US20040019975A1 - Textile care composition - Google Patents
Textile care composition Download PDFInfo
- Publication number
- US20040019975A1 US20040019975A1 US10/450,075 US45007503A US2004019975A1 US 20040019975 A1 US20040019975 A1 US 20040019975A1 US 45007503 A US45007503 A US 45007503A US 2004019975 A1 US2004019975 A1 US 2004019975A1
- Authority
- US
- United States
- Prior art keywords
- textile
- polymer
- process according
- composition
- groups
- Prior art date
- Legal status (The legal status is an assumption and is not a legal conclusion. Google has not performed a legal analysis and makes no representation as to the accuracy of the status listed.)
- Abandoned
Links
- 239000004753 textile Substances 0.000 title claims abstract description 77
- 239000000203 mixture Substances 0.000 title claims abstract description 68
- 229920000642 polymer Polymers 0.000 claims abstract description 74
- UMGDCJDMYOKAJW-UHFFFAOYSA-N thiourea Chemical group NC(N)=S UMGDCJDMYOKAJW-UHFFFAOYSA-N 0.000 claims abstract description 65
- 238000000034 method Methods 0.000 claims abstract description 38
- 230000008569 process Effects 0.000 claims abstract description 27
- 125000003396 thiol group Chemical group [H]S* 0.000 claims abstract description 23
- 238000011282 treatment Methods 0.000 claims abstract description 21
- 238000005406 washing Methods 0.000 claims abstract description 10
- 238000004132 cross linking Methods 0.000 claims abstract description 9
- 125000006239 protecting group Chemical group 0.000 claims abstract description 8
- 150000001875 compounds Chemical class 0.000 claims description 41
- 239000003599 detergent Substances 0.000 claims description 14
- 229920000742 Cotton Polymers 0.000 claims description 9
- HONIICLYMWZJFZ-UHFFFAOYSA-N azetidine Chemical group C1CNC1 HONIICLYMWZJFZ-UHFFFAOYSA-N 0.000 claims description 9
- 238000004900 laundering Methods 0.000 claims description 9
- 150000001412 amines Chemical class 0.000 claims description 6
- 230000003750 conditioning effect Effects 0.000 claims description 6
- 229920005989 resin Polymers 0.000 claims description 5
- 239000011347 resin Substances 0.000 claims description 5
- 239000004627 regenerated cellulose Substances 0.000 claims description 2
- 125000000524 functional group Chemical group 0.000 claims 1
- 239000000463 material Substances 0.000 description 28
- 239000000243 solution Substances 0.000 description 28
- 239000000047 product Substances 0.000 description 26
- XSQUKJJJFZCRTK-UHFFFAOYSA-N Urea Natural products NC(N)=O XSQUKJJJFZCRTK-UHFFFAOYSA-N 0.000 description 24
- -1 sulphhydryl group Chemical group 0.000 description 18
- 125000002091 cationic group Chemical group 0.000 description 17
- 150000003573 thiols Chemical class 0.000 description 17
- 238000006243 chemical reaction Methods 0.000 description 14
- XLYOFNOQVPJJNP-UHFFFAOYSA-N water Substances O XLYOFNOQVPJJNP-UHFFFAOYSA-N 0.000 description 13
- 125000000217 alkyl group Chemical group 0.000 description 12
- 239000003795 chemical substances by application Substances 0.000 description 11
- 235000014113 dietary fatty acids Nutrition 0.000 description 10
- 239000000194 fatty acid Substances 0.000 description 10
- 229930195729 fatty acid Natural products 0.000 description 10
- 210000002268 wool Anatomy 0.000 description 10
- INUNLMUAPJVRME-UHFFFAOYSA-N 3-chloropropanoyl chloride Chemical compound ClCCC(Cl)=O INUNLMUAPJVRME-UHFFFAOYSA-N 0.000 description 9
- YXFVVABEGXRONW-UHFFFAOYSA-N Toluene Chemical compound CC1=CC=CC=C1 YXFVVABEGXRONW-UHFFFAOYSA-N 0.000 description 9
- 150000004665 fatty acids Chemical class 0.000 description 9
- LFQSCWFLJHTTHZ-UHFFFAOYSA-N Ethanol Chemical compound CCO LFQSCWFLJHTTHZ-UHFFFAOYSA-N 0.000 description 8
- CDBYLPFSWZWCQE-UHFFFAOYSA-L Sodium Carbonate Chemical compound [Na+].[Na+].[O-]C([O-])=O CDBYLPFSWZWCQE-UHFFFAOYSA-L 0.000 description 8
- 229920013701 VORANOL™ Polymers 0.000 description 8
- 125000003342 alkenyl group Chemical group 0.000 description 7
- HONIICLYMWZJFZ-UHFFFAOYSA-O azetidin-1-ium Chemical compound C1C[NH2+]C1 HONIICLYMWZJFZ-UHFFFAOYSA-O 0.000 description 7
- 239000000835 fiber Substances 0.000 description 7
- 229920001296 polysiloxane Polymers 0.000 description 7
- WNLRTRBMVRJNCN-UHFFFAOYSA-N adipic acid Chemical compound OC(=O)CCCCC(O)=O WNLRTRBMVRJNCN-UHFFFAOYSA-N 0.000 description 6
- 125000001453 quaternary ammonium group Chemical group 0.000 description 6
- 238000005033 Fourier transform infrared spectroscopy Methods 0.000 description 5
- VYPSYNLAJGMNEJ-UHFFFAOYSA-N Silicium dioxide Chemical compound O=[Si]=O VYPSYNLAJGMNEJ-UHFFFAOYSA-N 0.000 description 5
- 239000007864 aqueous solution Substances 0.000 description 5
- 230000015572 biosynthetic process Effects 0.000 description 5
- 239000003381 stabilizer Substances 0.000 description 5
- KIUMMUBSPKGMOY-UHFFFAOYSA-N 3,3'-Dithiobis(6-nitrobenzoic acid) Chemical compound C1=C([N+]([O-])=O)C(C(=O)O)=CC(SSC=2C=C(C(=CC=2)[N+]([O-])=O)C(O)=O)=C1 KIUMMUBSPKGMOY-UHFFFAOYSA-N 0.000 description 4
- CSCPPACGZOOCGX-UHFFFAOYSA-N Acetone Chemical compound CC(C)=O CSCPPACGZOOCGX-UHFFFAOYSA-N 0.000 description 4
- 0 CCC1C(*C)CNC1 Chemical compound CCC1C(*C)CNC1 0.000 description 4
- UIIMBOGNXHQVGW-UHFFFAOYSA-M Sodium bicarbonate Chemical compound [Na+].OC([O-])=O UIIMBOGNXHQVGW-UHFFFAOYSA-M 0.000 description 4
- 239000004902 Softening Agent Substances 0.000 description 4
- 229910000323 aluminium silicate Inorganic materials 0.000 description 4
- 239000004202 carbamide Substances 0.000 description 4
- 150000002148 esters Chemical class 0.000 description 4
- 229920001451 polypropylene glycol Polymers 0.000 description 4
- 238000001556 precipitation Methods 0.000 description 4
- 238000002360 preparation method Methods 0.000 description 4
- 239000000344 soap Substances 0.000 description 4
- 229910000029 sodium carbonate Inorganic materials 0.000 description 4
- 239000003760 tallow Substances 0.000 description 4
- RPNUMPOLZDHAAY-UHFFFAOYSA-N Diethylenetriamine Chemical compound NCCNCCN RPNUMPOLZDHAAY-UHFFFAOYSA-N 0.000 description 3
- BRLQWZUYTZBJKN-UHFFFAOYSA-N Epichlorohydrin Chemical compound ClCC1CO1 BRLQWZUYTZBJKN-UHFFFAOYSA-N 0.000 description 3
- PEDCQBHIVMGVHV-UHFFFAOYSA-N Glycerine Chemical compound OCC(O)CO PEDCQBHIVMGVHV-UHFFFAOYSA-N 0.000 description 3
- 229920002873 Polyethylenimine Polymers 0.000 description 3
- NINIDFKCEFEMDL-UHFFFAOYSA-N Sulfur Chemical compound [S] NINIDFKCEFEMDL-UHFFFAOYSA-N 0.000 description 3
- 239000005864 Sulphur Substances 0.000 description 3
- 239000001361 adipic acid Substances 0.000 description 3
- 235000011037 adipic acid Nutrition 0.000 description 3
- 125000002947 alkylene group Chemical group 0.000 description 3
- 125000000129 anionic group Chemical group 0.000 description 3
- 239000003945 anionic surfactant Substances 0.000 description 3
- 230000008901 benefit Effects 0.000 description 3
- 239000000969 carrier Substances 0.000 description 3
- 238000001035 drying Methods 0.000 description 3
- 230000008030 elimination Effects 0.000 description 3
- 238000003379 elimination reaction Methods 0.000 description 3
- 239000000839 emulsion Substances 0.000 description 3
- 238000010409 ironing Methods 0.000 description 3
- 238000002955 isolation Methods 0.000 description 3
- 239000007788 liquid Substances 0.000 description 3
- 239000002736 nonionic surfactant Substances 0.000 description 3
- 150000003856 quaternary ammonium compounds Chemical class 0.000 description 3
- 230000009467 reduction Effects 0.000 description 3
- 239000007787 solid Substances 0.000 description 3
- 239000000126 substance Substances 0.000 description 3
- 239000004094 surface-active agent Substances 0.000 description 3
- VBICKXHEKHSIBG-UHFFFAOYSA-N 1-monostearoylglycerol Chemical compound CCCCCCCCCCCCCCCCCC(=O)OCC(O)CO VBICKXHEKHSIBG-UHFFFAOYSA-N 0.000 description 2
- NGNBDVOYPDDBFK-UHFFFAOYSA-N 2-[2,4-di(pentan-2-yl)phenoxy]acetyl chloride Chemical compound CCCC(C)C1=CC=C(OCC(Cl)=O)C(C(C)CCC)=C1 NGNBDVOYPDDBFK-UHFFFAOYSA-N 0.000 description 2
- IJGRMHOSHXDMSA-UHFFFAOYSA-N Atomic nitrogen Chemical compound N#N IJGRMHOSHXDMSA-UHFFFAOYSA-N 0.000 description 2
- UXVMQQNJUSDDNG-UHFFFAOYSA-L Calcium chloride Chemical compound [Cl-].[Cl-].[Ca+2] UXVMQQNJUSDDNG-UHFFFAOYSA-L 0.000 description 2
- CURLTUGMZLYLDI-UHFFFAOYSA-N Carbon dioxide Chemical compound O=C=O CURLTUGMZLYLDI-UHFFFAOYSA-N 0.000 description 2
- 229920001661 Chitosan Polymers 0.000 description 2
- IAYPIBMASNFSPL-UHFFFAOYSA-N Ethylene oxide Chemical compound C1CO1 IAYPIBMASNFSPL-UHFFFAOYSA-N 0.000 description 2
- 229910000503 Na-aluminosilicate Inorganic materials 0.000 description 2
- FAPWRFPIFSIZLT-UHFFFAOYSA-M Sodium chloride Chemical compound [Na+].[Cl-] FAPWRFPIFSIZLT-UHFFFAOYSA-M 0.000 description 2
- DBMJMQXJHONAFJ-UHFFFAOYSA-M Sodium laurylsulphate Chemical compound [Na+].CCCCCCCCCCCCOS([O-])(=O)=O DBMJMQXJHONAFJ-UHFFFAOYSA-M 0.000 description 2
- 239000002253 acid Substances 0.000 description 2
- 230000002378 acidificating effect Effects 0.000 description 2
- 150000001449 anionic compounds Chemical class 0.000 description 2
- 230000001153 anti-wrinkle effect Effects 0.000 description 2
- 239000001110 calcium chloride Substances 0.000 description 2
- 229910001628 calcium chloride Inorganic materials 0.000 description 2
- 229920006317 cationic polymer Polymers 0.000 description 2
- 150000001768 cations Chemical class 0.000 description 2
- 238000004140 cleaning Methods 0.000 description 2
- 239000007859 condensation product Substances 0.000 description 2
- 239000000412 dendrimer Substances 0.000 description 2
- 229920000736 dendritic polymer Polymers 0.000 description 2
- 235000013870 dimethyl polysiloxane Nutrition 0.000 description 2
- IQDGSYLLQPDQDV-UHFFFAOYSA-N dimethylazanium;chloride Chemical compound Cl.CNC IQDGSYLLQPDQDV-UHFFFAOYSA-N 0.000 description 2
- HNPSIPDUKPIQMN-UHFFFAOYSA-N dioxosilane;oxo(oxoalumanyloxy)alumane Chemical compound O=[Si]=O.O=[Al]O[Al]=O HNPSIPDUKPIQMN-UHFFFAOYSA-N 0.000 description 2
- POULHZVOKOAJMA-UHFFFAOYSA-N dodecanoic acid Chemical compound CCCCCCCCCCCC(O)=O POULHZVOKOAJMA-UHFFFAOYSA-N 0.000 description 2
- 238000002474 experimental method Methods 0.000 description 2
- 239000000834 fixative Substances 0.000 description 2
- 210000004209 hair Anatomy 0.000 description 2
- 125000002768 hydroxyalkyl group Chemical group 0.000 description 2
- 239000004615 ingredient Substances 0.000 description 2
- 230000003993 interaction Effects 0.000 description 2
- 239000000543 intermediate Substances 0.000 description 2
- 238000004519 manufacturing process Methods 0.000 description 2
- 230000007246 mechanism Effects 0.000 description 2
- 125000002496 methyl group Chemical group [H]C([H])([H])* 0.000 description 2
- 239000010445 mica Substances 0.000 description 2
- 229910052618 mica group Inorganic materials 0.000 description 2
- 230000007935 neutral effect Effects 0.000 description 2
- 239000002304 perfume Substances 0.000 description 2
- 239000000049 pigment Substances 0.000 description 2
- 229920000962 poly(amidoamine) Polymers 0.000 description 2
- 229920000435 poly(dimethylsiloxane) Polymers 0.000 description 2
- 229920000768 polyamine Polymers 0.000 description 2
- 229920002451 polyvinyl alcohol Polymers 0.000 description 2
- 125000002924 primary amino group Chemical group [H]N([H])* 0.000 description 2
- UMSVPCYSAUKCAZ-UHFFFAOYSA-N propane;hydrochloride Chemical compound Cl.CCC UMSVPCYSAUKCAZ-UHFFFAOYSA-N 0.000 description 2
- 150000003839 salts Chemical class 0.000 description 2
- 239000000377 silicon dioxide Substances 0.000 description 2
- 235000012217 sodium aluminium silicate Nutrition 0.000 description 2
- 229910000030 sodium bicarbonate Inorganic materials 0.000 description 2
- 235000017557 sodium bicarbonate Nutrition 0.000 description 2
- 235000019333 sodium laurylsulphate Nutrition 0.000 description 2
- 239000007921 spray Substances 0.000 description 2
- 238000003756 stirring Methods 0.000 description 2
- 238000006467 substitution reaction Methods 0.000 description 2
- 239000000758 substrate Substances 0.000 description 2
- DHCDFWKWKRSZHF-UHFFFAOYSA-L thiosulfate(2-) Chemical group [O-]S([S-])(=O)=O DHCDFWKWKRSZHF-UHFFFAOYSA-L 0.000 description 2
- 238000012546 transfer Methods 0.000 description 2
- 230000007704 transition Effects 0.000 description 2
- JNYAEWCLZODPBN-JGWLITMVSA-N (2r,3r,4s)-2-[(1r)-1,2-dihydroxyethyl]oxolane-3,4-diol Chemical class OC[C@@H](O)[C@H]1OC[C@H](O)[C@H]1O JNYAEWCLZODPBN-JGWLITMVSA-N 0.000 description 1
- 125000004178 (C1-C4) alkyl group Chemical group 0.000 description 1
- 125000006656 (C2-C4) alkenyl group Chemical group 0.000 description 1
- WRIDQFICGBMAFQ-UHFFFAOYSA-N (E)-8-Octadecenoic acid Natural products CCCCCCCCCC=CCCCCCCC(O)=O WRIDQFICGBMAFQ-UHFFFAOYSA-N 0.000 description 1
- ONRREFWJTRBDRA-UHFFFAOYSA-N 2-chloroethanamine;hydron;chloride Chemical compound [Cl-].[NH3+]CCCl ONRREFWJTRBDRA-UHFFFAOYSA-N 0.000 description 1
- LQJBNNIYVWPHFW-UHFFFAOYSA-N 20:1omega9c fatty acid Natural products CCCCCCCCCCC=CCCCCCCCC(O)=O LQJBNNIYVWPHFW-UHFFFAOYSA-N 0.000 description 1
- DHXNZYCXMFBMHE-UHFFFAOYSA-N 3-bromopropanoic acid Chemical compound OC(=O)CCBr DHXNZYCXMFBMHE-UHFFFAOYSA-N 0.000 description 1
- QSBYPNXLFMSGKH-UHFFFAOYSA-N 9-Heptadecensaeure Natural products CCCCCCCC=CCCCCCCCC(O)=O QSBYPNXLFMSGKH-UHFFFAOYSA-N 0.000 description 1
- 241000195940 Bryophyta Species 0.000 description 1
- LSDKSRFGDIRAOY-UHFFFAOYSA-N CCC(=O)OC.COC(C)=O Chemical compound CCC(=O)OC.COC(C)=O LSDKSRFGDIRAOY-UHFFFAOYSA-N 0.000 description 1
- QWTDNUCVQCZILF-UHFFFAOYSA-N CCC(C)C Chemical compound CCC(C)C QWTDNUCVQCZILF-UHFFFAOYSA-N 0.000 description 1
- PMAUBNADGGADRP-UHFFFAOYSA-N CCC1CN(C(=O)CCSC(=N)N)CC1CC.CCC1CNCC1CC Chemical compound CCC1CN(C(=O)CCSC(=N)N)CC1CC.CCC1CNCC1CC PMAUBNADGGADRP-UHFFFAOYSA-N 0.000 description 1
- OZZREWTXIYQESR-UHFFFAOYSA-N CCCC(C)O.CCCC(C)OC(=O)CCSC(=N)N Chemical compound CCCC(C)O.CCCC(C)OC(=O)CCSC(=N)N OZZREWTXIYQESR-UHFFFAOYSA-N 0.000 description 1
- FRQLZELVQCBZGY-UHFFFAOYSA-O CCCN(CCN)CCNC.CCCN(CCNC)CCNC(=O)CCCl.CCCN(CCNC)CCNC(=O)CCSC(N)=[NH2+].NC(N)=S.O=C(Cl)CCCl Chemical compound CCCN(CCN)CCNC.CCCN(CCNC)CCNC(=O)CCCl.CCCN(CCNC)CCNC(=O)CCSC(N)=[NH2+].NC(N)=S.O=C(Cl)CCCl FRQLZELVQCBZGY-UHFFFAOYSA-O 0.000 description 1
- HPAFRXDMDVDCBM-UHFFFAOYSA-P COC1OC(CO)C(OC2OC(CO)C(OC)C(O)C2N)C(O)C1N.COC1OC(CO)C(OC2OC(CO)C(OC)C(O)C2NC(=O)CCCl)C(O)C1NC(=O)CCCl.COC1OC(CO)C(OC2OC(CO)C(OC)C(O)C2NC(=O)CCSC(N)=[NH2+])C(O)C1NC(=O)CCSC(N)=[NH2+] Chemical compound COC1OC(CO)C(OC2OC(CO)C(OC)C(O)C2N)C(O)C1N.COC1OC(CO)C(OC2OC(CO)C(OC)C(O)C2NC(=O)CCCl)C(O)C1NC(=O)CCCl.COC1OC(CO)C(OC2OC(CO)C(OC)C(O)C2NC(=O)CCSC(N)=[NH2+])C(O)C1NC(=O)CCSC(N)=[NH2+] HPAFRXDMDVDCBM-UHFFFAOYSA-P 0.000 description 1
- GAWIXWVDTYZWAW-UHFFFAOYSA-N C[CH]O Chemical group C[CH]O GAWIXWVDTYZWAW-UHFFFAOYSA-N 0.000 description 1
- BHPQYMZQTOCNFJ-UHFFFAOYSA-N Calcium cation Chemical group [Ca+2] BHPQYMZQTOCNFJ-UHFFFAOYSA-N 0.000 description 1
- OKTJSMMVPCPJKN-UHFFFAOYSA-N Carbon Chemical compound [C] OKTJSMMVPCPJKN-UHFFFAOYSA-N 0.000 description 1
- ZAMOUSCENKQFHK-UHFFFAOYSA-N Chlorine atom Chemical compound [Cl] ZAMOUSCENKQFHK-UHFFFAOYSA-N 0.000 description 1
- RKWGIWYCVPQPMF-UHFFFAOYSA-N Chloropropamide Chemical compound CCCNC(=O)NS(=O)(=O)C1=CC=C(Cl)C=C1 RKWGIWYCVPQPMF-UHFFFAOYSA-N 0.000 description 1
- 102000004190 Enzymes Human genes 0.000 description 1
- 108090000790 Enzymes Proteins 0.000 description 1
- FPVVYTCTZKCSOJ-UHFFFAOYSA-N Ethylene glycol distearate Chemical compound CCCCCCCCCCCCCCCCCC(=O)OCCOC(=O)CCCCCCCCCCCCCCCCC FPVVYTCTZKCSOJ-UHFFFAOYSA-N 0.000 description 1
- UFHFLCQGNIYNRP-UHFFFAOYSA-N Hydrogen Chemical compound [H][H] UFHFLCQGNIYNRP-UHFFFAOYSA-N 0.000 description 1
- DGAQECJNVWCQMB-PUAWFVPOSA-M Ilexoside XXIX Chemical compound C[C@@H]1CC[C@@]2(CC[C@@]3(C(=CC[C@H]4[C@]3(CC[C@@H]5[C@@]4(CC[C@@H](C5(C)C)OS(=O)(=O)[O-])C)C)[C@@H]2[C@]1(C)O)C)C(=O)O[C@H]6[C@@H]([C@H]([C@@H]([C@H](O6)CO)O)O)O.[Na+] DGAQECJNVWCQMB-PUAWFVPOSA-M 0.000 description 1
- 239000004166 Lanolin Substances 0.000 description 1
- 239000005639 Lauric acid Substances 0.000 description 1
- 239000000232 Lipid Bilayer Substances 0.000 description 1
- QCDKUDVEFZHAMQ-UHFFFAOYSA-N N=C(N)SCCC(=O)N(CCNC(=O)CCCCCN)CCNC(=O)CCCCCN.NCCCCCC(=O)NCCNCCNC(=O)CCCCCN Chemical compound N=C(N)SCCC(=O)N(CCNC(=O)CCCCCN)CCNC(=O)CCCCCN.NCCCCCC(=O)NCCNCCNC(=O)CCCCCN QCDKUDVEFZHAMQ-UHFFFAOYSA-N 0.000 description 1
- YKIBDOIROCNELT-UHFFFAOYSA-Q NC(=[NH2+])SCCC(=O)OCCC(CCOC(=O)CCSC(N)=[NH2+])COC(=O)CCSC(N)=[NH2+].O=C1CCSSCCOCOCCC2CCOCOCCSSCCC(=O)OCCC(CCO1)COC(=O)CCSSCCOCOC2 Chemical compound NC(=[NH2+])SCCC(=O)OCCC(CCOC(=O)CCSC(N)=[NH2+])COC(=O)CCSC(N)=[NH2+].O=C1CCSSCCOCOCCC2CCOCOCCSSCCC(=O)OCCC(CCO1)COC(=O)CCSSCCOCOC2 YKIBDOIROCNELT-UHFFFAOYSA-Q 0.000 description 1
- FIICDVYZYGNQSI-MAZDBSFSSA-L NC(=[NH2+])SCCNC1=NC(NCCS(=O)(=S)O[O-])=NC(NC2=CC(SOOO)=C(/C=C/C3=CC=C(NC4=NC(NCSC(N)=[NH2+])=NC(NCCS(=O)(=S)O[O-])=N4)C=C3S(=O)(=O)O)C=C2)=N1.O=S(=O)(O)C1=CC(NC2=NC(NCCS)=NC(NCCS(=O)(=S)O[O-])=N2)=CC=C1/C=C/C1=C(SOOO)C=C(NC2=NC(NCCS)=NC(NCCS(=O)(=S)O[O-])=N2)C=C1 Chemical compound NC(=[NH2+])SCCNC1=NC(NCCS(=O)(=S)O[O-])=NC(NC2=CC(SOOO)=C(/C=C/C3=CC=C(NC4=NC(NCSC(N)=[NH2+])=NC(NCCS(=O)(=S)O[O-])=N4)C=C3S(=O)(=O)O)C=C2)=N1.O=S(=O)(O)C1=CC(NC2=NC(NCCS)=NC(NCCS(=O)(=S)O[O-])=N2)=CC=C1/C=C/C1=C(SOOO)C=C(NC2=NC(NCCS)=NC(NCCS(=O)(=S)O[O-])=N2)C=C1 FIICDVYZYGNQSI-MAZDBSFSSA-L 0.000 description 1
- 239000005642 Oleic acid Substances 0.000 description 1
- ZQPPMHVWECSIRJ-UHFFFAOYSA-N Oleic acid Natural products CCCCCCCCC=CCCCCCCCC(O)=O ZQPPMHVWECSIRJ-UHFFFAOYSA-N 0.000 description 1
- 229920003171 Poly (ethylene oxide) Polymers 0.000 description 1
- JUJWROOIHBZHMG-UHFFFAOYSA-N Pyridine Chemical class C1=CC=NC=C1 JUJWROOIHBZHMG-UHFFFAOYSA-N 0.000 description 1
- 229920000297 Rayon Polymers 0.000 description 1
- 239000004115 Sodium Silicate Substances 0.000 description 1
- 239000004133 Sodium thiosulphate Substances 0.000 description 1
- QAOWNCQODCNURD-UHFFFAOYSA-L Sulfate Chemical compound [O-]S([O-])(=O)=O QAOWNCQODCNURD-UHFFFAOYSA-L 0.000 description 1
- ULUAUXLGCMPNKK-UHFFFAOYSA-N Sulfobutanedioic acid Chemical class OC(=O)CC(C(O)=O)S(O)(=O)=O ULUAUXLGCMPNKK-UHFFFAOYSA-N 0.000 description 1
- UCKMPCXJQFINFW-UHFFFAOYSA-N Sulphide Chemical compound [S-2] UCKMPCXJQFINFW-UHFFFAOYSA-N 0.000 description 1
- GWEVSGVZZGPLCZ-UHFFFAOYSA-N Titan oxide Chemical compound O=[Ti]=O GWEVSGVZZGPLCZ-UHFFFAOYSA-N 0.000 description 1
- NJSSICCENMLTKO-HRCBOCMUSA-N [(1r,2s,4r,5r)-3-hydroxy-4-(4-methylphenyl)sulfonyloxy-6,8-dioxabicyclo[3.2.1]octan-2-yl] 4-methylbenzenesulfonate Chemical compound C1=CC(C)=CC=C1S(=O)(=O)O[C@H]1C(O)[C@@H](OS(=O)(=O)C=2C=CC(C)=CC=2)[C@@H]2OC[C@H]1O2 NJSSICCENMLTKO-HRCBOCMUSA-N 0.000 description 1
- 239000006096 absorbing agent Substances 0.000 description 1
- 239000003377 acid catalyst Substances 0.000 description 1
- 125000001931 aliphatic group Chemical group 0.000 description 1
- 239000003513 alkali Substances 0.000 description 1
- 229910052783 alkali metal Inorganic materials 0.000 description 1
- PNEYBMLMFCGWSK-UHFFFAOYSA-N aluminium oxide Inorganic materials [O-2].[O-2].[O-2].[Al+3].[Al+3] PNEYBMLMFCGWSK-UHFFFAOYSA-N 0.000 description 1
- ANBBXQWFNXMHLD-UHFFFAOYSA-N aluminum;sodium;oxygen(2-) Chemical compound [O-2].[O-2].[Na+].[Al+3] ANBBXQWFNXMHLD-UHFFFAOYSA-N 0.000 description 1
- 125000003368 amide group Chemical group 0.000 description 1
- 150000001408 amides Chemical class 0.000 description 1
- 125000003277 amino group Chemical group 0.000 description 1
- 125000004103 aminoalkyl group Chemical group 0.000 description 1
- 229920013822 aminosilicone Polymers 0.000 description 1
- 239000002280 amphoteric surfactant Substances 0.000 description 1
- 229920006318 anionic polymer Polymers 0.000 description 1
- 239000002518 antifoaming agent Substances 0.000 description 1
- 239000003963 antioxidant agent Substances 0.000 description 1
- 235000006708 antioxidants Nutrition 0.000 description 1
- 239000002216 antistatic agent Substances 0.000 description 1
- 239000003125 aqueous solvent Substances 0.000 description 1
- QVGXLLKOCUKJST-UHFFFAOYSA-N atomic oxygen Chemical compound [O] QVGXLLKOCUKJST-UHFFFAOYSA-N 0.000 description 1
- 230000009286 beneficial effect Effects 0.000 description 1
- 239000011230 binding agent Substances 0.000 description 1
- 238000004061 bleaching Methods 0.000 description 1
- 229920001400 block copolymer Polymers 0.000 description 1
- 238000005282 brightening Methods 0.000 description 1
- 229910001424 calcium ion Inorganic materials 0.000 description 1
- 150000001719 carbohydrate derivatives Chemical class 0.000 description 1
- 150000001720 carbohydrates Chemical class 0.000 description 1
- 229910052799 carbon Inorganic materials 0.000 description 1
- 125000004432 carbon atom Chemical group C* 0.000 description 1
- 239000001569 carbon dioxide Substances 0.000 description 1
- 229910002092 carbon dioxide Inorganic materials 0.000 description 1
- 150000001767 cationic compounds Chemical class 0.000 description 1
- 239000002752 cationic softener Substances 0.000 description 1
- 239000003093 cationic surfactant Substances 0.000 description 1
- 229920002678 cellulose Polymers 0.000 description 1
- 239000001913 cellulose Substances 0.000 description 1
- 239000000460 chlorine Substances 0.000 description 1
- 229910052801 chlorine Inorganic materials 0.000 description 1
- 125000001309 chloro group Chemical group Cl* 0.000 description 1
- XENVCRGQTABGKY-ZHACJKMWSA-N chlorohydrin Chemical group CC#CC#CC#CC#C\C=C\C(Cl)CO XENVCRGQTABGKY-ZHACJKMWSA-N 0.000 description 1
- 239000011248 coating agent Substances 0.000 description 1
- 238000000576 coating method Methods 0.000 description 1
- 239000007957 coemulsifier Substances 0.000 description 1
- 229910052681 coesite Inorganic materials 0.000 description 1
- 239000012141 concentrate Substances 0.000 description 1
- 238000012790 confirmation Methods 0.000 description 1
- 238000005260 corrosion Methods 0.000 description 1
- 229910052593 corundum Inorganic materials 0.000 description 1
- 229910052906 cristobalite Inorganic materials 0.000 description 1
- MGNCLNQXLYJVJD-UHFFFAOYSA-N cyanuric chloride Chemical compound ClC1=NC(Cl)=NC(Cl)=N1 MGNCLNQXLYJVJD-UHFFFAOYSA-N 0.000 description 1
- 230000008021 deposition Effects 0.000 description 1
- 239000004205 dimethyl polysiloxane Substances 0.000 description 1
- REZZEXDLIUJMMS-UHFFFAOYSA-M dimethyldioctadecylammonium chloride Chemical compound [Cl-].CCCCCCCCCCCCCCCCCC[N+](C)(C)CCCCCCCCCCCCCCCCCC REZZEXDLIUJMMS-UHFFFAOYSA-M 0.000 description 1
- 239000004664 distearyldimethylammonium chloride (DHTDMAC) Substances 0.000 description 1
- 238000004821 distillation Methods 0.000 description 1
- NOPFSRXAKWQILS-UHFFFAOYSA-N docosan-1-ol Chemical compound CCCCCCCCCCCCCCCCCCCCCCO NOPFSRXAKWQILS-UHFFFAOYSA-N 0.000 description 1
- 239000000975 dye Substances 0.000 description 1
- 230000000694 effects Effects 0.000 description 1
- 239000003792 electrolyte Substances 0.000 description 1
- 239000003995 emulsifying agent Substances 0.000 description 1
- 125000004185 ester group Chemical group 0.000 description 1
- 239000004744 fabric Substances 0.000 description 1
- 238000005562 fading Methods 0.000 description 1
- 239000002657 fibrous material Substances 0.000 description 1
- 239000006260 foam Substances 0.000 description 1
- 238000005187 foaming Methods 0.000 description 1
- 229920001002 functional polymer Polymers 0.000 description 1
- 239000000417 fungicide Substances 0.000 description 1
- 229940083124 ganglion-blocking antiadrenergic secondary and tertiary amines Drugs 0.000 description 1
- 239000007789 gas Substances 0.000 description 1
- 230000002070 germicidal effect Effects 0.000 description 1
- YQEMORVAKMFKLG-UHFFFAOYSA-N glycerine monostearate Natural products CCCCCCCCCCCCCCCCCC(=O)OC(CO)CO YQEMORVAKMFKLG-UHFFFAOYSA-N 0.000 description 1
- SVUQHVRAGMNPLW-UHFFFAOYSA-N glycerol monostearate Natural products CCCCCCCCCCCCCCCCC(=O)OCC(O)CO SVUQHVRAGMNPLW-UHFFFAOYSA-N 0.000 description 1
- 125000005843 halogen group Chemical group 0.000 description 1
- 238000013007 heat curing Methods 0.000 description 1
- 229910001385 heavy metal Inorganic materials 0.000 description 1
- 125000001183 hydrocarbyl group Chemical group 0.000 description 1
- 239000001257 hydrogen Substances 0.000 description 1
- 229910052739 hydrogen Inorganic materials 0.000 description 1
- 239000003752 hydrotrope Substances 0.000 description 1
- 238000005286 illumination Methods 0.000 description 1
- 150000002462 imidazolines Chemical class 0.000 description 1
- 239000003112 inhibitor Substances 0.000 description 1
- 238000005342 ion exchange Methods 0.000 description 1
- QXJSBBXBKPUZAA-UHFFFAOYSA-N isooleic acid Natural products CCCCCCCC=CCCCCCCCCC(O)=O QXJSBBXBKPUZAA-UHFFFAOYSA-N 0.000 description 1
- 229940039717 lanolin Drugs 0.000 description 1
- 235000019388 lanolin Nutrition 0.000 description 1
- 150000002605 large molecules Chemical class 0.000 description 1
- 239000000787 lecithin Substances 0.000 description 1
- 235000010445 lecithin Nutrition 0.000 description 1
- 125000005647 linker group Chemical group 0.000 description 1
- 239000012263 liquid product Substances 0.000 description 1
- 230000014759 maintenance of location Effects 0.000 description 1
- 238000005259 measurement Methods 0.000 description 1
- 230000008018 melting Effects 0.000 description 1
- 238000002844 melting Methods 0.000 description 1
- 230000004048 modification Effects 0.000 description 1
- 238000012986 modification Methods 0.000 description 1
- 235000011929 mousse Nutrition 0.000 description 1
- DYUWTXWIYMHBQS-UHFFFAOYSA-N n-prop-2-enylprop-2-en-1-amine Chemical compound C=CCNCC=C DYUWTXWIYMHBQS-UHFFFAOYSA-N 0.000 description 1
- 229910052757 nitrogen Inorganic materials 0.000 description 1
- QJGQUHMNIGDVPM-UHFFFAOYSA-N nitrogen group Chemical group [N] QJGQUHMNIGDVPM-UHFFFAOYSA-N 0.000 description 1
- ZVEZMVFBMOOHAT-UHFFFAOYSA-N nonane-1-thiol Chemical compound CCCCCCCCCS ZVEZMVFBMOOHAT-UHFFFAOYSA-N 0.000 description 1
- 239000004669 nonionic softener Substances 0.000 description 1
- 239000003921 oil Substances 0.000 description 1
- JRZJOMJEPLMPRA-UHFFFAOYSA-N olefin Natural products CCCCCCCC=C JRZJOMJEPLMPRA-UHFFFAOYSA-N 0.000 description 1
- ZQPPMHVWECSIRJ-KTKRTIGZSA-N oleic acid Chemical compound CCCCCCCC\C=C/CCCCCCCC(O)=O ZQPPMHVWECSIRJ-KTKRTIGZSA-N 0.000 description 1
- 239000003605 opacifier Substances 0.000 description 1
- 230000003287 optical effect Effects 0.000 description 1
- 239000001301 oxygen Substances 0.000 description 1
- 229910052760 oxygen Inorganic materials 0.000 description 1
- 239000006179 pH buffering agent Substances 0.000 description 1
- 229940055076 parasympathomimetics choline ester Drugs 0.000 description 1
- 239000006187 pill Substances 0.000 description 1
- 229920006294 polydialkylsiloxane Polymers 0.000 description 1
- 229920000728 polyester Polymers 0.000 description 1
- 229920000139 polyethylene terephthalate Polymers 0.000 description 1
- 239000000843 powder Substances 0.000 description 1
- 239000002244 precipitate Substances 0.000 description 1
- 239000002243 precursor Substances 0.000 description 1
- 150000003138 primary alcohols Chemical class 0.000 description 1
- 150000003141 primary amines Chemical class 0.000 description 1
- 102000004169 proteins and genes Human genes 0.000 description 1
- 108090000623 proteins and genes Proteins 0.000 description 1
- 150000003242 quaternary ammonium salts Chemical class 0.000 description 1
- 229920013730 reactive polymer Polymers 0.000 description 1
- 238000011084 recovery Methods 0.000 description 1
- 230000000979 retarding effect Effects 0.000 description 1
- 238000002390 rotary evaporation Methods 0.000 description 1
- 150000004671 saturated fatty acids Chemical class 0.000 description 1
- 235000003441 saturated fatty acids Nutrition 0.000 description 1
- 150000003333 secondary alcohols Chemical class 0.000 description 1
- 239000003352 sequestering agent Substances 0.000 description 1
- 229920005573 silicon-containing polymer Polymers 0.000 description 1
- 238000002791 soaking Methods 0.000 description 1
- 239000011734 sodium Substances 0.000 description 1
- 229910052708 sodium Inorganic materials 0.000 description 1
- 229910001388 sodium aluminate Inorganic materials 0.000 description 1
- 239000000429 sodium aluminium silicate Substances 0.000 description 1
- URGAHOPLAPQHLN-UHFFFAOYSA-N sodium aluminosilicate Chemical compound [Na+].[Al+3].[O-][Si]([O-])=O.[O-][Si]([O-])=O URGAHOPLAPQHLN-UHFFFAOYSA-N 0.000 description 1
- 239000011780 sodium chloride Substances 0.000 description 1
- 159000000000 sodium salts Chemical class 0.000 description 1
- NTHWMYGWWRZVTN-UHFFFAOYSA-N sodium silicate Chemical compound [Na+].[Na+].[O-][Si]([O-])=O NTHWMYGWWRZVTN-UHFFFAOYSA-N 0.000 description 1
- 229910052911 sodium silicate Inorganic materials 0.000 description 1
- AKHNMLFCWUSKQB-UHFFFAOYSA-L sodium thiosulfate Chemical compound [Na+].[Na+].[O-]S([O-])(=O)=S AKHNMLFCWUSKQB-UHFFFAOYSA-L 0.000 description 1
- 235000019345 sodium thiosulphate Nutrition 0.000 description 1
- 239000002689 soil Substances 0.000 description 1
- 241000894007 species Species 0.000 description 1
- 229910052682 stishovite Inorganic materials 0.000 description 1
- 229910021653 sulphate ion Inorganic materials 0.000 description 1
- 230000000475 sunscreen effect Effects 0.000 description 1
- 239000000516 sunscreening agent Substances 0.000 description 1
- KKEYFWRCBNTPAC-UHFFFAOYSA-L terephthalate(2-) Chemical compound [O-]C(=O)C1=CC=C(C([O-])=O)C=C1 KKEYFWRCBNTPAC-UHFFFAOYSA-L 0.000 description 1
- JOXIMZWYDAKGHI-UHFFFAOYSA-N toluene-4-sulfonic acid Chemical compound CC1=CC=C(S(O)(=O)=O)C=C1 JOXIMZWYDAKGHI-UHFFFAOYSA-N 0.000 description 1
- 229910052905 tridymite Inorganic materials 0.000 description 1
- 229920003169 water-soluble polymer Polymers 0.000 description 1
- 230000037303 wrinkles Effects 0.000 description 1
- 239000008096 xylene Substances 0.000 description 1
- 229910001845 yogo sapphire Inorganic materials 0.000 description 1
Classifications
-
- C—CHEMISTRY; METALLURGY
- C11—ANIMAL OR VEGETABLE OILS, FATS, FATTY SUBSTANCES OR WAXES; FATTY ACIDS THEREFROM; DETERGENTS; CANDLES
- C11D—DETERGENT COMPOSITIONS; USE OF SINGLE SUBSTANCES AS DETERGENTS; SOAP OR SOAP-MAKING; RESIN SOAPS; RECOVERY OF GLYCEROL
- C11D3/00—Other compounding ingredients of detergent compositions covered in group C11D1/00
- C11D3/16—Organic compounds
- C11D3/37—Polymers
- C11D3/3703—Macromolecular compounds obtained otherwise than by reactions only involving carbon-to-carbon unsaturated bonds
- C11D3/3719—Polyamides or polyimides
-
- C—CHEMISTRY; METALLURGY
- C11—ANIMAL OR VEGETABLE OILS, FATS, FATTY SUBSTANCES OR WAXES; FATTY ACIDS THEREFROM; DETERGENTS; CANDLES
- C11D—DETERGENT COMPOSITIONS; USE OF SINGLE SUBSTANCES AS DETERGENTS; SOAP OR SOAP-MAKING; RESIN SOAPS; RECOVERY OF GLYCEROL
- C11D3/00—Other compounding ingredients of detergent compositions covered in group C11D1/00
- C11D3/0005—Other compounding ingredients characterised by their effect
- C11D3/001—Softening compositions
-
- C—CHEMISTRY; METALLURGY
- C11—ANIMAL OR VEGETABLE OILS, FATS, FATTY SUBSTANCES OR WAXES; FATTY ACIDS THEREFROM; DETERGENTS; CANDLES
- C11D—DETERGENT COMPOSITIONS; USE OF SINGLE SUBSTANCES AS DETERGENTS; SOAP OR SOAP-MAKING; RESIN SOAPS; RECOVERY OF GLYCEROL
- C11D3/00—Other compounding ingredients of detergent compositions covered in group C11D1/00
- C11D3/16—Organic compounds
- C11D3/37—Polymers
- C11D3/3703—Macromolecular compounds obtained otherwise than by reactions only involving carbon-to-carbon unsaturated bonds
- C11D3/3723—Polyamines or polyalkyleneimines
-
- C—CHEMISTRY; METALLURGY
- C11—ANIMAL OR VEGETABLE OILS, FATS, FATTY SUBSTANCES OR WAXES; FATTY ACIDS THEREFROM; DETERGENTS; CANDLES
- C11D—DETERGENT COMPOSITIONS; USE OF SINGLE SUBSTANCES AS DETERGENTS; SOAP OR SOAP-MAKING; RESIN SOAPS; RECOVERY OF GLYCEROL
- C11D3/00—Other compounding ingredients of detergent compositions covered in group C11D1/00
- C11D3/16—Organic compounds
- C11D3/37—Polymers
- C11D3/3746—Macromolecular compounds obtained by reactions only involving carbon-to-carbon unsaturated bonds
-
- A—HUMAN NECESSITIES
- A61—MEDICAL OR VETERINARY SCIENCE; HYGIENE
- A61M—DEVICES FOR INTRODUCING MEDIA INTO, OR ONTO, THE BODY; DEVICES FOR TRANSDUCING BODY MEDIA OR FOR TAKING MEDIA FROM THE BODY; DEVICES FOR PRODUCING OR ENDING SLEEP OR STUPOR
- A61M2205/00—General characteristics of the apparatus
- A61M2205/60—General characteristics of the apparatus with identification means
- A61M2205/6063—Optical identification systems
- A61M2205/6072—Bar codes
-
- C—CHEMISTRY; METALLURGY
- C11—ANIMAL OR VEGETABLE OILS, FATS, FATTY SUBSTANCES OR WAXES; FATTY ACIDS THEREFROM; DETERGENTS; CANDLES
- C11D—DETERGENT COMPOSITIONS; USE OF SINGLE SUBSTANCES AS DETERGENTS; SOAP OR SOAP-MAKING; RESIN SOAPS; RECOVERY OF GLYCEROL
- C11D2111/00—Cleaning compositions characterised by the objects to be cleaned; Cleaning compositions characterised by non-standard cleaning or washing processes
- C11D2111/10—Objects to be cleaned
- C11D2111/12—Soft surfaces, e.g. textile
Definitions
- This invention relates to textile care compositions and, in particular, to the use of the textile care compositions in a domestic laundering process to reduce fibre damage and/or improve textile dimensional stability.
- the laundry process generally has several benefits for textiles, the most common being to remove dirt and stains from the textile during the wash cycle and to soften the textile during the rinse cycle.
- the most common being to remove dirt and stains from the textile during the wash cycle and to soften the textile during the rinse cycle.
- Textiles can be damaged in several ways as a result of repeated laundering and/or wear.
- Textile pilling and loss of textile surface appearance e.g. fuzzing, shrinkage (or expansion), loss of colour from the textile or running of colour on the textile (usually termed ‘dye transfer’) are some of the common problems associated with repeated laundering.
- Loss of colour is generally believed to be due to one or more of three causes: dye loss, loss of dye fixative or bleaching of coloured components. These problems will occur from repeated hand washing as well as the more vigorous machine washing process.
- the present invention is directed towards alleviating one or more of the problems referred to hereinabove.
- a wide range of substantive polymeric materials have been proposed for use in laundry detergent compositions.
- polyamide-polyamine textile treatment agents are described in WO 98/29530.
- the compositions are claimed to impart improved overall appearance to textiles laundered using the detergent compositions, in terms of surface appearance properties such as pill/fuzz reduction and anti-fading.
- Laundry compositions containing polyamide-polyamine treatment agents of similar types are taught in WO 97/42287.
- WO 96/15309 and WO 96/15310 describe anti-wrinkle compositions which contain a silicone and a film-forming polymer.
- An industrial process for treating fibres is disclosed in U.S. Pat. No.
- Cotton and wool differ markedly in their chemical properties. Cotton is a cellulosic material and is almost exclusively made of carbon, oxygen and hydrogen arranged in the familiar cellulose structure. In contrast, wool is a keratinaceous material and consequently contains a significant proportion of nitrogen and sulphur.
- U.S. Pat. No. 3,594,355 teaches a similar process whereas U.S. Pat. No. 5,354,335 discloses an analogous process being used to improve the condition of hair (also a keratinaceous material). Further examples of the uses of isothiouronium salts in hair treatment compositions are found in U.S. Pat. No. 5,160,733.
- the present invention is based on the surprising finding that certain types of thiol-containing polymer can alleviate fibre damage in and/or the dimensional instability (e.g. shrinkage) of textiles which comprise cellulosic fibres such as cotton, for example.
- dimensional stability e.g. shrinkage
- textiles which comprise cellulosic fibres such as cotton, for example.
- dimensional stability covers not only shrinkage of textiles but also shape retention, bagginess reduction and additionally, although less preferred, crease/wrinkle resistance in textiles.
- the term ‘fibre damage’ is intended to embrace colour loss.
- a process for the treatment of non-keratinaceous textiles which comprises the step of treating the textiles with a composition comprising:
- the structure prevents apparent colour loss by retarding damage to the fibres leading to a rough fibre surface which would give the appearance of colour loss due to a modification of the manner in which light is scattered from the fibre surface.
- the textiles which may be treated in the present invention preferably comprise cellulosic fibres, preferably from 1% to 100% cellulosic fibres (more preferably 5% to 100% cellulosic fibres, most preferably 40% to 100%).
- the balance comprises other fibres or blends of fibres suitable for use in garments such as polyester, for example.
- the cellulosic fibres are of cotton or regenerated cellulose such as viscose.
- the laundering processes of the present invention include the large scale and small scale (e.g. domestic) cleaning of textiles.
- the processes are domestic.
- the protected thiol group comprises an isothiouronium group. While such polymers terminated with such groups have previously been used for the treatment of wool and blends of wool with other materials, it is surprising that they are effective in the treatment of non-keratinaceous materials such as cotton and other cellulosic fibres in a domestic laundry process.
- compositions of the present invention will be further described below with reference to those comprising at least one polymer comprising at least one isothiouronium group.
- the isothiouronium group fulfils the requirements of a suitable protecting group as it is labile under conditions of pH and temperature found in domestic laundry. Typical conditions encountered are a pH from 8 to 11 and a temperature of 10 to 80 Celsius. Slightly higher temperatures are encountered under some ironing and domestic drying conditions. It is preferable that the protecting group is sufficiently labile that it leaves when the polymer is exposed to a pH of above 8 at a temperature of below 50 Celsius.
- Isothiouronium salts are advantageous in that they are can be heat cured, for example by a domestic ironing or tumble drying procedure. If used, heat curing is preferably carried out at a temperature in the range of from 50 to 100° C., more preferably from 80 to 100° C.
- the polymer is preferably present in the textile care composition in a sufficient quantity to give an amount of 0.0005% to 5% by weight on the textile based on the weight of the textile, more preferably 0.001% to 2% by weight on textile.
- the polymers have a weight average mean molecular weight of from 300 to 1,000,000 Dalton.
- the polymers of the invention undergo elimination under mildly alkaline conditions, such as those encountered during a domestic laundering process, to produce thiol intermediates which cross link.
- Cross-linking can occur by the formation of an insoluble di-sulphide polymer or by other mechanisms as detailed below.
- the molecular weight of the polymers used is such that any unpleasant odour component associated with the thiol intermediate is not sufficiently volatile to affect the efficacy of the textile care composition.
- the backbone of the polymer can take several forms.
- Preferred polymers according to the invention are based on either polypropylene oxide or polyethyleneimine.
- the protected thiol polymers used in the compositions of the invention have two or more reactive end groups. It had been found preferable to employ polymers with three reactive end groups.
- Formula (I) below shows a simplified reaction scheme for generating di-sulphide polymers from protected-thiol polymers based on polypropylene oxide.
- Formula (II) shows a simplified reaction scheme for the production of protected-thiol polymers based on a polyethyleneimine.
- the molecules of that series of embodiments contain a number of linked backbones (in this case three) comprising polypropylene oxide (PPO), a linker group towards the free end of the backbone and the protected thiol group at the terminal.
- PPO polypropylene oxide
- the urea leaves the protected thiol group and the thiol groups cross-link. It would be expected that this cross-linking would not happen in the highly ordered manner shown for illustration below, but would involve more than two molecules, so as to form large and complex structures.
- the protected thiol is in a terminal position (as in Formula I above) it is possible to produce polymers in which the protected thiol is non-terminal (as in Formula II).
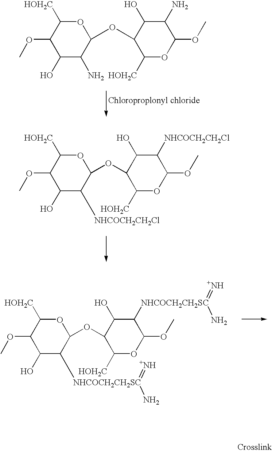
- Formula II shows how a protected thiol group may be introduced into a polyethyleneimine by reaction with chloropropionyl chloride followed by thiourea.
- reaction with hydroxyl anions leads to elimination of urea from the protected thiol.
- This forms a reactive thiol group which reacts with a similar thiol group to form a di-sulphide (S—S—) bridge.
- S—S— di-sulphide
- Poly(diallylamine) polymers can be reacted as above to 50% substitution.
- the remaining 50% substitution can be a reaction with epichlorohydrin to form a reactive azetidinium group.
- This provides an example of a polymer in which not all of the reactive groups are a protected thiol.
- isothiouronium would eliminate to a thiol, the thiol would then react with the azetidinium group forming a sulphide cross link.
- composition for use in the method of the invention comprises two separate polymers one or both of which comprise isothiouronium reactive groups.
- the treatment composition comprises both a polymer comprising the protected thiol and an amine or amide-epichlorohydrin resin having one or more azetidinium functional groups.
- azetidinium containing materials are those available as the ‘Hercosett’TM and ‘Listrilan’TM polymers. These are believed to be amine or amide-epichlorohydrin resin having one or more azetidinium functional groups.
- KenoresTM polymers are another suitable PAE resins.
- this polymer can also be formulated with azetidinium containing polymer for enhanced cross-linking ability.
- Embodiments of the invention are not limited to polymers having a relatively small number of terminal or mid chain protected groups. Dendrimers containing a multiplicity of amino groups can be reacted with chloropropionyl chloride and thiourea to give isothiouronium polymers. Suitable starting molecules include Lupasols, TM (ex-BASF) StarBurstTM (ex-Dow) or DAB-AmTM (ex-DSM) molecules.
- the backbone of the polymer can be a carbohydrate or carbohydrate derivative as shown below.
- Chitosan can be reacted with chloropropionyl chloride and then with thiourea to give a water soluble cationic product having pendant isothiouronium groups.
- Preferred polymers are those based on the polyamidoamine condensation products of diethylenetriamine and adipic acid. These materials are reacted with epichlorohydrin to give the polyamidoamine/epichlorohydrin (‘PAE’) polymer. Azetidinium groups are introduced into the polymer by cyclisation of chlorohydrin groups to give the azetidinium ring. Examples of such materials are available as the ‘Hercosett’TM, KenoresTM and ‘Listrilan’TM polymers.
- PVA can be reacted with chloropropionyl chloride and then reacted with thiourea to give a cationic water soluble polymer with a labile urea residue.
- the labile urea may be mid-chain or terminal.
- DAS 4,4′aminostilbene-2,2′-disulphonic acid
- the term “textile compatible carrier” is a component which can assist in the interaction of the first component with the textile.
- the carrier can also provide benefits in addition to those provided by the first component e.g. softening, cleaning etc.
- the carrier may be a water or a detergent-active compound or a textile softener or conditioning compound or other suitable detergent or textile treatment agent.
- the textile-compatible carrier will typically be a detergent-active compound.
- the textile treatment product is a rinse conditioner
- the textile-compatible carrier will be a textile softening and/or conditioning compound.
- composition of the invention is to be used before, or after, the laundry process it may be in the form of a spray or foaming product.
- the polymer is preferably used to treat the textile in the rinse cycle of a laundering process.
- the rinse cycle preferably follows the treatment of the textile with a detergent composition.
- the textile-compatible carrier may be chosen from soap and non-soap anionic, cationic, nonionic, amphoteric and zwitterionic detergent active compounds, and mixtures thereof.
- the preferred textile-compatible carriers that can be used are soaps and synthetic non-soap anionic and nonionic compounds.
- Anionic surfactants are well-known to those skilled in the art. Examples include alkylbenzene sulphonates, particularly linear alkylbenzene sulphonates having an alkyl chain length of C 8 -C 15 ; primary and secondary alkylsulphates, particularly C 8 -C 15 primary alkyl sulphates; alkyl ether sulphates; olefin sulphonates; alkyl xylene sulphonates; dialkyl sulphosuccinates; and fatty acid ester sulphonates.
- Sodium salts are generally preferred.
- Nonionic surfactants that may be used include the primary and secondary alcohol ethoxylates, especially the C 8 -C 20 aliphatic alcohols ethoxylated with an average of from 1 to 20 moles of ethylene oxide per mole of alcohol, and more especially the C 10 -C 15 primary and secondary aliphatic alcohols ethoxylated with an average of from 1 to 10 moles of ethylene oxide per mole of alcohol.
- Non-ethoxylated nonionic surfactants include alkylpolyglycosides, glycerol monoethers, and polyhydroxyamides (glucamide).
- Cationic surfactants that may be used include quaternary ammonium salts of the general formula R 1 R 2 R 3 R 4 N + X ⁇ wherein the R groups are independently hydrocarbyl chains of C 1 -C 22 length, typically alkyl, hydroxyalkyl or ethoxylated alkyl groups, and X is a solubilising cation (for example, compounds in which R 1 is a C 8 -C 22 alkyl group, preferably a C 8 -C 10 or C 12 -C 14 alkyl group, R 2 is a methyl group, and R 3 and R 4 , which may be the same or different, are methyl or hydroxyethyl groups); and cationic esters (for example, choline esters) and pyridinium salts.
- R 1 is a C 8 -C 22 alkyl group, preferably a C 8 -C 10 or C 12 -C 14 alkyl group
- R 2 is a methyl group
- the total quantity of detergent surfactant in the composition is suitably from 0.1 to 60 wt % e.g. 0.5-55 wt %, such as 5-50 wt %.
- the quantity of anionic surfactant (when present) is in the range of from 1 to 50% by weight of the total composition. More preferably, the quantity of anionic surfactant is in the range of from 3 to 35% by weight, e.g. 5 to 30% by weight.
- the quantity of nonionic surfactant when present is in the range of from 2 to 25% by weight, more preferably from 5 to 20% by weight.
- Amphoteric surfactants may also be used, for example amine oxides or betaines.
- compositions may suitably contain from 10 to 70%, preferably from 15 to 70% by weight, of detergency builder.
- the quantity of builder is in the range of from 15 to 50% by weight.
- the detergent composition may contain as builder a crystalline aluminosilicate, preferably an alkali metal aluminosilicate, more preferably a sodium aluminosilicate.
- the aluminosilicate may generally be incorporated in amounts of from 10 to 70% by weight (anhydrous basis), preferably from 25 to 50%.
- Aluminosilicates are materials having the general formula:
- M is a monovalent cation, preferably sodium.
- M a monovalent cation, preferably sodium.
- These materials contain some bound water and are required to have a calcium ion exchange capacity of at least 50 mg CaO/g.
- the preferred sodium aluminosilicates contain 1.5-3.5 SiO 2 units in the formula above. They can be prepared readily by reaction between sodium silicate and sodium aluminate, as amply described in the literature.
- the textile-compatible carrier will be a textile softening and/or conditioning compound (hereinafter referred to as “textile softening compound”), which may be a cationic or nonionic compound.
- the softening and/or conditioning compounds may be water insoluble quaternary ammonium compounds.
- the compounds may be present in amounts of up to 8% by weight (based on the total amount of the composition) in which case the compositions are considered dilute, or at levels from 8% to about 50% by weight, in which case the compositions are considered concentrates.
- compositions suitable for delivery during the rinse cycle may also be delivered to the textile in the tumble dryer if used in a suitable form.
- another product form is a composition (for example, a paste) suitable for coating onto, and delivery from, a substrate e.g. a flexible sheet or sponge or a suitable dispenser during a tumble dryer cycle.
- Suitable cationic textile softening compounds are substantially water-insoluble quaternary ammonium materials comprising a single alkyl or alkenyl long chain having an average chain length greater than or equal to C 20 . More preferably, softening compounds comprise a polar head group and two alkyl or alkenyl chains having an average chain length greater than or equal to C 14 . Preferably the textile softening compounds have two, long-chain, alkyl or alkenyl chains each having an average chain length greater than or equal to C 16 .
- the long chain alkyl or alkenyl groups have a chain length of C 18 or above. It is preferred if the long chain alkyl or alkenyl groups of the textile softening compound are predominantly linear.
- Quaternary ammonium compounds having two long-chain aliphatic groups for example, distearyldimethyl ammonium chloride and di(hardened tallow alkyl) dimethyl ammonium chloride, are widely used in commercially available rinse conditioner compositions.
- Other examples of these cationic compounds are to be found in “Surface-Active Agents and Detergents”, Volumes I and II, by Schwartz, Perry and Berch. Any of the conventional types of such compounds may be used in the compositions of the present invention.
- the textile softening compounds are preferably compounds that provide excellent softening, and are characterised by a chain melting L ⁇ to L ⁇ transition temperature greater than 25° C., preferably greater than 35° C., most preferably greater than 45° C.
- This L ⁇ to L ⁇ transition can be measured by DSC as defined in “Handbook of Lipid Bilayers”, D Marsh, CRC Press, Boca Raton, Fla., 1990 (pages 137 and 337).
- Substantially water-insoluble textile softening compounds are defined as textile softening compounds having a solubility of less than 1 ⁇ 10 ⁇ 3 wt % in demineralised water at 20° C.
- the textile softening compounds have a solubility of less than 1 ⁇ 10 ⁇ 4 wt %, more preferably less than 1 ⁇ 10 ⁇ 8 to 1 ⁇ 10 ⁇ 6 wt %.
- cationic textile softening compounds that are water-insoluble quaternary ammonium materials having two C 12-22 alkyl or alkenyl groups connected to the molecule via at least one ester link, preferably two ester links.
- An especially preferred ester-linked quaternary ammonium material can be represented by the formula III:
- each R 1 group is independently selected from C 1-4 alkyl or hydroxyalkyl groups or C 2-4 alkenyl groups; each R 2 group is independently selected from C 8-28 alkyl or alkenyl groups; and wherein R 3 is a linear or branched alkylene group of 1 to 5 carbon atoms, T is
- p is 0 or is an integer from 1 to 5.
- Di(tallowoxyloxyethyl) dimethyl ammonium chloride and/or its hardened tallow analogue is especially preferred of the compounds of formula (II).
- a second preferred type of quaternary ammonium material can be represented by the formula (IV):
- R 1 , p and R 2 are as defined above.
- the quaternary ammonium material is biologically biodegradable.
- Preferred materials of this class such as 1,2-bis(hardened tallowoyloxy)-3-trimethylammonium propane chloride and their methods of preparation are, for example, described in U.S. Pat. No. 4,137,180 (Lever Brothers Co).
- Preferably these materials comprise small amounts of the corresponding monoester as described in U.S. Pat. No. 4,137,180, for example, 1-hardened tallowoyloxy-2-hydroxy-3-trimethylammonium propane chloride.
- cationic softening agents are alkyl pyridinium salts and substituted imidazoline species. Also useful are primary, secondary and tertiary amines and the condensation products of fatty acids with alkylpolyamines.
- compositions may alternatively or additionally contain water-soluble cationic textile softeners, as described in GB 2 039 556B (Unilever).
- compositions may comprise a cationic textile softening compound and an oil, for example as disclosed in EP-A-0829531.
- compositions may alternatively or additionally contain nonionic textile softening agents such as lanolin and derivatives thereof.
- Lecithins are also suitable softening compounds.
- Nonionic softeners include L ⁇ phase forming sugar esters (as described in M Hato et al Langmuir 12, 1659, 1666, (1996)) and related materials such as glycerol monostearate or sorbitan esters. Often these materials are used in conjunction with cationic materials to assist deposition (see, for example, GB 2 202 244). Silicones are used in a similar way as a co-softener with a cationic softener in rinse treatments (see, for example, GB 1 549 180).
- compositions may also suitably contain a nonionic stabilising agent.
- Suitable nonionic stabilising agents are linear C8 to C 22 alcohols alkoxylated with 10 to 20 moles of alkylene oxide, C 10 to C 20 alcohols, or mixtures thereof.
- the nonionic stabilising agent is a linear C 8 to C 22 alcohol alkoxylated with 10 to 20 moles of alkylene oxide.
- the level of nonionic stabiliser is within the range from 0.1 to 10% by weight, more preferably from 0.5 to 5% by weight, most preferably from 1 to 4% by weight.
- the mole ratio of the quaternary ammonium compound and/or other cationic softening agent to the nonionic stabilising agent is suitably within the range from 40:1 to about 1:1, preferably within the range from 18:1 to about 3:1.
- the composition can also contain fatty acids, for example C 8 to C 24 alkyl or alkenyl monocarboxylic acids or polymers thereof.
- fatty acids for example C 8 to C 24 alkyl or alkenyl monocarboxylic acids or polymers thereof.
- saturated fatty acids are used, in particular, hardened tallow C 16 to C 18 fatty acids.
- the fatty acid is non-saponified, more preferably the fatty acid is free, for example oleic acid, lauric acid or tallow fatty acid.
- the level of fatty acid material is preferably more than 0.1% by weight, more preferably more than 0.2% by weight.
- Concentrated compositions may comprise from 0.5 to 20% by weight of fatty acid, more preferably 1% to 10% by weight.
- the weight ratio of quaternary ammonium material or other cationic softening agent to fatty acid material is preferably from 10:1 to 1:10.
- the composition of the invention may be in the form of a liquid, solid (e.g. powder or tablet), a gel or paste, spray, stick or a foam or mousse. Examples include a soaking product, a rinse treatment (e.g. conditioner or finisher) or a main-wash product.
- the composition may also be applied to a substrate e.g. a flexible sheet or used in a dispenser which can be used in the wash cycle, rinse cycle or during the dryer cycle.
- Liquid compositions may also include an agent which produces a pearlescent appearance, e.g. an organic pearlising compound such as ethylene glycol distearate, or inorganic pearlising pigments such as microfine mica or titanium dioxide (TiO 2 ) coated mica.
- an agent which produces a pearlescent appearance e.g. an organic pearlising compound such as ethylene glycol distearate, or inorganic pearlising pigments such as microfine mica or titanium dioxide (TiO 2 ) coated mica.
- Liquid compositions may be in the form of emulsions or emulsion precursors thereof.
- composition of the invention may further comprise a silicone component. It is preferred if the silicone component is a dimethylpolysiloxane with amino alkyl groups.
- the silicone component is present in a ratio of first component: silicone of from 1:1 to 30:1, preferably 1:1 to 20:1, more preferably 2:1 to 20:1 and most preferably 5:1 to 15:1.
- Silicone suitable for use in textile conditioning compositions include predominately linear polydialkylsiloxanes, e.g. polydimethylsiloxanes or aminosilicones containing amine-functionalised side chains.
- Composition may comprise soil release polymers such as block copolymers of polyethylene oxide and terephthalate.
- emulsifiers for example, sodium chloride or calcium chloride
- electrolytes for example, sodium chloride or calcium chloride
- pH buffering agents for example, sodium chloride or calcium chloride
- perfumes preferably from 0.1 to 5% by weight
- Further optional ingredients include non-aqueous solvents, perfume carriers, fluorescers, colourants, hydrotropes, antifoaming agents, antiredeposition agents, enzymes, optical brightening agents, opacifiers, dye transfer inhibitors.
- compositions may comprise one or more of anti-shrinking agents, anti-wrinkle agents, anti-spotting agents, germicides, fungicides, anti-oxidants, UV absorbers (sunscreens), heavy metal sequestrants, chlorine scavengers, dye fixatives, anti-corrosion agents, drape imparting agents, antistatic agents and ironing aids.
- Voranol CP3055 TM (ex-Dow Chemicals) (29.4 g, 0.01 moles, mw 2940) was dissolved in toluene 50 mls. To this was added 3-bromopropionic acid (4.95 g, 3.3 equivalents ex Aldrich) and p-toluene sulphonic acid (1 g) to act as an acid catalyst. The solution was stirred by means of a magnetic follower on a hot plate. The solution was refluxed with a Dean and Stark distillation trap. After 1.5 hours no more water was seen to azeotrope from the reaction vessel into the side arm. The reaction was stopped and allowed to cool.
- Lupasol G-20TM (ex-BASF) (39 g 0.03 moles was dissolved in ethanol (50 mls) and cooled to below 5° C. with an ice bath.
Landscapes
- Chemical & Material Sciences (AREA)
- Life Sciences & Earth Sciences (AREA)
- Engineering & Computer Science (AREA)
- Chemical Kinetics & Catalysis (AREA)
- Oil, Petroleum & Natural Gas (AREA)
- Wood Science & Technology (AREA)
- Organic Chemistry (AREA)
- Treatments For Attaching Organic Compounds To Fibrous Goods (AREA)
- Detergent Compositions (AREA)
- Outer Garments And Coats (AREA)
Abstract
A process for the treatment of non-keratinaceous textiles, preferably cellulosic fibres, which comprises the step of treating the textiles with a composition comprising: a polymer comprising at least one protected thiol group, wherein the protecting group is labile under domestic washing conditions, and a textile compatible carrier. Under domestic washing conditions the polymer forms reactive thiol groups which are capable of causing covalent cross-linking of the polymer. Preferably, the thiol group is protected as an isothiouronium group.
Description
- This invention relates to textile care compositions and, in particular, to the use of the textile care compositions in a domestic laundering process to reduce fibre damage and/or improve textile dimensional stability.
- The laundry process generally has several benefits for textiles, the most common being to remove dirt and stains from the textile during the wash cycle and to soften the textile during the rinse cycle. However, there are numerous disadvantages associated with repeated use of conventional laundry treatment compositions and/or the actual laundry process; one of these being a fairly harsh mechanical and/or chemical treatment of textiles in the laundry process.
- Textiles can be damaged in several ways as a result of repeated laundering and/or wear. Textile pilling and loss of textile surface appearance e.g. fuzzing, shrinkage (or expansion), loss of colour from the textile or running of colour on the textile (usually termed ‘dye transfer’) are some of the common problems associated with repeated laundering. Loss of colour is generally believed to be due to one or more of three causes: dye loss, loss of dye fixative or bleaching of coloured components. These problems will occur from repeated hand washing as well as the more vigorous machine washing process.
- The present invention is directed towards alleviating one or more of the problems referred to hereinabove.
- A wide range of substantive polymeric materials have been proposed for use in laundry detergent compositions. For example, polyamide-polyamine textile treatment agents are described in WO 98/29530. The compositions are claimed to impart improved overall appearance to textiles laundered using the detergent compositions, in terms of surface appearance properties such as pill/fuzz reduction and anti-fading. Laundry compositions containing polyamide-polyamine treatment agents of similar types are taught in WO 97/42287. WO 96/15309 and WO 96/15310 describe anti-wrinkle compositions which contain a silicone and a film-forming polymer. An industrial process for treating fibres is disclosed in U.S. Pat. No. 3,949,014, which describes the use of a polyamine-epichlorohydrin resin in a binder, together with an amphoteric high molecular weight compound having at least 2 cationic groups and at least 2 anionic groups per molecule. Methods for treating wool with compositions containing an amino functional polymer and a silicone polymer so as to impart shrink resistance are also known. U.S. Pat. No. 4,371,517 discloses compositions for treating fibrous materials which contain cationic and anionic polymer useful in a non-domestic treatment, whereby the compositions increase the rigidity of cotton textile materials. Co-emulsifiers, for use in textile softener and other compositions, which contain cationic quaternary amine polymers, are taught in DD 221922.
- From the above it can be seen that the mechanism of bonding of the beneficial polymer to the textile has largely been through an ionic interaction. Typically, the nitrogen containing structures of the polymer acquire a charge which results in binding to the textile. Other polymers make use of sulphate or thiosulphate groups to ensure ionic binding to a textile.
- Cotton and wool differ markedly in their chemical properties. Cotton is a cellulosic material and is almost exclusively made of carbon, oxygen and hydrogen arranged in the familiar cellulose structure. In contrast, wool is a keratinaceous material and consequently contains a significant proportion of nitrogen and sulphur.
- The presence of sulphur in wool has been exploited to covalently bind polymeric materials to its surface. U.S. Pat. No. 3,694,258 discloses how thiourea can be reacted with epihalohydrins to convert the halo groups into the corresponding isothiouronium salts of which are range are disclosed. These salts can be used to treat wool, or blends of wool with other fibres. It is believed that these materials function by loss of the relatively labile urea group exposing a reactive sulphhydryl group which subsequently cross-links with the sulphur-containing groups present in the wool (typically as —SH). This covalently binds the polymer to the wool imparting a shrink resistance. U.S. Pat. No. 3,594,355 teaches a similar process whereas U.S. Pat. No. 5,354,335 discloses an analogous process being used to improve the condition of hair (also a keratinaceous material). Further examples of the uses of isothiouronium salts in hair treatment compositions are found in U.S. Pat. No. 5,160,733.
- The present invention is based on the surprising finding that certain types of thiol-containing polymer can alleviate fibre damage in and/or the dimensional instability (e.g. shrinkage) of textiles which comprise cellulosic fibres such as cotton, for example. The term “dimensional stability”, and related terms, used herein covers not only shrinkage of textiles but also shape retention, bagginess reduction and additionally, although less preferred, crease/wrinkle resistance in textiles. The term ‘fibre damage’ is intended to embrace colour loss.
- According to the present invention, there is provided a process for the treatment of non-keratinaceous textiles which comprises the step of treating the textiles with a composition comprising:
- a) a polymer comprising with at least one protected thiol group, wherein the protecting group is labile under domestic washing conditions, and
- b) a textile compatible carrier,
- whereby the polymer forms reactive thiol groups which cause covalent cross-linking of the polymer.
- Without being limited by any theory of operation, it is believed that the upon loss of the protecting group the thiol groups cross-link without reaction with the textile. It is believed that this forms a structure which restricts relative movement of the textile fibres and consequently reduces damage to the textile fibres during the laundering process. It is believed that this reduces pilling and provides shrink resistance.
- It is further believed that the structure prevents apparent colour loss by retarding damage to the fibres leading to a rough fibre surface which would give the appearance of colour loss due to a modification of the manner in which light is scattered from the fibre surface.
- The textiles which may be treated in the present invention preferably comprise cellulosic fibres, preferably from 1% to 100% cellulosic fibres (more preferably 5% to 100% cellulosic fibres, most preferably 40% to 100%). When the textile contains less than 100% cellulosic fibres, the balance comprises other fibres or blends of fibres suitable for use in garments such as polyester, for example. Preferably, the cellulosic fibres are of cotton or regenerated cellulose such as viscose.
- The laundering processes of the present invention include the large scale and small scale (e.g. domestic) cleaning of textiles. Preferably, the processes are domestic.
- It is particularly preferable that the protected thiol group comprises an isothiouronium group. While such polymers terminated with such groups have previously been used for the treatment of wool and blends of wool with other materials, it is surprising that they are effective in the treatment of non-keratinaceous materials such as cotton and other cellulosic fibres in a domestic laundry process.
- It is believed that a further advantage of the preferred materials is that their ability to take on a positive charge gives them an affinity for the textile being treated.
- Use of an isothiouronium containing polymer, or other thiol group protected by a suitably labile leaving group, in a composition which further comprises a textile compatible carrier is therefore believed to reduce fibre damage and/or improve the dimensional stability of cellulosic textiles following domestic laundry.
- For illustrative purposes, the compositions of the present invention will be further described below with reference to those comprising at least one polymer comprising at least one isothiouronium group.
- The isothiouronium group fulfils the requirements of a suitable protecting group as it is labile under conditions of pH and temperature found in domestic laundry. Typical conditions encountered are a pH from 8 to 11 and a temperature of 10 to 80 Celsius. Slightly higher temperatures are encountered under some ironing and domestic drying conditions. It is preferable that the protecting group is sufficiently labile that it leaves when the polymer is exposed to a pH of above 8 at a temperature of below 50 Celsius.
- Isothiouronium salts are advantageous in that they are can be heat cured, for example by a domestic ironing or tumble drying procedure. If used, heat curing is preferably carried out at a temperature in the range of from 50 to 100° C., more preferably from 80 to 100° C.
- The polymer is preferably present in the textile care composition in a sufficient quantity to give an amount of 0.0005% to 5% by weight on the textile based on the weight of the textile, more preferably 0.001% to 2% by weight on textile.
- Preferably, the polymers have a weight average mean molecular weight of from 300 to 1,000,000 Dalton.
- Polymers:
- As explained above, the polymers of the invention undergo elimination under mildly alkaline conditions, such as those encountered during a domestic laundering process, to produce thiol intermediates which cross link. Cross-linking can occur by the formation of an insoluble di-sulphide polymer or by other mechanisms as detailed below.
- Preferably, the molecular weight of the polymers used is such that any unpleasant odour component associated with the thiol intermediate is not sufficiently volatile to affect the efficacy of the textile care composition.
- As will be illustrated hereafter the backbone of the polymer can take several forms. Preferred polymers according to the invention are based on either polypropylene oxide or polyethyleneimine.
- Preferably, the protected thiol polymers used in the compositions of the invention have two or more reactive end groups. It had been found preferable to employ polymers with three reactive end groups.
- Formula (I) below shows a simplified reaction scheme for generating di-sulphide polymers from protected-thiol polymers based on polypropylene oxide. Formula (II) shows a simplified reaction scheme for the production of protected-thiol polymers based on a polyethyleneimine.
- As can be seen from the illustrative Formula 1 the molecules of that series of embodiments contain a number of linked backbones (in this case three) comprising polypropylene oxide (PPO), a linker group towards the free end of the backbone and the protected thiol group at the terminal. At high pH the urea leaves the protected thiol group and the thiol groups cross-link. It would be expected that this cross-linking would not happen in the highly ordered manner shown for illustration below, but would involve more than two molecules, so as to form large and complex structures.
- While it is preferred that the protected thiol is in a terminal position (as in Formula I above) it is possible to produce polymers in which the protected thiol is non-terminal (as in Formula II). By way of example, Formula II shows how a protected thiol group may be introduced into a polyethyleneimine by reaction with chloropropionyl chloride followed by thiourea.
- In both the embodiments described above reaction with hydroxyl anions leads to elimination of urea from the protected thiol. This forms a reactive thiol group which reacts with a similar thiol group to form a di-sulphide (S—S—) bridge. As will be described in more detail below, it is also possible for the thiol group to react with other, non-thiol, groups once the protecting group has been removed.
- Details of other commercially available polymers which can act as backbones for the isothiouronium containing polymers are as follows:
- Poly(Diallylamine)
-
- An alternative to this is the copolymerisation of diallyl dimethyl ammonium chloride with diallylamine. The resulting polymer can then be reacted with chloropropionyl chloride and thiourea. This will again yield a cationic polymer.
- Poly(diallylamine) polymers can be reacted as above to 50% substitution. The remaining 50% substitution can be a reaction with epichlorohydrin to form a reactive azetidinium group. This provides an example of a polymer in which not all of the reactive groups are a protected thiol. When placed in water at pH>8, isothiouronium would eliminate to a thiol, the thiol would then react with the azetidinium group forming a sulphide cross link. This is an example of a cross-linking reaction other than of the ‘—S—S—’ variety.
- Other alternative embodiments are envisaged in which the composition for use in the method of the invention comprises two separate polymers one or both of which comprise isothiouronium reactive groups.
- In a particularly preferred embodiment the treatment composition comprises both a polymer comprising the protected thiol and an amine or amide-epichlorohydrin resin having one or more azetidinium functional groups. Examples of such azetidinium containing materials are those available as the ‘Hercosett’™ and ‘Listrilan’™ polymers. These are believed to be amine or amide-epichlorohydrin resin having one or more azetidinium functional groups. Kenores™ polymers are another suitable PAE resins.
- Diethylenetriamine/adipic Acid Polymers
-
- As with the previous examples, this polymer can also be formulated with azetidinium containing polymer for enhanced cross-linking ability.
- Amino Functional Dendrimers
- Embodiments of the invention are not limited to polymers having a relatively small number of terminal or mid chain protected groups. Dendrimers containing a multiplicity of amino groups can be reacted with chloropropionyl chloride and thiourea to give isothiouronium polymers. Suitable starting molecules include Lupasols, ™ (ex-BASF) StarBurst™ (ex-Dow) or DAB-Am™ (ex-DSM) molecules.
- The backbone of the polymer can be a carbohydrate or carbohydrate derivative as shown below.
- Chitosan
-
- It is not necessary to synthesize the polymers from amines as described above.
- Reaction of Azetidinium with Thiourea
-
- Preferred polymers are those based on the polyamidoamine condensation products of diethylenetriamine and adipic acid. These materials are reacted with epichlorohydrin to give the polyamidoamine/epichlorohydrin (‘PAE’) polymer. Azetidinium groups are introduced into the polymer by cyclisation of chlorohydrin groups to give the azetidinium ring. Examples of such materials are available as the ‘Hercosett’™, Kenores™ and ‘Listrilan’™ polymers.
- Poly (Vinyl Alcohol)
-
- Other polymers can be employed.
- Bunte Salt/Isothiouronium Derivative of 4,4′aminostilbene-2,2′-disulphonic Acid (DAS)
-
- At pH 8 and above, elimination to thiol occurs, followed cross-linking reaction between the thiosulphate groups and the reactive thiol.
- Carriers:
- In the context of the present invention the term “textile compatible carrier” is a component which can assist in the interaction of the first component with the textile. The carrier can also provide benefits in addition to those provided by the first component e.g. softening, cleaning etc. The carrier may be a water or a detergent-active compound or a textile softener or conditioning compound or other suitable detergent or textile treatment agent.
- If the composition of the invention is to be used in a laundry process as part of a conventional textile treatment product, such as a detergent composition, the textile-compatible carrier will typically be a detergent-active compound. Whereas, if the textile treatment product is a rinse conditioner, the textile-compatible carrier will be a textile softening and/or conditioning compound.
- If the composition of the invention is to be used before, or after, the laundry process it may be in the form of a spray or foaming product.
- The polymer is preferably used to treat the textile in the rinse cycle of a laundering process. The rinse cycle preferably follows the treatment of the textile with a detergent composition.
- Detergent Active Compounds:
- If the composition of the present invention is in the form of a detergent composition, the textile-compatible carrier may be chosen from soap and non-soap anionic, cationic, nonionic, amphoteric and zwitterionic detergent active compounds, and mixtures thereof.
- Many suitable detergent active compounds are available and are fully described in the literature, for example, in “Surface-Active Agents and Detergents”, Volumes I and II, by Schwartz, Perry and Berch.
- The preferred textile-compatible carriers that can be used are soaps and synthetic non-soap anionic and nonionic compounds.
- Anionic surfactants are well-known to those skilled in the art. Examples include alkylbenzene sulphonates, particularly linear alkylbenzene sulphonates having an alkyl chain length of C 8-C15; primary and secondary alkylsulphates, particularly C8-C15 primary alkyl sulphates; alkyl ether sulphates; olefin sulphonates; alkyl xylene sulphonates; dialkyl sulphosuccinates; and fatty acid ester sulphonates. Sodium salts are generally preferred.
- Nonionic surfactants that may be used include the primary and secondary alcohol ethoxylates, especially the C 8-C20 aliphatic alcohols ethoxylated with an average of from 1 to 20 moles of ethylene oxide per mole of alcohol, and more especially the C10-C15 primary and secondary aliphatic alcohols ethoxylated with an average of from 1 to 10 moles of ethylene oxide per mole of alcohol. Non-ethoxylated nonionic surfactants include alkylpolyglycosides, glycerol monoethers, and polyhydroxyamides (glucamide).
- Cationic surfactants that may be used include quaternary ammonium salts of the general formula R 1R2R3R4N+ X− wherein the R groups are independently hydrocarbyl chains of C1-C22 length, typically alkyl, hydroxyalkyl or ethoxylated alkyl groups, and X is a solubilising cation (for example, compounds in which R1 is a C8-C22 alkyl group, preferably a C8-C10 or C12-C14 alkyl group, R2 is a methyl group, and R3 and R4, which may be the same or different, are methyl or hydroxyethyl groups); and cationic esters (for example, choline esters) and pyridinium salts.
- The total quantity of detergent surfactant in the composition is suitably from 0.1 to 60 wt % e.g. 0.5-55 wt %, such as 5-50 wt %.
- Preferably, the quantity of anionic surfactant (when present) is in the range of from 1 to 50% by weight of the total composition. More preferably, the quantity of anionic surfactant is in the range of from 3 to 35% by weight, e.g. 5 to 30% by weight.
- Preferably, the quantity of nonionic surfactant when present is in the range of from 2 to 25% by weight, more preferably from 5 to 20% by weight.
- Amphoteric surfactants may also be used, for example amine oxides or betaines.
- Builders:
- The compositions may suitably contain from 10 to 70%, preferably from 15 to 70% by weight, of detergency builder. Preferably, the quantity of builder is in the range of from 15 to 50% by weight.
- The detergent composition may contain as builder a crystalline aluminosilicate, preferably an alkali metal aluminosilicate, more preferably a sodium aluminosilicate.
- The aluminosilicate may generally be incorporated in amounts of from 10 to 70% by weight (anhydrous basis), preferably from 25 to 50%. Aluminosilicates are materials having the general formula:
- 0.8-1.5 M2O. Al2O3. 0.8-6 SiO2
- where M is a monovalent cation, preferably sodium. These materials contain some bound water and are required to have a calcium ion exchange capacity of at least 50 mg CaO/g. The preferred sodium aluminosilicates contain 1.5-3.5 SiO 2 units in the formula above. They can be prepared readily by reaction between sodium silicate and sodium aluminate, as amply described in the literature.
- Textile Softening and/or Conditioner Compounds:
- If the composition of the present invention is in the form of a textile conditioner composition, the textile-compatible carrier will be a textile softening and/or conditioning compound (hereinafter referred to as “textile softening compound”), which may be a cationic or nonionic compound.
- The softening and/or conditioning compounds may be water insoluble quaternary ammonium compounds. The compounds may be present in amounts of up to 8% by weight (based on the total amount of the composition) in which case the compositions are considered dilute, or at levels from 8% to about 50% by weight, in which case the compositions are considered concentrates.
- Compositions suitable for delivery during the rinse cycle may also be delivered to the textile in the tumble dryer if used in a suitable form. Thus, another product form is a composition (for example, a paste) suitable for coating onto, and delivery from, a substrate e.g. a flexible sheet or sponge or a suitable dispenser during a tumble dryer cycle.
- Suitable cationic textile softening compounds are substantially water-insoluble quaternary ammonium materials comprising a single alkyl or alkenyl long chain having an average chain length greater than or equal to C 20. More preferably, softening compounds comprise a polar head group and two alkyl or alkenyl chains having an average chain length greater than or equal to C14. Preferably the textile softening compounds have two, long-chain, alkyl or alkenyl chains each having an average chain length greater than or equal to C16.
- Most preferably at least 50% of the long chain alkyl or alkenyl groups have a chain length of C 18 or above. It is preferred if the long chain alkyl or alkenyl groups of the textile softening compound are predominantly linear.
- Quaternary ammonium compounds having two long-chain aliphatic groups, for example, distearyldimethyl ammonium chloride and di(hardened tallow alkyl) dimethyl ammonium chloride, are widely used in commercially available rinse conditioner compositions. Other examples of these cationic compounds are to be found in “Surface-Active Agents and Detergents”, Volumes I and II, by Schwartz, Perry and Berch. Any of the conventional types of such compounds may be used in the compositions of the present invention.
- The textile softening compounds are preferably compounds that provide excellent softening, and are characterised by a chain melting Lβ to Lα transition temperature greater than 25° C., preferably greater than 35° C., most preferably greater than 45° C. This Lβ to Lα transition can be measured by DSC as defined in “Handbook of Lipid Bilayers”, D Marsh, CRC Press, Boca Raton, Fla., 1990 (pages 137 and 337).
- Substantially water-insoluble textile softening compounds are defined as textile softening compounds having a solubility of less than 1×10 −3 wt % in demineralised water at 20° C. Preferably the textile softening compounds have a solubility of less than 1×10−4 wt %, more preferably less than 1×10−8 to 1×10−6 wt %.
- Especially preferred are cationic textile softening compounds that are water-insoluble quaternary ammonium materials having two C 12-22 alkyl or alkenyl groups connected to the molecule via at least one ester link, preferably two ester links. An especially preferred ester-linked quaternary ammonium material can be represented by the formula III:
-
- and p is 0 or is an integer from 1 to 5.
- Di(tallowoxyloxyethyl) dimethyl ammonium chloride and/or its hardened tallow analogue is especially preferred of the compounds of formula (II).
-
- wherein R 1, p and R2 are as defined above.
- It is advantageous if the quaternary ammonium material is biologically biodegradable.
- Preferred materials of this class such as 1,2-bis(hardened tallowoyloxy)-3-trimethylammonium propane chloride and their methods of preparation are, for example, described in U.S. Pat. No. 4,137,180 (Lever Brothers Co). Preferably these materials comprise small amounts of the corresponding monoester as described in U.S. Pat. No. 4,137,180, for example, 1-hardened tallowoyloxy-2-hydroxy-3-trimethylammonium propane chloride.
- Other useful cationic softening agents are alkyl pyridinium salts and substituted imidazoline species. Also useful are primary, secondary and tertiary amines and the condensation products of fatty acids with alkylpolyamines.
- The compositions may alternatively or additionally contain water-soluble cationic textile softeners, as described in GB 2 039 556B (Unilever).
- The compositions may comprise a cationic textile softening compound and an oil, for example as disclosed in EP-A-0829531.
- The compositions may alternatively or additionally contain nonionic textile softening agents such as lanolin and derivatives thereof.
- Lecithins are also suitable softening compounds.
- Nonionic softeners include Lβ phase forming sugar esters (as described in M Hato et al Langmuir 12, 1659, 1666, (1996)) and related materials such as glycerol monostearate or sorbitan esters. Often these materials are used in conjunction with cationic materials to assist deposition (see, for example, GB 2 202 244). Silicones are used in a similar way as a co-softener with a cationic softener in rinse treatments (see, for example, GB 1 549 180).
- The compositions may also suitably contain a nonionic stabilising agent. Suitable nonionic stabilising agents are linear C8 to C 22 alcohols alkoxylated with 10 to 20 moles of alkylene oxide, C10 to C20 alcohols, or mixtures thereof.
- Advantageously the nonionic stabilising agent is a linear C 8 to C22 alcohol alkoxylated with 10 to 20 moles of alkylene oxide. Preferably, the level of nonionic stabiliser is within the range from 0.1 to 10% by weight, more preferably from 0.5 to 5% by weight, most preferably from 1 to 4% by weight. The mole ratio of the quaternary ammonium compound and/or other cationic softening agent to the nonionic stabilising agent is suitably within the range from 40:1 to about 1:1, preferably within the range from 18:1 to about 3:1.
- The composition can also contain fatty acids, for example C 8 to C24 alkyl or alkenyl monocarboxylic acids or polymers thereof. Preferably saturated fatty acids are used, in particular, hardened tallow C16 to C18 fatty acids. Preferably the fatty acid is non-saponified, more preferably the fatty acid is free, for example oleic acid, lauric acid or tallow fatty acid. The level of fatty acid material is preferably more than 0.1% by weight, more preferably more than 0.2% by weight. Concentrated compositions may comprise from 0.5 to 20% by weight of fatty acid, more preferably 1% to 10% by weight. The weight ratio of quaternary ammonium material or other cationic softening agent to fatty acid material is preferably from 10:1 to 1:10.
- Textile Treatment Products
- The composition of the invention may be in the form of a liquid, solid (e.g. powder or tablet), a gel or paste, spray, stick or a foam or mousse. Examples include a soaking product, a rinse treatment (e.g. conditioner or finisher) or a main-wash product. The composition may also be applied to a substrate e.g. a flexible sheet or used in a dispenser which can be used in the wash cycle, rinse cycle or during the dryer cycle.
- Liquid compositions may also include an agent which produces a pearlescent appearance, e.g. an organic pearlising compound such as ethylene glycol distearate, or inorganic pearlising pigments such as microfine mica or titanium dioxide (TiO 2) coated mica.
- Liquid compositions may be in the form of emulsions or emulsion precursors thereof.
- The composition of the invention may further comprise a silicone component. It is preferred if the silicone component is a dimethylpolysiloxane with amino alkyl groups.
- It may be used in the context of the present invention as an emulsion in water.
- It is preferred if the silicone component is present in a ratio of first component: silicone of from 1:1 to 30:1, preferably 1:1 to 20:1, more preferably 2:1 to 20:1 and most preferably 5:1 to 15:1.
- Silicone suitable for use in textile conditioning compositions include predominately linear polydialkylsiloxanes, e.g. polydimethylsiloxanes or aminosilicones containing amine-functionalised side chains.
- Composition may comprise soil release polymers such as block copolymers of polyethylene oxide and terephthalate.
- Other optional ingredients include emulsifiers, electrolytes (for example, sodium chloride or calcium chloride) preferably in the range from 0.01 to 5% by weight, pH buffering agents, and perfumes (preferably from 0.1 to 5% by weight).
- Further optional ingredients include non-aqueous solvents, perfume carriers, fluorescers, colourants, hydrotropes, antifoaming agents, antiredeposition agents, enzymes, optical brightening agents, opacifiers, dye transfer inhibitors.
- In addition, compositions may comprise one or more of anti-shrinking agents, anti-wrinkle agents, anti-spotting agents, germicides, fungicides, anti-oxidants, UV absorbers (sunscreens), heavy metal sequestrants, chlorine scavengers, dye fixatives, anti-corrosion agents, drape imparting agents, antistatic agents and ironing aids. The lists of optional components are not intended to be exhaustive.
- The invention will now be described by way of example only and with reference to the following non-limiting examples.
- Method of Preparation of Voranol Iso-Thiouronium Compounds
- Voranol CP3055 ™ (ex-Dow Chemicals) (29.4 g, 0.01 moles, mw 2940) was dissolved in toluene 50 mls. To this was added 3-bromopropionic acid (4.95 g, 3.3 equivalents ex Aldrich) and p-toluene sulphonic acid (1 g) to act as an acid catalyst. The solution was stirred by means of a magnetic follower on a hot plate. The solution was refluxed with a Dean and Stark distillation trap. After 1.5 hours no more water was seen to azeotrope from the reaction vessel into the side arm. The reaction was stopped and allowed to cool.
- The toluene/Voranol solution was shaken with solution of sodium bicarbonate (10 g/l). This was repeated five times, until the solution was seen not to effervesce from the evolution of carbon dioxide gas and the water was at a neutral pH. The two phases were separated and the toluene was removed from the Voranol compound by rotary evaporation. After drying in vacuo over calcium chloride the yield was 29.28 g (theoretical yield is 33.44 g). The losses were mainly due to the highly viscous sticky nature of the polymer which adhered to glassware. A pale yellow liquid product was obtained.
- FT-IR analysis confirmed the presence of an ester group by showing a new peak at 1737 cm −1
- The product from the previous step was dissolved in ethanol (50 mls). To this solution was added thiourea (2.28 g 0.03 m ex Aldrich). This solution was then refluxed for six hours and cooled. The product was not isolated since the thick viscous nature of the pure product was inconvenient to handle.
- Addition of the compound to an aqueous solution at a pH below 4 gave a water-soluble product. At pH above pH8, the product is converted from the isothiouronium to produce a thiol group. This step results in the precipitation of the polymer and an opaque, cloudy solution was observed.
- Addition of the compound to a solution containing an anionic compound e.g. sodium dodecyl sulphate under acidic conditions leads to the precipitation of a white sticky mass.
- The formation of a thiol was determined by the use of Ellmans reagent, which reacts with thiol compounds forming an orange coloured solution. The formation and use of Ellmans reagent is described in Practical Protein Chemistry, A Darbre, Wiley Interscience, New York 1970.
- Isolation of a small quantity of isothiouronium polymer for FT-IR analysis confirmed the structure by the presence of new peaks correlating to the structure of isothiouronium groups.
- Method of Preparation of Jeffamine Iso-Thiouronium Compounds
- Jeffamine T-3000 ™ (ex-Huntsman Corp) (30 g, 0.01 m mw˜3000) was dissolved in acetone (50 mls) and cooled to below 5° C. with an ice bath. Sodium carbonate (2 g) was added to the solution with stirring. 3-Chloropropionyl chloride (4.19 g 3.3 equivalents) was dripped into the solution of Jeffamine T-3000 over a period of one hour. The temperature of the solution was kept below 5° C. After the addition of the acid chloride, the temperature was allowed to rise to room temperature over a period of one hour. The solution was then filtered to remove the solid sodium carbonate. The acetone was removed on a rotary evaporator. The solution was then washed five times with a sodium bicarbonate solution (10 g/l −1) until the washings were neutral. The product was then separated from the aqueous solution using a separating funnel and dried over silica in vacuo.
- Yield 26.21 g (theoretical 33.69). Losses were due to the highly viscous sticky nature of the polymer.
- FT-IR analysis confirmed an amide peak at 1637 cm −1
- The product from the previous step was dissolved in ethanol (50 mls) and thiourea (2.28 g, 0.03 m, ex Aldrich) was added. The solution was refluxed for six hours. After this time the solution was allowed to cool. The product was not isolated since the thick viscous nature of the pure product was inconvenient to handle.
- Addition of the compound to a solution containing an anionic compound e.g. sodium dodecyl sulphate under acidic conditions lead to the precipitation of a white sticky mass.
- Addition of the compound to an aqueous solution at a pH below 4 gave a water-soluble product. At pH above pH8, the product is converted from the isothiouronium to produce a thiol group. This step results in the precipitation of the polymer and an opaque, cloudy solution was observed.
- The formation of a thiol was determined by the use of Ellmans reagent which reacts with thiol compounds forming an orange coloured solution.
- Isolation of a small quantity of isothiouronium polymer for FT-IR analysis confirmed the structure by the presence of new peaks correlating to the structure of isothiouronium groups.
- Method of Preparation of Lupasol Isothiouronium Compounds
- Lupasol G-20™ (ex-BASF) (39 g 0.03 moles was dissolved in ethanol (50 mls) and cooled to below 5° C. with an ice bath.
- Sodium carbonate (3 g) was added to the solution with stirring. 3-Chloropropionyl chloride (14.22 g, 0.09 moles, 3 equivalents) was dripped into the Lupasol solution over a period of two hours. The temperature of the solution was kept below 5° C. After the addition of the acid chloride, the temperature was allowed to rise to room temperature over a period of one hour. The solution was then filtered to remove the solid sodium carbonate. The product was not isolated using the methods described previously since the compound is highly water soluble and recovery from an aqueous solution would haven proven difficult. A small quantity was isolated for structure confirmation. A new peak was seen at 1637 cm −1, indicating the presence of an amide group.
- To the alkylated Lupasol G-20 was added thiourea (6.84 g, 0.09 moles). The solution was refluxed for six hours. A pale yellow product was obtained. After this time the solution was allowed to cool. The product was not isolated since the thick viscous nature of the pure product was inconvenient to handle.
- Addition of the product to an aqueous solution at a pH below 4 gave a water soluble product. As pH was increased to above pH8, the product is converted from the isothiouronium to produce a thiol group. This compound does not precipitate since it is inherently water soluble.
- The formation of a thiol was determined by the use of Ellmans reagent, which reacts with thiol compounds forming an orange coloured solution.
- Isolation of a small quantity of isothiouronium polymer for FT-IR analysis confirmed the structure by the presence of new peaks correlating to the structure of isothiouronium groups.
- Experimental Procedure to Show Effect on Fibre Damage
- Experiments were performed with woven cotton which had been pigment printed with red and black stripes. This was laundered in an unmodified AEG Lavamat 50700 ™ washing machine on a cotton cycle at 40 Celsius. The isothiouronium compounds prepared according to the methods described in examples 1-3 were introduced during the rinse cycle. After laundering, the samples were dried at 50 Celsius in a fan oven for 20 minutes.
- Samples which had been laundered up to five times were shown to a panel of independent observers for assessment of damage. Samples were observed in a standard light cabinet under D65 illumination. All of the observers were of the opinion that samples treated according to the method of the invention were less damaged than controls. Damage was also measured using the gray scale measurement as detailed in BS1006/A02:1990. Results were as given below in Table 1.
- From Table 1 it can be seen that there is a significant reduction in the level of damage as assessed by this method for embodiments of the invention. The least damage occurred when the protected thiol (isothiouronium) polymers were used together with azetidinium-containing polymers.
TABLE 1 Grey scale ratings for repeated washings of cloth with control and according to an embodiment of the method of the invention. Wash Wash Wash Wash Wash Treatment 1 2 3 4 5 Untreated 3 2-3 2-3 2 2 0.5% Voranol isothiouronium 3-4 3-4 3-4 3 3 (Ex. 1) 1.0% Voranol isothiouronium 3-4 3-4 3-4 3-4 3 (Ex. 1) 0.5% Jeffamine isothiouronium 3-4 3-4 3-4 3 3 (Ex. 2) 1.0% Jeffamine isothiouronium 3-4 3-4 3-4 3-4 3 (Ex. 2) 0.5% Lupasol isothiouronium 3 3 3 2-3 2-3 (Ex. 3) 1.0% Lupasol isothiouronium 3 3 2-3 2-3 2-3 (Ex. 3) 0.5% Voranol isothiouronium 4-5 4-5 4 4 4 (Ex. 1) + 0.5% Listrilan azetidinium 1.0% Voranol isothiouronium 4-5 4-5 4-5 4-5 4 (Ex. 1.) + 1.0% Listrilan azetidinium
Claims (10)
1. A process for the treatment of non-keratinaceous textiles which comprises the step of treating the textiles with a composition comprising:
a) a polymer comprising with at least one protected thiol group, wherein the protecting group is labile under domestic washing conditions, and
b) a textile compatible carrier, whereby under domestic washing conditions the polymer forms reactive thiol groups which cause covalent cross-linking of the polymer.
2. A process according to claim 1 , wherein the textile comprises cotton or regenerated cellulose.
3. A process according to claim 1 , wherein the composition comprises a detergent active compound.
4. A process according to claim 1 , wherein the composition comprises a textile softening and/or conditioning compound.
5. A process according to claim 1 , wherein the protected thiol comprises a protecting group which is sufficiently labile that it leaves when the polymer is exposed to a pH of above 8 at a temperature of below 50 Celsius.
6. A process according to claim 1 , wherein the protected thiol comprises a terminal or mid chain isothiouronium group.
7. A process according to claim 1 wherein the polymer is present in the composition in an amount such that from 0.0005% to 5% by weight on weight of textile is provided.
8. A process according to claim 1 wherein the composition comprises a polymer having azetidinium groups and/or one or more functional groups capable of forming azetidinium groups.
9. A process according to claim 7 wherein the composition comprises an amine or amide-epichlorohydrin resin having one or more azetidinium functional groups.
10. A process as claimed in claim 1 , wherein the composition is applied to the textile during the rinse cycle of the laundering process.
Applications Claiming Priority (3)
| Application Number | Priority Date | Filing Date | Title |
|---|---|---|---|
| GBGB0030177.0A GB0030177D0 (en) | 2000-12-11 | 2000-12-11 | Textile care composition |
| GB0030177.0 | 2000-12-11 | ||
| PCT/EP2001/014379 WO2002048304A1 (en) | 2000-12-11 | 2001-12-03 | Textile care composition |
Publications (1)
| Publication Number | Publication Date |
|---|---|
| US20040019975A1 true US20040019975A1 (en) | 2004-02-05 |
Family
ID=9904849
Family Applications (1)
| Application Number | Title | Priority Date | Filing Date |
|---|---|---|---|
| US10/450,075 Abandoned US20040019975A1 (en) | 2000-12-11 | 2001-12-03 | Textile care composition |
Country Status (11)
| Country | Link |
|---|---|
| US (1) | US20040019975A1 (en) |
| EP (1) | EP1341891B1 (en) |
| AT (1) | ATE290061T1 (en) |
| AU (1) | AU2002231672A1 (en) |
| BR (1) | BR0115741A (en) |
| CA (1) | CA2429434C (en) |
| DE (1) | DE60109196T2 (en) |
| ES (1) | ES2236346T3 (en) |
| GB (1) | GB0030177D0 (en) |
| WO (1) | WO2002048304A1 (en) |
| ZA (2) | ZA200303775B (en) |
Cited By (4)
| Publication number | Priority date | Publication date | Assignee | Title |
|---|---|---|---|---|
| US20140259444A1 (en) * | 2013-03-15 | 2014-09-18 | Whirlpool Corporation | Methods and compositions for treating laundry items |
| JP2016118797A (en) * | 2010-07-30 | 2016-06-30 | ノバルティス アーゲー | Silicone hydrogel lens with crosslinked hydrophilic coating |
| US9702074B2 (en) | 2013-03-15 | 2017-07-11 | Whirlpool Corporation | Methods and compositions for treating laundry items |
| CN113939624A (en) * | 2019-10-11 | 2022-01-14 | 惠普发展公司,有限责任合伙企业 | Fixative fluid |
Citations (9)
| Publication number | Priority date | Publication date | Assignee | Title |
|---|---|---|---|---|
| US3594355A (en) * | 1969-10-29 | 1971-07-20 | Hercules Inc | Water-soluble isothiuronium salts of epihalohydrin polymers |
| US3694258A (en) * | 1970-12-28 | 1972-09-26 | Hercules Inc | Dimensional stabilization of wool |
| US3949014A (en) * | 1974-04-10 | 1976-04-06 | Showa High Polymer Co., Ltd. | Binder |
| US4130593A (en) * | 1976-01-19 | 1978-12-19 | The Standard Oil Company | Alkylation process utilizing the hydrocarbon phase from a reactor for condensing a vaporous distillation effluent |
| US4311760A (en) * | 1976-10-04 | 1982-01-19 | Dow Corning Corporation | Method for applying mercaptoalkyl-containing polydiorganosiloxanes to textile fibers |
| US4371517A (en) * | 1978-09-13 | 1983-02-01 | L'oreal | Composition for treating fibrous materials, based on cationic and anionic polymers |
| US4895917A (en) * | 1987-10-16 | 1990-01-23 | Th. Goldschmidt Ag | Organopolysiloxanes with Bunte salt groups |
| US5160733A (en) * | 1991-05-06 | 1992-11-03 | Clairol Inc. | Conditioning compositions with perfluoropolymethylisopropylethers |
| US5254335A (en) * | 1990-10-10 | 1993-10-19 | Clairol Incorporated | Hair conditioning compounds containing reactive nonionic surfactants and isothiuronium compounds and method of use |
Family Cites Families (2)
| Publication number | Priority date | Publication date | Assignee | Title |
|---|---|---|---|---|
| AU2603700A (en) * | 1999-01-08 | 2000-07-24 | General Electric Company | Topical compositions comprising protected functional thiols |
| GB0002964D0 (en) * | 2000-02-09 | 2000-03-29 | Unilever Plc | Fabric caare composition |
-
2000
- 2000-12-11 GB GBGB0030177.0A patent/GB0030177D0/en not_active Ceased
-
2001
- 2001-12-03 ES ES01991802T patent/ES2236346T3/en not_active Expired - Lifetime
- 2001-12-03 DE DE60109196T patent/DE60109196T2/en not_active Expired - Lifetime
- 2001-12-03 ZA ZA200303775A patent/ZA200303775B/en unknown
- 2001-12-03 US US10/450,075 patent/US20040019975A1/en not_active Abandoned
- 2001-12-03 CA CA2429434A patent/CA2429434C/en not_active Expired - Fee Related
- 2001-12-03 WO PCT/EP2001/014379 patent/WO2002048304A1/en not_active Ceased
- 2001-12-03 EP EP01991802A patent/EP1341891B1/en not_active Expired - Lifetime
- 2001-12-03 AU AU2002231672A patent/AU2002231672A1/en not_active Abandoned
- 2001-12-03 BR BR0115741-8A patent/BR0115741A/en not_active Application Discontinuation
- 2001-12-03 AT AT01991802T patent/ATE290061T1/en not_active IP Right Cessation
-
2003
- 2003-05-08 ZA ZA200303559A patent/ZA200303559B/en unknown
Patent Citations (9)
| Publication number | Priority date | Publication date | Assignee | Title |
|---|---|---|---|---|
| US3594355A (en) * | 1969-10-29 | 1971-07-20 | Hercules Inc | Water-soluble isothiuronium salts of epihalohydrin polymers |
| US3694258A (en) * | 1970-12-28 | 1972-09-26 | Hercules Inc | Dimensional stabilization of wool |
| US3949014A (en) * | 1974-04-10 | 1976-04-06 | Showa High Polymer Co., Ltd. | Binder |
| US4130593A (en) * | 1976-01-19 | 1978-12-19 | The Standard Oil Company | Alkylation process utilizing the hydrocarbon phase from a reactor for condensing a vaporous distillation effluent |
| US4311760A (en) * | 1976-10-04 | 1982-01-19 | Dow Corning Corporation | Method for applying mercaptoalkyl-containing polydiorganosiloxanes to textile fibers |
| US4371517A (en) * | 1978-09-13 | 1983-02-01 | L'oreal | Composition for treating fibrous materials, based on cationic and anionic polymers |
| US4895917A (en) * | 1987-10-16 | 1990-01-23 | Th. Goldschmidt Ag | Organopolysiloxanes with Bunte salt groups |
| US5254335A (en) * | 1990-10-10 | 1993-10-19 | Clairol Incorporated | Hair conditioning compounds containing reactive nonionic surfactants and isothiuronium compounds and method of use |
| US5160733A (en) * | 1991-05-06 | 1992-11-03 | Clairol Inc. | Conditioning compositions with perfluoropolymethylisopropylethers |
Cited By (13)
| Publication number | Priority date | Publication date | Assignee | Title |
|---|---|---|---|---|
| JP2016118797A (en) * | 2010-07-30 | 2016-06-30 | ノバルティス アーゲー | Silicone hydrogel lens with crosslinked hydrophilic coating |
| US9702074B2 (en) | 2013-03-15 | 2017-07-11 | Whirlpool Corporation | Methods and compositions for treating laundry items |
| US9624615B2 (en) | 2013-03-15 | 2017-04-18 | Whirlpool Corporation | Methods and compositions for treating laundry items |
| US9631310B2 (en) | 2013-03-15 | 2017-04-25 | Whirlpool Corporation | Methods and compositions for treating laundry items |
| US9644301B2 (en) | 2013-03-15 | 2017-05-09 | Whirlpool Corporation | Methods and compositions for treating laundry items |
| US9689101B2 (en) | 2013-03-15 | 2017-06-27 | Whirlpool Corporation | Methods and compositions for treating laundry items |
| US20140259444A1 (en) * | 2013-03-15 | 2014-09-18 | Whirlpool Corporation | Methods and compositions for treating laundry items |
| US9758914B2 (en) | 2013-03-15 | 2017-09-12 | Whirlpool Corporation | Methods and compositions for treating laundry items |
| US10011935B2 (en) | 2013-03-15 | 2018-07-03 | Whirlpool Corporation | Methods and compositions for treating laundry items |
| US10017893B2 (en) * | 2013-03-15 | 2018-07-10 | Whirlpool Corporation | Methods and compositions for treating laundry items |
| US10072373B2 (en) | 2013-03-15 | 2018-09-11 | Whirlpool Corporation | Methods and compositions for treating laundry items |
| US10266981B2 (en) | 2013-03-15 | 2019-04-23 | Whirlpool Corporation | Methods and compositions for treating laundry items |
| CN113939624A (en) * | 2019-10-11 | 2022-01-14 | 惠普发展公司,有限责任合伙企业 | Fixative fluid |
Also Published As
| Publication number | Publication date |
|---|---|
| CA2429434A1 (en) | 2002-06-20 |
| EP1341891A1 (en) | 2003-09-10 |
| ZA200303559B (en) | 2004-05-10 |
| EP1341891B1 (en) | 2005-03-02 |
| DE60109196D1 (en) | 2005-04-07 |
| WO2002048304A1 (en) | 2002-06-20 |
| GB0030177D0 (en) | 2001-01-24 |
| ZA200303775B (en) | 2004-05-17 |
| BR0115741A (en) | 2003-10-14 |
| AU2002231672A1 (en) | 2002-06-24 |
| DE60109196T2 (en) | 2006-01-19 |
| ES2236346T3 (en) | 2005-07-16 |
| CA2429434C (en) | 2011-02-01 |
| ATE290061T1 (en) | 2005-03-15 |
Similar Documents
| Publication | Publication Date | Title |
|---|---|---|
| EP1114136B1 (en) | Fabric care composition | |
| EP1465931B1 (en) | Azetidinium modified polymers and fabric treatment composition | |
| EP1216291B1 (en) | Fabric care composition | |
| EP1218477B1 (en) | Use of fabric care composition | |
| EP1341889B1 (en) | Textile care composition | |
| EP1341891B1 (en) | Textile care composition | |
| EP1313829B1 (en) | Fabric care composition | |
| EP1254205B2 (en) | Fabric care composition | |
| WO2003057813A1 (en) | Improvements relating to garment care | |
| US20050227010A1 (en) | Azetidinium-functionalised polymers and compositions containing the same | |
| GB2357294A (en) | Fabric treatment composition | |
| ZA200102035B (en) | Fabric care composition. |
Legal Events
| Date | Code | Title | Description |
|---|---|---|---|
| AS | Assignment |
Owner name: UNILEVER HOME & PERSONAL CARE USA, DIVISION OF CON Free format text: ASSIGNMENT OF ASSIGNORS INTEREST;ASSIGNORS:OAKES, JOHN;SUGDON, MATTHEW;REEL/FRAME:014218/0232;SIGNING DATES FROM 20030411 TO 20030421 |
|
| STCB | Information on status: application discontinuation |
Free format text: ABANDONED -- FAILURE TO RESPOND TO AN OFFICE ACTION |










