US20060116322A1 - Formation of novel erythropoietin conjugates using transglutaminase - Google Patents
Formation of novel erythropoietin conjugates using transglutaminase Download PDFInfo
- Publication number
- US20060116322A1 US20060116322A1 US11/241,649 US24164905A US2006116322A1 US 20060116322 A1 US20060116322 A1 US 20060116322A1 US 24164905 A US24164905 A US 24164905A US 2006116322 A1 US2006116322 A1 US 2006116322A1
- Authority
- US
- United States
- Prior art keywords
- epo
- lys
- conjugate
- erythropoietic
- protein
- Prior art date
- Legal status (The legal status is an assumption and is not a legal conclusion. Google has not performed a legal analysis and makes no representation as to the accuracy of the status listed.)
- Abandoned
Links
- OXCMYAYHXIHQOA-UHFFFAOYSA-N potassium;[2-butyl-5-chloro-3-[[4-[2-(1,2,4-triaza-3-azanidacyclopenta-1,4-dien-5-yl)phenyl]phenyl]methyl]imidazol-4-yl]methanol Chemical compound [K+].CCCCC1=NC(Cl)=C(CO)N1CC1=CC=C(C=2C(=CC=CC=2)C2=N[N-]N=N2)C=C1 OXCMYAYHXIHQOA-UHFFFAOYSA-N 0.000 title claims abstract description 158
- 102000003951 Erythropoietin Human genes 0.000 title claims abstract description 136
- 108090000394 Erythropoietin Proteins 0.000 title claims abstract description 136
- 229940105423 erythropoietin Drugs 0.000 title claims abstract description 128
- 108060008539 Transglutaminase Proteins 0.000 title claims abstract description 41
- 102000003601 transglutaminase Human genes 0.000 title claims abstract description 41
- 230000015572 biosynthetic process Effects 0.000 title description 9
- 229920001477 hydrophilic polymer Polymers 0.000 claims abstract description 16
- 210000002966 serum Anatomy 0.000 claims abstract description 5
- 229920001223 polyethylene glycol Polymers 0.000 claims description 75
- 102000004169 proteins and genes Human genes 0.000 claims description 73
- 108090000623 proteins and genes Proteins 0.000 claims description 73
- 101710123874 Protein-glutamine gamma-glutamyltransferase Proteins 0.000 claims description 71
- 239000000758 substrate Substances 0.000 claims description 54
- 239000002202 Polyethylene glycol Substances 0.000 claims description 44
- 125000000404 glutamine group Chemical group N[C@@H](CCC(N)=O)C(=O)* 0.000 claims description 41
- KDXKERNSBIXSRK-UHFFFAOYSA-N Lysine Natural products NCCCCC(N)C(O)=O KDXKERNSBIXSRK-UHFFFAOYSA-N 0.000 claims description 36
- 238000000034 method Methods 0.000 claims description 36
- 235000014113 dietary fatty acids Nutrition 0.000 claims description 33
- 229930195729 fatty acid Natural products 0.000 claims description 33
- 239000000194 fatty acid Substances 0.000 claims description 33
- 108090000765 processed proteins & peptides Proteins 0.000 claims description 33
- 150000001412 amines Chemical class 0.000 claims description 29
- 230000000913 erythropoietic effect Effects 0.000 claims description 28
- 125000003588 lysine group Chemical group [H]N([H])C([H])([H])C([H])([H])C([H])([H])C([H])([H])C([H])(N([H])[H])C(*)=O 0.000 claims description 24
- 229920000642 polymer Polymers 0.000 claims description 20
- 210000003743 erythrocyte Anatomy 0.000 claims description 17
- 150000002632 lipids Chemical class 0.000 claims description 17
- 238000004519 manufacturing process Methods 0.000 claims description 15
- 229960002685 biotin Drugs 0.000 claims description 14
- 239000011616 biotin Substances 0.000 claims description 14
- 230000004071 biological effect Effects 0.000 claims description 13
- ZDXPYRJPNDTMRX-UHFFFAOYSA-N glutamine Natural products OC(=O)C(N)CCC(N)=O ZDXPYRJPNDTMRX-UHFFFAOYSA-N 0.000 claims description 13
- 229920000233 poly(alkylene oxides) Polymers 0.000 claims description 13
- 230000001225 therapeutic effect Effects 0.000 claims description 12
- YBJHBAHKTGYVGT-ZKWXMUAHSA-N (+)-Biotin Chemical group N1C(=O)N[C@@H]2[C@H](CCCCC(=O)O)SC[C@@H]21 YBJHBAHKTGYVGT-ZKWXMUAHSA-N 0.000 claims description 8
- 210000002798 bone marrow cell Anatomy 0.000 claims description 8
- 239000000126 substance Substances 0.000 claims description 8
- 208000007502 anemia Diseases 0.000 claims description 7
- 230000001965 increasing effect Effects 0.000 claims description 7
- 210000001995 reticulocyte Anatomy 0.000 claims description 7
- XLYOFNOQVPJJNP-UHFFFAOYSA-N water Substances O XLYOFNOQVPJJNP-UHFFFAOYSA-N 0.000 claims description 7
- 150000003904 phospholipids Chemical class 0.000 claims description 6
- 229920003169 water-soluble polymer Polymers 0.000 claims description 6
- 125000000217 alkyl group Chemical group 0.000 claims description 5
- 150000002148 esters Chemical class 0.000 claims description 5
- HZAXFHJVJLSVMW-UHFFFAOYSA-N 2-Aminoethan-1-ol Chemical compound NCCO HZAXFHJVJLSVMW-UHFFFAOYSA-N 0.000 claims description 4
- 235000020958 biotin Nutrition 0.000 claims description 4
- 125000005313 fatty acid group Chemical group 0.000 claims description 4
- 125000003473 lipid group Chemical group 0.000 claims description 4
- 238000011160 research Methods 0.000 claims description 4
- 229920003171 Poly (ethylene oxide) Polymers 0.000 claims description 3
- 125000001295 dansyl group Chemical group [H]C1=C([H])C(N(C([H])([H])[H])C([H])([H])[H])=C2C([H])=C([H])C([H])=C(C2=C1[H])S(*)(=O)=O 0.000 claims description 3
- 125000000837 carbohydrate group Chemical group 0.000 claims description 2
- 230000002255 enzymatic effect Effects 0.000 claims description 2
- 102100031939 Erythropoietin Human genes 0.000 claims 11
- 125000003827 glycol group Chemical group 0.000 claims 5
- 229920001519 homopolymer Polymers 0.000 claims 3
- 150000003839 salts Chemical class 0.000 claims 2
- 230000002459 sustained effect Effects 0.000 claims 2
- 108010077805 Bacterial Proteins Proteins 0.000 claims 1
- 125000003275 alpha amino acid group Chemical group 0.000 claims 1
- 229920001400 block copolymer Polymers 0.000 claims 1
- 229920001577 copolymer Polymers 0.000 claims 1
- 125000001312 palmitoyl group Chemical group O=C([*])C([H])([H])C([H])([H])C([H])([H])C([H])([H])C([H])([H])C([H])([H])C([H])([H])C([H])([H])C([H])([H])C([H])([H])C([H])([H])C([H])([H])C([H])([H])C([H])([H])C([H])([H])[H] 0.000 claims 1
- 229920001451 polypropylene glycol Polymers 0.000 claims 1
- 229920002554 vinyl polymer Polymers 0.000 claims 1
- 239000000203 mixture Substances 0.000 abstract description 21
- 230000004048 modification Effects 0.000 abstract description 19
- 238000012986 modification Methods 0.000 abstract description 19
- 238000006243 chemical reaction Methods 0.000 abstract description 12
- 230000000890 antigenic effect Effects 0.000 abstract description 7
- 235000018102 proteins Nutrition 0.000 description 64
- 210000004027 cell Anatomy 0.000 description 23
- MLEBFEHOJICQQS-UHFFFAOYSA-N monodansylcadaverine Chemical compound C1=CC=C2C(N(C)C)=CC=CC2=C1S(=O)(=O)NCCCCCN MLEBFEHOJICQQS-UHFFFAOYSA-N 0.000 description 21
- 150000004665 fatty acids Chemical class 0.000 description 20
- 239000000047 product Substances 0.000 description 20
- 239000000370 acceptor Substances 0.000 description 17
- 238000007792 addition Methods 0.000 description 16
- -1 amine amides Chemical class 0.000 description 16
- 235000004554 glutamine Nutrition 0.000 description 16
- KIDHWZJUCRJVML-UHFFFAOYSA-N putrescine Chemical compound NCCCCN KIDHWZJUCRJVML-UHFFFAOYSA-N 0.000 description 16
- VHRGRCVQAFMJIZ-UHFFFAOYSA-N cadaverine Chemical compound NCCCCCN VHRGRCVQAFMJIZ-UHFFFAOYSA-N 0.000 description 15
- ZDXPYRJPNDTMRX-VKHMYHEASA-N L-glutamine Chemical compound OC(=O)[C@@H](N)CCC(N)=O ZDXPYRJPNDTMRX-VKHMYHEASA-N 0.000 description 14
- 101000987586 Homo sapiens Eosinophil peroxidase Proteins 0.000 description 12
- 101001018085 Lysobacter enzymogenes Lysyl endopeptidase Proteins 0.000 description 12
- 239000005700 Putrescine Substances 0.000 description 12
- 102000044890 human EPO Human genes 0.000 description 12
- 108020003175 receptors Proteins 0.000 description 12
- 102000005962 receptors Human genes 0.000 description 12
- 125000002252 acyl group Chemical group 0.000 description 11
- 235000018977 lysine Nutrition 0.000 description 11
- 102000004196 processed proteins & peptides Human genes 0.000 description 11
- 230000021615 conjugation Effects 0.000 description 10
- QTBSBXVTEAMEQO-UHFFFAOYSA-N Acetic acid Chemical compound CC(O)=O QTBSBXVTEAMEQO-UHFFFAOYSA-N 0.000 description 9
- LFQSCWFLJHTTHZ-UHFFFAOYSA-N Ethanol Chemical compound CCO LFQSCWFLJHTTHZ-UHFFFAOYSA-N 0.000 description 9
- 239000004472 Lysine Substances 0.000 description 9
- 150000001720 carbohydrates Chemical class 0.000 description 9
- 235000014633 carbohydrates Nutrition 0.000 description 9
- 230000000694 effects Effects 0.000 description 9
- 239000000243 solution Substances 0.000 description 9
- 101000920686 Homo sapiens Erythropoietin Proteins 0.000 description 8
- 238000003556 assay Methods 0.000 description 8
- 150000001875 compounds Chemical class 0.000 description 8
- 150000003141 primary amines Chemical class 0.000 description 8
- 238000001920 surface-enhanced laser desorption--ionisation mass spectrometry Methods 0.000 description 8
- 125000003277 amino group Chemical group 0.000 description 7
- 150000004676 glycans Chemical class 0.000 description 7
- 229920001282 polysaccharide Polymers 0.000 description 7
- 239000005017 polysaccharide Substances 0.000 description 7
- 239000011541 reaction mixture Substances 0.000 description 7
- 101000666165 Cavia cutleri Protein-glutamine gamma-glutamyltransferase 2 Proteins 0.000 description 6
- 102000004190 Enzymes Human genes 0.000 description 6
- 108090000790 Enzymes Proteins 0.000 description 6
- 102000003886 Glycoproteins Human genes 0.000 description 6
- 108090000288 Glycoproteins Proteins 0.000 description 6
- WHUUTDBJXJRKMK-VKHMYHEASA-N L-glutamic acid Chemical compound OC(=O)[C@@H](N)CCC(O)=O WHUUTDBJXJRKMK-VKHMYHEASA-N 0.000 description 6
- 238000006555 catalytic reaction Methods 0.000 description 6
- 229940088598 enzyme Drugs 0.000 description 6
- 238000009472 formulation Methods 0.000 description 6
- 239000008194 pharmaceutical composition Substances 0.000 description 6
- 229920006395 saturated elastomer Polymers 0.000 description 6
- 238000002415 sodium dodecyl sulfate polyacrylamide gel electrophoresis Methods 0.000 description 6
- 241000894007 species Species 0.000 description 6
- 238000000672 surface-enhanced laser desorption--ionisation Methods 0.000 description 6
- 238000003786 synthesis reaction Methods 0.000 description 6
- UXVMQQNJUSDDNG-UHFFFAOYSA-L Calcium chloride Chemical compound [Cl-].[Cl-].[Ca+2] UXVMQQNJUSDDNG-UHFFFAOYSA-L 0.000 description 5
- VYPSYNLAJGMNEJ-UHFFFAOYSA-N Silicium dioxide Chemical compound O=[Si]=O VYPSYNLAJGMNEJ-UHFFFAOYSA-N 0.000 description 5
- 239000007983 Tris buffer Substances 0.000 description 5
- 239000002253 acid Substances 0.000 description 5
- 150000001413 amino acids Chemical group 0.000 description 5
- 239000001110 calcium chloride Substances 0.000 description 5
- 229910001628 calcium chloride Inorganic materials 0.000 description 5
- 238000004132 cross linking Methods 0.000 description 5
- 150000001991 dicarboxylic acids Chemical class 0.000 description 5
- 238000004128 high performance liquid chromatography Methods 0.000 description 5
- 238000001727 in vivo Methods 0.000 description 5
- 238000001254 matrix assisted laser desorption--ionisation time-of-flight mass spectrum Methods 0.000 description 5
- 238000002360 preparation method Methods 0.000 description 5
- LENZDBCJOHFCAS-UHFFFAOYSA-N tris Chemical compound OCC(N)(CO)CO LENZDBCJOHFCAS-UHFFFAOYSA-N 0.000 description 5
- LMDZBCPBFSXMTL-UHFFFAOYSA-N 1-ethyl-3-(3-dimethylaminopropyl)carbodiimide Chemical compound CCN=C=NCCCN(C)C LMDZBCPBFSXMTL-UHFFFAOYSA-N 0.000 description 4
- 101150002621 EPO gene Proteins 0.000 description 4
- 125000003178 carboxy group Chemical group [H]OC(*)=O 0.000 description 4
- 239000003795 chemical substances by application Substances 0.000 description 4
- 150000002309 glutamines Chemical group 0.000 description 4
- 125000005647 linker group Chemical group 0.000 description 4
- 230000035772 mutation Effects 0.000 description 4
- 229920001184 polypeptide Polymers 0.000 description 4
- 150000004671 saturated fatty acids Chemical class 0.000 description 4
- 235000003441 saturated fatty acids Nutrition 0.000 description 4
- QZAYGJVTTNCVMB-UHFFFAOYSA-N serotonin Chemical compound C1=C(O)C=C2C(CCN)=CNC2=C1 QZAYGJVTTNCVMB-UHFFFAOYSA-N 0.000 description 4
- 210000001519 tissue Anatomy 0.000 description 4
- 238000012546 transfer Methods 0.000 description 4
- 150000004670 unsaturated fatty acids Chemical class 0.000 description 4
- 235000021122 unsaturated fatty acids Nutrition 0.000 description 4
- UZOVYGYOLBIAJR-UHFFFAOYSA-N 4-isocyanato-4'-methyldiphenylmethane Chemical compound C1=CC(C)=CC=C1CC1=CC=C(N=C=O)C=C1 UZOVYGYOLBIAJR-UHFFFAOYSA-N 0.000 description 3
- 208000019838 Blood disease Diseases 0.000 description 3
- 102000008100 Human Serum Albumin Human genes 0.000 description 3
- 108091006905 Human Serum Albumin Proteins 0.000 description 3
- 241001415846 Procellariidae Species 0.000 description 3
- BQCADISMDOOEFD-UHFFFAOYSA-N Silver Chemical compound [Ag] BQCADISMDOOEFD-UHFFFAOYSA-N 0.000 description 3
- 235000001014 amino acid Nutrition 0.000 description 3
- 230000008901 benefit Effects 0.000 description 3
- 230000037396 body weight Effects 0.000 description 3
- 125000004432 carbon atom Chemical group C* 0.000 description 3
- 230000008878 coupling Effects 0.000 description 3
- 238000010168 coupling process Methods 0.000 description 3
- 238000005859 coupling reaction Methods 0.000 description 3
- 230000002950 deficient Effects 0.000 description 3
- 239000012895 dilution Substances 0.000 description 3
- 238000010790 dilution Methods 0.000 description 3
- 208000037265 diseases, disorders, signs and symptoms Diseases 0.000 description 3
- 239000003814 drug Substances 0.000 description 3
- 150000002191 fatty alcohols Chemical class 0.000 description 3
- 125000000524 functional group Chemical group 0.000 description 3
- 208000014951 hematologic disease Diseases 0.000 description 3
- 208000018706 hematopoietic system disease Diseases 0.000 description 3
- 230000011132 hemopoiesis Effects 0.000 description 3
- 125000002887 hydroxy group Chemical group [H]O* 0.000 description 3
- 238000002347 injection Methods 0.000 description 3
- 239000007924 injection Substances 0.000 description 3
- 238000001990 intravenous administration Methods 0.000 description 3
- 210000004185 liver Anatomy 0.000 description 3
- 238000001906 matrix-assisted laser desorption--ionisation mass spectrometry Methods 0.000 description 3
- 150000002772 monosaccharides Chemical class 0.000 description 3
- 229920001542 oligosaccharide Polymers 0.000 description 3
- 150000002482 oligosaccharides Chemical class 0.000 description 3
- 238000012510 peptide mapping method Methods 0.000 description 3
- 239000002243 precursor Substances 0.000 description 3
- 230000002829 reductive effect Effects 0.000 description 3
- 229910052709 silver Inorganic materials 0.000 description 3
- 239000004332 silver Substances 0.000 description 3
- 238000007920 subcutaneous administration Methods 0.000 description 3
- OZFAFGSSMRRTDW-UHFFFAOYSA-N (2,4-dichlorophenyl) benzenesulfonate Chemical compound ClC1=CC(Cl)=CC=C1OS(=O)(=O)C1=CC=CC=C1 OZFAFGSSMRRTDW-UHFFFAOYSA-N 0.000 description 2
- QGZKDVFQNNGYKY-UHFFFAOYSA-N Ammonia Chemical compound N QGZKDVFQNNGYKY-UHFFFAOYSA-N 0.000 description 2
- IJGRMHOSHXDMSA-UHFFFAOYSA-N Atomic nitrogen Chemical compound N#N IJGRMHOSHXDMSA-UHFFFAOYSA-N 0.000 description 2
- OYPRJOBELJOOCE-UHFFFAOYSA-N Calcium Chemical compound [Ca] OYPRJOBELJOOCE-UHFFFAOYSA-N 0.000 description 2
- 241000700199 Cavia porcellus Species 0.000 description 2
- RTZKZFJDLAIYFH-UHFFFAOYSA-N Diethyl ether Chemical compound CCOCC RTZKZFJDLAIYFH-UHFFFAOYSA-N 0.000 description 2
- 239000012591 Dulbecco’s Phosphate Buffered Saline Substances 0.000 description 2
- KCXVZYZYPLLWCC-UHFFFAOYSA-N EDTA Chemical class OC(=O)CN(CC(O)=O)CCN(CC(O)=O)CC(O)=O KCXVZYZYPLLWCC-UHFFFAOYSA-N 0.000 description 2
- 108010074604 Epoetin Alfa Proteins 0.000 description 2
- LYCAIKOWRPUZTN-UHFFFAOYSA-N Ethylene glycol Chemical compound OCCO LYCAIKOWRPUZTN-UHFFFAOYSA-N 0.000 description 2
- BWGVNKXGVNDBDI-UHFFFAOYSA-N Fibrin monomer Chemical group CNC(=O)CNC(=O)CN BWGVNKXGVNDBDI-UHFFFAOYSA-N 0.000 description 2
- WHUUTDBJXJRKMK-UHFFFAOYSA-N Glutamic acid Natural products OC(=O)C(N)CCC(O)=O WHUUTDBJXJRKMK-UHFFFAOYSA-N 0.000 description 2
- NTYJJOPFIAHURM-UHFFFAOYSA-N Histamine Chemical compound NCCC1=CN=CN1 NTYJJOPFIAHURM-UHFFFAOYSA-N 0.000 description 2
- OAKJQQAXSVQMHS-UHFFFAOYSA-N Hydrazine Chemical compound NN OAKJQQAXSVQMHS-UHFFFAOYSA-N 0.000 description 2
- 108010002350 Interleukin-2 Proteins 0.000 description 2
- PEEHTFAAVSWFBL-UHFFFAOYSA-N Maleimide Chemical compound O=C1NC(=O)C=C1 PEEHTFAAVSWFBL-UHFFFAOYSA-N 0.000 description 2
- HPEUJPJOZXNMSJ-UHFFFAOYSA-N Methyl stearate Chemical compound CCCCCCCCCCCCCCCCCC(=O)OC HPEUJPJOZXNMSJ-UHFFFAOYSA-N 0.000 description 2
- BAVYZALUXZFZLV-UHFFFAOYSA-N Methylamine Chemical compound NC BAVYZALUXZFZLV-UHFFFAOYSA-N 0.000 description 2
- 206010028980 Neoplasm Diseases 0.000 description 2
- 108091005804 Peptidases Proteins 0.000 description 2
- NQRYJNQNLNOLGT-UHFFFAOYSA-N Piperidine Chemical compound C1CCNCC1 NQRYJNQNLNOLGT-UHFFFAOYSA-N 0.000 description 2
- XBDQKXXYIPTUBI-UHFFFAOYSA-M Propionate Chemical compound CCC([O-])=O XBDQKXXYIPTUBI-UHFFFAOYSA-M 0.000 description 2
- 239000004365 Protease Substances 0.000 description 2
- FAPWRFPIFSIZLT-UHFFFAOYSA-M Sodium chloride Chemical compound [Na+].[Cl-] FAPWRFPIFSIZLT-UHFFFAOYSA-M 0.000 description 2
- DTQVDTLACAAQTR-UHFFFAOYSA-N Trifluoroacetic acid Chemical compound OC(=O)C(F)(F)F DTQVDTLACAAQTR-UHFFFAOYSA-N 0.000 description 2
- 238000002835 absorbance Methods 0.000 description 2
- 229930013930 alkaloid Natural products 0.000 description 2
- 238000004458 analytical method Methods 0.000 description 2
- 238000013459 approach Methods 0.000 description 2
- WPYMKLBDIGXBTP-UHFFFAOYSA-N benzoic acid Chemical compound OC(=O)C1=CC=CC=C1 WPYMKLBDIGXBTP-UHFFFAOYSA-N 0.000 description 2
- 125000001584 benzyloxycarbonyl group Chemical group C(=O)(OCC1=CC=CC=C1)* 0.000 description 2
- 210000004369 blood Anatomy 0.000 description 2
- 239000008280 blood Substances 0.000 description 2
- 239000011575 calcium Substances 0.000 description 2
- 229910052791 calcium Inorganic materials 0.000 description 2
- 201000011510 cancer Diseases 0.000 description 2
- PFKFTWBEEFSNDU-UHFFFAOYSA-N carbonyldiimidazole Chemical compound C1=CN=CN1C(=O)N1C=CN=C1 PFKFTWBEEFSNDU-UHFFFAOYSA-N 0.000 description 2
- 150000007942 carboxylates Chemical class 0.000 description 2
- 239000005018 casein Substances 0.000 description 2
- 239000007795 chemical reaction product Substances 0.000 description 2
- 239000003153 chemical reaction reagent Substances 0.000 description 2
- 238000002512 chemotherapy Methods 0.000 description 2
- 208000020832 chronic kidney disease Diseases 0.000 description 2
- 208000022831 chronic renal failure syndrome Diseases 0.000 description 2
- 239000013078 crystal Substances 0.000 description 2
- 150000004985 diamines Chemical class 0.000 description 2
- 230000029087 digestion Effects 0.000 description 2
- 239000000539 dimer Substances 0.000 description 2
- 201000010099 disease Diseases 0.000 description 2
- DGXRZJSPDXZJFG-UHFFFAOYSA-N docosanedioic acid Chemical compound OC(=O)CCCCCCCCCCCCCCCCCCCCC(O)=O DGXRZJSPDXZJFG-UHFFFAOYSA-N 0.000 description 2
- 239000003937 drug carrier Substances 0.000 description 2
- 229940048820 edetates Drugs 0.000 description 2
- MVLVMROFTAUDAG-UHFFFAOYSA-N ethyl octadecanoate Chemical compound CCCCCCCCCCCCCCCCCC(=O)OCC MVLVMROFTAUDAG-UHFFFAOYSA-N 0.000 description 2
- 238000010353 genetic engineering Methods 0.000 description 2
- 235000013922 glutamic acid Nutrition 0.000 description 2
- 239000004220 glutamic acid Substances 0.000 description 2
- 125000000623 heterocyclic group Chemical group 0.000 description 2
- IPCSVZSSVZVIGE-UHFFFAOYSA-M hexadecanoate Chemical compound CCCCCCCCCCCCCCCC([O-])=O IPCSVZSSVZVIGE-UHFFFAOYSA-M 0.000 description 2
- 125000001183 hydrocarbyl group Chemical group 0.000 description 2
- VKOBVWXKNCXXDE-UHFFFAOYSA-N icosanoic acid Chemical compound CCCCCCCCCCCCCCCCCCCC(O)=O VKOBVWXKNCXXDE-UHFFFAOYSA-N 0.000 description 2
- 238000000338 in vitro Methods 0.000 description 2
- 230000002452 interceptive effect Effects 0.000 description 2
- 210000003734 kidney Anatomy 0.000 description 2
- VQEUONXRKIUTJT-UHFFFAOYSA-N lauric acid sec-butyl ester Natural products CCCCCCCCCCCC(=O)OC(C)CC VQEUONXRKIUTJT-UHFFFAOYSA-N 0.000 description 2
- 230000000670 limiting effect Effects 0.000 description 2
- 229920001427 mPEG Polymers 0.000 description 2
- 239000011159 matrix material Substances 0.000 description 2
- LXCFILQKKLGQFO-UHFFFAOYSA-N methylparaben Chemical compound COC(=O)C1=CC=C(O)C=C1 LXCFILQKKLGQFO-UHFFFAOYSA-N 0.000 description 2
- QIQXTHQIDYTFRH-UHFFFAOYSA-N octadecanoic acid Chemical compound CCCCCCCCCCCCCCCCCC(O)=O QIQXTHQIDYTFRH-UHFFFAOYSA-N 0.000 description 2
- 230000006320 pegylation Effects 0.000 description 2
- 229920002401 polyacrylamide Polymers 0.000 description 2
- 239000003755 preservative agent Substances 0.000 description 2
- 125000002924 primary amino group Chemical group [H]N([H])* 0.000 description 2
- 230000008569 process Effects 0.000 description 2
- 230000009145 protein modification Effects 0.000 description 2
- 239000011347 resin Substances 0.000 description 2
- 229920005989 resin Polymers 0.000 description 2
- 229940076279 serotonin Drugs 0.000 description 2
- 238000001228 spectrum Methods 0.000 description 2
- ATHGHQPFGPMSJY-UHFFFAOYSA-N spermidine Chemical compound NCCCCNCCCN ATHGHQPFGPMSJY-UHFFFAOYSA-N 0.000 description 2
- PFNFFQXMRSDOHW-UHFFFAOYSA-N spermine Chemical compound NCCCNCCCCNCCCN PFNFFQXMRSDOHW-UHFFFAOYSA-N 0.000 description 2
- 150000003431 steroids Chemical class 0.000 description 2
- TYFQFVWCELRYAO-UHFFFAOYSA-N suberic acid Chemical compound OC(=O)CCCCCCC(O)=O TYFQFVWCELRYAO-UHFFFAOYSA-N 0.000 description 2
- 238000012360 testing method Methods 0.000 description 2
- HQHCYKULIHKCEB-UHFFFAOYSA-N tetradecanedioic acid Chemical compound OC(=O)CCCCCCCCCCCCC(O)=O HQHCYKULIHKCEB-UHFFFAOYSA-N 0.000 description 2
- TUNFSRHWOTWDNC-UHFFFAOYSA-N tetradecanoic acid Chemical compound CCCCCCCCCCCCCC(O)=O TUNFSRHWOTWDNC-UHFFFAOYSA-N 0.000 description 2
- 238000002560 therapeutic procedure Methods 0.000 description 2
- 150000003573 thiols Chemical class 0.000 description 2
- 239000013638 trimer Substances 0.000 description 2
- 229940088594 vitamin Drugs 0.000 description 2
- 239000011782 vitamin Substances 0.000 description 2
- 229930003231 vitamin Natural products 0.000 description 2
- 235000013343 vitamin Nutrition 0.000 description 2
- 238000005406 washing Methods 0.000 description 2
- 239000003643 water by type Substances 0.000 description 2
- KULQACNMKIDJNN-GASJEMHNSA-N (2r,3s,4r,5r)-1-aminohexane-1,2,3,4,5,6-hexol Chemical group NC(O)[C@H](O)[C@@H](O)[C@H](O)[C@H](O)CO KULQACNMKIDJNN-GASJEMHNSA-N 0.000 description 1
- 125000003088 (fluoren-9-ylmethoxy)carbonyl group Chemical group 0.000 description 1
- 0 *N.*NC(=O)CCC(C)C.CC(C)CCC(N)=O.N.[Ca+2] Chemical compound *N.*NC(=O)CCC(C)C.CC(C)CCC(N)=O.N.[Ca+2] 0.000 description 1
- VUDOAEVYGXSOME-UHFFFAOYSA-N 2,2-dimethylpropyl tetradecanoate Chemical compound CCCCCCCCCCCCCC(=O)OCC(C)(C)C VUDOAEVYGXSOME-UHFFFAOYSA-N 0.000 description 1
- WXTMDXOMEHJXQO-UHFFFAOYSA-N 2,5-dihydroxybenzoic acid Chemical compound OC(=O)C1=CC(O)=CC=C1O WXTMDXOMEHJXQO-UHFFFAOYSA-N 0.000 description 1
- 125000000981 3-amino-3-oxopropyl group Chemical group [H]C([*])([H])C([H])([H])C(=O)N([H])[H] 0.000 description 1
- 125000004042 4-aminobutyl group Chemical group [H]C([*])([H])C([H])([H])C([H])([H])C([H])([H])N([H])[H] 0.000 description 1
- 101710169336 5'-deoxyadenosine deaminase Proteins 0.000 description 1
- 102000055025 Adenosine deaminases Human genes 0.000 description 1
- 206010002068 Anaemia neonatal Diseases 0.000 description 1
- YZXBAPSDXZZRGB-DOFZRALJSA-M Arachidonate Chemical compound CCCCC\C=C/C\C=C/C\C=C/C\C=C/CCCC([O-])=O YZXBAPSDXZZRGB-DOFZRALJSA-M 0.000 description 1
- 239000005711 Benzoic acid Substances 0.000 description 1
- 102000004506 Blood Proteins Human genes 0.000 description 1
- 108010017384 Blood Proteins Proteins 0.000 description 1
- 101800001415 Bri23 peptide Proteins 0.000 description 1
- NDKYEUQMPZIGFN-UHFFFAOYSA-N Butyl dodecanoate Chemical compound CCCCCCCCCCCC(=O)OCCCC NDKYEUQMPZIGFN-UHFFFAOYSA-N 0.000 description 1
- 239000004255 Butylated hydroxyanisole Substances 0.000 description 1
- 239000004322 Butylated hydroxytoluene Substances 0.000 description 1
- NLZUEZXRPGMBCV-UHFFFAOYSA-N Butylhydroxytoluene Chemical compound CC1=CC(C(C)(C)C)=C(O)C(C(C)(C)C)=C1 NLZUEZXRPGMBCV-UHFFFAOYSA-N 0.000 description 1
- 102400000107 C-terminal peptide Human genes 0.000 description 1
- 101800000655 C-terminal peptide Proteins 0.000 description 1
- PKIAKVYZQNWKQC-UHFFFAOYSA-N C.C.CC(N)=O.CCN.CCNC(C)=O.N.[Ca+2] Chemical compound C.C.CC(N)=O.CCN.CCNC(C)=O.N.[Ca+2] PKIAKVYZQNWKQC-UHFFFAOYSA-N 0.000 description 1
- POPUXVROCDZNLI-UHFFFAOYSA-N C.CC(=O)NCCCCCN.CC(=O)ON1C(=O)CCC1=O.NCCCCCN Chemical compound C.CC(=O)NCCCCCN.CC(=O)ON1C(=O)CCC1=O.NCCCCCN POPUXVROCDZNLI-UHFFFAOYSA-N 0.000 description 1
- BLZLKYAWEXCPMZ-UHFFFAOYSA-N C.CCCC(=O)NCCCCCN.CCCC(=O)ON1C(=O)CCC1=O.NCCCCCN Chemical compound C.CCCC(=O)NCCCCCN.CCCC(=O)ON1C(=O)CCC1=O.NCCCCCN BLZLKYAWEXCPMZ-UHFFFAOYSA-N 0.000 description 1
- XNUULKAKUOYWMQ-UHFFFAOYSA-N C.CCCC(=O)NCCCCN.CCCC(=O)ON1C(=O)CCC1=O.NCCCCN Chemical compound C.CCCC(=O)NCCCCN.CCCC(=O)ON1C(=O)CCC1=O.NCCCCN XNUULKAKUOYWMQ-UHFFFAOYSA-N 0.000 description 1
- OKTJSMMVPCPJKN-UHFFFAOYSA-N Carbon Chemical group [C] OKTJSMMVPCPJKN-UHFFFAOYSA-N 0.000 description 1
- 239000004215 Carbon black (E152) Substances 0.000 description 1
- 102100035882 Catalase Human genes 0.000 description 1
- 108010053835 Catalase Proteins 0.000 description 1
- 208000017667 Chronic Disease Diseases 0.000 description 1
- 102000007644 Colony-Stimulating Factors Human genes 0.000 description 1
- 108010071942 Colony-Stimulating Factors Proteins 0.000 description 1
- 206010061452 Complication of pregnancy Diseases 0.000 description 1
- 201000003883 Cystic fibrosis Diseases 0.000 description 1
- 229920002307 Dextran Polymers 0.000 description 1
- ZGTMUACCHSMWAC-UHFFFAOYSA-L EDTA disodium salt (anhydrous) Chemical compound [Na+].[Na+].OC(=O)CN(CC([O-])=O)CCN(CC(O)=O)CC([O-])=O ZGTMUACCHSMWAC-UHFFFAOYSA-L 0.000 description 1
- 108010075944 Erythropoietin Receptors Proteins 0.000 description 1
- 102100036509 Erythropoietin receptor Human genes 0.000 description 1
- 108010071289 Factor XIII Proteins 0.000 description 1
- 108010000196 Factor XIIIa Proteins 0.000 description 1
- 102000009123 Fibrin Human genes 0.000 description 1
- 108010073385 Fibrin Proteins 0.000 description 1
- 108020004206 Gamma-glutamyltransferase Proteins 0.000 description 1
- 241000282412 Homo Species 0.000 description 1
- AVXURJPOCDRRFD-UHFFFAOYSA-N Hydroxylamine Chemical compound ON AVXURJPOCDRRFD-UHFFFAOYSA-N 0.000 description 1
- DGAQECJNVWCQMB-PUAWFVPOSA-M Ilexoside XXIX Chemical compound C[C@@H]1CC[C@@]2(CC[C@@]3(C(=CC[C@H]4[C@]3(CC[C@@H]5[C@@]4(CC[C@@H](C5(C)C)OS(=O)(=O)[O-])C)C)[C@@H]2[C@]1(C)O)C)C(=O)O[C@H]6[C@@H]([C@H]([C@@H]([C@H](O6)CO)O)O)O.[Na+] DGAQECJNVWCQMB-PUAWFVPOSA-M 0.000 description 1
- 102000001706 Immunoglobulin Fab Fragments Human genes 0.000 description 1
- 108010054477 Immunoglobulin Fab Fragments Proteins 0.000 description 1
- 102000008394 Immunoglobulin Fragments Human genes 0.000 description 1
- 108010021625 Immunoglobulin Fragments Proteins 0.000 description 1
- 102100025306 Integrin alpha-IIb Human genes 0.000 description 1
- 101710149643 Integrin alpha-IIb Proteins 0.000 description 1
- 102000014150 Interferons Human genes 0.000 description 1
- 108010050904 Interferons Proteins 0.000 description 1
- 108010063738 Interleukins Proteins 0.000 description 1
- 102000015696 Interleukins Human genes 0.000 description 1
- QAQJMLQRFWZOBN-LAUBAEHRSA-N L-ascorbyl-6-palmitate Chemical compound CCCCCCCCCCCCCCCC(=O)OC[C@H](O)[C@H]1OC(=O)C(O)=C1O QAQJMLQRFWZOBN-LAUBAEHRSA-N 0.000 description 1
- 239000011786 L-ascorbyl-6-palmitate Substances 0.000 description 1
- 229930182816 L-glutamine Natural products 0.000 description 1
- PQFMNVGMJJMLAE-QMMMGPOBSA-N L-tyrosinamide Chemical compound NC(=O)[C@@H](N)CC1=CC=C(O)C=C1 PQFMNVGMJJMLAE-QMMMGPOBSA-N 0.000 description 1
- 241000124008 Mammalia Species 0.000 description 1
- 108010052285 Membrane Proteins Proteins 0.000 description 1
- 102000018697 Membrane Proteins Human genes 0.000 description 1
- 208000019255 Menstrual disease Diseases 0.000 description 1
- AFVFQIVMOAPDHO-UHFFFAOYSA-N Methanesulfonic acid Chemical group CS(O)(=O)=O AFVFQIVMOAPDHO-UHFFFAOYSA-N 0.000 description 1
- 241000699670 Mus sp. Species 0.000 description 1
- 102400000108 N-terminal peptide Human genes 0.000 description 1
- 101800000597 N-terminal peptide Proteins 0.000 description 1
- 102000035195 Peptidases Human genes 0.000 description 1
- 102000000447 Peptide-N4-(N-acetyl-beta-glucosaminyl) Asparagine Amidase Human genes 0.000 description 1
- 108010055817 Peptide-N4-(N-acetyl-beta-glucosaminyl) Asparagine Amidase Proteins 0.000 description 1
- BHHGXPLMPWCGHP-UHFFFAOYSA-N Phenethylamine Chemical compound NCCC1=CC=CC=C1 BHHGXPLMPWCGHP-UHFFFAOYSA-N 0.000 description 1
- 229920002266 Pluriol® Polymers 0.000 description 1
- 229920000604 Polyethylene Glycol 200 Polymers 0.000 description 1
- 241000288906 Primates Species 0.000 description 1
- 108700039882 Protein Glutamine gamma Glutamyltransferase 2 Proteins 0.000 description 1
- 102100038095 Protein-glutamine gamma-glutamyltransferase 2 Human genes 0.000 description 1
- 108020004511 Recombinant DNA Proteins 0.000 description 1
- 102100037486 Reverse transcriptase/ribonuclease H Human genes 0.000 description 1
- 101710165315 Sialidase A Proteins 0.000 description 1
- 229920002472 Starch Polymers 0.000 description 1
- 241000187747 Streptomyces Species 0.000 description 1
- 241001495137 Streptomyces mobaraensis Species 0.000 description 1
- NINIDFKCEFEMDL-UHFFFAOYSA-N Sulfur Chemical compound [S] NINIDFKCEFEMDL-UHFFFAOYSA-N 0.000 description 1
- 102000019197 Superoxide Dismutase Human genes 0.000 description 1
- 108010012715 Superoxide dismutase Proteins 0.000 description 1
- UWHCKJMYHZGTIT-UHFFFAOYSA-N Tetraethylene glycol, Natural products OCCOCCOCCOCCO UWHCKJMYHZGTIT-UHFFFAOYSA-N 0.000 description 1
- 102100023038 WD and tetratricopeptide repeats protein 1 Human genes 0.000 description 1
- 150000007513 acids Chemical class 0.000 description 1
- 239000011149 active material Substances 0.000 description 1
- 230000001154 acute effect Effects 0.000 description 1
- 150000001266 acyl halides Chemical class 0.000 description 1
- 230000032683 aging Effects 0.000 description 1
- 125000001931 aliphatic group Chemical group 0.000 description 1
- AFVLVVWMAFSXCK-VMPITWQZSA-N alpha-cyano-4-hydroxycinnamic acid Chemical group OC(=O)C(\C#N)=C\C1=CC=C(O)C=C1 AFVLVVWMAFSXCK-VMPITWQZSA-N 0.000 description 1
- 125000003368 amide group Chemical group 0.000 description 1
- 229910021529 ammonia Inorganic materials 0.000 description 1
- 201000000975 anemia of prematurity Diseases 0.000 description 1
- 230000003466 anti-cipated effect Effects 0.000 description 1
- 239000003963 antioxidant agent Substances 0.000 description 1
- 239000007864 aqueous solution Substances 0.000 description 1
- 229940114078 arachidonate Drugs 0.000 description 1
- 235000010385 ascorbyl palmitate Nutrition 0.000 description 1
- QVGXLLKOCUKJST-UHFFFAOYSA-N atomic oxygen Chemical compound [O] QVGXLLKOCUKJST-UHFFFAOYSA-N 0.000 description 1
- IVRMZWNICZWHMI-UHFFFAOYSA-N azide group Chemical group [N-]=[N+]=[N-] IVRMZWNICZWHMI-UHFFFAOYSA-N 0.000 description 1
- 230000001580 bacterial effect Effects 0.000 description 1
- 229940116224 behenate Drugs 0.000 description 1
- UKMSUNONTOPOIO-UHFFFAOYSA-M behenate Chemical compound CCCCCCCCCCCCCCCCCCCCCC([O-])=O UKMSUNONTOPOIO-UHFFFAOYSA-M 0.000 description 1
- 235000010233 benzoic acid Nutrition 0.000 description 1
- 208000005980 beta thalassemia Diseases 0.000 description 1
- 230000000975 bioactive effect Effects 0.000 description 1
- 230000033228 biological regulation Effects 0.000 description 1
- 229960000074 biopharmaceutical Drugs 0.000 description 1
- 210000001185 bone marrow Anatomy 0.000 description 1
- XXWCODXIQWIHQN-UHFFFAOYSA-N butane-1,4-diamine;hydron;dichloride Chemical compound Cl.Cl.NCCCCN XXWCODXIQWIHQN-UHFFFAOYSA-N 0.000 description 1
- 235000019282 butylated hydroxyanisole Nutrition 0.000 description 1
- CZBZUDVBLSSABA-UHFFFAOYSA-N butylated hydroxyanisole Chemical compound COC1=CC=C(O)C(C(C)(C)C)=C1.COC1=CC=C(O)C=C1C(C)(C)C CZBZUDVBLSSABA-UHFFFAOYSA-N 0.000 description 1
- 229940043253 butylated hydroxyanisole Drugs 0.000 description 1
- 235000010354 butylated hydroxytoluene Nutrition 0.000 description 1
- 229940095259 butylated hydroxytoluene Drugs 0.000 description 1
- 230000015556 catabolic process Effects 0.000 description 1
- 230000004663 cell proliferation Effects 0.000 description 1
- 238000001516 cell proliferation assay Methods 0.000 description 1
- 239000006285 cell suspension Substances 0.000 description 1
- 230000008859 change Effects 0.000 description 1
- 238000012512 characterization method Methods 0.000 description 1
- 238000007385 chemical modification Methods 0.000 description 1
- 210000004978 chinese hamster ovary cell Anatomy 0.000 description 1
- HNEGQIOMVPPMNR-IHWYPQMZSA-N citraconic acid Chemical compound OC(=O)C(/C)=C\C(O)=O HNEGQIOMVPPMNR-IHWYPQMZSA-N 0.000 description 1
- 229940018557 citraconic acid Drugs 0.000 description 1
- 238000010367 cloning Methods 0.000 description 1
- 230000001268 conjugating effect Effects 0.000 description 1
- 238000013270 controlled release Methods 0.000 description 1
- 125000000151 cysteine group Chemical group N[C@@H](CS)C(=O)* 0.000 description 1
- GVJHHUAWPYXKBD-UHFFFAOYSA-N d-alpha-tocopherol Natural products OC1=C(C)C(C)=C2OC(CCCC(C)CCCC(C)CCCC(C)C)(C)CCC2=C1C GVJHHUAWPYXKBD-UHFFFAOYSA-N 0.000 description 1
- 230000006378 damage Effects 0.000 description 1
- 230000003247 decreasing effect Effects 0.000 description 1
- 230000022811 deglycosylation Effects 0.000 description 1
- 238000006731 degradation reaction Methods 0.000 description 1
- 239000000412 dendrimer Substances 0.000 description 1
- 229920000736 dendritic polymer Polymers 0.000 description 1
- 230000001419 dependent effect Effects 0.000 description 1
- 238000001212 derivatisation Methods 0.000 description 1
- 238000011033 desalting Methods 0.000 description 1
- 239000003599 detergent Substances 0.000 description 1
- 238000003745 diagnosis Methods 0.000 description 1
- 230000004069 differentiation Effects 0.000 description 1
- 238000007865 diluting Methods 0.000 description 1
- 230000003467 diminishing effect Effects 0.000 description 1
- 208000035475 disorder Diseases 0.000 description 1
- 238000009826 distribution Methods 0.000 description 1
- UKMSUNONTOPOIO-UHFFFAOYSA-N docosanoic acid Chemical compound CCCCCCCCCCCCCCCCCCCCCC(O)=O UKMSUNONTOPOIO-UHFFFAOYSA-N 0.000 description 1
- POULHZVOKOAJMA-UHFFFAOYSA-M dodecanoate Chemical compound CCCCCCCCCCCC([O-])=O POULHZVOKOAJMA-UHFFFAOYSA-M 0.000 description 1
- POULHZVOKOAJMA-UHFFFAOYSA-N dodecanoic acid Chemical compound CCCCCCCCCCCC(O)=O POULHZVOKOAJMA-UHFFFAOYSA-N 0.000 description 1
- 229940079593 drug Drugs 0.000 description 1
- 238000005516 engineering process Methods 0.000 description 1
- 230000002708 enhancing effect Effects 0.000 description 1
- 238000006911 enzymatic reaction Methods 0.000 description 1
- 229940089118 epogen Drugs 0.000 description 1
- 210000003013 erythroid precursor cell Anatomy 0.000 description 1
- 230000010437 erythropoiesis Effects 0.000 description 1
- 230000032050 esterification Effects 0.000 description 1
- 238000005886 esterification reaction Methods 0.000 description 1
- 239000013604 expression vector Substances 0.000 description 1
- 210000003722 extracellular fluid Anatomy 0.000 description 1
- 229940012444 factor xiii Drugs 0.000 description 1
- 229950003499 fibrin Drugs 0.000 description 1
- 239000012530 fluid Substances 0.000 description 1
- 235000013305 food Nutrition 0.000 description 1
- 125000002485 formyl group Chemical class [H]C(*)=O 0.000 description 1
- 230000004927 fusion Effects 0.000 description 1
- 102000006640 gamma-Glutamyltransferase Human genes 0.000 description 1
- 108010078144 glutaminyl-glycine Proteins 0.000 description 1
- BEBCJVAWIBVWNZ-UHFFFAOYSA-N glycinamide Chemical compound NCC(N)=O BEBCJVAWIBVWNZ-UHFFFAOYSA-N 0.000 description 1
- 108010085617 glycopeptide alpha-N-acetylgalactosaminidase Proteins 0.000 description 1
- PCHJSUWPFVWCPO-UHFFFAOYSA-N gold Chemical compound [Au] PCHJSUWPFVWCPO-UHFFFAOYSA-N 0.000 description 1
- 239000010931 gold Substances 0.000 description 1
- 229910052737 gold Inorganic materials 0.000 description 1
- 125000005179 haloacetyl group Chemical group 0.000 description 1
- 125000001475 halogen functional group Chemical group 0.000 description 1
- 229910001385 heavy metal Inorganic materials 0.000 description 1
- 230000002489 hematologic effect Effects 0.000 description 1
- AHBUWFLIYRFKTR-UHFFFAOYSA-N heptane-1,7-diamine;hexane-1,6-diamine Chemical compound NCCCCCCN.NCCCCCCCN AHBUWFLIYRFKTR-UHFFFAOYSA-N 0.000 description 1
- 125000005842 heteroatom Chemical group 0.000 description 1
- ARBOVOVUTSQWSS-UHFFFAOYSA-N hexadecanoyl chloride Chemical compound CCCCCCCCCCCCCCCC(Cl)=O ARBOVOVUTSQWSS-UHFFFAOYSA-N 0.000 description 1
- JIFCVUWJQMDNTN-UHFFFAOYSA-N hexyl tetradecanoate Chemical compound CCCCCCCCCCCCCC(=O)OCCCCCC JIFCVUWJQMDNTN-UHFFFAOYSA-N 0.000 description 1
- 229960001340 histamine Drugs 0.000 description 1
- BRWIZMBXBAOCCF-UHFFFAOYSA-N hydrazinecarbothioamide Chemical compound NNC(N)=S BRWIZMBXBAOCCF-UHFFFAOYSA-N 0.000 description 1
- BHEPBYXIRTUNPN-UHFFFAOYSA-N hydridophosphorus(.) (triplet) Chemical group [PH] BHEPBYXIRTUNPN-UHFFFAOYSA-N 0.000 description 1
- 229930195733 hydrocarbon Natural products 0.000 description 1
- 150000002430 hydrocarbons Chemical class 0.000 description 1
- RLNAIWYXIAJDTN-UHFFFAOYSA-N hydron;pentane-1,5-diamine;chloride Chemical compound Cl.NCCCCCN RLNAIWYXIAJDTN-UHFFFAOYSA-N 0.000 description 1
- 230000008105 immune reaction Effects 0.000 description 1
- 230000002163 immunogen Effects 0.000 description 1
- 230000005847 immunogenicity Effects 0.000 description 1
- 239000004615 ingredient Substances 0.000 description 1
- 238000013383 initial experiment Methods 0.000 description 1
- 230000003993 interaction Effects 0.000 description 1
- 229940047124 interferons Drugs 0.000 description 1
- 229940047122 interleukins Drugs 0.000 description 1
- 238000010255 intramuscular injection Methods 0.000 description 1
- 239000007927 intramuscular injection Substances 0.000 description 1
- 238000010253 intravenous injection Methods 0.000 description 1
- PGLTVOMIXTUURA-UHFFFAOYSA-N iodoacetamide Chemical compound NC(=O)CI PGLTVOMIXTUURA-UHFFFAOYSA-N 0.000 description 1
- 125000000468 ketone group Chemical group 0.000 description 1
- 229940070765 laurate Drugs 0.000 description 1
- 230000007774 longterm Effects 0.000 description 1
- 229960003511 macrogol Drugs 0.000 description 1
- 230000014759 maintenance of location Effects 0.000 description 1
- 150000002689 maleic acids Chemical class 0.000 description 1
- FPYJFEHAWHCUMM-UHFFFAOYSA-N maleic anhydride Chemical compound O=C1OC(=O)C=C1 FPYJFEHAWHCUMM-UHFFFAOYSA-N 0.000 description 1
- 210000004962 mammalian cell Anatomy 0.000 description 1
- 239000003550 marker Substances 0.000 description 1
- 230000000873 masking effect Effects 0.000 description 1
- 238000004949 mass spectrometry Methods 0.000 description 1
- 238000001819 mass spectrum Methods 0.000 description 1
- 239000000463 material Substances 0.000 description 1
- 238000000816 matrix-assisted laser desorption--ionisation Methods 0.000 description 1
- 238000001840 matrix-assisted laser desorption--ionisation time-of-flight mass spectrometry Methods 0.000 description 1
- 125000002496 methyl group Chemical group [H]C([H])([H])* 0.000 description 1
- 235000010270 methyl p-hydroxybenzoate Nutrition 0.000 description 1
- 239000004292 methyl p-hydroxybenzoate Substances 0.000 description 1
- 229960002216 methylparaben Drugs 0.000 description 1
- 230000000813 microbial effect Effects 0.000 description 1
- 238000002156 mixing Methods 0.000 description 1
- 102000035118 modified proteins Human genes 0.000 description 1
- 108091005573 modified proteins Proteins 0.000 description 1
- 230000003039 myelosuppressive effect Effects 0.000 description 1
- 229940105132 myristate Drugs 0.000 description 1
- 229910052757 nitrogen Inorganic materials 0.000 description 1
- 239000012038 nucleophile Substances 0.000 description 1
- 229940049964 oleate Drugs 0.000 description 1
- ZQPPMHVWECSIRJ-KTKRTIGZSA-M oleate Chemical compound CCCCCCCC\C=C/CCCCCCCC([O-])=O ZQPPMHVWECSIRJ-KTKRTIGZSA-M 0.000 description 1
- 230000003647 oxidation Effects 0.000 description 1
- 238000007254 oxidation reaction Methods 0.000 description 1
- 229910052760 oxygen Inorganic materials 0.000 description 1
- 239000001301 oxygen Substances 0.000 description 1
- 230000036961 partial effect Effects 0.000 description 1
- 239000012071 phase Substances 0.000 description 1
- 125000001997 phenyl group Chemical group [H]C1=C([H])C([H])=C(*)C([H])=C1[H] 0.000 description 1
- PTMHPRAIXMAOOB-UHFFFAOYSA-L phosphoramidate Chemical compound NP([O-])([O-])=O PTMHPRAIXMAOOB-UHFFFAOYSA-L 0.000 description 1
- 229920000056 polyoxyethylene ether Polymers 0.000 description 1
- 229940051841 polyoxyethylene ether Drugs 0.000 description 1
- 229920002451 polyvinyl alcohol Polymers 0.000 description 1
- 235000019422 polyvinyl alcohol Nutrition 0.000 description 1
- 229920000036 polyvinylpyrrolidone Polymers 0.000 description 1
- 235000013855 polyvinylpyrrolidone Nutrition 0.000 description 1
- 239000013641 positive control Substances 0.000 description 1
- 230000001323 posttranslational effect Effects 0.000 description 1
- 239000008057 potassium phosphate buffer Substances 0.000 description 1
- 230000035935 pregnancy Effects 0.000 description 1
- 208000012113 pregnancy disease Diseases 0.000 description 1
- 230000002335 preservative effect Effects 0.000 description 1
- 230000008742 procoagulation Effects 0.000 description 1
- 229940029359 procrit Drugs 0.000 description 1
- 230000035755 proliferation Effects 0.000 description 1
- 230000002035 prolonged effect Effects 0.000 description 1
- BTAXGNQLYFDKEF-UHFFFAOYSA-N propyl octadecanoate Chemical compound CCCCCCCCCCCCCCCCCC(=O)OCCC BTAXGNQLYFDKEF-UHFFFAOYSA-N 0.000 description 1
- 125000006239 protecting group Chemical group 0.000 description 1
- 239000011535 reaction buffer Substances 0.000 description 1
- 238000006268 reductive amination reaction Methods 0.000 description 1
- 238000004007 reversed phase HPLC Methods 0.000 description 1
- DUIOPKIIICUYRZ-UHFFFAOYSA-N semicarbazide Chemical compound NNC(N)=O DUIOPKIIICUYRZ-UHFFFAOYSA-N 0.000 description 1
- 238000013207 serial dilution Methods 0.000 description 1
- 208000007056 sickle cell anemia Diseases 0.000 description 1
- PCMORTLOPMLEFB-ONEGZZNKSA-N sinapic acid Chemical compound COC1=CC(\C=C\C(O)=O)=CC(OC)=C1O PCMORTLOPMLEFB-ONEGZZNKSA-N 0.000 description 1
- PCMORTLOPMLEFB-UHFFFAOYSA-N sinapinic acid Natural products COC1=CC(C=CC(O)=O)=CC(OC)=C1O PCMORTLOPMLEFB-UHFFFAOYSA-N 0.000 description 1
- 210000003491 skin Anatomy 0.000 description 1
- 150000003384 small molecules Chemical group 0.000 description 1
- 239000011780 sodium chloride Substances 0.000 description 1
- 239000012064 sodium phosphate buffer Substances 0.000 description 1
- 239000007790 solid phase Substances 0.000 description 1
- 239000002904 solvent Substances 0.000 description 1
- 229940063673 spermidine Drugs 0.000 description 1
- 229940063675 spermine Drugs 0.000 description 1
- 208000020431 spinal cord injury Diseases 0.000 description 1
- 208000010110 spontaneous platelet aggregation Diseases 0.000 description 1
- 230000006641 stabilisation Effects 0.000 description 1
- 238000011105 stabilization Methods 0.000 description 1
- 235000019698 starch Nutrition 0.000 description 1
- 239000007858 starting material Substances 0.000 description 1
- 230000004936 stimulating effect Effects 0.000 description 1
- 239000011550 stock solution Substances 0.000 description 1
- 238000010254 subcutaneous injection Methods 0.000 description 1
- 229910052717 sulfur Inorganic materials 0.000 description 1
- 239000011593 sulfur Substances 0.000 description 1
- 238000001356 surgical procedure Methods 0.000 description 1
- JDMUZPCDCYZTJA-UHFFFAOYSA-N tert-butyl 2,2-diaminoheptanoate Chemical compound CCCCCC(N)(N)C(=O)OC(C)(C)C JDMUZPCDCYZTJA-UHFFFAOYSA-N 0.000 description 1
- WJXKWIFHRZWPET-UHFFFAOYSA-N tert-butyl dodecanoate Chemical compound CCCCCCCCCCCC(=O)OC(C)(C)C WJXKWIFHRZWPET-UHFFFAOYSA-N 0.000 description 1
- AOCSUUGBCMTKJH-UHFFFAOYSA-N tert-butyl n-(2-aminoethyl)carbamate Chemical compound CC(C)(C)OC(=O)NCCN AOCSUUGBCMTKJH-UHFFFAOYSA-N 0.000 description 1
- CWXZMNMLGZGDSW-UHFFFAOYSA-N tetracontanoic acid Chemical compound CCCCCCCCCCCCCCCCCCCCCCCCCCCCCCCCCCCCCCCC(O)=O CWXZMNMLGZGDSW-UHFFFAOYSA-N 0.000 description 1
- WROMPOXWARCANT-UHFFFAOYSA-N tfa trifluoroacetic acid Chemical compound OC(=O)C(F)(F)F.OC(=O)C(F)(F)F WROMPOXWARCANT-UHFFFAOYSA-N 0.000 description 1
- 229940124597 therapeutic agent Drugs 0.000 description 1
- 235000010384 tocopherol Nutrition 0.000 description 1
- 239000011732 tocopherol Substances 0.000 description 1
- 229960001295 tocopherol Drugs 0.000 description 1
- 229930003799 tocopherol Natural products 0.000 description 1
- 239000012929 tonicity agent Substances 0.000 description 1
- 125000005490 tosylate group Chemical group 0.000 description 1
- 238000005924 transacylation reaction Methods 0.000 description 1
- VHOCUJPBKOZGJD-UHFFFAOYSA-N triacontanoic acid Chemical compound CCCCCCCCCCCCCCCCCCCCCCCCCCCCCC(O)=O VHOCUJPBKOZGJD-UHFFFAOYSA-N 0.000 description 1
- 150000003626 triacylglycerols Chemical class 0.000 description 1
- 239000003981 vehicle Substances 0.000 description 1
- 230000003442 weekly effect Effects 0.000 description 1
- AFVLVVWMAFSXCK-UHFFFAOYSA-N α-cyano-4-hydroxycinnamic acid Chemical compound OC(=O)C(C#N)=CC1=CC=C(O)C=C1 AFVLVVWMAFSXCK-UHFFFAOYSA-N 0.000 description 1
- GVJHHUAWPYXKBD-IEOSBIPESA-N α-tocopherol Chemical compound OC1=C(C)C(C)=C2O[C@@](CCC[C@H](C)CCC[C@H](C)CCCC(C)C)(C)CCC2=C1C GVJHHUAWPYXKBD-IEOSBIPESA-N 0.000 description 1
Images
Classifications
-
- A—HUMAN NECESSITIES
- A61—MEDICAL OR VETERINARY SCIENCE; HYGIENE
- A61K—PREPARATIONS FOR MEDICAL, DENTAL OR TOILETRY PURPOSES
- A61K38/00—Medicinal preparations containing peptides
- A61K38/16—Peptides having more than 20 amino acids; Gastrins; Somatostatins; Melanotropins; Derivatives thereof
- A61K38/43—Enzymes; Proenzymes; Derivatives thereof
- A61K38/52—Isomerases (5)
-
- B—PERFORMING OPERATIONS; TRANSPORTING
- B82—NANOTECHNOLOGY
- B82Y—SPECIFIC USES OR APPLICATIONS OF NANOSTRUCTURES; MEASUREMENT OR ANALYSIS OF NANOSTRUCTURES; MANUFACTURE OR TREATMENT OF NANOSTRUCTURES
- B82Y5/00—Nanobiotechnology or nanomedicine, e.g. protein engineering or drug delivery
-
- A—HUMAN NECESSITIES
- A61—MEDICAL OR VETERINARY SCIENCE; HYGIENE
- A61K—PREPARATIONS FOR MEDICAL, DENTAL OR TOILETRY PURPOSES
- A61K38/00—Medicinal preparations containing peptides
- A61K38/16—Peptides having more than 20 amino acids; Gastrins; Somatostatins; Melanotropins; Derivatives thereof
- A61K38/17—Peptides having more than 20 amino acids; Gastrins; Somatostatins; Melanotropins; Derivatives thereof from animals; from humans
- A61K38/18—Growth factors; Growth regulators
-
- A—HUMAN NECESSITIES
- A61—MEDICAL OR VETERINARY SCIENCE; HYGIENE
- A61K—PREPARATIONS FOR MEDICAL, DENTAL OR TOILETRY PURPOSES
- A61K38/00—Medicinal preparations containing peptides
- A61K38/16—Peptides having more than 20 amino acids; Gastrins; Somatostatins; Melanotropins; Derivatives thereof
- A61K38/43—Enzymes; Proenzymes; Derivatives thereof
-
- A—HUMAN NECESSITIES
- A61—MEDICAL OR VETERINARY SCIENCE; HYGIENE
- A61K—PREPARATIONS FOR MEDICAL, DENTAL OR TOILETRY PURPOSES
- A61K47/00—Medicinal preparations characterised by the non-active ingredients used, e.g. carriers or inert additives; Targeting or modifying agents chemically bound to the active ingredient
- A61K47/50—Medicinal preparations characterised by the non-active ingredients used, e.g. carriers or inert additives; Targeting or modifying agents chemically bound to the active ingredient the non-active ingredient being chemically bound to the active ingredient, e.g. polymer-drug conjugates
- A61K47/51—Medicinal preparations characterised by the non-active ingredients used, e.g. carriers or inert additives; Targeting or modifying agents chemically bound to the active ingredient the non-active ingredient being chemically bound to the active ingredient, e.g. polymer-drug conjugates the non-active ingredient being a modifying agent
- A61K47/54—Medicinal preparations characterised by the non-active ingredients used, e.g. carriers or inert additives; Targeting or modifying agents chemically bound to the active ingredient the non-active ingredient being chemically bound to the active ingredient, e.g. polymer-drug conjugates the non-active ingredient being a modifying agent the modifying agent being an organic compound
- A61K47/543—Lipids, e.g. triglycerides; Polyamines, e.g. spermine or spermidine
-
- A—HUMAN NECESSITIES
- A61—MEDICAL OR VETERINARY SCIENCE; HYGIENE
- A61K—PREPARATIONS FOR MEDICAL, DENTAL OR TOILETRY PURPOSES
- A61K47/00—Medicinal preparations characterised by the non-active ingredients used, e.g. carriers or inert additives; Targeting or modifying agents chemically bound to the active ingredient
- A61K47/50—Medicinal preparations characterised by the non-active ingredients used, e.g. carriers or inert additives; Targeting or modifying agents chemically bound to the active ingredient the non-active ingredient being chemically bound to the active ingredient, e.g. polymer-drug conjugates
- A61K47/51—Medicinal preparations characterised by the non-active ingredients used, e.g. carriers or inert additives; Targeting or modifying agents chemically bound to the active ingredient the non-active ingredient being chemically bound to the active ingredient, e.g. polymer-drug conjugates the non-active ingredient being a modifying agent
- A61K47/54—Medicinal preparations characterised by the non-active ingredients used, e.g. carriers or inert additives; Targeting or modifying agents chemically bound to the active ingredient the non-active ingredient being chemically bound to the active ingredient, e.g. polymer-drug conjugates the non-active ingredient being a modifying agent the modifying agent being an organic compound
- A61K47/543—Lipids, e.g. triglycerides; Polyamines, e.g. spermine or spermidine
- A61K47/544—Phospholipids
-
- A—HUMAN NECESSITIES
- A61—MEDICAL OR VETERINARY SCIENCE; HYGIENE
- A61K—PREPARATIONS FOR MEDICAL, DENTAL OR TOILETRY PURPOSES
- A61K47/00—Medicinal preparations characterised by the non-active ingredients used, e.g. carriers or inert additives; Targeting or modifying agents chemically bound to the active ingredient
- A61K47/50—Medicinal preparations characterised by the non-active ingredients used, e.g. carriers or inert additives; Targeting or modifying agents chemically bound to the active ingredient the non-active ingredient being chemically bound to the active ingredient, e.g. polymer-drug conjugates
- A61K47/51—Medicinal preparations characterised by the non-active ingredients used, e.g. carriers or inert additives; Targeting or modifying agents chemically bound to the active ingredient the non-active ingredient being chemically bound to the active ingredient, e.g. polymer-drug conjugates the non-active ingredient being a modifying agent
- A61K47/56—Medicinal preparations characterised by the non-active ingredients used, e.g. carriers or inert additives; Targeting or modifying agents chemically bound to the active ingredient the non-active ingredient being chemically bound to the active ingredient, e.g. polymer-drug conjugates the non-active ingredient being a modifying agent the modifying agent being an organic macromolecular compound, e.g. an oligomeric, polymeric or dendrimeric molecule
- A61K47/59—Medicinal preparations characterised by the non-active ingredients used, e.g. carriers or inert additives; Targeting or modifying agents chemically bound to the active ingredient the non-active ingredient being chemically bound to the active ingredient, e.g. polymer-drug conjugates the non-active ingredient being a modifying agent the modifying agent being an organic macromolecular compound, e.g. an oligomeric, polymeric or dendrimeric molecule obtained otherwise than by reactions only involving carbon-to-carbon unsaturated bonds, e.g. polyureas or polyurethanes
- A61K47/60—Medicinal preparations characterised by the non-active ingredients used, e.g. carriers or inert additives; Targeting or modifying agents chemically bound to the active ingredient the non-active ingredient being chemically bound to the active ingredient, e.g. polymer-drug conjugates the non-active ingredient being a modifying agent the modifying agent being an organic macromolecular compound, e.g. an oligomeric, polymeric or dendrimeric molecule obtained otherwise than by reactions only involving carbon-to-carbon unsaturated bonds, e.g. polyureas or polyurethanes the organic macromolecular compound being a polyoxyalkylene oligomer, polymer or dendrimer, e.g. PEG, PPG, PEO or polyglycerol
-
- A—HUMAN NECESSITIES
- A61—MEDICAL OR VETERINARY SCIENCE; HYGIENE
- A61K—PREPARATIONS FOR MEDICAL, DENTAL OR TOILETRY PURPOSES
- A61K47/00—Medicinal preparations characterised by the non-active ingredients used, e.g. carriers or inert additives; Targeting or modifying agents chemically bound to the active ingredient
- A61K47/50—Medicinal preparations characterised by the non-active ingredients used, e.g. carriers or inert additives; Targeting or modifying agents chemically bound to the active ingredient the non-active ingredient being chemically bound to the active ingredient, e.g. polymer-drug conjugates
- A61K47/51—Medicinal preparations characterised by the non-active ingredients used, e.g. carriers or inert additives; Targeting or modifying agents chemically bound to the active ingredient the non-active ingredient being chemically bound to the active ingredient, e.g. polymer-drug conjugates the non-active ingredient being a modifying agent
- A61K47/62—Medicinal preparations characterised by the non-active ingredients used, e.g. carriers or inert additives; Targeting or modifying agents chemically bound to the active ingredient the non-active ingredient being chemically bound to the active ingredient, e.g. polymer-drug conjugates the non-active ingredient being a modifying agent the modifying agent being a protein, peptide or polyamino acid
- A61K47/66—Medicinal preparations characterised by the non-active ingredients used, e.g. carriers or inert additives; Targeting or modifying agents chemically bound to the active ingredient the non-active ingredient being chemically bound to the active ingredient, e.g. polymer-drug conjugates the non-active ingredient being a modifying agent the modifying agent being a protein, peptide or polyamino acid the modifying agent being a pre-targeting system involving a peptide or protein for targeting specific cells
- A61K47/665—Medicinal preparations characterised by the non-active ingredients used, e.g. carriers or inert additives; Targeting or modifying agents chemically bound to the active ingredient the non-active ingredient being chemically bound to the active ingredient, e.g. polymer-drug conjugates the non-active ingredient being a modifying agent the modifying agent being a protein, peptide or polyamino acid the modifying agent being a pre-targeting system involving a peptide or protein for targeting specific cells the pre-targeting system, clearing therapy or rescue therapy involving biotin-(strept) avidin systems
-
- A—HUMAN NECESSITIES
- A61—MEDICAL OR VETERINARY SCIENCE; HYGIENE
- A61K—PREPARATIONS FOR MEDICAL, DENTAL OR TOILETRY PURPOSES
- A61K47/00—Medicinal preparations characterised by the non-active ingredients used, e.g. carriers or inert additives; Targeting or modifying agents chemically bound to the active ingredient
- A61K47/50—Medicinal preparations characterised by the non-active ingredients used, e.g. carriers or inert additives; Targeting or modifying agents chemically bound to the active ingredient the non-active ingredient being chemically bound to the active ingredient, e.g. polymer-drug conjugates
- A61K47/51—Medicinal preparations characterised by the non-active ingredients used, e.g. carriers or inert additives; Targeting or modifying agents chemically bound to the active ingredient the non-active ingredient being chemically bound to the active ingredient, e.g. polymer-drug conjugates the non-active ingredient being a modifying agent
- A61K47/62—Medicinal preparations characterised by the non-active ingredients used, e.g. carriers or inert additives; Targeting or modifying agents chemically bound to the active ingredient the non-active ingredient being chemically bound to the active ingredient, e.g. polymer-drug conjugates the non-active ingredient being a modifying agent the modifying agent being a protein, peptide or polyamino acid
- A61K47/66—Medicinal preparations characterised by the non-active ingredients used, e.g. carriers or inert additives; Targeting or modifying agents chemically bound to the active ingredient the non-active ingredient being chemically bound to the active ingredient, e.g. polymer-drug conjugates the non-active ingredient being a modifying agent the modifying agent being a protein, peptide or polyamino acid the modifying agent being a pre-targeting system involving a peptide or protein for targeting specific cells
- A61K47/67—Enzyme prodrug therapy, e.g. gene directed enzyme drug therapy [GDEPT] or VDEPT
-
- A—HUMAN NECESSITIES
- A61—MEDICAL OR VETERINARY SCIENCE; HYGIENE
- A61P—SPECIFIC THERAPEUTIC ACTIVITY OF CHEMICAL COMPOUNDS OR MEDICINAL PREPARATIONS
- A61P7/00—Drugs for disorders of the blood or the extracellular fluid
-
- A—HUMAN NECESSITIES
- A61—MEDICAL OR VETERINARY SCIENCE; HYGIENE
- A61P—SPECIFIC THERAPEUTIC ACTIVITY OF CHEMICAL COMPOUNDS OR MEDICINAL PREPARATIONS
- A61P7/00—Drugs for disorders of the blood or the extracellular fluid
- A61P7/06—Antianaemics
Definitions
- the present invention relates to novel formulations of erythropoietin prepared using an enzymatic method of attaching groups to the structure or altering the bioactivity through mutations of the primary sequence.
- the invention relates to erythropoietin conjugate compounds having altered physiochemical and pharmacokinetic properties.
- Erythropoietin is a naturally formed glycoprotein which functions as a colony stimulating factor and serves as the principal factor involved in the regulation of red blood cell synthesis. Erythropoietin acts by stimulating precursor cells in bone marrow causing them to divide and differentiate into mature red blood cells. This process is tightly controlled in the body such that the destruction or removal of red cells from the circulation is matched by the rate of new cell formation.
- Naturally occurring EPO is a glycoprotein produced in the kidney (Jacobs, et al. Nature 313 (6005), 806-810 (1985).
- Erythropoietin has been manufactured using recombinant DNA technology through the cloning of the EPO gene and expression in Chinese hamster ovary cells (Lin, U.S. Pat. No. 5,618,698).
- the recombinantly produced EPO has been available for some time as an effective therapeutic agent in the treatment of various forms of anemia, including anemia associated with chronic renal failure, zidovidine treated HIV infected patients, and cancer patients on myelosuppressive chemotherapy.
- the glycoprotein is administered parenterally, either as an intravenous (IV) or subcutaneous (SC) injection in conventional buffered aqueous solutions which contain human serum albumin (HSA) as a carrier.
- IV intravenous
- SC subcutaneous
- HSA human serum albumin
- Such formulations are marketed in the United States under the trade names EPOGEN® and PROCRIT®. These products contain erythropoietin in 1 ml single dose, preservative-free or 2 ml multidose preserved via
- non-antigenic water-soluble polymers such as polyethylene glycol (PEG) have been used for the covalent modification of polypeptides of therapeutic and diagnostic importance.
- PEG polyethylene glycol
- covalent attachment of PEG to therapeutic polypeptides such as the interleukins (Knauf, M. J. et al., J. Biol. Chem. 1988, 263, 15,064; Tsutsumi, Y. et al., J. Controlled Release 1995, 33, 447), interferons (Kita, Y. et al., Drug Des Delivery 1990, 6, 157), catalase (Abuchowski, A. et al., J. Biol Chem.
- Derivatized PEG compounds have been previously disclosed (U.S. Pat. No. 5,438,040, Aug. 1, 1995, Conjugation-Stabilized Polypeptide Compositions, Therapeutic Delivery and Diagnostic Formulations Comprising Same, and Method of Making and Using the Same, N. N. Ekwuribe).
- This approach to post-translational derivatization has also been applied to EPO.
- WO 94/28024 discloses carbohydrate modified polymer conjugates with erythropoietin activity wherein the PEG is linked via an oxidized carbohydrate.
- U.S. Pat. No. 4,904,584 discloses polyalkylene oxide conjugation of lysine-depleted polypeptide variants, including EPO.
- WO 90/12874 describes the preparation of a monomethoxy-PEG-EPO (mPEG-EPO) in which the EPO contains a cysteine residue introduced by genetic engineering to which the specific PEG reagent is covalently attached.
- mPEG-EPO monomethoxy-PEG-EPO
- Other PEG-EPO compositions are disclosed in EP 605693, U.S. Pat. No. 6,077,939, WO 01/02017 and EP 539167.
- Applicant's co-pending application U.S. Ser. No. 09/431,861 discloses the modification of antibodies and antibody fragments with PEG and demonstrates that PEG can increase circulating half-life in mice and primates. Derivatized PEG was used for modification of the Fab fragment of the antibody c7E3. Circulating half-life is increased in direct proportion to the molecular weight of the PEG. As the molecular weight of PEG increases, the ability of the compound to inhibit ADP-induced platelet aggregation in vitro is decreased, while the binding to purified GPIIb/IIIa, as measured by BIAcore, is unaffected.
- Applicant's other co-pending application U.S. Ser. No. 60/377,946 discloses methods for modifying EPO in which the EPO is covalently conjugated to a non-antigenic hydrophilic polymer covalently linked to an organic molecule that increases the circulating serum half-life of the composition more than what can be achieved by addition of a hydrophilic polymer alone.
- the methods include the step of reacting a protein or glycoprotein having erythropoietic activity with a substantially non-antigenic functionalized hydrophilic polymer having a linking group for attaching the polymer to the glycoprotein.
- Preparation methods include reacting EPO with an activated form of a polyalkylene oxide that will react with a functional group on EPO. This includes activated polyalkylene oxides such as active esters, hydrazide, hydrazine, semicarbazide, thiosemicarbazide maleimide or haloacetyl polyalkylene oxide.
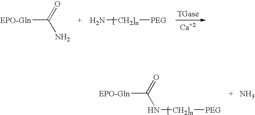
- Transglutaminases [EC2.3.2.13; protein-glutamine:gamma-glutamyltransferase] are a family of proteins that catalyze the calcium-dependent acyl addition to a primary amine wherein the gamma-carboxamide group of peptide-bound glutamine residue is the acyl donor and the primary amine is the acyl acceptor and amine donor.
- TGases crosslink proteins by catalyzing the formation of amide bonds between lysine and glutamine residues on opposing proteins.
- a well-known example is fibrin cross-linking by the TGase factor Xllla.
- TGases are generally used to link structural components of cells.
- TGases are found in tissues such as liver, skin, and extracellular fluids (Greenberg, C. Set al. FASEB J. 1991, 5, 3071-3077).
- Prokaryotic forms of TGase are also known (Ando, H. et al. Agric. Biol. Chem 53 (10), 2613-2617, 1989; Washizu, K. et al. Biosci. Biotech. Biochem 58(1), 82-87, 1994).
- the specificity of TGases is quite pronounced with usually only one, or in some cases two, glutamine residues per protein serving as amine acceptors.
- TGases from various mammalian tissues and species have been extensively studied (Folk, J. E. and Chung, S. I. Adv. Enzym. Molec. Biol. 1973, 38, 109-191; Folk, J. E. and Finlayson, J. S. Adv. Protein Chem. 1977, 31, 1-133; Folk, J. E & Cole, P. W. Biochim Biophys. Acta 1966, 122, 244-264; Folk, J. E.; Chung, S. I. Methods in Enzymology 1985, 113, 358-375;).
- TGases could and have been employed to site-specifically modify glutamine residues on some proteins (U.S. Pat. No. 6,010,871; U.S. Pat No. 6,331,422; U.S. Pat. No. 6,322,996).
- TGases differ in substrate specificities, and when choosing residues as acyl donors or acceptors, the preference for specific sequence motifs as containing or neighboring the substrate residue has not generally been identified for individual enzymes (Gorman, J. J.; Folk, J. E. J. Biol. Chem. 1981, 256, 2712-2715; Gorman, J. J.; Folk, J. E. J. Biol. Chem. 1980, 255, 419-427). The only definitive rule is that a glutamine residue must be positioned at least three residues from the N-terminus to serve as a substrate for any TGase.
- glutamine repeats have been shown to enhance the acceptor properties of each glutamine residue in the repeat, and the accessibility of glutamine residues has also been shown to be important in determining their ability to function as TGase substrates (Kahlem, P. et al. Proc. Natl. Acad. Sci. USA 1996, 93, 14580-14585).
- TGases to attach 5 kilodalton or larger polymers containing aliphatic amino groups to protein bound glutamine residues was recently disclosed by Sato, et al in U.S. Pat. No. 6,322,996. This patent also discloses the methods of engineering proteins to contain added N-terminal or C-terminal peptides which are known to be TGase substrates for the purpose of subsequent attachment of large polymers using TGase catalysis.
- the modification or addition of motifs to a naturally occurring molecule carries multiple risks that are well known to those practicing the art of genetic engineering for the purposes of providing manufacturing methods for therapeutic proteins. The most obvious of these effects is the loss or partial loss of biological activity. In other cases, the expression level from constructed expression vectors is unacceptably low when incorporated into mammalian cell lines.
- the alternate approach of coupling or fusion of a known substrate sequence from a naturally occurring protein substrate may create an antigenic epitope and cause unwanted immune reactions in the subject which ultimately limit the long term efficacy of the therapeutic protein.
- the modification of proteins using chemical methods that attack the most reactive functional group, lysine also changes the isoelectric point of the protein and the pKa.
- the invention provides biologically active EPO conjugate compositions wherein EPO is erythropoietin or its pharmaceutical acceptable derivatives having biological properties of causing bone marrow cells to increase production of reticulocytes and red blood cells, wherein a transglutaminase reaction is employed to covalently and site specifically conjugate the EPO molecule to a non-antigenic hydrophilic polymer that can also be covalently linked to an organic molecule either of which modification increases the circulating serum half-life of the composition.
- one embodiment of the invention thus relates to EPO derivatives described by the formula EPO-[Gln-A-X-(M) n ] y (I)
- EPO is erythropoietin or its pharmaceutical acceptable derivatives having biological properties of causing bone marrow cells to increase production of reticulocytes and red blood cells
- Gln is a glutamine residue selected from one or more glutamine residues within the primary sequence of EPO
- y is an integer from 1 to 7 indicating the number of modified glutamine residues
- A is an amine donor moiety or a hydroxyl group
- X is an optional hydrophilic polymer moiety
- M is an optional organic molecule (including peptides and proteins) that increases the circulating half-life of the construct
- n is an integer from 0 to 15.
- the moieties X and M may be modified as needed to include groups designed to provide the proper functionality for coupling or valency.
- the organic molecule, M is optional, and is covalently attached to the hydrophilic polymer.
- M is selected from an organic moiety that is capable of increasing the in vivo half-life of the resulting construct and include fatty acids, dicarboxylic acids, monoesters or monoamides of dicarboxylic acids, lipids containing saturated fatty acids, lipids containing unsaturated fatty acids, lipids containing mixtures of saturated and unsaturated fatty acids, simple carbohydrates, complex carbohydrates, carbocycles (such as steroids), heterocycles (such as alkaloids), amino acid chains, proteins, enzymes, enzyme cofactors, or vitamins.
- the hydrophilic polymer is preferably a polyalkylene oxide such as polyethylene glycol.
- EPO derivatives described by the formula EPO-[Lys-Gln-Z-X-(M) n ] y (II)
- EPO is erythropoietin or its pharmaceutical acceptable derivatives having biological properties of causing bone marrow cells to increase production of reticulocytes and red blood cells
- Lys is a lysine residue selected from one or more lysine residues within the primary sequence of EPO
- y is an integer from 1 to 8 indicating the number of modified lysine residues
- Gln is a glutamine residue
- Z is peptide or protein containing the Gln residue that is capable of acting as transglutaminase amine acceptor
- X is an optional hydrophilic polymer
- M is an optional organic molecule (including peptides and proteins) that increases the circulating half-life of the construct
- N is an integer from 0 to 15.
- the moieties X and M may be modified as needed to include groups designed to provide the proper functionality
- the present invention also provides methods of preparing the conjugates.
- the methods include the step of using a TGase to catalyze the acyl transfer of an amino group donor or an alkylamine-conjugate to one or more specific glutamine residues in aglycosylated or glycosylated EPO or a glycoprotein having erythropoietic activity having a glutamine residue.
- the methods also include the step of using TGase to catalyze the acyl transfer of an amino group donor on EPO to one or more glutamine residues in a peptide, protein, or other polymer.
- EPO as a TGase substrate. Therefore, also included in this invention is a method of altering an EPO molecule by recombinant or chemical means to mutate, add or modify any glutamine or lysine residues or any other residues, to enable or to improve the ability of the EPO molecule to act as a TGase substrate properties thereby allowing the conjugation of the EPO molecule to a hydrophilic polymer or other organic moiety containing an amine donor or amine acceptor moiety. Since TGase substrate properties can be involved in the biological activity of proteins, improving or diminishing the TGase substrate properties of an EPO molecule through recombinant or chemical means is also included in this invention. Thus, in accordance with the invention, the EPO molecule can be modified to increase the circulation half life or otherwise improve the biological activity of mammalian erythropoietin or any conjugate or mutant erythropoietic protein.
- the invention also provides methods of treating anemia or other conditions associated with reduced endogenous erythropoietin or erythropoiesis or conditions under which an increase in red cells is desired.
- treatment includes administering an effective amount of the conjugates described herein to mammals requiring such therapy.
- the techniques disclosed herein have the advantage of providing EPO molecules with an increased circulating half-life and improved erythropoietic potency. Further, the modified EPO molecules of the invention have an advantage in that the conjugation and/or mutations are well controlled leading to end products that are substantially well defined and characterized.
- FIG. 1 shows the amino acid sequence of the mature chain of human erythropoietin with the glutamine residues in boxes.
- FIG. 2 is an image of an SDS-PAGE gel in which a fluorescently-labeled TGase substrate, dansyl cadaverine (DC), was incubated with proteins in the presence or absence of TGase.
- the fluorescent 35 K band in lane 2 corresponds to EPO with one or more DC moieties attached.
- the higher molecular weight bands in lane 2 likely correspond to EPO dimers and trimers.
- the same gel was silver stained to identify the molecular weight markers and other, non-fluorescent bands.
- FIG. 3 The MALDI MS analyses of (a) deglycosylated EPO, (b) deglycosylated EPO-cadaverine-X-biotin (should see additions of +424), (c) deglycosylated EPO-DC (should see additions of +318), and (d) deglycosylated EPO-cbz (should see additions of +319).
- FIG. 4 The MALDI TOF mass spectra for (a) Lys-C digest of EPO (control); (b) Lys-C digest of EPO-X-biotin; (c) Lys-C digest of deglycosylated EPO (control); (d) Lys-C digest of deglycosylated EPO-DC.
- FIG. 5 The MALDI TOF mass spectra for (a) degycosylated EPO-(Cbz-QG) batch #1; (b) deglycosylated EPO-(Cbz-QG) batch #2; (c) Lys-C digest of degycosylated EPO-(Cbz-QG) batch #1; (d) Lys-C digest of degycosylated EPO-(Cbz-QG) batch #1.
- FIG. 6 shows a graph of the absorbance vs. concentration of added EPO species for the hematopoiesis of UT7 cells incubated with EPO-(Cbz-QG) or unmodified EPO (EPO-control).
- FIG. 8 shows a tracing of the intensity vs. mass to charge ratio in a SELDI-MS of the reaction mixture of EPO+PEG20K-cadaverine+TGase.
- the peak at 51,010 corresponds to the PEGylated EPO product.
- FIG. 9 shows a silver-stained SDS-PAGE gel (4-20%) of EPO (lane 1) and purified EPO-PEG5K-putrescine (lane 2). Note that very little unmodified EPO is present in the EPO-putrescine-PEG5K sample.
- FIG. 10 shows a tracing of the intensity vs. mass to charge ratio in a SELDI-MS of the reaction mixture (EPO+PEG(5K)-putrescine+TGase).
- FIG. 11 shows a tracing of the intensity vs. mass to charge ratio in a SELDI-MS for the purified EPO-PEG(5K)-putrescine. (Note that the PEG group tends to suppress ionization and thus the peak areas are not indicative of the relative amount of each species present.)
- FIG. 12 shows a graph of the absorbance vs. concentration of added EPO species for the hematopoiesis of UT7 cells incubated with EPO-putrescine-PEG(5K) (EPO-PEG) or unmodified EPO (EPO-control).
- FIG. 13 shows a tracing of the intensity vs. mass to charge ratio in a SELDI-MS of the reaction of EPO+putrescine-PEG-DSPE3.4K+TGase (55% ethanol and 45% TGase reaction buffer, pH 7.5).
- the peak at 28.8K corresponds to unmodified EPO, while the peaks at 33.7K, 37.5K and 41.6K correspond to the addition of one, two and three putrescine-PEG-DSPE3.4K moieties per EPO. (Note that the lipid group tends to suppress ionization and thus the peak areas are not indicative of the relative amount of each species present.)
- EPO is primarily produced in the kidneys and functions through binding to receptor dimers on precursor cells leading to differentiation to erythrocytes and subsequent proliferation (Livnah, O. et al. Science 1999, 283, 987-990).
- the primary sequence of EPO has 7 glutamine residues (SEQ ID NO: 1).
- the assembled NCBI file, PO1588, notes glutamines at positions; 85,86,92,105,113, 119, and 142 of the precursor protein corresponding to; 58, 59, 65, 78, 86, 92, and 115 of the mature chain. These are shown in FIG. 1 .
- EPO binds to the receptors through two binding surfaces, one of which has a higher affinity for the receptor than the other.
- the crystal structure of EPO has been solved (Syed, et al. Nature 395 (6701), 511-516 (1998); Cheetham, J. C. et al. Human Erythropoietin, NMR minimized average structure. Sep. 8, 1998. Protein data base ID 1BUY).
- the crystal structure of EPO binding to its receptors has also been described (see Stroud, R. M. and Reid, S. W., Erythropoietin complexed with extracellular domains of erythropoietin receptor. Protein data base ID 1 CN4).
- TGases are extremely selective regarding lysines on proteins that can serve as amine-donor substrate sites, the possibility exists for using TGases to attach polymers to these lysine residues should they be selectively targeted by TGases.
- Such modifications are made by mutating said glutamine and/or lysine residues to any of the other 19 naturally occurring arrino acids, chemically modifying said lysine and/or glutamine residues, or by attaching small acyl-donor or amine-donor substrates to these sites using TGases thereby eliminating them as TGase substrates. Also, some residues have been suggested to improve or diminish the substrate properties of lysine or glutamine residues contained within peptides or proteins. Thus, the mutation, addition, or chemical modification of other residues within the sequence of an erythropoietic protein could improve or diminish the substrate properties of lysine of glutamine residues contained within the primary amino acid sequence of the protein.
- the starting material for modification to a bioactive form of EPO is preferably erythropoietin or its derivatives having the biological properties of causing bone marrow cells to increase production of reticulocytes and red blood cells.
- the EPO glycoprotein may be obtained from natural sources or produced recombinantly using known procedures as disclosed in U.S. Pat. Nos. 4,703,008; 5,441,868; 5,547,933; 5,618,698 and 5,621,080 hereby incorporated by reference.
- Nonglycosylated forms or hyperglycosylated forms of erythropoietin protein with the desired biological activity may also be used. Methods of producing hyperglycosylated EPO are taught in WO0249673 and EP640619.
- Transglutaminase derived from guinea pig liver, is particularly suitable, and readily available through commercial sources e.g. Sigma Chemical Co., ICN Chemicals, and the like.
- TGases of microbial origin may also be used, for example, the calcium independent transglutaminase of Streptoverticillium sp. or from Streptoverticillium mobaraense (Ando et al. Agric. Biol. Chem., 53(10), 2613-17, 1989).
- TGases have a broad specificity for primary amine donors which may be either primary amine containing compounds, or peptide- or protein bound epsilon-amino groups of lysine.
- Amine-donor substrates for TGases include: ammonia, hydroxylamine, methylamine, ethanolamine, phenylethylamine, histamine, spermine, spermidine, cadaverine, putrescine, protein- or peptide-bound lysine groups, amine amides such as glycinamide but not L-tyrosinamide.
- N-(5-aminopentanyl)-5-dimethylamino-1 -naphthalene-sulfonamide(dansylcadaverine) is a useful substrate for testing protein substrates due to its fluorescent nature and ability to act as an excellent amine-donor (see Folk and Chung, 1973 supra).
- Water can also act as a nucleophile here, resulting in the conversion of glutamine to glutamic acid in which case the moiety A in formula I above is a hydroxyl moiety.
- Aminosaccharides see for example WO0179474, and aminoalkylsaccharides, in JP2000300287, have also been shown to be suitable amine donors for transglutaminase-catalyzed attachment to proteins.
- Aminosaccharides are any monosaccharide, oligosaccharide or polysaccharide containing a primary amino group and any monosaccharide, oligosaccharide or polysaccharide prepared by means of reductive amination of a monosaccharide, oligosaccharide or polysaccharide in order to introduce an amine group.
- An example of an advantageous aminosaccharide is aminosorbitol.
- any of the above mentioned or related compounds may act as the amine donor and further may themselves be modified in order that the trans-acylation reaction catalyzed by the TGase will effectively conjugate the group desired to be added to the EPO structure at said glutamine residue.
- Particularly preferred molecules representing the A moiety of formula I are: cadaverin, putrescine, 1,5-diaminopentane, 1,6-diaminohexane 1,7-diaminoheptane or similar diaminoalkanes.
- TGases are capable of linking glutamine-containing peptides and proteins to the ⁇ -amino group of a lysine within the structure of a protein if the lysine residue functions as a TGase substrate site.
- Z represents a peptide or protein containing the Gln residue that is capable of acting as transglutaminase amine acceptor.
- Peptides shown to crosslink to protein-bound lysine residues via TGase catalysis include: TVQQEL, PGGQQIV, pEAQQIV, PKPQQFM, EAQQIVM, and multiple derivatives of Benzyloxycarbonyl(Cbz)-QG (Grootjans, et al. JBC 270 (39), 22855-22858 (1995)), (Groenen et al. Eur. J. Biochem. 205, 671-674 (1992)), (Gorman et al. JBC 255 (2), 419-427 (1980)). Peptides such as these can be covalently attached to PEG or other polymers, such as those mentioned above, and then attached via TGase catalysis to EPO or other proteins containing amine-donating lysine residues.
- a particularly preferred water-soluble polymer is one of the several species of PEG.
- PEG consists of a basic carbon unit, HO—(CH2)2-OH, and is sold in various forms under the names: Polyethylene glycol (various molecular weights); Poly Ethylene Oxide; Carbowax PEG (various molecular weights); alpha-hydro-omega-hydroxypoly(oxy-1,2-ethanediyl); Ethoxylated 1,2-ethanediol; Polyoxyethylene ether; emkapol 200; gafanol e 200; pluriol e 200; polydiol 200; Polyethylene glycol; PEG; Polyox WSR-301; PEG 200; Macrogol; and Polyoxyethleneln.
- PEG-based polymers it is preferred that they have average molecular weights between about 200 and about 100,000 daltons, and preferably between about 2,000 and about 40,000 daltons.
- Alternative water-soluble polymeric substances include materials such as dextrans, polyvinyl pyrrolidones, polysaccharides, starches, polyvinyl alcohols, polyacrylamides or other similar non-immunogenic polymers.
- dextrans polyvinyl pyrrolidones
- polysaccharides starches
- polyvinyl alcohols polyacrylamides
- non-immunogenic polymers such as dextrans, polyvinyl pyrrolidones, polysaccharides, starches, polyvinyl alcohols, polyacrylamides or other similar non-immunogenic polymers.
- the organic moieties that can be attached to the hydrophilic polymer to increase the half-life include fatty acids, dicarboxylic acids, monoesters or monoamides of dicarboxylic acids, lipids containing saturated fatty acids, lipids containing unsaturated fatty acids, lipids containing mixtures of saturated and unsaturated fatty acids, simple carbohydrates, complex carbohydrates, carbocycles (such as steroids), heterocycles (such as alkaloids), amino acid chains, proteins, enzymes, enzyme cofactors, or vitamins.
- the hydrophilic polymeric group is substituted with one to about six alkyl, fatty acid, fatty acid ester, lipid or phospholipid groups (as described herein, e.g., Formula I and Formula II).
- the substituted hydrophilic polymeric group is a linear or branched PEG.
- the substituted hydrophilic polymeric group is a linear PEG (e.g., PEG diamine) that is terminally substituted with a fatty acid, fatty acid ester, lipid or phospholipid group or a hydrocarbon.
- Hydrophilic polymers that are substituted with an alkyl, fatty acid, fatty acid ester, lipid or phospholipid groups group can be prepared using suitable methods.
- a modifying agent can be prepared by reacting monoprotected PEG diamine with an activated fatty acid (e.g., palmitoyl chloride). The resulting product can be used to produce a modified EPO that comprises a PEG that is substituted with a fatty acid group.
- an amine containing polymer can be coupled to a fatty acid or fatty acid ester as described herein, and an activated carboxylate (e.g. activated with N,N′-carbonyl diimidazole) on a fatty acid or fatty acid ester can be coupled to an hydroxyl group on a polymer.
- Fatty acids and fatty acid esters suitable for use in the present invention can be saturated or can contain one or more unsaturated units.
- the fatty acids and fatty acid esters comprise from about six to about forty carbon atoms.
- Fatty acids which are suitable for modifying EPO in the method of the invention include, for example, n-dodecanoate (C12, laurate), n-tetradecanoate (C14, myristate), n-hexadecanoate (C16, palmitate), n-octadecanoate (C18, stearate), n-eicosanoate (C20, arachidate), n-docosanoate (C22, behenate), n-triacontanoate (C30), n-tetracontanoate (C40), cis-D9-octadecanoate (C18, oleate), all cis D5.8.11.14-eicosatetraeno
- Suitable fatty acid esters include monoesters of dicarboxylic acids which comprise a linear or branched lower alkyl group.
- the lower alkyl group can comprise from one to about twelve, preferably one to about six, carbon atoms.
- Suitable fatty acid esters for modifying proteins of the invention include, for example, methyl octadecanoate, ethyl octadecanoate, propyl octadecanoate, butyl dodecanoate, sec-butyl dodecanoate, tert-butyl dodecanoate, neopentyl tetradecanoate, hexyl tetradecanoate, methyl cis ⁇ A9-octadecanoate, and the like.
- the artisan can prepare conjugates of two or three parts or more linked to the amine donor amine moiety or to an amine acceptor moiety and the resulting complex will function as the TGase substrate.
- the preparation of the other substrates is preferably performed stepwise and in the final step will result in a single deprotected or unprotected primary amine.
- amine-reactive groups including electrophilic groups such as tosylate, mesylate, halo (chloro, bromo, iodo), N-hydroxysuccinimidyl esters (NHS), substituted phenyl esters, acyl halides and the like are to be used to couple water soluble polymer and organic molecules, the primary amine in most cases must be protected.
- An aldehyde or ketone functional group can be coupled to amine-or hydrazide-containing molecules and an azide group can react with a trivalent phosphorous group to form phosphoramidate or phosphorimide linkages.
- a reactive group can be bonded directly to the hydrophilic polymer, conjugate complex or through a linker moiety, for example a C1-C12 hydrocarbyl group.
- hydrocarbyl group refers to a hydrocarbon chain wherein one or more carbon atoms are optionally replaced by a heteroatom such as oxygen, nitrogen or sulfur.
- Suitable linker moieties include, for example, tetraethylene glycol, —(CH2)3-, —NH—(CH2)6-NH—, —(CH2)2-NH— and —CH2-O—CH2-CH2-O—CH2-CH2-O—CH—NH—.
- Modifying agents which comprise a linker moiety can be produced, for example, by reacting a mono-Boc-alkyldiamine (e.g. mono-Boc-ethylenediamine, mono-Boc-diaminohexane) with a fatty acid in the presence of 1-ethyl-3-(3-dimethylaminopropyl)carbodiimide (EDC) to form an amide bond between the free amine and the fatty acid carboxylate.
- a mono-Boc-alkyldiamine e.g. mono-Boc-ethylenediamine, mono-Boc-diaminohexane
- EDC 1-ethyl-3-(3-dimethylaminopropyl)carbodiimide
- the Boc protecting group can be removed from the product by treatment with trifluoroacetic acid (TFA) to expose a primary amine which can be coupled to another carboxylate as described, or can be reacted with maleic anhydride and the resulting product cyclized to produce an activated maleimido derivative of the fatty acid.
- TFA trifluoroacetic acid
- Examples of derivatized erythropoietic compounds are:
- M-PEG-A-EPO where the M-PEG is attached to specific glutamines or lysines using a TGase where M is a lipid, carbohydrate, polysaccharide, fatty acid, fatty acid derivative, fatty alcohol or protein and A is an amine donor, preferably cadaverine or putrescine, or an amine acceptor, preferably a short, glutamine-containing peptide of 1-30 amino acids.
- M-PEG M-PEG 2 -A-EPO
- M-PEG is esterified to two different carboxyl groups on A, where M is a lipid, carbohydrate, polysaccharide, fatty acid, fatty acid derivative, fatty alcohol or protein.
- Suitable examples of the moiety A having two different carboxyl groups for esterification include diglycerides or triglycerides derivatives as well as derivatives of maleic acid, citraconic acid, glutamic acid or other polymers containing two or more carboxyl carbons. Higher multiples are included as well.
- (M-PEG) 2 -R-A-EPO where the (M-PEG) 2 -R is two different carboxyl groups on A, where M is a lipid, carbohydrate, polysaccharide, fatty acid, fatty acid derivative, fatty alcohol or protein and R is a valency enhancing construct, such as dendrimers of amino acids and the like, that contain multiple functional groups for the attachment of multiple (M-PEG) 2 or other moieties. Higher multiples are included as well.
- M-A-EPO where M is a protein or peptide and A is a lysine side chain on said protein or peptide.
- M-A-EPO where M is a protein or peptide and A is a glutamine side chain on said protein or peptide.
- M-A-EPO where M is a lipid and A is an amine acceptor, preferably a short, glutamine-containing peptide.
- M-A-EPO where M is a lipid and A is putrescine, cadaverine or other diaminoalkane.
- M-A-EPO where M is biotin, dansyl, or other moiety imparting biophysical characteristics to EPO that are useful for research, diagnostic or therapeutic purposes and A is putrescine, cadaverine, or other suitable TGase amine donor or amine acceptor substrate.
- A is putrescine, cadaverine, or other suitable TGase amine donor or amine acceptor substrate.
- biotin or another moiety having a known binding partner is incorporated into the conjugate, it is anticipated that said conjugate may be used in research, diagnosis or therapy in a complex with its known binding partner such as in a biotin-avidin complex.
- the EPO formulations of the present invention are useful as a parenteral formulation in treating blood disorders characterized by low or defective red blood cell production such as various forms of anemia, including anemia associated with chronic renal failure, zidovidine treated HIV infected patients, and cancer patients on chemotherapy. It may also have application in the treatment of a variety of disease states, disorders and states of hematologic irregularity such as sickle cell disease, beta-thalassemia, cystic fibrosis, pregnancy and menstrual disorders, early anemia of prematurity, spinal cord injury, space flight, acute blood loss, aging and the like. It may also have application in situations where an increase in red blood cells is desired such as in pre-surgery patients.
- the EPO composition of the present invention is administered parenterally (e.g. IV, IM, SC or IP).
- Effective dosages are expected to vary considerably depending on the condition being treated and the route of administration but are expected to be in the range of 0.1( ⁇ 7 U) to 100( ⁇ 7000 U) ⁇ g/kg body weight of the active material.
- Preferable doses for treatment of anemic conditions are about 50 to about 300 Units/kg three times a week.
- the erythropoietin glycoprotein products prepared in accordance with this invention may be prepared in pharmaceutical compositions suitable for injection with a pharmaceutically acceptable carrier or vehicle by methods known in the art.
- suitable compositions have been described in WO97/09996, WO97/40850, WO98/58660, AND WO99/07401.
- preferred pharmaceutically acceptable carriers for formulating the products of the invention are human serum albumin, human plasma proteins, etc.
- the compounds of the present invention may be formulated in 10 mM sodium/potassium phosphate buffer at pH 7 containing a tonicity agent, e.g. 132 mM sodium chloride.
- the pharmaceutical composition may contain a preservative.
- the pharmaceutical composition may contain different amounts of erythropoietin products, e.g. 10-2000 ⁇ g/ml, e.g. 50 ⁇ g or 400 ⁇ g.
- the stability of the composition can be further enhanced by the addition of antioxidants such as tocopherol, butylated hydroxytoluene, butylated hydroxyanisole, ascorbyl palmitate, or edetates such as e.g. disodium edetate, with the edetates additionally binding possibly present heavy metals.
- antioxidants such as tocopherol, butylated hydroxytoluene, butylated hydroxyanisole, ascorbyl palmitate, or edetates such as e.g. disodium edetate, with the edetates additionally binding possibly present heavy metals.
- edetates such as e.g. disodium edetate
- the stability can furthermore be enhanced by the addition of preserving agents such as benzoic acid and parabens, e.g. methylparaben, and/or propylparabene.
- the pharmaceutical compositions containing the erythropoietin glycoprotein products may be formulated at a strength effective for administration by various means to a human patient experiencing blood disorders characterized by low or defective red blood cell production, either alone or as part of a condition or disease.
- the pharmaceutical compositions may be administered by injection such as by subcutaneous, intravenous or intramuscular injection. Average quantities of the erythropoietin glycoprotein product may vary and in particular should be based upon the recommendations and prescription of a qualified physician.
- the exact amount of conjugate is a matter of preference subject to such factors as the exact type of condition being treated, the condition of the patient being treated, as well as the other ingredients in the composition.
- 0.01 to 10 ⁇ g per kg body weight preferably 0.1 to 10 ⁇ g per kg body weight, may be administered e.g. once weekly.
- the present invention is further illustrated by the following examples that are presented for purposes of demonstrating, but not limiting, the preparation of the compounds and compositions of this invention. From initial experiments, at least two, and probably three, of the 7 glutamines on EPO are capable of serving as TGase substrates. Peptide mapping has shown that Gln115 can serve as an acyl donor sight for TGase and that at least one of the other 6 glutamine residues can as well. Attachment of PEG groups and lipid groups containing aliphatic amines to EPO using guinea pig liver TGase was accomplished and it was demonstrated that, following attachment of a 5 kilodalton PEG group, EPO retains about 40% of its activity.
- rhEPO Recombinant human EPO (10 uM) was incubated with dansyl-cadaverine (DC) (Sigma, St Louis, Mo.) (3 mM) and TGase (Sigma, St Louis, Mo.) (0.15 U/ml) in 100 mM Tris (pH 7.5) and 10 mM CaCl 2 for 3 hours at 37° C.
- Dansyl-cadaverine is a well known substrate for TGases and provides a fluorescent marker for ease of following the reaction.
- the reaction mixture was subjected to SDS-PAGE and the results shown in FIG. 2 .
- the fluorescence of the EPO band confirms the attachment of DC via TGase and indicates that amine-acceptor sites exist on EPO.
- the product was purified on a Zorbax GF-250 XL HPLC column equilibrated with PBS.
- EPO can itself act as a TGase substrate by providing a lysine substrate for cross-linking with one or more of the glutamine residues in EPO.
- the fact that these bands are fluorescent and cross-linked raises the possibility that at least two different glutamine residues on EPO can serve as TGase acyl-donor sites.
- rhEPO Recombinant human EPO
- cadaverine-X-biotin Biotium, Hayward, Calif.
- TGase Sigma, St Louis, Mo.
- the product is purified on a Zorbax GF-250 XL HPLC column equilibrated with PBS.
- Recombinant human EPO (1.96 mg/ml) is incubated with N- ⁇ -benzyloxycarbonyl glutaminyl glycine (Cbz-QG) (15 mM) (Sigma, St Louis, Mo.) and TGase (Sigma, St Louis, Mo.) (0.15 U/ml) in 100 mM Tris (pH 7.5) and 10 mM CaCl 2 for 3 hours at 37° C.
- the product is purified on a Zorbax GF-250 XL HPLC column equilibrated with PBS.
- rhEPO or conjugate 50 ul of rhEPO or conjugate (0.2-2 mg/ml) was diluted into 50 ul of RapiGest (Waters Corp., Milford, Mass.) (2 mg/ml in PBS). To this was added 10 ul of NP-40 detergent soln (15%), 10 ul each of PNGase F, Sialidase A and O-glycanase (Prozyme, San Leandro, Calif.). The solution was incubated for a total of 96 hrs at 37 deg.
- Intact masses were obtained by mixing the samples with sinapinic acid in 1:1 water/acetornitrile (+0.1% triflruoroacetic acid) and spotting on a MALDI MS plate, followed by analysis on an ABI Voyager DE-STR MALDI-TOF MS.
- the proteins were analyzed in linear mode with an acerbating voltage of 25000 V ( FIGS. 3 & 5 ). Following this, 50 ⁇ L each, were mixed with 5 ⁇ L of 45 mM DTT and the solution incubated at 65° C. for 20 min. Then, 5 ⁇ L of 100 mM iodoacetamide was added and the solution was incubated at RT in the dark for 20 min.
- Lys-C endoproteinase (Calbiochem, San Diego, Calif.) (1.3 ug/ul) was added and the solutions were incubated at 37° C. for 20-24 h.
- Lys-C endoproteinase (Calbiochem, San Diego, Calif.) (1.3 ug/ul) was added and the solutions were incubated at 37° C. for 20-24 h.
- Each protein digest was separated out using revered-phase HPLC and a Waters Symmetry300 1 ⁇ 50 mm C18 column. Each separated digest was automatically spotted on a MALDI plate and analyzed.
- a saturated mixed matrix of ⁇ -cyano-4-hydroxycinnamic acid/dihydroxybenzoic acid ( ⁇ -cyano/DHB) was used for ionization ( FIG. 4 ).
- FIG. 3 shows the intact masses for degylcosylated sample of EPO and each of the conjugates.
- FIG. 4 shows mass spectra of the Lys-C digestion of EPO-cadaverine-X-biotin and EPO-DC.
- the peak at 1958 in panels (A) and (B) corresponds to that containing residues 98-116 of EPO.
- the peak indicated by the arrow corresponds to the addition of cadaverine-X-biotin to that peptide.
- Gln115 serves as a TGase substrate site since it is the only Gln residue in that peptide and TGase will only attach cadaverine to Gln residues.
- Panels (C) and (D) of FIG. 4 show MALDI MS of the Lys-C digests of deglycosylated EPO and EPO-DC.
- the peak at 5357 corresponds to a molecular weight shift of 319 indicating that a dansyl cadaverine moiety has been attached at a residue within this region of the protein. Since 6 glutamines are contained in this peptide, the identity of the modified residue could not be ascertained.
- Panels (A) and (B) of FIG. 5 show MALDI TOF mass spectra of two different batches of deglycosylated rhEPO-(Cbz-QG).
- Panels (C) and (D) show MALDI TOF mass spectra of the Lys-C digest of deglycosylated rhEPO-(Cbz-QG).
- UT7 assay was performed on the rhEPO-(Cbz-QG) as follows: UT7 cells were starved in IMDM with L-glu and 5% FBS without Epo for 24 hrs prior to assay. Cells were washed and plated at 30,000 cells per well. Dilutions of EPO (20-0.01952 ng/mL) and rhEPO-(Cbz-QG) (20-0.01952 ng/mL) were added and assayed in duplicate. The plate was incubated for 48 hrs at 37° C. and assayed with Promega's MTS solution with OD readings taken at 1, 2 and 3 hr intervals. Values were background corrected with SoftMax Pro.
- Cadaverine-PEG(20K) was synthesized using commercially available reagents. 25 mg of cadaverine hydrochloride salt (Sigma, St. Louis, Mo.) was dissolved in 5 ml of PBS and pH was adjusted to 7. To this was added 25 mg of mPEG(20K)-Succinimidyll propionate (Shearwater Corp., Huntsville, Ala.) and the reaction was incubated at 22° C. for 2 hours. The reaction mixture was dialyzed against 0.1% acetic acid in water and lyophilized.
- Putrescine-PEG(5K) was synthesized by dissolving 300 mg putrescine hydrochloride (Sigma, St. Louis, Mo.) in 10 ml of PBS and adjusting pH to 7. 100 mg of mPEG(5K)-Succinimidyll propionate (Shearwater Corp., Huntsville, Ala.) was added and allowed to react for two hours at 220° C. The reaction mixture was dialyzed against 0.1% acetic acid in water and lyophilized.
- Putrescine-PEG-DSPE(3.4K) was synthesized by dissolving 176.5 mg of putrescine in 1.765 ml of PBS (ph 7.4). 13.5 mg of NHS-PEG-DSPE(3.4K) (Shearwater Corp., Huntsville, Ala.) was dissolved in 1 ml of ethanolPBS (1:1). 1 ml of the NHS-PEG-DSPE solution was then added dropwise to 1.704 ml of the putrescine solution and the reaction was stirred at 22° C. for 4 hours and then purified on a Zorbax GF-250 XL column equilibrated with 0.1% acetic acid (pH 4.5).
- Cadaverine-PEG(20K) was reacted with EPO using the conditions given in Example 1 except that 3.3 mM cadaverine-PEG(20K) was used in place of DC.
- FIG. 7 shows the SDS-PAGE gel of the reaction products and
- FIG. 8 shows the SELDI mass spec of the products. Both indicate that the cadaverine-PEG(20K) was attached to EPO.
- Samples for SELDI-MS were prepared by desalting with C-4 zip tips (from Millipore) and spotting on gold SELDI chips using standard protocols.
- Putrescine-PEG(5K) was reacted with EPO using the conditions described in example 7 except that 5 mM PEG(5K)-putrescine was used in place of PEG(20K)-cadaverine. Putrescine is known to be a better substrate for TGases than cadaverine (Folk and Chung, 1973 supra).
- FIG. 9 shows the SDS-PAGE gel (4-20%) of the purified EPO-putrescine-PEG(5K) compared with the EPO stock
- FIG. 10 shows the SELDI-MS of the reaction mixture consisting of EPO+TGase+putrescine-PEG(5K)
- FIG. 9 shows the SDS-PAGE gel (4-20%) of the purified EPO-putrescine-PEG(5K) compared with the EPO stock
- FIG. 10 shows the SELDI-MS of the reaction mixture consisting of EPO+TGase+putrescine-PEG(5K)
- Putrescine-PEG-DSPE(3.4K) (5.1 mM) was incubated with EPO (4.8 uM) in varying concentrations of ethanol (up to 55%) and TGase (0.15 U/ml) in 100 mM Tris (pH 7.5) and 10 mM CaCl 2 .
- SELDI-MS indicates that at 55% ethanol, up to 3 putrescine-PEG-DSPE(3.4K) moieties were attached per EPO (see FIG. 13 ), although the reaction volumes were not sufficient to quantitate the percent of EPO modified. These data also confirm that up to three glutamine residues on EPO can serve as TGase substrates under these conditions.
- SELDI samples were prepared by spotting on H-4 SELDI chips, washing with 3 ul of water and adding 1 ul of saturated sinnapinnic acid.
- Peptides containing at least one glutamine residue are synthesized by standard solid phase Fmoc chemistry. Following completion of the synthesis, the peptide resin is deprotected with piperidine, washed, and reacted with PEG or other polymer containing an activated ester. Following reaction, the peptide-PEG conjugate is cleaved from the resin using standard TFA conditions and precipitated in ether. The peptide-PEG conjugate is then purified by reversed phase HPLC and lyophylized.
- Recombinant human EPO (10 uM) is incubated with peptide-PEG conjugate (15 mM) and TGase (Sigma, St Louis, Mo.) (0.15 U/ml) in 100 mM Tris (pH 7.5) and 10 mM CaCl 2 for 3 hours at 37° C.
- the reaction mixture is subjected to SDS-PAGE and the product is purified on a Zorbax GF-250 XL HPLC column equilibrated with PBS.
- UT7 is a human leukemic cell line that has been adapted to become EPO dependant ( Komatsu, N., et al. Blood 82(2), 456-464, 1993).
- the UT7 cells are washed three times in PBS and starved for EPO for 24 hours prior to assay.
- UT-7 cells were starved in IMDM media with added L-glutamine and FBS at 5% (I5Q). Cells are washed once in 50 mL DPBS and counted while suspended in DPBS and suspended in the appropriate media to a final concentration of 6 ⁇ 10 5 cells/mL (yields a final concentration of 30,000 cells per well).
- EPO standard is prepared by diluting EPO stock (1.7 mg/mL) to 0.85 ⁇ g/mL (2 ⁇ L in 4 mL media). The stock solution is diluted 2:340 to 5 ng/mL followed by 1:2 serial dilutions down to a concentration of 0.0098 ng/mL in I5Q media. The resulting dilutions provides standards at concentrations of 2.5 ng/mL to 0.0024 ng/mL. The test sample is diluted in a similar manner. A 50 ⁇ L aliquot of the UT-7 cell suspension is transferred to the corresponding wells and the plates were incubated at 37° C. for 48 hours. Cell proliferation is assessed using Promega's MTS solution, adding 20 ⁇ L per well. Readings begin 1 hour after MTS addition.
Landscapes
- Health & Medical Sciences (AREA)
- Life Sciences & Earth Sciences (AREA)
- Engineering & Computer Science (AREA)
- Chemical & Material Sciences (AREA)
- Bioinformatics & Cheminformatics (AREA)
- General Health & Medical Sciences (AREA)
- Pharmacology & Pharmacy (AREA)
- Medicinal Chemistry (AREA)
- Animal Behavior & Ethology (AREA)
- Public Health (AREA)
- Veterinary Medicine (AREA)
- Molecular Biology (AREA)
- Epidemiology (AREA)
- Proteomics, Peptides & Aminoacids (AREA)
- Biophysics (AREA)
- Nanotechnology (AREA)
- Cell Biology (AREA)
- Immunology (AREA)
- Gastroenterology & Hepatology (AREA)
- Crystallography & Structural Chemistry (AREA)
- Hematology (AREA)
- Nuclear Medicine, Radiotherapy & Molecular Imaging (AREA)
- Organic Chemistry (AREA)
- Biotechnology (AREA)
- General Engineering & Computer Science (AREA)
- Medical Informatics (AREA)
- Chemical Kinetics & Catalysis (AREA)
- Genetics & Genomics (AREA)
- General Chemical & Material Sciences (AREA)
- Diabetes (AREA)
- Zoology (AREA)
- Medicines That Contain Protein Lipid Enzymes And Other Medicines (AREA)
- Peptides Or Proteins (AREA)
- Medicinal Preparation (AREA)
- Enzymes And Modification Thereof (AREA)
- Preparation Of Compounds By Using Micro-Organisms (AREA)
Abstract
The invention provides biologically active erythropoietin (EPO) conjugate compositions wherein a transglutaminase reaction is employed to covalently and site specifically conjugate the EPO molecule to a non-antigenic hydrophilic polymer that can also be covalently linked to an organic molecule either of which modification increases the circulating serum half-life of the composition.
Description
- This application is a divisional application filed under 37 CFR 1.53(b)(1), claiming priority under 35 USC 121 to U.S. patent application Ser. No. 10/854,854 filed 27 May 2004, which claims the benefit of U.S. Provisional application No. 60/475,074 filed May 30, 2003, the contents of which are incorporated herein by reference.
- The present invention relates to novel formulations of erythropoietin prepared using an enzymatic method of attaching groups to the structure or altering the bioactivity through mutations of the primary sequence. In particular, the invention relates to erythropoietin conjugate compounds having altered physiochemical and pharmacokinetic properties.
- Erythropoietin (EPO) is a naturally formed glycoprotein which functions as a colony stimulating factor and serves as the principal factor involved in the regulation of red blood cell synthesis. Erythropoietin acts by stimulating precursor cells in bone marrow causing them to divide and differentiate into mature red blood cells. This process is tightly controlled in the body such that the destruction or removal of red cells from the circulation is matched by the rate of new cell formation. Naturally occurring EPO is a glycoprotein produced in the kidney (Jacobs, et al. Nature 313 (6005), 806-810 (1985).
- Erythropoietin has been manufactured using recombinant DNA technology through the cloning of the EPO gene and expression in Chinese hamster ovary cells (Lin, U.S. Pat. No. 5,618,698). The recombinantly produced EPO has been available for some time as an effective therapeutic agent in the treatment of various forms of anemia, including anemia associated with chronic renal failure, zidovidine treated HIV infected patients, and cancer patients on myelosuppressive chemotherapy. The glycoprotein is administered parenterally, either as an intravenous (IV) or subcutaneous (SC) injection in conventional buffered aqueous solutions which contain human serum albumin (HSA) as a carrier. Such formulations are marketed in the United States under the trade names EPOGEN® and PROCRIT®. These products contain erythropoietin in 1 ml single dose, preservative-free or 2 ml multidose preserved vials.
- While these formulations have been proven to be highly successful, certain disadvantages are associated with the products. Presently, the period of bioactivity of protein therapeutics such as erythropoietin is limited by short plasma half-lives and the susceptibility to protease degradation. The short half-life of therapeutic proteins such as EPO, four hours, necessitates frequent administration for maximum clinical efficacy. This is disadvantageous for the treatment of chronic conditions and can result in poor patient compliance, and therefore less than optimal outcome. Accordingly, attempts have been made to increase the plasma half-life of EPO.
- In recent years, non-antigenic water-soluble polymers, such as polyethylene glycol (PEG) have been used for the covalent modification of polypeptides of therapeutic and diagnostic importance. For example, covalent attachment of PEG to therapeutic polypeptides such as the interleukins (Knauf, M. J. et al., J. Biol. Chem. 1988, 263, 15,064; Tsutsumi, Y. et al., J. Controlled Release 1995, 33, 447), interferons (Kita, Y. et al., Drug Des Delivery 1990, 6, 157), catalase (Abuchowski, A. et al., J. Biol Chem. 1977, 252, 3, 582), superoxide dismutase (Beauchamp, C.O. et al., Anal Biochem. 1983, 131, 25), and adenosine deaminase (Chen, R. et al, Biochim, Biophys. Acta 1981, 660, 293), has been reported to extend their half-life in vivo, and/or reduce their immunogenicity and antigenicity.
- Derivatized PEG compounds have been previously disclosed (U.S. Pat. No. 5,438,040, Aug. 1, 1995, Conjugation-Stabilized Polypeptide Compositions, Therapeutic Delivery and Diagnostic Formulations Comprising Same, and Method of Making and Using the Same, N. N. Ekwuribe). This approach to post-translational derivatization has also been applied to EPO. For example, WO 94/28024 discloses carbohydrate modified polymer conjugates with erythropoietin activity wherein the PEG is linked via an oxidized carbohydrate. U.S. Pat. No. 4,904,584 discloses polyalkylene oxide conjugation of lysine-depleted polypeptide variants, including EPO. WO 90/12874 describes the preparation of a monomethoxy-PEG-EPO (mPEG-EPO) in which the EPO contains a cysteine residue introduced by genetic engineering to which the specific PEG reagent is covalently attached. Other PEG-EPO compositions are disclosed in EP 605693, U.S. Pat. No. 6,077,939, WO 01/02017 and EP 539167.
- Applicant's co-pending application U.S. Ser. No. 09/431,861 discloses the modification of antibodies and antibody fragments with PEG and demonstrates that PEG can increase circulating half-life in mice and primates. Derivatized PEG was used for modification of the Fab fragment of the antibody c7E3. Circulating half-life is increased in direct proportion to the molecular weight of the PEG. As the molecular weight of PEG increases, the ability of the compound to inhibit ADP-induced platelet aggregation in vitro is decreased, while the binding to purified GPIIb/IIIa, as measured by BIAcore, is unaffected. The addition of a fatty acid or a lipid to the PEG (PEG3.4K-DSPE [disteroylphosphatidylethanolamine]) yielded a greater circulating half-life than did PEG5K. While there is a decrease in the in vitro activity of c7E3 Fab′(PEG5k)2 relative to c7E3 Fab, the activity of c7E3 Fab′-(PEG3.4k-DSPE)2 is equivalent to c7E3 Fab.
- Applicant's other co-pending application U.S. Ser. No. 60/377,946 discloses methods for modifying EPO in which the EPO is covalently conjugated to a non-antigenic hydrophilic polymer covalently linked to an organic molecule that increases the circulating serum half-life of the composition more than what can be achieved by addition of a hydrophilic polymer alone. The methods include the step of reacting a protein or glycoprotein having erythropoietic activity with a substantially non-antigenic functionalized hydrophilic polymer having a linking group for attaching the polymer to the glycoprotein. Preparation methods include reacting EPO with an activated form of a polyalkylene oxide that will react with a functional group on EPO. This includes activated polyalkylene oxides such as active esters, hydrazide, hydrazine, semicarbazide, thiosemicarbazide maleimide or haloacetyl polyalkylene oxide.
- An often limiting aspect of many methods of modifying proteins by conjugation to PEG (“PEGylation”) using purely chemical methods, is the indiscriminate and often incomplete reaction with amine groups which may occur on accessible lysine residues and/or the N-terminal amine of the protein. Other chemical methods require oxidation of the carbohydrate groups as part of the modification strategy likewise leading to incomplete or inconsistent reactions and undefined product compositions. Thus, considering the present options available, a method for modifying EPO in a mild, site-specific manner would be advantageous.
- Transglutaminases (TGases) [EC2.3.2.13; protein-glutamine:gamma-glutamyltransferase] are a family of proteins that catalyze the calcium-dependent acyl addition to a primary amine wherein the gamma-carboxamide group of peptide-bound glutamine residue is the acyl donor and the primary amine is the acyl acceptor and amine donor. In nature, TGases crosslink proteins by catalyzing the formation of amide bonds between lysine and glutamine residues on opposing proteins. A well-known example is fibrin cross-linking by the TGase factor Xllla. This bond is stable and resistant to proteases and thus, TGases are generally used to link structural components of cells. In addition to the above mentioned plasma form, TGases are found in tissues such as liver, skin, and extracellular fluids (Greenberg, C. Set al. FASEB J. 1991, 5, 3071-3077). Prokaryotic forms of TGase are also known (Ando, H. et al. Agric. Biol. Chem 53 (10), 2613-2617, 1989; Washizu, K. et al. Biosci. Biotech. Biochem 58(1), 82-87, 1994). The specificity of TGases is quite pronounced with usually only one, or in some cases two, glutamine residues per protein serving as amine acceptors. TGases from various mammalian tissues and species have been extensively studied (Folk, J. E. and Chung, S. I. Adv. Enzym. Molec. Biol. 1973, 38, 109-191; Folk, J. E. and Finlayson, J. S. Adv. Protein Chem. 1977, 31, 1-133; Folk, J. E & Cole, P. W. Biochim Biophys. Acta 1966, 122, 244-264; Folk, J. E.; Chung, S. I. Methods in Enzymology 1985, 113, 358-375;). Thus, TGases could and have been employed to site-specifically modify glutamine residues on some proteins (U.S. Pat. No. 6,010,871; U.S. Pat No. 6,331,422; U.S. Pat. No. 6,322,996).
- Despite numerous studies, few details about the determinants of TGase specificity have been elucidated. TGases differ in substrate specificities, and when choosing residues as acyl donors or acceptors, the preference for specific sequence motifs as containing or neighboring the substrate residue has not generally been identified for individual enzymes (Gorman, J. J.; Folk, J. E. J. Biol. Chem. 1981, 256, 2712-2715; Gorman, J. J.; Folk, J. E. J. Biol. Chem. 1980, 255, 419-427). The only definitive rule is that a glutamine residue must be positioned at least three residues from the N-terminus to serve as a substrate for any TGase. In general, glutamine repeats have been shown to enhance the acceptor properties of each glutamine residue in the repeat, and the accessibility of glutamine residues has also been shown to be important in determining their ability to function as TGase substrates (Kahlem, P. et al. Proc. Natl. Acad. Sci. USA 1996, 93, 14580-14585).
- Although the site-specific nature of TGase modifications has been known since the 1960s, and industrial uses in the food stabilization are practiced, only recently have uses in therapeutic protein modification begun to be explored. The use of TGases to attach 5 kilodalton or larger polymers containing aliphatic amino groups to protein bound glutamine residues was recently disclosed by Sato, et al in U.S. Pat. No. 6,322,996. This patent also discloses the methods of engineering proteins to contain added N-terminal or C-terminal peptides which are known to be TGase substrates for the purpose of subsequent attachment of large polymers using TGase catalysis. The PEGylation of IL-2 has been accomplished using these methods (Sato, H.; Ikeda, M.; Suzuki, K.; Hirayama, K. Biochemistry 1996, 35, 13072-13080), the cross-linking of IL-2 to various other proteins using bacterial TGase was also demonstrated (Takahara, Y. et al. U.S. Pat. No. 6,010,871), and use of factor XIIIa in the production of a modified fibrin matrix for tissue engineering (U.S. Pat. No. 6,331,422).
- The modification or addition of motifs to a naturally occurring molecule carries multiple risks that are well known to those practicing the art of genetic engineering for the purposes of providing manufacturing methods for therapeutic proteins. The most obvious of these effects is the loss or partial loss of biological activity. In other cases, the expression level from constructed expression vectors is unacceptably low when incorporated into mammalian cell lines. The alternate approach of coupling or fusion of a known substrate sequence from a naturally occurring protein substrate may create an antigenic epitope and cause unwanted immune reactions in the subject which ultimately limit the long term efficacy of the therapeutic protein. Furthermore, the modification of proteins using chemical methods that attack the most reactive functional group, lysine, also changes the isoelectric point of the protein and the pKa. Therefore, when the objective is to provide safe and economically produced products, it is important to understand these limitations. The conversion of the amide group of glutamine to an alkylated amine does not change the isoelectric point or charge of that glutamine. Thus, use of an enzymatic process that creates a stable covalent bond while not modifying the electrical charge of the protein would be desirable. Heretofore, EPO has not been considered a natural TGase substrate nor has the re-engineering of the molecule in order to create or eliminate TGase substrate sites in EPO been described.
- The invention provides biologically active EPO conjugate compositions wherein EPO is erythropoietin or its pharmaceutical acceptable derivatives having biological properties of causing bone marrow cells to increase production of reticulocytes and red blood cells, wherein a transglutaminase reaction is employed to covalently and site specifically conjugate the EPO molecule to a non-antigenic hydrophilic polymer that can also be covalently linked to an organic molecule either of which modification increases the circulating serum half-life of the composition.
- More particularly, one embodiment of the invention thus relates to EPO derivatives described by the formula
EPO-[Gln-A-X-(M)n]y (I) - where EPO is erythropoietin or its pharmaceutical acceptable derivatives having biological properties of causing bone marrow cells to increase production of reticulocytes and red blood cells; Gln is a glutamine residue selected from one or more glutamine residues within the primary sequence of EPO; y is an integer from 1 to 7 indicating the number of modified glutamine residues; A is an amine donor moiety or a hydroxyl group, X is an optional hydrophilic polymer moiety; M is an optional organic molecule (including peptides and proteins) that increases the circulating half-life of the construct; and n is an integer from 0 to 15. The moieties X and M may be modified as needed to include groups designed to provide the proper functionality for coupling or valency.
- The organic molecule, M, is optional, and is covalently attached to the hydrophilic polymer. M is selected from an organic moiety that is capable of increasing the in vivo half-life of the resulting construct and include fatty acids, dicarboxylic acids, monoesters or monoamides of dicarboxylic acids, lipids containing saturated fatty acids, lipids containing unsaturated fatty acids, lipids containing mixtures of saturated and unsaturated fatty acids, simple carbohydrates, complex carbohydrates, carbocycles (such as steroids), heterocycles (such as alkaloids), amino acid chains, proteins, enzymes, enzyme cofactors, or vitamins.
- The hydrophilic polymer is preferably a polyalkylene oxide such as polyethylene glycol.
- Another embodiment of the invention relates to EPO derivatives described by the formula
EPO-[Lys-Gln-Z-X-(M)n]y (II)
where EPO is erythropoietin or its pharmaceutical acceptable derivatives having biological properties of causing bone marrow cells to increase production of reticulocytes and red blood cells; Lys is a lysine residue selected from one or more lysine residues within the primary sequence of EPO; y is an integer from 1 to 8 indicating the number of modified lysine residues; Gln is a glutamine residue; Z is peptide or protein containing the Gln residue that is capable of acting as transglutaminase amine acceptor, X is an optional hydrophilic polymer; M is an optional organic molecule (including peptides and proteins) that increases the circulating half-life of the construct; N is an integer from 0 to 15. The moieties X and M may be modified as needed to include groups designed to provide the proper functionality for coupling or valency. - The present invention also provides methods of preparing the conjugates. The methods include the step of using a TGase to catalyze the acyl transfer of an amino group donor or an alkylamine-conjugate to one or more specific glutamine residues in aglycosylated or glycosylated EPO or a glycoprotein having erythropoietic activity having a glutamine residue. The methods also include the step of using TGase to catalyze the acyl transfer of an amino group donor on EPO to one or more glutamine residues in a peptide, protein, or other polymer.
- Included in the present invention is the disclosure of EPO as a TGase substrate. Therefore, also included in this invention is a method of altering an EPO molecule by recombinant or chemical means to mutate, add or modify any glutamine or lysine residues or any other residues, to enable or to improve the ability of the EPO molecule to act as a TGase substrate properties thereby allowing the conjugation of the EPO molecule to a hydrophilic polymer or other organic moiety containing an amine donor or amine acceptor moiety. Since TGase substrate properties can be involved in the biological activity of proteins, improving or diminishing the TGase substrate properties of an EPO molecule through recombinant or chemical means is also included in this invention. Thus, in accordance with the invention, the EPO molecule can be modified to increase the circulation half life or otherwise improve the biological activity of mammalian erythropoietin or any conjugate or mutant erythropoietic protein.
- The invention also provides methods of treating anemia or other conditions associated with reduced endogenous erythropoietin or erythropoiesis or conditions under which an increase in red cells is desired. In this aspect of the invention, treatment includes administering an effective amount of the conjugates described herein to mammals requiring such therapy. As a result of the present invention, conjugates having substantially prolonged erythropoietic activity in vivo are provided.
- The techniques disclosed herein have the advantage of providing EPO molecules with an increased circulating half-life and improved erythropoietic potency. Further, the modified EPO molecules of the invention have an advantage in that the conjugation and/or mutations are well controlled leading to end products that are substantially well defined and characterized.
-
FIG. 1 shows the amino acid sequence of the mature chain of human erythropoietin with the glutamine residues in boxes. -
FIG. 2 is an image of an SDS-PAGE gel in which a fluorescently-labeled TGase substrate, dansyl cadaverine (DC), was incubated with proteins in the presence or absence of TGase. The label is visualized using UV exposure:Lane 1=molecular weight markers.Lane 2=EPO+DC+TGase. 3 and 4=EPO+DC;Lanes Lane 5=EPO standard; andlane 6=b−casein+DC+TGase. b-casein is a known substrate for TGase and was used as a positive control. The fluorescent 35 K band inlane 2 corresponds to EPO with one or more DC moieties attached. The higher molecular weight bands inlane 2 likely correspond to EPO dimers and trimers. The same gel was silver stained to identify the molecular weight markers and other, non-fluorescent bands. -
FIG. 3 The MALDI MS analyses of (a) deglycosylated EPO, (b) deglycosylated EPO-cadaverine-X-biotin (should see additions of +424), (c) deglycosylated EPO-DC (should see additions of +318), and (d) deglycosylated EPO-cbz (should see additions of +319). -
FIG. 4 The MALDI TOF mass spectra for (a) Lys-C digest of EPO (control); (b) Lys-C digest of EPO-X-biotin; (c) Lys-C digest of deglycosylated EPO (control); (d) Lys-C digest of deglycosylated EPO-DC. -
FIG. 5 The MALDI TOF mass spectra for (a) degycosylated EPO-(Cbz-QG)batch # 1; (b) deglycosylated EPO-(Cbz-QG)batch # 2; (c) Lys-C digest of degycosylated EPO-(Cbz-QG)batch # 1; (d) Lys-C digest of degycosylated EPO-(Cbz-QG)batch # 1. -
FIG. 6 shows a graph of the absorbance vs. concentration of added EPO species for the hematopoiesis of UT7 cells incubated with EPO-(Cbz-QG) or unmodified EPO (EPO-control). -
FIG. 7 is an image of a silver-stained polyacrylamide gel showing the attachment of cadaverine-PEG(20K) to EPO via TGase catalysis:Lane 1=molecular weight markers.Lane 2=EPO+TGase+DC.Lane 3=EPO standard.Lane 4=EPO+TGase (6 hrs);Lane 5=EPO+TGase (22 hrs); 6 and 7=TGase (6 hrs and 22 hrs resp.);Lanes Lane 8=PEG(20K)-cadaverine; 9, 10 and 11=EPO+PEG20K-cadaverine+TGase (6 hrs, 22 hrs, and 22 hrs (reduced), resp.). Note that the EPO+DC sample was overloaded such that the fluorescent signal of the DC could be maximized.Lanes -
FIG. 8 shows a tracing of the intensity vs. mass to charge ratio in a SELDI-MS of the reaction mixture of EPO+PEG20K-cadaverine+TGase. The peak at 51,010 corresponds to the PEGylated EPO product. -
FIG. 9 shows a silver-stained SDS-PAGE gel (4-20%) of EPO (lane 1) and purified EPO-PEG5K-putrescine (lane 2). Note that very little unmodified EPO is present in the EPO-putrescine-PEG5K sample. -
FIG. 10 shows a tracing of the intensity vs. mass to charge ratio in a SELDI-MS of the reaction mixture (EPO+PEG(5K)-putrescine+TGase). -
FIG. 11 shows a tracing of the intensity vs. mass to charge ratio in a SELDI-MS for the purified EPO-PEG(5K)-putrescine. (Note that the PEG group tends to suppress ionization and thus the peak areas are not indicative of the relative amount of each species present.) -
FIG. 12 shows a graph of the absorbance vs. concentration of added EPO species for the hematopoiesis of UT7 cells incubated with EPO-putrescine-PEG(5K) (EPO-PEG) or unmodified EPO (EPO-control). -
FIG. 13 shows a tracing of the intensity vs. mass to charge ratio in a SELDI-MS of the reaction of EPO+putrescine-PEG-DSPE3.4K+TGase (55% ethanol and 45% TGase reaction buffer, pH 7.5). The peak at 28.8K corresponds to unmodified EPO, while the peaks at 33.7K, 37.5K and 41.6K correspond to the addition of one, two and three putrescine-PEG-DSPE3.4K moieties per EPO. (Note that the lipid group tends to suppress ionization and thus the peak areas are not indicative of the relative amount of each species present.) - EPO is primarily produced in the kidneys and functions through binding to receptor dimers on precursor cells leading to differentiation to erythrocytes and subsequent proliferation (Livnah, O. et al. Science 1999, 283, 987-990). The primary sequence of EPO has 7 glutamine residues (SEQ ID NO: 1). The assembled NCBI file, PO1588, notes glutamines at positions; 85,86,92,105,113, 119, and 142 of the precursor protein corresponding to; 58, 59, 65, 78, 86, 92, and 115 of the mature chain. These are shown in
FIG. 1 . - EPO binds to the receptors through two binding surfaces, one of which has a higher affinity for the receptor than the other. The crystal structure of EPO has been solved (Syed, et al. Nature 395 (6701), 511-516 (1998); Cheetham, J. C. et al. Human Erythropoietin, NMR minimized average structure. Sep. 8, 1998. Protein data base ID 1BUY). The crystal structure of EPO binding to its receptors has also been described (see Stroud, R. M. and Reid, S. W., Erythropoietin complexed with extracellular domains of erythropoietin receptor. Protein
data base ID 1 CN4). Within the complex, four of the eight lysine residues on EPO make direct contacts with the receptors while of the 7 glutamine residues, all but one are solvent accessible and only Gln78 shows any possible interaction with the receptors. From these observations, it is apparent that the glutamine residues on EPO offer significant potential for attachment of PEG or other polymers without interfering with receptor binding, while indiscriminate modification of lysine residues is almost certain to interfere with binding to some extent. - Although several of the lysine residues present on EPO are involved in receptor binding, others would offer significant potential for attachment of PEGs or other polymers if they could be modified specifically. Since TGases are extremely selective regarding lysines on proteins that can serve as amine-donor substrate sites, the possibility exists for using TGases to attach polymers to these lysine residues should they be selectively targeted by TGases.
- Since TGases are present in many mammalian fluids and tissues, the discovery that EPO is a TGase substrate indicates that, as such, transglutaminase-catalyzed reactions in vivo could impact the bioavailability and distribution of any therapeutic protein containing sequences from mammalian erythropoietin that include glutamine and/or lysine residues. Thus, it follows that eliminating, masking, or modifying these residues to decrease or eliminate their inherent TGase substrate properties could significantly alter the biological properties of such a biopharmaceutical agent and enhance the efficacy of any such erythropoietic protein. Such modifications are made by mutating said glutamine and/or lysine residues to any of the other 19 naturally occurring arrino acids, chemically modifying said lysine and/or glutamine residues, or by attaching small acyl-donor or amine-donor substrates to these sites using TGases thereby eliminating them as TGase substrates. Also, some residues have been suggested to improve or diminish the substrate properties of lysine or glutamine residues contained within peptides or proteins. Thus, the mutation, addition, or chemical modification of other residues within the sequence of an erythropoietic protein could improve or diminish the substrate properties of lysine of glutamine residues contained within the primary amino acid sequence of the protein. In a recent paper (Dale, et al. Nature 415 (10), 175-179 (2002)) the authors show that serotonin is a TGase substrate and becomes bound to activated platelets through TGase-catalyzed crosslinking to surface proteins. The TGases factor XIII and tissue transglutaminase were identified on the surface of activated platelets. The crosslinking of serotonin to the platelet surface augments the retention of procoagulation proteins on the cell surface. This study shows that extracellular TGases can crosslink proteins containing TGase substrate sites to cell surfaces and that this activity can potentially facilitate the binding of a protein with its receptor. This suggests that the TGase substrate properties exhibited by EPO could be directly involved in the erythropoietic potency of the protein if TGases are involved in binding the protein to erythroid progenitor cells or other targeted cell lines.
- The starting material for modification to a bioactive form of EPO is preferably erythropoietin or its derivatives having the biological properties of causing bone marrow cells to increase production of reticulocytes and red blood cells. The EPO glycoprotein may be obtained from natural sources or produced recombinantly using known procedures as disclosed in U.S. Pat. Nos. 4,703,008; 5,441,868; 5,547,933; 5,618,698 and 5,621,080 hereby incorporated by reference. Nonglycosylated forms or hyperglycosylated forms of erythropoietin protein with the desired biological activity may also be used. Methods of producing hyperglycosylated EPO are taught in WO0249673 and EP640619.
- Transglutaminases
- Any of the enzymes catalyzing the acyl transfer from glutamine to an acceptor are suitable for use in the present invention. Transglutaminase, derived from guinea pig liver, is particularly suitable, and readily available through commercial sources e.g. Sigma Chemical Co., ICN Chemicals, and the like. TGases of microbial origin may also be used, for example, the calcium independent transglutaminase of Streptoverticillium sp. or from Streptoverticillium mobaraense (Ando et al. Agric. Biol. Chem., 53(10), 2613-17, 1989).
- Acyl Acceptors/Amine Donors
- TGases have a broad specificity for primary amine donors which may be either primary amine containing compounds, or peptide- or protein bound epsilon-amino groups of lysine. Amine-donor substrates for TGases include: ammonia, hydroxylamine, methylamine, ethanolamine, phenylethylamine, histamine, spermine, spermidine, cadaverine, putrescine, protein- or peptide-bound lysine groups, amine amides such as glycinamide but not L-tyrosinamide. N-(5-aminopentanyl)-5-dimethylamino-1 -naphthalene-sulfonamide(dansylcadaverine) is a useful substrate for testing protein substrates due to its fluorescent nature and ability to act as an excellent amine-donor (see Folk and Chung, 1973 supra).
- Water can also act as a nucleophile here, resulting in the conversion of glutamine to glutamic acid in which case the moiety A in formula I above is a hydroxyl moiety.
- Aminosaccharides, see for example WO0179474, and aminoalkylsaccharides, in JP2000300287, have also been shown to be suitable amine donors for transglutaminase-catalyzed attachment to proteins. Aminosaccharides are any monosaccharide, oligosaccharide or polysaccharide containing a primary amino group and any monosaccharide, oligosaccharide or polysaccharide prepared by means of reductive amination of a monosaccharide, oligosaccharide or polysaccharide in order to introduce an amine group. An example of an advantageous aminosaccharide is aminosorbitol.
- Thus, any of the above mentioned or related compounds may act as the amine donor and further may themselves be modified in order that the trans-acylation reaction catalyzed by the TGase will effectively conjugate the group desired to be added to the EPO structure at said glutamine residue. Particularly preferred molecules representing the A moiety of formula I are: cadaverin, putrescine, 1,5-diaminopentane, 1,6-
diaminohexane 1,7-diaminoheptane or similar diaminoalkanes. - Acyl Donors/Amine Acceptors
- TGases are capable of linking glutamine-containing peptides and proteins to the ε-amino group of a lysine within the structure of a protein if the lysine residue functions as a TGase substrate site. Thus, in accordance with Formula II above, Z represents a peptide or protein containing the Gln residue that is capable of acting as transglutaminase amine acceptor. Peptides shown to crosslink to protein-bound lysine residues via TGase catalysis include: TVQQEL, PGGQQIV, pEAQQIV, PKPQQFM, EAQQIVM, and multiple derivatives of Benzyloxycarbonyl(Cbz)-QG (Grootjans, et al. JBC 270 (39), 22855-22858 (1995)), (Groenen et al. Eur. J. Biochem. 205, 671-674 (1992)), (Gorman et al. JBC 255 (2), 419-427 (1980)). Peptides such as these can be covalently attached to PEG or other polymers, such as those mentioned above, and then attached via TGase catalysis to EPO or other proteins containing amine-donating lysine residues.
- Water Soluble Polymers
- A particularly preferred water-soluble polymer is one of the several species of PEG. PEG consists of a basic carbon unit, HO—(CH2)2-OH, and is sold in various forms under the names: Polyethylene glycol (various molecular weights); Poly Ethylene Oxide; Carbowax PEG (various molecular weights); alpha-hydro-omega-hydroxypoly(oxy-1,2-ethanediyl);
Ethoxylated 1,2-ethanediol; Polyoxyethylene ether; emkapol 200; gafanol e 200; pluriol e 200; polydiol 200; Polyethylene glycol; PEG; Polyox WSR-301; PEG 200; Macrogol; and Polyoxyethleneln. In those aspects of the invention in which PEG-based polymers are used, it is preferred that they have average molecular weights between about 200 and about 100,000 daltons, and preferably between about 2,000 and about 40,000 daltons. - Alternative water-soluble polymeric substances include materials such as dextrans, polyvinyl pyrrolidones, polysaccharides, starches, polyvinyl alcohols, polyacrylamides or other similar non-immunogenic polymers. Those of ordinary skill in the art realize that the foregoing is merely illustrative and unintended to restrict the type of non-antigenic polymers suitable for use herein.
- Organic Molecule Imparting Extended Pharmacokinetic Half-life in Vivo
- The organic moieties that can be attached to the hydrophilic polymer to increase the half-life include fatty acids, dicarboxylic acids, monoesters or monoamides of dicarboxylic acids, lipids containing saturated fatty acids, lipids containing unsaturated fatty acids, lipids containing mixtures of saturated and unsaturated fatty acids, simple carbohydrates, complex carbohydrates, carbocycles (such as steroids), heterocycles (such as alkaloids), amino acid chains, proteins, enzymes, enzyme cofactors, or vitamins.
- In one embodiment, the hydrophilic polymeric group is substituted with one to about six alkyl, fatty acid, fatty acid ester, lipid or phospholipid groups (as described herein, e.g., Formula I and Formula II). Preferably, the substituted hydrophilic polymeric group is a linear or branched PEG. Preferably, the substituted hydrophilic polymeric group is a linear PEG (e.g., PEG diamine) that is terminally substituted with a fatty acid, fatty acid ester, lipid or phospholipid group or a hydrocarbon. Hydrophilic polymers that are substituted with an alkyl, fatty acid, fatty acid ester, lipid or phospholipid groups group can be prepared using suitable methods. For example, a modifying agent can be prepared by reacting monoprotected PEG diamine with an activated fatty acid (e.g., palmitoyl chloride). The resulting product can be used to produce a modified EPO that comprises a PEG that is substituted with a fatty acid group. A variety of other suitable synthetic schemes can be used. For example, an amine containing polymer can be coupled to a fatty acid or fatty acid ester as described herein, and an activated carboxylate (e.g. activated with N,N′-carbonyl diimidazole) on a fatty acid or fatty acid ester can be coupled to an hydroxyl group on a polymer. In this way, a multitude of suitable linear and branched chain multimeric structures having the desired properties can be constructed and finally linked or modified to contain either a primary amine which will act as the transglutaminase amine donor, or a glutamine-containing peptide or polymer that can act as the transglutaminase amine acceptor.
- Fatty acids and fatty acid esters suitable for use in the present invention can be saturated or can contain one or more unsaturated units. In a preferred embodiment, the fatty acids and fatty acid esters comprise from about six to about forty carbon atoms. Fatty acids which are suitable for modifying EPO in the method of the invention include, for example, n-dodecanoate (C12, laurate), n-tetradecanoate (C14, myristate), n-hexadecanoate (C16, palmitate), n-octadecanoate (C18, stearate), n-eicosanoate (C20, arachidate), n-docosanoate (C22, behenate), n-triacontanoate (C30), n-tetracontanoate (C40), cis-D9-octadecanoate (C18, oleate), all cis D5.8.11.14-eicosatetraenoate (C20, arachidonate), octanedioic acid, tetradecanedioic acid, octadecandeioic acid, docosanedioic acid, and the like. Suitable fatty acid esters include monoesters of dicarboxylic acids which comprise a linear or branched lower alkyl group. The lower alkyl group can comprise from one to about twelve, preferably one to about six, carbon atoms. Suitable fatty acid esters for modifying proteins of the invention include, for example, methyl octadecanoate, ethyl octadecanoate, propyl octadecanoate, butyl dodecanoate, sec-butyl dodecanoate, tert-butyl dodecanoate, neopentyl tetradecanoate, hexyl tetradecanoate, methyl cisΔA9-octadecanoate, and the like.
- Preparation of the TGase Substrate for Transfer to Epo
- Thus, the artisan can prepare conjugates of two or three parts or more linked to the amine donor amine moiety or to an amine acceptor moiety and the resulting complex will function as the TGase substrate.
- The preparation of the other substrates is preferably performed stepwise and in the final step will result in a single deprotected or unprotected primary amine. Thus, if for example, amine-reactive groups including electrophilic groups such as tosylate, mesylate, halo (chloro, bromo, iodo), N-hydroxysuccinimidyl esters (NHS), substituted phenyl esters, acyl halides and the like are to be used to couple water soluble polymer and organic molecules, the primary amine in most cases must be protected. Other methods of conjugating organic molecules to polymers are well known and include the use of agents which can react with thiols, for example, maleimide, iodoacetyl, acrylolyl, pyridyl disulfides, 5-thiol-2-nitrobenzoic acid thiol (TNB-thiol), and the like. Suitable methods to introduce such thiol reactive groups into molecules are known in the art (see for example, Hermanson, G. T., Bioconjugate Techniques, Academic Press: San Diego, Calif. (1996)). An aldehyde or ketone functional group can be coupled to amine-or hydrazide-containing molecules and an azide group can react with a trivalent phosphorous group to form phosphoramidate or phosphorimide linkages. A reactive group can be bonded directly to the hydrophilic polymer, conjugate complex or through a linker moiety, for example a C1-C12 hydrocarbyl group. As used herein, “hydrocarbyl group” refers to a hydrocarbon chain wherein one or more carbon atoms are optionally replaced by a heteroatom such as oxygen, nitrogen or sulfur. Suitable linker moieties include, for example, tetraethylene glycol, —(CH2)3-, —NH—(CH2)6-NH—, —(CH2)2-NH— and —CH2-O—CH2-CH2-O—CH2-CH2-O—CH—NH—.
- Modifying agents which comprise a linker moiety can be produced, for example, by reacting a mono-Boc-alkyldiamine (e.g. mono-Boc-ethylenediamine, mono-Boc-diaminohexane) with a fatty acid in the presence of 1-ethyl-3-(3-dimethylaminopropyl)carbodiimide (EDC) to form an amide bond between the free amine and the fatty acid carboxylate. The Boc protecting group can be removed from the product by treatment with trifluoroacetic acid (TFA) to expose a primary amine which can be coupled to another carboxylate as described, or can be reacted with maleic anhydride and the resulting product cyclized to produce an activated maleimido derivative of the fatty acid. (See, for example, Thompson, et al., WO 92/16221 the entire teachings of which are incorporated herein by reference).
- Examples of derivatized erythropoietic compounds are:
- M-PEG-A-EPO where the M-PEG is attached to specific glutamines or lysines using a TGase where M is a lipid, carbohydrate, polysaccharide, fatty acid, fatty acid derivative, fatty alcohol or protein and A is an amine donor, preferably cadaverine or putrescine, or an amine acceptor, preferably a short, glutamine-containing peptide of 1-30 amino acids.
- (M-PEG)2-A-EPO where the M-PEG is esterified to two different carboxyl groups on A, where M is a lipid, carbohydrate, polysaccharide, fatty acid, fatty acid derivative, fatty alcohol or protein. Suitable examples of the moiety A having two different carboxyl groups for esterification include diglycerides or triglycerides derivatives as well as derivatives of maleic acid, citraconic acid, glutamic acid or other polymers containing two or more carboxyl carbons. Higher multiples are included as well.
- (M-PEG)2-R-A-EPO where the (M-PEG)2-R is two different carboxyl groups on A, where M is a lipid, carbohydrate, polysaccharide, fatty acid, fatty acid derivative, fatty alcohol or protein and R is a valency enhancing construct, such as dendrimers of amino acids and the like, that contain multiple functional groups for the attachment of multiple (M-PEG)2 or other moieties. Higher multiples are included as well.
- M-A-EPO where M is a protein or peptide and A is a lysine side chain on said protein or peptide.
- M-A-EPO where M is a protein or peptide and A is a glutamine side chain on said protein or peptide.
- M-A-EPO where M is a lipid and A is an amine acceptor, preferably a short, glutamine-containing peptide.
- M-A-EPO where M is a lipid and A is putrescine, cadaverine or other diaminoalkane.
- M-A-EPO where M is biotin, dansyl, or other moiety imparting biophysical characteristics to EPO that are useful for research, diagnostic or therapeutic purposes and A is putrescine, cadaverine, or other suitable TGase amine donor or amine acceptor substrate. In the case where biotin or another moiety having a known binding partner is incorporated into the conjugate, it is anticipated that said conjugate may be used in research, diagnosis or therapy in a complex with its known binding partner such as in a biotin-avidin complex.
- Therapeutic Uses
- The EPO formulations of the present invention are useful as a parenteral formulation in treating blood disorders characterized by low or defective red blood cell production such as various forms of anemia, including anemia associated with chronic renal failure, zidovidine treated HIV infected patients, and cancer patients on chemotherapy. It may also have application in the treatment of a variety of disease states, disorders and states of hematologic irregularity such as sickle cell disease, beta-thalassemia, cystic fibrosis, pregnancy and menstrual disorders, early anemia of prematurity, spinal cord injury, space flight, acute blood loss, aging and the like. It may also have application in situations where an increase in red blood cells is desired such as in pre-surgery patients. Preferably, the EPO composition of the present invention is administered parenterally (e.g. IV, IM, SC or IP). Effective dosages are expected to vary considerably depending on the condition being treated and the route of administration but are expected to be in the range of 0.1(˜7 U) to 100(˜7000 U) μg/kg body weight of the active material. Preferable doses for treatment of anemic conditions are about 50 to about 300 Units/kg three times a week.
- Pharmaceutical Compositions
- The erythropoietin glycoprotein products prepared in accordance with this invention may be prepared in pharmaceutical compositions suitable for injection with a pharmaceutically acceptable carrier or vehicle by methods known in the art. For example, appropriate compositions have been described in WO97/09996, WO97/40850, WO98/58660, AND WO99/07401. Among the preferred pharmaceutically acceptable carriers for formulating the products of the invention are human serum albumin, human plasma proteins, etc. The compounds of the present invention may be formulated in 10 mM sodium/potassium phosphate buffer at
pH 7 containing a tonicity agent, e.g. 132 mM sodium chloride. Optionally the pharmaceutical composition may contain a preservative. The pharmaceutical composition may contain different amounts of erythropoietin products, e.g. 10-2000 μg/ml, e.g. 50 μg or 400 μg. - The stability of the composition can be further enhanced by the addition of antioxidants such as tocopherol, butylated hydroxytoluene, butylated hydroxyanisole, ascorbyl palmitate, or edetates such as e.g. disodium edetate, with the edetates additionally binding possibly present heavy metals. The stability can furthermore be enhanced by the addition of preserving agents such as benzoic acid and parabens, e.g. methylparaben, and/or propylparabene.
- Treating Blood Disorders Characterized by Low or Defective Red Blood Cell Production
- Administration of the erythropoietin glycoprotein products of the present invention results in red blood cell formation in humans. Therefore, administration of the erythropoietin glycoprotein products replenishes this EPO protein that is important in the production of red blood cells. The pharmaceutical compositions containing the erythropoietin glycoprotein products may be formulated at a strength effective for administration by various means to a human patient experiencing blood disorders characterized by low or defective red blood cell production, either alone or as part of a condition or disease. The pharmaceutical compositions may be administered by injection such as by subcutaneous, intravenous or intramuscular injection. Average quantities of the erythropoietin glycoprotein product may vary and in particular should be based upon the recommendations and prescription of a qualified physician. The exact amount of conjugate is a matter of preference subject to such factors as the exact type of condition being treated, the condition of the patient being treated, as well as the other ingredients in the composition. For example, 0.01 to 10 μg per kg body weight, preferably 0.1 to 10 μg per kg body weight, may be administered e.g. once weekly.
- Throughout this application, various publications have been referenced. The disclosures in these publications are incorporated herein by reference in order to describe more fully the state of the art.
- The present invention is further illustrated by the following examples that are presented for purposes of demonstrating, but not limiting, the preparation of the compounds and compositions of this invention. From initial experiments, at least two, and probably three, of the 7 glutamines on EPO are capable of serving as TGase substrates. Peptide mapping has shown that Gln115 can serve as an acyl donor sight for TGase and that at least one of the other 6 glutamine residues can as well. Attachment of PEG groups and lipid groups containing aliphatic amines to EPO using guinea pig liver TGase was accomplished and it was demonstrated that, following attachment of a 5 kilodalton PEG group, EPO retains about 40% of its activity. Attachment of Cbz-QG, a known acyl donor substrate for TGase, and subsequent peptide mapping, indicate that Lys45 on EPO serves as a very efficient amine donor substrate sight for TGase, and that Lys154 can also serve as an amine donor site.
- Recombinant human EPO (rhEPO) (10 uM) was incubated with dansyl-cadaverine (DC) (Sigma, St Louis, Mo.) (3 mM) and TGase (Sigma, St Louis, Mo.) (0.15 U/ml) in 100 mM Tris (pH 7.5) and 10 mM CaCl2 for 3 hours at 37° C. Dansyl-cadaverine is a well known substrate for TGases and provides a fluorescent marker for ease of following the reaction. The reaction mixture was subjected to SDS-PAGE and the results shown in
FIG. 2 . The fluorescence of the EPO band confirms the attachment of DC via TGase and indicates that amine-acceptor sites exist on EPO. The product was purified on a Zorbax GF-250 XL HPLC column equilibrated with PBS. - The presence of fluorescent dimers and trimers in the gel indicates that EPO can itself act as a TGase substrate by providing a lysine substrate for cross-linking with one or more of the glutamine residues in EPO. The fact that these bands are fluorescent and cross-linked raises the possibility that at least two different glutamine residues on EPO can serve as TGase acyl-donor sites.
- Recombinant human EPO (rhEPO) (50-100 uM) is incubated with cadaverine-X-biotin (Biotium, Hayward, Calif.) (30 mM) and TGase (Sigma, St Louis, Mo.) (0.15 U/ml) in 100 mM Tris (pH 7.5) and 10 mM CaCl2 for 3 hours at 37° C. The product is purified on a Zorbax GF-250 XL HPLC column equilibrated with PBS.
- Recombinant human EPO (rhEPO) (1.96 mg/ml) is incubated with N-α-benzyloxycarbonyl glutaminyl glycine (Cbz-QG) (15 mM) (Sigma, St Louis, Mo.) and TGase (Sigma, St Louis, Mo.) (0.15 U/ml) in 100 mM Tris (pH 7.5) and 10 mM CaCl2 for 3 hours at 37° C. The product is purified on a Zorbax GF-250 XL HPLC column equilibrated with PBS.
- For deglycosylation, 50 ul of rhEPO or conjugate (0.2-2 mg/ml) was diluted into 50 ul of RapiGest (Waters Corp., Milford, Mass.) (2 mg/ml in PBS). To this was added 10 ul of NP-40 detergent soln (15%), 10 ul each of PNGase F, Sialidase A and O-glycanase (Prozyme, San Leandro, Calif.). The solution was incubated for a total of 96 hrs at 37 deg. Intact masses were obtained by mixing the samples with sinapinic acid in 1:1 water/acetornitrile (+0.1% triflruoroacetic acid) and spotting on a MALDI MS plate, followed by analysis on an ABI Voyager DE-STR MALDI-TOF MS. The proteins were analyzed in linear mode with an acerbating voltage of 25000 V (
FIGS. 3 & 5 ). Following this, 50 μL each, were mixed with 5 μL of 45 mM DTT and the solution incubated at 65° C. for 20 min. Then, 5 μL of 100 mM iodoacetamide was added and the solution was incubated at RT in the dark for 20 min. Then, 5 μL of Lys-C endoproteinase (Calbiochem, San Diego, Calif.) (1.3 ug/ul) was added and the solutions were incubated at 37° C. for 20-24 h. Each protein digest was separated out using revered-phase HPLC and aWaters Symmetry300 1×50 mm C18 column. Each separated digest was automatically spotted on a MALDI plate and analyzed. A saturated mixed matrix of α-cyano-4-hydroxycinnamic acid/dihydroxybenzoic acid (α-cyano/DHB) was used for ionization (FIG. 4 ). -
FIG. 3 shows the intact masses for degylcosylated sample of EPO and each of the conjugates. Panel (B) shows a small peak at 18725 that corresponds to the addition of one cadaverine-X-biotin moiety (calc MW shift=+424). Panel (C) shows a peak at 18603 corresponding to the addition of one dansyl-cadaverine moiety (calc MW shift=+317), and panel (D) shows a peak at 18592 that corresponds to the addition of one Cbz-QG peptide (calc MW shift=+319). From this data, it appears that the attachment of Cbz-QG is more efficient than that of dansyl-cadaverine or cadaverine-X-biotin. In all three cases, however, EPO shows attachment of the TGase substrates. -
FIG. 4 shows mass spectra of the Lys-C digestion of EPO-cadaverine-X-biotin and EPO-DC. The peak at 1958 in panels (A) and (B) corresponds to that containing residues 98-116 of EPO. The peak indicated by the arrow corresponds to the addition of cadaverine-X-biotin to that peptide. This indicates that Gln115 serves as a TGase substrate site since it is the only Gln residue in that peptide and TGase will only attach cadaverine to Gln residues. Panels (C) and (D) ofFIG. 4 show MALDI MS of the Lys-C digests of deglycosylated EPO and EPO-DC. The peak around 5038 corresponds to residues 53-97 (calc MW=5024.8) of EPO. In panel (D), the peak at 5357 corresponds to a molecular weight shift of 319 indicating that a dansyl cadaverine moiety has been attached at a residue within this region of the protein. Since 6 glutamines are contained in this peptide, the identity of the modified residue could not be ascertained. - Panels (A) and (B) of
FIG. 5 show MALDI TOF mass spectra of two different batches of deglycosylated rhEPO-(Cbz-QG). The peak around 18580 corresponds to the attachment of one Cbz-QG (calc MW shift=+319) moiety to rhEPO and both spectra indicate that a majority of the protein is modified in both batches and that the attachment of this peptide to rhEPO is very reproducible. Panels (C) and (D) show MALDI TOF mass spectra of the Lys-C digest of deglycosylated rhEPO-(Cbz-QG). Panel (C) shows a peak at 4046 corresponding to residues 21-52 of EPO with an additional Cbz-QG moiety at Lys45 (calculated MW=4032.1). The Lys-C did not cleave at Lys45 due to the modification. Panel (D) shows a peak at 1807 corresponding to residues 153-165 with an additional Cbz-QG moiety (calculated MW=1802.6). In this peptide, Lysl54 was not cleaved due to the attachment of the Cbz-QG indicating that Lys154 is modified. - A large mass window was necessary for obtaining the MALDI TOF mass spectra described here. Due to this, significant drift was observed in the spectra. For this reason, the molecular weight changes for the conjugates were calculated by comparing to the molecular weight observed for unmodified EPO in each individual sample. Taken together, the mass data for the intact, deglycosylated samples and the Lys-C digestion data, confirm that Gln115 was modified with both cadaverine-X-biotin, and dansyl-cadaverine, and that at least one other Gln residue in rhEPO received a dansyl-cadaverine modification in the presence of TGase. The data also show that Lys45 and Lys154 of rhEPO received a Cbz-QG modification in the presence of TGase and that in both batches analyzed, up to 90% of the protein was modified.
- A UT7 assay was performed on the rhEPO-(Cbz-QG) as follows: UT7 cells were starved in IMDM with L-glu and 5% FBS without Epo for 24 hrs prior to assay. Cells were washed and plated at 30,000 cells per well. Dilutions of EPO (20-0.01952 ng/mL) and rhEPO-(Cbz-QG) (20-0.01952 ng/mL) were added and assayed in duplicate. The plate was incubated for 48 hrs at 37° C. and assayed with Promega's MTS solution with OD readings taken at 1, 2 and 3 hr intervals. Values were background corrected with SoftMax Pro. Average background was 0.292. The assay shows that the conjugate is approximately 4-fold less active than unmodified EPO (see
FIG. 6 ) indicating that the modification did not occur at a residue involved significantly in receptor binding. This implies that modification of Lys45 or Lys154 does not contribute to a significant loss in activity and suggests that other modifications or mutations could be made at these sites without significantly effecting the ability of rhEPO to bind to its receptor. - Cadaverine-PEG(20K) was synthesized using commercially available reagents. 25 mg of cadaverine hydrochloride salt (Sigma, St. Louis, Mo.) was dissolved in 5 ml of PBS and pH was adjusted to 7. To this was added 25 mg of mPEG(20K)-Succinimidyll propionate (Shearwater Corp., Huntsville, Ala.) and the reaction was incubated at 22° C. for 2 hours. The reaction mixture was dialyzed against 0.1% acetic acid in water and lyophilized.
- Putrescine-PEG(5K) was synthesized by dissolving 300 mg putrescine hydrochloride (Sigma, St. Louis, Mo.) in 10 ml of PBS and adjusting pH to 7. 100 mg of mPEG(5K)-Succinimidyll propionate (Shearwater Corp., Huntsville, Ala.) was added and allowed to react for two hours at 220° C. The reaction mixture was dialyzed against 0.1% acetic acid in water and lyophilized.
- Putrescine-PEG-DSPE(3.4K) was synthesized by dissolving 176.5 mg of putrescine in 1.765 ml of PBS (ph 7.4). 13.5 mg of NHS-PEG-DSPE(3.4K) (Shearwater Corp., Huntsville, Ala.) was dissolved in 1 ml of ethanolPBS (1:1). 1 ml of the NHS-PEG-DSPE solution was then added dropwise to 1.704 ml of the putrescine solution and the reaction was stirred at 22° C. for 4 hours and then purified on a Zorbax GF-250 XL column equilibrated with 0.1% acetic acid (pH 4.5).
- Cadaverine-PEG(20K) was reacted with EPO using the conditions given in Example 1 except that 3.3 mM cadaverine-PEG(20K) was used in place of DC.
FIG. 7 shows the SDS-PAGE gel of the reaction products andFIG. 8 shows the SELDI mass spec of the products. Both indicate that the cadaverine-PEG(20K) was attached to EPO. Samples for SELDI-MS were prepared by desalting with C-4 zip tips (from Millipore) and spotting on gold SELDI chips using standard protocols. - Putrescine-PEG(5K) was reacted with EPO using the conditions described in example 7 except that 5 mM PEG(5K)-putrescine was used in place of PEG(20K)-cadaverine. Putrescine is known to be a better substrate for TGases than cadaverine (Folk and Chung, 1973 supra).
FIG. 9 shows the SDS-PAGE gel (4-20%) of the purified EPO-putrescine-PEG(5K) compared with the EPO stock,FIG. 10 shows the SELDI-MS of the reaction mixture consisting of EPO+TGase+putrescine-PEG(5K), andFIG. 11 shows the SELDI-MS of the purified EPO-putrescine-PEG(5K). These data indicate that the putrescine-PEG(5K) was successfully conjugated to EPO and that the purified EPO-putrescine-PEG(5K) contains only a small amount of unmodified EPO. SELDI samples were prepared by spotting on H-4 SELDI chips, washing with 3 ul of water and adding 1 ul of saturated sinnapinnic acid. A UT7 assay was performed on the EPO-putrescine-PEG(5K) as follows: UT7 cells were starved in IMDM with L-glu and 5% FBS without Epo for 24 hrs prior to assay. Cells were washed and plated at 30,000 cells per well. Dilutions of EPO (2.5-0.0025 ng/mL) and EPO-PEG (20-0.01952 ng/mL) were added and assayed in duplicate. The plate was incubated for 48 hrs at 37° C. and assayed with Promega's MTS solution with OD readings taken at 1, 2 and 3 hr intervals. Values were background corrected with SoftMax Pro. Average background was 0.293. The assay shows that the conjugate is approximately 2.5-fold less active than unmodified EPO (seeFIG. 12 ) indicating that the modification did not occur at a residue involved significantly in receptor binding. Most likely, the loss in activity is due to the PEG interfering sterically at the binding interface. - Putrescine-PEG-DSPE(3.4K) (5.1 mM) was incubated with EPO (4.8 uM) in varying concentrations of ethanol (up to 55%) and TGase (0.15 U/ml) in 100 mM Tris (pH 7.5) and 10 mM CaCl2. SELDI-MS indicates that at 55% ethanol, up to 3 putrescine-PEG-DSPE(3.4K) moieties were attached per EPO (see
FIG. 13 ), although the reaction volumes were not sufficient to quantitate the percent of EPO modified. These data also confirm that up to three glutamine residues on EPO can serve as TGase substrates under these conditions. SELDI samples were prepared by spotting on H-4 SELDI chips, washing with 3 ul of water and adding 1 ul of saturated sinnapinnic acid. - These examples show that at least 3 glutamine residues on EPO can serve as sites for attachment of small molecules, PEG groups (from 5K-20K), PEGylated lipids, and proteins via TGase catalysis. The bioactivity of one PEGylated construct was confirmed, and was shown to be only slightly reduced. If the circulation half-life is significantly improved due to any of these modifications, such a small loss of activity could be insignificant when compared to the potentially improved pharmacokinetics of the modified protein.
- Peptides containing at least one glutamine residue are synthesized by standard solid phase Fmoc chemistry. Following completion of the synthesis, the peptide resin is deprotected with piperidine, washed, and reacted with PEG or other polymer containing an activated ester. Following reaction, the peptide-PEG conjugate is cleaved from the resin using standard TFA conditions and precipitated in ether. The peptide-PEG conjugate is then purified by reversed phase HPLC and lyophylized.
- Recombinant human EPO (rhEPO) (10 uM) is incubated with peptide-PEG conjugate (15 mM) and TGase (Sigma, St Louis, Mo.) (0.15 U/ml) in 100 mM Tris (pH 7.5) and 10 mM CaCl2 for 3 hours at 37° C. The reaction mixture is subjected to SDS-PAGE and the product is purified on a Zorbax GF-250 XL HPLC column equilibrated with PBS.
- UT7 is a human leukemic cell line that has been adapted to become EPO dependant (Komatsu, N., et al. Blood 82(2), 456-464, 1993). The UT7 cells are washed three times in PBS and starved for EPO for 24 hours prior to assay. UT-7 cells were starved in IMDM media with added L-glutamine and FBS at 5% (I5Q). Cells are washed once in 50 mL DPBS and counted while suspended in DPBS and suspended in the appropriate media to a final concentration of 6×105 cells/mL (yields a final concentration of 30,000 cells per well). An EPO standard is prepared by diluting EPO stock (1.7 mg/mL) to 0.85 μg/mL (2 μL in 4 mL media). The stock solution is diluted 2:340 to 5 ng/mL followed by 1:2 serial dilutions down to a concentration of 0.0098 ng/mL in I5Q media. The resulting dilutions provides standards at concentrations of 2.5 ng/mL to 0.0024 ng/mL. The test sample is diluted in a similar manner. A 50 μL aliquot of the UT-7 cell suspension is transferred to the corresponding wells and the plates were incubated at 37° C. for 48 hours. Cell proliferation is assessed using Promega's MTS solution, adding 20 μL per well. Readings begin 1 hour after MTS addition.
Claims (29)
1. An erythropoietic conjugate having the biological properties of causing bone marrow cells to increase production of reticulocytes and red blood cells, comprising a moiety of the formula:
EPO-[Lys-Gln-Z-X-(M)n]y (II)
where EPO is erythropoietin or its pharmaceutical acceptable derivatives having the biological properties of causing bone marrow cells to increase production of reticulocytes and red blood cells; Lys is a lysine residue selected from one or more lysine residues within the primary sequence of EPO; y is an integer from 1 to 8 indicating the number of modified lysine residues; Gln is a glutamine residue; Z is peptide or protein containing the Gln residue that is capable of acting as transglutaminase amine acceptor, X is an optional hydrophilic polymer; M is an optional organic molecule characterized in that it is capable of increasing the circulating half-life of the EPO molecule; N is an integer from 0 to 15, and the pharmaceutically acceptable salts or esters thereof.
2. The erythropoietic conjugate of claims 1 that cause bone marrow cells to increase production of red blood cells, and said increase is sustained after administration of said erythropoietin conjugate for a greater period of time than that seen after administration of unconjugated erythropoietin.
3. The erythropoietic conjugate of claim 2 , where the sustained effect is due to increased serum half life over unmodified mammalian erythropoietin.
4. The erythropoietic conjugate of claim 1 wherein M is one to about six organic moieties, which are each independently selected from a fatty acid group, a fatty acid ester group, a lipid or a phospholipid.
5. The erythropoietin conjugate of claim 1 wherein the hydrophilic polymer is a polyalkylene oxide.
6. The erythropoietic conjugate of claim 1 , wherein said erythropoietin or erythropoietic moiety is selected from recombinant and non-recombinant mammalian erythropoietin.
7. The erythropoietic conjugate of claim 5 , wherein the polyalkylene oxide is a substituted polyethylene oxide.
8. The erythropoietic conjugate of claim 5 , wherein the polyalkylene oxide is selected from polyethylene glycol homopolymers, polypropylene glycol homopolymers, alkyl-polyethylene oxides, bispolyethylene oxides and co-polymers or block co-polymers of polyalkyene oxides.
9. The erythropoietic conjugate of claim 2 wherein said glutamine residue is bonded to from one to eight of LYS 20, LYS 45, LYS 52, LYS 97, LYS 116, LYS 140, LYS 152, LYS 154 of the mature chain EPO.
10. The erythropoietic conjugate of claim 5 , wherein said polyalkylene oxide is a polyethylene glycol homopolymer having a molecular weight of between about 200 and about 100,000.
11. The erythropoietic conjugate of claim 1 wherein said hydrophilic polymeric group is a linear or branched polyalkane glycol chain, a carbohydrate chain, an amino acid chain or a polyvinyl pyrolidone chain, and wherein said hydrophilic polymeric group has a molecular weight of about 800 to about 120,000 Daltons.
12. The erythropoietic conjugate of claim 11 wherein said hydrophilic polymeric group is a linear or branched polyalkane glycol chain with a molecular weight greater than 2,000 Daltons.
13. The erythropoietic conjugate of claim 11 wherein said hydrophilic polymeric group is a linear or branched polyethylene glycol chain or a linear or branched substituted polyethylene glycol chain, n is an integer other than 0 and the organic moiety is selected from an alkyl group, a C6-C40 fatty acid group, a C6-C40 fatty acid ester group, a lipid group and a phospholipid group.
14. The erythropoietic conjugate of claim 13 wherein said hydrophilic polymeric group is a linear or branched polyethylene glycol chain that is terminally substituted with an organic moiety selected from an alIkyl group, a C6-C40 fatty acid group, a C6-C40 fatty acid ester group, a lipid group or a phospholipid group.
15. The erythropoietic conjugate of claim 14 wherein said organic moiety is palmitoyl.
16. The erythropoietic conjugate of claim 14 wherein the organic moiety is disteroylphosphatidyl ethanolamine (DSPE).
17. The erythropoetic conjugate of claim 14 wherein the glutamine-hydrophilic polymer-organic moiety is covalently bonded to from one to eight of LYS 20, LYS 45, LYS 52, LYS 97, LYS 116, LYS 140, LYS 152, LYS 154 of the mature chain EPO.
18. The conjugate of claim 1 where A is a glutamine-containing TGase substrate, X is PEG or other water soluble polymer and is optional, and M is biotin, dansyl, or other organic moiety imparting biophysical characteristics to EPO that are useful for research, diagnostic or therapeutic purposes.
19. A method of preparing an EPO conjugate having erythropoietic activity of the formula:
EPO-[Lys-Gln-Z-X-(M)n]y (II)
where EPO is erythropoietin or its pharmaceutical acceptable derivatives having the biological properties of causing bone marrow cells to increase production of reticulocytes and red blood cells; Lys is a lysine residue selected from one or more lysine residues within the primary sequence of EPO; y is an integer from 1 to 8 indicating the number of modified lysine residues; Gln is a glutamine residue; Z is peptide or protein containing the Gln residue that is capable of acting as transglutaminase amine acceptor, X is an optional hydrophilic polymer; M is an optional organic molecule characterized in that it is capable of increasing the circulating half-life of the EPO molecule; N is an integer from 0 to 15, and the pharmaceutically acceptable salts or esters thereof;
comprising contacting an erythropoetic or an erythropoetic protein having a water accessible lysine residue with a preconstructed hydrophilic polymer-organic moiety complex of the formula Gln-Z-X(M)n, capable of acting as a transglutaminase substrate, in the presence of transglutaminase under conditions such that an EPO-polymer-organic moiety conjugate is formed.
20. The method of claim 19 , wherein said polymer is a polyalkylene oxide.
21. The method of claim 20 , wherein said polyalkylene oxide is an alpha-substituted polyalkylene oxide.
22. The method of claim 21 , wherein said polyalkylene oxide is a polyethylene glycol.
23. The method of claim 19 , wherein the transglutaminase is a mammalian protein.
24. The method of claim 19 , wherein the transglutaminase is a bacterial protein.
25. The method of claim 19 , wherein the transglutaminase is a prokaryotic protein.
26. The method of claim 19 where A is a peptide, protein, or other polymer containing a glutamine residue capable of acting as an amine acceptor TGase substrate, X is PEG or other water soluble polymer and is optional, and M is biotin, dansyl, or other moiety imparting biophysical characteristics to EPO that are useful for research, diagnostic or therapeutic purposes.
27. A method of treating anemia comprising administering a therapeutically effective amount of conjugate of claim 1 .
28. The method of claim 27 wherein said conjugate is characterized by increased serum half-life-compared to the unconjugated erythropoietin.
29. An erythropoietic protein or protein conjugate containing recombinant or non-recombinant mammalian erythropoietin in which any or all of the residues LYS 20, LYS 45, LYS 52, LYS 97, LYS 116, LYS 140, LYS 152, LYS 154 have been modified by recombinant, enzymatic or chemical means to modify the TGase substrate properties and thereby increase the circulation half life or otherwise alter the biological activity of said erythropoietic protein.
Priority Applications (1)
| Application Number | Priority Date | Filing Date | Title |
|---|---|---|---|
| US11/241,649 US20060116322A1 (en) | 2003-05-30 | 2005-09-30 | Formation of novel erythropoietin conjugates using transglutaminase |
Applications Claiming Priority (3)
| Application Number | Priority Date | Filing Date | Title |
|---|---|---|---|
| US47507403P | 2003-05-30 | 2003-05-30 | |
| US10/854,854 US6995245B2 (en) | 2003-05-30 | 2004-05-27 | Formation of novel erythropoietin conjugates using transglutaminase |
| US11/241,649 US20060116322A1 (en) | 2003-05-30 | 2005-09-30 | Formation of novel erythropoietin conjugates using transglutaminase |
Related Parent Applications (1)
| Application Number | Title | Priority Date | Filing Date |
|---|---|---|---|
| US10/854,854 Division US6995245B2 (en) | 2003-05-30 | 2004-05-27 | Formation of novel erythropoietin conjugates using transglutaminase |
Publications (1)
| Publication Number | Publication Date |
|---|---|
| US20060116322A1 true US20060116322A1 (en) | 2006-06-01 |
Family
ID=33511647
Family Applications (2)
| Application Number | Title | Priority Date | Filing Date |
|---|---|---|---|
| US10/854,854 Expired - Fee Related US6995245B2 (en) | 2003-05-30 | 2004-05-27 | Formation of novel erythropoietin conjugates using transglutaminase |
| US11/241,649 Abandoned US20060116322A1 (en) | 2003-05-30 | 2005-09-30 | Formation of novel erythropoietin conjugates using transglutaminase |
Family Applications Before (1)
| Application Number | Title | Priority Date | Filing Date |
|---|---|---|---|
| US10/854,854 Expired - Fee Related US6995245B2 (en) | 2003-05-30 | 2004-05-27 | Formation of novel erythropoietin conjugates using transglutaminase |
Country Status (10)
| Country | Link |
|---|---|
| US (2) | US6995245B2 (en) |
| EP (1) | EP1641481A4 (en) |
| JP (1) | JP2007537986A (en) |
| KR (1) | KR20060032140A (en) |
| CN (1) | CN1826131A (en) |
| BR (1) | BRPI0410863A (en) |
| CA (1) | CA2527665A1 (en) |
| MX (1) | MXPA05012936A (en) |
| NO (1) | NO20056225L (en) |
| WO (1) | WO2004108667A2 (en) |
Cited By (1)
| Publication number | Priority date | Publication date | Assignee | Title |
|---|---|---|---|---|
| WO2013163162A1 (en) * | 2012-04-24 | 2013-10-31 | Amylin Pharmaceuticals, Llc | Site-specific enzymatic modification of exendins and analogs thereof |
Families Citing this family (119)
| Publication number | Priority date | Publication date | Assignee | Title |
|---|---|---|---|---|
| AU2004311796A1 (en) * | 2003-12-31 | 2005-07-21 | Centocor, Inc. | Novel recombinant proteins with N-terminal free thiol |
| US9345745B2 (en) | 2005-04-29 | 2016-05-24 | Bo Wang | Methods for treating inflammatory disorders and traumatic brain injury using stabilized non-hematopoietic EPO short peptides |
| US9585932B2 (en) | 2005-04-29 | 2017-03-07 | Peter C. Dowling | Use of EPO-derived peptide fragments for the treatment of neurodegenerative disorders |
| WO2007052154A2 (en) * | 2005-04-29 | 2007-05-10 | University Of Medicine And Dentistry Of New Jersey | Erythropoietin-derived short peptide and its mimics as immuno/inflammatory modulators |
| MX2007015676A (en) * | 2005-06-15 | 2008-02-20 | Novo Nordisk Healthcare Ag | Transglutaminase mediated conjugation of growth hormone. |
| CN101268098A (en) | 2005-08-30 | 2008-09-17 | 诺沃-诺迪斯克保健股份有限公司 | Liquid formulations of pegylated growth hormone |
| AR053416A1 (en) | 2005-11-10 | 2007-05-09 | Protech Pharma S A | COMBINATION OF GLICOISOFORMS FOR THE TREATMENT OR PREVENTION OF SEPTICEMIA, TRANSGENIC CELLULAR LINE PRODUCING ERYTHROPOYETINE GLICOFORMES, PHARMACEUTICAL COMPOSITION THAT INCLUDES SUCH COMBINATION, PROCEDURES TO OBTAIN THE CELLULAR PROCEDURE |
| DK1969031T3 (en) * | 2005-12-05 | 2009-09-14 | Nitto Denko Corp | Polyglutamate Amino Acid Conjugates and Methods |
| US9175061B2 (en) | 2006-07-07 | 2015-11-03 | Novo Nordisk Health Care Ag | Protein conjugates and methods for their preparation |
| KR101304081B1 (en) * | 2006-08-04 | 2013-09-05 | 프로롱 파마슈티컬스, 엘엘씨 | Modified erythropoietin |
| US20080181852A1 (en) * | 2007-01-29 | 2008-07-31 | Nitto Denko Corporation | Multi-functional Drug Carriers |
| PE20090722A1 (en) | 2007-02-02 | 2009-07-13 | Amgen Inc | HEPCIDIN, HEPCIDIN ANTAGONISTS AND METHODS OF USE |
| US20140011964A1 (en) | 2007-02-28 | 2014-01-09 | Serina Therapeutics, Inc. | Activated Polyoxazolines and Conjugates and Compositions Comprising the Same |
| WO2008124735A2 (en) * | 2007-04-10 | 2008-10-16 | Nitto Denko Corporation | Multi-functional polyglutamate drug carriers |
| CA2683590A1 (en) * | 2007-05-09 | 2008-11-20 | Nitto Denko Corporation | Compositions that include a hydrophobic compound and a polyamino acid conjugate |
| CA2701032C (en) | 2007-09-27 | 2021-01-26 | Amgen Inc. | Pharmaceutical formulations |
| ES2962777T3 (en) | 2007-11-15 | 2024-03-21 | Amgen Inc | Antioxidant-stabilized aqueous antibody formulation for parenteral administration |
| EP3042922B1 (en) | 2008-01-11 | 2017-07-19 | Serina Therapeutics, Inc. | Multifunctional forms of polyoxazoline copolymers and drug compositions comprising the same |
| US8101706B2 (en) | 2008-01-11 | 2012-01-24 | Serina Therapeutics, Inc. | Multifunctional forms of polyoxazoline copolymers and drug compositions comprising the same |
| CA2711826C (en) | 2008-01-25 | 2018-02-27 | Amgen Inc. | Ferroportin antibodies and methods of use |
| JP2011513412A (en) * | 2008-03-06 | 2011-04-28 | 日東電工株式会社 | Pharmaceutical composition for treating cancer comprising a polymer paclitaxel conjugate |
| US9315577B2 (en) | 2008-05-01 | 2016-04-19 | Amgen Inc. | Anti-hepcidin antibodies and methods of use |
| WO2010056981A2 (en) | 2008-11-13 | 2010-05-20 | Massachusetts General Hospital | Methods and compositions for regulating iron homeostasis by modulation bmp-6 |
| AU2010310457B2 (en) | 2009-10-23 | 2015-07-02 | Amgen Inc. | Vial adapter and system |
| ITPD20100155A1 (en) * | 2010-05-19 | 2011-11-20 | Univ Padova | METHOD FOR THE PREPARATION OF CONJUGATES USING TRANSGLUTAMINASIS |
| PT2575935E (en) | 2010-06-07 | 2015-10-20 | Amgen Inc | Drug delivery device |
| US9676871B2 (en) * | 2010-11-05 | 2017-06-13 | Pfizer Inc. | Engineered polypeptide conjugates and methods for making thereof using transglutaminase |
| MX341790B (en) | 2011-03-31 | 2016-09-02 | Amgen Inc | Vial adapter and system. |
| CA3021845C (en) | 2011-04-20 | 2022-03-29 | Amgen Inc. | Autoinjector apparatus |
| EP2734238B1 (en) | 2011-07-19 | 2020-02-19 | CellMosaic, Inc. | Sugar alcohol-based crosslinking reagents, macromolecules, therapeutic bioconjugates, and synthetic methods thereof |
| SMT201800287T1 (en) | 2011-10-14 | 2018-07-17 | Amgen Inc | Injector and method of assembly |
| EP3564259A3 (en) * | 2012-11-09 | 2020-02-12 | Innate Pharma | Recognition tags for tgase-mediated conjugation |
| AU2013348071B2 (en) | 2012-11-21 | 2018-05-24 | Amgen Inc. | Drug delivery device |
| JP6336564B2 (en) | 2013-03-15 | 2018-06-06 | アムゲン・インコーポレーテッド | Drug cassette, auto-injector, and auto-injector system |
| TWI639453B (en) | 2013-03-15 | 2018-11-01 | 美商安美基公司 | Cassette for an injector |
| EP2968503B1 (en) | 2013-03-15 | 2018-08-15 | Intrinsic LifeSciences LLC | Anti-hepcidin antibodies and uses thereof |
| JP6643977B2 (en) | 2013-03-15 | 2020-02-12 | アムゲン・インコーポレーテッド | Automatic injector device adaptable to body contours |
| CN113559363B (en) | 2013-03-22 | 2023-10-31 | 美国安进公司 | Syringe and method of assembly |
| CA2919583C (en) | 2013-07-31 | 2018-09-11 | Rinat Neuroscience Corp. | Engineered polypeptide conjugates |
| WO2015032981A1 (en) * | 2013-09-09 | 2015-03-12 | Lek Pharmaceuticals D.D. | Erythropoietin conjugates having oral bioavailability |
| EP3789064B1 (en) | 2013-10-24 | 2024-11-27 | Amgen Inc. | Injector and method of assembly |
| WO2015061389A1 (en) | 2013-10-24 | 2015-04-30 | Amgen Inc. | Drug delivery system with temperature-sensitive control |
| WO2015119906A1 (en) | 2014-02-05 | 2015-08-13 | Amgen Inc. | Drug delivery system with electromagnetic field generator |
| SI3134127T1 (en) | 2014-04-25 | 2020-06-30 | Rinat Neuroscience Corp. | Conjugate drugs with high-level antibodies |
| SG11201609219QA (en) | 2014-05-07 | 2016-12-29 | Amgen Inc | Autoinjector with shock reducing elements |
| US20170124285A1 (en) | 2014-06-03 | 2017-05-04 | Amgen Inc. | Devices and methods for assisting a user of a drug delivery device |
| AU2015321462B2 (en) | 2014-09-22 | 2020-04-30 | Intrinsic Lifesciences Llc | Humanized anti-hepcidin antibodies and uses thereof |
| MX392725B (en) | 2014-10-14 | 2025-03-24 | Amgen Inc | DRUG INJECTION DEVICE WITH VISUAL AND AUDIBLE INDICATORS. |
| WO2016100055A1 (en) | 2014-12-19 | 2016-06-23 | Amgen Inc. | Drug delivery device with live button or user interface field |
| JP6716566B2 (en) | 2014-12-19 | 2020-07-01 | アムジエン・インコーポレーテツド | Drug delivery device with proximity sensor |
| CN105837681B (en) * | 2015-01-13 | 2019-04-19 | 天津药物研究院 | A kind of Erythropoietin mimetic peptide derivative, preparation method and use |
| US10583245B2 (en) | 2015-02-17 | 2020-03-10 | Amgen Inc. | Drug delivery device with vacuum assisted securement and/or feedback |
| ES2905870T3 (en) | 2015-02-27 | 2022-04-12 | Amgen Inc | Drug delivery device having a needle guard mechanism with an adjustable threshold resistance to movement of the needle guard |
| WO2017025179A1 (en) * | 2015-08-07 | 2017-02-16 | Merck Patent Gmbh | A transglutamine tag for efficient site-specific bioconjugation |
| WO2017039786A1 (en) | 2015-09-02 | 2017-03-09 | Amgen Inc. | Syringe assembly adapter for a syringe |
| CN105367629B (en) * | 2015-11-09 | 2019-01-08 | 天津药物研究院有限公司 | A kind of Erythropoietin mimetic peptide with and its preparation method and application |
| WO2017100501A1 (en) | 2015-12-09 | 2017-06-15 | Amgen Inc. | Auto-injector with signaling cap |
| WO2017120178A1 (en) | 2016-01-06 | 2017-07-13 | Amgen Inc. | Auto-injector with signaling electronics |
| ES2814287T3 (en) | 2016-03-15 | 2021-03-26 | Amgen Inc | Reduce the likelihood of glass breakage in drug delivery devices |
| WO2017189089A1 (en) | 2016-04-29 | 2017-11-02 | Amgen Inc. | Drug delivery device with messaging label |
| US11389588B2 (en) | 2016-05-02 | 2022-07-19 | Amgen Inc. | Syringe adapter and guide for filling an on-body injector |
| AU2017263558B2 (en) | 2016-05-13 | 2022-12-22 | Amgen Inc. | Vial sleeve assembly |
| US11238150B2 (en) | 2016-05-16 | 2022-02-01 | Amgen Inc. | Data encryption in medical devices with limited computational capability |
| EP3465124B1 (en) | 2016-06-03 | 2026-02-11 | Amgen Inc. | Impact testing apparatuses and methods for drug delivery devices |
| WO2018004842A1 (en) | 2016-07-01 | 2018-01-04 | Amgen Inc. | Drug delivery device having minimized risk of component fracture upon impact events |
| US20190328965A1 (en) | 2016-08-17 | 2019-10-31 | Amgen Inc. | Drug delivery device with placement detection |
| EP3532127A1 (en) | 2016-10-25 | 2019-09-04 | Amgen Inc. | On-body injector |
| EP3570917A1 (en) | 2017-01-17 | 2019-11-27 | Amgen Inc. | Injection devices and related methods of use and assembly |
| AU2018220538B2 (en) | 2017-02-17 | 2023-12-14 | Amgen Inc. | Drug delivery device with sterile fluid flowpath and related method of assembly |
| WO2018152073A1 (en) | 2017-02-17 | 2018-08-23 | Amgen Inc. | Insertion mechanism for drug delivery device |
| WO2018165143A1 (en) | 2017-03-06 | 2018-09-13 | Amgen Inc. | Drug delivery device with activation prevention feature |
| IL268478B2 (en) | 2017-03-07 | 2023-10-01 | Amgen Inc | Needle insertion by overpressure |
| MX2019010671A (en) | 2017-03-09 | 2019-10-21 | Amgen Inc | Insertion mechanism for drug delivery device. |
| CN110446499A (en) | 2017-03-20 | 2019-11-12 | 豪夫迈·罗氏有限公司 | A method for glycoengineering erythropoiesis-stimulating protein in vitro |
| KR102651078B1 (en) | 2017-03-28 | 2024-03-22 | 암겐 인코포레이티드 | Plunger rod and syringe assembly system and method |
| US11203611B2 (en) | 2017-04-14 | 2021-12-21 | Tollnine, Inc. | Immunomodulating polynucleotides, antibody conjugates thereof, and methods of their use |
| CA3061982A1 (en) | 2017-06-08 | 2018-12-13 | Amgen Inc. | Syringe assembly for a drug delivery device and method of assembly |
| EP3634546A1 (en) | 2017-06-08 | 2020-04-15 | Amgen Inc. | Torque driven drug delivery device |
| KR102268647B1 (en) * | 2017-06-12 | 2021-06-23 | 한국코러스 주식회사 | A Composition comprising erythropoietin and a method of producing the same |
| AU2018288604B2 (en) | 2017-06-22 | 2023-12-21 | Amgen Inc. | Device activation impact/shock reduction |
| MA49461A (en) | 2017-06-23 | 2020-04-29 | Amgen Inc | ELECTRONIC DRUG DELIVERY DEVICE INCLUDING A CAP ACTIVATED BY A SWITCH ASSEMBLY |
| JP7408398B2 (en) | 2017-07-14 | 2024-01-05 | アムジエン・インコーポレーテツド | Needle insertion and retraction system with dual torsion spring system |
| WO2019018169A1 (en) | 2017-07-21 | 2019-01-24 | Amgen Inc. | Gas permeable sealing member for drug container and methods of assembly |
| MA49677A (en) | 2017-07-25 | 2021-04-21 | Amgen Inc | DRUG DELIVERY DEVICE WITH GEAR MODULE AND ASSOCIATED ASSEMBLY PROCESS |
| JP7242562B2 (en) | 2017-07-25 | 2023-03-20 | アムジエン・インコーポレーテツド | Drug delivery device with container access system and associated method of assembly |
| US12318593B2 (en) | 2017-08-09 | 2025-06-03 | Amgen Inc. | Hydraulic-pneumatic pressurized chamber drug delivery system |
| WO2019036181A1 (en) | 2017-08-18 | 2019-02-21 | Amgen Inc. | Wearable injector with sterile adhesive patch |
| US11103636B2 (en) | 2017-08-22 | 2021-08-31 | Amgen Inc. | Needle insertion mechanism for drug delivery device |
| MA50611A (en) | 2017-10-04 | 2020-08-12 | Amgen Inc | FLOW ADAPTER FOR A DRUG DELIVERY DEVICE |
| CN111132711B (en) | 2017-10-06 | 2022-07-01 | 安进公司 | Drug delivery device with interlocking components and related assembly methods |
| EP3694578B1 (en) | 2017-10-09 | 2025-09-24 | Amgen Inc. | Drug delivery device with drive assembly and related method of assembly |
| IL273663B2 (en) | 2017-11-03 | 2025-05-01 | Amgen Inc | System and approaches for sterilizing a drug delivery device |
| WO2019090303A1 (en) | 2017-11-06 | 2019-05-09 | Amgen Inc. | Fill-finish assemblies and related methods |
| ES2994389T3 (en) | 2017-11-06 | 2025-01-23 | Amgen Inc | Drug delivery device with placement and flow sensing |
| MA50557A (en) | 2017-11-10 | 2020-09-16 | Amgen Inc | PISTONS FOR DRUG DELIVERY DEVICES |
| JP7747438B2 (en) | 2017-11-16 | 2025-10-01 | アムジエン・インコーポレーテツド | Autoinjector with stall and end-point detection |
| JP7370969B2 (en) | 2017-11-16 | 2023-10-30 | アムジエン・インコーポレーテツド | Door latch mechanism for drug delivery devices |
| US10835685B2 (en) | 2018-05-30 | 2020-11-17 | Amgen Inc. | Thermal spring release mechanism for a drug delivery device |
| US11083840B2 (en) | 2018-06-01 | 2021-08-10 | Amgen Inc. | Modular fluid path assemblies for drug delivery devices |
| US12303677B2 (en) | 2018-07-24 | 2025-05-20 | Amgen Inc. | Hybrid drug delivery devices with optional grip portion and related method of preparation |
| WO2020023451A1 (en) | 2018-07-24 | 2020-01-30 | Amgen Inc. | Delivery devices for administering drugs |
| MA53379A (en) | 2018-07-24 | 2021-06-02 | Amgen Inc | ADMINISTRATION DEVICES FOR THE ADMINISTRATION OF MEDICINES |
| WO2020023336A1 (en) | 2018-07-24 | 2020-01-30 | Amgen Inc. | Hybrid drug delivery devices with grip portion |
| MA53320A (en) | 2018-07-31 | 2021-11-03 | Amgen Inc | FLUID PATH ASSEMBLY FOR DRUG DELIVERY DEVICE |
| MA53724A (en) | 2018-09-24 | 2021-12-29 | Amgen Inc | INTERVENTIONAL DOSING SYSTEMS AND METHODS |
| CA3110371A1 (en) | 2018-09-28 | 2020-04-02 | Amgen Inc. | Muscle wire escapement activation assembly for a drug delivery device |
| CN117159846A (en) | 2018-10-02 | 2023-12-05 | 安进公司 | Injection systems for drug delivery with internal force transmission |
| WO2020072846A1 (en) | 2018-10-05 | 2020-04-09 | Amgen Inc. | Drug delivery device having dose indicator |
| SG11202101824VA (en) | 2018-10-15 | 2021-03-30 | Amgen Inc | Platform assembly process for drug delivery device |
| AR116704A1 (en) | 2018-10-15 | 2021-06-02 | Amgen Inc | DRUG ADMINISTRATION DEVICE WITH CUSHIONING MECHANISM |
| TWI831847B (en) | 2018-11-01 | 2024-02-11 | 美商安進公司 | Drug delivery devices with partial needle retraction and methods for operating the same |
| ES3010833T3 (en) | 2018-11-01 | 2025-04-04 | Amgen Inc | Drug delivery devices with partial drug delivery member retraction |
| IL281908B2 (en) | 2018-11-01 | 2025-06-01 | Amgen Inc | Drug delivery devices with partial drug delivery unit withdrawal |
| US20220160972A1 (en) | 2019-04-24 | 2022-05-26 | Amgen Inc. | Syringe sterilization verification assemblies and methods |
| EP4017560A2 (en) | 2019-08-23 | 2022-06-29 | Amgen, Inc | Drug delivery device with configurable needle shield engagement components and related methods |
| KR20220074813A (en) * | 2020-11-27 | 2022-06-03 | ㈜ 디앤디파마텍 | Physiological active materials conjugate with biotin moiety, fatty acid moiety or a combination thereof |
| MX2023013640A (en) | 2021-05-21 | 2023-11-30 | Amgen Inc | Method of optimizing a filling recipe for a drug container. |
| AU2022329479A1 (en) * | 2021-08-20 | 2024-04-04 | Chen Liu | Protein array-based in vitro transglutaminase assay for epitope mapping and immunogen design |
| IL319976A (en) | 2022-11-02 | 2025-05-01 | Hoffmann La Roche | Method for producing glycoprotein compositions |
Citations (12)
| Publication number | Priority date | Publication date | Assignee | Title |
|---|---|---|---|---|
| US4806524A (en) * | 1984-10-18 | 1989-02-21 | Chugai Seiyaku Kabushiki Kaisha | Stable erythropoietin preparation and process for formulating the same |
| US4904584A (en) * | 1987-12-23 | 1990-02-27 | Genetics Institute, Inc. | Site-specific homogeneous modification of polypeptides |
| US5438040A (en) * | 1993-05-10 | 1995-08-01 | Protein Delivery, Inc. | Conjugation-stabilized polypeptide compositions, therapeutic delivery and diagnostic formulations comprising same, and method of making and using the same |
| US5747446A (en) * | 1994-03-22 | 1998-05-05 | Beth Israel Deaconess Medical Center | Modified polypeptides with increased biological activity |
| US6010871A (en) * | 1994-09-29 | 2000-01-04 | Ajinomoto Co., Inc. | Modification of peptide and protein |
| US6077939A (en) * | 1996-08-02 | 2000-06-20 | Ortho-Mcneil Pharmaceutical, Inc. | Methods and kits for making polypeptides having a single covalently bound N-terminal water-soluble polymer |
| US6322996B1 (en) * | 1994-08-23 | 2001-11-27 | Drug Delivery System Institute, Ltd. | Protein modification method |
| US6331422B1 (en) * | 1997-04-03 | 2001-12-18 | California Institute Of Technology | Enzyme-mediated modification of fibrin for tissue engineering |
| US6340742B1 (en) * | 1999-07-02 | 2002-01-22 | Roche Diagnostics Gmbh | Erythropoietin conjugates |
| US6583272B1 (en) * | 1999-07-02 | 2003-06-24 | Hoffmann-La Roche Inc. | Erythropoietin conjugates |
| US20040082765A1 (en) * | 2000-10-16 | 2004-04-29 | Teruo Nakamura | Peg-modified erythropoietin |
| US7074755B2 (en) * | 2003-05-17 | 2006-07-11 | Centocor, Inc. | Erythropoietin conjugate compounds with extended half-lives |
Family Cites Families (6)
| Publication number | Priority date | Publication date | Assignee | Title |
|---|---|---|---|---|
| US5166322A (en) | 1989-04-21 | 1992-11-24 | Genetics Institute | Cysteine added variants of interleukin-3 and chemical modifications thereof |
| NZ244778A (en) | 1991-10-21 | 1994-03-25 | Ortho Pharma Corp | Peg imidates and protein derivatives thereof |
| WO1994028024A1 (en) | 1993-06-01 | 1994-12-08 | Enzon, Inc. | Carbohydrate-modified polymer conjugates with erythropoietic activity |
| AU1325400A (en) * | 1998-10-26 | 2000-05-15 | University Of Utah Research Foundation | Method for preparation of polyethylene glycol aldehyde derivatives |
| EP1144613B2 (en) * | 1999-01-14 | 2020-05-06 | Bolder Biotechnology, Inc. | Methods for making proteins containing free cysteine residues |
| JP2003527561A (en) | 1999-01-22 | 2003-09-16 | スミスクライン・ビーチャム・コーポレイション | Methods for site-specific labeling of proteins and uses therefor |
-
2004
- 2004-05-27 WO PCT/US2004/016670 patent/WO2004108667A2/en not_active Ceased
- 2004-05-27 BR BRPI0410863-9A patent/BRPI0410863A/en not_active Application Discontinuation
- 2004-05-27 CN CNA2004800211083A patent/CN1826131A/en active Pending
- 2004-05-27 CA CA002527665A patent/CA2527665A1/en not_active Abandoned
- 2004-05-27 MX MXPA05012936A patent/MXPA05012936A/en active IP Right Grant
- 2004-05-27 EP EP04753490A patent/EP1641481A4/en not_active Withdrawn
- 2004-05-27 US US10/854,854 patent/US6995245B2/en not_active Expired - Fee Related
- 2004-05-27 KR KR1020057022982A patent/KR20060032140A/en not_active Withdrawn
- 2004-05-27 JP JP2006533437A patent/JP2007537986A/en active Pending
-
2005
- 2005-09-30 US US11/241,649 patent/US20060116322A1/en not_active Abandoned
- 2005-12-29 NO NO20056225A patent/NO20056225L/en not_active Application Discontinuation
Patent Citations (12)
| Publication number | Priority date | Publication date | Assignee | Title |
|---|---|---|---|---|
| US4806524A (en) * | 1984-10-18 | 1989-02-21 | Chugai Seiyaku Kabushiki Kaisha | Stable erythropoietin preparation and process for formulating the same |
| US4904584A (en) * | 1987-12-23 | 1990-02-27 | Genetics Institute, Inc. | Site-specific homogeneous modification of polypeptides |
| US5438040A (en) * | 1993-05-10 | 1995-08-01 | Protein Delivery, Inc. | Conjugation-stabilized polypeptide compositions, therapeutic delivery and diagnostic formulations comprising same, and method of making and using the same |
| US5747446A (en) * | 1994-03-22 | 1998-05-05 | Beth Israel Deaconess Medical Center | Modified polypeptides with increased biological activity |
| US6322996B1 (en) * | 1994-08-23 | 2001-11-27 | Drug Delivery System Institute, Ltd. | Protein modification method |
| US6010871A (en) * | 1994-09-29 | 2000-01-04 | Ajinomoto Co., Inc. | Modification of peptide and protein |
| US6077939A (en) * | 1996-08-02 | 2000-06-20 | Ortho-Mcneil Pharmaceutical, Inc. | Methods and kits for making polypeptides having a single covalently bound N-terminal water-soluble polymer |
| US6331422B1 (en) * | 1997-04-03 | 2001-12-18 | California Institute Of Technology | Enzyme-mediated modification of fibrin for tissue engineering |
| US6340742B1 (en) * | 1999-07-02 | 2002-01-22 | Roche Diagnostics Gmbh | Erythropoietin conjugates |
| US6583272B1 (en) * | 1999-07-02 | 2003-06-24 | Hoffmann-La Roche Inc. | Erythropoietin conjugates |
| US20040082765A1 (en) * | 2000-10-16 | 2004-04-29 | Teruo Nakamura | Peg-modified erythropoietin |
| US7074755B2 (en) * | 2003-05-17 | 2006-07-11 | Centocor, Inc. | Erythropoietin conjugate compounds with extended half-lives |
Cited By (1)
| Publication number | Priority date | Publication date | Assignee | Title |
|---|---|---|---|---|
| WO2013163162A1 (en) * | 2012-04-24 | 2013-10-31 | Amylin Pharmaceuticals, Llc | Site-specific enzymatic modification of exendins and analogs thereof |
Also Published As
| Publication number | Publication date |
|---|---|
| CA2527665A1 (en) | 2004-12-16 |
| EP1641481A2 (en) | 2006-04-05 |
| KR20060032140A (en) | 2006-04-14 |
| NO20056225L (en) | 2006-02-24 |
| CN1826131A (en) | 2006-08-30 |
| JP2007537986A (en) | 2007-12-27 |
| EP1641481A4 (en) | 2008-10-15 |
| MXPA05012936A (en) | 2006-05-17 |
| US20040266690A1 (en) | 2004-12-30 |
| WO2004108667A2 (en) | 2004-12-16 |
| BRPI0410863A (en) | 2006-07-04 |
| WO2004108667A3 (en) | 2005-03-24 |
| US6995245B2 (en) | 2006-02-07 |
Similar Documents
| Publication | Publication Date | Title |
|---|---|---|
| US6995245B2 (en) | Formation of novel erythropoietin conjugates using transglutaminase | |
| US7074755B2 (en) | Erythropoietin conjugate compounds with extended half-lives | |
| CN100471521C (en) | Polypeptides containing a single water-soluble polymer covalently bound to the N-terminus | |
| US6262253B1 (en) | Vitamin B12 conjugates with gcsf, analogues thereof and pharmaceutical compositions | |
| EP1090036B1 (en) | Site specific protein modification by mutagenesis | |
| US7893019B2 (en) | G-CSF site-specific mono-conjugates | |
| US20090239790A1 (en) | Novel recombinant proteins with n-terminal free thiol | |
| SK126097A3 (en) | Stable protein:phospholipid compositions and methods | |
| JP2012116840A (en) | Method for increasing protein polyethylene glycol (peg) conjugation | |
| US6204247B1 (en) | Chemical modification of proteins to improve biocompatibility and bioactivity | |
| Mero et al. | Site-selective enzymatic chemistry for polymer conjugation to protein lysine residues: PEGylation of G-CSF at lysine-41 | |
| US10086084B2 (en) | Activated polyoxazolines and conjugates and compositions comprising the same | |
| US5900404A (en) | Chemical modification of proteins to improve biocompatibility and bioactivity | |
| EP1316318A2 (en) | Method of transducing a protein into cells | |
| Giorgi et al. | Glycan-targeted PEGylation for selective modification of proteins | |
| US20030138944A1 (en) | Method of transducing a protein into cells | |
| MXPA00001208A (en) | Chemical modification of proteins to improve biocompatibility and bioactivity |
Legal Events
| Date | Code | Title | Description |
|---|---|---|---|
| AS | Assignment |
Owner name: CENTOCOR, INC., PENNSYLVANIA Free format text: ASSIGNMENT OF ASSIGNORS INTEREST;ASSIGNOR:CHADLER POOL;REEL/FRAME:017964/0492 Effective date: 20060623 |
|
| STCB | Information on status: application discontinuation |
Free format text: ABANDONED -- FAILURE TO RESPOND TO AN OFFICE ACTION |




