US20040143392A1 - System and method for fast acquisition reporting using communication satellite range measurement - Google Patents
System and method for fast acquisition reporting using communication satellite range measurement Download PDFInfo
- Publication number
- US20040143392A1 US20040143392A1 US10/754,492 US75449204A US2004143392A1 US 20040143392 A1 US20040143392 A1 US 20040143392A1 US 75449204 A US75449204 A US 75449204A US 2004143392 A1 US2004143392 A1 US 2004143392A1
- Authority
- US
- United States
- Prior art keywords
- satellite
- mobile terminal
- remote terminal
- signal
- location
- Prior art date
- Legal status (The legal status is an assumption and is not a legal conclusion. Google has not performed a legal analysis and makes no representation as to the accuracy of the status listed.)
- Abandoned
Links
- 238000005259 measurement Methods 0.000 title claims abstract description 43
- 238000004891 communication Methods 0.000 title claims description 67
- 238000000034 method Methods 0.000 title claims description 29
- 230000001934 delay Effects 0.000 claims description 11
- 230000004044 response Effects 0.000 claims description 8
- 230000005540 biological transmission Effects 0.000 abstract description 13
- 239000000243 solution Substances 0.000 description 33
- 238000012937 correction Methods 0.000 description 19
- 238000004364 calculation method Methods 0.000 description 16
- 239000011159 matrix material Substances 0.000 description 8
- 238000012216 screening Methods 0.000 description 6
- 230000001413 cellular effect Effects 0.000 description 5
- 238000010586 diagram Methods 0.000 description 3
- 239000003550 marker Substances 0.000 description 3
- 230000001360 synchronised effect Effects 0.000 description 3
- 230000008569 process Effects 0.000 description 2
- 230000008901 benefit Effects 0.000 description 1
- 230000008859 change Effects 0.000 description 1
- 238000006243 chemical reaction Methods 0.000 description 1
- 238000013480 data collection Methods 0.000 description 1
- 239000012895 dilution Substances 0.000 description 1
- 238000010790 dilution Methods 0.000 description 1
- 230000002349 favourable effect Effects 0.000 description 1
- 230000010354 integration Effects 0.000 description 1
- 229910052741 iridium Inorganic materials 0.000 description 1
- GKOZUEZYRPOHIO-UHFFFAOYSA-N iridium atom Chemical compound [Ir] GKOZUEZYRPOHIO-UHFFFAOYSA-N 0.000 description 1
- 238000012986 modification Methods 0.000 description 1
- 230000004048 modification Effects 0.000 description 1
- 238000012545 processing Methods 0.000 description 1
- 230000000717 retained effect Effects 0.000 description 1
- 230000007480 spreading Effects 0.000 description 1
- 230000002618 waking effect Effects 0.000 description 1
Images
Classifications
-
- G—PHYSICS
- G01—MEASURING; TESTING
- G01S—RADIO DIRECTION-FINDING; RADIO NAVIGATION; DETERMINING DISTANCE OR VELOCITY BY USE OF RADIO WAVES; LOCATING OR PRESENCE-DETECTING BY USE OF THE REFLECTION OR RERADIATION OF RADIO WAVES; ANALOGOUS ARRANGEMENTS USING OTHER WAVES
- G01S19/00—Satellite radio beacon positioning systems; Determining position, velocity or attitude using signals transmitted by such systems
- G01S19/01—Satellite radio beacon positioning systems transmitting time-stamped messages, e.g. GPS [Global Positioning System], GLONASS [Global Orbiting Navigation Satellite System] or GALILEO
- G01S19/03—Cooperating elements; Interaction or communication between different cooperating elements or between cooperating elements and receivers
- G01S19/09—Cooperating elements; Interaction or communication between different cooperating elements or between cooperating elements and receivers providing processing capability normally carried out by the receiver
-
- G—PHYSICS
- G01—MEASURING; TESTING
- G01S—RADIO DIRECTION-FINDING; RADIO NAVIGATION; DETERMINING DISTANCE OR VELOCITY BY USE OF RADIO WAVES; LOCATING OR PRESENCE-DETECTING BY USE OF THE REFLECTION OR RERADIATION OF RADIO WAVES; ANALOGOUS ARRANGEMENTS USING OTHER WAVES
- G01S19/00—Satellite radio beacon positioning systems; Determining position, velocity or attitude using signals transmitted by such systems
- G01S19/01—Satellite radio beacon positioning systems transmitting time-stamped messages, e.g. GPS [Global Positioning System], GLONASS [Global Orbiting Navigation Satellite System] or GALILEO
- G01S19/13—Receivers
- G01S19/24—Acquisition or tracking or demodulation of signals transmitted by the system
- G01S19/25—Acquisition or tracking or demodulation of signals transmitted by the system involving aiding data received from a cooperating element, e.g. assisted GPS
- G01S19/256—Acquisition or tracking or demodulation of signals transmitted by the system involving aiding data received from a cooperating element, e.g. assisted GPS relating to timing, e.g. time of week, code phase, timing offset
-
- G—PHYSICS
- G01—MEASURING; TESTING
- G01S—RADIO DIRECTION-FINDING; RADIO NAVIGATION; DETERMINING DISTANCE OR VELOCITY BY USE OF RADIO WAVES; LOCATING OR PRESENCE-DETECTING BY USE OF THE REFLECTION OR RERADIATION OF RADIO WAVES; ANALOGOUS ARRANGEMENTS USING OTHER WAVES
- G01S19/00—Satellite radio beacon positioning systems; Determining position, velocity or attitude using signals transmitted by such systems
- G01S19/38—Determining a navigation solution using signals transmitted by a satellite radio beacon positioning system
- G01S19/39—Determining a navigation solution using signals transmitted by a satellite radio beacon positioning system the satellite radio beacon positioning system transmitting time-stamped messages, e.g. GPS [Global Positioning System], GLONASS [Global Orbiting Navigation Satellite System] or GALILEO
- G01S19/40—Correcting position, velocity or attitude
-
- G—PHYSICS
- G01—MEASURING; TESTING
- G01S—RADIO DIRECTION-FINDING; RADIO NAVIGATION; DETERMINING DISTANCE OR VELOCITY BY USE OF RADIO WAVES; LOCATING OR PRESENCE-DETECTING BY USE OF THE REFLECTION OR RERADIATION OF RADIO WAVES; ANALOGOUS ARRANGEMENTS USING OTHER WAVES
- G01S5/00—Position-fixing by co-ordinating two or more direction or position line determinations; Position-fixing by co-ordinating two or more distance determinations
- G01S5/0009—Transmission of position information to remote stations
- G01S5/0018—Transmission from mobile station to base station
- G01S5/0036—Transmission from mobile station to base station of measured values, i.e. measurement on mobile and position calculation on base station
-
- G—PHYSICS
- G01—MEASURING; TESTING
- G01S—RADIO DIRECTION-FINDING; RADIO NAVIGATION; DETERMINING DISTANCE OR VELOCITY BY USE OF RADIO WAVES; LOCATING OR PRESENCE-DETECTING BY USE OF THE REFLECTION OR RERADIATION OF RADIO WAVES; ANALOGOUS ARRANGEMENTS USING OTHER WAVES
- G01S5/00—Position-fixing by co-ordinating two or more direction or position line determinations; Position-fixing by co-ordinating two or more distance determinations
- G01S5/02—Position-fixing by co-ordinating two or more direction or position line determinations; Position-fixing by co-ordinating two or more distance determinations using radio waves
- G01S5/14—Determining absolute distances from a plurality of spaced points of known location
Definitions
- the present invention relates generally to methods and systems for tracking the location of devices near the surface of the Earth, and more particularly to a method and system for tracking a device near the surface of the Earth using a very fast acquisition portable transponder.
- U.S. Pat. No. 3,063,048 discloses the use of the Doppler shift in a transmitted signal to determine the position of a device transmitting the signal.
- This patent teaches measuring when the Doppler shift frequency is changing at a maximum rate to determine the position of the object transmitting the signal undergoing the Doppler frequency shift.
- the satellite must continuously receive the signal being transmitted from the object to determine when the frequency is changing at its maximum to locate the object.
- the time to compute a position fix is unacceptably long for applications such as locating a satellite telephone.
- the Global Positioning System also provides geo-location capability. Moreover, it is desirable to know the position of a mobile terminal, such as a cellular telephone, and to have this position information at a central location (e.g., at a Service Operations Center or SOC).
- a mobile terminal such as a cellular telephone
- SOC Service Operations Center
- One technique is to place a GPS receiver on the mobile terminal, calculate position in the GPS receiver, and transmit via satellite (or other communications system) the position fix to a central location.
- This method suffers from the Time-To-First-Fix (TTFF) limit inherent in GPS receivers upon waking up from a cold start. From the cold start state, a GPS receiver must download the GPS satellite almanac, ephemeris, and clock correction information.
- the TTFF limit effectively eliminates using a GPS receiver in situations where a long TTFF is unacceptable. For example, in wireless or cellular telephone telephony applications, it would not be acceptable to require the user to wait for the mobile terminal (i.e., the wireless or cellular telephone) to download GPS data prior to making a telephone call.
- the present invention is therefore directed to the problem of developing a system and method for calculating the position of a mobile terminal, which can be accomplished rapidly using a minimal amount of power and equipment.
- the present invention solves this problem by collecting observation data at the mobile terminal, forwarding the observation data to a central location, and performing the position calculations at the central location rather than at the individual mobile terminal.
- the mobile terminal of the present invention needs only to gather a few milliseconds of observation data, such as GPS code phase information, and then relays this observation data to a central station, via satellite or other relay means, for subsequent position calculation.
- the present invention requires that the mobile unit be on only for very brief periods of time, so that a very fast (e.g. 1 second including data transmission time) position solution can be obtained.
- a very fast position solution can be obtained. This would make practical, for example, the geolocation of a phone prior to a call being placed, which is particularly useful in satellite based phone services to control access and call routing decisions.
- the fast solution and minimal battery drain make practical the employment of a geolocating system in situations that may not otherwise economically justify such use.
- a system for determining the location of an object located on or near the surface includes a communication satellite, a satellite gateway or earth station, a mobile terminal, and a service operations center.
- the communications satellite broadcasts an interrogation signal, to which the mobile terminal responds.
- the mobile terminal is disposed on the object, and includes a receiver, a transmitter and a processor.
- the receiver receives the interrogation signal from the communications satellite, and is capable of receiving signals being broadcast from GPS satellites.
- the processor measures at least one characteristic in each of the signals being broadcast from the GPS satellites upon receipt of the interrogation signal from the communications satellite.
- the mobile terminal transmits a reply signal at a predetermined time relative to receipt of the interrogation signal to the communications satellite.
- the reply signal includes the measured characteristic(s) in each of the signals being broadcast from the plurality of GPS satellites.
- the operations center receives the reply signal from the communications satellite, and calculates a position of the mobile terminal using time of arrival information and the measured characteristics returned by the mobile terminal.
- the measured characteristic(s) can include, for example, code phase information, carrier phase information, Doppler-shift information, or bit phase information.
- Code phase measurements alone are insufficient to unambiguously identify the position of the mobile terminal.
- the service operations center requires additional information to constrain the position solution.
- One means for constraining the position solution is to determine the range from the terminal to the communications satellite.
- the service operations center includes a processor that calculates a range between the communications satellite and the mobile terminal.
- the processor uses a time the reply signal arrived at the satellite gateway and a time difference between the broadcast of the interrogation signal to the mobile terminal and its receipt at the satellite gateway. To do so, the processor accounts for known delays in the signal path between the communications satellite and the mobile terminal and the point at which the time-of-arrival information is measured at the satellite gateway.
- the processor also calculates an intersection curve between a sphere, whose radius is the range previously determined, and a model of the surface of the Earth. Furthermore, the processor determines several initial points on the intersection curve, one of which points must lie within a known convergence zone around the terminal. Next, the processor calculates candidate position solutions for each initial point, and then screens the candidate solutions using predetermined criteria and discards any candidates not satisfying the screening. Finally, if more than one candidate solution remains, the processor selects the solution representing a best fit of all the observation data.
- the predetermined criteria may include one or more selected of the following: a solution range to the communications satellite, solution residuals, a solution altitude, a solution clock bias, and a solution proximity to a beam boundary.
- a second preferred embodiment of the present invention solves the problem existing in the art by sending additional signal-related information as data to the SOC along with the code phase measurements.
- the additional signal-related information is a signal characteristic such as observed carrier frequency or observed Doppler shift of the carrier frequency.
- the time that the signal characteristic is measured is sent to the SOC.
- the time that the signal characteristic is measured is estimated from the time the message containing the observed data is received by the SOC.
- the code phase measurements are obtained at the GPS receiver, for example, in a cellular telephone. These measurements are sent to the SOC.
- the carrier frequency of the GPS signal sent by each of the GPS satellites is measured and sent to the SOC.
- the set of carrier frequency measurements form a set of observed carrier frequencies.
- the second preferred embodiment of the present invention does not require a satellite (other than the GPS satellites) for operation.
- one object of the present invention is to determine a location of a mobile terminal using a SOC.
- Another object of the present invention is to reduce the power requirements of a mobile terminal in order to determine its position.
- Another object of the present invention is to reduce the time required for a mobile terminal to be powered on so that its position can be determined.
- Another object of the present invention is to increase the speed of acquisition of information required to determine the position of a mobile terminal.
- Another object of the present invention is to perform calculations required to determine the position of a mobile terminal on a device other than the mobile terminal.
- Another object of the present invention is to provide a location of a mobile terminal using a SOC without having control of the communication channel over which measurement data is sent from the mobile terminal to the SOC.
- Another object of the present invention is to provide a location of a mobile terminal using a SOC with little or no change to the communication channel over which measurement data is sent from the mobile terminal to the SOC.
- Another object of the present invention is to provide location of a mobile terminal by performing position calculations in a SOC and not in the mobile terminal.
- Another object of the present invention is to provide a ground-based (i.e., terrestrial) technique for determining position of a mobile terminal using GPS satellite measurements.
- FIG. 1 depicts a block diagram of an exemplary embodiment of a system according to the present invention.
- FIG. 2 depicts a diagram of an exemplary embodiment of the method according to the present invention.
- FIGS. 3 ( a ) and 3 ( b ) depicts a geographical representation of the method of FIG. 2 used to locate a terminal unit according to the present invention.
- FIG. 4 depicts the various parameters returned to the Service Operations Center and used in calculating the position solution, and a flow chart of the calculations performed by the processor in the SOC.
- FIG. 5 is a schematic illustration of an exemplary embodiment of a system according to a second embodiment of the present invention.
- an exemplary embodiment of a system [ 10 ] includes a Service Operations Center (SOC) [ 11 ], which is coupled to a Satellite Gateway (SG) [ 12 ], a communications satellite [ 13 ], satellites in the Global Positioning System (GPS) [ 14 - 17 ], a terminal unit [ 18 ], and a Reference Network (RN) [ 19 ].
- the terminal unit [ 18 ] receives signals from multiple GPS satellites [ 14 - 17 ], and the communications satellite [ 13 ].
- the terminal unit [ 18 ] receives a broadcast message on its forward communications satellite link, which broadcast message contains timing and acquisition aiding information. Following receipt of the message, the terminal unit performs its observation data collection function, and then transmits back to the SOC the observation data, along with any necessary system and/or status information, at a fixed delay from the received broadcast information. All processing of the observation data is done at the SOC [ 11 ]. The terminal unit [ 18 ] merely takes measurements and returns the observations as part of the broadcast/response cycle.
- the SOC [ 11 ] controls the operation of the system [ 10 ] of the present invention.
- the SOC [ 11 ] broadcasts a signal on the forward link which contains timing and acquisition aiding information that can be received and used by the mobile terminals to synchronize time and to rapidly acquire their intended GPS signals, from which they take their observation data set.
- the forward broadcast can also contain command and control protocols for individual and/or groups of terminals.
- the return signal from the terminal [ 18 ] includes the observation data along with any system, status or protocol information necessary to operate the system.
- the return signal is synchronized to the forward signal by a specific and known delay, which allows the Satellite Gateway [ 12 ] to take an additional measurement of the round-trip signal propagation time and absolute Time-of-Arrival (TOA).
- TOA absolute Time-of-Arrival
- This calculated propagation time is used along with certain observation data to determine position.
- the SOC also collects, on a continuous basis, all ancillary information necessary to the position calculations from a Reference Network [ 19 ] and other sources. As an example, this information includes:
- the Satellite Gateway [ 12 ] consists of satellite communications modems (channel units) and associated control and management equipment and software.
- the gateway maintains an accurate time and frequency reference for control of the forward link broadcast, and for propagation time measurements.
- the terminal needs only to accurately respond relative to the forward signal and therefore can use a much less accurate, and low power, internal reference.
- the satellite gateway [ 12 ] is a traditional satellite communications facility. Therefore it also includes antenna, transmitter, amplifier, up/down conversion, and other standard satellite communications equipment and software that is not shown, but is known to those of skill in this art.
- the communications satellite can be any (LEO, MEO, GEO) satellite capable of transponding the forward and return signals to/from the terminal and satellite gateway. It could also be a balloon, airplane, remotely piloted vehicle or other aircraft operating within the atmosphere (Non-Bent pipe satellites can also be used if all delays in the transmission path are known and removed).
- Non-Bent pipe satellites can also be used if all delays in the transmission path are known and removed).
- the Satellite (or aircraft) position and velocity information, as well as transponder group delay and other operational parameters must be known. Examples of suitable communications satellites include:
- the present invention only requires that the mobile terminal [ 18 ] receive a signal, make observations (measuring certain aspects of the GPS signals), and return another signal, which includes the observation data, and can be accomplished over a very short interval.
- observation data There are various types of observation data that can be relayed to the central site to enable the central site to determine the position of the mobile terminal.
- One possibility is to collect code phase and/or carrier phase information inherent in the GPS signal. This enables the mobile unit to remain on for a very short time, thereby helping to minimize the Time-To-First-Fix.
- Other signal characteristics that can be measured by the terminal are Doppler-shift information, or bit phase information.
- Another possibility is to digitize a brief interval of the received GPS signal and transmit the digital data to the central site. The central site can then reconstruct the received signal, and determine the position based on certain characteristics in the received signal, such as Doppler shift, code phase of arrival of the received signal, bit phase information, etc.
- COA Code Phase of Arrival
- a Satellite Gateway (SG) [ 12 ] transmits a forward signal, with a marker event, through a communications satellite [ 13 ] to a region of the Earth bounded by the satellite beam pattern as in FIG. 3.
- a marker event is a synchronization data pattern in the packet preamble.
- the satellite [ 13 ] receives the signal at time t 1 , and retransmits the signal back to earth at time t 2 . Subsequently, at time t 3 the mobile terminal [ 18 ] receives the signal with the marker event.
- the mobile terminal [ 18 ] When the mobile terminal [ 18 ] needs to report its position, it searches for the SG signal in the satellite downlink.
- This signal contains information to aid acquisition (e.g., a prioritized list of GPS satellite vehicles in view over the coverage region, Doppler offset information, timing reference, etc.). Satellite vehicles in the list are prioritized to allow the mobile terminal [ 18 ] to search for and select those satellites that provide a favorable observation set of GPS satellites (i.e., to minimize dilution of precision, exclude degraded or non-operational satellites, etc.).
- the SG [ 12 ] also synchronizes the outbound transmission relative to a GPS timing reference.
- the mobile terminal [ 18 ] uses the acquisition information recovered from the forward message to receive a multitude of GPS signals starting at time t obs , which is a fixed and known time interval from t 3 .
- the operation of the receiver is synchronized with the signal received from the SG [ 12 ].
- the signal received from the SG [ 12 ] is synchronized to GPS time (such as the X1 epoch). Consequently, the receiver clock offset associated with the GPS spreading codes used to recover the signals can be estimated back at the ground station with reasonable (less than +/ ⁇ 0.5 milliseconds) accuracy.
- the terminal [ 18 ] measures the Code Phase of Arrival (COA) of each of the GPS signals at t obs .
- COA Code Phase of Arrival
- the terminal [ 18 ] then relays this measurement to the SG [ 12 ] by transmitting a return signal back through the communications satellite at time t4, which also has a fixed and known relationship to the inbound timing reference t 3 .
- the communications satellite [ 13 ] receives the return signal from the mobile 2 terminal at time t 5 and retransmits the same signal back to the SG [ 12 ] (or another ground station) at time t 6 .
- the return signal is received by the SG at time t 7 and compared to the forward link timing reference and a round-trip propagation time measurement is taken. Absolute Time of Arrival (TOA) measurements are also taken.
- the SG [ 12 ] recovers the contents of the return transmission and forwards the 30 data along with its propagation time and TOA measurements to the SOC [ 11 ].
- the SOC [ 11 ] calculates the magnitude of the range vector between the communications satellite [ 13 ] and the terminal [ 18 ] by removing all known delays from the propagation time measurement. This is accomplished using the communications satellite position, velocity and transponder group delay information, the Satellite Gateway antenna position, known signal delays in the ground cable/equipment path, and if desired, any atmospheric or other transmission path delays that can be modeled. These delays and the relationships between the times are depicted in FIG. 2. This range calculation is fairly standard and common practice in the satellite communications field, and would be known to those of skill in the art.
- the SOC [ 11 ] determines an arc of possible locations. This is determined by computing an intersection curve 31 (see FIG. 3) of a sphere, centered at the communications satellite having a radius given by the calculated range from the satellite [ 13 ] to the terminal [ 18 ], with a model of the surface of the Earth.
- the Earth can be modeled as a mathematical approximation, such as an ellipsoid, or a geoid model, or with Terrain Elevation Data.
- a mathematical approximation such as an ellipsoid, or a geoid model, or with Terrain Elevation Data.
- the following is one possible example of these calculations using an ellipsoid model:
- the Earth can be modeled as an ellipsoid of revolution.
- ⁇ 0 to ⁇ with 0 being the positive z-axis.
- ⁇ 0 to 2 ⁇ with 0 being the positive x-axis.
- the spacing of points on the parameterized intersection curve depends on spacing of chosen points ⁇ and the earth model chosen and is depicted in FIG. 3( b ).
- the choice of parametrization method need only guarantee that at least one of the initial points will fall within the convergence zone around the true solution.
- convergence zone refers to the area around the location of the mobile terminal in which a point must lie to guarantee that the position calculation will converge to that location.
- the size of the convergence zone will vary depending on number, quality and type of observation data used, but as an example, the convergence zone for the code phase observations is approximately a radius of 75-80 Km (See FIG. 3( b )).
- Points could be sub-sampled or interpolated as desired due to the fact that these only represent a first approximation as input to the least squares algorithm. It is only required that at least one point on the arc lay within the guaranteed convergence zone around the true solution.
- the SOC next determines the time that the mobile terminal collected the GPS signal (t obs ).
- the collection time is determined from the range between the satellite and the terminal and SG.
- the known delays in the transmission paths i.e., transponder group delay, atmosphere, etc.
- the terminal collection method i.e., fixed delay from t 3 and integration period
- the absolute TOA measurement i.e., the absolute TOA measurement.
- the SOC then employs a satellite orbit model to estimate the positions of the GPS satellites at their time of transmission (t xmt ).
- GPS t xmt is calculated from t obs less the GPS signal transit time (user must also correct for earth rotation during signal transit time if working in Earth fixed coordinates).
- the code observation P obs is corrected for the clock offset of the satellite according to the broadcast ephemerides (and atmospheric delays if desired).
- the preliminary value P 0 is calculated from the initial coordinates of the satellite and from the arc of points generated previously.
- First guess at receiver clock offset can be estimated from broadcast signal timing and slant range to the terminal. Alternately, an additional observation may be taken to guarantee a unique solution if receiver clock offset cannot be estimated to within 0.5 msec.
- the right side of the normal equations b represents the difference between the expected and observed code phase (modulo 1 msec) and is ambiguous.
- the receiver clock offset is also treated as a modulo 1 msec value.
- the integer ambiguity is assumed by the choice of preliminary coordinates.
- Matrix b is kept in 5 the +/ ⁇ 0.5 msec range as a difference between two modulo 1 msec values. This forces convergence to a solution within ⁇ 150 Km from the preliminary coordinates.
- Matrix C is the weight matrix (inverted covariance matrix) derived from signal strengths and/or GPS satellite URE (User Range Error) values and is used in a weighted least squares solution, or set to the identity matrix for a non-weighted solution.
- Matrix r is the residuals matrix and can be weighted and/or summed, or analyzed as a covariance matrix with minor manipulation.
- this estimated position solution is then screened against the measured range to the communications satellite (with known tolerance), satellite beam boundaries, an acceptable altitude range (with respect to the ellipsoid, geoid or elevation model used), an acceptable receiver clock offset range, and a maximum residual threshold. Those position estimates not meeting these criteria are discarded.
- An example for each method follows:
- Range The initial estimate(s) lie on an arc of constant range from the communication satellite. If the candidate solution lies outside the known tolerance of this range estimate then it is discarded.
- Altitude The initial estimate(s) lie on the chosen earth model surface. If the candidate solution lies above/below the maximum/minimum height possible relative to this earth model then it is discarded.
- Beam The initial estimate(s) lie within the beam coverage footprint. If the candidate solution lies outside the beam boundary it is discarded.
- Clock Bias Tolerance The calculated receiver clock bias must fall in the range of the estimated clock bias (with known tolerance) from the propagation time measurement. If the candidate solution falls outside this range it is discarded. Therefore, as the accuracy on the propagation time measurement increases, this becomes a more valuable discriminator.
- Residuals It has been observed that the residuals (goodness of fit) for the converged solutions (for an overdetermined problem) are smallest for the true position estimate. The residuals provide an effective discriminator between ambiguous position solutions when the above least squares method is used. Therefore, an empirically determined or calculated threshold can be used (alone or in conjunction with the other screening criteria) to screen false candidates.
- Doppler The observed Doppler can be compared with the expected Doppler at each of the candidate points. Candidate points falling outside a pre-determined screening criterion are discarded. One such criterion is the sum-of-the-square-of-the-differences criterion. At each candidate point, the sum of the squares of the differences of the measured and calculated Doppler is determined. This calculation is compared against a pre-determined threshold. Those candidate points for which the calculation exceeds the threshold are discarded.
- the remaining position estimate(s) can then be improved by using Atmospheric (Ionospheric and/or tropospheric) corrections to the code phase observations to further improve the position accuracy of this process (if desired), and then subjected to a final screening and residual comparison, (e.g., minimum RMS) and the best point selected.
- a final screening and residual comparison e.g., minimum RMS
- Other screening criteria could be employed based on geospatial data sets, or application specific criteria (e.g., must be over land, or near a rail line, etc.).
- the area of interest is small enough (i.e., within the 20 guaranteed convergence zone), such as a very narrow satellite beam, an area or city covered by an aircraft platform, or a cellular tower coverage zone, then the additional range measurement and the screening process are unnecessary, and a unique solution will result from an initial estimate at the center of the area of interest.
- DGPS differential correction
- FIG. 4 depicts the above calculations performed by a processor in the SOC [ 11 ] in flow chart form, which is suitable for implementing in software for execution on a general purpose computer.
- the SOC processor Upon receipt of the information packet at the SOC [ 11 ] containing the observation data from the terminal [ 18 ] and the measurement and ancillary data from the SG [ 12 ], the SOC processor obtains the latest state vector for the communication satellite [ 13 ], and the ephemeris, clock and atmospheric data for the GPS satellites [ 14 - 17 ].
- the SOC [ 11 ] then performs a series of calculations as shown in the flow diagram resulting in several candidate position solutions.
- the candidate solutions are then screened per the criteria described previously, and another iteration is performed which can include the atmospheric correction data. If there is more than one remaining solution then a final screen and selection takes place. The final position obtained can then be converted to the desired coordinate system.
- the present invention uses timing correction information generated by communication satellite systems to synchronize data transmission from multiple mobile terminal to avoid overlapping data transmissions.
- systems using TDMA protocols such as GSM systems generate timing correction information that is used to adjust data transmission timing of a plurality of mobile terminals to avoid data from one mobile terminal overlapping a time slot assigned for data from another mobile terminal.
- TDMA systems have signal structures containing a plurality of time slots. Each of the time slots is assigned to a particular mobile terminal or is used for some other purpose.
- One problem with such systems is that due to different propagation delays between various mobile terminals and the communication satellite, a data packet sent from one mobile terminal can overlap with the time slot assigned to another mobile terminal. To avoid this data packet overlap, TDMA systems provide synchronization information to each of the mobile terminals to avoid data packet overlap.
- FIG. 5 illustrates a communication system according a second embodiment of the present invention.
- a communication satellite 502 transmits a forward control packet to a mobile terminal 504 .
- the forward control packet includes information regarding the time slot in which the mobile terminal can send an access request to communication satellite 502 .
- Mobile terminal 504 receives the forward control packet and synchronizes to it.
- mobile terminal 504 transmits an access request to communication satellite 502 .
- Communication satellite 502 receives the access request and measures the timing of the received access request with respect to the forward control packet's timing. The measured timing is compared to an internal reference. Based on this comparison, timing correction information is generated.
- the timing correction information is used to adjust data transmission timing of mobile terminal 504 so that data packets it sends are received by communication satellite 502 properly aligned in the appropriate time slot of the reverse channel.
- Communication satellite 502 transmits a response message to mobile terminal 504 containing the timing correction information.
- Mobile terminal 504 receives the response containing the timing correction information.
- mobile terminal uses the timing correction information, mobile terminal adjusts its transmitter timing. This adjustment is to advance, delay or maintain the transmitter's timing.
- Mobile terminal 504 then sends the GPS code phase data and the timing correction information to communication satellite 502 to be sent to a ground station 506 .
- Ground station 506 receives the GPS code phase information and the timing correction information.
- Ground station 506 then relays this information to a service operation center (described above), where it is used to determine position of the mobile terminal. Alternately, ground station 506 can initiate the transmission of the forward control packet, receive the access request, compare it to an internal reference and determine the timing correction information.
- the timing correction information is a measure of the propagation delay from the mobile terminal to the communication satellite.
- a range arc (described above) is determined using the propagation delay.
- the range arc has communication satellite 502 at its origin. Determination of the range arc using the propagation delay between mobile terminal 504 and communication satellite 502 is well known to those skilled in the art. This range arc is used to determine position as described above. Consequently, the range arc determined from the propagation delay corresponding to the timing correction information determined as part of the communication satellite's protocol is used as an input to the range ambiguity resolution technique described above.
- Mobile terminal 504 can alternatively be programmed to send the timing correction information along with GPS code phase measurements to the SOC.
- the SOC uses this information to determine the mobile terminal's position. Modifying mobile terminal 504 to send this data to the SOC eliminates the need to modify or augment existing ground station equipment to provide these timing measurements directly to the service operations center.
Landscapes
- Engineering & Computer Science (AREA)
- Radar, Positioning & Navigation (AREA)
- Remote Sensing (AREA)
- Physics & Mathematics (AREA)
- General Physics & Mathematics (AREA)
- Computer Networks & Wireless Communication (AREA)
- Mobile Radio Communication Systems (AREA)
- Position Fixing By Use Of Radio Waves (AREA)
Abstract
Description
- This application is a continuation of U.S. non-provisional patent application Ser. No. 10/191,288, filed Jul. 10, 2002, which is a continuation of U.S. Pat. No. 6,480,788, which is a continuation-in-part of U.S. Pat. No. 6,243,648. This application also claims the benefit of priority to provisional application No. 60/243,430, filed Oct. 27, 2000, entitled “Fast Acquisition Position Reporting System Using Communication Satellite Range Measurement.” The prior applications noted above are each incorporated herein by reference in its entirety.
- 1. Field of the Invention
- The present invention relates generally to methods and systems for tracking the location of devices near the surface of the Earth, and more particularly to a method and system for tracking a device near the surface of the Earth using a very fast acquisition portable transponder.
- 2. Background of the Invention
- Various techniques are available to determine the position of a device on the surface of the Earth. U.S. Pat. No. 3,063,048 discloses the use of the Doppler shift in a transmitted signal to determine the position of a device transmitting the signal. This patent teaches measuring when the Doppler shift frequency is changing at a maximum rate to determine the position of the object transmitting the signal undergoing the Doppler frequency shift. In this system, the satellite must continuously receive the signal being transmitted from the object to determine when the frequency is changing at its maximum to locate the object. As a result, the time to compute a position fix is unacceptably long for applications such as locating a satellite telephone.
- The Global Positioning System (GPS) also provides geo-location capability. Moreover, it is desirable to know the position of a mobile terminal, such as a cellular telephone, and to have this position information at a central location (e.g., at a Service Operations Center or SOC).
- One technique is to place a GPS receiver on the mobile terminal, calculate position in the GPS receiver, and transmit via satellite (or other communications system) the position fix to a central location. This method suffers from the Time-To-First-Fix (TTFF) limit inherent in GPS receivers upon waking up from a cold start. From the cold start state, a GPS receiver must download the GPS satellite almanac, ephemeris, and clock correction information. The TTFF limit effectively eliminates using a GPS receiver in situations where a long TTFF is unacceptable. For example, in wireless or cellular telephone telephony applications, it would not be acceptable to require the user to wait for the mobile terminal (i.e., the wireless or cellular telephone) to download GPS data prior to making a telephone call.
- The present invention is therefore directed to the problem of developing a system and method for calculating the position of a mobile terminal, which can be accomplished rapidly using a minimal amount of power and equipment.
- The present invention solves this problem by collecting observation data at the mobile terminal, forwarding the observation data to a central location, and performing the position calculations at the central location rather than at the individual mobile terminal. Thus, the mobile terminal of the present invention needs only to gather a few milliseconds of observation data, such as GPS code phase information, and then relays this observation data to a central station, via satellite or other relay means, for subsequent position calculation. In this manner, the present invention requires that the mobile unit be on only for very brief periods of time, so that a very fast (e.g. 1 second including data transmission time) position solution can be obtained. This would make practical, for example, the geolocation of a phone prior to a call being placed, which is particularly useful in satellite based phone services to control access and call routing decisions. The fast solution and minimal battery drain make practical the employment of a geolocating system in situations that may not otherwise economically justify such use.
- According to one aspect of the present invention, a system for determining the location of an object located on or near the surface includes a communication satellite, a satellite gateway or earth station, a mobile terminal, and a service operations center. In this system, the communications satellite broadcasts an interrogation signal, to which the mobile terminal responds. The mobile terminal is disposed on the object, and includes a receiver, a transmitter and a processor. The receiver receives the interrogation signal from the communications satellite, and is capable of receiving signals being broadcast from GPS satellites. The processor measures at least one characteristic in each of the signals being broadcast from the GPS satellites upon receipt of the interrogation signal from the communications satellite. The mobile terminal transmits a reply signal at a predetermined time relative to receipt of the interrogation signal to the communications satellite. The reply signal includes the measured characteristic(s) in each of the signals being broadcast from the plurality of GPS satellites. The operations center receives the reply signal from the communications satellite, and calculates a position of the mobile terminal using time of arrival information and the measured characteristics returned by the mobile terminal.
- In the above system, the measured characteristic(s) can include, for example, code phase information, carrier phase information, Doppler-shift information, or bit phase information. Code phase measurements alone are insufficient to unambiguously identify the position of the mobile terminal. The service operations center requires additional information to constrain the position solution. One means for constraining the position solution is to determine the range from the terminal to the communications satellite.
- For this reason, in the first aspect of the present invention, the service operations center includes a processor that calculates a range between the communications satellite and the mobile terminal. In this calculation, the processor uses a time the reply signal arrived at the satellite gateway and a time difference between the broadcast of the interrogation signal to the mobile terminal and its receipt at the satellite gateway. To do so, the processor accounts for known delays in the signal path between the communications satellite and the mobile terminal and the point at which the time-of-arrival information is measured at the satellite gateway. The processor also calculates an intersection curve between a sphere, whose radius is the range previously determined, and a model of the surface of the Earth. Furthermore, the processor determines several initial points on the intersection curve, one of which points must lie within a known convergence zone around the terminal. Next, the processor calculates candidate position solutions for each initial point, and then screens the candidate solutions using predetermined criteria and discards any candidates not satisfying the screening. Finally, if more than one candidate solution remains, the processor selects the solution representing a best fit of all the observation data.
- In the above system, the predetermined criteria may include one or more selected of the following: a solution range to the communications satellite, solution residuals, a solution altitude, a solution clock bias, and a solution proximity to a beam boundary.
- Not all types of communications systems provide the ability to measure propagation delay from a known site such as the satellite. A second preferred embodiment of the present invention solves the problem existing in the art by sending additional signal-related information as data to the SOC along with the code phase measurements. In the second preferred embodiment of the present invention, the additional signal-related information is a signal characteristic such as observed carrier frequency or observed Doppler shift of the carrier frequency. In addition to the measurement of the signal characteristic, in the preferred embodiment of the present invention, the time that the signal characteristic is measured is sent to the SOC. Alternatively, the time that the signal characteristic is measured is estimated from the time the message containing the observed data is received by the SOC. The code phase measurements are obtained at the GPS receiver, for example, in a cellular telephone. These measurements are sent to the SOC. In addition, the carrier frequency of the GPS signal sent by each of the GPS satellites is measured and sent to the SOC. The set of carrier frequency measurements form a set of observed carrier frequencies.
- Using the carrier frequencies and a general region containing the location of the receiver candidate locations are determined. The candidate locations are determined by searching in the general region for points in the general region that are consistent with the observed carrier frequencies. From this set of candidate locations, the position of the mobile terminal is determined using the code phase measurements. The position is that candidate location that minimizes a set of residuals calculated using the code phase measurements. It can be seen that the second preferred embodiment of the present invention does not require a satellite (other than the GPS satellites) for operation.
- Thus, one object of the present invention is to determine a location of a mobile terminal using a SOC.
- Another object of the present invention is to reduce the power requirements of a mobile terminal in order to determine its position.
- Another object of the present invention is to reduce the time required for a mobile terminal to be powered on so that its position can be determined.
- Another object of the present invention is to increase the speed of acquisition of information required to determine the position of a mobile terminal.
- Another object of the present invention is to perform calculations required to determine the position of a mobile terminal on a device other than the mobile terminal.
- Another object of the present invention is to provide a location of a mobile terminal using a SOC without having control of the communication channel over which measurement data is sent from the mobile terminal to the SOC.
- Another object of the present invention is to provide a location of a mobile terminal using a SOC with little or no change to the communication channel over which measurement data is sent from the mobile terminal to the SOC.
- Another object of the present invention is to provide location of a mobile terminal by performing position calculations in a SOC and not in the mobile terminal.
- Another object of the present invention is to provide a ground-based (i.e., terrestrial) technique for determining position of a mobile terminal using GPS satellite measurements.
- These and other objects of the present invention are described in greater detail in the detailed description of the invention, the appended drawings and the attached claims.
- FIG. 1 depicts a block diagram of an exemplary embodiment of a system according to the present invention.
- FIG. 2 depicts a diagram of an exemplary embodiment of the method according to the present invention.
- FIGS. 3(a) and 3(b) depicts a geographical representation of the method of FIG. 2 used to locate a terminal unit according to the present invention.
- FIG. 4 depicts the various parameters returned to the Service Operations Center and used in calculating the position solution, and a flow chart of the calculations performed by the processor in the SOC.
- FIG. 5 is a schematic illustration of an exemplary embodiment of a system according to a second embodiment of the present invention.
- Referring to FIG. 1, an exemplary embodiment of a system [ 10] includes a Service Operations Center (SOC) [11], which is coupled to a Satellite Gateway (SG) [12], a communications satellite [13], satellites in the Global Positioning System (GPS) [14-17], a terminal unit [18], and a Reference Network (RN) [19]. The terminal unit [18] receives signals from multiple GPS satellites [14-17], and the communications satellite [13].
- The terminal unit [ 18] receives a broadcast message on its forward communications satellite link, which broadcast message contains timing and acquisition aiding information. Following receipt of the message, the terminal unit performs its observation data collection function, and then transmits back to the SOC the observation data, along with any necessary system and/or status information, at a fixed delay from the received broadcast information. All processing of the observation data is done at the SOC [11]. The terminal unit [18] merely takes measurements and returns the observations as part of the broadcast/response cycle.
- The SOC [ 11] controls the operation of the system [10] of the present invention. The SOC [11] broadcasts a signal on the forward link which contains timing and acquisition aiding information that can be received and used by the mobile terminals to synchronize time and to rapidly acquire their intended GPS signals, from which they take their observation data set. The forward broadcast can also contain command and control protocols for individual and/or groups of terminals.
- The return signal from the terminal [ 18] includes the observation data along with any system, status or protocol information necessary to operate the system.
- The return signal is synchronized to the forward signal by a specific and known delay, which allows the Satellite Gateway [ 12] to take an additional measurement of the round-trip signal propagation time and absolute Time-of-Arrival (TOA).
- This calculated propagation time is used along with certain observation data to determine position. The SOC also collects, on a continuous basis, all ancillary information necessary to the position calculations from a Reference Network [ 19] and other sources. As an example, this information includes:
- 1. GPS broadcast ephemerides and clock correction coefficients for all satellites in view over the region of interest;
- 2. Current GPS Almanac;
- 3. Current ionospheric and tropospheric parameters;
- 4. Current Status messages and advisories;
- 5. Current communications satellite state vector and operational status; and
- 6. Differential correction data (if used).
- The Satellite Gateway [ 12] consists of satellite communications modems (channel units) and associated control and management equipment and software. The gateway maintains an accurate time and frequency reference for control of the forward link broadcast, and for propagation time measurements. The terminal needs only to accurately respond relative to the forward signal and therefore can use a much less accurate, and low power, internal reference. The satellite gateway [12] is a traditional satellite communications facility. Therefore it also includes antenna, transmitter, amplifier, up/down conversion, and other standard satellite communications equipment and software that is not shown, but is known to those of skill in this art.
- The communications satellite can be any (LEO, MEO, GEO) satellite capable of transponding the forward and return signals to/from the terminal and satellite gateway. It could also be a balloon, airplane, remotely piloted vehicle or other aircraft operating within the atmosphere (Non-Bent pipe satellites can also be used if all delays in the transmission path are known and removed). The Satellite (or aircraft) position and velocity information, as well as transponder group delay and other operational parameters must be known. Examples of suitable communications satellites include:
- 1. Orbcomm
- 2. Globalstar
- 3. ICO
- 4. AceS
- 5. Hughes MSAT
- 6. Thuraya
- 7. Iridium
- Other communications satellites are possible for use in the present invention, which satellites are known to those of skill in the art.
- The present invention only requires that the mobile terminal [ 18] receive a signal, make observations (measuring certain aspects of the GPS signals), and return another signal, which includes the observation data, and can be accomplished over a very short interval. There are various types of observation data that can be relayed to the central site to enable the central site to determine the position of the mobile terminal.
- One possibility is to collect code phase and/or carrier phase information inherent in the GPS signal. This enables the mobile unit to remain on for a very short time, thereby helping to minimize the Time-To-First-Fix. Other signal characteristics that can be measured by the terminal are Doppler-shift information, or bit phase information. Another possibility is to digitize a brief interval of the received GPS signal and transmit the digital data to the central site. The central site can then reconstruct the received signal, and determine the position based on certain characteristics in the received signal, such as Doppler shift, code phase of arrival of the received signal, bit phase information, etc.
- The following provides an exemplary embodiment of the present invention, in which Code Phase of Arrival (COA) information is used to determine the position of the mobile terminal. Other measurements are also possible, as stated above.
- Referring to FIG. 2, at time to, a Satellite Gateway (SG) [ 12] transmits a forward signal, with a marker event, through a communications satellite [13] to a region of the Earth bounded by the satellite beam pattern as in FIG. 3. An example of a marker event is a synchronization data pattern in the packet preamble.
- Depending on the communications satellite employed, multiple regions may be covered by different beams. Consequently, signals may be transmitted to these regions either in sequence or simultaneously.
- The satellite [ 13] receives the signal at time t1, and retransmits the signal back to earth at time t2. Subsequently, at time t3 the mobile terminal [18] receives the signal with the marker event.
- When the mobile terminal [ 18] needs to report its position, it searches for the SG signal in the satellite downlink. This signal contains information to aid acquisition (e.g., a prioritized list of GPS satellite vehicles in view over the coverage region, Doppler offset information, timing reference, etc.). Satellite vehicles in the list are prioritized to allow the mobile terminal [18] to search for and select those satellites that provide a favorable observation set of GPS satellites (i.e., to minimize dilution of precision, exclude degraded or non-operational satellites, etc.). The SG [12] also synchronizes the outbound transmission relative to a GPS timing reference.
- Using the acquisition information recovered from the forward message, the mobile terminal [ 18] receives a multitude of GPS signals starting at time tobs, which is a fixed and known time interval from t3. The operation of the receiver is synchronized with the signal received from the SG [12]. In turn, the signal received from the SG [12] is synchronized to GPS time (such as the X1 epoch). Consequently, the receiver clock offset associated with the GPS spreading codes used to recover the signals can be estimated back at the ground station with reasonable (less than +/−0.5 milliseconds) accuracy.
- The terminal [ 18] measures the Code Phase of Arrival (COA) of each of the GPS signals at tobs. The terminal [18] then relays this measurement to the SG [12] by transmitting a return signal back through the communications satellite at time t4, which also has a fixed and known relationship to the inbound timing reference t3.
- The communications satellite [ 13] receives the return signal from the mobile 2 terminal at time t5 and retransmits the same signal back to the SG [12] (or another ground station) at time t6.
- The return signal is received by the SG at time t 7 and compared to the forward link timing reference and a round-trip propagation time measurement is taken. Absolute Time of Arrival (TOA) measurements are also taken. The SG [12] recovers the contents of the return transmission and forwards the 30 data along with its propagation time and TOA measurements to the SOC [11].
- The SOC [ 11] calculates the magnitude of the range vector between the communications satellite [13] and the terminal [18] by removing all known delays from the propagation time measurement. This is accomplished using the communications satellite position, velocity and transponder group delay information, the Satellite Gateway antenna position, known signal delays in the ground cable/equipment path, and if desired, any atmospheric or other transmission path delays that can be modeled. These delays and the relationships between the times are depicted in FIG. 2. This range calculation is fairly standard and common practice in the satellite communications field, and would be known to those of skill in the art.
- After the range between the communications satellite [ 13] and the terminal [18] is determined, the SOC [11] determines an arc of possible locations. This is determined by computing an intersection curve 31 (see FIG. 3) of a sphere, centered at the communications satellite having a radius given by the calculated range from the satellite [13] to the terminal [18], with a model of the surface of the Earth.
- The Earth can be modeled as a mathematical approximation, such as an ellipsoid, or a geoid model, or with Terrain Elevation Data. The following is one possible example of these calculations using an ellipsoid model:
-
- Where a and b are constants representing axes of the chosen ellipsoid.
- One possible parameterization of the ellipsoid surface could be:
- x=a sin(φ)cos(λ)
- y=a sin(φ)sin(λ)
- z=b cos(φ)
- φ=0 to π with 0 being the positive z-axis. And λ=0 to 2π with 0 being the positive x-axis.
- The equation of a sphere at point (X s, Ys, Zs) with radius ρ(slant range):
- (X−X s)2+(Y−Y s)2+(Z−Z s)2=ρ2
- Substituting the Ellipsoid equation into the Sphere equation and simplifying gives:
- (a sin(φ)cos(λ)−X s)2+(a sin(φ)sin(λ)−Y s)2+(b cos(φ)−Z s)2 =ρ2
- (b 2 −a 2)cos(φ)2−2a sin(φ)cos(λ)X s−2a sin (φ)sin(λ)Y s−2b cos(φ)Z s=ρ2 −a 2 −r 2
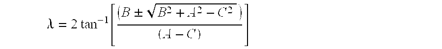
- Organizing the coefficients to allow a ‘choose Phi - - - solve Lambda’ Scenario:
- A=−2a sin(φ)X s
- B=−2a sin(φ)Y s
- C=(b 2 −a 2)cos(φ)2−2b cos(φ)Z+r 2 +a 2−ρ2
- A cos(λ)+B sin(λ)+C=O
-
- The spacing of points on the parameterized intersection curve depends on spacing of chosen points φ and the earth model chosen and is depicted in FIG. 3( b). The choice of parametrization method need only guarantee that at least one of the initial points will fall within the convergence zone around the true solution. As used herein, convergence zone refers to the area around the location of the mobile terminal in which a point must lie to guarantee that the position calculation will converge to that location. The size of the convergence zone will vary depending on number, quality and type of observation data used, but as an example, the convergence zone for the code phase observations is approximately a radius of 75-80 Km (See FIG. 3(b)).
- One could also use a Geoid model or digital terrain information to construct a similar arc of points by keeping only those points with a range to the communication satellite that is within a certain tolerance.
- Points could be sub-sampled or interpolated as desired due to the fact that these only represent a first approximation as input to the least squares algorithm. It is only required that at least one point on the arc lay within the guaranteed convergence zone around the true solution.
- Only that portion of the arc within the region of the Earth bounded by the satellite beam pattern is retained by the SOC. Refer to FIG. 3( a), which depicts the bounding of the arc (or parameterized intersection curve) by the beam pattern.
- The SOC next determines the time that the mobile terminal collected the GPS signal (t obs). The collection time is determined from the range between the satellite and the terminal and SG. The known delays in the transmission paths (i.e., transponder group delay, atmosphere, etc.), the terminal collection method (i.e., fixed delay from t3 and integration period), and the absolute TOA measurement.
- The SOC then employs a satellite orbit model to estimate the positions of the GPS satellites at their time of transmission (t xmt). GPS txmt is calculated from tobs less the GPS signal transit time (user must also correct for earth rotation during signal transit time if working in Earth fixed coordinates).
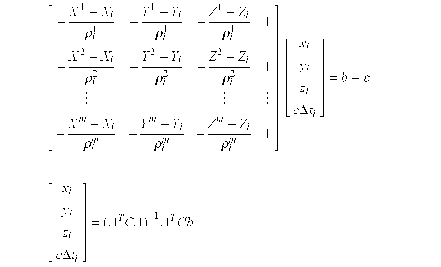
- Using each point on the arc as an initial guess, an iterative least squares technique fits the observation data to the predicted data and minimizes residual error. One example of these calculations follows:
-
- A{circumflex over (x)}=b−ε
- We assume the code observation P obs is corrected for the clock offset of the satellite according to the broadcast ephemerides (and atmospheric delays if desired). The preliminary value P0 is calculated from the initial coordinates of the satellite and from the arc of points generated previously. First guess at receiver clock offset can be estimated from broadcast signal timing and slant range to the terminal. Alternately, an additional observation may be taken to guarantee a unique solution if receiver clock offset cannot be estimated to within 0.5 msec.
{circumflex over (r)}=b−A{circumflex over (x)} - The right side of the normal equations b represents the difference between the expected and observed code phase (modulo 1 msec) and is ambiguous. The receiver clock offset is also treated as a modulo 1 msec value. The integer ambiguity is assumed by the choice of preliminary coordinates. Matrix b is kept in 5 the +/−0.5 msec range as a difference between two modulo 1 msec values. This forces convergence to a solution within ˜150 Km from the preliminary coordinates. Matrix C is the weight matrix (inverted covariance matrix) derived from signal strengths and/or GPS satellite URE (User Range Error) values and is used in a weighted least squares solution, or set to the identity matrix for a non-weighted solution. Matrix r is the residuals matrix and can be weighted and/or summed, or analyzed as a covariance matrix with minor manipulation.
- After convergence, this estimated position solution is then screened against the measured range to the communications satellite (with known tolerance), satellite beam boundaries, an acceptable altitude range (with respect to the ellipsoid, geoid or elevation model used), an acceptable receiver clock offset range, and a maximum residual threshold. Those position estimates not meeting these criteria are discarded. An example for each method follows:
- Range: The initial estimate(s) lie on an arc of constant range from the communication satellite. If the candidate solution lies outside the known tolerance of this range estimate then it is discarded.
- Altitude: The initial estimate(s) lie on the chosen earth model surface. If the candidate solution lies above/below the maximum/minimum height possible relative to this earth model then it is discarded.
- Beam: The initial estimate(s) lie within the beam coverage footprint. If the candidate solution lies outside the beam boundary it is discarded.
- Clock Bias Tolerance: The calculated receiver clock bias must fall in the range of the estimated clock bias (with known tolerance) from the propagation time measurement. If the candidate solution falls outside this range it is discarded. Therefore, as the accuracy on the propagation time measurement increases, this becomes a more valuable discriminator.
- Residuals: It has been observed that the residuals (goodness of fit) for the converged solutions (for an overdetermined problem) are smallest for the true position estimate. The residuals provide an effective discriminator between ambiguous position solutions when the above least squares method is used. Therefore, an empirically determined or calculated threshold can be used (alone or in conjunction with the other screening criteria) to screen false candidates.
- Doppler: The observed Doppler can be compared with the expected Doppler at each of the candidate points. Candidate points falling outside a pre-determined screening criterion are discarded. One such criterion is the sum-of-the-square-of-the-differences criterion. At each candidate point, the sum of the squares of the differences of the measured and calculated Doppler is determined. This calculation is compared against a pre-determined threshold. Those candidate points for which the calculation exceeds the threshold are discarded.
- The remaining position estimate(s) can then be improved by using Atmospheric (Ionospheric and/or tropospheric) corrections to the code phase observations to further improve the position accuracy of this process (if desired), and then subjected to a final screening and residual comparison, (e.g., minimum RMS) and the best point selected. Other screening criteria could be employed based on geospatial data sets, or application specific criteria (e.g., must be over land, or near a rail line, etc.).
- It should be noted that if the area of interest is small enough (i.e., within the 20 guaranteed convergence zone), such as a very narrow satellite beam, an area or city covered by an aircraft platform, or a cellular tower coverage zone, then the additional range measurement and the screening process are unnecessary, and a unique solution will result from an initial estimate at the center of the area of interest.
- Well known differential correction (DGPS) techniques can be applied to the final correct position to further increase its accuracy since all the same error sources in a standard GPS solution apply here as well.
- FIG. 4 depicts the above calculations performed by a processor in the SOC [ 11] in flow chart form, which is suitable for implementing in software for execution on a general purpose computer. Upon receipt of the information packet at the SOC [11] containing the observation data from the terminal [18] and the measurement and ancillary data from the SG [12], the SOC processor obtains the latest state vector for the communication satellite [13], and the ephemeris, clock and atmospheric data for the GPS satellites [14-17].
- The SOC [ 11] then performs a series of calculations as shown in the flow diagram resulting in several candidate position solutions. The candidate solutions are then screened per the criteria described previously, and another iteration is performed which can include the atmospheric correction data. If there is more than one remaining solution then a final screen and selection takes place. The final position obtained can then be converted to the desired coordinate system.
- In a second preferred embodiment, the present invention uses timing correction information generated by communication satellite systems to synchronize data transmission from multiple mobile terminal to avoid overlapping data transmissions. For example, systems using TDMA protocols, such as GSM systems generate timing correction information that is used to adjust data transmission timing of a plurality of mobile terminals to avoid data from one mobile terminal overlapping a time slot assigned for data from another mobile terminal. TDMA systems have signal structures containing a plurality of time slots. Each of the time slots is assigned to a particular mobile terminal or is used for some other purpose. One problem with such systems is that due to different propagation delays between various mobile terminals and the communication satellite, a data packet sent from one mobile terminal can overlap with the time slot assigned to another mobile terminal. To avoid this data packet overlap, TDMA systems provide synchronization information to each of the mobile terminals to avoid data packet overlap.
- FIG. 5 illustrates a communication system according a second embodiment of the present invention. A
communication satellite 502 transmits a forward control packet to amobile terminal 504. Typically, the forward control packet includes information regarding the time slot in which the mobile terminal can send an access request tocommunication satellite 502.Mobile terminal 504 receives the forward control packet and synchronizes to it. At the appropriate time,mobile terminal 504 transmits an access request tocommunication satellite 502.Communication satellite 502 receives the access request and measures the timing of the received access request with respect to the forward control packet's timing. The measured timing is compared to an internal reference. Based on this comparison, timing correction information is generated. The timing correction information is used to adjust data transmission timing ofmobile terminal 504 so that data packets it sends are received bycommunication satellite 502 properly aligned in the appropriate time slot of the reverse channel.Communication satellite 502 transmits a response message tomobile terminal 504 containing the timing correction information.Mobile terminal 504 receives the response containing the timing correction information. Using the timing correction information, mobile terminal adjusts its transmitter timing. This adjustment is to advance, delay or maintain the transmitter's timing.Mobile terminal 504 then sends the GPS code phase data and the timing correction information tocommunication satellite 502 to be sent to aground station 506.Ground station 506 receives the GPS code phase information and the timing correction information.Ground station 506 then relays this information to a service operation center (described above), where it is used to determine position of the mobile terminal. Alternately,ground station 506 can initiate the transmission of the forward control packet, receive the access request, compare it to an internal reference and determine the timing correction information. - The timing correction information is a measure of the propagation delay from the mobile terminal to the communication satellite. A range arc (described above) is determined using the propagation delay. The range arc has
communication satellite 502 at its origin. Determination of the range arc using the propagation delay between mobile terminal 504 andcommunication satellite 502 is well known to those skilled in the art. This range arc is used to determine position as described above. Consequently, the range arc determined from the propagation delay corresponding to the timing correction information determined as part of the communication satellite's protocol is used as an input to the range ambiguity resolution technique described above. -
Mobile terminal 504 can alternatively be programmed to send the timing correction information along with GPS code phase measurements to the SOC. The SOC uses this information to determine the mobile terminal's position. Modifyingmobile terminal 504 to send this data to the SOC eliminates the need to modify or augment existing ground station equipment to provide these timing measurements directly to the service operations center. - The foregoing disclosure of embodiments of the present invention has been presented for purposes of illustration and description. It is not intended to be exhaustive or to limit the invention to the precise forms disclosed. Many variations and modifications of the embodiments described herein will be obvious to one of ordinary skill in the art in light of the above disclosure. The scope of the invention is to be defined only by the claims appended hereto, and by their equivalents.
Claims (8)
Priority Applications (4)
| Application Number | Priority Date | Filing Date | Title |
|---|---|---|---|
| US10/754,492 US20040143392A1 (en) | 1999-07-12 | 2004-01-12 | System and method for fast acquisition reporting using communication satellite range measurement |
| US11/030,983 US8630796B2 (en) | 1999-07-12 | 2005-01-10 | System and method for fast acquisition position reporting |
| US11/044,708 US8255149B2 (en) | 1999-07-12 | 2005-01-28 | System and method for dual-mode location determination |
| US13/594,984 US9841506B2 (en) | 1999-07-12 | 2012-08-27 | System and method for dual-mode location determination |
Applications Claiming Priority (4)
| Application Number | Priority Date | Filing Date | Title |
|---|---|---|---|
| US09/351,852 US6243648B1 (en) | 1999-07-12 | 1999-07-12 | Fast acquisition position reporting system |
| US09/984,069 US6480788B2 (en) | 1999-07-12 | 2001-10-26 | System and method for fast acquisition reporting using communication satellite range measurement |
| US10/191,288 US6725158B1 (en) | 1999-07-12 | 2002-07-10 | System and method for fast acquisition reporting using communication satellite range measurement |
| US10/754,492 US20040143392A1 (en) | 1999-07-12 | 2004-01-12 | System and method for fast acquisition reporting using communication satellite range measurement |
Related Parent Applications (1)
| Application Number | Title | Priority Date | Filing Date |
|---|---|---|---|
| US10/191,288 Continuation US6725158B1 (en) | 1999-07-12 | 2002-07-10 | System and method for fast acquisition reporting using communication satellite range measurement |
Related Child Applications (1)
| Application Number | Title | Priority Date | Filing Date |
|---|---|---|---|
| US11/030,983 Continuation US8630796B2 (en) | 1999-07-12 | 2005-01-10 | System and method for fast acquisition position reporting |
Publications (1)
| Publication Number | Publication Date |
|---|---|
| US20040143392A1 true US20040143392A1 (en) | 2004-07-22 |
Family
ID=32718963
Family Applications (2)
| Application Number | Title | Priority Date | Filing Date |
|---|---|---|---|
| US10/754,492 Abandoned US20040143392A1 (en) | 1999-07-12 | 2004-01-12 | System and method for fast acquisition reporting using communication satellite range measurement |
| US11/030,983 Expired - Lifetime US8630796B2 (en) | 1999-07-12 | 2005-01-10 | System and method for fast acquisition position reporting |
Family Applications After (1)
| Application Number | Title | Priority Date | Filing Date |
|---|---|---|---|
| US11/030,983 Expired - Lifetime US8630796B2 (en) | 1999-07-12 | 2005-01-10 | System and method for fast acquisition position reporting |
Country Status (1)
| Country | Link |
|---|---|
| US (2) | US20040143392A1 (en) |
Cited By (11)
| Publication number | Priority date | Publication date | Assignee | Title |
|---|---|---|---|---|
| US7548199B2 (en) | 2004-09-20 | 2009-06-16 | The United States Of America As Represented By The Administrator Of The National Aeronautics And Space Administration | Radiation-hardened fast acquisition/weak signal tracking system and method |
| US20110122785A1 (en) * | 2009-05-22 | 2011-05-26 | Viasat, Inc. | Acquisition guard time reduction using single terminal ranging |
| US7950748B2 (en) | 2005-02-11 | 2011-05-31 | InnerLoc, Inc | Internal hydraulic locking apparatus and methods for making and using same |
| US8284023B2 (en) | 2005-08-24 | 2012-10-09 | Inner Loc, LLC | Internal locking apparatus and methods for making and using same |
| CN111856524A (en) * | 2020-06-23 | 2020-10-30 | 西安空间无线电技术研究所 | Two-way continuous high-precision measurement method and system at the same frequency |
| WO2021138492A1 (en) * | 2019-12-31 | 2021-07-08 | Hughes Network Systems, Llc | Estimating terminal location in a satellite communication system |
| US20210223405A1 (en) * | 2018-06-04 | 2021-07-22 | Beijing Future Navigation Technology Co., Ltd | Fast and Precise Positioning Method and System |
| US20210288737A1 (en) * | 2020-03-11 | 2021-09-16 | Raytheon Company | System and method for mitigating platform motion in a communications system |
| US11156705B2 (en) | 2020-03-10 | 2021-10-26 | Raytheon Company | System and method for mitigating platform motion in a communications system |
| US11733395B2 (en) | 2018-06-04 | 2023-08-22 | Beijing Future Navigation Technology Co., Ltd | Precise point position and real-time kinematic (PPP-RTK) positioning method and device |
| US11852735B2 (en) | 2018-06-04 | 2023-12-26 | Beijing Future Navigation Technology Co., Ltd | Navigation enhancement method and system |
Families Citing this family (13)
| Publication number | Priority date | Publication date | Assignee | Title |
|---|---|---|---|---|
| US8255149B2 (en) * | 1999-07-12 | 2012-08-28 | Skybitz, Inc. | System and method for dual-mode location determination |
| US7917155B2 (en) | 2006-10-27 | 2011-03-29 | Roundtrip Llc | Location of cooperative tags with personal electronic device |
| US8655419B2 (en) * | 2007-02-01 | 2014-02-18 | Microsoft Corporation | Providing a power state alter signal to a device based upon a position signal corresponding to the mobile device |
| US8180887B2 (en) * | 2008-12-16 | 2012-05-15 | Microsoft Corporation | Geolocation mapping of network devices |
| DE102012004308B4 (en) * | 2012-03-01 | 2018-09-20 | Atlas Elektronik Gmbh | Proximity sensor and method for determining proximity to an electrically conductive body |
| US8938245B2 (en) * | 2012-07-30 | 2015-01-20 | Qualcomm Incorporated | Wireless transmitter identity or positioning information partitioning |
| US9529074B2 (en) | 2013-10-10 | 2016-12-27 | Dizic Co., Ltd. | Ranging method, ranging device, location device and location method |
| US10234292B2 (en) * | 2014-08-08 | 2019-03-19 | Stmicroelefctronics S.R.L. | Positioning apparatus and global navigation satellite system, method of detecting satellite signals |
| TWI574029B (en) * | 2014-11-21 | 2017-03-11 | 專家科技有限公司 | Ranging method, ranging device, location device and location method |
| TWI565960B (en) * | 2014-11-21 | 2017-01-11 | 專家科技有限公司 | Ranging method, ranging device, location device and location method |
| TWI574026B (en) * | 2014-11-21 | 2017-03-11 | 專家科技有限公司 | Ranging method, ranging device, location device and location method |
| JP6856656B2 (en) * | 2016-02-15 | 2021-04-07 | クアルコム,インコーポレイテッド | Management of ephemeris information for satellite communications |
| WO2017197433A1 (en) * | 2016-05-20 | 2017-11-23 | Myriota Pty Ltd | Position estimation in a low earth orbit satellite communications system |
Citations (96)
| Publication number | Priority date | Publication date | Assignee | Title |
|---|---|---|---|---|
| US3124799A (en) * | 1964-03-10 | rueger | ||
| US3172108A (en) * | 1964-06-29 | 1965-03-02 | Frank T Mcclure | Method of navigation |
| US3191176A (en) * | 1962-09-18 | 1965-06-22 | William H Guier | Method of navigation |
| US3242494A (en) * | 1962-01-25 | 1966-03-22 | Raytheon Co | Position determination system |
| US3384891A (en) * | 1965-02-11 | 1968-05-21 | Gen Electric | Method and system for long distance navigation and communication |
| US3806936A (en) * | 1972-08-14 | 1974-04-23 | Aero Electronics Dev Co Inc | Personal locator |
| US4751512A (en) * | 1986-01-21 | 1988-06-14 | Oceanonics, Inc. | Differential navigation system for remote mobile users |
| US4819053A (en) * | 1986-05-09 | 1989-04-04 | Halavais Richard A | Single-point locating system |
| US4896287A (en) * | 1988-05-31 | 1990-01-23 | General Electric Company | Cordic complex multiplier |
| US4998111A (en) * | 1989-11-27 | 1991-03-05 | Motorola, Inc. | CPS transform correlation receiver and method |
| US5008679A (en) * | 1990-01-31 | 1991-04-16 | Interferometrics Incorporated | Method and system for locating an unknown transmitter |
| US5017926A (en) * | 1989-12-05 | 1991-05-21 | Qualcomm, Inc. | Dual satellite navigation system |
| US5103459A (en) * | 1990-06-25 | 1992-04-07 | Qualcomm Incorporated | System and method for generating signal waveforms in a cdma cellular telephone system |
| US5119102A (en) * | 1990-02-28 | 1992-06-02 | U.S. Philips Corporation | Vehicle location system |
| US5126748A (en) * | 1989-12-05 | 1992-06-30 | Qualcomm Incorporated | Dual satellite navigation system and method |
| US5202901A (en) * | 1991-05-21 | 1993-04-13 | General Electric Company | Digital discriminator for pulse shaped π/4 shifted differentially encoded quadrature phase shift keying |
| US5303286A (en) * | 1991-03-29 | 1994-04-12 | Space Systems/Loral, Inc. | Wireless telephone/satellite roaming system |
| US5308393A (en) * | 1988-12-14 | 1994-05-03 | Haettich Thomas | Aqueous release agent and the use thereof |
| US5379047A (en) * | 1992-08-20 | 1995-01-03 | Nexus Telecommunication Systems, Inc. | Remote position determination system |
| US5392287A (en) * | 1992-03-05 | 1995-02-21 | Qualcomm Incorporated | Apparatus and method for reducing power consumption in a mobile communications receiver |
| US5396647A (en) * | 1992-11-03 | 1995-03-07 | Motorola, Inc. | GPS base wide area communication system site selection |
| US5412389A (en) * | 1993-08-11 | 1995-05-02 | Motorola, Inc. | Multibeam position ambiguity resolution |
| US5412388A (en) * | 1993-08-11 | 1995-05-02 | Motorola, Inc. | Position ambiguity resolution |
| US5414432A (en) * | 1992-03-04 | 1995-05-09 | Motorola, Inc. | Position locating transceiver |
| US5414728A (en) * | 1993-11-01 | 1995-05-09 | Qualcomm Incorporated | Method and apparatus for bifurcating signal transmission over in-phase and quadrature phase spread spectrum communication channels |
| US5485486A (en) * | 1989-11-07 | 1996-01-16 | Qualcomm Incorporated | Method and apparatus for controlling transmission power in a CDMA cellular mobile telephone system |
| US5528228A (en) * | 1994-09-08 | 1996-06-18 | Wilk; Peter J. | Protective device for storage and transport containers |
| US5594754A (en) * | 1993-10-13 | 1997-01-14 | Nit Mobile Communications Network Inc. | Spread spectrum communication receiver |
| US5627546A (en) * | 1995-09-05 | 1997-05-06 | Crow; Robert P. | Combined ground and satellite system for global aircraft surveillance guidance and navigation |
| US5629707A (en) * | 1995-01-06 | 1997-05-13 | Motorola, Inc. | Flexible signal source location apparatus and method therefor |
| US5752976A (en) * | 1995-06-23 | 1998-05-19 | Medtronic, Inc. | World wide patient location and data telemetry system for implantable medical devices |
| US5758261A (en) * | 1995-06-06 | 1998-05-26 | Globalstar L.P. | Low earth orbit communication satellite gateway-to-gateway relay system |
| US5872810A (en) * | 1996-01-26 | 1999-02-16 | Imec Co. | Programmable modem apparatus for transmitting and receiving digital data, design method and use method for said modem |
| US5884142A (en) * | 1997-04-15 | 1999-03-16 | Globalstar L.P. | Low earth orbit distributed gateway communication system |
| US6018659A (en) * | 1996-10-17 | 2000-01-25 | The Boeing Company | Airborne broadband communication network |
| US6025774A (en) * | 1998-06-24 | 2000-02-15 | Forbes; Mark P. | Method for retrieving vehicular collateral |
| US6031489A (en) * | 1997-02-01 | 2000-02-29 | Ico Services Ltd. | User terminal positioning system and method employing external signals |
| US6038263A (en) * | 1997-07-31 | 2000-03-14 | Motorola, Inc. | Method and apparatus for transmitting signals in a communication system |
| US6046678A (en) * | 1994-09-08 | 2000-04-04 | Wilk; Peter J. | Protective device for storage and transport containers |
| US6067045A (en) * | 1998-09-01 | 2000-05-23 | Hughes Electronics Corporation | Communication network initialization apparatus and method for fast GPS-based positioning |
| US6073012A (en) * | 1997-10-04 | 2000-06-06 | Motorola, Inc. | System for defining an individual subscriber unit location within a wireless communication system and method therefor |
| US6169514B1 (en) * | 1999-02-04 | 2001-01-02 | Eagle Eye Technologies, Inc. | Low-power satellite-based geopositioning system |
| US6177907B1 (en) * | 1999-09-30 | 2001-01-23 | Motorola, Inc. | Method and apparatus for determining an angle of arrival of a transmitted signal in a communication system |
| US6181944B1 (en) * | 1997-03-14 | 2001-01-30 | Ntt Mobile Communications Network Inc. | Mobile station position estimation scheme for cellular mobile communication system |
| US6181911B1 (en) * | 1998-09-09 | 2001-01-30 | Qualcomm Incorporated | Simplified receiver with rotator for performing position location |
| US6185427B1 (en) * | 1996-09-06 | 2001-02-06 | Snaptrack, Inc. | Distributed satellite position system processing and application network |
| US6188351B1 (en) * | 1998-08-13 | 2001-02-13 | Ericsson Inc. | Method for improving signal acquistion in a global positioning system receiver |
| US6195041B1 (en) * | 1998-09-09 | 2001-02-27 | Qualcomm Incorporated | Reliable position location in memory limited environment |
| US6201973B1 (en) * | 1997-03-28 | 2001-03-13 | Nec Corporation | Mobile communication apparatus |
| US6208292B1 (en) * | 1998-09-09 | 2001-03-27 | Qualcomm Incorporated | Position location with low tolerance oscillator |
| US6208290B1 (en) * | 1996-03-08 | 2001-03-27 | Snaptrack, Inc. | GPS receiver utilizing a communication link |
| US6236359B1 (en) * | 1998-05-14 | 2001-05-22 | Nortel Networks Limited | Cellular terminal location using GPS signals in the cellular band |
| US6243648B1 (en) * | 1999-07-12 | 2001-06-05 | Eagle Eye, Inc. | Fast acquisition position reporting system |
| US6246363B1 (en) * | 1998-12-10 | 2001-06-12 | Hughes Electronics Corporation | Method and system for incorporating two-way ranging navigation as a calibration reference for GPS |
| US6249245B1 (en) * | 1998-05-14 | 2001-06-19 | Nortel Networks Limited | GPS and cellular system interworking |
| US6249252B1 (en) * | 1996-09-09 | 2001-06-19 | Tracbeam Llc | Wireless location using multiple location estimators |
| US20020025011A1 (en) * | 2000-08-09 | 2002-02-28 | Sullivan Mark C. | System and method for fast code phase and carrier frequency acquisition in GPS receiver |
| US6389291B1 (en) * | 2000-08-14 | 2002-05-14 | Sirf Technology | Multi-mode global positioning system for use with wireless networks |
| US20020057733A1 (en) * | 2000-08-09 | 2002-05-16 | Sullivan Mark C. | Frequency translator using a cordic phase rotator |
| US20020064210A1 (en) * | 2000-09-18 | 2002-05-30 | Sullivan Mark C. | System and method for fast code phase and carrier frequency acquisition in GPS receiver |
| US20020072853A1 (en) * | 1999-07-12 | 2002-06-13 | Sullivan Mark C. | System and method for fast acquisition reporting using communication satellite range measurement |
| US6408178B1 (en) * | 1999-03-29 | 2002-06-18 | Ericsson Inc. | Systems and methods for resolving GPS pseudo-range ambiguity |
| US6505122B1 (en) * | 2001-06-25 | 2003-01-07 | Qualcomm, Incorporated | Method and apparatus for providing accurate position estimates in instances of severe dilution of precision |
| US6525687B2 (en) * | 2001-02-12 | 2003-02-25 | Enuvis, Inc. | Location-determination method and apparatus |
| US6525689B2 (en) * | 2000-05-31 | 2003-02-25 | Koninklijke Philips Electronics N.V. | Method of despreading GPS spread spectrum signals |
| US6529830B1 (en) * | 1997-08-04 | 2003-03-04 | Trimble Navigation Ltd. | Method and system for providing wide area augmentation systems (WAAS) like corrections using a server and processor on the internet |
| US6531981B1 (en) * | 2000-05-01 | 2003-03-11 | Skynetix, Llc | Global augmentation to global positioning system |
| US6539305B2 (en) * | 1999-05-26 | 2003-03-25 | Anthony R. Pratt | Positioning apparatus and method |
| US6538600B1 (en) * | 1998-10-16 | 2003-03-25 | Lucent Technologies Inc. | Wireless assisted GPS using a reference location |
| US6542821B2 (en) * | 1995-10-09 | 2003-04-01 | Snaptrack, Inc. | GPS receiver and method for processing GPS signals |
| US6542823B2 (en) * | 2000-08-14 | 2003-04-01 | Sirf Technology, Inc. | Information transfer in a multi-mode global positioning system used with wireless networks |
| US6552681B1 (en) * | 2000-10-02 | 2003-04-22 | Skynetix, Llc | Method for determining vertical and horizontal GPS position using altitude information |
| US6556820B1 (en) * | 1998-12-16 | 2003-04-29 | Nokia Corporation | Mobility management for terminals with multiple subscriptions |
| US6556832B1 (en) * | 2000-02-04 | 2003-04-29 | Qualcomm Incorporated | Method and apparatus for evaluation of position location performance |
| US20030083816A1 (en) * | 2001-10-31 | 2003-05-01 | Yoshitaka Imakado | Portable terminal device |
| US6560536B1 (en) * | 1999-07-12 | 2003-05-06 | Eagle-Eye, Inc. | System and method for rapid telepositioning |
| US20030087647A1 (en) * | 2001-10-22 | 2003-05-08 | Agilent Technologies, Inc. | Methods and apparatus for providing data for enabling location of a mobile communications device |
| US20040006424A1 (en) * | 2002-06-28 | 2004-01-08 | Joyce Glenn J. | Control system for tracking and targeting multiple autonomous objects |
| US6684158B1 (en) * | 2001-02-28 | 2004-01-27 | Sirf Technology, Inc. | Method for aiding a global positioning system |
| US6694142B1 (en) * | 1999-12-21 | 2004-02-17 | Hitachi, Ltd. | Wireless terminal positioning method and apparatus |
| US20040034471A1 (en) * | 2002-08-13 | 2004-02-19 | Rorabaugh C. Britton | Method and system for determining absolute positions of mobile communications devices using remotely generated positioning information |
| US6697629B1 (en) * | 2000-10-11 | 2004-02-24 | Qualcomm, Incorporated | Method and apparatus for measuring timing of signals received from multiple base stations in a CDMA communication system |
| US6707422B2 (en) * | 1998-07-02 | 2004-03-16 | Snaptrack Incorporated | Method and apparatus for measurement processing of satellite positioning system (SPS) signals |
| US6718174B2 (en) * | 2000-10-27 | 2004-04-06 | Qualcomm Incorporated | Method and apparatus for estimating velocity of a terminal in a wireless communication system |
| US20040068367A1 (en) * | 2002-10-02 | 2004-04-08 | Tomiyuki Mitsunaga | Sensor unit |
| US6725158B1 (en) * | 1999-07-12 | 2004-04-20 | Skybitz, Inc. | System and method for fast acquisition reporting using communication satellite range measurement |
| US6738713B2 (en) * | 2000-05-26 | 2004-05-18 | Parthus (Uk) Limited | Positioning apparatus and method |
| US6839547B2 (en) * | 2000-03-30 | 2005-01-04 | Cellguide Ltd. | Enhanced GPS receiver utilizing wireless infrastructure |
| US6844847B2 (en) * | 2000-04-21 | 2005-01-18 | Thales | Method and device for instantaneous determination of orientation, based on satellite positioning signals |
| US6850557B1 (en) * | 2000-04-18 | 2005-02-01 | Sirf Technology, Inc. | Signal detector and method employing a coherent accumulation system to correlate non-uniform and disjoint sample segments |
| US6853910B1 (en) * | 2003-08-11 | 2005-02-08 | General Motors Corporation | Vehicle tracking telematics system |
| US6856904B2 (en) * | 2002-05-24 | 2005-02-15 | Xanavi Informatics Corporation | GPS receiver and navigation device |
| US7039418B2 (en) * | 2000-11-16 | 2006-05-02 | Qualcomm Incorporated | Position determination in a wireless communication system with detection and compensation for repeaters |
| US7254402B2 (en) * | 2000-10-12 | 2007-08-07 | Qualcomm Incorporated | GPS satellite signal acquisition assistance system and method in a wireless communications network |
| US7450063B2 (en) * | 2004-02-18 | 2008-11-11 | Telefonaktiebolaget L M Ericsson (Publ) | Method and arrangements relating to satellite-based positioning |
| US7911329B2 (en) * | 2005-09-12 | 2011-03-22 | Skybitz, Inc. | System and method for adaptive motion sensing with location determination |
Family Cites Families (77)
| Publication number | Priority date | Publication date | Assignee | Title |
|---|---|---|---|---|
| US3063048A (en) | 1959-05-04 | 1962-11-06 | Space General Corp | Discovery and location system |
| US3351943A (en) | 1965-10-13 | 1967-11-07 | George B Bush | Correlation doppler system |
| USRE33629E (en) | 1980-02-13 | 1991-07-02 | Intel Corporation | Numeric data processor |
| US4359733A (en) | 1980-09-23 | 1982-11-16 | Neill Gerard K O | Satellite-based vehicle position determining system |
| US4701934A (en) | 1985-09-03 | 1987-10-20 | Motorola, Inc. | Method of doppler searching in a digital GPS receiver |
| US4975707A (en) | 1989-07-13 | 1990-12-04 | Energetics Satellite Corporation | Multiple satellite locating system |
| AU639308B2 (en) | 1990-03-09 | 1993-07-22 | Sigtec Navigation Pty Ltd | G p s receiver |
| US5835857A (en) * | 1990-03-19 | 1998-11-10 | Celsat America, Inc. | Position determination for reducing unauthorized use of a communication system |
| US5303393A (en) | 1990-11-06 | 1994-04-12 | Radio Satellite Corporation | Integrated radio satellite response system and method |
| US5390207A (en) * | 1990-11-28 | 1995-02-14 | Novatel Communications Ltd. | Pseudorandom noise ranging receiver which compensates for multipath distortion by dynamically adjusting the time delay spacing between early and late correlators |
| US5101416A (en) | 1990-11-28 | 1992-03-31 | Novatel Comunications Ltd. | Multi-channel digital receiver for global positioning system |
| US5365544A (en) | 1990-12-05 | 1994-11-15 | Interdigital Technology Corporation | CDMA communications and geolocation system and method |
| US5351269A (en) | 1990-12-05 | 1994-09-27 | Scs Mobilecom, Inc. | Overlaying spread spectrum CDMA personal communications system |
| US5499032A (en) | 1992-12-22 | 1996-03-12 | Terrapin Corporation | Navigation and positioning system and method using uncoordinated beacon signals |
| US5365516A (en) | 1991-08-16 | 1994-11-15 | Pinpoint Communications, Inc. | Communication system and method for determining the location of a transponder unit |
| US6295449B1 (en) | 1992-01-27 | 2001-09-25 | @Track Communications, Inc. | Data messaging in a communications network using a feature request |
| US5361072A (en) | 1992-02-28 | 1994-11-01 | Codar Ocean Sensors, Ltd. | Gated FMCW DF radar and signal processing for range/doppler/angle determination |
| US5748147A (en) | 1992-03-04 | 1998-05-05 | Motorola Inc | Position locating rescue transceiver |
| US5587715A (en) | 1993-03-19 | 1996-12-24 | Gps Mobile, Inc. | Method and apparatus for tracking a moving object |
| US5367306A (en) | 1993-06-04 | 1994-11-22 | Hollon Blake D | GPS integrated ELT system |
| US5546383A (en) | 1993-09-30 | 1996-08-13 | Cooley; David M. | Modularly clustered radiotelephone system |
| FR2712095B1 (en) | 1993-11-05 | 1995-12-22 | Europ Agence Spatiale | Method of aerial or spatial altimetric measurements, in particular intended for the altimetry of the oceans, and device implementing such a method. |
| US5554993A (en) | 1994-01-04 | 1996-09-10 | Panasonic Technologies, Inc. | Global position determining system and method |
| US6195555B1 (en) | 1994-01-11 | 2001-02-27 | Ericsson Inc. | Method of directing a call to a mobile telephone in a dual mode cellular satellite communication network |
| EP0752113B1 (en) | 1994-03-25 | 2001-11-07 | QUALCOMM Incorporated | A position determination method for use with analog cellular system |
| US5835012A (en) | 1997-06-18 | 1998-11-10 | Wilk Patent Development Corporation | Protective device for storage and transport containers |
| US5557637A (en) | 1994-09-24 | 1996-09-17 | Glynn; Thomas W. | Convolutional ambiguity multiple access (CAMA) transmission system |
| JP3095973B2 (en) * | 1995-03-24 | 2000-10-10 | ケイディディ株式会社 | Earth station position detection method in satellite communication system |
| US5565764A (en) | 1995-05-05 | 1996-10-15 | Texas Instruments Incorporated | Digital processing method for parameter estimation of synchronous, asynchronous, coherent or non-coherent signals |
| US5691980A (en) | 1995-06-07 | 1997-11-25 | General Electric Company | Local communication network for power reduction and enhanced reliability in a multiple node tracking system |
| FI101445B (en) | 1995-10-03 | 1998-06-15 | Nokia Mobile Phones Ltd | Mobile location system |
| US6131067A (en) | 1995-10-09 | 2000-10-10 | Snaptrack, Inc. | Client-server based remote locator device |
| DK0855041T3 (en) | 1995-10-09 | 2003-04-14 | Snaptrack Inc | GPS receiver and method for processing GPS signals |
| US6633255B2 (en) | 1995-10-09 | 2003-10-14 | Qualcomm Inc. | Method for open loop tracking GPS signals |
| US5945944A (en) | 1996-03-08 | 1999-08-31 | Snaptrack, Inc. | Method and apparatus for determining time for GPS receivers |
| US5841398A (en) | 1996-11-20 | 1998-11-24 | Space Systems/Loral, Inc. | Integrated navigation and communication satellite system |
| US6411254B1 (en) | 1997-04-15 | 2002-06-25 | Snaptrack, Inc. | Satellite positioning reference system and method |
| JPH10300835A (en) | 1997-04-25 | 1998-11-13 | Lockheed Martin Corp | Quick and accurate specification of geographical position for cellular telephone using gps satellite system |
| US5963157A (en) | 1997-06-23 | 1999-10-05 | Motorola, Inc. | Method and apparatus for the addition and removal of a dither signal |
| US6140956A (en) | 1997-06-25 | 2000-10-31 | Cellutrac, Inc. | Vehicle tracking and security system incorporating simultaneous voice and data communication |
| US5955986A (en) | 1997-11-20 | 1999-09-21 | Eagle Eye Technologies, Inc. | Low-power satellite-based geopositioning system |
| US6252544B1 (en) | 1998-01-27 | 2001-06-26 | Steven M. Hoffberg | Mobile communication device |
| US5999124A (en) | 1998-04-22 | 1999-12-07 | Snaptrack, Inc, | Satellite positioning system augmentation with wireless communication signals |
| US5982324A (en) | 1998-05-14 | 1999-11-09 | Nortel Networks Corporation | Combining GPS with TOA/TDOA of cellular signals to locate terminal |
| US6330452B1 (en) * | 1998-08-06 | 2001-12-11 | Cell-Loc Inc. | Network-based wireless location system to position AMPs (FDMA) cellular telephones, part I |
| US6323805B1 (en) | 1998-09-09 | 2001-11-27 | Qualcomm, Inc. | Data boundary aware base station assisted position location |
| US6665539B2 (en) | 1998-09-09 | 2003-12-16 | Qualcomm Inc. | Position location with low tolerance oscillator |
| US6332069B1 (en) | 1999-02-10 | 2001-12-18 | Hughes Electronics Corporation | Apparatus and method for grouping carriers to minimize the occurrence of call blocking in a satellite-based communications network |
| US6313791B1 (en) | 1999-05-27 | 2001-11-06 | Michael Dean Klanke | Automotive GPS control system |
| US8255149B2 (en) * | 1999-07-12 | 2012-08-28 | Skybitz, Inc. | System and method for dual-mode location determination |
| US6311128B1 (en) | 2000-02-03 | 2001-10-30 | Hughes Electronics Corporation | Combined navigation and mobile communication satellite architecture |
| US6603978B1 (en) | 2000-03-24 | 2003-08-05 | Ericsson Inc. | Accurate GPS time estimate based on information from a wireless communications system |
| US6437702B1 (en) | 2000-04-14 | 2002-08-20 | Qualcomm, Inc. | Cargo sensing system and method |
| US6714158B1 (en) | 2000-04-18 | 2004-03-30 | Sirf Technology, Inc. | Method and system for data detection in a global positioning system satellite receiver |
| US6665541B1 (en) | 2000-05-04 | 2003-12-16 | Snaptrack, Incorporated | Methods and apparatuses for using mobile GPS receivers to synchronize basestations in cellular networks |
| US6778136B2 (en) | 2001-12-13 | 2004-08-17 | Sirf Technology, Inc. | Fast acquisition of GPS signal |
| JP4446569B2 (en) | 2000-07-24 | 2010-04-07 | 古野電気株式会社 | Carrier phase relative positioning device |
| US6750814B1 (en) | 2000-09-18 | 2004-06-15 | Cellguide Ltd. | Efficient algorithm for processing GPS signals |
| US6437734B1 (en) | 2000-10-11 | 2002-08-20 | Seiko Epson Corporation | Satellite navigation receiver and method |
| US6420999B1 (en) | 2000-10-26 | 2002-07-16 | Qualcomm, Inc. | Method and apparatus for determining an error estimate in a hybrid position determination system |
| US6799116B2 (en) | 2000-12-15 | 2004-09-28 | Trimble Navigation Limited | GPS correction methods, apparatus and signals |
| US6441752B1 (en) | 2000-12-30 | 2002-08-27 | Mundi Fomukong | Method and apparatus for locating mobile units tracking another or within a prescribed geographic boundary |
| JP3461167B2 (en) | 2001-02-07 | 2003-10-27 | 株式会社日立製作所 | Position calculation method and position calculation device |
| US6657586B2 (en) | 2001-05-03 | 2003-12-02 | Wherenet Corp | System and method for locating an object using global positioning system receiver |
| US7155340B2 (en) | 2001-09-14 | 2006-12-26 | Atc Technologies, Llc | Network-assisted global positioning systems, methods and terminals including doppler shift and code phase estimates |
| US6665631B2 (en) | 2001-09-27 | 2003-12-16 | The United States Of America As Represented By The Secretary Of The Navy | System and method for measuring short distances |
| US20030109988A1 (en) | 2001-10-12 | 2003-06-12 | Geissler Randolph K. | Three-dimensional GPS-assisted tracking device |
| US6772064B1 (en) | 2001-10-25 | 2004-08-03 | Bellsouth Intellectual Property Corporation | Methods and systems for determining a telecommunications service location using global satellite positioning |
| US6643586B2 (en) | 2001-12-17 | 2003-11-04 | International Business Machines Corporation | System and method to determine fibre channel device locations using GPS |
| US6748324B2 (en) | 2002-01-07 | 2004-06-08 | Motorola, Inc. | Method for determining location information |
| US6628232B1 (en) | 2002-04-15 | 2003-09-30 | The United States Of America As Represented By The Secretary Of The Army | GPS tracker |
| US8160604B2 (en) | 2002-04-18 | 2012-04-17 | Qualcomm Incorporated | Integrity monitoring in a position location system utilizing knowledge of local topography |
| WO2003096055A2 (en) | 2002-05-13 | 2003-11-20 | The Charles Stark Draper Laboratory, Inc. | Low-cost, low-power geolocation system |
| US6782320B1 (en) | 2002-05-16 | 2004-08-24 | The United States Of America As Represented By The Secretary Of The Army | Method and system of single-antenna determination of position, time, and attitude of a moving object by satellite navigation |
| US6832155B2 (en) | 2002-09-23 | 2004-12-14 | Itt Manufacturing Enterprises, Inc. | Methods and apparatus for determining phase ambiguities in ranging and navigation systems |
| US7233798B2 (en) | 2002-09-30 | 2007-06-19 | Motorola, Inc. | Method and apparatus for determining location of a remote unit using GPS |
| US7265668B1 (en) * | 2003-12-12 | 2007-09-04 | Skybitz, Inc. | System and method for asset tracking and monitoring |
-
2004
- 2004-01-12 US US10/754,492 patent/US20040143392A1/en not_active Abandoned
-
2005
- 2005-01-10 US US11/030,983 patent/US8630796B2/en not_active Expired - Lifetime
Patent Citations (102)
| Publication number | Priority date | Publication date | Assignee | Title |
|---|---|---|---|---|
| US3124799A (en) * | 1964-03-10 | rueger | ||
| US3242494A (en) * | 1962-01-25 | 1966-03-22 | Raytheon Co | Position determination system |
| US3191176A (en) * | 1962-09-18 | 1965-06-22 | William H Guier | Method of navigation |
| US3172108A (en) * | 1964-06-29 | 1965-03-02 | Frank T Mcclure | Method of navigation |
| US3384891A (en) * | 1965-02-11 | 1968-05-21 | Gen Electric | Method and system for long distance navigation and communication |
| US3806936A (en) * | 1972-08-14 | 1974-04-23 | Aero Electronics Dev Co Inc | Personal locator |
| US4751512A (en) * | 1986-01-21 | 1988-06-14 | Oceanonics, Inc. | Differential navigation system for remote mobile users |
| US4819053A (en) * | 1986-05-09 | 1989-04-04 | Halavais Richard A | Single-point locating system |
| US4896287A (en) * | 1988-05-31 | 1990-01-23 | General Electric Company | Cordic complex multiplier |
| US5308393A (en) * | 1988-12-14 | 1994-05-03 | Haettich Thomas | Aqueous release agent and the use thereof |
| US5485486A (en) * | 1989-11-07 | 1996-01-16 | Qualcomm Incorporated | Method and apparatus for controlling transmission power in a CDMA cellular mobile telephone system |
| US4998111A (en) * | 1989-11-27 | 1991-03-05 | Motorola, Inc. | CPS transform correlation receiver and method |
| US5126748A (en) * | 1989-12-05 | 1992-06-30 | Qualcomm Incorporated | Dual satellite navigation system and method |
| US5017926A (en) * | 1989-12-05 | 1991-05-21 | Qualcomm, Inc. | Dual satellite navigation system |
| US5008679A (en) * | 1990-01-31 | 1991-04-16 | Interferometrics Incorporated | Method and system for locating an unknown transmitter |
| US5119102A (en) * | 1990-02-28 | 1992-06-02 | U.S. Philips Corporation | Vehicle location system |
| US5103459B1 (en) * | 1990-06-25 | 1999-07-06 | Qualcomm Inc | System and method for generating signal waveforms in a cdma cellular telephone system |
| US5309474A (en) * | 1990-06-25 | 1994-05-03 | Qualcomm Incorporated | System and method for generating signal waveforms in a CDMA cellular telephone system |
| US5103459A (en) * | 1990-06-25 | 1992-04-07 | Qualcomm Incorporated | System and method for generating signal waveforms in a cdma cellular telephone system |
| US5303286A (en) * | 1991-03-29 | 1994-04-12 | Space Systems/Loral, Inc. | Wireless telephone/satellite roaming system |
| US5202901A (en) * | 1991-05-21 | 1993-04-13 | General Electric Company | Digital discriminator for pulse shaped π/4 shifted differentially encoded quadrature phase shift keying |
| US5414432A (en) * | 1992-03-04 | 1995-05-09 | Motorola, Inc. | Position locating transceiver |
| US5392287A (en) * | 1992-03-05 | 1995-02-21 | Qualcomm Incorporated | Apparatus and method for reducing power consumption in a mobile communications receiver |
| US5379047A (en) * | 1992-08-20 | 1995-01-03 | Nexus Telecommunication Systems, Inc. | Remote position determination system |
| US5396647A (en) * | 1992-11-03 | 1995-03-07 | Motorola, Inc. | GPS base wide area communication system site selection |
| US5412388A (en) * | 1993-08-11 | 1995-05-02 | Motorola, Inc. | Position ambiguity resolution |
| US5412389A (en) * | 1993-08-11 | 1995-05-02 | Motorola, Inc. | Multibeam position ambiguity resolution |
| US5594754A (en) * | 1993-10-13 | 1997-01-14 | Nit Mobile Communications Network Inc. | Spread spectrum communication receiver |
| US5414728A (en) * | 1993-11-01 | 1995-05-09 | Qualcomm Incorporated | Method and apparatus for bifurcating signal transmission over in-phase and quadrature phase spread spectrum communication channels |
| US5528228A (en) * | 1994-09-08 | 1996-06-18 | Wilk; Peter J. | Protective device for storage and transport containers |
| US6046678A (en) * | 1994-09-08 | 2000-04-04 | Wilk; Peter J. | Protective device for storage and transport containers |
| US5629707A (en) * | 1995-01-06 | 1997-05-13 | Motorola, Inc. | Flexible signal source location apparatus and method therefor |
| US5758261A (en) * | 1995-06-06 | 1998-05-26 | Globalstar L.P. | Low earth orbit communication satellite gateway-to-gateway relay system |
| US5752976A (en) * | 1995-06-23 | 1998-05-19 | Medtronic, Inc. | World wide patient location and data telemetry system for implantable medical devices |
| US5627546A (en) * | 1995-09-05 | 1997-05-06 | Crow; Robert P. | Combined ground and satellite system for global aircraft surveillance guidance and navigation |
| US6542821B2 (en) * | 1995-10-09 | 2003-04-01 | Snaptrack, Inc. | GPS receiver and method for processing GPS signals |
| US5872810A (en) * | 1996-01-26 | 1999-02-16 | Imec Co. | Programmable modem apparatus for transmitting and receiving digital data, design method and use method for said modem |
| US6208290B1 (en) * | 1996-03-08 | 2001-03-27 | Snaptrack, Inc. | GPS receiver utilizing a communication link |
| US6185427B1 (en) * | 1996-09-06 | 2001-02-06 | Snaptrack, Inc. | Distributed satellite position system processing and application network |
| US6725159B2 (en) * | 1996-09-06 | 2004-04-20 | Snaptrack Incorporated | GPS receiver and method for processing GPS signals |
| US6249252B1 (en) * | 1996-09-09 | 2001-06-19 | Tracbeam Llc | Wireless location using multiple location estimators |
| US6018659A (en) * | 1996-10-17 | 2000-01-25 | The Boeing Company | Airborne broadband communication network |
| US6031489A (en) * | 1997-02-01 | 2000-02-29 | Ico Services Ltd. | User terminal positioning system and method employing external signals |
| US6181944B1 (en) * | 1997-03-14 | 2001-01-30 | Ntt Mobile Communications Network Inc. | Mobile station position estimation scheme for cellular mobile communication system |
| US6201973B1 (en) * | 1997-03-28 | 2001-03-13 | Nec Corporation | Mobile communication apparatus |
| US5884142A (en) * | 1997-04-15 | 1999-03-16 | Globalstar L.P. | Low earth orbit distributed gateway communication system |
| US6038263A (en) * | 1997-07-31 | 2000-03-14 | Motorola, Inc. | Method and apparatus for transmitting signals in a communication system |
| US6741935B1 (en) * | 1997-08-04 | 2004-05-25 | Trimble Navigation Ltd. | Method and system for providing wide area augmentation system (WAAS) like corrections using a server and processor on the internet |
| US6529830B1 (en) * | 1997-08-04 | 2003-03-04 | Trimble Navigation Ltd. | Method and system for providing wide area augmentation systems (WAAS) like corrections using a server and processor on the internet |
| US6073012A (en) * | 1997-10-04 | 2000-06-06 | Motorola, Inc. | System for defining an individual subscriber unit location within a wireless communication system and method therefor |
| US6236359B1 (en) * | 1998-05-14 | 2001-05-22 | Nortel Networks Limited | Cellular terminal location using GPS signals in the cellular band |
| US6249245B1 (en) * | 1998-05-14 | 2001-06-19 | Nortel Networks Limited | GPS and cellular system interworking |
| US6249217B1 (en) * | 1998-06-24 | 2001-06-19 | Mark P. Forbes | Method for retrieving vehicular collateral |
| US6025774A (en) * | 1998-06-24 | 2000-02-15 | Forbes; Mark P. | Method for retrieving vehicular collateral |
| US6707422B2 (en) * | 1998-07-02 | 2004-03-16 | Snaptrack Incorporated | Method and apparatus for measurement processing of satellite positioning system (SPS) signals |
| US6188351B1 (en) * | 1998-08-13 | 2001-02-13 | Ericsson Inc. | Method for improving signal acquistion in a global positioning system receiver |
| US6067045A (en) * | 1998-09-01 | 2000-05-23 | Hughes Electronics Corporation | Communication network initialization apparatus and method for fast GPS-based positioning |
| US6195041B1 (en) * | 1998-09-09 | 2001-02-27 | Qualcomm Incorporated | Reliable position location in memory limited environment |
| US6208292B1 (en) * | 1998-09-09 | 2001-03-27 | Qualcomm Incorporated | Position location with low tolerance oscillator |
| US6181911B1 (en) * | 1998-09-09 | 2001-01-30 | Qualcomm Incorporated | Simplified receiver with rotator for performing position location |
| US6538600B1 (en) * | 1998-10-16 | 2003-03-25 | Lucent Technologies Inc. | Wireless assisted GPS using a reference location |
| US6246363B1 (en) * | 1998-12-10 | 2001-06-12 | Hughes Electronics Corporation | Method and system for incorporating two-way ranging navigation as a calibration reference for GPS |
| US6556820B1 (en) * | 1998-12-16 | 2003-04-29 | Nokia Corporation | Mobility management for terminals with multiple subscriptions |
| US6169514B1 (en) * | 1999-02-04 | 2001-01-02 | Eagle Eye Technologies, Inc. | Low-power satellite-based geopositioning system |
| US6408178B1 (en) * | 1999-03-29 | 2002-06-18 | Ericsson Inc. | Systems and methods for resolving GPS pseudo-range ambiguity |
| US6539305B2 (en) * | 1999-05-26 | 2003-03-25 | Anthony R. Pratt | Positioning apparatus and method |
| US6560536B1 (en) * | 1999-07-12 | 2003-05-06 | Eagle-Eye, Inc. | System and method for rapid telepositioning |
| US20020072853A1 (en) * | 1999-07-12 | 2002-06-13 | Sullivan Mark C. | System and method for fast acquisition reporting using communication satellite range measurement |
| US6725158B1 (en) * | 1999-07-12 | 2004-04-20 | Skybitz, Inc. | System and method for fast acquisition reporting using communication satellite range measurement |
| US6243648B1 (en) * | 1999-07-12 | 2001-06-05 | Eagle Eye, Inc. | Fast acquisition position reporting system |
| US6177907B1 (en) * | 1999-09-30 | 2001-01-23 | Motorola, Inc. | Method and apparatus for determining an angle of arrival of a transmitted signal in a communication system |
| US6694142B1 (en) * | 1999-12-21 | 2004-02-17 | Hitachi, Ltd. | Wireless terminal positioning method and apparatus |
| US6556832B1 (en) * | 2000-02-04 | 2003-04-29 | Qualcomm Incorporated | Method and apparatus for evaluation of position location performance |
| US6839547B2 (en) * | 2000-03-30 | 2005-01-04 | Cellguide Ltd. | Enhanced GPS receiver utilizing wireless infrastructure |
| US6850557B1 (en) * | 2000-04-18 | 2005-02-01 | Sirf Technology, Inc. | Signal detector and method employing a coherent accumulation system to correlate non-uniform and disjoint sample segments |
| US6844847B2 (en) * | 2000-04-21 | 2005-01-18 | Thales | Method and device for instantaneous determination of orientation, based on satellite positioning signals |
| US6531981B1 (en) * | 2000-05-01 | 2003-03-11 | Skynetix, Llc | Global augmentation to global positioning system |
| US6738713B2 (en) * | 2000-05-26 | 2004-05-18 | Parthus (Uk) Limited | Positioning apparatus and method |
| US6525689B2 (en) * | 2000-05-31 | 2003-02-25 | Koninklijke Philips Electronics N.V. | Method of despreading GPS spread spectrum signals |
| US20020025011A1 (en) * | 2000-08-09 | 2002-02-28 | Sullivan Mark C. | System and method for fast code phase and carrier frequency acquisition in GPS receiver |
| US20020057733A1 (en) * | 2000-08-09 | 2002-05-16 | Sullivan Mark C. | Frequency translator using a cordic phase rotator |
| US6519466B2 (en) * | 2000-08-14 | 2003-02-11 | Sirf Technology, Inc. | Multi-mode global positioning system for use with wireless networks |
| US6542823B2 (en) * | 2000-08-14 | 2003-04-01 | Sirf Technology, Inc. | Information transfer in a multi-mode global positioning system used with wireless networks |
| US6389291B1 (en) * | 2000-08-14 | 2002-05-14 | Sirf Technology | Multi-mode global positioning system for use with wireless networks |
| US20020064210A1 (en) * | 2000-09-18 | 2002-05-30 | Sullivan Mark C. | System and method for fast code phase and carrier frequency acquisition in GPS receiver |
| US6552681B1 (en) * | 2000-10-02 | 2003-04-22 | Skynetix, Llc | Method for determining vertical and horizontal GPS position using altitude information |
| US6697629B1 (en) * | 2000-10-11 | 2004-02-24 | Qualcomm, Incorporated | Method and apparatus for measuring timing of signals received from multiple base stations in a CDMA communication system |
| US7254402B2 (en) * | 2000-10-12 | 2007-08-07 | Qualcomm Incorporated | GPS satellite signal acquisition assistance system and method in a wireless communications network |
| US6718174B2 (en) * | 2000-10-27 | 2004-04-06 | Qualcomm Incorporated | Method and apparatus for estimating velocity of a terminal in a wireless communication system |
| US7039418B2 (en) * | 2000-11-16 | 2006-05-02 | Qualcomm Incorporated | Position determination in a wireless communication system with detection and compensation for repeaters |
| US6525687B2 (en) * | 2001-02-12 | 2003-02-25 | Enuvis, Inc. | Location-determination method and apparatus |
| US6684158B1 (en) * | 2001-02-28 | 2004-01-27 | Sirf Technology, Inc. | Method for aiding a global positioning system |
| US6505122B1 (en) * | 2001-06-25 | 2003-01-07 | Qualcomm, Incorporated | Method and apparatus for providing accurate position estimates in instances of severe dilution of precision |
| US20030087647A1 (en) * | 2001-10-22 | 2003-05-08 | Agilent Technologies, Inc. | Methods and apparatus for providing data for enabling location of a mobile communications device |
| US20030083816A1 (en) * | 2001-10-31 | 2003-05-01 | Yoshitaka Imakado | Portable terminal device |
| US6856904B2 (en) * | 2002-05-24 | 2005-02-15 | Xanavi Informatics Corporation | GPS receiver and navigation device |
| US20040006424A1 (en) * | 2002-06-28 | 2004-01-08 | Joyce Glenn J. | Control system for tracking and targeting multiple autonomous objects |
| US20040034471A1 (en) * | 2002-08-13 | 2004-02-19 | Rorabaugh C. Britton | Method and system for determining absolute positions of mobile communications devices using remotely generated positioning information |
| US20040068367A1 (en) * | 2002-10-02 | 2004-04-08 | Tomiyuki Mitsunaga | Sensor unit |
| US6853910B1 (en) * | 2003-08-11 | 2005-02-08 | General Motors Corporation | Vehicle tracking telematics system |
| US7450063B2 (en) * | 2004-02-18 | 2008-11-11 | Telefonaktiebolaget L M Ericsson (Publ) | Method and arrangements relating to satellite-based positioning |
| US7911329B2 (en) * | 2005-09-12 | 2011-03-22 | Skybitz, Inc. | System and method for adaptive motion sensing with location determination |
Cited By (17)
| Publication number | Priority date | Publication date | Assignee | Title |
|---|---|---|---|---|
| US7548199B2 (en) | 2004-09-20 | 2009-06-16 | The United States Of America As Represented By The Administrator Of The National Aeronautics And Space Administration | Radiation-hardened fast acquisition/weak signal tracking system and method |
| US7950748B2 (en) | 2005-02-11 | 2011-05-31 | InnerLoc, Inc | Internal hydraulic locking apparatus and methods for making and using same |
| US8284023B2 (en) | 2005-08-24 | 2012-10-09 | Inner Loc, LLC | Internal locking apparatus and methods for making and using same |
| US20110122785A1 (en) * | 2009-05-22 | 2011-05-26 | Viasat, Inc. | Acquisition guard time reduction using single terminal ranging |
| US9300392B2 (en) * | 2009-05-22 | 2016-03-29 | Viasat, Inc. | Acquisition guard time reduction using single terminal ranging |
| US11852735B2 (en) | 2018-06-04 | 2023-12-26 | Beijing Future Navigation Technology Co., Ltd | Navigation enhancement method and system |
| US11733395B2 (en) | 2018-06-04 | 2023-08-22 | Beijing Future Navigation Technology Co., Ltd | Precise point position and real-time kinematic (PPP-RTK) positioning method and device |
| US20210223405A1 (en) * | 2018-06-04 | 2021-07-22 | Beijing Future Navigation Technology Co., Ltd | Fast and Precise Positioning Method and System |
| US11726213B2 (en) * | 2018-06-04 | 2023-08-15 | Beijing Future Navigation Technology Co., Ltd | Fast and precise positioning method and system |
| US20220006754A1 (en) * | 2019-12-31 | 2022-01-06 | Hughes Network Systems, Llc | Estimating terminal location in a satellite communication system |
| US11128570B2 (en) | 2019-12-31 | 2021-09-21 | Hughes Network Systems, Llc | Estimating terminal location in a satellite communication system |
| WO2021138492A1 (en) * | 2019-12-31 | 2021-07-08 | Hughes Network Systems, Llc | Estimating terminal location in a satellite communication system |
| US11805064B2 (en) * | 2019-12-31 | 2023-10-31 | Hughes Network Systems, Llc | Estimating terminal location in a satellite communication system |
| US11156705B2 (en) | 2020-03-10 | 2021-10-26 | Raytheon Company | System and method for mitigating platform motion in a communications system |
| US11196497B2 (en) * | 2020-03-11 | 2021-12-07 | Raytheon Company | System and method for mitigating platform motion in a communications system |
| US20210288737A1 (en) * | 2020-03-11 | 2021-09-16 | Raytheon Company | System and method for mitigating platform motion in a communications system |
| CN111856524A (en) * | 2020-06-23 | 2020-10-30 | 西安空间无线电技术研究所 | Two-way continuous high-precision measurement method and system at the same frequency |
Also Published As
| Publication number | Publication date |
|---|---|
| US20050171695A1 (en) | 2005-08-04 |
| US8630796B2 (en) | 2014-01-14 |
Similar Documents
| Publication | Publication Date | Title |
|---|---|---|
| US6480788B2 (en) | System and method for fast acquisition reporting using communication satellite range measurement | |
| US6725158B1 (en) | System and method for fast acquisition reporting using communication satellite range measurement | |
| US6243648B1 (en) | Fast acquisition position reporting system | |
| EP1346236B1 (en) | System and method for rapid telepositioning | |
| US9841506B2 (en) | System and method for dual-mode location determination | |
| US8630796B2 (en) | System and method for fast acquisition position reporting | |
| US6636744B1 (en) | Obtaining pilot phase offset time delay parameter for a wireless terminal of an integrated wireless-global positioning system | |
| US7277054B2 (en) | Method for positioning, a positioning system, and an electronic device | |
| US5570096A (en) | Method and system for tracking satellites to locate unknown transmitting accurately | |
| US6201497B1 (en) | Enhanced global navigation satellite system | |
| US7646338B2 (en) | Method of optimization of processing of location data in the presence of a plurality of satellite positioning constellations | |
| US7898473B2 (en) | Method for positioning, a positioning system, and an electronic device | |
| WO1998002762A2 (en) | Method and apparatus for precision geolocation | |
| NAVEENA et al. | VEHICLE CRASHING AVOIDANCE USING WIRELESS SENSOR NETWORK | |
| JP2002006027A (en) | Method for obtaining reciprocating delay time (rtd) for ratio terminal of wireless network global positioning integrating (wgp) system | |
| HK1111767A (en) | Method and apparatus for determining an error estimate in a hybrid position determination system | |
| HK1117916A (en) | Method and apparatus for determining an error estimate in a hybrid position determination system | |
| HK1111766A (en) | Method and apparatus for determining an error estimate in a hybrid position determination system |
Legal Events
| Date | Code | Title | Description |
|---|---|---|---|
| AS | Assignment |
Owner name: ORIX VENTURE FINANCE LLC, NEW YORK Free format text: SECURITY AGREEMENT;ASSIGNOR:SKYBITZ, INC.;REEL/FRAME:021439/0420 Effective date: 20080826 Owner name: ORIX VENTURE FINANCE LLC,NEW YORK Free format text: SECURITY AGREEMENT;ASSIGNOR:SKYBITZ, INC.;REEL/FRAME:021439/0420 Effective date: 20080826 |
|
| AS | Assignment |
Owner name: SKYBITZ, INC., VIRGINIA Free format text: RELEASE BY SECURED PARTY;ASSIGNOR:ORIX VENTURE FINANCE LLC;REEL/FRAME:027640/0001 Effective date: 20120201 Owner name: SILICON VALLEY BANK, CALIFORNIA Free format text: SECURITY AGREEMENT;ASSIGNOR:SKYBITZ, INC.;REEL/FRAME:027645/0702 Effective date: 20120201 |
|
| AS | Assignment |
Owner name: SUNTRUST BANK, AS FIRST LIEN ADMINISTRATIVE AGENT, Free format text: SECURITY AGREEMENT;ASSIGNORS:TELULAR CORPORATION;SKYBITZ, INC.;REEL/FRAME:030724/0331 Effective date: 20130624 |
|
| AS | Assignment |
Owner name: SUNTRUST BANK, AS SECOND LIEN ADMINISTRATIVE AGENT Free format text: SECURITY AGREEMENT;ASSIGNORS:TELULAR CORPORATION;SKYBITZ, INC.;REEL/FRAME:030739/0932 Effective date: 20130624 |
|
| AS | Assignment |
Owner name: TANKLINK CORPORATION, ILLINOIS Free format text: RELEASE BY SECURED PARTY;ASSIGNOR:SILICON VALLEY BANK;REEL/FRAME:030754/0239 Effective date: 20130624 Owner name: SKYBITZ, INC., ILLINOIS Free format text: RELEASE BY SECURED PARTY;ASSIGNOR:SILICON VALLEY BANK;REEL/FRAME:030754/0239 Effective date: 20130624 Owner name: TELULAR CORPORATION, ILLINOIS Free format text: RELEASE BY SECURED PARTY;ASSIGNOR:SILICON VALLEY BANK;REEL/FRAME:030754/0239 Effective date: 20130624 |
|
| STCB | Information on status: application discontinuation |
Free format text: ABANDONED -- FAILURE TO RESPOND TO AN OFFICE ACTION |
|
| AS | Assignment |
Owner name: SKYBITZ, INC., ILLINOIS Free format text: RELEASE BY SECURED PARTY;ASSIGNOR:SUNTRUST BANK, AS ADMINISTRATIVE AGENT;REEL/FRAME:036084/0195 Effective date: 20150708 Owner name: TELULAR CORPORATON, ILLINOIS Free format text: RELEASE BY SECURED PARTY;ASSIGNOR:SUNTRUST BANK, AS ADMINISTRATIVE AGENT;REEL/FRAME:036084/0195 Effective date: 20150708 |
|
| AS | Assignment |
Owner name: TELULAR CORPORATION, ILLINOIS Free format text: RELEASE BY SECURED PARTY;ASSIGNOR:SUNTRUST BANK;REEL/FRAME:047719/0345 Effective date: 20181024 Owner name: SKYBITZ, INC., ILLINOIS Free format text: RELEASE BY SECURED PARTY;ASSIGNOR:SUNTRUST BANK;REEL/FRAME:047719/0345 Effective date: 20181024 |



