US20060048308A1 - Method of dyeing or printing cellulose-containing fibre materials using disperse dyes - Google Patents
Method of dyeing or printing cellulose-containing fibre materials using disperse dyes Download PDFInfo
- Publication number
- US20060048308A1 US20060048308A1 US10/522,666 US52266605A US2006048308A1 US 20060048308 A1 US20060048308 A1 US 20060048308A1 US 52266605 A US52266605 A US 52266605A US 2006048308 A1 US2006048308 A1 US 2006048308A1
- Authority
- US
- United States
- Prior art keywords
- hydrogen
- alkyl
- alkoxy
- halogen
- substituted
- Prior art date
- Legal status (The legal status is an assumption and is not a legal conclusion. Google has not performed a legal analysis and makes no representation as to the accuracy of the status listed.)
- Abandoned
Links
- 239000000835 fiber Substances 0.000 title claims abstract description 54
- 238000000034 method Methods 0.000 title claims abstract description 52
- 238000004043 dyeing Methods 0.000 title claims abstract description 45
- 239000000463 material Substances 0.000 title claims abstract description 28
- 239000000986 disperse dye Substances 0.000 title claims abstract description 27
- 238000007639 printing Methods 0.000 title claims abstract description 25
- 229920002678 cellulose Polymers 0.000 title claims abstract description 24
- 239000001913 cellulose Substances 0.000 title claims abstract description 24
- 239000000203 mixture Substances 0.000 claims abstract description 52
- 239000011230 binding agent Substances 0.000 claims abstract description 24
- NIXOWILDQLNWCW-UHFFFAOYSA-M Acrylate Chemical compound [O-]C(=O)C=C NIXOWILDQLNWCW-UHFFFAOYSA-M 0.000 claims abstract description 21
- 229920001225 polyester resin Polymers 0.000 claims abstract description 18
- 239000004645 polyester resin Substances 0.000 claims abstract description 18
- 229920000728 polyester Polymers 0.000 claims abstract description 17
- 239000001257 hydrogen Substances 0.000 claims description 64
- 229910052739 hydrogen Inorganic materials 0.000 claims description 64
- 125000004178 (C1-C4) alkyl group Chemical group 0.000 claims description 50
- 239000000975 dye Substances 0.000 claims description 48
- 150000002431 hydrogen Chemical group 0.000 claims description 47
- 229910052736 halogen Inorganic materials 0.000 claims description 38
- 150000002367 halogens Chemical group 0.000 claims description 38
- 125000001997 phenyl group Chemical group [H]C1=C([H])C([H])=C(*)C([H])=C1[H] 0.000 claims description 33
- 125000000229 (C1-C4)alkoxy group Chemical group 0.000 claims description 32
- 125000004093 cyano group Chemical group *C#N 0.000 claims description 20
- 125000002887 hydroxy group Chemical group [H]O* 0.000 claims description 18
- 125000000449 nitro group Chemical group [O-][N+](*)=O 0.000 claims description 16
- UFHFLCQGNIYNRP-UHFFFAOYSA-N Hydrogen Chemical compound [H][H] UFHFLCQGNIYNRP-UHFFFAOYSA-N 0.000 claims description 14
- 229920000642 polymer Polymers 0.000 claims description 13
- 125000000951 phenoxy group Chemical group [H]C1=C([H])C([H])=C(O*)C([H])=C1[H] 0.000 claims description 10
- 239000011159 matrix material Substances 0.000 claims description 9
- 239000003795 chemical substances by application Substances 0.000 claims description 8
- 239000003431 cross linking reagent Substances 0.000 claims description 8
- -1 phenylsulfonyloxy Chemical group 0.000 claims description 8
- 125000003170 phenylsulfonyl group Chemical group C1(=CC=CC=C1)S(=O)(=O)* 0.000 claims description 4
- 125000001544 thienyl group Chemical group 0.000 claims description 4
- 125000004435 hydrogen atom Chemical group [H]* 0.000 claims description 3
- 125000003903 2-propenyl group Chemical group [H]C([*])([H])C([H])=C([H])[H] 0.000 claims description 2
- 125000004442 acylamino group Chemical group 0.000 claims description 2
- 125000000217 alkyl group Chemical group 0.000 claims description 2
- 125000003236 benzoyl group Chemical group [H]C1=C([H])C([H])=C(C([H])=C1[H])C(*)=O 0.000 claims description 2
- 125000002924 primary amino group Chemical class [H]N([H])* 0.000 claims description 2
- 125000000020 sulfo group Chemical group O=S(=O)([*])O[H] 0.000 claims description 2
- 125000004192 tetrahydrofuran-2-yl group Chemical group [H]C1([H])OC([H])(*)C([H])([H])C1([H])[H] 0.000 claims description 2
- 125000002023 trifluoromethyl group Chemical group FC(F)(F)* 0.000 claims description 2
- PTUCPHGSAFOJAU-MGONOCMRSA-N (4s)-5-amino-4-[[(2s)-2-[[(2s)-2-[[(4-bromophenyl)-hydroxyphosphoryl]methyl]-3-[3-[4-(3-chlorophenyl)phenyl]-1,2-oxazol-5-yl]propanoyl]amino]-4-carboxybutanoyl]amino]-5-oxopentanoic acid Chemical compound C([C@@H](C(=O)N[C@@H](CCC(O)=O)C(=O)N[C@@H](CCC(O)=O)C(=O)N)CP(O)(=O)C=1C=CC(Br)=CC=1)C(ON=1)=CC=1C(C=C1)=CC=C1C1=CC=CC(Cl)=C1 PTUCPHGSAFOJAU-MGONOCMRSA-N 0.000 claims 1
- SCEVBRBKKQZTKM-UHFFFAOYSA-N 5-[[6-chloro-5-(1-methylindol-5-yl)-1H-benzimidazol-2-yl]oxy]-N-hydroxy-2-methylbenzamide Chemical compound ClC=1C(=CC2=C(NC(=N2)OC=2C=CC(=C(C(=O)NO)C=2)C)C=1)C=1C=C2C=CN(C2=CC=1)C SCEVBRBKKQZTKM-UHFFFAOYSA-N 0.000 claims 1
- NCTHHJRIJGFPTG-UHFFFAOYSA-N 6,7-bis(aziridin-1-yl)-4-[7-[[6,7-bis(aziridin-1-yl)-5,8-dioxoquinazolin-4-yl]amino]heptylamino]quinazoline-5,8-dione Chemical compound C1CN1C=1C(=O)C2=C(NCCCCCCCNC=3C=4C(=O)C(N5CC5)=C(N5CC5)C(=O)C=4N=CN=3)N=CN=C2C(=O)C=1N1CC1 NCTHHJRIJGFPTG-UHFFFAOYSA-N 0.000 claims 1
- ZHDHSBKTLRLUCQ-UHFFFAOYSA-N 6-[4-(6-bromo-1,2-benzothiazol-3-yl)phenoxy]-n-methyl-n-prop-2-enylhexan-1-amine Chemical compound C1=CC(OCCCCCCN(C)CC=C)=CC=C1C1=NSC2=CC(Br)=CC=C12 ZHDHSBKTLRLUCQ-UHFFFAOYSA-N 0.000 claims 1
- JYNZIOFUHBJABQ-UHFFFAOYSA-N allyl-{6-[3-(4-bromo-phenyl)-benzofuran-6-yloxy]-hexyl-}-methyl-amin Chemical group C=1OC2=CC(OCCCCCCN(C)CC=C)=CC=C2C=1C1=CC=C(Br)C=C1 JYNZIOFUHBJABQ-UHFFFAOYSA-N 0.000 claims 1
- 239000004744 fabric Substances 0.000 description 19
- 229920000742 Cotton Polymers 0.000 description 12
- 229920000877 Melamine resin Polymers 0.000 description 8
- 238000004132 cross linking Methods 0.000 description 7
- 229920005989 resin Polymers 0.000 description 7
- 239000011347 resin Substances 0.000 description 7
- WSFSSNUMVMOOMR-UHFFFAOYSA-N Formaldehyde Chemical compound O=C WSFSSNUMVMOOMR-UHFFFAOYSA-N 0.000 description 6
- 239000013011 aqueous formulation Substances 0.000 description 6
- 150000001875 compounds Chemical class 0.000 description 6
- 239000007859 condensation product Substances 0.000 description 6
- IVJISJACKSSFGE-UHFFFAOYSA-N formaldehyde;1,3,5-triazine-2,4,6-triamine Chemical compound O=C.NC1=NC(N)=NC(N)=N1 IVJISJACKSSFGE-UHFFFAOYSA-N 0.000 description 6
- 239000000047 product Substances 0.000 description 6
- 239000004753 textile Substances 0.000 description 6
- XLYOFNOQVPJJNP-UHFFFAOYSA-N water Substances O XLYOFNOQVPJJNP-UHFFFAOYSA-N 0.000 description 6
- 238000002360 preparation method Methods 0.000 description 5
- 238000005406 washing Methods 0.000 description 5
- 239000002759 woven fabric Substances 0.000 description 5
- NLXLAEXVIDQMFP-UHFFFAOYSA-N Ammonia chloride Chemical compound [NH4+].[Cl-] NLXLAEXVIDQMFP-UHFFFAOYSA-N 0.000 description 4
- 229920003043 Cellulose fiber Polymers 0.000 description 4
- TWRXJAOTZQYOKJ-UHFFFAOYSA-L Magnesium chloride Chemical compound [Mg+2].[Cl-].[Cl-] TWRXJAOTZQYOKJ-UHFFFAOYSA-L 0.000 description 4
- MBHRHUJRKGNOKX-UHFFFAOYSA-N [(4,6-diamino-1,3,5-triazin-2-yl)amino]methanol Chemical compound NC1=NC(N)=NC(NCO)=N1 MBHRHUJRKGNOKX-UHFFFAOYSA-N 0.000 description 4
- 239000000654 additive Substances 0.000 description 4
- 239000003054 catalyst Substances 0.000 description 4
- 239000002270 dispersing agent Substances 0.000 description 4
- 150000003254 radicals Chemical class 0.000 description 4
- QTBSBXVTEAMEQO-UHFFFAOYSA-N Acetic acid Chemical compound CC(O)=O QTBSBXVTEAMEQO-UHFFFAOYSA-N 0.000 description 3
- VGGLHLAESQEWCR-UHFFFAOYSA-N N-(hydroxymethyl)urea Chemical class NC(=O)NCO VGGLHLAESQEWCR-UHFFFAOYSA-N 0.000 description 3
- XSQUKJJJFZCRTK-UHFFFAOYSA-N Urea Natural products NC(N)=O XSQUKJJJFZCRTK-UHFFFAOYSA-N 0.000 description 3
- 238000007792 addition Methods 0.000 description 3
- 238000001035 drying Methods 0.000 description 3
- 238000009472 formulation Methods 0.000 description 3
- 239000000049 pigment Substances 0.000 description 3
- 239000000985 reactive dye Substances 0.000 description 3
- 150000003672 ureas Chemical class 0.000 description 3
- NQPJDJVGBDHCAD-UHFFFAOYSA-N 1,3-diazinan-2-one Chemical compound OC1=NCCCN1 NQPJDJVGBDHCAD-UHFFFAOYSA-N 0.000 description 2
- HGINCPLSRVDWNT-UHFFFAOYSA-N Acrolein Chemical compound C=CC=O HGINCPLSRVDWNT-UHFFFAOYSA-N 0.000 description 2
- KAKZBPTYRLMSJV-UHFFFAOYSA-N Butadiene Chemical compound C=CC=C KAKZBPTYRLMSJV-UHFFFAOYSA-N 0.000 description 2
- ZHNUHDYFZUAESO-UHFFFAOYSA-N Formamide Chemical compound NC=O ZHNUHDYFZUAESO-UHFFFAOYSA-N 0.000 description 2
- VZCYOOQTPOCHFL-OWOJBTEDSA-N Fumaric acid Chemical compound OC(=O)\C=C\C(O)=O VZCYOOQTPOCHFL-OWOJBTEDSA-N 0.000 description 2
- ZRALSGWEFCBTJO-UHFFFAOYSA-N Guanidine Chemical compound NC(N)=N ZRALSGWEFCBTJO-UHFFFAOYSA-N 0.000 description 2
- 239000002841 Lewis acid Substances 0.000 description 2
- NBIIXXVUZAFLBC-UHFFFAOYSA-N Phosphoric acid Chemical compound OP(O)(O)=O NBIIXXVUZAFLBC-UHFFFAOYSA-N 0.000 description 2
- 239000004952 Polyamide Chemical class 0.000 description 2
- SMWDFEZZVXVKRB-UHFFFAOYSA-N Quinoline Chemical compound N1=CC=CC2=CC=CC=C21 SMWDFEZZVXVKRB-UHFFFAOYSA-N 0.000 description 2
- 239000002253 acid Substances 0.000 description 2
- 239000013543 active substance Substances 0.000 description 2
- VSCWAEJMTAWNJL-UHFFFAOYSA-K aluminium trichloride Chemical compound Cl[Al](Cl)Cl VSCWAEJMTAWNJL-UHFFFAOYSA-K 0.000 description 2
- 235000019270 ammonium chloride Nutrition 0.000 description 2
- 150000003863 ammonium salts Chemical class 0.000 description 2
- BFNBIHQBYMNNAN-UHFFFAOYSA-N ammonium sulfate Chemical compound N.N.OS(O)(=O)=O BFNBIHQBYMNNAN-UHFFFAOYSA-N 0.000 description 2
- 229910052921 ammonium sulfate Inorganic materials 0.000 description 2
- 235000011130 ammonium sulphate Nutrition 0.000 description 2
- 239000012736 aqueous medium Substances 0.000 description 2
- 239000000987 azo dye Substances 0.000 description 2
- 238000009833 condensation Methods 0.000 description 2
- 230000005494 condensation Effects 0.000 description 2
- ZYGHJZDHTFUPRJ-UHFFFAOYSA-N coumarin Chemical compound C1=CC=C2OC(=O)C=CC2=C1 ZYGHJZDHTFUPRJ-UHFFFAOYSA-N 0.000 description 2
- DMBHHRLKUKUOEG-UHFFFAOYSA-N diphenylamine Chemical compound C=1C=CC=CC=1NC1=CC=CC=C1 DMBHHRLKUKUOEG-UHFFFAOYSA-N 0.000 description 2
- 239000000839 emulsion Substances 0.000 description 2
- 230000001747 exhibiting effect Effects 0.000 description 2
- 230000002209 hydrophobic effect Effects 0.000 description 2
- 239000000976 ink Substances 0.000 description 2
- 238000007641 inkjet printing Methods 0.000 description 2
- 150000007517 lewis acids Chemical class 0.000 description 2
- 229910001629 magnesium chloride Inorganic materials 0.000 description 2
- 229920002647 polyamide Chemical class 0.000 description 2
- 229920001296 polysiloxane Polymers 0.000 description 2
- 238000007650 screen-printing Methods 0.000 description 2
- 239000000126 substance Substances 0.000 description 2
- 239000000758 substrate Substances 0.000 description 2
- 239000002562 thickening agent Substances 0.000 description 2
- UMGDCJDMYOKAJW-UHFFFAOYSA-N thiourea Chemical compound NC(N)=S UMGDCJDMYOKAJW-UHFFFAOYSA-N 0.000 description 2
- VZCYOOQTPOCHFL-UHFFFAOYSA-N trans-butenedioic acid Natural products OC(=O)C=CC(O)=O VZCYOOQTPOCHFL-UHFFFAOYSA-N 0.000 description 2
- JIAARYAFYJHUJI-UHFFFAOYSA-L zinc dichloride Chemical compound [Cl-].[Cl-].[Zn+2] JIAARYAFYJHUJI-UHFFFAOYSA-L 0.000 description 2
- XVOUMQNXTGKGMA-OWOJBTEDSA-N (E)-glutaconic acid Chemical compound OC(=O)C\C=C\C(O)=O XVOUMQNXTGKGMA-OWOJBTEDSA-N 0.000 description 1
- 239000001124 (E)-prop-1-ene-1,2,3-tricarboxylic acid Substances 0.000 description 1
- MWQBXOFZQBEAQV-UHFFFAOYSA-N 1,3-diamino-1,3-dinitrourea Chemical compound [N+](=O)([O-])N(N)C(=O)N([N+](=O)[O-])N MWQBXOFZQBEAQV-UHFFFAOYSA-N 0.000 description 1
- HYZJCKYKOHLVJF-UHFFFAOYSA-N 1H-benzimidazole Chemical compound C1=CC=C2NC=NC2=C1 HYZJCKYKOHLVJF-UHFFFAOYSA-N 0.000 description 1
- SMZOUWXMTYCWNB-UHFFFAOYSA-N 2-(2-methoxy-5-methylphenyl)ethanamine Chemical compound COC1=CC=C(C)C=C1CCN SMZOUWXMTYCWNB-UHFFFAOYSA-N 0.000 description 1
- JAHNSTQSQJOJLO-UHFFFAOYSA-N 2-(3-fluorophenyl)-1h-imidazole Chemical compound FC1=CC=CC(C=2NC=CN=2)=C1 JAHNSTQSQJOJLO-UHFFFAOYSA-N 0.000 description 1
- 229920000536 2-Acrylamido-2-methylpropane sulfonic acid Polymers 0.000 description 1
- XHZPRMZZQOIPDS-UHFFFAOYSA-N 2-Methyl-2-[(1-oxo-2-propenyl)amino]-1-propanesulfonic acid Chemical compound OS(=O)(=O)CC(C)(C)NC(=O)C=C XHZPRMZZQOIPDS-UHFFFAOYSA-N 0.000 description 1
- NIXOWILDQLNWCW-UHFFFAOYSA-N 2-Propenoic acid Natural products OC(=O)C=C NIXOWILDQLNWCW-UHFFFAOYSA-N 0.000 description 1
- RPYQPOCMVAEGHP-UHFFFAOYSA-N 2-ethenoxyacetic acid Chemical compound OC(=O)COC=C RPYQPOCMVAEGHP-UHFFFAOYSA-N 0.000 description 1
- GQWNPIKWYPQUPI-UHFFFAOYSA-N 2-methylbut-3-enoic acid Chemical compound C=CC(C)C(O)=O GQWNPIKWYPQUPI-UHFFFAOYSA-N 0.000 description 1
- QXWUJRONCAPLLL-UHFFFAOYSA-N 2-prop-2-enoxyacetic acid Chemical compound OC(=O)COCC=C QXWUJRONCAPLLL-UHFFFAOYSA-N 0.000 description 1
- OCXPJMSKLNNYLE-UHFFFAOYSA-N 2-prop-2-enylbutanedioic acid Chemical compound OC(=O)CC(C(O)=O)CC=C OCXPJMSKLNNYLE-UHFFFAOYSA-N 0.000 description 1
- BCHZICNRHXRCHY-UHFFFAOYSA-N 2h-oxazine Chemical compound N1OC=CC=C1 BCHZICNRHXRCHY-UHFFFAOYSA-N 0.000 description 1
- MXRGSJAOLKBZLU-UHFFFAOYSA-N 3-ethenylazepan-2-one Chemical class C=CC1CCCCNC1=O MXRGSJAOLKBZLU-UHFFFAOYSA-N 0.000 description 1
- GJCOSYZMQJWQCA-UHFFFAOYSA-N 9H-xanthene Chemical compound C1=CC=C2CC3=CC=CC=C3OC2=C1 GJCOSYZMQJWQCA-UHFFFAOYSA-N 0.000 description 1
- 244000215068 Acacia senegal Species 0.000 description 1
- HRPVXLWXLXDGHG-UHFFFAOYSA-N Acrylamide Chemical compound NC(=O)C=C HRPVXLWXLXDGHG-UHFFFAOYSA-N 0.000 description 1
- ZDZVKPXKLLLOOA-UHFFFAOYSA-N Allylmalonic acid Chemical compound OC(=O)C(C(O)=O)CC=C ZDZVKPXKLLLOOA-UHFFFAOYSA-N 0.000 description 1
- VHUUQVKOLVNVRT-UHFFFAOYSA-N Ammonium hydroxide Chemical compound [NH4+].[OH-] VHUUQVKOLVNVRT-UHFFFAOYSA-N 0.000 description 1
- 241000416162 Astragalus gummifer Species 0.000 description 1
- LSNNMFCWUKXFEE-UHFFFAOYSA-M Bisulfite Chemical group OS([O-])=O LSNNMFCWUKXFEE-UHFFFAOYSA-M 0.000 description 1
- OKTJSMMVPCPJKN-UHFFFAOYSA-N Carbon Chemical compound [C] OKTJSMMVPCPJKN-UHFFFAOYSA-N 0.000 description 1
- 229920002134 Carboxymethyl cellulose Polymers 0.000 description 1
- 240000008886 Ceratonia siliqua Species 0.000 description 1
- 235000013912 Ceratonia siliqua Nutrition 0.000 description 1
- XZMCDFZZKTWFGF-UHFFFAOYSA-N Cyanamide Chemical compound NC#N XZMCDFZZKTWFGF-UHFFFAOYSA-N 0.000 description 1
- 229920000084 Gum arabic Polymers 0.000 description 1
- OAKJQQAXSVQMHS-UHFFFAOYSA-N Hydrazine Chemical compound NN OAKJQQAXSVQMHS-UHFFFAOYSA-N 0.000 description 1
- 229920000663 Hydroxyethyl cellulose Polymers 0.000 description 1
- 239000004354 Hydroxyethyl cellulose Substances 0.000 description 1
- 229920001612 Hydroxyethyl starch Polymers 0.000 description 1
- 229920005692 JONCRYL® Polymers 0.000 description 1
- FYYHWMGAXLPEAU-UHFFFAOYSA-N Magnesium Chemical compound [Mg] FYYHWMGAXLPEAU-UHFFFAOYSA-N 0.000 description 1
- CERQOIWHTDAKMF-UHFFFAOYSA-N Methacrylic acid Chemical compound CC(=C)C(O)=O CERQOIWHTDAKMF-UHFFFAOYSA-N 0.000 description 1
- WHNWPMSKXPGLAX-UHFFFAOYSA-N N-Vinyl-2-pyrrolidone Chemical compound C=CN1CCCC1=O WHNWPMSKXPGLAX-UHFFFAOYSA-N 0.000 description 1
- CHJJGSNFBQVOTG-UHFFFAOYSA-N N-methyl-guanidine Natural products CNC(N)=N CHJJGSNFBQVOTG-UHFFFAOYSA-N 0.000 description 1
- OFOBLEOULBTSOW-UHFFFAOYSA-N Propanedioic acid Natural products OC(=O)CC(O)=O OFOBLEOULBTSOW-UHFFFAOYSA-N 0.000 description 1
- 229920002125 Sokalan® Polymers 0.000 description 1
- 229920001615 Tragacanth Polymers 0.000 description 1
- 229920001807 Urea-formaldehyde Polymers 0.000 description 1
- USDJGQLNFPZEON-UHFFFAOYSA-N [[4,6-bis(hydroxymethylamino)-1,3,5-triazin-2-yl]amino]methanol Chemical compound OCNC1=NC(NCO)=NC(NCO)=N1 USDJGQLNFPZEON-UHFFFAOYSA-N 0.000 description 1
- YGCOKJWKWLYHTG-UHFFFAOYSA-N [[4,6-bis[bis(hydroxymethyl)amino]-1,3,5-triazin-2-yl]-(hydroxymethyl)amino]methanol Chemical compound OCN(CO)C1=NC(N(CO)CO)=NC(N(CO)CO)=N1 YGCOKJWKWLYHTG-UHFFFAOYSA-N 0.000 description 1
- 239000006096 absorbing agent Substances 0.000 description 1
- 239000000205 acacia gum Substances 0.000 description 1
- 235000010489 acacia gum Nutrition 0.000 description 1
- 150000007513 acids Chemical class 0.000 description 1
- 229940091181 aconitic acid Drugs 0.000 description 1
- 150000001252 acrylic acid derivatives Chemical class 0.000 description 1
- 238000007259 addition reaction Methods 0.000 description 1
- 150000001299 aldehydes Chemical class 0.000 description 1
- 229920000615 alginic acid Polymers 0.000 description 1
- 235000010443 alginic acid Nutrition 0.000 description 1
- 125000002947 alkylene group Chemical group 0.000 description 1
- 229910000147 aluminium phosphate Inorganic materials 0.000 description 1
- 150000001412 amines Chemical class 0.000 description 1
- 239000000908 ammonium hydroxide Substances 0.000 description 1
- 239000004670 amphoteric softener Substances 0.000 description 1
- 125000000129 anionic group Chemical group 0.000 description 1
- 239000004663 anionic softener Substances 0.000 description 1
- PYKYMHQGRFAEBM-UHFFFAOYSA-N anthraquinone Natural products CCC(=O)c1c(O)c2C(=O)C3C(C=CC=C3O)C(=O)c2cc1CC(=O)OC PYKYMHQGRFAEBM-UHFFFAOYSA-N 0.000 description 1
- 239000001000 anthraquinone dye Substances 0.000 description 1
- 150000004056 anthraquinones Chemical class 0.000 description 1
- 239000003963 antioxidant agent Substances 0.000 description 1
- PVEOYINWKBTPIZ-UHFFFAOYSA-N but-3-enoic acid Chemical compound OC(=O)CC=C PVEOYINWKBTPIZ-UHFFFAOYSA-N 0.000 description 1
- 239000004202 carbamide Substances 0.000 description 1
- 239000001768 carboxy methyl cellulose Substances 0.000 description 1
- 235000010948 carboxy methyl cellulose Nutrition 0.000 description 1
- 150000001732 carboxylic acid derivatives Chemical group 0.000 description 1
- 239000008112 carboxymethyl-cellulose Substances 0.000 description 1
- 229940105329 carboxymethylcellulose Drugs 0.000 description 1
- 125000002091 cationic group Chemical group 0.000 description 1
- 239000002752 cationic softener Substances 0.000 description 1
- 239000007795 chemical reaction product Substances 0.000 description 1
- GTZCVFVGUGFEME-IWQZZHSRSA-N cis-aconitic acid Chemical compound OC(=O)C\C(C(O)=O)=C\C(O)=O GTZCVFVGUGFEME-IWQZZHSRSA-N 0.000 description 1
- HNEGQIOMVPPMNR-IHWYPQMZSA-N citraconic acid Chemical compound OC(=O)C(/C)=C\C(O)=O HNEGQIOMVPPMNR-IHWYPQMZSA-N 0.000 description 1
- 229940018557 citraconic acid Drugs 0.000 description 1
- 238000000576 coating method Methods 0.000 description 1
- 238000006482 condensation reaction Methods 0.000 description 1
- 238000011437 continuous method Methods 0.000 description 1
- 229920001577 copolymer Polymers 0.000 description 1
- 229960000956 coumarin Drugs 0.000 description 1
- 235000001671 coumarin Nutrition 0.000 description 1
- 230000008878 coupling Effects 0.000 description 1
- 238000005859 coupling reaction Methods 0.000 description 1
- LDHQCZJRKDOVOX-NSCUHMNNSA-N crotonic acid Chemical compound C\C=C\C(O)=O LDHQCZJRKDOVOX-NSCUHMNNSA-N 0.000 description 1
- 239000013078 crystal Substances 0.000 description 1
- 125000004122 cyclic group Chemical group 0.000 description 1
- 125000000664 diazo group Chemical group [N-]=[N+]=[*] 0.000 description 1
- 238000006193 diazotization reaction Methods 0.000 description 1
- QGBSISYHAICWAH-UHFFFAOYSA-N dicyandiamide Chemical compound NC(N)=NC#N QGBSISYHAICWAH-UHFFFAOYSA-N 0.000 description 1
- 239000004205 dimethyl polysiloxane Substances 0.000 description 1
- 235000013870 dimethyl polysiloxane Nutrition 0.000 description 1
- SWSQBOPZIKWTGO-UHFFFAOYSA-N dimethylaminoamidine Natural products CN(C)C(N)=N SWSQBOPZIKWTGO-UHFFFAOYSA-N 0.000 description 1
- 239000006185 dispersion Substances 0.000 description 1
- 150000002148 esters Chemical class 0.000 description 1
- 235000013312 flour Nutrition 0.000 description 1
- 239000001530 fumaric acid Substances 0.000 description 1
- 238000000227 grinding Methods 0.000 description 1
- 150000003840 hydrochlorides Chemical class 0.000 description 1
- 235000019447 hydroxyethyl cellulose Nutrition 0.000 description 1
- 229940071826 hydroxyethyl cellulose Drugs 0.000 description 1
- 229940050526 hydroxyethylstarch Drugs 0.000 description 1
- QDLAGTHXVHQKRE-UHFFFAOYSA-N lichenxanthone Natural products COC1=CC(O)=C2C(=O)C3=C(C)C=C(OC)C=C3OC2=C1 QDLAGTHXVHQKRE-UHFFFAOYSA-N 0.000 description 1
- 239000004611 light stabiliser Substances 0.000 description 1
- 239000011777 magnesium Substances 0.000 description 1
- 229910052749 magnesium Inorganic materials 0.000 description 1
- VZCYOOQTPOCHFL-UPHRSURJSA-N maleic acid Chemical compound OC(=O)\C=C/C(O)=O VZCYOOQTPOCHFL-UPHRSURJSA-N 0.000 description 1
- 239000011976 maleic acid Substances 0.000 description 1
- 238000004519 manufacturing process Methods 0.000 description 1
- JDSHMPZPIAZGSV-UHFFFAOYSA-N melamine Chemical compound NC1=NC(N)=NC(N)=N1 JDSHMPZPIAZGSV-UHFFFAOYSA-N 0.000 description 1
- HNEGQIOMVPPMNR-NSCUHMNNSA-N mesaconic acid Chemical compound OC(=O)C(/C)=C/C(O)=O HNEGQIOMVPPMNR-NSCUHMNNSA-N 0.000 description 1
- 125000001434 methanylylidene group Chemical group [H]C#[*] 0.000 description 1
- LVHBHZANLOWSRM-UHFFFAOYSA-N methylenebutanedioic acid Natural products OC(=O)CC(=C)C(O)=O LVHBHZANLOWSRM-UHFFFAOYSA-N 0.000 description 1
- HNEGQIOMVPPMNR-UHFFFAOYSA-N methylfumaric acid Natural products OC(=O)C(C)=CC(O)=O HNEGQIOMVPPMNR-UHFFFAOYSA-N 0.000 description 1
- 150000007522 mineralic acids Chemical class 0.000 description 1
- PNLUGRYDUHRLOF-UHFFFAOYSA-N n-ethenyl-n-methylacetamide Chemical class C=CN(C)C(C)=O PNLUGRYDUHRLOF-UHFFFAOYSA-N 0.000 description 1
- RQAKESSLMFZVMC-UHFFFAOYSA-N n-ethenylacetamide Chemical compound CC(=O)NC=C RQAKESSLMFZVMC-UHFFFAOYSA-N 0.000 description 1
- ZQXSMRAEXCEDJD-UHFFFAOYSA-N n-ethenylformamide Chemical compound C=CNC=O ZQXSMRAEXCEDJD-UHFFFAOYSA-N 0.000 description 1
- 229930014626 natural product Natural products 0.000 description 1
- IJGRMHOSHXDMSA-UHFFFAOYSA-N nitrogen Substances N#N IJGRMHOSHXDMSA-UHFFFAOYSA-N 0.000 description 1
- 229910052757 nitrogen Inorganic materials 0.000 description 1
- 239000004669 nonionic softener Substances 0.000 description 1
- 239000003960 organic solvent Substances 0.000 description 1
- CMOAHYOGLLEOGO-UHFFFAOYSA-N oxozirconium;dihydrochloride Chemical compound Cl.Cl.[Zr]=O CMOAHYOGLLEOGO-UHFFFAOYSA-N 0.000 description 1
- QUBQYFYWUJJAAK-UHFFFAOYSA-N oxymethurea Chemical compound OCNC(=O)NCO QUBQYFYWUJJAAK-UHFFFAOYSA-N 0.000 description 1
- 229950005308 oxymethurea Drugs 0.000 description 1
- 238000009980 pad dyeing Methods 0.000 description 1
- 239000003973 paint Substances 0.000 description 1
- 239000002245 particle Substances 0.000 description 1
- HVAMZGADVCBITI-UHFFFAOYSA-N pent-4-enoic acid Chemical compound OC(=O)CCC=C HVAMZGADVCBITI-UHFFFAOYSA-N 0.000 description 1
- 229920000435 poly(dimethylsiloxane) Polymers 0.000 description 1
- 229920002401 polyacrylamide Polymers 0.000 description 1
- 229920000058 polyacrylate Polymers 0.000 description 1
- 239000004584 polyacrylic acid Substances 0.000 description 1
- 229920000193 polymethacrylate Polymers 0.000 description 1
- ODGAOXROABLFNM-UHFFFAOYSA-N polynoxylin Chemical compound O=C.NC(N)=O ODGAOXROABLFNM-UHFFFAOYSA-N 0.000 description 1
- 229920002451 polyvinyl alcohol Polymers 0.000 description 1
- 235000019422 polyvinyl alcohol Nutrition 0.000 description 1
- 239000002994 raw material Substances 0.000 description 1
- 230000000717 retained effect Effects 0.000 description 1
- 239000013535 sea water Substances 0.000 description 1
- 229910001495 sodium tetrafluoroborate Inorganic materials 0.000 description 1
- HIEHAIZHJZLEPQ-UHFFFAOYSA-M sodium;naphthalene-1-sulfonate Chemical compound [Na+].C1=CC=C2C(S(=O)(=O)[O-])=CC=CC2=C1 HIEHAIZHJZLEPQ-UHFFFAOYSA-M 0.000 description 1
- 239000003381 stabilizer Substances 0.000 description 1
- 238000010561 standard procedure Methods 0.000 description 1
- 239000008107 starch Substances 0.000 description 1
- 235000019698 starch Nutrition 0.000 description 1
- 125000003011 styrenyl group Chemical class [H]\C(*)=C(/[H])C1=C([H])C([H])=C([H])C([H])=C1[H] 0.000 description 1
- 125000001424 substituent group Chemical group 0.000 description 1
- 150000003871 sulfonates Chemical class 0.000 description 1
- 229920002994 synthetic fiber Polymers 0.000 description 1
- 229920003002 synthetic resin Polymers 0.000 description 1
- 239000000057 synthetic resin Substances 0.000 description 1
- 239000000196 tragacanth Substances 0.000 description 1
- 235000010487 tragacanth Nutrition 0.000 description 1
- 229940116362 tragacanth Drugs 0.000 description 1
- GTZCVFVGUGFEME-UHFFFAOYSA-N trans-aconitic acid Natural products OC(=O)CC(C(O)=O)=CC(O)=O GTZCVFVGUGFEME-UHFFFAOYSA-N 0.000 description 1
- LDHQCZJRKDOVOX-UHFFFAOYSA-N trans-crotonic acid Natural products CC=CC(O)=O LDHQCZJRKDOVOX-UHFFFAOYSA-N 0.000 description 1
- 125000000391 vinyl group Chemical group [H]C([*])=C([H])[H] 0.000 description 1
- 229920002554 vinyl polymer Polymers 0.000 description 1
- ZTWTYVWXUKTLCP-UHFFFAOYSA-N vinylphosphonic acid Chemical class OP(O)(=O)C=C ZTWTYVWXUKTLCP-UHFFFAOYSA-N 0.000 description 1
- 239000000080 wetting agent Substances 0.000 description 1
- 239000011592 zinc chloride Substances 0.000 description 1
- 235000005074 zinc chloride Nutrition 0.000 description 1
Classifications
-
- D—TEXTILES; PAPER
- D06—TREATMENT OF TEXTILES OR THE LIKE; LAUNDERING; FLEXIBLE MATERIALS NOT OTHERWISE PROVIDED FOR
- D06P—DYEING OR PRINTING TEXTILES; DYEING LEATHER, FURS OR SOLID MACROMOLECULAR SUBSTANCES IN ANY FORM
- D06P3/00—Special processes of dyeing or printing textiles, or dyeing leather, furs, or solid macromolecular substances in any form, classified according to the material treated
- D06P3/82—Textiles which contain different kinds of fibres
- D06P3/8204—Textiles which contain different kinds of fibres fibres of different chemical nature
- D06P3/8223—Textiles which contain different kinds of fibres fibres of different chemical nature mixtures of fibres containing hydroxyl and ester groups
- D06P3/8228—Textiles which contain different kinds of fibres fibres of different chemical nature mixtures of fibres containing hydroxyl and ester groups using one kind of dye
- D06P3/8233—Textiles which contain different kinds of fibres fibres of different chemical nature mixtures of fibres containing hydroxyl and ester groups using one kind of dye using dispersed dyes
-
- D—TEXTILES; PAPER
- D06—TREATMENT OF TEXTILES OR THE LIKE; LAUNDERING; FLEXIBLE MATERIALS NOT OTHERWISE PROVIDED FOR
- D06P—DYEING OR PRINTING TEXTILES; DYEING LEATHER, FURS OR SOLID MACROMOLECULAR SUBSTANCES IN ANY FORM
- D06P1/00—General processes of dyeing or printing textiles, or general processes of dyeing leather, furs, or solid macromolecular substances in any form, classified according to the dyes, pigments, or auxiliary substances employed
- D06P1/44—General processes of dyeing or printing textiles, or general processes of dyeing leather, furs, or solid macromolecular substances in any form, classified according to the dyes, pigments, or auxiliary substances employed using insoluble pigments or auxiliary substances, e.g. binders
- D06P1/52—General processes of dyeing or printing textiles, or general processes of dyeing leather, furs, or solid macromolecular substances in any form, classified according to the dyes, pigments, or auxiliary substances employed using insoluble pigments or auxiliary substances, e.g. binders using compositions containing synthetic macromolecular substances
- D06P1/5207—Macromolecular compounds obtained by reactions involving only carbon-to-carbon unsaturated bonds
- D06P1/525—Polymers of unsaturated carboxylic acids or functional derivatives thereof
-
- D—TEXTILES; PAPER
- D06—TREATMENT OF TEXTILES OR THE LIKE; LAUNDERING; FLEXIBLE MATERIALS NOT OTHERWISE PROVIDED FOR
- D06P—DYEING OR PRINTING TEXTILES; DYEING LEATHER, FURS OR SOLID MACROMOLECULAR SUBSTANCES IN ANY FORM
- D06P1/00—General processes of dyeing or printing textiles, or general processes of dyeing leather, furs, or solid macromolecular substances in any form, classified according to the dyes, pigments, or auxiliary substances employed
- D06P1/44—General processes of dyeing or printing textiles, or general processes of dyeing leather, furs, or solid macromolecular substances in any form, classified according to the dyes, pigments, or auxiliary substances employed using insoluble pigments or auxiliary substances, e.g. binders
- D06P1/52—General processes of dyeing or printing textiles, or general processes of dyeing leather, furs, or solid macromolecular substances in any form, classified according to the dyes, pigments, or auxiliary substances employed using insoluble pigments or auxiliary substances, e.g. binders using compositions containing synthetic macromolecular substances
- D06P1/5207—Macromolecular compounds obtained by reactions involving only carbon-to-carbon unsaturated bonds
- D06P1/525—Polymers of unsaturated carboxylic acids or functional derivatives thereof
- D06P1/5257—(Meth)acrylic acid
-
- D—TEXTILES; PAPER
- D06—TREATMENT OF TEXTILES OR THE LIKE; LAUNDERING; FLEXIBLE MATERIALS NOT OTHERWISE PROVIDED FOR
- D06P—DYEING OR PRINTING TEXTILES; DYEING LEATHER, FURS OR SOLID MACROMOLECULAR SUBSTANCES IN ANY FORM
- D06P1/00—General processes of dyeing or printing textiles, or general processes of dyeing leather, furs, or solid macromolecular substances in any form, classified according to the dyes, pigments, or auxiliary substances employed
- D06P1/44—General processes of dyeing or printing textiles, or general processes of dyeing leather, furs, or solid macromolecular substances in any form, classified according to the dyes, pigments, or auxiliary substances employed using insoluble pigments or auxiliary substances, e.g. binders
- D06P1/52—General processes of dyeing or printing textiles, or general processes of dyeing leather, furs, or solid macromolecular substances in any form, classified according to the dyes, pigments, or auxiliary substances employed using insoluble pigments or auxiliary substances, e.g. binders using compositions containing synthetic macromolecular substances
- D06P1/5264—Macromolecular compounds obtained otherwise than by reactions involving only unsaturated carbon-to-carbon bonds
- D06P1/5271—Polyesters; Polycarbonates; Alkyd resins
-
- D—TEXTILES; PAPER
- D06—TREATMENT OF TEXTILES OR THE LIKE; LAUNDERING; FLEXIBLE MATERIALS NOT OTHERWISE PROVIDED FOR
- D06P—DYEING OR PRINTING TEXTILES; DYEING LEATHER, FURS OR SOLID MACROMOLECULAR SUBSTANCES IN ANY FORM
- D06P1/00—General processes of dyeing or printing textiles, or general processes of dyeing leather, furs, or solid macromolecular substances in any form, classified according to the dyes, pigments, or auxiliary substances employed
- D06P1/44—General processes of dyeing or printing textiles, or general processes of dyeing leather, furs, or solid macromolecular substances in any form, classified according to the dyes, pigments, or auxiliary substances employed using insoluble pigments or auxiliary substances, e.g. binders
- D06P1/52—General processes of dyeing or printing textiles, or general processes of dyeing leather, furs, or solid macromolecular substances in any form, classified according to the dyes, pigments, or auxiliary substances employed using insoluble pigments or auxiliary substances, e.g. binders using compositions containing synthetic macromolecular substances
- D06P1/54—Substances with reactive groups together with crosslinking agents
-
- D—TEXTILES; PAPER
- D06—TREATMENT OF TEXTILES OR THE LIKE; LAUNDERING; FLEXIBLE MATERIALS NOT OTHERWISE PROVIDED FOR
- D06P—DYEING OR PRINTING TEXTILES; DYEING LEATHER, FURS OR SOLID MACROMOLECULAR SUBSTANCES IN ANY FORM
- D06P3/00—Special processes of dyeing or printing textiles, or dyeing leather, furs, or solid macromolecular substances in any form, classified according to the material treated
- D06P3/58—Material containing hydroxyl groups
- D06P3/60—Natural or regenerated cellulose
- D06P3/6033—Natural or regenerated cellulose using dispersed dyes
-
- D—TEXTILES; PAPER
- D06—TREATMENT OF TEXTILES OR THE LIKE; LAUNDERING; FLEXIBLE MATERIALS NOT OTHERWISE PROVIDED FOR
- D06P—DYEING OR PRINTING TEXTILES; DYEING LEATHER, FURS OR SOLID MACROMOLECULAR SUBSTANCES IN ANY FORM
- D06P3/00—Special processes of dyeing or printing textiles, or dyeing leather, furs, or solid macromolecular substances in any form, classified according to the material treated
- D06P3/58—Material containing hydroxyl groups
- D06P3/60—Natural or regenerated cellulose
- D06P3/6033—Natural or regenerated cellulose using dispersed dyes
- D06P3/6041—Natural or regenerated cellulose using dispersed dyes using specified dyes
Definitions
- the present invention relates to a method of dyeing cellulose-containing fibre materials, especially fibre blends that contain cellulose, using disperse dyes.
- Water-soluble reactive dyes which produce dyeings having good fastness-to-washing properties, are usually used to dye or print hydrophilic cellulose fibres.
- the alcoholate groups of the cellulose fibre that are accessible on the surface react with the fibre-reactive groups of the reactive dyes, forming a covalent fibre/dye bond.
- hydrophobic polyester fibres are dyed or printed using water-insoluble disperse dyes, which migrate from the aqueous dye preparation into the hydrophobic fibres. Since the properties of cellulose fibres and polyester fibres are different, the dyeing conditions to be employed will naturally also be different.
- the two-bath method in which each component of the fibre blend is dyed separately
- the one-bath method which has only one dyeing operation for all of the fibre components present.
- the one-bath method is more complicated because, inter alia, the conditions need to be matched to the most sensitive of the fibre components, and the dyes chosen for the dyeing frequently have a different affinity for the fibres used.
- the one-bath method offers a substantial saving in terms of resources, such as water, energy and the chemicals used.
- Fibre blends consisting of cellulose and polyester are usually dyed with a mixture of reactive dyes and disperse dyes, that is to say with at least one suitable dye for each type of fibre.
- the dyes from the different classes of dye that are to be combined with one another should, in addition to having a comparable affinity for the respective type of fibre, also have identical or at least similar shades, so as to ensure a uniform fabric appearance.
- the only suitable method for printing fibre blends consisting of cellulose and polyester is pigment printing, in which a suitable binder resin ensures adhesion of the pigment to the fibre.
- the present invention accordingly relates to a method of dyeing or printing cellulose-containing fibre materials using disperse dyes that comprises treating the fibre material with an aqueous composition comprising a water-soluble or water-dispersible polyester resin and a water-soluble or water-dispersible acrylate binder.
- Suitable disperse dyes for the method according to the invention are those described under “Disperse Dyes” in the Colour Index, 3rd edition (3rd revision 1987 inclusive of Additions and Amendments up to No. 85).
- Such dyes include, for example, carboxylic acid group-free and/or sulfonic acid group-free nitro, amino, aminoketone, ketoninime, methine, polymethine, diphenylamine, quinoline, benzimidazole, xanthene, oxazine and coumarin dyes and especially anthraquinone and azo dyes, such as mono- or dis-azo dyes.
- the disperse dyes used in the method according to the invention correspond to formula wherein
- disperse dyes used in the method according to the invention include the dyes of formulae
- the disperse dyes employed in the method according to the invention can be used on their own or in the form of a mixture of two or more disperse dyes.
- the disperse dyes of formulae (1) to (14) are known or can be prepared analogously to known compounds according to standard procedures, for example by customary diazotization, coupling, addition and condensation reactions.
- Suitable acrylate binders are the binders known from textile pigment printing and they include, for example, acrylic polymers, for example poly(meth)acrylates and mixed polymers of (meth)acrylates with suitable comonomers, for example acrylic acid, methacrylic acid, maleic acid, fumaric acid, itaconic acid, mesaconic acid, citraconic acid, vinylacetic acid, vinyloxyacetic acid, vinylpropionic acid, crotonic acid, aconitic acid, allylacetic acid, allyloxyacetic acid, allylmalonic acid, 2-acrylamido-2-methylpropanesulfonic acid, glutaconic acid or allylsuccinic acid, or with esters of such acids, (meth)acrylamide, N-vinylpyrrolidone, N-vinylformamide, N-vinylacetamide, (meth)acrolein, N-vinyl-N-methylacetamide, vinylcapro-lactam, styren
- Suitable acrylate binders are soluble in aqueous medium or soluble in aqueous medium containing water-miscible organic solvents, if necessary with the addition of bases.
- the said acrylate binders are preferably used in the form of an aqueous formulation.
- Such acrylate binders are available commercially in acid form or in partially or fully neutralised form, e.g. Primal® (Rohm & Haas), Neocryl® (NeoResins), Carbocet® (BF Goodrich), Joncryl® (Johnson Polymers) or ALCOPRINT® (Ciba Spezialitatenchemie) binders.
- polyester resins are known from the coatings industry in which they are used as binders in the preparation of environmentally friendly, water-based paints.
- Such polyester resins are described, for example, in U.S. Pat. No. A-4,054,614. They are preferably used in the form of an aqueous formulation and are available commercially, e.g. Dynapol® (Degussa), Bayhydrol® (Bayer) or Worlêe®Pol (Worlêe) resins.
- the ratio by weight of polyester resin to acrylate binder in the composition is, e.g., from 4:1 to 1:1, preferably from 2:1 to 1:1.
- crosslinking agents that react with the hydroxyl groups of the acrylate binder and polyester resin.
- Such crosslinking agents can be applied to the fibre material simultaneously with or before or after the acrylate binder and polyester resin.
- they are additionally present in the aqueous compositions used in accordance with the invention and are applied to the fibre material simultaneously with the acrylate binder and the polyester resin.
- Suitable crosslinking agents include, for example, water-soluble melamine, formaldehyde-melamine, and formaldehyde-urea resins or precondensation products, such as trimethylolmelamine, hexamethylolmelamine or dimethylolurea or water-soluble formaldehyde (pre)condensation products with formamide, thiourea, guanidine, cyanamide, dicyandiamide and/or water-soluble organic sulfonates, e.g. naphthalenesulfonic acid sodium salt, or glyoxalic urea derivatives, e.g. the compound of formula and especially N-methylol derivatives of nitrogen-containing compounds, e.g. non-etherified or etherified melamine-formaldehyde condensation products or N-methylolurea compounds.
- precondensation products with formamide, thiourea, guanidine, cyanamide, dicyandiamide and/
- the compounds of formulae are examples of non-etherified or etherified melamine-formaldehyde condensation products.
- the non-etherified or etherified N-methylolurea compounds are, for example, non-etherefied or subsequently etherified reaction products of formaldehyde with urea or urea derivatives, examples of suitable urea derivatives being cyclic ethylene- or propylene-ureas, which may also contain substituents such as hydroxyl groups in the alkylene group, urones and unsubstituted or substituted triazone resins.
- N-methylolurea compounds include unmodified and modified N-methylol-hydroxyethyleneurea products, for example the compounds of formula and methylolation products based on propyleneurea or ethyleneurea-melamine.
- Crosslinking agents to which preference is given include unmodified and modified N-methylol-hydroxyethyleneurea compounds, methylolation products based on propyleneurea or ethyleneurea-melamine and especially non-etherified or etherified melamine-formaldehyde condensation products. It is also possible to use mixtures of two or more different water-soluble crosslinking agents, for example a mixture consisting of a non-etherified melamine-formaldehyde condensation product and an only partially etherified melamine-formaldehyde condensation product.
- Suitable crosslinking agents are known commercially, for example under the name ALCOPRINT® (Ciba Spezialitätenchemie).
- crosslinking catalysts can be used in addition.
- Crosslinking catalysts suitable for the method according to the invention include, e.g., any agents customarily used as catalysts for imparting anti-crease and anti-shrink properties, such as are known from the Textilangesstoffkatalog 1991, Konradin Verlag R. Kohlhammer, Leinfelden-Echterdingen 1991.
- suitable crosslinking catalysts include inorganic acids, e.g. phosphoric acid; Lewis acids, e.g. zinc chloride, zirconium oxychloride, NaBF 4 , AlCl 3 , MgCl 2 ; ammonium salts, e.g.
- ammonium sulfate, ammonium chloride and hydrohalides, especially hydrochlorides of organic amines, e.g. CH 3 —CH 2 —CH 2 —NH—CH 3 .HCl.
- the aqueous compositions used in accordance with the invention may additionally comprise an agent imparting soft-handle properties.
- Soft-handle agents are known in the textile industry. They are non-ionic, anionic, cationic or amphoteric softeners. Emulsions of silicones, usually high-molecular-weight x, dimethylpolysiloxane, are especially important. Soft-handle agents based on silicone emulsions are preferred. Such soft-handle agents are known commercially, for example under the name ULTRATEX® (Ciba Spezialitätenchemie AG).
- the cellulose-containing fibre materials are preferably fibre blends that contain cellulose, e.g. cellulose/polyester or cellulose/polyamide fibre blends, especially cellulose/polyester fibre blends.
- the fibre materials can be in a very great variety of processing forms, e.g. in the form of fibres, filaments, yarn, scrap material, woven fabric or knitted fabric, preferably woven fabric or knitted fabric.
- the treatment of the fibre material with the aqueous composition can be carried out before or simultaneously with the dyeing or printing step.
- the dyeing composition for example the dye liquor or printing paste
- the dyeing composition additionally contains the above-mentioned components, such as acrylate binder and polyester resin, present in the aqueous composition.
- a further preferred embodiment comprises, in addition to the first treatment which is carried out prior to or simultaneously with the dyeing or printing step, a further treatment with the aqueous composition, which is a finishing treatment carried out following the dyeing or printing step.
- any washing and rinsing steps can be avoided.
- the pretreatment liquor can be applied to the fibre material in a variety of ways, for example according to the exhaust method and preferably by the pad-dyeing method.
- the fibre material impregnated with the pretreatment liquor is advantageously subjected to a drying step, for example for from 0.5 to 10 minutes at from 80 to 140° C., especially for from 1 to 4 minutes at from 100 to 120° C., and then the condensation of the polymer matrix applied to the fibres is carried out, for example, for from 0.5 to 10 minutes at from 140 to 210C, especially for from 0.5 to 4 minutes at from 150 to 180° C.
- the fibre material impregnated with the after treatment liquor is advantageously subjected to a drying step, for example for from 0.5 to 10 minutes at from 80 to 1400C, especially for from 1 to 4 minutes at from 100 to 120° C., and then the condensation of the polymer matrix applied to the fibres is carried out, for example, for from 0.5 to 10 minutes at from 140 to 210C, especially for from 0.5 to 4 minutes at from 150 to 180° C.
- aqueous composition used in accordance with the invention contains the above-mentioned components (as a dry mass) for example in the amounts indicated below based on the weight of the treatment liquor:
- the cellulose-containing fibre materials can be dyed with the disperse dyes according to customary methods known for dyeing polyester fibres, for example according to the thermosol method, the exhaust method or continuous method.
- the exhaust method is preferred:
- the liquor ratio depends on the parameters of the apparatus, the substrate and the form of presentation, but can be selected from within a wide range, for example within a range of from 1:4 to 1:100; preferably it is within a range of from 1:6 to 1:25.
- the dye is ground so that its average particle size is from 0.1 to 10 microns.
- the grinding can be carried out in the presence of dispersing agents.
- the dried dye is ground with a dispersing agent, or is kneaded into paste form with a dispersing agent and then dried in vacuo or by atomising.
- the resulting preparations can be used to prepare printing pastes and dye baths after the addition of water.
- the customary thickeners will be employed, e.g. modified or non-modified natural products, for example alginates, British gum, gum arabic, crystal gum, locust bean flour, tragacanth, carboxymethyl cellulose, hydroxyethyl cellulose, starch or synthetic products, for example polyacrylamides, polyacrylic acid or copolymers thereof, or polyvinyl alcohols.
- modified or non-modified natural products for example alginates, British gum, gum arabic, crystal gum, locust bean flour, tragacanth, carboxymethyl cellulose, hydroxyethyl cellulose, starch or synthetic products, for example polyacrylamides, polyacrylic acid or copolymers thereof, or polyvinyl alcohols.
- Printing can also be carried out according to the inkjet printing method.
- inkjet printing methods for the production of printed textile materials.
- Such a method involves individual droplets of ink being sprayed onto the substrate in a controlled manner from a nozzle.
- the continuous inkjet method the droplets are produced continuously, the droplets not required for the printing operation being discharged into a receptacle and usually recycled.
- the droplets are produced and used for printing as required, that is to say, droplets are produced only when necessary for the printing operation.
- the droplets can advantageously be produced, for example, by means of a piezo inkjet head or by means of thermal energy (the so-called bubble jet).
- a piezo inkjet head or by means of thermal energy (the so-called bubble jet).
- thermal energy the so-called bubble jet.
- the preparation of the necessary disperse dye inks and the printing method procedure are described, for example, in U.S. Pat. No. A-6,284,004.
- the pretreatment liquor or the dye composition may comprise further components, e.g. stabilisers, such as UV absorbers, light stabilisers, antioxidants etc.
- stabilisers such as UV absorbers, light stabilisers, antioxidants etc.
- the treatment according to the invention renders the cellulose fibres dyeable by disperse dyes.
- Dyeing and printing methods for fibre blends are consequently substantially simplified. It is thus possible for all components of the fibre blends to be dyed simultaneously using dyes from one class of dyes (disperse dyes), that is to say, in addition to the polyester component of a cellulose/polyester fibre mixture being dyed, the cellulose component will also be dyed without any problem using the same dye.
- the method according to the invention furthermore meets the important requirement that, when it is used for fibre blends, the dyeability of the polyester component is fully retained.
- the matrix of acrylate binder and polyester resin applied to the fibres survives, undamaged, the conditions of a conventional high-temperature dyeing procedure for polyester, e.g. 30 minutes at 130° C.
- the dyeings or prints obtained using the method according to the invention have very good fastness to light and good wet-fastness properties, such as fastness to washing, to water, to seawater, to cross-dyeing and to perspiration. Also, level dyeings with respect to the fibres and the areas dyed are obtained.
- a woven textile fabric consisting of 100% bleached cotton is pad-dyed with an aqueous liquor (liquor pick-up 70%) containing the following additives, each in the form of an aqueous formulation in the amounts indicated:
- the impregnated fabric is then dried for 2 minutes at 120° C. and the applied polymer matrix is condensed for a further 2 minutes at 180° C.
- Example 2 By proceeding as described in Example 1 but using, instead of a woven cotton fabric, a woven fabric consisting of a 50% cotton/50% polyester fibre blend, there is likewise obtained an orange dyeing that exhibits a high degree of levelness and good allround fastness properties.
- a woven textile fabric consisting of 100% bleached cotton is pad-dyed with an aqueous liquor (liquor pick-up 70%) containing the following additives, each in the form of an aqueous formulation in the amounts indicated:
- the impregnated fabric is then dried for 2 minutes at 120° C. and the applied polymer matrix is condensed for a further 2 minutes at 180° C., then cold-rinsed, washed off for 5 minutes at 95° C. and rinsed again.
- a level orange cotton dyeing exhibiting a high degree of fastness to light and good fastness to water and to rubbing is obtained.
- Example 3 By proceeding as described in Example 3 but using, instead of a woven cotton fabric, a woven fabric consisting of a 50% cotton/50% polyester fibre blend, there is likewise obtained an orange dyeing that exhibits a high degree of levelness and good allround fastness properties.
- a woven textile fabric consisting of 100% bleached cotton is pad-dyed with an aqueous liquor (liquor pick-up 70%) containing the following additives, each in the form of an aqueous formulation in the amounts indicated:
- the impregnated fabric is then dried for 2 minutes at 120° C. and the applied polymer matrix is condensed for a further 2 minutes at 200° C.
- the fabric is then pad-dyed with an aqueous liquor (liquor pick-up 70%) containing the following additives, each in the form of an aqueous formulation in the amounts indicated:
- the impregnated fabric is then dried for 2 minutes at 120° C. and the applied polymer matrix is condensed for a further 2 minutes at 200° C., yielding, without further washing and rinsing steps, a level yellow cotton dyeing that exhibits a high degree of fastness to light and good fastness to water, to washing and to rubbing.
- Example 5 By proceeding as described in Example 5 but using, instead of a woven cotton fabric, a woven fabric consisting of a 50% cotton/50% polyester fibre blend, there is likewise obtained an orange dyeing that exhibits a high degree of levelness and good allround fastness properties.
Landscapes
- Engineering & Computer Science (AREA)
- Textile Engineering (AREA)
- Chemical & Material Sciences (AREA)
- Chemical Kinetics & Catalysis (AREA)
- Dispersion Chemistry (AREA)
- Coloring (AREA)
Abstract
A method of dyeing or printing cellulose-containing fibre materials using disperse dyes that comprises treating the fibre material with an aqueous composition comprising a watersoluble or water-dispersible polyester resin and a water-soluble or water-dispersible acrylate binder produces level dyeings and prints having good allround fastness properties and is advantageously suitable for cellulose-containing fibre blends, for example blends consisting of polyester and cellulose.
Description
- The present invention relates to a method of dyeing cellulose-containing fibre materials, especially fibre blends that contain cellulose, using disperse dyes.
- Water-soluble reactive dyes, which produce dyeings having good fastness-to-washing properties, are usually used to dye or print hydrophilic cellulose fibres. In such procedures, the alcoholate groups of the cellulose fibre that are accessible on the surface react with the fibre-reactive groups of the reactive dyes, forming a covalent fibre/dye bond. By contrast, hydrophobic polyester fibres are dyed or printed using water-insoluble disperse dyes, which migrate from the aqueous dye preparation into the hydrophobic fibres. Since the properties of cellulose fibres and polyester fibres are different, the dyeing conditions to be employed will naturally also be different.
- An increase in the range of woven and knitted fabrics has resulted in the increased use of natural and synthetic fibres in fibre blends. The usage of natural raw materials, such as cotton, can be considerably reduced by using such blends, while at the same time the quality of the fabrics and their comfort in practical use can also be improved. The increasing use of a very great variety of fibre blends calls for the use of special dyeing procedures that need to take into consideration the properties of each of the fibre components and their behaviour in relation to dyes and accompanying dyeing chemicals.
- There are basically two types of method known for dyeing fibre blends: the two-bath method, in which each component of the fibre blend is dyed separately, and the one-bath method, which has only one dyeing operation for all of the fibre components present. The one-bath method is more complicated because, inter alia, the conditions need to be matched to the most sensitive of the fibre components, and the dyes chosen for the dyeing frequently have a different affinity for the fibres used. On the other hand, in most cases the one-bath method offers a substantial saving in terms of resources, such as water, energy and the chemicals used.
- The need for and the spread, in particular, of fibre blends consisting of cellulose and polyester has grown steadily in recent years.
- Fibre blends consisting of cellulose and polyester are usually dyed with a mixture of reactive dyes and disperse dyes, that is to say with at least one suitable dye for each type of fibre.
- The dyes from the different classes of dye that are to be combined with one another should, in addition to having a comparable affinity for the respective type of fibre, also have identical or at least similar shades, so as to ensure a uniform fabric appearance.
- The only suitable method for printing fibre blends consisting of cellulose and polyester is pigment printing, in which a suitable binder resin ensures adhesion of the pigment to the fibre.
- There is consequently still a need for a simplified method that is suitable for both dyeing and printing cellulose-containing fibre materials, especially cellulose-containing fibre blends. It should be a one-bath method which dyes the different kinds of fibre simultaneously and produces especially level dyeings or prints that have good allround fastness properties, for example good fastness to light and good wet-fastness.
- The present invention accordingly relates to a method of dyeing or printing cellulose-containing fibre materials using disperse dyes that comprises treating the fibre material with an aqueous composition comprising a water-soluble or water-dispersible polyester resin and a water-soluble or water-dispersible acrylate binder.
- Suitable disperse dyes for the method according to the invention are those described under “Disperse Dyes” in the Colour Index, 3rd edition (3rd revision 1987 inclusive of Additions and Amendments up to No. 85). Such dyes include, for example, carboxylic acid group-free and/or sulfonic acid group-free nitro, amino, aminoketone, ketoninime, methine, polymethine, diphenylamine, quinoline, benzimidazole, xanthene, oxazine and coumarin dyes and especially anthraquinone and azo dyes, such as mono- or dis-azo dyes.
-
- R1 is halogen, nitro or cyano,
- R2 is hydrogen, halogen, nitro or cyano,
- R3 is hydrogen, halogen or cyano,
- R4 is hydrogen, halogen, C1-C4alkyl or C1-C4alkoxy,
- R5 is hydrogen, halogen or C2-C4alkanoylamino and
- R6 and R7 are each independently of the other hydrogen, allyl, or C1-C4alkyl unsubstituted or substituted by hydroxy, cyano, C1-C4alkoxy, C1-C4alkoxy-C1-C4alkoxy, C2-C4alkanoyloxy, C1-C4alkoxycarbonyl, phenyl or by phenoxy,
wherein - R8 is hydrogen, phenyl or phenylsulfonyl, the benzene ring in phenyl and phenylsulfonyl being unsubstituted or substituted by C1-C4alkyl, sulfo or by C1-C4alkylsulfonyloxy,
- R9 is unsubstituted or C1-C4alkyl-substituted amino or is hydroxy,
- R10 is hydrogen or C1-C4alkoxy,
- R11 is hydrogen, C1-C4alkoxy, phenoxy or the radical —O—C6H5—SO2—NH—(CH2)3—O—C2H5,
- R12 is hydrogen, hydroxy or nitro and
- R13 is hydrogen, hydroxy or nitro,
wherein - R14 is C1-C4alkyl unsubstituted or substituted by hydroxy or by phenyl or is phenyl,
- R15 is C1-C4alkyl,
- R16 is cyano,
- R17 is a radical of formula —(CH2)3—O—(CH2)2—O—C6H5, phenyl, or C1-C4alkyl substituted by hydroxy or by phenyl,
- R18 is halogen, nitro or cyano and
- R19 is hydrogen, halogen, nitro, trifluoromethyl or cyano,
wherein - R20 is C1-C4alkyl,
- R21 is C1-C4alkyl unsubstituted or substituted by C1-C4alkoxy and
- R22 is the radical —COOCH2CH2OC6H5 and R23 is hydrogen or
- R22 is hydrogen and R23 is —N═N—C6H5,
wherein the rings A and B are unsubstituted or mono- or poly-substituted by halogen,
wherein - R24 is C1-C4alkyl unsubstituted or substituted by hydroxy, C1-C4alkoxy, C1-C4alkoxy-C1-C4alkoxy, C2-C4alkanoyloxy or by C1-C4alkoxycarbonyl,
wherein - R25 is C1-C4alkyl,
- R26 is C1-C4alkyl unsubstituted or substituted by C1-C4alkoxy,
- R27 is hydrogen, C1-C4alkoxy or halogen and
- R28 is hydrogen, nitro, halogen or phenylsulfonyloxy,
wherein - R29, R30, R3, and R32 are each independently of the others hydrogen or halogen,
- R33 is hydrogen, halogen, C1-C4alkyl or C1-C4alkoxy,
- R34 is hydrogen, halogen or acylamino and
- R35 and R36 are each independently of the other hydrogen, or C1-C4alkyl unsubstituted or substituted by hydroxy, cyano, acetoxy or by phenoxy, or the dye of formula
wherein - R37 is hydrogen or halogen,
wherein - R38 is hydrogen, C1-C4alkyl, tetrahydrofuran-2-yl, or a C1-C4alkoxycarbonyl radical unsubstituted or substituted in the alkyl moiety by C1-C4alkoxy,
wherein - R39 is hydrogen, or thiophenyl unsubstituted or substituted in the phenyl moiety by C1-C4alkyl or by C1-C4alkoxy,
- R40 is hydrogen, hydroxy, amino, or phenylcarbonylamino wherein the phenyl moiety is unsubstituted or substituted by C1-C4alkyl,
- R41 is hydrogen, halogen, cyano, or thiophenyl, phenoxy or phenyl each of which is unsubstituted or substituted in the phenyl moiety by C1-C4alkyl or by C1-C4alkoxy and
- R42 is phenyl unsubstituted or substituted in the phenyl moiety by halogen, C1-C4alkyl or by C1-C4alkoxy,
wherein - R43 is hydrogen or C1-C4alkyl,
- R44 and R45 are each independently of the other hydrogen, halogen, nitro or cyano,
- R46 is hydrogen, halogen, C1-C4alkyl or C1-C4alkoxy,
- R47 is hydrogen, halogen or C2-C4alkanoylamino and
- R48 and R49 are each independently of the other hydrogen, or C1-C4alkyl unsubstituted or substituted by hydroxy, cyano, C1-C4alkoxy, C1-C4alkoxy-C1-C4alkoxy, C2-C4alkanoyloxy, C1-C4alkoxycarbonyl, phenyl or by phenoxy, or
wherein - R5 is hydrogen or C1-C4alkyl,
- R51 is phenyl or phenylcarbonyl, in each of which the phenyl moiety may be substituted by C1-C4alkyl,
- R52 and R53 are each independently of the other hydrogen, C1-C4alkyl or C1-C4alkoxy and
- R54 is hydrogen or C1-C4alkyl.
-
- The disperse dyes employed in the method according to the invention can be used on their own or in the form of a mixture of two or more disperse dyes.
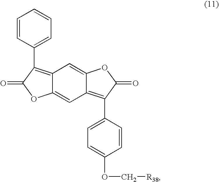
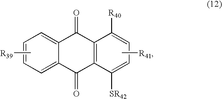
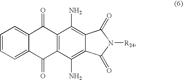
- Preference is given to disperse dyes of formulae (1), (3), (4), (6), (8), (11), (12), (13) and (14), especially the disperse dyes of formulae (3), (6), (8), (12), (13) and (14).
- Very special preference is given to the disperse dyes of formulae (3b), (3c), (3d), (3e), (3f), (3g), (6a), (6c), (8c), (8d), (12a), (12b), (12c), (12d), (13b), (13d), (13e) and (14a).
- Special preference is given likewise to the disperse dyes of formulae (1d), (1e), (1f), (1g), (1h), (1i), (1j), (1k), (4a), (6b), (8a), (8b), (8c), (8d), (11b), (13a), (13b), (13c), (13d), (13e) and (13f).
- The disperse dyes of formulae (1) to (14) are known or can be prepared analogously to known compounds according to standard procedures, for example by customary diazotization, coupling, addition and condensation reactions.
- Suitable acrylate binders are the binders known from textile pigment printing and they include, for example, acrylic polymers, for example poly(meth)acrylates and mixed polymers of (meth)acrylates with suitable comonomers, for example acrylic acid, methacrylic acid, maleic acid, fumaric acid, itaconic acid, mesaconic acid, citraconic acid, vinylacetic acid, vinyloxyacetic acid, vinylpropionic acid, crotonic acid, aconitic acid, allylacetic acid, allyloxyacetic acid, allylmalonic acid, 2-acrylamido-2-methylpropanesulfonic acid, glutaconic acid or allylsuccinic acid, or with esters of such acids, (meth)acrylamide, N-vinylpyrrolidone, N-vinylformamide, N-vinylacetamide, (meth)acrolein, N-vinyl-N-methylacetamide, vinylcapro-lactam, styrene derivatives or vinylphosphonic acid; polyamide derivatives; synthetic resin dispersions; vinyl-based mixed polymers; diamide/aldehyde precondensation products; mixed polymers containing N-vinyllactam, and butadiene-based polymers. Suitable acrylate binders are soluble in aqueous medium or soluble in aqueous medium containing water-miscible organic solvents, if necessary with the addition of bases. The said acrylate binders are preferably used in the form of an aqueous formulation. Such acrylate binders are available commercially in acid form or in partially or fully neutralised form, e.g. Primal® (Rohm & Haas), Neocryl® (NeoResins), Carbocet® (BF Goodrich), Joncryl® (Johnson Polymers) or ALCOPRINT® (Ciba Spezialitatenchemie) binders.
- Suitable water-soluble or water-dilutable/water-dispersible polyester resins are known from the coatings industry in which they are used as binders in the preparation of environmentally friendly, water-based paints. Such polyester resins are described, for example, in U.S. Pat. No. A-4,054,614. They are preferably used in the form of an aqueous formulation and are available commercially, e.g. Dynapol® (Degussa), Bayhydrol® (Bayer) or Worlêe®Pol (Worlêe) resins.
- The ratio by weight of polyester resin to acrylate binder in the composition (in the form of a dry mass) is, e.g., from 4:1 to 1:1, preferably from 2:1 to 1:1.
- It is also possible, in addition, to use crosslinking agents that react with the hydroxyl groups of the acrylate binder and polyester resin. Such crosslinking agents can be applied to the fibre material simultaneously with or before or after the acrylate binder and polyester resin. Preferably, they are additionally present in the aqueous compositions used in accordance with the invention and are applied to the fibre material simultaneously with the acrylate binder and the polyester resin.
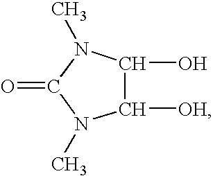
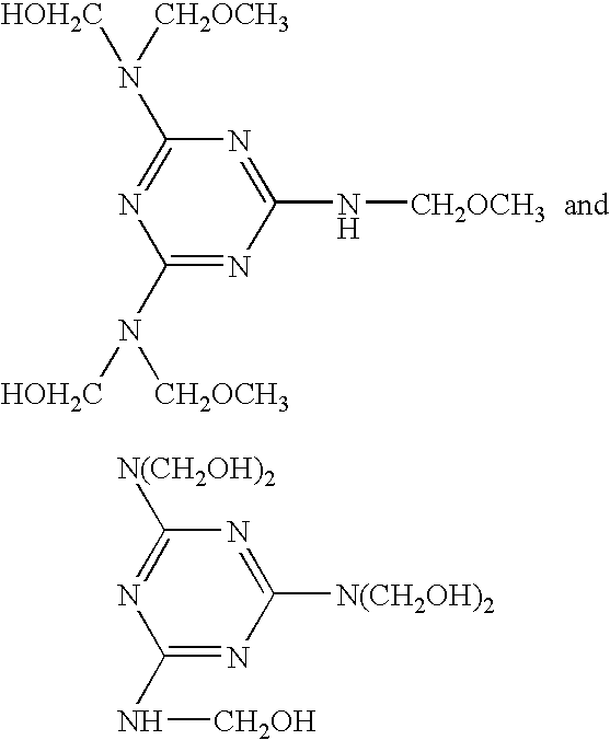
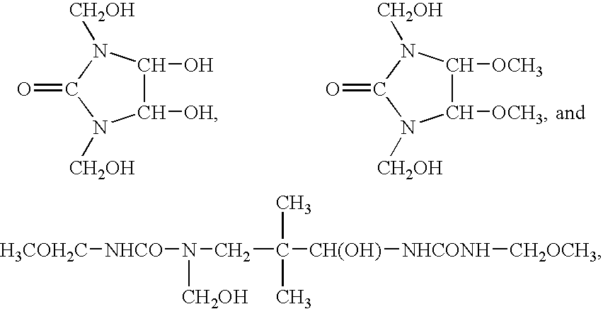
- Suitable crosslinking agents include, for example, water-soluble melamine, formaldehyde-melamine, and formaldehyde-urea resins or precondensation products, such as trimethylolmelamine, hexamethylolmelamine or dimethylolurea or water-soluble formaldehyde (pre)condensation products with formamide, thiourea, guanidine, cyanamide, dicyandiamide and/or water-soluble organic sulfonates, e.g. naphthalenesulfonic acid sodium salt, or glyoxalic urea derivatives, e.g. the compound of formula
and especially N-methylol derivatives of nitrogen-containing compounds, e.g. non-etherified or etherified melamine-formaldehyde condensation products or N-methylolurea compounds. - The compounds of formulae
are examples of non-etherified or etherified melamine-formaldehyde condensation products. The non-etherified or etherified N-methylolurea compounds are, for example, non-etherefied or subsequently etherified reaction products of formaldehyde with urea or urea derivatives, examples of suitable urea derivatives being cyclic ethylene- or propylene-ureas, which may also contain substituents such as hydroxyl groups in the alkylene group, urones and unsubstituted or substituted triazone resins. -
- Crosslinking agents to which preference is given include unmodified and modified N-methylol-hydroxyethyleneurea compounds, methylolation products based on propyleneurea or ethyleneurea-melamine and especially non-etherified or etherified melamine-formaldehyde condensation products. It is also possible to use mixtures of two or more different water-soluble crosslinking agents, for example a mixture consisting of a non-etherified melamine-formaldehyde condensation product and an only partially etherified melamine-formaldehyde condensation product.
- Suitable crosslinking agents are known commercially, for example under the name ALCOPRINT® (Ciba Spezialitätenchemie).
- If desired, crosslinking catalysts can be used in addition.
- Crosslinking catalysts suitable for the method according to the invention include, e.g., any agents customarily used as catalysts for imparting anti-crease and anti-shrink properties, such as are known from the Textilhilfsmittelkatalog 1991, Konradin Verlag R. Kohlhammer, Leinfelden-Echterdingen 1991. Examples of suitable crosslinking catalysts include inorganic acids, e.g. phosphoric acid; Lewis acids, e.g. zinc chloride, zirconium oxychloride, NaBF4, AlCl3, MgCl2; ammonium salts, e.g. ammonium sulfate, ammonium chloride; and hydrohalides, especially hydrochlorides of organic amines, e.g. CH3—CH2—CH2—NH—CH3.HCl. Preference is given to the use of ammonium salts or magnesium-containing Lewis acids and especially to the use of ammonium chloride or magnesium chloride.
- In order to increase the softness of the dyed or printed fibre material and thus obtain a certain handle, the aqueous compositions used in accordance with the invention may additionally comprise an agent imparting soft-handle properties. Soft-handle agents are known in the textile industry. They are non-ionic, anionic, cationic or amphoteric softeners. Emulsions of silicones, usually high-molecular-weight x, dimethylpolysiloxane, are especially important. Soft-handle agents based on silicone emulsions are preferred. Such soft-handle agents are known commercially, for example under the name ULTRATEX® (Ciba Spezialitätenchemie AG).
- The cellulose-containing fibre materials are preferably fibre blends that contain cellulose, e.g. cellulose/polyester or cellulose/polyamide fibre blends, especially cellulose/polyester fibre blends.
- The fibre materials can be in a very great variety of processing forms, e.g. in the form of fibres, filaments, yarn, scrap material, woven fabric or knitted fabric, preferably woven fabric or knitted fabric.
- The treatment of the fibre material with the aqueous composition can be carried out before or simultaneously with the dyeing or printing step. When the treatment and dyeing are carried out simultaneously, the dyeing composition, for example the dye liquor or printing paste, additionally contains the above-mentioned components, such as acrylate binder and polyester resin, present in the aqueous composition. Preference is given to carrying out the treatment with the aqueous composition before the material is brought into contact with the disperse dye, as a pretreatment prior to the actual dyeing or printing step. A further preferred embodiment comprises, in addition to the first treatment which is carried out prior to or simultaneously with the dyeing or printing step, a further treatment with the aqueous composition, which is a finishing treatment carried out following the dyeing or printing step. Advantageously, with that after treatment, any washing and rinsing steps can be avoided.
- The pretreatment liquor, like the aftertreatment liquor, can be applied to the fibre material in a variety of ways, for example according to the exhaust method and preferably by the pad-dyeing method.
- When the treatment with the aqueous composition is carried out as a pretreatment, prior to the dyeing or printing step, the fibre material impregnated with the pretreatment liquor is advantageously subjected to a drying step, for example for from 0.5 to 10 minutes at from 80 to 140° C., especially for from 1 to 4 minutes at from 100 to 120° C., and then the condensation of the polymer matrix applied to the fibres is carried out, for example, for from 0.5 to 10 minutes at from 140 to 210C, especially for from 0.5 to 4 minutes at from 150 to 180° C.
- When an after treatment with the aqueous composition is optionally carried out following the dyeing or printing step, the fibre material impregnated with the after treatment liquor is advantageously subjected to a drying step, for example for from 0.5 to 10 minutes at from 80 to 1400C, especially for from 1 to 4 minutes at from 100 to 120° C., and then the condensation of the polymer matrix applied to the fibres is carried out, for example, for from 0.5 to 10 minutes at from 140 to 210C, especially for from 0.5 to 4 minutes at from 150 to 180° C.
- The aqueous composition used in accordance with the invention contains the above-mentioned components (as a dry mass) for example in the amounts indicated below based on the weight of the treatment liquor:
- acrylate binder: from 2 to 20% by weight, preferably from 5 to 20% by weight
- polyester resin: from 2 to 20% by weight, preferably from 5 to 20% by weight
- crosslinking agent: from 0 to 5% by weight
- softener: from 0 to 10% by weight
- The cellulose-containing fibre materials can be dyed with the disperse dyes according to customary methods known for dyeing polyester fibres, for example according to the thermosol method, the exhaust method or continuous method. The exhaust method is preferred: The liquor ratio depends on the parameters of the apparatus, the substrate and the form of presentation, but can be selected from within a wide range, for example within a range of from 1:4 to 1:100; preferably it is within a range of from 1:6 to 1:25.
- It is advantageous to convert the disperse dyes employed into a dye preparation before use.
- For that purpose, the dye is ground so that its average particle size is from 0.1 to 10 microns.
- The grinding can be carried out in the presence of dispersing agents. For example, the dried dye is ground with a dispersing agent, or is kneaded into paste form with a dispersing agent and then dried in vacuo or by atomising. The resulting preparations can be used to prepare printing pastes and dye baths after the addition of water.
- In the case of printing, the customary thickeners will be employed, e.g. modified or non-modified natural products, for example alginates, British gum, gum arabic, crystal gum, locust bean flour, tragacanth, carboxymethyl cellulose, hydroxyethyl cellulose, starch or synthetic products, for example polyacrylamides, polyacrylic acid or copolymers thereof, or polyvinyl alcohols.
- Printing can also be carried out according to the inkjet printing method. In the past years there has been a significant increase in importance in the use of inkjet printing methods for the production of printed textile materials. Such a method involves individual droplets of ink being sprayed onto the substrate in a controlled manner from a nozzle. For that purpose, mainly the continuous inkjet method and the drop-on-demand method are used. In the continuous inkjet method the droplets are produced continuously, the droplets not required for the printing operation being discharged into a receptacle and usually recycled. In the drop-on-demand method, however, the droplets are produced and used for printing as required, that is to say, droplets are produced only when necessary for the printing operation.
- The droplets can advantageously be produced, for example, by means of a piezo inkjet head or by means of thermal energy (the so-called bubble jet). For the method according to the invention, preference is given to printing according to the continuous inkjet method or the drop-on-demand method. The preparation of the necessary disperse dye inks and the printing method procedure are described, for example, in U.S. Pat. No. A-6,284,004.
- In addition to comprising the components indicated above, the pretreatment liquor or the dye composition may comprise further components, e.g. stabilisers, such as UV absorbers, light stabilisers, antioxidants etc.
- The treatment according to the invention renders the cellulose fibres dyeable by disperse dyes. Dyeing and printing methods for fibre blends are consequently substantially simplified. It is thus possible for all components of the fibre blends to be dyed simultaneously using dyes from one class of dyes (disperse dyes), that is to say, in addition to the polyester component of a cellulose/polyester fibre mixture being dyed, the cellulose component will also be dyed without any problem using the same dye.
- The method according to the invention furthermore meets the important requirement that, when it is used for fibre blends, the dyeability of the polyester component is fully retained. In addition, the matrix of acrylate binder and polyester resin applied to the fibres survives, undamaged, the conditions of a conventional high-temperature dyeing procedure for polyester, e.g. 30 minutes at 130° C.
- The dyeings or prints obtained using the method according to the invention have very good fastness to light and good wet-fastness properties, such as fastness to washing, to water, to seawater, to cross-dyeing and to perspiration. Also, level dyeings with respect to the fibres and the areas dyed are obtained.
- The following Examples are intended to illustrate the invention without limiting the invention to the Examples specifically given.
- a) A woven textile fabric consisting of 100% bleached cotton is pad-dyed with an aqueous liquor (liquor pick-up 70%) containing the following additives, each in the form of an aqueous formulation in the amounts indicated:
- 100 g/l of acrylate binder (ALCOPRIN® PB-HC),
- 10 g/l of methylol-melamine crosslinking resin (ALCOPRINRT® PFL),
- 50 g/l of wash-fast softener (ULTRATEX® FSA),
- 100 g/l of water-soluble polyester resin (Worlê®Pol 192)
- The impregnated fabric is then dried for 2 minutes at 120° C. and the applied polymer matrix is condensed for a further 2 minutes at 180° C.
- b) 10 g of the fabric pretreated according to a) are introduced into 100 ml of a dye liquor containing
- 0.1 g of the disperse dye of formula (4b),
- 0.1 g of dispersing agent (UNIVADIN® DP),
- 0.1 g of deaerating agent (ALBEGAL® FFD) and
- 0.1 g of ammonium sulfate,
adjusted to pH 4.5 using dilute acetic acid, and heated to 130° C. in a pressure vessel. After 30 minutes at 1300C, the liquor is cooled, and the dyed goods are removed, cold-rinsed, washed off for 15 minutes at 95° C. in the presence of a wetting agent, rinsed again, dried, and finished by dry heat fixing (30 seconds at 180° C.). - An orange dyeing exhibiting a high degree of levelness and good allround fastness properties is obtained.
- By proceeding as described in Example 1 but using, instead of a woven cotton fabric, a woven fabric consisting of a 50% cotton/50% polyester fibre blend, there is likewise obtained an orange dyeing that exhibits a high degree of levelness and good allround fastness properties.
- A woven textile fabric consisting of 100% bleached cotton is pad-dyed with an aqueous liquor (liquor pick-up 70%) containing the following additives, each in the form of an aqueous formulation in the amounts indicated:
- 100 g/l of acrylate binder (ALCOPRINRT® PB-HC),
- 10 g/l of methylol-melamine crosslinking resin (ALCOPRINT® PFL),
- 100 g/l of water-soluble polyester resin (Worlëe®Pol 192)
- 14.3 g/l of dye formulation, containing 43% by weight of a finely ground active substance of formula (4b).
- The impregnated fabric is then dried for 2 minutes at 120° C. and the applied polymer matrix is condensed for a further 2 minutes at 180° C., then cold-rinsed, washed off for 5 minutes at 95° C. and rinsed again. A level orange cotton dyeing exhibiting a high degree of fastness to light and good fastness to water and to rubbing is obtained.
- By proceeding as described in Example 3 but using, instead of a woven cotton fabric, a woven fabric consisting of a 50% cotton/50% polyester fibre blend, there is likewise obtained an orange dyeing that exhibits a high degree of levelness and good allround fastness properties.
- A woven textile fabric consisting of 100% bleached cotton is pad-dyed with an aqueous liquor (liquor pick-up 70%) containing the following additives, each in the form of an aqueous formulation in the amounts indicated:
- 100 g/l of acrylate binder (ALCOPRINRT® PB-HC),
- 10 g/l of methylol-melamine crosslinking resin (ALCOPRINT® PFL),
- 100 g/l of water-soluble polyester resin (Worlêe®Pol 192)
- 14.3g/l of dye formulation containing 43% by weight of a finely ground active substance of formula (12a).
- The impregnated fabric is then dried for 2 minutes at 120° C. and the applied polymer matrix is condensed for a further 2 minutes at 200° C. The fabric is then pad-dyed with an aqueous liquor (liquor pick-up 70%) containing the following additives, each in the form of an aqueous formulation in the amounts indicated:
- 100 g/l of acrylate binder (ALCOPRINT® PB-HC),
- 20 g/l of methylol-melamine crosslinking resin (ALCOPRINT® PFL),
- 100 g/l of water-soluble polyester resin (Worlêe®Pol 192).
- The impregnated fabric is then dried for 2 minutes at 120° C. and the applied polymer matrix is condensed for a further 2 minutes at 200° C., yielding, without further washing and rinsing steps, a level yellow cotton dyeing that exhibits a high degree of fastness to light and good fastness to water, to washing and to rubbing.
- By proceeding as described in Example 5 but using, instead of a woven cotton fabric, a woven fabric consisting of a 50% cotton/50% polyester fibre blend, there is likewise obtained an orange dyeing that exhibits a high degree of levelness and good allround fastness properties.
- By proceeding as described in Example 1, and using the following formulation for the pretreatment (Step a)):
- 24 g/l of acrylate thickener (ALCOPRINT® PTF),
- 100 g/l of acrylate binder (ALCOPRINT® PB-HC),
- 50 g/l of wash-fast softener (ULTRATEX® FSA),
- 100 g/l of water-soluble polyester resin (Worlêe®Pol 192),
- 5 g/l of 30% ammonium hydroxide,
applying the printing paste using a screen printing stencil, and then drying the impregnated fabric for 2 minutes at 120° C., condensing the applied polymer matrix for a further 2 minutes at 180° C., and subsequently dyeing the fabric as described under b) in Example 1, there is likewise obtained an orange dyeing that exhibits a high degree of levelness and good allround fastness properties at the locations where dye has been applied using a screen printing stencil. - By proceeding as described in Example 1 but using, instead of the dye of formula (4b), one of the dyes of formulae (1a), (1b), (1c), (1d), (1e), (1f), (1g), (1h), (1i), (1j), (1k), (2a), (2b), (2c), (2d), (2e), (2f), (2g), (3a), (3b), (3c), (3d), (3e), (3f), (3g), (4a), (5a), (6a), (6b), (6c), (7), (8a), (8b), (8c), (8d), (9a), (9b), (10a), (11a), (11b), (11c), (12a), (12b), (12c), (12d), (13a), (13b), (13c), (13d), (13e), (13f) and (14a), there are likewise obtained dyeings in the colour shades of the respective dyes that exhibit a high degree of levelness and good allround fastness properties.
- By proceeding as described in Example 2, but using instead of the dye of formula (4b) one of the dyes of formulae (1a), (1b), (1c), (1d), (1e), (1f), (1g), (1h), (1i), (1j), (1k), (2a), (2b), (2c), (2d), (2e), (2f), (2g), (3a), (3b), (3c), (3d), (3e), (3f), (3g), (4a), (5a), (6a), (6b), (6c), (7), (8a), (8b), (8c), (8d), (9a), (9b), (10a), (11a), (11 b), (11c), (12a), (12b), (12c), (12d), (13a), (13b), (13c), (13d), (13e), (13f) and (14a), there are likewise obtained dyeings in the colour shades of the respective dyes that exhibit a high degree of levelness and good allround fastness properties.
- By proceeding as described in Example 3, but using instead of the dye of formula (4b) one of the dyes of formulae (1a), (1b), (1c), (1d), (1e), (1f), (1g), (1h), (1i), (1j), (1k), (2a), (2b), (2c), (2d), (2e), (2f), (2g), (3a), (3b), (3c), (3d), (3e), (3f), (3g), (4a), (5a), (6a), (6b), (6c), (7), (8a), (8b), (8c), (8d), (9a), (9b), (10a), (11a), (11b), (11c), (12a), (12b), (12c), (12d), (13a), (13b), (13c), (13d), (13e), (13f) and (14a), there are likewise obtained dyeings in the colour shades of the respective dyes that exhibit a high degree of levelness and good allround fastness properties.
- By proceeding as described in Example 4, but using instead of the dye of formula (4b) one of the dyes of formulae (1a), (1b), (1c), (1d), (1e), (1f), (1g), (1 h), (1i), (1j), (1k), (2a), (2b), (2c), (2d), (2e), (2f), (2g), (3a), (3b), (3c), (3d), (3e), (3f), (3g), (4a), (5a), (6a), (6b), (6c), (7), (8a), (8b), (8c), (8d), (9a), (9b), (10a), (11a), (11b), (11c), (12a), (12b), (12c), (12d), (13a), (13b), (13c), (13d), (13e), (13) and (14a), there are likewise obtained dyeings in the colour shades of the respective dyes that exhibit a high degree of levelness and good allround fastness properties.
- By proceeding as described in Example 5, but using instead of the dye of formula (4b) one of the dyes of formulae (1a), (1b), (1c), (1d), (1e), (1f), (1g), (1h), (1i), (1j), (1k), (2a), (2b), (2c), (2d), (2e), (2f), (2g), (3a), (3b), (3c), (3d), (3e), (3f), (3g), (4a), (4b), (5a), (6a), (6b), (6c), (7), (8a), (8b), (8c), (8d), (9a), (9b), (10a), (11a), (11b), (11c), (12b), (12c), (12d), (13a), (13b), (13c), (13d), (13e), (13f) and (14a), there are likewise obtained dyeings in the colour shades of the respective dyes that exhibit a high degree of levelness and good allround fastness properties.
- By proceeding as described in Example 6, but using instead of the dye of formula (4b) one of the dyes of formulae (1a), (1b), (1c), (1d), (1e), (1f), (1g), (1h), (1i), (1j), (1k), (2a), (2b), (2c), (2d), (2e), (2f), (2g), (3a), (3b), (3c), (3d), (3e), (3f), (3g), (4a), (4b), (5a), (6a), (6b), (6c), (7), (8a), (8b), (8c), (8d), (9a), (9b), (10a), (11a), (11b), (11c), (12b), (12c), (12d), (13a), (13b), (13c), (13d), (13e), (13f) and (14a), there are likewise obtained dyeings in the colour shades of the respective dyes that exhibit a high degree of levelness and good allround fastness properties.
- By proceeding as described in Example 7, but using instead of the dye of formula (4b) one of the dyes of formulae (1a), (1b), (1c), (1d), (1 e), (1f), (1 g), (1 h), (1i), (1j), (1k), (2a), (2b), (2c), (2d), (2e), (2f), (2g), (3a), (3b), (3c), (3d), (3e), (3f), (3g), (4a), (5a), (6a), (6b), (6c), (7), (8a), (8b), (8c), (8d), (9a), (9b), (10a), (11a), (11b), (11c), (12a), (12b), (12c), (12d), (13a), (13b), (13c), (13d), (13e), (13f) and (14a), there are likewise obtained dyeings in the colour shades of the respective dyes that exhibit a high degree of levelness and good allround fastness properties.
Claims (10)
1. A method of dyeing or printing cellulose-containing fibre material using a disperse dye which comprises treating the fibre material with an aqueous composition comprising a water-soluble or water-dispersible polyester resin and a water-soluble or water-dispersible acrylate binder.
2. A method according to claim 1 , wherein the disperse dye corresponds to formula
wherein
R1 is halogen, nitro or cyano,
R2 is hydrogen, halogen, nitro or cyano,
R3 is hydrogen, halogen or cyano,
R4 is hydrogen, halogen, C1-C4alkyl or C1-C4alkoxy,
R5 is hydrogen, halogen or C2-C4alkanoylamino and
R6 and R7 are each independently of the other hydrogen, allyl, or C1-C4alkyl unsubstituted or substituted by hydroxy, cyano, C1-C4alkoxy, C1-C4alkoxy-C1-C4alkoxy, C2-C4alkanoyloxy, C1-C4alkoxycarbonyl, phenyl or by phenoxy,
wherein
R8 is hydrogen, phenyl or phenylsulfonyl, the benzene ring in phenyl and phenylsulfonyl being unsubstituted or substituted by C1-C4alkyl, sulfo or by C1-C4alkylsulfonyloxy,
R9 is unsubstituted or C1-C4alkyl-substituted amino or is hydroxy,
R10 is hydrogen or C1-C4alkoxy,
R11 is hydrogen, C1-C4alkoxy, phenoxy or the radical —O—C6H5—SO2—NH—(CH2)3—O—C2H5,
R12 is hydrogen, hydroxy or nitro and
R13 is hydrogen, hydroxy or nitro,
wherein
R14 is C1-C4alkyl unsubstituted or substituted by hydroxy or by phenyl or is phenyl,
R15 is C1-C4alkyl,
R16 is cyano,
R17 is a radical of formula —(CH2)3—O—(CH2)2—O—C6H5, phenyl, or C1-C4alkyl substituted by hydroxy or by phenyl,
R18 is halogen, nitro or cyano and
R19 is hydrogen, halogen, nitro, trifluoromethyl or cyano,
wherein
R20 is C1-C4alkyl,
R21 is C1-C4alkyl unsubstituted or substituted by C1-C4alkoxy and
R22 is the radical —COOCH2CH2OC6H5 and R23 is hydrogen or
R22 is hydrogen and R23 is —N═N—C6H5,
wherein the rings A and B are unsubstituted or mono- or poly-substituted by halogen,
wherein
R24 is C1-C4alkyl unsubstituted or substituted by hydroxy, C1-C4alkoxy, C1-C4alkoxy-C1-C4alkoxy C2-C4alkanoyloxy or by C1-C4alkoxycarbonyl,
wherein
R25 is C1-C4alkyl,
R26 is C1-C4alkyl unsubstituted or substituted by C1-C4alkoxy,
R27 is hydrogen, C1-C4alkoxy or halogen and
R28 is hydrogen, nitro, halogen or phenylsulfonyloxy,
wherein
R29, R30, R3, and R32 are each independently of the others hydrogen or halogen,
R33 is hydrogen, halogen, C1-C4alkyl or C1-C4alkoxy,
R34 is hydrogen, halogen or acylamino and
R35 and R36 are each independently of the other hydrogen, or C1-C4alkyl unsubstituted or substituted by hydroxy, cyano, acetoxy or by phenoxy,
or the dye of formula
wherein
R37 is hydrogen or halogen,
wherein
R38 is hydrogen, C1-C4alkyl, tetrahydrofuran-2-yl, or a C1-C4alkoxycarbonyl radical unsubstituted or substituted in the alkyl moiety by C1-C4alkoxy,
wherein
R39 is hydrogen, or thiophenyl unsubstituted or substituted in the phenyl moiety by C1-C4alkyl or by C1-C4alkoxy,
R40 is hydrogen, hydroxy, amino, or phenylcarbonylamino wherein the phenyl moiety is unsubstituted or substituted by C1-C4alkyl,
R41 is hydrogen, halogen, cyano, or thiophenyl, phenoxy or phenyl each of which is unsubstituted or substituted in the phenyl moiety by C1-C4alkyl or by C1-C4alkoxy and R42 is phenyl unsubstitued or substited in the phenly moity be halogen, C1-C4alkyl or by C1-C4alkoxy,
wherein
R43 is hydrogen or C1-C4alkyl,
R44 and R45 are each independently of the other hydrogen, halogen, nitro or cyano,
R46 is hydrogen, halogen, C1-C4alkyl or C1-C4alkoxy,
R47 is hydrogen, halogen or C2-C4alkanoylamino and
R48 and R49 are each independently of the other hydrogen, or C1-C4alkyl unsubstituted or substituted by hydroxy, cyano, C1-C4alkoxy, C1-C4alkoxy-C1-C4alkoxy, C2-C4alkanoyloxy, C1-C4alkoxycarbonyl, phenyl or by phenoxy, or
wherein
R50 is hydrogen or C1-C4alkyl,
R51 is phenyl or phenylcarbonyl, in each of which the phenyl moiety may be substituted by C1-C4alkyl,
R52 and R53 are each independently of the other hydrogen, C1-C4alkyl or C1-C4alkoxy and
R54 is hydrogen or C1-C4alkyl.
3. A method according to claim 1 , wherein the aqueous composition additionally comprises a crosslinking agent.
4. A method according claim 1 , wherein the aqueous composition additionally comprises an agent imparting soft-handle properties.
5. A method according to claim 1 , wherein the treatment of the fibre material with the aqueous composition is carried out as a pretreatment prior to the material being brought into contact with the disperse dye.
6. A method according to claim 5 , wherein the fibre material impregnated with the aqueous composition in a pretreatment step is dried and the applied polymer matrix is condensed.
7. A method according to claim 1 , wherein, after the dyeing procedure, a further treatment of the fibre material with the aqueous composition is carried out.
8. A method according to claim 1 , wherein the cellulose-containing fibre material is a fibre blend.
9. A method according to claim 1 , wherein the cellulose-containing fibre material is a fibre blend consisting of cellulose and polyester.
10. A method according to claim 1 , wherein the ratio by weight of polyester resin to acrylate binder in the composition is from 4:1 to 1:1.
Applications Claiming Priority (3)
| Application Number | Priority Date | Filing Date | Title |
|---|---|---|---|
| EP02405686.3 | 2002-08-12 | ||
| EP02405686 | 2002-08-12 | ||
| PCT/EP2003/050356 WO2004016849A1 (en) | 2002-08-12 | 2003-08-04 | Method of dyeing or printing cellulose-containing fibre materials using disperse dyes |
Publications (1)
| Publication Number | Publication Date |
|---|---|
| US20060048308A1 true US20060048308A1 (en) | 2006-03-09 |
Family
ID=31725529
Family Applications (1)
| Application Number | Title | Priority Date | Filing Date |
|---|---|---|---|
| US10/522,666 Abandoned US20060048308A1 (en) | 2002-08-12 | 2003-08-04 | Method of dyeing or printing cellulose-containing fibre materials using disperse dyes |
Country Status (5)
| Country | Link |
|---|---|
| US (1) | US20060048308A1 (en) |
| EP (1) | EP1530658A1 (en) |
| CN (1) | CN100404751C (en) |
| AU (1) | AU2003262557A1 (en) |
| WO (1) | WO2004016849A1 (en) |
Cited By (8)
| Publication number | Priority date | Publication date | Assignee | Title |
|---|---|---|---|---|
| CN102127315A (en) * | 2010-12-24 | 2011-07-20 | 上海宜连化工科技有限公司 | Blue disperse dye composition with high light fastness and application thereof |
| WO2012135622A1 (en) | 2011-03-31 | 2012-10-04 | Celanese International Corporation | Disperse dyeing of textile fibers |
| WO2013130429A1 (en) | 2012-02-29 | 2013-09-06 | Celanese International Corporation | Production of dyed cotton fibers |
| WO2013130352A2 (en) | 2012-03-01 | 2013-09-06 | Ticona Llc | Polyarylene sulfide fibers containing an emulsion copolymer coating |
| WO2013148295A2 (en) | 2012-03-30 | 2013-10-03 | Celanese International Corporation | Disperse dyeing of textile fibers |
| WO2014063028A1 (en) | 2012-10-19 | 2014-04-24 | Celanese International Corporation | Process for coloring textile materials |
| WO2015153804A1 (en) * | 2014-04-01 | 2015-10-08 | Finley Randolph L | Ring dyed materials and method of making the same |
| US10550513B2 (en) | 2017-06-22 | 2020-02-04 | Hbi Branded Apparel Enterprises, Llc | Fabric treatment compositions and methods |
Families Citing this family (7)
| Publication number | Priority date | Publication date | Assignee | Title |
|---|---|---|---|---|
| CN104947472A (en) * | 2015-06-11 | 2015-09-30 | 常熟新锦江印染有限公司 | Heat-transfer printing technology for pure cotton cloth |
| WO2018177652A1 (en) * | 2017-03-29 | 2018-10-04 | Huntsman Advanced Materials (Switzerland) Gmbh | Process for printing cellulose containing textile fibre material |
| CN110777549B (en) * | 2019-11-11 | 2022-05-17 | 佛山市乐印涂料有限公司 | Microcapsule slow-release cross-linking agent mucilage and preparation method and application thereof |
| CN110846774A (en) * | 2019-11-29 | 2020-02-28 | 劲霸男装(上海)有限公司 | Preparation method of anti-pilling fabric |
| CN111663345B (en) * | 2020-05-21 | 2021-11-23 | 南通纺织丝绸产业技术研究院 | Washing-free reactive dye printing treatment liquid and application thereof |
| CN111675798B (en) * | 2020-06-03 | 2023-12-12 | 浙江五龙新材股份有限公司 | Synthesis process and application of high-dispersity dispersing agent |
| CN114479561B (en) * | 2022-03-11 | 2022-12-09 | 福建赛孔雀新材料科技有限公司 | Smokeless digital printing ink and preparation method thereof |
Citations (11)
| Publication number | Priority date | Publication date | Assignee | Title |
|---|---|---|---|---|
| US3510241A (en) * | 1966-11-16 | 1970-05-05 | Allied Chem | Coloration of aromatic polyesters |
| US4054614A (en) * | 1976-02-23 | 1977-10-18 | Celanese Corporation | Water soluble polyester coating compositions |
| US4210412A (en) * | 1972-07-25 | 1980-07-01 | Toyo Boseki Kabushiki Kaisha | Method of transfer printing for cellulosic fiber-containing textile product |
| US4231745A (en) * | 1975-11-15 | 1980-11-04 | Hoechst Aktiengesellschaft | Process for pad-dyeing and printing fabrics made of cellulose and/or regenerated modified cellulose and optionally polyester fibers |
| US4299592A (en) * | 1979-01-18 | 1981-11-10 | Basf Aktiengesellschaft | Printing of textile materials |
| US4576610A (en) * | 1980-03-25 | 1986-03-18 | Doncroft Colors & Chemicals, Inc. | Sublimation dye transfer printing of fabrics |
| US4702742A (en) * | 1984-12-10 | 1987-10-27 | Canon Kabushiki Kaisha | Aqueous jet-ink printing on textile fabric pre-treated with polymeric acceptor |
| US5174791A (en) * | 1989-02-08 | 1992-12-29 | Cassella Aktiengesellschaft | Process for dyeing and printing blend fabrics of polyester and natural fibre materials with disperse dye and polyether-polyester to inhibit soilins with disperse dye |
| US5529586A (en) * | 1993-08-26 | 1996-06-25 | Sumitomo Chemical Company, Limited | Compositions containing a benzodifuranone compound and methods for coloring hydrophobic materials using the same |
| US6113656A (en) * | 1995-01-17 | 2000-09-05 | Milliken & Company | Method of dyeing low pill polyester |
| US6284004B1 (en) * | 1997-12-17 | 2001-09-04 | Ciba Specialty Chemicals Corporation | Process for ink-jet printing textile fibre materials |
Family Cites Families (1)
| Publication number | Priority date | Publication date | Assignee | Title |
|---|---|---|---|---|
| US5554734A (en) * | 1994-06-20 | 1996-09-10 | Ciba-Geigy Corporation | AZO dyes containing a bridge member based on stibene and morpholino-substituted triazine |
-
2003
- 2003-08-04 EP EP03787810A patent/EP1530658A1/en not_active Withdrawn
- 2003-08-04 CN CNB038194805A patent/CN100404751C/en not_active Expired - Fee Related
- 2003-08-04 US US10/522,666 patent/US20060048308A1/en not_active Abandoned
- 2003-08-04 WO PCT/EP2003/050356 patent/WO2004016849A1/en not_active Ceased
- 2003-08-04 AU AU2003262557A patent/AU2003262557A1/en not_active Abandoned
Patent Citations (11)
| Publication number | Priority date | Publication date | Assignee | Title |
|---|---|---|---|---|
| US3510241A (en) * | 1966-11-16 | 1970-05-05 | Allied Chem | Coloration of aromatic polyesters |
| US4210412A (en) * | 1972-07-25 | 1980-07-01 | Toyo Boseki Kabushiki Kaisha | Method of transfer printing for cellulosic fiber-containing textile product |
| US4231745A (en) * | 1975-11-15 | 1980-11-04 | Hoechst Aktiengesellschaft | Process for pad-dyeing and printing fabrics made of cellulose and/or regenerated modified cellulose and optionally polyester fibers |
| US4054614A (en) * | 1976-02-23 | 1977-10-18 | Celanese Corporation | Water soluble polyester coating compositions |
| US4299592A (en) * | 1979-01-18 | 1981-11-10 | Basf Aktiengesellschaft | Printing of textile materials |
| US4576610A (en) * | 1980-03-25 | 1986-03-18 | Doncroft Colors & Chemicals, Inc. | Sublimation dye transfer printing of fabrics |
| US4702742A (en) * | 1984-12-10 | 1987-10-27 | Canon Kabushiki Kaisha | Aqueous jet-ink printing on textile fabric pre-treated with polymeric acceptor |
| US5174791A (en) * | 1989-02-08 | 1992-12-29 | Cassella Aktiengesellschaft | Process for dyeing and printing blend fabrics of polyester and natural fibre materials with disperse dye and polyether-polyester to inhibit soilins with disperse dye |
| US5529586A (en) * | 1993-08-26 | 1996-06-25 | Sumitomo Chemical Company, Limited | Compositions containing a benzodifuranone compound and methods for coloring hydrophobic materials using the same |
| US6113656A (en) * | 1995-01-17 | 2000-09-05 | Milliken & Company | Method of dyeing low pill polyester |
| US6284004B1 (en) * | 1997-12-17 | 2001-09-04 | Ciba Specialty Chemicals Corporation | Process for ink-jet printing textile fibre materials |
Cited By (9)
| Publication number | Priority date | Publication date | Assignee | Title |
|---|---|---|---|---|
| CN102127315A (en) * | 2010-12-24 | 2011-07-20 | 上海宜连化工科技有限公司 | Blue disperse dye composition with high light fastness and application thereof |
| WO2012135622A1 (en) | 2011-03-31 | 2012-10-04 | Celanese International Corporation | Disperse dyeing of textile fibers |
| WO2013130429A1 (en) | 2012-02-29 | 2013-09-06 | Celanese International Corporation | Production of dyed cotton fibers |
| WO2013130352A2 (en) | 2012-03-01 | 2013-09-06 | Ticona Llc | Polyarylene sulfide fibers containing an emulsion copolymer coating |
| WO2013148295A2 (en) | 2012-03-30 | 2013-10-03 | Celanese International Corporation | Disperse dyeing of textile fibers |
| WO2013148295A3 (en) * | 2012-03-30 | 2013-12-19 | Celanese International Corporation | Disperse dyeing of textile fibers |
| WO2014063028A1 (en) | 2012-10-19 | 2014-04-24 | Celanese International Corporation | Process for coloring textile materials |
| WO2015153804A1 (en) * | 2014-04-01 | 2015-10-08 | Finley Randolph L | Ring dyed materials and method of making the same |
| US10550513B2 (en) | 2017-06-22 | 2020-02-04 | Hbi Branded Apparel Enterprises, Llc | Fabric treatment compositions and methods |
Also Published As
| Publication number | Publication date |
|---|---|
| EP1530658A1 (en) | 2005-05-18 |
| CN100404751C (en) | 2008-07-23 |
| WO2004016849A1 (en) | 2004-02-26 |
| AU2003262557A1 (en) | 2004-03-03 |
| CN1675429A (en) | 2005-09-28 |
Similar Documents
| Publication | Publication Date | Title |
|---|---|---|
| US20060048308A1 (en) | Method of dyeing or printing cellulose-containing fibre materials using disperse dyes | |
| US6284004B1 (en) | Process for ink-jet printing textile fibre materials | |
| US4265631A (en) | Aqueous dyestuff preparations of water-insoluble or sparingly water-soluble dyes | |
| WO2014063028A1 (en) | Process for coloring textile materials | |
| US20110297305A1 (en) | Coloring composition and coloring method | |
| CN107043574A (en) | Aqueous dye polymer ink-jet ink composition | |
| CN108486933A (en) | A kind of disperse type cationic dye ink-jet ink and its digital printing process | |
| US3878151A (en) | Thickeners for print pastes composed of cross-linked maleic anhydride-alkyl vinyl ether polymers | |
| CA2057652A1 (en) | Process for preparing multi-colored dyed polyamide substrates | |
| US2719832A (en) | Production of moistureproof coatings, impregnations, prints, and the like on fibrous materials and mixtures therefor | |
| CA1295438C (en) | Textile printing and dyeing | |
| KR20210051224A (en) | Pigment printing method using digital textile printing | |
| US4197087A (en) | Liquid type dye preparations | |
| GB2105755A (en) | Continuous dyeing of cellulosic textiles | |
| JP2016141686A (en) | Inkjet ink and inkjet recording method | |
| GB2125837A (en) | After treatment of reactive dyeings and optical brightenings | |
| KR19990013526A (en) | Pigment dyeing method and pigment printing method | |
| CN101084344A (en) | Method for printing or colouring substrates | |
| CN108071023A (en) | A kind of living polymer dye ink and its applied to the ink-jet printed dyeing and printing process on cotton fabric | |
| US4344765A (en) | Process for the preparation of transfer prints on optionally regenerated cellulose fibers and their mixtures with polyester fibers | |
| CA2019070A1 (en) | Production of pattern effects when dyeing or printing textile material in the absence of alkali or reducing agents | |
| CN1204711A (en) | Pigment dyeing and pigment printing process | |
| CN107603273B (en) | A kind of disperse yellow dye composition and its product | |
| KR100800720B1 (en) | Use of Pigment Dyes for Disperse Dyeing in Aqueous Media | |
| US4299592A (en) | Printing of textile materials |
Legal Events
| Date | Code | Title | Description |
|---|---|---|---|
| AS | Assignment |
Owner name: CIBA SPECIALTY CHEMICALS CORP., NEW YORK Free format text: ASSIGNMENT OF ASSIGNORS INTEREST;ASSIGNOR:SCHEIBLI, PETER;REEL/FRAME:017408/0089 Effective date: 20041217 |
|
| AS | Assignment |
Owner name: HUNTSMAN INTERNATIONAL LLC, TEXAS Free format text: ASSIGNMENT OF ASSIGNORS INTEREST;ASSIGNOR:CIBA SPECIALTY CHEMICALS CORPORATION;REEL/FRAME:019140/0871 Effective date: 20060831 |
|
| STCB | Information on status: application discontinuation |
Free format text: ABANDONED -- FAILURE TO RESPOND TO AN OFFICE ACTION |




































