US20040116355A1 - Caspase inhibitors and the use thereof - Google Patents
Caspase inhibitors and the use thereof Download PDFInfo
- Publication number
- US20040116355A1 US20040116355A1 US10/721,338 US72133803A US2004116355A1 US 20040116355 A1 US20040116355 A1 US 20040116355A1 US 72133803 A US72133803 A US 72133803A US 2004116355 A1 US2004116355 A1 US 2004116355A1
- Authority
- US
- United States
- Prior art keywords
- compound
- asp
- fmk
- val
- cell death
- Prior art date
- Legal status (The legal status is an assumption and is not a legal conclusion. Google has not performed a legal analysis and makes no representation as to the accuracy of the status listed.)
- Abandoned
Links
- 239000003112 inhibitor Substances 0.000 title abstract description 81
- 102000011727 Caspases Human genes 0.000 title abstract description 31
- 108010076667 Caspases Proteins 0.000 title abstract description 31
- 150000001875 compounds Chemical class 0.000 claims abstract description 179
- 230000030833 cell death Effects 0.000 claims abstract description 83
- 230000006907 apoptotic process Effects 0.000 claims abstract description 43
- 210000000056 organ Anatomy 0.000 claims abstract description 18
- -1 acetoxymethyl Chemical group 0.000 claims description 69
- 238000000034 method Methods 0.000 claims description 65
- 210000004027 cell Anatomy 0.000 claims description 42
- 241001465754 Metazoa Species 0.000 claims description 40
- 239000000203 mixture Substances 0.000 claims description 40
- 125000000217 alkyl group Chemical group 0.000 claims description 37
- 229910052739 hydrogen Inorganic materials 0.000 claims description 32
- 239000001257 hydrogen Substances 0.000 claims description 32
- 125000000623 heterocyclic group Chemical group 0.000 claims description 28
- IJGRMHOSHXDMSA-UHFFFAOYSA-N Atomic nitrogen Chemical compound N#N IJGRMHOSHXDMSA-UHFFFAOYSA-N 0.000 claims description 25
- 125000003118 aryl group Chemical group 0.000 claims description 24
- 230000005855 radiation Effects 0.000 claims description 24
- 238000011282 treatment Methods 0.000 claims description 24
- 210000001519 tissue Anatomy 0.000 claims description 22
- 125000000753 cycloalkyl group Chemical group 0.000 claims description 21
- 125000001072 heteroaryl group Chemical group 0.000 claims description 21
- 229910052757 nitrogen Inorganic materials 0.000 claims description 18
- 238000002512 chemotherapy Methods 0.000 claims description 17
- 150000003839 salts Chemical class 0.000 claims description 17
- 230000000694 effects Effects 0.000 claims description 16
- 125000004435 hydrogen atom Chemical group [H]* 0.000 claims description 16
- 238000001959 radiotherapy Methods 0.000 claims description 16
- 201000004384 Alopecia Diseases 0.000 claims description 15
- 206010028980 Neoplasm Diseases 0.000 claims description 15
- 201000011510 cancer Diseases 0.000 claims description 15
- 125000002837 carbocyclic group Chemical group 0.000 claims description 15
- 125000000547 substituted alkyl group Chemical group 0.000 claims description 14
- 230000003676 hair loss Effects 0.000 claims description 13
- 229910052760 oxygen Inorganic materials 0.000 claims description 13
- QWCKQJZIFLGMSD-UHFFFAOYSA-N alpha-aminobutyric acid Chemical group CCC(N)C(O)=O QWCKQJZIFLGMSD-UHFFFAOYSA-N 0.000 claims description 12
- 229940024606 amino acid Drugs 0.000 claims description 12
- 235000001014 amino acid Nutrition 0.000 claims description 12
- 125000004169 (C1-C6) alkyl group Chemical group 0.000 claims description 11
- 206010064147 Gastrointestinal inflammation Diseases 0.000 claims description 11
- 208000018925 gastrointestinal mucositis Diseases 0.000 claims description 11
- 208000024963 hair loss Diseases 0.000 claims description 11
- 230000002265 prevention Effects 0.000 claims description 11
- 150000001413 amino acids Chemical class 0.000 claims description 10
- 210000002798 bone marrow cell Anatomy 0.000 claims description 10
- 125000001475 halogen functional group Chemical group 0.000 claims description 10
- 239000002324 mouth wash Substances 0.000 claims description 10
- 125000000041 C6-C10 aryl group Chemical group 0.000 claims description 9
- 208000023105 Huntington disease Diseases 0.000 claims description 9
- 230000034994 death Effects 0.000 claims description 9
- 238000009472 formulation Methods 0.000 claims description 9
- 239000000651 prodrug Substances 0.000 claims description 9
- 229940002612 prodrug Drugs 0.000 claims description 9
- 210000003491 skin Anatomy 0.000 claims description 9
- LFQSCWFLJHTTHZ-UHFFFAOYSA-N Ethanol Chemical compound CCO LFQSCWFLJHTTHZ-UHFFFAOYSA-N 0.000 claims description 8
- 206010028116 Mucosal inflammation Diseases 0.000 claims description 8
- 201000010927 Mucositis Diseases 0.000 claims description 8
- 210000004209 hair Anatomy 0.000 claims description 8
- 208000028867 ischemia Diseases 0.000 claims description 8
- 229920006395 saturated elastomer Polymers 0.000 claims description 8
- 210000004927 skin cell Anatomy 0.000 claims description 8
- 208000003265 stomatitis Diseases 0.000 claims description 8
- QNAYBMKLOCPYGJ-REOHCLBHSA-N L-alanine Chemical group C[C@H](N)C(O)=O QNAYBMKLOCPYGJ-REOHCLBHSA-N 0.000 claims description 7
- COLNVLDHVKWLRT-QMMMGPOBSA-N L-phenylalanine Chemical group OC(=O)[C@@H](N)CC1=CC=CC=C1 COLNVLDHVKWLRT-QMMMGPOBSA-N 0.000 claims description 7
- 241000124008 Mammalia Species 0.000 claims description 7
- KZSNJWFQEVHDMF-UHFFFAOYSA-N Valine Natural products CC(C)C(N)C(O)=O KZSNJWFQEVHDMF-UHFFFAOYSA-N 0.000 claims description 7
- 125000001495 ethyl group Chemical group [H]C([H])([H])C([H])([H])* 0.000 claims description 7
- 125000004216 fluoromethyl group Chemical group [H]C([H])(F)* 0.000 claims description 7
- 125000002496 methyl group Chemical group [H]C([H])([H])* 0.000 claims description 7
- 239000004474 valine Substances 0.000 claims description 7
- WAMWSIDTKSNDCU-ZETCQYMHSA-N (2s)-2-azaniumyl-2-cyclohexylacetate Chemical group OC(=O)[C@@H](N)C1CCCCC1 WAMWSIDTKSNDCU-ZETCQYMHSA-N 0.000 claims description 6
- UFHFLCQGNIYNRP-UHFFFAOYSA-N Hydrogen Chemical compound [H][H] UFHFLCQGNIYNRP-UHFFFAOYSA-N 0.000 claims description 6
- ZGUNAGUHMKGQNY-ZETCQYMHSA-N L-alpha-phenylglycine zwitterion Chemical group OC(=O)[C@@H](N)C1=CC=CC=C1 ZGUNAGUHMKGQNY-ZETCQYMHSA-N 0.000 claims description 6
- AGPKZVBTJJNPAG-WHFBIAKZSA-N L-isoleucine Chemical group CC[C@H](C)[C@H](N)C(O)=O AGPKZVBTJJNPAG-WHFBIAKZSA-N 0.000 claims description 6
- ROHFNLRQFUQHCH-YFKPBYRVSA-N L-leucine Chemical group CC(C)C[C@H](N)C(O)=O ROHFNLRQFUQHCH-YFKPBYRVSA-N 0.000 claims description 6
- ROHFNLRQFUQHCH-UHFFFAOYSA-N Leucine Chemical group CC(C)CC(N)C(O)=O ROHFNLRQFUQHCH-UHFFFAOYSA-N 0.000 claims description 6
- 206010036774 Proctitis Diseases 0.000 claims description 6
- 125000005042 acyloxymethyl group Chemical group 0.000 claims description 6
- 235000004279 alanine Nutrition 0.000 claims description 6
- 125000004202 aminomethyl group Chemical group [H]N([H])C([H])([H])* 0.000 claims description 6
- 238000000576 coating method Methods 0.000 claims description 6
- AGPKZVBTJJNPAG-UHFFFAOYSA-N isoleucine Chemical group CCC(C)C(N)C(O)=O AGPKZVBTJJNPAG-UHFFFAOYSA-N 0.000 claims description 6
- 229960000310 isoleucine Drugs 0.000 claims description 6
- COLNVLDHVKWLRT-UHFFFAOYSA-N phenylalanine Chemical group OC(=O)C(N)CC1=CC=CC=C1 COLNVLDHVKWLRT-UHFFFAOYSA-N 0.000 claims description 6
- 108090000623 proteins and genes Proteins 0.000 claims description 6
- 230000037380 skin damage Effects 0.000 claims description 6
- 239000000126 substance Substances 0.000 claims description 6
- 229910052717 sulfur Inorganic materials 0.000 claims description 6
- 239000000829 suppository Substances 0.000 claims description 6
- 125000000999 tert-butyl group Chemical group [H]C([H])([H])C(*)(C([H])([H])[H])C([H])([H])[H] 0.000 claims description 6
- BVAUMRCGVHUWOZ-ZETCQYMHSA-N (2s)-2-(cyclohexylazaniumyl)propanoate Chemical group OC(=O)[C@H](C)NC1CCCCC1 BVAUMRCGVHUWOZ-ZETCQYMHSA-N 0.000 claims description 5
- 230000001154 acute effect Effects 0.000 claims description 5
- 125000004423 acyloxy group Chemical group 0.000 claims description 5
- 125000004414 alkyl thio group Chemical group 0.000 claims description 5
- 239000003963 antioxidant agent Substances 0.000 claims description 5
- QVGXLLKOCUKJST-UHFFFAOYSA-N atomic oxygen Chemical compound [O] QVGXLLKOCUKJST-UHFFFAOYSA-N 0.000 claims description 5
- 125000001797 benzyl group Chemical group [H]C1=C([H])C([H])=C(C([H])=C1[H])C([H])([H])* 0.000 claims description 5
- 230000002496 gastric effect Effects 0.000 claims description 5
- 125000004433 nitrogen atom Chemical group N* 0.000 claims description 5
- 239000002674 ointment Substances 0.000 claims description 5
- 239000001301 oxygen Substances 0.000 claims description 5
- 239000008194 pharmaceutical composition Substances 0.000 claims description 5
- 238000003860 storage Methods 0.000 claims description 5
- 208000030507 AIDS Diseases 0.000 claims description 4
- 125000000882 C2-C6 alkenyl group Chemical group 0.000 claims description 4
- 125000003601 C2-C6 alkynyl group Chemical group 0.000 claims description 4
- 201000003793 Myelodysplastic syndrome Diseases 0.000 claims description 4
- 206010040047 Sepsis Diseases 0.000 claims description 4
- 208000036142 Viral infection Diseases 0.000 claims description 4
- 230000003078 antioxidant effect Effects 0.000 claims description 4
- 125000004432 carbon atom Chemical group C* 0.000 claims description 4
- 125000003178 carboxy group Chemical group [H]OC(*)=O 0.000 claims description 4
- 125000000816 ethylene group Chemical group [H]C([H])([*:1])C([H])([H])[*:2] 0.000 claims description 4
- 229910052736 halogen Inorganic materials 0.000 claims description 4
- 150000002367 halogens Chemical group 0.000 claims description 4
- 238000010253 intravenous injection Methods 0.000 claims description 4
- 239000002609 medium Substances 0.000 claims description 4
- 229940051866 mouthwash Drugs 0.000 claims description 4
- 210000001428 peripheral nervous system Anatomy 0.000 claims description 4
- 230000002028 premature Effects 0.000 claims description 4
- 208000011580 syndromic disease Diseases 0.000 claims description 4
- 125000002987 valine group Chemical group [H]N([H])C([H])(C(*)=O)C([H])(C([H])([H])[H])C([H])([H])[H] 0.000 claims description 4
- 230000009385 viral infection Effects 0.000 claims description 4
- 206010003694 Atrophy Diseases 0.000 claims description 3
- 208000023275 Autoimmune disease Diseases 0.000 claims description 3
- 206010007559 Cardiac failure congestive Diseases 0.000 claims description 3
- 206010056370 Congestive cardiomyopathy Diseases 0.000 claims description 3
- 241000792859 Enema Species 0.000 claims description 3
- 206010019280 Heart failures Diseases 0.000 claims description 3
- 206010027202 Meningitis bacterial Diseases 0.000 claims description 3
- 208000018737 Parkinson disease Diseases 0.000 claims description 3
- 206010067584 Type 1 diabetes mellitus Diseases 0.000 claims description 3
- 125000004442 acylamino group Chemical group 0.000 claims description 3
- 206010002026 amyotrophic lateral sclerosis Diseases 0.000 claims description 3
- 230000037444 atrophy Effects 0.000 claims description 3
- 201000009904 bacterial meningitis Diseases 0.000 claims description 3
- 229910052799 carbon Inorganic materials 0.000 claims description 3
- 239000011248 coating agent Substances 0.000 claims description 3
- 125000004093 cyano group Chemical group *C#N 0.000 claims description 3
- 201000011304 dilated cardiomyopathy 1A Diseases 0.000 claims description 3
- 239000003937 drug carrier Substances 0.000 claims description 3
- 235000013601 eggs Nutrition 0.000 claims description 3
- 239000007920 enema Substances 0.000 claims description 3
- 239000001963 growth medium Substances 0.000 claims description 3
- 210000000987 immune system Anatomy 0.000 claims description 3
- 238000000338 in vitro Methods 0.000 claims description 3
- 230000002401 inhibitory effect Effects 0.000 claims description 3
- 208000014674 injury Diseases 0.000 claims description 3
- 239000007937 lozenge Substances 0.000 claims description 3
- 210000004962 mammalian cell Anatomy 0.000 claims description 3
- 201000006417 multiple sclerosis Diseases 0.000 claims description 3
- 208000010125 myocardial infarction Diseases 0.000 claims description 3
- 210000004165 myocardium Anatomy 0.000 claims description 3
- 208000015122 neurodegenerative disease Diseases 0.000 claims description 3
- 208000030761 polycystic kidney disease Diseases 0.000 claims description 3
- 210000001116 retinal neuron Anatomy 0.000 claims description 3
- 210000005253 yeast cell Anatomy 0.000 claims description 3
- 125000004191 (C1-C6) alkoxy group Chemical group 0.000 claims description 2
- 125000000171 (C1-C6) haloalkyl group Chemical group 0.000 claims description 2
- 208000009304 Acute Kidney Injury Diseases 0.000 claims description 2
- 208000024827 Alzheimer disease Diseases 0.000 claims description 2
- 125000006577 C1-C6 hydroxyalkyl group Chemical group 0.000 claims description 2
- PMATZTZNYRCHOR-CGLBZJNRSA-N Cyclosporin A Chemical compound CC[C@@H]1NC(=O)[C@H]([C@H](O)[C@H](C)C\C=C\C)N(C)C(=O)[C@H](C(C)C)N(C)C(=O)[C@H](CC(C)C)N(C)C(=O)[C@H](CC(C)C)N(C)C(=O)[C@@H](C)NC(=O)[C@H](C)NC(=O)[C@H](CC(C)C)N(C)C(=O)[C@H](C(C)C)NC(=O)[C@H](CC(C)C)N(C)C(=O)CN(C)C1=O PMATZTZNYRCHOR-CGLBZJNRSA-N 0.000 claims description 2
- 229930105110 Cyclosporin A Natural products 0.000 claims description 2
- 108010036949 Cyclosporine Proteins 0.000 claims description 2
- 208000007882 Gastritis Diseases 0.000 claims description 2
- 208000010496 Heart Arrest Diseases 0.000 claims description 2
- 101001018100 Homo sapiens Lysozyme C Proteins 0.000 claims description 2
- 206010021143 Hypoxia Diseases 0.000 claims description 2
- 102100033468 Lysozyme C Human genes 0.000 claims description 2
- 206010030216 Oesophagitis Diseases 0.000 claims description 2
- 208000024777 Prion disease Diseases 0.000 claims description 2
- 206010038357 Renal amyloidosis Diseases 0.000 claims description 2
- 208000033626 Renal failure acute Diseases 0.000 claims description 2
- 206010063837 Reperfusion injury Diseases 0.000 claims description 2
- 208000007014 Retinitis pigmentosa Diseases 0.000 claims description 2
- 208000027418 Wounds and injury Diseases 0.000 claims description 2
- 201000011040 acute kidney failure Diseases 0.000 claims description 2
- 208000012998 acute renal failure Diseases 0.000 claims description 2
- 206010064930 age-related macular degeneration Diseases 0.000 claims description 2
- 206010068168 androgenetic alopecia Diseases 0.000 claims description 2
- 208000007502 anemia Diseases 0.000 claims description 2
- 230000036770 blood supply Effects 0.000 claims description 2
- 230000001684 chronic effect Effects 0.000 claims description 2
- 230000002996 emotional effect Effects 0.000 claims description 2
- 229940095399 enema Drugs 0.000 claims description 2
- 230000010437 erythropoiesis Effects 0.000 claims description 2
- 230000003492 excitotoxic effect Effects 0.000 claims description 2
- 231100000063 excitotoxicity Toxicity 0.000 claims description 2
- 201000007891 familial visceral amyloidosis Diseases 0.000 claims description 2
- 230000004720 fertilization Effects 0.000 claims description 2
- 230000037406 food intake Effects 0.000 claims description 2
- 210000003780 hair follicle Anatomy 0.000 claims description 2
- 208000006454 hepatitis Diseases 0.000 claims description 2
- 231100000283 hepatitis Toxicity 0.000 claims description 2
- 230000007954 hypoxia Effects 0.000 claims description 2
- 210000002865 immune cell Anatomy 0.000 claims description 2
- 230000008629 immune suppression Effects 0.000 claims description 2
- 208000033065 inborn errors of immunity Diseases 0.000 claims description 2
- 238000001802 infusion Methods 0.000 claims description 2
- 230000000968 intestinal effect Effects 0.000 claims description 2
- 230000004410 intraocular pressure Effects 0.000 claims description 2
- 208000017169 kidney disease Diseases 0.000 claims description 2
- 206010025135 lupus erythematosus Diseases 0.000 claims description 2
- 208000002780 macular degeneration Diseases 0.000 claims description 2
- 210000002569 neuron Anatomy 0.000 claims description 2
- 208000028529 primary immunodeficiency disease Diseases 0.000 claims description 2
- 206010039073 rheumatoid arthritis Diseases 0.000 claims description 2
- 208000002491 severe combined immunodeficiency Diseases 0.000 claims description 2
- 208000020431 spinal cord injury Diseases 0.000 claims description 2
- 230000035882 stress Effects 0.000 claims description 2
- 230000008736 traumatic injury Effects 0.000 claims description 2
- 210000004926 tubular epithelial cell Anatomy 0.000 claims description 2
- 201000011296 tyrosinemia Diseases 0.000 claims description 2
- 150000002431 hydrogen Chemical class 0.000 claims 11
- 210000003169 central nervous system Anatomy 0.000 claims 3
- 208000022559 Inflammatory bowel disease Diseases 0.000 claims 1
- 206010022680 Intestinal ischaemia Diseases 0.000 claims 1
- 208000034486 Multi-organ failure Diseases 0.000 claims 1
- 206010028851 Necrosis Diseases 0.000 claims 1
- 206010033645 Pancreatitis Diseases 0.000 claims 1
- 206010033647 Pancreatitis acute Diseases 0.000 claims 1
- 201000004681 Psoriasis Diseases 0.000 claims 1
- 201000003229 acute pancreatitis Diseases 0.000 claims 1
- 238000003287 bathing Methods 0.000 claims 1
- 210000000321 buccal mucosa cell Anatomy 0.000 claims 1
- 150000001721 carbon Chemical group 0.000 claims 1
- 230000010261 cell growth Effects 0.000 claims 1
- 230000006378 damage Effects 0.000 claims 1
- 125000004356 hydroxy functional group Chemical group O* 0.000 claims 1
- 230000028709 inflammatory response Effects 0.000 claims 1
- 208000029744 multiple organ dysfunction syndrome Diseases 0.000 claims 1
- 230000017074 necrotic cell death Effects 0.000 claims 1
- QJGQUHMNIGDVPM-UHFFFAOYSA-N nitrogen group Chemical group [N] QJGQUHMNIGDVPM-UHFFFAOYSA-N 0.000 claims 1
- 210000000512 proximal kidney tubule Anatomy 0.000 claims 1
- 125000005344 pyridylmethyl group Chemical group [H]C1=C([H])C([H])=C([H])C(=N1)C([H])([H])* 0.000 claims 1
- 208000037816 tissue injury Diseases 0.000 claims 1
- 125000003944 tolyl group Chemical group 0.000 claims 1
- 108010016626 Dipeptides Proteins 0.000 abstract description 10
- 230000003389 potentiating effect Effects 0.000 abstract description 7
- IAZDPXIOMUYVGZ-WFGJKAKNSA-N Dimethyl sulfoxide Chemical compound [2H]C([2H])([2H])S(=O)C([2H])([2H])[2H] IAZDPXIOMUYVGZ-WFGJKAKNSA-N 0.000 description 54
- 238000005160 1H NMR spectroscopy Methods 0.000 description 47
- HEDRZPFGACZZDS-MICDWDOJSA-N Trichloro(2H)methane Chemical compound [2H]C(Cl)(Cl)Cl HEDRZPFGACZZDS-MICDWDOJSA-N 0.000 description 36
- XEKOWRVHYACXOJ-UHFFFAOYSA-N Ethyl acetate Chemical compound CCOC(C)=O XEKOWRVHYACXOJ-UHFFFAOYSA-N 0.000 description 27
- 108090000426 Caspase-1 Proteins 0.000 description 26
- 102100035904 Caspase-1 Human genes 0.000 description 24
- 239000000243 solution Substances 0.000 description 23
- 229940123169 Caspase inhibitor Drugs 0.000 description 21
- 102100029855 Caspase-3 Human genes 0.000 description 17
- KZSNJWFQEVHDMF-BYPYZUCNSA-N L-valine Chemical compound CC(C)[C@H](N)C(O)=O KZSNJWFQEVHDMF-BYPYZUCNSA-N 0.000 description 17
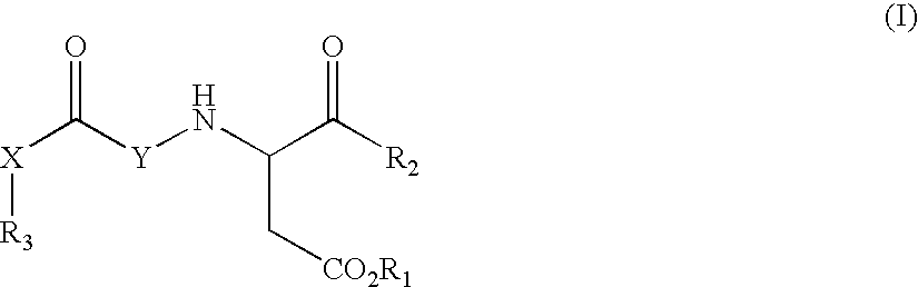
- 0 [2*]C(=O)C(CC)N[Y]C(=O)C[3*] Chemical compound [2*]C(=O)C(CC)N[Y]C(=O)C[3*] 0.000 description 15
- 238000002360 preparation method Methods 0.000 description 15
- 125000001188 haloalkyl group Chemical group 0.000 description 12
- 125000003545 alkoxy group Chemical group 0.000 description 11
- 125000003282 alkyl amino group Chemical group 0.000 description 11
- 125000004663 dialkyl amino group Chemical group 0.000 description 11
- 125000002924 primary amino group Chemical group [H]N([H])* 0.000 description 11
- 229960004295 valine Drugs 0.000 description 11
- YMWUJEATGCHHMB-UHFFFAOYSA-N Dichloromethane Chemical compound ClCCl YMWUJEATGCHHMB-UHFFFAOYSA-N 0.000 description 10
- 235000019439 ethyl acetate Nutrition 0.000 description 10
- 101000793880 Homo sapiens Caspase-3 Proteins 0.000 description 9
- HEMHJVSKTPXQMS-UHFFFAOYSA-M Sodium hydroxide Chemical compound [OH-].[Na+] HEMHJVSKTPXQMS-UHFFFAOYSA-M 0.000 description 9
- 239000003795 chemical substances by application Substances 0.000 description 9
- 208000037265 diseases, disorders, signs and symptoms Diseases 0.000 description 9
- 108090000397 Caspase 3 Proteins 0.000 description 8
- VEXZGXHMUGYJMC-UHFFFAOYSA-N Hydrochloric acid Chemical compound Cl VEXZGXHMUGYJMC-UHFFFAOYSA-N 0.000 description 8
- 241000196324 Embryophyta Species 0.000 description 7
- 239000007832 Na2SO4 Substances 0.000 description 7
- PMZURENOXWZQFD-UHFFFAOYSA-L Sodium Sulfate Chemical compound [Na+].[Na+].[O-]S([O-])(=O)=O PMZURENOXWZQFD-UHFFFAOYSA-L 0.000 description 7
- QTBSBXVTEAMEQO-UHFFFAOYSA-N acetic acid Substances CC(O)=O QTBSBXVTEAMEQO-UHFFFAOYSA-N 0.000 description 7
- 239000012267 brine Substances 0.000 description 7
- 210000001035 gastrointestinal tract Anatomy 0.000 description 7
- 108090000765 processed proteins & peptides Proteins 0.000 description 7
- 125000006239 protecting group Chemical group 0.000 description 7
- 229910052938 sodium sulfate Inorganic materials 0.000 description 7
- HPALAKNZSZLMCH-UHFFFAOYSA-M sodium;chloride;hydrate Chemical compound O.[Na+].[Cl-] HPALAKNZSZLMCH-UHFFFAOYSA-M 0.000 description 7
- 239000007787 solid Substances 0.000 description 7
- 239000002904 solvent Substances 0.000 description 7
- 125000000008 (C1-C10) alkyl group Chemical group 0.000 description 6
- VHYFNPMBLIVWCW-UHFFFAOYSA-N 4-Dimethylaminopyridine Chemical compound CN(C)C1=CC=NC=C1 VHYFNPMBLIVWCW-UHFFFAOYSA-N 0.000 description 6
- 229920002472 Starch Polymers 0.000 description 6
- 239000002246 antineoplastic agent Substances 0.000 description 6
- 229940127089 cytotoxic agent Drugs 0.000 description 6
- 208000035475 disorder Diseases 0.000 description 6
- VLKZOEOYAKHREP-UHFFFAOYSA-N n-Hexane Chemical compound CCCCCC VLKZOEOYAKHREP-UHFFFAOYSA-N 0.000 description 6
- 239000000725 suspension Substances 0.000 description 6
- 102000004091 Caspase-8 Human genes 0.000 description 5
- 108090000538 Caspase-8 Proteins 0.000 description 5
- 102000004190 Enzymes Human genes 0.000 description 5
- 108090000790 Enzymes Proteins 0.000 description 5
- 239000002253 acid Substances 0.000 description 5
- 239000004480 active ingredient Substances 0.000 description 5
- 125000002252 acyl group Chemical group 0.000 description 5
- 239000007864 aqueous solution Substances 0.000 description 5
- 239000002775 capsule Substances 0.000 description 5
- 210000002768 hair cell Anatomy 0.000 description 5
- 125000005843 halogen group Chemical group 0.000 description 5
- 210000004185 liver Anatomy 0.000 description 5
- 239000000825 pharmaceutical preparation Substances 0.000 description 5
- 239000000758 substrate Substances 0.000 description 5
- PJUPKRYGDFTMTM-UHFFFAOYSA-N 1-hydroxybenzotriazole;hydrate Chemical compound O.C1=CC=C2N(O)N=NC2=C1 PJUPKRYGDFTMTM-UHFFFAOYSA-N 0.000 description 4
- FPQQSJJWHUJYPU-UHFFFAOYSA-N 3-(dimethylamino)propyliminomethylidene-ethylazanium;chloride Chemical compound Cl.CCN=C=NCCCN(C)C FPQQSJJWHUJYPU-UHFFFAOYSA-N 0.000 description 4
- 235000019489 Almond oil Nutrition 0.000 description 4
- 208000003174 Brain Neoplasms Diseases 0.000 description 4
- 102100038902 Caspase-7 Human genes 0.000 description 4
- 108010010803 Gelatin Proteins 0.000 description 4
- PEDCQBHIVMGVHV-UHFFFAOYSA-N Glycerine Chemical compound OCC(O)CO PEDCQBHIVMGVHV-UHFFFAOYSA-N 0.000 description 4
- 102000000589 Interleukin-1 Human genes 0.000 description 4
- 108010002352 Interleukin-1 Proteins 0.000 description 4
- MUBZPKHOEPUJKR-UHFFFAOYSA-N Oxalic acid Chemical compound OC(=O)C(O)=O MUBZPKHOEPUJKR-UHFFFAOYSA-N 0.000 description 4
- 206010047700 Vomiting Diseases 0.000 description 4
- 229960003767 alanine Drugs 0.000 description 4
- 239000008168 almond oil Substances 0.000 description 4
- 230000003474 anti-emetic effect Effects 0.000 description 4
- 239000002111 antiemetic agent Substances 0.000 description 4
- 210000004556 brain Anatomy 0.000 description 4
- 239000000969 carrier Substances 0.000 description 4
- 238000006243 chemical reaction Methods 0.000 description 4
- 239000008298 dragée Substances 0.000 description 4
- 238000001704 evaporation Methods 0.000 description 4
- 230000008020 evaporation Effects 0.000 description 4
- 230000006870 function Effects 0.000 description 4
- 239000000499 gel Substances 0.000 description 4
- 239000008273 gelatin Substances 0.000 description 4
- 229920000159 gelatin Polymers 0.000 description 4
- 235000019322 gelatine Nutrition 0.000 description 4
- 235000011852 gelatine desserts Nutrition 0.000 description 4
- 230000003779 hair growth Effects 0.000 description 4
- NPZTUJOABDZTLV-UHFFFAOYSA-N hydroxybenzotriazole Substances O=C1C=CC=C2NNN=C12 NPZTUJOABDZTLV-UHFFFAOYSA-N 0.000 description 4
- 238000001727 in vivo Methods 0.000 description 4
- 150000002576 ketones Chemical class 0.000 description 4
- 210000003734 kidney Anatomy 0.000 description 4
- HQKMJHAJHXVSDF-UHFFFAOYSA-L magnesium stearate Chemical compound [Mg+2].CCCCCCCCCCCCCCCCCC([O-])=O.CCCCCCCCCCCCCCCCCC([O-])=O HQKMJHAJHXVSDF-UHFFFAOYSA-L 0.000 description 4
- 238000002156 mixing Methods 0.000 description 4
- 210000000214 mouth Anatomy 0.000 description 4
- 239000012188 paraffin wax Substances 0.000 description 4
- 229920001223 polyethylene glycol Polymers 0.000 description 4
- LEHBURLTIWGHEM-UHFFFAOYSA-N pyridinium chlorochromate Chemical compound [O-][Cr](Cl)(=O)=O.C1=CC=[NH+]C=C1 LEHBURLTIWGHEM-UHFFFAOYSA-N 0.000 description 4
- 230000001105 regulatory effect Effects 0.000 description 4
- 239000003381 stabilizer Substances 0.000 description 4
- 235000019698 starch Nutrition 0.000 description 4
- 125000001424 substituent group Chemical group 0.000 description 4
- 239000003826 tablet Substances 0.000 description 4
- VZCYOOQTPOCHFL-UHFFFAOYSA-N trans-butenedioic acid Natural products OC(=O)C=CC(O)=O VZCYOOQTPOCHFL-UHFFFAOYSA-N 0.000 description 4
- XYXYXSKSTZAEJW-VIFPVBQESA-N (2s)-2-(phenylmethoxycarbonylamino)butanedioic acid Chemical compound OC(=O)C[C@@H](C(O)=O)NC(=O)OCC1=CC=CC=C1 XYXYXSKSTZAEJW-VIFPVBQESA-N 0.000 description 3
- 125000005915 C6-C14 aryl group Chemical group 0.000 description 3
- 102100025597 Caspase-4 Human genes 0.000 description 3
- 102000004039 Caspase-9 Human genes 0.000 description 3
- 108090000566 Caspase-9 Proteins 0.000 description 3
- 102000005927 Cysteine Proteases Human genes 0.000 description 3
- 108010005843 Cysteine Proteases Proteins 0.000 description 3
- FBPFZTCFMRRESA-FSIIMWSLSA-N D-Glucitol Natural products OC[C@H](O)[C@H](O)[C@@H](O)[C@H](O)CO FBPFZTCFMRRESA-FSIIMWSLSA-N 0.000 description 3
- FBPFZTCFMRRESA-JGWLITMVSA-N D-glucitol Chemical compound OC[C@H](O)[C@@H](O)[C@H](O)[C@H](O)CO FBPFZTCFMRRESA-JGWLITMVSA-N 0.000 description 3
- VZCYOOQTPOCHFL-OWOJBTEDSA-N Fumaric acid Chemical compound OC(=O)\C=C\C(O)=O VZCYOOQTPOCHFL-OWOJBTEDSA-N 0.000 description 3
- 206010061218 Inflammation Diseases 0.000 description 3
- CKLJMWTZIZZHCS-REOHCLBHSA-N L-aspartic acid Chemical compound OC(=O)[C@@H](N)CC(O)=O CKLJMWTZIZZHCS-REOHCLBHSA-N 0.000 description 3
- 239000002202 Polyethylene glycol Substances 0.000 description 3
- KWYUFKZDYYNOTN-UHFFFAOYSA-M Potassium hydroxide Chemical compound [OH-].[K+] KWYUFKZDYYNOTN-UHFFFAOYSA-M 0.000 description 3
- DNIAPMSPPWPWGF-UHFFFAOYSA-N Propylene glycol Chemical compound CC(O)CO DNIAPMSPPWPWGF-UHFFFAOYSA-N 0.000 description 3
- 208000017442 Retinal disease Diseases 0.000 description 3
- 208000006011 Stroke Diseases 0.000 description 3
- 230000004913 activation Effects 0.000 description 3
- 150000001370 alpha-amino acid derivatives Chemical class 0.000 description 3
- 235000008206 alpha-amino acids Nutrition 0.000 description 3
- 235000006708 antioxidants Nutrition 0.000 description 3
- 150000001576 beta-amino acids Chemical class 0.000 description 3
- 239000001913 cellulose Substances 0.000 description 3
- 229920002678 cellulose Polymers 0.000 description 3
- KRKNYBCHXYNGOX-UHFFFAOYSA-N citric acid Chemical compound OC(=O)CC(O)(C(O)=O)CC(O)=O KRKNYBCHXYNGOX-UHFFFAOYSA-N 0.000 description 3
- 238000003776 cleavage reaction Methods 0.000 description 3
- 239000006071 cream Substances 0.000 description 3
- NKLCNNUWBJBICK-UHFFFAOYSA-N dess–martin periodinane Chemical compound C1=CC=C2I(OC(=O)C)(OC(C)=O)(OC(C)=O)OC(=O)C2=C1 NKLCNNUWBJBICK-UHFFFAOYSA-N 0.000 description 3
- 201000010099 disease Diseases 0.000 description 3
- 239000003814 drug Substances 0.000 description 3
- 238000003818 flash chromatography Methods 0.000 description 3
- 230000036541 health Effects 0.000 description 3
- 125000002887 hydroxy group Chemical group [H]O* 0.000 description 3
- 230000004054 inflammatory process Effects 0.000 description 3
- 230000005764 inhibitory process Effects 0.000 description 3
- 238000002347 injection Methods 0.000 description 3
- 239000007924 injection Substances 0.000 description 3
- 125000001449 isopropyl group Chemical group [H]C([H])([H])C([H])(*)C([H])([H])[H] 0.000 description 3
- 229960003136 leucine Drugs 0.000 description 3
- 239000002480 mineral oil Substances 0.000 description 3
- 210000000653 nervous system Anatomy 0.000 description 3
- 231100000252 nontoxic Toxicity 0.000 description 3
- 230000003000 nontoxic effect Effects 0.000 description 3
- 239000003921 oil Substances 0.000 description 3
- 235000019198 oils Nutrition 0.000 description 3
- 239000000546 pharmaceutical excipient Substances 0.000 description 3
- 125000001997 phenyl group Chemical group [H]C1=C([H])C([H])=C(*)C([H])=C1[H] 0.000 description 3
- 229960005190 phenylalanine Drugs 0.000 description 3
- 235000013855 polyvinylpyrrolidone Nutrition 0.000 description 3
- 239000001267 polyvinylpyrrolidone Substances 0.000 description 3
- 229920000036 polyvinylpyrrolidone Polymers 0.000 description 3
- 230000008569 process Effects 0.000 description 3
- 210000004761 scalp Anatomy 0.000 description 3
- 230000007017 scission Effects 0.000 description 3
- 239000000600 sorbitol Substances 0.000 description 3
- 239000008107 starch Substances 0.000 description 3
- 239000000454 talc Substances 0.000 description 3
- 229910052623 talc Inorganic materials 0.000 description 3
- 235000012222 talc Nutrition 0.000 description 3
- 238000012360 testing method Methods 0.000 description 3
- 230000000699 topical effect Effects 0.000 description 3
- 239000012049 topical pharmaceutical composition Substances 0.000 description 3
- 238000002054 transplantation Methods 0.000 description 3
- 150000003626 triacylglycerols Chemical class 0.000 description 3
- LENZDBCJOHFCAS-UHFFFAOYSA-N tris Chemical compound OCC(N)(CO)CO LENZDBCJOHFCAS-UHFFFAOYSA-N 0.000 description 3
- XLYOFNOQVPJJNP-UHFFFAOYSA-N water Substances O XLYOFNOQVPJJNP-UHFFFAOYSA-N 0.000 description 3
- LEBQTCCCNMTXSF-UHFFFAOYSA-N (2,5-dimethylphenyl)methanol Chemical compound CC1=CC=C(C)C(CO)=C1 LEBQTCCCNMTXSF-UHFFFAOYSA-N 0.000 description 2
- GCCKNHYFOVQZRG-UHFFFAOYSA-N (2-chlorophenyl)methyl carbonochloridate Chemical compound ClC(=O)OCC1=CC=CC=C1Cl GCCKNHYFOVQZRG-UHFFFAOYSA-N 0.000 description 2
- MFGWMAAZYZSWMY-UHFFFAOYSA-N (2-naphthyl)methanol Chemical compound C1=CC=CC2=CC(CO)=CC=C21 MFGWMAAZYZSWMY-UHFFFAOYSA-N 0.000 description 2
- LOGFVTREOLYCPF-KXNHARMFSA-N (2s,3r)-2-[[(2r)-1-[(2s)-2,6-diaminohexanoyl]pyrrolidine-2-carbonyl]amino]-3-hydroxybutanoic acid Chemical compound C[C@@H](O)[C@@H](C(O)=O)NC(=O)[C@H]1CCCN1C(=O)[C@@H](N)CCCCN LOGFVTREOLYCPF-KXNHARMFSA-N 0.000 description 2
- PTHGDVCPCZKZKR-UHFFFAOYSA-N (4-chlorophenyl)methanol Chemical compound OCC1=CC=C(Cl)C=C1 PTHGDVCPCZKZKR-UHFFFAOYSA-N 0.000 description 2
- GVJHHUAWPYXKBD-UHFFFAOYSA-N (±)-α-Tocopherol Chemical compound OC1=C(C)C(C)=C2OC(CCCC(C)CCCC(C)CCCC(C)C)(C)CCC2=C1C GVJHHUAWPYXKBD-UHFFFAOYSA-N 0.000 description 2
- LMDZBCPBFSXMTL-UHFFFAOYSA-N 1-Ethyl-3-(3-dimethylaminopropyl)carbodiimide Substances CCN=C=NCCCN(C)C LMDZBCPBFSXMTL-UHFFFAOYSA-N 0.000 description 2
- WRMNZCZEMHIOCP-UHFFFAOYSA-N 2-phenylethanol Chemical compound OCCC1=CC=CC=C1 WRMNZCZEMHIOCP-UHFFFAOYSA-N 0.000 description 2
- 125000000094 2-phenylethyl group Chemical group [H]C1=C([H])C([H])=C(C([H])=C1[H])C([H])([H])C([H])([H])* 0.000 description 2
- VAJVDSVGBWFCLW-UHFFFAOYSA-N 3-Phenyl-1-propanol Chemical compound OCCCC1=CC=CC=C1 VAJVDSVGBWFCLW-UHFFFAOYSA-N 0.000 description 2
- 229960000549 4-dimethylaminophenol Drugs 0.000 description 2
- ZCYVEMRRCGMTRW-UHFFFAOYSA-N 7553-56-2 Chemical compound [I] ZCYVEMRRCGMTRW-UHFFFAOYSA-N 0.000 description 2
- WKBOTKDWSSQWDR-UHFFFAOYSA-N Bromine atom Chemical compound [Br] WKBOTKDWSSQWDR-UHFFFAOYSA-N 0.000 description 2
- IQUPEIRWRIUXDR-UHFFFAOYSA-N CC(=O)C1=CC2=C(C=C(O)C=C2)OC1=O.CC(=O)CC1=C(C)C2=C(C=C(O)C=C2)OC1=O.CC(=O)CC1=CC(=O)OC2=C1C=CC(N(C)C)=C2.CCC(CC)C1=CC2=C(C=C1)C=C(C(C)=O)C(=O)O2.COC1=CC2=C(C=C1)C=C(C(C)=O)C(=O)O2 Chemical compound CC(=O)C1=CC2=C(C=C(O)C=C2)OC1=O.CC(=O)CC1=C(C)C2=C(C=C(O)C=C2)OC1=O.CC(=O)CC1=CC(=O)OC2=C1C=CC(N(C)C)=C2.CCC(CC)C1=CC2=C(C=C1)C=C(C(C)=O)C(=O)O2.COC1=CC2=C(C=C1)C=C(C(C)=O)C(=O)O2 IQUPEIRWRIUXDR-UHFFFAOYSA-N 0.000 description 2
- VTYYLEPIZMXCLO-UHFFFAOYSA-L Calcium carbonate Chemical compound [Ca+2].[O-]C([O-])=O VTYYLEPIZMXCLO-UHFFFAOYSA-L 0.000 description 2
- 108090000567 Caspase 7 Proteins 0.000 description 2
- 102100026549 Caspase-10 Human genes 0.000 description 2
- 102100032616 Caspase-2 Human genes 0.000 description 2
- 102100038918 Caspase-6 Human genes 0.000 description 2
- ZAMOUSCENKQFHK-UHFFFAOYSA-N Chlorine atom Chemical compound [Cl] ZAMOUSCENKQFHK-UHFFFAOYSA-N 0.000 description 2
- IVOMOUWHDPKRLL-KQYNXXCUSA-N Cyclic adenosine monophosphate Chemical compound C([C@H]1O2)OP(O)(=O)O[C@H]1[C@@H](O)[C@@H]2N1C(N=CN=C2N)=C2N=C1 IVOMOUWHDPKRLL-KQYNXXCUSA-N 0.000 description 2
- 102000004127 Cytokines Human genes 0.000 description 2
- 108090000695 Cytokines Proteins 0.000 description 2
- OKKJLVBELUTLKV-MZCSYVLQSA-N Deuterated methanol Chemical compound [2H]OC([2H])([2H])[2H] OKKJLVBELUTLKV-MZCSYVLQSA-N 0.000 description 2
- FEWJPZIEWOKRBE-JCYAYHJZSA-N Dextrotartaric acid Chemical compound OC(=O)[C@H](O)[C@@H](O)C(O)=O FEWJPZIEWOKRBE-JCYAYHJZSA-N 0.000 description 2
- PXGOKWXKJXAPGV-UHFFFAOYSA-N Fluorine Chemical compound FF PXGOKWXKJXAPGV-UHFFFAOYSA-N 0.000 description 2
- 241000282412 Homo Species 0.000 description 2
- 101000933112 Homo sapiens Caspase-4 Proteins 0.000 description 2
- 101000741014 Homo sapiens Caspase-7 Proteins 0.000 description 2
- 102000003777 Interleukin-1 beta Human genes 0.000 description 2
- 108090000193 Interleukin-1 beta Proteins 0.000 description 2
- OUYCCCASQSFEME-QMMMGPOBSA-N L-tyrosine Chemical compound OC(=O)[C@@H](N)CC1=CC=C(O)C=C1 OUYCCCASQSFEME-QMMMGPOBSA-N 0.000 description 2
- GUBGYTABKSRVRQ-QKKXKWKRSA-N Lactose Natural products OC[C@H]1O[C@@H](O[C@H]2[C@H](O)[C@@H](O)C(O)O[C@@H]2CO)[C@H](O)[C@@H](O)[C@H]1O GUBGYTABKSRVRQ-QKKXKWKRSA-N 0.000 description 2
- 241000699666 Mus <mouse, genus> Species 0.000 description 2
- 206010053159 Organ failure Diseases 0.000 description 2
- KDLHZDBZIXYQEI-UHFFFAOYSA-N Palladium Chemical compound [Pd] KDLHZDBZIXYQEI-UHFFFAOYSA-N 0.000 description 2
- NBIIXXVUZAFLBC-UHFFFAOYSA-N Phosphoric acid Chemical compound OP(O)(O)=O NBIIXXVUZAFLBC-UHFFFAOYSA-N 0.000 description 2
- 229920002565 Polyethylene Glycol 400 Polymers 0.000 description 2
- 206010060862 Prostate cancer Diseases 0.000 description 2
- 208000000236 Prostatic Neoplasms Diseases 0.000 description 2
- 241000700159 Rattus Species 0.000 description 2
- VYPSYNLAJGMNEJ-UHFFFAOYSA-N Silicium dioxide Chemical compound O=[Si]=O VYPSYNLAJGMNEJ-UHFFFAOYSA-N 0.000 description 2
- CDBYLPFSWZWCQE-UHFFFAOYSA-L Sodium Carbonate Chemical compound [Na+].[Na+].[O-]C([O-])=O CDBYLPFSWZWCQE-UHFFFAOYSA-L 0.000 description 2
- UIIMBOGNXHQVGW-UHFFFAOYSA-M Sodium bicarbonate Chemical class [Na+].OC([O-])=O UIIMBOGNXHQVGW-UHFFFAOYSA-M 0.000 description 2
- FAPWRFPIFSIZLT-UHFFFAOYSA-M Sodium chloride Chemical compound [Na+].[Cl-] FAPWRFPIFSIZLT-UHFFFAOYSA-M 0.000 description 2
- 229930006000 Sucrose Natural products 0.000 description 2
- CZMRCDWAGMRECN-UGDNZRGBSA-N Sucrose Chemical compound O[C@H]1[C@H](O)[C@@H](CO)O[C@@]1(CO)O[C@@H]1[C@H](O)[C@@H](O)[C@H](O)[C@@H](CO)O1 CZMRCDWAGMRECN-UGDNZRGBSA-N 0.000 description 2
- GWEVSGVZZGPLCZ-UHFFFAOYSA-N Titan oxide Chemical compound O=[Ti]=O GWEVSGVZZGPLCZ-UHFFFAOYSA-N 0.000 description 2
- 239000007983 Tris buffer Substances 0.000 description 2
- IVOMOUWHDPKRLL-UHFFFAOYSA-N UNPD107823 Natural products O1C2COP(O)(=O)OC2C(O)C1N1C(N=CN=C2N)=C2N=C1 IVOMOUWHDPKRLL-UHFFFAOYSA-N 0.000 description 2
- DPXJVFZANSGRMM-UHFFFAOYSA-N acetic acid;2,3,4,5,6-pentahydroxyhexanal;sodium Chemical compound [Na].CC(O)=O.OCC(O)C(O)C(O)C(O)C=O DPXJVFZANSGRMM-UHFFFAOYSA-N 0.000 description 2
- OIRDTQYFTABQOQ-KQYNXXCUSA-N adenosine Chemical compound C1=NC=2C(N)=NC=NC=2N1[C@@H]1O[C@H](CO)[C@@H](O)[C@H]1O OIRDTQYFTABQOQ-KQYNXXCUSA-N 0.000 description 2
- 230000032683 aging Effects 0.000 description 2
- 229940121363 anti-inflammatory agent Drugs 0.000 description 2
- 239000002260 anti-inflammatory agent Substances 0.000 description 2
- 229940125683 antiemetic agent Drugs 0.000 description 2
- 230000001640 apoptogenic effect Effects 0.000 description 2
- 125000003710 aryl alkyl group Chemical group 0.000 description 2
- 235000013871 bee wax Nutrition 0.000 description 2
- 239000012166 beeswax Substances 0.000 description 2
- 230000009286 beneficial effect Effects 0.000 description 2
- BLFLLBZGZJTVJG-UHFFFAOYSA-N benzocaine Chemical compound CCOC(=O)C1=CC=C(N)C=C1 BLFLLBZGZJTVJG-UHFFFAOYSA-N 0.000 description 2
- WGQKYBSKWIADBV-UHFFFAOYSA-N benzylamine Chemical compound NCC1=CC=CC=C1 WGQKYBSKWIADBV-UHFFFAOYSA-N 0.000 description 2
- 239000011230 binding agent Substances 0.000 description 2
- 230000000903 blocking effect Effects 0.000 description 2
- 210000000481 breast Anatomy 0.000 description 2
- GDTBXPJZTBHREO-UHFFFAOYSA-N bromine Substances BrBr GDTBXPJZTBHREO-UHFFFAOYSA-N 0.000 description 2
- 229910052794 bromium Inorganic materials 0.000 description 2
- 239000001506 calcium phosphate Substances 0.000 description 2
- 230000004611 cancer cell death Effects 0.000 description 2
- 150000001720 carbohydrates Chemical class 0.000 description 2
- 239000001768 carboxy methyl cellulose Substances 0.000 description 2
- 101150055276 ced-3 gene Proteins 0.000 description 2
- 239000000460 chlorine Substances 0.000 description 2
- 229910052801 chlorine Inorganic materials 0.000 description 2
- 125000004218 chloromethyl group Chemical group [H]C([H])(Cl)* 0.000 description 2
- DQLATGHUWYMOKM-UHFFFAOYSA-L cisplatin Chemical compound N[Pt](N)(Cl)Cl DQLATGHUWYMOKM-UHFFFAOYSA-L 0.000 description 2
- 229960004316 cisplatin Drugs 0.000 description 2
- ZPUCINDJVBIVPJ-LJISPDSOSA-N cocaine Chemical compound O([C@H]1C[C@@H]2CC[C@@H](N2C)[C@H]1C(=O)OC)C(=O)C1=CC=CC=C1 ZPUCINDJVBIVPJ-LJISPDSOSA-N 0.000 description 2
- 239000012230 colorless oil Substances 0.000 description 2
- 239000003246 corticosteroid Substances 0.000 description 2
- 229940095074 cyclic amp Drugs 0.000 description 2
- 125000000113 cyclohexyl group Chemical group [H]C1([H])C([H])([H])C([H])([H])C([H])(*)C([H])([H])C1([H])[H] 0.000 description 2
- 125000001511 cyclopentyl group Chemical group [H]C1([H])C([H])([H])C([H])([H])C([H])(*)C1([H])[H] 0.000 description 2
- 230000000254 damaging effect Effects 0.000 description 2
- 230000003247 decreasing effect Effects 0.000 description 2
- PPQREHKVAOVYBT-UHFFFAOYSA-H dialuminum;tricarbonate Chemical compound [Al+3].[Al+3].[O-]C([O-])=O.[O-]C([O-])=O.[O-]C([O-])=O PPQREHKVAOVYBT-UHFFFAOYSA-H 0.000 description 2
- ZUOUZKKEUPVFJK-UHFFFAOYSA-N diphenyl Chemical compound C1=CC=CC=C1C1=CC=CC=C1 ZUOUZKKEUPVFJK-UHFFFAOYSA-N 0.000 description 2
- BNIILDVGGAEEIG-UHFFFAOYSA-L disodium hydrogen phosphate Chemical class [Na+].[Na+].OP([O-])([O-])=O BNIILDVGGAEEIG-UHFFFAOYSA-L 0.000 description 2
- 229940079593 drug Drugs 0.000 description 2
- 239000003623 enhancer Substances 0.000 description 2
- 238000006911 enzymatic reaction Methods 0.000 description 2
- 238000001952 enzyme assay Methods 0.000 description 2
- 150000002148 esters Chemical class 0.000 description 2
- 239000003925 fat Substances 0.000 description 2
- 239000010685 fatty oil Substances 0.000 description 2
- 239000000945 filler Substances 0.000 description 2
- 239000007850 fluorescent dye Substances 0.000 description 2
- 239000011737 fluorine Substances 0.000 description 2
- 229910052731 fluorine Inorganic materials 0.000 description 2
- 125000002541 furyl group Chemical group 0.000 description 2
- 210000004051 gastric juice Anatomy 0.000 description 2
- 239000008187 granular material Substances 0.000 description 2
- 230000012010 growth Effects 0.000 description 2
- 230000009931 harmful effect Effects 0.000 description 2
- 208000019622 heart disease Diseases 0.000 description 2
- 125000004051 hexyl group Chemical group [H]C([H])([H])C([H])([H])C([H])([H])C([H])([H])C([H])([H])C([H])([H])* 0.000 description 2
- 229930195733 hydrocarbon Natural products 0.000 description 2
- 150000002430 hydrocarbons Chemical class 0.000 description 2
- JYGXADMDTFJGBT-VWUMJDOOSA-N hydrocortisone Chemical compound O=C1CC[C@]2(C)[C@H]3[C@@H](O)C[C@](C)([C@@](CC4)(O)C(=O)CO)[C@@H]4[C@@H]3CCC2=C1 JYGXADMDTFJGBT-VWUMJDOOSA-N 0.000 description 2
- RCBVKBFIWMOMHF-UHFFFAOYSA-L hydroxy-(hydroxy(dioxo)chromio)oxy-dioxochromium;pyridine Chemical compound C1=CC=NC=C1.C1=CC=NC=C1.O[Cr](=O)(=O)O[Cr](O)(=O)=O RCBVKBFIWMOMHF-UHFFFAOYSA-L 0.000 description 2
- 208000026278 immune system disease Diseases 0.000 description 2
- 125000001041 indolyl group Chemical group 0.000 description 2
- 238000007918 intramuscular administration Methods 0.000 description 2
- 229910052740 iodine Inorganic materials 0.000 description 2
- 230000002427 irreversible effect Effects 0.000 description 2
- 125000000959 isobutyl group Chemical group [H]C([H])([H])C([H])(C([H])([H])[H])C([H])([H])* 0.000 description 2
- 239000008101 lactose Substances 0.000 description 2
- 239000007788 liquid Substances 0.000 description 2
- 239000006210 lotion Substances 0.000 description 2
- 239000000314 lubricant Substances 0.000 description 2
- 210000004072 lung Anatomy 0.000 description 2
- 235000019359 magnesium stearate Nutrition 0.000 description 2
- 238000012423 maintenance Methods 0.000 description 2
- VZCYOOQTPOCHFL-UPHRSURJSA-N maleic acid Chemical compound OC(=O)\C=C/C(O)=O VZCYOOQTPOCHFL-UPHRSURJSA-N 0.000 description 2
- 239000000463 material Substances 0.000 description 2
- 230000001404 mediated effect Effects 0.000 description 2
- 235000010446 mineral oil Nutrition 0.000 description 2
- 125000002757 morpholinyl group Chemical group 0.000 description 2
- 125000001624 naphthyl group Chemical group 0.000 description 2
- 230000016273 neuron death Effects 0.000 description 2
- 230000000324 neuroprotective effect Effects 0.000 description 2
- 230000002611 ovarian Effects 0.000 description 2
- 230000003647 oxidation Effects 0.000 description 2
- 238000007254 oxidation reaction Methods 0.000 description 2
- XQYZDYMELSJDRZ-UHFFFAOYSA-N papaverine Chemical compound C1=C(OC)C(OC)=CC=C1CC1=NC=CC2=CC(OC)=C(OC)C=C12 XQYZDYMELSJDRZ-UHFFFAOYSA-N 0.000 description 2
- XNGIFLGASWRNHJ-UHFFFAOYSA-L phthalate(2-) Chemical compound [O-]C(=O)C1=CC=CC=C1C([O-])=O XNGIFLGASWRNHJ-UHFFFAOYSA-L 0.000 description 2
- 125000003386 piperidinyl group Chemical group 0.000 description 2
- 239000002243 precursor Substances 0.000 description 2
- 238000012545 processing Methods 0.000 description 2
- 230000002035 prolonged effect Effects 0.000 description 2
- 125000001436 propyl group Chemical group [H]C([*])([H])C([H])([H])C([H])([H])[H] 0.000 description 2
- 125000004309 pyranyl group Chemical group O1C(C=CC=C1)* 0.000 description 2
- 125000004076 pyridyl group Chemical group 0.000 description 2
- 230000004044 response Effects 0.000 description 2
- 230000002441 reversible effect Effects 0.000 description 2
- 239000002453 shampoo Substances 0.000 description 2
- 235000019812 sodium carboxymethyl cellulose Nutrition 0.000 description 2
- 229920001027 sodium carboxymethylcellulose Polymers 0.000 description 2
- 238000003756 stirring Methods 0.000 description 2
- 239000005720 sucrose Substances 0.000 description 2
- 239000002511 suppository base Substances 0.000 description 2
- IPJOTDJRMDVEHF-TVPLGVNVSA-N tert-butyl 3-[[(2s)-2-[(2-chlorophenyl)methoxycarbonylamino]-3-methylbutanoyl]amino]-5-fluoro-4-hydroxypentanoate Chemical compound CC(C)(C)OC(=O)CC(C(O)CF)NC(=O)[C@H](C(C)C)NC(=O)OCC1=CC=CC=C1Cl IPJOTDJRMDVEHF-TVPLGVNVSA-N 0.000 description 2
- 230000001225 therapeutic effect Effects 0.000 description 2
- 238000002560 therapeutic procedure Methods 0.000 description 2
- 125000001544 thienyl group Chemical group 0.000 description 2
- QORWJWZARLRLPR-UHFFFAOYSA-H tricalcium bis(phosphate) Chemical class [Ca+2].[Ca+2].[Ca+2].[O-]P([O-])([O-])=O.[O-]P([O-])([O-])=O QORWJWZARLRLPR-UHFFFAOYSA-H 0.000 description 2
- 125000002023 trifluoromethyl group Chemical group FC(F)(F)* 0.000 description 2
- 239000008158 vegetable oil Substances 0.000 description 2
- JWZZKOKVBUJMES-UHFFFAOYSA-N (+-)-Isoprenaline Chemical compound CC(C)NCC(O)C1=CC=C(O)C(O)=C1 JWZZKOKVBUJMES-UHFFFAOYSA-N 0.000 description 1
- QUIMJTKRVOBTQN-UHFFFAOYSA-N (2,4-dimethylphenyl)methanol Chemical compound CC1=CC=C(CO)C(C)=C1 QUIMJTKRVOBTQN-UHFFFAOYSA-N 0.000 description 1
- LCEIGNVIDJNUGF-UHFFFAOYSA-N (2,5-dichlorophenyl)methanol Chemical compound OCC1=CC(Cl)=CC=C1Cl LCEIGNVIDJNUGF-UHFFFAOYSA-N 0.000 description 1
- WKKHCCZLKYKUDN-UHFFFAOYSA-N (2,6-dichlorophenyl)methanol Chemical compound OCC1=C(Cl)C=CC=C1Cl WKKHCCZLKYKUDN-UHFFFAOYSA-N 0.000 description 1
- ZUHMDLLAHZUDRE-UHFFFAOYSA-N (2-chloro-4-fluorophenyl)methanol Chemical compound OCC1=CC=C(F)C=C1Cl ZUHMDLLAHZUDRE-UHFFFAOYSA-N 0.000 description 1
- QEHXDOJPVIHUDO-UHFFFAOYSA-N (2-fluorophenyl)methanol Chemical compound OCC1=CC=CC=C1F QEHXDOJPVIHUDO-UHFFFAOYSA-N 0.000 description 1
- MTCFGRXMJLQNBG-REOHCLBHSA-N (2S)-2-Amino-3-hydroxypropansäure Chemical compound OC[C@H](N)C(O)=O MTCFGRXMJLQNBG-REOHCLBHSA-N 0.000 description 1
- LNAZSHAWQACDHT-XIYTZBAFSA-N (2r,3r,4s,5r,6s)-4,5-dimethoxy-2-(methoxymethyl)-3-[(2s,3r,4s,5r,6r)-3,4,5-trimethoxy-6-(methoxymethyl)oxan-2-yl]oxy-6-[(2r,3r,4s,5r,6r)-4,5,6-trimethoxy-2-(methoxymethyl)oxan-3-yl]oxyoxane Chemical compound CO[C@@H]1[C@@H](OC)[C@H](OC)[C@@H](COC)O[C@H]1O[C@H]1[C@H](OC)[C@@H](OC)[C@H](O[C@H]2[C@@H]([C@@H](OC)[C@H](OC)O[C@@H]2COC)OC)O[C@@H]1COC LNAZSHAWQACDHT-XIYTZBAFSA-N 0.000 description 1
- NPDBDJFLKKQMCM-SCSAIBSYSA-N (2s)-2-amino-3,3-dimethylbutanoic acid Chemical compound CC(C)(C)[C@H](N)C(O)=O NPDBDJFLKKQMCM-SCSAIBSYSA-N 0.000 description 1
- FVJIUQSKXOYFKG-UHFFFAOYSA-N (3,4-dichlorophenyl)methanol Chemical compound OCC1=CC=C(Cl)C(Cl)=C1 FVJIUQSKXOYFKG-UHFFFAOYSA-N 0.000 description 1
- GNQLTCVBSGVGHC-UHFFFAOYSA-N (3,4-difluorophenyl)methanol Chemical compound OCC1=CC=C(F)C(F)=C1 GNQLTCVBSGVGHC-UHFFFAOYSA-N 0.000 description 1
- VSNNLLQKDRCKCB-UHFFFAOYSA-N (3,5-dichlorophenyl)methanol Chemical compound OCC1=CC(Cl)=CC(Cl)=C1 VSNNLLQKDRCKCB-UHFFFAOYSA-N 0.000 description 1
- ZSRDNPVYGSFUMD-UHFFFAOYSA-N (3-chlorophenyl)methanol Chemical compound OCC1=CC=CC(Cl)=C1 ZSRDNPVYGSFUMD-UHFFFAOYSA-N 0.000 description 1
- YSLBFFIVJGJBSA-UHFFFAOYSA-N (4-ethylphenyl)methanol Chemical compound CCC1=CC=C(CO)C=C1 YSLBFFIVJGJBSA-UHFFFAOYSA-N 0.000 description 1
- GEZMEIHVFSWOCA-UHFFFAOYSA-N (4-fluorophenyl)methanol Chemical compound OCC1=CC=C(F)C=C1 GEZMEIHVFSWOCA-UHFFFAOYSA-N 0.000 description 1
- MHSGOABISYIYKP-UHFFFAOYSA-N (4-nitrophenyl)methyl carbonochloridate Chemical compound [O-][N+](=O)C1=CC=C(COC(Cl)=O)C=C1 MHSGOABISYIYKP-UHFFFAOYSA-N 0.000 description 1
- ALZSTTDFHZHSCA-RNVDEAKXSA-N (4s)-4-[[(2s)-2-acetamido-3-carboxypropanoyl]amino]-5-[[(2s)-1-[[(2s)-3-carboxy-1-[(4-methyl-2-oxochromen-7-yl)amino]-1-oxopropan-2-yl]amino]-3-methyl-1-oxobutan-2-yl]amino]-5-oxopentanoic acid Chemical compound CC1=CC(=O)OC2=CC(NC(=O)[C@H](CC(O)=O)NC(=O)[C@@H](NC(=O)[C@H](CCC(O)=O)NC(=O)[C@H](CC(O)=O)NC(C)=O)C(C)C)=CC=C21 ALZSTTDFHZHSCA-RNVDEAKXSA-N 0.000 description 1
- 125000000229 (C1-C4)alkoxy group Chemical group 0.000 description 1
- 125000006552 (C3-C8) cycloalkyl group Chemical group 0.000 description 1
- MACOKNNOOVHAKF-UHFFFAOYSA-N *.C[Ra]c1cccc(C)c1 Chemical compound *.C[Ra]c1cccc(C)c1 MACOKNNOOVHAKF-UHFFFAOYSA-N 0.000 description 1
- 125000006002 1,1-difluoroethyl group Chemical group 0.000 description 1
- DTOUUUZOYKYHEP-UHFFFAOYSA-N 1,3-bis(2-ethylhexyl)-5-methyl-1,3-diazinan-5-amine Chemical compound CCCCC(CC)CN1CN(CC(CC)CCCC)CC(C)(N)C1 DTOUUUZOYKYHEP-UHFFFAOYSA-N 0.000 description 1
- HKIPCXRNASWFRU-UHFFFAOYSA-N 1,3-difluoropropan-2-one Chemical group FCC(=O)CF HKIPCXRNASWFRU-UHFFFAOYSA-N 0.000 description 1
- ABJFBJGGLJVMAQ-UHFFFAOYSA-N 1,4-dihydroquinoxaline-2,3-dione Chemical compound C1=CC=C2NC(=O)C(=O)NC2=C1 ABJFBJGGLJVMAQ-UHFFFAOYSA-N 0.000 description 1
- IXPNQXFRVYWDDI-UHFFFAOYSA-N 1-methyl-2,4-dioxo-1,3-diazinane-5-carboximidamide Chemical compound CN1CC(C(N)=N)C(=O)NC1=O IXPNQXFRVYWDDI-UHFFFAOYSA-N 0.000 description 1
- FPIPGXGPPPQFEQ-UHFFFAOYSA-N 13-cis retinol Natural products OCC=C(C)C=CC=C(C)C=CC1=C(C)CCCC1(C)C FPIPGXGPPPQFEQ-UHFFFAOYSA-N 0.000 description 1
- YBYIRNPNPLQARY-UHFFFAOYSA-N 1H-indene Natural products C1=CC=C2CC=CC2=C1 YBYIRNPNPLQARY-UHFFFAOYSA-N 0.000 description 1
- IHPYMWDTONKSCO-UHFFFAOYSA-N 2,2'-piperazine-1,4-diylbisethanesulfonic acid Chemical compound OS(=O)(=O)CCN1CCN(CCS(O)(=O)=O)CC1 IHPYMWDTONKSCO-UHFFFAOYSA-N 0.000 description 1
- HMBHAQMOBKLWRX-UHFFFAOYSA-N 2,3-dihydro-1,4-benzodioxine-3-carboxylic acid Chemical compound C1=CC=C2OC(C(=O)O)COC2=C1 HMBHAQMOBKLWRX-UHFFFAOYSA-N 0.000 description 1
- DBHODFSFBXJZNY-UHFFFAOYSA-N 2,4-dichlorobenzyl alcohol Chemical compound OCC1=CC=C(Cl)C=C1Cl DBHODFSFBXJZNY-UHFFFAOYSA-N 0.000 description 1
- NIJZBWHOHNWJBX-UHFFFAOYSA-N 2,4-difluorobenzyl alcohol 2,4-difluoro-1-(hydroxymethyl)benzene Chemical compound OCC1=CC=C(F)C=C1F NIJZBWHOHNWJBX-UHFFFAOYSA-N 0.000 description 1
- MRUDNSFOFOQZDA-UHFFFAOYSA-N 2,6-dichlorobenzoic acid Chemical compound OC(=O)C1=C(Cl)C=CC=C1Cl MRUDNSFOFOQZDA-UHFFFAOYSA-N 0.000 description 1
- BFUUJUGQJUTPAF-UHFFFAOYSA-N 2-(3-amino-4-propoxybenzoyl)oxyethyl-diethylazanium;chloride Chemical compound [Cl-].CCCOC1=CC=C(C(=O)OCC[NH+](CC)CC)C=C1N BFUUJUGQJUTPAF-UHFFFAOYSA-N 0.000 description 1
- LRHRHAWNXCGABU-UHFFFAOYSA-N 2-(cyclopentylazaniumyl)acetate Chemical compound OC(=O)CNC1CCCC1 LRHRHAWNXCGABU-UHFFFAOYSA-N 0.000 description 1
- HZLCGUXUOFWCCN-UHFFFAOYSA-N 2-hydroxynonadecane-1,2,3-tricarboxylic acid Chemical compound CCCCCCCCCCCCCCCCC(C(O)=O)C(O)(C(O)=O)CC(O)=O HZLCGUXUOFWCCN-UHFFFAOYSA-N 0.000 description 1
- YOETUEMZNOLGDB-UHFFFAOYSA-N 2-methylpropyl carbonochloridate Chemical compound CC(C)COC(Cl)=O YOETUEMZNOLGDB-UHFFFAOYSA-N 0.000 description 1
- VMZCDNSFRSVYKQ-UHFFFAOYSA-N 2-phenylacetyl chloride Chemical compound ClC(=O)CC1=CC=CC=C1 VMZCDNSFRSVYKQ-UHFFFAOYSA-N 0.000 description 1
- JJCKHVUTVOPLBV-UHFFFAOYSA-N 3-Methylbenzyl alcohol Chemical compound CC1=CC=CC(CO)=C1 JJCKHVUTVOPLBV-UHFFFAOYSA-N 0.000 description 1
- UMCMPZBLKLEWAF-BCTGSCMUSA-N 3-[(3-cholamidopropyl)dimethylammonio]propane-1-sulfonate Chemical compound C([C@H]1C[C@H]2O)[C@H](O)CC[C@]1(C)[C@@H]1[C@@H]2[C@@H]2CC[C@H]([C@@H](CCC(=O)NCCC[N+](C)(C)CCCS([O-])(=O)=O)C)[C@@]2(C)[C@@H](O)C1 UMCMPZBLKLEWAF-BCTGSCMUSA-N 0.000 description 1
- QDHRSLFSDGCJFX-UHFFFAOYSA-N 3-fluorobenzyl alcohol Chemical compound OCC1=CC=CC(F)=C1 QDHRSLFSDGCJFX-UHFFFAOYSA-N 0.000 description 1
- MFEILWXBDBCWKF-UHFFFAOYSA-N 3-phenylpropanoyl chloride Chemical compound ClC(=O)CCC1=CC=CC=C1 MFEILWXBDBCWKF-UHFFFAOYSA-N 0.000 description 1
- MOOUWXDQAUXZRG-UHFFFAOYSA-N 4-(trifluoromethyl)benzyl alcohol Chemical compound OCC1=CC=C(C(F)(F)F)C=C1 MOOUWXDQAUXZRG-UHFFFAOYSA-N 0.000 description 1
- 125000002471 4H-quinolizinyl group Chemical group C=1(C=CCN2C=CC=CC12)* 0.000 description 1
- WDYVUKGVKRZQNM-UHFFFAOYSA-N 6-phosphonohexylphosphonic acid Chemical compound OP(O)(=O)CCCCCCP(O)(O)=O WDYVUKGVKRZQNM-UHFFFAOYSA-N 0.000 description 1
- FOHUMFIQHBSPGD-UHFFFAOYSA-N 7-aminoisochromen-1-one Chemical compound C1=COC(=O)C2=CC(N)=CC=C21 FOHUMFIQHBSPGD-UHFFFAOYSA-N 0.000 description 1
- HBAQYPYDRFILMT-UHFFFAOYSA-N 8-[3-(1-cyclopropylpyrazol-4-yl)-1H-pyrazolo[4,3-d]pyrimidin-5-yl]-3-methyl-3,8-diazabicyclo[3.2.1]octan-2-one Chemical class C1(CC1)N1N=CC(=C1)C1=NNC2=C1N=C(N=C2)N1C2C(N(CC1CC2)C)=O HBAQYPYDRFILMT-UHFFFAOYSA-N 0.000 description 1
- 229930008281 A03AD01 - Papaverine Natural products 0.000 description 1
- 108010021160 Ac-aspartyl-glutamyl-valyl-aspartyl-aminomethylcoumarin Proteins 0.000 description 1
- 244000215068 Acacia senegal Species 0.000 description 1
- QTBSBXVTEAMEQO-UHFFFAOYSA-M Acetate Chemical compound CC([O-])=O QTBSBXVTEAMEQO-UHFFFAOYSA-M 0.000 description 1
- 229920001817 Agar Polymers 0.000 description 1
- GUBGYTABKSRVRQ-XLOQQCSPSA-N Alpha-Lactose Chemical compound O[C@@H]1[C@@H](O)[C@@H](O)[C@@H](CO)O[C@H]1O[C@@H]1[C@@H](CO)O[C@H](O)[C@H](O)[C@H]1O GUBGYTABKSRVRQ-XLOQQCSPSA-N 0.000 description 1
- NLXLAEXVIDQMFP-UHFFFAOYSA-N Ammonia chloride Chemical compound [NH4+].[Cl-] NLXLAEXVIDQMFP-UHFFFAOYSA-N 0.000 description 1
- 241000416162 Astragalus gummifer Species 0.000 description 1
- 206010003591 Ataxia Diseases 0.000 description 1
- HWSISDHAHRVNMT-UHFFFAOYSA-N Bismuth subnitrate Chemical compound O[NH+]([O-])O[Bi](O[N+]([O-])=O)O[N+]([O-])=O HWSISDHAHRVNMT-UHFFFAOYSA-N 0.000 description 1
- MXJWIQYILMCLCT-SWLMZHJZSA-N Br.C.C.CC1=C(O)C(C)=C2CC[C@@](C)(C(=O)N[C@H](C(=O)NC(CC(=O)O)C(=O)CF)C(C)C)OC2=C1C.CC1=C(O)C(C)=C2CC[C@@](C)(C(=O)N[C@H](C(=O)NC(CC(=O)O)C(=O)CF)C(C)C)OC2=C1C.CC1=C(O)C(C)=C2CC[C@@](C)(C(=O)O)OC2=C1C.CC1=C2CC[C@@](C)(C(=O)O)OC2=C(C)C(C)=C1OCC1=CC=CC=C1.CCC(NC(=O)[C@@H](N)C(C)C)C(O)CF.CCC(NC(=O)[C@@H](N)C(C)C)C(O)CF.CCC(NC(=O)[C@@H](NC(=O)[C@]1(C)CCC2=C(C)C(O)=C(C)C(C)=C2O1)C(C)C)C(=O)CF.CCC(NC(=O)[C@@H](NC(=O)[C@]1(C)CCC2=C(C)C(O)=C(C)C(C)=C2O1)C(C)C)C(O)CF.CCC(NC(=O)[C@@H](NC(=O)[C@]1(C)CCC2=C(C)C(OCC3=CC=CC=C3)=C(C)C(C)=C2O1)C(C)C)C(=O)CF.CCC(NC(=O)[C@@H](NC(=O)[C@]1(C)CCC2=C(C)C(OCC3=CC=CC=C3)=C(C)C(C)=C2O1)C(C)C)C(O)CF.CCC(NC(=O)[C@@H](NC)C(C)C)C(O)CF.O=CC(F)(F)F.[2H]C#C.[2H]C#C Chemical compound Br.C.C.CC1=C(O)C(C)=C2CC[C@@](C)(C(=O)N[C@H](C(=O)NC(CC(=O)O)C(=O)CF)C(C)C)OC2=C1C.CC1=C(O)C(C)=C2CC[C@@](C)(C(=O)N[C@H](C(=O)NC(CC(=O)O)C(=O)CF)C(C)C)OC2=C1C.CC1=C(O)C(C)=C2CC[C@@](C)(C(=O)O)OC2=C1C.CC1=C2CC[C@@](C)(C(=O)O)OC2=C(C)C(C)=C1OCC1=CC=CC=C1.CCC(NC(=O)[C@@H](N)C(C)C)C(O)CF.CCC(NC(=O)[C@@H](N)C(C)C)C(O)CF.CCC(NC(=O)[C@@H](NC(=O)[C@]1(C)CCC2=C(C)C(O)=C(C)C(C)=C2O1)C(C)C)C(=O)CF.CCC(NC(=O)[C@@H](NC(=O)[C@]1(C)CCC2=C(C)C(O)=C(C)C(C)=C2O1)C(C)C)C(O)CF.CCC(NC(=O)[C@@H](NC(=O)[C@]1(C)CCC2=C(C)C(OCC3=CC=CC=C3)=C(C)C(C)=C2O1)C(C)C)C(=O)CF.CCC(NC(=O)[C@@H](NC(=O)[C@]1(C)CCC2=C(C)C(OCC3=CC=CC=C3)=C(C)C(C)=C2O1)C(C)C)C(O)CF.CCC(NC(=O)[C@@H](NC)C(C)C)C(O)CF.O=CC(F)(F)F.[2H]C#C.[2H]C#C MXJWIQYILMCLCT-SWLMZHJZSA-N 0.000 description 1
- 201000006474 Brain Ischemia Diseases 0.000 description 1
- HKEBKQPIPCCKJQ-UUDBLICASA-N C.C.CC(C)[C@H](N)C(=O)O.CC(C)[C@H](N)C(=O)O.CC(C)[C@H](NC(=O)CCC1=CC=CC=C1)C(=O)O.CC(C)[C@H](NC(=O)NCC1=CC=CC=C1)C(=O)O.O=C(Cl)CCC1=CC=CC=C1.O=C=NCC1=CC=CC=C1 Chemical compound C.C.CC(C)[C@H](N)C(=O)O.CC(C)[C@H](N)C(=O)O.CC(C)[C@H](NC(=O)CCC1=CC=CC=C1)C(=O)O.CC(C)[C@H](NC(=O)NCC1=CC=CC=C1)C(=O)O.O=C(Cl)CCC1=CC=CC=C1.O=C=NCC1=CC=CC=C1 HKEBKQPIPCCKJQ-UUDBLICASA-N 0.000 description 1
- MWPRWNZSKCLMQS-RSAXXLAASA-N C.CC(=O)[C@]1(C)CCC2=C(C)C(O)=C(C)C(C)=C2O1 Chemical compound C.CC(=O)[C@]1(C)CCC2=C(C)C(O)=C(C)C(C)=C2O1 MWPRWNZSKCLMQS-RSAXXLAASA-N 0.000 description 1
- OQOKLXPWZREOQA-ARCILSTASA-N C.CC(C)[C@H](N)C(=O)O.CC(C)[C@H](NC(=O)OCC1=CC=CC=C1Cl)C(=O)NC(CC(=O)O)C(=O)CF.CC(C)[C@H](NC(=O)OCC1=CC=CC=C1Cl)C(=O)O.CCC(N)C(O)CF.CCC(NC(=O)[C@@H](NC(=O)OCC1=CC=CC=C1Cl)C(C)C)C(=O)CF.CCC(NC(=O)[C@@H](NC(=O)OCC1=CC=CC=C1Cl)C(C)C)C(O)CF.O=C(Cl)OCC1=CC=CC=C1Cl Chemical compound C.CC(C)[C@H](N)C(=O)O.CC(C)[C@H](NC(=O)OCC1=CC=CC=C1Cl)C(=O)NC(CC(=O)O)C(=O)CF.CC(C)[C@H](NC(=O)OCC1=CC=CC=C1Cl)C(=O)O.CCC(N)C(O)CF.CCC(NC(=O)[C@@H](NC(=O)OCC1=CC=CC=C1Cl)C(C)C)C(=O)CF.CCC(NC(=O)[C@@H](NC(=O)OCC1=CC=CC=C1Cl)C(C)C)C(O)CF.O=C(Cl)OCC1=CC=CC=C1Cl OQOKLXPWZREOQA-ARCILSTASA-N 0.000 description 1
- 239000002126 C01EB10 - Adenosine Substances 0.000 description 1
- OCMLKKXSNBYORH-ZETCQYMHSA-N C=CCOC(=O)N[C@@H](CC(=O)O)C(=O)CC Chemical compound C=CCOC(=O)N[C@@H](CC(=O)O)C(=O)CC OCMLKKXSNBYORH-ZETCQYMHSA-N 0.000 description 1
- RYAFHDHSVVCELZ-KRWDZBQOSA-N C=CCOC(=O)N[C@@H](CC(=O)O)C(=O)COC1=CC2=C(C=CC=C2)C=C1C1=NC=CN1 Chemical compound C=CCOC(=O)N[C@@H](CC(=O)O)C(=O)COC1=CC2=C(C=CC=C2)C=C1C1=NC=CN1 RYAFHDHSVVCELZ-KRWDZBQOSA-N 0.000 description 1
- 101150047706 CASP6 gene Proteins 0.000 description 1
- BAHXAEZPSDVZAI-RDUQOIKYSA-N CC(=O)N[C@@H](CC1=CC=C(O)C=C1)C(=O)N[C@H](C(=O)N[C@@H](C)C(=O)N[C@@H](CC(=O)O)C(=O)CCCCCC1=CC=CC=C1)C(C)C Chemical compound CC(=O)N[C@@H](CC1=CC=C(O)C=C1)C(=O)N[C@H](C(=O)N[C@@H](C)C(=O)N[C@@H](CC(=O)O)C(=O)CCCCCC1=CC=CC=C1)C(C)C BAHXAEZPSDVZAI-RDUQOIKYSA-N 0.000 description 1
- WJEHWZGOGDICHZ-VLGHZNJVSA-N CC(C)C[C@H](NS(=O)(=O)C1=C2/C=C\C=C(\N(C)C)C2=CC=C1)C(=O)O.CC1=CC=C(S(=O)(=O)N[C@@H](CC2=CC=CC=C2)C(=O)O)C=C1.CC1=CC=C(S(=O)(=O)N[C@H](C(=O)O)C(C)C)C=C1 Chemical compound CC(C)C[C@H](NS(=O)(=O)C1=C2/C=C\C=C(\N(C)C)C2=CC=C1)C(=O)O.CC1=CC=C(S(=O)(=O)N[C@@H](CC2=CC=CC=C2)C(=O)O)C=C1.CC1=CC=C(S(=O)(=O)N[C@H](C(=O)O)C(C)C)C=C1 WJEHWZGOGDICHZ-VLGHZNJVSA-N 0.000 description 1
- ZSVFJJPLXXMYAI-WTLBDJHGSA-N CC(C)[C@H](N)C(=O)O.CC(C)[C@H](NC(=O)OCC1=CC=CC(Cl)=C1)C(=O)O.O=C(Cl)Cl.O=C(Cl)OCC1=CC=CC(Cl)=C1.OCC1=CC=CC(Cl)=C1 Chemical compound CC(C)[C@H](N)C(=O)O.CC(C)[C@H](NC(=O)OCC1=CC=CC(Cl)=C1)C(=O)O.O=C(Cl)Cl.O=C(Cl)OCC1=CC=CC(Cl)=C1.OCC1=CC=CC(Cl)=C1 ZSVFJJPLXXMYAI-WTLBDJHGSA-N 0.000 description 1
- QBEJMTFEUCDQAF-BACRPGSMSA-N CC(C)[C@H](NC(=O)C1=CC2=C(C=C(O)C=C2)OC1=O)C(=O)NC(CC(=O)O)C(=O)CF.CC(C)[C@H](NC(=O)CC1=CC(=O)OC2=C1C=CC(N(C)C)=C2)C(=O)NC(CC(=O)O)C(=O)CF.CC1=C(CC(=O)N[C@H](C(=O)NC(CC(=O)O)C(=O)CF)C(C)C)C(=O)OC2=C1C=CC(O)=C2.CCN(CC)C1=CC2=C(C=C1)C=C(C(=O)N[C@H](C(=O)NC(CC(=O)O)C(=O)CF)C(C)C)C(=O)O2.COC1=CC2=C(C=C1)C=C(C(=O)N[C@H](C(=O)NC(CC(=O)O)C(=O)CF)C(C)C)C(=O)O2 Chemical compound CC(C)[C@H](NC(=O)C1=CC2=C(C=C(O)C=C2)OC1=O)C(=O)NC(CC(=O)O)C(=O)CF.CC(C)[C@H](NC(=O)CC1=CC(=O)OC2=C1C=CC(N(C)C)=C2)C(=O)NC(CC(=O)O)C(=O)CF.CC1=C(CC(=O)N[C@H](C(=O)NC(CC(=O)O)C(=O)CF)C(C)C)C(=O)OC2=C1C=CC(O)=C2.CCN(CC)C1=CC2=C(C=C1)C=C(C(=O)N[C@H](C(=O)NC(CC(=O)O)C(=O)CF)C(C)C)C(=O)O2.COC1=CC2=C(C=C1)C=C(C(=O)N[C@H](C(=O)NC(CC(=O)O)C(=O)CF)C(C)C)C(=O)O2 QBEJMTFEUCDQAF-BACRPGSMSA-N 0.000 description 1
- IGFYXXJBAZZOHF-FUDKSRODSA-N CC(C)[C@H](NC(=O)C1=CC2=C(C=CC=C2)C=C1)C(=O)N1CCC[C@H]1C(=O)N[C@H](C=O)CC(=O)NS(C)(=O)=O Chemical compound CC(C)[C@H](NC(=O)C1=CC2=C(C=CC=C2)C=C1)C(=O)N1CCC[C@H]1C(=O)N[C@H](C=O)CC(=O)NS(C)(=O)=O IGFYXXJBAZZOHF-FUDKSRODSA-N 0.000 description 1
- OSEKZNDEXDHLHA-UVFQYZLESA-N CC(C)[C@H](NC(=O)CCC1=CC=CC=C1)C(=O)N[C@@H](C)C(=O)N[C@@H](CC(=O)O)C(=O)CO[Ar] Chemical compound CC(C)[C@H](NC(=O)CCC1=CC=CC=C1)C(=O)N[C@@H](C)C(=O)N[C@@H](CC(=O)O)C(=O)CO[Ar] OSEKZNDEXDHLHA-UVFQYZLESA-N 0.000 description 1
- DFQKZFFVISYVDA-YFBXQHAESA-N CC(C)[C@H](NC(=O)OCC1=CC=CC=C1)C(=O)N[C@@H](C)C(=O)N[C@@H](CC(=O)O)C(=O)COC(=O)C1=C(Cl)C=CC=C1Cl Chemical compound CC(C)[C@H](NC(=O)OCC1=CC=CC=C1)C(=O)N[C@@H](C)C(=O)N[C@@H](CC(=O)O)C(=O)COC(=O)C1=C(Cl)C=CC=C1Cl DFQKZFFVISYVDA-YFBXQHAESA-N 0.000 description 1
- KMQUNKFUYIWFDE-HUNRRIKPSA-N CC(C)[C@H](NC(=O)OCC1=CC=CC=C1)C(=O)N[C@@H](C)C(=O)N[C@@H](CC(=O)O)C(=O)COC1=C(CC2=CC=CC=C2)C(=O)OC1.CCC1=C(OCC(=O)[C@H](CC(=O)O)NC(=O)[C@@H](NC(=O)OCC2=CC=CC=C2)C(C)C)CNC1=O Chemical compound CC(C)[C@H](NC(=O)OCC1=CC=CC=C1)C(=O)N[C@@H](C)C(=O)N[C@@H](CC(=O)O)C(=O)COC1=C(CC2=CC=CC=C2)C(=O)OC1.CCC1=C(OCC(=O)[C@H](CC(=O)O)NC(=O)[C@@H](NC(=O)OCC2=CC=CC=C2)C(C)C)CNC1=O KMQUNKFUYIWFDE-HUNRRIKPSA-N 0.000 description 1
- NYAJSMZPXCCMPF-JNMBUGSCSA-N CC(C)[C@H](NC(=O)OCC1=CC=CC=C1)C(=O)N[C@@H](C)C(=O)N[C@@H](CC(=O)O)C(=O)COC1=CC(C(F)(F)F)=NN1C1=CC=CC=C1 Chemical compound CC(C)[C@H](NC(=O)OCC1=CC=CC=C1)C(=O)N[C@@H](C)C(=O)N[C@@H](CC(=O)O)C(=O)COC1=CC(C(F)(F)F)=NN1C1=CC=CC=C1 NYAJSMZPXCCMPF-JNMBUGSCSA-N 0.000 description 1
- SSCWIWFPFMGNHP-VZPHFUHGSA-N CC(C)[C@H](NC(=O)OCC1=CC=CC=C1)C(=O)N[C@@H](C)C(=O)N[C@@H](CC(=O)O)C(=O)COP(=O)(C1=CC=CC=C1)C1=CC=CC=C1 Chemical compound CC(C)[C@H](NC(=O)OCC1=CC=CC=C1)C(=O)N[C@@H](C)C(=O)N[C@@H](CC(=O)O)C(=O)COP(=O)(C1=CC=CC=C1)C1=CC=CC=C1 SSCWIWFPFMGNHP-VZPHFUHGSA-N 0.000 description 1
- SKBDOPABBMVXDV-NHHFAVJZSA-N CCC(=O)C(CC(=O)O)NC(=O)[C@@H](NC(=O)[C@]1(C)CCC2=C(C)C(O)=C(C)C(C)=C2O1)C(C)C Chemical compound CCC(=O)C(CC(=O)O)NC(=O)[C@@H](NC(=O)[C@]1(C)CCC2=C(C)C(O)=C(C)C(C)=C2O1)C(C)C SKBDOPABBMVXDV-NHHFAVJZSA-N 0.000 description 1
- SZUVMUWDJINILH-WJPUGNRLSA-N CCC(=O)[C@H](CC(=O)O)NC(=O)[C@H](C)NC(=O)[C@@H](NC(=O)CCC1=CC=CC=C1)C(C)C Chemical compound CCC(=O)[C@H](CC(=O)O)NC(=O)[C@H](C)NC(=O)[C@@H](NC(=O)CCC1=CC=CC=C1)C(C)C SZUVMUWDJINILH-WJPUGNRLSA-N 0.000 description 1
- VCHZFVIGXWMBDQ-XLTVJXRZSA-N CCC(C(=O)N[C@@H](CC(=O)O)C(=O)CN(C)CCC1=CC=CC=C1)N1C=CC=C(NC(=O)C2=CC3=C(C=CC=C3)C=C2)C1=O Chemical compound CCC(C(=O)N[C@@H](CC(=O)O)C(=O)CN(C)CCC1=CC=CC=C1)N1C=CC=C(NC(=O)C2=CC3=C(C=CC=C3)C=C2)C1=O VCHZFVIGXWMBDQ-XLTVJXRZSA-N 0.000 description 1
- 108090000425 Caspase 6 Proteins 0.000 description 1
- 108090000572 Caspase-10 Proteins 0.000 description 1
- 108090000552 Caspase-2 Proteins 0.000 description 1
- 101710090338 Caspase-4 Proteins 0.000 description 1
- 102100038916 Caspase-5 Human genes 0.000 description 1
- 101710090333 Caspase-5 Proteins 0.000 description 1
- 102100026548 Caspase-8 Human genes 0.000 description 1
- KRKNYBCHXYNGOX-UHFFFAOYSA-K Citrate Chemical compound [O-]C(=O)CC(O)(CC([O-])=O)C([O-])=O KRKNYBCHXYNGOX-UHFFFAOYSA-K 0.000 description 1
- 229920002261 Corn starch Polymers 0.000 description 1
- FBPFZTCFMRRESA-KVTDHHQDSA-N D-Mannitol Chemical compound OC[C@@H](O)[C@@H](O)[C@H](O)[C@H](O)CO FBPFZTCFMRRESA-KVTDHHQDSA-N 0.000 description 1
- QNAYBMKLOCPYGJ-UHFFFAOYSA-N D-alpha-Ala Natural products CC([NH3+])C([O-])=O QNAYBMKLOCPYGJ-UHFFFAOYSA-N 0.000 description 1
- 201000008163 Dentatorubral pallidoluysian atrophy Diseases 0.000 description 1
- 229920002307 Dextran Polymers 0.000 description 1
- 206010013647 Drowning Diseases 0.000 description 1
- KCXVZYZYPLLWCC-UHFFFAOYSA-N EDTA Chemical compound OC(=O)CN(CC(O)=O)CCN(CC(O)=O)CC(O)=O KCXVZYZYPLLWCC-UHFFFAOYSA-N 0.000 description 1
- LVGKNOAMLMIIKO-UHFFFAOYSA-N Elaidinsaeure-aethylester Natural products CCCCCCCCC=CCCCCCCCC(=O)OCC LVGKNOAMLMIIKO-UHFFFAOYSA-N 0.000 description 1
- KRHYYFGTRYWZRS-UHFFFAOYSA-M Fluoride anion Chemical compound [F-] KRHYYFGTRYWZRS-UHFFFAOYSA-M 0.000 description 1
- 208000010412 Glaucoma Diseases 0.000 description 1
- 206010018364 Glomerulonephritis Diseases 0.000 description 1
- 229920000084 Gum arabic Polymers 0.000 description 1
- 206010019196 Head injury Diseases 0.000 description 1
- 241000238631 Hexapoda Species 0.000 description 1
- 101000983518 Homo sapiens Caspase-10 Proteins 0.000 description 1
- 101000867612 Homo sapiens Caspase-2 Proteins 0.000 description 1
- 101000983528 Homo sapiens Caspase-8 Proteins 0.000 description 1
- OAKJQQAXSVQMHS-UHFFFAOYSA-N Hydrazine Chemical compound NN OAKJQQAXSVQMHS-UHFFFAOYSA-N 0.000 description 1
- CPELXLSAUQHCOX-UHFFFAOYSA-N Hydrogen bromide Chemical compound Br CPELXLSAUQHCOX-UHFFFAOYSA-N 0.000 description 1
- 102000019223 Interleukin-1 receptor Human genes 0.000 description 1
- 108050006617 Interleukin-1 receptor Proteins 0.000 description 1
- 208000032382 Ischaemic stroke Diseases 0.000 description 1
- 208000027747 Kennedy disease Diseases 0.000 description 1
- QNAYBMKLOCPYGJ-UWTATZPHSA-N L-Alanine Natural products C[C@@H](N)C(O)=O QNAYBMKLOCPYGJ-UWTATZPHSA-N 0.000 description 1
- ONIBWKKTOPOVIA-BYPYZUCNSA-N L-Proline Chemical compound OC(=O)[C@@H]1CCCN1 ONIBWKKTOPOVIA-BYPYZUCNSA-N 0.000 description 1
- FFEARJCKVFRZRR-BYPYZUCNSA-N L-methionine Chemical compound CSCC[C@H](N)C(O)=O FFEARJCKVFRZRR-BYPYZUCNSA-N 0.000 description 1
- 125000000174 L-prolyl group Chemical group [H]N1C([H])([H])C([H])([H])C([H])([H])[C@@]1([H])C(*)=O 0.000 description 1
- AYFVYJQAPQTCCC-GBXIJSLDSA-N L-threonine Chemical compound C[C@@H](O)[C@H](N)C(O)=O AYFVYJQAPQTCCC-GBXIJSLDSA-N 0.000 description 1
- QIVBCDIJIAJPQS-VIFPVBQESA-N L-tryptophane Chemical compound C1=CC=C2C(C[C@H](N)C(O)=O)=CNC2=C1 QIVBCDIJIAJPQS-VIFPVBQESA-N 0.000 description 1
- JVTAAEKCZFNVCJ-UHFFFAOYSA-M Lactate Chemical compound CC(O)C([O-])=O JVTAAEKCZFNVCJ-UHFFFAOYSA-M 0.000 description 1
- NNJVILVZKWQKPM-UHFFFAOYSA-N Lidocaine Chemical compound CCN(CC)CC(=O)NC1=C(C)C=CC=C1C NNJVILVZKWQKPM-UHFFFAOYSA-N 0.000 description 1
- 235000019759 Maize starch Nutrition 0.000 description 1
- 229930195725 Mannitol Natural products 0.000 description 1
- 101710089759 Melanin-concentrating hormone receptor 2 Proteins 0.000 description 1
- 208000036626 Mental retardation Diseases 0.000 description 1
- 241001529936 Murinae Species 0.000 description 1
- 241000699670 Mus sp. Species 0.000 description 1
- 206010068871 Myotonic dystrophy Diseases 0.000 description 1
- HSHXDCVZWHOWCS-UHFFFAOYSA-N N'-hexadecylthiophene-2-carbohydrazide Chemical compound CCCCCCCCCCCCCCCCNNC(=O)c1cccs1 HSHXDCVZWHOWCS-UHFFFAOYSA-N 0.000 description 1
- 150000001204 N-oxides Chemical class 0.000 description 1
- 108700020796 Oncogene Proteins 0.000 description 1
- 239000007990 PIPES buffer Substances 0.000 description 1
- 229910019142 PO4 Inorganic materials 0.000 description 1
- 208000037273 Pathologic Processes Diseases 0.000 description 1
- 102000035195 Peptidases Human genes 0.000 description 1
- 108091005804 Peptidases Proteins 0.000 description 1
- ONIBWKKTOPOVIA-UHFFFAOYSA-N Proline Natural products OC(=O)C1CCCN1 ONIBWKKTOPOVIA-UHFFFAOYSA-N 0.000 description 1
- OFOBLEOULBTSOW-UHFFFAOYSA-N Propanedioic acid Natural products OC(=O)CC(O)=O OFOBLEOULBTSOW-UHFFFAOYSA-N 0.000 description 1
- 239000004365 Protease Substances 0.000 description 1
- 102000007056 Recombinant Fusion Proteins Human genes 0.000 description 1
- 108010008281 Recombinant Fusion Proteins Proteins 0.000 description 1
- 206010040070 Septic Shock Diseases 0.000 description 1
- MTCFGRXMJLQNBG-UHFFFAOYSA-N Serine Natural products OCC(N)C(O)=O MTCFGRXMJLQNBG-UHFFFAOYSA-N 0.000 description 1
- 208000021386 Sjogren Syndrome Diseases 0.000 description 1
- UIIMBOGNXHQVGW-DEQYMQKBSA-M Sodium bicarbonate-14C Chemical compound [Na+].O[14C]([O-])=O UIIMBOGNXHQVGW-DEQYMQKBSA-M 0.000 description 1
- 235000021355 Stearic acid Nutrition 0.000 description 1
- KDYFGRWQOYBRFD-UHFFFAOYSA-N Succinic acid Natural products OC(=O)CCC(O)=O KDYFGRWQOYBRFD-UHFFFAOYSA-N 0.000 description 1
- QAOWNCQODCNURD-UHFFFAOYSA-L Sulfate Chemical compound [O-]S([O-])(=O)=O QAOWNCQODCNURD-UHFFFAOYSA-L 0.000 description 1
- NINIDFKCEFEMDL-UHFFFAOYSA-N Sulfur Chemical group [S] NINIDFKCEFEMDL-UHFFFAOYSA-N 0.000 description 1
- 239000005864 Sulphur Substances 0.000 description 1
- FEWJPZIEWOKRBE-UHFFFAOYSA-N Tartaric acid Natural products [H+].[H+].[O-]C(=O)C(O)C(O)C([O-])=O FEWJPZIEWOKRBE-UHFFFAOYSA-N 0.000 description 1
- 206010043189 Telangiectasia Diseases 0.000 description 1
- AYFVYJQAPQTCCC-UHFFFAOYSA-N Threonine Natural products CC(O)C(N)C(O)=O AYFVYJQAPQTCCC-UHFFFAOYSA-N 0.000 description 1
- 239000004473 Threonine Substances 0.000 description 1
- 229920001615 Tragacanth Polymers 0.000 description 1
- GLEVLJDDWXEYCO-UHFFFAOYSA-N Trolox Chemical compound O1C(C)(C(O)=O)CCC2=C1C(C)=C(C)C(O)=C2C GLEVLJDDWXEYCO-UHFFFAOYSA-N 0.000 description 1
- QIVBCDIJIAJPQS-UHFFFAOYSA-N Tryptophan Natural products C1=CC=C2C(CC(N)C(O)=O)=CNC2=C1 QIVBCDIJIAJPQS-UHFFFAOYSA-N 0.000 description 1
- FPIPGXGPPPQFEQ-BOOMUCAASA-N Vitamin A Natural products OC/C=C(/C)\C=C\C=C(\C)/C=C/C1=C(C)CCCC1(C)C FPIPGXGPPPQFEQ-BOOMUCAASA-N 0.000 description 1
- 229930003427 Vitamin E Natural products 0.000 description 1
- 206010052428 Wound Diseases 0.000 description 1
- 208000006269 X-Linked Bulbo-Spinal Atrophy Diseases 0.000 description 1
- SMEGJBVQLJJKKX-HOTMZDKISA-N [(2R,3S,4S,5R,6R)-5-acetyloxy-3,4,6-trihydroxyoxan-2-yl]methyl acetate Chemical compound CC(=O)OC[C@@H]1[C@H]([C@@H]([C@H]([C@@H](O1)O)OC(=O)C)O)O SMEGJBVQLJJKKX-HOTMZDKISA-N 0.000 description 1
- 230000002159 abnormal effect Effects 0.000 description 1
- 235000010489 acacia gum Nutrition 0.000 description 1
- 239000000205 acacia gum Substances 0.000 description 1
- CSCPPACGZOOCGX-WFGJKAKNSA-N acetone d6 Chemical compound [2H]C([2H])([2H])C(=O)C([2H])([2H])[2H] CSCPPACGZOOCGX-WFGJKAKNSA-N 0.000 description 1
- 229940081735 acetylcellulose Drugs 0.000 description 1
- 230000002378 acidificating effect Effects 0.000 description 1
- 239000012190 activator Substances 0.000 description 1
- 208000038016 acute inflammation Diseases 0.000 description 1
- 230000006022 acute inflammation Effects 0.000 description 1
- 230000006978 adaptation Effects 0.000 description 1
- 239000000654 additive Substances 0.000 description 1
- 229960005305 adenosine Drugs 0.000 description 1
- 239000000048 adrenergic agonist Substances 0.000 description 1
- 239000008272 agar Substances 0.000 description 1
- 235000010419 agar Nutrition 0.000 description 1
- 229940040563 agaric acid Drugs 0.000 description 1
- 235000010443 alginic acid Nutrition 0.000 description 1
- 239000000783 alginic acid Substances 0.000 description 1
- 229920000615 alginic acid Polymers 0.000 description 1
- 229960001126 alginic acid Drugs 0.000 description 1
- 150000004781 alginic acids Chemical class 0.000 description 1
- 150000001447 alkali salts Chemical class 0.000 description 1
- 239000012670 alkaline solution Substances 0.000 description 1
- 125000004849 alkoxymethyl group Chemical group 0.000 description 1
- FPIPGXGPPPQFEQ-OVSJKPMPSA-N all-trans-retinol Chemical compound OC\C=C(/C)\C=C\C=C(/C)\C=C\C1=C(C)CCCC1(C)C FPIPGXGPPPQFEQ-OVSJKPMPSA-N 0.000 description 1
- 150000004347 all-trans-retinol derivatives Chemical class 0.000 description 1
- 231100000360 alopecia Toxicity 0.000 description 1
- 125000003275 alpha amino acid group Chemical group 0.000 description 1
- 150000001280 alpha hydroxy acids Chemical group 0.000 description 1
- BWZOPYPOZJBVLQ-UHFFFAOYSA-K aluminium glycinate Chemical compound O[Al+]O.NCC([O-])=O BWZOPYPOZJBVLQ-UHFFFAOYSA-K 0.000 description 1
- 229910000147 aluminium phosphate Inorganic materials 0.000 description 1
- 229940118662 aluminum carbonate Drugs 0.000 description 1
- 229940024546 aluminum hydroxide gel Drugs 0.000 description 1
- JIFPTBLGXRKRAO-UHFFFAOYSA-K aluminum;magnesium;hydroxide;sulfate Chemical compound [OH-].[Mg+2].[Al+3].[O-]S([O-])(=O)=O JIFPTBLGXRKRAO-UHFFFAOYSA-K 0.000 description 1
- SEIGJEJVIMIXIU-UHFFFAOYSA-J aluminum;sodium;carbonate;dihydroxide Chemical compound [Na+].O[Al+]O.[O-]C([O-])=O SEIGJEJVIMIXIU-UHFFFAOYSA-J 0.000 description 1
- SMYKVLBUSSNXMV-UHFFFAOYSA-K aluminum;trihydroxide;hydrate Chemical compound O.[OH-].[OH-].[OH-].[Al+3] SMYKVLBUSSNXMV-UHFFFAOYSA-K 0.000 description 1
- 150000001408 amides Chemical class 0.000 description 1
- 125000000539 amino acid group Chemical group 0.000 description 1
- 125000003277 amino group Chemical group 0.000 description 1
- 230000019552 anatomical structure morphogenesis Effects 0.000 description 1
- 238000010171 animal model Methods 0.000 description 1
- 229940069428 antacid Drugs 0.000 description 1
- 239000003159 antacid agent Substances 0.000 description 1
- 125000002178 anthracenyl group Chemical group C1(=CC=CC2=CC3=CC=CC=C3C=C12)* 0.000 description 1
- NUZWLKWWNNJHPT-UHFFFAOYSA-N anthralin Chemical compound C1C2=CC=CC(O)=C2C(=O)C2=C1C=CC=C2O NUZWLKWWNNJHPT-UHFFFAOYSA-N 0.000 description 1
- 230000002424 anti-apoptotic effect Effects 0.000 description 1
- 229960005475 antiinfective agent Drugs 0.000 description 1
- 239000004599 antimicrobial Substances 0.000 description 1
- 238000003782 apoptosis assay Methods 0.000 description 1
- 125000005110 aryl thio group Chemical group 0.000 description 1
- 125000004104 aryloxy group Chemical group 0.000 description 1
- 229940009098 aspartate Drugs 0.000 description 1
- 150000001510 aspartic acids Chemical class 0.000 description 1
- 239000012298 atmosphere Substances 0.000 description 1
- 125000003828 azulenyl group Chemical group 0.000 description 1
- 125000003785 benzimidazolyl group Chemical group N1=C(NC2=C1C=CC=C2)* 0.000 description 1
- 229960005274 benzocaine Drugs 0.000 description 1
- 125000000051 benzyloxy group Chemical group [H]C1=C([H])C([H])=C(C([H])=C1[H])C([H])([H])O* 0.000 description 1
- 230000008512 biological response Effects 0.000 description 1
- 239000004305 biphenyl Substances 0.000 description 1
- 235000010290 biphenyl Nutrition 0.000 description 1
- 125000002529 biphenylenyl group Chemical group C1(=CC=CC=2C3=CC=CC=C3C12)* 0.000 description 1
- 229910052797 bismuth Inorganic materials 0.000 description 1
- JCXGWMGPZLAOME-UHFFFAOYSA-N bismuth atom Chemical compound [Bi] JCXGWMGPZLAOME-UHFFFAOYSA-N 0.000 description 1
- 229960001482 bismuth subnitrate Drugs 0.000 description 1
- ZREIPSZUJIFJNP-UHFFFAOYSA-K bismuth subsalicylate Chemical compound C1=CC=C2O[Bi](O)OC(=O)C2=C1 ZREIPSZUJIFJNP-UHFFFAOYSA-K 0.000 description 1
- 229960000782 bismuth subsalicylate Drugs 0.000 description 1
- 239000008280 blood Substances 0.000 description 1
- 210000004369 blood Anatomy 0.000 description 1
- 230000008499 blood brain barrier function Effects 0.000 description 1
- 210000001218 blood-brain barrier Anatomy 0.000 description 1
- 230000037396 body weight Effects 0.000 description 1
- 210000001185 bone marrow Anatomy 0.000 description 1
- 125000001246 bromo group Chemical group Br* 0.000 description 1
- 210000005178 buccal mucosa Anatomy 0.000 description 1
- 239000000872 buffer Substances 0.000 description 1
- 244000309464 bull Species 0.000 description 1
- KDYFGRWQOYBRFD-NUQCWPJISA-N butanedioic acid Chemical compound O[14C](=O)CC[14C](O)=O KDYFGRWQOYBRFD-NUQCWPJISA-N 0.000 description 1
- 125000000484 butyl group Chemical group [H]C([*])([H])C([H])([H])C([H])([H])C([H])([H])[H] 0.000 description 1
- 229910000019 calcium carbonate Inorganic materials 0.000 description 1
- 229960003563 calcium carbonate Drugs 0.000 description 1
- FUFJGUQYACFECW-UHFFFAOYSA-L calcium hydrogenphosphate Chemical compound [Ca+2].OP([O-])([O-])=O FUFJGUQYACFECW-UHFFFAOYSA-L 0.000 description 1
- 235000011010 calcium phosphates Nutrition 0.000 description 1
- CJZGTCYPCWQAJB-UHFFFAOYSA-L calcium stearate Chemical compound [Ca+2].CCCCCCCCCCCCCCCCCC([O-])=O.CCCCCCCCCCCCCCCCCC([O-])=O CJZGTCYPCWQAJB-UHFFFAOYSA-L 0.000 description 1
- 235000013539 calcium stearate Nutrition 0.000 description 1
- 239000008116 calcium stearate Substances 0.000 description 1
- 229930003827 cannabinoid Natural products 0.000 description 1
- 239000003557 cannabinoid Substances 0.000 description 1
- 229940065144 cannabinoids Drugs 0.000 description 1
- 125000000609 carbazolyl group Chemical group C1(=CC=CC=2C3=CC=CC=C3NC12)* 0.000 description 1
- BVKZGUZCCUSVTD-UHFFFAOYSA-N carbonic acid Chemical compound OC(O)=O BVKZGUZCCUSVTD-UHFFFAOYSA-N 0.000 description 1
- 230000003778 catagen phase Effects 0.000 description 1
- 230000005779 cell damage Effects 0.000 description 1
- 210000000170 cell membrane Anatomy 0.000 description 1
- 239000006285 cell suspension Substances 0.000 description 1
- 229920002301 cellulose acetate Polymers 0.000 description 1
- 229960001927 cetylpyridinium chloride Drugs 0.000 description 1
- YMKDRGPMQRFJGP-UHFFFAOYSA-M cetylpyridinium chloride Chemical compound [Cl-].CCCCCCCCCCCCCCCC[N+]1=CC=CC=C1 YMKDRGPMQRFJGP-UHFFFAOYSA-M 0.000 description 1
- 239000012829 chemotherapy agent Substances 0.000 description 1
- 125000001309 chloro group Chemical group Cl* 0.000 description 1
- 125000004773 chlorofluoromethyl group Chemical group [H]C(F)(Cl)* 0.000 description 1
- 229940075419 choline hydroxide Drugs 0.000 description 1
- 125000003016 chromanyl group Chemical group O1C(CCC2=CC=CC=C12)* 0.000 description 1
- 230000010428 chromatin condensation Effects 0.000 description 1
- 125000004230 chromenyl group Chemical group O1C(C=CC2=CC=CC=C12)* 0.000 description 1
- 208000037976 chronic inflammation Diseases 0.000 description 1
- 230000006020 chronic inflammation Effects 0.000 description 1
- 125000000259 cinnolinyl group Chemical group N1=NC(=CC2=CC=CC=C12)* 0.000 description 1
- 230000010405 clearance mechanism Effects 0.000 description 1
- 238000011281 clinical therapy Methods 0.000 description 1
- 239000011280 coal tar Substances 0.000 description 1
- 229960003920 cocaine Drugs 0.000 description 1
- 239000003086 colorant Substances 0.000 description 1
- 238000005056 compaction Methods 0.000 description 1
- 238000009833 condensation Methods 0.000 description 1
- 230000005494 condensation Effects 0.000 description 1
- 239000002537 cosmetic Substances 0.000 description 1
- 125000000332 coumarinyl group Chemical group O1C(=O)C(=CC2=CC=CC=C12)* 0.000 description 1
- 230000008878 coupling Effects 0.000 description 1
- 238000010168 coupling process Methods 0.000 description 1
- 238000005859 coupling reaction Methods 0.000 description 1
- 125000000392 cycloalkenyl group Chemical group 0.000 description 1
- 125000001995 cyclobutyl group Chemical group [H]C1([H])C([H])([H])C([H])(*)C1([H])[H] 0.000 description 1
- 125000001162 cycloheptenyl group Chemical group C1(=CCCCCC1)* 0.000 description 1
- 125000000582 cycloheptyl group Chemical group [H]C1([H])C([H])([H])C([H])([H])C([H])([H])C([H])(*)C([H])([H])C1([H])[H] 0.000 description 1
- VSSAZBXXNIABDN-UHFFFAOYSA-N cyclohexylmethanol Chemical compound OCC1CCCCC1 VSSAZBXXNIABDN-UHFFFAOYSA-N 0.000 description 1
- 125000000522 cyclooctenyl group Chemical group C1(=CCCCCCC1)* 0.000 description 1
- 125000002433 cyclopentenyl group Chemical group C1(=CCCC1)* 0.000 description 1
- ISQVBYGGNVVVHB-UHFFFAOYSA-N cyclopentylmethanol Chemical compound OCC1CCCC1 ISQVBYGGNVVVHB-UHFFFAOYSA-N 0.000 description 1
- 125000001559 cyclopropyl group Chemical group [H]C1([H])C([H])([H])C1([H])* 0.000 description 1
- 125000000151 cysteine group Chemical group N[C@@H](CS)C(=O)* 0.000 description 1
- 230000009089 cytolysis Effects 0.000 description 1
- 210000000805 cytoplasm Anatomy 0.000 description 1
- 230000001120 cytoprotective effect Effects 0.000 description 1
- 230000003412 degenerative effect Effects 0.000 description 1
- 230000003111 delayed effect Effects 0.000 description 1
- 230000001419 dependent effect Effects 0.000 description 1
- 238000001514 detection method Methods 0.000 description 1
- 150000001975 deuterium Chemical group 0.000 description 1
- 229910052805 deuterium Inorganic materials 0.000 description 1
- 238000011161 development Methods 0.000 description 1
- 230000018109 developmental process Effects 0.000 description 1
- 229960003957 dexamethasone Drugs 0.000 description 1
- UREBDLICKHMUKA-CXSFZGCWSA-N dexamethasone Chemical compound C1CC2=CC(=O)C=C[C@]2(C)[C@]2(F)[C@@H]1[C@@H]1C[C@@H](C)[C@@](C(=O)CO)(O)[C@@]1(C)C[C@@H]2O UREBDLICKHMUKA-CXSFZGCWSA-N 0.000 description 1
- 235000019700 dicalcium phosphate Nutrition 0.000 description 1
- 229960004698 dichlorobenzyl alcohol Drugs 0.000 description 1
- 235000014113 dietary fatty acids Nutrition 0.000 description 1
- 125000001028 difluoromethyl group Chemical group [H]C(F)(F)* 0.000 description 1
- 239000003866 digestant Substances 0.000 description 1
- 229940015826 dihydroxyaluminum aminoacetate Drugs 0.000 description 1
- 229940015828 dihydroxyaluminum sodium carbonate Drugs 0.000 description 1
- GXGAKHNRMVGRPK-UHFFFAOYSA-N dimagnesium;dioxido-bis[[oxido(oxo)silyl]oxy]silane Chemical compound [Mg+2].[Mg+2].[O-][Si](=O)O[Si]([O-])([O-])O[Si]([O-])=O GXGAKHNRMVGRPK-UHFFFAOYSA-N 0.000 description 1
- 229960002311 dithranol Drugs 0.000 description 1
- 210000005064 dopaminergic neuron Anatomy 0.000 description 1
- 230000003291 dopaminomimetic effect Effects 0.000 description 1
- KNZADIMHVBBPOA-UHFFFAOYSA-N dyclonine hydrochloride Chemical compound [Cl-].C1=CC(OCCCC)=CC=C1C(=O)CC[NH+]1CCCCC1 KNZADIMHVBBPOA-UHFFFAOYSA-N 0.000 description 1
- 229960003462 dyclonine hydrochloride Drugs 0.000 description 1
- 239000000975 dye Substances 0.000 description 1
- 239000012636 effector Substances 0.000 description 1
- 239000002895 emetic Substances 0.000 description 1
- 239000003995 emulsifying agent Substances 0.000 description 1
- 230000008519 endogenous mechanism Effects 0.000 description 1
- 229940079360 enema for constipation Drugs 0.000 description 1
- 210000002919 epithelial cell Anatomy 0.000 description 1
- 210000004920 epithelial cell of skin Anatomy 0.000 description 1
- RIFGWPKJUGCATF-UHFFFAOYSA-N ethyl chloroformate Chemical compound CCOC(Cl)=O RIFGWPKJUGCATF-UHFFFAOYSA-N 0.000 description 1
- LVGKNOAMLMIIKO-QXMHVHEDSA-N ethyl oleate Chemical compound CCCCCCCC\C=C/CCCCCCCC(=O)OCC LVGKNOAMLMIIKO-QXMHVHEDSA-N 0.000 description 1
- 229940093471 ethyl oleate Drugs 0.000 description 1
- 230000005284 excitation Effects 0.000 description 1
- 239000000194 fatty acid Substances 0.000 description 1
- 229930195729 fatty acid Natural products 0.000 description 1
- 239000000796 flavoring agent Substances 0.000 description 1
- 125000003983 fluorenyl group Chemical group C1(=CC=CC=2C3=CC=CC=C3CC12)* 0.000 description 1
- 125000001153 fluoro group Chemical group F* 0.000 description 1
- 235000003599 food sweetener Nutrition 0.000 description 1
- 238000013467 fragmentation Methods 0.000 description 1
- 238000006062 fragmentation reaction Methods 0.000 description 1
- 239000003205 fragrance Substances 0.000 description 1
- 239000001530 fumaric acid Substances 0.000 description 1
- 125000003838 furazanyl group Chemical group 0.000 description 1
- WIGCFUFOHFEKBI-UHFFFAOYSA-N gamma-tocopherol Natural products CC(C)CCCC(C)CCCC(C)CCCC1CCC2C(C)C(O)C(C)C(C)C2O1 WIGCFUFOHFEKBI-UHFFFAOYSA-N 0.000 description 1
- 230000002068 genetic effect Effects 0.000 description 1
- 235000011187 glycerol Nutrition 0.000 description 1
- 238000000227 grinding Methods 0.000 description 1
- 239000003102 growth factor Substances 0.000 description 1
- 238000003306 harvesting Methods 0.000 description 1
- 101150113725 hd gene Proteins 0.000 description 1
- 230000035876 healing Effects 0.000 description 1
- 230000011132 hemopoiesis Effects 0.000 description 1
- 125000005553 heteroaryloxy group Chemical group 0.000 description 1
- 125000000592 heterocycloalkyl group Chemical group 0.000 description 1
- 229960004867 hexetidine Drugs 0.000 description 1
- 229940088597 hormone Drugs 0.000 description 1
- 239000005556 hormone Substances 0.000 description 1
- 239000003906 humectant Substances 0.000 description 1
- 229960000890 hydrocortisone Drugs 0.000 description 1
- 239000000413 hydrolysate Substances 0.000 description 1
- 239000001866 hydroxypropyl methyl cellulose Substances 0.000 description 1
- 235000010979 hydroxypropyl methyl cellulose Nutrition 0.000 description 1
- 229920003088 hydroxypropyl methyl cellulose Polymers 0.000 description 1
- 125000002632 imidazolidinyl group Chemical group 0.000 description 1
- 125000002636 imidazolinyl group Chemical group 0.000 description 1
- 125000002883 imidazolyl group Chemical group 0.000 description 1
- 230000002779 inactivation Effects 0.000 description 1
- 125000003453 indazolyl group Chemical group N1N=C(C2=C1C=CC=C2)* 0.000 description 1
- 125000003454 indenyl group Chemical group C1(C=CC2=CC=CC=C12)* 0.000 description 1
- 125000003387 indolinyl group Chemical group N1(CCC2=CC=CC=C12)* 0.000 description 1
- 125000003406 indolizinyl group Chemical group C=1(C=CN2C=CC=CC12)* 0.000 description 1
- 238000011090 industrial biotechnology method and process Methods 0.000 description 1
- 229940102223 injectable solution Drugs 0.000 description 1
- 150000007529 inorganic bases Chemical class 0.000 description 1
- 230000019189 interleukin-1 beta production Effects 0.000 description 1
- 230000003834 intracellular effect Effects 0.000 description 1
- 238000007917 intracranial administration Methods 0.000 description 1
- 238000010255 intramuscular injection Methods 0.000 description 1
- 239000007927 intramuscular injection Substances 0.000 description 1
- 238000007912 intraperitoneal administration Methods 0.000 description 1
- 238000007913 intrathecal administration Methods 0.000 description 1
- 238000001990 intravenous administration Methods 0.000 description 1
- 239000011630 iodine Substances 0.000 description 1
- 239000013038 irreversible inhibitor Substances 0.000 description 1
- 230000000302 ischemic effect Effects 0.000 description 1
- 125000001977 isobenzofuranyl group Chemical group C=1(OC=C2C=CC=CC12)* 0.000 description 1
- 125000003384 isochromanyl group Chemical group C1(OCCC2=CC=CC=C12)* 0.000 description 1
- 125000004594 isoindolinyl group Chemical group C1(NCC2=CC=CC=C12)* 0.000 description 1
- 125000000904 isoindolyl group Chemical group C=1(NC=C2C=CC=CC12)* 0.000 description 1
- 229940039009 isoproterenol Drugs 0.000 description 1
- 125000005956 isoquinolyl group Chemical group 0.000 description 1
- 125000001786 isothiazolyl group Chemical group 0.000 description 1
- 125000000842 isoxazolyl group Chemical group 0.000 description 1
- 238000002372 labelling Methods 0.000 description 1
- 208000037805 labour Diseases 0.000 description 1
- 239000004922 lacquer Substances 0.000 description 1
- 231100000225 lethality Toxicity 0.000 description 1
- 208000032839 leukemia Diseases 0.000 description 1
- 229960004194 lidocaine Drugs 0.000 description 1
- 230000000670 limiting effect Effects 0.000 description 1
- 229940057995 liquid paraffin Drugs 0.000 description 1
- 239000006194 liquid suspension Substances 0.000 description 1
- 210000005229 liver cell Anatomy 0.000 description 1
- 239000003589 local anesthetic agent Substances 0.000 description 1
- 210000002540 macrophage Anatomy 0.000 description 1
- 229960004018 magaldrate Drugs 0.000 description 1
- ZLNQQNXFFQJAID-UHFFFAOYSA-L magnesium carbonate Chemical compound [Mg+2].[O-]C([O-])=O ZLNQQNXFFQJAID-UHFFFAOYSA-L 0.000 description 1
- 239000001095 magnesium carbonate Substances 0.000 description 1
- 229910000021 magnesium carbonate Inorganic materials 0.000 description 1
- 229960001708 magnesium carbonate Drugs 0.000 description 1
- 235000014380 magnesium carbonate Nutrition 0.000 description 1
- VTHJTEIRLNZDEV-UHFFFAOYSA-L magnesium dihydroxide Chemical compound [OH-].[OH-].[Mg+2] VTHJTEIRLNZDEV-UHFFFAOYSA-L 0.000 description 1
- 239000000347 magnesium hydroxide Substances 0.000 description 1
- 229910001862 magnesium hydroxide Inorganic materials 0.000 description 1
- 229960000816 magnesium hydroxide Drugs 0.000 description 1
- 235000012254 magnesium hydroxide Nutrition 0.000 description 1
- 239000000395 magnesium oxide Substances 0.000 description 1
- CPLXHLVBOLITMK-UHFFFAOYSA-N magnesium oxide Inorganic materials [Mg]=O CPLXHLVBOLITMK-UHFFFAOYSA-N 0.000 description 1
- 229960000869 magnesium oxide Drugs 0.000 description 1
- 235000012245 magnesium oxide Nutrition 0.000 description 1
- GVALZJMUIHGIMD-UHFFFAOYSA-H magnesium phosphate Chemical compound [Mg+2].[Mg+2].[Mg+2].[O-]P([O-])([O-])=O.[O-]P([O-])([O-])=O GVALZJMUIHGIMD-UHFFFAOYSA-H 0.000 description 1
- 239000004137 magnesium phosphate Substances 0.000 description 1
- 229960002261 magnesium phosphate Drugs 0.000 description 1
- 229910000157 magnesium phosphate Inorganic materials 0.000 description 1
- 235000010994 magnesium phosphates Nutrition 0.000 description 1
- 239000000391 magnesium silicate Substances 0.000 description 1
- 229940099273 magnesium trisilicate Drugs 0.000 description 1
- 229910000386 magnesium trisilicate Inorganic materials 0.000 description 1
- 235000019793 magnesium trisilicate Nutrition 0.000 description 1
- AXZKOIWUVFPNLO-UHFFFAOYSA-N magnesium;oxygen(2-) Chemical compound [O-2].[Mg+2] AXZKOIWUVFPNLO-UHFFFAOYSA-N 0.000 description 1
- 239000011976 maleic acid Substances 0.000 description 1
- IWYDHOAUDWTVEP-UHFFFAOYSA-M mandelate Chemical compound [O-]C(=O)C(O)C1=CC=CC=C1 IWYDHOAUDWTVEP-UHFFFAOYSA-M 0.000 description 1
- 239000000594 mannitol Substances 0.000 description 1
- 235000010355 mannitol Nutrition 0.000 description 1
- 238000004519 manufacturing process Methods 0.000 description 1
- 210000004379 membrane Anatomy 0.000 description 1
- 239000012528 membrane Substances 0.000 description 1
- 229930182817 methionine Natural products 0.000 description 1
- GSYSFVSGPABNNL-UHFFFAOYSA-N methyl 2-dimethoxyphosphoryl-2-(phenylmethoxycarbonylamino)acetate Chemical group COC(=O)C(P(=O)(OC)OC)NC(=O)OCC1=CC=CC=C1 GSYSFVSGPABNNL-UHFFFAOYSA-N 0.000 description 1
- 229920000609 methyl cellulose Polymers 0.000 description 1
- XMJHPCRAQCTCFT-UHFFFAOYSA-N methyl chloroformate Chemical compound COC(Cl)=O XMJHPCRAQCTCFT-UHFFFAOYSA-N 0.000 description 1
- 239000001923 methylcellulose Substances 0.000 description 1
- 235000010981 methylcellulose Nutrition 0.000 description 1
- 229960004503 metoclopramide Drugs 0.000 description 1
- TTWJBBZEZQICBI-UHFFFAOYSA-N metoclopramide Chemical compound CCN(CC)CCNC(=O)C1=CC(Cl)=C(N)C=C1OC TTWJBBZEZQICBI-UHFFFAOYSA-N 0.000 description 1
- 235000013336 milk Nutrition 0.000 description 1
- 239000008267 milk Substances 0.000 description 1
- 210000004080 milk Anatomy 0.000 description 1
- 150000007522 mineralic acids Chemical class 0.000 description 1
- 238000012986 modification Methods 0.000 description 1
- 230000004048 modification Effects 0.000 description 1
- XMWFMEYDRNJSOO-UHFFFAOYSA-N morpholine-4-carbonyl chloride Chemical compound ClC(=O)N1CCOCC1 XMWFMEYDRNJSOO-UHFFFAOYSA-N 0.000 description 1
- 230000004660 morphological change Effects 0.000 description 1
- 210000002200 mouth mucosa Anatomy 0.000 description 1
- 210000004877 mucosa Anatomy 0.000 description 1
- 230000035772 mutation Effects 0.000 description 1
- 230000002107 myocardial effect Effects 0.000 description 1
- 208000031225 myocardial ischemia Diseases 0.000 description 1
- 125000004923 naphthylmethyl group Chemical group C1(=CC=CC2=CC=CC=C12)C* 0.000 description 1
- 125000004593 naphthyridinyl group Chemical group N1=C(C=CC2=CC=CN=C12)* 0.000 description 1
- 125000000449 nitro group Chemical group [O-][N+](*)=O 0.000 description 1
- 210000000633 nuclear envelope Anatomy 0.000 description 1
- 150000007523 nucleic acids Chemical class 0.000 description 1
- 102000039446 nucleic acids Human genes 0.000 description 1
- 108020004707 nucleic acids Proteins 0.000 description 1
- QIQXTHQIDYTFRH-UHFFFAOYSA-N octadecanoic acid Chemical compound CCCCCCCCCCCCCCCCCC(O)=O QIQXTHQIDYTFRH-UHFFFAOYSA-N 0.000 description 1
- OQCDKBAXFALNLD-UHFFFAOYSA-N octadecanoic acid Natural products CCCCCCCC(C)CCCCCCCCC(O)=O OQCDKBAXFALNLD-UHFFFAOYSA-N 0.000 description 1
- 125000002347 octyl group Chemical group [H]C([*])([H])C([H])([H])C([H])([H])C([H])([H])C([H])([H])C([H])([H])C([H])([H])C([H])([H])[H] 0.000 description 1
- 230000003287 optical effect Effects 0.000 description 1
- 230000008816 organ damage Effects 0.000 description 1
- 210000003463 organelle Anatomy 0.000 description 1
- 150000007524 organic acids Chemical class 0.000 description 1
- 150000007530 organic bases Chemical class 0.000 description 1
- 239000003960 organic solvent Substances 0.000 description 1
- 239000003791 organic solvent mixture Substances 0.000 description 1
- 235000006408 oxalic acid Nutrition 0.000 description 1
- KZAUOCCYDRDERY-UHFFFAOYSA-N oxamyl Chemical group CNC(=O)ON=C(SC)C(=O)N(C)C KZAUOCCYDRDERY-UHFFFAOYSA-N 0.000 description 1
- 229960001789 papaverine Drugs 0.000 description 1
- VEDDBHYQWFOITD-UHFFFAOYSA-N para-bromobenzyl alcohol Chemical compound OCC1=CC=C(Br)C=C1 VEDDBHYQWFOITD-UHFFFAOYSA-N 0.000 description 1
- 238000007911 parenteral administration Methods 0.000 description 1
- 239000002245 particle Substances 0.000 description 1
- 244000052769 pathogen Species 0.000 description 1
- 230000009054 pathological process Effects 0.000 description 1
- 230000007170 pathology Effects 0.000 description 1
- 230000035515 penetration Effects 0.000 description 1
- 125000006340 pentafluoro ethyl group Chemical group FC(F)(F)C(F)(F)* 0.000 description 1
- 125000003538 pentan-3-yl group Chemical group [H]C([H])([H])C([H])([H])C([H])(*)C([H])([H])C([H])([H])[H] 0.000 description 1
- 125000001147 pentyl group Chemical group C(CCCC)* 0.000 description 1
- 125000005327 perimidinyl group Chemical group N1C(=NC2=CC=CC3=CC=CC1=C23)* 0.000 description 1
- 235000019271 petrolatum Nutrition 0.000 description 1
- 125000001792 phenanthrenyl group Chemical group C1(=CC=CC=2C3=CC=CC=C3C=CC12)* 0.000 description 1
- 125000004934 phenanthridinyl group Chemical group C1(=CC=CC2=NC=C3C=CC=CC3=C12)* 0.000 description 1
- 125000004625 phenanthrolinyl group Chemical group N1=C(C=CC2=CC=C3C=CC=NC3=C12)* 0.000 description 1
- 125000001791 phenazinyl group Chemical group C1(=CC=CC2=NC3=CC=CC=C3N=C12)* 0.000 description 1
- 125000001484 phenothiazinyl group Chemical group C1(=CC=CC=2SC3=CC=CC=C3NC12)* 0.000 description 1
- 125000001644 phenoxazinyl group Chemical group C1(=CC=CC=2OC3=CC=CC=C3NC12)* 0.000 description 1
- NBIIXXVUZAFLBC-UHFFFAOYSA-K phosphate Chemical compound [O-]P([O-])([O-])=O NBIIXXVUZAFLBC-UHFFFAOYSA-K 0.000 description 1
- 239000010452 phosphate Substances 0.000 description 1
- 235000021317 phosphate Nutrition 0.000 description 1
- 230000009894 physiological stress Effects 0.000 description 1
- 239000000049 pigment Substances 0.000 description 1
- 239000004014 plasticizer Substances 0.000 description 1
- 229940068918 polyethylene glycol 400 Drugs 0.000 description 1
- 229920001184 polypeptide Polymers 0.000 description 1
- 229920001592 potato starch Polymers 0.000 description 1
- 238000004321 preservation Methods 0.000 description 1
- 102000004196 processed proteins & peptides Human genes 0.000 description 1
- 239000000047 product Substances 0.000 description 1
- 230000005522 programmed cell death Effects 0.000 description 1
- IVRIRQXJSNCSPQ-UHFFFAOYSA-N propan-2-yl carbonochloridate Chemical compound CC(C)OC(Cl)=O IVRIRQXJSNCSPQ-UHFFFAOYSA-N 0.000 description 1
- RZWZRACFZGVKFM-UHFFFAOYSA-N propanoyl chloride Chemical compound CCC(Cl)=O RZWZRACFZGVKFM-UHFFFAOYSA-N 0.000 description 1
- 229960001371 proparacaine hydrochloride Drugs 0.000 description 1
- 235000018102 proteins Nutrition 0.000 description 1
- 102000004169 proteins and genes Human genes 0.000 description 1
- 230000002797 proteolythic effect Effects 0.000 description 1
- 125000001042 pteridinyl group Chemical group N1=C(N=CC2=NC=CN=C12)* 0.000 description 1
- 125000000561 purinyl group Chemical group N1=C(N=C2N=CNC2=C1)* 0.000 description 1
- 125000003373 pyrazinyl group Chemical group 0.000 description 1
- 125000003226 pyrazolyl group Chemical group 0.000 description 1
- 125000002098 pyridazinyl group Chemical group 0.000 description 1
- SHNUBALDGXWUJI-UHFFFAOYSA-N pyridin-2-ylmethanol Chemical compound OCC1=CC=CC=N1 SHNUBALDGXWUJI-UHFFFAOYSA-N 0.000 description 1
- PTMBWNZJOQBTBK-UHFFFAOYSA-N pyridin-4-ylmethanol Chemical compound OCC1=CC=NC=C1 PTMBWNZJOQBTBK-UHFFFAOYSA-N 0.000 description 1
- NYJWYCAHJRGKMI-UHFFFAOYSA-N pyrido[1,2-a]pyrimidin-4-one Chemical compound C1=CC=CN2C(=O)C=CN=C21 NYJWYCAHJRGKMI-UHFFFAOYSA-N 0.000 description 1
- 125000000714 pyrimidinyl group Chemical group 0.000 description 1
- 125000000719 pyrrolidinyl group Chemical group 0.000 description 1
- 125000000168 pyrrolyl group Chemical group 0.000 description 1
- 125000005493 quinolyl group Chemical group 0.000 description 1
- 125000004621 quinuclidinyl group Chemical group N12C(CC(CC1)CC2)* 0.000 description 1
- 150000003254 radicals Chemical class 0.000 description 1
- 238000011552 rat model Methods 0.000 description 1
- 239000002464 receptor antagonist Substances 0.000 description 1
- 229940044551 receptor antagonist Drugs 0.000 description 1
- 102000005962 receptors Human genes 0.000 description 1
- 108020003175 receptors Proteins 0.000 description 1
- 238000011084 recovery Methods 0.000 description 1
- 230000002829 reductive effect Effects 0.000 description 1
- 230000010410 reperfusion Effects 0.000 description 1
- 210000001525 retina Anatomy 0.000 description 1
- 229940100486 rice starch Drugs 0.000 description 1
- 239000000565 sealant Substances 0.000 description 1
- 125000002914 sec-butyl group Chemical group [H]C([H])([H])C([H])([H])C([H])(*)C([H])([H])[H] 0.000 description 1
- 230000036303 septic shock Effects 0.000 description 1
- 239000008159 sesame oil Substances 0.000 description 1
- 235000011803 sesame oil Nutrition 0.000 description 1
- 239000000377 silicon dioxide Substances 0.000 description 1
- 239000011734 sodium Substances 0.000 description 1
- 229910052708 sodium Inorganic materials 0.000 description 1
- 235000010413 sodium alginate Nutrition 0.000 description 1
- 239000000661 sodium alginate Substances 0.000 description 1
- 229940005550 sodium alginate Drugs 0.000 description 1
- 229910000029 sodium carbonate Inorganic materials 0.000 description 1
- 239000011780 sodium chloride Substances 0.000 description 1
- GEHJYWRUCIMESM-UHFFFAOYSA-L sodium sulfite Chemical class [Na+].[Na+].[O-]S([O-])=O GEHJYWRUCIMESM-UHFFFAOYSA-L 0.000 description 1
- 239000007901 soft capsule Substances 0.000 description 1
- 239000002689 soil Substances 0.000 description 1
- 239000012439 solid excipient Substances 0.000 description 1
- 239000012453 solvate Substances 0.000 description 1
- 210000000278 spinal cord Anatomy 0.000 description 1
- 238000005507 spraying Methods 0.000 description 1
- 239000008117 stearic acid Substances 0.000 description 1
- 238000007920 subcutaneous administration Methods 0.000 description 1
- 125000003107 substituted aryl group Chemical group 0.000 description 1
- 150000003457 sulfones Chemical class 0.000 description 1
- 125000000472 sulfonyl group Chemical group *S(*)(=O)=O 0.000 description 1
- 150000003462 sulfoxides Chemical class 0.000 description 1
- 229910021653 sulphate ion Inorganic materials 0.000 description 1
- 239000004094 surface-active agent Substances 0.000 description 1
- 230000004083 survival effect Effects 0.000 description 1
- 239000003765 sweetening agent Substances 0.000 description 1
- 230000009885 systemic effect Effects 0.000 description 1
- 239000011975 tartaric acid Substances 0.000 description 1
- 235000002906 tartaric acid Nutrition 0.000 description 1
- 229940095064 tartrate Drugs 0.000 description 1
- 208000009056 telangiectasis Diseases 0.000 description 1
- GAOCYGMWQJTKPG-UHFFFAOYSA-N tert-butyl 3-amino-5-fluoro-4-hydroxypentanoate Chemical compound CC(C)(C)OC(=O)CC(N)C(O)CF GAOCYGMWQJTKPG-UHFFFAOYSA-N 0.000 description 1
- 125000003718 tetrahydrofuranyl group Chemical group 0.000 description 1
- 229940124597 therapeutic agent Drugs 0.000 description 1
- 125000004627 thianthrenyl group Chemical group C1(=CC=CC=2SC3=CC=CC=C3SC12)* 0.000 description 1
- 230000036962 time dependent Effects 0.000 description 1
- 230000000451 tissue damage Effects 0.000 description 1
- 230000030968 tissue homeostasis Effects 0.000 description 1
- 239000004408 titanium dioxide Substances 0.000 description 1
- 231100000331 toxic Toxicity 0.000 description 1
- 230000002588 toxic effect Effects 0.000 description 1
- 235000010487 tragacanth Nutrition 0.000 description 1
- 239000000196 tragacanth Substances 0.000 description 1
- 229940116362 tragacanth Drugs 0.000 description 1
- 230000001052 transient effect Effects 0.000 description 1
- 229940078499 tricalcium phosphate Drugs 0.000 description 1
- 235000019731 tricalcium phosphate Nutrition 0.000 description 1
- 229910000391 tricalcium phosphate Inorganic materials 0.000 description 1
- 125000003866 trichloromethyl group Chemical group ClC(Cl)(Cl)* 0.000 description 1
- FEZBIKUBAYAZIU-UHFFFAOYSA-N trimethobenzamide Chemical compound COC1=C(OC)C(OC)=CC(C(=O)NCC=2C=CC(OCCN(C)C)=CC=2)=C1 FEZBIKUBAYAZIU-UHFFFAOYSA-N 0.000 description 1
- 229960004161 trimethobenzamide Drugs 0.000 description 1
- 125000003258 trimethylene group Chemical group [H]C([H])([*:2])C([H])([H])C([H])([H])[*:1] 0.000 description 1
- OUYCCCASQSFEME-UHFFFAOYSA-N tyrosine Natural products OC(=O)C(N)CC1=CC=C(O)C=C1 OUYCCCASQSFEME-UHFFFAOYSA-N 0.000 description 1
- 235000015112 vegetable and seed oil Nutrition 0.000 description 1
- 235000013311 vegetables Nutrition 0.000 description 1
- 239000003981 vehicle Substances 0.000 description 1
- 235000019155 vitamin A Nutrition 0.000 description 1
- 239000011719 vitamin A Substances 0.000 description 1
- 235000019165 vitamin E Nutrition 0.000 description 1
- 229940046009 vitamin E Drugs 0.000 description 1
- 239000011709 vitamin E Substances 0.000 description 1
- 229940045997 vitamin a Drugs 0.000 description 1
- 239000002569 water oil cream Substances 0.000 description 1
- 229940100445 wheat starch Drugs 0.000 description 1
- 239000003871 white petrolatum Substances 0.000 description 1
- 230000029663 wound healing Effects 0.000 description 1
- 125000001834 xanthenyl group Chemical group C1=CC=CC=2OC3=CC=CC=C3C(C12)* 0.000 description 1
- 125000004933 β-carbolinyl group Chemical group C1(=NC=CC=2C3=CC=CC=C3NC12)* 0.000 description 1
Classifications
-
- C—CHEMISTRY; METALLURGY
- C07—ORGANIC CHEMISTRY
- C07D—HETEROCYCLIC COMPOUNDS
- C07D295/00—Heterocyclic compounds containing polymethylene-imine rings with at least five ring members, 3-azabicyclo [3.2.2] nonane, piperazine, morpholine or thiomorpholine rings, having only hydrogen atoms directly attached to the ring carbon atoms
- C07D295/16—Heterocyclic compounds containing polymethylene-imine rings with at least five ring members, 3-azabicyclo [3.2.2] nonane, piperazine, morpholine or thiomorpholine rings, having only hydrogen atoms directly attached to the ring carbon atoms acylated on ring nitrogen atoms
- C07D295/20—Heterocyclic compounds containing polymethylene-imine rings with at least five ring members, 3-azabicyclo [3.2.2] nonane, piperazine, morpholine or thiomorpholine rings, having only hydrogen atoms directly attached to the ring carbon atoms acylated on ring nitrogen atoms by radicals derived from carbonic acid, or sulfur or nitrogen analogues thereof
- C07D295/205—Radicals derived from carbonic acid
-
- A—HUMAN NECESSITIES
- A61—MEDICAL OR VETERINARY SCIENCE; HYGIENE
- A61P—SPECIFIC THERAPEUTIC ACTIVITY OF CHEMICAL COMPOUNDS OR MEDICINAL PREPARATIONS
- A61P1/00—Drugs for disorders of the alimentary tract or the digestive system
- A61P1/02—Stomatological preparations, e.g. drugs for caries, aphtae, periodontitis
-
- A—HUMAN NECESSITIES
- A61—MEDICAL OR VETERINARY SCIENCE; HYGIENE
- A61P—SPECIFIC THERAPEUTIC ACTIVITY OF CHEMICAL COMPOUNDS OR MEDICINAL PREPARATIONS
- A61P1/00—Drugs for disorders of the alimentary tract or the digestive system
- A61P1/04—Drugs for disorders of the alimentary tract or the digestive system for ulcers, gastritis or reflux esophagitis, e.g. antacids, inhibitors of acid secretion, mucosal protectants
-
- A—HUMAN NECESSITIES
- A61—MEDICAL OR VETERINARY SCIENCE; HYGIENE
- A61P—SPECIFIC THERAPEUTIC ACTIVITY OF CHEMICAL COMPOUNDS OR MEDICINAL PREPARATIONS
- A61P1/00—Drugs for disorders of the alimentary tract or the digestive system
- A61P1/08—Drugs for disorders of the alimentary tract or the digestive system for nausea, cinetosis or vertigo; Antiemetics
-
- A—HUMAN NECESSITIES
- A61—MEDICAL OR VETERINARY SCIENCE; HYGIENE
- A61P—SPECIFIC THERAPEUTIC ACTIVITY OF CHEMICAL COMPOUNDS OR MEDICINAL PREPARATIONS
- A61P1/00—Drugs for disorders of the alimentary tract or the digestive system
- A61P1/16—Drugs for disorders of the alimentary tract or the digestive system for liver or gallbladder disorders, e.g. hepatoprotective agents, cholagogues, litholytics
-
- A—HUMAN NECESSITIES
- A61—MEDICAL OR VETERINARY SCIENCE; HYGIENE
- A61P—SPECIFIC THERAPEUTIC ACTIVITY OF CHEMICAL COMPOUNDS OR MEDICINAL PREPARATIONS
- A61P1/00—Drugs for disorders of the alimentary tract or the digestive system
- A61P1/18—Drugs for disorders of the alimentary tract or the digestive system for pancreatic disorders, e.g. pancreatic enzymes
-
- A—HUMAN NECESSITIES
- A61—MEDICAL OR VETERINARY SCIENCE; HYGIENE
- A61P—SPECIFIC THERAPEUTIC ACTIVITY OF CHEMICAL COMPOUNDS OR MEDICINAL PREPARATIONS
- A61P13/00—Drugs for disorders of the urinary system
- A61P13/10—Drugs for disorders of the urinary system of the bladder
-
- A—HUMAN NECESSITIES
- A61—MEDICAL OR VETERINARY SCIENCE; HYGIENE
- A61P—SPECIFIC THERAPEUTIC ACTIVITY OF CHEMICAL COMPOUNDS OR MEDICINAL PREPARATIONS
- A61P13/00—Drugs for disorders of the urinary system
- A61P13/12—Drugs for disorders of the urinary system of the kidneys
-
- A—HUMAN NECESSITIES
- A61—MEDICAL OR VETERINARY SCIENCE; HYGIENE
- A61P—SPECIFIC THERAPEUTIC ACTIVITY OF CHEMICAL COMPOUNDS OR MEDICINAL PREPARATIONS
- A61P15/00—Drugs for genital or sexual disorders; Contraceptives
- A61P15/08—Drugs for genital or sexual disorders; Contraceptives for gonadal disorders or for enhancing fertility, e.g. inducers of ovulation or of spermatogenesis
-
- A—HUMAN NECESSITIES
- A61—MEDICAL OR VETERINARY SCIENCE; HYGIENE
- A61P—SPECIFIC THERAPEUTIC ACTIVITY OF CHEMICAL COMPOUNDS OR MEDICINAL PREPARATIONS
- A61P17/00—Drugs for dermatological disorders
- A61P17/02—Drugs for dermatological disorders for treating wounds, ulcers, burns, scars, keloids, or the like
-
- A—HUMAN NECESSITIES
- A61—MEDICAL OR VETERINARY SCIENCE; HYGIENE
- A61P—SPECIFIC THERAPEUTIC ACTIVITY OF CHEMICAL COMPOUNDS OR MEDICINAL PREPARATIONS
- A61P17/00—Drugs for dermatological disorders
- A61P17/06—Antipsoriatics
-
- A—HUMAN NECESSITIES
- A61—MEDICAL OR VETERINARY SCIENCE; HYGIENE
- A61P—SPECIFIC THERAPEUTIC ACTIVITY OF CHEMICAL COMPOUNDS OR MEDICINAL PREPARATIONS
- A61P17/00—Drugs for dermatological disorders
- A61P17/14—Drugs for dermatological disorders for baldness or alopecia
-
- A—HUMAN NECESSITIES
- A61—MEDICAL OR VETERINARY SCIENCE; HYGIENE
- A61P—SPECIFIC THERAPEUTIC ACTIVITY OF CHEMICAL COMPOUNDS OR MEDICINAL PREPARATIONS
- A61P25/00—Drugs for disorders of the nervous system
-
- A—HUMAN NECESSITIES
- A61—MEDICAL OR VETERINARY SCIENCE; HYGIENE
- A61P—SPECIFIC THERAPEUTIC ACTIVITY OF CHEMICAL COMPOUNDS OR MEDICINAL PREPARATIONS
- A61P25/00—Drugs for disorders of the nervous system
- A61P25/02—Drugs for disorders of the nervous system for peripheral neuropathies
-
- A—HUMAN NECESSITIES
- A61—MEDICAL OR VETERINARY SCIENCE; HYGIENE
- A61P—SPECIFIC THERAPEUTIC ACTIVITY OF CHEMICAL COMPOUNDS OR MEDICINAL PREPARATIONS
- A61P25/00—Drugs for disorders of the nervous system
- A61P25/14—Drugs for disorders of the nervous system for treating abnormal movements, e.g. chorea, dyskinesia
-
- A—HUMAN NECESSITIES
- A61—MEDICAL OR VETERINARY SCIENCE; HYGIENE
- A61P—SPECIFIC THERAPEUTIC ACTIVITY OF CHEMICAL COMPOUNDS OR MEDICINAL PREPARATIONS
- A61P25/00—Drugs for disorders of the nervous system
- A61P25/14—Drugs for disorders of the nervous system for treating abnormal movements, e.g. chorea, dyskinesia
- A61P25/16—Anti-Parkinson drugs
-
- A—HUMAN NECESSITIES
- A61—MEDICAL OR VETERINARY SCIENCE; HYGIENE
- A61P—SPECIFIC THERAPEUTIC ACTIVITY OF CHEMICAL COMPOUNDS OR MEDICINAL PREPARATIONS
- A61P25/00—Drugs for disorders of the nervous system
- A61P25/28—Drugs for disorders of the nervous system for treating neurodegenerative disorders of the central nervous system, e.g. nootropic agents, cognition enhancers, drugs for treating Alzheimer's disease or other forms of dementia
-
- A—HUMAN NECESSITIES
- A61—MEDICAL OR VETERINARY SCIENCE; HYGIENE
- A61P—SPECIFIC THERAPEUTIC ACTIVITY OF CHEMICAL COMPOUNDS OR MEDICINAL PREPARATIONS
- A61P25/00—Drugs for disorders of the nervous system
- A61P25/30—Drugs for disorders of the nervous system for treating abuse or dependence
- A61P25/32—Alcohol-abuse
-
- A—HUMAN NECESSITIES
- A61—MEDICAL OR VETERINARY SCIENCE; HYGIENE
- A61P—SPECIFIC THERAPEUTIC ACTIVITY OF CHEMICAL COMPOUNDS OR MEDICINAL PREPARATIONS
- A61P27/00—Drugs for disorders of the senses
- A61P27/02—Ophthalmic agents
-
- A—HUMAN NECESSITIES
- A61—MEDICAL OR VETERINARY SCIENCE; HYGIENE
- A61P—SPECIFIC THERAPEUTIC ACTIVITY OF CHEMICAL COMPOUNDS OR MEDICINAL PREPARATIONS
- A61P27/00—Drugs for disorders of the senses
- A61P27/02—Ophthalmic agents
- A61P27/06—Antiglaucoma agents or miotics
-
- A—HUMAN NECESSITIES
- A61—MEDICAL OR VETERINARY SCIENCE; HYGIENE
- A61P—SPECIFIC THERAPEUTIC ACTIVITY OF CHEMICAL COMPOUNDS OR MEDICINAL PREPARATIONS
- A61P29/00—Non-central analgesic, antipyretic or antiinflammatory agents, e.g. antirheumatic agents; Non-steroidal antiinflammatory drugs [NSAID]
-
- A—HUMAN NECESSITIES
- A61—MEDICAL OR VETERINARY SCIENCE; HYGIENE
- A61P—SPECIFIC THERAPEUTIC ACTIVITY OF CHEMICAL COMPOUNDS OR MEDICINAL PREPARATIONS
- A61P3/00—Drugs for disorders of the metabolism
- A61P3/08—Drugs for disorders of the metabolism for glucose homeostasis
- A61P3/10—Drugs for disorders of the metabolism for glucose homeostasis for hyperglycaemia, e.g. antidiabetics
-
- A—HUMAN NECESSITIES
- A61—MEDICAL OR VETERINARY SCIENCE; HYGIENE
- A61P—SPECIFIC THERAPEUTIC ACTIVITY OF CHEMICAL COMPOUNDS OR MEDICINAL PREPARATIONS
- A61P31/00—Antiinfectives, i.e. antibiotics, antiseptics, chemotherapeutics
- A61P31/04—Antibacterial agents
-
- A—HUMAN NECESSITIES
- A61—MEDICAL OR VETERINARY SCIENCE; HYGIENE
- A61P—SPECIFIC THERAPEUTIC ACTIVITY OF CHEMICAL COMPOUNDS OR MEDICINAL PREPARATIONS
- A61P31/00—Antiinfectives, i.e. antibiotics, antiseptics, chemotherapeutics
- A61P31/12—Antivirals
-
- A—HUMAN NECESSITIES
- A61—MEDICAL OR VETERINARY SCIENCE; HYGIENE
- A61P—SPECIFIC THERAPEUTIC ACTIVITY OF CHEMICAL COMPOUNDS OR MEDICINAL PREPARATIONS
- A61P31/00—Antiinfectives, i.e. antibiotics, antiseptics, chemotherapeutics
- A61P31/12—Antivirals
- A61P31/14—Antivirals for RNA viruses
- A61P31/18—Antivirals for RNA viruses for HIV
-
- A—HUMAN NECESSITIES
- A61—MEDICAL OR VETERINARY SCIENCE; HYGIENE
- A61P—SPECIFIC THERAPEUTIC ACTIVITY OF CHEMICAL COMPOUNDS OR MEDICINAL PREPARATIONS
- A61P35/00—Antineoplastic agents
-
- A—HUMAN NECESSITIES
- A61—MEDICAL OR VETERINARY SCIENCE; HYGIENE
- A61P—SPECIFIC THERAPEUTIC ACTIVITY OF CHEMICAL COMPOUNDS OR MEDICINAL PREPARATIONS
- A61P37/00—Drugs for immunological or allergic disorders
-
- A—HUMAN NECESSITIES
- A61—MEDICAL OR VETERINARY SCIENCE; HYGIENE
- A61P—SPECIFIC THERAPEUTIC ACTIVITY OF CHEMICAL COMPOUNDS OR MEDICINAL PREPARATIONS
- A61P37/00—Drugs for immunological or allergic disorders
- A61P37/02—Immunomodulators
-
- A—HUMAN NECESSITIES
- A61—MEDICAL OR VETERINARY SCIENCE; HYGIENE
- A61P—SPECIFIC THERAPEUTIC ACTIVITY OF CHEMICAL COMPOUNDS OR MEDICINAL PREPARATIONS
- A61P39/00—General protective or antinoxious agents
- A61P39/02—Antidotes
-
- A—HUMAN NECESSITIES
- A61—MEDICAL OR VETERINARY SCIENCE; HYGIENE
- A61P—SPECIFIC THERAPEUTIC ACTIVITY OF CHEMICAL COMPOUNDS OR MEDICINAL PREPARATIONS
- A61P43/00—Drugs for specific purposes, not provided for in groups A61P1/00-A61P41/00
-
- A—HUMAN NECESSITIES
- A61—MEDICAL OR VETERINARY SCIENCE; HYGIENE
- A61P—SPECIFIC THERAPEUTIC ACTIVITY OF CHEMICAL COMPOUNDS OR MEDICINAL PREPARATIONS
- A61P7/00—Drugs for disorders of the blood or the extracellular fluid
-
- A—HUMAN NECESSITIES
- A61—MEDICAL OR VETERINARY SCIENCE; HYGIENE
- A61P—SPECIFIC THERAPEUTIC ACTIVITY OF CHEMICAL COMPOUNDS OR MEDICINAL PREPARATIONS
- A61P7/00—Drugs for disorders of the blood or the extracellular fluid
- A61P7/06—Antianaemics
-
- A—HUMAN NECESSITIES
- A61—MEDICAL OR VETERINARY SCIENCE; HYGIENE
- A61P—SPECIFIC THERAPEUTIC ACTIVITY OF CHEMICAL COMPOUNDS OR MEDICINAL PREPARATIONS
- A61P7/00—Drugs for disorders of the blood or the extracellular fluid
- A61P7/08—Plasma substitutes; Perfusion solutions; Dialytics or haemodialytics; Drugs for electrolytic or acid-base disorders, e.g. hypovolemic shock
-
- A—HUMAN NECESSITIES
- A61—MEDICAL OR VETERINARY SCIENCE; HYGIENE
- A61P—SPECIFIC THERAPEUTIC ACTIVITY OF CHEMICAL COMPOUNDS OR MEDICINAL PREPARATIONS
- A61P9/00—Drugs for disorders of the cardiovascular system
- A61P9/04—Inotropic agents, i.e. stimulants of cardiac contraction; Drugs for heart failure
-
- A—HUMAN NECESSITIES
- A61—MEDICAL OR VETERINARY SCIENCE; HYGIENE
- A61P—SPECIFIC THERAPEUTIC ACTIVITY OF CHEMICAL COMPOUNDS OR MEDICINAL PREPARATIONS
- A61P9/00—Drugs for disorders of the cardiovascular system
- A61P9/10—Drugs for disorders of the cardiovascular system for treating ischaemic or atherosclerotic diseases, e.g. antianginal drugs, coronary vasodilators, drugs for myocardial infarction, retinopathy, cerebrovascula insufficiency, renal arteriosclerosis
-
- C—CHEMISTRY; METALLURGY
- C07—ORGANIC CHEMISTRY
- C07C—ACYCLIC OR CARBOCYCLIC COMPOUNDS
- C07C237/00—Carboxylic acid amides, the carbon skeleton of the acid part being further substituted by amino groups
- C07C237/02—Carboxylic acid amides, the carbon skeleton of the acid part being further substituted by amino groups having the carbon atoms of the carboxamide groups bound to acyclic carbon atoms of the carbon skeleton
- C07C237/22—Carboxylic acid amides, the carbon skeleton of the acid part being further substituted by amino groups having the carbon atoms of the carboxamide groups bound to acyclic carbon atoms of the carbon skeleton having nitrogen atoms of amino groups bound to the carbon skeleton of the acid part, further acylated
-
- C—CHEMISTRY; METALLURGY
- C07—ORGANIC CHEMISTRY
- C07C—ACYCLIC OR CARBOCYCLIC COMPOUNDS
- C07C271/00—Derivatives of carbamic acids, i.e. compounds containing any of the groups, the nitrogen atom not being part of nitro or nitroso groups
- C07C271/06—Esters of carbamic acids
- C07C271/08—Esters of carbamic acids having oxygen atoms of carbamate groups bound to acyclic carbon atoms
- C07C271/10—Esters of carbamic acids having oxygen atoms of carbamate groups bound to acyclic carbon atoms with the nitrogen atoms of the carbamate groups bound to hydrogen atoms or to acyclic carbon atoms
- C07C271/22—Esters of carbamic acids having oxygen atoms of carbamate groups bound to acyclic carbon atoms with the nitrogen atoms of the carbamate groups bound to hydrogen atoms or to acyclic carbon atoms to carbon atoms of hydrocarbon radicals substituted by carboxyl groups
-
- C—CHEMISTRY; METALLURGY
- C07—ORGANIC CHEMISTRY
- C07C—ACYCLIC OR CARBOCYCLIC COMPOUNDS
- C07C311/00—Amides of sulfonic acids, i.e. compounds having singly-bound oxygen atoms of sulfo groups replaced by nitrogen atoms, not being part of nitro or nitroso groups
- C07C311/15—Sulfonamides having sulfur atoms of sulfonamide groups bound to carbon atoms of six-membered aromatic rings
- C07C311/16—Sulfonamides having sulfur atoms of sulfonamide groups bound to carbon atoms of six-membered aromatic rings having the nitrogen atom of at least one of the sulfonamide groups bound to hydrogen atoms or to an acyclic carbon atom
- C07C311/19—Sulfonamides having sulfur atoms of sulfonamide groups bound to carbon atoms of six-membered aromatic rings having the nitrogen atom of at least one of the sulfonamide groups bound to hydrogen atoms or to an acyclic carbon atom to an acyclic carbon atom of a hydrocarbon radical substituted by carboxyl groups
-
- C—CHEMISTRY; METALLURGY
- C07—ORGANIC CHEMISTRY
- C07D—HETEROCYCLIC COMPOUNDS
- C07D311/00—Heterocyclic compounds containing six-membered rings having one oxygen atom as the only hetero atom, condensed with other rings
- C07D311/02—Heterocyclic compounds containing six-membered rings having one oxygen atom as the only hetero atom, condensed with other rings ortho- or peri-condensed with carbocyclic rings or ring systems
- C07D311/04—Benzo[b]pyrans, not hydrogenated in the carbocyclic ring
- C07D311/06—Benzo[b]pyrans, not hydrogenated in the carbocyclic ring with oxygen or sulfur atoms directly attached in position 2
- C07D311/08—Benzo[b]pyrans, not hydrogenated in the carbocyclic ring with oxygen or sulfur atoms directly attached in position 2 not hydrogenated in the hetero ring
- C07D311/16—Benzo[b]pyrans, not hydrogenated in the carbocyclic ring with oxygen or sulfur atoms directly attached in position 2 not hydrogenated in the hetero ring substituted in position 7
-
- C—CHEMISTRY; METALLURGY
- C07—ORGANIC CHEMISTRY
- C07D—HETEROCYCLIC COMPOUNDS
- C07D311/00—Heterocyclic compounds containing six-membered rings having one oxygen atom as the only hetero atom, condensed with other rings
- C07D311/02—Heterocyclic compounds containing six-membered rings having one oxygen atom as the only hetero atom, condensed with other rings ortho- or peri-condensed with carbocyclic rings or ring systems
- C07D311/04—Benzo[b]pyrans, not hydrogenated in the carbocyclic ring
- C07D311/58—Benzo[b]pyrans, not hydrogenated in the carbocyclic ring other than with oxygen or sulphur atoms in position 2 or 4
- C07D311/66—Benzo[b]pyrans, not hydrogenated in the carbocyclic ring other than with oxygen or sulphur atoms in position 2 or 4 with carbon atoms having three bonds to hetero atoms with at the most one bond to halogen, e.g. ester or nitrile radicals, directly attached in position 2
-
- C—CHEMISTRY; METALLURGY
- C07—ORGANIC CHEMISTRY
- C07C—ACYCLIC OR CARBOCYCLIC COMPOUNDS
- C07C2601/00—Systems containing only non-condensed rings
- C07C2601/06—Systems containing only non-condensed rings with a five-membered ring
- C07C2601/08—Systems containing only non-condensed rings with a five-membered ring the ring being saturated
-
- C—CHEMISTRY; METALLURGY
- C07—ORGANIC CHEMISTRY
- C07C—ACYCLIC OR CARBOCYCLIC COMPOUNDS
- C07C2601/00—Systems containing only non-condensed rings
- C07C2601/12—Systems containing only non-condensed rings with a six-membered ring
- C07C2601/14—The ring being saturated
Definitions
- This invention is in the field of medicinal chemistry.
- the invention relates to dipeptide caspase inhibitors with novel N-terminal blocking groups.
- the invention also relates to the use of these caspase inhibitors for reducing or treating apoptotic cell death and/or reducing interleukin 1- ⁇ production.
- Organisms eliminate unwanted cells by a process variously known as regulated cell death, programmed cell death or apoptosis. Such cell death occurs as a normal aspect of animal development as well as in tissue homeostasis and aging (Glucksmann, A., Biol. Rev. Cambridge Philos. Soc . 26:59-86 (1951); Glucksmann, A., Archives de Biologie 76:419-437 (1965); Ellis et al., Dev . 112:591-603 (1991); Vaux et al., Cell 76:777-779 (1994)).
- Apoptosis regulates cell number, facilitates morphogenesis, removes harmful or otherwise abnormal cells and eliminates cells that have already performed their function. Additionally, apoptosis occurs in response to various physiological stresses, such as hypoxia or ischemia (PCT published application WO96/20721).
- Apoptosis is achieved through an endogenous mechanism of cellular suicide (Wyllie, A. H., in Cell Death in Biology and Pathology , Bowen and Lockshin, eds., Chapman and Hall (1981), pp. 9-34).
- a cell activates its internally encoded suicide program as a result of either internal or external signals.
- the suicide program is executed through the activation of a carefully regulated genetic program (Wylie et al., Int. Rev. Cyt . 68:251 (1980); Ellis et al., Ann. Rev. Cell Bio . 7:663 (1991)).
- Apoptotic cells and bodies are usually recognized and cleared by neighboring cells or macrophages before lysis. Because of this clearance mechanism, inflammation is not induced despite the clearance of great numbers of cells (Orrenius, S., J. Internal Medicine 237:529-536 (1995)).
- IL-1 ⁇ Mammalian interleukin-1 ⁇ (IL-1 ⁇ ) plays an important role in various pathologic processes, including chronic and acute inflammation and autoimmune diseases (Oppenheim et. al. Immunology Today , 7:45-56 (1986)).
- IL-1 ⁇ is synthesized as a cell associated precursor polypeptide (pro-IL-1 ⁇ ) that is unable to bind IL-1 receptors and is biologically inactive (Mosley et al., J. Biol. Chem . 262:2941-2944 (1987)).
- pro-IL-1 ⁇ cell associated precursor polypeptide
- Interleukin-1 ⁇ converting enzyme is a protease responsible for the activation of interleukin-1 ⁇ (IL-1 ⁇ ) (Thornberry et al., Nature 356:768 (1992); Yuan et al., Cell 75:641 (1993)).
- ICE is a substrate-specific cysteine protease that cleaves the inactive prointerleukin-1 to produce the mature IL-1.
- the genes that encode for ICE and CPP32 are members of the mammalian ICE/Ced-3 family of genes which presently includes at least twelve members: ICE, CPP32/Yama/Apopain, mICE2, ICE4, ICH1, TX/ICH-2, MCH2, MCH3, MCH4, FLICE/MACH/MCH5, ICE-LAP6 and ICE re1 III.
- Group I mediators of inflammation Caspase-1 (ICE) Caspase-4 (ICE rel -II, TX, ICH-2) Caspase-5 (ICE rel -III, TY)
- Group II effectors of apoptosis Caspase-2 (ICH-1, mNEDD2) Caspase-3 (apopain, CPP-32, YAMA)
- Caspase-7 (Mch-3, ICE-LAP3, CMH-1)
- Group III activators of apoptosis Caspase-6 (Mch2) Caspase-8 (MACH, FLICE, Mch5) Caspase-9 (ICE-LAP6, Mch6) Caspase-10
- IL-1 is also a cytokine involved in mediating a wide range of biological responses including inflammation, septic shock, wound healing, hematopoiesis and growth of certain leukemias (Dinarello, C. A., Blood 77:1627-1652 (1991); diGiovine et al., Immunology Today 11:13 (1990)).
- WO 93/05071 discloses peptide ICE inhibitors with the formula:
- Z is an N-terminal protecting group
- Q 2 is 0 to 4 amino acids such that the sequence Q 2 -Asp corresponds to at least a portion of the sequence Ala-Tyr-Val-His-Asp (SEQ ID NO:1); Q 1 comprises an electronegative leaving group.
- WO 96/03982 discloses aspartic acid analogs as ICE inhibitors with the formula:
- R 2 is H or alkyl
- R 3 is a leaving group such as halogen
- R 1 is heteroaryl-CO or an amino acid residue.
- Ar is COPh-2,6-(CF 3 ) 2 , COPh-2,6-(CH 3 ) 2 , Ph—F 5 and other groups.
- X is NH(CH 2 ) 2 , OCO(CH 2 ) 2 , S(CH 2 ) 3 and other groups.
- XR 2 is NH(CH 2 ) 2 Ph, OCO(CH 2 ) 2 cyclohexyl and other groups.
- EP618223 patent application discloses inhibitors of ICE as anti-inflasuatory agents:
- R is a protecting group or optionally substituted benzyloxy
- a 1 is an ⁇ -hydroxy or ⁇ -amtino acid residue or a radical of formula:
- ring A is optionally substituted by hydroxy or C 1-4 alkoxy and R a is CO or CS;
- a 2 is an ⁇ -hydroxy or ⁇ -amino acid residue or A 1 and A 2 form together, a pseudo-dipeptide or a dipeptide mimetic residue;
- X is a residue derived from Asp;
- a 3 is —CH 2 —X 1 —CO—Y 1 , —CH 2 —O—Y 2 , —CH 2 —S—Y 3 , wherein X 1 is O or S;
- Y 1 , Y 2 or Y 3 is cycloaliphatic residue, and optionally substituted aryl.
- WO99/18781 discloses dipeptides of formula I:
- R 1 is an N-terminal protecting group
- AA is a residue of any natural or non-natural ⁇ -amino acid, ⁇ -amino acid, derivatives of an ⁇ -amino acid or ⁇ -amino acid
- R 2 is H or CH 2 R 4 where R 4 is an electronegative leaving group, and R 3 is alkyl or H, provided that AA is not His, Tyr, Pro or Phe.
- R 1 is an N-terminal protecting group
- AA is a residue of a non-natural ⁇ -amino acid or ⁇ -amino acid
- R 2 is an optionally substituted alkyl or H.
- WO 00/01666 disclosed c-terminal modified oxamyl dipeptides as inhibitors of the ICE/ced-3 family of cysteine proteases:
- A is a natural or unnatural amino acid
- B is a hydrogen atom, a deuterium atom, alkyl, cycloalkyl and other groups
- R 1 is alkyl, cycloalkyl and other groups
- R 2 is hydrogen, lower alkyl and other groups.
- R 1 is an optionally substituted alkyl or hydrogen
- R 2 is hydrogen or optionally substituted alkyl
- R 3 is an alkyl, saturated carbocyclic, partially saturated carbocyclic, aryl, saturated heteroclyclic, partially saturated heterocyclic or heteroaryl group, wherein said group is optionally substituted;
- X is O, S, NR 4 , or (CR 4 R 5 ) n , where R 4 and R 5 are, at each occurrence, independently selected from the group consisting of hydrogen, alkyl and cycloalkyl, and n is 0, 1, 2, or 3; or
- X is NR 4 , and R 3 and R 4 are taken together with the nitrogen atom to which they are attached to form a saturated heterocyclic, partially saturated heterocyclic or heteroaryl group, wherein said group is optionally substituted; or
- X is CR 4 R 5 , and R 3 and R 4 are taken together with the carbon atom to which they are attached to form a saturated carbocyclic, partially saturated carbocyclic, aryl, saturated heterocyclic, partially saturated heterocyclic or oxygen-containing heteroaryl group, wherein said group is optionally substituted; and
- Y is a residue of a natural or non-natural amino acid
- R 3 is not unsubstituted benzyl or t-butyl
- the invention relates to the discovery that the compounds represented by Formula I are inhibitors of caspases.
- the invention also relates to the use of the compounds of the invention for reducing, preventing or treating maladies in which apoptotic cell death is either a causative factor or a result.
- Examples of uses for the present invention include protecting the nervous system following focal ischemia and global ischemia; treating neurodegenerative disorders such as Alzheimer's disease, Huntington's Disease, prion diseases, Parkinson's Disease, multiple sclerosis, amyotrophic lateral sclerosis, ataxia, telangiectasia, and spinobulbar atrophy; treating heart disease including myocardial infarction, congestive heart failure and cardiomyopathy; treating retinal disorders; treating autoimmune disorders including lupus erythematosus, rheumatoid arthritis, type I diabetes, Sjogren's syndrome and glomerulonephritis; treating polycystic kidney disease and anemia/erythropoiesis; treating immune system disorders, including AIDS and SCIDS; treating or ameliorating sepsis, reducing or preventing cell, tissue and organ damage during transplantation; reducing or preventing cell line death in industrial biotechnology; reducing or preventing alopecia (hair loss); and reducing the premature death of skin cells.
- the present invention provides pharmaceutical compositions comprising a compound of Formula I in an effective amount to reduce apoptotic cell death in an animal.
- the present invention also provides preservation or storage solutions for mammalian organs or tissue, or growth media for mammalian or yeast cells, wherein an effective amount of a compound of Formula I is included in said solutions or media in order to reduce apoptotic cell death in said organs, tissue or cells.
- the invention also relates to the use of caspase inhibitors for treating, ameliorating, and preventing non-cancer cell death during chemotherapy and radiation therapy and for treating and ameliorating the side effects of chemotherapy and radiation therapy of cancer.
- the invention relates to a method of treating, ameliorating or preventing oral mucositis, gastrointestinal mucositis, bladder mucositis, proctitis, bone marrow cell death, skin cell death and hair loss resulting from chemotherapy or radiation therapy of cancer in an animal, comprising administering to the animal in need thereof an effective amount of a caspase inhibitor.
- the inhibitors of caspases and apoptotic cell death of the present invention are compounds having the general Formula I:
- R 1 is an optionally substituted alkyl or hydrogen
- R 2 is hydrogen or optionally substituted alkyl
- R 3 is an alkyl, saturated carbocyclic, partially saturated carbocyclic, aryl, saturated heterocyclic, partially saturated heterocyclic or heteroaryl group, wherein said group is optionally substituted;
- X is O, S, NR 4 , or (CR 4 R 5 ) n , where R 4 and R 5 are, at each occurrence, independently selected from the group consisting of hydrogen, alkyl and cycloalkyl, and n is 0, 1, 2, or 3; or
- X is NR 4 , and R 3 and R 4 are taken together with the nitrogen atom to which they are attached to form a saturated heterocyclic, partially saturated heterocyclic or heteroaryl group, wherein said group is optionally substituted; or
- X is CR 4 R 5 , and R 3 and R 4 are taken together with the carbon atom to which they are attached to form a saturated carbocyclic, partially saturated carbocyclic, aryl, saturated heterocyclic, partially saturated heterocyclic or oxygen-containing heteroaryl group, wherein said group is optionally substituted; and
- Y is a residue of a natural or non-natural amino acid
- R 3 is not unsubstituted benzyl or t-butyl
- preferred alkyl groups are C 1-6 alkyl groups, e.g., methyl, ethyl, propyl, isopropyl, isobutyl, pentyl and hexyl groups; and substituted C 1-6 alkyl groups, e.g., CH 2 OCH 3 and CH 2 OCOCH 3 (AM or acetoxymethyl).
- R 2 are alkyl group substituted by electronegative group or leaving group, including fluoromethyl, chloromethyl, alkoxymethyl, aryloxymethyl, alkylthiomethyl, arylthiomethyl, aminomethyl, acyloxymethyl, and arylacyloxymethyl.
- optional substituents that may be present at the R 2 alkyl group include, without limitation, 3-pyrazolyloxy optionally substituted at the 2, 4 and 5-positions with lower alkyl; 3-(1-phenyl-3-trifluoromethyl)pyrazolyloxy; 2,6-di(trifluoromethyl)benzoyloxy; 2,6-dimethylbenzoyloxy; pentafluoro-phenoxy; tetrafluorophenoxy; 2,6-dichlorobenzoyloxy; 2-(3-(2-imidazolyl)naphthyl)oxy; diphenylphosphinyloxy; tetronyloxy; and tetramoyloxy.
- R 3 group in compounds of Formula I is designed to function as the P 3 side chain in a tripeptide.
- Structure A is an example of a dipeptide inhibitor of Formula I.
- structure B is an example of a tripeptide inhibitor.
- Preferred X is O, NH and CH 2 .
- preferred alkyl are methyl, ethyl, isopropyl, isobutyl; preferred substituents on alkyl are hydroxy, carboxy, halogen, C 4 -C 7 cycloalkyl, saturated and partially saturated heterocyclic, aryl or heteroaryl; preferred cycloalkyl are cyclopentyl and cyclohexyl; preferred saturated and partially saturated heterocyclic groups are piperidinyl and morpholinyl; preferred aryls are phenyl and naphthyl; preferred heteroaryls are pyridyl, indolyl, furyl and thienyl; preferred substituents in the aryl and heteroaryl are methyl, ethyl, chloro, fluoro, bromo, trifluoromethyl, methoxy, hydroxy, carboxy, cyano and nitro.
- preferred natural and non-natural amino acid are valine, isoleucine, leucine, proline, alanine, phenylalanine, methionine, serine, threonine, tryptophan, tyrosine, 2-aminobutyric acid, cyclohexylglycine, phenylglycine, cyclopentylglycine and t-butylglycine.
- Especially preferred amino acids are valine, isoleucine, leucine, alanine, phenylalanine, cyclohexylalanine, 2-aminobutyric acid, cyclohexylglycine, and phenylglycine.
- the invention relates to the discovery that the compounds represented by Formula I are inhibitors of caspases. These inhibitors slow or block cell death in a variety of clinical conditions and industrial applications in which the loss of cells, tissues or entire organs occurs. Therefore, the invention is also related to methods of treating, preventing or reducing conditions in which apoptosis plays a role. These conditions: are more fully described below.
- the methods comprise administering to an animal in need of such treatment an inhibitor of the present invention, or a pharmaceutically acceptable salt or prodrug thereof, in an amount effective to inhibit apoptotic cell death.
- A is CR 6 or nitrogen
- B is CR 7 or nitrogen
- C is CR 8 or nitrogen
- D is CR 9 or nitrogen
- E is CR 10 or nitrogen; provided that not more than three of A, B, C, D and E are nitrogen; and R 6 -R 10 independently are hydrogen, halo, C 1 -C 6 haloalkyl, C 6 -C 10 aryl, C 4 -C 7 cycloalkyl, C 1 -C 6 alkyl, C 2 -C 6 alkenyl, C 2 -C 6 alkynyl, C 6 -C 10 aryl(C 1 -C 6 )alkyl, C 6 -C 10 aryl(C 2 -C 6 )alkenyl, C 6 -C 10 aryl(C 2 -C 6 )alkynyl, C 1 -C 6 hydroxyalkyl, nitro, amino, cyano, C 1 -C 6 acylamino, hydroxy, C 1 -C 6 acyloxy, C 1 -C 6 alkoxy, alkylthio, or carboxy; or
- R 6 and R 7 , or R 7 and R 8 , or R 8 and R 9 , or R 9 and R 10 are taken together with the carbon atoms to which they are attached to form a carbocycle or heterocycle.
- Examples of bridges formed by R 6 and R 7 , or R 7 and R 8 , or R 8 and R 9 , or R 9 and R 10 taken together are —OCH 2 O—, —OCF 2 Q—, —(CH 2 ) 3 —, —CH 2 ) 4 —, —OCH 2 CH 2 O—, —CH 2 N(RI 3 )CH 2 —, —H 2 CH 2 N(R 13 )CH 2 —, —CH 2 N(R 13 )CH 2 CH 2 —, —N(R 13 )—CH ⁇ CH—, —CH ⁇ CH—N(R 13 ), —O—CH ⁇ CH—, —CH ⁇ CH—O—, —S—CH ⁇ CH—, —CH ⁇ CHS—, —N ⁇ CH—CH ⁇ CH—, —CH ⁇ N—CH ⁇ CH—, —CH ⁇ CH—N ⁇ CH—, —CH ⁇ CH—CH ⁇ N—, —N ⁇ CH—CH ⁇ N—, and
- R 13 is hydrogen, alkyl or cycloalkyl
- Preferred R 1 is H, Me, Et, t-Bu or AM.
- Preferred R 2 is fluoromethyl, acyloxymethyl, arylacyloxymethyl, aryloxymethyl, phophinyloxymethyl or aminomethyl.
- Another preferred group of the inhibitors of caspases and apoptotic cell death of the present invention are compoun ds having the general Formula III:
- Preferred R 1 is H, Me, Et, t-Bu or AM.
- Preferred R 2 is fluoromethyl, acyloxymethyl, arylacyloxymethyl, aryloxymethyl, phophinyloxymethyl or aminomethyl.
- Preferred R 3 is optionally substituted alkyl or aryl.
- Preferred Y is valine, isoleucine, leucine, alanine, phenylalanine, cyclohexylalanine, 2-aminobutyric acid, cyclohexylglycine or phenylglycine.
- Exemplary preferred inhibitors of caspases having Formular I include, without limitation:
- fmk is fluoromethylketone and DCB is 2,6-dichlorobenzoyloxy.
- Useful aryl groups are C 6-14 aryl, especially C 6-10 aryl.
- Typical C 6-14 aryl groups include phenyl, naphthyl, phenanthrenyl, anthracenyl, indenyl, azulenyl, biphenyl, biphenylenyl and fluorenyl groups.
- Useful cycloalkyl groups are C 3-8 cycloalkyl.
- Typical cycloalkyl groups include cyclopropyl, cyclobutyl, cyclopentyl, cyclohexyl and cycloheptyl.
- Useful saturated or partially saturated carbocyclic groups are cycloalkyl groups as defined above, as well as cycloalkenyl groups, such as cyclopentenyl, cycloheptenyl and cyclooctenyl.
- Useful halo or halogen groups include fluorine, chlorine, bromine and iodine.
- Useful alkyl groups include straight-chained and branched C 1-10 alkyl groups, more preferably C 1-6 alkyl groups.
- Typical C 1-10 alkyl groups include methyl, ethyl, propyl, isopropyl, butyl, sec-butyl, tert-butyl, 3-pentyl, hexyl and octyl groups.
- Also contemplated is a trimethylene group substituted on two adjoining positions on the benzene ring of the compounds of the invention.
- Useful arylalkyl groups include any of the above-mentioned C 1-10 alkyl groups substituted by any of the above-mentioned C 6-14 aryl groups. Useful values include benzyl, phenethyl and naphthylmethyl.
- Useful haloalkyl groups include CI-1 0 alkyl groups substituted by one or more fluorine, chlorine, bromine or iodine atoms, e.g., fluoromethyl, difluoromethyl, trifluoromethyl, pentafluoroethyl, 1,1-difluoroethyl, chloromethyl, chlorofluoromethyl and trichloromethyl groups.
- Useful alkoxy groups include oxygen substituted by one of the C 1-10 alkyl groups mentioned above.
- Useful alkylthio groups include sulphur substituted by one of the C 1-10 alkyl groups mentioned above. Also included are the sulfoxides and sulfones of such alkylthio groups.
- Useful acylamino groups are any C 1-6 acyl (alkanoyl) attached to an amino nitrogen, e.g., acetamido, propionamido, butanoylamido, pentanoylamido, hexanoylarnido as well as aryl-substituted C 2-6 substituted acyl groups.
- Useful acyloxy groups are any C 1-6 acyl (alkanoyl) attached to an oxy (—O—) group, e.g., formyloxy, acetoxy, propionoyloxy, butanoyloxy, pentanoyloxy, hexanoyloxy and the like.
- Useful arylacyloxy groups include any of the aryl groups mentioned above substituted on any of the acyloxy groups mentioned above, e.g., 2,6-dichlorobenzoyloxy, 2,6-difluorobenzoyloxy and 2,6-di-(trifluoromethyl)-benzoyloxy groups.
- Useful amino groups include —NH 2 , —NHR 11 , and —NR 11 R 12 , wherein R 11 and R 12 are C 1-10 alkyl or cycloalkyl groups as defined above.
- Useful saturated or partially saturated heterocyclic groups include tetrahydrofuranyl, pyranyl, piperidinyl, piperizinyl, pyrrolidinyl, imidazolidinyl, imidazolinyl, indolinyl, isoindolinyl, quinuclidinyl, morpholinyl, isochromanyl, chromanyl, pyrazolidinyl pyrazolinyl, tetronoyl and tetramoyl groups.
- Useful heteroaryl groups include any one of the following: thienyl, benzo[b]thienyl, naphtho[2,3-b]thienyl, thianthrenyl, furyl, pyranyl, isobenzofuranyl, chromenyl, coumarinyl, xanthenyl, phenoxanthiinyl, 2H-pyrrolyl, pyrrolyl, imidazolyl, pyrazolyl, pyridyl, pyrazinyl, pyrimidinyl, pyridazinyl, indolizinyl, isoindolyl, 3H-indolyl, indolyl, indazolyl, purinyl, 4H-quinolizinyl, isoquinolyl, quinolyl, phthalzinyl, naphthyridinyl, quinozalinyl, cinnolinyl, pteridinyl,
- heteroaryl group contains a nitrogen atom in a ring
- nitrogen atom may be in the form of an N-oxide, e.g., a pyridyl N-oxide, pyrazinyl N-oxide, pyrimidinyl N-oxide and the like.
- Optional substituents include one or more alkyl; halo; haloalkyl; cycloalkyl; hydroxy; carboxy; phosphinyloxy; aryl optionally substituted with one or more lower alkyl, halo, amino, alkylamino, dialkylamino, alkoxy, hydroxy, carboxy, haloalkyl or heteroaryl groups; aryloxy optionally substituted with one or more lower alkyl, halo, amino, alkylamino, dialkylamino, aikoxy, hydroxy, carboxy, haloalkyl or heteroaryl groups; aralkyl; heteroaryl optionally substituted with one or more lower alkyl, halo, amino, alkylamino, dialkylamino, alkoxy, hydroxy, carboxy, haloalkyl and aryl groups; heteroaryloxy optionally substituted with one or more lower alkyl, halo, amino, alkylamino, dialkyla
- Certain of the compounds of the present invention may exist as stereoisomers including optical isomers.
- the invention includes all stereoisomers and both the racemic mixtures of such stereoisomers as well as the individual enantiomers that may be separated according to methods that are well known to those of ordinary skill in the art.
- Examples of pharmaceutically acceptable addition salts include inorganic and organic acid addition salts such as hydrochloride, hydrobromide, phosphate, sulphate, citrate, lactate, tartrate, maleate, fumarate, mandelate and oxalate; and inorganic and organic base addition salts with bases such as sodium hydroxy and Tris(hydroxymethyl)aminomethane (TRIS, tromethane).
- inorganic and organic acid addition salts such as hydrochloride, hydrobromide, phosphate, sulphate, citrate, lactate, tartrate, maleate, fumarate, mandelate and oxalate
- inorganic and organic base addition salts with bases such as sodium hydroxy and Tris(hydroxymethyl)aminomethane (TRIS, tromethane).
- prodrugs include compounds of Formula I wherein R 1 is an alkyl group or substituted alkyl group such as CH 2 OCH 3 and CH 2 OCOCH 3 (AM ester).
- the invention is also directed to a method for treating disorders responsive to the inhibition of caspases in animals suffering thereof.
- Particular preferred embodiments of compounds for use in the method of this invention are represented by previously defined Formula I.
- the compounds of this invention may be prepared using methods known to those skilled in the art. Specifically, compounds with Formula I can be prepared as illustrated by exemplary reactions in Scheme 1.
- the intermediate 1 was prepared according to Revesz et al. ( Tetrahedron Lett . 35:9693-9696 (1994)). Coupling of 1 with a N-protected amino acid, such as (2-chlorobenzyloxycarbonyl)-Val, which was prepared from 2-chlorobenzyl chloroformate and Valine, gave amide 2.
- Oxidation of 2 by Dess-Martin reagent according to Revesz et al. ( Tetrahedron Lett . 35:9693-9696 (1994)) gave 3 as a mixture of diastereomers.
- the oxidation also can be done using other agents such as pyridinium chlorochromate (PCC) or pyridinium dichromate (PDC). Acid catalyzed cleavage of the ester gave the free acid 4.
- N-protecting group with special function also can be used.
- an antioxidant such as Trolox can be introduced as the protecting group.
- the compound can be prepared as shown in Scheme 6.
- the compound can be prepared as shown in Scheme 7.
- the compound will combine the property of a caspase inhibitor with an antioxidant, which might be more efficacious as a neuroprotectant for the treatment of stroke (Pierre-Etienne Chabrier et al., PNAS 96:10824-10829 (1999)).
- a fluorescent dye also can be introduced as the protecting group, such as the compounds shown in Scheme 8.
- Preferred fluorescent protecting groups of formula R 3 —X—C(O)— include, for example:
- the cell death inhibitors of the present invention can be used to reduce or prevent cell death in the nervous system (brain, spinal cord, and peripheral nervous system) under various conditions of ischemia and excitotoxicity, including, but not limited to, focal ischemtia due to stroke and global ischemia due to cardiac arrest, as well as spinal cord injury (Emery et al., J. Neurosurgery 89:911-920 (1998)).
- One particular usage is to treat the effects of oxygen deprivation which can occur during the birth of infants in high-risk labors or drowning.
- the cell death inhibitors can also be used to reduce or prevent cell death in the nervous system due to traumatic injury (such as head trauma), viral infection or radiation-induced nerve cell death (for example, as a side-effect of cancer radiotherapy), as well as acute bacterial meningitis (Braun et al., Nat Med 5:298-302 (1999)).
- the cell death inhibitors can also be used to reduce or prevent cell death in a range of neurodegenerative disorders, including but not limited to Alzh&imer's disease (Mattson et al., Brain Res . 807:167-176 (1998)), Huntington's Disease, Parkinson's Disease, multiple sclerosis, amyotrophic lateral sclerosis, and spinobulbar atrophy.
- cell death inhibitors of the invention can be tested in a rat transient focal brain ischemia model (Xue et al., Stroke 21:166 (1990)).
- the cell death inhibitors may also be used to treat or ameliorate cell death in acute bacterial meningitis (Braun et al., Nat Med 5:298-302 (1999))
- the cell death inhibitors of the invention can be used to reduce or prevent cell death in any condition which potentially results in the death of cardiac muscle (Black et al., J. Mol. Cel. Card . 30:733-742 (1998) and Maulik et al., Free Radic. Biol. Med . 24:869-875 (1998)).
- One particular application is to reduce or prevent myocardial cell death as occurs in certain viral infections of the heart.
- mice are treated intravenously (IV) with an antiFas antibody which induces massive apoptosis in the liver and other organs, leading to generalized organ failure and death.
- IV intravenously
- This model is useful for indirectly testing the systemic bioavailability of the cell death inhibitors of the invention, as well as their in vivo anti-apoptotic properties.
- the cell death inhibitors of the invention therefore can be used to reduce or prevent apoptosis of liver cells (Jones et al., Hepatology 27:163242 (1998)) such as in sepsis (Jaeschke et al., J. Immunol . 160:3480-3486 (1998)) and hereditary tyrosinemia type 1 (HT1) (Kubo et al., Prov. Natl. Acad. Sci. USA 95:9552-9557 (1998)).
- the cell death inhibitors of the invention also can be used to treat hepatitis (Suzuki, Proc. Soc. Exp. Biol. Med . 217:450-454 (1998)).
- the cell death inhibitors of the invention can be used to reduce or prevent cell death of retinal neurons (Kermer et al., J. Neurosci . 18:4656-4662 (1998) and Miller et al., Am. J. Vet. Res . 59:149-152 (1998)) as can occur in disorders which increase intraocular pressure (such as glaucoma) or retinal disorders associated with the aging process (such as age-related macular degeneration).
- the inhibitors can also be used to treat hereditary degenerative disorders of the retina, such as retinitis pigmentosa.
- the cell death inhibitors of the invention can also be used to reduce or prevent cell death in the kidney.
- the cell death inhibitors of the invention can also be used to reduce or prevent cell death of buccal mucosa due to chronic alcohol ingestion (Slomiany et al., Biochem. Mol. Biol. Int . 45:1199-1209 (1998)).
- the cell death inhibitors of the invention can also be used to reduce or prevent cell death in plants (Richberg et al., Curr. Opin. Plant Biol . 1:480-485 (1998)), such as plant cell death due to pathogens (Pozo et al., Curr. Biol . 8:1129-1132 (1998) and Greenberg et al., Cell 77:551-563 (1994)).
- the cell death inhibitors of the invention can also be used to reduce or prevent cell death due to radiation and ultraviolet-irradiation (Sheikh et al., Oncogene 17:2555-2563 (1998)).
- the cell death inhibitors of the invention can also be used to reduce or prevent apoptotic death of bone marrow cells in myelodysplastic syndromes (MDS) (Mundle et al., Am. J. Hematol . 60:36-47 (1999)).
- MDS myelodysplastic syndromes
- the cell death inhibitors of the invention can also be used to reduce or prevent premature death of cells of the immune system, and are particularly useful in treating immune deficiency disorders, such as acquired immune deficiency syndrome (AIDS), severe combined immune deficiency syndrome (SCIDS) and related diseases.
- AIDS acquired immune deficiency syndrome
- SCIDS severe combined immune deficiency syndrome
- the cell death inhibitors can also be used to treat radiation-induced immune suppression.
- Transplantation of human organs and tissues is a common treatment for organ failure.
- the donor organ or tissue is at risk for cell death since it is deprived of its normal blood supply prior to being implanted in the host.
- This ischemic state can be treated with cell death inhibitors by infusion into the donor organ or tissue, or by direct addition of the cell death inhibitors to the organ/tissue storage medium.
- treatment of the embryonic nigral cell suspension with Ac-YVAD-cmk SEQ ID NO:2
- a caspase-I inhibitor mitigated DNA fragmentation and reduced apoptosis in transplants.
- Cell death inhibitors may also be used to reduce or prevent cell death in the donor organ/tissue after it has been transplanted to protect it from the effects of reperfusion injury and /or effects of host immune cells which kill their targets by triggering apoptosis.
- the cytoprotective effects of cell death inhibitors can also be used to prevent the death of human or animal sperm and eggs used in in vitro fertilization procedures. These inhibitors can be used during the harvesting process and can also be included in the storage medium.
- Mammalian cell lines, insect cells and yeast cells are commonly used to produce large amounts of recombinant proteins (such as antibodies, enzymes or hormones) for industrial or medicinal use.
- recombinant proteins such as antibodies, enzymes or hormones
- the lifespan of some of these cell lines is limited due to growth conditions, the nature of the recombinant molecule being expressed (some are toxic) and other unknown factors.
- the lifespans of industrial cell lines can be extended by including these cell death inhibitors in the growth medium in a concentration range of 1-100 ⁇ M.
- the cell death inhibitors of the present invention can be used to treat hair loss that occurs due to various conditions, including but not limited to male-pattern baldness, radiation-induced or chemotherapy-induced hair loss, and hair loss due to emotional stress. There is also evidence that apoptosis may play a role in the loss of hair color. Therefore, it is contemplated that the cell death inhibitors of the present invention can also be used in treating or preventing cases of premature graying of the hair.
- the death of skin epithelial cells can occur after exposure to high levels of radiation, heat or chemicals. It is contemplated that the cell death inhibitors of the present invention can be used to treat, reduce or prevent this type of skin damage. In one particular application, the cell death inhibitors can be applied as part of a topical formulation, e.g., an ointment, to treat acute over-exposure to the sun and to prevent blistering and peeling of the skin.
- a topical formulation e.g., an ointment
- Compounds of the present invention with CPP32 inhibiting activity will be useful in blocking CPP32 induced apoptotic cell death, thus in preventing and treating HD and other disorders characterized by expansion of trinucleotide repeats such as myotonic dystrophy, fragile X mental retardation, spinobulbar muscular atrophy, spinocerebellar atoxia type I and Dentato-Rubro pallidoluysian atrophy.
- the invention relates to a method of treating, ameliorating or preventing oral mucositis, gastrointestinal mucositis, bladder mucositis, proctitis, bone marrow cell death, skin cell death and hair loss resulting from chemotherapy or radiation therapy of cancer in an animal, comprising administering to the animal in need thereof an effective amount of a cell death inhibitor of the present invention.
- non-cancer cells include cells of the gastrointestinal tract, skin, hair, and bone marrow cells.
- caspase inhibitors are administered to such non-cancer cells to prevent apoptosis of such cells.
- the caspase inhibitors are administered locally, e.g., to the gastrointestinal tract, mouth, skin or scalp to prevent apoptosis of the gastrointestinal, mouth, skin or hair cells but allowing for the death of the cancer cells.
- the caspase inhibitor can be applied, for example, in the form of a mouth wash or mouth rinse, in a gel, or. in the form of an oral slow release lozenge to prevent activation of caspases and apoptotic cell death induced by the chemotherapeutic agent or by radiation.
- the caspase inhibitor can be applied in a form such that it is not absorbed systemically or in a form that coats the surface of the gastrointestinal tract, or a suppository formulation for the treatment of gastrointestinal mucositis.
- the capsase inhibitor may be applied as part of an enema or suppository.
- the caspase inhibitor may be applied though a bladder catheter.
- the caspase inhibitor can be applied, for example, to the scalp in the form of a hair rinse, hair gel, shampoo or hair conditioner.
- the caspase inhibitor can be applied prior to the administration of the chemotherapeutic agent or radiation, thus preventing the onset of the damaging effects of the chemotherapeutic agent or radiation to the normal cells.
- compositions within the scope of this invention include all compositions wherein the compounds of the present invention are contained in an amount which is effective to achieve its intended purpose. While individual needs vary, determination of optimal ranges of effective amounts of each component is within the skill of the art.
- the compounds may be administered to mammals, e.g., humans, orally at a dose of 0.0025 to 50 mg/kg, or an equivalent amount of the pharmaceutically acceptable salt thereof, per day of the body weight of the mammal being treated for apoptosis-mediated disorders, e.g., neuronal cell death, heart disease, retinal disorders, polycystic kidney disease, immune system disorders and sepsis.
- apoptosis-mediated disorders e.g., neuronal cell death, heart disease, retinal disorders, polycystic kidney disease, immune system disorders and sepsis.
- a suitable intramuscular dose would be about 0.0025 to about 25 mg/kg, and most preferably, from about 0.01 to about 5 mg/kg.
- the unit oral dose may comprise from about 0.01 to about 50 mg, preferably about 0.1 to about 10 mg of the compound.
- the unit dose may be administered one or more times daily as one or more tablets each containing from about 0.1 to about 10, conveniently about 0.25 to 50 mg of the compound or its solvates.
- the compound may be present at a concentration of about 0.01 to 100 mg per gram of carrier. In a preferred embodiment, the compound is present at a concentration of about 0.07-1.0 mg/ml, more preferably, about 0.1-0.5 mg/ml, most preferably, about 0.4 mg/ml.
- the compounds of the invention may be administered as part of a pharmaceutical preparation containing suitable pharmaceutically acceptable carriers comprising excipients and auxiliaries which facilitate processing of the compounds into preparations which can be used pharmaceutically.
- the preparations particularly those preparations which can be administered orally or topically and which can be used for the preferred type of administration, such as tablets, dragees, slow release lozenges and capsules, mouth rinses and mouth washes, gels, liquid suspensions, hair rinses, hair gels, shampoos and also preparations which can be administered rectally, such as suppositories, as well as suitable solutions for administration by injection, topically or orally, contain from about 0.01 to 99 percent, preferably from about 0.25 to 75 percent of active compound(s), together with the excipient.
- non-toxic pharmaceutically acceptable salts of the compounds of the present invention are included within the scope of the present invention.
- Acid addition salts are formed by mixing a solution of the particular cell death inhibitors of the present invention with a solution of a pharmaceutically acceptable non-toxic acid such as hydrochloric acid, fumaric acid, maleic acid, succinic acid, acetic acid, citric acid, tartaric acid, carbonic acid, phosphoric acid, oxalic acid, and the like.
- Basic salts are formed by mixing a solution of the particular cell death inhibitors of the present invention with a solution of a pharmaceutically acceptable non-toxic base such as sodium hydroxide, potassium hydroxide, choline hydroxide, sodium carbonate Tris and the like.
- compositions of the invention may be administered to any animal which may experience the beneficial effects of the compounds of the invention.
- animals are mammals, e.g., humans, although the invention is not intended to be so limited.
- the caspase inhibitors and pharmaceutical compositions thereof may be administered by any means that achieve their intended purpose.
- administration may be by parenteral, subcutaneous, intravenous, intramuscular, intraperitoneal, transdermal, buccal, intrathecal, intracranial, intranasal or topical routes.
- administration may be by the oral route.
- the dosage administered will be dependent upon the age, health, and weight of the recipient, kind of concurrent treatment, if any, frequency of treatment, and the nature of the effect desired.
- the caspase inhibitors are administered locally to the tissues that are to be protected from apoptosis and separately from the chemotherapeutic agent.
- cisplatin may be administered by i.v.
- a cancer such as brain, lung, breast, liver, kidney, pancreatic, ovarian, prostatic cancer
- the caspase inhibitor administered locally to treat, ameliorate, or prevent apototic cell death in the mouth or gastrointestinal tract, such as a mouth wash for the treatment of oral mucositis; and IV injectable aqueous solution for the treatment of bone marrow cell death; and an oral formulation suitable for coating the gastrointestinal surfaces or an emema or suppository formulation for the treatment of gastrointestinal mucositis including proctitis.
- the caspase inhibitors may also be applied through a bladder catheter for the treatment, amelioration or prevention of bladder mucositis.
- the caspase inhibitors may be applied topically to the skin and/or scalp to treat, ameliorate or prevent apoptotic cell death of hair and skin cells.
- the chemotherapeutic agent or radiation may be applied locally to treat a localized cancer such as brain, lung, breast, liver, kidney, pancreatic, ovarian, prostatic cancer, and the caspase inhibitor administered systemically, e.g., by i.v. injection, to treat, ameliorate or prevent apoptotic cell death of the gastrointestinal tract cells, mouth epithelial cells, bone marrow cells, skin cells and hair cells.
- a caspase inhibitor that does not penetrate the blood-brain barrier can be applied, for example, systemically by i.v. injection followed by irradiation of the brain tumor. This would protect the oral mucosa from the harmful effects of radiation but the caspase inhibitor would not protect the brain tumor from the therapeutic effects of radiation.
- the caspase inhibitor can be applied prior to administration of the radiation, thus preventing the onset of the damaging effects of the radiation to the normal mucosa cells.
- compositions of the present invention are manufactured in a manner which is itself known, for example, by means of conventional mixing, granulating, dragee-making, dissolving, or lyophilizing processes.
- pharmaceutical preparations for oral use can be obtained by combining the active compounds with solid excipients, optionally grinding the resulting mixture and processing the mixture of granules, after adding suitable auxiliaries, if desired or necessary, to obtain tablets or dragee cores.
- Suitable excipients are, in particular, fillers such as saccharides, for example lactose or sucrose, mannitol or sorbitol, cellulose preparations and/or calcium phosphates, for example tricalcium phosphate or calcium hydrogen phosphate, as well as binders such as starch paste, using, for example, maize starch, wheat starch, rice starch, potato starch, gelatin, tragacanth, methyl cellulose, hydroxypropylmethylcellulose, sodium carboxymethylcellulose, and/or polyvinyl pyrrolidone.
- fillers such as saccharides, for example lactose or sucrose, mannitol or sorbitol, cellulose preparations and/or calcium phosphates, for example tricalcium phosphate or calcium hydrogen phosphate, as well as binders such as starch paste, using, for example, maize starch, wheat starch, rice starch, potato starch, gelatin, tragacanth, methyl cellulose,
- disintegrating agents may be added such as the above-mentioned starches and also carboxymethyl-starch, cross-linked polyvinyl pyrrolidone, agar, or alginic acid or a salt thereof, such as sodium alginate.
- Auxiliaries are, above all, flow-regulating agents. and lubricants, for example, silica, talc, stearic acid or salts thereof, such as magnesium stearate or calcium stearate, and/or polyethylene glycol.
- Dragee cores are provided with suitable coatings which, if desired, are resistant to gastric juices.
- concentrated saccharide solutions may be used, which may optionally contain gum arabic, talc, polyvinyl pyrrolidone, polyethylene glycol and/or titanium dioxide, lacquer solutions and suitable organic solvents or solvent mixtures.
- suitable cellulose preparations such as acetylcellulose phthalate or hydroxypropymethyl-cellulose phthalate, are used.
- Dye stuffs or pigments may be added to the tablets or dragee coatings, for example, for identification or in order to characterize combinations of active compound doses.
- Other pharmaceutical preparations which can be used orally include push-fit capsules made of gelatin, as well as soft, sealed capsules made of gelatin and a plasticizer such as glycerol or sorbitol.
- the push-fit capsules can contain the active compounds in the form of granules which may be mixed with fillers such as lactose, binders such as starches, and/or lubricants such as talc or magnesium stearate and, optionally, stabilizers.
- the active compounds are preferably dissolved or suspended in suitable liquids, such as fatty oils, or liquid paraffin.
- stabilizers may be added.
- Possible pharmaceutical preparations which can be used rectally include, for example, enemas or suppositories, which consist of a combination of one or more of the active compounds with a suppository base.
- Suitable suppository bases are, for example, natural or synthetic triglycerides, or paraffin hydrocarbons.
- gelatin rectal capsules which consist of a combination of the active compounds with a base.
- Possible base materials include, for example, liquid triglycerides, polyethylene glycols, or paraffin hydrocarbons.
- Suitable formulations for parenteral administration include aqueous solutions of the active compounds in water-soluble form, for example, water-soluble salts and alkaline solutions.
- suspensions of the active compounds as appropriate oily injection suspensions may be administered.
- Suitable lipophilic solvents or vehicles include fatty oils, for example, sesame oil, or synthetic fatty acid esters, for example, ethyl oleate or triglycerides or polyethylene glycol400 (the compounds are soluble in PEG-400).
- Aqueous injection suspensions may contain substances which increase the viscosity of the suspension include, for example, sodium carboxymethyl cellulose, sorbitol, and/or dextran.
- the suspension may also contain stabilizers.
- compounds of the invention are employed in topical and parenteral formulations and are used for the treatment of skin damage, such as that caused by exposure to high levels of radiation, including ultraviolet radiation, heat or chemicals.
- compositions may also contain one or more compounds capable of increasing cyclic-AMP levels in the skin.
- Suitable compounds include adenosine or a nucleic acid hydrolysate in an amount of about 0.1-1% and papaverine, in an amount of about 0.5-5%, both by weight based on the weight of the composition.
- 0-adrenergic agonists such as isoproterenol, in an amount of about 0.1-2% or cyclic-AMP, in an amount of about 0.1-1%, again both by weight based on the weight of the composition.
- compositions of this invention include any compounds known to have a beneficial effect on skin.
- Such compounds include-retinoids such as Vitamin A, in an amount of about 0.003-0.3% by weight and chromanols such as Vitamin E or a derivative thereof in an amount of about 0.1-10% by weight, both based on the weight. of the composition.
- anti-inflammatory agents and keratoplastic agents may be incorporated in the cosmetic composition.
- a typical anti-inflammatory agent is a corticosteroid such as hydrocortisone or its acetate in an amount of about 0.25-5% by weight, or a corticosteroid such as dexamethasone in an amount of about 0.025-0.5% by weight, both based on the weight of the composition.
- a typical keratoplastic agent is coal tar in an amount of about 0.1-20% or anthralin in an amount of about 0.05-2% by weight, both based on the weight of the composition.
- the topical compositions of this invention are formulated preferably as oils, creams, lotions, ointments and the like by choice of appropriate carriers.
- Suitable carriers include vegetable or mineral oils, white petrolatum (white soft paraffin), branched chain fats or oils, animal fats and high molecular weight alcohol (greater than C 12 ).
- the preferred carriers are those in which the active ingredient is soluble.
- Emulsifiers, stabilizers, humectants and antioxidants may also be included as well as agents imparting color or fragrance, if desired.
- transdermal penetration enhancers can be employed in these topical formulations. Examples of such enhancers can be found in U.S. Pat. Nos. 3,989,816 and 4,444,762.
- Creams are preferably formulated from a mixture of mineral oil, self-emulsifying beeswax and water in which mixture the active ingredient, dissolved in a small amount of an oil such as almond oil, is admixed.
- a typical example of such a cream is one which includes about 40 parts water, about 20 parts beeswax, about 40 parts mineral oil and about 1 part almond oil.
- Ointments may be formulated by mixing a solution of the active ingredient in a vegetable oil such as almond oil with warm soft paraffin and allowing the mixture to cool.
- a vegetable oil such as almond oil
- a typical example of such an ointment is one which includes about 30% almond oil and about 70% white soft paraffm by weight.
- Lotions may be conveniently prepared by dissolving the active ingredient, in a suitable high molecular weight alcohol such as propylene glycol or polyethylene glycol.
- compositions may include other medicinal agents, growth factors, wound sealants, carriers, etc., that are known or apparent to those skilled in the art.
- the compositions of the invention are administered to a warm-blooded animal, such as human, already suffering from a skin damage, such as a burn, in an amount sufficient to allow the healing process to proceed more quickly than if the host were not treated. Amounts effective for this use will depend on the severity of the skin damage and the general state of health of the patient being treated. Maintenance dosages over a prolonged period of time may be adjusted as necessary. For veterinary uses, higher levels may be administered as necessary.
- compositions of the invention are administered in an amount sufficient to increase the rate of hair growth. Amounts effective for this use will depend on the extent of decreased hair growth, and the general state of health of the patient being treated. Maintenance dosages over a prolonged period of time may be adjusted as necessary. For veterinary uses, higher levels may be administered as necessary.
- the compounds When the compounds are to be administered to plants, they may be applied to the leaves and/or stems and/or flowers of the plant, e.g., by spraying.
- the compounds may be spayed in particulate form or dissolved or suspended in an appropriate carrier, e.g., in water or an oil-water emulsion.
- the compounds may also be combined with the soil of the plant. In this embodiment, the compounds are taken up by the roots of the plant.
- the caspase inhibitor is formulated as part of a mouthwash for the treatment, amelioration or prevention of oral mucositis.
- mouthwashes are aqueous solutions of the caspase inhibitor which may also contain alcohol, glycerin, synthetic sweeteners and surface-active, flavoring and coloring agents. They may also contain anti-infective agents such as hexetidine and cetylpyridinium chloride.
- the mouthwashes may also contain topical anesthetics (e.g., benzocaine, cocaine, dyclonine hydrochloride, lidocaine, proparacaine hydrochloride or teracaine hydrochloride), for example, for relieving pain of radiation or chemotherapy-induced sores.
- topical anesthetics e.g., benzocaine, cocaine, dyclonine hydrochloride, lidocaine, proparacaine hydrochloride or teracaine hydrochloride
- the mouth washes may have either acidic or basic pH. See Remington's Pharmaceutical Sciences , A. R. Gennaro (ed.), Mack Publishing Company, pp. 1045, 1046, 1526 and 1965 (1990).
- the caspase inhibitor is formulated as an oral formulation which is capable of coating the gastrointestinal surfaces for the treatment, amelioration or prevention of gastrointestinal mucositis.
- gastrointestinal mucositis include esophageal mucositis, gastric mucositis, and intestinal mucositis.
- Such formulations may comprise gastric antacids such as aluminum carbonate, aluminum hydroxide gel, bismuth subnitrate, bismuth subsalicylate, calcium carbonate, dihydroxyaluminum sodium carbonate, magaldrate, magnesium carbonate, magnesium hydroxide, magnesium oxide, sodium bicarbonate, milk of bismuth, dihydroxyaluminum aminoacetate, magnesium phosphate, magnesium trisilicate and mixtures thereof.
- gastric antacids such as aluminum carbonate, aluminum hydroxide gel, bismuth subnitrate, bismuth subsalicylate, calcium carbonate, dihydroxyaluminum sodium carbonate, magaldrate, magnesium carbonate, magnesium hydroxide, magnesium oxide, sodium bicarbonate, milk of bismuth, dihydroxyaluminum aminoacetate, magnesium phosphate, magnesium trisilicate and mixtures thereof.
- Other additives include without limitation H 2 -receptor antagonists, digestants, anti-emetics, adsorbants, and miscellaneous agents. See
- Chemotherapy agents such as cisplatin and radiation therapy often induce early and late onset emesis in the patient.
- an antiemetic is coadminstered together with the caspase inhibitor to avoid emesis and retain contact of the caspase inhibitor with the gastrointestinal tract.
- antiemetics include without limitation compounds that block the dopaminergic emetic receptors such as metoclopramide and trimethobenzamide, and cannabinoids.
- Metocloprarnide may be administered orally prior to and/or during chemotherapy/radiation therapy/caspase inhibitor therapy to prevent the early emesis response and then later by intranasal administration according to U.S. Pat. Nos.
- both the caspase inhibitor and the antiemetic may be coadministered to treat, ameliorate or prevent gastrointestinal mucositis.
- the caspase inhibitor may be formulated as an IV injectable solution for the treatment, amelioration or prevention of bone marrow cell death.
- compositions of the invention may be administered to a warm-blooded animal, such as human, already suffering from chemotherapy or radiation therapy-induced non-cancer cell death, or, more preferably, before or during therapy with chemotherapy or radiation.
- Step A 2-Chlorobenzyl chlorofornate.
- 2-chlorobenzyl alcohol 1.0 g, 7.0 mmol
- diethyl ether 15 ml
- phosgene solution in toluene 7.5 ml, 14.0 mmol
- the mixture was allowed to warm up to room temperature in 2 h while stirring, then it was filtered.
- the diethyl ether was removed by rotary evaporator, and the solution of 2-chlorobenzyl chloroformate in toluene was carried on for the next step reaction.
- Step B 2-Chlorobenzyloxycarbonyl-Val.
- L-valine 0.5 g, 4.3 mmol
- 2-chlorobenzyl chloroformate 14.0 mmol
- the title compound was obtained as white solid (0.94 g, 3.29 mmol, 77%).
- Step C t-Butyl 5-fluoro-3-(2-chlorobenzyloxycarbonyl-valinamido)-4-hydroxypentanoate.
- 2-chlorobenzyl-oxycarbonyl-Val 216 mg, 0.76 mmol
- THF 10 ml
- 1-(3-dimethylaminopropyl)-3-ethylcarbodiimide hydrochloride EDCI
- HOBT 1-hydroxybenzotriazole hydrate
- DMAP 4-(dimethylamino)pyridine
- Step D 2-Chlorobenzyloxycarbonyl-Val-Asp(OBu-t)-fmk.
- a suspension of Dess-Martin periodinane (0.35 g, 0.835 mmol) in dichloromethane (15 ml) was added a solution of t-butyl 5-fluoro-3-(2-chlorobenzyloxycarbonyl-valinamido)-4-hydroxypentanoate (80 mg, 0.17 mmol) in dichloromethane (5 ml).
- Step E 2-Chlorobenzyloxycarbonyl-Val-Asp-fmk.
- 2-chlorobenzyloxycarbonyl-Val-Asp(OBu-t)-fmk 56 mg, 0.12 mmol
- TFA 1 ml of TFA.
- the resulting solution was allowed to stir for 3 h, and then diluted with 20 ml of ethyl acetate, washed with saturated Na 2 HPO 4 , brine, and dried over Na 2 SO 4 .
- the solvent was evaporated in vacuo to give the title compound as a white solid (39 mg, 0.09 mmol, 77%).
- Step A Z-Asp(OBu-t)-DCB-methylketone.
- DMF dimethyl methyl sulfoxide
- potassian fluoride 320 mg, 5.50 mmol
- 2,6-dichlorobenzoic acid 348 mg, 1.82 mmol.
- the mixture was stirred at room temperature for 12 h, and then was diluted with 25 ml of ethyl acetate, washed with aqueous NH 4 Cl and brine, dried over Na 2 SO 4 and concentrated in vacuo.
- Step B Asp(OBu-t)-DCB-methylketone-N-hydrochloride.
- Pd/C 50 mg
- 6N HCl 6N HCl
- Step C 2,6-Dichlorobenzyloxycarbonyl-Val-Asp(OBu-t)-DCB-methylketone.
- Asp(OBu-t)-DCB-methylketone-N-hydrochloride 250 mg, 0.60 mmol
- 1-(3-dimethylaminopropyl)-3-ethylcarbodiimide hydrochloride EDCI, 126 mg, 0.66 mmol
- HOBT 1-hydroxybenzotriazole hydrate
- DMAP 4-(dimethylamino)pyridine
- Step D 2, 6-Dichlorobenzyloxycarbonyl-Val-Asp-DCB-methylketone.
- TFA 1,3-bis(trimethoxy)-2-(trimethoxy)-2-(trimethoxy)-2-(trimethoxy)-2-(trimethoxy)-2-(trimethoxy)-2-(trimethoxy)-2-(trimethoxy)-2-(trimethoxy)-2-(trimethyl)-methylketone (85 mg, 0.18 mmol) in CH 2 Cl 2 (3 ml) at room temperature was added TFA (1 ml). The resulting solution was allowed to stir for 4 h, and then diluted with 20 ml of ethyl acetate, washed with saturated Na 2 HPO 4 , brine, and dried over Na 2 SO 4 . The solvent was evaporated in vacuo to give the title compound as a white solid (27 mg, 0.04 mmol, 25%).
- Step A Benzyl monoglutarate.
- the mixture was purified by chromatography (3:1 hexane/EtOAc) to yield the product as an oil (0.4 g, 1.8 mmol, 45%).
- Step B Benzyl-glutaryl-Val-OBu-t.
- a mixture of benzyl monoglutarate (0.4 g, 1.8 mmol), Val-OBu-t (382 mg, 1.82 mmol), EDC (335 mg, 1.75 mmol), HOBT (265 mg, 1.73 mmol) and DMAP (372 mg, 3.04 mmol) in THF (15 ml) was stirred at room temperature for 17 h. It was worked up and purified by chromatography to yield the title compound as a colorless oil (370 mg, 0.98 mmol, 54%).
- Step C Benzyl-glutaryl-Val-OH.
- TFA benzyl-glutaryl-Val-OBu-t
- Step D Benzyl-glutaryl-Val-Asp-fmk.
- the title compound was prepared from benzyl-glutaryl-Val-OH in three steps by a similar procedure as described in Example 1 as a white solid.
- 1 H NMR (CDCl 3 ): ⁇ 7.35 (br s, 5H), 6.72 (s, 1H), 5.56 (s, 1H), 5.11 (s, 2H), 4.92-4.22 (m, 4H), 3.13-2.68 (m, 2H), 2.43-1.93 (m, 6H), 0.92 (d, J 5.1, 6H).
- Step A 3-(2-Phenyloxyphenyl)propionic acid.
- a mixture of 3-(2-hydroxyphenyl)propionic acid (0.57 g, 3.4 mmol), phenylbromide (0.4 ml, 3.37 mmol), and K 2 CO 3 (2.5 g) in acetone (10 ml) was stirred at room temperature for 2 days.
- the mixture was diluted with 1:1 hexane/EtOAc (100 ml), washed with water and brine, dried over sodium sulfate and concentrated in vacuo.
- the residue was purified by chromatography (5:1 then 4:1 hexane/EtOAc) to yield phenyl 3-(2-phenyloxyphenyl)propionate (0.45 g, 1.30 mmol, 77%).
- Step B 3-(2-Phenyloxyphenyl)propionyl-Val-Asp-fmk.
- the title compound was prepared in a similar procedure as described in Examples 36 and 1 from crude 3-(2-phenyloxyphenyl)propionic acid synthesized above.
- Step A p-Toluenesulfonyl-Val.
- the title compound was prepared by a similar procedure as described in Example 1 step B in 13% yield from valine and p-toluenesulfonyl chloride.
- Step B tert-Butyl 5-fluoro-3-[p-toluenesulfonyl-Valineamido]-4-hydroxypentanoate.
- the title compound was prepared by a similar procedure as described in Example 1 step C in 37% yield.
- Step C p-Toluenesulfonyl-Val-Asp(OBu-t)-fmnk.
- the title compound was prepared by a similar procedure as described in Example 1 step D in 92% yield.
- Step D p-Toluenesulfonyl-Val-Asp-fnk.
- the title compound was prepared by a similar procedure as described in Example 1 step E in 31% yield.
- the enzyme reaction was carried out in a 96-well plate and incubated at 37° C. for 30 minutes. The plate was then read with a fluorescence plate reader (EG&G WALLAG 1420-002) using excitation filter at 355nm/emission filter at 460 nm. The data was analyzed using GraphPrism software. Other inhibitors were tested using the same procedure and the results is summarized in Table II.
- the dipeptides are potent inhibitor of caspase-3.
Landscapes
- Health & Medical Sciences (AREA)
- Chemical & Material Sciences (AREA)
- Organic Chemistry (AREA)
- Life Sciences & Earth Sciences (AREA)
- Pharmacology & Pharmacy (AREA)
- General Chemical & Material Sciences (AREA)
- Medicinal Chemistry (AREA)
- Nuclear Medicine, Radiotherapy & Molecular Imaging (AREA)
- Chemical Kinetics & Catalysis (AREA)
- Animal Behavior & Ethology (AREA)
- General Health & Medical Sciences (AREA)
- Public Health (AREA)
- Veterinary Medicine (AREA)
- Bioinformatics & Cheminformatics (AREA)
- Engineering & Computer Science (AREA)
- Biomedical Technology (AREA)
- Neurosurgery (AREA)
- Neurology (AREA)
- Diabetes (AREA)
- Hematology (AREA)
- Immunology (AREA)
- Cardiology (AREA)
- Dermatology (AREA)
- Virology (AREA)
- Urology & Nephrology (AREA)
- Ophthalmology & Optometry (AREA)
- Communicable Diseases (AREA)
- Hospice & Palliative Care (AREA)
- Oncology (AREA)
- Addiction (AREA)
- Psychiatry (AREA)
- Endocrinology (AREA)
- Heart & Thoracic Surgery (AREA)
- Psychology (AREA)
- Reproductive Health (AREA)
- Tropical Medicine & Parasitology (AREA)
- Otolaryngology (AREA)
- Emergency Medicine (AREA)
- Molecular Biology (AREA)
- Pain & Pain Management (AREA)
Abstract
where R1-R3, X and Y are defined herein. The present invention also relates to the discovery that compounds having Formula I are potent inhibitors of caspases and apoptotic cell death. Therefore, the inhibitors of this invention can retard or block cell death in a variety of clinical conditions in which the loss of cells, tissues or entire organs occurs.
Description
- 1. Field of the Invention
- This invention is in the field of medicinal chemistry. In particular, the invention relates to dipeptide caspase inhibitors with novel N-terminal blocking groups. The invention also relates to the use of these caspase inhibitors for reducing or treating apoptotic cell death and/or reducing interleukin 1-βproduction.
- 2. Description of Background Art
- Organisms eliminate unwanted cells by a process variously known as regulated cell death, programmed cell death or apoptosis. Such cell death occurs as a normal aspect of animal development as well as in tissue homeostasis and aging (Glucksmann, A., Biol. Rev. Cambridge Philos. Soc. 26:59-86 (1951); Glucksmann, A., Archives de Biologie 76:419-437 (1965); Ellis et al., Dev. 112:591-603 (1991); Vaux et al., Cell 76:777-779 (1994)). Apoptosis regulates cell number, facilitates morphogenesis, removes harmful or otherwise abnormal cells and eliminates cells that have already performed their function. Additionally, apoptosis occurs in response to various physiological stresses, such as hypoxia or ischemia (PCT published application WO96/20721).
- There are a number of morphological changes shared by cells experiencing regulated cell death, including plasma and nuclear membrane blebbing, cell shrinkage (condensation of nucleoplasm and cytoplasm), organelle relocalization and compaction, chromatin condensation and production of apoptotic bodies (membrane enclosed particles containing intracellular material) (Orrenius, S., J. Internal Medicine 237:529-536 (1995)).
- Apoptosis is achieved through an endogenous mechanism of cellular suicide (Wyllie, A. H., in Cell Death in Biology and Pathology, Bowen and Lockshin, eds., Chapman and Hall (1981), pp. 9-34). A cell activates its internally encoded suicide program as a result of either internal or external signals. The suicide program is executed through the activation of a carefully regulated genetic program (Wylie et al., Int. Rev. Cyt. 68:251 (1980); Ellis et al., Ann. Rev. Cell Bio. 7:663 (1991)). Apoptotic cells and bodies are usually recognized and cleared by neighboring cells or macrophages before lysis. Because of this clearance mechanism, inflammation is not induced despite the clearance of great numbers of cells (Orrenius, S., J. Internal Medicine 237:529-536 (1995)).
- Mammalian interleukin-1β(IL-1β) plays an important role in various pathologic processes, including chronic and acute inflammation and autoimmune diseases (Oppenheim et. al. Immunology Today, 7:45-56 (1986)). IL-1β is synthesized as a cell associated precursor polypeptide (pro-IL-1β) that is unable to bind IL-1 receptors and is biologically inactive (Mosley et al., J. Biol. Chem. 262:2941-2944 (1987)). By inhibiting conversion of precursor IL-1β to mature IL-1β, the activity of interleukin-1 can be inhibited. Interleukin-1β converting enzyme (ICE) is a protease responsible for the activation of interleukin-1β (IL-1β) (Thornberry et al., Nature 356:768 (1992); Yuan et al., Cell 75:641 (1993)). ICE is a substrate-specific cysteine protease that cleaves the inactive prointerleukin-1 to produce the mature IL-1. The genes that encode for ICE and CPP32 are members of the mammalian ICE/Ced-3 family of genes which presently includes at least twelve members: ICE, CPP32/Yama/Apopain, mICE2, ICE4, ICH1, TX/ICH-2, MCH2, MCH3, MCH4, FLICE/MACH/MCH5, ICE-LAP6 and ICEre1III. The proteolytic activity of this family of cysteine proteases, whose active site (a cysteine residue) is essential for ICE-mediated apoptosis, appears critical in mediating cell death (Miura et al., Cell 75:653-660 (1993)). This gene family has recently been named caspases (Alnernri et. al. Cell, 87:171 (1996), and Thomberry et. al., J. Biol. Chem. 272:17907-17911 (1997)) and divided into three groups according to its known functions. Table 1 summarizes these known caspases.
TABLE I Enzyme* Group I: mediators of inflammation Caspase-1 (ICE) Caspase-4 (ICErel-II, TX, ICH-2) Caspase-5 (ICErel-III, TY) Group II: effectors of apoptosis Caspase-2 (ICH-1, mNEDD2) Caspase-3 (apopain, CPP-32, YAMA) Caspase-7 (Mch-3, ICE-LAP3, CMH-1) Group III: activators of apoptosis Caspase-6 (Mch2) Caspase-8 (MACH, FLICE, Mch5) Caspase-9 (ICE-LAP6, Mch6) Caspase-10 - IL-1 is also a cytokine involved in mediating a wide range of biological responses including inflammation, septic shock, wound healing, hematopoiesis and growth of certain leukemias (Dinarello, C. A., Blood 77:1627-1652 (1991); diGiovine et al., Immunology Today 11:13 (1990)).
- Many potent caspase inhibitors have been prepared based on the peptide substrate structures of caspases. However, in contrast to their potency in vitro, not too many inhibitors with good efficacy (IC 50<1 μM) in whole-cell models of apoptosis have been reported (Thormberry, N. A. Chem. Biol. 5:R97-103 (1998)). Therefore the need exists for cell death inhibitors that are efficacy in whole-cell models of apoptosis and active in animal model of apoptosis. These inhibitors thus can be employed as therapeutic agents to treat disease states in which regulated cell death and the cytokine activity of IL-1 play a role.
- WO 93/05071 discloses peptide ICE inhibitors with the formula:
- Z—Q2-Asp-Q1
- wherein Z is an N-terminal protecting group; Q 2 is 0 to 4 amino acids such that the sequence Q2-Asp corresponds to at least a portion of the sequence Ala-Tyr-Val-His-Asp (SEQ ID NO:1); Q1 comprises an electronegative leaving group.
-
- wherein R 2 is H or alkyl; R3 is a leaving group such as halogen; R1 is heteroaryl-CO or an amino acid residue.
-
- wherein n is 0-2; each AA is independently L-valine or L-alanine; R 1 is selected from the group consisting of N-benzyloxycarbonyl and other groups; R8, R9, R10 are each independently hydrogen, lower alkyl and other groups.
-
-
- wherein Ar is COPh-2,6-(CF 3)2, COPh-2,6-(CH3)2, Ph—F5 and other groups.
-
-
- wherein X is NH(CH 2)2, OCO(CH2)2, S(CH2)3 and other groups.
-
-
- wherein XR 2 is NH(CH2)2Ph, OCO(CH2)2cyclohexyl and other groups.
-
-
-
-
-
- EP618223 patent application discloses inhibitors of ICE as anti-inflasuatory agents:
- R—A1—A2—X—A3
-
- wherein ring A is optionally substituted by hydroxy or C 1-4 alkoxy and Ra is CO or CS; A2 is an α-hydroxy or α-amino acid residue or A1 and A2 form together, a pseudo-dipeptide or a dipeptide mimetic residue; X is a residue derived from Asp; A3 is —CH2—X1—CO—Y1, —CH2—O—Y2, —CH2—S—Y3, wherein X1 is O or S; Y1, Y2 or Y3 is cycloaliphatic residue, and optionally substituted aryl.
-
- wherein R 1 is an N-terminal protecting group; AA is a residue of any natural or non-natural α-amino acid, β-amino acid, derivatives of an α-amino acid or β-amino acid; R2 is H or CH2R4 where R4 is an electronegative leaving group, and R3 is alkyl or H, provided that AA is not His, Tyr, Pro or Phe. These dipeptides are surprisingly potent caspase inhibitors of apoptosis in cell based systems. These compounds are systemically active in vivo and are potent inhibitors of antiFas-induced lethality in a mouse liver apoptosis model and have robust neuroprotective effects in a rat model of ischemic stroke.
-
- wherein R 1 is an N-terminal protecting group; AA is a residue of a non-natural α-amino acid or β-amino acid; R2 is an optionally substituted alkyl or H.
-
- wherein A is a natural or unnatural amino acid; B is a hydrogen atom, a deuterium atom, alkyl, cycloalkyl and other groups; R 1 is alkyl, cycloalkyl and other groups, R2 is hydrogen, lower alkyl and other groups.
-
- or pharmaceutically acceptable salts or prodrugs thereof, wherein:
- R 1 is an optionally substituted alkyl or hydrogen;
- R 2 is hydrogen or optionally substituted alkyl;
- R 3is an alkyl, saturated carbocyclic, partially saturated carbocyclic, aryl, saturated heteroclyclic, partially saturated heterocyclic or heteroaryl group, wherein said group is optionally substituted;
- X is O, S, NR 4, or (CR4R5)n, where R4 and R5 are, at each occurrence, independently selected from the group consisting of hydrogen, alkyl and cycloalkyl, and n is 0, 1, 2, or 3; or
- X is NR 4, and R3 and R4 are taken together with the nitrogen atom to which they are attached to form a saturated heterocyclic, partially saturated heterocyclic or heteroaryl group, wherein said group is optionally substituted; or
- X is CR 4R5, and R3 and R4 are taken together with the carbon atom to which they are attached to form a saturated carbocyclic, partially saturated carbocyclic, aryl, saturated heterocyclic, partially saturated heterocyclic or oxygen-containing heteroaryl group, wherein said group is optionally substituted; and
- Y is a residue of a natural or non-natural amino acid;
- provided that when X is O, then R 3 is not unsubstituted benzyl or t-butyl; and
- when X is CH 2, then R3 is not hydrogen.
- The invention relates to the discovery that the compounds represented by Formula I are inhibitors of caspases. The invention also relates to the use of the compounds of the invention for reducing, preventing or treating maladies in which apoptotic cell death is either a causative factor or a result. Examples of uses for the present invention include protecting the nervous system following focal ischemia and global ischemia; treating neurodegenerative disorders such as Alzheimer's disease, Huntington's Disease, prion diseases, Parkinson's Disease, multiple sclerosis, amyotrophic lateral sclerosis, ataxia, telangiectasia, and spinobulbar atrophy; treating heart disease including myocardial infarction, congestive heart failure and cardiomyopathy; treating retinal disorders; treating autoimmune disorders including lupus erythematosus, rheumatoid arthritis, type I diabetes, Sjogren's syndrome and glomerulonephritis; treating polycystic kidney disease and anemia/erythropoiesis; treating immune system disorders, including AIDS and SCIDS; treating or ameliorating sepsis, reducing or preventing cell, tissue and organ damage during transplantation; reducing or preventing cell line death in industrial biotechnology; reducing or preventing alopecia (hair loss); and reducing the premature death of skin cells.
- The present invention provides pharmaceutical compositions comprising a compound of Formula I in an effective amount to reduce apoptotic cell death in an animal.
- The present invention also provides preservation or storage solutions for mammalian organs or tissue, or growth media for mammalian or yeast cells, wherein an effective amount of a compound of Formula I is included in said solutions or media in order to reduce apoptotic cell death in said organs, tissue or cells.
- The invention also relates to the use of caspase inhibitors for treating, ameliorating, and preventing non-cancer cell death during chemotherapy and radiation therapy and for treating and ameliorating the side effects of chemotherapy and radiation therapy of cancer.
- In particular, the invention relates to a method of treating, ameliorating or preventing oral mucositis, gastrointestinal mucositis, bladder mucositis, proctitis, bone marrow cell death, skin cell death and hair loss resulting from chemotherapy or radiation therapy of cancer in an animal, comprising administering to the animal in need thereof an effective amount of a caspase inhibitor.
-
- or pharmaceutically acceptable salts or prodrugs thereof, wherein:
- R 1 is an optionally substituted alkyl or hydrogen;
- R 2 is hydrogen or optionally substituted alkyl;
- R 3 is an alkyl, saturated carbocyclic, partially saturated carbocyclic, aryl, saturated heterocyclic, partially saturated heterocyclic or heteroaryl group, wherein said group is optionally substituted;
- X is O, S, NR 4, or (CR4R5)n, where R4 and R5 are, at each occurrence, independently selected from the group consisting of hydrogen, alkyl and cycloalkyl, and n is 0, 1, 2, or 3; or
- X is NR 4, and R3 and R4 are taken together with the nitrogen atom to which they are attached to form a saturated heterocyclic, partially saturated heterocyclic or heteroaryl group, wherein said group is optionally substituted; or
- X is CR 4R5, and R3 and R4 are taken together with the carbon atom to which they are attached to form a saturated carbocyclic, partially saturated carbocyclic, aryl, saturated heterocyclic, partially saturated heterocyclic or oxygen-containing heteroaryl group, wherein said group is optionally substituted; and
- Y is a residue of a natural or non-natural amino acid;
- provided that when X is 0, then R 3 is not unsubstituted benzyl or t-butyl; and
- when X is CH 2, then R3 is not hydrogen.
- With respect to R 1, preferred alkyl groups are C1-6 alkyl groups, e.g., methyl, ethyl, propyl, isopropyl, isobutyl, pentyl and hexyl groups; and substituted C1-6 alkyl groups, e.g., CH2OCH3 and CH2OCOCH3 (AM or acetoxymethyl).
- Preferred R 2 are alkyl group substituted by electronegative group or leaving group, including fluoromethyl, chloromethyl, alkoxymethyl, aryloxymethyl, alkylthiomethyl, arylthiomethyl, aminomethyl, acyloxymethyl, and arylacyloxymethyl. Other examples of optional substituents that may be present at the R2 alkyl group include, without limitation, 3-pyrazolyloxy optionally substituted at the 2, 4 and 5-positions with lower alkyl; 3-(1-phenyl-3-trifluoromethyl)pyrazolyloxy; 2,6-di(trifluoromethyl)benzoyloxy; 2,6-dimethylbenzoyloxy; pentafluoro-phenoxy; tetrafluorophenoxy; 2,6-dichlorobenzoyloxy; 2-(3-(2-imidazolyl)naphthyl)oxy; diphenylphosphinyloxy; tetronyloxy; and tetramoyloxy.
-
- Preferred X is O, NH and CH 2. With respect to R3, preferred alkyl are methyl, ethyl, isopropyl, isobutyl; preferred substituents on alkyl are hydroxy, carboxy, halogen, C4-C7 cycloalkyl, saturated and partially saturated heterocyclic, aryl or heteroaryl; preferred cycloalkyl are cyclopentyl and cyclohexyl; preferred saturated and partially saturated heterocyclic groups are piperidinyl and morpholinyl; preferred aryls are phenyl and naphthyl; preferred heteroaryls are pyridyl, indolyl, furyl and thienyl; preferred substituents in the aryl and heteroaryl are methyl, ethyl, chloro, fluoro, bromo, trifluoromethyl, methoxy, hydroxy, carboxy, cyano and nitro.
- With respect to Y, preferred natural and non-natural amino acid are valine, isoleucine, leucine, proline, alanine, phenylalanine, methionine, serine, threonine, tryptophan, tyrosine, 2-aminobutyric acid, cyclohexylglycine, phenylglycine, cyclopentylglycine and t-butylglycine. Especially preferred amino acids are valine, isoleucine, leucine, alanine, phenylalanine, cyclohexylalanine, 2-aminobutyric acid, cyclohexylglycine, and phenylglycine.
- The invention relates to the discovery that the compounds represented by Formula I are inhibitors of caspases. These inhibitors slow or block cell death in a variety of clinical conditions and industrial applications in which the loss of cells, tissues or entire organs occurs. Therefore, the invention is also related to methods of treating, preventing or reducing conditions in which apoptosis plays a role. These conditions: are more fully described below.
- The methods comprise administering to an animal in need of such treatment an inhibitor of the present invention, or a pharmaceutically acceptable salt or prodrug thereof, in an amount effective to inhibit apoptotic cell death.
-
- or pharmaceutically acceptable salts or prodrugs thereof wherein R 1, R2, X and Y are as defined previously with respect to Formula I; and
- A is CR 6 or nitrogen;
- B is CR 7 or nitrogen;
- C is CR 8 or nitrogen;
- D is CR 9 or nitrogen;
- E is CR 10 or nitrogen; provided that not more than three of A, B, C, D and E are nitrogen; and R6-R10 independently are hydrogen, halo, C1-C6 haloalkyl, C6-C10 aryl, C4-C7 cycloalkyl, C1-C6 alkyl, C2-C6 alkenyl, C2-C6 alkynyl, C6-C10 aryl(C1-C6)alkyl, C6-C10 aryl(C2-C6)alkenyl, C6-C10 aryl(C2-C6)alkynyl, C1-C6 hydroxyalkyl, nitro, amino, cyano, C1-C6 acylamino, hydroxy, C1-C6 acyloxy, C1-C6 alkoxy, alkylthio, or carboxy; or
- one of R 6 and R7, or R7 and R8, or R8 and R9, or R9 and R10 are taken together with the carbon atoms to which they are attached to form a carbocycle or heterocycle.
- Examples of bridges formed by R 6 and R7, or R7 and R8, or R8 and R9, or R9 and R10 taken together are —OCH2O—, —OCF2Q—, —(CH2)3—, —CH2)4—, —OCH2CH2O—, —CH2N(RI3)CH2—, —H2CH2N(R13)CH2—, —CH2N(R13)CH2CH2—, —N(R13)—CH═CH—, —CH═CH—N(R13), —O—CH═CH—, —CH═CH—O—, —S—CH═CH—, —CH═CHS—, —N═CH—CH═CH—, —CH═N—CH═CH—, —CH═CH—N═CH—, —CH═CH—CH═N—, —N═CH—CH═N—, and —CH═CH—H═CH—;
- where R 13 is hydrogen, alkyl or cycloalkyl;
- provided that when X is O, A is CR 6, B is CR7, C is CR8, D is CR9 and E is CR10, then at least one of the R6-R10 is not a hydrogen.
- Preferred R 1 is H, Me, Et, t-Bu or AM. Preferred R2 is fluoromethyl, acyloxymethyl, arylacyloxymethyl, aryloxymethyl, phophinyloxymethyl or aminomethyl.
-
- or pharmaceutically acceptable salts or prodrugs thereof wherein R 1, R2, R3 and Y are as defined previously with respect to Formula I.
- Preferred R 1 is H, Me, Et, t-Bu or AM. Preferred R2 is fluoromethyl, acyloxymethyl, arylacyloxymethyl, aryloxymethyl, phophinyloxymethyl or aminomethyl. Preferred R3 is optionally substituted alkyl or aryl. Preferred Y is valine, isoleucine, leucine, alanine, phenylalanine, cyclohexylalanine, 2-aminobutyric acid, cyclohexylglycine or phenylglycine.
- Exemplary preferred inhibitors of caspases having Formular I include, without limitation:
- 2-Chlorobenzyloxycarbonyl-Val-Asp-fmk,
- 3-Chlorobenzyloxycarbonyl-Val-Asp-fmk,
- 4-Chlorobenzyloxycarbonyl-Val-Asp-fmk,
- Phenethoxycarbonyl-Val-Asp-fmk,
- Cyclohexylmethoxycarbonyl-Val-Asp-fmk,
- Methoxycarbonyl-Val-Asp-fmk,
- Ethoxycarbonyl-Val-Asp-fmk,
- Isopropyloxycarbonyl-Val-Asp-fmk,
- 2-Chlorobenzyloxycarbonyl-Ile-Asp-fmk,
- 3-Chlorobenzyloxycarbonyl-Ile-Asp-fmk,
- 4-Chlorobenzyloxycarbonyl-Ile-Asp-fmk,
- Phenylacetyl-Val-Asp-fmk,
- 4-Nitrobenzyloxycarbonyl-Val-Asp-fmk,
- 2,5-Dimethylbenzyloxycarbonyl-Val-Asp-fmk,
- 3,4-Dichlorobenzyloxycarbonyl-Val-Asp-fmk,
- 3,5-Dichlorobenzyloxycarbonyl-Val-Asp-fmk,
- 2,5-Dichlorobenzyloxycarbonyl-Val-Asp-fmk,
- 2,6-Dichlorobenzyloxycarbonyl-Val-Asp-fmk,
- 2,4-Dichlorobenzyloxycarbonyl-Val-Asp-fmk,
- 2,4-Dimethylbenzyloxycarbonyl-Val-Asp-fmk,
- 4-Ethylbenzyloxycarbonyl-Val-Asp-fmk,
- 4-Bromobenzyloxycarbonyl-Val-Asp-fmkk,
- 4-Fluorobenzyloxycarbonyl-Val-Asp-fmk,
- Cyclopentylmethoxycarbonyl-Val-Asp-fmk,
- 4-Trifluoromethylbenzyloxycarbonyl-Val-Asp-fmk,
- 3-Phenylpropionyl-Val-Asp-fmk,
- Benzylarninocarbonyl-Val-Asp-fmk,
- 3-Phenylpropyloxycarbonyl-Val-Asp-fmk,
- 2,4-Difluorobenzyloxycarbonyl-Val-Asp-fmk,
- 3,4-Difluorobenzyloxycarbonyl-Val-Asp-fmk,
- 4-Morpholinecarbonyl-Val-Asp-fmk,
- 4-Pyridylmethoxycarbonyl-Val-Asp-fmk,
- 2-Pyridylmethoxycarbonyl-Val-Asp-fmk,
- 2,6-Dichlorobenzyloxycarbonyl-Val-Asp-DCB-methylketone,
- Isobutoxycarbonyl-Val-Asp-fmk,
- Propionyl-Val-Asp-fmk,
- Benzyl-glutaryl-Val-Asp-fmk,Glutaryl-Val-Asp-fmk,
- 3-(2-Phenyloxyphenyl)propionyl-Val-Asp-fmk,
- 3-(5-Bromo-2-hydroxyphenyl)propionyl-Val-Asp-fmk,
- 3-Fluorobenzyloxycarbonyl-Val-Asp-fmk,
- 2-Fluorobenzyloxycarbonyl-Val-Asp-fmk,
- 3-Methylbenzyloxycarbonyl-Val-Asp-fmk,
- 2-Chloro-4-fluorobenzyloxycarbonyl-Val-Asp-fmk,
- 2-Naphthylmethoxycarbonyl-Val-Asp-fmk,
- p-Toluenesulfonyl-Val-Asp-fmk, and
- p-Toluenesulfonyl-Phe-Asp-fmk.
- where fmk is fluoromethylketone and DCB is 2,6-dichlorobenzoyloxy.
- Useful aryl groups are C 6-14 aryl, especially C6-10 aryl. Typical C6-14 aryl groups include phenyl, naphthyl, phenanthrenyl, anthracenyl, indenyl, azulenyl, biphenyl, biphenylenyl and fluorenyl groups.
- Useful cycloalkyl groups are C 3-8 cycloalkyl. Typical cycloalkyl groups include cyclopropyl, cyclobutyl, cyclopentyl, cyclohexyl and cycloheptyl.
- Useful saturated or partially saturated carbocyclic groups are cycloalkyl groups as defined above, as well as cycloalkenyl groups, such as cyclopentenyl, cycloheptenyl and cyclooctenyl.
- Useful halo or halogen groups include fluorine, chlorine, bromine and iodine.
- Useful alkyl groups include straight-chained and branched C 1-10 alkyl groups, more preferably C1-6 alkyl groups. Typical C1-10 alkyl groups include methyl, ethyl, propyl, isopropyl, butyl, sec-butyl, tert-butyl, 3-pentyl, hexyl and octyl groups. Also contemplated is a trimethylene group substituted on two adjoining positions on the benzene ring of the compounds of the invention.
- Useful arylalkyl groups include any of the above-mentioned C 1-10 alkyl groups substituted by any of the above-mentioned C6-14 aryl groups. Useful values include benzyl, phenethyl and naphthylmethyl.
- Useful haloalkyl groups include CI-1 0 alkyl groups substituted by one or more fluorine, chlorine, bromine or iodine atoms, e.g., fluoromethyl, difluoromethyl, trifluoromethyl, pentafluoroethyl, 1,1-difluoroethyl, chloromethyl, chlorofluoromethyl and trichloromethyl groups.
- Useful alkoxy groups include oxygen substituted by one of the C 1-10 alkyl groups mentioned above.
- Useful alkylthio groups include sulphur substituted by one of the C 1-10 alkyl groups mentioned above. Also included are the sulfoxides and sulfones of such alkylthio groups.
- Useful acylamino groups are any C 1-6 acyl (alkanoyl) attached to an amino nitrogen, e.g., acetamido, propionamido, butanoylamido, pentanoylamido, hexanoylarnido as well as aryl-substituted C2-6 substituted acyl groups.
- Useful acyloxy groups are any C 1-6 acyl (alkanoyl) attached to an oxy (—O—) group, e.g., formyloxy, acetoxy, propionoyloxy, butanoyloxy, pentanoyloxy, hexanoyloxy and the like.
- Useful arylacyloxy groups include any of the aryl groups mentioned above substituted on any of the acyloxy groups mentioned above, e.g., 2,6-dichlorobenzoyloxy, 2,6-difluorobenzoyloxy and 2,6-di-(trifluoromethyl)-benzoyloxy groups.
- Useful amino groups include —NH 2, —NHR11, and —NR11R12, wherein R11 and R12 are C1-10 alkyl or cycloalkyl groups as defined above.
- Useful saturated or partially saturated heterocyclic groups include tetrahydrofuranyl, pyranyl, piperidinyl, piperizinyl, pyrrolidinyl, imidazolidinyl, imidazolinyl, indolinyl, isoindolinyl, quinuclidinyl, morpholinyl, isochromanyl, chromanyl, pyrazolidinyl pyrazolinyl, tetronoyl and tetramoyl groups.
- Useful heteroaryl groups include any one of the following: thienyl, benzo[b]thienyl, naphtho[2,3-b]thienyl, thianthrenyl, furyl, pyranyl, isobenzofuranyl, chromenyl, coumarinyl, xanthenyl, phenoxanthiinyl, 2H-pyrrolyl, pyrrolyl, imidazolyl, pyrazolyl, pyridyl, pyrazinyl, pyrimidinyl, pyridazinyl, indolizinyl, isoindolyl, 3H-indolyl, indolyl, indazolyl, purinyl, 4H-quinolizinyl, isoquinolyl, quinolyl, phthalzinyl, naphthyridinyl, quinozalinyl, cinnolinyl, pteridinyl, carbazolyl, β-carbolinyl, phenanthridinyl, acrindinyl, perimidinyl, phenanthrolinyl, phenazinyl, isothiazolyl, phenothiazinyl, isoxazolyl, furazanyl, phenoxazinyl, 1,4-dihydroquinoxaline-2,3-dione, 7-aminoisocoumarin, pyrido[1,2-a]pyrimidin4-one, 1,2-benzoisoxazol-3-yl, benzimidazolyl, 2-oxindolyl and 2-oxobenzimidazolyl. Where the heteroaryl group contains a nitrogen atom in a ring, such nitrogen atom may be in the form of an N-oxide, e.g., a pyridyl N-oxide, pyrazinyl N-oxide, pyrimidinyl N-oxide and the like.
- Optional substituents include one or more alkyl; halo; haloalkyl; cycloalkyl; hydroxy; carboxy; phosphinyloxy; aryl optionally substituted with one or more lower alkyl, halo, amino, alkylamino, dialkylamino, alkoxy, hydroxy, carboxy, haloalkyl or heteroaryl groups; aryloxy optionally substituted with one or more lower alkyl, halo, amino, alkylamino, dialkylamino, aikoxy, hydroxy, carboxy, haloalkyl or heteroaryl groups; aralkyl; heteroaryl optionally substituted with one or more lower alkyl, halo, amino, alkylamino, dialkylamino, alkoxy, hydroxy, carboxy, haloalkyl and aryl groups; heteroaryloxy optionally substituted with one or more lower alkyl, halo, amino, alkylamino, dialkylamino, alkoxy, hydroxy, carboxy, haloalkyl and aryl groups; alkoxy; alkylthio; arylthio; amino; alkylamino; dialkylamino; acyloxy; arylacyloxy optionally substituted with one or more lower alkyl, halo, amino, alkylamino, dialkylamino, alkoxy, hydroxy, carboxy, haloalkyl and aryl groups; diphenylphosphinyloxy optionally substituted with one or more lower alkyl, halo, amino, alkylamino, dialkylamino, alkoxy, hydroxy, carboxy, or haloalkyl groups; heterocyclo optionally substituted with one or more lower alkyl, halo, amino, alkylamino, dialkylamino, alkoxy, hydroxy, carboxy, haloalkyl and aryl groups; heterocycloalkyloxy optionally substituted with one or more lower alkyl, halo, amino, alkylamino, dialkylamino, alkoxy, hydroxy, carboxy, haloalkyl and aryl groups; partially saturated heterocycloalkyl optionally substituted with one or more lower alkyl, halo, amino, alkylamino, dialkylamino, alkoxy, hydroxy, carboxy, haloalkyl and aryl groups; or partially saturated heterocycloalkyloxy optionally substituted with one or more lower alkyl, halo, amino, alkylamino, dialkylamino, alkoxy, hydroxy, carboxy, haloalkyl and aryl groups.
- Certain of the compounds of the present invention may exist as stereoisomers including optical isomers. The invention includes all stereoisomers and both the racemic mixtures of such stereoisomers as well as the individual enantiomers that may be separated according to methods that are well known to those of ordinary skill in the art.
- Examples of pharmaceutically acceptable addition salts include inorganic and organic acid addition salts such as hydrochloride, hydrobromide, phosphate, sulphate, citrate, lactate, tartrate, maleate, fumarate, mandelate and oxalate; and inorganic and organic base addition salts with bases such as sodium hydroxy and Tris(hydroxymethyl)aminomethane (TRIS, tromethane).
- Examples of prodrugs include compounds of Formula I wherein R 1 is an alkyl group or substituted alkyl group such as CH2OCH3 and CH2OCOCH3 (AM ester).
- The invention is also directed to a method for treating disorders responsive to the inhibition of caspases in animals suffering thereof. Particular preferred embodiments of compounds for use in the method of this invention are represented by previously defined Formula I.
- The compounds of this invention may be prepared using methods known to those skilled in the art. Specifically, compounds with Formula I can be prepared as illustrated by exemplary reactions in Scheme 1. The intermediate 1 was prepared according to Revesz et al. ( Tetrahedron Lett. 35:9693-9696 (1994)). Coupling of 1 with a N-protected amino acid, such as (2-chlorobenzyloxycarbonyl)-Val, which was prepared from 2-chlorobenzyl chloroformate and Valine, gave amide 2. Oxidation of 2 by Dess-Martin reagent according to Revesz et al. (Tetrahedron Lett. 35:9693-9696 (1994)) gave 3 as a mixture of diastereomers. The oxidation also can be done using other agents such as pyridinium chlorochromate (PCC) or pyridinium dichromate (PDC). Acid catalyzed cleavage of the ester gave the free acid 4.
-
-
- Other N-protecting group with special function also can be used. For instance, an antioxidant such as Trolox can be introduced as the protecting group. The compound can be prepared as shown in Scheme 6. Alternatively, the compound can be prepared as shown in Scheme 7. The compound will combine the property of a caspase inhibitor with an antioxidant, which might be more efficacious as a neuroprotectant for the treatment of stroke (Pierre-Etienne Chabrier et al., PNAS 96:10824-10829 (1999)).
-
- These compounds can inhibit caspase and resulted in the attachment of the fluorescent dye to the caspase. Therefore these molecules should be useful for the labeling of caspase and detection of caspase activity in the cells. These compounds can be prepared as illustrated by exemplary reactions in Scheme 9.
-
- An important aspect of the present invention is the discovery that compounds having Formula I are inhibitors of caspases. Therefore, these inhibitors are expected to slow or block cell death in a variety of clinical conditions in which the loss of cells, tissues or entire organs occurs.
- The cell death inhibitors of the present invention can be used to reduce or prevent cell death in the nervous system (brain, spinal cord, and peripheral nervous system) under various conditions of ischemia and excitotoxicity, including, but not limited to, focal ischemtia due to stroke and global ischemia due to cardiac arrest, as well as spinal cord injury (Emery et al., J. Neurosurgery 89:911-920 (1998)). One particular usage is to treat the effects of oxygen deprivation which can occur during the birth of infants in high-risk labors or drowning. The cell death inhibitors can also be used to reduce or prevent cell death in the nervous system due to traumatic injury (such as head trauma), viral infection or radiation-induced nerve cell death (for example, as a side-effect of cancer radiotherapy), as well as acute bacterial meningitis (Braun et al., Nat Med 5:298-302 (1999)). The cell death inhibitors can also be used to reduce or prevent cell death in a range of neurodegenerative disorders, including but not limited to Alzh&imer's disease (Mattson et al., Brain Res. 807:167-176 (1998)), Huntington's Disease, Parkinson's Disease, multiple sclerosis, amyotrophic lateral sclerosis, and spinobulbar atrophy. The in vivo neuroprotective properties of cell death inhibitors of the invention can be tested in a rat transient focal brain ischemia model (Xue et al., Stroke 21:166 (1990)). The cell death inhibitors may also be used to treat or ameliorate cell death in acute bacterial meningitis (Braun et al., Nat Med 5:298-302 (1999))
- The cell death inhibitors of the invention can be used to reduce or prevent cell death in any condition which potentially results in the death of cardiac muscle (Black et al., J. Mol. Cel. Card. 30:733-742 (1998) and Maulik et al., Free Radic. Biol. Med. 24:869-875 (1998)). This includes myocardial infarction due to myocardial ischemia and reperfusion, congestive heart failure and cardiomyopathy. One particular application is to reduce or prevent myocardial cell death as occurs in certain viral infections of the heart.
- The in vivo activity of the cell death inhibitors of the invention can be tested using the “mouse liver apoptosis” model described by Rodriguez et al. (J. Exp. Med. 184:2067-2072 (1996)). In this model, mice are treated intravenously (IV) with an antiFas antibody which induces massive apoptosis in the liver and other organs, leading to generalized organ failure and death. This model is useful for indirectly testing the systemic bioavailability of the cell death inhibitors of the invention, as well as their in vivo anti-apoptotic properties. The cell death inhibitors of the invention therefore can be used to reduce or prevent apoptosis of liver cells (Jones et al., Hepatology 27:163242 (1998)) such as in sepsis (Jaeschke et al., J. Immunol. 160:3480-3486 (1998)) and hereditary tyrosinemia type 1 (HT1) (Kubo et al., Prov. Natl. Acad. Sci. USA 95:9552-9557 (1998)). The cell death inhibitors of the invention also can be used to treat hepatitis (Suzuki, Proc. Soc. Exp. Biol. Med. 217:450-454 (1998)).
- The cell death inhibitors of the invention can be used to reduce or prevent cell death of retinal neurons (Kermer et al., J. Neurosci. 18:4656-4662 (1998) and Miller et al., Am. J. Vet. Res. 59:149-152 (1998)) as can occur in disorders which increase intraocular pressure (such as glaucoma) or retinal disorders associated with the aging process (such as age-related macular degeneration). The inhibitors can also be used to treat hereditary degenerative disorders of the retina, such as retinitis pigmentosa.
- The cell death inhibitors of the invention can also be used to reduce or prevent cell death in the kidney. This includes renal amyloidosis (Hiraoka et al., Nippon Jinzo Gakkai Shi. 40:276-83 (1998)), acute renal failure (Lieberthal et al., Semin Nephrol. 18:505-518 (1998)), murine tubular epithelial cell death induced by cyclosporine A (Ortiz et al., Kidney International Supp. 68:S25-S29 (1998)) and HIV-induced nephropathy (Conaldi et al., J. Clin. Invest. 102:2041-2049 (1998)).
- The cell death inhibitors of the invention can also be used to reduce or prevent cell death of buccal mucosa due to chronic alcohol ingestion (Slomiany et al., Biochem. Mol. Biol. Int. 45:1199-1209 (1998)).
- The cell death inhibitors of the invention can also be used to reduce or prevent cell death in plants (Richberg et al., Curr. Opin. Plant Biol. 1:480-485 (1998)), such as plant cell death due to pathogens (Pozo et al., Curr. Biol. 8:1129-1132 (1998) and Greenberg et al., Cell 77:551-563 (1994)).
- The cell death inhibitors of the invention can also be used to reduce or prevent cell death due to radiation and ultraviolet-irradiation (Sheikh et al., Oncogene 17:2555-2563 (1998)).
- The cell death inhibitors of the invention can also be used to reduce or prevent apoptotic death of bone marrow cells in myelodysplastic syndromes (MDS) (Mundle et al., Am. J. Hematol. 60:36-47 (1999)).
- The cell death inhibitors of the invention can also be used to reduce or prevent premature death of cells of the immune system, and are particularly useful in treating immune deficiency disorders, such as acquired immune deficiency syndrome (AIDS), severe combined immune deficiency syndrome (SCIDS) and related diseases. The cell death inhibitors can also be used to treat radiation-induced immune suppression.
- Transplantation of human organs and tissues is a common treatment for organ failure. However, during the transplantation process, the donor organ or tissue is at risk for cell death since it is deprived of its normal blood supply prior to being implanted in the host. This ischemic state can be treated with cell death inhibitors by infusion into the donor organ or tissue, or by direct addition of the cell death inhibitors to the organ/tissue storage medium. For example, it was reported that treatment of the embryonic nigral cell suspension with Ac-YVAD-cmk (SEQ ID NO:2), a caspase-I inhibitor, mitigated DNA fragmentation and reduced apoptosis in transplants. It also increased survival of dopaminergic neurons grafted to hemiparkinsonian rats, and thereby substantially improved functional recovery (Schierle et al., Nat. Med. 5:97-100 (1999)). Cell death inhibitors may also be used to reduce or prevent cell death in the donor organ/tissue after it has been transplanted to protect it from the effects of reperfusion injury and /or effects of host immune cells which kill their targets by triggering apoptosis. The cytoprotective effects of cell death inhibitors can also be used to prevent the death of human or animal sperm and eggs used in in vitro fertilization procedures. These inhibitors can be used during the harvesting process and can also be included in the storage medium.
- Mammalian cell lines, insect cells and yeast cells are commonly used to produce large amounts of recombinant proteins (such as antibodies, enzymes or hormones) for industrial or medicinal use. The lifespan of some of these cell lines is limited due to growth conditions, the nature of the recombinant molecule being expressed (some are toxic) and other unknown factors. The lifespans of industrial cell lines can be extended by including these cell death inhibitors in the growth medium in a concentration range of 1-100 μM.
- The factors governing hair growth and loss are largely unknown. There is some evidence, however, that hair follicle regression (referred to as catagen) may be due at least partially to apoptosis. Therefore, it is contemplated that the cell death inhibitors of the present invention can be used to treat hair loss that occurs due to various conditions, including but not limited to male-pattern baldness, radiation-induced or chemotherapy-induced hair loss, and hair loss due to emotional stress. There is also evidence that apoptosis may play a role in the loss of hair color. Therefore, it is contemplated that the cell death inhibitors of the present invention can also be used in treating or preventing cases of premature graying of the hair.
- The death of skin epithelial cells can occur after exposure to high levels of radiation, heat or chemicals. It is contemplated that the cell death inhibitors of the present invention can be used to treat, reduce or prevent this type of skin damage. In one particular application, the cell death inhibitors can be applied as part of a topical formulation, e.g., an ointment, to treat acute over-exposure to the sun and to prevent blistering and peeling of the skin.
- Goldberg et al. ( Nature Genetics 13: 442-449 (1996)) reported recently that huntingtin, a protein product of Huntington's disease (HD) gene, can be cleaved by CPP32 but not ICE. The mutation underlying HD is an expansion of a CAG trinucleotide at the 5′ end of the HD gene. The trinucleotide expansion exceeding 36 repeats is associated with the clinical presentation of HD. The CAG expansion promotes cleavage of huntingtin by CPP32, thus links the role of CPP32 in the apoptotic cell death in HD. Compounds of the present invention with CPP32 inhibiting activity will be useful in blocking CPP32 induced apoptotic cell death, thus in preventing and treating HD and other disorders characterized by expansion of trinucleotide repeats such as myotonic dystrophy, fragile X mental retardation, spinobulbar muscular atrophy, spinocerebellar atoxia type I and Dentato-Rubro pallidoluysian atrophy.
- The invention relates to a method of treating, ameliorating or preventing oral mucositis, gastrointestinal mucositis, bladder mucositis, proctitis, bone marrow cell death, skin cell death and hair loss resulting from chemotherapy or radiation therapy of cancer in an animal, comprising administering to the animal in need thereof an effective amount of a cell death inhibitor of the present invention.
- When animals are treated with chemotherapeutic agents and/or radiation to kill cancer cells, an unwanted side effect is the apoptotic death of rapidly dividing non-cancer cells. Such non-cancer cells include cells of the gastrointestinal tract, skin, hair, and bone marrow cells. According to the present invention, caspase inhibitors are administered to such non-cancer cells to prevent apoptosis of such cells. In a preferred embodiment, the caspase inhibitors are administered locally, e.g., to the gastrointestinal tract, mouth, skin or scalp to prevent apoptosis of the gastrointestinal, mouth, skin or hair cells but allowing for the death of the cancer cells. Thus, in one example, it is possible to treat brain cancer with chemotherapy or radiation therapy and protect the outer skin, hair cells, gastrointestinal tract and bone marrow by local administration of a caspase inhibitor. In the case of oral mucositis, the caspase inhibitor can be applied, for example, in the form of a mouth wash or mouth rinse, in a gel, or. in the form of an oral slow release lozenge to prevent activation of caspases and apoptotic cell death induced by the chemotherapeutic agent or by radiation. In the case of gastrointestinal mucositis, the caspase inhibitor can be applied in a form such that it is not absorbed systemically or in a form that coats the surface of the gastrointestinal tract, or a suppository formulation for the treatment of gastrointestinal mucositis. In the case of proctitis, the capsase inhibitor may be applied as part of an enema or suppository. In the case of bladder mucositis, the caspase inhibitor may be applied though a bladder catheter. For prevention of radiation or chemotherapy-induced hair loss, the caspase inhibitor can be applied, for example, to the scalp in the form of a hair rinse, hair gel, shampoo or hair conditioner. Importantly, the caspase inhibitor can be applied prior to the administration of the chemotherapeutic agent or radiation, thus preventing the onset of the damaging effects of the chemotherapeutic agent or radiation to the normal cells.
- Compositions within the scope of this invention include all compositions wherein the compounds of the present invention are contained in an amount which is effective to achieve its intended purpose. While individual needs vary, determination of optimal ranges of effective amounts of each component is within the skill of the art. Typically, the compounds may be administered to mammals, e.g., humans, orally at a dose of 0.0025 to 50 mg/kg, or an equivalent amount of the pharmaceutically acceptable salt thereof, per day of the body weight of the mammal being treated for apoptosis-mediated disorders, e.g., neuronal cell death, heart disease, retinal disorders, polycystic kidney disease, immune system disorders and sepsis. Preferably, about 0.01 to about 10 mg/kg is orally administered to treat or prevent such disorders. For intramuscular injection, the dose is generally about one-half of the oral dose. For example, for treatment or prevention of neuronal cell death, a suitable intramuscular dose would be about 0.0025 to about 25 mg/kg, and most preferably, from about 0.01 to about 5 mg/kg.
- The unit oral dose may comprise from about 0.01 to about 50 mg, preferably about 0.1 to about 10 mg of the compound. The unit dose may be administered one or more times daily as one or more tablets each containing from about 0.1 to about 10, conveniently about 0.25 to 50 mg of the compound or its solvates.
- In a topical formulation, the compound may be present at a concentration of about 0.01 to 100 mg per gram of carrier. In a preferred embodiment, the compound is present at a concentration of about 0.07-1.0 mg/ml, more preferably, about 0.1-0.5 mg/ml, most preferably, about 0.4 mg/ml.
- In addition to administering the compound as a raw chemical, the compounds of the invention may be administered as part of a pharmaceutical preparation containing suitable pharmaceutically acceptable carriers comprising excipients and auxiliaries which facilitate processing of the compounds into preparations which can be used pharmaceutically. Preferably, the preparations, particularly those preparations which can be administered orally or topically and which can be used for the preferred type of administration, such as tablets, dragees, slow release lozenges and capsules, mouth rinses and mouth washes, gels, liquid suspensions, hair rinses, hair gels, shampoos and also preparations which can be administered rectally, such as suppositories, as well as suitable solutions for administration by injection, topically or orally, contain from about 0.01 to 99 percent, preferably from about 0.25 to 75 percent of active compound(s), together with the excipient.
- Also included within the scope of the present invention are the non-toxic pharmaceutically acceptable salts of the compounds of the present invention. Acid addition salts are formed by mixing a solution of the particular cell death inhibitors of the present invention with a solution of a pharmaceutically acceptable non-toxic acid such as hydrochloric acid, fumaric acid, maleic acid, succinic acid, acetic acid, citric acid, tartaric acid, carbonic acid, phosphoric acid, oxalic acid, and the like. Basic salts are formed by mixing a solution of the particular cell death inhibitors of the present invention with a solution of a pharmaceutically acceptable non-toxic base such as sodium hydroxide, potassium hydroxide, choline hydroxide, sodium carbonate Tris and the like.
- The pharmaceutical compositions of the invention may be administered to any animal which may experience the beneficial effects of the compounds of the invention. Foremost among such animals are mammals, e.g., humans, although the invention is not intended to be so limited.
- The caspase inhibitors and pharmaceutical compositions thereof may be administered by any means that achieve their intended purpose. For example, administration may be by parenteral, subcutaneous, intravenous, intramuscular, intraperitoneal, transdermal, buccal, intrathecal, intracranial, intranasal or topical routes. Alternatively, or concurrently, administration may be by the oral route. The dosage administered will be dependent upon the age, health, and weight of the recipient, kind of concurrent treatment, if any, frequency of treatment, and the nature of the effect desired. In general, the caspase inhibitors are administered locally to the tissues that are to be protected from apoptosis and separately from the chemotherapeutic agent. For example, cisplatin may be administered by i.v. injection to treat a cancer such as brain, lung, breast, liver, kidney, pancreatic, ovarian, prostatic cancer, and the caspase inhibitor administered locally to treat, ameliorate, or prevent apototic cell death in the mouth or gastrointestinal tract, such as a mouth wash for the treatment of oral mucositis; and IV injectable aqueous solution for the treatment of bone marrow cell death; and an oral formulation suitable for coating the gastrointestinal surfaces or an emema or suppository formulation for the treatment of gastrointestinal mucositis including proctitis. The caspase inhibitors may also be applied through a bladder catheter for the treatment, amelioration or prevention of bladder mucositis. Alternatively or concurrently, the caspase inhibitors may be applied topically to the skin and/or scalp to treat, ameliorate or prevent apoptotic cell death of hair and skin cells. In a further embodiment, the chemotherapeutic agent or radiation may be applied locally to treat a localized cancer such as brain, lung, breast, liver, kidney, pancreatic, ovarian, prostatic cancer, and the caspase inhibitor administered systemically, e.g., by i.v. injection, to treat, ameliorate or prevent apoptotic cell death of the gastrointestinal tract cells, mouth epithelial cells, bone marrow cells, skin cells and hair cells. In the case of oral mucositis in brain cancer treatment, for example, a caspase inhibitor that does not penetrate the blood-brain barrier can be applied, for example, systemically by i.v. injection followed by irradiation of the brain tumor. This would protect the oral mucosa from the harmful effects of radiation but the caspase inhibitor would not protect the brain tumor from the therapeutic effects of radiation. Importantly, the caspase inhibitor can be applied prior to administration of the radiation, thus preventing the onset of the damaging effects of the radiation to the normal mucosa cells.
- The pharmaceutical preparations of the present invention are manufactured in a manner which is itself known, for example, by means of conventional mixing, granulating, dragee-making, dissolving, or lyophilizing processes. Thus, pharmaceutical preparations for oral use can be obtained by combining the active compounds with solid excipients, optionally grinding the resulting mixture and processing the mixture of granules, after adding suitable auxiliaries, if desired or necessary, to obtain tablets or dragee cores.
- Suitable excipients are, in particular, fillers such as saccharides, for example lactose or sucrose, mannitol or sorbitol, cellulose preparations and/or calcium phosphates, for example tricalcium phosphate or calcium hydrogen phosphate, as well as binders such as starch paste, using, for example, maize starch, wheat starch, rice starch, potato starch, gelatin, tragacanth, methyl cellulose, hydroxypropylmethylcellulose, sodium carboxymethylcellulose, and/or polyvinyl pyrrolidone. If desired, disintegrating agents may be added such as the above-mentioned starches and also carboxymethyl-starch, cross-linked polyvinyl pyrrolidone, agar, or alginic acid or a salt thereof, such as sodium alginate. Auxiliaries are, above all, flow-regulating agents. and lubricants, for example, silica, talc, stearic acid or salts thereof, such as magnesium stearate or calcium stearate, and/or polyethylene glycol. Dragee cores are provided with suitable coatings which, if desired, are resistant to gastric juices. For this purpose, concentrated saccharide solutions may be used, which may optionally contain gum arabic, talc, polyvinyl pyrrolidone, polyethylene glycol and/or titanium dioxide, lacquer solutions and suitable organic solvents or solvent mixtures. In order to produce coatings resistant to gastric juices, solutions of suitable cellulose preparations such as acetylcellulose phthalate or hydroxypropymethyl-cellulose phthalate, are used. Dye stuffs or pigments may be added to the tablets or dragee coatings, for example, for identification or in order to characterize combinations of active compound doses.
- Other pharmaceutical preparations which can be used orally include push-fit capsules made of gelatin, as well as soft, sealed capsules made of gelatin and a plasticizer such as glycerol or sorbitol. The push-fit capsules can contain the active compounds in the form of granules which may be mixed with fillers such as lactose, binders such as starches, and/or lubricants such as talc or magnesium stearate and, optionally, stabilizers. In soft capsules, the active compounds are preferably dissolved or suspended in suitable liquids, such as fatty oils, or liquid paraffin. In addition, stabilizers may be added.
- Possible pharmaceutical preparations which can be used rectally include, for example, enemas or suppositories, which consist of a combination of one or more of the active compounds with a suppository base. Suitable suppository bases are, for example, natural or synthetic triglycerides, or paraffin hydrocarbons. In addition, it is also possible to use gelatin rectal capsules which consist of a combination of the active compounds with a base. Possible base materials include, for example, liquid triglycerides, polyethylene glycols, or paraffin hydrocarbons.
- Suitable formulations for parenteral administration include aqueous solutions of the active compounds in water-soluble form, for example, water-soluble salts and alkaline solutions. In addition, suspensions of the active compounds as appropriate oily injection suspensions may be administered. Suitable lipophilic solvents or vehicles include fatty oils, for example, sesame oil, or synthetic fatty acid esters, for example, ethyl oleate or triglycerides or polyethylene glycol400 (the compounds are soluble in PEG-400). Aqueous injection suspensions may contain substances which increase the viscosity of the suspension include, for example, sodium carboxymethyl cellulose, sorbitol, and/or dextran. Optionally, the suspension may also contain stabilizers.
- In accordance with one aspect of the present invention, compounds of the invention are employed in topical and parenteral formulations and are used for the treatment of skin damage, such as that caused by exposure to high levels of radiation, including ultraviolet radiation, heat or chemicals.
- One or more additional substances which have therapeutic effects on the skin may also be incorporated in the compositions. Thus, the composition may also contain one or more compounds capable of increasing cyclic-AMP levels in the skin. Suitable compounds include adenosine or a nucleic acid hydrolysate in an amount of about 0.1-1% and papaverine, in an amount of about 0.5-5%, both by weight based on the weight of the composition. Also suitable are 0-adrenergic agonists such as isoproterenol, in an amount of about 0.1-2% or cyclic-AMP, in an amount of about 0.1-1%, again both by weight based on the weight of the composition. Other suitable types of additional active ingredients which may be incorporated in the compositions of this invention include any compounds known to have a beneficial effect on skin. Such compounds include-retinoids such as Vitamin A, in an amount of about 0.003-0.3% by weight and chromanols such as Vitamin E or a derivative thereof in an amount of about 0.1-10% by weight, both based on the weight. of the composition. Additionally, anti-inflammatory agents and keratoplastic agents may be incorporated in the cosmetic composition. A typical anti-inflammatory agent is a corticosteroid such as hydrocortisone or its acetate in an amount of about 0.25-5% by weight, or a corticosteroid such as dexamethasone in an amount of about 0.025-0.5% by weight, both based on the weight of the composition. A typical keratoplastic agent is coal tar in an amount of about 0.1-20% or anthralin in an amount of about 0.05-2% by weight, both based on the weight of the composition.
- The topical compositions of this invention are formulated preferably as oils, creams, lotions, ointments and the like by choice of appropriate carriers. Suitable carriers include vegetable or mineral oils, white petrolatum (white soft paraffin), branched chain fats or oils, animal fats and high molecular weight alcohol (greater than C 12). The preferred carriers are those in which the active ingredient is soluble. Emulsifiers, stabilizers, humectants and antioxidants may also be included as well as agents imparting color or fragrance, if desired. Additionally, transdermal penetration enhancers can be employed in these topical formulations. Examples of such enhancers can be found in U.S. Pat. Nos. 3,989,816 and 4,444,762.
- Creams are preferably formulated from a mixture of mineral oil, self-emulsifying beeswax and water in which mixture the active ingredient, dissolved in a small amount of an oil such as almond oil, is admixed. A typical example of such a cream is one which includes about 40 parts water, about 20 parts beeswax, about 40 parts mineral oil and about 1 part almond oil.
- Ointments may be formulated by mixing a solution of the active ingredient in a vegetable oil such as almond oil with warm soft paraffin and allowing the mixture to cool. A typical example of such an ointment is one which includes about 30% almond oil and about 70% white soft paraffm by weight.
- Lotions may be conveniently prepared by dissolving the active ingredient, in a suitable high molecular weight alcohol such as propylene glycol or polyethylene glycol.
- In addition, these compositions may include other medicinal agents, growth factors, wound sealants, carriers, etc., that are known or apparent to those skilled in the art. The compositions of the invention are administered to a warm-blooded animal, such as human, already suffering from a skin damage, such as a burn, in an amount sufficient to allow the healing process to proceed more quickly than if the host were not treated. Amounts effective for this use will depend on the severity of the skin damage and the general state of health of the patient being treated. Maintenance dosages over a prolonged period of time may be adjusted as necessary. For veterinary uses, higher levels may be administered as necessary.
- In the case of an animal suffering from decreased hair growth, the compositions of the invention are administered in an amount sufficient to increase the rate of hair growth. Amounts effective for this use will depend on the extent of decreased hair growth, and the general state of health of the patient being treated. Maintenance dosages over a prolonged period of time may be adjusted as necessary. For veterinary uses, higher levels may be administered as necessary.
- When the compounds are to be administered to plants, they may be applied to the leaves and/or stems and/or flowers of the plant, e.g., by spraying. The compounds may be spayed in particulate form or dissolved or suspended in an appropriate carrier, e.g., in water or an oil-water emulsion. The compounds may also be combined with the soil of the plant. In this embodiment, the compounds are taken up by the roots of the plant.
- In a preferred embodiment, the caspase inhibitor is formulated as part of a mouthwash for the treatment, amelioration or prevention of oral mucositis. Such mouthwashes are aqueous solutions of the caspase inhibitor which may also contain alcohol, glycerin, synthetic sweeteners and surface-active, flavoring and coloring agents. They may also contain anti-infective agents such as hexetidine and cetylpyridinium chloride. The mouthwashes may also contain topical anesthetics (e.g., benzocaine, cocaine, dyclonine hydrochloride, lidocaine, proparacaine hydrochloride or teracaine hydrochloride), for example, for relieving pain of radiation or chemotherapy-induced sores. The mouth washes may have either acidic or basic pH. See Remington's Pharmaceutical Sciences, A. R. Gennaro (ed.), Mack Publishing Company, pp. 1045, 1046, 1526 and 1965 (1990).
- In another preferred embodiment, the caspase inhibitor is formulated as an oral formulation which is capable of coating the gastrointestinal surfaces for the treatment, amelioration or prevention of gastrointestinal mucositis. Examples of gastrointestinal mucositis include esophageal mucositis, gastric mucositis, and intestinal mucositis. Such formulations may comprise gastric antacids such as aluminum carbonate, aluminum hydroxide gel, bismuth subnitrate, bismuth subsalicylate, calcium carbonate, dihydroxyaluminum sodium carbonate, magaldrate, magnesium carbonate, magnesium hydroxide, magnesium oxide, sodium bicarbonate, milk of bismuth, dihydroxyaluminum aminoacetate, magnesium phosphate, magnesium trisilicate and mixtures thereof. Other additives include without limitation H 2-receptor antagonists, digestants, anti-emetics, adsorbants, and miscellaneous agents. See Remington's Pharmaceutical Sciences, A. R. Gennaro (ed.), Mack Publishing Company, pp. 774-778 (1990).
- Chemotherapy agents such as cisplatin and radiation therapy often induce early and late onset emesis in the patient. Thus, in one embodiment an antiemetic is coadminstered together with the caspase inhibitor to avoid emesis and retain contact of the caspase inhibitor with the gastrointestinal tract. Examples of such antiemetics include without limitation compounds that block the dopaminergic emetic receptors such as metoclopramide and trimethobenzamide, and cannabinoids. Metocloprarnide may be administered orally prior to and/or during chemotherapy/radiation therapy/caspase inhibitor therapy to prevent the early emesis response and then later by intranasal administration according to U.S. Pat. Nos. 5,760,086 and 4,536,386 to prevent delayed onset emesis. During the period after chemotherapy/radiation therapy, both the caspase inhibitor and the antiemetic may be coadministered to treat, ameliorate or prevent gastrointestinal mucositis.
- In a further embodiment, the caspase inhibitor may be formulated as an IV injectable solution for the treatment, amelioration or prevention of bone marrow cell death.
- The compositions of the invention may be administered to a warm-blooded animal, such as human, already suffering from chemotherapy or radiation therapy-induced non-cancer cell death, or, more preferably, before or during therapy with chemotherapy or radiation.
- The following examples are illustrative, but not limiting, of the method and compositions of the present invention. Other suitable modifications and adaptations of the variety of conditions and parameters normally encountered in clinical therapy and which are obvious to those skilled in the art are within the spirit and scope of the invention.
- Step A. 2-Chlorobenzyl chlorofornate. To a solution of 2-chlorobenzyl alcohol (1.0 g, 7.0 mmol) in diethyl ether (15 ml) at 0° C. was added N,N-diisopropylethyl amine (2.4 ml, 14.0 mmol), and phosgene solution in toluene (7.5 ml, 14.0 mmol). The mixture was allowed to warm up to room temperature in 2 h while stirring, then it was filtered. The diethyl ether was removed by rotary evaporator, and the solution of 2-chlorobenzyl chloroformate in toluene was carried on for the next step reaction.
- Step B. 2-Chlorobenzyloxycarbonyl-Val. To a solution of L-valine (0.5 g, 4.3 mmol) in 2 N NaOH aqueous solution (10 ml) was added 2-chlorobenzyl chloroformate (14.0 mmol) at room temperature. The resulting solution was stirred at room temperature for 12 h, and then was diluted with 20 ml of ethyl acetate, washed with 2N NaOH, 2N HCl and brine, dried over Na 2SO4 and concentrated in vacuo. The title compound was obtained as white solid (0.94 g, 3.29 mmol, 77%). 1H NMR (DMSO-d6): 12.24 (bs, 1H), 7.61 (d, J=8.4, 1H), 7.50 (m, 2H), 7.37 (m, 2H), 5.12 (s, 2H), 3.87 (dd, J=8.7, 6.0, 1H), 2.06 (m, 1H), 0.89 (m, 6H).
- Step C. t-Butyl 5-fluoro-3-(2-chlorobenzyloxycarbonyl-valinamido)-4-hydroxypentanoate. To a solution of 2-chlorobenzyl-oxycarbonyl-Val (216 mg, 0.76 mmol) in THF (10 ml) was added 1-(3-dimethylaminopropyl)-3-ethylcarbodiimide hydrochloride (EDCI) (159 mg, 0.83 mmol), 1-hydroxybenzotriazole hydrate (HOBT) (116 mg, 0.77 mmol) and 4-(dimethylamino)pyridine (DMAP) (46 mg, 0.38 mmol). The resulting mixture was stirred at room temperature for 5 min, to which was then added a solution of t-butyl 3-amino-5-fluoro-4-hydroxypentanoate (157 mg, 0.75 mmol) in THF (5 ml). The resulting mixture was stirred at room temperature for 12 h, and diluted with ethyl acetate (20 ml), washed with 1N HCl, saturated NaHCO 3, brine and dried over Na2SO4. Evaporation of solvent, followed by flash chromatography (EtOAc/Hexane 2/3) gave the title compound as a colorless oil (80 mg, 0.17 mmol, 22%). 1H NMR (CDCl3): 7.38 (m, 2H), 7.27 (m, 2H), 7.06-6.84 (m, 1H), 5.56 (m, 1H), 5.22 (s, 2H), 4.514.21 (m, 3H), 4.01 (m, 3H), 2.63 (m, 2H), 2.12 (m, 1H), 1.43 (m, 9H), 0.96 (m, 6H).
- Step D. 2-Chlorobenzyloxycarbonyl-Val-Asp(OBu-t)-fmk. To a suspension of Dess-Martin periodinane (0.35 g, 0.835 mmol) in dichloromethane (15 ml) was added a solution of t-butyl 5-fluoro-3-(2-chlorobenzyloxycarbonyl-valinamido)-4-hydroxypentanoate (80 mg, 0.17 mmol) in dichloromethane (5 ml). The mixture was refluxed for 12 h, cooled to room temperature, then it was diluted with 25 ml of ethyl acetate, washed with saturated Na 2SO3 aqueous solution, brine, and then dried over Na2SO4. Evaporation of the solvent, followed by flash chromatography (EtOAc/Hexane 1/2) gave the title compound as a pale white solid (56 mg, 0.12 mmol, 72%). 1H NMR (CDCl3): 7.39 (m, 2H), 7.28 (m, 2H), 5.43 (m, 1H), 5.25-4.84 (m, 5H), 4.05 (m, 1H), 2.96 (m, 1H), 2.77 (m, 1H), 2.14 (m, 1H), 1.42 (s, 9H), 0.96 (m, 6H).
- Step E. 2-Chlorobenzyloxycarbonyl-Val-Asp-fmk. To a solution of 2-chlorobenzyloxycarbonyl-Val-Asp(OBu-t)-fmk (56 mg, 0.12 mmol) in 3 ml of CH 2Cl2 at room temperature was added 1 ml of TFA. The resulting solution was allowed to stir for 3 h, and then diluted with 20 ml of ethyl acetate, washed with saturated Na2HPO4, brine, and dried over Na2SO4. The solvent was evaporated in vacuo to give the title compound as a white solid (39 mg, 0.09 mmol, 77%). 1H NMR (CDCl3): 8.61 (m, 1H), 8.15 (m, 1H), 7.49 (m, 2H), 7.37 (m, 2H), 5.21 (m, 1H), 5.11 (s, 2H), 4.59 (m, 2H), 3.84 (m, 1H), 2.65 (m, 2H), 1.98 (m, 1H), 0.86 (m, 6H).
- The title compound was prepared in five steps as described in Example 1 from 3-chlorobenzyl alcohol. 1H NMR (CDCl3): 7.55 (bs, 1H), 5.48 (m, 1H), 4.90 (m, 4H), 4.02 (m, 2H), 3.85 (m, 1H), 3.08 (m, 1H), 2.76 (m, 1H), 1.93 (m, 1H), 1.71 (m, 7H), 1.23 (m, 4H), 0.95 (m, 6H).
- The title compound was prepared in five steps as described in Example 1 from phenethyl alcohol. 1H NMR (CDCl3): 7.87 (m, 2H), 7.23 (m, 5H), 5.74 (d, J=8.4, 1H), 4.87 (m, 2H), 4.26 (m, 3H), 3.99 (m, 1H), 2.89 (m, 4H), 2.09 (m, 1H), 0.91 (m, 6H).
- The title compound was prepared in five steps as described in Example 1 from 4-chlorobenzyl alcohol. 1H NMR (DMSO-d6): 8.51 (m, 1H), 7.42 (m, 5H), 5.21 (m, 1H), 5.03 (s, 2H), 4.60 (m, 1H), 3.83 (m, 1H), 2.65 (m, 2H), 1.93 (m, 1H), 0.85 (m, 6H).
- The title compound was prepared in five steps as described in Example 1 from cyclohexylmethanol. 1H NMR (CDCl3): 7.55 (bs, 1H), 5.48 (m, 1H), 4.90 (m, 4H), 4.02 (m, 2H), 3.85 (m, 1H), 3.08 (m, 1H), 2.76 (m, 1H), 1.93 (m, 1H), 1.71 (m, 7H), 1.23 (m, 4 H ), 0.95 (m, 6H).
- The title compound was prepared in four steps as described in Example 1 from L-valine and ethyl chloroformate. 1H NMR (DMSO-d6): 8.43 (s, 1H), 7.19 (m, 1H), 5.14(bs, 2H), 4.66-4.53(m, 1H), 4.01(q, J=6.9, 2H), 3.83-3.76 (m, 1H), 2.73-2.67 (m, 2H), 1.96-1.88 (m, 1H), 1.16 (t, J=6.9, 3H), 0.86-0.82 (m, 6H).
- The title compound was prepared in four steps as described in Example 1 from phenylacetyl chloride. 1H NMR (DMSO-d6): 8.55 (m, 1H), 8.21 (m, 1H), 7.21 (m, 5H), 5.14 (m, 2H), 4.62 (m, 2H), 4.14 (m, 1H), 2.66 (m, 2H), 1.93 (m, 1H), 0.83 (m, 6H).
- The title compound was prepared in four steps as described in Example 1 from 4-nitrobenzyl chloroformate. 1H NMR (DMSO-d6): 12.5 (s,I H), 8.66-8.54 (m, 1H), 8.23 (m, 2H), 7.64 (m, 2H), 5.19 (m, 4H), 4.66-4.54 (m, 2H), 3.82 (m, 1H), 2.76 (m, 2H), 1.95 (m, 1H), 0.87 (m, 6H).
- The title compound was prepared in five steps as described in Example 1 from 2,5-dimethylbenzyl alcohol. 1H NMR (DMSO-d6): 8.50 (m, 1H), 7.42 (m, 1H), 7.06 (m, 2H), 4.99 (s, 2H), 4.64-4.56 (m, 1H), 3.83 (m, 1H), 2.97 (m, 1H), 2.67 (m, 2H), 1.89 (m, 1H), 0.86 (m, 6H).
- The title compound was prepared in five steps as described in Example 1 from 3,4-dichlorobenzyl alcohol. 1H NMR (DMSO-d6): 8.50 (m, 1H), 7.65-7.35 (m, 4H), 5.03 (m, 3H), 4.59 (m, 1H), 3.84 (m, 1H), 2.67 (m, 2H), 1.94 (m, 1H), 0.86 (m, 6H).
- The title compound was prepared in five steps as described in Example 1 from 3,5-dichlorobenzyl alcohol. 1H NMR (DMSO-d6): 8.54 (m, 1H), 7.56-7.34 (m, 3H), 5.05 (m, 3H), 4.63-4.55 (m, 1H), 3.86 (m, 1H), 2.73 (m, 2H), 1.95 (m, 1H), 0.86 (m, 6H).
- The title compound was prepared in five steps as described in Example 1 from 2,5-dichlorobenzyl alcohol. 1H NMR (DMSO-d6): 8.54 (m, 1H), 7.51 (m, 3H), 5.26-5.08 (m, 3H), 4.65-4.55 (m, 1H), 3.87 (m, 1H), 2.73-2.60 (m, 2H), 1.98 (m, 1H), 0.86 (m, 6H).
- The title compound was prepared in five steps as described in Example 1 from 2,6-dichlorobenzyl alcohol. 1H NMR (DMSO-d6): 8.50 (m, 1H), 7.55-7.41 (m, 3H), 5.25 (m, 3H), 4.644.51 (m, 1H), 3.78 (m, 1H), 2.71 (m, 2H), 1.92 (m, 1H), 0.84 (m, 6H).
- The title compound was prepared in five steps as described in Example 1 from 2,4-dimethylbenzyl alcohol. 1H NMR (DMSO-d6): 8.53 (m, 1H), 7.39 (m, 1H), 7.28-7.18 (m, 3H), 5.26 (m, 1H), 4.99 (m, 2H); 4.66-4.53 (m, 1H), 3.80 (m, 1H), 2.78-2.72 (m, 1H), 2.59 (m, 3H), 1.92 (m, 1H), 1.16 (m, 3H), 0.85 (m, 6H).
- The title compound was prepared in five steps as described in Example 1 from 4-ethylbenzyl alcohol. 1H NMR (DMSO-d6): 8.50 (m, 1H), 7.23 (m, 4H), 4.98 (m, 3H), 4.63 (m, 1H), 3.84 (m, 1H), 2.68 (m, 2H), 1.91 (m, 1H), 0.85 (m, 6H).
- The title compound was prepared in five steps as described in example 1 from 4-chlorobenzyl alcohol. 1H NMR (CDCl3): 8.61 (m, 1H), 8.52 (m, 1H), 7.48 (m, 1H), 7.39 (m, 4H), 5.19 (m, 2H), 5.02 (s, 2H), 4.54 (m, 1H), 3.87 (m, 1H), 2.73 (m, 2H), 1.68 (m, 1H), 1.39 (m, 1H), 1.17 (m, 1H), 0.81 (m, 6H).
- The title compound was prepared in five steps as described in example 1 from 4-bromobenzyl alcohol. 1H NMR (DMSO-d6): 7.56 (d, J=8.1 Hz, 1H), 7.42 (m, 1H), 7.32 (d, J=8.1 Hz, 1H), 5.21 (m, 1H), 5.00 (s, 2H), 4.62 (m, 2H), 3.83 (m, 1H), 3.60 (m, 1H), 2.71 (m, 2H), 1.76 (m, 1H), 0.84 (m, 6H).
- The title compound was prepared in five steps as described in Example 1 from 4-fluorobenzyl alcohol. 1H NMR (DMSO-d6): 8.63 (m, 1H), 7.92 (m, 1H), 7.55 (m, 4H), 5.03 (m, 3H), 4.61 (m, 2H), 3.83 (m, 1H), 2.73 (m, 2H), 1.95 (m, 1H), 0.95 (m, 6H).
- The title compound was prepared in five steps as described in Example 1 from 2,4-dichlorobenzyl alcohol. 1H NMR (CDCl3): 8.51 (m, 1H), 7.52 (m, 3H), 5.08 (m, 3H), 4.59 (m, 2H), 3.85 (m, 1H), 2.69 (m, 2H), 1.94 (m, 1H), 0.95 (m, 6H).
- The title compound was prepared in five steps as described in Example 1 from cyclopentylmethanol. 1H NMR (DMSO-d6): 7.22 (bs, 1H), 5.21 (m, 1H), 5.09 (m, 1H), 4.61 (m, 2H), 3.84 (m, 3H), 2.73 (m, 2H), 2.10 (m, 1H), 1.92 (m, 1H), 1.49 (m, 6H), 1.23 (m, 2H), 0.84 (m, 6H).
- The title compound was prepared in four steps as described in Example 1 from 4-trifluoromethylbenzyl alcohol. 1H NMR (DMSO-d6): 8.63 (m, 1H), 8.18 (m, 1H), 7.74 (d, J=7.2 Hz, 2H), 7.57(d, J=8.1, 2H), 5.14 (m, 4H), 4.64 (m, 1H), 3.81 (m, 1H), 2.72 (m, 2H), 1.94 (m, 1H), 0.86 (m, 6H).
- The title compound was prepared in four steps as described in Example 2 from 3-phenylpropionyl chloride. 1H NMR (DMSO-d6): 12.29 (bs, 1H), 8.39 (m, 1H), 7.82 (m, 1H), 7.21(m, 5H), 5.25 (m, 2H), 4.39 (m, 1H), 4.03 (m, 1H), 2.80 (m, 3H), 2.54 (m, 3H), 1.89 (m, 1H), 0.80 (m, 6H).
- The title compound was prepared in five steps as described in Example 1 from benzyl amine. 1H NMR (DMSO-d6): 8.55 (m, 1H), 7.25 (m, 5H), 6.57 (m, 1H), 6.20 (m, 1H), 5.16 (m, 1H), 4.22 (m, 5H), 2.61 (m, 2H), 1.89 (m, 1H), 0.87 (m, 6H).
- The title compound was prepared in five steps as described in Example 1 from 3-phenyl-1-propanol. 1H NMR (DMSO-d6): 8.61 (m, 1H), 8.18 (m, 1H), 7.21 (m, 5H), 5.17 (m, 1H), 4.53 (m, 1H), 3.83 (m, 4H), 2.71 (m, 4H), 1.85 (m, 3H), 0.85 (m, 6H).
- The title compound was prepared in five steps as described in Example 1 from 2,4-difluorobenzyl alcohol. 1H NMR (CDCl3): 7.33 (m, 1H), 6.83 (m, 2H), 5.60 (m, 1H), 5.11 (m, 3H), 4.88 (m, 2H), 4.03 (m, 1H), 3.05 (m, 1H), 2.79 (m, 1H), 2.05 (m, 1H), 0.94 (m, 6H).
- The title compound was prepared in five steps as described in Example 1 from 3,4-difluorobenzyl alcohol. 1H NMR (CDCl3): 8.63 (m, 1H), 8.18 (m, 1H), 7.52 (m, 1H), 7.27 (m, 2H), 5.07 (m, 3H), 4.51 (m, 2H), 3.99 (m, 1H), 2.70 (m, 2H), 1.95 (m, 1H), 0.85 (m, 6H).
- The title compound was prepared in four steps as described in Example 1 from 4-morpholinecarbonyl chloride. 1H NMR (CDCl3): 10.61 (bs, 1H), 7.58 (m, 1H), 5.19 (d, J=8.1 Hz, 1H), 4.95 (m, 3H), 4.42 (m, 114), 3.71 (m, 4H), 3.42 (m, 4H), 2.94 (m, 2H), 2.19 (m, 1H), 0.98 (m, 6H).
- The title compound was prepared in five steps as described in Example 1 from 4-pyridylcarbinol. 1H NMR (CDCl3): 8.56 (m, 2H), 8.15 (m, 2H), 7.23 (m, 1H), 6.47 (m, 1H), 5.10 (s, 2H), 4.35 (m, 3H), 4.08 (m, 1H), 2.61 (m, 2H) 1.46 (m, 1H), 0.94 (m, 6H).
- The title compound was prepared in five steps as described in Example 1 from 2-pyridylcarbinol. 1H NMR (CDCl3): 8.59 (m, 1H), 7.28 (m, 3H), 7.03 (m, 1H), 5.58 (m, 1H), 5.11 (m, 5H), 4.06 (m, 1H), 2.83 (m, 2H), 2.17 (m, 1H), 0.93 (m, 6H).
- Step A. Z-Asp(OBu-t)-DCB-methylketone. To a solution of Z-Asp(OBu-t)-bromomethylketone (500 mg, 1.24 mmol) in DMF (10 ml) was added potassian fluoride (320 mg, 5.50 mmol), and 2,6-dichlorobenzoic acid (348 mg, 1.82 mmol). The mixture was stirred at room temperature for 12 h, and then was diluted with 25 ml of ethyl acetate, washed with aqueous NH 4Cl and brine, dried over Na2SO4 and concentrated in vacuo. The title compound was obtained as white solid (0.78 g, 2.62 mmol, 69%). 1H NMR (CDCl3): 7.34 (m, 8H), 5.96 (d, J=8.7, 1H), 5.21 (d, J=6.6, 2H), 5.16 (s, 2H), 4.70 (m, 1H), 2.88 (m, 2H), 1.27 (s, 9H).
- Step B. Asp(OBu-t)-DCB-methylketone-N-hydrochloride. To a solution of Z-Asp(OBu-t)-DCB-methylketone (572 mg, 1.14 mmol) in ethanol (15 ml) was added Pd/C (50 mg) and 6N HCl (0.2 ml). The mixture was stirred at room temperature under H 2 atmosphere (1 atm) for 12 h, then it was filtered and concentrated. The title compound was obtained as pale while solid (416 mg, 1.04 mmol, 90%). 1H NMR (CDCl3): 7.27 (m, 3H), 5.28 (m, 2H), 4.94 (m, 1H), 3.27 (m, 2H), 1.42 (s, 9H).
- Step C. 2,6-Dichlorobenzyloxycarbonyl-Val-Asp(OBu-t)-DCB-methylketone. To a solution of 2,6-dichlorobenzyloxycarbonyl-Val (200 mg, 0.60 mmol) in THF (10 ml) was added Asp(OBu-t)-DCB-methylketone-N-hydrochloride (250 mg, 0.60 mmol), 1-(3-dimethylaminopropyl)-3-ethylcarbodiimide hydrochloride (EDCI, 126 mg, 0.66 mmol), 1-hydroxybenzotriazole hydrate (HOBT, 92 mg, 0.60 mmol) and 4-(dimethylamino)pyridine (DMAP, 29 mg, 0.28 mmol). The resulting mixture was stirred at room temperature for 12 h, and diluted with ethyl acetate (20 ml), washed with 1N HCl, saturated NaHCO 3, brine and dried over Na2SO4. Evaporation of solvent, followed by flash chromatography (EtOAc/Hexane 2/3) gave the title compound as a colorless oil (85 mg, 0.18 mmol, 21%). 1H NMR (CDCl3): 7.35 (m, 6H), 7.27 (m, 1H), 5.41 (m, 3H), 5.15 (m, 2H), 4.41 (m, 1H), 2.96 (m, 2H), 2.28 (m, 1H), 1.44 (m, 9H), 0.94 (m, 6H).
- Step D. 2, 6-Dichlorobenzyloxycarbonyl-Val-Asp-DCB-methylketone. To a solution of 2,6-dichlorobenzyloxycarbonyl-Val-Asp(OBu-t)-DCB-methylketone (85 mg, 0.18 mmol) in CH 2Cl2 (3 ml) at room temperature was added TFA (1 ml). The resulting solution was allowed to stir for 4 h, and then diluted with 20 ml of ethyl acetate, washed with saturated Na2HPO4, brine, and dried over Na2SO4. The solvent was evaporated in vacuo to give the title compound as a white solid (27 mg, 0.04 mmol, 25%). 1H NMR (CDCl3): 9.28 (bs, 1H), 8.11 (m, 1H), 7.49 (m, 1H), 7.30 (m, 6H), 5.37(m, 4H), 4.32 (m, 2H), 3.73 (m, 2H), 2.19 (m, 1H), 1.25 (m, 3H), 0.98 (m, 3H).
- The title compound was prepared in four-steps as described in Example 1 from L-valine and isobutyl chloroformate. 1H NMR (DMSO-d6): δ 8.47 (m, 1H), 7.23 (m, 1H), 5.24-4.52 (m, 3H), 3.81-3.72 (m, 3H), 2.73-2.55 (m, 2H), 1.94-1.79 (m, 2H), 0.89-0.83 (m, 12H).
- The title compound was prepared in four-steps as described in Example 1 from L-valine and methyl chloroformate. 1H NMR (DMSO-d6): δ 8.49 (s, 1H), 7.28 (m, 1H), 5.16-4.54 (m, 3H), 3.81 (m, 1H), 3.53 (s, 3H), 2.72-2.56 (m, 2H), 1.93 (m, 1H), 0.85 (m, 6H).
- The title compound was prepared in four-steps as described in Example 1 from L-valine and isopropyl chloroformate. 1H NMR (DMSO-d6): δ 8.43 (s, 1H), 7.11 (m, 1H), 5.18-4.54 (m, 4H), 3.76 (m, 1H), 2.69-2.67 (m, 2H), 1.91 (m, 1H), 1.17 (d, J=6, 6H), 0.83 (m, 6H).
- The title compound was prepared in four-steps as described in Example 1 from L-valine and propionyl chloride. 1H NMR (DMSO-d6): δ 8.63-7.82 (m, 2H), 5.37-5.02 (m, 1H), 4.70-3.95 (m, 3H), 2.89-2.56 (m, 2H), 2.21-2.10 (m, 2H), 1.91 (m, 1H), 0.98 (t, J=7.2, 3H), 0.86-0.82 (m, 6H).
- Step A. Benzyl monoglutarate. A solution of glutaric anhydride (460 mg, 4.03 mmol) in benzyl alcohol (1 ml) was heated at 70° C. overnight. The mixture was purified by chromatography (3:1 hexane/EtOAc) to yield the product as an oil (0.4 g, 1.8 mmol, 45%). 1H NMR (CDCl3): δ 7.36 (br s, 5H), 5.12 (s, 2H), 2.48-2.41 (m, 4H), 2.00-1.96 (m, 2H).
- Step B. Benzyl-glutaryl-Val-OBu-t. A mixture of benzyl monoglutarate (0.4 g, 1.8 mmol), Val-OBu-t (382 mg, 1.82 mmol), EDC (335 mg, 1.75 mmol), HOBT (265 mg, 1.73 mmol) and DMAP (372 mg, 3.04 mmol) in THF (15 ml) was stirred at room temperature for 17 h. It was worked up and purified by chromatography to yield the title compound as a colorless oil (370 mg, 0.98 mmol, 54%). 1H NMR (CDCl3): δ 7.39-7.30 (m, 5H), 5.96 (d, J=8.4, 1H), 5.12 (s, 2H), 4.45 (m, 1H), 2.47-1.94 (m, 7H), 1.46 (s, 9H), 0.95-0.87 (m, 6H).
- Step C. Benzyl-glutaryl-Val-OH. To a solution of benzyl-glutaryl-Val-OBu-t (370 mg, 0.98 mmol) in methylenechloride (3 ml) was added TFA (1 ml). The mixture was stirred at room temperature for 8 h. It was worked up to yield the title compound as a colorless oil (200 mg, 0.62 mmol, 63%). 1H NMR (CDCl3): δ 7.36 (br s, 5H), 6.43 (d, J=8.7, 1H), 5.13 (s, 2H), 4.55 (m, 1H), 2.49-2.21 (m, 5H), 2.00 (m, 2H), 0.99-0.94 (m, 6H).
- Step D. Benzyl-glutaryl-Val-Asp-fmk. The title compound was prepared from benzyl-glutaryl-Val-OH in three steps by a similar procedure as described in Example 1 as a white solid. 1H NMR (CDCl3): δ 7.35 (br s, 5H), 6.72 (s, 1H), 5.56 (s, 1H), 5.11 (s, 2H), 4.92-4.22 (m, 4H), 3.13-2.68 (m, 2H), 2.43-1.93 (m, 6H), 0.92 (d, J=5.1, 6H).
- A solution of benzyl-glutaryl-Val-Asp(OBu-t)-fmk (78 mg, 0.15 mmol) in 30% AcOH solution of HBr (2 ml) was stirred at room temperature for 4 h. The solvent was removed in vacuo. To the residue was added acetone (1 ml), then EtOAc (10 ml) and hexane (20 ml). The solvents were then removed in vacuo to yield the title compound as a brown solid (36 mg, 0.10 mmol, 67%). 1H NMR (DMSO-d6): δ 8.60-7.87 (m, 2H), 5.36-4.42 (m, 4H), 2.94-2.57 (m, 2H), 2.33-1.69 (m, 7H), 0.83 (s, 6H).
- Step A. 3-(2-Phenyloxyphenyl)propionic acid. A mixture of 3-(2-hydroxyphenyl)propionic acid (0.57 g, 3.4 mmol), phenylbromide (0.4 ml, 3.37 mmol), and K 2CO3 (2.5 g) in acetone (10 ml) was stirred at room temperature for 2 days. The mixture was diluted with 1:1 hexane/EtOAc (100 ml), washed with water and brine, dried over sodium sulfate and concentrated in vacuo. The residue was purified by chromatography (5:1 then 4:1 hexane/EtOAc) to yield phenyl 3-(2-phenyloxyphenyl)propionate (0.45 g, 1.30 mmol, 77%).
- A mixture of phenyl 3-(2-phenyloxyphenyl)propionate (0.45 g, 1.30 mmol), 2N NaOH (20 ml) and MeOH (10 ml) was stirred at room temperature overnight, which was then neutralized to pH-2 with concentrated HCl and extracted with EtOAc (100 ml). The organic phase was washed with brine and dried over sodium sulfate and concentrated in vacuo to yield 3-(2-phenyloxyphenyl)propionic acid as an oil. This was used for next step without further purification.
- Step B. 3-(2-Phenyloxyphenyl)propionyl-Val-Asp-fmk. The title compound was prepared in a similar procedure as described in Examples 36 and 1 from crude 3-(2-phenyloxyphenyl)propionic acid synthesized above. 1H NMR (DMSO-d6): δ 8.62-8.50 (m, 1H), 7.47-6.85 (m, 9H), 5.36-5.04 (m, 4H), 4.63-4.02 (m, 2H), 5.83 (br s, 6H), 1.85 (br s, 1H), 0.80 (s, 6H).
- A mixture of 3-(2-phenyloxyphenyl)propionyl-Val-Asp-fmk (30 mg, 30 mg, 0.06 mmol) in 30% acetic acid solution of HBr (2 ml) was stirred at room temperature for 6 h. The solvent was removed in vacuo and 1:1 EtOAc/hexane was added to the residue. Evaporation of the solvent yielded the title compound as a brown solid (18 mg, 0.037 mmol, 62%). 1H NMR (acetone-d6): δ 7.45-6.74 (m, 4H), 5.03-4.35 (m, 4H), 3.03-2.73 (m, 6H), 0.97-0.87 (m, 6H).
- The title compound was prepared in five steps as described in Example 1 from 3-fluorobenzyl alcohol. 1H NMR (DMSO-d6): 8.64 (m, 1H), 7.95 (m, 1H), 7.45 (m, 2H), 7.19 (m, 3H), 5.25 (m, 1H), 5.06 (s, 2H), 4.58 (m, 2H), 3.85 (m, 1H), 2.73 (m, 2H), 1.99 (m, 1H), 0.86 (m, 6H).
- The title compound was prepared in five steps as described in Example 1 from 2-fluorobenzyl alcohol. 1H NMR (DMSO-d6): 7.36 (m, 2H), 7.12 (m, 3H), 5.68 (m, 1H), 5.17 (s, 2H), 4.34 (m, 3H), 3.97 (m, 2H), 2.62 (m, 2H), 2.06 (m, 1H), 0.91 (m, 6H).
- The title compound was prepared in five steps as described in Example 1 from 3-methylbenzyl alcohol. 1H NMR (DMSO-d6): 8.52 (m, 1H), 7.92 (m, 1H), 7.43 (m, 1H), 7.17 (m, 4H), 5.25 (m, 1H), 4.99 (s, 2H), 4.56 (m, 2H), 3.83 (m, 1H), 2.71 (m, 2H), 2.29 (s, 3H), 1.93 (m, 1H), 0.85 (m, 6H).
- The title compound was prepared in five steps as described in Example 2 from 2-chloro-4-fluorobenzyl alcohol. 1H NMR (CDCl3): 8.63 (m, 1H), 7.42 (m, 4H), 5.15 (m, 3H), 4.61 (m, 2H), 4.02 (bs, 1H), 3.81 (m, 1H), 2.63 (m, 2H), 1.90 (m, 1H), 0.83 (m, 6H).
- The title compound was prepared in five steps as described in Example 2 from 2-naphthalenemethanol. 1H NMR (DMSO-d6): 7.80 (m, 4H), 7.46 (m, 3H), 6.99 (m, 1H), 5.59 (m, 1H), 5.25 (s, 2H), 4.46 (m, 3H), 4.03 (m, 2H), 2.62 (m, 2H), 2.1 1(m, 1H), 0.94 (m, 6H).
- Step A. p-Toluenesulfonyl-Val. The title compound was prepared by a similar procedure as described in Example 1 step B in 13% yield from valine and p-toluenesulfonyl chloride. 1H NMR (DMSO-d6): 7.90 (d, J=9.3, 1H), 7.63 (d, J=8.1, 2H), 7.32 (d, J=8.1, 2H), 3.47 (m, 1H), 2.35 (s, 3H), 1.90 (m, 1H), 0.82-0.76 (m, 6H).
- Step B. tert-Butyl 5-fluoro-3-[p-toluenesulfonyl-Valineamido]-4-hydroxypentanoate. The title compound was prepared by a similar procedure as described in Example 1 step C in 37% yield. 1H NMR (CDCl3): 7.73 (d, J=8.4, 2H), 7.30 (d, J=7.2, 2H), 6.72-6.50 (m, 1H), 5.28-5.08 (m, 1H), 4.32-3.81 (m, 4H), 3.45 (m, 1H), 2.65-2.45(m, 2H), 2.43, 2.41 (2s, 3H), 2.05 (m, 1H), 1.45, 1.43 (2s, 9H), 0.88-0.79 (m, 6H).
- Step C. p-Toluenesulfonyl-Val-Asp(OBu-t)-fmnk. The title compound was prepared by a similar procedure as described in Example 1 step D in 92% yield. 1H NMR (CDCl3): 7.74-7.70 (m, 2H), 6.93 (m, 1H), 7.31-7.27 (m, 2H), 7.03 (d, J=7.8, 1H), 6.96(d, J=8.1, 1H), 5.26-4.61 (m, 3H), 3.55-3.47 (m, 1H), 2.98-2.48 (m, 2H), 2.11 (m, 1H), 2.43, 2.41 (2s, 3H), 1.45, 1.42 (2s, 9H), 0.87-0.81 (m, 6H).
- Step D. p-Toluenesulfonyl-Val-Asp-fnk. The title compound was prepared by a similar procedure as described in Example 1 step E in 31% yield. 1H NMR (DMSO-d6): 8.53-8.43 (m, 1H), 7.81 (br s, 1H), 7.63 (d, J=7.4, 2H), 7.32 (d, J=7.4, 2H), 5.02-4.28 (m, 4H), 2.18-2.40 (m, 2H), 2.34 (s, 3H), 1.79 (m, 1H), 0.77-0.74 (m, 6H).
- The title compound was prepared by a similar procedure as described in Example 1 in three steps from p-toluenesulfonyl-Phe and t-butyl 3-amino-5-fluoro-4-hydroxypentanoate. 1H NMR (CD3OD): 7.61 (d, J=6.9, 2H), 7.29-7.13 (m, 7H), 4.56-3.94 (m, 4H), 3.01-2.78 (m, 2H), 2.44 (s, 3H), 2.51-2.37 (m, 2H).
- The activity of 2-chlorobenzyloxycarbonyl-Val-Asp-fmk as an inhibitor of caspase-3 was measured in a fluorometric enzyme assay. Enzyme activity was measured using synthetic peptide substrates attached to a fluorogenic leaving group. Cleavage of the synthetic substrate by the enzyme results in a fluorescent signal which is read in a spectrofluorometer or in a fluorometric microtiter plate reader.
- 12 concentrations of the testing compound ranged from 30 pM to 10 μM were tested in the enzyme assay. The enzyme reaction was conducted in the presence of 2 ng rCaspase 3 (purchased from PharMingen, a Becton division company, San Diego, Calif.), various concentrations of testing compound, 10 μM caspase 3 substrate Ac-DEVD-AMC (SEQ ID NO:3) (purchased from Quality Controlled Biochemicals, Inc. Hopkinton, Mass.) and caspase buffer (20 mM PIPES, 100 mM NaCl, 10 mM DTT, 1 mM EDTA, 0.1% CHAPS and 10% sucrose, pH 7.2) in a total volume of 100 μl. The enzyme reaction was carried out in a 96-well plate and incubated at 37° C. for 30 minutes. The plate was then read with a fluorescence plate reader (EG&G WALLAG 1420-002) using excitation filter at 355nm/emission filter at 460 nm. The data was analyzed using GraphPrism software. Other inhibitors were tested using the same procedure and the results is summarized in Table II.
TABLE II Activity of Dipeptide as Inhibitor of Caspase-3 Caspase-3 IC50 Name (nM) 2-Chlorobenzyloxycarbonyl-Val-Asp-fmk 36 3-Chlorobenzyloxycarbonyl-Val-Asp-fmk 36 Phenethoxycarbonyl-Val-Asp-fmk 110 4-Chlorobenzyloxycarbonyl-Val-Asp-fmk 34 Cyclohexylmethoxycarbonyl-Val-Asp-fmk 72 Ethoxycarbonyl-Val-Asp-fmk 58 - As shown in Table II, the dipeptides are potent inhibitor of caspase-3.
- Having now fully described this invention, it will be understood by those of ordinary skill in the art that the same can be performed within a wide and equivalent range of conditions, formulations and other parameters without affecting the scope of the invention or any embodiment thereof. All patents, patent applications and publications cited herein are fully incorporated by reference herein in their entirety.
Claims (83)
1. A compound having the Formula I:
or pharmaceutically acceptable salts or prodrugs thereof, wherein:
R1 is an optionally substituted alkyl or hydrogen;
R2 is hydrogen or optionally substituted alkyl;
R3 is an alkyl, saturated carbocyclic, partially saturated carbocyclic, aryl, saturated heterocyclic, partially saturated heterocyclic or heteroaryl group, wherein said group is optionally substituted;
X is O, S, NR4 or (CR4R5)n, where R4 and R5 are, at each occurrence, independently selected from the group consisting of hydrogen, alkyl and cycloalkyl, and n is 0, 1, 2 or 3; or
X is NR4, and R3 and R4 are taken together with the nitrogen atom to which they are attached to form a saturated heterocyclic, partially saturated heterocyclic or heteroaryl group, wherein said group is optionally substituted; or
X is CR4R5, and R3 and R4 are taken together with the carbon atom to which they are attached to form a saturated carbocyclic, partially saturated carbocyclic, aryl, saturated heterocyclic, partially saturated heterocyclic or oxygen-containing heteroaryl group, wherein said group is optionally substituted; and
Y is a residue of a natural or non-natural amino acid; provided that when X is O, then R3 is not unsubstituted benzyl or t-butyl; and
when X is CH2, then R3 is not hydrogen.
2. The compound of claim 1 , wherein R1 is hydrogen, methyl, ethyl or acetoxymethyl.
3. The compound of claim 1 , wherein R2 is hydrogen, fluoromethyl, acyloxymethyl, arylacyloxymethyl, aryloxymethyl, phosphinyloxymethyl, or aminomethyl.
4. The compound of claim 1 , wherein Y is valine, isoleucine, leucine, alanine, phenylalanine, cyclohexylalanine, 2-aminobutyric acid, phenylglycine or cyclohexylglycine.
5. The compound of claim 1 , wherein:
R3 is optionally substituted alkyl, C4-C7 cycloalkyl, saturated heterocyclic, partially saturated heterocyclic, aryl or heteroaryl; and X is O, S, NR4 or (CR4R5)n, wherein R4 and R5 are independently hydrogen, alkyl or cycloalkyl, and n is 0, 1, 2 or 3.
6. The compound of claim 1 , wherein X is O, NH or CH2.
7. The compound of claim 1 , wherein R3 is straight-chained or branched C1-6 alkyl.
8. The compound of claim 1 , wherein R3 is straight-chained or branched C1-6 alkyl optionally substituted by hydroxy, carboxy, halogen, C4-C7 cycloalkyl, saturated or unsaturated heterocyclic group, aryl or heteroaryl.
9. The compound of claim 1 , wherein R3 is optionally substituted benzyl.
10. The compound of claim 1 , wherein R3 is optionally substituted pyridylmethyl.
11. The compound of claim 1 , wherein R3—X—C(O)— is an antioxidant group.
14. The compound of claim 1 , wherein R3—X—C(O)— is a fluorescent group.
17. A compound having the Formula II:
or pharmaceutically acceptable salts or prodrugs thereof wherein:
R1 is an optionally substituted alkyl or hydrogen;
R2 is hydrogen or optionally substituted alkyl;
X is O, S, NR4 or (CR4R5)n, wherein R4 and R5 are, at each occurrence, independently selected from the group consisting of hydrogen, alkyl, and cycloalkyl, and n is 0, 1, 2 or 3;
Y is a residue of a natural or non-natural amino acid;
A is CR6 or nitrogen;
B is CR7 or nitrogen;
C is CR8 or nitrogen;
D is CR9 or nitrogen;
E is CR10 or nitrogen; provided that not more than three of A, B, C, D and E are nitrogen; and R6-R10 independently are hydrogen, halo, C1-C6 haloalkyl, C6-C10 aryl, C4-C7 cycloalkyl, C1-C6 alkyl, C2-C6 alkenyl, C2-C6 alkynyl, C6-C10 aryl(C1-C6)alkyl, C6-C10 aryl(C2-C6)alkenyl, C6-C10 aryl(C2-C6)alkynyl, C1-C6 hydroxyalkyl, nitro, amino, cyano, C1-C6 acylamino, hydroxy, C1-C6 acyloxy, C1-C6 alkoxy, alkylthio, or carboxy; or one of R6 and R7, or R7 and R8, or R8 and R9, or R9 and R10 are taken together with the carbon atoms to which they are attached to form a carbocycle or heterocycle, selected from the group consisting of —OCH2O—, —OCF2—, —(CH2)3—, —(CH2)4—, —OCH2CH2O—, —CH2N(R13)CH2—, —CH2CH2N(R13)CH2—, —CH2N(R13)CH2CH2—, —N(R13)—CH═CH—, —CH═CH—N(R13)—, —O—CH═CH—, —CH═CH—O—, —S—CH═CH—, —CH═CH—S—, —N═CH—CH═CH—, —CH═N—CH═CH—, —CH═CH—N═CH—, —CH═CH—CH═N—, —N═CH—CH═N—, and —H═CH—CH═CH—; wherein R13 is hydrogen, alkyl or cycloalkyl;
provided that when X is O, A is CR6, B is CR7, C is CR8, D is CR9 and E is CR10, then at least one of the R6-R10 is not hydrogen.
18. The compound of claim 17 , wherein R2 is hydrogen, fluoromethyl, acyloxymethyl, arylacyloxymethyl, aryloxymethyl, phosphinyloxymethyl, or aminomethyl.
19. The compound of claim 17 , wherein R1 is hydrogen, methyl, ethyl or acetoxymethyl.
20. The compound of claim 17 , wherein Y is valine, isoleucine, leucine, alanine, phenylalanine, cyclohexylalanine, 2-aminobutyric acid, phenylglycine or cyclohexylglycine.
21. The compound of claim 17 , wherein X is O, A is CR6, B is CR7, C is CR8, D is CR9, and E is CR10.
22. The compound of claim 17 , wherein X is O, and one of A, B. C, D or E is nitrogen.
23. The compound of claim 17 , wherein X is CH2, A is CR6, B is CR7, C is CR8, D is CR9 and E is CR10.
24. A compound having the Formula III:
or pharmaceutically acceptable salts or prodrugs thereof, wherein:
R1 is an optionally substituted alkyl or hydrogen;
R2 is hydrogen or optionally substituted alkyl;
R3 is an alkyl, saturated carbocyclic, partially saturated carbocyclic, aryl, saturated heterocyclic, partially saturated heterocyclic or heteroaryl group, wherein said group is optionally substituted; and
Y is a residue of a natural or non-natural amino acid.
25. The compound of claim 24 , wherein R1 is hydrogen, methyl, ethyl or acetoxymethyl.
26. The compound of claim 24 , wherein R2 is hydrogen, fluoromethyl, acyloxymethyl, arylacyloxymethyl, aryloxymethyl, phosphinyloxymethyl, or aminomethyl.
27. The compound of claim 24 , wherein Y is valine, isoleucine, leucine, alanine, phenylalanine, cyclohexylalanine, 2-aminobutyric acid, phenylglycine or cyclohexylglycine.
28. The compound of claim 24 , wherein R3 is straight-chained or branched C1-6 alkyl.
29. The compound of claim 24 , wherein R3 is straight-chained or branched C1-6 alkyl optionally substituted by hydroxy, carboxy, halogen C4-C7 cycloalkyl, saturated or unsaturated heterocyclic group, aryl or heteroaryl.
30. The compound of claim 24 , wherein R3 is methylphenyl or dimethylaminonaphthyl.
31. The compound of claim 1 , wherein said compound is selected from the group consisting of:
2-Chlorobenzyloxycarbonyl-Val-Asp-fmk,
3-Chlorobenzyloxycarbonyl-Val-Asp-fmk,
4-Chlorobenzyloxycarbonyl-Val-Asp-fmk,
Phenethoxycarbonyl-Val-Asp-fmk,
Cyclohexylmethoxycarbonyl-Val-Asp-fmk,
Methoxycarbonyl-Val-Asp-fmk,
Ethoxycarbonyl-Val-Asp-fmk,
Isopropyloxycarbonyl-Val-Asp-fmk,
2-Chlorobenzyloxycarbonyl-Ile-Asp-fmk,
3-Chlorobenzyloxycarbonyl-Ile-Asp-fmk,
4-Chlorobenzyloxycarbonyl-Ile-Asp-fmk,
Phenylacetyl-Val-Asp-fmk,
4-Nitrobenzyloxycarbonyl-Val-Asp-fmk,
2,5-Dimethylbenzyloxycarbonyl-Val-Asp-fmk,
3,4-Dichlorobenzyloxycarbonyl-Val-Asp-fmk,
3,5-Dichlorobenzyloxycarbonyl-Val-Asp-fmk,
2,5-Dichlorobenzyloxycarbonyl-Val-Asp-fmk,
2,6-Dichlorobenzyloxycarbonyl-Val-Asp-fmk,
2,4-Dichlorobenzyloxycarbonyl-Val-Asp-fmk,
2,4-Dimethylbenzyloxycarbonyl-Val-Asp-fmk,
4-Ethylbenzyloxycarbonyl-Val-Asp-fmk,
4-Bromobenzyloxycarbonyl-Val-Asp-fmk,
4-Fluorobenzyloxycarbonyl-Val-Asp-fmk,
Cyclopentylmethoxycarbonyl-Val-Asp-fmk,
4-Trifluoromethylbenzyloxycarbonyl-Val-Asp-fmk,
3-Phenylpropionyl-Val-Asp-fmk,
Benzylaminocarbonyl-Val-Asp-fmk,
3-Phenylpropyloxycarbonyl-Val-Asp-fmk,
2,4-Difluorobenzyloxycarbonyl-Val-Asp-fmk,
3,4-Difluorobenzyloxycarbonyl-Val-Asp-fmk,
4-Morpholinecarbonyl-Val-Asp-fmk,
4-Pyridylmethoxycarbonyl-Val-Asp-fmk,
2-Pyridylmethoxycarbonyl-Val-Asp-fmk,
2,6-Dichlorobenzyloxycarbonyl-Val-Asp-DCB-methylketone,
Isobutoxycarbonyl-Val-Asp-fmk,
Propionyl-Val-Asp-fmk,
Benzyl-glutaryl-Val-Asp-fmk,
Glutaryl-Val-Asp-fmk,
3-(2-Phenyloxyphenyl)propionyl-Val-Asp-fmk,
3-(5-Bromo-2-hydroxyphenyl)propionyl-Val-Asp-fmk,
3-Fluorobenzyloxycarbonyl-Val-Asp-fmk,
2-Fluorobenzyloxycarbonyl-Val-Asp-fmk,
3-Methylbenzyloxycarbonyl-Val-Asp-fmk,
2-Chloro-4-fluorobenzyloxycarbonyl-Val-Asp-fmk, and
2-Naphthylmethoxycarbonyl-Val-Asp-fmk.
32. The compound of claim 24 , wherein said compound is selected from the group consisting of:
p-Toluenesulfonyl-Val-Asp-fmk, and
p-Toluenesulfonyl-Phe-Asp-fmk.
33. A pharmaceutical composition, comprising a compound of claim 1 , 17 or 24, and a pharmaceutically acceptable carrier.
34. A method of inhibiting cell death of a cell or tissue, comprising contacting said cell or tissue with an effective amount of a compound of claim 1 , 17 or 24.
35. A method of treating or ameliorating cell death in the central or peripheral nervous system, retinal neurons, cardiac muscle or immune system cells of an animal, comprising administering to the animal in need of such treatment or ameliorating an effective amount of a compound of claim 1 , 17 or 24.
36. The method of claim 35 , wherein said cell death is in the central or peripheral nervous system, and is due to one of:
(a) a condition of ischemia and excitotoxicity selected from the group consisting of focal ischemia due to stroke and global ischemia due to cardiac arrest;
(b) traumatic injury;
(c) viral infection;
(d) radiation-induced nerve cell death;
(e) a neurodegenerative disorder selected from the group consisting of Alzheimer's disease, Parkinson's Disease, a prion disease, multiple sclerosis, amyotrophic lateral sclerosis, and spinobulbar atrophy;
(f) spinal cord injury; or
(g) acute bacterial meningitis.
37. The method of claim 35 , wherein said cell death is in the central or peripheral nervous system, and is due to expansion of trinucleotide repeats of specific genes.
38. The method of claim 35 , wherein said cell death is due to Huntington's Disease.
39. The method of claim 35 , wherein said cell death is in cardiac muscle tissue, and is due to myocardial infarction, congestive heart failure, cardiomyopathy or viral infection of the heart.
40. The method of claim 35 , wherein said cell death is in retinal neurons and is due to increased intraocular pressure, age-related macular degeneration or retinitis pigmentosa.
41. The method of claim 35 , wherein said cell death is in the immune system, and is due to an immune deficiency disorder selected from the group consisting of acquired immune deficiency syndrome, severe combined immune deficiency syndrome and radiation-induced immune suppression.
42. The method of claim 35 , wherein said cell death is due to an autoimmune disorder selected from the group consisting of lupus erythematosus, rheumatoid arthritis and type I diabetes.
43. The method of claim 42 , wherein said cell death is due to type I diabetes.
44. A method of treating or preventing polycystic kidney disease, renal amyloidosis, acute renal failure, cyclosporine A induced tubular epithelial cell death, hypoxia-induced necrosis of renal proximal tubules, HIV-induced nephropathy or anemia/erythropoiesis in an animal, comprising administering to the animal in need of such treatment an effective amount of a compound of claim 1 , 17 or 24.
45. A method of protecting a mammalian organ or tissue from cell death due to deprivation of normal blood supply, comprising contacting said organ or tissue with an effective amount of a compound of claim 1 , 17 or 24.
46. The method of claim 45 , wherein said organ or tissue is present in a storage medium prior to transplant into a mammal.
47. The method of claim 45 , wherein said tissue is embryonic nigral tissue.
48. The method of claim 45 , wherein said contacting comprises infusion of said compound into the organ or tissue, or bathing of said organ or tissue in a storage medium which comprises said compound.
49. A method of reducing or preventing cell death in a donor organ or tissue after it has been transplanted into a host due to the effects of reperfusion injury or due to the effects of host immune cells, comprising administering to said host in need thereof an effective amount of a compound of claim 1 , 17 or 24.
50. A method of reducing or preventing the death of mammalian sperm or eggs used in in vitro fertilization procedures, comprising contacting said sperm or egg with an effective amount of a compound of claim 1 , 17 or 24.
51. A method of extending the lifespan of a mammalian or yeast cell line, comprising contacting said cell line with a compound of claim 1 , 17 or 24.
52. The method of claim 51 , wherein said contacting comprises including said compound in a cell growth medium.
53. A method of treating or ameliorating hair loss or premature graying of the hair in a manmmal, comprising contacting the hair or hair follicles of the mammal in need thereof with a compound of claim 1 , 17 or 24.
54. The method of claim 53 , wherein hair loss is treated, and said hair loss is due to male-pattern baldness, radiation, chemotherapy or emotional stress.
55. A method of treating or ameliorating skin damage of a mammal due to exposure to high levels of radiation, heat or chemicals, comprising applying to the skin of the mammal in need thereof with a compound of claim 1 , 17 or 24.
56. The method of claim 55 , wherein said compound is applied as part of an ointment.
57. The method of claim 55 , wherein said skin damage is due to acute over-exposure to the sun, and wherein said treating reduces blistering and peeling of the skin.
58. A method of treating or ameliorating sepsis or multi-organ failure in an animal, comprising administering to the animal in need thereof an effective amount of a compound of claim 1 , 17 or 24.
59. A method of treating or ameliorating hepatitis in an animal, comprising administering to the animal in need thereof an effective amount of a compound of claim 1 , 17 or 24.
60. A method of treating or ameliorating hereditary tyrosinemia type 1 in an animal, comprising administering to the animal in need thereof an effective amount of a compound of claim 1 , 17 or 24.
61. A method of treating or ameliorating chronic alcohol ingestion induced buccal mucosa cell death in an animal, comprising administering to the animal in need thereof an effective amount of a compound of claim 1 , 17 or 24.
62. A method of treating or ameliorating cell death in plants or flowers, comprising administering to the plants or flowers in need thereof an effective amount of a compound of claim 1 , 17 or 24.
63. A method of treating or ameliorating radiation or ultraviolet-irradiation induced cell death in an animal, comprising administering to the animal in need thereof an effective amount of a compound of claim 1 , 17 or 24.
64. A method of treating or ameliorating apoptotic death of bone marrow cells in myelodysplastic syndromes (MDS), comprising administering to the animal in need thereof an effective amount of a compound of claim 1 , 17 or 24.
65. A method of treating or ameliorating apoptotic cell death in acute pancreatitis, comprising administering to the animal in need thereof an effective amount of a compound of claim 1 , 17 or 24.
66. A method of treating or preventing the inflammatory response in psoriasis or inflammatory bowel disease, comprising administering to the animal in need thereof an effective amount of a compound of claim 1 , 17 or 24.
67. A method of treating or ameliorating organ apoptosis after burn injury, comprising administering to the animal in need thereof an effective amount of a compound of claim 1 , 17 or 24.
68. A method of treating or ameliorating small bowel tissue injury after intestinal ischemia-reperfusion, comprising administering to the animal in need thereof an effective amount of a compound of claim 1 , 17 or 24.
69. A method of treating, ameliorating. or preventing oral mucositis, gastrointestinal mucositis, bladder mucositis, proctitis, bone marrow cell death, skin cell death, or hair loss resulting from chemotherapy or radiation therapy of cancer in an animal, comprising administering to the animal in need thereof an effective amount of a compound of claim 1 , 17 or 24.
70. The method of claim 69 , wherein said compound is administered topically or orally.
71. The method of claim 70 , wherein said compound is formulated as part of a mouthwash for the treatment, amelioration or prevention of oral mucositis.
72. The method of claim 70 , wherein said compound is formulated as part of a slow release buccal lozenge.
73. The method of claim 70 , wherein said compound is formulated as part of a suppository.
74. The method of claim 70 , wherein said compound is formulated as part of a gel.
75. The method of claim 70 , wherein said compound is administered through a bladder catheter for the treatment, amelioration or prevention of bladder mucositis.
76. The method of claim 70 , wherein said compound is administered as part of an enema for the treatment, amelioration or prevention of proctitis.
77. The method of claim 70 , wherein said compound is formulated as an oral formulation which is capable of coating the gastrointestinal surfaces for the treatment, amelioration or prevention of gastrointestinal mucositis.
78. The method of claim 69 , wherein said gastrointestinal mucositis is esophageal mucositis, gastric mucositis, or intestinal mucositis.
79. The method of claim 69 , wherein said compound is administered by i.v. injection for the treatment, amelioration or prevention of bone marrow cell death.
80. The method of claim 69 , wherein said compound is administered as part of a pharmaceutical composition comprising a pharmaceutically acceptable carrier.
81. The method of claim 69 , wherein said compound is administered after chemotherapy or radiation therapy of cancer in said animal.
82. The method of claim 69 , wherein said compound is administered during chemotherapy or radiation therapy of cancer in said animal.
83. The method of claim 69 , wherein said compound is administered prior to chemotherapy or radiation therapy of cancer in said animal.
Priority Applications (1)
| Application Number | Priority Date | Filing Date | Title |
|---|---|---|---|
| US10/721,338 US20040116355A1 (en) | 1999-04-09 | 2003-11-26 | Caspase inhibitors and the use thereof |
Applications Claiming Priority (5)
| Application Number | Priority Date | Filing Date | Title |
|---|---|---|---|
| US12854599P | 1999-04-09 | 1999-04-09 | |
| US15837099P | 1999-10-12 | 1999-10-12 | |
| US09/545,565 US6355618B1 (en) | 1999-04-09 | 2000-04-07 | Caspase inhibitors and the use thereof |
| US09/987,417 US6716818B2 (en) | 1999-04-09 | 2001-11-14 | Caspase inhibitors and the use thereof |
| US10/721,338 US20040116355A1 (en) | 1999-04-09 | 2003-11-26 | Caspase inhibitors and the use thereof |
Related Parent Applications (1)
| Application Number | Title | Priority Date | Filing Date |
|---|---|---|---|
| US09/987,417 Division US6716818B2 (en) | 1999-04-09 | 2001-11-14 | Caspase inhibitors and the use thereof |
Publications (1)
| Publication Number | Publication Date |
|---|---|
| US20040116355A1 true US20040116355A1 (en) | 2004-06-17 |
Family
ID=26826691
Family Applications (3)
| Application Number | Title | Priority Date | Filing Date |
|---|---|---|---|
| US09/545,565 Expired - Fee Related US6355618B1 (en) | 1999-04-09 | 2000-04-07 | Caspase inhibitors and the use thereof |
| US09/987,417 Expired - Fee Related US6716818B2 (en) | 1999-04-09 | 2001-11-14 | Caspase inhibitors and the use thereof |
| US10/721,338 Abandoned US20040116355A1 (en) | 1999-04-09 | 2003-11-26 | Caspase inhibitors and the use thereof |
Family Applications Before (2)
| Application Number | Title | Priority Date | Filing Date |
|---|---|---|---|
| US09/545,565 Expired - Fee Related US6355618B1 (en) | 1999-04-09 | 2000-04-07 | Caspase inhibitors and the use thereof |
| US09/987,417 Expired - Fee Related US6716818B2 (en) | 1999-04-09 | 2001-11-14 | Caspase inhibitors and the use thereof |
Country Status (12)
| Country | Link |
|---|---|
| US (3) | US6355618B1 (en) |
| EP (1) | EP1177168B1 (en) |
| JP (1) | JP2002541237A (en) |
| KR (1) | KR20020005665A (en) |
| CN (1) | CN1176941C (en) |
| AT (1) | ATE363465T1 (en) |
| AU (1) | AU4213500A (en) |
| BR (1) | BR0009610A (en) |
| CA (1) | CA2369619A1 (en) |
| DE (1) | DE60035037T2 (en) |
| MX (1) | MXPA01010127A (en) |
| WO (1) | WO2000061542A1 (en) |
Cited By (5)
| Publication number | Priority date | Publication date | Assignee | Title |
|---|---|---|---|---|
| US20030208037A1 (en) * | 1998-07-21 | 2003-11-06 | Cytovia, Inc. | Novel fluorescence dyes and their applications for whole-cell fluorescence screening assays for caspases, peptidases, proteases and other enzymes and the use thereof |
| US20050171023A1 (en) * | 2002-04-05 | 2005-08-04 | Cai Sui X. | Caspase inhibitors for the treatment of diseases and conditions caused by exposure to radionuclides, biological agents, or chemical agents |
| US20080300191A1 (en) * | 2003-05-06 | 2008-12-04 | Sui Xiong Cai | Protease inhibitors for coronaviruses and sars-cov and the use thereof |
| US9352010B2 (en) | 2011-07-22 | 2016-05-31 | The J. David Gladstone Institutes | Treatment of HIV-1 infection and AIDS |
| WO2017172476A1 (en) * | 2016-03-28 | 2017-10-05 | The University Of Toledo | Potent inhibitors of aspartate n-acetyl-transferase for the treatment of canavan disease |
Families Citing this family (47)
| Publication number | Priority date | Publication date | Assignee | Title |
|---|---|---|---|---|
| EP0476916A1 (en) * | 1990-09-13 | 1992-03-25 | Westinghouse Electric Corporation | Aluminum-silver oxide battery system |
| US6184210B1 (en) * | 1997-10-10 | 2001-02-06 | Cytovia, Inc. | Dipeptide apoptosis inhibitors and the use thereof |
| KR20010110667A (en) * | 1999-03-16 | 2001-12-13 | 추후보정 | Substituted 2-aminobenzamide caspase inhibitors and the use thereof |
| AU4213500A (en) | 1999-04-09 | 2000-11-14 | Cytovia, Inc. | Caspase inhibitors and the use thereof |
| WO2001016093A1 (en) | 1999-08-27 | 2001-03-08 | Cytovia, Inc. | SUBSTITUTED α-HYDROXY ACID CASPASE INHIBITORS AND THE USE THEREOF |
| US6566338B1 (en) | 1999-10-12 | 2003-05-20 | Cytovia, Inc. | Caspase inhibitors for the treatment and prevention of chemotherapy and radiation therapy induced cell death |
| US6689784B2 (en) | 2000-03-29 | 2004-02-10 | Vertex Pharmaceuticals Incorporated | Carbamate caspase inhibitors and uses thereof |
| PE20011350A1 (en) | 2000-05-19 | 2002-01-15 | Vertex Pharma | PROPHARMAC OF AN INHIBITOR OF INTERLEUKIN-1ß CONVERTER ENZYME (ICE) |
| US6800619B2 (en) * | 2000-09-13 | 2004-10-05 | Vertex Pharmaceuticals Incorporated | Caspase inhibitors and uses thereof |
| FR2815541B1 (en) * | 2000-10-24 | 2008-02-29 | Lipha | USE OF PERICYTE APOPTOSIS INHIBITORS FOR THE TREATMENT AND / OR PREVENTION OF DIABETIC RETINOPATHY |
| SI1355668T1 (en) * | 2001-01-29 | 2008-06-30 | Serono Lab | Use of il-18 inhibitors for the treatment and/or prevention of heart disease |
| DE60229114D1 (en) * | 2001-03-02 | 2008-11-13 | Axys Pharm Inc | Cathepsincystein-proteasehemmer |
| WO2002085899A1 (en) | 2001-04-19 | 2002-10-31 | Vertex Pharmaceuticals Incorporated | Heterocyclyldicarbamides as caspase inhibitors |
| KR100446961B1 (en) * | 2001-10-09 | 2004-09-01 | 주식회사 엘지생명과학 | Method and composition of culture medium for the ex vivo expansion of hematopoietic stem cell using caspase inhibitors |
| WO2003072528A2 (en) * | 2002-02-08 | 2003-09-04 | Idun Pharmaceuticals, Inc. | (substituted)acyl dipeptidyl inhibitors of the ice/ced-3 family of cysteine proteases |
| AU2003211052A1 (en) * | 2002-02-11 | 2003-09-04 | Vertex Pharmaceuticals Incorporated | Phospholipids as caspase inhibitor prodrugs |
| GB0208579D0 (en) * | 2002-04-13 | 2002-05-22 | British Biotech Pharm | Antibacterial agents |
| EP1499898A2 (en) | 2002-04-19 | 2005-01-26 | Vertex Pharmaceuticals Incorporated | Regulation of tnf-alpha |
| WO2003093240A1 (en) * | 2002-04-30 | 2003-11-13 | Yungjin Pharmaceutical Co., Ltd. | Quinoline derivatives as caspase-3 inhibitor, preparation for producing the same and pharmaceutical composition comprising the same |
| US7195884B2 (en) * | 2002-07-19 | 2007-03-27 | Promega Corp. | Methods and kits for transferases |
| WO2004032750A1 (en) * | 2002-10-10 | 2004-04-22 | Becton Dickinson And Company | Sample collection system with caspase inhibitor |
| PE20050159A1 (en) * | 2003-05-27 | 2005-04-19 | Vertex Pharma | DERIVATIVES OF 3- [2- (3-AMINO-2-OXO-2H-PYRIDIN-1-IL) -ACETILAMINO] -4-OXO-PENTANOICO AS CASPASE INHIBITORS |
| US20090232866A1 (en) * | 2003-10-07 | 2009-09-17 | Mariann Pavone-Gyongyosi | Oligopeptides as coating material for medical products |
| US7297714B2 (en) | 2003-10-21 | 2007-11-20 | Irm Llc | Inhibitors of cathepsin S |
| AU2005249503B2 (en) | 2003-11-10 | 2011-08-25 | Vertex Pharmaceuticals Incorporated | ICE inhibitors for the treatment of autoinflammatory diseases |
| JP2007522150A (en) * | 2004-02-05 | 2007-08-09 | ザ ジェネラル ホスピタル コーポレーション | Protease inhibitors for wrinkle treatment |
| JP4898658B2 (en) * | 2004-03-12 | 2012-03-21 | バーテックス ファーマシューティカルズ インコーポレイテッド | Methods and intermediates for the preparation of aspartate acetal caspase inhibitors |
| CN102362867A (en) | 2004-05-15 | 2012-02-29 | 沃泰克斯药物股份有限公司 | Treating seizures using ice inhibitors |
| PT1796660T (en) * | 2004-09-17 | 2017-02-13 | Biomas Ltd | Use of ammonium trichloro(dioxyethylene-o,o')tellurate (as101) for the inhibition of interleukin-1beta-converting enzyme |
| ATE543803T1 (en) | 2004-11-24 | 2012-02-15 | Vertex Pharma | 3-Ä2-(3-AZYLAMINO-2-OXO-2H-PYRIDINE-1-YL)ACETYLAMINOÜ-4-OXOPENTANIC ACID DERIVATIVES AND THEIR USE AS CASPASE INHIBITORS |
| AU2007329539A1 (en) * | 2006-12-01 | 2008-06-12 | George Mason University | Inhibition of brain enzymes involved in cerebral amyloid angiopathy and macular degeneration |
| CN101544688B (en) * | 2009-05-06 | 2012-09-19 | 河北科技大学 | Cyclic pentapeptide cell apoptosis enzyme inhibitor and preparation method thereof |
| US20110165143A1 (en) * | 2010-01-06 | 2011-07-07 | The Regents Of The University Of Colorado, A Body Corporate | Modulation of caspases and therapeutical applications |
| EP2635906A4 (en) | 2010-11-05 | 2014-04-02 | Univ Brandeis | ICE-INHIBITING COMPOUNDS AND ITS USES |
| US10981961B2 (en) * | 2013-03-11 | 2021-04-20 | University Of Florida Research Foundation, Incorporated | Delivery of card protein as therapy for occular inflammation |
| EP3107939B1 (en) | 2014-02-19 | 2020-06-17 | University of Florida Research Foundation, Inc. | Delivery of nrf2 as therapy for protection against reactive oxygen species |
| EP3116898B1 (en) | 2014-03-11 | 2022-01-26 | University of Florida Research Foundation, Inc. | Aav-expressed m013 protein as an anti-inflammatroy therapeutic for use in a method of treating inflammatory ocular disease |
| CN107207421B (en) * | 2015-02-25 | 2021-04-20 | 豪夫迈·罗氏有限公司 | New trifluoromethylpropionamide derivatives |
| CN106317161B (en) * | 2015-06-29 | 2020-05-15 | 深圳翰宇药业股份有限公司 | Preparation method of fluoromethyl ketone peptide series compounds |
| CN108699105A (en) | 2016-03-04 | 2018-10-23 | 豪夫迈·罗氏有限公司 | Novel difluoro keto acyl amine derivative as HTRA1 inhibitor |
| HK1257565A1 (en) * | 2016-03-04 | 2019-10-25 | 豪夫迈‧罗氏有限公司 | New trifluoromethylpropanamide derivatives as htra1 inhibitors |
| CN109415330A (en) * | 2016-07-18 | 2019-03-01 | 豪夫迈·罗氏有限公司 | Novel difluoroketoamide derivatives as HTRA1 inhibitors |
| WO2018036942A1 (en) | 2016-08-23 | 2018-03-01 | F. Hoffmann-La Roche Ag | New difluoroketamide derivatives as htra1 inhibitors |
| JP2019526564A (en) | 2016-08-23 | 2019-09-19 | エフ.ホフマン−ラ ロシュ アーゲーF. Hoffmann−La Roche Aktiengesellschaft | Novel trifluoromethylpropanamide derivatives as HTRA1 inhibitors |
| US12383700B2 (en) | 2019-06-13 | 2025-08-12 | Hollister Incorporated | Reusable urinary catheter products |
| EP4628107A3 (en) | 2019-06-25 | 2025-12-17 | Hollister Incorporated | Reusable urinary catheter products |
| CN114569702B (en) * | 2022-03-07 | 2022-10-18 | 上海揽微赛尔生物科技有限公司 | Pharmaceutical composition containing anti-aging active peptides and stem cells |
Citations (26)
| Publication number | Priority date | Publication date | Assignee | Title |
|---|---|---|---|---|
| US4153688A (en) * | 1977-02-18 | 1979-05-08 | Delalande S.A. | Trifluoromethylated oligopeptides |
| US4518528A (en) * | 1983-05-19 | 1985-05-21 | Rasnick David W | α Amino fluoro ketones |
| US5252463A (en) * | 1990-06-22 | 1993-10-12 | The Du Pont Merck Pharmaceutical Company | Clipsin, a chymotrypsin-like protease and method of using same |
| US5416013A (en) * | 1990-04-04 | 1995-05-16 | Sterling Winthrop Inc. | Interleukin 1β protease and interleukin 1β protease inhibitors |
| US5430128A (en) * | 1992-02-21 | 1995-07-04 | Merck & Co., Inc. | Peptidyl derivatives as inhibitors of interleukin-1β converting enzyme |
| US5434248A (en) * | 1991-06-21 | 1995-07-18 | Merck & Co., Inc. | Peptidyl derivatives as inhibitors of interleukin-1β converting enzyme |
| US5462939A (en) * | 1993-05-07 | 1995-10-31 | Sterling Winthrop Inc. | Peptidic ketones as interleukin-1β-converting enzyme inhibitors |
| US5585357A (en) * | 1993-06-03 | 1996-12-17 | Sanofi Winthrop Inc. | Heteroaryloxymethyl ketones as interleukin-1βconverting enzyme inhibitors |
| US5624672A (en) * | 1993-11-30 | 1997-04-29 | Lxr Biotechnology Inc. | Compositions which inhibit apoptosis, methods of purifying the compositions and uses thereof |
| US5756465A (en) * | 1991-08-30 | 1998-05-26 | Sanofi | Interleukin 1β protease and interleukin 1β protease inhibitors |
| US5843904A (en) * | 1995-12-20 | 1998-12-01 | Vertex Pharmaceuticals, Inc. | Inhibitors of interleukin-1βconverting enzyme |
| US5866545A (en) * | 1993-08-13 | 1999-02-02 | Merck & Co., Inc. | Substituted ketone derivatives as inhibitors of interleukin-1β converting enzyme |
| US5869519A (en) * | 1996-12-16 | 1999-02-09 | Idun Pharmaceuticals, Inc. | C-terminal modified (n-substituted)-2-indolyl dipeptides as inhibitors of the ICE/ced-3 family of cysteine proteases |
| US5871724A (en) * | 1990-06-25 | 1999-02-16 | O.S.I. Pharmaceuticals Inc. | Tissue-derived tumor growth inhibitors, methods of preparation and uses thereof |
| US5877197A (en) * | 1996-12-16 | 1999-03-02 | Karanewsky; Donald S. | C-terminal modified (N-substituted)-2-indolyl dipeptides as inhibitors of the ICE/ced-3 family of cysteine proteases |
| US5932549A (en) * | 1995-09-12 | 1999-08-03 | Warner-Lambert Company | N-substituted glutamic acid derivatives with interleukin-1β converting enzyme inhibitory activity |
| US6153591A (en) * | 1998-03-16 | 2000-11-28 | Cytovia, Inc. | Dipeptide caspase inhibitors and the use thereof |
| US6184210B1 (en) * | 1997-10-10 | 2001-02-06 | Cytovia, Inc. | Dipeptide apoptosis inhibitors and the use thereof |
| US6184244B1 (en) * | 1996-12-16 | 2001-02-06 | Idun Pharmaceuticals, Inc. | C-terminal modified (N-substituted)-2-indolyl dipeptides as inhibitors of the ICE/ced-3 family of cysteine proteases |
| US6201118B1 (en) * | 1998-08-19 | 2001-03-13 | Vertex Pharmaceuticals Inc. | Process for forming an N-acylated, N,N-containing bicyclic ring from piperazic acid or an ester thereof especially useful as an intermediate in the manufacture of a caspase inhibitor |
| US6200969B1 (en) * | 1996-09-12 | 2001-03-13 | Idun Pharmaceuticals, Inc. | Inhibition of apoptosis using interleukin-1β-converting enzyme (ICE)/CED-3 family inhibitors |
| US6242422B1 (en) * | 1998-10-22 | 2001-06-05 | Idun Pharmacueticals, Inc. | (Substituted)Acyl dipeptidyl inhibitors of the ice/ced-3 family of cysteine proteases |
| US6355618B1 (en) * | 1999-04-09 | 2002-03-12 | Cytovia, Inc. | Caspase inhibitors and the use thereof |
| US6495522B1 (en) * | 1999-08-27 | 2002-12-17 | Cytovia, Inc. | Substituted alpha-hydroxy acid caspase inhibitors and the use thereof |
| US6566338B1 (en) * | 1999-10-12 | 2003-05-20 | Cytovia, Inc. | Caspase inhibitors for the treatment and prevention of chemotherapy and radiation therapy induced cell death |
| US6620782B1 (en) * | 1999-03-16 | 2003-09-16 | Cytovia, Inc. | Substituted 2-aminobenzamide caspase inhibitors and the use thereof |
Family Cites Families (21)
| Publication number | Priority date | Publication date | Assignee | Title |
|---|---|---|---|---|
| GB9123326D0 (en) * | 1991-11-04 | 1991-12-18 | Sandoz Ltd | Improvements in or relating to organic compounds |
| EP0618223A3 (en) | 1993-03-08 | 1996-06-12 | Sandoz Ltd | Peptides inhibit the release of interleukin 1-beta useful as anti-inflammatory agents. |
| US6087160A (en) | 1993-06-24 | 2000-07-11 | The General Hospital Corporation | Programmed cell death genes and proteins |
| US5565430A (en) | 1994-08-02 | 1996-10-15 | Sterling Winthrop Inc. | Azaaspartic acid analogs as interleukin-1β converting enzyme inhibitors |
| US5798442A (en) | 1995-04-21 | 1998-08-25 | Merck Frosst Canada, Inc. | Peptidyl derivatives as inhibitors of pro-apoptotic cysteine proteinases |
| EP0929311B8 (en) | 1996-09-12 | 2006-02-01 | Idun Pharmaceuticals, Inc. | INHIBITION OF APOPTOSIS USING INTERLEUKIN-1 beta-CONVERTING ENZYME (ICE)/CED-3 FAMILY INHIBITORS |
| ATE215953T1 (en) | 1996-09-12 | 2002-04-15 | Idun Pharmaceuticals Inc | NEW TRICYCLIC COMPOUNDS WITH ICE/CED-3 PROTEASE FAMILY INHIBITING PROPERTIES |
| JP2001506974A (en) * | 1996-10-11 | 2001-05-29 | ワーナー―ランバート・コンパニー | Aspartate ester inhibitor of interleukin-1β converting enzyme |
| EP0998300A1 (en) | 1997-03-18 | 2000-05-10 | Basf Aktiengesellschaft | Methods and compositions for modulating responsiveness to corticosteroids |
| JPH111491A (en) | 1997-04-18 | 1999-01-06 | Takeda Chem Ind Ltd | Peptide and agent thereof |
| WO1999018781A1 (en) * | 1997-10-10 | 1999-04-22 | Cytovia, Inc. | Dipeptide apoptosis inhibitors and the use thereof |
| JPH11180891A (en) | 1997-12-25 | 1999-07-06 | Dai Ichi Seiyaku Co Ltd | Anti-cell death agent |
| CN1308542A (en) | 1998-05-05 | 2001-08-15 | 沃纳-兰伯特公司 | Succinamide Inhibitors of Interleukin-1β Converting Enzyme |
| US6197750B1 (en) | 1998-07-02 | 2001-03-06 | Idun Pharmaceuticals, Inc. | C-terminal modified oxamyl dipeptides as inhibitors of the ICE/ced-3 family of cysteine proteases |
| CA2353079A1 (en) | 1998-12-02 | 2000-06-08 | Merck Frosst Canada Inc. | Gamma-ketoacid tetrapeptides as inhibitors of caspase-3 |
| AU765462B2 (en) * | 1999-03-16 | 2003-09-18 | Merck Frosst Canada & Co. | Gamma-ketoacid dipeptides as inhibitors of caspase-3 |
| WO2001010383A2 (en) | 1999-08-06 | 2001-02-15 | Vertex Pharmaceuticals Incorporated | Caspase inhibitors and uses thereof |
| AR026748A1 (en) | 1999-12-08 | 2003-02-26 | Vertex Pharma | A CASPASE INHIBITING COMPOUND, A PHARMACEUTICAL COMPOSITION THAT INCLUDES IT, A METHOD FOR THE SYNTHESIS OF THE SAME AND AN INTERMEDIATE COMPOUND PARADICHA SYNTHESIS |
| US6689784B2 (en) | 2000-03-29 | 2004-02-10 | Vertex Pharmaceuticals Incorporated | Carbamate caspase inhibitors and uses thereof |
| KR20020025959A (en) | 2000-05-23 | 2002-04-04 | 버텍스 파마슈티칼스 인코포레이티드 | Caspase inhibitors and uses thereof |
| AU7527901A (en) | 2000-06-07 | 2001-12-17 | Vertex Pharma | Caspase inhibitors and uses thereof |
-
2000
- 2000-04-07 AU AU42135/00A patent/AU4213500A/en not_active Abandoned
- 2000-04-07 AT AT00921874T patent/ATE363465T1/en not_active IP Right Cessation
- 2000-04-07 BR BR0009610-5A patent/BR0009610A/en not_active Application Discontinuation
- 2000-04-07 EP EP00921874A patent/EP1177168B1/en not_active Expired - Lifetime
- 2000-04-07 CN CNB008070202A patent/CN1176941C/en not_active Expired - Fee Related
- 2000-04-07 MX MXPA01010127A patent/MXPA01010127A/en unknown
- 2000-04-07 JP JP2000610819A patent/JP2002541237A/en active Pending
- 2000-04-07 US US09/545,565 patent/US6355618B1/en not_active Expired - Fee Related
- 2000-04-07 KR KR1020017012879A patent/KR20020005665A/en not_active Withdrawn
- 2000-04-07 DE DE60035037T patent/DE60035037T2/en not_active Expired - Fee Related
- 2000-04-07 WO PCT/US2000/009319 patent/WO2000061542A1/en not_active Ceased
- 2000-04-07 CA CA002369619A patent/CA2369619A1/en not_active Abandoned
-
2001
- 2001-11-14 US US09/987,417 patent/US6716818B2/en not_active Expired - Fee Related
-
2003
- 2003-11-26 US US10/721,338 patent/US20040116355A1/en not_active Abandoned
Patent Citations (32)
| Publication number | Priority date | Publication date | Assignee | Title |
|---|---|---|---|---|
| US4153688A (en) * | 1977-02-18 | 1979-05-08 | Delalande S.A. | Trifluoromethylated oligopeptides |
| US4518528A (en) * | 1983-05-19 | 1985-05-21 | Rasnick David W | α Amino fluoro ketones |
| US6136787A (en) * | 1990-04-04 | 2000-10-24 | Vertex Pharmaceuticals Incorporated | Interleukin 1β protease and interleukin 1β protease inhibitors |
| US5416013A (en) * | 1990-04-04 | 1995-05-16 | Sterling Winthrop Inc. | Interleukin 1β protease and interleukin 1β protease inhibitors |
| US5252463A (en) * | 1990-06-22 | 1993-10-12 | The Du Pont Merck Pharmaceutical Company | Clipsin, a chymotrypsin-like protease and method of using same |
| US5871724A (en) * | 1990-06-25 | 1999-02-16 | O.S.I. Pharmaceuticals Inc. | Tissue-derived tumor growth inhibitors, methods of preparation and uses thereof |
| US5434248A (en) * | 1991-06-21 | 1995-07-18 | Merck & Co., Inc. | Peptidyl derivatives as inhibitors of interleukin-1β converting enzyme |
| US5756465A (en) * | 1991-08-30 | 1998-05-26 | Sanofi | Interleukin 1β protease and interleukin 1β protease inhibitors |
| US5430128A (en) * | 1992-02-21 | 1995-07-04 | Merck & Co., Inc. | Peptidyl derivatives as inhibitors of interleukin-1β converting enzyme |
| US5462939A (en) * | 1993-05-07 | 1995-10-31 | Sterling Winthrop Inc. | Peptidic ketones as interleukin-1β-converting enzyme inhibitors |
| US5585357A (en) * | 1993-06-03 | 1996-12-17 | Sanofi Winthrop Inc. | Heteroaryloxymethyl ketones as interleukin-1βconverting enzyme inhibitors |
| US5677283A (en) * | 1993-06-03 | 1997-10-14 | Sanofi | α-heteroaryloxymethyl ketones as interleukin - 1 β converting enzyme inhibitors |
| US5866545A (en) * | 1993-08-13 | 1999-02-02 | Merck & Co., Inc. | Substituted ketone derivatives as inhibitors of interleukin-1β converting enzyme |
| US5624672A (en) * | 1993-11-30 | 1997-04-29 | Lxr Biotechnology Inc. | Compositions which inhibit apoptosis, methods of purifying the compositions and uses thereof |
| US5635187A (en) * | 1993-11-30 | 1997-06-03 | Lxr Biotechnology Inc. | Compositions which inhibit apoptosis, methods of purifying the compositions and uses thereof |
| US5635186A (en) * | 1993-11-30 | 1997-06-03 | Lxr Biotechnology Inc. | Compositions which inhibit apoptosis, methods of purifying the compositions and uses thereof |
| US5932549A (en) * | 1995-09-12 | 1999-08-03 | Warner-Lambert Company | N-substituted glutamic acid derivatives with interleukin-1β converting enzyme inhibitory activity |
| US5843904A (en) * | 1995-12-20 | 1998-12-01 | Vertex Pharmaceuticals, Inc. | Inhibitors of interleukin-1βconverting enzyme |
| US6200969B1 (en) * | 1996-09-12 | 2001-03-13 | Idun Pharmaceuticals, Inc. | Inhibition of apoptosis using interleukin-1β-converting enzyme (ICE)/CED-3 family inhibitors |
| US6184244B1 (en) * | 1996-12-16 | 2001-02-06 | Idun Pharmaceuticals, Inc. | C-terminal modified (N-substituted)-2-indolyl dipeptides as inhibitors of the ICE/ced-3 family of cysteine proteases |
| US5877197A (en) * | 1996-12-16 | 1999-03-02 | Karanewsky; Donald S. | C-terminal modified (N-substituted)-2-indolyl dipeptides as inhibitors of the ICE/ced-3 family of cysteine proteases |
| US5869519A (en) * | 1996-12-16 | 1999-02-09 | Idun Pharmaceuticals, Inc. | C-terminal modified (n-substituted)-2-indolyl dipeptides as inhibitors of the ICE/ced-3 family of cysteine proteases |
| US6184210B1 (en) * | 1997-10-10 | 2001-02-06 | Cytovia, Inc. | Dipeptide apoptosis inhibitors and the use thereof |
| US6596693B1 (en) * | 1997-10-10 | 2003-07-22 | Cytovia, Inc. | Dipeptide apoptosis inhibitors and the thereof |
| US6153591A (en) * | 1998-03-16 | 2000-11-28 | Cytovia, Inc. | Dipeptide caspase inhibitors and the use thereof |
| US6201118B1 (en) * | 1998-08-19 | 2001-03-13 | Vertex Pharmaceuticals Inc. | Process for forming an N-acylated, N,N-containing bicyclic ring from piperazic acid or an ester thereof especially useful as an intermediate in the manufacture of a caspase inhibitor |
| US6242422B1 (en) * | 1998-10-22 | 2001-06-05 | Idun Pharmacueticals, Inc. | (Substituted)Acyl dipeptidyl inhibitors of the ice/ced-3 family of cysteine proteases |
| US6620782B1 (en) * | 1999-03-16 | 2003-09-16 | Cytovia, Inc. | Substituted 2-aminobenzamide caspase inhibitors and the use thereof |
| US6355618B1 (en) * | 1999-04-09 | 2002-03-12 | Cytovia, Inc. | Caspase inhibitors and the use thereof |
| US6716818B2 (en) * | 1999-04-09 | 2004-04-06 | Cytovia, Inc. | Caspase inhibitors and the use thereof |
| US6495522B1 (en) * | 1999-08-27 | 2002-12-17 | Cytovia, Inc. | Substituted alpha-hydroxy acid caspase inhibitors and the use thereof |
| US6566338B1 (en) * | 1999-10-12 | 2003-05-20 | Cytovia, Inc. | Caspase inhibitors for the treatment and prevention of chemotherapy and radiation therapy induced cell death |
Cited By (8)
| Publication number | Priority date | Publication date | Assignee | Title |
|---|---|---|---|---|
| US20030208037A1 (en) * | 1998-07-21 | 2003-11-06 | Cytovia, Inc. | Novel fluorescence dyes and their applications for whole-cell fluorescence screening assays for caspases, peptidases, proteases and other enzymes and the use thereof |
| US6984718B2 (en) | 1998-07-21 | 2006-01-10 | Cytovia, Inc. | Fluorescence dyes and their applications for whole-cell fluorescence screening assays for caspases, peptidases, proteases and other enzymes and the use thereof |
| US20050171023A1 (en) * | 2002-04-05 | 2005-08-04 | Cai Sui X. | Caspase inhibitors for the treatment of diseases and conditions caused by exposure to radionuclides, biological agents, or chemical agents |
| US20080300191A1 (en) * | 2003-05-06 | 2008-12-04 | Sui Xiong Cai | Protease inhibitors for coronaviruses and sars-cov and the use thereof |
| US7504382B2 (en) | 2003-05-06 | 2009-03-17 | Cytovia, Inc. | Protease inhibitors for coronaviruses and SARS-CoV and the use thereof |
| US9352010B2 (en) | 2011-07-22 | 2016-05-31 | The J. David Gladstone Institutes | Treatment of HIV-1 infection and AIDS |
| US9956260B1 (en) | 2011-07-22 | 2018-05-01 | The J. David Gladstone Institutes | Treatment of HIV-1 infection and AIDS |
| WO2017172476A1 (en) * | 2016-03-28 | 2017-10-05 | The University Of Toledo | Potent inhibitors of aspartate n-acetyl-transferase for the treatment of canavan disease |
Also Published As
| Publication number | Publication date |
|---|---|
| CN1176941C (en) | 2004-11-24 |
| WO2000061542A1 (en) | 2000-10-19 |
| BR0009610A (en) | 2002-02-13 |
| EP1177168B1 (en) | 2007-05-30 |
| MXPA01010127A (en) | 2002-08-20 |
| KR20020005665A (en) | 2002-01-17 |
| JP2002541237A (en) | 2002-12-03 |
| US6716818B2 (en) | 2004-04-06 |
| CA2369619A1 (en) | 2000-10-19 |
| AU4213500A (en) | 2000-11-14 |
| CN1349496A (en) | 2002-05-15 |
| US6355618B1 (en) | 2002-03-12 |
| DE60035037T2 (en) | 2008-01-31 |
| EP1177168A1 (en) | 2002-02-06 |
| US20020058631A1 (en) | 2002-05-16 |
| EP1177168A4 (en) | 2003-06-25 |
| ATE363465T1 (en) | 2007-06-15 |
| DE60035037D1 (en) | 2007-07-12 |
Similar Documents
| Publication | Publication Date | Title |
|---|---|---|
| US6716818B2 (en) | Caspase inhibitors and the use thereof | |
| US6620782B1 (en) | Substituted 2-aminobenzamide caspase inhibitors and the use thereof | |
| US6495522B1 (en) | Substituted alpha-hydroxy acid caspase inhibitors and the use thereof | |
| AU755273B2 (en) | Dipeptide caspase inhibitors and the use thereof | |
| US6949516B2 (en) | Dipeptide apoptosis inhibitors and the use thereof | |
| CA2306692C (en) | Dipeptide apoptosis inhibitors and the use thereof |
Legal Events
| Date | Code | Title | Description |
|---|---|---|---|
| STCB | Information on status: application discontinuation |
Free format text: ABANDONED -- FAILURE TO RESPOND TO AN OFFICE ACTION |





































