US20060134897A1 - Ethyleneoxide-silane and bridged silane precursors for forming low k films - Google Patents
Ethyleneoxide-silane and bridged silane precursors for forming low k films Download PDFInfo
- Publication number
- US20060134897A1 US20060134897A1 US11/318,747 US31874705A US2006134897A1 US 20060134897 A1 US20060134897 A1 US 20060134897A1 US 31874705 A US31874705 A US 31874705A US 2006134897 A1 US2006134897 A1 US 2006134897A1
- Authority
- US
- United States
- Prior art keywords
- och
- formula
- group
- organosilicon precursor
- precursor
- Prior art date
- Legal status (The legal status is an assumption and is not a legal conclusion. Google has not performed a legal analysis and makes no representation as to the accuracy of the status listed.)
- Abandoned
Links
- RBACIKXCRWGCBB-UHFFFAOYSA-N CCC1CO1 Chemical compound CCC1CO1 RBACIKXCRWGCBB-UHFFFAOYSA-N 0.000 description 6
- GYIODRUWWNNGPI-UHFFFAOYSA-N C[Si](C)(C)C[Si](C)(C)C Chemical compound C[Si](C)(C)C[Si](C)(C)C GYIODRUWWNNGPI-UHFFFAOYSA-N 0.000 description 6
- 0 [1*][Si]([2*])([3*])CC1CO1 Chemical compound [1*][Si]([2*])([3*])CC1CO1 0.000 description 5
- GOOHAUXETOMSMM-UHFFFAOYSA-N CC1CO1 Chemical compound CC1CO1 GOOHAUXETOMSMM-UHFFFAOYSA-N 0.000 description 2
- BCJPEZMFAKOJPM-UHFFFAOYSA-N CCC1OC1C Chemical compound CCC1OC1C BCJPEZMFAKOJPM-UHFFFAOYSA-N 0.000 description 2
- CQOSGOMADJHCJO-UHFFFAOYSA-N C=CC[Si](C)(OC)OC.CO[Si](C)(CC1CO1)OC.ClCCl.O=C(O)C1=CC(Cl)=CC=C1.O=C(OO)C1=CC(Cl)=CC=C1 Chemical compound C=CC[Si](C)(OC)OC.CO[Si](C)(CC1CO1)OC.ClCCl.O=C(O)C1=CC(Cl)=CC=C1.O=C(OO)C1=CC(Cl)=CC=C1 CQOSGOMADJHCJO-UHFFFAOYSA-N 0.000 description 1
- UHDWHHNAMZUKPF-UHFFFAOYSA-N C=C[Si](C)(C)C=C.C[Si](C)(C1CO1)C1CO1.ClCCl.O=C(O)C1=CC(Cl)=CC=C1.O=C(OO)C1=CC(Cl)=CC=C1 Chemical compound C=C[Si](C)(C)C=C.C[Si](C)(C1CO1)C1CO1.ClCCl.O=C(O)C1=CC(Cl)=CC=C1.O=C(OO)C1=CC(Cl)=CC=C1 UHDWHHNAMZUKPF-UHFFFAOYSA-N 0.000 description 1
- LDWRELKIVQGWOD-UHFFFAOYSA-N C=C[Si](C)(OCC)OCC.CCO[Si](C)(OCC)C1CO1.ClCCl.O=C(O)C1=CC(Cl)=CC=C1.O=C(OO)C1=CC(Cl)=CC=C1 Chemical compound C=C[Si](C)(OCC)OCC.CCO[Si](C)(OCC)C1CO1.ClCCl.O=C(O)C1=CC(Cl)=CC=C1.O=C(OO)C1=CC(Cl)=CC=C1 LDWRELKIVQGWOD-UHFFFAOYSA-N 0.000 description 1
- QJXHTVNUKBBDIV-UHFFFAOYSA-N CC.CC.CC Chemical compound CC.CC.CC QJXHTVNUKBBDIV-UHFFFAOYSA-N 0.000 description 1
- BFFSUAOFEQVHSS-UHFFFAOYSA-N CCO[Si](C)(OCC)C1CO1 Chemical compound CCO[Si](C)(OCC)C1CO1 BFFSUAOFEQVHSS-UHFFFAOYSA-N 0.000 description 1
- QUESNPBAPWURMS-UHFFFAOYSA-N CO[Si](C)(CC1CO1)OC Chemical compound CO[Si](C)(CC1CO1)OC QUESNPBAPWURMS-UHFFFAOYSA-N 0.000 description 1
- ZAKXVHZJSZGEHM-UHFFFAOYSA-N C[Si](C)(C1CO1)C1CO1 Chemical compound C[Si](C)(C1CO1)C1CO1 ZAKXVHZJSZGEHM-UHFFFAOYSA-N 0.000 description 1
Images
Classifications
-
- C—CHEMISTRY; METALLURGY
- C23—COATING METALLIC MATERIAL; COATING MATERIAL WITH METALLIC MATERIAL; CHEMICAL SURFACE TREATMENT; DIFFUSION TREATMENT OF METALLIC MATERIAL; COATING BY VACUUM EVAPORATION, BY SPUTTERING, BY ION IMPLANTATION OR BY CHEMICAL VAPOUR DEPOSITION, IN GENERAL; INHIBITING CORROSION OF METALLIC MATERIAL OR INCRUSTATION IN GENERAL
- C23C—COATING METALLIC MATERIAL; COATING MATERIAL WITH METALLIC MATERIAL; SURFACE TREATMENT OF METALLIC MATERIAL BY DIFFUSION INTO THE SURFACE, BY CHEMICAL CONVERSION OR SUBSTITUTION; COATING BY VACUUM EVAPORATION, BY SPUTTERING, BY ION IMPLANTATION OR BY CHEMICAL VAPOUR DEPOSITION, IN GENERAL
- C23C16/00—Chemical coating by decomposition of gaseous compounds, without leaving reaction products of surface material in the coating, i.e. chemical vapour deposition [CVD] processes
- C23C16/22—Chemical coating by decomposition of gaseous compounds, without leaving reaction products of surface material in the coating, i.e. chemical vapour deposition [CVD] processes characterised by the deposition of inorganic material, other than metallic material
- C23C16/30—Deposition of compounds, mixtures or solid solutions, e.g. borides, carbides, nitrides
- C23C16/40—Oxides
- C23C16/401—Oxides containing silicon
-
- C—CHEMISTRY; METALLURGY
- C07—ORGANIC CHEMISTRY
- C07F—ACYCLIC, CARBOCYCLIC OR HETEROCYCLIC COMPOUNDS CONTAINING ELEMENTS OTHER THAN CARBON, HYDROGEN, HALOGEN, OXYGEN, NITROGEN, SULFUR, SELENIUM OR TELLURIUM
- C07F7/00—Compounds containing elements of Groups 4 or 14 of the Periodic Table
- C07F7/02—Silicon compounds
- C07F7/08—Compounds having one or more C—Si linkages
- C07F7/0803—Compounds with Si-C or Si-Si linkages
- C07F7/081—Compounds with Si-C or Si-Si linkages comprising at least one atom selected from the elements N, O, halogen, S, Se or Te
- C07F7/0812—Compounds with Si-C or Si-Si linkages comprising at least one atom selected from the elements N, O, halogen, S, Se or Te comprising a heterocyclic ring
- C07F7/0814—Compounds with Si-C or Si-Si linkages comprising at least one atom selected from the elements N, O, halogen, S, Se or Te comprising a heterocyclic ring said ring is substituted at a C ring atom by Si
-
- C—CHEMISTRY; METALLURGY
- C07—ORGANIC CHEMISTRY
- C07F—ACYCLIC, CARBOCYCLIC OR HETEROCYCLIC COMPOUNDS CONTAINING ELEMENTS OTHER THAN CARBON, HYDROGEN, HALOGEN, OXYGEN, NITROGEN, SULFUR, SELENIUM OR TELLURIUM
- C07F7/00—Compounds containing elements of Groups 4 or 14 of the Periodic Table
- C07F7/02—Silicon compounds
- C07F7/08—Compounds having one or more C—Si linkages
- C07F7/18—Compounds having one or more C—Si linkages as well as one or more C—O—Si linkages
- C07F7/1804—Compounds having Si-O-C linkages
-
- C—CHEMISTRY; METALLURGY
- C09—DYES; PAINTS; POLISHES; NATURAL RESINS; ADHESIVES; COMPOSITIONS NOT OTHERWISE PROVIDED FOR; APPLICATIONS OF MATERIALS NOT OTHERWISE PROVIDED FOR
- C09D—COATING COMPOSITIONS, e.g. PAINTS, VARNISHES OR LACQUERS; FILLING PASTES; CHEMICAL PAINT OR INK REMOVERS; INKS; CORRECTING FLUIDS; WOODSTAINS; PASTES OR SOLIDS FOR COLOURING OR PRINTING; USE OF MATERIALS THEREFOR
- C09D4/00—Coating compositions, e.g. paints, varnishes or lacquers, based on organic non-macromolecular compounds having at least one polymerisable carbon-to-carbon unsaturated bond ; Coating compositions, based on monomers of macromolecular compounds of groups C09D183/00 - C09D183/16
Definitions
- the present invention relates to low dielectric constant films, and to precursors and methods useful in making such films.
- TMCTS 1,3,5,7-tetramethylcyclotetrasiloxane
- VLSI very large-scale integration
- gPa gigapascal
- the present invention relates generally to low dielectric constant films, and to precursors and methods useful in making such films, e.g., for the manufacture of semiconductor devices and products.
- the invention relates to an organosilicon precursor for vapor deposition, e.g., low pressure ( ⁇ 100 Torr), plasma-enhanced chemical vapor deposition (PECVD) of a low k, high strength dielectric film, wherein the precursor comprises at least one of:
- the invention relates to an organosilicon precursor composition for vapor deposition of a low k, high strength dielectric film, wherein the composition comprises:
- Another aspect of the invention relates to a method of forming an oxiranylsilane compound of formula (I): wherein:
- the oxiranylsilane compound has the formula (II) set out below: wherein:
- Yet another aspect of the invention relates to a method of synthesizing a bridged disilane compound of formula (III): R 4 R 5 R 6 Si—(CH 2 ) y —SiR 7 R 8 R 9 (III) wherein:
- the invention relates to a method of forming a low k, high strength dielectric film on a substrate, comprising vapor depositing said film on the substrate from a precursor comprising at least one of:
- FIG. 1 is a graph of FTIR transmission spectra of a film deposited from TMCTS and a film deposited from Me(EtO 2 )SiCHCH 2 O under low oxygen activity deposition conditions.
- FIG. 2 is a plot of deposition rate, in Angstroms per minute, as a function of measured radio frequency power, in watts, for each of Me(EtO 2 )SiCHCH 2 O (denoted in the graph as DEOMORS), tetramethylcyclotetrasiloxane (denoted in the graph as TMCTS), and tetraethylorthosilicate (denoted in the graph as TEOS), each utilized in the deposition process in combination with a same porogen under similar conditions.
- DEOMORS Me(EtO 2 )SiCHCH 2 O
- TMCTS tetramethylcyclotetrasiloxane
- TEOS tetraethylorthosilicate
- the present invention contemplates a new class of precursor compounds that are useful in forming low k films having superior mechanical strength characteristics.
- the precursor compounds of the invention in a first general category are organosilicon source reagents including silicon-pendant oxiranyl functionality.
- the organosilicon source reagents include monosilicon-containing compounds as well as polysilicon-containing compounds, e.g., disilanes, disilylalkyl compounds, disiloxanes and cyclosiloxanes.
- the number of oxiranyl functional groups in the molecule can be selectively adjusted along with other R and OR groups to optimize the behavior of the precursor molecule for a specific film-forming application, e.g., a low-pressure plasma chemical vapor deposition (CVD) process, and the molecule can include H groups in combination with oxiranyl, methyl, methoxide, and other functionality.
- Cross-linked silyl structures (having an Si—C—Si moiety) can also be employed in the organosilicon precursors of the invention.
- one sub-class of oxiranylsilane compounds of the invention has the formula (II): wherein:
- each of R 1 , R 2 and R 3 is independently selected from the group consisting of H, C 1 -C 8 alkyl, C 1 -C 8 fluoroalkyl, C 1 -C 8 alkoxy, C 6 -C 10 cycloalkyl, C 6 -C 10 aryl, C 6 -C 10 fluoroaryl, C 2 -C 6 vinyl, and C 3 -C 6 allyl.
- each of R 1 and R 2 is independently selected from the group consisting of H, C 1 -C 8 alkyl, C 1 -C 8 fluoroalkyl, C 1 -C 8 alkoxy, C 6 -C 10 cycloalkyl, C 6 -C 10 aryl, C 6 -C 10 fluoroaryl, C 2 -C 6 vinyl, and C 3 -C 6 allyl.
- a further sub-class of silyloxirane compounds within the general formula (I) has the formula (VII): wherein: each of R 1 , R 2 and R 3 is independently selected from the group consisting of H, C 1 -C 8 alkyl, C 1 -C 8 fluoroalkyl, C 1 -C 8 alkoxy, C 6 -C 10 cycloalkyl, C 6 -C 10 aryl, C 6 -C 10 fluoroaryl, C 2 -C 6 vinyl, and C 3 -C 6 allyl.
- a further sub-class of compounds within the scope of broad formula (I) comprises compounds of the formula (VIII) set out below: wherein:
- a further sub-class of oxiranyl compounds of the invention has the formula (IX): wherein:
- Illustrative compounds within the broad scope of the present invention include the compounds set out below.
- Me(EtO) 2 SiCHCH 2 O Formula (A) Me(MeO) 2 Si CH 2 CHCH 2 O Formula (B), Me 2 Si (CHCH 2 O) 2 Formula (C), wherein Me is methyl.
- the ethyleneoxide-substituted silane compounds of the invention are useful precursors for the formation of low k films having dielectric constant below 2.5, by deposition methods such as plasma-enhanced chemical vapor deposition (PECVD).
- PECVD plasma-enhanced chemical vapor deposition
- the ethyleneoxide moiety in the precursor molecule provides a functionality with a weak carbon-oxygen bond. Under mild plasma conditions, this bond breaks first and by absorbing the plasma energy prevents the breakage of other silicon-carbon bonds in the precursor molecule. The resulting incorporation of carbon in the deposited films provides lowered k values.
- the formation of oxygen and carbon radicals during the PECVD film-forming process also facilitates cross-linking within the film to produce films of superior hardness.
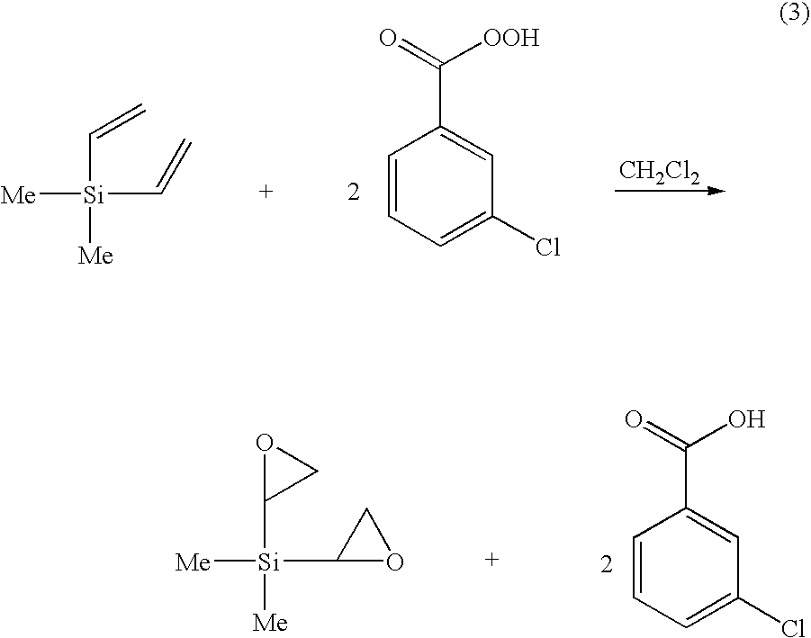
- the ethyleneoxide-substituted silane precursor compounds of the invention are readily synthesized by oxidation of either vinyl or allyl groups on correspondingly functionalized silane compounds.
- Useful oxidizing agents for such purpose include meta-Cl(C 6 H 4 )C(O)OOH, denoted m-CPBA, t BuOOH, wherein t Bu is tertiary butyl, and Me 3 OOSiMe 3 , wherein Me is methyl, as well as other oxidants having sufficient oxidizing strength and inertness in relation to Si—OR fragments.
- the reaction can be run in a suitable non-flammable solvent medium, e.g., using a solvent such as dichloromethane (CH 2 Cl 2 ), chloroform (CHCl 3 ), etc., which provides a safe environment for the strong oxidizing agent.
- a solvent such as dichloromethane (CH 2 Cl 2 ), chloroform (CHCl 3 ), etc., which provides a safe environment for the strong oxidizing agent.
- Reaction (2) involving the allylsilane analog was much faster compared to Reaction (1) involving the corresponding vinyl compound.
- Me(EtO) 2 SiCHCH 2 O was employed as a precursor for PECVD formation of low k films, and yielded films having a k value of 3.1 and a hardness of 2.3 GPa.
- Very low k value films can be obtained using the dioxiranylsilane compounds of formula (III) above, such as Me 2 Si(CHCH 2 O) 2 , which can be synthesized according to Reaction (3) below.
- the precursor compounds of the invention in a second general category are bridged silane source reagents of the formula (III): R 4 R 5 R 6 Si—(CH 2 ) y —SiR 7 R 8 R 9 (III) wherein: each of R 4 , R 5 , R 6 , R 7 , R 8 and R 9 can be the same as or different from one another and each is independently selected from the group consisting of H, C 1 -C 8 alkyl, C 1 -C 8 fluoroalkyl, C 1 -C 8 alkoxyl, C 6 -C 10 cycloalkyl, C 6 -C 10 aryl, C 6 -C 10 fluoroaryl, C 2 -C 6 vinyl, C 3 -C 6 allyl, and oxiranylalkylene of formula (IV)
- the number of methylene groups, i.e., —(CH 2 )— groups, in the silane compound of formula (III) is one or two.
- the precursors of formula (III) employ bridged carbons between silicon atoms in the molecule, to improve film hardness.
- the —(CH 2 ) x — moieties remain in the film's cross-linking silicon centers, to provide significantly improved hardness, and concurrently lower k values due to the incorporation of carbon in the deposited film, in relation to corresponding silane precursors lacking the —(CH 2 ) x — moieties of the formula (III) compounds.
- the bridged silanes of formula (III) can be readily synthesized by derivatization of commercially available bridged chlorosilanes.
- Me(MeO) 2 SiCH 2 CH 2 SiMe(OMe) 2 and Me 2 (MeO)SiCH 2 CH 2 SiMe 2 (OMe) are readily synthesized at yields of 82% and 88%, respectively, by the respective Reactions (4) and (5) set out below.
- the compounds of formula (III) can be used as precursors for formation of low k, high strength films, in vapor deposition processes.
- Such precursors of formula (III) can be employed alone or alternatively in combination with porogen materials, such as porogens of the formula (X): R 10 R 11 SiR 12 R 13 (X) wherein: each of R 10 , R 11 , R 12 and R 13 can be the same as or different from one another and each is independently selected from the group consisting of H, C 1 -C 8 alkyl, C 1 -C 8 alkoxyl, C 6 -C 10 cycloalkyl, and C 6 -C 10 aryl, with the proviso that at least one of R 10 , R 11 , R 12 and R 13 is C 1 -C 8 alkoxyl.
- Preferred porogens include:
- organosilicon precursors of the invention e.g., of Formula (I) and/or Formula (III), in combination with other organosilicon precursor compounds, such as TMCTS or other, e.g., cyclosiloxane, precursor(s), to provide improvement in the film properties that would otherwise be obtained using such other organosilicon precursor compounds in the absence of the organosilicon precursors of the invention.
- organosilicon precursor compounds of the invention e.g., of Formula (I) and/or Formula (III)
- organosilicon precursor compounds such as TMCTS or other, e.g., cyclosiloxane, precursor(s
- m-CPBA 14 g, 62.47 mmol based on 77% purity
- Anhydrous methylene chloride 100 mL was added to dissolve m-CPBA.
- Me(EtO) 2 SiCH ⁇ CH 2 10 g, 62.5 mmol was added to the clear solution of m-CPBA in CH 2 Cl 2 . No visual changes immediately occurred.
- the white precipitate of m-ClC 6 H 4 COOH formed within 2 hours.
- the reaction mixture was reduced in volume under vacuum (about 75 mL of CH 2 Cl 2 were removed). Pentane (50 mL) was added and then the mixture was filtered. Low boiling point volatiles were removed in vacuum.
- m-CPBA (7.66 g, 34.18 mmol based on 77% purity) was dried in vacuum at room temperature until vacuum reached 10 mTorr.
- Anhydrous methylene chloride 60 mL was added to dissolve m-CPBA.
- Me(MeO) 2 SiCH ⁇ CH 2 (5 g, 34.18 mmol) was added to the solution of m-CPBA in CH 2 Cl 2 .
- the immediate reaction was evidenced by moderate heat generation.
- White precipitate of m-ClC 6 H 4 COOH formed within 1 hour.
- the reaction mixture was left overnight. Next morning, the reaction mixture was reduced in volume under vacuum. Pentane (50 mL) was added and then the mixture was filtered. Low boiling point volatiles were removed in vacuum.
- m-CPBA (8 g, 35.70 mmol based on 77% purity) was dried in vacuum until vacuum reached 10 mTorr. Anhydrous methylene chloride (100 mL) was added to dissolve m-CPBA. The solution of Me 2 Si(CH ⁇ CH 2 ) 2 (2 g, 17.86 mmol) in CH 2 Cl 2 was added to the clear solution of m-CPBA in CH 2 Cl 2 . No visual changes occurred. The reaction mixture was left stirring overnight. White precipitate of m-ClC 6 H4COOH formed by next morning. The mixture was reduced in volume under vacuum (about 80 mL of CH 2 Cl 2 were removed). Pentane (50 mL) was added and then the mixture was filtered.
- the Me(EtO 2 )SiCHCH 2 O was employed to form a deposited film on a substrate by low pressure plasma-enhanced chemical vapor deposition, in which the deposition process was carried out under the process conditions listed in Table 1 below.
- the process was carried out in a deposition chamber to which vapor was introduced by a showerhead injection device to the wafer disposed on the wafer heater.
- TABLE 1 Deposition Parameter Value Syringe setpoint, % 20 Liquid flow, milliliters per minute 0.13 Substrate temperature, ° C. 370 Radio frequency power, watts 250 Pressure, torr 6.0 Spacing (showerhead to wafer heater distance), mils 460 Time, seconds 120 Carrier gas flow rate, sccm/minute 200 Carrier gas carbon dioxide
- the deposited film had the characteristics shown in Table 2 below. TABLE 2 Film property Value Dielectric constant, k 3.1 Indentation hardness, GigaPascals (GPa) 2.3 Indentation modulus, GigaPascals (GPa) 12.4 Deposition Rate, Angstroms/min 980
- the film thus possessed an exceptional film hardness of 2.3 GPa with a dielectric constant k of 3.1.
- the film had less Si—H incorporation compared to films produced using precursors with large amounts of hydride, such as trimethylsilane and TMCTS. This is evidenced by the results in FIG. 1 , which shows FTIR transmission spectra of a film deposited from TMCTS and a film deposited from Me(EtO 2 )SiCHCH 2 O under low oxygen activity deposition conditions.
- Films formed from oxiranylsilane precursors also demonstrate compatibility with low oxygen activity plasmas, which render such precursors compatible with oxygen sensitive porogens, e.g., organosilicon precursors containing t-butyl functional groups.
- the process conditions summarized in Table 1 reflect the fact that a small amount of CO 2 and the Me(EtO 2 )SiCHCH 2 O precursor were the only potential sources of oxygen in the plasma. Under conditions similar to this, many hydride-containing precursors such as TMCTS show a severely depressed deposition rate, and poor dielectric constant and hardness characteristics. Large amounts of Si—H are observed in films deposited from TMCTS. Si—H is not detected in films deposited under similar conditions using Me(EtO 2 )SiCHCH 2 O.
- FIG. 2 is a plot of deposition rate, in Angstroms per minute, as a function of measured radio frequency power, in watts, for each of Me(EtO 2 )SiCHCH 2 O (denoted in the graph as DEOMORS), tetramethylcyclotetrasiloxane (denoted in the graph as TMCTS), and tetraethylorthosilicate (denoted in the graph as TEOS), each utilized in the deposition process in combination with a same porogen under similar conditions.
- DEOMORS Me(EtO 2 )SiCHCH 2 O
- TMCTS tetramethylcyclotetrasiloxane
- TEOS tetraethylorthosilicate
- Me(EtO 2 )SiCHCH 2 O evidenced a markedly higher deposition rate in comparison with the prior art TEOS and TMCTS precursor materials.
Landscapes
- Chemical & Material Sciences (AREA)
- Organic Chemistry (AREA)
- Engineering & Computer Science (AREA)
- Materials Engineering (AREA)
- Life Sciences & Earth Sciences (AREA)
- Wood Science & Technology (AREA)
- Inorganic Chemistry (AREA)
- General Chemical & Material Sciences (AREA)
- Chemical Kinetics & Catalysis (AREA)
- Mechanical Engineering (AREA)
- Metallurgy (AREA)
- Chemical Vapour Deposition (AREA)
Abstract
An organosilicon precursor for vapor deposition, e.g., low pressure (<100 Torr), plasma-enhanced chemical vapor deposition (PECVD) of a low k, high strength dielectric film, wherein the precursor includes at least one of: (i) silicon-pendant oxiranyl functionality; and
(ii) a disilyl moiety of the formula
wherein x is an integer having a value of from 0 to 4 inclusive. These precursors are useful for the formation of dielectric films having dielectric constants on the order of ˜3 and less, and a hardness exceeding ˜1 GigaPascals.
(ii) a disilyl moiety of the formula
Description
- This is a divisional application of U.S. patent application Ser. No. 10/619,785 filed in the name of Alexander S. Borovik on Jul. 15, 2003 and entitled “ETHYLENEOXIDE-SILANE AND BRIDGED SILANE PRECURSORS FOR FORMING LOW K FILMS,” the disclosure of which is hereby incorporated herein by reference, for all purposes. Priority of said U.S. patent application Ser. No. 10/619,785 is claimed, under the provisions of 35 USC 120.
- 1. Field of the Invention
- The present invention relates to low dielectric constant films, and to precursors and methods useful in making such films.
- 2. Description of the Related Art
- As semiconductor devices are scaled to higher processor speeds and smaller, denser structures, there is an increasing need to reduce resistance-capacitance (RC) delays present in interconnect wiring. Since the dielectric constant k is proportional to capacitance (C), scaling relationships require reductions in k values of the dielectric material. In addition to the requirement of low k values, reliability issues require that the dielectric material have a high degree of mechanical strength. Currently available dielectric films have low mechanical strength as k values decrease.
- Among the various materials that are currently available for forming low k films, 1,3,5,7-tetramethylcyclotetrasiloxane (TMCTS) is a widely studied precursor for deposition of low k thin films used as interlayer dielectrics in integrated circuitry. Dielectric films formed from TMCTS typically have k values in a range of from about 2.6 to about 3.0, but lack sufficient hardness for large-scale integration. For next generation very large-scale integration (VLSI) devices, dielectrics will be required that have a dielectric constant k below 2.5 with hardness greater than about 1 gigapascal (gPa).
- Accordingly, the art continues to seek improvements in dielectric materials, in the quest for dielectrics having both high mechanical strength and low k value.
- The present invention relates generally to low dielectric constant films, and to precursors and methods useful in making such films, e.g., for the manufacture of semiconductor devices and products.
- In one aspect, the invention relates to an organosilicon precursor for vapor deposition, e.g., low pressure (<100 Torr), plasma-enhanced chemical vapor deposition (PECVD) of a low k, high strength dielectric film, wherein the precursor comprises at least one of:
- (i) silicon-pendant oxiranyl functionality; and
-
- In another aspect, the invention relates to an organosilicon precursor composition for vapor deposition of a low k, high strength dielectric film, wherein the composition comprises:
- (A) an organosilicon precursor comprising at least one of:
- (i) silicon-pendant oxiranyl functionality; and
-
-
- m is an integer having a value of 0 to 6, inclusive;
- n is 0 or 1;
- x is an integer having a value of 0 to 3, inclusive; and
- each R and R* can be the same as or different from one another and each is independently selected from the group consisting of H, C1-C8 alkyl, C1-C8 fluoroalkyl, C1-C8 alkoxy, C6-C10 cycloalkyl, C6-C10 aryl, C6-C10 fluoroaryl, C2-C6 vinyl, and C3-C6 allyl,
- such method comprising oxidizing a corresponding vinylsilane or allylsilane compound.
-
- each of R1, R2 and R3 can be the same as or different from one another and each is independently selected from the group consisting of H, C1-C8 alkyl, C1-C8 fluoroalkyl, C1-C8 alkoxy, C6-C10 cycloalkyl, C6-C10 aryl, C6-C10 fluoroaryl, C2-C6 vinyl, and C3-C6 allyl; and
- n is 0 or 1;
- with the proviso that if n=1, then one of R1, R2 and R3 alternatively can be an oxiranyl functionality:
(sometimes hereinafter referred to as ethyleneoxide functionality). - Yet another aspect of the invention relates to a method of synthesizing a bridged disilane compound of formula (III):
R4R5R6Si—(CH2)y—SiR7R8R9 (III)
wherein: - each of R4, R5, R6, R7, R8 and R9 can be the same as or different from one another and each is independently selected from the group consisting of H, C1-C8 alkyl, C1-C8 fluoroalkyl, C1-C8 alkoxyl, C6-C10 cycloalkyl, C6-C10 aryl, C6-C10 fluoroaryl, C2-C6 vinyl, C3-C6 allyl, and oxiranylalkylene of formula (IV)
- wherein s is 0 or 1; and
- y is an integer having a value of from 0 to 4 inclusive,
- such method comprising derivatization of a corresponding bridged chlorosilane.
- In a further aspect, the invention relates to a method of forming a low k, high strength dielectric film on a substrate, comprising vapor depositing said film on the substrate from a precursor comprising at least one of:
- (i) silicon-pendant oxiranyl functionality; and
-
- Other aspects, features and advantages of the invention will be more fully apparent from the ensuing disclosure and appended claims.
-
FIG. 1 is a graph of FTIR transmission spectra of a film deposited from TMCTS and a film deposited from Me(EtO2)SiCHCH2O under low oxygen activity deposition conditions. -
FIG. 2 is a plot of deposition rate, in Angstroms per minute, as a function of measured radio frequency power, in watts, for each of Me(EtO2)SiCHCH2O (denoted in the graph as DEOMORS), tetramethylcyclotetrasiloxane (denoted in the graph as TMCTS), and tetraethylorthosilicate (denoted in the graph as TEOS), each utilized in the deposition process in combination with a same porogen under similar conditions. - The present invention contemplates a new class of precursor compounds that are useful in forming low k films having superior mechanical strength characteristics.
- The precursor compounds of the invention in a first general category are organosilicon source reagents including silicon-pendant oxiranyl functionality. The organosilicon source reagents include monosilicon-containing compounds as well as polysilicon-containing compounds, e.g., disilanes, disilylalkyl compounds, disiloxanes and cyclosiloxanes. The number of oxiranyl functional groups in the molecule can be selectively adjusted along with other R and OR groups to optimize the behavior of the precursor molecule for a specific film-forming application, e.g., a low-pressure plasma chemical vapor deposition (CVD) process, and the molecule can include H groups in combination with oxiranyl, methyl, methoxide, and other functionality. Cross-linked silyl structures (having an Si—C—Si moiety) can also be employed in the organosilicon precursors of the invention.
-
- m is an integer having a value of 0 to 6, inclusive;
- x is an integer having a value of 0 to 3, inclusive; and
- each R and R* can be the same as or different from one another and each is independently selected from the group consisting of H, C1-C8 alkyl, C1-C8 fluoroalkyl, C1-C8 alkoxy, C6-C10 cycloalkyl, C6-C10 aryl, C6-C10 fluoroaryl, C2-C6 vinyl, and C3-C6 allyl.
-
- each of R1, R2 and R3 can be the same as or different from one another and each is independently selected from the group consisting of H, C1-C8 alkyl, C1-C8 fluoroalkyl, C1-C8 alkoxy, C6-C10 cycloalkyl, C6-C10 aryl, C6-C10 fluoroaryl, C2-C6 vinyl, and C3-C6 allyl; and
- n is 0 or 1;
- with the proviso that if n=1, then one of R1, R2 and R3 alternatively can be
an oxiranyl functionality. - Within the foregoing general formula (I), another sub-class of silyloxirane compounds of the invention has the formula (V):
wherein:
each of R1, R2 and R3 is independently selected from the group consisting of H, C1-C8 alkyl, C1-C8 fluoroalkyl, C1-C8 alkoxy, C6-C10 cycloalkyl, C6-C10 aryl, C6-C10 fluoroaryl, C2-C6 vinyl, and C3-C6 allyl. - Yet another sub-class of silyloxirane compounds within the general formula set out below has the formula (VI):
wherein:
each of R1 and R2 is independently selected from the group consisting of H, C1-C8 alkyl, C1-C8 fluoroalkyl, C1-C8 alkoxy, C6-C10 cycloalkyl, C6-C10 aryl, C6-C10 fluoroaryl, C2-C6 vinyl, and C3-C6 allyl. - A further sub-class of silyloxirane compounds within the general formula (I) has the formula (VII):
wherein:
each of R1, R2 and R3 is independently selected from the group consisting of H, C1-C8 alkyl, C1-C8 fluoroalkyl, C1-C8 alkoxy, C6-C10 cycloalkyl, C6-C10 aryl, C6-C10 fluoroaryl, C2-C6 vinyl, and C3-C6 allyl. -
- m is an integer having a value of from 0 to 6 inclusive;
- n is 0 or 1;
- each R1, R2 and R* can be the same as or different from one another and each is independently selected from the group consisting of H, C1-C8 alkyl, C1-C8 fluoroalkyl, C1-C8 alkoxy, C6-C10 cycloalkyl, C6-C10 aryl, C6-C10 fluoroaryl, C2-C6 vinyl, and C3-C6 allyl.
-
- m is an integer having a value of from 0 to 6 inclusive;
- n is 0 or 1;
- each of R1 and R* can be the same as or different from one another and each is independently selected from the group consisting of H, C1-C8 alkyl, C1-C8 fluoroalkyl, C1-C8 alkoxy, C6-C10 cycloalkyl, C6-C10 aryl, C6-C10 fluoroaryl, C2-C6 vinyl, and C3-C6 allyl.
-
- The ethyleneoxide-substituted silane compounds of the invention are useful precursors for the formation of low k films having dielectric constant below 2.5, by deposition methods such as plasma-enhanced chemical vapor deposition (PECVD). The ethyleneoxide moiety in the precursor molecule provides a functionality with a weak carbon-oxygen bond. Under mild plasma conditions, this bond breaks first and by absorbing the plasma energy prevents the breakage of other silicon-carbon bonds in the precursor molecule. The resulting incorporation of carbon in the deposited films provides lowered k values. The formation of oxygen and carbon radicals during the PECVD film-forming process also facilitates cross-linking within the film to produce films of superior hardness.
- The ethyleneoxide-substituted silane precursor compounds of the invention are readily synthesized by oxidation of either vinyl or allyl groups on correspondingly functionalized silane compounds. Useful oxidizing agents for such purpose include meta-Cl(C6H4)C(O)OOH, denoted m-CPBA, tBuOOH, wherein tBu is tertiary butyl, and Me3OOSiMe3, wherein Me is methyl, as well as other oxidants having sufficient oxidizing strength and inertness in relation to Si—OR fragments. The reaction can be run in a suitable non-flammable solvent medium, e.g., using a solvent such as dichloromethane (CH2Cl2), chloroform (CHCl3), etc., which provides a safe environment for the strong oxidizing agent.
-
-
- Reaction (2) involving the allylsilane analog was much faster compared to Reaction (1) involving the corresponding vinyl compound.
- Me(EtO)2SiCHCH2O was employed as a precursor for PECVD formation of low k films, and yielded films having a k value of 3.1 and a hardness of 2.3 GPa.
-
- The precursor compounds of the invention in a second general category are bridged silane source reagents of the formula (III):
R4R5R6Si—(CH2)y—SiR7R8R9 (III)
wherein:
each of R4, R5, R6, R7, R8 and R9 can be the same as or different from one another and each is independently selected from the group consisting of H, C1-C8 alkyl, C1-C8 fluoroalkyl, C1-C8 alkoxyl, C6-C10 cycloalkyl, C6-C10 aryl, C6-C10 fluoroaryl, C2-C6 vinyl, C3-C6 allyl, and oxiranylalkylene of formula (IV) - wherein s is 0 or 1; and
- y is an integer having a value of from 0 to 4 inclusive.
- Preferably, the number of methylene groups, i.e., —(CH2)— groups, in the silane compound of formula (III) is one or two.
- The precursors of formula (III) employ bridged carbons between silicon atoms in the molecule, to improve film hardness. During deposition, the —(CH2)x— moieties remain in the film's cross-linking silicon centers, to provide significantly improved hardness, and concurrently lower k values due to the incorporation of carbon in the deposited film, in relation to corresponding silane precursors lacking the —(CH2)x— moieties of the formula (III) compounds.
- The bridged silanes of formula (III) can be readily synthesized by derivatization of commercially available bridged chlorosilanes.
- For example, Me(MeO)2SiCH2CH2SiMe(OMe)2 and Me2(MeO)SiCH2CH2SiMe2(OMe) are readily synthesized at yields of 82% and 88%, respectively, by the respective Reactions (4) and (5) set out below.
MeCl2SiCH2CH2SiMeCl2+4MeONa→Me(MeO)2SiCH2CH2SiMe(OMe)2+4NaCl Reaction (4):
Me2ClSiCH2CH2SiMe2Cl+2MeONa→Me2(MeO)SiCH2CH2SiMe2(OMe)+2NaCl Reaction (5): - (MeO)3SiCH2Si(OMe)3 is correspondingly synthesized using MeONa by the reaction scheme of Reaction (6) set out below.
HSiCl2CH2HSiCl2+4MeONa+2MeOH→(MeO)3SiCH2Si(OMe)3+4NaCl+2NaCl Reaction (5): - The compounds of formula (III) can be used as precursors for formation of low k, high strength films, in vapor deposition processes.
- Such precursors of formula (III) can be employed alone or alternatively in combination with porogen materials, such as porogens of the formula (X):
R10R11SiR12R13 (X)
wherein:
each of R10, R11, R12 and R13 can be the same as or different from one another and each is independently selected from the group consisting of H, C1-C8 alkyl, C1-C8 alkoxyl, C6-C10 cycloalkyl, and C6-C10 aryl, with the proviso that at least one of R10, R11, R12 and R13 is C1-C8 alkoxyl. - Preferred porogens include:
- tBu2Si(OCH3)2
- tBu2Si(OC2H5)2
- (C6H5)2Si(OCH3)2
- (C6H5)2Si(OC2H5)2
- (C6H11)2Si(OCH3)2
- (C6H11)2Si(OC2H5)2
- tBuSi(OCH3)2H
- tBuSi(OC2H5)2H
- (C6H5)Si(OCH3)2H
- (C6H5)Si(OC2H5)2H
- (C6H11)Si(OCH3)2H
- (C6H11)Si(OC2H5)2H
- (tBu)(CH3)Si(OCH3)2
- (tBu)(CH3)Si(OC2H5)2
- (C6H5)(CH3)Si(OCH3)2
- (C6H5)(CH3)Si(OC2H5)2
- (C6H11)(CH3)Si(OCH3)2
- (C6H11)(CH3)Si(OC2H5)2
- and the like, wherein tBu is tertiary butyl.
- It is also within the purview of the present invention to employ the organosilicon precursors of the invention, e.g., of Formula (I) and/or Formula (III), in combination with other organosilicon precursor compounds, such as TMCTS or other, e.g., cyclosiloxane, precursor(s), to provide improvement in the film properties that would otherwise be obtained using such other organosilicon precursor compounds in the absence of the organosilicon precursors of the invention.
- It will be appreciated that the foregoing is illustrative of a wide variety of oxiranylsilane compounds and bridged silane compounds that can be synthesized within the general scope of the present invention and usefully employed to form low k, high strength films by vapor deposition methods.
- The features and advantages of the invention are more fully shown with reference to the following non-limiting examples.
- m-CPBA (14 g, 62.47 mmol based on 77% purity) was dried in vacuum until vacuum reached 10 mTorr. Anhydrous methylene chloride (100 mL) was added to dissolve m-CPBA. Me(EtO)2SiCH═CH2 (10 g, 62.5 mmol) was added to the clear solution of m-CPBA in CH2Cl2. No visual changes immediately occurred. The white precipitate of m-ClC6H4COOH formed within 2 hours. The reaction mixture was reduced in volume under vacuum (about 75 mL of CH2Cl2 were removed). Pentane (50 mL) was added and then the mixture was filtered. Low boiling point volatiles were removed in vacuum. The mixture of unreacted Me(EtO)2SiCH═CH2 (10%) and the product (90%) was isolated under vacuum distillation. Second distillation yielded high purity oxirane. Yield: 50%. Boiling point: 30° C. at 0.2 Torr. Mass spectrum: (EI, %): m/z 176 (M+, 1), 161 (M+-Me, 10), 133 (M+-CHCH2O, 100). 1H NMR (C6D6): δ 3.76-3.64 (m, 4H, SiOCH 2CH3), 2.59-2.5 (m, 2H, SiCHCH 2), 2.08-2.05 (m, 1H, SiCHCH2), 1.17-1.07 (m, 6H, SiOCH 2CH 3), 0.07 (s, 3H, SiCH 3). 13C NMR: (C6D6) δ 59.15 (SiOCH2CH3), 44.07 (SiCHCH2), 18.91 (SiOCH2 CH3), −6.25 (SiCH3).
- m-CPBA (7.66 g, 34.18 mmol based on 77% purity) was dried in vacuum at room temperature until vacuum reached 10 mTorr. Anhydrous methylene chloride (60 mL) was added to dissolve m-CPBA. Me(MeO)2SiCH═CH2 (5 g, 34.18 mmol) was added to the solution of m-CPBA in CH2Cl2. The immediate reaction was evidenced by moderate heat generation. White precipitate of m-ClC6H4COOH formed within 1 hour. The reaction mixture was left overnight. Next morning, the reaction mixture was reduced in volume under vacuum. Pentane (50 mL) was added and then the mixture was filtered. Low boiling point volatiles were removed in vacuum. The product was obtained by vacuum distillation. Yield: 40%. Boiling point: 30° C. at 0.2 Torr. Mass spectrum: (EI, %): m/z 162 (M+, 1), 174 (M+-Me, 10), 105 (M+-CH2CHCH2O, 100). 1H NMR (C6D6): δ 3.31 (s, 3H, SiOCH 3), 3.30 (s, 3H, SiOCH 3), 2.9-2.82 (m, 1H, SiCH2CHCH2O), 2.44-2.41 (m, 1H, SiCH2CHCHHO), 2.18-2.15 (m, 1H, SiCH2CHCHHO), 1.09-1.02 (m, 1H, SiCHHCHCH2O), 0.73-0.65 (m, 1H, SiCHHCHCH2O), 0.08 (s, 3H, SiCH3). 3C NMR: (C6D6) δ 50.30 (SiOCH3), 50.28 (SiOCH3), 48.94 (SiCH2 CHCH2O), 48.36 (SiCH2CHCH2O), 18.83 (SiCH2CHCH2O), −4.30 (SiCH3).
- m-CPBA (8 g, 35.70 mmol based on 77% purity) was dried in vacuum until vacuum reached 10 mTorr. Anhydrous methylene chloride (100 mL) was added to dissolve m-CPBA. The solution of Me2Si(CH═CH2)2 (2 g, 17.86 mmol) in CH2Cl2 was added to the clear solution of m-CPBA in CH2Cl2. No visual changes occurred. The reaction mixture was left stirring overnight. White precipitate of m-ClC6H4COOH formed by next morning. The mixture was reduced in volume under vacuum (about 80 mL of CH2Cl2 were removed). Pentane (50 mL) was added and then the mixture was filtered. Low boiling point volatiles were removed in vacuum. The mixture of Me2Si(CH═CH2)(CHCH2O) (15%) and the product (85%) was isolated using nitrogen trap under high vacuum. Yield: 50%. Boiling point: 45° C. at 0.2 Torr. Mass spectrum: (EI, %): m/z 101 (M±CHCH2O, 20), 59 (Me2SiH, 100). 1H NMR (C6D6): δ 2.58-2.54 (m, 2H, SiCHCHHO), 2.38-2.28 (m, 2H, SiCHCHHO), 2.04-1.98 (m, 2H, SiCHCH2O), −0.10 and −0.12 (m, 6H, SiCH 3). 13C NMR: (C6D6) δ 44.27 and 44.19 (SiCHCH2O), 41.70 and 41.43 (SiCHCH2O), −7.36, −7.50 and −7.74 (SiCH3). The complicated NMR spectra are consistent with four stereoisomerisms possible for Me2Si(C*HCH2O)2. Two diastereomers in the ratio of 1:1 were separated by GC/MS.
- A solution of [MeCl2SiCH2]2 (102.7 g, 0.4 mol) in tetrahydrofuran (THF) (500 mL) was added dropwise to 25 weight % solution of MeONa in MeOH (349 g, 1.6 mol, 1% excess) at room temperature. White precipitate formed almost immediately. The reaction mixture was stirred for 1 hour to ensure the complete substitution. Upon filtration, all volatiles were removed in vacuum to form a yellowish solution of MeONa in [Me(MeO)2SiCH2]2. Pure [Me(MeO)2SiCH2]2 was obtained by vacuum distillation. Yield: 82%. Boiling point: 55° C. at 0.3 Torr. Mass spectrum: (EI, %): m/z 238 (M+, 5), 223 (M+-Me, 15). 1H NMR (C6D6): δ 3.37 (s, 12H, OCH 3), 0.72 (s, 4H, H 2C—CH 2), 0.09 (s, 6H, SiCH 3). 13C NMR: (C6D6) δ 50.30 (OCH3), 4.98 (H2 C—CH2), −5.99 (SiCH3).
- A solution of [Me2ClSiCH2]2 (100 g, 0.465 mol) in tetrahydrofuran (THF) (500 mL) was added dropwise to 25 weight % solution of MeONa in MeOH (200.68 g, 0.929 mol) at room temperature. White precipitate formed almost immediately. The reaction mixture was stirred for 1 hour to ensure the complete substitution. Upon filtration, all volatiles were removed in vacuum. Pure [Me2(MeO)SiCH2]2 was obtained by vacuum distillation. Yield: 88%. Boiling point: 40° C. at 0.3 Torr. Mass spectrum: (EI, %): m/z 206 (M+, 5), 191 (M+-Me, 20), 89 (Me2SiOMe, 100). 1H NMR (C6D6): δ 3.29 (s, 6H, OCH 3), 0.59 (s, 4H, H 2C—CH 2), 0.09 (s, 6H, SiCH 3). 13C NMR: (C6D6) δ 50.41 (OC H 3), 7.92 (H2 C—CH2), −2.76 (SiCH3).
- A solution of (Cl2HSi)2CH2 (23.21 g, 0.108 mol) in tetrahydrofuran (THF) (120 mL) was added dropwise to 25 weight % solution of MeONa in MeOH (93.71 g, 0.434 mol) at room temperature. White precipitate formed almost immediately. The reaction mixture was stirred for 1 hour to ensure the complete substitution. Upon filtration, all volatiles were removed in vacuum and the product was obtained by vacuum distillation. Yield: 60%. Boiling point: 53° C. at 60 mTorr. Mass spectrum: (EI, %): m/z 256 (M+, 20), 241 (M+-Me, 5), 224 [M+-OMe, 100). 1H NMR (C6D6): δ 3.49 (s, 18H, OCH 3), 0.08 (s, 2H, CH 2). 13C NMR: (C6D6) δ 50.69 (OCH3), −9.02 (CH2).
- Me(EtO2)SiCHCH2O was synthesized as in Example 1.
- The Me(EtO2)SiCHCH2O was employed to form a deposited film on a substrate by low pressure plasma-enhanced chemical vapor deposition, in which the deposition process was carried out under the process conditions listed in Table 1 below. The process was carried out in a deposition chamber to which vapor was introduced by a showerhead injection device to the wafer disposed on the wafer heater.
TABLE 1 Deposition Parameter Value Syringe setpoint, % 20 Liquid flow, milliliters per minute 0.13 Substrate temperature, ° C. 370 Radio frequency power, watts 250 Pressure, torr 6.0 Spacing (showerhead to wafer heater distance), mils 460 Time, seconds 120 Carrier gas flow rate, sccm/ minute 200 Carrier gas carbon dioxide - The deposited film had the characteristics shown in Table 2 below.
TABLE 2 Film property Value Dielectric constant, k 3.1 Indentation hardness, GigaPascals (GPa) 2.3 Indentation modulus, GigaPascals (GPa) 12.4 Deposition Rate, Angstroms/min 980 - The film thus possessed an exceptional film hardness of 2.3 GPa with a dielectric constant k of 3.1. The film had less Si—H incorporation compared to films produced using precursors with large amounts of hydride, such as trimethylsilane and TMCTS. This is evidenced by the results in
FIG. 1 , which shows FTIR transmission spectra of a film deposited from TMCTS and a film deposited from Me(EtO2)SiCHCH2O under low oxygen activity deposition conditions. The presence of large amounts of Si—H in the film is generally correlated with reduced mechanical strength in low k films, and the low Si—H content of the film deposited from Me(EtO2)SiCHCH2O is consistent with the improvement achieved with the oxiranylsilane precursors of the present invention. - Films formed from oxiranylsilane precursors also demonstrate compatibility with low oxygen activity plasmas, which render such precursors compatible with oxygen sensitive porogens, e.g., organosilicon precursors containing t-butyl functional groups. The process conditions summarized in Table 1 reflect the fact that a small amount of CO2 and the Me(EtO2)SiCHCH2O precursor were the only potential sources of oxygen in the plasma. Under conditions similar to this, many hydride-containing precursors such as TMCTS show a severely depressed deposition rate, and poor dielectric constant and hardness characteristics. Large amounts of Si—H are observed in films deposited from TMCTS. Si—H is not detected in films deposited under similar conditions using Me(EtO2)SiCHCH2O.
-
FIG. 2 is a plot of deposition rate, in Angstroms per minute, as a function of measured radio frequency power, in watts, for each of Me(EtO2)SiCHCH2O (denoted in the graph as DEOMORS), tetramethylcyclotetrasiloxane (denoted in the graph as TMCTS), and tetraethylorthosilicate (denoted in the graph as TEOS), each utilized in the deposition process in combination with a same porogen under similar conditions. - As shown by the results of
FIG. 2 , Me(EtO2)SiCHCH2O evidenced a markedly higher deposition rate in comparison with the prior art TEOS and TMCTS precursor materials. - Although the invention has been variously disclosed herein with reference to illustrative embodiments and features, it will be appreciated that the embodiments and features described hereinabove are not intended to limit the invention, and that other variations, modifications and other embodiments will suggest themselves to those of ordinary skill in the art. The invention therefore is to be broadly construed, consistent with the claims hereafter set forth.
Claims (36)
2. An organosilicon precursor according to claim 1 , wherein x is 1.
3. An organosilicon precursor according to claim 1 , wherein x is 2.
4. An organosilicon precursor according to claim 1 , having the formula (III):
R4R5R6Si—(CH2)y—SiR7R8R9 (III)
wherein:
each of R4, R5, R6, R7, R8 and R9 can be the same as or different from one another and each is independently selected from the group consisting of H, C1-C8 alkyl, C1-C8 fluoroalkyl, C1-C8 alkoxyl, C6-C10 cycloalkyl, C6-C10 aryl, C6-C10 fluoroaryl, C2-C6 vinyl, C3-C6 allyl, and oxiranylalkylene of formula (IV)
wherein s is 0 or 1; and
y is an integer having a value of from 0 to 4 inclusive.
5. The organosilicon precursor of claim 4 , wherein x is 1.
6. The organosilicon precursor of claim 4 , wherein x is 2.
7. The organosilicon precursor of claim 4 , wherein x is 0.
8. An organosilicon precursor composition for vapor deposition of a low k, high strength dielectric film, comprising an organosilicon precursor according to claim 1 .
9. The organosilicon precursor composition of claim 8 , wherein the organosilicon precursor has the formula:
R4R5R6Si—(CH2)y—SiR7R8R9 (III)
wherein:
each of R4, R5, R6, R7, R8 and R9 can be the same as or different from one another and each is independently selected from the group consisting of H, C1-C8 alkyl, C1-C8 fluoroalkyl, C1-C8 alkoxyl, C6-C10 cycloalkyl, C6-C10 aryl, C6-C10 fluoroaryl, C2-C6 vinyl, C3-C6 allyl, and oxiranylalkylene of formula (IV)
wherein s is 0 or 1; and
y is an integer having a value of from 0 to 4 inclusive.
10. The organosilicon precursor composition of claim 9 , wherein x is 1.
11. The organosilicon precursor composition of claim 9 , wherein x is 2.
12. The organosilicon precursor composition of claim 9 , wherein x is 0.
13. The organosilicon precursor composition according to claim 8 , further comprising TMCTS.
14. The organosilicon precursor composition according to claim 8 , further comprising a porogen.
15. The organosilicon precursor composition of claim 14 , wherein said porogen is selected from the group consisting of compounds of the formula (X):
R10R11SiR12R13 (X)
wherein:
each of R10, R11, R12 and R13 can be the same as or different from one another and each is independently selected from the group consisting of H, C1-C8 alkyl, C1-C8 alkoxyl, C6-C10 cycloalkyl, and C6-C10 aryl, with the proviso that at least one of R10, R11, R12 and R13 is C1-C8 alkoxyl.
16. The organosilicon precursor composition of claim 14 , wherein said porogen is selected from the group consisting of:
tBu2Si(OCH3)2
tBu2Si(OC2H5)2
(C6H5)2Si(OCH3)2
(C6H5)2Si(OC2H5)2
(C6H, 1)2Si(OCH3)2
(C6H5)2Si(OC2H5)2
tBuSi(OCH3)2H
tBuSi(OC2H5)2H
(C6H5)Si(OCH3)2H
(C6H5)Si(OC2H5)2H
(C6H5)Si(OCH3)2H
(C6H5)Si(OC2H5)2H
(tBu)(CH3)Si(OCH3)2
(tBu)(CH3)Si(OC2H5)2
(C6H5)(CH3)Si(OCH3)2
(C6H5)(CH3)Si(OC2H5)2
(C6H5)(CH3)Si(OCH3)2
(C6H5)(CH3)Si(OC2H5)2
wherein tBu is tertiary butyl.
17. A method of synthesizing a bridged disilane compound of formula (II):
R4R5R6Si—(CH2)y—SiR7R8R9 (III)
wherein:
each of R4, R5, R6, R7, R8 and R9 can be the same as or different from one another and each is independently selected from the group consisting of H, C1-C8 alkyl, C1-C8 fluoroalkyl, C1-C8 alkoxyl, C6-C10 cycloalkyl, C6-C10 aryl, C6-C10 fluoroaryl, C2-C6 vinyl, C3-C6 allyl, and oxiranylalkylene of formula (IV)
wherein s is 0 or 1; and
y is an integer having a value of from 0 to 4 inclusive,
said method comprising derivatization of a corresponding bridged chlorosilane.
18. The method of claim 17 , wherein said derivatization step comprises reacting said corresponding bridged chlorosilane with tetraalkylsodium to alkylate said corresponding bridged chlorosilane.
19. The method of claim 17 , wherein said derivatization step comprises the reaction
MeCl2SiCH2CH2SiMeCl2+4MeONa→Me(MeO)2SiCH2CH2SiMe(OMe)2+4NaCl.
20. The method of claim 17 , wherein said derivatization step comprises the reaction
Me2ClSiCH2CH2SiMe2Cl+2MeONa→Me2(MeO)SiCH2CH2SiMe2(OMe)+2NaCl.
21. The method of claim 17 , wherein said derivatization step comprises the reaction
HSiCl2CH2HSiCl2+4MeONa+2MeOH→(MeO)3SiCH2Si(OMe)3+4NaCl+2H2.
23. The method of claim 22 , wherein said precursor is selected from the group consisting of disilane compounds of formula (III):
R4R5R6Si—(CH2)y—SiR7R8R9 (III)
wherein:
each of R4, R5, R6, R7, R8 and R9 can be the same as or different from one another and each is independently selected from the group consisting of H, C1-C8 alkyl, C1-C8 fluoroalkyl, C1-C8 alkoxyl, C6-C10 cycloalkyl, C6-C10 aryl, C6-C10 fluoroaryl, C2-C6 vinyl, C3-C6 allyl, and oxiranylalkylene of formula (IV)
wherein s is 0 or 1; and
y is an integer having a value of from 0 to 4 inclusive.
24. The method of claim 23 , wherein x is 0.
25. The method of claim 23 , wherein x is 1.
26. The method of claim 23 , wherein x is 2.
27. The method of claim 22 , wherein said vapor depositing step comprises use of a porogen in combination with said precursor.
28. The method of claim 27 , wherein said porogen is selected from the group consisting of compounds of the formula (X):
R10R11SiR12R13 (X)
wherein:
each of R10, R11, R12 and R13 can be the same as or different from one another and each is independently selected from the group consisting of H, C1-C8 alkyl, C1-C8 alkoxyl, C6-C10 cycloalkyl, and C6-C10 aryl, with the proviso that at least one of R10, R11, R12 and R13 is C1-C8 alkoxyl.
29. The method of claim 27 , wherein said porogen is selected from the group consisting of:
tBU2Si(OCH3)2
tBu2Si(OC2H5)2
(C6H5)2Si(OCH3)2
(C6H5)2Si(OC2H5)2
(C6H5)2Si(OCH3)2
(C6H5)2Si(OC2H5)2
tBuSi(OCH3)2H
tBuSi(OC2H5)2H
(C6H5)Si(OCH3)2H
(C6H5)Si(OC2H5)2H
(C6H5)Si(OCH3)2H
(C6H5)Si(OC2H5)2H
(tBu)(CH3)Si(OCH3)2
(tBu)(CH3)Si(OC2H5)2
(C6H5)(CH3)Si(OCH3)2
(C6H5)(CH3)Si(OC2H5)2
(C6H5)(CH3)Si(OCH3)2
(C6H5)(CH3)Si(OC2H5)2
wherein tBu is tertiary butyl.
30. The method of claim 22 , wherein said vapor depositing step comprises chemical vapor deposition.
31. The method of claim 22 , wherein said vapor depositing step comprises plasma-enhanced chemical vapor deposition.
32. The method of claim 22 , wherein said vapor depositing step comprises flowing said precursor to a vapor deposition locus in a carrier gas.
33. The method of claim 32 , wherein said carrier gas comprises carbon dioxide.
34. The method of claim 22 , wherein the precursor and the carrier gas are the only potential sources of oxygen at the vapor deposition locus.
35. The method of claim 22 , wherein the precursor is selected from the group consisting of:
Me(EtO)2SiCHCH2O;
Me(MeO)2Si CH2CHCH2O;
Me2Si (CHCH2O)2;
Me(MeO)2SiCH2CH2SiMe(OMe)2;
Me2(MeO)SiCH2CH2SiMe2(OMe); and
(MeO)3SiCH2Si(OMe)2.
36. The method of claim 22 , wherein the precursor further comprises TMCTS.
Priority Applications (2)
| Application Number | Priority Date | Filing Date | Title |
|---|---|---|---|
| US11/318,747 US20060134897A1 (en) | 2003-07-15 | 2005-12-24 | Ethyleneoxide-silane and bridged silane precursors for forming low k films |
| US11/926,088 US20080048148A1 (en) | 2003-07-15 | 2007-10-28 | Ethyleneoxide-silane and bridged silane precursors for forming low k films |
Applications Claiming Priority (2)
| Application Number | Priority Date | Filing Date | Title |
|---|---|---|---|
| US10/619,785 US7022864B2 (en) | 2003-07-15 | 2003-07-15 | Ethyleneoxide-silane and bridged silane precursors for forming low k films |
| US11/318,747 US20060134897A1 (en) | 2003-07-15 | 2005-12-24 | Ethyleneoxide-silane and bridged silane precursors for forming low k films |
Related Parent Applications (1)
| Application Number | Title | Priority Date | Filing Date |
|---|---|---|---|
| US10/619,785 Division US7022864B2 (en) | 2003-07-15 | 2003-07-15 | Ethyleneoxide-silane and bridged silane precursors for forming low k films |
Related Child Applications (1)
| Application Number | Title | Priority Date | Filing Date |
|---|---|---|---|
| US11/926,088 Continuation US20080048148A1 (en) | 2003-07-15 | 2007-10-28 | Ethyleneoxide-silane and bridged silane precursors for forming low k films |
Publications (1)
| Publication Number | Publication Date |
|---|---|
| US20060134897A1 true US20060134897A1 (en) | 2006-06-22 |
Family
ID=34062640
Family Applications (3)
| Application Number | Title | Priority Date | Filing Date |
|---|---|---|---|
| US10/619,785 Expired - Fee Related US7022864B2 (en) | 2003-07-15 | 2003-07-15 | Ethyleneoxide-silane and bridged silane precursors for forming low k films |
| US11/318,747 Abandoned US20060134897A1 (en) | 2003-07-15 | 2005-12-24 | Ethyleneoxide-silane and bridged silane precursors for forming low k films |
| US11/926,088 Abandoned US20080048148A1 (en) | 2003-07-15 | 2007-10-28 | Ethyleneoxide-silane and bridged silane precursors for forming low k films |
Family Applications Before (1)
| Application Number | Title | Priority Date | Filing Date |
|---|---|---|---|
| US10/619,785 Expired - Fee Related US7022864B2 (en) | 2003-07-15 | 2003-07-15 | Ethyleneoxide-silane and bridged silane precursors for forming low k films |
Family Applications After (1)
| Application Number | Title | Priority Date | Filing Date |
|---|---|---|---|
| US11/926,088 Abandoned US20080048148A1 (en) | 2003-07-15 | 2007-10-28 | Ethyleneoxide-silane and bridged silane precursors for forming low k films |
Country Status (3)
| Country | Link |
|---|---|
| US (3) | US7022864B2 (en) |
| EP (1) | EP1649494A2 (en) |
| WO (1) | WO2005010941A2 (en) |
Cited By (4)
| Publication number | Priority date | Publication date | Assignee | Title |
|---|---|---|---|---|
| US20080048148A1 (en) * | 2003-07-15 | 2008-02-28 | Advanced Technology Materials, Inc. | Ethyleneoxide-silane and bridged silane precursors for forming low k films |
| US20100164057A1 (en) * | 2007-06-28 | 2010-07-01 | Advanced Technology Materials, Inc. | Precursors for silicon dioxide gap fill |
| US20110076416A1 (en) * | 2008-05-26 | 2011-03-31 | Basf Se | Method of making porous materials and porous materials prepared thereof |
| US8932674B2 (en) | 2010-02-17 | 2015-01-13 | American Air Liquide, Inc. | Vapor deposition methods of SiCOH low-k films |
Families Citing this family (10)
| Publication number | Priority date | Publication date | Assignee | Title |
|---|---|---|---|---|
| JP4860953B2 (en) * | 2005-07-08 | 2012-01-25 | 富士通株式会社 | Silica-based film forming material, silica-based film and manufacturing method thereof, multilayer wiring and manufacturing method thereof, and semiconductor device and manufacturing method thereof |
| US20070077778A1 (en) * | 2005-10-04 | 2007-04-05 | The Boc Group, Inc. | Method of forming low dielectric constant layer |
| JP2010067810A (en) * | 2008-09-11 | 2010-03-25 | Shin-Etsu Chemical Co Ltd | Method for forming si-containing film, insulator film, and semiconductor device |
| KR101073272B1 (en) * | 2009-11-04 | 2011-10-12 | 삼성모바일디스플레이주식회사 | Method of manufacturing organic light emitting display device |
| KR20120080926A (en) | 2011-01-10 | 2012-07-18 | 삼성전자주식회사 | Method of manufacturing semiconductor device having a porous low-k dieletric film |
| CN102911199B (en) * | 2012-11-19 | 2016-01-20 | 中国科学院上海高等研究院 | The method of purification of diethoxy tetramethyl-disilane and application |
| JP6710204B2 (en) | 2014-10-15 | 2020-06-17 | アプライド マテリアルズ インコーポレイテッドApplied Materials,Incorporated | Multilayer dielectric stack for plasma damage protection |
| US10283348B2 (en) * | 2016-01-20 | 2019-05-07 | Versum Materials Us, Llc | High temperature atomic layer deposition of silicon-containing films |
| US11466038B2 (en) * | 2020-06-11 | 2022-10-11 | Entegris, Inc. | Vapor deposition precursor compounds and process of use |
| EP4402300A1 (en) * | 2021-10-13 | 2024-07-24 | Versum Materials US, LLC | Alkoxysilanes and dense organosilica films made therefrom |
Citations (4)
| Publication number | Priority date | Publication date | Assignee | Title |
|---|---|---|---|---|
| US6383955B1 (en) * | 1998-02-05 | 2002-05-07 | Asm Japan K.K. | Silicone polymer insulation film on semiconductor substrate and method for forming the film |
| US6583048B2 (en) * | 2001-01-17 | 2003-06-24 | Air Products And Chemicals, Inc. | Organosilicon precursors for interlayer dielectric films with low dielectric constants |
| US6683048B1 (en) * | 1997-04-10 | 2004-01-27 | Mcgill University | Compounds and methods for stimulating gene expression and cellular differentiation |
| US6846515B2 (en) * | 2002-04-17 | 2005-01-25 | Air Products And Chemicals, Inc. | Methods for using porogens and/or porogenated precursors to provide porous organosilica glass films with low dielectric constants |
Family Cites Families (6)
| Publication number | Priority date | Publication date | Assignee | Title |
|---|---|---|---|---|
| FR1495136A (en) * | 1966-09-23 | 1967-09-15 | Owens Corning Fiberglass Corp | Method and means for reinforcing elastomeric products with glass fibers |
| GB1205819A (en) * | 1966-12-22 | 1970-09-16 | Gen Electric | Method for making epoxyoganoalkoxysilanes and products produced thereby |
| DE3532128A1 (en) * | 1985-09-10 | 1987-03-12 | Wacker Chemie Gmbh | ORGANOPOLYSILANES, METHOD FOR THE PRODUCTION AND USE OF THESE ORGANOPOLYSILANES |
| EP0881668A3 (en) * | 1997-05-28 | 2000-11-15 | Dow Corning Toray Silicone Company, Ltd. | Deposition of an electrically insulating thin film with a low dielectric constant |
| US6558747B2 (en) * | 1999-09-29 | 2003-05-06 | Kabushiki Kaisha Toshiba | Method of forming insulating film and process for producing semiconductor device |
| US7022864B2 (en) * | 2003-07-15 | 2006-04-04 | Advanced Technology Materials, Inc. | Ethyleneoxide-silane and bridged silane precursors for forming low k films |
-
2003
- 2003-07-15 US US10/619,785 patent/US7022864B2/en not_active Expired - Fee Related
-
2004
- 2004-07-01 WO PCT/US2004/022721 patent/WO2005010941A2/en not_active Ceased
- 2004-07-01 EP EP04778298A patent/EP1649494A2/en not_active Withdrawn
-
2005
- 2005-12-24 US US11/318,747 patent/US20060134897A1/en not_active Abandoned
-
2007
- 2007-10-28 US US11/926,088 patent/US20080048148A1/en not_active Abandoned
Patent Citations (5)
| Publication number | Priority date | Publication date | Assignee | Title |
|---|---|---|---|---|
| US6683048B1 (en) * | 1997-04-10 | 2004-01-27 | Mcgill University | Compounds and methods for stimulating gene expression and cellular differentiation |
| US6383955B1 (en) * | 1998-02-05 | 2002-05-07 | Asm Japan K.K. | Silicone polymer insulation film on semiconductor substrate and method for forming the film |
| US6410463B1 (en) * | 1998-02-05 | 2002-06-25 | Asm Japan K.K. | Method for forming film with low dielectric constant on semiconductor substrate |
| US6583048B2 (en) * | 2001-01-17 | 2003-06-24 | Air Products And Chemicals, Inc. | Organosilicon precursors for interlayer dielectric films with low dielectric constants |
| US6846515B2 (en) * | 2002-04-17 | 2005-01-25 | Air Products And Chemicals, Inc. | Methods for using porogens and/or porogenated precursors to provide porous organosilica glass films with low dielectric constants |
Cited By (6)
| Publication number | Priority date | Publication date | Assignee | Title |
|---|---|---|---|---|
| US20080048148A1 (en) * | 2003-07-15 | 2008-02-28 | Advanced Technology Materials, Inc. | Ethyleneoxide-silane and bridged silane precursors for forming low k films |
| US20100164057A1 (en) * | 2007-06-28 | 2010-07-01 | Advanced Technology Materials, Inc. | Precursors for silicon dioxide gap fill |
| US9337054B2 (en) | 2007-06-28 | 2016-05-10 | Entegris, Inc. | Precursors for silicon dioxide gap fill |
| US10043658B2 (en) | 2007-06-28 | 2018-08-07 | Entegris, Inc. | Precursors for silicon dioxide gap fill |
| US20110076416A1 (en) * | 2008-05-26 | 2011-03-31 | Basf Se | Method of making porous materials and porous materials prepared thereof |
| US8932674B2 (en) | 2010-02-17 | 2015-01-13 | American Air Liquide, Inc. | Vapor deposition methods of SiCOH low-k films |
Also Published As
| Publication number | Publication date |
|---|---|
| US7022864B2 (en) | 2006-04-04 |
| EP1649494A2 (en) | 2006-04-26 |
| US20050013936A1 (en) | 2005-01-20 |
| WO2005010941A3 (en) | 2006-04-20 |
| WO2005010941A2 (en) | 2005-02-03 |
| US20080048148A1 (en) | 2008-02-28 |
Similar Documents
| Publication | Publication Date | Title |
|---|---|---|
| US20080048148A1 (en) | Ethyleneoxide-silane and bridged silane precursors for forming low k films | |
| KR102267297B1 (en) | Compositions and Methods for Deposition of Silicon Oxide Films | |
| US10899500B2 (en) | Alkoxysilylamine compounds and applications thereof | |
| KR102430845B1 (en) | Functionalized cyclosilazanes as precursors for high growth rate silicon-containing films | |
| EP2669248B1 (en) | Organoaminodisilane precursors and methods for depositing films comprising same | |
| EP2669249B1 (en) | Method for depositing silicon-containing films using organoaminodisilane precursors | |
| EP2574611B1 (en) | Halogenated Organoaminosilane Precursors and Methods for Depositing Films Comprising Same | |
| EP2818474B1 (en) | Aza-polysilane precursors and methods for depositing films comprising same | |
| US5492736A (en) | Fluorine doped silicon oxide process | |
| KR20110139192A (en) | Chemical vapor growth raw material and silicon-containing thin film formation method using the same | |
| US20190318925A1 (en) | Monoorganoaminodisilane Precursors and Methods for Depositing Films Comprising Same | |
| KR20130043084A (en) | - VAPOR DEPOSITION METHODS OF SiCOH LOW-K FILMS | |
| US6410770B2 (en) | Chloride-free process for the production of alkylsilanes suitable for microelectronic applications | |
| WO2023147382A1 (en) | Halide-functionalized cyclotrisilazanes as precursors for deposition of silicon-containing films | |
| KR102910512B1 (en) | Precursor for low-k film deposition and forming method of silicon-containing low-k film using the same | |
| KR20250146987A (en) | Precursor for low-k silicon-containing film deposition and deposition method of low-k silicon-containing film using the same | |
| CN121285651A (en) | Precursor for forming low dielectric constant silicon-containing film and method for forming low dielectric constant silicon-containing film using the same | |
| TW202537967A (en) | Precursor for low-k silicon-containing film deposition and deposition method of low-k silicon-containing film using the same |
Legal Events
| Date | Code | Title | Description |
|---|---|---|---|
| STCB | Information on status: application discontinuation |
Free format text: ABANDONED -- FAILURE TO RESPOND TO AN OFFICE ACTION |














