US20040126897A1 - Colorimetric sensors constructed of diacetylene materials - Google Patents
Colorimetric sensors constructed of diacetylene materials Download PDFInfo
- Publication number
- US20040126897A1 US20040126897A1 US10/325,801 US32580102A US2004126897A1 US 20040126897 A1 US20040126897 A1 US 20040126897A1 US 32580102 A US32580102 A US 32580102A US 2004126897 A1 US2004126897 A1 US 2004126897A1
- Authority
- US
- United States
- Prior art keywords
- sensor
- alkylene
- independently
- receptor
- analyte
- Prior art date
- Legal status (The legal status is an assumption and is not a legal conclusion. Google has not performed a legal analysis and makes no representation as to the accuracy of the status listed.)
- Abandoned
Links
- LLCSWKVOHICRDD-UHFFFAOYSA-N buta-1,3-diyne Chemical group C#CC#C LLCSWKVOHICRDD-UHFFFAOYSA-N 0.000 title description 18
- 239000000463 material Substances 0.000 title description 9
- 239000012491 analyte Substances 0.000 claims abstract description 65
- 230000008859 change Effects 0.000 claims abstract description 51
- 238000000034 method Methods 0.000 claims abstract description 51
- 238000001514 detection method Methods 0.000 claims abstract description 45
- 125000002947 alkylene group Chemical group 0.000 claims description 103
- 239000000758 substrate Substances 0.000 claims description 70
- 239000000523 sample Substances 0.000 claims description 61
- 239000000203 mixture Substances 0.000 claims description 42
- 150000001875 compounds Chemical class 0.000 claims description 36
- 125000000732 arylene group Chemical group 0.000 claims description 34
- 125000002496 methyl group Chemical group [H]C([H])([H])* 0.000 claims description 34
- -1 methylene, trimethylene Chemical group 0.000 claims description 31
- 125000004450 alkenylene group Chemical group 0.000 claims description 25
- 125000000217 alkyl group Chemical group 0.000 claims description 21
- VGGSQFUCUMXWEO-UHFFFAOYSA-N Ethene Chemical group C=C VGGSQFUCUMXWEO-UHFFFAOYSA-N 0.000 claims description 19
- 239000005977 Ethylene Substances 0.000 claims description 19
- 125000003258 trimethylene group Chemical group [H]C([H])([*:2])C([H])([H])C([H])([H])[*:1] 0.000 claims description 18
- 239000012528 membrane Substances 0.000 claims description 16
- 125000000383 tetramethylene group Chemical group [H]C([H])([*:1])C([H])([H])C([H])([H])C([H])([H])[*:2] 0.000 claims description 16
- VYPSYNLAJGMNEJ-UHFFFAOYSA-N Silicium dioxide Chemical compound O=[Si]=O VYPSYNLAJGMNEJ-UHFFFAOYSA-N 0.000 claims description 15
- 125000001570 methylene group Chemical group [H]C([H])([*:1])[*:2] 0.000 claims description 15
- 239000000741 silica gel Substances 0.000 claims description 15
- 229910002027 silica gel Inorganic materials 0.000 claims description 15
- 108010093965 Polymyxin B Proteins 0.000 claims description 14
- 239000002158 endotoxin Substances 0.000 claims description 14
- 239000011521 glass Substances 0.000 claims description 14
- 125000000304 alkynyl group Chemical group 0.000 claims description 13
- 239000011203 carbon fibre reinforced carbon Substances 0.000 claims description 11
- 125000004178 (C1-C4) alkyl group Chemical group 0.000 claims description 9
- PEDCQBHIVMGVHV-UHFFFAOYSA-N Glycerine Chemical compound OCC(O)CO PEDCQBHIVMGVHV-UHFFFAOYSA-N 0.000 claims description 9
- SBKRTALNRRAOJP-BWSIXKJUSA-N N-[(2S)-4-amino-1-[[(2S,3R)-1-[[(2S)-4-amino-1-oxo-1-[[(3S,6S,9S,12S,15R,18R,21S)-6,9,18-tris(2-aminoethyl)-15-benzyl-3-[(1R)-1-hydroxyethyl]-12-(2-methylpropyl)-2,5,8,11,14,17,20-heptaoxo-1,4,7,10,13,16,19-heptazacyclotricos-21-yl]amino]butan-2-yl]amino]-3-hydroxy-1-oxobutan-2-yl]amino]-1-oxobutan-2-yl]-6-methylheptanamide (6S)-N-[(2S)-4-amino-1-[[(2S,3R)-1-[[(2S)-4-amino-1-oxo-1-[[(3S,6S,9S,12S,15R,18R,21S)-6,9,18-tris(2-aminoethyl)-15-benzyl-3-[(1R)-1-hydroxyethyl]-12-(2-methylpropyl)-2,5,8,11,14,17,20-heptaoxo-1,4,7,10,13,16,19-heptazacyclotricos-21-yl]amino]butan-2-yl]amino]-3-hydroxy-1-oxobutan-2-yl]amino]-1-oxobutan-2-yl]-6-methyloctanamide sulfuric acid Polymers OS(O)(=O)=O.CC(C)CCCCC(=O)N[C@@H](CCN)C(=O)N[C@@H]([C@@H](C)O)C(=O)N[C@@H](CCN)C(=O)N[C@H]1CCNC(=O)[C@@H](NC(=O)[C@H](CCN)NC(=O)[C@H](CCN)NC(=O)[C@H](CC(C)C)NC(=O)[C@@H](Cc2ccccc2)NC(=O)[C@@H](CCN)NC1=O)[C@@H](C)O.CC[C@H](C)CCCCC(=O)N[C@@H](CCN)C(=O)N[C@@H]([C@@H](C)O)C(=O)N[C@@H](CCN)C(=O)N[C@H]1CCNC(=O)[C@@H](NC(=O)[C@H](CCN)NC(=O)[C@H](CCN)NC(=O)[C@H](CC(C)C)NC(=O)[C@@H](Cc2ccccc2)NC(=O)[C@@H](CCN)NC1=O)[C@@H](C)O SBKRTALNRRAOJP-BWSIXKJUSA-N 0.000 claims description 9
- NZZFYRREKKOMAT-UHFFFAOYSA-N diiodomethane Chemical compound ICI NZZFYRREKKOMAT-UHFFFAOYSA-N 0.000 claims description 9
- 125000000843 phenylene group Chemical group C1(=C(C=CC=C1)*)* 0.000 claims description 9
- 229960003548 polymyxin b sulfate Drugs 0.000 claims description 9
- 125000003837 (C1-C20) alkyl group Chemical group 0.000 claims description 8
- 125000004836 hexamethylene group Chemical group [H]C([H])([*:2])C([H])([H])C([H])([H])C([H])([H])C([H])([H])C([H])([H])[*:1] 0.000 claims description 7
- 108090000765 processed proteins & peptides Proteins 0.000 claims description 7
- SNRUBQQJIBEYMU-UHFFFAOYSA-N Dodecane Natural products CCCCCCCCCCCC SNRUBQQJIBEYMU-UHFFFAOYSA-N 0.000 claims description 6
- 125000003438 dodecyl group Chemical group [H]C([H])([H])C([H])([H])C([H])([H])C([H])([H])C([H])([H])C([H])([H])C([H])([H])C([H])([H])C([H])([H])C([H])([H])C([H])([H])C([H])([H])* 0.000 claims description 6
- 241000894006 Bacteria Species 0.000 claims description 5
- 108010036176 Melitten Proteins 0.000 claims description 5
- 125000000484 butyl group Chemical group [H]C([*])([H])C([H])([H])C([H])([H])C([H])([H])[H] 0.000 claims description 5
- 125000004051 hexyl group Chemical group [H]C([H])([H])C([H])([H])C([H])([H])C([H])([H])C([H])([H])C([H])([H])* 0.000 claims description 5
- 238000002156 mixing Methods 0.000 claims description 5
- 125000001147 pentyl group Chemical group C(CCCC)* 0.000 claims description 5
- 125000000913 palmityl group Chemical group [H]C([*])([H])C([H])([H])C([H])([H])C([H])([H])C([H])([H])C([H])([H])C([H])([H])C([H])([H])C([H])([H])C([H])([H])C([H])([H])C([H])([H])C([H])([H])C([H])([H])C([H])([H])C([H])([H])[H] 0.000 claims description 4
- 125000002958 pentadecyl group Chemical group [H]C([*])([H])C([H])([H])C([H])([H])C([H])([H])C([H])([H])C([H])([H])C([H])([H])C([H])([H])C([H])([H])C([H])([H])C([H])([H])C([H])([H])C([H])([H])C([H])([H])C([H])([H])[H] 0.000 claims description 4
- 125000002948 undecyl group Chemical group [H]C([*])([H])C([H])([H])C([H])([H])C([H])([H])C([H])([H])C([H])([H])C([H])([H])C([H])([H])C([H])([H])C([H])([H])C([H])([H])[H] 0.000 claims description 4
- 125000001495 ethyl group Chemical group [H]C([H])([H])C([H])([H])* 0.000 claims description 3
- 125000001421 myristyl group Chemical group [H]C([*])([H])C([H])([H])C([H])([H])C([H])([H])C([H])([H])C([H])([H])C([H])([H])C([H])([H])C([H])([H])C([H])([H])C([H])([H])C([H])([H])C([H])([H])C([H])([H])[H] 0.000 claims description 3
- 125000002889 tridecyl group Chemical group [H]C([*])([H])C([H])([H])C([H])([H])C([H])([H])C([H])([H])C([H])([H])C([H])([H])C([H])([H])C([H])([H])C([H])([H])C([H])([H])C([H])([H])C([H])([H])[H] 0.000 claims description 3
- 108010009551 Alamethicin Proteins 0.000 claims description 2
- 108010026389 Gramicidin Proteins 0.000 claims description 2
- 108060003100 Magainin Proteins 0.000 claims description 2
- LGHSQOCGTJHDIL-UTXLBGCNSA-N alamethicin Chemical compound N([C@@H](C)C(=O)NC(C)(C)C(=O)N[C@@H](C)C(=O)N[C@@H](CCC(N)=O)C(=O)NC(C)(C)C(=O)N[C@H](C(=O)NC(C)(C)C(=O)NCC(=O)N[C@@H](CC(C)C)C(=O)NC(C)(C)C(=O)N1[C@@H](CCC1)C(=O)N[C@@H](C(C)C)C(=O)NC(C)(C)C(=O)NC(C)(C)C(=O)N[C@@H](CCC(O)=O)C(=O)N[C@@H](CCC(N)=O)C(=O)N[C@H](CO)CC=1C=CC=CC=1)C(C)C)C(=O)C(C)(C)NC(=O)[C@@H]1CCCN1C(=O)C(C)(C)NC(C)=O LGHSQOCGTJHDIL-UTXLBGCNSA-N 0.000 claims description 2
- 229960004905 gramicidin Drugs 0.000 claims description 2
- ZWCXYZRRTRDGQE-SORVKSEFSA-N gramicidina Chemical compound C1=CC=C2C(C[C@H](NC(=O)[C@@H](CC(C)C)NC(=O)[C@H](CC=3C4=CC=CC=C4NC=3)NC(=O)[C@@H](CC(C)C)NC(=O)[C@H](CC=3C4=CC=CC=C4NC=3)NC(=O)[C@@H](CC(C)C)NC(=O)[C@H](CC=3C4=CC=CC=C4NC=3)NC(=O)[C@H](C(C)C)NC(=O)[C@H](C(C)C)NC(=O)[C@@H](C(C)C)NC(=O)[C@H](C)NC(=O)[C@H](NC(=O)[C@H](C)NC(=O)CNC(=O)[C@@H](NC=O)C(C)C)CC(C)C)C(=O)NCCO)=CNC2=C1 ZWCXYZRRTRDGQE-SORVKSEFSA-N 0.000 claims description 2
- 125000003187 heptyl group Chemical group [H]C([*])([H])C([H])([H])C([H])([H])C([H])([H])C([H])([H])C([H])([H])C([H])([H])[H] 0.000 claims description 2
- 125000002960 margaryl group Chemical group [H]C([*])([H])C([H])([H])C([H])([H])C([H])([H])C([H])([H])C([H])([H])C([H])([H])C([H])([H])C([H])([H])C([H])([H])C([H])([H])C([H])([H])C([H])([H])C([H])([H])C([H])([H])C([H])([H])C([H])([H])[H] 0.000 claims description 2
- VDXZNPDIRNWWCW-JFTDCZMZSA-N melittin Chemical compound NCC(=O)N[C@@H]([C@@H](C)CC)C(=O)NCC(=O)N[C@@H](C)C(=O)N[C@@H](C(C)C)C(=O)N[C@@H](CC(C)C)C(=O)N[C@@H](CCCCN)C(=O)N[C@@H](C(C)C)C(=O)N[C@@H](CC(C)C)C(=O)N[C@@H]([C@@H](C)O)C(=O)N[C@@H]([C@@H](C)O)C(=O)NCC(=O)N[C@@H](CC(C)C)C(=O)N1CCC[C@H]1C(=O)N[C@@H](C)C(=O)N[C@@H](CC(C)C)C(=O)N[C@@H]([C@@H](C)CC)C(=O)N[C@@H](CO)C(=O)N[C@H](C(=O)N[C@@H]([C@@H](C)CC)C(=O)N[C@@H](CCCCN)C(=O)N[C@@H](CCCNC(N)=N)C(=O)N[C@@H](CCCCN)C(=O)N[C@@H](CCCNC(N)=N)C(=O)N[C@@H](CCC(N)=O)C(=O)N[C@@H](CCC(N)=O)C(N)=O)CC1=CNC2=CC=CC=C12 VDXZNPDIRNWWCW-JFTDCZMZSA-N 0.000 claims description 2
- 125000001400 nonyl group Chemical group [H]C([*])([H])C([H])([H])C([H])([H])C([H])([H])C([H])([H])C([H])([H])C([H])([H])C([H])([H])C([H])([H])[H] 0.000 claims description 2
- 125000002347 octyl group Chemical group [H]C([*])([H])C([H])([H])C([H])([H])C([H])([H])C([H])([H])C([H])([H])C([H])([H])C([H])([H])[H] 0.000 claims description 2
- 150000003904 phospholipids Chemical group 0.000 claims description 2
- 125000001436 propyl group Chemical group [H]C([*])([H])C([H])([H])C([H])([H])[H] 0.000 claims description 2
- 125000004079 stearyl group Chemical group [H]C([*])([H])C([H])([H])C([H])([H])C([H])([H])C([H])([H])C([H])([H])C([H])([H])C([H])([H])C([H])([H])C([H])([H])C([H])([H])C([H])([H])C([H])([H])C([H])([H])C([H])([H])C([H])([H])C([H])([H])C([H])([H])[H] 0.000 claims description 2
- 239000007864 aqueous solution Substances 0.000 claims 4
- 230000001747 exhibiting effect Effects 0.000 claims 3
- 229920000015 polydiacetylene Polymers 0.000 abstract description 42
- 230000000712 assembly Effects 0.000 abstract description 29
- 238000000429 assembly Methods 0.000 abstract description 29
- 239000000243 solution Substances 0.000 description 73
- 238000002360 preparation method Methods 0.000 description 33
- 108020003175 receptors Proteins 0.000 description 30
- 102000005962 receptors Human genes 0.000 description 30
- RTZKZFJDLAIYFH-UHFFFAOYSA-N Diethyl ether Chemical compound CCOCC RTZKZFJDLAIYFH-UHFFFAOYSA-N 0.000 description 26
- 238000012360 testing method Methods 0.000 description 20
- 239000007787 solid Substances 0.000 description 19
- 125000003718 tetrahydrofuranyl group Chemical group 0.000 description 19
- XEKOWRVHYACXOJ-UHFFFAOYSA-N Ethyl acetate Chemical compound CCOC(C)=O XEKOWRVHYACXOJ-UHFFFAOYSA-N 0.000 description 18
- 150000002009 diols Chemical class 0.000 description 18
- XLYOFNOQVPJJNP-UHFFFAOYSA-N water Substances O XLYOFNOQVPJJNP-UHFFFAOYSA-N 0.000 description 18
- 239000002904 solvent Substances 0.000 description 17
- 0 [1*]C#CC#C[2*] Chemical compound [1*]C#CC#C[2*] 0.000 description 16
- 238000006116 polymerization reaction Methods 0.000 description 15
- NGNBDVOYPDDBFK-UHFFFAOYSA-N 2-[2,4-di(pentan-2-yl)phenoxy]acetyl chloride Chemical compound CCCC(C)C1=CC=C(OCC(Cl)=O)C(C(C)CCC)=C1 NGNBDVOYPDDBFK-UHFFFAOYSA-N 0.000 description 14
- CSNNHWWHGAXBCP-UHFFFAOYSA-L Magnesium sulfate Chemical compound [Mg+2].[O-][S+2]([O-])([O-])[O-] CSNNHWWHGAXBCP-UHFFFAOYSA-L 0.000 description 14
- 239000004820 Pressure-sensitive adhesive Substances 0.000 description 13
- YMWUJEATGCHHMB-UHFFFAOYSA-N Dichloromethane Chemical compound ClCCl YMWUJEATGCHHMB-UHFFFAOYSA-N 0.000 description 12
- 238000006243 chemical reaction Methods 0.000 description 12
- GZDFHIJNHHMENY-UHFFFAOYSA-N Dimethyl dicarbonate Chemical compound COC(=O)OC(=O)OC GZDFHIJNHHMENY-UHFFFAOYSA-N 0.000 description 10
- 241000588724 Escherichia coli Species 0.000 description 10
- DMEGYFMYUHOHGS-UHFFFAOYSA-N cycloheptane Chemical group C1CCCCCC1 DMEGYFMYUHOHGS-UHFFFAOYSA-N 0.000 description 10
- 239000000178 monomer Substances 0.000 description 10
- YXFVVABEGXRONW-UHFFFAOYSA-N Toluene Chemical compound CC1=CC=CC=C1 YXFVVABEGXRONW-UHFFFAOYSA-N 0.000 description 9
- 238000000576 coating method Methods 0.000 description 9
- NQGIJDNPUZEBRU-UHFFFAOYSA-N dodecanoyl chloride Chemical compound CCCCCCCCCCCC(Cl)=O NQGIJDNPUZEBRU-UHFFFAOYSA-N 0.000 description 9
- 230000003993 interaction Effects 0.000 description 9
- 229920006008 lipopolysaccharide Polymers 0.000 description 9
- VLKZOEOYAKHREP-UHFFFAOYSA-N n-Hexane Chemical class CCCCCC VLKZOEOYAKHREP-UHFFFAOYSA-N 0.000 description 9
- 229920000642 polymer Polymers 0.000 description 9
- JUJWROOIHBZHMG-UHFFFAOYSA-N Pyridine Chemical compound C1=CC=NC=C1 JUJWROOIHBZHMG-UHFFFAOYSA-N 0.000 description 8
- XUIMIQQOPSSXEZ-UHFFFAOYSA-N Silicon Chemical compound [Si] XUIMIQQOPSSXEZ-UHFFFAOYSA-N 0.000 description 8
- 125000004122 cyclic group Chemical group 0.000 description 8
- 239000010931 gold Substances 0.000 description 8
- 239000012901 Milli-Q water Substances 0.000 description 7
- 125000004432 carbon atom Chemical group C* 0.000 description 7
- 239000007788 liquid Substances 0.000 description 7
- 229910052943 magnesium sulfate Inorganic materials 0.000 description 7
- 238000005259 measurement Methods 0.000 description 7
- FALRKNHUBBKYCC-UHFFFAOYSA-N 2-(chloromethyl)pyridine-3-carbonitrile Chemical compound ClCC1=NC=CC=C1C#N FALRKNHUBBKYCC-UHFFFAOYSA-N 0.000 description 6
- IJGRMHOSHXDMSA-UHFFFAOYSA-N Atomic nitrogen Chemical compound N#N IJGRMHOSHXDMSA-UHFFFAOYSA-N 0.000 description 6
- 108090000790 Enzymes Proteins 0.000 description 6
- 102000004190 Enzymes Human genes 0.000 description 6
- WYURNTSHIVDZCO-UHFFFAOYSA-N Tetrahydrofuran Chemical compound C1CCOC1 WYURNTSHIVDZCO-UHFFFAOYSA-N 0.000 description 6
- 238000002835 absorbance Methods 0.000 description 6
- 239000011248 coating agent Substances 0.000 description 6
- BDAGIHXWWSANSR-UHFFFAOYSA-N methanoic acid Natural products OC=O BDAGIHXWWSANSR-UHFFFAOYSA-N 0.000 description 6
- 239000012044 organic layer Substances 0.000 description 6
- RGSFGYAAUTVSQA-UHFFFAOYSA-N pentamethylene Natural products C1CCCC1 RGSFGYAAUTVSQA-UHFFFAOYSA-N 0.000 description 6
- 125000004817 pentamethylene group Chemical group [H]C([H])([*:2])C([H])([H])C([H])([H])C([H])([H])C([H])([H])[*:1] 0.000 description 6
- 239000000047 product Substances 0.000 description 6
- 235000012431 wafers Nutrition 0.000 description 6
- VEXZGXHMUGYJMC-UHFFFAOYSA-N Hydrochloric acid Chemical compound Cl VEXZGXHMUGYJMC-UHFFFAOYSA-N 0.000 description 5
- 230000027455 binding Effects 0.000 description 5
- 239000012267 brine Substances 0.000 description 5
- WJTCGQSWYFHTAC-UHFFFAOYSA-N cyclooctane Chemical group C1CCCCCCC1 WJTCGQSWYFHTAC-UHFFFAOYSA-N 0.000 description 5
- 125000005678 ethenylene group Chemical group [H]C([*:1])=C([H])[*:2] 0.000 description 5
- 230000001678 irradiating effect Effects 0.000 description 5
- 229920000024 polymyxin B Polymers 0.000 description 5
- 229960005266 polymyxin b Drugs 0.000 description 5
- 230000004044 response Effects 0.000 description 5
- HPALAKNZSZLMCH-UHFFFAOYSA-M sodium;chloride;hydrate Chemical compound O.[Na+].[Cl-] HPALAKNZSZLMCH-UHFFFAOYSA-M 0.000 description 5
- 229940014800 succinic anhydride Drugs 0.000 description 5
- JKMHFZQWWAIEOD-UHFFFAOYSA-N 2-[4-(2-hydroxyethyl)piperazin-1-yl]ethanesulfonic acid Chemical compound OCC[NH+]1CCN(CCS([O-])(=O)=O)CC1 JKMHFZQWWAIEOD-UHFFFAOYSA-N 0.000 description 4
- VHYFNPMBLIVWCW-UHFFFAOYSA-N 4-Dimethylaminopyridine Chemical compound CN(C)C1=CC=NC=C1 VHYFNPMBLIVWCW-UHFFFAOYSA-N 0.000 description 4
- 239000004215 Carbon black (E152) Substances 0.000 description 4
- HEDRZPFGACZZDS-UHFFFAOYSA-N Chloroform Chemical compound ClC(Cl)Cl HEDRZPFGACZZDS-UHFFFAOYSA-N 0.000 description 4
- 239000007995 HEPES buffer Substances 0.000 description 4
- KFZMGEQAYNKOFK-UHFFFAOYSA-N Isopropanol Chemical compound CC(C)O KFZMGEQAYNKOFK-UHFFFAOYSA-N 0.000 description 4
- SEWYHOMCDKWYEF-UHFFFAOYSA-N dodeca-5,7-diyne-1,12-diol Chemical compound OCCCCC#CC#CCCCCO SEWYHOMCDKWYEF-UHFFFAOYSA-N 0.000 description 4
- PCHJSUWPFVWCPO-UHFFFAOYSA-N gold Chemical compound [Au] PCHJSUWPFVWCPO-UHFFFAOYSA-N 0.000 description 4
- 229910052737 gold Inorganic materials 0.000 description 4
- 229930195733 hydrocarbon Natural products 0.000 description 4
- 102000039446 nucleic acids Human genes 0.000 description 4
- 108020004707 nucleic acids Proteins 0.000 description 4
- 150000007523 nucleic acids Chemical class 0.000 description 4
- 102000004196 processed proteins & peptides Human genes 0.000 description 4
- 102000004169 proteins and genes Human genes 0.000 description 4
- 108090000623 proteins and genes Proteins 0.000 description 4
- UMJSCPRVCHMLSP-UHFFFAOYSA-N pyridine Natural products COC1=CC=CN=C1 UMJSCPRVCHMLSP-UHFFFAOYSA-N 0.000 description 4
- 229910052710 silicon Inorganic materials 0.000 description 4
- 239000010703 silicon Substances 0.000 description 4
- 238000001228 spectrum Methods 0.000 description 4
- 238000003756 stirring Methods 0.000 description 4
- 239000000126 substance Substances 0.000 description 4
- 239000003053 toxin Substances 0.000 description 4
- 231100000765 toxin Toxicity 0.000 description 4
- 108700012359 toxins Proteins 0.000 description 4
- OSWFIVFLDKOXQC-UHFFFAOYSA-N 4-(3-methoxyphenyl)aniline Chemical compound COC1=CC=CC(C=2C=CC(N)=CC=2)=C1 OSWFIVFLDKOXQC-UHFFFAOYSA-N 0.000 description 3
- OKKJLVBELUTLKV-UHFFFAOYSA-N Methanol Chemical compound OC OKKJLVBELUTLKV-UHFFFAOYSA-N 0.000 description 3
- 239000002033 PVDF binder Substances 0.000 description 3
- 238000004458 analytical method Methods 0.000 description 3
- 244000052616 bacterial pathogen Species 0.000 description 3
- 239000003153 chemical reaction reagent Substances 0.000 description 3
- 235000019253 formic acid Nutrition 0.000 description 3
- VDXZNPDIRNWWCW-UHFFFAOYSA-N melitten Chemical compound NCC(=O)NC(C(C)CC)C(=O)NCC(=O)NC(C)C(=O)NC(C(C)C)C(=O)NC(CC(C)C)C(=O)NC(CCCCN)C(=O)NC(C(C)C)C(=O)NC(CC(C)C)C(=O)NC(C(C)O)C(=O)NC(C(C)O)C(=O)NCC(=O)NC(CC(C)C)C(=O)N1CCCC1C(=O)NC(C)C(=O)NC(CC(C)C)C(=O)NC(C(C)CC)C(=O)NC(CO)C(=O)NC(C(=O)NC(C(C)CC)C(=O)NC(CCCCN)C(=O)NC(CCCNC(N)=N)C(=O)NC(CCCCN)C(=O)NC(CCCNC(N)=N)C(=O)NC(CCC(N)=O)C(=O)NC(CCC(N)=O)C(N)=O)CC1=CNC2=CC=CC=C12 VDXZNPDIRNWWCW-UHFFFAOYSA-N 0.000 description 3
- 238000012986 modification Methods 0.000 description 3
- 230000004048 modification Effects 0.000 description 3
- 229910052757 nitrogen Inorganic materials 0.000 description 3
- CTSLXHKWHWQRSH-UHFFFAOYSA-N oxalyl chloride Chemical compound ClC(=O)C(Cl)=O CTSLXHKWHWQRSH-UHFFFAOYSA-N 0.000 description 3
- IZUPBVBPLAPZRR-UHFFFAOYSA-N pentachloro-phenol Natural products OC1=C(Cl)C(Cl)=C(Cl)C(Cl)=C1Cl IZUPBVBPLAPZRR-UHFFFAOYSA-N 0.000 description 3
- 238000010587 phase diagram Methods 0.000 description 3
- 229920001343 polytetrafluoroethylene Polymers 0.000 description 3
- 239000004810 polytetrafluoroethylene Substances 0.000 description 3
- 229920002981 polyvinylidene fluoride Polymers 0.000 description 3
- 230000008569 process Effects 0.000 description 3
- 230000002441 reversible effect Effects 0.000 description 3
- 238000001338 self-assembly Methods 0.000 description 3
- 238000003786 synthesis reaction Methods 0.000 description 3
- FPGGTKZVZWFYPV-UHFFFAOYSA-M tetrabutylammonium fluoride Chemical compound [F-].CCCC[N+](CCCC)(CCCC)CCCC FPGGTKZVZWFYPV-UHFFFAOYSA-M 0.000 description 3
- 238000000870 ultraviolet spectroscopy Methods 0.000 description 3
- 239000012855 volatile organic compound Substances 0.000 description 3
- 125000004209 (C1-C8) alkyl group Chemical group 0.000 description 2
- 229960000549 4-dimethylaminophenol Drugs 0.000 description 2
- 239000005046 Chlorosilane Substances 0.000 description 2
- LFQSCWFLJHTTHZ-UHFFFAOYSA-N Ethanol Chemical compound CCO LFQSCWFLJHTTHZ-UHFFFAOYSA-N 0.000 description 2
- 102000004856 Lectins Human genes 0.000 description 2
- 108090001090 Lectins Proteins 0.000 description 2
- 102100037611 Lysophospholipase Human genes 0.000 description 2
- 108010052285 Membrane Proteins Proteins 0.000 description 2
- 108091093037 Peptide nucleic acid Proteins 0.000 description 2
- 108010058864 Phospholipases A2 Proteins 0.000 description 2
- LGRFSURHDFAFJT-UHFFFAOYSA-N Phthalic anhydride Natural products C1=CC=C2C(=O)OC(=O)C2=C1 LGRFSURHDFAFJT-UHFFFAOYSA-N 0.000 description 2
- 239000004698 Polyethylene Substances 0.000 description 2
- 239000004743 Polypropylene Substances 0.000 description 2
- 102000007056 Recombinant Fusion Proteins Human genes 0.000 description 2
- 108010008281 Recombinant Fusion Proteins Proteins 0.000 description 2
- 239000007983 Tris buffer Substances 0.000 description 2
- 241000700605 Viruses Species 0.000 description 2
- 150000001347 alkyl bromides Chemical class 0.000 description 2
- 239000000427 antigen Substances 0.000 description 2
- 108091007433 antigens Proteins 0.000 description 2
- 102000036639 antigens Human genes 0.000 description 2
- 238000004630 atomic force microscopy Methods 0.000 description 2
- 230000015572 biosynthetic process Effects 0.000 description 2
- JHIWVOJDXOSYLW-UHFFFAOYSA-N butyl 2,2-difluorocyclopropane-1-carboxylate Chemical compound CCCCOC(=O)C1CC1(F)F JHIWVOJDXOSYLW-UHFFFAOYSA-N 0.000 description 2
- 150000001720 carbohydrates Chemical class 0.000 description 2
- 235000014633 carbohydrates Nutrition 0.000 description 2
- 238000012512 characterization method Methods 0.000 description 2
- 239000002738 chelating agent Substances 0.000 description 2
- KOPOQZFJUQMUML-UHFFFAOYSA-N chlorosilane Chemical compound Cl[SiH3] KOPOQZFJUQMUML-UHFFFAOYSA-N 0.000 description 2
- 239000003086 colorant Substances 0.000 description 2
- 238000001035 drying Methods 0.000 description 2
- 239000003480 eluent Substances 0.000 description 2
- 150000002148 esters Chemical class 0.000 description 2
- 239000012634 fragment Substances 0.000 description 2
- 150000002270 gangliosides Chemical class 0.000 description 2
- VANNPISTIUFMLH-UHFFFAOYSA-N glutaric anhydride Chemical compound O=C1CCCC(=O)O1 VANNPISTIUFMLH-UHFFFAOYSA-N 0.000 description 2
- RCBVKBFIWMOMHF-UHFFFAOYSA-L hydroxy-(hydroxy(dioxo)chromio)oxy-dioxochromium;pyridine Chemical compound C1=CC=NC=C1.C1=CC=NC=C1.O[Cr](=O)(=O)O[Cr](O)(=O)=O RCBVKBFIWMOMHF-UHFFFAOYSA-L 0.000 description 2
- 238000007654 immersion Methods 0.000 description 2
- 238000006317 isomerization reaction Methods 0.000 description 2
- 239000002523 lectin Substances 0.000 description 2
- 102000006240 membrane receptors Human genes 0.000 description 2
- 108020004084 membrane receptors Proteins 0.000 description 2
- 239000003921 oil Substances 0.000 description 2
- 239000007800 oxidant agent Substances 0.000 description 2
- 244000052769 pathogen Species 0.000 description 2
- 230000001717 pathogenic effect Effects 0.000 description 2
- 239000002954 polymerization reaction product Substances 0.000 description 2
- 230000005855 radiation Effects 0.000 description 2
- 230000035945 sensitivity Effects 0.000 description 2
- 150000003384 small molecules Chemical class 0.000 description 2
- 238000000527 sonication Methods 0.000 description 2
- 230000003595 spectral effect Effects 0.000 description 2
- 230000003746 surface roughness Effects 0.000 description 2
- 239000000725 suspension Substances 0.000 description 2
- BCNZYOJHNLTNEZ-UHFFFAOYSA-N tert-butyldimethylsilyl chloride Chemical compound CC(C)(C)[Si](C)(C)Cl BCNZYOJHNLTNEZ-UHFFFAOYSA-N 0.000 description 2
- TUNFSRHWOTWDNC-UHFFFAOYSA-N tetradecanoic acid Chemical compound CCCCCCCCCCCCCC(O)=O TUNFSRHWOTWDNC-UHFFFAOYSA-N 0.000 description 2
- 238000012876 topography Methods 0.000 description 2
- LENZDBCJOHFCAS-UHFFFAOYSA-N tris Chemical compound OCC(N)(CO)CO LENZDBCJOHFCAS-UHFFFAOYSA-N 0.000 description 2
- KJIOQYGWTQBHNH-UHFFFAOYSA-N undecanol Chemical compound CCCCCCCCCCCO KJIOQYGWTQBHNH-UHFFFAOYSA-N 0.000 description 2
- 210000002700 urine Anatomy 0.000 description 2
- GUAHPAJOXVYFON-ZETCQYMHSA-N (8S)-8-amino-7-oxononanoic acid zwitterion Chemical compound C[C@H](N)C(=O)CCCCCC(O)=O GUAHPAJOXVYFON-ZETCQYMHSA-N 0.000 description 1
- 125000004169 (C1-C6) alkyl group Chemical group 0.000 description 1
- CITHEXJVPOWHKC-UUWRZZSWSA-N 1,2-di-O-myristoyl-sn-glycero-3-phosphocholine Chemical compound CCCCCCCCCCCCCC(=O)OC[C@H](COP([O-])(=O)OCC[N+](C)(C)C)OC(=O)CCCCCCCCCCCCC CITHEXJVPOWHKC-UUWRZZSWSA-N 0.000 description 1
- PBLNBZIONSLZBU-UHFFFAOYSA-N 1-bromododecane Chemical compound CCCCCCCCCCCCBr PBLNBZIONSLZBU-UHFFFAOYSA-N 0.000 description 1
- DIEDVCMBPCRJFQ-UHFFFAOYSA-N 10,12-tricosadiynoic acid Chemical compound CCCCCCCCCCC#CC#CCCCCCCCCC(O)=O DIEDVCMBPCRJFQ-UHFFFAOYSA-N 0.000 description 1
- IUDGNRWYNOEIKF-UHFFFAOYSA-N 11-bromo-undecanoic acid Chemical compound OC(=O)CCCCCCCCCCBr IUDGNRWYNOEIKF-UHFFFAOYSA-N 0.000 description 1
- XFGANBYCJWQYBI-UHFFFAOYSA-N 11-bromoundecan-1-ol Chemical compound OCCCCCCCCCCCBr XFGANBYCJWQYBI-UHFFFAOYSA-N 0.000 description 1
- XBNGYFFABRKICK-UHFFFAOYSA-N 2,3,4,5,6-pentafluorophenol Chemical compound OC1=C(F)C(F)=C(F)C(F)=C1F XBNGYFFABRKICK-UHFFFAOYSA-N 0.000 description 1
- LINPIYWFGCPVIE-UHFFFAOYSA-N 2,4,6-trichlorophenol Chemical compound OC1=C(Cl)C=C(Cl)C=C1Cl LINPIYWFGCPVIE-UHFFFAOYSA-N 0.000 description 1
- CFMZSMGAMPBRBE-UHFFFAOYSA-N 2-hydroxyisoindole-1,3-dione Chemical compound C1=CC=C2C(=O)N(O)C(=O)C2=C1 CFMZSMGAMPBRBE-UHFFFAOYSA-N 0.000 description 1
- RTZZCYNQPHTPPL-UHFFFAOYSA-N 3-nitrophenol Chemical compound OC1=CC=CC([N+]([O-])=O)=C1 RTZZCYNQPHTPPL-UHFFFAOYSA-N 0.000 description 1
- QTBSBXVTEAMEQO-UHFFFAOYSA-M Acetate Chemical compound CC([O-])=O QTBSBXVTEAMEQO-UHFFFAOYSA-M 0.000 description 1
- NLXLAEXVIDQMFP-UHFFFAOYSA-N Ammonia chloride Chemical class [NH4+].[Cl-] NLXLAEXVIDQMFP-UHFFFAOYSA-N 0.000 description 1
- KKNHJUMMIAHYQC-UHFFFAOYSA-N C#CCCO.CCC(=O)OCCC#CC#CCCC(=O)O.CCC(=O)OCCC#CC#CCCO.CCCC#CCCO.OCCC#CC#CCCO.[H]C#CCCC Chemical compound C#CCCO.CCC(=O)OCCC#CC#CCCC(=O)O.CCC(=O)OCCC#CC#CCCO.CCCC#CCCO.OCCC#CC#CCCO.[H]C#CCCC KKNHJUMMIAHYQC-UHFFFAOYSA-N 0.000 description 1
- VEXZGXHMUGYJMC-UHFFFAOYSA-M Chloride anion Chemical compound [Cl-] VEXZGXHMUGYJMC-UHFFFAOYSA-M 0.000 description 1
- VYZAMTAEIAYCRO-UHFFFAOYSA-N Chromium Chemical compound [Cr] VYZAMTAEIAYCRO-UHFFFAOYSA-N 0.000 description 1
- 229910021591 Copper(I) chloride Inorganic materials 0.000 description 1
- 239000003810 Jones reagent Substances 0.000 description 1
- 239000012359 Methanesulfonyl chloride Substances 0.000 description 1
- NQTADLQHYWFPDB-UHFFFAOYSA-N N-Hydroxysuccinimide Chemical compound ON1C(=O)CCC1=O NQTADLQHYWFPDB-UHFFFAOYSA-N 0.000 description 1
- KEAYESYHFKHZAL-UHFFFAOYSA-N Sodium Chemical compound [Na] KEAYESYHFKHZAL-UHFFFAOYSA-N 0.000 description 1
- 241000589970 Spirochaetales Species 0.000 description 1
- 238000010521 absorption reaction Methods 0.000 description 1
- 239000002253 acid Substances 0.000 description 1
- 230000003213 activating effect Effects 0.000 description 1
- 125000002252 acyl group Chemical group 0.000 description 1
- 238000012644 addition polymerization Methods 0.000 description 1
- 239000000853 adhesive Substances 0.000 description 1
- 230000001070 adhesive effect Effects 0.000 description 1
- 230000002411 adverse Effects 0.000 description 1
- 244000000022 airborne pathogen Species 0.000 description 1
- HSFWRNGVRCDJHI-UHFFFAOYSA-N alpha-acetylene Natural products C#C HSFWRNGVRCDJHI-UHFFFAOYSA-N 0.000 description 1
- 230000004075 alteration Effects 0.000 description 1
- 150000008064 anhydrides Chemical class 0.000 description 1
- 125000004653 anthracenylene group Chemical group 0.000 description 1
- 239000012736 aqueous medium Substances 0.000 description 1
- 125000003118 aryl group Chemical group 0.000 description 1
- QVGXLLKOCUKJST-UHFFFAOYSA-N atomic oxygen Chemical compound [O] QVGXLLKOCUKJST-UHFFFAOYSA-N 0.000 description 1
- 230000004888 barrier function Effects 0.000 description 1
- 239000013060 biological fluid Substances 0.000 description 1
- 238000009835 boiling Methods 0.000 description 1
- 125000000480 butynyl group Chemical group [*]C#CC([H])([H])C([H])([H])[H] 0.000 description 1
- 238000006555 catalytic reaction Methods 0.000 description 1
- 150000001805 chlorine compounds Chemical class 0.000 description 1
- 238000004587 chromatography analysis Methods 0.000 description 1
- 229910052804 chromium Inorganic materials 0.000 description 1
- 239000011651 chromium Substances 0.000 description 1
- 238000004140 cleaning Methods 0.000 description 1
- 230000000052 comparative effect Effects 0.000 description 1
- 230000002860 competitive effect Effects 0.000 description 1
- OXBLHERUFWYNTN-UHFFFAOYSA-M copper(I) chloride Chemical compound [Cu]Cl OXBLHERUFWYNTN-UHFFFAOYSA-M 0.000 description 1
- 125000001995 cyclobutyl group Chemical group [H]C1([H])C([H])([H])C([H])(*)C1([H])[H] 0.000 description 1
- 125000004976 cyclobutylene group Chemical group 0.000 description 1
- 125000000582 cycloheptyl group Chemical group [H]C1([H])C([H])([H])C([H])([H])C([H])([H])C([H])(*)C([H])([H])C1([H])[H] 0.000 description 1
- 125000004977 cycloheptylene group Chemical group 0.000 description 1
- 125000000113 cyclohexyl group Chemical group [H]C1([H])C([H])([H])C([H])([H])C([H])(*)C([H])([H])C1([H])[H] 0.000 description 1
- 125000004956 cyclohexylene group Chemical group 0.000 description 1
- 125000001511 cyclopentyl group Chemical group [H]C1([H])C([H])([H])C([H])([H])C([H])(*)C1([H])[H] 0.000 description 1
- 125000004979 cyclopentylene group Chemical group 0.000 description 1
- 125000001559 cyclopropyl group Chemical group [H]C1([H])C([H])([H])C1([H])* 0.000 description 1
- 125000004980 cyclopropylene group Chemical group 0.000 description 1
- DEZRYPDIMOWBDS-UHFFFAOYSA-N dcm dichloromethane Chemical compound ClCCl.ClCCl DEZRYPDIMOWBDS-UHFFFAOYSA-N 0.000 description 1
- ILLHQJIJCRNRCJ-UHFFFAOYSA-N dec-1-yne Chemical compound CCCCCCCCC#C ILLHQJIJCRNRCJ-UHFFFAOYSA-N 0.000 description 1
- KOAOUMQUUZNRLL-UHFFFAOYSA-N dec-9-yn-1-ol Chemical compound OCCCCCCCCC#C KOAOUMQUUZNRLL-UHFFFAOYSA-N 0.000 description 1
- 125000002704 decyl group Chemical group [H]C([H])([H])C([H])([H])C([H])([H])C([H])([H])C([H])([H])C([H])([H])C([H])([H])C([H])([H])C([H])([H])C([H])([H])* 0.000 description 1
- 230000001419 dependent effect Effects 0.000 description 1
- 230000008021 deposition Effects 0.000 description 1
- 238000013461 design Methods 0.000 description 1
- UXGNZZKBCMGWAZ-UHFFFAOYSA-N dimethylformamide dmf Chemical compound CN(C)C=O.CN(C)C=O UXGNZZKBCMGWAZ-UHFFFAOYSA-N 0.000 description 1
- 229960003724 dimyristoylphosphatidylcholine Drugs 0.000 description 1
- 239000006185 dispersion Substances 0.000 description 1
- WNAHIZMDSQCWRP-UHFFFAOYSA-N dodecane-1-thiol Chemical compound CCCCCCCCCCCCS WNAHIZMDSQCWRP-UHFFFAOYSA-N 0.000 description 1
- 230000000694 effects Effects 0.000 description 1
- 230000005670 electromagnetic radiation Effects 0.000 description 1
- 230000002708 enhancing effect Effects 0.000 description 1
- 230000007613 environmental effect Effects 0.000 description 1
- 230000002255 enzymatic effect Effects 0.000 description 1
- 125000004185 ester group Chemical group 0.000 description 1
- DQYBDCGIPTYXML-UHFFFAOYSA-N ethoxyethane;hydrate Chemical compound O.CCOCC DQYBDCGIPTYXML-UHFFFAOYSA-N 0.000 description 1
- 125000002534 ethynyl group Chemical group [H]C#C* 0.000 description 1
- 238000011156 evaluation Methods 0.000 description 1
- 238000001704 evaporation Methods 0.000 description 1
- 230000008020 evaporation Effects 0.000 description 1
- 239000005329 float glass Substances 0.000 description 1
- 239000012530 fluid Substances 0.000 description 1
- 235000013305 food Nutrition 0.000 description 1
- 125000000524 functional group Chemical group 0.000 description 1
- 239000000499 gel Substances 0.000 description 1
- YVXHZKKCZYLQOP-UHFFFAOYSA-N hept-1-yne Chemical compound CCCCCC#C YVXHZKKCZYLQOP-UHFFFAOYSA-N 0.000 description 1
- OGDYROFIIXDTQK-UHFFFAOYSA-N hept-2-yn-1-ol Chemical compound CCCCC#CCO OGDYROFIIXDTQK-UHFFFAOYSA-N 0.000 description 1
- PSWHODJVUOXHKA-UHFFFAOYSA-N hept-3-yn-1-ol Chemical compound CCCC#CCCO PSWHODJVUOXHKA-UHFFFAOYSA-N 0.000 description 1
- 125000005842 heteroatom Chemical group 0.000 description 1
- ARBOVOVUTSQWSS-UHFFFAOYSA-N hexadecanoyl chloride Chemical compound CCCCCCCCCCCCCCCC(Cl)=O ARBOVOVUTSQWSS-UHFFFAOYSA-N 0.000 description 1
- 238000010348 incorporation Methods 0.000 description 1
- 125000000959 isobutyl group Chemical group [H]C([H])([H])C([H])(C([H])([H])[H])C([H])([H])* 0.000 description 1
- 125000001449 isopropyl group Chemical group [H]C([H])([H])C([H])(*)C([H])([H])[H] 0.000 description 1
- 239000010410 layer Substances 0.000 description 1
- 150000002632 lipids Chemical class 0.000 description 1
- 230000014759 maintenance of location Effects 0.000 description 1
- FPYJFEHAWHCUMM-UHFFFAOYSA-N maleic anhydride Chemical compound O=C1OC(=O)C=C1 FPYJFEHAWHCUMM-UHFFFAOYSA-N 0.000 description 1
- QARBMVPHQWIHKH-UHFFFAOYSA-N methanesulfonyl chloride Chemical compound CS(Cl)(=O)=O QARBMVPHQWIHKH-UHFFFAOYSA-N 0.000 description 1
- 244000005700 microbiome Species 0.000 description 1
- PEECTLLHENGOKU-UHFFFAOYSA-N n,n-dimethylpyridin-4-amine Chemical compound CN(C)C1=CC=NC=C1.CN(C)C1=CC=NC=C1 PEECTLLHENGOKU-UHFFFAOYSA-N 0.000 description 1
- YBSZEWLCECBDIP-UHFFFAOYSA-N n-[bis(dimethylamino)phosphoryl]-n-methylmethanamine Chemical compound CN(C)P(=O)(N(C)C)N(C)C.CN(C)P(=O)(N(C)C)N(C)C YBSZEWLCECBDIP-UHFFFAOYSA-N 0.000 description 1
- 125000004108 n-butyl group Chemical group [H]C([H])([H])C([H])([H])C([H])([H])C([H])([H])* 0.000 description 1
- 125000000740 n-pentyl group Chemical group [H]C([H])([H])C([H])([H])C([H])([H])C([H])([H])C([H])([H])* 0.000 description 1
- 125000004123 n-propyl group Chemical group [H]C([H])([H])C([H])([H])C([H])([H])* 0.000 description 1
- 125000004957 naphthylene group Chemical group 0.000 description 1
- UMIPWJGWASORKV-UHFFFAOYSA-N oct-1-yne Chemical compound CCCCCCC#C UMIPWJGWASORKV-UHFFFAOYSA-N 0.000 description 1
- QJAOYSPHSNGHNC-UHFFFAOYSA-N octadecane-1-thiol Chemical compound CCCCCCCCCCCCCCCCCCS QJAOYSPHSNGHNC-UHFFFAOYSA-N 0.000 description 1
- WTBAHSZERDXKKZ-UHFFFAOYSA-N octadecanoyl chloride Chemical compound CCCCCCCCCCCCCCCCCC(Cl)=O WTBAHSZERDXKKZ-UHFFFAOYSA-N 0.000 description 1
- 230000003647 oxidation Effects 0.000 description 1
- 238000007254 oxidation reaction Methods 0.000 description 1
- 238000005691 oxidative coupling reaction Methods 0.000 description 1
- 230000001590 oxidative effect Effects 0.000 description 1
- 229910052760 oxygen Inorganic materials 0.000 description 1
- 239000001301 oxygen Substances 0.000 description 1
- 238000010647 peptide synthesis reaction Methods 0.000 description 1
- 238000012123 point-of-care testing Methods 0.000 description 1
- 229920000573 polyethylene Polymers 0.000 description 1
- 230000000379 polymerizing effect Effects 0.000 description 1
- 229920001155 polypropylene Polymers 0.000 description 1
- GXBBCEZQOPFZFX-UHFFFAOYSA-N potassium;3-aminopropylazanide Chemical compound [K+].NCCC[NH-] GXBBCEZQOPFZFX-UHFFFAOYSA-N 0.000 description 1
- 238000012545 processing Methods 0.000 description 1
- 230000001737 promoting effect Effects 0.000 description 1
- 125000002568 propynyl group Chemical group [*]C#CC([H])([H])[H] 0.000 description 1
- 210000001938 protoplast Anatomy 0.000 description 1
- 239000011541 reaction mixture Substances 0.000 description 1
- 238000001953 recrystallisation Methods 0.000 description 1
- 238000012552 review Methods 0.000 description 1
- 150000003839 salts Chemical class 0.000 description 1
- 238000012216 screening Methods 0.000 description 1
- 239000011540 sensing material Substances 0.000 description 1
- 238000000926 separation method Methods 0.000 description 1
- 229910000104 sodium hydride Inorganic materials 0.000 description 1
- 239000012312 sodium hydride Substances 0.000 description 1
- 239000012453 solvate Substances 0.000 description 1
- 230000009870 specific binding Effects 0.000 description 1
- 239000007858 starting material Substances 0.000 description 1
- 230000009897 systematic effect Effects 0.000 description 1
- 125000000999 tert-butyl group Chemical group [H]C([H])([H])C(*)(C([H])([H])[H])C([H])([H])[H] 0.000 description 1
- 239000012085 test solution Substances 0.000 description 1
- LPWCRLGKYWVLHQ-UHFFFAOYSA-N tetradecanoyl chloride Chemical compound CCCCCCCCCCCCCC(Cl)=O LPWCRLGKYWVLHQ-UHFFFAOYSA-N 0.000 description 1
- YLQBMQCUIZJEEH-UHFFFAOYSA-N tetrahydrofuran Natural products C=1C=COC=1 YLQBMQCUIZJEEH-UHFFFAOYSA-N 0.000 description 1
- WHRNULOCNSKMGB-UHFFFAOYSA-N tetrahydrofuran thf Chemical compound C1CCOC1.C1CCOC1 WHRNULOCNSKMGB-UHFFFAOYSA-N 0.000 description 1
- 230000002463 transducing effect Effects 0.000 description 1
- 238000012546 transfer Methods 0.000 description 1
- 125000005270 trialkylamine group Chemical group 0.000 description 1
- ZDHXKXAHOVTTAH-UHFFFAOYSA-N trichlorosilane Chemical compound Cl[SiH](Cl)Cl ZDHXKXAHOVTTAH-UHFFFAOYSA-N 0.000 description 1
- 239000005052 trichlorosilane Substances 0.000 description 1
- LBNVCJHJRYJVPK-UHFFFAOYSA-N trimethyl(4-trimethylsilylbuta-1,3-diynyl)silane Chemical compound C[Si](C)(C)C#CC#C[Si](C)(C)C LBNVCJHJRYJVPK-UHFFFAOYSA-N 0.000 description 1
- 238000001429 visible spectrum Methods 0.000 description 1
- 230000000007 visual effect Effects 0.000 description 1
- 244000000028 waterborne pathogen Species 0.000 description 1
- 238000009736 wetting Methods 0.000 description 1
Images
Classifications
-
- G—PHYSICS
- G01—MEASURING; TESTING
- G01N—INVESTIGATING OR ANALYSING MATERIALS BY DETERMINING THEIR CHEMICAL OR PHYSICAL PROPERTIES
- G01N33/00—Investigating or analysing materials by specific methods not covered by groups G01N1/00 - G01N31/00
- G01N33/48—Biological material, e.g. blood, urine; Haemocytometers
- G01N33/50—Chemical analysis of biological material, e.g. blood, urine; Testing involving biospecific ligand binding methods; Immunological testing
- G01N33/52—Use of compounds or compositions for colorimetric, spectrophotometric or fluorometric investigation, e.g. use of reagent paper and including single- and multilayer analytical elements
- G01N33/521—Single-layer analytical elements
-
- Y—GENERAL TAGGING OF NEW TECHNOLOGICAL DEVELOPMENTS; GENERAL TAGGING OF CROSS-SECTIONAL TECHNOLOGIES SPANNING OVER SEVERAL SECTIONS OF THE IPC; TECHNICAL SUBJECTS COVERED BY FORMER USPC CROSS-REFERENCE ART COLLECTIONS [XRACs] AND DIGESTS
- Y10—TECHNICAL SUBJECTS COVERED BY FORMER USPC
- Y10S—TECHNICAL SUBJECTS COVERED BY FORMER USPC CROSS-REFERENCE ART COLLECTIONS [XRACs] AND DIGESTS
- Y10S530/00—Chemistry: natural resins or derivatives; peptides or proteins; lignins or reaction products thereof
- Y10S530/81—Carrier - bound or immobilized peptides or proteins and the preparation thereof, e.g. biological cell or cell fragment as carrier
- Y10S530/812—Peptides or proteins is immobilized on, or in, an organic carrier
Definitions
- the present invention relates to a technique for detection of analytes using observable spectral changes in polydiacetylene assemblies. More specifically, this invention relates to a colorimetric sensor comprising polydiacetylene assemblies and a method of using the sensor to detect an analyte.
- Diacetylenes are typically colorless and undergo addition polymerization, either thermally or by actinic radiation. As the polymerization proceeds, these compounds undergo a contrasting color change to blue or purple. When exposed to external stimuli such as heat, physical stress or a change of solvents or counterions, polydiacetylenes exhibit a further color changes produced by distortion of the planar backbone conformation. Polydiacetylene assemblies are known to change color from blue to red with an increase in temperature or changes in pH due to conformational changes in the conjugated backbone as described in Mino, et al., Langmuir, Vol. 8, p. 594, 1992; Chance, et al., Journal of Chemistry and Physics , Vol.
- Synthesis of both the receptors and the polydiacetylene membranes can be complicated and difficult.
- the polydiacetylene membranes can exhibit insufficient color change upon binding with an analyte, requiring other substances for promoting the structural change or enhancing analytical equipment to observe the color change.
- the present invention provides a calorimetric sensor to detect the presence of analytes by spectral changes (color changes visible to the naked eye or with a calorimeter) that occur as a result of the specific binding of the analytes to polydiacetylene assemblies.
- the polydiacetylene assemblies indicate the presence of an analyte in a simple yet highly sensitive manner.
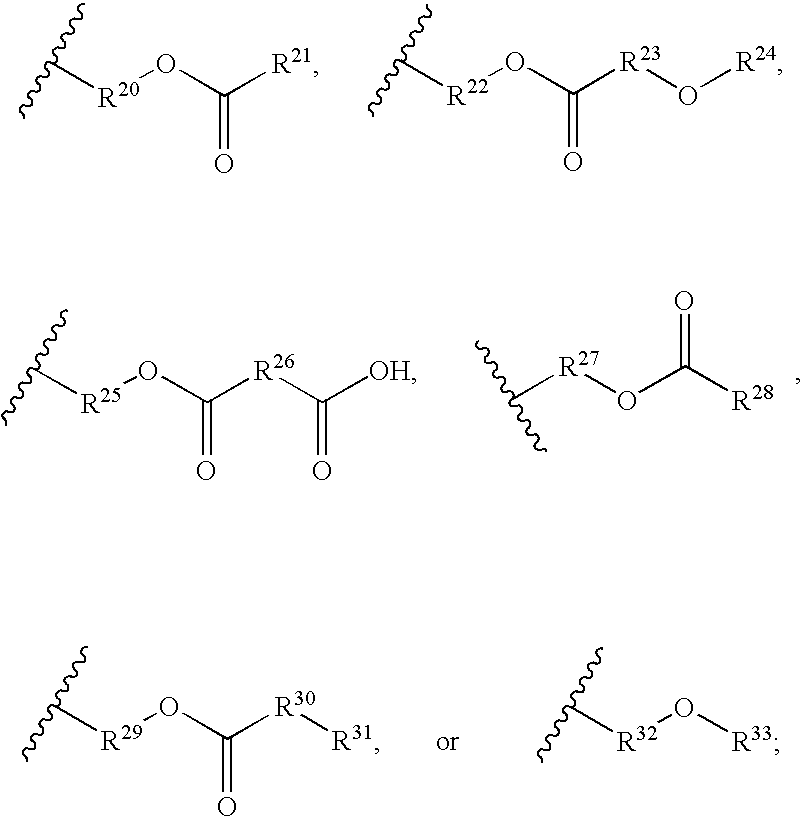
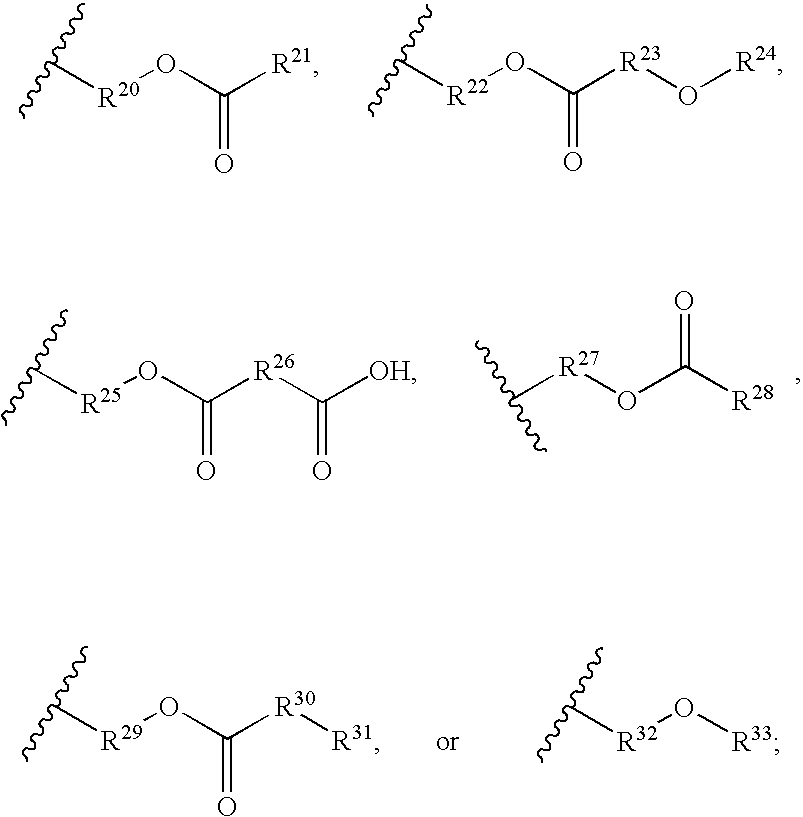
- the present invention provides a colorimetric sensor comprising a receptor and the polymerization reaction product comprising at least one compound of the formula
- R 3 , R 8 , R 13 , R 21 , R 24 , R 31 and R 33 are independently alkyl;
- R 4 , R 5 , R 7 , R 14 , R 16 , R 19 , R 20 , R 22 , R 25 , and R 32 are independently alkylene;
- R 6 , R 15 , R 18 , and R 26 are independently alkylene, alkenylene, or arylene;
- R 9 is alkylene or —NR 34 —;
- R 10 , R 12 , R 27 , and R 29 are independently alkylene or alkylene-arylene;
- R 11 and R 28 are independently alkynyl;
- R 17 is an ester-activating group;
- R 23 is arylene;
- R 30 is alkylene or —NR 4 —;
- R 34 , and R 36 are independently H or C 1 -C 4 alkyl; p is 1-5; and n is 1-20; and where R 1 and R 2 are
- test kit whose reliability is relativity stable in a wide range of environmental conditions, and when the analyte is mixed with a number of other materials.
- FIG. 1 shows a schematic representation of a colorimetric sensor of the present invention.
- FIG. 2 shows a schematic representation of a calorimetric sensor array of the present invention.
- FIG. 3 shows a schematic representation of a colorimetric sensor for contacting the sensor with an analyte.
- FIG. 4 shows a schematic representation of a foldable colorimetric sensor for contacting the sensor with an analyte.
- FIG. 5 shows a schematic representation of a colorimetric sensor of the present invention with one type of analyte delivery.
- FIG. 6 shows a schematic representation of a calorimetric sensor array of the prevent invention with one type of analyte delivery.
- FIG. 7 is a phase diagram showing the colors of the coated and dried polydiacetylene film as a function of the contact angle of the substrate.
- FIG. 8 is a phase diagram showing the colors of the coated and dried polydiacetylene film as a function of the surface tension of the substrate.
- the present invention provides a colorimetic sensor comprising diacetylenic materials and a method of using the sensor to detect an analyte. While the present invention is not so limited, an appreciation of various aspects of the invention will be gained through a discussion of the examples provided below.
- alkyl refers to a straight or branched chain or cyclic monovalent hydrocarbon radical having a specified number of carbon atoms. Alkyl groups include those with one to twenty carbon atoms. Examples of “alkyl” as used herein include, but are not limited to, methyl, ethyl, n-propyl, n-butyl, n-pentyl, isobutyl, and isopropyl, and the like. It is to be understood that where cyclic moieties are intended, at least three carbons in said alkyl must be present. Such cyclic moieties include cyclopropyl, cyclobutyl, cyclopentyl, cyclohexyl and cycloheptyl.
- alkylene refers to a straight or branched chain or cyclic divalent hydrocarbon radical having a specified number of carbon atoms. Alkylene groups include those with one to fourteen carbon atoms. Examples of “alkylene” as used herein include, but are not limited to, methylene, ethylene, trimethylene, tetramethylene and the like. It is to be understood that where cyclic moieties are intended, at least three carbons in said alkylene must be present. Such cyclic moieties include cyclopropylene, cyclobutylene, cyclopentylene, cyclohexylene and cycloheptylene.
- alkenylene refers to a straight or branched chain or cyclic divalent hydrocarbon radical having a specified number of carbon atoms and one or more carbon—carbon double bonds. Alkenylene groups include those with two to eight carbon atoms. Examples of “alkenylene” as used herein include, but are not limited to, ethene-1,2-diyl, propene-1,3-diyl, and the like.
- arylene refers to divalent unsaturated aromatic carboxylic radicals having a single ring, such as phenylene, or multiple condensed rings, such as naphthylene or anthrylene.
- Arylene groups include those with six to thirteen carbon atoms. Examples of “arylene” as used herein include, but are not limited to, benzene-1,2-diyl, benzene-1,3-diyl, benzene-1,4-diyl, naphthalene-1,8-diyl, and the like.
- alkylene-arylene refers to an alkylene moiety as defined above bonded to an arylene moiety as defined above.
- alkylene-arylene examples include, but are not limited to, —CH 2 -phenylene, —CH 2 CH 2 -phenylene, and —CH 2 CH 2 CH 2 -phenylene.
- alkynyl refers to a straight or branched chain or cyclic monovalent hydrocarbon radical having from two to thirty carbons and at least one carbon-carbon triple bond.
- alkynyl as used herein include, but are not limited to, ethynyl, propynyl and butynyl.
- analyte(s) refers to any material that can be detected by the sensor of the present invention. Such materials include, but are not limited to small molecules, pathogenic and non-pathogenic organisms, toxins, membrane receptors and fragments, volatile organic compounds, enzymes and enzyme substrates, antibodies, antigens, proteins, peptides, nucleic acids, and peptide nucleic acids.
- bacteria refers to all forms of microorganisms considered to be bacteria including cocci, bacilli, spirochetes, sheroplasts, protoplasts, etc.
- receptor refers to any molecule with a binding affinity for an analyte of interest.
- Receptor includes, but is not limited to, naturally occurring receptors such as surface membrane proteins, enzymes, lectins, antibodies, recombinant proteins, etc.; synthetic proteins; nucleic acids; c-glycosides; carbohydrates; gangliosides; and chelating agents.
- the terms “assembly”, or “self-assembly”, refers to any self-ordering of diacetylene molecules prior to polymerization. J. Israelachvili, Intermolecular and Surface Forces (2 nd Ed.), Academic Press, New York (1992), pp. 321-427.
- SAMs self-assembling monolayer(s)
- transducer describes a material capable of turning a recognition event at the molecular level into an observable signal.
- the present invention provides a calorimetric sensor comprising novel polydiacetylene assemblies incorporated with a receptor for detection of an analyte.
- the polydiacetylene assemblies are polymerized compounds of the formula
- R 3 , R 4 , R 13 , R 21 , R 24 , R 31 and R 33 are independently alkyl;
- R 4 , R 5 , R 7 , R 14 , R 16 , R 19 , R 20 , R 22 , R 25 , and R 32 are independently alkylene;
- R 6 , R 15 , R 18 , and R 26 are independently alkylene, alkenylene, or arylene;
- R 9 is alkylene or —NR 34 —;
- R 10 , R 12 , R 27 , and R 29 are independently alkylene or alkylene-arylene;
- R 11 and R 28 are independently alkynyl;
- R 17 is an ester-activating group;
- R 23 is arylene;
- R 30 is alkylene or —NR 36 —;
- R 34 , and R 36 are independently H or C 1 -C 4 alkyl;
- p is 1-5; and n is 1-20; and where R 1 and R
- R 1 when R 1 is alkyl examples include C 1 -C 20 alkyl, C 6 -C 18 alkyl, and C 12 -C 16 alkyl. Additional examples of R 1 when R 1 is alkyl include dodecyl and hexadecyl.
- R 3 examples include C 1 -C 20 alkyl, and C 6 -C 18 alkyl. Additional examples of R 3 include undecyl and pentadecyl.
- R 4 examples include C 1 -C 14 alkylene, and C 1 -C 4 alkylene. Additional examples of R 4 include methylene (—CH 2 —), trimethylene, (—CH 2 CH 2 CH 2 —), and tetramethylene (—CH 2 CH 2 CH 2 CH 2 —).
- R 5 examples include C 1 -C 14 alkylene, and C 1 -C 3 alkylene. Additional examples of R 5 include ethylene (—CH 2 CH 2 —), and trimethylene (—CH 2 CH 2 CH 2 —).
- R 6 when R 6 is alkylene examples include C 1 -C 14 alkylene, and C 1 -C 3 alkylene. Additional examples of R 6 when R 6 is alkylene include ethylene (—CH 2 CH 2 —), and trimethylene (—CH 2 CH 2 CH 2 —). Examples of R 6 when R 6 is alkenylene include C 2 -C 8 alkenylene, and C 2 -C 4 alkenylene. An additional example of R when R 6 is alkenylene includes ethenylene (—C ⁇ C—). Examples of R 6 when R is arylene include C 6 -C 13 arylene, and phenylene. An additional example of R 6 when R 6 is arylene is benzene-1,2-diyl.
- R 7 examples include C 1 -C 14 alkylene, and C 2 -Cg alkylene. Additional examples of R 7 include ethylene (—CH 2 CH 2 —), trimethylene (—CH 2 CH 2 CH 2 —), tetramethylene (—CH 2 CH 2 CH 2 CH 2 —), pentamethylene (—CH 2 CH 2 CH 2 CH 2 CH 2 —), hexamethylene (—CH 2 CH 2 CH 2 CH 2 CH 2 CH 2 —), heptamethylene (—CH 2 CH 2 CH 2 CH 2 CH 2 CH 2 CH 2 —), octamethylene (—CH 2 CH 2 CH 2 CH 2 CH 2 CH 2 CH 2 CH 2 —), and nonamethylene (—CH 2 CH 2 CH 2 CH 2 CH 2 CH 2 CH 2 CH 2 —).
- R 8 examples include Ct-C 1-6 alkyl, and C 1 -C 8 alkyl. Additional examples of R 8 include butyl, pentyl and hexyl.
- R 9 is independently alkylene or —NR 34 —, where R 34 is H or C 1 -C 4 alkyl;
- R 9 when R 9 is alkylene examples include C 1 -C 14 alkylene, and C 1 -C 3 alkylene, such as methylene (—CH 2 —) for example.
- R 10 when R 10 is alkylene examples include C 1 -C 14 alkylene, and C 1 -C 8 alkylene. Additional examples of R 10 when R 10 is alkylene include methylene (—CH 2 —), ethylene (—CH 2 CH 2 —), trimethylene (—CH 2 CH 2 CH 2 —), tetramethylene (—CH 2 CH 2 CH 2 CH 2 —), —C(CH 3 ) 2 —, and —CH((CH 2 ) 14 CH 3 )—. Examples of R 10 when R 10 is alkylene-arylene include (C 1 -C 14 alkylene)-arylene, and (C 1 -C 14 alkylene)-phenylene. An additional example of R 10 when R 10 is alkylene-arylene includes —CH 2 -phenylene.
- R 11 examples include C 2 -C 30 alkynyl, and C 20 -C 25 alkynyl. Additional examples of R 11 include C 2 -C 30 alkynyl having at least two carbon-carbon triple bonds (—C ⁇ C—), and C 20 -C 25 alkynyl having at least two carbon-carbon triple bonds. Further examples of R 11 include C 22 alkynyl having at least two carbon-carbon triple bonds, C 24 alkynyl having at least two carbon-carbon triple bonds.
- R 11 include —(CH 2 ) 8 —C ⁇ C—C ⁇ C—(CH 2 ) 9 CH 3 , and —(CH 2 ) 8 —C ⁇ C—C ⁇ C—(CH 2 ) 11 CH 3 .
- R 12 when R 12 is alkylene examples include C 1 -C 14 alkylene, and C 1 -C 8 alkylene. Additional examples of R 12 when R 12 is alkylene include methylene (—CH 2 —), ethylene (—CH 2 CH 2 —), trimethylene (—CH 2 CH 2 CH 2 —), tetramethylene (—CH 2 CH 2 CH 2 CH 2 —), —C(CH 3 ) 2 —, and —CH((CH 2 ) 14 CH 3 )—. Examples of R 12 when R 12 is alkylene-arylene include (C 1 -C 14 alkylene)-arylene, and (C 1 -C 14 alkylene)-phenylene. An additional example of R 12 when R 12 is alkylene-arylene includes —CH 2 -phenylene.
- R 13 examples include C 1 -C 4 alkyl, such as methyl for example.
- R 14 examples include C 1 -C 4 alkylene, such as ethylene (—CH 2 CH 2 —) for example.
- R 15 when R 15 is alkylene examples include C 1 -C 14 alkylene, and C 1 -C 3 alkylene. Additional examples of R 15 when R 15 is alkylene include ethylene (—CH 2 CH 2 —), and trimethylene (—CH 2 CH 2 CH 2 —). Examples of R 15 when R 15 is alkenylene include C 2 -C 8 alkenylene, and C 2 -C 4 alkenylene. An additional example of R 15 when R 15 is alkenylene includes ethenylene (—C ⁇ C—). Examples of R 15 when R 15 is arylene include C 6 -C 13 arylene, and phenylene. An additional example of R 15 when R 15 is arylene is benzene-1,4-diyl.
- R 16 examples include C 1 -C 14 alkylene, and C 2 -C 9 alkylene. Additional examples of R 16 include ethylene (—CH 2 CH 2 —), trimethylene (—CH 2 CH 2 CH 2 —), tetramethylene (—CH 2 CH 2 CH 2 CH 2 —), pentamethylene (—CH 2 CH 2 CH 2 CH 2 CH 2 —), hexamethylene (—CH 2 CH 2 CH 2 CH 2 CH 2 CH 2 —), heptamethylene (—CH 2 CH 2 CH 2 CH 2 CH 2 CH 2 CH 2 —), octamethylene (—CH 2 CH 2 CH 2 CH 2 CH 2 CH 2 CH 2 CH 2 —), and nonamethylene (—CH 2 CH 2 CH 2 CH 2 CH 2 CH 2 CH 2 CH 2 —).
- R 17 examples include groups that activate the neighboring ester group toward acyl transfer.
- ester activating groups include pentafluorophenol, pentachlorophenol, 2,4,6-trichlorophenol, 3-nitrophenol, N-hydroxysuccinimide, N-hydroxyphthalimide and those disclosed in M. Bodanszky, “Principles of Peptide Synthesis,” (Springer-Verlag 1984), for example.
- An additional example of R 17 is 2,5-dioxo-1-pyrrolidinyl.
- R 18 when R 18 is alkylene examples include C 1 -C 14 alkylene, and C 1 -C 3 alkylene. Additional examples of R when R 18 is alkylene include ethylene (—CH 2 CH 2 —), and trimethylene (—CH 2 CH 2 CH 2 —). Examples of R 18 when R 18 is alkenylene include C 2 -C 8 alkenylene, and C 2 -C 4 alkenylene. An additional example of R 18 when R 18 is alkenylene includes ethenylene (—C ⁇ C—). Examples of R 18 when R 18 is arylene include C 6 -C 13 arylene, and phenylene. An additional example of R 18 when R 18 is arylene is benzene-1,2-diyl.
- R 19 examples include C 1 -C 14 alkylene, and C 2 -C 9 alkylene. Additional examples of R 19 include ethylene (—CH 2 CH 2 —), trimethylene (—CH 2 CH 2 CH 2 —), tetramethylene (—CH 2 CH 2 CH 2 CH 2 —), pentamethylene (—CH 2 CH 2 CH 2 CH 2 CH 2 —), hexamethylene (—CH 2 CH 2 CH 2 CH 2 CH 2 CH 2 —), heptamethylene (—CH 2 CH 2 CH 2 CH 2 CH 2 CH 2 CH 2 —), octamethylene (—CH 2 CH 2 CH 2 CH 2 CH 2 CH 2 CH 2 CH 2 —), and nonamethylene (—CH 2 CH 2 CH 2 CH 2 CH 2 CH 2 CH 2 CH 2 —).
- R 20 examples include C 1 -C 14 alkylene, C 1 -C 9 alkylene, and C 1 -C 4 alkylene. Additional examples of R 20 include methylene (—CH 2 —), ethylene (—CH 2 CH 2 —), trimethylene (—CH 2 CH 2 CH 2 —), tetramethylene (—CH 2 CH 2 CH 2 CH 2 —), pentamethylene (—CH 2 CH 2 CH 2 CH 2 CH 2 —), hexamethylene (—CH 2 CH 2 CH 2 CH 2 CH 2 CH 2 CH 2 —), heptamethylene (—CH 2 CH 2 CH 2 CH 2 CH 2 CH 2 —), octamethylene (—CH 2 CH 2 CH 2 CH 2 CH 2 CH 2 CH 2 CH 2 —), and nonamethylene (—CH 2 CH 2 CH 2 CH 2 CH 2 CH 2 CH 2 CH 2 —).
- R 21 when R 21 is alkyl examples include C 1 -C 20 alkyl, C 6 -C 18 alkyl, and C 10 -C 17 alkyl. Additional examples of R 21 when R 21 is alkyl include decyl, undecyl, tridecyl, tetradecyl, pentadecyl, heptadecyl.
- R 22 examples include C 1 -C 14 alkylene, and C 2 -C 9 alkylene. Additional examples of R 22 include ethylene (—CH 2 CH 2 —), trimethylene (—CH 2 CH 2 CH 2 —), and tetramethylene.
- R 23 examples include C 6 -C 13 arylene, and phenylene.
- An additional example of R 23 when R 23 is arylene is benzene-1,4-diyl.
- R 24 examples include C 1 -C 20 alkyl, and C 6 -C 18 alkyl. Additional examples of R 24 include methyl, ethyl, propyl, butyl, pentyl, hexyl, heptyl, octyl, nonyl, and dodecyl.
- R 25 examples include C 1 -C 14 alkylene, and C 2 -C 9 alkylene. Additional examples of R 25 include ethylene (—CH 2 CH 2 —), trimethylene (—CH 2 CH 2 CH 2 —), tetramethylene (—CH 2 CH 2 CH 2 CH 2 —), pentamethylene (—CH 2 CH 2 CH 2 CH 2 CH 2 —), hexamethylene (—CH 2 CH 2 CH 2 CH 2 CH 2 CH 2 —), heptamethylene (—CH 2 CH 2 CH 2 CH 2 CH 2 CH 2 CH 2 —), octamethylene (—CH 2 CH 2 CH 2 CH 2 CH 2 CH 2 CH 2 CH 2 —), and nonamethylene (—CH 2 CH 2 CH 2 CH 2 CH 2 CH 2 CH 2 CH 2 —).
- R 26 when R 26 is alkylene examples include C 1 -C 14 alkylene, and C 1 -C 3 alkylene. Additional examples of R 26 when R 26 is alkylene include ethylene (—CH 2 CH 2 —), and trimethylene (—CH 2 CH 2 CH 2 —). Examples of R 26 when R 26 is alkenylene include C 2 -C 8 alkenylene, and C 2 -C 4 alkenylene. An additional example of R 26 when R 26 is alkenylene includes ethenylene (—C ⁇ C—). Examples of R when R is arylene include C 6 -C 13 arylene, and phenylene. An additional example of R 26 when R 26 is arylene is benzene-1,2-diyl.
- R 27 when R 27 is alkylene examples include C 1 -C 14 alkylene, and C 1 -C 8 alkylene. Additional examples of R 27 when R 27 is alkylene include methylene (—CH 2 —), ethylene (—CH 2 CH 2 —), trimethylene (—CH 2 CH 2 CH 2 —), tetramethylene (—CH 2 CH 2 CH 2 CH 2 —), —C(CH 3 ) 2 —, and —CH((CH 2 ) 1-4 CH 3 )—. Examples of R 27 when R 27 is alkylene-arylene include (C 1 -C 14 alkylene)-arylene, and (C 1 -C 14 alkylene)-phenylene. An additional example of R 27 when R 27 is alkylene-arylene includes —CH 2 -phenylene.
- R 28 examples include C 2 -C 30 alkynyl, and C 20 -C 25 alkynyl. Additional examples of R 28 include C 2 -C 30 alkynyl having at least two carbon-carbon triple bonds (—C ⁇ C—), and C 20 -C 25 alkynyl having at least two carbon-carbon triple bonds. Further examples of R 28 include C 22 alkynyl having at least two carbon-carbon triple bonds, C 24 alkynyl having at least two carbon-carbon triple bonds.
- R 28 include —(CH 2 ) 8 —C ⁇ C—C ⁇ C—(CH 2 ) 9 CH 3 , and —(CH 2 ) 8 —C ⁇ C—C ⁇ C—(CH 2 ) 11 CH 3 .
- R 29 when R 29 is alkylene examples include C 1 -C 14 alkylene, and C 1 -C 8 alkylene. Additional examples of R 29 when R 29 is alkylene include methylene (—CH 2 —), ethylene (—CH 2 CH 2 —), trimethylene (—CH 2 CH 2 CH 2 —), tetramethylene (—CH 2 CH 2 CH 2 CH 2 —), —C(CH 3 ) 2 —, and —CH((CH 2 ) 1 C 14 CH 3 )—. Examples of R 29 when R 29 is alkylene-arylene include (C 1 -C 14 alkylene)-arylene, and (C 1 -C 14 alkylene)-phenylene. An additional example of R 29 when R 29 is alkylene-arylene includes —CH 2 -phenylene.
- R 30 is independently alkylene or —NR 36 —, where R 36 is H or C 1 -C 4 alkyl;
- R 30 when R 30 is alkylene examples include C 1 -C 14 alkylene, and C 1 -C 3 alkylene, such as methylene (—CH 2 —) for example.
- R 31 examples include C 1 -C 16 alkyl, and C 1 -C 8 alkyl. Additional examples of R 31 include butyl, pentyl and hexyl.
- R 32 examples include C 1 -C 14 alkylene, and C 2 -Cg alkylene. Additional examples of R 32 include ethylene (—CH 2 CH 2 —), trimethylene (—CH 2 CH 2 CH 2 —), tetramethylene (—CH 2 CH 2 CH 2 CH 2 —), pentamethylene (—CH 2 CH 2 CH 2 CH 2 CH 2 —), and hexamethylene (—CH 2 CH 2 CH 2 CH 2 CH 2 CH 2 —).
- R 33 examples include C 1 -C 20 alkyl, C 6 -C 18 alkyl, and C 10 -C 16 alkyl. Additional examples of R 33 include dodecyl, tetradecyl, hexadecyl, and octadecyl.
- Compounds of the present invention also include those where p can be 1 or 2 and n can be 1-20, 3-17, 6-14, or 9-11.
- the invention is inclusive of the compounds described herein including isomers, such as structural isomers and geometric isomers, salts, solvates, polymorphs and the like.
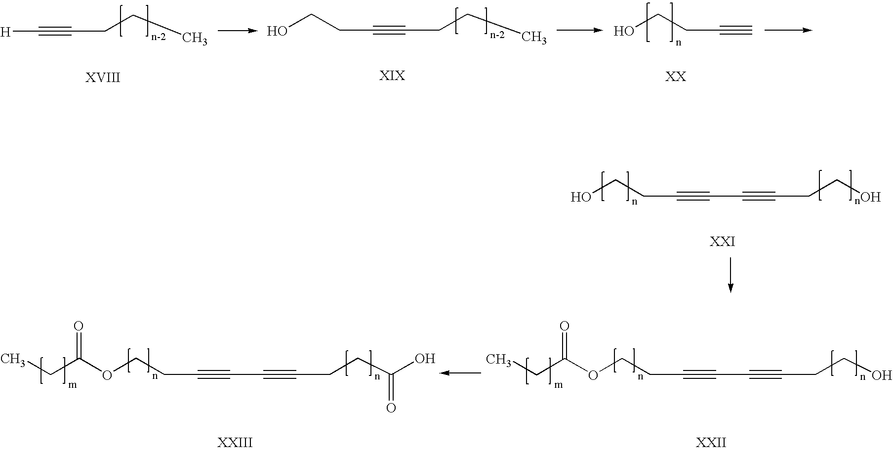
- Diacetylenes of the Formula XXIII can be prepared as outlined in Scheme 1 where n is typically 1 to 4 and m is typically 10 to 14.
- Compounds of formula XXIII can be prepared via oxidation from compounds of formula XXII by reaction with a suitable oxidizing agent in a suitable solvent such as DMF for example.
- suitable oxidizing agents include Jones reagent and pyridinium dichromate for example. The aforesaid reaction is typically run for a period of time from 1 hour to 48 hours, generally 8 hours, at a temperature from 0° C. to 40° C., generally from 0° C. to 25° C.
- Compounds of formula XXII can be prepared from compounds of formula XXI by reaction with a suitable acid chloride.
- suitable acid chlorides include any acid chloride that affords the desired product such as lauroyl chloride, 1-dodecanoyl chloride, 1-tetradecanoyl chloride, 1-hexadecanoyl chloride, and 1-octadecanoyl chloride for example.
- Suitable solvents include ether, tetrahydrofuran, dichloromethane, and chloroform, for example.
- the aforesaid reaction is typically run for a period of time from 1 hour to 24 hours, generally 3 hours, at a temperature from 0° C. to 40° C., generally from 0° C. to 25° C., in the presence of a base such as trialkylamine or pyridine base.
- Compounds of formula XXI are either commercially available (e.g. where n is 1-4) or can be prepared from compounds of the formula XVIII via compounds XIX and XX as outlined in Scheme I and disclosed in Abrams, Suzanne R.; Shaw, Angela C. “Triple-bond isomerizations: 2- to 9-decyn-1-ol,” Org. Synth . (1988), 66, 127-31 and Brandsma, L. “Preparative Acetylenic Chemistry,” (Elsevier Pub. Co.: New York, 1971), for example.
- Diacetylenic compounds as disclosed herein can also be prepared by reacting compounds of formula XXII with an anhydride such as succinic, glutaric, or phthalic anhydride in the presence of a suitable solvents such as toluene.
- anhydride such as succinic, glutaric, or phthalic anhydride
- the aforesaid reaction is typically run for a period of time from 1 hour to 24 hours, generally 15 hours, at a temperature from 50° C. to 125° C., generally from 100° C. to 125° C.
- the diacetylenic compounds as disclosed herein self assemble in solution to form ordered assemblies that can be polymerized using any actinic radiation such as, for example, electromagnetic radiation in the UV or visible range of the electromagnetic spectrum.
- Polymerization of the diacetylenic compounds result in polymerization reaction products that have a color in the visible spectrum less than 570 nm, between 570 nm and 600 nm, or greater than 600 nm depending on their conformation and exposure to external factors.
- polymerization of the diacetylenic compounds disclosed herein result in meta-stable blue phase polymer networks that include a polydiacetylene backbone. These meta-stable blue phase polymer networks undergo a color change from bluish to reddish-orange upon exposure to external factors such as heat, a change in solvent or counterion, if available, or physical stress for example.
- Polymerization products of some of the diacetylenic compounds disclosed herein can exhibit a reversible color change and/or a three state color change.
- the resulting blue-phase polymer network can change color to a reddish-orange state upon exposure to heat, a change in solvent or counterion, or physical stress.
- This reddish-orange polymer network can then change color to a yellowish-orange state upon further exposure to heat, a change in solvent or counterion, or physical stress.
- polymer networks disclosed herein can cycle between these reddish-orange and yellowish-orange states in a reversible manner.
- the ability of the diacetylenic compounds and their polymerization products disclosed herein to undergo a visible color change upon exposure to physical stress make them ideal candidates for the preparation of sensing devices for detection of an analyte.
- the polydiacetylene assemblies formed from the disclosed diacetylene compounds can function as a transducer in biosensing applications.
- the structural requirements of a diacetylenic molecule for a given sensing application are typically application specific.
- Features such as overall chain length, solubility, polarity, crystallinity, and presence of functional groups for further molecular modification all cooperatively determine a diacetylenic molecule's ability to serve as a useful sensing material.
- the structure of the diacetylenic compound should be capable of forming a stable dispersion in water, polymerizing efficiently to a colored material, incorporating appropriate receptor chemistry for binding to an analyte, and transducing that binding interaction by means of a color change.
- the diacetylenic compounds of the present invention possess the capabilities described above and can be easily and efficiently polymerized into polydiacetylene assemblies that undergo the desired color changes. Additionally, the diacetylenic compounds allow for the incorporation of large excesses of unpolymerizable material, such as a receptor described below, while still forming a stable, polymerizable solution.
- the disclosed diacetylenic compounds can be synthesized in a rapid high-yielding fashion, including high-throughput methods of synthesis.
- the presence of functionality in the backbones of the diacetylenic compounds, such as heteroatoms for example, provides for the possibility of easy structural elaboration in order to meet the requirements of a given sensing application.
- the diacetylenic compounds can be polymerized into the desired polydiacetylene backbone containing network by adding the diacetylene to a suitable solvent, such as water for example, sonicating the mixture, and then irradiating the solution with ultraviolet light, typically at a wavelength of 254 nm.
- the calorimetric sensors of the present invention comprising the disclosed diacetylene compounds can serve as the basis for the colorimetric detection of a molecular recognition event in solution or coated on a substrate.
- a molecular recognition device can be prepared by adding a receptor to the diacetylene monomer system either prior to or after polymerization. Upon polymerization or thereafter, the receptor is effectively incorporated within the polymer network such that interaction of the receptor with an analyte results in a visible color change due to the perturbation of the conjugated ene-yne polymer backbone.
- the receptor is physically mixed and dispersed among the polydiacetylene assemblies.
- the receptor is covalently bonded to the polydiacetylene assemblies.
- useful receptors include, but are not limited to surface membrane proteins, enzymes, lectins, antibodies, recombinant proteins, etc.; synthetic proteins; nucleic acids; c-glycosides; carbohydrates; gangliosides; and chelating agents.
- the receptor is a phospholipid.
- the receptor is a glycerol incorporated into the diacetylene assembly by known methods such as that discussed in Alcaraz, Marie-Lyne; Peng, Ling; Klotz, Phillipe; Goeldner, Maurice, J.Org.Chem. 1996, 61, 192-201.
- the colometric sensors of the present invention formed from the disclosed diacetylene compounds are amenable to a variety of applications that demand cost-effective, stable, accurate, consistent and quick diagnostics outside the laboratory setting. Applications include point-of-care testing, home testing diagnostics, military and industrial detection of air —or water-borne pathogens and VOCs, and food processing.
- a sensor comprising the polydiacetylene assemblies can be obtained without the need to form a film by the conventional LB (Langmuir-Blodgett) process before transferring it onto an appropriate support.
- the polydiacetylene assemblies can be formed on a substrate using the known LB process as described in A. Ulman, An Introduction to Ultrathin Organic Films , Academic Press, New York (1991), pp. 101-219.
- the present invention provides biosensing capabilities in a disposable adhesive product.
- the sensors are self-contained and do not require additional instrumentation to convey a measurable result.
- use with other analytical instrumentation is possible to further enhance sensitivity, such as fluorescence with the fluorescent “red” phase developed after detection of the analyte.
- the sensors function to provide a rapid screening device when the detection of a threshold presence of a specific analyte is desired.
- the sensors of the present invention are disposable and relatively inexpensive.
- the calorimetric sensor comprises a transducer formed from a receptor incorporated within the polydiacetylene assemblies in solution.
- the solution can be provided in a simple vial system, with the analyte directly added to a vial containing a solution with the transducer specific to the analyte of interest.
- the colorimetric sensor could comprise multiple vials in a kit, with each vial containing a transducer comprising polydiacetylenes assemblies with incorporated receptors particular to different analytes. For those applications in which the analyte cannot be added directly to the polydiacetylene transducer, a two-part vial system could be used.
- One compartment of the vial could contain reagents for sample preparation of the analyte physically separated from the second compartment containing the transducer formed from the polydiacetylene assemblies. Once sample preparation is complete, the physical barrier separating the compartments would be removed to allow the analyte to mix with the transducer for detection.
- the colorimetric sensor is a rapid indicator in a tape or label format as depicted in FIG. 1.
- FIG. 1 shows a tape or label 10 coated with a pressure sensitive adhesive 20 and a transducer 30 coated on a substrate 40 .
- Pressure sensitive adhesive 20 can affix tape or label 10 to a surface for direct detection of an analyte.
- Pressure sensitive adhesive 20 is isolated from transducer 30 containing the polydiacetylene assemblies to potentially minimize adverse effects.
- pressure sensitive adhesive 20 surrounds the transducer 30 located in the center of tape or label 10 . In an alternate embodiment (not shown), the pressure sensitive adhesive and the transducer are combined.
- tape or label 10 will contain a transparent window on the side of tape or label 10 that does not contain pressure sensitive adhesive 20 .
- the window would be centered under transducer 30 to allow the user to view the color change without removing the tape or label 10 from the surface containing the analyte.
- the tape or label 110 is shown as array 111 composed of multiple transducers 112 , 113 , 114 , 115 , and 116 .
- Each of transducers 112 , 113 , 114 , 115 , and 116 could be formed from the same or different polydiacetylene assemblies with each polydiacetylene assembly incorporating the same or different receptor.
- array 111 can be designed to detect multiple analytes at various concentration levels.
- tape or label 100 comprises a foldable substrate 101 with pressure sensitive adhesive 102 on one side of foldable substrate 101 , and transducer 103 placed on the opposing side of foldable substrate 101 facing pressure sensitive adhesive 102 .
- the surface containing a target analyte could be contacted with pressure sensitive adhesive 102 to collect the sample.
- the foldable substrate 101 would be folded to contact the pressure sensitive adhesive 102 to transducer 103 as shown in FIG. 4.
- foldable substrate 101 could be perforated to allow separation of foldable substrate 101 into two or more parts, with one part containing pressure sensitive adhesive 102 and another part containing the transducer 103 . Both the foldable feature and/or the perforations of foldable substrate 101 allow the user to prevent the transducer from contacting the sample surface that contains the analyte for applications requiring that functionality.
- foldable substrate 101 in FIG. 3 could also include multiple transducers as shown in FIG. 2 and described above. Further, foldable substrate 101 could include a transparent window on the side opposite transducer 103 for viewing any color change after foldable susbstrate 101 is folded to contact transducer 103 to pressure sensitive adhesive 102 .
- FIGS. 5 and 6 Alternative embodiments are shown in FIGS. 5 and 6 that allow delivery of a fluid sample to the transducer via a microfluidic element such as those described in U.S. Pat. Nos. 6 , 375 , 871 and 6 , 451 , 191 .
- tape or label 301 contains a microfluidic element 302 that delivers the analyte to the transducer 303 .
- pressure sensitive adhesive could be supplied on tape or label 301 on the side opposite transducer 303 to allow the tape or label to be attached to a surface for storage or holding purposes such as attaching to a wall or container.
- a microfluidic element 401 is provided on tape or label 402 .
- Microfluidic element 401 delivers the analyte to multiple wells 403 , 404 , 405 , and 406 containing the same or different transducers.
- Each of the transducers in multiple wells 403 , 404 , 405 , and 406 could be formed from the same or different polydiacetylene assemblies with each polydiacetylene assembly incorporating the same or different receptor.
- multiple wells 403 , 404 , 405 , and 406 can be designed to provide detection for multiple analytes at various concentration levels.
- kits could contain a vial for reagant storage and mixing of the analyte before contacting the calorimetric sensor coated on a two-dimensional substrate.
- the kit could comprise a vial for reagent storage and analyte preparation, with a cap system containing the transducer of the present invention coated on a substrate.
- the present invention also provides a method for analysis of an analyte, which comprises contacting the abovementioned colorimetric sensor with a solution sample or surface containing an analyte and utilizing an absorption measurement or a visual observation with the naked eye to detect color change in the colorimetric sensor.
- the present invention provides a method for indirect detection of an analyte by selection of a probe with an affinity to bind with both the receptor incorporated into the polydiacetylene assemblies and the analyte.
- the probe selected will demonstrate a competitive affinity with the analyte.
- the probe will bind to the analyte rather than the receptor on the polydiacetylene backbone, resulting in no color change. If the analyte is absent, the probe will bind to the receptor incorporated on the polydiacetylene backbone, resulting in a color change from blue to red.
- the probe can contact the transducer after the analyte contacts the transducer, or can be mixed with the analyte prior to the mixture contacting the transducer.
- the probe can be contacted with the transducer in solution or coated on a substrate.
- the probe will be any molecule with an affinity for both the target analyte and the receptor.
- Possible probes for use in the present invention include membrane disrupting peptides such as alamethicin, magainin, gramicidin, polymyxin B sulfate, and melittin.
- probe concentrations can be chosen to correspond to desired concentration levels of detection.
- the method of indirect detection using the probe allows design of the system around the type and concentration of the probe for desired sensitivity in a given application. This allows the transducer to be universal to multiple analytes of interest. For example, a single transducer (polydiacetylene/receptor combination) could serve to detect multiple analytes by varying the probe in contact with the transducer in accordance with the probe's affinity for the analyte.
- the substrates of the present invention can be characterized by contact angle measurements using milli-Q (Millipore) water and methylene iodide (Aldrich) probe liquids.
- a goniometer from Rame-Hart is used to measure the contact angle that a drop of a probe liquid forms when placed on a substrate. Although the drop covers a macroscopic area of the substrate, the interaction of the liquid and the surface probes only the outermost 1-5 ⁇ ngstroms of the surface.
- contact angle analysis provides an accurate and sensitive technique for characterizing surface energetics as discussed in A. Ulman, An Introduction to Ultrathin Organic Films , Academic Press, New York (1991), pp. 48-58.
- the coating substrates used in the present invention can be considered to encompass two broad categories.
- the first of these categories include highly flat substrates, such as evaporated gold on atomically flat silicon (111) wafers, atomically flat silicon (111) wafers, or float glass, which are bare and modified with self-assembling monolayers (SAMs) to alter their surface energy in a systematic fashion.
- SAMs self-assembling monolayers
- the second class of surfaces comprised surfaces with a highly textured topography that included many different classes of materials ranging from paper substrates to polymeric ink receptive coatings to structured polymeric films, microporous films, and membrane materials. Common characteristics amongst these substrates are the large surface roughness and/or porosity.
- the measurements of contact angles and the determination of polar and dispersive surface energies from these contact angle measurements cannot be regarded as an equilibrium characterization of their true thermodynamic energies.
- the contact angles indicate an “effective” or “practical” surface energy that can be used to classify these substrates for comparative purposes.
- TABLE 1 summarizes the substrates coated with the polydiacetylene assemblies for use as a calorimetric sensor of the present invention.
- the SAMs used to modify the substrate are listed with the substrate when used.
- the substrate contact angles as measured with water and methylene iodide are shown, as well as the dispersive and polar components of the surface energy calculated by the Geometric Mean Method as shown in S. Wu; Polymer Interface and Adhesion ; Marcel Dekker, New York (1982).
- the last column lists the color of the dry PDA coating.
- FIGS. 6 and 7 show the phase diagram based on the colorimetric observations of the dried coatings and the contact angle analysis of the coated substrates.
- FIG. 6 shows the resulting color of the coated substrate as a function of advancing contact angle of water versus advancing contact angle of methylene iodide.
- FIG. 7 shows the resulting color of the coated substrate as a function of the polar component of the substrate surface energy versus the dispersive component of that surface energy as calculated by the Geometric Mean method from the advancing contact angles of water and methylene iodide as provided in S. Wu; Polymer Interface and Adhesion ; Marcel Dekker, New York (1982).
- the surfaces for which the polydiacetylene coating remained in its initial blue color are identified by a filled-in circle on each plot.
- the surfaces identified with a circle are those on which the initial “blue” phase transformed into the red phase upon drying.
- the triangular points identify surfaces on which the dry coating showed a mixture of the blue and red phases.
- the coated substrates exhibit advancing contact angles with methylene iodide below 50° as depicted in FIG. 6. This condition corresponds to substrates characterized by a dispersive component of their surface energy greater than 40 dynes/cm on FIG. 7. For applications requiring the retention of the original “blue” phase, topography and surface energy will impact the effectiveness of the transducer on the substrate in characteristics such as color contrast at detection and shelf-life.
- substrates with these properties that have an advancing contact angle with water less than 90° result in dry coatings containing a mixture of the blue and red phases as depicted in FIG. 6.
- This condition would correspond to surfaces in which the dispersive surface energy component could be less than 40 dynes/cm but with a polar surface energy component greater than at least 10 dynes/cm in FIG. 7.
- CR Colorimetric response
- Step 1 Preparation of HO(CH 2 ) 4 C ⁇ C—C ⁇ C(CH 2 ) 4 O(O)C(CH 2 ) 10 CH 3
- the solid was purified over silica gel (gradient from 25% to 50% by volume ethyl acetate in hexanes) to yield 570 milligrams of HO(CH 2 ) 4 C ⁇ C—C ⁇ C(CH 2 ) 4 O(O)C(CH 2 ) 10 CH 3 as a white solid.
- Step 2 Preparation of HO(O)C(CH 2 ) 3 C ⁇ C—C ⁇ C(CH 2 ) 4 O(O)C(CH 2 ) 10 CH 3
- the solid was purified over silica gel eluting with 25/74/1 of ethyl acetate/hexanes/formic acid by volume to yield 0.21 grams of HO(O)C(CH 2 ) 3 C ⁇ C—C ⁇ C(CH 2 ) 4 O(O)C(CH 2 ) 10 CH 3 as a white solid.
- Step 1 Preparation of HO(CH 2 ) 4 C ⁇ C—C ⁇ C(CH 2 ) 4 O(O)C(CH 2 ) 12 CH 3
- the solid was purified over silica gel (15% by volume of ethyl acetate in dichloromethane to 100% theyl acetate gradient) to yield 5.0 grams of HO(CH 2 ) 4 C ⁇ C—C ⁇ C(CH 2 ) 4 O(O)C(CH 2 ) 12 CH 3 as a white solid.
- Step 2 Preparation of HO(O)C(CH 2 ) 2 C(O)O(CH 2 ) 4 C ⁇ C—C ⁇ C(CH 2 ) 4 O(O)C(CH 2 ) 12 CH 3
- the organic layer was separated, dried over MgSO 4 , filtered and the solvent was removed to yield a white solid.
- the solid was purified over silica gel eluting with 10/89/1 of ethyl acetate/dichloromethane/formic acid by volume to yield 1.70 grams of HO(O)C(CH 2 ) 2 C(O)O(CH 2 ) 4 C ⁇ C—C ⁇ C(CH 2 ) 4 O(O)C(CH 2 ) 12 CH 3 as a white solid.
- Step 1 Preparation of HO(CH 2 ) 5 C ⁇ C—C ⁇ C(CH 2 ) 5 OH
- HO(CH 2 ) 5 C ⁇ CH was prepared by the KAPA-promoted isomerization of HOCH 2 C ⁇ C(CH 2 ) 3 CH 3 prepared according to Miller, J. G.; Oehlschlager, A. C. J.Org. Chem. 1984, 49, 2332-2338 or HO(CH 2 ) 2 C ⁇ C(CH 2 ) 2 CH 3 (commercially available from GFS Chemicals; Powell, Ohio).
- Oxidative coupling of HO(CH 2 ) 5 C ⁇ CH was carried out in a glass reaction vessel by dissolving 6.95 grams HO(CH 2 ) 5 C ⁇ CH in pyridine/methanol (2.0 mL/6.2 mL) and adding 307 grams of CuCl followed by stirring in the presence of oxygen until all the starting material was consumed.
- the reaction mixture was worked up with diethyl ether and 4N HCl, the combined organic layers were dried over MgSO 4 , filtered and concentrated. Recrystallization of the residue from 1/1 hexanes/tert-butyl methyl ether yielded 5.35 grams of HO(CH 2 ) 5 C ⁇ C—C ⁇ C(CH 2 ) 5 OH.
- Step 2 Preparation of HO(CH 2 ) 5 C ⁇ C—C ⁇ C(CH 2 ) 5 O(O)C(CH 2 ) 10 CH 3
- Step 3 Preparation of HO(O)C(CH 2 ) 2 C(O)O(CH 2 ) 5 C ⁇ C—C ⁇ C(CH 2 ) 5 O(O)C(CH 2 ) 10 CH 3
- Example 18 Step 1 The same procedure described in Example 18 Step 1 was followed to prepare the diol HO(CH 2 ) 6 C ⁇ C—C ⁇ C(CH 2 ) 6 OH starting from 1-heptyne.
- the remaining procedure for Example 18 was followed using the diol and acid chloride in Step 2 shown in Table 5 to give the compounds with the general structure HO(O)C(CH 2 ) 2 C(O)O(CH 2 ) 6 C ⁇ C—C ⁇ C(CH 2 ) 6 O(O)C(CH 2 ) b CH 3 (b is defined in Table 5).
- Example 18 Step 1 The same procedure described in Example 18 Step 1 was followed to prepare the diol HO(CH 2 ) 7 C ⁇ C—C ⁇ C(CH 2 ) 7 OH staring from 1-octyne.
- the remaining procedure for Example 18 was followed using the diol and acid chloride in Step 2 shown in Table 6 to give the compounds with the general structure HO(O)C(CH 2 ) 2 C(O)O(CH 2 ) 7 C ⁇ C—C ⁇ C(CH 2 ) 7 O(O)C(CH 2 ) b CH 3 (b is defined in Table 6).
- Example 18 Step 1 The same procedure described in Example 18 Step 1 was followed to prepare the diol HO(CH 2 ) 9 C ⁇ C—C ⁇ C(CH 2 ) 9 OH staring from 1-decyne.
- the remaining procedure for Example 18 was followed using the diol and acid chloride in Step 2 shown in Table 7 to give the compounds with the general structure HO(O)C(CH 2 ) 2 C(O)O(CH 2 ) 9 C ⁇ C—C ⁇ C(CH 2 ) 9 O(O)C(CH 2 ) b CH 3 (b is defined in Table 7).
- Step 1 Preparation of HO(CH 2 ) 4 C ⁇ C—C ⁇ C(CH 2 ) 4 O(CH 2 ) 11 CH 3
- the oil was purified over silica gel (25%-35% by volume of ethyl acetate in hexane gradient) to yield 606 milligrams of HO(CH 2 ) 4 C ⁇ C—C ⁇ C(CH 12 ) 4 O(CH 2 ) 11 CH 3 as a white solid.
- Step 2 Preparation of HO(O)C(CH 2 ) 2 C(O)O(CH 2 ) 4 C ⁇ C—C ⁇ C(CH 12 ) 4 O(CH 2 ) 11 CH 3
- the organic layer was separated, dried over MgSO 4 , filtered and the solvent was removed to yield a white solid.
- the solid was purified over silica gel eluting with 10/89/1 of ethyl acetate/dichloromethane/formic acid by volume to yield HO(O)C(CH 2 ) 2 C(O)O(CH 2 ) 4 C ⁇ C—C ⁇ C(CH 2 ) 4 O(CH 2 ) 11 CH 3 as a white solid.
- Example 6 A sample of 10.1 milligrams of the compound prepared in Example 6 was placed in a glass vessel and suspended in 5 milliliters of isopropanol. The mixture was heated to boiling and 10 milliliters of 70° C. water was added. The resulting solution was boiled until the temperature reached 95° C. indicating the nearly all of the isopropanol had boiled off. The solution was cooled to room temperature and then to 4° C. for 16 hours. A 2 milliliter aliquot of the solution was exposed 254 nanometer light for 10 minutes, producing a dark blue color indicative that polymerization had occurred.
- the sample was then filtered through a 1.2 ⁇ m syringe filter, and polymerized by irradiating the sample beneath a 254 nm UV lamp (commercially available from VWR Scientific Products; West Chester, Pa.) at a distance of 3 cm for 10 minutes. Polymerization results in the observation of a distinct, bluish-purple color.
- the detection property of the solution was determined by the addition of ⁇ 80 ⁇ L of a polymyxin B sulfate solution (10,050 units/mL) to the sample. This resulted in a rapid colorimetric response that could easily be determined visually as a change from blue to red and quantified by UV-vis spectroscopy as a shift from peak absorbance at 640 nm to a peak absorbance at 540 nm in spectra taken after one hour at room temperature.
- the polymerized PDAIDMPC mixture prepared in Example 43 was coated onto a piece of a reverse-phase C-18 silica gel plate. The solution was spotted on the plate and allowed to dry at room temperature resulting in blue spots on the test plate. To test this solid state form of the sensor, a test solution (40 ⁇ L) of a polymyxin B sulfate (10,050 units/mL) was added to the sample spot. This resulted in an immediate ( ⁇ 15 seconds) color change from blue to pink. A control test using only milli-Q water (50 ⁇ L) showed no color change.
- a mixture of diacetylene monomer from Example 6 and DMPC (6:4) was weighed into a vial and suspended in Tris buffer (2 mM, pH 8.5) to produce a 1 mM concentration solution and a polymerized detection solution was prepared as in Example 43.
- the detection property of the solution was determined by the addition of ⁇ 50 ⁇ L of a 1 mM mellitin solution to the sample. This resulted in a rapid calorimetric response that could easily be determined visually as a change from blue to red and quantified by UV-vis spectroscopy as a shift from peak absorbance at 640 nm to a peak absorbance at 540 nm in spectra taken after one hour at room temperature.
- a test plate was made using the polymerized detector solution of Example 45 using the same procedure as in Example 44. Several spots (40 ⁇ l each) of the polymerized solutions were placed onto a piece of a reverse-phase C-18 silica gel plate. The solutions were allowed to dry at room temperature resulting in blue spots. To test the substrates' ability to detect peptides, two samples containing 15 and 30 nanomoles of mellitin respectively were added to the different spots on the test plate. This resulted in an immediate ( ⁇ 15 seconds) color change from blue to red. Control samples of milli-Q water spotted on separate test spots showed no color change.
- a detection solution was prepared as in Example 45.
- the detection properties of the solutions were determined by the addition of ⁇ 50 ⁇ L of a 75 ⁇ M Phospholipase A2 solution to each of the samples. This resulted in a colorimetric response that could easily be determined visually as a change from blue to red and quantified by UV-vis spectroscopy as a shift from peak absorbance at 640 nm to a peak absorbance at 540 nm in spectra taken after one hour at room temperature.
- Example 48 was repeated, except that to test the peptide-membrane interaction detection properties of the polymerized assemblies on the substrate, 50 ⁇ L of a polymyxin B sulfate solution (10,050 units/mL) was added to each of the spots on the test plate. This resulted in a splotchy appearance that reflected a CR less than 5% of color change depending on the preparation of the solution.
- Test plates were made as in Example 46.
- the solution was then probe sonicated using a Model XL2020 probe sonicator (commercially available from Misonix, Inc.; Farmington, N.Y.) for 1 minute at a power setting of 5, and placed into a 4° C. refrigerator overnight ( ⁇ 16 hours).
- the sample was filtered through a 1.2 ⁇ m syringe filter and polymerization of a stirring solution was achieved by irradiating the sample beneath a 254 nm UV lamp at a distance of 3 cm for 20 minutes, resulting in the observation of a blue color.
- a syringe several spots (40 ⁇ l each) of the polymerized solution were placed onto a piece of a reverse-phase C-18 silica gel plate. The spots were allowed to dry at room temperature resulting in blue spots.
- a polymyxin B sulfate solution (10,050 units/mL) was added to a solution of human urine and a solution of human urine contaminated with E.
- the samples were filtered through a 1.2 ⁇ m syringe filter and polymerization of a stirring solution was achieved by irradiating the sample beneath a 254 nm UV lamp at a distance of 3 cm for 60 seconds, resulting in the observation of an intense blue color.
- a syringe several spots (40 ⁇ l each) of the polymerized solutions were placed onto a piece of a reverse-phase C-18 silica gel plate. The solutions were allowed to dry at room temperature resulting in blue spots.
- a polymyxin B sulfate solution (5025 units/mL) was added to a solution of endotoxin free water and a solution of endotoxin free water contaminated with lipopolysaccharide. After allowing the samples to incubate for 30 minutes at 37° C., the samples were cooled to room temperature and 500 ⁇ L of each solution was placed onto a dried spot of the PDA/DMPC solution. After 15 minutes of gentle shaking, the liquid was removed and the plates were examined. This resulted in a calorimetric response that could easily be determined visually as a change from blue to red in the absence of lipopolysaccharide.
- surfaces were prepared in the following manner for evaluation.
- the gold surfaces were prepared by evaporation of gold onto a chromium primed polished silicon wafer.
- the resulting surface was highly reflective with an rms surface roughness less than 15 ⁇ ngstroms as measured by Atomic Force Microscopy (AFM) using Nanoscope Command Reference Manual Version 4.42; Digital Instruments; Sections 12.5 and 12.6.
- the gold surfaces were dusted prior to use using a dry nitrogen stream.
- the glass surfaces were prepared by cleaning in an oxidizing bath (commercially available from Nochromix) overnight, followed by copious rinsing in milli-Q water until the rinse water could maintain a uniform sheet over the glass surface without de-wetting.
- the glass surfaces were dusted prior to use using a dry nitrogen stream.
- Silicon wafer surfaces were used as received and dusted prior to use using a dry nitrogen stream. Surfaces modified with SAMs were formed by immersion of the surface in a solution nominally 1 mM in SAM concentration. Either ethanol or chloroform were used as solvents. Immersion times were at least 24 hours, followed by extensive rinsing with the neat solvent used during self-assembly. The samples were then allowed to dry in a dry box overnight prior to the contact angle measurements.
Landscapes
- Health & Medical Sciences (AREA)
- Life Sciences & Earth Sciences (AREA)
- Hematology (AREA)
- Immunology (AREA)
- Engineering & Computer Science (AREA)
- Molecular Biology (AREA)
- Biomedical Technology (AREA)
- Chemical & Material Sciences (AREA)
- Urology & Nephrology (AREA)
- Food Science & Technology (AREA)
- Biochemistry (AREA)
- Cell Biology (AREA)
- Biotechnology (AREA)
- Medicinal Chemistry (AREA)
- Physics & Mathematics (AREA)
- Analytical Chemistry (AREA)
- Microbiology (AREA)
- General Health & Medical Sciences (AREA)
- General Physics & Mathematics (AREA)
- Pathology (AREA)
- Investigating Or Analysing Materials By The Use Of Chemical Reactions (AREA)
- Measuring Or Testing Involving Enzymes Or Micro-Organisms (AREA)
- Organic Low-Molecular-Weight Compounds And Preparation Thereof (AREA)
- Investigating Or Analyzing Non-Biological Materials By The Use Of Chemical Means (AREA)
Abstract
Colorimetric sensors comprising a receptor incorporated within polydiacetylene assemblies to form a transducer capable of indicating a color change when contacted with an analyte are disclosed. Methods of using the colorimetric sensor and a kit for the colorimetric detection of an analyte are also disclosed.
Description
- The present invention relates to a technique for detection of analytes using observable spectral changes in polydiacetylene assemblies. More specifically, this invention relates to a colorimetric sensor comprising polydiacetylene assemblies and a method of using the sensor to detect an analyte.
- Diacetylenes are typically colorless and undergo addition polymerization, either thermally or by actinic radiation. As the polymerization proceeds, these compounds undergo a contrasting color change to blue or purple. When exposed to external stimuli such as heat, physical stress or a change of solvents or counterions, polydiacetylenes exhibit a further color changes produced by distortion of the planar backbone conformation. Polydiacetylene assemblies are known to change color from blue to red with an increase in temperature or changes in pH due to conformational changes in the conjugated backbone as described in Mino, et al., Langmuir, Vol. 8, p. 594, 1992; Chance, et al., Journal of Chemistry and Physics, Vol. 71, 206, 1979; Shibutag, Thin Solid Films, Vol. 179, p. 433, 1989; Kaneko, et al., Thin Solid Films, Vol. 210, 548, 1992; and U.S. Pat. No. 5,672,465. Utilization of this class of compounds is known for use as biochromic indicators as discussed in U.S. Pat. No. 5,622,872 and publication WO 02/00920.
- Proposed applications of polydiacetylenes for detection of analytes are discussed in U.S. Pat. Nos. 6,395,561 B1; 6,306,598 B1; 6,277,652; 6,183,722; 6,080,423 and publication WO 01/71317. In particular, attempts have been made to construct biosensors with receptors that react specifically with pathogenic bacteria, viruses, toxins and the like incorporated into polydiacetylene membranes, and the color change (blue to red) is induced when the receptors bind to their specific analytes (pathogenic bacteria, viruses, toxins, etc.) Such methods require that the binding structure of the receptor and analyte be known, and the receptor identified. Synthesis of both the receptors and the polydiacetylene membranes can be complicated and difficult. The polydiacetylene membranes can exhibit insufficient color change upon binding with an analyte, requiring other substances for promoting the structural change or enhancing analytical equipment to observe the color change.
- A need continues to exist to make sensing devices employing diacetylenes more accurate, more tailored to a given application, less complex and more available to nontechnical personnel in a wide variety of environments. Devices, which can be conveniently transported and used individually for a particular application then discarded, are particularly desirable.
- The present invention provides a calorimetric sensor to detect the presence of analytes by spectral changes (color changes visible to the naked eye or with a calorimeter) that occur as a result of the specific binding of the analytes to polydiacetylene assemblies. The polydiacetylene assemblies indicate the presence of an analyte in a simple yet highly sensitive manner.
-
-
- R 3, R8, R13, R21, R24, R31 and R33 are independently alkyl; R4, R5, R7, R14, R16, R19, R20, R22, R25, and R32 are independently alkylene; R6, R15, R18, and R26 are independently alkylene, alkenylene, or arylene; R9 is alkylene or —NR34—; R10, R12, R27, and R29 are independently alkylene or alkylene-arylene; R11 and R28 are independently alkynyl; R17 is an ester-activating group; R23 is arylene; R30 is alkylene or —NR4—; R34, and R36 are independently H or C1-C4 alkyl; p is 1-5; and n is 1-20; and where R1 and R2 are not the same.
- Also provided is an easier preparation and use of polydiacetylene assemblies in solution and for deposition on a substrate.
- Also provided is a device and method for the detection of small molecules, pathogenic and non-pathogenic organisms, toxins, membrane receptors and fragments, volatile organic compounds, enzymes and enzyme substrates, antibodies, antigens, proteins, peptides, nucleic acids, and peptide nucleic acids.
- Also provided is a simple to use, inexpensive test kit whose reliability is relativity stable in a wide range of environmental conditions, and when the analyte is mixed with a number of other materials.
- Also provided is a method for using the colorimetric sensor to detect an analyte by contacting the colorimetric sensor with an analyte and observing a color change.
- Also provided is a method for indirect detection of an analyte by contacting the calorimetric sensor with a probe that has an affinity for both the analyte and the receptor, and observing no color change.
- The above summary of the present invention is not intended to describe each disclosed embodiment or every implementation of the present invention. The detailed description that follows more particularly exemplifies these embodiments.
- FIG. 1 shows a schematic representation of a colorimetric sensor of the present invention.
- FIG. 2 shows a schematic representation of a calorimetric sensor array of the present invention.
- FIG. 3 shows a schematic representation of a colorimetric sensor for contacting the sensor with an analyte.
- FIG. 4 shows a schematic representation of a foldable colorimetric sensor for contacting the sensor with an analyte.
- FIG. 5 shows a schematic representation of a colorimetric sensor of the present invention with one type of analyte delivery.
- FIG. 6 shows a schematic representation of a calorimetric sensor array of the prevent invention with one type of analyte delivery.
- FIG. 7 is a phase diagram showing the colors of the coated and dried polydiacetylene film as a function of the contact angle of the substrate.
- FIG. 8 is a phase diagram showing the colors of the coated and dried polydiacetylene film as a function of the surface tension of the substrate.
- The present invention provides a colorimetic sensor comprising diacetylenic materials and a method of using the sensor to detect an analyte. While the present invention is not so limited, an appreciation of various aspects of the invention will be gained through a discussion of the examples provided below.
- For the following defined terms, these definitions shall be applied, unless a different definition is given in the claims or elsewhere in this specification:
- As used herein, the term “alkyl” refers to a straight or branched chain or cyclic monovalent hydrocarbon radical having a specified number of carbon atoms. Alkyl groups include those with one to twenty carbon atoms. Examples of “alkyl” as used herein include, but are not limited to, methyl, ethyl, n-propyl, n-butyl, n-pentyl, isobutyl, and isopropyl, and the like. It is to be understood that where cyclic moieties are intended, at least three carbons in said alkyl must be present. Such cyclic moieties include cyclopropyl, cyclobutyl, cyclopentyl, cyclohexyl and cycloheptyl.
- As used herein, the term “alkylene” refers to a straight or branched chain or cyclic divalent hydrocarbon radical having a specified number of carbon atoms. Alkylene groups include those with one to fourteen carbon atoms. Examples of “alkylene” as used herein include, but are not limited to, methylene, ethylene, trimethylene, tetramethylene and the like. It is to be understood that where cyclic moieties are intended, at least three carbons in said alkylene must be present. Such cyclic moieties include cyclopropylene, cyclobutylene, cyclopentylene, cyclohexylene and cycloheptylene.
- As used herein, the term “alkenylene” refers to a straight or branched chain or cyclic divalent hydrocarbon radical having a specified number of carbon atoms and one or more carbon—carbon double bonds. Alkenylene groups include those with two to eight carbon atoms. Examples of “alkenylene” as used herein include, but are not limited to, ethene-1,2-diyl, propene-1,3-diyl, and the like.
- As used herein, the term “arylene” refers to divalent unsaturated aromatic carboxylic radicals having a single ring, such as phenylene, or multiple condensed rings, such as naphthylene or anthrylene. Arylene groups include those with six to thirteen carbon atoms. Examples of “arylene” as used herein include, but are not limited to, benzene-1,2-diyl, benzene-1,3-diyl, benzene-1,4-diyl, naphthalene-1,8-diyl, and the like.
- As used herein, the term “alkylene-arylene”, refers to an alkylene moiety as defined above bonded to an arylene moiety as defined above. Examples of “alkylene-arylene” as used herein include, but are not limited to, —CH 2-phenylene, —CH2CH2-phenylene, and —CH2CH2CH2-phenylene.
- As used herein, the term “alkynyl” refers to a straight or branched chain or cyclic monovalent hydrocarbon radical having from two to thirty carbons and at least one carbon-carbon triple bond. Examples of “alkynyl” as used herein include, but are not limited to, ethynyl, propynyl and butynyl.
- As used herein, the term “analyte(s)” refers to any material that can be detected by the sensor of the present invention. Such materials include, but are not limited to small molecules, pathogenic and non-pathogenic organisms, toxins, membrane receptors and fragments, volatile organic compounds, enzymes and enzyme substrates, antibodies, antigens, proteins, peptides, nucleic acids, and peptide nucleic acids.
- As used herein, the term “bacteria” refers to all forms of microorganisms considered to be bacteria including cocci, bacilli, spirochetes, sheroplasts, protoplasts, etc.
- As used herein, the term “receptor” refers to any molecule with a binding affinity for an analyte of interest. Receptor includes, but is not limited to, naturally occurring receptors such as surface membrane proteins, enzymes, lectins, antibodies, recombinant proteins, etc.; synthetic proteins; nucleic acids; c-glycosides; carbohydrates; gangliosides; and chelating agents.
- As used herein, the terms “assembly”, or “self-assembly”, refers to any self-ordering of diacetylene molecules prior to polymerization. J. Israelachvili, Intermolecular and Surface Forces (2nd Ed.), Academic Press, New York (1992), pp. 321-427.
- As used herein, the term “self-assembling monolayer(s)” (SAMs) refers to any ordered ultrathin organic film formed on a given substrate by spontaneous self-ordering. A. Ulman, An Introduction to Ultrathin Organic Films, Academic Press, New York (1991), pp. 237-301.
- As used herein, the term “transducer” describes a material capable of turning a recognition event at the molecular level into an observable signal.
- All numbers are herein assumed to be modified by the term “about.” The recitation of numerical ranges by endpoints includes all numbers subsumed within that range (e.g. 1 to 5 includes 1, 1.5, 2, 2.75, 3, 3.80, 4, and 5).
-
-
- R 3, R4, R13, R21, R24, R31 and R33 are independently alkyl; R4, R5, R7, R14, R16, R19, R20, R22, R25, and R32 are independently alkylene; R6, R15, R18, and R26 are independently alkylene, alkenylene, or arylene; R9 is alkylene or —NR34—; R10, R12, R27, and R29 are independently alkylene or alkylene-arylene; R11 and R28 are independently alkynyl; R17 is an ester-activating group; R23 is arylene; R30 is alkylene or —NR36—; R34, and R36 are independently H or C1-C4 alkyl; p is 1-5; and n is 1-20; and where R1 and R2 are not the same.
- Examples of R 1 when R1 is alkyl include C1-C20 alkyl, C6-C18 alkyl, and C12-C16 alkyl. Additional examples of R1 when R1 is alkyl include dodecyl and hexadecyl.
- Examples of R 3 include C1-C20 alkyl, and C6-C18 alkyl. Additional examples of R3 include undecyl and pentadecyl.
- Examples of R 4 include C1-C14 alkylene, and C1-C4 alkylene. Additional examples of R4 include methylene (—CH2—), trimethylene, (—CH2CH2CH2—), and tetramethylene (—CH2CH2 CH2CH2—).
- Examples of R 5 include C1-C14 alkylene, and C1-C3 alkylene. Additional examples of R5 include ethylene (—CH2CH2—), and trimethylene (—CH2CH2CH2—).
- Examples of R 6 when R6 is alkylene include C1-C14 alkylene, and C1-C3 alkylene. Additional examples of R6 when R6 is alkylene include ethylene (—CH2CH2—), and trimethylene (—CH2CH2CH2—). Examples of R6 when R6 is alkenylene include C2-C8 alkenylene, and C2-C4 alkenylene. An additional example of R when R6 is alkenylene includes ethenylene (—C═C—). Examples of R6 when R is arylene include C6-C13 arylene, and phenylene. An additional example of R6 when R6 is arylene is benzene-1,2-diyl.
- Examples of R 7 include C1-C14 alkylene, and C2-Cg alkylene. Additional examples of R7 include ethylene (—CH2CH2—), trimethylene (—CH2CH2CH2—), tetramethylene (—CH2CH2 CH2CH2—), pentamethylene (—CH2CH2CH2CH2CH2—), hexamethylene (—CH2CH2CH2 CH2CH2CH2—), heptamethylene (—CH2CH2CH2CH2CH2CH2—), octamethylene (—CH2CH2CH2CH2CH2CH2CH2CH2—), and nonamethylene (—CH2CH2CH2CH2CH2CH2CH2CH2CH2—).
- Examples of R 8 include Ct-C1-6 alkyl, and C1-C8 alkyl. Additional examples of R8 include butyl, pentyl and hexyl.
- R 9 is independently alkylene or —NR34—, where R34 is H or C1-C4 alkyl;
- Examples of R 9 when R9 is alkylene include C1-C14 alkylene, and C1-C3 alkylene, such as methylene (—CH2—) for example. Examples of R9 when R9 is —NR34-include —NH—, —N(CH2CH3)—, and —N(CH3)—.
- Examples of R 10 when R10 is alkylene include C1-C14 alkylene, and C1-C8 alkylene. Additional examples of R10 when R10 is alkylene include methylene (—CH2—), ethylene (—CH2CH2—), trimethylene (—CH2CH2CH2—), tetramethylene (—CH2CH2 CH2CH2—), —C(CH3)2—, and —CH((CH2)14CH3)—. Examples of R10 when R10 is alkylene-arylene include (C1-C14 alkylene)-arylene, and (C1-C14 alkylene)-phenylene. An additional example of R10 when R10 is alkylene-arylene includes —CH2-phenylene.
- Examples of R 11 include C2-C30 alkynyl, and C20-C25 alkynyl. Additional examples of R11 include C2-C30 alkynyl having at least two carbon-carbon triple bonds (—C≡C—), and C20-C25 alkynyl having at least two carbon-carbon triple bonds. Further examples of R11 include C22 alkynyl having at least two carbon-carbon triple bonds, C24 alkynyl having at least two carbon-carbon triple bonds. Yet further examples of R11 include —(CH2)8—C═C—C≡C—(CH2)9CH3, and —(CH2)8—C≡C—C≡C—(CH2)11CH3.
- Examples of R 12 when R12 is alkylene include C1-C14 alkylene, and C1-C8 alkylene. Additional examples of R12 when R12 is alkylene include methylene (—CH2—), ethylene (—CH2CH2—), trimethylene (—CH2CH2CH2—), tetramethylene (—CH2CH2 CH2CH2—), —C(CH3)2—, and —CH((CH2)14CH3)—. Examples of R12 when R12 is alkylene-arylene include (C1-C14 alkylene)-arylene, and (C1-C14 alkylene)-phenylene. An additional example of R12 when R12 is alkylene-arylene includes —CH2-phenylene.
- Examples of R 13 include C1-C4 alkyl, such as methyl for example.
- Examples of R 14 include C1-C4 alkylene, such as ethylene (—CH2CH2—) for example.
- Examples of R 15 when R15 is alkylene include C1-C14 alkylene, and C1-C3 alkylene. Additional examples of R15 when R15 is alkylene include ethylene (—CH2CH2—), and trimethylene (—CH2CH2CH2—). Examples of R15 when R15 is alkenylene include C2-C8 alkenylene, and C2-C4 alkenylene. An additional example of R15 when R15 is alkenylene includes ethenylene (—C═C—). Examples of R15 when R15 is arylene include C6-C13 arylene, and phenylene. An additional example of R15 when R15 is arylene is benzene-1,4-diyl.
- Examples of R 16 include C1-C14 alkylene, and C2-C9 alkylene. Additional examples of R16 include ethylene (—CH2CH2—), trimethylene (—CH2CH2CH2—), tetramethylene (—CH2CH2 CH2CH2—), pentamethylene (—CH2CH2CH2CH2CH2—), hexamethylene (—CH2CH2CH2 CH2CH2CH2—), heptamethylene (—CH2CH2CH2CH2CH2CH2—), octamethylene (—CH2CH2CH2CH2CH2CH2CH2CH2—), and nonamethylene (—CH2CH2CH2CH2CH2CH2CH2CH2CH2—).
- Examples of R 17 include groups that activate the neighboring ester group toward acyl transfer. Such ester activating groups include pentafluorophenol, pentachlorophenol, 2,4,6-trichlorophenol, 3-nitrophenol, N-hydroxysuccinimide, N-hydroxyphthalimide and those disclosed in M. Bodanszky, “Principles of Peptide Synthesis,” (Springer-Verlag 1984), for example. An additional example of R17 is 2,5-dioxo-1-pyrrolidinyl.
- Examples of R 18 when R18 is alkylene include C1-C14 alkylene, and C1-C3 alkylene. Additional examples of R when R18 is alkylene include ethylene (—CH2CH2—), and trimethylene (—CH2CH2CH2—). Examples of R18 when R18 is alkenylene include C2-C8 alkenylene, and C2-C4 alkenylene. An additional example of R18 when R18 is alkenylene includes ethenylene (—C═C—). Examples of R18 when R18 is arylene include C6-C13 arylene, and phenylene. An additional example of R18 when R18 is arylene is benzene-1,2-diyl.
- Examples of R 19 include C1-C14 alkylene, and C2-C9 alkylene. Additional examples of R19 include ethylene (—CH2CH2—), trimethylene (—CH2CH2CH2—), tetramethylene (—CH2CH2 CH2CH2—), pentamethylene (—CH2CH2CH2CH2CH2—), hexamethylene (—CH2CH2CH2 CH2CH2CH2—), heptamethylene (—CH2CH2CH2CH2CH2CH2—), octamethylene (—CH2CH2CH2CH2CH2CH2CH2CH2—), and nonamethylene (—CH2CH2CH2CH2CH2CH2CH2CH2CH2—).
- Examples of R 20 include C1-C14 alkylene, C1-C9 alkylene, and C1-C4 alkylene. Additional examples of R20 include methylene (—CH2—), ethylene (—CH2CH2—), trimethylene (—CH2CH2CH2—), tetramethylene (—CH2CH2 CH2CH2—), pentamethylene (—CH2CH2CH2CH2CH2—), hexamethylene (—CH2CH2CH2 CH2CH2CH2—), heptamethylene (—CH2CH2CH2CH2CH2CH2—), octamethylene (—CH2CH2CH2CH2CH2CH2CH2CH2—), and nonamethylene (—CH2CH2CH2CH2CH2CH2CH2CH2CH2—).
- Examples of R 21 when R21 is alkyl include C1-C20 alkyl, C6-C18 alkyl, and C10-C17 alkyl. Additional examples of R21 when R21 is alkyl include decyl, undecyl, tridecyl, tetradecyl, pentadecyl, heptadecyl.
- Examples of R 22 include C1-C14 alkylene, and C2-C9 alkylene. Additional examples of R22 include ethylene (—CH2CH2—), trimethylene (—CH2CH2CH2—), and tetramethylene.
- Examples of R 23 include C6-C13 arylene, and phenylene. An additional example of R23 when R23 is arylene is benzene-1,4-diyl.
- Examples of R 24 include C1-C20 alkyl, and C6-C18 alkyl. Additional examples of R24 include methyl, ethyl, propyl, butyl, pentyl, hexyl, heptyl, octyl, nonyl, and dodecyl.
- Examples of R 25 include C1-C14 alkylene, and C2-C9 alkylene. Additional examples of R25 include ethylene (—CH2CH2—), trimethylene (—CH2CH2CH2—), tetramethylene (—CH2CH2 CH2CH2—), pentamethylene (—CH2CH2CH2CH2CH2—), hexamethylene (—CH2CH2CH2 CH2CH2CH2—), heptamethylene (—CH2CH2CH2CH2CH2CH2—), octamethylene (—CH2CH2CH2CH2CH2CH2CH2CH2—), and nonamethylene (—CH2CH2CH2CH2CH2CH2CH2CH2CH2—).
- Examples of R 26 when R26 is alkylene include C1-C14 alkylene, and C1-C3 alkylene. Additional examples of R26 when R26 is alkylene include ethylene (—CH2CH2—), and trimethylene (—CH2CH2CH2—). Examples of R26 when R26 is alkenylene include C2-C8 alkenylene, and C2-C4 alkenylene. An additional example of R26 when R26 is alkenylene includes ethenylene (—C═C—). Examples of R when R is arylene include C6-C13 arylene, and phenylene. An additional example of R26 when R26 is arylene is benzene-1,2-diyl.
- Examples of R 27 when R27 is alkylene include C1-C14 alkylene, and C1-C8 alkylene. Additional examples of R27 when R27 is alkylene include methylene (—CH2—), ethylene (—CH2CH2—), trimethylene (—CH2CH2CH2—), tetramethylene (—CH2CH2 CH2CH2—), —C(CH3)2—, and —CH((CH2)1-4CH3)—. Examples of R27 when R27 is alkylene-arylene include (C1-C14 alkylene)-arylene, and (C1-C14 alkylene)-phenylene. An additional example of R27 when R27 is alkylene-arylene includes —CH2-phenylene.
- Examples of R 28 include C2-C30 alkynyl, and C20-C25 alkynyl. Additional examples of R28 include C2-C30 alkynyl having at least two carbon-carbon triple bonds (—C≡C—), and C20-C25 alkynyl having at least two carbon-carbon triple bonds. Further examples of R28 include C22 alkynyl having at least two carbon-carbon triple bonds, C24 alkynyl having at least two carbon-carbon triple bonds. Yet further examples of R28 include —(CH2)8—C≡C—C≡C—(CH2)9CH3, and —(CH2)8—C≡C—C≡C—(CH2)11CH3.
- Examples of R 29 when R29 is alkylene include C1-C14 alkylene, and C1-C8 alkylene. Additional examples of R29 when R29 is alkylene include methylene (—CH2—), ethylene (—CH2CH2—), trimethylene (—CH2CH2CH2—), tetramethylene (—CH2CH2 CH2CH2—), —C(CH3)2—, and —CH((CH2)1C14CH3)—. Examples of R29 when R29 is alkylene-arylene include (C1-C14 alkylene)-arylene, and (C1-C14 alkylene)-phenylene. An additional example of R29 when R29 is alkylene-arylene includes —CH2-phenylene.
- R 30 is independently alkylene or —NR36—, where R36 is H or C1-C4 alkyl;
- Examples of R 30 when R30 is alkylene include C1-C14 alkylene, and C1-C3 alkylene, such as methylene (—CH2—) for example. Examples of R30 when R30 is —NR36-include —NH—, —N(CH2CH3)—, and —N(CH3)—.
- Examples of R 31 include C1-C16 alkyl, and C1-C8 alkyl. Additional examples of R31 include butyl, pentyl and hexyl.
- Examples of R 32 include C1-C14 alkylene, and C2-Cg alkylene. Additional examples of R32 include ethylene (—CH2CH2—), trimethylene (—CH2CH2CH2—), tetramethylene (—CH2CH2 CH2CH2—), pentamethylene (—CH2CH2CH2CH2CH2—), and hexamethylene (—CH2CH2CH2 CH2CH2CH2—).
- Examples of R 33 include C1-C20 alkyl, C6-C18 alkyl, and C10-C16 alkyl. Additional examples of R33 include dodecyl, tetradecyl, hexadecyl, and octadecyl.
- Compounds of the present invention also include those where p can be 1 or 2 and n can be 1-20, 3-17, 6-14, or 9-11.
- The invention is inclusive of the compounds described herein including isomers, such as structural isomers and geometric isomers, salts, solvates, polymorphs and the like.
- Preparation of the Diacetylene Compounds
-
- Compounds of formula XXIII can be prepared via oxidation from compounds of formula XXII by reaction with a suitable oxidizing agent in a suitable solvent such as DMF for example. Suitable oxidizing agents include Jones reagent and pyridinium dichromate for example. The aforesaid reaction is typically run for a period of time from 1 hour to 48 hours, generally 8 hours, at a temperature from 0° C. to 40° C., generally from 0° C. to 25° C.
- Compounds of formula XXII can be prepared from compounds of formula XXI by reaction with a suitable acid chloride. Suitable acid chlorides include any acid chloride that affords the desired product such as lauroyl chloride, 1-dodecanoyl chloride, 1-tetradecanoyl chloride, 1-hexadecanoyl chloride, and 1-octadecanoyl chloride for example. Suitable solvents include ether, tetrahydrofuran, dichloromethane, and chloroform, for example. The aforesaid reaction is typically run for a period of time from 1 hour to 24 hours, generally 3 hours, at a temperature from 0° C. to 40° C., generally from 0° C. to 25° C., in the presence of a base such as trialkylamine or pyridine base.
- Compounds of formula XXI are either commercially available (e.g. where n is 1-4) or can be prepared from compounds of the formula XVIII via compounds XIX and XX as outlined in Scheme I and disclosed in Abrams, Suzanne R.; Shaw, Angela C. “Triple-bond isomerizations: 2- to 9-decyn-1-ol,” Org. Synth. (1988), 66, 127-31 and Brandsma, L. “Preparative Acetylenic Chemistry,” (Elsevier Pub. Co.: New York, 1971), for example.
- Diacetylenic compounds as disclosed herein can also be prepared by reacting compounds of formula XXII with an anhydride such as succinic, glutaric, or phthalic anhydride in the presence of a suitable solvents such as toluene. The aforesaid reaction is typically run for a period of time from 1 hour to 24 hours, generally 15 hours, at a temperature from 50° C. to 125° C., generally from 100° C. to 125° C.
- The diacetylenic compounds as disclosed herein self assemble in solution to form ordered assemblies that can be polymerized using any actinic radiation such as, for example, electromagnetic radiation in the UV or visible range of the electromagnetic spectrum. Polymerization of the diacetylenic compounds result in polymerization reaction products that have a color in the visible spectrum less than 570 nm, between 570 nm and 600 nm, or greater than 600 nm depending on their conformation and exposure to external factors. Typically, polymerization of the diacetylenic compounds disclosed herein result in meta-stable blue phase polymer networks that include a polydiacetylene backbone. These meta-stable blue phase polymer networks undergo a color change from bluish to reddish-orange upon exposure to external factors such as heat, a change in solvent or counterion, if available, or physical stress for example.
- Polymerization products of some of the diacetylenic compounds disclosed herein can exhibit a reversible color change and/or a three state color change. For example, after polymerization the resulting blue-phase polymer network can change color to a reddish-orange state upon exposure to heat, a change in solvent or counterion, or physical stress. This reddish-orange polymer network can then change color to a yellowish-orange state upon further exposure to heat, a change in solvent or counterion, or physical stress. Additionally, polymer networks disclosed herein can cycle between these reddish-orange and yellowish-orange states in a reversible manner.
- The ability of the diacetylenic compounds and their polymerization products disclosed herein to undergo a visible color change upon exposure to physical stress make them ideal candidates for the preparation of sensing devices for detection of an analyte. The polydiacetylene assemblies formed from the disclosed diacetylene compounds can function as a transducer in biosensing applications.
- The structural requirements of a diacetylenic molecule for a given sensing application are typically application specific. Features such as overall chain length, solubility, polarity, crystallinity, and presence of functional groups for further molecular modification all cooperatively determine a diacetylenic molecule's ability to serve as a useful sensing material. For example, in the case of blodetection of an analyte in aqueous media, the structure of the diacetylenic compound should be capable of forming a stable dispersion in water, polymerizing efficiently to a colored material, incorporating appropriate receptor chemistry for binding to an analyte, and transducing that binding interaction by means of a color change. These abilities are dependent on the structural features of the diacetylenic compounds.
- The diacetylenic compounds of the present invention possess the capabilities described above and can be easily and efficiently polymerized into polydiacetylene assemblies that undergo the desired color changes. Additionally, the diacetylenic compounds allow for the incorporation of large excesses of unpolymerizable material, such as a receptor described below, while still forming a stable, polymerizable solution.
- The disclosed diacetylenic compounds can be synthesized in a rapid high-yielding fashion, including high-throughput methods of synthesis. The presence of functionality in the backbones of the diacetylenic compounds, such as heteroatoms for example, provides for the possibility of easy structural elaboration in order to meet the requirements of a given sensing application. The diacetylenic compounds can be polymerized into the desired polydiacetylene backbone containing network by adding the diacetylene to a suitable solvent, such as water for example, sonicating the mixture, and then irradiating the solution with ultraviolet light, typically at a wavelength of 254 nm. Upon polymerization the solution undergoes a color change to bluish-purple. Colorimetric Sensors comprising polydiacetylene assemblies The calorimetric sensors of the present invention comprising the disclosed diacetylene compounds can serve as the basis for the colorimetric detection of a molecular recognition event in solution or coated on a substrate. Such a molecular recognition device can be prepared by adding a receptor to the diacetylene monomer system either prior to or after polymerization. Upon polymerization or thereafter, the receptor is effectively incorporated within the polymer network such that interaction of the receptor with an analyte results in a visible color change due to the perturbation of the conjugated ene-yne polymer backbone.
- In one embodiment, the receptor is physically mixed and dispersed among the polydiacetylene assemblies. In an alternative embodiment, the receptor is covalently bonded to the polydiacetylene assemblies. Examples of useful receptors include, but are not limited to surface membrane proteins, enzymes, lectins, antibodies, recombinant proteins, etc.; synthetic proteins; nucleic acids; c-glycosides; carbohydrates; gangliosides; and chelating agents. In one embodiment, the receptor is a phospholipid. In an alternate embodiment, the receptor is a glycerol incorporated into the diacetylene assembly by known methods such as that discussed in Alcaraz, Marie-Lyne; Peng, Ling; Klotz, Phillipe; Goeldner, Maurice, J.Org.Chem. 1996, 61, 192-201.
- The colometric sensors of the present invention formed from the disclosed diacetylene compounds are amenable to a variety of applications that demand cost-effective, stable, accurate, consistent and quick diagnostics outside the laboratory setting. Applications include point-of-care testing, home testing diagnostics, military and industrial detection of air —or water-borne pathogens and VOCs, and food processing.
- A sensor comprising the polydiacetylene assemblies can be obtained without the need to form a film by the conventional LB (Langmuir-Blodgett) process before transferring it onto an appropriate support. Alternatively, the polydiacetylene assemblies can be formed on a substrate using the known LB process as described in A. Ulman, An Introduction to Ultrathin Organic Films, Academic Press, New York (1991), pp. 101-219.
- The present invention provides biosensing capabilities in a disposable adhesive product. The sensors are self-contained and do not require additional instrumentation to convey a measurable result. Alternatively, use with other analytical instrumentation is possible to further enhance sensitivity, such as fluorescence with the fluorescent “red” phase developed after detection of the analyte. The sensors function to provide a rapid screening device when the detection of a threshold presence of a specific analyte is desired. Additionally, the sensors of the present invention are disposable and relatively inexpensive.
- In one embodiment of the invention, the calorimetric sensor comprises a transducer formed from a receptor incorporated within the polydiacetylene assemblies in solution. The solution can be provided in a simple vial system, with the analyte directly added to a vial containing a solution with the transducer specific to the analyte of interest. Alternatively, the colorimetric sensor could comprise multiple vials in a kit, with each vial containing a transducer comprising polydiacetylenes assemblies with incorporated receptors particular to different analytes. For those applications in which the analyte cannot be added directly to the polydiacetylene transducer, a two-part vial system could be used. One compartment of the vial could contain reagents for sample preparation of the analyte physically separated from the second compartment containing the transducer formed from the polydiacetylene assemblies. Once sample preparation is complete, the physical barrier separating the compartments would be removed to allow the analyte to mix with the transducer for detection.
- In another embodiment of the present invention, the colorimetric sensor is a rapid indicator in a tape or label format as depicted in FIG. 1. FIG. 1 shows a tape or
label 10 coated with a pressuresensitive adhesive 20 and atransducer 30 coated on asubstrate 40. Pressure sensitive adhesive 20 can affix tape orlabel 10 to a surface for direct detection of an analyte. Pressuresensitive adhesive 20 is isolated fromtransducer 30 containing the polydiacetylene assemblies to potentially minimize adverse effects. In FIG. 1, pressure sensitive adhesive 20 surrounds thetransducer 30 located in the center of tape orlabel 10. In an alternate embodiment (not shown), the pressure sensitive adhesive and the transducer are combined. - Optionally, tape or
label 10 will contain a transparent window on the side of tape orlabel 10 that does not contain pressuresensitive adhesive 20. The window would be centered undertransducer 30 to allow the user to view the color change without removing the tape orlabel 10 from the surface containing the analyte. - In FIG. 2, the tape or
label 110 is shown asarray 111 composed of 112, 113, 114, 115, and 116. Each ofmultiple transducers 112, 113, 114, 115, and 116 could be formed from the same or different polydiacetylene assemblies with each polydiacetylene assembly incorporating the same or different receptor. By varyingtransducers 112, 113, 114, 115, and 116,transducers array 111 can be designed to detect multiple analytes at various concentration levels. - In another embodiment shown in FIG. 3, tape or
label 100 comprises afoldable substrate 101 with pressuresensitive adhesive 102 on one side offoldable substrate 101, andtransducer 103 placed on the opposing side offoldable substrate 101 facing pressuresensitive adhesive 102. The surface containing a target analyte could be contacted with pressuresensitive adhesive 102 to collect the sample. Once the sample containing the analyte is collected, thefoldable substrate 101 would be folded to contact the pressuresensitive adhesive 102 totransducer 103 as shown in FIG. 4. Optionally,foldable substrate 101 could be perforated to allow separation offoldable substrate 101 into two or more parts, with one part containing pressuresensitive adhesive 102 and another part containing thetransducer 103. Both the foldable feature and/or the perforations offoldable substrate 101 allow the user to prevent the transducer from contacting the sample surface that contains the analyte for applications requiring that functionality. - Optionally,
foldable substrate 101 in FIG. 3 could also include multiple transducers as shown in FIG. 2 and described above. Further,foldable substrate 101 could include a transparent window on the side oppositetransducer 103 for viewing any color change afterfoldable susbstrate 101 is folded to contacttransducer 103 to pressuresensitive adhesive 102. - Alternative embodiments are shown in FIGS. 5 and 6 that allow delivery of a fluid sample to the transducer via a microfluidic element such as those described in U.S. Pat. Nos. 6,375,871 and 6,451,191. In FIG. 5, tape or
label 301 contains amicrofluidic element 302 that delivers the analyte to thetransducer 303. In one application, pressure sensitive adhesive could be supplied on tape orlabel 301 on the side oppositetransducer 303 to allow the tape or label to be attached to a surface for storage or holding purposes such as attaching to a wall or container. - In FIG. 6, a
microfluidic element 401 is provided on tape or label 402.Microfluidic element 401 delivers the analyte to 403, 404, 405, and 406 containing the same or different transducers. Each of the transducers inmultiple wells 403, 404, 405, and 406 could be formed from the same or different polydiacetylene assemblies with each polydiacetylene assembly incorporating the same or different receptor. By varying the transducers,multiple wells 403, 404, 405, and 406 can be designed to provide detection for multiple analytes at various concentration levels.multiple wells - For those applications requiring sample preparation of the analyte, a kit could contain a vial for reagant storage and mixing of the analyte before contacting the calorimetric sensor coated on a two-dimensional substrate. In one embodiment, the kit could comprise a vial for reagent storage and analyte preparation, with a cap system containing the transducer of the present invention coated on a substrate.
- The present invention also provides a method for analysis of an analyte, which comprises contacting the abovementioned colorimetric sensor with a solution sample or surface containing an analyte and utilizing an absorption measurement or a visual observation with the naked eye to detect color change in the colorimetric sensor.
- In an alternative embodiment, the present invention provides a method for indirect detection of an analyte by selection of a probe with an affinity to bind with both the receptor incorporated into the polydiacetylene assemblies and the analyte. The probe selected will demonstrate a competitive affinity with the analyte. When the analyte of interest is present, the probe will bind to the analyte rather than the receptor on the polydiacetylene backbone, resulting in no color change. If the analyte is absent, the probe will bind to the receptor incorporated on the polydiacetylene backbone, resulting in a color change from blue to red. The probe can contact the transducer after the analyte contacts the transducer, or can be mixed with the analyte prior to the mixture contacting the transducer.
- The probe can be contacted with the transducer in solution or coated on a substrate. The probe will be any molecule with an affinity for both the target analyte and the receptor. Possible probes for use in the present invention include membrane disrupting peptides such as alamethicin, magainin, gramicidin, polymyxin B sulfate, and melittin.
- Using the indirect method of detection, high detection levels are possible based on the concentration of probe used. For detection strategy, probe concentrations can be chosen to correspond to desired concentration levels of detection. The method of indirect detection using the probe allows design of the system around the type and concentration of the probe for desired sensitivity in a given application. This allows the transducer to be universal to multiple analytes of interest. For example, a single transducer (polydiacetylene/receptor combination) could serve to detect multiple analytes by varying the probe in contact with the transducer in accordance with the probe's affinity for the analyte.
- Substrate Characteristics
- The substrates of the present invention can be characterized by contact angle measurements using milli-Q (Millipore) water and methylene iodide (Aldrich) probe liquids. For a contact angle measurement, a goniometer from Rame-Hart is used to measure the contact angle that a drop of a probe liquid forms when placed on a substrate. Although the drop covers a macroscopic area of the substrate, the interaction of the liquid and the surface probes only the outermost 1-5 Ångstroms of the surface. Thus, contact angle analysis provides an accurate and sensitive technique for characterizing surface energetics as discussed in A. Ulman, An Introduction to Ultrathin Organic Films, Academic Press, New York (1991), pp. 48-58.
- The coating substrates used in the present invention can be considered to encompass two broad categories. The first of these categories include highly flat substrates, such as evaporated gold on atomically flat silicon (111) wafers, atomically flat silicon (111) wafers, or float glass, which are bare and modified with self-assembling monolayers (SAMs) to alter their surface energy in a systematic fashion. The second class of surfaces comprised surfaces with a highly textured topography that included many different classes of materials ranging from paper substrates to polymeric ink receptive coatings to structured polymeric films, microporous films, and membrane materials. Common characteristics amongst these substrates are the large surface roughness and/or porosity. In these highly textured surfaces, the measurements of contact angles and the determination of polar and dispersive surface energies from these contact angle measurements cannot be regarded as an equilibrium characterization of their true thermodynamic energies. For purposes of the present invention, the contact angles indicate an “effective” or “practical” surface energy that can be used to classify these substrates for comparative purposes.
- TABLE 1 summarizes the substrates coated with the polydiacetylene assemblies for use as a calorimetric sensor of the present invention. The SAMs used to modify the substrate are listed with the substrate when used. The substrate contact angles as measured with water and methylene iodide are shown, as well as the dispersive and polar components of the surface energy calculated by the Geometric Mean Method as shown in S. Wu; Polymer Interface and Adhesion; Marcel Dekker, New York (1982). The last column lists the color of the dry PDA coating.
TABLE 1 Adv. θ Adv. θ γ γ (Polar) Color of (Water) (MI) (Dispersive) (dynes/ Dry Number Substrate Manufacturer (°) (°) (dynes/cm) cm) Coating 1 Reverse Aldrich; 158 ± 3.0 <5 101.7 39.5 Blue Chromatography Milwaukee, WI Si Gel Plate 2 Manila Folder Smead, No. 2- 115 ± 5.0 <5 76.2 7.9 Blue Paper 153L-2, Hastings, MN 3 Clean Float Corning Glass 90 ± 3.8 42 ± 2.4 39.6 0.9 Blue Glass Works; Corning, NY 4 Textured Photo 3M Part No. 34- 123 ± 5.4 <5 82.1 13.3 Blue Paper 8506-6373-2; St. Paul, MN 5 Gloss Photo 3M Part No. 34- 105 ± 8.0 30 ± 1.3 58.1 1.5 Blue Paper 8506-6378-1; St. Paul, MN 6 PE IR Card 3M Type 61- 144 ± 0.6 <5 95.4 30.0 Blue 100-12; St. Paul, MN 7 PTFE IR Card 3M Type 62; St. 133 ± 2.3 66 ± 2.5 44.0 7.6 Blue Paul, MN 8 Octadecyltri- Gelest, Inc.; 112 ± 1.1 69 ± 1.9 28.3 0.1 Red chlorosilane Morrisville, PA SAM on Si (111) 9 Perfluorodecyl- Gelest, Inc.; 113 ± 1.6 91 ± 1.3 11.7 0.7 Red 1H, 1H, 2H, 2H- Morrisville, PA trichlorosilane on Si (111) Wafer 10 Octadecyltri- Gelest, Inc.; 112 ± 2.2 65 ± 1.8 31.9 0.3 Red chlorosilane Morrisville, PA SAM on Si (111) 11 Dodecanethiol Aldrich; 108 ± 3.0 65 ± 4.4 30.0 0 Red SAM on Milwaukee, WI Evaporated Au 12 Octadecanethiol Aldrich; 107 ± 0.6 67 ± 2.7 27.7 0 Red SAM on Milwaukee, WI Evaporated Au 13 Microstructured 3M sample No. 155 ± 4.5 110 ± 6.0 9.8 2.5 Red PP PP-3445; St. Paul, MN 14 FC TIPS 3M sample; St. 112 ± 5.5 127 ± 11.5 0.1 8.7 Red Membrane Paul, MN 15 PVDF Membrane Millipore 86 ± 2.9 61 ± 1.1 22.8 5.4 Red Corporation XF1J076T8; Bedford, MA 16 Bare Si (111) Siltec 52 ± 2.6 47 ± 2.8 18.7 29.2 Mixed Wafer Corporation; Salem, OR 17 Bare Evaporated 3M Sample, St. 97 ± 4.5 48 ± 0.6 38.9 0.1 Mixed Au Paul, MN 18 11-Mercapto- Aldrich; 58 ± 1.6 38 ± 1.7 26.0 19.8 Mixed 1-undecanol on Milwaukee, WI Evaporated Au 19 16-Mercapto- Aldrich; 40 ± 1.6 35 ± 6.0 21.4 35.7 Mixed hexadecanoic on Milwaukee, WI Evaporated Au - FIGS. 6 and 7 show the phase diagram based on the colorimetric observations of the dried coatings and the contact angle analysis of the coated substrates. FIG. 6 shows the resulting color of the coated substrate as a function of advancing contact angle of water versus advancing contact angle of methylene iodide. FIG. 7 shows the resulting color of the coated substrate as a function of the polar component of the substrate surface energy versus the dispersive component of that surface energy as calculated by the Geometric Mean method from the advancing contact angles of water and methylene iodide as provided in S. Wu; Polymer Interface and Adhesion; Marcel Dekker, New York (1982). The surfaces for which the polydiacetylene coating remained in its initial blue color are identified by a filled-in circle on each plot. The surfaces identified with a circle are those on which the initial “blue” phase transformed into the red phase upon drying. Finally, the triangular points identify surfaces on which the dry coating showed a mixture of the blue and red phases.
- The numbers in TABLE 1 assigned to the various substrates correlate to the symbols in FIGS. 6 and 7.
- In one embodiment of the invention that maintains the original “blue” phase of the polydiacetylene assemblies upon drying, the coated substrates exhibit advancing contact angles with methylene iodide below 50° as depicted in FIG. 6. This condition corresponds to substrates characterized by a dispersive component of their surface energy greater than 40 dynes/cm on FIG. 7. For applications requiring the retention of the original “blue” phase, topography and surface energy will impact the effectiveness of the transducer on the substrate in characteristics such as color contrast at detection and shelf-life.
- In an alternate embodiment, substrates with these properties that have an advancing contact angle with water less than 90° result in dry coatings containing a mixture of the blue and red phases as depicted in FIG. 6. This condition would correspond to surfaces in which the dispersive surface energy component could be less than 40 dynes/cm but with a polar surface energy component greater than at least 10 dynes/cm in FIG. 7.
- The present invention should not be considered limited to the particular examples described below, but rather should be understood to cover all aspects of the invention as fairly set out in the attached claims. Various modifications, equivalent processes, as well as numerous structures to which the present invention may be applicable will be readily apparent to those of skill in the art to which the present invention is directed upon review of the instant specification. All parts, percentages, ratios, etc. in the examples and the rest of the specification are by mole unless indicated otherwise. All solvents and reagents without a named supplier were purchased from Aldrich Chemical; Milwaukee, Wis. Water was purified by the use of a U-V Milli-Q water purifier with a resistivity of 18.2 Mohms/cm. (Millipore, Bedford Mass.)
- For those diacetylene mixtures that were probe sonicated, a range of samples were prepared by separating the initial diacetylene solution into several vials for probe sonication over a range of power and times to determine the settings that induce successful self-assembly in the diacetylene monomers. Although probe sonication was done at a power setting of 5 for 1 minute in the following examples, one skilled in the art would know that appropriate adjustments in power and time can empirically create the same result.
- Colorimetric response (CR) was determined by the percent change in blue color represented by the equation CR=[(PB initial−PBsample/PBinitial]×100 where PB=blue color in sample as determined using Adobe Photoshop,
version 5, imaging software.Table of Abbreviations Abbreviation or Trade Name Description 11-Bromo-1-undecanol Br(CH2)11OH 11-Bromoundecanoic acid Br(CH2)10C(O)OH TBDMSCl Tert-butyldimethylsilyl chloride Diyne-1 Bis(trimethylsilyl)butadiyne Commercially available from Gelest; Tullytown, PA THF Tetrahydrofuran 1-Bromododecane Br(CH2)11CH3 TBAF Tetrabutylammonium fluoride HMPA Hexamethylphosphoramide 1-Bromohexadecane Br(CH2)15CH3 Methanesulfonyl chloride CH2Cl2 Dichloromethane DMF Dimethylformamide oxalyl chloride ClCOCOCl DMPC Dimyristoylphosphatidylcholine; commercially available from Avanti Polar Lipids, Alabaster, Al. ATCC American Type Culture Collection PDC Pyridinium dichromate DMAP 4-(dimethylamino)pyridine KAPA Potassium 3-aminopropylamide prepared according to Abrams, S. R.; Shaw, A. C. Organic Syntheses, 1988, 66, 127-131. PP Polypropylene PE Polyethylene PTFE Polytetrafluoroethylene PVDF Polyvinylidenefluoride - Preparation of HO(O)C(CH 2)3C≡C—C≡C(CH2)4O(O)C(CH2)10CH3
- Step 1: Preparation of HO(CH 2)4C≡C—C≡C(CH2)4O(O)C(CH2)10CH3
- In a glass reaction vessel, 600 milligrams of 5,7-dodecadiyn-1,12-diol (HO(CH 2)4C≡C—C≡C(CH2)4OH), 0.275 milliliters of pyridine and 10 milliliters of THF were mixed. To this solution was added 676 milligrams of lauroyl chloride and the resulting mixture was stirred for 15 hours. The mixture was then diluted with diethyl ether and washed with 0.1 N HCl and brine. The organic layer was separated, dried over MgSO4, filtered and the solvent was removed to yield a white solid. The solid was purified over silica gel (gradient from 25% to 50% by volume ethyl acetate in hexanes) to yield 570 milligrams of HO(CH2)4C≡C—C≡C(CH2)4O(O)C(CH2)10CH3 as a white solid.
- Step 2: Preparation of HO(O)C(CH 2)3C≡C—C≡C(CH2)4O(O)C(CH2)10CH3
- In a glass reaction vessel, 377 milligrams of HO(CH 2)4C≡C—C≡C(CH2)4O(O)C(CH2)10CH3 prepared in
Step 1 was dissolved in 3 milliliters of DMF and 1.32 grams of PDC was added. The resulting mixture was stirred for 8 hours, and then worked up with water and diethyl ether. The combined ether layers were dried over MgSO4, filtered and the solvent was removed to yield a white solid. The solid was purified over silica gel eluting with 25/74/1 of ethyl acetate/hexanes/formic acid by volume to yield 0.21 grams of HO(O)C(CH2)3C≡C—C≡C(CH2)4O(O)C(CH2)10CH3 as a white solid. - Preparation of HO(O)C(CH 2)a-1C≡C—C≡(CH2)aO(O)C(CH2)bCH3
- The same procedure described in Example 1 was followed using the diol and acid chloride in
Step 1 shown in Table 2 to give the compounds with the general structure HO(O)C(CH2)a-1C≡C—C≡C(CH2)zO(O)C(CH2)bCH3 (a and b are defined in Table 2).TABLE 2 Exam- ple Diol, a value Acid Chloride, b value 2 HO(CH2)3C≡C—C≡C(CH2)3OH, CH3(CH2)14C(O)Cl, b = a = 3 14 3 HO(CH2)4C≡C—C≡C(CH2)4OH, CH3(CH2)12C(O)Cl, b = a = 4 12 4 HO(CH2)4C≡C—C≡C(CH2)4OH, CH3(CH2)14C(O)Cl, b = a = 4 14 5 HO(CH2)4C≡C—C≡C(CH2)4OH, CH3(CH2)16C(O)Cl, b = a = 4 16 - Preparation of HO(O)C(CH 2)2C(O)O(CH2)4C≡C—C≡C(CH2)4O(O)C(CH2)12CH3
- Step 1: Preparation of HO(CH 2)4C≡C—C≡C(CH2)4O(O)C(CH2)12CH3
- In a glass reaction vessel, 4.99 grams of 5,7-dodecadiyn-1,12-diol (HO(CH 2)4C≡C—C≡C(CH2)4OH), 2.2. grams of pyridine and 50 milliliters of THF were mixed. To this solution was added 6.34 grams of myristol chloride and the resulting mixture was stirred for 15 hours. The mixture was then diluted with diethyl ether and washed with 0.1 N HCl and brine. The organic layer was separated, dried over MgSO4, filtered and the solvent was removed to yield a white solid. The solid was purified over silica gel (15% by volume of ethyl acetate in dichloromethane to 100% theyl acetate gradient) to yield 5.0 grams of HO(CH2)4C≡C—C≡C(CH2)4O(O)C(CH2)12CH3 as a white solid.
- Step 2: Preparation of HO(O)C(CH 2)2C(O)O(CH2)4C≡C—C≡C(CH2)4O(O)C(CH2)12CH3
- In a sealable tube, 1.41 grams of HO(CH 2)3C≡C—C≡C(CH2)4O(O)C(CH2)12CH3 prepared in
Step 1, 0.435 grams of succinic anhydride, 13 milliliters of toluene and 0.106 grams of DMAP were combined and the tube was sealed. The mixture was heated to 105° C. for 14.5 hours, the reaction was cooled to room temperature, 0.15 milliliters of water was added, the tube was resealed and again heated to 105° C. for 30 minutes. The mixture was then diluted with diethyl ether and washed with 0.1 N HCl and brine. The organic layer was separated, dried over MgSO4, filtered and the solvent was removed to yield a white solid. The solid was purified over silica gel eluting with 10/89/1 of ethyl acetate/dichloromethane/formic acid by volume to yield 1.70 grams of HO(O)C(CH2)2C(O)O(CH2)4C≡C—C≡C(CH2)4O(O)C(CH2)12CH3 as a white solid. - Preparation of HO(O)C(CH 2)2C(O)O(CH2)aC≡C—C≡C(CH2)aO(O)C(CH2)bCH3
- The same procedure described in Example 6 was followed using the diol and acid chloride in
Step 1 shown in Table 3 to give the compounds with the general structure HO(O)C(CH2)2C(O)O(CH2)aC≡C—C≡C(CH2)aO(O)C(CH2)bCH3 (a and b are defined in Table 3).TABLE 3 Example Diol, a value Acid Chloride, b value 7 HO(CH2)2C≡C—C≡C(CH2)2OH, CH3(CH2)10C(O)Cl, a = 2 b = 10 8 HO(CH2)2C≡C—C≡C(CH2)2OH, CH3(CH2)12C(O)Cl, a = 2 b = 12 9 HO(CH2)2C≡C—C≡C(CH2)2OH, CH3(CH2)14C(O)Cl, a = 2 b = 14 10 HO(CH2)2C≡C—C≡C(CH2)2OH, CH3(CH2)16C(O)Cl, a = 2 b = 16 11 HO(CH2)3C≡C—C≡C(CH2)3OH, CH3(CH2)10C(O)Cl, a = 3 b = 10 12 HO(CH2)3C≡C—C≡C(CH2)3OH, CH3(CH2)12C(O)Cl, a = 3 b = 12 13 HO(CH2)3C≡C—C≡C(CH2)3OH, CH3(CH2)14C(O)Cl, a = 3 b = 14 14 HO(CH2)3C≡C—C≡C(CH2)3OH, CH3(CH2)16C(O)Cl, a = 3 b = 16 15 HO(CH2)4C≡C—C≡C(CH2)4OH, CH3(CH2)10C(O)Cl, a = 4 b = 10 16 HO(CH2)4C≡C—C≡C(CH2)4OH, CH3(CH2)14C(O)Cl, a = 4 b = 14 17 HO(CH2)4C≡C—C≡C(CH2)4OH, CH3(CH2)16C(O)Cl, a = 4 b = 16 - Preparation of HO(O)C(CH 2)2C(O)O(CH2)5C≡C—C≡C(CH2)5O(O)C(CH2)10CH3
- Step 1: Preparation of HO(CH 2)5C≡C—C≡C(CH2)5OH
- HO(CH 2)5C≡CH was prepared by the KAPA-promoted isomerization of HOCH2C═C(CH2)3CH3 prepared according to Miller, J. G.; Oehlschlager, A. C. J.Org. Chem. 1984, 49, 2332-2338 or HO(CH2)2C═C(CH2)2CH3 (commercially available from GFS Chemicals; Powell, Ohio). Oxidative coupling of HO(CH2)5C≡CH was carried out in a glass reaction vessel by dissolving 6.95 grams HO(CH2)5C≡CH in pyridine/methanol (2.0 mL/6.2 mL) and adding 307 grams of CuCl followed by stirring in the presence of oxygen until all the starting material was consumed. The reaction mixture was worked up with diethyl ether and 4N HCl, the combined organic layers were dried over MgSO4, filtered and concentrated. Recrystallization of the residue from 1/1 hexanes/tert-butyl methyl ether yielded 5.35 grams of HO(CH2)5C≡C—C≡C(CH2)5OH.
- Step 2: Preparation of HO(CH 2)5C≡C—C≡C(CH2)5O(O)C(CH2)10CH3
- The same procedure described in Example 6
Step 1 was followed except that instead of 5,7-dodecadiyn-1,12-diol the diol prepared inStep 1 above was used. - Step 3: Preparation of HO(O)C(CH 2)2C(O)O(CH2)5C≡C—C≡C(CH2)5O(O)C(CH2)10CH3
- The same procedure described in Example 6
Step 2 was followed. - Preparation of HO(O)C(CH 2)2C(O)O(CH2)5C≡C—C≡C(CH2)5O(O)C(CH2)bCH3
- The same procedure described in Example 18 was followed using the diol and acid chloride in
Step 2 shown in Table 4 to give the compounds with the general structure HO(O)C(CH2)2C(O)O(CH2)5C≡C—C≡C(CH2)5O(O)C(CH2)bCH3 (b is defined in Table 4).TABLE 4 Example Diol Acid Chloride, b value 19 HO(CH2)5C≡C—C≡C(CH2)5OH CH3(CH2)12C(O)Cl, b = 12 20 HO(CH2)5C≡C—C≡C(CH2)5OH CH3(CH2)14C(O)Cl, b = 14 21 HO(CH2)5C≡C—C≡C(CH2)5OH CH3(CH2)16C(O)Cl, b = 16 - Preparation of HO(O)C(CH 2)2C(O)O(CH2)6C≡C—C≡C(CH2)6O(O)C(CH2)bCH3
- The same procedure described in Example 18
Step 1 was followed to prepare the diol HO(CH2)6C≡C—C≡C(CH2)6OH starting from 1-heptyne. The remaining procedure for Example 18 was followed using the diol and acid chloride inStep 2 shown in Table 5 to give the compounds with the general structure HO(O)C(CH2)2C(O)O(CH2)6C≡C—C≡C(CH2)6O(O)C(CH2)bCH3 (b is defined in Table 5).TABLE 5 Example Diol Acid Chloride, b value 22 HO(CH2)6C≡C—C≡C(CH2)6OH CH3(CH2)10C(O)Cl, b = 10 23 HO(CH2)6C≡C—C≡C(CH2)6OH CH3(CH2)12C(O)Cl, b = 12 24 HO(CH2)6C≡C—C≡C(CH2)6OH CH3(CH2)14C(O)Cl, b = 14 25 HO(CH2)6C≡C—C≡C(CH2)6OH CH3(CH2)16C(O)Cl, b = 16 - Preparation of HO(O)C(CH 2)2C(O)O(CH2)7C≡C—C≡C(CH2)7O(O)C(CH2)bCH3
- The same procedure described in Example 18
Step 1 was followed to prepare the diol HO(CH2)7C≡C—C≡C(CH2)7OH staring from 1-octyne. The remaining procedure for Example 18 was followed using the diol and acid chloride inStep 2 shown in Table 6 to give the compounds with the general structure HO(O)C(CH2)2C(O)O(CH2)7C≡C—C≡C(CH2)7O(O)C(CH2)bCH3 (b is defined in Table 6).TABLE 6 Example Diol Acid Chloride 26 HO(CH2)7C≡C—C≡C(CH2)7OH CH3(CH2)10C(O)Cl, b = 10 27 HO(CH2)7C≡C—C≡C(CH2)7OH CH3(CH2)12C(O)Cl, b = 12 28 HO(CH2)7C≡C—C≡C(CH2)7OH CH3(CH2)16C(O)Cl, b = 16 - Preparation of HO(O)C(CH 2)2C(O)O(CH2)9C≡C—C≡C(CH2)9O(O)C(CH2)bCH3
- The same procedure described in Example 18
Step 1 was followed to prepare the diol HO(CH2)9C═C—C═C(CH2)9OH staring from 1-decyne. The remaining procedure for Example 18 was followed using the diol and acid chloride inStep 2 shown in Table 7 to give the compounds with the general structure HO(O)C(CH2)2C(O)O(CH2)9C≡C—C≡C(CH2)9O(O)C(CH2)bCH3 (b is defined in Table 7).TABLE 7 Example Diol Acid Chloride, b value 29 HO(CH2)9C≡C—C≡C(CH2)9OH CH3(CH2)10C(O)Cl, b = 10 30 HO(CH2)9C≡C—C≡C(CH2)9OH CH3(CH2)12C(O)Cl, b = 12 31 HO(CH2)9C≡C—C≡C(CH2)9OH CH3(CH2)14C(O)Cl, b = 14 32 HO(CH2)9C≡C—C≡C(CH2)9OH CH3(CH2)16C(O)Cl, b = 16 - Preparation of HO(O)C(CH 2)3C(O)O(CH2)4C≡C—C≡C(CH2)4O(O)C(CH2)12CH3
- The same procedure described in Example 6 was followed except that in
Step 2 glutaric anhydride was used in place of succinic anhydride. - Preparation of HO(O)CHC═CHC(O)O(CH 2)4C≡C—C≡C(CH2)4O(O)C(CH2)14CH3
- The same procedure described in Example 6 was followed except that in
Step 1 CH3(CH2)14C(O)Cl was used instead of CH3(CH2)12C(O)Cl and inStep 2 maleic anhydride was used in place of succinic anhydride. - Preparation of HO(O)C(1,2-C 6H4)C(O)O(CH2)4C≡C—C≡C(CH2)4O(O)C(CH2)12CH3
- The same procedure described in Example 6 was followed except that in
Step 2 phthalic anhydride was used in place of succinic anhydride. - Preparation of HO(O)C(CH 2)2C(O)O(CH2)4C≡C—C≡C(CH2)4O(CH2)11CH3
- Step 1: Preparation of HO(CH 2)4C≡C—C≡C(CH2)4O(CH2)11CH3
- In a glass reaction vessel, a suspension of 120 milligrams of sodium hydride was prepared in 10 mL dry DMF and 972 milligrams of 5,7-dodecadiyn-1,12-diol (HO(CH 2)4C≡C—C≡C(CH2)4OH), was added. After stirring for 5 minutes, 1.31 grams of CH3(CH2)11Br was added and the resulting mixture was stirred for 15 hours. The mixture was then quenched by addition of saturated NH4Cl solution and diluted with 100 milliliters of diethyl ether. The organic layer was separated and washed 3 times with brine, dried over MgSO4, filtered and the solvent was removed to yield a yellow oil. The oil was purified over silica gel (25%-35% by volume of ethyl acetate in hexane gradient) to yield 606 milligrams of HO(CH2)4C≡C—C≡C(CH12)4O(CH2)11CH3 as a white solid.
- Step 2: Preparation of HO(O)C(CH 2)2C(O)O(CH2)4C≡C—C≡C(CH12)4O(CH2)11CH3
- In a sealable tube, 181 milligrams of HO(CH 2)4C═C—C═C(CH2)4O(CH2)11CH3 prepared in
Step 1, 63 milligrams of succinic anhydride, 2 milliliters of toluene and 15 milligrams of DMAP were combined and the tube was sealed. The mixture was heated to 110° C. for 16 hours, the reaction was cooled to room temperature, 3 drops of water were added, the tube was resealed and again heated to 1101° C. for 30 minutes. The mixture was then diluted with diethyl ether and washed with 0.1 N HCl and brine. The organic layer was separated, dried over MgSO4, filtered and the solvent was removed to yield a white solid. The solid was purified over silica gel eluting with 10/89/1 of ethyl acetate/dichloromethane/formic acid by volume to yield HO(O)C(CH2)2C(O)O(CH2)4C≡C—C≡C(CH2)4O(CH2)11CH3 as a white solid. - Preparation of HO(O)C(CH 2)2C(O)O(CH2)aC≡C—C≡C(CH2)aO(CH2)bCH3
- The same procedure described in Example 37 was followed using the diol and alkyl bromide in
Step 1 shown in Table 8 to give the compounds with the general structure HO(O)C(CH2)2C(O)O(CH2)aC≡C—C≡C(CH2)aO(CH2)bCH3 (a and b are defined in Table 8).TABLE 8 Exam- ple Diol, a value Alkyl Bromide, b value 37 HO(CH2)2C≡C—C≡C(CH2)2OH, CH3(CH2)bBr, a = 4 b = 13 38 HO(CH2)2C≡C—C≡C(CH2)2OH, CH3(CH2)bBr, a = 4 b = 15 39 HO(CH2)2C≡C—C≡C(CH2)2OH, CH3(CH2)bBr, a = 4 b = 17 40 HO(CH2)2C≡C—C≡C(CH2)2OH, CH3(CH2)bBr, a = 5 b = 11 41 HO(CH2)3C≡C—C≡C(CH2)3OH, CH3(CH2)bBr, a = 5 b = 13 - A sample of 10.1 milligrams of the compound prepared in Example 6 was placed in a glass vessel and suspended in 5 milliliters of isopropanol. The mixture was heated to boiling and 10 milliliters of 70° C. water was added. The resulting solution was boiled until the temperature reached 95° C. indicating the nearly all of the isopropanol had boiled off. The solution was cooled to room temperature and then to 4° C. for 16 hours. A 2 milliliter aliquot of the solution was exposed 254 nanometer light for 10 minutes, producing a dark blue color indicative that polymerization had occurred.
- Detection of a Membrane Peptide in Solution
- A sample of 1.0 milliMolar concentration of diacetylene monomer prepared as in Example 6 and DMPC (6:4) in Tris buffer (2 mM, pH=8.5) was prepared in a glass vessel, bath sonicated in a Bronson Model #1510 bath sonicator (commercially available from VWR Scientific Products; West Chester, Pa.) for 30 minutes, and placed in a 4° C. refrigerator for about 16 hours. The sample was then filtered through a 1.2 μm syringe filter, and polymerized by irradiating the sample beneath a 254 nm UV lamp (commercially available from VWR Scientific Products; West Chester, Pa.) at a distance of 3 cm for 10 minutes. Polymerization results in the observation of a distinct, bluish-purple color.
- The detection property of the solution was determined by the addition of −80 μL of a polymyxin B sulfate solution (10,050 units/mL) to the sample. This resulted in a rapid colorimetric response that could easily be determined visually as a change from blue to red and quantified by UV-vis spectroscopy as a shift from peak absorbance at 640 nm to a peak absorbance at 540 nm in spectra taken after one hour at room temperature.
- Detection of a Membrane Peptide on a Substrate
- The polymerized PDAIDMPC mixture prepared in Example 43 was coated onto a piece of a reverse-phase C-18 silica gel plate. The solution was spotted on the plate and allowed to dry at room temperature resulting in blue spots on the test plate. To test this solid state form of the sensor, a test solution (40 μL) of a polymyxin B sulfate (10,050 units/mL) was added to the sample spot. This resulted in an immediate (<15 seconds) color change from blue to pink. A control test using only milli-Q water (50 μL) showed no color change.
- Detection of Peptide-Membrane Interactions in Solution
- A mixture of diacetylene monomer from Example 6 and DMPC (6:4) was weighed into a vial and suspended in Tris buffer (2 mM, pH=8.5) to produce a 1 mM concentration solution and a polymerized detection solution was prepared as in Example 43.
- The detection property of the solution was determined by the addition of −50 μL of a 1 mM mellitin solution to the sample. This resulted in a rapid calorimetric response that could easily be determined visually as a change from blue to red and quantified by UV-vis spectroscopy as a shift from peak absorbance at 640 nm to a peak absorbance at 540 nm in spectra taken after one hour at room temperature.
- Detection of Peptide-Membrane Interactions on a Substrate
- A test plate was made using the polymerized detector solution of Example 45 using the same procedure as in Example 44. Several spots (40 μl each) of the polymerized solutions were placed onto a piece of a reverse-phase C-18 silica gel plate. The solutions were allowed to dry at room temperature resulting in blue spots. To test the substrates' ability to detect peptides, two samples containing 15 and 30 nanomoles of mellitin respectively were added to the different spots on the test plate. This resulted in an immediate (<15 seconds) color change from blue to red. Control samples of milli-Q water spotted on separate test spots showed no color change.
- Detection of Interfacial Enzymatic Catalysis by Phospholipase A2 in Solution
- A detection solution was prepared as in Example 45. The detection properties of the solutions were determined by the addition of −50 μL of a 75 μM Phospholipase A2 solution to each of the samples. This resulted in a colorimetric response that could easily be determined visually as a change from blue to red and quantified by UV-vis spectroscopy as a shift from peak absorbance at 640 nm to a peak absorbance at 540 nm in spectra taken after one hour at room temperature.
- Attempted Detection of Peptide-Membrane Interactions using Commercially Available Diacetylenic Monomers on a Substrate
- Mixtures of commercially available 10,12-tricosadiynoic acid (available from GFS Chemicals; Powell, Ohio) and DMPC (6:4) were used to create a detector solution and test plate as in Example 44. The polymerization resulted in the observation of a distinct, bluish-purple color. On spotting the detector solution on the test plates some of the solutions dried resulting in a color change to a red spot while other samples dried to a blue colored spot.
- To test the peptide-membrane interaction detection properties of the polymerized assemblies on a substrate, 30 nanomoles of mellitin (commercially available from Sigma Aldrich; St. Louis, Mo.) was added to the spots that dried to a blue color. This resulted in either no color change or a splotchy appearance that reflected a CR less than 5% depending on the preparation of the solution.
- Attempted Detection of Peptide-Membrane Interactions using Commercially Available Diacetylenic Monomers on a 2-D Substrate
- Example 48 was repeated, except that to test the peptide-membrane interaction detection properties of the polymerized assemblies on the substrate, 50 μL of a polymyxin B sulfate solution (10,050 units/mL) was added to each of the spots on the test plate. This resulted in a splotchy appearance that reflected a CR less than 5% of color change depending on the preparation of the solution.
- Indirect Detection of E. coli on a Substrate
- Test plates were made as in Example 46.
- To test the detection of E. coli, a polymyxin B sulfate solution (10,050 units/mL) was added to a vial containing only milli-Q water and to a vial containing a suspension of E. coli [ATCC25922, ˜109 bacteria/mL in milli-Q water]. After allowing the two samples to sit for 30 minutes, they were filtered through a 0.45 μm syringe filter and 40 μL of each of the eluents was placed onto dried spots of the sensor mixture. After 15 minutes the liquid was removed and the plates were examined. The sample with no E. coli and only polymyxin B showed a color change to red while those samples with both E. coli and polymyxin B show no dramatic color change.
- Detection of E. coli in a Biological Fluid on a Substrate
- A mixture of diacetylene monomer as prepared in Example 6 and DMPC (6:4) was weighed into a vial and suspended in HEPES buffer (5 mM, pH=7.2) to produce a 1 mM solution. The solution was then probe sonicated using a Model XL2020 probe sonicator (commercially available from Misonix, Inc.; Farmington, N.Y.) for 1 minute at a power setting of 5, and placed into a 4° C. refrigerator overnight (˜16 hours). The sample was filtered through a 1.2 μm syringe filter and polymerization of a stirring solution was achieved by irradiating the sample beneath a 254 nm UV lamp at a distance of 3 cm for 20 minutes, resulting in the observation of a blue color. Using a syringe, several spots (40 μl each) of the polymerized solution were placed onto a piece of a reverse-phase C-18 silica gel plate. The spots were allowed to dry at room temperature resulting in blue spots. To test the detection of E. coli, a polymyxin B sulfate solution (10,050 units/mL) was added to a solution of human urine and a solution of human urine contaminated with E. coli [ATCC25922, 109 bacteria/mL in milli-Q water]. After allowing the samples to incubate for 30 minutes at 37° C., the samples were cooled to room temperature and 40 mL of each eluent was placed onto a dried spot of the PDA/DMPC solution. After 40 minutes the liquid was removed and the plates were examined. The spots showed a substantial color change for the sample with no E. coli. and only polymyxin B present while the sample with E. coli and polymyxin B present exhibited little change in color.
- Detection of Lipopolysaccharide on a Substrate
- Mixtures of diacetylene monomer as prepared in Example 6 and DMPC (6:4) were weighed into vials and suspended in HEPES buffer (5 mM, pH=7.2) to produce a 1 mM solution. Test plates on a reverse-phase C-18 silica gel plate were then prepared as in Example 43. To test the detection of lipopolysaccharide, 1000 μL of a polymyxin B sulfate solution (628 units/mL) was added to a 1 mL solution of endotoxin free water and a 1 mL solution of endotoxin free water contaminated with lipopolysaccharide (10,000 units/mL). After allowing the samples to incubate for 30 minutes at 370° C., the samples were cooled to room temperature and 40 mL of each solution was placed onto a dried spot of the PDA/DMPC solution. After 60 minutes the liquid was removed and the plates were examined. The sample with no lipopolysaccharide showed a color change to red while the solution with lipopolysaccharide and polymyxin B showed no color change.
- Detection of Lipopolysaccharide on a 2-D Substrate Using Glycerol
- Mixtures of diacetylene monomer as prepared in Example 6 and tetradecanoic acid 12-(4,4,-dihydroxy-butylroxy)-dodeca-5,7-diynyl ester (1:1) were weighed into vials and suspended in HEPES buffer (5 mM, pH=7.2) to produce a 1 mM solution. The solutions were then probe sonicated using a Model XL2020 probe sonicator (commercially available from Misonix, Inc.; Farmington, N.Y.) for 1 minute at a power setting of 5, and then placed into a 4° C. refrigerator overnight (˜16 hours). The samples were filtered through a 1.2 μm syringe filter and polymerization of a stirring solution was achieved by irradiating the sample beneath a 254 nm UV lamp at a distance of 3 cm for 60 seconds, resulting in the observation of an intense blue color. Using a syringe, several spots (40 μl each) of the polymerized solutions were placed onto a piece of a reverse-phase C-18 silica gel plate. The solutions were allowed to dry at room temperature resulting in blue spots. To test the detection of lipopolysaccharide, a polymyxin B sulfate solution (5025 units/mL) was added to a solution of endotoxin free water and a solution of endotoxin free water contaminated with lipopolysaccharide. After allowing the samples to incubate for 30 minutes at 37° C., the samples were cooled to room temperature and 500 μL of each solution was placed onto a dried spot of the PDA/DMPC solution. After 15 minutes of gentle shaking, the liquid was removed and the plates were examined. This resulted in a calorimetric response that could easily be determined visually as a change from blue to red in the absence of lipopolysaccharide.
- Characterization of Substrates Amenable to Maintain the Active Phase of the Polydiacetylene Assemblies
- To determine the substrate characteristics identified in Table 1, surfaces were prepared in the following manner for evaluation. The gold surfaces were prepared by evaporation of gold onto a chromium primed polished silicon wafer. The resulting surface was highly reflective with an rms surface roughness less than 15 Ångstroms as measured by Atomic Force Microscopy (AFM) using Nanoscope Command Reference Manual Version 4.42; Digital Instruments; Sections 12.5 and 12.6. The gold surfaces were dusted prior to use using a dry nitrogen stream. The glass surfaces were prepared by cleaning in an oxidizing bath (commercially available from Nochromix) overnight, followed by copious rinsing in milli-Q water until the rinse water could maintain a uniform sheet over the glass surface without de-wetting. The glass surfaces were dusted prior to use using a dry nitrogen stream.
- Silicon wafer surfaces were used as received and dusted prior to use using a dry nitrogen stream. Surfaces modified with SAMs were formed by immersion of the surface in a solution nominally 1 mM in SAM concentration. Either ethanol or chloroform were used as solvents. Immersion times were at least 24 hours, followed by extensive rinsing with the neat solvent used during self-assembly. The samples were then allowed to dry in a dry box overnight prior to the contact angle measurements.
- All other surfaces were used as received. After preparation and treatment, each sample was cut into several smaller pieces, some of which were used for the contact angle measurements, and some for coating with the PDA solution. To coat the substrates, mixtures of diacetylene monomer as prepared in Example 6 and DMPC (6:4) were weighed into vials and suspended in HEPES buffer (5 mM, pH=7.2) to produce a 1 mM solution. The solutions were then probe sonicated using a Model XL2020 probe sonicator (commercially available from Misonix, Inc.; Farmington, N.Y.) for 1 minute at a power setting of 5, and then placed into a 4° C. refrigerator overnight (˜16 hours). The samples were filtered through a 1.2 μm syringe filter and a stirred solution was polymerized by irradiating the sample beneath a 254 nm UV lamp at a distance of 3 cm for 20 minutes, resulting in the observation of a blue color. Using a syringe, several spots (40 μl each) of the polymerized solutions were placed onto a series of substrates specified in Table 1. The solutions were allowed to dry at room temperature, and the resulting color of the spots was recorded.
- The complete disclosures of the patents, patent documents, and publications cited herein are incorporated by reference in their entirety as if each were individually incorporated. Various modifications and alterations to this invention will become apparent to those skilled in the art without departing from the scope and spirit of this invention. It should be understood that this invention is not intended to be unduly limited by the illustrative embodiments set forth herein and that such embodiments are presented by way of example only, with the scope of the invention intended to be limited only by the claims.
Claims (59)
1. A colorimetric sensor for detecting an analyte, comprising:
a receptor; and
and a polymerized composition comprising at least one compound of the formula
wherein R1 comprises
R2 comprises
R3, R8, R13, R21, R31, R24, R31 and R33 are independently C1-C20 alkyl;
R4, R5, R7, R14, R16, R19, R20, R22, R25, and R32 are independently C1-C14 alkylene;
R6, R15, R18, and R26 are independently C1-C14 alkylene, C2-C8 alkenylene, or C6-C13 arylene;
R9 is C1-C14 alkylene or —NR34—;
R10, R12, R27, and R29 are independently C1-C14 alkylene or (C1-C14 alkylene)-(C2-C8 arylene);
R11 and R28 are independently C2-C30 alkynyl;
R17 is an ester-activating group;
R23 is C6-C13 arylene;
R30 is C1-C14 alkylene or —NR36—;
R34, and R36 are C1-C4 alkyl;
p is 1-5;
n is 1-20;
wherein R1 and R2 are not the same;
wherein the receptor is incorporated into the polymerized composition to form a transducer; and
wherein the transducer exhibits a color change when contacted with an analyte.
2. The sensor of claim 1 , wherein R1 is dodecyl or hexadecyl.
3. The sensor of claim 1 , wherein R3 is undecyl or pentadecyl.
4. The sensor of claim 1 , wherein R24 is methyl, ethyl, propyl, butyl, pentyl, hexyl, heptyl, octyl, nonyl, or dodecyl.
5. The sensor of claim 1 , wherein R33 is dodecyl, tetradecyl, hexadecyl, or octadecyl.
6. The sensor of claim 1 , wherein R4 is methylene, trimethylene, or tetramethylene.
7. The sensor of claim 1 , wherein R5 is ethylene or trimethylene.
8. The sensor of claim 1 , wherein R7, R16, R19, R20 and R25 are independently ethylene, trimethylene, tetramethylene, pentamethylene, hexamethylene, heptamethylene, octamethylene, or nonamethylene.
9. The sensor of claim 1 , wherein R20 is methylene, trimethylene, or tetramethylene.
10. The sensor of claim 1 , wherein R22 is ethylene, trimethylene, or tetramethylene.
11. The sensor of claim 1 , wherein R32 is ethylene, trimethylene, tetramethylene, pentamethylene, or hexamethylene.
12. The sensor of claim 1 , wherein R6, R15, R18, and R26 are independently ethylene, trimethylene, ethenylene, or phenylene.
13. The sensor of claim 1 , wherein R8 and R31 are independently C1-C14 alkyl.
14. The sensor of claim 15 , wherein R8 and R31 are independently butyl, pentyl or hexyl.
15. The sensor of claim 1 , wherein R9 and R30 are independently methylene, —NH—, —N(CH2CH3)—, or —N(CH3)—.
16. The sensor of claim 1 , wherein R10, R12, R27, and R29 are independently methylene, ethylene, trimethylene, tetramethylene, —C(CH3)2—, —CH((CH2)t-4CH3)—, or —CH2-phenylene.
17. The sensor of claim 1 , wherein R11 and R28 are independently C2-C30 alkynyl having at least two carbon-carbon triple bonds.
18. The sensor of claim 19 , wherein R11 and R28 are independently —(CH2)8—C≡C—C≡C—(CH2)9CH3, or —(CH2)8—C≡C—C≡C—(CH2)11CH3.
19. The sensor of claim 1 , wherein R13 is C1-C4 alkyl.
20. The sensor of claim 1 , wherein R14 is C1-C4 alkylene.
21. The sensor of claim 1 , wherein R17 is 2,5-dioxo-1-pyrrolidinyl.
22. The sensor of claim 1 , wherein R23 is phenylene.
23. The sensor of claim 1 , wherein n is 1-20, 3-17, 6-14, or 9-11.
24. The sensor of claim 1 , wherein p is 1 or 2.
25. The sensor of claim 1 wherein R1 is
wherein R7 is ethylene, trimethylene, tetramethylene, pentamethylene, hexamethylene, heptamethylene, octamethylene, or nonamethylene, and R1 is ethylene, trimethylene, ethenylene, or phenylene; and
wherein R2 is
wherein R20 is ethylene, trimethylene, tetramethylene, pentamethylene, hexamethylene, heptamethylene, octamethylene, or nonamethylene, and wherein R21 is undecyl, tridecyl, pentadecyl, heptadecyl; and
wherein p is 1.
27. The sensor of claim 1 , wherein the receptor is selected from the group consisting of phospholipid and glycerol.
28. The sensor of claim 1 , wherein the transducer is dispersed in an aqueous solution.
29. The sensor of claim 1 , wherein the transducer is coated on a substrate.
30. The sensor of claim 29 , wherein the substrate exhibits a contact angle less than 50 degrees using methylene iodide.
31. The sensor of claim 30 , wherein the substrate is selected from the group consisting of silica gel plate, paper, glass, textured photo paper, gloss photo paper, and microporous film.
32. The sensor of claim 1 , wherein the receptor is integrated into the polymerized composition by physical mixing.
33. The sensor of claim 1 , wherein the receptor is covalently bonded to the polymerized composition.
34. A method for the detection of an analyte, comprising
forming a colorimetric sensor, comprising a receptor and a polymerized composition of the formula
wherein R1 comprises
R2 comprises
R3, R8, R13, R21, R24, R31 and R33 are independently C1-C20 alkyl;
R4, R5, R7, R14, R16, R19, R20, R22, R25, and R32 are independently C1-C14 alkylene;
R6, R15, R18, and R26 are independently C1-C14 alkylene, C2-C8 alkenylene, or C6-C13 arylene;
R9 is C1-C14 alkylene or —NR34—;
R10, R12, R27, and R29 are independently C1-C14 alkylene or (C1-C14 alkylene)-(C2-C8 arylene);
R11 and R28 are independently C2-C30 alkynyl;
R17 is an ester-activating group;
R23 is C6-C13 arylene;
R30 is C1-C14 alkylene or —NR36—;
R34, and R36 are C3-C4 alkyl;
p is 1-5;
n is 1-20;
, wherein R1 and R2 are not the same;
wherein the receptor is incorporated into the polymerized composition to form a transducer capable of exhibiting a color change;
contacting the sensor with an analyte; and
observing a color change if the analyte is present.
35. The sensor of claim 34 , wherein the transducer is dispersed in an aqueous solution.
36. The method of claim 34 , wherein the transducer is coated on a substrate.
37. The method of claim 36 , wherein the substrate exhibits a contact angle less than 50 degrees using methylene iodide.
38. The sensor of claim 30 , wherein the substrate is selected from the group consisting of silica gel plate, paper, glass, textured photo paper, gloss photo paper, and microporous film.
39. The sensor of claim 34 , wherein the receptor is integrated into the polymerized composition by physical mixing.
40. The sensor of claim 34 , wherein the receptor is covalently bonded to the polymerized composition.
41. A method for the detection of an analyte, comprising
forming a colorimetric sensor, comprising a receptor and a polymerized composition of the formula
wherein R1 comprises
R2 comprises
R3, R8, R13, R21, R24, R31 and R33 are independently C1-C20alkyl;
R4, R5, R7, R14, R16, R19, R20, R22, R25, and R32 are independently C1-1 alkylene;
R6, R15, R18, and R26 are independently C1-C14 alkylene, C2-C8 alkenylene, or C6-C13 arylene;
R9 is C1-C14 alkylene or —NR34—;
R10, R12, R27, and R29 are independently C1-C14 alkylene or (C1-C14 alkylene)-(C2-C8 arylene);
R11 and R28 are independently C2-C30 alkynyl;
R17 is an ester-activating group;
R23 is C6-C13 arylene;
R30 is C1-C14 alkylene or —NR36—;
R34 and R16 are C1-C4 alkyl;
p is 1-5;
n is 1-20;
wherein R1 and R2 are not the same; and
wherein the receptor is incorporated into the polymerized composition to form a transducer capable of exhibiting a color change;
contacting the transducer with an analyte;
contacting the transducer with a probe that has an affinity for both the analyte and the receptor; and
observing no color change if the analyte is present.
42. The method of claim 41 , wherein the probe and analyte are combined to form a mixture before contacting the transducer.
43. The method of claim 41 , wherein the transducer is dispersed in an aqueous solution.
44. The method of claim 41 , wherein the transducer is coated on a substrate.
45. The method of claim 44 , wherein the substrate exhibits a contact angle less than 50 degrees using methylene iodide.
46. The method of claim 45 , wherein the substrate is selected from the group consisting of silica gel plate, paper, glass, textured photo paper, gloss photo paper, and microporous film.
47. The method of claim 41 , wherein the receptor is integrated into the polymerized composition by physical mixing.
48. The method of claim 41 , wherein the receptor is covalently bonded to the polymerized composition.
49. The method of claim 41 , wherein the probe comprises a membrane disrupting peptide.
50. The method of claim 49 , wherein the probe is selected from the group consisting of alamethicin, magainin, gramicidin, polymyxin B sulfate, and melittin.
51. The method of claim 41 , wherein the analyte is selected from the group consisting of gram-negative bacteria and endotoxin.
52. A disposable kit for detecting the presence of an analyte, comprising:
one or more transducers comprising a receptor and a polymerized composition of the formula
wherein R1 comprises
R2 comprises
R3, R8, R13, R21, R24, R31 and R33 are independently C1-C20 alkyl;
R4, R5, R7, R14, R16, R19, R20, R22, R25 and R32 are independently C1-C14alkylene;
R6, R15, R18, and R26 are independently C1-C14 alkylene, C2-C8 alkenylene, or C6-C13 arylene;
R9 is C1-C14 alkylene or —NR34—;
R10, R12, R27, and R29 are independently C1-C14 alkylene or (C1-C14 alkylene)-(C2-C8 arylene);
R11 and R28 are independently C2-C30 alkynyl;
R17 is an ester-activating group;
R23 is C6-C13 arylene;
R30 is C1-C14 alkylene or —NR36—;
R34, and R36 are C1-C4 alkyl;
p is 1-5;
n is 1-20;
wherein R1 and R2 are not the same; and wherein the receptor is integrated with the polymerized composition to form a transducer capable of exhibiting a color change;
and a means for contacting the transducer with an analyte.
53. The kit of claim 52 , further comprising one or more probes with an affinity to the receptor and one or more analytes; wherein the probe is physically separated from the transducer until the kit is used.
54. The kit of claim 52 , wherein one or more transducers are dispersed in an aqueous solution.
55. The kit of claim 52 , wherein one or more transducers are coated on a substrate to form an array.
56. The method of claim 55 , wherein the substrate exhibits a contact angle less than 50 degrees using methylene iodide.
57. The sensor of claim 56 , wherein the substrate is selected from the group consisting of silica gel plate, paper, glass, textured photo paper, gloss photo paper, and microporous film.
58. The kit of claim 52 , wherein the receptor is integrated into the polymerized composition by physical mixing.
59. The kit of claim 52 , wherein the receptor is covalently bonded to the polymerized composition.
Priority Applications (16)
| Application Number | Priority Date | Filing Date | Title |
|---|---|---|---|
| US10/325,801 US20040126897A1 (en) | 2002-12-19 | 2002-12-19 | Colorimetric sensors constructed of diacetylene materials |
| US10/738,573 US7364918B2 (en) | 2002-12-19 | 2003-12-16 | Colorimetric sensors constructed of diacetylene materials |
| TW092135981A TW200502550A (en) | 2002-12-19 | 2003-12-18 | Colorimetric sensors constructed of diacetylene materials |
| AU2003301171A AU2003301171B8 (en) | 2002-12-19 | 2003-12-19 | Colorimetric sensors constructed of diacetylene materials |
| EP03813810A EP1579210B1 (en) | 2002-12-19 | 2003-12-19 | Colorimetric sensors constructed of diacetylene materials |
| DE60314290T DE60314290T2 (en) | 2002-12-19 | 2003-12-19 | POLYIMETRIC SENSORS MANUFACTURED FROM POLYDIACETYLENE. |
| MXPA05006445A MXPA05006445A (en) | 2002-12-19 | 2003-12-19 | Colorimetric sensors constructed of diacetylene materials. |
| DK03813810T DK1579210T3 (en) | 2002-12-19 | 2003-12-19 | Colorimetric sensors constructed from diacetylene materials |
| CN200380107097A CN100578226C (en) | 2002-12-19 | 2003-12-19 | Colorimetric sensor made of diacetylene material |
| BR0317472-7A BR0317472A (en) | 2002-12-19 | 2003-12-19 | Colorimetric sensor and method for detecting an analyte, disposable kit for detecting the presence of an analyte, method for detecting the presence of bacteria, and, medical article |
| JP2004562334A JP4402597B2 (en) | 2002-12-19 | 2003-12-19 | Colorimetric sensor constructed from diacetylene materials |
| PCT/US2003/040714 WO2004057331A1 (en) | 2002-12-19 | 2003-12-19 | Colorimetric sensors constructed of diacetylene materials |
| ES03813810T ES2286511T3 (en) | 2002-12-19 | 2003-12-19 | COLORIMETRIC SENSORS BUILT OF DIACETILENE MATERIALS. |
| CA2510030A CA2510030C (en) | 2002-12-19 | 2003-12-19 | Colorimetric sensors constructed of diacetylene materials |
| AT03813810T ATE364176T1 (en) | 2002-12-19 | 2003-12-19 | COLORIMETRIC SENSORS MADE OF POLYDIACETYLENE. |
| ZA200505741A ZA200505741B (en) | 2002-12-19 | 2005-07-18 | Colorimetic sensors constructed of diacetylene materials |
Applications Claiming Priority (1)
| Application Number | Priority Date | Filing Date | Title |
|---|---|---|---|
| US10/325,801 US20040126897A1 (en) | 2002-12-19 | 2002-12-19 | Colorimetric sensors constructed of diacetylene materials |
Related Child Applications (1)
| Application Number | Title | Priority Date | Filing Date |
|---|---|---|---|
| US10/738,573 Continuation-In-Part US7364918B2 (en) | 2002-12-19 | 2003-12-16 | Colorimetric sensors constructed of diacetylene materials |
Publications (1)
| Publication Number | Publication Date |
|---|---|
| US20040126897A1 true US20040126897A1 (en) | 2004-07-01 |
Family
ID=32654251
Family Applications (2)
| Application Number | Title | Priority Date | Filing Date |
|---|---|---|---|
| US10/325,801 Abandoned US20040126897A1 (en) | 2002-12-19 | 2002-12-19 | Colorimetric sensors constructed of diacetylene materials |
| US10/738,573 Expired - Fee Related US7364918B2 (en) | 2002-12-19 | 2003-12-16 | Colorimetric sensors constructed of diacetylene materials |
Family Applications After (1)
| Application Number | Title | Priority Date | Filing Date |
|---|---|---|---|
| US10/738,573 Expired - Fee Related US7364918B2 (en) | 2002-12-19 | 2003-12-16 | Colorimetric sensors constructed of diacetylene materials |
Country Status (4)
| Country | Link |
|---|---|
| US (2) | US20040126897A1 (en) |
| CN (1) | CN100578226C (en) |
| TW (1) | TW200502550A (en) |
| ZA (1) | ZA200505741B (en) |
Cited By (21)
| Publication number | Priority date | Publication date | Assignee | Title |
|---|---|---|---|---|
| US20040132217A1 (en) * | 2002-12-19 | 2004-07-08 | 3M Innovative Properties Company | Colorimetric sensors constructed of diacetylene materials |
| US20050245712A1 (en) * | 2002-12-19 | 2005-11-03 | 3M Innovative Properties Company | Diacetylenic materials for sensing applications |
| US20060041099A1 (en) * | 2004-08-19 | 2006-02-23 | Cernohous Jeffrey J | Polydiacetylene polymer compositions and methods of manufacture |
| US20060134796A1 (en) * | 2004-12-17 | 2006-06-22 | 3M Innovative Properties Company | Colorimetric sensors constructed of diacetylene materials |
| US20060263323A1 (en) * | 2003-03-24 | 2006-11-23 | Becton, Dickinson And Company | Invisible antimicrobial glove and hand antiseptic |
| WO2006077586A3 (en) * | 2005-01-19 | 2007-08-02 | Univ Ben Gurion | Polydiacetylene-containing solid colorimetric and/or fluorescent detector, method for its preparation and uses thereof |
| US20070287989A1 (en) * | 2006-05-08 | 2007-12-13 | Becton, Dickinson & Company | Vascular access device pathogenic status indication |
| US20080060550A1 (en) * | 2006-09-12 | 2008-03-13 | Macdonald Gavin | Color changing skin sealant with co-acid trigger |
| US20080063615A1 (en) * | 2006-09-12 | 2008-03-13 | Macdonald John Gavin | Color changing skin sealant |
| US7371511B2 (en) | 2004-08-19 | 2008-05-13 | 3M Innovative Properties Company | Polydiacetylene polymer blends |
| US20080145316A1 (en) * | 2006-12-14 | 2008-06-19 | Macdonald John Gavin | Skin coating with microbial indicator |
| KR100848106B1 (en) | 2006-12-14 | 2008-07-24 | 고려대학교 산학협력단 | Polydiacetylene sensor chip containing aptamer and its manufacturing method |
| US20090123569A1 (en) * | 2007-11-08 | 2009-05-14 | Macdonald John Gavin | Coverage indicating technology for skin sealants using tannates |
| US20090302379A1 (en) * | 2005-06-14 | 2009-12-10 | Masaru Takaishi | Semiconductor Device |
| US20100041077A1 (en) * | 2006-11-13 | 2010-02-18 | Jon Owen Nagy | Pesticide biomarker |
| US20100166604A1 (en) * | 2008-09-04 | 2010-07-01 | Lim Sung H | Colorimetric sensor arrays based on nanoporous pigments |
| US20110091903A1 (en) * | 2007-11-20 | 2011-04-21 | Bommarito G Marco | Method of analyzing a sample for a bacterium using diacetylene-containing polymer sensor |
| US20110097814A1 (en) * | 2007-11-20 | 2011-04-28 | Bommarito G Marco | Detection devices and methods |
| US20110166043A1 (en) * | 2007-11-14 | 2011-07-07 | Jon Owen Nagy | Biomarker detection-2 |
| CN110217492A (en) * | 2019-05-22 | 2019-09-10 | 惠州市华星光电技术有限公司 | Packing case with checking function |
| TWI723618B (en) * | 2019-09-12 | 2021-04-01 | 大陸商長江存儲科技有限責任公司 | Electronic component comprising substrate with thermal indicator |
Families Citing this family (20)
| Publication number | Priority date | Publication date | Assignee | Title |
|---|---|---|---|---|
| US20050153370A1 (en) * | 2003-12-30 | 2005-07-14 | 3M Innovative Properties Company | Method of enhancing signal detection of cell-wall components of cells |
| US7909773B2 (en) * | 2005-06-03 | 2011-03-22 | Tyco Healthcare Group Lp | Post-operative bacteria test strip spool and method |
| TW200712495A (en) * | 2005-08-02 | 2007-04-01 | 3M Innovative Properties Co | Apparatus and method for detecting an analyte |
| TW200714898A (en) | 2005-08-02 | 2007-04-16 | 3M Innovative Properties Co | Apparatus and method for detecting an analyte |
| TW200712487A (en) * | 2005-08-02 | 2007-04-01 | 3M Innovative Properties Co | Apparatus and method for detecting an analyte |
| TW200712489A (en) * | 2005-08-02 | 2007-04-01 | 3M Innovative Properties Co | Apparatus assembly and method for detecting an analyte |
| US20090030342A1 (en) * | 2007-07-27 | 2009-01-29 | 3M Innovative Properties Company | Apparatus and method for releasing a sample of material |
| CN101795770A (en) * | 2007-08-27 | 2010-08-04 | 3M创新有限公司 | Apparatus and method for processing a fluidic sample |
| FR2954911A1 (en) | 2010-01-04 | 2011-07-08 | Commissariat Energie Atomique | METHOD FOR DETECTING AN ANALYTE IN A BODILY FLUID |
| CN102243230A (en) * | 2011-04-11 | 2011-11-16 | 浙江工商大学 | Colour-changing sensor for rapidly detecting melamine and preparation method thereof |
| KR101208659B1 (en) | 2011-08-30 | 2012-12-05 | 한국기계연구원 | Detection method using colorimetric analysis |
| CN102841058A (en) * | 2012-08-30 | 2012-12-26 | 山西华诚睿光生物科技有限公司 | Detection method for number of body cells in milk |
| US11717447B2 (en) | 2016-05-13 | 2023-08-08 | Smith & Nephew Plc | Sensor enabled wound monitoring and therapy apparatus |
| GB201614053D0 (en) * | 2016-08-17 | 2016-09-28 | Microarray Ltd | Determining the condition of a wound |
| JP7511468B2 (en) | 2017-08-10 | 2024-07-05 | スミス アンド ネフュー ピーエルシー | Sensor Placement for Sensor-Enabled Wound Monitoring or Treatment |
| CN109254002A (en) * | 2018-11-12 | 2019-01-22 | 四川大学 | The identification signal of biomarker is converted into the labeling method and application of visible Optical Chromatography |
| CN110687106B (en) * | 2019-10-14 | 2021-02-02 | 武汉大学 | Paper-based color-comparison type sensing array label and preparation method and application thereof |
| CN111150876B (en) * | 2020-01-06 | 2020-12-01 | 中国科学院长春应用化学研究所 | Band-aid for drug resistance visualization and preparation method thereof |
| IT202000009727A1 (en) * | 2020-05-04 | 2021-11-04 | Dg Group S P A | COLORIMETRIC SENSOR FOR THE DETECTION OF BACTERIA AND/OR VIRUSES |
| CN114062199B (en) * | 2020-07-31 | 2024-07-16 | 中国石油化工股份有限公司 | Method and device for testing surface energy of solid material |
Citations (24)
| Publication number | Priority date | Publication date | Assignee | Title |
|---|---|---|---|---|
| US3999946A (en) * | 1976-02-23 | 1976-12-28 | Allied Chemical Corporation | Time-temperature history indicators |
| US4189399A (en) * | 1977-07-19 | 1980-02-19 | Allied Chemical Corporation | Co-crystallized acetylenic compounds |
| US4228126A (en) * | 1977-11-25 | 1980-10-14 | Allied Chemical Corporation | Diacetylene time-temperature indicators |
| US4235108A (en) * | 1978-11-13 | 1980-11-25 | Allied Chemical Corporation | Device for measuring temperature using co-crystallized acetylenic compositions |
| US4339240A (en) * | 1980-05-07 | 1982-07-13 | Allied Corporation | Color changing polyacetylenic compounds |
| US4389217A (en) * | 1979-05-11 | 1983-06-21 | Allied Corporation | Integrated time-temperature or radiation-dosage history recording device |
| US5156810A (en) * | 1989-06-15 | 1992-10-20 | Biocircuits Corporation | Biosensors employing electrical, optical and mechanical signals |
| US5491097A (en) * | 1989-06-15 | 1996-02-13 | Biocircuits Corporation | Analyte detection with multilayered bioelectronic conductivity sensors |
| US5618735A (en) * | 1993-07-09 | 1997-04-08 | Biocircuits Corporation | Fluorescent lipid polymer-macromolecular ligand compositions |
| US5660993A (en) * | 1993-02-18 | 1997-08-26 | Biocircuits Corporation | Disposable device in diagnostic assays |
| US5672465A (en) * | 1990-04-09 | 1997-09-30 | Jp Laboratories, Inc. | Polyethyleneimine binder complex films |
| US5685641A (en) * | 1996-01-16 | 1997-11-11 | Ribi; Hans O. | Devices for rapid temperature detection |
| US5798215A (en) * | 1993-02-18 | 1998-08-25 | Biocircuits Corporation | Device for use in analyte detection assays |
| US6046455A (en) * | 1998-01-30 | 2000-04-04 | Segan Industries | Integrating ultraviolet exposure detection devices |
| US6080423A (en) * | 1994-08-11 | 2000-06-27 | Regents Of The University Of California | Three dimensional colorimetric assay assemblies |
| US6183772B1 (en) * | 1995-02-13 | 2001-02-06 | The Reagents Of The University Of California | Doped colorimetric assay liposomes |
| US6277652B1 (en) * | 1997-12-26 | 2001-08-21 | Hogy Medical Co., Ltd. | Colorimetric sensor employing polydiacetylene membrane |
| US6299897B1 (en) * | 1996-03-01 | 2001-10-09 | The Regents Of The University Of California | Inhibition of selectin binding |
| US6306598B1 (en) * | 1992-11-13 | 2001-10-23 | Regents Of The University Of California | Nucleic acid-coupled colorimetric analyte detectors |
| US6361962B1 (en) * | 1998-10-06 | 2002-03-26 | Verseau Group | Toxin detector |
| US6375871B1 (en) * | 1998-06-18 | 2002-04-23 | 3M Innovative Properties Company | Methods of manufacturing microfluidic articles |
| US6387614B1 (en) * | 1999-07-07 | 2002-05-14 | The Regents Of The University Of California | Methods for using redox liposome biosensors |
| US6395561B1 (en) * | 1992-11-13 | 2002-05-28 | Regents Of The University Of California | Polymeric assay film for direct colorimetric detection |
| US6451191B1 (en) * | 1999-11-18 | 2002-09-17 | 3M Innovative Properties Company | Film based addressable programmable electronic matrix articles and methods of manufacturing and using the same |
Family Cites Families (38)
| Publication number | Priority date | Publication date | Assignee | Title |
|---|---|---|---|---|
| US429917A (en) * | 1890-06-10 | Header-brake | ||
| BE754567A (en) * | 1969-08-09 | 1971-02-08 | Basf Ag | IRRADIATION CURABLE MATERIALS, BASED ON POLYMERS WITH NON-SATURATED ETHYLENICALLY REPEATED GROUPS |
| US3785929A (en) | 1971-11-30 | 1974-01-15 | Warner Lambert Co | Diagnostic composition for the detection of nitrite |
| DE2436598C2 (en) | 1974-07-30 | 1983-04-07 | Boehringer Mannheim Gmbh, 6800 Mannheim | Stable test strip for the detection of ingredients in liquids |
| US4215208A (en) * | 1977-10-05 | 1980-07-29 | Allied Chemical Corporation | Thermochromic polyacetylenes containing urethane groups |
| US4195058A (en) * | 1978-08-30 | 1980-03-25 | Allied Chemical Corporation | Vapor permeation time-temperature indicator |
| US4238352A (en) * | 1978-11-13 | 1980-12-09 | Allied Chemical Corporation | Co-polymerized acetylenic compositions |
| DE2905531A1 (en) | 1979-02-14 | 1981-01-08 | Boehringer Mannheim Gmbh | DIAGNOSTIC AGENT FOR DETECTING LEUCOCYTES IN BODY LIQUIDS |
| IL61951A (en) * | 1981-01-21 | 1984-01-31 | Univ Ben Gurion | Method and apparatus for detecting nitrite ions in fluids |
| US4735745A (en) * | 1982-05-03 | 1988-04-05 | Lifelines Technology, Inc. | Defrost indicator |
| US4767826A (en) * | 1985-07-18 | 1988-08-30 | Polytechnic Institute Of New York | Radiation-sensitive polymers |
| US4721769A (en) * | 1985-10-18 | 1988-01-26 | Gte Laboratories Incorporated | Diacetylene segmented copolymers |
| US4849500A (en) * | 1986-03-07 | 1989-07-18 | Gte Laboratories Incorporated | Polyamide from diacetylene dicarboxylic acid compound |
| US4916211A (en) * | 1986-03-07 | 1990-04-10 | Gte Laboratories Incorporated | Thermochromic cross polymerized polyamide-diacetylene compound |
| FR2625321B1 (en) * | 1987-12-24 | 1992-10-02 | Pasteur Institut | REAGENT FOR THE DIAGNOSIS OF STAPHYLOCOCCUS AUREUS BY AGGLUTINATION |
| US5420000A (en) | 1990-04-09 | 1995-05-30 | Jp Laboratories, Inc. | Heat fixable high energy radiation imaging film |
| JPH0469358A (en) | 1990-07-09 | 1992-03-04 | Asahi Chem Ind Co Ltd | Asymmetric diacetylene compound |
| KR960016331B1 (en) * | 1990-08-29 | 1996-12-09 | 가부시끼가이샤 시마즈 세이사구쇼 | Absorbance detector |
| FR2679923B1 (en) | 1991-08-02 | 1993-10-22 | Bio Merieux | REAGENT FOR THE IDENTIFICATION OF BACTERIA OF THE SPECIES STAPHYLOCCOCUS AUREUS. |
| US6022748A (en) | 1997-08-29 | 2000-02-08 | Sandia Corporation - New Mexico Regents Of The University Of California | Sol-gel matrices for direct colorimetric detection of analytes |
| US6103217A (en) * | 1994-08-11 | 2000-08-15 | The Regents Of The University Of California | Polymeric assemblies for sensitive colorimetric assays |
| AU715827B2 (en) * | 1995-06-22 | 2000-02-10 | Minnesota Mining And Manufacturing Company | Stable hydroalcoholic compositions |
| US5753517A (en) * | 1996-03-29 | 1998-05-19 | University Of British Columbia | Quantitative immunochromatographic assays |
| EP1007943A1 (en) * | 1997-02-14 | 2000-06-14 | The Regents Of The University Of California | Protein-coupled colorimetric analyte detectors |
| JPH1128099A (en) | 1997-05-12 | 1999-02-02 | Kikkoman Corp | Detection of staphylococcus aureus |
| US6420622B1 (en) * | 1997-08-01 | 2002-07-16 | 3M Innovative Properties Company | Medical article having fluid control film |
| US6472214B2 (en) * | 1999-05-26 | 2002-10-29 | Jp Labs, Inc. | Freeze monitoring device |
| WO2001071317A1 (en) | 2000-03-20 | 2001-09-27 | Analytical Biological Services, Inc. | Method for detecting an analyte by fluorescence |
| US6607744B1 (en) * | 2000-06-23 | 2003-08-19 | Segan Industries | Ingestibles possessing intrinsic color change |
| US7049152B2 (en) * | 2001-03-13 | 2006-05-23 | The Regents Of The University Of California | Color and shape changing polymeric ribbons and sheets |
| ATE352640T1 (en) | 2001-03-15 | 2007-02-15 | Jacques Schrenzel | DETECTION OF METHICILLIN-RESISTANT STAPHYLOCOCCUS AUREUS BACTERIA (MRSA) |
| FR2822847B1 (en) | 2001-03-30 | 2003-05-09 | Bio Merieux | SPECIFIC DETECTION MEDIA FOR STAPHYLOCOCCUS AUREUS AND IDENTIFICATION AND / OR ENUMERATION METHOD USING SUCH MEDIA |
| US20040126897A1 (en) * | 2002-12-19 | 2004-07-01 | 3M Innovative Properties Company | Colorimetric sensors constructed of diacetylene materials |
| US6963007B2 (en) * | 2002-12-19 | 2005-11-08 | 3M Innovative Properties Company | Diacetylenic materials for sensing applications |
| US20050153370A1 (en) * | 2003-12-30 | 2005-07-14 | 3M Innovative Properties Company | Method of enhancing signal detection of cell-wall components of cells |
| US7371511B2 (en) * | 2004-08-19 | 2008-05-13 | 3M Innovative Properties Company | Polydiacetylene polymer blends |
| US7816472B2 (en) * | 2004-08-19 | 2010-10-19 | 3M Innovative Properties Company | Polydiacetylene polymer compositions and methods of manufacture |
| CA2590867A1 (en) * | 2004-12-17 | 2006-07-13 | 3M Innovative Properties Company | Colorimetric sensors constructed of diacetylene materials |
-
2002
- 2002-12-19 US US10/325,801 patent/US20040126897A1/en not_active Abandoned
-
2003
- 2003-12-16 US US10/738,573 patent/US7364918B2/en not_active Expired - Fee Related
- 2003-12-18 TW TW092135981A patent/TW200502550A/en unknown
- 2003-12-19 CN CN200380107097A patent/CN100578226C/en not_active Expired - Fee Related
-
2005
- 2005-07-18 ZA ZA200505741A patent/ZA200505741B/en unknown
Patent Citations (26)
| Publication number | Priority date | Publication date | Assignee | Title |
|---|---|---|---|---|
| US3999946A (en) * | 1976-02-23 | 1976-12-28 | Allied Chemical Corporation | Time-temperature history indicators |
| US4189399A (en) * | 1977-07-19 | 1980-02-19 | Allied Chemical Corporation | Co-crystallized acetylenic compounds |
| US4228126A (en) * | 1977-11-25 | 1980-10-14 | Allied Chemical Corporation | Diacetylene time-temperature indicators |
| US4235108A (en) * | 1978-11-13 | 1980-11-25 | Allied Chemical Corporation | Device for measuring temperature using co-crystallized acetylenic compositions |
| US4389217A (en) * | 1979-05-11 | 1983-06-21 | Allied Corporation | Integrated time-temperature or radiation-dosage history recording device |
| US4339240A (en) * | 1980-05-07 | 1982-07-13 | Allied Corporation | Color changing polyacetylenic compounds |
| US5622872A (en) * | 1989-06-15 | 1997-04-22 | Biocircuits Corporation | Analyte detection through observed optical modulation of polymerized lipid layers |
| US5156810A (en) * | 1989-06-15 | 1992-10-20 | Biocircuits Corporation | Biosensors employing electrical, optical and mechanical signals |
| US5491097A (en) * | 1989-06-15 | 1996-02-13 | Biocircuits Corporation | Analyte detection with multilayered bioelectronic conductivity sensors |
| US5571568A (en) * | 1989-06-15 | 1996-11-05 | Biocircuits Corporation | Multilayered bioelectronic sensors |
| US5672465A (en) * | 1990-04-09 | 1997-09-30 | Jp Laboratories, Inc. | Polyethyleneimine binder complex films |
| US6306598B1 (en) * | 1992-11-13 | 2001-10-23 | Regents Of The University Of California | Nucleic acid-coupled colorimetric analyte detectors |
| US6395561B1 (en) * | 1992-11-13 | 2002-05-28 | Regents Of The University Of California | Polymeric assay film for direct colorimetric detection |
| US5798215A (en) * | 1993-02-18 | 1998-08-25 | Biocircuits Corporation | Device for use in analyte detection assays |
| US5660993A (en) * | 1993-02-18 | 1997-08-26 | Biocircuits Corporation | Disposable device in diagnostic assays |
| US5618735A (en) * | 1993-07-09 | 1997-04-08 | Biocircuits Corporation | Fluorescent lipid polymer-macromolecular ligand compositions |
| US6080423A (en) * | 1994-08-11 | 2000-06-27 | Regents Of The University Of California | Three dimensional colorimetric assay assemblies |
| US6183772B1 (en) * | 1995-02-13 | 2001-02-06 | The Reagents Of The University Of California | Doped colorimetric assay liposomes |
| US5685641A (en) * | 1996-01-16 | 1997-11-11 | Ribi; Hans O. | Devices for rapid temperature detection |
| US6299897B1 (en) * | 1996-03-01 | 2001-10-09 | The Regents Of The University Of California | Inhibition of selectin binding |
| US6277652B1 (en) * | 1997-12-26 | 2001-08-21 | Hogy Medical Co., Ltd. | Colorimetric sensor employing polydiacetylene membrane |
| US6046455A (en) * | 1998-01-30 | 2000-04-04 | Segan Industries | Integrating ultraviolet exposure detection devices |
| US6375871B1 (en) * | 1998-06-18 | 2002-04-23 | 3M Innovative Properties Company | Methods of manufacturing microfluidic articles |
| US6361962B1 (en) * | 1998-10-06 | 2002-03-26 | Verseau Group | Toxin detector |
| US6387614B1 (en) * | 1999-07-07 | 2002-05-14 | The Regents Of The University Of California | Methods for using redox liposome biosensors |
| US6451191B1 (en) * | 1999-11-18 | 2002-09-17 | 3M Innovative Properties Company | Film based addressable programmable electronic matrix articles and methods of manufacturing and using the same |
Cited By (32)
| Publication number | Priority date | Publication date | Assignee | Title |
|---|---|---|---|---|
| US8063164B2 (en) | 2002-12-19 | 2011-11-22 | 3M Innovative Properties Company | Diacetylenic materials for sensing applications |
| US20040132217A1 (en) * | 2002-12-19 | 2004-07-08 | 3M Innovative Properties Company | Colorimetric sensors constructed of diacetylene materials |
| US7816473B2 (en) * | 2002-12-19 | 2010-10-19 | 3M Innovative Properties Company | Diacetylenic materials for sensing applications |
| US7364918B2 (en) | 2002-12-19 | 2008-04-29 | 3M Innovative Properties Company | Colorimetric sensors constructed of diacetylene materials |
| US20050245712A1 (en) * | 2002-12-19 | 2005-11-03 | 3M Innovative Properties Company | Diacetylenic materials for sensing applications |
| US20060263323A1 (en) * | 2003-03-24 | 2006-11-23 | Becton, Dickinson And Company | Invisible antimicrobial glove and hand antiseptic |
| US7488757B2 (en) | 2003-03-24 | 2009-02-10 | Becton, Dickinson And Company | Invisible antimicrobial glove and hand antiseptic |
| WO2006023625A1 (en) * | 2004-08-19 | 2006-03-02 | 3M Innovative Properties Company | Polydiacetylene polymer compositions and methods of manufacture |
| US7371511B2 (en) | 2004-08-19 | 2008-05-13 | 3M Innovative Properties Company | Polydiacetylene polymer blends |
| US7816472B2 (en) | 2004-08-19 | 2010-10-19 | 3M Innovative Properties Company | Polydiacetylene polymer compositions and methods of manufacture |
| US20060041099A1 (en) * | 2004-08-19 | 2006-02-23 | Cernohous Jeffrey J | Polydiacetylene polymer compositions and methods of manufacture |
| US20060134796A1 (en) * | 2004-12-17 | 2006-06-22 | 3M Innovative Properties Company | Colorimetric sensors constructed of diacetylene materials |
| US20080193967A1 (en) * | 2004-12-17 | 2008-08-14 | Bommarito G Marco | Colorimetric Sensor Constructed Of Diacetylene Materials |
| WO2006077586A3 (en) * | 2005-01-19 | 2007-08-02 | Univ Ben Gurion | Polydiacetylene-containing solid colorimetric and/or fluorescent detector, method for its preparation and uses thereof |
| US7939884B2 (en) | 2005-06-14 | 2011-05-10 | Rohm Co., Ltd. | Semiconductor device |
| US20090302379A1 (en) * | 2005-06-14 | 2009-12-10 | Masaru Takaishi | Semiconductor Device |
| US20070287989A1 (en) * | 2006-05-08 | 2007-12-13 | Becton, Dickinson & Company | Vascular access device pathogenic status indication |
| US8163237B2 (en) | 2006-05-08 | 2012-04-24 | Becton, Dickinson And Company | Vascular access device pathogenic status indication |
| US20080060550A1 (en) * | 2006-09-12 | 2008-03-13 | Macdonald Gavin | Color changing skin sealant with co-acid trigger |
| US20080063615A1 (en) * | 2006-09-12 | 2008-03-13 | Macdonald John Gavin | Color changing skin sealant |
| US20100041077A1 (en) * | 2006-11-13 | 2010-02-18 | Jon Owen Nagy | Pesticide biomarker |
| US20080145316A1 (en) * | 2006-12-14 | 2008-06-19 | Macdonald John Gavin | Skin coating with microbial indicator |
| KR100848106B1 (en) | 2006-12-14 | 2008-07-24 | 고려대학교 산학협력단 | Polydiacetylene sensor chip containing aptamer and its manufacturing method |
| US20090123569A1 (en) * | 2007-11-08 | 2009-05-14 | Macdonald John Gavin | Coverage indicating technology for skin sealants using tannates |
| US20110166043A1 (en) * | 2007-11-14 | 2011-07-07 | Jon Owen Nagy | Biomarker detection-2 |
| US20110091903A1 (en) * | 2007-11-20 | 2011-04-21 | Bommarito G Marco | Method of analyzing a sample for a bacterium using diacetylene-containing polymer sensor |
| US20110097814A1 (en) * | 2007-11-20 | 2011-04-28 | Bommarito G Marco | Detection devices and methods |
| US20100166604A1 (en) * | 2008-09-04 | 2010-07-01 | Lim Sung H | Colorimetric sensor arrays based on nanoporous pigments |
| US9880137B2 (en) | 2008-09-04 | 2018-01-30 | The Board Of Trustees Of The University Of Illinois | Colorimetric sensor arrays based on nanoporous pigments |
| CN110217492A (en) * | 2019-05-22 | 2019-09-10 | 惠州市华星光电技术有限公司 | Packing case with checking function |
| TWI723618B (en) * | 2019-09-12 | 2021-04-01 | 大陸商長江存儲科技有限責任公司 | Electronic component comprising substrate with thermal indicator |
| US11469153B2 (en) | 2019-09-12 | 2022-10-11 | Yangtze Memory Technologies Co., Ltd. | Electronic component comprising substrate with thermal indicator |
Also Published As
| Publication number | Publication date |
|---|---|
| TW200502550A (en) | 2005-01-16 |
| US7364918B2 (en) | 2008-04-29 |
| US20040132217A1 (en) | 2004-07-08 |
| CN1820198A (en) | 2006-08-16 |
| ZA200505741B (en) | 2007-02-28 |
| CN100578226C (en) | 2010-01-06 |
Similar Documents
| Publication | Publication Date | Title |
|---|---|---|
| US7364918B2 (en) | Colorimetric sensors constructed of diacetylene materials | |
| AU2005323131B2 (en) | Colorimetric sensors constructed of diacetylene materials | |
| CA2510030C (en) | Colorimetric sensors constructed of diacetylene materials | |
| US5677126A (en) | Highly specific surface for biological reactions having an exposed ethylenic double bond, process of using the surface, and method for assaying for a molecule using the surface | |
| US5851840A (en) | Biotinsilane compounds and a binding matrix containing these compounds | |
| US20110097814A1 (en) | Detection devices and methods | |
| CA2455427A1 (en) | Sensitive and rapid detection of pathogenic organisms and toxins using fluorescent polymeric lipids | |
| JPH10510159A (en) | Multi-layer analysis element | |
| KR100848106B1 (en) | Polydiacetylene sensor chip containing aptamer and its manufacturing method | |
| KR100848105B1 (en) | Polydiacetylene sensor chip containing protein and its manufacturing method | |
| Gao et al. | Electrochemical immunoassay of estrone at an antibody-modified conducting polymer electrode towards immunobiosensors | |
| AU739219B2 (en) | Highly specific surfaces for biological reactions, method of preparation and utilization | |
| JPH0235363A (en) | Immobilized antibody and test piece for measuring specified antigen in humor |
Legal Events
| Date | Code | Title | Description |
|---|---|---|---|
| AS | Assignment |
Owner name: 3M INNOVATIVE PROPERTIES COMPANY, MINNESOTA Free format text: ASSIGNMENT OF ASSIGNORS INTEREST;ASSIGNORS:PRINCE, RYAN B.;HAYS, DAVID S.;DILLOW, ANGELA K.;AND OTHERS;REEL/FRAME:013627/0376 Effective date: 20021219 |
|
| STCB | Information on status: application discontinuation |
Free format text: EXPRESSLY ABANDONED -- DURING EXAMINATION |














