US20040102324A1 - Heterocyclic diamide invertebrate pest control agents - Google Patents
Heterocyclic diamide invertebrate pest control agents Download PDFInfo
- Publication number
- US20040102324A1 US20040102324A1 US10/469,263 US46926303A US2004102324A1 US 20040102324 A1 US20040102324 A1 US 20040102324A1 US 46926303 A US46926303 A US 46926303A US 2004102324 A1 US2004102324 A1 US 2004102324A1
- Authority
- US
- United States
- Prior art keywords
- ocf
- socf
- scf
- ome
- och
- Prior art date
- Legal status (The legal status is an assumption and is not a legal conclusion. Google has not performed a legal analysis and makes no representation as to the accuracy of the status listed.)
- Abandoned
Links
- 241000607479 Yersinia pestis Species 0.000 title claims abstract description 23
- 125000000623 heterocyclic group Chemical group 0.000 title claims description 28
- OAKJQQAXSVQMHS-UHFFFAOYSA-N Hydrazine Chemical compound NN OAKJQQAXSVQMHS-UHFFFAOYSA-N 0.000 title 1
- 150000001875 compounds Chemical class 0.000 claims abstract description 161
- 125000001997 phenyl group Chemical group [H]C1=C([H])C([H])=C(*)C([H])=C1[H] 0.000 claims abstract description 44
- 239000000203 mixture Substances 0.000 claims abstract description 42
- 238000000034 method Methods 0.000 claims abstract description 39
- 125000001072 heteroaryl group Chemical group 0.000 claims abstract description 36
- 239000007787 solid Substances 0.000 claims abstract description 29
- 150000001204 N-oxides Chemical class 0.000 claims abstract description 22
- 125000003118 aryl group Chemical group 0.000 claims abstract description 21
- 150000003839 salts Chemical class 0.000 claims abstract description 21
- 125000004122 cyclic group Chemical group 0.000 claims abstract description 20
- 125000004432 carbon atom Chemical group C* 0.000 claims abstract description 14
- 229910052760 oxygen Inorganic materials 0.000 claims abstract description 13
- 229910052717 sulfur Inorganic materials 0.000 claims abstract description 13
- 239000003085 diluting agent Substances 0.000 claims abstract description 8
- 239000007788 liquid Substances 0.000 claims abstract description 4
- 239000004094 surface-active agent Substances 0.000 claims abstract description 4
- 125000002023 trifluoromethyl group Chemical group FC(F)(F)* 0.000 claims description 1487
- 125000002496 methyl group Chemical group [H]C([H])([H])* 0.000 claims description 606
- 125000000956 methoxy group Chemical group [H]C([H])([H])O* 0.000 claims description 488
- 125000000876 trifluoromethoxy group Chemical group FC(F)(F)O* 0.000 claims description 426
- 125000004786 difluoromethoxy group Chemical group [H]C(F)(F)O* 0.000 claims description 340
- 125000001449 isopropyl group Chemical group [H]C([H])([H])C([H])(*)C([H])([H])[H] 0.000 claims description 223
- JCXJVPUVTGWSNB-UHFFFAOYSA-N Nitrogen dioxide Chemical compound O=[N]=O JCXJVPUVTGWSNB-UHFFFAOYSA-N 0.000 claims description 147
- 229910052736 halogen Inorganic materials 0.000 claims description 78
- 150000002367 halogens Chemical group 0.000 claims description 78
- 125000001424 substituent group Chemical group 0.000 claims description 56
- 125000004178 (C1-C4) alkyl group Chemical group 0.000 claims description 48
- JUJWROOIHBZHMG-UHFFFAOYSA-N Pyridine Chemical compound C1=CC=NC=C1 JUJWROOIHBZHMG-UHFFFAOYSA-N 0.000 claims description 37
- 125000004765 (C1-C4) haloalkyl group Chemical group 0.000 claims description 34
- -1 and R9 is H Chemical group 0.000 claims description 33
- 125000004453 alkoxycarbonyl group Chemical group 0.000 claims description 31
- 125000000229 (C1-C4)alkoxy group Chemical group 0.000 claims description 30
- 125000005913 (C3-C6) cycloalkyl group Chemical group 0.000 claims description 29
- 125000004169 (C1-C6) alkyl group Chemical group 0.000 claims description 28
- 125000004206 2,2,2-trifluoroethyl group Chemical group [H]C([H])(*)C(F)(F)F 0.000 claims description 28
- 125000004414 alkyl thio group Chemical group 0.000 claims description 28
- 125000004768 (C1-C4) alkylsulfinyl group Chemical group 0.000 claims description 25
- 125000004769 (C1-C4) alkylsulfonyl group Chemical group 0.000 claims description 25
- 125000006310 cycloalkyl amino group Chemical group 0.000 claims description 25
- 125000004767 (C1-C4) haloalkoxy group Chemical group 0.000 claims description 24
- 229910052794 bromium Inorganic materials 0.000 claims description 24
- 229910052801 chlorine Inorganic materials 0.000 claims description 24
- RAXXELZNTBOGNW-UHFFFAOYSA-N imidazole Natural products C1=CNC=N1 RAXXELZNTBOGNW-UHFFFAOYSA-N 0.000 claims description 24
- 125000004448 alkyl carbonyl group Chemical group 0.000 claims description 23
- 125000000217 alkyl group Chemical group 0.000 claims description 21
- IJGRMHOSHXDMSA-UHFFFAOYSA-N nitrogen Substances N#N IJGRMHOSHXDMSA-UHFFFAOYSA-N 0.000 claims description 21
- 125000003282 alkyl amino group Chemical group 0.000 claims description 20
- 125000004429 atom Chemical group 0.000 claims description 20
- 125000004663 dialkyl amino group Chemical group 0.000 claims description 20
- 125000000882 C2-C6 alkenyl group Chemical group 0.000 claims description 19
- 125000003601 C2-C6 alkynyl group Chemical group 0.000 claims description 19
- 229910052799 carbon Inorganic materials 0.000 claims description 19
- UMJSCPRVCHMLSP-UHFFFAOYSA-N pyridine Natural products COC1=CC=CN=C1 UMJSCPRVCHMLSP-UHFFFAOYSA-N 0.000 claims description 18
- 125000004793 2,2,2-trifluoroethoxy group Chemical group FC(CO*)(F)F 0.000 claims description 17
- 125000000232 haloalkynyl group Chemical group 0.000 claims description 17
- 125000004995 haloalkylthio group Chemical group 0.000 claims description 15
- 229910052757 nitrogen Inorganic materials 0.000 claims description 15
- 125000004473 dialkylaminocarbonyl group Chemical group 0.000 claims description 14
- 125000004665 trialkylsilyl group Chemical group 0.000 claims description 14
- 125000004457 alkyl amino carbonyl group Chemical group 0.000 claims description 13
- 125000004441 haloalkylsulfonyl group Chemical group 0.000 claims description 13
- 125000005347 halocycloalkyl group Chemical group 0.000 claims description 13
- 125000004771 (C1-C4) haloalkylsulfinyl group Chemical group 0.000 claims description 12
- 125000000171 (C1-C6) haloalkyl group Chemical group 0.000 claims description 12
- 125000002924 primary amino group Chemical group [H]N([H])* 0.000 claims description 12
- OKTJSMMVPCPJKN-UHFFFAOYSA-N Carbon Chemical compound [C] OKTJSMMVPCPJKN-UHFFFAOYSA-N 0.000 claims description 11
- WTKZEGDFNFYCGP-UHFFFAOYSA-N Pyrazole Chemical compound C=1C=NNC=1 WTKZEGDFNFYCGP-UHFFFAOYSA-N 0.000 claims description 11
- 125000003236 benzoyl group Chemical group [H]C1=C([H])C([H])=C(C([H])=C1[H])C(*)=O 0.000 claims description 11
- 125000000951 phenoxy group Chemical group [H]C1=C([H])C([H])=C(O*)C([H])=C1[H] 0.000 claims description 11
- 125000003545 alkoxy group Chemical group 0.000 claims description 10
- 125000000262 haloalkenyl group Chemical group 0.000 claims description 10
- 229910052739 hydrogen Inorganic materials 0.000 claims description 10
- 125000001797 benzyl group Chemical group [H]C1=C([H])C([H])=C(C([H])=C1[H])C([H])([H])* 0.000 claims description 9
- 150000003852 triazoles Chemical class 0.000 claims description 9
- 125000006656 (C2-C4) alkenyl group Chemical group 0.000 claims description 8
- 125000006650 (C2-C4) alkynyl group Chemical group 0.000 claims description 8
- JNCMHMUGTWEVOZ-UHFFFAOYSA-N F[CH]F Chemical group F[CH]F JNCMHMUGTWEVOZ-UHFFFAOYSA-N 0.000 claims description 8
- 229910052740 iodine Inorganic materials 0.000 claims description 8
- 125000006643 (C2-C6) haloalkenyl group Chemical group 0.000 claims description 7
- 125000004183 alkoxy alkyl group Chemical group 0.000 claims description 7
- 239000003795 chemical substances by application Substances 0.000 claims description 7
- 125000002837 carbocyclic group Chemical group 0.000 claims description 6
- 125000001495 ethyl group Chemical group [H]C([H])([H])C([H])([H])* 0.000 claims description 6
- 125000002915 carbonyl group Chemical group [*:2]C([*:1])=O 0.000 claims description 5
- 125000000714 pyrimidinyl group Chemical group 0.000 claims description 5
- NINIDFKCEFEMDL-UHFFFAOYSA-N Sulfur Chemical compound [S] NINIDFKCEFEMDL-UHFFFAOYSA-N 0.000 claims description 4
- 125000003342 alkenyl group Chemical group 0.000 claims description 4
- 125000000304 alkynyl group Chemical group 0.000 claims description 4
- QVGXLLKOCUKJST-UHFFFAOYSA-N atomic oxygen Chemical compound [O] QVGXLLKOCUKJST-UHFFFAOYSA-N 0.000 claims description 4
- 125000000484 butyl group Chemical group [H]C([*])([H])C([H])([H])C([H])([H])C([H])([H])[H] 0.000 claims description 4
- QJGQUHMNIGDVPM-UHFFFAOYSA-N nitrogen group Chemical group [N] QJGQUHMNIGDVPM-UHFFFAOYSA-N 0.000 claims description 4
- 239000001301 oxygen Substances 0.000 claims description 4
- 239000011593 sulfur Substances 0.000 claims description 4
- QICRVGIQYXIENZ-UHFFFAOYSA-N 1-methyl-n-propan-2-yl-5-[[4-(trifluoromethyl)benzoyl]amino]pyrazole-4-carboxamide Chemical compound C1=NN(C)C(NC(=O)C=2C=CC(=CC=2)C(F)(F)F)=C1C(=O)NC(C)C QICRVGIQYXIENZ-UHFFFAOYSA-N 0.000 claims description 3
- 125000003178 carboxy group Chemical group [H]OC(*)=O 0.000 claims description 3
- 229910052731 fluorine Inorganic materials 0.000 claims description 3
- KDKDWDWJRJMSEZ-UHFFFAOYSA-N 2,6-dichloro-3-[[2-(3-chloropyridin-2-yl)-5-(trifluoromethyl)pyrazole-3-carbonyl]amino]-n-propan-2-ylpyridine-4-carboxamide Chemical compound CC(C)NC(=O)C1=CC(Cl)=NC(Cl)=C1NC(=O)C1=CC(C(F)(F)F)=NN1C1=NC=CC=C1Cl KDKDWDWJRJMSEZ-UHFFFAOYSA-N 0.000 claims description 2
- CVAPINKEPQWOTN-UHFFFAOYSA-N 3-[[5-bromo-2-(3-chloropyridin-2-yl)pyrazole-3-carbonyl]amino]-2,6-dichloro-n-methylpyridine-4-carboxamide Chemical compound CNC(=O)C1=CC(Cl)=NC(Cl)=C1NC(=O)C1=CC(Br)=NN1C1=NC=CC=C1Cl CVAPINKEPQWOTN-UHFFFAOYSA-N 0.000 claims description 2
- HWHFAMMCHIUXMX-UHFFFAOYSA-N 3-[[5-bromo-2-(3-chloropyridin-2-yl)pyrazole-3-carbonyl]amino]-4,6-dichloro-n-methylpyridine-2-carboxamide Chemical compound CNC(=O)C1=NC(Cl)=CC(Cl)=C1NC(=O)C1=CC(Br)=NN1C1=NC=CC=C1Cl HWHFAMMCHIUXMX-UHFFFAOYSA-N 0.000 claims description 2
- PYSDFRZYHSFJOF-UHFFFAOYSA-N 3-[[5-bromo-2-(3-chloropyridin-2-yl)pyrazole-3-carbonyl]amino]-6-chloro-n,4-dimethylpyridine-2-carboxamide Chemical compound CNC(=O)C1=NC(Cl)=CC(C)=C1NC(=O)C1=CC(Br)=NN1C1=NC=CC=C1Cl PYSDFRZYHSFJOF-UHFFFAOYSA-N 0.000 claims description 2
- NBCLRHBRYBGSCK-UHFFFAOYSA-N 3-[[5-bromo-2-(3-chloropyridin-2-yl)pyrazole-3-carbonyl]amino]-n,n,2,6-tetramethylpyridine-4-carboxamide Chemical compound CN(C)C(=O)C1=CC(C)=NC(C)=C1NC(=O)C1=CC(Br)=NN1C1=NC=CC=C1Cl NBCLRHBRYBGSCK-UHFFFAOYSA-N 0.000 claims description 2
- GFAWXAANAFPAAT-UHFFFAOYSA-N 4-[[5-bromo-2-(3-chloropyridin-2-yl)pyrazole-3-carbonyl]amino]-5-chloro-n-methylpyridine-3-carboxamide Chemical compound CNC(=O)C1=CN=CC(Cl)=C1NC(=O)C1=CC(Br)=NN1C1=NC=CC=C1Cl GFAWXAANAFPAAT-UHFFFAOYSA-N 0.000 claims description 2
- GXBAERZEWFOIGS-UHFFFAOYSA-N 4-methyl-3-[[2-methyl-4-(trifluoromethyl)benzoyl]amino]-n-propan-2-ylthiophene-2-carboxamide Chemical compound S1C=C(C)C(NC(=O)C=2C(=CC(=CC=2)C(F)(F)F)C)=C1C(=O)NC(C)C GXBAERZEWFOIGS-UHFFFAOYSA-N 0.000 claims description 2
- 125000002853 C1-C4 hydroxyalkyl group Chemical group 0.000 claims description 2
- 125000003917 carbamoyl group Chemical group [H]N([H])C(*)=O 0.000 claims description 2
- 125000002147 dimethylamino group Chemical group [H]C([H])([H])N(*)C([H])([H])[H] 0.000 claims description 2
- 125000002887 hydroxy group Chemical group [H]O* 0.000 claims 4
- MEGAUQMOZFNOJC-UHFFFAOYSA-N 2,5-dimethylpyrimidine-4-carboxamide Chemical compound CC1=NC=C(C)C(C(N)=O)=N1 MEGAUQMOZFNOJC-UHFFFAOYSA-N 0.000 claims 1
- 239000000460 chlorine Substances 0.000 description 2352
- 125000000999 tert-butyl group Chemical group [H]C([H])([H])C(*)(C([H])([H])[H])C([H])([H])[H] 0.000 description 201
- XEKOWRVHYACXOJ-UHFFFAOYSA-N Ethyl acetate Chemical compound CCOC(C)=O XEKOWRVHYACXOJ-UHFFFAOYSA-N 0.000 description 60
- HEDRZPFGACZZDS-MICDWDOJSA-N Trichloro(2H)methane Chemical compound [2H]C(Cl)(Cl)Cl HEDRZPFGACZZDS-MICDWDOJSA-N 0.000 description 38
- 238000002360 preparation method Methods 0.000 description 30
- YMWUJEATGCHHMB-UHFFFAOYSA-N Dichloromethane Chemical compound ClCCl YMWUJEATGCHHMB-UHFFFAOYSA-N 0.000 description 27
- ZMANZCXQSJIPKH-UHFFFAOYSA-N Triethylamine Chemical compound CCN(CC)CC ZMANZCXQSJIPKH-UHFFFAOYSA-N 0.000 description 24
- 238000005160 1H NMR spectroscopy Methods 0.000 description 23
- 239000002904 solvent Substances 0.000 description 23
- LFQSCWFLJHTTHZ-UHFFFAOYSA-N Ethanol Chemical compound CCO LFQSCWFLJHTTHZ-UHFFFAOYSA-N 0.000 description 20
- VLKZOEOYAKHREP-UHFFFAOYSA-N n-Hexane Chemical class CCCCCC VLKZOEOYAKHREP-UHFFFAOYSA-N 0.000 description 20
- 238000006243 chemical reaction Methods 0.000 description 19
- 238000003786 synthesis reaction Methods 0.000 description 18
- HEMHJVSKTPXQMS-UHFFFAOYSA-M sodium hydroxide Inorganic materials [OH-].[Na+] HEMHJVSKTPXQMS-UHFFFAOYSA-M 0.000 description 17
- XLYOFNOQVPJJNP-UHFFFAOYSA-N water Substances O XLYOFNOQVPJJNP-UHFFFAOYSA-N 0.000 description 17
- ZMXDDKWLCZADIW-UHFFFAOYSA-N N,N-Dimethylformamide Chemical compound CN(C)C=O ZMXDDKWLCZADIW-UHFFFAOYSA-N 0.000 description 16
- 239000000047 product Substances 0.000 description 16
- 230000015572 biosynthetic process Effects 0.000 description 15
- 239000011541 reaction mixture Substances 0.000 description 15
- 239000000243 solution Substances 0.000 description 15
- YXFVVABEGXRONW-UHFFFAOYSA-N Toluene Chemical compound CC1=CC=CC=C1 YXFVVABEGXRONW-UHFFFAOYSA-N 0.000 description 12
- 150000003217 pyrazoles Chemical class 0.000 description 12
- 125000001188 haloalkyl group Chemical group 0.000 description 11
- WYURNTSHIVDZCO-UHFFFAOYSA-N Tetrahydrofuran Chemical compound C1CCOC1 WYURNTSHIVDZCO-UHFFFAOYSA-N 0.000 description 10
- 239000012044 organic layer Substances 0.000 description 10
- VEXZGXHMUGYJMC-UHFFFAOYSA-N Hydrochloric acid Chemical compound Cl VEXZGXHMUGYJMC-UHFFFAOYSA-N 0.000 description 9
- VYPSYNLAJGMNEJ-UHFFFAOYSA-N Silicium dioxide Chemical compound O=[Si]=O VYPSYNLAJGMNEJ-UHFFFAOYSA-N 0.000 description 9
- PMZURENOXWZQFD-UHFFFAOYSA-L Sodium Sulfate Chemical compound [Na+].[Na+].[O-]S([O-])(=O)=O PMZURENOXWZQFD-UHFFFAOYSA-L 0.000 description 9
- 239000002253 acid Substances 0.000 description 9
- 125000004435 hydrogen atom Chemical class [H]* 0.000 description 9
- 125000004356 hydroxy functional group Chemical group O* 0.000 description 9
- 229910052938 sodium sulfate Inorganic materials 0.000 description 9
- 235000011152 sodium sulphate Nutrition 0.000 description 9
- 230000009466 transformation Effects 0.000 description 9
- RTZKZFJDLAIYFH-UHFFFAOYSA-N Diethyl ether Chemical compound CCOCC RTZKZFJDLAIYFH-UHFFFAOYSA-N 0.000 description 8
- YTPLMLYBLZKORZ-UHFFFAOYSA-N Divinylene sulfide Natural products C=1C=CSC=1 YTPLMLYBLZKORZ-UHFFFAOYSA-N 0.000 description 8
- CSNNHWWHGAXBCP-UHFFFAOYSA-L Magnesium sulfate Chemical compound [Mg+2].[O-][S+2]([O-])([O-])[O-] CSNNHWWHGAXBCP-UHFFFAOYSA-L 0.000 description 8
- KWYUFKZDYYNOTN-UHFFFAOYSA-M Potassium hydroxide Chemical compound [OH-].[K+] KWYUFKZDYYNOTN-UHFFFAOYSA-M 0.000 description 8
- 235000019441 ethanol Nutrition 0.000 description 8
- 239000001257 hydrogen Substances 0.000 description 8
- 238000003820 Medium-pressure liquid chromatography Methods 0.000 description 7
- CZPWVGJYEJSRLH-UHFFFAOYSA-N Pyrimidine Chemical compound C1=CN=CN=C1 CZPWVGJYEJSRLH-UHFFFAOYSA-N 0.000 description 7
- 239000002585 base Substances 0.000 description 7
- 239000010410 layer Substances 0.000 description 7
- 239000000463 material Substances 0.000 description 7
- WFDIJRYMOXRFFG-UHFFFAOYSA-N Acetic anhydride Chemical compound CC(=O)OC(C)=O WFDIJRYMOXRFFG-UHFFFAOYSA-N 0.000 description 6
- WEVYAHXRMPXWCK-UHFFFAOYSA-N Acetonitrile Chemical compound CC#N WEVYAHXRMPXWCK-UHFFFAOYSA-N 0.000 description 6
- IAZDPXIOMUYVGZ-WFGJKAKNSA-N Dimethyl sulfoxide Chemical compound [2H]C([2H])([2H])S(=O)C([2H])([2H])[2H] IAZDPXIOMUYVGZ-WFGJKAKNSA-N 0.000 description 6
- YLQBMQCUIZJEEH-UHFFFAOYSA-N Furan Chemical compound C=1C=COC=1 YLQBMQCUIZJEEH-UHFFFAOYSA-N 0.000 description 6
- 150000001412 amines Chemical class 0.000 description 6
- 239000003153 chemical reaction reagent Substances 0.000 description 6
- 238000001816 cooling Methods 0.000 description 6
- 239000000543 intermediate Substances 0.000 description 6
- 229930192474 thiophene Natural products 0.000 description 6
- UFHFLCQGNIYNRP-UHFFFAOYSA-N Hydrogen Chemical compound [H][H] UFHFLCQGNIYNRP-UHFFFAOYSA-N 0.000 description 5
- UIIMBOGNXHQVGW-UHFFFAOYSA-M Sodium bicarbonate Chemical compound [Na+].OC([O-])=O UIIMBOGNXHQVGW-UHFFFAOYSA-M 0.000 description 5
- 150000001408 amides Chemical class 0.000 description 5
- 230000008878 coupling Effects 0.000 description 5
- 238000010168 coupling process Methods 0.000 description 5
- 238000005859 coupling reaction Methods 0.000 description 5
- 230000007062 hydrolysis Effects 0.000 description 5
- 238000006460 hydrolysis reaction Methods 0.000 description 5
- 230000003647 oxidation Effects 0.000 description 5
- 238000007254 oxidation reaction Methods 0.000 description 5
- 125000003226 pyrazolyl group Chemical group 0.000 description 5
- 150000003230 pyrimidines Chemical class 0.000 description 5
- 239000000741 silica gel Substances 0.000 description 5
- 229910002027 silica gel Inorganic materials 0.000 description 5
- 239000003039 volatile agent Substances 0.000 description 5
- CPHXLFKIUVVIOQ-UHFFFAOYSA-N 2-(trifluoromethoxy)benzaldehyde Chemical group FC(F)(F)OC1=CC=CC=C1C=O CPHXLFKIUVVIOQ-UHFFFAOYSA-N 0.000 description 4
- FBXGQDUVJBKEAJ-UHFFFAOYSA-N 4h-oxazin-3-one Chemical compound O=C1CC=CON1 FBXGQDUVJBKEAJ-UHFFFAOYSA-N 0.000 description 4
- IAZDPXIOMUYVGZ-UHFFFAOYSA-N Dimethylsulphoxide Chemical compound CS(C)=O IAZDPXIOMUYVGZ-UHFFFAOYSA-N 0.000 description 4
- JGFZNNIVVJXRND-UHFFFAOYSA-N N,N-Diisopropylethylamine (DIPEA) Chemical compound CCN(C(C)C)C(C)C JGFZNNIVVJXRND-UHFFFAOYSA-N 0.000 description 4
- JRNVZBWKYDBUCA-UHFFFAOYSA-N N-chlorosuccinimide Chemical compound ClN1C(=O)CCC1=O JRNVZBWKYDBUCA-UHFFFAOYSA-N 0.000 description 4
- KDLHZDBZIXYQEI-UHFFFAOYSA-N Palladium Chemical compound [Pd] KDLHZDBZIXYQEI-UHFFFAOYSA-N 0.000 description 4
- QAOWNCQODCNURD-UHFFFAOYSA-N Sulfuric acid Chemical compound OS(O)(=O)=O QAOWNCQODCNURD-UHFFFAOYSA-N 0.000 description 4
- 125000004644 alkyl sulfinyl group Chemical group 0.000 description 4
- 150000001448 anilines Chemical class 0.000 description 4
- 235000010233 benzoic acid Nutrition 0.000 description 4
- 150000001721 carbon Chemical group 0.000 description 4
- CTAPFRYPJLPFDF-UHFFFAOYSA-N isoxazole Chemical class C=1C=NOC=1 CTAPFRYPJLPFDF-UHFFFAOYSA-N 0.000 description 4
- 229910052943 magnesium sulfate Inorganic materials 0.000 description 4
- 125000004433 nitrogen atom Chemical group N* 0.000 description 4
- BWHMMNNQKKPAPP-UHFFFAOYSA-L potassium carbonate Chemical compound [K+].[K+].[O-]C([O-])=O BWHMMNNQKKPAPP-UHFFFAOYSA-L 0.000 description 4
- 239000003586 protic polar solvent Substances 0.000 description 4
- 150000003222 pyridines Chemical class 0.000 description 4
- 238000006467 substitution reaction Methods 0.000 description 4
- 235000001508 sulfur Nutrition 0.000 description 4
- NGNBDVOYPDDBFK-UHFFFAOYSA-N 2-[2,4-di(pentan-2-yl)phenoxy]acetyl chloride Chemical compound CCCC(C)C1=CC=C(OCC(Cl)=O)C(C(C)CCC)=C1 NGNBDVOYPDDBFK-UHFFFAOYSA-N 0.000 description 3
- ZXKKOFJYPRJFIE-UHFFFAOYSA-N 4-(trifluoromethoxy)benzoyl chloride Chemical compound FC(F)(F)OC1=CC=C(C(Cl)=O)C=C1 ZXKKOFJYPRJFIE-UHFFFAOYSA-N 0.000 description 3
- VHYFNPMBLIVWCW-UHFFFAOYSA-N 4-Dimethylaminopyridine Chemical compound CN(C)C1=CC=NC=C1 VHYFNPMBLIVWCW-UHFFFAOYSA-N 0.000 description 3
- UHOVQNZJYSORNB-UHFFFAOYSA-N Benzene Chemical compound C1=CC=CC=C1 UHOVQNZJYSORNB-UHFFFAOYSA-N 0.000 description 3
- QMMFVYPAHWMCMS-UHFFFAOYSA-N Dimethyl sulfide Chemical compound CSC QMMFVYPAHWMCMS-UHFFFAOYSA-N 0.000 description 3
- LYCAIKOWRPUZTN-UHFFFAOYSA-N Ethylene glycol Chemical compound OCCO LYCAIKOWRPUZTN-UHFFFAOYSA-N 0.000 description 3
- OKKJLVBELUTLKV-UHFFFAOYSA-N Methanol Chemical compound OC OKKJLVBELUTLKV-UHFFFAOYSA-N 0.000 description 3
- 125000004390 alkyl sulfonyl group Chemical group 0.000 description 3
- 230000029936 alkylation Effects 0.000 description 3
- 238000005804 alkylation reaction Methods 0.000 description 3
- 150000008064 anhydrides Chemical class 0.000 description 3
- 150000001559 benzoic acids Chemical class 0.000 description 3
- 230000004071 biological effect Effects 0.000 description 3
- 229910002092 carbon dioxide Inorganic materials 0.000 description 3
- 150000002148 esters Chemical class 0.000 description 3
- 238000007667 floating Methods 0.000 description 3
- JJWLVOIRVHMVIS-UHFFFAOYSA-N isopropylamine Chemical compound CC(C)N JJWLVOIRVHMVIS-UHFFFAOYSA-N 0.000 description 3
- ZLTPDFXIESTBQG-UHFFFAOYSA-N isothiazole Chemical class C=1C=NSC=1 ZLTPDFXIESTBQG-UHFFFAOYSA-N 0.000 description 3
- 229920000642 polymer Polymers 0.000 description 3
- 235000011181 potassium carbonates Nutrition 0.000 description 3
- 229920006395 saturated elastomer Polymers 0.000 description 3
- 150000003512 tertiary amines Chemical class 0.000 description 3
- 150000003577 thiophenes Chemical class 0.000 description 3
- WYRSGXAIHNMKOL-UHFFFAOYSA-N $l^{1}-sulfanylethane Chemical compound CC[S] WYRSGXAIHNMKOL-UHFFFAOYSA-N 0.000 description 2
- QSLPNSWXUQHVLP-UHFFFAOYSA-N $l^{1}-sulfanylmethane Chemical compound [S]C QSLPNSWXUQHVLP-UHFFFAOYSA-N 0.000 description 2
- TXJUTRJFNRYTHH-UHFFFAOYSA-N 1h-3,1-benzoxazine-2,4-dione Chemical compound C1=CC=C2C(=O)OC(=O)NC2=C1 TXJUTRJFNRYTHH-UHFFFAOYSA-N 0.000 description 2
- KOPFEFZSAMLEHK-UHFFFAOYSA-N 1h-pyrazole-5-carboxylic acid Chemical compound OC(=O)C=1C=CNN=1 KOPFEFZSAMLEHK-UHFFFAOYSA-N 0.000 description 2
- NHQDETIJWKXCTC-UHFFFAOYSA-N 3-chloroperbenzoic acid Chemical compound OOC(=O)C1=CC=CC(Cl)=C1 NHQDETIJWKXCTC-UHFFFAOYSA-N 0.000 description 2
- HBAQYPYDRFILMT-UHFFFAOYSA-N 8-[3-(1-cyclopropylpyrazol-4-yl)-1H-pyrazolo[4,3-d]pyrimidin-5-yl]-3-methyl-3,8-diazabicyclo[3.2.1]octan-2-one Chemical class C1(CC1)N1N=CC(=C1)C1=NNC2=C1N=C(N=C2)N1C2C(N(CC1CC2)C)=O HBAQYPYDRFILMT-UHFFFAOYSA-N 0.000 description 2
- QGZKDVFQNNGYKY-UHFFFAOYSA-N Ammonia Chemical compound N QGZKDVFQNNGYKY-UHFFFAOYSA-N 0.000 description 2
- WKBOTKDWSSQWDR-UHFFFAOYSA-N Bromine atom Chemical compound [Br] WKBOTKDWSSQWDR-UHFFFAOYSA-N 0.000 description 2
- KXDHJXZQYSOELW-UHFFFAOYSA-N Carbamic acid Chemical compound NC(O)=O KXDHJXZQYSOELW-UHFFFAOYSA-N 0.000 description 2
- CURLTUGMZLYLDI-UHFFFAOYSA-N Carbon dioxide Chemical compound O=C=O CURLTUGMZLYLDI-UHFFFAOYSA-N 0.000 description 2
- ZAMOUSCENKQFHK-UHFFFAOYSA-N Chlorine atom Chemical compound [Cl] ZAMOUSCENKQFHK-UHFFFAOYSA-N 0.000 description 2
- QOSSAOTZNIDXMA-UHFFFAOYSA-N Dicylcohexylcarbodiimide Chemical compound C1CCCCC1N=C=NC1CCCCC1 QOSSAOTZNIDXMA-UHFFFAOYSA-N 0.000 description 2
- MHAJPDPJQMAIIY-UHFFFAOYSA-N Hydrogen peroxide Chemical compound OO MHAJPDPJQMAIIY-UHFFFAOYSA-N 0.000 description 2
- DGAQECJNVWCQMB-PUAWFVPOSA-M Ilexoside XXIX Chemical compound C[C@@H]1CC[C@@]2(CC[C@@]3(C(=CC[C@H]4[C@]3(CC[C@@H]5[C@@]4(CC[C@@H](C5(C)C)OS(=O)(=O)[O-])C)C)[C@@H]2[C@]1(C)O)C)C(=O)O[C@H]6[C@@H]([C@H]([C@@H]([C@H](O6)CO)O)O)O.[Na+] DGAQECJNVWCQMB-PUAWFVPOSA-M 0.000 description 2
- 235000019502 Orange oil Nutrition 0.000 description 2
- ISWSIDIOOBJBQZ-UHFFFAOYSA-N Phenol Chemical compound OC1=CC=CC=C1 ISWSIDIOOBJBQZ-UHFFFAOYSA-N 0.000 description 2
- NBIIXXVUZAFLBC-UHFFFAOYSA-N Phosphoric acid Chemical compound OP(O)(O)=O NBIIXXVUZAFLBC-UHFFFAOYSA-N 0.000 description 2
- ZLMJMSJWJFRBEC-UHFFFAOYSA-N Potassium Chemical compound [K] ZLMJMSJWJFRBEC-UHFFFAOYSA-N 0.000 description 2
- CDBYLPFSWZWCQE-UHFFFAOYSA-L Sodium Carbonate Chemical compound [Na+].[Na+].[O-]C([O-])=O CDBYLPFSWZWCQE-UHFFFAOYSA-L 0.000 description 2
- PXIPVTKHYLBLMZ-UHFFFAOYSA-N Sodium azide Chemical compound [Na+].[N-]=[N+]=[N-] PXIPVTKHYLBLMZ-UHFFFAOYSA-N 0.000 description 2
- WQDUMFSSJAZKTM-UHFFFAOYSA-N Sodium methoxide Chemical compound [Na+].[O-]C WQDUMFSSJAZKTM-UHFFFAOYSA-N 0.000 description 2
- DKGAVHZHDRPRBM-UHFFFAOYSA-N Tert-Butanol Chemical compound CC(C)(C)O DKGAVHZHDRPRBM-UHFFFAOYSA-N 0.000 description 2
- FZWLAAWBMGSTSO-UHFFFAOYSA-N Thiazole Chemical compound C1=CSC=N1 FZWLAAWBMGSTSO-UHFFFAOYSA-N 0.000 description 2
- XSQUKJJJFZCRTK-UHFFFAOYSA-N Urea Chemical compound NC(N)=O XSQUKJJJFZCRTK-UHFFFAOYSA-N 0.000 description 2
- 150000001252 acrylic acid derivatives Chemical class 0.000 description 2
- 238000007792 addition Methods 0.000 description 2
- 230000009418 agronomic effect Effects 0.000 description 2
- 239000002168 alkylating agent Substances 0.000 description 2
- 229940100198 alkylating agent Drugs 0.000 description 2
- 239000006286 aqueous extract Substances 0.000 description 2
- GDTBXPJZTBHREO-UHFFFAOYSA-N bromine Substances BrBr GDTBXPJZTBHREO-UHFFFAOYSA-N 0.000 description 2
- 150000004649 carbonic acid derivatives Chemical class 0.000 description 2
- 239000003054 catalyst Substances 0.000 description 2
- 238000004587 chromatography analysis Methods 0.000 description 2
- 239000012043 crude product Substances 0.000 description 2
- 125000004093 cyano group Chemical group *C#N 0.000 description 2
- 238000006352 cycloaddition reaction Methods 0.000 description 2
- 125000001028 difluoromethyl group Chemical group [H]C(F)(F)* 0.000 description 2
- 239000003480 eluent Substances 0.000 description 2
- ZBHSEGWPJCOBKP-UHFFFAOYSA-N ethyl 3-amino-2,6-dichloropyridine-4-carboxylate Chemical compound CCOC(=O)C1=CC(Cl)=NC(Cl)=C1N ZBHSEGWPJCOBKP-UHFFFAOYSA-N 0.000 description 2
- BIFLTHWDFNLOTD-UHFFFAOYSA-N ethyl 3-aminopyridine-4-carboxylate Chemical compound CCOC(=O)C1=CC=NC=C1N BIFLTHWDFNLOTD-UHFFFAOYSA-N 0.000 description 2
- 238000001914 filtration Methods 0.000 description 2
- 125000004438 haloalkoxy group Chemical group 0.000 description 2
- 125000005842 heteroatom Chemical group 0.000 description 2
- 150000004679 hydroxides Chemical class 0.000 description 2
- 125000000959 isobutyl group Chemical group [H]C([H])([H])C([H])(C([H])([H])[H])C([H])([H])* 0.000 description 2
- 239000012948 isocyanate Substances 0.000 description 2
- 150000002513 isocyanates Chemical class 0.000 description 2
- ZCSHNCUQKCANBX-UHFFFAOYSA-N lithium diisopropylamide Chemical compound [Li+].CC(C)[N-]C(C)C ZCSHNCUQKCANBX-UHFFFAOYSA-N 0.000 description 2
- 235000019341 magnesium sulphate Nutrition 0.000 description 2
- 125000004170 methylsulfonyl group Chemical group [H]C([H])([H])S(*)(=O)=O 0.000 description 2
- PBMIETCUUSQZCG-UHFFFAOYSA-N n'-cyclohexylmethanediimine Chemical compound N=C=NC1CCCCC1 PBMIETCUUSQZCG-UHFFFAOYSA-N 0.000 description 2
- UXGJEINGLVOJME-UHFFFAOYSA-N n,n-dichloro-1,1,1-trifluoromethanamine Chemical compound FC(F)(F)N(Cl)Cl UXGJEINGLVOJME-UHFFFAOYSA-N 0.000 description 2
- 125000004123 n-propyl group Chemical group [H]C([H])([H])C([H])([H])C([H])([H])* 0.000 description 2
- 125000001624 naphthyl group Chemical group 0.000 description 2
- 150000007855 nitrilimines Chemical class 0.000 description 2
- 239000010502 orange oil Substances 0.000 description 2
- 239000003960 organic solvent Substances 0.000 description 2
- 229910000027 potassium carbonate Inorganic materials 0.000 description 2
- UORVCLMRJXCDCP-UHFFFAOYSA-N propynoic acid Chemical class OC(=O)C#C UORVCLMRJXCDCP-UHFFFAOYSA-N 0.000 description 2
- 125000006239 protecting group Chemical group 0.000 description 2
- 230000008707 rearrangement Effects 0.000 description 2
- 238000006722 reduction reaction Methods 0.000 description 2
- 238000010992 reflux Methods 0.000 description 2
- 125000006413 ring segment Chemical group 0.000 description 2
- 229910000030 sodium bicarbonate Inorganic materials 0.000 description 2
- 235000017557 sodium bicarbonate Nutrition 0.000 description 2
- 239000011877 solvent mixture Substances 0.000 description 2
- 238000003756 stirring Methods 0.000 description 2
- AKEJUJNQAAGONA-UHFFFAOYSA-N sulfur trioxide Chemical compound O=S(=O)=O AKEJUJNQAAGONA-UHFFFAOYSA-N 0.000 description 2
- DLYUQMMRRRQYAE-UHFFFAOYSA-N tetraphosphorus decaoxide Chemical compound O1P(O2)(=O)OP3(=O)OP1(=O)OP2(=O)O3 DLYUQMMRRRQYAE-UHFFFAOYSA-N 0.000 description 2
- WJKHJLXJJJATHN-UHFFFAOYSA-N triflic anhydride Chemical compound FC(F)(F)S(=O)(=O)OS(=O)(=O)C(F)(F)F WJKHJLXJJJATHN-UHFFFAOYSA-N 0.000 description 2
- JLTRXTDYQLMHGR-UHFFFAOYSA-N trimethylaluminium Chemical compound C[Al](C)C JLTRXTDYQLMHGR-UHFFFAOYSA-N 0.000 description 2
- JIAARYAFYJHUJI-UHFFFAOYSA-L zinc dichloride Chemical compound [Cl-].[Cl-].[Zn+2] JIAARYAFYJHUJI-UHFFFAOYSA-L 0.000 description 2
- 125000006273 (C1-C3) alkyl group Chemical group 0.000 description 1
- 125000004191 (C1-C6) alkoxy group Chemical group 0.000 description 1
- COLOHWPRNRVWPI-UHFFFAOYSA-N 1,1,1-trifluoroethane Chemical compound [CH2]C(F)(F)F COLOHWPRNRVWPI-UHFFFAOYSA-N 0.000 description 1
- KYVBNYUBXIEUFW-UHFFFAOYSA-N 1,1,3,3-tetramethylguanidine Chemical compound CN(C)C(=N)N(C)C KYVBNYUBXIEUFW-UHFFFAOYSA-N 0.000 description 1
- SCYULBFZEHDVBN-UHFFFAOYSA-N 1,1-Dichloroethane Chemical compound CC(Cl)Cl SCYULBFZEHDVBN-UHFFFAOYSA-N 0.000 description 1
- RYHBNJHYFVUHQT-UHFFFAOYSA-N 1,4-Dioxane Chemical compound C1COCCO1 RYHBNJHYFVUHQT-UHFFFAOYSA-N 0.000 description 1
- INOGLHRUEYDAHX-UHFFFAOYSA-N 1-chlorobenzotriazole Chemical compound C1=CC=C2N(Cl)N=NC2=C1 INOGLHRUEYDAHX-UHFFFAOYSA-N 0.000 description 1
- UUFQTNFCRMXOAE-UHFFFAOYSA-N 1-methylmethylene Chemical compound C[CH] UUFQTNFCRMXOAE-UHFFFAOYSA-N 0.000 description 1
- 125000006017 1-propenyl group Chemical group 0.000 description 1
- 125000000530 1-propynyl group Chemical group [H]C([H])([H])C#C* 0.000 description 1
- MAKFMOSBBNKPMS-UHFFFAOYSA-N 2,3-dichloropyridine Chemical compound ClC1=CC=CN=C1Cl MAKFMOSBBNKPMS-UHFFFAOYSA-N 0.000 description 1
- OVSKIKFHRZPJSS-UHFFFAOYSA-N 2,4-D Chemical compound OC(=O)COC1=CC=C(Cl)C=C1Cl OVSKIKFHRZPJSS-UHFFFAOYSA-N 0.000 description 1
- LOAHXFVORLJMML-UHFFFAOYSA-N 2-cyano-n-propan-2-ylacetamide Chemical compound CC(C)NC(=O)CC#N LOAHXFVORLJMML-UHFFFAOYSA-N 0.000 description 1
- PAXQXJDYVORMOO-UHFFFAOYSA-N 2-methyl-4-(trifluoromethyl)aniline Chemical group CC1=CC(C(F)(F)F)=CC=C1N PAXQXJDYVORMOO-UHFFFAOYSA-N 0.000 description 1
- 125000003903 2-propenyl group Chemical group [H]C([*])([H])C([H])=C([H])[H] 0.000 description 1
- 125000001494 2-propynyl group Chemical group [H]C#CC([H])([H])* 0.000 description 1
- FYEQKMAVRYRMBL-UHFFFAOYSA-N 3-aminopyridine-4-carboxylic acid Chemical compound NC1=CN=CC=C1C(O)=O FYEQKMAVRYRMBL-UHFFFAOYSA-N 0.000 description 1
- FOTJIYSUKUPALY-UHFFFAOYSA-N 3-chloro-2-(3-chloropyrazol-1-yl)pyridine Chemical compound N1=C(Cl)C=CN1C1=NC=CC=C1Cl FOTJIYSUKUPALY-UHFFFAOYSA-N 0.000 description 1
- OXZYBOLWRXENKT-UHFFFAOYSA-N 4-(trifluoromethyl)benzoyl chloride Chemical compound FC(F)(F)C1=CC=C(C(Cl)=O)C=C1 OXZYBOLWRXENKT-UHFFFAOYSA-N 0.000 description 1
- NGUGWHFIVAQVMN-UHFFFAOYSA-N 4-aminobut-3-en-2-one Chemical class CC(=O)C=CN NGUGWHFIVAQVMN-UHFFFAOYSA-N 0.000 description 1
- HZWZUYNDRGCXMR-UHFFFAOYSA-N 5-[[5-chloro-2-(3-chloropyridin-2-yl)pyrazole-3-carbonyl]amino]-n,6-dimethylpyrimidine-4-carboxamide Chemical compound CNC(=O)C1=NC=NC(C)=C1NC(=O)C1=CC(Cl)=NN1C1=NC=CC=C1Cl HZWZUYNDRGCXMR-UHFFFAOYSA-N 0.000 description 1
- ZJZNLQYHOGNSLE-UHFFFAOYSA-N 5-amino-1-methyl-n-propan-2-ylpyrazole-4-carboxamide Chemical compound CC(C)NC(=O)C=1C=NN(C)C=1N ZJZNLQYHOGNSLE-UHFFFAOYSA-N 0.000 description 1
- IJPFBRONCJOTTA-UHFFFAOYSA-N 5-chloro-1h-pyrazole Chemical compound ClC1=CC=NN1 IJPFBRONCJOTTA-UHFFFAOYSA-N 0.000 description 1
- CKAATYOECWZFCI-UHFFFAOYSA-N 5-chloro-2-(3-chloropyridin-2-yl)pyrazole-3-carboxylic acid Chemical compound OC(=O)C1=CC(Cl)=NN1C1=NC=CC=C1Cl CKAATYOECWZFCI-UHFFFAOYSA-N 0.000 description 1
- MJAHAGVBMCHDHM-UHFFFAOYSA-N 5-o-tert-butyl 4-o-methyl 6-methylpyrimidine-4,5-dicarboxylate Chemical compound COC(=O)C1=NC=NC(C)=C1C(=O)OC(C)(C)C MJAHAGVBMCHDHM-UHFFFAOYSA-N 0.000 description 1
- XVMSFILGAMDHEY-UHFFFAOYSA-N 6-(4-aminophenyl)sulfonylpyridin-3-amine Chemical group C1=CC(N)=CC=C1S(=O)(=O)C1=CC=C(N)C=N1 XVMSFILGAMDHEY-UHFFFAOYSA-N 0.000 description 1
- DXPHTYKFCDOUPE-UHFFFAOYSA-N 6-methylpyrimidine-4,5-dicarboxylic acid Chemical compound CC1=NC=NC(C(O)=O)=C1C(O)=O DXPHTYKFCDOUPE-UHFFFAOYSA-N 0.000 description 1
- FLFKNDGBUHZVJS-UHFFFAOYSA-N 7-methyl-1h-thieno[3,2-d][1,3]oxazine-2,4-dione Chemical compound N1C(=O)OC(=O)C2=C1C(C)=CS2 FLFKNDGBUHZVJS-UHFFFAOYSA-N 0.000 description 1
- UNDOQIGQLQBOLB-UHFFFAOYSA-N 7-methyl-2-[4-(trifluoromethyl)phenyl]thieno[3,2-d][1,3]oxazin-4-one Chemical compound CC1=CSC(C(O2)=O)=C1N=C2C1=CC=C(C(F)(F)F)C=C1 UNDOQIGQLQBOLB-UHFFFAOYSA-N 0.000 description 1
- ZCYVEMRRCGMTRW-UHFFFAOYSA-N 7553-56-2 Chemical compound [I] ZCYVEMRRCGMTRW-UHFFFAOYSA-N 0.000 description 1
- VHUUQVKOLVNVRT-UHFFFAOYSA-N Ammonium hydroxide Chemical compound [NH4+].[OH-] VHUUQVKOLVNVRT-UHFFFAOYSA-N 0.000 description 1
- OYPRJOBELJOOCE-UHFFFAOYSA-N Calcium Chemical compound [Ca] OYPRJOBELJOOCE-UHFFFAOYSA-N 0.000 description 1
- KXDHJXZQYSOELW-UHFFFAOYSA-M Carbamate Chemical compound NC([O-])=O KXDHJXZQYSOELW-UHFFFAOYSA-M 0.000 description 1
- PXGOKWXKJXAPGV-UHFFFAOYSA-N Fluorine Chemical compound FF PXGOKWXKJXAPGV-UHFFFAOYSA-N 0.000 description 1
- 239000002841 Lewis acid Substances 0.000 description 1
- WHXSMMKQMYFTQS-UHFFFAOYSA-N Lithium Chemical compound [Li] WHXSMMKQMYFTQS-UHFFFAOYSA-N 0.000 description 1
- FYYHWMGAXLPEAU-UHFFFAOYSA-N Magnesium Chemical compound [Mg] FYYHWMGAXLPEAU-UHFFFAOYSA-N 0.000 description 1
- 241001465754 Metazoa Species 0.000 description 1
- AFVFQIVMOAPDHO-UHFFFAOYSA-N Methanesulfonic acid Chemical compound CS(O)(=O)=O AFVFQIVMOAPDHO-UHFFFAOYSA-N 0.000 description 1
- 239000012359 Methanesulfonyl chloride Substances 0.000 description 1
- OJDHPAQEFDMEMC-UHFFFAOYSA-N N#C[Cu]C#N Chemical class N#C[Cu]C#N OJDHPAQEFDMEMC-UHFFFAOYSA-N 0.000 description 1
- ZCQWOFVYLHDMMC-UHFFFAOYSA-N Oxazole Chemical compound C1=COC=N1 ZCQWOFVYLHDMMC-UHFFFAOYSA-N 0.000 description 1
- KFSLWBXXFJQRDL-UHFFFAOYSA-N Peracetic acid Chemical compound CC(=O)OO KFSLWBXXFJQRDL-UHFFFAOYSA-N 0.000 description 1
- YGYAWVDWMABLBF-UHFFFAOYSA-N Phosgene Chemical compound ClC(Cl)=O YGYAWVDWMABLBF-UHFFFAOYSA-N 0.000 description 1
- LCTONWCANYUPML-UHFFFAOYSA-M Pyruvate Chemical compound CC(=O)C([O-])=O LCTONWCANYUPML-UHFFFAOYSA-M 0.000 description 1
- 239000007868 Raney catalyst Substances 0.000 description 1
- NPXOKRUENSOPAO-UHFFFAOYSA-N Raney nickel Chemical compound [Al].[Ni] NPXOKRUENSOPAO-UHFFFAOYSA-N 0.000 description 1
- 229910000564 Raney nickel Inorganic materials 0.000 description 1
- XUIMIQQOPSSXEZ-UHFFFAOYSA-N Silicon Chemical compound [Si] XUIMIQQOPSSXEZ-UHFFFAOYSA-N 0.000 description 1
- QAOWNCQODCNURD-UHFFFAOYSA-L Sulfate Chemical compound [O-]S([O-])(=O)=O QAOWNCQODCNURD-UHFFFAOYSA-L 0.000 description 1
- LINDOXZENKYESA-UHFFFAOYSA-N TMG Natural products CNC(N)=NC LINDOXZENKYESA-UHFFFAOYSA-N 0.000 description 1
- OKJPEAGHQZHRQV-UHFFFAOYSA-N Triiodomethane Natural products IC(I)I OKJPEAGHQZHRQV-UHFFFAOYSA-N 0.000 description 1
- VREVKZLUMZQJRI-UHFFFAOYSA-N [SH2]=N Chemical class [SH2]=N VREVKZLUMZQJRI-UHFFFAOYSA-N 0.000 description 1
- 125000002777 acetyl group Chemical group [H]C([H])([H])C(*)=O 0.000 description 1
- 230000002378 acidificating effect Effects 0.000 description 1
- 150000007513 acids Chemical class 0.000 description 1
- 230000009471 action Effects 0.000 description 1
- 125000004423 acyloxy group Chemical group 0.000 description 1
- 150000001336 alkenes Chemical class 0.000 description 1
- 125000005136 alkenylsulfinyl group Chemical group 0.000 description 1
- 125000005137 alkenylsulfonyl group Chemical group 0.000 description 1
- 125000005108 alkenylthio group Chemical group 0.000 description 1
- 150000001345 alkine derivatives Chemical class 0.000 description 1
- 150000004703 alkoxides Chemical class 0.000 description 1
- 150000008051 alkyl sulfates Chemical class 0.000 description 1
- 230000002152 alkylating effect Effects 0.000 description 1
- 125000005134 alkynylsulfinyl group Chemical group 0.000 description 1
- 125000005139 alkynylsulfonyl group Chemical group 0.000 description 1
- 125000005109 alkynylthio group Chemical group 0.000 description 1
- HSFWRNGVRCDJHI-UHFFFAOYSA-N alpha-acetylene Natural products C#C HSFWRNGVRCDJHI-UHFFFAOYSA-N 0.000 description 1
- 229910000147 aluminium phosphate Inorganic materials 0.000 description 1
- 150000001409 amidines Chemical class 0.000 description 1
- 238000005576 amination reaction Methods 0.000 description 1
- NMVVJCLUYUWBSZ-UHFFFAOYSA-N aminomethylideneazanium;chloride Chemical compound Cl.NC=N NMVVJCLUYUWBSZ-UHFFFAOYSA-N 0.000 description 1
- 229910021529 ammonia Inorganic materials 0.000 description 1
- 239000012298 atmosphere Substances 0.000 description 1
- 229910052788 barium Inorganic materials 0.000 description 1
- DSAJWYNOEDNPEQ-UHFFFAOYSA-N barium atom Chemical compound [Ba] DSAJWYNOEDNPEQ-UHFFFAOYSA-N 0.000 description 1
- 230000009286 beneficial effect Effects 0.000 description 1
- 150000008359 benzonitriles Chemical class 0.000 description 1
- 239000012267 brine Substances 0.000 description 1
- 125000001246 bromo group Chemical group Br* 0.000 description 1
- 125000004369 butenyl group Chemical group C(=CCC)* 0.000 description 1
- 125000004744 butyloxycarbonyl group Chemical group 0.000 description 1
- 125000000480 butynyl group Chemical group [*]C#CC([H])([H])C([H])([H])[H] 0.000 description 1
- 239000011575 calcium Substances 0.000 description 1
- 229910052791 calcium Inorganic materials 0.000 description 1
- 150000001722 carbon compounds Chemical class 0.000 description 1
- 239000001569 carbon dioxide Substances 0.000 description 1
- 125000006297 carbonyl amino group Chemical group [H]N([*:2])C([*:1])=O 0.000 description 1
- 230000021523 carboxylation Effects 0.000 description 1
- 238000006473 carboxylation reaction Methods 0.000 description 1
- 150000001732 carboxylic acid derivatives Chemical class 0.000 description 1
- 230000003197 catalytic effect Effects 0.000 description 1
- 238000007385 chemical modification Methods 0.000 description 1
- 239000012320 chlorinating reagent Substances 0.000 description 1
- 150000001805 chlorine compounds Chemical class 0.000 description 1
- 239000006071 cream Substances 0.000 description 1
- 125000000753 cycloalkyl group Chemical group 0.000 description 1
- 125000001995 cyclobutyl group Chemical group [H]C1([H])C([H])([H])C([H])(*)C1([H])[H] 0.000 description 1
- 125000000113 cyclohexyl group Chemical group [H]C1([H])C([H])([H])C([H])([H])C([H])(*)C([H])([H])C1([H])[H] 0.000 description 1
- 125000001511 cyclopentyl group Chemical group [H]C1([H])C([H])([H])C([H])([H])C([H])(*)C1([H])[H] 0.000 description 1
- 125000001559 cyclopropyl group Chemical group [H]C1([H])C([H])([H])C1([H])* 0.000 description 1
- 230000006378 damage Effects 0.000 description 1
- 239000012024 dehydrating agents Substances 0.000 description 1
- 230000001419 dependent effect Effects 0.000 description 1
- 238000010511 deprotection reaction Methods 0.000 description 1
- 239000012954 diazonium Substances 0.000 description 1
- 150000001989 diazonium salts Chemical class 0.000 description 1
- 238000006193 diazotization reaction Methods 0.000 description 1
- YVKOGZPYYZLUDJ-UHFFFAOYSA-N dibromamine Chemical compound BrNBr YVKOGZPYYZLUDJ-UHFFFAOYSA-N 0.000 description 1
- 150000001991 dicarboxylic acids Chemical class 0.000 description 1
- 150000004844 dioxiranes Chemical class 0.000 description 1
- MKRTXPORKIRPDG-UHFFFAOYSA-N diphenylphosphoryl azide Chemical compound C=1C=CC=CC=1P(=O)(N=[N+]=[N-])C1=CC=CC=C1 MKRTXPORKIRPDG-UHFFFAOYSA-N 0.000 description 1
- 238000004821 distillation Methods 0.000 description 1
- 238000001035 drying Methods 0.000 description 1
- 230000000694 effects Effects 0.000 description 1
- 238000007350 electrophilic reaction Methods 0.000 description 1
- 125000004185 ester group Chemical group 0.000 description 1
- NSMKGPNJCOXWLH-UHFFFAOYSA-N ethyl 4-amino-5-methylpyridine-3-carboxylate Chemical compound CCOC(=O)C1=CN=CC(C)=C1N NSMKGPNJCOXWLH-UHFFFAOYSA-N 0.000 description 1
- LCXAKWNYMWPPIE-UHFFFAOYSA-N ethyl 4-azido-5-methylpyridine-3-carboxylate Chemical compound CCOC(=O)C1=CN=CC(C)=C1N=[N+]=[N-] LCXAKWNYMWPPIE-UHFFFAOYSA-N 0.000 description 1
- UNVCYLASXVDALL-UHFFFAOYSA-N ethyl 5-methyl-4-oxo-1h-pyridine-3-carboxylate Chemical compound CCOC(=O)C1=CNC=C(C)C1=O UNVCYLASXVDALL-UHFFFAOYSA-N 0.000 description 1
- 239000002024 ethyl acetate extract Substances 0.000 description 1
- MSMGXWFHBSCQFB-UHFFFAOYSA-N ethyl cyanoformate Chemical compound CCOC(=O)C#N MSMGXWFHBSCQFB-UHFFFAOYSA-N 0.000 description 1
- 125000004705 ethylthio group Chemical group C(C)S* 0.000 description 1
- 125000002534 ethynyl group Chemical group [H]C#C* 0.000 description 1
- 239000000284 extract Substances 0.000 description 1
- 239000000835 fiber Substances 0.000 description 1
- 239000012065 filter cake Substances 0.000 description 1
- 239000011737 fluorine Substances 0.000 description 1
- 235000013305 food Nutrition 0.000 description 1
- 239000012458 free base Substances 0.000 description 1
- 125000000524 functional group Chemical group 0.000 description 1
- 150000002240 furans Chemical class 0.000 description 1
- 239000000499 gel Substances 0.000 description 1
- 238000007429 general method Methods 0.000 description 1
- 125000004440 haloalkylsulfinyl group Chemical group 0.000 description 1
- 125000005843 halogen group Chemical group 0.000 description 1
- 230000036541 health Effects 0.000 description 1
- 150000002391 heterocyclic compounds Chemical class 0.000 description 1
- 125000006038 hexenyl group Chemical group 0.000 description 1
- 125000004051 hexyl group Chemical group [H]C([H])([H])C([H])([H])C([H])([H])C([H])([H])C([H])([H])C([H])([H])* 0.000 description 1
- 125000003707 hexyloxy group Chemical group [H]C([H])([H])C([H])([H])C([H])([H])C([H])([H])C([H])([H])C([H])([H])O* 0.000 description 1
- 125000005980 hexynyl group Chemical group 0.000 description 1
- 150000004678 hydrides Chemical class 0.000 description 1
- QAOWNCQODCNURD-UHFFFAOYSA-M hydrogensulfate Chemical compound OS([O-])(=O)=O QAOWNCQODCNURD-UHFFFAOYSA-M 0.000 description 1
- 239000005457 ice water Substances 0.000 description 1
- 150000002460 imidazoles Chemical class 0.000 description 1
- 239000012535 impurity Substances 0.000 description 1
- 238000010348 incorporation Methods 0.000 description 1
- 150000007529 inorganic bases Chemical class 0.000 description 1
- 239000002917 insecticide Substances 0.000 description 1
- 239000011630 iodine Substances 0.000 description 1
- INQOMBQAUSQDDS-UHFFFAOYSA-N iodomethane Chemical compound IC INQOMBQAUSQDDS-UHFFFAOYSA-N 0.000 description 1
- 150000003854 isothiazoles Chemical class 0.000 description 1
- 150000002545 isoxazoles Chemical class 0.000 description 1
- CFHGBZLNZZVTAY-UHFFFAOYSA-N lawesson's reagent Chemical compound C1=CC(OC)=CC=C1P1(=S)SP(=S)(C=2C=CC(OC)=CC=2)S1 CFHGBZLNZZVTAY-UHFFFAOYSA-N 0.000 description 1
- 231100001231 less toxic Toxicity 0.000 description 1
- 150000007517 lewis acids Chemical class 0.000 description 1
- 229910052744 lithium Inorganic materials 0.000 description 1
- XGZVUEUWXADBQD-UHFFFAOYSA-L lithium carbonate Chemical compound [Li+].[Li+].[O-]C([O-])=O XGZVUEUWXADBQD-UHFFFAOYSA-L 0.000 description 1
- 229910052808 lithium carbonate Inorganic materials 0.000 description 1
- 244000144972 livestock Species 0.000 description 1
- 239000011777 magnesium Substances 0.000 description 1
- 229910052749 magnesium Inorganic materials 0.000 description 1
- 229910000000 metal hydroxide Inorganic materials 0.000 description 1
- 150000004692 metal hydroxides Chemical class 0.000 description 1
- 238000006263 metalation reaction Methods 0.000 description 1
- VNWKTOKETHGBQD-UHFFFAOYSA-N methane Natural products C VNWKTOKETHGBQD-UHFFFAOYSA-N 0.000 description 1
- QARBMVPHQWIHKH-UHFFFAOYSA-N methanesulfonyl chloride Chemical compound CS(Cl)(=O)=O QARBMVPHQWIHKH-UHFFFAOYSA-N 0.000 description 1
- MBBQAVVBESBLGH-UHFFFAOYSA-N methyl 4-bromo-3-hydroxybutanoate Chemical compound COC(=O)CC(O)CBr MBBQAVVBESBLGH-UHFFFAOYSA-N 0.000 description 1
- 125000002816 methylsulfanyl group Chemical group [H]C([H])([H])S[*] 0.000 description 1
- 150000007522 mineralic acids Chemical class 0.000 description 1
- HDZGCSFEDULWCS-UHFFFAOYSA-N monomethylhydrazine Chemical compound CNN HDZGCSFEDULWCS-UHFFFAOYSA-N 0.000 description 1
- PSHKMPUSSFXUIA-UHFFFAOYSA-N n,n-dimethylpyridin-2-amine Chemical compound CN(C)C1=CC=CC=N1 PSHKMPUSSFXUIA-UHFFFAOYSA-N 0.000 description 1
- 229960003966 nicotinamide Drugs 0.000 description 1
- 239000011570 nicotinamide Substances 0.000 description 1
- 150000002825 nitriles Chemical class 0.000 description 1
- 230000000269 nucleophilic effect Effects 0.000 description 1
- 238000007344 nucleophilic reaction Methods 0.000 description 1
- 239000003921 oil Substances 0.000 description 1
- 235000019198 oils Nutrition 0.000 description 1
- 150000007524 organic acids Chemical class 0.000 description 1
- 235000005985 organic acids Nutrition 0.000 description 1
- 150000007530 organic bases Chemical class 0.000 description 1
- 125000002524 organometallic group Chemical group 0.000 description 1
- 238000010653 organometallic reaction Methods 0.000 description 1
- 150000004866 oxadiazoles Chemical class 0.000 description 1
- 150000002916 oxazoles Chemical class 0.000 description 1
- 229910052763 palladium Inorganic materials 0.000 description 1
- NQPDZGIKBAWPEJ-UHFFFAOYSA-N pentanoic acid group Chemical class C(CCCC)(=O)O NQPDZGIKBAWPEJ-UHFFFAOYSA-N 0.000 description 1
- 125000002255 pentenyl group Chemical group C(=CCCC)* 0.000 description 1
- 125000001147 pentyl group Chemical group C(CCCC)* 0.000 description 1
- 125000001148 pentyloxycarbonyl group Chemical group 0.000 description 1
- 125000005981 pentynyl group Chemical group 0.000 description 1
- 150000004965 peroxy acids Chemical class 0.000 description 1
- 229940067157 phenylhydrazine Drugs 0.000 description 1
- 150000004031 phenylhydrazines Chemical class 0.000 description 1
- CYQAYERJWZKYML-UHFFFAOYSA-N phosphorus pentasulfide Chemical compound S1P(S2)(=S)SP3(=S)SP1(=S)SP2(=S)S3 CYQAYERJWZKYML-UHFFFAOYSA-N 0.000 description 1
- XHXFXVLFKHQFAL-UHFFFAOYSA-N phosphoryl trichloride Chemical compound ClP(Cl)(Cl)=O XHXFXVLFKHQFAL-UHFFFAOYSA-N 0.000 description 1
- 239000003880 polar aprotic solvent Substances 0.000 description 1
- 150000004291 polyenes Chemical class 0.000 description 1
- 239000002675 polymer-supported reagent Substances 0.000 description 1
- 239000011591 potassium Substances 0.000 description 1
- 229910052700 potassium Inorganic materials 0.000 description 1
- JHNGFVPFIWJBCE-UHFFFAOYSA-M potassium 3-amino-2,6-dichloropyridine-4-carboxylate Chemical compound [K+].NC=1C(=NC(=CC=1C(=O)[O-])Cl)Cl JHNGFVPFIWJBCE-UHFFFAOYSA-M 0.000 description 1
- 125000001436 propyl group Chemical group [H]C([*])([H])C([H])([H])C([H])([H])[H] 0.000 description 1
- 238000000425 proton nuclear magnetic resonance spectrum Methods 0.000 description 1
- 238000000746 purification Methods 0.000 description 1
- 150000003216 pyrazines Chemical class 0.000 description 1
- DNXIASIHZYFFRO-UHFFFAOYSA-N pyrazoline Chemical compound C1CN=NC1 DNXIASIHZYFFRO-UHFFFAOYSA-N 0.000 description 1
- 150000004892 pyridazines Chemical class 0.000 description 1
- 238000007348 radical reaction Methods 0.000 description 1
- 239000002516 radical scavenger Substances 0.000 description 1
- 150000003254 radicals Chemical class 0.000 description 1
- 230000009467 reduction Effects 0.000 description 1
- 238000007127 saponification reaction Methods 0.000 description 1
- 229910052710 silicon Inorganic materials 0.000 description 1
- 239000010703 silicon Substances 0.000 description 1
- 239000002002 slurry Substances 0.000 description 1
- 239000011734 sodium Substances 0.000 description 1
- 229910052708 sodium Inorganic materials 0.000 description 1
- 229910000029 sodium carbonate Inorganic materials 0.000 description 1
- 229960001922 sodium perborate Drugs 0.000 description 1
- 159000000000 sodium salts Chemical class 0.000 description 1
- HPALAKNZSZLMCH-UHFFFAOYSA-M sodium;chloride;hydrate Chemical compound O.[Na+].[Cl-] HPALAKNZSZLMCH-UHFFFAOYSA-M 0.000 description 1
- YKLJGMBLPUQQOI-UHFFFAOYSA-M sodium;oxidooxy(oxo)borane Chemical compound [Na+].[O-]OB=O YKLJGMBLPUQQOI-UHFFFAOYSA-M 0.000 description 1
- 239000007858 starting material Substances 0.000 description 1
- 239000000126 substance Substances 0.000 description 1
- 125000000547 substituted alkyl group Chemical group 0.000 description 1
- 125000000446 sulfanediyl group Chemical group *S* 0.000 description 1
- 150000003871 sulfonates Chemical class 0.000 description 1
- 150000003467 sulfuric acid derivatives Chemical class 0.000 description 1
- 238000010189 synthetic method Methods 0.000 description 1
- JKUYRAMKJLMYLO-UHFFFAOYSA-N tert-butyl 3-oxobutanoate Chemical compound CC(=O)CC(=O)OC(C)(C)C JKUYRAMKJLMYLO-UHFFFAOYSA-N 0.000 description 1
- CIHOLLKRGTVIJN-UHFFFAOYSA-N tert‐butyl hydroperoxide Chemical compound CC(C)(C)OO CIHOLLKRGTVIJN-UHFFFAOYSA-N 0.000 description 1
- CZDYPVPMEAXLPK-UHFFFAOYSA-N tetramethylsilane Chemical compound C[Si](C)(C)C CZDYPVPMEAXLPK-UHFFFAOYSA-N 0.000 description 1
- 150000004867 thiadiazoles Chemical class 0.000 description 1
- 150000003557 thiazoles Chemical class 0.000 description 1
- 150000003556 thioamides Chemical class 0.000 description 1
- 150000003568 thioethers Chemical group 0.000 description 1
- JOXIMZWYDAKGHI-UHFFFAOYSA-N toluene-4-sulfonic acid Chemical compound CC1=CC=C(S(O)(=O)=O)C=C1 JOXIMZWYDAKGHI-UHFFFAOYSA-N 0.000 description 1
- 238000012546 transfer Methods 0.000 description 1
- 150000003918 triazines Chemical class 0.000 description 1
- GKASDNZWUGIAMG-UHFFFAOYSA-N triethyl orthoformate Chemical compound CCOC(OCC)OCC GKASDNZWUGIAMG-UHFFFAOYSA-N 0.000 description 1
- 125000000026 trimethylsilyl group Chemical group [H]C([H])([H])[Si]([*])(C([H])([H])[H])C([H])([H])[H] 0.000 description 1
- 125000000391 vinyl group Chemical group [H]C([*])=C([H])[H] 0.000 description 1
- 239000011592 zinc chloride Substances 0.000 description 1
- 235000005074 zinc chloride Nutrition 0.000 description 1
Classifications
-
- C—CHEMISTRY; METALLURGY
- C07—ORGANIC CHEMISTRY
- C07D—HETEROCYCLIC COMPOUNDS
- C07D213/00—Heterocyclic compounds containing six-membered rings, not condensed with other rings, with one nitrogen atom as the only ring hetero atom and three or more double bonds between ring members or between ring members and non-ring members
- C07D213/02—Heterocyclic compounds containing six-membered rings, not condensed with other rings, with one nitrogen atom as the only ring hetero atom and three or more double bonds between ring members or between ring members and non-ring members having three double bonds between ring members or between ring members and non-ring members
- C07D213/04—Heterocyclic compounds containing six-membered rings, not condensed with other rings, with one nitrogen atom as the only ring hetero atom and three or more double bonds between ring members or between ring members and non-ring members having three double bonds between ring members or between ring members and non-ring members having no bond between the ring nitrogen atom and a non-ring member or having only hydrogen or carbon atoms directly attached to the ring nitrogen atom
- C07D213/60—Heterocyclic compounds containing six-membered rings, not condensed with other rings, with one nitrogen atom as the only ring hetero atom and three or more double bonds between ring members or between ring members and non-ring members having three double bonds between ring members or between ring members and non-ring members having no bond between the ring nitrogen atom and a non-ring member or having only hydrogen or carbon atoms directly attached to the ring nitrogen atom with hetero atoms or with carbon atoms having three bonds to hetero atoms with at the most one bond to halogen, e.g. ester or nitrile radicals, directly attached to ring carbon atoms
- C07D213/78—Carbon atoms having three bonds to hetero atoms, with at the most one bond to halogen, e.g. ester or nitrile radicals
- C07D213/81—Amides; Imides
-
- A—HUMAN NECESSITIES
- A01—AGRICULTURE; FORESTRY; ANIMAL HUSBANDRY; HUNTING; TRAPPING; FISHING
- A01N—PRESERVATION OF BODIES OF HUMANS OR ANIMALS OR PLANTS OR PARTS THEREOF; BIOCIDES, e.g. AS DISINFECTANTS, AS PESTICIDES OR AS HERBICIDES; PEST REPELLANTS OR ATTRACTANTS; PLANT GROWTH REGULATORS
- A01N43/00—Biocides, pest repellants or attractants, or plant growth regulators containing heterocyclic compounds
- A01N43/02—Biocides, pest repellants or attractants, or plant growth regulators containing heterocyclic compounds having rings with one or more oxygen or sulfur atoms as the only ring hetero atoms
- A01N43/04—Biocides, pest repellants or attractants, or plant growth regulators containing heterocyclic compounds having rings with one or more oxygen or sulfur atoms as the only ring hetero atoms with one hetero atom
- A01N43/06—Biocides, pest repellants or attractants, or plant growth regulators containing heterocyclic compounds having rings with one or more oxygen or sulfur atoms as the only ring hetero atoms with one hetero atom five-membered rings
- A01N43/10—Biocides, pest repellants or attractants, or plant growth regulators containing heterocyclic compounds having rings with one or more oxygen or sulfur atoms as the only ring hetero atoms with one hetero atom five-membered rings with sulfur as the ring hetero atom
-
- A—HUMAN NECESSITIES
- A01—AGRICULTURE; FORESTRY; ANIMAL HUSBANDRY; HUNTING; TRAPPING; FISHING
- A01N—PRESERVATION OF BODIES OF HUMANS OR ANIMALS OR PLANTS OR PARTS THEREOF; BIOCIDES, e.g. AS DISINFECTANTS, AS PESTICIDES OR AS HERBICIDES; PEST REPELLANTS OR ATTRACTANTS; PLANT GROWTH REGULATORS
- A01N43/00—Biocides, pest repellants or attractants, or plant growth regulators containing heterocyclic compounds
- A01N43/34—Biocides, pest repellants or attractants, or plant growth regulators containing heterocyclic compounds having rings with one nitrogen atom as the only ring hetero atom
- A01N43/40—Biocides, pest repellants or attractants, or plant growth regulators containing heterocyclic compounds having rings with one nitrogen atom as the only ring hetero atom six-membered rings
-
- A—HUMAN NECESSITIES
- A01—AGRICULTURE; FORESTRY; ANIMAL HUSBANDRY; HUNTING; TRAPPING; FISHING
- A01N—PRESERVATION OF BODIES OF HUMANS OR ANIMALS OR PLANTS OR PARTS THEREOF; BIOCIDES, e.g. AS DISINFECTANTS, AS PESTICIDES OR AS HERBICIDES; PEST REPELLANTS OR ATTRACTANTS; PLANT GROWTH REGULATORS
- A01N43/00—Biocides, pest repellants or attractants, or plant growth regulators containing heterocyclic compounds
- A01N43/48—Biocides, pest repellants or attractants, or plant growth regulators containing heterocyclic compounds having rings with two nitrogen atoms as the only ring hetero atoms
- A01N43/54—1,3-Diazines; Hydrogenated 1,3-diazines
-
- A—HUMAN NECESSITIES
- A01—AGRICULTURE; FORESTRY; ANIMAL HUSBANDRY; HUNTING; TRAPPING; FISHING
- A01N—PRESERVATION OF BODIES OF HUMANS OR ANIMALS OR PLANTS OR PARTS THEREOF; BIOCIDES, e.g. AS DISINFECTANTS, AS PESTICIDES OR AS HERBICIDES; PEST REPELLANTS OR ATTRACTANTS; PLANT GROWTH REGULATORS
- A01N43/00—Biocides, pest repellants or attractants, or plant growth regulators containing heterocyclic compounds
- A01N43/72—Biocides, pest repellants or attractants, or plant growth regulators containing heterocyclic compounds having rings with nitrogen atoms and oxygen or sulfur atoms as ring hetero atoms
- A01N43/80—Biocides, pest repellants or attractants, or plant growth regulators containing heterocyclic compounds having rings with nitrogen atoms and oxygen or sulfur atoms as ring hetero atoms five-membered rings with one nitrogen atom and either one oxygen atom or one sulfur atom in positions 1,2
-
- C—CHEMISTRY; METALLURGY
- C07—ORGANIC CHEMISTRY
- C07D—HETEROCYCLIC COMPOUNDS
- C07D213/00—Heterocyclic compounds containing six-membered rings, not condensed with other rings, with one nitrogen atom as the only ring hetero atom and three or more double bonds between ring members or between ring members and non-ring members
- C07D213/02—Heterocyclic compounds containing six-membered rings, not condensed with other rings, with one nitrogen atom as the only ring hetero atom and three or more double bonds between ring members or between ring members and non-ring members having three double bonds between ring members or between ring members and non-ring members
- C07D213/04—Heterocyclic compounds containing six-membered rings, not condensed with other rings, with one nitrogen atom as the only ring hetero atom and three or more double bonds between ring members or between ring members and non-ring members having three double bonds between ring members or between ring members and non-ring members having no bond between the ring nitrogen atom and a non-ring member or having only hydrogen or carbon atoms directly attached to the ring nitrogen atom
- C07D213/60—Heterocyclic compounds containing six-membered rings, not condensed with other rings, with one nitrogen atom as the only ring hetero atom and three or more double bonds between ring members or between ring members and non-ring members having three double bonds between ring members or between ring members and non-ring members having no bond between the ring nitrogen atom and a non-ring member or having only hydrogen or carbon atoms directly attached to the ring nitrogen atom with hetero atoms or with carbon atoms having three bonds to hetero atoms with at the most one bond to halogen, e.g. ester or nitrile radicals, directly attached to ring carbon atoms
- C07D213/78—Carbon atoms having three bonds to hetero atoms, with at the most one bond to halogen, e.g. ester or nitrile radicals
- C07D213/81—Amides; Imides
- C07D213/82—Amides; Imides in position 3
-
- C—CHEMISTRY; METALLURGY
- C07—ORGANIC CHEMISTRY
- C07D—HETEROCYCLIC COMPOUNDS
- C07D231/00—Heterocyclic compounds containing 1,2-diazole or hydrogenated 1,2-diazole rings
- C07D231/02—Heterocyclic compounds containing 1,2-diazole or hydrogenated 1,2-diazole rings not condensed with other rings
- C07D231/10—Heterocyclic compounds containing 1,2-diazole or hydrogenated 1,2-diazole rings not condensed with other rings having two or three double bonds between ring members or between ring members and non-ring members
- C07D231/14—Heterocyclic compounds containing 1,2-diazole or hydrogenated 1,2-diazole rings not condensed with other rings having two or three double bonds between ring members or between ring members and non-ring members with hetero atoms or with carbon atoms having three bonds to hetero atoms with at the most one bond to halogen, e.g. ester or nitrile radicals, directly attached to ring carbon atoms
- C07D231/38—Nitrogen atoms
- C07D231/40—Acylated on said nitrogen atom
-
- C—CHEMISTRY; METALLURGY
- C07—ORGANIC CHEMISTRY
- C07D—HETEROCYCLIC COMPOUNDS
- C07D333/00—Heterocyclic compounds containing five-membered rings having one sulfur atom as the only ring hetero atom
- C07D333/02—Heterocyclic compounds containing five-membered rings having one sulfur atom as the only ring hetero atom not condensed with other rings
- C07D333/04—Heterocyclic compounds containing five-membered rings having one sulfur atom as the only ring hetero atom not condensed with other rings not substituted on the ring sulphur atom
- C07D333/26—Heterocyclic compounds containing five-membered rings having one sulfur atom as the only ring hetero atom not condensed with other rings not substituted on the ring sulphur atom with hetero atoms or with carbon atoms having three bonds to hetero atoms with at the most one bond to halogen, e.g. ester or nitrile radicals, directly attached to ring carbon atoms
- C07D333/38—Carbon atoms having three bonds to hetero atoms with at the most one bond to halogen, e.g. ester or nitrile radicals
Definitions
- This invention relates to certain heterocyclic diamides, their N-oxides, suitable salts and compositions, and a method of their use for controlling invertebrate pests in both agronomic and nonagronomic environments.
- invertebrate pests are extremely important in achieving high crop efficiency. Damage by invertebrate pests to growing and stored agronomic crops can cause significant reduction in productivity and thereby result in increased costs to the consumer.
- the control of invertebrate pests in forestry, greenhouse crops, ornamentals, nursery crops, stored food and fiber products, livestock, household, and public and animal health is also important. Many products are commercially available for these purposes, but the need continues for new compounds that are more effective, less costly, less toxic, environmentally safer or have different modes of action.
- NL 9202078 discloses N-acyl anthranilic acid derivatives of Formula i as insecticides
- X is a direct bond
- Y is H or C 1 -C 6 alkyl
- Z is NH 2 , NH(C 1 -C 3 alkyl) or N(C 1 -C 3 alkyl) 2
- R 1 through R 9 are independently H, halogen, C 1 -C 6 alkyl, phenyl, hydroxy, C 1 -C 6 alkoxy or C 1 -C 7 acyloxy.
- WO01/070671 discloses N-acyl anthranilic acid derivatives of Formula i as arthropodicides
- a and B are independently O or S;
- J is an optionally substituted phenyl ring, 5- or 6-membered heteroaromatic ring, naphthyl ring system or an aromatic 8-, 9- or 10-membered fused heterobicyclic ring system;
- R 1 and R 3 are independently H or optionally substituted C 1 -C 6 alkyl;
- n is 1 to 4.
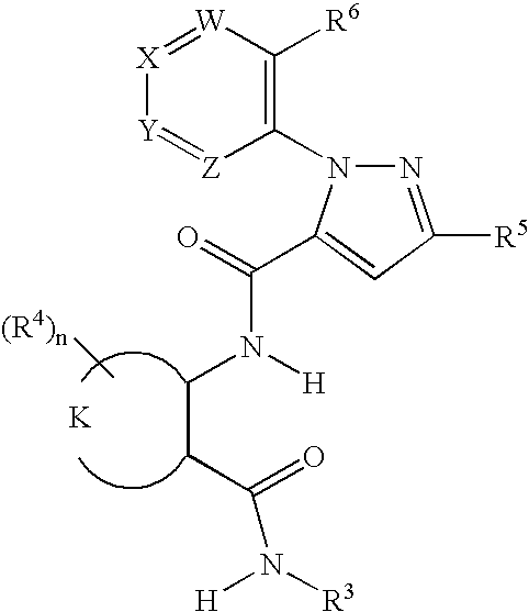
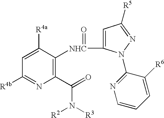
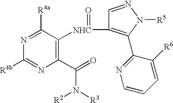
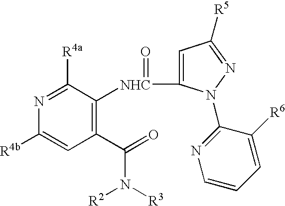
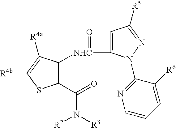
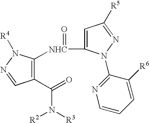
- This invention pertains to compounds of Formula I, and N-oxides or suitable salts thereof
- a and B are independently O or S;
- each J is independently a phenyl ring, a naphthyl ring system, a 5- or 6-membered heteroaromatic ring or an aromatic 8-, 9- or 10-membered fused heterobicyclic ring system wherein each ring or ring system is optionally substituted with 1 to 4 R 5 ;
- K is, together with the two contiguous linking carbon atoms, a 5- or 6-membered heteroaromatic ring optionally substituted with 1 to 3 R 4 ;
- n 1 to 3;
- R 1 is H; or C 1 -C 6 alkyl, C 2 -C 6 alkenyl, C 2 -C 6 alkynyl or C 3 -C 6 cycloalkyl each optionally substituted with one or more substituents selected from the group consisting of halogen, CN, NO 2 , hydroxy, C 1 -C 4 alkoxy, C 1 -C 4 alkylthio, C 1 -C 4 alkylsulfinyl, C 1 -C 4 alkylsulfonyl, C 2 -C 4 alkoxycarbonyl, C 1 -C 4 alkylamino, C 2 -C 8 dialkylamino and C 3 -C 6 cycloalkylamino; or
- R 2 is H, C 1 -C 6 alkyl, C 2 -C 6 alkenyl, C 2 -C 6 alkynyl, C 3 -C 6 cycloalkyl, C 1 -C 4 alkoxy, C 1 -C 4 alkylamino, C 2 -C 5 dialkylamino, C 3 -C 6 cycloalkylamino, C 2 -C 6 alkoxycarbonyl or C 2 -C 6 alkylcarbonyl;
- R 3 is H; G; or C 1 -C 6 alkyl, C 2 -C 6 alkenyl, C 2 -C 6 alkynyl, C 3 -C 6 cycloalkyl, each optionally substituted with one or more substituents selected from the group consisting of G, halogen, CN, NO 2 , hydroxy, C 1 -C 4 alkoxy, C 1 -C 4 haloalkoxy, C 1 -C 4 alkylthio, C 1 -C 4 alkylsulfinyl, C 1 -C 4 alkylsulfonyl, C 2 -C 6 alkoxycarbonyl, C 2 -C 6 alkylcarbonyl, C 3 -C 6 trialkylsilyl, or a phenyl, phenoxy or 5- or 6-membered heteroaromatic ring, each ring optionally substituted with one to three substituents independently selected from R 6 ; or
- R 2 and R 3 can be taken together with the nitrogen to which they are attached to form a ring containing 2 to 6 atoms of carbon and optionally one additional atom of nitrogen, sulfur or oxygen, and said ring may be optionally substituted with one to four substituents selected from R 12 ; and
- G is a 5- or 6-membered nonaromatic carbocyclic or heterocyclic ring, optionally including one or two ring members selected from the group consisting of C( ⁇ O), SO or S(O) 2 and optionally substituted with one to four substituents selected from R 12 ;
- each R 4 is independently H, C 1 -C 6 alkyl, C 2 -C 6 alkenyl, C 2 -C 6 alkynyl, C 3 -C 6 cycloalkyl, C 1 -C 6 haloalkyl, C 2 -C 6 haloalkenyl, C 2 -C 6 haloalkynyl, C 3 -C 6 halocycloalkyl, halogen, CN, NO 2 , hydroxy, C 1 -C 4 alkoxy, C 1 -C 4 haloalkoxy, C 1 -C 4 alkylthio, C 1 -C 4 alkylsulfinyl, C 1 -C 4 alkylsulfonyl, C 1 -C 4 haloalkylthib, C 1 -C 4 haloalkylsulfinyl, C 1 -C 4 haloalkylsulfonyl, C 1 -C 4 al
- each R 4 is independently a phenyl, benzyl, phenoxy or 5- or 6-membered heteroaromatic ring, each ring optionally substituted with one to three substituents independently selected from R 6 ;
- each R 5 is independently H, C 1 -C 6 alkyl, C 2 -C 6 alkenyl, C 2 -C 6 alkynyl, C 3 -C 6 cycloalkyl, C 1 -C 6 haloalkyl, C 2 -C 6 haloalkenyl, C 2 -C 6 haloalkynyl, C 3 -C 6 halocycloalkyl, halogen, CN, CO 2 H, CONH 2 , NO 2 , hydroxy, C 1 -C 4 alkoxy, C 1 -C 4 haloalkoxy, C 1 -C 4 alkylthio, C 1 -C 4 alkylsulfinyl, C 1 -C 4 alkylsulfonyl, C 1 -C 4 haloalkylthio, C 1 -C 4 haloalkylsulfinyl, C 1 -C 4 haloalkylsulfony
- each R 5 is independently a phenyl, benzyl, benzoyl, phenoxy, 5- or 6-membered heteroaromatic ring or an aromatic 8-, 9- or 10-membered fused heterobicyclic ring system, each ring or ring system optionally substituted with one to three substituents independently selected from R 6 ; or
- (R 5 ) 2 when attached to adjacent carbon atoms can be taken together as —OCF 2 O—, —CF 2 CF 2 O—, or —OCF 2 CF 2 O—;
- each R 6 is independently C 1 -C 4 alkyl, C 2 -C 4 alkenyl, C 2 -C 4 alkynyl, C 3 -C 6 cycloalkyl, C 1 -C 4 haloalkyl, C 2 -C 4 haloalkenyl, C 2 -C 4 haloalkynyl, C 3 -C 6 halocycloalkyl, halogen, CN, NO 2 , C 1 -C 4 alkoxy, C 1 -C 4 haloalkoxy, C 1 -C 4 alkylthio, C 1 -C 4 alkylsulfinyl, C 1 -C 4 alkylsulfonyl, C 1 -C 4 alkylamino, C 2 -C 8 dialkylamino, C 3 -C 6 cycloalkylamino, C 3 -C 6 (alkyl)cycloalkylamino, C 2 -C 4 alkyl,
- each R 10 is independently H, C 1 -C 4 alkyl or C 1 -C 4 haloalkyl;
- each R 11 is independently H or C 1 -C 4 alkyl
- each R 12 is independently C 1 -C 2 alkyl, halogen, CN, NO 2 or C 1 -C 2 alkoxy.
- This invention also pertains to a method for controlling an invertebrate pest comprising contacting the invertebrate pest or its environment with a biologically effective amount of a compound of Formula I, an N-oxide thereof or a suitable salt of the compound (e.g., as a composition described herein).
- This invention also relates to such a method wherein the invertebrate pest or its environment is contacted with a biologically effective amount of a compound of Formula I or a composition comprising a compound of Formula I, an N-oxide thereof or a suitable salt of the compound and a biologically effective amount of at least one additional compound or agent for controlling invertebrate pests.
- This invention also pertains to a composition for controlling an invertebrate pest comprising a biologically effective amount of a compound of Formula I, an N-oxide thereof or a suitable salt of the compound and at least one additional component selected from the group consisting of surfactants, solid diluents and liquid diluents.
- This invention also pertains to a composition comprising a biologically effective amount of a compound of Formula I, an N-oxide thereof or a suitable salt of the compound and an effective amount of at least one additional biologically active compound or agent.
- alkyl used either alone or in compound words such as “alkylthio” or “haloalkyl” includes straight-chain or branched alkyl, such as, methyl, ethyl, n-propyl, i-propyl, or the different butyl, pentyl or hexyl isomers.
- Alkenyl includes straight-chain or branched alkenes such as ethenyl, 1-propenyl, 2-propenyl, and the different butenyl, pentenyl and hexenyl isomers.
- Alkenyl also includes polyenes such as 1,2-propadienyl and 2,4-hexadienyl.
- Alkynyl includes straight-chain or branched alkynes such as ethynyl, 1-propynyl, 2-propynyl and the different butynyl, pentynyl and hexynyl isomers.
- Alkynyl can also include moieties comprised of multiple triple bonds such as 2,5-hexadiynyl.
- Alkoxy includes, for example, methoxy, ethoxy, n-propyloxy, isopropyloxy and the different butoxy, pentoxy and hexyloxy isomers.
- Alkoxyalkyl denotes alkoxy substitution on alkyl. Examples of “alkoxyalkyl” include CH 3 OCH 2 , CH 3 OCH 2 CH 2 , CH 3 CH 2 OCH 2 , CH 3 CH 2 CH 2 CH 2 OCH 2 and CH 3 CH 2 OCH 2 CH 2 .
- Alkylthio includes branched or straight-chain alkylthio moieties such as methylthio, ethylthio, and the different propylthio and butylthio isomers.
- Alkylsulfinyl includes both enantiomers of an alkylsulfinyl group.
- alkylsulfinyl include CH 3 S(O), CH 3 CH 2 S(O), CH 3 CH 2 CH 2 S(O), (CH 3 ) 2 CHS(O) and the different butylsulfinyl isomers.
- alkylsulfonyl include CH 3 S(O) 2 , CH 3 CH 2 S(O) 2 , CH 3 CH 2 CH 2 S(O) 2 , (CH 3 ) 2 CHS(O) 2 and the different butylsulfonyl isomers.
- Alkylamino “dialkylamino”, “alkenylthio”, “alkenylsulfinyl”, “alkenylsulfonyl”, “alkynylthio”, “alkynylsulfinyl”, “alkynylsulfonyl”, and the like, are defined analogously to the above examples.
- Cycloalkyl includes, for example, cyclopropyl, cyclobutyl, cyclopentyl, and cyclohexyl.
- “Aromatic” indicates that each of the ring atoms is essentially in the same plane and has a p-orbital perpendicular to the ring plane, and in which (4n+2) ⁇ electrons, when n is 0 or a positive integer, are associated with the ring to comply with Hückel's rule.
- aromatic ring system denotes fully unsaturated carbocycles and heterocycles in which at least one ring of a polycyclic ring system is aromatic.
- aromatic carbocyclic ring or ring system includes fully aromatic carbocycles and carbocycles in which at least one ring of a polycyclic ring system is aromatic (e.g. phenyl and naphthyl).
- nonaromatic carbocyclic ring or ring system denotes fully saturated carbocycles as well as partially or fully unsaturated carbocycles where the Hückel rule is not satisfied by any of the rings in the ring system.
- hetero in connection with rings or ring systems refers to a ring or ring system in which at least one ring atom is not carbon and which can contain 1 to 4 heteroatoms independently selected from the group consisting of nitrogen, oxygen and sulfur, provided that each ring contains no more than 4 nitrogens, no more than 2 oxygens and no more than 2 sulfurs.
- heterocyclic ring or ring system and “aromatic fused heterobicyclic ring system” includes fully aromatic heterocycles and heterocycles in which at least one ring of a polycyclic ring system is aromatic (where aromatic indicates that the Hückel rule is satisfied).
- nonaromatic heterocyclic ring or ring system denotes fully saturated heterocycles as well as partially or fully unsaturated heterocycles where the Hückel rule is not satisfied by any of the rings in the ring system.
- the heterocyclic ring or ring system can be attached through any available carbon or nitrogen by replacement of a hydrogen on said carbon or nitrogen.
- halogen either alone or in compound words such as “haloalkyl”, includes fluorine, chlorine, bromine or iodine. Further, when used in compound words such as “haloalkyl”, said alkyl may be partially or fully substituted with halogen atoms which may be the same or different. Examples of “haloalkyl” include F 3 C, ClCH 2 , CF 3 CH 2 and CF 3 CCl 2 .
- haloalkenyl “haloalkynyl”, “haloalkoxy”, “haloalkylthio”, and the like, are defined analogously to the term “haloalkyl”.
- haloalkenyl examples include (Cl) 2 C ⁇ CHCH 2 and CF 3 CH 2 CH ⁇ CHCH 2 .
- haloalkynyl examples include HC ⁇ CCHCl, CF 3 C ⁇ C, CCl 3 C ⁇ C and FCH 2 C ⁇ CCH 2 .
- haloalkoxy examples include CF 3 O, CCl 3 CH 2 O, HCF 2 CH 2 CH 2 O and CF 3 CH 2 O.
- haloalkylthio examples include CCl 3 S, CF 3 S, CCl 3 CH 2 S and ClCH 2 CH 2 CH 2 S.
- haloalkylsulfinyl examples include CF 3 S(O), CCl 3 S(O), CF 3 CH 2 S(O) and CF 3 CF 2 S(O).
- haloalkylsulfonyl examples include CF 3 S(O) 2 , CCl 3 S(O) 2 , CF 3 CH 2 S(O) 2 and CF 3 CF 2 S(O) 2 .
- alkylcarbonyl examples include C(O)CH 3 , C(O)CH 2 CH 2 CH 3 and C(O)CH(CH 3 ) 2 .
- alkoxycarbonyl examples include CH 3 OC( ⁇ O), CH 3 CH 2 OC( ⁇ O), CH 3 CH 2 CH 2 C( ⁇ O), (CH 3 ) 2 CHOC( ⁇ O) and the different butoxy- or pentoxycarbonyl isomers.
- alkylaminocarbonyl examples include CH 3 NHC( ⁇ O), CH 3 CH 2 NHC( ⁇ O), CH 3 CH 2 CH 2 NHC( ⁇ O), (CH 3 ) 2 CHNHC( ⁇ O) and the different butylamino- or pentylaminocarbonyl isomers.
- dialkylaminocarbonyl examples include (CH 3 ) 2 NC( ⁇ O), (CH 3 CH 2 ) 2 NC( ⁇ O), CH 3 CH 2 (CH 3 )NC( ⁇ O), CH 3 CH 2 CH 2 (CH 3 )NC(—O) and (CH 3 ) 2 CHN(CH 3 )C( ⁇ O).
- C i -C j The total number of carbon atoms in a substituent group is indicated by the “C i -C j ” prefix where i and j are numbers from 1 to 6.
- C 1 -C 3 alkylsulfonyl designates methylsulfonyl through propylsulfonyl
- C 2 alkoxyalkyl designates CH 3 OCH 2
- C 3 alkoxyalkyl designates, for example, CH 3 CH(OCH 3 ), CH 3 OCH 2 CH 2 or CH 3 CH 2 OCH 2
- C 4 alkoxyalkyl designates the various isomers of an alkyl group substituted with an alkoxy group containing a total of four carbon atoms, examples including CH 3 CH 2 CH 2 OCH 2 and CH 3 CH 2 OCH 2 CH 2 .
- Compounds of this invention can exist as one or more stereoisomers.
- the various stereoisomers include enantiomers, diastereomers, atropisomers and geometric isomers.
- one stereoisomer may be more active and/or may exhibit beneficial effects when enriched relative to the other stereoisomer(s) or when separated from the other stereoisomer(s).
- the skilled artisan knows how to separate, enrich, and/or to selectively prepare said stereoisomers.
- the present invention comprises compounds selected from Formula I, N-oxides and agriculturally suitable salts thereof.
- the compounds of the invention may be present as a mixture of stereoisomers, individual stereoisomers, or as an optically active form.
- N-oxides of heterocycles and tertiary amines are very well known by one skilled in the art including the oxidation of heterocycles and tertiary amines with peroxy acids such as peracetic and m-chloroperbenzoic acid (MCPBA), hydrogen peroxide, alkyl hydroperoxides such as t-butyl hydroperoxide, sodium perborate, and dioxiranes such as dimethydioxirane.
- MCPBA peroxy acids
- alkyl hydroperoxides such as t-butyl hydroperoxide
- sodium perborate sodium perborate
- dioxiranes such as dimethydioxirane
- the salts of the compounds of the invention include acid-addition salts with inorganic or organic acids such as hydrobromic, hydrochloric, nitric, phosphoric, sulfuric, acetic, butyric, fumaric, lactic, maleic, malonic, oxalic, propionic, salicylic, tartaric, 4-toluenesulfonic or valeric acids.
- inorganic or organic acids such as hydrobromic, hydrochloric, nitric, phosphoric, sulfuric, acetic, butyric, fumaric, lactic, maleic, malonic, oxalic, propionic, salicylic, tartaric, 4-toluenesulfonic or valeric acids.
- the salts of the compounds of the invention also include those formed with organic bases (e.g., pyridine, ammonia, or triethylamine) or inorganic bases (e.g., hydrides, hydroxides, or carbonates of sodium, potassium, lithium, calcium, magnesium or barium) when the compound contains an acidic group such as a carboxylic acid or phenol.
- organic bases e.g., pyridine, ammonia, or triethylamine
- inorganic bases e.g., hydrides, hydroxides, or carbonates of sodium, potassium, lithium, calcium, magnesium or barium
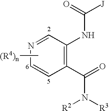
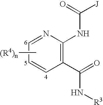
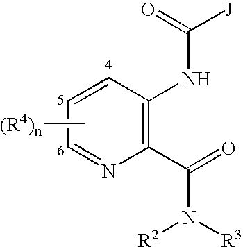
- J is a phenyl ring, a naphthyl ring system, a 5- or 6-membered heteroaromatic ring or an aromatic 8-, 9- or 10-membered fused heterobicyclic ring system wherein each ring or ring system is optionally substituted with 1 to 4 R 5 .
- the term “optionally substituted” in connection with these J groups refers to groups which are unsubstituted or have at least one non-hydrogen substituent that does not extinguish the biological activity possessed by the unsubstituted analog.
- phenyl optionally substituted with 1 to 4 R 5 is the ring illustrated as U-1 in Exhibit 1, wherein R v is R 5 and r is an integer from 1 to 4.
- An example of a naphthyl group optionally substituted with 1 to 4 R 5 is illustrated as U-85 in Exhibit 1, wherein R v is R 5 and r is an integer from 1 to 4.
- Examples of 5- or 6-membered heteroaromatic rings optionally substituted with 1 to 4 R 5 include the rings U-2 through U-53 illustrated in Exhibit 1 wherein R v is R 5 and r is an integer from 1 to 4. Note that J-1 through J-13 below also denote 5- or 6-membered heteroaromatic rings.
- U-2 through U-20 are examples of J-1
- U-21 through U-35 and U-40 are examples of J-2
- U-36 through U-39 are examples of J-3
- U-41 through U-48 are examples of J-4
- U-49 through U-53 are examples of J-5.
- J-6 is a subset of U-11
- J-7 or J-10 are a subset of U-26
- J-8 is a subset of U-42
- J-9 is a subset of U-45
- J-11 is a subset of U-4
- J-12 or J-13 are a subset of U-24.
- R 7 and R 9 are subsets of R 5 .
- Examples of aromatic 8-, 9- or 10-membered fused heterobicyclic ring systems optionally substituted with 1 to 4 R 5 include U-54 through U-84 illustrated in Exhibit 1 wherein R v is R 5 and r is an integer from 1 to 4.
- R v groups are shown in the structures U-1 through U-85, it is noted that they do not need to be present since they are optional substituents. Note that when R v is H when attached to an atom, this is the same as if said atom is unsubstituted. The nitrogen atoms that require substitution to fill their valence are substituted with H or R v . Note that some U groups can only be substituted with less than 4 R v groups (e.g. U-14, U-15, U-18 through U-21 and U-32 through U-34 can only be substituted with one RV).
- (RV) r and the U group can be attached to any available carbon atom of the U group.
- (R v ) r can be attached to any available carbon atom of the U group.
- the U group can be attached to the remainder of Formula I through any available carbon of the U group by replacement of a hydrogen atom.
- K is, together with the two contiguous linking carbon atoms, a 5- or 6-membered heteroaromatic ring optionally substituted with 1 to 3 R 4 .
- K rings wherein said rings are optionally substituted with 1 to 3 R 4 include the ring systems illustrated as K-1 to K-37 in Exhibit 2, wherein n is an integer from 1 to 3 and R 4 is as defined above.
- the term “optionally substituted” in connection with these K groups refers to K groups which are unsubstituted or have at least one non-hydrogen substituent that does not extinguish the biological activity possessed by the unsubstituted analog.
- R 4 As with the carbon atoms in the ring, the nitrogen atoms that require substitution to fill their valence are substituted with hydrogen or with R 4 .
- R 4 n groups are shown in the structures K-1 to K-37, it is noted that R 4 does not need to be present since it is an optional substituent. Note that some K groups can only be substituted with less than 3 R 4 groups (e.g. K-7 through K-10, K-15, K-16, K-20, K-21, K-23, K-24, K-26 and K-27 can only be substituted with one R 4 ).
- the wavy line indicates that the K ring is attached to the remainder of Formula I as illustrated below.
- K rings include optionally substituted thiophene, isoxazole, isothiazole, pyrazole, pyridine and pyridine rings. More preferred K rings include K-1, K-14, K-15, K-18, K-23, K-28, K-29, K-30, K-31 and K-33. Most preferred are K-28, K-31 and K-33.
- R 3 can be (among others) C 1 -C 6 alkyl, C 2 -C 6 alkenyl, C 2 -C 6 alkynyl, C 3 -C 6 cycloalkyl, each optionally substituted with one or more substituents selected from the group consisting of a phenyl ring, or 5- or 6-membered heteroaromatic ring, each ring optionally substituted with one to three substituents independently selected from R 6 .
- R 3 groups examples include the rings illustrated as U-1 through U-53 and U-86 illustrated in Exhibit 1, except that such rings are optionally substituted with 1 to 3 substituents independently selected from R 6 rather than (R v ) r and are attached to an R 3 group selected from the list immediately above.
- R 3 can be (among others) G, or C 1 -C 6 alkyl, C 2 -C 6 alkenyl, C 2 -C 6 alkynyl, C 3 -C 6 cycloalkyl, each optionally substituted with G; wherein G is a 5- or 6-membered nonaromatic carbocyclic or heterocyclic ring, optionally including one or two ring members selected from the group consisting of C( ⁇ O), SO or S(O) 2 and optionally substituted with 1 to 4 substituents selected from R 12 .
- the term “optionally substituted” in connection with these G groups refers to groups which are unsubstituted or have at least one non-hydrogen substituent that does not extinguish the biological activity possessed by the unsubstituted analog. Note that when the attachment point on the G group is illustrated as floating, the G group can be attached to the remainder of Formula I through any available carbon of the G group by replacement of a hydrogen atom. The optional substituents can be attached to any available carbon by replacing a hydrogen atom. Examples of 5- or 65 membered nonaromatic carbocyclic rings as 0 include the rings illustrated as G-I through G-8 of Exhibit 3.
- Examples of 5- or 6-membered nonaromatic heterocyclic rings as G include the rings illustrated as G-9 through G-48 of Exhibit 3.
- G comprises a ring selected from G-31 through G-34, G-37 and G-38
- Q 1 is selected from O, S or N.
- G is G-11, G13, G-14, G16, G-23, G-24, G-30 through G-34, G-37 and G-38 and Q 1 is N, the nitrogen atom can complete its valence by substitution with either H or C 1 -C 2 alkyl.
- each R 4 can be independently (among others) a phenyl, benzyl, phenoxy or 5- or 6-membered heteroaromatic ring, each ring optionally substituted with one to three substituents independently selected from R 6 .
- R 4 groups include the rings or ring systems illustrated as U-1 through U-53, U-86 and U-87 illustrated in Exhibit 1, except that such rings are optionally substituted with 1 to 3 substituents independently selected from R 6 rather than (RV) r .
- each R 5 can be independently (among others) a phenyl, benzyl, benzoyl, phenoxy, 5- or 6-membered heteroaromatic ring or an aromatic 8-, 9- or 10-membered fused heterobicyclic ring system, each ring optionally substituted with one to three substituents independently selected from R 6 .
- R 5 groups include the rings or ring systems illustrated as U-1 through U-88 illustrated in Exhibit 1, except that such rings are optionally substituted with 1 to 3 substituents independently selected from R 6 rather than (R v ) r .
- Preferred 1 Compounds of Formula I above, and N-oxides and suitable salts thereof, wherein A and B are both 0 and J is a phenyl ring optionally substituted with 1 to 4 R 5 .
- each R 5 is independently H, halogen, C 1 -C 4 alkyl, C 1 -C 2 alkoxy, C 1 -C 4 haloalkyl, CN, NO 2 , C 1 -C 4 haloalkoxy, C 1 -C 4 alkylthio, C 1 -C 4 alkylsulfinyl, C 1 -C 4 alkylsulfonyl, C 1 -C 4 haloalkylthio, C 1 -C 4 haloalkylsulfinyl, C 1 -C 4 haloalkylsulfonyl or C 2 -C 4 alkoxycarbonyl; or
- each R 5 is independently a phenyl or a 5- or 6-membered heteroaromatic ring, each ring optionally substituted with one to three substituents independently selected from R 6 ; or
- (R 5 ) 2 when attached to adjacent carbon atoms can be taken together as —OCF 2 O—, —CF 2 CF 2 O— or —OCF 2 CF 2 O—.
- R 1 is H
- R 2 is H or CH 3 ;
- R 3 is C 1 -C 4 alkyl optionally substituted with one or more substituents independently selected from halogen, CN, OCH 3 or S(O) p CH 3 ;
- each R 5 is independently H, halogen, methyl, CF 3 , OCF 3 , OCHF 2 , S(O) p CF 3 , S(O) p CHF 2 , OCH 2 CF 3 , OCF 2 CHF 2 , S(O) p CH 2 CF 3 or S(O) p CF 2 CHF 2 ;
- p is 0, 1 or 2.
- Preferred 4 Compounds of Preferred 3 wherein R 3 is C 1 -C 4 alkyl.
- a and B are both 0;
- J is a 5- or 6-membered heteroaromatic ring selected from the group consisting of J-1, J-2, J-3, J-4 and J-5, each J optionally substituted with 1 to 3 R 5
- Q is O, S or NR 5 ;
- W, X, Y and Z are independently N or CR 5 , provided that in J-4 and J-5 at least one of W, X, Y or Z is N.
- each R 5 is independently H, C 1 -C 4 alkyl, C 1 -C 4 haloalkyl, halogen, CN, NO 2 , C 1 -C 4 haloalkoxy, C 1 -C 4 alkylthio, C 1 -C 4 alkylsulfinyl, C 1 -C 4 alkylsulfonyl, C 1 -C 4 haloalkylthio, C 1 -C 4 haloalkylsulfinyl, C 1 -C 4 haloalkylsulfonyl or C 2 -C 4 alkoxycarbonyl; or a phenyl or a 5- or 6-membered heteroaromatic ring, each ring optionally substituted with R 6 .
- J substituted with 1 to 3 R 5 is selected from the group consisting of J-6, J-7, J-8, J-9, J-10, J-11, J-12 and J-13
- R 5 is H, C 1 -C 4 alkyl, C 1 -C 4 haloalkyl, or
- V is N, CH, CF, CCl, CBr or CI;
- each R 6 and R 7 is independently H, C 1 -C 6 alkyl, C 3 -C 6 cycloalkyl, C 1 -C 6 haloalkyl, halogen, CN, C 1 -C 4 alkoxy, C 1 -C 4 haloalkoxy or C 1 -C 4 haloalkylthio; and
- R 9 is H, C 1 -C 6 alkyl, C 1 -C 6 haloalkyl, C 3 -C 6 alkenyl, C 3 -C 6 haloalkenyl, C 3 -C 6 alkynyl or C 3 -C 6 haloalkynyl; provided R 7 and R 9 are not both H.
- Preferred 9 Compounds of Preferred 7 wherein V is CH, CF, CCl or CBr.
- R 1 is H
- R 2 is H or CH 3 ;
- R 3 is C 1 -C 4 alkyl optionally substituted with one or more substituents independently selected from halogen, CN, OCH 3 or S(O) p CH 3 ;
- R 6 is C 1 -C 4 alkyl, C 1 -C 4 haloalkyl, halogen or CN;
- R 7 is H, CH 3 , CF 3 , OCH 2 CF 3 , OCHF 2 or halogen;
- p is 0, 1 or 2.
- Preferred 12 Compounds of Preferred 11 wherein J substituted with 1 to 3 R 5 is J-6; R 6 is Cl or Br; and R 7 is halogen, OCH 2 CF 3 or CF 3 .
- Preferred 13 Compounds of Preferred 12 wherein V is N; R 3 is methyl, ethyl, isopropyl, tertiary butyl or N(CH 3 ) 2 ; and R 7 is Br, Cl, OCH 2 CF 3 or CF 3 .
- Preferred 14 Compounds of Preferred 11 wherein J substituted with 1 to 3 R 5 is J-7; R 6 is Cl or Br; and R 9 is CF 3 , CHF 2 , CH 2 CF 3 or CF 2 CHF 2 .
- Preferred 15 Compounds of Preferred 11 wherein J substituted with 1 to 3 R 5 is J-8; R 6 is Cl or Br; and R 7 is halogen, OCH 2 CF 3 or CF 3 .
- Preferred 16 Compounds of Preferred 11 wherein J substituted with 1 to 3 R 5 is J-9; R 6 is Cl or Br; and R 7 is OCH 2 CF 3 or CF 3 .
- Preferred 17 Compounds of Preferred 11 wherein J substituted with 1 to 3 R 5 is J-10; R 6 is Cl or Br; and R 9 is CF 3 , CHF 2 , CH 2 CF 3 or CF 2 CHF 2 .
- Preferred 18 Compounds of Preferred 11 wherein J substituted with 1 to 3 R 5 is J-11; R 6 is Cl or Br; and R 7 is halogen, OCH 2 CF 3 , or CF 3 .
- Preferred 19 Compounds of Preferred 11 wherein J substituted with 1 to 3 R 5 is J-12; R 6 is Cl or Br; R 7 is H, halogen or CF 3 , and R 9 is H, CF 3 , CHF 2 , CH 2 CF 3 , or CF 2 CHF 2 .
- Preferred 20 Compounds of Preferred 11 wherein J substituted with 1 to 3 R 5 is J-13; R 6 is C 1 or Br; R 7 is H, halogen or CF 3 , and R 9 is H, CF 3 , CHF 2 , CH 2 CF 3 or CF 2 CHF 2 .
- This invention also pertains to a composition for controlling an invertebrate pest comprising a biologically effective amount of a compound of Formula I, an N-oxide thereof or a suitable salt thereof and at least one additional component selected from the group consisting of surfactants, solid diluents and liquid diluents.
- This invention also pertains to a composition comprising a biologically effective amount of a compound of Formula I, an N-oxide thereof or a suitable salt thereof and an effective amount of at least one additional biologically active compound or agent.
- the preferred compositions of the present invention are those which comprise the above preferred compounds.
- This invention also pertains to a method for controlling an invertebrate pest comprising contacting the invertebrate pest or its environment with a biologically effective amount of a compound of Formula I, an N-oxide t hereof or a suitable salt thereof (e.g., as a composition described herein).
- This invention also relates to such a method wherein the invertebrate pest or its environment is contacted with a biologically effective amount of a compound of Formula I or a composition comprising a compound of Formula I, an N-oxide thereof or a suitable salt thereof and a biologically effective amount of at least one additional compound or agent for controlling invertebrate pests.
- the preferred methods of use are those involving the above preferred compounds.
- a and B are independently O or S;
- each J is independently a phenyl ring, a naphthyl ring system, a 5- or 6-membered heteroaromatic ring or an aromatic 8-, 9- or 10-membered fused heterobicyclic ring system wherein each ring or ring system is optionally substituted with 1 to 4 R 5 ;
- K is, together with the two contiguous linking carbon atoms, a 5- or 6-membered heteroaromatic ring optionally substituted with 1 to 3 R 4 ;
- n 1 to 3;
- R 1 is H; or C 1 -C 6 alkyl, C 2 -C 6 alkenyl, C 2 -C 6 alkynyl or C 3 -C 6 cycloalkyl each optionally substituted with one or more substituents selected from the group consisting of halogen, CN, NO 2 , hydroxy, C 1 -C 4 alkoxy, C 1 -C 4 alkylthio, C 1 -C 4 alkylsulfinyl, C 1 -C 4 alkylsulfonyl, C 2 -C 4 alkoxycarbonyl, C 1 -C 4 alkylamino, C 2 -C 8 dialkylamino and C 3 -C 6 cycloalkylamino; or
- R 2 is H, C 1 -C 6 alkyl, C 2 -C 6 alkenyl, C 2 -C 6 alkynyl, C 3 -C 6 cycloalkyl, C 1 -C 4 alkoxy, C 1 -C 4 alkylamino, C 2 -C 8 dialkylamino, C 3 -C 6 cycloalkylamino, C 2 -C 6 alkoxycarbonyl or C 2 -C 6 alkylcarbonyl;
- R 3 is H; G; C 1 -C 6 alkyl, C 2 -C 6 alkenyl, C 2 -C 6 alkynyl, C 3 -C 6 cycloalkyl, each optionally substituted with one or more substituents selected from the group consisting of halogen, G, CN, NO 2 , hydroxy, C 1 -C 4 alkoxy, C 1 -C 4 haloalkoxy, C 1 -C 4 alkylthio, C 1 -C 4 alkylsulfinyl, C 1 -C 4 alkylsulfonyl, C 2 -C 6 alkoxycarbonyl, C 2 -C 6 alkylcarbonyl, C 3 -C 6 trialkylsilyl, or a phenyl, phenoxy or 5- or 6-membered heteroaromatic ring, each ring optionally substituted with one to three substituents independently selected from the group consisting of C 1 -C 4 alkyl,
- R 2 and R 3 can be taken together with the nitrogen to which they are attached to form a ring containing 2 to 6 atoms of carbon and optionally one additional atom of nitrogen, sulfur or oxygen, said ring may be optionally substituted with 1 to 4 substituents selected from the group consisting of C 1 -C 2 alkyl, halogen, CN, NO 2 and C 1 -C 2 alkoxy;
- G is a 5- or 6-membered nonaromatic carbocyclic or heterocyclic ring, optionally including one or two ring members selected from the group consisting of C( ⁇ O), SO or S(O) 2 and optionally substituted with 1 to 4 substituents selected from the group consisting of C 1 -C 2 alkyl, halogen, CN, NO 2 and C 1 -C 2 alkoxy;
- each R 4 is independently H, C 1 -C 6 alkyl, C 2 -C 6 alkenyl, C 2 -C 6 alkynyl, C 3 -C 6 cycloalkyl, C 1 -C 6 haloalkyl, C 2 -C 6 haloalkenyl, C 2 -C 6 haloalkynyl, C 3 -C 6 halocycloalkyl, halogen, CN, NO 2 , hydroxy, C 1 -C 4 alkoxy, C 1 -C 4 haloalkoxy, C 1 -C 4 alkylthio, C 1 -C 4 alkylsulfinyl, C 1 -C 4 alkylsulfonyl, C 1 -C 4 haloalkylthio, C 1 -C 4 haloalkylsulfinyl, C 1 -C 4 haloalkylsulfonyl, C 1 -C 4 alkylthi
- each R 4 is independently phenyl, benzyl or phenoxy, each optionally substituted with C 1 -C 4 alkyl, C 2 -C 4 alkenyl, C 2 -C 4 alkynyl, C 3 -C 6 cycloalkyl, C 1 -C 4 haloalkyl, C 2 -C 4 haloalkenyl, C 2 -C 4 haloalkynyl, C 3 -C 6 halocycloalkyl, halogen, CN, NO 2 , C 1 -C 4 alkoxy, C 1 -C 4 haloalkoxy, C 1 -C 4 alkylthio, C 1 -C 4 alkylsulfinyl, C 1 -C 4 alkylsulfonyl, C 1 -C 4 alkylamino, C 2 -C 8 dialkylamino, C 3 -C 6 cycloalkylamino, C 3 -C 6 cyclo
- each R 5 is independently H, C 1 -C 6 alkyl, C 2 -C 6 alkenyl, C 2 -C 6 alkynyl, C 3 -C 6 cycloalkyl, C 1 -C 6 haloalkyl, C 2 -C 6 haloalkenyl, C 2 -C 6 haloalkynyl, C 3 -C 6 halocycloalkyl, halogen, CN, CO 2 H, CONH 12 , NO 2 , hydroxy, C 1 -C 4 alkoxy, C 1 -C 4 haloalkoxy, C 1 -C 4 alkylthio, C 1 -C 4 alkylsulfinyl, C 1 -C 4 alkylsulfonyl, C 1 -C 4 haloalkylthio, C 1 -C 4 haloalkylsulfinyl, C 1 -C 4 haloalkylsulfony
- each R 5 is independently a phenyl, benzyl, benzoyl, phenoxy, 5- or 6-membered heteroaromatic ring or an aromatic 8-, 9- or 10-membered fused heterobicyclic ring system, each ring optionally substituted with one to three substituents independently selected from the group consisting of C 1 -C 4 alkyl, C 2 -C 4 alkenyl, C 2 -C 4 alkynyl, C 3 -C 6 cycloalkyl, C 1 -C 4 haloalkyl, C 2 -C 4 haloalkenyl, C 2 -C 4 haloalkynyl, C 3 -C 6 halocycloalkyl, halogen, CN, NO 2 , C 1 -C 4 alkoxy, C 1 -C 4 haloalkoxy, C 1 -C 4 alkylthio, C 1 -C 4 alkylsulfinyl, C 1
- (R 5 ) 2 when attached to adjacent carbon atoms can be taken together as —OCF 2 O—, —CF 2 CF 2 O—, or —OCF 2 CF 2 O—.
- Selection B Compounds of Selection A wherein J is independently a phenyl ring or a 5 or 6-membered heteroaromatic ring wherein each ring is optionally substituted with 1 to 2 R 5 .
- J is a phenyl ring or a 5- or 6-membered heteroaromatic ring selected from the group consisting of J-1, J-2, J-3, J-4 and J-5, each ring optionally substituted with 1 to 3 R 5
- Q is O, S or NR 5 ;
- W, X, Y and Z are independently N or CR 5 , provided that in J-4 and J-5 at least one of W, X, Y or Z is N.
- a and B are both 0;
- n 1 to 2;
- R 1 is H, C 1 -C 4 alkyl, C 2 -C 4 alkenyl, C 2 -C 4 alkynyl, C 3 -C 6 cycloalkyl, C 2 -C 6 alkylcarbonyl or C 2 -C 6 alkoxycarbonyl;
- R 2 is H, C 1 -C 4 alkyl, C 2 -C 4 alkenyl, C 2 -C 4 alkynyl, C 3 -C 6 cycloalkyl, C 2 -C 6 alkylcarbonyl or C 2 -C 6 alkoxycarbonyl;
- R 3 is C 1 -C 6 alkyl, C 2 -C 6 alkenyl, C 2 -C 6 alkynyl or C 3 -C 6 cycloalkyl each optionally substituted with one or more substituents selected from the group consisting of halogen, CN, C 1 -C 2 alkoxy, C 1 -C 2 alkylthio, C 1 -C 2 alkylsulfinyl and C 1 -C 2 alkylsulfonyl;
- one of the R 4 groups is attached to the heteroaromatic ring at one of the two positions ortho to the two linking atoms, and said R 4 is C 1 -C 4 alkyl, C 1 -C 4 haloalkyl, halogen, CN, NO 2 , C 1 -C 4 alkoxy, C 1 -C 4 haloalkoxy, C 1 -C 4 alkylthio, C 1 -C 4 alkylsulfinyl, C 1 -C 4 alkylsulfonyl, C 1 -C 4 haloalkylthio, C 1 -C 4 haloalkylsulfinyl or C 1 -C 4 haloalkylsulfonyl;
- each R 5 is independently H, C 1 -C 4 alkyl, C 1 -C 4 haloalkyl, halogen, CN, NO 2 , C 1 -C 4 haloalkoxy, C 1 -C 4 alkylthio, C 1 -C 4 alkylsulfinyl, C 1 -C 4 alkylsulfonyl, C 1 -C 4 haloalkylthio, C 1 -C 4 haloalkylsulfinyl, C 1 -C 4 haloalkylsulfonyl or C 2 -C 4 alkoxycarbonyl; or a phenyl or a 5- or 6-membered heteroaromatic ring, each ring optionally substituted with C 1 -C 4 alkyl, C 2 -C 4 alkenyl, C 2 -C 4 alkynyl, C 3 -C 6 cycloalkyl, C 1 -C 4 haloal
- (R 5 ) 2 when attached to adjacent carbon atoms can be taken together as OCF 2 O—, —CF 2 CF 2 O— or —OCF 2 CF 2 O—.
- J is selected from the group consisting of phenyl, pyridine, pyrimidine, pyrazole, imidazole, triazole, thiophene, thiazole and oxazole, furan, isothiazole and isoxazole, each optionally substituted with 1 to 2 R 5 .
- J is selected from the group consisting of phenyl, pyridine, pyrimidine, pyrazole, thiophene and thiazole, each optionally substituted with 1 to 2 R 5 ;
- R 1 and R 2 are both H;
- R 3 is C 1 -C 4 alkyl optionally substituted with halogen, CN, OCH 3 , S(O) p CH 3 ;
- each R 4 is independently CH 3 , CF 3 , OCF 3 , OCHF 2 , S(O) p CF 3 , S(O) p CHF 2 , CN or halogen;
- each R 5 is independently H, halogen, CH 3 , CF 3 , OCHF 2 , S(O) p CF 3 , S(O) p CHF 2 , OCH 2 CF 3 , OCF 2 CHF 2 , S(O) p CH 2 CF 3 , S(O) p CF 2 CHF 2 ; or phenyl, pyrazole, imidazole, triazole, pyridine or pyrimidine, each ring optionally substituted with C 1 -C 4 alkyl, C 1 -C 4 haloalkyl, C 1 -C 4 alkoxy, C 1 -C 4 haloalkoxy, C 1 -C 4 alkylthio, C 1 -C 4 alkylsulfinyl, C 1 -C 4 alkylsulfonyl, halogen or CN; and
- p is 0, 1 or 2.
- Selection G Compounds of Selection F wherein R 3 is C 1 -C 4 alkyl.
- Selection H Compounds of Selection G wherein J is a phenyl optionally substituted with 1 to 2 R 5 .
- Selection I Compounds of Selection H wherein one R 5 is a phenyl optionally substituted with C 1 -C 4 alkyl, C 1 -C 4 haloalkyl, halogen or CN.
- Selection J Compounds of Selection H wherein one R 5 is a pyrazole, imidazole, triazole, pyridine or pyrimidine, each ring optionally substituted with C 1 -C 4 alkyl, C 1 -C 4 haloalkyl, halogen or CN.
- Selection K Compounds of Selection I wherein J is a pyridine optionally substituted with 1 to 2 R 5 .
- Selection L Compounds of Selection K wherein one R 5 is a phenyl optionally substituted with C 1 -C 4 alkyl, C 1 -C 4 haloalkyl, halogen or CN.
- Selection M Compounds of Selection K wherein one R 5 is a pyrazole, imidazole, triazole, pyridine or pyrimidine, each ring optionally substituted with C 1 -C 4 alkyl, C 1 -C 4 haloalkyl, halogen or CN.
- Selection P Compounds of Selection N wherein one R 5 is a pyrazole, imidazole, triazole, pyridine or pyrimidine, each ring optionally substituted with C 1 -C 4 alkyl, C 1 -C 4 haloalkyl, halogen or CN.
- Selection Q Compounds of Selection I wherein J is a pyrazole optionally substituted with 1 to 2 R 5 .
- Selection R Compounds of Selection Q wherein one R 5 is a phenyl optionally substituted with C 1 -C 4 alkyl, C 1 -C 4 haloalkyl, halogen or CN.
- Selection S Compounds of Selection Q wherein one R 5 is a pyrazole, imidazole, triazole, pyridine or pyrimidine, each ring optionally substituted with C 1 -C 4 alkyl, C 1 -C 4 haloalkyl, halogen or CN.
- Selection T Compounds of Selection S wherein one R 5 is a pyridine optionally substituted with C 1 -C 4 alkyl, C 1 -C 4 haloalkyl, halogen or CN.
- the compounds of Formula I can be prepared by one or more of the following methods and variations as described in Schemes 1-19.
- the definitions of A, B, J, K, R 1 , R 2 , R 3 , R 4 , R 5 and n in the compounds of Formulae I and 2-41 below are as defined above in the Summary of the Invention.
- Compounds of Ia-c, 2a-b and 4a-g are various subsets of the compounds of Formula I, 2 and 4, respectively.
- K is selected from the group consisting of optionally substituted thiophene, isoxazole, isothiazole, pyrazole, pyridine and pyrimidine rings.
- Compounds of Formula I can be prepared by procedures outlined in Schemes 1-19. A typical procedure is detailed in Scheme 1 and involves coupling of an ortho amino carboxylic acid amide of Formula 2 with an acid chloride of Formula 3 in the presence of an acid scavenger to provide the compound of Formula Ia.
- Typical acid scavengers include amine bases such as triethylamine, diisopropylethylamine and pyridine; other scavengers include hydroxides such as sodium and potassium hydroxide and carbonates such as sodium carbonate and potassium carbonate.
- amides of Formula Ia can be converted to thioamides of Formula Ib using a variety of standard thio transfer reagents including phosphorus pentasulfide and Lawesson's reagent.
- An alternate procedure for the preparation of compounds of Formula Ia involves coupling of an amide of Formula 2 with an acid of Formula 4 in the presence of a dehydrating agent such as dicyclohexylcarbodiimide (DCC).
- a dehydrating agent such as dicyclohexylcarbodiimide (DCC).
- DCC dicyclohexylcarbodiimide
- Polymer supported reagents are useful here, such as polymer-bound cyclohexylcarbodiimide.
- acid chlorides of Formula 3 may be prepared from acids of Formula 4 by numerous well-known methods.
- An alternate procedure for the preparation of compounds of Formula Ia involves coupling of an ortho amino carboxylic acid ester of Formula 5 with an acid chloride of Formula 3 by a method similar to that described in Scheme 1, followed by transformation of the ester group into an amide functionality. This transformation can be achieved by an amination with an amine of Formula 7.
- a Lewis acid such as trimethylaluminum as shown in Scheme 3 may catalyze this reaction.
- ester 6 can be transformed to an amide (6a) as shown in Scheme 4 by saponification with a base such as aqueous sodium hydroxide followed by dehydrative coupling with an amine of Formula 7 by a procedure similar to that described in Scheme 2.
- a base such as aqueous sodium hydroxide
- Benzoic acids of Formula 4 (J is optionally substituted phenyl) are generally well known in the art as are procedures for their preparation.
- One particularly useful subset of benzoic acids of this invention are 2-methyl-4-perfluoroalkyl benzoic acids of Formula 4a (R 5 (a) equals e.g. CF 3 , C 2 F 5 , C 3 F 7 ).
- R 5 (a) equals e.g. CF 3 , C 2 F 5 , C 3 F 7 ).
- the synthesis for these compounds is outlined in Schemes 5-9.
- Benzoic acids of Formula 4a may be prepared from the benzonitriles of Formula 8 by hydrolysis.
- the conditions used may involve the use of a base such as an alkaline metal hydroxide or alkoxide (e.g.
- the hydrolysis may be carried out using an acid such as sulfuric acid or phosphoric acid in a suitable solvent such as water (e.g. Org. Synth. 1955, Coll. vol. 3, 557).
- a solvent such as water, ethanol or ethylene glycol
- the hydrolysis may be carried out using an acid such as sulfuric acid or phosphoric acid in a suitable solvent such as water (e.g. Org. Synth. 1955, Coll. vol. 3, 557).
- the choice of the conditions is contingent on the stability of R 5 to the reaction conditions and elevated temperatures are usually employed to achieve this transformation.
- Nitriles of Formula 8 may be prepared from anilines of Formula 9 by the classical sequence involving diazotization and treatment of the intermediate diazonium salt with a copper cyanide salt (e.g. J. Amer. Chem. Soc. 1902, 24, 1035).
- Anilines of Formula 9 may be prepared from compounds of Formula 10. This transformation may be achieved by a well-known procedure that employs Raney Nickel ( Org Synth. Coll . Vol. VI, 581). Alternatively, the same transformation may be effected by the use of a suitable catalyst such as palladium in the presence of hydrogen. The reaction is usually conducted at pressures of 104 to 107 kPa in a suitable organic solvent such as, but not limited to, toluene. Elevated temperatures of 80-110° C. are usually required to achieve the transformation. As one skilled in the art will realize, numerous chemical modifications of the thioether moiety are possible, and may be employed when necessary to facilitate this transformation.
- Compounds of Formula 10 may be prepared from iminosulfuranes of Formula 11.
- the transformation may be achieved in a protic solvent such as methanol or water, in a non-protic solvent such as dichloromethane or toluene in the presence of a suitable base such as triethylamine (e.g. Org. Synth. Coll. Vol. VI, 581) or sodium methoxide, or in a combination of a protic solvent, a protic solvent and a base.
- a protic solvent such as methanol or water
- a non-protic solvent such as dichloromethane or toluene
- a suitable base such as triethylamine (e.g. Org. Synth. Coll. Vol. VI, 581) or sodium methoxide
- the temperature at which the reaction is conducted is usually in the range 40-110° C.
- suitable salts of compounds of Formula 11 such as, but not limited to a hydrochloride, a sulfate or a bisulfate may also be employed, provided that the appropriate amount of base is first used to generate the free base 11. This may be done as a separate step or as an integral part of the step involving the transformation of compounds of Formula 11 to compounds of Formula 10.
- Compounds of Formula 11 may be prepared from anilines of Formula 12 by reaction with dimethyl sulfide and a suitable chlorinating agent such as, but not limited to N-chlorosuccinimide (e.g. Org. Synth. Coll. Vol. VI, 581), chlorine or N-chlorobenzotriazole.
- anilines of Formula 12 may be treated with dimethyl sulfoxide which has been “activated” by treatment with an agent such as acetic anhydride, trifluoroacetic, anhydride, trifluoromethanesulfonic anhydride, cyclohexylcarbodiimide, sulfur trioxide, or phosphorus pentoxide.
- the reaction is conducted in a suitable organic solvent such as dichloromethane or dimethyl sulfoxide.
- the reaction is conducted at a temperature of ⁇ 70° C. to 25° C. and is dependent on the solvent and reagent used.
- Intermediate ortho amino carboxylic acid amides of Formula 2a and 2b may also be prepared from isatoic anhydrides of Formula 13 and 14 (Scheme 10). Typical procedures involve combination of equimolar amounts of the amine 7 with the isatoic anhydride in polar aprotic solvents such as pyridine and dimethylformamide at temperatures ranging from room temperature to 100° C.
- R 1 substituents such as alkyl and substituted alkyl may be introduced by the base catalyzed alkylation of isatoic anhydride 13 with known alkylating reagents R 1 -Lg (wherein Lg is a leaving group such as halogen, alkyl or aryl suphonates or alkyl sulfates) to provide the alkyl substituted intermediates 14.
- Isatoic anhydrides of Formula 13 may be made by methods described in Coppola, Synthesis 1980, 505 and Fabis et al Tetrahedron, 1998, 10789.
- An alternate procedure for the preparation of specific compounds of Formula I involves reaction of an amine 7 with a heterocyclic fused oxazinone of Formula 15.
- Typical procedures involve combination of the amine with the oxazinone in solvents such as tetrahydrofuran or pyridine at temperatures ranging from room temperature to the reflux temperature of the solvent.
- Oxazinones are well documented in the chemical literature and are available via known methods that involve the coupling of either an ortho amino carboxylic acid with an acid chloride.
- references to the synthesis and chemistry of heterocyclic fused oxazinones see Jakobsen et al, Biorganic and Medicinal Chemistry, 2000, 8, 2803-2812 and references cited therein.
- Heterocyclic acids of Formula 4, wherein J is an optionally substituted heterocycle can be prepared by procedures outlined in Schemes 12-17. Both general and specific references to a wide variety of heterocyclic acids including thiophenes, furans, pyridines, pyrimidines, triazoles, imidazoles, pyrazoles, thiazoles, oxazoles, isothiazoles, thiadiazoles, oxadiazoles, triazines, pyrazines, pyridazines, and isoxazoles can be found in the following compendia: Rodd's Chemistry of Chemistry of Carbon Compounds , Vol. IVa to IVl., S.
- heterocyclic acids of this invention include pyridine acids, pyrimidine acids and pyrazole acids. Procedures for the synthesis of representative examples of each are detailed in Schemes 12-17. A variety of heterocyclic acids and general methods for their synthesis may be found in World Patent Application WO 98/57397.
- the alkylating agent R 5 (b)-Lg (wherein Lg is a leaving group such as Cl, Br, I, sulfonates such as p-toluenesulfonate or methanesulfonate or sulfates such as —SO 2 OR 7 (b)) includes R 7 (b) groups such as C 1 -C 6 alkyl, C 2 -C 6 alkenyl, C 2 -C 6 alkynyl, C 3 -C 6 cycloalkyl, C 1 -C 6 haloalkyl, C 2 C 6 haloalkenyl, C 2 -C 6 haloalkynyl, C 3 -C 6 halocycloalkyl, C 2 -C 6 alkylcarbonyl, C 2 -C 6 alkoxycarbonyl, C 3 -C 8 dialkylaminocarbonyl, C 3 -C 6 trialkylsilyl; or phenyl, benzyl
- Ortho-amino carboxylic acid esters of Formula 5 wherein R 1 is H can be prepared from monoesters of ortho dicarboxylic acids of Formula 40 via rearrangement of the corresponding acyl azide and hydrolysis of the resulting isocyanate (or alternatively by trapping of the isocyanate with an alcohol and cleaving of the resulting carbamate) as shown in Scheme 18.
- ortho-amino carboxylic acid esters of Formula 5 can be prepared from ortho carboxamide carboxylic esters of Formula 41 by Hoffman rearrangement with reagents such as sodium hydroxide and bromine as shown in Scheme 19.
- Step A Preparation of ethyl 4-azido-5-methyl-3-pyridinecarboxylate
- the residue was dissolved in 150 mL of dimethylformamide. 15.2 g (234 mmol) of sodium azide was added. The mixture was heated at 95° C. for 1 hour. After cooling, the solvent was removed with a rotary evaporator. The residue was partitioned between ethyl acetate and water. The organic layer was dried (sodium sulfate) and the solvent was removed with a rotary evaporator. The residue was passed through a plug of silica gel with 25% ethyl acetate in hexanes as eluant to afford 11.9 g of the title compound as a cream colored solid.
- Step B Preparation of ethyl 4-amino-5-methyl-3-pyridinecarboxylate
- Step C Preparation of ethyl 5-methyl-4-[[4-trifluoromethoxy)benzoyl]amino]-3-pyridinecarboxylate
- Step D Preparation of 5-methyl-N-(1-methylethyl)-4-[[4-trifluoromethoxy)benzoyl]amino]-3-pyridinecarboxamide
- the aqueous layer was made basic with a saturated sodium bicarbonate solution.
- Dichloromethane was added and the mixture was filtered through celite.
- the dichloromethane was separated, combined with the dichloroethane layer from above and dried (sodium sulfate).
- the solvent was removed with a rotary evaporator.
- the residue was purified by MPLC with a gradient of 25-50% ethyl acetate in hexanes as eluant to afford 0.047 g of the title compound, a compound of the invention, as a white solid; m.p. 202-204° C.
- Step A Preparation of 5-amino-1-methyl-N-(1-methylethyl)-1H-pyrazole-4-carboxamide
- Step B Preparation of 1-methyl-N-(1-methylethyl)-5-[[4-trifluoromethoxy)benzoyl]amino]-1H-pyrazole-4-carboxamide
- Step A Preparation of 7-methyl-2H-thieno[3,2-d][1,3]oxazine-2,4(1H)-dione
- IR Nujol® 1785, 1696, 1580, 1513, 1236, 988, 918, 848, 826 cm ⁇ 1 .
- Step B Preparation of 7-methyl-2-[4-(trifluoromethyl)phenyl]-4H-thieno[3,2-d][1,3]oxazin-4-one
- IR Nujol® 2923, 1763, 1600, 1572, 1410, 1312, 1234, 1170, 1125, 1068, 1013, 978, 934, 851, 813 cm ⁇ 1 .
- Step C Preparation of 4-methyl-N-(1-methylethyl)-3-[[4-trifluoromethyl)benzoyl]amino]-2-thiophenecarboxamide
- Step A Preparation of 1-(111-dimethylethyl) 4-ethyl-2-acetyl-3-amino-2-butenedioate
- Step B Preparation of 5-(1.1-dimethylethyl)hydrogen 6-methyl-4.5-pyrimidinedicarboxylate To a solution of 11.6 g (45 mmol) of the material from Step A in 55 mL of ethanol was added 10.9 g (135 mmol) of formamidine hydrochloride. The reaction mixture was cooled in an ice bath and 17 mL (135 mmol) of 1,1,3,3-tetramethylguanidine was added dropwise. After the mixture was stirred overnight the solvent was removed with a rotary evaporator. The residue was partitioned between ethyl acetate and water.
- Step C Preparation of 5-(1,1-dimethylethyl) 4-methyl 6-methyl-4,5-pyrimidinedicarboxylate
- Step D Preparation of methyl 5-[[(1,1-dimethylethoxy)carbonyl]amino]-6-methyl-4-pyrimidinecarboxylate
- Step E Preparation of methyl 5-amino-6-methyl-4-pyrimidinecarboxylate
- Step F Preparation of 5-amino-6-methyl-4-pyrimidinecarboxylic acid monosodium salt
- Step G Preparation of 3-chloro-N,N-dimethyl-1H-pyrazole-1-sulfonamide
- the reaction mixture was maintained for an hour at ⁇ 78° C., warmed to ⁇ 20° C. and then quenched with water (1 L).
- the reaction mixture was extracted with methylene chloride (4 ⁇ 500 mL); the organic extracts were dried over magnesium sulfate and concentrated.
- the crude product was further purified by chromatography on silica gel using methylene chloride as eluent to afford the title product compound as a yellow oil (160 g).
- Step I Preparation of 3-chloro-2-(3-chloro-1H-pyrazol-1-yl)pyridine
- Step J Preparation of 3-chloro-1-(3-chloro-2-pyridinyl)-1H-pyrazole-5-carboxylic acid
- a solution of the pyrazole product from Step 1 39.75 g, 186 mmol
- dry tetrahydrofuran 400 mL
- a solution of 2.0 M lithium diisopropylamide 93 mL, 186 mmol
- Carbon dioxide was bubbled through the amber solution for 14 minutes, after which time the solution became pale brownish-yellow.
- the reaction was made basic with 1N aqueous sodium hydroxide solution and extracted with ether (2 ⁇ 500 mL).
- Step K Preparation of 2-[3-chloro-1-(3-chloro-2-pyridinyl)-1H-pyrazol-5-yl]-8-methyl-4H-pyrimido[5,4-d][1,3]oxazin-4-one
- Step L Preparation of 5-[[[3-Chloro-1-(3-chloro-2-pyridinyl)-1H-pyrazol-5-yl]carbonyl]amino]-N,6-dimethyl-4-pyrimidinecarboxamide
- Step A Preparation of ethyl 3-amino-4-pyridinecarboxylate
- Step B Preparation of ethyl 3-amino-2.6-dichloro-4-pyridinecarboxylate
- Step C Preparation of 3-amino-2,6-dichloro-4-pyridinecarboxylic monopotassium salt
- Step D Preparation of 6,8-dichloro-2H-pyido[3,4-d][1,3]oxazine-2.4(1H)-dione
- Step E Preparation of 3-chloro-2-[3-(trifluoromethyl)-1H-pyrazol-1-Yl]pridine
- Step F Preparation of 1-(3-chloro-2-pyridinyl)-3-(trifluoromethyl)-1H-pyrazole-5-carboxylic acid
- Step G Preparation of 2.6-dichloro-3-[[[1-(3-chloro-2-pyridinyl)-3-(trifluoromethyl)1H-pyrazol-5-yl]carbonyl]amino]-N-(1-methylethyl)-4-pyridinecarboxamide
- the resulting mixture was dissolved with 5 mL of acetonitrile followed by additions of 280 mg (0.92 mmol) of the compound prepared in Step D and 298 ⁇ L (3.68 mmol) of pyridine in sequence.
- the reaction mixture was warmed to 70° C. for 2 hours and allowed to cool to room temperature.
- a solution of 157 ⁇ L (1.84 mmol) of isopropylamine in 1 mL of acetonitrile was added to the mixture and it was warmed to 60° C. for 1 hour.
- the reaction was allowed to cool to room temperature and quenched with water.
- the aqueous layer was extracted with ethyl acetate and the organic layer was dried with MgSO 4 and concentrated in vacuo.
- the resulting mixture was purified with a silica gel column to give 250 mg of the title compound, a compound of the invention, as a white solid (52%). m.p. 240-242° C.
- R 2 is H
- R 3 is Me
- R 3 is Et
- R 2 is H
- R 3 is i-Pr
- R 2 is Me
- R 3 is Me
- R 2 is H
- R 3 is Me
- R 2 is H
- R 3 is Et
- R 2 is H
- R 3 is i-Pr
- R 2 is Me
- R 3 is Me
- R 2 is H
- R 3 is Me
- R 2 is H
- R 3 is Et
- R 2 is H
- R 3 is i-Pr
- R 2 is Me
- R 3 is Me
- R 2 is H
- R 3 is Me
- R 3 is Et
- R 2 is H
- R 3 is i-Pr
- R 2 is Me
- R 3 is Me
- R 2 is H
- R 3 is Me
- R 3 is Et
- R 2 is H
- R 3 is i-Pr
- R 2 is Me
- R 3 is Me
- R 2 is H
- R 3 is Me
- R 2 is H
- R 3 is Et
- R 2 is H
- R 3 is i-Pr
- R 2 is Me
- R 3 is Me
- R 2 is H
- R 3 is Me
- R 2 is H
- R 3 is Et
- R 2 is H
- R 3 is i-Pr
- R 2 is Me
- R 3 is Me
- R 2 is H
- R 3 is Me
- R 3 is Et
- R 2 is H
- R 3 is i-Pr
- R 2 is Me
- R 3 is Me
- R 4a 4 4b R 6
- R 4a 4 4b R 6
- R 4a 4 4b R 6
- R 4a 4 4b R 6
- R 4a 4 4b R 6
- R 5b is CHF 2 CH 3 H Cl CH 3 H Cl CH 3 H Cl CH 3 H Cl CH 3 H Cl CH 3 H Br CH 3 H Br CH 3 H Br CH 3 H Br CH 3 I Cl CH 3 I Cl CH 3 I Cl CH 3 I Cl CH 3 I Cl CH 3 I Cl CH 3 I Cl CH 3 I Br CH 3 I Br CH 3 I Br CH 3 I Br CH 3 I Br CH 3 I Br CH 3 I Br CH 3 I Br CH 3 I Br CH 3 I Br CH 3 I Br CH 3 I Br CH 3 I Br CH 3 I Br CH 3 F Cl CH 3 F Cl CH 3 F Cl CH 3 F Cl CH 3 F Cl CH 3 F Cl CH 3 F Cl CH 3 F
- R 2 is H
- R 3 is Me
- R 2 is H
- R 3 is Et
- R 2 is H
- R 3 is i-Pr
- R 2 is Me
- R 3 is Me
- Compounds of this invention will generally be used as a formulation or composition with an agriculturally suitable carrier comprising at least one of a liquid diluent, a solid diluent or a surfactant.
- the formulation or composition ingredients are selected to be consistent with the physical properties of the active ingredient, mode of application and environmental factors such as soil type, moisture and temperature.
- Useful formulations include liquids such as solutions (including emulsifiable concentrates), suspensions, emulsions (including microemulsions and/or suspoemulsions) and the like which optionally can be thickened into gels.
- Useful formulations further include solids such as dusts, powders, granules, pellets, tablets, films, and the like which can be water-dispersible (“wettable”) or water-soluble.
- Active ingredient can be (micro)encapsulated and further formed into a suspension or solid formulation; alternatively the entire formulation of active ingredient can be encapsulated (or “overcoated”). Encapsulation can control or delay release of the active ingredient.
- Sprayable formulations can be extended in suitable media and used at spray volumes from about one to several hundred liters per hectare. High-strength compositions are primarily used as intermediates for further formulation.
- the formulations will typically contain effective amounts of active ingredient, diluent and surfactant within the following approximate ranges that add up to 100 percent by weight.
- Weight Percent Active Ingre- Surfac- pro Diluent tant Water-Dispersible and Water- 5-90 0-94 1-15 soluble Granules, Tablets and Powders.
- Typical solid diluents are described in Watkins, et al., Handbook of Insecticide Dust Diluents and Carriers, 2nd Ed., Dorland Books, Caldwell, N.J. Typical liquid diluents are described in Marsden, Solvents Guide, 2nd Ed., Interscience, New York, 1950. McCutcheon 's Detergents and Emulsifiers Annual , Allured Publ. Corp., Ridgewood, N.J., as well as Sisely and Wood, Encyclopedia of Surface Active Agents, Chemical Publ. Co., Inc., New York, 1964, list surfactants and recommended uses. All formulations can contain minor amounts of additives to reduce foam, caking, corrosion, microbiological growth and the like, or thickeners to increase viscosity.
- Surfactants include, for example, polyethoxylated alcohols, polyethoxylated alkylphenols, polyethoxylated sorbitan fatty acid esters, dialkyl sulfosuccinates, alkyl sulfates, alkylbenzene sulfonates, organosilicones, N,N-dialkyltaurates, lignin sulfonates, naphthalene sulfonate formaldehyde condensates, polycarboxylates, and polyoxyethylene/polyoxypropylene block copolymers.
- Solid diluents include, for example, clays such as bentonite, montinorillonite, attapulgite and kaolin, starch, sugar, silica, talc, diatomaceous earth, urea, calcium carbonate, sodium carbonate and bicarbonate, and sodium sulfate.
- Liquid diluents include, for example, water, N,N-dimethylformamide, dimethyl sulfoxide, N-alkylpyrrolidone, ethylene glycol, polypropylene glycol, paraffins, alkylbenzenes, alkylnaphthalenes, oils of olive, castor, linseed, tung, sesame, corn, peanut, cotton-seed, soybean, rape-seed and coconut, fatty acid esters, ketones such as cyclohexanone, 2-heptanone, isophorone and 4-hydroxy-4-methyl-2-pentanone, and alcohols such as methanol, cyclohexanol, decanol and tetrahydrofurfuryl alcohol.
- Solutions including emulsifiable concentrates, can be prepared by simply mixing the ingredients. Dusts and powders can be prepared by blending and, usually, grinding as in a hammer mill or fluid-energy mill. Suspensions are usually prepared by wet-milling; see, for example, U.S. Pat. No. 3,060,084. Granules and pellets can be prepared by spraying the active material upon preformed granular carriers or by agglomeration techniques. See Browning, “Agglomeration”, Chemical Engineering , Dec.
- Pellets can be prepared as described in U.S. Pat. No. 4,172,714.
- Water-dispersible and water-soluble granules can be prepared as taught in U.S. Pat. No. 4,144,050, U.S. Pat. No. 3,920,442 and DE 3,246,493.
- Tablets can be prepared as taught in U.S. Pat. No. 5,180,587, U.S. Pat. No. 5,232,701 and U.S. Pat. No. 5,208,030.
- Films can be prepared as taught in GB 2,095,558 and U.S. Pat. No. 3,299,566.
- Wettable Powder Compound 1 65.0% dodecylphenol polyethylene glycol ether 2.0% sodium ligninsulfonate 4.0% sodium silicoaluminate 6.0% montmorillonite (calcined) 23.0%.
- Granule Compound 1 10.0% attapulgite granules (low volatile matter, 90.0%. 0.71/0.30 mm; U.S.S. No. 25-50 sieves)
- Extruded Pellet Compound 1 25.0% anhydrous sodium sulfate 10.0% crude calcium ligninsulfonate 5.0% sodium alkylnaphthalenesulfonate 1.0% calcium/magnesium bentonite 59.0%.
- Emulsifiable Concentrate Compound 1 20.0% blend of oil soluble sulfonates 10.0% and polyoxyethylene ethers isophorone 70.0%.
- Granule Compound 1 0.5% cellulose 2.5% lactose 4.0% cornmeal 93.0%.
- invertebrate pest control means inhibition of invertebrate pest development (including mortality) that causes significant reduction in feeding or other injury or damage caused by the pest; related expressions are defined analogously.
- invertebrate pest includes arthropods, gastropods and nematodes of economic importance as pests.
- arthropod includes insects, mites, spiders, scorpions, centipedes, millipedes, pill bugs and symphylans.
- gastropod includes snails, slugs and other Stylommatophora.
- nematode includes all of the helminths, such as: roundworrns, heartworms, and phytophagous nematodes (Nematoda), flukes (Tematoda), Acanthocephala, and tapeworms (Cestoda).
- helminths such as: roundworrns, heartworms, and phytophagous nematodes (Nematoda), flukes (Tematoda), Acanthocephala, and tapeworms (Cestoda).
- agronomic refers to the production of field crops such as for food and fiber and includes the growth of cereal crops (e.g., wheat, oats, barley, rye, rice, maize), soybeans, vegetable crops (e.g., lettuce, cabbage, tomatoes, beans), potatoes, sweet potatoes, grapes, cotton, and tree fruits (e.g., pome fruits, stone fruits and citrus fruits).
- nonagronomic refers to other horticultural (e.g., forest, greenhouse, nursery or ornamental plants not grown in a field), public (human) and animal health, domestic and commercial structure, household, and stored product applications or pests.
- Agronomic or nonagronomic pests include larvae of the order Lepidoptera, such as armyworms, cutworms, loopers, and heliothines in the family Noctuidae (e.g., fall armyworm ( Spodoptera fugiperda J. E.
- agronomic and nonagronomic pests include: adults and larvae of the order Dermaptera including earwigs from the family Forficulidae (e.g., European earwig ( Forficula auricularia Linnaeus), black earwig ( Chelisoches morio Fabricius)); adults and nymphs of the orders Hemiptera and Homoptera such as, plant bugs from the family Miridae, cicadas from the family Cicadidae, leafhoppers (e.g.
- Empoasca spp. from the family Cicadellidae, planthoppers from the families Fulgoroidae and Delphacidae, treehoppers from the family Membracidae, psyllids from the family Psyllidae, whiteflies from the family Aleyrodidae, aphids from the family Aphididae, phylloxera from the family Phylloxeridae, mealybugs from the family Pseudococcidae, scales from the families Coccidae, Diaspididae and Margarodidae, lace bugs from the family Tingidae, stink bugs from the family Pentatomidae, cinch bugs (e.g., Blissus spp.) and other seed bugs from the family Lygaeidae, spittlebugs from the family Cercopidae squash bugs from the family Coreidae, and red bugs and cotton stainers from the family Pyrrhocoridae.
- insects are also included are adults and larvae of the order Acari (mites) such as spider mites and red mites in the family Tetranychidae (e.g., European red mite ( Panonychus ulmi Koch), two spotted spider mite ( Tetranychus urticae Koch), McDaniel mite ( Tetranychus mcdanieli McGregor)), flat mites in the family Tenuipalpidae (e.g., citrus flat mite ( Brevipalpus lewisi McGregor)), rust and bud mites in the family Eriophyidae and other foliar feeding mites and mites important in human and animal health, i.e.
- Tetranychidae e.g., European red mite ( Panonychus ulmi Koch), two spotted spider mite ( Tetranychus urticae Koch), McDaniel mite ( Tetranychus mcdanieli McGregor)
- femoralis Stein stable flies (e.g., Stomoxys calcitrans Linnaeus), face flies, horn flies, blow flies (e.g., Chrysomya spp., Phormia spp.), and other muscoid fly pests, horse flies (e.g., Tabanus spp.), bot flies (e.g., Gastrophilus spp., Oestrus spp.), cattle grubs (e.g., Hypoderma spp.), deer flies (e.g., Chrysops spp.), keds (e.g., Melophagus ovinus Linnaeus) and other Brachycera, mosquitoes (e.g., Aedes spp., Anopheles spp., Culex spp.), black flies (e.g., Prosimulium spp., Simulium s
- Additional arthropod pests covered include: spiders in the order Araneae such as the brown recluse spider ( Loxosceles reclusa Gertsch & Mulaik) and the black widow spider ( Latrodectus mactans Fabricius), and centipedes in the order Scutigeromorpha such as the house centipede ( Scutigera coleoptrata Linnaeus).
- spiders in the order Araneae such as the brown recluse spider ( Loxosceles reclusa Gertsch & Mulaik) and the black widow spider ( Latrodectus mactans Fabricius)
- centipedes in the order Scutigeromorpha such as the house centipede ( Scutigera coleoptrata Linnaeus).
- Compounds of the present invention also have activity on members of the Classes Nematoda, Cestoda, Trematoda, and Acanthocephala including economically important members of the orders Strongylida, Ascaridida, Oxyurida, Rhabditida, Spirurida, and Enoplida such as but not limited to economically important agricultural pests (i.e. root knot nematodes in the genus Meloidogyne, lesion nematodes in the genus Pratylenchus, stubby root nematodes in the genus Trichodorus, etc.) and animal and human health pests (i.e.
- Compounds of the invention show particularly high activity against pests in the order Lepidoptera (e.g., Alabama argillacea Hübner (cotton leaf worm), Archips argyrospila Walker (fruit tree leaf roller), A.
- Lepidoptera e.g., Alabama argillacea Hübner (cotton leaf worm), Archips argyrospila Walker (fruit tree leaf roller), A.
- Compounds of the invention also have commercially significant activity on members from the order Homoptera including: Acyrthisiphon pisum Harris (pea aphid), Aphis craccivora Koch (cowpea aphid), Aphisfabae Scopoli (black bean aphid), Aphis gossypii Glover (cotton aphid, melon aphid), Aphis pomi De Geer (apple aphid), Aphis spiraecola Patch (spirea aphid), Aulacorthum solani Kaltenbach (foxglove aphid), Chaetosiphon fragaefolii Cockerell (strawberry aphid), Diuraphis noxia Kurdjumov/Mordvilko (Russian wheat aphid), Dysa
- Acrosternum hilare Say green stink bug
- Anasa tristis De Geer squash bug
- Blissus leucopterus leucopterus Say chinch bug
- Corythuca gossypii Fabricius cotton lace bug
- Cyrtopeltis modesta Distant tomato bug
- Dysdercus suturellus Herrich-Schaffer cotton stainer
- Euchistus servus Say (brown stink bug)
- Euchistus variolarius Palisot de Beauvois one-spotted stink bug
- Graptosthetus spp Graptosthetus spp.
- Thysanoptera e.g., Frankliniella occidentalis Pergande (western flower thrip), Scirthothrips citri Moulton (citrus thrip), Sericothrips variabilis Beach (soybean thrip), and Thrips tabaci Lindeman (onion thrip); and the order Coleoptera (e.g., Leptinotarsa decemlineata Say (Colorado potato beetle), Epilachna varivestis Mulsant (Mexican bean beetle) and wireworms of the genera Agriotes, Athous or Limonius).
- Thysanoptera e.g., Frankliniella occidentalis Pergande (western flower thrip), Scirthothrips citri Moulton (citrus thrip), Sericothrips variabilis Beach (soybean thrip), and Thrips tabaci Lindeman (onion thrip
- Coleoptera e.g.
- compositions of the present invention can further comprise a biologically effective amount of at least one additional biologically active compound or agent.
- insecticides such as abarnectin, acephate, acetamiprid, avermectin, azadirachtin, azinphos-methyl, bifenthrin, binfenazate, buprofezin, carbofuran, chlorfenapyr, chlorfluazuron, chlorpyrifos, chlorpyrifos-methyl, chromafenozide, clothianidin, cyfluthrin, beta-cyfluthrin, cyhalothrin, lambda-cyhalothrin, cypermethrin, cyromazine, deltamethrin, diafenthiuron, diazinon, diflubenzuron, dimethoate, diofenolan, emamectin, endosulfan, esfenvalerate, ethi
- Compounds of this invention and compositions thereof may be applied to plants genetically transformed to express proteins toxic to invertebrate pests (such as Bacillus thuringiensis toxin).
- proteins toxic to invertebrate pests such as Bacillus thuringiensis toxin.
- the effect of the exogenous invertebrate pest control compounds and compositions may be synergistic with the expressed toxin proteins.
- Preferred insecticides and acaricides for mixing with compounds of this invention include pyrethroids such as cypermethrin, cyhalothrin, cyfluthrin, beta-cyfluthrin, esfenvalerate, fenvalerate and tralomethrin; carbamates such as fenothicarb, methomyl, oxamyl and thiodicarb; neonicotinoids such as clothianidin, imidacloprid and thiacloprid; neuronal sodium channel blockers such as indoxacarb; insecticidal macrocyclic lactones such as spinosad, abamectin, avermectin and emamectin; ⁇ -aminobutyric acid (GABA) antagonists such as endosulfan, ethiprole and fipronil; insecticidal ureas such as flufenoxuron
- Preferred biological agents for mixing with compounds of this invention include Bacillus thuringiensis and Bacillus thuringiensis delta endotoxin as well as naturally occurring and genetically modified viral insecticides including members of the family Baculoviridae as well as entomophagous fungi.
- Most preferred mixtures include a mixture of a compound of this invention with cyhalothrin; a mixture of a compound of this invention with beta-cyfluthrin; a mixture of a compound of this invention with esfenvalerate; a mixture of a compound of this invention with methomyl; a mixture of a compound of this invention with imidacloprid; a mixture of a compound of this invention with thiacloprid; a mixture of a compound of this invention with indoxacarb; a mixture of a compound of this invention with abamectin; a mixture of a compound of this invention with endosulfan; a mixture of a compound of this invention with ethiprole; a mixture of a compound of this invention with fipronil; a mixture of a compound of this invention with flufenoxuron; a mixture of a compound of this invention with pyriproxyfen; a mixture of a compound of this invention with a mixture of
- compositions of the present invention can further comprise a biologically effective amount of at least one additional invertebrate pest control compound or agent having a similar spectrum of control but a different mode of action.
- a plant protection compound e.g., protein
- a biologically effective amount of a compound of invention can also provide a broader spectrum of plant protection and be advantageous for resistance management.
- Invertebrate pests are controlled in agronomic and nonagronomic applications by applying one or more of the compounds of this invention, in an effective amount, to the environment of the pests including the agronomic and/or nonagronomic locus of infestation, to the area to be protected, or directly on the pests to be controlled.
- the present invention further comprises a method for the control of invertebrates in agronomic and/or nonagronomic applications, comprising contacting the invertebrates or their environment with a biologically effective amount of one or more of the compounds of the invention, or with a composition comprising at least one such compound or a composition comprising at least one such compound and an effective amount of at least one additional biologically active compound or agent.
- a preferred method of contact is by spraying.
- a granular composition comprising a compound of the invention can be applied to the plant foliage or the soil.
- Compounds of this invention are also effectively delivered through plant uptake by contacting the plant with a composition comprising a compound of this invention applied as a soil drench of a liquid formulation, a granular formulation to the soil, a nursery box treatment or a dip of transplants.
- Compounds are also effective by topical application of a composition comprising a compound of this invention to the locus of infestation.
- Other methods of contact include application of a compound or a composition of the invention by direct and residual sprays, aerial sprays, gels, seed coatings, microencapsulations, systemic uptake, baits, eartags, boluses, foggers, fumigants, aerosols, dusts and many others.
- the compounds of this invention may also be impregnated into materials for fabricating invertebrate control devices (e.g. insect netting).
- the compounds of this invention can be incorporated into baits that are consumed by the invertebrates or within devices such as traps and the like.
- Granules or baits comprising between 0.01-5% active ingredient, 0.05-10% moisture retaining agent(s) and 40-99% vegetable flour are effective in controlling soil insects at very low application rates, particularly at doses of active ingredient that are lethal by ingestion rather than by direct contact.
- the compounds of this invention can be applied in their pure state, but most often application will be of a formulation comprising one or more compounds with suitable carriers, diluents, and surfactants and possibly in combination with a food depending on the contemplated end use.
- a preferred method of application involves spraying a water dispersion or refined oil solution of the compounds. Combinations with spray oils, spray oil concentrations, spreader stickers, adjuvants, other solvents, and synergists such as piperonyl butoxide often enhance compound efficacy.
- the rate of application required for effective control (i.e. “biologically effective amount”) will depend on such factors as the species of invertebrate to be controlled, the pest's life cycle, life stage, its size, location, time of year, host crop or animal, feeding behavior, mating behavior, ambient moisture, temperature, and the like. Under normal circumstances, application rates of about 0.01 to 2 kg of active ingredient per hectare are sufficient to control pests in agronomic ecosystems, but as little as 0.0001 kg/hectare may be sufficient or as much as 8 kg/hectare may be required.
- Control efficacy represents inhibition of invertebrate pest development (including mortality) that causes significantly reduced feeding.
- the pest control protection afforded by the compounds is not limited, however, to these species. See Index Tables A through K and L for compound descriptions.
- t is tertiary, n is normal, i is iso, c is cyclo, s is secondary, Me is methyl, Et is ethyl, Pr is propyl, i-Pr is isopropyl, c-Pr is cyclopropyl, Bu is butyl, s-Bu is secondary butyl, Pent is pentyl, OMe is methoxy, OEt is ethoxy, SMe is methylthio, SEt is ethylthio, CN is cyano, and NO 2 is nitro.
- test unit For evaluating control of diamondback moth ( Plutella xylostella ) the test unit consisted of a small open container with a 12-14-day-old radish plant inside. This was pre-infested with 10-15 neonate larvae on a piece of insect diet by use of a core sampler to remove a plug from a sheet of hardened insect diet having many larvae growing on it and transfer the plug containing larvae and diet to the test unit. The larvae moved onto the test plant as the diet plug dried out.
- Test compounds were formulated using a solution containing 10% acetone, 90% water and 300 ppm X-77® Spreader Lo-Foam Formula non-ionic surfactant containing alkylarylpolyoxyethylene, free fatty acids, glycols and isopropanol (Loveland Industries, Inc.), unless otherwise indicated.
- the formulated compounds were applied in 1 mL of liquid through a SUJ2 atomizer nozzle with 1/8 JJ custom body (Spraying Systems Co.) positioned 1.27 cm (0.5 inches) above the top of each test unit. All experimental compounds in these tests were sprayed at 250 ppm and replicated three times.
- each test unit was allowed to dry for 1 hour and then a black, screened cap was placed on top.
- the test units were held for 6 days in a growth chamber at 25° C. and 70% relative humidity. Plant feeding damage was then visually assessed based on foliage consumed.
- test unit For evaluating control of fall armyworm ( Spodoptera frugiperda ) the test unit consisted of a small open container with a 4-5-day-old corn (maize) plant inside. This was pre-infested (using a core sampler) with 10-15-1-day-old larvae on a piece of insect diet.
- Test compounds were formulated and sprayed at 250 ppm as described for Test A. The applications were replicated three times. After spraying, the test units were maintained in a growth chamber and then visually rated as described for Test A.
- test unit For evaluating control of tobacco budworm ( Heliothis virescens ) the test unit consisted of a small open container with a 6-7 day old cotton plant inside. This was pre-infested (using a core sampler) with 8-2-day-old larvae on a piece of insect diet.
- Test compounds were formulated and sprayed at 250 ppm as described for Test A. The applications were replicated three times. After spraying, the test units were maintained in a growth chamber and then visually rated as described for Test A.
- test unit consisted of a small open container with a 4-5-day-old corn plant inside. This was pre-infested (using a core sampler) with 10-15-1-day-old larvae on a piece of insect diet.
- Test compounds were formulated and sprayed at 250 ppm as described for Test A. The applications were replicated three times. After spraying, the test units were maintained in a growth chamber and then visually rated as described for Test A.
- test unit For evaluating control of green peach aphid ( Myzus persicae ) through contact and/or systemic means, the test unit consisted of a small open container with a 12-15-day-old radish plant inside. This was pre-infested (using the cut leaf method) with 30-40 insects on each piece of leaf, and the soil was covered with a layer of sand.
- Test compounds were formulated and sprayed at 250 ppm as described for Test A. The applications were replicated three times. After spraying, the test units were maintained in a growth chamber and then visually assessed for insect mortality.
- test unit For evaluating control of cotton melon aphid ( Aphis gossypii ) through contact and/or systemic means, the test unit consisted of a small open container with a 6-7 -day-old cotton plant inside. This was pre-infested (using the cut leaf method) with 30-40 insects on each piece of leaf, and the soil was covered with a layer of sand.
- Test compounds were formulated and sprayed at 250 ppm as described for Test A. The applications were replicated three times. After spraying, the test units were maintained in a growth chamber and then visually rated as described for Test E.
Landscapes
- Chemical & Material Sciences (AREA)
- Organic Chemistry (AREA)
- Life Sciences & Earth Sciences (AREA)
- Agronomy & Crop Science (AREA)
- Pest Control & Pesticides (AREA)
- Plant Pathology (AREA)
- Health & Medical Sciences (AREA)
- Engineering & Computer Science (AREA)
- Dentistry (AREA)
- General Health & Medical Sciences (AREA)
- Wood Science & Technology (AREA)
- Zoology (AREA)
- Environmental Sciences (AREA)
- Agricultural Chemicals And Associated Chemicals (AREA)
- Plural Heterocyclic Compounds (AREA)
Abstract
This invention provides compounds of Formula (I), N-oxides and suitable salts thereof, wherein A and B are independently O or S; each J is independently a phenyl ring, a naphthyl ring system, a 5- or 6-membered heteroaromatic ring or an aromatic 8-, 9- or 10-membered fused heterobicyclic ring system wherein each ring or ring system is optionally substituted with 1 to 4 R5; K is, together with the two contiguous linking carbon atoms, a 5- or 6-membered heteroaromatic ring optionally substituted with 1 to 3 R4; and R1, R2, R3, R4, R5 and n are as defined in the disclosure. Also disclosed are methods for controlling an invertebrate pest comprising contacting the invertebrate pest or its environment with a biologically effective amount of a compound of Formula (I), an N-oxide thereof or a suitable salt of the compound (e.g., as a composition described herein). This invention also pertains to a composition for controlling an invertebrate pest comprising a biologically effective amount of a compound of Formula (I), an N-oxide thereof or a suitable salt of the compound and at least one additional component selected from the group consisting of surfactants, solid diluents and liquid diluents.
Description
- This invention relates to certain heterocyclic diamides, their N-oxides, suitable salts and compositions, and a method of their use for controlling invertebrate pests in both agronomic and nonagronomic environments.
- The control of invertebrate pests is extremely important in achieving high crop efficiency. Damage by invertebrate pests to growing and stored agronomic crops can cause significant reduction in productivity and thereby result in increased costs to the consumer. The control of invertebrate pests in forestry, greenhouse crops, ornamentals, nursery crops, stored food and fiber products, livestock, household, and public and animal health is also important. Many products are commercially available for these purposes, but the need continues for new compounds that are more effective, less costly, less toxic, environmentally safer or have different modes of action.
-
- wherein, inter alia, X is a direct bond; Y is H or C 1-C6 alkyl; Z is NH2, NH(C1-C3 alkyl) or N(C1-C3 alkyl)2; and R1 through R9 are independently H, halogen, C1-C6 alkyl, phenyl, hydroxy, C1-C6 alkoxy or C1-C7 acyloxy.
-
- wherein, inter alia, A and B are independently O or S; J is an optionally substituted phenyl ring, 5- or 6-membered heteroaromatic ring, naphthyl ring system or an aromatic 8-, 9- or 10-membered fused heterobicyclic ring system; R 1 and R3 are independently H or optionally substituted C1-C6 alkyl; R2 is H or C1-C6 alkyl; each R4 is independently H, C1-C6 alkyl, C1-C6 haloalkyl, halogen or CN; and n is 1 to 4.
-
- wherein
- A and B are independently O or S;
- each J is independently a phenyl ring, a naphthyl ring system, a 5- or 6-membered heteroaromatic ring or an aromatic 8-, 9- or 10-membered fused heterobicyclic ring system wherein each ring or ring system is optionally substituted with 1 to 4 R 5;
- K is, together with the two contiguous linking carbon atoms, a 5- or 6-membered heteroaromatic ring optionally substituted with 1 to 3 R 4;
- n is 1 to 3;
- R 1 is H; or C1-C6 alkyl, C2-C6 alkenyl, C2-C6 alkynyl or C3-C6 cycloalkyl each optionally substituted with one or more substituents selected from the group consisting of halogen, CN, NO2, hydroxy, C1-C4 alkoxy, C1-C4 alkylthio, C1-C4 alkylsulfinyl, C1-C4 alkylsulfonyl, C2-C4 alkoxycarbonyl, C1-C4 alkylamino, C2-C8 dialkylamino and C3-C6 cycloalkylamino; or
- R 1 is C2-C6 alkylcarbonyl, C2-C6 alkoxycarbonyl, C2-C6 alkylaminocarbonyl, C3-C8 dialkylaminocarbonyl or C(=A)J;
- R 2 is H, C1-C6 alkyl, C2-C6 alkenyl, C2-C6 alkynyl, C3-C6 cycloalkyl, C1-C4 alkoxy, C1-C4 alkylamino, C2-C5 dialkylamino, C3-C6 cycloalkylamino, C2-C6 alkoxycarbonyl or C2-C6 alkylcarbonyl;
- R 3 is H; G; or C1-C6 alkyl, C2-C6 alkenyl, C2-C6 alkynyl, C3-C6 cycloalkyl, each optionally substituted with one or more substituents selected from the group consisting of G, halogen, CN, NO2, hydroxy, C1-C4 alkoxy, C1-C4 haloalkoxy, C1-C4 alkylthio, C1-C4 alkylsulfinyl, C1-C4 alkylsulfonyl, C2-C6 alkoxycarbonyl, C2-C6 alkylcarbonyl, C3-C6 trialkylsilyl, or a phenyl, phenoxy or 5- or 6-membered heteroaromatic ring, each ring optionally substituted with one to three substituents independently selected from R6; or
- R 2 and R3 can be taken together with the nitrogen to which they are attached to form a ring containing 2 to 6 atoms of carbon and optionally one additional atom of nitrogen, sulfur or oxygen, and said ring may be optionally substituted with one to four substituents selected from R12; and
- G is a 5- or 6-membered nonaromatic carbocyclic or heterocyclic ring, optionally including one or two ring members selected from the group consisting of C(═O), SO or S(O) 2 and optionally substituted with one to four substituents selected from R12;
- each R 4 is independently H, C1-C6 alkyl, C2-C6 alkenyl, C2-C6 alkynyl, C3-C6 cycloalkyl, C1-C6 haloalkyl, C2-C6 haloalkenyl, C2-C6 haloalkynyl, C3-C6 halocycloalkyl, halogen, CN, NO2, hydroxy, C1-C4 alkoxy, C1-C4 haloalkoxy, C1-C4 alkylthio, C1-C4 alkylsulfinyl, C1-C4 alkylsulfonyl, C1-C4 haloalkylthib, C1-C4 haloalkylsulfinyl, C1-C4 haloalkylsulfonyl, C1-C4 alkylamino, C2-C8 dialkylamino, C3-C6 cycloalkylamino, C1-C4 alkoxyalkyl, C1-C4 hydroxyalkyl, C(O)R10, CO2R10, C(O)NR10R11, NR10R11, N(R11)CO2R10; or
- each R 4 is independently a phenyl, benzyl, phenoxy or 5- or 6-membered heteroaromatic ring, each ring optionally substituted with one to three substituents independently selected from R6;
- each R 5 is independently H, C1-C6 alkyl, C2-C6 alkenyl, C2-C6 alkynyl, C3-C6 cycloalkyl, C1-C6 haloalkyl, C2-C6 haloalkenyl, C2-C6 haloalkynyl, C3-C6 halocycloalkyl, halogen, CN, CO2H, CONH2, NO2, hydroxy, C1-C4 alkoxy, C1-C4 haloalkoxy, C1-C4 alkylthio, C1-C4 alkylsulfinyl, C1-C4 alkylsulfonyl, C1-C4 haloalkylthio, C1-C4 haloalkylsulfinyl, C1-C4 haloalkylsulfonyl, C1-C4 alkylamino, C2-C8 dialkylamino, C3-C6 cycloalkylamino, C2-C6 alkylcarbonyl, C2-C6 alkoxycarbonyl, C2-C6 alkylaminocarbonyl, C3-C8 dialkylaminocarbonyl, C3-C6 trialkylsilyl; or
- each R 5 is independently a phenyl, benzyl, benzoyl, phenoxy, 5- or 6-membered heteroaromatic ring or an aromatic 8-, 9- or 10-membered fused heterobicyclic ring system, each ring or ring system optionally substituted with one to three substituents independently selected from R6; or
- (R 5)2 when attached to adjacent carbon atoms can be taken together as —OCF2O—, —CF2CF2O—, or —OCF2CF2O—; and
- each R 6 is independently C1-C4 alkyl, C2-C4 alkenyl, C2-C4 alkynyl, C3-C6 cycloalkyl, C1-C4 haloalkyl, C2-C4 haloalkenyl, C2-C4 haloalkynyl, C3-C6 halocycloalkyl, halogen, CN, NO2, C1-C4 alkoxy, C1-C4 haloalkoxy, C1-C4 alkylthio, C1-C4 alkylsulfinyl, C1-C4 alkylsulfonyl, C1-C4 alkylamino, C2-C8 dialkylamino, C3-C6 cycloalkylamino, C3-C6 (alkyl)cycloalkylamino, C2-C4 alkylcarbonyl, C2-C6 alkoxycarbonyl, C2-C6 alkylaminocarbonyl, C3-C8 dialkylaminocarbonyl or C3-C6 trialkylsilyl;
- each R 10 is independently H, C1-C4 alkyl or C1-C4 haloalkyl;
- each R 11 is independently H or C1-C4 alkyl; and
- each R 12 is independently C1-C2 alkyl, halogen, CN, NO2 or C1-C2 alkoxy.
- This invention also pertains to a method for controlling an invertebrate pest comprising contacting the invertebrate pest or its environment with a biologically effective amount of a compound of Formula I, an N-oxide thereof or a suitable salt of the compound (e.g., as a composition described herein). This invention also relates to such a method wherein the invertebrate pest or its environment is contacted with a biologically effective amount of a compound of Formula I or a composition comprising a compound of Formula I, an N-oxide thereof or a suitable salt of the compound and a biologically effective amount of at least one additional compound or agent for controlling invertebrate pests.
- This invention also pertains to a composition for controlling an invertebrate pest comprising a biologically effective amount of a compound of Formula I, an N-oxide thereof or a suitable salt of the compound and at least one additional component selected from the group consisting of surfactants, solid diluents and liquid diluents. This invention also pertains to a composition comprising a biologically effective amount of a compound of Formula I, an N-oxide thereof or a suitable salt of the compound and an effective amount of at least one additional biologically active compound or agent.
- In the above recitations, the term “alkyl”, used either alone or in compound words such as “alkylthio” or “haloalkyl” includes straight-chain or branched alkyl, such as, methyl, ethyl, n-propyl, i-propyl, or the different butyl, pentyl or hexyl isomers. “Alkenyl” includes straight-chain or branched alkenes such as ethenyl, 1-propenyl, 2-propenyl, and the different butenyl, pentenyl and hexenyl isomers. “Alkenyl” also includes polyenes such as 1,2-propadienyl and 2,4-hexadienyl. “Alkynyl” includes straight-chain or branched alkynes such as ethynyl, 1-propynyl, 2-propynyl and the different butynyl, pentynyl and hexynyl isomers. “Alkynyl” can also include moieties comprised of multiple triple bonds such as 2,5-hexadiynyl. “Alkoxy” includes, for example, methoxy, ethoxy, n-propyloxy, isopropyloxy and the different butoxy, pentoxy and hexyloxy isomers. “Alkoxyalkyl” denotes alkoxy substitution on alkyl. Examples of “alkoxyalkyl” include CH 3OCH2, CH3OCH2CH2, CH3CH2OCH2, CH3CH2CH2CH2OCH2 and CH3CH2OCH2CH2. “Alkylthio” includes branched or straight-chain alkylthio moieties such as methylthio, ethylthio, and the different propylthio and butylthio isomers. “Alkylsulfinyl” includes both enantiomers of an alkylsulfinyl group. Examples of “alkylsulfinyl” include CH3S(O), CH3CH2S(O), CH3CH2CH2S(O), (CH3)2CHS(O) and the different butylsulfinyl isomers. Examples of “alkylsulfonyl” include CH3S(O)2, CH3CH2S(O)2, CH3CH2CH2S(O)2, (CH3)2CHS(O)2 and the different butylsulfonyl isomers. “Alkylamino”, “dialkylamino”, “alkenylthio”, “alkenylsulfinyl”, “alkenylsulfonyl”, “alkynylthio”, “alkynylsulfinyl”, “alkynylsulfonyl”, and the like, are defined analogously to the above examples. “Cycloalkyl” includes, for example, cyclopropyl, cyclobutyl, cyclopentyl, and cyclohexyl.
- “Aromatic” indicates that each of the ring atoms is essentially in the same plane and has a p-orbital perpendicular to the ring plane, and in which (4n+2)π electrons, when n is 0 or a positive integer, are associated with the ring to comply with Hückel's rule. The term “aromatic ring system” denotes fully unsaturated carbocycles and heterocycles in which at least one ring of a polycyclic ring system is aromatic. The term “aromatic carbocyclic ring or ring system” includes fully aromatic carbocycles and carbocycles in which at least one ring of a polycyclic ring system is aromatic (e.g. phenyl and naphthyl). The term “nonaromatic carbocyclic ring or ring system” denotes fully saturated carbocycles as well as partially or fully unsaturated carbocycles where the Hückel rule is not satisfied by any of the rings in the ring system. The term “hetero” in connection with rings or ring systems refers to a ring or ring system in which at least one ring atom is not carbon and which can contain 1 to 4 heteroatoms independently selected from the group consisting of nitrogen, oxygen and sulfur, provided that each ring contains no more than 4 nitrogens, no more than 2 oxygens and no more than 2 sulfurs. The terms “heteroaromatic ring or ring system” and “aromatic fused heterobicyclic ring system” includes fully aromatic heterocycles and heterocycles in which at least one ring of a polycyclic ring system is aromatic (where aromatic indicates that the Hückel rule is satisfied). The term “nonaromatic heterocyclic ring or ring system” denotes fully saturated heterocycles as well as partially or fully unsaturated heterocycles where the Hückel rule is not satisfied by any of the rings in the ring system. The heterocyclic ring or ring system can be attached through any available carbon or nitrogen by replacement of a hydrogen on said carbon or nitrogen.
- The term “halogen”, either alone or in compound words such as “haloalkyl”, includes fluorine, chlorine, bromine or iodine. Further, when used in compound words such as “haloalkyl”, said alkyl may be partially or fully substituted with halogen atoms which may be the same or different. Examples of “haloalkyl” include F 3C, ClCH2, CF3CH2 and CF3CCl2. The terms “haloalkenyl”, “haloalkynyl”, “haloalkoxy”, “haloalkylthio”, and the like, are defined analogously to the term “haloalkyl”. Examples of “haloalkenyl” include (Cl)2C═CHCH2 and CF3CH2CH═CHCH2. Examples of “haloalkynyl” include HC≡CCHCl, CF3C≡C, CCl3C≡C and FCH2C≡CCH2. Examples of “haloalkoxy” include CF3O, CCl3CH2O, HCF2CH2CH2O and CF3CH2O. Examples of “haloalkylthio” include CCl3S, CF3S, CCl3CH2S and ClCH2CH2CH2S. Examples of “haloalkylsulfinyl” include CF3S(O), CCl3S(O), CF3CH2S(O) and CF3CF2S(O). Examples of “haloalkylsulfonyl” include CF3S(O)2, CCl3S(O)2, CF3CH2S(O)2 and CF3CF2S(O)2.
- Examples of “alkylcarbonyl” include C(O)CH 3, C(O)CH2CH2CH3 and C(O)CH(CH3)2. Examples of “alkoxycarbonyl” include CH3OC(═O), CH3CH2OC(═O), CH3CH2CH2C(═O), (CH3)2CHOC(═O) and the different butoxy- or pentoxycarbonyl isomers. Examples of “alkylaminocarbonyl” include CH3NHC(═O), CH3CH2NHC(═O), CH3CH2CH2NHC(═O), (CH3)2CHNHC(═O) and the different butylamino- or pentylaminocarbonyl isomers. Examples of “dialkylaminocarbonyl” include (CH3)2NC(═O), (CH3CH2)2NC(═O), CH3CH2(CH3)NC(═O), CH3CH2CH2(CH3)NC(—O) and (CH3)2CHN(CH3)C(═O).
- The total number of carbon atoms in a substituent group is indicated by the “C i-Cj” prefix where i and j are numbers from 1 to 6. For example, C1-C3 alkylsulfonyl designates methylsulfonyl through propylsulfonyl; C2 alkoxyalkyl designates CH3OCH2; C3 alkoxyalkyl designates, for example, CH3CH(OCH3), CH3OCH2CH2 or CH3CH2OCH2; and C4 alkoxyalkyl designates the various isomers of an alkyl group substituted with an alkoxy group containing a total of four carbon atoms, examples including CH3CH2CH2OCH2 and CH3CH2OCH2CH2.
- In the above recitations, when a compound of Formula I is comprised of one or more heterocyclic rings, all substituents are attached to these rings through any available carbon or nitrogen by replacement of a hydrogen on said carbon or nitrogen.
- When a compound is substituted with a substituent bearing a subscript that indicates the number of said substituents can exceed 1, said substituents (when they exceed 1) are independently selected from the group of defined substituents. Further, when the subscript indicates a range, e.g. (R) i-j, then the number of substituents may be selected from the integers between i and j inclusive.
- The term “optionally substituted with one to three substituents” and the like indicates that one to three of the available positions on the group may be substituted. When a group contains a substituent which can be hydrogen, for example R 1 or R5, then, when this substituent is taken as hydrogen, it is recognized that this is equivalent to said group being unsubstituted.
- Compounds of this invention can exist as one or more stereoisomers. The various stereoisomers include enantiomers, diastereomers, atropisomers and geometric isomers. One skilled in the art will appreciate that one stereoisomer may be more active and/or may exhibit beneficial effects when enriched relative to the other stereoisomer(s) or when separated from the other stereoisomer(s). Additionally, the skilled artisan knows how to separate, enrich, and/or to selectively prepare said stereoisomers. Accordingly, the present invention comprises compounds selected from Formula I, N-oxides and agriculturally suitable salts thereof. The compounds of the invention may be present as a mixture of stereoisomers, individual stereoisomers, or as an optically active form.
- One skilled in the art will appreciate that not all nitrogen containing heterocycles can form N-oxides since the nitrogen requires an available lone pair for oxidation to the oxide; one skilled in the art will recognize those nitrogen containing heterocycles which can form N-oxides. One skilled in the art will also recognize that tertiary amines can form N-oxides. Synthetic methods for the preparation of N-oxides of heterocycles and tertiary amines are very well known by one skilled in the art including the oxidation of heterocycles and tertiary amines with peroxy acids such as peracetic and m-chloroperbenzoic acid (MCPBA), hydrogen peroxide, alkyl hydroperoxides such as t-butyl hydroperoxide, sodium perborate, and dioxiranes such as dimethydioxirane. These methods for the preparation of N-oxides have been extensively described and reviewed in the literature, see for example: T. L. Gilchrist in Comprehensive Organic Synthesis, vol. 7, pp 748-750, S. V. Ley, Ed., Pergamon Press; M. Tisler and B. Stanovnik in Comprehensive Heterocyclic Chemistry, vol. 3, pp 18-20, A. J. Boulton and A. McKillop, Eds., Pergamon Press; M. R. Grimmett and B. R. T. Keene in Advances in Heterocyclic Chemistry, vol. 43, pp 149-161, A. R. Katritzky, Ed., Academic Press; M. Tisler and B. Stanovnik in Advances in Heterocyclic Chemistry, vol. 9, pp 285-291, A. R. Katritzky and A. J. Boulton, Eds., Academic Press; and G. W. H. Cheeseman and E. S. G. Werstiuk in Advances in Heterocyclic Chemistry, vol. 22, pp 390-392, A. R. Katritzky and A. J. Boulton, Eds., Academic Press.
- The salts of the compounds of the invention include acid-addition salts with inorganic or organic acids such as hydrobromic, hydrochloric, nitric, phosphoric, sulfuric, acetic, butyric, fumaric, lactic, maleic, malonic, oxalic, propionic, salicylic, tartaric, 4-toluenesulfonic or valeric acids. The salts of the compounds of the invention also include those formed with organic bases (e.g., pyridine, ammonia, or triethylamine) or inorganic bases (e.g., hydrides, hydroxides, or carbonates of sodium, potassium, lithium, calcium, magnesium or barium) when the compound contains an acidic group such as a carboxylic acid or phenol.
- As noted above, J is a phenyl ring, a naphthyl ring system, a 5- or 6-membered heteroaromatic ring or an aromatic 8-, 9- or 10-membered fused heterobicyclic ring system wherein each ring or ring system is optionally substituted with 1 to 4 R 5. The term “optionally substituted” in connection with these J groups refers to groups which are unsubstituted or have at least one non-hydrogen substituent that does not extinguish the biological activity possessed by the unsubstituted analog. An example of phenyl optionally substituted with 1 to 4 R5 is the ring illustrated as U-1 in Exhibit 1, wherein Rv is R5 and r is an integer from 1 to 4. An example of a naphthyl group optionally substituted with 1 to 4 R5 is illustrated as U-85 in Exhibit 1, wherein Rv is R5 and r is an integer from 1 to 4. Examples of 5- or 6-membered heteroaromatic rings optionally substituted with 1 to 4 R5 include the rings U-2 through U-53 illustrated in Exhibit 1 wherein Rv is R5 and r is an integer from 1 to 4. Note that J-1 through J-13 below also denote 5- or 6-membered heteroaromatic rings. Note that U-2 through U-20 are examples of J-1, U-21 through U-35 and U-40 are examples of J-2, U-36 through U-39 are examples of J-3, U-41 through U-48 are examples of J-4 and U-49 through U-53 are examples of J-5. Note that J-6 is a subset of U-11, J-7 or J-10 are a subset of U-26, J-8 is a subset of U-42, J-9 is a subset of U-45, J-11 is a subset of U-4 and J-12 or J-13 are a subset of U-24. Also note that in J-6 through J-13 that R7 and R9 are subsets of R5. Examples of aromatic 8-, 9- or 10-membered fused heterobicyclic ring systems optionally substituted with 1 to 4 R5 include U-54 through U-84 illustrated in Exhibit 1 wherein Rv is R5 and r is an integer from 1 to 4.
- Although R v groups are shown in the structures U-1 through U-85, it is noted that they do not need to be present since they are optional substituents. Note that when Rv is H when attached to an atom, this is the same as if said atom is unsubstituted. The nitrogen atoms that require substitution to fill their valence are substituted with H or Rv. Note that some U groups can only be substituted with less than 4 Rv groups (e.g. U-14, U-15, U-18 through U-21 and U-32 through U-34 can only be substituted with one RV). Note that when the attachment point between (RV)r and the U group is illustrated as floating, (Rv)r can be attached to any available carbon atom of the U group. Note that when the attachment point on the U group is illustrated as floating, the U group can be attached to the remainder of Formula I through any available carbon of the U group by replacement of a hydrogen atom.
- As noted above, K is, together with the two contiguous linking carbon atoms, a 5- or 6-membered heteroaromatic ring optionally substituted with 1 to 3 R 4. Examples of said K rings wherein said rings are optionally substituted with 1 to 3 R4 include the ring systems illustrated as K-1 to K-37 in Exhibit 2, wherein n is an integer from 1 to 3 and R4 is as defined above. The term “optionally substituted” in connection with these K groups refers to K groups which are unsubstituted or have at least one non-hydrogen substituent that does not extinguish the biological activity possessed by the unsubstituted analog. As with the carbon atoms in the ring, the nitrogen atoms that require substitution to fill their valence are substituted with hydrogen or with R4. Although (R4)n groups are shown in the structures K-1 to K-37, it is noted that R4 does not need to be present since it is an optional substituent. Note that some K groups can only be substituted with less than 3 R4 groups (e.g. K-7 through K-10, K-15, K-16, K-20, K-21, K-23, K-24, K-26 and K-27 can only be substituted with one R4). In the exemplified K groups, the upper right bond is attached through the available linking carbon atom to the nitrogen atom of the NR1(=A)J portion of Formula I and the lower right bond is attached through the available linking carbon atom to the carbon atom of the C(═B)NR2R3 portion of Formula I. The wavy line indicates that the K ring is attached to the remainder of Formula I as illustrated below.
- Preferred K rings include optionally substituted thiophene, isoxazole, isothiazole, pyrazole, pyridine and pyridine rings. More preferred K rings include K-1, K-14, K-15, K-18, K-23, K-28, K-29, K-30, K-31 and K-33. Most preferred are K-28, K-31 and K-33.
- As noted above, R 3 can be (among others) C1-C6 alkyl, C2-C6 alkenyl, C2-C6 alkynyl, C3-C6 cycloalkyl, each optionally substituted with one or more substituents selected from the group consisting of a phenyl ring, or 5- or 6-membered heteroaromatic ring, each ring optionally substituted with one to three substituents independently selected from R6. Examples of such rings incorporated into said R3 groups include the rings illustrated as U-1 through U-53 and U-86 illustrated in Exhibit 1, except that such rings are optionally substituted with 1 to 3 substituents independently selected from R6 rather than (Rv)r and are attached to an R3 group selected from the list immediately above.
- As noted above, R 3 can be (among others) G, or C1-C6 alkyl, C2-C6 alkenyl, C2-C6 alkynyl, C3-C6 cycloalkyl, each optionally substituted with G; wherein G is a 5- or 6-membered nonaromatic carbocyclic or heterocyclic ring, optionally including one or two ring members selected from the group consisting of C(═O), SO or S(O)2 and optionally substituted with 1 to 4 substituents selected from R12. The term “optionally substituted” in connection with these G groups refers to groups which are unsubstituted or have at least one non-hydrogen substituent that does not extinguish the biological activity possessed by the unsubstituted analog. Note that when the attachment point on the G group is illustrated as floating, the G group can be attached to the remainder of Formula I through any available carbon of the G group by replacement of a hydrogen atom. The optional substituents can be attached to any available carbon by replacing a hydrogen atom. Examples of 5- or 65 membered nonaromatic carbocyclic rings as 0 include the rings illustrated as G-I through G-8 of Exhibit 3. Examples of 5- or 6-membered nonaromatic heterocyclic rings as G include the rings illustrated as G-9 through G-48 of Exhibit 3. Note that when G comprises a ring selected from G-31 through G-34, G-37 and G-38, Q1 is selected from O, S or N. Note that when G is G-11, G13, G-14, G16, G-23, G-24, G-30 through G-34, G-37 and G-38 and Q1 is N, the nitrogen atom can complete its valence by substitution with either H or C1-C2 alkyl.
- As noted above, each R 4 can be independently (among others) a phenyl, benzyl, phenoxy or 5- or 6-membered heteroaromatic ring, each ring optionally substituted with one to three substituents independently selected from R6. Examples of such R4 groups include the rings or ring systems illustrated as U-1 through U-53, U-86 and U-87 illustrated in Exhibit 1, except that such rings are optionally substituted with 1 to 3 substituents independently selected from R6 rather than (RV)r.
- As noted above, each R 5 can be independently (among others) a phenyl, benzyl, benzoyl, phenoxy, 5- or 6-membered heteroaromatic ring or an aromatic 8-, 9- or 10-membered fused heterobicyclic ring system, each ring optionally substituted with one to three substituents independently selected from R6. Examples of such R5 groups include the rings or ring systems illustrated as U-1 through U-88 illustrated in Exhibit 1, except that such rings are optionally substituted with 1 to 3 substituents independently selected from R6 rather than (Rv)r.
- Preferred compounds for reasons of better activity and/or ease of synthesis are:
- Preferred 1. Compounds of Formula I above, and N-oxides and suitable salts thereof, wherein A and B are both 0 and J is a phenyl ring optionally substituted with 1 to 4 R 5.
- Preferred 2. Compounds of Preferred 1 wherein
- each R 4 is independently C1-C4 alkyl, C1-C4 haloalkyl, halogen, CN, NO2 or C1-C4 alkoxy, and one R4 group is attached to the K ring at the atom adjacent to either the NR1C(=A)J moiety or the C(═B)NR2R3 moiety; and
- each R 5 is independently H, halogen, C1-C4 alkyl, C1-C2 alkoxy, C1-C4 haloalkyl, CN, NO2, C1-C4 haloalkoxy, C1-C4 alkylthio, C1-C4 alkylsulfinyl, C1-C4 alkylsulfonyl, C1-C4 haloalkylthio, C1-C4 haloalkylsulfinyl, C1-C4 haloalkylsulfonyl or C2-C4 alkoxycarbonyl; or
- each R 5 is independently a phenyl or a 5- or 6-membered heteroaromatic ring, each ring optionally substituted with one to three substituents independently selected from R6; or
- (R 5)2 when attached to adjacent carbon atoms can be taken together as —OCF2O—, —CF2CF2O— or —OCF2CF2O—.
- Preferred 3. Compounds of Preferred 2 wherein
- R 1 is H;
- R 2 is H or CH3;
- R 3 is C1-C4 alkyl optionally substituted with one or more substituents independently selected from halogen, CN, OCH3 or S(O)pCH3;
- each R 4 is independently CH3, CF3, CN or halogen, and one R4 group is attached to the K ring at the atom adjacent to the NR1C(=A)J moiety;
- each R 5 is independently H, halogen, methyl, CF3, OCF3, OCHF2, S(O)pCF3, S(O)pCHF2, OCH2CF3, OCF2CHF2, S(O)pCH2CF3 or S(O)pCF2CHF2;
- or a phenyl, pyrazole, imidazole, triazole, pyridine or pyrimidine ring, each ring optionally substituted with one to three substituents independently selected from C 1-C4 alkyl, C1-C4 haloalkyl, halogen or CN; and
- p is 0, 1 or 2.
- Preferred 4. Compounds of Preferred 3 wherein R 3 is C1-C4 alkyl.
- Preferred 5. Compounds of Formula I wherein
- A and B are both 0;
-
- Q is O, S or NR 5; and
- W, X, Y and Z are independently N or CR 5, provided that in J-4 and J-5 at least one of W, X, Y or Z is N.
- Preferred 6. Compounds of Preferred 5 wherein
- each R 4 is independently C1-C4 alkyl, C1-C4 haloalkyl, halogen, CN, NO2 or C1-C4 alkoxy, and one R4 group is attached to the K ring at the atom adjacent to either the NR1C(=A)J moiety or the C(═B)NR2R3 moiety; and
- each R 5 is independently H, C1-C4 alkyl, C1-C4 haloalkyl, halogen, CN, NO2, C1-C4 haloalkoxy, C1-C4 alkylthio, C1-C4 alkylsulfinyl, C1-C4 alkylsulfonyl, C1-C4 haloalkylthio, C1-C4 haloalkylsulfinyl, C1-C4 haloalkylsulfonyl or C2-C4 alkoxycarbonyl; or a phenyl or a 5- or 6-membered heteroaromatic ring, each ring optionally substituted with R6.
- Preferred 7. Compounds of Preferred 6 wherein
-
-
- V is N, CH, CF, CCl, CBr or CI;
- each R 6 and R7 is independently H, C1-C6 alkyl, C3-C6 cycloalkyl, C1-C6 haloalkyl, halogen, CN, C1-C4 alkoxy, C1-C4 haloalkoxy or C1-C4 haloalkylthio; and
- R 9 is H, C1-C6 alkyl, C1-C6 haloalkyl, C3-C6 alkenyl, C3-C6 haloalkenyl, C3-C6 alkynyl or C3-C6 haloalkynyl; provided R7 and R9 are not both H.
- Preferred 8. Compounds of Preferred 7 wherein V is N.
- Preferred 9. Compounds of Preferred 7 wherein V is CH, CF, CCl or CBr.
- Preferred 10. Compounds of Preferred 8 or Preferred 9 wherein
- R 1 is H;
- R 2 is H or CH3;
- R 3 is C1-C4 alkyl optionally substituted with one or more substituents independently selected from halogen, CN, OCH3 or S(O)pCH3;
- each R 4 is independently CH3, CF3, CN or halogen, and one R4 group is attached to the K ring at the atom adjacent to the NR1C(=A)J moiety;
- R 6 is C1-C4 alkyl, C1-C4 haloalkyl, halogen or CN;
- R 7 is H, CH3, CF3, OCH2CF3, OCHF2 or halogen; and
- p is 0, 1 or 2.
- Preferred 11. Compounds of Preferred 10 wherein R 3 is C1-C4 alkyl; one R4 group is independently CH3, Cl, Br or I and is attached to the K ring at the atom adjacent to the NR1C(=A)J moiety; and a second optional R4 is H, F, Cl, Br, I or CF3.
- Preferred 12. Compounds of Preferred 11 wherein J substituted with 1 to 3 R 5 is J-6; R6 is Cl or Br; and R7 is halogen, OCH2CF3 or CF3.
- Preferred 13. Compounds of Preferred 12 wherein V is N; R 3 is methyl, ethyl, isopropyl, tertiary butyl or N(CH3)2; and R7 is Br, Cl, OCH2CF3 or CF3.
- Preferred 14. Compounds of Preferred 11 wherein J substituted with 1 to 3 R 5 is J-7; R6 is Cl or Br; and R9 is CF3, CHF2, CH2CF3 or CF2CHF2.
- Preferred 15. Compounds of Preferred 11 wherein J substituted with 1 to 3 R 5 is J-8; R6 is Cl or Br; and R7 is halogen, OCH2CF3 or CF3.
- Preferred 16. Compounds of Preferred 11 wherein J substituted with 1 to 3 R 5 is J-9; R6 is Cl or Br; and R7 is OCH2CF3 or CF3.
- Preferred 17. Compounds of Preferred 11 wherein J substituted with 1 to 3 R 5 is J-10; R6 is Cl or Br; and R9 is CF3, CHF2, CH2CF3 or CF2CHF2.
- Preferred 18. Compounds of Preferred 11 wherein J substituted with 1 to 3 R 5 is J-11; R6 is Cl or Br; and R7 is halogen, OCH2CF3, or CF3.
- Preferred 19. Compounds of Preferred 11 wherein J substituted with 1 to 3 R 5 is J-12; R6 is Cl or Br; R7 is H, halogen or CF3, and R9 is H, CF3, CHF2, CH2CF3, or CF2CHF2.
- Preferred 20. Compounds of Preferred 11 wherein J substituted with 1 to 3 R 5 is J-13; R6 is C1 or Br; R7 is H, halogen or CF3, and R9 is H, CF3, CHF2, CH2CF3 or CF2CHF2.
- Most preferred is the compound of Formula I selected from the group consisting of:
- 4-[[[1-(2-Chlorophenyl)-3-(trifluoromethyl)-1H-pyrazol-S-yl]carbonyl]amino]-5-methyl-N-1-methylethyl)-3-pyridincarboxamide,
- 4-Methyl-N-(1-methylethyl)-3-[[2-methyl-4-(trifluoromethyl)benzoyl]amino]-25 thiophencarboxamide,
- 1-Methyl-N-(1-methylethyl)-5-[[4-(trifluoromethyl)benzoyl]amino]-1H-pyrazole-4-carboxamide;
- 4-[[[3-Bromo-1-(3-chloro-2-pyridinyl)-1H-pyrazol-5-yl]carbonyl]amino]-5-chloro-N-methyl-3-pyridinecarboxamide;
- 3-[[[3-Bromo-1-(3-chloro-2-pyridinyl)-1H-pyrazol-5-yl]carbonyl]amino]-2,6-dichloro-N-methyl-4-pyridinecarboxamide;
- 2,6-dichloro-3-[[[1-(3-chloro-2-pyridinyl)-3-(trifluoromethyl)-1H-pyrazol-5-yl]carbonyl]amino]-N-(1-methylethyl)-4-pyridinecarboxamide;
- 3-[[[3-Bromo-1-(3-chloro-2-pyridinyl)-1H-pyrazol-5-yl]carbonyl]amino]-6-chloro-N,4-dimethyl-2-pyridinecarboxamide;
- 3-[[[3-Bromo-1-(3-chloro-2-pyridinyl)-1H-pyrazol-5-yl]carbonyl]amino]-4,6-dichloro-N-methyl-2-pyridinecarboxamide;
- 5-[[[3-Chloro-1-(3-chloro-2-pyridinyl)-1H-pyrazol-5-yl]carbonyl]amino]-N,6-dimethyl-4-pyrimidinecarboxamide; and
- 5-[[[3-Bromo-1-(3-chloro-2-pyridinyl)-1H-pyrazol-5-yl]carbonyl]amino]-N,N,2,6-tetramethyl-4-pyridinecarboxamide.
- This invention also pertains to a composition for controlling an invertebrate pest comprising a biologically effective amount of a compound of Formula I, an N-oxide thereof or a suitable salt thereof and at least one additional component selected from the group consisting of surfactants, solid diluents and liquid diluents. This invention also pertains to a composition comprising a biologically effective amount of a compound of Formula I, an N-oxide thereof or a suitable salt thereof and an effective amount of at least one additional biologically active compound or agent. The preferred compositions of the present invention are those which comprise the above preferred compounds.
- This invention also pertains to a method for controlling an invertebrate pest comprising contacting the invertebrate pest or its environment with a biologically effective amount of a compound of Formula I, an N-oxide t hereof or a suitable salt thereof (e.g., as a composition described herein). This invention also relates to such a method wherein the invertebrate pest or its environment is contacted with a biologically effective amount of a compound of Formula I or a composition comprising a compound of Formula I, an N-oxide thereof or a suitable salt thereof and a biologically effective amount of at least one additional compound or agent for controlling invertebrate pests. The preferred methods of use are those involving the above preferred compounds.
-
- wherein
- A and B are independently O or S;
- each J is independently a phenyl ring, a naphthyl ring system, a 5- or 6-membered heteroaromatic ring or an aromatic 8-, 9- or 10-membered fused heterobicyclic ring system wherein each ring or ring system is optionally substituted with 1 to 4 R 5;
- K is, together with the two contiguous linking carbon atoms, a 5- or 6-membered heteroaromatic ring optionally substituted with 1 to 3 R 4;
- n is 1 to 3;
- R 1 is H; or C1-C6 alkyl, C2-C6 alkenyl, C2-C6 alkynyl or C3-C6 cycloalkyl each optionally substituted with one or more substituents selected from the group consisting of halogen, CN, NO2, hydroxy, C1-C4 alkoxy, C1-C4 alkylthio, C1-C4 alkylsulfinyl, C1-C4 alkylsulfonyl, C2-C4 alkoxycarbonyl, C1-C4 alkylamino, C2-C8 dialkylamino and C3-C6 cycloalkylamino; or
- R 1 is C2-C6 alkylcarbonyl, C2-C6 alkoxycarbonyl, C2-C6 alkylaminocarbonyl, C3-C8 dialkylaminocarbonyl or C(=A)J;
- R 2 is H, C1-C6 alkyl, C2-C6 alkenyl, C2-C6 alkynyl, C3-C6 cycloalkyl, C1-C4 alkoxy, C1-C4 alkylamino, C2-C8 dialkylamino, C3-C6 cycloalkylamino, C2-C6 alkoxycarbonyl or C2-C6 alkylcarbonyl;
- R 3 is H; G; C1-C6 alkyl, C2-C6 alkenyl, C2-C6 alkynyl, C3-C6 cycloalkyl, each optionally substituted with one or more substituents selected from the group consisting of halogen, G, CN, NO2, hydroxy, C1-C4 alkoxy, C1-C4 haloalkoxy, C1-C4 alkylthio, C1-C4 alkylsulfinyl, C1-C4 alkylsulfonyl, C2-C6 alkoxycarbonyl, C2-C6 alkylcarbonyl, C3-C6 trialkylsilyl, or a phenyl, phenoxy or 5- or 6-membered heteroaromatic ring, each ring optionally substituted with one to three substituents independently selected from the group consisting of C1-C4 alkyl, C2-C4 alkenyl, C2-C4 alkynyl, C3-C6 cycloalkyl, C1-C4 haloalkyl, C2-C4 haloalkenyl, C2-C4 haloalkynyl, C3-C6 halocycloalkyl, halogen, CN, NO2, C1-C4 alkoxy, C1-C4 haloalkoxy, C1-C4 alkylthio, C1-C4 alkylsulfinyl, C1-C4 alkylsulfonyl, C1-C4 alkylamino, C2-C8 dialkylamino, C3-C6 cycloalkylamino, C3-C6 (alkyl)cycloalkylamino, C2-C4 alkylcarbonyl, C2-C6 alkoxycarbonyl, C2-C6 alkylaminocarbonyl, C3-C8 dialkylaminocarbonyl or C3-C6 trialkylsilyl; C1-C4 alkoxy; C1-C4 alkylamino; C2-C8 dialkylamino; C3-C6 cycloalkylamino; C2-C6 alkoxycarbonyl or C2-C6 alkylcarbonyl; or
- R 2 and R3 can be taken together with the nitrogen to which they are attached to form a ring containing 2 to 6 atoms of carbon and optionally one additional atom of nitrogen, sulfur or oxygen, said ring may be optionally substituted with 1 to 4 substituents selected from the group consisting of C1-C2 alkyl, halogen, CN, NO2 and C1-C2 alkoxy;
- G is a 5- or 6-membered nonaromatic carbocyclic or heterocyclic ring, optionally including one or two ring members selected from the group consisting of C(═O), SO or S(O) 2 and optionally substituted with 1 to 4 substituents selected from the group consisting of C1-C2 alkyl, halogen, CN, NO2 and C1-C2 alkoxy;
- each R 4 is independently H, C1-C6 alkyl, C2-C6 alkenyl, C2-C6 alkynyl, C3-C6 cycloalkyl, C1-C6 haloalkyl, C2-C6 haloalkenyl, C2-C6 haloalkynyl, C3-C6 halocycloalkyl, halogen, CN, NO2, hydroxy, C1-C4 alkoxy, C1-C4 haloalkoxy, C1-C4 alkylthio, C1-C4 alkylsulfinyl, C1-C4 alkylsulfonyl, C1-C4 haloalkylthio, C1-C4 haloalkylsulfinyl, C1-C4 haloalkylsulfonyl, C1-C4 alkylamino, C2-C8 dialkylamino, C3-C6 cycloalkylamino, or C3-C6 trialkylsilyl; or
- each R 4 is independently phenyl, benzyl or phenoxy, each optionally substituted with C1-C4 alkyl, C2-C4 alkenyl, C2-C4 alkynyl, C3-C6 cycloalkyl, C1-C4 haloalkyl, C2-C4 haloalkenyl, C2-C4 haloalkynyl, C3-C6 halocycloalkyl, halogen, CN, NO2, C1-C4 alkoxy, C1-C4 haloalkoxy, C1-C4 alkylthio, C1-C4 alkylsulfinyl, C1-C4 alkylsulfonyl, C1-C4 alkylamino, C2-C8 dialkylamino, C3-C6 cycloalkylamino, C3-C6 (alkyl)cycloalkylamino, C2-C4 alkylcarbonyl, C2-C6 alkoxycarbonyl, C2-C6 alkylaminocarbonyl, C3-C8 dialkylaminocarbonyl or C3-C6 trialkylsilyl;
- each R 5 is independently H, C1-C6 alkyl, C2-C6 alkenyl, C2-C6 alkynyl, C3-C6 cycloalkyl, C1-C6 haloalkyl, C2-C6 haloalkenyl, C2-C6 haloalkynyl, C3-C6 halocycloalkyl, halogen, CN, CO2H, CONH12, NO2, hydroxy, C1-C4 alkoxy, C1-C4 haloalkoxy, C1-C4 alkylthio, C1-C4 alkylsulfinyl, C1-C4 alkylsulfonyl, C1-C4 haloalkylthio, C1-C4 haloalkylsulfinyl, C1-C4 haloalkylsulfonyl, C1-C4 alkylamino, C2-C8 dialkylamino, C3-C6 cycloalkylamino, C2-C6 alkylcarbonyl, C2-C6 alkoxycarbonyl, C2-C6 alkylaminocarbonyl, C3-C8 dialkylaminocarbonyl, C3-C6 trialkylsilyl; or
- each R 5 is independently a phenyl, benzyl, benzoyl, phenoxy, 5- or 6-membered heteroaromatic ring or an aromatic 8-, 9- or 10-membered fused heterobicyclic ring system, each ring optionally substituted with one to three substituents independently selected from the group consisting of C1-C4 alkyl, C2-C4 alkenyl, C2-C4 alkynyl, C3-C6 cycloalkyl, C1-C4 haloalkyl, C2-C4 haloalkenyl, C2-C4 haloalkynyl, C3-C6 halocycloalkyl, halogen, CN, NO2, C1-C4 alkoxy, C1-C4 haloalkoxy, C1-C4 alkylthio, C1-C4 alkylsulfinyl, C1-C4 alkylsulfonyl, C1-C4 alkylamino, C2-C8 dialkylamino, C3-C6 cycloalkylamino, C3-C6 (alkyl)cycloalkylamino, C2-C4 alkylcarbonyl, C2-C6 alkoxycarbonyl, C2-C6 alkylaminocarbonyl, C3-C8 dialkylaminocarbonyl or C3-C6 trialkylsilyl; or
- (R 5)2 when attached to adjacent carbon atoms can be taken together as —OCF2O—, —CF2CF2O—, or —OCF2CF2O—.
- Also of note are selected compounds for reasons of cost, ease of synthesis and/or biological efficacy:
- Selection A. Compounds of Formula 1 wherein K is, together with the two linking atoms, a thiophene, pyrazole, isoxazole, pyridine or pyrimidine optionally substituted with 1 to 3 R 4.
- Selection B. Compounds of Selection A wherein J is independently a phenyl ring or a 5 or 6-membered heteroaromatic ring wherein each ring is optionally substituted with 1 to 2 R 5.
- Selection C. Compounds of Selection A wherein
-
- Q is O, S or NR 5; and
- W, X, Y and Z are independently N or CR 5, provided that in J-4 and J-5 at least one of W, X, Y or Z is N.
- Selection D. Compounds of Selection B or Selection C wherein
- A and B are both 0;
- n is 1 to 2;
- R 1 is H, C1-C4 alkyl, C2-C4 alkenyl, C2-C4 alkynyl, C3-C6 cycloalkyl, C2-C6 alkylcarbonyl or C2-C6 alkoxycarbonyl;
- R 2 is H, C1-C4 alkyl, C2-C4 alkenyl, C2-C4 alkynyl, C3-C6 cycloalkyl, C2-C6 alkylcarbonyl or C2-C6 alkoxycarbonyl;
- R 3 is C1-C6 alkyl, C2-C6 alkenyl, C2-C6 alkynyl or C3-C6 cycloalkyl each optionally substituted with one or more substituents selected from the group consisting of halogen, CN, C1-C2 alkoxy, C1-C2 alkylthio, C1-C2 alkylsulfinyl and C1-C2 alkylsulfonyl;
- one of the R 4 groups is attached to the heteroaromatic ring at one of the two positions ortho to the two linking atoms, and said R4 is C1-C4 alkyl, C1-C4 haloalkyl, halogen, CN, NO2, C1-C4 alkoxy, C1-C4 haloalkoxy, C1-C4 alkylthio, C1-C4 alkylsulfinyl, C1-C4 alkylsulfonyl, C1-C4 haloalkylthio, C1-C4 haloalkylsulfinyl or C1-C4 haloalkylsulfonyl;
- each R 5 is independently H, C1-C4 alkyl, C1-C4 haloalkyl, halogen, CN, NO2, C1-C4 haloalkoxy, C1-C4 alkylthio, C1-C4 alkylsulfinyl, C1-C4 alkylsulfonyl, C1-C4 haloalkylthio, C1-C4 haloalkylsulfinyl, C1-C4 haloalkylsulfonyl or C2-C4 alkoxycarbonyl; or a phenyl or a 5- or 6-membered heteroaromatic ring, each ring optionally substituted with C1-C4 alkyl, C2-C4 alkenyl, C2-C4 alkynyl, C3-C6 cycloalkyl, C1-C4 haloalkyl, C2-C4 haloalkenyl, C2-C4 haloalkynyl, C3-C6 halocycloalkyl, halogen, CN, NO2, C1-C4 alkoxy, C1-C4 haloalkoxy, C1-C4 alkylthio, C1-C4 alkylsulfinyl, C1-C4 alkylsulfonyl, C1-C4 alkylamino, C2-C8 dialkylamino, C3-C6 cycloalkylamino, C3-C6 (alkyl)cycloalkylamino, C2-C4 alkylcarbonyl, C2-C6 alkoxycarbonyl, C2-C6 alkylaminocarbonyl, C3-C8 dialkylaminocarbonyl or C3-C6 trialkylsilyl; or
- (R 5)2 when attached to adjacent carbon atoms can be taken together as OCF2O—, —CF2CF2O— or —OCF2CF2O—.
- Selection E. Compounds of Selection D wherein
- J is selected from the group consisting of phenyl, pyridine, pyrimidine, pyrazole, imidazole, triazole, thiophene, thiazole and oxazole, furan, isothiazole and isoxazole, each optionally substituted with 1 to 2 R 5.
- Selection F. Compounds of Selection E wherein
- J is selected from the group consisting of phenyl, pyridine, pyrimidine, pyrazole, thiophene and thiazole, each optionally substituted with 1 to 2 R 5;
- R 1 and R2 are both H;
- R 3 is C1-C4 alkyl optionally substituted with halogen, CN, OCH3, S(O)pCH3;
- each R 4 is independently CH3, CF3, OCF3, OCHF2, S(O)pCF3, S(O)pCHF2, CN or halogen;
- each R 5 is independently H, halogen, CH3, CF3, OCHF2, S(O)pCF3, S(O)pCHF2, OCH2CF3, OCF2CHF2, S(O)pCH2CF3, S(O)pCF2CHF2; or phenyl, pyrazole, imidazole, triazole, pyridine or pyrimidine, each ring optionally substituted with C1-C4 alkyl, C1-C4 haloalkyl, C1-C4 alkoxy, C1-C4 haloalkoxy, C1-C4 alkylthio, C1-C4 alkylsulfinyl, C1-C4 alkylsulfonyl, halogen or CN; and
- p is 0, 1 or 2.
- Selection G. Compounds of Selection F wherein R 3 is C1-C4 alkyl.
- Selection H. Compounds of Selection G wherein J is a phenyl optionally substituted with 1 to 2 R 5.
- Selection I. Compounds of Selection H wherein one R 5 is a phenyl optionally substituted with C1-C4 alkyl, C1-C4 haloalkyl, halogen or CN.
- Selection J. Compounds of Selection H wherein one R 5 is a pyrazole, imidazole, triazole, pyridine or pyrimidine, each ring optionally substituted with C1-C4 alkyl, C1-C4 haloalkyl, halogen or CN.
- Selection K. Compounds of Selection I wherein J is a pyridine optionally substituted with 1 to 2 R 5.
- Selection L. Compounds of Selection K wherein one R 5 is a phenyl optionally substituted with C1-C4 alkyl, C1-C4 haloalkyl, halogen or CN.
- Selection M. Compounds of Selection K wherein one R 5 is a pyrazole, imidazole, triazole, pyridine or pyrimidine, each ring optionally substituted with C1-C4 alkyl, C1-C4 haloalkyl, halogen or CN.
- Selection N. Compounds of Selection I wherein J is a pyrimidine optionally substituted with 1 to 2 R 5.
- Selection 0. Compounds of Selection N wherein one R 5 is a phenyl optionally substituted with C1-C4 alkyl, C1-C4 haloalkyl, halogen or CN.
- Selection P. Compounds of Selection N wherein one R 5 is a pyrazole, imidazole, triazole, pyridine or pyrimidine, each ring optionally substituted with C1-C4 alkyl, C1-C4 haloalkyl, halogen or CN.
- Selection Q. Compounds of Selection I wherein J is a pyrazole optionally substituted with 1 to 2 R 5.
- Selection R. Compounds of Selection Q wherein one R 5 is a phenyl optionally substituted with C1-C4 alkyl, C1-C4 haloalkyl, halogen or CN.
- Selection S. Compounds of Selection Q wherein one R 5 is a pyrazole, imidazole, triazole, pyridine or pyrimidine, each ring optionally substituted with C1-C4 alkyl, C1-C4 haloalkyl, halogen or CN.
- Selection T. Compounds of Selection S wherein one R 5 is a pyridine optionally substituted with C1-C4 alkyl, C1-C4 haloalkyl, halogen or CN.
- Most select is the compound of Formula 1 selected from the group consisting of:
- 4-[[[1-(2-Chlorophenyl)-3-(trifluoromethyl)-1H-pyrazol-S-yl]carbonyl]amino]-5-methyl-N-1-methylethyl)-3-pyridincarboxamide,
- 4-Methyl-N-(1-methylethyl)-3-[[2-methyl-4-(trifluoromethyl)benzoyl]amino]-2-thiophencarboxamide, and
- 1-Methyl-N-(1-methylethyl)-5-[[4-(trifluoromethyl)benzoyl]amino]-1H-pyrazole-4-carboxamide.
- The compounds of Formula I can be prepared by one or more of the following methods and variations as described in Schemes 1-19. The definitions of A, B, J, K, R 1, R2, R3, R4, R5 and n in the compounds of Formulae I and 2-41 below are as defined above in the Summary of the Invention. Compounds of Ia-c, 2a-b and 4a-g are various subsets of the compounds of Formula I, 2 and 4, respectively. Of note are compounds of Formulae I, 2, 5, 6, 6a, 13, 14, 15, 40 and 41 wherein K is selected from the group consisting of optionally substituted thiophene, isoxazole, isothiazole, pyrazole, pyridine and pyrimidine rings. Also of note are compounds of Formulae I, 2, 5, 6, 6a, 13, 14, 15, 40 and 41 wherein K is K-1, K-14, K-15, K-18, K-23, K-28, K-29, K-30, K-31 and K-33. Of particular note are compounds of Formulae I, 2, 5, 6, 6a, 13, 14, 15, 40 and 41 wherein K is K-28, K-31 and K-33.
- Compounds of Formula I can be prepared by procedures outlined in Schemes 1-19. A typical procedure is detailed in Scheme 1 and involves coupling of an ortho amino carboxylic acid amide of Formula 2 with an acid chloride of Formula 3 in the presence of an acid scavenger to provide the compound of Formula Ia. Typical acid scavengers include amine bases such as triethylamine, diisopropylethylamine and pyridine; other scavengers include hydroxides such as sodium and potassium hydroxide and carbonates such as sodium carbonate and potassium carbonate. In certain instances it is useful to use polymer-supported acid scavengers such as polymer-bound diisopropylethylamine and polymer-bound dimethylaminopyridine. In a subsequent step, amides of Formula Ia can be converted to thioamides of Formula Ib using a variety of standard thio transfer reagents including phosphorus pentasulfide and Lawesson's reagent.
- An alternate procedure for the preparation of compounds of Formula Ia involves coupling of an amide of Formula 2 with an acid of Formula 4 in the presence of a dehydrating agent such as dicyclohexylcarbodiimide (DCC). Polymer supported reagents are useful here, such as polymer-bound cyclohexylcarbodiimide. Synthetic procedures of Schemes 1 and 2 are only representative examples of useful methods for the preparation of Formula I compounds as the synthetic literature is extensive for this type of reaction.
- One skilled in the art will also realize that acid chlorides of Formula 3 may be prepared from acids of Formula 4 by numerous well-known methods.
- An alternate procedure for the preparation of compounds of Formula Ia involves coupling of an ortho amino carboxylic acid ester of Formula 5 with an acid chloride of Formula 3 by a method similar to that described in Scheme 1, followed by transformation of the ester group into an amide functionality. This transformation can be achieved by an amination with an amine of Formula 7. A Lewis acid such as trimethylaluminum as shown in Scheme 3 may catalyze this reaction.
-
- Benzoic acids of Formula 4 (J is optionally substituted phenyl) are generally well known in the art as are procedures for their preparation. One particularly useful subset of benzoic acids of this invention are 2-methyl-4-perfluoroalkyl benzoic acids of Formula 4a (R 5(a) equals e.g. CF3, C2F5, C3F7). The synthesis for these compounds is outlined in Schemes 5-9. Benzoic acids of Formula 4a may be prepared from the benzonitriles of Formula 8 by hydrolysis. The conditions used may involve the use of a base such as an alkaline metal hydroxide or alkoxide (e.g. potassium or sodium hydroxide) in a solvent such as water, ethanol or ethylene glycol (e.g. J. Chem. Soc. 1948, 1025). Alternatively, the hydrolysis may be carried out using an acid such as sulfuric acid or phosphoric acid in a suitable solvent such as water (e.g. Org. Synth. 1955, Coll. vol. 3, 557). The choice of the conditions is contingent on the stability of R5 to the reaction conditions and elevated temperatures are usually employed to achieve this transformation.
-
- Anilines of Formula 9 may be prepared from compounds of Formula 10. This transformation may be achieved by a well-known procedure that employs Raney Nickel ( Org Synth. Coll. Vol. VI, 581). Alternatively, the same transformation may be effected by the use of a suitable catalyst such as palladium in the presence of hydrogen. The reaction is usually conducted at pressures of 104 to 107 kPa in a suitable organic solvent such as, but not limited to, toluene. Elevated temperatures of 80-110° C. are usually required to achieve the transformation. As one skilled in the art will realize, numerous chemical modifications of the thioether moiety are possible, and may be employed when necessary to facilitate this transformation.
- Compounds of Formula 10 may be prepared from iminosulfuranes of Formula 11. The transformation may be achieved in a protic solvent such as methanol or water, in a non-protic solvent such as dichloromethane or toluene in the presence of a suitable base such as triethylamine (e.g. Org. Synth. Coll. Vol. VI, 581) or sodium methoxide, or in a combination of a protic solvent, a protic solvent and a base. The temperature at which the reaction is conducted is usually in the range 40-110° C. As one skilled in the art will realize, suitable salts of compounds of Formula 11 such as, but not limited to a hydrochloride, a sulfate or a bisulfate may also be employed, provided that the appropriate amount of base is first used to generate the free base 11. This may be done as a separate step or as an integral part of the step involving the transformation of compounds of Formula 11 to compounds of Formula 10.
- Compounds of Formula 11 may be prepared from anilines of Formula 12 by reaction with dimethyl sulfide and a suitable chlorinating agent such as, but not limited to N-chlorosuccinimide (e.g. Org. Synth. Coll. Vol. VI, 581), chlorine or N-chlorobenzotriazole. Alternatively, anilines of Formula 12 may be treated with dimethyl sulfoxide which has been “activated” by treatment with an agent such as acetic anhydride, trifluoroacetic, anhydride, trifluoromethanesulfonic anhydride, cyclohexylcarbodiimide, sulfur trioxide, or phosphorus pentoxide. The reaction is conducted in a suitable organic solvent such as dichloromethane or dimethyl sulfoxide. The reaction is conducted at a temperature of −70° C. to 25° C. and is dependent on the solvent and reagent used.
- Intermediate ortho amino carboxylic acid amides of Formula 2a and 2b may also be prepared from isatoic anhydrides of Formula 13 and 14 (Scheme 10). Typical procedures involve combination of equimolar amounts of the amine 7 with the isatoic anhydride in polar aprotic solvents such as pyridine and dimethylformamide at temperatures ranging from room temperature to 100° C. R 1 substituents such as alkyl and substituted alkyl may be introduced by the base catalyzed alkylation of isatoic anhydride 13 with known alkylating reagents R1-Lg (wherein Lg is a leaving group such as halogen, alkyl or aryl suphonates or alkyl sulfates) to provide the alkyl substituted intermediates 14. Isatoic anhydrides of Formula 13 may be made by methods described in Coppola, Synthesis 1980, 505 and Fabis et al Tetrahedron, 1998, 10789.
- An alternate procedure for the preparation of specific compounds of Formula I (wherein A is 0, B is 0 and R 1 is H) involves reaction of an amine 7 with a heterocyclic fused oxazinone of Formula 15. Typical procedures involve combination of the amine with the oxazinone in solvents such as tetrahydrofuran or pyridine at temperatures ranging from room temperature to the reflux temperature of the solvent. Oxazinones are well documented in the chemical literature and are available via known methods that involve the coupling of either an ortho amino carboxylic acid with an acid chloride. For references to the synthesis and chemistry of heterocyclic fused oxazinones see Jakobsen et al, Biorganic and Medicinal Chemistry, 2000, 8, 2803-2812 and references cited therein.
- Heterocyclic acids of Formula 4, wherein J is an optionally substituted heterocycle, can be prepared by procedures outlined in Schemes 12-17. Both general and specific references to a wide variety of heterocyclic acids including thiophenes, furans, pyridines, pyrimidines, triazoles, imidazoles, pyrazoles, thiazoles, oxazoles, isothiazoles, thiadiazoles, oxadiazoles, triazines, pyrazines, pyridazines, and isoxazoles can be found in the following compendia: Rodd's Chemistry of Chemistry of Carbon Compounds, Vol. IVa to IVl., S. Coffey editor, Elsevier Scientific Publishing, New York, 1973; Comprehensive Heterocyclic Chemistry, Vol. 1-7, A. R. Katritzky and C. W. Rees editors, Pergamon Press, New York, 1984; Comprehensive Heterocyclic Chemistry II, Vol. 1-9, A. R. Katritzky, C. W. Rees, and E. F. Scriven editors, Pergamon Press, New York, 1996; and the series, The Chemistry of Heterocyclic Compounds, E. C. Taylor, editor, Wiley, New York. Particularly useful heterocyclic acids of this invention include pyridine acids, pyrimidine acids and pyrazole acids. Procedures for the synthesis of representative examples of each are detailed in Schemes 12-17. A variety of heterocyclic acids and general methods for their synthesis may be found in World Patent Application WO 98/57397.
-
-
- The synthesis of representative pyrazole acids (4d-4g) is depicted in Schemes 14-17. Pyrazoles 4d are described in Scheme 14. The synthesis of Scheme 14 involves as the key step introduction of the R 5(b) substituent via alkylation of the pyrazole. The alkylating agent R5(b)-Lg (wherein Lg is a leaving group such as Cl, Br, I, sulfonates such as p-toluenesulfonate or methanesulfonate or sulfates such as —SO2OR7(b)) includes R7(b) groups such as C1-C6 alkyl, C2-C6 alkenyl, C2-C6 alkynyl, C3-C6 cycloalkyl, C1-C6 haloalkyl, C2C6 haloalkenyl, C2-C6 haloalkynyl, C3-C6 halocycloalkyl, C2-C6 alkylcarbonyl, C2-C6 alkoxycarbonyl, C3-C8 dialkylaminocarbonyl, C3-C6 trialkylsilyl; or phenyl, benzyl, benzoyl, 5- or 6-membered heteroaromatic ring or an aromatic 8-, 9- or 10-membered fused heterobicyclic ring system, each ring or ring system optionally substituted. Oxidation of the methyl group affords the pyrazole carboxylic acid. Some of the more preferred R5(a) groups include haloalkyl.
- Pyrazoles 4e are described in Scheme 15. These pyrazole acids may be prepared via metallation and carboxylation of pyrazoles of formula 28 as the key step. The R 5(b) group is introduced in a manner similar to that of Scheme 14, i.e. via alkylation with a R5(b) alkylating agent. Representative R5(a) groups include e.g. cyano, and haloalkyl.
- Pyrazoles 4f are described in Scheme 16. These can be prepared via reaction of an optionally substituted phenyl hydrazine 29 with a pyruvate 30 to yield pyrazole esters 31. Hydrolysis of the ester affords the pyrazole acids 4f. This procedure is particularly useful for the preparation of compounds where R 5(b) is optionally substituted phenyl and R5(a) is haloalkyl.
- Pyrazoles acids of Formula 4g are described in Scheme 17. These can be prepared via 3+2 cycloaddition of an appropriately substituted nitrilimine (32) with either substituted propiolates (33) or acrylates (36). Cycloaddition with acrylates requires additional oxidation of the intermediate pyrazoline to the pyrazole. Hydrolysis of the ester affords the pyrazole acids 4g. Preferred iminohalides for this reaction include the trifluoromethyl iminochloride (38) and the iminodibromide (39). Compounds such as 38 are known ( J. Heterocycl Chem. 1985, 22(2), 565-8). Compounds such as 39 are available by known methods (Tetrahedron Letters 1999, 40, 2605). These procedures are particularly useful for the preparation of compounds where R5(b) is optionally substituted phenyl and R5(a) is haloalkyl or bromo.
- Ortho-amino carboxylic acid esters of Formula 5 wherein R 1 is H can be prepared from monoesters of ortho dicarboxylic acids of Formula 40 via rearrangement of the corresponding acyl azide and hydrolysis of the resulting isocyanate (or alternatively by trapping of the isocyanate with an alcohol and cleaving of the resulting carbamate) as shown in Scheme 18.
-
- Compounds of Formulae 40 and 41 are known in the art or can be readily prepared from compounds known in the art. (For example, see Tetrahedron, 1997, 53, 14497; J. Chem. Soc., Perkin Trans. 1, 1996, 10, 1035; WO92/08724 and EP 418667).
- It is recognized that some reagents and reaction conditions described above for preparing compounds of Formula 1 may not be compatible with certain functionalities present in the intermediates. In these instances, the incorporation of protection/deprotection sequences or functional group interconversions into the synthesis will aid in obtaining the desired products. The use and choice of the protecting groups will be apparent to one skilled in chemical synthesis (see, for example, Greene, T. W.; Wuts, P. G. M. Protective Groups in Organic Synthesis, 2nd ed.; Wiley: New York, 1991). One skilled in the art will recognize that, in some cases, after the introduction of a given reagent as it is depicted in any individual scheme, it may be necessary to perform additional routine synthetic steps not described in detail to complete the synthesis of compounds of Formula I. One skilled in the art will also recognize that it may be necessary to perform a combination of the steps illustrated in the above schemes in an order other than that implied by the particular sequence presented to prepare the compounds of Formula I.
- One skilled in the art will also recognize that compounds of Formula I and the intermediates described herein can be subjected to various electrophilic, nucleophilic, radical, organometallic, oxidation, and reduction reactions to add substituents or modify existing substituents.
- Without further elaboration, it is believed that one skilled in the art using the preceding description can utilize the present invention to its fullest extent. The following Examples are, therefore, to be construed as merely illustrative, and not limiting of the disclosure in any way whatsoever. Percentages are by weight except for chromatographic solvent mixtures or where otherwise indicated. Parts and percentages for chromatographic solvent mixtures are by volume unless otherwise indicated. 1H NMR spectra are reported in ppm downfield from tetramethylsilane; s is singlet, d is doublet, t is triplet, q is quartet, m is multiplet, dd is doublet of doublets, dt is doublet of triplets, brs is broad singlet.
- Step A: Preparation of ethyl 4-azido-5-methyl-3-pyridinecarboxylate
- A slurry of 14.1 g (78 mmol) of ethyl 1,4-dihydro-5-methyl-4-oxo-3-pyridinecarboxylate (prepared according to Horvath, G.; Dvortsak, P. J Heterocycl. Chem. 1980, 359) in 30 mL of phosphorous oxychloride was refluxed for 1 hour. After cooling, the volatiles were removed with a rotary evaporator. The residue was poured into cold saturated aqueous sodium bicarbonate. Dichloromethane was added and the mixture was filtered through celite. The layers were separated. The organic layer was dried (sodium sulfate) and the solvent was removed with a rotary evaporator. The residue was dissolved in 150 mL of dimethylformamide. 15.2 g (234 mmol) of sodium azide was added. The mixture was heated at 95° C. for 1 hour. After cooling, the solvent was removed with a rotary evaporator. The residue was partitioned between ethyl acetate and water. The organic layer was dried (sodium sulfate) and the solvent was removed with a rotary evaporator. The residue was passed through a plug of silica gel with 25% ethyl acetate in hexanes as eluant to afford 11.9 g of the title compound as a cream colored solid.
- 1H NMR (CDCl3) δ 1.41 (t,3H), 2.12 (s,3H), 4.36 (q,2H), 8.12 (s,1H), 8.83 (s,1H).
- Step B: Preparation of ethyl 4-amino-5-methyl-3-pyridinecarboxylate
- 0.50 g of material prepared in Step A was dissolved in 15 mL of ethanol. 0.15 g of 10% palladium on carbon was added. The reaction mixture was placed under one atmosphere of hydrogen for 2 hours. The catalyst was removed by filtration. The solvent was removed with a rotary evaporator to afford 0.43 g of the title compound as a white solid.
- 1H NMR (CDCl3) δ 1.42 (t,3H), 2.30 (s,3H), 4.45 (q,2H), 8.47 (s,1H), 8.87 (s,1H).
- Step C: Preparation of ethyl 5-methyl-4-[[4-trifluoromethoxy)benzoyl]amino]-3-pyridinecarboxylate
- 1.0 g (5.6 mmol) of material prepared in Step C was dissolved in 30 mL of dichloromethane. 0.77 mL (5.6 mmol) of triethylamine, a catalytic amount of 4-dimethylaminopyridine and 0.88 mL (5.6 mmol) of 4-(trifluoromethoxy)benzoyl chloride were added. The mixture was stirred overnight. The reaction mixture was washed with water. The organic layer was dried (sodium sulfate) and the solvent was removed with a rotary evaporator. The residue was purified by medium-pressure liquid chromatography (MPLC) with a gradient of 15-100% ethyl acetate in hexanes as eluant. The bisacylation product eluted first, then 0.42 g of the title compound as white solid. Starting material (0.52 g) was also recovered.
- 1H NMR (CDCl3) δ 1.41 (t,3H), 2.32 (s,3H), 4.39 (q,2H), 7.37 (d,2H), 8.08 (d,2H), 8.63 (brs,1H), 9.04 (brs,1H), 10.78 (brs,1H).
- Step D: Preparation of 5-methyl-N-(1-methylethyl)-4-[[4-trifluoromethoxy)benzoyl]amino]-3-pyridinecarboxamide
- To a solution of 0.049 mL (0.57 mmol) of isopropylamine in 20 mL of dichloroethane at 0° C. was added 0.64 mL (1.3 mmol) of a 2M solution of trimethylaluminum in toluene dropwise. A solution of 0.21 g (0.57 mmol) of the material prepared in Step C in 5 mL of dichloroethane was added dropwise. Four days later an additional 0.049 mL of isopropylamine and 0.64 mL of trimethylaluminum were added. The reaction was refluxed for 6 h. After cooling 20 mL of 1N HCl was added. The layers were separated. The aqueous layer was made basic with a saturated sodium bicarbonate solution. Dichloromethane was added and the mixture was filtered through celite. The dichloromethane was separated, combined with the dichloroethane layer from above and dried (sodium sulfate). The solvent was removed with a rotary evaporator. The residue was purified by MPLC with a gradient of 25-50% ethyl acetate in hexanes as eluant to afford 0.047 g of the title compound, a compound of the invention, as a white solid; m.p. 202-204° C.
- 1H NMR (CDCl3) δ 1.27 (d,6H), 2.33 (s,3H), 4.23 (m,1H), 6.46 (br,1H), 7.35 (d,2H), 8.07 (d,2H), 8.56 (brs,1H), 8.69 (brs,1H), 11.15 (brs,1H).
- Step A: Preparation of 5-amino-1-methyl-N-(1-methylethyl)-1H-pyrazole-4-carboxamide
- 1.0 g (8.0 mmol) of 2-cyano-N-(1-methylethyl)acetamide (prepared according to the procedure of Cheikh et al J. Org. Chem., 1991, 56, 970) was combined with 3.1 mL of triethylorthoformate, 5 mL of acetic anhydride and 0.01 g of anhydrous zinc chloride. The mixture was refluxed for 1 hour. A distillation head was placed on the flask and the reaction was heated at 120° C. for 8 hours. After standing for two days the mixture was heated again for 12 hours at 120° C. for 12 hours. The volatiles were removed with a rotary evaporator. Ethanol was added and the volatiles were again removed with a rotary evaporator. This material was dissolved in 15 mL of ethanol. 0.34 mL (6.4 mmol) of methyl hydrazine was added. The reaction mixture was refluxed for 5 hours and then allowed to stand at room temperature overnight. The solvent was removed with a rotary evaporator. The residue was purified by MPLC (ethyl acetate as eluant) to afford 0.14 g of the title compound as a solid.
- 1H NMR (CDCl3) δ 1.23 (d,6H), 3.61 (s,3H), 4.21 (m,1H), 5.17 (br,2H), 5.34 (br,1H), 7.38 (s, 1H).
- Step B: Preparation of 1-methyl-N-(1-methylethyl)-5-[[4-trifluoromethoxy)benzoyl]amino]-1H-pyrazole-4-carboxamide
- 0.14 g (0.77 mmol) of the material from Step A was dissolved in 20 mL of tetrahydrofuran and 0.12 mL (0.85 mmol) of triethylamine and 0.12 mL (0.77 mmol) of 4-(trifluoromethoxy)benzoyl chloride were added. Three days later 0.12 mL (0.85 mmol) of triethylamine and 0.12 mL (0.77 mmol) of 4-(trifluoromethoxy)benzoyl chloride were added. The reaction mixture was refluxed for two days. After cooling the reaction mixture was partitioned between ethyl acetate and water. The organic layer was dried (sodium sulfate) and the solvent was removed with a rotary evaporator. The residue was purified by MPLC with 50% ethyl acetate in hexanes as eluant to afford 0.18 g of the title compound, a compound of the invention, as a white solid; m.p. 68-75° C.
- 1H NMR (CDCl3) δ 1.22 (d,6H), 3.91 (s,3H), 4.14 (m,1H), 5.92 (brd,1H), 7.32 (d,2H), 7.62 (s,1H), 8.08 (d,2H), 10.78 (brs,1H).
- Step A: Preparation of 7-methyl-2H-thieno[3,2-d][1,3]oxazine-2,4(1H)-dione
- Phosgene in toluene (4.4 g, 20%, 8.88 mmol) was added to the sodium salt of 3-amino-4-methyl-thiophene-2-carbocyclic acid (1 g, 5.58 mmol) in water (17 mL) at 0° C. The mixture was allowed to warm to room temperature and was stirred for 1 hour. The mixture was filtered. After drying in vacuum the product was obtained as a solid 0.49 g (47%).
- IR (Nujol®) 1785, 1696, 1580, 1513, 1236, 988, 918, 848, 826 cm −1.
- 1H NMR (DMSO-d6) δ 2.20 (s,3H), 7.88 (s,1H).
- Step B: Preparation of 7-methyl-2-[4-(trifluoromethyl)phenyl]-4H-thieno[3,2-d][1,3]oxazin-4-one
- 4-(Dimethylamino)pyridine (0.66 g, 5.41 mmol) was added to the product from Step A in dioxane (10 mL). 4-(Trifluoromethyl)benzoyl chloride (1.13 g, 5.42 mmol) was added to the mixture and the mixture was boiled for approximately 3 hours. The mixture was allowed to cool to room temperature and was poured into hydrochloric acid (100 mL, 1 N). The mixture was extracted with ethyl acetate (3×50 mL) and the combined extracts were dried and evaporated. Chromatography on silicon gel (eluted with ethyl acetate/hexanes) gave the product as a white solid 1.56 g, (91.7%).
- IR (Nujol®) 2923, 1763, 1600, 1572, 1410, 1312, 1234, 1170, 1125, 1068, 1013, 978, 934, 851, 813 cm −1.
- 1H NMR (CDCl3) δ 2.47 (s,3H), 7.60 (s,1H), 7.77 (d,2H), 8.45(d,2H).
- Step C: Preparation of 4-methyl-N-(1-methylethyl)-3-[[4-trifluoromethyl)benzoyl]amino]-2-thiophenecarboxamide
- A mixture of the product from Step B (0.2 g, 0.043 mmol) and isopropylamine (0.2 g, 3.39 mmol) in THF (5 mL) was stirred for 6 hours. The solvent was removed under reduced pressure to give the product, a compound of the invention, as a solid 0.21 g, (91%).
- IR(Nujol®) 3294, 1664, 1625, 1573, 1524, 1409, 1327, 1207, 1167 1126, 1068, 1018, 954, 885, 857 cm −1.
- 1H NMR (CDCl3) δ 1.22 (d,6H), 2.30 (s,3H), 4.22-4.11 (m,1H), 5.58 (d,1H), 7.03 (s,1H), 7.75 (d, 2H), 8.13 (d,2H), 10.63 (s,1H).
- Step A: Preparation of 1-(111-dimethylethyl) 4-ethyl-2-acetyl-3-amino-2-butenedioate
- To a mixture of 17.15 g (108 mmol) of t-butyl acetoacetate and 12.8 mL (130 mmol) of ethyl cyanoformate in 25 mL of dichloromethane was added 1.64 g of zinc acetylacetonate hydrate. After stirring overnight the volatiles were removed with a rotary evaporator. The residue was dissolved in ethyl acetate) and filtered through celite. The solvent was removed with a rotary evaporator to afford 29.9 g of the title compound as a white solid as an E/Z isomer mixture.
- 1H NMR (CDCl3) δ 1.33 (t,3H), 1.52 (s,9H), 2.35 (s,3H) [minor isomer 2.40 (s,3H)], 4.33 (m,2H).
- Step B: Preparation of 5-(1.1-dimethylethyl)hydrogen 6-methyl-4.5-pyrimidinedicarboxylate To a solution of 11.6 g (45 mmol) of the material from Step A in 55 mL of ethanol was added 10.9 g (135 mmol) of formamidine hydrochloride. The reaction mixture was cooled in an ice bath and 17 mL (135 mmol) of 1,1,3,3-tetramethylguanidine was added dropwise. After the mixture was stirred overnight the solvent was removed with a rotary evaporator. The residue was partitioned between ethyl acetate and water. The aqueous layer was cooled in an ice bath, acidified with concentrated HCl and extracted three times with ethyl acetate. The organic layer was dried (sodium sulfate) and the solvent was removed with a rotary evaporator to afford 9.12 g of the title compound as a yellow solid.
- 1H NMR (CDCl3) δ 1.65 (s,9H), 2.68 (s,3H), 9.19 (s,1H).
- Step C: Preparation of 5-(1,1-dimethylethyl) 4-methyl 6-methyl-4,5-pyrimidinedicarboxylate
- To a solution of 9.12 g (38 mmol) of the material from Step B in 100 mL of N,N-dimethyl formamide (DMF) was added 3.1 mL (50 mmol) of iodomethane and 3.7 g (50 mmol) of lithium carbonate. The reaction mixture was heated at 60° C. for 3 hours. After cooling the reaction mixture was partitioned between dichloromethane and water. The organic layer was dried (sodium sulfate) and the solvent was removed with a rotary evaporator and then a vacuum pump. The residue was purified by MPLC with a gradient of 20-30% ethyl acetate in hexanes as eluant to afford 7.58 g of the title compound as an off-white solid.
- 1H NMR (CDCl3) δ 1.63 (s,9H), 2.67 (s,3H), 4.01 (s,3H), 9.19 (s, 1H).
- Step D: Preparation of methyl 5-[[(1,1-dimethylethoxy)carbonyl]amino]-6-methyl-4-pyrimidinecarboxylate
- 7.55 g of the material from Step C was dissolved in 40 mL of dichloromethane. 20 mL of trifluoroacetic acid was added. After two days the reaction mixture was refluxed for 6 hours. After an additional day the volatiles were removed with a rotary evaporator. Toluene was added and the solvent was removed with a rotary evaporator. This material (90.2 g) was dissolved in 100 mL of t-butanol. 9.2 mL (66 mmol) of triethylamine and 14 mL (66 mmol) of diphenylphosphoryl azide were added. The reaction was refluxed 3 hours. After cooling, the solvent was removed with a rotary evaporator. The residue was partitioned between ethyl acetate and water. The organic layer was dried (sodium sulfate) and the solvent was removed with a rotary evaporator. The residue was purified by MPLC with a gradient of 40-100% ethyl acetate in hexanes as eluant to afford 5.81 g of the title compound as a yellow solid.
- 1H NMR (CDCl3) δ 1.52 (s,9H), 2.60 (s,3H), 4.03 (s,3H), 8.07 (br, 1H),8.98 (s,1H).
- Step E: Preparation of methyl 5-amino-6-methyl-4-pyrimidinecarboxylate
- 5.8 g of the material from Step D was dissolved in 25 mL of trifluoroacetic acid. After stirring for 90 minutes the solvent was removed with a rotary evaporator. Saturated aqueous sodium bicarbonate was added. The aqueous layer was extracted five times with dichloromethane. The organic layer was dried (sodium sulfate) and the solvent was removed with a rotary evaporator to afford 3.78 g of the title compound with a small amount of an impurity.
- 1H NMR (CDCl3) δ 2.50 (s,3H), 4.00 (s,3H), 5.76 (br,2H),8.56 (s,1H).
- Step F: Preparation of 5-amino-6-methyl-4-pyrimidinecarboxylic acid monosodium salt
- 2.0 g (12 mmol) of the material from Step E was dissolved in 24 mL of methanol. 12 mL of a 1N solution of sodium hydroxide was added. After 1 hour the solvent was removed with a rotary evaporator. The residue was dried in a vacuum oven overnight to afford 2.39 g of the title compound as a tan solid.
- 1H NMR (D2O) δ 2.45 (s,3H), 8.37 (s,1H).
- Step G: Preparation of 3-chloro-N,N-dimethyl-1H-pyrazole-1-sulfonamide
- To a solution of N-dimethylsulfamoylpyrazole (188.0 g, 1.07 mol) in dry tetrahydrofuran (1500 mL) at −78° C. was added dropwise a solution of 2.5 M n-butyl-lithium (472 mL, 1.18 mol) in hexane while maintaining the temperature below −65° C. Upon completion of the addition the reaction mixture was maintained at −78° C. for an additional 45 minutes, after which time a solution of hexachloroethane (279 g, 1.18 mol) in tetrahydrofuran (120 mL) was added dropwise. The reaction mixture was maintained for an hour at −78° C., warmed to −20° C. and then quenched with water (1 L). The reaction mixture was extracted with methylene chloride (4×500 mL); the organic extracts were dried over magnesium sulfate and concentrated. The crude product was further purified by chromatography on silica gel using methylene chloride as eluent to afford the title product compound as a yellow oil (160 g).
- 1H NMR (CDCl3) δ 3.07 (d, 6H), 6.33 (s, 1H), 7.61 (s, 1H).
- Step H: Preparation of 3-chloropyrazole
- To trifluoroacetic acid (290 mL) was added dropwise the chloropyrazole product (160 g) from Step G, and the reaction mixture was stirred at room temperature for 1.5 hours and then concentrated at reduced pressure. The residue was taken up in hexane, insoluble solids were filtered off, and the hexane was concentrated to afford the crude product as an oil. The crude product was further purified by chromatography on silica gel using ether/hexane (40:60) as eluent to afford the title product as a yellow oil (64.44 g).
- 1H NMR (CDCl3) δ 6.39 (s, 11H), 7.66 (s, 11H), 9.6 (br s, 11H).
- Step I: Preparation of 3-chloro-2-(3-chloro-1H-pyrazol-1-yl)pyridine
- To a mixture of 2,3-dichloropyridine (92.60 g, 0.629 mol) and 3-chloropyrazole (64.44 g, 0.629 mol) in N,N-dimethylformamide (400 mL) was added potassium carbonate (147.78 g, 1.06 mol), and the reaction mixture was then heated to 100° C. for 36 hours. The reaction mixture was cooled to room temperature and slowly poured into ice water. The precipitated solids were filtered and washed with water. The solid filter cake was taken up in ethyl acetate, dried over magnesium sulfate and concentrated. The crude solid was chromatographed on silica gel using 20% ethyl acetate/hexane as eluent to afford the title product as a white solid (39.75 g).
- 1H NMR (CDCl3) δ 6.43 (s, 11H), 7.26 (m, 1H), 7.90 (d, 1H), 8.09 (s, 1H), 8.41 (d, 11H).
- Step J: Preparation of 3-chloro-1-(3-chloro-2-pyridinyl)-1H-pyrazole-5-carboxylic acid To a solution of the pyrazole product from Step 1 (39.75 g, 186 mmol) in dry tetrahydrofuran (400 mL) at −78° C. was added dropwise a solution of 2.0 M lithium diisopropylamide (93 mL, 186 mmol) in tetrahydrofuran. Carbon dioxide was bubbled through the amber solution for 14 minutes, after which time the solution became pale brownish-yellow. The reaction was made basic with 1N aqueous sodium hydroxide solution and extracted with ether (2×500 mL). The aqueous extracts were acidified with 6N hydrochloric acid and extracted with ethyl acetate (3×500 mL). The ethyl acetate extracts were dried over magnesium sulfate and concentrated to afford the title product as an off-white solid (42.96 g). (Product from another run following similar procedure melted at 198-199° C.)
- 1H NMR (DMSO-d6) δ 6.99 (s, 1H), 7.45 (m, 1H), 7.93 (d, 1H), 8.51 (d, 1H).
- Step K: Preparation of 2-[3-chloro-1-(3-chloro-2-pyridinyl)-1H-pyrazol-5-yl]-8-methyl-4H-pyrimido[5,4-d][1,3]oxazin-4-one
- To a solution of 0.26 mL (3.3 mmol) of methanesulfonyl chloride in 18 mL of acetonitrile at 0° C. was added 0.77 g (3.0 mmol) of 3-chloro-1-(3-chloro-2-pyridinyl)-1H-pyrazol-5-carboxylic acid from Step J. 0.42 mL (3.0 mmol) of triethylamine in 9 mL of acetonitrile was added dropwise. After 20 minutes at 0° C., 0.525 g (3.0 mmol) of material from Step F was added. After 15 minutes 0.42 mL (3.0 mmol) of triethylamine was added dropwise. After 2 hours 0.26 mL (3.3 mmol) of methanesulfonyl chloride was added. After stirring overnight. The reaction mixture was poured into water. Filtration afforded 0.27 g of the title compound.
- 1H NMR (CDCl3) δ 2.20 (s,3H), 7.23 (s,1H), 7.54(dd,1H), 8.01 (dd,1H), 8.57(dd,1H), 9.20 (s,1H).
- Step L: Preparation of 5-[[[3-Chloro-1-(3-chloro-2-pyridinyl)-1H-pyrazol-5-yl]carbonyl]amino]-N,6-dimethyl-4-pyrimidinecarboxamide
- 2 mL of a 2M solution of methylamine in tetrahydrofuran was added to 0.090 g of material from Step K. After stirring overnight the solvent was removed with a rotary evaporator to afford 0.071 g of the title compound, a compound of the invention, as a tan solid; m.p. 205-207° C.
- 1H NMR (CDCl3) δ 2.48 (s,3H), 3.04 (d,3H), 7.06 (s,1H), 7.41(dd,1H), 7.89 (dd,1H), 8.30 (br,1H), 8.48 (dd,1H), 8.85 (s,1H), 11.57 (br,1H).
- Step A: Preparation of ethyl 3-amino-4-pyridinecarboxylate
- To a solution of 1 g (7.25 mmol) of 3-amino-4-pyridinecarboxylic acid in 5 mL of ethyl alcohol was added 2 mL of sulfuric acid. The mixture was warmed under reflux for 2 h. It was cooled and basified with conc. NH 4OH solution to pH=8. The resulting solution was extracted with ethyl acetate and the organic layer was washed with brine and water, dried (MgSO4) and concentrated in vacuo to give 1.04 g of the title compound as a white solid (87%).
- 1H NMR (CDCl3) δ 8.19 (s 1H), 7.93 (d 1H, J is 5.1 Hz), 7.60 (d, 1H, J is 5.1 Hz), 5.67 (br s, 2H), 4.36 (q, 2H), 1.40 (t, 3H).
- Step B: Preparation of ethyl 3-amino-2.6-dichloro-4-pyridinecarboxylate
- To a solution of 1.04 g (6.27 mmol) of ethyl 3-amino-4-pyridinecarboxylate in 5 mL of DMF was added 1.67 g of N-chlorosuccinimide (12.5 mmol) in a single portion at room temperature. The mixture was then stirred at the same temperature for 24 hours. The resulting mixture was concentrated in vacuo and purified by silica gel column to give 1.40 g of the title compound as a white solid (95%).
- 1H NMR (CDCl3) δ 7.67 (s 1H), 6.18 (br s, 2H), 4.39 (q, 2H), 1.42 (t, 3H).
- Step C: Preparation of 3-amino-2,6-dichloro-4-pyridinecarboxylic monopotassium salt
- To a solution of 1.30 g (5.54 mmol) of ethyl 3-amino-2,6-dichloro-4-pyridinecarboxylate in a mixture of 5 mL of water and 20 mL of ethyl alcohol was added 622 mg (11.1 mmol) of potassium hydroxide at room temperature and the reaction mixture was warmed at 90° C. for 1 hour. The mixture was then concentrated in vacuo and evaporated with benzene three times to give 1.63 g of the title compound as a white solid. The crude product was used in the next reaction without any further purification (98%).
- 1H NMR (DMSOd-6) δ 7.31 (s, 1H), 7.14 (br s, 2H).
- Step D: Preparation of 6,8-dichloro-2H-pyido[3,4-d][1,3]oxazine-2.4(1H)-dione
- To a solution of 1.64 g (5.54 mmol) of the material from Step C in 20 mL of dioxane was added 2.2 g (11.1 mmol) of diphosgene at 0° C. The mixture was allowed to warm to room temperature and stirred for 24 hours. The mixture was then concentrated in vacuo to give 1.70 g of the title compound as a white solid (quantitative).
- 1H NMR (DMSOd-6) δ 7.99 (s, 11H).
- Step E: Preparation of 3-chloro-2-[3-(trifluoromethyl)-1H-pyrazol-1-Yl]pridine
- To a mixture of 2,3-dichloropyridine (99.0 g, 0.67 mol) and 3-trifluoromethyl pyrazole (83 g, 0.61 mol) in dry N,N-dimethylformamide (300 mL) was added potassium carbonate (166.0 g, 1.2 mol) and the reaction was then heated to 10-125° C. over 48 hours. The reaction was cooled to 100° C. and filtered through Celite® diatomaceous filter aid to remove solids. N,N-Dimethylformamide and excess dichloropyridine were removed by distillation at atmospheric pressure. Distillation of the product at reduced pressure (b.p. 139-141° C., 7 mm) afforded the desired intermediate as a clear yellow oil (113.4 g).
- 1H NMR (CDCl3) δ6.78 (s, 1H), 7.36 (t, 1H), 7.93 (d, 1H), 8.15 (s, 1H), 8.45 (d, 1H).
- Step F: Preparation of 1-(3-chloro-2-pyridinyl)-3-(trifluoromethyl)-1H-pyrazole-5-carboxylic acid
- To a solution of the pyrazole product from Step E (105.0 g, 425 mmol) in dry tetrahydrofuran (700 mL) at −75° C. was added via cannula a −30° C. solution of lithium diisopropylamide (425 mmol) in dry tetrahydrofuran (300 mL). The deep red solution was stirred for 15 minutes, after which time carbon dioxide was bubbled through at 63° C. until the solution became pale yellow and the exothermicity ceased. The reaction was stirred for an additional 20 minutes and then quenched with water (20 mL). The solvent was removed under reduced pressure, and the reaction mixture partitioned between ether and 0.5 N aqueous sodium hydroxide solution. The aqueous extracts were washed with ether (3×), filtered through Celite® diatomaceous filter aid to remove residual solids, and then acidified to a pH of approximately 4, at which point an orange oil formed. The aqueous mixture was stirred vigorously and additional acid was added to lower the pH to 2.5-3. The orange oil congealed into a granular solid, which was filtered, washed successively with water and 1N hydrochloric acid, and dried under vacuum at 50° C. to afford the title product as an off-white solid (130 g). (Product from another run following similar procedure melted at 175-176° C.)
- 1H NMR (DMSO-d6) δ 7.61 (s, 1H), 7.76 (dd, 1H), 8.31 (d, 1H), 8.60 (d, 1H).
- Step G: Preparation of 2.6-dichloro-3-[[[1-(3-chloro-2-pyridinyl)-3-(trifluoromethyl)1H-pyrazol-5-yl]carbonyl]amino]-N-(1-methylethyl)-4-pyridinecarboxamide
- To a solution of 268 mg (0.92 mmol) of 1-(3-chloro-2-pyridinyl)-3-(trifluoromethyl)1H-pyrazole-5-carboxylic acid (from Step F) in 5 mL of dichloromethane was added 160 μL (1.84 mmol) of oxalyl chloride and two drops of DMF in sequence at room temperature. The mixture was then stirred at the same temperature for 1 hour. The crude mixture was then concentrated in vacuo. The resulting mixture was dissolved with 5 mL of acetonitrile followed by additions of 280 mg (0.92 mmol) of the compound prepared in Step D and 298 μL (3.68 mmol) of pyridine in sequence. The reaction mixture was warmed to 70° C. for 2 hours and allowed to cool to room temperature. A solution of 157 μL (1.84 mmol) of isopropylamine in 1 mL of acetonitrile was added to the mixture and it was warmed to 60° C. for 1 hour. The reaction was allowed to cool to room temperature and quenched with water. The aqueous layer was extracted with ethyl acetate and the organic layer was dried with MgSO 4 and concentrated in vacuo. The resulting mixture was purified with a silica gel column to give 250 mg of the title compound, a compound of the invention, as a white solid (52%). m.p. 240-242° C.
- 1H NMR (CDCl3) δ 9.85 (s, 1H), 8.53 (dd, 1H), 7.90 (dd, 1H), 7.56 (s, 1H), 7.42 (dd, 1H), 7.22 (s, 1H), 6.08 (br d, 1H), 4.13 (m, 11H), 1.14 (d, 6H).
- By the procedures described herein together with methods known in the art, the following compounds of Tables 1 to 32 can be prepared. The following abbreviations are used in the Tables: t is tertiary, s is secondary, n is normal, i is iso, c is cyclo, Me is methyl, Et is ethyl, Pr is propyl, i-Pr is isopropyl, t-Bu is tertiary butyl, Ph is phenyl, OMe is methoxy, OEt is ethoxy, SMe is methylthio, SEt is ethylthio, CN is cyano, NO 2 is nitro, TMS is trimethylsilyl, S(O)Me is methylsulfinyl, and S(O)2Me is methylsulfonyl. Structures of K for Tables 15, 16 and 17 can be found in Exhibit 2.
TABLE 1 R4 (R5)m R4 (R5)m R4 (R5)m Me 2-CF3 Me 3-CF3 Me 4-CF3 Me 2-OCF3 Me 3-OCF3 Me 4-OCF3 Me 2-OCF2H Me 3-OCF2H Me 4-OCF2H Me 2-OCF2CF2H Me 3-OCF2CF2H Me 4-OCF2CF2H Me 2-OCH2CF3 Me 3-OCH2CF3 Me 4-OCH2CF3 Me 2-SCF3 Me 3-SCF3 Me 4-SCF3 Me 2-SOCF3 Me 3-SOCF3 Me 4-SOCF3 Me 2-SO2CF3 Me 3-SO2CF3 Me 4-SO2CF3 Me 2-SCF2H Me 3-SCF2H Me 4-SCF2H Me 2-SOCF2H Me 3-SOCF2H Me 4-SOCF2H Me 2-SO2CF2H Me 3-SO2CF2H Me 4-SO2CF2H Cl 2-CF3 Cl 3-CF3 Cl 4-CF3 Cl 2-OCF3 Cl 3-OCF3 Cl 4-OCF3 Cl 2-OCF2H Cl 3-OCF2H Cl 4-OCF2H Cl 2-OCF2CF2H Cl 3-OCF2CF2H Cl 4-OCF2CF2H Cl 2-OCH2CF3 Cl 3-OCH2CF3 Cl 4-OCH2CF3 Cl 2-SCF3 Cl 3-SCF3 Cl 4-SCF3 Cl 2-SOCF3 Cl 3-SOCF3 Cl 4-SOCF3 Cl 2-SO2CF3 Cl 3-SO2CF3 Cl 4-SO2CF3 Cl 2-SCF2H Cl 3-SCF2H Cl 4-SCF2H Cl 2-SOCF2H Cl 3-SOCF2H Cl 4-SOCF2H Cl 2-SO2CF2H Cl 3-SO2CF2H Cl 4-SO2CF2H F 2-CF3 F 3-CF3 F 4-CF3 F 2-OCF3 F 3-OCF3 F 4-OCF3 F 2-OCF2H F 3-OCF2H F 4-OCF2H F 2-OCF2CF2H F 3-OCF2CF2H F 4-OCF2CF2H F 2-OCH2CF3 F 3-OCH2CF3 F 4-OCH2CF3 F 2-SCF3 F 3-SCF3 F 4-SCF3 F 2-SOCF3 F 3-SOCF3 F 4-SOCF3 F 2-SO2CF3 F 3-SO2CF3 F 4-SO2CF3 F 2-SCF2H F 3-SCF2H F 4-SCF2H F 2-SOCF2H F 3-SOCF2H F 4-SOCF2H F 2-SO2CF2H F 3-SO2CF2H F 4-SO2CF2H Br 2-CF3 Br 3-CF3 Br 4-CF3 Br 2-OCF3 Br 3-OCF3 Br 4-OCF3 Br 2-OCF2H Br 3-OCF2H Br 4-OCF2H Br 2-OCF2CF2H Br 3-OCF2CF2H Br 4-OCF2CF2H Br 2-OCH2CF3 Br 3-OCH2CF3 Br 4-OCH2CF3 Br 2-SCF3 Br 3-SCF3 Br 4-SCF3 Br 2-SOCF3 Br 3-SOCF3 Br 4-SOCF3 Br 2-SO2CF3 Br 3-SO2CF3 Br 4-SO2CF3 Br 2-SCF2H Br 3-SCF2H Br 4-SCF2H Br 2-SOCF2H Br 3-SOCF2H Br 4-SOCF2H Br 2-SO2CF2H Br 3-SO2CF2H Br 4-SO2CF2H I 2-CF3 I 3-CF3 I 4-CF3 I 2-OCF3 I 3-OCF3 I 4-OCF3 I 2-OCF2H I 3-OCF2H I 4-OCF2H I 2-OCF2CF2H I 3-OCF2CF2H I 4-OCF2CF2H I 2-OCH2CF3 I 3-OCH2CF3 I 4-OCH2CF3 I 2-SCF3 I 3-SCF3 I 4-SCF3 I 2-SOCF3 I 3-SOCF3 I 4-SOCF3 I 2-SO2CF3 I 3-SO2CF3 I 4-SO2CF3 I 2-SCF2H I 3-SCF2H I 4-SCF2H I 2-SOCF2H I 3-SOCF2H I 4-SOCF2H I 2-SO2CF2H I 3-SO2CF2H I 4-SO2CF2H OMe 2-CF3 OMe 3-CF3 OMe 4-CF3 OMe 2-OCF3 OMe 3-OCF3 OMe 4-OCF3 OMe 2-OCF2H OMe 3-OCF2H OMe 4-OCF2H OMe 2-OCF2CF2H OMe 3-OCF2CF2H OMe 4-OCF2CF2H OMe 2-OCH2CF3 OMe 3-OCH2CF3 OMe 4-OCH2CF3 OMe 2-SCF3 OMe 3-SCF3 OMe 4-SCF3 OMe 2-SOCF3 OMe 3-SOCF3 OMe 4-SOCF3 OMe 2-SO2CF3 OMe 3-SO2CF3 OMe 4-SO2CF3 OMe 2-SCF2H OMe 3-SCF2H OMe 4-SCF2H OMe 2-SOCF2H OMe 3-SOCF2H OMe 4-SOCF2H OMe 2-SO2CF2H OMe 3-SO2CF2H OMe 4-SO2CF2H CF3 2-CF3 CF3 3-CF3 CF3 4-CF3 CF3 2-OCF3 CF3 3-OCF3 CF3 4-OCF3 CF3 2-OCF2H CF3 3-OCF2H CF3 4-OCF2H CF3 2-OCF2CF2H CF3 3-OCF2CF2H CF3 4-OCF2CF2H CF3 2-OCH2CF3 CF3 3-OCH2CF3 CF3 4-OCH2CF3 CF3 2-SCF3 CF3 3-SCF3 CF3 4-SCF3 CF3 2-SOCF3 CF3 3-SOCF3 CF3 4-SOCF3 CF3 2-SO2CF3 CF3 3-SO2CF3 CF3 4-SO2CF3 CF3 2-SCF2H CF3 3-SCF2H CF3 4-SCF2H CF3 2-SOCF2H CF3 3-SOCF2H CF3 4-SOCF2H CF3 2-SO2CF2H CF3 3-SO2CF2H CF3 4-SO2CF2H OCF2H 2-CF3 OCF2H 3-CF3 OCF2H 4-CF3 OCF2H 2-OCF3 OCF2H 3-OCF3 OCF2H 4-OCF3 OCF2H 2-OCF2H OCF2H 3-OCF2H OCF2H 4-OCF2H OCF2H 2-OCF2CF2H OCF2H 3-OCF2CF2H OCF2H 4-OCF2CF2H OCF2H 2-OCH2CF3 OCF2H 3-OCH2CF3 OCF2H 4-OCH2CF3 OCF2H 2-SCF3 OCF2H 3-SCF3 OCF2H 4-SCF3 OCF2H 2-SOCF3 OCF2H 3-SOCF3 OCF2H 4-SOCF3 OCF2H 2-SO2CF3 OCF2H 3-SO2CF3 OCF2H 4-SO2CF3 OCF2H 2-SCF2H OCF2H 3-SCF2H OCF2H 4-SCF2H OCF2H 2-SOCF2H OCF2H 3-SOCF2H OCF2H 4-SOCF2H OCF2H 2-SO2CF2H OCF2H 3-SO2CF2H OCF2H 4-SO2CF2H Me 2-Me-4-CF3 F 2-Me-4-CF3 Cl 2-Me-4-CF3 Me 2-Me-4-OCF3 F 2-Me-4-OCF3 Cl 2-Me-4-OCF3 Me 2-Me-4-OCF2H F 2-Me-4-OCF2H Cl 2-Me-4-OCF2H Me 2-Me-4-OCH2CF3 F 2-Me-4-OCH2CF3 Cl 2-Me-4-OCH2CF3 Me 2-Me-4-SCF3 F 2-Me-4-SCF3 Cl 2-Me-4-SCF3 Me 2-Me-4-SOCF3 F 2-Me-4-SOCF3 Cl 2-Me-4-SOCF3 Me 2-Me-4-SO2CF3 F 2-Me-4-SO2CF3 Cl 2-Me-4-SO2CF3 Me 2-Me-4-SCF2H F 2-Me-4-SCF2H Cl 2-Me-4-SCF2H Me 2-Me-4-SOCF2H F 2-Me-4-SOCF2H Cl 2-Me-4-SOCF2H Me 2-Me-4-SO2CF2H F 2-Me-4-SO2CF2H Cl 2-Me-4-SO2CF2H Br 2-Me-4-CF3 I 2-Me-4-CF3 OMe 2-Me-4-CF3 Br 2-Me-4-OCF3 I 2-Me-4-OCF3 OMe 2-Me-4-OCF3 Br 2-Me-4-OCF2H I 2-Me-4-OCF2H OMe 2-Me-4-OCF2H Br 2-Me-4-OCH2CF3 I 2-Me-4-OCH2CF3 OMe 2-Me-4-OCH2CF3 Br 2-Me-4-SCF3 I 2-Me-4-SCF3 OMe 2-Me-4-SCF3 Br 2-Me-4-SOCF3 I 2-Me-4-SOCF3 OMe 2-Me-4-SOCF3 Br 2-Me-4-SO2CF3 I 2-Me-4-SO2CF3 OMe 2-Me-4-SO2CF3 Br 2-Me-4-SCF2H I 2-Me-4-SCF2H OMe 2-Me-4-SCF2H Br 2-Me-4-SOCF2H I 2-Me-4-SOCF2H OMe 2-Me-4-SOCF2H Br 2-Me-4-SO2CF2H I 2-Me-4-SO2CF2H OMe 2-Me-4-SO2CF2H CF3 2-Me-4-CF3 NO2 2-Me-4-CF3 SMe 2-Me-4-CF3 CF3 2-Me-4-OCF3 NO2 2-Me-4-OCF3 SMe 2-Me-4-OCF3 CF3 2-Me-4-OCF2H NO2 2-Me-4-OCF2H SMe 2-Me-4-OCF2H CF3 2-Me-4-OCH2CF3 NO2 2-Me-4-OCH2CF3 SMe 2-Me-4-OCH2CF3 CF3 2-Me-4-SCF3 NO2 2-Me-4-SCF3 SMe 2-Me-4-SCF3 CF3 2-Me-4-SOCF3 NO2 2-Me-4-SOCF3 SMe 2-Me-4-SOCF3 CF3 2-Me-4-SO2CF3 NO2 2-Me-4-SO2CF3 SMe 2-Me-4-SO2CF3 CF3 2-Me-4-SCF2H NO2 2-Me-4-SCF2H SMe 2-Me-4-SCF2H CF3 2-Me-4-SOCF2H NO2 2-Me-4-SOCF2H SMe 2-Me-4-SOCF2H CF3 2-Me-4-SO2CF2H NO2 2-Me-4-SO2CF2H SMe 2-Me-4-SO2CF2H -
TABLE 2 R4 (R5)m R4 (R5)m R4 (R5)m Me 2-CF3 Me 3-CF3 Me 4-CF3 Me 2-OCF3 Me 3-OCF3 Me 4-OCF3 Me 2-OCF2H Me 3-OCF2H Me 4-OCF2H Me 2-OCF2CF2H Me 3-OCF2CF2H Me 4-OCF2CF2H Me 2-OCH2CF3 Me 3-OCH2CF3 Me 4-OCH2CF3 Me 2-SCF3 Me 3-SCF3 Me 4-SCF3 Me 2-SOCF3 Me 3-SOCF3 Me 4-SOCF3 Me 2-SO2CF3 Me 3-SO2CF3 Me 4-SO2CF3 Me 2-SCF2H Me 3-SCF2H Me 4-SCF2H Me 2-SOCF2H Me 3-SOCF2H Me 4-SOCF2H Me 2-SO2CF2H Me 3-SO2CF2H Me 4-SO2CF2H Cl 2-CF3 Cl 3-CF3 Cl 4-CF3 Cl 2-OCF3 Cl 3-OCF3 Cl 4-OCF3 Cl 2-OCF2H Cl 3-OCF2H Cl 4-OCF2H Cl 2-OCF2CF2H Cl 3-OCF2CF2H Cl 4-OCF2CF2H Cl 2-OCH2CF3 Cl 3-OCH2CF3 Cl 4-OCH2CF3 Cl 2-SCF3 Cl 3-SCF3 Cl 4-SCF3 Cl 2-SOCF3 Cl 3-SOCF3 Cl 4-SOCF3 Cl 2-SO2CF3 Cl 3-SO2CF3 Cl 4-SO2CF3 Cl 2-SCF2H Cl 3-SCF2H Cl 4-SCF2H Cl 2-SOCF2H Cl 3-SOCF2H Cl 4-SOCF2H Cl 2-SO2CF2H Cl 3-SO2CF2H Cl 4-SO2CF2H F 2-CF3 F 3-CF3 F 4-CF3 F 2-OCF3 F 3-OCF3 F 4-OCF3 F 2-OCF2H F 3-OCF2H F 4-OCF2H F 2-OCF2CF2H F 3-OCF2CF2H F 4-OCF2CF2H F 2-OCH2CF3 F 3-OCH2CF3 F 4-OCH2CF3 F 2-SCF3 F 3-SCF3 F 4-SCF3 F 2-SOCF3 F 3-SOCF3 F 4-SOCF3 F 2-SO2CF3 F 3-SO2CF3 F 4-SO2CF3 F 2-SCF2H F 3-SCF2H F 4-SCF2H F 2-SOCF2H F 3-SOCF2H F 4-SOCF2H F 2-SO2CF2H F 3-SO2CF2H F 4-SO2CF2H Br 2-CF3 Br 3-CF3 Br 4-CF3 Br 2-OCF3 Br 3-OCF3 Br 4-OCF3 Br 2-OCF2H Br 3-OCF2H Br 4-OCF2H Br 2-OCF2CF2H Br 3-OCF2CF2H Br 4-OCF2CF2H Br 2-OCH2CF3 Br 3-OCH2CF3 Br 4-OCH2CF3 Br 2-SCF3 Br 3-SCF3 Br 4-SCF3 Br 2-SOCF3 Br 3-SOCF3 Br 4-SOCF3 Br 2-SO2CF3 Br 3-SO2CF3 Br 4-SO2CF3 Br 2-SCF2H Br 3-SCF2H Br 4-SCF2H Br 2-SOCF2H Br 3-SOCF2H Br 4-SOCF2H Br 2-SO2CF2H Br 3-SO2CF2H Br 4-SO2CF2H I 2-CF3 I 3-CF3 I 4-CF3 I 2-OCF3 I 3-OCF3 I 4-OCF3 I 2-OCF2H I 3-OCF2H I 4-OCF2H I 2-OCF2CF2H I 3-OCF2CF2H I 4-OCF2CF2H I 2-OCH2CF3 I 3-OCH2CF3 I 4-OCH2CF3 I 2-SCF3 I 3-SCF3 I 4-SCF3 I 2-SOCF3 I 3-SOCF3 I 4-SOCF3 I 2-SO2CF3 I 3-SO2CF3 I 4-SO2CF3 I 2-SCF2H I 3-SCF2H I 4-SCF2H I 2-SOCF2H I 3-SOCF2H I 4-SOCF2H I 2-SO2CF2H I 3-SO2CF2H I 4-SO2CF2H OMe 2-CF3 OMe 3-CF3 OMe 4-CF3 OMe 2-OCF3 OMe 3-OCF3 OMe 4-OCF3 OMe 2-OCF2H OMe 3-OCF2H OMe 4-OCF2H OMe 2-OCF2CF2H OMe 3-OCF2CF2H OMe 4-OCF2CF2H OMe 2-OCH2CF3 OMe 3-OCH2CF3 OMe 4-OCH2CF3 OMe 2-SCF3 OMe 3-SCF3 OMe 4-SCF3 OMe 2-SOCF3 OMe 3-SOCF3 OMe 4-SOCF3 OMe 2-SO2CF3 OMe 3-SO2CF3 OMe 4-SO2CF3 OMe 2-SCF2H OMe 3-SCF2H OMe 4-SCF2H OMe 2-SOCF2H OMe 3-SOCF2H OMe 4-SOCF2H OMe 2-SO2CF2H OMe 3-SO2CF2H OMe 4-SO2CF2H CF3 2-CF3 CF3 3-CF3 CF3 4-CF3 CF3 2-OCF3 CF3 3-OCF3 CF3 4-OCF3 CF3 2-OCF2H CF3 3-OCF2H CF3 4-OCF2H CF3 2-OCF2CF2H CF3 3-OCF2CF2H CF3 4-OCF2CF2H CF3 2-OCH2CF3 CF3 3-OCH2CF3 CF3 4-OCH2CF3 CF3 2-SCF3 CF3 3-SCF3 CF3 4-SCF3 CF3 2-SOCF3 CF3 3-SOCF3 CF3 4-SOCF3 CF3 2-SO2CF3 CF3 3-SO2CF3 CF3 4-SO2CF3 CF3 2-SCF2H CF3 3-SCF2H CF3 4-SCF2H CF3 2-SOCF2H CF3 3-SOCF2H CF3 4-SOCF2H CF3 2-SO2CF2H CF3 3-SO2CF2H CF3 4-SO2CF2H OCF2H 2-CF3 OCF2H 3-CF3 OCF2H 4-CF3 OCF2H 2-OCF3 OCF2H 3-OCF3 OCF2H 4-OCF3 OCF2H 2-OCF2H OCF2H 3-OCF2H OCF2H 4-OCF2H OCF2H 2-OCF2CF2H OCF2H 3-OCF2CF2H OCF2H 4-OCF2CF2H OCF2H 2-OCH2CF3 OCF2H 3-OCH2CF3 OCF2H 4-OCH2CF3 OCF2H 2-SCF3 OCF2H 3-SCF3 OCF2H 4-SCF3 OCF2H 2-SOCF3 OCF2H 3-SOCF3 OCF2H 4-SOCF3 OCF2H 2-SO2CF3 OCF2H 3-SO2CF3 OCF2H 4-SO2CF3 OCF2H 2-SCF2H OCF2H 3-SCF2H OCF2H 4-SCF2H OCF2H 2-SOCF2H OCF2H 3-SOCF2H OCF2H 4-SOCF2H OCF2H 2-SO2CF2H OCF2H 3-SO2CF2H OCF2H 4-SO2CF2H Me 2-Me-4-CF3 F 2-Me-4-CF3 Cl 2-Me-4-CF3 Me 2-Me-4-OCF3 F 2-Me-4-OCF3 Cl 2-Me-4-OCF3 Me 2-Me-4-OCF2H F 2-Me-4-OCF2H Cl 2-Me-4-OCF2H Me 2-Me-4-OCH2CF3 F 2-Me-4-OCH2CF3 Cl 2-Me-4-OCH2CF3 Me 2-Me-4-SCF3 F 2-Me-4-SCF3 Cl 2-Me-4-SCF3 Me 2-Me-4-SOCF3 F 2-Me-4-SOCF3 Cl 2-Me-4-SOCF3 Me 2-Me-4-SO2CF3 F 2-Me-4-SO2CF3 Cl 2-Me-4-SO2CF3 Me 2-Me-4-SCF2H F 2-Me-4-SCF2H Cl 2-Me-4-SCF2H Me 2-Me-4-SOCF2H F 2-Me-4-SOCF2H Cl 2-Me-4-SOCF2H Me 2-Me-4-SO2CF2H F 2-Me-4-SO2CF2H Cl 2-Me-4-SO2CF2H Br 2-Me-4-CF3 I 2-Me-4-CF3 OMe 2-Me-4-CF3 Br 2-Me-4-OCF3 I 2-Me-4-OCF3 OMe 2-Me-4-OCF3 Br 2-Me-4-OCF2H I 2-Me-4-OCF2H OMe 2-Me-4-OCF2H Br 2-Me-4-OCH2CF3 I 2-Me-4-OCH2CF3 OMe 2-Me-4-OCH2CF3 Br 2-Me-4-SCF3 I 2-Me-4-SCF3 OMe 2-Me-4-SCF3 Br 2-Me-4-SOCF3 I 2-Me-4-SOCF3 OMe 2-Me-4-SOCF3 Br 2-Me-4-SO2CF3 I 2-Me-4-SO2CF3 OMe 2-Me-4-SO2CF3 Br 2-Me-4-SCF2H I 2-Me-4-SCF2H OMe 2-Me-4-SCF2H Br 2-Me-4-SOCF2H I 2-Me-4-SOCF2H OMe 2-Me-4-SOCF2H Br 2-Me-4-SO2CF2H I 2-Me-4-SO2CF2H OMe 2-Me-4-SO2CF2H CF3 2-Me-4-CF3 NO2 2-Me-4-CF3 SMe 2-Me-4-CF3 CF3 2-Me-4-OCF3 NO2 2-Me-4-OCF3 SMe 2-Me-4-OCF3 CF3 2-Me-4-OCF2H NO2 2-Me-4-OCF2H SMe 2-Me-4-OCF2H CF3 2-Me-4-OCH2CF3 NO2 2-Me-4-OCH2CF3 SMe 2-Me-4-OCH2CF3 CF3 2-Me-4-SCF3 NO2 2-Me-4-SCF3 SMe 2-Me-4-SCF3 CF3 2-Me-4-SOCF3 NO2 2-Me-4-SOCF3 SMe 2-Me-4-SOCF3 CF3 2-Me-4-SO2CF3 NO2 2-Me-4-SO2CF3 SMe 2-Me-4-SO2CF3 CF3 2-Me-4-SCF2H NO2 2-Me-4-SCF2H SMe 2-Me-4-SCF2H CF3 2-Me-4-SOCF2H NO2 2-Me-4-SOCF2H SMe 2-Me-4-SOCF2H CF3 2-Me-4-SO2CF2H NO2 2-Me-4-SO2CF2H SMe 2-Me-4-SO2CF2H -
TABLE 3 R4 (R5)m R4 (R5)m R4 (R5)m Me 2-CF3 Me 3-CF3 Me 4-CF3 Me 2-OCF3 Me 3-OCF3 Me 4-OCF3 Me 2-OCF2H Me 3-OCF2H Me 4-OCF2H Me 2-OCF2CF2H Me 3-OCF2CF2H Me 4-OCF2CF2H Me 2-OCH2CF3 Me 3-OCH2CF3 Me 4-OCH2CF3 Me 2-SCF3 Me 3-SCF3 Me 4-SCF3 Me 2-SOCF3 Me 3-SOCF3 Me 4-SOCF3 Me 2-SO2CF3 Me 3-SO2CF3 Me 4-SO2CF3 Me 2-SCF2H Me 3-SCF2H Me 4-SCF2H Me 2-SOCF2H Me 3-SOCF2H Me 4-SOCF2H Me 2-SO2CF2H Me 3-SO2CF2H Me 4-SO2CF2H Cl 2-CF3 Cl 3-CF3 Cl 4-CF3 Cl 2-OCF3 Cl 3-OCF3 Cl 4-OCF3 Cl 2-OCF2H Cl 3-OCF2H Cl 4-OCF2H Cl 2-OCF2CF2H Cl 3-OCF2CF2H Cl 4-OCF2CF2H Cl 2-OCH2CF3 Cl 3-OCH2CF3 Cl 4-OCH2CF3 Cl 2-SCF3 Cl 3-SCF3 Cl 4-SCF3 Cl 2-SOCF3 Cl 3-SOCF3 Cl 4-SOCF3 Cl 2-SO2CF3 Cl 3-SO2CF3 Cl 4-SO2CF3 Cl 2-SCF2H Cl 3-SCF2H Cl 4-SCF2H Cl 2-SOCF2H Cl 3-SOCF2H Cl 4-SOCF2H Cl 2-SO2CF2H Cl 3-SO2CF2H Cl 4-SO2CF2H F 2-CF3 F 3-CF3 F 4-CF3 F 2-OCF3 F 3-OCF3 F 4-OCF3 F 2-OCF2H F 3-OCF2H F 4-OCF2H F 2-OCF2CF2H F 3-OCF2CF2H F 4-OCF2CF2H F 2-OCH2CF3 F 3-OCH2CF3 F 4-OCH2CF3 F 2-SCF3 F 3-SCF3 F 4-SCF3 F 2-SOCF3 F 3-SOCF3 F 4-SOCF3 F 2-SO2CF3 F 3-SO2CF3 F 4-SO2CF3 F 2-SCF2H F 3-SCF2H F 4-SCF2H F 2-SOCF2H F 3-SOCF2H F 4-SOCF2H F 2-SO2CF2H F 3-SO2CF2H F 4-SO2CF2H Br 2-CF3 Br 3-CF3 Br 4-CF3 Br 2-OCF3 Br 3-OCF3 Br 4-OCF3 Br 2-OCF2H Br 3-OCF2H Br 4-OCF2H Br 2-OCF2CF2H Br 3-OCF2CF2H Br 4-OCF2CF2H Br 2-OCH2CF3 Br 3-OCH2CF3 Br 4-OCH2CF3 Br 2-SCF3 Br 3-SCF3 Br 4-SCF3 Br 2-SOCF3 Br 3-SOCF3 Br 4-SOCF3 Br 2-SO2CF3 Br 3-SO2CF3 Br 4-SO2CF3 Br 2-SCF2H Br 3-SCF2H Br 4-SCF2H Br 2-SOCF2H Br 3-SOCF2H Br 4-SOCF2H Br 2-SO2CF2H Br 3-SO2CF2H Br 4-SO2CF2H I 2-CF3 I 3-CF3 I 4-CF3 I 2-OCF3 I 3-OCF3 I 4-OCF3 I 2-OCF2H I 3-OCF2H I 4-OCF2H I 2-OCF2CF2H I 3-OCF2CF2H I 4-OCF2CF2H I 2-OCH2CF3 I 3-OCH2CF3 I 4-OCH2CF3 I 2-SCF3 I 3-SCF3 I 4-SCF3 I 2-SOCF3 I 3-SOCF3 I 4-SOCF3 I 2-SO2CF3 I 3-SO2CF3 I 4-SO2CF3 I 2-SCF2H I 3-SCF2H I 4-SCF2H I 2-SOCF2H I 3-SOCF2H I 4-SOCF2H I 2-SO2CF2H I 3-SO2CF2H I 4-SO2CF2H OMe 2-CF3 OMe 3-CF3 OMe 4-CF3 OMe 2-OCF3 OMe 3-OCF3 OMe 4-OCF3 OMe 2-OCF2H OMe 3-OCF2H OMe 4-OCF2H OMe 2-OCF2CF2H OMe 3-OCF2CF2H OMe 4-OCF2CF2H OMe 2-OCH2CF3 OMe 3-OCH2CF3 OMe 4-OCH2CF3 OMe 2-SCF3 OMe 3-SCF3 OMe 4-SCF3 OMe 2-SOCF3 OMe 3-SOCF3 OMe 4-SOCF3 OMe 2-SO2CF3 OMe 3-SO2CF3 OMe 4-SO2CF3 OMe 2-SCF2H OMe 3-SCF2H OMe 4-SCF2H OMe 2-SOCF2H OMe 3-SOCF2H OMe 4-SOCF2H OMe 2-SO2CF2H OMe 3-SO2CF2H OMe 4-SO2CF2H CF3 2-CF3 CF3 3-CF3 CF3 4-CF3 CF3 2-OCF3 CF3 3-OCF3 CF3 4-OCF3 CF3 2-OCF2H CF3 3-OCF2H CF3 4-OCF2H CF3 2-OCF2CF2H CF3 3-OCF2CF2H CF3 4-OCF2CF2H CF3 2-OCH2CF3 CF3 3-OCH2CF3 CF3 4-OCH2CF3 CF3 2-SCF3 CF3 3-SCF3 CF3 4-SCF3 CF3 2-SOCF3 CF3 3-SOCF3 CF3 4-SOCF3 CF3 2-SO2CF3 CF3 3-SO2CF3 CF3 4-SO2CF3 CF3 2-SCF2H CF3 3-SCF2H CF3 4-SCF2H CF3 2-SOCF2H CF3 3-SOCF2H CF3 4-SOCF2H CF3 2-SO2CF2H CF3 3-SO2CF2H CF3 4-SO2CF2H OCF2H 2-CF3 OCF2H 3-CF3 OCF2H 4-CF3 OCF2H 2-OCF3 OCF2H 3-OCF3 OCF2H 4-OCF3 OCF2H 2-OCF2H OCF2H 3-OCF2H OCF2H 4-OCF2H OCF2H 2-OCF2CF2H OCF2H 3-OCF2CF2H OCF2H 4-OCF2CF2H OCF2H 2-OCH2CF3 OCF2H 3-OCH2CF3 OCF2H 4-OCH2CF3 OCF2H 2-SCF3 OCF2H 3-SCF3 OCF2H 4-SCF3 OCF2H 2-SOCF3 OCF2H 3-SOCF3 OCF2H 4-SOCF3 OCF2H 2-SO2CF3 OCF2H 3-SO2CF3 OCF2H 4-SO2CF3 OCF2H 2-SCF2H OCF2H 3-SCF2H OCF2H 4-SCF2H OCF2H 2-SOCF2H OCF2H 3-SOCF2H OCF2H 4-SOCF2H OCF2H 2-SO2CF2H OCF2H 3-SO2CF2H OCF2H 4-SO2CF2H Me 2-Me-4-CF3 F 2-Me-4-CF3 Cl 2-Me-4-CF3 Me 2-Me-4-OCF3 F 2-Me-4-OCF3 Cl 2-Me-4-OCF3 Me 2-Me-4-OCF2H F 2-Me-4-OCF2H Cl 2-Me-4-OCF2H Me 2-Me-4-OCH2CF3 F 2-Me-4-OCH2CF3 Cl 2-Me-4-OCH2CF3 Me 2-Me-4-SCF3 F 2-Me-4-SCF3 Cl 2-Me-4-SCF3 Me 2-Me-4-SOCF3 F 2-Me-4-SOCF3 Cl 2-Me-4-SOCF3 Me 2-Me-4-SO2CF3 F 2-Me-4-SO2CF3 Cl 2-Me-4-SO2CF3 Me 2-Me-4-SCF2H F 2-Me-4-SCF2H Cl 2-Me-4-SCF2H Me 2-Me-4-SOCF2H F 2-Me-4-SOCF2H Cl 2-Me-4-SOCF2H Me 2-Me-4-SO2CF2H F 2-Me-4-SO2CF2H Cl 2-Me-4-SO2CF2H Br 2-Me-4-CF3 I 2-Me-4-CF3 OMe 2-Me-4-CF3 Br 2-Me-4-OCF3 I 2-Me-4-OCF3 OMe 2-Me-4-OCF3 Br 2-Me-4-OCF2H I 2-Me-4-OCF2H OMe 2-Me-4-OCF2H Br 2-Me-4-OCH2CF3 I 2-Me-4-OCH2CF3 OMe 2-Me-4-OCH2CF3 Br 2-Me-4-SCF3 I 2-Me-4-SCF3 OMe 2-Me-4-SCF3 Br 2-Me-4-SOCF3 I 2-Me-4-SOCF3 OMe 2-Me-4-SOCF3 Br 2-Me-4-SO2CF3 I 2-Me-4-SO2CF3 OMe 2-Me-4-SO2CF3 Br 2-Me-4-SCF2H I 2-Me-4-SCF2H OMe 2-Me-4-SCF2H Br 2-Me-4-SOCF2H I 2-Me-4-SOCF2H OMe 2-Me-4-SOCF2H Br 2-Me-4-SO2CF2H I 2-Me-4-SO2CF2H OMe 2-Me-4-SO2CF2H CF3 2-Me-4-CF3 NO2 2-Me-4-CF3 SMe 2-Me-4-CF3 CF3 2-Me-4-OCF3 NO2 2-Me-4-OCF3 SMe 2-Me-4-OCF3 CF3 2-Me-4-OCF2H NO2 2-Me-4-OCF2H SMe 2-Me-4-OCF2H CF3 2-Me-4-OCH2CF3 NO2 2-Me-4-OCH2CF3 SMe 2-Me-4-OCH2CF3 CF3 2-Me-4-SCF3 NO2 2-Me-4-SCF3 SMe 2-Me-4-SCF3 CF3 2-Me-4-SOCF3 NO2 2-Me-4-SOCF3 SMe 2-Me-4-SOCF3 CF3 2-Me-4-SO2CF3 NO2 2-Me-4-SO2CF3 SMe 2-Me-4-SO2CF3 CF3 2-Me-4-SCF2H NO2 2-Me-4-SCF2H SMe 2-Me-4-SCF2H CF3 2-Me-4-SOCF2H NO2 2-Me-4-SOCF2H SMe 2-Me-4-SOCF2H CF3 2-Me-4-SO2CF2H NO2 2-Me-4-SO2CF2H SMe 2-Me-4-SO2CF2H -
TABLE 4 R4 (R5)m R4 (R5)m R4 (R5)m Me 2-CF3 Me 3-CF3 Me 4-CF3 Me 2-OCF3 Me 3-OCF3 Me 4-OCF3 Me 2-OCF2H Me 3-OCF2H Me 4-OCF2H Me 2-OCF2CF2H Me 3-OCF2CF2H Me 4-OCF2CF2H Me 2-OCH2CF3 Me 3-OCH2CF3 Me 4-OCH2CF3 Me 2-SCF3 Me 3-SCF3 Me 4-SCF3 Me 2-SOCF3 Me 3-SOCF3 Me 4-SOCF3 Me 2-SO2CF3 Me 3-SO2CF3 Me 4-SO2CF3 Me 2-SCF2H Me 3-SCF2H Me 4-SCF2H Me 2-SOCF2H Me 3-SOCF2H Me 4-SOCF2H Me 2-SO2CF2H Me 3-SO2CF2H Me 4-SO2CF2H Cl 2-CF3 Cl 3-CF3 Cl 4-CF3 Cl 2-OCF3 Cl 3-OCF3 Cl 4-OCF3 Cl 2-OCF2H Cl 3-OCF2H Cl 4-OCF2H Cl 2-OCF2CF2H Cl 3-OCF2CF2H Cl 4-OCF2CF2H Cl 2-OCH2CF3 Cl 3-OCH2CF3 Cl 4-OCH2CF3 Cl 2-SCF3 Cl 3-SCF3 Cl 4-SCF3 Cl 2-SOCF3 Cl 3-SOCF3 Cl 4-SOCF3 Cl 2-SO2CF3 Cl 3-SO2CF3 Cl 4-SO2CF3 Cl 2-SCF2H Cl 3-SCF2H Cl 4-SCF2H Cl 2-SOCF2H Cl 3-SOCF2H Cl 4-SOCF2H Cl 2-SO2CF2H Cl 3-SO2CF2H Cl 4-SO2CF2H F 2-CF3 F 3-CF3 F 4-CF3 F 2-OCF3 F 3-OCF3 F 4-OCF3 F 2-OCF2H F 3-OCF2H F 4-OCF2H F 2-OCF2CF2H F 3-OCF2CF2H F 4-OCF2CF2H F 2-OCH2CF3 F 3-OCH2CF3 F 4-OCH2CF3 F 2-SCF3 F 3-SCF3 F 4-SCF3 F 2-SOCF3 F 3-SOCF3 F 4-SOCF3 F 2-SO2CF3 F 3-SO2CF3 F 4-SO2CF3 F 2-SCF2H F 3-SCF2H F 4-SCF2H F 2-SOCF2H F 3-SOCF2H F 4-SOCF2H F 2-SO2CF2H F 3-SO2CF2H F 4-SO2CF2H Br 2-CF3 Br 3-CF3 Br 4-CF3 Br 2-OCF3 Br 3-OCF3 Br 4-OCF3 Br 2-OCF2H Br 3-OCF2H Br 4-OCF2H Br 2-OCF2CF2H Br 3-OCF2CF2H Br 4-OCF2CF2H Br 2-OCH2CF3 Br 3-OCH2CF3 Br 4-OCH2CF3 Br 2-SCF3 Br 3-SCF3 Br 4-SCF3 Br 2-SOCF3 Br 3-SOCF3 Br 4-SOCF3 Br 2-SO2CF3 Br 3-SO2CF3 Br 4-SO2CF3 Br 2-SCF2H Br 3-SCF2H Br 4-SCF2H Br 2-SOCF2H Br 3-SOCF2H Br 4-SOCF2H Br 2-SO2CF2H Br 3-SO2CF2H Br 4-SO2CF2H I 2-CF3 I 3-CF3 I 4-CF3 I 2-OCF3 I 3-OCF3 I 4-OCF3 I 2-OCF2H I 3-OCF2H I 4-OCF2H I 2-OCF2CF2H I 3-OCF2CF2H I 4-OCF2CF2H I 2-OCH2CF3 I 3-OCH2CF3 I 4-OCH2CF3 I 2-SCF3 I 3-SCF3 I 4-SCF3 I 2-SOCF3 I 3-SOCF3 I 4-SOCF3 I 2-SO2CF3 I 3-SO2CF3 I 4-SO2CF3 I 2-SCF2H I 3-SCF2H I 4-SCF2H I 2-SOCF2H I 3-SOCF2H I 4-SOCF2H I 2-SO2CF2H I 3-SO2CF2H I 4-SO2CF2H OMe 2-CF3 OMe 3-CF3 OMe 4-CF3 OMe 2-OCF3 OMe 3-OCF3 OMe 4-OCF3 OMe 2-OCF2H OMe 3-OCF2H OMe 4-OCF2H OMe 2-OCF2CF2H OMe 3-OCF2CF2H OMe 4-OCF2CF2H OMe 2-OCH2CF3 OMe 3-OCH2CF3 OMe 4-OCH2CF3 OMe 2-SCF3 OMe 3-SCF3 OMe 4-SCF3 OMe 2-SOCF3 OMe 3-SOCF3 OMe 4-SOCF3 OMe 2-SO2CF3 OMe 3-SO2CF3 OMe 4-SO2CF3 OMe 2-SCF2H OMe 3-SCF2H OMe 4-SCF2H OMe 2-SOCF2H OMe 3-SOCF2H OMe 4-SOCF2H OMe 2-SO2CF2H OMe 3-SO2CF2H OMe 4-SO2CF2H CF3 2-CF3 CF3 3-CF3 CF3 4-CF3 CF3 2-OCF3 CF3 3-OCF3 CF3 4-OCF3 CF3 2-OCF2H CF3 3-OCF2H CF3 4-OCF2H CF3 2-OCF2CF2H CF3 3-OCF2CF2H CF3 4-OCF2CF2H CF3 2-OCH2CF3 CF3 3-OCH2CF3 CF3 4-OCH2CF3 CF3 2-SCF3 CF3 3-SCF3 CF3 4-SCF3 CF3 2-SOCF3 CF3 3-SOCF3 CF3 4-SOCF3 CF3 2-SO2CF3 CF3 3-SO2CF3 CF3 4-SO2CF3 CF3 2-SCF2H CF3 3-SCF2H CF3 4-SCF2H CF3 2-SOCF2H CF3 3-SOCF2H CF3 4-SOCF2H CF3 2-SO2CF2H CF3 3-SO2CF2H CF3 4-SO2CF2H OCF2H 2-CF3 OCF2H 3-CF3 OCF2H 4-CF3 OCF2H 2-OCF3 OCF2H 3-OCF3 OCF2H 4-OCF3 OCF2H 2-OCF2H OCF2H 3-OCF2H OCF2H 4-OCF2H OCF2H 2-OCF2CF2H OCF2H 3-OCF2CF2H OCF2H 4-OCF2CF2H OCF2H 2-OCH2CF3 OCF2H 3-OCH2CF3 OCF2H 4-OCH2CF3 OCF2H 2-SCF3 OCF2H 3-SCF3 OCF2H 4-SCF3 OCF2H 2-SOCF3 OCF2H 3-SOCF3 OCF2H 4-SOCF3 OCF2H 2-SO2CF3 OCF2H 3-SO2CF3 OCF2H 4-SO2CF3 OCF2H 2-SCF2H OCF2H 3-SCF2H OCF2H 4-SCF2H OCF2H 2-SOCF2H OCF2H 3-SOCF2H OCF2H 4-SOCF2H OCF2H 2-SO2CF2H OCF2H 3-SO2CF2H OCF2H 4-SO2CF2H Me 2-Me-4-CF3 F 2-Me-4-CF3 Cl 2-Me-4-CF3 Me 2-Me-4-OCF3 F 2-Me-4-OCF3 Cl 2-Me-4-OCF3 Me 2-Me-4-OCF2H F 2-Me-4-OCF2H Cl 2-Me-4-OCF2H Me 2-Me-4-OCH2CF3 F 2-Me-4-OCH2CF3 Cl 2-Me-4-OCH2CF3 Me 2-Me-4-SCF3 F 2-Me-4-SCF3 Cl 2-Me-4-SCF3 Me 2-Me-4-SOCF3 F 2-Me-4-SOCF3 Cl 2-Me-4-SOCF3 Me 2-Me-4-SO2CF3 F 2-Me-4-SO2CF3 Cl 2-Me-4-SO2CF3 Me 2-Me-4-SCF2H F 2-Me-4-SCF2H Cl 2-Me-4-SCF2H Me 2-Me-4-SOCF2H F 2-Me-4-SOCF2H Cl 2-Me-4-SOCF2H Me 2-Me-4-SO2CF2H F 2-Me-4-SO2CF2H Cl 2-Me-4-SO2CF2H Br 2-Me-4-CF3 I 2-Me-4-CF3 OMe 2-Me-4-CF3 Br 2-Me-4-OCF3 I 2-Me-4-OCF3 OMe 2-Me-4-OCF3 Br 2-Me-4-OCF2H I 2-Me-4-OCF2H OMe 2-Me-4-OCF2H Br 2-Me-4-OCH2CF3 I 2-Me-4-OCH2CF3 OMe 2-Me-4-OCH2CF3 Br 2-Me-4-SCF3 I 2-Me-4-SCF3 OMe 2-Me-4-SCF3 Br 2-Me-4-SOCF3 I 2-Me-4-SOCF3 OMe 2-Me-4-SOCF3 Br 2-Me-4-SO2CF3 I 2-Me-4-SO2CF3 OMe 2-Me-4-SO2CF3 Br 2-Me-4-SCF2H I 2-Me-4-SCF2H OMe 2-Me-4-SCF2H Br 2-Me-4-SOCF2H I 2-Me-4-SOCF2H OMe 2-Me-4-SOCF2H Br 2-Me-4-SO2CF2H I 2-Me-4-SO2CF2H OMe 2-Me-4-SO2CF2H CF3 2-Me-4-CF3 NO2 2-Me-4-CF3 SMe 2-Me-4-CF3 CF3 2-Me-4-OCF3 NO2 2-Me-4-OCF3 SMe 2-Me-4-OCF3 CF3 2-Me-4-OCF2H NO2 2-Me-4-OCF2H SMe 2-Me-4-OCF2H CF3 2-Me-4-OCH2CF3 NO2 2-Me-4-OCH2CF3 SMe 2-Me-4-OCH2CF3 CF3 2-Me-4-SCF3 NO2 2-Me-4-SCF3 SMe 2-Me-4-SCF3 CF3 2-Me-4-SOCF3 NO2 2-Me-4-SOCF3 SMe 2-Me-4-SOCF3 CF3 2-Me-4-SO2CF3 NO2 2-Me-4-SO2CF3 SMe 2-Me-4-SO2CF3 CF3 2-Me-4-SCF2H NO2 2-Me-4-SCF2H SMe 2-Me-4-SCF2H CF3 2-Me-4-SOCF2H NO2 2-Me-4-SOCF2H SMe 2-Me-4-SOCF2H CF3 2-Me-4-SO2CF2H NO2 2-Me-4-SO2CF2H SMe 2-Me-4-SO2CF2H -
TABLE 5 R4 (R5)m R4 (R5)m R4 (R5)m Me 2-CF3 Me 3-CF3 Me 4-CF3 Me 2-OCF3 Me 3-OCF3 Me 4-OCF3 Me 2-OCF2H Me 3-OCF2H Me 4-OCF2H Me 2-OCF2CF2H Me 3-OCF2CF2H Me 4-OCF2CF2H Me 2-OCH2CF3 Me 3-OCH2CF3 Me 4-OCH2CF3 Me 2-SCF3 Me 3-SCF3 Me 4-SCF3 Me 2-SOCF3 Me 3-SOCF3 Me 4-SOCF3 Me 2-SO2CF3 Me 3-SO2CF3 Me 4-SO2CF3 Me 2-SCF2H Me 3-SCF2H Me 4-SCF2H Me 2-SOCF2H Me 3-SOCF2H Me 4-SOCF2H Me 2-SO2CF2H Me 3-SO2CF2H Me 4-SO2CF2H CF3 2-Me-4-CF3 CF2H 2-Me-4-CF3 CH2CF3 2-Me-4-CF3 CF3 2-Me-4-OCF3 CF2H 2-Me-4-OCF3 CH2CF3 2-Me-4-OCF3 CF3 2-Me-4-OCF2H CF2H 2-Me-4-OCF2H CH2CF3 2-Me-4-OCF2H CF3 2-Me-4-OCH2CF3 CF2H 2-Me-4-OCH2CF3 CH2CF3 2-Me-4-OCH2CF3 CF3 2-Me-4-SCF3 CF2H 2-Me-4-SCF3 CH2CF3 2-Me-4-SCF3 CF3 2-Me-4-SOCF3 CF2H 2-Me-4-SOCF3 CH2CF3 2-Me-4-SOCF3 CF3 2-Me-4-SO2CF3 CF2H 2-Me-4-SO2CF3 CH2CF3 2-Me-4-SO2CF3 CF3 2-Me-4-SCF2H CF2H 2-Me-4-SCF2H CH2CF3 2-Me-4-SCF2H CF3 2-Me-4-SOCF2H CF2H 2-Me-4-SOCF2H CH2CF3 2-Me-4-SOCF2H CF3 2-Me-4-SO2CF2H CF2H 2-Me-4-SO2CF2H CH2CF3 2-Me-4-SO2CF2H -
TABLE 6 R4 (R5)m R4 (R5)m R4 (R5)m Me 2-CF3 Me 3-CF3 Me 4-CF3 Me 2-OCF3 Me 3-OCF3 Me 4-OCF3 Me 2-OCF2H Me 3-OCF2H Me 4-OCF2H Me 2-OCF2CF2H Me 3-OCF2CF2H Me 4-OCF2CF2H Me 2-OCH2CF3 Me 3-OCH2CF3 Me 4-OCH2CF3 Me 2-SCF3 Me 3-SCF3 Me 4-SCF3 Me 2-SOCF3 Me 3-SOCF3 Me 4-SOCF3 Me 2-SO2CF3 Me 3-SO2CF3 Me 4-SO2CF3 Me 2-SCF2H Me 3-SCF2H Me 4-SCF2H Me 2-SOCF2H Me 3-SOCF2H Me 4-SOCF2H Me 2-SO2CF2H Me 3-SO2CF2H Me 4-SO2CF2H CF3 2-Me-4-CF3 CF2H 2-Me-4-CF3 CH2CF3 2-Me-4-CF3 CF3 2-Me-4-OCF3 CF2H 2-Me-4-OCF3 CH2CF3 2-Me-4-OCF3 CF3 2-Me-4-OCF2H CF2H 2-Me-4-OCF2H CH2CF3 2-Me-4-OCF2H CF3 2-Me-4-OCH2CF3 CF2H 2-Me-4-OCH2CF3 CH2CF3 2-Me-4-OCH2CF3 CF3 2-Me-4-SCF3 CF2H 2-Me-4-SCF3 CH2CF3 2-Me-4-SCF3 CF3 2-Me-4-SOCF3 CF2H 2-Me-4-SOCF3 CH2CF3 2-Me-4-SOCF3 CF3 2-Me-4-SO2CF3 CF2H 2-Me-4-SO2CF3 CH2CF3 2-Me-4-SO2CF3 CF3 2-Me-4-SCF2H CF2H 2-Me-4-SCF2H CH2CF3 2-Me-4-SCF2H CF3 2-Me-4-SOCF2H CF2H 2-Me-4-SOCF2H CH2CF3 2-Me-4-SOCF2H CF3 2-Me-4-SO2CF2H CF2H 2-Me-4-SO2CF2H CH2CF3 2-Me-4-SO2CF2H -
TABLE 7 R4 (R5)m R4 (R5)m R4 (R5)m Me 2-CF3 Me 3-CF3 Me 4-CF3 Me 2-OCF3 Me 3-OCF3 Me 4-OCF3 Me 2-OCF2H Me 3-OCF2H Me 4-OCF2H Me 2-OCF2CF2H Me 3-OCF2CF2H Me 4-OCF2CF2H Me 2-OCH2CF3 Me 3-OCH2CF3 Me 4-OCH2CF3 Me 2-SCF3 Me 3-SCF3 Me 4-SCF3 Me 2-SOCF3 Me 3-SOCF3 Me 4-SOCF3 Me 2-SO2CF3 Me 3-SO2CF3 Me 4-SO2CF3 Me 2-SCF2H Me 3-SCF2H Me 4-SCF2H Me 2-SOCF2H Me 3-SOCF2H Me 4-SOCF2H Me 2-SO2CF2H Me 3-SO2CF2H Me 4-SO2CF2H Cl 2-CF3 Cl 3-CF3 Cl 4-CF3 Cl 2-OCF3 Cl 3-OCF3 Cl 4-OCF3 Cl 2-OCF2H Cl 3-OCF2H Cl 4-OCF2H Cl 2-OCF2CF2H Cl 3-OCF2CF2H Cl 4-OCF2CF2H Cl 2-OCH2CF3 Cl 3-OCH2CF3 Cl 4-OCH2CF3 Cl 2-SCF3 Cl 3-SCF3 Cl 4-SCF3 Cl 2-SOCF3 Cl 3-SOCF3 Cl 4-SOCF3 Cl 2-SO2CF3 Cl 3-SO2CF3 Cl 4-SO2CF3 Cl 2-SCF2H Cl 3-SCF2H Cl 4-SCF2H Cl 2-SOCF2H Cl 3-SOCF2H Cl 4-SOCF2H Cl 2-SO2CF2H Cl 3-SO2CF2H Cl 4-SO2CF2H F 2-CF3 F 3-CF3 F 4-CF3 F 2-OCF3 F 3-OCF3 F 4-OCF3 F 2-OCF2H F 3-OCF2H F 4-OCF2H F 2-OCF2CF2H F 3-OCF2CF2H F 4-OCF2CF2H F 2-OCH2CF3 F 3-OCH2CF3 F 4-OCH2CF3 F 2-SCF3 F 3-SCF3 F 4-SCF3 F 2-SOCF3 F 3-SOCF3 F 4-SOCF3 F 2-SO2CF3 F 3-SO2CF3 F 4-SO2CF3 F 2-SCF2H F 3-SCF2H F 4-SCF2H F 2-SOCF2H F 3-SOCF2H F 4-SOCF2H F 2-SO2CF2H F 3-SO2CF2H F 4-SO2CF2H Br 2-CF3 Br 3-CF3 Br 4-CF3 Br 2-OCF3 Br 3-OCF3 Br 4-OCF3 Br 2-OCF2H Br 3-OCF2H Br 4-OCF2H Br 2-OCF2CF2H Br 3-OCF2CF2H Br 4-OCF2CF2H Br 2-OCH2CF3 Br 3-OCH2CF3 Br 4-OCH2CF3 Br 2-SCF3 Br 3-SCF3 Br 4-SCF3 Br 2-SOCF3 Br 3-SOCF3 Br 4-SOCF3 Br 2-SO2CF3 Br 3-SO2CF3 Br 4-SO2CF3 Br 2-SCF2H Br 3-SCF2H Br 4-SCF2H Br 2-SOCF2H Br 3-SOCF2H Br 4-SOCF2H Br 2-SO2CF2H Br 3-SO2CF2H Br 4-SO2CF2H I 2-CF3 I 3-CF3 I 4-CF3 I 2-OCF3 I 3-OCF3 I 4-OCF3 I 2-OCF2H I 3-OCF2H I 4-OCF2H I 2-OCF2CF2H I 3-OCF2CF2H I 4-OCF2CF2H I 2-OCH2CF3 I 3-OCH2CF3 I 4-OCH2CF3 I 2-SCF3 I 3-SCF3 I 4-SCF3 I 2-SOCF3 I 3-SOCF3 I 4-SOCF3 I 2-SO2CF3 I 3-SO2CF3 I 4-SO2CF3 I 2-SCF2H I 3-SCF2H I 4-SCF2H I 2-SOCF2H I 3-SOCF2H I 4-SOCF2H I 2-SO2CF2H I 3-SO2CF2H I 4-SO2CF2H OMe 2-CF3 OMe 3-CF3 OMe 4-CF3 OMe 2-OCF3 OMe 3-OCF3 OMe 4-OCF3 OMe 2-OCF2H OMe 3-OCF2H OMe 4-OCF2H OMe 2-OCF2CF2H OMe 3-OCF2CF2H OMe 4-OCF2CF2H OMe 2-OCH2CF3 OMe 3-OCH2CF3 OMe 4-OCH2CF3 OMe 2-SCF3 OMe 3-SCF3 OMe 4-SCF3 OMe 2-SOCF3 OMe 3-SOCF3 OMe 4-SOCF3 OMe 2-SO2CF3 OMe 3-SO2CF3 OMe 4-SO2CF3 OMe 2-SCF2H OMe 3-SCF2H OMe 4-SCF2H OMe 2-SOCF2H OMe 3-SOCF2H OMe 4-SOCF2H OMe 2-SO2CF2H OMe 3-SO2CF2H OMe 4-SO2CF2H CF3 2-CF3 CF3 3-CF3 CF3 4-CF3 CF3 2-OCF3 CF3 3-OCF3 CF3 4-OCF3 CF3 2-OCF2H CF3 3-OCF2H CF3 4-OCF2H CF3 2-OCF2CF2H CF3 3-OCF2CF2H CF3 4-OCF2CF2H CF3 2-OCH2CF3 CF3 3-OCH2CF3 CF3 4-OCH2CF3 CF3 2-SCF3 CF3 3-SCF3 CF3 4-SCF3 CF3 2-SOCF3 CF3 3-SOCF3 CF3 4-SOCF3 CF3 2-SO2CF3 CF3 3-SO2CF3 CF3 4-SO2CF3 CF3 2-SCF2H CF3 3-SCF2H CF3 4-SCF2H CF3 2-SOCF2H CF3 3-SOCF2H CF3 4-SOCF2H CF3 2-SO2CF2H CF3 3-SO2CF2H CF3 4-SO2CF2H OCF2H 2-CF3 OCF2H 3-CF3 OCF2H 4-CF3 OCF2H 2-OCF3 OCF2H 3-OCF3 OCF2H 4-OCF3 OCF2H 2-OCF2H OCF2H 3-OCF2H OCF2H 4-OCF2H OCF2H 2-OCF2CF2H OCF2H 3-OCF2CF2H OCF2H 4-OCF2CF2H OCF2H 2-OCH2CF3 OCF2H 3-OCH2CF3 OCF2H 4-OCH2CF3 OCF2H 2-SCF3 OCF2H 3-SCF3 OCF2H 4-SCF3 OCF2H 2-SOCF3 OCF2H 3-SOCF3 OCF2H 4-SOCF3 OCF2H 2-SO2CF3 OCF2H 3-SO2CF3 OCF2H 4-SO2CF3 OCF2H 2-SCF2H OCF2H 3-SCF2H OCF2H 4-SCF2H OCF2H 2-SOCF2H OCF2H 3-SOCF2H OCF2H 4-SOCF2H OCF2H 2-SO2CF2H OCF2H 3-SO2CF2H OCF2H 4-SO2CF2H Me 2-Me-4-CF3 F 2-Me-4-CF3 Cl 2-Me-4-CF3 Me 2-Me-4-OCF3 F 2-Me-4-OCF3 Cl 2-Me-4-OCF3 Me 2-Me-4-OCF2H F 2-Me-4-OCF2H Cl 2-Me-4-OCF2H Me 2-Me-4-OCH2CF3 F 2-Me-4-OCH2CF3 Cl 2-Me-4-OCH2CF3 Me 2-Me-4-SCF3 F 2-Me-4-SCF3 Cl 2-Me-4-SCF3 Me 2-Me-4-SOCF3 F 2-Me-4-SOCF3 Cl 2-Me-4-SOCF3 Me 2-Me-4-SO2CF3 F 2-Me-4-SO2CF3 Cl 2-Me-4-SO2CF3 Me 2-Me-4-SCF2H F 2-Me-4-SCF2H Cl 2-Me-4-SCF2H Me 2-Me-4-SOCF2H F 2-Me-4-SOCF2H Cl 2-Me-4-SOCF2H Me 2-Me-4-SO2CF2H F 2-Me-4-SO2CF2H Cl 2-Me-4-SO2CF2H Br 2-Me-4-CF3 I 2-Me-4-CF3 OMe 2-Me-4-CF3 Br 2-Me-4-OCF3 I 2-Me-4-OCF3 OMe 2-Me-4-OCF3 Br 2-Me-4-OCF2H I 2-Me-4-OCF2H OMe 2-Me-4-OCF2H Br 2-Me-4-OCH2CF3 I 2-Me-4-OCH2CF3 OMe 2-Me-4-OCH2CF3 Br 2-Me-4-SCF3 I 2-Me-4-SCF3 OMe 2-Me-4-SCF3 Br 2-Me-4-SOCF3 I 2-Me-4-SOCF3 OMe 2-Me-4-SOCF3 Br 2-Me-4-SO2CF3 I 2-Me-4-SO2CF3 OMe 2-Me-4-SO2CF3 Br 2-Me-4-SCF2H I 2-Me-4-SCF2H OMe 2-Me-4-SCF2H Br 2-Me-4-SOCF2H I 2-Me-4-SOCF2H OMe 2-Me-4-SOCF2H Br 2-Me-4-SO2CF2H I 2-Me-4-SO2CF2H OMe 2-Me-4-SO2CF2H CF3 2-Me-4-CF3 NO2 2-Me-4-CF3 SMe 2-Me-4-CF3 CF3 2-Me-4-OCF3 NO2 2-Me-4-OCF3 SMe 2-Me-4-OCF3 CF3 2-Me-4-OCF2H NO2 2-Me-4-OCF2H SMe 2-Me-4-OCF2H CF3 2-Me-4-OCH2CF3 NO2 2-Me-4-OCH2CF3 SMe 2-Me-4-OCH2CF3 CF3 2-Me-4-SCF3 NO2 2-Me-4-SCF3 SMe 2-Me-4-SCF3 CF3 2-Me-4-SOCF3 NO2 2-Me-4-SOCF3 SMe 2-Me-4-SOCF3 CF3 2-Me-4-SO2CF3 NO2 2-Me-4-SO2CF3 SMe 2-Me-4-SO2CF3 CF3 2-Me-4-SCF2H NO2 2-Me-4-SCF2H SMe 2-Me-4-SCF2H CF3 2-Me-4-SOCF2H NO2 2-Me-4-SOCF2H SMe 2-Me-4-SOCF2H CF3 2-Me-4-SO2CF2H NO2 2-Me-4-SO2CF2H SMe 2-Me-4-SO2CF2H -
TABLE 8 R4 (R5)m R4 (R5)m R4 (R5)m Me 2-CF3 Me 3-CF3 Me 4-CF3 Me 2-OCF3 Me 3-OCF3 Me 4-OCF3 Me 2-OCF2H Me 3-OCF2H Me 4-OCF2H Me 2-OCF2CF2H Me 3-OCF2CF2H Me 4-OCF2CF2H Me 2-OCH2CF3 Me 3-OCH2CF3 Me 4-OCH2CF3 Me 2-SCF3 Me 3-SCF3 Me 4-SCF3 Me 2-SOCF3 Me 3-SOCF3 Me 4-SOCF3 Me 2-SO2CF3 Me 3-SO2CF3 Me 4-SO2CF3 Me 2-SCF2H Me 3-SCF2H Me 4-SCF2H Me 2-SOCF2H Me 3-SOCF2H Me 4-SOCF2H Me 2-SO2CF2H Me 3-SO2CF2H Me 4-SO2CF2H Cl 2-CF3 Cl 3-CF3 Cl 4-CF3 Cl 2-OCF3 Cl 3-OCF3 Cl 4-OCF3 Cl 2-OCF2H Cl 3-OCF2H Cl 4-OCF2H Cl 2-OCF2CF2H Cl 3-OCF2CF2H Cl 4-OCF2CF2H Cl 2-OCH2CF3 Cl 3-OCH2CF3 Cl 4-OCH2CF3 Cl 2-SCF3 Cl 3-SCF3 Cl 4-SCF3 Cl 2-SOCF3 Cl 3-SOCF3 Cl 4-SOCF3 Cl 2-SO2CF3 Cl 3-SO2CF3 Cl 4-SO2CF3 Cl 2-SCF2H Cl 3-SCF2H Cl 4-SCF2H Cl 2-SOCF2H Cl 3-SOCF2H Cl 4-SOCF2H Cl 2-SO2CF2H Cl 3-SO2CF2H Cl 4-SO2CF2H F 2-CF3 F 3-CF3 F 4-CF3 F 2-OCF3 F 3-OCF3 F 4-OCF3 F 2-OCF2H F 3-OCF2H F 4-OCF2H F 2-OCF2CF2H F 3-OCF2CF2H F 4-OCF2CF2H F 2-OCH2CF3 F 3-OCH2CF3 F 4-OCH2CF3 F 2-SCF3 F 3-SCF3 F 4-SCF3 F 2-SOCF3 F 3-SOCF3 F 4-SOCF3 F 2-SO2CF3 F 3-SO2CF3 F 4-SO2CF3 F 2-SCF2H F 3-SCF2H F 4-SCF2H F 2-SOCF2H F 3-SOCF2H F 4-SOCF2H F 2-SO2CF2H F 3-SO2CF2H F 4-SO2CF2H Br 2-CF3 Br 3-CF3 Br 4-CF3 Br 2-OCF3 Br 3-OCF3 Br 4-OCF3 Br 2-OCF2H Br 3-OCF2H Br 4-OCF2H Br 2-OCF2CF2H Br 3-OCF2CF2H Br 4-OCF2CF2H Br 2-OCH2CF3 Br 3-OCH2CF3 Br 4-OCH2CF3 Br 2-SCF3 Br 3-SCF3 Br 4-SCF3 Br 2-SOCF3 Br 3-SOCF3 Br 4-SOCF3 Br 2-SO2CF3 Br 3-SO2CF3 Br 4-SO2CF3 Br 2-SCF2H Br 3-SCF2H Br 4-SCF2H Br 2-SOCF2H Br 3-SOCF2H Br 4-SOCF2H Br 2-SO2CF2H Br 3-SO2CF2H Br 4-SO2CF2H I 2-CF3 I 3-CF3 I 4-CF3 I 2-OCF3 I 3-OCF3 I 4-OCF3 I 2-OCF2H I 3-OCF2H I 4-OCF2H I 2-OCF2CF2H I 3-OCF2CF2H I 4-OCF2CF2H I 2-OCH2CF3 I 3-OCH2CF3 I 4-OCH2CF3 I 2-SCF3 I 3-SCF3 I 4-SCF3 I 2-SOCF3 I 3-SOCF3 I 4-SOCF3 I 2-SO2CF3 I 3-SO2CF3 I 4-SO2CF3 I 2-SCF2H I 3-SCF2H I 4-SCF2H I 2-SOCF2H I 3-SOCF2H I 4-SOCF2H I 2-SO2CF2H I 3-SO2CF2H I 4-SO2CF2H OMe 2-CF3 OMe 3-CF3 OMe 4-CF3 OMe 2-OCF3 OMe 3-OCF3 OMe 4-OCF3 OMe 2-OCF2H OMe 3-OCF2H OMe 4-OCF2H OMe 2-OCF2CF2H OMe 3-OCF2CF2H OMe 4-OCF2CF2H OMe 2-OCH2CF3 OMe 3-OCH2CF3 OMe 4-OCH2CF3 OMe 2-SCF3 OMe 3-SCF3 OMe 4-SCF3 OMe 2-SOCF3 OMe 3-SOCF3 OMe 4-SOCF3 OMe 2-SO2CF3 OMe 3-SO2CF3 OMe 4-SO2CF3 OMe 2-SCF2H OMe 3-SCF2H OMe 4-SCF2H OMe 2-SOCF2H OMe 3-SOCF2H OMe 4-SOCF2H OMe 2-SO2CF2H OMe 3-SO2CF2H OMe 4-SO2CF2H CF3 2-CF3 CF3 3-CF3 CF3 4-CF3 CF3 2-OCF3 CF3 3-OCF3 CF3 4-OCF3 CF3 2-OCF2H CF3 3-OCF2H CF3 4-OCF2H CF3 2-OCF2CF2H CF3 3-OCF2CF2H CF3 4-OCF2CF2H CF3 2-OCH2CF3 CF3 3-OCH2CF3 CF3 4-OCH2CF3 CF3 2-SCF3 CF3 3-SCF3 CF3 4-SCF3 CF3 2-SOCF3 CF3 3-SOCF3 CF3 4-SOCF3 CF3 2-SO2CF3 CF3 3-SO2CF3 CF3 4-SO2CF3 CF3 2-SCF2H CF3 3-SCF2H CF3 4-SCF2H CF3 2-SOCF2H CF3 3-SOCF2H CF3 4-SOCF2H CF3 2-SO2CF2H CF3 3-SO2CF2H CF3 4-SO2CF2H OCF2H 2-CF3 OCF2H 3-CF3 OCF2H 4-CF3 OCF2H 2-OCF3 OCF2H 3-OCF3 OCF2H 4-OCF3 OCF2H 2-OCF2H OCF2H 3-OCF2H OCF2H 4-OCF2H OCF2H 2-OCF2CF2H OCF2H 3-OCF2CF2H OCF2H 4-OCF2CF2H OCF2H 2-OCH2CF3 OCF2H 3-OCH2CF3 OCF2H 4-OCH2CF3 OCF2H 2-SCF3 OCF2H 3-SCF3 OCF2H 4-SCF3 OCF2H 2-SOCF3 OCF2H 3-SOCF3 OCF2H 4-SOCF3 OCF2H 2-SO2CF3 OCF2H 3-SO2CF3 OCF2H 4-SO2CF3 OCF2H 2-SCF2H OCF2H 3-SCF2H OCF2H 4-SCF2H OCF2H 2-SOCF2H OCF2H 3-SOCF2H OCF2H 4-SOCF2H OCF2H 2-SO2CF2H OCF2H 3-SO2CF2H OCF2H 4-SO2CF2H Me 2-Me-4-CF3 F 2-Me-4-CF3 Cl 2-Me-4-CF3 Me 2-Me-4-OCF3 F 2-Me-4-OCF3 Cl 2-Me-4-OCF3 Me 2-Me-4-OCF2H F 2-Me-4-OCF2H Cl 2-Me-4-OCF2H Me 2-Me-4-OCH2CF3 F 2-Me-4-OCH2CF3 Cl 2-Me-4-OCH2CF3 Me 2-Me-4-SCF3 F 2-Me-4-SCF3 Cl 2-Me-4-SCF3 Me 2-Me-4-SOCF3 F 2-Me-4-SOCF3 Cl 2-Me-4-SOCF3 Me 2-Me-4-SO2CF3 F 2-Me-4-SO2CF3 Cl 2-Me-4-SO2CF3 Me 2-Me-4-SCF2H F 2-Me-4-SCF2H Cl 2-Me-4-SCF2H Me 2-Me-4-SOCF2H F 2-Me-4-SOCF2H Cl 2-Me-4-SOCF2H Me 2-Me-4-SO2CF2H F 2-Me-4-SO2CF2H Cl 2-Me-4-SO2CF2H Br 2-Me-4-CF3 I 2-Me-4-CF3 OMe 2-Me-4-CF3 Br 2-Me-4-OCF3 I 2-Me-4-OCF3 OMe 2-Me-4-OCF3 Br 2-Me-4-OCF2H I 2-Me-4-OCF2H OMe 2-Me-4-OCF2H Br 2-Me-4-OCH2CF3 I 2-Me-4-OCH2CF3 OMe 2-Me-4-OCH2CF3 Br 2-Me-4-SCF3 I 2-Me-4-SCF3 OMe 2-Me-4-SCF3 Br 2-Me-4-SOCF3 I 2-Me-4-SOCF3 OMe 2-Me-4-SOCF3 Br 2-Me-4-SO2CF3 I 2-Me-4-SO2CF3 OMe 2-Me-4-SO2CF3 Br 2-Me-4-SCF2H I 2-Me-4-SCF2H OMe 2-Me-4-SCF2H Br 2-Me-4-SOCF2H I 2-Me-4-SOCF2H OMe 2-Me-4-SOCF2H Br 2-Me-4-SO2CF2H I 2-Me-4-SO2CF2H OMe 2-Me-4-SO2CF2H CF3 2-Me-4-CF3 NO2 2-Me-4-CF3 SMe 2-Me-4-CF3 CF3 2-Me-4-OCF3 NO2 2-Me-4-OCF3 SMe 2-Me-4-OCF3 CF3 2-Me-4-OCF2H NO2 2-Me-4-OCF2H SMe 2-Me-4-OCF2H CF3 2-Me-4-OCH2CF3 NO2 2-Me-4-OCH2CF3 SMe 2-Me-4-OCH2CF3 CF3 2-Me-4-SCF3 NO2 2-Me-4-SCF3 SMe 2-Me-4-SCF3 CF3 2-Me-4-SOCF3 NO2 2-Me-4-SOCF3 SMe 2-Me-4-SOCF3 CF3 2-Me-4-SO2CF3 NO2 2-Me-4-SO2CF3 SMe 2-Me-4-SO2CF3 CF3 2-Me-4-SCF2H NO2 2-Me-4-SCF2H SMe 2-Me-4-SCF2H CF3 2-Me-4-SOCF2H NO2 2-Me-4-SOCF2H SMe 2-Me-4-SOCF2H CF3 2-Me-4-SO2CF2H NO2 2-Me-4-SO2CF2H SMe 2-Me-4-SO2CF2H -
TABLE 9 R4 (R5)m R4 (R5)m R4 (R5)m Me 2-CF3 Me 3-CF3 Me 4-CF3 Me 2-OCF3 Me 3-OCF3 Me 4-OCF3 Me 2-OCF2H Me 3-OCF2H Me 4-OCF2H Me 2-OCF2CF2H Me 3-OCF2CF2H Me 4-OCF2CF2H Me 2-OCH2CF3 Me 3-OCH2CF3 Me 4-OCH2CF3 Me 2-SCF3 Me 3-SCF3 Me 4-SCF3 Me 2-SOCF3 Me 3-SOCF3 Me 4-SOCF3 Me 2-SO2CF3 Me 3-SO2CF3 Me 4-SO2CF3 Me 2-SCF2H Me 3-SCF2H Me 4-SCF2H Me 2-SOCF2H Me 3-SOCF2H Me 4-SOCF2H Me 2-SO2CF2H Me 3-SO2CF2H Me 4-SO2CF2H Cl 2-CF3 Cl 3-CF3 Cl 4-CF3 Cl 2-OCF3 Cl 3-OCF3 Cl 4-OCF3 Cl 2-OCF2H Cl 3-OCF2H Cl 4-OCF2H Cl 2-OCF2CF2H Cl 3-OCF2CF2H Cl 4-OCF2CF2H Cl 2-OCH2CF3 Cl 3-OCH2CF3 Cl 4-OCH2CF3 Cl 2-SCF3 Cl 3-SCF3 Cl 4-SCF3 Cl 2-SOCF3 Cl 3-SOCF3 Cl 4-SOCF3 Cl 2-SO2CF3 Cl 3-SO2CF3 Cl 4-SO2CF3 Cl 2-SCF2H Cl 3-SCF2H Cl 4-SCF2H Cl 2-SOCF2H Cl 3-SOCF2H Cl 4-SOCF2H Cl 2-SO2CF2H Cl 3-SO2CF2H Cl 4-SO2CF2H F 2-CF3 F 3-CF3 F 4-CF3 F 2-OCF3 F 3-OCF3 F 4-OCF3 F 2-OCF2H F 3-OCF2H F 4-OCF2H F 2-OCF2CF2H F 3-OCF2CF2H F 4-OCF2CF2H F 2-OCH2CF3 F 3-OCH2CF3 F 4-OCH2CF3 F 2-SCF3 F 3-SCF3 F 4-SCF3 F 2-SOCF3 F 3-SOCF3 F 4-SOCF3 F 2-SO2CF3 F 3-SO2CF3 F 4-SO2CF3 F 2-SCF2H F 3-SCF2H F 4-SCF2H F 2-SOCF2H F 3-SOCF2H F 4-SOCF2H F 2-SO2CF2H F 3-SO2CF2H F 4-SO2CF2H Br 2-CF3 Br 3-CF3 Br 4-CF3 Br 2-OCF3 Br 3-OCF3 Br 4-OCF3 Br 2-OCF2H Br 3-OCF2H Br 4-OCF2H Br 2-OCF2CF2H Br 3-OCF2CF2H Br 4-OCF2CF2H Br 2-OCH2CF3 Br 3-OCH2CF3 Br 4-OCH2CF3 Br 2-SCF3 Br 3-SCF3 Br 4-SCF3 Br 2-SOCF3 Br 3-SOCF3 Br 4-SOCF3 Br 2-SO2CF3 Br 3-SO2CF3 Br 4-SO2CF3 Br 2-SCF2H Br 3-SCF2H Br 4-SCF2H Br 2-SOCF2H Br 3-SOCF2H Br 4-SOCF2H Br 2-SO2CF2H Br 3-SO2CF2H Br 4-SO2CF2H I 2-CF3 I 3-CF3 I 4-CF3 I 2-OCF3 I 3-OCF3 I 4-OCF3 I 2-OCF2H I 3-OCF2H I 4-OCF2H I 2-OCF2CF2H I 3-OCF2CF2H I 4-OCF2CF2H I 2-OCH2CF3 I 3-OCH2CF3 I 4-OCH2CF3 I 2-SCF3 I 3-SCF3 I 4-SCF3 I 2-SOCF3 I 3-SOCF3 I 4-SOCF3 I 2-SO2CF3 I 3-SO2CF3 I 4-SO2CF3 I 2-SCF2H I 3-SCF2H I 4-SCF2H I 2-SOCF2H I 3-SOCF2H I 4-SOCF2H I 2-SO2CF2H I 3-SO2CF2H I 4-SO2CF2H OMe 2-CF3 OMe 3-CF3 OMe 4-CF3 OMe 2-OCF3 OMe 3-OCF3 OMe 4-OCF3 OMe 2-OCF2H OMe 3-OCF2H OMe 4-OCF2H OMe 2-OCF2CF2H OMe 3-OCF2CF2H OMe 4-OCF2CF2H OMe 2-OCH2CF3 OMe 3-OCH2CF3 OMe 4-OCH2CF3 OMe 2-SCF3 OMe 3-SCF3 OMe 4-SCF3 OMe 2-SOCF3 OMe 3-SOCF3 OMe 4-SOCF3 OMe 2-SO2CF3 OMe 3-SO2CF3 OMe 4-SO2CF3 OMe 2-SCF2H OMe 3-SCF2H OMe 4-SCF2H OMe 2-SOCF2H OMe 3-SOCF2H OMe 4-SOCF2H OMe 2-SO2CF2H OMe 3-SO2CF2H OMe 4-SO2CF2H CF3 2-CF3 CF3 3-CF3 CF3 4-CF3 CF3 2-OCF3 CF3 3-OCF3 CF3 4-OCF3 CF3 2-OCF2H CF3 3-OCF2H CF3 4-OCF2H CF3 2-OCF2CF2H CF3 3-OCF2CF2H CF3 4-OCF2CF2H CF3 2-OCH2CF3 CF3 3-OCH2CF3 CF3 4-OCH2CF3 CF3 2-SCF3 CF3 3-SCF3 CF3 4-SCF3 CF3 2-SOCF3 CF3 3-SOCF3 CF3 4-SOCF3 CF3 2-SO2CF3 CF3 3-SO2CF3 CF3 4-SO2CF3 CF3 2-SCF2H CF3 3-SCF2H CF3 4-SCF2H CF3 2-SOCF2H CF3 3-SOCF2H CF3 4-SOCF2H CF3 2-SO2CF2H CF3 3-SO2CF2H CF3 4-SO2CF2H OCF2H 2-CF3 OCF2H 3-CF3 OCF2H 4-CF3 OCF2H 2-OCF3 OCF2H 3-OCF3 OCF2H 4-OCF3 OCF2H 2-OCF2H OCF2H 3-OCF2H OCF2H 4-OCF2H OCF2H 2-OCF2CF2H OCF2H 3-OCF2CF2H OCF2H 4-OCF2CF2H OCF2H 2-OCH2CF3 OCF2H 3-OCH2CF3 OCF2H 4-OCH2CF3 OCF2H 2-SCF3 OCF2H 3-SCF3 OCF2H 4-SCF3 OCF2H 2-SOCF3 OCF2H 3-SOCF3 OCF2H 4-SOCF3 OCF2H 2-SO2CF3 OCF2H 3-SO2CF3 OCF2H 4-SO2CF3 OCF2H 2-SCF2H OCF2H 3-SCF2H OCF2H 4-SCF2H OCF2H 2-SOCF2H OCF2H 3-SOCF2H OCF2H 4-SOCF2H OCF2H 2-SO2CF2H OCF2H 3-SO2CF2H OCF2H 4-SO2CF2H Me 2-Me-4-CF3 F 2-Me-4-CF3 Cl 2-Me-4-CF3 Me 2-Me-4-OCF3 F 2-Me-4-OCF3 Cl 2-Me-4-OCF3 Me 2-Me-4-OCF2H F 2-Me-4-OCF2H Cl 2-Me-4-OCF2H Me 2-Me-4-OCH2CF3 F 2-Me-4-OCH2CF3 Cl 2-Me-4-OCH2CF3 Me 2-Me-4-SCF3 F 2-Me-4-SCF3 Cl 2-Me-4-SCF3 Me 2-Me-4-SOCF3 F 2-Me-4-SOCF3 Cl 2-Me-4-SOCF3 Me 2-Me-4-SO2CF3 F 2-Me-4-SO2CF3 Cl 2-Me-4-SO2CF3 Me 2-Me-4-SCF2H F 2-Me-4-SCF2H Cl 2-Me-4-SCF2H Me 2-Me-4-SOCF2H F 2-Me-4-SOCF2H Cl 2-Me-4-SOCF2H Me 2-Me-4-SO2CF2H F 2-Me-4-SO2CF2H Cl 2-Me-4-SO2CF2H Br 2-Me-4-CF3 I 2-Me-4-CF3 OMe 2-Me-4-CF3 Br 2-Me-4-OCF3 I 2-Me-4-OCF3 OMe 2-Me-4-OCF3 Br 2-Me-4-OCF2H I 2-Me-4-OCF2H OMe 2-Me-4-OCF2H Br 2-Me-4-OCH2CF3 I 2-Me-4-OCH2CF3 OMe 2-Me-4-OCH2CF3 Br 2-Me-4-SCF3 I 2-Me-4-SCF3 OMe 2-Me-4-SCF3 Br 2-Me-4-SOCF3 I 2-Me-4-SOCF3 OMe 2-Me-4-SOCF3 Br 2-Me-4-SO2CF3 I 2-Me-4-SO2CF3 OMe 2-Me-4-SO2CF3 Br 2-Me-4-SCF2H I 2-Me-4-SCF2H OMe 2-Me-4-SCF2H Br 2-Me-4-SOCF2H I 2-Me-4-SOCF2H OMe 2-Me-4-SOCF2H Br 2-Me-4-SO2CF2H I 2-Me-4-SO2CF2H OMe 2-Me-4-SO2CF2H CF3 2-Me-4-CF3 NO2 2-Me-4-CF3 SMe 2-Me-4-CF3 CF3 2-Me-4-OCF3 NO2 2-Me-4-OCF3 SMe 2-Me-4-OCF3 CF3 2-Me-4-OCF2H NO2 2-Me-4-OCF2H SMe 2-Me-4-OCF2H CF3 2-Me-4-OCH2CF3 NO2 2-Me-4-OCH2CF3 SMe 2-Me-4-OCH2CF3 CF3 2-Me-4-SCF3 NO2 2-Me-4-SCF3 SMe 2-Me-4-SCF3 CF3 2-Me-4-SOCF3 NO2 2-Me-4-SOCF3 SMe 2-Me-4-SOCF3 CF3 2-Me-4-SO2CF3 NO2 2-Me-4-SO2CF3 SMe 2-Me-4-SO2CF3 CF3 2-Me-4-SCF2H NO2 2-Me-4-SCF2H SMe 2-Me-4-SCF2H CF3 2-Me-4-SOCF2H NO2 2-Me-4-SOCF2H SMe 2-Me-4-SOCF2H CF3 2-Me-4-SO2CF2H NO2 2-Me-4-SO2CF2H SMe 2-Me-4-SO2CF2H -
TABLE 10 R4 (R5)m R4 (R5)m R4 (R5)m Me 2-CF3 Me 3-CF3 Me 4-CF3 Me 2-OCF3 Me 3-OCF3 Me 4-OCF3 Me 2-OCF2H Me 3-OCF2H Me 4-OCF2H Me 2-OCF2CF2H Me 3-OCF2CF2H Me 4-OCF2CF2H Me 2-OCH2CF3 Me 3-OCH2CF3 Me 4-OCH2CF3 Me 2-SCF3 Me 3-SCF3 Me 4-SCF3 Me 2-SOCF3 Me 3-SOCF3 Me 4-SOCF3 Me 2-SO2CF3 Me 3-SO2CF3 Me 4-SO2CF3 Me 2-SCF2H Me 3-SCF2H Me 4-SCF2H Me 2-SOCF2H Me 3-SOCF2H Me 4-SOCF2H Me 2-SO2CF2H Me 3-SO2CF2H Me 4-SO2CF2H Cl 2-CF3 Cl 3-CF3 Cl 4-CF3 Cl 2-OCF3 Cl 3-OCF3 Cl 4-OCF3 Cl 2-OCF2H Cl 3-OCF2H Cl 4-OCF2H Cl 2-OCF2CF2H Cl 3-OCF2CF2H Cl 4-OCF2CF2H Cl 2-OCH2CF3 Cl 3-OCH2CF3 Cl 4-OCH2CF3 Cl 2-SCF3 Cl 3-SCF3 Cl 4-SCF3 Cl 2-SOCF3 Cl 3-SOCF3 Cl 4-SOCF3 Cl 2-SO2CF3 Cl 3-SO2CF3 Cl 4-SO2CF3 Cl 2-SCF2H Cl 3-SCF2H Cl 4-SCF2H Cl 2-SOCF2H Cl 3-SOCF2H Cl 4-SOCF2H Cl 2-SO2CF2H Cl 3-SO2CF2H Cl 4-SO2CF2H F 2-CF3 F 3-CF3 F 4-CF3 F 2-OCF3 F 3-OCF3 F 4-OCF3 F 2-OCF2H F 3-OCF2H F 4-OCF2H F 2-OCF2CF2H F 3-OCF2CF2H F 4-OCF2CF2H F 2-OCH2CF3 F 3-OCH2CF3 F 4-OCH2CF3 F 2-SCF3 F 3-SCF3 F 4-SCF3 F 2-SOCF3 F 3-SOCF3 F 4-SOCF3 F 2-SO2CF3 F 3-SO2CF3 F 4-SO2CF3 F 2-SCF2H F 3-SCF2H F 4-SCF2H F 2-SOCF2H F 3-SOCF2H F 4-SOCF2H F 2-SO2CF2H F 3-SO2CF2H F 4-SO2CF2H Br 2-CF3 Br 3-CF3 Br 4-CF3 Br 2-OCF3 Br 3-OCF3 Br 4-OCF3 Br 2-OCF2H Br 3-OCF2H Br 4-OCF2H Br 2-OCF2CF2H Br 3-OCF2CF2H Br 4-OCF2CF2H Br 2-OCH2CF3 Br 3-OCH2CF3 Br 4-OCH2CF3 Br 2-SCF3 Br 3-SCF3 Br 4-SCF3 Br 2-SOCF3 Br 3-SOCF3 Br 4-SOCF3 Br 2-SO2CF3 Br 3-SO2CF3 Br 4-SO2CF3 Br 2-SCF2H Br 3-SCF2H Br 4-SCF2H Br 2-SOCF2H Br 3-SOCF2H Br 4-SOCF2H Br 2-SO2CF2H Br 3-SO2CF2H Br 4-SO2CF2H I 2-CF3 I 3-CF3 I 4-CF3 I 2-OCF3 I 3-OCF3 I 4-OCF3 I 2-OCF2H I 3-OCF2H I 4-OCF2H I 2-OCF2CF2H I 3-OCF2CF2H I 4-OCF2CF2H I 2-OCH2CF3 I 3-OCH2CF3 I 4-OCH2CF3 I 2-SCF3 I 3-SCF3 I 4-SCF3 I 2-SOCF3 I 3-SOCF3 I 4-SOCF3 I 2-SO2CF3 I 3-SO2CF3 I 4-SO2CF3 I 2-SCF2H I 3-SCF2H I 4-SCF2H I 2-SOCF2H I 3-SOCF2H I 4-SOCF2H I 2-SO2CF2H I 3-SO2CF2H I 4-SO2CF2H OMe 2-CF3 OMe 3-CF3 OMe 4-CF3 OMe 2-OCF3 OMe 3-OCF3 OMe 4-OCF3 OMe 2-OCF2H OMe 3-OCF2H OMe 4-OCF2H OMe 2-OCF2CF2H OMe 3-OCF2CF2H OMe 4-OCF2CF2H OMe 2-OCH2CF3 OMe 3-OCH2CF3 OMe 4-OCH2CF3 OMe 2-SCF3 OMe 3-SCF3 OMe 4-SCF3 OMe 2-SOCF3 OMe 3-SOCF3 OMe 4-SOCF3 OMe 2-SO2CF3 OMe 3-SO2CF3 OMe 4-SO2CF3 OMe 2-SCF2H OMe 3-SCF2H OMe 4-SCF2H OMe 2-SOCF2H OMe 3-SOCF2H OMe 4-SOCF2H OMe 2-SO2CF2H OMe 3-SO2CF2H OMe 4-SO2CF2H CF3 2-CF3 CF3 3-CF3 CF3 4-CF3 CF3 2-OCF3 CF3 3-OCF3 CF3 4-OCF3 CF3 2-OCF2H CF3 3-OCF2H CF3 4-OCF2H CF3 2-OCF2CF2H CF3 3-OCF2CF2H CF3 4-OCF2CF2H CF3 2-OCH2CF3 CF3 3-OCH2CF3 CF3 4-OCH2CF3 CF3 2-SCF3 CF3 3-SCF3 CF3 4-SCF3 CF3 2-SOCF3 CF3 3-SOCF3 CF3 4-SOCF3 CF3 2-SO2CF3 CF3 3-SO2CF3 CF3 4-SO2CF3 CF3 2-SCF2H CF3 3-SCF2H CF3 4-SCF2H CF3 2-SOCF2H CF3 3-SOCF2H CF3 4-SOCF2H CF3 2-SO2CF2H CF3 3-SO2CF2H CF3 4-SO2CF2H OCF2H 2-CF3 OCF2H 3-CF3 OCF2H 4-CF3 OCF2H 2-OCF3 OCF2H 3-OCF3 OCF2H 4-OCF3 OCF2H 2-OCF2H OCF2H 3-OCF2H OCF2H 4-OCF2H OCF2H 2-OCF2CF2H OCF2H 3-OCF2CF2H OCF2H 4-OCF2CF2H OCF2H 2-OCH2CF3 OCF2H 3-OCH2CF3 OCF2H 4-OCH2CF3 OCF2H 2-SCF3 OCF2H 3-SCF3 OCF2H 4-SCF3 OCF2H 2-SOCF3 OCF2H 3-SOCF3 OCF2H 4-SOCF3 OCF2H 2-SO2CF3 OCF2H 3-SO2CF3 OCF2H 4-SO2CF3 OCF2H 2-SCF2H OCF2H 3-SCF2H OCF2H 4-SCF2H OCF2H 2-SOCF2H OCF2H 3-SOCF2H OCF2H 4-SOCF2H OCF2H 2-SO2CF2H OCF2H 3-SO2CF2H OCF2H 4-SO2CF2H Me 2-Me-4-CF3 F 2-Me-4-CF3 Cl 2-Me-4-CF3 Me 2-Me-4-OCF3 F 2-Me-4-OCF3 Cl 2-Me-4-OCF3 Me 2-Me-4-OCF2H F 2-Me-4-OCF2H Cl 2-Me-4-OCF2H Me 2-Me-4-OCH2CF3 F 2-Me-4-OCH2CF3 Cl 2-Me-4-OCH2CF3 Me 2-Me-4-SCF3 F 2-Me-4-SCF3 Cl 2-Me-4-SCF3 Me 2-Me-4-SOCF3 F 2-Me-4-SOCF3 Cl 2-Me-4-SOCF3 Me 2-Me-4-SO2CF3 F 2-Me-4-SO2CF3 Cl 2-Me-4-SO2CF3 Me 2-Me-4-SCF2H F 2-Me-4-SCF2H Cl 2-Me-4-SCF2H Me 2-Me-4-SOCF2H F 2-Me-4-SOCF2H Cl 2-Me-4-SOCF2H Me 2-Me-4-SO2CF2H F 2-Me-4-SO2CF2H Cl 2-Me-4-SO2CF2H Br 2-Me-4-CF3 I 2-Me-4-CF3 OMe 2-Me-4-CF3 Br 2-Me-4-OCF3 I 2-Me-4-OCF3 OMe 2-Me-4-OCF3 Br 2-Me-4-OCF2H I 2-Me-4-OCF2H OMe 2-Me-4-OCF2H Br 2-Me-4-OCH2CF3 I 2-Me-4-OCH2CF3 OMe 2-Me-4-OCH2CF3 Br 2-Me-4-SCF3 I 2-Me-4-SCF3 OMe 2-Me-4-SCF3 Br 2-Me-4-SOCF3 I 2-Me-4-SOCF3 OMe 2-Me-4-SOCF3 Br 2-Me-4-SO2CF3 I 2-Me-4-SO2CF3 OMe 2-Me-4-SO2CF3 Br 2-Me-4-SCF2H I 2-Me-4-SCF2H OMe 2-Me-4-SCF2H Br 2-Me-4-SOCF2H I 2-Me-4-SOCF2H OMe 2-Me-4-SOCF2H Br 2-Me-4-SO2CF2H I 2-Me-4-SO2CF2H OMe 2-Me-4-SO2CF2H CF3 2-Me-4-CF3 NO2 2-Me-4-CF3 SMe 2-Me-4-CF3 CF3 2-Me-4-OCF3 NO2 2-Me-4-OCF3 SMe 2-Me-4-OCF3 CF3 2-Me-4-OCF2H NO2 2-Me-4-OCF2H SMe 2-Me-4-OCF2H CF3 2-Me-4-OCH2CF3 NO2 2-Me-4-OCH2CF3 SMe 2-Me-4-OCH2CF3 CF3 2-Me-4-SCF3 NO2 2-Me-4-SCF3 SMe 2-Me-4-SCF3 CF3 2-Me-4-SOCF3 NO2 2-Me-4-SOCF3 SMe 2-Me-4-SOCF3 CF3 2-Me-4-SO2CF3 NO2 2-Me-4-SO2CF3 SMe 2-Me-4-SO2CF3 CF3 2-Me-4-SCF2H NO2 2-Me-4-SCF2H SMe 2-Me-4-SCF2H CF3 2-Me-4-SOCF2H NO2 2-Me-4-SOCF2H SMe 2-Me-4-SOCF2H CF3 2-Me-4-SO2CF2H NO2 2-Me-4-SO2CF2H SMe 2-Me-4-SO2CF2H -
TABLE 11 R4 (R5)m R4 (R5)m R4 (R5)m Me 2-CF3 Me 3-CF3 Me 4-CF3 Me 2-OCF3 Me 3-OCF3 Me 4-OCF3 Me 2-OCF2H Me 3-OCF2H Me 4-OCF2H Me 2-OCF2CF2H Me 3-OCF2CF2H Me 4-OCF2CF2H Me 2-OCH2CF3 Me 3-OCH2CF3 Me 4-OCH2CF3 Me 2-SCF3 Me 3-SCF3 Me 4-SCF3 Me 2-SOCF3 Me 3-SOCF3 Me 4-SOCF3 Me 2-SO2CF3 Me 3-SO2CF3 Me 4-SO2CF3 Me 2-SCF2H Me 3-SCF2H Me 4-SCF2H Me 2-SOCF2H Me 3-SOCF2H Me 4-SOCF2H Me 2-SO2CF2H Me 3-SO2CF2H Me 4-SO2CF2H Cl 2-CF3 Cl 3-CF3 Cl 4-CF3 Cl 2-OCF3 Cl 3-OCF3 Cl 4-OCF3 Cl 2-OCF2H Cl 3-OCF2H Cl 4-OCF2H Cl 2-OCF2CF2H Cl 3-OCF2CF2H Cl 4-OCF2CF2H Cl 2-OCH2CF3 Cl 3-OCH2CF3 Cl 4-OCH2CF3 Cl 2-SCF3 Cl 3-SCF3 Cl 4-SCF3 Cl 2-SOCF3 Cl 3-SOCF3 Cl 4-SOCF3 Cl 2-SO2CF3 Cl 3-SO2CF3 Cl 4-SO2CF3 Cl 2-SCF2H Cl 3-SCF2H Cl 4-SCF2H Cl 2-SOCF2H Cl 3-SOCF2H Cl 4-SOCF2H Cl 2-SO2CF2H Cl 3-SO2CF2H Cl 4-SO2CF2H F 2-CF3 F 3-CF3 F 4-CF3 F 2-OCF3 F 3-OCF3 F 4-OCF3 F 2-OCF2H F 3-OCF2H F 4-OCF2H F 2-OCF2CF2H F 3-OCF2CF2H F 4-OCF2CF2H F 2-OCH2CF3 F 3-OCH2CF3 F 4-OCH2CF3 F 2-SCF3 F 3-SCF3 F 4-SCF3 F 2-SOCF3 F 3-SOCF3 F 4-SOCF3 F 2-SO2CF3 F 3-SO2CF3 F 4-SO2CF3 F 2-SCF2H F 3-SCF2H F 4-SCF2H F 2-SOCF2H F 3-SOCF2H F 4-SOCF2H F 2-SO2CF2H F 3-SO2CF2H F 4-SO2CF2H Br 2-CF3 Br 3-CF3 Br 4-CF3 Br 2-OCF3 Br 3-OCF3 Br 4-OCF3 Br 2-OCF2H Br 3-OCF2H Br 4-OCF2H Br 2-OCF2CF2H Br 3-OCF2CF2H Br 4-OCF2CF2H Br 2-OCH2CF3 Br 3-OCH2CF3 Br 4-OCH2CF3 Br 2-SCF3 Br 3-SCF3 Br 4-SCF3 Br 2-SOCF3 Br 3-SOCF3 Br 4-SOCF3 Br 2-SO2CF3 Br 3-SO2CF3 Br 4-SO2CF3 Br 2-SCF2H Br 3-SCF2H Br 4-SCF2H Br 2-SOCF2H Br 3-SOCF2H Br 4-SOCF2H Br 2-SO2CF2H Br 3-SO2CF2H Br 4-SO2CF2H I 2-CF3 I 3-CF3 I 4-CF3 I 2-OCF3 I 3-OCF3 I 4-OCF3 I 2-OCF2H I 3-OCF2H I 4-OCF2H I 2-OCF2CF2H I 3-OCF2CF2H I 4-OCF2CF2H I 2-OCH2CF3 I 3-OCH2CF3 I 4-OCH2CF3 I 2-SCF3 I 3-SCF3 I 4-SCF3 I 2-SOCF3 I 3-SOCF3 I 4-SOCF3 I 2-SO2CF3 I 3-SO2CF3 I 4-SO2CF3 I 2-SCF2H I 3-SCF2H I 4-SCF2H I 2-SOCF2H I 3-SOCF2H I 4-SOCF2H I 2-SO2CF2H I 3-SO2CF2H I 4-SO2CF2H OMe 2-CF3 OMe 3-CF3 OMe 4-CF3 OMe 2-OCF3 OMe 3-OCF3 OMe 4-OCF3 OMe 2-OCF2H OMe 3-OCF2H OMe 4-OCF2H OMe 2-OCF2CF2H OMe 3-OCF2CF2H OMe 4-OCF2CF2H OMe 2-OCH2CF3 OMe 3-OCH2CF3 OMe 4-OCH2CF3 OMe 2-SCF3 OMe 3-SCF3 OMe 4-SCF3 OMe 2-SOCF3 OMe 3-SOCF3 OMe 4-SOCF3 OMe 2-SO2CF3 OMe 3-SO2CF3 OMe 4-SO2CF3 OMe 2-SCF2H OMe 3-SCF2H OMe 4-SCF2H OMe 2-SOCF2H OMe 3-SOCF2H OMe 4-SOCF2H OMe 2-SO2CF2H OMe 3-SO2CF2H OMe 4-SO2CF2H CF3 2-CF3 CF3 3-CF3 CF3 4-CF3 CF3 2-OCF3 CF3 3-OCF3 CF3 4-OCF3 CF3 2-OCF2H CF3 3-OCF2H CF3 4-OCF2H CF3 2-OCF2CF2H CF3 3-OCF2CF2H CF3 4-OCF2CF2H CF3 2-OCH2CF3 CF3 3-OCH2CF3 CF3 4-OCH2CF3 CF3 2-SCF3 CF3 3-SCF3 CF3 4-SCF3 CF3 2-SOCF3 CF3 3-SOCF3 CF3 4-SOCF3 CF3 2-SO2CF3 CF3 3-SO2CF3 CF3 4-SO2CF3 CF3 2-SCF2H CF3 3-SCF2H CF3 4-SCF2H CF3 2-SOCF2H CF3 3-SOCF2H CF3 4-SOCF2H CF3 2-SO2CF2H CF3 3-SO2CF2H CF3 4-SO2CF2H OCF2H 2-CF3 OCF2H 3-CF3 OCF2H 4-CF3 OCF2H 2-OCF3 OCF2H 3-OCF3 OCF2H 4-OCF3 OCF2H 2-OCF2H OCF2H 3-OCF2H OCF2H 4-OCF2H OCF2H 2-OCF2CF2H OCF2H 3-OCF2CF2H OCF2H 4-OCF2CF2H OCF2H 2-OCH2CF3 OCF2H 3-OCH2CF3 OCF2H 4-OCH2CF3 OCF2H 2-SCF3 OCF2H 3-SCF3 OCF2H 4-SCF3 OCF2H 2-SOCF3 OCF2H 3-SOCF3 OCF2H 4-SOCF3 OCF2H 2-SO2CF3 OCF2H 3-SO2CF3 OCF2H 4-SO2CF3 OCF2H 2-SCF2H OCF2H 3-SCF2H OCF2H 4-SCF2H OCF2H 2-SOCF2H OCF2H 3-SOCF2H OCF2H 4-SOCF2H OCF2H 2-SO2CF2H OCF2H 3-SO2CF2H OCF2H 4-SO2CF2H Me 2-Me-4-CF3 F 2-Me-4-CF3 Cl 2-Me-4-CF3 Me 2-Me-4-OCF3 F 2-Me-4-OCF3 Cl 2-Me-4-OCF3 Me 2-Me-4-OCF2H F 2-Me-4-OCF2H Cl 2-Me-4-OCF2H Me 2-Me-4-OCH2CF3 F 2-Me-4-OCH2CF3 Cl 2-Me-4-OCH2CF3 Me 2-Me-4-SCF3 F 2-Me-4-SCF3 Cl 2-Me-4-SCF3 Me 2-Me-4-SOCF3 F 2-Me-4-SOCF3 Cl 2-Me-4-SOCF3 Me 2-Me-4-SO2CF3 F 2-Me-4-SO2CF3 Cl 2-Me-4-SO2CF3 Me 2-Me-4-SCF2H F 2-Me-4-SCF2H Cl 2-Me-4-SCF2H Me 2-Me-4-SOCF2H F 2-Me-4-SOCF2H Cl 2-Me-4-SOCF2H Me 2-Me-4-SO2CF2H F 2-Me-4-SO2CF2H Cl 2-Me-4-SO2CF2H Br 2-Me-4-CF3 I 2-Me-4-CF3 OMe 2-Me-4-CF3 Br 2-Me-4-OCF3 I 2-Me-4-OCF3 OMe 2-Me-4-OCF3 Br 2-Me-4-OCF2H I 2-Me-4-OCF2H OMe 2-Me-4-OCF2H Br 2-Me-4-OCH2CF3 I 2-Me-4-OCH2CF3 OMe 2-Me-4-OCH2CF3 Br 2-Me-4-SCF3 I 2-Me-4-SCF3 OMe 2-Me-4-SCF3 Br 2-Me-4-SOCF3 I 2-Me-4-SOCF3 OMe 2-Me-4-SOCF3 Br 2-Me-4-SO2CF3 I 2-Me-4-SO2CF3 OMe 2-Me-4-SO2CF3 Br 2-Me-4-SCF2H I 2-Me-4-SCF2H OMe 2-Me-4-SCF2H Br 2-Me-4-SOCF2H I 2-Me-4-SOCF2H OMe 2-Me-4-SOCF2H Br 2-Me-4-SO2CF2H I 2-Me-4-SO2CF2H OMe 2-Me-4-SO2CF2H CF3 2-Me-4-CF3 NO2 2-Me-4-CF3 SMe 2-Me-4-CF3 CF3 2-Me-4-OCF3 NO2 2-Me-4-OCF3 SMe 2-Me-4-OCF3 CF3 2-Me-4-OCF2H NO2 2-Me-4-OCF2H SMe 2-Me-4-OCF2H CF3 2-Me-4-OCH2CF3 NO2 2-Me-4-OCH2CF3 SMe 2-Me-4-OCH2CF3 CF3 2-Me-4-SCF3 NO2 2-Me-4-SCF3 SMe 2-Me-4-SCF3 CF3 2-Me-4-SOCF3 NO2 2-Me-4-SOCF3 SMe 2-Me-4-SOCF3 CF3 2-Me-4-SO2CF3 NO2 2-Me-4-SO2CF3 SMe 2-Me-4-SO2CF3 CF3 2-Me-4-SCF2H NO2 2-Me-4-SCF2H SMe 2-Me-4-SCF2H CF3 2-Me-4-SOCF2H NO2 2-Me-4-SOCF2H SMe 2-Me-4-SOCF2H CF3 2-Me-4-SO2CF2H NO2 2-Me-4-SO2CF2H SMe 2-Me-4-SO2CF2H -
TABLE 12 R4 (R5)m R4 (R5)m R4 (R5)m Me 2-CF3 Me 3-CF3 Me 4-CF3 Me 2-OCF3 Me 3-OCF3 Me 4-OCF3 Me 2-OCF2H Me 3-OCF2H Me 4-OCF2H Me 2-OCF2CF2H Me 3-OCF2CF2H Me 4-OCF2CF2H Me 2-OCH2CF3 Me 3-OCH2CF3 Me 4-OCH2CF3 Me 2-SCF3 Me 3-SCF3 Me 4-SCF3 Me 2-SOCF3 Me 3-SOCF3 Me 4-SOCF3 Me 2-SO2CF3 Me 3-SO2CF3 Me 4-SO2CF3 Me 2-SCF2H Me 3-SCF2H Me 4-SCF2H Me 2-SOCF2H Me 3-SOCF2H Me 4-SOCF2H Me 2-SO2CF2H Me 3-SO2CF2H Me 4-SO2CF2H Cl 2-CF3 Cl 3-CF3 Cl 4-CF3 Cl 2-OCF3 Cl 3-OCF3 Cl 4-OCF3 Cl 2-OCF2H Cl 3-OCF2H Cl 4-OCF2H Cl 2-OCF2CF2H Cl 3-OCF2CF2H Cl 4-OCF2CF2H Cl 2-OCH2CF3 Cl 3-OCH2CF3 Cl 4-OCH2CF3 Cl 2-SCF3 Cl 3-SCF3 Cl 4-SCF3 Cl 2-SOCF3 Cl 3-SOCF3 Cl 4-SOCF3 Cl 2-SO2CF3 Cl 3-SO2CF3 Cl 4-SO2CF3 Cl 2-SCF2H Cl 3-SCF2H Cl 4-SCF2H Cl 2-SOCF2H Cl 3-SOCF2H Cl 4-SOCF2H Cl 2-SO2CF2H Cl 3-SO2CF2H Cl 4-SO2CF2H F 2-CF3 F 3-CF3 F 4-CF3 F 2-OCF3 F 3-OCF3 F 4-OCF3 F 2-OCF2H F 3-OCF2H F 4-OCF2H F 2-OCF2CF2H F 3-OCF2CF2H F 4-OCF2CF2H F 2-OCH2CF3 F 3-OCH2CF3 F 4-OCH2CF3 F 2-SCF3 F 3-SCF3 F 4-SCF3 F 2-SOCF3 F 3-SOCF3 F 4-SOCF3 F 2-SO2CF3 F 3-SO2CF3 F 4-SO2CF3 F 2-SCF2H F 3-SCF2H F 4-SCF2H F 2-SOCF2H F 3-SOCF2H F 4-SOCF2H F 2-SO2CF2H F 3-SO2CF2H F 4-SO2CF2H Br 2-CF3 Br 3-CF3 Br 4-CF3 Br 2-OCF3 Br 3-OCF3 Br 4-OCF3 Br 2-OCF2H Br 3-OCF2H Br 4-OCF2H Br 2-OCF2CF2H Br 3-OCF2CF2H Br 4-OCF2CF2H Br 2-OCH2CF3 Br 3-OCH2CF3 Br 4-OCH2CF3 Br 2-SCF3 Br 3-SCF3 Br 4-SCF3 Br 2-SOCF3 Br 3-SOCF3 Br 4-SOCF3 Br 2-SO2CF3 Br 3-SO2CF3 Br 4-SO2CF3 Br 2-SCF2H Br 3-SCF2H Br 4-SCF2H Br 2-SOCF2H Br 3-SOCF2H Br 4-SOCF2H Br 2-SO2CF2H Br 3-SO2CF2H Br 4-SO2CF2H I 2-CF3 I 3-CF3 I 4-CF3 I 2-OCF3 I 3-OCF3 I 4-OCF3 I 2-OCF2H I 3-OCF2H I 4-OCF2H I 2-OCF2CF2H I 3-OCF2CF2H I 4-OCF2CF2H I 2-OCH2CF3 I 3-OCH2CF3 I 4-OCH2CF3 I 2-SCF3 I 3-SCF3 I 4-SCF3 I 2-SOCF3 I 3-SOCF3 I 4-SOCF3 I 2-SO2CF3 I 3-SO2CF3 I 4-SO2CF3 I 2-SCF2H I 3-SCF2H I 4-SCF2H I 2-SOCF2H I 3-SOCF2H I 4-SOCF2H I 2-SO2CF2H I 3-SO2CF2H I 4-SO2CF2H OMe 2-CF3 OMe 3-CF3 OMe 4-CF3 OMe 2-OCF3 OMe 3-OCF3 OMe 4-OCF3 OMe 2-OCF2H OMe 3-OCF2H OMe 4-OCF2H OMe 2-OCF2CF2H OMe 3-OCF2CF2H OMe 4-OCF2CF2H OMe 2-OCH2CF3 OMe 3-OCH2CF3 OMe 4-OCH2CF3 OMe 2-SCF3 OMe 3-SCF3 OMe 4-SCF3 OMe 2-SOCF3 OMe 3-SOCF3 OMe 4-SOCF3 OMe 2-SO2CF3 OMe 3-SO2CF3 OMe 4-SO2CF3 OMe 2-SCF2H OMe 3-SCF2H OMe 4-SCF2H OMe 2-SOCF2H OMe 3-SOCF2H OMe 4-SOCF2H OMe 2-SO2CF2H OMe 3-SO2CF2H OMe 4-SO2CF2H CF3 2-CF3 CF3 3-CF3 CF3 4-CF3 CF3 2-OCF3 CF3 3-OCF3 CF3 4-OCF3 CF3 2-OCF2H CF3 3-OCF2H CF3 4-OCF2H CF3 2-OCF2CF2H CF3 3-OCF2CF2H CF3 4-OCF2CF2H CF3 2-OCH2CF3 CF3 3-OCH2CF3 CF3 4-OCH2CF3 CF3 2-SCF3 CF3 3-SCF3 CF3 4-SCF3 CF3 2-SOCF3 CF3 3-SOCF3 CF3 4-SOCF3 CF3 2-SO2CF3 CF3 3-SO2CF3 CF3 4-SO2CF3 CF3 2-SCF2H CF3 3-SCF2H CF3 4-SCF2H CF3 2-SOCF2H CF3 3-SOCF2H CF3 4-SOCF2H CF3 2-SO2CF2H CF3 3-SO2CF2H CF3 4-SO2CF2H OCF2H 2-CF3 OCF2H 3-CF3 OCF2H 4-CF3 OCF2H 2-OCF3 OCF2H 3-OCF3 OCF2H 4-OCF3 OCF2H 2-OCF2H OCF2H 3-OCF2H OCF2H 4-OCF2H OCF2H 2-OCF2CF2H OCF2H 3-OCF2CF2H OCF2H 4-OCF2CF2H OCF2H 2-OCH2CF3 OCF2H 3-OCH2CF3 OCF2H 4-OCH2CF3 OCF2H 2-SCF3 OCF2H 3-SCF3 OCF2H 4-SCF3 OCF2H 2-SOCF3 OCF2H 3-SOCF3 OCF2H 4-SOCF3 OCF2H 2-SO2CF3 OCF2H 3-SO2CF3 OCF2H 4-SO2CF3 OCF2H 2-SCF2H OCF2H 3-SCF2H OCF2H 4-SCF2H OCF2H 2-SOCF2H OCF2H 3-SOCF2H OCF2H 4-SOCF2H OCF2H 2-SO2CF2H OCF2H 3-SO2CF2H OCF2H 4-SO2CF2H Me 2-Me-4-CF3 F 2-Me-4-CF3 Cl 2-Me-4-CF3 Me 2-Me-4-OCF3 F 2-Me-4-OCF3 Cl 2-Me-4-OCF3 Me 2-Me-4-OCF2H F 2-Me-4-OCF2H Cl 2-Me-4-OCF2H Me 2-Me-4-OCH2CF3 F 2-Me-4-OCH2CF3 Cl 2-Me-4-OCH2CF3 Me 2-Me-4-SCF3 F 2-Me-4-SCF3 Cl 2-Me-4-SCF3 Me 2-Me-4-SOCF3 F 2-Me-4-SOCF3 Cl 2-Me-4-SOCF3 Me 2-Me-4-SO2CF3 F 2-Me-4-SO2CF3 Cl 2-Me-4-SO2CF3 Me 2-Me-4-SCF2H F 2-Me-4-SCF2H Cl 2-Me-4-SCF2H Me 2-Me-4-SOCF2H F 2-Me-4-SOCF2H Cl 2-Me-4-SOCF2H Me 2-Me-4-SO2CF2H F 2-Me-4-SO2CF2H Cl 2-Me-4-SO2CF2H Br 2-Me-4-CF3 I 2-Me-4-CF3 OMe 2-Me-4-CF3 Br 2-Me-4-OCF3 I 2-Me-4-OCF3 OMe 2-Me-4-OCF3 Br 2-Me-4-OCF2H I 2-Me-4-OCF2H OMe 2-Me-4-OCF2H Br 2-Me-4-OCH2CF3 I 2-Me-4-OCH2CF3 OMe 2-Me-4-OCH2CF3 Br 2-Me-4-SCF3 I 2-Me-4-SCF3 OMe 2-Me-4-SCF3 Br 2-Me-4-SOCF3 I 2-Me-4-SOCF3 OMe 2-Me-4-SOCF3 Br 2-Me-4-SO2CF3 I 2-Me-4-SO2CF3 OMe 2-Me-4-SO2CF3 Br 2-Me-4-SCF2H I 2-Me-4-SCF2H OMe 2-Me-4-SCF2H Br 2-Me-4-SOCF2H I 2-Me-4-SOCF2H OMe 2-Me-4-SOCF2H Br 2-Me-4-SO2CF2H I 2-Me-4-SO2CF2H OMe 2-Me-4-SO2CF2H CF3 2-Me-4-CF3 NO2 2-Me-4-CF3 SMe 2-Me-4-CF3 CF3 2-Me-4-OCF3 NO2 2-Me-4-OCF3 SMe 2-Me-4-OCF3 CF3 2-Me-4-OCF2H NO2 2-Me-4-OCF2H SMe 2-Me-4-OCF2H CF3 2-Me-4-OCH2CF3 NO2 2-Me-4-OCH2CF3 SMe 2-Me-4-OCH2CF3 CF3 2-Me-4-SCF3 NO2 2-Me-4-SCF3 SMe 2-Me-4-SCF3 CF3 2-Me-4-SOCF3 NO2 2-Me-4-SOCF3 SMe 2-Me-4-SOCF3 CF3 2-Me-4-SO2CF3 NO2 2-Me-4-SO2CF3 SMe 2-Me-4-SO2CF3 CF3 2-Me-4-SCF2H NO2 2-Me-4-SCF2H SMe 2-Me-4-SCF2H CF3 2-Me-4-SOCF2H NO2 2-Me-4-SOCF2H SMe 2-Me-4-SOCF2H CF3 2-Me-4-SO2CF2H NO2 2-Me-4-SO2CF2H SMe 2-Me-4-SO2CF2H -
TABLE 13 R4 (R5)m R4 (R5)m R4 (R5)m Me 2-CF3 Me 3-CF3 Me 4-CF3 Me 2-OCF3 Me 3-OCF3 Me 4-OCF3 Me 2-OCF2H Me 3-OCF2H Me 4-OCF2H Me 2-OCF2CF2H Me 3-OCF2CF2H Me 4-OCF2CF2H Me 2-OCH2CF3 Me 3-OCH2CF3 Me 4-OCH2CF3 Me 2-SCF3 Me 3-SCF3 Me 4-SCF3 Me 2-SOCF3 Me 3-SOCF3 Me 4-SOCF3 Me 2-SO2CF3 Me 3-SO2CF3 Me 4-SO2CF3 Me 2-SCF2H Me 3-SCF2H Me 4-SCF2H Me 2-SOCF2H Me 3-SOCF2H Me 4-SOCF2H Me 2-SO2CF2H Me 3-SO2CF2H Me 4-SO2CF2H Cl 2-CF3 Cl 3-CF3 Cl 4-CF3 Cl 2-OCF3 Cl 3-OCF3 Cl 4-OCF3 Cl 2-OCF2H Cl 3-OCF2H Cl 4-OCF2H Cl 2-OCF2CF2H Cl 3-OCF2CF2H Cl 4-OCF2CF2H Cl 2-OCH2CF3 Cl 3-OCH2CF3 Cl 4-OCH2CF3 Cl 2-SCF3 Cl 3-SCF3 Cl 4-SCF3 Cl 2-SOCF3 Cl 3-SOCF3 Cl 4-SOCF3 Cl 2-SO2CF3 Cl 3-SO2CF3 Cl 4-SO2CF3 Cl 2-SCF2H Cl 3-SCF2H Cl 4-SCF2H Cl 2-SOCF2H Cl 3-SOCF2H Cl 4-SOCF2H Cl 2-SO2CF2H Cl 3-SO2CF2H Cl 4-SO2CF2H F 2-CF3 F 3-CF3 F 4-CF3 F 2-OCF3 F 3-OCF3 F 4-OCF3 F 2-OCF2H F 3-OCF2H F 4-OCF2H F 2-OCF2CF2H F 3-OCF2CF2H F 4-OCF2CF2H F 2-OCH2CF3 F 3-OCH2CF3 F 4-OCH2CF3 F 2-SCF3 F 3-SCF3 F 4-SCF3 F 2-SOCF3 F 3-SOCF3 F 4-SOCF3 F 2-SO2CF3 F 3-SO2CF3 F 4-SO2CF3 F 2-SCF2H F 3-SCF2H F 4-SCF2H F 2-SOCF2H F 3-SOCF2H F 4-SOCF2H F 2-SO2CF2H F 3-SO2CF2H F 4-SO2CF2H Br 2-CF3 Br 3-CF3 Br 4-CF3 Br 2-OCF3 Br 3-OCF3 Br 4-OCF3 Br 2-OCF2H Br 3-OCF2H Br 4-OCF2H Br 2-OCF2CF2H Br 3-OCF2CF2H Br 4-OCF2CF2H Br 2-OCH2CF3 Br 3-OCH2CF3 Br 4-OCH2CF3 Br 2-SCF3 Br 3-SCF3 Br 4-SCF3 Br 2-SOCF3 Br 3-SOCF3 Br 4-SOCF3 Br 2-SO2CF3 Br 3-SO2CF3 Br 4-SO2CF3 Br 2-SCF2H Br 3-SCF2H Br 4-SCF2H Br 2-SOCF2H Br 3-SOCF2H Br 4-SOCF2H Br 2-SO2CF2H Br 3-SO2CF2H Br 4-SO2CF2H I 2-CF3 I 3-CF3 I 4-CF3 I 2-OCF3 I 3-OCF3 I 4-OCF3 I 2-OCF2H I 3-OCF2H I 4-OCF2H I 2-OCF2CF2H I 3-OCF2CF2H I 4-OCF2CF2H I 2-OCH2CF3 I 3-OCH2CF3 I 4-OCH2CF3 I 2-SCF3 I 3-SCF3 I 4-SCF3 I 2-SOCF3 I 3-SOCF3 I 4-SOCF3 I 2-SO2CF3 I 3-SO2CF3 I 4-SO2CF3 I 2-SCF2H I 3-SCF2H I 4-SCF2H I 2-SOCF2H I 3-SOCF2H I 4-SOCF2H I 2-SO2CF2H I 3-SO2CF2H I 4-SO2CF2H OMe 2-CF3 OMe 3-CF3 OMe 4-CF3 OMe 2-OCF3 OMe 3-OCF3 OMe 4-OCF3 OMe 2-OCF2H OMe 3-OCF2H OMe 4-OCF2H OMe 2-OCF2CF2H OMe 3-OCF2CF2H OMe 4-OCF2CF2H OMe 2-OCH2CF3 OMe 3-OCH2CF3 OMe 4-OCH2CF3 OMe 2-SCF3 OMe 3-SCF3 OMe 4-SCF3 OMe 2-SOCF3 OMe 3-SOCF3 OMe 4-SOCF3 OMe 2-SO2CF3 OMe 3-SO2CF3 OMe 4-SO2CF3 OMe 2-SCF2H OMe 3-SCF2H OMe 4-SCF2H OMe 2-SOCF2H OMe 3-SOCF2H OMe 4-SOCF2H OMe 2-SO2CF2H OMe 3-SO2CF2H OMe 4-SO2CF2H CF3 2-CF3 CF3 3-CF3 CF3 4-CF3 CF3 2-OCF3 CF3 3-OCF3 CF3 4-OCF3 CF3 2-OCF2H CF3 3-OCF2H CF3 4-OCF2H CF3 2-OCF2CF2H CF3 3-OCF2CF2H CF3 4-OCF2CF2H CF3 2-OCH2CF3 CF3 3-OCH2CF3 CF3 4-OCH2CF3 CF3 2-SCF3 CF3 3-SCF3 CF3 4-SCF3 CF3 2-SOCF3 CF3 3-SOCF3 CF3 4-SOCF3 CF3 2-SO2CF3 CF3 3-SO2CF3 CF3 4-SO2CF3 CF3 2-SCF2H CF3 3-SCF2H CF3 4-SCF2H CF3 2-SOCF2H CF3 3-SOCF2H CF3 4-SOCF2H CF3 2-SO2CF2H CF3 3-SO2CF2H CF3 4-SO2CF2H OCF2H 2-CF3 OCF2H 3-CF3 OCF2H 4-CF3 OCF2H 2-OCF3 OCF2H 3-OCF3 OCF2H 4-OCF3 OCF2H 2-OCF2H OCF2H 3-OCF2H OCF2H 4-OCF2H OCF2H 2-OCF2CF2H OCF2H 3-OCF2CF2H OCF2H 4-OCF2CF2H OCF2H 2-OCH2CF3 OCF2H 3-OCH2CF3 OCF2H 4-OCH2CF3 OCF2H 2-SCF3 OCF2H 3-SCF3 OCF2H 4-SCF3 OCF2H 2-SOCF3 OCF2H 3-SOCF3 OCF2H 4-SOCF3 OCF2H 2-SO2CF3 OCF2H 3-SO2CF3 OCF2H 4-SO2CF3 OCF2H 2-SCF2H OCF2H 3-SCF2H OCF2H 4-SCF2H OCF2H 2-SOCF2H OCF2H 3-SOCF2H OCF2H 4-SOCF2H OCF2H 2-SO2CF2H OCF2H 3-SO2CF2H OCF2H 4-SO2CF2H Me 2-Me-4-CF3 F 2-Me-4-CF3 Cl 2-Me-4-CF3 Me 2-Me-4-OCF3 F 2-Me-4-OCF3 Cl 2-Me-4-OCF3 Me 2-Me-4-OCF2H F 2-Me-4-OCF2H Cl 2-Me-4-OCF2H Me 2-Me-4-OCH2CF3 F 2-Me-4-OCH2CF3 Cl 2-Me-4-OCH2CF3 Me 2-Me-4-SCF3 F 2-Me-4-SCF3 Cl 2-Me-4-SCF3 Me 2-Me-4-SOCF3 F 2-Me-4-SOCF3 Cl 2-Me-4-SOCF3 Me 2-Me-4-SO2CF3 F 2-Me-4-SO2CF3 Cl 2-Me-4-SO2CF3 Me 2-Me-4-SCF2H F 2-Me-4-SCF2H Cl 2-Me-4-SCF2H Me 2-Me-4-SOCF2H F 2-Me-4-SOCF2H Cl 2-Me-4-SOCF2H Me 2-Me-4-SO2CF2H F 2-Me-4-SO2CF2H Cl 2-Me-4-SO2CF2H Br 2-Me-4-CF3 I 2-Me-4-CF3 OMe 2-Me-4-CF3 Br 2-Me-4-OCF3 I 2-Me-4-OCF3 OMe 2-Me-4-OCF3 Br 2-Me-4-OCF2H I 2-Me-4-OCF2H OMe 2-Me-4-OCF2H Br 2-Me-4-OCH2CF3 I 2-Me-4-OCH2CF3 OMe 2-Me-4-OCH2CF3 Br 2-Me-4-SCF3 I 2-Me-4-SCF3 OMe 2-Me-4-SCF3 Br 2-Me-4-SOCF3 I 2-Me-4-SOCF3 OMe 2-Me-4-SOCF3 Br 2-Me-4-SO2CF3 I 2-Me-4-SO2CF3 OMe 2-Me-4-SO2CF3 Br 2-Me-4-SCF2H I 2-Me-4-SCF2H OMe 2-Me-4-SCF2H Br 2-Me-4-SOCF2H I 2-Me-4-SOCF2H OMe 2-Me-4-SOCF2H Br 2-Me-4-SO2CF2H I 2-Me-4-SO2CF2H OMe 2-Me-4-SO2CF2H CF3 2-Me-4-CF3 NO2 2-Me-4-CF3 SMe 2-Me-4-CF3 CF3 2-Me-4-OCF3 NO2 2-Me-4-OCF3 SMe 2-Me-4-OCF3 CF3 2-Me-4-OCF2H NO2 2-Me-4-OCF2H SMe 2-Me-4-OCF2H CF3 2-Me-4-OCH2CF3 NO2 2-Me-4-OCH2CF3 SMe 2-Me-4-OCH2CF3 CF3 2-Me-4-SCF3 NO2 2-Me-4-SCF3 SMe 2-Me-4-SCF3 CF3 2-Me-4-SOCF3 NO2 2-Me-4-SOCF3 SMe 2-Me-4-SOCF3 CF3 2-Me-4-SO2CF3 NO2 2-Me-4-SO2CF3 SMe 2-Me-4-SO2CF3 CF3 2-Me-4-SCF2H NO2 2-Me-4-SCF2H SMe 2-Me-4-SCF2H CF3 2-Me-4-SOCF2H NO2 2-Me-4-SOCF2H SMe 2-Me-4-SOCF2H CF3 2-Me-4-SO2CF2H NO2 2-Me-4-SO2CF2H SMe 2-Me-4-SO2CF2H -
TABLE 14 R4 (R5)m R4 (R5)m R4 (R5)m Me 2-CF3 Me 3-CF3 Me 4-CF3 Me 2-OCF3 Me 3-OCF3 Me 4-OCF3 Me 2-OCF2H Me 3-OCF2H Me 4-OCF2H Me 2-OCF2CF2H Me 3-OCF2CF2H Me 4-OCF2CF2H Me 2-OCH2CF3 Me 3-OCH2CF3 Me 4-OCH2CF3 Me 2-SCF3 Me 3-SCF3 Me 4-SCF3 Me 2-SOCF3 Me 3-SOCF3 Me 4-SOCF3 Me 2-SO2CF3 Me 3-SO2CF3 Me 4-SO2CF3 Me 2-SCF2H Me 3-SCF2H Me 4-SCF2H Me 2-SOCF2H Me 3-SOCF2H Me 4-SOCF2H Me 2-SO2CF2H Me 3-SO2CF2H Me 4-SO2CF2H Cl 2-CF3 Cl 3-CF3 Cl 4-CF3 Cl 2-OCF3 Cl 3-OCF3 Cl 4-OCF3 Cl 2-OCF2H Cl 3-OCF2H Cl 4-OCF2H Cl 2-OCF2CF2H Cl 3-OCF2CF2H Cl 4-OCF2CF2H Cl 2-OCH2CF3 Cl 3-OCH2CF3 Cl 4-OCH2CF3 Cl 2-SCF3 Cl 3-SCF3 Cl 4-SCF3 Cl 2-SOCF3 Cl 3-SOCF3 Cl 4-SOCF3 Cl 2-SO2CF3 Cl 3-SO2CF3 Cl 4-SO2CF3 Cl 2-SCF2H Cl 3-SCF2H Cl 4-SCF2H Cl 2-SOCF2H Cl 3-SOCF2H Cl 4-SOCF2H Cl 2-SO2CF2H Cl 3-SO2CF2H Cl 4-SO2CF2H F 2-CF3 F 3-CF3 F 4-CF3 F 2-OCF3 F 3-OCF3 F 4-OCF3 F 2-OCF2H F 3-OCF2H F 4-OCF2H F 2-OCF2CF2H F 3-OCF2CF2H F 4-OCF2CF2H F 2-OCH2CF3 F 3-OCH2CF3 F 4-OCH2CF3 F 2-SCF3 F 3-SCF3 F 4-SCF3 F 2-SOCF3 F 3-SOCF3 F 4-SOCF3 F 2-SO2CF3 F 3-SO2CF3 F 4-SO2CF3 F 2-SCF2H F 3-SCF2H F 4-SCF2H F 2-SOCF2H F 3-SOCF2H F 4-SOCF2H F 2-SO2CF2H F 3-SO2CF2H F 4-SO2CF2H Br 2-CF3 Br 3-CF3 Br 4-CF3 Br 2-OCF3 Br 3-OCF3 Br 4-OCF3 Br 2-OCF2H Br 3-OCF2H Br 4-OCF2H Br 2-OCF2CF2H Br 3-OCF2CF2H Br 4-OCF2CF2H Br 2-OCH2CF3 Br 3-OCH2CF3 Br 4-OCH2CF3 Br 2-SCF3 Br 3-SCF3 Br 4-SCF3 Br 2-SOCF3 Br 3-SOCF3 Br 4-SOCF3 Br 2-SO2CF3 Br 3-SO2CF3 Br 4-SO2CF3 Br 2-SCF2H Br 3-SCF2H Br 4-SCF2H Br 2-SOCF2H Br 3-SOCF2H Br 4-SOCF2H Br 2-SO2CF2H Br 3-SO2CF2H Br 4-SO2CF2H I 2-CF3 I 3-CF3 I 4-CF3 I 2-OCF3 I 3-OCF3 I 4-OCF3 I 2-OCF2H I 3-OCF2H I 4-OCF2H I 2-OCF2CF2H I 3-OCF2CF2H I 4-OCF2CF2H I 2-OCH2CF3 I 3-OCH2CF3 I 4-OCH2CF3 I 2-SCF3 I 3-SCF3 I 4-SCF3 I 2-SOCF3 I 3-SOCF3 I 4-SOCF3 I 2-SO2CF3 I 3-SO2CF3 I 4-SO2CF3 I 2-SCF2H I 3-SCF2H I 4-SCF2H I 2-SOCF2H I 3-SOCF2H I 4-SOCF2H I 2-SO2CF2H I 3-SO2CF2H I 4-SO2CF2H OMe 2-CF3 OMe 3-CF3 OMe 4-CF3 OMe 2-OCF3 OMe 3-OCF3 OMe 4-OCF3 OMe 2-OCF2H OMe 3-OCF2H OMe 4-OCF2H OMe 2-OCF2CF2H OMe 3-OCF2CF2H OMe 4-OCF2CF2H OMe 2-OCH2CF3 OMe 3-OCH2CF3 OMe 4-OCH2CF3 OMe 2-SCF3 OMe 3-SCF3 OMe 4-SCF3 OMe 2-SOCF3 OMe 3-SOCF3 OMe 4-SOCF3 OMe 2-SO2CF3 OMe 3-SO2CF3 OMe 4-SO2CF3 OMe 2-SCF2H OMe 3-SCF2H OMe 4-SCF2H OMe 2-SOCF2H OMe 3-SOCF2H OMe 4-SOCF2H OMe 2-SO2CF2H OMe 3-SO2CF2H OMe 4-SO2CF2H CF3 2-CF3 CF3 3-CF3 CF3 4-CF3 CF3 2-OCF3 CF3 3-OCF3 CF3 4-OCF3 CF3 2-OCF2H CF3 3-OCF2H CF3 4-OCF2H CF3 2-OCF2CF2H CF3 3-OCF2CF2H CF3 4-OCF2CF2H CF3 2-OCH2CF3 CF3 3-OCH2CF3 CF3 4-OCH2CF3 CF3 2-SCF3 CF3 3-SCF3 CF3 4-SCF3 CF3 2-SOCF3 CF3 3-SOCF3 CF3 4-SOCF3 CF3 2-SO2CF3 CF3 3-SO2CF3 CF3 4-SO2CF3 CF3 2-SCF2H CF3 3-SCF2H CF3 4-SCF2H CF3 2-SOCF2H CF3 3-SOCF2H CF3 4-SOCF2H CF3 2-SO2CF2H CF3 3-SO2CF2H CF3 4-SO2CF2H OCF2H 2-CF3 OCF2H 3-CF3 OCF2H 4-CF3 OCF2H 2-OCF3 OCF2H 3-OCF3 OCF2H 4-OCF3 OCF2H 2-OCF2H OCF2H 3-OCF2H OCF2H 4-OCF2H OCF2H 2-OCF2CF2H OCF2H 3-OCF2CF2H OCF2H 4-OCF2CF2H OCF2H 2-OCH2CF3 OCF2H 3-OCH2CF3 OCF2H 4-OCH2CF3 OCF2H 2-SCF3 OCF2H 3-SCF3 OCF2H 4-SCF3 OCF2H 2-SOCF3 OCF2H 3-SOCF3 OCF2H 4-SOCF3 OCF2H 2-SO2CF3 OCF2H 3-SO2CF3 OCF2H 4-SO2CF3 OCF2H 2-SCF2H OCF2H 3-SCF2H OCF2H 4-SCF2H OCF2H 2-SOCF2H OCF2H 3-SOCF2H OCF2H 4-SOCF2H OCF2H 2-SO2CF2H OCF2H 3-SO2CF2H OCF2H 4-SO2CF2H Me 2-Me-4-CF3 F 2-Me-4-CF3 Cl 2-Me-4-CF3 Me 2-Me-4-OCF3 F 2-Me-4-OCF3 Cl 2-Me-4-OCF3 Me 2-Me-4-OCF2H F 2-Me-4-OCF2H Cl 2-Me-4-OCF2H Me 2-Me-4-OCH2CF3 F 2-Me-4-OCH2CF3 Cl 2-Me-4-OCH2CF3 Me 2-Me-4-SCF3 F 2-Me-4-SCF3 Cl 2-Me-4-SCF3 Me 2-Me-4-SOCF3 F 2-Me-4-SOCF3 Cl 2-Me-4-SOCF3 Me 2-Me-4-SO2CF3 F 2-Me-4-SO2CF3 Cl 2-Me-4-SO2CF3 Me 2-Me-4-SCF2H F 2-Me-4-SCF2H Cl 2-Me-4-SCF2H Me 2-Me-4-SOCF2H F 2-Me-4-SOCF2H Cl 2-Me-4-SOCF2H Me 2-Me-4-SO2CF2H F 2-Me-4-SO2CF2H Cl 2-Me-4-SO2CF2H Br 2-Me-4-CF3 I 2-Me-4-CF3 OMe 2-Me-4-CF3 Br 2-Me-4-OCF3 I 2-Me-4-OCF3 OMe 2-Me-4-OCF3 Br 2-Me-4-OCF2H I 2-Me-4-OCF2H OMe 2-Me-4-OCF2H Br 2-Me-4-OCH2CF3 I 2-Me-4-OCH2CF3 OMe 2-Me-4-OCH2CF3 Br 2-Me-4-SCF3 I 2-Me-4-SCF3 OMe 2-Me-4-SCF3 Br 2-Me-4-SOCF3 I 2-Me-4-SOCF3 OMe 2-Me-4-SOCF3 Br 2-Me-4-SO2CF3 I 2-Me-4-SO2CF3 OMe 2-Me-4-SO2CF3 Br 2-Me-4-SCF2H I 2-Me-4-SCF2H OMe 2-Me-4-SCF2H Br 2-Me-4-SOCF2H I 2-Me-4-SOCF2H OMe 2-Me-4-SOCF2H Br 2-Me-4-SO2CF2H I 2-Me-4-SO2CF2H OMe 2-Me-4-SO2CF2H CF3 2-Me-4-CF3 NO2 2-Me-4-CF3 SMe 2-Me-4-CF3 CF3 2-Me-4-OCF3 NO2 2-Me-4-OCF3 SMe 2-Me-4-OCF3 CF3 2-Me-4-OCF2H NO2 2-Me-4-OCF2H SMe 2-Me-4-OCF2H CF3 2-Me-4-OCH2CF3 NO2 2-Me-4-OCH2CF3 SMe 2-Me-4-OCH2CF3 CF3 2-Me-4-SCF3 NO2 2-Me-4-SCF3 SMe 2-Me-4-SCF3 CF3 2-Me-4-SOCF3 NO2 2-Me-4-SOCF3 SMe 2-Me-4-SOCF3 CF3 2-Me-4-SO2CF3 NO2 2-Me-4-SO2CF3 SMe 2-Me-4-SO2CF3 CF3 2-Me-4-SCF2H NO2 2-Me-4-SCF2H SMe 2-Me-4-SCF2H CF3 2-Me-4-SOCF2H NO2 2-Me-4-SOCF2H SMe 2-Me-4-SOCF2H CF3 2-Me-4-SO2CF2H NO2 2-Me-4-SO2CF2H SMe 2-Me-4-SO2CF2H -
TABLE 15 K R3 (R4)n R5 W X Y Z K-1 i-Pr 4-Me CF3 CMe N CH CH K-1 i-Pr 4-Cl CF3 CMe N CH CH K-18 i-Pr 4-Me CF3 CMe N CH CH K-18 i-Pr 4-Cl CF3 CMe N CH CH K-14 i-Pr 1-Me CF3 CMe N CH CH K-28 i-Pr 4-Me CF3 CMe N CH CH K-28 i-Pr 4-Cl CF3 CMe N CH CH K-30 i-Pr 5-Me CF3 CMe N CH CH K-30 i-Pr 5-Cl CF3 CMe N CH CH K-31 i-Pr 2-Me CF3 CMe N CH CH K-31 i-Pr 2-Cl CF3 CMe N CH CH K-33 i-Pr 6-Me CF3 CMe N CH CH K-33 i-Pr 6-Cl CF3 CMe N CH CH K-1 i-Pr 4-Me CF3 CMe CH N CH K-1 i-Pr 4-Cl CF3 CMe CH N CH K-18 i-Pr 4-Me CF3 CMe CH N CH K-18 i-Pr 4-Cl CF3 CMe CH N CH K-14 i-Pr 1-Me CF3 CMe CH N CH K-28 i-Pr 4-Me CF3 CMe CH N CH K-28 i-Pr 4-Cl CF3 CMe CH N CH K-30 i-Pr 5-Me CF3 CMe CH N CH K-30 i-Pr 5-Cl CF3 CMe CH N CH K-31 i-Pr 2-Me CF3 CMe CH N CH K-31 i-Pr 2-Cl CF3 CMe CH N CH K-33 i-Pr 6-Me CF3 CMe CH N CH K-33 i-Pr 6-Cl CF3 CMe CH N CH K-1 i-Pr 4-Me CF3 CMe CH N CH K-1 i-Pr 4-Cl CF3 CMe CH N CH K-18 i-Pr 4-Me CF3 CMe CH N CH K-18 i-Pr 4-Cl CF3 CMe CH N CH K-14 i-Pr 1-Me CF3 CMe CH N CH K-28 i-Pr 4-Me CF3 CMe CH CH N K-28 i-Pr 4-Cl CF3 CMe CH CH N K-30 i-Pr 5-Me CF3 CMe CH CH N K-30 i-Pr 5-Cl CF3 CMe CH CH N K-31 i-Pr 2-Me CF3 CMe CH CH N K-31 i-Pr 2-Cl CF3 CMe CH CH N K-33 i-Pr 6-Me CF3 CMe CH CH N K-33 i-Pr 6-Cl CF3 CMe CH CH N K-1 t-Bu 4-Me CF3 CMe N CH CH K-1 t-Bu 4-Cl CF3 CMe N CH CH K-18 t-Bu 4-Me CF3 CMe N CH CH K-18 t-Bu 4-Cl CF3 CMe N CH CH K-14 t-Bu 1-Me CF3 CMe N CH CH K-28 t-Bu 4-Me CF3 CMe N CH CH K-28 t-Bu 4-Cl CF3 CMe N CH CH K-30 t-Bu 5-Me CF3 CMe N CH CH K-30 t-Bu 5-Cl CF3 CMe N CH CH K-31 t-Bu 2-Me CF3 CMe N CH CH K-31 t-Bu 2-Cl CF3 CMe N CH CH K-33 t-Bu 6-Me CF3 CMe N CH CH K-33 t-Bu 6-Cl CF3 CMe N CH CH K-1 t-Bu 4-Me CF3 CMe CH N CH K-1 t-Bu 4-Cl CF3 CMe CH N CH K-18 t-Bu 4-Me CF3 CMe CH N CH K-18 t-Bu 4-Cl CF3 CMe CH N CH K-14 t-Bu 1-Me CF3 CMe CH N CH K-28 t-Bu 4-Me CF3 CMe CH N CH K-28 t-Bu 4-Cl CF3 CMe CH N CH K-30 t-Bu 5-Me CF3 CMe CH N CH K-30 t-Bu 5-Cl CF3 CMe CH N CH K-31 t-Bu 2-Me CF3 CMe CH N CH K-31 t-Bu 2-Cl CF3 CMe CH N CH K-33 t-Bu 6-Me CF3 CMe CH N CH K-33 t-Bu 6-Cl CF3 CMe CH N CH K-1 t-Bu 4-Me CF3 CMe CH N CH K-1 t-Bu 4-Cl CF3 CMe CH N CH K-18 t-Bu 4-Me CF3 CMe CH N CH K-18 t-Bu 4-Cl CF3 CMe CH N CH K-14 t-Bu 1-Me CF3 CMe CH N CH K-28 t-Bu 4-Me CF3 CMe CH CH N K-28 t-Bu 4-Cl CF3 CMe CH CH N K-30 t-Bu 5-Me CF3 CMe CH CH N K-30 t-Bu 5-Cl CF3 CMe CH CH N K-31 t-Bu 2-Me CF3 CMe CH CH N K-31 t-Bu 2-Cl CF3 CMe CH CH N K-33 t-Bu 6-Me CF3 CMe CH CH N K-33 t-Bu 6-Cl CF3 CMe CH CH N K-1 i-Pr 4-Me OCF3 CMe N CH CH K-1 i-Pr 4-Cl OCF3 CMe N CH CH K-18 i-Pr 4-Me OCF3 CMe N CH CH K-18 i-Pr 4-Cl OCF3 CMe N CH CH K-14 i-Pr 1-Me OCF3 CMe N CH CH K-28 i-Pr 4-Me OCF3 CMe N CH CH K-28 i-Pr 4-Cl OCF3 CMe N CH CH K-30 i-Pr 5-Me OCF3 CMe N CH CH K-30 i-Pr 5-Cl OCF3 CMe N CH CH K-31 i-Pr 2-Me OCF3 CMe N CH CH K-31 i-Pr 2-Cl OCF3 CMe N CH CH K-33 i-Pr 6-Me OCF3 CMe N CH CH K-33 i-Pr 6-Cl OCF3 CMe N CH CH K-1 i-Pr 4-Me OCF3 CH N CH CH K-1 i-Pr 4-Cl OCF3 CH N CH CH K-18 i-Pr 4-Me OCF3 CH N CH CH K-18 i-Pr 4-Cl OCF3 CH N CH CH K-14 i-Pr 1-Me OCF3 CH N CH CH K-28 i-Pr 4-Me OCF3 CH N CH CH K-28 i-Pr 4-Cl OCF3 CH N CH CH K-30 i-Pr 5-Me OCF3 CH N CH CH K-30 i-Pr 5-Cl OCF3 CH N CH CH K-31 i-Pr 2-Me OCF3 CH N CH CH K-31 i-Pr 2-Cl OCF3 CH N CH CH K-33 i-Pr 6-Me OCF3 CH N CH CH K-33 i-Pr 6-Cl OCF3 CH N CH CH K-1 i-Pr 4-Me Cl CMe CH CH N K-1 i-Pr 4-Cl Cl CMe CH CH N K-18 i-Pr 4-Me Cl CMe CH CH N K-18 i-Pr 4-Cl Cl CMe CH CH N K-14 i-Pr 1-Me Cl CMe CH CH N K-28 i-Pr 4-Me Cl CMe CH CH N K-28 i-Pr 4-Cl Cl CMe CH CH N K-30 i-Pr 5-Me Cl CMe CH CH N K-30 i-Pr 5-Cl Cl CMe CH CH N K-31 i-Pr 2-Me Cl CMe CH CH N K-31 i-Pr 2-Cl Cl CMe CH CH N K-33 i-Pr 6-Me Cl CMe CH CH N K-33 i-Pr 6-Cl Cl CMe CH CH N -
TABLE 16 K (R4)n Q X Y Z R3 is i-Pr K-1 4-Me NCHF2 CMe N CH K-1 4-Cl NCHF2 CMe N CH K-18 4-Me NCHF2 CMe N CH K-18 4-Cl NCHF2 CMe N CH K-14 1-Me NCHF2 CMe N CH K-28 4-Me NCHF2 CMe N CH K-28 4-Cl NCHF2 CMe N CH K-30 5-Me NCHF2 CMe N CH K-30 5-Cl NCHF2 CMe N CH K-31 2-Me NCHF2 CMe N CH K-31 2-Cl NCHF2 CMe N CH K-33 6-Me NCHF2 CMe N CH K-33 6-Cl NCHF2 CMe N CH K-1 4-Me NCHF2 CH N CMe K-1 4-Cl NCHF2 CH N CMe K-18 4-Me NCHF2 CH N CMe K-18 4-Cl NCHF2 CH N CMe K-14 1-Me NCHF2 CH N CMe K-28 4-Me NCHF2 CH N CMe K-28 4-Cl NCHF2 CH N CMe K-30 5-Me NCHF2 CH N CMe K-30 5-Cl NCHF2 CH N CMe K-31 2-Me NCHF2 CH N CMe K-31 2-Cl NCHF2 CH N CMe K-33 6-Me NCHF2 CH N CMe K-33 6-Cl NCHF2 CH N CMe K-1 4-Me NCF2CHF2 CMe N CH K-1 4-Cl NCF2CHF2 CMe N CH K-18 4-Me NCF2CHF2 CMe N CH K-18 4-Cl NCF2CHF2 CMe N CH K-14 1-Me NCF2CHF2 CMe N CH K-28 4-Me NCF2CHF2 CMe N CH K-28 4-Cl NCF2CHF2 CMe N CH K-30 5-Me NCF2CHF2 CMe N CH K-30 5-Cl NCF2CHF2 CMe N CH K-31 2-Me NCF2CHF2 CMe N CH K-31 2-Cl NCF2CHF2 CMe N CH K-33 6-Me NCF2CHF2 CMe N CH K-33 6-Cl NCF2CHF2 CMe N CH K-1 4-Me NCH2CF3 CMe N CH K-1 4-Cl NCH2CF3 CMe N CH K-18 4-Me NCH2CF3 CMe N CH K-18 4-Cl NCH2CF3 CMe N CH K-14 1-Me NCH2CF3 CMe N CH K-28 4-Me NCH2CF3 CMe N CH K-28 4-Cl NCH2CF3 CMe N CH K-30 5-Me NCH2CF3 CMe N CH K-30 5-Cl NCH2CF3 CMe N CH K-31 2-Me NCH2CF3 CMe N CH K-31 2-Cl NCH2CF3 CMe N CH K-33 6-Me NCH2CF3 CMe N CH K-33 6-Cl NCH2CF3 CMe N CH K-1 4-Me NCH2CF3 CH N CMe K-1 4-Cl NCH2CF3 CH N CMe K-18 4-Me NCH2CF3 CH N CMe K-18 4-Cl NCH2CF3 CH N CMe K-14 1-Me NCH2CF3 CH N CMe K-28 4-Me NCH2CF3 CH N CMe K-28 4-Cl NCH2CF3 CH N CMe K-30 5-Me NCH2CF3 CH N CMe K-30 5-Cl NCH2CF3 CH N CMe K-31 2-Me NCH2CF3 CH N CMe K-31 2-Cl NCH2CF3 CH N CMe K-33 6-Me NCH2CF3 CH N CMe K-33 6-Cl NCH2CF3 CH N CMe K-1 4-Me NCF2CHF2 N CH CMe K-1 4-Cl NCF2CHF2 N CH CMe K-18 4-Me NCF2CHF2 N CH CMe K-18 4-Cl NCF2CHF2 N CH CMe K-14 1-Me NCF2CHF2 N CH CMe K-28 4-Me NCF2CHF2 N CH CMe K-28 4-Cl NCF2CHF2 N CH CMe K-30 5-Me NCF2CHF2 N CH CMe K-30 5-Cl NCF2CHF2 N CH CMe K-31 2-Me NCF2CHF2 N CH CMe K-31 2-Cl NCF2CHF2 N CH CMe K-33 6-Me NCF2CHF2 N CH CMe K-33 6-Cl NCF2CHF2 N CH CMe R3 is t-Bu K-1 4-Me NCHF2 CMe N CH K-1 4-Cl NCHF2 CMe N CH K-18 4-Me NCHF2 CMe N CH K-18 4-Cl NCHF2 CMe N CH K-14 1-Me NCHF2 CMe N CH K-28 4-Me NCHF2 CMe N CH K-28 4-Cl NCHF2 CMe N CH K-30 5-Me NCHF2 CMe N CH K-30 5-Cl NCHF2 CMe N CH K-31 2-Me NCHF2 CMe N CH K-31 2-Cl NCHF2 CMe N CH K-33 6-Me NCHF2 CMe N CH K-33 6-Cl NCHF2 CMe N CH K-1 4-Me NCHF2 CH N CMe K-1 4-Cl NCHF2 CH N CMe K-18 4-Me NCHF2 CH N CMe K-18 4-Cl NCHF2 CH N CMe K-14 1-Me NCHF2 CH N CMe K-28 4-Me NCHF2 CH N CMe K-28 4-Cl NCHF2 CH N CMe K-30 5-Me NCHF2 CH N CMe K-30 5-Cl NCHF2 CH N CMe K-31 2-Me NCHF2 CH N CMe K-31 2-Cl NCHF2 CH N CMe K-33 6-Me NCHF2 CH N CMe K-33 6-Cl NCHF2 CH N CMe K-1 4-Me NCF2CHF2 CMe N CH K-1 4-Cl NCF2CHF2 CMe N CH K-18 4-Me NCF2CHF2 CMe N CH K-18 4-Cl NCF2CHF2 CMe N CH K-14 1-Me NCF2CHF2 CMe N CH K-28 4-Me NCF2CHF2 CMe N CH K-28 4-Cl NCF2CHF2 CMe N CH K-30 5-Me NCF2CHF2 CMe N CH K-30 5-Cl NCF2CHF2 CMe N CH K-31 2-Me NCF2CHF2 CMe N CH K-31 2-Cl NCF2CHF2 CMe N CH K-33 6-Me NCF2CHF2 CMe N CH K-33 6-Cl NCF2CHF2 CMe N CH K-1 4-Me NCH2CF3 CMe N CH K-1 4-Cl NCH2CF3 CMe N CH K-18 4-Me NCH2CF3 CMe N CH K-18 4-Cl NCH2CF3 CMe N CH K-14 1-Me NCH2CF3 CMe N CH K-28 4-Me NCH2CF3 CMe N CH K-28 4-Cl NCH2CF3 CMe N CH K-30 5-Me NCH2CF3 CMe N CH K-30 5-Cl NCH2CF3 CMe N CH K-31 2-Me NCH2CF3 CMe N CH K-31 2-Cl NCH2CF3 CMe N CH K-33 6-Me NCH2CF3 CMe N CH K-33 6-Cl NCH2CF3 CMe N CH K-1 4-Me NCH2CF3 CH N CMe K-1 4-Cl NCH2CF3 CH N CMe K-18 4-Me NCH2CF3 CH N CMe K-18 4-Cl NCH2CF3 CH N CMe K-14 1-Me NCH2CF3 CH N CMe K-28 4-Me NCH2CF3 CH N CMe K-28 4-Cl NCH2CF3 CH N CMe K-30 5-Me NCH2CF3 CH N CMe K-30 5-Cl NCH2CF3 CH N CMe K-31 2-Me NCH2CF3 CH N CMe K-31 2-Cl NCH2CF3 CH N CMe K-33 6-Me NCH2CF3 CH N CMe K-33 6-Cl NCH2CF3 CH N CMe K-1 4-Me NCF2CHF2 N CH CMe K-1 4-Cl NCF2CHF2 N CH CMe K-18 4-Me NCF2CHF2 N CH CMe K-18 4-Cl NCF2CHF2 N CH CMe K-14 1-Me NCF2CHF2 N CH CMe K-28 4-Me NCF2CHF2 N CH CMe K-28 4-Cl NCF2CHF2 N CH CMe K-30 5-Me NCF2CHF2 N CH CMe K-30 5-Cl NCF2CHF2 N CH CMe K-31 2-Me NCF2CHF2 N CH CMe K-31 2-Cl NCF2CHF2 N CH CMe K-33 6-Me NCF2CHF2 N CH CMe K-33 6-Cl NCF2CHF2 N CH CMe -
TABLE 17 K W X Y Z R3 (R4)n R5 R6 K-1 CH CH CH CH i-Pr 4-Me CF3 Me K-1 CH CH CH CH t-Bu 4-Me CF3 Me K-1 CH CH CH CH i-Pr 4-Cl CF3 Me K-1 CH CH CH CH t-Bu 4-Cl CF3 Me K-1 CH CH CH CH i-Pr 4-Me CF3 F K-1 CH CH CH CH t-Bu 4-Me CF3 F K-1 CH CH CH CH i-Pr 4-Cl CF3 F K-1 CH CH CH CH t-Bu 4-Cl CF3 F K-1 CH CH CH CH i-Pr 4-Me CF3 Cl K-1 CH CH CH CH t-Bu 4-Me CF3 Cl K-1 CH CH CH CH i-Pr 4-Cl CF3 Cl K-1 CH CH CH CH t-Bu 4-Cl CF3 Cl K-1 CH CH CH CH i-Pr 4-Me CF3 Br K-1 CH CH CH CH t-Bu 4-Me CF3 Br K-1 CH CH CH CH i-Pr 4-Cl CF3 Br K-1 CH CH CH CH t-Bu 4-Cl CF3 Br K-1 CH CH CH CH i-Pr 4-Me CF3 CN K-1 CH CH CH CH t-Bu 4-Me CF3 CN K-1 CH CH CH CH i-Pr 4-Cl CF3 CN K-1 CH CH CH CH t-Bu 4-Cl CF3 CN K-1 CH CH CH N i-Pr 4-Me CF3 Me K-1 CH CH CH N t-Bu 4-Me CF3 Me K-1 CH CH CH N i-Pr 4-Cl CF3 Me K-1 CH CH CH N t-Bu 4-Cl CF3 Me K-1 CH CH CH N i-Pr 4-Me CF3 F K-1 CH CH CH N t-Bu 4-Me CF3 F K-1 CH CH CH N i-Pr 4-Cl CF3 F K-1 CH CH CH N t-Bu 4-Cl CF3 F K-1 CH CH CH N i-Pr 4-Me CF3 Cl K-1 CH CH CH N t-Bu 4-Me CF3 Cl K-1 CH CH CH N i-Pr 4-Cl CF3 Cl K-1 CH CH CH N t-Bu 4-Cl CF3 Cl K-1 CH CH CH N i-Pr 4-Me CF3 Br K-1 CH CH CH N t-Bu 4-Me CF3 Br K-1 CH CH CH N i-Pr 4-Cl CF3 Br K-1 CH CH CH N t-Bu 4-Cl CF3 Br K-1 CH CH CH N i-Pr 4-Me CF3 CN K-1 CH CH CH N t-Bu 4-Me CF3 CN K-1 CH CH CH N i-Pr 4-Cl CF3 CN K-1 CH CH CH N t-Bu 4-Cl CF3 CN K-18 CH CH CH CH i-Pr 4-Me CF3 Me K-18 CH CH CH CH t-Bu 4-Me CF3 Me K-18 CH CH CH CH i-Pr 4-Cl CF3 Me K-18 CH CH CH CH t-Bu 4-Cl CF3 Me K-18 CH CH CH CH i-Pr 4-Me CF3 F K-18 CH CH CH CH t-Bu 4-Me CF3 F K-18 CH CH CH CH i-Pr 4-Cl CF3 F K-18 CH CH CH CH t-Bu 4-Cl CF3 F K-18 CH CH CH CH i-Pr 4-Me CF3 Cl K-18 CH CH CH CH t-Bu 4-Me CF3 Cl K-18 CH CH CH CH i-Pr 4-Cl CF3 Cl K-18 CH CH CH CH t-Bu 4-Cl CF3 Cl K-18 CH CH CH CH i-Pr 4-Me CF3 Br K-18 CH CH CH CH t-Bu 4-Me CF3 Br K-18 CH CH CH CH i-Pr 4-Cl CF3 Br K-18 CH CH CH CH t-Bu 4-Cl CF3 Br K-18 CH CH CH CH i-Pr 4-Me CF3 CN K-18 CH CH CH CH t-Bu 4-Me CF3 CN K-18 CH CH CH CH i-Pr 4-Cl CF3 CN K-18 CH CH CH CH t-Bu 4-Cl CF3 CN K-18 CH CH CH N i-Pr 4-Me CF3 Me K-18 CH CH CH N t-Bu 4-Me CF3 Me K-18 CH CH CH N i-Pr 4-Cl CF3 Me K-18 CH CH CH N t-Bu 4-Cl CF3 Me K-18 CH CH CH N i-Pr 4-Me CF3 F K-18 CH CH CH N t-Bu 4-Me CF3 F K-18 CH CH CH N i-Pr 4-Cl CF3 F K-18 CH CH CH N t-Bu 4-Cl CF3 F K-18 CH CH CH N i-Pr 4-Me CF3 Cl K-18 CH CH CH N t-Bu 4-Me CF3 Cl K-18 CH CH CH N i-Pr 4-Cl CF3 Cl K-18 CH CH CH N t-Bu 4-Cl CF3 Cl K-18 CH CH CH N i-Pr 4-Me CF3 Br K-18 CH CH CH N t-Bu 4-Me CF3 Br K-18 CH CH CH N i-Pr 4-Cl CF3 Br K-18 CH CH CH N t-Bu 4-Cl CF3 Br K-18 CH CH CH N i-Pr 4-Me CF3 CN K-18 CH CH CH N t-Bu 4-Me CF3 CN K-18 CH CH CH N i-Pr 4-Cl CF3 CN K-18 CH CH CH N t-Bu 4-Cl CF3 CN K-14 CH CH CH CH i-Pr 1-Me CF3 Me K-14 CH CH CH CH t-Bu 1-Me CF3 Me K-14 CH CH CH CH i-Pr 1-Me CF3 F K-14 CH CH CH CH t-Bu 1-Me CF3 F K-14 CH CH CH CH i-Pr 1-Me CF3 Cl K-14 CH CH CH CH t-Bu 1-Me CF3 Cl K-14 CH CH CH CH i-Pr 1-Me CF3 Br K-14 CH CH CH CH t-Bu 1-Me CF3 Br K-14 CH CH CH CH i-Pr 1-Me CF3 CN K-14 CH CH CH CH t-Bu 1-Me CF3 CN K-14 CH CH CH N i-Pr 1-Me CF3 Me K-14 CH CH CH N t-Bu 1-Me CF3 Me K-14 CH CH CH N i-Pr 1-Me CF3 F K-14 CH CH CH N t-Bu 1-Me CF3 F K-14 CH CH CH N i-Pr 1-Me CF3 Cl K-14 CH CH CH N t-Bu 1-Me CF3 Cl K-14 CH CH CH N i-Pr 1-Me CF3 Br K-14 CH CH CH N t-Bu 1-Me CF3 Br K-14 CH CH CH N i-Pr 1-Me CF3 CN K-14 CH CH CH N t-Bu 1-Me CF3 CN K-28 CH CH CH CH i-Pr 4-Me CF3 Me K-28 CH CH CH CH t-Bu 4-Me CF3 Me K-28 CH CH CH CH i-Pr 4-Cl CF3 Me K-28 CH CH CH CH t-Bu 4-Cl CF3 Me K-28 CH CH CH CH i-Pr 4-Me CF3 F K-28 CH CH CH CH t-Bu 4-Me CF3 F K-28 CH CH CH CH i-Pr 4-Cl CF3 F K-28 CH CH CH CH t-Bu 4-Cl CF3 F K-28 CH CH CH CH i-Pr 4-Me CF3 Cl K-28 CH CH CH CH t-Bu 4-Me CF3 Cl K-28 CH CH CH CH i-Pr 4-Cl CF3 Cl K-28 CH CH CH CH t-Bu 4-Cl CF3 Cl K-28 CH CH CH CH i-Pr 4-Me CF3 Br K-28 CH CH CH CH t-Bu 4-Me CF3 Br K-28 CH CH CH CH i-Pr 4-Cl CF3 Br K-28 CH CH CH CH t-Bu 4-Cl CF3 Br K-28 CH CH CH CH i-Pr 4-Me CF3 CN K-28 CH CH CH CH t-Bu 4-Me CF3 CN K-28 CH CH CH CH i-Pr 4-Cl CF3 CN K-28 CH CH CH CH t-Bu 4-Cl CF3 CN K-28 CH CH CH N i-Pr 4-Me CF3 Me K-28 CH CH CH N t-Bu 4-Me CF3 Me K-28 CH CH CH N i-Pr 4-Cl CF3 Me K-28 CH CH CH N t-Bu 4-Cl CF3 Me K-28 CH CH CH N i-Pr 4-Me CF3 F K-28 CH CH CH N t-Bu 4-Me CF3 F K-28 CH CH CH N i-Pr 4-Cl CF3 F K-28 CH CH CH N t-Bu 4-Cl CF3 F K-28 CH CH CH N i-Pr 4-Me CF3 Cl K-28 CH CH CH N t-Bu 4-Me CF3 Cl K-28 CH CH CH N i-Pr 4-Cl CF3 Cl K-28 CH CH CH N t-Bu 4-Cl CF3 Cl K-28 CH CH CH N i-Pr 4-Me CF3 Br K-28 CH CH CH N t-Bu 4-Me CF3 Br K-28 CH CH CH N i-Pr 4-Cl CF3 Br K-28 CH CH CH N t-Bu 4-Cl CF3 Br K-28 CH CH CH N i-Pr 4-Me CF3 CN K-28 CH CH CH N t-Bu 4-Me CF3 CN K-28 CH CH CH N i-Pr 4-Cl CF3 CN K-28 CH CH CH N t-Bu 4-Cl CF3 CN K-30 CH CH CH CH i-Pr Me CF3 Me K-30 CH CH CH CH t-Bu Me CF3 Me K-30 CH CH CH CH i-Pr 5-Cl CF3 Me K-30 CH CH CH CH t-Bu 5-Cl CF3 Me K-30 CH CH CH CH i-Pr Me CF3 F K-30 CH CH CH CH t-Bu Me CF3 F K-30 CH CH CH CH i-Pr 5-Cl CF3 F K-30 CH CH CH CH t-Bu 5-Cl CF3 F K-30 CH CH CH CH i-Pr Me CF3 Cl K-30 CH CH CH CH t-Bu Me CF3 Cl K-30 CH CH CH CH i-Pr 5-Cl CF3 Cl K-30 CH CH CH CH t-Bu 5-Cl CF3 Cl K-30 CH CH CH CH i-Pr Me CF3 Br K-30 CH CH CH CH t-Bu Me CF3 Br K-30 CH CH CH CH i-Pr 5-Cl CF3 Br K-30 CH CH CH CH t-Bu 5-Cl CF3 Br K-30 CH CH CH CH i-Pr Me CF3 CN K-30 CH CH CH CH t-Bu Me CF3 CN K-30 CH CH CH CH i-Pr 5-Cl CF3 CN K-30 CH CH CH CH t-Bu 5-Cl CF3 CN K-30 CH CH CH N i-Pr Me CF3 Me K-30 CH CH CH N t-Bu Me CF3 Me K-30 CH CH CH N i-Pr 5-Cl CF3 Me K-30 CH CH CH N t-Bu 5-Cl CF3 Me K-30 CH CH CH N i-Pr Me CF3 F K-30 CH CH CH N t-Bu Me CF3 F K-30 CH CH CH N i-Pr 5-Cl CF3 F K-30 CH CH CH N t-Bu 5-Cl CF3 F K-30 CH CH CH N i-Pr Me CF3 Cl K-30 CH CH CH N t-Bu Me CF3 Cl K-30 CH CH CH N i-Pr 5-Cl CF3 Cl K-30 CH CH CH N t-Bu 5-Cl CF3 Cl K-30 CH CH CH N i-Pr Me CF3 Br K-30 CH CH CH N t-Bu Me CF3 Br K-30 CH CH CH N i-Pr 5-Cl CF3 Br K-30 CH CH CH N t-Bu 5-Cl CF3 Br K-30 CH CH CH N i-Pr Me CF3 CN K-30 CH CH CH N t-Bu Me CF3 CN K-30 CH CH CH N i-Pr 5-Cl CF3 CN K-30 CH CH CH N t-Bu 5-Cl CF3 CN K-30 CH CH CH CH i-Pr Me CF3 Me K-30 CH CH CH CH t-Bu Me CF3 Me K-30 CH CH CH CH i-Pr 5-Cl CF3 Me K-30 CH CH CH CH t-Bu 5-Cl CF3 Me K-30 CH CH CH CH i-Pr Me CF3 F K-30 CH CH CH CH t-Bu Me CF3 F K-30 CH CH CH CH i-Pr 5-Cl CF3 F K-30 CH CH CH CH t-Bu 5-Cl CF3 F K-30 CH CH CH CH i-Pr Me CF3 Cl K-30 CH CH CH CH t-Bu Me CF3 Cl K-30 CH CH CH CH i-Pr 5-Cl CF3 Cl K-30 CH CH CH CH t-Bu 5-Cl CF3 Cl K-30 CH CH CH CH i-Pr Me CF3 Br K-30 CH CH CH CH t-Bu Me CF3 Br K-30 CH CH CH CH i-Pr 5-Cl CF3 Br K-30 CH CH CH CH t-Bu 5-Cl CF3 Br K-30 CH CH CH CH i-Pr Me CF3 CN K-30 CH CH CH CH t-Bu Me CF3 CN K-30 CH CH CH CH i-Pr 5-Cl CF3 CN K-30 CH CH CH CH t-Bu 5-Cl CF3 CN K-30 CH CH CH N i-Pr Me CF3 Me K-30 CH CH CH N t-Bu Me CF3 Me K-30 CH CH CH N i-Pr 5-Cl CF3 Me K-30 CH CH CH N t-Bu 5-Cl CF3 Me K-30 CH CH CH N i-Pr Me CF3 F K-30 CH CH CH N t-Bu Me CF3 F K-30 CH CH CH N i-Pr 5-Cl CF3 F K-30 CH CH CH N t-Bu 5-Cl CF3 F K-30 CH CH CH N i-Pr Me CF3 Cl K-30 CH CH CH N t-Bu Me CF3 Cl K-30 CH CH CH N i-Pr 5-Cl CF3 Cl K-30 CH CH CH N t-Bu 5-Cl CF3 Cl K-30 CH CH CH N i-Pr Me CF3 Br K-30 CH CH CH N t-Bu Me CF3 Br K-30 CH CH CH N i-Pr 5-Cl CF3 Br K-30 CH CH CH N t-Bu 5-Cl CF3 Br K-30 CH CH CH N i-Pr Me CF3 CN K-30 CH CH CH N t-Bu Me CF3 CN K-30 CH CH CH N i-Pr 5-Cl CF3 CN K-30 CH CH CH N t-Bu 5-Cl CF3 CN K-31 CH CH CH CH i-Pr 2-Me CF3 Me K-31 CH CH CH CH t-Bu 2-Me CF3 Me K-31 CH CH CH CH i-Pr 2-Cl CF3 Me K-31 CH CH CH CH t-Bu 2-Cl CF3 Me K-31 CH CH CH CH i-Pr 2-Me CF3 F K-31 CH CH CH CH t-Bu 2-Me CF3 F K-31 CH CH CH CH i-Pr 2-Cl CF3 F K-31 CH CH CH CH t-Bu 2-Cl CF3 F K-31 CH CH CH CH i-Pr 2-Me CF3 Cl K-31 CH CH CH CH t-Bu 2-Me CF3 Cl K-31 CH CH CH CH i-Pr 2-Cl CF3 Cl K-31 CH CH CH CH t-Bu 2-Cl CF3 Cl K-31 CH CH CH CH i-Pr 2-Me CF3 Br K-31 CH CH CH CH t-Bu 2-Me CF3 Br K-31 CH CH CH CH i-Pr 2-Cl CF3 Br K-31 CH CH CH CH t-Bu 2-Cl CF3 Br K-31 CH CH CH CH i-Pr 2-Me CF3 CN K-31 CH CH CH CH i-Bu 2-Me CF3 CN K-31 CH CH CH CH i-Pr 2-Cl CF3 CN K-31 CH CH CH CH t-Bu 2-Cl CF3 CN K-31 CH CH CH N i-Pr 2-Me CF3 Me K-31 CH CH CH N t-Bu 2-Me CF3 Me K-31 CH CH CH N i-Pr 2-Cl CF3 Me K-31 CH CH CH N t-Bu 2-Cl CF3 Me K-31 CH CH CH N i-Pr 2-Me CF3 F K-31 CH CH CH N t-Bu 2-Me CF3 F K-31 CH CH CH N i-Pr 2-Cl CF3 F K-31 CH CH CH N t-Bu 2-Cl CF3 F K-31 CH CH CH N i-Pr 2-Me CF3 Cl K-31 CH CH CH N t-Bu 2-Me CF3 Cl K-31 CH CH CH N i-Pr 2-Cl CF3 Cl K-31 CH CH CH N t-Bu 2-Cl CF3 Cl K-31 CH CH CH N i-Pr 2-Me CF3 Br K-31 CH CH CH N t-Bu 2-Me CF3 Br K-31 CH CH CH N i-Pr 2-Cl CF3 Br K-31 CH CH CH N t-Bu 2-Cl CF3 Br K-31 CH CH CH N i-Pr 2-Me CF3 CN K-31 CH CH CH N t-Bu 2-Me CF3 CN K-31 CH CH CH N i-Pr 2-Cl CF3 CN K-31 CH CH CH N t-Bu 2-Cl CF3 CN K-31 CH CH CH CH i-Pr 2-Me CF3 Me K-31 CH CH CH CH t-Bu 2-Me CF3 Me K-31 CH CH CH CH i-Pr 2-Cl CF3 Me K-31 CH CH CH CH t-Bu 2-Cl CF3 Me K-31 CH CH CH CH i-Pr 2-Me CF3 F K-31 CH CH CH CH t-Bu 2-Me CF3 F K-31 CH CH CH CH i-Pr 2-Cl CF3 F K-31 CH CH CH CH t-Bu 2-Cl CF3 F K-31 CH CH CH CH i-Pr 2-Me CF3 Cl K-31 CH CH CH CH t-Bu 2-Me CF3 Cl K-31 CH CH CH CH i-Pr 2-Cl CF3 Cl K-31 CH CH CH CH t-Bu 2-Cl CF3 Cl K-31 CH CH CH CH i-Pr 2-Me CF3 Br K-31 CH CH CH CH t-Bu 2-Me CF3 Br K-31 CH CH CH CH i-Pr 2-Cl CF3 Br K-31 CH CH CH CH t-Bu 2-Cl CF3 Br K-31 CH CH CH CH i-Pr 2-Me CF3 CN K-31 CH CH CH CH t-Bu 2-Me CF3 CN K-31 CH CH CH CH i-Pr 2-Cl CF3 CN K-31 CH CH CH CH t-Bu 2-Cl CF3 CN K-31 CH CH CH N i-Pr 2-Me CF3 Me K-31 CH CH CH N t-Bu 2-Me CF3 Me K-31 CH CH CH N i-Pr 2-Cl CF3 Me K-31 CH CH CH N t-Bu 2-Cl CF3 Me K-31 CH CH CH N i-Pr 2-Me CF3 F K-31 CH CH CH N t-Bu 2-Me CF3 F K-31 CH CH CH N i-Pr 2-Cl CF3 F K-31 CH CH CH N t-Bu 2-Cl CF3 F K-31 CH CH CH N i-Pr 2-Me CF3 Cl K-31 CH CH CH N t-Bu 2-Me CF3 Cl K-31 CH CH CH N i-Pr 2-Cl CF3 Cl K-31 CH CH CH N t-Bu 2-Cl CF3 Cl K-31 CH CH CH N i-Pr 2-Me CF3 Br K-31 CH CH CH N t-Bu 2-Me CF3 Br K-31 CH CH CH N i-Pr 2-Cl CF3 Br K-31 CH CH CH N t-Bu 2-Cl CF3 Br K-31 CH CH CH N i-Pr 2-Me CF3 CN K-31 CH CH CH N t-Bu 2-Me CF3 CN K-31 CH CH CH N i-Pr 2-Cl CF3 CN K-31 CH CH CH N t-Bu 2-Cl CF3 CN K-33 CH CH CH CH i-Pr 6-Me CF3 Me K-33 CH CH CH CH t-Bu 6-Me CF3 Me K-33 CH CH CH CH i-Pr 6-Cl CF3 Me K-33 CH CH CH CH t-Bu 6-Cl CF3 Me K-33 CH CH CH CH i-Pr 6-Me CF3 F K-33 CH CH CH CH t-Bu 6-Me CF3 F K-33 CH CH CH CH i-Pr 6-Cl CF3 F K-33 CH CH CH CH t-Bu 6-Cl CF3 F K-33 CH CH CH CH i-Pr 6-Me CF3 Cl K-33 CH CH CH CH t-Bu 6-Me CF3 Cl K-33 CH CH CH CH i-Pr 6-Cl CF3 Cl K-33 CH CH CH CH t-Bu 6-Cl CF3 Cl K-33 CH CH CH CH i-Pr 6-Me CF3 Br K-33 CH CH CH CH t-Bu 6-Me CF3 Br K-33 CH CH CH CH i-Pr 6-Cl CF3 Br K-33 CH CH CH CH t-Bu 6-Cl CF3 Br K-33 CH CH CH CH i-Pr 6-Me CF3 CN K-33 CH CH CH CH t-Bu 6-Me CF3 CN K-33 CH CH CH CH i-Pr 6-Cl CF3 CN K-33 CH CH CH CH t-Bu 6-Cl CF3 CN K-33 CH CH CH N i-Pr 6-Me CF3 Me K-33 CH CH CH N t-Bu 6-Me CF3 Me K-33 CH CH CH N i-Pr 6-Cl CF3 Me K-33 CH CH CH N t-Bu 6-Cl CF3 Me K-33 CH CH CH N i-Pr 6-Me CF3 F K-33 CH CH CH N t-Bu 6-Me CF3 F K-33 CH CH CH N i-Pr 6-Cl CF3 F K-33 CH CH CH N t-Bu 6-Cl CF3 F K-33 CH CH CH N i-Pr 6-Me CF3 Cl K-33 CH CH CH N t-Bu 6-Me CF3 Cl K-33 CH CH CH N i-Pr 6-Cl CF3 Cl K-33 CH CH CH N t-Bu 6-Cl CF3 Cl K-33 CH CH CH N i-Pr 6-Me CF3 Br K-33 CH CH CH N t-Bu 6-Me CF3 Br K-33 CH CH CH N i-Pr 6-Cl CF3 Br K-33 CH CH CH N t-Bu 6-Cl CF3 Br K-33 CH CH CH N i-Pr 6-Me CF3 CN K-33 CH CH CH N t-Bu 6-Me CF3 CN K-33 CH CH CH N i-Pr 6-Cl CF3 CN K-33 CH CH CH N t-Bu 6-Cl CF3 CN K-33 CH CH CH CH i-Pr 6-Me CF3 Me K-33 CH CH CH CH t-Bu 6-Me CF3 Me K-33 CH CH CH CH i-Pr 6-Cl CF3 Me K-33 CH CH CH Cl-i t-Bu 6-Cl CF3 Me K-33 CH CH CH CH i-Pr 6-Me CF3 F K-33 CH CH CH CH t-Bu 6-Me CF3 F K-33 CH CH CH CH i-Pr 6-Cl CF3 F K-33 CH CH CH CH t-Bu 6-Cl CF3 F K-33 CH CH CH CH i-Pr 6-Me CF3 Cl K-33 CH CH CH CH i-Bu 6-Me CF3 Cl K-33 CH CH CH CH i-Pr 6-Cl CF3 Cl K-33 CH CH CH CH t-Bu 6-Cl CF3 Cl K-33 CH CH CH CH i-Pr 6-Me CF3 Br K-33 CH CH CH CH t-Bu 6-Me CF3 Br K-33 CH CH CH CH i-Pr 6-Cl CF3 Br K-33 CH CH CH CH t-Bu 6-Cl CF3 Br K-33 CH CH CH CH i-Pr 6-Me CF3 CN K-33 CH CH CH CH t-Bu 6-Me CF3 CN K-33 CH CH CH CH i-Pr 6-Cl CF3 CN K-33 CH CH CH CH i-By 6-Cl CF3 CN K-33 CH CH CH N i-Pr 6-Me CF3 Me K-33 CH CH CH N t-Bu 6-Me CF3 Me K-33 CH CH CH N i-Pr 6-Cl CF3 Me K-33 CH CH CH N t-Bu 6-Cl CF3 Me K-33 CH CH CH N i-Pr 6-Me CF3 F K-33 CH CH CH N t-Bu 6-Me CF3 F K-33 CH CH CH N i-Pr 6-Cl CF3 F K-33 CH CH CH N t-Bu 6-Cl CF3 F K-33 CH CH CH N i-Pr 6-Me CF3 Cl K-33 CH CH CH N t-Bu 6-Me CF3 Cl K-33 CH CH CH N i-Pr 6-Cl CF3 Cl K-33 CH CH CH N t-Bu 6-Cl CF3 Cl K-33 CH CH CH N i-Pr 6-Me CF3 Br K-33 CH CH CH N t-Bu 6-Me CF3 Br K-33 CH CH CH N i-Pr 6-Cl CF3 Br K-33 CH CH CH N t-Bu 6-Cl CF3 Br K-33 CH CH CH N i-Pr 6-Me CF3 CN K-33 CH CH CH N t-Bu 6-Me CF3 CN K-33 CH CH CH N i-Pr 6-Cl CF3 CN K-33 CH CH CH N t-Bu 6-Cl CF3 CN -
TABLE 18 R2 is H, R3 is Me R2 is H, R3 is Et R2 is H, R3 is i-Pr R2 is Me, R3 is Me R4a R4b R6 R4a R4b R6 R4a R4b R6 R4a R4b R6 R5 is Cl CH3 H Cl CH3 H Cl CH3 H Cl CH3 H Cl CH3 H Br CH3 H Br CH3 H Br CH3 H Br CH3 I Cl CH3 I Cl CH3 I Cl CH3 I Cl CH3 I Br CH3 I Br CH3 I Br CH3 I Br CH3 F Cl CH3 F Cl CH3 F Cl CH3 F Cl CH3 F Br CH3 F Br CH3 F Br CH3 F Br CH3 CF3 Cl CH3 CF3 Cl CH3 CF3 Cl CH3 CF3 Cl CH3 CF3 Br CH3 CF3 Br CH3 CF3 Br CH3 CF3 Br CH3 Br Cl CH3 Br Cl CH3 Br Cl CH3 Br Cl CH3 Br Br CH3 Br Br CH3 Br Br CH3 Br Br CH3 Cl Cl CH3 Cl Cl CH3 Cl Cl CH3 Cl Cl CH3 Cl Br CH3 Cl Br CH3 Cl Br CH3 Cl Br Cl H Cl Cl H Cl Cl H Cl Cl H Cl Cl H Br Cl H Br Cl H Br Cl H Br Cl I Cl Cl I Cl Cl I Cl Cl I Cl Cl I Br Cl I Br Cl I Br Cl I Br Cl F Cl Cl F Cl Cl F Cl Cl F Cl Cl F Br Cl F Br Cl F Br Cl F Br Cl CF3 Cl Cl CF3 Cl Cl CF3 Cl Cl CF3 Cl Cl CF3 Br Cl CF3 Br Cl CF3 Br Cl CF3 Br Cl Br Cl Cl Br Cl Cl Br Cl Cl Br Cl Cl Br Br Cl Br Br Cl Br Br Cl Br Br Cl Cl Cl Cl Cl Cl Cl Cl Cl Cl Cl Cl Cl Cl Br Cl Cl Br Cl Cl Br Cl Cl Br Br H Cl Br H Cl Br H Cl Br H Cl Br H Br Br H Br Br H Br Br H Br Br I Cl Br I Cl Br I Cl Br I Cl Br I Br Br I Br Br I Br Br I Br Br F Cl Br F Cl Br F Cl Br F Cl Br F Br Br F Br Br F Br Br F Br Br CF3 Cl Br CF3 Cl Br CF3 Cl Br CF3 Cl Br CF3 Br Br CF3 Br Br CF3 Br Br CF3 Br Br Br Cl Br Br Cl Br Br Cl Br Br Cl Br Br Br Br Br Br Br Br Br Br Br Br Br Cl Cl Br Cl Cl Br Cl Cl Br Cl Cl Br Cl Br Br Cl Br Br Cl Br Br Cl Br R5 is Br CH3 H Cl CH3 H Cl CH3 H Cl CH3 H Cl CH3 H Br CH3 H Br CH3 H Br CH3 H Br CH3 I Cl CH3 I Cl CH3 I Cl CH3 I Cl CH3 I Br CH3 I Br CH3 I Br CH3 I Br CH3 F Cl CH3 F Cl CH3 F Cl CH3 F Cl CH3 F Br CH3 F Br CH3 F Br CH3 F Br CH3 CF3 Cl CH3 CF3 Cl CH3 CF3 Cl CH3 CF3 Cl CH3 CF3 Br CH3 CF3 Br CH3 CF3 Br CH3 CF3 Br CH3 Br Cl CH3 Br Cl CH3 Br Cl CH3 Br Cl CH3 Br Br CH3 Br Br CH3 Br Br CH3 Br Br CH3 Cl Cl CH3 Cl Cl CH3 Cl Cl CH3 Cl Cl CH3 Cl Br CH3 Cl Br CH3 Cl Br CH3 Cl Br Cl H Cl Cl H Cl Cl H Cl Cl H Cl Cl H Br Cl H Br Cl H Br Cl H Br Cl I Cl Cl I Cl Cl I Cl Cl I Cl Cl I Br Cl I Br Cl I Br Cl I Br Cl F Cl Cl F Cl Cl F Cl Cl F Cl Cl F Br Cl F Br Cl F Br Cl F Br Cl CF3 Cl Cl CF3 Cl Cl CF3 Cl Cl CF3 Cl Cl CF3 Br Cl CF3 Br Cl CF3 Br Cl CF3 Br Cl Br Cl Cl Br Cl Cl Br Cl Cl Br Cl Cl Br Br Cl Br Br Cl Br Br Cl Br Br Cl Cl Cl Cl Cl Cl Cl Cl Cl Cl Cl Cl Cl Cl Br Cl Cl Br Cl Cl Br Cl Cl Br Br H Cl Br H Cl Br H Cl Br H Cl Br H Br Br H Br Br H Br Br H Br Br I Cl Br I Cl Br I Cl Br I Cl Br I Br Br I Br Br I Br Br I Br Br F Cl Br F Cl Br F Cl Br F Cl Br F Br Br F Br Br F Br Br F Br Br CF3 Cl Br CF3 Cl Br CF3 Cl Br CF3 Cl Br CF3 Br Br CF3 Br Br CF3 Br Br CF3 Br Br Br Cl Br Br Cl Br Br Cl Br Br Cl Br Br Br Br Br Br Br Br Br Br Br Br Br Cl Cl Br Cl Cl Br Cl Cl Br Cl Cl Br Cl Br Br Cl Br Br Cl Br Br Cl Br R5 is CF3 CH3 H Cl CH3 H Cl CH3 H Cl CH3 H Cl CH3 H Br CH3 H Br CH3 H Br CH3 H Br CH3 I Cl CH3 I Cl CH3 I Cl CH3 I Cl CH3 I Br CH3 I Br CH3 I Br CH3 I Br CH3 F Cl CH3 F Cl CH3 F Cl CH3 F Cl CH3 F Br CH3 F Br CH3 F Br CH3 F Br CH3 CF3 Cl CH3 CF3 Cl CH3 CF3 Cl CH3 CF3 Cl CH3 CF3 Br CH3 CF3 Br CH3 CF3 Br CH3 CF3 Br CH3 Br Cl CH3 Br Cl CH3 Br Cl CH3 Br Cl CH3 Br Br CH3 Br Br CH3 Br Br CH3 Br Br CH3 Cl Cl CH3 Cl Cl CH3 Cl Cl CH3 Cl Cl CH3 Cl Br CH3 Cl Br CH3 Cl Br CH3 Cl Br Cl H Cl Cl H Cl Cl H Cl Cl H Cl Cl H Br Cl H Br Cl H Br Cl H Br Cl I Cl Cl I Cl Cl I Cl Cl I Cl Cl I Br Cl I Br Cl I Br Cl I Br Cl F Cl Cl F Cl Cl F Cl Cl F Cl Cl F Br Cl F Br Cl F Br Cl F Br Cl CF3 Cl Cl CF3 Cl Cl CF3 Cl Cl CF3 Cl Cl CF3 Br Cl CF3 Br Cl CF3 Br Cl CF3 Br Cl Br Cl Cl Br Cl Cl Br Cl Cl Br Cl Cl Br Br Cl Br Br Cl Br Br Cl Br Br Cl Cl Cl Cl Cl Cl Cl Cl Cl Cl Cl Cl Cl Cl Br Cl Cl Br Cl Cl Br Cl Cl Br Br H Cl Br H Cl Br H Cl Br H Cl Br H Br Br H Br Br H Br Br H Br Br I Cl Br I Cl Br I Cl Br I Cl Br I Br Br I Br Br I Br Br I Br Br F Cl Br F Cl Br F Cl Br F Cl Br F Br Br F Br Br F Br Br F Br Br CF3 Cl Br CF3 Cl Br CF3 Cl Br CF3 Cl Br CF3 Br Br CF3 Br Br CF3 Br Br CF3 Br Br Br Cl Br Br Cl Br Br Cl Br Br Cl Br Br Br Br Br Br Br Br Br Br Br Br Br Cl Cl Br Cl Cl Br Cl Cl Br Cl Cl Br Cl Br Br Cl Br Br Cl Br Br Cl Br R5 is OCH2CF3 CH3 H Cl CH3 H Cl CH3 H Cl CH3 H Cl CH3 H Br CH3 H Br CH3 H Br CH3 H Br CH3 I Cl CH3 I Cl CH3 I Cl CH3 I Cl CH3 I Br CH3 I Br CH3 I Br CH3 I Br CH3 F Cl CH3 F Cl CH3 F Cl CH3 F Cl CH3 F Br CH3 F Br CH3 F Br CH3 F Br CH3 CF3 Cl CH3 CF3 Cl CH3 CF3 Cl CH3 CF3 Cl CH3 CF3 Br CH3 CF3 Br CH3 CF3 Br CH3 CF3 Br CH3 Br Cl CH3 Br Cl CH3 Br Cl CH3 Br Cl CH3 Br Br CH3 Br Br CH3 Br Br CH3 Br Br CH3 Cl Cl CH3 Cl Cl CH3 Cl Cl CH3 Cl Cl CH3 Cl Br CH3 Cl Br CH3 Cl Br CH3 Cl Br Cl H Cl Cl H Cl Cl H Cl Cl H Cl Cl H Br Cl H Br Cl H Br Cl H Br Cl I Cl Cl I Cl Cl I Cl Cl I Cl Cl I Br Cl I Br Cl I Br Cl I Br Cl F Cl Cl F Cl Cl F Cl Cl F Cl Cl F Br Cl F Br Cl F Br Cl F Br Cl CF3 Cl Cl CF3 Cl Cl CF3 Cl Cl CF3 Cl Cl CF3 Br Cl CF3 Br Cl CF3 Br Cl CF3 Br Cl Br Cl Cl Br Cl Cl Br Cl Cl Br Cl Cl Br Br Cl Br Br Cl Br Br Cl Br Br Cl Cl Cl Cl Cl Cl Cl Cl Cl Cl Cl Cl Cl Cl Br Cl Cl Br Cl Cl Br Cl Cl Br Br H Cl Br H Cl Br H Cl Br H Cl Br H Br Br H Br Br H Br Br H Br Br I Cl Br I Cl Br I Cl Br I Cl Br I Br Br I Br Br I Br Br I Br Br F Cl Br F Cl Br F Cl Br F Cl Br F Br Br F Br Br F Br Br F Br Br CF3 Cl Br CF3 Cl Br CF3 Cl Br CF3 Cl Br CF3 Br Br CF3 Br Br CF3 Br Br CF3 Br Br Br Cl Br Br Cl Br Br Cl Br Br Cl Br Br Br Br Br Br Br Br Br Br Br Br Br Cl Cl Br Cl Cl Br Cl Cl Br Cl Cl Br Cl Br Br Cl Br Br Cl Br Br Cl Br -
TABLE 19 R2 is H, R3 is Me R2 is H, R3 is Et R2 is H, R3 is i-Pr R2 is Me, R3 is Me R4a R4b R6 R4a R4b R6 R4a R4b R6 R4a R4b R6 R5 is CHF2 CH3 H Cl CH3 H Cl CH3 H Cl CH3 H Cl CH3 H Br CH3 H Br CH3 H Br CH3 H Br CH3 I Cl CH3 I Cl CH3 I Cl CH3 I Cl CH3 I Br CH3 I Br CH3 I Br CH3 I Br CH3 F Cl CH3 F Cl CH3 F Cl CH3 F Cl CH3 F Br CH3 F Br CH3 F Br CH3 F Br CH3 CF3 Cl CH3 CF3 Cl CH3 CF3 Cl CH3 CF3 Cl CH3 CF3 Br CH3 CF3 Br CH3 CF3 Br CH3 CF3 Br CH3 Br Cl CH3 Br Cl CH3 Br Cl CH3 Br Cl CH3 Br Br CH3 Br Br CH3 Br Br CH3 Br Br CH3 Cl Cl CH3 Cl Cl CH3 Cl Cl CH3 Cl Cl CH3 Cl Br CH3 Cl Br CH3 Cl Br CH3 Cl Br Cl H Cl Cl H Cl Cl H Cl Cl H Cl Cl H Br Cl H Br Cl H Br Cl H Br Cl I Cl Cl I Cl Cl I Cl Cl I Cl Cl I Br Cl I Br Cl I Br Cl I Br Cl F Cl Cl F Cl Cl F Cl Cl F Cl Cl F Br Cl F Br Cl F Br Cl F Br Cl CF3 Cl Cl CF3 Cl Cl CF3 Cl Cl CF3 Cl Cl CF3 Br Cl CF3 Br Cl CF3 Br Cl CF3 Br Cl Br Cl Cl Br Cl Cl Br Cl Cl Br Cl Cl Br Br Cl Br Br Cl Br Br Cl Br Br Cl Cl Cl Cl Cl Cl Cl Cl Cl Cl Cl Cl Cl Cl Br Cl Cl Br Cl Cl Br Cl Cl Br Br H Cl Br H Cl Br H Cl Br H Cl Br H Br Br H Br Br H Br Br H Br Br I Cl Br I Cl Br I Cl Br I Cl Br I Br Br I Br Br I Br Br I Br Br F Cl Br F Cl Br F Cl Br F Cl Br F Br Br F Br Br F Br Br F Br Br CF3 Cl Br CF3 Cl Br CF3 Cl Br CF3 Cl Br CF3 Br Br CF3 Br Br CF3 Br Br CF3 Br Br Br Cl Br Br Cl Br Br Cl Br Br Cl Br Br Br Br Br Br Br Br Br Br Br Br Br Cl Cl Br Cl Cl Br Cl Cl Br Cl Cl Br Cl Br Br Cl Br Br Cl Br Br Cl Br R5 is CH2CF3 CH3 H Cl CH3 H Cl CH3 H Cl CH3 H Cl CH3 H Br CH3 H Br CH3 H Br CH3 H Br CH3 I Cl CH3 I Cl CH3 I Cl CH3 I Cl CH3 I Br CH3 I Br CH3 I Br CH3 I Br CH3 F Cl CH3 F Cl CH3 F Cl CH3 F Cl CH3 F Br CH3 F Br CH3 F Br CH3 F Br CH3 CF3 Cl CH3 CF3 Cl CH3 CF3 Cl CH3 CF3 Cl CH3 CF3 Br CH3 CF3 Br CH3 CF3 Br CH3 CF3 Br CH3 Br Cl CH3 Br Cl CH3 Br Cl CH3 Br Cl CH3 Br Br CH3 Br Br CH3 Br Br CH3 Br Br CH3 Cl Cl CH3 Cl Cl CH3 Cl Cl CH3 Cl Cl CH3 Cl Br CH3 Cl Br CH3 Cl Br CH3 Cl Br Cl H Cl Cl H Cl Cl H Cl Cl H Cl Cl H Br Cl H Br Cl H Br Cl H Br Cl I Cl Cl I Cl Cl I Cl Cl I Cl Cl I Br Cl I Br Cl I Br Cl I Br Cl F Cl Cl F Cl Cl F Cl Cl F Cl Cl F Br Cl F Br Cl F Br Cl F Br Cl CF3 Cl Cl CF3 Cl Cl CF3 Cl Cl CF3 Cl Cl CF3 Br Cl CF3 Br Cl CF3 Br Cl CF3 Br Cl Br Cl Cl Br Cl Cl Br Cl Cl Br Cl Cl Br Br Cl Br Br Cl Br Br Cl Br Br Cl Cl Cl Cl Cl Cl Cl Cl Cl Cl Cl Cl Cl Cl Br Cl Cl Br Cl Cl Br Cl Cl Br Br H Cl Br H Cl Br H Cl Br H Cl Br H Br Br H Br Br H Br Br H Br Br I Cl Br I Cl Br I Cl Br I Cl Br I Br Br I Br Br I Br Br I Br Br F Cl Br F Cl Br F Cl Br F Cl Br F Br Br F Br Br F Br Br F Br Br CF3 Cl Br CF3 Cl Br CF3 Cl Br CF3 Cl Br CF3 Br Br CF3 Br Br CF3 Br Br CF3 Br Br Br Cl Br Br Cl Br Br Cl Br Br Cl Br Br Br Br Br Br Br Br Br Br Br Br Br Cl Cl Br Cl Cl Br Cl Cl Br Cl Cl Br Cl Br Br Cl Br Br Cl Br Br Cl Br R5 is CF2CHF2 CH3 H Cl CH3 H Cl CH3 H Cl CH3 H Cl CH3 H Br CH3 H Br CH3 H Br CH3 H Br CH3 I Cl CH3 I Cl CH3 I Cl CH3 I Cl CH3 I Br CH3 I Br CH3 I Br CH3 I Br CH3 F Cl CH3 F Cl CH3 F Cl CH3 F Cl CH3 F Br CH3 F Br CH3 F Br CH3 F Br CH3 CF3 Cl CH3 CF3 Cl CH3 CF3 Cl CH3 CF3 Cl CH3 CF3 Br CH3 CF3 Br CH3 CF3 Br CH3 CF3 Br CH3 Br Cl CH3 Br Cl CH3 Br Cl CH3 Br Cl CH3 Br Br CH3 Br Br CH3 Br Br CH3 Br Br CH3 Cl Cl CH3 Cl Cl CH3 Cl Cl CH3 Cl Cl CH3 Cl Br CH3 Cl Br CH3 Cl Br CH3 Cl Br Cl H Cl Cl H Cl Cl H Cl Cl H Cl Cl H Br Cl H Br Cl H Br Cl H Br Cl I Cl Cl I Cl Cl I Cl Cl I Cl Cl I Br Cl I Br Cl I Br Cl I Br Cl F Cl Cl F Cl Cl F Cl Cl F Cl Cl F Br Cl F Br Cl F Br Cl F Br Cl CF3 Cl Cl CF3 Cl Cl CF3 Cl Cl CF3 Cl Cl CF3 Br Cl CF3 Br Cl CF3 Br Cl CF3 Br Cl Br Cl Cl Br Cl Cl Br Cl Cl Br Cl Cl Br Br Cl Br Br Cl Br Br Cl Br Br Cl Cl Cl Cl Cl Cl Cl Cl Cl Cl Cl Cl Cl Cl Br Cl Cl Br Cl Cl Br Cl Cl Br Br H Cl Br H Cl Br H Cl Br H Cl Br H Br Br H Br Br H Br Br H Br Br I Cl Br I Cl Br I Cl Br I Cl Br I Br Br I Br Br I Br Br I Br Br F Cl Br F Cl Br F Cl Br F Cl Br F Br Br F Br Br F Br Br F Br Br CF3 Cl Br CF3 Cl Br CF3 Cl Br CF3 Cl Br CF3 Br Br CF3 Br Br CF3 Br Br CF3 Br Br Br Cl Br Br Cl Br Br Cl Br Br Cl Br Br Br Br Br Br Br Br Br Br Br Br Br Cl Cl Br Cl Cl Br Cl Cl Br Cl Cl Br Cl Br Br Cl Br Br Cl Br Br Cl Br -
TABLE 20 R2 is H, R3 is Me R2 is H, R3 is Et R2 is H, R3 is i-Pr R2 is Me, R3 is Me R4a R4b R6 R4a R4b R6 R4a R4b R6 R4a R4b R6 R5 is Cl CH3 H Cl CH3 H Cl CH3 H Cl CH3 H Cl CH3 H Br CH3 H Br CH3 H Br CH3 H Br CH3 I Cl CH3 I Cl CH3 I Cl CH3 I Cl CH3 I Br CH3 I Br CH3 I Br CH3 I Br CH3 F Cl CH3 F Cl CH3 F Cl CH3 F Cl CH3 F Br CH3 F Br CH3 F Br CH3 F Br CH3 CF3 Cl CH3 CF3 Cl CH3 CF3 Cl CH3 CF3 Cl CH3 CF3 Br CH3 CF3 Br CH3 CF3 Br CH3 CF3 Br CH3 Br Cl CH3 Br Cl CH3 Br Cl CH3 Br Cl CH3 Br Br CH3 Br Br CH3 Br Br CH3 Br Br CH3 Cl Cl CH3 Cl Cl CH3 Cl Cl CH3 Cl Cl CH3 Cl Br CH3 Cl Br CH3 Cl Br CH3 Cl Br Cl H Cl Cl H Cl Cl H Cl Cl H Cl Cl H Br Cl H Br Cl H Br Cl H Br Cl I Cl Cl I Cl Cl I Cl Cl I Cl Cl I Br Cl I Br Cl I Br Cl I Br Cl F Cl Cl F Cl Cl F Cl Cl F Cl Cl F Br Cl F Br Cl F Br Cl F Br Cl CF3 Cl Cl CF3 Cl Cl CF3 Cl Cl CF3 Cl Cl CF3 Br Cl CF3 Br Cl CF3 Br Cl CF3 Br Cl Br Cl Cl Br Cl Cl Br Cl Cl Br Cl Cl Br Br Cl Br Br Cl Br Br Cl Br Br Cl Cl Cl Cl Cl Cl Cl Cl Cl Cl Cl Cl Cl Cl Br Cl Cl Br Cl Cl Br Cl Cl Br Br H Cl Br H Cl Br H Cl Br H Cl Br H Br Br H Br Br H Br Br H Br Br I Cl Br I Cl Br I Cl Br I Cl Br I Br Br I Br Br I Br Br I Br Br F Cl Br F Cl Br F Cl Br F Cl Br F Br Br F Br Br F Br Br F Br Br CF3 Cl Br CF3 Cl Br CF3 Cl Br CF3 Cl Br CF3 Br Br CF3 Br Br CF3 Br Br CF3 Br Br Br Cl Br Br Cl Br Br Cl Br Br Cl Br Br Br Br Br Br Br Br Br Br Br Br Br Cl Cl Br Cl Cl Br Cl Cl Br Cl Cl Br Cl Br Br Cl Br Br Cl Br Br Cl Br R5 is Br CH3 H Cl CH3 H Cl CH3 H Cl CH3 H Cl CH3 H Br CH3 H Br CH3 H Br CH3 H Br CH3 I Cl CH3 I Cl CH3 I Cl CH3 I Cl CH3 I Br CH3 I Br CH3 I Br CH3 I Br CH3 F Cl CH3 F Cl CH3 F Cl CH3 F Cl CH3 F Br CH3 F Br CH3 F Br CH3 F Br CH3 CF3 Cl CH3 CF3 Cl CH3 CF3 Cl CH3 CF3 Cl CH3 CF3 Br CH3 CF3 Br CH3 CF3 Br CH3 CF3 Br CH3 Br Cl CH3 Br Cl CH3 Br Cl CH3 Br Cl CH3 Br Br CH3 Br Br CH3 Br Br CH3 Br Br CH3 Cl Cl CH3 Cl Cl CH3 Cl Cl CH3 Cl Cl CH3 Cl Br CH3 Cl Br CH3 Cl Br CH3 Cl Br Cl H Cl Cl H Cl Cl H Cl Cl H Cl Cl H Br Cl H Br Cl H Br Cl H Br Cl I Cl Cl I Cl Cl I Cl Cl I Cl Cl I Br Cl I Br Cl I Br Cl I Br Cl F Cl Cl F Cl Cl F Cl Cl F Cl Cl F Br Cl F Br Cl F Br Cl F Br Cl CF3 Cl Cl CF3 Cl Cl CF3 Cl Cl CF3 Cl Cl CF3 Br Cl CF3 Br Cl CF3 Br Cl CF3 Br Cl Br Cl Cl Br Cl Cl Br Cl Cl Br Cl Cl Br Br Cl Br Br Cl Br Br Cl Br Br Cl Cl Cl Cl Cl Cl Cl Cl Cl Cl Cl Cl Cl Cl Br Cl Cl Br Cl Cl Br Cl Cl Br Br H Cl Br H Cl Br H Cl Br H Cl Br H Br Br H Br Br H Br Br H Br Br I Cl Br I Cl Br I Cl Br I Cl Br I Br Br I Br Br I Br Br I Br Br F Cl Br F Cl Br F Cl Br F Cl Br F Br Br F Br Br F Br Br F Br Br CF3 Cl Br CF3 Cl Br CF3 Cl Br CF3 Cl Br CF3 Br Br CF3 Br Br CF3 Br Br CF3 Br Br Br Cl Br Br Cl Br Br Cl Br Br Cl Br Br Br Br Br Br Br Br Br Br Br Br Br Cl Cl Br Cl Cl Br Cl Cl Br Cl Cl Br Cl Br Br Cl Br Br Cl Br Br Cl Br R5 is CF3 CH3 H Cl CH3 H Cl CH3 H Cl CH3 H Cl CH3 H Br CH3 H Br CH3 H Br CH3 H Br CH3 I Cl CH3 I Cl CH3 I Cl CH3 I Cl CH3 I Br CH3 I Br CH3 I Br CH3 I Br CH3 F Cl CH3 F Cl CH3 F Cl CH3 F Cl CH3 F Br CH3 F Br CH3 F Br CH3 F Br CH3 CF3 Cl CH3 CF3 Cl CH3 CF3 Cl CH3 CF3 Cl CH3 CF3 Br CH3 CF3 Br CH3 CF3 Br CH3 CF3 Br CH3 Br Cl CH3 Br Cl CH3 Br Cl CH3 Br Cl CH3 Br Br CH3 Br Br CH3 Br Br CH3 Br Br CH3 Cl Cl CH3 Cl Cl CH3 Cl Cl CH3 Cl Cl CH3 Cl Br CH3 Cl Br CH3 Cl Br CH3 Cl Br Cl H Cl Cl H Cl Cl H Cl Cl H Cl Cl H Br Cl H Br Cl H Br Cl H Br Cl I Cl Cl I Cl Cl I Cl Cl I Cl Cl I Br Cl I Br Cl I Br Cl I Br Cl F Cl Cl F Cl Cl F Cl Cl F Cl Cl F Br Cl F Br Cl F Br Cl F Br Cl CF3 Cl Cl CF3 Cl Cl CF3 Cl Cl CF3 Cl Cl CF3 Br Cl CF3 Br Cl CF3 Br Cl CF3 Br Cl Br Cl Cl Br Cl Cl Br Cl Cl Br Cl Cl Br Br Cl Br Br Cl Br Br Cl Br Br Cl Cl Cl Cl Cl Cl Cl Cl Cl Cl Cl Cl Cl Cl Br Cl Cl Br Cl Cl Br Cl Cl Br Br H Cl Br H Cl Br H Cl Br H Cl Br H Br Br H Br Br H Br Br H Br Br I Cl Br I Cl Br I Cl Br I Cl Br I Br Br I Br Br I Br Br I Br Br F Cl Br F Cl Br F Cl Br F Cl Br F Br Br F Br Br F Br Br F Br Br CF3 Cl Br CF3 Cl Br CF3 Cl Br CF3 Cl Br CF3 Br Br CF3 Br Br CF3 Br Br CF3 Br Br Br Cl Br Br Cl Br Br Cl Br Br Cl Br Br Br Br Br Br Br Br Br Br Br Br Br Cl Cl Br Cl Cl Br Cl Cl Br Cl Cl Br Cl Br Br Cl Br Br Cl Br Br Cl Br R5 is OCH2CF3 CH3 H Cl CH3 H Cl CH3 H Cl CH3 H Cl CH3 H Br CH3 H Br CH3 H Br CH3 H Br CH3 I Cl CH3 I Cl CH3 I Cl CH3 I Cl CH3 I Br CH3 I Br CH3 I Br CH3 I Br CH3 F Cl CH3 F Cl CH3 F Cl CH3 F Cl CH3 F Br CH3 F Br CH3 F Br CH3 F Br CH3 CF3 Cl CH3 CF3 Cl CH3 CF3 Cl CH3 CF3 Cl CH3 CF3 Br CH3 CF3 Br CH3 CF3 Br CH3 CF3 Br CH3 Br Cl CH3 Br Cl CH3 Br Cl CH3 Br Cl CH3 Br Br CH3 Br Br CH3 Br Br CH3 Br Br CH3 Cl Cl CH3 Cl Cl CH3 Cl Cl CH3 Cl Cl CH3 Cl Br CH3 Cl Br CH3 Cl Br CH3 Cl Br Cl H Cl Cl H Cl Cl H Cl Cl H Cl Cl H Br Cl H Br Cl H Br Cl H Br Cl I Cl Cl I Cl Cl I Cl Cl I Cl Cl I Br Cl I Br Cl I Br Cl I Br Cl F Cl Cl F Cl Cl F Cl Cl F Cl Cl F Br Cl F Br Cl F Br Cl F Br Cl CF3 Cl Cl CF3 Cl Cl CF3 Cl Cl CF3 Cl Cl CF3 Br Cl CF3 Br Cl CF3 Br Cl CF3 Br Cl Br Cl Cl Br Cl Cl Br Cl Cl Br Cl Cl Br Br Cl Br Br Cl Br Br Cl Br Br Cl Cl Cl Cl Cl Cl Cl Cl Cl Cl Cl Cl Cl Cl Br Cl Cl Br Cl Cl Br Cl Cl Br Br H Cl Br H Cl Br H Cl Br H Cl Br H Br Br H Br Br H Br Br H Br Br I Cl Br I Cl Br I Cl Br I Cl Br I Br Br I Br Br I Br Br I Br Br F Cl Br F Cl Br F Cl Br F Cl Br F Br Br F Br Br F Br Br F Br Br CF3 Cl Br CF3 Cl Br CF3 Cl Br CF3 Cl Br CF3 Br Br CF3 Br Br CF3 Br Br CF3 Br Br Br Cl Br Br Cl Br Br Cl Br Br Cl Br Br Br Br Br Br Br Br Br Br Br Br Br Cl Cl Br Cl Cl Br Cl Cl Br Cl Cl Br Cl Br Br Cl Br Br Cl Br Br Cl Br -
TABLE 21 R2 is H, R3 is Me R2 is H, R3 is Et R2 is H, R3 is i-Pr R2 is Me, R3 is Me R4a R4b R6 R4a R4b R6 R4a R4b R6 R4a R4b R6 R5 is CHF2 CH3 H Cl CH3 H Cl CH3 H Cl CH3 H Cl CH3 H Br CH3 H Br CH3 H Br CH3 H Br CH3 I Cl CH3 I Cl CH3 I Cl CH3 I Cl CH3 I Br CH3 I Br CH3 I Br CH3 I Br CH3 F Cl CH3 F Cl CH3 F Cl CH3 F Cl CH3 F Br CH3 F Br CH3 F Br CH3 F Br CH3 CF3 Cl CH3 CF3 Cl CH3 CF3 Cl CH3 CF3 Cl CH3 CF3 Br CH3 CF3 Br CH3 CF3 Br CH3 CF3 Br CH3 Br Cl CH3 Br Cl CH3 Br Cl CH3 Br Cl CH3 Br Br CH3 Br Br CH3 Br Br CH3 Br Br CH3 Cl Cl CH3 Cl Cl CH3 Cl Cl CH3 Cl Cl CH3 Cl Br CH3 Cl Br CH3 Cl Br CH3 Cl Br Cl H Cl Cl H Cl Cl H Cl Cl H Cl Cl H Br Cl H Br Cl H Br Cl H Br Cl I Cl Cl I Cl Cl I Cl Cl I Cl Cl I Br Cl I Br Cl I Br Cl I Br Cl F Cl Cl F Cl Cl F Cl Cl F Cl Cl F Br Cl F Br Cl F Br Cl F Br Cl CF3 Cl Cl CF3 Cl Cl CF3 Cl Cl CF3 Cl Cl CF3 Br Cl CF3 Br Cl CF3 Br Cl CF3 Br Cl Br Cl Cl Br Cl Cl Br Cl Cl Br Cl Cl Br Br Cl Br Br Cl Br Br Cl Br Br Cl Cl Cl Cl Cl Cl Cl Cl Cl Cl Cl Cl Cl Cl Br Cl Cl Br Cl Cl Br Cl Cl Br Br H Cl Br H Cl Br H Cl Br H Cl Br H Br Br H Br Br H Br Br H Br Br I Cl Br I Cl Br I Cl Br I Cl Br I Br Br I Br Br I Br Br I Br Br F Cl Br F Cl Br F Cl Br F Cl Br F Br Br F Br Br F Br Br F Br Br CF3 Cl Br CF3 Cl Br CF3 Cl Br CF3 Cl Br CF3 Br Br CF3 Br Br CF3 Br Br CF3 Br Br Br Cl Br Br Cl Br Br Cl Br Br Cl Br Br Br Br Br Br Br Br Br Br Br Br Br Cl Cl Br Cl Cl Br Cl Cl Br Cl Cl Br Cl Br Br Cl Br Br Cl Br Br Cl Br R5 is CH2CF3 CH3 H Cl CH3 H Cl CH3 H Cl CH3 H Cl CH3 H Br CH3 H Br CH3 H Br CH3 H Br CH3 I Cl CH3 I Cl CH3 I Cl CH3 I Cl CH3 I Br CH3 I Br CH3 I Br CH3 I Br CH3 F Cl CH3 F Cl CH3 F Cl CH3 F Cl CH3 F Br CH3 F Br CH3 F Br CH3 F Br CH3 CF3 Cl CH3 CF3 Cl CH3 CF3 Cl CH3 CF3 Cl CH3 CF3 Br CH3 CF3 Br CH3 CF3 Br CH3 CF3 Br CH3 Br Cl CH3 Br Cl CH3 Br Cl CH3 Br Cl CH3 Br Br CH3 Br Br CH3 Br Br CH3 Br Br CH3 Cl Cl CH3 Cl Cl CH3 Cl Cl CH3 Cl Cl CH3 Cl Br CH3 Cl Br CH3 Cl Br CH3 Cl Br Cl H Cl Cl H Cl Cl H Cl Cl H Cl Cl H Br Cl H Br Cl H Br Cl H Br Cl I Cl Cl I Cl Cl I Cl Cl I Cl Cl I Br Cl I Br Cl I Br Cl I Br Cl F Cl Cl F Cl Cl F Cl Cl F Cl Cl F Br Cl F Br Cl F Br Cl F Br Cl CF3 Cl Cl CF3 Cl Cl CF3 Cl Cl CF3 Cl Cl CF3 Br Cl CF3 Br Cl CF3 Br Cl CF3 Br Cl Br Cl Cl Br Cl Cl Br Cl Cl Br Cl Cl Br Br Cl Br Br Cl Br Br Cl Br Br Cl Cl Cl Cl Cl Cl Cl Cl Cl Cl Cl Cl Cl Cl Br Cl Cl Br Cl Cl Br Cl Cl Br Br H Cl Br H Cl Br H Cl Br H Cl Br H Br Br H Br Br H Br Br H Br Br I Cl Br I Cl Br I Cl Br I Cl Br I Br Br I Br Br I Br Br I Br Br F Cl Br F Cl Br F Cl Br F Cl Br F Br Br F Br Br F Br Br F Br Br CF3 Cl Br CF3 Cl Br CF3 Cl Br CF3 Cl Br CF3 Br Br CF3 Br Br CF3 Br Br CF3 Br Br Br Cl Br Br Cl Br Br Cl Br Br Cl Br Br Br Br Br Br Br Br Br Br Br Br Br Cl Cl Br Cl Cl Br Cl Cl Br Cl Cl Br Cl Br Br Cl Br Br Cl Br Br Cl Br R5 is CF2CHF2 CH3 H Cl CH3 H Cl CH3 H Cl CH3 H Cl CH3 H Br CH3 H Br CH3 H Br CH3 H Br CH3 I Cl CH3 I Cl CH3 I Cl CH3 I Cl CH3 I Br CH3 I Br CH3 I Br CH3 I Br CH3 F Cl CH3 F Cl CH3 F Cl CH3 F Cl CH3 F Br CH3 F Br CH3 F Br CH3 F Br CH3 CF3 Cl CH3 CF3 Cl CH3 CF3 Cl CF3 CF3 Cl CH3 CF3 Br CH3 CF3 Br CH3 CF3 Br CF3 CF3 Br CH3 Br Cl CH3 Br Cl CH3 Br Cl CH3 Br Cl CH3 Br Br CH3 Br Br CH3 Br Br CH3 Br Br CH3 Cl Cl CH3 Cl Cl CH3 Cl Cl CH3 Cl Cl CH3 Cl Br CH3 Cl Br CH3 Cl Br CH3 Cl Br Cl H Cl Cl H Cl Cl H Cl Cl H Cl Cl H Br Cl H Br Cl H Br Cl H Br Cl I Cl Cl I Cl Cl I Cl Cl I Cl Cl I Br Cl I Br Cl I Br Cl I Br Cl F Cl Cl F Cl Cl F Cl Cl F Cl Cl F Br Cl F Br Cl F Br Cl F Br Cl CF3 Cl Cl CF3 Cl Cl CF3 Cl Cl CF3 Cl Cl CF3 Br Cl CF3 Br Cl CF3 Br Cl CF3 Br Cl Br Cl Cl Br Cl Cl Br Cl Cl Br Cl Cl Br Br Cl Br Br Cl Br Br Cl Br Br Cl Cl Cl Cl Cl Cl Cl Cl Cl Cl Cl Cl Cl Cl Br Cl Cl Br Cl Cl Br Cl Cl Br Br H Cl Br H Cl Br H Cl Br H Cl Br H Br Br H Br Br H Br Br H Br Br I Cl Br I Cl Br I Cl Br I Cl Br I Br Br I Br Br I Br Br I Br Br F Cl Br F Cl Br F Cl Br F Cl Br F Br Br F Br Br F Br Br F Br Br CF3 Cl Br CF3 Cl Br CF3 Cl Br CF3 Cl Br CF3 Br Br CF3 Br Br CF3 Br Br CF3 Br Br Br Cl Br Br Cl Br Br Cl Br Br Cl Br Br Br Br Br Br Br Br Br Br Br Br Br Cl Cl Br Cl Cl Br Cl Cl Br Cl Cl Br Cl Br Br Cl Br Br Cl Br Br Cl Br -
TABLE 22 R2 is H, R3 is Me R2 is H, R3 is Et R2 is H, R3 is i-Pr R2 is Me, R3 is Me R4a R4b R6 R4a R4b R6 R4a R4b R6 R4a R4b R6 R5 is Cl CH3 H Cl CH3 H Cl CH3 H Cl CH3 H Cl CH3 H Br CH3 H Br CH3 H Br CH3 H Br CH3 I Cl CH3 I Cl CH3 I Cl CH3 I Cl CH3 I Br CH3 I Br CH3 I Br CH3 I Br CH3 F Cl CH3 F Cl CH3 F Cl CH3 F Cl CH3 F Br CH3 F Br CH3 F Br CH3 F Br CH3 CF3 Cl CH3 CF3 Cl CH3 CF3 Cl CH3 CF3 Cl CH3 CF3 Br CH3 CF3 Br CH3 CF3 Br CH3 CF3 Br CH3 Br Cl CH3 Br Cl CH3 Br Cl CH3 Br Cl CH3 Br Br CH3 Br Br CH3 Br Br CH3 Br Br CH3 Cl Cl CH3 Cl Cl CH3 Cl Cl CH3 Cl Cl CH3 Cl Br CH3 Cl Br CH3 Cl Br CH3 Cl Br Cl H Cl Cl H Cl Cl H Cl Cl H Cl Cl H Br Cl H Br Cl H Br Cl H Br Cl I Cl Cl I Cl Cl I Cl Cl I Cl Cl I Br Cl I Br Cl I Br Cl I Br Cl F Cl Cl F Cl Cl F Cl Cl F Cl Cl F Br Cl F Br Cl F Br Cl F Br Cl CF3 Cl Cl CF3 Cl Cl CF3 Cl Cl CF3 Cl Cl CF3 Br Cl CF3 Br Cl CF3 Br Cl CF3 Br Cl Br Cl Cl Br Cl Cl Br Cl Cl Br Cl Cl Br Br Cl Br Br Cl Br Br Cl Br Br Cl Cl Cl Cl Cl Cl Cl Cl Cl Cl Cl Cl Cl Cl Br Cl Cl Br Cl Cl Br Cl Cl Br Br H Cl Br H Cl Br H Cl Br H Cl Br H Br Br H Br Br H Br Br H Br Br I Cl Br I Cl Br I Cl Br I Cl Br I Br Br I Br Br I Br Br I Br Br F Cl Br F Cl Br F Cl Br F Cl Br F Br Br F Br Br F Br Br F Br Br CF3 Cl Br CF3 Cl Br CF3 Cl Br CF3 Cl Br CF3 Br Br CF3 Br Br CF3 Br Br CF3 Br Br Br Cl Br Br Cl Br Br Cl Br Br Cl Br Br Br Br Br Br Br Br Br Br Br Br Br Cl Cl Br Cl Cl Br Cl Cl Br Cl Cl Br Cl Br Br Cl Br Br Cl Br Br Cl Br R5 is Br CH3 H Cl CH3 H Cl CH3 H Cl CH3 H Cl CH3 H Br CH3 H Br CH3 H Br CH3 H Br CH3 I Cl CH3 I Cl CH3 I Cl CH3 I Cl CH3 I Br CH3 I Br CH3 I Br CH3 I Br CH3 F Cl CH3 F Cl CH3 F Cl CH3 F Cl CH3 F Br CH3 F Br CH3 F Br CH3 F Br CH3 CF3 Cl CH3 CF3 Cl CH3 CF3 Cl CH3 CF3 Cl CH3 CF3 Br CH3 CF3 Br CH3 CF3 Br CH3 CF3 Br CH3 Br Cl CH3 Br Cl CH3 Br Cl CH3 Br Cl CH3 Br Br CH3 Br Br CH3 Br Br CH3 Br Br CH3 Cl Cl CH3 Cl Cl CH3 Cl Cl CH3 Cl Cl CH3 Cl Br CH3 Cl Br CH3 Cl Br CH3 Cl Br Cl H Cl Cl H Cl Cl H Cl Cl H Cl Cl H Br Cl H Br Cl H Br Cl H Br Cl I Cl Cl I Cl Cl I Cl Cl I Cl Cl I Br Cl I Br Cl I Br Cl I Br Cl F Cl Cl F Cl Cl F Cl Cl F Cl Cl F Br Cl F Br Cl F Br Cl F Br Cl CF3 Cl Cl CF3 Cl Cl CF3 Cl Cl CF3 Cl Cl CF3 Br Cl CF3 Br Cl CF3 Br Cl CF3 Br Cl Br Cl Cl Br Cl Cl Br Cl Cl Br Cl Cl Br Br Cl Br Br Cl Br Br Cl Br Br Cl Cl Cl Cl Cl Cl Cl Cl Cl Cl Cl Cl Cl Cl Br Cl Cl Br Cl Cl Br Cl Cl Br Br H Cl Br H Cl Br H Cl Br H Cl Br H Br Br H Br Br H Br Br H Br Br I Cl Br I Cl Br I Cl Br I Cl Br I Br Br I Br Br I Br Br I Br Br F Cl Br F Cl Br F Cl Br F Cl Br F Br Br F Br Br F Br Br F Br Br CF3 Cl Br CF3 Cl Br CF3 Cl Br CF3 Cl Br CF3 Br Br CF3 Br Br CF3 Br Br CF3 Br Br Br Cl Br Br Cl Br Br Cl Br Br Cl Br Br Br Br Br Br Br Br Br Br Br Br Br Cl Cl Br Cl Cl Br Cl Cl Br Cl Cl Br Cl Br Br Cl Br Br Cl Br Br Cl Br R5 is CF3 CH3 H Cl CH3 H Cl CH3 H Cl CH3 H Cl CH3 H Br CH3 H Br CH3 H Br CH3 H Br CH3 I Cl CH3 I Cl CH3 I Cl CH3 I Cl CH3 I Br CH3 I Br CH3 I Br CH3 I Br CH3 F Cl CH3 F Cl CH3 F Cl CH3 F Cl CH3 F Br CH3 F Br CH3 F Br CH3 F Br CH3 CF3 Cl CH3 CF3 Cl CH3 CF3 Cl CH3 CF3 Cl CH3 CF3 Br CH3 CF3 Br CH3 CF3 Br CH3 CF3 Br CH3 Br Cl CH3 Br Cl CH3 Br Cl CH3 Br Cl CH3 Br Br CH3 Br Br CH3 Br Br CH3 Br Br CH3 Cl Cl CH3 Cl Cl CH3 Cl Cl CH3 Cl Cl CH3 Cl Br CH3 Cl Br CH3 Cl Br CH3 Cl Br Cl H Cl Cl H Cl Cl H Cl Cl H Cl Cl H Br Cl H Br Cl H Br Cl H Br Cl I Cl Cl I Cl Cl I Cl Cl I Cl Cl I Br Cl I Br Cl I Br Cl I Br Cl F Cl Cl F Cl Cl F Cl Cl F Cl Cl F Br Cl F Br Cl F Br Cl F Br Cl CF3 Cl Cl CF3 Cl Cl CF3 Cl Cl CF3 Cl Cl CF3 Br Cl CF3 Br Cl CF3 Br Cl CF3 Br Cl Br Cl Cl Br Cl Cl Br Cl Cl Br Cl Cl Br Br Cl Br Br Cl Br Br Cl Br Br Cl Cl Cl Cl Cl Cl Cl Cl Cl Cl Cl Cl Cl Cl Br Cl Cl Br Cl Cl Br Cl Cl Br Br H Cl Br H Cl Br H Cl Br H Cl Br H Br Br H Br Br H Br Br H Br Br I Cl Br I Cl Br I Cl Br I Cl Br I Br Br I Br Br I Br Br I Br Br F Cl Br F Cl Br F Cl Br F Cl Br F Br Br F Br Br F Br Br F Br Br CF3 Cl Br CF3 Cl Br CF3 Cl Br CF3 Cl Br CF3 Br Br CF3 Br Br CF3 Br Br CF3 Br Br Br Cl Br Br Cl Br Br Cl Br Br Cl Br Br Br Br Br Br Br Br Br Br Br Br Br Cl Cl Br Cl Cl Br Cl Cl Br Cl Cl Br Cl Br Br Cl Br Br Cl Br Br Cl Br R5 is OCH2CF3 CH3 H Cl CH3 H Cl CH3 H Cl CH3 H Cl CH3 H Br CH3 H Br CH3 H Br CH3 H Br CH3 I Cl CH3 I Cl CH3 I Cl CH3 I Cl CH3 I Br CH3 I Br CH3 I Br CH3 I Br CH3 F Cl CH3 F Cl CH3 F Cl CH3 F Cl CH3 F Br CH3 F Br CH3 F Br CH3 F Br CH3 CF3 Cl CH3 CF3 Cl CH3 CF3 Cl CH3 CF3 Cl CH3 CF3 Br CH3 CF3 Br CH3 CF3 Br CH3 CF3 Br CH3 Br Cl CH3 Br Cl CH3 Br Cl CH3 Br Cl CH3 Br Br CH3 Br Br CH3 Br Br CH3 Br Br CH3 Cl Cl CH3 Cl Cl CH3 Cl Cl CH3 Cl Cl CH3 Cl Br CH3 Cl Br CH3 Cl Br CH3 Cl Br Cl H Cl Cl H Cl Cl H Cl Cl H Cl Cl H Br Cl H Br Cl H Br Cl H Br Cl I Cl Cl I Cl Cl I Cl Cl I Cl Cl I Br Cl I Br Cl I Br Cl I Br Cl F Cl Cl F Cl Cl F Cl Cl F Cl Cl F Br Cl F Br Cl F Br Cl F Br Cl CF3 Cl Cl CF3 Cl Cl CF3 Cl Cl CF3 Cl Cl CF3 Br Cl CF3 Br Cl CF3 Br Cl CF3 Br Cl Br Cl Cl Br Cl Cl Br Cl Cl Br Cl Cl Br Br Cl Br Br Cl Br Br Cl Br Br Cl Cl Cl Cl Cl Cl Cl Cl Cl Cl Cl Cl Cl Cl Br Cl Cl Br Cl Cl Br Cl Cl Br Br H Cl Br H Cl Br H Cl Br H Cl Br H Br Br H Br Br H Br Br H Br Br I Cl Br I Cl Br I Cl Br I Cl Br I Br Br I Br Br I Br Br I Br Br F Cl Br F Cl Br F Cl Br F Cl Br F Br Br F Br Br F Br Br F Br Br CF3 Cl Br CF3 Cl Br CF3 Cl Br CF3 Cl Br CF3 Br Br CF3 Br Br CF3 Br Br CF3 Br Br Br Cl Br Br Cl Br Br Cl Br Br Cl Br Br Br Br Br Br Br Br Br Br Br Br Br Cl Cl Br Cl Cl Br Cl Cl Br Cl Cl Br Cl Br Br Cl Br Br Cl Br Br Cl Br -
TABLE 23 R2 is H, R3 is Me R2 is H, R3 is Et R2 is H, R3 is i-Pr R2 is Me, R3 is Me R4a R4b R6 R4a R4b R6 R4a R4b R6 R4a R4b R6 R5 is CHF2 CH3 H Cl CH3 H Cl CH3 H Cl CH3 H Cl CH3 H Br CH3 H Br CH3 H Br CH3 H Br CH3 I Cl CH3 I Cl CH3 I Cl CH3 I Cl CH3 I Br CH3 I Br CH3 I Br CH3 I Br CH3 F Cl CH3 F Cl CH3 F Cl CH3 F Cl CH3 F Br CH3 F Br CH3 F Br CH3 F Br CH3 CF3 Cl CH3 CF3 Cl CH3 CF3 Cl CH3 CF3 Cl CH3 CF3 Br CH3 CF3 Br CH3 CF3 Br CH3 CF3 Br CH3 Br Cl CH3 Br Cl CH3 Br Cl CH3 Br Cl CH3 Br Br CH3 Br Br CH3 Br Br CH3 Br Br CH3 Cl Cl CH3 Cl Cl CH3 Cl Cl CH3 Cl Cl CH3 Cl Br CH3 Cl Br CH3 Cl Br CH3 Cl Br Cl H Cl Cl H Cl Cl H Cl Cl H Cl Cl H Br Cl H Br Cl H Br Cl H Br Cl I Cl Cl I Cl Cl I Cl Cl I Cl Cl I Br Cl I Br Cl I Br Cl I Br Cl F Cl Cl F Cl Cl F Cl Cl F Cl Cl F Br Cl F Br Cl F Br Cl F Br Cl CF3 Cl Cl CF3 Cl Cl CF3 Cl Cl CF3 Cl Cl CF3 Br Cl CF3 Br Cl CF3 Br Cl CF3 Br Cl Br Cl Cl Br Cl Cl Br Cl Cl Br Cl Cl Br Br Cl Br Br Cl Br Br Cl Br Br Cl Cl Cl Cl Cl Cl Cl Cl Cl Cl Cl Cl Cl Cl Br Cl Cl Br Cl Cl Br Cl Cl Br Br H Cl Br H Cl Br H Cl Br H Cl Br H Br Br H Br Br H Br Br H Br Br I Cl Br I Cl Br I Cl Br I Cl Br I Br Br I Br Br I Br Br I Br Br F Cl Br F Cl Br F Cl Br F Cl Br F Br Br F Br Br F Br Br F Br Br CF3 Cl Br CF3 Cl Br CF3 Cl Br CF3 Cl Br CF3 Br Br CF3 Br Br CF3 Br Br CF3 Br Br Br Cl Br Br Cl Br Br Cl Br Br Cl Br Br Br Br Br Br Br Br Br Br Br Br Br Cl Cl Br Cl Cl Br Cl Cl Br Cl Cl Br Cl Br Br Cl Br Br Cl Br Br Cl Br R5 is CH2CF3 CH3 H Cl CH3 H Cl CH3 H Cl CH3 H Cl CH3 H Br CH3 H Br CH3 H Br CH3 H Br CH3 I Cl CH3 I Cl CH3 I Cl CH3 I Cl CH3 I Br CH3 I Br CH3 I Br CH3 I Br CH3 F Cl CH3 F Cl CH3 F Cl CH3 F Cl CH3 F Br CH3 F Br CH3 F Br CH3 F Br CH3 CF3 Cl CH3 CF3 Cl CH3 CF3 Cl CH3 CF3 Cl CH3 CF3 Br CH3 CF3 Br CH3 CF3 Br CH3 CF3 Br CH3 Br Cl CH3 Br Cl CH3 Br Cl CH3 Br Cl CH3 Br Br CH3 Br Br CH3 Br Br CH3 Br Br CH3 Cl Cl CH3 Cl Cl CH3 Cl Cl CH3 Cl Cl CH3 Cl Br CH3 Cl Br CH3 Cl Br CH3 Cl Br Cl H Cl Cl H Cl Cl H Cl Cl H Cl Cl H Br Cl H Br Cl H Br Cl H Br Cl I Cl Cl I Cl Cl I Cl Cl I Cl Cl I Br Cl I Br Cl I Br Cl I Br Cl F Cl Cl F Cl Cl F Cl Cl F Cl Cl F Br Cl F Br Cl F Br Cl F Br Cl CF3 Cl Cl CF3 Cl Cl CF3 Cl Cl CF3 Cl Cl CF3 Br Cl CF3 Br Cl CF3 Br Cl CF3 Br Cl Br Cl Cl Br Cl Cl Br Cl Cl Br Cl Cl Br Br Cl Br Br Cl Br Br Cl Br Br Cl Cl Cl Cl Cl Cl Cl Cl Cl Cl Cl Cl Cl Cl Br Cl Cl Br Cl Cl Br Cl Cl Br Br H Cl Br H Cl Br H Cl Br H Cl Br H Br Br H Br Br H Br Br H Br Br I Cl Br I Cl Br I Cl Br I Cl Br I Br Br I Br Br I Br Br I Br Br F Cl Br F Cl Br F Cl Br F Cl Br F Br Br F Br Br F Br Br F Br Br CF3 Cl Br CF3 Cl Br CF3 Cl Br CF3 Cl Br CF3 Br Br CF3 Br Br CF3 Br Br CF3 Br Br Br Cl Br Br Cl Br Br Cl Br Br Cl Br Br Br Br Br Br Br Br Br Br Br Br Br Cl Cl Br Cl Cl Br Cl Cl Br Cl Cl Br Cl Br Br Cl Br Br Cl Br Br Cl Br R5 is CF2CHF2 CH3 H Cl CH3 H Cl CH3 H Cl CH3 H Cl CH3 H Br CH3 H Br CH3 H Br CH3 H Br CH3 I Cl CH3 I Cl CH3 I Cl CH3 I Cl CH3 I Br CH3 I Br CH3 I Br CH3 I Br CH3 F Cl CH3 F Cl CH3 F Cl CH3 F Cl CH3 F Br CH3 F Br CH3 F Br CH3 F Br CH3 CF3 Cl CH3 CF3 Cl CH3 CF3 Cl CH3 CF3 Cl CH3 CF3 Br CH3 CF3 Br CH3 CF3 Br CH3 CF3 Br CH3 Br Cl CH3 Br Cl CH3 Br Cl CH3 Br Cl CH3 Br Br CH3 Br Br CH3 Br Br CH3 Br Br CH3 Cl Cl CH3 Cl Cl CH3 Cl Cl CH3 Cl Cl CH3 Cl Br CH3 Cl Br CH3 Cl Br CH3 Cl Br Cl H Cl Cl H Cl Cl H Cl Cl H Cl Cl H Br Cl H Br Cl H Br Cl H Br Cl I Cl Cl I Cl Cl I Cl Cl I Cl Cl I Br Cl I Br Cl I Br Cl I Br Cl F Cl Cl F Cl Cl F Cl Cl F Cl Cl F Br Cl F Br Cl F Br Cl F Br Cl CF3 Cl Cl CF3 Cl Cl CF3 Cl Cl CF3 Cl Cl CF3 Br Cl CF3 Br Cl CF3 Br Cl CF3 Br Cl Br Cl Cl Br Cl Cl Br Cl Cl Br Cl Cl Br Br Cl Br Br Cl Br Br Cl Br Br Cl Cl Cl Cl Cl Cl Cl Cl Cl Cl Cl Cl Cl Cl Br Cl Cl Br Cl Cl Br Cl Cl Br Br H Cl Br H Cl Br H Cl Br H Cl Br H Br Br H Br Br H Br Br H Br Br I Cl Br I Cl Br I Cl Br I Cl Br I Br Br I Br Br I Br Br I Br Br F Cl Br F Cl Br F Cl Br F Cl Br F Br Br F Br Br F Br Br F Br Br CF3 Cl Br CF3 Cl Br CF3 Cl Br CF3 Cl Br CF3 Br Br CF3 Br Br CF3 Br Br CF3 Br Br Br Cl Br Br Cl Br Br Cl Br Br Cl Br Br Br Br Br Br Br Br Br Br Br Br Br Cl Cl Br Cl Cl Br Cl Cl Br Cl Cl Br Cl Br Br Cl Br Br Cl Br Br Cl Br -
TABLE 24 R2 is H, R3 is Me R2 is H, R3 is Et R2 is H, R3 is i-Pr R2 is Me, R3 is Me R4a R4b R6 R4a R4b R6 R4a R4b R6 R4a R4b R6 R5 is Cl CH3 H Cl CH3 H Cl CH3 H Cl CH3 H Cl CH3 H Br CH3 H Br CH3 H Br CH3 H Br CH3 I Cl CH3 I Cl CH3 I Cl CH3 I Cl CH3 I Br CH3 I Br CH3 I Br CH3 I Br CH3 F Cl CH3 F Cl CH3 F Cl CH3 F Cl CH3 F Br CH3 F Br CH3 F Br CH3 F Br CH3 CF3 Cl CH3 CF3 Cl CH3 CF3 Cl CH3 CF3 Cl CH3 CF3 Br CH3 CF3 Br CH3 CF3 Br CH3 CF3 Br CH3 Br Cl CH3 Br Cl CH3 Br Cl CH3 Br Cl CH3 Br Br CH3 Br Br CH3 Br Br CH3 Br Br CH3 Cl Cl CH3 Cl Cl CH3 Cl Cl CH3 Cl Cl CH3 Cl Br CH3 Cl Br CH3 Cl Br CH3 Cl Br Cl H Cl Cl H Cl Cl H Cl Cl H Cl Cl H Br Cl H Br Cl H Br Cl H Br Cl I Cl Cl I Cl Cl I Cl Cl I Cl Cl I Br Cl I Br Cl I Br Cl I Br Cl F Cl Cl F Cl Cl F Cl Cl F Cl Cl F Br Cl F Br Cl F Br Cl F Br Cl CF3 Cl Cl CF3 Cl Cl CF3 Cl Cl CF3 Cl Cl CF3 Br Cl CF3 Br Cl CF3 Br Cl CF3 Br Cl Br Cl Cl Br Cl Cl Br Cl Cl Br Cl Cl Br Br Cl Br Br Cl Br Br Cl Br Br Cl Cl Cl Cl Cl Cl Cl Cl Cl Cl Cl Cl Cl Cl Br Cl Cl Br Cl Cl Br Cl Cl Br Br H Cl Br H Cl Br H Cl Br H Cl Br H Br Br H Br Br H Br Br H Br Br I Cl Br I Cl Br I Cl Br I Cl Br I Br Br I Br Br I Br Br I Br Br F Cl Br F Cl Br F Cl Br F Cl Br F Br Br F Br Br F Br Br F Br Br CF3 Cl Br CF3 Cl Br CF3 Cl Br CF3 Cl Br CF3 Br Br CF3 Br Br CF3 Br Br CF3 Br Br Br Cl Br Br Cl Br Br Cl Br Br Cl Br Br Br Br Br Br Br Br Br Br Br Br Br Cl Cl Br Cl Cl Br Cl Cl Br Cl Cl Br Cl Br Br Cl Br Br Cl Br Br Cl Br R5 is Br CH3 H Cl CH3 H Cl CH3 H Cl CH3 H Cl CH3 H Br CH3 H Br CH3 H Br CH3 H Br CH3 I Cl CH3 I Cl CH3 I Cl CH3 I Cl CH3 I Br CH3 I Br CH3 I Br CH3 I Br CH3 F Cl CH3 F Cl CH3 F Cl CH3 F Cl CH3 F Br CH3 F Br CH3 F Br CH3 F Br CH3 CF3 Cl CH3 CF3 Cl CH3 CF3 Cl CH3 CF3 Cl CH3 CF3 Br CH3 CF3 Br CH3 CF3 Br CH3 CF3 Br CH3 Br Cl CH3 Br Cl CH3 Br Cl CH3 Br Cl CH3 Br Br CH3 Br Br CH3 Br Br CH3 Br Br CH3 Cl Cl CH3 Cl Cl CH3 Cl Cl CH3 Cl Cl CH3 Cl Br CH3 Cl Br CH3 Cl Br CH3 Cl Br Cl H Cl Cl H Cl Cl H Cl Cl H Cl Cl H Br Cl H Br Cl H Br Cl H Br Cl I Cl Cl I Cl Cl I Cl Cl I Cl Cl I Br Cl I Br Cl I Br Cl I Br Cl F Cl Cl F Cl Cl F Cl Cl F Cl Cl F Br Cl F Br Cl F Br Cl F Br Cl CF3 Cl Cl CF3 Cl Cl CF3 Cl Cl CF3 Cl Cl CF3 Br Cl CF3 Br Cl CF3 Br Cl CF3 Br Cl Br Cl Cl Br Cl Cl Br Cl Cl Br Cl Cl Br Br Cl Br Br Cl Br Br Cl Br Br Cl Cl Cl Cl Cl Cl Cl Cl Cl Cl Cl Cl Cl Cl Br Cl Cl Br Cl Cl Br Cl Cl Br Br H Cl Br H Cl Br H Cl Br H Cl Br H Br Br H Br Br H Br Br H Br Br I Cl Br I Cl Br I Cl Br I Cl Br I Br Br I Br Br I Br Br I Br Br F Cl Br F Cl Br F Cl Br F Cl Br F Br Br F Br Br F Br Br F Br Br CF3 Cl Br CF3 Cl Br CF3 Cl Br CF3 Cl Br CF3 Br Br CF3 Br Br CF3 Br Br CF3 Br Br Br Cl Br Br Cl Br Br Cl Br Br Cl Br Br Br Br Br Br Br Br Br Br Br Br Br Cl Cl Br Cl Cl Br Cl Cl Br Cl Cl Br Cl Br Br Cl Br Br Cl Br Br Cl Br R5 is CF3 CH3 H Cl CH3 H Cl CH3 H Cl CH3 H Cl CH3 H Br CH3 H Br CH3 H Br CH3 H Br CH3 I Cl CH3 I Cl CH3 I Cl CH3 I Cl CH3 I Br CH3 I Br CH3 I Br CH3 I Br CH3 F Cl CH3 F Cl CH3 F Cl CH3 F Cl CH3 F Br CH3 F Br CH3 F Br CH3 F Br CH3 CF3 Cl CH3 CF3 Cl CH3 CF3 Cl CH3 CF3 Cl CH3 CF3 Br CH3 CF3 Br CH3 CF3 Br CH3 CF3 Br CH3 Br Cl CH3 Br Cl CH3 Br Cl CH3 Br Cl CH3 Br Br CH3 Br Br CH3 Br Br CH3 Br Br CH3 Cl Cl CH3 Cl Cl CH3 Cl Cl CH3 Cl Cl CH3 Cl Br CH3 Cl Br CH3 Cl Br CH3 Cl Br Cl H Cl Cl H Cl Cl H Cl Cl H Cl Cl H Br Cl H Br Cl H Br Cl H Br Cl I Cl Cl I Cl Cl I Cl Cl I Cl Cl I Br Cl I Br Cl I Br Cl I Br Cl F Cl Cl F Cl Cl F Cl Cl F Cl Cl F Br Cl F Br Cl F Br Cl F Br Cl CF3 Cl Cl CF3 Cl Cl CF3 Cl Cl CF3 Cl Cl CF3 Br Cl CF3 Br Cl CF3 Br Cl CF3 Br Cl Br Cl Cl Br Cl Cl Br Cl Cl Br Cl Cl Br Br Cl Br Br Cl Br Br Cl Br Br Cl Cl Cl Cl Cl Cl Cl Cl Cl Cl Cl Cl Cl Cl Br Cl Cl Br Cl Cl Br Cl Cl Br Br H Cl Br H Cl Br H Cl Br H Cl Br H Br Br H Br Br H Br Br H Br Br I Cl Br I Cl Br I Cl Br I Cl Br I Br Br I Br Br I Br Br I Br Br F Cl Br F Cl Br F Cl Br F Cl Br F Br Br F Br Br F Br Br F Br Br CF3 Cl Br CF3 Cl Br CF3 Cl Br CF3 Cl Br CF3 Br Br CF3 Br Br CF3 Br Br CF3 Br Br Br Cl Br Br Cl Br Br Cl Br Br Cl Br Br Br Br Br Br Br Br Br Br Br Br Br Cl Cl Br Cl Cl Br Cl Cl Br Cl Cl Br Cl Br Br Cl Br Br Cl Br Br Cl Br R5 is OCH2CF3 CH3 H Cl CH3 H Cl CH3 H Cl CH3 H Cl CH3 H Br CH3 H Br CH3 H Br CH3 H Br CH3 I Cl CH3 I Cl CH3 I Cl CH3 I Cl CH3 I Br CH3 I Br CH3 I Br CH3 I Br CH3 F Cl CH3 F Cl CH3 F Cl CH3 F Cl CH3 F Br CH3 F Br CH3 F Br CH3 F Br CH3 CF3 Cl CH3 CF3 Cl CH3 CF3 Cl CH3 CF3 Cl CH3 CF3 Br CH3 CF3 Br CH3 CF3 Br CH3 CF3 Br CH3 Br Cl CH3 Br Cl CH3 Br Cl CH3 Br Cl CH3 Br Br CH3 Br Br CH3 Br Br CH3 Br Br CH3 Cl Cl CH3 Cl Cl CH3 Cl Cl CH3 Cl Cl CH3 Cl Br CH3 Cl Br CH3 Cl Br CH3 Cl Br Cl H Cl Cl H Cl Cl H Cl Cl H Cl Cl H Br Cl H Br Cl H Br Cl H Br Cl I Cl Cl I Cl Cl I Cl Cl I Cl Cl I Br Cl I Br Cl I Br Cl I Br Cl F Cl Cl F Cl Cl F Cl Cl F Cl Cl F Br Cl F Br Cl F Br Cl F Br Cl CF3 Cl Cl CF3 Cl Cl CF3 Cl Cl CF3 Cl Cl CF3 Br Cl CF3 Br Cl CF3 Br Cl CF3 Br Cl Br Cl Cl Br Cl Cl Br Cl Cl Br Cl Cl Br Br Cl Br Br Cl Br Br Cl Br Br Cl Cl Cl Cl Cl Cl Cl Cl Cl Cl Cl Cl Cl Cl Br Cl Cl Br Cl Cl Br Cl Cl Br Br H Cl Br H Cl Br H Cl Br H Cl Br H Br Br H Br Br H Br Br H Br Br I Cl Br I Cl Br I Cl Br I Cl Br I Br Br I Br Br I Br Br I Br Br F Cl Br F Cl Br F Cl Br F Cl Br F Br Br F Br Br F Br Br F Br Br CF3 Cl Br CF3 Cl Br CF3 Cl Br CF3 Cl Br CF3 Br Br CF3 Br Br CF3 Br Br CF3 Br Br Br Cl Br Br Cl Br Br Cl Br Br Cl Br Br Br Br Br Br Br Br Br Br Br Br Br Cl Cl Br Cl Cl Br Cl Cl Br Cl Cl Br Cl Br Br Cl Br Br Cl Br Br Cl Br -
TABLE 25 R2 is H, R3 is Me R2 is H, R3 is Et R2 is H, R3 is i-Pr R2 is Me, R3 is Me R4 R5 R6 R4 R5 R6 R4 R5 R6 R4 R5 R6 V is CH Cl Br Cl Cl Br Cl Cl Br Cl Cl Br Cl Cl Br Br Cl Br Br Cl Br Br Cl Br Br Cl Br CN Cl Br CN Cl Br CN Cl Br CN Cl Cl Cl Cl Cl Cl Cl Cl Cl Cl Cl Cl Cl Cl Br Cl Cl Br Cl Cl Br Cl Cl Br Cl Cl CN Cl Cl CN Cl Cl CN Cl Cl CN Cl CF3 Cl Cl CF3 Cl Cl CF3 Cl Cl CF3 Cl Cl CF3 Br Cl CF3 Br Cl CF3 Br Cl CF3 Br Cl CF3 CN Cl CF3 CN Cl CF3 CN Cl CF3 CN Cl OCH2CF3 Cl Cl OCH2CF3 Cl Cl OCH2CF3 Cl Cl OCH2CF3 Cl Cl OCH2CF3 Br Cl OCH2CF3 Br Cl OCH2CF3 Br Cl OCH2CF3 Br Cl OCH2CF3 CN Cl OCH2CF3 CN Cl OCH2CF3 CN Cl OCH2CF3 CN Br Br Cl Br Br Cl Br Br Cl Br Br Cl Br Br Br Br Br Br Br Br Br Br Br Br Br Br CN Br Br CN Br Br CN Br Br CN Br Cl Cl Br Cl Cl Br Cl Cl Br Cl Cl Br Cl Br Br Cl Br Br Cl Br Br Cl Br Br Cl CN Br Cl CN Br Cl CN Br Cl CN Br CF3 Cl Br CF3 Cl Br CF3 Cl Br CF3 Cl Br CF3 Br Br CF3 Br Br CF3 Br Br CF3 Br Br CF3 CN Br CF3 CN Br CF3 CN Br CF3 CN Br OCH2CF3 Cl Br OCH2CF3 Cl Br OCH2CF3 Cl Br OCH2CF3 Cl Br OCH2CF3 Br Br OCH2CF3 Br Br OCH2CF3 Br Br OCH2CF3 Br Br OCH2CF3 CN Br OCH2CF3 CN Br OCH2CF3 CN Br OCH2CF3 CN CH3 Br Cl CH3 Br Cl CH3 Br Cl CH3 Br Cl CH3 Br Br CH3 Br Br CH3 Br Br CH3 Br Br CH3 Br CN CH3 Br CN CH3 Br CN CH3 Br CN CH3 Cl Cl CH3 Cl Cl CH3 Cl Cl CH3 Cl Cl CH3 Cl Br CH3 Cl Br CH3 Cl Br CH3 Cl Br CH3 Cl CN CH3 Cl CN CH3 Cl CN CH3 Cl CN CH3 CF3 Cl CH3 CF3 Cl CH3 CF3 Cl CH3 CF3 Cl CH3 CF3 Br CH3 CF3 Br CH3 CF3 Br CH3 CF3 Br CH3 CF3 CN CH3 CF3 CN CH3 CF3 CN CH3 CF3 CN CH3 OCH2CF3 Cl CH3 OCH2CF3 Cl CH3 OCH2CF3 Cl CH3 OCH2CF3 Cl CH3 OCH2CF3 Br CH3 OCH2CF3 Br CH3 OCH2CF3 Br CH3 OCH2CF3 Br CH3 OCH2CF3 CN CH3 OCH2CF3 CN CH3 OCH2CF3 CN CH3 OCH2CF3 CN CF3 Br Cl CF3 Br Cl CF3 Br Cl CF3 Br Cl CF3 Br Br CF3 Br Br CF3 Br Br CF3 Br Br CF3 Br CN CF3 Br CN CF3 Br CN CF3 Br CN CF3 Cl Cl CF3 Cl Cl CF3 Cl Cl CF3 Cl Cl CF3 Cl Br CF3 Cl Br CF3 Cl Br CF3 Cl Br CF3 Cl CN CF3 Cl CN CF3 Cl CN CF3 Cl CN CF3 CF3 Cl CF3 CF3 Cl CF3 CF3 Cl CF3 CF3 Cl CF3 CF3 Br CF3 CF3 Br CF3 CF3 Br CF3 CF3 Br CF3 CF3 CN CF3 CF3 CN CF3 CF3 CN CF3 CF3 CN CF3 OCH2CF3 Cl CF3 OCH2CF3 Cl CF3 OCH2CF3 Cl CF3 OCH2CF3 Cl CF3 OCH2CF3 Br CF3 OCH2CF3 Br CF3 OCH2CF3 Br CF3 OCH2CF3 Br CF3 OCH2CF3 CN CF3 OCH2CF3 CN CF3 OCH2CF3 CN CF3 OCH2CF3 CN V is N Cl Br Cl Cl Br Cl Cl Br Cl Cl Br Cl Cl Br Br Cl Br Br Cl Br Br Cl Br Br Cl Br CN Cl Br CN Cl Br CN Cl Br CN Cl Cl Cl Cl Cl Cl Cl Cl Cl Cl Cl Cl Cl Cl Br Cl Cl Br Cl Cl Br Cl Cl Br Cl Cl CN Cl Cl CN Cl Cl CN Cl Cl CN Cl CF3 Cl Cl CF3 Cl Cl CF3 Cl Cl CF3 Cl Cl CF3 Br Cl CF3 Br Cl CF3 Br Cl CF3 Br Cl CF3 CN Cl CF3 CN Cl CF3 CN Cl CF3 CN Cl OCH2CF3 Cl Cl OCH2CF3 Cl Cl OCH2CF3 Cl Cl OCH2CF3 Cl Cl OCH2CF3 Br Cl OCH2CF3 Br Cl OCH2CF3 Br Cl OCH2CF3 Br Cl OCH2CF3 CN Cl OCH2CF3 CN Cl OCH2CF3 CN Cl OCH2CF3 CN Br Br Cl Br Br Cl Br Br Cl Br Br Cl Br Br Br Br Br Br Br Br Br Br Br Br Br Br CN Br Br CN Br Br CN Br Br CN Br Cl Cl Br Cl Cl Br Cl Cl Br Cl Cl Br Cl Br Br Cl Br Br Cl Br Br Cl Br Br Cl CN Br Cl CN Br Cl CN Br Cl CN Br CF3 Cl Br CF3 Cl Br CF3 Cl Br CF3 Cl Br CF3 Br Br CF3 Br Br CF3 Br Br CF3 Br Br CF3 CN Br CF3 CN Br CF3 CN Br CF3 CN Br OCH2CF3 Cl Br OCH2CF3 Cl Br OCH2CF3 Cl Br OCH2CF3 Cl Br OCH2CF3 Br Br OCH2CF3 Br Br OCH2CF3 Br Br OCH2CF3 Br Br OCH2CF3 CN Br OCH2CF3 CN Br OCH2CF3 CN Br OCH2CF3 CN CH3 Br Cl CH3 Br Cl CH3 Br Cl CH3 Br Cl CH3 Br Br CH3 Br Br CH3 Br Br CH3 Br Br CH3 Br CN CH3 Br CN CH3 Br CN CH3 Br CN CH3 Cl Cl CH3 Cl Cl CH3 Cl Cl CH3 Cl Cl CH3 Cl Br CH3 Cl Br CH3 Cl Br CH3 Cl Br CH3 Cl CN CH3 Cl CN CH3 Cl CN CH3 Cl CN CH3 CF3 Cl CH3 CF3 Cl CH3 CF3 Cl CH3 CF3 Cl CH3 CF3 Br CH3 CF3 Br CH3 CF3 Br CH3 CF3 Br CH3 CF3 CN CH3 CF3 CN CH3 CF3 CN CH3 CF3 CN CH3 OCH2CF3 Cl CH3 OCH2CF3 Cl CH3 OCH2CF3 Cl CH3 OCH2CF3 Cl CH3 OCH2CF3 Br CH3 OCH2CF3 Br CH3 OCH2CF3 Br CH3 OCH2CF3 Br CH3 OCH2CF3 CN CH3 OCH2CF3 CN CH3 OCH2CF3 CN CH3 OCH2CF3 CN CF3 Br Cl CF3 Br Cl CF3 Br Cl CF3 Br Cl CF3 Br Br CF3 Br Br CF3 Br Br CF3 Br Br CF3 Br CN CF3 Br CN CF3 Br CN CF3 Br CN CF3 Cl Cl CF3 Cl Cl CF3 Cl Cl CF3 Cl Cl CF3 Cl Br CF3 Cl Br CF3 Cl Br CF3 Cl Br CF3 Cl CN CF3 Cl CN CF3 Cl CN CF3 Cl CN CF3 CF3 Cl CF3 CF3 Cl CF3 CF3 Cl CF3 CF3 Cl CF3 CF3 Br CF3 CF3 Br CF3 CF3 Br CF3 CF3 Br CF3 CF3 CN CF3 CF3 CN CF3 CF3 CN CF3 CF3 CN CF3 OCH2CF3 Cl CF3 OCH2CF3 Cl CF3 OCH2CF3 Cl CF3 OCH2CF3 Cl CF3 OCH2CF3 Br CF3 OCH2CF3 Br CF3 OCH2CF3 Br CF3 OCH2CF3 Br CF3 OCH2CF3 CN CF3 OCH2CF3 CN CF3 OCH2CF3 CN CF3 OCH2CF3 CN -
TABLE 26 R2 is H, R3 is Me R2 is H, R3 is Et R2 is H, R3 is i-Pr R2 is Me, R3 is Me R4 R5 R6 R4 R5 R6 R4 R5 R6 R4 R5 R6 V is CH Cl Br Cl Cl Br Cl Cl Br Cl Cl Br Cl Cl Br Br Cl Br Br Cl Br Br Cl Br Br Cl Br CN Cl Br CN Cl Br CN Cl Br CN Cl Cl Cl Cl Cl Cl Cl Cl Cl Cl Cl Cl Cl Cl Br Cl Cl Br Cl Cl Br Cl Cl Br Cl Cl CN Cl Cl CN Cl Cl CN Cl Cl CN Cl CF3 Cl Cl CF3 Cl Cl CF3 Cl Cl CF3 Cl Cl CF3 Br Cl CF3 Br Cl CF3 Br Cl CF3 Br Cl CF3 CN Cl CF3 CN Cl CF3 CN Cl CF3 CN Cl OCH2CF3 Cl Cl OCH2CF3 Cl Cl OCH2CF3 Cl Cl OCH2CF3 Cl Cl OCH2CF3 Br Cl OCH2CF3 Br Cl OCH2CF3 Br Cl OCH2CF3 Br Cl OCH2CF3 CN Cl OCH2CF3 CN Cl OCH2CF3 CN Cl OCH2CF3 CN Br Br Cl Br Br Cl Br Br Cl Br Br Cl Br Br Br Br Br Br Br Br Br Br Br Br Br Br CN Br Br CN Br Br CN Br Br CN Br Cl Cl Br Cl Cl Br Cl Cl Br Cl Cl Br Cl Br Br Cl Br Br Cl Br Br Cl Br Br Cl CN Br Cl CN Br Cl CN Br Cl CN Br CF3 Cl Br CF3 Cl Br CF3 Cl Br CF3 Cl Br CF3 Br Br CF3 Br Br CF3 Br Br CF3 Br Br CF3 CN Br CF3 CN Br CF3 CN Br CF3 CN Br OCH2CF3 Cl Br OCH2CF3 Cl Br OCH2CF3 Cl Br OCH2CF3 Cl Br OCH2CF3 Br Br OCH2CF3 Br Br OCH2CF3 Br Br OCH2CF3 Br Br OCH2CF3 CN Br OCH2CF3 CN Br OCH2CF3 CN Br OCH2CF3 CN CH3 Br Cl CH3 Br Cl CH3 Br Cl CH3 Br Cl CH3 Br Br CH3 Br Br CH3 Br Br CH3 Br Br CH3 Br CN CH3 Br CN CH3 Br CN CH3 Br CN CH3 Cl Cl CH3 Cl Cl CH3 Cl Cl CH3 Cl Cl CH3 Cl Br CH3 Cl Br CH3 Cl Br CH3 Cl Br CH3 Cl CN CH3 Cl CN CH3 Cl CN CH3 Cl CN CH3 CF3 Cl CH3 CF3 Cl CH3 CF3 Cl CH3 CF3 Cl CH3 CF3 Br CH3 CF3 Br CH3 CF3 Br CH3 CF3 Br CH3 CF3 CN CH3 CF3 CN CH3 CF3 CN CH3 CF3 CN CH3 OCH2CF3 Cl CH3 OCH2CF3 Cl CH3 OCH2CF3 Cl CH3 OCH2CF3 Cl CH3 OCH2CF3 Br CH3 OCH2CF3 Br CH3 OCH2CF3 Br CH3 OCH2CF3 Br CH3 OCH2CF3 CN CH3 OCH2CF3 CN CH3 OCH2CF3 CN CH3 OCH2CF3 CN CF3 Br Cl CF3 Br Cl CF3 Br Cl CF3 Br Cl CF3 Br Br CF3 Br Br CF3 Br Br CF3 Br Br CF3 Br CN CF3 Br CN CF3 Br CN CF3 Br CN CF3 Cl Cl CF3 Cl Cl CF3 Cl Cl CF3 Cl Cl CF3 Cl Br CF3 Cl Br CF3 Cl Br CF3 Cl Br CF3 Cl CN CF3 Cl CN CF3 Cl CN CF3 Cl CN CF3 CF3 Cl CF3 CF3 Cl CF3 CF3 Cl CF3 CF3 Cl CF3 CF3 Br CF3 CF3 Br CF3 CF3 Br CF3 CF3 Br CF3 CF3 CN CF3 CF3 CN CF3 CF3 CN CF3 CF3 CN CF3 OCH2CF3 Cl CF3 OCH2CF3 Cl CF3 OCH2CF3 Cl CF3 OCH2CF3 Cl CF3 OCH2CF3 Br CF3 OCH2CF3 Br CF3 OCH2CF3 Br CF3 OCH2CF3 Br CF3 OCH2CF3 CN CF3 OCH2CF3 CN CF3 OCH2CF3 CN CF3 OCH2CF3 CN V is N Cl Br Cl Cl Br Cl Cl Br Cl Cl Br Cl Cl Br Br Cl Br Br Cl Br Br Cl Br Br Cl Br CN Cl Br CN Cl Br CN Cl Br CN Cl Cl Cl Cl Cl Cl Cl Cl Cl Cl Cl Cl Cl Cl Br Cl Cl Br Cl Cl Br Cl Cl Br Cl Cl CN Cl Cl CN Cl Cl CN Cl Cl CN Cl CF3 Cl Cl CF3 Cl Cl CF3 Cl Cl CF3 Cl Cl CF3 Br Cl CF3 Br Cl CF3 Br Cl CF3 Br Cl CF3 CN Cl CF3 CN Cl CF3 CN Cl CF3 CN Cl OCH2CF3 Cl Cl OCH2CF3 Cl Cl OCH2CF3 Cl Cl OCH2CF3 Cl Cl OCH2CF3 Br Cl OCH2CF3 Br Cl OCH2CF3 Br Cl OCH2CF3 Br Cl OCH2CF3 CN Cl OCH2CF3 CN Cl OCH2CF3 CN Cl OCH2CF3 CN Br Br Cl Br Br Cl Br Br Cl Br Br Cl Br Br Br Br Br Br Br Br Br Br Br Br Br Br CN Br Br CN Br Br CN Br Br CN Br Cl Cl Br Cl Cl Br Cl Cl Br Cl Cl Br Cl Br Br Cl Br Br Cl Br Br Cl Br Br Cl CN Br Cl CN Br Cl CN Br Cl CN Br CF3 Cl Br CF3 Cl Br CF3 Cl Br CF3 Cl Br CF3 Br Br CF3 Br Br CF3 Br Br CF3 Br Br CF3 CN Br CF3 CN Br CF3 CN Br CF3 CN Br OCH2CF3 Cl Br OCH2CF3 Cl Br OCH2CF3 Cl Br OCH2CF3 Cl Br OCH2CF3 Br Br OCH2CF3 Br Br OCH2CF3 Br Br OCH2CF3 Br Br OCH2CF3 CN Br OCH2CF3 CN Br OCH2CF3 CN Br OCH2CF3 CN CH3 Br Cl CH3 Br Cl CH3 Br Cl CH3 Br Cl CH3 Br Br CH3 Br Br CH3 Br Br CH3 Br Br CH3 Br CN CH3 Br CN CH3 Br CN CH3 Br CN CH3 Cl Cl CH3 Cl Cl CH3 Cl Cl CH3 Cl Cl CH3 Cl Br CH3 Cl Br CH3 Cl Br CH3 Cl Br CH3 Cl CN CH3 Cl CN CH3 Cl CN CH3 Cl CN CH3 CF3 Cl CH3 CF3 Cl CH3 CF3 Cl CH3 CF3 Cl CH3 CF3 Br CH3 CF3 Br CH3 CF3 Br CH3 CF3 Br CH3 CF3 CN CH3 CF3 CN CH3 CF3 CN CH3 CF3 CN CH3 OCH2CF3 Cl CH3 OCH2CF3 Cl CH3 OCH2CF3 Cl CH3 OCH2CF3 Cl CH3 OCH2CF3 Br CH3 OCH2CF3 Br CH3 OCH2CF3 Br CH3 OCH2CF3 Br CH3 OCH2CF3 CN CH3 OCH2CF3 CN CH3 OCH2CF3 CN CH3 OCH2CF3 CN CF3 Br Cl CF3 Br Cl CF3 Br Cl CF3 Br Cl CF3 Br Br CF3 Br Br CF3 Br Br CF3 Br Br CF3 Br CN CF3 Br CN CF3 Br CN CF3 Br CN CF3 Cl Cl CF3 Cl Cl CF3 Cl Cl CF3 Cl Cl CF3 Cl Br CF3 Cl Br CF3 Cl Br CF3 Cl Br CF3 Cl CN CF3 Cl CN CF3 Cl CN CF3 Cl CN CF3 CF3 Cl CF3 CF3 Cl CF3 CF3 Cl CF3 CF3 Cl CF3 CF3 Br CF3 CF3 Br CF3 CF3 Br CF3 CF3 Br CF3 CF3 CN CF3 CF3 CN CF3 CF3 CN CF3 CF3 CN CF3 OCH2CF3 Cl CF3 OCH2CF3 Cl CF3 OCH2CF3 Cl CF3 OCH2CF3 Cl CF3 OCH2CF3 Br CF3 OCH2CF3 Br CF3 OCH2CF3 Br CF3 OCH2CF3 Br CF3 OCH2CF3 CN CF3 OCH2CF3 CN CF3 OCH2CF3 CN CF3 OCH2CF3 CN -
TABLE 27 R2 is H, R3 is Me R2 is H, R3 is Et R2 is H, R3 is i-Pr R2 is Me, R3 is Me R4 R5 R6 R4 R5 R6 R4 R5 R6 R4 R5 R6 V is CH Cl Br Cl Cl Br Cl Cl Br Cl Cl Br Cl Cl Br Br Cl Br Br Cl Br Br Cl Br Br Cl Br CN Cl Br CN Cl Br CN Cl Br CN Cl Cl Cl Cl Cl Cl Cl Cl Cl Cl Cl Cl Cl Cl Br Cl Cl Br Cl Cl Br Cl Cl Br Cl Cl CN Cl Cl CN Cl Cl CN Cl Cl CN Cl CF3 Cl Cl CF3 Cl Cl CF3 Cl Cl CF3 Cl Cl CF3 Br Cl CF3 Br Cl CF3 Br Cl CF3 Br Cl CF3 CN Cl CF3 CN Cl CF3 CN Cl CF3 CN Cl OCH2CF3 Cl Cl OCH2CF3 Cl Cl OCH2CF3 Cl Cl OCH2CF3 Cl Cl OCH2CF3 Br Cl OCH2CF3 Br Cl OCH2CF3 Br Cl OCH2CF3 Br Cl OCH2CF3 CN Cl OCH2CF3 CN Cl OCH2CF3 CN Cl OCH2CF3 CN Br Br Cl Br Br Cl Br Br Cl Br Br Cl Br Br Br Br Br Br Br Br Br Br Br Br Br Br CN Br Br CN Br Br CN Br Br CN Br Cl Cl Br Cl Cl Br Cl Cl Br Cl Cl Br Cl Br Br Cl Br Br Cl Br Br Cl Br Br Cl CN Br Cl CN Br Cl CN Br Cl CN Br CF3 Cl Br CF3 Cl Br CF3 Cl Br CF3 Cl Br CF3 Br Br CF3 Br Br CF3 Br Br CF3 Br Br CF3 CN Br CF3 CN Br CF3 CN Br CF3 CN Br OCH2CF3 Cl Br OCH2CF3 Cl Br OCH2CF3 Cl Br OCH2CF3 Cl Br OCH2CF3 Br Br OCH2CF3 Br Br OCH2CF3 Br Br OCH2CF3 Br Br OCH2CF3 CN Br OCH2CF3 CN Br OCH2CF3 CN Br OCH2CF3 CN CH3 Br Cl CH3 Br Cl CH3 Br Cl CH3 Br Cl CH3 Br Br CH3 Br Br CH3 Br Br CH3 Br Br CH3 Br CN CH3 Br CN CH3 Br CN CH3 Br CN CH3 Cl Cl CH3 Cl Cl CH3 Cl Cl CH3 Cl Cl CH3 Cl Br CH3 Cl Br CH3 Cl Br CH3 Cl Br CH3 Cl CN CH3 Cl CN CH3 Cl CN CH3 Cl CN CH3 CF3 Cl CH3 CF3 Cl CH3 CF3 Cl CH3 CF3 Cl CH3 CF3 Br CH3 CF3 Br CH3 CF3 Br CH3 CF3 Br CH3 CF3 CN CH3 CF3 CN CH3 CF3 CN CH3 CF3 CN CH3 OCH2CF3 Cl CH3 OCH2CF3 Cl CH3 OCH2CF3 Cl CH3 OCH2CF3 Cl CH3 OCH2CF3 Br CH3 OCH2CF3 Br CH3 OCH2CF3 Br CH3 OCH2CF3 Br CH3 OCH2CF3 CN CH3 OCH2CF3 CN CH3 OCH2CF3 CN CH3 OCH2CF3 CN CF3 Br Cl CF3 Br Cl CF3 Br Cl CF3 Br Cl CF3 Br Br CF3 Br Br CF3 Br Br CF3 Br Br CF3 Br CN CF3 Br CN CF3 Br CN CF3 Br CN CF3 Cl Cl CF3 Cl Cl CF3 Cl Cl CF3 Cl Cl CF3 Cl Br CF3 Cl Br CF3 Cl Br CF3 Cl Br CF3 Cl CN CF3 Cl CN CF3 Cl CN CF3 Cl CN CF3 CF3 Cl CF3 CF3 Cl CF3 CF3 Cl CF3 CF3 Cl CF3 CF3 Br CF3 CF3 Br CF3 CF3 Br CF3 CF3 Br CF3 CF3 CN CF3 CF3 CN CF3 CF3 CN CF3 CF3 CN CF3 OCH2CF3 Cl CF3 OCH2CF3 Cl CF3 OCH2CF3 Cl CF3 OCH2CF3 Cl CF3 OCH2CF3 Br CF3 OCH2CF3 Br CF3 OCH2CF3 Br CF3 OCH2CF3 Br CF3 OCH2CF3 CN CF3 OCH2CF3 CN CF3 OCH2CF3 CN CF3 OCH2CF3 CN V is N Cl Br Cl Cl Br Cl Cl Br Cl Cl Br Cl Cl Br Br Cl Br Br Cl Br Br Cl Br Br Cl Br CN Cl Br CN Cl Br CN Cl Br CN Cl Cl Cl Cl Cl Cl Cl Cl Cl Cl Cl Cl Cl Cl Br Cl Cl Br Cl Cl Br Cl Cl Br Cl Cl CN Cl Cl CN Cl Cl CN Cl Cl CN Cl CF3 Cl Cl CF3 Cl Cl CF3 Cl Cl CF3 Cl Cl CF3 Br Cl CF3 Br Cl CF3 Br Cl CF3 Br Cl CF3 CN Cl CF3 CN Cl CF3 CN Cl CF3 CN Cl OCH2CF3 Cl Cl OCH2CF3 Cl Cl OCH2CF3 Cl Cl OCH2CF3 Cl Cl OCH2CF3 Br Cl OCH2CF3 Br Cl OCH2CF3 Br Cl OCH2CF3 Br Cl OCH2CF3 CN Cl OCH2CF3 CN Cl OCH2CF3 CN Cl OCH2CF3 CN Br Br Cl Br Br Cl Br Br Cl Br Br Cl Br Br Br Br Br Br Br Br Br Br Br Br Br Br CN Br Br CN Br Br CN Br Br CN Br Cl Cl Br Cl Cl Br Cl Cl Br Cl Cl Br Cl Br Br Cl Br Br Cl Br Br Cl Br Br Cl CN Br Cl CN Br Cl CN Br Cl CN Br CF3 Cl Br CF3 Cl Br CF3 Cl Br CF3 Cl Br CF3 Br Br CF3 Br Br CF3 Br Br CF3 Br Br CF3 CN Br CF3 CN Br CF3 CN Br CF3 CN Br OCH2CF3 Cl Br OCH2CF3 Cl Br OCH2CF3 Cl Br OCH2CF3 Cl Br OCH2CF3 Br Br OCH2CF3 Br Br OCH2CF3 Br Br OCH2CF3 Br Br OCH2CF3 CN Br OCH2CF3 CN Br OCH2CF3 CN Br OCH2CF3 CN CH3 Br Cl CH3 Br Cl CH3 Br Cl CH3 Br Cl CH3 Br Br CH3 Br Br CH3 Br Br CH3 Br Br CH3 Br CN CH3 Br CN CH3 Br CN CH3 Br CN CH3 Cl Cl CH3 Cl Cl CH3 Cl Cl CH3 Cl Cl CH3 Cl Br CH3 Cl Br CH3 Cl Br CH3 Cl Br CH3 Cl CN CH3 Cl CN CH3 Cl CN CH3 Cl CN CH3 CF3 Cl CH3 CF3 Cl CH3 CF3 Cl CH3 CF3 Cl CH3 CF3 Br CH3 CF3 Br CH3 CF3 Br CH3 CF3 Br CH3 CF3 CN CH3 CF3 CN CH3 CF3 CN CH3 CF3 CN CH3 OCH2CF3 Cl CH3 OCH2CF3 Cl CH3 OCH2CF3 Cl CH3 OCH2CF3 Cl CH3 OCH2CF3 Br CH3 OCH2CF3 Br CH3 OCH2CF3 Br CH3 OCH2CF3 Br CH3 OCH2CF3 CN CH3 OCH2CF3 CN CH3 OCH2CF3 CN CH3 OCH2CF3 CN CF3 Br Cl CF3 Br Cl CF3 Br Cl CF3 Br Cl CF3 Br Br CF3 Br Br CF3 Br Br CF3 Br Br CF3 Br CN CF3 Br CN CF3 Br CN CF3 Br CN CF3 Cl Cl CF3 Cl Cl CF3 Cl Cl CF3 Cl Cl CF3 Cl Br CF3 Cl Br CF3 Cl Br CF3 Cl Br CF3 Cl CN CF3 Cl CN CF3 Cl CN CF3 Cl CN CF3 CF3 Cl CF3 CF3 Cl CF3 CF3 Cl CF3 CF3 Cl CF3 CF3 Br CF3 CF3 Br CF3 CF3 Br CF3 CF3 Br CF3 CF3 CN CF3 CF3 CN CF3 CF3 CN CF3 CF3 CN CF3 OCH2CF3 Cl CF3 OCH2CF3 Cl CF3 OCH2CF3 Cl CF3 OCH2CF3 Cl CF3 OCH2CF3 Br CF3 OCH2CF3 Br CF3 OCH2CF3 Br CF3 OCH2CF3 Br CF3 OCH2CF3 CN CF3 OCH2CF3 CN CF3 OCH2CF3 CN CF3 OCH2CF3 CN -
TABLE 28 R2 is H, R3 is Me R2 is H, R3 is Et R2 is H, R3 is i-Pr R2 is Me, R3 is Me R4 R5 R6 R4 R5 R6 R4 R5 R6 R4 R5 R6 V is CH Cl Br Cl Cl Br Cl Cl Br Cl Cl Br Cl Cl Br Br Cl Br Br Cl Br Br Cl Br Br Cl Br CN Cl Br CN Cl Br CN Cl Br CN Cl Cl Cl Cl Cl Cl Cl Cl Cl Cl Cl Cl Cl Cl Br Cl Cl Br Cl Cl Br Cl Cl Br Cl Cl CN Cl Cl CN Cl Cl CN Cl Cl CN Cl CF3 Cl Cl CF3 Cl Cl CF3 Cl Cl CF3 Cl Cl CF3 Br Cl CF3 Br Cl CF3 Br Cl CF3 Br Cl CF3 CN Cl CF3 CN Cl CF3 CN Cl CF3 CN Cl OCH2CF3 Cl Cl OCH2CF3 Cl Cl OCH2CF3 Cl Cl OCH2CF3 Cl Cl OCH2CF3 Br Cl OCH2CF3 Br Cl OCH2CF3 Br Cl OCH2CF3 Br Cl OCH2CF3 CN Cl OCH2CF3 CN Cl OCH2CF3 CN Cl OCH2CF3 CN Br Br Cl Br Br Cl Br Br Cl Br Br Cl Br Br Br Br Br Br Br Br Br Br Br Br Br Br CN Br Br CN Br Br CN Br Br CN Br Cl Cl Br Cl Cl Br Cl Cl Br Cl Cl Br Cl Br Br Cl Br Br Cl Br Br Cl Br Br Cl CN Br Cl CN Br Cl CN Br Cl CN Br CF3 Cl Br CF3 Cl Br CF3 Cl Br CF3 Cl Br CF3 Br Br CF3 Br Br CF3 Br Br CF3 Br Br CF3 CN Br CF3 CN Br CF3 CN Br CF3 CN Br OCH2CF3 Cl Br OCH2CF3 Cl Br OCH2CF3 Cl Br OCH2CF3 Cl Br OCH2CF3 Br Br OCH2CF3 Br Br OCH2CF3 Br Br OCH2CF3 Br Br OCH2CF3 CN Br OCH2CF3 CN Br OCH2CF3 CN Br OCH2CF3 CN CH3 Br Cl CH3 Br Cl CH3 Br Cl CH3 Br Cl CH3 Br Br CH3 Br Br CH3 Br Br CH3 Br Br CH3 Br CN CH3 Br CN CH3 Br CN CH3 Br CN CH3 Cl Cl CH3 Cl Cl CH3 Cl Cl CH3 Cl Cl CH3 Cl Br CH3 Cl Br CH3 Cl Br CH3 Cl Br CH3 Cl CN CH3 Cl CN CH3 Cl CN CH3 Cl CN CH3 CF3 Cl CH3 CF3 Cl CH3 CF3 Cl CH3 CF3 Cl CH3 CF3 Br CH3 CF3 Br CH3 CF3 Br CH3 CF3 Br CH3 CF3 CN CH3 CF3 CN CH3 CF3 CN CH3 CF3 CN CH3 OCH2CF3 Cl CH3 OCH2CF3 Cl CH3 OCH2CF3 Cl CH3 OCH2CF3 Cl CH3 OCH2CF3 Br CH3 OCH2CF3 Br CH3 OCH2CF3 Br CH3 OCH2CF3 Br CH3 OCH2CF3 CN CH3 OCH2CF3 CN CH3 OCH2CF3 CN CH3 OCH2CF3 CN CF3 Br Cl CF3 Br Cl CF3 Br Cl CF3 Br Cl CF3 Br Br CF3 Br Br CF3 Br Br CF3 Br Br CF3 Br CN CF3 Br CN CF3 Br CN CF3 Br CN CF3 Cl Cl CF3 Cl Cl CF3 Cl Cl CF3 Cl Cl CF3 Cl Br CF3 Cl Br CF3 Cl Br CF3 Cl Br CF3 Cl CN CF3 Cl CN CF3 Cl CN CF3 Cl CN CF3 CF3 Cl CF3 CF3 Cl CF3 CF3 Cl CF3 CF3 Cl CF3 CF3 Br CF3 CF3 Br CF3 CF3 Br CF3 CF3 Br CF3 CF3 CN CF3 CF3 CN CF3 CF3 CN CF3 CF3 CN CF3 OCH2CF3 Cl CF3 OCH2CF3 Cl CF3 OCH2CF3 Cl CF3 OCH2CF3 Cl CF3 OCH2CF3 Br CF3 OCH2CF3 Br CF3 OCH2CF3 Br CF3 OCH2CF3 Br CF3 OCH2CF3 CN CF3 OCH2CF3 CN CF3 OCH2CF3 CN CF3 OCH2CF3 CN V is N Cl Br Cl Cl Br Cl Cl Br Cl Cl Br Cl Cl Br Br Cl Br Br Cl Br Br Cl Br Br Cl Br CN Cl Br CN Cl Br CN Cl Br CN Cl Cl Cl Cl Cl Cl Cl Cl Cl Cl Cl Cl Cl Cl Br Cl Cl Br Cl Cl Br Cl Cl Br Cl Cl CN Cl Cl CN Cl Cl CN Cl Cl CN Cl CF3 Cl Cl CF3 Cl Cl CF3 Cl Cl CF3 Cl Cl CF3 Br Cl CF3 Br Cl CF3 Br Cl CF3 Br Cl CF3 CN Cl CF3 CN Cl CF3 CN Cl CF3 CN Cl OCH2CF3 Cl Cl OCH2CF3 Cl Cl OCH2CF3 Cl Cl OCH2CF3 Cl Cl OCH2CF3 Br Cl OCH2CF3 Br Cl OCH2CF3 Br Cl OCH2CF3 Br Cl OCH2CF3 CN Cl OCH2CF3 CN Cl OCH2CF3 CN Cl OCH2CF3 CN Br Br Cl Br Br Cl Br Br Cl Br Br Cl Br Br Br Br Br Br Br Br Br Br Br Br Br Br CN Br Br CN Br Br CN Br Br CN Br Cl Cl Br Cl Cl Br Cl Cl Br Cl Cl Br Cl Br Br Cl Br Br Cl Br Br Cl Br Br Cl CN Br Cl CN Br Cl CN Br Cl CN Br CF3 Cl Br CF3 Cl Br CF3 Cl Br CF3 Cl Br CF3 Br Br CF3 Br Br CF3 Br Br CF3 Br Br CF3 CN Br CF3 CN Br CF3 CN Br CF3 CN Br OCH2CF3 Cl Br OCH2CF3 Cl Br OCH2CF3 Cl Br OCH2CF3 Cl Br OCH2CF3 Br Br OCH2CF3 Br Br OCH2CF3 Br Br OCH2CF3 Br Br OCH2CF3 CN Br OCH2CF3 CN Br OCH2CF3 CN Br OCH2CF3 CN CH3 Br Cl CH3 Br Cl CH3 Br Cl CH3 Br Cl CH3 Br Br CH3 Br Br CH3 Br Br CH3 Br Br CH3 Br CN CH3 Br CN CH3 Br CN CH3 Br CN CH3 Cl Cl CH3 Cl Cl CH3 Cl Cl CH3 Cl Cl CH3 Cl Br CH3 Cl Br CH3 Cl Br CH3 Cl Br CH3 Cl CN CH3 Cl CN CH3 Cl CN CH3 Cl CN CH3 CF3 Cl CH3 CF3 Cl CH3 CF3 Cl CH3 CF3 Cl CH3 CF3 Br CH3 CF3 Br CH3 CF3 Br CH3 CF3 Br CH3 CF3 CN CH3 CF3 CN CH3 CF3 CN CH3 CF3 CN CH3 OCH2CF3 Cl CH3 OCH2CF3 Cl CH3 OCH2CF3 Cl CH3 OCH2CF3 Cl CH3 OCH2CF3 Br CH3 OCH2CF3 Br CH3 OCH2CF3 Br CH3 OCH2CF3 Br CH3 OCH2CF3 CN CH3 OCH2CF3 CN CH3 OCH2CF3 CN CH3 OCH2CF3 CN CF3 Br Cl CF3 Br Cl CF3 Br Cl CF3 Br Cl CF3 Br Br CF3 Br Br CF3 Br Br CF3 Br Br CF3 Br CN CF3 Br CN CF3 Br CN CF3 Br CN CF3 Cl Cl CF3 Cl Cl CF3 Cl Cl CF3 Cl Cl CF3 Cl Br CF3 Cl Br CF3 Cl Br CF3 Cl Br CF3 Cl CN CF3 Cl CN CF3 Cl CN CF3 Cl CN CF3 CF3 Cl CF3 CF3 Cl CF3 CF3 Cl CF3 CF3 Cl CF3 CF3 Br CF3 CF3 Br CF3 CF3 Br CF3 CF3 Br CF3 CF3 CN CF3 CF3 CN CF3 CF3 CN CF3 CF3 CN CF3 OCH2CF3 Cl CF3 OCH2CF3 Cl CF3 OCH2CF3 Cl CF3 OCH2CF3 Cl CF3 OCH2CF3 Br CF3 OCH2CF3 Br CF3 OCH2CF3 Br CF3 OCH2CF3 Br CF3 OCH2CF3 CN CF3 OCH2CF3 CN CF3 OCH2CF3 CN CF3 OCH2CF3 CN -
TABLE 29 R2 is H, R3 is Me R2 is H, R3 is Et R2 is H, R3 is i-Pr R2 is Me, R3 is Me R5 R6 R5 R6 R5 R6 R5 R6 R4 is CHF2 Br Cl Br Cl Br Cl Br Cl Br Br Br Br Br Br Br Br Br CN Br CN Br CN Br CN Cl Cl Cl Cl Cl Cl Cl Cl Cl Br Cl Br Cl Br Cl Br Cl CN Cl CN Cl CN Cl CN CF3 Cl CF3 Cl CF3 Cl CF3 Cl CF3 Br CF3 Br CF3 Br CF3 Br CF3 CN CF3 CN CF3 CN CF3 CN OCH2CF3 Cl OCH2CF3 Cl OCH2CF3 Cl OCH2CF3 Cl OCH2CF3 Br OCH2CF3 Br OCH2CF3 Br OCH2CF3 Br OCH2CF3 CN OCH2CF3 CN OCH2CF3 CN OCH2CF3 CN Br Cl Br Cl Br Cl Br Cl Br Br Br Br Br Br Br Br Br CN Br CN Br CN Br CN Cl Cl Cl Cl Cl Cl Cl Cl Cl Br Cl Br Cl Br Cl Br Cl CN Cl CN Cl CN Cl CN CF3 Cl CF3 Cl CF3 Cl CF3 Cl CF3 Br CF3 Br CF3 Br CF3 Br CF3 CN CF3 CN CF3 CN CF3 CN OCH2CF3 Cl OCH2CF3 Cl OCH2CF3 Cl OCH2CF3 Cl OCH2CF3 Br OCH2CF3 Br OCH2CF3 Br OCH2CF3 Br OCH2CF3 CN OCH2CF3 CN OCH2CF3 CN OCH2CF3 CN Br Cl Br Cl Br Cl Br Cl Br Br Br Br Br Br Br Br Br CN Br CN Br CN Br CN Cl Cl Cl Cl Cl Cl Cl Cl Cl Br Cl Br Cl Br Cl Br Cl CN Cl CN Cl CN Cl CN CF3 Cl CF3 Cl CF3 Cl CF3 Cl CF3 Br CF3 Br CF3 Br CF3 Br CF3 CN CF3 CN CF3 CN CF3 CN OCH2CF3 Cl OCH2CF3 Cl OCH2CF3 Cl OCH2CF3 Cl OCH2CF3 Br OCH2CF3 Br OCH2CF3 Br QCH2CF3 Br OCH2CF3 CN OCH2CF3 CN OCH2CF3 CN OCH2CF3 CN Br Cl Br Cl Br Cl Br Cl Br Br Br Br Br Br Br Br Br CN Br CN Br CN Br CN Cl Cl Cl Cl Cl Cl Cl Cl Cl Br Cl Br Cl Br Cl Br Cl CN Cl CN Cl CN Cl CN CF3 Cl CF3 Cl CF3 Cl CF3 Cl CF3 Br CF3 Br CF3 Br CF3 Br CF3 CN CF3 CN CF3 CN CF3 CN OCH2CF3 Cl OCH2CF3 Cl OCH2CF3 Cl OCH2CF3 Cl OCH2CF3 Br OCH2CF3 Br OCH2CF3 Br OCH2CF3 Br OCH2CF3 CN OCH2CF3 CN OCH2CF3 CN OCH2CF3 CN R4 is CH3 Br Cl Br Cl Br Cl Br Cl Br Br Br Br Br Br Br Br Br CN Br CN Br CN Br CN Cl Cl Cl Cl Cl Cl Cl Cl Cl Br Cl Br Cl Br Cl Br Cl CN Cl CN Cl CN Cl CN CF3 Cl CF3 Cl CF3 Cl CF3 Cl CF3 Br CF3 Br CF3 Br CF3 Br CF3 CN CF3 CN CF3 CN CF3 CN OCH2CF3 Cl OCH2CF3 Cl OCH2CF3 Cl OCH2CF3 Cl OCH2CF3 Br OCH2CF3 Br OCH2CF3 Br OCH2CF3 Br OCH2CF3 CN OCH2CF3 CN OCH2CF3 CN OCH2CF3 CN Br Cl Br Cl Br Cl Br Cl Br Br Br Br Br Br Br Br Br CN Br CN Br CN Br CN Cl Cl Cl Cl Cl Cl Cl Cl Cl Br Cl Br Cl Br Cl Br Cl CN Cl CN Cl CN Cl CN CF3 Cl CF3 Cl CF3 Cl CF3 Cl CF3 Br CF3 Br CF3 Br CF3 Br CF3 CN CF3 CN CF3 CN CF3 CN OCH2CF3 Cl OCH2CF3 Cl OCH2CF3 Cl OCH2CF3 Cl OCH2CF3 Br OCH2CF3 Br OCH2CF3 Br OCH2CF3 Br OCH2CF3 CN OCH2CF3 CN OCH2CF3 CN OCH2CF3 CN Br Cl Br Cl Br Cl Br Cl Br Br Br Br Br Br Br Br Br CN Br CN Br CN Br CN Cl Cl Cl Cl Cl Cl Cl Cl Cl Br Cl Br Cl Br Cl Br Cl CN Cl CN Cl CN Cl CN CF3 Cl CF3 Cl CF3 Cl CF3 Cl CF3 Br CF3 Br CF3 Br CF3 Br CF3 CN CF3 CN CF3 CN CF3 CN OCH2CF3 Cl OCH2CF3 Cl OCH2CF3 Cl OCH2CF3 Cl OCH2CF3 Br OCH2CF3 Br OCH2CF3 Br OCH2CF3 Br OCH2CF3 CN OCH2CF3 CN OCH2CF3 CN OCH2CF3 CN Br Cl Br Cl Br Cl Br Cl Br Br Br Br Br Br Br Br Br CN Br CN Br CN Br CN Cl Cl Cl Cl Cl Cl Cl Cl Cl Br Cl Br Cl Br Cl Br Cl CN Cl CN Cl CN Cl CN CF3 Cl CF3 Cl CF3 Cl CF3 Cl CF3 Br CF3 Br CF3 Br CF3 Br CF3 CN CF3 ON CF3 ON CF3 ON OCH2CF3 Cl OCH2CF3 Cl OCH2CF3 Cl OCH2CF3 Cl OCH2CF3 Br OCH2CF3 Br OCH2CF3 Br OCH2CF3 Br OCH2CF3 CN OCH2CF3 CN OCH2CF3 CN OCH2CF3 CN R4 is CF3 Br Cl Br Cl Br Cl Br Cl Br Br Br Br Br Br Br Br Br CN Br CN Br CN Br CN Cl Cl Cl Cl Cl Cl Cl Cl Cl Br Cl Br Cl Br Cl Br Cl CN Cl CN Cl CN Cl CN CF3 Cl CF3 Cl CF3 Cl CF3 Cl CF3 Br CF3 Br CF3 Br CF3 Br CF3 CN CF3 CN CF3 CN CF3 CN OCH2CF3 Cl OCH2CF3 Cl OCH2CF3 Cl OCH2CF3 Cl OCH2CF3 Br OCH2CF3 Br OCH2CF3 Br OCH2CF3 Br OCH2CF3 CN OCH2CF3 CN OCH2CF3 CN OCH2CF3 CN Br Cl Br Cl Br Cl Br Cl Br Br Br Br Br Br Br Br Br CN Br CN Br CN Br CN Cl Cl Cl Cl Cl Cl Cl Cl Cl Br Cl Br Cl Br Cl Br Cl CN Cl CN Cl CN Cl CN CF3 Cl CF3 Cl CF3 Cl CF3 Cl CF3 Br CF3 Br CF3 Br CF3 Br CF3 CN CF3 CN CF3 CN CF3 CN OCH2CF3 Cl OCH2CF3 Cl OCH2CF3 Cl OCH2CF3 Cl OCH2CF3 Br OCH2CF3 Br OCH2CF3 Br OCH2CF3 Br OCH2CF3 CN OCH2CF3 CN OCH2CF3 CN OCH2CF3 CN Br Cl Br Cl Br Cl Br Cl Br Br Br Br Br Br Br Br Br CN Br CN Br CN Br CN Cl Cl Cl Cl Cl Cl Cl Cl Cl Br Cl Br Cl Br Cl Br Cl CN Cl CN Cl CN Cl CN CF3 Cl CF3 Cl CF3 Cl CF3 Cl CF3 Br CF3 Br CF3 Br CF3 Br CF3 CN CF3 CN CF3 CN CF3 CN OCH2CF3 Cl OCH2CF3 Cl OCH2CF3 Cl OCH2CF3 Cl OCH2CF3 Br OCH2CF3 Br OCH2CF3 Br OCH2CF3 Br OCH2CF3 CN OCH2CF3 CN OCH2CF3 CN OCH2CF3 CN Br Cl Br Cl Br Cl Br Cl Br Br Br Br Br Br Br Br Br CN Br CN Br CN Br CN Cl Cl Cl Cl Cl Cl Cl Cl Cl Br Cl Br Cl Br Cl Br Cl CN Cl CN Cl CN Cl CN CF3 Cl CF3 Cl CF3 Cl CF3 Cl CF3 Br CF3 Br CF3 Br CF3 Br CF3 CN CF3 CN CF3 CN CF3 CN OCH2CF3 Cl OCH2CF3 Cl OCH2CF3 Cl OCH2CF3 Cl OCH2CF3 Br OCH2CF3 Br OCH2CF3 Br OCH2CF3 Br OCH2CF3 CN OCH2CF3 CN OCH2CF3 CN OCH2CF3 CN R4 is CH2CF3 Br Cl Br Cl Br Cl Br Cl Br Br Br Br Br Br Br Br Br CN Br CN Br CN Br CN Cl Cl Cl Cl Cl Cl Cl Cl Cl Br Cl Br Cl Br Cl Br Cl CN Cl CN Cl CN Cl CN CF3 Cl CF3 Cl CF3 Cl CF3 Cl CF3 Br CF3 Br CF3 Br CF3 Br CF3 CN CF3 CN CF3 CN CF3 CN OCH2CF3 Cl OCH2CF3 Cl OCH2CF3 Cl OCH2CF3 Cl OCH2CF3 Br OCH2CF3 Br OCH2CF3 Br OCH2CF3 Br OCH2CF3 CN OCH2CF3 CN OCH2CF3 CN OCH2CF3 CN Br Cl Br Cl Br Cl Br Cl Br Br Br Br Br Br Br Br Br CN Br CN Br CN Br CN Cl Cl Cl Cl Cl Cl Cl Cl Cl Br Cl Br Cl Br Cl Br Cl CN Cl CN Cl CN Cl CN CF3 Cl CF3 Cl CF3 Cl CF3 Cl CF3 Br CF3 Br CF3 Br CF3 Br CF3 CN CF3 CN CF3 CN CF3 CN OCH2CF3 Cl OCH2CF3 Cl OCH2CF3 Cl OCH2CF3 Cl OCH2CF3 Br OCH2CF3 Br OCH2CF3 Br OCH2CF3 Br OCH2CF3 CN OCH2CF3 CN OCH2CF3 CN OCH2CF3 CN Br Cl Br Cl Br Cl Br Cl Br Br Br Br Br Br Br Br Br CN Br CN Br CN Br CN Cl Cl Cl Cl Cl Cl Cl Cl Cl Br Cl Br Cl Br Cl Br Cl CN Cl CN Cl CN Cl CN CF3 Cl CF3 Cl CF3 Cl CF3 Cl CF3 Br CF3 Br CF3 Br CF3 Br CF3 CN CF3 CN CF3 CN CF3 CN OCH2CF3 Cl OCH2CF3 Cl OCH2CF3 Cl OCH2CF3 Cl OCH2CF3 Br OCH2CF3 Br OCH2CF3 Br OCH2CF3 Br OCH2CF3 CN OCH2CF3 CN OCH2CF3 CN OCH2CF3 CN Br Cl Br Cl Br Cl Br Cl Br Br Br Br Br Br Br Br Br CN Br CN Br CN Br CN Cl Cl Cl Cl Cl Cl Cl Cl Cl Br Cl Br Cl Br Cl Br Cl CN Cl CN Cl CN Cl CN CF3 Cl CF3 Cl CF3 Cl CF3 Cl CF3 Br CF3 Br CF3 Br CF3 Br CF3 CN CF3 CN CF3 CN CF3 CN OCH2CF3 Cl OCH2CF3 Cl OCH2CF3 Cl OCH2CF3 Cl OCH2CF3 Br OCH2CF3 Br OCH2CF3 Br OCH2CF3 Br OCH2CF3 CN OCH2CF3 CN OCH2CF3 CN OCH2CF3 CN -
TABLE 30 R2 is H, R3 is Me R2 is H, R3 is Et R2 is H, R3 is i-Pr R2 is Me, R3 is Me R4a R4b R6 R4a R4b R6 R4a R4b R6 R4a R4b R6 R5b is Cl CH3 H Cl CH3 H Cl CH3 H Cl CH3 H Cl CH3 H Br CH3 H Br CH3 H Br CH3 H Br CH3 I Cl CH3 I Cl CH3 I Cl CH3 I Cl CH3 I Br CH3 I Br CH3 I Br CH3 I Br CH3 F Cl CH3 F Cl CH3 F Cl CH3 F Cl CH3 F Br CH3 F Br CH3 F Br CH3 F Br CH3 CF3 Cl CH3 CF3 Cl CH3 CF3 Cl CH3 CF3 Cl CH3 CF3 Br CH3 CF3 Br CH3 CF3 Br CH3 CF3 Br CH3 Br Cl CH3 Br Cl CH3 Br Cl CH3 Br Cl CH3 Br Br CH3 Br Br CH3 Br Br CH3 Br Br CH3 Cl Cl CH3 Cl Cl CH3 Cl Cl CH3 Cl Cl CH3 Cl Br CH3 Cl Br CH3 Cl Br CH3 Cl Br Cl H Cl Cl H Cl Cl H Cl Cl H Cl Cl H Br Cl H Br Cl H Br Cl H Br Cl I Cl Cl I Cl Cl I Cl Cl I Cl Cl I Br Cl I Br Cl I Br Cl I Br Cl F Cl Cl F Cl Cl F Cl Cl F Cl Cl F Br Cl F Br Cl F Br Cl F Br Cl CF3 Cl Cl CF3 Cl Cl CF3 Cl Cl CF3 Cl Cl CF3 Br Cl CF3 Br Cl CF3 Br Cl CF3 Br Cl Br Cl Cl Br Cl Cl Br Cl Cl Br Cl Cl Br Br Cl Br Br Cl Br Br Cl Br Br Cl Cl Cl Cl Cl Cl Cl Cl Cl Cl Cl Cl Cl Cl Br Cl Cl Br Cl Cl Br Cl Cl Br Br H Cl Br H Cl Br H Cl Br H Cl Br H Br Br H Br Br H Br Br H Br Br I Cl Br I Cl Br I Cl Br I Cl Br I Br Br I Br Br I Br Br I Br Br F Cl Br F Cl Br F Cl Br F Cl Br F Br Br F Br Br F Br Br F Br Br CF3 Cl Br CF3 Cl Br CF3 Cl Br CF3 Cl Br CF3 Br Br CF3 Br Br CF3 Br Br CF3 Br Br Br Cl Br Br Cl Br Br Cl Br Br Cl Br Br Br Br Br Br Br Br Br Br Br Br Br Cl Cl Br Cl Cl Br Cl Cl Br Cl Cl Br Cl Br Br Cl Br Br Cl Br Br Cl Br R5 is OCF3 CH3 H Cl CH3 H Cl CH3 H Cl CH3 H Cl CH3 H Br CH3 H Br CH3 H Br CH3 H Br CH3 I Cl CH3 I Cl CH3 I Cl CH3 I Cl CH3 I Br CH3 I Br CH3 I Br CH3 I Br CH3 F Cl CH3 F Cl CH3 F Cl CH3 F Cl CH3 F Br CH3 F Br CH3 F Br CH3 F Br CH3 CF3 Cl CH3 CF3 Cl CH3 CF3 Cl CH3 CF3 Cl CH3 CF3 Br CH3 CF3 Br CH3 CF3 Br CH3 CF3 Br CH3 Br Cl CH3 Br Cl CH3 Br Cl CH3 Br Cl CH3 Br Br CH3 Br Br CH3 Br Br CH3 Br Br CH3 Cl Cl CH3 Cl Cl CH3 Cl Cl CH3 Cl Cl CH3 Cl Br CH3 Cl Br CH3 Cl Br CH3 Cl Br Cl H Cl Cl H Cl Cl H Cl Cl H Cl Cl H Br Cl H Br Cl H Br Cl H Br Cl I Cl Cl I Cl Cl I Cl Cl I Cl Cl I Br Cl I Br Cl I Br Cl I Br Cl F Cl Cl F Cl Cl F Cl Cl F Cl Cl F Br Cl F Br Cl F Br Cl F Br Cl CF3 Cl Cl CF3 Cl Cl CF3 Cl Cl CF3 Cl Cl CF3 Br Cl CF3 Br Cl CF3 Br Cl CF3 Br Cl Br Cl Cl Br Cl Cl Br Cl Cl Br Cl Cl Br Br Cl Br Br Cl Br Br Cl Br Br Cl Cl Cl Cl Cl Cl Cl Cl Cl Cl Cl Cl Cl Cl Br Cl Cl Br Cl Cl Br Cl Cl Br Br H Cl Br H Cl Br H Cl Br H Cl Br H Br Br H Br Br H Br Br H Br Br I Cl Br I Cl Br I Cl Br I Cl Br I Br Br I Br Br I Br Br I Br Br F Cl Br F Cl Br F Cl Br F Cl Br F Br Br F Br Br F Br Br F Br Br CF3 Cl Br CF3 Cl Br CF3 Cl Br CF3 Cl Br CF3 Br Br CF3 Br Br CF3 Br Br CF3 Br Br Br Cl Br Br Cl Br Br Cl Br Br Cl Br Br Br Br Br Br Br Br Br Br Br Br Br Cl Cl Br Cl Cl Br Cl Cl Br Cl Cl Br Cl Br Br Cl Br Br Cl Br Br Cl Br R5 is CF3 CH3 H Cl CH3 H Cl CH3 H Cl CH3 H Cl CH3 H Br CH3 H Br CH3 H Br CH3 H Br CH3 I Cl CH3 I Cl CH3 I Cl CH3 I Cl CH3 I Br CH3 I Br CH3 I Br CH3 I Br CH3 F Cl CH3 F Cl CH3 F Cl CH3 F Cl CH3 F Br CH3 F Br CH3 F Br CH3 F Br CH3 CF3 Cl CH3 CF3 Cl CH3 CF3 Cl CH3 CF3 Cl CH3 CF3 Br CH3 CF3 Br CH3 CF3 Br CH3 CF3 Br CH3 Br Cl CH3 Br Cl CH3 Br. Cl CH3 Br Cl CH3 Br Br CH3 Br Br CH3 Br Br CH3 Br Br CH3 Cl Cl CH3 Cl Cl CH3 Cl Cl CH3 Cl Cl CH3 Cl Br CH3 Cl Br CH3 Cl Br CH3 Cl Br Cl H Cl Cl H Cl Cl H Cl Cl H Cl Cl H Br Cl H Br Cl H Br Cl H Br Cl I Cl Cl I Cl Cl I Cl Cl I Cl Cl I Br Cl I Br Cl I Br Cl I Br Cl F Cl Cl F Cl Cl F Cl Cl F Cl Cl F Br Cl F Br Cl F Br Cl F Br Cl CF3 Cl Cl CF3 Cl Cl CF3 Cl Cl CF3 Cl Cl CF3 Br Cl CF3 Br Cl CF3 Br Cl CF3 Br Cl Br Cl Cl Br Cl Cl Br Cl Cl Br Cl Cl Br Br Cl Br Br Cl Br Br Cl Br Br Cl Cl Cl Cl Cl Cl Cl Cl Cl Cl Cl Cl Cl Cl Br Cl Cl Br Cl Cl Br Cl Cl Br Br H Cl Br H Cl Br H Cl Br H Cl Br H Br Br H Br Br H Br Br H Br Br I Cl Br I Cl Br I Cl Br I Cl Br I Br Br I Br Br I Br Br I Br Br F Cl Br F Cl Br F Cl Br F Cl Br F Br Br F Br Br F Br Br F Br Br CF3 Cl Br CF3 Cl Br CF3 Cl Br CF3 Cl Br CF3 Br Br CF3 Br Br CF3 Br Br CF3 Br Br Br Cl Br Br Cl Br Br Cl Br Br Cl Br Br Br Br Br Br Br Br Br Br Br Br Br Cl Cl Br Cl Cl Br Cl Cl Br Cl Cl Br Cl Br Br Cl Br Br Cl Br Br Cl Br R5b is CF(CF3)2 CH3 H Cl CH3 H Cl CH3 H Cl CH3 H Cl CH3 H Br CH3 H Br CH3 H Br CH3 H Br CH3 I Cl CH3 I Cl CH3 I Cl CH3 I Cl CH3 I Br CH3 I Br CH3 I Br CH3 I Br CH3 F Cl CH3 F Cl CH3 F Cl CH3 F Cl CH3 F Br CH3 F Br CH3 F Br CH3 F Br CH3 CF3 Cl CH3 CF3 Cl CH3 CF3 Cl CH3 CF3 Cl CH3 CF3 Br CH3 CF3 Br CH3 CF3 Br CH3 CF3 Br CH3 Br Cl CH3 Br Cl CH3 Br Cl CH3 Br Cl CH3 Br Br CH3 Br Br CH3 Br Br CH3 Br Br CH3 Cl Cl CH3 Cl Cl CH3 Cl Cl CH3 Cl Cl CH3 Cl Br CH3 Cl Br CH3 Cl Br CH3 Cl Br Cl H Cl Cl H Cl Cl H Cl Cl H Cl Cl H Br Cl H Br Cl H Br Cl H Br Cl I Cl Cl I Cl Cl I Cl Cl I Cl Cl I Br Cl I Br Cl I Br Cl I Br Cl F Cl Cl F Cl Cl F Cl Cl F Cl Cl F Br Cl F Br Cl F Br Cl F Br Cl CF3 Cl Cl CF3 Cl Cl CF3 Cl Cl CF3 Cl Cl CF3 Br Cl CF3 Br Cl CF3 Br Cl CF3 Br Cl Br Cl Cl Br Cl Cl Br Cl Cl Br Cl Cl Br Br Cl Br Br Cl Br Br Cl Br Br Cl Cl Cl Cl Cl Cl Cl Cl Cl Cl Cl Cl Cl Cl Br Cl Cl Br Cl Cl Br Cl Cl Br Br H Cl Br H Cl Br H Cl Br H Cl Br H Br Br H Br Br H Br Br H Br Br I Cl Br 1 Cl Br I Cl Br 1 Cl Br I Br Br I Br Br I Br Br I Br Br F Cl Br F Cl Br F Cl Br F Cl Br F Br Br F Br Br F Br Br F Br Br CF3 Cl Br CF3 Cl Br CF3 Cl Br CF3 Cl Br CF3 Br Br CF3 Br Br CF3 Br Br CF3 Br Br Br Cl Br Br Cl Br Br Cl Br Br Cl Br Br Br Br Br Br Br Br Br Br Br Br Br Cl Cl Br Cl Cl Br Cl Cl Br Cl Cl Br Cl Br Br Cl Br Br Cl Br Br Cl Br -
TABLE 31 R2 is H, R3 is Me R2 is H, R3 is Et R2 is H, R3 is i-Pr R2 is Me, R3 is Me R4a 44b R6 R4a 44b R6 R4a 44b R6 R4a 44b R6 R5b is CHF2 CH3 H Cl CH3 H Cl CH3 H Cl CH3 H Cl CH3 H Br CH3 H Br CH3 H Br CH3 H Br CH3 I Cl CH3 I Cl CH3 I Cl CH3 I Cl CH3 I Br CH3 I Br CH3 I Br CH3 I Br CH3 F Cl CH3 F Cl CH3 F Cl CH3 F Cl CH3 F Br CH3 F Br CH3 F Br CH3 F Br CH3 CF3 Cl CH3 CF3 Cl CH3 CF3 Cl CH3 CF3 Cl CH3 CF3 Br CH3 CF3 Br CH3 CF3 Br CH3 CF3 Br CH3 Br Cl CH3 Br Cl CH3 Br Cl CH3 Br Cl CH3 Br Br CH3 Br Br CH3 Br Br CH3 Br Br CH3 Cl Cl CH3 Cl Cl CH3 Cl Cl CH3 Cl Cl CH3 Cl Br CH3 Cl Br CH3 Cl Br CH3 Cl Br Cl H Cl Cl H Cl Cl H Cl Cl H Cl Cl H Br Cl H Br Cl H Br Cl H Br Cl I Cl Cl I Cl Cl I Cl Cl I Cl Cl I Br Cl I Br Cl I Br Cl I Br Cl F Cl Cl F Cl Cl F Cl Cl F Cl Cl F Br Cl F Br Cl F Br Cl F Br Cl CF3 Cl Cl CF3 Cl Cl CF3 Cl Cl CF3 Cl Cl CF3 Br Cl CF3 Br Cl CF3 Br Cl CF3 Br Cl Br Cl Cl Br Cl Cl Br Cl Cl Br Cl Cl Br Br Cl Br Br Cl Br Br Cl Br Br Cl Cl Cl Cl Cl Cl Cl Cl Cl Cl Cl Cl Cl Cl Br Cl Cl Br Cl Cl Br Cl Cl Br Br H Cl Br H Cl Br H Cl Br H Cl Br H Br Br H Br Br H Br Br H Br Br I Cl Br I Cl Br I Cl Br I Cl Br I Br Br I Br Br I Br Br I Br Br F Cl Br F Cl Br F Cl Br F Cl Br F Br Br F Br Br F Br Br F Br Br CF3 Cl Br CF3 Cl Br CF3 Cl Br CF3 Cl Br CF3 Br Br CF3 Br Br CF3 Br Br CF3 Br Br Br Cl Br Br Cl Br Br Cl Br Br Cl Br Br Br Br Br Br Br Br Br Br Br Br Br Cl Cl Br Cl Cl Br Cl Cl Br Cl Cl Br Cl Br Br Cl Br Br Cl Br Br Cl Br R5b is CH2CF3 CH3 H Cl CH3 H Cl CH3 H Cl CH3 H Cl CH3 H Br CH3 H Br CH3 H Br CH3 H Br CH3 I Cl CH3 I Cl CH3 I Cl CH3 I Cl CH3 I Br CH3 I Br CH3 I Br CH3 I Br CH3 F Cl CH3 F Cl CH3 F Cl CH3 F Cl CH3 F Br CH3 F Br CH3 F Br CH3 F Br CH3 CF3 Cl CH3 CF3 Cl CH3 CF3 Cl CH3 CF3 Cl CH3 CF3 Br CH3 CF3 Br CH3 CF3 Br CH3 CF3 Br CH3 Br Cl CH3 Br Cl CH3 Br Cl CH3 Br Cl CH3 Br Br CH3 Br Br CH3 Br Br CH3 Br Br CH3 Cl Cl CH3 Cl Cl CH3 Cl Cl CH3 Cl Cl CH3 Cl Br CH3 Cl Br CH3 Cl Br CH3 Cl Br Cl H Cl Cl H Cl Cl H Cl Cl H Cl Cl H Br Cl H Br Cl H Br Cl H Br Cl I Cl Cl I Cl Cl I Cl Cl I Cl Cl I Br Cl I Br Cl I Br Cl I Br Cl F Cl Cl F Cl Cl F Cl Cl F Cl Cl F Br Cl F Br Cl F Br Cl F Br Cl CF3 Cl Cl CF3 Cl Cl CF3 Cl Cl CF3 Cl Cl CF3 Br Cl CF3 Br Cl CF3 Br Cl CF3 Br Cl Br Cl Cl Br Cl Cl Br Cl Cl Br Cl Cl Br Br Cl Br Br Cl Br Br Cl Br Br Cl Cl Cl Cl Cl Cl Cl Cl Cl Cl Cl Cl Cl Cl Br Cl Cl Br Cl Cl Br Cl Cl Br Br H Cl Br H Cl Br H Cl Br H Cl Br H Br Br H Br Br H Br Br H Br Br I Cl Br I Cl Br I Cl Br I Cl Br I Br Br I Br Br I Br Br I Br Br F Cl Br F Cl Br F Cl Br F Cl Br F Br Br F Br Br F Br Br F Br Br CF3 Cl Br CF3 Cl Br CF3 Cl Br CF3 Cl Br CF3 Br Br CF3 Br Br CF3 Br Br CF3 Br Br Br Cl Br Br Cl Br Br Cl Br Br Cl Br Br Br Br Br Br Br Br Br Br Br Br Br Cl Cl Br Cl Cl Br Cl Cl Br Cl Cl Br Cl Br Br Cl Br Br Cl Br Br Cl Br R5b is CF3 CH3 H Cl CH3 H Cl CH3 H Cl CH3 H Cl CH3 H Br CH3 H Br CH3 H Br CH3 H Br CH3 I Cl CH3 I Cl CH3 I Cl CH3 I Cl CH3 I Br CH3 1 Br CH3 I Br CH3 I Br CH3 F Cl CH3 F Cl CH3 F Cl CH3 F Cl CH3 F Br CH3 F Br CH3 F Br CH3 F Br CH3 CF3 Cl CH3 CF3 Cl CH3 CF3 Cl CH3 CF3 Cl CH3 CF3 Br CH3 CF3 Br CH3 CF3 Br CH3 CF3 Br CH3 Br Cl CH3 Br Cl CH3 Br Cl CH3 Br Cl CH3 Br Br CH3 Br Br CH3 Br Br CH3 Br Br CH3 Cl Cl CH3 Cl Cl CH3 Cl Cl CH3 Cl Cl CH3 Cl Br CH3 Cl Br CH3 Cl Br CH3 Cl Br Cl H Cl Cl H Cl Cl H Cl Cl H Cl Cl H Br Cl H Br Cl H Br Cl H Br Cl I Cl Cl I Cl Cl I Cl Cl I Cl Cl I Br Cl I Br Cl I Br Cl I Br Cl F Cl Cl F Cl Cl F Cl Cl F Cl Cl F Br Cl F Br Cl F Br Cl F Br Cl CF3 Cl Cl CF3 Cl Cl CF3 Cl Cl CF3 Cl Cl CF3 Br Cl CF3 Br Cl CF3 Br Cl CF3 Br Cl Br Cl Cl Br Cl Cl Br Cl Cl Br Cl Cl Br Br Cl Br Br Cl Br Br Cl Br Br Cl Cl Cl Cl Cl Cl Cl Cl Cl Cl Cl Cl Cl Cl Br Cl Cl Br Cl Cl Br Cl Cl Br Br H Cl Br H Cl Br H Cl Br H Cl Br H Br Br H Br Br H Br Br H Br Br I Cl Br I Cl Br I Cl Br I Cl Br I Br Br I Br Br I Br Br I Br Br F Cl Br F Cl Br F Cl Br F Cl Br F Br Br F Br Br F Br Br F Br Br CF3 Cl Br CF3 Cl Br CF3 Cl Br CF3 Cl Br CF3 Br Br CF3 Br Br CF3 Br Br CF3 Br Br Br Cl Br Br Cl Br Br Cl Br Br Cl Br Br Br Br Br Br Br Br Br Br Br Br Br Cl Cl Br Cl Cl Br Cl Cl Br Cl Cl Br Cl Br Br Cl Br Br Cl Br Br Cl Br R5b is CF2CHF2 CH3 H Cl CH3 H Cl CH3 H Cl CH3 H Cl CH3 H Br CH3 H Br CH3 H Br CH3 H Br CH3 I Cl CH3 I Cl CH3 I Cl CH3 I Cl CH3 I Br CH3 I Br CH3 I Br CH3 I Br CH3 F Cl CH3 F Cl CH3 F Cl CH3 F Cl CH3 F Br CH3 F Br CH3 F Br CH3 F Br CH3 CF3 Cl CH3 CF3 Cl CH3 CF3 Cl CH3 CF3 Cl CH3 CF3 Br CH3 CF3 Br CH3 CF3 Br CH3 CF3 Br CH3 Br Cl CH3 Br Cl CH3 Br Cl CH3 Br Cl CH3 Br Br CH3 Br Br CH3 Br Br CH3 Br Br CH3 Cl Cl CH3 Cl Cl CH3 Cl Cl CH3 Cl Cl CH3 Cl Br CH3 Cl Br CH3 Cl Br CH3 Cl Br Cl H Cl Cl H Cl Cl H Cl Cl H Cl Cl H Br Cl H Br Cl H Br Cl H Br Cl I Cl Cl I Cl Cl I Cl Cl I Cl Cl I Br Cl I Br Cl I Br Cl I Br Cl F Cl Cl F Cl Cl F Cl Cl F Cl Cl F Br Cl F Br Cl F Br Cl F Br Cl CF3 Cl Cl CF3 Cl Cl CF3 Cl Cl CF3 Cl Cl CF3 Br Cl CF3 Br Cl CF3 Br Cl CF3 Br Cl Br Cl Cl Br Cl Cl Br Cl Cl Br Cl Cl Br Br Cl Br Br Cl Br Br Cl Br Br Cl Cl Cl Cl Cl Cl Cl Cl Cl Cl Cl Cl Cl Cl Br Cl Cl Br Cl Cl Br Cl Cl Br Br H Cl Br H Cl Br H Cl Br H Cl Br H Br Br H Br Br H Br Br H Br Br I Cl Br I Cl Br I Cl Br I Cl Br I Br Br I Br Br I Br Br I Br Br F Cl Br F Cl Br F Cl Br F Cl Br F Br Br F Br Br F Br Br F Br Br CF3 Cl Br CF3 Cl Br CF3 Cl Br CF3 Cl Br CF3 Br Br CF3 Br Br CF3 Br Br CF3 Br Br Br Cl Br Br Cl Br Br Cl Br Br Cl Br Br Br Br Br Br Br Br Br Br Br Br Br Cl Cl Br Cl Cl Br Cl Cl Br Cl Cl Br Cl Br Br Cl Br Br Cl Br Br Cl Br -
TABLE 32 R2 is H, R3 is Me R2 is H, R3 is Et R2 is H, R3 is i-Pr R2 is Me, R3 is Me R4a R4b R6 R4a R4b R6 R4a 44b R6 R4a 44b R6 R5b is CHF2 CH3 H Cl CH3 H Cl CH3 H Cl CH3 H Cl CH3 H Br CH3 H Br CH3 H Br CH3 H Br CH3 I Cl CH3 I Cl CH3 I Cl CH3 I Cl CH3 I Br CH3 I Br CH3 I Br CH3 I Br CH3 F Cl CH3 F Cl CH3 F Cl CH3 F Cl CH3 F Br CH3 F Br CH3 F Br CH3 F Br CH3 CF3 Cl CH3 CF3 Cl CH3 CF3 Cl CH3 CF3 Cl CH3 CF3 Br CH3 CF3 Br CH3 CF3 Br CH3 CF3 Br CH3 Br Cl CH3 Br Cl CH3 Br Cl CH3 Br Cl CH3 Br Br CH3 Br Br CH3 Br Br CH3 Br Br CH3 Cl Cl CH3 Cl Cl CH3 Cl Cl CH3 Cl Cl CH3 Cl Br CH3 Cl Br CH3 Cl Br CH3 Cl Br Cl H Cl Cl H Cl Cl H Cl Cl H Cl Cl H Br Cl H Br Cl H Br Cl H Br Cl I Cl Cl I Cl Cl I Cl Cl I Cl Cl I Br Cl I Br Cl I Br Cl I Br Cl F Cl Cl F Cl Cl F Cl Cl F Cl Cl F Br Cl F Br Cl F Br Cl F Br Cl CF3 Cl Cl CF3 Cl Cl CF3 Cl Cl CF3 Cl Cl CF3 Br Cl CF3 Br Cl CF3 Br Cl CF3 Br Cl Br Cl Cl Br Cl Cl Br Cl Cl Br Cl Cl Br Br Cl Br Br Cl Br Br Cl Br Br Cl Cl Cl Cl Cl Cl Cl Cl Cl Cl Cl Cl Cl Cl Br Cl Cl Br Cl Cl Br Cl Cl Br Br H Cl Br H Cl Br H Cl Br H Cl Br H Br Br H Br Br H Br Br H Br Br I Cl Br I Cl Br I Cl Br I Cl Br I Br Br I Br Br I Br Br I Br Br F Cl Br F Cl Br F Cl Br F Cl Br F Br Br F Br Br F Br Br F Br Br CF3 Cl Br CF3 Cl Br CF3 Cl Br CF3 Cl Br CF3 Br Br CF3 Br Br CF3 Br Br CF3 Br Br Br Cl Br Br Cl Br Br Cl Br Br Cl Br Br Br Br Br Br Br Br Br Br Br Br Br Cl Cl Br Cl Cl Br Cl Cl Br Cl Cl Br Cl Br Br Cl Br Br Cl Br Br Cl Br R5b is CH2CF3 CH3 H Cl CH3 H Cl CH3 H Cl CH3 H Cl CH3 H Br CH3 H Br CH3 H Br CH3 H Br CH3 I Cl CH3 I Cl CH3 I Cl CH3 I Cl CH3 I Br CH3 I Br CH3 I Br CH3 I Br CH3 F Cl CH3 F Cl CH3 F Cl CH3 F Cl CH3 F Br CH3 F Br CH3 F Br CH3 F Br CH3 CF3 Cl CH3 CF3 Cl CH3 CF3 Cl CH3 CF3 Cl CH3 CF3 Br CH3 CF3 Br CH3 CF3 Br CH3 CF3 Br CH3 Br Cl CH3 Br Cl CH3 Br Cl CH3 Br Cl CH3 Br Br CH3 Br Br CH3 Br Br CH3 Br Br CH3 Cl Cl CH3 Cl Cl CH3 Cl Cl CH3 Cl Cl CH3 Cl Br CH3 Cl Br CH3 Cl Br CH3 Cl Br Cl H Cl Cl H Cl Cl H Cl Cl H Cl Cl H Br Cl H Br Cl H Br Cl H Br Cl I Cl Cl I Cl Cl I Cl Cl I Cl Cl I Br Cl I Br Cl I Br Cl I Br Cl F Cl Cl F Cl Cl F Cl Cl F Cl Cl F Br Cl F Br Cl F Br Cl F Br Cl CF3 Cl Cl CF3 Cl Cl CF3 Cl Cl CF3 Cl Cl CF3 Br Cl CF3 Br Cl CF3 Br Cl CF3 Br Cl Br Cl Cl Br Cl Cl Br Cl Cl Br Cl Cl Br Br Cl Br Br Cl Br Br Cl Br Br Cl Cl Cl Cl Cl Cl Cl Cl Cl Cl Cl Cl Cl Cl Br Cl Cl Br Cl Cl Br Cl Cl Br Br H Cl Br H Cl Br H Cl Br H Cl Br H Br Br H Br Br H Br Br H Br Br I Cl Br I Cl Br I Cl Br I Cl Br 1 Br Br I Br Br I Br Br I Br Br F Cl Br F Cl Br F Cl Br F Cl Br F Br Br F Br Br F Br Br F Br Br CF3 Cl Br CF3 Cl Br CF3 Cl Br CF3 Cl Br CF3 Br Br CF3 Br Br CF3 Br Br CF3 Br Br Br Cl Br Br Cl Br Br Cl Br Br Cl Br Br Br Br Br Br Br Br Br Br Br Br Br Cl Cl Br Cl Cl Br Cl Cl Br Cl Cl Br Cl Br Br Cl Br Br Cl Br Br Cl Br R5b is CF3 CH3 H Cl CH3 H Cl CH3 H Cl CH3 H Cl CH3 H Br CH3 H Br CH3 H Br CH3 H Br CH3 I Cl CH3 I Cl CH3 I Cl CH3 I Cl CH3 I Br CH3 I Br CH3 I Br CH3 I Br CH3 F Cl CH3 F Cl CH3 F Cl CH3 F Cl CH3 F Br CH3 F Br CH3 F Br CH3 F Br CH3 CF3 Cl CH3 CF3 Cl CH3 CF3 Cl CH3 CF3 Cl CH3 CF3 Br CH3 CF3 Br CH3 CF3 Br CH3 CF3 Br CH3 Br Cl CH3 Br Cl CH3 Br Cl CH3 Br Cl CH3 Br Br CH3 Br Br CH3 Br Br CH3 Br Br CH3 Cl Cl CH3 Cl Cl CH3 Cl Cl CH3 Cl Cl CH3 Cl Br CH3 Cl Br CH3 Cl Br CH3 Cl Br Cl H Cl Cl H Cl Cl H Cl Cl H Cl Cl H Br Cl H Br Cl H Br Cl H Br Cl I Cl Cl I Cl Cl I Cl Cl I Cl Cl I Br Cl I Br Cl I Br Cl I Br Cl F Cl Cl F Cl Cl F Cl Cl F Cl Cl F Br Cl F Br Cl F Br Cl F Br Cl CF3 Cl Cl CF3 Cl Cl CF3 Cl Cl CF3 Cl Cl CF3 Br Cl CF3 Br Cl CF3 Br Cl CF3 Br Cl Br Cl Cl Br Cl Cl Br Cl Cl Br Cl Cl Br Br Cl Br Br Cl Br Br Cl Br Br Cl Cl Cl Cl Cl Cl Cl Cl Cl Cl Cl Cl Cl Cl Br Cl Cl Br Cl Cl Br Cl Cl Br Br H Cl Br H Cl Br H Cl Br H Cl Br H Br Br H Br Br H Br Br H Br Br I Cl Br I Cl Br I Cl Br I Cl Br I Br Br I Br Br I Br Br I Br Br F Cl Br F Cl Br F Cl Br F Cl Br F Br Br F Br Br F Br Br F Br Br CF3 Cl Br CF3 Cl Br CF3 Cl Br CF3 Cl Br CF3 Br Br CF3 Br Br CF3 Br Br CF3 Br Br Br Cl Br Br Cl Br Br Cl Br Br Cl Br Br Br Br Br Br Br Br Br Br Br Br Br Cl Cl Br Cl Cl Br Cl Cl Br Cl Cl Br Cl Br Br Cl Br Br Cl Br Br Cl Br R5b is CF2CHF2 CH3 H Cl CH3 H Cl CH3 H Cl CH3 H Cl CH3 H Br CH3 H Br CH3 H Br CH3 H Br CH3 I Cl CH3 I Cl CH3 I Cl CH3 I Cl CH3 I Br CH3 I Br CH3 I Br CH3 I Br CH3 F Cl CH3 F Cl CH3 F Cl CH3 F Cl CH3 F Br CH3 F Br CH3 F Br CH3 F Br CH3 CF3 Cl CH3 CF3 Cl CH3 CF3 Cl CH3 CF3 Cl CH3 CF3 Br CH3 CF3 Br CH3 CF3 Br CH3 CF3 Br CH3 Br Cl CH3 Br Cl CH3 Br Cl CH3 Br Cl CH3 Br Br CH3 Br Br CH3 Br Br CH3 Br Br CH3 Cl Cl CH3 Cl Cl CH3 Cl Cl CH3 Cl Cl CH3 Cl Br CH3 Cl Br CH3 Cl Br CH3 Cl Br Cl H Cl Cl H Cl Cl H Cl Cl H Cl Cl H Br Cl H Br Cl H Br Cl H Br Cl I Cl Cl I Cl Cl I Cl Cl I Cl Cl I Br Cl I Br Cl I Br Cl I Br Cl F Cl Cl F Cl Cl F Cl Cl F Cl Cl F Br Cl F Br Cl F Br Cl F Br Cl CF3 Cl Cl CF3 Cl Cl CF3 Cl Cl CF3 Cl Cl CF3 Br Cl CF3 Br Cl CF3 Br Cl CF3 Br Cl Br Cl Cl Br Cl Cl Br Cl Cl Br Cl Cl Br Br Cl Br Br Cl Br Br Cl Br Br Cl Cl Cl Cl Cl Cl Cl Cl Cl Cl Cl Cl Cl Cl Br Cl Cl Br Cl Cl Br Cl Cl Br Br H Cl Br H Cl Br H Cl Br H Cl Br H Br Br H Br Br H Br Br H Br Br I Cl Br I Cl Br I Cl Br I Cl Br I Br Br I Br Br I Br Br I Br Br F Cl Br F Cl Br F Cl Br F Cl Br F Br Br F Br Br F Br Br F Br Br CF3 Cl Br CF3 Cl Br CF3 Cl Br CF3 Cl Br CF3 Br Br CF3 Br Br CF3 Br Br CF3 Br Br Br Cl Br Br Cl Br Br Cl Br Br Cl Br Br Br Br Br Br Br Br Br Br Br Br Br Cl Cl Br Cl Cl Br Cl Cl Br Cl Cl Br Cl Br Br Cl Br Br Cl Br Br Cl Br - Formulation/Utility
- Compounds of this invention will generally be used as a formulation or composition with an agriculturally suitable carrier comprising at least one of a liquid diluent, a solid diluent or a surfactant. The formulation or composition ingredients are selected to be consistent with the physical properties of the active ingredient, mode of application and environmental factors such as soil type, moisture and temperature. Useful formulations include liquids such as solutions (including emulsifiable concentrates), suspensions, emulsions (including microemulsions and/or suspoemulsions) and the like which optionally can be thickened into gels. Useful formulations further include solids such as dusts, powders, granules, pellets, tablets, films, and the like which can be water-dispersible (“wettable”) or water-soluble. Active ingredient can be (micro)encapsulated and further formed into a suspension or solid formulation; alternatively the entire formulation of active ingredient can be encapsulated (or “overcoated”). Encapsulation can control or delay release of the active ingredient. Sprayable formulations can be extended in suitable media and used at spray volumes from about one to several hundred liters per hectare. High-strength compositions are primarily used as intermediates for further formulation.
- The formulations will typically contain effective amounts of active ingredient, diluent and surfactant within the following approximate ranges that add up to 100 percent by weight.
Weight Percent Active Ingre- Surfac- dient Diluent tant Water-Dispersible and Water- 5-90 0-94 1-15 soluble Granules, Tablets and Powders. Suspensions, Emulsions, 5-50 40-95 0-15 Solutions (including Emulsifiable Concentrates) Dusts 1-25 70-99 0-5 Granules and Pellets 0.01-99 5-99.99 0-15 High Strength Compositions 90-99 0-10 0-2 - Typical solid diluents are described in Watkins, et al., Handbook of Insecticide Dust Diluents and Carriers, 2nd Ed., Dorland Books, Caldwell, N.J. Typical liquid diluents are described in Marsden, Solvents Guide, 2nd Ed., Interscience, New York, 1950. McCutcheon 's Detergents and Emulsifiers Annual, Allured Publ. Corp., Ridgewood, N.J., as well as Sisely and Wood, Encyclopedia of Surface Active Agents, Chemical Publ. Co., Inc., New York, 1964, list surfactants and recommended uses. All formulations can contain minor amounts of additives to reduce foam, caking, corrosion, microbiological growth and the like, or thickeners to increase viscosity.
- Surfactants include, for example, polyethoxylated alcohols, polyethoxylated alkylphenols, polyethoxylated sorbitan fatty acid esters, dialkyl sulfosuccinates, alkyl sulfates, alkylbenzene sulfonates, organosilicones, N,N-dialkyltaurates, lignin sulfonates, naphthalene sulfonate formaldehyde condensates, polycarboxylates, and polyoxyethylene/polyoxypropylene block copolymers. Solid diluents include, for example, clays such as bentonite, montinorillonite, attapulgite and kaolin, starch, sugar, silica, talc, diatomaceous earth, urea, calcium carbonate, sodium carbonate and bicarbonate, and sodium sulfate. Liquid diluents include, for example, water, N,N-dimethylformamide, dimethyl sulfoxide, N-alkylpyrrolidone, ethylene glycol, polypropylene glycol, paraffins, alkylbenzenes, alkylnaphthalenes, oils of olive, castor, linseed, tung, sesame, corn, peanut, cotton-seed, soybean, rape-seed and coconut, fatty acid esters, ketones such as cyclohexanone, 2-heptanone, isophorone and 4-hydroxy-4-methyl-2-pentanone, and alcohols such as methanol, cyclohexanol, decanol and tetrahydrofurfuryl alcohol.
- Solutions, including emulsifiable concentrates, can be prepared by simply mixing the ingredients. Dusts and powders can be prepared by blending and, usually, grinding as in a hammer mill or fluid-energy mill. Suspensions are usually prepared by wet-milling; see, for example, U.S. Pat. No. 3,060,084. Granules and pellets can be prepared by spraying the active material upon preformed granular carriers or by agglomeration techniques. See Browning, “Agglomeration”, Chemical Engineering, Dec. 4, 197, pp 147-48, Perry's Chemical Engineer's Handbook, 4th Ed., McGraw-Hill, New York, 1963, pages 8-57 and following, and PCT Publication WO 91/13546. Pellets can be prepared as described in U.S. Pat. No. 4,172,714. Water-dispersible and water-soluble granules can be prepared as taught in U.S. Pat. No. 4,144,050, U.S. Pat. No. 3,920,442 and DE 3,246,493. Tablets can be prepared as taught in U.S. Pat. No. 5,180,587, U.S. Pat. No. 5,232,701 and U.S. Pat. No. 5,208,030. Films can be prepared as taught in GB 2,095,558 and U.S. Pat. No. 3,299,566.
- For further information regarding the art of formulation, see T. S. Woods, “The Formulator's Toolbox —Product Forms for Modern Agriculture” in Pesticide Chemistry and Bioscience, The Food-Environment Challenge, T. Brooks and T. R. Roberts, Eds., Proceedings of the 9th International Congress on Pesticide Chemistry, The Royal Society of Chemistry, Cambridge, 1999, pp. 120-133. See also U.S. Pat. No. 3,235,361, Col. 6, line 16 through Col. 7, line 19 and Examples 1041; U.S. Pat. No. 3,309,192, Col. 5, line 43 through Col. 7, line 62 and Examples 8, 12, 15, 39, 41, 52, 53, 58, 132, 138-140, 162-164, 166, 167 and 169-182; U.S. Pat. No. 2,891,855, Col. 3, line 66 through Col. 5, line 17 and Examples 1-4; Klingman, Weed Control as a Science, John Wiley and Sons, Inc., New York, 1961, pp 81-96; and Hance et al., Weed Control Handbook, 8th Ed., Blackwell Scientific Publications, Oxford, 1989.
- In the following Examples, all percentages are by weight and all formulations are prepared in conventional ways. Compound numbers refer to compounds in Index Table A.
-
Wettable Powder Compound 1 65.0% dodecylphenol polyethylene glycol ether 2.0% sodium ligninsulfonate 4.0% sodium silicoaluminate 6.0% montmorillonite (calcined) 23.0%. -
Granule Compound 1 10.0% attapulgite granules (low volatile matter, 90.0%. 0.71/0.30 mm; U.S.S. No. 25-50 sieves) -
Extruded Pellet Compound 1 25.0% anhydrous sodium sulfate 10.0% crude calcium ligninsulfonate 5.0% sodium alkylnaphthalenesulfonate 1.0% calcium/magnesium bentonite 59.0%. -
Emulsifiable Concentrate Compound 1 20.0% blend of oil soluble sulfonates 10.0% and polyoxyethylene ethers isophorone 70.0%. -
Granule Compound 1 0.5% cellulose 2.5% lactose 4.0% cornmeal 93.0%. - Compounds of this invention are characterized by favorable metabolic and/or soil residual patterns and exhibit activity controlling a spectrum of agronomic and nonagronomic invertebrate pests. (In the context of this disclosure “invertebrate pest control” means inhibition of invertebrate pest development (including mortality) that causes significant reduction in feeding or other injury or damage caused by the pest; related expressions are defined analogously.) As referred to in this disclosure, the term “invertebrate pest” includes arthropods, gastropods and nematodes of economic importance as pests. The term “arthropod” includes insects, mites, spiders, scorpions, centipedes, millipedes, pill bugs and symphylans. The term “gastropod” includes snails, slugs and other Stylommatophora. The term “nematode” includes all of the helminths, such as: roundworrns, heartworms, and phytophagous nematodes (Nematoda), flukes (Tematoda), Acanthocephala, and tapeworms (Cestoda). Those skilled in the art will recognize that not all compounds are equally effective against all pests. Compounds of this invention display activity against economically important agronomic and nonagronomic pests. The term “agronomic” refers to the production of field crops such as for food and fiber and includes the growth of cereal crops (e.g., wheat, oats, barley, rye, rice, maize), soybeans, vegetable crops (e.g., lettuce, cabbage, tomatoes, beans), potatoes, sweet potatoes, grapes, cotton, and tree fruits (e.g., pome fruits, stone fruits and citrus fruits). The term “nonagronomic” refers to other horticultural (e.g., forest, greenhouse, nursery or ornamental plants not grown in a field), public (human) and animal health, domestic and commercial structure, household, and stored product applications or pests. For reason of invertebrate pest control spectrum and economic importance, protection (from damage or injury caused by invertebrate pests) of agronomic crops of cotton, maize, soybeans, rice, vegetable crops, potato, sweet potato, grapes and tree fruit by controlling invertebrate pests are preferred embodiments of the invention. Agronomic or nonagronomic pests include larvae of the order Lepidoptera, such as armyworms, cutworms, loopers, and heliothines in the family Noctuidae (e.g., fall armyworm ( Spodoptera fugiperda J. E. Smith), beet armyworm (Spodoptera exigua Hübner), black cutworm (Agrotis ipsilon Hufnagel), cabbage looper (Trichoplusia ni Hübner), tobacco budworm (Heliothis virescens Fabricius)); borers, casebearers, webworms, coneworms, cabbageworms and skeletonizers from the family Pyralidae (e.g., European corn borer (Ostrinia nubilalis Hübner), navel orangeworm (Amyelois transitella Walker), corn root webworm (Crambus caliginosellus Clemens), sod webworm (Herpetogramma licarsisalis Walker)); leafrollers, budworms, seed worms, and fruit worms in the family Tortricidae (e.g., codling moth (Cydia pomonella Linnaeus), grape berry moth (Endopiza viteana Clemens), oriental fruit moth (Grapholita molesta Busck)); and many other economically important lepidoptera (e.g., diamondback moth (Plutella xylostella Linnaeus), pink bollworm (Pectinophora gossypiella Saunders), gypsy moth (Lymantria dispar Linnaeus)); nymphs and adults of the order Blattodea including cockroaches from the families Blattellidae and Blattidae (e.g., oriental cockroach (Blatta orientalis Linnaeus), Asian cockroach (Blatella asahinai Mizukubo), German cockroach (Blattella germanica Linnaeus), brownbanded cockroach (Supelta longipalpa Fabricius), American cockroach (Periplaneta americana Linnaeus), brown cockroach (Periplaneta brunnea Burmeister), Madeira cockroach (Leucophaea maderae Fabricius)); foliar feeding larvae and adults of the order Coleoptera including weevils from the families Anthribidae, Bruchidae, and Curculionidae (e.g., boll weevil (Anthonomus grandis Boheman), rice water weevil (Lissorhoptrus oryzophilus Kuschel), granary weevil (Sitophilus granarius Linnaeus), rice weevil (Sitophilus oryzae Linnaeus)); flea beetles, cucumber beetles, rootworms, leaf beetles, potato beetles, and leafminers in the family Chrysomelidae (e.g., Colorado potato beetle (Leptinotarsa decemlineata Say), western corn rootworm (Diabrotica virgifera virgifera LeConte)); chafers and other beetles from the family Scaribaeidae (e.g., Japanese beetle (Popillia japonica Newman) and European chafer (Rhizotrogus majalis Razoumowsky)); carpet beetles from the family Dermestidae; wireworms from the family Elateridae; bark beetles from the family Scolytidae and flour beetles from the family Tenebrionidae. In addition agronomic and nonagronomic pests include: adults and larvae of the order Dermaptera including earwigs from the family Forficulidae (e.g., European earwig (Forficula auricularia Linnaeus), black earwig (Chelisoches morio Fabricius)); adults and nymphs of the orders Hemiptera and Homoptera such as, plant bugs from the family Miridae, cicadas from the family Cicadidae, leafhoppers (e.g. Empoasca spp.) from the family Cicadellidae, planthoppers from the families Fulgoroidae and Delphacidae, treehoppers from the family Membracidae, psyllids from the family Psyllidae, whiteflies from the family Aleyrodidae, aphids from the family Aphididae, phylloxera from the family Phylloxeridae, mealybugs from the family Pseudococcidae, scales from the families Coccidae, Diaspididae and Margarodidae, lace bugs from the family Tingidae, stink bugs from the family Pentatomidae, cinch bugs (e.g., Blissus spp.) and other seed bugs from the family Lygaeidae, spittlebugs from the family Cercopidae squash bugs from the family Coreidae, and red bugs and cotton stainers from the family Pyrrhocoridae. Also included are adults and larvae of the order Acari (mites) such as spider mites and red mites in the family Tetranychidae (e.g., European red mite (Panonychus ulmi Koch), two spotted spider mite (Tetranychus urticae Koch), McDaniel mite (Tetranychus mcdanieli McGregor)), flat mites in the family Tenuipalpidae (e.g., citrus flat mite (Brevipalpus lewisi McGregor)), rust and bud mites in the family Eriophyidae and other foliar feeding mites and mites important in human and animal health, i.e. dust mites in the family Epidermoptidae, follicle mites in the family Demodicidae, grain mites in the family Glycyphagidae, ticks in the order Ixodidae (e.g., deer tick (Ixodes scapularis Say), Australian paralysis tick (Ixodes holocyclus Neumann), American dog tick (Dermacentor variabilis Say), lone star tick (Amblyomma americanum Linnaeus) and scab and itch mites in the families Psoroptidae, Pyemotidae, and Sarcoptidae; adults and immatures of the order Orthoptera including grasshoppers, locusts and crickets (e.g., migratory grasshoppers (e.g., Melanoplus sanguinipes Fabricius, M. differentialis Thomas), American grasshoppers (e.g., Schistocerca americana Drury), desert locust (Schistocerca gregaria Forskal), migratory locust (Locusta migratoria Linnaeus), house cricket (Acheta domesticus Linnaeus), mole crickets (Gryllotalpa spp.)); adults and immatures of the order Diptera including leafminers, midges, fruit flies (Tephritidae), frit flies (e.g., Oscinella frit Linnaeus), soil maggots, house flies (e.g., Musca domestica Linnaeus), lesser house flies (e.g., Fannia canicularis Linnaeus, F. femoralis Stein), stable flies (e.g., Stomoxys calcitrans Linnaeus), face flies, horn flies, blow flies (e.g., Chrysomya spp., Phormia spp.), and other muscoid fly pests, horse flies (e.g., Tabanus spp.), bot flies (e.g., Gastrophilus spp., Oestrus spp.), cattle grubs (e.g., Hypoderma spp.), deer flies (e.g., Chrysops spp.), keds (e.g., Melophagus ovinus Linnaeus) and other Brachycera, mosquitoes (e.g., Aedes spp., Anopheles spp., Culex spp.), black flies (e.g., Prosimulium spp., Simulium spp.), biting midges, sand flies, sciarids, and other Nematocera; adults and immatures of the order Thysanoptera including onion thrips (Thrips tabaci Lindeman) and other foliar feeding thrips; insect pests of the order Hymenoptera including ants (e.g., red carpenter ant (Camponotus ferrugineus Fabricius), black carpenter ant (Camponotus pennsylvanicus De Geer), Pharaoh ant (Monomorium pharaonis Linnaeus), little fire ant (Wasmannia auropunctata Roger), fire ant (Solenopsis geminata Fabricius), red imported fire ant (Solenopsis invicta Buren), Argentine ant (Iridomyrmex humilis Mayr), crazy ant (Paratrechina longicornis Latreille), pavement ant (Tetramorium caespitum Linnaeus), cornfield ant (Lasius alienus Förster), odorous house ant (Tapinoma sessile Say)), bees (including carpenter bees), hornets, yellow jackets and wasps; insect pests of the order Isoptera including the eastern subterranean termite (Reticulitermes flavipes Kollar), western subterranean termite (Reticulitermes hesperus Banks), Formosan subterranean termite (Coptotermes formosanus Shiraki), West Indian drywood termite (Incisitermes immigrans Snyder) and other termites of economic importance; insect pests of the order Thysanura such as silverfish (Lepisma saccharina Linnaeus) and firebrat (Thermobia domestica Packard); insect pests of the order Mallophaga and including the head louse (Pediculus humanus capitis De Geer), body louse (Pediculus humanus humanus Linnaeus), chicken body louse (Menacanthus stramineus Nitszch), dog biting louse (Trichodectes canis De Geer), fluff louse (Goniocotes gallinae De Geer), sheep body louse (Bovicola ovis Schrank), short-nosed cattle louse (Haematopinus eurysternus Nitzsch), long-nosed cattle louse (Linognathus vituli Linnaeus) and other sucking and chewing parasitic lice that attack man and animals; insect pests of the order Siphonoptera including the oriental rat flea (Xenopsylla cheopis Rothschild), cat flea (Ctenocephalides felis Bouche), dog flea (Ctenocephalides canis Curtis), hen flea (Ceratophyllus gallinae Schrank), sticktight flea (Echidnophaga gallinacea Westwood), human flea (Pulex irritans Linnaeus) and other fleas afflicting mammals and birds. Additional arthropod pests covered include: spiders in the order Araneae such as the brown recluse spider (Loxosceles reclusa Gertsch & Mulaik) and the black widow spider (Latrodectus mactans Fabricius), and centipedes in the order Scutigeromorpha such as the house centipede (Scutigera coleoptrata Linnaeus). Compounds of the present invention also have activity on members of the Classes Nematoda, Cestoda, Trematoda, and Acanthocephala including economically important members of the orders Strongylida, Ascaridida, Oxyurida, Rhabditida, Spirurida, and Enoplida such as but not limited to economically important agricultural pests (i.e. root knot nematodes in the genus Meloidogyne, lesion nematodes in the genus Pratylenchus, stubby root nematodes in the genus Trichodorus, etc.) and animal and human health pests (i.e. all economically important flukes, tapeworms, and roundworms, such as Strongvlus vulgaris in horses, Toxocara canis in dogs, Haemonchus contortus in sheep, Dirofilaria immitis Leidy in dogs, Anoplocephala perfoliata in horses, Fasciola hepatica Linnaeus in ruminants, etc.).
- Compounds of the invention show particularly high activity against pests in the order Lepidoptera (e.g., Alabama argillacea Hübner (cotton leaf worm), Archips argyrospila Walker (fruit tree leaf roller), A. rosana Linnaeus (European leaf roller) and other Archips species, Chilo suppressalis Walker (rice stem borer), Cnaphalocrosis medinalis Guenee (rice leaf roller), Crambus caliginosellus Clemens (corn root webworm), Crambus teterrellus Zincken (bluegrass webworm), Cydia pomonella Linnaeus (codling moth), Earias insulana Boisduval (spiny bollworm), Earias vittella Fabricius (spotted bollworm), Helicoverpa armigera Hübner (American bollworm), Helicoverpa zea Boddie (corn earworm), Heliothis virescens Fabricius (tobacco budworm), Herpetogramma licarsisalis Walker (sod webworm), Lobesia botrana Denis & Schiffermüller (grape berry moth), Pectinophora gossypiella Saunders (pink bollworm), Phyllocnistis citrella Stainton (citrus leafminer), Pieris brassicae Linnaeus (large white butterfly), Pieris rapae Linnaeus (small white butterfly), Plutella xylostella Linnaeus (diamondback moth), Spodoptera exigua Hübner (beet armyworm), Spodoptera litura Fabricius (tobacco cutworm, cluster caterpillar), Spodoptera frugiperda J. E. Smith (fall armyworm), Trichoplusia ni Hübner (cabbage looper) and Tuta absoluta Meyrick (tomato leafminer)). Compounds of the invention also have commercially significant activity on members from the order Homoptera including: Acyrthisiphon pisum Harris (pea aphid), Aphis craccivora Koch (cowpea aphid), Aphisfabae Scopoli (black bean aphid), Aphis gossypii Glover (cotton aphid, melon aphid), Aphis pomi De Geer (apple aphid), Aphis spiraecola Patch (spirea aphid), Aulacorthum solani Kaltenbach (foxglove aphid), Chaetosiphon fragaefolii Cockerell (strawberry aphid), Diuraphis noxia Kurdjumov/Mordvilko (Russian wheat aphid), Dysaphis plantaginea Paaserini (rosy apple aphid), Eriosoma lanigerum Hausmann (woolly apple aphid), Hyalopterus pruni Geoffroy (mealy plum aphid), Lipaphis erysimi Kaltenbach (turnip aphid), Metopolophium dirrhodum Walker (cereal aphid), Macrosipum euphorbiae Thomas (potato aphid), Myzus persicae Sulzer (peach-potato aphid, green peach aphid), Nasonovia ribisnigri Mosley (lettuce aphid), Pemphigus spp. (root aphids and gall aphids), Rhopalosiphum maidis Fitch (corn leaf aphid), Rhopalosiphum padi Linnaeus (bird cherry-oat aphid), Schizaphis graminum Rondani (greenbug), Sitobion avenae Fabricius (English grain aphid), Therioaphis maculata Buckton (spotted alfalfa aphid), Toxoptera aurantii Boyer de Fonscolombe (black citrus aphid), and Toxoptera citricida Kirkaldy (brown citrus aphid); Adelges spp. (adelgids); Phylloxera devastatrix Pergande (pecan phylloxera); Bemisia tabaci Gennadius (tobacco whitefly, sweetpotato whitefly), Bemisia argentifolii Bellows & Perring (silverleaf whitefly), Dialeurodes citri Ashmead (citrus whitefly) and Trialeurodes vaporariorum Westwood (greenhouse whitefly); Empoasca fabae Harris (potato leafhopper), Laodelphax striatellus Fallen (smaller brown planthopper), Macrolestes quadrilineatus Forbes (aster leafhopper), Nephotettix cinticeps Uhler (green leafhopper), Nephotettix nigropictus Stal (rice leafhopper), Nilaparvata lugens Stal (brown planthopper), Peregrinus maidis Ashmead (corn planthopper), Sogatella furcifera Horvath (white-backed planthopper), Sogatodes orizicola Muir (rice delphacid), Typhlocyba pomaria McAtee white apple leafhopper, Erythroneoura spp. (grape leafhoppers); Magicidada septendecim Linnaeus (periodical cicada); Icerya purchasi Maskell (cottony cushion scale), Quadraspidiotus perniciosus Comstock (San Jose scale); Planococcus citri Risso (citrus mealybug); Pseudococcus spp. (other mealybug complex); Cacopsylla pyricola Foerster (pear psylla), Trioza diospyri Ashmead (persimmon psylla). These compounds also have activity on members from the order Hemiptera including: Acrosternum hilare Say (green stink bug), Anasa tristis De Geer (squash bug), Blissus leucopterus leucopterus Say (chinch bug), Corythuca gossypii Fabricius (cotton lace bug), Cyrtopeltis modesta Distant (tomato bug), Dysdercus suturellus Herrich-Schaffer (cotton stainer), Euchistus servus Say (brown stink bug), Euchistus variolarius Palisot de Beauvois (one-spotted stink bug), Graptosthetus spp. (complex of seed bugs), Leptoglossus corculus Say (leaf-footed pine seed bug), Lygus lineolaris Palisot de Beauvois (tarnished plant bug), Nezara viridula Linnaeus (southern green stink bug), Oebalus pugnax Fabricius (rice stink bug), Oncopeltus fasciatus Dallas (large milkweed bug), Pseudatomoscelis seriatus Reuter (cotton fleahopper). Other insect orders controlled by compounds of the invention include Thysanoptera (e.g., Frankliniella occidentalis Pergande (western flower thrip), Scirthothrips citri Moulton (citrus thrip), Sericothrips variabilis Beach (soybean thrip), and Thrips tabaci Lindeman (onion thrip); and the order Coleoptera (e.g., Leptinotarsa decemlineata Say (Colorado potato beetle), Epilachna varivestis Mulsant (Mexican bean beetle) and wireworms of the genera Agriotes, Athous or Limonius).
- Compounds of this invention can also be mixed with one or more other biologically active compounds or agents including insecticides, fungicides, nematocides, bactericides, acaricides, growth regulators such as rooting stimulants, chemosterilants, semiochemicals, repellents, attractants, pheromones, feeding stimulants, other biologically active compounds or entomopathogenic bacteria, virus or fungi to form a multi-component pesticide giving an even broader spectrum of agricultural utility. Thus compositions of the present invention can further comprise a biologically effective amount of at least one additional biologically active compound or agent. Examples of such biologically active compounds or agents with which compounds of this invention can be formulated are: insecticides such as abarnectin, acephate, acetamiprid, avermectin, azadirachtin, azinphos-methyl, bifenthrin, binfenazate, buprofezin, carbofuran, chlorfenapyr, chlorfluazuron, chlorpyrifos, chlorpyrifos-methyl, chromafenozide, clothianidin, cyfluthrin, beta-cyfluthrin, cyhalothrin, lambda-cyhalothrin, cypermethrin, cyromazine, deltamethrin, diafenthiuron, diazinon, diflubenzuron, dimethoate, diofenolan, emamectin, endosulfan, esfenvalerate, ethiprole, fenothicarb, fenoxycarb, fenpropathrin, fenproximate, fenvalerate, fipronil, flonicamid, flucythrinate, tau-fluvalinate, flufenoxuron, fonophos, halofenozide, hexaflumuron, imidacloprid, indoxacarb, isofenphos, lufenuron, malathion, metaldehyde, methamidophos, methidathion, methomyl, methoprene, methoxychlor, monocrotophos, methoxyfenozide, nithiazin, novaluron, oxamyl, parathion, parathion-methyl, permethrin, phorate, phosalone, phosmet, phosphamidon, pirimicarb, profenofos, pymetrozine, pyridalyl, pyriproxyfen, rotenone, spinosad, sulprofos, tebufenozide, teflubenzuron, tefluthrin, terbufos, tetrachlorvinphos, thiacloprid, thiamethoxam, thiodicarb, thiosultap-sodium, tralomethrin, trichlorfon and triflumuron; fungicides such as acibenzolar, azoxystrobin, benomyl, blasticidin-S, Bordeaux mixture (tribasic copper sulfate), bromuconazole, carpropamid, captafol, captan, carbendazim, chloroneb, chlorothalonil, copper oxychloride, copper salts, cyflufenarnid, cymoxanil, cyproconazole, cyprodinil, (S)-3,5-dichloro-N-(3-chloro-1-ethyl-1-methyl-2-oxopropyl)-4-methylbenzamide (RH 7281), diclocymet (S-2900), diclomezine, dicloran, difenoconazole, (S)-3,5-dihydro-5-methyl-2-(methylthio)-5-phenyl-3-(phenylamino)-4H-imidazol-4-one (RP 407213), dimethomorph, dimoxystrobin, diniconazole, diniconazole-M, dodine, edifenphos, epoxiconazole, famoxadone, fenamidone, fenarimol, fenbuconazole, fencaramid (SZX0722), fenpiclonil, fenpropidin, fenpropimorph, fentin acetate, fentin hydroxide, fluazinam, fludioxonil, flumetover (RPA 403397), fluquinconazole, flusilazole, flutolanil, flutriafol, folpet, fosetyl-aluminum, furalaxyl, furametapyr (S-82658), hexaconazole, ipconazole, iprobenfos, iprodione, isoprothiolane, kasugamycin, kresoxim-methyl, mancozeb, maneb, mefenoxam, mepronil, metalaxyl, metconazole, metominostrobin/fenominostrobin (SSF-126), myclobutanil, neo-asozin (ferric methanearsonate), oxadixyl, penconazole, pencycuron, probenazole, prochloraz, propamocarb, propiconazole, pyrifenox, pyraclostrobin, pyrimethanil, pyroquilon, quinoxyfen, spiroxamine, sulfur, tebuconazole, tetraconazole, thiabendazole, thifluzamide, thiophanate-methyl, thiram, tiadinil, triadimefon, triadimenol, tricyclazole, trifloxystrobin, triticonazole, validamycin and vinclozolin; nematocides such as aldicarb, oxamyl and fenamiphos; bactericides such as streptomycin; acaricides such as amitraz, chinomethionat, chlorobenzilate, cyhexatin, dicofol, dienochlor, etoxazole, fenazaquin, fenbutatin oxide, fenpropathrin, fenpyroximate, hexythiazox, propargite, pyridaben and tebufenpyrad; and biological agents such as Bacillus thuringiensis including ssp. aizawai and kurstaki, Bacillus thuringiensis delta endotoxin, baculovirus, and entomopathogenic bacteria, virus and fungi. Compounds of this invention and compositions thereof may be applied to plants genetically transformed to express proteins toxic to invertebrate pests (such as Bacillus thuringiensis toxin). The effect of the exogenous invertebrate pest control compounds and compositions may be synergistic with the expressed toxin proteins.
- A general reference for these agricultural protectants is The Pesticide Manual, 12th Edition, C. D. S. Tomlin, Ed., British Crop Protection Council, Fanham, Surrey, U.K., 2000.
- Preferred insecticides and acaricides for mixing with compounds of this invention include pyrethroids such as cypermethrin, cyhalothrin, cyfluthrin, beta-cyfluthrin, esfenvalerate, fenvalerate and tralomethrin; carbamates such as fenothicarb, methomyl, oxamyl and thiodicarb; neonicotinoids such as clothianidin, imidacloprid and thiacloprid; neuronal sodium channel blockers such as indoxacarb; insecticidal macrocyclic lactones such as spinosad, abamectin, avermectin and emamectin; γ-aminobutyric acid (GABA) antagonists such as endosulfan, ethiprole and fipronil; insecticidal ureas such as flufenoxuron and triflumuron; juvenile hormone mimics such as diofenolan and pyriproxyfen; pymetrozine; and amitraz. Preferred biological agents for mixing with compounds of this invention include Bacillus thuringiensis and Bacillus thuringiensis delta endotoxin as well as naturally occurring and genetically modified viral insecticides including members of the family Baculoviridae as well as entomophagous fungi.
- Most preferred mixtures include a mixture of a compound of this invention with cyhalothrin; a mixture of a compound of this invention with beta-cyfluthrin; a mixture of a compound of this invention with esfenvalerate; a mixture of a compound of this invention with methomyl; a mixture of a compound of this invention with imidacloprid; a mixture of a compound of this invention with thiacloprid; a mixture of a compound of this invention with indoxacarb; a mixture of a compound of this invention with abamectin; a mixture of a compound of this invention with endosulfan; a mixture of a compound of this invention with ethiprole; a mixture of a compound of this invention with fipronil; a mixture of a compound of this invention with flufenoxuron; a mixture of a compound of this invention with pyriproxyfen; a mixture of a compound of this invention with pymetrozine; a mixture of a compound of this invention with amitraz; a mixture of a compound of this invention with Bacillus thuringiensis and a mixture of a compound of this invention with Bacillus thuringiensis delta endotoxin.
- In certain instances, combinations with other invertebrate pest control compounds or agents having a similar spectrum of control but a different mode of action will be particularly advantageous for resistance management. Thus, compositions of the present invention can further comprise a biologically effective amount of at least one additional invertebrate pest control compound or agent having a similar spectrum of control but a different mode of action. Contacting a plant genetically modified to express a plant protection compound (e.g., protein) or the locus of the plant with a biologically effective amount of a compound of invention can also provide a broader spectrum of plant protection and be advantageous for resistance management.
- Invertebrate pests are controlled in agronomic and nonagronomic applications by applying one or more of the compounds of this invention, in an effective amount, to the environment of the pests including the agronomic and/or nonagronomic locus of infestation, to the area to be protected, or directly on the pests to be controlled. Thus, the present invention further comprises a method for the control of invertebrates in agronomic and/or nonagronomic applications, comprising contacting the invertebrates or their environment with a biologically effective amount of one or more of the compounds of the invention, or with a composition comprising at least one such compound or a composition comprising at least one such compound and an effective amount of at least one additional biologically active compound or agent. Examples of suitable compositions comprising a compound of the invention and an effective amount of at least one additional biologically active compound or agent include granular compositions wherein the additional biologically active compound is present on the same granule as the compound of the invention or on granules separate from those of the compound of this invention.
- A preferred method of contact is by spraying. Alternatively, a granular composition comprising a compound of the invention can be applied to the plant foliage or the soil. Compounds of this invention are also effectively delivered through plant uptake by contacting the plant with a composition comprising a compound of this invention applied as a soil drench of a liquid formulation, a granular formulation to the soil, a nursery box treatment or a dip of transplants. Compounds are also effective by topical application of a composition comprising a compound of this invention to the locus of infestation. Other methods of contact include application of a compound or a composition of the invention by direct and residual sprays, aerial sprays, gels, seed coatings, microencapsulations, systemic uptake, baits, eartags, boluses, foggers, fumigants, aerosols, dusts and many others. The compounds of this invention may also be impregnated into materials for fabricating invertebrate control devices (e.g. insect netting).
- The compounds of this invention can be incorporated into baits that are consumed by the invertebrates or within devices such as traps and the like. Granules or baits comprising between 0.01-5% active ingredient, 0.05-10% moisture retaining agent(s) and 40-99% vegetable flour are effective in controlling soil insects at very low application rates, particularly at doses of active ingredient that are lethal by ingestion rather than by direct contact.
- The compounds of this invention can be applied in their pure state, but most often application will be of a formulation comprising one or more compounds with suitable carriers, diluents, and surfactants and possibly in combination with a food depending on the contemplated end use. A preferred method of application involves spraying a water dispersion or refined oil solution of the compounds. Combinations with spray oils, spray oil concentrations, spreader stickers, adjuvants, other solvents, and synergists such as piperonyl butoxide often enhance compound efficacy.
- The rate of application required for effective control (i.e. “biologically effective amount”) will depend on such factors as the species of invertebrate to be controlled, the pest's life cycle, life stage, its size, location, time of year, host crop or animal, feeding behavior, mating behavior, ambient moisture, temperature, and the like. Under normal circumstances, application rates of about 0.01 to 2 kg of active ingredient per hectare are sufficient to control pests in agronomic ecosystems, but as little as 0.0001 kg/hectare may be sufficient or as much as 8 kg/hectare may be required. For nonagronomic applications, effective use rates will range from about 1.0 to 50 mg/square meter but as little as 0.1 mg/square meter may be sufficient or as much as 150 mg/square meter may be required. One Skilled in the art can easily determine the biologically effective amount necessary for the desired level of invertebrate pest control.
- The following TESTS demonstrates the control efficacy of compounds of this invention on specific pests. “Control efficacy” represents inhibition of invertebrate pest development (including mortality) that causes significantly reduced feeding. The pest control protection afforded by the compounds is not limited, however, to these species. See Index Tables A through K and L for compound descriptions. The following abbreviations are used in the Index Tables which follow: t is tertiary, n is normal, i is iso, c is cyclo, s is secondary, Me is methyl, Et is ethyl, Pr is propyl, i-Pr is isopropyl, c-Pr is cyclopropyl, Bu is butyl, s-Bu is secondary butyl, Pent is pentyl, OMe is methoxy, OEt is ethoxy, SMe is methylthio, SEt is ethylthio, CN is cyano, and NO 2 is nitro. The abbreviation “Ex.” stands for “Example” and is followed by a number indicating in which example the compound is prepared.
INDEX TABLE A Compound R2 R3 (R4)n J m.p. ° C. 1 (Ex. 3) H i-Pr 4-Me 4-CF3-Ph * 2 H t-Bu 4-Me 4-CF3-Ph * 3 H i-Pr 4-Me 4-OCF3-Ph * 4 H i-Pr 4-Me 2-Me,4-SCHF2-Ph * 5 H t-Bu 4-Me 2-Me,4-SCHF2-Ph * 6 H t-Bu 4-Me 4-OCF3-Ph * 7 H i-Pr 4-Me 2-Me,4-SO2CHF2-Ph * 8 H i-Pr 4-Me 2-Me,4-SOCF3-Ph * 9 H t-Bu 4-Me 2-Me,4-SO2CHF2-Ph * 10 H t-Bu 4-Me 2-Me,4-SOCHF2-Ph * 11 H i-Pr 4-Me 4-SCHF2-Ph * 12 H t-Bu 4-Me 4-SCHF2-Ph * 13 H i-Pr 4-Me 2-Me,4-CF3-Ph * 14 H i-Pr 4-Me 2-Me,4-OCF3-Ph * 15 H t-Bu 4-Me 2-Me,4-CF3-Ph * 16 H t-Bu 4-Me 2-Me,4-OCF3-Ph * 17 H i-Pr 4-Me 2-Me,4-Cl-Ph 222.5-225 18 H t-Bu 4-Me 2-Me,4-Cl-Ph 214-215 19 H i-Pr 4-Me 2-Me-6-CF3-3-pyridinyl * 20 H t-Bu 4-Me 2-Me-6-CF3-3-pyridinyl * 21 H i-Pr 4-Me 1-Ph-3-Me-5-pyrazolyl * 22 H t-Bu 4-Me 1-Ph-3-Me-5-pyrazolyl * 23 H i-Pr 4-Me 2-Me-6-Cl-3-pyridinyl * 24 H t-Bu 4-Me 2-Me-6-Cl-3-pyridinyl * 25 H CH2CH2NMe2 4,5-Me2 Ph 26 —CH2CH2CH2CH2— H Ph 27 H c-hexyl H Ph 28 H c-propyl H Ph 29 H H 4-t-Bu-Ph 3,5-Cl2-Ph 30 H Me 4-Me 1-(2-Cl-3-pyridinyl)-3-Br-5-pyrazolyl 214-215 31 H i-Pr 4-Me 1-(2-Cl-3-pyridinyl)-3-Br-5-pyrazolyl 159-161 32 H i-Pr 4-Me 1-(2-Cl-Ph)-3-CF3-5-pyrazolyl 198-202 33 H Me 4-Me 1-(2-Cl-3-pyridinyl)-3-CF3-5-pyrazolyl 188-190 34 H i-Pr 4-Me 1-(2-Cl-3-pyridinyl)-3-CF3-5-pyrazolyl 170-174 35 H Me 4-Me 1-(2-Cl-Ph)-3-CF3-5-pyrazolyl 201-203 36 H Me 4,5-Cl2 1-(2-Cl-Ph)-3-CF3-5-pyrazolyl 238-240 37 H i-Pr 4,5-Cl2 1-(2-Cl-Ph)-3-CF3-5-pyrazolyl 240 38 H i-Pr 4,5-Cl2 1-(2-Cl-3-pyridinyl)-3-Br-5-pyrazolyl 208-210 39 H Me 4,5-Cl2 1-(2-Cl-3-pyridinyl)-3-Br-5-pyrazolyl 208 40 H i-Pr 4-Me-S-Cl 1-(2-Cl-3-pyridinyl)-3-CF3-5-pyrazolyl 234-236 41 H Me 4-Me-S-Cl 1-(2-Cl-3-pyridinyl)-3-Br-5-pyrazolyl 229-231 42 H i-Pr 4-Me-S-Cl 1-(2-Cl-3-pyridinyl)-3-Br-5-pyrazolyl 222-223 43 H Me 4-Me-S-Cl 1-(2-Cl-3-pyridinyl)-3-CF3-5-pyrazolyl 226-228 -
INDEX TABLE B Com- pound R3 J m.p. ° C. B1 i-Pr 2-Me,4-SCHF2-Ph 178.5-180.5 B2 i-Pr 2-Me,4-SO2CHF2-Ph 207-210 B3 i-Pr 2-Me,4-SOCF3-Ph 175-180 B4 i-Pr 2-Me,4-CF3-Ph 201-203 B5 i-Pr 2-Me-6-CF3-3-pyridinyl 221.5-222.5 B6 i-Pr 1-Ph-3-Me-5-pyrazolyl * B7 t-Bu 1-Ph-3-Me-5-pyrazolyl * B8 t-Bu 2-Me-6-CF3-3-pyridinyl * B9 i-Pr 2-Me-5-Cl-3-thienyl * B10 Me 1-(2-Cl-Ph)-3-CF3-5-pyrazolyl 266-270 B11 i-Pr 1-(2-Cl-Ph)-3-CF3-5-pyrazolyl 232-236 B12 Me 1-(2-Cl-3-pyridinyl)-3-CF3-5-pyrazolyl 233-236 B13 i-Pr 1-(2-Cl-3-pyridinyl)-3-CF3-5-pyrazolyl 220-222 B14 Me 1-(2-Cl-3-pyridinyl)-3-Br-5-pyrazolyl 235-238 B15 i-Pr 1-(2-Cl-3-pyridinyl)-3-Br-5-pyrazolyl 198-200 -
INDEX TABLE C Compound R2 R3 R4 J m.p. ° C. C1 H i-Pr Me 4-F-Ph * C2 H i-Pr Me 4-Br-Ph * C3 H i-Pr Me 4-Cl-Pb * C4 H i-Pr Me 2-NO2-Ph * C5 H i-Pr Me 3-Cl-Ph * C6 H i-Pr Me 4-CN-Ph * C7 H i-Pr Me 4-CF3-Ph * C8 H i-Pr Me 2-Me-4-SOCF3-Ph * C9 Ex. 2) H i-Pr Me 4-OCF3-Ph 68-75 C10 H i-Pr Me 2-Me-4-Br-Ph * C11 Pr Pr Ph 3-F-Ph C12 —(CH2)5— Ph 2-thienyl C13 —(CH2)2NMe(CH2)2— Ph 4-NO2-Ph C14 H i-Pr Me 3-pyridinyl C15 H c-hexyl Ph 2-thienyl C16 allyl allyl Ph 2-Me-Ph C17 Et Et Pb Ph C18 H allyl Ph Ph C19 H (CH2)2Ph Ph Ph C20 Me Me Ph 4-Me-Ph C21 —(CH2)2NMe(CH2)2— Ph 4-Br-Ph C22 —(CH2)2O(CH2)2— Ph Ph C23 H Et Me 1-(2-Cl-3-pyridinyl)-3-CF3-5-pyrazolyl 253-255 C24 H i-Pr Me 1-(2-Cl-3-pyridinyl)-3-CF3-5-pyrazolyl 214-216 C25 H Me Me 1-(2-Cl-3-pyridinyl)-3-CF3-5-pyrazolyl 230-232 C26 H Me Me 1-(2-Cl-3-pyridinyl)-3-Br-5-pyrazolyl 234-236 C27 H i-Pr Me 1-(2-Cl-Ph)-3-CF3-5-pyrazolyl 218-220 C28 H i-Pr Me 1-(2-Cl-Ph)-3-Br-5-pyrazolyl 170-173 C29 H CH2-2-furanyl Ph 3-Me-Ph C30 H Et CH2CF3 1-(2-Cl-3-pyridinyl)-3-CF3-5-pyrazolyl 236-238 C31 H i-Pr CH2CF3 1-(2-Cl-3-pyridinyl)-3-CF3-5-pyrazolyl 216-218 C32 H Me Et 1-(2-Cl-3-pyridinyl)-3-CF3-5-pyrazolyl 238-240 C33 H Et Et 1-(2-Cl-3-pyridinyl)-3-CF3-5-pyrazolyl 216-218 C34 H i-Pr Et 1-(2-Cl-3-pyridinyl)-3-CF3-5-pyrazolyl 198-201 C35 H Me CH2CF3 1-(2-Cl-3-pyridinyl)-3-CF3-5-pyrazolyl 260-262 C36 H Me CH2CF3 1-(2-Cl-3-pyridinyl)-3-Br-5-pyrazolyl 253-256 C37 H Et CH2CF3 1-(2-Cl-3-pyridinyl)-3-Br-5-pyrazolyl 220-223 C38 H i-Pr CH2CF3 1-(2-Cl-3-pyridinyl)-3-Br-5-pyrazolyl 188-190 C39 H Me Et 1-(2-Cl-3-pyridinyl)-3-Br-5-pyrazolyl 221-223 C40 H Et Et 1-(2-Cl-3-pyridinyl)-3-Br-5-pyrazolyl 182-184 C41 H i-Pr Et 1-(2-Cl-3-pyridinyl)-3-Br-5-pyrazolyl 172-175 C42 —(CH2)6— Ph 4-Br-Ph C43 —(CH2)4— Ph 4-Me-Ph C44 —(CH2)5— Ph 3-F-Ph C45 —(CH2)4— Ph 3-F-Ph C46 H CH2Ph Ph 2-F-Ph C47 H CH2-2-furanyl Ph 3-F-Ph C48 —(CH2)6— Ph 4-Me-Ph C49 —(CH2)2O(CH2)2— Ph 2-Me-Ph -
INDEX TABLE D Compound R2 R3 R4 J m.p. ° C. D1 H i-Pr 2-Me 4-CF3-Ph 223-225 D2 H i-Bu 2-Me 4-CF3-Ph 260-261 D3 (Ex. 1) H i-Pr 2-Me 4-OCF3-Ph 202-204 D4 H i-Pr 2-Me 2-Me,4-CF3-Ph 235-236 D5 H i-Pr 2-Me 2-Me,4-OCF3-Ph 198-200 D6 H i-Pr 2-Me 2-Me-6-CF3-3-pyridinyl 240-243 D7 H i-Pr 2-Me 1-Ph-3-CF3-5-pyrazolyl 215-220 (dec.) D8 H i-Pr 2-Me I-(2-Cl-Ph)-3-CF3-5-pyrazolyl 140-144 D9 H i-Pr 2-Me 2-Me-3-Cl-Ph 260-261 D10 H i-Pr 2-Me 1-(2-Cl-3-pyridinyl)-3-CF3-5-pyrazolyl 207-209* D11 Me Me 2-Me 1-(2-Cl-Ph)-3-CF3-5-pyrazolyl 172-175 D12 H Me 2-Me 1-(2-Cl-Ph)-3-CF3-5-pyrazolyl 193-195 D13 H i-Pr 2-Cl 1-(2-Cl-3-pyridinyl)-3-CF3-5-pyrazolyl 175-179 D14 H i-Pr 2-Me 1-(2-Cl-3-pyridinyl)-3-Br-5-pyrazolyl 156-158 D15 H i-Pr 2-Cl 1-(2-Cl-3-pyridinyl)-3-Br-5-pyrazolyl 160-165 D16 H Me 2-Cl 1-(2-Cl-3-pyridinyl)-3-CF3-5-pyrazolyl 178-180 D17 H Me 2-Cl 1-(2-Cl-3-pyridinyl)-3-Br-5-pyrazolyl 118-125 D18 H Me 2-Me 1-(2-Cl-3-pyridinyl)-3-CF3-5-pyrazolyl 207-209 D19 H Me 2-Me 1-(2-Cl-3-pyridinyl)-3-Br-5-pyrazolyl 216-218 D20 H allyl Me 1-(2-Cl-3-pyridinyl)-3-CF3-5-pyrazolyl 187 D21 H allyl Me 1-(2-Cl-3-pyridinyl)-3-Br-5-pyrazolyl 199-201 -
INDEX TABLE E Compound R2 R3 (R4)n J m.p. ° C. E1 H i-Pr H 4-CF3-Ph * E2 H i-Pr H 4-OCF3-Ph * E3 H i-Pr 2-Cl 4-CF3-Ph * E4 H i-Pr H 2-Me,3-Cl-Ph * E5 H i-Pr 2-Me 1-(2-Cl-3-pyridinyl)-3-CF3-5-pyrazolyl 138-140 E6 H i-Pr 2-Me 1-(2-Cl-Ph)-3-CF3-5-pyrazolyl 170-173 E7 H i-Pr 2-Me 1-(2-Cl-Ph)-3-Br-5-pyrazolyl * E8 H i-Pr 2-Me 1-(2-Cl-3-pyridinyl)-3-CN-5-pyrazolyl * E9 H i-Pr 2-Me 1-(2-Cl-3-pyridinyl)-3-Br-5-pyrazolyl 112-115 E10 H Et 2,6-Cl2 1-(2-Cl-3-pyridinyl)-3-Br-5-pyrazolyl 147-150 E11 H Me 2,6-Cl2 1-(2-Cl-3-pyridinyl)-3-Br-5-pyrazolyl 223-224 E12 H i-Pr 2,6-Cl2 1-(2-Cl-3-pyridinyl)-3-Br-5-pyrazolyl 142-145 E13 H Me 2,6-Cl2 1-(2-Cl-3-pyridinyl)-3-CF3-5-pyrazolyl 238-240 E14 H Et 2,6-Cl2 1-(2-Cl-3-pyridinyl)-3-CF3-5-pyrazolyl 207-209 E15 (Ex. 5) H i-Pr 2,6-Cl2 1-(2-Cl-3-pyridinyl)-3-CF3-5-pyrazolyl 240-242 E16 Me Me 2,6-Cl2 1-(2-Cl-3-pyridinyl)-3-CF3-5-pyrazolyl 153-155 E17 Me Me 2,6-Cl2 1-(2-Cl-3-pyridinyl)-3-Cl-5-pyrazolyl 224-226 E18 Me Me 2,6-Br2 2,6-Br2-3-NH2-4-pyridinyl 208-210 E19 H Et 2,6-Br2 1-(2-Cl-3-pyridinyl)-3-CF3-5-pyrazolyl 223-225 E20 H i-Pr 2,6-Br2 1-(2-Cl-3-pyridinyl)-3-CF3-5-pyrazolyl >240 E21 Et Et 2,6-Cl2 1-(2-Cl-3-pyridinyl)-3-Br-5-pyrazolyl 231-233 E22 H i-Pr 2-Cl-6-Br 1-(2-Cl-3-pyridinyl)-3-Br-5-pyrazolyl 224-226 E23 H NMe2 2,6-Br2 1-(2-Cl-3-pyridinyl)-3-Cl-5-pyrazolyl * E24 H H 2,6-Cl2 1-(2-Cl-3-pyridinyl)-3-Br-5-pyrazolyl * E25 H NMe2 2,6-Cl2 1-(2-Cl-3-pyridinyl)-3-Br-5-pyrazolyl * E26 Me Me 2-Cl-6-NMe2 1-(2-Cl-3-pyridinyl)-3-Br-5-pyrazolyl * E27 H Me 2,6-Br2 1-(2-Cl-Ph)-3-CF3-5-pyrazolyl * E28 H Et 2,6-Br2 1-(2-Cl-Ph)-3-CF3-5-pyrazolyl * E29 H Me 2,6-Br2 1-(2-Cl-3-pyrzdinyl)-3-CF3-5-pyrazolyl * E30 H Et 2,6-Br2 1-(2-Cl-3-pyridinyl)-3-Cl-5-pyrazolyl * E31 H Me 2,6-Br2 1-(2-Cl-3-pyridinyl)-3-Cl-5-pyrazolyl * E32 H i-Pr 2,6-Br2 1-(2-Cl-3-pyridinyl)-3-Cl-5-pyrazolyl * E33 H NMe2 2,6-Cl2 1-(2-Cl-3-pyridinyl)-3-CF3-5-pyrazolyl * E34 H i-Pr 2,6-Br2 1-(2-Cl-Ph)-3-CF3-5-pyrazolyl * E35 H NMe2 2,6-Cl2 2,6-Cl2-3-NH2-4-pyridinyl * E36 Et Et 2,6-Cl2 2,6-Cl2-3-NH2-4-pyridinyl * -
-
INDEX TABLE G Compound R2 R3 (R4)n J m.p. ° C. G1 H i-Pr 4-Me 4-CF3-Ph 121-123* G2 H i-Pr 4-Me 1-(2-Cl-3-pyridinyl)-3-CF3-5-pyrazolyl 183-184 G3 H S—CH(Ph)Me H 3-pyridinyl G4 H i-Pr 4-Me 1-(2-Cl-3-pyridinyl)-3-Br-5-pyrazolyl 172-175 G5 H i-Pr 4-Me 1-(2-Cl-3-Ph)-3-Br-5-pyrazolyl G6 H i-Pr 4-Me-6-Cl 1-(2-Cl-3-pyridinyl)-3-Br-5-pyrazolyl 175-177 G7 H Me 4-Me-6-Cl 1-(2-Cl-3-pyridinyl)-3-Br-5-pyrazolyl 230-235 G8 Me Me 4,6-Cl2 1-(2-Cl-3-pyridinyl)-3-Br-5-pyrazolyl 225-227 G9 H NMe2 4,6-Cl2 1-(2-Cl-3-pyridinyl)-3-Br-5-pyrazolyl 125-130 G10 H H 4,6-Cl2 1-(2-Cl-3-pyridinyl)-3-Br-5-pyrazolyl 130-135 G11 H Me 4,6-Cl2 1-(2-Cl-3-pyridinyl)-3-Br-5-pyrazolyl 214-216 G12 H Et 4,6-Cl2 1-(2-Cl-3-pyridinyl)-3-Br-5-pyrazolyl 210-212 G13 H i-Pr 4,6-Cl2 1-(2-Cl-3-pyridinyl)-3-Br-5-pyrazolyl 208-210 G14 H NMe2 4,6-Cl2 4,6-Cl2-3-NH2-2-pyridinyl 192-194 G15 Me Me 4,6-Cl2 4,6-Cl2-3-NH2-2-pyridinyl 171-172 G16 H H 4,6-Br2 1-(2-Cl-3-pyridinyl)-3-Cl-5-pyrazolyl >240 G17 H Me 4,6-Cl2 1-(2-Cl-3-pyridinyl)-3-CF3-5-pyrazolyl G18 H Et 4,6-Cl2 1-(2-Cl-3-pyridinyl)-3-CF3-5-pyrazolyl G19 H i-Pr 4,6-Cl2 1-(2-Cl-3-pyridinyl)-3-CF3-5-pyrazolyl G20 H H 4,6-Cl2 1-(2-Cl-3-pyridinyl)-3-CF3-5-pyrazolyl G21 Et Et 4,6-Cl2 1-(2-Cl-3-pyridinyl)-3-CF3-5-pyrazolyl G22 H Me 4,6-Cl2 1-(2-Cl-3-pyridinyl)-3-Cl-5-pyrazolyl G23 H Et 4,6-Cl2 1-(2-Cl-3-pyridinyl)-3-Cl-5-pyrazolyl G24 H i-Pr 4,6-Cl2 1-(2-Cl-3-pyridinyl)-3-Cl-5-pyrazolyl G25 H NMe2 4,6-Cl2 1-(2-Cl-3-pyridinyl)-3-CF3-5-pyrazolyl G26 Me Me 4,6-Cl2 1-(2-Cl-3-pyridinyl)-3-CF3-5-pyrazolyl G27 Me Me 4,6-Cl2 1-(2-Cl-3-pyridinyl)-3-Cl-5-pyrazolyl G28 H H 4,6-Cl2 1-(2-Cl-3-pyridinyl)-3-Cl-5-pyrazolyl G29 H NMe2 4,6-Cl2 1-(2-Cl-3-pyridinyl)-3-Cl-5-pyrazolyl G30 Et Et 4,6-Cl2 1-(2-Cl-3-pyridinyl)-3-Cl-5-pyrazolyl G31 H Me 4,5,6-Cl3 1-(2-Cl-3-pyridinyl)-3-CF3-5-pyrazalyl G32 H Et 4,5,6-Cl3 1-(2-Cl-3-pyridinyl)-3-CF3-5-pyrazolyl G33 H CH2CH2SMe 4,6-Cl2 1-(2-Cl-3-pyridinyl)-3-Cl-5-pyrazolyl -
-
INDEX TABLE I Compound R2 R3 (R4)n J m.p. ° C. I1 Me Me 4,6-Me2 1-(2-Cl-3-pyridinyl)-3-CF3-5-pyrazolyl 244-245* I2 H i-Pr 4,6-Me2 1-(2-Cl-3-pyridinyl)-3-CF3-5-pyrazolyl I3 H Me 4,6-Me2 1-(2-Cl-3-pyridinyl)-3-CF3-5-pyrazolyl 195-197 I4 Me Me 4,6-Me2 1-(2-Cl-3-pyridinyl)-3-Br-5-pyrazolyl 243-244 I5 H Me 4,6-Me2 1-(2-Cl-3-pyridiny1)-3-Br-5-pyrazolyl 202-204 I6 (Ex. 4) Me Me 4-Me 1-(2-Cl-3-pyridinyl)-3-Cl-5-pyrazolyl 232-236 I7 H i-Pr 4-Me 1-(2-Cl-3-pyridinyl)-3-Cl-5-pyrazolyl 87-90 I8 H i-Pr 4,6-Me2 1-(2-Cl-3-pyridinyl)-3-Br-5-pyrazolyl 81-83 I9 H Me 4-Me 1-(2-Cl-3-pyridinyl)-3-Cl-5-pyrazolyl 205-207 -
INDEX TABLE J Compound R2 R3 R4 J m.p. ° C. J1 H i-Pr Me 1-(2-Cl-Ph)-3-CF3-5-pyrazolyl 174-176* J2 H i-Pr Me 1-(2-Cl-3-pyridinyl)-3-CF3-5-pyrazolyl 206-208 J3 H Me Me 1-(2-Cl-Ph)-3-CF3-5-pyrazolyl 166-168 J4 H Me Me 1-(2-Cl-3-pyridinyl)-3-CF3-5-pyrazolyl 176-178 J5 H Me Me 1-(2-Cl-3-pyridinyl)-3-Br-5-pyrazolyl 227-229 J8 H i-Pr Me 1-(2-Cl-3-pyridinyl)-3-Br-5-pyrazolyl 172-174 -
INDEX TABLE K Compound R2 R3 R4 J m.p. ° C. K1 H Me Me 1-(2-Cl-3-pyridinyl)-3-Br-5-pyrazolyl 224-226* K2 H i-Pr Me 1-(2-Cl-3-pyridinyl)-3-Br-5-pyrazolyl 168-172 K3 H Me Me 1-(2-Cl-Ph)-3-CF3-5-pyrazolyl 185-190 K4 H i-Pr Me 1-(2-Cl-Ph)-3-CF3-5-pyrazolyl 160-162 K5 H Me Me 1-(2-Cl-3-pyridinyl)-3-CF3-5-pyrazolyl 176-179 K6 H i-Pr Me 1-(2-Cl-3-pyridinyl)-3-CF3-5-pyrazolyl 180-182 -
INDEX TABLE L 1H NMR Partial Spectrum Data (CDCl3 Compd. No. solution unless indicated otherwise)a 1 10.63 (s, 1H), 5.58 (d, 1H) 2 10.55 (s, 1H), 5.60 (s, 1H) 3 10.55 (s, 1H), 5.58 (d, 1H) 4 9.80 (s, 1H), 5.60 (d, 1H) 5 9.68 (s, 1H), 5.60 (s, 1H) 6 10.45 (s, 1H), 5.60 (d, 1H) 7 9.93 (s, 1H), 5.60 (d, 1H) 8 9.90 (s, 1H), 5.59 (d, 1H) 9 9.83 (s, 1H), 5.60 (s, 1H) 10 9.78 (s, 1H), 5.60 (s, 1H) 11 10.57 (s, 1H), 5.58 (d, 1H) 12 10.46 (s, 1H), 5.60 (s, 1H) 13 9.85 (s, 1H), 5.60 (d, 1H) 14 9.82 (s, 1H), 5.58 (d, 1H) 15 9.76 (s, 1H), 5.62 (s, 1H) 16 9.68 (s, 1H), 5.60 (s, 1H) C1 10.19 (s, 1H), 5.72 (d, 1H) C2 10.23 (s, 1H), 5.71 (d, 1H) C3 10.23 (s, 1H), 5.66 (s, 1H) C4 9.50 (s, 1H), 5.62 (d, 1H) C5 10.18 (s, 1H), 5.67 (s, 1H) C6 10.41 (s, 1H), 5.62 (s, 1H) C7 10.36 (s, 1H), 5.66 (s, 1H) C8 9.56 (s, 1H), 5.54 (d, 1H) C10 9.56 (s, 1H), 5.53 (d, 1H) D10 12.2 (brs, 1H), 6.0 (s, 1H) E1 10.10 (s, 1H), 6.24 (s, 1H) E2 10.08 (s, 1H), 6.30 (s, 1H) E3 8.36 (m, 3H), 7.94 (d, 1H), 7.79 (d, 2H), 4.36 (m, 1H), 1.32 (d, 6H) E4 10.05, 1H), 6.16 (d, 1H) E7 7.75 (d, 1H), 7.67 (s, 1H) E8 8.23 (s, 1H), 7.77 (d, 1H) E23 (DMSO-d6) 10.8 (m, 1H), 9.5 (s, 1H) E24 (DMSO-d6) 10.5 (s, 1H) E25 (DMSO-d6) 10.9 (s, 1H) E26 (DMSO-d6) 13.4 (brs, 1H) E27 9.0 (s, 1H), 6.2 (m, 1H) E28 9.25 (s, 1H), 6.18 (m, 1H) E29 (DMSO-d6) 10.9 (s, 1H), 8.55 (m, 1H) E30 9.3 (s, 1H), 6.25 (t, 1H) E31 (DMSO-d6) 10.75 (s, 1H), 8.55 (m, 1H) E32 (DMSO-d6) 13.5 (brs, 1H) E33 (DMSO-d6) 10.9 (m, 1H), 9.6 (s, 1H) E34 9.5 (brs, 1H), 6.05 (d, 1H) E35 (DMSO-d6) 10.9 (s, 1H), 6.66 (m, 1H) E36 10.3 (s, 1H) F1 11.56 (s, 1H), 8.41 (d, 1H) G1 11.97 (s, 1H) H1 5.56 (d, 1H) - For evaluating control of diamondback moth ( Plutella xylostella) the test unit consisted of a small open container with a 12-14-day-old radish plant inside. This was pre-infested with 10-15 neonate larvae on a piece of insect diet by use of a core sampler to remove a plug from a sheet of hardened insect diet having many larvae growing on it and transfer the plug containing larvae and diet to the test unit. The larvae moved onto the test plant as the diet plug dried out.
- Test compounds were formulated using a solution containing 10% acetone, 90% water and 300 ppm X-77® Spreader Lo-Foam Formula non-ionic surfactant containing alkylarylpolyoxyethylene, free fatty acids, glycols and isopropanol (Loveland Industries, Inc.), unless otherwise indicated. The formulated compounds were applied in 1 mL of liquid through a SUJ2 atomizer nozzle with 1/8 JJ custom body (Spraying Systems Co.) positioned 1.27 cm (0.5 inches) above the top of each test unit. All experimental compounds in these tests were sprayed at 250 ppm and replicated three times. After spraying of the formulated test compound, each test unit was allowed to dry for 1 hour and then a black, screened cap was placed on top. The test units were held for 6 days in a growth chamber at 25° C. and 70% relative humidity. Plant feeding damage was then visually assessed based on foliage consumed.
- Of the compounds tested the following provided very good to excellent levels of plant protection (ratings of 0-1, 10% or less feeding damage): 1, 2, 3, 4, 5, 6, 7, 8, 9, 12, 13, 15, 16, 19, 20, 21, 22, 23, 24, 30, 31, 32, 33, 34, 36, 37, 38, B1, B3, B5, B11, B12, B15, C1, C2, C3, C7, C9, C24, D1, D3, D4, D5, D6, D7, D8, D10, D11, D12, D13, D14, D18, D19, D20, D21, E5, E6, E7, E8, E9, E10, E11, E12, E13, E14, E15, E16, E17, E19, E20, E21, E22, G1, G2, G4, G5, G6, G7, G8, G9, G10, G11, G12, G13, J6, K1 and K2.
- For evaluating control of fall armyworm ( Spodoptera frugiperda) the test unit consisted of a small open container with a 4-5-day-old corn (maize) plant inside. This was pre-infested (using a core sampler) with 10-15-1-day-old larvae on a piece of insect diet.
- Test compounds were formulated and sprayed at 250 ppm as described for Test A. The applications were replicated three times. After spraying, the test units were maintained in a growth chamber and then visually rated as described for Test A.
- Of the compounds tested, the following provided excellent levels of plant protection (10% or less feeding damage): 30, 31, 32, 33, 34, 35, 36, B10, B11, B12, B13, B14, D1, D3, D7, D8, D10, D11, D14, D15, E5, E6, E7, E9, E10, E11, E12, E13, E22, G2, G4, G5, G6, G7, G9, G10, G11, G12, G13, J6 and K2.
- For evaluating control of tobacco budworm ( Heliothis virescens) the test unit consisted of a small open container with a 6-7 day old cotton plant inside. This was pre-infested (using a core sampler) with 8-2-day-old larvae on a piece of insect diet.
- Test compounds were formulated and sprayed at 250 ppm as described for Test A. The applications were replicated three times. After spraying, the test units were maintained in a growth chamber and then visually rated as described for Test A.
- Of the compounds tested, the following provided very good to excellent levels of plant protection (20% or less feeding damage): 31, 32, 33, 34, 35, 36, 37, B12, B13, B14, B15, D1, D4, D5, D6, D8, D10, D11, D12, D13, D14, D15, D18, D19, D20, D21, E5, E6, E7, E9, E0, E12, E15, E20, E21, E22, G2, G5, G6, G7, G8, G9, G10, G1, G12, and G13.
- For evaluating control of beet armyworm ( Spodoptera exigua) the test unit consisted of a small open container with a 4-5-day-old corn plant inside. This was pre-infested (using a core sampler) with 10-15-1-day-old larvae on a piece of insect diet.
- Test compounds were formulated and sprayed at 250 ppm as described for Test A. The applications were replicated three times. After spraying, the test units were maintained in a growth chamber and then visually rated as described for Test A.
- Of the compounds tested, the following provided very good to excellent levels of plant protection (20% or less feeding damage): 31, 32, 34, B13, B15, D1, D3, D4, D7, D8, D10, D11, D14, D19, E5, E6, E7, E9, E10, El5, E22, G1, G2, G4, G5, G6, G7, G9, G10, G 1, G12, G13, D20, J6 and K2.
- For evaluating control of green peach aphid ( Myzus persicae) through contact and/or systemic means, the test unit consisted of a small open container with a 12-15-day-old radish plant inside. This was pre-infested (using the cut leaf method) with 30-40 insects on each piece of leaf, and the soil was covered with a layer of sand.
- Test compounds were formulated and sprayed at 250 ppm as described for Test A. The applications were replicated three times. After spraying, the test units were maintained in a growth chamber and then visually assessed for insect mortality.
- Of the compounds tested, the following resulted in at least 80% mortality: C48, E13, E14, E16, G4, G9, G10, G11 and G13.
- For evaluating control of cotton melon aphid ( Aphis gossypii) through contact and/or systemic means, the test unit consisted of a small open container with a 6-7-day-old cotton plant inside. This was pre-infested (using the cut leaf method) with 30-40 insects on each piece of leaf, and the soil was covered with a layer of sand.
- Test compounds were formulated and sprayed at 250 ppm as described for Test A. The applications were replicated three times. After spraying, the test units were maintained in a growth chamber and then visually rated as described for Test E.
- Of the compounds tested, the following resulted in at least 80% mortality: E9.
Claims (26)
1. A compound of Formula I, an N-oxide thereof or suitable salt thereof
wherein
A and B are independently O or S;
each J is independently a phenyl ring, a naphthyl ring system, a 5- or 6-membered heteroaromatic ring or an aromatic 8-, 9- or 10-membered fused heterobicyclic ring system wherein each ring or ring system is optionally substituted with 1 to 4 R5;
K is, together with the two contiguous linking carbon atoms, a 5- or 6-membered heteroaromatic ring optionally substituted with 1 to 3 R4;
n is 1 to 3;
R1 is H; or C1-C6 alkyl, C2-C6 alkenyl, C2-C6 alkynyl or C3-C6 cycloalkyl each optionally substituted with one or more substituents selected from the group consisting of halogen, CN, NO2, hydroxy, C1-C4 alkoxy, C1-C4 alkylthio, C1-C4 alkylsulfinyl, C1-C4 alkylsulfonyl, C2-C4 alkoxycarbonyl, C1-C4 alkylamino, C2-C8 dialkylamino and C3-C6 cycloalkylamino; or
R1 is C2-C6 alkylcarbonyl, C2-C6 alkoxycarbonyl, C2-C6 alkylaminocarbonyl, C3-C8 dialkylaminocarbonyl or C(=A)J;
R2 is H, C1-C6 alkyl, C2-C6 alkenyl, C2-C6 alkynyl, C3-C6 cycloalkyl, C1-C4 alkoxy, C1-C4 alkylamino, C2-C8 dialkylamino, C3-C6 cycloalkylamino, C2-C6 alkoxycarbonyl or C2-C6 alkylcarbonyl;
R3 is H; G; or C1-C6 alkyl, C2-C6 alkenyl, C2-C6 alkynyl, C3-C6 cycloalkyl, each optionally substituted with one or more substituents selected from the group consisting of G, halogen, CN, NO2, hydroxy, C1-C4 alkoxy, C1-C4 haloalkoxy, C1-C4 alkylthio, C1-C4 alkylsulfinyl, C1-C4 alkylsulfonyl, C2-C6 alkoxycarbonyl, C2-C6 alkylcarbonyl, C3-C6 trialkylsilyl, or a phenyl, phenoxy or 5- or 6-membered heteroaromatic ring, each ring optionally substituted with one to three substituents independently selected from R6; or
R2 and R3 can be taken together with the nitrogen to which they are attached to form a ring containing 2 to 6 atoms of carbon and optionally one additional atom of nitrogen, sulfur or oxygen, and said ring may be optionally substituted with one to four substituents selected from R12; and
G is a 5- or 6-membered nonaromatic carbocyclic or heterocyclic ring, optionally including one or two ring members selected from the group consisting of C(═O), SO or S(O)2 and optionally substituted with one to four substituents selected from R12;
each R4 is independently H, C1-C6 alkyl, C2-C6 alkenyl, C2-C6 alkynyl, C3-C6 cycloalkyl, C1-C6 haloalkyl, C2-C6 haloalkenyl, C2-C6 haloalkynyl, C3-C6 halocycloalkyl, halogen, CN, NO2, hydroxy, C1-C4 alkoxy, C1-C4 haloalkoxy, C1-C4 alkylthio, C1-C4 alkylsulfinyl, C1-C4 alkylsulfonyl, C1-C4 haloalkylthio, C1-C4 haloalkylsulfinyl, C1-C4 haloalkylsulfonyl, C1-C4 alkylamino, C2-C8 dialkylamino, C3-C6 cycloalkylamino, C1-C4 alkoxyalkyl, C1-C4 hydroxyalkyl, C(O)R10, CO2R10, C(O)NR10R11, NR10R11, N(R11)CO2R10; or
each R4 is independently a phenyl, benzyl, phenoxy or 5- or 6-membered heteroaromatic ring, each ring optionally substituted with one to three substituents independently selected from R6;
each R5 is independently H, C1-C6 alkyl, C2-C6 alkenyl, C2-C6 alkynyl, C3-C6 cycloalkyl, C1-C6 haloalkyl, C2-C6 haloalkenyl, C2-C6 haloalkynyl, C3-C6 halocycloalkyl, halogen, CN, CO2H, CONH2, NO2, hydroxy, C1-C4 alkoxy, C1-C4 haloalkoxy, C1-C4 alkylthio, C1-C4 alkylsulfinyl, C1-C4 alkylsulfonyl, C1-C4 haloalkylthio, C1-C4 haloalkylsulfinyl, C1-C4 haloalkylsulfonyl, C1-C4 alkylamino, C2-C8 dialkylamino, C3-C6 cycloalkylamino, C2-C6 alkylcarbonyl, C2-C6 alkoxycarbonyl, C2-C6 alkylaminocarbonyl, C3-C8 dialkylaminocarbonyl, C3-C6 trialkylsilyl; or
each R5 is independently a phenyl, benzyl, benzoyl, phenoxy, 5- or 6-membered heteroaromatic ring or an aromatic 8-, 9- or 10-membered fused heterobicyclic ring system, each ring or ring system optionally substituted with one to three substituents independently selected from R6; or
(R5)2 when attached to adjacent carbon atoms can be taken together as —OCF2O—, —CF2CF2O—, or —OCF2CF2O—; and
each R6 is independently C1-C4 alkyl, C2-C4 alkenyl, C2-C4 alkynyl, C3-C6 cycloalkyl, C1-C4 haloalkyl, C2-C4 haloalkenyl, C2-C4 haloalkynyl, C3-C6 halocycloalkyl, halogen, CN, NO2, C1-C4 alkoxy, C1-C4 haloalkoxy, C1-C4 alkylthio, C1-C4 alkylsulfinyl, C1-C4 alkylsulfonyl, C1-C4 alkylamino, C2-C8 dialkylamino, C3-C6 cycloalkylamino, C3-C6 (alkyl)cycloalkylamino, C2-C4 alkylcarbonyl, C2-C6 alkoxycarbonyl, C2-C6 alkylaminocarbonyl, C3-C8 dialkylaminocarbonyl or C3-C6 trialkylsilyl;
each R10 is independently H, C1-4 alkyl or C1-C4 haloalkyl;
each R11 is independently H or C1-C4 alkyl; and
each R12 is independently C1-C2 alkyl, halogen, CN, NO2 or C1-C2 alkoxy.
2. The compound of claim 1 wherein A and B are both 0 and J is a phenyl ring optionally substituted with 1 to 4 R5.
3. The compound of claim 2 wherein
each R4 is independently C1-C4 alkyl, C1-C4 haloalkyl, halogen, CN, NO2 or C1-C4 alkoxy, and one R4 group is attached to the K ring at the atom adjacent to either the NR1C(=A)J moiety or the C(═B)NR2R3 moiety; and
each R5 is independently H, halogen, C1-C4 alkyl, C1-C2 alkoxy, C1-C4 haloalkyl, CN, NO2, C1-C4 haloalkoxy, C1-C4alkylthio, C1-C4 alkylsulfinyl, C1-C4 alkylsulfonyl, C1-C4 haloalkylthio, C1-C4 haloalkylsulfinyl, C1-C4 haloalkylsulfonyl or C2-C4 alkoxycarbonyl; or
each R5 is independently a phenyl or a 5- or 6-membered heteroaromatic ring, each ring optionally substituted with one to three substituents independently selected from R6; or
(R5)2 when attached to adjacent carbon atoms can be taken together as —OCF2O—, —CF2CF2O— or —OCF2CF2O—.
4. The compound of claim 3 wherein
R1 is H;
R2 is H or CH3;
R3 is C1-C4 alkyl optionally substituted with one or more substituents independently selected from halogen, CN, OCH3 or S(O)pCH3;
each R4 is independently CH3, CF3, CN or halogen, and one R4 group is attached to the K ring at the atom adjacent to the NR1C(=A)J moiety;
each R5 is independently H, halogen, methyl, CF3, OCF3, OCHF2, S(O)pCF3, S(O)pCHF2, OCH2CF3, OCF2CHF2, S(O)pCH2CF3 or S(O)pCF2CHF2; or a phenyl, pyrazole, imidazole, triazole, pyridine or pyrimidine ring, each ring optionally substituted with one to three substituents independently selected from C1-C4 alkyl, C1-C4 haloalkyl, halogen or CN; and
p is 0, 1 or 2.
5. The compound of claim 4 wherein R3 is C1-C4 alkyl.
6. The compound of claim 1 wherein
A and B are both 0;
J is a 5- or 6-membered heteroaromatic ring selected from the group consisting of J-1, J-2, J-3, J-4 and J-5, each J optionally substituted with 1 to 3 R5
Q is O, S or NR5; and
W, X, Y and Z are independently N or CR5, provided that in J-4 and J-5 at least one of W, X, Y or Z is N.
7. The compound of claim 6 wherein
each R4 is independently C1-C4 alkyl, C1-C4 haloalkyl, halogen, CN, NO2 or C1-C4 alkoxy, and one R4 group is attached to the K ring at the atom adjacent to either the NR1C(=A)J moiety or the C(═B)NR2R3 moiety; and
each R5 is independently H, C1-C4 alkyl, C1-C4 haloalkyl, halogen, CN, NO2, C1-C4 haloalkoxy, C1-C4 alkylthio, C1-C4 alkylsulfinyl, C1-C4 alkylsulfonyl, C1-C4 haloalkylthio, C1-C4 haloalkylsulfinyl, C1-C4 haloalkylsulfonyl or C2-C4 alkoxycarbonyl; or a phenyl or a 5- or 6-membered heteroaromatic ring, each ring optionally substituted with R6.
8. The compound of claim 7 wherein
J substituted with 1 to 3 R5 is selected from the group consisting of J-6, J-7, J-8, J-9, J-10, J-11, J-12 and J-13
R5 is H, C1-C4 alkyl, C1-C4 haloalkyl, or
V is N, CH, CF, CCl, CBr or CI;
each R6 and R7 is independently H, C1-C6 alkyl, C3-C6 cycloalkyl, C1-C6 haloalkyl, halogen, CN, C1-C4 alkoxy, C1-C4 haloalkoxy or C1-C4 haloalkylthio; and
R9 is H, C1-C6 alkyl, C1-C6 haloalkyl, C3-C6 alkenyl, C3-C6 haloalkenyl, C3-C6 alkynyl or C3-C6 haloalkynyl; provided R7 and R9 are not both H.
9. The compound of claim 8 wherein V is N.
10. The compound of claim 8 wherein V is CH, CF, CCl or CBr.
11. The compound of claim 9 or claim 10 wherein
R1 is H;
R2 is H or CH3;
R3 is C1-C4 alkyl optionally substituted with one or more substituents independently selected from halogen, CN, OCH3 or S(O)pCH3;
each R4 is independently CH3, CF3, CN or halogen, and one R4 group is attached to the K ring at the atom adjacent to the NR1C(=A)J moiety;
R6 is C1-C4 alkyl, C1-C4 haloalkyl, halogen or CN;
R7 is H, CH3, CF3, OCH2CF3, OCHF2 or halogen; and
p is 0, 1 or 2.
12. The compound of claim 11 wherein R3 is C1-C4 alkyl; one R4 group is independently CH3, Cl, Br or I and is attached to the K ring at the atom adjacent to the NR1C(=A)J moiety; and a second optional R4 is H, F, Cl, Br, I or CF3.
13. The compound of claim 12 wherein J substituted with 1 to 3 R5 is J-6; R6 is Cl or Br; and R7 is halogen, OCH2CF3 or CF3.
14. The compound of claim 13 wherein V is N; R3 is methyl, ethyl, isopropyl, tertiary butyl or N(CH3)2; and R7 is Br, Cl, OCH2CF3, or CF3.
15. The compound of claim 12 wherein J substituted with 1 to 3 R5 is J-7; R6 is Cl or Br; and R9 is CF3, CHF2, CH2CF3 or CF2CHF2.
16. The compound of claim 12 wherein J substituted with 1 to 3 R5 is J-8; R6 is Cl or Br; and R7 is halogen, OCH2CF3 or CF3.
17. The compound of claim 12 wherein J substituted with 1 to 3 R5 is J-9; R6 is Cl or Br; and R7 is OCH2CF3 or CF3.
18. The compound of claim 12 wherein J substituted with 1 to 3 R5 is J-10; R6 is Cl or Br; and R9 is CF3, CHF2, CH2CF3 or CF2CHF2.
19. The compound of claim 12 wherein J substituted with 1 to 3 R5 is J-11; R6 is Cl or Br; and R7 is halogen, OCH2CF3 or CF3.
20. The compound of claim 12 wherein J substituted with 1 to 3 R5 is J-12; R6 is Cl or Br; R7 is H, halogen or CF3, and R9 is H, CF3, CHF2, CH2CF3, or CF2CHF2.
21. The compound of claim 12 wherein J substituted with 1 to 3 R5 is J-13; R6 is Cl or Br; R7 is H, halogen or CF3, and R9 is H, CF3, CHF2, CH2CF3 or CF2CHF2.
22. The compound of claim 1 selected from the group consisting of:
4-[[[1-(2-Chlorophenyl)-3-(trifluoromethyl)-1H-pyrazol-5-yl]carbonyl]amino]-5-methyl-N-1-methylethyl)-3-pyridincarboxamide,
4-Methyl-N-(1-methylethyl)-3-[[2-methyl-4-(trifluoromethyl)benzoyl]amino]-2-thiophencarboxamide,
1-Methyl-N-(1-methylethyl)-5-[[4-(trifluoromethyl)benzoyl]amino]-1H-pyrazole-4-carboxamide;
4-[[[3-Bromo-1-(3-chloro-2-pyridinyl)-1H-pyrazol-5-yl]carbonyl]amino]-5-chloro-N-methyl-3-pyridinecarboxamide;
3-[[[3-Bromo-1-(3-chloro-2-pyridinyl)-1H-pyrazol-5-yl]carbonyl]amino]-2,6-dichloro-N-methyl-4-pyridinecarboxamide;
2,6-dichloro-3-[[[1-(3-chloro-2-pyridinyl)-3-(trifluoromethyl)-1H-pyrazol-5-yl]carbonyl]amino]-N-(1-methylethyl)-4-pyridinecarboxamide;
3-[[[3-Bromo-1-(3-chloro-2-pyridinyl)-1H-pyrazol-5-yl]carbonyl]amino]-6-chloro-N,4-dimethyl-2-pyridinecarboxamide;
3-[[[3-Bromo-1-(3-chloro-2-pyridinyl)-1H-pyrazol-5-yl]carbonyl]amino]-4,6-dichloro-N-methyl-2-pyridinecarboxamide;
5-[[[3-Chloro-1-(3-chloro-2-pyridinyl)-1H-pyrazol-5-yl]carbonyl]amino]-N,625 dimethyl-4-pyrimidinecarboxamide; and
5-[[[3-Bromo-1-(3-chloro-2-pyridinyl)-1H-pyrazol-5-yl]carbonyl]amino]-N,N,2,6-tetramethyl-4-pyridinecarboxamide.
23. A method for controlling an invertebrate pest comprising contacting the invertebrate pest or its environment with a biologically effective amount of a compound of claim 1 .
24. The method of claim 23 further comprising a biologically effective amount of at least one additional compound or agent for controlling invertebrate pests.
25. A composition for controlling an invertebrate pest comprising a biologically effective amount of a compound of claim 1 and at least one additional component selected from the group consisting of surfactants, solid diluents and liquid diluents.
26. The composition of claim 25 further comprising a biologically effective amount of at least one additional compound or agent for controlling invertebrate pests.
Priority Applications (2)
| Application Number | Priority Date | Filing Date | Title |
|---|---|---|---|
| US10/469,263 US20040102324A1 (en) | 2002-02-28 | 2002-02-28 | Heterocyclic diamide invertebrate pest control agents |
| US11/158,200 US7560564B2 (en) | 2001-03-05 | 2005-06-21 | Heterocyclic diamide invertebrate pest control agents |
Applications Claiming Priority (2)
| Application Number | Priority Date | Filing Date | Title |
|---|---|---|---|
| PCT/US2002/006582 WO2002070483A1 (en) | 2001-03-05 | 2002-02-28 | Heterocyclic diamide invertebrate pest control agents |
| US10/469,263 US20040102324A1 (en) | 2002-02-28 | 2002-02-28 | Heterocyclic diamide invertebrate pest control agents |
Related Child Applications (1)
| Application Number | Title | Priority Date | Filing Date |
|---|---|---|---|
| US11/158,200 Continuation US7560564B2 (en) | 2001-03-05 | 2005-06-21 | Heterocyclic diamide invertebrate pest control agents |
Publications (1)
| Publication Number | Publication Date |
|---|---|
| US20040102324A1 true US20040102324A1 (en) | 2004-05-27 |
Family
ID=32326744
Family Applications (2)
| Application Number | Title | Priority Date | Filing Date |
|---|---|---|---|
| US10/469,263 Abandoned US20040102324A1 (en) | 2001-03-05 | 2002-02-28 | Heterocyclic diamide invertebrate pest control agents |
| US11/158,200 Expired - Fee Related US7560564B2 (en) | 2001-03-05 | 2005-06-21 | Heterocyclic diamide invertebrate pest control agents |
Family Applications After (1)
| Application Number | Title | Priority Date | Filing Date |
|---|---|---|---|
| US11/158,200 Expired - Fee Related US7560564B2 (en) | 2001-03-05 | 2005-06-21 | Heterocyclic diamide invertebrate pest control agents |
Country Status (1)
| Country | Link |
|---|---|
| US (2) | US20040102324A1 (en) |
Cited By (18)
| Publication number | Priority date | Publication date | Assignee | Title |
|---|---|---|---|---|
| US20040110777A1 (en) * | 2001-12-03 | 2004-06-10 | Annis Gary David | Quinazolinones and pyridinylpyrimidinones for controlling invertebrate pests |
| US20040192731A1 (en) * | 2001-08-15 | 2004-09-30 | Finkelstein Bruce Lawrence | Ortho-substituted aryl amides for controlling invertebrate pests |
| US20040198984A1 (en) * | 2001-08-13 | 2004-10-07 | Lahm George Philip | Arthropodicidal anthranilamides |
| US20040209923A1 (en) * | 2001-09-21 | 2004-10-21 | Berger Richard A | Anthranilamide arthropodicide treatment |
| US20050075372A1 (en) * | 2001-08-13 | 2005-04-07 | Lahm George Philip | Method for controlling particular insect pest by applying anthranilamide compounds |
| US20050282868A1 (en) * | 2001-08-16 | 2005-12-22 | Finkelstein Bruce L | Substituted anthranilamides for controlling invertebrate pests |
| US20060014808A1 (en) * | 2002-11-15 | 2006-01-19 | Hughes Kenneth A | Novel anthranilamide insecticides |
| US20060111403A1 (en) * | 2003-01-28 | 2006-05-25 | Hughes Kenneth A | Cyano anthranilamide insecticides |
| US20060167060A1 (en) * | 2002-06-13 | 2006-07-27 | Lahm George P | Pyrazole and pyrrole carboxamide insecticides |
| US20060194961A1 (en) * | 2002-01-22 | 2006-08-31 | Clark David A | Quinazoline(di)ones for invertebrate pest control |
| US20060241304A1 (en) * | 2003-06-12 | 2006-10-26 | Taylor Eric D | Method for preparing fused oxazinones |
| US20070184018A1 (en) * | 2004-04-13 | 2007-08-09 | Lahm George P | Anthranilamide insecticides |
| US20090133318A1 (en) * | 2004-11-18 | 2009-05-28 | George Philip Lahm | Anthranilamide insecticides |
| US20090269300A1 (en) * | 2005-08-24 | 2009-10-29 | Bruce Lawrence Finkelstein | Anthranilamides for Controlling Invertebrate Pests |
| US20100317643A1 (en) * | 2009-06-11 | 2010-12-16 | Genentech, Inc. | Janus kinase inhibitor compounds and methods |
| US20130231299A1 (en) * | 2004-06-07 | 2013-09-05 | Syngenta Crop Protection Llc | Methods for reducing nematode damage |
| US10251396B2 (en) | 2014-07-28 | 2019-04-09 | Sumitomo Chemical Company, Limited | Amide compound and use of same for noxious arthropod control |
| CN110117606A (en) * | 2019-04-29 | 2019-08-13 | 贵州大学 | A kind of recombinant vector and expression of Potato Aphid effect protein Me10 gene |
Families Citing this family (6)
| Publication number | Priority date | Publication date | Assignee | Title |
|---|---|---|---|---|
| AP1753A (en) * | 2001-06-11 | 2007-07-18 | Shire Biochem Inc | Thiophene derivatives as antiviral agents for flavvivirus infection |
| US8329924B2 (en) * | 2001-06-11 | 2012-12-11 | Vertex Pharmaceuticals (Canada) Incorporated | Compounds and methods for the treatment or prevention of Flavivirus infections |
| CN100413861C (en) | 2002-12-10 | 2008-08-27 | 维勒凯姆制药股份有限公司 | Compounds for use in the treatment or prevention of flavivirus infections |
| AP2579A (en) | 2006-11-15 | 2013-01-29 | Virochem Pharma Inc | Thiophene analogues for the treatment or prevention of flavivirus infections |
| WO2014002754A1 (en) | 2012-06-26 | 2014-01-03 | 住友化学株式会社 | Amide compound and use thereof for pest control |
| PT3490986T (en) * | 2016-07-28 | 2022-02-01 | Idorsia Pharmaceuticals Ltd | Piperidine cxcr7 receptor modulators |
Citations (6)
| Publication number | Priority date | Publication date | Assignee | Title |
|---|---|---|---|---|
| US4565875A (en) * | 1984-06-27 | 1986-01-21 | Fmc Corporation | Imidazole plant growth regulators |
| US5538939A (en) * | 1993-08-24 | 1996-07-23 | Basf Aktiengesellschaft | Acylamino-substituted isoxazole or isothiazole derivatives, their preparation and their use |
| US6337417B1 (en) * | 1994-01-19 | 2002-01-08 | Central Glass Co., Ltd. | N-phenyltetrahydrophthalamic acid derivatives, methods of producing same, and herbicides containing same as effective components |
| US6716881B2 (en) * | 1996-07-24 | 2004-04-06 | Bayer Aktiengesellschaft | Carbanilides used as pesticides |
| US6747047B2 (en) * | 2000-03-22 | 2004-06-08 | E.I. Du Pont De Nemours And Company | Insecticidal anthranilamides |
| US6835743B2 (en) * | 1996-11-29 | 2004-12-28 | Bayer Cropscience S.A. | Pesticidal pyrazoles and derivatives |
Family Cites Families (21)
| Publication number | Priority date | Publication date | Assignee | Title |
|---|---|---|---|---|
| NL6507580A (en) | 1964-06-22 | 1965-12-23 | ||
| DE3166627D1 (en) | 1980-12-12 | 1984-11-15 | Thomae Gmbh Dr K | Pyrimidones, their preparation and medicines containing them |
| JPS6425763A (en) | 1987-04-24 | 1989-01-27 | Mitsubishi Chem Ind | Pyrazoles and insecticide and acaricide containing said pyrazoles as active ingredient |
| EP0347146B1 (en) | 1988-06-16 | 1993-09-01 | Smith Kline & French Laboratories Limited | Fused pyrimidine derivatives, process and intermediates for their preparation and pharmaceutical compositions containing them |
| GB9121028D0 (en) | 1991-10-03 | 1991-11-13 | Pfizer Ltd | Therapeutic agents |
| JPH05230016A (en) | 1991-10-14 | 1993-09-07 | Takeda Chem Ind Ltd | Amide derivative, its production and fungicide |
| JPH0687835A (en) | 1992-07-17 | 1994-03-29 | Rohm & Haas Co | Herbicidal 2-aryl-5,6-condensed-ring pyrimidine |
| GB9218322D0 (en) | 1992-08-28 | 1992-10-14 | Pfizer Ltd | Therapeutic agents |
| NL9202078A (en) | 1992-11-30 | 1994-06-16 | Rijkslandbouwhogeschool | Novel N-acyl-anthranilic acid compounds, and use of N- acyl-anthranilic acid compounds in insect control |
| DE19603576A1 (en) | 1996-02-01 | 1997-08-07 | Bayer Ag | Acylated 4-amino and 4-hydrazinopyrimidines |
| DE19623744A1 (en) | 1996-06-14 | 1997-12-18 | Bayer Ag | Aminophthalic acid derivatives |
| JP3735159B2 (en) | 1996-06-17 | 2006-01-18 | ローヌ−プーラン・アグロシミ | New pesticide |
| EP0999211A4 (en) | 1997-07-15 | 2001-09-19 | Japan Energy Corp | PURINE DERIVATIVES AND THEIR MEDICINAL APPLICATION |
| JP2000169461A (en) | 1998-09-28 | 2000-06-20 | Nippon Nohyaku Co Ltd | Insecticidal fungicide composition and use thereof |
| BR0209912A (en) | 2001-05-21 | 2004-04-06 | Du Pont | Compost, invertebrate pest control method and composition for pest control |
| AR036872A1 (en) | 2001-08-13 | 2004-10-13 | Du Pont | ANTRANILAMIDE COMPOSITE, COMPOSITION THAT INCLUDES IT AND METHOD FOR CONTROLLING AN INVERTEBRATE PEST |
| TWI325302B (en) | 2001-08-13 | 2010-06-01 | Du Pont | Benzoxazinone compounds |
| CN1865258A (en) | 2001-08-15 | 2006-11-22 | 纳幕尔杜邦公司 | Ortho-substituted aryl amides for controlling invertebrate pests |
| DE60230421D1 (en) | 2001-08-16 | 2009-01-29 | Du Pont | SUBSTITUTED ANTHRANILAMIDES AND THEIR USE AS PESTICIDES |
| TW200724033A (en) | 2001-09-21 | 2007-07-01 | Du Pont | Anthranilamide arthropodicide treatment |
| US20040110777A1 (en) | 2001-12-03 | 2004-06-10 | Annis Gary David | Quinazolinones and pyridinylpyrimidinones for controlling invertebrate pests |
-
2002
- 2002-02-28 US US10/469,263 patent/US20040102324A1/en not_active Abandoned
-
2005
- 2005-06-21 US US11/158,200 patent/US7560564B2/en not_active Expired - Fee Related
Patent Citations (6)
| Publication number | Priority date | Publication date | Assignee | Title |
|---|---|---|---|---|
| US4565875A (en) * | 1984-06-27 | 1986-01-21 | Fmc Corporation | Imidazole plant growth regulators |
| US5538939A (en) * | 1993-08-24 | 1996-07-23 | Basf Aktiengesellschaft | Acylamino-substituted isoxazole or isothiazole derivatives, their preparation and their use |
| US6337417B1 (en) * | 1994-01-19 | 2002-01-08 | Central Glass Co., Ltd. | N-phenyltetrahydrophthalamic acid derivatives, methods of producing same, and herbicides containing same as effective components |
| US6716881B2 (en) * | 1996-07-24 | 2004-04-06 | Bayer Aktiengesellschaft | Carbanilides used as pesticides |
| US6835743B2 (en) * | 1996-11-29 | 2004-12-28 | Bayer Cropscience S.A. | Pesticidal pyrazoles and derivatives |
| US6747047B2 (en) * | 2000-03-22 | 2004-06-08 | E.I. Du Pont De Nemours And Company | Insecticidal anthranilamides |
Cited By (54)
| Publication number | Priority date | Publication date | Assignee | Title |
|---|---|---|---|---|
| US9078437B2 (en) | 2001-08-13 | 2015-07-14 | E I Du Pont De Nemours And Company | Arthropodicidal anthranilamides |
| US20070225336A1 (en) * | 2001-08-13 | 2007-09-27 | Lahm George P | Anthropodicidal anthranilamides |
| US20040198984A1 (en) * | 2001-08-13 | 2004-10-07 | Lahm George Philip | Arthropodicidal anthranilamides |
| US20100160307A1 (en) * | 2001-08-13 | 2010-06-24 | E. I. Du Pont De Nemours And Company | Method for controlling particular insect pests by applying anthranilamide compounds |
| US20050075372A1 (en) * | 2001-08-13 | 2005-04-07 | Lahm George Philip | Method for controlling particular insect pest by applying anthranilamide compounds |
| US7696233B2 (en) | 2001-08-13 | 2010-04-13 | E. I. Du Pont De Nemours And Company | Method for controlling particular insect pests by applying anthranilamide compounds |
| US7902231B2 (en) | 2001-08-13 | 2011-03-08 | E.I. Du Pont De Nemours And Company | Anthropodicidal anthranilamides |
| US9445593B1 (en) | 2001-08-13 | 2016-09-20 | E I Du Pont De Nemours And Company | Arthropodicidal anthranilamides |
| US8148521B2 (en) | 2001-08-13 | 2012-04-03 | E.I. Du Pont De Nemours And Company | Arthropodicidal anthranilamides |
| US8158802B2 (en) | 2001-08-13 | 2012-04-17 | E.I. Du Pont De Nemours And Company | Arthropodicidal anthranilamides |
| US9084422B2 (en) | 2001-08-13 | 2015-07-21 | E I Du Pont De Nemours And Company | Anthranilamides compositions |
| US8921400B2 (en) | 2001-08-13 | 2014-12-30 | E I Du Pont De Nemours And Company | Arthropodicidal anthranilamides |
| US7232836B2 (en) | 2001-08-13 | 2007-06-19 | E. I. Du Pont De Nemours And Company | Arthropodicidal anthranilamides |
| US9029365B2 (en) | 2001-08-13 | 2015-05-12 | E I Du Pont De Nemours And Company | Arthropodicidal anthranilamides |
| US20080275061A1 (en) * | 2001-08-13 | 2008-11-06 | George Philip Lahm | Method for controlling particular insect pests by applying anthranilamide compounds |
| US8697734B2 (en) | 2001-08-13 | 2014-04-15 | E I Du Pont De Nemours And Company | Method for controlling particular insect pests by applying anthranilamide compounds |
| US9049861B2 (en) | 2001-08-13 | 2015-06-09 | E I Du Pont De Nemours And Company | Arthropodicidal anthranilamides |
| US9049862B2 (en) | 2001-08-13 | 2015-06-09 | E I Du Pont De Nemours And Company | Arthropodicidal anthranilamides |
| US7288554B2 (en) | 2001-08-15 | 2007-10-30 | E.I. Du Pont De Nemours And Company | Ortho-substituted aryl amides for controlling invertebrate pests |
| US20040192731A1 (en) * | 2001-08-15 | 2004-09-30 | Finkelstein Bruce Lawrence | Ortho-substituted aryl amides for controlling invertebrate pests |
| US20070203201A1 (en) * | 2001-08-16 | 2007-08-30 | Finkelstein Bruce L | Substituted anthranilamides for controlling invertebrate pests |
| US7199138B2 (en) | 2001-08-16 | 2007-04-03 | E. I. Du Pont De Nemours And Company | Substituted anthranilamides for controlling invertebrate pests |
| US7541377B2 (en) | 2001-08-16 | 2009-06-02 | E.I. Du Pont De Nemours And Company | Substituted anthranilamides for controlling invertebrate pests |
| US20050282868A1 (en) * | 2001-08-16 | 2005-12-22 | Finkelstein Bruce L | Substituted anthranilamides for controlling invertebrate pests |
| US7696232B2 (en) | 2001-09-21 | 2010-04-13 | E. I. Du Pont De Nemours And Company | Anthranilamide arthropodicide treatment |
| US20040209923A1 (en) * | 2001-09-21 | 2004-10-21 | Berger Richard A | Anthranilamide arthropodicide treatment |
| US20100152194A1 (en) * | 2001-09-21 | 2010-06-17 | E. I. Du Pont De Nemours And Company | Anthranilamide arthropodicide treatment |
| US8637552B2 (en) | 2001-09-21 | 2014-01-28 | E I Du Pont De Nemours And Company | Anthranilamide arthropodicide treatment |
| US20040110777A1 (en) * | 2001-12-03 | 2004-06-10 | Annis Gary David | Quinazolinones and pyridinylpyrimidinones for controlling invertebrate pests |
| US7683201B2 (en) | 2002-01-22 | 2010-03-23 | E. I. Du Pont De Nemours And Company | Quinazoline(di)ones for invertebrate pest control |
| US20060194961A1 (en) * | 2002-01-22 | 2006-08-31 | Clark David A | Quinazoline(di)ones for invertebrate pest control |
| US20060167060A1 (en) * | 2002-06-13 | 2006-07-27 | Lahm George P | Pyrazole and pyrrole carboxamide insecticides |
| US7754738B2 (en) | 2002-06-13 | 2010-07-13 | E.I. Du Pont De Nemours And Company | Pyrazole and pyrrole carboxamide insecticides |
| US7666882B2 (en) | 2002-11-15 | 2010-02-23 | E.I. Du Pont De Nemours And Company | Anthranilamide insecticides |
| US20060014808A1 (en) * | 2002-11-15 | 2006-01-19 | Hughes Kenneth A | Novel anthranilamide insecticides |
| US7247647B2 (en) | 2003-01-28 | 2007-07-24 | E. I. Du Pont De Nemours And Company | Cyano anthranilamide insecticides |
| US20070264299A1 (en) * | 2003-01-28 | 2007-11-15 | Hughes Kenneth A | Cyano anthranilamide insecticides |
| US7875634B2 (en) | 2003-01-28 | 2011-01-25 | E. I. Du Pont De Nemours And Company | Cyano anthranilamide insecticides |
| US8475819B2 (en) | 2003-01-28 | 2013-07-02 | E I Du Pont De Nemours And Company | Cyano anthranilamide insecticides |
| US20060111403A1 (en) * | 2003-01-28 | 2006-05-25 | Hughes Kenneth A | Cyano anthranilamide insecticides |
| US9161540B2 (en) | 2003-01-28 | 2015-10-20 | E I Du Pont De Nemours And Company | Cyano anthranilamide insecticides |
| US20060241304A1 (en) * | 2003-06-12 | 2006-10-26 | Taylor Eric D | Method for preparing fused oxazinones |
| US7276601B2 (en) | 2003-06-12 | 2007-10-02 | E.I. Du Pont De Nemours And Company | Method and preparing fused oxazinones |
| US20070184018A1 (en) * | 2004-04-13 | 2007-08-09 | Lahm George P | Anthranilamide insecticides |
| US20130231299A1 (en) * | 2004-06-07 | 2013-09-05 | Syngenta Crop Protection Llc | Methods for reducing nematode damage |
| US9980479B2 (en) | 2004-06-07 | 2018-05-29 | Syngenta Crop Protection, Llc | Method of reducing nematode damage |
| US20090133318A1 (en) * | 2004-11-18 | 2009-05-28 | George Philip Lahm | Anthranilamide insecticides |
| US20090269300A1 (en) * | 2005-08-24 | 2009-10-29 | Bruce Lawrence Finkelstein | Anthranilamides for Controlling Invertebrate Pests |
| US8012499B2 (en) | 2005-08-24 | 2011-09-06 | E.I. Du Pont De Nemours And Company | Anthranilamides for controlling invertebrate pests |
| US20100317643A1 (en) * | 2009-06-11 | 2010-12-16 | Genentech, Inc. | Janus kinase inhibitor compounds and methods |
| WO2010142752A1 (en) * | 2009-06-11 | 2010-12-16 | F. Hoffmann-La Roche Ag | Janus kinase inhibitor compounds and methods |
| US8486950B2 (en) | 2009-06-11 | 2013-07-16 | F. Hoffmann-La Roche Ag | Janus kinase inhibitor compounds and methods |
| US10251396B2 (en) | 2014-07-28 | 2019-04-09 | Sumitomo Chemical Company, Limited | Amide compound and use of same for noxious arthropod control |
| CN110117606A (en) * | 2019-04-29 | 2019-08-13 | 贵州大学 | A kind of recombinant vector and expression of Potato Aphid effect protein Me10 gene |
Also Published As
| Publication number | Publication date |
|---|---|
| US20060205748A1 (en) | 2006-09-14 |
| US7560564B2 (en) | 2009-07-14 |
Similar Documents
| Publication | Publication Date | Title |
|---|---|---|
| EP1373210B1 (en) | Heterocyclic diamide invertebrate pest control agents | |
| US7541377B2 (en) | Substituted anthranilamides for controlling invertebrate pests | |
| US7241767B2 (en) | Quinazoline(di)ones for invertebrate pest control | |
| US7674936B2 (en) | Ortho-substituted aryl amides for controlling invertebrate pests | |
| US7375232B2 (en) | Ortho-heterocyclic substituted aryl amides for controlling invertebrate pests | |
| US7087598B2 (en) | Diamide invertebrate pest control agents containing a non-aromatic heterocyclic ring | |
| US7560564B2 (en) | Heterocyclic diamide invertebrate pest control agents | |
| AU2002254107A1 (en) | Heterocyclic diamide invertebrate pest control agents | |
| US7148217B2 (en) | Iminobenzoxazines, iminobenzthiazines and iminoquinazolines for controlling invertebrate pests | |
| AU2002331706A1 (en) | Ortho-substituted aryl amides for controlling invertebrate pests | |
| AU2003282711A1 (en) | Anthranilamide insecticides | |
| US7157475B2 (en) | Diamide invertebrate pest control agents | |
| US20040110777A1 (en) | Quinazolinones and pyridinylpyrimidinones for controlling invertebrate pests | |
| AU2005277228A1 (en) | Novel anthranilamides useful for controlling invertebrate pests | |
| US20040235959A1 (en) | Insecticidal diamides | |
| AU2002343512A1 (en) | Iminobenzoxazines, iminobenzthiazines and iminoquinazolines for controlling invertebrate pests | |
| US20040063738A1 (en) | Substituted heterocyclic phthalic acid diamide arthropodicides | |
| AU2003202966A1 (en) | Diamide invertebrate pest control agents |
Legal Events
| Date | Code | Title | Description |
|---|---|---|---|
| AS | Assignment |
Owner name: E.I. DU PONT DE NEMOURS AND COMPANY, DELAWARE Free format text: ASSIGNMENT OF ASSIGNORS INTEREST;ASSIGNORS:ANNIS, GARY DAVID;FINKELSTEIN, BRUCE LAWRENCE;REEL/FRAME:013968/0340 Effective date: 20020627 |
|
| STCB | Information on status: application discontinuation |
Free format text: ABANDONED -- FAILURE TO PAY ISSUE FEE |


























































































