US20040183855A1 - Method of laser milling using constant tool path algorithm - Google Patents
Method of laser milling using constant tool path algorithm Download PDFInfo
- Publication number
- US20040183855A1 US20040183855A1 US10/767,617 US76761704A US2004183855A1 US 20040183855 A1 US20040183855 A1 US 20040183855A1 US 76761704 A US76761704 A US 76761704A US 2004183855 A1 US2004183855 A1 US 2004183855A1
- Authority
- US
- United States
- Prior art keywords
- tool path
- laser
- workpiece
- operable
- radius
- Prior art date
- Legal status (The legal status is an assumption and is not a legal conclusion. Google has not performed a legal analysis and makes no representation as to the accuracy of the status listed.)
- Abandoned
Links
- 238000000034 method Methods 0.000 title claims abstract description 37
- 238000003801 milling Methods 0.000 title claims abstract description 32
- 239000000463 material Substances 0.000 claims abstract description 30
- 238000005553 drilling Methods 0.000 claims description 22
- 238000002679 ablation Methods 0.000 claims description 16
- 238000000608 laser ablation Methods 0.000 claims description 5
- 230000003247 decreasing effect Effects 0.000 claims description 4
- 238000004519 manufacturing process Methods 0.000 description 16
- 230000003287 optical effect Effects 0.000 description 15
- 238000005459 micromachining Methods 0.000 description 12
- 230000008901 benefit Effects 0.000 description 10
- 239000011295 pitch Substances 0.000 description 9
- 238000013459 approach Methods 0.000 description 5
- 238000010586 diagram Methods 0.000 description 5
- 230000002085 persistent effect Effects 0.000 description 5
- 238000009987 spinning Methods 0.000 description 4
- 239000000758 substrate Substances 0.000 description 3
- 238000012546 transfer Methods 0.000 description 3
- XLYOFNOQVPJJNP-UHFFFAOYSA-N water Substances O XLYOFNOQVPJJNP-UHFFFAOYSA-N 0.000 description 3
- 230000002940 repellent Effects 0.000 description 2
- 239000005871 repellent Substances 0.000 description 2
- OKTJSMMVPCPJKN-UHFFFAOYSA-N Carbon Chemical compound [C] OKTJSMMVPCPJKN-UHFFFAOYSA-N 0.000 description 1
- RYGMFSIKBFXOCR-UHFFFAOYSA-N Copper Chemical compound [Cu] RYGMFSIKBFXOCR-UHFFFAOYSA-N 0.000 description 1
- 229910052799 carbon Inorganic materials 0.000 description 1
- 238000004891 communication Methods 0.000 description 1
- 238000004624 confocal microscopy Methods 0.000 description 1
- 239000000470 constituent Substances 0.000 description 1
- 238000001816 cooling Methods 0.000 description 1
- 229910052802 copper Inorganic materials 0.000 description 1
- 239000010949 copper Substances 0.000 description 1
- 239000003814 drug Substances 0.000 description 1
- 230000000694 effects Effects 0.000 description 1
- 238000011835 investigation Methods 0.000 description 1
- 238000012886 linear function Methods 0.000 description 1
- 238000003754 machining Methods 0.000 description 1
- 239000002184 metal Substances 0.000 description 1
- 229910052751 metal Inorganic materials 0.000 description 1
- 238000000847 optical profilometry Methods 0.000 description 1
- 230000010287 polarization Effects 0.000 description 1
- 229920000642 polymer Polymers 0.000 description 1
- 238000007639 printing Methods 0.000 description 1
- 238000004886 process control Methods 0.000 description 1
- 238000012545 processing Methods 0.000 description 1
- 210000001747 pupil Anatomy 0.000 description 1
- 230000005855 radiation Effects 0.000 description 1
- 238000011160 research Methods 0.000 description 1
- 229920005989 resin Polymers 0.000 description 1
- 239000011347 resin Substances 0.000 description 1
- 229920002050 silicone resin Polymers 0.000 description 1
- 229910001220 stainless steel Inorganic materials 0.000 description 1
- 239000010935 stainless steel Substances 0.000 description 1
Images
Classifications
-
- B—PERFORMING OPERATIONS; TRANSPORTING
- B23—MACHINE TOOLS; METAL-WORKING NOT OTHERWISE PROVIDED FOR
- B23K—SOLDERING OR UNSOLDERING; WELDING; CLADDING OR PLATING BY SOLDERING OR WELDING; CUTTING BY APPLYING HEAT LOCALLY, e.g. FLAME CUTTING; WORKING BY LASER BEAM
- B23K26/00—Working by laser beam, e.g. welding, cutting or boring
- B23K26/02—Positioning or observing the workpiece, e.g. with respect to the point of impact; Aligning, aiming or focusing the laser beam
- B23K26/04—Automatically aligning, aiming or focusing the laser beam, e.g. using the back-scattered light
-
- B—PERFORMING OPERATIONS; TRANSPORTING
- B23—MACHINE TOOLS; METAL-WORKING NOT OTHERWISE PROVIDED FOR
- B23K—SOLDERING OR UNSOLDERING; WELDING; CLADDING OR PLATING BY SOLDERING OR WELDING; CUTTING BY APPLYING HEAT LOCALLY, e.g. FLAME CUTTING; WORKING BY LASER BEAM
- B23K26/00—Working by laser beam, e.g. welding, cutting or boring
- B23K26/02—Positioning or observing the workpiece, e.g. with respect to the point of impact; Aligning, aiming or focusing the laser beam
- B23K26/06—Shaping the laser beam, e.g. by masks or multi-focusing
- B23K26/0604—Shaping the laser beam, e.g. by masks or multi-focusing by a combination of beams
- B23K26/0608—Shaping the laser beam, e.g. by masks or multi-focusing by a combination of beams in the same heat affected zone [HAZ]
-
- B—PERFORMING OPERATIONS; TRANSPORTING
- B23—MACHINE TOOLS; METAL-WORKING NOT OTHERWISE PROVIDED FOR
- B23K—SOLDERING OR UNSOLDERING; WELDING; CLADDING OR PLATING BY SOLDERING OR WELDING; CUTTING BY APPLYING HEAT LOCALLY, e.g. FLAME CUTTING; WORKING BY LASER BEAM
- B23K26/00—Working by laser beam, e.g. welding, cutting or boring
- B23K26/02—Positioning or observing the workpiece, e.g. with respect to the point of impact; Aligning, aiming or focusing the laser beam
- B23K26/06—Shaping the laser beam, e.g. by masks or multi-focusing
- B23K26/062—Shaping the laser beam, e.g. by masks or multi-focusing by direct control of the laser beam
- B23K26/0622—Shaping the laser beam, e.g. by masks or multi-focusing by direct control of the laser beam by shaping pulses
- B23K26/0624—Shaping the laser beam, e.g. by masks or multi-focusing by direct control of the laser beam by shaping pulses using ultrashort pulses, i.e. pulses of 1ns or less
-
- B—PERFORMING OPERATIONS; TRANSPORTING
- B23—MACHINE TOOLS; METAL-WORKING NOT OTHERWISE PROVIDED FOR
- B23K—SOLDERING OR UNSOLDERING; WELDING; CLADDING OR PLATING BY SOLDERING OR WELDING; CUTTING BY APPLYING HEAT LOCALLY, e.g. FLAME CUTTING; WORKING BY LASER BEAM
- B23K26/00—Working by laser beam, e.g. welding, cutting or boring
- B23K26/02—Positioning or observing the workpiece, e.g. with respect to the point of impact; Aligning, aiming or focusing the laser beam
- B23K26/06—Shaping the laser beam, e.g. by masks or multi-focusing
- B23K26/067—Dividing the beam into multiple beams, e.g. multifocusing
-
- B—PERFORMING OPERATIONS; TRANSPORTING
- B23—MACHINE TOOLS; METAL-WORKING NOT OTHERWISE PROVIDED FOR
- B23K—SOLDERING OR UNSOLDERING; WELDING; CLADDING OR PLATING BY SOLDERING OR WELDING; CUTTING BY APPLYING HEAT LOCALLY, e.g. FLAME CUTTING; WORKING BY LASER BEAM
- B23K26/00—Working by laser beam, e.g. welding, cutting or boring
- B23K26/02—Positioning or observing the workpiece, e.g. with respect to the point of impact; Aligning, aiming or focusing the laser beam
- B23K26/06—Shaping the laser beam, e.g. by masks or multi-focusing
- B23K26/067—Dividing the beam into multiple beams, e.g. multifocusing
- B23K26/0676—Dividing the beam into multiple beams, e.g. multifocusing into dependently operating sub-beams, e.g. an array of spots with fixed spatial relationship or for performing simultaneously identical operations
-
- B—PERFORMING OPERATIONS; TRANSPORTING
- B23—MACHINE TOOLS; METAL-WORKING NOT OTHERWISE PROVIDED FOR
- B23K—SOLDERING OR UNSOLDERING; WELDING; CLADDING OR PLATING BY SOLDERING OR WELDING; CUTTING BY APPLYING HEAT LOCALLY, e.g. FLAME CUTTING; WORKING BY LASER BEAM
- B23K26/00—Working by laser beam, e.g. welding, cutting or boring
- B23K26/08—Devices involving relative movement between laser beam and workpiece
-
- B—PERFORMING OPERATIONS; TRANSPORTING
- B23—MACHINE TOOLS; METAL-WORKING NOT OTHERWISE PROVIDED FOR
- B23K—SOLDERING OR UNSOLDERING; WELDING; CLADDING OR PLATING BY SOLDERING OR WELDING; CUTTING BY APPLYING HEAT LOCALLY, e.g. FLAME CUTTING; WORKING BY LASER BEAM
- B23K26/00—Working by laser beam, e.g. welding, cutting or boring
- B23K26/08—Devices involving relative movement between laser beam and workpiece
- B23K26/082—Scanning systems, i.e. devices involving movement of the laser beam relative to the laser head
-
- B—PERFORMING OPERATIONS; TRANSPORTING
- B23—MACHINE TOOLS; METAL-WORKING NOT OTHERWISE PROVIDED FOR
- B23K—SOLDERING OR UNSOLDERING; WELDING; CLADDING OR PLATING BY SOLDERING OR WELDING; CUTTING BY APPLYING HEAT LOCALLY, e.g. FLAME CUTTING; WORKING BY LASER BEAM
- B23K26/00—Working by laser beam, e.g. welding, cutting or boring
- B23K26/08—Devices involving relative movement between laser beam and workpiece
- B23K26/10—Devices involving relative movement between laser beam and workpiece using a fixed support, i.e. involving moving the laser beam
-
- B—PERFORMING OPERATIONS; TRANSPORTING
- B23—MACHINE TOOLS; METAL-WORKING NOT OTHERWISE PROVIDED FOR
- B23K—SOLDERING OR UNSOLDERING; WELDING; CLADDING OR PLATING BY SOLDERING OR WELDING; CUTTING BY APPLYING HEAT LOCALLY, e.g. FLAME CUTTING; WORKING BY LASER BEAM
- B23K26/00—Working by laser beam, e.g. welding, cutting or boring
- B23K26/36—Removing material
- B23K26/362—Laser etching
- B23K26/364—Laser etching for making a groove or trench, e.g. for scribing a break initiation groove
-
- B—PERFORMING OPERATIONS; TRANSPORTING
- B23—MACHINE TOOLS; METAL-WORKING NOT OTHERWISE PROVIDED FOR
- B23K—SOLDERING OR UNSOLDERING; WELDING; CLADDING OR PLATING BY SOLDERING OR WELDING; CUTTING BY APPLYING HEAT LOCALLY, e.g. FLAME CUTTING; WORKING BY LASER BEAM
- B23K26/00—Working by laser beam, e.g. welding, cutting or boring
- B23K26/36—Removing material
- B23K26/38—Removing material by boring or cutting
- B23K26/382—Removing material by boring or cutting by boring
-
- B—PERFORMING OPERATIONS; TRANSPORTING
- B23—MACHINE TOOLS; METAL-WORKING NOT OTHERWISE PROVIDED FOR
- B23K—SOLDERING OR UNSOLDERING; WELDING; CLADDING OR PLATING BY SOLDERING OR WELDING; CUTTING BY APPLYING HEAT LOCALLY, e.g. FLAME CUTTING; WORKING BY LASER BEAM
- B23K26/00—Working by laser beam, e.g. welding, cutting or boring
- B23K26/36—Removing material
- B23K26/38—Removing material by boring or cutting
- B23K26/382—Removing material by boring or cutting by boring
- B23K26/384—Removing material by boring or cutting by boring of specially shaped holes
-
- B—PERFORMING OPERATIONS; TRANSPORTING
- B23—MACHINE TOOLS; METAL-WORKING NOT OTHERWISE PROVIDED FOR
- B23K—SOLDERING OR UNSOLDERING; WELDING; CLADDING OR PLATING BY SOLDERING OR WELDING; CUTTING BY APPLYING HEAT LOCALLY, e.g. FLAME CUTTING; WORKING BY LASER BEAM
- B23K26/00—Working by laser beam, e.g. welding, cutting or boring
- B23K26/36—Removing material
- B23K26/38—Removing material by boring or cutting
- B23K26/382—Removing material by boring or cutting by boring
- B23K26/389—Removing material by boring or cutting by boring of fluid openings, e.g. nozzles, jets
-
- B—PERFORMING OPERATIONS; TRANSPORTING
- B23—MACHINE TOOLS; METAL-WORKING NOT OTHERWISE PROVIDED FOR
- B23K—SOLDERING OR UNSOLDERING; WELDING; CLADDING OR PLATING BY SOLDERING OR WELDING; CUTTING BY APPLYING HEAT LOCALLY, e.g. FLAME CUTTING; WORKING BY LASER BEAM
- B23K26/00—Working by laser beam, e.g. welding, cutting or boring
- B23K26/36—Removing material
- B23K26/40—Removing material taking account of the properties of the material involved
-
- B—PERFORMING OPERATIONS; TRANSPORTING
- B41—PRINTING; LINING MACHINES; TYPEWRITERS; STAMPS
- B41J—TYPEWRITERS; SELECTIVE PRINTING MECHANISMS, i.e. MECHANISMS PRINTING OTHERWISE THAN FROM A FORME; CORRECTION OF TYPOGRAPHICAL ERRORS
- B41J2/00—Typewriters or selective printing mechanisms characterised by the printing or marking process for which they are designed
- B41J2/005—Typewriters or selective printing mechanisms characterised by the printing or marking process for which they are designed characterised by bringing liquid or particles selectively into contact with a printing material
- B41J2/01—Ink jet
- B41J2/135—Nozzles
- B41J2/16—Production of nozzles
- B41J2/162—Manufacturing of the nozzle plates
-
- B—PERFORMING OPERATIONS; TRANSPORTING
- B41—PRINTING; LINING MACHINES; TYPEWRITERS; STAMPS
- B41J—TYPEWRITERS; SELECTIVE PRINTING MECHANISMS, i.e. MECHANISMS PRINTING OTHERWISE THAN FROM A FORME; CORRECTION OF TYPOGRAPHICAL ERRORS
- B41J2/00—Typewriters or selective printing mechanisms characterised by the printing or marking process for which they are designed
- B41J2/005—Typewriters or selective printing mechanisms characterised by the printing or marking process for which they are designed characterised by bringing liquid or particles selectively into contact with a printing material
- B41J2/01—Ink jet
- B41J2/135—Nozzles
- B41J2/16—Production of nozzles
- B41J2/1621—Manufacturing processes
- B41J2/1632—Manufacturing processes machining
- B41J2/1634—Manufacturing processes machining laser machining
-
- B—PERFORMING OPERATIONS; TRANSPORTING
- B23—MACHINE TOOLS; METAL-WORKING NOT OTHERWISE PROVIDED FOR
- B23K—SOLDERING OR UNSOLDERING; WELDING; CLADDING OR PLATING BY SOLDERING OR WELDING; CUTTING BY APPLYING HEAT LOCALLY, e.g. FLAME CUTTING; WORKING BY LASER BEAM
- B23K2103/00—Materials to be soldered, welded or cut
- B23K2103/16—Composite materials, e.g. fibre reinforced
- B23K2103/166—Multilayered materials
- B23K2103/172—Multilayered materials wherein at least one of the layers is non-metallic
-
- B—PERFORMING OPERATIONS; TRANSPORTING
- B23—MACHINE TOOLS; METAL-WORKING NOT OTHERWISE PROVIDED FOR
- B23K—SOLDERING OR UNSOLDERING; WELDING; CLADDING OR PLATING BY SOLDERING OR WELDING; CUTTING BY APPLYING HEAT LOCALLY, e.g. FLAME CUTTING; WORKING BY LASER BEAM
- B23K2103/00—Materials to be soldered, welded or cut
- B23K2103/30—Organic material
- B23K2103/42—Plastics
-
- B—PERFORMING OPERATIONS; TRANSPORTING
- B23—MACHINE TOOLS; METAL-WORKING NOT OTHERWISE PROVIDED FOR
- B23K—SOLDERING OR UNSOLDERING; WELDING; CLADDING OR PLATING BY SOLDERING OR WELDING; CUTTING BY APPLYING HEAT LOCALLY, e.g. FLAME CUTTING; WORKING BY LASER BEAM
- B23K2103/00—Materials to be soldered, welded or cut
- B23K2103/50—Inorganic material, e.g. metals, not provided for in B23K2103/02 – B23K2103/26
-
- H—ELECTRICITY
- H05—ELECTRIC TECHNIQUES NOT OTHERWISE PROVIDED FOR
- H05K—PRINTED CIRCUITS; CASINGS OR CONSTRUCTIONAL DETAILS OF ELECTRIC APPARATUS; MANUFACTURE OF ASSEMBLAGES OF ELECTRICAL COMPONENTS
- H05K3/00—Apparatus or processes for manufacturing printed circuits
- H05K3/0011—Working of insulating substrates or insulating layers
- H05K3/0017—Etching of the substrate by chemical or physical means
- H05K3/0026—Etching of the substrate by chemical or physical means by laser ablation
Definitions
- the present invention generally relates to material ablation with pulsed light sources and particularly relates to laser drilling and laser milling.
- Ultrafast lasers generate intense laser pulses with durations from roughly 10 ⁇ 11 seconds (10 picoseconds) to 10 ⁇ 14 seconds ( 10 femtoseconds).
- Short pulse lasers generate intense laser pulses with durations from roughly 10 ⁇ 10 seconds (100 picoseconds) to 10 ⁇ 11 seconds (10 picoseconds).
- These lasers are also a useful tool for milling or drilling holes in a wide range of materials. Hole sizes as small as a few microns, even sub-microns, can readily be drilled. High aspect ratio holes can be drilled in hard materials, such as cooling channels in turbine blades, nozzles in ink-jet printers, or via holes in printed circuit boards.
- micromachining One problem that persists in the field relates to avoiding manufacturing off-specification products with micromachining. This problem is persistent because, in micromachining, the tolerance for error is low and consistency is critical from product to product. For example, inkjet nozzle holes must be manufactured consistently to provide equal ink ejection from each hole when used. When a process is not consistent or repeatable, the manufacturing line produces off-specification products that result in wasted time and energy, mandatory rework, and reduced throughput. This in turn reduces profitability of a manufacturing facility. What is needed is a way to avoid manufacturing off-specification products with micromachining. Another persistent problem related to micromachining involves production of consistent, repeatable results in milling. As noted above, consistency and repeatability are important factors in producing technically acceptable, high quality micro-machined products. However, current methods of milling are not designed to ensure that the required hole geometry is consistent from item to item in the manufacturing line. What is needed is a way to produce consistent, repeatable results in milling.
- a further persistent problem relating to micromachining involves providing guidelines for creating tool path geometry; in recent history, milling techniques that produce predictable and repeatable hole geometries have proven difficult to achieve.
- Trial and error methods have been used to manufacture desired hole geometries: parameters are iteratively changed to reach the desired shape.
- a typical procedure is to step through the desired tool path radius linearly over time; however, this technique introduces uneven pitches in the spiral path, which causes variations in the radial overlap. The uneven ablation that results is undesirable.
- An algorithmic approach proves mildly successful, in that a desired shape is produced using a constant angular velocity and tool pitch. However, this process does not compensate for the spacing of exposure steps generated near the center of the hole as shown in FIG. 1. What is needed is a way to provide guidelines for creating tool path geometry.
- a still further persistent problem relating to micromachining involves providing a laser drilling system tool path allowing for constant material removal.
- Current requirements for milling require total material ablation across the workpiece target area.
- Past techniques include such methods as excimer laser ablation and a constant angular velocity approach, shown in FIG. 1. However, these techniques do not provide the flat surface required by customer specifications. What is needed is a way to provide a laser drilling system tool path allowing for constant material removal.
- a still further persistent problem relating to micromachining involves maintaining constant exposure of a laser source on a workpiece when the tool path is changing. In a constant pulse laser system, the laser is pulsed at a fixed repetition rate; therefore, the uniform ablation is translated into a required constant propagation speed of the laser strike point onto the workpiece.
- the linear speed of the strike point should be constant throughout the laser milling process to maintain constant ablation. What is needed is a way to maintain constant exposure of a laser source on a workpiece when the tool path is changing.
- the present invention is a method of creating a milled structure in a fixed material using a moving laser beam, where a picosecond laser provides short pulses of light energy to produce required exposure steps, where a variable rate of laser beam movement conducts the milling upon the material, where the laser beam tool path directs the milling process to produce a milled hole of high quality and repeatability, and where the knowledge of how to measure these 3 quantities is returned as feedback into the laser system.
- the present invention is a spiral milled tool path structured to achieve the customer specified tapered hole shape.
- the constant arc speed tool path is required to produce tapered holes to customer specification.
- FIG. 1 is a block diagram of a constant angular velocity tool path
- FIG. 2 is a block diagram depicting a simplified schematic of a laser drilling system
- FIG. 3A is a block diagram of constant arc speed tool path corresponding to a round, inward spiral
- FIG. 3B is a block diagram of a constant arc speed tool path corresponding to a round, outward spiral
- FIG. 4 is a flowchart diagram depicting a method of laser milling
- FIG. 5 is a perspective view showing major constituent components of an ink-jet printer.
- FIG. 6 is a schematic cross-sectional view of an ink-jet head.
- the present invention is a method of milling using a constant tool path algorithm (or alternatively, “milling algorithm”) that can be used to produce holes in a consistent, repeatable process. Further, the process can be used to parallel-process a plurality of milled holes simultaneously.
- a constant tool path algorithm or alternatively, “milling algorithm”
- a constant angular velocity tool path (tool path) 100 includes an initial voltage at the outer contour (V max ) 110 , a plurality of laser exposure steps 120 , and the spacing of tool pitch 130 .
- V max the outer contour
- a large number of exposure steps 120 are generated near the target center, which result in excessive ablation in this area.
- approximately 10,000 laser exposure steps 120 are used to create the spiraling shape of tool path 100 .
- a simplified schematic of a laser drilling system 200 includes a laser 205 , a beam 207 , a shutter 210 , an attenuator 215 , a beam expander 220 , a spinning half-wave plate 225 , a first mirror 208 , a second mirror 217 , a third mirror 221 , a fourth mirror 222 , a piezo electric transducer (PZT) scan mirror 230 , a diffractive optical element (DOE) 235 , a plurality of sub-beams 237 , a scan lens 240 , a microfilter 245 , an image transfer lens 250 , and a workpiece 255 , arranged as shown.
- PZT piezo electric transducer
- DOE diffractive optical element
- the present invention uses a picosecond laser system, the present invention may be generalized for use with other laser systems, such as excimer, CO 2 , and copper vapor laser systems.
- picosecond laser 205 emits beam 207 along the optical path identified in FIG. 2.
- Beam 207 propagates along the optical path, where it is incident upon first mirror 208 .
- First mirror 208 redirects beam 207 along the optical path, where it is incident upon shutter 210 .
- Shutter 210 opens and closes to selectively illuminate the work piece material.
- Beam 207 exits shutter 210 and propagates along the optical path to attenuator 215 .
- Attenuator 215 filters the energy of picosecond laser 205 in order to precisely control ablation parameters
- Beam 207 exits attenuator 215 and propagates along the optical path, where it is incident upon second mirror 217 .
- Second mirror 217 redirects beam 207 along the optical path, where it is incident upon beam expander 220 .
- Beam expander 220 increases the size of beam 207 to serve two purposes. First, it increases the beam size for the correct functioning of the DOE 235 as beam splitter. For the DOE 235 to function correctly, the beam size incident upon DOE 235 needs to be big enough to cover several periods of DOE 235 . Second, it increases the beam size to match the scan lens pupil size. Beam 207 exits beam expander 220 and propagates along the optical path, where it is incident upon third mirror 221 . Third mirror 221 redirects beam 207 along the optical path, where it is incident upon fourth mirror 222 . Fourth mirror 222 redirects beam 207 along the optical path, where it is incident upon spinning half-wave plate 225 . Spinning half-wave plate 225 changes the polarization of beam 207 .
- beam 207 Upon exiting spinning half-wave plate 225 , beam 207 propagates along the optical path, where it is incident upon PZT scan mirror 230 .
- PZT scan mirror 230 moves in a pre-defined pattern using a milling algorithm (not shown) to drill the holes in workpiece 255 .
- PZT scan mirror 230 redirects beam 207 along the optical path, where it is incident upon DOE 235 .
- DOE 235 splits beam 207 into a plurality of sub-beams 237 , which allow parallel drilling of workpiece 255 .
- Sub-beams 237 exit DOE 235 and propagate along the optical path, where they are incident upon scan lens 240 .
- Scan lens 240 determines the spot size of sub-beams 237 upon workpiece 255 .
- Sub-beams 237 exit scan lens 240 and propagate along the optical path, where they are incident upon microfilter 245 .
- Microfilter 245 equalizes the intensities of sub-beams 237 .
- Sub-beams 237 exit microfilter 245 and propagate along the optical path, where they are incident upon image transfer lens 250 .
- Image transfer lens 250 re-images the focal spots of sub-beams 237 onto workpiece 255 .
- Sub-beams 237 ablate workpiece 255 in a pattern according to the pre-defined milling algorithm.
- a constant arc speed tool path 300 A and includes an initial outer contour exposure voltage (V max ) 310 , a plurality of exposure steps 320 having constant arc speed and spacing, and the spacing of tool pitch 330 .
- the desired tool path 300 A in the present example, consists of many revolutions separated by a tool pitch 330 , which can be constant or variable depending on the desired final shape. Utilizing this constant arc speed tool path provides a way to avoid manufacturing off-specification products and a way to produce repeatable results in milling.
- V max 310 determines the outer radius of the spiral in tool path 300 A.
- Each revolution has many discrete exposure steps 320 , which are specified by the software algorithm described in step 430 of method 400 below.
- the uniform ablation is translated into a constant propagation speed of PZT scan mirror 230 to direct the laser strike point onto exposure steps 320 of workpiece 255 .
- the constant arc speed tool path depicted in FIG. 3A provides for a flat surface in workpiece 255 being ablated. Maintaining this flat surface in workpiece 255 provides a laser drilling system tool path allowing for constant material removal. This constant arc speed tool path also provides a way to provide a laser drilling system tool path allowing for constant material removal.
- milling is also performed outward as the second half of the milling process.
- the laser strike point is directed moving in an outward spiral tool path 300 B as shown in FIG. 3B.
- a method 400 of laser milling includes several steps.
- an operator or technician provides a control system (not shown), such as a computer, that is capable of running an algorithm via a software program.
- the control system is electronically connected to PZT scan mirror 230 to provide operational control signals for implementation of the algorithm.
- the operator or technician uses customer-specified information, such as CAD files, and technical notes to determine the desired hole geometry, including taper angle, exit hole diameter, and entrance hole diameter.
- the operator or technician determines the voltage, V max 310 , by considering entrance hole diameter, laser spot size, and voltage response of PZT scan mirror 230 .
- the operator or technician also uses the spot size of laser 205 to determine the minimum allowable tool pitch 330 of tool path 300 A. For example, if the spot size is 10 microns, tool pitch 330 should be a maximum of 10 microns to prevent under-ablated ridges from forming along outer walls of the radial contours. A pitch size around two microns works well with the 10-micron laser spot. A typical 40-volt of bias on the PZT scan mirror 130 deflects beam 107 by about 45 microns on workpiece 255 .
- the operator or technician launches software code (not shown), which resides in the control system identified in step 410 above to calculate the radius and angular speed over the period of laser drilling, T, to manufacture the desired hole geometry.
- Formula (B) describes the angular velocity “ ⁇ ” along tool path 300 A at any given time “t” during the laser drilling to achieve constant arc speed: ⁇ ⁇ ( t ) - ⁇ 0 ⁇ r 0 r ⁇ ( t ) ( B )
- Formula (D) describes the angular velocity “ ⁇ ” along tool path 300 B at any given time “t” during the laser drilling to achieve constant arc speed: ⁇ ′ ⁇ ( t ) - ⁇ 0 ⁇ r 0 r ′ ⁇ ( t ) ( D )
- the control system transmits the results of the algorithm executed in step 430 to a tool path controller (not shown), such as a microprocessor, to initiate execution of the tool path and commence laser drilling.
- a tool path controller such as a microprocessor
- the controller identified in step 440 transmits voltages to PZT scan mirror 230 over time that correspond to the digital output of the algorithm executed in step 430 .
- the voltages are applied to PZT scan mirror 230 to translate its position in accordance with the calculated tool path and desired hole geometry in workpiece 255 .
- laser drilling system 200 mills workpiece 255 per the tool path algorithm, in a pattern illustrated in FIG. 3 above.
- laser milling is performed using a layer-by-layer spiraling algorithm (“tool path”), thus, forming a tapered hole by decreasing V max 310 for successive spirals.
- V max can be decreased in various ways between successive layers to achieve a desired contour in a finished workpiece.
- the vertical cross section containing the axis of the hole determines how the V max (i) is progressed where i is the number of steps for reducing the V max .
- the Vmax(i) needs to be determined by the cross section (or shape) specification.
- the tool path algorithm identified in step 430 determines whether the desired hole geometry has been achieved.
- the hole geometry has been achieved when the tool path algorithm has completed the pre-calculated number of necessary spiral ablations.
- Conventional measuring techniques such as use of confocal microscopy and optical profilometry can also be used to determine if the desired hole geometry has been reached. If yes, method 400 ends; if no, method 400 returns to step 450 .
- a nozzle plate of an ink-jet head may be constructed with the laser drilling system of the present invention as further detailed below.
- an ink-jet printer 500 has an ink-jet head 502 capable of recording on a recording medium 504 via a pressure generator. Ink droplets emitted from the ink-jet head 502 are deposited on the recording medium 504 , such as a sheet of copy paper, so that recording can be performed on the recording medium 504 .
- the ink-jet head 502 is mounted on a carriage 506 capable of reciprocating movement along a carriage shaft 508 . More specifically, the ink-jet head 502 is structured such that it can reciprocate in a primary scanning direction X in parallel with the carriage shaft 508 .
- the recording medium 504 is timely conveyed by rollers 510 in a secondary scanning direction Y. The ink-jet head 502 and the recording medium 504 are relatively moved by the rollers 510 .
- a pressure generator 600 is preferably a piezoelectric system, a thermal system, and/or equivalent system.
- the pressure generator 600 corresponds to a piezoelectric system which comprises an upper electrode 602 , a piezoelectric element 604 , and an under electrode 606 .
- a nozzle plate 608 comprises a nozzle substrate 610 and a water repellent layer 612 .
- the nozzle substrate 610 is made of metal, resin, and/or equivalent material.
- the water repellant layer 612 is made, for example, of fluororesin or silicone resin.
- the nozzle substrate 610 is made of stainless steel and has a thickness of 50 um
- the water repellent layer 612 is made of a fluororesin and has a thickness of 0.1 um.
- the ink-jet ink is filled in an ink supplying passage 614 , a pressure chamber 616 , an ink passage 618 , and a nozzle 620 . Ink droplets are ejected from the nozzle 620 as the pressure generator 600 pushes the pressure chamber element 620 .
- a first advantage of the present invention is that it avoids manufacturing off-specification products with micromachining.
- a second advantage of the present invention is that it provides a way to produce consistent, repeatable results in milling.
- a third advantage of the present invention is that it provides a system and guidelines for creating tool path geometry.
- a fourth advantage of the present invention is that it maintains constant exposure of a laser source on a workpiece without active laser power control.
- a fifth advantage of the present invention is that it provides constant material removal.
- a sixth advantage of the present invention is that the spiraling milling effect provides a continuous, consistent, and seamless laser ablation of a workpiece.
- a seventh advantage of the present invention is that the spiraling milling provides a way to machine micro features with cylindrical symmetry using laser ablation.
- An eighth advantage of the present invention is that it provides uniform material removal with predictable ablation rate so that an arbitrary profile may be established.
- the present invention also has some disadvantages.
- One disadvantage of the present invention is that it is time intensive. However, any milling operation will require a similar amount of time to perform and thus is not a significant concern.
- a second disadvantage of the present invention is that it provides an increase in operational speed at the expense of control. However, the alternative closed loop system that provides additional control is too slow for cost effective mass manufacturing environment.
- Another way to solve the same problem is to fire the laser at a faster rate when the hole radius is at the outer exposure steps.
- this approach requires additional process control that is difficult to synchronize and manage in the laser system.
Landscapes
- Physics & Mathematics (AREA)
- Optics & Photonics (AREA)
- Engineering & Computer Science (AREA)
- Plasma & Fusion (AREA)
- Mechanical Engineering (AREA)
- Manufacturing & Machinery (AREA)
- Laser Beam Processing (AREA)
Abstract
A method of creating a milled structure in a fixed material using a moving laser beam is disclosed, where a picosecond laser provides short pulses of light energy to produce required exposure steps, where a variable rate of laser beam movement conducts the milling upon the material, where the laser beam tool path directs the milling process to produce a milled hole of high quality and repeatability, and where the knowledge of how to measure these 3 quantities is returned as feedback into the laser system. The present invention is further embodied as a spiral milled tool path structured to achieve the customer specified tapered hole shape. The constant arc speed tool path is required to produce tapered holes to customer specification.
Description
- This application claims the benefit of U.S. patent application Ser. No. 10/266,934, filed on Oct. 8, 2002 and U.S. Provisional Application No. 60/334,746, filed on Nov. 30, 2001. The disclosure of the above applications are incorporated herein by reference.
- The present invention generally relates to material ablation with pulsed light sources and particularly relates to laser drilling and laser milling.
- Material ablation by pulsed light sources has been studied since the invention of the laser. Reports in 1982 of polymers having been etched by ultraviolet (UV) excimer laser radiation stimulated widespread investigations of the process for micromachining. Since then, scientific and industrial research in this field has proliferated-mostly spurred by the remarkably small features that can be drilled, milled, and replicated through the use of lasers.
- Ultrafast lasers generate intense laser pulses with durations from roughly 10 −11 seconds (10 picoseconds) to 10−14 seconds (10 femtoseconds). Short pulse lasers generate intense laser pulses with durations from roughly 10−10 seconds (100 picoseconds) to 10−11 seconds (10 picoseconds). A wide variety of potential applications for ultrafast lasers in medicine, chemistry, and communications are being developed and implemented. These lasers are also a useful tool for milling or drilling holes in a wide range of materials. Hole sizes as small as a few microns, even sub-microns, can readily be drilled. High aspect ratio holes can be drilled in hard materials, such as cooling channels in turbine blades, nozzles in ink-jet printers, or via holes in printed circuit boards.
- The ability to drill holes as small as microns in diameter is a basic requirement in many high-tech manufacturing industries. The combination of high resolution, accuracy, speed, and flexibility has allowed laser processing to gain acceptance in many industries, including the manufacture of integrated circuits, hard disks, printing devices, displays, interconnects, and telecommunication devices.
- There exist multiple methods for laser machining; however, when fine features are to be drilled, tolerances are smaller for the finished product in laser micromachining. In this case, the process used must provide consistent, predictable, and repeatable results to satisfy the end application. Computer control via algorithms and software in laser micromachining provides the opportunity for fine control of hole geometry and the consistency required for a profitable, mass-production manufacturing facility. This opportunity should not be squandered, as many problems continue to exist related to micromachining.
- One problem that persists in the field relates to avoiding manufacturing off-specification products with micromachining. This problem is persistent because, in micromachining, the tolerance for error is low and consistency is critical from product to product. For example, inkjet nozzle holes must be manufactured consistently to provide equal ink ejection from each hole when used. When a process is not consistent or repeatable, the manufacturing line produces off-specification products that result in wasted time and energy, mandatory rework, and reduced throughput. This in turn reduces profitability of a manufacturing facility. What is needed is a way to avoid manufacturing off-specification products with micromachining. Another persistent problem related to micromachining involves production of consistent, repeatable results in milling. As noted above, consistency and repeatability are important factors in producing technically acceptable, high quality micro-machined products. However, current methods of milling are not designed to ensure that the required hole geometry is consistent from item to item in the manufacturing line. What is needed is a way to produce consistent, repeatable results in milling.
- A further persistent problem relating to micromachining involves providing guidelines for creating tool path geometry; in recent history, milling techniques that produce predictable and repeatable hole geometries have proven difficult to achieve. Trial and error methods have been used to manufacture desired hole geometries: parameters are iteratively changed to reach the desired shape. A typical procedure is to step through the desired tool path radius linearly over time; however, this technique introduces uneven pitches in the spiral path, which causes variations in the radial overlap. The uneven ablation that results is undesirable. An algorithmic approach proves mildly successful, in that a desired shape is produced using a constant angular velocity and tool pitch. However, this process does not compensate for the spacing of exposure steps generated near the center of the hole as shown in FIG. 1. What is needed is a way to provide guidelines for creating tool path geometry.
- A still further persistent problem relating to micromachining involves providing a laser drilling system tool path allowing for constant material removal. Current requirements for milling require total material ablation across the workpiece target area. Past techniques include such methods as excimer laser ablation and a constant angular velocity approach, shown in FIG. 1. However, these techniques do not provide the flat surface required by customer specifications. What is needed is a way to provide a laser drilling system tool path allowing for constant material removal. A still further persistent problem relating to micromachining involves maintaining constant exposure of a laser source on a workpiece when the tool path is changing. In a constant pulse laser system, the laser is pulsed at a fixed repetition rate; therefore, the uniform ablation is translated into a required constant propagation speed of the laser strike point onto the workpiece. When using a semi-circular motion, such as spiraling, the linear speed of the strike point should be constant throughout the laser milling process to maintain constant ablation. What is needed is a way to maintain constant exposure of a laser source on a workpiece when the tool path is changing.
- In a first aspect, the present invention is a method of creating a milled structure in a fixed material using a moving laser beam, where a picosecond laser provides short pulses of light energy to produce required exposure steps, where a variable rate of laser beam movement conducts the milling upon the material, where the laser beam tool path directs the milling process to produce a milled hole of high quality and repeatability, and where the knowledge of how to measure these 3 quantities is returned as feedback into the laser system.
- In a second aspect, the present invention is a spiral milled tool path structured to achieve the customer specified tapered hole shape. The constant arc speed tool path is required to produce tapered holes to customer specification.
- Further areas of applicability of the present invention will become apparent from the detailed description provided hereinafter. For example, while the present invention is described herein with reference to modifying angular speed as a function of radius for a spiral tool path that is round in shape, it should be understood that a constant arc speed can be obtained differently for different applications requiring a spiral that is not round in shape. Thus, a rate of traversal of the laser beam with respect to the surface of the workpiece is more generally modified as a function of distance from at least one fixed axis (for example, an oval has two relevant axes). It should be understood that the detailed description and specific examples, while indicating the preferred embodiment of the invention, are intended for purposes of illustration only and are not intended to limit the scope of the invention.
- The present invention will become more fully understood from the detailed description and the accompanying drawings, wherein:
- FIG. 1 is a block diagram of a constant angular velocity tool path;
- FIG. 2 is a block diagram depicting a simplified schematic of a laser drilling system;
- FIG. 3A is a block diagram of constant arc speed tool path corresponding to a round, inward spiral;
- FIG. 3B is a block diagram of a constant arc speed tool path corresponding to a round, outward spiral;
- FIG. 4 is a flowchart diagram depicting a method of laser milling;
- FIG. 5 is a perspective view showing major constituent components of an ink-jet printer; and
- FIG. 6 is a schematic cross-sectional view of an ink-jet head.
- The following description of the preferred embodiment(s) is merely exemplary in nature and is in no way intended to limit the invention, its application, or uses.
- The present invention is a method of milling using a constant tool path algorithm (or alternatively, “milling algorithm”) that can be used to produce holes in a consistent, repeatable process. Further, the process can be used to parallel-process a plurality of milled holes simultaneously.
- As noted above, an algorithmic approach proves mildly successful, in that a desired shape is produced using a constant angular velocity and tool pitch. As also noted above, this process does not compensate for the spacing of exposure steps generated near the center of the hole.
- Referring to FIG. 1, a constant angular velocity tool path (tool path) 100 includes an initial voltage at the outer contour (Vmax) 110, a plurality of laser exposure steps 120, and the spacing of
tool pitch 130. Using this approach, a large number of exposure steps 120 are generated near the target center, which result in excessive ablation in this area. In the present example, approximately 10,000 laser exposure steps 120 are used to create the spiraling shape oftool path 100. - Referring to FIG. 2, a simplified schematic of a
laser drilling system 200, includes alaser 205, abeam 207, ashutter 210, anattenuator 215, abeam expander 220, a spinning half-wave plate 225, afirst mirror 208, asecond mirror 217, athird mirror 221, afourth mirror 222, a piezo electric transducer (PZT)scan mirror 230, a diffractive optical element (DOE) 235, a plurality ofsub-beams 237, ascan lens 240, amicrofilter 245, animage transfer lens 250, and aworkpiece 255, arranged as shown. Although the present invention uses a picosecond laser system, the present invention may be generalized for use with other laser systems, such as excimer, CO2, and copper vapor laser systems. - A brief description of the elements and operation of
laser drilling system 200 is provided below. In alternate embodiments, changes in the elements oflaser drilling system 200 may be required. The present invention is not limited to the current selection and arrangement of elements inlaser drilling system 200. - In operation,
picosecond laser 205 emitsbeam 207 along the optical path identified in FIG. 2.Beam 207 propagates along the optical path, where it is incident uponfirst mirror 208.First mirror 208 redirectsbeam 207 along the optical path, where it is incident uponshutter 210.Shutter 210 opens and closes to selectively illuminate the work piece material.Beam 207 exits shutter 210 and propagates along the optical path toattenuator 215.Attenuator 215 filters the energy ofpicosecond laser 205 in order to precisely controlablation parameters Beam 207 exitsattenuator 215 and propagates along the optical path, where it is incident uponsecond mirror 217.Second mirror 217 redirectsbeam 207 along the optical path, where it is incident uponbeam expander 220. -
Beam expander 220 increases the size ofbeam 207 to serve two purposes. First, it increases the beam size for the correct functioning of theDOE 235 as beam splitter. For theDOE 235 to function correctly, the beam size incident uponDOE 235 needs to be big enough to cover several periods ofDOE 235. Second, it increases the beam size to match the scan lens pupil size.Beam 207 exitsbeam expander 220 and propagates along the optical path, where it is incident uponthird mirror 221.Third mirror 221 redirectsbeam 207 along the optical path, where it is incident uponfourth mirror 222.Fourth mirror 222 redirectsbeam 207 along the optical path, where it is incident upon spinning half-wave plate 225. Spinning half-wave plate 225 changes the polarization ofbeam 207. Upon exiting spinning half-wave plate 225,beam 207 propagates along the optical path, where it is incident uponPZT scan mirror 230.PZT scan mirror 230 moves in a pre-defined pattern using a milling algorithm (not shown) to drill the holes inworkpiece 255.PZT scan mirror 230 redirectsbeam 207 along the optical path, where it is incident uponDOE 235. -
DOE 235 splitsbeam 207 into a plurality ofsub-beams 237, which allow parallel drilling ofworkpiece 255.Sub-beams 237exit DOE 235 and propagate along the optical path, where they are incident uponscan lens 240.Scan lens 240 determines the spot size ofsub-beams 237 uponworkpiece 255.Sub-beams 237exit scan lens 240 and propagate along the optical path, where they are incident uponmicrofilter 245.Microfilter 245 equalizes the intensities ofsub-beams 237.Sub-beams 237exit microfilter 245 and propagate along the optical path, where they are incident uponimage transfer lens 250.Image transfer lens 250 re-images the focal spots ofsub-beams 237 ontoworkpiece 255.Sub-beams 237ablate workpiece 255 in a pattern according to the pre-defined milling algorithm. - Referring to FIG. 3A, a constant arc
speed tool path 300A and includes an initial outer contour exposure voltage (Vmax) 310, a plurality of exposure steps 320 having constant arc speed and spacing, and the spacing oftool pitch 330. In operation, the desiredtool path 300A, in the present example, consists of many revolutions separated by atool pitch 330, which can be constant or variable depending on the desired final shape. Utilizing this constant arc speed tool path provides a way to avoid manufacturing off-specification products and a way to produce repeatable results in milling.V max 310 determines the outer radius of the spiral intool path 300A. Each revolution, as shown, has many discrete exposure steps 320, which are specified by the software algorithm described instep 430 ofmethod 400 below. In reference to FIGS. 2 and 3, aslaser 205 pulses at a fixed repetition rate, the uniform ablation is translated into a constant propagation speed ofPZT scan mirror 230 to direct the laser strike point onto exposure steps 320 ofworkpiece 255. - The constant arc speed tool path depicted in FIG. 3A provides for a flat surface in
workpiece 255 being ablated. Maintaining this flat surface inworkpiece 255 provides a laser drilling system tool path allowing for constant material removal. This constant arc speed tool path also provides a way to provide a laser drilling system tool path allowing for constant material removal. - During the manufacturing process employing the present invention, milling is also performed outward as the second half of the milling process. When the laser milling reaches the end of the inward spiral at t=T, the laser strike point is directed moving in an outward
spiral tool path 300B as shown in FIG. 3B. After the laser strike point reaches the maximum radius for the next layer of milling at t=T′, the next inward spiral begins. - Referring to FIG. 4, a
method 400 of laser milling includes several steps. Atstep 410, an operator or technician provides a control system (not shown), such as a computer, that is capable of running an algorithm via a software program. The control system is electronically connected toPZT scan mirror 230 to provide operational control signals for implementation of the algorithm. Atstep 420, the operator or technician uses customer-specified information, such as CAD files, and technical notes to determine the desired hole geometry, including taper angle, exit hole diameter, and entrance hole diameter. The operator or technician determines the voltage,V max 310, by considering entrance hole diameter, laser spot size, and voltage response ofPZT scan mirror 230. The operator or technician also uses the spot size oflaser 205 to determine the minimumallowable tool pitch 330 oftool path 300A. For example, if the spot size is 10 microns,tool pitch 330 should be a maximum of 10 microns to prevent under-ablated ridges from forming along outer walls of the radial contours. A pitch size around two microns works well with the 10-micron laser spot. A typical 40-volt of bias on thePZT scan mirror 130 deflects beam 107 by about 45 microns onworkpiece 255. Atstep 430, the operator or technician launches software code (not shown), which resides in the control system identified instep 410 above to calculate the radius and angular speed over the period of laser drilling, T, to manufacture the desired hole geometry. For example, the following formula, Formula (A), describes the radius “r” alongtool path 300A at any given time “t” during the laser drilling: -
- Also, when the laser milling reaches the end of the inward
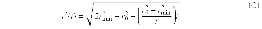
spiral tool path 300A at t=T, the laser strike point is directed moving in an outwardspiral tool path 300B determined by the following equations during T≦t≦T′. Formula (C), describes the radius “r” alongtool path 300A at any given time “t” during the laser drilling: -
- These four formulas are used to formulate the tool paths for drilling conical shapes, which resides in algorithmic form in the software on the control system. This step provides guidelines to create tool path geometry.
- At
step 440, the control system transmits the results of the algorithm executed instep 430 to a tool path controller (not shown), such as a microprocessor, to initiate execution of the tool path and commence laser drilling. Atstep 450, the controller identified instep 440 transmits voltages toPZT scan mirror 230 over time that correspond to the digital output of the algorithm executed instep 430. The voltages are applied toPZT scan mirror 230 to translate its position in accordance with the calculated tool path and desired hole geometry inworkpiece 255. Atstep 460,laser drilling system 200 mills workpiece 255 per the tool path algorithm, in a pattern illustrated in FIG. 3 above. In the present invention, laser milling is performed using a layer-by-layer spiraling algorithm (“tool path”), thus, forming a tapered hole by decreasingV max 310 for successive spirals. - As previously discussed, the present invention is not limited to the spiral shape; in alternate embodiments, other tool path algorithms keeping uniform exposure for varied shapes can be used. Also, V max can be decreased in various ways between successive layers to achieve a desired contour in a finished workpiece. The vertical cross section containing the axis of the hole determines how the Vmax(i) is progressed where i is the number of steps for reducing the Vmax. A linear function of Vmax(i+1)=Vmax results in a constant taper with fixed taper angle. Another function of Vmax(i+1)=Vmax(i)−(ΔVmax*i) makes the taper progressively steeper. On the other hand, Vmax(i+1)=Vmax (i)−(ΔVmax/i) makes the taper angle less and less steep as radius is reduced. In general, the Vmax(i) needs to be determined by the cross section (or shape) specification.
- At
step 470, the tool path algorithm identified instep 430 determines whether the desired hole geometry has been achieved. The hole geometry has been achieved when the tool path algorithm has completed the pre-calculated number of necessary spiral ablations. Conventional measuring techniques such as use of confocal microscopy and optical profilometry can also be used to determine if the desired hole geometry has been reached. If yes,method 400 ends; if no,method 400 returns to step 450. - A nozzle plate of an ink-jet head may be constructed with the laser drilling system of the present invention as further detailed below.
- As shown in FIG. 5, an ink-
jet printer 500 has an ink-jet head 502 capable of recording on arecording medium 504 via a pressure generator. Ink droplets emitted from the ink-jet head 502 are deposited on therecording medium 504, such as a sheet of copy paper, so that recording can be performed on therecording medium 504. The ink-jet head 502 is mounted on acarriage 506 capable of reciprocating movement along acarriage shaft 508. More specifically, the ink-jet head 502 is structured such that it can reciprocate in a primary scanning direction X in parallel with thecarriage shaft 508. Therecording medium 504 is timely conveyed byrollers 510 in a secondary scanning direction Y. The ink-jet head 502 and therecording medium 504 are relatively moved by therollers 510. - Referring to FIG. 6, a
pressure generator 600 is preferably a piezoelectric system, a thermal system, and/or equivalent system. In this embodiment, thepressure generator 600 corresponds to a piezoelectric system which comprises anupper electrode 602, apiezoelectric element 604, and an underelectrode 606. Anozzle plate 608 comprises anozzle substrate 610 and awater repellent layer 612. Thenozzle substrate 610 is made of metal, resin, and/or equivalent material. Thewater repellant layer 612 is made, for example, of fluororesin or silicone resin. In this embodiment, thenozzle substrate 610 is made of stainless steel and has a thickness of 50 um, and thewater repellent layer 612 is made of a fluororesin and has a thickness of 0.1 um. The ink-jet ink is filled in anink supplying passage 614, apressure chamber 616, anink passage 618, and anozzle 620. Ink droplets are ejected from thenozzle 620 as thepressure generator 600 pushes thepressure chamber element 620. - As a result of the present invention, very good nozzles are formed without flash and foreign matter (carbon etc) in the nozzle plate. Further, the accuracy of the nozzle outlet diameter is 20 um±1.5 um.
- The present invention has several advantages. A first advantage of the present invention is that it avoids manufacturing off-specification products with micromachining. A second advantage of the present invention is that it provides a way to produce consistent, repeatable results in milling. A third advantage of the present invention is that it provides a system and guidelines for creating tool path geometry. A fourth advantage of the present invention is that it maintains constant exposure of a laser source on a workpiece without active laser power control. A fifth advantage of the present invention is that it provides constant material removal. A sixth advantage of the present invention is that the spiraling milling effect provides a continuous, consistent, and seamless laser ablation of a workpiece. A seventh advantage of the present invention is that the spiraling milling provides a way to machine micro features with cylindrical symmetry using laser ablation. An eighth advantage of the present invention is that it provides uniform material removal with predictable ablation rate so that an arbitrary profile may be established.
- The present invention also has some disadvantages. One disadvantage of the present invention is that it is time intensive. However, any milling operation will require a similar amount of time to perform and thus is not a significant concern. A second disadvantage of the present invention is that it provides an increase in operational speed at the expense of control. However, the alternative closed loop system that provides additional control is too slow for cost effective mass manufacturing environment.
- Another way to solve the same problem is to fire the laser at a faster rate when the hole radius is at the outer exposure steps. However, this approach requires additional process control that is difficult to synchronize and manage in the laser system.
- The description of the invention is merely exemplary in nature and, thus, variations that do not depart from the gist of the invention are intended to be within the scope of the invention. Such variations are not to be regarded as a departure from the spirit and scope of the invention.
Claims (23)
1. A method of performing laser milling comprising:
determining a tool path for ablating a layer of material from an exposed surface of a workpiece with a laser; and
ablating a layer of material from an exposed surface of the workpiece with a laser according to the tool path,
wherein the tool path describes a substantially constant arc speed.
2. The method of claim 1 further comprising communicating the tool path to a control system operable to affect a traversal of the exposed surface of the workpiece with the laser according to the tool path.
3. The method of claim 2 , wherein said determining a tool path corresponds to formulating a radius and a local angular speed.
4. The method of claim 3 , wherein the radius is controlled as a function of voltage output to a PZT scan mirror of a laser system operated by the control system, and wherein said determining a tool path comprises determining an initial voltage.
5. The method of claim 4 , wherein the radius is variable according to a tool pitch that corresponds to a decrease in voltage per revolution, and wherein said determining a tool path comprises determining a tool pitch based on a spot size of the laser system.
6. The method of claim 3 , wherein the control system is operable to modify the angular speed as a function of radius, thereby accomplishing the substantially constant arc speed.
7. The method of claim 3 further comprising modifying the tool path to accomplish removal of successive layers of material from a newly exposed surface of the workpiece, wherein the successive layers of material respectively decrease in area, thereby affecting a desired contour in the laser milled workpiece.
8. The method of claim 7 , wherein said modifying corresponds to decreasing the radius and increasing the local angular speed.
9. The method of claim 1 further comprising simultaneously performing ablation of multiple workpieces according to the tool path, wherein ablated regions of each workpiece is composed of substantially identical material and has substantially identical geometric characteristics.
10. The method of claim 1 further comprising simultaneously performing ablations of multiple regions of a workpiece according to the tool path, wherein each of said multiple regions is composed of substantially identical material and has substantially identical geometric characteristics.
11. A laser milling system comprising:
a tool path module operable to determine a tool path for ablating a layer of material from an exposed surface of a workpiece with a laser, wherein the tool path describes a substantially constant arc speed;
a plurality of lasers operable to perform ablation of a plurality of workpieces according to the tool path; and
a control module operable to ablate a layer of material from an exposed surface of the workpiece with a laser according to the tool path.
12. The system of claim 11 , wherein said tool path module is operable to formulate a radius and a local angular speed.
13. The system of claim 12 , wherein said control module is operable to control the radius as a function of voltage output to a PZT scan mirror of the plurality of lasers, and wherein said tool path module is operable to determine an initial voltage.
14. The system of claim 13 , wherein said control module is operable to vary the radius according to a tool pitch that corresponds to a decrease in voltage per revolution, and wherein said tool path module is operable to determine a tool pitch based on a spot size of the plurality of lasers.
15. The system of claim 12 , wherein said control module is operable to control the angular speed as a function of radius, thereby accomplishing the substantially constant arc speed.
16. The system of claim 12 , wherein said control module is operable to modify the tool path to accomplish removal of successive layers of material from a newly exposed surface of the workpiece, wherein the successive layers of material respectively decrease in area, thereby affecting a desired contour in the laser milled workpiece.
17. The system of claim 16 , wherein said control module is operable to modify the tool path by decreasing the radius and increasing the local angular speed.
18. The system of claim 11 further comprising simultaneously performing ablation of multiple workpieces according to the tool path, wherein ablated regions of each workpiece is composed of substantially identical material and has substantially identical geometric characteristics.
19. The system of claim 11 further comprising simultaneously performing ablations of multiple regions of a workpiece according to the tool path, wherein each of said multiple regions is composed of substantially identical material and has substantially identical geometric characteristics.
20. A laser-milled workpiece comprising a workpiece layer having an aperture formed therein via laser ablation of workpiece material, wherein the laser ablation is performed by a laser drilling system driving a laser beam according to a tool path across a surface of said workpiece layer, wherein the tool path has a constant arc speed.
21. The workpiece of claim 20 , wherein said workpiece layer is further defined as an inkjet nozzle plate, and the aperture is further defined as an ink-jet nozzle.
22. An inkjet head having the inkjet nozzle of claim 21 .
23. An inkjet printer having the inkjet head of claim 22.
Priority Applications (1)
| Application Number | Priority Date | Filing Date | Title |
|---|---|---|---|
| US10/767,617 US20040183855A1 (en) | 2001-11-30 | 2004-01-29 | Method of laser milling using constant tool path algorithm |
Applications Claiming Priority (3)
| Application Number | Priority Date | Filing Date | Title |
|---|---|---|---|
| US33474601P | 2001-11-30 | 2001-11-30 | |
| US10/266,934 US6897405B2 (en) | 2001-11-30 | 2002-10-08 | Method of laser milling using constant tool path algorithm |
| US10/767,617 US20040183855A1 (en) | 2001-11-30 | 2004-01-29 | Method of laser milling using constant tool path algorithm |
Related Parent Applications (1)
| Application Number | Title | Priority Date | Filing Date |
|---|---|---|---|
| US10/266,934 Division US6897405B2 (en) | 2001-11-30 | 2002-10-08 | Method of laser milling using constant tool path algorithm |
Publications (1)
| Publication Number | Publication Date |
|---|---|
| US20040183855A1 true US20040183855A1 (en) | 2004-09-23 |
Family
ID=23016588
Family Applications (3)
| Application Number | Title | Priority Date | Filing Date |
|---|---|---|---|
| US10/266,934 Expired - Lifetime US6897405B2 (en) | 2001-11-30 | 2002-10-08 | Method of laser milling using constant tool path algorithm |
| US10/767,618 Abandoned US20040182831A1 (en) | 2001-11-30 | 2004-01-29 | Method of laser milling using constant tool path algorithm |
| US10/767,617 Abandoned US20040183855A1 (en) | 2001-11-30 | 2004-01-29 | Method of laser milling using constant tool path algorithm |
Family Applications Before (2)
| Application Number | Title | Priority Date | Filing Date |
|---|---|---|---|
| US10/266,934 Expired - Lifetime US6897405B2 (en) | 2001-11-30 | 2002-10-08 | Method of laser milling using constant tool path algorithm |
| US10/767,618 Abandoned US20040182831A1 (en) | 2001-11-30 | 2004-01-29 | Method of laser milling using constant tool path algorithm |
Country Status (2)
| Country | Link |
|---|---|
| US (3) | US6897405B2 (en) |
| WO (1) | WO2003047805A1 (en) |
Cited By (10)
| Publication number | Priority date | Publication date | Assignee | Title |
|---|---|---|---|---|
| US20060027544A1 (en) * | 2004-08-04 | 2006-02-09 | Electro Scientific Industries, Inc. | Methods for processing holes by moving precisely timed laser pulses in circular and spiral trajectories |
| US20070184639A1 (en) * | 2006-02-03 | 2007-08-09 | Semiconductor Energy Laboratory Co., Ltd. | Manufacturing method of memory element, laser irradiation apparatus, and laser irradiation method |
| US20070197049A1 (en) * | 2006-02-17 | 2007-08-23 | Semiconductor Energy Laboratory Co., Ltd. | Method for manufacturing semiconductor device |
| US20070195834A1 (en) * | 2006-02-21 | 2007-08-23 | Semiconductor Energy Laboratory Co., Ltd. | Laser irradiation apparatus, method of laser irradiation, and method for manufacturing semiconductor device |
| US20100021672A1 (en) * | 2008-07-28 | 2010-01-28 | Sonoco Development, Inc. | Pouch opening feature and method for making the same |
| US20110150371A1 (en) * | 2008-07-28 | 2011-06-23 | Sonoco Development, Inc. | Flexible Pouch With Easy-Opening Features |
| US20120267345A1 (en) * | 2011-04-20 | 2012-10-25 | Rolls-Royce Plc | Method of manufacturing a component |
| CN103212856A (en) * | 2012-01-19 | 2013-07-24 | 昆山思拓机器有限公司 | Technological method for processing thicker material by using ultraviolet laser |
| CN103212858A (en) * | 2012-01-19 | 2013-07-24 | 昆山思拓机器有限公司 | Method for processing FPC (flexible printed circuit) blind hole |
| CN103212859A (en) * | 2012-01-19 | 2013-07-24 | 昆山思拓机器有限公司 | Method for cutting thick materials by laser |
Families Citing this family (51)
| Publication number | Priority date | Publication date | Assignee | Title |
|---|---|---|---|---|
| US6749285B2 (en) * | 2002-07-25 | 2004-06-15 | Matsushita Electric Industrial Co., Ltd. | Method of milling repeatable exit holes in ink-jet nozzles |
| US20080287935A1 (en) * | 2002-11-13 | 2008-11-20 | Josef Bille | System and method for photoablation using multiple focal points using cyclical phase modulation |
| US7717906B2 (en) * | 2002-11-13 | 2010-05-18 | Technolas Perfect Vision Gmbh | System and method for photoablation using multiple focal points with rotating beam splitter |
| US7361171B2 (en) | 2003-05-20 | 2008-04-22 | Raydiance, Inc. | Man-portable optical ablation system |
| US20050065502A1 (en) * | 2003-08-11 | 2005-03-24 | Richard Stoltz | Enabling or blocking the emission of an ablation beam based on color of target |
| US20050038487A1 (en) * | 2003-08-11 | 2005-02-17 | Richard Stoltz | Controlling pulse energy of an optical amplifier by controlling pump diode current |
| US9022037B2 (en) | 2003-08-11 | 2015-05-05 | Raydiance, Inc. | Laser ablation method and apparatus having a feedback loop and control unit |
| US7143769B2 (en) * | 2003-08-11 | 2006-12-05 | Richard Stoltz | Controlling pulse energy of an optical amplifier by controlling pump diode current |
| US8921733B2 (en) | 2003-08-11 | 2014-12-30 | Raydiance, Inc. | Methods and systems for trimming circuits |
| US7115514B2 (en) * | 2003-10-02 | 2006-10-03 | Raydiance, Inc. | Semiconductor manufacturing using optical ablation |
| US7367969B2 (en) * | 2003-08-11 | 2008-05-06 | Raydiance, Inc. | Ablative material removal with a preset removal rate or volume or depth |
| US8173929B1 (en) | 2003-08-11 | 2012-05-08 | Raydiance, Inc. | Methods and systems for trimming circuits |
| US7413847B2 (en) * | 2004-02-09 | 2008-08-19 | Raydiance, Inc. | Semiconductor-type processing for solid-state lasers |
| US20050263497A1 (en) * | 2004-03-26 | 2005-12-01 | Lehane Christopher J | System for laser drilling of shaped holes |
| US7244907B2 (en) * | 2004-06-30 | 2007-07-17 | Matsushita Electric Industrial Co., Ltd. | Method of optimizing optical power use in a parallel processing laser system |
| US20060032841A1 (en) * | 2004-08-10 | 2006-02-16 | Tan Kee C | Forming features in printhead components |
| US20060102601A1 (en) * | 2004-11-12 | 2006-05-18 | The Regents Of The University Of California | Feedback controlled laser machining system |
| US7349452B2 (en) * | 2004-12-13 | 2008-03-25 | Raydiance, Inc. | Bragg fibers in systems for the generation of high peak power light |
| US8135050B1 (en) | 2005-07-19 | 2012-03-13 | Raydiance, Inc. | Automated polarization correction |
| MX2008001323A (en) * | 2005-07-27 | 2008-09-19 | Power Med Interventions Inc | System and method for forming staple pockets of a surgical stapler. |
| US7674719B2 (en) * | 2005-08-01 | 2010-03-09 | Panasonic Corporation | Via hole machining for microwave monolithic integrated circuits |
| US7245419B2 (en) * | 2005-09-22 | 2007-07-17 | Raydiance, Inc. | Wavelength-stabilized pump diodes for pumping gain media in an ultrashort pulsed laser system |
| US7308171B2 (en) * | 2005-11-16 | 2007-12-11 | Raydiance, Inc. | Method and apparatus for optical isolation in high power fiber-optic systems |
| US7436866B2 (en) | 2005-11-30 | 2008-10-14 | Raydiance, Inc. | Combination optical isolator and pulse compressor |
| US8232687B2 (en) | 2006-04-26 | 2012-07-31 | Raydiance, Inc. | Intelligent laser interlock system |
| US7444049B1 (en) | 2006-01-23 | 2008-10-28 | Raydiance, Inc. | Pulse stretcher and compressor including a multi-pass Bragg grating |
| US8189971B1 (en) | 2006-01-23 | 2012-05-29 | Raydiance, Inc. | Dispersion compensation in a chirped pulse amplification system |
| US9130344B2 (en) | 2006-01-23 | 2015-09-08 | Raydiance, Inc. | Automated laser tuning |
| US7822347B1 (en) | 2006-03-28 | 2010-10-26 | Raydiance, Inc. | Active tuning of temporal dispersion in an ultrashort pulse laser system |
| US8481887B2 (en) * | 2007-05-03 | 2013-07-09 | Electro Scientific Industries, Inc. | Method for machining tapered micro holes |
| US7903326B2 (en) | 2007-11-30 | 2011-03-08 | Radiance, Inc. | Static phase mask for high-order spectral phase control in a hybrid chirped pulse amplifier system |
| RU2440591C2 (en) * | 2008-04-10 | 2012-01-20 | Шлюмбергер Текнолоджи Б.В. | Method of obtaining characteristics of geological formation intersected by well |
| US8725477B2 (en) | 2008-04-10 | 2014-05-13 | Schlumberger Technology Corporation | Method to generate numerical pseudocores using borehole images, digital rock samples, and multi-point statistics |
| US8125704B2 (en) | 2008-08-18 | 2012-02-28 | Raydiance, Inc. | Systems and methods for controlling a pulsed laser by combining laser signals |
| US8498538B2 (en) | 2008-11-14 | 2013-07-30 | Raydiance, Inc. | Compact monolithic dispersion compensator |
| US8311788B2 (en) | 2009-07-01 | 2012-11-13 | Schlumberger Technology Corporation | Method to quantify discrete pore shapes, volumes, and surface areas using confocal profilometry |
| WO2011116968A2 (en) * | 2010-03-24 | 2011-09-29 | Laser Zentrum Hannover E.V. | System and method for laser-beam based processing |
| US8884184B2 (en) | 2010-08-12 | 2014-11-11 | Raydiance, Inc. | Polymer tubing laser micromachining |
| US9114482B2 (en) | 2010-09-16 | 2015-08-25 | Raydiance, Inc. | Laser based processing of layered materials |
| US9063534B2 (en) | 2010-10-13 | 2015-06-23 | Mbda Uk Limited | Workpiece positioning method and apparatus |
| US10239160B2 (en) | 2011-09-21 | 2019-03-26 | Coherent, Inc. | Systems and processes that singulate materials |
| US9289858B2 (en) | 2011-12-20 | 2016-03-22 | Electro Scientific Industries, Inc. | Drilling holes with minimal taper in cured silicone |
| US8716625B2 (en) * | 2012-02-03 | 2014-05-06 | Trumpf Werkzeugmaschinen Gmbh + Co. Kg | Workpiece cutting |
| DE102012111771B4 (en) | 2012-12-04 | 2020-12-03 | Ewag Ag | Method for machining a workpiece using a laser machining device for manufacturing a cutting tool |
| WO2016209818A1 (en) | 2015-06-22 | 2016-12-29 | Electro Scientific Industries, Inc. | Multi-axis machine tool and methods of controlling the same |
| JP2018051764A (en) * | 2016-09-26 | 2018-04-05 | エスアイアイ・プリンテック株式会社 | Method for manufacturing nozzle plate |
| CN110647108B (en) * | 2019-10-14 | 2022-09-27 | 重庆大学 | Data-driven energy consumption prediction method of NC turning element action |
| KR102864252B1 (en) * | 2020-03-04 | 2025-09-26 | 삼성디스플레이 주식회사 | Method of manufacturing the electronic apparatus |
| CN114682934B (en) * | 2022-06-01 | 2022-09-20 | 杭州凌像科技有限公司 | Multi-pulse width composite printed circuit board laser processing device |
| CN119549891B (en) * | 2024-11-29 | 2025-09-09 | 华中科技大学 | Laser processing method and device for heterogeneous laminated component |
| CN120825877B (en) * | 2025-09-19 | 2025-12-12 | 浙江创豪半导体有限公司 | Packaging substrate processing method and packaging substrate |
Citations (13)
| Publication number | Priority date | Publication date | Assignee | Title |
|---|---|---|---|---|
| US3961838A (en) * | 1975-01-10 | 1976-06-08 | Zygo Corporation | Apparatus for producing a scanning laser beam of constant linear velocity |
| US4270421A (en) * | 1979-03-22 | 1981-06-02 | The United States Of America As Represented By The United States Department Of Energy | Apparatus for correcting precision errors in slide straightness in machine tools |
| US4298784A (en) * | 1978-07-07 | 1981-11-03 | Schmall Karl Heinz | Arrangement for measuring the distance between a metallic workpiece and a processing tool |
| US4718418A (en) * | 1983-11-17 | 1988-01-12 | Lri L.P. | Apparatus for ophthalmological surgery |
| US4754208A (en) * | 1986-11-17 | 1988-06-28 | Nippon Kokan Kabushiki Kaisha | Circular path control apparatus and method for multi-axis servomechanisms |
| US5095383A (en) * | 1989-09-29 | 1992-03-10 | Kabushiki Kaisha Toshiba | Optical unit for use in a laser beam printer or the like |
| US5237148A (en) * | 1990-10-04 | 1993-08-17 | Brother Kogyo Kabushiki | Device for manufacturing a nozzle and its manufacturing method |
| US5682258A (en) * | 1993-09-29 | 1997-10-28 | Fuji Photo Optical Co., Ltd. | F. θ lens for optical scanning system |
| US5798927A (en) * | 1995-03-20 | 1998-08-25 | Electro Scientific Industries, Inc. | Apparatus and method for coordinating the movements of stages in a multi-stage multi-rate positioner system |
| US6228311B1 (en) * | 1996-01-18 | 2001-05-08 | Xaar Technology Limited | Method of and apparatus for forming nozzles |
| US6231566B1 (en) * | 1998-08-12 | 2001-05-15 | Katana Research, Inc. | Method for scanning a pulsed laser beam for surface ablation |
| US6433305B1 (en) * | 1999-12-23 | 2002-08-13 | Matsushita Electric Industries Co., Ltd. | Method and apparatus for drilling holes with sub-wavelength pitch with laser |
| US6526074B1 (en) * | 1999-07-31 | 2003-02-25 | Samsung Electronics Co., Ltd. | Laser scanning apparatus |
Family Cites Families (5)
| Publication number | Priority date | Publication date | Assignee | Title |
|---|---|---|---|---|
| US2964645A (en) * | 1956-10-19 | 1960-12-13 | Reeves Instrument Corp | Apparatus for producing spiral motion |
| JPH01254392A (en) * | 1987-12-11 | 1989-10-11 | Nippon Steel Corp | Dull working method for product surface |
| DE19544502C1 (en) * | 1995-11-29 | 1997-05-15 | Baasel Scheel Lasergraphics Gm | Laser engraving machine |
| JPH09207343A (en) * | 1995-11-29 | 1997-08-12 | Matsushita Electric Ind Co Ltd | Laser processing method |
| JPH1158056A (en) * | 1997-08-12 | 1999-03-02 | Nec Corp | Laser texture machining device |
-
2002
- 2002-10-08 US US10/266,934 patent/US6897405B2/en not_active Expired - Lifetime
- 2002-11-27 WO PCT/US2002/037962 patent/WO2003047805A1/en not_active Ceased
-
2004
- 2004-01-29 US US10/767,618 patent/US20040182831A1/en not_active Abandoned
- 2004-01-29 US US10/767,617 patent/US20040183855A1/en not_active Abandoned
Patent Citations (13)
| Publication number | Priority date | Publication date | Assignee | Title |
|---|---|---|---|---|
| US3961838A (en) * | 1975-01-10 | 1976-06-08 | Zygo Corporation | Apparatus for producing a scanning laser beam of constant linear velocity |
| US4298784A (en) * | 1978-07-07 | 1981-11-03 | Schmall Karl Heinz | Arrangement for measuring the distance between a metallic workpiece and a processing tool |
| US4270421A (en) * | 1979-03-22 | 1981-06-02 | The United States Of America As Represented By The United States Department Of Energy | Apparatus for correcting precision errors in slide straightness in machine tools |
| US4718418A (en) * | 1983-11-17 | 1988-01-12 | Lri L.P. | Apparatus for ophthalmological surgery |
| US4754208A (en) * | 1986-11-17 | 1988-06-28 | Nippon Kokan Kabushiki Kaisha | Circular path control apparatus and method for multi-axis servomechanisms |
| US5095383A (en) * | 1989-09-29 | 1992-03-10 | Kabushiki Kaisha Toshiba | Optical unit for use in a laser beam printer or the like |
| US5237148A (en) * | 1990-10-04 | 1993-08-17 | Brother Kogyo Kabushiki | Device for manufacturing a nozzle and its manufacturing method |
| US5682258A (en) * | 1993-09-29 | 1997-10-28 | Fuji Photo Optical Co., Ltd. | F. θ lens for optical scanning system |
| US5798927A (en) * | 1995-03-20 | 1998-08-25 | Electro Scientific Industries, Inc. | Apparatus and method for coordinating the movements of stages in a multi-stage multi-rate positioner system |
| US6228311B1 (en) * | 1996-01-18 | 2001-05-08 | Xaar Technology Limited | Method of and apparatus for forming nozzles |
| US6231566B1 (en) * | 1998-08-12 | 2001-05-15 | Katana Research, Inc. | Method for scanning a pulsed laser beam for surface ablation |
| US6526074B1 (en) * | 1999-07-31 | 2003-02-25 | Samsung Electronics Co., Ltd. | Laser scanning apparatus |
| US6433305B1 (en) * | 1999-12-23 | 2002-08-13 | Matsushita Electric Industries Co., Ltd. | Method and apparatus for drilling holes with sub-wavelength pitch with laser |
Cited By (18)
| Publication number | Priority date | Publication date | Assignee | Title |
|---|---|---|---|---|
| WO2006017583A3 (en) * | 2004-08-04 | 2006-03-30 | Electro Scient Ind Inc | Methods for processing holes by moving precisely timed laser pulses in circular and spiral trajectories |
| GB2431371A (en) * | 2004-08-04 | 2007-04-25 | Electro Scient Ind Inc | Methods for processing holes by moving precisely timed laser pulses in circularand spriral trajectories |
| US7259354B2 (en) * | 2004-08-04 | 2007-08-21 | Electro Scientific Industries, Inc. | Methods for processing holes by moving precisely timed laser pulses in circular and spiral trajectories |
| US20060027544A1 (en) * | 2004-08-04 | 2006-02-09 | Electro Scientific Industries, Inc. | Methods for processing holes by moving precisely timed laser pulses in circular and spiral trajectories |
| US8426324B2 (en) | 2006-02-03 | 2013-04-23 | Semiconductor Energy Laboratory Co., Ltd. | Manufacturing method of memory element, laser irradiation apparatus, and laser irradiation method |
| US20070184639A1 (en) * | 2006-02-03 | 2007-08-09 | Semiconductor Energy Laboratory Co., Ltd. | Manufacturing method of memory element, laser irradiation apparatus, and laser irradiation method |
| US7940441B2 (en) | 2006-02-03 | 2011-05-10 | Semiconductor Energy Laboratory Co., Ltd. | Manufacturing method of memory element, laser irradiation apparatus, and laser irradiation method |
| US20070197049A1 (en) * | 2006-02-17 | 2007-08-23 | Semiconductor Energy Laboratory Co., Ltd. | Method for manufacturing semiconductor device |
| US8580700B2 (en) | 2006-02-17 | 2013-11-12 | Semiconductor Energy Laboratory Co., Ltd. | Method for manufacturing semiconductor device |
| US20070195834A1 (en) * | 2006-02-21 | 2007-08-23 | Semiconductor Energy Laboratory Co., Ltd. | Laser irradiation apparatus, method of laser irradiation, and method for manufacturing semiconductor device |
| US7532378B2 (en) | 2006-02-21 | 2009-05-12 | Semiconductor Energy Laboratory Co., Ltd. | Laser irradiation apparatus, method of laser irradiation, and method for manufacturing semiconductor device |
| US20100021672A1 (en) * | 2008-07-28 | 2010-01-28 | Sonoco Development, Inc. | Pouch opening feature and method for making the same |
| US8230664B2 (en) | 2008-07-28 | 2012-07-31 | Sonoco Development, Inc. | Pouch opening feature and method for making the same |
| US20110150371A1 (en) * | 2008-07-28 | 2011-06-23 | Sonoco Development, Inc. | Flexible Pouch With Easy-Opening Features |
| US20120267345A1 (en) * | 2011-04-20 | 2012-10-25 | Rolls-Royce Plc | Method of manufacturing a component |
| CN103212856A (en) * | 2012-01-19 | 2013-07-24 | 昆山思拓机器有限公司 | Technological method for processing thicker material by using ultraviolet laser |
| CN103212858A (en) * | 2012-01-19 | 2013-07-24 | 昆山思拓机器有限公司 | Method for processing FPC (flexible printed circuit) blind hole |
| CN103212859A (en) * | 2012-01-19 | 2013-07-24 | 昆山思拓机器有限公司 | Method for cutting thick materials by laser |
Also Published As
| Publication number | Publication date |
|---|---|
| US20040182831A1 (en) | 2004-09-23 |
| WO2003047805A1 (en) | 2003-06-12 |
| US6897405B2 (en) | 2005-05-24 |
| US20030103107A1 (en) | 2003-06-05 |
Similar Documents
| Publication | Publication Date | Title |
|---|---|---|
| US6897405B2 (en) | Method of laser milling using constant tool path algorithm | |
| JP4455884B2 (en) | Laser ablation method using a constant laser scanning path algorithm. | |
| US6710288B2 (en) | Method and apparatus for aligning a work piece in a laser drilling system | |
| US6627844B2 (en) | Method of laser milling | |
| US6720519B2 (en) | System and method of laser drilling | |
| US6787734B2 (en) | System and method of laser drilling using a continuously optimized depth of focus | |
| US6815638B2 (en) | Method of determining a minimum pulse width for a short pulse laser system | |
| Knowles et al. | Micro-machining of metals, ceramics and polymers using nanosecond lasers | |
| US6313435B1 (en) | Mask orbiting for laser ablated feature formation | |
| US6749285B2 (en) | Method of milling repeatable exit holes in ink-jet nozzles | |
| US6624382B2 (en) | Configured-hole high-speed drilling system for micro-via pattern formation, and resulting structure | |
| WO2006011985A2 (en) | System for and method of zoom processing | |
| JP5467345B2 (en) | Method for applying to display panel and method for producing display panel | |
| EP1525069B1 (en) | System and method of laser drilling using a continuously optimized depth of focus | |
| JPH10278279A (en) | Printhead manufacturing method | |
| EP1525070A1 (en) | Inkjet nozzle and process of laser drilling a hole for use in inkjet nozzles | |
| JP2002001563A (en) | Laser processing apparatus and method | |
| JP2004188834A (en) | Nozzle plate manufacturing method, nozzle plate, and ink jet recording head |
Legal Events
| Date | Code | Title | Description |
|---|---|---|---|
| STCB | Information on status: application discontinuation |
Free format text: ABANDONED -- FAILURE TO RESPOND TO AN OFFICE ACTION |



