US20040008765A1 - Joint adaptive optimization of soft decision device and feedback equalizer - Google Patents
Joint adaptive optimization of soft decision device and feedback equalizer Download PDFInfo
- Publication number
- US20040008765A1 US20040008765A1 US10/327,280 US32728002A US2004008765A1 US 20040008765 A1 US20040008765 A1 US 20040008765A1 US 32728002 A US32728002 A US 32728002A US 2004008765 A1 US2004008765 A1 US 2004008765A1
- Authority
- US
- United States
- Prior art keywords
- soft decision
- decision device
- equalizer
- samples
- feedback
- Prior art date
- Legal status (The legal status is an assumption and is not a legal conclusion. Google has not performed a legal analysis and makes no representation as to the accuracy of the status listed.)
- Granted
Links
- 230000003044 adaptive effect Effects 0.000 title abstract description 14
- 238000005457 optimization Methods 0.000 title description 3
- 238000000034 method Methods 0.000 claims description 20
- 238000004891 communication Methods 0.000 claims description 14
- 239000002131 composite material Substances 0.000 claims 1
- 230000008878 coupling Effects 0.000 claims 1
- 238000010168 coupling process Methods 0.000 claims 1
- 238000005859 coupling reaction Methods 0.000 claims 1
- 230000006978 adaptation Effects 0.000 description 23
- 238000012545 processing Methods 0.000 description 16
- 238000011084 recovery Methods 0.000 description 14
- 238000001914 filtration Methods 0.000 description 10
- 238000012549 training Methods 0.000 description 8
- 238000013459 approach Methods 0.000 description 5
- 230000005540 biological transmission Effects 0.000 description 5
- 230000008569 process Effects 0.000 description 4
- 230000004044 response Effects 0.000 description 4
- 238000013519 translation Methods 0.000 description 4
- 238000005094 computer simulation Methods 0.000 description 3
- 238000012937 correction Methods 0.000 description 3
- 239000006185 dispersion Substances 0.000 description 3
- 239000000835 fiber Substances 0.000 description 3
- 238000012986 modification Methods 0.000 description 3
- 230000004048 modification Effects 0.000 description 3
- 238000005070 sampling Methods 0.000 description 3
- 230000008859 change Effects 0.000 description 2
- 230000011664 signaling Effects 0.000 description 2
- 238000004088 simulation Methods 0.000 description 2
- 230000002123 temporal effect Effects 0.000 description 2
- 230000007704 transition Effects 0.000 description 2
- RYGMFSIKBFXOCR-UHFFFAOYSA-N Copper Chemical compound [Cu] RYGMFSIKBFXOCR-UHFFFAOYSA-N 0.000 description 1
- 230000015556 catabolic process Effects 0.000 description 1
- 230000021615 conjugation Effects 0.000 description 1
- 229910052802 copper Inorganic materials 0.000 description 1
- 239000010949 copper Substances 0.000 description 1
- 238000006731 degradation reaction Methods 0.000 description 1
- 230000001934 delay Effects 0.000 description 1
- 238000013461 design Methods 0.000 description 1
- 230000000694 effects Effects 0.000 description 1
- 238000009429 electrical wiring Methods 0.000 description 1
- 230000005670 electromagnetic radiation Effects 0.000 description 1
- 238000000605 extraction Methods 0.000 description 1
- 238000005562 fading Methods 0.000 description 1
- 230000007274 generation of a signal involved in cell-cell signaling Effects 0.000 description 1
- 239000000463 material Substances 0.000 description 1
- 238000010295 mobile communication Methods 0.000 description 1
- 230000000737 periodic effect Effects 0.000 description 1
- 230000010363 phase shift Effects 0.000 description 1
- 230000003068 static effect Effects 0.000 description 1
- 230000001052 transient effect Effects 0.000 description 1
Images
Classifications
-
- H—ELECTRICITY
- H03—ELECTRONIC CIRCUITRY
- H03G—CONTROL OF AMPLIFICATION
- H03G3/00—Gain control in amplifiers or frequency changers
- H03G3/20—Automatic control
- H03G3/30—Automatic control in amplifiers having semiconductor devices
- H03G3/3052—Automatic control in amplifiers having semiconductor devices in bandpass amplifiers (H.F. or I.F.) or in frequency-changers used in a (super)heterodyne receiver
-
- H—ELECTRICITY
- H03—ELECTRONIC CIRCUITRY
- H03G—CONTROL OF AMPLIFICATION
- H03G3/00—Gain control in amplifiers or frequency changers
- H03G3/20—Automatic control
- H03G3/30—Automatic control in amplifiers having semiconductor devices
- H03G3/3089—Control of digital or coded signals
-
- H—ELECTRICITY
- H04—ELECTRIC COMMUNICATION TECHNIQUE
- H04L—TRANSMISSION OF DIGITAL INFORMATION, e.g. TELEGRAPHIC COMMUNICATION
- H04L25/00—Baseband systems
- H04L25/02—Details ; arrangements for supplying electrical power along data transmission lines
- H04L25/03—Shaping networks in transmitter or receiver, e.g. adaptive shaping networks
- H04L25/03006—Arrangements for removing intersymbol interference
- H04L25/03012—Arrangements for removing intersymbol interference operating in the time domain
- H04L25/03019—Arrangements for removing intersymbol interference operating in the time domain adaptive, i.e. capable of adjustment during data reception
- H04L25/03057—Arrangements for removing intersymbol interference operating in the time domain adaptive, i.e. capable of adjustment during data reception with a recursive structure
-
- H—ELECTRICITY
- H04—ELECTRIC COMMUNICATION TECHNIQUE
- H04L—TRANSMISSION OF DIGITAL INFORMATION, e.g. TELEGRAPHIC COMMUNICATION
- H04L25/00—Baseband systems
- H04L25/02—Details ; arrangements for supplying electrical power along data transmission lines
- H04L25/06—DC level restoring means; Bias distortion correction ; Decision circuits providing symbol by symbol detection
- H04L25/067—DC level restoring means; Bias distortion correction ; Decision circuits providing symbol by symbol detection providing soft decisions, i.e. decisions together with an estimate of reliability
-
- H—ELECTRICITY
- H04—ELECTRIC COMMUNICATION TECHNIQUE
- H04N—PICTORIAL COMMUNICATION, e.g. TELEVISION
- H04N7/00—Television systems
- H04N7/08—Systems for the simultaneous or sequential transmission of more than one television signal, e.g. additional information signals, the signals occupying wholly or partially the same frequency band, e.g. by time division
-
- H—ELECTRICITY
- H04—ELECTRIC COMMUNICATION TECHNIQUE
- H04L—TRANSMISSION OF DIGITAL INFORMATION, e.g. TELEGRAPHIC COMMUNICATION
- H04L25/00—Baseband systems
- H04L25/02—Details ; arrangements for supplying electrical power along data transmission lines
- H04L25/03—Shaping networks in transmitter or receiver, e.g. adaptive shaping networks
- H04L25/03006—Arrangements for removing intersymbol interference
- H04L2025/0335—Arrangements for removing intersymbol interference characterised by the type of transmission
- H04L2025/03375—Passband transmission
- H04L2025/03388—ASK
-
- H—ELECTRICITY
- H04—ELECTRIC COMMUNICATION TECHNIQUE
- H04L—TRANSMISSION OF DIGITAL INFORMATION, e.g. TELEGRAPHIC COMMUNICATION
- H04L25/00—Baseband systems
- H04L25/02—Details ; arrangements for supplying electrical power along data transmission lines
- H04L25/03—Shaping networks in transmitter or receiver, e.g. adaptive shaping networks
- H04L25/03006—Arrangements for removing intersymbol interference
- H04L2025/0335—Arrangements for removing intersymbol interference characterised by the type of transmission
- H04L2025/03375—Passband transmission
- H04L2025/0342—QAM
-
- H—ELECTRICITY
- H04—ELECTRIC COMMUNICATION TECHNIQUE
- H04L—TRANSMISSION OF DIGITAL INFORMATION, e.g. TELEGRAPHIC COMMUNICATION
- H04L25/00—Baseband systems
- H04L25/02—Details ; arrangements for supplying electrical power along data transmission lines
- H04L25/03—Shaping networks in transmitter or receiver, e.g. adaptive shaping networks
- H04L25/03006—Arrangements for removing intersymbol interference
- H04L2025/03433—Arrangements for removing intersymbol interference characterised by equaliser structure
- H04L2025/03439—Fixed structures
- H04L2025/03445—Time domain
- H04L2025/03471—Tapped delay lines
- H04L2025/03484—Tapped delay lines time-recursive
- H04L2025/0349—Tapped delay lines time-recursive as a feedback filter
-
- H—ELECTRICITY
- H04—ELECTRIC COMMUNICATION TECHNIQUE
- H04L—TRANSMISSION OF DIGITAL INFORMATION, e.g. TELEGRAPHIC COMMUNICATION
- H04L25/00—Baseband systems
- H04L25/02—Details ; arrangements for supplying electrical power along data transmission lines
- H04L25/03—Shaping networks in transmitter or receiver, e.g. adaptive shaping networks
- H04L25/03006—Arrangements for removing intersymbol interference
- H04L2025/03592—Adaptation methods
- H04L2025/03598—Algorithms
- H04L2025/03611—Iterative algorithms
- H04L2025/03617—Time recursive algorithms
-
- H—ELECTRICITY
- H04—ELECTRIC COMMUNICATION TECHNIQUE
- H04L—TRANSMISSION OF DIGITAL INFORMATION, e.g. TELEGRAPHIC COMMUNICATION
- H04L25/00—Baseband systems
- H04L25/02—Details ; arrangements for supplying electrical power along data transmission lines
- H04L25/03—Shaping networks in transmitter or receiver, e.g. adaptive shaping networks
- H04L25/03006—Arrangements for removing intersymbol interference
- H04L2025/03592—Adaptation methods
- H04L2025/03598—Algorithms
- H04L2025/03611—Iterative algorithms
- H04L2025/03617—Time recursive algorithms
- H04L2025/0363—Feature restoration, e.g. constant modulus
-
- H—ELECTRICITY
- H04—ELECTRIC COMMUNICATION TECHNIQUE
- H04L—TRANSMISSION OF DIGITAL INFORMATION, e.g. TELEGRAPHIC COMMUNICATION
- H04L27/00—Modulated-carrier systems
- H04L27/0014—Carrier regulation
- H04L2027/0024—Carrier regulation at the receiver end
- H04L2027/0026—Correction of carrier offset
- H04L2027/003—Correction of carrier offset at baseband only
-
- H—ELECTRICITY
- H04—ELECTRIC COMMUNICATION TECHNIQUE
- H04L—TRANSMISSION OF DIGITAL INFORMATION, e.g. TELEGRAPHIC COMMUNICATION
- H04L27/00—Modulated-carrier systems
- H04L27/0014—Carrier regulation
- H04L2027/0044—Control loops for carrier regulation
- H04L2027/0053—Closed loops
- H04L2027/0055—Closed loops single phase
Definitions
- the present invention relates to adaptive optimization techniques for Decision Feedback Equalizers in order to compensate for distortions introduced in digital communications systems using modulation techniques such as Quadrature Amplitude Modulation (QAM) or Pulse Amplitude Modulation (PAM).
- modulation techniques such as Quadrature Amplitude Modulation (QAM) or Pulse Amplitude Modulation (PAM).
- ISI inter-symbol interference
- an equalizer is used to mitigate the effects of ISI and noise induced in the entire channel, including transmitter, propagation medium, and front-end receiver processing. Since the exact channel characteristics are not known apriori at the receiver, the equalizer is usually implemented with adaptive methods.
- a common type of equalizer uses adaptive filters, and the adjustment of filter coefficients can be done in a variety of ways.
- Trained equalization methods rely on the embedding of a pre-determined sequence in the transmitted data, referred to as a training or reference sequence.
- the receiver stores or generates a replica of the training sequence, and to the extent that the received sequence differs from the training sequence, an error measure is derived to adjust equalizer coefficients.
- equalizer coefficient convergence relies on multiple transmissions of the training sequence, and the channel characteristics are also time varying. Hence, periodic re-training is necessary.
- blind equalization methods A common blind equalization method replaces the reference signal in the LMS algorithm with the receiver's best guess at the data, and is therefore referred to as Decision Directed LMS (DD-LMS), as proposed in a paper entitled “Techniques for adaptive equalization of digital communication systems,” by R. W. Lucky, in the Bell Systems Technical Journal, vol. 45, no. 2, pp. 255-286, Feb. 1966.
- DD-LMS Decision Directed LMS
- DD-LMS needs a reasonably low percentage of incorrect decisions to prevent algorithm divergence, and is therefore impractical from a cold-start initialization.
- Other blind algorithms are usually used from a cold-start.
- CMA Constant Modulus Algorithm
- the DFE architecture requires a low percentage of incorrect decisions to prevent algorithm divergence and error propagation, a phenomenon whereby an incorrect decision causes more incorrect decisions due to the recursive structure of the DFE. Therefore, a DFE requires alternative adaptive strategies from a cold-start.
- Several techniques based on adaptive IIR filtering have been proposed as summarized in a chapter entitled “Current approaches to blind decision feedback equalization,” by R. A. Casas et al., in the textbook, “Signal processing advances in wireless and mobile communications: trends in channel estimation and equalization,” edited by G. Giannakis, et al., Prentice Hall, Upper Saddle River, N.J., 2000.
- the present invention combines the soft decision device approach and the seamless transition between IIR adaptation and DD-LMS adaptation. Unlike the linear combination of IIR and DD-LMS adaptations, this present invention uses a family of non-linear soft decision devices approximating the optimal soft decision device studied in soft-decision DFE literatures. According to the selection rule inferred from the non-linear soft decision device, DFE coefficients are updated by selected error signals between IIR adaptation and DD-LMS adaptation on a symbol-by-symbol basis, which jointly optimizes the soft decision device and DFE adaptation.
- FIG. 3 describes the Soft Decision Device in the present invention
- FIG. 4 shows a 16-QAM constellation selection regions for Soft Decision Device in the present invention
- FIG. 5 a shows the in-phase component of the equalizer output from a computer simulation of the preferred embodiment of the present invention
- FIG. 5 b shows the soft decision parameter ⁇ (n) trajectory from a computer simulation of the preferred embodiment of the present invention
- FIG. 6 shows an alternative embodiment of the present invention, with equalizer forward and feedback filters operating on passband samples
- Front End Processing block 165 may further include a digital downconversion in frequency, and performs a quadrature demodulation to split the signal into in-phase (I) and quadrature-phase (Q) samples.
- Front End Processing block 165 is coupled to Timing Recovery module 170 that determines a correct sampling phase. Timing Recovery module 170 may adjust the sampling phase by interpolating the data samples, or adjusting the phase and sampling frequency of the analog-to-digital converter in Front End Processing block 165 .
- Timing Recovery module 170 is coupled to Equalizer 175 , which is used to mitigate the distortions, such as inter-symbol interference and noise, that are introduced by the propagation medium 147 , transmitter 100 , receiver Tuner 160 , receiver Front End Processing block 165 , and receiver Timing Recovery module 170 .
- Equalizer 175 is coupled to Carrier Recovery module 180 , which detects residual offset in frequency and phase. The detected carrier offset in Carrier Recovery module may be supplied back to the Equalizer 175 for translation of equalized samples to precise baseband, or used to adjust the downconversion process in Front End Processing block 165 , or both.
- the output of Equalizer 175 is coupled to Error Correction module 185 , which detects and corrects bit errors in the recovered bit stream.
- the carrier recovery loop 280 and mixer 285 are shown as dashed lines, to represent that translation to precise baseband is done prior to equalization, and may be done anywhere prior to equalization in the signal processing chain. For example, some systems embed pilot tones or pulses to aid synchronization, allowing translation to precise baseband in the receiver front end, prior to equalization. In this exemplary embodiment of the invention, the equalizer 200 operates on samples that have been translated to precise baseband.
- x ( n ) f 0 ( n ) r ( n )+ f 1 ( n ) r ( n ⁇ 1)+ f 2 ( n ) r ( n ⁇ 2)+ . . . + f Lf ⁇ 1 ( n ) r ( n ⁇ L f +1)
- FIG. 3 describes the Soft Decision Device in accordance with the present invention.
- the slicer input w(n) is splitted into real and imaginary components.
- the Boundary Value Generator 320 produces the nearest decision boundary values ⁇ haeck over (w) ⁇ re (n) and ⁇ haeck over (w) ⁇ im (n) by treating w re (n) and w im (n) as a Pulse Amplitude Modulated (PAM) signals, which belong to a alphabet set
- PAM Pulse Amplitude Modulated
- FIG. 4 illustrates the relation among w(n) ( 420 ), ⁇ (n) ( 430 ), ⁇ haeck over (w) ⁇ re (n) ( 440 ), and ⁇ haeck over (w) ⁇ im (n) ( 440 ) for a 16-QAM constellation.
- the Soft Decision Generator 330 generates the soft decision based on the comparison between the distance between the nearest boundary values from the slicer input,
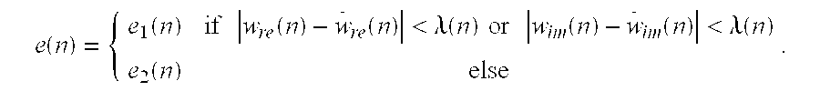
- , and a decision reference parameter ⁇ (n), according to v ⁇ ( n ) ⁇ w ⁇ ( n ) - w ⁇ ⁇ ( n ) ⁇ ⁇ ( n ) + w ⁇ ⁇ ( n ) if ⁇ ⁇ ⁇ w re ⁇ ( n ) - w ⁇ re ⁇ ( n ) ⁇ ⁇ ⁇ ( n ) ⁇ ⁇ or ⁇ ⁇ ⁇ w im ⁇ ( n ) - w ⁇ im ⁇ ( n ) ⁇ ⁇ ⁇ ( n ) w ⁇ ⁇ ( n ) else
- the soft decision device is made adaptive by adaptation of the decision reference parameter ⁇ (n) .
- the Soft Decision Optimizer 350 optimizes the decision reference parameter ⁇ (n).
- ⁇ ( n ) (1 ⁇ ⁇ ) ⁇ ( n ⁇ 1)+ ⁇ ⁇ ⁇
- ⁇ is chosen to normalize
- 2 (for example average signal power, ⁇ E
- ⁇ (n) can be updated on a block by block base based on the block estimation of E
- the combining weight ⁇ (n) may be compared to two thresholds, T U and T L . If ⁇ (n)>T U , then ⁇ (n) is set to one; if ⁇ (n) ⁇ T L , then ⁇ (n) is set to zero
- Adaptation of the forward filter 210 coefficients and feedback filter 220 coefficients uses a stochastic gradient descent update rule:
- f i ( n+ 1) f i ( n ) ⁇ f ⁇ *( n ) e ( n )
- g i ( n+ 1) g i ( n ) ⁇ g ⁇ *( n ) e ( n )
- ( ⁇ )* represents complex conjugation
- ⁇ f and ⁇ g are small, positive stepsizes governing algorithm convergence rate, tracking capabilities and stochastic jitter.
- CMA Constant Modulus Algorithm
- DD-LMS Decision-Directed LMS
- e cma ( w ⁇ ( n ) - w ⁇ ⁇ ( n ) ⁇ ⁇ ( n ) + w ⁇ ⁇ ( n ) ) .
- FIGS. 5 a and 5 b illustrate the equalizer output and soft decision reference parameter ⁇ (n) in operation from a computer simulation of the preferred embodiment of the present invention.
- the source signal is 4-QAM (QPSK) data passed through a closed-eye channel that has rapid time variation at the 5,000 th baud sample. There are 10,000 baud samples, with adaptation of equalizer coefficients and decision reference parameter at the start of the simulation.
- FIG. 5 a shows the real part of slicer inputs converging to correct decisions as adaptation is processed. Sudden dispersion at the 5,000 th baud sample is due to sudden change of the multipath channel.
- FIG. 5 b shows the trajectory of decision reference parameter ⁇ (n), initialized to unity, and converging towards zero when channel is static, and optimizing the adaptation and soft decision device when channel is varying.
- FIG. 5 c draws the soft decision device as a function of slicer input for various choice of decision reference parameter ⁇ (n) in this simulation.
- ⁇ (n) increases the region of unreliable signals are increased too and DFE is operating with the conventional CMA in that region.
- FIG. 5 An alternative embodiment of the present invention is shown in FIG. 5, in which the equalizer 500 operates in the passband; that is, not at precise baseband. Equalizer 500 is similar to equalizer 200 in FIG. 2, so only the differences in equalizer 500 of FIG. 5 are described.
- Forward filter 510 and feedback filter 520 produce data by convolution sums in an analogous manner to that described for the exemplary embodiment in FIG. 2, yielding passband signals x(n) and y(n), respectively.
- the outputs of forward filter 510 and feedback filter 520 are combined in adder 590 , yielding the passband sample ⁇ tilde over (w) ⁇ (n).
- This sample is translated to precise baseband (or de-rotated) slicer input w(n) in multiplier 555 by multiplication with the conjugate of the carrier offset, e ⁇ j ⁇ (n) , provided by carrier recovery loop 585 .
- the slicer 540 is a nearest-element decision device that outputs a hard decision, ⁇ (n), corresponding to the source alphabet member with closest Euclidean distance to its input sample.
- the slicer input and hard decision samples are input to the Soft Decision Device and the soft decision v(n) is translated back to the passband in multiplier 560 by multiplication with the carrier offset e j ⁇ (n) , provided by the carrier recovery loop 585 .
- equalizer adaptation must use an error term that is in the passband.
- FIG. 6 shows equalizer 600 , an alternative embodiment of the present invention, in which the forward filter 610 operates on passband data, while the feedback filter 650 , and all processing after multiplier 645 , operate at precise baseband.
- Forward filter 610 operates on received passband data r(n) and calculates output X pb (n) via the convolution sum discussed for the filtering process of equalizer 200 in FIG. 2.
- Multiplier 645 translates the output of forward filter 610 to precise baseband by multiplication with the conjugate of the carrier offset estimate, e ⁇ j ⁇ (n) , provided by carrier recovery loop 685 .
- the remainder of the equalizer 600 operates analogously to the equalizer 200 in FIG. 2, except that the equalizer control module 630 receives also the carrier offset estimate from carrier recovery loop 685 to produce a passband error term, e pb (n), as well as a baseband error term, e(n).
- Feedback filter 620 operates on baseband data, and thus is adapted with the baseband error terms described for operation of equalizer 200 in FIG. 2. However, since forward filter 610 in FIG. 6 processes passband data, it is adapted by passband error terms that are generated by rotating the baseband error term with the current offset of the carrier recovery estimate, e j ⁇ (n) .
- Quadrature Amplitude Modulation signals with complex signal processing, unless specifically noted.
- QAM Quadrature Amplitude Modulation
- PSK Phase-Shift Keyed
- PAM Pulse Amplitude Modulation
- the various functions of equalization, signal combining, and automatic gain control may be implemented with circuit elements or may also be implemented in the digital domain as processing steps in a software program.
- Such software may be employed in, for example, a digital signal processor, micro-controller, or general-purpose computer.
- the present invention can be embodied in the form of methods and apparatuses for practicing those methods.
- the present invention can also be embodied in the form of program code embodied in tangible media, such as floppy diskettes, CD-ROMs, hard drives, or any other machine-readable storage medium, wherein, when the program code is loaded into and executed by a machine, such as a computer, the machine becomes an apparatus for practicing the invention.
- the present invention can also be embodied in the form of program code, for example, whether stored in a storage medium, loaded into and/or executed by a machine, or transmitted over some transmission medium, such as over electrical wiring or cabling, through fiber optics, or via electromagnetic radiation, wherein, when the program code is loaded into and executed by a machine, such as a computer, the machine becomes an apparatus for practicing the invention.
- program code When implemented on a general-purpose processor, the program code segments combine with the processor to provide a unique device that operates analogously to specific logic circuits.
Landscapes
- Engineering & Computer Science (AREA)
- Signal Processing (AREA)
- Power Engineering (AREA)
- Computer Networks & Wireless Communication (AREA)
- Multimedia (AREA)
- Cable Transmission Systems, Equalization Of Radio And Reduction Of Echo (AREA)
- Digital Transmission Methods That Use Modulated Carrier Waves (AREA)
- Filters That Use Time-Delay Elements (AREA)
Abstract
Description
- This is a continuation-in-part of that certain U.S. Ser. No. ______, filed Dec. 17, 2002, entitled “Self-Initializing Decision Feedback Equalizer With Automatic Gain Control;” Endres, Long, Cunningham and Ray, inventors, which relies on U.S. Ser. No. 60/341,931, filed Dec. 18, 2001 entitled “Self-Initializing Decision Feedback Equalizer With Automatic Gain Control.” These documents are incorporated herein by this reference.
- The present invention relates to adaptive optimization techniques for Decision Feedback Equalizers in order to compensate for distortions introduced in digital communications systems using modulation techniques such as Quadrature Amplitude Modulation (QAM) or Pulse Amplitude Modulation (PAM).
- In digital communication systems, the digital information bits are mapped to symbols drawn from a finite set of discrete real or complex numbers. These symbols are used to modulate a radio frequency (RF) carrier's frequency, amplitude and/or phase. For example, a quadrature oscillator can be used to modulate the complex symbols onto the amplitude and phase of the RF carrier, and the signaling is referred to as Quadrature Amplitude Modulation (QAM). The time interval between symbols is referred to as the symbol or baud interval, and the inverse of this interval is referred to as the symbol or baud rate.
- Most modem digital communication systems use a symbol rate that sends thousands or millions of symbols per second, over propagation media including satellite links through the earth's atmosphere, terrestrial links from towers to fixed or mobile land-based receivers, or wired links using ancient twisted-pair copper connections or more sophisticated fiber optic connections. Such media are dispersive, causing fading and reflections that result in multiple path delays arriving at the receiver. Such behavior is known as multipath, and causes symbols to smear across multiple symbol boundaries, which is referred to as inter-symbol interference (ISI). Moreover, mismatches in transmitter and receiver filtering induce ISI. Noise is added to the received signal from transmitter and receiver component imperfections, and from sources through the propagation path. At the receiver, an equalizer is used to mitigate the effects of ISI and noise induced in the entire channel, including transmitter, propagation medium, and front-end receiver processing. Since the exact channel characteristics are not known apriori at the receiver, the equalizer is usually implemented with adaptive methods.
- A common type of equalizer uses adaptive filters, and the adjustment of filter coefficients can be done in a variety of ways. Trained equalization methods rely on the embedding of a pre-determined sequence in the transmitted data, referred to as a training or reference sequence. The receiver stores or generates a replica of the training sequence, and to the extent that the received sequence differs from the training sequence, an error measure is derived to adjust equalizer coefficients. Usually, equalizer coefficient convergence relies on multiple transmissions of the training sequence, and the channel characteristics are also time varying. Hence, periodic re-training is necessary.
- A common method of trained coefficient adaptation uses the Least Mean Squares (LMS) algorithm, which minimizes a Mean Squared Error (MSE) cost function with a stochastic gradient descent update rule as described in a paper entitled “The complex LMS algorithm,” by Widrow, McCool, and Ball, in The Proceedings of the IEEE, vol. 63, no. 4, pp. 719-720, April 1975.
- Unfortunately, the training sequence needed for LMS takes up valuable bandwidth that could be used for data transmissions. Hence, methods that do not rely on a reference signal, or derive a reference signal from the data itself, are desirable. Such methods are referred to as blind equalization methods. A common blind equalization method replaces the reference signal in the LMS algorithm with the receiver's best guess at the data, and is therefore referred to as Decision Directed LMS (DD-LMS), as proposed in a paper entitled “Techniques for adaptive equalization of digital communication systems,” by R. W. Lucky, in the Bell Systems Technical Journal, vol. 45, no. 2, pp. 255-286, Feb. 1966. Unfortunately, DD-LMS needs a reasonably low percentage of incorrect decisions to prevent algorithm divergence, and is therefore impractical from a cold-start initialization. Other blind algorithms are usually used from a cold-start.
- The Constant Modulus Algorithm (CMA), proposed independently by Godard and Treichler (“Self-recovering equalization and carrier tracking in two-dimensional data communication systems,” by. D. N. Godard, in IEEE Transactions on Communications, vol. 28, no. 11, pp. 1867-1875, Oct. 1980, and “A new approach to multipath correction of constant modulus signals,” by J. R. Treichler, and B. G. Agee, in IEEE Transactions on Acoustics, Speech, and Signal Processing, vol. ASSP-31, no. 2, pp. 459-472, April 1983) has rapidly become the most popular blind equalization algorithm in practice, and is well-studied in the archival literature, due to its robustness to realistic signaling environments and LMS-like computational complexity and asymptotic performance. Instead of minimizing a MSE cost function, CMA minimizes a quartic Constant Modulus (CM) cost function that penalizes dispersion at the equalizer output.
- Though both LMS and CMA were originally introduced using a linear transversal, or finite impulse response (FIR) equalizer structure, a Decision Feedback Equalizer (DFE) is generally believed to provide superior ISI cancellation with less noise gain than an FIR equalizer structure. A DFE acts to additively cancel ISI by subtracting filtered decisions (or best guesses, also known as hard decisions) from the sampled received signals. The feedback structure embeds a FIR filter in a feedback loop, fed by symbol estimates, and therefore has infinite impulse response (IIR). Like the DD-LMS algortihm, the DFE architecture requires a low percentage of incorrect decisions to prevent algorithm divergence and error propagation, a phenomenon whereby an incorrect decision causes more incorrect decisions due to the recursive structure of the DFE. Therefore, a DFE requires alternative adaptive strategies from a cold-start. Several techniques based on adaptive IIR filtering have been proposed as summarized in a chapter entitled “Current approaches to blind decision feedback equalization,” by R. A. Casas et al., in the textbook, “Signal processing advances in wireless and mobile communications: trends in channel estimation and equalization,” edited by G. Giannakis, et al., Prentice Hall, Upper Saddle River, N.J., 2000.
- Though adaptive IIR filtering approach for blind DFE initialization can achieve successful cold start up, its performance is significantly less optimal than DD-LMS/DFE and mechanical switch from IIR adaptation to DD-LMS adaptation usually exhibits performance degradation in transient period, and thus, in dealing with time varying channels. In order to achieve better transition between IIR adaptation and DD-LMS/DFE Endres et. al in Provisional Application No. 60,341,931, filed Dec. 17, 2001 entitled “Self-initializing decision feedback equalizer with automatic gain control” proposed linearly combining IIR adaptation and DD-LMS adaptation of the DFE coefficients.
- On the other hand, it has been recognized that DFE is not robust under severe noise environment due to error propagation rooted in its recursive structure. Recent studies such as in “Joint Coding and Decision Feedback Equalization for Broadband Wireless Channels,” by Ariyavisitakul et at in IEEE Journals on Selected Areas in Comm. Vol. 16, No. 9, Dec. 1998 proposed a soft decision device approach to reduce MSE of DFE output by replacing the hard decisions with cleverly estimated soft decisions.
- The present invention combines the soft decision device approach and the seamless transition between IIR adaptation and DD-LMS adaptation. Unlike the linear combination of IIR and DD-LMS adaptations, this present invention uses a family of non-linear soft decision devices approximating the optimal soft decision device studied in soft-decision DFE literatures. According to the selection rule inferred from the non-linear soft decision device, DFE coefficients are updated by selected error signals between IIR adaptation and DD-LMS adaptation on a symbol-by-symbol basis, which jointly optimizes the soft decision device and DFE adaptation.
- In accordance with the present invention, a Decision Feedback Equalizer (DFE) uses input samples to the feedback filter that are generated from a novel adaptive soft decision device. The soft decision device receives the input and output samples of the slicer and generates a feedback sample based on a novel non-linear decision rule. Moreover, the soft decision device provides novel error terms used to adapt equalizer coefficients.
- Other aspects, features, and advantages of the present invention will become more fully apparent from the following detailed description, the appended claims, and the accompanying drawings in which:
- FIG. 1 shows a typical prior art communication system that may be employed for transmission of digital signals;
- FIG. 2 shows an exemplary embodiment of the present invention, showing a self-initializing decision feedback equalizer operating at precise baseband;
- FIG. 3 describes the Soft Decision Device in the present invention;
- FIG. 4 shows a 16-QAM constellation selection regions for Soft Decision Device in the present invention;
- FIG. 5 a shows the in-phase component of the equalizer output from a computer simulation of the preferred embodiment of the present invention;
- FIG. 5 b shows the soft decision parameter λ(n) trajectory from a computer simulation of the preferred embodiment of the present invention;
- FIG. 5 c illustrates the input-output relation of the Soft Decision Device for a given λ(n) and constellation;
- FIG. 6 shows an alternative embodiment of the present invention, with equalizer forward and feedback filters operating on passband samples; and
- FIG. 7 shows an alternative embodiment of the present invention, with equalizer forward filter operating on passband samples, and equalizer feedback filter operating on baseband samples.
- FIG. 1 depicts a typical prior art digital communication system.
Transmitter station 100 is coupled toreceiver 150 bypropagation medium 147. The propagation medium could be a cable, telephone twisted-pair wire, satellite link, terrestrial link, or fiber optic connection, for example.Transmitter station 100 includes aninformation source 110, that contains the content such as data, audio, or video, which is to be communicated to thereceiver 150. Theinformation source 110 is coupled toencoder 120, which formats the information in a manner suitable for digital communication, typically in accordance with a given standard or protocol. Theencoder 120 is coupled tomodulator 140, which is also coupled to a quadrature oscillator 130. Themodulator 140 uses the signal from the quadrature oscillator 130 to modulate the encoded information provided byencoder 120 onto a suitable Radio Frequency (RF) carrier frequency in amplitude and phase. The modulated signal frommodulator 140 is coupled to transmit antenna 145 for transmission intopropagation medium 147. - The
receiver 150 receives the RF signal frompropagation medium 147 viareceiver antenna 149.Receiver antenna 149 is coupled totuner 160.Tuner 160 is set to receive the RF signal in the desired frequency range, while rejecting signals in nearby or adjacent frequency ranges.Tuner 160 may provide automatic gain control at the RF frequency and also downconvert the received signal to an intermediate frequency (IF) before passing the signal to the FrontEnd Processing block 165. Front End Processing block 165 samples the signal with an analog-to-digital converter and contains an automatic gain control circuit that scales the signal to the proper dynamic range in accordance with the analog-to-digital converter. FrontEnd Processing block 165 may further include a digital downconversion in frequency, and performs a quadrature demodulation to split the signal into in-phase (I) and quadrature-phase (Q) samples. FrontEnd Processing block 165 is coupled toTiming Recovery module 170 that determines a correct sampling phase.Timing Recovery module 170 may adjust the sampling phase by interpolating the data samples, or adjusting the phase and sampling frequency of the analog-to-digital converter in FrontEnd Processing block 165.Timing Recovery module 170 is coupled toEqualizer 175, which is used to mitigate the distortions, such as inter-symbol interference and noise, that are introduced by thepropagation medium 147,transmitter 100,receiver Tuner 160, receiver Front End Processing block 165, and receiverTiming Recovery module 170.Equalizer 175 is coupled toCarrier Recovery module 180, which detects residual offset in frequency and phase. The detected carrier offset in Carrier Recovery module may be supplied back to theEqualizer 175 for translation of equalized samples to precise baseband, or used to adjust the downconversion process in Front End Processing block 165, or both. The output ofEqualizer 175 is coupled toError Correction module 185, which detects and corrects bit errors in the recovered bit stream. TheError Correction module 185 is coupled toDecoder 190, which decodes the bit stream in accordance with the standard or protocol used in theEncoder 120 ofTransmitter 100. The decoded bits fromDecoder 190 represent the recovered information source, consisting of data, audio, or video, and are supplied to auser interface 195. The present invention is embodied in theEqualizer 175 portion of the communication system. - Baseband/Baseband Equalization
- FIG. 2 shows an exemplary embodiment of the present invention. An
Equalizer 200 receives complex data {tilde over (r)}(n) that is input tomixer 285. Themixer 285 also receives a signal fromcarrier recovery loop 280, e−jθ(n), that is an estimate of the conjugate of the carrier offset. Methods of carrier recovery are well known to one skilled in the art, and may be found, for example, in chapter 16 of the text “Digital Communication” by E. A. Lee and D. G. Messerschmitt, Kluwer Academic Publishers, 1994, which is incorporated herein by reference. Thecarrier recovery loop 280 andmixer 285 are shown as dashed lines, to represent that translation to precise baseband is done prior to equalization, and may be done anywhere prior to equalization in the signal processing chain. For example, some systems embed pilot tones or pulses to aid synchronization, allowing translation to precise baseband in the receiver front end, prior to equalization. In this exemplary embodiment of the invention, theequalizer 200 operates on samples that have been translated to precise baseband. - The output of
mixer 285 is a received signal, r(n), that is at precise baseband, and is input toforward filter 210.Forward filter 210 may operate at the baud rate or faster, in which case the equalizer is said to be fractionally-spaced, and exploits temporal diversity. Also, theforward filter 210 may receive multiple inputs, as from multiple antennae, to exploit spatial diversity. Temporal or spatial diversity uses a multi-channel forward filter. For simplicity, however, a singleforward filter 210 is shown, and extension to a multi-channel model is understood by one skilled in the art. - Filtering
-
Forward filter 210 is a finite impulse response (FIR) filter, computing its output according to the convolution sum - x(n)=f 0(n)r(n)+f 1(n)r(n−1)+f 2(n)r(n−2)+ . . . +f Lf−1(n)r(n−L f+1)
- where r(n) is the sample sequence input to
forward filter 210, x(n) is the output sample sequence offorward filter 210, fi are the forward filter coefficients (or parameters,) and Lf is the number of forward filter coefficients. Note that the forward filter coefficients are also shown with time index n to indicate that theforward filter 210 is adaptive. - The
feedback filter 220 is not multi-channel, and is a FIR filter that calculates its output according to the convolution sum - y(n)=g 0(n)v(n)+g 1(n)v(n−1)+g 2(n)v(n−2)+ . . . +g Lg−1(n)v(n−L g+1)
- where v(n) is the sample sequence input to
feedback filter 220, y(n) is the output sample sequence offeedback filter 220, gi are the feedback filter coefficients (or parameters,) and Lg is the number of feedback filter coefficients. Note that the feedback filter coefficients are also shown with time index n to indicate that thefeedback filter 220 is adaptive. Though thefeedback filter 220 is a FIR filter, it is embedded in a feedback loop, so that the equalizer has an overall impulse response that is infinite. -
Adder 275 combines the outputs offorward filter 210 andfeedback filter 220, x(n) and y(n), respectively, to form sample sequence w(n). Sample sequence w(n) is referred to as slicer inputs. The slicer inputs, w(n), are input toslicer 240.Slicer 240 is a nearest-element decision device that outputs a hard decision, ŵ(n), corresponding to the source alphabet member with closest Euclidean distance to its input sample. The slicer input w(n) and the hard decisions, ŵ(n), fromslicer 240 are input to theSoft Decision Device 230. - Soft Decision Device
- FIG. 3 describes the Soft Decision Device in accordance with the present invention. The slicer input w(n) is splitted into real and imaginary components. For the real and imaginary parts of w(n), w re(n) and wim(n) respectively, the
Boundary Value Generator 320 produces the nearest decision boundary values {haeck over (w)}re(n) and {haeck over (w)}im(n) by treating wre(n) and wim(n) as a Pulse Amplitude Modulated (PAM) signals, which belong to a alphabet set - {−(2M−1)Γ, . . . ,−3Γ,−Γ,3Γ, . . . (2M−1)Γ}
-
- for k=−
M+ 1, . . . ,M−1. -
- for k=−
M+ 1, . . . ,M−1. - FIG. 4 illustrates the relation among w(n) ( 420), ŵ(n) (430), {haeck over (w)}re(n) (440), and {haeck over (w)}im(n) (440) for a 16-QAM constellation.
-
- where {haeck over (w)}(n)={haeck over (w)} re+j{haeck over (w)}im.
- The soft decision device is made adaptive by adaptation of the decision reference parameter λ(n) . The decision reference parameter λ(n) is initialized by λ(0)=1 and adjusted from 0 to 1 depending on the signal quality. The
Soft Decision Optimizer 350 optimizes the decision reference parameter λ(n). The decision reference parameter λ(n) can be approximately optimized by setting λn)=E|w(n)−ŵ(n)|2/E|w(n)|2 (with E{·} denoting statistical expectation) and can be adjusted each symbol instance using the leakage integrator - λ(n)=(1−ρλ)·λ(n−1)+ρλ ·|w(n)−ŵ| 2/Δ
- where Δ is chosen to normalize |w(n)−ŵ| 2 (for example average signal power, Δ=E|w(n)|2) and ρλ is the leakage term and is chosen less than or equal to one and greater than or equal to zero.
- Alternatively, λ(n) can be updated on a block by block base based on the block estimation of E|w(n)−ŵ(n)| 2/E|w(n)|2, or using training signals instead of ŵ(n) for the training periods. Furthermore, the combining weight λ(n) may be compared to two thresholds, TU and TL. If λ(n)>TU, then λ(n) is set to one; if λ(n)<TL, then λ(n) is set to zero
- Error Signal Generation and Coefficient Adaptation
- Adaptation of the
forward filter 210 coefficients andfeedback filter 220 coefficients uses a stochastic gradient descent update rule: - f i(n+1)=f i(n)−μfΦ*(n)e(n)
- g i(n+1)=g i(n)−μgφ*(n)e(n)
- where (·)* represents complex conjugation, and μ f and μg are small, positive stepsizes governing algorithm convergence rate, tracking capabilities and stochastic jitter. Using simplified updates, the data used in the adaptation equations are set to Φ(n)=r(n) and φ(n)=v(n). The baseband error term e(n) that updates the
forward filter 210 andfeedback filter 220 at each baud instance is selected byError Signal Generator 340 inSoft Decision Device 300 and is calculated according to - The preferred embodiment of the present invention uses a Constant Modulus Algorithm (CMA) error term of order p=2 (as described by Godard in “Self recovering equalization and carrier tracking in two-dimensional data communication systems”) for e 1(n) and a Decision-Directed LMS (DD-LMS) error term for e2(n). For example, CMA ad DD-LMS error terms may be calculated according to
- e did-lms =w(n)−ŵ(n)
- where γ is a real scalar referred to as the CM dispersion constant or Godard radius, and is usually calculated as γ=E{|s(n)| 4}/E{|s(n)|2} for source sequence s(n), (These error terms are said to be baseband, since they are derived from samples at precise baseband.)
- The intuition behind this error term generation is that the slicer inputs near hard decision boundaries are treated less reliable signals than the slicer inputs near hard decision samples. The
Error Signal Generator 340 separates the unreliable signals and reliable signals, and apply IIR adaptation for the unreliable signals after proper resealing. For the reliable signals the conventional DD-LMS is applied. - Other choices of error terms may include CMA error terms of order other than p=2; those derived from the Bussgang class of cost functions, as described in
chapter 2 of “Blind Deconvolution,” Prentice Hall, written by S. Bellini, edited by S. Haykin, 1994; single-axis error terms which use real-part extraction, as described in a paper by A. Shah et al, entitled “Global convergence of a single-axis constant modulus algorithm,” Proceedings of the IEEE statistical signal and array processing workshop, Pocono Manor, Pa., August, 2000; or error terms derived from other blind or non-blind criteria. - Setting Φ(n)=r(n) and φ(n)=v(n) in the above equations used to adapt
forward filter 210 andfeedback filter 220 coefficients is referred to as “simplified updates,” since the step known as regressor filtering is omitted. True cost function minimization requires an extra stage of filtering for the regressor data of theforward filter 210 and thefeedback filter 220 in the adaptation process, using the current equalizer coefficients. Such regressor filtering is typically omitted in practice due to implementation burden. Regressor filtering is described in Chapter 5 of “Theory and design of adaptive filters” by J. R. Treichler, C. R. Johnson, Jr., and M. G. Larimore, Prentice Hall, 2001. One skilled in the art would recognize how to modify the regressor data used in the adaptation equations above to incorporate the extra stage of regressor filtering. - FIGS. 5 a and 5 b illustrate the equalizer output and soft decision reference parameter λ(n) in operation from a computer simulation of the preferred embodiment of the present invention. The source signal is 4-QAM (QPSK) data passed through a closed-eye channel that has rapid time variation at the 5,000th baud sample. There are 10,000 baud samples, with adaptation of equalizer coefficients and decision reference parameter at the start of the simulation. The leakage value for Soft Decision Device optimization is ρλ=0.01. Thresholds for the combining weight are set to TU=1 and TL=0.
- FIG. 5 a shows the real part of slicer inputs converging to correct decisions as adaptation is processed. Sudden dispersion at the 5,000th baud sample is due to sudden change of the multipath channel.
- FIG. 5 b shows the trajectory of decision reference parameter λ(n), initialized to unity, and converging towards zero when channel is static, and optimizing the adaptation and soft decision device when channel is varying.
- FIG. 5 c draws the soft decision device as a function of slicer input for various choice of decision reference parameter λ(n) in this simulation. For λ(n)=0 the soft decision device agrees with hard limiter and DFE is operating with DD-LMS algorithm. As λ(n) increases the region of unreliable signals are increased too and DFE is operating with the conventional CMA in that region.
- Passband/Passband Equalization
- An alternative embodiment of the present invention is shown in FIG. 5, in which the
equalizer 500 operates in the passband; that is, not at precise baseband.Equalizer 500 is similar toequalizer 200 in FIG. 2, so only the differences inequalizer 500 of FIG. 5 are described. -
Forward filter 510 andfeedback filter 520 produce data by convolution sums in an analogous manner to that described for the exemplary embodiment in FIG. 2, yielding passband signals x(n) and y(n), respectively. The outputs offorward filter 510 andfeedback filter 520 are combined inadder 590, yielding the passband sample {tilde over (w)}(n). This sample is translated to precise baseband (or de-rotated) slicer input w(n) inmultiplier 555 by multiplication with the conjugate of the carrier offset, e−jθ(n), provided bycarrier recovery loop 585. Theslicer 540 is a nearest-element decision device that outputs a hard decision, ŵ(n), corresponding to the source alphabet member with closest Euclidean distance to its input sample. The slicer input and hard decision samples are input to the Soft Decision Device and the soft decision v(n) is translated back to the passband inmultiplier 560 by multiplication with the carrier offset ejθ(n), provided by thecarrier recovery loop 585. -
- Since both
forward filter 510 andfeedback filter 520 operate in the passband, they are updated with passband error terms. - Passband/Baseband Equalization
- FIG. 6 shows
equalizer 600, an alternative embodiment of the present invention, in which theforward filter 610 operates on passband data, while thefeedback filter 650, and all processing aftermultiplier 645, operate at precise baseband.Forward filter 610 operates on received passband data r(n) and calculates output Xpb(n) via the convolution sum discussed for the filtering process ofequalizer 200 in FIG. 2. -
Multiplier 645 translates the output offorward filter 610 to precise baseband by multiplication with the conjugate of the carrier offset estimate, e−jθ(n), provided bycarrier recovery loop 685. The remainder of theequalizer 600 operates analogously to theequalizer 200 in FIG. 2, except that theequalizer control module 630 receives also the carrier offset estimate fromcarrier recovery loop 685 to produce a passband error term, epb(n), as well as a baseband error term, e(n).Feedback filter 620 operates on baseband data, and thus is adapted with the baseband error terms described for operation ofequalizer 200 in FIG. 2. However, sinceforward filter 610 in FIG. 6 processes passband data, it is adapted by passband error terms that are generated by rotating the baseband error term with the current offset of the carrier recovery estimate, ejθ(n). - One skilled in the art would understand that the equations described herein may include scaling, change of sign, or similar constant modifications that are not shown for simplicity. One skilled in the art would realize that such modifications can be readily determined or derived for the particular implementation. Thus, the described equations may be subject to such modifications, and are not limited to the exact forms presented herein.
- The present invention has been described using Quadrature Amplitude Modulation (QAM) signals with complex signal processing, unless specifically noted. However, one skilled in the art would realize that the techniques described herein may be applied to a receiver processing Phase-Shift Keyed (PSK), Pulse Amplitude Modulation (PAM), or other signals.
- As would be apparent to one skilled in the art, the various functions of equalization, signal combining, and automatic gain control may be implemented with circuit elements or may also be implemented in the digital domain as processing steps in a software program. Such software may be employed in, for example, a digital signal processor, micro-controller, or general-purpose computer.
- The present invention can be embodied in the form of methods and apparatuses for practicing those methods. The present invention can also be embodied in the form of program code embodied in tangible media, such as floppy diskettes, CD-ROMs, hard drives, or any other machine-readable storage medium, wherein, when the program code is loaded into and executed by a machine, such as a computer, the machine becomes an apparatus for practicing the invention. The present invention can also be embodied in the form of program code, for example, whether stored in a storage medium, loaded into and/or executed by a machine, or transmitted over some transmission medium, such as over electrical wiring or cabling, through fiber optics, or via electromagnetic radiation, wherein, when the program code is loaded into and executed by a machine, such as a computer, the machine becomes an apparatus for practicing the invention. When implemented on a general-purpose processor, the program code segments combine with the processor to provide a unique device that operates analogously to specific logic circuits.
- It will be further understood that various changes in the details, materials, and arrangements of the parts which have been described and illustrated in order to explain the nature of this invention may be made by those skilled in the art without departing from the principle and scope of the invention as expressed in the following claims.
Claims (1)
Priority Applications (4)
| Application Number | Priority Date | Filing Date | Title |
|---|---|---|---|
| US10/327,280 US7180942B2 (en) | 2001-12-18 | 2002-12-20 | Joint adaptive optimization of soft decision device and feedback equalizer |
| AU2003301141A AU2003301141A1 (en) | 2002-12-20 | 2003-12-18 | Optimization of soft decision device and feedback equalizer |
| PCT/US2003/040672 WO2004059932A2 (en) | 2002-12-20 | 2003-12-18 | Optimization of soft decision device and feedback equalizer |
| US12/390,368 USRE42558E1 (en) | 2001-12-18 | 2009-02-20 | Joint adaptive optimization of soft decision device and feedback equalizer |
Applications Claiming Priority (3)
| Application Number | Priority Date | Filing Date | Title |
|---|---|---|---|
| US34193101P | 2001-12-18 | 2001-12-18 | |
| US10/322,299 US20030219085A1 (en) | 2001-12-18 | 2002-12-17 | Self-initializing decision feedback equalizer with automatic gain control |
| US10/327,280 US7180942B2 (en) | 2001-12-18 | 2002-12-20 | Joint adaptive optimization of soft decision device and feedback equalizer |
Related Parent Applications (1)
| Application Number | Title | Priority Date | Filing Date |
|---|---|---|---|
| US10/322,299 Continuation-In-Part US20030219085A1 (en) | 2001-12-18 | 2002-12-17 | Self-initializing decision feedback equalizer with automatic gain control |
Related Child Applications (1)
| Application Number | Title | Priority Date | Filing Date |
|---|---|---|---|
| US12/390,368 Reissue USRE42558E1 (en) | 2001-12-18 | 2009-02-20 | Joint adaptive optimization of soft decision device and feedback equalizer |
Publications (2)
| Publication Number | Publication Date |
|---|---|
| US20040008765A1 true US20040008765A1 (en) | 2004-01-15 |
| US7180942B2 US7180942B2 (en) | 2007-02-20 |
Family
ID=32680751
Family Applications (2)
| Application Number | Title | Priority Date | Filing Date |
|---|---|---|---|
| US10/327,280 Ceased US7180942B2 (en) | 2001-12-18 | 2002-12-20 | Joint adaptive optimization of soft decision device and feedback equalizer |
| US12/390,368 Expired - Lifetime USRE42558E1 (en) | 2001-12-18 | 2009-02-20 | Joint adaptive optimization of soft decision device and feedback equalizer |
Family Applications After (1)
| Application Number | Title | Priority Date | Filing Date |
|---|---|---|---|
| US12/390,368 Expired - Lifetime USRE42558E1 (en) | 2001-12-18 | 2009-02-20 | Joint adaptive optimization of soft decision device and feedback equalizer |
Country Status (3)
| Country | Link |
|---|---|
| US (2) | US7180942B2 (en) |
| AU (1) | AU2003301141A1 (en) |
| WO (1) | WO2004059932A2 (en) |
Cited By (21)
| Publication number | Priority date | Publication date | Assignee | Title |
|---|---|---|---|---|
| US20040013083A1 (en) * | 2002-04-24 | 2004-01-22 | Motorola, Inc. | Method and apparatus for compensating for variations in a receive portion of a wireless communication device |
| US20040193669A1 (en) * | 2002-10-02 | 2004-09-30 | Ramin Shirani | Low-power, high-frequency finite impulse finite response (FIR) filter and method of use |
| US20050190867A1 (en) * | 2004-03-01 | 2005-09-01 | Sobchak Charles L. | Low cost and high performance narrowband interference cancellation system |
| US20050243908A1 (en) * | 2002-04-16 | 2005-11-03 | Thomson Licensing S.A. | Decision feedback equalizer |
| US20060203900A1 (en) * | 2005-03-10 | 2006-09-14 | Stmicroelectronics, Inc. | Burst error limiting feedback equalizer system and method for multidimensional modulation systems |
| US20060227854A1 (en) * | 2005-04-07 | 2006-10-12 | Mccloud Michael L | Soft weighted interference cancellation for CDMA systems |
| US20060227909A1 (en) * | 2005-04-07 | 2006-10-12 | Thomas John K | Optimal feedback weighting for soft-decision cancellers |
| US20070110131A1 (en) * | 2005-11-15 | 2007-05-17 | Tommy Guess | Iterative interference cancellation using mixed feedback weights and stabilizing step sizes |
| US20070110132A1 (en) * | 2005-11-15 | 2007-05-17 | Tommy Guess | Iterative interference cancellation using mixed feedback weights and stabilizing step sizes |
| US7711075B2 (en) | 2005-11-15 | 2010-05-04 | Tensorcomm Incorporated | Iterative interference cancellation using mixed feedback weights and stabilizing step sizes |
| US7715508B2 (en) | 2005-11-15 | 2010-05-11 | Tensorcomm, Incorporated | Iterative interference cancellation using mixed feedback weights and stabilizing step sizes |
| US20100208854A1 (en) * | 2005-11-15 | 2010-08-19 | Tommy Guess | Iterative Interference Cancellation for MIMO-OFDM Receivers |
| US20100215082A1 (en) * | 2005-11-15 | 2010-08-26 | Tensorcomm Incorporated | Iterative interference canceller for wireless multiple-access systems employing closed loop transmit diversity |
| US20110019656A1 (en) * | 2002-09-20 | 2011-01-27 | Rambus Inc. | Advanced signal processors for Interference Cancellation in baseband receivers |
| US20110044378A1 (en) * | 2005-11-15 | 2011-02-24 | Rambus Inc. | Iterative Interference Canceler for Wireless Multiple-Access Systems with Multiple Receive Antennas |
| US20110064066A1 (en) * | 2002-09-23 | 2011-03-17 | Rambus Inc. | Methods for Estimation and Interference Cancellation for signal processing |
| US20120134407A1 (en) * | 2005-01-04 | 2012-05-31 | Sudeep Bhoja | Adaptive equalization with group delay |
| US8576903B2 (en) | 2011-10-18 | 2013-11-05 | Transwitch Corporation | Techniques for adaptively adjusting decision levels of a PAM-N decision feedback equalizer |
| US20160056981A1 (en) * | 2014-08-25 | 2016-02-25 | Broadcom Corporation | Two-dimensional (2D) decision feedback equalizer (DFE) slicer within communication systems |
| US20160359646A1 (en) * | 2015-05-28 | 2016-12-08 | King Fahd University Of Petroleum And Minerals | System and method for applying adaptive frequency-domain rls dfe for uplink sc-fdma |
| US11336489B1 (en) * | 2020-11-13 | 2022-05-17 | Realtek Semiconductor Corp. | Method of configuring decision feedback equalizer and related decision feedback equalizer thereof |
Families Citing this family (4)
| Publication number | Priority date | Publication date | Assignee | Title |
|---|---|---|---|---|
| US7180942B2 (en) | 2001-12-18 | 2007-02-20 | Dotcast, Inc. | Joint adaptive optimization of soft decision device and feedback equalizer |
| US7526022B2 (en) * | 2004-05-19 | 2009-04-28 | Harris Corporation | Low complexity equalizer |
| US7826523B2 (en) * | 2006-03-31 | 2010-11-02 | Intel Corporation | Effective adaptive filtering techniques |
| US10560289B1 (en) | 2018-09-13 | 2020-02-11 | Viasat, Inc. | Adaptive equalizer system |
Citations (88)
| Publication number | Priority date | Publication date | Assignee | Title |
|---|---|---|---|---|
| US2138330A (en) * | 1937-07-19 | 1938-11-29 | Harold E Thompson | Radio frequency coil |
| US2977551A (en) * | 1957-03-18 | 1961-03-28 | Nat Res Dev | Microwave modulator |
| US3386033A (en) * | 1965-02-11 | 1968-05-28 | Univ Ohio State Res Found | Amplifier using antenna as a circuit element |
| US3703685A (en) * | 1969-09-10 | 1972-11-21 | Labtron Corp Of America | Multiband antenna with associated r.f. amplifier |
| US3714659A (en) * | 1968-12-10 | 1973-01-30 | C Firman | Very low frequency subminiature active antenna |
| US3774218A (en) * | 1972-01-18 | 1973-11-20 | C Fowler | Coaxial cable loop antenna with unidirectional current amplifier opposite the output |
| US3873771A (en) * | 1972-04-11 | 1975-03-25 | Telescan Communications System | Simultaneous transmission of a video and an audio signal through an ordinary telephone transmission line |
| US3974449A (en) * | 1975-03-21 | 1976-08-10 | Bell Telephone Laboratories, Incorporated | Joint decision feedback equalization and carrier recovery adaptation in data transmission systems |
| US4081497A (en) * | 1975-07-09 | 1978-03-28 | Idemitsu Petrochemical Co., Ltd. | Method for producing a high impact polystyrene |
| US4115778A (en) * | 1976-11-18 | 1978-09-19 | Jfd Electronics Corporation | Electronic solid state FM dipole antenna |
| US4302626A (en) * | 1977-03-21 | 1981-11-24 | Magnavox Consumer Electronics Company | Low frequency AM stereophonic broadcast and receiving apparatus |
| US4310920A (en) * | 1977-01-05 | 1982-01-12 | Hayes William A | Single sideband AM-FM stereo modulation system |
| US4316215A (en) * | 1979-09-26 | 1982-02-16 | Matsushita Electric Industrial Co., Ltd. | System for improving reproduction of images in a color television receiver |
| US4337479A (en) * | 1979-09-13 | 1982-06-29 | Matsushita Electric Industrial Co., Ltd. | Color resolution compensator |
| US4379947A (en) * | 1979-02-02 | 1983-04-12 | Teleprompter Corporation | System for transmitting data simultaneously with audio |
| US4459595A (en) * | 1981-12-18 | 1984-07-10 | Rockwell International Corporation | Condition responsive RF transmitting device |
| US4469437A (en) * | 1982-03-02 | 1984-09-04 | Minolta Camera Kabushiki Kaisha | Light measurement and light control data calculation device for a photographic enlarger |
| US4476484A (en) * | 1982-06-24 | 1984-10-09 | At&T Bell Laboratories | Technique for providing compatibility between high-definition and conventional color television |
| US4513415A (en) * | 1979-10-23 | 1985-04-23 | Mcgraw-Edison Company | Broadcast synchronization and supervision system |
| US4523225A (en) * | 1982-05-13 | 1985-06-11 | Matsushita Electric Industrial Co., Ltd. | Image display apparatus |
| US4535352A (en) * | 1984-04-16 | 1985-08-13 | At&T Bell Laboratories | Technique for generating semi-compatible high definition television signals for transmission over two cable TV channels |
| US4551011A (en) * | 1981-12-11 | 1985-11-05 | Minolta Camera Kabushiki Kaisha | Light source for exposure |
| US4575225A (en) * | 1982-09-16 | 1986-03-11 | Minolta Camera Kabushiki Kaisha | Color enlarger |
| US4587495A (en) * | 1982-05-21 | 1986-05-06 | Hitachi, Ltd. | Cascode amplifier with an improved biasing arrangement |
| US4589011A (en) * | 1984-01-16 | 1986-05-13 | At&T Bell Laboratories | Single sideband modulated chrominance information for compatible high-definition television |
| US4602260A (en) * | 1983-04-28 | 1986-07-22 | Hans Kolbe & Co. | Windshield antenna |
| US4607230A (en) * | 1984-08-29 | 1986-08-19 | Fujitsu Limited | Receiver unit having synchronous pull-in circuit |
| US4750036A (en) * | 1986-05-14 | 1988-06-07 | Radio Telcom & Technology, Inc. | Interactive television and data transmission system |
| US4754233A (en) * | 1987-06-22 | 1988-06-28 | Motorola, Inc. | Low noise ultra high frequency amplifier having automatic gain control |
| US4821097A (en) * | 1987-03-05 | 1989-04-11 | General Instrument Corporation | Apparatus and method for providing digital audio on the sound carrier of a standard television signal |
| US4870489A (en) * | 1987-07-23 | 1989-09-26 | Ducret Robert P | NTSC compatible HDTV transmission system |
| US4879606A (en) * | 1988-06-06 | 1989-11-07 | General Electric Company | EDTV recording apparatus |
| US4882614A (en) * | 1986-07-14 | 1989-11-21 | Matsushita Electric Industrial Co., Ltd. | Multiplex signal processing apparatus |
| US4907218A (en) * | 1987-09-18 | 1990-03-06 | Matsushita Electric Industrial Co., Ltd. | Multiplex signal processing apparatus |
| US4926244A (en) * | 1987-09-14 | 1990-05-15 | General Electric Company | Extended definition widescreen television signal processing system with alternate subcarrier |
| US4928177A (en) * | 1988-04-11 | 1990-05-22 | Cooper Industries, Inc. | Two-way data broadcast networks |
| US4985769A (en) * | 1988-03-23 | 1991-01-15 | Matsushita Electric Industrial Co., Ltd. | Multiplex TV signal processing apparatus |
| US5006296A (en) * | 1988-09-01 | 1991-04-09 | The Dow Chemical Company | Process for the preparation of fibers of stereoregular polystyrene |
| US5019830A (en) * | 1989-03-13 | 1991-05-28 | Harada Kogyo Kabushiki Kaisha | Amplified FM antenna with parallel radiator and ground plane |
| US5036386A (en) * | 1988-07-22 | 1991-07-30 | Matsushita Electric Industrial Co., Ltd. | Television signal processing apparatus |
| US5038402A (en) * | 1988-12-06 | 1991-08-06 | General Instrument Corporation | Apparatus and method for providing digital audio in the FM broadcast band |
| US5087975A (en) * | 1990-11-09 | 1992-02-11 | Zenith Electronics Corporation | VSB HDTV transmission system with reduced NTSC co-channel interference |
| US5093718A (en) * | 1990-09-28 | 1992-03-03 | Inteletext Systems, Inc. | Interactive home information system |
| US5103295A (en) * | 1989-04-28 | 1992-04-07 | Matsushita Electric Industrial Co., Ltd. | Television signal processor for eliminating quality differences between portions of television images having different aspect ratios |
| US5103310A (en) * | 1990-07-20 | 1992-04-07 | General Electric Company | Interference reduction for extra-spectrum, compatible television system |
| US5126998A (en) * | 1990-05-16 | 1992-06-30 | U.V. Satellite Resources, Inc. | Method and apparatus for transmitting and receiving a carrier signal which is simultaneously frequency and phase modulated |
| US5132988A (en) * | 1990-12-03 | 1992-07-21 | Board Of Trustees, Leland Stanford Jr. University | Adaptive decision feedback equalizer apparatus for processing information stored on digital storage media |
| US5134464A (en) * | 1990-11-16 | 1992-07-28 | North American Philips Corporation | Method and apparatus for the transmission and reception of a multicarrier digital television signal |
| US5142353A (en) * | 1987-12-23 | 1992-08-25 | Matsushita Electric Industrial Co., Ltd. | Television signal processing apparatus |
| US5151783A (en) * | 1991-06-05 | 1992-09-29 | Faroudja Y C | Digital television with enhancement |
| US5177604A (en) * | 1986-05-14 | 1993-01-05 | Radio Telcom & Technology, Inc. | Interactive television and data transmission system |
| US5214501A (en) * | 1988-10-03 | 1993-05-25 | North American Philips Corporation | Method and apparatus for the transmission and reception of a multicarrier high definition television signal |
| US5220420A (en) * | 1990-09-28 | 1993-06-15 | Inteletext Systems, Inc. | Interactive home information system for distributing compressed television programming |
| US5235619A (en) * | 1990-03-20 | 1993-08-10 | Scientific-Atlanta, Inc. | Cable television radio frequency subscriber data transmission apparatus and rf return method |
| US5247351A (en) * | 1989-11-09 | 1993-09-21 | Samsung Electronics Co., Ltd. | High definition television system compatible with NTSC system |
| US5276507A (en) * | 1990-03-23 | 1994-01-04 | Matsushita Electric Industrial Co., Ltd. | Multiplex TV signal processing apparatus |
| US5287180A (en) * | 1991-02-04 | 1994-02-15 | General Electric Company | Modulator/demodulater for compatible high definition television system |
| US5291289A (en) * | 1990-11-16 | 1994-03-01 | North American Philips Corporation | Method and apparatus for transmission and reception of a digital television signal using multicarrier modulation |
| US5327460A (en) * | 1992-07-07 | 1994-07-05 | National Semiconductor Corporation | Method and apparatus for filtering post decision feedback equalization noise |
| US5357284A (en) * | 1990-03-29 | 1994-10-18 | Dolby Laboratories Licensing Corporation | Compatible digital audio for NTSC television |
| US5386239A (en) * | 1993-05-03 | 1995-01-31 | Thomson Consumer Electronics, Inc. | Multiple QAM digital television signal decoder |
| US5430661A (en) * | 1990-12-03 | 1995-07-04 | Board Of Trustees Leland Stanford, Jr. University | Adaptive decision feedback equalizer apparatus for processing information stored on digital storage media |
| US5442403A (en) * | 1989-12-18 | 1995-08-15 | Matsushita Electric Industrial Co., Ltd. | Wide-screen TV signal transmission apparatus |
| US5448299A (en) * | 1994-01-05 | 1995-09-05 | Samsung Electronics Co., Ltd. | Apparatus for processing BPSK signals transmitted with NTSC TV on quadrature-phase video carrier |
| US5461426A (en) * | 1993-08-20 | 1995-10-24 | Samsung Electronics Co., Ltd. | Apparatus for processing modified NTSC television signals, with digital signals buried therewithin |
| US5534933A (en) * | 1993-10-26 | 1996-07-09 | Samsung Electronics Co., Ltd. | Apparatus for processing NTSC TV signals having digital signals on quadrature-phase video carrier |
| US5550579A (en) * | 1986-05-14 | 1996-08-27 | Radio Telecom & Technology, Inc. | Two-way cable tv conversion system |
| US5550578A (en) * | 1990-09-28 | 1996-08-27 | Ictv, Inc. | Interactive and conventional television information system |
| US5557316A (en) * | 1990-09-28 | 1996-09-17 | Ictv, Inc. | System for distributing broadcast television services identically on a first bandwidth portion of a plurality of express trunks and interactive services over a second bandwidth portion of each express trunk on a subscriber demand basis |
| US5563664A (en) * | 1994-01-05 | 1996-10-08 | Samsung Electronics Co., Ltd. | Pre-frame-comb as well as pre-line-comb partial-response filtering of BPSK buried in a TV signal |
| US5714965A (en) * | 1995-01-27 | 1998-02-03 | Nippon Mektron, Ltd | Active reception antenna with coplanar feeder |
| US5742902A (en) * | 1996-03-29 | 1998-04-21 | Gmi Holdings, Inc. | Super-regenerative circuit apparatus for a door operator receiver and door operator incorporating the same |
| US5809086A (en) * | 1996-03-20 | 1998-09-15 | Lucent Technologies Inc. | Intelligent timing recovery for a broadband adaptive equalizer |
| US5818845A (en) * | 1995-04-21 | 1998-10-06 | Hybrid Networks, Inc. | Hybrid access system having channel allocation and prioritized polling schemes |
| US5909253A (en) * | 1997-12-09 | 1999-06-01 | Sarnoff Corporation | Reducing video crosstalk in a data carrier located within a vestigial sideband of a standard television signal |
| US5946351A (en) * | 1996-12-27 | 1999-08-31 | At&T Corporation | Tap selectable decision feedback equalizer |
| US5946047A (en) * | 1997-03-12 | 1999-08-31 | Hybrid Networks, Inc. | Network system for handling digital data over a TV channel |
| US5956346A (en) * | 1996-10-22 | 1999-09-21 | Hybrid Networks, Inc. | Broadband communication system using TV channel roll-off spectrum |
| US5959660A (en) * | 1996-08-26 | 1999-09-28 | Hybrid Networks, Inc. | Subchannelization scheme for use in a broadband communications system |
| US5961603A (en) * | 1996-04-10 | 1999-10-05 | Worldgate Communications, Inc. | Access system and method for providing interactive access to an information source through a networked distribution system |
| US5994891A (en) * | 1994-09-26 | 1999-11-30 | The Boeing Company | Electrically small, wideband, high dynamic range antenna having a serial array of optical modulators |
| US6012161A (en) * | 1997-11-26 | 2000-01-04 | At&T Corp. | System and method for joint coding and decision feedback equalization |
| US6226323B1 (en) * | 1998-11-03 | 2001-05-01 | Broadcom Corporation | Technique for minimizing decision feedback equalizer wordlength in the presence of a DC component |
| US6240133B1 (en) * | 1998-02-05 | 2001-05-29 | Texas Instruments Incorporated | High stability fast tracking adaptive equalizer for use with time varying communication channels |
| US6356586B1 (en) * | 1999-09-03 | 2002-03-12 | Lucent Technologies, Inc. | Methods and apparatus for parallel decision-feedback decoding in a communication system |
| US6377529B1 (en) * | 2000-06-01 | 2002-04-23 | Calimetrics, Inc. | Method for providing improved equalization for the reading of marks on optical data-storage media |
| US6426973B1 (en) * | 1999-04-29 | 2002-07-30 | The Board Of Trustees Of The University Of Illinois | Differential minimum mean squared error communication signal compensation method |
| US6680971B1 (en) * | 1998-05-18 | 2004-01-20 | Sarnoff Corporation | Passband equalizer for a vestigial sideband signal receiver |
Family Cites Families (60)
| Publication number | Priority date | Publication date | Assignee | Title |
|---|---|---|---|---|
| US3838444A (en) | 1972-10-30 | 1974-09-24 | Hazeltine Research Inc | System for transmitting auxiliary information in low energy density portion of color tv spectrum |
| US3924060A (en) | 1974-06-24 | 1975-12-02 | Hazeltine Research Inc | Continuous information add-on system |
| US3984624A (en) | 1974-07-25 | 1976-10-05 | Weston Instruments, Inc. | Video system for conveying digital and analog information |
| US3999005A (en) | 1974-12-26 | 1976-12-21 | Ecom Corporation | Secure transmission of AM or FM signals |
| US4128880A (en) | 1976-06-30 | 1978-12-05 | Cray Research, Inc. | Computer vector register processing |
| JPS57164331A (en) | 1981-04-02 | 1982-10-08 | Nec Corp | Buffer controller |
| US4882725A (en) | 1987-01-30 | 1989-11-21 | Hitachi, Ltd. | Multiplex transmission method and apparatus |
| JPH0250604A (en) | 1988-08-12 | 1990-02-20 | Michiko Naito | Active antenna |
| US5006926A (en) | 1988-10-03 | 1991-04-09 | North American Philips Corporation | High definition multiple analog component amplitude modulated television transmission system |
| US4958230A (en) | 1989-08-11 | 1990-09-18 | General Electric Company | Method of transmitting auxiliary information in a television signal |
| US5883661A (en) | 1990-09-28 | 1999-03-16 | Ictv, Inc. | Output switching for load levelling across multiple service areas |
| WO1992022983A2 (en) | 1991-06-11 | 1992-12-23 | Browne H Lee | Large capacity, random access, multi-source recorder player |
| US5559559A (en) | 1991-06-14 | 1996-09-24 | Wavephore, Inc. | Transmitting a secondary signal with dynamic injection level control |
| US5387941A (en) | 1991-06-14 | 1995-02-07 | Wavephore, Inc. | Data with video transmitter |
| US5617148A (en) | 1991-06-14 | 1997-04-01 | Wavephore, Inc. | Filter by-pass for transmitting an additional signal with a video signal |
| US5214675A (en) | 1991-07-02 | 1993-05-25 | Motorola, Inc. | System and method for calculating channel gain and noise variance of a communication channel |
| US6034678A (en) | 1991-09-10 | 2000-03-07 | Ictv, Inc. | Cable television system with remote interactive processor |
| AU2554392A (en) | 1991-09-10 | 1993-04-05 | Hybrid Networks, Inc. | Remote link adapter for use in tv broadcast data transmission system |
| US5243423A (en) | 1991-12-20 | 1993-09-07 | A. C. Nielsen Company | Spread spectrum digital data transmission over TV video |
| JPH0822057B2 (en) | 1992-04-21 | 1996-03-04 | 松下電器産業株式会社 | Television signal processing method and processing apparatus |
| JPH06292156A (en) | 1992-06-30 | 1994-10-18 | Matsushita Electric Ind Co Ltd | Television signal processor |
| US20020104083A1 (en) | 1992-12-09 | 2002-08-01 | Hendricks John S. | Internally targeted advertisements using television delivery systems |
| US6201536B1 (en) | 1992-12-09 | 2001-03-13 | Discovery Communications, Inc. | Network manager for cable television system headends |
| ATE190180T1 (en) | 1992-12-09 | 2000-03-15 | Discovery Communicat Inc | REPEATEDLY PROGRAMMABLE TERMINAL FOR PROGRAM SUGGESTIONS OF A DISTRIBUTION SYSTEM FOR TELEVISION PROGRAMS |
| US5600573A (en) | 1992-12-09 | 1997-02-04 | Discovery Communications, Inc. | Operations center with video storage for a television program packaging and delivery system |
| WO1994023470A1 (en) | 1993-03-26 | 1994-10-13 | Superconductor Technologies, Inc. | Low noise amplifier |
| US5579055A (en) | 1993-06-07 | 1996-11-26 | Scientific-Atlanta, Inc. | Electronic program guide and text channel data controller |
| AU6963794A (en) | 1993-07-02 | 1995-01-24 | Motorola, Inc. | Radio frequency amplifier with variable gain control |
| US5881302A (en) | 1994-05-31 | 1999-03-09 | Nec Corporation | Vector processing unit with reconfigurable data buffer |
| US5585975A (en) | 1994-11-17 | 1996-12-17 | Cirrus Logic, Inc. | Equalization for sample value estimation and sequence detection in a sampled amplitude read channel |
| US6073030A (en) | 1995-02-13 | 2000-06-06 | Intel Corporation | Use of RSSI indication for improved data transmission over amps network |
| US5751766A (en) | 1995-04-27 | 1998-05-12 | Applied Signal Technology, Inc. | Non-invasive digital communications test system |
| US5818441A (en) | 1995-06-15 | 1998-10-06 | Intel Corporation | System and method for simulating two-way connectivity for one way data streams |
| US6307868B1 (en) | 1995-08-25 | 2001-10-23 | Terayon Communication Systems, Inc. | Apparatus and method for SCDMA digital data transmission using orthogonal codes and a head end modem with no tracking loops |
| US5694424A (en) | 1996-03-15 | 1997-12-02 | Ariyavisitakul; Sirikiat | Pre-cancelling postcursors in decision feedback equalization |
| AU4325497A (en) | 1996-06-03 | 1998-01-05 | Scientific-Atlanta, Inc. | Reconfigurable node for a communications network |
| US6018764A (en) | 1996-12-10 | 2000-01-25 | General Instrument Corporation | Mapping uniform resource locators to broadcast addresses in a television signal |
| EP0956702A1 (en) | 1997-01-30 | 1999-11-17 | Microsoft Corporation | Vcr-like functions rendering video on demand |
| US6018526A (en) | 1997-02-20 | 2000-01-25 | Macronix America, Inc. | Bridge device with self learning between network media and integrated circuit and method based on the same |
| US6370571B1 (en) | 1997-03-05 | 2002-04-09 | At Home Corporation | System and method for delivering high-performance online multimedia services |
| US5946048A (en) | 1997-03-12 | 1999-08-31 | Hybrid Networks, Inc. | Network device for handling digital data over a TV channel |
| JP3711193B2 (en) | 1998-01-16 | 2005-10-26 | 三菱電機株式会社 | Transmission / reception switching circuit |
| US6433835B1 (en) | 1998-04-17 | 2002-08-13 | Encamera Sciences Corporation | Expanded information capacity for existing communication transmission systems |
| US6314134B1 (en) | 1998-04-24 | 2001-11-06 | Lucent Technologies Inc. | Blind equalization algorithm with joint use of the constant modulus algorithm and the multimodulus algorithm |
| US6192384B1 (en) | 1998-09-14 | 2001-02-20 | The Board Of Trustees Of The Leland Stanford Junior University | System and method for performing compound vector operations |
| US6754277B1 (en) | 1998-10-06 | 2004-06-22 | Texas Instruments Incorporated | Error protection for compressed video |
| US6510553B1 (en) | 1998-10-26 | 2003-01-21 | Intel Corporation | Method of streaming video from multiple sources over a network |
| US6438164B2 (en) | 1998-11-03 | 2002-08-20 | Broadcom Corporation | Technique for minimizing decision feedback equalizer wordlength in the presence of a DC component |
| JP2000269865A (en) * | 1999-03-17 | 2000-09-29 | Pioneer Electronic Corp | Signal processing circuit for digital signal reception system |
| US6268774B1 (en) | 1999-11-05 | 2001-07-31 | Intel Corporation | Self-tuning amplifier |
| JP4547761B2 (en) | 2000-03-01 | 2010-09-22 | ソニー株式会社 | Reception device, television transmission system, and television transmission method |
| US6834039B1 (en) | 2000-03-10 | 2004-12-21 | Hughes Electronics Corporation | Apparatus and method for efficient TDMA bandwidth allocation for TCP/IP satellite-based networks |
| EP1156634A1 (en) | 2000-05-15 | 2001-11-21 | Lucent Technologies Inc. | Sequence estimator and equaliser |
| US6310548B1 (en) | 2000-05-30 | 2001-10-30 | Rs Group, Inc. | Method and system for door alert |
| US7698727B2 (en) | 2000-06-30 | 2010-04-13 | Jlb Ventures Llc | Method and apparatus for notifying users of interactive functions using a remote device |
| WO2002007425A2 (en) | 2000-07-14 | 2002-01-24 | Chinook Communications, Inc. | System for variable-rate modulation and demodulation of data using information embedding in television signals |
| US20020186764A1 (en) | 2001-04-06 | 2002-12-12 | Sarnoff Corporation | Method and apparatus for equalizing a radio frequency signal |
| US7006566B2 (en) | 2001-04-10 | 2006-02-28 | Koninklijke Philips Electronics N.V. | Two stage equalizer for trellis coded systems |
| US6931052B2 (en) | 2001-11-16 | 2005-08-16 | Nortel Networks Limited | Symbol-directed weighting in parallel interference cancellation |
| US7180942B2 (en) | 2001-12-18 | 2007-02-20 | Dotcast, Inc. | Joint adaptive optimization of soft decision device and feedback equalizer |
-
2002
- 2002-12-20 US US10/327,280 patent/US7180942B2/en not_active Ceased
-
2003
- 2003-12-18 AU AU2003301141A patent/AU2003301141A1/en not_active Abandoned
- 2003-12-18 WO PCT/US2003/040672 patent/WO2004059932A2/en not_active Ceased
-
2009
- 2009-02-20 US US12/390,368 patent/USRE42558E1/en not_active Expired - Lifetime
Patent Citations (99)
| Publication number | Priority date | Publication date | Assignee | Title |
|---|---|---|---|---|
| US2138330A (en) * | 1937-07-19 | 1938-11-29 | Harold E Thompson | Radio frequency coil |
| US2977551A (en) * | 1957-03-18 | 1961-03-28 | Nat Res Dev | Microwave modulator |
| US3386033A (en) * | 1965-02-11 | 1968-05-28 | Univ Ohio State Res Found | Amplifier using antenna as a circuit element |
| US3714659A (en) * | 1968-12-10 | 1973-01-30 | C Firman | Very low frequency subminiature active antenna |
| US3703685A (en) * | 1969-09-10 | 1972-11-21 | Labtron Corp Of America | Multiband antenna with associated r.f. amplifier |
| US3774218A (en) * | 1972-01-18 | 1973-11-20 | C Fowler | Coaxial cable loop antenna with unidirectional current amplifier opposite the output |
| US3873771A (en) * | 1972-04-11 | 1975-03-25 | Telescan Communications System | Simultaneous transmission of a video and an audio signal through an ordinary telephone transmission line |
| US3974449A (en) * | 1975-03-21 | 1976-08-10 | Bell Telephone Laboratories, Incorporated | Joint decision feedback equalization and carrier recovery adaptation in data transmission systems |
| US4081497A (en) * | 1975-07-09 | 1978-03-28 | Idemitsu Petrochemical Co., Ltd. | Method for producing a high impact polystyrene |
| US4115778A (en) * | 1976-11-18 | 1978-09-19 | Jfd Electronics Corporation | Electronic solid state FM dipole antenna |
| US4310920A (en) * | 1977-01-05 | 1982-01-12 | Hayes William A | Single sideband AM-FM stereo modulation system |
| US4302626A (en) * | 1977-03-21 | 1981-11-24 | Magnavox Consumer Electronics Company | Low frequency AM stereophonic broadcast and receiving apparatus |
| US4379947A (en) * | 1979-02-02 | 1983-04-12 | Teleprompter Corporation | System for transmitting data simultaneously with audio |
| US4337479A (en) * | 1979-09-13 | 1982-06-29 | Matsushita Electric Industrial Co., Ltd. | Color resolution compensator |
| US4316215A (en) * | 1979-09-26 | 1982-02-16 | Matsushita Electric Industrial Co., Ltd. | System for improving reproduction of images in a color television receiver |
| US4513415A (en) * | 1979-10-23 | 1985-04-23 | Mcgraw-Edison Company | Broadcast synchronization and supervision system |
| US4551011A (en) * | 1981-12-11 | 1985-11-05 | Minolta Camera Kabushiki Kaisha | Light source for exposure |
| US4459595A (en) * | 1981-12-18 | 1984-07-10 | Rockwell International Corporation | Condition responsive RF transmitting device |
| US4469437A (en) * | 1982-03-02 | 1984-09-04 | Minolta Camera Kabushiki Kaisha | Light measurement and light control data calculation device for a photographic enlarger |
| US4523225A (en) * | 1982-05-13 | 1985-06-11 | Matsushita Electric Industrial Co., Ltd. | Image display apparatus |
| US4587495A (en) * | 1982-05-21 | 1986-05-06 | Hitachi, Ltd. | Cascode amplifier with an improved biasing arrangement |
| US4476484A (en) * | 1982-06-24 | 1984-10-09 | At&T Bell Laboratories | Technique for providing compatibility between high-definition and conventional color television |
| US4575225A (en) * | 1982-09-16 | 1986-03-11 | Minolta Camera Kabushiki Kaisha | Color enlarger |
| US4576470A (en) * | 1982-09-16 | 1986-03-18 | Minolta Camera Kabushiki Kaisha | Enlarger for use in photography |
| US4704025A (en) * | 1982-09-16 | 1987-11-03 | Minolta Camera Kabushiki Kaisha | Enlarger for use in photography |
| US4602260A (en) * | 1983-04-28 | 1986-07-22 | Hans Kolbe & Co. | Windshield antenna |
| US4589011A (en) * | 1984-01-16 | 1986-05-13 | At&T Bell Laboratories | Single sideband modulated chrominance information for compatible high-definition television |
| US4535352A (en) * | 1984-04-16 | 1985-08-13 | At&T Bell Laboratories | Technique for generating semi-compatible high definition television signals for transmission over two cable TV channels |
| US4607230A (en) * | 1984-08-29 | 1986-08-19 | Fujitsu Limited | Receiver unit having synchronous pull-in circuit |
| US5321514A (en) * | 1986-05-14 | 1994-06-14 | Radio Telecom & Technology, Inc. | Interactive television and data transmission system |
| US5177604A (en) * | 1986-05-14 | 1993-01-05 | Radio Telcom & Technology, Inc. | Interactive television and data transmission system |
| US5596361A (en) * | 1986-05-14 | 1997-01-21 | Radio Telecom & Technology, Inc. | Two-way cable TV conversion system for data transmission over a dedicated frequency band |
| US5812184A (en) * | 1986-05-14 | 1998-09-22 | Radio Telecom & Technology, Inc. | Transmission of frame-to-frame reversed polarity signals in a two-way cable TV conversion system |
| US4750036A (en) * | 1986-05-14 | 1988-06-07 | Radio Telcom & Technology, Inc. | Interactive television and data transmission system |
| US5550579A (en) * | 1986-05-14 | 1996-08-27 | Radio Telecom & Technology, Inc. | Two-way cable tv conversion system |
| US4882614A (en) * | 1986-07-14 | 1989-11-21 | Matsushita Electric Industrial Co., Ltd. | Multiplex signal processing apparatus |
| US4944032A (en) * | 1986-07-14 | 1990-07-24 | Matsushita Electric Industrial Co., Ltd. | Multiplex signal processing apparatus |
| US4821097A (en) * | 1987-03-05 | 1989-04-11 | General Instrument Corporation | Apparatus and method for providing digital audio on the sound carrier of a standard television signal |
| US4754233A (en) * | 1987-06-22 | 1988-06-28 | Motorola, Inc. | Low noise ultra high frequency amplifier having automatic gain control |
| US4870489A (en) * | 1987-07-23 | 1989-09-26 | Ducret Robert P | NTSC compatible HDTV transmission system |
| US4926244A (en) * | 1987-09-14 | 1990-05-15 | General Electric Company | Extended definition widescreen television signal processing system with alternate subcarrier |
| US4907218A (en) * | 1987-09-18 | 1990-03-06 | Matsushita Electric Industrial Co., Ltd. | Multiplex signal processing apparatus |
| US5142353A (en) * | 1987-12-23 | 1992-08-25 | Matsushita Electric Industrial Co., Ltd. | Television signal processing apparatus |
| US4985769A (en) * | 1988-03-23 | 1991-01-15 | Matsushita Electric Industrial Co., Ltd. | Multiplex TV signal processing apparatus |
| US4928177A (en) * | 1988-04-11 | 1990-05-22 | Cooper Industries, Inc. | Two-way data broadcast networks |
| US4879606A (en) * | 1988-06-06 | 1989-11-07 | General Electric Company | EDTV recording apparatus |
| US5036386A (en) * | 1988-07-22 | 1991-07-30 | Matsushita Electric Industrial Co., Ltd. | Television signal processing apparatus |
| US5006296A (en) * | 1988-09-01 | 1991-04-09 | The Dow Chemical Company | Process for the preparation of fibers of stereoregular polystyrene |
| US5214501A (en) * | 1988-10-03 | 1993-05-25 | North American Philips Corporation | Method and apparatus for the transmission and reception of a multicarrier high definition television signal |
| US5038402A (en) * | 1988-12-06 | 1991-08-06 | General Instrument Corporation | Apparatus and method for providing digital audio in the FM broadcast band |
| US5293633A (en) * | 1988-12-06 | 1994-03-08 | General Instrument Corporation | Apparatus and method for providing digital audio in the cable television band |
| US5019830A (en) * | 1989-03-13 | 1991-05-28 | Harada Kogyo Kabushiki Kaisha | Amplified FM antenna with parallel radiator and ground plane |
| US5103295A (en) * | 1989-04-28 | 1992-04-07 | Matsushita Electric Industrial Co., Ltd. | Television signal processor for eliminating quality differences between portions of television images having different aspect ratios |
| US5247351A (en) * | 1989-11-09 | 1993-09-21 | Samsung Electronics Co., Ltd. | High definition television system compatible with NTSC system |
| US5442403A (en) * | 1989-12-18 | 1995-08-15 | Matsushita Electric Industrial Co., Ltd. | Wide-screen TV signal transmission apparatus |
| US5235619A (en) * | 1990-03-20 | 1993-08-10 | Scientific-Atlanta, Inc. | Cable television radio frequency subscriber data transmission apparatus and rf return method |
| US5276507A (en) * | 1990-03-23 | 1994-01-04 | Matsushita Electric Industrial Co., Ltd. | Multiplex TV signal processing apparatus |
| US5357284A (en) * | 1990-03-29 | 1994-10-18 | Dolby Laboratories Licensing Corporation | Compatible digital audio for NTSC television |
| US5126998A (en) * | 1990-05-16 | 1992-06-30 | U.V. Satellite Resources, Inc. | Method and apparatus for transmitting and receiving a carrier signal which is simultaneously frequency and phase modulated |
| US5103310A (en) * | 1990-07-20 | 1992-04-07 | General Electric Company | Interference reduction for extra-spectrum, compatible television system |
| US5220420A (en) * | 1990-09-28 | 1993-06-15 | Inteletext Systems, Inc. | Interactive home information system for distributing compressed television programming |
| US5093718A (en) * | 1990-09-28 | 1992-03-03 | Inteletext Systems, Inc. | Interactive home information system |
| US5557316A (en) * | 1990-09-28 | 1996-09-17 | Ictv, Inc. | System for distributing broadcast television services identically on a first bandwidth portion of a plurality of express trunks and interactive services over a second bandwidth portion of each express trunk on a subscriber demand basis |
| US5550578A (en) * | 1990-09-28 | 1996-08-27 | Ictv, Inc. | Interactive and conventional television information system |
| US5087975A (en) * | 1990-11-09 | 1992-02-11 | Zenith Electronics Corporation | VSB HDTV transmission system with reduced NTSC co-channel interference |
| US5291289A (en) * | 1990-11-16 | 1994-03-01 | North American Philips Corporation | Method and apparatus for transmission and reception of a digital television signal using multicarrier modulation |
| US5134464A (en) * | 1990-11-16 | 1992-07-28 | North American Philips Corporation | Method and apparatus for the transmission and reception of a multicarrier digital television signal |
| US5132988A (en) * | 1990-12-03 | 1992-07-21 | Board Of Trustees, Leland Stanford Jr. University | Adaptive decision feedback equalizer apparatus for processing information stored on digital storage media |
| US5430661A (en) * | 1990-12-03 | 1995-07-04 | Board Of Trustees Leland Stanford, Jr. University | Adaptive decision feedback equalizer apparatus for processing information stored on digital storage media |
| US5287180A (en) * | 1991-02-04 | 1994-02-15 | General Electric Company | Modulator/demodulater for compatible high definition television system |
| US5151783A (en) * | 1991-06-05 | 1992-09-29 | Faroudja Y C | Digital television with enhancement |
| US5327460A (en) * | 1992-07-07 | 1994-07-05 | National Semiconductor Corporation | Method and apparatus for filtering post decision feedback equalization noise |
| US5386239A (en) * | 1993-05-03 | 1995-01-31 | Thomson Consumer Electronics, Inc. | Multiple QAM digital television signal decoder |
| US5461426A (en) * | 1993-08-20 | 1995-10-24 | Samsung Electronics Co., Ltd. | Apparatus for processing modified NTSC television signals, with digital signals buried therewithin |
| US5534933A (en) * | 1993-10-26 | 1996-07-09 | Samsung Electronics Co., Ltd. | Apparatus for processing NTSC TV signals having digital signals on quadrature-phase video carrier |
| US5448299A (en) * | 1994-01-05 | 1995-09-05 | Samsung Electronics Co., Ltd. | Apparatus for processing BPSK signals transmitted with NTSC TV on quadrature-phase video carrier |
| US5563664A (en) * | 1994-01-05 | 1996-10-08 | Samsung Electronics Co., Ltd. | Pre-frame-comb as well as pre-line-comb partial-response filtering of BPSK buried in a TV signal |
| US5994891A (en) * | 1994-09-26 | 1999-11-30 | The Boeing Company | Electrically small, wideband, high dynamic range antenna having a serial array of optical modulators |
| US5714965A (en) * | 1995-01-27 | 1998-02-03 | Nippon Mektron, Ltd | Active reception antenna with coplanar feeder |
| US5959997A (en) * | 1995-04-21 | 1999-09-28 | Hybrid Networks, Inc. | Hybrid access system with AGC control of upstream channel transmit power |
| US5859852A (en) * | 1995-04-21 | 1999-01-12 | Hybrid Networks, Inc. | Hybrid access system with automated client-side configuration |
| US5818845A (en) * | 1995-04-21 | 1998-10-06 | Hybrid Networks, Inc. | Hybrid access system having channel allocation and prioritized polling schemes |
| US5946322A (en) * | 1995-04-21 | 1999-08-31 | Hybrid Networks, Inc. | Hybrid access system utilizing credit/done polling protocols |
| US5809086A (en) * | 1996-03-20 | 1998-09-15 | Lucent Technologies Inc. | Intelligent timing recovery for a broadband adaptive equalizer |
| US5742902A (en) * | 1996-03-29 | 1998-04-21 | Gmi Holdings, Inc. | Super-regenerative circuit apparatus for a door operator receiver and door operator incorporating the same |
| US5961603A (en) * | 1996-04-10 | 1999-10-05 | Worldgate Communications, Inc. | Access system and method for providing interactive access to an information source through a networked distribution system |
| US5959660A (en) * | 1996-08-26 | 1999-09-28 | Hybrid Networks, Inc. | Subchannelization scheme for use in a broadband communications system |
| US5956346A (en) * | 1996-10-22 | 1999-09-21 | Hybrid Networks, Inc. | Broadband communication system using TV channel roll-off spectrum |
| US5946351A (en) * | 1996-12-27 | 1999-08-31 | At&T Corporation | Tap selectable decision feedback equalizer |
| US5946047A (en) * | 1997-03-12 | 1999-08-31 | Hybrid Networks, Inc. | Network system for handling digital data over a TV channel |
| US6012161A (en) * | 1997-11-26 | 2000-01-04 | At&T Corp. | System and method for joint coding and decision feedback equalization |
| US5909253A (en) * | 1997-12-09 | 1999-06-01 | Sarnoff Corporation | Reducing video crosstalk in a data carrier located within a vestigial sideband of a standard television signal |
| US6240133B1 (en) * | 1998-02-05 | 2001-05-29 | Texas Instruments Incorporated | High stability fast tracking adaptive equalizer for use with time varying communication channels |
| US6366613B2 (en) * | 1998-02-05 | 2002-04-02 | Texas Instruments Incorporated | High stability fast tracking adaptive equalizer for use with time varying communication channels |
| US6680971B1 (en) * | 1998-05-18 | 2004-01-20 | Sarnoff Corporation | Passband equalizer for a vestigial sideband signal receiver |
| US6226323B1 (en) * | 1998-11-03 | 2001-05-01 | Broadcom Corporation | Technique for minimizing decision feedback equalizer wordlength in the presence of a DC component |
| US6426973B1 (en) * | 1999-04-29 | 2002-07-30 | The Board Of Trustees Of The University Of Illinois | Differential minimum mean squared error communication signal compensation method |
| US6356586B1 (en) * | 1999-09-03 | 2002-03-12 | Lucent Technologies, Inc. | Methods and apparatus for parallel decision-feedback decoding in a communication system |
| US6377529B1 (en) * | 2000-06-01 | 2002-04-23 | Calimetrics, Inc. | Method for providing improved equalization for the reading of marks on optical data-storage media |
Cited By (64)
| Publication number | Priority date | Publication date | Assignee | Title |
|---|---|---|---|---|
| US7110449B2 (en) * | 2002-04-16 | 2006-09-19 | Thomson Licensing | Decision feedback equalizer |
| US20050243908A1 (en) * | 2002-04-16 | 2005-11-03 | Thomson Licensing S.A. | Decision feedback equalizer |
| US20040013083A1 (en) * | 2002-04-24 | 2004-01-22 | Motorola, Inc. | Method and apparatus for compensating for variations in a receive portion of a wireless communication device |
| US7385913B2 (en) * | 2002-04-24 | 2008-06-10 | Motorola, Inc. | Method and apparatus for compensating for variations in a receive portion of a wireless communication device |
| US8654689B2 (en) | 2002-09-20 | 2014-02-18 | Rambus Inc. | Advanced signal processors for interference cancellation in baseband receivers |
| US9172411B2 (en) | 2002-09-20 | 2015-10-27 | Iii Holdings 1, Llc | Advanced signal processors for interference cancellation in baseband receivers |
| US20110080923A1 (en) * | 2002-09-20 | 2011-04-07 | Rambus Inc. | Interference Suppression for CDMA Systems |
| US20110019656A1 (en) * | 2002-09-20 | 2011-01-27 | Rambus Inc. | Advanced signal processors for Interference Cancellation in baseband receivers |
| US9735816B2 (en) | 2002-09-20 | 2017-08-15 | Iii Holdings 1, Llc | Interference suppression for CDMA systems |
| US8090006B2 (en) | 2002-09-23 | 2012-01-03 | Rambus Inc. | Systems and methods for serial cancellation |
| US9602158B2 (en) | 2002-09-23 | 2017-03-21 | Iii Holdings 1, Llc | Methods for estimation and interference suppression for signal processing |
| US8391338B2 (en) | 2002-09-23 | 2013-03-05 | Rambus Inc. | Methods for estimation and interference cancellation for signal processing |
| US20110069742A1 (en) * | 2002-09-23 | 2011-03-24 | Rambus Inc. | Method and Apparatus for Interference Suppression with Efficient Matrix Inversion in a DS-CDMA System |
| US9319152B2 (en) | 2002-09-23 | 2016-04-19 | Iii Holdings 1, Llc | Method and apparatus for selectively applying interference cancellation in spread spectrum systems |
| US20110064066A1 (en) * | 2002-09-23 | 2011-03-17 | Rambus Inc. | Methods for Estimation and Interference Cancellation for signal processing |
| US8121177B2 (en) | 2002-09-23 | 2012-02-21 | Rambus Inc. | Method and apparatus for interference suppression with efficient matrix inversion in a DS-CDMA system |
| US8457263B2 (en) | 2002-09-23 | 2013-06-04 | Rambus Inc. | Methods for estimation and interference suppression for signal processing |
| US9954575B2 (en) | 2002-09-23 | 2018-04-24 | Iii Holdings 1, L.L.C. | Method and apparatus for selectively applying interference cancellation in spread spectrum systems |
| US20040193669A1 (en) * | 2002-10-02 | 2004-09-30 | Ramin Shirani | Low-power, high-frequency finite impulse finite response (FIR) filter and method of use |
| US7293057B2 (en) * | 2002-10-02 | 2007-11-06 | Plexus Networks, Inc. | Method and apparatus for cancelling inter-symbol interference (ISI) within a communication channel |
| US8005128B1 (en) | 2003-09-23 | 2011-08-23 | Rambus Inc. | Methods for estimation and interference cancellation for signal processing |
| US20050190867A1 (en) * | 2004-03-01 | 2005-09-01 | Sobchak Charles L. | Low cost and high performance narrowband interference cancellation system |
| US7324616B2 (en) * | 2004-03-01 | 2008-01-29 | Motorola, Inc. | Low cost and high performance narrowband interference cancellation system |
| US20120134407A1 (en) * | 2005-01-04 | 2012-05-31 | Sudeep Bhoja | Adaptive equalization with group delay |
| US8774262B2 (en) * | 2005-01-04 | 2014-07-08 | Vitesse Semiconductor Corporation | Adaptive equalization with group delay |
| US20060203900A1 (en) * | 2005-03-10 | 2006-09-14 | Stmicroelectronics, Inc. | Burst error limiting feedback equalizer system and method for multidimensional modulation systems |
| US7522663B2 (en) * | 2005-03-10 | 2009-04-21 | Stmicroelectronics, Inc. | Burst error limiting feedback equalizer system and method for multidimensional modulation systems |
| US9270325B2 (en) | 2005-04-07 | 2016-02-23 | Iii Holdings 1, Llc | Iterative interference suppression using mixed feedback weights and stabilizing step sizes |
| US9425855B2 (en) | 2005-04-07 | 2016-08-23 | Iii Holdings 1, Llc | Iterative interference suppressor for wireless multiple-access systems with multiple receive antennas |
| US7876810B2 (en) | 2005-04-07 | 2011-01-25 | Rambus Inc. | Soft weighted interference cancellation for CDMA systems |
| US10153805B2 (en) | 2005-04-07 | 2018-12-11 | Iii Holdings 1, Llc | Iterative interference suppressor for wireless multiple-access systems with multiple receive antennas |
| US9172456B2 (en) | 2005-04-07 | 2015-10-27 | Iii Holdings 1, Llc | Iterative interference suppressor for wireless multiple-access systems with multiple receive antennas |
| US20060227909A1 (en) * | 2005-04-07 | 2006-10-12 | Thomas John K | Optimal feedback weighting for soft-decision cancellers |
| US8761321B2 (en) | 2005-04-07 | 2014-06-24 | Iii Holdings 1, Llc | Optimal feedback weighting for soft-decision cancellers |
| US20060227854A1 (en) * | 2005-04-07 | 2006-10-12 | Mccloud Michael L | Soft weighted interference cancellation for CDMA systems |
| US10050733B2 (en) | 2005-09-23 | 2018-08-14 | Iii Holdings 1, Llc | Advanced signal processors for interference cancellation in baseband receivers |
| US10666373B2 (en) | 2005-09-23 | 2020-05-26 | Iii Holdings 1, L.L.C. | Advanced signal processors for interference cancellation in baseband receivers |
| US11296808B2 (en) | 2005-09-23 | 2022-04-05 | Iii Holdings 1, Llc | Advanced signal processors for interference cancellation in baseband receivers |
| US7715508B2 (en) | 2005-11-15 | 2010-05-11 | Tensorcomm, Incorporated | Iterative interference cancellation using mixed feedback weights and stabilizing step sizes |
| US20070110131A1 (en) * | 2005-11-15 | 2007-05-17 | Tommy Guess | Iterative interference cancellation using mixed feedback weights and stabilizing step sizes |
| US7702048B2 (en) | 2005-11-15 | 2010-04-20 | Tensorcomm, Incorporated | Iterative interference cancellation using mixed feedback weights and stabilizing step sizes |
| US8457262B2 (en) | 2005-11-15 | 2013-06-04 | Rambus Inc. | Iterative interference suppression using mixed feedback weights and stabilizing step sizes |
| US8446975B2 (en) | 2005-11-15 | 2013-05-21 | Rambus Inc. | Iterative interference suppressor for wireless multiple-access systems with multiple receive antennas |
| US8300745B2 (en) | 2005-11-15 | 2012-10-30 | Rambus Inc. | Iterative interference cancellation using mixed feedback weights and stabilizing step sizes |
| US8218697B2 (en) | 2005-11-15 | 2012-07-10 | Rambus Inc. | Iterative interference cancellation for MIMO-OFDM receivers |
| US8121176B2 (en) | 2005-11-15 | 2012-02-21 | Rambus Inc. | Iterative interference canceler for wireless multiple-access systems with multiple receive antennas |
| US20110200151A1 (en) * | 2005-11-15 | 2011-08-18 | Rambus Inc. | Iterative Interference Suppression Using Mixed Feedback Weights and Stabilizing Step Sizes |
| US7711075B2 (en) | 2005-11-15 | 2010-05-04 | Tensorcomm Incorporated | Iterative interference cancellation using mixed feedback weights and stabilizing step sizes |
| US7991088B2 (en) | 2005-11-15 | 2011-08-02 | Tommy Guess | Iterative interference cancellation using mixed feedback weights and stabilizing step sizes |
| US20110044378A1 (en) * | 2005-11-15 | 2011-02-24 | Rambus Inc. | Iterative Interference Canceler for Wireless Multiple-Access Systems with Multiple Receive Antennas |
| US20070110132A1 (en) * | 2005-11-15 | 2007-05-17 | Tommy Guess | Iterative interference cancellation using mixed feedback weights and stabilizing step sizes |
| US8462901B2 (en) | 2005-11-15 | 2013-06-11 | Rambus Inc. | Iterative interference suppression using mixed feedback weights and stabilizing step sizes |
| US20100220824A1 (en) * | 2005-11-15 | 2010-09-02 | Tommy Guess | Iterative interference cancellation using mixed feedback weights and stabilizing step sizes |
| US20100215082A1 (en) * | 2005-11-15 | 2010-08-26 | Tensorcomm Incorporated | Iterative interference canceller for wireless multiple-access systems employing closed loop transmit diversity |
| US20100208854A1 (en) * | 2005-11-15 | 2010-08-19 | Tommy Guess | Iterative Interference Cancellation for MIMO-OFDM Receivers |
| US8576903B2 (en) | 2011-10-18 | 2013-11-05 | Transwitch Corporation | Techniques for adaptively adjusting decision levels of a PAM-N decision feedback equalizer |
| US9553743B2 (en) * | 2014-08-25 | 2017-01-24 | Broadcom Corporation | Two-dimensional (2D) decision feedback equalizer (DFE) slicer within communication systems |
| US20160056981A1 (en) * | 2014-08-25 | 2016-02-25 | Broadcom Corporation | Two-dimensional (2D) decision feedback equalizer (DFE) slicer within communication systems |
| US10110400B2 (en) | 2015-05-28 | 2018-10-23 | King Fahd University Of Petroleum And Minerals | Wireless device communications system |
| US9992044B2 (en) * | 2015-05-28 | 2018-06-05 | King Fahd University Of Petroleum And Minerals | System and method for applying adaptive frequency-domain RLS DFE for uplink SC-FDMA |
| US10298423B2 (en) * | 2015-05-28 | 2019-05-21 | King Fahd University Of Petroleum And Minerals | Wireless SC-FDMA communications system |
| US10313163B2 (en) * | 2015-05-28 | 2019-06-04 | King Fahd University Of Petroleum And Minerals | Wireless SC-FDMA communications system |
| US20160359646A1 (en) * | 2015-05-28 | 2016-12-08 | King Fahd University Of Petroleum And Minerals | System and method for applying adaptive frequency-domain rls dfe for uplink sc-fdma |
| US11336489B1 (en) * | 2020-11-13 | 2022-05-17 | Realtek Semiconductor Corp. | Method of configuring decision feedback equalizer and related decision feedback equalizer thereof |
Also Published As
| Publication number | Publication date |
|---|---|
| AU2003301141A1 (en) | 2004-07-22 |
| USRE42558E1 (en) | 2011-07-19 |
| WO2004059932A2 (en) | 2004-07-15 |
| AU2003301141A8 (en) | 2004-07-22 |
| US7180942B2 (en) | 2007-02-20 |
| WO2004059932A3 (en) | 2004-09-10 |
Similar Documents
| Publication | Publication Date | Title |
|---|---|---|
| USRE42558E1 (en) | Joint adaptive optimization of soft decision device and feedback equalizer | |
| US20030219085A1 (en) | Self-initializing decision feedback equalizer with automatic gain control | |
| US7580455B2 (en) | Decision feedback equalization with fractionally-spaced feedback data | |
| US7027500B1 (en) | Linear prediction based initialization of a single-axis blind equalizer for VSB signals | |
| US7580482B2 (en) | Joint, adaptive control of equalization, synchronization, and gain in a digital communications receiver | |
| USRE42021E1 (en) | Equalizer performance enhancements for broadband wireless applications | |
| US6952444B1 (en) | Blind DFE and phase correction | |
| Qureshi | Adaptive equalization | |
| Oh et al. | Modified constant modulus algorithm: blind equalization and carrier phase recovery algorithm | |
| US7031405B1 (en) | Carrier phase estimation based on single-axis constant modulus cost criterion and Bussgang criteria | |
| US6628707B2 (en) | Adaptive equalizer system for short burst modems and link hopping radio networks | |
| US6668014B1 (en) | Equalizer method and apparatus using constant modulus algorithm blind equalization and partial decoding | |
| US7944964B2 (en) | Apparatus and method for stable DEF using selective FBF | |
| US20030223489A1 (en) | Receiver with a decision feedback equalizer and a linear equalizer | |
| Oh et al. | New blind equalization techniques based on constant modulus algorithm | |
| US6088389A (en) | System and method for training a plurality of equalizers and a modem employing the system or method | |
| US7006565B1 (en) | Hybrid soft and hard decision feedback equalizer | |
| US20030227968A1 (en) | Method and apparatus for blind decision feedback equalization | |
| US7349469B1 (en) | DC offset correction for constant modulus equalization | |
| Choi et al. | Adaptive blind equalization coupled with carrier recovery for HDTV modem | |
| US7907691B2 (en) | Dual-mode equalizer in an ATSC-DTV receiver | |
| EP0544875A1 (en) | Apparatus for adjusting signal points, equalizer gains and the like | |
| US20020061082A1 (en) | Method and apparatus for timing recovery based on dispersion characterization and components therefor | |
| Endres et al. | Carrier independent blind initialization of a DFE | |
| EP0913043B1 (en) | Blind dfe and phase correction |
Legal Events
| Date | Code | Title | Description |
|---|---|---|---|
| AS | Assignment |
Owner name: DOTCAST, INC., WASHINGTON Free format text: ASSIGNMENT OF ASSIGNORS INTEREST;ASSIGNORS:CHUNG, WONZOO;ENDRES, THOMAS J.;LONG, CHRISTOPHER D.;REEL/FRAME:014411/0963 Effective date: 20030813 |
|
| FEPP | Fee payment procedure |
Free format text: PAYOR NUMBER ASSIGNED (ORIGINAL EVENT CODE: ASPN); ENTITY STATUS OF PATENT OWNER: LARGE ENTITY |
|
| STCF | Information on status: patent grant |
Free format text: PATENTED CASE |
|
| FEPP | Fee payment procedure |
Free format text: PAT HOLDER NO LONGER CLAIMS SMALL ENTITY STATUS, ENTITY STATUS SET TO UNDISCOUNTED (ORIGINAL EVENT CODE: STOL); ENTITY STATUS OF PATENT OWNER: LARGE ENTITY |
|
| AS | Assignment |
Owner name: OMEREEN WIRELESS, LLC, DELAWARE Free format text: ASSIGNMENT OF ASSIGNORS INTEREST;ASSIGNOR:DOTCAST, INC.;REEL/FRAME:021838/0664 Effective date: 20081027 |
|
| FEPP | Fee payment procedure |
Free format text: PAYOR NUMBER ASSIGNED (ORIGINAL EVENT CODE: ASPN); ENTITY STATUS OF PATENT OWNER: LARGE ENTITY Free format text: PAYER NUMBER DE-ASSIGNED (ORIGINAL EVENT CODE: RMPN); ENTITY STATUS OF PATENT OWNER: LARGE ENTITY |
|
| RF | Reissue application filed |
Effective date: 20090220 |
|
| FPAY | Fee payment |
Year of fee payment: 4 |
|
| AS | Assignment |
Owner name: CALLAHAN CELLULAR L.L.C., DELAWARE Free format text: MERGER;ASSIGNOR:OMEREEN WIRELESS, LLC;REEL/FRAME:037085/0938 Effective date: 20150827 |





