US20040009785A1 - Reverse link initial power setting using effective radiated power message to compute path loss - Google Patents
Reverse link initial power setting using effective radiated power message to compute path loss Download PDFInfo
- Publication number
- US20040009785A1 US20040009785A1 US10/401,115 US40111503A US2004009785A1 US 20040009785 A1 US20040009785 A1 US 20040009785A1 US 40111503 A US40111503 A US 40111503A US 2004009785 A1 US2004009785 A1 US 2004009785A1
- Authority
- US
- United States
- Prior art keywords
- message
- transceiver
- power level
- channel
- received
- Prior art date
- Legal status (The legal status is an assumption and is not a legal conclusion. Google has not performed a legal analysis and makes no representation as to the accuracy of the status listed.)
- Granted
Links
Images
Classifications
-
- H—ELECTRICITY
- H04—ELECTRIC COMMUNICATION TECHNIQUE
- H04L—TRANSMISSION OF DIGITAL INFORMATION, e.g. TELEGRAPHIC COMMUNICATION
- H04L1/00—Arrangements for detecting or preventing errors in the information received
- H04L1/12—Arrangements for detecting or preventing errors in the information received by using return channel
- H04L1/16—Arrangements for detecting or preventing errors in the information received by using return channel in which the return channel carries supervisory signals, e.g. repetition request signals
- H04L1/1607—Details of the supervisory signal
-
- H—ELECTRICITY
- H04—ELECTRIC COMMUNICATION TECHNIQUE
- H04L—TRANSMISSION OF DIGITAL INFORMATION, e.g. TELEGRAPHIC COMMUNICATION
- H04L12/00—Data switching networks
- H04L12/54—Store-and-forward switching systems
- H04L12/56—Packet switching systems
- H04L12/5601—Transfer mode dependent, e.g. ATM
- H04L12/5602—Bandwidth control in ATM Networks, e.g. leaky bucket
-
- H—ELECTRICITY
- H04—ELECTRIC COMMUNICATION TECHNIQUE
- H04L—TRANSMISSION OF DIGITAL INFORMATION, e.g. TELEGRAPHIC COMMUNICATION
- H04L47/00—Traffic control in data switching networks
- H04L47/10—Flow control; Congestion control
- H04L47/26—Flow control; Congestion control using explicit feedback to the source, e.g. choke packets
-
- H—ELECTRICITY
- H04—ELECTRIC COMMUNICATION TECHNIQUE
- H04W—WIRELESS COMMUNICATION NETWORKS
- H04W28/00—Network traffic management; Network resource management
- H04W28/02—Traffic management, e.g. flow control or congestion control
- H04W28/04—Error control
-
- H—ELECTRICITY
- H04—ELECTRIC COMMUNICATION TECHNIQUE
- H04W—WIRELESS COMMUNICATION NETWORKS
- H04W52/00—Power management, e.g. Transmission Power Control [TPC] or power classes
- H04W52/04—Transmission power control [TPC]
- H04W52/18—TPC being performed according to specific parameters
- H04W52/24—TPC being performed according to specific parameters using SIR [Signal to Interference Ratio] or other wireless path parameters
- H04W52/242—TPC being performed according to specific parameters using SIR [Signal to Interference Ratio] or other wireless path parameters taking into account path loss
-
- H—ELECTRICITY
- H04—ELECTRIC COMMUNICATION TECHNIQUE
- H04W—WIRELESS COMMUNICATION NETWORKS
- H04W52/00—Power management, e.g. Transmission Power Control [TPC] or power classes
- H04W52/04—Transmission power control [TPC]
- H04W52/38—TPC being performed in particular situations
- H04W52/48—TPC being performed in particular situations during retransmission after error or non-acknowledgment
-
- H—ELECTRICITY
- H04—ELECTRIC COMMUNICATION TECHNIQUE
- H04W—WIRELESS COMMUNICATION NETWORKS
- H04W52/00—Power management, e.g. Transmission Power Control [TPC] or power classes
- H04W52/04—Transmission power control [TPC]
- H04W52/38—TPC being performed in particular situations
- H04W52/50—TPC being performed in particular situations at the moment of starting communication in a multiple access environment
-
- H—ELECTRICITY
- H04—ELECTRIC COMMUNICATION TECHNIQUE
- H04W—WIRELESS COMMUNICATION NETWORKS
- H04W52/00—Power management, e.g. Transmission Power Control [TPC] or power classes
- H04W52/04—Transmission power control [TPC]
- H04W52/54—Signalisation aspects of the TPC commands, e.g. frame structure
- H04W52/60—Signalisation aspects of the TPC commands, e.g. frame structure using different transmission rates for TPC commands
-
- H—ELECTRICITY
- H04—ELECTRIC COMMUNICATION TECHNIQUE
- H04W—WIRELESS COMMUNICATION NETWORKS
- H04W74/00—Wireless channel access
- H04W74/08—Non-scheduled access, e.g. ALOHA
- H04W74/0808—Non-scheduled access, e.g. ALOHA using carrier sensing, e.g. carrier sense multiple access [CSMA]
- H04W74/0825—Non-scheduled access, e.g. ALOHA using carrier sensing, e.g. carrier sense multiple access [CSMA] with collision detection
-
- H—ELECTRICITY
- H04—ELECTRIC COMMUNICATION TECHNIQUE
- H04W—WIRELESS COMMUNICATION NETWORKS
- H04W74/00—Wireless channel access
- H04W74/08—Non-scheduled access, e.g. ALOHA
- H04W74/0833—Random access procedures, e.g. with 4-step access
- H04W74/0841—Random access procedures, e.g. with 4-step access with collision treatment
- H04W74/0858—Random access procedures, e.g. with 4-step access with collision treatment collision detection
-
- H—ELECTRICITY
- H04—ELECTRIC COMMUNICATION TECHNIQUE
- H04W—WIRELESS COMMUNICATION NETWORKS
- H04W76/00—Connection management
- H04W76/10—Connection setup
-
- H—ELECTRICITY
- H04—ELECTRIC COMMUNICATION TECHNIQUE
- H04W—WIRELESS COMMUNICATION NETWORKS
- H04W8/00—Network data management
- H04W8/02—Processing of mobility data, e.g. registration information at HLR [Home Location Register] or VLR [Visitor Location Register]; Transfer of mobility data, e.g. between HLR, VLR or external networks
- H04W8/04—Registration at HLR or HSS [Home Subscriber Server]
-
- H—ELECTRICITY
- H04—ELECTRIC COMMUNICATION TECHNIQUE
- H04L—TRANSMISSION OF DIGITAL INFORMATION, e.g. TELEGRAPHIC COMMUNICATION
- H04L1/00—Arrangements for detecting or preventing errors in the information received
- H04L2001/0092—Error control systems characterised by the topology of the transmission link
- H04L2001/0093—Point-to-multipoint
-
- H—ELECTRICITY
- H04—ELECTRIC COMMUNICATION TECHNIQUE
- H04W—WIRELESS COMMUNICATION NETWORKS
- H04W24/00—Supervisory, monitoring or testing arrangements
-
- H—ELECTRICITY
- H04—ELECTRIC COMMUNICATION TECHNIQUE
- H04W—WIRELESS COMMUNICATION NETWORKS
- H04W52/00—Power management, e.g. Transmission Power Control [TPC] or power classes
- H04W52/04—Transmission power control [TPC]
- H04W52/18—TPC being performed according to specific parameters
- H04W52/22—TPC being performed according to specific parameters taking into account previous information or commands
- H04W52/228—TPC being performed according to specific parameters taking into account previous information or commands using past power values or information
Definitions
- CSMA/CA Carrier Sense Multiple Access with Collision Avoidance
- this method is based on a “listen before talk” scheme.
- a transmitter device monitors traffic on a shared radio channel to determine if another transmitter device is presently transmitting on the same channel. If the radio channel is in use, the transmitter device will continue to monitor the channel until it is clear. When the radio channel is finally clear, the transmitter will then transmit over the radio channel.
- the transmitter device selects a random “backoff interval,” which is the wait time before the radio channel is again monitored to determine whether the radio channel is clear to transmit. If the channel is still busy, another shorter “backoff interval,” is selected for a subsequent message transmission. This process is repeated until the transmitter device is able to transmit data.
- Another standard for transmitting data on a shared radio channel is based on IS-95, in which multiple field units can transmit at the same time.
- the IS-95 standard suggests a method of ramping RF power of a field unit until a message from the field unit is transmitted at a power level that is detectable at a base station. According to this method, a field unit transmits an access request message to a base station for the assignment of wireless resources on a reverse link.
- the field unit After transmitting an access request message on an access channel, the field unit monitors a paging channel for an acknowledgment message from the base station indicating that the access request message was properly received. If no acknowledgment message is sent to the requesting field unit, it is presumed that the message from the field unit was not transmitted at an appropriate power level. That is, the power output level of the field unit is so low that the base station did not detect a previously transmitted access request message. The access request message is then re-transmitted over the access channel at a higher power level.
- This process is subsequently repeated until the field unit transmits a message at a power level that is high enough for the base station to properly receive the message. Similar to the IEEE 802.11 standard, a collision can occur on the shared radio channel when two or more field units simultaneously transmit a message.
- a reference signal is transmitted from a first transceiver to a second transceiver or group of target transceivers.
- the first transceiver also transmits a first message, which includes information indicating an effective radiated power level at which the first transceiver transmits the reference signal.
- the received power level of the reference signal is then measured at the second transceiver to estimate a path loss between the first transceiver and second transceiver. More specifically, a path loss can be calculated by comparing the received power level of the reference signal with the effective radiated power level information as indicated by the first message.
- a second message is optionally sent from the first transceiver to the second transceiver.
- This second message can include information indicating a desired power level at which subsequent messages in a reverse direction should be received at the first transceiver.
- the forward path loss between the first transceiver and second transceiver is approximately the same as a reverse path loss for message transmissions from the second transceiver back to the first transceiver. Consequently, the second transceiver can adjust its power output level so that the first transceiver receives a message at the desired power level taking into account the estimated path loss as previously discussed.
- the path loss can be different in the reverse link direction than that of the forward link and an estimated power setting at which the second transceiver transmits a message can be a starting point for transmitting subsequent messages. For example, the power output level of the second transceiver can be increased for subsequent message transmissions until the first transceiver detects the message.
- the reference signal is transmitted over a pilot channel of a CDMA (Code Division Multiple Access) communication system.
- the reference signal itself optionally includes a marker such as pilot symbols that are monitored at a second transceiver.
- the first message as transmitted by the first transceiver can be transmitted over a paging channel, while a reply message from the second transceiver to the first transceiver can be transmitted over an access channel in which multiple transceivers compete to transmit messages to the first transceiver.
- the access channel is optionally divided into time slots in which a transceiver sends a message to the first transceiver.
- One message type that can be transmitted on the access channel is an access request message.
- Such a message is an indication to the first transceiver that a more formal communication link should be established between the first transceiver and second transceiver. Consequently, the more formal communication link can be allocated to support more efficient, on-demand data transfers.
- An access request message is optionally encoded so that it includes timing alignment information.
- the first transceiver can analyze a reply message such as an access request message including a timing marker and provide feedback indicating whether the reply is appropriately transmitted within a time slot.
- reply messages can also include a reference marker for timing alignment.
- a reference marker is a string including pilot information such as one or multiple pilot symbols.
- the received power level of a reply message can be monitored to determine whether a transceiver is transmitting a message so that it is received at a desired power level. This can be achieved by comparing a power level at which a reply message is received to a desired power level at which the reply message should be received. Based on this comparison, a power adjustment message is optionally transmitted to a corresponding target transceiver. Thus, subsequent message transmissions from a second transceiver to the first transceiver can be optimally adjusted based on operating conditions of the wireless communication system at an instant in time.
- Certain aspects of the present invention reduce co-channel interference and generally increase the throughput capability of a wireless communication system.
- an initial power output level of a field unit can be adjusted so that it minimally interferes with others when it initially transmits messages or transmits subsequent messages.
- message transmissions on an allocated channel such as an access channel are minimized, more wireless resources can otherwise be allocated for supporting higher speed data transfers in a wireless communication system.
- the initial power output level of a field unit can be so low that a message transmission is not detected at a target device such as a base station.
- a power output level can be increased accordingly for subsequent message transmissions until the message is detected at a target transceiver.
- This process of incrementally increasing the power level can be a time consuming process, especially if the power output of the transceiver were to start transmitting at a lowest possible power level. Thus, it can take a considerable amount of time to successfully transmit a message to a target receiver such as a base station.
- the principles of the present invention can be used to simultaneously reduce the effective time it takes to transmit a message to a base station while minimally interfering with other channels of the wireless communication system. This is achieved, at least in part, by approximating a path loss between a field unit and base station and transmitting a message from the field unit so that a message is received at a desired power level at the base station. Since the initial power setting of the field unit is approximately set to a detectable power level for data transmissions to a target receiver, it typically requires less time to transmit an initial message to a target receiver when power is incrementally increased so that a message is eventually detected.
- FIG. 1 is a bock diagram of an illustrative wireless communication system according to certain principles of the present invention.
- FIG. 2 is a timing diagram illustrating multiple channels on which messages are transmitted according to certain principles of the present invention.
- FIG. 3 is a timing diagram illustrating a use of data fields within a time-slotted channel according to certain principles of the present invention.
- FIG. 4 is a pictorial diagram illustrating details of a message according to certain principles of the present invention.
- FIG. 5 is a flow chart for processing messages at a target receiver according to certain principles of the present invention.
- FIG. 6 is a flow chart for transmitting messages to a target receiver according to certain principles of the present invention.
- FIG. 7 is a timing diagram illustrating multiple channels on which messages are transmitted according to certain principles of the present invention.
- FIG. 8 is a diagram of a monitored reference signal according to certain principles of the present invention.
- FIG. 9 is a flow chart for setting an initial power output level of a transmitter device according to certain principles of the present invention.
- FIG. 1 is a block diagram illustrating a wireless communication system supporting the transmission of data information over multiple allocated communication channels according to certain aspects of the present invention.
- users compete for wireless bandwidth allocation.
- the wireless communication 10 is optimized for data throughput and, in certain applications, hi-speed bursts of data throughput.
- Certain aspects of the present invention are based on the recognition that the power output of a field unit transmitting over a wireless channel can be controlled so that it minimally interferes with other field units using the same general wireless airspace.
- a power output level of a newly transmitting field unit is initially set so low that a base station may not detect messages transmitted by the field unit. This initially low power setting of a field unit reduces co-channel interference because the transmitter device is not transmitting at excessive power levels.
- the power output of a field unit is then ramped up until messages are acknowledged at the base station.
- one or multiple field units randomly transmit messages on a first allocated channel.
- the base station may be able to detect that a message was transmitted by a field unit and there was a message collision.
- the base station may not be able to decipher the contents of the message and determine from which field unit transmitted a message.
- the base station can not transmit a message directed specifically to a particular field unit indicating that a collision occurred for a previous message transmission.
- One aspect of the present invention involves providing general feedback information to the field units indicating that a collision was detected. Consequently, a previous undetected message can be re-transmitted by a field unit. If there was no collision detected and no acknowledgment received by the filed unit, the field unit can successively ramp up its power output setting for subsequent message transmission attempts to ensure that a message will eventually be acknowledged by the base station.
- communication system 10 is described as a wireless communication link such as a CDMA radio channel utilizing shared channel resources.
- a wireless communication link such as a CDMA radio channel utilizing shared channel resources.
- the techniques described herein can be applied in other applications supporting shared access.
- the principles of the present invention can be applied to other general applications such as telephone connections, computer network connections, cable connections, or other physical media to which allocation of resources such as data channels are granted on an as-needed basis.
- communication system 10 includes a number of Personal Computer (PC) devices 12 - 1 , 12 - 2 , . . . 12 - h , . . . 12 - m , corresponding field units or terminals 14 - 1 , 14 - 2 , . . . 14 - h , . . . 14 - m , and associated directional antenna devices 16 - 1 , 16 - 2 , . . . 16 - h , 16 - m .
- Centrally located equipment includes a base station antenna 18 , and a corresponding base station 20 that includes high speed processing capability.
- Base station 20 and related infrastructure provides connections to and from a network gateway 22 , network 24 such as the Internet, and network file server 30 .
- Communication system 10 is preferably a demand access, point to multi-point wireless communication system such that the PC devices 12 can transmit data to and receive data from network server 30 based on a logical connection including bi-directional wireless connections implemented over forward links 40 and reverse links 50 . That is, in the point to multi-point multiple access wireless communication system 10 as shown, a given base station 20 typically supports communication with a number of different field units 14 in a manner which is similar to a cellular telephone communication network. Accordingly, system 10 can provide a framework for a CDMA wireless communication system where digital information is relayed on-demand between multiple mobile cellular users and a hardwired network 24 such as the Internet.
- PC devices 12 are typically laptop computers, handheld units, Internet-enabled cellular telephones, Personal Digital Assistant (PDA)-type computers, digital processors or other end user devices, although almost any type of processing device can be used in place of PC devices 12 .
- PDA Personal Digital Assistant
- One or multiple PC devices 12 are each connected to a respective subscriber unit 14 through a suitable hard wired connection such as an Ethernet-type connection via cable 13 .
- Each field unit 14 permits its associated PC device 12 access to network file server 30 .
- the PC device 12 transmits information to field unit 14 based on, for example, an Internet Protocol (IP) level network packets.
- IP Internet Protocol
- the field unit 14 then encapsulates the wired framing, i.e., Ethernet framing, with appropriate wireless connection framing so that data packets can be transmitted over the wireless link of communication system 10 .
- the appropriately formatted wireless data packet then travels over one of the radio channels that comprise the reverse link 50 through field unit antenna 16 to base station antenna 18 .
- the base station 20 then extracts the radio link framed data packets and reformats the packets into an IP format.
- the packets are then routed through gateway 22 and any number or type of networks 24 to an ultimate destination such as a network file server 30 .
- information generated by PC device 12 is based on a TCP/IP protocol. Consequently, a PC device 12 has access to digital information such as web pages available on the Internet. It should be noted that other types of digital information can be transmitted over channels of communication system 10 based on the principles of the present invention.
- Data information can also be transferred from the network file server 30 to PCs 12 on forward link 40 .
- network data such as IP (Internet Protocol) packets originating at file server 30 travel on network 24 through gateway 22 to eventually arrive at base station 20 .
- IP Internet Protocol
- appropriate wireless protocol framing is then added to raw data such as IP packets for communication of the packets over wireless forward link 40 .
- the newly framed packets then travel via an RF signal through base station antenna 18 and field unit antenna 16 to the intended target field unit 14 .
- An appropriate target field unit 14 decodes the wireless packet protocol layer, and forwards the packet or data packets to the intended PC device 12 that performs further processing such as IP layer processing.
- a given PC device 12 and file server 30 can therefore be viewed as the end points of a logical connection at the IP level. Once a connection is established between the base station processor 20 and corresponding field unit 14 , a user at the PC device 12 can then transmit data to and receive data from file server 30 on an as-needed basis.
- Reverse link 50 optionally includes different types of logical and/or physical radio channels such as an access channel 51 , multiple traffic channels 52 - 1 , . . . 52 - m , and a maintenance channel 53 .
- the reverse link access channel 51 is typically used by the subscriber units 14 to request an allocation of traffic channels by the base station 20 .
- traffic channels 52 can be assigned to users on an as-needed basis.
- the assigned traffic channels 52 in the reverse link 50 then carry payload data from field unit 14 to base station 20 .
- a given link between base station 20 and field unit 14 can have more than one traffic channel 52 assigned to it at a given instant in time. This enables the transfer of information at higher rates.
- Maintenance channel 53 can be used to carry maintenance information such as synchronization and power control messages to further support transmission of digital information over both reverse link 50 and forward link 40 .
- Forward link 40 can include a paging channel 41 , which is used by base station 20 to inform a field unit 14 of general information such as that one or multiple forward link traffic channels 42 have been allocated to it for forward link data transmissions. Traffic channels 42 - 1 . . . 42 - n on the forward link 40 are used to carry payload information from base station 20 to a corresponding target subscriber unit 14 .
- Maintenance channel 43 can be used to transmit synchronization and power control information on forward link 40 from base station processor 20 to field units 14 . Additionally, paging channel 41 can be used to inform a field unit 14 of allocated traffic channels 52 in the reverse link 50 direction.
- Traffic channels 42 of the forward link 40 can be shared among multiple subscriber units 14 based on a Time Division Multiplexing scheme. Specifically, a forward link traffic, channel 42 is optionally partitioned into a predetermined number of periodically repeating time slots for transmission of data packets from the base station 20 to multiple subscriber units 14 . It should be understood that a given subscriber unit 14 can, at any instant in time, have multiple time slots or no time slots assigned to it for use. In certain applications, an entire time-slotted forward or reverse link traffic channel can also be assigned for use by a particular field unit 14 on a continuous basis.
- FIG. 2 is a timing diagram illustrating multiple channels on which messages are transmitted between a base station 20 and field units 14 according to certain principles of the present invention.
- field units 14 can transmit messages to base station 20 over a dedicated channel such as access channel 51 .
- Access channel 51 supports a transmission of access request messages from a field unit 14 to base station 20 .
- An access request message can indicate a request by field unit 14 for a high speed bi-directional communication link.
- Message transmissions over access channel 51 need not be limited to access request type messages.
- access channel 51 can be structured to support other types of messages.
- access channel 51 is optionally partitioned into periodically repeating time slots 210 in which messages are transmitted from a field unit 14 to base station 20 .
- an Epoch on the order of 26.6 mS in duration can be partitioned to include time slot #0 and time slot #1 as shown.
- a field unit or multiple field units 14 can randomly send messages to base station 20 in either time slot of an Epoch. Providing multiple time slots 210 in which a field unit 20 can transmit a message renders it less likely that two randomly transmitting field units 14 will transmit a message in a same time slot 210 .
- a field unit 14 can be synchronized with base station 20 using pilot channel 44 so that messages can be transmitted in a particular time slot 210 .
- Feedback channel 45 is provided so that base station 20 can send feedback messages 230 to field units 14 . At least a portion of the feedback channel 45 as shown is reserved for transmitting general messages to the collective field units 14 whether or not a message collision occurred on access channel 51 in a previous Epoch and, more particularly, that a message occurred in a particular time slot 210 .
- a feedback message 230 is optionally a sequence of encoded information or single bit indicating whether a collision occurred for a message transmitted to base station 20 in a time slot 210 .
- multiple feedback messages 230 can be generated during a given time duration such as an Epoch or half Epoch.
- feedback information such as feedback messages 230 can be transmitted in duration A of Epoch N+1 to indicate that a collision occurred for the reception of a message 210 in time slot #0 of Epoch N at base station 20 .
- a logic 1 transmitted in each of three feedback messages 230 of duration A can indicate that a collision was detected while a logic 0 setting can indicate that no collision was detected.
- Transmitting multiple, spaced feedback messages 230 as shown for duration A provides redundancy to some extent.
- multiple messages 230 transmitted in a given duration, such as duration A can be part of a redundantly transmitted message to increase the chance that a field unit 14 will be properly notified whether a collision occurs.
- at least one of the multiple feedback messages 230 can be identified at a field unit 14 even if a message transmission failure occurs for some of the messages 230 in, for example, duration A.
- feedback messages 230 of feedback channel 45 transmitted in duration B of Epoch N+1 can indicate whether a message collision is detected in time slot #1 of Epoch N as monitored by base station 20 .
- a message transmitted by a field unit 14 to base station 20 on access channel 51 includes unique information such as the identification number of the field unit 14 transmitting the message.
- paging channel 41 supports message transmissions from base station 20 to field units 14 , where the message transmissions are typically directed to a specific field unit 14 .
- base station 20 can respond to a field unit 14 that sent a message on access channel 51 by transmitting a reply message to the field unit 14 over paging channel 41 .
- Other link information forwarded on the paging channel 41 can be forwarded to a field unit 14 to establish a formal bidirectional link between base station 20 and field unit 14 .
- ACK messages 240 are sent by base station 20 to indicate that a message received in a time slot 210 of access channel 51 was properly received. Similar to the feedback messages 230 on feedback channel 45 , ACK messages transmitted to a field unit 14 are also feedback messages. However, an ACK message 240 indicates that a previous access request message transmitted by a field unit 14 was properly received. ACK message 240 can also indicate that a formal communication link will be established with the access requesting field unit 14 . For instance, traffic channels can be assigned to field unit 14 for transmitting or receiving a data payload.
- field units 14 optionally transmit at such a low power output level that messages transmitted in a particular time slot 210 are not detected at base station 20 .
- a field unit 14 can adjust its power output level for a subsequent message transmission based on feedback information received from base station 20 . More specifically, a field unit 14 can adjust its power output level depending on a feedback message 230 or ACK message 240 received on feedback channel 45 or paging channel 41 respectively. Accordingly, the power output level of a field unit 14 can be optimized so that it minimally interferes with other field units 14 transmitting information over a common radio frequency.
- the messages transmitted in a time slot 210 of access channel 51 are typically access request messages indicating that a field unit 14 would like to receive or transmit data payload information on reverse link traffic channels 52 or forward traffic channels 42 .
- One aspect of adjusting the power output of a field unit 14 is to determine whether or not a collision was detected for a previous message transmission from the field unit 14 to base station 20 . For example, if a collision is not detected for a previously transmitted message from a particular field unit 14 , the power output level for a subsequent message transmission from the field unit 14 , if any, can be increased so that base station 20 is more likely to detect the message transmission. More specifically, the power output level of a field unit 14 can be increased a predetermined amount such as +0.5 dB for a subsequent message transmission if no collision was detected for a previous message transmission.
- the power output level of the field unit 14 can be unchanged or potentially reduced for a subsequent message transmission since it is not known whether the message transmission by a field unit 14 would have otherwise been detected at base station 20 if only one field unit 14 transmitted a message within a particular time slot 210 .
- one aspect of the present invention involves adjusting the power output level of a field unit 14 so that it minimally interferes with others using the same radio channel.
- This method of transmitting messages can be particularly useful when a user first powers a field unit 14 and must communicate with base station 20 . For example, it is undesirable in certain situations to transmit a message at such a high power output level that such message transmissions cause other data transmissions on the radio channel to become corrupted due to excessive noise.
- the power output level of a field unit 14 can be adjusted depending on whether base station 20 acknowledges receipt of a message on access channel 51 .
- the power output level of field unit 14 can be increased for subsequent message transmissions.
- a maximum power adjustment level such as 60 dBm can be selected in which the field unit 14 will discontinue transmitting if no ACK message is received even at this level.
- a more sophisticated application of the present invention can involve adjusting a power output level of a field unit 14 depending on both a feedback message 230 indicating whether a collision was detected and an ACK message 240 indicating that an access message was acknowledged by base station 20 . More specifically, a field unit 14 can adjust its power output level for subsequent message transmissions if no collision is detected and no ACK message is received for a previously transmitted message from a field unit 14 . Otherwise, the field unit 14 can re-transmit at a previous power output level.
- the power level setting at which base station 20 acknowledges receipt of a message from a field unit 14 can be used to determine power level settings at which the field unit 14 must transmit other information to base station 20 .
- a message from a field unit 14 can be transmitted using a particular modulation rate during the initial message transmission.
- the power output level of subsequent transmissions from the field unit 14 can be adjusted to accommodate transmitting messages at different modulation rates. For example, it can be determined at what power level a field unit should transmit on allocated traffic channels using a different modulation rate.
- a history of the power level output adjustments are optionally maintained to track power adjustments and determine at what power level a monitoring device such as base station 20 detects the transmission of a message.
- one aspect of the present invention involves re-transmitting a message from a field unit 14 so that it can be detected at base station 20 .
- a re-transmission is optionally based on a random back off time so that a collision is less likely to occur on a subsequent attempt to transmit a message.
- the field units 14 randomly choose a back off time relative to the previous message transmission in which the collision occurred and transmit in another time slot 210 .
- field unit A and field unit B transmit a message in time slot #0 of Epoch N
- field unit A will choose a back off time such as 3 Epochs and re-transmit a message to base station 20 in time slot #1 of Epoch N+3 while field unit B re-transmits a message based on a random back off time in time slot #0 of Epoch N+2. Accordingly, field units A and B are less likely to cause another collision for a message re-transmission.
- FIG. 3 is a timing diagram illustrating another embodiment of the present invention for transmitting feedback messages to field units 14 .
- An access channel 51 is partitioned so that a field unit 14 can transmit an access probe or other message in a time slot 345 .
- feedback channel 355 is partitioned to include 64 time slots TS#0, TS#1, TS#2 . . . TS#63 that repeat every Epoch.
- Each time slot 315 of feedback channel 355 preferably includes a data field supporting 16 bits of information.
- ten bits of information are reserved for a general message, one bit is reserved as a collision detect bit 325 and five bits are reserved for CRC (Cyclical Redundancy Check) data 328 .
- General message 320 is optionally a message directed to a particular field unit 14 .
- each of multiple field units 14 can be assigned use of a particular time slot 315 for receiving feedback information from base station 20 to field units 14 .
- a corresponding field unit 14 monitors an appropriate time slot 315 to receive messages from base station 20 .
- One type of specific message in a time slot 315 is feedback information to a field unit 14 indicating how its timing or power should be adjusted so that messages transmitted from a field unit 14 are properly received at base station 20 .
- Time slots 315 are optionally unassigned and the message itself can include an address to which field unit 14 a message is directed.
- feedback messages can be transmitted asynchronously to a field unit 14 .
- Collision detect bit 325 in a time slot 315 is a single bit indicating whether a collision occurred in a monitored time slot 345 . More specifically, collision detect bits 325 of time slot TS#0, TS#1 . . . TS#31 of Epoch M can be used to indicate that a collision occurred in access probe slot #0 of Epoch M ⁇ 1. Accordingly, this string of individual collision detect bits 328 over multiple time slots can be set to a same logic state indicating that a collision was detected.
- TS#32, TS#33 . . . TS#63 of Epoch M can be set appropriately to indicate whether a collision occurred on access probe slot #1 of Epoch M ⁇ 1.
- a monitoring field unit 14 can determine whether a collision occurred at base station 20 based on a single bit, a sequence of multiple bits, or a sequence of spaced bits.
- CRC data 328 is also provided in a feedback message 360 .
- the CRC data 328 is optionally decoded at the field unit 14 to ensure that a message 360 is properly received at a field unit 14 and, more specifically, that a particular collision detect bit 325 is properly received.
- Other methods can also be used to ensure and verify that a message and data is properly received at field unit 14 .
- a message can be transmitted based on an FEC (Forward Error Correction) code.
- FEC Forward Error Correction
- FIG. 4 is a diagram illustrating a format for transmitting messages over the access channel from a field unit to a target receiver according to the principles of the present invention.
- message 410 is transmitted by a field unit 14 over access channel 51 and includes two parts. As shown, a first part or preamble 415 of message 410 is a coded message indicating a request by the field unit 14 for a communication link. Each field unit 14 can transmit a message 410 having a commonly coded preamble 415 . Thus, if two field units 14 transmit a message including the same preamble message 415 , base station 20 can determine that at least a preamble message 415 was sent by at least one field unit 14 . That is, the preamble message 415 as transmitted by one field unit can overlap with the preamble message 415 as transmitted by another field unit 14 when multiple messages 410 are transmitted in the same time slot.
- Message 410 optionally includes a data payload 420 that is transmitted to base station 20 .
- data payload 420 includes the serial number of the field unit 14 transmitting message 410 .
- some form of redundancy check information such as CRC data is included with message 410 so that base station 20 can determine whether message 410 is properly received without errors.
- base station 20 can respond accordingly to establish a link with a field unit 14 and transmit a “non-collision” message on feedback channel 45 to the field units 14 .
- message 410 includes an error free preamble 415 but improperly received data payload information 420
- base station 20 can deduce that two or more transmitters sent a message at the same time.
- a collision detection message is then transmitted over feedback channel 45 indicating that a collision occurred.
- a target receiver such as base station 20 monitoring messages 410 can provide valuable feedback to multiple transmitting field units 14 whether a message collision occurs.
- Another aspect of the present invention involves coding a preamble 415 using pilot block 53 and Barker code block 54 . Based on this coding or use of a sequence of symbols, a field unit 14 can transmit a message 410 to base station 20 .
- a preamble message 415 can include four pilot blocks 53 and four Barker code blocks 54 .
- the Barker code blocks 54 assist base station 20 identify a point where preamble 415 of a message 410 starts. In other words, the information in the preamble 415 can be used for timing purposes at the base station 20 to asynchronously receive a message. Thus, it is not necessary that a field unit 14 transmit a message 410 in a time slot 210 because base station 20 can be modified to receive asynchronous messages.
- base station 20 can identify a received message 410 even if a collision occurs because the preamble 415 of a message 410 simultaneously transmitted by multiple field units 14 in a time slot will overlap and, thus, will be detectable at base station 20 .
- Each pilot block 53 includes a number of repeating pilot symbols.
- a pilot block includes 48 symbols that are used by a target receiver to decode message 410 .
- the second portion of a message 410 can include a data payload 420 that is sent to base station 20 .
- pilot symbols are also inserted in the data payload 420 portion of message 410 for assisting in coherent demodulation of-data at a target receiver. Pilot symbols typically include a series of positive data bits and therefore do not themselves inherently include timing information.
- a Barker code block 54 as shown includes a predetermined pattern of bit information.
- Use of BPSK Binary Phase Shift Keying
- a Barker code sequence can alternatively be negative such as a negative Barker sequence, ⁇ B, further assisting in message processing at a monitoring device.
- Further details for processing message 410 including pilot blocks 53 and Barker code blocks 54 can be found in co-pending U.S. patent application Ser. No. 09/766,875 filed on Jan. 19, 2001 entitled “Access Channel Structure for Wireless Communication System,” the entire teachings of which are incorporated herein by reference.
- FIG. 5 is a flow chart illustrating a process for monitoring a channel for messages according to the principles of the present invention.
- Step 500 generally indicates an entry point into the flow chart.
- an access channel 51 is monitored for message transmissions such as access request messages transmitted by a field unit 14 . It is then determined in step 520 whether the message includes a Barker code or an appropriately received preamble 415 of a message 410 . If no Barker code or preamble 415 is detected in step 520 , process flow resumes at step 510 again. Alternatively, if a Barker code is detected in step 520 , the message 410 is further analyzed to determine if a collision occurs in a time slot. That is, it is determined whether at least a portion of data in a received message 410 is corrupted.
- One way to determine if a message collision occurs is to verify that data in a message 410 was properly received. This can be achieved by analyzing the received message 410 according to redundancy check information. If the data in a message 410 is not properly received at base station 20 , a feedback message is transmitted by base station 20 over feedback channel 45 indicating that a collision was detected for a previous access request message in step 540 . Following step 540 , process flow resumes again at step 510 .
- step 530 If a collision is not detected for a particular message in step 530 , the message 410 is analyzed to determine which of multiple field units 14 sent the message. Following in step 550 , an ACK message 240 is sent to the requesting field unit 14 over the paging channel 41 . Also, a message is sent over the feedback channel 45 indicating that no message collision occurred for the corresponding previous time slot 210 of access channel 51 . Finally, a more formal link is established with the access requesting field unit in step 560 .
- FIG. 6 is a flow chart illustrating a process flow at a field unit for transmitting a message to a target receiver according to the principles of the present invention.
- Step 600 generally indicates an entry point into the flow chart.
- step 620 the status of field unit 14 is monitored for an input by a user indicating that the field unit 14 desires to establish a communication link with a target receiver such as base station 20 . It is then determined in step 620 whether the input indicates that a field unit 14 desires to establish a communication link. If not, process flow again resumes at step 610 . If so, field unit 14 transmits an access request message on the access channel 51 in step 630 . Thereafter, the feedback channel 45 is monitored by a field unit 14 in step 640 for feedback information such as collision detection messages.
- step 660 the power output level is not adjusted for the field unit 14 and a message 410 is subsequently re-transmitted in step 630 . If a collision is not detected in step 650 as indicated by a collision feedback message, it is determined in step 670 whether an ACK message 240 is received at the field unit 14 over paging channel 41 . If so, a link is established between the field unit 14 and base station 20 in step 690 . If not, the power output level of the field unit 14 is increased in step 680 and process flow continues at step 630 to re-transmit a message from the field unit 14 to base station 20 .
- FIG. 7 is a timing diagram illustrating multiple channels on which messages are transmitted among transceivers according to the principles of the present invention.
- one aspect of the present invention involves setting a field unit 14 to an initial power level so that it minimally interferes with other users during a message transmission. Since power is ramped up based on whether an access message is detected at base station 20 , it is preferable that the initial power level of the field unit is reasonably near a power level at which base station 20 will receive a message at a desired power level. Consequently, a field unit 14 will be able to transmit a message to base station 20 and establish a more formal communication link in less time since a power level output of field unit 14 will need only minimal adjustments so that a message is received at base station 20 .
- One method for initially setting a power output level of a field unit 14 involves transmitting a reference signal 710 on pilot channel 44 from base station 20 .
- the reference signal 710 is transmitted at an appropriate power level so that multiple field units 14 in a wireless airspace monitoring the pilot channel 44 can identify the reference signal 710 and measure a power level at which it is received.
- reference signal includes pilot information such as a sequence of pilot symbols, where the pilot symbols are defined by PN (Pseudo Noise) codes.
- PN Pulseudo Noise
- Each field unit 14 monitoring the pilot channel 44 typically includes a power detector circuit to measure a power level of the received reference signal 710 .
- the power detector is used to measure the strongest pilot path of the received reference signal 710 . This measurement is used to estimate a forward path loss between base station 20 and field unit 14 .
- the total received signal power level of the reference signal 710 can be computed based on the sum of the magnitude squared of the I and Q channel. Power measurements are optionally filtered for providing a better estimate of a received power level under fading conditions.
- messages are transmitted on paging channel 41 from base station 20 to field units 14 .
- One such message is message A that includes information indicating a power level at which reference signal 710 is transmitted from base station 20 . This value can be expressed in dBm that already takes into account the gain of the base station antenna. Thus, message A can include effective radiated power level information at which base station 20 transmits reference signal 710 .
- additional messages such as antenna gain information, offset information, correction information and general information can be transmitted to a field unit 14 .
- Field unit 14 decodes message A to determine a power level at which reference signal 710 is transmitted. The forward path loss between base station 20 and field unit 14 is then determined by comparing the received power level of the reference signal 710 at field unit 14 with the effective radiated power level as indicated by message A.
- the calculated forward path loss can then be used to estimate a reverse path loss between field unit 14 and base station 20 .
- the reverse path loss is estimated to be about the same as the forward path loss, although it is probably at least slightly different.
- This estimated path loss is used to determine an initial setpoint at which messages can be transmitted from field unit 14 to base station 20 .
- Additional messages can be sent on paging channel 41 from base station 20 to field units 14 .
- message B is also generally transmitted to field units over paging channel 41 .
- Message B preferably includes encoded information indicating a desired power level at which base station 20 will receive subsequent messages from a field unit 14 .
- This information can also be a specific message directed transmitted to a particular field unit 14 .
- a field unit 14 can use the information to estimate at what level a message should be transmitted so that a message is received at the desired power level.
- field unit 14 can attempt to transmit a message at 33+12 dBm, or 45 dBm, to base station 20 .
- the reverse path loss may be much more than 33 dBm as estimated.
- base station would not necessarily detect a message transmitted by field unit 14 .
- the power output setpoint of 45 dBm can be a starting point at which messages such as access request messages 750 are transmitted over access channel 51 . If a collision is not detected at base station 20 and no ACK message 240 is received over paging channel 41 , the power output of field unit 14 can be increased by 1 dBm to 46 dBm for a subsequent attempt to transmit a message. This procedure of adjusting the power output level of a field unit 14 can be repeated until a message is detected at base station 20 .
- Messages transmitted to base station 20 can also be monitored to determine a power level at which a message is received from a field unit 14 .
- a message such as message C can include pilot information such as a pilot symbol or sequence of pilot symbols. Pilot correlation filters are then used to identify the strongest diversity path and side paths as shown in FIG. 8. One or multiple paths are then used to determine a power level at which the message is received at base station 20 on access channel 51 . To ensure that a message C is properly received, the message is analyzed for errors using error detection information such as CRC check bits.
- a power adjustment message is generated at base station 20 to indicate how the field unit 14 should be adjusted so that subsequent messages to base station 20 are received at a desired power level. For example, if base station 20 determines that a message is received at 23 dBm, base station 20 can send a message over paging channel 41 indicating that the field unit should reduce its power output level for subsequent message transmissions so that a message from a field unit is received at a lower power level such as 12 dBm.
- FIG. 8 is a graph illustrating a received diversity string for a pilot symbol according to the principles of the present invention.
- a received message such as reference signal 710 , message A, message B or message C can include a marker such as one or multiple pilot symbols that are monitored at a receiver to determine a power level of a received message.
- Both base station 20 and field units 14 include pilot correlation filters for identifying a marker such as one or multiple pilot symbols in a transmitted message. This marker aids in analyzing both timing alignment and a received power level of a message.
- the diversity string illustrates the receipt of a marker in a message as a result of multipath fading. That is, a signal from a transmitter is received at a target at different times due to varying times it takes for the signal to reach the target over different paths between a transmitter and receiver.
- the strongest received diversity path will be designated as the time alignment string at base station 20 field unit 14 for analyzing the timing of a received message.
- the single strongest path is preferably chosen to calculate a power level at which a message is received.
- additional paths are optionally used to determine a received power level of a message.
- Timing alignment and a received power level of a message is determined using the correlation profile of the strongest pilot in a particular string, which is analyzed as mentioned using correlation filters.
- the output of the correlation filters typically consist of 256 samples, which represent 64 lags at 4 samples per lag.
- the 256 sample output-window represents the total correlation time span of a receiver device. This can vary depending on the application.
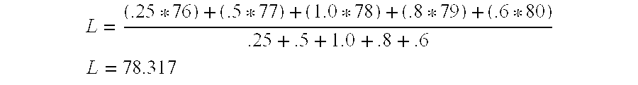
- the time alignment point is sample number 80 which allows 20 lags for precursor and 44 lags for post cursor channel information.
- each field unit 14 transmitting in a time slot includes a marker, i.e., the peak signal, located at a predetermined position within a time slot.
- the strongest pilot path for the channel and 2 samples on either side of the main path, i.e., 1 and 1 ⁇ 4 chips, is statistically analyzed to determine the centroid or peak of a marker within a time slot.
- the timing alignment error is determined by comparing the timing of the computed centroid to the desired time set point of 80, which is chosen as the reference point for timing alignment within a time slot. Since the centroid in the example above is estimated to be 78.317, timing is early relative to the set point of 80.
- An appropriate message can be sent to field unit 14 indicating how its timing should be finely tuned so that messages from field unit 14 are received at the appropriate time at base station 20 .
- the diversity string of FIG. 8 can be analyzed to determine a power level at which a message is received.
- an appropriate message can be sent to field unit 14 indicating how its power output level should be adjusted so that a message is received at a desired power level.
- this technique can be used to detect a received power level of reference signal 710 at base station 20 .
- FIG. 9 is a flow chart illustrating a method for setting a power level output of a field unit based on an estimated path loss according to the principles of the present invention.
- Step 900 indicates an entry point into the flow chart.
- field unit 14 monitors pilot channel 44 for reference signals 710 .
- the field unit determines a power level at which reference signals 710 are received using a power detector circuit and pilot correlation filters.
- step 920 paging channel 41 is monitored by a field unit 14 for messages transmitted from base station 20 .
- message A is received on paging channel 41 and decoded to determine an effective radiated power level at which reference signals 710 are being transmitted from base station 20 .
- a path loss is estimated between the base station and field unit 14 in step 930 .
- the path loss is estimated by computing the difference between the power level at which reference signal 710 is transmitted from base station 20 and a power level at which reference signal 710 is received at field unit 14 .
- Message B is subsequently received at field unit 14 in step 940 .
- This message preferably includes information indicating a desired power level at which messages are to be received at base station 20 .
- field unit 14 determines a power output setting for field unit 14 so that a message is received at the desired power level at base station 20 in step 950 . More specifically, it is presumed that an actual path loss from the field unit 14 to base station is approximately the same as the calculated path loss between the base station and field unit 14 based on measurements of reference signal 710 . Thus, an appropriate power output level of field unit 14 can be determined by adding the estimated path loss to the desired power level setting to determine a power output setting for field unit 14 . Consequently, this power output setting of a field unit 14 should be a reasonable starting point for attempting to transmit an initial message to base station 20 .
- field unit 14 transmits message C such as an access request message to base station 20 over access channel 51 .
- message C such as an access request message
- base station 20 measures a received power level of message C at base station 20 . This received power level is then compared to the desired power level so that feedback can be provided to field unit 14 indicating how to adjust its power output level so that subsequent messages are received at the desired power level.
- field unit 14 monitors paging channel 41 for an ACK message indicating that base station 20 properly received message C. If an ACK is not received in step 970 , the power output level of a field unit 14 is increased in step 975 and the message is subsequently re-transmitted in step 960 . This loop of increasing power generally repeats until base station 20 acknowledges receipt of the message.
- step 970 process flow continues at step 980 in which additional messages are received from base station 20 indicating whether the message transmitted in step 950 was received at the desired power level.
- additional messages can be transmitted to a field unit 14 indicating how to adjust its power output level so that subsequent messages are received at the desired power level at base station 20 . Consequently, the output power level of the field unit 14 is adjusted accordingly for subsequent message transmissions.
Landscapes
- Engineering & Computer Science (AREA)
- Computer Networks & Wireless Communication (AREA)
- Signal Processing (AREA)
- Databases & Information Systems (AREA)
- Mobile Radio Communication Systems (AREA)
- Small-Scale Networks (AREA)
- Selective Calling Equipment (AREA)
- Communication Control (AREA)
Abstract
Description
- This application is a continuation application of U.S. application Ser. No. 09/792,870 filed on Feb. 23, 2001 which claims the benefit of U.S. Provisional Application No. 60/184,223 filed on Feb. 23, 2000, the entire teachings of which is incorporated herein by this reference.
- A specific protocol has been developed for allowing multiple users to transmit over a shared radio channel. For example, the IEEE (Institute of Electrical and Electronics Engineers) 802.11 Standard generally supports access to radio channels based on a method known as Carrier Sense Multiple Access with Collision Avoidance (CSMA/CA).
- In simple terms, this method is based on a “listen before talk” scheme. A transmitter device monitors traffic on a shared radio channel to determine if another transmitter device is presently transmitting on the same channel. If the radio channel is in use, the transmitter device will continue to monitor the channel until it is clear. When the radio channel is finally clear, the transmitter will then transmit over the radio channel.
- Ideally, another transmitter device will not simultaneously transmit during the same time. However, a collision can occur on the radio channel when two or more transmitter devices transmit on the radio channel simultaneously. Consequently, neither message transmission would be intelligible and both transmitter devices must re-transmit their messages again to a corresponding target device.
- Based on this CSMA/CA scheme, re-transmission of data due to a collision cannot occur before a minimum time gap. After the minimum time gap has passed, the transmitter device selects a random “backoff interval,” which is the wait time before the radio channel is again monitored to determine whether the radio channel is clear to transmit. If the channel is still busy, another shorter “backoff interval,” is selected for a subsequent message transmission. This process is repeated until the transmitter device is able to transmit data.
- Another standard for transmitting data on a shared radio channel is based on IS-95, in which multiple field units can transmit at the same time.
- The IS-95 standard suggests a method of ramping RF power of a field unit until a message from the field unit is transmitted at a power level that is detectable at a base station. According to this method, a field unit transmits an access request message to a base station for the assignment of wireless resources on a reverse link.
- After transmitting an access request message on an access channel, the field unit monitors a paging channel for an acknowledgment message from the base station indicating that the access request message was properly received. If no acknowledgment message is sent to the requesting field unit, it is presumed that the message from the field unit was not transmitted at an appropriate power level. That is, the power output level of the field unit is so low that the base station did not detect a previously transmitted access request message. The access request message is then re-transmitted over the access channel at a higher power level.
- This process is subsequently repeated until the field unit transmits a message at a power level that is high enough for the base station to properly receive the message. Similar to the IEEE 802.11 standard, a collision can occur on the shared radio channel when two or more field units simultaneously transmit a message.
- The present invention is generally directed towards an apparatus and method for enhancing the utilization of resources in a wireless communication system. In an illustrative embodiment, a reference signal is transmitted from a first transceiver to a second transceiver or group of target transceivers. The first transceiver also transmits a first message, which includes information indicating an effective radiated power level at which the first transceiver transmits the reference signal. The received power level of the reference signal is then measured at the second transceiver to estimate a path loss between the first transceiver and second transceiver. More specifically, a path loss can be calculated by comparing the received power level of the reference signal with the effective radiated power level information as indicated by the first message.
- A second message is optionally sent from the first transceiver to the second transceiver. This second message can include information indicating a desired power level at which subsequent messages in a reverse direction should be received at the first transceiver.
- In certain applications, the forward path loss between the first transceiver and second transceiver is approximately the same as a reverse path loss for message transmissions from the second transceiver back to the first transceiver. Consequently, the second transceiver can adjust its power output level so that the first transceiver receives a message at the desired power level taking into account the estimated path loss as previously discussed. Of course, the path loss can be different in the reverse link direction than that of the forward link and an estimated power setting at which the second transceiver transmits a message can be a starting point for transmitting subsequent messages. For example, the power output level of the second transceiver can be increased for subsequent message transmissions until the first transceiver detects the message.
- In a specific application of the present invention, the reference signal is transmitted over a pilot channel of a CDMA (Code Division Multiple Access) communication system. The reference signal itself optionally includes a marker such as pilot symbols that are monitored at a second transceiver. The first message as transmitted by the first transceiver can be transmitted over a paging channel, while a reply message from the second transceiver to the first transceiver can be transmitted over an access channel in which multiple transceivers compete to transmit messages to the first transceiver. The access channel is optionally divided into time slots in which a transceiver sends a message to the first transceiver.
- One message type that can be transmitted on the access channel is an access request message. Such a message is an indication to the first transceiver that a more formal communication link should be established between the first transceiver and second transceiver. Consequently, the more formal communication link can be allocated to support more efficient, on-demand data transfers.
- An access request message is optionally encoded so that it includes timing alignment information. For example, the first transceiver can analyze a reply message such as an access request message including a timing marker and provide feedback indicating whether the reply is appropriately transmitted within a time slot. Other types of reply messages can also include a reference marker for timing alignment. In one application, a reference marker is a string including pilot information such as one or multiple pilot symbols.
- In addition to monitoring the timing of a reply message, the received power level of a reply message can be monitored to determine whether a transceiver is transmitting a message so that it is received at a desired power level. This can be achieved by comparing a power level at which a reply message is received to a desired power level at which the reply message should be received. Based on this comparison, a power adjustment message is optionally transmitted to a corresponding target transceiver. Thus, subsequent message transmissions from a second transceiver to the first transceiver can be optimally adjusted based on operating conditions of the wireless communication system at an instant in time.
- Certain aspects of the present invention reduce co-channel interference and generally increase the throughput capability of a wireless communication system. As previously discussed, an initial power output level of a field unit can be adjusted so that it minimally interferes with others when it initially transmits messages or transmits subsequent messages. When message transmissions on an allocated channel such as an access channel are minimized, more wireless resources can otherwise be allocated for supporting higher speed data transfers in a wireless communication system.
- Of course, the initial power output level of a field unit can be so low that a message transmission is not detected at a target device such as a base station. In this case, a power output level can be increased accordingly for subsequent message transmissions until the message is detected at a target transceiver. This process of incrementally increasing the power level can be a time consuming process, especially if the power output of the transceiver were to start transmitting at a lowest possible power level. Thus, it can take a considerable amount of time to successfully transmit a message to a target receiver such as a base station.
- The principles of the present invention can be used to simultaneously reduce the effective time it takes to transmit a message to a base station while minimally interfering with other channels of the wireless communication system. This is achieved, at least in part, by approximating a path loss between a field unit and base station and transmitting a message from the field unit so that a message is received at a desired power level at the base station. Since the initial power setting of the field unit is approximately set to a detectable power level for data transmissions to a target receiver, it typically requires less time to transmit an initial message to a target receiver when power is incrementally increased so that a message is eventually detected.
- FIG. 1 is a bock diagram of an illustrative wireless communication system according to certain principles of the present invention.
- FIG. 2 is a timing diagram illustrating multiple channels on which messages are transmitted according to certain principles of the present invention.
- FIG. 3 is a timing diagram illustrating a use of data fields within a time-slotted channel according to certain principles of the present invention.
- FIG. 4 is a pictorial diagram illustrating details of a message according to certain principles of the present invention.
- FIG. 5 is a flow chart for processing messages at a target receiver according to certain principles of the present invention.
- FIG. 6 is a flow chart for transmitting messages to a target receiver according to certain principles of the present invention.
- FIG. 7 is a timing diagram illustrating multiple channels on which messages are transmitted according to certain principles of the present invention.
- FIG. 8 is a diagram of a monitored reference signal according to certain principles of the present invention.
- FIG. 9 is a flow chart for setting an initial power output level of a transmitter device according to certain principles of the present invention.
- The foregoing and other objects, features and advantages of the invention will be apparent from the following more particular description of preferred embodiments of the invention, as illustrated in the accompanying drawings in which like reference characters refer to the same parts throughout the different views. The drawings are not necessarily to scale, emphasis instead being placed upon illustrating the principles of the invention.
- A description of preferred embodiments of the invention follows.
- FIG. 1 is a block diagram illustrating a wireless communication system supporting the transmission of data information over multiple allocated communication channels according to certain aspects of the present invention. As in many wireless communication systems, users compete for wireless bandwidth allocation. Hence, it is desirable that the
wireless communication 10 is optimized for data throughput and, in certain applications, hi-speed bursts of data throughput. - Certain aspects of the present invention are based on the recognition that the power output of a field unit transmitting over a wireless channel can be controlled so that it minimally interferes with other field units using the same general wireless airspace. In particular, a power output level of a newly transmitting field unit is initially set so low that a base station may not detect messages transmitted by the field unit. This initially low power setting of a field unit reduces co-channel interference because the transmitter device is not transmitting at excessive power levels. During subsequent communication attempts with the base station, the power output of a field unit is then ramped up until messages are acknowledged at the base station.
- In one application, one or multiple field units randomly transmit messages on a first allocated channel. When two field units transmit a message simultaneously on this first allocated channel, there can be a message collision at the base station. The base station may be able to detect that a message was transmitted by a field unit and there was a message collision. However, the base station may not be able to decipher the contents of the message and determine from which field unit transmitted a message. Thus, in certain situations, the base station can not transmit a message directed specifically to a particular field unit indicating that a collision occurred for a previous message transmission.
- One aspect of the present invention involves providing general feedback information to the field units indicating that a collision was detected. Consequently, a previous undetected message can be re-transmitted by a field unit. If there was no collision detected and no acknowledgment received by the filed unit, the field unit can successively ramp up its power output setting for subsequent message transmission attempts to ensure that a message will eventually be acknowledged by the base station.
- According to the following description of a preferred embodiment,
communication system 10 is described as a wireless communication link such as a CDMA radio channel utilizing shared channel resources. However, it should be noted that the techniques described herein can be applied in other applications supporting shared access. For example, the principles of the present invention can be applied to other general applications such as telephone connections, computer network connections, cable connections, or other physical media to which allocation of resources such as data channels are granted on an as-needed basis. - As shown,
communication system 10 includes a number of Personal Computer (PC) devices 12-1, 12-2, . . . 12-h, . . . 12-m, corresponding field units or terminals 14-1, 14-2, . . . 14-h, . . . 14-m, and associated directional antenna devices 16-1, 16-2, . . . 16-h, 16-m. Centrally located equipment includes abase station antenna 18, and acorresponding base station 20 that includes high speed processing capability. -
Base station 20 and related infrastructure provides connections to and from anetwork gateway 22,network 24 such as the Internet, andnetwork file server 30.Communication system 10 is preferably a demand access, point to multi-point wireless communication system such that thePC devices 12 can transmit data to and receive data fromnetwork server 30 based on a logical connection including bi-directional wireless connections implemented overforward links 40 andreverse links 50. That is, in the point to multi-point multiple accesswireless communication system 10 as shown, a givenbase station 20 typically supports communication with a number ofdifferent field units 14 in a manner which is similar to a cellular telephone communication network. Accordingly,system 10 can provide a framework for a CDMA wireless communication system where digital information is relayed on-demand between multiple mobile cellular users and ahardwired network 24 such as the Internet. -
PC devices 12 are typically laptop computers, handheld units, Internet-enabled cellular telephones, Personal Digital Assistant (PDA)-type computers, digital processors or other end user devices, although almost any type of processing device can be used in place ofPC devices 12. One ormultiple PC devices 12 are each connected to arespective subscriber unit 14 through a suitable hard wired connection such as an Ethernet-type connection viacable 13. - Each
field unit 14 permits its associatedPC device 12 access tonetwork file server 30. In thereverse link 50 direction, that is, for data traffic transmitted from thePC 12 towards theserver 30, thePC device 12 transmits information tofield unit 14 based on, for example, an Internet Protocol (IP) level network packets. Thefield unit 14 then encapsulates the wired framing, i.e., Ethernet framing, with appropriate wireless connection framing so that data packets can be transmitted over the wireless link ofcommunication system 10. Based on a selected wireless protocol, the appropriately formatted wireless data packet then travels over one of the radio channels that comprise thereverse link 50 throughfield unit antenna 16 tobase station antenna 18. At the central base station location, thebase station 20 then extracts the radio link framed data packets and reformats the packets into an IP format. The packets are then routed throughgateway 22 and any number or type ofnetworks 24 to an ultimate destination such as anetwork file server 30. - In one application, information generated by
PC device 12 is based on a TCP/IP protocol. Consequently, aPC device 12 has access to digital information such as web pages available on the Internet. It should be noted that other types of digital information can be transmitted over channels ofcommunication system 10 based on the principles of the present invention. - Data information can also be transferred from the
network file server 30 toPCs 12 onforward link 40. In this instance, network data such as IP (Internet Protocol) packets originating atfile server 30 travel onnetwork 24 throughgateway 22 to eventually arrive atbase station 20. As previously discussed for reverse link data transmissions, appropriate wireless protocol framing is then added to raw data such as IP packets for communication of the packets over wirelessforward link 40. The newly framed packets then travel via an RF signal throughbase station antenna 18 andfield unit antenna 16 to the intendedtarget field unit 14. An appropriatetarget field unit 14 decodes the wireless packet protocol layer, and forwards the packet or data packets to the intendedPC device 12 that performs further processing such as IP layer processing. - A given
PC device 12 andfile server 30 can therefore be viewed as the end points of a logical connection at the IP level. Once a connection is established between thebase station processor 20 andcorresponding field unit 14, a user at thePC device 12 can then transmit data to and receive data fromfile server 30 on an as-needed basis. -
Reverse link 50 optionally includes different types of logical and/or physical radio channels such as anaccess channel 51, multiple traffic channels 52-1, . . . 52-m, and amaintenance channel 53. The reverselink access channel 51 is typically used by thesubscriber units 14 to request an allocation of traffic channels by thebase station 20. For example,traffic channels 52 can be assigned to users on an as-needed basis. The assignedtraffic channels 52 in thereverse link 50 then carry payload data fromfield unit 14 tobase station 20. - Notably, a given link between
base station 20 andfield unit 14 can have more than onetraffic channel 52 assigned to it at a given instant in time. This enables the transfer of information at higher rates. -
Maintenance channel 53 can be used to carry maintenance information such as synchronization and power control messages to further support transmission of digital information over bothreverse link 50 andforward link 40. - Forward link 40 can include a
paging channel 41, which is used bybase station 20 to inform afield unit 14 of general information such as that one or multiple forward link traffic channels 42 have been allocated to it for forward link data transmissions. Traffic channels 42-1 . . . 42-n on theforward link 40 are used to carry payload information frombase station 20 to a correspondingtarget subscriber unit 14. -
Maintenance channel 43 can be used to transmit synchronization and power control information onforward link 40 frombase station processor 20 tofield units 14. Additionally,paging channel 41 can be used to inform afield unit 14 of allocatedtraffic channels 52 in thereverse link 50 direction. - Traffic channels 42 of the
forward link 40 can be shared amongmultiple subscriber units 14 based on a Time Division Multiplexing scheme. Specifically, a forward link traffic, channel 42 is optionally partitioned into a predetermined number of periodically repeating time slots for transmission of data packets from thebase station 20 tomultiple subscriber units 14. It should be understood that a givensubscriber unit 14 can, at any instant in time, have multiple time slots or no time slots assigned to it for use. In certain applications, an entire time-slotted forward or reverse link traffic channel can also be assigned for use by aparticular field unit 14 on a continuous basis. - FIG. 2 is a timing diagram illustrating multiple channels on which messages are transmitted between a
base station 20 andfield units 14 according to certain principles of the present invention. As shown,field units 14 can transmit messages tobase station 20 over a dedicated channel such asaccess channel 51.Access channel 51 supports a transmission of access request messages from afield unit 14 tobase station 20. An access request message can indicate a request byfield unit 14 for a high speed bi-directional communication link. - Message transmissions over
access channel 51 need not be limited to access request type messages. For example,access channel 51 can be structured to support other types of messages. - In the illustrative timing diagram as shown in FIG. 2,
access channel 51 is optionally partitioned into periodically repeatingtime slots 210 in which messages are transmitted from afield unit 14 tobase station 20. More specifically, an Epoch on the order of 26.6 mS in duration can be partitioned to includetime slot # 0 andtime slot # 1 as shown. In this application, a field unit ormultiple field units 14 can randomly send messages tobase station 20 in either time slot of an Epoch. Providingmultiple time slots 210 in which afield unit 20 can transmit a message renders it less likely that two randomly transmittingfield units 14 will transmit a message in asame time slot 210. Depending on an application, afield unit 14 can be synchronized withbase station 20 usingpilot channel 44 so that messages can be transmitted in aparticular time slot 210. - When a collision occurs, i.e., two
field units 14 transmit a message in thesame time slot 210, a devicemonitoring access channel 51 for such messages may not be able to properly decode or decipher the content of either transmitted message. An indication of this condition is transmitted tofield units 14. -
Feedback channel 45 is provided so thatbase station 20 can sendfeedback messages 230 tofield units 14. At least a portion of thefeedback channel 45 as shown is reserved for transmitting general messages to thecollective field units 14 whether or not a message collision occurred onaccess channel 51 in a previous Epoch and, more particularly, that a message occurred in aparticular time slot 210. - A
feedback message 230 is optionally a sequence of encoded information or single bit indicating whether a collision occurred for a message transmitted tobase station 20 in atime slot 210. As shown,multiple feedback messages 230 can be generated during a given time duration such as an Epoch or half Epoch. For example, feedback information such asfeedback messages 230 can be transmitted in duration A of Epoch N+1 to indicate that a collision occurred for the reception of amessage 210 intime slot # 0 of Epoch N atbase station 20. More specifically, alogic 1 transmitted in each of threefeedback messages 230 of duration A can indicate that a collision was detected while alogic 0 setting can indicate that no collision was detected. - Transmitting multiple, spaced
feedback messages 230 as shown for duration A provides redundancy to some extent. For example,multiple messages 230 transmitted in a given duration, such as duration A, can be part of a redundantly transmitted message to increase the chance that afield unit 14 will be properly notified whether a collision occurs. Hopefully, at least one of themultiple feedback messages 230 can be identified at afield unit 14 even if a message transmission failure occurs for some of themessages 230 in, for example, duration A. - In a similar manner as previously discussed,
feedback messages 230 offeedback channel 45 transmitted in duration B of Epoch N+1 can indicate whether a message collision is detected intime slot # 1 of Epoch N as monitored bybase station 20. - In a reverse link direction, a message transmitted by a
field unit 14 tobase station 20 onaccess channel 51 includes unique information such as the identification number of thefield unit 14 transmitting the message. In forward link direction,paging channel 41 supports message transmissions frombase station 20 tofield units 14, where the message transmissions are typically directed to aspecific field unit 14. Thus,base station 20 can respond to afield unit 14 that sent a message onaccess channel 51 by transmitting a reply message to thefield unit 14 overpaging channel 41. Other link information forwarded on thepaging channel 41 can be forwarded to afield unit 14 to establish a formal bidirectional link betweenbase station 20 andfield unit 14. - One type of message transmitted on
paging channel 41 is an ACK (acknowledgment)message 240.ACK messages 240 are sent bybase station 20 to indicate that a message received in atime slot 210 ofaccess channel 51 was properly received. Similar to thefeedback messages 230 onfeedback channel 45, ACK messages transmitted to afield unit 14 are also feedback messages. However, anACK message 240 indicates that a previous access request message transmitted by afield unit 14 was properly received.ACK message 240 can also indicate that a formal communication link will be established with the access requestingfield unit 14. For instance, traffic channels can be assigned tofield unit 14 for transmitting or receiving a data payload. - It should be noted that
field units 14 optionally transmit at such a low power output level that messages transmitted in aparticular time slot 210 are not detected atbase station 20. In this instance, afield unit 14 can adjust its power output level for a subsequent message transmission based on feedback information received frombase station 20. More specifically, afield unit 14 can adjust its power output level depending on afeedback message 230 orACK message 240 received onfeedback channel 45 orpaging channel 41 respectively. Accordingly, the power output level of afield unit 14 can be optimized so that it minimally interferes withother field units 14 transmitting information over a common radio frequency. - Although other message types can be supported, the messages transmitted in a
time slot 210 ofaccess channel 51 are typically access request messages indicating that afield unit 14 would like to receive or transmit data payload information on reverselink traffic channels 52 or forward traffic channels 42. - One aspect of adjusting the power output of a
field unit 14 is to determine whether or not a collision was detected for a previous message transmission from thefield unit 14 tobase station 20. For example, if a collision is not detected for a previously transmitted message from aparticular field unit 14, the power output level for a subsequent message transmission from thefield unit 14, if any, can be increased so thatbase station 20 is more likely to detect the message transmission. More specifically, the power output level of afield unit 14 can be increased a predetermined amount such as +0.5 dB for a subsequent message transmission if no collision was detected for a previous message transmission. - In the event that a message transmission by a
field unit 14 does result in a collision due tomultiple field units 14 transmitting in asame time slot 210, the power output level of thefield unit 14 can be unchanged or potentially reduced for a subsequent message transmission since it is not known whether the message transmission by afield unit 14 would have otherwise been detected atbase station 20 if only onefield unit 14 transmitted a message within aparticular time slot 210. Hence, one aspect of the present invention involves adjusting the power output level of afield unit 14 so that it minimally interferes with others using the same radio channel. - This method of transmitting messages can be particularly useful when a user first powers a
field unit 14 and must communicate withbase station 20. For example, it is undesirable in certain situations to transmit a message at such a high power output level that such message transmissions cause other data transmissions on the radio channel to become corrupted due to excessive noise. - In a similar manner as previously discussed, the power output level of a
field unit 14 can be adjusted depending on whetherbase station 20 acknowledges receipt of a message onaccess channel 51. Thus, iffield unit 14 does not detect areply ACK message 240, the power output level offield unit 14 can be increased for subsequent message transmissions. - A maximum power adjustment level such as 60 dBm can be selected in which the
field unit 14 will discontinue transmitting if no ACK message is received even at this level. - A more sophisticated application of the present invention can involve adjusting a power output level of a
field unit 14 depending on both afeedback message 230 indicating whether a collision was detected and anACK message 240 indicating that an access message was acknowledged bybase station 20. More specifically, afield unit 14 can adjust its power output level for subsequent message transmissions if no collision is detected and no ACK message is received for a previously transmitted message from afield unit 14. Otherwise, thefield unit 14 can re-transmit at a previous power output level. - Regardless of which method is used to adjust the power output level, the power level setting at which
base station 20 acknowledges receipt of a message from afield unit 14 can be used to determine power level settings at which thefield unit 14 must transmit other information tobase station 20. For example, a message from afield unit 14 can be transmitted using a particular modulation rate during the initial message transmission. The power output level of subsequent transmissions from thefield unit 14 can be adjusted to accommodate transmitting messages at different modulation rates. For example, it can be determined at what power level a field unit should transmit on allocated traffic channels using a different modulation rate. A history of the power level output adjustments are optionally maintained to track power adjustments and determine at what power level a monitoring device such asbase station 20 detects the transmission of a message. - As previously discussed, one aspect of the present invention involves re-transmitting a message from a
field unit 14 so that it can be detected atbase station 20. A re-transmission is optionally based on a random back off time so that a collision is less likely to occur on a subsequent attempt to transmit a message. - Consider a situation where two or
more field units 14 transmit a message overaccess channel 51 and a collision is detected atbase station 20. As previously discussed, a feedback message will be transmitted to thefield units 14 indicating that a collision occurred. Bothfield units 14 must then re-transmit their corresponding messages tobase station 20. - To avoid another collision, the
field units 14 randomly choose a back off time relative to the previous message transmission in which the collision occurred and transmit in anothertime slot 210. For example, if field unit A and field unit B transmit a message intime slot # 0 of Epoch N, field unit A will choose a back off time such as 3 Epochs and re-transmit a message tobase station 20 intime slot # 1 of Epoch N+3 while field unit B re-transmits a message based on a random back off time intime slot # 0 of Epoch N+2. Accordingly, field units A and B are less likely to cause another collision for a message re-transmission. - FIG. 3 is a timing diagram illustrating another embodiment of the present invention for transmitting feedback messages to
field units 14. Anaccess channel 51 is partitioned so that afield unit 14 can transmit an access probe or other message in atime slot 345. As shown,feedback channel 355 is partitioned to include 64 timeslots TS# 0,TS# 1,TS# 2 . . .TS# 63 that repeat every Epoch. - Each time slot 315 of
feedback channel 355 preferably includes a data field supporting 16 bits of information. In the specific application as shown, ten bits of information are reserved for a general message, one bit is reserved as a collision detectbit 325 and five bits are reserved for CRC (Cyclical Redundancy Check)data 328.General message 320 is optionally a message directed to aparticular field unit 14. For example, each ofmultiple field units 14 can be assigned use of a particular time slot 315 for receiving feedback information frombase station 20 tofield units 14. When assigned, acorresponding field unit 14 monitors an appropriate time slot 315 to receive messages frombase station 20. One type of specific message in a time slot 315 is feedback information to afield unit 14 indicating how its timing or power should be adjusted so that messages transmitted from afield unit 14 are properly received atbase station 20. - Time slots 315 are optionally unassigned and the message itself can include an address to which field unit 14 a message is directed. Thus, in a modified embodiment, feedback messages can be transmitted asynchronously to a
field unit 14. - Collision detect
bit 325 in a time slot 315 is a single bit indicating whether a collision occurred in a monitoredtime slot 345. More specifically, collision detectbits 325 of timeslot TS# 0,TS# 1 . . .TS# 31 of Epoch M can be used to indicate that a collision occurred in accessprobe slot # 0 of Epoch M−1. Accordingly, this string of individual collision detectbits 328 over multiple time slots can be set to a same logic state indicating that a collision was detected. - In a similar manner, TS#32, TS#33 . . .
TS# 63 of Epoch M can be set appropriately to indicate whether a collision occurred on accessprobe slot # 1 of Epoch M−1. Thus, amonitoring field unit 14 can determine whether a collision occurred atbase station 20 based on a single bit, a sequence of multiple bits, or a sequence of spaced bits. -
CRC data 328 is also provided in afeedback message 360. TheCRC data 328 is optionally decoded at thefield unit 14 to ensure that amessage 360 is properly received at afield unit 14 and, more specifically, that a particular collision detectbit 325 is properly received. Other methods can also be used to ensure and verify that a message and data is properly received atfield unit 14. For example, a message can be transmitted based on an FEC (Forward Error Correction) code. - FIG. 4 is a diagram illustrating a format for transmitting messages over the access channel from a field unit to a target receiver according to the principles of the present invention.
- In one application,
message 410 is transmitted by afield unit 14 overaccess channel 51 and includes two parts. As shown, a first part orpreamble 415 ofmessage 410 is a coded message indicating a request by thefield unit 14 for a communication link. Eachfield unit 14 can transmit amessage 410 having a commonly codedpreamble 415. Thus, if twofield units 14 transmit a message including thesame preamble message 415,base station 20 can determine that at least apreamble message 415 was sent by at least onefield unit 14. That is, thepreamble message 415 as transmitted by one field unit can overlap with thepreamble message 415 as transmitted by anotherfield unit 14 whenmultiple messages 410 are transmitted in the same time slot. -
Message 410 optionally includes adata payload 420 that is transmitted tobase station 20. In one application,data payload 420 includes the serial number of thefield unit 14 transmittingmessage 410. Typically, some form of redundancy check information such as CRC data is included withmessage 410 so thatbase station 20 can determine whethermessage 410 is properly received without errors. - If
message 410 is received without errors,base station 20 can respond accordingly to establish a link with afield unit 14 and transmit a “non-collision” message onfeedback channel 45 to thefield units 14. Alternatively, ifmessage 410 includes an errorfree preamble 415 but improperly receiveddata payload information 420,base station 20 can deduce that two or more transmitters sent a message at the same time. A collision detection message is then transmitted overfeedback channel 45 indicating that a collision occurred. Thus, a target receiver such asbase station 20monitoring messages 410 can provide valuable feedback to multiple transmittingfield units 14 whether a message collision occurs. - Another aspect of the present invention involves coding a
preamble 415 usingpilot block 53 and Barker code block 54. Based on this coding or use of a sequence of symbols, afield unit 14 can transmit amessage 410 tobase station 20. - As shown, a
preamble message 415 can include fourpilot blocks 53 and four Barker code blocks 54. The Barker code blocks 54assist base station 20 identify a point wherepreamble 415 of amessage 410 starts. In other words, the information in thepreamble 415 can be used for timing purposes at thebase station 20 to asynchronously receive a message. Thus, it is not necessary that afield unit 14 transmit amessage 410 in atime slot 210 becausebase station 20 can be modified to receive asynchronous messages. - However, in an application where
messages 410 include Barker code blocks 54 that are transmitted in atime slot 210,base station 20 can identify a receivedmessage 410 even if a collision occurs because thepreamble 415 of amessage 410 simultaneously transmitted bymultiple field units 14 in a time slot will overlap and, thus, will be detectable atbase station 20. - Each
pilot block 53 includes a number of repeating pilot symbols. Preferably, a pilot block includes 48 symbols that are used by a target receiver to decodemessage 410. - The second portion of a
message 410 can include adata payload 420 that is sent tobase station 20. Preferably, pilot symbols are also inserted in thedata payload 420 portion ofmessage 410 for assisting in coherent demodulation of-data at a target receiver. Pilot symbols typically include a series of positive data bits and therefore do not themselves inherently include timing information. - A Barker code block 54 as shown includes a predetermined pattern of bit information. Use of BPSK (Binary Phase Shift Keying) can be used to generate a
positive barker sequence 450, +B, such as three positive bits, followed by three negative bits, a positive bit, a pair of negative bits, a positive bit and then a negative bit respectively. A Barker code sequence can alternatively be negative such as a negative Barker sequence, −B, further assisting in message processing at a monitoring device. Further details for processingmessage 410 including pilot blocks 53 and Barker code blocks 54 can be found in co-pending U.S. patent application Ser. No. 09/766,875 filed on Jan. 19, 2001 entitled “Access Channel Structure for Wireless Communication System,” the entire teachings of which are incorporated herein by reference. - FIG. 5 is a flow chart illustrating a process for monitoring a channel for messages according to the principles of the present invention.
-
Step 500 generally indicates an entry point into the flow chart. Instep 510, anaccess channel 51 is monitored for message transmissions such as access request messages transmitted by afield unit 14. It is then determined instep 520 whether the message includes a Barker code or an appropriately receivedpreamble 415 of amessage 410. If no Barker code orpreamble 415 is detected instep 520, process flow resumes atstep 510 again. Alternatively, if a Barker code is detected instep 520, themessage 410 is further analyzed to determine if a collision occurs in a time slot. That is, it is determined whether at least a portion of data in a receivedmessage 410 is corrupted. - One way to determine if a message collision occurs is to verify that data in a
message 410 was properly received. This can be achieved by analyzing the receivedmessage 410 according to redundancy check information. If the data in amessage 410 is not properly received atbase station 20, a feedback message is transmitted bybase station 20 overfeedback channel 45 indicating that a collision was detected for a previous access request message instep 540. Followingstep 540, process flow resumes again atstep 510. - If a collision is not detected for a particular message in
step 530, themessage 410 is analyzed to determine which ofmultiple field units 14 sent the message. Following instep 550, anACK message 240 is sent to the requestingfield unit 14 over thepaging channel 41. Also, a message is sent over thefeedback channel 45 indicating that no message collision occurred for the correspondingprevious time slot 210 ofaccess channel 51. Finally, a more formal link is established with the access requesting field unit instep 560. - FIG. 6 is a flow chart illustrating a process flow at a field unit for transmitting a message to a target receiver according to the principles of the present invention. Step 600 generally indicates an entry point into the flow chart.
- In
step 620, the status offield unit 14 is monitored for an input by a user indicating that thefield unit 14 desires to establish a communication link with a target receiver such asbase station 20. It is then determined instep 620 whether the input indicates that afield unit 14 desires to establish a communication link. If not, process flow again resumes atstep 610. If so,field unit 14 transmits an access request message on theaccess channel 51 instep 630. Thereafter, thefeedback channel 45 is monitored by afield unit 14 instep 640 for feedback information such as collision detection messages. - If a collision is detected for a previous transmission by a
field unit 14 instep 650, process flow continues atstep 660 where the power output level is not adjusted for thefield unit 14 and amessage 410 is subsequently re-transmitted instep 630. If a collision is not detected instep 650 as indicated by a collision feedback message, it is determined instep 670 whether anACK message 240 is received at thefield unit 14 overpaging channel 41. If so, a link is established between thefield unit 14 andbase station 20 instep 690. If not, the power output level of thefield unit 14 is increased instep 680 and process flow continues atstep 630 to re-transmit a message from thefield unit 14 tobase station 20. - FIG. 7 is a timing diagram illustrating multiple channels on which messages are transmitted among transceivers according to the principles of the present invention.
- As previously discussed, one aspect of the present invention involves setting a
field unit 14 to an initial power level so that it minimally interferes with other users during a message transmission. Since power is ramped up based on whether an access message is detected atbase station 20, it is preferable that the initial power level of the field unit is reasonably near a power level at whichbase station 20 will receive a message at a desired power level. Consequently, afield unit 14 will be able to transmit a message tobase station 20 and establish a more formal communication link in less time since a power level output offield unit 14 will need only minimal adjustments so that a message is received atbase station 20. - One method for initially setting a power output level of a
field unit 14 involves transmitting areference signal 710 onpilot channel 44 frombase station 20. Preferably, thereference signal 710 is transmitted at an appropriate power level so thatmultiple field units 14 in a wireless airspace monitoring thepilot channel 44 can identify thereference signal 710 and measure a power level at which it is received. In one application, reference signal includes pilot information such as a sequence of pilot symbols, where the pilot symbols are defined by PN (Pseudo Noise) codes. One or multiple pilot correlation filters infield unit 14 is used to detect the pilot symbols. - Each
field unit 14 monitoring thepilot channel 44 typically includes a power detector circuit to measure a power level of the receivedreference signal 710. For example, the power detector is used to measure the strongest pilot path of the receivedreference signal 710. This measurement is used to estimate a forward path loss betweenbase station 20 andfield unit 14. - The total received signal power level of the
reference signal 710 can be computed based on the sum of the magnitude squared of the I and Q channel. Power measurements are optionally filtered for providing a better estimate of a received power level under fading conditions. - As shown in FIG. 7, messages are transmitted on
paging channel 41 frombase station 20 tofield units 14. One such message is message A that includes information indicating a power level at whichreference signal 710 is transmitted frombase station 20. This value can be expressed in dBm that already takes into account the gain of the base station antenna. Thus, message A can include effective radiated power level information at whichbase station 20 transmitsreference signal 710. In harmony with the principles of the present invention, additional messages such as antenna gain information, offset information, correction information and general information can be transmitted to afield unit 14. -
Field unit 14 decodes message A to determine a power level at whichreference signal 710 is transmitted. The forward path loss betweenbase station 20 andfield unit 14 is then determined by comparing the received power level of thereference signal 710 atfield unit 14 with the effective radiated power level as indicated by message A. - The calculated forward path loss can then be used to estimate a reverse path loss between
field unit 14 andbase station 20. For example, the reverse path loss is estimated to be about the same as the forward path loss, although it is probably at least slightly different. This estimated path loss is used to determine an initial setpoint at which messages can be transmitted fromfield unit 14 tobase station 20. - Consider a case where
base station 20 transmits areference signal 710 at an effective radiated power level of 55 dBm. As discussed, this information is sent to fieldunits 14 via message A generally broadcasted on thepaging channel 41. If the received power level of thereference signal 710 is 22 dBm, the forward path loss is calculated as 55−22 dBm, or forward path loss=33 dBm. Based on this path loss, afield unit 14 can estimate a reasonable power output level for a subsequent attempt to transmit a message tobase station 20. - Additional messages can be sent on
paging channel 41 frombase station 20 tofield units 14. For example, message B is also generally transmitted to field units overpaging channel 41. Message B preferably includes encoded information indicating a desired power level at whichbase station 20 will receive subsequent messages from afield unit 14. This information can also be a specific message directed transmitted to aparticular field unit 14. Thus, afield unit 14 can use the information to estimate at what level a message should be transmitted so that a message is received at the desired power level. In a case where message B indicates a desired power level of 12 dBm and the forward path loss is approximately 33 dB as discussed,field unit 14 can attempt to transmit a message at 33+12 dBm, or 45 dBm, tobase station 20. - Notably, the reverse path loss may be much more than 33 dBm as estimated. In such a situation, base station would not necessarily detect a message transmitted by
field unit 14. As previously discussed, however, the power output setpoint of 45 dBm can be a starting point at which messages such as access request messages 750 are transmitted overaccess channel 51. If a collision is not detected atbase station 20 and noACK message 240 is received overpaging channel 41, the power output offield unit 14 can be increased by 1 dBm to 46 dBm for a subsequent attempt to transmit a message. This procedure of adjusting the power output level of afield unit 14 can be repeated until a message is detected atbase station 20. - Messages transmitted to
base station 20 can also be monitored to determine a power level at which a message is received from afield unit 14. To achieve this end, a message such as message C can include pilot information such as a pilot symbol or sequence of pilot symbols. Pilot correlation filters are then used to identify the strongest diversity path and side paths as shown in FIG. 8. One or multiple paths are then used to determine a power level at which the message is received atbase station 20 onaccess channel 51. To ensure that a message C is properly received, the message is analyzed for errors using error detection information such as CRC check bits. These and other aspects of invention were previously discussed in this specification. - After message C is properly received at
base station 20, a power adjustment message is generated atbase station 20 to indicate how thefield unit 14 should be adjusted so that subsequent messages tobase station 20 are received at a desired power level. For example, ifbase station 20 determines that a message is received at 23 dBm,base station 20 can send a message overpaging channel 41 indicating that the field unit should reduce its power output level for subsequent message transmissions so that a message from a field unit is received at a lower power level such as 12 dBm. - FIG. 8 is a graph illustrating a received diversity string for a pilot symbol according to the principles of the present invention. A received message such as
reference signal 710, message A, message B or message C can include a marker such as one or multiple pilot symbols that are monitored at a receiver to determine a power level of a received message. - Both
base station 20 andfield units 14 include pilot correlation filters for identifying a marker such as one or multiple pilot symbols in a transmitted message. This marker aids in analyzing both timing alignment and a received power level of a message. Incidentally, the diversity string illustrates the receipt of a marker in a message as a result of multipath fading. That is, a signal from a transmitter is received at a target at different times due to varying times it takes for the signal to reach the target over different paths between a transmitter and receiver. - Preferably, the strongest received diversity path will be designated as the time alignment string at
base station 20field unit 14 for analyzing the timing of a received message. Likewise, the single strongest path is preferably chosen to calculate a power level at which a message is received. However, additional paths are optionally used to determine a received power level of a message. - Timing alignment and a received power level of a message is determined using the correlation profile of the strongest pilot in a particular string, which is analyzed as mentioned using correlation filters. The output of the correlation filters typically consist of 256 samples, which represent 64 lags at 4 samples per lag. The 256 sample output-window represents the total correlation time span of a receiver device. This can vary depending on the application. Preferably, the time alignment point is
sample number 80 which allows 20 lags for precursor and 44 lags for post cursor channel information. - Generally, the computation of the time alignment error is based on a determination of where the centroid or peak lies in a given sample string. For example, each
field unit 14 transmitting in a time slot includes a marker, i.e., the peak signal, located at a predetermined position within a time slot. The strongest pilot path for the channel and 2 samples on either side of the main path, i.e., 1 and ¼ chips, is statistically analyzed to determine the centroid or peak of a marker within a time slot. Location of the centroid, L, of the samples in FIG. 6 is calculated based on the following equation: -
- Again, the timing alignment error is determined by comparing the timing of the computed centroid to the desired time set point of 80, which is chosen as the reference point for timing alignment within a time slot. Since the centroid in the example above is estimated to be 78.317, timing is early relative to the set point of 80. An appropriate message can be sent to
field unit 14 indicating how its timing should be finely tuned so that messages fromfield unit 14 are received at the appropriate time atbase station 20. In a similar manner, the diversity string of FIG. 8 can be analyzed to determine a power level at which a message is received. Thus, an appropriate message can be sent tofield unit 14 indicating how its power output level should be adjusted so that a message is received at a desired power level. - As mentioned, this technique can be used to detect a received power level of
reference signal 710 atbase station 20. - More details regarding timing alignment and power control between a
base station 20 and each ofmultiple field units 14 can be found in co-pending U.S. Application No. (2479.1067-001) entitled “Minimal Maintenance Link to Support Synchronization” filed on Feb. 7, 2001, and co-pending U.S. application Ser. No. 09/775,305 entitled “Maintenance Link Using Active/Standby Request Channels” filed on Feb. 1, 2001, the entire teachings of both of which are incorporated herein by reference. - FIG. 9 is a flow chart illustrating a method for setting a power level output of a field unit based on an estimated path loss according to the principles of the present invention.
-
Step 900 indicates an entry point into the flow chart. Following instep 910,field unit 14 monitorspilot channel 44 for reference signals 710. As previously discussed, the field unit determines a power level at which reference signals 710 are received using a power detector circuit and pilot correlation filters. - In
step 920,paging channel 41 is monitored by afield unit 14 for messages transmitted frombase station 20. As previously discussed, message A is received onpaging channel 41 and decoded to determine an effective radiated power level at which reference signals 710 are being transmitted frombase station 20. - Based on the detected power level of
reference signal 710 as received atfield unit 14 and corresponding effective radiated power level at which thereference signal 710 is transmitted frombase station 20, a path loss is estimated between the base station andfield unit 14 instep 930. Preferably, the path loss is estimated by computing the difference between the power level at whichreference signal 710 is transmitted frombase station 20 and a power level at whichreference signal 710 is received atfield unit 14. - Message B is subsequently received at
field unit 14 instep 940. This message preferably includes information indicating a desired power level at which messages are to be received atbase station 20. - Based on the desired power level at which messages are to be received at
base station 20 and the estimated path loss instep 930,field unit 14 determines a power output setting forfield unit 14 so that a message is received at the desired power level atbase station 20 instep 950. More specifically, it is presumed that an actual path loss from thefield unit 14 to base station is approximately the same as the calculated path loss between the base station andfield unit 14 based on measurements ofreference signal 710. Thus, an appropriate power output level offield unit 14 can be determined by adding the estimated path loss to the desired power level setting to determine a power output setting forfield unit 14. Consequently, this power output setting of afield unit 14 should be a reasonable starting point for attempting to transmit an initial message tobase station 20. - Also in
step 950,field unit 14 transmits message C such as an access request message tobase station 20 overaccess channel 51. Upon receipt,base station 20 measures a received power level of message C atbase station 20. This received power level is then compared to the desired power level so that feedback can be provided tofield unit 14 indicating how to adjust its power output level so that subsequent messages are received at the desired power level. - Following in
step 960,field unit 14monitors paging channel 41 for an ACK message indicating thatbase station 20 properly received message C. If an ACK is not received instep 970, the power output level of afield unit 14 is increased instep 975 and the message is subsequently re-transmitted instep 960. This loop of increasing power generally repeats untilbase station 20 acknowledges receipt of the message. - When an ACK is received in
step 970, process flow continues atstep 980 in which additional messages are received frombase station 20 indicating whether the message transmitted instep 950 was received at the desired power level. As discussed, information can be transmitted to afield unit 14 indicating how to adjust its power output level so that subsequent messages are received at the desired power level atbase station 20. Consequently, the output power level of thefield unit 14 is adjusted accordingly for subsequent message transmissions. - While this invention has been particularly shown and described with references to preferred embodiments thereof, it will be understood by those skilled in the art that various changes in form and details may be made therein without departing from the scope of the invention encompassed by the appended claims.
Claims (29)
Priority Applications (2)
| Application Number | Priority Date | Filing Date | Title |
|---|---|---|---|
| US10/401,115 US20040009785A1 (en) | 2000-02-23 | 2003-03-26 | Reverse link initial power setting using effective radiated power message to compute path loss |
| US13/963,115 US9661583B2 (en) | 2000-02-23 | 2013-08-09 | Reverse link initial power setting using effective radiated power message to compute path loss |
Applications Claiming Priority (3)
| Application Number | Priority Date | Filing Date | Title |
|---|---|---|---|
| US18422300P | 2000-02-23 | 2000-02-23 | |
| US09/792,870 US20030060224A1 (en) | 2000-02-23 | 2001-02-23 | Reverse link initial power setting using effective radiated power message to compute path loss |
| US10/401,115 US20040009785A1 (en) | 2000-02-23 | 2003-03-26 | Reverse link initial power setting using effective radiated power message to compute path loss |
Related Parent Applications (1)
| Application Number | Title | Priority Date | Filing Date |
|---|---|---|---|
| US09/792,870 Continuation US20030060224A1 (en) | 2000-02-23 | 2001-02-23 | Reverse link initial power setting using effective radiated power message to compute path loss |
Related Child Applications (1)
| Application Number | Title | Priority Date | Filing Date |
|---|---|---|---|
| US13/963,115 Continuation US9661583B2 (en) | 2000-02-23 | 2013-08-09 | Reverse link initial power setting using effective radiated power message to compute path loss |
Publications (1)
| Publication Number | Publication Date |
|---|---|
| US20040009785A1 true US20040009785A1 (en) | 2004-01-15 |
Family
ID=22676039
Family Applications (4)
| Application Number | Title | Priority Date | Filing Date |
|---|---|---|---|
| US09/792,410 Expired - Lifetime US6545994B2 (en) | 2000-02-23 | 2001-02-23 | Access probe acknowledgment including collision detection to avoid oversetting initial power level |
| US09/792,870 Abandoned US20030060224A1 (en) | 2000-02-23 | 2001-02-23 | Reverse link initial power setting using effective radiated power message to compute path loss |
| US10/401,115 Granted US20040009785A1 (en) | 2000-02-23 | 2003-03-26 | Reverse link initial power setting using effective radiated power message to compute path loss |
| US13/963,115 Expired - Fee Related US9661583B2 (en) | 2000-02-23 | 2013-08-09 | Reverse link initial power setting using effective radiated power message to compute path loss |
Family Applications Before (2)
| Application Number | Title | Priority Date | Filing Date |
|---|---|---|---|
| US09/792,410 Expired - Lifetime US6545994B2 (en) | 2000-02-23 | 2001-02-23 | Access probe acknowledgment including collision detection to avoid oversetting initial power level |
| US09/792,870 Abandoned US20030060224A1 (en) | 2000-02-23 | 2001-02-23 | Reverse link initial power setting using effective radiated power message to compute path loss |
Family Applications After (1)
| Application Number | Title | Priority Date | Filing Date |
|---|---|---|---|
| US13/963,115 Expired - Fee Related US9661583B2 (en) | 2000-02-23 | 2013-08-09 | Reverse link initial power setting using effective radiated power message to compute path loss |
Country Status (8)
| Country | Link |
|---|---|
| US (4) | US6545994B2 (en) |
| EP (3) | EP1266462A2 (en) |
| JP (6) | JP2004500769A (en) |
| KR (6) | KR100937731B1 (en) |
| CN (7) | CN100477857C (en) |
| AU (2) | AU2001239859A1 (en) |
| CA (2) | CA2401126C (en) |
| WO (2) | WO2001063781A2 (en) |
Cited By (29)
| Publication number | Priority date | Publication date | Assignee | Title |
|---|---|---|---|---|
| US20010036200A1 (en) * | 2000-02-07 | 2001-11-01 | Tantivy Communications, Inc. | Minimal maintenance link to support synchronization |
| US20020071409A1 (en) * | 1997-12-17 | 2002-06-13 | Tantivy Communications, Inc. | System and method for controlling signal strength over a reverse link of a CDMA wireless communication system |
| US20020080742A1 (en) * | 1997-12-17 | 2002-06-27 | Tantivy Communications, Inc. | System and method for maintaining timing of synchronization messages over a reverse link of a CDMA wireless communication system |
| US20020163898A1 (en) * | 1998-06-01 | 2002-11-07 | Tantivy Communications, Inc. | Fast acquisition of traffic channels for a highly variable data rate reverse link of a CDMA wireless communication system |
| US20030012165A1 (en) * | 2001-07-09 | 2003-01-16 | Koninklijke Philips Electronics N.V. | Aligning 802.11e HCF and 802.11h TPC operations |
| US20030096612A1 (en) * | 2001-11-22 | 2003-05-22 | Samsung Electronics Co., Ltd. | Method and apparatus for adaptive location registration in mobile station |
| US20040264576A1 (en) * | 2003-06-10 | 2004-12-30 | Woods John W. | Method for processing I-blocks used with motion compensated temporal filtering |
| US20050013284A1 (en) * | 1998-06-01 | 2005-01-20 | Tantivy Communications, Inc. | System and method for maintaining timing of synchronization messages over a reverse link of a CDMA wireless communication system |
| US20050043053A1 (en) * | 2003-08-21 | 2005-02-24 | Wen-Pin Lin | Monitoring and adjusting transmit power level(s) in a communications system |
| US20050078755A1 (en) * | 2003-06-10 | 2005-04-14 | Woods John W. | Overlapped block motion compensation for variable size blocks in the context of MCTF scalable video coders |
| WO2005078953A1 (en) * | 2004-02-18 | 2005-08-25 | Siemens Aktiengesellschaft | Method for regulating the output power of a radio access point |
| US20060018289A1 (en) * | 2002-09-27 | 2006-01-26 | Matthias Schulist | Requesting and controlling access in a wireless communications network |
| US20060193388A1 (en) * | 2003-06-10 | 2006-08-31 | Renssalear Polytechnic Institute (Rpi) | Method and apparatus for scalable motion vector coding |
| US20060270426A1 (en) * | 2005-04-21 | 2006-11-30 | Interdigital Technology Corporation | Method and apparatus for generating loud packets to estimate path loss |
| US20060274711A1 (en) * | 2000-02-07 | 2006-12-07 | Nelson G R Jr | Maintenance link using active/standby request channels |
| US20070223426A1 (en) * | 1998-06-01 | 2007-09-27 | Tantivy Communications, Inc. | Transmittal of heartbeat signal at a lower lever than heartbeat request |
| US20070286105A1 (en) * | 2006-04-25 | 2007-12-13 | Lg Electronics Inc. | Method of transmitting data by utilizing resources in hybrid automatic request operations |
| US20090086680A1 (en) * | 1997-12-17 | 2009-04-02 | Tantivy Communications, Inc. | Multi-detection of heartbeat to reduce error probability |
| US20090175249A1 (en) * | 2001-02-01 | 2009-07-09 | Ipr Licensing, Inc. | Alternate channel for carrying selected message types |
| US20090257479A1 (en) * | 2001-02-01 | 2009-10-15 | Ipr Licensing, Inc. | Use of correlation combination to achieve channel detection |
| US20100296458A1 (en) * | 2009-05-19 | 2010-11-25 | Adc Telecommunications, Inc. | Method of inserting cdma beacon pilots in output of distributed remote antenna nodes |
| US8155096B1 (en) * | 2000-12-01 | 2012-04-10 | Ipr Licensing Inc. | Antenna control system and method |
| CN102917374A (en) * | 2005-02-28 | 2013-02-06 | 讯宝科技公司 | Sectorized wireless communication network operating under 802.11 specifications |
| US20130040689A1 (en) * | 2010-04-30 | 2013-02-14 | Panasonic Corporation | Wireless communication device and method for controlling transmission power |
| US20130088995A1 (en) * | 2010-06-15 | 2013-04-11 | Lg Electronics Inc. | Method and apparatus for transmitting data in a wireless communication system |
| US20130110466A1 (en) * | 2011-10-27 | 2013-05-02 | Dennis A. Zimmerman | Shielding integrity testing for cable drop |
| US9014118B2 (en) | 2001-06-13 | 2015-04-21 | Intel Corporation | Signaling for wireless communications |
| US9408216B2 (en) | 1997-06-20 | 2016-08-02 | Intel Corporation | Dynamic bandwidth allocation to transmit a wireless protocol across a code division multiple access (CDMA) radio link |
| US9525923B2 (en) | 1997-12-17 | 2016-12-20 | Intel Corporation | Multi-detection of heartbeat to reduce error probability |
Families Citing this family (105)
| Publication number | Priority date | Publication date | Assignee | Title |
|---|---|---|---|---|
| CA2401126C (en) * | 2000-02-23 | 2010-11-09 | George Rodney Nelson Jr. | Access probe acknowledgement with collision detection |
| EP1178630A1 (en) * | 2000-07-31 | 2002-02-06 | Lucent Technologies Inc. | Wireless LAN with enhanced carrier sensing |
| WO2002023934A1 (en) * | 2000-09-15 | 2002-03-21 | Mspect, Inc. | Wireless network monitoring |
| US6937641B2 (en) * | 2001-02-28 | 2005-08-30 | Golden Bridge Technology, Inc. | Power-controlled random access |
| WO2002076134A1 (en) | 2001-03-17 | 2002-09-26 | Koninklijke Philips Electronics N.V. | Network with common transmission channels |
| US6996415B2 (en) * | 2001-04-20 | 2006-02-07 | Lg Electronics Inc. | System and method for transmitting data on a reverse link channel |
| US7218623B1 (en) | 2001-05-04 | 2007-05-15 | Ipr Licensing, Inc. | Coded reverse link messages for closed-loop power control of forward link control messages |
| US20030050072A1 (en) * | 2001-09-06 | 2003-03-13 | Anthony Noerpel | Dark beam operation scenario |
| US6754190B2 (en) * | 2001-10-17 | 2004-06-22 | Motorola, Inc. | Channel selection method used in a communication system |
| WO2003034632A2 (en) * | 2001-10-17 | 2003-04-24 | Motorola, Inc. | Method and device for data communication in a multi-user system |
| US7840221B1 (en) * | 2001-11-19 | 2010-11-23 | At&T Intellectual Property Ii, L.P. | WLAN having load balancing by beacon power adjustments |
| DE10157101A1 (en) * | 2001-11-21 | 2003-06-05 | Sel Alcatel Ag | Method and control device for a packet-oriented data network for the transmission of data in variable time slots |
| EP1476963A4 (en) | 2002-01-22 | 2010-02-10 | Ipr Licensing Inc | REDUCTION OF SURGEBIT IN A COMMUNICATIONS SYSTEM |
| BRPI0307062B1 (en) * | 2002-01-22 | 2016-11-22 | Ipr Licensing Inc | method and apparatus for traffic channel configuration in a time division multiplexing (tdm) communication system |
| US10420097B2 (en) | 2002-01-22 | 2019-09-17 | Ipr Licensing, Inc. | Techniques for setting up traffic channels in a communications system |
| DE10204851B4 (en) * | 2002-02-06 | 2005-12-15 | Infineon Technologies Ag | Data transmission system with adjustable transmission power |
| US6801756B1 (en) * | 2002-02-08 | 2004-10-05 | Networks Associates Technology, Inc. | Method and system for dynamic evaluation of a wireless network with a portable computing device |
| GB2386295B (en) * | 2002-03-06 | 2005-11-02 | Ifr Ltd | Testing mobile telephone terminals |
| US20040058678A1 (en) * | 2002-09-23 | 2004-03-25 | Detorbal Rene Fernand Emile | Method and apparatus for facilitating handovers for a group of mobile radios |
| CN100459755C (en) * | 2002-12-27 | 2009-02-04 | Nxp股份有限公司 | Mobile terminal with power control and method |
| JP4407126B2 (en) | 2003-01-09 | 2010-02-03 | ソニー株式会社 | Wireless communication system, wireless communication apparatus, wireless communication method, and computer program |
| US6970518B2 (en) * | 2003-03-11 | 2005-11-29 | Motorola, Inc. | Method and apparatus for electronic item identification in a communication system using known source parameters |
| US7023817B2 (en) * | 2003-03-11 | 2006-04-04 | Motorola, Inc. | Method and apparatus for source device synchronization in a communication system |
| US7218641B2 (en) * | 2003-03-11 | 2007-05-15 | Motorola, Inc. | Method and apparatus for adaptive processing gain for multiple source devices in a communications system |
| US8238956B1 (en) * | 2003-03-14 | 2012-08-07 | Apple Inc. | Adjusting power of a control channel based on a characteristic of a message in the control channel |
| AU2003901931A0 (en) * | 2003-04-23 | 2003-05-15 | Thiss Pty Ltd | Radio network assignment and access system |
| AU2003904169A0 (en) * | 2003-08-08 | 2003-08-21 | Clipsal Intergrated Systems Pty Ltd | Collision detection in a non-dominant bit radio network communication system |
| AU2009201888B2 (en) * | 2003-08-08 | 2011-09-15 | Clipsal Integrated Systems Pty Ltd | Collision detection in a non-dominant bit radio network communication system |
| AU2011232749B2 (en) * | 2003-08-08 | 2012-05-17 | Clipsal Integrated Systems Pty Ltd. | Collision detection in a non-dominant bit radio network communication system |
| US8085806B2 (en) * | 2003-09-26 | 2011-12-27 | Agere Systems Inc. | Method and apparatus for detecting a collision in a carrier sense multiple access wireless system |
| US7239885B2 (en) * | 2003-11-05 | 2007-07-03 | Interdigital Technology Corporation | Initial downlink transmit power adjustment for non-real-time services using dedicated or shared channel |
| US7302276B2 (en) | 2003-11-25 | 2007-11-27 | Telefonaktiebolaget L M Ericsson (Publ) | Method and system for determining uplink/downlink path-loss difference |
| WO2005060188A1 (en) * | 2003-12-17 | 2005-06-30 | Nortel Networks Limited | Improved random access channel protocol |
| WO2005086520A1 (en) | 2004-03-09 | 2005-09-15 | Matsushita Electric Industrial Co., Ltd. | Random access method and radio communication terminal device |
| KR101062310B1 (en) * | 2004-04-19 | 2011-09-06 | 삼성탈레스 주식회사 | Transmission output control device of mobile communication terminal |
| US7512379B2 (en) * | 2004-10-29 | 2009-03-31 | Hien Nguyen | Wireless access point (AP) automatic channel selection |
| US7616966B2 (en) * | 2004-10-29 | 2009-11-10 | Hien Nguyen | Determining optimal access point locations for access points that perform automatic channel selection and automatic power adjustment |
| US7519385B2 (en) * | 2004-10-29 | 2009-04-14 | Hien Nguyen | Wireless access point (AP) automatic channel selection and automatic power adjustment |
| US20060187060A1 (en) * | 2005-02-07 | 2006-08-24 | Colby Steven M | Identity devices including radio frequency shielding |
| KR101073909B1 (en) * | 2005-03-04 | 2011-10-17 | 엘지전자 주식회사 | Method of MIMO mode feedback in broadband wireless access system |
| US7768989B2 (en) * | 2005-03-04 | 2010-08-03 | Itt Manufacturing Enterprises, Inc. | Method and apparatus for multipoint voice operation in a wireless, Ad-Hoc environment |
| US7965733B2 (en) * | 2005-03-15 | 2011-06-21 | Cornell University | Systems and methods to detect and avoid collisions in channel sense multiple access communications with multipacket reception |
| US7729696B2 (en) | 2005-05-26 | 2010-06-01 | Motorola, Inc. | Method and apparatus for accessing a wireless communication network |
| US7831882B2 (en) | 2005-06-03 | 2010-11-09 | Rambus Inc. | Memory system with error detection and retry modes of operation |
| US9459960B2 (en) | 2005-06-03 | 2016-10-04 | Rambus Inc. | Controller device for use with electrically erasable programmable memory chip with error detection and retry modes of operation |
| US7831269B2 (en) * | 2005-07-21 | 2010-11-09 | Research In Motion Limited | System and associated method for facilitating push-to-talk communications |
| JP4835951B2 (en) | 2005-11-04 | 2011-12-14 | 日本電気株式会社 | Wireless communication system and transmission power control method thereof |
| JP2007174179A (en) * | 2005-12-21 | 2007-07-05 | Kyocera Corp | Mobile communication terminal |
| US7562285B2 (en) | 2006-01-11 | 2009-07-14 | Rambus Inc. | Unidirectional error code transfer for a bidirectional data link |
| EP1808983A1 (en) * | 2006-01-13 | 2007-07-18 | THOMSON Licensing | Process and devices for selective collision detection |
| US9232537B2 (en) * | 2006-02-07 | 2016-01-05 | Qualcomm Incorporated | Apparatus and method for fast access in a wireless communication system |
| US8000341B2 (en) * | 2006-03-08 | 2011-08-16 | Alcatel Lucent | Methods and systems for detecting collisions in access/utilization of resources of contention |
| WO2007105026A1 (en) * | 2006-03-14 | 2007-09-20 | Nokia Corporation | Allocation of a communications channel to a data transfer session |
| JP2007251667A (en) * | 2006-03-16 | 2007-09-27 | Nec Corp | Radio communication system, radio base station, radio communication terminal, radio communication method, and program of radio communication system |
| JP4757671B2 (en) * | 2006-03-16 | 2011-08-24 | Necインフロンティア株式会社 | Wireless communication system, wireless base station, wireless communication method, and wireless base station program |
| US7515556B2 (en) * | 2006-04-25 | 2009-04-07 | Arch Rock Corporation | System and method for low power radio operation in a wireless packet network |
| US8681671B1 (en) | 2006-04-25 | 2014-03-25 | Cisco Technology, Inc. | System and method for reducing power used for radio transmission and reception |
| US8175073B1 (en) | 2006-04-25 | 2012-05-08 | Cisco Technology, Inc. | System and method for adjusting power used in reception in a wireless packet network |
| CN101075830B (en) * | 2006-05-17 | 2010-12-08 | 大唐移动通信设备有限公司 | Method for determining downlink initial transmit power |
| US8352805B2 (en) | 2006-05-18 | 2013-01-08 | Rambus Inc. | Memory error detection |
| KR20070113921A (en) * | 2006-05-26 | 2007-11-29 | 엘지전자 주식회사 | Research device and method |
| US7792137B2 (en) * | 2006-07-05 | 2010-09-07 | Abidanet, Llc | Self-organized and self-managed ad hoc communications network |
| US20080247366A1 (en) * | 2006-09-26 | 2008-10-09 | Ulrico Celentano | Forced silencing of transmitting device |
| US7774490B2 (en) | 2007-09-20 | 2010-08-10 | Microsoft Corporation | Crisscross cancellation protocol |
| ES2369322T3 (en) * | 2007-11-02 | 2011-11-29 | Telefonaktiebolaget Lm Ericsson (Publ) | METHOD OF POWER CONTROL INTER-CELL ASCENDING LINK AND DISPOSITION IN A TELECOMMUNICATION SYSTEM. |
| JP5115179B2 (en) * | 2007-12-20 | 2013-01-09 | 日本電気株式会社 | Wireless communication control device, wireless communication control system, wireless communication control method, wireless communication control program, and recording medium |
| US20090219905A1 (en) * | 2008-03-03 | 2009-09-03 | Qualcomm Incorporated | Wireless communication collision detection |
| JP5291196B2 (en) * | 2008-09-24 | 2013-09-18 | テレフオンアクチーボラゲット エル エム エリクソン(パブル) | Communication method and communication apparatus |
| EP2387163B1 (en) | 2009-01-13 | 2018-09-26 | Huawei Technologies Co., Ltd. | Method, device and system for information transmitting and obtaining |
| US8718658B2 (en) * | 2009-06-25 | 2014-05-06 | Samsung Electronics Co., Ltd. | Communication system for distributedly managing interference using feedback message |
| DE102009040035B4 (en) * | 2009-09-03 | 2014-04-03 | Siemens Aktiengesellschaft | transfer process |
| FR2949929B1 (en) * | 2009-09-08 | 2012-07-13 | Canon Kk | METHOD FOR MANAGING ACCESS REQUIREMENTS TO A WIRELESS COMMUNICATION NETWORK, COMPUTER PROGRAM PRODUCT, STORAGE MEDIUM, AND CORRESPONDING DEVICE. |
| US9008581B2 (en) * | 2009-11-08 | 2015-04-14 | Intel Mobile Communications GmbH | Radio devices and methods for controlling radio devices |
| KR101653410B1 (en) * | 2010-01-11 | 2016-09-02 | 삼성전자주식회사 | Data transmission/reception method and apparatus for performing contention based access in mobile telecommunication system |
| EP3179809B1 (en) | 2010-03-03 | 2019-07-10 | BlackBerry Limited | Method and apparatus to signal use-specific capabilities of mobile stations to establish data transfer sessions |
| EP2364041B1 (en) | 2010-03-03 | 2012-09-19 | Research In Motion Limited | Method and apparatus to signal use-specific capabilities of mobile stations to establish data transfer sessions |
| EP4539565A3 (en) | 2010-03-12 | 2025-06-18 | Malikie Innovations Limited | Timing advance enhancements for cellular communications |
| EP3285537B1 (en) | 2010-03-12 | 2019-12-25 | BlackBerry Limited | Method and device for registration and data transmission using fast / zero contention resolution |
| EP2367393B8 (en) | 2010-03-12 | 2015-12-30 | BlackBerry Limited | Communication Station and Method for Transmitting Additional Information on an Enhanced Random Access Channel |
| EP2367394B1 (en) | 2010-03-12 | 2015-11-25 | BlackBerry Limited | Base station and method for receiving transmissions on an enhanced random access channel |
| EP4033824A1 (en) | 2010-03-12 | 2022-07-27 | BlackBerry Limited | Communication station and method for transmitting on a random access channel |
| EP2365658A1 (en) * | 2010-03-12 | 2011-09-14 | Research In Motion Limited | Paging message including user data and/or ACK/NACK information |
| FR2978892B1 (en) * | 2011-08-03 | 2018-04-27 | Safran Electronics & Defense Sas | METHOD FOR MANAGING ACCESS TO A SHARED COMMUNICATION MEDIUM |
| US9088512B1 (en) * | 2012-04-18 | 2015-07-21 | Sprint Spectrum L.P. | Method and system for signaling a wait time before discontinuing transmission of a reverse link signal |
| KR101432976B1 (en) * | 2012-07-04 | 2014-08-27 | 주식회사 에이에스엔 | Control method of sensor tag in wireless sensor network |
| CN103580976B (en) * | 2012-07-20 | 2018-05-01 | 杨飞 | A kind of carrier sense method for collision avoidance and device |
| US9125114B2 (en) * | 2012-11-16 | 2015-09-01 | Qualcomm Incorporated | Inter radio access technology (IRAT) measurement |
| CN104219773B (en) * | 2013-05-29 | 2018-02-16 | 中国电信股份有限公司 | Reverse access probe method for sending information and device |
| US9590453B2 (en) | 2013-06-11 | 2017-03-07 | Lutron Electronics Co., Inc. | Configuring communications for a load control system |
| JP6384924B2 (en) * | 2014-02-14 | 2018-09-05 | 日本電気通信システム株式会社 | Wireless communication terminal |
| US9578469B2 (en) | 2014-10-02 | 2017-02-21 | Motorola Solutions, Inc. | Method and system for direct mode communication within a talkgroup |
| US9992746B2 (en) * | 2014-10-28 | 2018-06-05 | Qualcomm Incorporated | Uplink power control in multi-user unlicensed wireless networks |
| CN105636179A (en) * | 2014-11-27 | 2016-06-01 | 华为终端(东莞)有限公司 | Method and apparatus for determining transmitting power |
| US10834757B2 (en) * | 2016-09-15 | 2020-11-10 | Qualcomm Incorporated | Methods and apparatus for channel reservation |
| GB2557992B (en) | 2016-12-21 | 2021-08-18 | Texecom Ltd | Frequency hopping spread spectrum communication in mesh networks |
| US10306675B2 (en) * | 2017-05-03 | 2019-05-28 | Cisco Technology, Inc. | Collision detection and avoidance mechanism using distributed radio heads in a wireless network |
| WO2019190866A1 (en) | 2018-03-26 | 2019-10-03 | Rambus Inc. | Command/address channel error detection |
| WO2019195666A1 (en) * | 2018-04-05 | 2019-10-10 | Rutgers, The State University Of New Jersey | Safe wireless power transfer and secure communications through distributed phase alignment |
| JP7210987B2 (en) * | 2018-10-02 | 2023-01-24 | カシオ計算機株式会社 | Wireless communication device, electronic clock, transmission power control method, and program |
| JP7278074B2 (en) * | 2018-12-27 | 2023-05-19 | キヤノン株式会社 | Time synchronization system, time synchronization system control method, radiation imaging system, time client, time client control method |
| EP3932136B1 (en) * | 2019-02-27 | 2023-04-26 | Sony Group Corporation | Communication devices and methods |
| DE102019214721A1 (en) * | 2019-09-26 | 2021-04-01 | Robert Bosch Gmbh | Conflict detector for a subscriber station of a serial bus system and method for communication in a serial bus system |
| CN111278058B (en) * | 2020-01-20 | 2022-09-23 | 全球能源互联网研究院有限公司 | Method, device and storage medium for coordinating conflict of random access signal |
| US11726940B2 (en) * | 2021-08-06 | 2023-08-15 | Lear Corporation | System for communicating with removable components |
| KR20230142909A (en) * | 2022-04-04 | 2023-10-11 | 한국전자통신연구원 | Power control method and apparatus for wireless communication using spread spectrum |
Citations (81)
| Publication number | Priority date | Publication date | Assignee | Title |
|---|---|---|---|---|
| US4384363A (en) * | 1981-05-26 | 1983-05-17 | Digital Equipment Corporation | Transceiver for local network using carrier-sense multiple access/collision detection |
| US4675863A (en) * | 1985-03-20 | 1987-06-23 | International Mobile Machines Corp. | Subscriber RF telephone system for providing multiple speech and/or data signals simultaneously over either a single or a plurality of RF channels |
| US5056109A (en) * | 1989-11-07 | 1991-10-08 | Qualcomm, Inc. | Method and apparatus for controlling transmission power in a cdma cellular mobile telephone system |
| US5130983A (en) * | 1990-03-27 | 1992-07-14 | Heffner Iii Horace W | Method of polling to determine service needs and the like |
| US5257283A (en) * | 1989-11-07 | 1993-10-26 | Qualcomm Incorporated | Spread spectrum transmitter power control method and system |
| US5267262A (en) * | 1989-11-07 | 1993-11-30 | Qualcomm Incorporated | Transmitter power control system |
| US5317318A (en) * | 1990-07-23 | 1994-05-31 | Alcatel N.V. | Identification system using transponder badges, component parts therefor and applications thereof |
| US5339316A (en) * | 1992-11-13 | 1994-08-16 | Ncr Corporation | Wireless local area network system |
| US5422887A (en) * | 1991-11-27 | 1995-06-06 | Ncr Corporation | Medium access protocol for wireless local area network |
| US5491837A (en) * | 1994-03-07 | 1996-02-13 | Ericsson Inc. | Method and system for channel allocation using power control and mobile-assisted handover measurements |
| US5491741A (en) * | 1992-10-23 | 1996-02-13 | At&T Corp. | Prioritizing a multiple access channel in a wireless telephone system |
| US5497460A (en) * | 1994-06-20 | 1996-03-05 | International Business Machines Corporation | System and method for determining network connectivity |
| US5537414A (en) * | 1992-07-07 | 1996-07-16 | Hitachi, Ltd. | Method of wireless communication between base station and mobile station and multiple access communication system |
| US5544196A (en) * | 1992-03-05 | 1996-08-06 | Qualcomm Incorporated | Apparatus and method for reducing message collision between mobile stations simultaneously accessing a base station in a CDMA cellular communications system |
| US5559790A (en) * | 1993-07-23 | 1996-09-24 | Hitachi, Ltd. | Spread spectrum communication system and transmission power control method therefor |
| US5604730A (en) * | 1994-07-25 | 1997-02-18 | Qualcomm Incorporated | Remote transmitter power control in a contention based multiple access system |
| US5619530A (en) * | 1994-04-04 | 1997-04-08 | Motorola, Inc. | Method and apparatus for detecting and handling collisions in a radio communication system |
| US5647326A (en) * | 1994-09-21 | 1997-07-15 | Zexel Corporation | Fuel injection pump |
| US5657326A (en) * | 1994-12-20 | 1997-08-12 | 3Com Corporation | Radio based collision detection for wireless communication system |
| US5692127A (en) * | 1995-03-17 | 1997-11-25 | Apple Computer, Inc. | System for transmitting multiple pulses PPM control signal to wireless device to indicate collision in a wired network while placing data on the network |
| US5740167A (en) * | 1995-04-04 | 1998-04-14 | Nec Corporation | Dual mode multiple access method for common radio channel |
| US5805994A (en) * | 1996-04-03 | 1998-09-08 | Motorola, Inc. | Method for transmit power control in a communication system |
| US5859838A (en) * | 1996-07-30 | 1999-01-12 | Qualcomm Incorporated | Load monitoring and management in a CDMA wireless communication system |
| US5867527A (en) * | 1994-09-30 | 1999-02-02 | Qualcomm Incorporated | Method of searching for a bursty signal |
| US5893035A (en) * | 1996-09-16 | 1999-04-06 | Qualcomm Incorporated | Centralized forward link power control |
| US5892774A (en) * | 1996-12-12 | 1999-04-06 | Qualcomm Incorporated | Phase shift encoded subchannel |
| US5933781A (en) * | 1997-01-31 | 1999-08-03 | Qualcomm Incorporated | Pilot based, reversed channel power control |
| US5933871A (en) * | 1997-08-08 | 1999-08-10 | Kraft; David | Modular hat |
| US5946631A (en) * | 1996-10-17 | 1999-08-31 | Philips Electronics North America Corporation | Real-time CSMA method having the capability to adaptively vary cell sizes and a wireless network for implementing the same |
| US5960361A (en) * | 1996-10-22 | 1999-09-28 | Qualcomm Incorporated | Method and apparatus for performing a fast downward move in a cellular telephone forward link power control system |
| US5978383A (en) * | 1996-03-11 | 1999-11-02 | The Regents Of The University Of California | Repeaters for reducing collisions in an ethernet network |
| US5982760A (en) * | 1997-06-20 | 1999-11-09 | Qualcomm Inc. | Method and apparatus for power adaptation control in closed-loop communications |
| US5991284A (en) * | 1997-02-13 | 1999-11-23 | Qualcomm Inc. | Subchannel control loop |
| US6018767A (en) * | 1998-02-24 | 2000-01-25 | 3Com Corporation | Method and system for managing subscription services with a cable modem |
| US6031828A (en) * | 1996-04-10 | 2000-02-29 | Oki Electric Industry Co., Ltd | Radio communication system |
| US6035209A (en) * | 1995-03-31 | 2000-03-07 | Qualcomm Incorporated | Method and apparatus for performing fast power control in a mobile communication system |
| US6067458A (en) * | 1997-07-01 | 2000-05-23 | Qualcomm Incorporated | Method and apparatus for pre-transmission power control using lower rate for high rate communication |
| US6070085A (en) * | 1997-08-12 | 2000-05-30 | Qualcomm Inc. | Method and apparatus for controlling transmit power thresholds based on classification of wireless communication subscribers |
| US6075974A (en) * | 1996-11-20 | 2000-06-13 | Qualcomm Inc. | Method and apparatus for adjusting thresholds and measurements of received signals by anticipating power control commands yet to be executed |
| US6094576A (en) * | 1996-05-27 | 2000-07-25 | Nokia Telecommunications Oy | Connection establishment method and radio system |
| US6097972A (en) * | 1997-08-29 | 2000-08-01 | Qualcomm Incorporated | Method and apparatus for processing power control signals in CDMA mobile telephone system |
| US6101179A (en) * | 1997-09-19 | 2000-08-08 | Qualcomm Incorporated | Accurate open loop power control in a code division multiple access communication system |
| US6118767A (en) * | 1997-11-19 | 2000-09-12 | Metawave Communications Corporation | Interference control for CDMA networks using a plurality of narrow antenna beams and an estimation of the number of users/remote signals present |
| US6122269A (en) * | 1996-07-17 | 2000-09-19 | Roke Manor Research Limited | Packet radio systems |
| US6130923A (en) * | 1998-12-11 | 2000-10-10 | Qualcomm Incorporated | Lock detection for multipath wireless receiver |
| US6138033A (en) * | 1997-11-10 | 2000-10-24 | Matsushita Electric Industrial Co., Ltd. | Radio communication apparatus and radio communication system |
| US6157616A (en) * | 1996-05-31 | 2000-12-05 | Lucent Technologies | Adaptive methods for packet transmission over wireless networks |
| US6173188B1 (en) * | 1997-06-30 | 2001-01-09 | Samsung Electronics Co., Ltd. | Method of a forward power control using an erasure indicator bit |
| US6185432B1 (en) * | 1997-10-13 | 2001-02-06 | Qualcomm Incorporated | System and method for selecting power control modes |
| US6188678B1 (en) * | 1997-08-07 | 2001-02-13 | Qualcomm Inc. | Method and apparatus for adaptive closed loop power control using open loop measurements |
| US6192249B1 (en) * | 1998-12-03 | 2001-02-20 | Qualcomm Inc. | Method and apparatus for reverse link loading estimation |
| US6201954B1 (en) * | 1998-03-25 | 2001-03-13 | Qualcomm Inc. | Method and system for providing an estimate of the signal strength of a received signal |
| US6201827B1 (en) * | 1998-09-09 | 2001-03-13 | Qualcomm Incorporated | System and method for probability based lock detection |
| US6229841B1 (en) * | 1998-12-11 | 2001-05-08 | Qualcomm Incorporated | Method and apparatus for energy estimation in a wireless receiver capable of receiving multiple instances of a common signal |
| US6241325B1 (en) * | 1997-10-14 | 2001-06-05 | The Boeing Company | Low-speed antiskid control for multigain hydraulic valve brake system |
| US6249683B1 (en) * | 1999-04-08 | 2001-06-19 | Qualcomm Incorporated | Forward link power control of multiple data streams transmitted to a mobile station using a common power control channel |
| US6252915B1 (en) * | 1998-09-09 | 2001-06-26 | Qualcomm Incorporated | System and method for gaining control of individual narrowband channels using a wideband power measurement |
| US6252865B1 (en) * | 1998-10-02 | 2001-06-26 | Qualcomm, Inc. | Methods and apparatuses for fast power control of signals transmitted on a multiple access channel |
| US6256301B1 (en) * | 1998-10-15 | 2001-07-03 | Qualcomm Incorporated | Reservation multiple access |
| US6259928B1 (en) * | 1997-10-13 | 2001-07-10 | Qualcomm Inc. | System and method for optimized power control |
| US6269088B1 (en) * | 1995-08-10 | 2001-07-31 | Hitachi, Ltd. | CDMA mobile communication system and communication method |
| USRE37301E1 (en) * | 1990-06-18 | 2001-07-31 | Nortel Networks Limited | Multiple access protocol |
| US6272354B1 (en) * | 1995-08-18 | 2001-08-07 | Nokia Mobile Phones Ltd. | Method for adjusting transmit power during call set-up, and a cellular radio system |
| US6275478B1 (en) * | 1998-07-10 | 2001-08-14 | Qualcomm Incorporated | Methods and apparatuses for fast power control of signals transmitted on a multiple access channel |
| US20020075891A1 (en) * | 2000-12-16 | 2002-06-20 | Slim Souissi | Network assisted random access method |
| US6421325B1 (en) * | 1998-04-28 | 2002-07-16 | Genesys Telecomm Lab Inc | Methods and apparatus for enhancing wireless data network telephony including a personal router in a client |
| US6454994B1 (en) * | 2000-08-28 | 2002-09-24 | Honeywell International Inc. | Solids comprising tantalum, strontium and silicon |
| US20030026283A1 (en) * | 2001-06-08 | 2003-02-06 | Broadcom Corporation | System and method for detecting collisions in a shared communications medium |
| US6539233B1 (en) * | 1999-01-08 | 2003-03-25 | Nec Corporation | Call control method in mobile communication and system therefor |
| US6545233B2 (en) * | 2001-03-06 | 2003-04-08 | Alps Electric Co., Ltd. | Four-direction switch device |
| US6545994B2 (en) * | 2000-02-23 | 2003-04-08 | Tantivy Communications, Inc. | Access probe acknowledgment including collision detection to avoid oversetting initial power level |
| US6775548B1 (en) * | 1998-06-22 | 2004-08-10 | Nokia Mobile Phones Ltd. | Access channel for reduced access delay in a telecommunications system |
| US6782035B1 (en) * | 1997-04-17 | 2004-08-24 | Ntt Docomo Inc. | Base station apparatus of mobile communication system |
| US20050058151A1 (en) * | 2003-06-30 | 2005-03-17 | Chihsiang Yeh | Method of interference management for interference/collision avoidance and spatial reuse enhancement |
| US6921335B2 (en) * | 2001-09-28 | 2005-07-26 | Igt | Gaming device having symbols with transformation probabilities |
| US6967936B1 (en) * | 2000-02-11 | 2005-11-22 | Lucent Technologies Inc. | Uplink timing synchronization and access control for a multi-access wireless communication system |
| US6985511B2 (en) * | 1999-03-22 | 2006-01-10 | Golden Bridge Technology, Inc. | Common packet channel with firm handoff |
| US7079523B2 (en) * | 2000-02-07 | 2006-07-18 | Ipr Licensing, Inc. | Maintenance link using active/standby request channels |
| US7079507B2 (en) * | 2000-02-25 | 2006-07-18 | Nokia Corporation | Method and apparatus for common packet channel assignment |
| US7480275B2 (en) * | 1998-03-23 | 2009-01-20 | Samsung Electronics Co., Ltd | Power control device and method for controlling a reverse link common channel in a CDMA communication system |
| US7480278B2 (en) * | 2001-05-04 | 2009-01-20 | Nokia Corporation | Admission control with directional antenna |
Family Cites Families (27)
| Publication number | Priority date | Publication date | Assignee | Title |
|---|---|---|---|---|
| NZ255617A (en) | 1992-09-04 | 1996-11-26 | Ericsson Telefon Ab L M | Tdma digital radio: measuring path loss and setting transmission power accordingly |
| JP3154462B2 (en) * | 1994-08-29 | 2001-04-09 | 日本電信電話株式会社 | Mobile communication system and mobile station device |
| GB9422265D0 (en) * | 1994-11-04 | 1994-12-21 | Philips Electronics Uk Ltd | Selective call system |
| US5732077A (en) * | 1995-11-13 | 1998-03-24 | Lucent Technologies Inc. | Resource allocation system for wireless networks |
| KR100205047B1 (en) * | 1996-04-24 | 1999-06-15 | 정선종 | Open-loop Power Control Method in CDA Cellular System |
| JP2821430B2 (en) * | 1996-06-20 | 1998-11-05 | 日本電気移動通信株式会社 | Automatic transmission power control method for wireless communication equipment |
| JP2959624B2 (en) * | 1996-08-29 | 1999-10-06 | 日本電気株式会社 | Random access control method |
| JPH1079776A (en) * | 1996-09-03 | 1998-03-24 | Toyota Motor Corp | Communication method |
| US6259724B1 (en) * | 1996-10-18 | 2001-07-10 | Telefonaktiebolaget L M Ericsson (Publ) | Random access in a mobile telecommunications system |
| JPH10210530A (en) * | 1997-01-17 | 1998-08-07 | Mitsubishi Electric Corp | Wireless packet access method |
| CA2412005C (en) | 1997-04-24 | 2011-11-22 | Ntt Mobile Communications Network Inc. | Method and system for mobile communications |
| US6081536A (en) | 1997-06-20 | 2000-06-27 | Tantivy Communications, Inc. | Dynamic bandwidth allocation to transmit a wireless protocol across a code division multiple access (CDMA) radio link |
| US6151332A (en) | 1997-06-20 | 2000-11-21 | Tantivy Communications, Inc. | Protocol conversion and bandwidth reduction technique providing multiple nB+D ISDN basic rate interface links over a wireless code division multiple access communication system |
| US6236647B1 (en) | 1998-02-24 | 2001-05-22 | Tantivy Communications, Inc. | Dynamic frame size adjustment and selective reject on a multi-link channel to improve effective throughput and bit error rate |
| JP2993474B2 (en) * | 1997-08-29 | 1999-12-20 | 三菱電機株式会社 | Wireless packet access system |
| CN1047047C (en) | 1997-10-05 | 1999-12-01 | 北京信威通信技术有限公司 | Method for establishing and holding synchronous code division multiple access communication chain |
| US6285665B1 (en) | 1997-10-14 | 2001-09-04 | Lucent Technologies Inc. | Method for establishment of the power level for uplink data transmission in a multiple access system for communications networks |
| US6442153B1 (en) * | 1997-10-23 | 2002-08-27 | Telefonaktiebolaget Lm Ericsson (Publ) | Random access in a mobile telecommunications system |
| CA2248490C (en) | 1997-10-31 | 2002-08-27 | Lucent Technologies Inc. | Access to communications systems |
| US6222832B1 (en) | 1998-06-01 | 2001-04-24 | Tantivy Communications, Inc. | Fast Acquisition of traffic channels for a highly variable data rate reverse link of a CDMA wireless communication system |
| US8175120B2 (en) | 2000-02-07 | 2012-05-08 | Ipr Licensing, Inc. | Minimal maintenance link to support synchronization |
| RU2233031C2 (en) * | 1998-03-26 | 2004-07-20 | Самсунг Электроникс Ко., Лтд. | Device and method for assigning extension code to common-user backward channel message in code-division multiple access communication system |
| JP3035820B2 (en) * | 1998-03-30 | 2000-04-24 | アンリツ株式会社 | Access probe measurement device |
| US6674765B1 (en) * | 1998-05-22 | 2004-01-06 | Lucent Technologies Inc. | Methods and apparatus for random chip delay access priority in a communications system |
| KR100334818B1 (en) * | 1998-07-07 | 2002-08-27 | 삼성전자 주식회사 | Power control signal transmission method of mobile communication terminal device |
| US6904079B2 (en) | 2000-02-08 | 2005-06-07 | Ipr Licensing, Inc. | Access channel structure for wireless communication system |
| EP1126737B1 (en) * | 2000-02-16 | 2006-08-02 | Lucent Technologies Inc. | Apparatus, system and method for collision resolution in a delay-critical radio telecommunications system |
-
2001
- 2001-02-23 CA CA2401126A patent/CA2401126C/en not_active Expired - Fee Related
- 2001-02-23 JP JP2001562911A patent/JP2004500769A/en active Pending
- 2001-02-23 KR KR1020087000633A patent/KR100937731B1/en not_active Expired - Fee Related
- 2001-02-23 KR KR1020027011072A patent/KR100899211B1/en not_active Expired - Lifetime
- 2001-02-23 CN CNB018068952A patent/CN100477857C/en not_active Expired - Fee Related
- 2001-02-23 EP EP01914473A patent/EP1266462A2/en not_active Withdrawn
- 2001-02-23 US US09/792,410 patent/US6545994B2/en not_active Expired - Lifetime
- 2001-02-23 CA CA2401099A patent/CA2401099C/en not_active Expired - Fee Related
- 2001-02-23 AU AU2001239859A patent/AU2001239859A1/en not_active Abandoned
- 2001-02-23 CN CNA2007101012167A patent/CN101034919A/en active Pending
- 2001-02-23 CN CNB018068936A patent/CN1322681C/en not_active Expired - Fee Related
- 2001-02-23 EP EP15184847.0A patent/EP2986066B1/en not_active Expired - Lifetime
- 2001-02-23 KR KR1020077010610A patent/KR100894858B1/en not_active Expired - Fee Related
- 2001-02-23 CN CNA2007101012152A patent/CN101034918A/en active Pending
- 2001-02-23 WO PCT/US2001/005939 patent/WO2001063781A2/en not_active Ceased
- 2001-02-23 AU AU2001239879A patent/AU2001239879A1/en not_active Abandoned
- 2001-02-23 US US09/792,870 patent/US20030060224A1/en not_active Abandoned
- 2001-02-23 EP EP01914496A patent/EP1316172A2/en not_active Withdrawn
- 2001-02-23 CN CNA200910132589XA patent/CN101534570A/en active Pending
- 2001-02-23 CN CNA2007101012171A patent/CN101034920A/en active Pending
- 2001-02-23 KR KR1020087016459A patent/KR100937730B1/en not_active Expired - Fee Related
- 2001-02-23 KR KR1020027011071A patent/KR100773794B1/en not_active Expired - Fee Related
- 2001-02-23 CN CNA2008101461353A patent/CN101345561A/en active Pending
- 2001-02-23 WO PCT/US2001/006072 patent/WO2001063839A2/en not_active Ceased
- 2001-02-23 KR KR1020087005270A patent/KR100894857B1/en not_active Expired - Fee Related
- 2001-02-23 JP JP2001562857A patent/JP5129915B2/en not_active Expired - Fee Related
-
2003
- 2003-03-26 US US10/401,115 patent/US20040009785A1/en active Granted
-
2012
- 2012-06-11 JP JP2012132249A patent/JP2012182842A/en not_active Ceased
-
2013
- 2013-03-18 JP JP2013054986A patent/JP2013141305A/en not_active Ceased
- 2013-08-09 US US13/963,115 patent/US9661583B2/en not_active Expired - Fee Related
-
2014
- 2014-03-03 JP JP2014040770A patent/JP5989691B2/en not_active Expired - Lifetime
-
2015
- 2015-05-11 JP JP2015096913A patent/JP2015167391A/en active Pending
Patent Citations (83)
| Publication number | Priority date | Publication date | Assignee | Title |
|---|---|---|---|---|
| US4384363A (en) * | 1981-05-26 | 1983-05-17 | Digital Equipment Corporation | Transceiver for local network using carrier-sense multiple access/collision detection |
| US4675863A (en) * | 1985-03-20 | 1987-06-23 | International Mobile Machines Corp. | Subscriber RF telephone system for providing multiple speech and/or data signals simultaneously over either a single or a plurality of RF channels |
| US5056109A (en) * | 1989-11-07 | 1991-10-08 | Qualcomm, Inc. | Method and apparatus for controlling transmission power in a cdma cellular mobile telephone system |
| US5257283A (en) * | 1989-11-07 | 1993-10-26 | Qualcomm Incorporated | Spread spectrum transmitter power control method and system |
| US5267262A (en) * | 1989-11-07 | 1993-11-30 | Qualcomm Incorporated | Transmitter power control system |
| US5130983A (en) * | 1990-03-27 | 1992-07-14 | Heffner Iii Horace W | Method of polling to determine service needs and the like |
| USRE37301E1 (en) * | 1990-06-18 | 2001-07-31 | Nortel Networks Limited | Multiple access protocol |
| US5317318A (en) * | 1990-07-23 | 1994-05-31 | Alcatel N.V. | Identification system using transponder badges, component parts therefor and applications thereof |
| US5422887A (en) * | 1991-11-27 | 1995-06-06 | Ncr Corporation | Medium access protocol for wireless local area network |
| US6985728B2 (en) * | 1992-03-05 | 2006-01-10 | Qualcomm, Incorporated | Apparatus and method for reducing message collision between mobile stations simultaneously accessing a base station in a CDMA cellular communications system |
| US5544196A (en) * | 1992-03-05 | 1996-08-06 | Qualcomm Incorporated | Apparatus and method for reducing message collision between mobile stations simultaneously accessing a base station in a CDMA cellular communications system |
| US5537414A (en) * | 1992-07-07 | 1996-07-16 | Hitachi, Ltd. | Method of wireless communication between base station and mobile station and multiple access communication system |
| US5491741A (en) * | 1992-10-23 | 1996-02-13 | At&T Corp. | Prioritizing a multiple access channel in a wireless telephone system |
| US5339316A (en) * | 1992-11-13 | 1994-08-16 | Ncr Corporation | Wireless local area network system |
| US5559790A (en) * | 1993-07-23 | 1996-09-24 | Hitachi, Ltd. | Spread spectrum communication system and transmission power control method therefor |
| US5491837A (en) * | 1994-03-07 | 1996-02-13 | Ericsson Inc. | Method and system for channel allocation using power control and mobile-assisted handover measurements |
| US5619530A (en) * | 1994-04-04 | 1997-04-08 | Motorola, Inc. | Method and apparatus for detecting and handling collisions in a radio communication system |
| US5497460A (en) * | 1994-06-20 | 1996-03-05 | International Business Machines Corporation | System and method for determining network connectivity |
| US5604730A (en) * | 1994-07-25 | 1997-02-18 | Qualcomm Incorporated | Remote transmitter power control in a contention based multiple access system |
| US5647326A (en) * | 1994-09-21 | 1997-07-15 | Zexel Corporation | Fuel injection pump |
| US5867527A (en) * | 1994-09-30 | 1999-02-02 | Qualcomm Incorporated | Method of searching for a bursty signal |
| US5657326A (en) * | 1994-12-20 | 1997-08-12 | 3Com Corporation | Radio based collision detection for wireless communication system |
| US5692127A (en) * | 1995-03-17 | 1997-11-25 | Apple Computer, Inc. | System for transmitting multiple pulses PPM control signal to wireless device to indicate collision in a wired network while placing data on the network |
| US6035209A (en) * | 1995-03-31 | 2000-03-07 | Qualcomm Incorporated | Method and apparatus for performing fast power control in a mobile communication system |
| US5740167A (en) * | 1995-04-04 | 1998-04-14 | Nec Corporation | Dual mode multiple access method for common radio channel |
| US6269088B1 (en) * | 1995-08-10 | 2001-07-31 | Hitachi, Ltd. | CDMA mobile communication system and communication method |
| US6272354B1 (en) * | 1995-08-18 | 2001-08-07 | Nokia Mobile Phones Ltd. | Method for adjusting transmit power during call set-up, and a cellular radio system |
| US5978383A (en) * | 1996-03-11 | 1999-11-02 | The Regents Of The University Of California | Repeaters for reducing collisions in an ethernet network |
| US5805994A (en) * | 1996-04-03 | 1998-09-08 | Motorola, Inc. | Method for transmit power control in a communication system |
| US6031828A (en) * | 1996-04-10 | 2000-02-29 | Oki Electric Industry Co., Ltd | Radio communication system |
| US6094576A (en) * | 1996-05-27 | 2000-07-25 | Nokia Telecommunications Oy | Connection establishment method and radio system |
| US6157616A (en) * | 1996-05-31 | 2000-12-05 | Lucent Technologies | Adaptive methods for packet transmission over wireless networks |
| US6122269A (en) * | 1996-07-17 | 2000-09-19 | Roke Manor Research Limited | Packet radio systems |
| US5859838A (en) * | 1996-07-30 | 1999-01-12 | Qualcomm Incorporated | Load monitoring and management in a CDMA wireless communication system |
| US5893035A (en) * | 1996-09-16 | 1999-04-06 | Qualcomm Incorporated | Centralized forward link power control |
| US5946631A (en) * | 1996-10-17 | 1999-08-31 | Philips Electronics North America Corporation | Real-time CSMA method having the capability to adaptively vary cell sizes and a wireless network for implementing the same |
| US5960361A (en) * | 1996-10-22 | 1999-09-28 | Qualcomm Incorporated | Method and apparatus for performing a fast downward move in a cellular telephone forward link power control system |
| US6075974A (en) * | 1996-11-20 | 2000-06-13 | Qualcomm Inc. | Method and apparatus for adjusting thresholds and measurements of received signals by anticipating power control commands yet to be executed |
| US5892774A (en) * | 1996-12-12 | 1999-04-06 | Qualcomm Incorporated | Phase shift encoded subchannel |
| US5933781A (en) * | 1997-01-31 | 1999-08-03 | Qualcomm Incorporated | Pilot based, reversed channel power control |
| US5991284A (en) * | 1997-02-13 | 1999-11-23 | Qualcomm Inc. | Subchannel control loop |
| US6240071B1 (en) * | 1997-02-13 | 2001-05-29 | Qualcomm Incorporated | Subchannel control loop |
| US6782035B1 (en) * | 1997-04-17 | 2004-08-24 | Ntt Docomo Inc. | Base station apparatus of mobile communication system |
| US5982760A (en) * | 1997-06-20 | 1999-11-09 | Qualcomm Inc. | Method and apparatus for power adaptation control in closed-loop communications |
| US6173188B1 (en) * | 1997-06-30 | 2001-01-09 | Samsung Electronics Co., Ltd. | Method of a forward power control using an erasure indicator bit |
| US6067458A (en) * | 1997-07-01 | 2000-05-23 | Qualcomm Incorporated | Method and apparatus for pre-transmission power control using lower rate for high rate communication |
| US6188678B1 (en) * | 1997-08-07 | 2001-02-13 | Qualcomm Inc. | Method and apparatus for adaptive closed loop power control using open loop measurements |
| US5933871A (en) * | 1997-08-08 | 1999-08-10 | Kraft; David | Modular hat |
| US6070085A (en) * | 1997-08-12 | 2000-05-30 | Qualcomm Inc. | Method and apparatus for controlling transmit power thresholds based on classification of wireless communication subscribers |
| US6097972A (en) * | 1997-08-29 | 2000-08-01 | Qualcomm Incorporated | Method and apparatus for processing power control signals in CDMA mobile telephone system |
| US6101179A (en) * | 1997-09-19 | 2000-08-08 | Qualcomm Incorporated | Accurate open loop power control in a code division multiple access communication system |
| US6259928B1 (en) * | 1997-10-13 | 2001-07-10 | Qualcomm Inc. | System and method for optimized power control |
| US6185432B1 (en) * | 1997-10-13 | 2001-02-06 | Qualcomm Incorporated | System and method for selecting power control modes |
| US6241325B1 (en) * | 1997-10-14 | 2001-06-05 | The Boeing Company | Low-speed antiskid control for multigain hydraulic valve brake system |
| US6138033A (en) * | 1997-11-10 | 2000-10-24 | Matsushita Electric Industrial Co., Ltd. | Radio communication apparatus and radio communication system |
| US6118767A (en) * | 1997-11-19 | 2000-09-12 | Metawave Communications Corporation | Interference control for CDMA networks using a plurality of narrow antenna beams and an estimation of the number of users/remote signals present |
| US6018767A (en) * | 1998-02-24 | 2000-01-25 | 3Com Corporation | Method and system for managing subscription services with a cable modem |
| US7480275B2 (en) * | 1998-03-23 | 2009-01-20 | Samsung Electronics Co., Ltd | Power control device and method for controlling a reverse link common channel in a CDMA communication system |
| US6201954B1 (en) * | 1998-03-25 | 2001-03-13 | Qualcomm Inc. | Method and system for providing an estimate of the signal strength of a received signal |
| US6421325B1 (en) * | 1998-04-28 | 2002-07-16 | Genesys Telecomm Lab Inc | Methods and apparatus for enhancing wireless data network telephony including a personal router in a client |
| US6775548B1 (en) * | 1998-06-22 | 2004-08-10 | Nokia Mobile Phones Ltd. | Access channel for reduced access delay in a telecommunications system |
| US6275478B1 (en) * | 1998-07-10 | 2001-08-14 | Qualcomm Incorporated | Methods and apparatuses for fast power control of signals transmitted on a multiple access channel |
| US6252915B1 (en) * | 1998-09-09 | 2001-06-26 | Qualcomm Incorporated | System and method for gaining control of individual narrowband channels using a wideband power measurement |
| US6201827B1 (en) * | 1998-09-09 | 2001-03-13 | Qualcomm Incorporated | System and method for probability based lock detection |
| US6252865B1 (en) * | 1998-10-02 | 2001-06-26 | Qualcomm, Inc. | Methods and apparatuses for fast power control of signals transmitted on a multiple access channel |
| US6256301B1 (en) * | 1998-10-15 | 2001-07-03 | Qualcomm Incorporated | Reservation multiple access |
| US6192249B1 (en) * | 1998-12-03 | 2001-02-20 | Qualcomm Inc. | Method and apparatus for reverse link loading estimation |
| US6130923A (en) * | 1998-12-11 | 2000-10-10 | Qualcomm Incorporated | Lock detection for multipath wireless receiver |
| US6229841B1 (en) * | 1998-12-11 | 2001-05-08 | Qualcomm Incorporated | Method and apparatus for energy estimation in a wireless receiver capable of receiving multiple instances of a common signal |
| US6539233B1 (en) * | 1999-01-08 | 2003-03-25 | Nec Corporation | Call control method in mobile communication and system therefor |
| US6985511B2 (en) * | 1999-03-22 | 2006-01-10 | Golden Bridge Technology, Inc. | Common packet channel with firm handoff |
| US6249683B1 (en) * | 1999-04-08 | 2001-06-19 | Qualcomm Incorporated | Forward link power control of multiple data streams transmitted to a mobile station using a common power control channel |
| US7079523B2 (en) * | 2000-02-07 | 2006-07-18 | Ipr Licensing, Inc. | Maintenance link using active/standby request channels |
| US6967936B1 (en) * | 2000-02-11 | 2005-11-22 | Lucent Technologies Inc. | Uplink timing synchronization and access control for a multi-access wireless communication system |
| US6545994B2 (en) * | 2000-02-23 | 2003-04-08 | Tantivy Communications, Inc. | Access probe acknowledgment including collision detection to avoid oversetting initial power level |
| US7079507B2 (en) * | 2000-02-25 | 2006-07-18 | Nokia Corporation | Method and apparatus for common packet channel assignment |
| US6454994B1 (en) * | 2000-08-28 | 2002-09-24 | Honeywell International Inc. | Solids comprising tantalum, strontium and silicon |
| US20020075891A1 (en) * | 2000-12-16 | 2002-06-20 | Slim Souissi | Network assisted random access method |
| US6545233B2 (en) * | 2001-03-06 | 2003-04-08 | Alps Electric Co., Ltd. | Four-direction switch device |
| US7480278B2 (en) * | 2001-05-04 | 2009-01-20 | Nokia Corporation | Admission control with directional antenna |
| US20030026283A1 (en) * | 2001-06-08 | 2003-02-06 | Broadcom Corporation | System and method for detecting collisions in a shared communications medium |
| US6921335B2 (en) * | 2001-09-28 | 2005-07-26 | Igt | Gaming device having symbols with transformation probabilities |
| US20050058151A1 (en) * | 2003-06-30 | 2005-03-17 | Chihsiang Yeh | Method of interference management for interference/collision avoidance and spatial reuse enhancement |
Cited By (76)
| Publication number | Priority date | Publication date | Assignee | Title |
|---|---|---|---|---|
| US9408216B2 (en) | 1997-06-20 | 2016-08-02 | Intel Corporation | Dynamic bandwidth allocation to transmit a wireless protocol across a code division multiple access (CDMA) radio link |
| US9525923B2 (en) | 1997-12-17 | 2016-12-20 | Intel Corporation | Multi-detection of heartbeat to reduce error probability |
| US20020071409A1 (en) * | 1997-12-17 | 2002-06-13 | Tantivy Communications, Inc. | System and method for controlling signal strength over a reverse link of a CDMA wireless communication system |
| US20020080742A1 (en) * | 1997-12-17 | 2002-06-27 | Tantivy Communications, Inc. | System and method for maintaining timing of synchronization messages over a reverse link of a CDMA wireless communication system |
| US9042400B2 (en) | 1997-12-17 | 2015-05-26 | Intel Corporation | Multi-detection of heartbeat to reduce error probability |
| US7936728B2 (en) | 1997-12-17 | 2011-05-03 | Tantivy Communications, Inc. | System and method for maintaining timing of synchronization messages over a reverse link of a CDMA wireless communication system |
| US20090086680A1 (en) * | 1997-12-17 | 2009-04-02 | Tantivy Communications, Inc. | Multi-detection of heartbeat to reduce error probability |
| US7496072B2 (en) * | 1997-12-17 | 2009-02-24 | Interdigital Technology Corporation | System and method for controlling signal strength over a reverse link of a CDMA wireless communication system |
| US20050259624A1 (en) * | 1998-06-01 | 2005-11-24 | Tantivy Communications, Inc. | Fast acquisition of traffic channels for a highly variable data rate reverse link of a CDMA wireless communication system |
| US8134980B2 (en) | 1998-06-01 | 2012-03-13 | Ipr Licensing, Inc. | Transmittal of heartbeat signal at a lower level than heartbeat request |
| US7773566B2 (en) | 1998-06-01 | 2010-08-10 | Tantivy Communications, Inc. | System and method for maintaining timing of synchronization messages over a reverse link of a CDMA wireless communication system |
| US20050249168A1 (en) * | 1998-06-01 | 2005-11-10 | Tantivy Communications, Inc. | System and method for maintaining wireless channels over a reverse link of a CDMA wireless communication system |
| US8792458B2 (en) | 1998-06-01 | 2014-07-29 | Intel Corporation | System and method for maintaining wireless channels over a reverse link of a CDMA wireless communication system |
| US20020163898A1 (en) * | 1998-06-01 | 2002-11-07 | Tantivy Communications, Inc. | Fast acquisition of traffic channels for a highly variable data rate reverse link of a CDMA wireless communication system |
| US7602749B2 (en) | 1998-06-01 | 2009-10-13 | Interdigital Corporation | Fast acquisition of traffic channels for a highly variable data rate reverse link of a CDMA wireless communication system |
| US20100208708A1 (en) * | 1998-06-01 | 2010-08-19 | Tantivy Communications, Inc. | System and method for maintaining wireless channels over a reverse link of a cdma wireless communication system |
| US9307532B2 (en) | 1998-06-01 | 2016-04-05 | Intel Corporation | Signaling for wireless communications |
| US20050013284A1 (en) * | 1998-06-01 | 2005-01-20 | Tantivy Communications, Inc. | System and method for maintaining timing of synchronization messages over a reverse link of a CDMA wireless communication system |
| US20070223426A1 (en) * | 1998-06-01 | 2007-09-27 | Tantivy Communications, Inc. | Transmittal of heartbeat signal at a lower lever than heartbeat request |
| US7480280B2 (en) | 1998-06-01 | 2009-01-20 | Tantivy Communications, Inc. | Fast acquisition of traffic channels for a highly variable data rate reverse link of a CDMA wireless communication system |
| US8139546B2 (en) | 1998-06-01 | 2012-03-20 | Ipr Licensing, Inc. | System and method for maintaining wireless channels over a reverse link of a CDMA wireless communication system |
| US7746830B2 (en) | 1998-06-01 | 2010-06-29 | Interdigital Technology Corporation | System and method for maintaining wireless channels over a reverse link of a CDMA wireless communication system |
| US20010036200A1 (en) * | 2000-02-07 | 2001-11-01 | Tantivy Communications, Inc. | Minimal maintenance link to support synchronization |
| US8175120B2 (en) | 2000-02-07 | 2012-05-08 | Ipr Licensing, Inc. | Minimal maintenance link to support synchronization |
| US20060274711A1 (en) * | 2000-02-07 | 2006-12-07 | Nelson G R Jr | Maintenance link using active/standby request channels |
| US9807714B2 (en) | 2000-02-07 | 2017-10-31 | Intel Corporation | Minimal maintenance link to support synchronization |
| US9301274B2 (en) | 2000-02-07 | 2016-03-29 | Intel Corporation | Minimal maintenance link to support synchronization |
| US8509268B2 (en) | 2000-02-07 | 2013-08-13 | Intel Corporation | Minimal maintenance link to support sychronization |
| US8155096B1 (en) * | 2000-12-01 | 2012-04-10 | Ipr Licensing Inc. | Antenna control system and method |
| US9775115B2 (en) | 2000-12-01 | 2017-09-26 | Intel Corporation | Antenna control system and method |
| US9924468B2 (en) | 2000-12-01 | 2018-03-20 | Intel Corporation | Antenna control system and method |
| US8437330B2 (en) | 2000-12-01 | 2013-05-07 | Intel Corporation | Antenna control system and method |
| US9225395B2 (en) | 2000-12-01 | 2015-12-29 | Intel Corporation | Antenna control system and method |
| US20090175249A1 (en) * | 2001-02-01 | 2009-07-09 | Ipr Licensing, Inc. | Alternate channel for carrying selected message types |
| US8274954B2 (en) | 2001-02-01 | 2012-09-25 | Ipr Licensing, Inc. | Alternate channel for carrying selected message types |
| US8687606B2 (en) | 2001-02-01 | 2014-04-01 | Intel Corporation | Alternate channel for carrying selected message types |
| US8638877B2 (en) | 2001-02-01 | 2014-01-28 | Intel Corporation | Methods, apparatuses and systems for selective transmission of traffic data using orthogonal sequences |
| US9247510B2 (en) | 2001-02-01 | 2016-01-26 | Intel Corporation | Use of correlation combination to achieve channel detection |
| US20090257479A1 (en) * | 2001-02-01 | 2009-10-15 | Ipr Licensing, Inc. | Use of correlation combination to achieve channel detection |
| US9014118B2 (en) | 2001-06-13 | 2015-04-21 | Intel Corporation | Signaling for wireless communications |
| US7245592B2 (en) * | 2001-07-09 | 2007-07-17 | Koninklijke Philips Electronics N.V. | Aligning 802.11e HCF and 802.11h TPC operations |
| US20030012165A1 (en) * | 2001-07-09 | 2003-01-16 | Koninklijke Philips Electronics N.V. | Aligning 802.11e HCF and 802.11h TPC operations |
| US20030096612A1 (en) * | 2001-11-22 | 2003-05-22 | Samsung Electronics Co., Ltd. | Method and apparatus for adaptive location registration in mobile station |
| US20060018289A1 (en) * | 2002-09-27 | 2006-01-26 | Matthias Schulist | Requesting and controlling access in a wireless communications network |
| US7706824B2 (en) * | 2002-09-27 | 2010-04-27 | Telefonaktiebolaget L M Ericsson (Publ) | Requesting and controlling access in a wireless communications network |
| US20050078755A1 (en) * | 2003-06-10 | 2005-04-14 | Woods John W. | Overlapped block motion compensation for variable size blocks in the context of MCTF scalable video coders |
| US20060193388A1 (en) * | 2003-06-10 | 2006-08-31 | Renssalear Polytechnic Institute (Rpi) | Method and apparatus for scalable motion vector coding |
| US7653133B2 (en) | 2003-06-10 | 2010-01-26 | Rensselaer Polytechnic Institute (Rpi) | Overlapped block motion compression for variable size blocks in the context of MCTF scalable video coders |
| US20040264576A1 (en) * | 2003-06-10 | 2004-12-30 | Woods John W. | Method for processing I-blocks used with motion compensated temporal filtering |
| US20050043053A1 (en) * | 2003-08-21 | 2005-02-24 | Wen-Pin Lin | Monitoring and adjusting transmit power level(s) in a communications system |
| US7769406B2 (en) * | 2003-08-21 | 2010-08-03 | Alcatel-Lucent Usa Inc. | Monitoring and adjusting transmit power level(s) in a communications system |
| US20070274237A1 (en) * | 2004-02-18 | 2007-11-29 | Siemens Aktiengesellscheft | Method For Regulating The Output Power Of A Radio Access Point |
| WO2005078953A1 (en) * | 2004-02-18 | 2005-08-25 | Siemens Aktiengesellschaft | Method for regulating the output power of a radio access point |
| CN102917374A (en) * | 2005-02-28 | 2013-02-06 | 讯宝科技公司 | Sectorized wireless communication network operating under 802.11 specifications |
| US8433355B2 (en) | 2005-04-21 | 2013-04-30 | Interdigital Technology Corporation | Method and apparatus for generating loud packets to estimate path loss |
| US20060270426A1 (en) * | 2005-04-21 | 2006-11-30 | Interdigital Technology Corporation | Method and apparatus for generating loud packets to estimate path loss |
| WO2006115864A3 (en) * | 2005-04-21 | 2007-12-13 | Interdigital Tech Corp | Method and apparatus for generating loud packets to estimate path loss |
| AU2006240185B2 (en) * | 2005-04-21 | 2010-02-18 | Interdigital Technology Corporation | Method and apparatus for generating loud packets to estimate path loss |
| US8948122B2 (en) * | 2006-04-25 | 2015-02-03 | Lg Electronics Inc. | Method of transmitting data by utilizing resources in hybrid automatic request operations |
| US20070286105A1 (en) * | 2006-04-25 | 2007-12-13 | Lg Electronics Inc. | Method of transmitting data by utilizing resources in hybrid automatic request operations |
| US20100296458A1 (en) * | 2009-05-19 | 2010-11-25 | Adc Telecommunications, Inc. | Method of inserting cdma beacon pilots in output of distributed remote antenna nodes |
| US9001811B2 (en) * | 2009-05-19 | 2015-04-07 | Adc Telecommunications, Inc. | Method of inserting CDMA beacon pilots in output of distributed remote antenna nodes |
| US10506525B2 (en) | 2010-04-30 | 2019-12-10 | Sun Patent Trust | Wireless communication device and method for controlling transmission power |
| US11356958B2 (en) | 2010-04-30 | 2022-06-07 | Sun Patent Trust | Wireless communication device and method for controlling transmission power |
| US12256335B2 (en) | 2010-04-30 | 2025-03-18 | Sun Patent Trust | Wireless communication device and method for controlling transmission power |
| US9532315B2 (en) | 2010-04-30 | 2016-12-27 | Sun Patent Trust | Wireless communication device and method for controlling transmission power |
| US12028814B2 (en) | 2010-04-30 | 2024-07-02 | Sun Patent Trust | Wireless communication device and method for controlling transmission power |
| US9055535B2 (en) * | 2010-04-30 | 2015-06-09 | Panasonic Intellectual Property Corporation Of America | Wireless communication device and method for controlling transmission power |
| US11751143B2 (en) | 2010-04-30 | 2023-09-05 | Sun Patent Trust | Wireless communication device and method for controlling transmission power |
| US10182405B2 (en) | 2010-04-30 | 2019-01-15 | Sun Patent Trust | Wireless communication device and method for controlling transmission power |
| US20130040689A1 (en) * | 2010-04-30 | 2013-02-14 | Panasonic Corporation | Wireless communication device and method for controlling transmission power |
| US10873913B2 (en) | 2010-04-30 | 2020-12-22 | Sun Patent Trust | Wireless communication device and method for controlling transmission power |
| US8879414B2 (en) * | 2010-06-15 | 2014-11-04 | Lg Electronics Inc. | Method and apparatus for transmitting data in a wireless communication system |
| US20130088995A1 (en) * | 2010-06-15 | 2013-04-11 | Lg Electronics Inc. | Method and apparatus for transmitting data in a wireless communication system |
| US20130110466A1 (en) * | 2011-10-27 | 2013-05-02 | Dennis A. Zimmerman | Shielding integrity testing for cable drop |
| US9091712B2 (en) * | 2011-10-27 | 2015-07-28 | Comsonics, Inc. | Shielding integrity testing for cable drop |
Also Published As
Similar Documents
| Publication | Publication Date | Title |
|---|---|---|
| US9661583B2 (en) | Reverse link initial power setting using effective radiated power message to compute path loss | |
| HK1221595B (en) | Access probe acknowledgment with collision detection | |
| HK1136441A (en) | Access probe acknowledgement with collision detection | |
| HK1127172A (en) | Access probe acknowledgment with collision detection | |
| HK1110710A (en) | Reverse link initial power setting | |
| HK1108775A (en) | Reverse link initial power setting | |
| HK1108776A (en) | Reverse link initial power setting |
Legal Events
| Date | Code | Title | Description |
|---|---|---|---|
| AS | Assignment |
Owner name: IPR HOLDINGS DELAWARE, INC., PENNSYLVANIA Free format text: SECURITY INTEREST;ASSIGNOR:TANTIVY COMMUNICATIONS, INC.;REEL/FRAME:014289/0207 Effective date: 20030722 |
|
| AS | Assignment |
Owner name: INTERDIGITAL PATENT CORPORATION, DELAWARE Free format text: ASSIGNMENT OF ASSIGNORS INTEREST;ASSIGNOR:INTERDIGITAL ACQUISITION CORPORATION;REEL/FRAME:014351/0777 Effective date: 20040218 |
|
| AS | Assignment |
Owner name: INTERDIGITAL ACQUISITION CORP., DELAWARE Free format text: ASSIGNMENT OF ASSIGNORS INTEREST;ASSIGNOR:TANTIVY COMMUNICATIONS, INC.;REEL/FRAME:015000/0141 Effective date: 20030730 Owner name: INTERDIGITAL PATENT CORPORATION, DELAWARE Free format text: MERGER;ASSIGNOR:INTERDIGITAL ACQUISITION CORP.;REEL/FRAME:015000/0577 Effective date: 20040218 |
|
| AS | Assignment |
Owner name: IPR LICENSING, INC., DELAWARE Free format text: ASSIGNMENT OF ASSIGNORS INTEREST;ASSIGNOR:INTERDIGITAL PATENT CORPORATION;REEL/FRAME:014420/0435 Effective date: 20040309 |
|
| STCB | Information on status: application discontinuation |
Free format text: ABANDONED -- FAILURE TO PAY ISSUE FEE |
|
| STCB | Information on status: application discontinuation |
Free format text: ABANDONED -- FAILURE TO PAY ISSUE FEE |

