FIG. 2B illustrates the same device as shown in FIG. 2A but wherein the surface tension of the surface tension control valve 208 has been changed to be made hydrophilic, thus enabling liquid 210 to pass through the valve 208 and into the second conduit 206 .
- Changing the surface tension of the valve can be accomplished by a variety of mechanism as described herein.
- the surface tension control valve can comprise a layered structure 300 capable of changing the surface tension of a surface.
- the layered structure 300 can comprise a first electrode-containing layer 302 positioned adjacent a second insulating layer 304 .
- a change in surface tension can be effected by application of an electrical signal to the electrical leads 310 and 311 .
- the valve can change the overall shape of a liquid droplet from a first shape 308 having a greater contact angle, to a second shape 306 having a lesser contact angle, by creating a difference in electrical potential between the liquid and the electrode.
- the shape of the droplet can be changed to take any of a variety of forms, as illustrated in FIGS. 3A and 3B .
- the fluid processing device can comprise a surface tension control valve that comprises a layered structure 316 .
- the layered structure 316 can comprise a photoconductive layer 318 , an electrode-containing layer 320 , and an insulating layer 322 .
- a power supply 330 can be connected through leads 328 and 329 to a liquid bead. Applying current will change the shape of the liquid droplet from the shape depicted in 326 to the shape depicted in 324 .
- the photoconductive layer of the surface tension control valve when illuminated by light, can change locally and significantly in conductivity and, as a result, the surface of the insulating layer 322 that contacts the liquid droplet can be made hydrophilic or more hydrophilic.
- the contact angle or wetting of the liquid with respect to the surface can thus be changed and the liquid can accordingly be propagated in a certain direction.
- light beams 358 can change the electrical resistance of a photoconductive layer 348 in a light-activated valve 340 , allowing electrical current to flow through one or more electrodes 350 . Electrical current flow changes the surface tension of the liquid in parts of the liquid droplet 360 allowing liquid droplet 360 to flow toward the light beams 358 .
- a fluid processing device 400 can comprise a first conduit 402 separated from a second conduit 404 by a light-activated surface tension control valve 406 .
- a light-activated surface tension control valve 406 When an area 410 including the valve 406 is illuminated by beams of light, the surface tension of the valve 406 changes and enables a liquid droplet 414 ( FIG. 4D ) to be separated from liquid 412 present in the first conduit 402 .
- Conduit 408 can function to relieve air pressure differences caused by the movement of drop 414 into the second channel 404 .
- Conduit 408 can include a first open end 409 in fluid communication with the interior of the valve 406 , and a second open end 411 in fluid communication with the second conduit 404 .
- a surface tension control valve separating a first liquid-containing conduit and a second conduit can normally or originally be in a closed state in the absence of illuminating radiation. If a light beam illuminates the surface tension control valve where the liquid contacts the valve, the valve surface can be made hydrophilic, enabling the liquid to move into the valve. If the beam of light is then moved towards the second conduit, the beam can be followed by the liquid as the localized surface tension of the valve is changed. Once the light beam moves past the valve surface such that part of the valve is no longer illuminated. The localized valve surface will again become hydrophobic and will be closed. A volume of liquid can thus be taken-up from and broken away from the liquid in the first channel. Upon continued movement of the light beam followed by switching off the light, the remaining liquid in the valve can be moved into the second channel.
- a fluid processing device 500 can comprise a first manifold 503 in fluid communication with a supply conduit 504 .
- the first manifold 503 can be in fluid communication with several feeder conduits 506 .
- a plurality of reaction sites 510 can be in fluid communication with a respective feeder channel 506 .
- Surface tension control valves 508 can be disposed in one or more of the feeder channels 506 adjacent each reaction site 510 .
- a second manifold 517 is in fluid communication with a conduit 516 and a plurality of feeder conduits 514 .
- Each feeder conduit 514 is in fluid communication with a respective plurality of the reaction sites 510 , for example, on opposite sides of the respective reaction regions relative to the respective feeder channels 506 .
- the fluid processing device 500 can be disposed in or upon a chip or card 502 .
- the chip or card 502 can comprise glass, silicon, plastic, polycarbonate, polypropylene, polymers of cyclic olefins, copolymers, combinations thereof, and the like.
- the chip or card 502 can be molded with features and enclosed by one or more cover films or layers.
- the reaction regions 510 can be any suitable shape, for example, well-shaped.
- the conduits and reaction sites can have any of a variety of dimensions. At least one feature can have at least one dimension of five mm or less, for example, one mm or less, or 500 microns or less. Conduit depths and widths can be equivalent or different from one another. Different channel aspect ratios can be used. According to various embodiments, channels can be dimensioned to permit manipulation of fluids by capillary action, and to promote or induce capillary fluid flow.
- the conduits can have various cross-sectional shapes, including, for example, a square cross-section, a rectangular cross-section, a circular cross-section, a U-shaped cross-section, a V-shaped cross-section, or a combination thereof.
- a conduit has an inner surface that contains both hydrophobic and hydrophilic portions, some additional force or pressure can be required to push the liquid through the hydrophobic part of the channel as compared movement through a hydrophilic portion of the same channel.
- a fluid processing device 600 can comprise a substrate 601 , and a first manifold 604 including a main conduit 606 and several feeder conduits 620 , 622 , and 624 , wherein each feeder conduit comprises a respective surface tension control valve.
- the feeder conduits 620 , 622 , 624 can be in fluid communication with reaction sites 614 , 616 , and 618 , respectively.
- Reaction sites 616 and 618 can be fluidically connected to one another by a conduit 626 that comprises a surface tension control valve.
- the conduit 626 can be directly between the reaction sites 616 and 618 .
- reaction sites 614 and 616 can be fluidically connected by a conduit 628 having a surface tension control valve. Controlling the opening and closing of one or more of the surface tension control valves 620 , 622 , 624 can enable the selective production of a different oligomer in each respective reaction site 614 , 616 , 618 .
- a second manifold 606 comprising a main conduit 608 and several feeder conduits 610 , 612 , 614 can be in fluid communication with the reaction sites 614 , 616 , 618 , respectively.
- the second manifold 606 can be used to carry away reactants, non-reactive reaction components, and/or wash fluids, from the reaction regions.
- the second manifold 606 can alternatively, or additionally, be used to supply the reaction sites 614 , 616 , 618 with one or more reactants, non-reactive reaction components, and wash fluids. Through combinations of supply and wash steps and surface tension control valve opening and closing steps, different oligonucleotides can simultaneously be synthesized in the different reaction sites of the device, as described in more detail below.
- a fluid processing system 700 can comprise a processing device, for example, a computer 702 .
- the computer can be electrically connected, for example, through wires or through a wireless connection, to a suitable electromagnetic radiation source 706 that is capable of sufficiently illuminating a surface tension control valve to cause a change in the hydrophobic/hydrophilic properties of the valve.
- the electromagnetic radiation source 706 can comprise a laser, an ultraviolet light source, an infrared source, an incandescent bulb, a fluorescent bulb, a light-emitting diode (LED), an array of LEDs, combinations thereof, and the like.
- the fluid processing system 700 can comprise an apparatus 704 for directing the electromagnetic radiation toward a plurality of separate surface tension control valves incorporated in a fluid processing device, for example, in a card or chip 710 .
- the apparatus 704 can include an electromagnetic radiation reflective device such as one or more mirrors.
- the apparatus 704 can comprise a plurality of independently-moveable, computer controllable, micro-mirrors 705 , as shown.
- the fluid processing system 700 can further comprise one or more lenses 708 , for focusing the electromagnetic radiation reflected by the micro-mirrors 705 toward the fluid processing device 710 .
- Pumps 712 , and 714 can be fluidically connected to the fluid processing device 710 , for example, to one or more manifolds in the device, and operatively connected to the computer 702 .
- Operatively connected can be defined as electrically connected, mechanically connected, fluidically connected, combinations thereof, and the like.
- the pumps 712 , 714 can be used to control, at least in-part, the flow of fluids to and/or from the fluid processing device 710 .
- a fluid processing system 800 can include a single mirror, for example, a galvo-mirror, controlled by a computer 801 , to direct electromagnetic radiation from an electromagnetic radiation source 802 through one or more lenses 804 toward light-activated surface tension control vales in a fluid processing device 806 .
- a fluid processing system 900 can-include a rotatable carousel 902 having a top surface. Disposed upon the top surface of the carousel 902 can be a plurality of fluid processing devices 904 . Each device 904 can comprise a first manifold, a second manifold, a plurality of reaction regions, and a plurality of surface tension control valves, as described above. The carousel 902 can rotate so as to position each device 904 above a heater 906 , and adjacent two or more pumps or pumping blocks 908 , 910 .
- the pumping blocks 908 , 910 can be any suitable pumping devices for moving reagents, or can be pumping systems capable of independently addressing and pumping a number of different reagents present inside the block itself or in fluid communication with the blocks.
- Reagents that can be pumped into and out of the devices by the pumping blocks 908 and 910 can include nucleotides, nucleosides, nucleotide analogs, adenine, cytosine, guanine, thymine, uracil, protected versions thereof, deprotecting reagents, acids, capping reagents, wash fluids, or combinations thereof.
- a detection block 912 comprising an electromagnetic radiation source and an imaging system can be disposed above the carousel 902 .
- the detection block 912 can comprise an electromagnetic radiation source capable of selectively opening one or more surface tension control valves of an underlying device 904 .
- the detection block 912 can also comprise an imaging system capable of recording images of, or viewing, tagged molecules, for example, fluorescently tagged molecules.
- the imaging system can include, for example, an analog camera, a film camera, a digital camera, a CCD, or a combination thereof.
- the fluid processing system 900 can include a drive unit 905 and a control unit 914 .
- the control unit 914 can be operatively connected to the optical block 912 , the pumping blocks 908 , 910 , the heater 906 , the carousel 902 , and/or the drive unit 905 .
- Operatively connected can be defined as electrically connected, mechanically connected, fluidically connected, combinations thereof, and the like.
- a method of synthesizing oligomers for example, oligonucleotides, is provided for which traditional phosphoramidite chemistry can be used.
- the method can be used to create a plurality of identical oligomers in each reaction site or to create a different oligomer in each respective reaction site.
- the method can include providing a fluid processing device as described herein, for example, that includes one or more reaction sites each including an inner surface, a first manifold in fluid communication with the one or more reaction sites, a second manifold in fluid communication with the one or more reaction sites, and one or more surface tension control valves disposed in the first manifold.
- the method can include introducing a first protected monomer into the first manifold, whereby the first protected monomer can be selectively introduced, through the one or more surface tension control valves, into the one or more reaction sites, depending upon how many surface tension control valves are activated to become open.
- the first protected monomer can then be attached to a structure or precursor in each reaction site, or can be attached directly to the inner surface of each reaction site. The attachment forms an extended structure. Excess first protected monomer can then be drawn out of the one or more reaction sites and through the second manifold, for example, by using a pumping block or device to create a negative pressure differential.
- a wash fluid from the first manifold or second manifold can be forced into, or drawn through and away from, the one or more reaction sites that had the first protected monomer loaded therein.
- the wash fluid can be forced into or drawn through and away from the one or more reaction sites by a pumping block or pump connected to the first manifold, the second manifold, or both manifolds.
- a deprotecting agent for example, trichloroacetic acid, or the like
- the one or more surface tension control valves can be opened, enabling the deprotecting agent to pass through and enter the one or more reaction sites.
- the deprotecting agent can be moved into the one or more reaction sites by using positive pressure, negative pressure, gravity, centrifugal force, capillary action, or the like.
- Excess deprotecting fluid can then be forced out or drawn out of the one or more reaction sites and through the second manifold, for example, by using a pumping block to create a negative pressure differential.
- a wash fluid from the first manifold or second manifold can be forced into or drawn through and away from the one or more reaction sites that had the deprotecting agent loaded therein.
- the wash fluid can be forced into or drawn through and away from the one or more reaction sites by a pumping block or pump connected to the first manifold, the second manifold, or both manifolds.
- the wash fluid can then be removed from the reaction site by a pumping block, by air pressure, by centrifugal force, or the like.
- the deprotecting agent and the wash fluid can be removed together from one or more of the reaction sites.
- a second protected monomer can then be introduced from the first manifold, through the one or more surface tension control valves, and into one or more of the reaction sites.
- the second monomer can then bond to the deprotected extended structure, if present in the respective reaction site, to thereby form a second extended oligomer structure having at least two monomeric subunits.
- the abovementioned method can be repeated multiple times until a desired oligomer has been formed. Once a completed oligomer has been formed, it can be cleaved from its attachment site in the reaction site and collected, for example, through the first or second manifold.
- the first manifold 503 can be used for delivering reagents into the plurality of reaction sites, while the second manifold 517 can be used for drawing out or purging excess reagents from the reaction sites.
- the second manifold can be used to deliver reagents or wash fluid into one or more of the reaction sites 510 .
- Each surface tension control valve can be controlled independently so a user can independently select whether a particular reagent is able to enter a reaction site from the first manifold 503 . In this way, a different oligomer can be produced in each reaction site. In oligonucleotide synthesis, this selective synthesis can be accomplished by the selective introduction of monomers, deprotecting agent, washing fluid, or a combination thereof.
- the fluid processing device can be used to synthesize at least two different oligonucleotide primers and an oligonucleotide probe (as described above) in three different interconnected reaction regions, for example, in the three different reaction sites of the device shown in FIG. 6 .
- one primer can be formed in reaction site 614
- a second primer can be formed in reaction site 618
- a probe can be formed or preloaded into reaction site 616 .
- they can be cleaved from their respective reaction sites and combined into the reaction site 616 containing the probe.
- a nucleic acid sample can then be introduced into the reaction site 616 along with suitable reagents for a PCR reaction.
- the reaction site 616 can then be sealed with oil, a polymer, or with mechanical valving, to prevent evaporation, and then the contents of the site can be thermally cycled.
- the device can be used for reagent synthesis and PCR using the reagent.
Landscapes
- Chemical & Material Sciences (AREA)
- Health & Medical Sciences (AREA)
- Dispersion Chemistry (AREA)
- Engineering & Computer Science (AREA)
- Chemical Kinetics & Catalysis (AREA)
- General Health & Medical Sciences (AREA)
- Clinical Laboratory Science (AREA)
- Analytical Chemistry (AREA)
- Hematology (AREA)
- Physics & Mathematics (AREA)
- Nanotechnology (AREA)
- Organic Chemistry (AREA)
- Mechanical Engineering (AREA)
- Fluid Mechanics (AREA)
- General Engineering & Computer Science (AREA)
- Condensed Matter Physics & Semiconductors (AREA)
- General Physics & Mathematics (AREA)
- Crystallography & Structural Chemistry (AREA)
- Composite Materials (AREA)
- Materials Engineering (AREA)
- Life Sciences & Earth Sciences (AREA)
- Biochemistry (AREA)
- Molecular Biology (AREA)
- Physical Or Chemical Processes And Apparatus (AREA)
- Apparatus Associated With Microorganisms And Enzymes (AREA)
- Micromachines (AREA)
Abstract
Description
- The present teachings relate to fluid processing devices and methods for using the same.
- One of the challenges encountered in fluid processing devices, particularly devices designed for high throughput operations, is how to effectively control fluid flow. It is especially difficult to individually and independently control fluid flow in thousands of micro-channels without resorting to the fabrication of sophisticated valving systems which can make microfluidic devices very expensive. A device and method for controlling fluid flow in a microfluidic system is desirable.
- According to various embodiments, a fluid processing device is provided that includes a plurality of reaction sites, a first manifold in fluid communication with each of the reaction sites, a second manifold in fluid communication with each of the reaction sites, and at least one surface tension control valve positioned in at least one channel between the first manifold and at least one of the reaction sites. The reaction sites can each comprise support structures, for example beads, or an inner surface, suitable for the attachment of oligomers or oligomer precursors thereto. According to various embodiments, the fluid processing device can comprise a plurality of surface tension control valves each in fluid communication with the first manifold and one or more of the reaction sites.
- According to various embodiments, the fluid processing device can comprise reactants and/or reaction components capable of producing an oligomer in at least one of the reaction sites, or a system that includes sources of reactants and/or reaction components.
- According to various embodiments, a system is provided that can comprise a fluid processing device as described herein, and an electromagnetic radiation source capable of emitting electromagnetic radiation and directing the radiation toward one or more surface tension control valves in the device. Alternatively or additionally, the system can comprise other valve-actuating devices besides an electromagnetic radiation source. Exemplary actuators can comprise heaters adapted to direct heat toward one or more surface tension control valves, or an electrical source adapted to supply an electrical signal to one or more surface tension control valves. By controlling the one or more surface tension control valves, the systems described herein can be used in directing the flow of reaction components in an order useful for carrying out an oligonucleotide synthesis reaction within one or more of the plurality of reaction sites.
- According to various embodiments, a system is provided that comprises an electromagnetic radiation source or other actuating source, a reflective device, a pump, and a thermocycler. The system can be adapted so that the reflective device can direct electromagnetic radiation emitted from the electromagnetic radiation source toward the one or more surface tension control valves to selectively open or close the respective one or more surface tension control valves. The pump can be adapted to add or remove materials from the channels and reaction sites. The thermocycler can be adapted to control the temperature of the reaction sites, for example, to promote an isothermal or thermally cycled nucleic acid sequence amplification and/or detection assay. The system can comprise one or more control units to control the actuating source, to control the reflective device, to control the pump, and/or to control the thermocycler.
- According to various embodiments, a method is provided for synthesizing oligonucleotides or other chemical structures, from component building blocks. The method can comprise, for example, introducing a first monomer into a first fluid distribution manifold of a fluid processing device; opening at least one surface tension control valve in fluid communication with both the first fluid distribution manifold and at least one respective reaction site, to form an open surface tension control valve; moving the first monomer from the first manifold, through the at least one open surface tension control valve, and into the at least one respective reaction site; and attaching the first monomer to a first structure in the at least one respective reaction site to form an extended structure. The first monomer can be, for example, a nucleotide, a nucleotide base, a nucleotide analog, a protected chemical building block, or another monomeric building block, unit, or structure that can bond with and extend off of a support or precursor structure. The first monomer can be a protected first monomer, the extended structure can be a protected extended structure, and the method can further comprise: washing the at least one respective reaction site subsequent to the attaching; closing the at least one surface tension control valve; introducing a deprotecting agent into the first manifold; opening the at least one surface tension control valve to form at least one reopened surface tension control valve; moving the deprotecting agent from the first manifold, through the at least one reopened surface tension control valve, and into the at least one respective reaction site; and deprotecting the extended protected structure to form a deprotected extended structure. An additional monomer can then be added to the deprotected extended structure and the process can be repeated.
- Various embodiments of the present teachings are exemplified by the accompanying drawings. The teachings are not limited to the embodiments depicted, and include equivalent structures and methods as set forth in the following description and as would be known or recognized by those of ordinary skill in the art given the present teachings. In the drawings:
-
FIG. 1 is a cross-sectional view through a portion of a device according to various embodiments and including a surface tension control valve; -
FIG. 2A is a cross-sectional view through a portion of a device according to various embodiments and including a surface tension control valve in a closed state; -
FIG. 2B is the same cross-sectional view shown inFIG. 2A , but after the surface tension control valve has been opened; -
FIG. 3A is a side view of a surface tension control valve showing in phantom the effect that actuation of a surface tension control device has on the shape of a drop of water; -
FIG. 3B is a side view of a surface tension control device showing in phantom the effect that actuation of the device has on the shape of a drop of water; -
FIG. 3C is a partial cross-sectional view of a surface tension control device showing the direction of movement of a drop of water, resulting from actuation of the valve; -
FIG. 4A is a cross-sectional view through a portion of a device according to various embodiments and showing a light-activated surface tension control valve in a closed state; -
FIG. 4B is the same cross-sectional view as shown inFIG. 4A , but wherein the light-activated surface tension control valve is in an open state; -
FIG. 4C is the same cross-sectional view as shown inFIG. 4A , but wherein the light-activated surface tension control valve is in an open state and liquid has passed through the valve; -
FIG. 4D is the same cross-sectional view as shown inFIG. 4A , but wherein the valve is in a closed state after liquid has passed through the valve; -
FIG. 5 is a top plan view of a portion of a fluid processing device according to various embodiments; -
FIG. 6 is a top plan close-up view of a portion of a fluid processing device according to various embodiments; -
FIG. 7 is a perspective view of a system for processing a fluid processing device according to various embodiments; -
FIG. 8 is a perspective view of a system for processing a fluid processing device according to various embodiments; and -
FIG. 9 is a perspective view of yet another system for processing a fluid processing device according to various embodiments. - It is to be understood that both the foregoing general description and the following detailed description are exemplary and explanatory only, and are intended to provide an explanation of various embodiments of the present teachings.
- According to various embodiments, a fluid processing device is provided that can be used to manipulate the delivery of reactants or reaction components to a reaction site to enable the production of one or more compounds comprising multiple building blocks, for example, one or more desired oligomers or one or more desired oligonucleotides. Oligomers as defined herein can include polymers of amino acids, polymers of sugars, polymers of nucleotide bases, polymers of nucleotide analogs, and/or polymers of other nucleotide monomeric units herein referred to as nucleotides.
- According to various embodiments, the device described herein can be useful in carrying out chemical compound synthesis methods using building blocks, exemplified herein with oligonucleotide synthesis methods. These methods can comprise, for example, various oligonucleotide extension reactions, protecting and/or deprotecting reactions, capping reactions, washing steps, cleaving reactions, and the like. Exemplary oligonucleotide synthesis reactions can include those described, for example, in U.S. patent application Ser. No. 10/891,650, filed Jul. 15, 2004, which is incorporated herein in its entirety by reference.
- The term “nucleotide base”, as used herein, refers to a substituted or unsubstituted aromatic ring or substituted or unsubstituted aromatic rings. In certain embodiments, the aromatic ring or rings contain at least one nitrogen atom. In certain embodiments, the nucleotide base is capable of forming Watson-Crick and/or Hoogsteen hydrogen bonds with an appropriately complementary nucleotide base. Exemplary nucleotide bases and analogs thereof include, but are not limited to, naturally occurring nucleotide bases, adenine, guanine, cytosine, 6 methyl-cytosine, uracil, thymine, and analogs of the naturally occurring nucleotide bases, e.g., 7-deazaadenine, 7-deazaguanine, 7-deaza-8-azaguanine, 7-deaza-8-azaadenine, N6-Δ2 -isopentenyladenine (6iA), N6-Δ2-isopentenyl-2-methylthioadenine (2ms6iA), N2-dimethylguanine (dmG), 7-methylguanine (7mG), inosine, nebularine, 2-aminopurine, 2-amino-6-chloropurine, 2,6-diaminopurine, hypoxanthine, pseudouridine, pseudocytosine, pseudoisocytosine, 5-propynylcytosine, isocytosine, isoguanine, 7-deazaguanine, 2-thiopyrimidine, 6-thioguanine, 4-thiothymine, 4-thiouracil, O6-methylguanine, N6-methyladenine, O4-methylthymine, 5,6-dihydrothymine, 5,6-dihydrouracil, pyrazolo[3,4-D]pyrimidines (see, e.g., U.S. Pat. Nos. 6,143,877 and 6,127,121 and PCT published application WO 01/38584), ethenoadenine, indoles such as nitroindole and 4-methylindole, and pyrroles such as nitropyrrole. Certain exemplary nucleotide bases can be found, e.g., in Fasman, 1989, Practical Handbook of Biochemistry and Molecular Biology, pp. 385-394, CRC Press, Boca Raton, Fla., and the references cited therein.
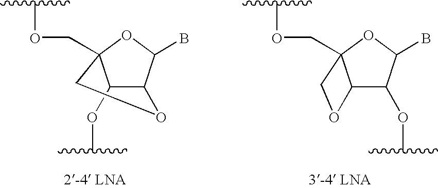
- The term “nucleotide”, as used herein, refers to a compound comprising a nucleotide base linked to the C-1′ carbon of a sugar, such as ribose, arabinose, xylose, and pyranose, and sugar analogs thereof. The term nucleotide also encompasses nucleotide analogs. The sugar may be substituted or unsubstituted. Substituted ribose sugars include, but are not limited to, those riboses in which one or more of the carbon atoms, for example the 2′-carbon atom, is substituted with one or more of the same or different Cl, F, —R, —OR, —NR2 or halogen groups, where each R is independently H, C1-C6 alkyl, or C5-C14 aryl. Exemplary riboses include, but are not limited to, 2′-(C1-C6)alkoxyribose, 2′-(C5-C14)aryloxyribose, 2′,3′-didehydroribose, 2′-deoxy-3′-haloribose, 2′-deoxy-3′-fluororibose, 2′-deoxy-3′-chlororibose, 2′-deoxy-3′-aminoribose, 2′-deoxy-3′-(C1-C6)alkylribose, 2′-deoxy-3′-(C1-C6)alkoxyribose and 2′-deoxy-3′-(C5-C14)aryloxyribose, ribose, 2′-deoxyribose, 2′,3′-dideoxyribose, 2′-haloribose, 2′-fluororibose, 2′-chlororibose, and 2′-alkylribose, e.g., 2′-O-methyl, 4′-anomeric nucleotides, 1′-anomeric nucleotides, 2′-4′- and 3′-4′-linked and other “locked” or “LNA”, bicyclic sugar modifications (see, e.g., PCT published application nos. WO 98/22489, WO 98/39352; and WO 99/14226). Exemplary LNA sugar analogs within a polynucleotide include, but are not limited to, the structures:
where B is any nucleotide base. - Modifications at the 2′- or 3′-position of ribose include, but are not limited to, hydrogen, hydroxy, methoxy, ethoxy, allyloxy, isopropoxy, butoxy, isobutoxy, methoxyethyl, alkoxy, phenoxy, azido, amino, alkylamino, fluoro, chloro, and bromo. Nucleotides include, but are not limited to, the natural D optical isomer, as well as the L optical isomer forms (see, e.g., Garbesi (1993) Nucl. Acids Res. 21:4159-65; Fujimori (1990) J. Amer. Chem. Soc. 112:7435; Urata, (1993) Nucleic Acids Symposium Ser. No. 29:69-70). When the nucleotide base is purine, e.g. A or G, the ribose sugar is attached to the N9-position of the nucleotide base. When the nucleotide base is pyrimidine, e.g. C, T or U, the pentose sugar is attached to the N1-position of the nucleotide base, except for pseudouridines, in which the pentose sugar is attached to the C5 position of the uracil nucleotide base (see, e.g., Kornberg and Baker, (1992) DNA Replication, 2nd Ed., Freeman, San Francisco, Calif.).
- One or more of the pentose carbons of a nucleotide may be substituted with a phosphate ester having the formula:
where α is an integer from 0 to 4. In certain embodiments, α is 2 and the phosphate ester is attached to the 3′- or 5′-carbon of the pentose. In certain embodiments, the nucleotides are those in which the nucleotide base is a purine, a 7-deazapurine, a pyrimidine, or an analog thereof. “Nucleotide 5′-triphosphate” refers to a nucleotide with a triphosphate ester group at the 5′ position, and are sometimes denoted as “NTP”, or “dNTP” and “ddNTP” to particularly point out the structural features of the ribose sugar. The triphosphate ester group may include sulfur substitutions for the various oxygens, e.g. -thio-nucleotide 5′-triphosphates. For a review of nucleotide chemistry, see: Shabarova, Z. and Bogdanov, A. Advanced Organic Chemistry of Nucleic Acids, VCH, New York, 1994. - The term “nucleotide analog”, as used herein, refers to embodiments in which the pentose sugar and/or the nucleotide base and/or one or more of the phosphate esters of a nucleotide may be replaced with its respective analog. In certain embodiments, exemplary pentose sugar analogs are those described above. In certain embodiments, the nucleotide analogs have a nucleotide base analog as described above. In certain embodiments, exemplary phosphate ester analogs include, but are not limited to, alkylphosphonates, methylphosphonates, phosphoramidates, phosphotriesters, phosphorothioates, phosphorodithioates, phosphoroselenoates, phosphorodiselenoates, phosphoroanilothioates, phosphoroanilidates, phosphoroamidates, boronophosphates, and the like, and may include associated counterions.
- Also included within the definition of “nucleotide analog” are nucleotide analog monomers that can be polymerized into polynucleotide analogs in which the DNA/RNA phosphate ester and/or sugar phosphate ester backbone is replaced with a different type of internucleotide linkage. Exemplary polynucleotide analogs include, but are not limited to, peptide nucleic acids, in which the sugar phosphate backbone of the polynucleotide is replaced by a peptide backbone. Also included are intercalating nucleic acids (INAs, as described in Christensen and Pedersen, 2002), and AEGIS bases (Eragen, U.S. Pat. No. 5,432,272).
- As used herein, the terms “polynucleotide”, “oligonucleotide”, and “nucleic acid” are used interchangeably and mean single-stranded or double-stranded polymers of nucleotide monomers, including 2′-deoxyribonucleotides (DNA) and ribonucleotides (RNA) linked by internucleotide phosphodiester bond linkages, or internucleotide analogs, and associated counter ions, e.g., H+, NH4+, trialkylammonium, Mg2+, Na+ and the like. A nucleic acid can be composed entirely of deoxyribonucleotides, entirely of ribonucleotides, or chimeric mixtures thereof. The nucleotide monomer units can comprise any of the nucleotides described herein, including, but not limited to, naturally occuring nucleotides and nucleotide analogs. Nucleic acids typically range in size from a few monomeric units, e.g. 5-40 when they are sometimes referred to in the art as oligonucleotides, to several thousands of monomeric nucleotide units. Unless denoted otherwise, whenever a nucleic acid sequence is represented, it will be understood that the nucleotides are in 5′ to 3′ order from left to right and that “A” denotes deoxyadenosine or an analog thereof, “C” denotes deoxycytidine or an analog thereof, “G” denotes deoxyguanosine or an analog thereof, and “T” denotes thymidine or an analog thereof, unless otherwise noted.
- Nucleic acids include, but are not limited to, genomic DNA, cDNA, hnRNA, mRNA, rRNA, tRNA, fragmented nucleic acid, nucleic acid obtained from subcellular organelles such as mitochondria or chloroplasts, and nucleic acid obtained from microorganisms or DNA or RNA viruses that may be present on or in a biological sample.
- Nucleic acids may be composed of a single type of sugar moiety, e.g., as in the case of RNA and DNA, or mixtures of different sugar moieties, e.g., as in the case of RNA/DNA chimeras. In certain embodiments, nucleic acids are ribopolynucleotides and 2′-deoxyribopolynucleotides according to the structural formulae below:
wherein each B is independently the base moiety of a nucleotide, e.g., a purine, a 7-deazapurine, a pyrimidine, or an analog nucleotide; each m defines the length of the respective nucleic acid and can range from zero to thousands, tens of thousands, or even more; each R is independently selected from the group comprising hydrogen, halogen, —R″, —OR″, and —NR″R″, where each R″ is independently (C1-C6) alkyl or (C5-C14) aryl, or two adjacent Rs are taken together to form a bond such that the ribose sugar is 2′,3′-didehydroribose; and each R′ is independently hydroxyl or
where α is zero, one or two. - In certain embodiments of the ribopolynucleotides and 2′-deoxyribopolynucleotides illustrated above, the nucleotide bases B are covalently attached to the C1′ carbon of the sugar moiety as previously described.
- The terms “nucleic acid”, “polynucleotide”, and “oligonucleotide” can also include nucleic acid analogs, polynucleotide analogs, and oligonucleotide analogs. The terms “nucleic acid analog”, “polynucleotide analog” and “oligonucleotide analog” are used interchangeably and, as used herein, refer to a nucleic acid that contains at least one nucleotide analog and/or at least one phosphate ester analog and/or at least one pentose sugar analog. Also included within the definition of nucleic acid analogs are nucleic acids in which the phosphate ester and/or sugar phosphate ester linkages are replaced with other types of linkages, such as N-(2-aminoethyl)-glycine amides and other amides (see, e.g., Nielsen et al., 1991, Science 254: 1497-1500; WO 92/20702; U.S. Pat. No. 5,719,262; U.S. Pat. No. 5,698,685); morpholinos (see, e.g., U.S. Pat. No. 5,698,685; U.S. Pat. No. 5,378,841; U.S. Pat. No. 5,185,144); carbamates (see, e.g., Stirchak & Summerton, 1987, J. Org. Chem. 52: 4202); methylene(methylimino) (see, e.g., Vasseur et al., 1992, J. Am. Chem. Soc. 114: 4006); 3′-thioformacetals (see, e.g., Jones et al., 1993, J. Org. Chem. 58: 2983); sulfamates (see, e.g., U.S. Pat. No. 5,470,967); 2-aminoethylglycine, commonly referred to as PNA (see, e.g., Buchardt, WO 92/20702; Nielsen (1991) Science 254:1497-1500); and others (see, e.g., U.S. Pat. No. 5,817,781; Frier & Altman, 1997, Nucl. Acids Res. 25:4429 and the references cited therein). Phosphate ester analogs include, but are not limited to, (i) C1C4 alkylphosphonate, e.g. methylphosphonate; (ii) phosphoramidate; (iii) C1C6 alkyl-phosphotriester; (iv) phosphorothioate; and (v) phosphorodithioate.
- The surface tension control valve that can be used according to various embodiments are herein exemplified by an implementation represented by a channel having an inner surface that is hydrophobic in the absence of illuminating radiation. According to various embodiments, the surface tension control valve can exploit the fact that under certain circumstances the contact angle for a liquid of interest, or its surface tension, changes and that change can in-turn trigger a movement of the liquid. Such circumstances can comprise an applied electric field (electrowetting), an applied electric field and light (optoelectrowetting), an applied local increase of temperature (thermo capillary effect), and the like. The liquid can be a liquid sample, for example, a biological sample in water or a biological sample in an aqueous medium. If the liquid is a biological sample, it can comprise, for example, any of the nucleotides, nucleotide bases, and/or nucleotide analogs described herein.
- Exemplary surface tension control valves can comprise the microfluidic electrowetting control devices described in U.S. Patent Application Publication No. US 2004/0231987 A1, published Nov. 25, 2004; the electrostatic actuators for microfluidics described in U.S. Patent Application Publication No. US 2002/0043463 A1, published Apr. 18, 2002; the micropump device as described in U.S. Patent Application Publication No. US 2002/0114715 A1, published Aug. 22, 2002; the electrowetting microfluidic control device described in U.S. Patent Application Publication No. US 2003/0164295 A1, published Sep. 4, 2003; the control devices described in U.S. Patent Application Publication No. US 2002/0168671 A1, published Nov. 14, 2002; the optical microfluidic devices described in U.S. Patent Application Publication No. US 2003/0047688 A1; and the injecting devices as described in U.S. Patent Application Publication No. US 2003/0082081 A1; all of which are incorporated herein in their entireties by reference.
- The present teachings are further exemplified herein with reference to the attached drawings. According to various embodiments, and as illustrated in
FIG. 1 , thefluid processing device 100 can comprise a surfacetension control valve 108 disposed in avalve channel 106 that is in fluid communication with asupply channel 104 and areaction region 102. In the embodiment shown, the surface tension control valve comprises a channel with an initially or normally hydrophobic surface. The surface tension control valve is adapted to change the contact angle and wetting of a liquid disposed therein with respect to the inner surface of thevalve channel 106. This change can trigger the movement of a liquid through thevalve channel 106. As discussed above, examples of the mechanism that can be used to trigger the movement can include the application of an electric field as with electrowetting, the application of an electric field and light as with optoelectrowetting, the application of a local increase in temperature, and the like. - According to various embodiments, and as illustrated in
FIG. 2A , a portion of a fluid processing device is shown comprising afirst conduit 204 separated from asecond conduit 206 by a surfacetension control valve 208. The pressure created by the surface tension in the surfacetension control valve 208 can be sufficient to prevent a liquid 202, for example, an aqueous biological sample, from entering asecond conduit 206. If the pressure difference across the surface tension control valve exceeds a certain threshold pressure, the resistance to the flow due to the hydrophobic properties of the valve can be overcome, and the liquid can flow through the valve. Likewise, if the pressure of the sample liquid is maintained below the threshold pressure, the valve will hold back the liquid sample and prevent flow intochannel 206. According to various embodiments, by changing the surface tension of the valve from having a hydrophobic property to having a hydrophilic property, liquid movement through the valve can be regulated, even at pressure below the threshold pressure described above. -
FIG. 2B illustrates the same device as shown inFIG. 2A but wherein the surface tension of the surfacetension control valve 208 has been changed to be made hydrophilic, thus enabling liquid 210 to pass through thevalve 208 and into thesecond conduit 206. Changing the surface tension of the valve can be accomplished by a variety of mechanism as described herein. - According to various embodiments, and as illustrated in
FIG. 3A , the surface tension control valve can comprise alayered structure 300 capable of changing the surface tension of a surface. Thelayered structure 300 can comprise a first electrode-containinglayer 302 positioned adjacent a second insulatinglayer 304. When thestructure 300 is connected to a power source 312 through 310 and 311, a change in surface tension can be effected by application of an electrical signal to theelectrical leads 310 and 311. As a result of such a signal, the valve can change the overall shape of a liquid droplet from a first shape 308 having a greater contact angle, to aelectrical leads second shape 306 having a lesser contact angle, by creating a difference in electrical potential between the liquid and the electrode. By increasing or decreasing the power of the electrical signal, the shape of the droplet can be changed to take any of a variety of forms, as illustrated inFIGS. 3A and 3B . - According to various embodiments, and as illustrated in
FIG. 3B , the fluid processing device can comprise a surface tension control valve that comprises alayered structure 316. Thelayered structure 316 can comprise aphotoconductive layer 318, an electrode-containinglayer 320, and an insulatinglayer 322. Apower supply 330 can be connected through 328 and 329 to a liquid bead. Applying current will change the shape of the liquid droplet from the shape depicted in 326 to the shape depicted in 324. In other words, when illuminated by light, the photoconductive layer of the surface tension control valve can change locally and significantly in conductivity and, as a result, the surface of the insulatingleads layer 322 that contacts the liquid droplet can be made hydrophilic or more hydrophilic. The contact angle or wetting of the liquid with respect to the surface can thus be changed and the liquid can accordingly be propagated in a certain direction. - According to various embodiments, and as illustrated in
FIG. 3C ,light beams 358 can change the electrical resistance of aphotoconductive layer 348 in a light-activatedvalve 340, allowing electrical current to flow through one ormore electrodes 350. Electrical current flow changes the surface tension of the liquid in parts of theliquid droplet 360 allowingliquid droplet 360 to flow toward the light beams 358. - According to various embodiments, and as illustrated in
FIGS. 4A-4D , afluid processing device 400 can comprise afirst conduit 402 separated from asecond conduit 404 by a light-activated surfacetension control valve 406. When anarea 410 including thevalve 406 is illuminated by beams of light, the surface tension of thevalve 406 changes and enables a liquid droplet 414 (FIG. 4D ) to be separated fromliquid 412 present in thefirst conduit 402.Conduit 408 can function to relieve air pressure differences caused by the movement ofdrop 414 into thesecond channel 404.Conduit 408 can include a firstopen end 409 in fluid communication with the interior of thevalve 406, and a secondopen end 411 in fluid communication with thesecond conduit 404. - According to various embodiments and as depicted in
FIGS. 4A-4D , a surface tension control valve separating a first liquid-containing conduit and a second conduit can normally or originally be in a closed state in the absence of illuminating radiation. If a light beam illuminates the surface tension control valve where the liquid contacts the valve, the valve surface can be made hydrophilic, enabling the liquid to move into the valve. If the beam of light is then moved towards the second conduit, the beam can be followed by the liquid as the localized surface tension of the valve is changed. Once the light beam moves past the valve surface such that part of the valve is no longer illuminated. The localized valve surface will again become hydrophobic and will be closed. A volume of liquid can thus be taken-up from and broken away from the liquid in the first channel. Upon continued movement of the light beam followed by switching off the light, the remaining liquid in the valve can be moved into the second channel. - According to various embodiments, and as illustrated in
FIG. 5 , afluid processing device 500 can comprise afirst manifold 503 in fluid communication with asupply conduit 504. Thefirst manifold 503 can be in fluid communication withseveral feeder conduits 506. A plurality ofreaction sites 510 can be in fluid communication with arespective feeder channel 506. Surfacetension control valves 508 can be disposed in one or more of thefeeder channels 506 adjacent eachreaction site 510. Asecond manifold 517 is in fluid communication with aconduit 516 and a plurality offeeder conduits 514. Eachfeeder conduit 514 is in fluid communication with a respective plurality of thereaction sites 510, for example, on opposite sides of the respective reaction regions relative to therespective feeder channels 506. - The
fluid processing device 500 can be disposed in or upon a chip orcard 502. The chip orcard 502 can comprise glass, silicon, plastic, polycarbonate, polypropylene, polymers of cyclic olefins, copolymers, combinations thereof, and the like. The chip orcard 502 can be molded with features and enclosed by one or more cover films or layers. Thereaction regions 510 can be any suitable shape, for example, well-shaped. - The conduits and reaction sites can have any of a variety of dimensions. At least one feature can have at least one dimension of five mm or less, for example, one mm or less, or 500 microns or less. Conduit depths and widths can be equivalent or different from one another. Different channel aspect ratios can be used. According to various embodiments, channels can be dimensioned to permit manipulation of fluids by capillary action, and to promote or induce capillary fluid flow. The conduits can have various cross-sectional shapes, including, for example, a square cross-section, a rectangular cross-section, a circular cross-section, a U-shaped cross-section, a V-shaped cross-section, or a combination thereof.
- If a conduit has an inner surface that contains both hydrophobic and hydrophilic portions, some additional force or pressure can be required to push the liquid through the hydrophobic part of the channel as compared movement through a hydrophilic portion of the same channel.
- According to various embodiments, and as illustrated in
FIG. 6 , afluid processing device 600 can comprise asubstrate 601, and a first manifold 604 including amain conduit 606 and 620, 622, and 624, wherein each feeder conduit comprises a respective surface tension control valve. Theseveral feeder conduits 620, 622, 624 can be in fluid communication withfeeder conduits 614, 616, and 618, respectively.reaction sites 616 and 618 can be fluidically connected to one another by aReaction sites conduit 626 that comprises a surface tension control valve. Theconduit 626 can be directly between the 616 and 618. Similarly,reaction sites 614 and 616 can be fluidically connected by areaction sites conduit 628 having a surface tension control valve. Controlling the opening and closing of one or more of the surface 620, 622, 624 can enable the selective production of a different oligomer in eachtension control valves 614, 616, 618. Arespective reaction site second manifold 606 comprising amain conduit 608 and 610, 612, 614 can be in fluid communication with theseveral feeder conduits 614, 616, 618, respectively. Thereaction sites second manifold 606 can be used to carry away reactants, non-reactive reaction components, and/or wash fluids, from the reaction regions. Thesecond manifold 606 can alternatively, or additionally, be used to supply the 614, 616, 618 with one or more reactants, non-reactive reaction components, and wash fluids. Through combinations of supply and wash steps and surface tension control valve opening and closing steps, different oligonucleotides can simultaneously be synthesized in the different reaction sites of the device, as described in more detail below.reaction sites - According to various embodiments, and as illustrated in
FIG. 7 , afluid processing system 700 can comprise a processing device, for example, acomputer 702. The computer can be electrically connected, for example, through wires or through a wireless connection, to a suitableelectromagnetic radiation source 706 that is capable of sufficiently illuminating a surface tension control valve to cause a change in the hydrophobic/hydrophilic properties of the valve. Theelectromagnetic radiation source 706 can comprise a laser, an ultraviolet light source, an infrared source, an incandescent bulb, a fluorescent bulb, a light-emitting diode (LED), an array of LEDs, combinations thereof, and the like. - According to various embodiments, the
fluid processing system 700 can comprise anapparatus 704 for directing the electromagnetic radiation toward a plurality of separate surface tension control valves incorporated in a fluid processing device, for example, in a card orchip 710. Theapparatus 704 can include an electromagnetic radiation reflective device such as one or more mirrors. Theapparatus 704 can comprise a plurality of independently-moveable, computer controllable, micro-mirrors 705, as shown. Thefluid processing system 700 can further comprise one ormore lenses 708, for focusing the electromagnetic radiation reflected by themicro-mirrors 705 toward thefluid processing device 710. 712, and 714, can be fluidically connected to thePumps fluid processing device 710, for example, to one or more manifolds in the device, and operatively connected to thecomputer 702. Operatively connected can be defined as electrically connected, mechanically connected, fluidically connected, combinations thereof, and the like. The 712, 714, can be used to control, at least in-part, the flow of fluids to and/or from thepumps fluid processing device 710. - According to various embodiments, and as illustrated in
FIG. 8 , afluid processing system 800 is provided that can include a single mirror, for example, a galvo-mirror, controlled by acomputer 801, to direct electromagnetic radiation from anelectromagnetic radiation source 802 through one ormore lenses 804 toward light-activated surface tension control vales in afluid processing device 806. - According to various embodiments, and as illustrated in
FIG. 9 , afluid processing system 900 can-include arotatable carousel 902 having a top surface. Disposed upon the top surface of thecarousel 902 can be a plurality offluid processing devices 904. Eachdevice 904 can comprise a first manifold, a second manifold, a plurality of reaction regions, and a plurality of surface tension control valves, as described above. Thecarousel 902 can rotate so as to position eachdevice 904 above aheater 906, and adjacent two or more pumps or pumping 908, 910. The pumping blocks 908, 910 can be any suitable pumping devices for moving reagents, or can be pumping systems capable of independently addressing and pumping a number of different reagents present inside the block itself or in fluid communication with the blocks. Reagents that can be pumped into and out of the devices by the pumping blocks 908 and 910 can include nucleotides, nucleosides, nucleotide analogs, adenine, cytosine, guanine, thymine, uracil, protected versions thereof, deprotecting reagents, acids, capping reagents, wash fluids, or combinations thereof.blocks - A
detection block 912 comprising an electromagnetic radiation source and an imaging system can be disposed above thecarousel 902. Thedetection block 912 can comprise an electromagnetic radiation source capable of selectively opening one or more surface tension control valves of anunderlying device 904. Thedetection block 912 can also comprise an imaging system capable of recording images of, or viewing, tagged molecules, for example, fluorescently tagged molecules. The imaging system can include, for example, an analog camera, a film camera, a digital camera, a CCD, or a combination thereof. Thefluid processing system 900 can include adrive unit 905 and acontrol unit 914. Thecontrol unit 914 can be operatively connected to theoptical block 912, the pumping blocks 908, 910, theheater 906, thecarousel 902, and/or thedrive unit 905. Operatively connected can be defined as electrically connected, mechanically connected, fluidically connected, combinations thereof, and the like. - According to various embodiments, a method of synthesizing oligomers, for example, oligonucleotides, is provided for which traditional phosphoramidite chemistry can be used. The method can be used to create a plurality of identical oligomers in each reaction site or to create a different oligomer in each respective reaction site. The method can include providing a fluid processing device as described herein, for example, that includes one or more reaction sites each including an inner surface, a first manifold in fluid communication with the one or more reaction sites, a second manifold in fluid communication with the one or more reaction sites, and one or more surface tension control valves disposed in the first manifold.
- The method can include introducing a first protected monomer into the first manifold, whereby the first protected monomer can be selectively introduced, through the one or more surface tension control valves, into the one or more reaction sites, depending upon how many surface tension control valves are activated to become open. The first protected monomer can then be attached to a structure or precursor in each reaction site, or can be attached directly to the inner surface of each reaction site. The attachment forms an extended structure. Excess first protected monomer can then be drawn out of the one or more reaction sites and through the second manifold, for example, by using a pumping block or device to create a negative pressure differential. At the same time, or subsequently, a wash fluid from the first manifold or second manifold can be forced into, or drawn through and away from, the one or more reaction sites that had the first protected monomer loaded therein. The wash fluid can be forced into or drawn through and away from the one or more reaction sites by a pumping block or pump connected to the first manifold, the second manifold, or both manifolds.
- In a subsequent step, according to various embodiments, a deprotecting agent, for example, trichloroacetic acid, or the like, can be introduced into the first manifold and the one or more surface tension control valves can be opened, enabling the deprotecting agent to pass through and enter the one or more reaction sites. The deprotecting agent can be moved into the one or more reaction sites by using positive pressure, negative pressure, gravity, centrifugal force, capillary action, or the like. By contacting the first extended structure with the deprotecting agent in the one or more reaction sites, a deprotected extended structure can be formed in the one or more reaction sites. Excess deprotecting fluid can then be forced out or drawn out of the one or more reaction sites and through the second manifold, for example, by using a pumping block to create a negative pressure differential. At the same time, or subsequently, a wash fluid from the first manifold or second manifold can be forced into or drawn through and away from the one or more reaction sites that had the deprotecting agent loaded therein. The wash fluid can be forced into or drawn through and away from the one or more reaction sites by a pumping block or pump connected to the first manifold, the second manifold, or both manifolds.
- The wash fluid can then be removed from the reaction site by a pumping block, by air pressure, by centrifugal force, or the like. According to various embodiments, the deprotecting agent and the wash fluid can be removed together from one or more of the reaction sites.
- After removing the deprotecting agent, a second protected monomer can then be introduced from the first manifold, through the one or more surface tension control valves, and into one or more of the reaction sites. The second monomer can then bond to the deprotected extended structure, if present in the respective reaction site, to thereby form a second extended oligomer structure having at least two monomeric subunits.
- The abovementioned method can be repeated multiple times until a desired oligomer has been formed. Once a completed oligomer has been formed, it can be cleaved from its attachment site in the reaction site and collected, for example, through the first or second manifold.
- According to various embodiments of the method, and with reference to the device shown in
FIG. 5 , thefirst manifold 503 can be used for delivering reagents into the plurality of reaction sites, while thesecond manifold 517 can be used for drawing out or purging excess reagents from the reaction sites. Alternatively or additionally, the second manifold can be used to deliver reagents or wash fluid into one or more of thereaction sites 510. Each surface tension control valve can be controlled independently so a user can independently select whether a particular reagent is able to enter a reaction site from thefirst manifold 503. In this way, a different oligomer can be produced in each reaction site. In oligonucleotide synthesis, this selective synthesis can be accomplished by the selective introduction of monomers, deprotecting agent, washing fluid, or a combination thereof. - According to various embodiments of the method, the fluid processing device can be used to synthesize at least two different oligonucleotide primers and an oligonucleotide probe (as described above) in three different interconnected reaction regions, for example, in the three different reaction sites of the device shown in
FIG. 6 . In an exemplary embodiment, one primer can be formed inreaction site 614, a second primer can be formed inreaction site 618, and a probe can be formed or preloaded intoreaction site 616. After formation of the primers, they can be cleaved from their respective reaction sites and combined into thereaction site 616 containing the probe. A nucleic acid sample can then be introduced into thereaction site 616 along with suitable reagents for a PCR reaction. Thereaction site 616 can then be sealed with oil, a polymer, or with mechanical valving, to prevent evaporation, and then the contents of the site can be thermally cycled. In such embodiments, the device can be used for reagent synthesis and PCR using the reagent. - All references, patents, patent applications, and patent application publications cited herein are incorporated in their entireties by reference for all purposes.
- Those skilled in the art can appreciate from the foregoing description that the present teachings can be implemented in a variety of forms. Therefore, while these teachings have been described in connection with embodiments thereof, the teachings should not be so limited. Various changes and modifications can be made without departing from the teachings herein.
Claims (34)
Priority Applications (5)
| Application Number | Priority Date | Filing Date | Title |
|---|---|---|---|
| US11/092,180 US20060153745A1 (en) | 2005-01-11 | 2005-03-29 | Fluid processing device for oligonucleotide synthesis and analysis |
| PCT/US2006/000890 WO2006076390A1 (en) | 2005-01-11 | 2006-01-11 | Fluid processing comprising regulation by surface tension controlled valve |
| US11/329,639 US20060165565A1 (en) | 2005-01-11 | 2006-01-11 | Fluid processing device comprising surface tension controlled valve |
| US12/944,322 US8642354B2 (en) | 2005-01-11 | 2010-11-11 | Fluid processing device for oligonucleotide synthesis and analysis |
| US14/169,992 US20140249057A1 (en) | 2005-01-11 | 2014-01-31 | Fluid Processing Device for Oligonucleotide Synthesis and Analysis |
Applications Claiming Priority (2)
| Application Number | Priority Date | Filing Date | Title |
|---|---|---|---|
| US64282805P | 2005-01-11 | 2005-01-11 | |
| US11/092,180 US20060153745A1 (en) | 2005-01-11 | 2005-03-29 | Fluid processing device for oligonucleotide synthesis and analysis |
Related Child Applications (2)
| Application Number | Title | Priority Date | Filing Date |
|---|---|---|---|
| US11/329,639 Continuation-In-Part US20060165565A1 (en) | 2005-01-11 | 2006-01-11 | Fluid processing device comprising surface tension controlled valve |
| US12/944,322 Continuation US8642354B2 (en) | 2005-01-11 | 2010-11-11 | Fluid processing device for oligonucleotide synthesis and analysis |
Publications (1)
| Publication Number | Publication Date |
|---|---|
| US20060153745A1 true US20060153745A1 (en) | 2006-07-13 |
Family
ID=42539388
Family Applications (9)
| Application Number | Title | Priority Date | Filing Date |
|---|---|---|---|
| US11/092,180 Abandoned US20060153745A1 (en) | 2005-01-11 | 2005-03-29 | Fluid processing device for oligonucleotide synthesis and analysis |
| US11/329,639 Abandoned US20060165565A1 (en) | 2005-01-11 | 2006-01-11 | Fluid processing device comprising surface tension controlled valve |
| US12/702,162 Abandoned US20100200094A1 (en) | 2005-01-11 | 2010-02-08 | Surface tension controlled valves |
| US12/944,322 Active 2026-02-19 US8642354B2 (en) | 2005-01-11 | 2010-11-11 | Fluid processing device for oligonucleotide synthesis and analysis |
| US13/283,240 Expired - Lifetime US8192701B2 (en) | 2005-01-11 | 2011-10-27 | Surface tension controlled valves |
| US13/461,377 Abandoned US20120298235A1 (en) | 2005-01-11 | 2012-05-01 | Surface tension controlled valves |
| US14/051,698 Abandoned US20140102571A1 (en) | 2005-01-11 | 2013-10-11 | Surface Tension Controlled Valves |
| US14/169,992 Abandoned US20140249057A1 (en) | 2005-01-11 | 2014-01-31 | Fluid Processing Device for Oligonucleotide Synthesis and Analysis |
| US14/692,631 Abandoned US20150298125A1 (en) | 2005-01-11 | 2015-04-21 | Surface Tension Controlled Valves |
Family Applications After (8)
| Application Number | Title | Priority Date | Filing Date |
|---|---|---|---|
| US11/329,639 Abandoned US20060165565A1 (en) | 2005-01-11 | 2006-01-11 | Fluid processing device comprising surface tension controlled valve |
| US12/702,162 Abandoned US20100200094A1 (en) | 2005-01-11 | 2010-02-08 | Surface tension controlled valves |
| US12/944,322 Active 2026-02-19 US8642354B2 (en) | 2005-01-11 | 2010-11-11 | Fluid processing device for oligonucleotide synthesis and analysis |
| US13/283,240 Expired - Lifetime US8192701B2 (en) | 2005-01-11 | 2011-10-27 | Surface tension controlled valves |
| US13/461,377 Abandoned US20120298235A1 (en) | 2005-01-11 | 2012-05-01 | Surface tension controlled valves |
| US14/051,698 Abandoned US20140102571A1 (en) | 2005-01-11 | 2013-10-11 | Surface Tension Controlled Valves |
| US14/169,992 Abandoned US20140249057A1 (en) | 2005-01-11 | 2014-01-31 | Fluid Processing Device for Oligonucleotide Synthesis and Analysis |
| US14/692,631 Abandoned US20150298125A1 (en) | 2005-01-11 | 2015-04-21 | Surface Tension Controlled Valves |
Country Status (2)
| Country | Link |
|---|---|
| US (9) | US20060153745A1 (en) |
| WO (1) | WO2006076390A1 (en) |
Cited By (9)
| Publication number | Priority date | Publication date | Assignee | Title |
|---|---|---|---|---|
| US20060024207A1 (en) * | 2004-07-27 | 2006-02-02 | Brother Kogyo Kabushiki Kaisha | Liquid transfer device and liquid transfer head |
| WO2009108927A3 (en) * | 2008-02-28 | 2010-01-07 | Life Technologies Corporation | Pressure-balancing fluidic device, method and system |
| US20100108518A1 (en) * | 2004-04-28 | 2010-05-06 | Arkray, Inc. | Electrophoresis chip and electrophoresis unit having the same |
| US20110083964A1 (en) * | 2005-05-13 | 2011-04-14 | Life Technologies Corporation | Electrowetting-Based Valving and Pumping Systems |
| US20110259742A1 (en) * | 2010-04-21 | 2011-10-27 | Nanyang Technological University | Droplet Based Miniaturized Device With On-Demand Droplet-Trapping, -Fusion, And -Releasing |
| US20120178091A1 (en) * | 2011-01-06 | 2012-07-12 | Meso Scale Technologies, Llc | Assay Cartridges and Methods of Using the Same |
| US20130035242A1 (en) * | 2010-04-20 | 2013-02-07 | Daniel Abenaim | High throughput sample analyzer |
| JP2014059061A (en) * | 2009-01-30 | 2014-04-03 | Univ Leiden | Phase guide pattern for liquid handling |
| US20180038499A1 (en) * | 2011-08-30 | 2018-02-08 | The Royal Institution For The Advancement Of Learning/Mcgill University | Method and system for pre-programmed self-power microfluidic circuits |
Families Citing this family (58)
| Publication number | Priority date | Publication date | Assignee | Title |
|---|---|---|---|---|
| JP4784510B2 (en) | 2004-12-17 | 2011-10-05 | ブラザー工業株式会社 | Valve and actuator using capillary electrowetting phenomenon |
| NL1031465C2 (en) * | 2006-03-30 | 2007-10-03 | C2V B V | Method for constructing a device with fluidic and electrical functions. |
| WO2008091848A2 (en) * | 2007-01-22 | 2008-07-31 | Advanced Liquid Logic, Inc. | Surface assisted fluid loading and droplet dispensing |
| NL1036211A1 (en) * | 2007-12-03 | 2009-06-04 | Asml Netherlands Bv | Lithographic Apparatus and Device Manufacturing Method. |
| CN103707643B (en) | 2007-12-23 | 2016-06-01 | 先进液体逻辑公司 | The method of droplet actuator configuration and guiding droplet manipulation |
| JP2009191020A (en) * | 2008-02-14 | 2009-08-27 | Oki Electric Ind Co Ltd | Apparatus for synthesizing organic compound, and method for synthesizing organic compound |
| US9051821B2 (en) * | 2008-12-15 | 2015-06-09 | Schlumberger Technology Corporation | Microfluidic methods and apparatus to perform in situ chemical detection |
| US8753498B2 (en) * | 2009-06-25 | 2014-06-17 | Purdue Research Foundation | Open optoelectrowetting droplet actuation device and method |
| GB2471522B (en) * | 2009-07-03 | 2014-01-08 | Cambridge Entpr Ltd | Microfluidic devices |
| US9194384B2 (en) * | 2009-12-17 | 2015-11-24 | The Charles Stark Draper Laboratory, Inc. | MEMS electrostatic fluidic pumps and valves |
| US8734628B2 (en) | 2010-03-10 | 2014-05-27 | Empire Technology Development, Llc | Microfluidic channel device with array of drive electrodes |
| KR101368463B1 (en) * | 2010-04-23 | 2014-03-03 | 나노바이오시스 주식회사 | Device for amplify nucleic acid comprising two heating block |
| DE102010021365A1 (en) * | 2010-05-25 | 2011-12-01 | Advanced Display Technology Ag | Device for displaying information |
| US20110312651A1 (en) * | 2010-06-17 | 2011-12-22 | Geneasys Pty Ltd | Microfluidic device with low mass probe spots |
| WO2012018301A1 (en) * | 2010-08-06 | 2012-02-09 | Acreo Ab | Microfluidic device and method for controlling interaction between liquids |
| EP2729252B1 (en) * | 2011-07-07 | 2017-08-09 | Holger Behnk | Cuvette module with electrically conductive cuvette holder |
| KR20130009504A (en) | 2011-07-15 | 2013-01-23 | 삼성전자주식회사 | Aperture adjustment method and aperture adjustment element |
| WO2013019257A1 (en) | 2011-08-03 | 2013-02-07 | Massachusetts Institute Of Technology | Articles for manipulating impinging liquids and methods of manufacturing same |
| BR112014002585B8 (en) | 2011-08-05 | 2022-09-06 | Massachusetts Inst Technology | ARTICLE INCLUDING SURFACES IMPREGNATED WITH LIQUID |
| FR2982176B1 (en) * | 2011-11-09 | 2014-01-10 | Commissariat Energie Atomique | DEVICE AND METHOD FOR HANDLING DROPS |
| CA2865535A1 (en) * | 2012-02-29 | 2013-09-06 | Massachusetts Institute Of Technology | Articles and methods for modifying condensation on surfaces |
| WO2013141953A2 (en) | 2012-03-23 | 2013-09-26 | Massachusetts Institute Of Technology | Liquid-encapsulated rare-earth based ceramic surfaces |
| MX373553B (en) | 2012-03-23 | 2020-05-11 | Massachusetts Inst Technology | SELF-LUBRICATING SURFACES FOR FOOD PACKAGING AND FOOD PROCESSING EQUIPMENT. |
| PL398979A1 (en) * | 2012-04-25 | 2013-10-28 | Scope Fluidics Spólka Z Ograniczona Odpowiedzialnoscia | A microfluidic device and a microfluidic system comprising one or more microfluidic devices |
| US20130337027A1 (en) | 2012-05-24 | 2013-12-19 | Massachusetts Institute Of Technology | Medical Devices and Implements with Liquid-Impregnated Surfaces |
| US9625075B2 (en) | 2012-05-24 | 2017-04-18 | Massachusetts Institute Of Technology | Apparatus with a liquid-impregnated surface to facilitate material conveyance |
| CA2876381A1 (en) | 2012-06-13 | 2013-12-19 | Massachusetts Institute Of Technology | Articles and methods for levitating liquids on surfaces, and devices incorporating the same |
| US20140178611A1 (en) | 2012-11-19 | 2014-06-26 | Massachusetts Institute Of Technology | Apparatus and methods employing liquid-impregnated surfaces |
| SG10201608746WA (en) | 2012-11-19 | 2016-12-29 | Massachusetts Inst Technology | Apparatus and methods employing liquid-impregnated surfaces |
| US9585757B2 (en) | 2013-09-03 | 2017-03-07 | Massachusetts Institute Of Technology | Orthopaedic joints providing enhanced lubricity |
| WO2015095660A1 (en) | 2013-12-20 | 2015-06-25 | Massachusetts Institute Of Technology | Controlled liquid/solid mobility using external fields on lubricant-impregnated surfaces |
| BR112016017155A2 (en) * | 2014-01-24 | 2017-08-08 | Univ Johns Hopkins | SYSTEM AND DEVICE FOR GENERATION OF COMBINATORIAL DROPS WITH HIGH YIELD AND METHODS OF USE |
| US9947481B2 (en) | 2014-06-19 | 2018-04-17 | Massachusetts Institute Of Technology | Lubricant-impregnated surfaces for electrochemical applications, and devices and systems using same |
| US10040048B1 (en) | 2014-09-25 | 2018-08-07 | Synthego Corporation | Automated modular system and method for production of biopolymers |
| IL284235B (en) * | 2015-04-22 | 2022-07-01 | Berkeley Lights Inc | Kits and methods for preparing a microfluidic device for cell culture |
| US10799865B2 (en) | 2015-10-27 | 2020-10-13 | Berkeley Lights, Inc. | Microfluidic apparatus having an optimized electrowetting surface and related systems and methods |
| WO2017201505A2 (en) | 2016-05-19 | 2017-11-23 | Plasmotica, LLC | Apparatus and method for programmable spatially selective nanoscale surface functionalization, self-flowing micorfluidic analytical chip, and stand alone microfluidic analytical chip device |
| CN109689213B (en) | 2016-05-26 | 2022-10-14 | 伯克利之光生命科技公司 | Covalently modified surface, kit, preparation method and application |
| KR20240017985A (en) | 2017-06-21 | 2024-02-08 | 베이스4 이노베이션 엘티디 | Microdroplet Manipulation Device |
| SG11201912295VA (en) | 2017-06-21 | 2020-01-30 | Base4 Innovation Ltd | Method for investigating molecules such as nucleic acids |
| CN110769936B (en) | 2017-06-21 | 2022-07-08 | 光投发现有限公司 | Microfluidic analytical device |
| US11080440B2 (en) | 2017-06-27 | 2021-08-03 | International Business Machines Corporation | Characterizing fluid flow at field conditions |
| US20190076814A1 (en) | 2017-09-11 | 2019-03-14 | Synthego Corporation | Biopolymer synthesis system and method |
| WO2019075211A1 (en) * | 2017-10-11 | 2019-04-18 | The Charles Stark Draper Laboratory, Inc. | Guided-droplet oligonucleotide synthesizer |
| US12350670B2 (en) | 2018-05-18 | 2025-07-08 | Lightcast Discovery Ltd. | Droplet manipulation device and method |
| EP3837344A4 (en) * | 2018-08-17 | 2022-01-26 | Sierra Biosystems, Inc. | Row-independent oligonucleotide synthesis |
| EP3656472A1 (en) | 2018-11-20 | 2020-05-27 | Lightcast Discovery Limited | Cell analyser |
| EP3656473A1 (en) | 2018-11-20 | 2020-05-27 | Lightcast Discovery Limited | Microdroplet detection of cells |
| GB201909514D0 (en) | 2018-11-20 | 2019-08-14 | Lightcast Discovery Ltd | Device and method for microdroplet detection of cells |
| JP7520833B2 (en) * | 2018-11-28 | 2024-07-23 | オックスフォード ナノポール テクノロジーズ ピーエルシー | Sensing system and method of operation |
| CN111450906B (en) * | 2019-01-22 | 2022-02-25 | 北京纳米能源与系统研究所 | Self-actuated electrowetting valve, paper-based microfluidic chip and immunodetection device |
| CN113543884B (en) | 2019-02-19 | 2023-12-01 | 光投发现有限公司 | droplet manipulation device |
| CN110681421A (en) * | 2019-10-08 | 2020-01-14 | 江苏奥素液芯生物技术有限公司 | Digital microfluidic system |
| GB201915027D0 (en) | 2019-10-17 | 2019-12-04 | Lightcast Discovery Ltd | Apparatus and methods for manipulating microdroplets |
| GB202001051D0 (en) * | 2020-01-24 | 2020-03-11 | Lightcast Discovery Ltd | Methods and apparatus for high throughput microdroplet manipulation |
| CN112718028B (en) * | 2020-12-24 | 2022-11-01 | 深圳先进技术研究院 | Light-operated liquid drop motion material and preparation method and application thereof |
| GB202103609D0 (en) | 2021-03-16 | 2021-04-28 | Lightcast Discovery Ltd | Method of selecting cells |
| CN113634293B (en) * | 2021-08-09 | 2023-02-28 | 复旦大学 | A light-controlled all-inorganic EWOD device |
Citations (31)
| Publication number | Priority date | Publication date | Assignee | Title |
|---|---|---|---|---|
| US5185144A (en) * | 1990-10-26 | 1993-02-09 | Bristol-Myers Squibb Company | Gastroprotectant compositions and use thereof |
| US5378841A (en) * | 1989-12-20 | 1995-01-03 | Antivirals Inc. | Alpha-morpholino ribonucleoside derivatives and polymers thereof |
| US5432272A (en) * | 1990-10-09 | 1995-07-11 | Benner; Steven A. | Method for incorporating into a DNA or RNA oligonucleotide using nucleotides bearing heterocyclic bases |
| US5470967A (en) * | 1990-04-10 | 1995-11-28 | The Dupont Merck Pharmaceutical Company | Oligonucleotide analogs with sulfamate linkages |
| US5539082A (en) * | 1993-04-26 | 1996-07-23 | Nielsen; Peter E. | Peptide nucleic acids |
| US5719262A (en) * | 1993-11-22 | 1998-02-17 | Buchardt, Deceased; Ole | Peptide nucleic acids having amino acid side chains |
| US5817781A (en) * | 1992-06-01 | 1998-10-06 | Gilead Sciences, Inc. | Modified internucleoside linkages (II) |
| US5846396A (en) * | 1994-11-10 | 1998-12-08 | Sarnoff Corporation | Liquid distribution system |
| US5898685A (en) * | 1994-02-04 | 1999-04-27 | Advanced Micro Devices, Inc. | Burst synchronization of time division multiplexed transceiver pairs |
| US6043060A (en) * | 1996-11-18 | 2000-03-28 | Imanishi; Takeshi | Nucleotide analogues |
| US6127121A (en) * | 1998-04-03 | 2000-10-03 | Epoch Pharmaceuticals, Inc. | Oligonucleotides containing pyrazolo[3,4-D]pyrimidines for hybridization and mismatch discrimination |
| US6143877A (en) * | 1997-04-30 | 2000-11-07 | Epoch Pharmaceuticals, Inc. | Oligonucleotides including pyrazolo[3,4-D]pyrimidine bases, bound in double stranded nucleic acids |
| US20020043463A1 (en) * | 2000-08-31 | 2002-04-18 | Alexander Shenderov | Electrostatic actuators for microfluidics and methods for using same |
| US6379929B1 (en) * | 1996-11-20 | 2002-04-30 | The Regents Of The University Of Michigan | Chip-based isothermal amplification devices and methods |
| US20020114715A1 (en) * | 2001-02-20 | 2002-08-22 | Korea Advanced Institute Of Science And Technology | Micropump driven by movement of liquid drop induced by continuous electrowetting |
| US20020137218A1 (en) * | 1995-12-18 | 2002-09-26 | Alec Mian | Devices and methods for using centripetal acceleration to drive fluid movement in a microfluidics system |
| US6485690B1 (en) * | 1999-05-27 | 2002-11-26 | Orchid Biosciences, Inc. | Multiple fluid sample processor and system |
| US20030047688A1 (en) * | 2001-08-07 | 2003-03-13 | Faris Gregory W. | Optical microfluidic devices and methods |
| US20030054176A1 (en) * | 2001-09-07 | 2003-03-20 | Pantano Carlo G. | Modified substrates for the attachment of biomolecules |
| US20030070677A1 (en) * | 2000-07-24 | 2003-04-17 | The Regents Of The University Of Michigan | Compositions and methods for liquid metering in microchannels |
| US20030118486A1 (en) * | 2000-07-03 | 2003-06-26 | Xeotron Corporation | Fluidic methods and devices for parallel chemical reactions |
| US20030138941A1 (en) * | 2001-10-26 | 2003-07-24 | Haiqing Gong | Sample preparation integrated chip |
| US20030164295A1 (en) * | 2001-11-26 | 2003-09-04 | Keck Graduate Institute | Method, apparatus and article for microfluidic control via electrowetting, for chemical, biochemical and biological assays and the like |
| US20030224528A1 (en) * | 2002-05-31 | 2003-12-04 | Chiou Pei Yu | Systems and methods for optical actuation of microfluidics based on opto-electrowetting |
| US6670461B1 (en) * | 1997-09-12 | 2003-12-30 | Exiqon A/S | Oligonucleotide analogues |
| US6680845B2 (en) * | 2000-09-06 | 2004-01-20 | Sony Corporation | Information processing apparatus |
| US6770748B2 (en) * | 1997-03-07 | 2004-08-03 | Takeshi Imanishi | Bicyclonucleoside and oligonucleotide analogue |
| US20040231987A1 (en) * | 2001-11-26 | 2004-11-25 | Keck Graduate Institute | Method, apparatus and article for microfluidic control via electrowetting, for chemical, biochemical and biological assays and the like |
| US20050045238A1 (en) * | 2003-08-29 | 2005-03-03 | Jing-Tang Yang | Micro valve device |
| US20050166980A1 (en) * | 1999-06-28 | 2005-08-04 | California Institute Of Technology | Microfabricated elastomeric valve and pump systems |
| US6943034B1 (en) * | 1991-11-22 | 2005-09-13 | Affymetrix, Inc. | Combinatorial strategies for polymer synthesis |
Family Cites Families (20)
| Publication number | Priority date | Publication date | Assignee | Title |
|---|---|---|---|---|
| US5500188A (en) * | 1984-03-01 | 1996-03-19 | Molecular Devices Corporation | Device for photoresponsive detection and discrimination |
| US5506337A (en) | 1985-03-15 | 1996-04-09 | Antivirals Inc. | Morpholino-subunit combinatorial library and method |
| US6004785A (en) * | 1985-08-29 | 1999-12-21 | Genencor International Inc. | Heterologous polypeptides expressed in filamentous fungi, processes for making same, and vectors for making same |
| US6093302A (en) * | 1998-01-05 | 2000-07-25 | Combimatrix Corporation | Electrochemical solid phase synthesis |
| US6565727B1 (en) * | 1999-01-25 | 2003-05-20 | Nanolytics, Inc. | Actuators for microfluidics without moving parts |
| ATE327741T1 (en) * | 1999-06-21 | 2006-06-15 | Kuhnil Pharmaceutical Co Ltd | ANESTHETICAL COMPOSITION CONTAINING PROPOFOL FOR INTRAVENOUS INJECTION |
| US6395232B1 (en) * | 1999-07-09 | 2002-05-28 | Orchid Biosciences, Inc. | Fluid delivery system for a microfluidic device using a pressure pulse |
| US6660845B1 (en) | 1999-11-23 | 2003-12-09 | Epoch Biosciences, Inc. | Non-aggregating, non-quenching oligomers comprising nucleotide analogues; methods of synthesis and use thereof |
| EP1289661B1 (en) * | 2000-06-14 | 2006-05-10 | Board of Regents, The University of Texas System | Apparatus and method for fluid injection |
| WO2002007503A1 (en) * | 2000-07-25 | 2002-01-31 | The Regents Of The University Of California | Electrowetting-driven micropumping |
| US20020094580A1 (en) * | 2001-01-16 | 2002-07-18 | Jorgenson James W. | Photothermal absorbance detection apparatus and method of using same |
| US6949176B2 (en) * | 2001-02-28 | 2005-09-27 | Lightwave Microsystems Corporation | Microfluidic control using dielectric pumping |
| US7094379B2 (en) * | 2001-10-24 | 2006-08-22 | Commissariat A L'energie Atomique | Device for parallel and synchronous injection for sequential injection of different reagents |
| US6866762B2 (en) * | 2001-12-20 | 2005-03-15 | Board Of Regents, University Of Texas System | Dielectric gate and methods for fluid injection and control |
| US6561224B1 (en) * | 2002-02-14 | 2003-05-13 | Abbott Laboratories | Microfluidic valve and system therefor |
| US6911132B2 (en) * | 2002-09-24 | 2005-06-28 | Duke University | Apparatus for manipulating droplets by electrowetting-based techniques |
| US7329545B2 (en) * | 2002-09-24 | 2008-02-12 | Duke University | Methods for sampling a liquid flow |
| US6989234B2 (en) * | 2002-09-24 | 2006-01-24 | Duke University | Method and apparatus for non-contact electrostatic actuation of droplets |
| EP1525916A1 (en) * | 2003-10-23 | 2005-04-27 | F. Hoffmann-La Roche Ag | Flow triggering device |
| EP1735428A4 (en) | 2004-04-12 | 2010-11-10 | Univ California | OPTOELECTRONIC CLAMPS FOR HANDLING MICROPARTICLES AND CELLS |
-
2005
- 2005-03-29 US US11/092,180 patent/US20060153745A1/en not_active Abandoned
-
2006
- 2006-01-11 WO PCT/US2006/000890 patent/WO2006076390A1/en not_active Ceased
- 2006-01-11 US US11/329,639 patent/US20060165565A1/en not_active Abandoned
-
2010
- 2010-02-08 US US12/702,162 patent/US20100200094A1/en not_active Abandoned
- 2010-11-11 US US12/944,322 patent/US8642354B2/en active Active
-
2011
- 2011-10-27 US US13/283,240 patent/US8192701B2/en not_active Expired - Lifetime
-
2012
- 2012-05-01 US US13/461,377 patent/US20120298235A1/en not_active Abandoned
-
2013
- 2013-10-11 US US14/051,698 patent/US20140102571A1/en not_active Abandoned
-
2014
- 2014-01-31 US US14/169,992 patent/US20140249057A1/en not_active Abandoned
-
2015
- 2015-04-21 US US14/692,631 patent/US20150298125A1/en not_active Abandoned
Patent Citations (34)
| Publication number | Priority date | Publication date | Assignee | Title |
|---|---|---|---|---|
| US5378841A (en) * | 1989-12-20 | 1995-01-03 | Antivirals Inc. | Alpha-morpholino ribonucleoside derivatives and polymers thereof |
| US5470967A (en) * | 1990-04-10 | 1995-11-28 | The Dupont Merck Pharmaceutical Company | Oligonucleotide analogs with sulfamate linkages |
| US5432272A (en) * | 1990-10-09 | 1995-07-11 | Benner; Steven A. | Method for incorporating into a DNA or RNA oligonucleotide using nucleotides bearing heterocyclic bases |
| US5185144A (en) * | 1990-10-26 | 1993-02-09 | Bristol-Myers Squibb Company | Gastroprotectant compositions and use thereof |
| US6943034B1 (en) * | 1991-11-22 | 2005-09-13 | Affymetrix, Inc. | Combinatorial strategies for polymer synthesis |
| US5817781A (en) * | 1992-06-01 | 1998-10-06 | Gilead Sciences, Inc. | Modified internucleoside linkages (II) |
| US5539082A (en) * | 1993-04-26 | 1996-07-23 | Nielsen; Peter E. | Peptide nucleic acids |
| US5719262A (en) * | 1993-11-22 | 1998-02-17 | Buchardt, Deceased; Ole | Peptide nucleic acids having amino acid side chains |
| US5898685A (en) * | 1994-02-04 | 1999-04-27 | Advanced Micro Devices, Inc. | Burst synchronization of time division multiplexed transceiver pairs |
| US5846396A (en) * | 1994-11-10 | 1998-12-08 | Sarnoff Corporation | Liquid distribution system |
| US20020137218A1 (en) * | 1995-12-18 | 2002-09-26 | Alec Mian | Devices and methods for using centripetal acceleration to drive fluid movement in a microfluidics system |
| US6043060A (en) * | 1996-11-18 | 2000-03-28 | Imanishi; Takeshi | Nucleotide analogues |
| US20020168671A1 (en) * | 1996-11-20 | 2002-11-14 | The Regents Of The University Of Michigan | Chip-based isothermal amplification devices and methods |
| US6379929B1 (en) * | 1996-11-20 | 2002-04-30 | The Regents Of The University Of Michigan | Chip-based isothermal amplification devices and methods |
| US6770748B2 (en) * | 1997-03-07 | 2004-08-03 | Takeshi Imanishi | Bicyclonucleoside and oligonucleotide analogue |
| US6143877A (en) * | 1997-04-30 | 2000-11-07 | Epoch Pharmaceuticals, Inc. | Oligonucleotides including pyrazolo[3,4-D]pyrimidine bases, bound in double stranded nucleic acids |
| US6670461B1 (en) * | 1997-09-12 | 2003-12-30 | Exiqon A/S | Oligonucleotide analogues |
| US6127121A (en) * | 1998-04-03 | 2000-10-03 | Epoch Pharmaceuticals, Inc. | Oligonucleotides containing pyrazolo[3,4-D]pyrimidines for hybridization and mismatch discrimination |
| US6485690B1 (en) * | 1999-05-27 | 2002-11-26 | Orchid Biosciences, Inc. | Multiple fluid sample processor and system |
| US20050166980A1 (en) * | 1999-06-28 | 2005-08-04 | California Institute Of Technology | Microfabricated elastomeric valve and pump systems |
| US20030118486A1 (en) * | 2000-07-03 | 2003-06-26 | Xeotron Corporation | Fluidic methods and devices for parallel chemical reactions |
| US20030070677A1 (en) * | 2000-07-24 | 2003-04-17 | The Regents Of The University Of Michigan | Compositions and methods for liquid metering in microchannels |
| US20020043463A1 (en) * | 2000-08-31 | 2002-04-18 | Alexander Shenderov | Electrostatic actuators for microfluidics and methods for using same |
| US6680845B2 (en) * | 2000-09-06 | 2004-01-20 | Sony Corporation | Information processing apparatus |
| US20020114715A1 (en) * | 2001-02-20 | 2002-08-22 | Korea Advanced Institute Of Science And Technology | Micropump driven by movement of liquid drop induced by continuous electrowetting |
| US20030047688A1 (en) * | 2001-08-07 | 2003-03-13 | Faris Gregory W. | Optical microfluidic devices and methods |
| US6734436B2 (en) * | 2001-08-07 | 2004-05-11 | Sri International | Optical microfluidic devices and methods |
| US20030054176A1 (en) * | 2001-09-07 | 2003-03-20 | Pantano Carlo G. | Modified substrates for the attachment of biomolecules |
| US20030138941A1 (en) * | 2001-10-26 | 2003-07-24 | Haiqing Gong | Sample preparation integrated chip |
| US20030164295A1 (en) * | 2001-11-26 | 2003-09-04 | Keck Graduate Institute | Method, apparatus and article for microfluidic control via electrowetting, for chemical, biochemical and biological assays and the like |
| US20040231987A1 (en) * | 2001-11-26 | 2004-11-25 | Keck Graduate Institute | Method, apparatus and article for microfluidic control via electrowetting, for chemical, biochemical and biological assays and the like |
| US20030224528A1 (en) * | 2002-05-31 | 2003-12-04 | Chiou Pei Yu | Systems and methods for optical actuation of microfluidics based on opto-electrowetting |
| US6958132B2 (en) * | 2002-05-31 | 2005-10-25 | The Regents Of The University Of California | Systems and methods for optical actuation of microfluidics based on opto-electrowetting |
| US20050045238A1 (en) * | 2003-08-29 | 2005-03-03 | Jing-Tang Yang | Micro valve device |
Cited By (24)
| Publication number | Priority date | Publication date | Assignee | Title |
|---|---|---|---|---|
| US8221606B2 (en) | 2004-04-28 | 2012-07-17 | Arkray, Inc. | Electrophoresis chip and electrophoresis unit having the same |
| US20100108518A1 (en) * | 2004-04-28 | 2010-05-06 | Arkray, Inc. | Electrophoresis chip and electrophoresis unit having the same |
| US20100108520A1 (en) * | 2004-04-28 | 2010-05-06 | Arkray, Inc. | Electrophoresis chip and electrophoresis unit having the same |
| US8257570B2 (en) * | 2004-04-28 | 2012-09-04 | Arkray, Inc. | Electrophoresis chip and electrophoresis unit having the same |
| US20060245979A9 (en) * | 2004-07-27 | 2006-11-02 | Brother Kogyo Kabushiki Kaisha | Liquid transfer device and liquid transfer head |
| US7527358B2 (en) * | 2004-07-27 | 2009-05-05 | Brother Kogyo Kabushiki Kaisha | Liquid transfer device and liquid transfer head |
| US20060024207A1 (en) * | 2004-07-27 | 2006-02-02 | Brother Kogyo Kabushiki Kaisha | Liquid transfer device and liquid transfer head |
| US9011663B2 (en) * | 2005-05-13 | 2015-04-21 | Applied Biosystems, Llc | Electrowetting-based valving and pumping systems |
| US8092664B2 (en) * | 2005-05-13 | 2012-01-10 | Applied Biosystems Llc | Electrowetting-based valving and pumping systems |
| US20140076436A1 (en) * | 2005-05-13 | 2014-03-20 | Applied Biosystems, Llc | Electrowetting-Based Valving and Pumping Systems |
| US20150260311A1 (en) * | 2005-05-13 | 2015-09-17 | Applied Biosystems, Llc | Electrowetting-Based Valving and Pumping Systems |
| US20110083964A1 (en) * | 2005-05-13 | 2011-04-14 | Life Technologies Corporation | Electrowetting-Based Valving and Pumping Systems |
| WO2009108927A3 (en) * | 2008-02-28 | 2010-01-07 | Life Technologies Corporation | Pressure-balancing fluidic device, method and system |
| JP2014059061A (en) * | 2009-01-30 | 2014-04-03 | Univ Leiden | Phase guide pattern for liquid handling |
| US20130035242A1 (en) * | 2010-04-20 | 2013-02-07 | Daniel Abenaim | High throughput sample analyzer |
| US10281481B2 (en) * | 2010-04-20 | 2019-05-07 | Analogic Corporation | High throughput sample analyzer |
| US8597486B2 (en) * | 2010-04-21 | 2013-12-03 | Nanyang Technological University | Droplet based miniaturized device with on-demand droplet-trapping, -fusion, and -releasing |
| US20110259742A1 (en) * | 2010-04-21 | 2011-10-27 | Nanyang Technological University | Droplet Based Miniaturized Device With On-Demand Droplet-Trapping, -Fusion, And -Releasing |
| US20120178091A1 (en) * | 2011-01-06 | 2012-07-12 | Meso Scale Technologies, Llc | Assay Cartridges and Methods of Using the Same |
| US9731297B2 (en) * | 2011-01-06 | 2017-08-15 | Meso Scale Technologies, Llc. | Assay cartridges and methods of using the same |
| US10814327B2 (en) | 2011-01-06 | 2020-10-27 | Meso Scale Technologies, Llc. | Assay cartridges and methods of using the same |
| US11896978B2 (en) | 2011-01-06 | 2024-02-13 | Meso Scale Technologies, Llc. | Assay cartridges and methods of using the same |
| US20180038499A1 (en) * | 2011-08-30 | 2018-02-08 | The Royal Institution For The Advancement Of Learning/Mcgill University | Method and system for pre-programmed self-power microfluidic circuits |
| US10690255B2 (en) * | 2011-08-30 | 2020-06-23 | The Royal Institution For The Advancement Of Learning/Mcgill University | Method and system for pre-programmed self-power microfluidic circuits |
Also Published As
| Publication number | Publication date |
|---|---|
| US8642354B2 (en) | 2014-02-04 |
| US20100200094A1 (en) | 2010-08-12 |
| US20140249057A1 (en) | 2014-09-04 |
| US20060165565A1 (en) | 2006-07-27 |
| US20120298235A1 (en) | 2012-11-29 |
| US20150298125A1 (en) | 2015-10-22 |
| US20140102571A1 (en) | 2014-04-17 |
| US8192701B2 (en) | 2012-06-05 |
| US20110124524A1 (en) | 2011-05-26 |
| US20120097257A1 (en) | 2012-04-26 |
| WO2006076390A1 (en) | 2006-07-20 |
Similar Documents
| Publication | Publication Date | Title |
|---|---|---|
| US8642354B2 (en) | Fluid processing device for oligonucleotide synthesis and analysis | |
| US20250222413A1 (en) | Microfluidic Devices | |
| US8610032B2 (en) | Laser heating of aqueous samples on a micro-optical-electro-mechanical system | |
| CN105004596A (en) | Apparatus and methods for integrated sample preparation, reaction and detection | |
| US20090130666A1 (en) | Cytometric system including nucleic acid sequence amplification, and method | |
| US10518241B2 (en) | Creating and harvesting surface-bound emulsion | |
| US20060042959A1 (en) | Microfluidic dynamic vapor control system | |
| HK1215300B (en) | Apparatus and methods for integrated sample preparation, reaction and detection |
Legal Events
| Date | Code | Title | Description |
|---|---|---|---|
| AS | Assignment |
Owner name: APPLERA CORPORATION, CALIFORNIA Free format text: ASSIGNMENT OF ASSIGNORS INTEREST;ASSIGNOR:ERMAKOV, SERGEY V.;REEL/FRAME:016486/0187 Effective date: 20050616 |
|
| AS | Assignment |
Owner name: BANK OF AMERICA, N.A, AS COLLATERAL AGENT, WASHING Free format text: SECURITY AGREEMENT;ASSIGNOR:APPLIED BIOSYSTEMS, LLC;REEL/FRAME:021976/0001 Effective date: 20081121 Owner name: BANK OF AMERICA, N.A, AS COLLATERAL AGENT,WASHINGT Free format text: SECURITY AGREEMENT;ASSIGNOR:APPLIED BIOSYSTEMS, LLC;REEL/FRAME:021976/0001 Effective date: 20081121 Owner name: BANK OF AMERICA, N.A, AS COLLATERAL AGENT, WASHINGTON Free format text: SECURITY AGREEMENT;ASSIGNOR:APPLIED BIOSYSTEMS, LLC;REEL/FRAME:021976/0001 Effective date: 20081121 |
|
| AS | Assignment |
Owner name: APPLIED BIOSYSTEMS, LLC, CALIFORNIA Free format text: MERGER;ASSIGNOR:ATOM ACQUISITION, LLC & APPLIED BIOSYSTEMS INC.;REEL/FRAME:023725/0549 Effective date: 20081121 Owner name: APPLIED BIOSYSTEMS INC., CALIFORNIA Free format text: CHANGE OF NAME;ASSIGNOR:APPLERA CORPORATION;REEL/FRAME:023725/0536 Effective date: 20080630 Owner name: APPLIED BIOSYSTEMS, INC., CALIFORNIA Free format text: MERGER;ASSIGNOR:ATOM ACQUISITION CORPORATION;REEL/FRAME:023725/0542 Effective date: 20081121 |
|
| AS | Assignment |
Owner name: APPLIED BIOSYSTEMS, INC., CALIFORNIA Free format text: CHANGE OF NAME;ASSIGNOR:APPLERA CORPORATION;REEL/FRAME:023762/0060 Effective date: 20080630 Owner name: APPLIED BIOSYSTEMS, INC., CALIFORNIA Free format text: CHANGE OF NAME;ASSIGNOR:ATOM ACQUISITION CORPORATION;REEL/FRAME:023762/0084 Effective date: 20081121 Owner name: APPLIED BIOSYSTEMS LLC, CALIFORNIA Free format text: CHANGE OF NAME;ASSIGNOR:ATOM ACQUISITION LLC;REEL/FRAME:023762/0099 Effective date: 20081121 |
|
| AS | Assignment |
Owner name: APPLIED BIOSYSTEMS INC.,CALIFORNIA Free format text: CHANGE OF NAME;ASSIGNOR:APPLERA CORPORATION;REEL/FRAME:023994/0538 Effective date: 20080701 Owner name: APPLIED BIOSYSTEMS, LLC,CALIFORNIA Free format text: MERGER;ASSIGNOR:APPLIED BIOSYSTEMS INC.;REEL/FRAME:023994/0587 Effective date: 20081121 Owner name: APPLIED BIOSYSTEMS INC., CALIFORNIA Free format text: CHANGE OF NAME;ASSIGNOR:APPLERA CORPORATION;REEL/FRAME:023994/0538 Effective date: 20080701 Owner name: APPLIED BIOSYSTEMS, LLC, CALIFORNIA Free format text: MERGER;ASSIGNOR:APPLIED BIOSYSTEMS INC.;REEL/FRAME:023994/0587 Effective date: 20081121 |
|
| STCB | Information on status: application discontinuation |
Free format text: ABANDONED -- FAILURE TO RESPOND TO AN OFFICE ACTION |
|
| AS | Assignment |
Owner name: APPLIED BIOSYSTEMS, INC., CALIFORNIA Free format text: LIEN RELEASE;ASSIGNOR:BANK OF AMERICA, N.A.;REEL/FRAME:030182/0677 Effective date: 20100528 |
|
| AS | Assignment |
Owner name: APPLIED BIOSYSTEMS, LLC, CALIFORNIA Free format text: CORRECTIVE ASSIGNMENT TO CORRECT THE RECEIVING PARTY NAME PREVIOUSLY RECORDED AT REEL: 030182 FRAME: 182. ASSIGNOR(S) HEREBY CONFIRMS THE RELEASE OF SECURITY INTEREST;ASSIGNOR:BANK OF AMERICA, N.A.;REEL/FRAME:038006/0160 Effective date: 20100528 Owner name: APPLIED BIOSYSTEMS, LLC, CALIFORNIA Free format text: CORRECTIVE ASSIGNMENT TO CORRECT THE RECEIVING PARTY NAME PREVIOUSLY RECORDED AT REEL: 030182 FRAME: 0677. ASSIGNOR(S) HEREBY CONFIRMS THE RELEASE OF SECURITY INTEREST;ASSIGNOR:BANK OF AMERICA, N.A.;REEL/FRAME:038006/0160 Effective date: 20100528 |



