US20040149284A1 - Humidified gases delivery apparatus - Google Patents
Humidified gases delivery apparatus Download PDFInfo
- Publication number
- US20040149284A1 US20040149284A1 US10/746,730 US74673003A US2004149284A1 US 20040149284 A1 US20040149284 A1 US 20040149284A1 US 74673003 A US74673003 A US 74673003A US 2004149284 A1 US2004149284 A1 US 2004149284A1
- Authority
- US
- United States
- Prior art keywords
- tube
- ptc
- ribbon
- conductors
- gases
- Prior art date
- Legal status (The legal status is an assumption and is not a legal conclusion. Google has not performed a legal analysis and makes no representation as to the accuracy of the status listed.)
- Abandoned
Links
- 239000007789 gas Substances 0.000 title claims abstract description 63
- 239000004020 conductor Substances 0.000 claims abstract description 54
- 239000000463 material Substances 0.000 claims abstract description 50
- 230000037361 pathway Effects 0.000 claims abstract description 16
- 230000009466 transformation Effects 0.000 claims description 5
- 238000010438 heat treatment Methods 0.000 abstract description 10
- 230000001105 regulatory effect Effects 0.000 abstract 3
- XLYOFNOQVPJJNP-UHFFFAOYSA-N water Substances O XLYOFNOQVPJJNP-UHFFFAOYSA-N 0.000 description 18
- 238000010276 construction Methods 0.000 description 9
- 239000000203 mixture Substances 0.000 description 8
- 230000029058 respiratory gaseous exchange Effects 0.000 description 7
- 238000009833 condensation Methods 0.000 description 6
- 230000005494 condensation Effects 0.000 description 6
- 239000011324 bead Substances 0.000 description 5
- 239000011231 conductive filler Substances 0.000 description 5
- 239000002245 particle Substances 0.000 description 5
- 230000003014 reinforcing effect Effects 0.000 description 5
- 239000002131 composite material Substances 0.000 description 4
- 238000002844 melting Methods 0.000 description 4
- 230000008018 melting Effects 0.000 description 4
- 229920000642 polymer Polymers 0.000 description 4
- 229920006395 saturated elastomer Polymers 0.000 description 4
- 230000008901 benefit Effects 0.000 description 3
- 239000006229 carbon black Substances 0.000 description 3
- 239000012530 fluid Substances 0.000 description 3
- 238000000034 method Methods 0.000 description 3
- 229920003023 plastic Polymers 0.000 description 3
- 239000004033 plastic Substances 0.000 description 3
- 239000000843 powder Substances 0.000 description 3
- 230000000241 respiratory effect Effects 0.000 description 3
- 229920000034 Plastomer Polymers 0.000 description 2
- 238000010292 electrical insulation Methods 0.000 description 2
- 239000000945 filler Substances 0.000 description 2
- 238000009413 insulation Methods 0.000 description 2
- 238000004519 manufacturing process Methods 0.000 description 2
- 238000002156 mixing Methods 0.000 description 2
- 229920003345 Elvax® Polymers 0.000 description 1
- 238000010521 absorption reaction Methods 0.000 description 1
- 230000015572 biosynthetic process Effects 0.000 description 1
- DQXBYHZEEUGOBF-UHFFFAOYSA-N but-3-enoic acid;ethene Chemical compound C=C.OC(=O)CC=C DQXBYHZEEUGOBF-UHFFFAOYSA-N 0.000 description 1
- 230000008859 change Effects 0.000 description 1
- 230000008602 contraction Effects 0.000 description 1
- 238000001816 cooling Methods 0.000 description 1
- 230000003247 decreasing effect Effects 0.000 description 1
- DOIRQSBPFJWKBE-UHFFFAOYSA-N dibutyl phthalate Chemical compound CCCCOC(=O)C1=CC=CC=C1C(=O)OCCCC DOIRQSBPFJWKBE-UHFFFAOYSA-N 0.000 description 1
- 230000000694 effects Effects 0.000 description 1
- 239000005038 ethylene vinyl acetate Substances 0.000 description 1
- 238000009422 external insulation Methods 0.000 description 1
- 239000004744 fabric Substances 0.000 description 1
- 239000011159 matrix material Substances 0.000 description 1
- 238000005259 measurement Methods 0.000 description 1
- 229940075473 medical gases Drugs 0.000 description 1
- 230000000149 penetrating effect Effects 0.000 description 1
- 229920001200 poly(ethylene-vinyl acetate) Polymers 0.000 description 1
- 239000002861 polymer material Substances 0.000 description 1
- 230000008569 process Effects 0.000 description 1
- 230000003134 recirculating effect Effects 0.000 description 1
- 230000004044 response Effects 0.000 description 1
- 238000009834 vaporization Methods 0.000 description 1
- 238000009423 ventilation Methods 0.000 description 1
- 238000004804 winding Methods 0.000 description 1
Images
Classifications
-
- A—HUMAN NECESSITIES
- A61—MEDICAL OR VETERINARY SCIENCE; HYGIENE
- A61M—DEVICES FOR INTRODUCING MEDIA INTO, OR ONTO, THE BODY; DEVICES FOR TRANSDUCING BODY MEDIA OR FOR TAKING MEDIA FROM THE BODY; DEVICES FOR PRODUCING OR ENDING SLEEP OR STUPOR
- A61M16/00—Devices for influencing the respiratory system of patients by gas treatment, e.g. ventilators; Tracheal tubes
- A61M16/08—Bellows; Connecting tubes ; Water traps; Patient circuits
-
- A—HUMAN NECESSITIES
- A61—MEDICAL OR VETERINARY SCIENCE; HYGIENE
- A61M—DEVICES FOR INTRODUCING MEDIA INTO, OR ONTO, THE BODY; DEVICES FOR TRANSDUCING BODY MEDIA OR FOR TAKING MEDIA FROM THE BODY; DEVICES FOR PRODUCING OR ENDING SLEEP OR STUPOR
- A61M16/00—Devices for influencing the respiratory system of patients by gas treatment, e.g. ventilators; Tracheal tubes
- A61M16/10—Preparation of respiratory gases or vapours
- A61M16/1075—Preparation of respiratory gases or vapours by influencing the temperature
-
- A—HUMAN NECESSITIES
- A61—MEDICAL OR VETERINARY SCIENCE; HYGIENE
- A61M—DEVICES FOR INTRODUCING MEDIA INTO, OR ONTO, THE BODY; DEVICES FOR TRANSDUCING BODY MEDIA OR FOR TAKING MEDIA FROM THE BODY; DEVICES FOR PRODUCING OR ENDING SLEEP OR STUPOR
- A61M16/00—Devices for influencing the respiratory system of patients by gas treatment, e.g. ventilators; Tracheal tubes
- A61M16/10—Preparation of respiratory gases or vapours
- A61M16/1075—Preparation of respiratory gases or vapours by influencing the temperature
- A61M16/109—Preparation of respiratory gases or vapours by influencing the temperature the humidifying liquid or the beneficial agent
-
- A—HUMAN NECESSITIES
- A61—MEDICAL OR VETERINARY SCIENCE; HYGIENE
- A61M—DEVICES FOR INTRODUCING MEDIA INTO, OR ONTO, THE BODY; DEVICES FOR TRANSDUCING BODY MEDIA OR FOR TAKING MEDIA FROM THE BODY; DEVICES FOR PRODUCING OR ENDING SLEEP OR STUPOR
- A61M16/00—Devices for influencing the respiratory system of patients by gas treatment, e.g. ventilators; Tracheal tubes
- A61M16/10—Preparation of respiratory gases or vapours
- A61M16/1075—Preparation of respiratory gases or vapours by influencing the temperature
- A61M16/1095—Preparation of respiratory gases or vapours by influencing the temperature in the connecting tubes
-
- A—HUMAN NECESSITIES
- A61—MEDICAL OR VETERINARY SCIENCE; HYGIENE
- A61M—DEVICES FOR INTRODUCING MEDIA INTO, OR ONTO, THE BODY; DEVICES FOR TRANSDUCING BODY MEDIA OR FOR TAKING MEDIA FROM THE BODY; DEVICES FOR PRODUCING OR ENDING SLEEP OR STUPOR
- A61M16/00—Devices for influencing the respiratory system of patients by gas treatment, e.g. ventilators; Tracheal tubes
- A61M16/10—Preparation of respiratory gases or vapours
- A61M16/14—Preparation of respiratory gases or vapours by mixing different fluids, one of them being in a liquid phase
- A61M16/16—Devices to humidify the respiration air
-
- A—HUMAN NECESSITIES
- A61—MEDICAL OR VETERINARY SCIENCE; HYGIENE
- A61M—DEVICES FOR INTRODUCING MEDIA INTO, OR ONTO, THE BODY; DEVICES FOR TRANSDUCING BODY MEDIA OR FOR TAKING MEDIA FROM THE BODY; DEVICES FOR PRODUCING OR ENDING SLEEP OR STUPOR
- A61M16/00—Devices for influencing the respiratory system of patients by gas treatment, e.g. ventilators; Tracheal tubes
- A61M16/10—Preparation of respiratory gases or vapours
- A61M16/14—Preparation of respiratory gases or vapours by mixing different fluids, one of them being in a liquid phase
- A61M16/16—Devices to humidify the respiration air
- A61M16/161—Devices to humidify the respiration air with means for measuring the humidity
Definitions
- the present invention relates to apparatus for the delivery of humidified gases and in particular to conduits for humidified breathing circuits.
- Such prior art humidifiers generally comprise a source of pressurised air (or other mixture of gases), a humidification chamber including a source of water and a heating means to vaporise the water, and a conduit to convey the humidified gases to the patient or user.
- U.S. Pat. No. 4,038,980 describes a “flash vaporisation” humidifier where water drips onto a low thermal mass heater to create respiratory humidity. It mentions “control means may be provided automatically to regulate the water supply rate in response to means sensing the relative humidity”, however they prefer a manual control of water flow rate. Thus it incorporates a humidity sensor and controls the water rate, as opposed to controlling the amount of electrical heating.
- U.S. Pat. No. 5,092,326 also describes the use of a humidity sensor in a humidifier. It describes a high frequency ventilation system that incorporates a heated humidifier and a humidity sensor, where these are linked to a central microprocessor. Apparatus is disclosed to moisten a gas mixture supplied to the airway, and a microprocessor controls the amount of moisture supplied to the gas mixture.
- U.S. Pat. No. 5,769,071 describes a humidifier incorporating a heat and moisture exchanger (HME), supply of water to the HME, heater element and humidity sensor.
- the humidity sensor can control humidity via water supply rate or temperature (via the heater element).
- the humidity sensor is described as being at the patient airway.
- U.S. Pat. No. 5,988,164 describes a heated breathing tube system for use with a humidifier. This uses a relative humidity sensor (located near the patient) to control the amount of heating provided by the heated broathing circuit so that the gas is at a constant level of relative humidity.
- the heated breathing circuit may use either electrical heating, or heating via warm recirculating water in a tube. Also described is a method of control of the electric heater wire or heated water tube based on the output of relative humidity sensor.
- a third disadvantage of such prior art systems is that where the gas leaving the humidifier is at 100% relative humidity it must be heated immediately by some form of conduit heater or it may lose heat through the walls of the conduit otherwise condensation and therefore a drop in the amount of absolute humidity contained in the gas will result.
- Another fourth disadvantage of the prior art systems is the need for a sensor very near to the patient, which adds to the weight and bulk of equipment at the patient's airway.
- the present invention consists in a gases transportation pathway for transporting humidified gases to a patient, said pathway comprising:
- an enclosing wall including at least a layer of positive temperature co efficient material wherein the localised electrical resistance of said material is positively related to the localised temperature
- FIG. 1 shows an example of an humidification system, with three basic parts
- FIG. 2 is a plan view of a section of a ribbon of PTC material with an electrode embedded along each edge.
- FIG. 3 is a plan view of a spirally configured heater element using the PTC ribbon of FIG. 2.
- FIG. 4 is a plan view of a second form of spirally configured PTC ribbon heater element.
- FIG. 5 is perspective view of a tube formed with a spirally wound PTC ribbon (without pre-embedded conductors) with longitudinally oriented conductors in the tube.
- FIG. 6 is a plan view of a section of a ribbon of PTC material with a conductor embedded along one edge and second conductor embedded near the centre.
- FIG. 7 is a plan view of a spiral forming arrangement performing a conduit using the ribbon of FIG. 6 (with the forming mandrel not shown).
- FIG. 8 shows construction of a tube incorporating flexible PTC elements in a parallel wire configuration.
- FIG. 9 shows a chamber combined with an unheated, well insulated delivery tube
- FIG. 10 shows construction of a tube incorporating flexible PTC elements in a parallel wire configuration
- FIG. 11 shows a humidifier configuration; using the tube in any one of FIGS. 8 to 10 .
- FIG. 1 illustrates a typical respiratory humidification system, comprised of three parts:
- a humidification chamber located at a distance from the patient, which heats and substantially saturates gases flowing through it;
- a delivery system consisting of a flexible tube which carries humidified gases from the humidification chamber 1 to the gas outlet 5 ;
- the gas to be humidified flows into the chamber 1 from port 4 and leaves the delivery system 2 at gas exit port S.
- Gas from exit port 5 flows to a patient via a face mask or similar (not shown).
- Dry gases at the gas input 4 are heated and humidified by passing over the surface of hot water 6 in the chamber 1 so that they are substantially saturated with water vapour when they leave chamber 1 at exit port 10 .
- Hot water 6 is heated by heater plate 9 and the amount of heating is controlled so that the gas reaches a predetermined temperature at exit port 10 . Therefore the humidification chamber 1 acts to heat and humidify the medical gases so that they are substantially saturated at the output of chamber 1 , and are at a predetermined temperature.
- the gas delivery system 2 (also known as a delivery tube or breathing circuit) consists of a flexible tube 11 containing a heater 12 .
- the gas from the humidification chamber 1 passes through the tube 11 and is heated by heater 12 to offset heat losses through the walls of tube 11 .
- the system as described has gas entering gas inlet 4 from a continuous flow gas source (not shown) and exiting the system through gas outlet 5 .
- the gas source is a ventilator, which creates intermittent flow patterns to provide breaths to a patient.
- gas outlet port 5 is connected directly to gas inlet port 16 .
- the patient is connected to port 17 via an endotracheal tube, mask, mouthpiece or other patient interfaces (not shown).
- dry gases from the ventilator enter the system at inlet port 4 , pass through chamber 1 , delivery system 2 , pass through wye-piece 13 and reach the patient through port 17 .
- patent exhalation gases pass back through port 17 , through wye-piece 13 , tube 14 and leave through gas outlet port 18 .
- Tube 14 may also be heated by heater 15 to prevent condensation.
- One aspect of the present relates to removing the need for a sensor at the patient airway To remove this sensor safely, we must be certain that the gas entering the delivery tube has a safe level of temperature and absolute humidity, and that the surfaces inside the delivery tube do not exceed safe temperature levels. This implies a delivery tube that has a constant internal wall temperature.
- the heater could either be embedded in the wall of the delivery tube itself, or it could lie inside the lumen of the delivery tube, or it could be wrapped around the outside of the delivery tube.
- Such a heater could be made from positive temperature coefficient (PTC) material (such as “Winterguard” from Raychem Corp., Menlo Park, Calif. USA), so that the resistance of the heater increases if the heater is hot, resulting in reduced power.
- PTC positive temperature coefficient
- the delivery tube may pass through more than one environment, or may have localised drafts present on certain parts of the tube. If the PTC elements are arranged in parallel, then the fill benefit of the PTC heater can be envisaged. If the PTC elements are arranged in parallel, then the cold portions of the tube will have a lower resistance, which will result in more heat being dissipated. Thus the tube will tend to regulate its own temperature.
- FIG. 10 shows construction of a tube incorporating flexible PTC elements in a parallel wire configuration.
- the tube 48 is made of a flexible PTC material, which has two low resistive strip connections, 46 and 47 , on either side of it. This allows each portion of the tube to consist of short conducting segments of tube connected in parallel between conductors 46 and 47 . These segments are represented by dotted lines encircling the tube in FIG. 10.
- the conductors 46 and 47 are connected to adjustable voltage source 49 , which may be AC or DC.
- the tube would have an outer layer (not shown) which provides electrical insulation and thermal insulation to the tube. Each longitudinal segment of the tube will be able to regulate its own temperature independently of the rest of the tube.
- PTC heated tube design Although one specific PTC heated tube design has been envisaged and described, other PTC tube designs could be used. Some additional tube designs are d&scribed out below. It may also be of advantage to create a PTC tube that has a differing temperature profile along its length rather than a constant temperature profile.
- the PTC design could also be extended to incorporate PTC heaters in other parts of the patient breathing circuit, such as the flexible extension tube which is usually connected between the Y-piece (port 17 of FIG. 1) and the patient's endotracheal tube. A faker extension of the PTC tube concept would be into a self-heated and temperature controlled endotracheal tube.
- FIG. 11 shows a humidifier configuration using this tube.
- Gas enters humidification chamber 52 via inlet port 51 and is humidified by water 53 , heated by heater plate 54 .
- Absolute humidity sensor 55 controls the heater plate so that the gas passing sensor 55 is at a desired level of absolute humidity.
- PTC tube 56 is heated by an external voltage (not shown) so that the internal surface temperature is at a constant desired temperature, which is selected to be above the dewpoint of the gas. The gas which leaves tube 56 at outlet 57 will therefore be near the temperature of the tube, and containing the desired level of absolute humidity which was controlled by absolute humidity sensor 55 .
- a variation of the system shown in FIG. 11 would be to use a temperature sensor at position 55 .
- Another variation of a tube with a constant internal wall temperature would a delivery tube with heated water or other fluid pumped through smaller conduits in the wall of the delivery tube. Since the heated fluid has a high specific heat relative to air, the temperature of the fluid remains fairly constant during passage through the delivery wall conduits.
- FIGS. 2 to 8 further preferred forms of the present invention are described. These forms provide a heated delivery tube which self-regulates its temperature at a desired level.
- the heater may be embedded in the wall of the delivery tube itself, form the fabric of the tube or lie inside the lumen of the delivery tube.
- the heater of the present invention is formed from a positive temperature coefficient (PTC) material.
- PTC positive temperature coefficient
- the resistance of a PTC material increases markedly once it reaches a threshold temperature, resulting in reduced power consumption and subsequent cooling.
- the delivery tube may pass through more than one environment, or may have localised drafts present on certain parts of the tube.
- the PTC heater is provided as an elongate structure laying within the lumen of the delivery tube.
- the construction according to a preferred embodiment is illustrated with respect to FIGS. 2 to 4 .
- the heater structure is formed from a ribbon 20 of PTC plastic material with conductors 21 , 22 embedded in the plastic material adjacent the opposite edges thereof.
- the conductors are attached to a power supply to provide a voltage difference between the conductors and cause a current to flow between them depending on the resistance of the PTC material.
- the ribbon may be provided in the tube as a single length of ribbon blindly terminated at one end and terminated with a power connector at the other end.
- This configuration is illustrated in FIG. 3 where the ribbon 20 is wound into a generally helical configuration and is terminated at one end with a blind connector 23 . Termination of the other end at a power connector is not shown.
- the ribbon may be provided as a loop so that both ends terminate at the power connector with both ends of the positive electrode terminating at the positive pin and both ends of the negative or ground electrode terminating at the ground and negative pin.
- FIG. 4 depicted in FIG. 4, in which the ribbon 20 is provided in a generally double helical configuration.
- the conductors 21 and 22 have both ends terminating in the power connector 25 at one end of the heater structure.
- the ribbon 20 loops back upon itself at the other end 24 of the heater structure.
- the PTC material offers an amorphous array of parallel current paths along the entire length of the ribbon. Where the internal conduit temperature is lower the heater structure will have a lower resistance and more current will flow producing a greater heater effect. Where the internal temperature in the conduit is higher the PTC material will have a higher resistance, choking off current flow and reducing heating in that region of the conduit.
- the PTC material is arranged in a parallel circuit over the length of the tube and forming part of the wall itself the full benefit of using PTC heater can be obtained. At the cold portions of the tube the material will have a lower resistance, which will result in more heat being dissipated in that area. Thus the tube will tend to regulate its own temperature.
- the PTC material is composed to provide a threshold temperature at or just above the preferred gases temperature (eg above the dew-point of the humidified gases) the PTC material will maintain itself at that threshold temperature (with some hysteresis fluctuation) and condensation on the conduit surface will be at least substantially eliminated. This provides effective condensation control then maintaining an elevated temperature for the humidified gases where condensation may still form on the cold wall surfaces.
- PTC material behaviour is exhibited in a range of polymer compositions with electrically conductive fillers.
- the behaviour can be characterised by a general statement that “providing certain other conditions are fulfilled, the composition becomes electrically conductive when particles of electrically conductive filler form a continuous chain, penetrating the material from the point of entry of electric current to the place where it leaves the polymer material”.
- Polymer compositions containing electrically conductive filler can exhibit PTC properties due to the formation of a chain of filler particles that are close enough for current to flow at a certain temperature, generating heat which increases the temperature of the material until it reaches a phase transformation temperature. At the phase transformation temperature the crystalline polymer matrix changes to an amorphous structure.
- a number of factors have a bearing on the performance of the material. Particular factors include the quantity, type and particle size of the carbon black (or other conductive filler) used in the composite, the polymer that the carbon black binds with during mixing of the base materials and the process conditions such as temperature, pressure and time of mixing. It is important that the conductive filler particles are distributed evenly through the composite so that the composite exhibits uniform PTC behaviour.
- a PTC material having a phase transformation temperature not exceeding 40° C. is desired.
- One composition meeting these criteria has been developed and has the following composition:
- Ethylene-Vinyl-Acetate 64% Ethylene-Vinyl-Acetate. This material is available as ELVAX (grade 40 w) from Dupont (E.I. du Pont de Nemours and Company), with a density of 965 kg per m 3 , a melting point of 46° C. and melting index of 52.
- ELVAX grade 40 w
- Dupont E.I. du Pont de Nemours and Company
- Plastomer 13.5% Plastomer.
- An example plastomer is available as EXACT 2M055 from ExxonMobil Corp, having a density of 882 kg/m 3 , a melting point of 70° C. and a melting index of 3.
- This material was uniformly mixed and extruded to form a PTC ribbon with embedded conductors using a segmented screw extruder.
- the composite performance showed an acceptable level of self regulation without the temperature exceeding 40° C.
- a smooth walled tube 140 is shown by way of a first example.
- the smooth walled 140 tube has a PTC plastic material extruded as a narrow and thin ribbon 141 and wound helically with overlapping edges of adjacent turns. The edges of adjacent turns bound firmly to one another, fusing together in their moulten state.
- a pair of conductors run 142 , 143 longitudinally in the tube wall. The conductors are diametrically opposed; The conductors may be applied to either the internal or external surfaces of the molten PTC material during forming of the tube.
- the conductors are applied longitudinally to the forming mandrel prior to laying the extruded PTC ribbon in place. Alternatively they may be applied directly to the outside of the PTC material while the material is still in a molten state. It would be appreciated that these conductors may also be applied helically rather than in a straight longitudinal direction, and that multiple conductors may be used.
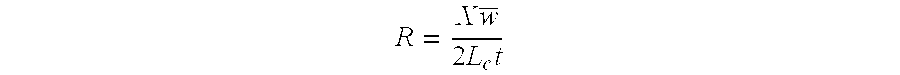
- Design of a PTC tube of this type involves selection of a wall thickness, a conductor gauge and a density of conductors in the PTC tube wall.
- the total resistance R ( ⁇ ) of the tube wall in its pre-threshold state will be a measure of the available power output for a given voltage.
- the available power output must be sufficient to offset the heat lose from the tube to its surrounding environment and (if the gases are entering the tube in a cooler state) to the humidified gases.
- the total resistance is proportional to the pre-threshold volume resistivity X ( ⁇ m) of the material and to the average shortest path distance between the conductors of opposite plurality.
- the total cold resistance may be varied by varying the density of conductors (varying the average shortest path distance between conductors) or by varying the wall thickness.
- the density of conductors may be varied by adding additional conductors in parallel (eg: a second or more pair of conductors) or by disposing the conductors in a helical arrangement with decreasing pitch corresponding to an increased density.
- the tube of FIG. 5 may be reinforced by applying a spiral bead, or by applying circumferential ribs to the outside of the tube, or by corrugating the tube, or by adding additional layers to the tube, particularly of a spiral ribbed or corrugated configuration, which would also provide additional external insulation from the ambient conditions.
- FIG. 6 shows a pair of conductors 145 , 146 extruded into a ribbon of PTC material.
- the first conductor 145 is disposed adjacent one edge of the PTC ribbon 147 .
- the second conductor 146 is disposed adjacent the centre of the PTC ribbon 147 .
- the exact location of the conductors within the PTC material is not critical, however the spacing between the conductors should be half of the pitch of winding the ribbon on to the former (eg: (width of ribbon—width of overlap between turns) ⁇ 2).
- additional conductor density additional pairs of conductors may be used.
- the width of ribbon may be increased or alternatively a single conductor may be provided in the ribbon but two ribbons may be extruded and wound on to the former as a double helix.
- FIG. 7 a manufacturing configuration is shown (without the rotating former, which may for example be a spiral pipeline mandrel available from OLMAS SRL of Italy).
- the PTC ribbon 147 is co-extruded with the embedded pair of conductors 145 , 146 by a first extruder head 148 . It is extruded directly on the former at a angle corresponding to the pitch of the former (the relationship between the advance and rotation speeds of tubes formed on it).
- the ribbon 147 is laid on the former so that the leading edge 149 of each new lap overlaps the trailing edge 150 of the immediately preceding turn.
- a reinforcing bead 162 is preferably extruded on to this overlap by an additional extruder head 161 .
- the reinforcing bead 162 assists the bonding between overlapping turns of the ribbon as well as providing reinforcing against crushing of the formed tube.
- a conduit may be formed on a spiral pipeline mandrel with the reinforcing bead extruded to lie between the overlap of turns of the ribbon. This is particularly suited to where the ribbon is preformed and will not bond to itself without assistance. In this case contact may be provided between adjacent turns of the PTC ribbon along either side of the bead (for example by extended overlap) or the ribbon used may be have a conductor along each edge (as in FIG. 2).
- FIG. 8 shows a further construction of a tube incorporating a parallel wire configuration
- the tube 158 is a flexible PTC material; which has two conductors built in,, it.
- the tube 158 according to this construction may be a directly extruded tube with the conductors co-extruded into the tube wall, or alternatively the conductors may be added subsequent to forming the tube by direct application to the exterior of the tube as wires or as conductive ink.
- the tube may have an outer layer (not shown) which provides electrical insulation and thermal insulation to the tube.
- the tube may be corrugated by passing through a set of corrugating rollers, to provide flexibility and lateral reinforcing against crushing.
- the PTC design could also be extended to incorporate PTC heaters in other parts of the patient breathing circuit, such as the flexible extension tube which is usually connected between the Y-piece (port 17 of FIG. 1) and the patient's endotracheal tube.
- a further extension of the PTC tube concept would be into a self-heated and temperature controlled endotracheal tube.
- FIG. 9 shows a humidifier configuration using a PTC tube according to the embodiments of FIGS. 5 to 8 .
- Gas enters humidification chamber 152 via inlet port 151 and is humidified by water 153 , heated by heater plate 154 .
- An absolute humidity sensor 155 controls the heater plate so that the gas passing sensor 155 is at a desired level of absolute humidity.
- PTC tube 156 is heated by an external voltage (not shown) so that the internal surface temperature is at a constant desired temperature, which is selected to be above the dewpoint of the gas.
- the gas which leaves tube 156 at outlet 157 will therefore be near the temperature of the tube, and containing the desired level of absolute humidity which was controlled by absolute humidity sensor 155 .
Landscapes
- Health & Medical Sciences (AREA)
- Emergency Medicine (AREA)
- Pulmonology (AREA)
- Engineering & Computer Science (AREA)
- Anesthesiology (AREA)
- Biomedical Technology (AREA)
- Heart & Thoracic Surgery (AREA)
- Hematology (AREA)
- Life Sciences & Earth Sciences (AREA)
- Animal Behavior & Ethology (AREA)
- General Health & Medical Sciences (AREA)
- Public Health (AREA)
- Veterinary Medicine (AREA)
- Resistance Heating (AREA)
Abstract
A gases transportation pathway for use in supplying a humidified gases stream to a patient includes regulated conduit heating. The regulated conduit heating may include a section of positive temperature coefficient material wherein the localised electrical resistance of the material is positively related to the localised temperature. The regulated conduit heating may be a layer of positive temperature coefficient material within the wall of the gases transportation pathway with at least a pair of conductors running the length of the pathway and in electrically conductive contact with the positive temperature coefficient material.
Description
- 1. Field of the Invention
- The present invention relates to apparatus for the delivery of humidified gases and in particular to conduits for humidified breathing circuits.
- 2. Summary of the Prior Art
- A number of methods are known in the art for supplying humidified gases to a patient requiring breathing assistance. Such prior art humidifiers generally comprise a source of pressurised air (or other mixture of gases), a humidification chamber including a source of water and a heating means to vaporise the water, and a conduit to convey the humidified gases to the patient or user.
- For example U.S. Pat. No. 4,038,980 describes a “flash vaporisation” humidifier where water drips onto a low thermal mass heater to create respiratory humidity. It mentions “control means may be provided automatically to regulate the water supply rate in response to means sensing the relative humidity”, however they prefer a manual control of water flow rate. Thus it incorporates a humidity sensor and controls the water rate, as opposed to controlling the amount of electrical heating.
- U.S. Pat. No. 5,092,326 also describes the use of a humidity sensor in a humidifier. It describes a high frequency ventilation system that incorporates a heated humidifier and a humidity sensor, where these are linked to a central microprocessor. Apparatus is disclosed to moisten a gas mixture supplied to the airway, and a microprocessor controls the amount of moisture supplied to the gas mixture.
- U.S. Pat. No. 5,769,071 describes a humidifier incorporating a heat and moisture exchanger (HME), supply of water to the HME, heater element and humidity sensor. The humidity sensor can control humidity via water supply rate or temperature (via the heater element). The humidity sensor is described as being at the patient airway.
- U.S. Pat. No. 5,988,164 describes a heated breathing tube system for use with a humidifier. This uses a relative humidity sensor (located near the patient) to control the amount of heating provided by the heated broathing circuit so that the gas is at a constant level of relative humidity. The heated breathing circuit may use either electrical heating, or heating via warm recirculating water in a tube. Also described is a method of control of the electric heater wire or heated water tube based on the output of relative humidity sensor.
- The previously mentioned U.S. Pat. Nos. 4,038,980 and 5,769,071 both describe humidifiers where the humidification chamber is located close (proximal) to the patient. These have the disadvantage of introducing weight, heat and complexity near the patient which is inconvenient and could be painful to the patient. Of the cited prior art only U.S. Pat. No. 5,988,164 specifically describes the humidification chamber as being located remotely from the patient.
- There are several disadvantages of the prior art systems using a humidification chamber located remotely from the patient. It is normally assumed that gases leaving such prior art humidifiers are saturated with water vapour (100% relative humidity). However there is no guarantee that the gases leaving such humidifiers are in fact saturated with water vapour. In certain circumstances (e.g. with the incoming air already warm), the gases leaving such humidifiers can be significantly less than 100% relative humidity. This is because the humidifiers are typically controlled to achieve a desired outlet gas temperature, which in some cases may not be much more than the incoming air.
- Another drawback of the prior art systems is that condensation can occur in the (sometimes heated) conduits connecting the patient to the respiratory assistance equipment. This may occur if the temperature profile along such conduits is not even and allows some parts of the conduit to be colder than the gas at these points.
- A third disadvantage of such prior art systems is that where the gas leaving the humidifier is at 100% relative humidity it must be heated immediately by some form of conduit heater or it may lose heat through the walls of the conduit otherwise condensation and therefore a drop in the amount of absolute humidity contained in the gas will result.
- Another fourth disadvantage of the prior art systems is the need for a sensor very near to the patient, which adds to the weight and bulk of equipment at the patient's airway.
- It is therefore an object of the present invention to provide apparatus for the delivery of humidified gases which goes some way to overcoming the above mentioned disadvantages.
- Accordingly in a first aspect the present invention consists in a gases transportation pathway for transporting humidified gases to a patient, said pathway comprising:
- an enclosing wall including at least a layer of positive temperature co efficient material wherein the localised electrical resistance of said material is positively related to the localised temperature, and
- at least two electrical conductors running the length of said pathway and disposed in electrical contact with said positive temperature co efficient material.
- To those skilled in the art to which the invention relates, many changes in construction and widely differing embodiments and applications of the invention will suggest themselves without departing from the scope of the invention as defined in the appended claims. The disclosures and the descriptions herein are purely illustrative and are not intended to be in any sense limiting.
- The invention consists in the foregoing and also envisages constructions of which the following gives examples.
- One preferred form of the present invention will now be described with reference to the accompanying drawings.
- FIG. 1 shows an example of an humidification system, with three basic parts
- FIG. 2 is a plan view of a section of a ribbon of PTC material with an electrode embedded along each edge.
- FIG. 3 is a plan view of a spirally configured heater element using the PTC ribbon of FIG. 2.
- FIG. 4 is a plan view of a second form of spirally configured PTC ribbon heater element.
- FIG. 5 is perspective view of a tube formed with a spirally wound PTC ribbon (without pre-embedded conductors) with longitudinally oriented conductors in the tube.
- FIG. 6 is a plan view of a section of a ribbon of PTC material with a conductor embedded along one edge and second conductor embedded near the centre.
- FIG. 7 is a plan view of a spiral forming arrangement performing a conduit using the ribbon of FIG. 6 (with the forming mandrel not shown).
- FIG. 8 shows construction of a tube incorporating flexible PTC elements in a parallel wire configuration.
- FIG. 9 shows a chamber combined with an unheated, well insulated delivery tube,
- FIG. 10 shows construction of a tube incorporating flexible PTC elements in a parallel wire configuration,
- FIG. 11 shows a humidifier configuration; using the tube in any one of FIGS. 8 to 10.
- FIG. 1 illustrates a typical respiratory humidification system, comprised of three parts:
- 1) a humidification chamber located at a distance from the patient, which heats and substantially saturates gases flowing through it;
- 2) a delivery system consisting of a flexible tube which carries humidified gases from the humidification chamber 1 to the
gas outlet 5; and - 3) a heater base which heats the humidification chamber 1 and provides measurement and control functions.
- The gas to be humidified flows into the chamber 1 from port 4 and leaves the
delivery system 2 at gas exit port S. Gas fromexit port 5 flows to a patient via a face mask or similar (not shown). Dry gases at the gas input 4 are heated and humidified by passing over the surface ofhot water 6 in the chamber 1 so that they are substantially saturated with water vapour when they leave chamber 1 atexit port 10.Hot water 6 is heated by heater plate 9 and the amount of heating is controlled so that the gas reaches a predetermined temperature atexit port 10. Therefore the humidification chamber 1 acts to heat and humidify the medical gases so that they are substantially saturated at the output of chamber 1, and are at a predetermined temperature. - The gas delivery system 2 (also known as a delivery tube or breathing circuit) consists of a
flexible tube 11 containing aheater 12. The gas from the humidification chamber 1 passes through thetube 11 and is heated byheater 12 to offset heat losses through the walls oftube 11. - The system as described has gas entering gas inlet 4 from a continuous flow gas source (not shown) and exiting the system through
gas outlet 5. However the system is equally applicable where the gas source is a ventilator, which creates intermittent flow patterns to provide breaths to a patient. In this casegas outlet port 5 is connected directly togas inlet port 16. The patient is connected to port 17 via an endotracheal tube, mask, mouthpiece or other patient interfaces (not shown). During patient inspiration dry gases from the ventilator enter the system at inlet port 4, pass through chamber 1,delivery system 2, pass through wye-piece 13 and reach the patient throughport 17. During patent exhalation gases pass back throughport 17, through wye-piece 13,tube 14 and leave throughgas outlet port 18.Tube 14 may also be heated byheater 15 to prevent condensation. - One aspect of the present relates to removing the need for a sensor at the patient airway To remove this sensor safely, we must be certain that the gas entering the delivery tube has a safe level of temperature and absolute humidity, and that the surfaces inside the delivery tube do not exceed safe temperature levels. This implies a delivery tube that has a constant internal wall temperature.
- It would be desirable, therefore, to have a heated delivery tube which self-regulates its temperature at a desired level. The heater could either be embedded in the wall of the delivery tube itself, or it could lie inside the lumen of the delivery tube, or it could be wrapped around the outside of the delivery tube. Such a heater could be made from positive temperature coefficient (PTC) material (such as “Winterguard” from Raychem Corp., Menlo Park, Calif. USA), so that the resistance of the heater increases if the heater is hot, resulting in reduced power. However the delivery tube may pass through more than one environment, or may have localised drafts present on certain parts of the tube. If the PTC elements are arranged in parallel, then the fill benefit of the PTC heater can be envisaged. If the PTC elements are arranged in parallel, then the cold portions of the tube will have a lower resistance, which will result in more heat being dissipated. Thus the tube will tend to regulate its own temperature.
- FIG. 10 shows construction of a tube incorporating flexible PTC elements in a parallel wire configuration. The
tube 48 is made of a flexible PTC material, which has two low resistive strip connections, 46 and 47, on either side of it. This allows each portion of the tube to consist of short conducting segments of tube connected in parallel betweenconductors 46 and 47. These segments are represented by dotted lines encircling the tube in FIG. 10. Theconductors 46 and 47 are connected toadjustable voltage source 49, which may be AC or DC. The tube would have an outer layer (not shown) which provides electrical insulation and thermal insulation to the tube. Each longitudinal segment of the tube will be able to regulate its own temperature independently of the rest of the tube. - Although one specific PTC heated tube design has been envisaged and described, other PTC tube designs could be used. Some additional tube designs are d&scribed out below. It may also be of advantage to create a PTC tube that has a differing temperature profile along its length rather than a constant temperature profile. The PTC design could also be extended to incorporate PTC heaters in other parts of the patient breathing circuit, such as the flexible extension tube which is usually connected between the Y-piece (
port 17 of FIG. 1) and the patient's endotracheal tube. A faker extension of the PTC tube concept would be into a self-heated and temperature controlled endotracheal tube. - The PTC tube described with reference to FIG. 10 allows us to create a humidifier which doesn't use any sensor at the patient airway. FIG. 11 shows a humidifier configuration using this tube. Gas enters
humidification chamber 52 viainlet port 51 and is humidified bywater 53, heated byheater plate 54.Absolute humidity sensor 55 controls the heater plate so that thegas passing sensor 55 is at a desired level of absolute humidity.PTC tube 56 is heated by an external voltage (not shown) so that the internal surface temperature is at a constant desired temperature, which is selected to be above the dewpoint of the gas. The gas which leavestube 56 atoutlet 57 will therefore be near the temperature of the tube, and containing the desired level of absolute humidity which was controlled byabsolute humidity sensor 55. - A variation of the system shown in FIG. 11 would be to use a temperature sensor at
position 55. Another variation of a tube with a constant internal wall temperature would a delivery tube with heated water or other fluid pumped through smaller conduits in the wall of the delivery tube. Since the heated fluid has a high specific heat relative to air, the temperature of the fluid remains fairly constant during passage through the delivery wall conduits. - Referring to FIGS. 2 to 8 further preferred forms of the present invention are described. These forms provide a heated delivery tube which self-regulates its temperature at a desired level. The heater may be embedded in the wall of the delivery tube itself, form the fabric of the tube or lie inside the lumen of the delivery tube. The heater of the present invention is formed from a positive temperature coefficient (PTC) material.
- The resistance of a PTC material increases markedly once it reaches a threshold temperature, resulting in reduced power consumption and subsequent cooling. The delivery tube may pass through more than one environment, or may have localised drafts present on certain parts of the tube.
- In one embodiment of the present invention the PTC heater is provided as an elongate structure laying within the lumen of the delivery tube. The construction according to a preferred embodiment is illustrated with respect to FIGS. 2 to 4. In particular the heater structure is formed from a
ribbon 20 of PTC plastic material with 21, 22 embedded in the plastic material adjacent the opposite edges thereof. In use the conductors are attached to a power supply to provide a voltage difference between the conductors and cause a current to flow between them depending on the resistance of the PTC material.conductors - The ribbon may be provided in the tube as a single length of ribbon blindly terminated at one end and terminated with a power connector at the other end. This configuration is illustrated in FIG. 3 where the
ribbon 20 is wound into a generally helical configuration and is terminated at one end with ablind connector 23. Termination of the other end at a power connector is not shown. In a alternative configuration the ribbon may be provided as a loop so that both ends terminate at the power connector with both ends of the positive electrode terminating at the positive pin and both ends of the negative or ground electrode terminating at the ground and negative pin. This configuration is depicted in FIG. 4, in which theribbon 20 is provided in a generally double helical configuration. The 21 and 22 have both ends terminating in theconductors power connector 25 at one end of the heater structure. Theribbon 20 loops back upon itself at theother end 24 of the heater structure. - With the pair of conductors provided along opposite edges of the ribbon the PTC material offers an amorphous array of parallel current paths along the entire length of the ribbon. Where the internal conduit temperature is lower the heater structure will have a lower resistance and more current will flow producing a greater heater effect. Where the internal temperature in the conduit is higher the PTC material will have a higher resistance, choking off current flow and reducing heating in that region of the conduit.
- In a fixer aspect of the invention the PTC material is arranged in a parallel circuit over the length of the tube and forming part of the wall itself the full benefit of using PTC heater can be obtained. At the cold portions of the tube the material will have a lower resistance, which will result in more heat being dissipated in that area. Thus the tube will tend to regulate its own temperature.
- In particular if the PTC material is composed to provide a threshold temperature at or just above the preferred gases temperature (eg above the dew-point of the humidified gases) the PTC material will maintain itself at that threshold temperature (with some hysteresis fluctuation) and condensation on the conduit surface will be at least substantially eliminated. This provides effective condensation control then maintaining an elevated temperature for the humidified gases where condensation may still form on the cold wall surfaces.
- PTC material behaviour is exhibited in a range of polymer compositions with electrically conductive fillers. The behaviour can be characterised by a general statement that “providing certain other conditions are fulfilled, the composition becomes electrically conductive when particles of electrically conductive filler form a continuous chain, penetrating the material from the point of entry of electric current to the place where it leaves the polymer material”. Polymer compositions containing electrically conductive filler can exhibit PTC properties due to the formation of a chain of filler particles that are close enough for current to flow at a certain temperature, generating heat which increases the temperature of the material until it reaches a phase transformation temperature. At the phase transformation temperature the crystalline polymer matrix changes to an amorphous structure. This change is accompanied by a small thermal expansion, forcing filler particles to move apart, breaking the conductive paths. Accordingly resistance rises sharply at this phase transformation temperature. As the material cools the small thermal conduction allows new conductive paths to form and current flow to resume. The rise and fall in temperature and the thermal contraction and expansion provides an inherent hysteresis in the cycle.
- In producing a PTC material a number of factors have a bearing on the performance of the material. Particular factors include the quantity, type and particle size of the carbon black (or other conductive filler) used in the composite, the polymer that the carbon black binds with during mixing of the base materials and the process conditions such as temperature, pressure and time of mixing. It is important that the conductive filler particles are distributed evenly through the composite so that the composite exhibits uniform PTC behaviour.
- For the present invention a PTC material having a phase transformation temperature not exceeding 40° C. is desired. One composition meeting these criteria has been developed and has the following composition:
- 20% by weight carbon black powder having a surface area of 254 m 2/g and oil Di-Butyl- Phthalate absorption of 188 cm3/100 g. This powder is available as VULCAN XC-72 (powder) from Cabot Corporation.
- 64% Ethylene-Vinyl-Acetate. This material is available as ELVAX (grade 40 w) from Dupont (E.I. du Pont de Nemours and Company), with a density of 965 kg per m 3, a melting point of 46° C. and melting index of 52.
- 13.5% Plastomer. An example plastomer is available as EXACT 2M055 from ExxonMobil Corp, having a density of 882 kg/m 3, a melting point of 70° C. and a melting index of 3.
- 2.5% Wax.
- This material was uniformly mixed and extruded to form a PTC ribbon with embedded conductors using a segmented screw extruder. The composite performance showed an acceptable level of self regulation without the temperature exceeding 40° C.
- There are many possible ways of producing a tube having a PTC wall material with a pair of conductors running the length of the tube to have all of the potential pathways through the PTC material operating in parallel. A number of preferred embodiments are now described.
- With reference to FIG. 5 a smooth
walled tube 140 is shown by way of a first example. The smooth walled 140 tube has a PTC plastic material extruded as a narrow andthin ribbon 141 and wound helically with overlapping edges of adjacent turns. The edges of adjacent turns bound firmly to one another, fusing together in their moulten state. A pair of conductors run 142, 143 longitudinally in the tube wall. The conductors are diametrically opposed; The conductors may be applied to either the internal or external surfaces of the molten PTC material during forming of the tube. To apply the conductors to the internal surface the conductors are applied longitudinally to the forming mandrel prior to laying the extruded PTC ribbon in place. Alternatively they may be applied directly to the outside of the PTC material while the material is still in a molten state. It would be appreciated that these conductors may also be applied helically rather than in a straight longitudinal direction, and that multiple conductors may be used. - Design of a PTC tube of this type involves selection of a wall thickness, a conductor gauge and a density of conductors in the PTC tube wall. The total resistance R (Ω) of the tube wall in its pre-threshold state will be a measure of the available power output for a given voltage. The available power output must be sufficient to offset the heat lose from the tube to its surrounding environment and (if the gases are entering the tube in a cooler state) to the humidified gases. The total resistance is proportional to the pre-threshold volume resistivity X (Ω m) of the material and to the average shortest path distance between the conductors of opposite plurality. The total resistance is also proportional to the inverse of the length L C (m) of the conductors and to the inverse of the wall thickness t (m) of the PTC material. Furthermore, typically there will be a pair of opposite and alternate paths for current to flow from a conductor of one polarity to the conductor of the other polarity, halving the total resistance. Thus the total resistance can be found from the formula:
- where {overscore (w)}(m) is the average shortest length path between conductors.
- Therefore for a given tube length and diameter the total cold resistance may be varied by varying the density of conductors (varying the average shortest path distance between conductors) or by varying the wall thickness. The density of conductors may be varied by adding additional conductors in parallel (eg: a second or more pair of conductors) or by disposing the conductors in a helical arrangement with decreasing pitch corresponding to an increased density. For a given tube diameter D (m) and tube length L t (m) then the average shortest path length can be found using the total conductor path length for a single polarity (half the total conductor length) by:
- The tube of FIG. 5 may be reinforced by applying a spiral bead, or by applying circumferential ribs to the outside of the tube, or by corrugating the tube, or by adding additional layers to the tube, particularly of a spiral ribbed or corrugated configuration, which would also provide additional external insulation from the ambient conditions.
- A further construction is illustrated in FIGS. 6 and 7. FIG. 6 shows a pair of
145, 146 extruded into a ribbon of PTC material. Theconductors first conductor 145 is disposed adjacent one edge of thePTC ribbon 147. Thesecond conductor 146 is disposed adjacent the centre of thePTC ribbon 147. The exact location of the conductors within the PTC material is not critical, however the spacing between the conductors should be half of the pitch of winding the ribbon on to the former (eg: (width of ribbon—width of overlap between turns)÷2). For additional conductor density, additional pairs of conductors may be used. For lower conductor density the width of ribbon may be increased or alternatively a single conductor may be provided in the ribbon but two ribbons may be extruded and wound on to the former as a double helix. - Referring to FIG. 7 a manufacturing configuration is shown (without the rotating former, which may for example be a spiral pipeline mandrel available from OLMAS SRL of Italy). In this manufacturing configuration the
PTC ribbon 147 is co-extruded with the embedded pair of 145, 146 by a first extruder head 148. It is extruded directly on the former at a angle corresponding to the pitch of the former (the relationship between the advance and rotation speeds of tubes formed on it). Theconductors ribbon 147 is laid on the former so that the leading edge 149 of each new lap overlaps the trailing edge 150 of the immediately preceding turn. A reinforcingbead 162 is preferably extruded on to this overlap by an additional extruder head 161. The reinforcingbead 162 assists the bonding between overlapping turns of the ribbon as well as providing reinforcing against crushing of the formed tube. - Alternatively a conduit may be formed on a spiral pipeline mandrel with the reinforcing bead extruded to lie between the overlap of turns of the ribbon. This is particularly suited to where the ribbon is preformed and will not bond to itself without assistance. In this case contact may be provided between adjacent turns of the PTC ribbon along either side of the bead (for example by extended overlap) or the ribbon used may be have a conductor along each edge (as in FIG. 2).
- FIG. 8 shows a further construction of a tube incorporating a parallel wire configuration The tube 158 is a flexible PTC material; which has two conductors built in,, it.
- The tube 158 according to this construction may be a directly extruded tube with the conductors co-extruded into the tube wall, or alternatively the conductors may be added subsequent to forming the tube by direct application to the exterior of the tube as wires or as conductive ink.
- The tube may have an outer layer (not shown) which provides electrical insulation and thermal insulation to the tube.
- The tube may be corrugated by passing through a set of corrugating rollers, to provide flexibility and lateral reinforcing against crushing.
- The PTC design could also be extended to incorporate PTC heaters in other parts of the patient breathing circuit, such as the flexible extension tube which is usually connected between the Y-piece (
port 17 of FIG. 1) and the patient's endotracheal tube. A further extension of the PTC tube concept would be into a self-heated and temperature controlled endotracheal tube. - The tube with PTC wall material allows a humidifier to be used without any sensor at the patient airway. FIG. 9 shows a humidifier configuration using a PTC tube according to the embodiments of FIGS. 5 to 8. Gas enters
humidification chamber 152 viainlet port 151 and is humidified by water 153, heated byheater plate 154. An absolute humidity sensor 155 controls the heater plate so that the gas passing sensor 155 is at a desired level of absolute humidity.PTC tube 156 is heated by an external voltage (not shown) so that the internal surface temperature is at a constant desired temperature, which is selected to be above the dewpoint of the gas. The gas which leavestube 156 atoutlet 157 will therefore be near the temperature of the tube, and containing the desired level of absolute humidity which was controlled by absolute humidity sensor 155.
Claims (5)
1. A gases transportation pathway for transporting humidified gases to a patient, said pathway comprising:
an enclosing wall including at least a layer of positive temperature coefficient material wherein the localised electrical resistance of said material is positively related to the localised temperature, and
at least two electrical conductors running the length of said pathway and disposed in electrical contact with said positive temperature coefficient material.
2. A gases transportation pathway as claimed in claim 1 wherein said wall includes at least one helically arranged ribbon of positive temperature coefficient material with adjacent turns of ribbon overlapping and fused to one another.
3. A gases transportation pathway as claimed in claim 2 wherein said conductors are arranged helically along said gases transportation pathway at least substantially constantly spaced from one another along the length of said gases transportation pathway.
4. A gases transportation pathway as claimed in claim 3 wherein at least a pair of said conductors are disposed within a said ribbon of positive temperature coefficient material, in constant position in relation to said ribbon.
5. A gases transportation pathway as claimed in any one of claims I to 4 wherein said positive temperature coefficient material has a phase transformation temperature between 35° C. and 40° C.
Priority Applications (1)
| Application Number | Priority Date | Filing Date | Title |
|---|---|---|---|
| US10/746,730 US20040149284A1 (en) | 2000-03-21 | 2003-12-26 | Humidified gases delivery apparatus |
Applications Claiming Priority (5)
| Application Number | Priority Date | Filing Date | Title |
|---|---|---|---|
| NZ503495 | 2000-03-21 | ||
| NZ50349500 | 2000-03-21 | ||
| US09/808,567 US6918389B2 (en) | 2000-03-21 | 2001-03-14 | Breathing assistance apparatus |
| US09/956,723 US7588029B2 (en) | 2000-03-21 | 2001-09-20 | Humidified gases delivery apparatus |
| US10/746,730 US20040149284A1 (en) | 2000-03-21 | 2003-12-26 | Humidified gases delivery apparatus |
Related Parent Applications (1)
| Application Number | Title | Priority Date | Filing Date |
|---|---|---|---|
| US09/956,723 Division US7588029B2 (en) | 2000-03-21 | 2001-09-20 | Humidified gases delivery apparatus |
Publications (1)
| Publication Number | Publication Date |
|---|---|
| US20040149284A1 true US20040149284A1 (en) | 2004-08-05 |
Family
ID=46278191
Family Applications (2)
| Application Number | Title | Priority Date | Filing Date |
|---|---|---|---|
| US09/956,723 Expired - Lifetime US7588029B2 (en) | 2000-03-21 | 2001-09-20 | Humidified gases delivery apparatus |
| US10/746,730 Abandoned US20040149284A1 (en) | 2000-03-21 | 2003-12-26 | Humidified gases delivery apparatus |
Family Applications Before (1)
| Application Number | Title | Priority Date | Filing Date |
|---|---|---|---|
| US09/956,723 Expired - Lifetime US7588029B2 (en) | 2000-03-21 | 2001-09-20 | Humidified gases delivery apparatus |
Country Status (1)
| Country | Link |
|---|---|
| US (2) | US7588029B2 (en) |
Cited By (37)
| Publication number | Priority date | Publication date | Assignee | Title |
|---|---|---|---|---|
| US20030131844A1 (en) * | 2001-12-04 | 2003-07-17 | Kumar Matthew M. | Inducing hypothermia and rewarming using a helium-oxygen mixture |
| US20040102731A1 (en) * | 2000-10-16 | 2004-05-27 | Blackhurst Michael Joseph | Apparatus used for the humidification of gases in medical procedures |
| US20050267552A1 (en) * | 2004-05-26 | 2005-12-01 | Baylis Medical Company Inc. | Electrosurgical device |
| US20070157929A1 (en) * | 2005-12-23 | 2007-07-12 | Draeger Medical Ag & Co. Kg | Respirator with active dehumidification |
| US20080105257A1 (en) * | 2006-11-08 | 2008-05-08 | Resmed Limited | Humidifier for respiratory apparatus |
| WO2008055307A1 (en) * | 2006-11-08 | 2008-05-15 | Resmed Ltd | Humidifier for respiratory apparatus |
| US20080167646A1 (en) * | 2004-05-26 | 2008-07-10 | Baylis Medical Company Inc. | Electrosurgical apparatus having a temperature sensor |
| US20080190427A1 (en) * | 2005-05-26 | 2008-08-14 | Matthew Jon Payton | Breathing Assistance Apparatus |
| US20090110379A1 (en) * | 2007-10-29 | 2009-04-30 | Smiths Medical Asd, Inc. | Pid coefficient adjustment for respiratory heater closed loop control |
| US20100206308A1 (en) * | 2007-07-31 | 2010-08-19 | Resmed Ltd | Heating element, humidifier for respiratory apparatus including heating element, and respiratory apparatus |
| US20120060836A1 (en) * | 2010-09-10 | 2012-03-15 | Michael El-Shammaa | Patient circuit for improved support delivery |
| US8511651B2 (en) | 2011-03-29 | 2013-08-20 | Smiths Medical Asd, Inc. | Heater unit humidification chamber monitor |
| AU2013257505B2 (en) * | 2006-11-08 | 2014-10-30 | ResMed Pty Ltd | Conduit for Use in a Respiratory Apparatus |
| US20160354573A1 (en) | 2012-11-14 | 2016-12-08 | Matthew Liam Buswell | Zone heating for respiratory circuits |
| DE102016110002A1 (en) * | 2016-05-31 | 2017-11-30 | BSH Hausgeräte GmbH | Method for producing a corrugated hose for a household appliance, corrugated hose, device and household appliance |
| US10525225B2 (en) | 2000-03-21 | 2020-01-07 | Fisher & Paykel Healthcare Limited | Breathing assistance apparatus |
| US10709866B2 (en) | 2014-05-13 | 2020-07-14 | Fisher & Paykel Healthcare Limited | Usability features for respiratory humidification system |
| US10751498B2 (en) | 2014-03-17 | 2020-08-25 | Fisher & Paykel Healthcare Limited | Medical tubes for respiratory systems |
| US10814091B2 (en) | 2013-10-24 | 2020-10-27 | Fisher & Paykel Healthcare Limited | System for delivery of respiratory gases |
| US10828482B2 (en) | 2013-12-20 | 2020-11-10 | Fisher & Paykel Healthcare Limited | Humidification system connections |
| US10960167B2 (en) | 2015-09-09 | 2021-03-30 | Fisher & Paykel Healthcare Limited | Zone heating for respiratory circuits |
| US10974015B2 (en) | 2012-03-15 | 2021-04-13 | Fisher & Paykel Healthcare Limited | Respiratory gas humidification system |
| US11007340B2 (en) | 2004-08-20 | 2021-05-18 | Fisher & Paykel Healthcare Limited | Apparatus for measuring properties of gases supplied to a patient |
| US11058844B2 (en) | 2012-12-04 | 2021-07-13 | Fisher & Paykel Healthcare Limited | Medical tubes and methods of manufacture |
| US11129956B2 (en) | 2012-04-27 | 2021-09-28 | Fisher & Paykel Healthcare Limited | Usability features for respiratory humidification system |
| US20210299392A1 (en) * | 2019-02-15 | 2021-09-30 | Vincent Medical (Dong Guan) Manufacturing Co., Ltd | A breathing circuit having an embedded heating wire and temperature sensor |
| US11173272B2 (en) | 2014-05-02 | 2021-11-16 | Fisher & Paykel Healthcare Limited | Gas humidification arrangement |
| US11278689B2 (en) | 2014-11-17 | 2022-03-22 | Fisher & Paykel Healthcare Limited | Humidification of respiratory gases |
| US11311695B2 (en) | 2016-12-22 | 2022-04-26 | Fisher & Paykel Healthcare Limited | Medical tubes and methods of manufacture |
| US11318270B2 (en) | 2011-06-03 | 2022-05-03 | Fisher & Paykel Healthcare Limited | Medical tubes and methods of manufacture |
| US11324911B2 (en) | 2014-06-03 | 2022-05-10 | Fisher & Paykel Healthcare Limited | Flow mixers for respiratory therapy systems |
| US11351332B2 (en) | 2016-12-07 | 2022-06-07 | Fisher & Paykel Healthcare Limited | Sensing arrangements for medical devices |
| US11511069B2 (en) | 2013-09-13 | 2022-11-29 | Fisher & Paykel Healthcare Limited | Humidification system |
| US11559653B2 (en) | 2014-02-07 | 2023-01-24 | Fisher & Paykel Healthcare Limited | Respiratory humidification system |
| US11801360B2 (en) | 2013-09-13 | 2023-10-31 | Fisher & Paykel Healthcare Limited | Connections for humidification system |
| US12076457B2 (en) | 2005-12-15 | 2024-09-03 | Fisher & Paykel Healthcare Limited | Breathing assistance apparatus |
| US12420038B2 (en) | 2012-05-23 | 2025-09-23 | Fisher & Paykel Healthcare Limited | Flow path fault detection method for a respiratory assistance apparatus |
Families Citing this family (33)
| Publication number | Priority date | Publication date | Assignee | Title |
|---|---|---|---|---|
| US7111624B2 (en) | 2000-03-21 | 2006-09-26 | Fisher & Paykel Healthcare Limited | Apparatus for delivering humidified gases |
| US7120354B2 (en) | 2000-03-21 | 2006-10-10 | Fisher & Paykel Healthcare Limited | Gases delivery conduit |
| US7588029B2 (en) | 2000-03-21 | 2009-09-15 | Fisher & Paykel Healthcare Limited | Humidified gases delivery apparatus |
| CA2400251C (en) * | 2001-09-19 | 2009-12-08 | Fisher & Paykel Healthcare Limited | Humidified gases delivery apparatus |
| US20030181857A1 (en) * | 2002-03-22 | 2003-09-25 | James Blake | Insufflation device with integral heater control |
| US8536496B2 (en) * | 2004-09-15 | 2013-09-17 | Watlow Electric Manufacturing Company | Adaptable layered heater system |
| MX2007003934A (en) * | 2004-09-30 | 2007-06-07 | Watlow Electric Mfg | Modular layered heater system. |
| JP4771711B2 (en) * | 2005-02-15 | 2011-09-14 | 株式会社メトラン | Humidifier for breathing circuit |
| US7744068B2 (en) | 2006-09-13 | 2010-06-29 | Dristeem Corporation | Insulation for a steam carrying apparatus and method of attachment thereof |
| US20090071478A1 (en) * | 2007-09-17 | 2009-03-19 | General Electric Company | Ventilator |
| US8122882B2 (en) * | 2007-10-29 | 2012-02-28 | Smiths Medical Asd, Inc. | Rainout reduction in a breathing circuit |
| KR100831077B1 (en) * | 2007-12-14 | 2008-05-22 | (주) 아모센스 | Pipe having freeze protection function using strip type planar heating element and manufacturing method thereof |
| DE102008022663B4 (en) | 2008-05-07 | 2012-10-31 | Schauenburg Hose Technology Gmbh | Stretch hose |
| US9505164B2 (en) | 2009-12-30 | 2016-11-29 | Schauenburg Technology Se | Tapered helically reinforced hose and its manufacture |
| DE102008039137B3 (en) * | 2008-08-21 | 2010-02-11 | Dräger Medical AG & Co. KG | Ventilator with a breathing circuit |
| US9964238B2 (en) | 2009-01-15 | 2018-05-08 | Globalmed, Inc. | Stretch hose and hose production method |
| US9616194B2 (en) | 2011-06-22 | 2017-04-11 | Breathe Technologies, Inc. | Ventilation mask with integrated piloted exhalation valve and method of ventilating a patient using the same |
| US8839791B2 (en) | 2011-06-22 | 2014-09-23 | Breathe Technologies, Inc. | Ventilation mask with integrated piloted exhalation valve |
| US9038634B2 (en) | 2011-06-22 | 2015-05-26 | Breathe Technologies, Inc. | Ventilation mask with integrated piloted exhalation valve |
| GB201114580D0 (en) | 2011-08-23 | 2011-10-05 | Armstrong Medical Ltd | Humidified gas delivery system |
| US10449323B2 (en) * | 2012-03-30 | 2019-10-22 | Fisher & Paykel Healthcare Limited | Humidification system |
| EP3701991A1 (en) | 2012-04-05 | 2020-09-02 | Fisher & Paykel Healthcare Limited | Breathing assistance apparatus with serviceability features |
| US9878121B2 (en) | 2013-03-13 | 2018-01-30 | Breathe Technologies, Inc. | Ventilation mask with heat and moisture exchange device |
| WO2015081227A1 (en) * | 2013-11-26 | 2015-06-04 | Dri-Steem Corporation | Steam dispersion system |
| CN107206203B (en) | 2014-12-09 | 2021-07-06 | 富利凯公司 | System and method for heating and humidifying inspiratory gases during mechanical ventilation |
| US11471636B2 (en) | 2015-04-15 | 2022-10-18 | Medline Industries, Lp | Moisture removal and condensation and humidity management apparatus for a breathing circuit |
| EP3487571B8 (en) | 2016-07-21 | 2024-05-01 | Fisher & Paykel Healthcare Limited | Medical tubes for breathing circuit |
| EP3528880B1 (en) | 2016-10-19 | 2021-07-07 | Teleflex Medical Incorporated | Moisture removal and condensation and humidity management apparatus for a breathing circuit |
| CA3053834C (en) | 2017-01-30 | 2020-09-01 | Globalmed, Inc. | Heated respiratory hose assembly |
| EP4173664A3 (en) | 2017-07-10 | 2023-05-31 | Medline Industries, LP | Moisture removal and condensation and humidity management apparatus for a breathing circuit |
| US11338105B2 (en) | 2018-03-27 | 2022-05-24 | Globalmed, Inc. | Respiratory humidification device |
| CN109986929A (en) * | 2019-04-19 | 2019-07-09 | 重庆福睿安电子有限公司 | A high-efficiency vehicle-mounted metal PTC heater |
| TW202243699A (en) * | 2021-04-30 | 2022-11-16 | 南亞塑膠工業股份有限公司 | Medical tube |
Citations (92)
| Publication number | Priority date | Publication date | Assignee | Title |
|---|---|---|---|---|
| US485127A (en) * | 1892-10-25 | Island | ||
| US3243753A (en) * | 1962-11-13 | 1966-03-29 | Kohler Fred | Resistance element |
| US3582968A (en) * | 1968-12-23 | 1971-06-01 | Texas Instruments Inc | Heaters and methods of making same |
| US3584193A (en) * | 1968-04-25 | 1971-06-08 | Hans Badertscher | Water vaporizers |
| US3695267A (en) * | 1969-07-01 | 1972-10-03 | Hans Hirtz | Inhalator for moist air |
| US3766914A (en) * | 1970-07-29 | 1973-10-23 | H Jacobs | High pressure resuscitating and ventilating system incorporating humidifying means for the breathing mixture |
| US3823217A (en) * | 1973-01-18 | 1974-07-09 | Raychem Corp | Resistivity variance reduction |
| US3914349A (en) * | 1973-04-23 | 1975-10-21 | Sunbeam Corp | Portable humidifier |
| US4013122A (en) * | 1975-05-05 | 1977-03-22 | Richard William Long | Diver's gas heater |
| US4013742A (en) * | 1974-07-29 | 1977-03-22 | Volker Lang | Device for wetting and heating gases, preferably breathing gases in respirators |
| US4038980A (en) * | 1973-11-12 | 1977-08-02 | Imre Fodor | Air humidifiers |
| US4050823A (en) * | 1974-09-05 | 1977-09-27 | Dragerwerk Aktiengesellschaft | Apparatus for continuously measuring the CO2 content in breathing gases |
| US4080576A (en) * | 1976-01-08 | 1978-03-21 | Sperry Rand Corporation | Tow mode harmonic and nonharmonic phase detector |
| US4110419A (en) * | 1975-04-18 | 1978-08-29 | Respiratory Care, Inc. | High-volume disposable and semi-disposable cartridge humidifier with self-contained cartridge sterilizing means, and related method |
| US4162370A (en) * | 1977-06-24 | 1979-07-24 | Automation Industries, Inc. | Current carrying hose assembly |
| US4172105A (en) * | 1979-02-15 | 1979-10-23 | Respiratory Care, Inc. | Pediatric cartridge humidifier |
| US4177376A (en) * | 1974-09-27 | 1979-12-04 | Raychem Corporation | Layered self-regulating heating article |
| US4459473A (en) * | 1982-05-21 | 1984-07-10 | Raychem Corporation | Self-regulating heaters |
| US4500480A (en) * | 1982-08-23 | 1985-02-19 | Respiratory Care, Inc. | Pediatric cartridge humidifier |
| US4543474A (en) * | 1979-09-24 | 1985-09-24 | Raychem Corporation | Layered self-regulating heating article |
| US4560498A (en) * | 1975-08-04 | 1985-12-24 | Raychem Corporation | Positive temperature coefficient of resistance compositions |
| US4574188A (en) * | 1982-04-16 | 1986-03-04 | Raychem Corporation | Elongate electrical assemblies |
| US4676237A (en) * | 1985-01-29 | 1987-06-30 | Boutade Worldwide Investments Nv | Inhaler device |
| US4682010A (en) * | 1983-03-07 | 1987-07-21 | Safeway Products, Inc. | In-line electric heater for an aerosol delivery system |
| US4684786A (en) * | 1984-08-01 | 1987-08-04 | Navistar International Corporation | Electrically heated fuel pick-up assembly for vehicle fuel tanks |
| US4710887A (en) * | 1984-08-21 | 1987-12-01 | Her Majesty The Queen In Right Of Canada, As Represented By The Minister Of National Defence | Computer controlled constant concentration and size particulate general system |
| US4722334A (en) * | 1985-07-16 | 1988-02-02 | Transpirator Technologies, Inc. | Method and apparatus for pulmonary and cardiovascular conditioning of racehorses and competition animals |
| US4753758A (en) * | 1983-05-19 | 1988-06-28 | Intertech Resources Inc. | Respiratory humidifier |
| US4780247A (en) * | 1985-09-18 | 1988-10-25 | Shigeyuki Yasuda | Method for controlling steady state exothermic temperature in the use of heat sensitive-electrically resistant composites |
| US4791966A (en) * | 1982-04-20 | 1988-12-20 | Hew-Kabel Heinz Eilentropp Kg | Wrapped, elongated stock |
| US4808793A (en) * | 1986-11-13 | 1989-02-28 | Everhot Corporation | Tankless electric water heater with instantaneous hot water output |
| US4829998A (en) * | 1988-02-25 | 1989-05-16 | Jackson Richard R | Delivering breathable gas |
| US4840804A (en) * | 1987-04-14 | 1989-06-20 | Mitsubishi Chemical Industries Limited | Method of dehydrating foods in melted erythritol |
| US4911357A (en) * | 1988-04-11 | 1990-03-27 | Shibaura Electronics Company, Ltd. | Humidity controller utilizing absolute humidity |
| US4911157A (en) * | 1988-01-07 | 1990-03-27 | Pegasus Research Corporation | Self-regulating, heated nebulizer system |
| US4921642A (en) * | 1987-12-03 | 1990-05-01 | Puritan-Bennett Corporation | Humidifier module for use in a gas humidification assembly |
| US4941469A (en) * | 1987-11-12 | 1990-07-17 | Carmeli Adahan | Portable ventilator apparatus |
| US5024894A (en) * | 1988-11-02 | 1991-06-18 | Academy Of Applied Science | Method of producing silicon and similar wafers buffered for the deposition of metal oxide superconducting (MOS) polymer composites and the like by insulating metal oxides (IMO) suitable as substrates for MOS, and novel buffered wafers provided thereby |
| US5031612A (en) * | 1990-04-24 | 1991-07-16 | Devilbiss Health Care, Inc. | System and method for delivering warm humidified air |
| US5062145A (en) * | 1988-09-29 | 1991-10-29 | Fisher & Paykel Limited | Humidifying apparatus |
| US5092326A (en) * | 1987-11-19 | 1992-03-03 | Winn Bryan D | Apparatus and method for a ventilator system |
| US5101820A (en) * | 1989-11-02 | 1992-04-07 | Christopher Kent L | Apparatus for high continuous flow augmentation of ventilation and method therefor |
| US5121746A (en) * | 1989-12-08 | 1992-06-16 | Sikora John R | Anaesthetic and respirator breathing circuit device |
| US5148801A (en) * | 1990-03-23 | 1992-09-22 | University Of Victoria | Electronic heater-humidifier for hypothermia treatment |
| US5224923A (en) * | 1990-03-26 | 1993-07-06 | Air-Shields, Inc. | Infant incubator |
| US5231979A (en) * | 1992-02-14 | 1993-08-03 | Puritan-Bennett Corporation | Humidifier for CPAP device |
| US5336158A (en) * | 1992-11-12 | 1994-08-09 | Huggins Freddie L | Pneumatic vacuum vibrator apparatus |
| US5346128A (en) * | 1993-07-22 | 1994-09-13 | Honeywell Inc. | Humidity control system |
| US5362310A (en) * | 1992-04-09 | 1994-11-08 | Wisap Gesellschaft Fur Wissenschaftlichen Apparatebau Mbh | Heating apparatus for insufflator |
| US5387604A (en) * | 1990-08-29 | 1995-02-07 | Merrell Dow Pharmaceuticals Inc. | 1,4 benzodioxin derivatives and their use as serotonin 5HT1A agonists |
| US5388443A (en) * | 1993-06-24 | 1995-02-14 | Manaka; Junji | Atmosphere sensor and method for manufacturing the sensor |
| US5392770A (en) * | 1993-06-29 | 1995-02-28 | Clawson; Burrell E. | Tubing circuit systems for humidified respiratory gas |
| US5404729A (en) * | 1991-12-27 | 1995-04-11 | Nissan Motor Co., Ltd. | Heat pump type air conditioner for automotive vehicle |
| US5454061A (en) * | 1994-05-27 | 1995-09-26 | Steward Plastics, Inc. | Apparatus and method for making flexible tubing with helically wound heating conductor |
| US5482031A (en) * | 1991-09-20 | 1996-01-09 | Gibeck Respiration Ab | Arrangement for connecting a patient to a respirator, and the use of a moisture-heat-exchanger in the arrangement |
| US5516466A (en) * | 1994-10-27 | 1996-05-14 | Armstrong International, Inc. | Steam humidifier system |
| US5529060A (en) * | 1991-05-22 | 1996-06-25 | Fisher & Paykel Limited | Humidifiers with control systems to prevent condensation |
| US5558084A (en) * | 1991-10-04 | 1996-09-24 | Fisher & Paykel Limited | Humidifier with delivery tube condensation preventing structure and control |
| US5564415A (en) * | 1995-06-07 | 1996-10-15 | Lifecare International, Inc. | Humidifier for a ventilator |
| US5588423A (en) * | 1994-08-20 | 1996-12-31 | Fisher & Paykel Limited | Humidifier chamber |
| US5640951A (en) * | 1994-03-15 | 1997-06-24 | Fisher & Paykel Limited | Humidifier conduit |
| US5705555A (en) * | 1991-05-04 | 1998-01-06 | Cabot Corporation | Conductive polymer compositions |
| US5759149A (en) * | 1993-12-17 | 1998-06-02 | Hill-Rom, Inc. | Patient thermal support device |
| US5769071A (en) * | 1995-02-16 | 1998-06-23 | Smiths Industries Plc | Humidifier systems |
| US5873687A (en) * | 1997-04-16 | 1999-02-23 | Mori Seiki Co., Ltd. | Tool unit with hydraulic feed passage |
| US5991507A (en) * | 1995-03-20 | 1999-11-23 | Perycut-Chemie Ag | Vaporizer |
| US5988154A (en) * | 1997-10-31 | 1999-11-23 | G.S. Blodgett Corporation | Combination steamer and convection oven with double doors |
| US5988164A (en) * | 1995-07-31 | 1999-11-23 | Paluch; Bernard | Breathing circuits with humidity controls |
| US6050260A (en) * | 1996-12-02 | 2000-04-18 | Fisher & Paykel Limited | Humidifier sleep apnea treatment apparatus |
| US6078730A (en) * | 1995-11-13 | 2000-06-20 | Fisher & Paykel Limited | Heat respiratory conduit |
| US6090313A (en) * | 1996-10-08 | 2000-07-18 | Therm-O-Disc Inc. | High temperature PTC device and conductive polymer composition |
| US6095505A (en) * | 1998-07-15 | 2000-08-01 | Pegasus Research Corporation | Patient-end humidifier |
| US6125847A (en) * | 1997-10-22 | 2000-10-03 | Lin; Chung-Yuan | Anesthetic applicator with a temperature humidity regulating capability |
| US6158431A (en) * | 1998-02-13 | 2000-12-12 | Tsi Incorporated | Portable systems and methods for delivery of therapeutic material to the pulmonary system |
| US6167883B1 (en) * | 1998-01-23 | 2001-01-02 | Respiratory Support Products, Inc. | Medical air hose internal flow heater |
| US6238598B1 (en) * | 2000-08-11 | 2001-05-29 | Fuzetec Technology Co., Ltd. | Positive temperature coefficient (PTC) polymer blend composition and circuit protection device |
| US6311958B1 (en) * | 1998-12-01 | 2001-11-06 | Emerson Electric Co. | Humidifier with detachable fan assembly |
| US6349722B1 (en) * | 1997-06-17 | 2002-02-26 | Fisher & Paykel Limited | Respiratory humidification system |
| US6367472B1 (en) * | 1996-05-29 | 2002-04-09 | Dragerwerk Aktiengesellschaft | Respiration humidifier |
| US6394084B1 (en) * | 1996-07-16 | 2002-05-28 | Respironics, Inc. | Humidification unit, method of making same, and ventilatory system using such a humidification unit |
| US6397848B1 (en) * | 1999-08-18 | 2002-06-04 | Gc Corporation | Mouthguard composition |
| US6398197B1 (en) * | 1999-05-10 | 2002-06-04 | Fisher & Paykel Limited | Water chamber |
| US6440512B1 (en) * | 1998-11-04 | 2002-08-27 | The Goodyear Tire & Rubber Company | Hose construction containing ternary blend of polymers |
| US6463925B2 (en) * | 1999-11-22 | 2002-10-15 | The United States Of America As Represented By The Secretary Of The Navy | Hot water heater for diver using hydrogen catalytic reactions |
| US6474335B1 (en) * | 1997-12-04 | 2002-11-05 | Medisize B.V. | Artificial respiration system |
| US20030059213A1 (en) * | 2000-03-21 | 2003-03-27 | Mackie Scott Robert | Gases delivery conduit |
| US6543412B2 (en) * | 2000-03-29 | 2003-04-08 | Hitachi, Ltd. | Intake air control device and internal combustion engine mounting the same |
| US6564011B1 (en) * | 2000-08-23 | 2003-05-13 | Fmc Technologies, Inc. | Self-regulating heat source for subsea equipment |
| US6601776B1 (en) * | 1999-09-22 | 2003-08-05 | Microcoating Technologies, Inc. | Liquid atomization methods and devices |
| US6718974B1 (en) * | 2000-10-06 | 2004-04-13 | Mallinckrodt, Inc. | CPAP humidifier having sliding access door |
| US6918389B2 (en) * | 2000-03-21 | 2005-07-19 | Fisher & Paykel Healthcare Limited | Breathing assistance apparatus |
| US7453043B2 (en) * | 2006-02-15 | 2008-11-18 | Ls Cable Ltd. | Composition for manufacturing insulation materials of electrical wire and electrical wire manufactured using the same |
Family Cites Families (27)
| Publication number | Priority date | Publication date | Assignee | Title |
|---|---|---|---|---|
| GB1168770A (en) | 1965-12-01 | 1969-10-29 | Texas Instruments Inc | Self-Regulating Heaters. |
| SU379270A1 (en) | 1971-02-01 | 1973-04-20 | DRUG ADAPTER | |
| US4060576A (en) | 1972-09-13 | 1977-11-29 | Graham Cameron Grant | Method and apparatus for vapor saturated gas delivery |
| DE3311811A1 (en) | 1983-03-31 | 1984-10-04 | Hirtz & Co, 5000 Köln | Device for treating the airways with hot air |
| JPS60159931U (en) | 1984-04-02 | 1985-10-24 | シャープ株式会社 | humidifier |
| BE905330A (en) | 1986-08-26 | 1986-12-16 | Anthony Jean M | Humidifier and heater for medical breathing appts. - is electrically regulated and is of hygienic modular construction |
| DE3629353C1 (en) | 1986-08-28 | 1988-01-07 | Draegerwerk Ag | Ventilation device |
| EP0356000A3 (en) | 1988-08-26 | 1992-05-20 | The British Petroleum Company p.l.c. | Breathing apparatus |
| ZA912230B (en) | 1990-03-26 | 1991-12-24 | Air Shields | Infant incubator humidifier |
| IT1243853B (en) | 1990-10-19 | 1994-06-28 | Hospital Hi Tec S R L | ALVEOLAR CONTINUOUS POSITIVE PRESSURE BREATHING EQUIPMENT. |
| DE4034611A1 (en) | 1990-10-31 | 1992-05-07 | Stiebel Eltron Gmbh & Co Kg | Two=stage throughflow electric heater - has NTC resistance in second stage avoiding abrupt temp. rise on switching to higher flow rate |
| DE4244493A1 (en) | 1992-01-18 | 1993-07-22 | Eilentropp Hew Kabel | |
| AU3713193A (en) * | 1992-04-24 | 1993-10-28 | Fisher & Paykel Limited | Humidifier apparatus and/or gases distribution chambers and/or temperature probes for the same |
| JP2654887B2 (en) | 1992-05-22 | 1997-09-17 | 将秀 大塚 | Humidifier with additional condensation sensor |
| US5544275A (en) | 1993-03-17 | 1996-08-06 | Applied Materials, Inc. | Electrically heated fluid carrying conduit having integrated heating elements and electrical conductors |
| GB9309294D0 (en) | 1993-05-06 | 1993-06-16 | Smiths Ind Public Ltd | Heaters and heated devices |
| DE9409231U1 (en) | 1994-06-07 | 1994-11-03 | Madaus Schwarzer Medizintechnik GmbH & Co. KG, 81245 München | Respirator for sleep medicine |
| JPH0861731A (en) | 1994-08-24 | 1996-03-08 | Matsushita Electric Ind Co Ltd | Air supply / exhaust device |
| US6024694A (en) | 1995-09-25 | 2000-02-15 | Hill-Rom, Inc. | Humidifier for a thermal support apparatus |
| JPH09234247A (en) | 1995-12-27 | 1997-09-09 | Nikkiso Y S I Kk | Artificial respiratory apparatus and improved heating/ humidifying device |
| AUPO425496A0 (en) | 1996-12-18 | 1997-01-16 | William A Cook Australia Pty Ltd | Medical humidifier |
| SE9803047D0 (en) | 1998-09-09 | 1998-09-09 | Siemens Elema Ab | Moisture and bacterial barrier for medical components |
| WO2001010489A2 (en) | 1999-08-05 | 2001-02-15 | MAP Medizintechnik für Arzt und Patient GmbH & Co. KG | Device for supplying a respiratory gas, humidifying device, respiratory gas tube, and connecting device therefor |
| JP2001129091A (en) | 1999-11-09 | 2001-05-15 | Kofurotsuku Kk | Medical oxygen concentrator |
| US7588029B2 (en) | 2000-03-21 | 2009-09-15 | Fisher & Paykel Healthcare Limited | Humidified gases delivery apparatus |
| AU2002211121B2 (en) | 2000-10-16 | 2005-11-03 | Fisher & Paykel Healthcare Limited | Improvements to apparatus used for the humidification of gases in medical procedures |
| US6816669B2 (en) * | 2001-06-08 | 2004-11-09 | Algas-Sdi International Llc | Vaporizer with capacity control valve |
-
2001
- 2001-09-20 US US09/956,723 patent/US7588029B2/en not_active Expired - Lifetime
-
2003
- 2003-12-26 US US10/746,730 patent/US20040149284A1/en not_active Abandoned
Patent Citations (94)
| Publication number | Priority date | Publication date | Assignee | Title |
|---|---|---|---|---|
| US485127A (en) * | 1892-10-25 | Island | ||
| US3243753A (en) * | 1962-11-13 | 1966-03-29 | Kohler Fred | Resistance element |
| US3584193A (en) * | 1968-04-25 | 1971-06-08 | Hans Badertscher | Water vaporizers |
| US3582968A (en) * | 1968-12-23 | 1971-06-01 | Texas Instruments Inc | Heaters and methods of making same |
| US3695267A (en) * | 1969-07-01 | 1972-10-03 | Hans Hirtz | Inhalator for moist air |
| US3766914A (en) * | 1970-07-29 | 1973-10-23 | H Jacobs | High pressure resuscitating and ventilating system incorporating humidifying means for the breathing mixture |
| US3823217A (en) * | 1973-01-18 | 1974-07-09 | Raychem Corp | Resistivity variance reduction |
| US3914349A (en) * | 1973-04-23 | 1975-10-21 | Sunbeam Corp | Portable humidifier |
| US4038980A (en) * | 1973-11-12 | 1977-08-02 | Imre Fodor | Air humidifiers |
| US4013742A (en) * | 1974-07-29 | 1977-03-22 | Volker Lang | Device for wetting and heating gases, preferably breathing gases in respirators |
| US4050823A (en) * | 1974-09-05 | 1977-09-27 | Dragerwerk Aktiengesellschaft | Apparatus for continuously measuring the CO2 content in breathing gases |
| US4177376A (en) * | 1974-09-27 | 1979-12-04 | Raychem Corporation | Layered self-regulating heating article |
| US4110419A (en) * | 1975-04-18 | 1978-08-29 | Respiratory Care, Inc. | High-volume disposable and semi-disposable cartridge humidifier with self-contained cartridge sterilizing means, and related method |
| US4013122A (en) * | 1975-05-05 | 1977-03-22 | Richard William Long | Diver's gas heater |
| US4560498A (en) * | 1975-08-04 | 1985-12-24 | Raychem Corporation | Positive temperature coefficient of resistance compositions |
| US4080576A (en) * | 1976-01-08 | 1978-03-21 | Sperry Rand Corporation | Tow mode harmonic and nonharmonic phase detector |
| US4162370A (en) * | 1977-06-24 | 1979-07-24 | Automation Industries, Inc. | Current carrying hose assembly |
| US4172105A (en) * | 1979-02-15 | 1979-10-23 | Respiratory Care, Inc. | Pediatric cartridge humidifier |
| US4543474A (en) * | 1979-09-24 | 1985-09-24 | Raychem Corporation | Layered self-regulating heating article |
| US4574188A (en) * | 1982-04-16 | 1986-03-04 | Raychem Corporation | Elongate electrical assemblies |
| US4791966A (en) * | 1982-04-20 | 1988-12-20 | Hew-Kabel Heinz Eilentropp Kg | Wrapped, elongated stock |
| US4459473A (en) * | 1982-05-21 | 1984-07-10 | Raychem Corporation | Self-regulating heaters |
| US4500480A (en) * | 1982-08-23 | 1985-02-19 | Respiratory Care, Inc. | Pediatric cartridge humidifier |
| US4682010A (en) * | 1983-03-07 | 1987-07-21 | Safeway Products, Inc. | In-line electric heater for an aerosol delivery system |
| US4753758A (en) * | 1983-05-19 | 1988-06-28 | Intertech Resources Inc. | Respiratory humidifier |
| US4684786A (en) * | 1984-08-01 | 1987-08-04 | Navistar International Corporation | Electrically heated fuel pick-up assembly for vehicle fuel tanks |
| US4710887A (en) * | 1984-08-21 | 1987-12-01 | Her Majesty The Queen In Right Of Canada, As Represented By The Minister Of National Defence | Computer controlled constant concentration and size particulate general system |
| US4676237A (en) * | 1985-01-29 | 1987-06-30 | Boutade Worldwide Investments Nv | Inhaler device |
| US4722334A (en) * | 1985-07-16 | 1988-02-02 | Transpirator Technologies, Inc. | Method and apparatus for pulmonary and cardiovascular conditioning of racehorses and competition animals |
| US4780247A (en) * | 1985-09-18 | 1988-10-25 | Shigeyuki Yasuda | Method for controlling steady state exothermic temperature in the use of heat sensitive-electrically resistant composites |
| US4808793A (en) * | 1986-11-13 | 1989-02-28 | Everhot Corporation | Tankless electric water heater with instantaneous hot water output |
| US4840804A (en) * | 1987-04-14 | 1989-06-20 | Mitsubishi Chemical Industries Limited | Method of dehydrating foods in melted erythritol |
| US4941469A (en) * | 1987-11-12 | 1990-07-17 | Carmeli Adahan | Portable ventilator apparatus |
| US5092326A (en) * | 1987-11-19 | 1992-03-03 | Winn Bryan D | Apparatus and method for a ventilator system |
| US4921642A (en) * | 1987-12-03 | 1990-05-01 | Puritan-Bennett Corporation | Humidifier module for use in a gas humidification assembly |
| US4911157A (en) * | 1988-01-07 | 1990-03-27 | Pegasus Research Corporation | Self-regulating, heated nebulizer system |
| US4829998A (en) * | 1988-02-25 | 1989-05-16 | Jackson Richard R | Delivering breathable gas |
| US4911357A (en) * | 1988-04-11 | 1990-03-27 | Shibaura Electronics Company, Ltd. | Humidity controller utilizing absolute humidity |
| US5062145A (en) * | 1988-09-29 | 1991-10-29 | Fisher & Paykel Limited | Humidifying apparatus |
| US5024894A (en) * | 1988-11-02 | 1991-06-18 | Academy Of Applied Science | Method of producing silicon and similar wafers buffered for the deposition of metal oxide superconducting (MOS) polymer composites and the like by insulating metal oxides (IMO) suitable as substrates for MOS, and novel buffered wafers provided thereby |
| US5101820A (en) * | 1989-11-02 | 1992-04-07 | Christopher Kent L | Apparatus for high continuous flow augmentation of ventilation and method therefor |
| US5121746A (en) * | 1989-12-08 | 1992-06-16 | Sikora John R | Anaesthetic and respirator breathing circuit device |
| US5148801A (en) * | 1990-03-23 | 1992-09-22 | University Of Victoria | Electronic heater-humidifier for hypothermia treatment |
| US5224923A (en) * | 1990-03-26 | 1993-07-06 | Air-Shields, Inc. | Infant incubator |
| US5031612A (en) * | 1990-04-24 | 1991-07-16 | Devilbiss Health Care, Inc. | System and method for delivering warm humidified air |
| US5387604A (en) * | 1990-08-29 | 1995-02-07 | Merrell Dow Pharmaceuticals Inc. | 1,4 benzodioxin derivatives and their use as serotonin 5HT1A agonists |
| US5705555A (en) * | 1991-05-04 | 1998-01-06 | Cabot Corporation | Conductive polymer compositions |
| US5529060A (en) * | 1991-05-22 | 1996-06-25 | Fisher & Paykel Limited | Humidifiers with control systems to prevent condensation |
| US5482031A (en) * | 1991-09-20 | 1996-01-09 | Gibeck Respiration Ab | Arrangement for connecting a patient to a respirator, and the use of a moisture-heat-exchanger in the arrangement |
| US5558084A (en) * | 1991-10-04 | 1996-09-24 | Fisher & Paykel Limited | Humidifier with delivery tube condensation preventing structure and control |
| US5404729A (en) * | 1991-12-27 | 1995-04-11 | Nissan Motor Co., Ltd. | Heat pump type air conditioner for automotive vehicle |
| US5231979A (en) * | 1992-02-14 | 1993-08-03 | Puritan-Bennett Corporation | Humidifier for CPAP device |
| US5362310A (en) * | 1992-04-09 | 1994-11-08 | Wisap Gesellschaft Fur Wissenschaftlichen Apparatebau Mbh | Heating apparatus for insufflator |
| US5336158A (en) * | 1992-11-12 | 1994-08-09 | Huggins Freddie L | Pneumatic vacuum vibrator apparatus |
| US5388443A (en) * | 1993-06-24 | 1995-02-14 | Manaka; Junji | Atmosphere sensor and method for manufacturing the sensor |
| US5392770A (en) * | 1993-06-29 | 1995-02-28 | Clawson; Burrell E. | Tubing circuit systems for humidified respiratory gas |
| US5346128A (en) * | 1993-07-22 | 1994-09-13 | Honeywell Inc. | Humidity control system |
| US5759149A (en) * | 1993-12-17 | 1998-06-02 | Hill-Rom, Inc. | Patient thermal support device |
| US5640951A (en) * | 1994-03-15 | 1997-06-24 | Fisher & Paykel Limited | Humidifier conduit |
| US5454061A (en) * | 1994-05-27 | 1995-09-26 | Steward Plastics, Inc. | Apparatus and method for making flexible tubing with helically wound heating conductor |
| US5588423A (en) * | 1994-08-20 | 1996-12-31 | Fisher & Paykel Limited | Humidifier chamber |
| US5516466A (en) * | 1994-10-27 | 1996-05-14 | Armstrong International, Inc. | Steam humidifier system |
| US5769071A (en) * | 1995-02-16 | 1998-06-23 | Smiths Industries Plc | Humidifier systems |
| US5991507A (en) * | 1995-03-20 | 1999-11-23 | Perycut-Chemie Ag | Vaporizer |
| US5564415A (en) * | 1995-06-07 | 1996-10-15 | Lifecare International, Inc. | Humidifier for a ventilator |
| US5988164A (en) * | 1995-07-31 | 1999-11-23 | Paluch; Bernard | Breathing circuits with humidity controls |
| US6078730A (en) * | 1995-11-13 | 2000-06-20 | Fisher & Paykel Limited | Heat respiratory conduit |
| US6367472B1 (en) * | 1996-05-29 | 2002-04-09 | Dragerwerk Aktiengesellschaft | Respiration humidifier |
| US6394084B1 (en) * | 1996-07-16 | 2002-05-28 | Respironics, Inc. | Humidification unit, method of making same, and ventilatory system using such a humidification unit |
| US6090313A (en) * | 1996-10-08 | 2000-07-18 | Therm-O-Disc Inc. | High temperature PTC device and conductive polymer composition |
| US6050260A (en) * | 1996-12-02 | 2000-04-18 | Fisher & Paykel Limited | Humidifier sleep apnea treatment apparatus |
| US5873687A (en) * | 1997-04-16 | 1999-02-23 | Mori Seiki Co., Ltd. | Tool unit with hydraulic feed passage |
| US6349722B1 (en) * | 1997-06-17 | 2002-02-26 | Fisher & Paykel Limited | Respiratory humidification system |
| US6694974B1 (en) * | 1997-06-17 | 2004-02-24 | Fisher & Paykel Limited | Respiratory humidification system |
| US6125847A (en) * | 1997-10-22 | 2000-10-03 | Lin; Chung-Yuan | Anesthetic applicator with a temperature humidity regulating capability |
| US5988154A (en) * | 1997-10-31 | 1999-11-23 | G.S. Blodgett Corporation | Combination steamer and convection oven with double doors |
| US6474335B1 (en) * | 1997-12-04 | 2002-11-05 | Medisize B.V. | Artificial respiration system |
| US6167883B1 (en) * | 1998-01-23 | 2001-01-02 | Respiratory Support Products, Inc. | Medical air hose internal flow heater |
| US6158431A (en) * | 1998-02-13 | 2000-12-12 | Tsi Incorporated | Portable systems and methods for delivery of therapeutic material to the pulmonary system |
| US6095505A (en) * | 1998-07-15 | 2000-08-01 | Pegasus Research Corporation | Patient-end humidifier |
| US6440512B1 (en) * | 1998-11-04 | 2002-08-27 | The Goodyear Tire & Rubber Company | Hose construction containing ternary blend of polymers |
| US6311958B1 (en) * | 1998-12-01 | 2001-11-06 | Emerson Electric Co. | Humidifier with detachable fan assembly |
| US6398197B1 (en) * | 1999-05-10 | 2002-06-04 | Fisher & Paykel Limited | Water chamber |
| US6397848B1 (en) * | 1999-08-18 | 2002-06-04 | Gc Corporation | Mouthguard composition |
| US6601776B1 (en) * | 1999-09-22 | 2003-08-05 | Microcoating Technologies, Inc. | Liquid atomization methods and devices |
| US6463925B2 (en) * | 1999-11-22 | 2002-10-15 | The United States Of America As Represented By The Secretary Of The Navy | Hot water heater for diver using hydrogen catalytic reactions |
| US20030059213A1 (en) * | 2000-03-21 | 2003-03-27 | Mackie Scott Robert | Gases delivery conduit |
| US6918389B2 (en) * | 2000-03-21 | 2005-07-19 | Fisher & Paykel Healthcare Limited | Breathing assistance apparatus |
| US7120354B2 (en) * | 2000-03-21 | 2006-10-10 | Fisher & Paykel Healthcare Limited | Gases delivery conduit |
| US6543412B2 (en) * | 2000-03-29 | 2003-04-08 | Hitachi, Ltd. | Intake air control device and internal combustion engine mounting the same |
| US6238598B1 (en) * | 2000-08-11 | 2001-05-29 | Fuzetec Technology Co., Ltd. | Positive temperature coefficient (PTC) polymer blend composition and circuit protection device |
| US6564011B1 (en) * | 2000-08-23 | 2003-05-13 | Fmc Technologies, Inc. | Self-regulating heat source for subsea equipment |
| US6718974B1 (en) * | 2000-10-06 | 2004-04-13 | Mallinckrodt, Inc. | CPAP humidifier having sliding access door |
| US7453043B2 (en) * | 2006-02-15 | 2008-11-18 | Ls Cable Ltd. | Composition for manufacturing insulation materials of electrical wire and electrical wire manufactured using the same |
Cited By (80)
| Publication number | Priority date | Publication date | Assignee | Title |
|---|---|---|---|---|
| US10525225B2 (en) | 2000-03-21 | 2020-01-07 | Fisher & Paykel Healthcare Limited | Breathing assistance apparatus |
| US9095668B2 (en) | 2000-10-16 | 2015-08-04 | Fisher & Paykel Healthcare Limited | Apparatus used for humidification of gases in medical procedures |
| US20040102731A1 (en) * | 2000-10-16 | 2004-05-27 | Blackhurst Michael Joseph | Apparatus used for the humidification of gases in medical procedures |
| US10293121B2 (en) | 2000-10-16 | 2019-05-21 | Fisher & Paykel Healthcare Limited | Apparatus used for the humidification of gases in medical procedures |
| US11197967B2 (en) | 2000-10-16 | 2021-12-14 | Fisher & Paykel Healthcare Limited | Apparatus used for the humidification of gases in medical procedures |
| US8206337B2 (en) | 2000-10-16 | 2012-06-26 | Fisher & Paykel Healthcare Limited | Apparatus used for the humidification of gases in medical procedures |
| US6983749B2 (en) * | 2001-12-04 | 2006-01-10 | Minnesota High-Tech Resources, Llc | Inducing hypothermia and rewarming using a helium-oxygen mixture |
| US20030131844A1 (en) * | 2001-12-04 | 2003-07-17 | Kumar Matthew M. | Inducing hypothermia and rewarming using a helium-oxygen mixture |
| US20050267552A1 (en) * | 2004-05-26 | 2005-12-01 | Baylis Medical Company Inc. | Electrosurgical device |
| US20080167646A1 (en) * | 2004-05-26 | 2008-07-10 | Baylis Medical Company Inc. | Electrosurgical apparatus having a temperature sensor |
| US11911564B2 (en) | 2004-08-20 | 2024-02-27 | Fisher & Paykel Healthcare Limited | Apparatus for measuring properties of gases supplied to a patient |
| US11007340B2 (en) | 2004-08-20 | 2021-05-18 | Fisher & Paykel Healthcare Limited | Apparatus for measuring properties of gases supplied to a patient |
| US11679224B2 (en) | 2004-08-20 | 2023-06-20 | Fisher & Paykel Healthcare Limited | Apparatus for measuring properties of gases supplied to a patient |
| US11458273B2 (en) | 2004-08-20 | 2022-10-04 | Fisher & Paykel Healthcare Limited | Apparatus for measuring properties of gases supplied to a patient |
| US12440641B2 (en) | 2005-05-26 | 2025-10-14 | Fisher & Paykel Healthcare Limited | Breathing assistance apparatus |
| US12194245B2 (en) | 2005-05-26 | 2025-01-14 | Fisher & Paykel Healthcare Limited | Breathing assistance apparatus |
| US9839759B2 (en) | 2005-05-26 | 2017-12-12 | Fisher & Paykel Healthcare Limited | Breathing assistance apparatus |
| US8893715B2 (en) * | 2005-05-26 | 2014-11-25 | Fisher & Paykel Healthcare Limited | Breathing assistance apparatus |
| US10918821B2 (en) | 2005-05-26 | 2021-02-16 | Fisher & Paykel Healthcare Limited | Breathing assistance apparatus |
| US20080190427A1 (en) * | 2005-05-26 | 2008-08-14 | Matthew Jon Payton | Breathing Assistance Apparatus |
| US11679228B2 (en) | 2005-05-26 | 2023-06-20 | Fisher & Paykel Healthcare Limited | Breathing assistance apparatus |
| US12076457B2 (en) | 2005-12-15 | 2024-09-03 | Fisher & Paykel Healthcare Limited | Breathing assistance apparatus |
| US20070157929A1 (en) * | 2005-12-23 | 2007-07-12 | Draeger Medical Ag & Co. Kg | Respirator with active dehumidification |
| US8919343B2 (en) * | 2005-12-23 | 2014-12-30 | Dräger Medical AG & Co. KG | Respirator with active dehumidification |
| US9440040B2 (en) | 2006-11-08 | 2016-09-13 | Resmed Limited | Humidifier for respiratory apparatus |
| US11338104B2 (en) | 2006-11-08 | 2022-05-24 | ResMed Pty Ltd | Humidifier for respiratory apparatus |
| AU2013257505B2 (en) * | 2006-11-08 | 2014-10-30 | ResMed Pty Ltd | Conduit for Use in a Respiratory Apparatus |
| US9855398B2 (en) | 2006-11-08 | 2018-01-02 | Resmed Limited | Humidifier for respiratory apparatus |
| WO2008055307A1 (en) * | 2006-11-08 | 2008-05-15 | Resmed Ltd | Humidifier for respiratory apparatus |
| US20080105257A1 (en) * | 2006-11-08 | 2008-05-08 | Resmed Limited | Humidifier for respiratory apparatus |
| CN103933651A (en) * | 2006-11-08 | 2014-07-23 | 雷斯梅德有限公司 | Conduit for use in a respiratory apparatus |
| US11712535B2 (en) | 2006-11-08 | 2023-08-01 | ResMed Pty Ltd | Humidifier for respiratory apparatus |
| US9327093B2 (en) * | 2007-07-31 | 2016-05-03 | Resmed Limited | Heating element, humidifier for respiratory apparatus including heating element, and respiratory apparatus |
| US8459259B2 (en) * | 2007-07-31 | 2013-06-11 | Resmed Limited | Heating element, humidifier for respiratory apparatus including heating element, and respiratory apparatus |
| US20100206308A1 (en) * | 2007-07-31 | 2010-08-19 | Resmed Ltd | Heating element, humidifier for respiratory apparatus including heating element, and respiratory apparatus |
| US20130239966A1 (en) * | 2007-07-31 | 2013-09-19 | Resmed Limited | Heating element, humidifier for respiratory apparatus including heating element, and respiratory apparatus |
| US7983542B2 (en) | 2007-10-29 | 2011-07-19 | Smiths Medical Asd, Inc. | PID coefficient adjustment for respiratory heater closed loop control |
| US20090110379A1 (en) * | 2007-10-29 | 2009-04-30 | Smiths Medical Asd, Inc. | Pid coefficient adjustment for respiratory heater closed loop control |
| US20120060836A1 (en) * | 2010-09-10 | 2012-03-15 | Michael El-Shammaa | Patient circuit for improved support delivery |
| US8511651B2 (en) | 2011-03-29 | 2013-08-20 | Smiths Medical Asd, Inc. | Heater unit humidification chamber monitor |
| US11318270B2 (en) | 2011-06-03 | 2022-05-03 | Fisher & Paykel Healthcare Limited | Medical tubes and methods of manufacture |
| US12280215B2 (en) | 2011-06-03 | 2025-04-22 | Fisher & Paykel Healthcare Limited | Medical tubes and methods of manufacture |
| US10974015B2 (en) | 2012-03-15 | 2021-04-13 | Fisher & Paykel Healthcare Limited | Respiratory gas humidification system |
| US12350436B2 (en) | 2012-03-15 | 2025-07-08 | Fisher & Paykel Healthcare Limited | Respiratory gas humidification system |
| US11878093B2 (en) | 2012-04-27 | 2024-01-23 | Fisher & Paykel Healthcare Limited | Usability features for respiratory humidification system |
| US11129956B2 (en) | 2012-04-27 | 2021-09-28 | Fisher & Paykel Healthcare Limited | Usability features for respiratory humidification system |
| US12420038B2 (en) | 2012-05-23 | 2025-09-23 | Fisher & Paykel Healthcare Limited | Flow path fault detection method for a respiratory assistance apparatus |
| US11129954B2 (en) | 2012-11-14 | 2021-09-28 | Fisher & Paykel Healthcare Limited | Zone heating for respiratory circuits |
| US20160354573A1 (en) | 2012-11-14 | 2016-12-08 | Matthew Liam Buswell | Zone heating for respiratory circuits |
| US10589050B2 (en) | 2012-11-14 | 2020-03-17 | Fisher & Paykel Healthcare Limited | Zone heating for respiratory circuits |
| US12053587B2 (en) | 2012-11-14 | 2024-08-06 | Fisher & Paykel Healthcare Limited | Zone heating for respiratory circuits |
| US11058844B2 (en) | 2012-12-04 | 2021-07-13 | Fisher & Paykel Healthcare Limited | Medical tubes and methods of manufacture |
| US12296102B2 (en) | 2012-12-04 | 2025-05-13 | Fisher & Paykel Healthcare Limited | Medical tubes and methods of manufacture |
| US12053589B2 (en) | 2013-09-13 | 2024-08-06 | Fisher & Paykel Healthcare Limited | Humidification system |
| US12515008B2 (en) | 2013-09-13 | 2026-01-06 | Fisher & Paykel Healthcare Limited | Connections for humidification system |
| US11511069B2 (en) | 2013-09-13 | 2022-11-29 | Fisher & Paykel Healthcare Limited | Humidification system |
| US11801360B2 (en) | 2013-09-13 | 2023-10-31 | Fisher & Paykel Healthcare Limited | Connections for humidification system |
| US10814091B2 (en) | 2013-10-24 | 2020-10-27 | Fisher & Paykel Healthcare Limited | System for delivery of respiratory gases |
| US12364837B2 (en) | 2013-10-24 | 2025-07-22 | Fisher & Paykel Healthcare Limited | Tubing for delivery of respiratory gases |
| US10828482B2 (en) | 2013-12-20 | 2020-11-10 | Fisher & Paykel Healthcare Limited | Humidification system connections |
| US11826538B2 (en) | 2013-12-20 | 2023-11-28 | Fisher & Paykel Healthcare Limited | Humidification system connections |
| US11559653B2 (en) | 2014-02-07 | 2023-01-24 | Fisher & Paykel Healthcare Limited | Respiratory humidification system |
| US12397127B2 (en) | 2014-02-07 | 2025-08-26 | Fisher & Paykel Healthcare Limited | Respiratory humidification system |
| US12246132B2 (en) | 2014-03-17 | 2025-03-11 | Fisher & Paykel Healthcare Limited | Medical tubes for respiratory systems |
| US10751498B2 (en) | 2014-03-17 | 2020-08-25 | Fisher & Paykel Healthcare Limited | Medical tubes for respiratory systems |
| US11173272B2 (en) | 2014-05-02 | 2021-11-16 | Fisher & Paykel Healthcare Limited | Gas humidification arrangement |
| US11992622B2 (en) | 2014-05-13 | 2024-05-28 | Fisher & Paykel Healthcare Limited | Usability features for respiratory humidification system |
| US10709866B2 (en) | 2014-05-13 | 2020-07-14 | Fisher & Paykel Healthcare Limited | Usability features for respiratory humidification system |
| US11324911B2 (en) | 2014-06-03 | 2022-05-10 | Fisher & Paykel Healthcare Limited | Flow mixers for respiratory therapy systems |
| US11712536B2 (en) | 2014-06-03 | 2023-08-01 | Fisher & Paykel Healthcare Limited | Flow mixers for respiratory therapy systems |
| US11278689B2 (en) | 2014-11-17 | 2022-03-22 | Fisher & Paykel Healthcare Limited | Humidification of respiratory gases |
| US12233212B2 (en) | 2015-09-09 | 2025-02-25 | Fisher & Paykel Healthcare Limited | Zone heating for respiratory circuits |
| US10960167B2 (en) | 2015-09-09 | 2021-03-30 | Fisher & Paykel Healthcare Limited | Zone heating for respiratory circuits |
| DE102016110002B4 (en) | 2016-05-31 | 2022-10-13 | BSH Hausgeräte GmbH | Method for producing a corrugated hose for a household appliance, corrugated hose, device and household appliance |
| DE102016110002A1 (en) * | 2016-05-31 | 2017-11-30 | BSH Hausgeräte GmbH | Method for producing a corrugated hose for a household appliance, corrugated hose, device and household appliance |
| US11351332B2 (en) | 2016-12-07 | 2022-06-07 | Fisher & Paykel Healthcare Limited | Sensing arrangements for medical devices |
| US12508391B2 (en) | 2016-12-07 | 2025-12-30 | Fisher & Paykel Healthcare Limited | Sensing arrangements for medical devices |
| US12076489B2 (en) | 2016-12-22 | 2024-09-03 | Fisher & Paykel Healthcare Limited | Medical tubes and methods of manufacture |
| US11311695B2 (en) | 2016-12-22 | 2022-04-26 | Fisher & Paykel Healthcare Limited | Medical tubes and methods of manufacture |
| US20210299392A1 (en) * | 2019-02-15 | 2021-09-30 | Vincent Medical (Dong Guan) Manufacturing Co., Ltd | A breathing circuit having an embedded heating wire and temperature sensor |
Also Published As
| Publication number | Publication date |
|---|---|
| US7588029B2 (en) | 2009-09-15 |
| US20020124847A1 (en) | 2002-09-12 |
Similar Documents
| Publication | Publication Date | Title |
|---|---|---|
| US7588029B2 (en) | Humidified gases delivery apparatus | |
| US20230140672A1 (en) | Humidifier for respiratory apparatus | |
| US6078730A (en) | Heat respiratory conduit | |
| US6167883B1 (en) | Medical air hose internal flow heater | |
| CN101541367B (en) | Catheters used in breathing apparatus | |
| US5640951A (en) | Humidifier conduit | |
| AU2008258178B2 (en) | Humidified gases delivery apparatus | |
| JP3754282B2 (en) | Humidifying gas ventilator and breathing tube | |
| US4686354A (en) | Inhalation apparatus | |
| AU2022263547A1 (en) | Medical tubes and methods of manufacture | |
| AU727989B2 (en) | Heated respiratory conduit | |
| HK1051656A (en) | Humidified gases delivery apparatus | |
| HK1051656B (en) | Humidified gases delivery apparatus | |
| AU778842B2 (en) | Medical air hose having internal flow heater | |
| JPH0438962A (en) | Heating type tube for medical use and its manufacture | |
| IL138061A (en) | Medical air hose having internal flow heater |
Legal Events
| Date | Code | Title | Description |
|---|---|---|---|
| AS | Assignment |
Owner name: FISHER & PAYKEL HEALTHCARE LIMITED, NEW ZEALAND Free format text: ASSIGNMENT OF ASSIGNORS INTEREST;ASSIGNORS:SMITH, DANIEL JOHN;KADHUM, HUSSEIN;SMITH, MALCOLM DAVID;REEL/FRAME:015118/0621 Effective date: 20011019 |
|
| STCB | Information on status: application discontinuation |
Free format text: ABANDONED -- FAILURE TO RESPOND TO AN OFFICE ACTION |

