US20040143041A1 - Polyester compositions - Google Patents
Polyester compositions Download PDFInfo
- Publication number
- US20040143041A1 US20040143041A1 US10/379,649 US37964903A US2004143041A1 US 20040143041 A1 US20040143041 A1 US 20040143041A1 US 37964903 A US37964903 A US 37964903A US 2004143041 A1 US2004143041 A1 US 2004143041A1
- Authority
- US
- United States
- Prior art keywords
- residues
- alkyl
- mole percent
- cycloalkyl
- substituted
- Prior art date
- Legal status (The legal status is an assumption and is not a legal conclusion. Google has not performed a legal analysis and makes no representation as to the accuracy of the status listed.)
- Abandoned
Links
- 239000000203 mixture Substances 0.000 title claims abstract description 167
- 229920000728 polyester Polymers 0.000 title claims abstract description 140
- 239000004417 polycarbonate Substances 0.000 claims abstract description 105
- 229920000515 polycarbonate Polymers 0.000 claims abstract description 104
- 150000003839 salts Chemical class 0.000 claims abstract description 103
- 150000002009 diols Chemical class 0.000 claims abstract description 92
- 150000001875 compounds Chemical class 0.000 claims abstract description 82
- 150000002894 organic compounds Chemical class 0.000 claims abstract description 72
- OAICVXFJPJFONN-UHFFFAOYSA-N Phosphorus Chemical compound [P] OAICVXFJPJFONN-UHFFFAOYSA-N 0.000 claims abstract description 69
- 229910052698 phosphorus Inorganic materials 0.000 claims abstract description 69
- 239000011574 phosphorus Substances 0.000 claims abstract description 69
- 230000002378 acidificating effect Effects 0.000 claims abstract description 60
- 229920000642 polymer Polymers 0.000 claims abstract description 58
- IJGRMHOSHXDMSA-UHFFFAOYSA-N Atomic nitrogen Chemical compound N#N IJGRMHOSHXDMSA-UHFFFAOYSA-N 0.000 claims abstract description 56
- 229910052757 nitrogen Inorganic materials 0.000 claims abstract description 42
- 238000006243 chemical reaction Methods 0.000 claims abstract description 36
- OFOBLEOULBTSOW-UHFFFAOYSA-N Malonic acid Chemical compound OC(=O)CC(O)=O OFOBLEOULBTSOW-UHFFFAOYSA-N 0.000 claims abstract description 18
- 150000002148 esters Chemical class 0.000 claims abstract description 17
- 239000003863 metallic catalyst Substances 0.000 claims abstract description 15
- 125000006552 (C3-C8) cycloalkyl group Chemical group 0.000 claims description 151
- 229910052739 hydrogen Inorganic materials 0.000 claims description 112
- 239000001257 hydrogen Substances 0.000 claims description 112
- QPFMBZIOSGYJDE-UHFFFAOYSA-N 1,1,2,2-tetrachloroethane Chemical compound ClC(Cl)C(Cl)Cl QPFMBZIOSGYJDE-UHFFFAOYSA-N 0.000 claims description 68
- 125000003118 aryl group Chemical group 0.000 claims description 61
- 125000001072 heteroaryl group Chemical group 0.000 claims description 53
- 125000004433 nitrogen atom Chemical group N* 0.000 claims description 48
- LYCAIKOWRPUZTN-UHFFFAOYSA-N Ethylene glycol Chemical group OCCO LYCAIKOWRPUZTN-UHFFFAOYSA-N 0.000 claims description 47
- 125000004435 hydrogen atom Chemical group [H]* 0.000 claims description 46
- KKEYFWRCBNTPAC-UHFFFAOYSA-N terephthalic acid group Chemical group C(C1=CC=C(C(=O)O)C=C1)(=O)O KKEYFWRCBNTPAC-UHFFFAOYSA-N 0.000 claims description 42
- ISIJQEHRDSCQIU-UHFFFAOYSA-N tert-butyl 2,7-diazaspiro[4.5]decane-7-carboxylate Chemical compound C1N(C(=O)OC(C)(C)C)CCCC11CNCC1 ISIJQEHRDSCQIU-UHFFFAOYSA-N 0.000 claims description 42
- -1 succinimido group Chemical group 0.000 claims description 41
- ISWSIDIOOBJBQZ-UHFFFAOYSA-N Phenol Chemical compound OC1=CC=CC=C1 ISWSIDIOOBJBQZ-UHFFFAOYSA-N 0.000 claims description 38
- YIMQCDZDWXUDCA-UHFFFAOYSA-N [4-(hydroxymethyl)cyclohexyl]methanol Chemical group OCC1CCC(CO)CC1 YIMQCDZDWXUDCA-UHFFFAOYSA-N 0.000 claims description 36
- 125000004437 phosphorous atom Chemical group 0.000 claims description 31
- 125000004406 C3-C8 cycloalkylene group Chemical group 0.000 claims description 29
- 125000000732 arylene group Chemical group 0.000 claims description 29
- QQVIHTHCMHWDBS-UHFFFAOYSA-N isophthalic acid Chemical group OC(=O)C1=CC=CC(C(O)=O)=C1 QQVIHTHCMHWDBS-UHFFFAOYSA-N 0.000 claims description 25
- NBIIXXVUZAFLBC-UHFFFAOYSA-N Phosphoric acid Chemical compound OP(O)(O)=O NBIIXXVUZAFLBC-UHFFFAOYSA-N 0.000 claims description 24
- 150000002830 nitrogen compounds Chemical class 0.000 claims description 24
- 150000003254 radicals Chemical class 0.000 claims description 23
- PXGZQGDTEZPERC-UHFFFAOYSA-N 1,4-cyclohexanedicarboxylic acid Chemical group OC(=O)C1CCC(C(O)=O)CC1 PXGZQGDTEZPERC-UHFFFAOYSA-N 0.000 claims description 17
- 125000001424 substituent group Chemical group 0.000 claims description 17
- UFHFLCQGNIYNRP-UHFFFAOYSA-N Hydrogen Chemical compound [H][H] UFHFLCQGNIYNRP-UHFFFAOYSA-N 0.000 claims description 15
- 229910052719 titanium Inorganic materials 0.000 claims description 15
- JUJWROOIHBZHMG-UHFFFAOYSA-N Pyridine Chemical group C1=CC=NC=C1 JUJWROOIHBZHMG-UHFFFAOYSA-N 0.000 claims description 14
- ORLQHILJRHBSAY-UHFFFAOYSA-N [1-(hydroxymethyl)cyclohexyl]methanol Chemical group OCC1(CO)CCCCC1 ORLQHILJRHBSAY-UHFFFAOYSA-N 0.000 claims description 14
- 125000005647 linker group Chemical group 0.000 claims description 14
- 239000012141 concentrate Substances 0.000 claims description 13
- 229910000147 aluminium phosphate Inorganic materials 0.000 claims description 12
- 125000002496 methyl group Chemical group [H]C([H])([H])* 0.000 claims description 12
- 229920000402 bisphenol A polycarbonate polymer Polymers 0.000 claims description 10
- 229910017464 nitrogen compound Inorganic materials 0.000 claims description 9
- 150000003018 phosphorus compounds Chemical class 0.000 claims description 8
- 229920000137 polyphosphoric acid Polymers 0.000 claims description 7
- 125000004836 hexamethylene group Chemical group [H]C([H])([*:2])C([H])([H])C([H])([H])C([H])([H])C([H])([H])C([H])([H])[*:1] 0.000 claims description 6
- 125000004573 morpholin-4-yl group Chemical group N1(CCOCC1)* 0.000 claims description 6
- 125000002887 hydroxy group Chemical group [H]O* 0.000 claims description 4
- 150000002431 hydrogen Chemical group 0.000 claims 51
- 125000000217 alkyl group Chemical group 0.000 claims 9
- 0 CP1(=O)OCC2(CO1)COP(C)(=O)OC2.OP1OCC2(CO1)COP(O)OC2.[1*]OP(=O)(O)O[2*].[1*]OP(=O)(O)O[2*].[1*]OP(=O)(O[2*])O[H].[1*]OP(O)O[2*] Chemical compound CP1(=O)OCC2(CO1)COP(C)(=O)OC2.OP1OCC2(CO1)COP(O)OC2.[1*]OP(=O)(O)O[2*].[1*]OP(=O)(O)O[2*].[1*]OP(=O)(O[2*])O[H].[1*]OP(O)O[2*] 0.000 description 58
- 150000001412 amines Chemical class 0.000 description 33
- 238000000034 method Methods 0.000 description 32
- 239000002253 acid Substances 0.000 description 27
- 239000008188 pellet Substances 0.000 description 27
- 239000000126 substance Substances 0.000 description 27
- 239000003054 catalyst Substances 0.000 description 24
- 239000004611 light stabiliser Substances 0.000 description 21
- 239000000654 additive Substances 0.000 description 19
- XITRBUPOXXBIJN-UHFFFAOYSA-N bis(2,2,6,6-tetramethylpiperidin-4-yl) decanedioate Chemical compound C1C(C)(C)NC(C)(C)CC1OC(=O)CCCCCCCCC(=O)OC1CC(C)(C)NC(C)(C)C1 XITRBUPOXXBIJN-UHFFFAOYSA-N 0.000 description 19
- ORECYURYFJYPKY-UHFFFAOYSA-N n,n'-bis(2,2,6,6-tetramethylpiperidin-4-yl)hexane-1,6-diamine;2,4,6-trichloro-1,3,5-triazine;2,4,4-trimethylpentan-2-amine Chemical compound CC(C)(C)CC(C)(C)N.ClC1=NC(Cl)=NC(Cl)=N1.C1C(C)(C)NC(C)(C)CC1NCCCCCCNC1CC(C)(C)NC(C)(C)C1 ORECYURYFJYPKY-UHFFFAOYSA-N 0.000 description 18
- 229910052751 metal Inorganic materials 0.000 description 17
- 239000002184 metal Substances 0.000 description 17
- OJMIONKXNSYLSR-UHFFFAOYSA-N phosphorous acid Chemical class OP(O)O OJMIONKXNSYLSR-UHFFFAOYSA-N 0.000 description 17
- ZMANZCXQSJIPKH-UHFFFAOYSA-N Triethylamine Chemical compound CCN(CC)CC ZMANZCXQSJIPKH-UHFFFAOYSA-N 0.000 description 15
- JLZIIHMTTRXXIN-UHFFFAOYSA-N 2-(2-hydroxy-4-methoxybenzoyl)benzoic acid Chemical compound OC1=CC(OC)=CC=C1C(=O)C1=CC=CC=C1C(O)=O JLZIIHMTTRXXIN-UHFFFAOYSA-N 0.000 description 13
- 229920002959 polymer blend Polymers 0.000 description 11
- 230000000052 comparative effect Effects 0.000 description 10
- 230000008569 process Effects 0.000 description 10
- XLYOFNOQVPJJNP-UHFFFAOYSA-N water Substances O XLYOFNOQVPJJNP-UHFFFAOYSA-N 0.000 description 10
- YXFVVABEGXRONW-UHFFFAOYSA-N Toluene Chemical compound CC1=CC=CC=C1 YXFVVABEGXRONW-UHFFFAOYSA-N 0.000 description 9
- 230000000996 additive effect Effects 0.000 description 9
- 239000003381 stabilizer Substances 0.000 description 9
- OWXXKGVQBCBSFJ-UHFFFAOYSA-N 6-n-[3-[[4,6-bis[butyl-(1,2,2,6,6-pentamethylpiperidin-4-yl)amino]-1,3,5-triazin-2-yl]-[2-[[4,6-bis[butyl-(1,2,2,6,6-pentamethylpiperidin-4-yl)amino]-1,3,5-triazin-2-yl]-[3-[[4,6-bis[butyl-(1,2,2,6,6-pentamethylpiperidin-4-yl)amino]-1,3,5-triazin-2-yl]ami Chemical compound N=1C(NCCCN(CCN(CCCNC=2N=C(N=C(N=2)N(CCCC)C2CC(C)(C)N(C)C(C)(C)C2)N(CCCC)C2CC(C)(C)N(C)C(C)(C)C2)C=2N=C(N=C(N=2)N(CCCC)C2CC(C)(C)N(C)C(C)(C)C2)N(CCCC)C2CC(C)(C)N(C)C(C)(C)C2)C=2N=C(N=C(N=2)N(CCCC)C2CC(C)(C)N(C)C(C)(C)C2)N(CCCC)C2CC(C)(C)N(C)C(C)(C)C2)=NC(N(CCCC)C2CC(C)(C)N(C)C(C)(C)C2)=NC=1N(CCCC)C1CC(C)(C)N(C)C(C)(C)C1 OWXXKGVQBCBSFJ-UHFFFAOYSA-N 0.000 description 8
- WYURNTSHIVDZCO-UHFFFAOYSA-N Tetrahydrofuran Chemical compound C1CCOC1 WYURNTSHIVDZCO-UHFFFAOYSA-N 0.000 description 8
- 239000006085 branching agent Substances 0.000 description 8
- 229910052736 halogen Inorganic materials 0.000 description 8
- 150000002367 halogens Chemical class 0.000 description 8
- 239000011572 manganese Substances 0.000 description 8
- 238000005809 transesterification reaction Methods 0.000 description 8
- 125000004191 (C1-C6) alkoxy group Chemical group 0.000 description 7
- 239000004793 Polystyrene Substances 0.000 description 7
- 239000006096 absorbing agent Substances 0.000 description 7
- 150000007513 acids Chemical class 0.000 description 7
- 125000004432 carbon atom Chemical group C* 0.000 description 7
- 239000000463 material Substances 0.000 description 7
- 239000002530 phenolic antioxidant Substances 0.000 description 7
- 125000004169 (C1-C6) alkyl group Chemical group 0.000 description 6
- KFZMGEQAYNKOFK-UHFFFAOYSA-N Isopropanol Chemical compound CC(C)O KFZMGEQAYNKOFK-UHFFFAOYSA-N 0.000 description 6
- 238000005260 corrosion Methods 0.000 description 6
- 230000007797 corrosion Effects 0.000 description 6
- MTHSVFCYNBDYFN-UHFFFAOYSA-N diethylene glycol Chemical compound OCCOCCO MTHSVFCYNBDYFN-UHFFFAOYSA-N 0.000 description 6
- UAOMVDZJSHZZME-UHFFFAOYSA-N diisopropylamine Chemical compound CC(C)NC(C)C UAOMVDZJSHZZME-UHFFFAOYSA-N 0.000 description 6
- 238000011156 evaluation Methods 0.000 description 6
- 230000003301 hydrolyzing effect Effects 0.000 description 6
- 125000004356 hydroxy functional group Chemical group O* 0.000 description 5
- 239000004570 mortar (masonry) Substances 0.000 description 5
- 229920002223 polystyrene Polymers 0.000 description 5
- 239000000843 powder Substances 0.000 description 5
- 238000003756 stirring Methods 0.000 description 5
- WKBOTKDWSSQWDR-UHFFFAOYSA-N Bromine atom Chemical compound [Br] WKBOTKDWSSQWDR-UHFFFAOYSA-N 0.000 description 4
- BVKZGUZCCUSVTD-UHFFFAOYSA-L Carbonate Chemical compound [O-]C([O-])=O BVKZGUZCCUSVTD-UHFFFAOYSA-L 0.000 description 4
- IMNFDUFMRHMDMM-UHFFFAOYSA-N N-Heptane Chemical compound CCCCCCC IMNFDUFMRHMDMM-UHFFFAOYSA-N 0.000 description 4
- YGYAWVDWMABLBF-UHFFFAOYSA-N Phosgene Chemical compound ClC(Cl)=O YGYAWVDWMABLBF-UHFFFAOYSA-N 0.000 description 4
- ATUOYWHBWRKTHZ-UHFFFAOYSA-N Propane Chemical compound CCC ATUOYWHBWRKTHZ-UHFFFAOYSA-N 0.000 description 4
- QAOWNCQODCNURD-UHFFFAOYSA-N Sulfuric acid Chemical compound OS(O)(=O)=O QAOWNCQODCNURD-UHFFFAOYSA-N 0.000 description 4
- IISBACLAFKSPIT-UHFFFAOYSA-N bisphenol A Chemical compound C=1C=C(O)C=CC=1C(C)(C)C1=CC=C(O)C=C1 IISBACLAFKSPIT-UHFFFAOYSA-N 0.000 description 4
- GDTBXPJZTBHREO-UHFFFAOYSA-N bromine Substances BrBr GDTBXPJZTBHREO-UHFFFAOYSA-N 0.000 description 4
- 229910052794 bromium Inorganic materials 0.000 description 4
- WERYXYBDKMZEQL-UHFFFAOYSA-N butane-1,4-diol Chemical compound OCCCCO WERYXYBDKMZEQL-UHFFFAOYSA-N 0.000 description 4
- 239000003086 colorant Substances 0.000 description 4
- PFURGBBHAOXLIO-UHFFFAOYSA-N cyclohexane-1,2-diol Chemical compound OC1CCCCC1O PFURGBBHAOXLIO-UHFFFAOYSA-N 0.000 description 4
- 230000000694 effects Effects 0.000 description 4
- 239000010408 film Substances 0.000 description 4
- 238000002156 mixing Methods 0.000 description 4
- 238000002360 preparation method Methods 0.000 description 4
- 239000000047 product Substances 0.000 description 4
- 230000009467 reduction Effects 0.000 description 4
- 239000000243 solution Substances 0.000 description 4
- YLQBMQCUIZJEEH-UHFFFAOYSA-N tetrahydrofuran Natural products C=1C=COC=1 YLQBMQCUIZJEEH-UHFFFAOYSA-N 0.000 description 4
- 239000010936 titanium Substances 0.000 description 4
- JYEUMXHLPRZUAT-UHFFFAOYSA-N 1,2,3-triazine Chemical compound C1=CN=NN=C1 JYEUMXHLPRZUAT-UHFFFAOYSA-N 0.000 description 3
- ZAMOUSCENKQFHK-UHFFFAOYSA-N Chlorine atom Chemical compound [Cl] ZAMOUSCENKQFHK-UHFFFAOYSA-N 0.000 description 3
- FBPFZTCFMRRESA-KVTDHHQDSA-N D-Mannitol Chemical compound OC[C@@H](O)[C@@H](O)[C@H](O)[C@H](O)CO FBPFZTCFMRRESA-KVTDHHQDSA-N 0.000 description 3
- YMWUJEATGCHHMB-UHFFFAOYSA-N Dichloromethane Chemical compound ClCCl YMWUJEATGCHHMB-UHFFFAOYSA-N 0.000 description 3
- OKKJLVBELUTLKV-UHFFFAOYSA-N Methanol Chemical compound OC OKKJLVBELUTLKV-UHFFFAOYSA-N 0.000 description 3
- JLTDJTHDQAWBAV-UHFFFAOYSA-N N,N-dimethylaniline Chemical compound CN(C)C1=CC=CC=C1 JLTDJTHDQAWBAV-UHFFFAOYSA-N 0.000 description 3
- 229910045601 alloy Inorganic materials 0.000 description 3
- 239000000956 alloy Substances 0.000 description 3
- 239000003963 antioxidant agent Substances 0.000 description 3
- 239000000460 chlorine Substances 0.000 description 3
- 229910052801 chlorine Inorganic materials 0.000 description 3
- KRKNYBCHXYNGOX-UHFFFAOYSA-N citric acid Chemical compound OC(=O)CC(O)(C(O)=O)CC(O)=O KRKNYBCHXYNGOX-UHFFFAOYSA-N 0.000 description 3
- 230000007423 decrease Effects 0.000 description 3
- 150000001991 dicarboxylic acids Chemical class 0.000 description 3
- 239000003063 flame retardant Substances 0.000 description 3
- 239000011521 glass Substances 0.000 description 3
- 239000007924 injection Substances 0.000 description 3
- 238000002347 injection Methods 0.000 description 3
- 150000007522 mineralic acids Chemical class 0.000 description 3
- 150000002989 phenols Chemical class 0.000 description 3
- 125000001997 phenyl group Chemical group [H]C1=C([H])C([H])=C(*)C([H])=C1[H] 0.000 description 3
- 239000000049 pigment Substances 0.000 description 3
- 239000004597 plastic additive Substances 0.000 description 3
- UMJSCPRVCHMLSP-UHFFFAOYSA-N pyridine Natural products COC1=CC=CN=C1 UMJSCPRVCHMLSP-UHFFFAOYSA-N 0.000 description 3
- 239000002904 solvent Substances 0.000 description 3
- 230000000087 stabilizing effect Effects 0.000 description 3
- 238000012360 testing method Methods 0.000 description 3
- DNIAPMSPPWPWGF-VKHMYHEASA-N (+)-propylene glycol Chemical compound C[C@H](O)CO DNIAPMSPPWPWGF-VKHMYHEASA-N 0.000 description 2
- JMUOXOJMXILBTE-UHFFFAOYSA-N (2,2,6,6-tetramethylpiperidin-4-yl) octadecanoate Chemical compound CCCCCCCCCCCCCCCCCC(=O)OC1CC(C)(C)NC(C)(C)C1 JMUOXOJMXILBTE-UHFFFAOYSA-N 0.000 description 2
- DNIAPMSPPWPWGF-GSVOUGTGSA-N (R)-(-)-Propylene glycol Chemical compound C[C@@H](O)CO DNIAPMSPPWPWGF-GSVOUGTGSA-N 0.000 description 2
- VNQNXQYZMPJLQX-UHFFFAOYSA-N 1,3,5-tris[(3,5-ditert-butyl-4-hydroxyphenyl)methyl]-1,3,5-triazinane-2,4,6-trione Chemical compound CC(C)(C)C1=C(O)C(C(C)(C)C)=CC(CN2C(N(CC=3C=C(C(O)=C(C=3)C(C)(C)C)C(C)(C)C)C(=O)N(CC=3C=C(C(O)=C(C=3)C(C)(C)C)C(C)(C)C)C2=O)=O)=C1 VNQNXQYZMPJLQX-UHFFFAOYSA-N 0.000 description 2
- YPFDHNVEDLHUCE-UHFFFAOYSA-N 1,3-propanediol Substances OCCCO YPFDHNVEDLHUCE-UHFFFAOYSA-N 0.000 description 2
- 229940035437 1,3-propanediol Drugs 0.000 description 2
- OYNOCRWQLLIRON-UHFFFAOYSA-N 1-n,3-n-bis(2,2,6,6-tetramethylpiperidin-4-yl)benzene-1,3-dicarboxamide Chemical compound C1C(C)(C)NC(C)(C)CC1NC(=O)C1=CC=CC(C(=O)NC2CC(C)(C)NC(C)(C)C2)=C1 OYNOCRWQLLIRON-UHFFFAOYSA-N 0.000 description 2
- RKMGAJGJIURJSJ-UHFFFAOYSA-N 2,2,6,6-tetramethylpiperidine Chemical compound CC1(C)CCCC(C)(C)N1 RKMGAJGJIURJSJ-UHFFFAOYSA-N 0.000 description 2
- LCZVSXRMYJUNFX-UHFFFAOYSA-N 2-[2-(2-hydroxypropoxy)propoxy]propan-1-ol Chemical compound CC(O)COC(C)COC(C)CO LCZVSXRMYJUNFX-UHFFFAOYSA-N 0.000 description 2
- GUCMKIKYKIHUTM-UHFFFAOYSA-N 3,3,5,5-tetramethyl-1-[2-(3,3,5,5-tetramethyl-2-oxopiperazin-1-yl)ethyl]piperazin-2-one Chemical compound O=C1C(C)(C)NC(C)(C)CN1CCN1C(=O)C(C)(C)NC(C)(C)C1 GUCMKIKYKIHUTM-UHFFFAOYSA-N 0.000 description 2
- AIBRSVLEQRWAEG-UHFFFAOYSA-N 3,9-bis(2,4-ditert-butylphenoxy)-2,4,8,10-tetraoxa-3,9-diphosphaspiro[5.5]undecane Chemical compound CC(C)(C)C1=CC(C(C)(C)C)=CC=C1OP1OCC2(COP(OC=3C(=CC(=CC=3)C(C)(C)C)C(C)(C)C)OC2)CO1 AIBRSVLEQRWAEG-UHFFFAOYSA-N 0.000 description 2
- PZRWFKGUFWPFID-UHFFFAOYSA-N 3,9-dioctadecoxy-2,4,8,10-tetraoxa-3,9-diphosphaspiro[5.5]undecane Chemical compound C1OP(OCCCCCCCCCCCCCCCCCC)OCC21COP(OCCCCCCCCCCCCCCCCCC)OC2 PZRWFKGUFWPFID-UHFFFAOYSA-N 0.000 description 2
- SAEZGDDJKSBNPT-UHFFFAOYSA-N 3-dodecyl-1-(1,2,2,6,6-pentamethylpiperidin-4-yl)pyrrolidine-2,5-dione Chemical compound O=C1C(CCCCCCCCCCCC)CC(=O)N1C1CC(C)(C)N(C)C(C)(C)C1 SAEZGDDJKSBNPT-UHFFFAOYSA-N 0.000 description 2
- FBIXXCXCZOZFCO-UHFFFAOYSA-N 3-dodecyl-1-(2,2,6,6-tetramethylpiperidin-4-yl)pyrrolidine-2,5-dione Chemical compound O=C1C(CCCCCCCCCCCC)CC(=O)N1C1CC(C)(C)NC(C)(C)C1 FBIXXCXCZOZFCO-UHFFFAOYSA-N 0.000 description 2
- CDBAMNGURPMUTG-UHFFFAOYSA-N 4-[2-(4-hydroxycyclohexyl)propan-2-yl]cyclohexan-1-ol Chemical compound C1CC(O)CCC1C(C)(C)C1CCC(O)CC1 CDBAMNGURPMUTG-UHFFFAOYSA-N 0.000 description 2
- VSAWBBYYMBQKIK-UHFFFAOYSA-N 4-[[3,5-bis[(3,5-ditert-butyl-4-hydroxyphenyl)methyl]-2,4,6-trimethylphenyl]methyl]-2,6-ditert-butylphenol Chemical compound CC1=C(CC=2C=C(C(O)=C(C=2)C(C)(C)C)C(C)(C)C)C(C)=C(CC=2C=C(C(O)=C(C=2)C(C)(C)C)C(C)(C)C)C(C)=C1CC1=CC(C(C)(C)C)=C(O)C(C(C)(C)C)=C1 VSAWBBYYMBQKIK-UHFFFAOYSA-N 0.000 description 2
- 239000004215 Carbon black (E152) Substances 0.000 description 2
- FMRHJJZUHUTGKE-UHFFFAOYSA-N Ethylhexyl salicylate Chemical compound CCCCC(CC)COC(=O)C1=CC=CC=C1O FMRHJJZUHUTGKE-UHFFFAOYSA-N 0.000 description 2
- PXGOKWXKJXAPGV-UHFFFAOYSA-N Fluorine Chemical compound FF PXGOKWXKJXAPGV-UHFFFAOYSA-N 0.000 description 2
- DHMQDGOQFOQNFH-UHFFFAOYSA-N Glycine Chemical compound NCC(O)=O DHMQDGOQFOQNFH-UHFFFAOYSA-N 0.000 description 2
- KLDXJTOLSGUMSJ-JGWLITMVSA-N Isosorbide Chemical compound O[C@@H]1CO[C@@H]2[C@@H](O)CO[C@@H]21 KLDXJTOLSGUMSJ-JGWLITMVSA-N 0.000 description 2
- YNAVUWVOSKDBBP-UHFFFAOYSA-N Morpholine Chemical class C1COCCN1 YNAVUWVOSKDBBP-UHFFFAOYSA-N 0.000 description 2
- PXHVJJICTQNCMI-UHFFFAOYSA-N Nickel Chemical compound [Ni] PXHVJJICTQNCMI-UHFFFAOYSA-N 0.000 description 2
- 229910019142 PO4 Inorganic materials 0.000 description 2
- JKIJEFPNVSHHEI-UHFFFAOYSA-N Phenol, 2,4-bis(1,1-dimethylethyl)-, phosphite (3:1) Chemical compound CC(C)(C)C1=CC(C(C)(C)C)=CC=C1OP(OC=1C(=CC(=CC=1)C(C)(C)C)C(C)(C)C)OC1=CC=C(C(C)(C)C)C=C1C(C)(C)C JKIJEFPNVSHHEI-UHFFFAOYSA-N 0.000 description 2
- NQRYJNQNLNOLGT-UHFFFAOYSA-N Piperidine Chemical class C1CCNCC1 NQRYJNQNLNOLGT-UHFFFAOYSA-N 0.000 description 2
- NINIDFKCEFEMDL-UHFFFAOYSA-N Sulfur Chemical compound [S] NINIDFKCEFEMDL-UHFFFAOYSA-N 0.000 description 2
- GWEVSGVZZGPLCZ-UHFFFAOYSA-N Titan oxide Chemical compound O=[Ti]=O GWEVSGVZZGPLCZ-UHFFFAOYSA-N 0.000 description 2
- RTAQQCXQSZGOHL-UHFFFAOYSA-N Titanium Chemical compound [Ti] RTAQQCXQSZGOHL-UHFFFAOYSA-N 0.000 description 2
- XLOMVQKBTHCTTD-UHFFFAOYSA-N Zinc monoxide Chemical compound [Zn]=O XLOMVQKBTHCTTD-UHFFFAOYSA-N 0.000 description 2
- BGYHLZZASRKEJE-UHFFFAOYSA-N [3-[3-(3,5-ditert-butyl-4-hydroxyphenyl)propanoyloxy]-2,2-bis[3-(3,5-ditert-butyl-4-hydroxyphenyl)propanoyloxymethyl]propyl] 3-(3,5-ditert-butyl-4-hydroxyphenyl)propanoate Chemical compound CC(C)(C)C1=C(O)C(C(C)(C)C)=CC(CCC(=O)OCC(COC(=O)CCC=2C=C(C(O)=C(C=2)C(C)(C)C)C(C)(C)C)(COC(=O)CCC=2C=C(C(O)=C(C=2)C(C)(C)C)C(C)(C)C)COC(=O)CCC=2C=C(C(O)=C(C=2)C(C)(C)C)C(C)(C)C)=C1 BGYHLZZASRKEJE-UHFFFAOYSA-N 0.000 description 2
- WNLRTRBMVRJNCN-UHFFFAOYSA-N adipic acid Chemical compound OC(=O)CCCCC(O)=O WNLRTRBMVRJNCN-UHFFFAOYSA-N 0.000 description 2
- 229910052784 alkaline earth metal Inorganic materials 0.000 description 2
- 150000007514 bases Chemical class 0.000 description 2
- QMKYBPDZANOJGF-UHFFFAOYSA-N benzene-1,3,5-tricarboxylic acid Chemical compound OC(=O)C1=CC(C(O)=O)=CC(C(O)=O)=C1 QMKYBPDZANOJGF-UHFFFAOYSA-N 0.000 description 2
- 230000015572 biosynthetic process Effects 0.000 description 2
- CMXLJKWFEJEFJE-UHFFFAOYSA-N bis(1,2,2,6,6-pentamethylpiperidin-4-yl) 2-[(4-methoxyphenyl)methylidene]propanedioate Chemical compound C1=CC(OC)=CC=C1C=C(C(=O)OC1CC(C)(C)N(C)C(C)(C)C1)C(=O)OC1CC(C)(C)N(C)C(C)(C)C1 CMXLJKWFEJEFJE-UHFFFAOYSA-N 0.000 description 2
- FLPKSBDJMLUTEX-UHFFFAOYSA-N bis(1,2,2,6,6-pentamethylpiperidin-4-yl) 2-butyl-2-[(3,5-ditert-butyl-4-hydroxyphenyl)methyl]propanedioate Chemical compound C1C(C)(C)N(C)C(C)(C)CC1OC(=O)C(C(=O)OC1CC(C)(C)N(C)C(C)(C)C1)(CCCC)CC1=CC(C(C)(C)C)=C(O)C(C(C)(C)C)=C1 FLPKSBDJMLUTEX-UHFFFAOYSA-N 0.000 description 2
- PXKLMJQFEQBVLD-UHFFFAOYSA-N bisphenol F Chemical compound C1=CC(O)=CC=C1CC1=CC=C(O)C=C1 PXKLMJQFEQBVLD-UHFFFAOYSA-N 0.000 description 2
- 239000007795 chemical reaction product Substances 0.000 description 2
- PMMYEEVYMWASQN-IMJSIDKUSA-N cis-4-Hydroxy-L-proline Chemical compound O[C@@H]1CN[C@H](C(O)=O)C1 PMMYEEVYMWASQN-IMJSIDKUSA-N 0.000 description 2
- 238000009833 condensation Methods 0.000 description 2
- 230000005494 condensation Effects 0.000 description 2
- 125000004093 cyano group Chemical group *C#N 0.000 description 2
- PGRHXDWITVMQBC-UHFFFAOYSA-N dehydroacetic acid Chemical compound CC(=O)C1C(=O)OC(C)=CC1=O PGRHXDWITVMQBC-UHFFFAOYSA-N 0.000 description 2
- 230000001627 detrimental effect Effects 0.000 description 2
- 229940043279 diisopropylamine Drugs 0.000 description 2
- GBOJXOZBXODHLW-UHFFFAOYSA-N dimethyl-[methyl-[3-(2,2,6,6-tetramethylpiperidin-4-yl)oxypropyl]-trimethylsilyloxysilyl]oxy-trimethylsilyloxysilane Chemical compound CC1(C)CC(OCCC[Si](C)(O[Si](C)(C)C)O[Si](C)(C)O[Si](C)(C)C)CC(C)(C)N1 GBOJXOZBXODHLW-UHFFFAOYSA-N 0.000 description 2
- SZXQTJUDPRGNJN-UHFFFAOYSA-N dipropylene glycol Chemical compound OCCCOCCCO SZXQTJUDPRGNJN-UHFFFAOYSA-N 0.000 description 2
- 229910052731 fluorine Inorganic materials 0.000 description 2
- 239000011737 fluorine Substances 0.000 description 2
- XXMIOPMDWAUFGU-UHFFFAOYSA-N hexane-1,6-diol Chemical compound OCCCCCCO XXMIOPMDWAUFGU-UHFFFAOYSA-N 0.000 description 2
- 239000012456 homogeneous solution Substances 0.000 description 2
- 229930195733 hydrocarbon Natural products 0.000 description 2
- 125000004029 hydroxymethyl group Chemical group [H]OC([H])([H])* 0.000 description 2
- 230000006872 improvement Effects 0.000 description 2
- 239000012535 impurity Substances 0.000 description 2
- 238000011068 loading method Methods 0.000 description 2
- 238000012423 maintenance Methods 0.000 description 2
- 229910052748 manganese Inorganic materials 0.000 description 2
- 235000010355 mannitol Nutrition 0.000 description 2
- 239000003550 marker Substances 0.000 description 2
- 238000005259 measurement Methods 0.000 description 2
- VNWKTOKETHGBQD-UHFFFAOYSA-N methane Chemical compound C VNWKTOKETHGBQD-UHFFFAOYSA-N 0.000 description 2
- OSWPMRLSEDHDFF-UHFFFAOYSA-N methyl salicylate Chemical compound COC(=O)C1=CC=CC=C1O OSWPMRLSEDHDFF-UHFFFAOYSA-N 0.000 description 2
- 239000000178 monomer Substances 0.000 description 2
- DNIAPMSPPWPWGF-UHFFFAOYSA-N monopropylene glycol Natural products CC(O)CO DNIAPMSPPWPWGF-UHFFFAOYSA-N 0.000 description 2
- GMBXBKNMMIWUED-UHFFFAOYSA-N n-(2,2,6,6-tetramethylpiperidin-4-yl)-3-[(2,2,6,6-tetramethylpiperidin-4-yl)amino]propanamide Chemical compound C1C(C)(C)NC(C)(C)CC1NCCC(=O)NC1CC(C)(C)NC(C)(C)C1 GMBXBKNMMIWUED-UHFFFAOYSA-N 0.000 description 2
- UONLDZHKYCFZRW-UHFFFAOYSA-N n-[6-[formyl-(2,2,6,6-tetramethylpiperidin-4-yl)amino]hexyl]-n-(2,2,6,6-tetramethylpiperidin-4-yl)formamide Chemical compound C1C(C)(C)NC(C)(C)CC1N(C=O)CCCCCCN(C=O)C1CC(C)(C)NC(C)(C)C1 UONLDZHKYCFZRW-UHFFFAOYSA-N 0.000 description 2
- SLCVBVWXLSEKPL-UHFFFAOYSA-N neopentyl glycol Chemical compound OCC(C)(C)CO SLCVBVWXLSEKPL-UHFFFAOYSA-N 0.000 description 2
- 125000002347 octyl group Chemical group [H]C([*])([H])C([H])([H])C([H])([H])C([H])([H])C([H])([H])C([H])([H])C([H])([H])C([H])([H])[H] 0.000 description 2
- 125000004430 oxygen atom Chemical group O* 0.000 description 2
- 235000021317 phosphate Nutrition 0.000 description 2
- AQSJGOWTSHOLKH-UHFFFAOYSA-N phosphite(3-) Chemical class [O-]P([O-])[O-] AQSJGOWTSHOLKH-UHFFFAOYSA-N 0.000 description 2
- 150000003013 phosphoric acid derivatives Chemical class 0.000 description 2
- 238000006116 polymerization reaction Methods 0.000 description 2
- 229920000166 polytrimethylene carbonate Polymers 0.000 description 2
- 239000002243 precursor Substances 0.000 description 2
- 239000001294 propane Substances 0.000 description 2
- 235000013772 propylene glycol Nutrition 0.000 description 2
- CYIDZMCFTVVTJO-UHFFFAOYSA-N pyromellitic acid Chemical compound OC(=O)C1=CC(C(O)=O)=C(C(O)=O)C=C1C(O)=O CYIDZMCFTVVTJO-UHFFFAOYSA-N 0.000 description 2
- 229930195734 saturated hydrocarbon Natural products 0.000 description 2
- CXMXRPHRNRROMY-UHFFFAOYSA-N sebacic acid Chemical compound OC(=O)CCCCCCCCC(O)=O CXMXRPHRNRROMY-UHFFFAOYSA-N 0.000 description 2
- 239000002002 slurry Substances 0.000 description 2
- 239000007787 solid Substances 0.000 description 2
- 239000011343 solid material Substances 0.000 description 2
- 229910052717 sulfur Inorganic materials 0.000 description 2
- 239000011593 sulfur Substances 0.000 description 2
- 230000001629 suppression Effects 0.000 description 2
- 150000003512 tertiary amines Chemical group 0.000 description 2
- OLBWDGJTEXRJLY-UHFFFAOYSA-N tetradecyl 3-(2,2,4,4-tetramethyl-21-oxo-7-oxa-3,20-diazadispiro[5.1.11^{8}.2^{6}]henicosan-20-yl)propanoate Chemical compound O1C2(CCCCCCCCCCC2)N(CCC(=O)OCCCCCCCCCCCCCC)C(=O)C21CC(C)(C)NC(C)(C)C2 OLBWDGJTEXRJLY-UHFFFAOYSA-N 0.000 description 2
- WGTYBPLFGIVFAS-UHFFFAOYSA-M tetramethylammonium hydroxide Chemical compound [OH-].C[N+](C)(C)C WGTYBPLFGIVFAS-UHFFFAOYSA-M 0.000 description 2
- 239000010409 thin film Substances 0.000 description 2
- ZIBGPFATKBEMQZ-UHFFFAOYSA-N triethylene glycol Chemical compound OCCOCCOCCO ZIBGPFATKBEMQZ-UHFFFAOYSA-N 0.000 description 2
- 229940124543 ultraviolet light absorber Drugs 0.000 description 2
- RSJKGSCJYJTIGS-UHFFFAOYSA-N undecane Chemical compound CCCCCCCCCCC RSJKGSCJYJTIGS-UHFFFAOYSA-N 0.000 description 2
- HJIAMFHSAAEUKR-UHFFFAOYSA-N (2-hydroxyphenyl)-phenylmethanone Chemical compound OC1=CC=CC=C1C(=O)C1=CC=CC=C1 HJIAMFHSAAEUKR-UHFFFAOYSA-N 0.000 description 1
- BYEAHWXPCBROCE-UHFFFAOYSA-N 1,1,1,3,3,3-hexafluoropropan-2-ol Chemical compound FC(F)(F)C(O)C(F)(F)F BYEAHWXPCBROCE-UHFFFAOYSA-N 0.000 description 1
- 125000004516 1,2,4-thiadiazol-5-yl group Chemical group S1N=CN=C1* 0.000 description 1
- 125000004509 1,3,4-oxadiazol-2-yl group Chemical group O1C(=NN=C1)* 0.000 description 1
- 125000004521 1,3,4-thiadiazol-2-yl group Chemical group S1C(=NN=C1)* 0.000 description 1
- MPQNFNSSRBYRRH-UHFFFAOYSA-N 1-[2-[[4,6-bis[cyclohexyl-[2-(3,3,4,5,5-pentamethyl-2-oxopiperazin-1-yl)ethyl]amino]-1,3,5-triazin-2-yl]-cyclohexylamino]ethyl]-3,3,4,5,5-pentamethylpiperazin-2-one Chemical compound O=C1C(C)(C)N(C)C(C)(C)CN1CCN(C=1N=C(N=C(N=1)N(CCN1C(C(C)(C)N(C)C(C)(C)C1)=O)C1CCCCC1)N(CCN1C(C(C)(C)N(C)C(C)(C)C1)=O)C1CCCCC1)C1CCCCC1 MPQNFNSSRBYRRH-UHFFFAOYSA-N 0.000 description 1
- VPYDVGWWXAYRPP-UHFFFAOYSA-N 1-[2-[[4,6-bis[cyclohexyl-[2-(3,3,5,5-tetramethyl-2-oxopiperazin-1-yl)ethyl]amino]-1,3,5-triazin-2-yl]-cyclohexylamino]ethyl]-3,3,5,5-tetramethylpiperazin-2-one Chemical compound O=C1C(C)(C)NC(C)(C)CN1CCN(C=1N=C(N=C(N=1)N(CCN1C(C(C)(C)NC(C)(C)C1)=O)C1CCCCC1)N(CCN1C(C(C)(C)NC(C)(C)C1)=O)C1CCCCC1)C1CCCCC1 VPYDVGWWXAYRPP-UHFFFAOYSA-N 0.000 description 1
- RTBFRGCFXZNCOE-UHFFFAOYSA-N 1-methylsulfonylpiperidin-4-one Chemical compound CS(=O)(=O)N1CCC(=O)CC1 RTBFRGCFXZNCOE-UHFFFAOYSA-N 0.000 description 1
- KZURVTKPVNKEKH-UHFFFAOYSA-N 109423-00-9 Chemical compound C1C(C)(C)NC(C)(C)CC1N1CN2C(=O)N3CN(C4CC(C)(C)NC(C)(C)C4)CN(C4=O)C3C2N4C1 KZURVTKPVNKEKH-UHFFFAOYSA-N 0.000 description 1
- FQXGHZNSUOHCLO-UHFFFAOYSA-N 2,2,4,4-tetramethyl-1,3-cyclobutanediol Chemical compound CC1(C)C(O)C(C)(C)C1O FQXGHZNSUOHCLO-UHFFFAOYSA-N 0.000 description 1
- IVVLFHBYPHTMJU-UHFFFAOYSA-N 2,2,4,4-tetramethyl-7-oxa-3,20-diazadispiro[5.1.11^{8}.2^{6}]henicosan-21-one Chemical compound C1C(C)(C)NC(C)(C)CC21C(=O)NC1(CCCCCCCCCCC1)O2 IVVLFHBYPHTMJU-UHFFFAOYSA-N 0.000 description 1
- UTNSTOOXQPHXJQ-UHFFFAOYSA-N 2-[4-[4-(2-hydroxyethoxy)phenyl]sulfonylphenoxy]ethanol Chemical compound C1=CC(OCCO)=CC=C1S(=O)(=O)C1=CC=C(OCCO)C=C1 UTNSTOOXQPHXJQ-UHFFFAOYSA-N 0.000 description 1
- 125000004174 2-benzimidazolyl group Chemical group [H]N1C(*)=NC2=C([H])C([H])=C([H])C([H])=C12 0.000 description 1
- 125000002941 2-furyl group Chemical group O1C([*])=C([H])C([H])=C1[H] 0.000 description 1
- 125000004105 2-pyridyl group Chemical group N1=C([*])C([H])=C([H])C([H])=C1[H] 0.000 description 1
- 125000000389 2-pyrrolyl group Chemical group [H]N1C([*])=C([H])C([H])=C1[H] 0.000 description 1
- 125000000175 2-thienyl group Chemical group S1C([*])=C([H])C([H])=C1[H] 0.000 description 1
- YMTYZTXUZLQUSF-UHFFFAOYSA-N 3,3'-Dimethylbisphenol A Chemical compound C1=C(O)C(C)=CC(C(C)(C)C=2C=C(C)C(O)=CC=2)=C1 YMTYZTXUZLQUSF-UHFFFAOYSA-N 0.000 description 1
- 125000003682 3-furyl group Chemical group O1C([H])=C([*])C([H])=C1[H] 0.000 description 1
- WTKWFNIIIXNTDO-UHFFFAOYSA-N 3-isocyanato-5-methyl-2-(trifluoromethyl)furan Chemical compound CC1=CC(N=C=O)=C(C(F)(F)F)O1 WTKWFNIIIXNTDO-UHFFFAOYSA-N 0.000 description 1
- 125000003349 3-pyridyl group Chemical group N1=C([H])C([*])=C([H])C([H])=C1[H] 0.000 description 1
- 125000001397 3-pyrrolyl group Chemical group [H]N1C([H])=C([*])C([H])=C1[H] 0.000 description 1
- 125000001541 3-thienyl group Chemical group S1C([H])=C([*])C([H])=C1[H] 0.000 description 1
- MLDIQALUMKMHCC-UHFFFAOYSA-N 4,4-Bis(4-hydroxyphenyl)heptane Chemical compound C=1C=C(O)C=CC=1C(CCC)(CCC)C1=CC=C(O)C=C1 MLDIQALUMKMHCC-UHFFFAOYSA-N 0.000 description 1
- SWZOQAGVRGQLDV-UHFFFAOYSA-N 4-[2-(4-hydroxy-2,2,6,6-tetramethylpiperidin-1-yl)ethoxy]-4-oxobutanoic acid Chemical compound CC1(C)CC(O)CC(C)(C)N1CCOC(=O)CCC(O)=O SWZOQAGVRGQLDV-UHFFFAOYSA-N 0.000 description 1
- YXHRTMJUSBVGMX-UHFFFAOYSA-N 4-n-butyl-2-n,4-n-bis(2,2,6,6-tetramethylpiperidin-4-yl)-2-n-[6-[(2,2,6,6-tetramethylpiperidin-4-yl)amino]hexyl]-1,3,5-triazine-2,4-diamine Chemical compound N=1C=NC(N(CCCCCCNC2CC(C)(C)NC(C)(C)C2)C2CC(C)(C)NC(C)(C)C2)=NC=1N(CCCC)C1CC(C)(C)NC(C)(C)C1 YXHRTMJUSBVGMX-UHFFFAOYSA-N 0.000 description 1
- 125000000339 4-pyridyl group Chemical group N1=C([H])C([H])=C([*])C([H])=C1[H] 0.000 description 1
- QHPQWRBYOIRBIT-UHFFFAOYSA-N 4-tert-butylphenol Chemical class CC(C)(C)C1=CC=C(O)C=C1 QHPQWRBYOIRBIT-UHFFFAOYSA-N 0.000 description 1
- ZCYVEMRRCGMTRW-UHFFFAOYSA-N 7553-56-2 Chemical compound [I] ZCYVEMRRCGMTRW-UHFFFAOYSA-N 0.000 description 1
- BVKZGUZCCUSVTD-UHFFFAOYSA-M Bicarbonate Chemical compound OC([O-])=O BVKZGUZCCUSVTD-UHFFFAOYSA-M 0.000 description 1
- UFUXYBBEQBOCEM-UHFFFAOYSA-M CO[Y]OC(C)=O Chemical compound CO[Y]OC(C)=O UFUXYBBEQBOCEM-UHFFFAOYSA-M 0.000 description 1
- VYZAMTAEIAYCRO-UHFFFAOYSA-N Chromium Chemical compound [Cr] VYZAMTAEIAYCRO-UHFFFAOYSA-N 0.000 description 1
- 239000004287 Dehydroacetic acid Substances 0.000 description 1
- VGGSQFUCUMXWEO-UHFFFAOYSA-N Ethene Chemical compound C=C VGGSQFUCUMXWEO-UHFFFAOYSA-N 0.000 description 1
- 239000005977 Ethylene Substances 0.000 description 1
- 239000004471 Glycine Substances 0.000 description 1
- 239000004609 Impact Modifier Substances 0.000 description 1
- 229920004042 Makrolon® 2608 Polymers 0.000 description 1
- PWHULOQIROXLJO-UHFFFAOYSA-N Manganese Chemical compound [Mn] PWHULOQIROXLJO-UHFFFAOYSA-N 0.000 description 1
- 229930195725 Mannitol Natural products 0.000 description 1
- OKIZCWYLBDKLSU-UHFFFAOYSA-M N,N,N-Trimethylmethanaminium chloride Chemical compound [Cl-].C[N+](C)(C)C OKIZCWYLBDKLSU-UHFFFAOYSA-M 0.000 description 1
- 239000006057 Non-nutritive feed additive Substances 0.000 description 1
- NBIIXXVUZAFLBC-UHFFFAOYSA-L Phosphate ion(2-) Chemical compound OP([O-])([O-])=O NBIIXXVUZAFLBC-UHFFFAOYSA-L 0.000 description 1
- 241000872198 Serjania polyphylla Species 0.000 description 1
- KDYFGRWQOYBRFD-UHFFFAOYSA-N Succinic acid Natural products OC(=O)CCC(O)=O KDYFGRWQOYBRFD-UHFFFAOYSA-N 0.000 description 1
- LSNNMFCWUKXFEE-UHFFFAOYSA-N Sulfurous acid Chemical compound OS(O)=O LSNNMFCWUKXFEE-UHFFFAOYSA-N 0.000 description 1
- HCHKCACWOHOZIP-UHFFFAOYSA-N Zinc Chemical compound [Zn] HCHKCACWOHOZIP-UHFFFAOYSA-N 0.000 description 1
- XDODWINGEHBYRT-UHFFFAOYSA-N [2-(hydroxymethyl)cyclohexyl]methanol Chemical compound OCC1CCCCC1CO XDODWINGEHBYRT-UHFFFAOYSA-N 0.000 description 1
- LUSFFPXRDZKBMF-UHFFFAOYSA-N [3-(hydroxymethyl)cyclohexyl]methanol Chemical compound OCC1CCCC(CO)C1 LUSFFPXRDZKBMF-UHFFFAOYSA-N 0.000 description 1
- BEIOEBMXPVYLRY-UHFFFAOYSA-N [4-[4-bis(2,4-ditert-butylphenoxy)phosphanylphenyl]phenyl]-bis(2,4-ditert-butylphenoxy)phosphane Chemical compound CC(C)(C)C1=CC(C(C)(C)C)=CC=C1OP(C=1C=CC(=CC=1)C=1C=CC(=CC=1)P(OC=1C(=CC(=CC=1)C(C)(C)C)C(C)(C)C)OC=1C(=CC(=CC=1)C(C)(C)C)C(C)(C)C)OC1=CC=C(C(C)(C)C)C=C1C(C)(C)C BEIOEBMXPVYLRY-UHFFFAOYSA-N 0.000 description 1
- 238000005903 acid hydrolysis reaction Methods 0.000 description 1
- NIXOWILDQLNWCW-UHFFFAOYSA-N acrylic acid group Chemical group C(C=C)(=O)O NIXOWILDQLNWCW-UHFFFAOYSA-N 0.000 description 1
- 125000004423 acyloxy group Chemical group 0.000 description 1
- 239000001361 adipic acid Substances 0.000 description 1
- 235000011037 adipic acid Nutrition 0.000 description 1
- 125000002723 alicyclic group Chemical group 0.000 description 1
- 125000001931 aliphatic group Chemical group 0.000 description 1
- 239000003513 alkali Substances 0.000 description 1
- 150000001342 alkaline earth metals Chemical class 0.000 description 1
- 229920000180 alkyd Polymers 0.000 description 1
- 150000003973 alkyl amines Chemical class 0.000 description 1
- 125000005907 alkyl ester group Chemical group 0.000 description 1
- 125000002947 alkylene group Chemical group 0.000 description 1
- 150000003868 ammonium compounds Chemical class 0.000 description 1
- 150000008064 anhydrides Chemical class 0.000 description 1
- JFCQEDHGNNZCLN-UHFFFAOYSA-N anhydrous glutaric acid Natural products OC(=O)CCCC(O)=O JFCQEDHGNNZCLN-UHFFFAOYSA-N 0.000 description 1
- 125000002178 anthracenyl group Chemical group C1(=CC=CC2=CC3=CC=CC=C3C=C12)* 0.000 description 1
- 125000005428 anthryl group Chemical group [H]C1=C([H])C([H])=C2C([H])=C3C(*)=C([H])C([H])=C([H])C3=C([H])C2=C1[H] 0.000 description 1
- 229910052787 antimony Inorganic materials 0.000 description 1
- WATWJIUSRGPENY-UHFFFAOYSA-N antimony atom Chemical compound [Sb] WATWJIUSRGPENY-UHFFFAOYSA-N 0.000 description 1
- 238000013459 approach Methods 0.000 description 1
- 238000000149 argon plasma sintering Methods 0.000 description 1
- 150000005840 aryl radicals Chemical class 0.000 description 1
- QVGXLLKOCUKJST-UHFFFAOYSA-N atomic oxygen Chemical compound [O] QVGXLLKOCUKJST-UHFFFAOYSA-N 0.000 description 1
- QVQLCTNNEUAWMS-UHFFFAOYSA-N barium oxide Chemical compound [Ba]=O QVQLCTNNEUAWMS-UHFFFAOYSA-N 0.000 description 1
- 229910001864 baryta Inorganic materials 0.000 description 1
- FDQSRULYDNDXQB-UHFFFAOYSA-N benzene-1,3-dicarbonyl chloride Chemical compound ClC(=O)C1=CC=CC(C(Cl)=O)=C1 FDQSRULYDNDXQB-UHFFFAOYSA-N 0.000 description 1
- 125000004190 benzothiazol-2-yl group Chemical group [H]C1=C([H])C([H])=C2N=C(*)SC2=C1[H] 0.000 description 1
- KXHPPCXNWTUNSB-UHFFFAOYSA-M benzyl(trimethyl)azanium;chloride Chemical compound [Cl-].C[N+](C)(C)CC1=CC=CC=C1 KXHPPCXNWTUNSB-UHFFFAOYSA-M 0.000 description 1
- RSOILICUEWXSLA-UHFFFAOYSA-N bis(1,2,2,6,6-pentamethylpiperidin-4-yl) decanedioate Chemical compound C1C(C)(C)N(C)C(C)(C)CC1OC(=O)CCCCCCCCC(=O)OC1CC(C)(C)N(C)C(C)(C)C1 RSOILICUEWXSLA-UHFFFAOYSA-N 0.000 description 1
- VCYAMSXIIWQHKV-UHFFFAOYSA-N bis(2,3,4-tribromophenyl) carbonate Chemical compound BrC1=C(Br)C(Br)=CC=C1OC(=O)OC1=CC=C(Br)C(Br)=C1Br VCYAMSXIIWQHKV-UHFFFAOYSA-N 0.000 description 1
- DSEORJACOQDMQX-UHFFFAOYSA-N bis(2,3,4-trichlorophenyl) carbonate Chemical compound ClC1=C(Cl)C(Cl)=CC=C1OC(=O)OC1=CC=C(Cl)C(Cl)=C1Cl DSEORJACOQDMQX-UHFFFAOYSA-N 0.000 description 1
- SJWFGMZZMOUDTF-UHFFFAOYSA-N bis(2-chloronaphthalen-1-yl) carbonate Chemical compound C1=CC=C2C(OC(=O)OC3=C4C=CC=CC4=CC=C3Cl)=C(Cl)C=CC2=C1 SJWFGMZZMOUDTF-UHFFFAOYSA-N 0.000 description 1
- POZGCGJFBOZPCM-UHFFFAOYSA-N bis(2-methylphenyl) carbonate Chemical compound CC1=CC=CC=C1OC(=O)OC1=CC=CC=C1C POZGCGJFBOZPCM-UHFFFAOYSA-N 0.000 description 1
- KDYFGRWQOYBRFD-NUQCWPJISA-N butanedioic acid Chemical compound O[14C](=O)CC[14C](O)=O KDYFGRWQOYBRFD-NUQCWPJISA-N 0.000 description 1
- 125000000484 butyl group Chemical group [H]C([*])([H])C([H])([H])C([H])([H])C([H])([H])[H] 0.000 description 1
- IKWKJIWDLVYZIY-UHFFFAOYSA-M butyl(triphenyl)phosphanium;bromide Chemical compound [Br-].C=1C=CC=CC=1[P+](C=1C=CC=CC=1)(CCCC)C1=CC=CC=C1 IKWKJIWDLVYZIY-UHFFFAOYSA-M 0.000 description 1
- YYRMJZQKEFZXMX-UHFFFAOYSA-L calcium bis(dihydrogenphosphate) Chemical compound [Ca+2].OP(O)([O-])=O.OP(O)([O-])=O YYRMJZQKEFZXMX-UHFFFAOYSA-L 0.000 description 1
- 229940062672 calcium dihydrogen phosphate Drugs 0.000 description 1
- 239000001506 calcium phosphate Substances 0.000 description 1
- 229910000389 calcium phosphate Inorganic materials 0.000 description 1
- 235000011010 calcium phosphates Nutrition 0.000 description 1
- MMCOUVMKNAHQOY-UHFFFAOYSA-N carbonoperoxoic acid Chemical class OOC(O)=O MMCOUVMKNAHQOY-UHFFFAOYSA-N 0.000 description 1
- MOIPGXQKZSZOQX-UHFFFAOYSA-N carbonyl bromide Chemical compound BrC(Br)=O MOIPGXQKZSZOQX-UHFFFAOYSA-N 0.000 description 1
- 229910052804 chromium Inorganic materials 0.000 description 1
- 239000011651 chromium Substances 0.000 description 1
- 238000000576 coating method Methods 0.000 description 1
- 229910017052 cobalt Inorganic materials 0.000 description 1
- 239000010941 cobalt Substances 0.000 description 1
- GUTLYIVDDKVIGB-UHFFFAOYSA-N cobalt atom Chemical compound [Co] GUTLYIVDDKVIGB-UHFFFAOYSA-N 0.000 description 1
- 238000006482 condensation reaction Methods 0.000 description 1
- 239000000356 contaminant Substances 0.000 description 1
- XBZSBBLNHFMTEB-UHFFFAOYSA-N cyclohexane-1,3-dicarboxylic acid Chemical compound OC(=O)C1CCCC(C(O)=O)C1 XBZSBBLNHFMTEB-UHFFFAOYSA-N 0.000 description 1
- HPXRVTGHNJAIIH-UHFFFAOYSA-N cyclohexanol Chemical compound OC1CCCCC1 HPXRVTGHNJAIIH-UHFFFAOYSA-N 0.000 description 1
- WJTCGQSWYFHTAC-UHFFFAOYSA-N cyclooctane Chemical group C1CCCCCCC1 WJTCGQSWYFHTAC-UHFFFAOYSA-N 0.000 description 1
- 230000009849 deactivation Effects 0.000 description 1
- 229940061632 dehydroacetic acid Drugs 0.000 description 1
- 235000019258 dehydroacetic acid Nutrition 0.000 description 1
- 239000008367 deionised water Substances 0.000 description 1
- 229910021641 deionized water Inorganic materials 0.000 description 1
- 230000002939 deleterious effect Effects 0.000 description 1
- PCYQQSKDZQTOQG-NXEZZACHSA-N dibutyl (2r,3r)-2,3-dihydroxybutanedioate Chemical compound CCCCOC(=O)[C@H](O)[C@@H](O)C(=O)OCCCC PCYQQSKDZQTOQG-NXEZZACHSA-N 0.000 description 1
- 150000005690 diesters Chemical class 0.000 description 1
- CJOJIAKIRLKBOO-UHFFFAOYSA-N dimethyl 2-hydroxybenzene-1,4-dicarboxylate Chemical compound COC(=O)C1=CC=C(C(=O)OC)C(O)=C1 CJOJIAKIRLKBOO-UHFFFAOYSA-N 0.000 description 1
- 125000000118 dimethyl group Chemical group [H]C([H])([H])* 0.000 description 1
- ZQUZPFYNEARCQO-UHFFFAOYSA-N dinaphthalen-1-yl carbonate Chemical compound C1=CC=C2C(OC(OC=3C4=CC=CC=C4C=CC=3)=O)=CC=CC2=C1 ZQUZPFYNEARCQO-UHFFFAOYSA-N 0.000 description 1
- ROORDVPLFPIABK-UHFFFAOYSA-N diphenyl carbonate Chemical compound C=1C=CC=CC=1OC(=O)OC1=CC=CC=C1 ROORDVPLFPIABK-UHFFFAOYSA-N 0.000 description 1
- LTYMSROWYAPPGB-UHFFFAOYSA-N diphenyl sulfide Chemical compound C=1C=CC=CC=1SC1=CC=CC=C1 LTYMSROWYAPPGB-UHFFFAOYSA-N 0.000 description 1
- 230000032050 esterification Effects 0.000 description 1
- 238000005886 esterification reaction Methods 0.000 description 1
- 125000001495 ethyl group Chemical group [H]C([H])([H])C([H])([H])* 0.000 description 1
- 239000000835 fiber Substances 0.000 description 1
- 239000000945 filler Substances 0.000 description 1
- 239000012065 filter cake Substances 0.000 description 1
- 238000005227 gel permeation chromatography Methods 0.000 description 1
- 125000003827 glycol group Chemical group 0.000 description 1
- 150000002334 glycols Chemical class 0.000 description 1
- 150000004820 halides Chemical class 0.000 description 1
- 125000005059 halophenyl group Chemical group 0.000 description 1
- 238000010438 heat treatment Methods 0.000 description 1
- 125000003187 heptyl group Chemical group [H]C([*])([H])C([H])([H])C([H])([H])C([H])([H])C([H])([H])C([H])([H])C([H])([H])[H] 0.000 description 1
- 125000005842 heteroatom Chemical group 0.000 description 1
- 125000004051 hexyl group Chemical group [H]C([H])([H])C([H])([H])C([H])([H])C([H])([H])C([H])([H])C([H])([H])* 0.000 description 1
- 230000007062 hydrolysis Effects 0.000 description 1
- 238000006460 hydrolysis reaction Methods 0.000 description 1
- XLYOFNOQVPJJNP-UHFFFAOYSA-M hydroxide Chemical compound [OH-] XLYOFNOQVPJJNP-UHFFFAOYSA-M 0.000 description 1
- WGCNASOHLSPBMP-UHFFFAOYSA-N hydroxyacetaldehyde Natural products OCC=O WGCNASOHLSPBMP-UHFFFAOYSA-N 0.000 description 1
- 239000005457 ice water Substances 0.000 description 1
- 125000003037 imidazol-2-yl group Chemical group [H]N1C([*])=NC([H])=C1[H] 0.000 description 1
- 230000000415 inactivating effect Effects 0.000 description 1
- 230000002401 inhibitory effect Effects 0.000 description 1
- PNDPGZBMCMUPRI-UHFFFAOYSA-N iodine Chemical compound II PNDPGZBMCMUPRI-UHFFFAOYSA-N 0.000 description 1
- 239000011630 iodine Substances 0.000 description 1
- 229910052740 iodine Inorganic materials 0.000 description 1
- 125000000959 isobutyl group Chemical group [H]C([H])([H])C([H])(C([H])([H])[H])C([H])([H])* 0.000 description 1
- 125000001449 isopropyl group Chemical group [H]C([H])([H])C([H])(*)C([H])([H])[H] 0.000 description 1
- 229960002479 isosorbide Drugs 0.000 description 1
- 125000004501 isothiazol-5-yl group Chemical group S1N=CC=C1* 0.000 description 1
- 238000012417 linear regression Methods 0.000 description 1
- VZCYOOQTPOCHFL-UPHRSURJSA-N maleic acid Chemical compound OC(=O)\C=C/C(O)=O VZCYOOQTPOCHFL-UPHRSURJSA-N 0.000 description 1
- 239000011976 maleic acid Substances 0.000 description 1
- WPBNNNQJVZRUHP-UHFFFAOYSA-L manganese(2+);methyl n-[[2-(methoxycarbonylcarbamothioylamino)phenyl]carbamothioyl]carbamate;n-[2-(sulfidocarbothioylamino)ethyl]carbamodithioate Chemical compound [Mn+2].[S-]C(=S)NCCNC([S-])=S.COC(=O)NC(=S)NC1=CC=CC=C1NC(=S)NC(=O)OC WPBNNNQJVZRUHP-UHFFFAOYSA-L 0.000 description 1
- 239000000594 mannitol Substances 0.000 description 1
- 238000004519 manufacturing process Methods 0.000 description 1
- 238000010128 melt processing Methods 0.000 description 1
- 229910052976 metal sulfide Inorganic materials 0.000 description 1
- 229960001047 methyl salicylate Drugs 0.000 description 1
- LSEFCHWGJNHZNT-UHFFFAOYSA-M methyl(triphenyl)phosphanium;bromide Chemical compound [Br-].C=1C=CC=CC=1[P+](C=1C=CC=CC=1)(C)C1=CC=CC=C1 LSEFCHWGJNHZNT-UHFFFAOYSA-M 0.000 description 1
- 238000012986 modification Methods 0.000 description 1
- 230000004048 modification Effects 0.000 description 1
- 235000019691 monocalcium phosphate Nutrition 0.000 description 1
- 235000019799 monosodium phosphate Nutrition 0.000 description 1
- 229910000403 monosodium phosphate Inorganic materials 0.000 description 1
- 150000002780 morpholines Chemical class 0.000 description 1
- 238000000465 moulding Methods 0.000 description 1
- TVIDDXQYHWJXFK-UHFFFAOYSA-N n-Dodecanedioic acid Natural products OC(=O)CCCCCCCCCCC(O)=O TVIDDXQYHWJXFK-UHFFFAOYSA-N 0.000 description 1
- RXOHFPCZGPKIRD-UHFFFAOYSA-N naphthalene-2,6-dicarboxylic acid Chemical compound C1=C(C(O)=O)C=CC2=CC(C(=O)O)=CC=C21 RXOHFPCZGPKIRD-UHFFFAOYSA-N 0.000 description 1
- 125000001624 naphthyl group Chemical group 0.000 description 1
- 125000001971 neopentyl group Chemical group [H]C([*])([H])C(C([H])([H])[H])(C([H])([H])[H])C([H])([H])[H] 0.000 description 1
- 229910052759 nickel Inorganic materials 0.000 description 1
- QJGQUHMNIGDVPM-UHFFFAOYSA-N nitrogen group Chemical group [N] QJGQUHMNIGDVPM-UHFFFAOYSA-N 0.000 description 1
- 150000007524 organic acids Chemical class 0.000 description 1
- 150000002903 organophosphorus compounds Chemical class 0.000 description 1
- 229910052760 oxygen Inorganic materials 0.000 description 1
- 239000001301 oxygen Substances 0.000 description 1
- 239000002245 particle Substances 0.000 description 1
- WXZMFSXDPGVJKK-UHFFFAOYSA-N pentaerythritol Chemical compound OCC(CO)(CO)CO WXZMFSXDPGVJKK-UHFFFAOYSA-N 0.000 description 1
- 125000001147 pentyl group Chemical group C(CCCC)* 0.000 description 1
- NBIIXXVUZAFLBC-UHFFFAOYSA-K phosphate Chemical compound [O-]P([O-])([O-])=O NBIIXXVUZAFLBC-UHFFFAOYSA-K 0.000 description 1
- 239000010452 phosphate Substances 0.000 description 1
- XRBCRPZXSCBRTK-UHFFFAOYSA-N phosphonous acid Chemical compound OPO XRBCRPZXSCBRTK-UHFFFAOYSA-N 0.000 description 1
- 150000003016 phosphoric acids Chemical class 0.000 description 1
- 150000003053 piperidines Chemical class 0.000 description 1
- 239000004014 plasticizer Substances 0.000 description 1
- 238000006068 polycondensation reaction Methods 0.000 description 1
- 229920005862 polyol Polymers 0.000 description 1
- 150000003077 polyols Chemical class 0.000 description 1
- 239000002244 precipitate Substances 0.000 description 1
- 238000001556 precipitation Methods 0.000 description 1
- 238000012545 processing Methods 0.000 description 1
- 125000001436 propyl group Chemical group [H]C([*])([H])C([H])([H])C([H])([H])[H] 0.000 description 1
- 150000003222 pyridines Chemical class 0.000 description 1
- 150000004023 quaternary phosphonium compounds Chemical class 0.000 description 1
- 125000005493 quinolyl group Chemical group 0.000 description 1
- 239000011541 reaction mixture Substances 0.000 description 1
- 102220067365 rs143592561 Human genes 0.000 description 1
- YIKQLNRXIWIZFA-UHFFFAOYSA-N silyl dihydrogen phosphate Chemical class OP(O)(=O)O[SiH3] YIKQLNRXIWIZFA-UHFFFAOYSA-N 0.000 description 1
- AJPJDKMHJJGVTQ-UHFFFAOYSA-M sodium dihydrogen phosphate Chemical compound [Na+].OP(O)([O-])=O AJPJDKMHJJGVTQ-UHFFFAOYSA-M 0.000 description 1
- 239000001488 sodium phosphate Substances 0.000 description 1
- 229910001220 stainless steel Inorganic materials 0.000 description 1
- 238000000967 suction filtration Methods 0.000 description 1
- 150000003467 sulfuric acid derivatives Chemical class 0.000 description 1
- LXEJRKJRKIFVNY-UHFFFAOYSA-N terephthaloyl chloride Chemical compound ClC(=O)C1=CC=C(C(Cl)=O)C=C1 LXEJRKJRKIFVNY-UHFFFAOYSA-N 0.000 description 1
- 125000000999 tert-butyl group Chemical group [H]C([H])([H])C(*)(C([H])([H])[H])C([H])([H])[H] 0.000 description 1
- DPKBAXPHAYBPRL-UHFFFAOYSA-M tetrabutylazanium;iodide Chemical compound [I-].CCCC[N+](CCCC)(CCCC)CCCC DPKBAXPHAYBPRL-UHFFFAOYSA-M 0.000 description 1
- 150000000000 tetracarboxylic acids Chemical class 0.000 description 1
- HQHCYKULIHKCEB-UHFFFAOYSA-N tetradecanedioic acid Natural products OC(=O)CCCCCCCCCCCCC(O)=O HQHCYKULIHKCEB-UHFFFAOYSA-N 0.000 description 1
- HWCKGOZZJDHMNC-UHFFFAOYSA-M tetraethylammonium bromide Chemical compound [Br-].CC[N+](CC)(CC)CC HWCKGOZZJDHMNC-UHFFFAOYSA-M 0.000 description 1
- KCSOHLKZTZMKQA-UHFFFAOYSA-M tetraheptylazanium;iodide Chemical compound [I-].CCCCCCC[N+](CCCCCCC)(CCCCCCC)CCCCCCC KCSOHLKZTZMKQA-UHFFFAOYSA-M 0.000 description 1
- WUPCFMITFBVJMS-UHFFFAOYSA-N tetrakis(1,2,2,6,6-pentamethylpiperidin-4-yl) butane-1,2,3,4-tetracarboxylate Chemical compound C1C(C)(C)N(C)C(C)(C)CC1OC(=O)CC(C(=O)OC1CC(C)(C)N(C)C(C)(C)C1)C(C(=O)OC1CC(C)(C)N(C)C(C)(C)C1)CC(=O)OC1CC(C)(C)N(C)C(C)(C)C1 WUPCFMITFBVJMS-UHFFFAOYSA-N 0.000 description 1
- BGQMOFGZRJUORO-UHFFFAOYSA-M tetrapropylammonium bromide Chemical compound [Br-].CCC[N+](CCC)(CCC)CCC BGQMOFGZRJUORO-UHFFFAOYSA-M 0.000 description 1
- 229920001169 thermoplastic Polymers 0.000 description 1
- 229920001187 thermosetting polymer Polymers 0.000 description 1
- 239000004416 thermosoftening plastic Substances 0.000 description 1
- VZCYOOQTPOCHFL-UHFFFAOYSA-N trans-butenedioic acid Natural products OC(=O)C=CC(O)=O VZCYOOQTPOCHFL-UHFFFAOYSA-N 0.000 description 1
- IMFACGCPASFAPR-UHFFFAOYSA-N tributylamine Chemical compound CCCCN(CCCC)CCCC IMFACGCPASFAPR-UHFFFAOYSA-N 0.000 description 1
- QORWJWZARLRLPR-UHFFFAOYSA-H tricalcium bis(phosphate) Chemical class [Ca+2].[Ca+2].[Ca+2].[O-]P([O-])([O-])=O.[O-]P([O-])([O-])=O QORWJWZARLRLPR-UHFFFAOYSA-H 0.000 description 1
- 150000003628 tricarboxylic acids Chemical class 0.000 description 1
- HNJXPTMEWIVQQM-UHFFFAOYSA-M triethyl(hexadecyl)azanium;bromide Chemical compound [Br-].CCCCCCCCCCCCCCCC[N+](CC)(CC)CC HNJXPTMEWIVQQM-UHFFFAOYSA-M 0.000 description 1
- 125000002023 trifluoromethyl group Chemical group FC(F)(F)* 0.000 description 1
- SRPWOOOHEPICQU-UHFFFAOYSA-N trimellitic anhydride Chemical compound OC(=O)C1=CC=C2C(=O)OC(=O)C2=C1 SRPWOOOHEPICQU-UHFFFAOYSA-N 0.000 description 1
- 150000004072 triols Chemical class 0.000 description 1
- YFTHZRPMJXBUME-UHFFFAOYSA-N tripropylamine Chemical compound CCCN(CCC)CCC YFTHZRPMJXBUME-UHFFFAOYSA-N 0.000 description 1
- 239000011701 zinc Substances 0.000 description 1
- 229910052725 zinc Inorganic materials 0.000 description 1
- 235000016804 zinc Nutrition 0.000 description 1
- 229940118149 zinc sulfate monohydrate Drugs 0.000 description 1
- RNZCSKGULNFAMC-UHFFFAOYSA-L zinc;hydrogen sulfate;hydroxide Chemical compound O.[Zn+2].[O-]S([O-])(=O)=O RNZCSKGULNFAMC-UHFFFAOYSA-L 0.000 description 1
Classifications
-
- C—CHEMISTRY; METALLURGY
- C08—ORGANIC MACROMOLECULAR COMPOUNDS; THEIR PREPARATION OR CHEMICAL WORKING-UP; COMPOSITIONS BASED THEREON
- C08L—COMPOSITIONS OF MACROMOLECULAR COMPOUNDS
- C08L67/00—Compositions of polyesters obtained by reactions forming a carboxylic ester link in the main chain; Compositions of derivatives of such polymers
- C08L67/02—Polyesters derived from dicarboxylic acids and dihydroxy compounds
-
- C—CHEMISTRY; METALLURGY
- C08—ORGANIC MACROMOLECULAR COMPOUNDS; THEIR PREPARATION OR CHEMICAL WORKING-UP; COMPOSITIONS BASED THEREON
- C08L—COMPOSITIONS OF MACROMOLECULAR COMPOUNDS
- C08L69/00—Compositions of polycarbonates; Compositions of derivatives of polycarbonates
-
- C—CHEMISTRY; METALLURGY
- C08—ORGANIC MACROMOLECULAR COMPOUNDS; THEIR PREPARATION OR CHEMICAL WORKING-UP; COMPOSITIONS BASED THEREON
- C08G—MACROMOLECULAR COMPOUNDS OBTAINED OTHERWISE THAN BY REACTIONS ONLY INVOLVING UNSATURATED CARBON-TO-CARBON BONDS
- C08G63/00—Macromolecular compounds obtained by reactions forming a carboxylic ester link in the main chain of the macromolecule
- C08G63/02—Polyesters derived from hydroxycarboxylic acids or from polycarboxylic acids and polyhydroxy compounds
- C08G63/12—Polyesters derived from hydroxycarboxylic acids or from polycarboxylic acids and polyhydroxy compounds derived from polycarboxylic acids and polyhydroxy compounds
- C08G63/16—Dicarboxylic acids and dihydroxy compounds
- C08G63/20—Polyesters having been prepared in the presence of compounds having one reactive group or more than two reactive groups
-
- C—CHEMISTRY; METALLURGY
- C08—ORGANIC MACROMOLECULAR COMPOUNDS; THEIR PREPARATION OR CHEMICAL WORKING-UP; COMPOSITIONS BASED THEREON
- C08K—Use of inorganic or non-macromolecular organic substances as compounding ingredients
- C08K5/00—Use of organic ingredients
- C08K5/16—Nitrogen-containing compounds
- C08K5/34—Heterocyclic compounds having nitrogen in the ring
-
- C—CHEMISTRY; METALLURGY
- C08—ORGANIC MACROMOLECULAR COMPOUNDS; THEIR PREPARATION OR CHEMICAL WORKING-UP; COMPOSITIONS BASED THEREON
- C08K—Use of inorganic or non-macromolecular organic substances as compounding ingredients
- C08K5/00—Use of organic ingredients
- C08K5/49—Phosphorus-containing compounds
- C08K5/51—Phosphorus bound to oxygen
- C08K5/52—Phosphorus bound to oxygen only
- C08K5/5205—Salts of P-acids with N-bases
-
- C—CHEMISTRY; METALLURGY
- C08—ORGANIC MACROMOLECULAR COMPOUNDS; THEIR PREPARATION OR CHEMICAL WORKING-UP; COMPOSITIONS BASED THEREON
- C08K—Use of inorganic or non-macromolecular organic substances as compounding ingredients
- C08K5/00—Use of organic ingredients
- C08K5/49—Phosphorus-containing compounds
- C08K5/51—Phosphorus bound to oxygen
- C08K5/52—Phosphorus bound to oxygen only
- C08K5/524—Esters of phosphorous acids, e.g. of H3PO3
-
- C—CHEMISTRY; METALLURGY
- C08—ORGANIC MACROMOLECULAR COMPOUNDS; THEIR PREPARATION OR CHEMICAL WORKING-UP; COMPOSITIONS BASED THEREON
- C08K—Use of inorganic or non-macromolecular organic substances as compounding ingredients
- C08K5/00—Use of organic ingredients
- C08K5/49—Phosphorus-containing compounds
- C08K5/51—Phosphorus bound to oxygen
- C08K5/53—Phosphorus bound to oxygen bound to oxygen and to carbon only
- C08K5/5393—Phosphonous compounds, e.g. R—P(OR')2
-
- C—CHEMISTRY; METALLURGY
- C08—ORGANIC MACROMOLECULAR COMPOUNDS; THEIR PREPARATION OR CHEMICAL WORKING-UP; COMPOSITIONS BASED THEREON
- C08L—COMPOSITIONS OF MACROMOLECULAR COMPOUNDS
- C08L2205/00—Polymer mixtures characterised by other features
- C08L2205/02—Polymer mixtures characterised by other features containing two or more polymers of the same C08L -group
Definitions
- This invention relates to a polymer composition
- a polymer composition comprising (A) at least one polyester prepared by the reaction of at least one diol with at least one dicarboxylic acid/or dialkyl ester thereof in the presence of a metallic catalyst; and (B) a salt composed of at least one suitable phosphorus-containing acid and at least one suitable basic organic compound, such as a hindered amine light stabilizer.
- a second embodiment of the present invention pertains to a blend of (A) at least one polyester prepared by the reaction of at least one diol with at least one dicarboxylic acid/or dialkyl ester thereof in the presence of a metallic catalyst; (B) a salt composed of at least one suitable phosphorus-containing acid and at least one suitable basic organic compound and (C) a polycarbonate.
- phosphorus-containing compounds examples include phosphoric acid, certain organic phosphorus compounds such as distearylpentaerythritol diphosphite, mono-, di-, and trihydrogen phosphate compounds, or di- and triester phosphate compounds, phosphite compounds, certain inorganic phosphorus compounds such as monosodium phosphate, zinc or calcium phosphates, poly(ethylene)hydrogen phosphate, phosphites and phosphates used in combination with elementary sulfur, silyl phosphates, phosphorus compounds used in combinations with metal sulphides or metal sulphates.
- organic phosphorus compounds such as distearylpentaerythritol diphosphite, mono-, di-, and trihydrogen phosphate compounds, or di- and triester phosphate compounds
- phosphite compounds certain inorganic phosphorus compounds such as monosodium phosphate, zinc or calcium phosphates, poly(ethylene)hydrogen phosphate
- 4,452,933 discloses the use of hydroxy- or amino-substituted carboxylic acids such as methyl salicylate, maleic acid, glycine, or dibutyl tartrate to deactivate metal catalyst residues.
- U.S. Pat. No. 4,452,932 discloses the use of dehydroacetic acid and a hydroxy-aromatic compounds such as o-hydroxybenzophenone for inactivating metal catalyst residues. It also is known that certain polyols such as mannitol can be used to improve the color of polyester and polycarbonate blends as described in European Patent 0272417 (Nelson).
- U.S. Pat. No. 4,619,956 discloses the combination of 2,2,6,6-tetraalkyl-piperidine hindered amine light stabilizers (HALS) and/or their addition salts with triazine ultraviolet absorbers for stabilizing thermoset acrylic and alkyd coatings.
- HALS hindered amine light stabilizers
- U.S. Pat. No. 5,714,530 discloses the utility of combining non-polymeric 2,2,6,6,-tetraalkyl-piperidine HALS salts and/or their acid additon salts with triazine ultraviolet light absorbers for stabilizing certain polymer compositions.
- 6,051,164 discloses the use of a polymer stabilizing system comprising from about 50 to about 5,000 ppm of at least one ortho hydroxyl tris-aryl triazine light absorber and from about 500 ppm to about 1.25 percent of at least one oligomer, polymeric or high molecular weight HALS having a molecular weight of at least about 500, wherein the weight ratio of HALS to triazine light absorber is from about 3:1 to about 20:1.
- phosphorus-containing compounds e.g., phosphoric acid, phosphorous acid, and polyphosphoric acid
- Addition of strong acids to the polymer compositions also reduces the hydrolytic stability as a result of acid catalyzed hydrolysis.
- phosphite antioxidants can be hydrolyzed to acidic species thereby corroding process equipment or reducing the hydrolytic stability of the polymer composition. It is desirable to provide an additive or mixture of additives that can be used to deactivate metal catalyst residues and other metal impurities and thereby improve the color of polyester-polycarbonate compositions, lead to less corrosion of process equipment, and suppress transesterification.
- the salts useful in the present invention are reaction products of a suitable inorganic acid, such as a phosphorous acid, with a suitable basic organic compound, such as hindered amine light stabilizers (HALS).
- HALS hindered amine light stabilizers
- the present invention provides a polymer composition comprising:
- a second embodiment of the present invention is a polymer composition comprising:
- Another embodiment of the present invention is a polymer concentrate comprising:
- the present invention provides a polymer composition comprising:
- R 1 and R 2 are independently selected from hydrogen, C 1 -C 22 -alkyl, substituted C 1 -C 22 -alkyl, C 3 -C 8 -cycloalkyl, substituted C 3 -C 8 -cycloalkyl, heteroaryl, and aryl;
- n 2 to 500
- X is selected from hydrogen and hydroxy; and wherein the basic organic compounds are selected from compounds having the formulas:
- R 1 and R 2 are independently selected from hydrogen, C 1 -C 22 -alkyl, substituted C 1 -C 22 -alkyl, C 3 -C 8 -cycloalkyl, substituted C 3 -C 8 -cycloalkyl, heteroaryl, and aryl;
- R 3 , R 4 , and R 5 are independently selected from hydrogen, C 1 -C 22 -alkyl, substituted C 1 -C 22 -alkyl, C 3 -C 8 -cycloalkyl, and substituted C 3 -C 8 -cycloalkyl wherein at least one of R 3 , R 4 , and R 5 is a substituent other than hydrogen; R 3 and R 4 or R 4 and R 5 collectively may represent a divalent group forming a ring with the nitrogen atom to which they are attached, e.g., morpholino, piperidino and the like;
- R 6 , R 7 , R 8 , and R 9 are independently selected from hydrogen, C 1 -C 22 -alkyl, substituted C 1 -C 22 -alkyl, C 3 -C 8 -cycloalkyl, substituted C 3 -C 8 -cycloalkyl, heteroaryl, aryl;
- R 10 is selected from hydrogen, —OR 6 , C 1 -C 22 -alkyl, substituted C 1 -C 22 -alkyl, C 3 -C 8 -cycloalkyl, substituted C 3 -C 8 -cycloalkyl;
- R 11 is selected from hydrogen; C 1 -C 22 -alkyl, substituted C 1 -C 22 -alkyl, C 3 -C 8 -cycloalkyl, substituted C 3 -C 8 -cycloalkyl, heteroaryl, aryl, —Y 1 —R 3 or a succinimido group having the formula
- R 12 is selected from hydrogen, C 1 -C 22 -alkyl, substituted C 1 -C 22 -alkyl, C 3 -C 8 -cycloalkyl, substituted C 3 -C 8 -cycloalkyl, heteroaryl, aryl and may be located at the 2, 3 or 4 positions on the aromatic ring;
- the —N(R 3 )(R 4 ) group may be located at the 2, 3 or 4 positions on the pyridine ring of nitrogen compound (5);
- the —CO 2 R 3 and R 1 groups may be located at any of the 2, 3, 4, 5, 6 positions of the pyridine ring of nitrogen compound (6);
- L 1 is a divalent linking group selected from C 2 -C 22 -alkylene; —(CH 2 CH 2 —Y 1 ) 1-3 —CH 2 CH 2 —; C 3 -C 8 -cycloalkylene; arylene; or —CO—L 2 —OC—;
- L 2 is selected from C 1 -C 22 -alkylene, arylene, —(CH 2 CH 2 —Y 1 ) 1-3 —CH 2 CH 2 — and C 3 -C 8 -cycloalkylene;
- Y 1 is selected from —OC(O)—, —NHC(O)—, —O—, —S—, —N(R 1 )—;
- Y 2 is selected from —O— or —N(R 1 )—;
- R 13 and R 14 are independently selected from —O—R 2 , and —N(R 2 ) 2 ;
- Z is a positive integer of up to about 20, preferably up to about 6;
- m1 is selected from 0 to about 10;
- n1 is a positive integer selected from 2 to about 12;
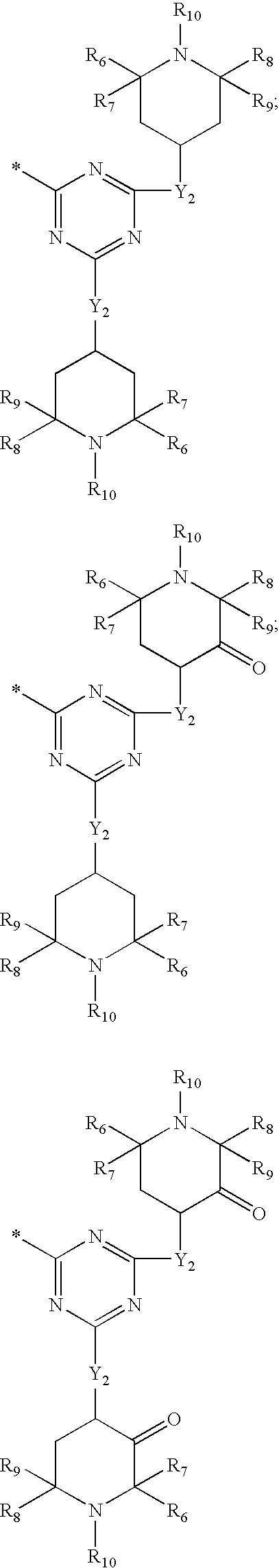
- R 15 , and R 16 are independently selected from hydrogen, C 1 -C 22 -alkyl, substituted C 1 -C 22 -alkyl, C 3 -C 8 -cycloalkyl, substituted C 3 -C 8 -cycloalkyl, heteroaryl, aryl, and radical A wherein radical A is selected from the following structures:
- R 15 and R 16 are an A radical; and wherein the ratio of the number of phosphorus atoms in the acidic phosphorus-containing compound to the number of basic nitrogen atoms in the basic organic compound is about 0.05 to about 2, preferably from about 0.25 to about 1.1.
- C 1 -C 22 -alkyl denotes a saturated hydrocarbon radical which contains one to twenty-two carbons and which may be straight or branched-chain.
- Such C 1 -C 22 alkyl groups can be methyl, ethyl, propyl, butyl, pentyl, hexyl, heptyl, octyl, isopropyl, isobutyl, tertbutyl, neopentyl, 2-ethylheptyl, 2-ethylhexyl, and the like.
- substituted C 1 -C 22 -alkyl refers to C 1 -C 22 -alkyl radicals as described above which may be substituted with one or more substituents selected from hydroxy, halogen, cyano, aryl, heteroaryl, C 3 -C 8 -cycloalkyl, substituted C 3 -C 8 -cycloalkyl, C 1 -C 6 -alkoxy, C 2 -C 6 alkanoyloxy and the like.
- C 3 -C 8 -cycloalkyl is used to denote a cycloaliphatic hydrocarbon radical containing three to eight carbon atoms.
- substituted C 3 -C 8 -cycloalkyl is used to describe a C 3 -C 8 -cycloalkyl radical as detailed above containing at least one group selected from C 1 -C 6 -alkyl, C 1 -C 6 -alkoxy, hydroxy, halogen, and the like.
- aryl is used to denote an aromatic radical containing 6,10 or 14 carbon atoms in the conjugated aromatic ring structure and these radicals substituted with one or more groups selected from C 1 -C 6 -alkyl; C 1 -C 6 -alkoxy; phenyl, and phenyl substituted with C 1 -C 6 -alkyl; C 1 -C 6 -alkoxy; halogen and the like; C 3 -C 8 -cycloalkyl; halogen; hydroxy, cyano, trifluoromethyl and the like.
- Typical aryl groups include phenyl, naphthyl, phenylnaphthyl, anthryl (anthracenyl) and the like.
- heteroaryl is used to describe conjugated cyclic radicals containing at least one hetero atom selected from sulfur, oxygen, nitrogen or a combination of these in combination with from two to about ten carbon atoms and these heteroaryl radicals substituted with the groups mentioned above as possible substituents on the aryl radical.
- Typical heteroaryl radicals include: 2-and 3-furyl, 2- and 3-thienyl, 2- and 3-pyrrolyl, 2-, 3-, and 4-pyridyl, benzothiophen-2-yl; benzothiazol-2-yl, benzoxazol-2-yl, benzimidazol-2-yl, 1, 3, 4-oxadiazol-2-yl, 1, 3, 4-thiadiazol-2-yl, 1,2,4-thiadiazol-5-yl, isothiazol-5-yl, imidazol-2-yl, quinolyl and the like.
- C 1 -C 6 -alkoxy and “C 2 -C 6 -alkanoyloxy” are used to represent the groups —O—C, —C 6 -alkyl and —OCOC 1 —C 6 -alkyl, respectively, wherein “C 1 -C 6 -alkyl” denotes a saturated hydrocarbon that contains 1-6 carbon atoms, which may be straight or branched-chain, and which may be further substituted with one or more groups selected from halogen, methoxy, ethoxy, phenyl, hydroxy, acetyloxy and propionyloxy.
- halogen is used to represent fluorine, chlorine, bromine, and iodine; however, chlorine and bromine are preferred.
- C 2 -C 22 -alkylene is used to denote a divalent hydrocarbon radical that contains from two to twenty-two carbons and which may be straight or branched chain and which may be substituted with one or more substituents selected from hydroxy, halogen, C 1 -C 6 -alkoxy, C 2 -C 6 -alkanolyloxy and aryl.
- C 3 -C 8 -cycloalkylene is used to denote divalent cycloaliphatic radicals containing three to eight carbon atoms and these are optionally substituted with one or more C 1 -C 6 -alkyl groups.
- arylene is used to denote 1,2-, 1,3-, and 1,4-phenylene radicals and these optionally substituted with C 1 -C 6 -alkyl, C 1 -C 6 -alkoxy and halogen.
- the salt of component (B) of the novel compositions provided by the present invention may be prepared by bringing together the acidic phosphorus-containing compound and the basic nitrogen-containing organic compound in a suitable manner.
- a suitable manner is any procedure that involves contacting the acidic phosphorus-containing acid with the basic organic compound.
- the acidic phosphorus-containing compound and the basic nitrogen-containing organic compound may be dissolved in an appropriate solvents and the solutions mixed followed by precipitation of the reaction product; mixing the phosphorus-containing acid and the basic organic compound without solvent; and the like.
- the ratio of the number of phosphorus atoms in the acidic phosphorus-containing compound to the number of basic nitrogen atoms in the basic organic compound may be in the range of about 0.05 to about 2, preferably from about 0.25 to about 1.1.
- Compositions that contain a large excess of unreacted phosphorus-containing acidic compounds may result in corrosion of process equipment during concentrate manufacture and have a negative effect on the hydrolytic stability of the polymer.
- the salt or salts constituting component (B) of our novel compositions typically is present in concentrations ranging from about 0.01 to about 0.25 weight percent based on the total weight of the composition, i.e., the total weight of the component (A) polyester, the salt and any additional components present such as a polycarbonate, stabilizers and pigments and colorants. Concentrations of salt (B) within this range typically are effective to improve the color of polyesters and polyester-polycarbonate compositions. Additionally, the color of polyesters that contain UV absorbers and or phenolic antioxidants and polyester-polycarbonate compositions that contain UV absorbers and or phenolic antioxidants is improved.
- the concentration of the salt(s) preferably is about 0.05 to 0.15 weight percent (same basis).
- the polyester of component (A) typically contains catalyst metal residues in concentrations of less than about 200 parts per million be weight (ppmw), e.g., about 10 to 200 ppmw. Metal catalyst residues concentrations of about 20 to 100 ppmw are more typical. Corrosion of metal process equipment is an additional source of metal contaminants in polyester component (A). For example, 304 and 316 stainless steels contain manganese, chromium and nickel.
- the acidic phosphorus-containing compounds preferably are phosphorous acid, phosphoric acid and polyphosphoric acid, most preferably phosphorous acid.
- Suitable basic organic compounds include alkyl amines such as triethylamine and 2,2,6,6-tetramethylpiperidine, pyridine and substituted pyridines, piperidine and substituted piperidines, morpholine and substituted morpholines and the like.
- the preferred basic organic compounds are hindered amine light stabilizers (HALS) such as: Cyasorb UV-3346 (Cytec Industries, CAS# 90751-07-8), Cyasorb UV-3529 (Cytec Industries, CAS# 193098-40-7), Cyasorb UV-3641 (Cytec Industries, CAS# 106917-30-0), Cyasorb UV-3581 (Cytec Industries, CAS# 79720-19-7), Cyasorb UV-3853 (Cytec Industries, CAS# 167078-06-0), Cyasorb UV-3853S (Cytec Industries, CAS# 24860-22-8), Tinuvin 622 (Ciba Specialty Chemicals, CAS# 65447-77-0), Tinuvin 770 (Ciba Specialty Chemicals, CAS# 52829-07-9), Tinuvin 144 (Ciba Specialty Chemicals, CAS# 63843-89-0), Tinuvin 123 (Ciba Specialty Chemicals, CAS# 12
- the hindered amine light stabilizers having above formulas (2), (3), (7), (8), (9), (12), (13), (14), (15), (16), (17), (18), (19) and (20) represent the preferred basic compounds.
- Chimassorb 944 (Ciba Specialty Chemicals, CAS# 71878-19-8), Cyasorb UV-3529 (Cytec Industries, CAS# 193098-40-7), Chimassorb 119 (Ciba Specialty Chemicals, CAS# 106990-43-6) and Tinuvin 770 (Ciba Specialty Chemicals, CAS# 52829-07-9) and any equivalents thereof are specific examples of the preferred basic compounds.
- a more preferred groups of the basic nitrogen compounds are the hindered amine light stabilizers having above formulas (2), (3), (7), (8), (9), (12), (13), (14), (15), (16), (17), (18) and (19) wherein radical R10 is hydrogen or C1-C22 alkyl and formula (15) wherein at least one of R15 and R16 represents radical A wherein R10 is hydrogen or C1-C22 alkyl.
- the most preferred are high molecular weight HALS wherein the molecular weight is greater than about 1000 such as Cyasorb UV-3529 (Cytec Industries, CAS# 193098-40-7).
- the hindered amine light stabilizers having above formulas (12), (13), (14), (15), (16), (17), (18) and (19) wherein radical R10 is hydrogen or C1-C22 alkyl and formula (15) wherein at least one of R15 and R16 represents radical A wherein R10 is hydrogen or C1-C22 alkyl are particularly preferred for improved hydrolytic stability of polyester, polycarbonate and polyester-polycarbonate composition.
- the polyester of component (A) includes linear, thermoplastic, crystalline or amorphous polyesters produced by conventional polymerization techniques from one or more diols and one or more dicarboxylic acids or ester-forming equivalent thereof such as a dicarboxylate ester.
- the polyesters normally are molding or fiber grade and have an inherent viscosity (I.V.) of about 0.4 to about 1.2 dL/g measured at 25° C. in a 60/40 ratio by weight of phenol/tetrachloroethane.
- Typical polyesters of component (A) comprise:
- diacid residues comprising at least 50 mole percent terephthalic acid residues, 1,4-cyclohexanedicarboxylic acid residues or a mixture thereof;
- diol residues comprising at least 50 mole percent of ethylene glycol residues, cyclohexanedimethanol residues, or a mixture thereof; wherein the total of the diacid residues is equal to 100 mole percent and the total of the diol residues also is equal to 100 mole percent.
- the polyesters of component (A) typically contain up to about 200 ppmw of metal impurity, e.g., 10 to 200 ppmw Ti, Co and/or Mn residues.
- the diol residues of the component (A) polyesters may be derived from one or more of the following diols: 2,6-decahydronaphthalenedimethanol, ethylene glycol, 1,4-cyclohexanedimethanol, 1,2-propanediol, 1,3-propanediol, 1,4-butanediol, 2,2-dimethyl-1,3-propanediol, 1,6-hexanediol, 1,2-cyclohexanediol, 1,4-cyclohexane-diol, 1,2-, 1,3- and 1,4-cyclohexanedimethanol, 2,2,4,4-tetramethyl-1,3-cyclobutane-diol, bis[4-(2-hydroxyethoxy)phenyl]sulfone, 1,4:3,6-dianhydro-sorbitol, 4,4′-iso-propylidenedicyclohexanol, Z-8
- the diacid residues of the component (A) polyesters may be derived from a variety of aliphatic, alicyclic, and aromatic dicarboxylic acids.
- the dicarboxylic acids from which the diacid residues may be obtained include 2,6-decahydronaphthalenedicarboxylic acid, terephthalic acid, isophthalic acid, 1,4-cyclohexanedicarboxylic acid, 1,3-cyclohexanedicarboxylic acid, succinic acid, glutaric acid, adipic acid, sebacic acid, 1,12-dodecanedioic acid, 2,6-naphthalene-dicarboxylic acid and the like.
- the diacid residues may be obtained from the dicarboxylic acid or ester forming derivatives thereof such as esters of the dicarboxylic acid, e.g., dimethyl dicarboxylate esters, acid halides and, in some cases, anhydrides.
- One or more branching agents also may be useful in making the polyesters formed within the context of the invention.
- the optional branching agent is present in polyester component (A) in an amount of less than 5 mole percent wherein the total mole percent of the dicarboxylic acid component equals 100 mole percent and the total mole percent of the diol component equals 100 mole percent.
- the branching agent may provide branching in the acid unit portion of the polyester, or in the glycol unit portion, or it can be a hybrid. Some of these branching agents have already been described herein. However, illustrative of such branching agents are polyfunctional acids, polyfunctional glycols and acid/glycol hybrids.
- Examples include tri- or tetra-carboxylic acids, such as trimesic acid, pyromellitic acid and lower alkyl esters thereof and the like, and tetrols such as pentaerythritol. Also triols such as trimethylopropane or dihydroxy carboxylic acids and hydroxydicarboxylic acids and derivatives, such as dimethyl hydroxy terephthalate, and the like are useful within the context of this invention. Trimellitic anhydride is a preferred branching agent. The branching agents may be used either to branch the polyester itself or to branch the polyester/polycarbonate blend of the invention.
- polyester component (A) comprise about 30 to 100 mole percent 1,4-cyclohexanedimethanol residues wherein the total mole percentages of diol residues of the polyester equals 100 mole percent. In this embodiment, it is also preferred that polyester component (A) comprises 0 to about 70 mole percent ethylene glycol residues. While the diacid residues present in this embodiment may be derived from any diacid, it is preferred that the diacid residues comprise terephthalic acid, isophthalic acid and/or 1,4-cyclohexanedicarboxylic acid residues. When terephthalic acid residues are present, polyester component (A) comprises about 65 to 100 mole percent terephthalic acid residues and about 0 to 35 mole percent isophthalic acid residues.
- one group of preferred polyesters have an inherent viscosity of about 0.4 to 1.2, preferably 0.4 to 0.8, dL/g measured at 25° C. in a 60/40 ratio by weight of phenol/tetrachloroethane and comprise:
- diacid residues comprising about 80 to 100 mole percent terephthalic acid residues and about 0 to 20 mole percent isophthalic acid residues;
- diol residues comprising about 40 to 100 mole percent, preferably 55 to 80 mole percent, 1,4-cyclohexanedimethanol residues and 0 to about 60 mole percent, preferably about 20 to 45 mole percent, ethylene glycol residues; wherein the total of the diacid residues is equal to 100 mole percent and the total of the diol residues also is equal to 100 mole percent.
- polyesters have an inherent viscosity of about 0.4 to 1.2, preferably about 0.4 to 0.8, dL/g measured at 25° C. in a 60/40 ratio by weight of phenol/tetrachloroethane and comprise:
- diacid residues comprising about 65 to 82 mole percent, preferably about 70 to 80 mole percent, terephthalic acid residues and about 35 to 18 mole percent, preferably 30 to 20 mole percent, isophthalic acid residues;
- diol residues comprising about 80 to 100 mole percent, preferably 90 to 100 mole percent, 1,4-cyclohexanedimethanol residues and about 0 to about 20 mole percent, preferably 0 to 10 mole percent, ethylene glycol residues; wherein the total of the diacid residues is equal to 100 mole percent and the total of the diol residues also is equal to 100 mole percent.
- Yet another group of preferred polyesters have an inherent viscosity of about 0.4 to 1.2, preferably about 0.4 to 0.8, dL/g measured at 25° C. in a 60/40 ratio by weight of phenol/tetrachloroethane and comprise:
- diacid residues comprising at least about 80 to 100 mole percent, preferably 90 to 100 mole percent, and more preferably 100 mole percent 1,4-cyclohexanedi-carboxylic acid residues;
- diol residues comprising about 80 to 100 mole percent, preferably 90 to 100 mole percent, most preferably 100 mole percent, 1,4-cyclohexanedimethanol residues and about 0 to about 20 mole percent, preferably 0 to 10 mole percent, most preferably 0 ethylene glycol residues;
- the polyesters have an inherent viscosity of about 0.4 to 1.2, preferably about 0.4 to 0.8, dL/g measured at 25° C. in a 60/40 ratio by weight of phenol/tetrachloroethane and comprise:
- diacid residues comprising about 80 to 100 mole percent, more preferably 90 to 100 mole percent terepthalic acid residues and about 0 to 20 mole percent, more preferably 0 to 10 mole percent isophthalic acid residues;
- diol residues comprising about 25 to 37 mole percent, preferably 28 to 34 mole percent, 1,4-cyclohexanedimethanol residues and about 75 to about 63 mole percent, preferably about 72 to 66 mole percent, ethylene glycol residues;
- polyesters have an inherent viscosity of about 0.4 to 1.2, preferably about 0..5 to 1.0 dL/g measured at 25° C. in a 60/40 ratio by weight of phenol/tetrachloroethane and comprise:
- diacid residues comprising terephthalic acid residues from 0.01 to 100 mole percent, preferably at least 40 mole percent; more preferably, 80 to 100 mole percent, and even more preferably from 90 to 100 mole percent, and
- diol residues comprising about 52 to 75 mole percent, preferably 52 to 65 mole percent of, 1,4-cyclohexanedimethanol residues and about 25 to 48 mole percent, preferably 35 to 48 mole percent of ethylene glycol residues;
- Branching agents are preferred in this embodiment more preferably in the amount of 0.05 to 1.0 mole percent of a trifunctional monomer.
- the linear polyesters may be prepared according to polyester-forming procedures and conditions well known in the art. For example, a mixture of one or more dicarboxylic acids, preferably aromatic dicarboxylic acids, or ester forming derivatives thereof, and one or more diols may be heated in the presence of an esterification catalyst and/or polyesterification catalysts at temperatures in the range of about 150 to about 300° C. and pressures in the range of from of atmospheric to about 0.2 Torr. Normally, the dicarboxylic acid or derivative thereof is esterified or transesterified with the diol(s) at atmospheric pressure and at a temperature at the lower end of the specified range. Polycondensation then is affected by increasing the temperature and lowering the pressure while excess diol is removed from the mixture. A preferred temperature range for a polyester condensation is about 260 to about 300° C.
- Typical catalyst or catalyst systems for polyester condensation are well known in the art.
- the catalysts disclosed in U.S. Pat. Nos. 4,025,492; 4,136,089; 4,176,224; 4,238,593; and 4,208,527, incorporated herein by reference are deemed suitable in this regard.
- R. E. Wilfong, Journal of Polymer Science, 54 385 (1961) sets forth typical catalysts which are useful in polyester condensation reactions.
- the most preferred catalysts are complexes of titanium, manganese and cobalt. It is understood that phosphorus-containing compounds can be added in addition to metal catalysts.
- Polymer compositions that employ antimony or its metal complexes as a catalyst may become unsuitably darkened by adding a phosphorus-containing molecule, such as phosphorous acid or salts of phosphorous acid, e.g., the salts of component (B) of the present invention, during melt blending and extruding.
- a phosphorus-containing molecule such as phosphorous acid or salts of phosphorous acid, e.g., the salts of component (B) of the present invention
- a second embodiment of the present invention is a polymer composition comprising:
- polycarbonate as used herein embraces those polycarbonates comprising repeating units or residues of the formula
- Y is a divalent aromatic or aliphatic radical derived from a dihydroxyaromatic compound or a dihydroxyaliphatic compound of the formula HO—Y—OH.
- Typical dihydroxyaromatic compounds are 2,2-bis-(4-hydroxyphenyl)propane, also known as bisphenol A; bis(4-hydroxyphenyl)methane; 2,2-bis(4-hydroxy-3-methylphenyl)-propane; 4,4-bis(4-hydroxyphenyl)heptane; 2,2-(3,5,3′,5′-tetrachloro-4,4′-dihydroxy-phenyl)propane; 2,2-(3,5,3′,5′-tetrabromo-4,4′-dihydroxyphenol)propane; 3,3′-dichloro-3,3′-dichloro-4,4′-dihydroxydiphenyl)methane; 2,2′-dihydroxyphenyl-sulfone, and 2,2′-dihydroxyl
- HO—Y—OH is 2,2-bis-(4-hydroxyphenyl)propyl, in which case, the polycarbonate is a “bisphenol A polycarbonate”.
- dihydroxyaliphatic compounds include 1,4-cyclohexane-dimethanol, 1,2-propanediol, 1,3-propanediol, 1,4-butanediol, 2,2-dimethyl-1,3-pro-panediol, 1,6-hexanediol, 2,6-decahydronaphthalenedimethanol, 1,2-cyclohexane-diol, 1,4-cyclohexanediol, 1,2-cyclohexanedimethanol, 1,3-cyclohexanedimethanol, isosorbide, 4,4′-isopropylidenedicyclohexanol, 2,2,4,4-tetramethylcyclobutane-1,2-diol, Z,8-bis(hydroxymethyl)-tricycl
- these diols contain 2 to 18, preferably 2 to 8 carbon atoms.
- Cycloaliphatic diols can be employed in their cis or trans configuration or as mixtures of both forms. Branched polycrbonates are also useful in the present invention.
- the polycarbonates comprising component (C) of the above-described embodiment of the present invention may be prepared according to known procedures by reacting the dihydroxyaromatic compound with a carbonate precursor such as phosgene, a haloformate or a carbonate ester, a molecular weight regulator, an acid acceptor and a catalyst.
- a carbonate precursor such as phosgene, a haloformate or a carbonate ester
- a molecular weight regulator such as phosgene, a haloformate or a carbonate ester
- an acid acceptor and a catalyst.
- suitable carbonate precursors include carbonyl bromide, carbonyl chloride, and mixtures thereof; diphenyl carbonate; a di(halophenyl)-carbonate, e.g., di(trichlorophenyl) carbonate, di(tribromophenyl) carbonate, and the like; di(alkylphenyl)carbonate, e.g., di(tolyl)carbonate; di(naphthyl)carbonate; di(chloronaphthyl)carbonate, or mixtures thereof; and bis-haloformates of dihydric phenols.
- diphenyl carbonate e.g., di(trichlorophenyl) carbonate, di(tribromophenyl) carbonate, and the like
- di(alkylphenyl)carbonate e.g., di(tolyl)carbonate; di(naphthyl)carbonate; di(chloronaphthyl)carbon
- suitable molecular weight regulators include phenol, cyclohexanol, methanol, alkylated phenols, such as octylphenol, para-tertiary-butyl-phenol, and the like.
- the preferred molecular weight regulator is phenol or an alkylated phenol.
- the acid acceptor may be either an organic or an inorganic acid acceptor.
- a suitable organic acid acceptor is a tertiary amine and includes such materials as pyridine, triethylamine, dimethylaniline, tributylamine, and the like.
- the inorganic acid acceptor can be either a hydroxide, a carbonate, a bicarbonate, or a phosphate of an alkali or alkaline earth metal.
- the catalysts that can be used are those that typically aid the polymerization of the monomer with phosgene.
- Suitable catalysts include tertiary amines such as triethylamine, tripropylamine, N,N-dimethylaniline, quanternary ammonium compounds such as, for example, tetraethylammonium bromide, cetyl triethyl ammonium bromide, tetra-n-heptylammonium iodide, tetra-n-propyl ammonium bromide, tetramethyl ammonium chloride, tetra-methyl ammonium hydroxide, tetra-n-butyl ammonium iodide, benzyltrimethyl ammonium chloride and quaternary phosphonium compounds such as, for example, n-butyltriphenyl phosphonium bromide and methyltriphenyl phosphonium bromide.
- the polycarbonate of component (C) also may be a copolyestercarbonate such as those described in U.S. Pat. Nos. 3,169,121; 3,207,814; 4,194,038; 4,156,069; 4,430,484, 4,465,820, and 4,981,898, all of which are incorporated by reference herein.
- Copolyestercarbonates useful in this invention are available commercially. They are typically obtained by the reaction of at least one dihydroxyaromatic compound with a mixture of phosgene and at least one dicarboxylic acid chloride, especially isophthaloyl chloride, terephthaloyl chloride, or both.
- the ratio of polyester component (A) to polycarbonate component (C) is not a critical feature of the present invention, and may be determined by the individual practitioner of this invention.
- the weight ratio of polyester (A) to polycarbonate (B) will range from about 99:1 to about 1:99, preferably from about 75:25 to about 25:75, and most preferably is about 75:25 to about 50:50.
- the present invention provides polyesters and blends of polyesters and polycarbonates that exhibit improved color.
- the improvement in color may be the result of deactivating the metal catalyst residues within the polyester.
- metal catalyst residues e.g., Ti, Mn and Co residues
- the acidic phosphorus-containing compound salts of suitable basic organic compounds [Component (B)] may deactivate metal catalyst residues thereby preventing the formation of colored metal-phenol complexes and inhibiting transesterification between the polyester and polycarbonate.
- Another embodiment of the present invention is a polymer concentrate comprising:
- compositions of the present invention also may contain one or more compounds selected from the group consisting of (D) phenolic antioxidants, (E) water, (F) colorants and pigments such as organic colorants, inorganic colorants and or white pigments such as TiO 2 , ZnO and baryta, (G) other additives such as impact modifiers, plasticizers, halogenated flame-retardants, fillers, nonhalogenated flame-retardants, synergists, processing aids, phosphite stabilizers, phosphonite stabilizers and other stabilizers known to one skilled in the art; and (I) a recycled polymer.
- D phenolic antioxidants
- E water
- F colorants and pigments
- organic colorants such as organic colorants, inorganic colorants and or white pigments such as TiO 2 , ZnO and baryta
- G other additives such as impact modifiers, plasticizers, halogenated flame-retardants, fillers, nonhalogenated
- phenolic antioxidants and “hindered phenol” are primary antioxidants that are known to those skilled in the art and may be represented by the structures listed on pages 98-108 in the Plastic Additives Handbook 5 th Edition (Hanser Gardner Publications, Inc., Cincinnati, Ohio, USA, 2001), incorporated herein by reference in its entirety.
- Some common phenolic antioxidants are as follows: Irganox 1010 (Ciba Specialty Chemicals, CAS# 6683-19-8), Irganox 1330 (Ciba Specialty Chemicals, CAS# 1709-70-2) and Irganox 3114 (Ciba Specialty Chemicals, CAS# 27676-62-6).,
- phosphite stabilizers and “phosphonite stabilizers” refer to secondary antioxidants that are known to those skilled in the art and may be represented by the structures listed on pages 109-112 in the Plastic Additives Handbook 5 th Edition (Hanser Gardner Publications, Inc., Cincinnati, Ohio, USA, 2001), incorporated herein by reference in its entirety.
- Some common phosphite stabilizers are as follows: Ultranox 626 (GE Specialty Chemicals, CAS# 26741-53-7), Irgafos 168 (Ciba Specialty Chemicals, CAS# 31570-04-4), Weston 619 (GE Specialty Chemicals, CAS# 3806-34-6) and Doverphos S-9228 (Dover Chemicals, CAS# 154862-43-8).
- halogenated flame-retardants is defined as compounds that can contain one or more of the following: fluorine, chlorine, bromine, and iodine, which act in such a way as to decrease the flammability of the polymer composition. More preferred are compounds that contain bromine such as brominated polycarbonate, brominated polystyrene, and the like.
- salts of the phosphorus-containing acids and suitable basic organic compounds are believed to substantially deactivate the metallic catalyst residues present in polyester component (A) so that the residues lose their ability to form colored complexes with UV absorbers.
- Salts of phosphorus-containing acids and basic organic compounds, as defined herein, may reduce the amount of corrosion to process equipment as compared to some of the hydrolysis products of commercial phosphites, phosphorous acid, phosphoric acid, and polyphosphoric acid, thereby improving the color of the polymer composition and improving the lifetime of the process equipment.
- compositions provided by the present invention are useful for improving the properties of heavy-gauge sheet, cap layers for extruded sheet, cap layers for extruded films, thermoformable sheeting products, injection molded products, thin films, thick films, articles made using thin films, articles using from thick films, articles made using heavy gauge sheet, multilayer films, twin-wall sheet, triple-wall sheet and the like.
- Sulfuric acid and sulfurous acid also will make salts with the nitrogen-containing compounds disclosed herein that are effective at improving the color of polyester and polyester-polycarbonate compositions that contain UV absorbers and/or phenolic antioxidants. Typically, the improvement in color is not as dramatic as that observed for the salts made using phosphorus-containing acids such as phosphoric acid or phosphorous acid according to the present invention.
- polyester-polycarbonate compositions were made by extruding a 50/50 by weight blend of (1) a polyester comprised of 74 mole percent terephthalic acid residues, 26 mole percent isophthalic acid residues and 100 mole percent 1,4-cyclohexanedimethanol residues having an inherent viscosity of about 0.74 and containing approximately 100 ppmw titanium metal, (2) a bisphenol A polycarbonate supplied by Bayer as Makrolon 2608 polycarbonate and (3) the additive noted using an 18 mm twin-screw extruder (APV Chemical Machinery Inc., Saginaw, Mich. 48601) equipped with a medium mixing screw. All zone temperatures were set to 275° C.
- Zone 1 that was set at 250° C.
- the inlet port was cooled by circulating water and the screw speed was set to 200 revolution per minute (rpm).
- An Accu-Rate (ACCU-RATE Inc. Whitewater, Wis.) dry material feeder was used to feed the polymers and additives into the extruder at a set addition rate of 3.0.
- the extruded rods were cooled by passing through a 1.37 meter (4.5 feet) long ice-water bath then chopped using a Berlyn pelletizer (The Berlyn Corp., Worcester, Mass.) set at a speed of 5-8. All additives were mixed with the polyester and polycarbonate by “bag blending” (shaking the materials together in a bag) unless otherwise stated.
- the polyester was dried for approximately 24 hours in a vacuum oven (Model 5851, National Appliance Company, Portland, Oreg.) at 70° C. at 120 Torr pressure with a slight ingress of dry nitrogen.
- the polycarbonate was dried for approximately 24 hours in a vacuum oven (Model 5840, National Appliance Company, Portland, Oreg.) at 100° C. at 120 Torr with a slight ingress of dry nitrogen.
- Concentrates were prepared from the blend of polymers and the additives and then dried under the same conditions as the polyester was dried. All of the polymers were stored in a vacuum oven under nitrogen until about 5 minutes prior to use, then “bag blended” and added to the feeder. The first 5 minutes of extrudate was not collected in order to ensure the extruder had been adequately purged.
- the color of the polymer pellets is determined in a conventional manner using a HunterLab UltraScan Colorimeter manufactured by Hunter Associates Laboratory, Inc., Reston, Va.
- the instrument is operated using HunterLab Universal Software (version 3.8). Calibration and operation of the instrument is according to the HunterLab User Manual and is largely directed by the Universal Software.
- To reproduce the results on any calorimeter run the instrument according to its instructions and use the following testing parameters: D65 Light Source (daylight, 6500° K. color temperature), Reflectance Mode, Large Area View, Specular Included, CIE 10° Observer, Outputs are CIE L*, a*, b*.
- the pellets are placed in a holder that is 25 mm deep by 55 mm wide and high.
- the holder is black with a window on one side. During testing, the clear side of the holder is held at the reflectance port of the colorimeter as is normally done when testing in reflectance mode.
- An increase in the positive b* value indicates yellowness, while a decrease in the numerical value of b* indicates a reduction in yellowness. Color measurement and practice are discussed in greater detail in Anni Berger-Schunn in Practical Color Measurement , Wiley, N.Y. pages 39-56 and 91-98 (1994).
- the b* value is less than +4, more preferably from about +1 to about +2.
- the molecular weight of the polyester and polycarbonate fractions, in the polyester-polycarbonate compositions, was determined using gel permeation chromatography. The sample was analyzed separately for each component of the blend. Each sample was prepared and analyzed once using the polyester method and then prepared and analyzed using the polycarbonate method.
- Polyester Method Ten mg of sample was added to a 10 mL volumetric flask followed by 20 microliters of toluene (as a flow marker) then diluted to a volume of 10 mL with an azeotrope of methylene chloride and hexafluoroisopropanol. A stir bar was added and the mixture was stirred on a stir plate until completely dissolved. The sample was analyzed using a Perkin-Elmer series 200 LC binary pump at a flow rate of 1.0 mL/minute., with a Perkin-Elmer ISS 200 Autosampler using a 10 microliter injection loop. The detector was a Perkin-Elmer LC-95 UV/Vis detector set at 285 nm.
- the columns are Plgel 5 micron guard and a Mixed C from Polymer Laboratories.
- the polystyrene calibration consists of 15 narrow molecular weight polystyrene standards from Polymer Laboratories ranging from 162 to 3,220,000.
- the universal calibration parameters were determined by linear regression to yield the correct weight average molecular weight for a set of five PCT samples previously characterized by light scattering.
- the detector was a Perkin-Elmer LC-235 photodiode array detector set at 265 nm.
- the columns are Plgel 5 micron guard, a Mixed C from Polymer Laboratories and an Oligopore column from Polymer Laboratories.
- the polystyrene calibration consists of 15 narrow molecular weight polystyrene standards from Polymer Laboratories ranging from 162 to 3,220,000.
- the universal calibration parameters for polycarbonate in THF were obtained from the literature.
- Table I shows the b* value as measured on pellets extruded from the 50/50 by weight blend of polyester and polycarbonate containing various concentrations of Chimassorb 944, phosphorous acid, and water. Salts made from Chimassorb 944 and phosphorous acid may have varying ratios of phosphorous acid to Chimassorb 944 to improve the catalyst deactivation ability and improve the color of polyester-polycarbonate compositions.
- the amounts of Chimassorb 944 and phosphorous acid are given in grams and the amount of water is given in milligrams.
- a salt comprising about 0.02 to 0.3 weight percent phosphorus acid and 0.05 to about 0.5 weight percent Chimassorb 944 provided a suitable reduction in the pellet b* color without significantly reducing the polycarbonate molecular weight.
- Addition of low levels of water (Examples 9-12), from about 30 ppm to about 300 ppm, provided a further reduction in pellet b* color without having a significant impact on the polycarbonate molecular weight.
- Maintenance of the polycarbonate molecular weight (Mw) demonstrates that catalyst residues have been sufficiently deactivated.
- Comparative Examples C-1 and C-2 show that Chimassorb 944 is not effective for either reducing pellet b* value or deactivating catalyst residues, as can be seen by the loss of polycarbonate molecular weight (Mw) and large pellet b* color values.
- Example C-3 and Example 13 the polymer blend consisted of 300 g of polyester and 300 g of polycarbonate; in Examples 14 and 15, the polymer blend consisted of 250 g of polyester and 250 g of polycarbonate; and in Example 16 the polymer blend consisted of 250 g of polyester and 250 g of polycarbonate.
- the amounts of concentrate (Conc) are given in grams and Salt values refer to the weight percent concentration of the salt in the polymer blend (based on the total weight of the polymer composition) provided by the concentrate.
- Tinuvin 770 hindered amine light stabilizer and phosphorous acid were ground together using a mortar and pestle to produce a phosphorous acid salt of Tinuvin 770 hindered amine as a fine white powder that was bag blended with polyester and polycarbonate.
- the compositions were extruded and evaluated as described above. The results are shown in Table III.
- the polymer blend for the examples of Table III consisted of 175 g polyester and 175 g of polycarbonate.
- the values given for Tinuvin 770 and phosphorous acid (Phos Acid) are concentrations in mg and (weight percent) in the polymer blend.
- Tinuvin 770 salt is quite effective at improving the color of polyesters-polycarbonate blends.
- the Tinuvin 770 salt also is effective at reducing the amount of transesterification that occurs between the polyester and polycarbonate during melt processing.
- the compositions were extruded and evaluated as described above. The results are shown in Table IV.
- the polymer blend for the examples of Table IV consisted of 175 g polyester and 175 g of polycarbonate.
- the amount of salt required to achieve acceptable color and molecular weight properties decreases as the ratio of the moles of phosphorous acid to the moles of basic nitrogen atoms in the hindered amine lights stabilizer approaches one. If more than one mole of phosphorous acid per mole of basic nitrogen atoms in the basic organic compound is used, some unsalted phosphorous acid will be present and may lead to corrosion of process equipment.
- the slurry was heated to 60° C. and stirred until a homogeneous solution was obtained.
- Isopropyl alcohol (370 g) was added to the reaction vessel.
- a solution of 115.46 g (1.41 mol) of phosphorous acid dissolved into 370 g of isopropyl alcohol was added slowly over approximately 1 hour.
- a homogeneous solution was obtained.
- the reaction mixture was pumped into an 18 L reaction vessel that contained rapidly stirred heptane (6840 g) over a period of approximately 1 hour.
- the resulting slurry was stirred for 30 minutes.
- the precipitate was collected by suction filtration.
- the filter cake was washed twice with 137 g of heptane then sucked dry on the filter paper overnight.
- the solid was placed in a 30.5 cm ⁇ 15.2 ⁇ 5.1 (12 inch ⁇ 6 inch ⁇ 2 inch) metal pan and dried in a vacuum oven at 50-60° C. with a slight ingress of dry nitrogen until a constant mass was obtained.
- the dry product (Salt 1) weighed approximately 525 g (100 percent of theory).
- Cyasorb UV-3529 is a polymeric hindered amine light stabilizer that may exhibit superior performance than lower molecular weight hindered amine light stabilizers, such as Tinuvin 770.
- the phosphorous acid salts of Cyasorb UV-3529 also exhibit very low haze in polyester-polycarbonate alloys. At 0.1 wtpercent loading in a 50/50 weight percent blend of polyester and polycarbonate, the salt of Cyasorb UV-3529 provided a polymer alloy that had a pellet color that was as good as the phosphorous acid salts of Tinuvin 770 (Example 46 vs. Examples 17-25).
- a 50 percent phosphoric acid solution was prepared by adding 35.15 g of 85 percent phosphoric acid to 24.87 g of deionized water.
- a sample of Chimassorb 944 was ground to a fine powder using a mortar and pestle.
- the ground Chimassorb 944 and 50 percent phosphoric acid solution were mixed using a spatula in the ratios listed in Table VI to prepare each salt.
- the salts were dried overnight in a vacuum oven at 70° C. at about 15 Torr and a slight ingress of dry nitrogen for 24 hours. Each sample was ground using a mortar and pestle and dried under the same conditions as before for 48 hours. Each sample was ground to a fine, free flowing powder using a mortar and pestle.
- TABLE VI 50 percent Chimassorb phosphoric 944 acid (aq) Salt 2 10 g 6.54 g Salt 3 10 g 8.18 g Salt 4 10 g 9.82 g Salt 5 10 g 11.45 g Salt 6 10 g 13.05 g
- Each salt (0.5 g, 0.1 wt percent) was bag blended with 250 g of polyester and 250 g of polycarbonate. The mixture was extruded under standard conditions and the pellet color and polycarbonate molecular weight (Mw) were measured using standard conditions as described above. The results of the evaluation are shown in Table VII.
- Example 52 To a 50 mL beaker was added 5.18 g of phosphorous acid and 5.0 g of pyridine. A solid material formed. The solid material (Salt 7) was triturated with a glass rod until a finely divided solid remained.
- Salt 7 350 mg, 0.05 weight percent
- Example 52 Salt 7 (350 mg, 0.05 weight percent) was bag blended with 350 g of polyester and 350 g of polycarbonate. The mixture was extruded using the procedures described above and the pellet color and polycarbonate molecular weight (Mw) were measured using the above-desribed procedures.
- Example 53 Salt 7 (700 mg, 0.1 weight percent) was bag blended with 350 g polyester and 350 g of polycarbonate.
- Example 54 Salt 8 (350 mg, 0.05 weight percent) was bag blended with 175 g of polyester and 175 g of polycarbonate. The mixture was extruded and pelletized and the pellet color and polycarbonate molecular weight (Mw) were measured using the above-described procedures.
- Example 55 Salt 8 (700 mg, 0.1 weight percent) was bag blended with 175 g of polyester and 175 g of polycarbonate. The mixture was extruded and pelletized and the pellet color and polycarbonate molecular weight (Mw) were measured using the above-described procedures.
- Example 56 Salt 9 (350 mg, 0.05 weight percent) was bag blended with 175 g of polyester and 175 g of polycarbonate.
- Example 57 Salt 9 (700 mg, 0.1 wt percent) was bag blended with 175 g of polyester and 175 g of polycarbonate. The mixture was extruded and pelletized and the pellet color and polycarbonate molecular weight (Mw) were measured using the above-described procedures.
- the results of the evaluations of Salts 8 and 9 are set forth in Table IX.
- additives listed below were blended in the amounts given (Amount, g) with individual polymer blends consisting of 350 g polyester and 350 g polycarbonate: Additive No. Additive Amount 1 Calcium Dihydrogen Phosphate 1.4 2 D-mannitol 1.05 3 Citric Acid 1.4 4 Zinc Sulfate Monohydrate 7.0 5 Irgafos PEPQ FD - Ciba-Geigy 7.0 6 45 percent Aqueous Sulfuric Acid 0.77 7 3,9-Bis(octadecyloxy)-2,4,8,10-tetraoxa-3, 1.4 9-diphosphaspiro[5.5]undecane 8 Phosphorous Acid 0.375
Landscapes
- Chemical & Material Sciences (AREA)
- Health & Medical Sciences (AREA)
- Chemical Kinetics & Catalysis (AREA)
- Medicinal Chemistry (AREA)
- Polymers & Plastics (AREA)
- Organic Chemistry (AREA)
- Compositions Of Macromolecular Compounds (AREA)
- Polyesters Or Polycarbonates (AREA)
Abstract
Disclosed are polymer compositions comprising:
(A) at least one polyester prepared by the reaction of at least one diol with at least one dicarboxylic acid or dialkyl ester thereof in the presence of a metallic catalyst; and
(B) at least one salt prepared from the reaction of one or more acidic phosphorus-containing compounds and one or more basic organic compounds which contain nitrogen.
The polyester compositions exhibit improved color, especially when used as a component of a polyester/polycarbonate blend. Also disclosed are polymer compositions comprising a polycarbonate in combination with components (A) and (B).
Description
- This invention relates to a polymer composition comprising (A) at least one polyester prepared by the reaction of at least one diol with at least one dicarboxylic acid/or dialkyl ester thereof in the presence of a metallic catalyst; and (B) a salt composed of at least one suitable phosphorus-containing acid and at least one suitable basic organic compound, such as a hindered amine light stabilizer. A second embodiment of the present invention pertains to a blend of (A) at least one polyester prepared by the reaction of at least one diol with at least one dicarboxylic acid/or dialkyl ester thereof in the presence of a metallic catalyst; (B) a salt composed of at least one suitable phosphorus-containing acid and at least one suitable basic organic compound and (C) a polycarbonate.
- Methods for deactivating metallic catalyst residues in polyester and polyester-polycarbonate compositions are known in the art; however, it is desirable to find improved methods for deactivating such residues. It is also desirable to find methods for deactivating catalyst residues that provide compositions with greater hydrolytic stability, that are less detrimental to process equipment, provide better color, and less batch-to-batch variation in color.
- It is known in the art that certain phosphorus-containing compounds are useful for deactivating metallic catalysts residues. Reference is made, for example, to U.S. Pat. No. 3,218,372 (Okamura et al.), U.S. Pat. No. 4,532,290 (Jaquiss et al.), U.S. Pat. No. 4,088,709 (Seymour et al.), U.S. Pat. No. 4,401,804 (Wooten et al.), U.S. Pat. No. 5,922816 (Hamilton) and European Patents 0543125 (Van Helmond), 0294862 (Verhoeven), 0295730 (Verhoeven). Examples of such phosphorus-containing compounds include phosphoric acid, certain organic phosphorus compounds such as distearylpentaerythritol diphosphite, mono-, di-, and trihydrogen phosphate compounds, or di- and triester phosphate compounds, phosphite compounds, certain inorganic phosphorus compounds such as monosodium phosphate, zinc or calcium phosphates, poly(ethylene)hydrogen phosphate, phosphites and phosphates used in combination with elementary sulfur, silyl phosphates, phosphorus compounds used in combinations with metal sulphides or metal sulphates. U.S. Pat. No. 4,452,933 (Russell) discloses the use of hydroxy- or amino-substituted carboxylic acids such as methyl salicylate, maleic acid, glycine, or dibutyl tartrate to deactivate metal catalyst residues. U.S. Pat. No. 4,452,932 (Brunelle) discloses the use of dehydroacetic acid and a hydroxy-aromatic compounds such as o-hydroxybenzophenone for inactivating metal catalyst residues. It also is known that certain polyols such as mannitol can be used to improve the color of polyester and polycarbonate blends as described in European Patent 0272417 (Nelson).
- U.S. Pat. No. 4,619,956 discloses the combination of 2,2,6,6-tetraalkyl-piperidine hindered amine light stabilizers (HALS) and/or their addition salts with triazine ultraviolet absorbers for stabilizing thermoset acrylic and alkyd coatings. U.S. Pat. No. 5,714,530 discloses the utility of combining non-polymeric 2,2,6,6,-tetraalkyl-piperidine HALS salts and/or their acid additon salts with triazine ultraviolet light absorbers for stabilizing certain polymer compositions. U.S. Pat. No. 6,051,164 discloses the use of a polymer stabilizing system comprising from about 50 to about 5,000 ppm of at least one ortho hydroxyl tris-aryl triazine light absorber and from about 500 ppm to about 1.25 percent of at least one oligomer, polymeric or high molecular weight HALS having a molecular weight of at least about 500, wherein the weight ratio of HALS to triazine light absorber is from about 3:1 to about 20:1.
- Certain of these phosphorus-containing compounds e.g., phosphoric acid, phosphorous acid, and polyphosphoric acid, can react with processing equipment to produce a dark colored polymer and can lead to the formation of black specks or particles. It is believed that the dark color is the due to corrosion of the process equipment. Addition of strong acids to the polymer compositions also reduces the hydrolytic stability as a result of acid catalyzed hydrolysis. Additionally, phosphite antioxidants can be hydrolyzed to acidic species thereby corroding process equipment or reducing the hydrolytic stability of the polymer composition. It is desirable to provide an additive or mixture of additives that can be used to deactivate metal catalyst residues and other metal impurities and thereby improve the color of polyester-polycarbonate compositions, lead to less corrosion of process equipment, and suppress transesterification.
- We have discovered that the presence of certain salts in polyesters and blends of polyester and polycarbonates result in polymer compositions that exhibit improved hydrolytic stability, that are less detrimental to process equipment, that provide better color, and that provide less batch-to-batch variation in color. The salts useful in the present invention are reaction products of a suitable inorganic acid, such as a phosphorous acid, with a suitable basic organic compound, such as hindered amine light stabilizers (HALS). The present invention provides improved methods for improving the color and avoiding the deleterious effects of transesterification in polyesters and/or polyester-polycarbonate blends.
- Thus, the present invention provides a polymer composition comprising:
- (A) at least one polyester prepared by the reaction of at least one diol with at least one dicarboxylic acid or dialkyl ester thereof in the presence of a metallic catalyst; and
- (B) at least one salt prepared by the reaction of one or more acidic phosphorus-containing compounds with one or more basic organic compounds which contain nitrogen.
- A second embodiment of the present invention is a polymer composition comprising:
- (A) at least one polyester prepared by the reaction of at least one diol with at least one dicarboxylic acid or dialkyl ester thereof in the presence of a metallic catalyst;
- (B) at least one salt prepared from the reaction of one or more acidic phosphorus-containing compounds and one or more basic organic compounds which contain nitrogen; and
- (C) at least one polycarbonate.
- Another embodiment of the present invention is a polymer concentrate comprising:
- (A) at least one polyester prepared by the reaction of at least one diol with at least one dicarboxylic acid or dialkyl ester thereof in the presence of a metallic catalyst; and
- (B) up to about 10 weight percent, preferably about 5 to 10 weight percent based on the total weight of the polyester of at least one salt prepared by the reaction of one or more acidic phosphorus-containing compounds and one or more basic organic compounds which contain nitrogen.
- The present invention provides a polymer composition comprising:
- (A) at least one polyester prepared by the reaction of at least one diol with at least one dicarboxylic acid or dialkyl ester thereof in the presence of a metallic catalyst; and
-
- wherein
- R 1 and R2 are independently selected from hydrogen, C1-C22-alkyl, substituted C1-C22-alkyl, C3-C8-cycloalkyl, substituted C3-C8-cycloalkyl, heteroaryl, and aryl;
- n is 2 to 500; and
-
- wherein
- R 1 and R2 are independently selected from hydrogen, C1-C22-alkyl, substituted C1-C22-alkyl, C3-C8-cycloalkyl, substituted C3-C8-cycloalkyl, heteroaryl, and aryl;
- R 3, R4, and R5 are independently selected from hydrogen, C1-C22-alkyl, substituted C1-C22-alkyl, C3-C8-cycloalkyl, and substituted C3-C8-cycloalkyl wherein at least one of R3, R4, and R5 is a substituent other than hydrogen; R3 and R4 or R4 and R5 collectively may represent a divalent group forming a ring with the nitrogen atom to which they are attached, e.g., morpholino, piperidino and the like;
- R 6, R7, R8, and R9 are independently selected from hydrogen, C1-C22-alkyl, substituted C1-C22-alkyl, C3-C8-cycloalkyl, substituted C3-C8-cycloalkyl, heteroaryl, aryl;
- R 10 is selected from hydrogen, —OR6, C1-C22-alkyl, substituted C1-C22-alkyl, C3-C8-cycloalkyl, substituted C3-C8-cycloalkyl;
-
- R 12 is selected from hydrogen, C1-C22-alkyl, substituted C1-C22-alkyl, C3-C8-cycloalkyl, substituted C3-C8-cycloalkyl, heteroaryl, aryl and may be located at the 2, 3 or 4 positions on the aromatic ring;
- the —N(R 3)(R4) group may be located at the 2, 3 or 4 positions on the pyridine ring of nitrogen compound (5);
- the —CO 2R3 and R1 groups may be located at any of the 2, 3, 4, 5, 6 positions of the pyridine ring of nitrogen compound (6);
- L 1 is a divalent linking group selected from C2-C22-alkylene; —(CH2CH2—Y1)1-3—CH2CH2—; C3-C8-cycloalkylene; arylene; or —CO—L2—OC—;
- L 2 is selected from C1-C22-alkylene, arylene, —(CH2CH2—Y1)1-3—CH2CH2— and C3-C8-cycloalkylene;
- Y 1 is selected from —OC(O)—, —NHC(O)—, —O—, —S—, —N(R1)—;
- Y 2 is selected from —O— or —N(R1)—;
- R 13 and R14 are independently selected from —O—R2, and —N(R2)2;
- Z is a positive integer of up to about 20, preferably up to about 6;
- m1, is selected from 0 to about 10;
- n1 is a positive integer selected from 2 to about 12;
-
- Radical A structures wherein * designates the position of attachment.
- preferably at least one of R 15 and R16 is an A radical; and wherein the ratio of the number of phosphorus atoms in the acidic phosphorus-containing compound to the number of basic nitrogen atoms in the basic organic compound is about 0.05 to about 2, preferably from about 0.25 to about 1.1.
- The term “C 1-C22-alkyl” denotes a saturated hydrocarbon radical which contains one to twenty-two carbons and which may be straight or branched-chain. Such C1-C22 alkyl groups can be methyl, ethyl, propyl, butyl, pentyl, hexyl, heptyl, octyl, isopropyl, isobutyl, tertbutyl, neopentyl, 2-ethylheptyl, 2-ethylhexyl, and the like. The term “substituted C1-C22-alkyl” refers to C1-C22-alkyl radicals as described above which may be substituted with one or more substituents selected from hydroxy, halogen, cyano, aryl, heteroaryl, C3-C8-cycloalkyl, substituted C3-C8-cycloalkyl, C1-C6-alkoxy, C2-C6 alkanoyloxy and the like.
- The term “C 3-C8-cycloalkyl” is used to denote a cycloaliphatic hydrocarbon radical containing three to eight carbon atoms. The term “substituted C3-C8-cycloalkyl” is used to describe a C3-C8-cycloalkyl radical as detailed above containing at least one group selected from C1-C6-alkyl, C1-C6-alkoxy, hydroxy, halogen, and the like.
- The term “aryl” is used to denote an aromatic radical containing 6,10 or 14 carbon atoms in the conjugated aromatic ring structure and these radicals substituted with one or more groups selected from C 1-C6-alkyl; C1-C6-alkoxy; phenyl, and phenyl substituted with C1-C6-alkyl; C1-C6-alkoxy; halogen and the like; C3-C8-cycloalkyl; halogen; hydroxy, cyano, trifluoromethyl and the like. Typical aryl groups include phenyl, naphthyl, phenylnaphthyl, anthryl (anthracenyl) and the like. The term “heteroaryl” is used to describe conjugated cyclic radicals containing at least one hetero atom selected from sulfur, oxygen, nitrogen or a combination of these in combination with from two to about ten carbon atoms and these heteroaryl radicals substituted with the groups mentioned above as possible substituents on the aryl radical. Typical heteroaryl radicals include: 2-and 3-furyl, 2- and 3-thienyl, 2- and 3-pyrrolyl, 2-, 3-, and 4-pyridyl, benzothiophen-2-yl; benzothiazol-2-yl, benzoxazol-2-yl, benzimidazol-2-yl, 1, 3, 4-oxadiazol-2-yl, 1, 3, 4-thiadiazol-2-yl, 1,2,4-thiadiazol-5-yl, isothiazol-5-yl, imidazol-2-yl, quinolyl and the like.
- The terms “C 1-C6-alkoxy” and “C2-C6-alkanoyloxy” are used to represent the groups —O—C, —C6-alkyl and —OCOC1—C6-alkyl, respectively, wherein “C1-C6-alkyl” denotes a saturated hydrocarbon that contains 1-6 carbon atoms, which may be straight or branched-chain, and which may be further substituted with one or more groups selected from halogen, methoxy, ethoxy, phenyl, hydroxy, acetyloxy and propionyloxy. The term “halogen” is used to represent fluorine, chlorine, bromine, and iodine; however, chlorine and bromine are preferred.
- The term “C 2-C22-alkylene” is used to denote a divalent hydrocarbon radical that contains from two to twenty-two carbons and which may be straight or branched chain and which may be substituted with one or more substituents selected from hydroxy, halogen, C1-C6-alkoxy, C2-C6-alkanolyloxy and aryl. The term “C3-C8-cycloalkylene” is used to denote divalent cycloaliphatic radicals containing three to eight carbon atoms and these are optionally substituted with one or more C1-C6-alkyl groups. The term “arylene” is used to denote 1,2-, 1,3-, and 1,4-phenylene radicals and these optionally substituted with C1-C6-alkyl, C1-C6-alkoxy and halogen.
- The salt of component (B) of the novel compositions provided by the present invention may be prepared by bringing together the acidic phosphorus-containing compound and the basic nitrogen-containing organic compound in a suitable manner. A suitable manner is any procedure that involves contacting the acidic phosphorus-containing acid with the basic organic compound. For example, the acidic phosphorus-containing compound and the basic nitrogen-containing organic compound may be dissolved in an appropriate solvents and the solutions mixed followed by precipitation of the reaction product; mixing the phosphorus-containing acid and the basic organic compound without solvent; and the like.
- The ratio of the number of phosphorus atoms in the acidic phosphorus-containing compound to the number of basic nitrogen atoms in the basic organic compound may be in the range of about 0.05 to about 2, preferably from about 0.25 to about 1.1. Compositions that contain a large excess of unreacted phosphorus-containing acidic compounds may result in corrosion of process equipment during concentrate manufacture and have a negative effect on the hydrolytic stability of the polymer.
- The salt or salts constituting component (B) of our novel compositions typically is present in concentrations ranging from about 0.01 to about 0.25 weight percent based on the total weight of the composition, i.e., the total weight of the component (A) polyester, the salt and any additional components present such as a polycarbonate, stabilizers and pigments and colorants. Concentrations of salt (B) within this range typically are effective to improve the color of polyesters and polyester-polycarbonate compositions. Additionally, the color of polyesters that contain UV absorbers and or phenolic antioxidants and polyester-polycarbonate compositions that contain UV absorbers and or phenolic antioxidants is improved. The concentration of the salt(s) preferably is about 0.05 to 0.15 weight percent (same basis). The polyester of component (A) typically contains catalyst metal residues in concentrations of less than about 200 parts per million be weight (ppmw), e.g., about 10 to 200 ppmw. Metal catalyst residues concentrations of about 20 to 100 ppmw are more typical. Corrosion of metal process equipment is an additional source of metal contaminants in polyester component (A). For example, 304 and 316 stainless steels contain manganese, chromium and nickel.
- The acidic phosphorus-containing compounds preferably are phosphorous acid, phosphoric acid and polyphosphoric acid, most preferably phosphorous acid.
- Examples of suitable basic organic compounds include alkyl amines such as triethylamine and 2,2,6,6-tetramethylpiperidine, pyridine and substituted pyridines, piperidine and substituted piperidines, morpholine and substituted morpholines and the like. The preferred basic organic compounds are hindered amine light stabilizers (HALS) such as: Cyasorb UV-3346 (Cytec Industries, CAS# 90751-07-8), Cyasorb UV-3529 (Cytec Industries, CAS# 193098-40-7), Cyasorb UV-3641 (Cytec Industries, CAS# 106917-30-0), Cyasorb UV-3581 (Cytec Industries, CAS# 79720-19-7), Cyasorb UV-3853 (Cytec Industries, CAS# 167078-06-0), Cyasorb UV-3853S (Cytec Industries, CAS# 24860-22-8), Tinuvin 622 (Ciba Specialty Chemicals, CAS# 65447-77-0), Tinuvin 770 (Ciba Specialty Chemicals, CAS# 52829-07-9), Tinuvin 144 (Ciba Specialty Chemicals, CAS# 63843-89-0), Tinuvin 123 (Ciba Specialty Chemicals, CAS# 129757-67-1), Chimassorb 944 (Ciba Specialty Chemicals, CAS# 71878-19-8), Chimassorb 119 (Ciba Specialty Chemicals, CAS# 106990-43-6), Chimassorb 2020 (Ciba Specialty Chemicals, CAS# 192268-64-7), Lowilite 76 (Great Lakes Chemical Corp., CAS# 41556-26-7), Lowilite 62 (Great Lakes Chemical Corp., CAS# 65447-77-0), Lowilite 94 (Great Lakes Chemical Corp., CAS# 71878-19-8), Uvasil 299LM (Great Lakes Chemical Corp., CAS# 182635-99-0), and Uvasil 299HM (Great Lakes Chemical Corp., CAS# 182635-99-0), Dastib 1082 (Vocht a.s., CAS# 131290-28-3), Uvinul 4049H (BASF Corp., CAS# 109423-00-9), Uvinul 4050H (BASF Corp., CAS# 124172-53-8), Uvinul 5050H (BASF Corp., CAS# 199237-39-3), Mark LA 57 (Asahi Denka Co., Ltd., CAS# 64022-61-3), Mark LA 52 (Asahi Denka Co., Ltd., CAS# 91788-83-9), Mark LA 62 (Asahi Denka Co., Ltd., CAS# 107119-91-5), Mark LA 67 (Asahi Denka Co., Ltd., CAS# 100631-43-4), Mark LA 63 (Asahi Denka Co., Ltd. Co., Ltd. Co., CAS# 115055-30-6), Mark LA 68 (Asahi Denka Co., Ltd., CAS# 100631-44-5), Hostavin N 20 (Clariant Corp., CAS# 95078-42-5), Hostavin N 24 (Clariant Corp., CAS# 85099-51-1, CAS# 85099-50-9), Hostavin N 30 (Clariant Corp., CAS# 78276-66-1), Diacetam-5 (GTPZAB Gigiena Truda, USSR, CAS# 76505-58-3), Uvasorb-HA 88 (3V Sigma, CAS# 136504-96-6), Goodrite UV-3034 (BF Goodrich Chemical Co., CAS# 71029-16-8), Goodrite UV-3150 (BF Goodrich Chemical Co., CAS# 96204-36-3), Goodrite UV-3159 (BF Goodrich Chemical Co., CAS# 130277-45-1), Sanduvor 3050 (Clariant Corp., CAS# 85099-51-0), Sanduvor PR-31 (Clariant Corp., CAS# 147783-69-5), UV Check AM806 (Ferro Corp., CAS# 154636-12-1), Sumisorb TM-061(Sumitomo Chemical Company, CAS# 84214-94-8), Sumisorb LS-060 (Sumitomo Chemical Company, CAS# 99473-08-2), Uvasil 299 LM (Great Lakes Chemical Corp., CAS# 164648-93-5), Uvasil 299 HM (Great Lakes Chemical Corp., CAS# 164648-93-5), Nylostab S-EED (Clariant Corp., CAS# 42774-15-2). Additional preferred hindered amine light stabilizer may be listed in the Plastic Additives Handbook 5th Edition (Hanser Gardner Publications, Inc., Cincinnati, Ohio, USA, 2001).
- The hindered amine light stabilizers having above formulas (2), (3), (7), (8), (9), (12), (13), (14), (15), (16), (17), (18), (19) and (20) represent the preferred basic compounds. Chimassorb 944 (Ciba Specialty Chemicals, CAS# 71878-19-8), Cyasorb UV-3529 (Cytec Industries, CAS# 193098-40-7), Chimassorb 119 (Ciba Specialty Chemicals, CAS# 106990-43-6) and Tinuvin 770 (Ciba Specialty Chemicals, CAS# 52829-07-9) and any equivalents thereof are specific examples of the preferred basic compounds. A more preferred groups of the basic nitrogen compounds are the hindered amine light stabilizers having above formulas (2), (3), (7), (8), (9), (12), (13), (14), (15), (16), (17), (18) and (19) wherein radical R10 is hydrogen or C1-C22 alkyl and formula (15) wherein at least one of R15 and R16 represents radical A wherein R10 is hydrogen or C1-C22 alkyl. The most preferred are high molecular weight HALS wherein the molecular weight is greater than about 1000 such as Cyasorb UV-3529 (Cytec Industries, CAS# 193098-40-7). The most preferred HALS correspond to formula (12) set forth above wherein R6═R7═R8═R9═R10=methyl, (R3)(R4)N— collectively represent morpholino, L1 is C1 to C6 alkylene, and Z is 1 to 6. Additionally, the hindered amine light stabilizers having above formulas (12), (13), (14), (15), (16), (17), (18) and (19) wherein radical R10 is hydrogen or C1-C22 alkyl and formula (15) wherein at least one of R15 and R16 represents radical A wherein R10 is hydrogen or C1-C22 alkyl are particularly preferred for improved hydrolytic stability of polyester, polycarbonate and polyester-polycarbonate composition.
- The polyester of component (A) includes linear, thermoplastic, crystalline or amorphous polyesters produced by conventional polymerization techniques from one or more diols and one or more dicarboxylic acids or ester-forming equivalent thereof such as a dicarboxylate ester. The polyesters normally are molding or fiber grade and have an inherent viscosity (I.V.) of about 0.4 to about 1.2 dL/g measured at 25° C. in a 60/40 ratio by weight of phenol/tetrachloroethane. Typical polyesters of component (A) comprise:
- (1) diacid residues comprising at least 50 mole percent terephthalic acid residues, 1,4-cyclohexanedicarboxylic acid residues or a mixture thereof; and
- (2) diol residues comprising at least 50 mole percent of ethylene glycol residues, cyclohexanedimethanol residues, or a mixture thereof; wherein the total of the diacid residues is equal to 100 mole percent and the total of the diol residues also is equal to 100 mole percent. The polyesters of component (A) typically contain up to about 200 ppmw of metal impurity, e.g., 10 to 200 ppmw Ti, Co and/or Mn residues.
- The diol residues of the component (A) polyesters may be derived from one or more of the following diols: 2,6-decahydronaphthalenedimethanol, ethylene glycol, 1,4-cyclohexanedimethanol, 1,2-propanediol, 1,3-propanediol, 1,4-butanediol, 2,2-dimethyl-1,3-propanediol, 1,6-hexanediol, 1,2-cyclohexanediol, 1,4-cyclohexane-diol, 1,2-, 1,3- and 1,4-cyclohexanedimethanol, 2,2,4,4-tetramethyl-1,3-cyclobutane-diol, bis[4-(2-hydroxyethoxy)phenyl]sulfone, 1,4:3,6-dianhydro-sorbitol, 4,4′-iso-propylidenedicyclohexanol, Z-8-bis(hydroxymethyl)-tricyclo-[5.2.1.0]-decane wherein Z represents 3, 4, or 5; and diols containing one or more oxygen atoms in the chain, e.g., diethylene glycol, triethylene glycol, dipropylene glycol, tripropylene glycol and the like. In general, these diols contain 2 to 18, preferably 2 to 8 carbon atoms. Cycloaliphatic diols can be employed in their cis or trans configuration or as mixtures of both forms.
- The diacid residues of the component (A) polyesters may be derived from a variety of aliphatic, alicyclic, and aromatic dicarboxylic acids. Examples of the dicarboxylic acids from which the diacid residues may be obtained include 2,6-decahydronaphthalenedicarboxylic acid, terephthalic acid, isophthalic acid, 1,4-cyclohexanedicarboxylic acid, 1,3-cyclohexanedicarboxylic acid, succinic acid, glutaric acid, adipic acid, sebacic acid, 1,12-dodecanedioic acid, 2,6-naphthalene-dicarboxylic acid and the like. The diacid residues may be obtained from the dicarboxylic acid or ester forming derivatives thereof such as esters of the dicarboxylic acid, e.g., dimethyl dicarboxylate esters, acid halides and, in some cases, anhydrides.
- One or more branching agents also may be useful in making the polyesters formed within the context of the invention. Although not required, it is preferred that the optional branching agent is present in polyester component (A) in an amount of less than 5 mole percent wherein the total mole percent of the dicarboxylic acid component equals 100 mole percent and the total mole percent of the diol component equals 100 mole percent. The branching agent may provide branching in the acid unit portion of the polyester, or in the glycol unit portion, or it can be a hybrid. Some of these branching agents have already been described herein. However, illustrative of such branching agents are polyfunctional acids, polyfunctional glycols and acid/glycol hybrids. Examples include tri- or tetra-carboxylic acids, such as trimesic acid, pyromellitic acid and lower alkyl esters thereof and the like, and tetrols such as pentaerythritol. Also triols such as trimethylopropane or dihydroxy carboxylic acids and hydroxydicarboxylic acids and derivatives, such as dimethyl hydroxy terephthalate, and the like are useful within the context of this invention. Trimellitic anhydride is a preferred branching agent. The branching agents may be used either to branch the polyester itself or to branch the polyester/polycarbonate blend of the invention.
- It is preferred that polyester component (A) comprise about 30 to 100 mole percent 1,4-cyclohexanedimethanol residues wherein the total mole percentages of diol residues of the polyester equals 100 mole percent. In this embodiment, it is also preferred that polyester component (A) comprises 0 to about 70 mole percent ethylene glycol residues. While the diacid residues present in this embodiment may be derived from any diacid, it is preferred that the diacid residues comprise terephthalic acid, isophthalic acid and/or 1,4-cyclohexanedicarboxylic acid residues. When terephthalic acid residues are present, polyester component (A) comprises about 65 to 100 mole percent terephthalic acid residues and about 0 to 35 mole percent isophthalic acid residues.
- Thus, one group of preferred polyesters have an inherent viscosity of about 0.4 to 1.2, preferably 0.4 to 0.8, dL/g measured at 25° C. in a 60/40 ratio by weight of phenol/tetrachloroethane and comprise:
- (1) diacid residues comprising about 80 to 100 mole percent terephthalic acid residues and about 0 to 20 mole percent isophthalic acid residues; and
- (2) diol residues comprising about 40 to 100 mole percent, preferably 55 to 80 mole percent, 1,4-cyclohexanedimethanol residues and 0 to about 60 mole percent, preferably about 20 to 45 mole percent, ethylene glycol residues; wherein the total of the diacid residues is equal to 100 mole percent and the total of the diol residues also is equal to 100 mole percent.
- Another group of preferred polyesters have an inherent viscosity of about 0.4 to 1.2, preferably about 0.4 to 0.8, dL/g measured at 25° C. in a 60/40 ratio by weight of phenol/tetrachloroethane and comprise:
- (1) diacid residues comprising about 65 to 82 mole percent, preferably about 70 to 80 mole percent, terephthalic acid residues and about 35 to 18 mole percent, preferably 30 to 20 mole percent, isophthalic acid residues; and
- (2) diol residues comprising about 80 to 100 mole percent, preferably 90 to 100 mole percent, 1,4-cyclohexanedimethanol residues and about 0 to about 20 mole percent, preferably 0 to 10 mole percent, ethylene glycol residues; wherein the total of the diacid residues is equal to 100 mole percent and the total of the diol residues also is equal to 100 mole percent.
- Yet another group of preferred polyesters have an inherent viscosity of about 0.4 to 1.2, preferably about 0.4 to 0.8, dL/g measured at 25° C. in a 60/40 ratio by weight of phenol/tetrachloroethane and comprise:
- (1) diacid residues comprising at least about 80 to 100 mole percent, preferably 90 to 100 mole percent, and more preferably 100 mole percent 1,4-cyclohexanedi-carboxylic acid residues; and
- (2) diol residues comprising about 80 to 100 mole percent, preferably 90 to 100 mole percent, most preferably 100 mole percent, 1,4-cyclohexanedimethanol residues and about 0 to about 20 mole percent, preferably 0 to 10 mole percent, most preferably 0 ethylene glycol residues;
- wherein the total of the diacid residues is equal to 100 mole percent and the total of the diol residues also is equal to 100 mole percent.
- In yet another preferred embodiment, the polyesters have an inherent viscosity of about 0.4 to 1.2, preferably about 0.4 to 0.8, dL/g measured at 25° C. in a 60/40 ratio by weight of phenol/tetrachloroethane and comprise:
- (1) diacid residues comprising about 80 to 100 mole percent, more preferably 90 to 100 mole percent terepthalic acid residues and about 0 to 20 mole percent, more preferably 0 to 10 mole percent isophthalic acid residues; and
- (2) diol residues comprising about 25 to 37 mole percent, preferably 28 to 34 mole percent, 1,4-cyclohexanedimethanol residues and about 75 to about 63 mole percent, preferably about 72 to 66 mole percent, ethylene glycol residues;
- wherein the total of the diacid residues is equal to 100 mole percent and the total of the diol residues also is equal to 100 mole percent.
- Even further, another group of preferred polyesters have an inherent viscosity of about 0.4 to 1.2, preferably about 0..5 to 1.0 dL/g measured at 25° C. in a 60/40 ratio by weight of phenol/tetrachloroethane and comprise:
- (1) diacid residues comprising terephthalic acid residues from 0.01 to 100 mole percent, preferably at least 40 mole percent; more preferably, 80 to 100 mole percent, and even more preferably from 90 to 100 mole percent, and
- (2) diol residues comprising about 52 to 75 mole percent, preferably 52 to 65 mole percent of, 1,4-cyclohexanedimethanol residues and about 25 to 48 mole percent, preferably 35 to 48 mole percent of ethylene glycol residues;
- wherein the total of the diacid residues is equal to 100 mole percent and the total of the diol residues also is equal to 100 mole percent. Branching agents are preferred in this embodiment more preferably in the amount of 0.05 to 1.0 mole percent of a trifunctional monomer.
- The linear polyesters may be prepared according to polyester-forming procedures and conditions well known in the art. For example, a mixture of one or more dicarboxylic acids, preferably aromatic dicarboxylic acids, or ester forming derivatives thereof, and one or more diols may be heated in the presence of an esterification catalyst and/or polyesterification catalysts at temperatures in the range of about 150 to about 300° C. and pressures in the range of from of atmospheric to about 0.2 Torr. Normally, the dicarboxylic acid or derivative thereof is esterified or transesterified with the diol(s) at atmospheric pressure and at a temperature at the lower end of the specified range. Polycondensation then is affected by increasing the temperature and lowering the pressure while excess diol is removed from the mixture. A preferred temperature range for a polyester condensation is about 260 to about 300° C.
- Typical catalyst or catalyst systems for polyester condensation are well known in the art. For example, the catalysts disclosed in U.S. Pat. Nos. 4,025,492; 4,136,089; 4,176,224; 4,238,593; and 4,208,527, incorporated herein by reference, are deemed suitable in this regard. Further, R. E. Wilfong, Journal of Polymer Science, 54 385 (1961) sets forth typical catalysts which are useful in polyester condensation reactions. The most preferred catalysts are complexes of titanium, manganese and cobalt. It is understood that phosphorus-containing compounds can be added in addition to metal catalysts. Polymer compositions that employ antimony or its metal complexes as a catalyst may become unsuitably darkened by adding a phosphorus-containing molecule, such as phosphorous acid or salts of phosphorous acid, e.g., the salts of component (B) of the present invention, during melt blending and extruding.
- A second embodiment of the present invention is a polymer composition comprising:
- (A) at least one polyester prepared by the reaction of at least one diol with at least one dicarboxylic acid or dialkyl ester thereof in the presence of a metallic catalyst;
- (B) at least one salt prepared from the reaction of one or more acidic phosphorus-containing compounds and one or more basic organic compounds which contain nitrogen; and
- (C) at least one polycarbonate.
- Components (A) and (B) of this embodiment, including the relative amounts thereof, are the same as are described above.
-
- wherein Y is a divalent aromatic or aliphatic radical derived from a dihydroxyaromatic compound or a dihydroxyaliphatic compound of the formula HO—Y—OH. Typical dihydroxyaromatic compounds are 2,2-bis-(4-hydroxyphenyl)propane, also known as bisphenol A; bis(4-hydroxyphenyl)methane; 2,2-bis(4-hydroxy-3-methylphenyl)-propane; 4,4-bis(4-hydroxyphenyl)heptane; 2,2-(3,5,3′,5′-tetrachloro-4,4′-dihydroxy-phenyl)propane; 2,2-(3,5,3′,5′-tetrabromo-4,4′-dihydroxyphenol)propane; 3,3′-dichloro-3,3′-dichloro-4,4′-dihydroxydiphenyl)methane; 2,2′-dihydroxyphenyl-sulfone, and 2,2′-dihydroxyl phenylsulfide. Most preferably, HO—Y—OH is 2,2-bis-(4-hydroxyphenyl)propyl, in which case, the polycarbonate is a “bisphenol A polycarbonate”. Examples of dihydroxyaliphatic compounds include 1,4-cyclohexane-dimethanol, 1,2-propanediol, 1,3-propanediol, 1,4-butanediol, 2,2-dimethyl-1,3-pro-panediol, 1,6-hexanediol, 2,6-decahydronaphthalenedimethanol, 1,2-cyclohexane-diol, 1,4-cyclohexanediol, 1,2-cyclohexanedimethanol, 1,3-cyclohexanedimethanol, isosorbide, 4,4′-isopropylidenedicyclohexanol, 2,2,4,4-tetramethylcyclobutane-1,2-diol, Z,8-bis(hydroxymethyl)-tricyclo-[5.2.1.0]-decane wherein Z represents 3, 4, or 5; and diols containing one or more oxygen atoms in the chain, e.g., diethylene glycol, triethylene glycol, dipropylene glycol, tripropylene glycol and the like. In general, these diols contain 2 to 18, preferably 2 to 8 carbon atoms. Cycloaliphatic diols can be employed in their cis or trans configuration or as mixtures of both forms. Branched polycrbonates are also useful in the present invention.
- The polycarbonates comprising component (C) of the above-described embodiment of the present invention may be prepared according to known procedures by reacting the dihydroxyaromatic compound with a carbonate precursor such as phosgene, a haloformate or a carbonate ester, a molecular weight regulator, an acid acceptor and a catalyst. Methods for preparing polycarbonates are known in the art and are described, for example, in U.S. Pat. No. 4,452,933, which is hereby incorporated by reference herein.
- Examples of suitable carbonate precursors include carbonyl bromide, carbonyl chloride, and mixtures thereof; diphenyl carbonate; a di(halophenyl)-carbonate, e.g., di(trichlorophenyl) carbonate, di(tribromophenyl) carbonate, and the like; di(alkylphenyl)carbonate, e.g., di(tolyl)carbonate; di(naphthyl)carbonate; di(chloronaphthyl)carbonate, or mixtures thereof; and bis-haloformates of dihydric phenols.
- Examples of suitable molecular weight regulators include phenol, cyclohexanol, methanol, alkylated phenols, such as octylphenol, para-tertiary-butyl-phenol, and the like. The preferred molecular weight regulator is phenol or an alkylated phenol.
- The acid acceptor may be either an organic or an inorganic acid acceptor. A suitable organic acid acceptor is a tertiary amine and includes such materials as pyridine, triethylamine, dimethylaniline, tributylamine, and the like. The inorganic acid acceptor can be either a hydroxide, a carbonate, a bicarbonate, or a phosphate of an alkali or alkaline earth metal.
- The catalysts that can be used are those that typically aid the polymerization of the monomer with phosgene. Suitable catalysts include tertiary amines such as triethylamine, tripropylamine, N,N-dimethylaniline, quanternary ammonium compounds such as, for example, tetraethylammonium bromide, cetyl triethyl ammonium bromide, tetra-n-heptylammonium iodide, tetra-n-propyl ammonium bromide, tetramethyl ammonium chloride, tetra-methyl ammonium hydroxide, tetra-n-butyl ammonium iodide, benzyltrimethyl ammonium chloride and quaternary phosphonium compounds such as, for example, n-butyltriphenyl phosphonium bromide and methyltriphenyl phosphonium bromide.
- The polycarbonate of component (C) also may be a copolyestercarbonate such as those described in U.S. Pat. Nos. 3,169,121; 3,207,814; 4,194,038; 4,156,069; 4,430,484, 4,465,820, and 4,981,898, all of which are incorporated by reference herein.
- Copolyestercarbonates useful in this invention are available commercially. They are typically obtained by the reaction of at least one dihydroxyaromatic compound with a mixture of phosgene and at least one dicarboxylic acid chloride, especially isophthaloyl chloride, terephthaloyl chloride, or both.
- The ratio of polyester component (A) to polycarbonate component (C) is not a critical feature of the present invention, and may be determined by the individual practitioner of this invention. Typically, the weight ratio of polyester (A) to polycarbonate (B) will range from about 99:1 to about 1:99, preferably from about 75:25 to about 25:75, and most preferably is about 75:25 to about 50:50.
- The present invention provides polyesters and blends of polyesters and polycarbonates that exhibit improved color. Although not being bound by any particular theory, the improvement in color may be the result of deactivating the metal catalyst residues within the polyester. It is believed that metal catalyst residues, e.g., Ti, Mn and Co residues, may form colored complexes with phenolic moieties such as those found within polycarbonates, within the structure of many ultraviolet light absorbers and all phenolic antioxidants. The acidic phosphorus-containing compound salts of suitable basic organic compounds [Component (B)] may deactivate metal catalyst residues thereby preventing the formation of colored metal-phenol complexes and inhibiting transesterification between the polyester and polycarbonate.
- Another embodiment of the present invention is a polymer concentrate comprising:
- (A) at least one polyester prepared by the reaction of at least one diol with at least one dicarboxylic acid or dialkyl ester thereof in the presence of a metallic catalyst; and
- (B) up to about 10 weight percent, preferably about 5 to 10 weight percent, based on the total weight of the polyester of at least one salt prepared by the reaction of one or more acidic phosphorus-containing compounds and one or more basic organic compounds which contain nitrogen.
- The compositions of the present invention also may contain one or more compounds selected from the group consisting of (D) phenolic antioxidants, (E) water, (F) colorants and pigments such as organic colorants, inorganic colorants and or white pigments such as TiO 2, ZnO and baryta, (G) other additives such as impact modifiers, plasticizers, halogenated flame-retardants, fillers, nonhalogenated flame-retardants, synergists, processing aids, phosphite stabilizers, phosphonite stabilizers and other stabilizers known to one skilled in the art; and (I) a recycled polymer.
- The terms “phenolic antioxidants” and “hindered phenol” are primary antioxidants that are known to those skilled in the art and may be represented by the structures listed on pages 98-108 in the Plastic Additives Handbook 5th Edition (Hanser Gardner Publications, Inc., Cincinnati, Ohio, USA, 2001), incorporated herein by reference in its entirety. Some common phenolic antioxidants are as follows: Irganox 1010 (Ciba Specialty Chemicals, CAS# 6683-19-8), Irganox 1330 (Ciba Specialty Chemicals, CAS# 1709-70-2) and Irganox 3114 (Ciba Specialty Chemicals, CAS# 27676-62-6).,
- The terms “phosphite stabilizers” and “phosphonite stabilizers” refer to secondary antioxidants that are known to those skilled in the art and may be represented by the structures listed on pages 109-112 in the Plastic Additives Handbook 5th Edition (Hanser Gardner Publications, Inc., Cincinnati, Ohio, USA, 2001), incorporated herein by reference in its entirety. Some common phosphite stabilizers are as follows: Ultranox 626 (GE Specialty Chemicals, CAS# 26741-53-7), Irgafos 168 (Ciba Specialty Chemicals, CAS# 31570-04-4), Weston 619 (GE Specialty Chemicals, CAS# 3806-34-6) and Doverphos S-9228 (Dover Chemicals, CAS# 154862-43-8).
- The term “halogenated flame-retardants” is defined as compounds that can contain one or more of the following: fluorine, chlorine, bromine, and iodine, which act in such a way as to decrease the flammability of the polymer composition. More preferred are compounds that contain bromine such as brominated polycarbonate, brominated polystyrene, and the like.
- The salts of the phosphorus-containing acids and suitable basic organic compounds are believed to substantially deactivate the metallic catalyst residues present in polyester component (A) so that the residues lose their ability to form colored complexes with UV absorbers. Salts of phosphorus-containing acids and basic organic compounds, as defined herein, may reduce the amount of corrosion to process equipment as compared to some of the hydrolysis products of commercial phosphites, phosphorous acid, phosphoric acid, and polyphosphoric acid, thereby improving the color of the polymer composition and improving the lifetime of the process equipment.
- The compositions provided by the present invention are useful for improving the properties of heavy-gauge sheet, cap layers for extruded sheet, cap layers for extruded films, thermoformable sheeting products, injection molded products, thin films, thick films, articles made using thin films, articles using from thick films, articles made using heavy gauge sheet, multilayer films, twin-wall sheet, triple-wall sheet and the like.
- Sulfuric acid and sulfurous acid also will make salts with the nitrogen-containing compounds disclosed herein that are effective at improving the color of polyester and polyester-polycarbonate compositions that contain UV absorbers and/or phenolic antioxidants. Typically, the improvement in color is not as dramatic as that observed for the salts made using phosphorus-containing acids such as phosphoric acid or phosphorous acid according to the present invention.
- This invention is further illustrated by the following examples of preferred embodiments thereof, although it will be understood that these examples are included merely for purposes of illustration and are not intended to limit the scope of the invention unless otherwise specifically indicated. Unless otherwise indicated, all weight percentages are based on the total weight of the polymer composition and all molecular weights are weight average molecular weights. Also, all percentages are by weight unless otherwise indicated. Wherever an R group, L group, Y group, Z group, m group or n group is defined throughout this entire description, the definition for a particular group remains the same throughout this description regardless of whether it is used for multiple formulas or types of compounds unless otherwise specified.
- Experimental Conditions: All polyester-polycarbonate compositions were made by extruding a 50/50 by weight blend of (1) a polyester comprised of 74 mole percent terephthalic acid residues, 26 mole percent isophthalic acid residues and 100 mole percent 1,4-cyclohexanedimethanol residues having an inherent viscosity of about 0.74 and containing approximately 100 ppmw titanium metal, (2) a bisphenol A polycarbonate supplied by Bayer as Makrolon 2608 polycarbonate and (3) the additive noted using an 18 mm twin-screw extruder (APV Chemical Machinery Inc., Saginaw, Mich. 48601) equipped with a medium mixing screw. All zone temperatures were set to 275° C. except for Zone 1 that was set at 250° C. The inlet port was cooled by circulating water and the screw speed was set to 200 revolution per minute (rpm). An Accu-Rate (ACCU-RATE Inc. Whitewater, Wis.) dry material feeder was used to feed the polymers and additives into the extruder at a set addition rate of 3.0. The extruded rods were cooled by passing through a 1.37 meter (4.5 feet) long ice-water bath then chopped using a Berlyn pelletizer (The Berlyn Corp., Worcester, Mass.) set at a speed of 5-8. All additives were mixed with the polyester and polycarbonate by “bag blending” (shaking the materials together in a bag) unless otherwise stated. The polyester was dried for approximately 24 hours in a vacuum oven (Model 5851, National Appliance Company, Portland, Oreg.) at 70° C. at 120 Torr pressure with a slight ingress of dry nitrogen. The polycarbonate was dried for approximately 24 hours in a vacuum oven (Model 5840, National Appliance Company, Portland, Oreg.) at 100° C. at 120 Torr with a slight ingress of dry nitrogen. Concentrates were prepared from the blend of polymers and the additives and then dried under the same conditions as the polyester was dried. All of the polymers were stored in a vacuum oven under nitrogen until about 5 minutes prior to use, then “bag blended” and added to the feeder. The first 5 minutes of extrudate was not collected in order to ensure the extruder had been adequately purged. When multiple concentrations of the same mixture of additives were extruded, the lower concentrations of additives always were extruded first. The extruder was purged with at least 300 g of a 1:1 mixture of the polyester/polycarbonate blend before the next additive was evaluated. When water was used as an additive, the water was added to the dried polymer pellets, along with any other additive(s), about 3 hours prior to extruding.
- The color of the polymer pellets is determined in a conventional manner using a HunterLab UltraScan Colorimeter manufactured by Hunter Associates Laboratory, Inc., Reston, Va. The instrument is operated using HunterLab Universal Software (version 3.8). Calibration and operation of the instrument is according to the HunterLab User Manual and is largely directed by the Universal Software. To reproduce the results on any calorimeter, run the instrument according to its instructions and use the following testing parameters: D65 Light Source (daylight, 6500° K. color temperature), Reflectance Mode, Large Area View, Specular Included, CIE 10° Observer, Outputs are CIE L*, a*, b*. The pellets are placed in a holder that is 25 mm deep by 55 mm wide and high. The holder is black with a window on one side. During testing, the clear side of the holder is held at the reflectance port of the colorimeter as is normally done when testing in reflectance mode. An increase in the positive b* value indicates yellowness, while a decrease in the numerical value of b* indicates a reduction in yellowness. Color measurement and practice are discussed in greater detail in Anni Berger-Schunn in Practical Color Measurement, Wiley, N.Y. pages 39-56 and 91-98 (1994). Preferably, the b* value is less than +4, more preferably from about +1 to about +2.
- The molecular weight of the polyester and polycarbonate fractions, in the polyester-polycarbonate compositions, was determined using gel permeation chromatography. The sample was analyzed separately for each component of the blend. Each sample was prepared and analyzed once using the polyester method and then prepared and analyzed using the polycarbonate method.
- Polyester Method: Ten mg of sample was added to a 10 mL volumetric flask followed by 20 microliters of toluene (as a flow marker) then diluted to a volume of 10 mL with an azeotrope of methylene chloride and hexafluoroisopropanol. A stir bar was added and the mixture was stirred on a stir plate until completely dissolved. The sample was analyzed using a Perkin-Elmer series 200 LC binary pump at a flow rate of 1.0 mL/minute., with a Perkin-Elmer ISS 200 Autosampler using a 10 microliter injection loop. The detector was a Perkin-Elmer LC-95 UV/Vis detector set at 285 nm. The columns are Plgel 5 micron guard and a Mixed C from Polymer Laboratories. The polystyrene calibration consists of 15 narrow molecular weight polystyrene standards from Polymer Laboratories ranging from 162 to 3,220,000. The universal calibration parameters were: PS, K=0.1278, a=0.7089; PCT K=0.2357, a=0.8405. The universal calibration parameters were determined by linear regression to yield the correct weight average molecular weight for a set of five PCT samples previously characterized by light scattering.
- Polycarbonate Method: The sample was pressed until it turned white to increase the surface area and then allowed to soak in tetrahydrofuran (THF) solvent to leach out the polycarbonate from the sample. Ten mg of sample was added to a 10 mL volumetric flask followed by 20 microliters of toluene (as a flow marker) then diluted to a volume of 10 mL with unstabilized THF. A stir bar was added and the mixture was stirred on a stir plate overnight. The sample was analyzed using a Perkin-Elmer LC 250 binary pump at a flow rate of 1.0 mL/min., with a Perkin-Elmer LC 600 Autosampler using a 20 microliter injection loop. The detector was a Perkin-Elmer LC-235 photodiode array detector set at 265 nm. The columns are Plgel 5 micron guard, a Mixed C from Polymer Laboratories and an Oligopore column from Polymer Laboratories. The polystyrene calibration consists of 15 narrow molecular weight polystyrene standards from Polymer Laboratories ranging from 162 to 3,220,000. The universal calibration parameters were: PS, K=14.000, a=0.7000; PC K=39.900, a=0.7000. The universal calibration parameters for polycarbonate in THF were obtained from the literature.
- Chimassorb 944 hindered amine light stabilizer and phosphorous acid of Examples 1-12 of Table I were ground together using a mortar and pestle until a fine powder was obtained. Varying amounts of the resulting amine-phoshporous acid salt were blended with the polymers consisting of 350 g polyester and 350 g polycarbonate as described above. Chimassorb 944 is believed to be a polymeric, hindered amine conforming generally to amine formula (12) set forth above wherein R 6═R7═R8═R9=methyl; R10 is hydrogen; L1 is hexamethylene; R3 is hydrogen; and R4 is a branched octyl group. Table I shows the b* value as measured on pellets extruded from the 50/50 by weight blend of polyester and polycarbonate containing various concentrations of Chimassorb 944, phosphorous acid, and water. Salts made from Chimassorb 944 and phosphorous acid may have varying ratios of phosphorous acid to Chimassorb 944 to improve the catalyst deactivation ability and improve the color of polyester-polycarbonate compositions. In Table I the amounts of Chimassorb 944 and phosphorous acid are given in grams and the amount of water is given in milligrams.
TABLE I Chimassorb Phosphorus Polycarbonate Example 944 Acid Water b* MW C-1 0.7 — — 22.37 13,347 1 0.7 0.096 — 10.42 12,236 2 0.7 0.192 — 5.11 19,026 3 0.7 0.288 — 3.69 21,648 4 0.7 0.383 — 3.29 19,747 C-2 3.5 — — 22.43 16,643 5 3.5 0.479 — 3.62 15,776 6 3.5 0.958 — 3.39 15,623 7 3.5 1.438 — 3.0 15,800 8 3.5 1.916 — 2.96 16,611 9 0.7 0.096 21 5.24 21,879 10 3.5 0.192 42 2.31 20,001 11 0.7 0.288 63 2.0 19,466 12 0.7 0.383 84 1.87 19,795 - As is shown by the data in Table I, high concentrations of Chimassorb 944 and phosphorus acid salt (Examples 5-8) significantly reduce the b* color but had a negative effect on the polycarbonate molecular weight (MW). Lesser amount of salt (Examples 1-4) allowed for an equivalent reduction in b* color without having a significant impact on the polycarbonate molecular weight. The addition of a small amount of water (Examples 9-12) greatly reduced the b* color with only a slight negative effect on polycarbonate molecular weight relative to the examples with equivalents amount of salt. A salt comprising about 0.02 to 0.3 weight percent phosphorus acid and 0.05 to about 0.5 weight percent Chimassorb 944 provided a suitable reduction in the pellet b* color without significantly reducing the polycarbonate molecular weight. Addition of low levels of water (Examples 9-12), from about 30 ppm to about 300 ppm, provided a further reduction in pellet b* color without having a significant impact on the polycarbonate molecular weight. Maintenance of the polycarbonate molecular weight (Mw) demonstrates that catalyst residues have been sufficiently deactivated. Comparative Examples C-1 and C-2 show that Chimassorb 944 is not effective for either reducing pellet b* value or deactivating catalyst residues, as can be seen by the loss of polycarbonate molecular weight (Mw) and large pellet b* color values.
- Chimassorb 944 hindered amine (7.0 g) and phosphorous acid (2.88 g) were ground together to give a fine powder and bag blended with 700 g of polyester and 700 g of polycarbonate. The mixture was melt processed to give a salt concentrate (Conc). Varying amounts of the salt concentrate were incorporated into a 50/50 weight percent blend of polyester and polycarbonate. The blends evaluated and the results of the evaluations are shown in Table II . In Comparative Example C-3 and Example 13 the polymer blend consisted of 300 g of polyester and 300 g of polycarbonate; in Examples 14 and 15, the polymer blend consisted of 250 g of polyester and 250 g of polycarbonate; and in Example 16 the polymer blend consisted of 250 g of polyester and 250 g of polycarbonate. In Table II, the amounts of concentrate (Conc) are given in grams and Salt values refer to the weight percent concentration of the salt in the polymer blend (based on the total weight of the polymer composition) provided by the concentrate.
TABLE II Salt Weight Polycarbonate Example Conc percent b* MW C-3 — — 21.26 14,200 13 200 0.18 2.99 19,050 14 100 0.12 2.41 20,860 15 50 0.064 2.94 21,660 16 50 0.44 5.15 21,943 - The data presented in Table II establish that the salt has a dramatic effect on pellet b* color along with polycarbonate MW (Comparative Example 3 vs Example 16). The data demonstrate that between 0.06 and 0.18 weight percent salt can be used to effectively reduce pellet b* color. The data also show that between 0.06 and 0.18 weight percent salt provides a good pellet b* value without significantly reducing the molecular weight of the polycarbonate.
- Varying amounts of Tinuvin 770 hindered amine light stabilizer and phosphorous acid were ground together using a mortar and pestle to produce a phosphorous acid salt of Tinuvin 770 hindered amine as a fine white powder that was bag blended with polyester and polycarbonate. Tinuvin 770 is a hindered amine light stabilizer believed to conform generally to the compounds of amine formula (7) set forth above wherein R 6═R7═R8═R9=methyl; R10 is hydrogen; Y2 is —OCO—; and L1 is octamethylene. The compositions were extruded and evaluated as described above. The results are shown in Table III. The polymer blend for the examples of Table III consisted of 175 g polyester and 175 g of polycarbonate. The values given for Tinuvin 770 and phosphorous acid (Phos Acid) are concentrations in mg and (weight percent) in the polymer blend.
TABLE III Polycarbonate Fraction Example Tinuvin 770 Phos Acid a* b* L* Mn Mw Mz C-4 350 (0.1) 8.44 20.83 58.52 6,367 17,968 30,477 17 175 (0.05) 45 (0.013) −0.26 7.66 70.15 7,917 23,320 39,171 18 175 (0.05) 60 (0.017) −0.43 3.47 71.33 7,746 22,778 38,325 19 175 (0.05) 75 (0.021) −0.23 4.56 71.24 7,378 22,638 38,624 20 175 (0.05) 140 (0.04) −0.28 3.22 71.12 7,149 21,325 36,239 21 350 (0.1) 30 (0.0085) −0.44 4.73 70.32 7,218 22,772 39,040 22 350 (0.1) 60 (0.017) −0.34 3.46 71.43 7,497 22,066 37,003 23 350 (0.1) 90 (0.026) −0.34 3.08 70.78 7,075 21,252 36,169 24 350 (0.1) 119 (0.034) −0.34 3.26 71.26 6,932 20,289 34,332 25 350 (0.1) 149 (0.043) −0.33 2.89 71.55 6,540 18,417 30,947 - The data reported in Table II show that the phosphorous acid salts of Tinuvin 770 hindered amine were effective at suppressing transesterification and improving the pellet b* color. The weight percent phosphorous acid added was established by altering the mole ratio of phosphorous acid to the number of nitrogen atoms in Tinuvin 770. Data in Table III show a good balance of color of the composition and maintenance of polycarbonate molecular weight (Mw) can be obtained by using a 1:1 mole ratio of Tinuvin 770 and phosphorous acid using 0.1 weight percent salt. At a concentration of 0.05 weight percent loading, the mole ratio of phosphorous acid to Tinuvin 770 can be increased to 2.0. It is apparent from these data that the Tinuvin 770 salt is quite effective at improving the color of polyesters-polycarbonate blends. The Tinuvin 770 salt also is effective at reducing the amount of transesterification that occurs between the polyester and polycarbonate during melt processing.
- The procedure of Examples 17-25 was repeated using varying amounts of Lowilite 62, Lowilite 76 and Chimassorb 119 hindered amine light stabilizer and phosphorous acid to produce a variety of phosphorous acid salts of the hindered amines. Lowilite 62 is a hindered amine light stabilizer believed to conform generally to the compounds of amine formula (20) set forth above wherein R 1 is hydrogen; R2═R6═R7═R8═R9=methyl; L2 is ethylene; and Y, is —OCO—. Lowilite 76 is a hindered amine light stabilizer believed to conform generally to the compounds of amine formula (7) set forth above wherein R6═R7═R8═R9═R10=methyl; Y2 is —O—; and L1 is —CO—(CH2)8—CO—. Chimassorb 119 is a hindered amine light stabilizer believed to conform generally to the compounds of amine formula (15) set forth above wherein R1═R2=hydrogen; R15 and R16 each is the first radical A structure set forth above wherein R6═R7═R8═R9═R10=methyl; Y2 is —N(C4H9-n)—; n1 is 3; and m1 is 3. The compositions were extruded and evaluated as described above. The results are shown in Table IV. The polymer blend for the examples of Table IV consisted of 175 g polyester and 175 g of polycarbonate. The values given for Lowilite 62, Lowilite 76, Chimassorb 119 (Chimab 119)and phosphorous acid (Phos Acid) are concentrations in mg in the polymer blend.
TABLE IV Lowilite Lowilite Chimab Phos Polycarbonate Fraction Example 62 76 119 Acid a* b* L* Mn Mw Mz C-5 — — — — 6.26 19.75 60.74 5,768 17,005 29,492 C-6 350 — — — 6.48 20.54 61.54 6,195 18,015 30,721 26 350 — — 51 0.06 8.87 69.23 7,167 22,634 38,663 27 350 — — 102 −0.05 5.84 70.27 7,462 22,609 38,274 28 350 — — 153 0.32 6.32 69 7,409 21,541 36,178 C-7 — 350 — — 8.31 21.44 60.34 6,502 18,645 31,740 29 — 175 — 42.5 0.3 7.15 69.88 7,234 22,607 38,592 30 — 175 — 56.5 −0.06 5.1 70.71 7,388 22,603 38,363 31 — 175 — 71 −0.02 4.93 70.37 7071 22,912 35,437 32 — 175 — 140 0.12 5.24 70.25 6,694 19,111 32,319 33 — 350 — 28.3 −0.01 7.89 69.63 7,454 22,895 38,772 34 — 350 — 56.5 0.12 6.07 69.77 7,334 21,700 36,799 35 — 350 — 85 0.13 5.84 70.41 7,072 20,145 33,822 36 — 350 — 113 0.24 5.57 69.88 6,522 19,541 33,648 37 — 350 — 142 0.32 5.69 69.67 6,127 17,054 28,974 C-8 — — 350 — 4.23 19.94 62.91 6,551 18,841 32,028 38 — — 350 37.5 −0.77 11.62 69.1 7,325 21,368 36,005 39 — — 350 50 −0.82 12.38 68.97 7,337 21,113 35,575 40 — — 350 63 −1.09 9.83 69.76 7,148 20,707 34,638 41 — — 350 75.5 −1.01 8.48 70.42 7,065 20,279 34,201 42 — — 350 88 −0.87 8.19 70.21 6,867 19,861 33,502 43 — — 350 101 −0.74 7.74 70.11 7,009 19,824 33,507 44 — — 350 113 −0.73 6.99 70.29 6,799 19,249 32,554 45 — — 350 140 −0.79 6.62 71.07 6,136 17,534 29,933 - The data presented in Table IV show that the phosphorous acid salts of hindered amine light stabilizers are effective at improving the pellet b* color of polyester-polycarbonate blends relative to blends that do not contain the stabilizer. In Examples 26-45, several phosphorous acid salt compositions were evaluated at concentrations of 0.05 weight percent and/or 0.1 weight percent. It is clear that the pellet b* color is greatly affected by the salt composition that is selected and may be optimized for each hindered amine light stabilizer or other basic organic compound employed. In comparing the data of Table III with the data of Table IV, it is clear that the phosphorous acid salts of Tinuvin 770 are more effective at improving the pellet b* color. The phosphorous acid salts of Tinuvin 770, Lowilite 62, Lowilite 76 and Chimassorb 119 did not create haze in any of the polyester-polycarbonate alloys that were evaluated.
- Generally, the amount of salt required to achieve acceptable color and molecular weight properties decreases as the ratio of the moles of phosphorous acid to the moles of basic nitrogen atoms in the hindered amine lights stabilizer approaches one. If more than one mole of phosphorous acid per mole of basic nitrogen atoms in the basic organic compound is used, some unsalted phosphorous acid will be present and may lead to corrosion of process equipment.
- To a clean, dry, 5-L, round-bottomed flask equipped with a mechanical stir bar, thermocouple, and a heating mantle was added 411.76 g of Cyasorb UV-3529 and 945 g of toluene. Cyasorb UV-3529 is a polymeric hindered amine light stabilizer believed to conform generally to the compounds of amine formula (12) set forth above R 6═R7═R8═R9═R10=methyl; L1 is hexamethylene; and (R3)(R4)N— collectively represent a morpholino group. The slurry was heated to 60° C. and stirred until a homogeneous solution was obtained. Isopropyl alcohol (370 g) was added to the reaction vessel. A solution of 115.46 g (1.41 mol) of phosphorous acid dissolved into 370 g of isopropyl alcohol was added slowly over approximately 1 hour. A homogeneous solution was obtained. The reaction mixture was pumped into an 18 L reaction vessel that contained rapidly stirred heptane (6840 g) over a period of approximately 1 hour. The resulting slurry was stirred for 30 minutes. The precipitate was collected by suction filtration. The filter cake was washed twice with 137 g of heptane then sucked dry on the filter paper overnight. The solid was placed in a 30.5 cm×15.2×5.1 (12 inch×6 inch×2 inch) metal pan and dried in a vacuum oven at 50-60° C. with a slight ingress of dry nitrogen until a constant mass was obtained. The dry product (Salt 1) weighed approximately 525 g (100 percent of theory).
- The salt of Cyasorb UV-3529 (0.5013, 0.1 weight percent) and phosphorous acid thus prepared was incorporated into a polymer blend consisting of 249.5 g of each of polyester and polycarbonate. The polymer was converted to pellets as described above and and the pellets were compared to pellets prepared from a polymer blend consisting of 250 g of each of polyester and polycarbonate but no salt, Cyasorb UV-3529 or phosphorous acid. The results of the evaluation are shown in Table V.
TABLE V Example L* a* b* C-9 56.38 8.17 18.76 46 69.65 −0.35 3.12 - Cyasorb UV-3529 is a polymeric hindered amine light stabilizer that may exhibit superior performance than lower molecular weight hindered amine light stabilizers, such as Tinuvin 770. The phosphorous acid salts of Cyasorb UV-3529 also exhibit very low haze in polyester-polycarbonate alloys. At 0.1 wtpercent loading in a 50/50 weight percent blend of polyester and polycarbonate, the salt of Cyasorb UV-3529 provided a polymer alloy that had a pellet color that was as good as the phosphorous acid salts of Tinuvin 770 (Example 46 vs. Examples 17-25).
- A 50 percent phosphoric acid solution was prepared by adding 35.15 g of 85 percent phosphoric acid to 24.87 g of deionized water. A sample of Chimassorb 944 was ground to a fine powder using a mortar and pestle. The ground Chimassorb 944 and 50 percent phosphoric acid solution were mixed using a spatula in the ratios listed in Table VI to prepare each salt. The salts were dried overnight in a vacuum oven at 70° C. at about 15 Torr and a slight ingress of dry nitrogen for 24 hours. Each sample was ground using a mortar and pestle and dried under the same conditions as before for 48 hours. Each sample was ground to a fine, free flowing powder using a mortar and pestle.
TABLE VI 50 percent Chimassorb phosphoric 944 acid(aq) Salt 2 10 g 6.54 g Salt 3 10 g 8.18 g Salt 4 10 g 9.82 g Salt 5 10 g 11.45 g Salt 6 10 g 13.05 g - Each salt (0.5 g, 0.1 wt percent) was bag blended with 250 g of polyester and 250 g of polycarbonate. The mixture was extruded under standard conditions and the pellet color and polycarbonate molecular weight (Mw) were measured using standard conditions as described above. The results of the evaluation are shown in Table VII.
TABLE VII Polycarbonate Example Salt a* b* L* Mn Mw Mz 47 2 −0.37 4.31 72.12 7,630 22,097 37,601 48 3 −0.31 4.29 72.25 7,234 21,573 36,379 49 4 −0.08 5.69 71.99 7,436 22,017 37,234 50 5 −0.37 4.9 72.25 7,444 22,612 38,410 51 6 −0.34 3.97 72.57 7,363 22,646 38,493 - The data presented in Table VII show that the phosphoric acid salts of Chimassorb 944 effective at improving the color and suppressing transesterification of a polyester-carbonate blend.
- To a 50 mL beaker was added 5.18 g of phosphorous acid and 5.0 g of pyridine. A solid material formed. The solid material (Salt 7) was triturated with a glass rod until a finely divided solid remained. In Example 52, Salt 7 (350 mg, 0.05 weight percent) was bag blended with 350 g of polyester and 350 g of polycarbonate. The mixture was extruded using the procedures described above and the pellet color and polycarbonate molecular weight (Mw) were measured using the above-desribed procedures. In Example 53, Salt 7 (700 mg, 0.1 weight percent) was bag blended with 350 g polyester and 350 g of polycarbonate. The mixture was extruded and pelletized and the pellet color and polycarbonate molecular weight (Mw) were measured using the above-described procedures. The results of the evaluation are shown in Table VIII.
TABLE VIII Polycarbonate Example a* b* L* Mn Mw Mz 52 −0.38 6.82 68.91 7,800 23,067 38,175 53 −0.15 4.31 69.94 7,408 21,118 34,892 - The data reported in Table VIII demonstrates that the phosphorous acid salts of aromatic nitrogen-containing compounds are effective at improving the color and suppression of transesterification in polyester-polycarbonate blends (Comparative Example C-9 vs. Examples 52 and 53).
- To a 50 mL beaker was added 4.05 g of phosphorous acid and 5.0 g of triethylamine. A waxy material formed. The material was triturated with a glass rod until no triethylamine was visible to produce Salt 8. To a 50 mL beaker was added 4.05 g of phosphorous acid and 5.0 g of diisopropylamine. A waxy material formed. The material was triturated with a glass rod until no diisopropylamine was visible to provide Salt 9.
- Example 54: Salt 8 (350 mg, 0.05 weight percent) was bag blended with 175 g of polyester and 175 g of polycarbonate. The mixture was extruded and pelletized and the pellet color and polycarbonate molecular weight (Mw) were measured using the above-described procedures. Example 55: Salt 8 (700 mg, 0.1 weight percent) was bag blended with 175 g of polyester and 175 g of polycarbonate. The mixture was extruded and pelletized and the pellet color and polycarbonate molecular weight (Mw) were measured using the above-described procedures. Example 56: Salt 9 (350 mg, 0.05 weight percent) was bag blended with 175 g of polyester and 175 g of polycarbonate. The mixture was extruded and pelletized and the pellet color and polycarbonate molecular weight (Mw) were measured using the above-described procedures. Example 57: Salt 9 (700 mg, 0.1 wt percent) was bag blended with 175 g of polyester and 175 g of polycarbonate. The mixture was extruded and pelletized and the pellet color and polycarbonate molecular weight (Mw) were measured using the above-described procedures. The results of the evaluations of Salts 8 and 9 are set forth in Table IX.
TABLE IX Polycarbonate Example Salt a* b* L* Mn Mw Mz 54 8 −0.4 6.09 70.46 6432 18157 30712 55 8 −0.18 5.69 69.18 5670 15619 26697 56 9 −0.38 7.11 70.29 7148 20575 34652 57 9 −0.52 5.74 71.46 6123 16827 28534 - The data in Table IX demonstrate that the phosphorous acid salts of aliphatic nitrogen-containing compounds are effective for improving the color and suppression of transesterification in polyester-polycarbonate blends (Example C-9 vs. Examples 54-57).
- The additives listed below were blended in the amounts given (Amount, g) with individual polymer blends consisting of 350 g polyester and 350 g polycarbonate:
Additive No. Additive Amount 1 Calcium Dihydrogen Phosphate 1.4 2 D-mannitol 1.05 3 Citric Acid 1.4 4 Zinc Sulfate Monohydrate 7.0 5 Irgafos PEPQ FD - Ciba-Geigy 7.0 6 45 percent Aqueous Sulfuric Acid 0.77 7 3,9-Bis(octadecyloxy)-2,4,8,10-tetraoxa-3, 1.4 9-diphosphaspiro[5.5]undecane 8 Phosphorous Acid 0.375 - The blends were extruded and pelletized and the pellet color was measured using the above-described procedures. The results of the evaluations of Additives 1-8 are set forth in Table X.
TABLE X Additive Example No. b* L* C-10 1 4.05 68.58 C-11 2 7.78 68.33 C-12 4 16.63 59.75 C-13 3 and 5 8.29 70.83 C-14 6 8.42 67.08 C-15 7 6.02 71.35 C-16 8 6.68 67.4 - The amounts of each additive that were used to prepare polyester-polycarbonate compositions are similar to the amounts disclosed in the prior art. The data presented in Table X establish that the phosphorous acid salts of some basic organic compounds, such as hindered amine light stabilizers, are more effective at improving the color of polyester-polycarbonate blends than are additives described in the prior art.
- The invention has been described in detail with particular reference to preferred embodiments thereof, but it will be understood that variations and modifications can be effected within the spirit and scope of the invention.
Claims (46)
1. A polymer composition comprising:
(A) at least one polyester prepared by the reaction of at least one diol with at least one dicarboxylic acid or dialkyl ester thereof in the presence of a metallic catalyst; and
(B) at least one salt prepared by the reaction of one or more acidic phosphorus-containing compounds with one or more basic organic compounds which contain nitrogen.
2. A polymer composition according to claim 1 wherein the acidic phosphorus compounds are selected from the compounds having the formulas:
wherein
R1 and R2 are independently selected from hydrogen, C1-C22-alkyl, substituted C1-C22-alkyl, C3-C8-cycloalkyl, substituted C3-C8-cycloalkyl, heteroaryl, and aryl;
n is 2 to 500; and
X is selected from hydrogen and hydroxy; and wherein the basic organic compounds are selected from compounds having the formulas:
wherein
R3, R4, and R5 are independently selected from hydrogen, C1-C22-alkyl, substituted C1-C22-alkyl, C3-C8-cycloalkyl, and substituted C3-C8-cycloalkyl wherein at least one of R3, R4, and R5 is a substituent other than hydrogen; R3 and R4 or R4 and R5 collectively represent a divalent group forming a ring with the nitrogen atom to which they are attached;
R6, R7, R8, and R9 are independently selected from hydrogen, C1-C22-alkyl, substituted C1-C22-alkyl, C3-C8-cycloalkyl, substituted C3-C8-cycloalkyl, heteroaryl, aryl;
R10 is selected from hydrogen, —OR6, C1-C22-alkyl, substituted C1-C22-alkyl, C3-C8-cycloalkyl, substituted C3-C8-cycloalkyl;
R11 is selected from hydrogen; C1-C22-alkyl, substituted C1-C22-alkyl, C3-C8-cycloalkyl, substituted C3-C8-cycloalkyl, heteroaryl, aryl, —Y1—R3 or a succinimido group having the formula
R12 is selected from hydrogen, C1-C22-alkyl, substituted C1-C22-alkyl, C3-C8-cycloalkyl, substituted C3-C8-cycloalkyl, heteroaryl, aryl and may be located at the 2, 3 or 4 positions on the aromatic ring;
the —N(R3)(R4) group may be located at the 2, 3 or 4 positions on the pyridine ring of nitrogen compound (5);
the —CO2R3 and R1 groups may be located at any of the 2, 3, 4, 5, 6 positions of the pyridine ring of nitrogen compound (6);
L1 is a divalent linking group selected from C2-C22-alkylene; —(CH2CH2—Y1)1-3—CH2CH2—; C3-C8-cycloalkylene; arylene; or —CO—L2—OC—;
L2 is selected from C1-C22-alkylene, arylene, —(CH2CH2—Y1)1-3—CH2CH2— and C3-C8-cycloalkylene;
Y1 is selected from —OC(O)—, —NHC(O)—, —O—, —S—, —N(R1)—;
Y2 is selected from —O— or —N(R1)—;
R13 and R14 are independently selected from —O—R2, and —N(R2)2;
Z is a positive integer of up to about 20;
m1 is selected from 0 to about 10;
n1 is a positive integer selected from 2 to about 12;
R15 and R16 are independently selected from hydrogen, C1-C22-alkyl, substituted C1-C22-alkyl, C3-C8-cycloalkyl, substituted C3-C8-cycloalkyl, heteroaryl, aryl, and radical A wherein radical A is selected from the following structures:
Radical A structures wherein * designates the position of attachment.
and wherein the ratio of the number of phosphorus atoms in the acidic phosphorus-containing compound to number of basic nitrogen atoms in the basic organic compound is about 0.05 to about 2.
3. A polymer composition according to claim 2 wherein the polyester of component (A) comprises:
(1) diacid residues comprising at least 50 mole percent terephthalic acid residues, 1,4-cyclohexanedicarboxylic acid residues or a mixture thereof; and
(2) diol residues comprising at least 50 mole percent of ethylene glycol residues, cyclohexanedimethanol residues, or a mixture thereof;
wherein the total of the diacid residues is equal to 100 mole percent and the total of the diol residues also is equal to 100 mole percent.
4. A polymer composition according to claim 2 wherein the polyester of component (A) comprises:
(1) diacid residues comprising at least 50 mole percent terephthalic acid residues, 1,4-cyclohexanedicarboxylic acid residues or a mixture thereof; and
(2) diol residues comprising at least 50 mole percent of ethylene glycol residues, cyclohexanedimethanol residues, or a mixture thereof;
and contains up to about 200 ppmw Ti, Co and/or Mn residues, wherein the total of the diacid residues is equal to 100 mole percent and the total of the diol residues also is equal to 100 mole percent.
5. A polymer composition comprising:
(A) at least one polyester comprising:
(1) diacid residues comprising at least 50 mole percent terephthalic acid residues; and
(2) diol residues comprising at least 50 mole percent of ethylene glycol residues, cyclohexanedimethanol residues, or a mixture thereof;
and contains about 10 to 200 ppmw Ti, Co and/or Mn residues, wherein the total of the diacid residues is equal to 100 mole percent and the total of the diol residues also is equal to 100 mole percent; and
(B) about 0.01 to about 0.25 weight percent based on the total weight of the composition of at least one salt prepared by the reaction of one or more acidic phosphorus-containing compounds selected from phosphorous acid, phosphoric acid and polyphosphoric acid with one or more basic organic compounds which contain nitrogen and have the formulas:
wherein
R1 and R2 are independently is selected from hydrogen, C1-C22-alkyl, substituted C1-C22-alkyl, C3-C8-cycloalkyl, substituted C3-C8-cycloalkyl, heteroaryl, and aryl;
R3 and R4 are independently selected from hydrogen, C1-C22-alkyl, substituted C1-C22-alkyl, C3-C8-cycloalkyl, and substituted C3-C8-cycloalkyl wherein at least one of R3 and R4 is a substituent other than hydrogen; R3 and R4 collectively represent a divalent group forming a ring with the nitrogen atom to which they are attached;
R6, R7, R8, and R9 are independently selected from hydrogen, C1-C22-alkyl, substituted C1-C22-alkyl, C3-C8-cycloalkyl, substituted C3-C8-cycloalkyl, heteroaryl, aryl;
R10 is selected from hydrogen, —OR6, C1-C22-alkyl, substituted C1-C22-alkyl, C3-C8-cycloalkyl, substituted C3-C8-cycloalkyl;
R11 is selected from hydrogen; C1-C22-alkyl, substituted C1-C22-alkyl, C3-C8-cycloalkyl, substituted C3-C8-cycloalkyl, heteroaryl, aryl, —Y1—R3 or a succinimido group having the formula
L1 is a divalent linking group selected from C2-C22-alkylene; —(CH2CH2—Y1)1-3—CH2CH2—; C3-C8-cycloalkylene; arylene; or —CO—L2—OC—;
L2 is selected from C1-C22-alkylene, arylene, —(CH2CH2—Y1)1-3—CH2CH2— and C3-C8-cycloalkylene;
Y1 is selected from —OC(O)—, —NHC(O)—, —O—, —S—, —N(R1)—;
Y2 is selected from —O— or —N(R1)—;
Z is a positive integer of up to about 20;
m1 is selected from 0 to about 10;
n1 is a positive integer selected from 2 to about 12;
R15 and R16 are independently selected from hydrogen, C1-C22-alkyl, substituted C1-C22-alkyl, C3-C8-cycloalkyl, substituted C3-C8-cycloalkyl, heteroaryl, aryl, and radical A wherein radical A is selected from the following structures:
Radical A structures wherein * designates the position of attachment.
wherein at least one of R15 and R16 is an A radical; and the ratio of the number of phosphorus atoms in the acidic phosphorus-containing compound to number of basic nitrogen atoms in the basic organic compound is about 0.05 to about 2.
6. A composition according to claim 5 wherein the polyester of component (A) has an inherent viscosity of about 0.4 to 1.2 dL/g measured at 25° C. in a 60/40 ratio by weight of phenol/tetrachloroethane and comprises:
(1) diacid residues comprising about 80 to 100 mole percent terephthalic acid residues and about 0 to 20 mole percent isophthalic acid residues; and
(2) diol residues comprising about 40 to 100 mole percent 1,4-cyclohexanedimethanol residues and 0 to about 60 mole percent ethylene glycol residues;
and component (B) comprises about 0.05 to about 0.15 weight percent based on the total weight of the composition of at least one salt defined in claim 5 wherein R10 is hydrogen or alkyl and the ratio of the number of phosphorus atoms in the acidic phosphorus-containing compound to number of basic nitrogen atoms in the basic organic compound is about 0.25 to about 1.1.
7. The composition of claim 6 wherein the polyester of component (A) is has an inherent viscosity of about 0.4 to 0.8 dL/g measured at 25° C. in a 60/40 ratio by weight of phenol/tetrachloroethane and comprises:
(1) diacid residues comprising about 80 to 100 mole percent terephthalic acid residues and about 0 to 20 mole percent isophthalic acid residues; and
(2) diol residues comprising about 55 to 80 mole percent 1,4-cyclohexanedimethanol residues and 20 to about 45 mole percent ethylene glycol residues.
8. A composition according to claim 5 wherein the polyester of component (A) has an inherent viscosity of about 0.4 to 1.2 dL/g measured at 25° C. in a 60/40 ratio by weight of phenol/tetrachloroethane and comprises:
(1) diacid residues comprising about 65 to 83 mole percent terephthalic acid residues and about 35 to 17 mole percent isophthalic acid residues; and
(2) diol residues comprising about 80 to 100 mole percent 1,4-cyclohexanedimethanol residues and about 0 to about 20 mole percent ethylene glycol residues;
and component (B) comprises about 0.05 to about 0.15 weight percent based on the total weight of the composition of at least one salt defined in claim 5 wherein R10 is hydrogen or alkyl and the ratio of the number of phosphorus atoms in the acidic phosphorus-containing compound to number of basic nitrogen atoms in the basic organic compound is about 0.25 to about 1.1.
9. The composition of claim 8 wherein the polyester of component (A) has an inherent viscosity of about 0.4 to 0.8 dL/g measured at 25° C. in a 60/40 ratio by weight of phenol/tetrachloroethane and comprises:
(1) diacid residues comprising about 70 to 80 mole percent terephthalic acid residues and about 30 to 20 mole percent isophthalic acid residues; and
(2) diol residues comprising about 90 to 100 mole percent 1,4-cyclohexanedimethanol residues and 0 to about 10 mole percent ethylene glycol residues.
10. A composition according to claim 5 wherein the polyester of component (A) has an inherent viscosity of about 0.4 to 1.2 dL/g measured at 25° C. in a 60/40 ratio by weight of phenol/tetrachloroethane and comprises:
(1) diacid residues comprising at least about 80 mole percent 1,4-cyclohexanedicarboxylic acid residues; and
(2) diol residues comprising at least about 80 mole percent 1,4-cyclohexanedimethanol residues;
and component (B) comprises about 0.05 to about 0.15 weight percent based on the total weight of the composition of at least one salt defined in claim 5 wherein R10 is hydrogen or alkyl and the ratio of the number of phosphorus atoms in the acidic phosphorus-containing compound to number of basic nitrogen atoms in the basic organic compound is about 0.25 to about 1.1.
11. A composition according to claim 10 wherein the polyester of component (A) has an inherent viscosity of about 0.4 to 0.8 dL/g measured at 25° C. in a 60/40 ratio by weight of phenol/tetrachloroethane and comprises:
(1) diacid residues comprising about 100 mole percent 1,4-cyclohexanedicarboxylic acid residues;
(2) diol residues comprising about 100 mole percent 1,4-cyclohexanedimethanol residues.
12. A polymer composition comprising:
(A) at least one polyester having an inherent viscosity of about 0.4 to 1.2 dL/g measured at 25° C. in a 60/40 ratio by weight of phenol/tetrachloroethane and comprises:
(1) diacid residues comprising at least 50 mole percent terephthalic acid residues; and
(2) diol residues comprising at least 50 mole percent of ethylene glycol residues, cyclohexanedimethanol residues, or a mixture thereof; and contains about 10 to 200 ppmw Ti, Co and/or Mn residues, wherein the total of the diacid residues is equal to 100 mole percent and the total of the diol residues also is equal to 100 mole percent; and
(B) about 0.01 to about 0.25 weight percent based on the total weight of the composition of at least one salt prepared by the reaction of phosphorous acid, with one or more basic organic compounds which contain nitrogen and have the formulas:
wherein
R1 and R2 are independently is selected from hydrogen, C1-C22-alkyl, substituted C1-C22-alkyl, C3-C8-cycloalkyl, substituted C3-C8-cycloalkyl, heteroaryl, and aryl;
R3 and R4 are independently selected from hydrogen, C1-C22-alkyl, substituted C1-C22-alkyl, C3-C8-cycloalkyl, and substituted C3-C8-cycloalkyl wherein at least one of R3 and R4 is a substituent other than hydrogen; R3 and R4 collectively represent a divalent group forming a ring with the nitrogen atom to which they are attached;
R6, R7, R8, and R9 are independently selected from hydrogen, C1-C22-alkyl, substituted C1-C22-alkyl, C3-C8-cycloalkyl, substituted C3-C8-cycloalkyl, heteroaryl, aryl;
R10 is selected from hydrogen and C1-C22-alkyl;
L1 is a divalent linking group selected from C2-C22-alkylene; —(CH2CH2—Y1)1-3—CH2CH2—; C3-C8-cycloalkylene; arylene; or —CO—L2—OC—;
L2 is selected from C1-C22-alkylene, arylene, —(CH2CH2—Y1)1-3—CH2CH2— and C3-C8-cycloalkylene;
Y1 is selected from —OC(O)—, —NHC(O)—, —O—, —S—, —N(R1)—;
Y2 is selected from —O— or —N(R1)—;
Z is a positive integer of up to about 6;
m1 is selected from 0 to about 10;
n1 is a positive integer selected from 2 to about 12;
R15 and R16 are independently selected from hydrogen, C1-C22-alkyl, substituted C1-C22-alkyl, C3-C8-cycloalkyl, substituted C3-C8-cycloalkyl, heteroaryl, aryl, and radical A wherein radical A is selected from the following structures:
Radical A structures wherein * designates the position of attachment.
wherein at least one of R15 and R16 represents an A radical; and the ratio of the number of phosphorus atoms in the acidic phosphorus-containing compound to number of basic nitrogen atoms in the basic organic compound is about 0.05 to about 2.
13. A composition according to claim 12 wherein the polyester of component (A) has an inherent viscosity of about 0.4 to 0.8 dL/g measured at 25° C. in a 60/40 ratio by weight of phenol/tetrachloroethane and comprises:
(1) diacid residues comprising about 80 to 100 mole percent terephthalic acid residues and about 0 to 20 mole percent isophthalic acid residues; and
(2) diol residues comprising about 55 to 80 mole percent 1,4-cyclohexanedimethanol residues and 20 to about 45 mole percent ethylene glycol residues.
and component (B) comprises about 0.05 to about 0.15 weight percent based on the total weight of the composition of at least one salt defined in claim 12 wherein the ratio of the number of phosphorus atoms in the acidic phosphorus-containing compound to number of basic nitrogen atoms in the basic organic compound is about 0.25 to about 1.1.
14. A composition according to claim 12 wherein the polyester of component (A) has an inherent viscosity of about 0.4 to 0.8 dL/g measured at 25° C. in a 60/40 ratio by weight of phenol/tetrachloroethane and comprises:
(1) diacid residues comprising about 70 to 80 mole percent terephthalic acid residues and about 30 to 20 mole percent isophthalic acid residues; and
(2) diol residues comprising about 90 to 100 mole percent 1,4-cyclohexanedimethanol residues and 0 to about 10 mole percent ethylene glycol residues.
and component (B) comprises about 0.05 to about 0.15 weight percent based on the total weight of the composition of at least one salt defined in claim 12 wherein the ratio of the number of phosphorus atoms in the acidic phosphorus-containing compound to number of basic nitrogen atoms in the basic organic compound is about 0.25 to about 1.1.
15. A composition according to claim 12 wherein the polyester of component (A) has an inherent viscosity of about 0.4 to 0.8 dL/g measured at 25° C. in a 60/40 ratio by weight of phenol/tetrachloroethane and comprises:
(1) diacid residues comprising at least about 90 mole percent 1,4-cyclohexanedicarboxylic acid residues; and
(2) diol residues comprising at least about 90 mole percent 1,4-cyclohexanedimethanol residues;
and component (B) comprises about 0.05 to about 0.15 weight percent based on the total weight of the composition of at least one salt defined in claim 12 wherein the ratio of the number of phosphorus atoms in the acidic phosphorus-containing compound to number of basic nitrogen atoms in the basic organic compound is about 0.25 to about 1.1.
16. A polymer composition comprising:
(A) at least one polyester having an inherent viscosity of about 0.4 to 1.2 dL/g measured at 25° C. in a 60/40 ratio by weight of phenol/tetrachloroethane and comprises:
(1) diacid residues comprising at least 50 mole percent terephthalic acid residues; and
(2) diol residues comprising at least 50 mole percent of ethylene glycol residues, cyclohexanedimethanol residues, or a mixture thereof;
and contains about 10 to 200 ppmw Ti, Co and/or Mn residues, wherein the total of the diacid residues is equal to 100 mole percent and the total of the diol residues also is equal to 100 mole percent; and
(B) about 0.01 to about 0.25 weight percent based on the total weight of the composition of at least one salt prepared by the reaction of phosphorous acid with a basic organic compound having the formula:
wherein
R3 and R4 are independently selected from hydrogen, C1-C22-alkyl, substituted C1-C22-alkyl, C3-C8-cycloalkyl, and substituted C3-C8-cycloalkyl wherein at least one of R3 and R4 is a substituent other than hydrogen; R3 and R4 collectively represent a divalent group forming a ring with the nitrogen atom to which they are attached;
R6, R7, R8, and R9 are independently selected from hydrogen, C1-C22-alkyl, substituted C1-C22-alkyl, C3-C8-cycloalkyl, substituted C3-C8-cycloalkyl, heteroaryl, aryl;
R10 is selected from hydrogen and C1-C22-alkyl;
L1 is a divalent linking group selected from C2-C22-alkylene; —(CH2CH2—Y1)1-3—CH2CH2—; C3-C8-cycloalkylene; arylene; or —CO—L2—OC—; and
L2 is selected from C1-C22-alkylene, arylene, —(CH2CH2—Y1)1-3—CH2CH2— and C3-C8-cycloalkylene;
Y1 is selected from —OC(O)—, —NHC(O)—, —O—, —S—, —N(R1)—;
Z is a positive integer of up to about 6.
17. A composition according to claim 16 wherein the polyester of component (A) has an inherent viscosity of about 0.4 to 0.8 dL/g measured at 25° C. in a 60/40 ratio by weight of phenol/tetrachloroethane and comprises:
(1) diacid residues comprising about 80 to 100 mole percent terephthalic acid residues and about 0 to 20 mole percent isophthalic acid residues; and
(2) diol residues comprising about 55 to 80 mole percent 1,4-cyclohexanedimethanol residues and 20 to about 45 mole percent ethylene glycol residues.
and component (B) comprises about 0.05 to about 0.15 weight percent based on the total weight of the composition of the salt defined in claim 16 wherein R6═R7═R8═R9═R10=methyl; L1 is hexamethylene; and (R3)(R4)N— collectively represent a morpholino group and the ratio of the number of phosphorus atoms in the acidic phosphorus-containing compound to number of basic nitrogen atoms in the basic organic compound is about 0.25 to about 1.1.
18. A composition according to claim 16 wherein the polyester of component (A) has an inherent viscosity of about 0.4 to 0.8 dL/g measured at 25° C. in a 60/40 ratio by weight of phenol/tetrachloroethane and comprises:
(1) diacid residues comprising about 70 to 80 mole percent terephthalic acid residues and about 30 to 20 mole percent isophthalic acid residues; and
(2) diol residues comprising about 90 to 100 mole percent 1,4-cyclohexanedimethanol residues and 0 to about 10 mole percent ethylene glycol residues.
and component (B) comprises about 0.05 to about 0.15 weight percent based on the total weight of the composition of the salt defined in claim 16 wherein R6═R7═R8═R9═R10=methyl; L1 is hexamethylene; and (R3)(R4)N— collectively represent a morpholino group and the ratio of the number of phosphorus atoms in the acidic phosphorus-containing compound to number of basic nitrogen atoms in the basic organic compound is about 0.25 to about 1.1.
19. A composition according to claim 16 wherein the polyester of component (A) has an inherent viscosity of about 0.4 to 0.8 dL/g measured at 25° C. in a 60/40 ratio by weight of phenol/tetrachloroethane and comprises:
(1) diacid residues comprising at least about 90 mole percent 1,4-cyclohexanedicarboxylic acid residues; and
(2) diol residues comprising at least about 90 mole percent 1,4-cyclohexanedimethanol residues;
and component (B) comprises about 0.05 to about 0.15 weight percent based on the total weight of the composition of at least one salt defined in claim 16 wherein the ratio of the number of phosphorus atoms in the acidic phosphorus-containing compound to number of basic nitrogen atoms in the basic organic compound is about 0.25 to about 1.1.
20. A polymer composition comprising:
(A) at least one polyester prepared by the reaction of at least one diol with at least one dicarboxylic acid or dialkyl ester thereof in the presence of a metallic catalyst;
(B) at least one salt prepared by the reaction of one or more acidic phosphorus-containing compounds with one or more basic organic compounds which contain nitrogen; and
(C) a polycarbonate.
21. A polymer composition according to claim 20 wherein the acidic phosphorus compounds are selected from the compounds having the formulas:
wherein
R1 and R2 are independently selected from hydrogen, C1-C22-alkyl, substituted C1-C22-alkyl, C3-C8-cycloalkyl, substituted C3-C8-cycloalkyl, heteroaryl, and aryl;
n is 2 to 500; and
X is selected from hydrogen and hydroxy; and wherein the basic organic compounds are selected from compounds having the formulas:
wherein
R3, R4, and R5 are independently selected from hydrogen, C1-C22-alkyl, substituted C1-C22-alkyl, C3-C8-cycloalkyl, and substituted C3-C8-cycloalkyl wherein at least one of R3, R4, and R5 is a substituent other than hydrogen; R3 and R4 or R4 and R5 collectively represent a divalent group forming a ring with the nitrogen atom to which they are attached;
R6, R7, R8, and R9 are independently selected from hydrogen, C1-C22-alkyl, substituted C1-C22-alkyl, C3-C8-cycloalkyl, substituted C3-C8-cycloalkyl, heteroaryl, aryl;
R10 is selected from hydrogen, —OR6, C1-C22-alkyl, substituted C1-C22-alkyl, C3-C8-cycloalkyl, substituted C3-C8-cycloalkyl;
R11 is selected from hydrogen; C1-C22-alkyl, substituted C1-C22-alkyl, C3-C8-cycloalkyl, substituted C3-C8-cycloalkyl, heteroaryl, aryl, —Y1—R3 or a succinimido group having the formula
R12 is selected from hydrogen, C1-C22-alkyl, substituted C1-C22-alkyl, C3-C8-cycloalkyl, substituted C3-C8-cycloalkyl, heteroaryl, aryl and may be located at the 2, 3 or 4 positions on the aromatic ring;
the —N(R3)(R4) group may be located at the 2, 3 or 4 positions on the pyridine ring of nitrogen compound (5);
the —CO2R3 and R1 groups may be located at any of the 2, 3, 4, 5, 6 positions of the pyridine ring of nitrogen compound (6);
L1 is a divalent linking group selected from C2-C22-alkylene; —(CH2CH2—Y1)1-3—CH2CH2—; C3-C8-cycloalkylene; arylene; or —CO—L2—OC—;
L2 is selected from C1-C22-alkylene, arylene, —(CH2CH2—Y1)1-3—CH2CH2— and C3-C8-cycloalkylene;
Y1 is selected from —OC(O)—, —NHC(O)—, —O—, —S—, —N(R1)—;
Y2 is selected from —O— or —N(R1)—;
R13 and R14 are independently selected from —O—R2, and —N(R2)2;
Z is a positive integer of up to about 20;
m1 is selected from 0 to about 10;
n1 is a positive integer selected from 2 to about 12;
R15 and R16 are independently selected from hydrogen, C1-C22-alkyl, substituted C1-C22-alkyl, C3-C8-cycloalkyl, substituted C3-C8-cycloalkyl, heteroaryl, aryl, and radical A wherein radical A is selected from the following structures:
Radical A structures wherein * designates the position of attachment.
and wherein the ratio of the number of phosphorus atoms in the acidic phosphorus-containing compound to number of basic nitrogen atoms in the basic organic compound is about 0.05 to about 2.
22. A polymer composition according to claim 21 wherein the polyester of component (A) comprises:
(1) diacid residues comprising at least 50 mole percent terephthalic acid residues; and
(2) diol residues comprising at least 50 mole percent of ethylene glycol residues, cyclohexanedimethanol residues, or a mixture thereof;
wherein the total of the diacid residues is equal to 100 mole percent and the total of the diol residues also is equal to 100 mole percent.
23. A polymer composition according to claim 21 wherein the polyester of component (A) comprises:
(1) diacid residues comprising at least 50 mole percent terephthalic acid residues; and
(2) diol residues comprising at least 50 mole percent of ethylene glycol residues, cyclohexanedimethanol residues, or a mixture thereof;
and contains up to about 200 ppmw Ti, Co and/or Mn residues, wherein the total of the diacid residues is equal to 100 mole percent and the total of the diol residues also is equal to 100 mole percent; and component (C) comprises a bisphenol A polycarbonate, wherein the weight ratio of polyester component (A) to polycarbonate component (C) is about 75:25 to about 25:75.
24. A polymer composition comprising:
(A) at least one polyester comprising:
(1) diacid residues comprising at least 50 mole percent terephthalic acid residues; and
(2) diol residues comprising at least 50 mole percent of ethylene glycol residues, cyclohexanedimethanol residues, or a mixture thereof;
and contains about 10 to 200 ppmw Ti, Co and/or Mn residues, wherein the total of the diacid residues is equal to 100 mole percent and the total of the diol residues also is equal to 100 mole percent; and
(B) about 0.01 to about 0.25 weight percent based on the total weight of the composition of at least one salt prepared by the reaction of one or more acidic phosphorus-containing compounds selected from phosphorous acid, phosphoric acid and polyphosphoric acid with one or more basic organic compounds which contain nitrogen and have the formulas:
wherein
R1 and R2 are independently is selected from hydrogen, C1-C22-alkyl, substituted C1-C22-alkyl, C3-C8-cycloalkyl, substituted C3-C8-cycloalkyl, heteroaryl, and aryl;
R3 and R4 are independently selected from hydrogen, C1-C22-alkyl, substituted C1-C22-alkyl, C3-C8-cycloalkyl, and substituted C3-C8-cycloalkyl wherein at least one of R3 and R4 is a substituent other than hydrogen; R3 and R4 collectively represent a divalent group forming a ring with the nitrogen atom to which they are attached;
R6, R7, R8, and R9 are independently selected from hydrogen, C1-C22-alkyl, substituted C1-C22-alkyl, C3-C8-cycloalkyl, substituted C3-C8-cycloalkyl, heteroaryl, aryl;
R10 is selected from hydrogen, —OR6, C1-C22-alkyl, substituted C1-C22-alkyl, C3-C8-cycloalkyl, substituted C3-C8-cycloalkyl;
R11 is selected from hydrogen; C1-C22-alkyl, substituted C1-C22-alkyl, C3-C8-cycloalkyl, substituted C3-C8-cycloalkyl, heteroaryl, aryl, —Y1—R3 or a succinimido group having the formula
L1 is a divalent linking group selected from C2-C22-alkylene; —(CH2CH2—Y1)1-3—CH2CH2—; C3-C8-cycloalkylene; arylene; or —CO—L2—OC—;
L2 is selected from C1-C22-alkylene, arylene, —(CH2CH2—Y1)1-3—CH2CH2— and C3-C8-cycloalkylene;
Y1 is selected from —OC(O)—, —NHC(O)—, —O—, —S—, —N(R1)—;
Y2 is selected from —O— or —N(R1)—;
Z is a positive integer of up to about 20;
m1 is selected from 0 to about 10;
n1 is a positive integer selected from 2 to about 12;
R15 and R16 are independently selected from hydrogen, C1-C22-alkyl, substituted C1-C22-alkyl, C3-C8-cycloalkyl, substituted C3-C8-cycloalkyl, heteroaryl, aryl, and radical A wherein radical A is selected from the following structures:
Radical A structures wherein * designates the position of attachment
wherein at least one of R15 and R16 is an A radical; and the ratio of the number of phosphorus atoms in the acidic phosphorus-containing compound to number of basic nitrogen atoms in the basic organic compound is about 0.05 to about 2; and
(C) a polycarbonate, wherein the weight ratio of polyester component (A) to polycarbonate component (C) is about 75:25 to about 25:75.
25. A composition according to claim 24 wherein the polyester of component (A) has an inherent viscosity of about 0.4 to 1.2 dL/g measured at 25° C. in a 60/40 ratio by weight of phenol/tetrachloroethane and comprises:
(1) diacid residues comprising about 80 to 100 mole percent terephthalic acid residues and about 0 to 20 mole percent isophthalic acid residues; and
(2) diol residues comprising about 40 to 100 mole percent 1,4-cyclohexanedimethanol residues and 0 to about 60 mole percent ethylene glycol residues;
component (B) comprises about 0.05 to about 0.15 weight percent based on the total weight of the composition of at least one salt defined in claim 24 wherein R10 is hydrogen or alkyl and the ratio of the number of phosphorus atoms in the acidic phosphorus-containing compound to number of basic nitrogen atoms in the basic organic compound is about 0.25 to about 1.1; and component (C) comprises a bisphenol A polycarbonate.
26. The composition of claim 25 wherein the polyester of component (A) is has an inherent viscosity of about 0.4 to 0.8 dL/g measured at 25° C. in a 60/40 ratio by weight of phenol/tetrachloroethane and comprises:
(1) diacid residues comprising about 80 to 100 mole percent terephthalic acid residues and about 0 to 20 mole percent isophthalic acid residues; and
(2) diol residues comprising about 55 to 80 mole percent 1,4-cyclohexanedimethanol residues and 20 to about 45 mole percent ethylene glycol residues.
27. A composition according to claim 24 wherein the polyester of component (A) has an inherent viscosity of about 0.4 to 1.2 dL/g measured at 25° C. in a 60/40 ratio by weight of phenol/tetrachloroethane and comprises:
(1) diacid residues comprising about 65 to 83 mole percent terephthalic acid residues and about 35 to 17 mole percent isophthalic acid residues; and
(2) diol residues comprising about 80 to 100 mole percent 1,4-cyclohexanedimethanol residues and about 0 to about 20 mole percent ethylene glycol residues;
component (B) comprises about 0.05 to about 0.15 weight percent based on the total weight of the composition of at least one salt defined in claim 24 wherein R10 is hydrogen or alkyl and the ratio of the number of phosphorus atoms in the acidic phosphorus-containing compound to number of basic nitrogen atoms in the basic organic compound is about 0.25 to about 1.1; and component (C) comprises a bisphenol A polycarbonate.
28. The composition of claim 27 wherein the polyester of component (A) has an inherent viscosity of about 0.4 to 0.8 dL/g measured at 25° C. in a 60/40 ratio by weight of phenol/tetrachloroethane and comprises:
(1) diacid residues comprising about 70 to 80 mole percent terephthalic acid residues and about 30 to 20 mole percent isophthalic acid residues; and
(2) diol residues comprising about 90 to 100 mole percent 1,4-cyclohexanedimethanol residues and 0 to about 10 mole percent ethylene glycol residues.
29. A composition according to claim 24 wherein the polyester of component (A) has an inherent viscosity of about 0.4 to 1.2 dL/g measured at 25° C. in a 60/40 ratio by weight of phenol/tetrachloroethane and comprises:
(1) diacid residues comprising at least about 80 mole percent 1,4-cyclohexanedicarboxylic acid residues; and
(2) diol residues comprising at least about 80 mole percent 1,4-cyclohexanedimethanol residues;
component (B) comprises about 0.05 to about 0.15 weight percent based on the total weight of the composition of at least one salt defined in claim 24 wherein R10 is hydrogen or alkyl and the ratio of the number of phosphorus atoms in the acidic phosphorus-containing compound to number of basic nitrogen atoms in the basic organic compound is about 0.25 to about 1.1; and component (C) comprises a bisphenol A polycarbonate.
30. A composition according to claim 29 wherein the polyester of component (A) has an inherent viscosity of about 0.4 to 0.8 dL/g measured at 25° C. in a 60/40 ratio by weight of phenol/tetrachloroethane and comprises:
(1) diacid residues comprising 100 mole percent 1,4-cyclohexanedicarboxylic acid residues;
(2) diol residues comprising 100 mole percent 1,4-cyclohexanedimethanol residues.
31. A polymer composition comprising:
(A) at least one polyester having an inherent viscosity of about 0.4 to 1.2 dL/g measured at 25° C. in a 60/40 ratio by weight of phenol/tetrachloroethane and comprises:
(1) diacid residues comprising at least 50 mole percent terephthalic acid residues; and
(2) diol residues comprising at least 50 mole percent of ethylene glycol residues, cyclohexanedimethanol residues, or a mixture thereof;
and contains about 10 to 200 ppmw Ti, Co and/or Mn residues, wherein the total of the diacid residues is equal to 100 mole percent and the total of the diol residues also is equal to 100 mole percent; and
(B) about 0.01 to about 0.25 weight percent based on the total weight of the composition of at least one salt prepared by the reaction of phosphorous acid with one or more basic organic compounds which contain nitrogen and have the formulas:
wherein
R1 and R2 are independently is selected from hydrogen, C1-C22-alkyl, substituted C1-C22-alkyl, C3-C8-cycloalkyl, substituted C3-C8-cycloalkyl, heteroaryl, and aryl;
R3 and R4 are independently selected from hydrogen, C1-C22-alkyl, substituted C1-C22-alkyl, C3-C8-cycloalkyl, and substituted C3-C8-cycloalkyl wherein at least one of R3 and R4 is a substituent other than hydrogen; R3 and R4 collectively represent a divalent group forming a ring with the nitrogen atom to which they are attached;
R6, R7, R8, and R9 are independently selected from hydrogen, C1-C22-alkyl, substituted C1-C22-alkyl, C3-C8-cycloalkyl, substituted C3-C8-cycloalkyl, heteroaryl, aryl,
R10 is selected from hydrogen and C1-C22-alkyl;
L1 is a divalent linking group selected from C2-C22-alkylene; —(CH2CH2—Y1)1-3—CH2CH2—; C3-C8-cycloalkylene; arylene; or —CO—L2—OC—;
L2 is selected from C1-C22-alkylene, arylene, —(CH2CH2—Y1)1-3—CH2CH2— and C3-C8-cycloalkylene;
Y1 is selected from —OC(O)—, —NHC(O)—, —O—, —S—, —N(R1)—;
Y2 is selected from —O— or —N(R1)—;
Z is a positive integer of up to about 6;
m1 is selected from 0 to about 10;
n1 is a positive integer selected from 2 to about 12;
R15 and R16 are independently selected from hydrogen, C1-C22-alkyl, substituted C1-C22-alkyl, C3-C8-cycloalkyl, substituted C3-C8-cycloalkyl, heteroaryl, aryl, and radical A wherein radical A is selected from the following structures:
Radical A structures wherein * designates the position of attachment.
wherein at least one of R15 and R16 represents an A radical and the ratio of the number of phosphorus atoms in the acidic phosphorus-containing compound to number of basic nitrogen atoms in the basic organic compound is about 0.05 to about 2; and
(C) a polycarbonate, wherein the weight ratio of polyester component (A) to polycarbonate component (C) is about 75:25 to about 25:75.
32. A composition according to claim 31 wherein the polyester of component (A) has an inherent viscosity of about 0.4 to 0.8 dL/g measured at 25° C. in a 60/40 ratio by weight of phenol/tetrachloroethane and comprises:
(1) diacid residues comprising about 80 to 100 mole percent terephthalic acid residues and about 0 to 20 mole percent isophthalic acid residues; and
(2) diol residues comprising about 55 to 80 mole percent 1,4-cyclohexanedimethanol residues and 20 to about 45 mole percent ethylene glycol residues.
component (B) comprises about 0.05 to about 0.15 weight percent based on the total weight of the composition of at least one salt defined in claim 31 wherein the ratio of the number of phosphorus atoms in the acidic phosphorus-containing compound to number of basic nitrogen atoms in the basic organic compound is about 0.25 to about 1.1; and component (C) comprises a bisphenol A polycarbonate.
33. A composition according to claim 31 wherein the polyester of component (A) has an inherent viscosity of about 0.4 to 0.8 dL/g measured at 25° C. in a 60/40 ratio by weight of phenol/tetrachloroethane and comprises:
(1) diacid residues comprising about 70 to 80 mole percent terephthalic acid residues and about 30 to 20 mole percent isophthalic acid residues; and
(2) diol residues comprising about 90 to 100 mole percent 1,4-cyclohexanedimethanol residues and 0 to about 10 mole percent ethylene glycol residues.
component (B) comprises about 0.05 to about 0.15 weight percent based on the total weight of the composition of at least one salt defined in claim 12 wherein the ratio of the number of phosphorus atoms in the acidic phosphorus-containing compound to number of basic nitrogen atoms in the basic organic compound is about 0.25 to about 1.1; and component (C) comprises a bisphenol A polycarbonate.
34. A composition according to claim 31 wherein the polyester of component (A) has an inherent viscosity of about 0.4 to 0.8 dL/g measured at 25° C. in a 60/40 ratio by weight of phenol/tetrachloroethane and comprises:
(1) diacid residues comprising at least about 90 mole percent 1,4-cyclohexanedicarboxylic acid residues; and
(2) diol residues comprising at least about 90 mole percent 1,4-cyclohexanedimethanol residues;
component (B) comprises about 0.05 to about 0.15 weight percent based on the total weight of the composition of at least one salt defined in claim 31 wherein the ratio of the number of phosphorus atoms in the acidic phosphorus-containing compound to number of basic nitrogen atoms in the basic organic compound is about 0.25 to about 1.1; and component (C) comprises a bisphenol A polycarbonate.
35. A polymer composition comprising:
(A) at least one polyester having an inherent viscosity of about 0.4 to 1.2 dL/g measured at 25° C. in a 60/40 ratio by weight of phenol/tetrachloroethane and comprises:
(1) diacid residues comprising at least 50 mole percent terephthalic acid residues; and
(2) diol residues comprising at least 50 mole percent of ethylene glycol residues, cyclohexanedimethanol residues, or a mixture thereof;
and contains about 10 to 200 ppmw Ti, Co and/or Mn residues, wherein the total of the diacid residues is equal to 100 mole percent and the total of the diol residues also is equal to 100 mole percent; and
(B) about 0.01 to about 0.25 weight percent based on the total weight of the composition of at least one salt prepared by the reaction of phosphorous acid with a basic organic compound having the formula:
wherein
R3 and R4 are independently selected from hydrogen, C1-C22-alkyl, substituted C1-C22-alkyl, C3-C8-cycloalkyl, and substituted C3-C8-cycloalkyl wherein at least one of R3 and R4 is a substituent other than hydrogen; R3 and R4 collectively represent a divalent group forming a ring with the nitrogen atom to which they are attached;
R6, R7, R8, and R9 are independently selected from hydrogen, C1-C22-alkyl, substituted C1-C22-alkyl, C3-C8-cycloalkyl, substituted C3-C8-cycloalkyl, heteroaryl, aryl;
R10 is selected from hydrogen and alkyl;
L1 is a divalent linking group selected from C2-C22-alkylene; —(CH2CH2—Y1)1-3—CH2CH2—; C3-C8-cycloalkylene; arylene; or —CO—L2—OC—; and
L2 is selected from C1-C22-alkylene, arylene, —(CH2CH2—Y1)1-3—CH2CH2— and C3-C8-cycloalkylene;
Y1 is selected from —OC(O)—, —NHC(O)—, —O—, —S—, —N(R1)—;
Z is a positive integer of up to about 6; and
(C) a bisphenol A polycarbonate, wherein the weight ratio of polyester component (A) to polycarbonate component (C) is about 75:25 to about 25:75.
36. A composition according to claim 35 wherein the polyester of component (A) has an inherent viscosity of about 0.4 to 0.8 dL/g measured at 25° C. in a 60/40 ratio by weight of phenol/tetrachloroethane and comprises:
(1) diacid residues comprising about 80 to 100 mole percent terephthalic acid residues and about 0 to 20 mole percent isophthalic acid residues; and
(2) diol residues comprising about 55 to 80 mole percent 1,4-cyclohexanedimethanol residues and 20 to about 45 mole percent ethylene glycol residues.
and component (B) comprises about 0.05 to about 0.15 weight percent based on the total weight of the composition of the salt defined in claim 35 wherein R6═R7═R8═R9═R10=methyl; L, is hexamethylene; and (R3)(R4)N— collectively represent a morpholino group and the ratio of the number of phosphorus atoms in the acidic phosphorus-containing compound to number of basic nitrogen atoms in the basic organic compound is about 0.25 to about 1.1.
37. A composition according to claim 35 wherein the polyester of component (A) has an inherent viscosity of about 0.4 to 0.8 dL/g measured at 25° C. in a 60/40 ratio by weight of phenol/tetrachloroethane and comprises:
(1) diacid residues comprising about 70 to 80 mole percent terephthalic acid residues and about 30 to 20 mole percent isophthalic acid residues; and
(2) diol residues comprising about 90 to 100 mole percent 1,4-cyclohexanedimethanol residues and 0 to about 10 mole percent ethylene glycol residues.
and component (B) comprises about 0.05 to about 0.15 weight percent based on the total weight of the composition of the salt defined in claim 16 wherein R6═R7═R8═R9═R10=methyl; L1 is hexamethylene; and (R3)(R4)N— collectively represent a morpholino group and the ratio of the number of phosphorus atoms in the acidic phosphorus-containing compound to number of basic nitrogen atoms in the basic organic compound is about 0.25 to about 1.1.
38. A composition according to claim 35 wherein the polyester of component (A) has an inherent viscosity of about 0.4 to 0.8 dL/g measured at 25° C. in a 60/40 ratio by weight of phenol/tetrachloroethane and comprises:
(1) diacid residues comprising at least about 90 mole percent 1,4-cyclohexanedicarboxylic acid residues; and
(2) diol residues comprising at least about 90 mole percent 1,4-cyclohexanedimethanol residues;
and component (B) comprises about 0.05 to about 0.15 weight percent based on the total weight of the composition of at least one salt defined in claim 35 wherein the ratio of the number of phosphorus atoms in the acidic phosphorus-containing compound to number of basic nitrogen atoms in the basic organic compound is about 0.25 to about 1.1.
39. A polymer concentrate comprising:
(A) at least one polyester prepared by the reaction of at least one diol with at least one dicarboxylic acid or dialkyl ester thereof in the presence of a metallic catalyst; and
(B) up to about 10 weight percent, based on the total weight of the polyester, of at least one salt prepared by the reaction of one or more acidic phosphorus-containing compounds and one or more basic organic compounds which contain nitrogen.
40. A polymer concentrate according to claim 39 comprising:
(A) a polyester comprising:
(1) diacid residues comprising at least 50 mole percent terephthalic acid residues, 1,4-cyclohexanedicarboxylic acid residues or a mixture thereof; and
(2) diol residues comprising at least 50 mole percent of ethylene glycol residues, cyclohexanedimethanol residues, or a mixture thereof;
and up to about 200 ppmw Ti, Co and/or Mn residues;
wherein the total of the diacid residues is equal to 100 mole percent and the total of the diol residues also is equal to 100 mole percent; and
(B) about 5 to about 10 weight percent, based on the total weight of the polyester, of at least one salt prepared by the reaction of one or more acidic phosphorus-containing compounds with one or more basic organic compounds which contain nitrogen;
wherein
the acidic phosphorus compounds are selected from the compounds having the formula:
wherein
R1 and R2 are independently selected from hydrogen, C1-C22-alkyl, substituted C1-C22-alkyl, C3-C8-cycloalkyl, substituted C3-C8-cycloalkyl, heteroaryl, and aryl;
n is 2 to 500; and
X is selected from hydrogen and hydroxy;
and wherein the basic organic compounds are selected from compounds having the formulas:
wherein
R3, R4, and R5 are independently selected from hydrogen, C1-C22-alkyl, substituted C1-C22-alkyl, C3-C8-cycloalkyl, and substituted C3-C8-cycloalkyl wherein at least one of R3, R4, and R5 is a substituent other than hydrogen; R3 and R4 or R4 and R5 collectively represent a divalent group forming a ring with the nitrogen atom to which they are attached;
R6, R7, R8, and R9 are independently selected from hydrogen, C1-C22-alkyl, substituted C1-C22-alkyl, C3-C8-cycloalkyl, substituted C3-C8-cycloalkyl, heteroaryl, aryl;
R10 is selected from hydrogen, —OR6, C1-C22-alkyl, substituted C1-C22-alkyl, C3-C8-cycloalkyl, substituted C3-C8-cycloalkyl;
R11 is selected from hydrogen; C1-C22-alkyl, substituted C1-C22-alkyl, C3-C8-cycloalkyl, substituted C3-C8-cycloalkyl, heteroaryl, aryl, —Y1—R3 or a succinimido group having the formula
R12 is selected from hydrogen, C1-C22-alkyl, substituted C1-C22-alkyl, C3-C8-cycloalkyl, substituted C3-C8-cycloalkyl, heteroaryl, aryl and may be located at the 2, 3 or 4 positions on the aromatic ring;
the —N(R3)(R4) group may be located at the 2, 3 or 4 positions on the pyridine ring of nitrogen compound (5);
the —CO2R3 and R1 groups may be located at any of the 2, 3, 4, 5, 6 positions of the pyridine ring of nitrogen compound (6);
L1 is a divalent linking group selected from C2-C22-alkylene; —(CH2CH2—Y1)1-3—CH2CH2—; C3-C8-cycloalkylene; arylene; or —CO—L2—OC—;
L2 is selected from C1-C22-alkylene, arylene, —(CH2CH2—Y1)1-3—CH2CH2— and C3-C8-cycloalkylene;
Y1 is selected from —OC(O)—, —NHC(O)—, —O—, —S—, —N(R1)—;
Y2 is selected from —O— or —N(R1)—;
R13 and R14 are independently selected from —O—R2, and —N(R2)2;
Z is a positive integer of up to about 20;
m1 is selected from 0 to about 10;
n1 is a positive integer selected from 2 to about 12;
R15 and R16 are independently selected from hydrogen, C1-C22-alkyl, substituted C1-C22-alkyl, C3-C8-cycloalkyl, substituted C3-C8-cycloalkyl, heteroaryl, aryl, and radical A wherein radical A is selected from the following structures:
Radical A structures wherein * designates the position of attachment.
and wherein the ratio of the number of phosphorus atoms in the acidic phosphorus-containing compound to number of basic nitrogen atoms in the basic organic compound is about 0.05 to about 2.
41. A polymer concentrate according to claim 39 comprising:
(A) a polyester comprising:
(1) diacid residues comprising at least 50 mole percent terephthalic acid residues, 1,4-cyclohexanedicarboxylic acid residues or a mixture thereof; and
(2) diol residues comprising at least 50 mole percent of ethylene glycol residues, cyclohexanedimethanol residues, or a mixture thereof;
and up to about 200 ppmw Ti, Co and/or Mn residues; wherein the total of the diacid residues is equal to 100 mole percent and the total of the diol residues also is equal to 100 mole percent; and
(B) about 5 to about 10 weight percent, based on the total weight of the polyester, of at least one salt prepared by the reaction of one or more acidic phosphorus-containing compounds with one or more basic organic compounds which contain nitrogen;
wherein
the acidic phosphorus compounds are selected from phosphorous acid, phosphoric acid and polyphosphoric acid; and
the basic organic compounds which contain nitrogen are selected from compounds having the formulas:
wherein
R1 and R2 are independently is selected from hydrogen, C1-C22-alkyl, substituted C1-C22-alkyl, C3-C8-cycloalkyl, substituted C3-C8-cycloalkyl, heteroaryl, and aryl;
R3 and R4 are independently selected from hydrogen, C1-C22-alkyl, substituted C1-C22-alkyl, C3-C8-cycloalkyl, and substituted C3-C8-cycloalkyl wherein at least one of R3 and R4 is a substituent other than hydrogen; R3 and R4 collectively represent a divalent group forming a ring with the nitrogen atom to which they are attached;
R6, R7, R8, and R9 are independently selected from hydrogen, C1-C22-alkyl, substituted C1-C22-alkyl, C3-C8-cycloalkyl, substituted C3-C8-cycloalkyl, heteroaryl, aryl;
R10 is selected from hydrogen, —OR6, C1-C22-alkyl, substituted C1-C22-alkyl, C3-C8-cycloalkyl, substituted C3-C8-cycloalkyl;
R11 is selected from hydrogen; C1-C22-alkyl, substituted C1-C22-alkyl, C3-C8-cycloalkyl, substituted C3-C8-cycloalkyl, heteroaryl, aryl, —Y1—R3 or a succinimido group having the formula
L1 is a divalent linking group selected from C2-C22-alkylene; —(CH2CH2—Y1)1-3—CH2CH2—; C3-C8-cycloalkylene; arylene; or —CO—L2—OC—;
L2 is selected from C1-C22-alkylene, arylene, —(CH2CH2—Y1)1-3—CH2CH2— and C3-C8-cycloalkylene;
Y1 is selected from —OC(O)—, —NHC(O)—, —O—, —S—, —N(R1)—;
Y2 is selected from —O— or —N(R1)—;
Z is a positive integer of up to about 20;
m1 is selected from 0 to about 10;
n1 is a positive integer selected from 2 to about 12;
R15 and R16 are independently selected from hydrogen, C1-C22-alkyl, substituted C1-C22-alkyl, C3-C8-cycloalkyl, substituted C3-C8-cycloalkyl, heteroaryl, aryl, and radical A wherein radical A is selected from the following structures:
Radical A structures wherein * designates the position of attachment.
wherein at least one of R15 and R16 is an A radical; and the ratio of the number of phosphorus atoms in the acidic phosphorus-containing compound to number of basic nitrogen atoms in the basic organic compound is about 0.05 to about 2.
42. A polymer concentrate according to claim 39 comprising:
(A) a polyester comprising:
(1) diacid residues comprising at least 50 mole percent terephthalic acid residues, 1,4-cyclohexanedicarboxylic acid residues or a mixture thereof; and
(2) diol residues comprising at least 50 mole percent of ethylene glycol residues, cyclohexanedimethanol residues, or a mixture thereof;
and up to about 200 ppmw Ti, Co and/or Mn residues;
wherein the total of the diacid residues is equal to 100 mole percent and the total of the diol residues also is equal to 100 mole percent; and
(B) about 5 to about 10 weight percent, based on the total weight of the polyester, of at least one salt prepared by the reaction of one or more acidic phosphorus-containing compounds with one or more basic organic compounds which contain nitrogen;
wherein
the acidic phosphorus compounds is phosphorous acid; and
the basic organic compounds which contain nitrogen are selected from compounds having the formulas:
wherein
R1 and R2 are independently is selected from hydrogen, C1-C22-alkyl, substituted C1-C22-alkyl, C3-C8-cycloalkyl, substituted C3-C8-cycloalkyl, heteroaryl, and aryl;
R3 and R4 are independently selected from hydrogen, C1-C22-alkyl, substituted C1-C22-alkyl, C3-C8-cycloalkyl, and substituted C3-C8-cycloalkyl wherein at least one of R3 and R4 is a substituent other than hydrogen; R3 and R4 collectively represent a divalent group forming a ring with the nitrogen atom to which they are attached;
R6, R7, R8, and R9 are independently selected from hydrogen, C1-C22-alkyl, substituted C1-C22-alkyl, C3-C8-cycloalkyl, substituted C3-C8-cycloalkyl, heteroaryl, aryl;
R10 is selected from hydrogen and alkyl;
L1 is a divalent linking group selected from C2-C22-alkylene; —(CH2CH2—Y1)1-3—CH2CH2—; C3-C8-cycloalkylene; arylene; or —CO—L2—OC—;
L2 is selected from C1-C22-alkylene, arylene, —(CH2CH2—Y1)1-3—CH2CH2— and C3-C8-cycloalkylene;
Y1 is selected from —OC(O)—, —NHC(O)—, —O—, —S—, —N(R1)—;
Y2 is selected from —O— or —N(R1)—;
Z is a positive integer of up to about 6;
m1 is selected from 0 to about 10;
n1 is a positive integer selected from 2 to about 12;
R15 and R16 are independently selected from hydrogen, C1-C22-alkyl, substituted C1-C22-alkyl, C3-C8-cycloalkyl, substituted C3-C8-cycloalkyl, heteroaryl, aryl, and radical A wherein radical A is selected from the following structures:
Radical A structures wherein * designates the position of attachment.
wherein at least one of R15 and R16 represents an A radical and the ratio of the number of phosphorus atoms in the acidic phosphorus-containing compound to number of basic nitrogen atoms in the basic organic compound is about 0.05 to about 2.
43. A polymer composition comprising:
(A) at least one polyester comprising:
(1) diacid residues comprising at least 40 mole percent terephthalic acid residues; and
(2) diol residues comprising from 52 to 75 mole percent of 1,4-cyclohexanedimethanol residues and 25 to 48 mole percent of ethylene glycol;
wherein the total mole percent of the diacid residues is equal to 100 mole percent and the total mole percent of the diol residues is also equal to 100 mole percent;
(B) at least one salt prepared by the reaction of one or more acidic phosphorus-containing compounds selected from phosphorous acid, phosphoric acid and polyphosphoric acid with one or more basic organic compounds which contain nitrogen and have the formulas:
wherein
R1 and R2 are independently is selected from hydrogen, C1-C22-alkyl, substituted C1-C22-alkyl, C3-C8-cycloalkyl, substituted C3-C8-cycloalkyl, heteroaryl, and aryl;
R3 and R4 are independently selected from hydrogen, C1-C22-alkyl, substituted C1-C22-alkyl, C3-C8-cycloalkyl, and substituted C3-C8-cycloalkyl wherein at least one of R3 and R4 is a substituent other than hydrogen; R3 and R4 collectively represent a divalent group forming a ring with the nitrogen atom to which they are attached;
R6, R7, R8, and R9 are independently selected from hydrogen, C1-C22-alkyl, substituted C1-C22-alkyl, C3-C8-cycloalkyl, substituted C3-C8-cycloalkyl, heteroaryl, aryl;
R10 is selected from hydrogen, —OR6, C1-C22-alkyl, substituted C1-C22-alkyl, C3-C8-cycloalkyl, substituted C3-C8-cycloalkyl;
R11 is selected from hydrogen; C1-C22-alkyl, substituted C1-C22-alkyl, C3-C8-cycloalkyl, substituted C3-C8-cycloalkyl, heteroaryl, aryl, —Y1—R3 or a succinimido group having the formula
L1 is a divalent linking group selected from C2-C22-alkylene; —(CH2CH2—Y1)1-3—CH2CH2—; C3-C8-cycloalkylene; arylene; or —CO—L2—OC—;
L2 is selected from C1-C22-alkylene, arylene, —(CH2CH2—Y1)1-3—CH2CH2— and C3-C8-cycloalkylene;
Y1 is selected from —OC(O)—, —NHC(O)—, —O—, —S—, —N(R1)—;
Y2 is selected from —O— or —N(R1)—;
Z is a positive integer of up to about 20;
m1 is selected from 0 to about 10;
n1 is a positive integer selected from 2 to about 12;
R15 and R16 are independently selected from hydrogen, C1-C22-alkyl, substituted C1-C22-alkyl, C3-C8-cycloalkyl, substituted C3-C8-cycloalkyl, heteroaryl, aryl, and radical A wherein radical A is selected from the following structures:
Radical A structures wherein * designates the position of attachment
wherein at least one of R15 and R16 is an A radical; and the ratio of the number of phosphorus atoms in the acidic phosphorus-containing compound to number of basic nitrogen atoms in the basic organic compound is about 0.05 to about 2.
44. The polymer composition of claim 43 further comprising a polycarbonate.
45. The polymer compositon of claim 44 wherein the weight ratio of polyester component (A) to the polycarbonate component is about 75:25 to about 25:75.
46. A polymer concentrate according to claim 44 comprising:
(A) a polyester comprising:
(1) diacid residues comprising from 80 to 100 mole percent terephthalic acid residues,; and
(2) diol residues comprising from 52 to 65 mole percent of 1,4-cyclohexanedimethanol residues, and 35 to 48 mole percent of ethylene glycol;
wherein the total of the diacid residues is equal to 100 mole percent and the total of the diol residues also is equal to 100 mole percent; and
(B) about 5 to about 10 weight percent, based on the total weight of the polyester, of at least one salt prepared by the reaction of one or more acidic phosphorus-containing compounds with one or more basic organic compounds which contain nitrogen;
wherein
the acidic phosphorus compounds is phosphorous acid; and
the basic organic compounds which contain nitrogen are selected from compounds having the formulas:
wherein
R1 and R2 are independently is selected from hydrogen, C1-C22-alkyl, substituted C1-C22-alkyl, C3-C8-cycloalkyl, substituted C3-C8-cycloalkyl, heteroaryl, and aryl;
R3 and R4 are independently selected from hydrogen, C1-C22-alkyl, substituted C1-C22-alkyl, C3-C8-cycloalkyl, and substituted C3-C8-cycloalkyl wherein at least one of R3 and R4 is a substituent other than hydrogen; R3 and R4 collectively represent a divalent group forming a ring with the nitrogen atom to which they are attached;
R6, R7, R8, and R9 are independently selected from hydrogen, C1-C22-alkyl, substituted C1-C22-alkyl, C3-C8-cycloalkyl, substituted C3-C8-cycloalkyl, heteroaryl, aryl;
R10 is selected from hydrogen and alkyl;
L1 is a divalent linking group selected from C2-C22-alkylene; —(CH2CH2—Y1)1-3—CH2CH2—; C3-C8-cycloalkylene; arylene; or —CO—L2—OC—;
L2 is selected from C1-C22-alkylene, arylene, —(CH2CH2—Y1)1-3—CH2CH2— and C3-C8-cycloalkylene;
Y1 is selected from —OC(O)—, —NHC(O)—, —O—, —S—, —N(R1)—;
Y2 is selected from —O— or —N(R1)—;
Z is a positive integer of up to about 6;
m1 is selected from 0 to about 10;
n1 is a positive integer selected from 2 to about 12;
R15 and R16 are independently selected from hydrogen, C1-C22-alkyl, substituted C1-C22-alkyl, C3-C8-cycloalkyl, substituted C3-C8-cycloalkyl, heteroaryl, aryl, and radical A wherein radical A is selected from the following structures:
Radical A structures wherein * designates the position of attachment.
wherein at least one of R15 and R16 represents an A radical and the ratio of the number of phosphorus atoms in the acidic phosphorus-containing compound to number of basic nitrogen atoms in the basic organic compound is about 0.05 to about 2.
Priority Applications (10)
| Application Number | Priority Date | Filing Date | Title |
|---|---|---|---|
| US10/379,649 US20040143041A1 (en) | 2003-01-13 | 2003-03-05 | Polyester compositions |
| DE60312901T DE60312901T2 (en) | 2003-03-05 | 2003-12-17 | POLYESTER COMPOSITIONS |
| PCT/US2003/040536 WO2004065472A1 (en) | 2003-01-13 | 2003-12-17 | Polyester compositions |
| BR0317985-0A BR0317985A (en) | 2003-01-13 | 2003-12-17 | Polymer composition and concentrate |
| EP03815493A EP1601720B1 (en) | 2003-01-13 | 2003-12-17 | Polyester compositions |
| AT03815493T ATE358155T1 (en) | 2003-03-05 | 2003-12-17 | POLYESTER COMPOSITIONS |
| AU2003303772A AU2003303772A1 (en) | 2003-01-13 | 2003-12-17 | Polyester compositions |
| JP2005515517A JP2006513311A (en) | 2003-01-13 | 2003-12-17 | Polyester composition |
| MYPI20035032A MY146396A (en) | 2003-03-05 | 2003-12-30 | Polyester compositions |
| US11/204,869 US7468409B2 (en) | 2003-01-13 | 2005-08-16 | Polyester compositions |
Applications Claiming Priority (2)
| Application Number | Priority Date | Filing Date | Title |
|---|---|---|---|
| US43968103P | 2003-01-13 | 2003-01-13 | |
| US10/379,649 US20040143041A1 (en) | 2003-01-13 | 2003-03-05 | Polyester compositions |
Related Child Applications (1)
| Application Number | Title | Priority Date | Filing Date |
|---|---|---|---|
| US11/204,869 Continuation-In-Part US7468409B2 (en) | 2003-01-13 | 2005-08-16 | Polyester compositions |
Publications (1)
| Publication Number | Publication Date |
|---|---|
| US20040143041A1 true US20040143041A1 (en) | 2004-07-22 |
Family
ID=32716956
Family Applications (2)
| Application Number | Title | Priority Date | Filing Date |
|---|---|---|---|
| US10/379,649 Abandoned US20040143041A1 (en) | 2003-01-13 | 2003-03-05 | Polyester compositions |
| US11/204,869 Expired - Fee Related US7468409B2 (en) | 2003-01-13 | 2005-08-16 | Polyester compositions |
Family Applications After (1)
| Application Number | Title | Priority Date | Filing Date |
|---|---|---|---|
| US11/204,869 Expired - Fee Related US7468409B2 (en) | 2003-01-13 | 2005-08-16 | Polyester compositions |
Country Status (6)
| Country | Link |
|---|---|
| US (2) | US20040143041A1 (en) |
| EP (1) | EP1601720B1 (en) |
| JP (1) | JP2006513311A (en) |
| AU (1) | AU2003303772A1 (en) |
| BR (1) | BR0317985A (en) |
| WO (1) | WO2004065472A1 (en) |
Cited By (7)
| Publication number | Priority date | Publication date | Assignee | Title |
|---|---|---|---|---|
| US20040192813A1 (en) * | 2003-03-20 | 2004-09-30 | Pearson Jason Clay | Polymer compositions containing an ultraviolet light absorbing compound |
| US20050272840A1 (en) * | 2003-01-13 | 2005-12-08 | Pearson Jason C | Polycarbonate compositions |
| US20050277713A1 (en) * | 2003-03-05 | 2005-12-15 | Pearson Jason C | Polymer blends |
| US20050277715A1 (en) * | 2003-03-05 | 2005-12-15 | Pearson Jason C | Polyolefin compositions |
| US20050288400A1 (en) * | 2003-03-05 | 2005-12-29 | Pearson Jason C | Polymer compositions containing an ultraviolet light absorbing compound |
| US20050288401A1 (en) * | 2003-01-13 | 2005-12-29 | Pearson Jason C | Polyester compositions |
| US20070015881A1 (en) * | 2005-07-12 | 2007-01-18 | Hale Wesley R | Transparent two phase polyester-polycarbonate compositions |
Families Citing this family (29)
| Publication number | Priority date | Publication date | Assignee | Title |
|---|---|---|---|---|
| US7297735B2 (en) | 2003-03-05 | 2007-11-20 | Eastman Chemical Company | Polycarbonate compositions |
| DE60320035T2 (en) | 2003-03-05 | 2009-05-14 | Eastman Chemical Co., Kingsport | POLYMER BLENDS |
| US20100184940A1 (en) * | 2005-03-02 | 2010-07-22 | Eastman Chemical Company | Polyester Compositions Which Comprise Cyclobutanediol and Certain Thermal Stabilizers, and/or Reaction Products Thereof |
| US7955674B2 (en) * | 2005-03-02 | 2011-06-07 | Eastman Chemical Company | Transparent polymer blends containing polyesters comprising a cyclobutanediol and articles prepared therefrom |
| US7868128B2 (en) | 2005-06-17 | 2011-01-11 | Eastman Chemical Company | Skylights and windows comprising polyester compositions formed from 2,2,4,4,-tetramethyl-1,3-cyclobutanediol and 1,4-cyclohexanedimethanol |
| US7959998B2 (en) * | 2005-03-02 | 2011-06-14 | Eastman Chemical Company | Transparent, oxygen-scavenging compositions containing polyesters comprising a cyclobutanediol and articles prepared therefrom |
| US7959836B2 (en) * | 2005-03-02 | 2011-06-14 | Eastman Chemical Company | Process for the preparation of transparent, shaped articles containing polyesters comprising a cyclobutanediol |
| US20060199871A1 (en) * | 2005-03-02 | 2006-09-07 | Hale Wesley R | Multilayered, transparent articles and a process for their preparation |
| US7704605B2 (en) | 2006-03-28 | 2010-04-27 | Eastman Chemical Company | Thermoplastic articles comprising cyclobutanediol having a decorative material embedded therein |
| US8188166B2 (en) * | 2005-07-29 | 2012-05-29 | Aoc, Llc | Unsaturated polyester resin compositions with improved weatherability |
| US8586701B2 (en) * | 2005-10-28 | 2013-11-19 | Eastman Chemical Company | Process for the preparation of copolyesters based on 2,2,4,4-tetramethyl-1,3-cyclobutanediol and 1,4-cyclohexanedimethanol |
| US8193302B2 (en) | 2005-10-28 | 2012-06-05 | Eastman Chemical Company | Polyester compositions which comprise cyclobutanediol and certain phosphate thermal stabilizers, and/or reaction products thereof |
| EP1940907B1 (en) | 2005-10-28 | 2011-04-13 | Eastman Chemical Company | Polyester compositions containing cyclobutanediol having high glass transition temperature and articles made therefrom |
| US9598533B2 (en) | 2005-11-22 | 2017-03-21 | Eastman Chemical Company | Polyester compositions containing cyclobutanediol having a certain combination of inherent viscosity and moderate glass transition temperature and articles made therefrom |
| US7737246B2 (en) | 2005-12-15 | 2010-06-15 | Eastman Chemical Company | Polyester compositions which comprise cyclobutanediol, cyclohexanedimethanol, and ethylene glycol and manufacturing processes therefor |
| US9169388B2 (en) | 2006-03-28 | 2015-10-27 | Eastman Chemical Company | Polyester compositions which comprise cyclobutanediol and certain thermal stabilizers, and/or reaction products thereof |
| US8501287B2 (en) | 2007-11-21 | 2013-08-06 | Eastman Chemical Company | Plastic baby bottles, other blow molded articles, and processes for their manufacture |
| US8287970B2 (en) | 2007-11-21 | 2012-10-16 | Eastman Chemical Company | Plastic baby bottles, other blow molded articles, and processes for their manufacture |
| US8198371B2 (en) | 2008-06-27 | 2012-06-12 | Eastman Chemical Company | Blends of polyesters and ABS copolymers |
| US20100015456A1 (en) * | 2008-07-16 | 2010-01-21 | Eastman Chemical Company | Thermoplastic formulations for enhanced paintability toughness and melt process ability |
| US20100099828A1 (en) * | 2008-10-21 | 2010-04-22 | Eastman Chemical Company | Clear Binary Blends of Aliphatic Polyesters and Aliphatic-Aromatic Polyesters |
| US8895654B2 (en) * | 2008-12-18 | 2014-11-25 | Eastman Chemical Company | Polyester compositions which comprise spiro-glycol, cyclohexanedimethanol, and terephthalic acid |
| US8420869B2 (en) | 2010-12-09 | 2013-04-16 | Eastman Chemical Company | Process for the preparation of 2,2,4,4-tetraalkylcyclobutane-1,3-diols |
| US8394997B2 (en) | 2010-12-09 | 2013-03-12 | Eastman Chemical Company | Process for the isomerization of 2,2,4,4-tetraalkylcyclobutane-1,3-diols |
| US8420868B2 (en) | 2010-12-09 | 2013-04-16 | Eastman Chemical Company | Process for the preparation of 2,2,4,4-tetraalkylcyclobutane-1,3-diols |
| US20130217830A1 (en) | 2012-02-16 | 2013-08-22 | Eastman Chemical Company | Clear Semi-Crystalline Articles with Improved Heat Resistance |
| US8865261B2 (en) | 2012-12-06 | 2014-10-21 | Eastman Chemical Company | Extrusion coating of elongated substrates |
| US9920526B2 (en) | 2013-10-18 | 2018-03-20 | Eastman Chemical Company | Coated structural members having improved resistance to cracking |
| US9744707B2 (en) | 2013-10-18 | 2017-08-29 | Eastman Chemical Company | Extrusion-coated structural members having extruded profile members |
Citations (80)
| Publication number | Priority date | Publication date | Assignee | Title |
|---|---|---|---|---|
| US3169121A (en) * | 1957-08-22 | 1965-02-09 | Gen Electric | Carbonate-carboxylate copolyesters of dihydric phenols and difunctional carboxylic acids |
| US3207814A (en) * | 1961-01-03 | 1965-09-21 | Gen Electric | Carbonate-polyester copolymer resinous compositions |
| US3218372A (en) * | 1961-08-18 | 1965-11-16 | Kunoshima Kagaku Kogyo Kabushi | Molding material and molded articles |
| US3953539A (en) * | 1973-03-28 | 1976-04-27 | Teijin Ltd. | Aromatic polyester resin composition having inhibited coloration and method for inhibiting coloration |
| US4025492A (en) * | 1974-06-28 | 1977-05-24 | Bayer Aktiengesellschaft | Thermoplastic copolyesters and a process for their production |
| US4088709A (en) * | 1977-07-01 | 1978-05-09 | Eastman Kodak Company | Phosphorus stabilized-polyester-polycarbonate molding compositions |
| US4136089A (en) * | 1975-02-22 | 1979-01-23 | Bayer Aktiengesellschaft | Molded articles of crystalline poly (ethylene/alkylene) terephthalates which crystallize rapidly |
| US4156069A (en) * | 1976-04-02 | 1979-05-22 | Allied Chemical Corporation | Bisphenol-A/terephthalate/carbonate melt processable copolymers |
| US4176224A (en) * | 1977-04-09 | 1979-11-27 | Bayer Aktiengesellschaft | Poly (ethylene/alkylene) terephthalates which crystallize rapidly |
| US4188314A (en) * | 1976-12-14 | 1980-02-12 | General Electric Company | Shaped article obtained from a carbonate-polyester composition |
| US4194038A (en) * | 1979-01-25 | 1980-03-18 | Allied Chemical Corporation | Poly(ester-carbonates) from dicarboxylic acid chlorides |
| US4208527A (en) * | 1978-03-18 | 1980-06-17 | Chemische Werke Huls, Aktiengesellschaft | Process for the manufacture of high molecular weight poly-(ethylene terephthalate) |
| US4238593A (en) * | 1979-06-12 | 1980-12-09 | The Goodyear Tire & Rubber Company | Method for production of a high molecular weight polyester prepared from a prepolymer polyester having an optimal carboxyl content |
| US4331586A (en) * | 1981-07-20 | 1982-05-25 | American Cyanamid Company | Novel light stabilizers for polymers |
| US4374961A (en) * | 1980-05-09 | 1983-02-22 | Unitika Limited | Method for manufacturing heat-stable polyesters using phosphonic acid compounds with cyclic carbonates and catalyst |
| US4391954A (en) * | 1976-12-14 | 1983-07-05 | General Electric Company | Thermoplastic molding composition |
| US4393158A (en) * | 1981-07-20 | 1983-07-12 | General Electric Company | Hydrolytically stable polycarbonate compositions |
| US4401804A (en) * | 1982-05-24 | 1983-08-30 | Eastman Kodak Company | Deactivation of polyester catalyst residues |
| US4429077A (en) * | 1980-12-19 | 1984-01-31 | Ciba-Geigy Corporation | Process for curing stoving lacquers |
| US4430484A (en) * | 1981-01-14 | 1984-02-07 | General Electric Company | Polyester-carbonate resin blends |
| US4452932A (en) * | 1983-06-09 | 1984-06-05 | General Electric Company | Inhibition of ester-carbonate interchange in polyester-polycarbonate blends |
| US4452933A (en) * | 1983-06-09 | 1984-06-05 | General Electric Company | Stabilized polyester-polycarbonate blends and stabilization process therefor |
| US4456717A (en) * | 1982-06-16 | 1984-06-26 | Bayer Aktiengesellschaft | Stabilizer compositions, their use for stabilizing thermoplastic, polycarbonates and stabilized thermoplastic polycarbonates |
| US4465820A (en) * | 1983-06-03 | 1984-08-14 | General Electric Company | Copolyestercarbonates |
| US4532290A (en) * | 1984-05-02 | 1985-07-30 | General Electric Company | Stabilized polycarbonate-polyester compositions |
| US4587328A (en) * | 1985-03-21 | 1986-05-06 | Westinghouse Electric Corp. | Fire retardant water repellent impregnating resins |
| US4619956A (en) * | 1985-05-03 | 1986-10-28 | American Cyanamid Co. | Stabilization of high solids coatings with synergistic combinations |
| US4786692A (en) * | 1982-12-20 | 1988-11-22 | General Electric Company | High strength, reduced heat distortion temperature thermoplastic composition |
| US4879355A (en) * | 1988-09-29 | 1989-11-07 | Eastman Kodak | Compatible tricomponent polymer blends |
| US4956407A (en) * | 1987-04-10 | 1990-09-11 | Adeka Argus Chemical Co., Ltd. | Polymer composition |
| US4957953A (en) * | 1987-12-11 | 1990-09-18 | Adeka Argus Chemical Co., Ltd. | Stabilized synthetic resin composition |
| US4981898A (en) * | 1987-12-31 | 1991-01-01 | General Electric Company | Polycarbonate-polyester blends |
| US5010146A (en) * | 1988-06-16 | 1991-04-23 | Mitsui Petrochemical Industries, Ltd. | Polyester carbonate copolymers, processes for preparing same and polyester resin compositions containing said copolymers |
| US5011877A (en) * | 1988-12-23 | 1991-04-30 | Eastman Kodak Company | Copolyesters from 4,4'-biphenyldicarboxylic acid, 1,4-cyclohexanedimethanol and 1,6-hexanediol |
| US5116905A (en) * | 1983-08-30 | 1992-05-26 | General Electric Company | Polycarbonate resin mixtures |
| US5134181A (en) * | 1987-05-05 | 1992-07-28 | Ciba-Geigy Corporation | Polyethylene stabilizer compositions comprising compounds with piperidine groups and metal compounds |
| US5180762A (en) * | 1990-07-24 | 1993-01-19 | Ciba-Geigy Corporation | Stabiliser composition for polypropylene, comprising triazine compounds containing piperidine groups, and metal compounds |
| US5194523A (en) * | 1989-12-28 | 1993-03-16 | Eastman Kodak Company | Polyester/polycarbonate blends having improved clarity and impact strength |
| US5207967A (en) * | 1992-03-02 | 1993-05-04 | Eastman Kodak Company | Multicomponent polyester/polycarbonate blends with improved impact strength and processability |
| US5239020A (en) * | 1985-08-21 | 1993-08-24 | Eastman Kodak Company | Polyester/polycarbonate blends |
| US5254610A (en) * | 1991-08-02 | 1993-10-19 | Eastman Kodak Company | Polyester/polycarbonate blends containing phosphites |
| US5283295A (en) * | 1992-06-08 | 1994-02-01 | Eastman Kodak Company | Polymer blends useful for forming extrusion blow molded articles |
| US5354791A (en) * | 1993-10-19 | 1994-10-11 | General Electric Company | Epoxy-functional polyester, polycarbonate with metal phosphate |
| US5420212A (en) * | 1994-03-31 | 1995-05-30 | Eastman Chemical Company | Polyester/polycarbonate/polycaprolactone blends |
| US5441997A (en) * | 1992-12-22 | 1995-08-15 | General Electric Company | High density polyester-polycarbonate molding composition |
| US5461120A (en) * | 1994-05-18 | 1995-10-24 | Bayer Corporation | Transparent thermoplastic molding compositions |
| US5606007A (en) * | 1989-12-28 | 1997-02-25 | General Electric Company | Processes for preparing aromatic polycarbonates |
| US5679733A (en) * | 1992-06-02 | 1997-10-21 | Clariant Finance (Bvi) Limited | Solid Solution of low molecular weight and high molecular weight hals |
| US5714530A (en) * | 1990-10-29 | 1998-02-03 | Cytec Technology Corp. | Synergistic ultraviolet absorber compositions containing hydroxy aryl triazines and tetraalkyl piperidines |
| US5719217A (en) * | 1994-10-28 | 1998-02-17 | Ciba Specialty Chemicals Corporation | Synergistic stabiliser mixture |
| US5721298A (en) * | 1989-12-26 | 1998-02-24 | Cytec Technology Corp. | Stabilization of high solids coatings with liquid compositions of triazine UV absorbers |
| US5744526A (en) * | 1997-05-14 | 1998-04-28 | General Electric Company | Color and hydrolytic stabilization of aromatic polycarbonate resins |
| US5744554A (en) * | 1994-05-27 | 1998-04-28 | Ciba Specialty Chemicals Corporation | Polyester/polycarbonate blends having enhanced properties |
| US5907026A (en) * | 1997-08-27 | 1999-05-25 | General Electric Company | Polycarbonate compositions comprising polyester resins and ultraviolet light absorbers |
| US5922816A (en) * | 1992-06-02 | 1999-07-13 | General Electric Company | Polyester-polycarbonate compositions stabilized against ester-carbonate interchange |
| US5942585A (en) * | 1996-12-28 | 1999-08-24 | Eastman Chemical Company | Polycarbonate and polyester blends |
| US5965643A (en) * | 1995-05-03 | 1999-10-12 | Ciba Specialty Chemicals Corporation | Synergistic stabilizer mixture |
| US5965261A (en) * | 1998-11-16 | 1999-10-12 | Clariant Finance (Bvi) Limited | Polyester |
| US6005059A (en) * | 1996-12-28 | 1999-12-21 | Eastman Chemical Company | Clear polycarbonate and polyester blends |
| US6011124A (en) * | 1996-12-28 | 2000-01-04 | Eastman Chemical Company | Blends of bisphenol a polycarbonate and polyesters |
| US6037424A (en) * | 1996-12-28 | 2000-03-14 | Eastman Chemical Company | Clear blends of polycarbonates and polyesters |
| US6043322A (en) * | 1996-12-28 | 2000-03-28 | Eastman Chemical Company | Clear polycarbonate and polyester blends |
| US6051164A (en) * | 1998-04-30 | 2000-04-18 | Cytec Technology Corp. | Methods and compositions for protecting polymers from UV light |
| US6077890A (en) * | 1997-12-04 | 2000-06-20 | Kimberly-Clark Worldwide, Inc. | Stabilizer formulation for thermoplastic polymers |
| US6103796A (en) * | 1993-05-24 | 2000-08-15 | Clariant Finance (Bvi) Limited | Processing stabilizer composition |
| US6107375A (en) * | 1998-10-08 | 2000-08-22 | Bayer Corporation | Hydrolysis-stable polycarbonate molding composition |
| US6114420A (en) * | 1997-05-27 | 2000-09-05 | Ciba Specialty Chemicals Corporation | Triazine derivatives containing 2,2,6,6-tetramethyl-4-piperidyl groups |
| US6254950B1 (en) * | 1998-06-15 | 2001-07-03 | Eastman Chemical Company | Polyester phenylenedi (oxyacetic acid) copolyester blends having improved gas barrier properties |
| US6306939B1 (en) * | 1998-06-22 | 2001-10-23 | Ciba Specialty Chemicals Corporation | Poly-trisaryl-1,3,5-Triazine carbamate ultraviolet light absorbers |
| US6323291B1 (en) * | 1995-04-11 | 2001-11-27 | Bayer Corporation | Compositions having low birefringence |
| US6333113B2 (en) * | 1996-08-05 | 2001-12-25 | Toray Industries, Inc. | Thermoplastic resin composition and sheets and cards made from the same |
| US6348591B1 (en) * | 1998-06-22 | 2002-02-19 | Cytec Technology Corp. | Red-shifted trisaryl-1,3,5-triazine ultraviolet light absorbers |
| US20020128357A1 (en) * | 2000-12-22 | 2002-09-12 | D. Goossens Johannes Martinus | Flame retardant polycarbonate polyester composition |
| US6455616B1 (en) * | 2000-03-07 | 2002-09-24 | Union Carbide Chemicals & Plastics Technology Corporation | Polyethylene crosslinkable composition |
| US6469083B1 (en) * | 2001-06-04 | 2002-10-22 | Ferro Corporation | No dry master batch for polyester resins |
| US6476158B1 (en) * | 1999-08-31 | 2002-11-05 | General Electric Company | Process for colored polycarbonate-polyester compositions with improved weathering |
| US6500887B1 (en) * | 1999-04-12 | 2002-12-31 | Asahi Denka Kogyo K.K. | Polymeric material composition |
| US6509399B2 (en) * | 1998-06-22 | 2003-01-21 | Cytec Technology Corp | Non-yellowing part-tertiary-alkyl phenyl substituted triazine and pyrimidine ultraviolet light absorbers |
| US6545073B1 (en) * | 2000-08-24 | 2003-04-08 | David H. Blount | Organic phosphorus-inorganic phosphorus oxyacids compounds and compositions |
| US6569957B2 (en) * | 2000-11-03 | 2003-05-27 | Eastman Chemical Company | Blends of polycarbonate and polyester and sheets and films formed therefrom |
Family Cites Families (35)
| Publication number | Priority date | Publication date | Assignee | Title |
|---|---|---|---|---|
| GB1466261A (en) | 1973-03-09 | 1977-03-02 | Shell Int Res Mij B | Deep-drawing of metals coated with a thermoplastic rubber/oil dispersion |
| GB1466154A (en) * | 1974-03-27 | 1977-03-02 | Teijin Ltd | Polyester compositions |
| US4028527A (en) | 1974-12-02 | 1977-06-07 | Thagard Jr George F | Apparatus and control system for heating asphalt |
| DE3410966A1 (en) | 1984-03-24 | 1985-11-21 | Fa. Andreas Stihl, 7050 Waiblingen | BRUSH CUTTER |
| JPH0411660Y2 (en) | 1986-04-17 | 1992-03-23 | ||
| EP0272417A3 (en) | 1986-12-22 | 1989-09-27 | General Electric Company | Blends of polycarbonate resins and polyester resins exhibiting improved color properties |
| NL8701367A (en) | 1987-06-12 | 1989-01-02 | Gen Electric | POLYMER MIXTURE WITH AN AROMATIC POLYCARBONATE AND AN AROMATIC POLYESTER. |
| NL8701369A (en) | 1987-06-12 | 1989-01-02 | Gen Electric | POLYMER MIXTURE WITH AN AROMATIC POLYCARBONATE AND AN AROMATIC POLYESTER. |
| IT1226148B (en) * | 1988-07-04 | 1990-12-19 | Ausimont Spa | SEGMENTED THERMOPLASTIC COPOLYESTERS WITH ELASTOMERIC PROPERTIES. |
| JPH0411660A (en) * | 1990-04-27 | 1992-01-16 | Kyodo Yakuhin Kk | Synthetic resin composition |
| IT1246764B (en) | 1990-07-11 | 1994-11-26 | Mini Ricerca Scient Tecnolog | SALTS OF TRIAZINIC COMPOUNDS WITH OXYGENATED ACIDS OF PHOSPHORUS AND THEIR USE IN SELF-EXTINGUISHING POLYMERIC COMPOSITIONS |
| IT1251687B (en) | 1991-10-11 | 1995-05-19 | Mini Ricerca Scient Tecnolog | SALTS OF TRIAZINIC COMPOUNDS WITH OXYGENATED ACIDS OF PHOSPHORUS, AND THEIR USE IN SELF-EXTINGUISHING POLYMERIC COMPOSITIONS. |
| NL9101936A (en) | 1991-11-20 | 1993-06-16 | Gen Electric | POLYMER MIXTURE AND ARTICLES MADE THEREFROM. |
| US5385773A (en) * | 1993-04-27 | 1995-01-31 | Eastman Chemical Company | Copolyester of cyclohexanenedimethanol and process for producing such polyester |
| EP0661342B1 (en) * | 1993-12-28 | 2003-04-02 | Kanegafuchi Kagaku Kogyo Kabushiki Kaisha | Additive for thermoplastic resins and flame retardant resin composition |
| EP0675159A1 (en) | 1994-03-29 | 1995-10-04 | General Electric Company | Ultraviolet light stabilized polymer compositions |
| US5480926A (en) * | 1995-04-28 | 1996-01-02 | Eastman Chemical Company | Blends of ultraviolet absorbers and polyesters |
| US5898058A (en) * | 1996-05-20 | 1999-04-27 | Wellman, Inc. | Method of post-polymerization stabilization of high activity catalysts in continuous polyethylene terephthalate production |
| JP3563536B2 (en) * | 1996-06-14 | 2004-09-08 | 住友ダウ株式会社 | Light-resistant polycarbonate resin composition |
| US5859116A (en) * | 1997-01-21 | 1999-01-12 | Eastman Chemical Company | Clarity and adjustable shrinkage of shrink films using miscible polyester blends |
| JPH10298439A (en) * | 1997-04-28 | 1998-11-10 | Sakai Chem Ind Co Ltd | Stabilizer for resin and its use |
| JPH11286612A (en) * | 1997-05-09 | 1999-10-19 | Tokuyama Corp | Flame retardant resin composition |
| EP0894618B1 (en) * | 1997-07-31 | 2003-02-26 | Teijin Limited | Laminate sheet and tent made therefrom |
| JPH11181265A (en) * | 1997-12-18 | 1999-07-06 | Kanegafuchi Chem Ind Co Ltd | Polycarbonate resin composition |
| DE19801687A1 (en) | 1998-01-19 | 1999-07-22 | Danubia Petrochem Polymere | Thermoplastic elastomers with good dyeability and high strength and elasticity as well as high impact polymer blends made from them |
| US5981690A (en) * | 1998-04-17 | 1999-11-09 | E. I. Du Pont De Nemours And Company | Poly(alkylene arylates) having improved optical properties |
| NL1009588C2 (en) | 1998-07-08 | 2000-01-11 | Dsm Nv | Polyphosphate salt of a high condensation 1,3,5-triazine compound, a process for its preparation and use as a flame arrester in polymer compositions. |
| US6221556B1 (en) | 1999-03-05 | 2001-04-24 | General Electric Company | Article for optical data storage device |
| US6458915B1 (en) * | 2000-10-13 | 2002-10-01 | Eastman Chemical Company | Process for producing poly(1,4-cyclohexylenedimethylene 1,4-cyclohexanedicarboxylate) and the reactor grade polyester therefrom |
| FR2818985B1 (en) * | 2000-12-29 | 2004-02-20 | Nylstar Sa | PROCESS FOR PRODUCING STABILIZED POLYAMIDE COMPOSITIONS |
| US6780917B2 (en) | 2001-03-02 | 2004-08-24 | Teijin Chemicals, Ltd. | Aromatic polycarbonate resin composition |
| US6727303B2 (en) | 2001-08-30 | 2004-04-27 | Teijin Chemicals, Ltd. | Flame retardant aromatic polycarbonate resin composition and molded articles thereof |
| US6630527B2 (en) | 2001-10-19 | 2003-10-07 | General Electric Company | UV stabilized, impact modified polyester/polycarbonate blends, articles, and methods of manufacture thereof |
| DE10250093B4 (en) | 2002-10-25 | 2015-05-13 | Rodenstock Gmbh | Spectacle lens with low aberrations of higher order |
| US20040143041A1 (en) | 2003-01-13 | 2004-07-22 | Pearson Jason Clay | Polyester compositions |
-
2003
- 2003-03-05 US US10/379,649 patent/US20040143041A1/en not_active Abandoned
- 2003-12-17 EP EP03815493A patent/EP1601720B1/en not_active Expired - Lifetime
- 2003-12-17 WO PCT/US2003/040536 patent/WO2004065472A1/en not_active Ceased
- 2003-12-17 JP JP2005515517A patent/JP2006513311A/en active Pending
- 2003-12-17 BR BR0317985-0A patent/BR0317985A/en not_active IP Right Cessation
- 2003-12-17 AU AU2003303772A patent/AU2003303772A1/en not_active Abandoned
-
2005
- 2005-08-16 US US11/204,869 patent/US7468409B2/en not_active Expired - Fee Related
Patent Citations (82)
| Publication number | Priority date | Publication date | Assignee | Title |
|---|---|---|---|---|
| US3169121A (en) * | 1957-08-22 | 1965-02-09 | Gen Electric | Carbonate-carboxylate copolyesters of dihydric phenols and difunctional carboxylic acids |
| US3207814A (en) * | 1961-01-03 | 1965-09-21 | Gen Electric | Carbonate-polyester copolymer resinous compositions |
| US3218372A (en) * | 1961-08-18 | 1965-11-16 | Kunoshima Kagaku Kogyo Kabushi | Molding material and molded articles |
| US3953539A (en) * | 1973-03-28 | 1976-04-27 | Teijin Ltd. | Aromatic polyester resin composition having inhibited coloration and method for inhibiting coloration |
| US4025492A (en) * | 1974-06-28 | 1977-05-24 | Bayer Aktiengesellschaft | Thermoplastic copolyesters and a process for their production |
| US4136089A (en) * | 1975-02-22 | 1979-01-23 | Bayer Aktiengesellschaft | Molded articles of crystalline poly (ethylene/alkylene) terephthalates which crystallize rapidly |
| US4156069A (en) * | 1976-04-02 | 1979-05-22 | Allied Chemical Corporation | Bisphenol-A/terephthalate/carbonate melt processable copolymers |
| US4391954A (en) * | 1976-12-14 | 1983-07-05 | General Electric Company | Thermoplastic molding composition |
| US5478896A (en) * | 1976-12-14 | 1995-12-26 | General Electric Company | Thermoplastic molding composition |
| US4188314A (en) * | 1976-12-14 | 1980-02-12 | General Electric Company | Shaped article obtained from a carbonate-polyester composition |
| US4176224A (en) * | 1977-04-09 | 1979-11-27 | Bayer Aktiengesellschaft | Poly (ethylene/alkylene) terephthalates which crystallize rapidly |
| US4088709A (en) * | 1977-07-01 | 1978-05-09 | Eastman Kodak Company | Phosphorus stabilized-polyester-polycarbonate molding compositions |
| US4208527A (en) * | 1978-03-18 | 1980-06-17 | Chemische Werke Huls, Aktiengesellschaft | Process for the manufacture of high molecular weight poly-(ethylene terephthalate) |
| US4194038A (en) * | 1979-01-25 | 1980-03-18 | Allied Chemical Corporation | Poly(ester-carbonates) from dicarboxylic acid chlorides |
| US4238593A (en) * | 1979-06-12 | 1980-12-09 | The Goodyear Tire & Rubber Company | Method for production of a high molecular weight polyester prepared from a prepolymer polyester having an optimal carboxyl content |
| US4238593B1 (en) * | 1979-06-12 | 1994-03-22 | Goodyear Tire & Rubber | Method for production of a high molecular weight polyester prepared from a prepolymer polyester having an optional carboxyl content |
| US4374961A (en) * | 1980-05-09 | 1983-02-22 | Unitika Limited | Method for manufacturing heat-stable polyesters using phosphonic acid compounds with cyclic carbonates and catalyst |
| US4429077A (en) * | 1980-12-19 | 1984-01-31 | Ciba-Geigy Corporation | Process for curing stoving lacquers |
| US4430484A (en) * | 1981-01-14 | 1984-02-07 | General Electric Company | Polyester-carbonate resin blends |
| US4331586A (en) * | 1981-07-20 | 1982-05-25 | American Cyanamid Company | Novel light stabilizers for polymers |
| US4393158A (en) * | 1981-07-20 | 1983-07-12 | General Electric Company | Hydrolytically stable polycarbonate compositions |
| US4401804A (en) * | 1982-05-24 | 1983-08-30 | Eastman Kodak Company | Deactivation of polyester catalyst residues |
| US4456717A (en) * | 1982-06-16 | 1984-06-26 | Bayer Aktiengesellschaft | Stabilizer compositions, their use for stabilizing thermoplastic, polycarbonates and stabilized thermoplastic polycarbonates |
| US4786692A (en) * | 1982-12-20 | 1988-11-22 | General Electric Company | High strength, reduced heat distortion temperature thermoplastic composition |
| US4465820A (en) * | 1983-06-03 | 1984-08-14 | General Electric Company | Copolyestercarbonates |
| US4452933A (en) * | 1983-06-09 | 1984-06-05 | General Electric Company | Stabilized polyester-polycarbonate blends and stabilization process therefor |
| US4452932A (en) * | 1983-06-09 | 1984-06-05 | General Electric Company | Inhibition of ester-carbonate interchange in polyester-polycarbonate blends |
| US5116905A (en) * | 1983-08-30 | 1992-05-26 | General Electric Company | Polycarbonate resin mixtures |
| US4532290A (en) * | 1984-05-02 | 1985-07-30 | General Electric Company | Stabilized polycarbonate-polyester compositions |
| US4587328A (en) * | 1985-03-21 | 1986-05-06 | Westinghouse Electric Corp. | Fire retardant water repellent impregnating resins |
| US4619956A (en) * | 1985-05-03 | 1986-10-28 | American Cyanamid Co. | Stabilization of high solids coatings with synergistic combinations |
| US5239020A (en) * | 1985-08-21 | 1993-08-24 | Eastman Kodak Company | Polyester/polycarbonate blends |
| US4956407A (en) * | 1987-04-10 | 1990-09-11 | Adeka Argus Chemical Co., Ltd. | Polymer composition |
| US5134181A (en) * | 1987-05-05 | 1992-07-28 | Ciba-Geigy Corporation | Polyethylene stabilizer compositions comprising compounds with piperidine groups and metal compounds |
| US4957953A (en) * | 1987-12-11 | 1990-09-18 | Adeka Argus Chemical Co., Ltd. | Stabilized synthetic resin composition |
| US4981898A (en) * | 1987-12-31 | 1991-01-01 | General Electric Company | Polycarbonate-polyester blends |
| US5010146A (en) * | 1988-06-16 | 1991-04-23 | Mitsui Petrochemical Industries, Ltd. | Polyester carbonate copolymers, processes for preparing same and polyester resin compositions containing said copolymers |
| US4879355A (en) * | 1988-09-29 | 1989-11-07 | Eastman Kodak | Compatible tricomponent polymer blends |
| US5011877A (en) * | 1988-12-23 | 1991-04-30 | Eastman Kodak Company | Copolyesters from 4,4'-biphenyldicarboxylic acid, 1,4-cyclohexanedimethanol and 1,6-hexanediol |
| US5721298A (en) * | 1989-12-26 | 1998-02-24 | Cytec Technology Corp. | Stabilization of high solids coatings with liquid compositions of triazine UV absorbers |
| US5194523A (en) * | 1989-12-28 | 1993-03-16 | Eastman Kodak Company | Polyester/polycarbonate blends having improved clarity and impact strength |
| US5606007A (en) * | 1989-12-28 | 1997-02-25 | General Electric Company | Processes for preparing aromatic polycarbonates |
| US5180762A (en) * | 1990-07-24 | 1993-01-19 | Ciba-Geigy Corporation | Stabiliser composition for polypropylene, comprising triazine compounds containing piperidine groups, and metal compounds |
| US5714530A (en) * | 1990-10-29 | 1998-02-03 | Cytec Technology Corp. | Synergistic ultraviolet absorber compositions containing hydroxy aryl triazines and tetraalkyl piperidines |
| US5254610A (en) * | 1991-08-02 | 1993-10-19 | Eastman Kodak Company | Polyester/polycarbonate blends containing phosphites |
| US5207967A (en) * | 1992-03-02 | 1993-05-04 | Eastman Kodak Company | Multicomponent polyester/polycarbonate blends with improved impact strength and processability |
| US5922816A (en) * | 1992-06-02 | 1999-07-13 | General Electric Company | Polyester-polycarbonate compositions stabilized against ester-carbonate interchange |
| US5679733A (en) * | 1992-06-02 | 1997-10-21 | Clariant Finance (Bvi) Limited | Solid Solution of low molecular weight and high molecular weight hals |
| US5283295A (en) * | 1992-06-08 | 1994-02-01 | Eastman Kodak Company | Polymer blends useful for forming extrusion blow molded articles |
| US5441997A (en) * | 1992-12-22 | 1995-08-15 | General Electric Company | High density polyester-polycarbonate molding composition |
| US6103796A (en) * | 1993-05-24 | 2000-08-15 | Clariant Finance (Bvi) Limited | Processing stabilizer composition |
| US5354791A (en) * | 1993-10-19 | 1994-10-11 | General Electric Company | Epoxy-functional polyester, polycarbonate with metal phosphate |
| US5420212A (en) * | 1994-03-31 | 1995-05-30 | Eastman Chemical Company | Polyester/polycarbonate/polycaprolactone blends |
| US5461120A (en) * | 1994-05-18 | 1995-10-24 | Bayer Corporation | Transparent thermoplastic molding compositions |
| US5744554A (en) * | 1994-05-27 | 1998-04-28 | Ciba Specialty Chemicals Corporation | Polyester/polycarbonate blends having enhanced properties |
| US5719217A (en) * | 1994-10-28 | 1998-02-17 | Ciba Specialty Chemicals Corporation | Synergistic stabiliser mixture |
| US6323291B1 (en) * | 1995-04-11 | 2001-11-27 | Bayer Corporation | Compositions having low birefringence |
| US5965643A (en) * | 1995-05-03 | 1999-10-12 | Ciba Specialty Chemicals Corporation | Synergistic stabilizer mixture |
| US6333113B2 (en) * | 1996-08-05 | 2001-12-25 | Toray Industries, Inc. | Thermoplastic resin composition and sheets and cards made from the same |
| US6005059A (en) * | 1996-12-28 | 1999-12-21 | Eastman Chemical Company | Clear polycarbonate and polyester blends |
| US6011124A (en) * | 1996-12-28 | 2000-01-04 | Eastman Chemical Company | Blends of bisphenol a polycarbonate and polyesters |
| US6037424A (en) * | 1996-12-28 | 2000-03-14 | Eastman Chemical Company | Clear blends of polycarbonates and polyesters |
| US6043322A (en) * | 1996-12-28 | 2000-03-28 | Eastman Chemical Company | Clear polycarbonate and polyester blends |
| US5942585A (en) * | 1996-12-28 | 1999-08-24 | Eastman Chemical Company | Polycarbonate and polyester blends |
| US5744526A (en) * | 1997-05-14 | 1998-04-28 | General Electric Company | Color and hydrolytic stabilization of aromatic polycarbonate resins |
| US6114420A (en) * | 1997-05-27 | 2000-09-05 | Ciba Specialty Chemicals Corporation | Triazine derivatives containing 2,2,6,6-tetramethyl-4-piperidyl groups |
| US5907026A (en) * | 1997-08-27 | 1999-05-25 | General Electric Company | Polycarbonate compositions comprising polyester resins and ultraviolet light absorbers |
| US6077890A (en) * | 1997-12-04 | 2000-06-20 | Kimberly-Clark Worldwide, Inc. | Stabilizer formulation for thermoplastic polymers |
| US6051164A (en) * | 1998-04-30 | 2000-04-18 | Cytec Technology Corp. | Methods and compositions for protecting polymers from UV light |
| US6254950B1 (en) * | 1998-06-15 | 2001-07-03 | Eastman Chemical Company | Polyester phenylenedi (oxyacetic acid) copolyester blends having improved gas barrier properties |
| US6306939B1 (en) * | 1998-06-22 | 2001-10-23 | Ciba Specialty Chemicals Corporation | Poly-trisaryl-1,3,5-Triazine carbamate ultraviolet light absorbers |
| US6348591B1 (en) * | 1998-06-22 | 2002-02-19 | Cytec Technology Corp. | Red-shifted trisaryl-1,3,5-triazine ultraviolet light absorbers |
| US6509399B2 (en) * | 1998-06-22 | 2003-01-21 | Cytec Technology Corp | Non-yellowing part-tertiary-alkyl phenyl substituted triazine and pyrimidine ultraviolet light absorbers |
| US6107375A (en) * | 1998-10-08 | 2000-08-22 | Bayer Corporation | Hydrolysis-stable polycarbonate molding composition |
| US5965261A (en) * | 1998-11-16 | 1999-10-12 | Clariant Finance (Bvi) Limited | Polyester |
| US6500887B1 (en) * | 1999-04-12 | 2002-12-31 | Asahi Denka Kogyo K.K. | Polymeric material composition |
| US6476158B1 (en) * | 1999-08-31 | 2002-11-05 | General Electric Company | Process for colored polycarbonate-polyester compositions with improved weathering |
| US6455616B1 (en) * | 2000-03-07 | 2002-09-24 | Union Carbide Chemicals & Plastics Technology Corporation | Polyethylene crosslinkable composition |
| US6545073B1 (en) * | 2000-08-24 | 2003-04-08 | David H. Blount | Organic phosphorus-inorganic phosphorus oxyacids compounds and compositions |
| US6569957B2 (en) * | 2000-11-03 | 2003-05-27 | Eastman Chemical Company | Blends of polycarbonate and polyester and sheets and films formed therefrom |
| US20020128357A1 (en) * | 2000-12-22 | 2002-09-12 | D. Goossens Johannes Martinus | Flame retardant polycarbonate polyester composition |
| US6469083B1 (en) * | 2001-06-04 | 2002-10-22 | Ferro Corporation | No dry master batch for polyester resins |
Cited By (12)
| Publication number | Priority date | Publication date | Assignee | Title |
|---|---|---|---|---|
| US20050272840A1 (en) * | 2003-01-13 | 2005-12-08 | Pearson Jason C | Polycarbonate compositions |
| US20050288401A1 (en) * | 2003-01-13 | 2005-12-29 | Pearson Jason C | Polyester compositions |
| US7468409B2 (en) | 2003-01-13 | 2008-12-23 | Eastman Chemical Company | Polyester compositions |
| US7482397B2 (en) | 2003-01-13 | 2009-01-27 | Eastman Chemical Company | Polycarbonate compositions |
| US20050277713A1 (en) * | 2003-03-05 | 2005-12-15 | Pearson Jason C | Polymer blends |
| US20050277715A1 (en) * | 2003-03-05 | 2005-12-15 | Pearson Jason C | Polyolefin compositions |
| US20050288400A1 (en) * | 2003-03-05 | 2005-12-29 | Pearson Jason C | Polymer compositions containing an ultraviolet light absorbing compound |
| US7338992B2 (en) | 2003-03-05 | 2008-03-04 | Eastman Chemical Company | Polyolefin compositions |
| US7491760B2 (en) | 2003-03-05 | 2009-02-17 | Eastman Chemical Company | Polymer compositions containing an ultraviolet light absorbing compound |
| US20040192813A1 (en) * | 2003-03-20 | 2004-09-30 | Pearson Jason Clay | Polymer compositions containing an ultraviolet light absorbing compound |
| US20070015881A1 (en) * | 2005-07-12 | 2007-01-18 | Hale Wesley R | Transparent two phase polyester-polycarbonate compositions |
| US7425590B2 (en) * | 2005-07-12 | 2008-09-16 | Eastman Chemical Company | Transparent two phase polyester-polycarbonate compositions |
Also Published As
| Publication number | Publication date |
|---|---|
| EP1601720A1 (en) | 2005-12-07 |
| AU2003303772A1 (en) | 2004-08-13 |
| US7468409B2 (en) | 2008-12-23 |
| WO2004065472A1 (en) | 2004-08-05 |
| JP2006513311A (en) | 2006-04-20 |
| EP1601720B1 (en) | 2007-03-28 |
| US20050288401A1 (en) | 2005-12-29 |
| BR0317985A (en) | 2005-12-06 |
Similar Documents
| Publication | Publication Date | Title |
|---|---|---|
| US7468409B2 (en) | Polyester compositions | |
| US7482397B2 (en) | Polycarbonate compositions | |
| US7297735B2 (en) | Polycarbonate compositions | |
| US8093316B2 (en) | Polymer blends | |
| US7226985B2 (en) | Polyester-polycarbonate compositions | |
| US20040192813A1 (en) | Polymer compositions containing an ultraviolet light absorbing compound | |
| US7491760B2 (en) | Polymer compositions containing an ultraviolet light absorbing compound | |
| EP1585790B1 (en) | Polymer blends | |
| US7425590B2 (en) | Transparent two phase polyester-polycarbonate compositions | |
| US20050277713A1 (en) | Polymer blends | |
| US7230065B2 (en) | Blends of polycarbonate and sulfone copolyesters | |
| DE60312901T2 (en) | POLYESTER COMPOSITIONS | |
| CN1756795A (en) | Polymer compositions containing ultraviolet light absorbing compounds |
Legal Events
| Date | Code | Title | Description |
|---|---|---|---|
| AS | Assignment |
Owner name: EASTMAN CHEMICAL COMPANY, TENNESSEE Free format text: ASSIGNMENT OF ASSIGNORS INTEREST;ASSIGNORS:PEARSON, JASON CLAY;MCWILLIAMS, DOULGAS STEPHENS;IRICK, GETHER, JR.;AND OTHERS;REEL/FRAME:013823/0964;SIGNING DATES FROM 20030305 TO 20030306 |
|
| STCB | Information on status: application discontinuation |
Free format text: ABANDONED -- FAILURE TO PAY ISSUE FEE |






























































