US20040005641A1 - Conjugates of biologically active compounds, methods for their preparation and use, formulation and pharmaceutical applications thereof - Google Patents
Conjugates of biologically active compounds, methods for their preparation and use, formulation and pharmaceutical applications thereof Download PDFInfo
- Publication number
- US20040005641A1 US20040005641A1 US10/367,624 US36762403A US2004005641A1 US 20040005641 A1 US20040005641 A1 US 20040005641A1 US 36762403 A US36762403 A US 36762403A US 2004005641 A1 US2004005641 A1 US 2004005641A1
- Authority
- US
- United States
- Prior art keywords
- compound
- therapeutic agent
- mmol
- alkyl
- cell
- Prior art date
- Legal status (The legal status is an assumption and is not a legal conclusion. Google has not performed a legal analysis and makes no representation as to the accuracy of the status listed.)
- Abandoned
Links
- 150000001875 compounds Chemical class 0.000 title claims abstract description 225
- 238000000034 method Methods 0.000 title claims abstract description 79
- 239000000203 mixture Substances 0.000 title description 101
- 238000009472 formulation Methods 0.000 title description 9
- 238000002360 preparation method Methods 0.000 title description 8
- 239000003814 drug Substances 0.000 claims abstract description 162
- 229940124597 therapeutic agent Drugs 0.000 claims abstract description 149
- 210000004027 cell Anatomy 0.000 claims abstract description 90
- 210000002865 immune cell Anatomy 0.000 claims abstract description 30
- 210000000601 blood cell Anatomy 0.000 claims abstract description 8
- 230000002708 enhancing effect Effects 0.000 claims abstract description 4
- 239000003795 chemical substances by application Substances 0.000 claims description 41
- 208000026935 allergic disease Diseases 0.000 claims description 12
- 206010020751 Hypersensitivity Diseases 0.000 claims description 11
- 239000003018 immunosuppressive agent Substances 0.000 claims description 8
- 230000001937 non-anti-biotic effect Effects 0.000 claims description 7
- 229940121363 anti-inflammatory agent Drugs 0.000 claims description 5
- 239000002260 anti-inflammatory agent Substances 0.000 claims description 5
- 208000016097 disease of metabolism Diseases 0.000 claims description 5
- 208000030159 metabolic disease Diseases 0.000 claims description 5
- 230000002924 anti-infective effect Effects 0.000 claims description 4
- 239000002246 antineoplastic agent Substances 0.000 claims description 4
- 238000000432 density-gradient centrifugation Methods 0.000 claims description 4
- 208000018706 hematopoietic system disease Diseases 0.000 claims description 4
- 239000012678 infectious agent Substances 0.000 claims description 4
- 230000001613 neoplastic effect Effects 0.000 claims description 4
- 230000000241 respiratory effect Effects 0.000 claims description 4
- 238000000799 fluorescence microscopy Methods 0.000 claims description 2
- 238000004811 liquid chromatography Methods 0.000 claims 1
- YMWUJEATGCHHMB-UHFFFAOYSA-N Dichloromethane Chemical compound ClCCl YMWUJEATGCHHMB-UHFFFAOYSA-N 0.000 description 142
- OKKJLVBELUTLKV-UHFFFAOYSA-N Methanol Chemical compound OC OKKJLVBELUTLKV-UHFFFAOYSA-N 0.000 description 105
- 239000000243 solution Substances 0.000 description 105
- HEDRZPFGACZZDS-UHFFFAOYSA-N Chloroform Chemical compound ClC(Cl)Cl HEDRZPFGACZZDS-UHFFFAOYSA-N 0.000 description 98
- KFZMGEQAYNKOFK-UHFFFAOYSA-N Isopropanol Chemical compound CC(C)O KFZMGEQAYNKOFK-UHFFFAOYSA-N 0.000 description 73
- 125000000217 alkyl group Chemical group 0.000 description 61
- XEKOWRVHYACXOJ-UHFFFAOYSA-N Ethyl acetate Chemical compound CCOC(C)=O XEKOWRVHYACXOJ-UHFFFAOYSA-N 0.000 description 60
- QGZKDVFQNNGYKY-UHFFFAOYSA-N Ammonia Chemical compound N QGZKDVFQNNGYKY-UHFFFAOYSA-N 0.000 description 59
- 125000001072 heteroaryl group Chemical group 0.000 description 57
- 125000003342 alkenyl group Chemical group 0.000 description 51
- 125000000304 alkynyl group Chemical group 0.000 description 49
- PFKFTWBEEFSNDU-UHFFFAOYSA-N carbonyldiimidazole Chemical compound C1=CN=CN1C(=O)N1C=CN=C1 PFKFTWBEEFSNDU-UHFFFAOYSA-N 0.000 description 49
- -1 cyclic acetal Chemical class 0.000 description 49
- 125000000592 heterocycloalkyl group Chemical group 0.000 description 45
- 125000000229 (C1-C4)alkoxy group Chemical group 0.000 description 42
- VYPSYNLAJGMNEJ-UHFFFAOYSA-N Silicium dioxide Chemical compound O=[Si]=O VYPSYNLAJGMNEJ-UHFFFAOYSA-N 0.000 description 41
- 239000000741 silica gel Substances 0.000 description 39
- 229910002027 silica gel Inorganic materials 0.000 description 39
- 125000000041 C6-C10 aryl group Chemical group 0.000 description 34
- 208000037265 diseases, disorders, signs and symptoms Diseases 0.000 description 32
- 238000010828 elution Methods 0.000 description 32
- 238000003756 stirring Methods 0.000 description 32
- HPNSFSBZBAHARI-RUDMXATFSA-N mycophenolic acid Chemical compound OC1=C(C\C=C(/C)CCC(O)=O)C(OC)=C(C)C2=C1C(=O)OC2 HPNSFSBZBAHARI-RUDMXATFSA-N 0.000 description 31
- 239000007787 solid Substances 0.000 description 31
- HPNSFSBZBAHARI-UHFFFAOYSA-N micophenolic acid Natural products OC1=C(CC=C(C)CCC(O)=O)C(OC)=C(C)C2=C1C(=O)OC2 HPNSFSBZBAHARI-UHFFFAOYSA-N 0.000 description 30
- 229910021529 ammonia Inorganic materials 0.000 description 29
- 125000004169 (C1-C6) alkyl group Chemical group 0.000 description 28
- 201000010099 disease Diseases 0.000 description 28
- 229960000951 mycophenolic acid Drugs 0.000 description 28
- PMZURENOXWZQFD-UHFFFAOYSA-L Sodium Sulfate Chemical compound [Na+].[Na+].[O-]S([O-])(=O)=O PMZURENOXWZQFD-UHFFFAOYSA-L 0.000 description 27
- FQMZXMVHHKXGTM-UHFFFAOYSA-N 2-(1-adamantyl)-n-[2-[2-(2-hydroxyethylamino)ethylamino]quinolin-5-yl]acetamide Chemical compound C1C(C2)CC(C3)CC2CC13CC(=O)NC1=CC=CC2=NC(NCCNCCO)=CC=C21 FQMZXMVHHKXGTM-UHFFFAOYSA-N 0.000 description 26
- 230000002829 reductive effect Effects 0.000 description 26
- ZMANZCXQSJIPKH-UHFFFAOYSA-N Triethylamine Chemical compound CCN(CC)CC ZMANZCXQSJIPKH-UHFFFAOYSA-N 0.000 description 25
- 238000006243 chemical reaction Methods 0.000 description 25
- 230000000694 effects Effects 0.000 description 25
- 229910052938 sodium sulfate Inorganic materials 0.000 description 25
- 125000004178 (C1-C4) alkyl group Chemical group 0.000 description 24
- 125000003118 aryl group Chemical group 0.000 description 24
- 230000009471 action Effects 0.000 description 23
- 239000011541 reaction mixture Substances 0.000 description 23
- BWHMMNNQKKPAPP-UHFFFAOYSA-L potassium carbonate Chemical compound [K+].[K+].[O-]C([O-])=O BWHMMNNQKKPAPP-UHFFFAOYSA-L 0.000 description 22
- VHYFNPMBLIVWCW-UHFFFAOYSA-N 4-Dimethylaminopyridine Chemical compound CN(C)C1=CC=NC=C1 VHYFNPMBLIVWCW-UHFFFAOYSA-N 0.000 description 21
- WEVYAHXRMPXWCK-UHFFFAOYSA-N Acetonitrile Chemical compound CC#N WEVYAHXRMPXWCK-UHFFFAOYSA-N 0.000 description 21
- 239000007832 Na2SO4 Substances 0.000 description 21
- 239000006260 foam Substances 0.000 description 21
- 229910052736 halogen Inorganic materials 0.000 description 21
- 150000002367 halogens Chemical class 0.000 description 21
- 235000002639 sodium chloride Nutrition 0.000 description 21
- IJGRMHOSHXDMSA-UHFFFAOYSA-N Atomic nitrogen Chemical compound N#N IJGRMHOSHXDMSA-UHFFFAOYSA-N 0.000 description 20
- LFQSCWFLJHTTHZ-UHFFFAOYSA-N Ethanol Chemical compound CCO LFQSCWFLJHTTHZ-UHFFFAOYSA-N 0.000 description 20
- 229940093499 ethyl acetate Drugs 0.000 description 20
- 235000019439 ethyl acetate Nutrition 0.000 description 20
- XLYOFNOQVPJJNP-UHFFFAOYSA-N water Substances O XLYOFNOQVPJJNP-UHFFFAOYSA-N 0.000 description 20
- 206010028980 Neoplasm Diseases 0.000 description 19
- RTZKZFJDLAIYFH-UHFFFAOYSA-N Diethyl ether Chemical compound CCOCC RTZKZFJDLAIYFH-UHFFFAOYSA-N 0.000 description 18
- YXFVVABEGXRONW-UHFFFAOYSA-N Toluene Chemical compound CC1=CC=CC=C1 YXFVVABEGXRONW-UHFFFAOYSA-N 0.000 description 18
- 238000004440 column chromatography Methods 0.000 description 18
- 125000001424 substituent group Chemical group 0.000 description 18
- 239000000725 suspension Substances 0.000 description 18
- 125000006272 (C3-C7) cycloalkyl group Chemical group 0.000 description 17
- 125000000753 cycloalkyl group Chemical group 0.000 description 17
- 125000006376 (C3-C10) cycloalkyl group Chemical group 0.000 description 15
- 125000006725 C1-C10 alkenyl group Chemical group 0.000 description 15
- 238000004809 thin layer chromatography Methods 0.000 description 15
- 125000006727 (C1-C6) alkenyl group Chemical group 0.000 description 14
- 125000006728 (C1-C6) alkynyl group Chemical group 0.000 description 14
- NYHBQMYGNKIUIF-UUOKFMHZSA-N Guanosine Chemical compound C1=NC=2C(=O)NC(N)=NC=2N1[C@@H]1O[C@H](CO)[C@@H](O)[C@H]1O NYHBQMYGNKIUIF-UUOKFMHZSA-N 0.000 description 14
- VEXZGXHMUGYJMC-UHFFFAOYSA-N Hydrochloric acid Chemical compound Cl VEXZGXHMUGYJMC-UHFFFAOYSA-N 0.000 description 14
- FAPWRFPIFSIZLT-UHFFFAOYSA-M Sodium chloride Chemical compound [Na+].[Cl-] FAPWRFPIFSIZLT-UHFFFAOYSA-M 0.000 description 14
- 239000001963 growth medium Substances 0.000 description 14
- 239000012074 organic phase Substances 0.000 description 14
- 239000002904 solvent Substances 0.000 description 14
- HUWSZNZAROKDRZ-RRLWZMAJSA-N (3r,4r)-3-azaniumyl-5-[[(2s,3r)-1-[(2s)-2,3-dicarboxypyrrolidin-1-yl]-3-methyl-1-oxopentan-2-yl]amino]-5-oxo-4-sulfanylpentane-1-sulfonate Chemical compound OS(=O)(=O)CC[C@@H](N)[C@@H](S)C(=O)N[C@@H]([C@H](C)CC)C(=O)N1CCC(C(O)=O)[C@H]1C(O)=O HUWSZNZAROKDRZ-RRLWZMAJSA-N 0.000 description 13
- 239000002253 acid Substances 0.000 description 13
- 238000004587 chromatography analysis Methods 0.000 description 13
- IXCSERBJSXMMFS-UHFFFAOYSA-N hydrogen chloride Substances Cl.Cl IXCSERBJSXMMFS-UHFFFAOYSA-N 0.000 description 13
- 229910000041 hydrogen chloride Inorganic materials 0.000 description 13
- 229910052757 nitrogen Inorganic materials 0.000 description 13
- 239000008194 pharmaceutical composition Substances 0.000 description 13
- 238000000746 purification Methods 0.000 description 13
- 238000012360 testing method Methods 0.000 description 13
- 125000000008 (C1-C10) alkyl group Chemical group 0.000 description 12
- FALRKNHUBBKYCC-UHFFFAOYSA-N 2-(chloromethyl)pyridine-3-carbonitrile Chemical compound ClCC1=NC=CC=C1C#N FALRKNHUBBKYCC-UHFFFAOYSA-N 0.000 description 12
- QTBSBXVTEAMEQO-UHFFFAOYSA-N Acetic acid Chemical compound CC(O)=O QTBSBXVTEAMEQO-UHFFFAOYSA-N 0.000 description 12
- 238000003556 assay Methods 0.000 description 12
- 230000008901 benefit Effects 0.000 description 12
- 125000002496 methyl group Chemical group [H]C([H])([H])* 0.000 description 12
- 239000012044 organic layer Substances 0.000 description 12
- 150000003839 salts Chemical class 0.000 description 12
- 229940014800 succinic anhydride Drugs 0.000 description 12
- ZMXDDKWLCZADIW-UHFFFAOYSA-N N,N-Dimethylformamide Chemical compound CN(C)C=O ZMXDDKWLCZADIW-UHFFFAOYSA-N 0.000 description 11
- 239000008346 aqueous phase Substances 0.000 description 11
- 239000012267 brine Substances 0.000 description 11
- 239000001257 hydrogen Substances 0.000 description 11
- 229910052739 hydrogen Inorganic materials 0.000 description 11
- 238000001727 in vivo Methods 0.000 description 11
- 239000003120 macrolide antibiotic agent Substances 0.000 description 11
- 229910000027 potassium carbonate Inorganic materials 0.000 description 11
- HPALAKNZSZLMCH-UHFFFAOYSA-M sodium;chloride;hydrate Chemical compound O.[Na+].[Cl-] HPALAKNZSZLMCH-UHFFFAOYSA-M 0.000 description 11
- 238000003786 synthesis reaction Methods 0.000 description 11
- 229960000549 4-dimethylaminophenol Drugs 0.000 description 10
- CBHOOMGKXCMKIR-UHFFFAOYSA-N azane;methanol Chemical compound N.OC CBHOOMGKXCMKIR-UHFFFAOYSA-N 0.000 description 10
- 230000015572 biosynthetic process Effects 0.000 description 10
- 125000004122 cyclic group Chemical group 0.000 description 10
- 229940079593 drug Drugs 0.000 description 10
- 210000003743 erythrocyte Anatomy 0.000 description 10
- 125000006413 ring segment Chemical group 0.000 description 10
- 210000003491 skin Anatomy 0.000 description 10
- IAZDPXIOMUYVGZ-UHFFFAOYSA-N Dimethylsulphoxide Chemical compound CS(C)=O IAZDPXIOMUYVGZ-UHFFFAOYSA-N 0.000 description 9
- UIIMBOGNXHQVGW-UHFFFAOYSA-M Sodium bicarbonate Chemical class [Na+].OC([O-])=O UIIMBOGNXHQVGW-UHFFFAOYSA-M 0.000 description 9
- HEMHJVSKTPXQMS-UHFFFAOYSA-M Sodium hydroxide Chemical compound [OH-].[Na+] HEMHJVSKTPXQMS-UHFFFAOYSA-M 0.000 description 9
- 230000012010 growth Effects 0.000 description 9
- 238000000338 in vitro Methods 0.000 description 9
- 230000007246 mechanism Effects 0.000 description 9
- VLKZOEOYAKHREP-UHFFFAOYSA-N n-Hexane Chemical compound CCCCCC VLKZOEOYAKHREP-UHFFFAOYSA-N 0.000 description 9
- 239000000041 non-steroidal anti-inflammatory agent Substances 0.000 description 9
- 229940021182 non-steroidal anti-inflammatory drug Drugs 0.000 description 9
- 239000000047 product Substances 0.000 description 9
- 235000018102 proteins Nutrition 0.000 description 9
- 108090000623 proteins and genes Proteins 0.000 description 9
- 102000004169 proteins and genes Human genes 0.000 description 9
- 239000011780 sodium chloride Substances 0.000 description 9
- 239000000126 substance Substances 0.000 description 9
- 235000000346 sugar Nutrition 0.000 description 9
- 238000002560 therapeutic procedure Methods 0.000 description 9
- WFDIJRYMOXRFFG-UHFFFAOYSA-N Acetic anhydride Chemical compound CC(=O)OC(C)=O WFDIJRYMOXRFFG-UHFFFAOYSA-N 0.000 description 8
- XKRFYHLGVUSROY-UHFFFAOYSA-N Argon Chemical compound [Ar] XKRFYHLGVUSROY-UHFFFAOYSA-N 0.000 description 8
- KDLHZDBZIXYQEI-UHFFFAOYSA-N Palladium Chemical compound [Pd] KDLHZDBZIXYQEI-UHFFFAOYSA-N 0.000 description 8
- 239000012043 crude product Substances 0.000 description 8
- 230000006870 function Effects 0.000 description 8
- 125000002887 hydroxy group Chemical group [H]O* 0.000 description 8
- 239000002207 metabolite Substances 0.000 description 8
- 125000000449 nitro group Chemical group [O-][N+](*)=O 0.000 description 8
- 229920006395 saturated elastomer Polymers 0.000 description 8
- 235000011152 sodium sulphate Nutrition 0.000 description 8
- 238000011282 treatment Methods 0.000 description 8
- RIOQSEWOXXDEQQ-UHFFFAOYSA-N triphenylphosphine Chemical compound C1=CC=CC=C1P(C=1C=CC=CC=1)C1=CC=CC=C1 RIOQSEWOXXDEQQ-UHFFFAOYSA-N 0.000 description 8
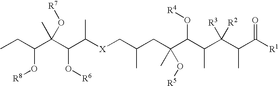
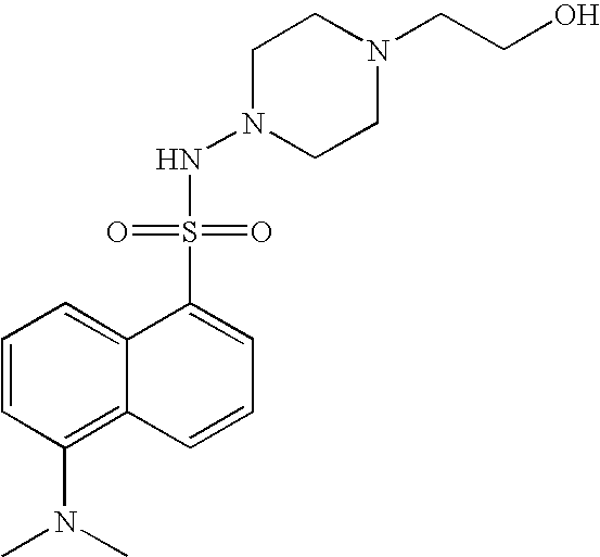
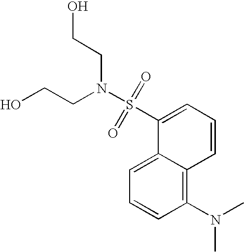
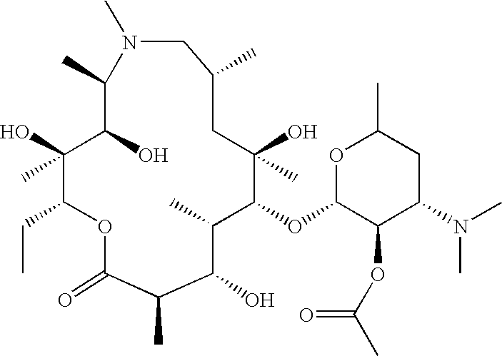
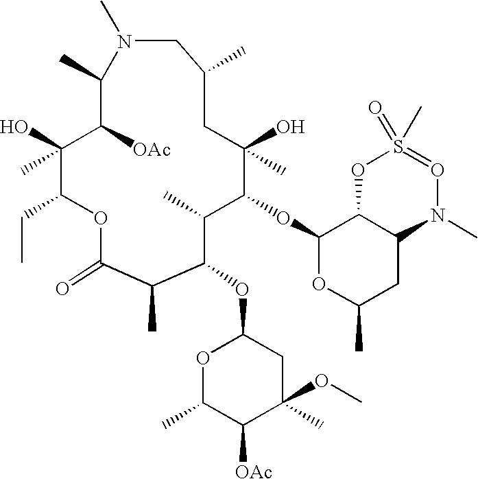
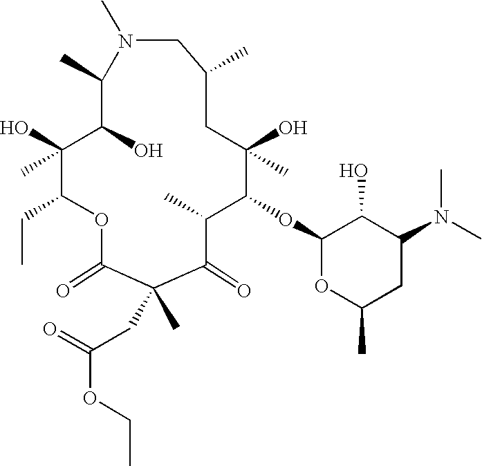
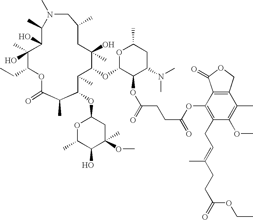
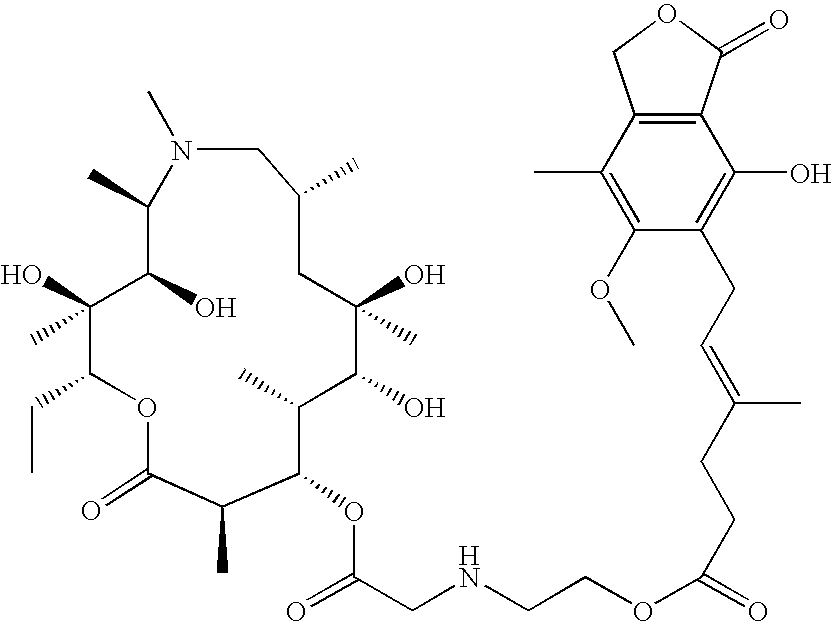
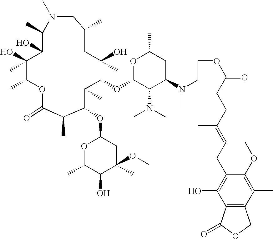
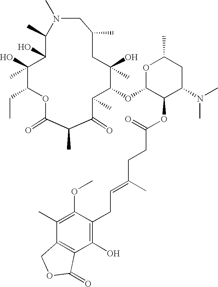
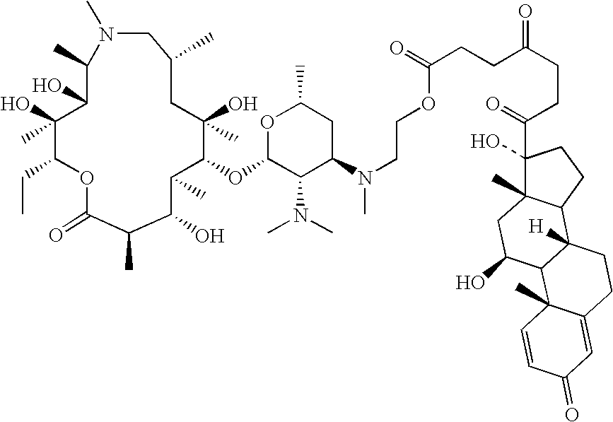
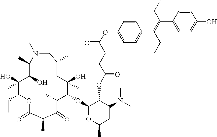
- 0 *C1(C)C(CC)OC(=O)C(C)C(OC2CC(C)(OC)C(C)C(C)O2)C(C)C(OC2OC(C)CC(N([1*])C)C2[2*])C(C)(C)CC(C)CC(C)C1C Chemical compound *C1(C)C(CC)OC(=O)C(C)C(OC2CC(C)(OC)C(C)C(C)O2)C(C)C(OC2OC(C)CC(N([1*])C)C2[2*])C(C)(C)CC(C)CC(C)C1C 0.000 description 7
- MIKUYHXYGGJMLM-GIMIYPNGSA-N Crotonoside Natural products C1=NC2=C(N)NC(=O)N=C2N1[C@H]1O[C@@H](CO)[C@H](O)[C@@H]1O MIKUYHXYGGJMLM-GIMIYPNGSA-N 0.000 description 7
- NYHBQMYGNKIUIF-UHFFFAOYSA-N D-guanosine Natural products C1=2NC(N)=NC(=O)C=2N=CN1C1OC(CO)C(O)C1O NYHBQMYGNKIUIF-UHFFFAOYSA-N 0.000 description 7
- 102000004190 Enzymes Human genes 0.000 description 7
- 108090000790 Enzymes Proteins 0.000 description 7
- AEMRFAOFKBGASW-UHFFFAOYSA-N Glycolic acid Natural products OCC(O)=O AEMRFAOFKBGASW-UHFFFAOYSA-N 0.000 description 7
- 230000007815 allergy Effects 0.000 description 7
- 230000003115 biocidal effect Effects 0.000 description 7
- 210000004369 blood Anatomy 0.000 description 7
- 239000008280 blood Substances 0.000 description 7
- 230000003197 catalytic effect Effects 0.000 description 7
- 239000012230 colorless oil Substances 0.000 description 7
- 229960001259 diclofenac Drugs 0.000 description 7
- DCOPUUMXTXDBNB-UHFFFAOYSA-N diclofenac Chemical compound OC(=O)CC1=CC=CC=C1NC1=C(Cl)C=CC=C1Cl DCOPUUMXTXDBNB-UHFFFAOYSA-N 0.000 description 7
- 238000009826 distribution Methods 0.000 description 7
- 229940029575 guanosine Drugs 0.000 description 7
- 208000015181 infectious disease Diseases 0.000 description 7
- 150000002596 lactones Chemical class 0.000 description 7
- 229910052760 oxygen Inorganic materials 0.000 description 7
- 239000002244 precipitate Substances 0.000 description 7
- 239000000758 substrate Substances 0.000 description 7
- 210000001519 tissue Anatomy 0.000 description 7
- 230000001988 toxicity Effects 0.000 description 7
- 231100000419 toxicity Toxicity 0.000 description 7
- 230000003612 virological effect Effects 0.000 description 7
- PYRKKGOKRMZEIT-UHFFFAOYSA-N 2-[6-(2-cyclopropylethoxy)-9-(2-hydroxy-2-methylpropyl)-1h-phenanthro[9,10-d]imidazol-2-yl]-5-fluorobenzene-1,3-dicarbonitrile Chemical compound C1=C2C3=CC(CC(C)(O)C)=CC=C3C=3NC(C=4C(=CC(F)=CC=4C#N)C#N)=NC=3C2=CC=C1OCCC1CC1 PYRKKGOKRMZEIT-UHFFFAOYSA-N 0.000 description 6
- WVDDGKGOMKODPV-UHFFFAOYSA-N Benzyl alcohol Chemical compound OCC1=CC=CC=C1 WVDDGKGOMKODPV-UHFFFAOYSA-N 0.000 description 6
- QMMFVYPAHWMCMS-UHFFFAOYSA-N Dimethyl sulfide Chemical compound CSC QMMFVYPAHWMCMS-UHFFFAOYSA-N 0.000 description 6
- 206010061218 Inflammation Diseases 0.000 description 6
- JUJWROOIHBZHMG-UHFFFAOYSA-N Pyridine Chemical compound C1=CC=NC=C1 JUJWROOIHBZHMG-UHFFFAOYSA-N 0.000 description 6
- 150000001298 alcohols Chemical class 0.000 description 6
- 230000000843 anti-fungal effect Effects 0.000 description 6
- 230000003110 anti-inflammatory effect Effects 0.000 description 6
- 201000011510 cancer Diseases 0.000 description 6
- 125000004432 carbon atom Chemical group C* 0.000 description 6
- 125000004093 cyano group Chemical group *C#N 0.000 description 6
- 238000001514 detection method Methods 0.000 description 6
- 239000003937 drug carrier Substances 0.000 description 6
- 239000003480 eluent Substances 0.000 description 6
- 125000005843 halogen group Chemical group 0.000 description 6
- 230000004054 inflammatory process Effects 0.000 description 6
- 230000003834 intracellular effect Effects 0.000 description 6
- 210000004698 lymphocyte Anatomy 0.000 description 6
- 239000002609 medium Substances 0.000 description 6
- 230000000144 pharmacologic effect Effects 0.000 description 6
- 230000008569 process Effects 0.000 description 6
- 208000024891 symptom Diseases 0.000 description 6
- YQOLEILXOBUDMU-KRWDZBQOSA-N (4R)-5-[(6-bromo-3-methyl-2-pyrrolidin-1-ylquinoline-4-carbonyl)amino]-4-(2-chlorophenyl)pentanoic acid Chemical compound CC1=C(C2=C(C=CC(=C2)Br)N=C1N3CCCC3)C(=O)NC[C@H](CCC(=O)O)C4=CC=CC=C4Cl YQOLEILXOBUDMU-KRWDZBQOSA-N 0.000 description 5
- GQIRIWDEZSKOCN-UHFFFAOYSA-N 1-chloro-n,n,2-trimethylprop-1-en-1-amine Chemical compound CN(C)C(Cl)=C(C)C GQIRIWDEZSKOCN-UHFFFAOYSA-N 0.000 description 5
- RTBFRGCFXZNCOE-UHFFFAOYSA-N 1-methylsulfonylpiperidin-4-one Chemical compound CS(=O)(=O)N1CCC(=O)CC1 RTBFRGCFXZNCOE-UHFFFAOYSA-N 0.000 description 5
- UFHFLCQGNIYNRP-UHFFFAOYSA-N Hydrogen Chemical compound [H][H] UFHFLCQGNIYNRP-UHFFFAOYSA-N 0.000 description 5
- AFVFQIVMOAPDHO-UHFFFAOYSA-N Methanesulfonic acid Chemical compound CS(O)(=O)=O AFVFQIVMOAPDHO-UHFFFAOYSA-N 0.000 description 5
- JGFZNNIVVJXRND-UHFFFAOYSA-N N,N-Diisopropylethylamine (DIPEA) Chemical compound CCN(C(C)C)C(C)C JGFZNNIVVJXRND-UHFFFAOYSA-N 0.000 description 5
- 229930182558 Sterol Natural products 0.000 description 5
- 206010052779 Transplant rejections Diseases 0.000 description 5
- JFCQEDHGNNZCLN-UHFFFAOYSA-N anhydrous glutaric acid Natural products OC(=O)CCCC(O)=O JFCQEDHGNNZCLN-UHFFFAOYSA-N 0.000 description 5
- 239000003242 anti bacterial agent Substances 0.000 description 5
- 230000000840 anti-viral effect Effects 0.000 description 5
- 229940121375 antifungal agent Drugs 0.000 description 5
- 230000001580 bacterial effect Effects 0.000 description 5
- 239000003153 chemical reaction reagent Substances 0.000 description 5
- 229940125844 compound 46 Drugs 0.000 description 5
- 238000001816 cooling Methods 0.000 description 5
- 238000001914 filtration Methods 0.000 description 5
- 239000007789 gas Substances 0.000 description 5
- 125000005842 heteroatom Chemical group 0.000 description 5
- 125000000623 heterocyclic group Chemical group 0.000 description 5
- 125000004435 hydrogen atom Chemical group [H]* 0.000 description 5
- 230000006872 improvement Effects 0.000 description 5
- 208000027866 inflammatory disease Diseases 0.000 description 5
- 230000002503 metabolic effect Effects 0.000 description 5
- 239000003921 oil Substances 0.000 description 5
- 210000000056 organ Anatomy 0.000 description 5
- 238000000926 separation method Methods 0.000 description 5
- 150000003432 sterols Chemical class 0.000 description 5
- 235000003702 sterols Nutrition 0.000 description 5
- 239000003039 volatile agent Substances 0.000 description 5
- 229960002555 zidovudine Drugs 0.000 description 5
- HBOMLICNUCNMMY-XLPZGREQSA-N zidovudine Chemical compound O=C1NC(=O)C(C)=CN1[C@@H]1O[C@H](CO)[C@@H](N=[N+]=[N-])C1 HBOMLICNUCNMMY-XLPZGREQSA-N 0.000 description 5
- MPDDTAJMJCESGV-CTUHWIOQSA-M (3r,5r)-7-[2-(4-fluorophenyl)-5-[methyl-[(1r)-1-phenylethyl]carbamoyl]-4-propan-2-ylpyrazol-3-yl]-3,5-dihydroxyheptanoate Chemical compound C1([C@@H](C)N(C)C(=O)C2=NN(C(CC[C@@H](O)C[C@@H](O)CC([O-])=O)=C2C(C)C)C=2C=CC(F)=CC=2)=CC=CC=C1 MPDDTAJMJCESGV-CTUHWIOQSA-M 0.000 description 4
- 125000006373 (C2-C10) alkyl group Chemical group 0.000 description 4
- RSIWALKZYXPAGW-NSHDSACASA-N 6-(3-fluorophenyl)-3-methyl-7-[(1s)-1-(7h-purin-6-ylamino)ethyl]-[1,3]thiazolo[3,2-a]pyrimidin-5-one Chemical compound C=1([C@@H](NC=2C=3N=CNC=3N=CN=2)C)N=C2SC=C(C)N2C(=O)C=1C1=CC=CC(F)=C1 RSIWALKZYXPAGW-NSHDSACASA-N 0.000 description 4
- 206010003571 Astrocytoma Diseases 0.000 description 4
- 108010078791 Carrier Proteins Proteins 0.000 description 4
- 102000014914 Carrier Proteins Human genes 0.000 description 4
- 229920000858 Cyclodextrin Polymers 0.000 description 4
- 108020004414 DNA Proteins 0.000 description 4
- PMMYEEVYMWASQN-DMTCNVIQSA-N Hydroxyproline Chemical compound O[C@H]1CN[C@H](C(O)=O)C1 PMMYEEVYMWASQN-DMTCNVIQSA-N 0.000 description 4
- YNAVUWVOSKDBBP-UHFFFAOYSA-N Morpholine Chemical compound C1COCCN1 YNAVUWVOSKDBBP-UHFFFAOYSA-N 0.000 description 4
- 241000699666 Mus <mouse, genus> Species 0.000 description 4
- 241000699670 Mus sp. Species 0.000 description 4
- JRNVZBWKYDBUCA-UHFFFAOYSA-N N-chlorosuccinimide Chemical compound ClN1C(=O)CCC1=O JRNVZBWKYDBUCA-UHFFFAOYSA-N 0.000 description 4
- GLUUGHFHXGJENI-UHFFFAOYSA-N Piperazine Chemical compound C1CNCCN1 GLUUGHFHXGJENI-UHFFFAOYSA-N 0.000 description 4
- KWYUFKZDYYNOTN-UHFFFAOYSA-M Potassium hydroxide Chemical compound [OH-].[K+] KWYUFKZDYYNOTN-UHFFFAOYSA-M 0.000 description 4
- CDBYLPFSWZWCQE-UHFFFAOYSA-L Sodium Carbonate Chemical compound [Na+].[Na+].[O-]C([O-])=O CDBYLPFSWZWCQE-UHFFFAOYSA-L 0.000 description 4
- KDYFGRWQOYBRFD-UHFFFAOYSA-N Succinic acid Natural products OC(=O)CCC(O)=O KDYFGRWQOYBRFD-UHFFFAOYSA-N 0.000 description 4
- 206010046851 Uveitis Diseases 0.000 description 4
- SPXSEZMVRJLHQG-XMMPIXPASA-N [(2R)-1-[[4-[(3-phenylmethoxyphenoxy)methyl]phenyl]methyl]pyrrolidin-2-yl]methanol Chemical compound C(C1=CC=CC=C1)OC=1C=C(OCC2=CC=C(CN3[C@H](CCC3)CO)C=C2)C=CC=1 SPXSEZMVRJLHQG-XMMPIXPASA-N 0.000 description 4
- 229960004748 abacavir Drugs 0.000 description 4
- MCGSCOLBFJQGHM-SCZZXKLOSA-N abacavir Chemical compound C=12N=CN([C@H]3C=C[C@@H](CO)C3)C2=NC(N)=NC=1NC1CC1 MCGSCOLBFJQGHM-SCZZXKLOSA-N 0.000 description 4
- 238000009825 accumulation Methods 0.000 description 4
- 150000007513 acids Chemical class 0.000 description 4
- 239000002671 adjuvant Substances 0.000 description 4
- 125000003545 alkoxy group Chemical group 0.000 description 4
- 150000001408 amides Chemical class 0.000 description 4
- 229940024606 amino acid Drugs 0.000 description 4
- 235000001014 amino acid Nutrition 0.000 description 4
- 150000001413 amino acids Chemical class 0.000 description 4
- 238000004458 analytical method Methods 0.000 description 4
- 229940088710 antibiotic agent Drugs 0.000 description 4
- 229910052786 argon Inorganic materials 0.000 description 4
- 125000004429 atom Chemical group 0.000 description 4
- UCMIRNVEIXFBKS-UHFFFAOYSA-N beta-alanine Chemical compound NCCC(O)=O UCMIRNVEIXFBKS-UHFFFAOYSA-N 0.000 description 4
- KDYFGRWQOYBRFD-NUQCWPJISA-N butanedioic acid Chemical compound O[14C](=O)CC[14C](O)=O KDYFGRWQOYBRFD-NUQCWPJISA-N 0.000 description 4
- 239000000969 carrier Substances 0.000 description 4
- 238000001516 cell proliferation assay Methods 0.000 description 4
- 229940126540 compound 41 Drugs 0.000 description 4
- 229940127271 compound 49 Drugs 0.000 description 4
- 230000021615 conjugation Effects 0.000 description 4
- 208000035475 disorder Diseases 0.000 description 4
- PMMYEEVYMWASQN-UHFFFAOYSA-N dl-hydroxyproline Natural products OC1C[NH2+]C(C([O-])=O)C1 PMMYEEVYMWASQN-UHFFFAOYSA-N 0.000 description 4
- 238000001035 drying Methods 0.000 description 4
- MLILORUFDVLTSP-UHFFFAOYSA-N emivirine Chemical compound O=C1NC(=O)N(COCC)C(CC=2C=CC=CC=2)=C1C(C)C MLILORUFDVLTSP-UHFFFAOYSA-N 0.000 description 4
- 238000001704 evaporation Methods 0.000 description 4
- 230000008020 evaporation Effects 0.000 description 4
- 125000000524 functional group Chemical group 0.000 description 4
- 229960002591 hydroxyproline Drugs 0.000 description 4
- CGIGDMFJXJATDK-UHFFFAOYSA-N indomethacin Chemical compound CC1=C(CC(O)=O)C2=CC(OC)=CC=C2N1C(=O)C1=CC=C(Cl)C=C1 CGIGDMFJXJATDK-UHFFFAOYSA-N 0.000 description 4
- 208000014674 injury Diseases 0.000 description 4
- 230000000670 limiting effect Effects 0.000 description 4
- RENRQMCACQEWFC-UGKGYDQZSA-N lnp023 Chemical compound C1([C@H]2N(CC=3C=4C=CNC=4C(C)=CC=3OC)CC[C@@H](C2)OCC)=CC=C(C(O)=O)C=C1 RENRQMCACQEWFC-UGKGYDQZSA-N 0.000 description 4
- 206010025135 lupus erythematosus Diseases 0.000 description 4
- BDAGIHXWWSANSR-UHFFFAOYSA-N methanoic acid Natural products OC=O BDAGIHXWWSANSR-UHFFFAOYSA-N 0.000 description 4
- 125000002950 monocyclic group Chemical group 0.000 description 4
- 210000001616 monocyte Anatomy 0.000 description 4
- 210000000440 neutrophil Anatomy 0.000 description 4
- 230000000704 physical effect Effects 0.000 description 4
- 125000002924 primary amino group Chemical class [H]N([H])* 0.000 description 4
- 108090000765 processed proteins & peptides Chemical class 0.000 description 4
- VVWRJUBEIPHGQF-UHFFFAOYSA-N propan-2-yl n-propan-2-yloxycarbonyliminocarbamate Chemical compound CC(C)OC(=O)N=NC(=O)OC(C)C VVWRJUBEIPHGQF-UHFFFAOYSA-N 0.000 description 4
- 125000006239 protecting group Chemical group 0.000 description 4
- 230000002685 pulmonary effect Effects 0.000 description 4
- 230000004044 response Effects 0.000 description 4
- 230000007017 scission Effects 0.000 description 4
- 230000009885 systemic effect Effects 0.000 description 4
- 230000001225 therapeutic effect Effects 0.000 description 4
- FGMPLJWBKKVCDB-UHFFFAOYSA-N trans-L-hydroxy-proline Natural products ON1CCCC1C(O)=O FGMPLJWBKKVCDB-UHFFFAOYSA-N 0.000 description 4
- 239000003981 vehicle Substances 0.000 description 4
- ASGMFNBUXDJWJJ-JLCFBVMHSA-N (1R,3R)-3-[[3-bromo-1-[4-(5-methyl-1,3,4-thiadiazol-2-yl)phenyl]pyrazolo[3,4-d]pyrimidin-6-yl]amino]-N,1-dimethylcyclopentane-1-carboxamide Chemical compound BrC1=NN(C2=NC(=NC=C21)N[C@H]1C[C@@](CC1)(C(=O)NC)C)C1=CC=C(C=C1)C=1SC(=NN=1)C ASGMFNBUXDJWJJ-JLCFBVMHSA-N 0.000 description 3
- GCTFTMWXZFLTRR-GFCCVEGCSA-N (2r)-2-amino-n-[3-(difluoromethoxy)-4-(1,3-oxazol-5-yl)phenyl]-4-methylpentanamide Chemical compound FC(F)OC1=CC(NC(=O)[C@H](N)CC(C)C)=CC=C1C1=CN=CO1 GCTFTMWXZFLTRR-GFCCVEGCSA-N 0.000 description 3
- YJLIKUSWRSEPSM-WGQQHEPDSA-N (2r,3r,4s,5r)-2-[6-amino-8-[(4-phenylphenyl)methylamino]purin-9-yl]-5-(hydroxymethyl)oxolane-3,4-diol Chemical compound C=1C=C(C=2C=CC=CC=2)C=CC=1CNC1=NC=2C(N)=NC=NC=2N1[C@@H]1O[C@H](CO)[C@@H](O)[C@H]1O YJLIKUSWRSEPSM-WGQQHEPDSA-N 0.000 description 3
- UDQTXCHQKHIQMH-KYGLGHNPSA-N (3ar,5s,6s,7r,7ar)-5-(difluoromethyl)-2-(ethylamino)-5,6,7,7a-tetrahydro-3ah-pyrano[3,2-d][1,3]thiazole-6,7-diol Chemical compound S1C(NCC)=N[C@H]2[C@@H]1O[C@H](C(F)F)[C@@H](O)[C@@H]2O UDQTXCHQKHIQMH-KYGLGHNPSA-N 0.000 description 3
- 125000006710 (C2-C12) alkenyl group Chemical group 0.000 description 3
- 125000006711 (C2-C12) alkynyl group Chemical group 0.000 description 3
- 125000006719 (C6-C10) aryl (C1-C6) alkyl group Chemical group 0.000 description 3
- DJMOXMNDXFFONV-UHFFFAOYSA-N 1,3-dimethyl-7-[2-(n-methylanilino)ethyl]purine-2,6-dione Chemical compound C1=NC=2N(C)C(=O)N(C)C(=O)C=2N1CCN(C)C1=CC=CC=C1 DJMOXMNDXFFONV-UHFFFAOYSA-N 0.000 description 3
- KKHFRAFPESRGGD-UHFFFAOYSA-N 1,3-dimethyl-7-[3-(n-methylanilino)propyl]purine-2,6-dione Chemical compound C1=NC=2N(C)C(=O)N(C)C(=O)C=2N1CCCN(C)C1=CC=CC=C1 KKHFRAFPESRGGD-UHFFFAOYSA-N 0.000 description 3
- WGFNXGPBPIJYLI-UHFFFAOYSA-N 2,6-difluoro-3-[(3-fluorophenyl)sulfonylamino]-n-(3-methoxy-1h-pyrazolo[3,4-b]pyridin-5-yl)benzamide Chemical compound C1=C2C(OC)=NNC2=NC=C1NC(=O)C(C=1F)=C(F)C=CC=1NS(=O)(=O)C1=CC=CC(F)=C1 WGFNXGPBPIJYLI-UHFFFAOYSA-N 0.000 description 3
- FMKGJQHNYMWDFJ-CVEARBPZSA-N 2-[[4-(2,2-difluoropropoxy)pyrimidin-5-yl]methylamino]-4-[[(1R,4S)-4-hydroxy-3,3-dimethylcyclohexyl]amino]pyrimidine-5-carbonitrile Chemical compound FC(COC1=NC=NC=C1CNC1=NC=C(C(=N1)N[C@H]1CC([C@H](CC1)O)(C)C)C#N)(C)F FMKGJQHNYMWDFJ-CVEARBPZSA-N 0.000 description 3
- VVCMGAUPZIKYTH-VGHSCWAPSA-N 2-acetyloxybenzoic acid;[(2s,3r)-4-(dimethylamino)-3-methyl-1,2-diphenylbutan-2-yl] propanoate;1,3,7-trimethylpurine-2,6-dione Chemical compound CC(=O)OC1=CC=CC=C1C(O)=O.CN1C(=O)N(C)C(=O)C2=C1N=CN2C.C([C@](OC(=O)CC)([C@H](C)CN(C)C)C=1C=CC=CC=1)C1=CC=CC=C1 VVCMGAUPZIKYTH-VGHSCWAPSA-N 0.000 description 3
- MPMKMQHJHDHPBE-RUZDIDTESA-N 4-[[(2r)-1-(1-benzothiophene-3-carbonyl)-2-methylazetidine-2-carbonyl]-[(3-chlorophenyl)methyl]amino]butanoic acid Chemical compound O=C([C@@]1(N(CC1)C(=O)C=1C2=CC=CC=C2SC=1)C)N(CCCC(O)=O)CC1=CC=CC(Cl)=C1 MPMKMQHJHDHPBE-RUZDIDTESA-N 0.000 description 3
- XFJBGINZIMNZBW-CRAIPNDOSA-N 5-chloro-2-[4-[(1r,2s)-2-[2-(5-methylsulfonylpyridin-2-yl)oxyethyl]cyclopropyl]piperidin-1-yl]pyrimidine Chemical compound N1=CC(S(=O)(=O)C)=CC=C1OCC[C@H]1[C@@H](C2CCN(CC2)C=2N=CC(Cl)=CN=2)C1 XFJBGINZIMNZBW-CRAIPNDOSA-N 0.000 description 3
- 241000894006 Bacteria Species 0.000 description 3
- JQUCWIWWWKZNCS-LESHARBVSA-N C(C1=CC=CC=C1)(=O)NC=1SC[C@H]2[C@@](N1)(CO[C@H](C2)C)C=2SC=C(N2)NC(=O)C2=NC=C(C=C2)OC(F)F Chemical compound C(C1=CC=CC=C1)(=O)NC=1SC[C@H]2[C@@](N1)(CO[C@H](C2)C)C=2SC=C(N2)NC(=O)C2=NC=C(C=C2)OC(F)F JQUCWIWWWKZNCS-LESHARBVSA-N 0.000 description 3
- 208000024172 Cardiovascular disease Diseases 0.000 description 3
- KRKNYBCHXYNGOX-UHFFFAOYSA-K Citrate Chemical compound [O-]C(=O)CC(O)(CC([O-])=O)C([O-])=O KRKNYBCHXYNGOX-UHFFFAOYSA-K 0.000 description 3
- 208000035473 Communicable disease Diseases 0.000 description 3
- 229940127007 Compound 39 Drugs 0.000 description 3
- 241000196324 Embryophyta Species 0.000 description 3
- HEMJJKBWTPKOJG-UHFFFAOYSA-N Gemfibrozil Chemical compound CC1=CC=C(C)C(OCCCC(C)(C)C(O)=O)=C1 HEMJJKBWTPKOJG-UHFFFAOYSA-N 0.000 description 3
- 206010018338 Glioma Diseases 0.000 description 3
- 101710200424 Inosine-5'-monophosphate dehydrogenase Proteins 0.000 description 3
- 208000015439 Lysosomal storage disease Diseases 0.000 description 3
- LVDRREOUMKACNJ-BKMJKUGQSA-N N-[(2R,3S)-2-(4-chlorophenyl)-1-(1,4-dimethyl-2-oxoquinolin-7-yl)-6-oxopiperidin-3-yl]-2-methylpropane-1-sulfonamide Chemical compound CC(C)CS(=O)(=O)N[C@H]1CCC(=O)N([C@@H]1c1ccc(Cl)cc1)c1ccc2c(C)cc(=O)n(C)c2c1 LVDRREOUMKACNJ-BKMJKUGQSA-N 0.000 description 3
- 150000001204 N-oxides Chemical class 0.000 description 3
- 229910019142 PO4 Inorganic materials 0.000 description 3
- 201000007100 Pharyngitis Diseases 0.000 description 3
- 206010035664 Pneumonia Diseases 0.000 description 3
- DNIAPMSPPWPWGF-UHFFFAOYSA-N Propylene glycol Chemical compound CC(O)CO DNIAPMSPPWPWGF-UHFFFAOYSA-N 0.000 description 3
- 201000004681 Psoriasis Diseases 0.000 description 3
- WREGKURFCTUGRC-POYBYMJQSA-N Zalcitabine Chemical compound O=C1N=C(N)C=CN1[C@@H]1O[C@H](CO)CC1 WREGKURFCTUGRC-POYBYMJQSA-N 0.000 description 3
- PSLUFJFHTBIXMW-WYEYVKMPSA-N [(3r,4ar,5s,6s,6as,10s,10ar,10bs)-3-ethenyl-10,10b-dihydroxy-3,4a,7,7,10a-pentamethyl-1-oxo-6-(2-pyridin-2-ylethylcarbamoyloxy)-5,6,6a,8,9,10-hexahydro-2h-benzo[f]chromen-5-yl] acetate Chemical compound O([C@@H]1[C@@H]([C@]2(O[C@](C)(CC(=O)[C@]2(O)[C@@]2(C)[C@@H](O)CCC(C)(C)[C@@H]21)C=C)C)OC(=O)C)C(=O)NCCC1=CC=CC=N1 PSLUFJFHTBIXMW-WYEYVKMPSA-N 0.000 description 3
- 229930013930 alkaloid Natural products 0.000 description 3
- 239000003524 antilipemic agent Substances 0.000 description 3
- 239000012298 atmosphere Substances 0.000 description 3
- MQTOSJVFKKJCRP-BICOPXKESA-N azithromycin Chemical compound O([C@@H]1[C@@H](C)C(=O)O[C@@H]([C@@]([C@H](O)[C@@H](C)N(C)C[C@H](C)C[C@@](C)(O)[C@H](O[C@H]2[C@@H]([C@H](C[C@@H](C)O2)N(C)C)O)[C@H]1C)(C)O)CC)[C@H]1C[C@@](C)(OC)[C@@H](O)[C@H](C)O1 MQTOSJVFKKJCRP-BICOPXKESA-N 0.000 description 3
- 229960004099 azithromycin Drugs 0.000 description 3
- 239000002585 base Substances 0.000 description 3
- 230000004071 biological effect Effects 0.000 description 3
- 206010006451 bronchitis Diseases 0.000 description 3
- 239000000872 buffer Substances 0.000 description 3
- 150000007942 carboxylates Chemical class 0.000 description 3
- 230000004663 cell proliferation Effects 0.000 description 3
- 238000005119 centrifugation Methods 0.000 description 3
- KRKNYBCHXYNGOX-UHFFFAOYSA-N citric acid Chemical compound OC(=O)CC(O)(C(O)=O)CC(O)=O KRKNYBCHXYNGOX-UHFFFAOYSA-N 0.000 description 3
- 229940125936 compound 42 Drugs 0.000 description 3
- 229940127113 compound 57 Drugs 0.000 description 3
- 229940125900 compound 59 Drugs 0.000 description 3
- 201000001981 dermatomyositis Diseases 0.000 description 3
- 238000010790 dilution Methods 0.000 description 3
- 239000012895 dilution Substances 0.000 description 3
- BNIILDVGGAEEIG-UHFFFAOYSA-L disodium hydrogen phosphate Chemical compound [Na+].[Na+].OP([O-])([O-])=O BNIILDVGGAEEIG-UHFFFAOYSA-L 0.000 description 3
- 239000002270 dispersing agent Substances 0.000 description 3
- 239000002552 dosage form Substances 0.000 description 3
- 230000002526 effect on cardiovascular system Effects 0.000 description 3
- 239000000839 emulsion Substances 0.000 description 3
- PEASPLKKXBYDKL-FXEVSJAOSA-N enfuvirtide Chemical compound C([C@@H](C(=O)N[C@@H](CO)C(=O)N[C@@H](CC(C)C)C(=O)N[C@@H]([C@@H](C)CC)C(=O)N[C@@H](CCC(O)=O)C(=O)N[C@@H](CCC(O)=O)C(=O)N[C@@H](CO)C(=O)N[C@@H](CCC(N)=O)C(=O)N[C@@H](CC(N)=O)C(=O)N[C@@H](CCC(N)=O)C(=O)N[C@@H](CCC(N)=O)C(=O)N[C@@H](CCC(O)=O)C(=O)N[C@@H](CCCCN)C(=O)N[C@@H](CC(N)=O)C(=O)N[C@@H](CCC(O)=O)C(=O)N[C@@H](CCC(N)=O)C(=O)N[C@@H](CCC(O)=O)C(=O)N[C@@H](CC(C)C)C(=O)N[C@@H](CC(C)C)C(=O)N[C@@H](CCC(O)=O)C(=O)N[C@@H](CC(C)C)C(=O)N[C@@H](CC(O)=O)C(=O)N[C@@H](CCCCN)C(=O)N[C@@H](CC=1C2=CC=CC=C2NC=1)C(=O)N[C@@H](C)C(=O)N[C@@H](CO)C(=O)N[C@@H](CC(C)C)C(=O)N[C@@H](CC=1C2=CC=CC=C2NC=1)C(=O)N[C@@H](CC(N)=O)C(=O)N[C@@H](CC=1C2=CC=CC=C2NC=1)C(=O)N[C@@H](CC=1C=CC=CC=1)C(N)=O)NC(=O)[C@@H](NC(=O)[C@H](CC(C)C)NC(=O)[C@H](CO)NC(=O)[C@@H](NC(=O)[C@H](CC=1C=CC(O)=CC=1)NC(C)=O)[C@@H](C)O)[C@@H](C)CC)C1=CN=CN1 PEASPLKKXBYDKL-FXEVSJAOSA-N 0.000 description 3
- 238000003818 flash chromatography Methods 0.000 description 3
- 229960003627 gemfibrozil Drugs 0.000 description 3
- 150000003278 haem Chemical class 0.000 description 3
- 230000002440 hepatic effect Effects 0.000 description 3
- 150000002430 hydrocarbons Chemical group 0.000 description 3
- 230000007062 hydrolysis Effects 0.000 description 3
- 238000006460 hydrolysis reaction Methods 0.000 description 3
- 208000026278 immune system disease Diseases 0.000 description 3
- 238000011534 incubation Methods 0.000 description 3
- 230000002757 inflammatory effect Effects 0.000 description 3
- 239000003112 inhibitor Substances 0.000 description 3
- 230000005764 inhibitory process Effects 0.000 description 3
- 239000000543 intermediate Substances 0.000 description 3
- 210000000936 intestine Anatomy 0.000 description 3
- JDNTWHVOXJZDSN-UHFFFAOYSA-N iodoacetic acid Chemical compound OC(=O)CI JDNTWHVOXJZDSN-UHFFFAOYSA-N 0.000 description 3
- 150000002500 ions Chemical class 0.000 description 3
- JTEGQNOMFQHVDC-NKWVEPMBSA-N lamivudine Chemical compound O=C1N=C(N)C=CN1[C@H]1O[C@@H](CO)SC1 JTEGQNOMFQHVDC-NKWVEPMBSA-N 0.000 description 3
- 210000000265 leukocyte Anatomy 0.000 description 3
- 150000007931 macrolactones Chemical class 0.000 description 3
- 239000000463 material Substances 0.000 description 3
- 230000001404 mediated effect Effects 0.000 description 3
- SGDBTWWWUNNDEQ-LBPRGKRZSA-N melphalan Chemical compound OC(=O)[C@@H](N)CC1=CC=C(N(CCCl)CCCl)C=C1 SGDBTWWWUNNDEQ-LBPRGKRZSA-N 0.000 description 3
- 239000012528 membrane Substances 0.000 description 3
- 238000001000 micrograph Methods 0.000 description 3
- 230000004048 modification Effects 0.000 description 3
- 238000012986 modification Methods 0.000 description 3
- IOMMMLWIABWRKL-WUTDNEBXSA-N nazartinib Chemical compound C1N(C(=O)/C=C/CN(C)C)CCCC[C@H]1N1C2=C(Cl)C=CC=C2N=C1NC(=O)C1=CC=NC(C)=C1 IOMMMLWIABWRKL-WUTDNEBXSA-N 0.000 description 3
- 239000002777 nucleoside Substances 0.000 description 3
- 238000005192 partition Methods 0.000 description 3
- 239000000546 pharmaceutical excipient Substances 0.000 description 3
- 235000021317 phosphate Nutrition 0.000 description 3
- 229920001223 polyethylene glycol Polymers 0.000 description 3
- 229960005205 prednisolone Drugs 0.000 description 3
- OIGNJSKKLXVSLS-VWUMJDOOSA-N prednisolone Chemical compound O=C1C=C[C@]2(C)[C@H]3[C@@H](O)C[C@](C)([C@@](CC4)(O)C(=O)CO)[C@@H]4[C@@H]3CCC2=C1 OIGNJSKKLXVSLS-VWUMJDOOSA-N 0.000 description 3
- UMJSCPRVCHMLSP-UHFFFAOYSA-N pyridine Natural products COC1=CC=CN=C1 UMJSCPRVCHMLSP-UHFFFAOYSA-N 0.000 description 3
- 102000005962 receptors Human genes 0.000 description 3
- 108020003175 receptors Proteins 0.000 description 3
- 238000006722 reduction reaction Methods 0.000 description 3
- 238000012216 screening Methods 0.000 description 3
- 229910052717 sulfur Inorganic materials 0.000 description 3
- VZCYOOQTPOCHFL-UHFFFAOYSA-N trans-butenedioic acid Natural products OC(=O)C=CC(O)=O VZCYOOQTPOCHFL-UHFFFAOYSA-N 0.000 description 3
- 238000005406 washing Methods 0.000 description 3
- PHIRWRJXMDCHJF-GBYUNDSOSA-N (2s)-1-[(2r)-2-[[(2r)-6-amino-2-[[(2r)-6-amino-2-[[2-[[2-[[2-[[2-[[2-(6-aminohexylamino)acetyl]-[3-(diaminomethylideneamino)propyl]amino]acetyl]-[3-(diaminomethylideneamino)propyl]amino]acetyl]-benzylamino]acetyl]-[3-(diaminomethylideneamino)propyl]amino] Chemical compound O=C([C@@H](CCCN=C(N)N)NC(=O)[C@@H](CCCCN)NC(=O)[C@@H](CCCCN)NC(=O)CN(CCCN=C(N)N)C(=O)CN(C(=O)CN(CCCN=C(N)N)C(=O)CN(CCCN=C(N)N)C(=O)CNCCCCCCN)CC=1C=CC=CC=1)N1CCC[C@H]1C(N)=O PHIRWRJXMDCHJF-GBYUNDSOSA-N 0.000 description 2
- VIJSPAIQWVPKQZ-BLECARSGSA-N (2s)-2-[[(2s)-2-[[(2s)-2-[[(2s)-2-[[(2s)-2-[[(2s)-2-acetamido-5-(diaminomethylideneamino)pentanoyl]amino]-4-methylpentanoyl]amino]-4,4-dimethylpentanoyl]amino]-4-methylpentanoyl]amino]propanoyl]amino]-5-(diaminomethylideneamino)pentanoic acid Chemical compound NC(=N)NCCC[C@@H](C(O)=O)NC(=O)[C@H](C)NC(=O)[C@H](CC(C)C)NC(=O)[C@H](CC(C)(C)C)NC(=O)[C@H](CC(C)C)NC(=O)[C@H](CCCNC(N)=N)NC(C)=O VIJSPAIQWVPKQZ-BLECARSGSA-N 0.000 description 2
- OOKAZRDERJMRCJ-KOUAFAAESA-N (3r)-7-[(1s,2s,4ar,6s,8s)-2,6-dimethyl-8-[(2s)-2-methylbutanoyl]oxy-1,2,4a,5,6,7,8,8a-octahydronaphthalen-1-yl]-3-hydroxy-5-oxoheptanoic acid Chemical compound C1=C[C@H](C)[C@H](CCC(=O)C[C@@H](O)CC(O)=O)C2[C@@H](OC(=O)[C@@H](C)CC)C[C@@H](C)C[C@@H]21 OOKAZRDERJMRCJ-KOUAFAAESA-N 0.000 description 2
- STPKWKPURVSAJF-LJEWAXOPSA-N (4r,5r)-5-[4-[[4-(1-aza-4-azoniabicyclo[2.2.2]octan-4-ylmethyl)phenyl]methoxy]phenyl]-3,3-dibutyl-7-(dimethylamino)-1,1-dioxo-4,5-dihydro-2h-1$l^{6}-benzothiepin-4-ol Chemical compound O[C@H]1C(CCCC)(CCCC)CS(=O)(=O)C2=CC=C(N(C)C)C=C2[C@H]1C(C=C1)=CC=C1OCC(C=C1)=CC=C1C[N+]1(CC2)CCN2CC1 STPKWKPURVSAJF-LJEWAXOPSA-N 0.000 description 2
- 125000006273 (C1-C3) alkyl group Chemical group 0.000 description 2
- DEVSOMFAQLZNKR-RJRFIUFISA-N (z)-3-[3-[3,5-bis(trifluoromethyl)phenyl]-1,2,4-triazol-1-yl]-n'-pyrazin-2-ylprop-2-enehydrazide Chemical compound FC(F)(F)C1=CC(C(F)(F)F)=CC(C2=NN(\C=C/C(=O)NNC=3N=CC=NC=3)C=N2)=C1 DEVSOMFAQLZNKR-RJRFIUFISA-N 0.000 description 2
- NTCLQUFLBPIUSI-UHFFFAOYSA-N 1-ethyl-3-phenyl-1-(1,3-thiazol-2-yl)thiourea Chemical compound N=1C=CSC=1N(CC)C(=S)NC1=CC=CC=C1 NTCLQUFLBPIUSI-UHFFFAOYSA-N 0.000 description 2
- VCUXVXLUOHDHKK-UHFFFAOYSA-N 2-(2-aminopyrimidin-4-yl)-4-(2-chloro-4-methoxyphenyl)-1,3-thiazole-5-carboxamide Chemical compound ClC1=CC(OC)=CC=C1C1=C(C(N)=O)SC(C=2N=C(N)N=CC=2)=N1 VCUXVXLUOHDHKK-UHFFFAOYSA-N 0.000 description 2
- NZEYWBNQKCRBFO-UHFFFAOYSA-N 2-acetamido-3-[4-[bis(2-chloroethyl)amino]phenyl]propanoic acid Chemical compound CC(=O)NC(C(O)=O)CC1=CC=C(N(CCCl)CCCl)C=C1 NZEYWBNQKCRBFO-UHFFFAOYSA-N 0.000 description 2
- LFOIDLOIBZFWDO-UHFFFAOYSA-N 2-methoxy-6-[6-methoxy-4-[(3-phenylmethoxyphenyl)methoxy]-1-benzofuran-2-yl]imidazo[2,1-b][1,3,4]thiadiazole Chemical compound N1=C2SC(OC)=NN2C=C1C(OC1=CC(OC)=C2)=CC1=C2OCC(C=1)=CC=CC=1OCC1=CC=CC=C1 LFOIDLOIBZFWDO-UHFFFAOYSA-N 0.000 description 2
- WFOVEDJTASPCIR-UHFFFAOYSA-N 3-[(4-methyl-5-pyridin-4-yl-1,2,4-triazol-3-yl)methylamino]-n-[[2-(trifluoromethyl)phenyl]methyl]benzamide Chemical compound N=1N=C(C=2C=CN=CC=2)N(C)C=1CNC(C=1)=CC=CC=1C(=O)NCC1=CC=CC=C1C(F)(F)F WFOVEDJTASPCIR-UHFFFAOYSA-N 0.000 description 2
- OSWFIVFLDKOXQC-UHFFFAOYSA-N 4-(3-methoxyphenyl)aniline Chemical compound COC1=CC=CC(C=2C=CC(N)=CC=2)=C1 OSWFIVFLDKOXQC-UHFFFAOYSA-N 0.000 description 2
- WYFCZWSWFGJODV-MIANJLSGSA-N 4-[[(1s)-2-[(e)-3-[3-chloro-2-fluoro-6-(tetrazol-1-yl)phenyl]prop-2-enoyl]-5-(4-methyl-2-oxopiperazin-1-yl)-3,4-dihydro-1h-isoquinoline-1-carbonyl]amino]benzoic acid Chemical compound O=C1CN(C)CCN1C1=CC=CC2=C1CCN(C(=O)\C=C\C=1C(=CC=C(Cl)C=1F)N1N=NN=C1)[C@@H]2C(=O)NC1=CC=C(C(O)=O)C=C1 WYFCZWSWFGJODV-MIANJLSGSA-N 0.000 description 2
- 125000003143 4-hydroxybenzyl group Chemical group [H]C([*])([H])C1=C([H])C([H])=C(O[H])C([H])=C1[H] 0.000 description 2
- WOVKYSAHUYNSMH-RRKCRQDMSA-N 5-bromodeoxyuridine Chemical compound C1[C@H](O)[C@@H](CO)O[C@H]1N1C(=O)NC(=O)C(Br)=C1 WOVKYSAHUYNSMH-RRKCRQDMSA-N 0.000 description 2
- RZVAJINKPMORJF-UHFFFAOYSA-N Acetaminophen Chemical compound CC(=O)NC1=CC=C(O)C=C1 RZVAJINKPMORJF-UHFFFAOYSA-N 0.000 description 2
- QTBSBXVTEAMEQO-UHFFFAOYSA-M Acetate Chemical compound CC([O-])=O QTBSBXVTEAMEQO-UHFFFAOYSA-M 0.000 description 2
- 208000032671 Allergic granulomatous angiitis Diseases 0.000 description 2
- VVJKKWFAADXIJK-UHFFFAOYSA-N Allylamine Chemical compound NCC=C VVJKKWFAADXIJK-UHFFFAOYSA-N 0.000 description 2
- QGZKDVFQNNGYKY-UHFFFAOYSA-O Ammonium Chemical compound [NH4+] QGZKDVFQNNGYKY-UHFFFAOYSA-O 0.000 description 2
- VHUUQVKOLVNVRT-UHFFFAOYSA-N Ammonium hydroxide Chemical compound [NH4+].[OH-] VHUUQVKOLVNVRT-UHFFFAOYSA-N 0.000 description 2
- 206010002556 Ankylosing Spondylitis Diseases 0.000 description 2
- 208000003343 Antiphospholipid Syndrome Diseases 0.000 description 2
- BSYNRYMUTXBXSQ-UHFFFAOYSA-N Aspirin Chemical compound CC(=O)OC1=CC=CC=C1C(O)=O BSYNRYMUTXBXSQ-UHFFFAOYSA-N 0.000 description 2
- 201000001320 Atherosclerosis Diseases 0.000 description 2
- XUKUURHRXDUEBC-KAYWLYCHSA-N Atorvastatin Chemical compound C=1C=CC=CC=1C1=C(C=2C=CC(F)=CC=2)N(CC[C@@H](O)C[C@@H](O)CC(O)=O)C(C(C)C)=C1C(=O)NC1=CC=CC=C1 XUKUURHRXDUEBC-KAYWLYCHSA-N 0.000 description 2
- XUKUURHRXDUEBC-UHFFFAOYSA-N Atorvastatin Natural products C=1C=CC=CC=1C1=C(C=2C=CC(F)=CC=2)N(CCC(O)CC(O)CC(O)=O)C(C(C)C)=C1C(=O)NC1=CC=CC=C1 XUKUURHRXDUEBC-UHFFFAOYSA-N 0.000 description 2
- 241000194103 Bacillus pumilus Species 0.000 description 2
- 208000008439 Biliary Liver Cirrhosis Diseases 0.000 description 2
- 206010006448 Bronchiolitis Diseases 0.000 description 2
- FZLWFYMERBVFKN-UHFFFAOYSA-N CC1=CC(=O)OC2=CC(SCC(=O)NC3CCOC3=O)=CC=C12 Chemical compound CC1=CC(=O)OC2=CC(SCC(=O)NC3CCOC3=O)=CC=C12 FZLWFYMERBVFKN-UHFFFAOYSA-N 0.000 description 2
- LHJSUMVZPRKYEA-QVPRKBMASA-N CC[C@H]1OC(=O)[C@H](C)[C@@H](O)[C@H](C)[C@@H](O[C@@H]2O[C@H](C)CC(N(C)C(=O)CN(C)CCOC(=O)CC/C(C)=C/CC3=C(O)C4=C(COC4=O)C(C)=C3OC)[C@H]2O)[C@](C)(O)C[C@@H](C)CN(C)[C@H](C)[C@@H](O)[C@]1(C)O Chemical compound CC[C@H]1OC(=O)[C@H](C)[C@@H](O)[C@H](C)[C@@H](O[C@@H]2O[C@H](C)CC(N(C)C(=O)CN(C)CCOC(=O)CC/C(C)=C/CC3=C(O)C4=C(COC4=O)C(C)=C3OC)[C@H]2O)[C@](C)(O)C[C@@H](C)CN(C)[C@H](C)[C@@H](O)[C@]1(C)O LHJSUMVZPRKYEA-QVPRKBMASA-N 0.000 description 2
- BNFWTVHPGWXMRI-AKBJGGFKSA-N CC[C@H]1OC(=O)[C@H](C)[C@@H](OC(=O)CN(CCOC(=O)C2=CC=CC=C2OC(C)=O)CCOC(=O)C2=C(OC(C)=O)C=CC=C2)[C@H](C)[C@@H](O)[C@](C)(O)C[C@@H](C)CN(C)[C@H](C)[C@@H](O)[C@]1(C)O Chemical compound CC[C@H]1OC(=O)[C@H](C)[C@@H](OC(=O)CN(CCOC(=O)C2=CC=CC=C2OC(C)=O)CCOC(=O)C2=C(OC(C)=O)C=CC=C2)[C@H](C)[C@@H](O)[C@](C)(O)C[C@@H](C)CN(C)[C@H](C)[C@@H](O)[C@]1(C)O BNFWTVHPGWXMRI-AKBJGGFKSA-N 0.000 description 2
- QCWWDOLSHIUILU-MAYNMZMISA-N CC[C@H]1OC(=O)[C@H](C)[C@@H](OC2C[C@@](C)(OC)[C@@H](O)[C@H](C)O2)[C@H](C)[C@@H](OC2O[C@H](C)C[C@H](N(C)C)[C@H]2O)[C@](C)(O)C/C(C)=C(/OCC2=CC(=O)OC3=C2C=C(OC)C(OC)=C3)[C@H](C)[C@@H](O)[C@]1(C)O Chemical compound CC[C@H]1OC(=O)[C@H](C)[C@@H](OC2C[C@@](C)(OC)[C@@H](O)[C@H](C)O2)[C@H](C)[C@@H](OC2O[C@H](C)C[C@H](N(C)C)[C@H]2O)[C@](C)(O)C/C(C)=C(/OCC2=CC(=O)OC3=C2C=C(OC)C(OC)=C3)[C@H](C)[C@@H](O)[C@]1(C)O QCWWDOLSHIUILU-MAYNMZMISA-N 0.000 description 2
- HIJXGMQRBJOQRT-DJUPRACFSA-N CC[C@H]1OC(=O)[C@H](C)[C@@H](O[C@H]2C[C@@](C)(OC)[C@@H](O)[C@H](C)O2)[C@H](C)[C@@H](O[C@@H]2O[C@H](C)CC(N(C)C)[C@H]2OC(=O)C(C)C2=CC=C(C3=CC=CC=C3)C(F)=C2)[C@](C)(O)C[C@@H](C)CN(C)[C@H](C)[C@@H](O)[C@]1(C)O Chemical compound CC[C@H]1OC(=O)[C@H](C)[C@@H](O[C@H]2C[C@@](C)(OC)[C@@H](O)[C@H](C)O2)[C@H](C)[C@@H](O[C@@H]2O[C@H](C)CC(N(C)C)[C@H]2OC(=O)C(C)C2=CC=C(C3=CC=CC=C3)C(F)=C2)[C@](C)(O)C[C@@H](C)CN(C)[C@H](C)[C@@H](O)[C@]1(C)O HIJXGMQRBJOQRT-DJUPRACFSA-N 0.000 description 2
- LVIYWBFPSBPEHF-KTVGRJEQSA-N CC[C@H]1OC(=O)[C@H](C)[C@@H](O[C@H]2C[C@@](C)(OC)[C@@H](O)[C@H](C)O2)[C@H](C)[C@@H](O[C@@H]2O[C@H](C)CC(N(C)C)[C@H]2OC(=O)CC2=C(C)N(C(=O)C3=CC=C(Cl)C=C3)C3=C2C=C(OC)C=C3)[C@](C)(O)C[C@@H](C)CN(C)[C@H](C)[C@@H](O)[C@]1(C)O Chemical compound CC[C@H]1OC(=O)[C@H](C)[C@@H](O[C@H]2C[C@@](C)(OC)[C@@H](O)[C@H](C)O2)[C@H](C)[C@@H](O[C@@H]2O[C@H](C)CC(N(C)C)[C@H]2OC(=O)CC2=C(C)N(C(=O)C3=CC=C(Cl)C=C3)C3=C2C=C(OC)C=C3)[C@](C)(O)C[C@@H](C)CN(C)[C@H](C)[C@@H](O)[C@]1(C)O LVIYWBFPSBPEHF-KTVGRJEQSA-N 0.000 description 2
- 108010038168 CGP 64222 Proteins 0.000 description 2
- OKTJSMMVPCPJKN-UHFFFAOYSA-N Carbon Chemical group [C] OKTJSMMVPCPJKN-UHFFFAOYSA-N 0.000 description 2
- 239000004215 Carbon black (E152) Substances 0.000 description 2
- 208000026368 Cestode infections Diseases 0.000 description 2
- VEXZGXHMUGYJMC-UHFFFAOYSA-M Chloride anion Chemical compound [Cl-] VEXZGXHMUGYJMC-UHFFFAOYSA-M 0.000 description 2
- 208000006344 Churg-Strauss Syndrome Diseases 0.000 description 2
- 206010009900 Colitis ulcerative Diseases 0.000 description 2
- 229920002261 Corn starch Polymers 0.000 description 2
- 208000011231 Crohn disease Diseases 0.000 description 2
- UHDGCWIWMRVCDJ-CCXZUQQUSA-N Cytarabine Chemical compound O=C1N=C(N)C=CN1[C@H]1[C@@H](O)[C@H](O)[C@@H](CO)O1 UHDGCWIWMRVCDJ-CCXZUQQUSA-N 0.000 description 2
- AOJJSUZBOXZQNB-TZSSRYMLSA-N Doxorubicin Chemical compound O([C@H]1C[C@@](O)(CC=2C(O)=C3C(=O)C=4C=CC=C(C=4C(=O)C3=C(O)C=21)OC)C(=O)CO)[C@H]1C[C@H](N)[C@H](O)[C@H](C)O1 AOJJSUZBOXZQNB-TZSSRYMLSA-N 0.000 description 2
- 238000002965 ELISA Methods 0.000 description 2
- 206010014096 Echinococciasis Diseases 0.000 description 2
- 208000009366 Echinococcosis Diseases 0.000 description 2
- XQSPYNMVSIKCOC-NTSWFWBYSA-N Emtricitabine Chemical compound C1=C(F)C(N)=NC(=O)N1[C@H]1O[C@@H](CO)SC1 XQSPYNMVSIKCOC-NTSWFWBYSA-N 0.000 description 2
- 108010032976 Enfuvirtide Proteins 0.000 description 2
- 241000498255 Enterobius vermicularis Species 0.000 description 2
- 208000018428 Eosinophilic granulomatosis with polyangiitis Diseases 0.000 description 2
- ULGZDMOVFRHVEP-RWJQBGPGSA-N Erythromycin Chemical compound O([C@@H]1[C@@H](C)C(=O)O[C@@H]([C@@]([C@H](O)[C@@H](C)C(=O)[C@H](C)C[C@@](C)(O)[C@H](O[C@H]2[C@@H]([C@H](C[C@@H](C)O2)N(C)C)O)[C@H]1C)(C)O)CC)[C@H]1C[C@@](C)(OC)[C@@H](O)[C@H](C)O1 ULGZDMOVFRHVEP-RWJQBGPGSA-N 0.000 description 2
- 241000588724 Escherichia coli Species 0.000 description 2
- 208000001640 Fibromyalgia Diseases 0.000 description 2
- 201000006353 Filariasis Diseases 0.000 description 2
- GHASVSINZRGABV-UHFFFAOYSA-N Fluorouracil Chemical compound FC1=CNC(=O)NC1=O GHASVSINZRGABV-UHFFFAOYSA-N 0.000 description 2
- VZCYOOQTPOCHFL-OWOJBTEDSA-N Fumaric acid Chemical compound OC(=O)\C=C\C(O)=O VZCYOOQTPOCHFL-OWOJBTEDSA-N 0.000 description 2
- 241000531123 GB virus C Species 0.000 description 2
- 208000007465 Giant cell arteritis Diseases 0.000 description 2
- 208000032612 Glial tumor Diseases 0.000 description 2
- DHMQDGOQFOQNFH-UHFFFAOYSA-N Glycine Chemical compound NCC(O)=O DHMQDGOQFOQNFH-UHFFFAOYSA-N 0.000 description 2
- 102000012153 HLA-B27 Antigen Human genes 0.000 description 2
- 108010061486 HLA-B27 Antigen Proteins 0.000 description 2
- 229940121710 HMGCoA reductase inhibitor Drugs 0.000 description 2
- 208000035186 Hemolytic Autoimmune Anemia Diseases 0.000 description 2
- 241000711549 Hepacivirus C Species 0.000 description 2
- 241000724675 Hepatitis E virus Species 0.000 description 2
- 208000037262 Hepatitis delta Diseases 0.000 description 2
- 241000724709 Hepatitis delta virus Species 0.000 description 2
- 241000709721 Hepatovirus A Species 0.000 description 2
- 206010020376 Hookworm infection Diseases 0.000 description 2
- HEFNNWSXXWATRW-UHFFFAOYSA-N Ibuprofen Chemical compound CC(C)CC1=CC=C(C(C)C(O)=O)C=C1 HEFNNWSXXWATRW-UHFFFAOYSA-N 0.000 description 2
- 239000007836 KH2PO4 Substances 0.000 description 2
- GUBGYTABKSRVRQ-QKKXKWKRSA-N Lactose Natural products OC[C@H]1O[C@@H](O[C@H]2[C@H](O)[C@@H](O)C(O)O[C@@H]2CO)[C@H](O)[C@@H](O)[C@H]1O GUBGYTABKSRVRQ-QKKXKWKRSA-N 0.000 description 2
- 206010025323 Lymphomas Diseases 0.000 description 2
- TWRXJAOTZQYOKJ-UHFFFAOYSA-L Magnesium chloride Chemical compound [Mg+2].[Cl-].[Cl-] TWRXJAOTZQYOKJ-UHFFFAOYSA-L 0.000 description 2
- 241000124008 Mammalia Species 0.000 description 2
- SBDNJUWAMKYJOX-UHFFFAOYSA-N Meclofenamic Acid Chemical compound CC1=CC=C(Cl)C(NC=2C(=CC=CC=2)C(O)=O)=C1Cl SBDNJUWAMKYJOX-UHFFFAOYSA-N 0.000 description 2
- 208000003250 Mixed connective tissue disease Diseases 0.000 description 2
- PCZOHLXUXFIOCF-UHFFFAOYSA-N Monacolin X Natural products C12C(OC(=O)C(C)CC)CC(C)C=C2C=CC(C)C1CCC1CC(O)CC(=O)O1 PCZOHLXUXFIOCF-UHFFFAOYSA-N 0.000 description 2
- AVYVHIKSFXVDBG-UHFFFAOYSA-N N-benzyl-N-hydroxy-2,2-dimethylbutanamide Chemical compound C(C1=CC=CC=C1)N(C(C(CC)(C)C)=O)O AVYVHIKSFXVDBG-UHFFFAOYSA-N 0.000 description 2
- OPKOKAMJFNKNAS-UHFFFAOYSA-N N-methylethanolamine Chemical compound CNCCO OPKOKAMJFNKNAS-UHFFFAOYSA-N 0.000 description 2
- DCPRTMCIOIZTFP-HPCXJKOLSA-N NC(=O)C1=NN(C2OC(CO)[C@H]3OC(C4=CC=CC=C4)O[C@@H]23)C=N1 Chemical compound NC(=O)C1=NN(C2OC(CO)[C@H]3OC(C4=CC=CC=C4)O[C@@H]23)C=N1 DCPRTMCIOIZTFP-HPCXJKOLSA-N 0.000 description 2
- MCGSCOLBFJQGHM-HNHGDDPOSA-N NC1=NC(NC2CC2)=C2N=CN(C3C=C[C@@H](CO)C3)C2=N1 Chemical compound NC1=NC(NC2CC2)=C2N=CN(C3C=C[C@@H](CO)C3)C2=N1 MCGSCOLBFJQGHM-HNHGDDPOSA-N 0.000 description 2
- 229910002651 NO3 Inorganic materials 0.000 description 2
- 206010029260 Neuroblastoma Diseases 0.000 description 2
- NHNBFGGVMKEFGY-UHFFFAOYSA-N Nitrate Chemical compound [O-][N+]([O-])=O NHNBFGGVMKEFGY-UHFFFAOYSA-N 0.000 description 2
- 102000017279 Oligopeptide transporters Human genes 0.000 description 2
- 108050005204 Oligopeptide transporters Proteins 0.000 description 2
- 241000243985 Onchocerca volvulus Species 0.000 description 2
- 208000030852 Parasitic disease Diseases 0.000 description 2
- 206010034277 Pemphigoid Diseases 0.000 description 2
- JNTOCHDNEULJHD-UHFFFAOYSA-N Penciclovir Chemical compound N1C(N)=NC(=O)C2=C1N(CCC(CO)CO)C=N2 JNTOCHDNEULJHD-UHFFFAOYSA-N 0.000 description 2
- 206010065159 Polychondritis Diseases 0.000 description 2
- 239000002202 Polyethylene glycol Substances 0.000 description 2
- 102000004005 Prostaglandin-endoperoxide synthases Human genes 0.000 description 2
- 108090000459 Prostaglandin-endoperoxide synthases Proteins 0.000 description 2
- KAESVJOAVNADME-UHFFFAOYSA-N Pyrrole Chemical compound C=1C=CNC=1 KAESVJOAVNADME-UHFFFAOYSA-N 0.000 description 2
- 208000033464 Reiter syndrome Diseases 0.000 description 2
- IWUCXVSUMQZMFG-AFCXAGJDSA-N Ribavirin Chemical compound N1=C(C(=O)N)N=CN1[C@H]1[C@H](O)[C@H](O)[C@@H](CO)O1 IWUCXVSUMQZMFG-AFCXAGJDSA-N 0.000 description 2
- XNKLLVCARDGLGL-JGVFFNPUSA-N Stavudine Chemical compound O=C1NC(=O)C(C)=CN1[C@H]1C=C[C@@H](CO)O1 XNKLLVCARDGLGL-JGVFFNPUSA-N 0.000 description 2
- 241000187747 Streptomyces Species 0.000 description 2
- QAOWNCQODCNURD-UHFFFAOYSA-L Sulfate Chemical compound [O-]S([O-])(=O)=O QAOWNCQODCNURD-UHFFFAOYSA-L 0.000 description 2
- 210000001744 T-lymphocyte Anatomy 0.000 description 2
- 201000006704 Ulcerative Colitis Diseases 0.000 description 2
- XSQUKJJJFZCRTK-UHFFFAOYSA-N Urea Chemical compound NC(N)=O XSQUKJJJFZCRTK-UHFFFAOYSA-N 0.000 description 2
- 208000027418 Wounds and injury Diseases 0.000 description 2
- DHKHKXVYLBGOIT-UHFFFAOYSA-N acetaldehyde Diethyl Acetal Natural products CCOC(C)OCC DHKHKXVYLBGOIT-UHFFFAOYSA-N 0.000 description 2
- 229960001138 acetylsalicylic acid Drugs 0.000 description 2
- RJURFGZVJUQBHK-UHFFFAOYSA-N actinomycin D Natural products CC1OC(=O)C(C(C)C)N(C)C(=O)CN(C)C(=O)C2CCCN2C(=O)C(C(C)C)NC(=O)C1NC(=O)C1=C(N)C(=O)C(C)=C2OC(C(C)=CC=C3C(=O)NC4C(=O)NC(C(N5CCCC5C(=O)N(C)CC(=O)N(C)C(C(C)C)C(=O)OC4C)=O)C(C)C)=C3N=C21 RJURFGZVJUQBHK-UHFFFAOYSA-N 0.000 description 2
- 238000003349 alamar blue assay Methods 0.000 description 2
- 150000001450 anions Chemical class 0.000 description 2
- 230000000844 anti-bacterial effect Effects 0.000 description 2
- 239000007864 aqueous solution Substances 0.000 description 2
- 239000007900 aqueous suspension Substances 0.000 description 2
- 208000006673 asthma Diseases 0.000 description 2
- QVGXLLKOCUKJST-UHFFFAOYSA-N atomic oxygen Chemical group [O] QVGXLLKOCUKJST-UHFFFAOYSA-N 0.000 description 2
- 229960005370 atorvastatin Drugs 0.000 description 2
- 201000003710 autoimmune thrombocytopenic purpura Diseases 0.000 description 2
- 235000019445 benzyl alcohol Nutrition 0.000 description 2
- 125000001797 benzyl group Chemical group [H]C1=C([H])C([H])=C(C([H])=C1[H])C([H])([H])* 0.000 description 2
- ALRHLSYJTWAHJZ-UHFFFAOYSA-N beta-hydroxy propionic acid Natural products OCCC(O)=O ALRHLSYJTWAHJZ-UHFFFAOYSA-N 0.000 description 2
- 230000037396 body weight Effects 0.000 description 2
- 238000010504 bond cleavage reaction Methods 0.000 description 2
- 229910052794 bromium Inorganic materials 0.000 description 2
- 239000002775 capsule Substances 0.000 description 2
- 125000003178 carboxy group Chemical group [H]OC(*)=O 0.000 description 2
- 239000001768 carboxy methyl cellulose Substances 0.000 description 2
- 239000003054 catalyst Substances 0.000 description 2
- 150000001768 cations Chemical class 0.000 description 2
- 229960000590 celecoxib Drugs 0.000 description 2
- RZEKVGVHFLEQIL-UHFFFAOYSA-N celecoxib Chemical compound C1=CC(C)=CC=C1C1=CC(C(F)(F)F)=NN1C1=CC=C(S(N)(=O)=O)C=C1 RZEKVGVHFLEQIL-UHFFFAOYSA-N 0.000 description 2
- 239000006285 cell suspension Substances 0.000 description 2
- 239000003638 chemical reducing agent Substances 0.000 description 2
- YDDGKXBLOXEEMN-IABMMNSOSA-N chicoric acid Chemical compound O([C@@H](C(=O)O)[C@@H](OC(=O)\C=C\C=1C=C(O)C(O)=CC=1)C(O)=O)C(=O)\C=C\C1=CC=C(O)C(O)=C1 YDDGKXBLOXEEMN-IABMMNSOSA-N 0.000 description 2
- 229960004630 chlorambucil Drugs 0.000 description 2
- JCKYGMPEJWAADB-UHFFFAOYSA-N chlorambucil Chemical compound OC(=O)CCCC1=CC=C(N(CCCl)CCCl)C=C1 JCKYGMPEJWAADB-UHFFFAOYSA-N 0.000 description 2
- 239000000460 chlorine Substances 0.000 description 2
- 229910052801 chlorine Inorganic materials 0.000 description 2
- 238000003776 cleavage reaction Methods 0.000 description 2
- 229940126214 compound 3 Drugs 0.000 description 2
- 229940126545 compound 53 Drugs 0.000 description 2
- 239000008120 corn starch Substances 0.000 description 2
- ZYGHJZDHTFUPRJ-UHFFFAOYSA-N coumarin Chemical compound C1=CC=C2OC(=O)C=CC2=C1 ZYGHJZDHTFUPRJ-UHFFFAOYSA-N 0.000 description 2
- 201000010549 croup Diseases 0.000 description 2
- 229960000684 cytarabine Drugs 0.000 description 2
- 210000000805 cytoplasm Anatomy 0.000 description 2
- 230000001086 cytosolic effect Effects 0.000 description 2
- 239000000824 cytostatic agent Substances 0.000 description 2
- 230000001085 cytostatic effect Effects 0.000 description 2
- 229940127089 cytotoxic agent Drugs 0.000 description 2
- 239000002254 cytotoxic agent Substances 0.000 description 2
- 231100000599 cytotoxic agent Toxicity 0.000 description 2
- 231100000135 cytotoxicity Toxicity 0.000 description 2
- 230000003013 cytotoxicity Effects 0.000 description 2
- 238000002784 cytotoxicity assay Methods 0.000 description 2
- 231100000263 cytotoxicity test Toxicity 0.000 description 2
- 230000006378 damage Effects 0.000 description 2
- WHBIGIKBNXZKFE-UHFFFAOYSA-N delavirdine Chemical compound CC(C)NC1=CC=CN=C1N1CCN(C(=O)C=2NC3=CC=C(NS(C)(=O)=O)C=C3C=2)CC1 WHBIGIKBNXZKFE-UHFFFAOYSA-N 0.000 description 2
- 238000013461 design Methods 0.000 description 2
- 238000004807 desolvation Methods 0.000 description 2
- 238000001784 detoxification Methods 0.000 description 2
- 229960003957 dexamethasone Drugs 0.000 description 2
- UREBDLICKHMUKA-CXSFZGCWSA-N dexamethasone Chemical compound C1CC2=CC(=O)C=C[C@]2(C)[C@]2(F)[C@@H]1[C@@H]1C[C@@H](C)[C@@](C(=O)CO)(O)[C@@]1(C)C[C@@H]2O UREBDLICKHMUKA-CXSFZGCWSA-N 0.000 description 2
- YDDGKXBLOXEEMN-WOJBJXKFSA-N dicaffeoyl-L-tartaric acid Natural products O([C@@H](C(=O)O)[C@@H](OC(=O)C=CC=1C=C(O)C(O)=CC=1)C(O)=O)C(=O)C=CC1=CC=C(O)C(O)=C1 YDDGKXBLOXEEMN-WOJBJXKFSA-N 0.000 description 2
- 235000014113 dietary fatty acids Nutrition 0.000 description 2
- 229960004132 diethyl ether Drugs 0.000 description 2
- 238000009792 diffusion process Methods 0.000 description 2
- 239000003085 diluting agent Substances 0.000 description 2
- 125000002147 dimethylamino group Chemical group [H]C([H])([H])N(*)C([H])([H])[H] 0.000 description 2
- 229940042399 direct acting antivirals protease inhibitors Drugs 0.000 description 2
- 229910000397 disodium phosphate Inorganic materials 0.000 description 2
- 230000008030 elimination Effects 0.000 description 2
- 238000003379 elimination reaction Methods 0.000 description 2
- 229950002002 emivirine Drugs 0.000 description 2
- 229960000366 emtricitabine Drugs 0.000 description 2
- 239000003995 emulsifying agent Substances 0.000 description 2
- 238000005516 engineering process Methods 0.000 description 2
- BJXYHBKEQFQVES-NWDGAFQWSA-N enpatoran Chemical compound N[C@H]1CN(C[C@H](C1)C(F)(F)F)C1=C2C=CC=NC2=C(C=C1)C#N BJXYHBKEQFQVES-NWDGAFQWSA-N 0.000 description 2
- 210000003979 eosinophil Anatomy 0.000 description 2
- GWNFQAKCJYEJEW-UHFFFAOYSA-N ethyl 3-[8-[[4-methyl-5-[(3-methyl-4-oxophthalazin-1-yl)methyl]-1,2,4-triazol-3-yl]sulfanyl]octanoylamino]benzoate Chemical compound CCOC(=O)C1=CC(NC(=O)CCCCCCCSC2=NN=C(CC3=NN(C)C(=O)C4=CC=CC=C34)N2C)=CC=C1 GWNFQAKCJYEJEW-UHFFFAOYSA-N 0.000 description 2
- 230000001747 exhibiting effect Effects 0.000 description 2
- 239000000284 extract Substances 0.000 description 2
- 239000000194 fatty acid Substances 0.000 description 2
- 229930195729 fatty acid Natural products 0.000 description 2
- 150000004665 fatty acids Chemical class 0.000 description 2
- 239000000706 filtrate Substances 0.000 description 2
- 229960004884 fluconazole Drugs 0.000 description 2
- RFHAOTPXVQNOHP-UHFFFAOYSA-N fluconazole Chemical compound C1=NC=NN1CC(C=1C(=CC(F)=CC=1)F)(O)CN1C=NC=N1 RFHAOTPXVQNOHP-UHFFFAOYSA-N 0.000 description 2
- 229960004413 flucytosine Drugs 0.000 description 2
- XRECTZIEBJDKEO-UHFFFAOYSA-N flucytosine Chemical compound NC1=NC(=O)NC=C1F XRECTZIEBJDKEO-UHFFFAOYSA-N 0.000 description 2
- 229960002949 fluorouracil Drugs 0.000 description 2
- 229960002390 flurbiprofen Drugs 0.000 description 2
- SYTBZMRGLBWNTM-UHFFFAOYSA-N flurbiprofen Chemical compound FC1=CC(C(C(O)=O)C)=CC=C1C1=CC=CC=C1 SYTBZMRGLBWNTM-UHFFFAOYSA-N 0.000 description 2
- 235000019253 formic acid Nutrition 0.000 description 2
- 125000002541 furyl group Chemical group 0.000 description 2
- 210000001035 gastrointestinal tract Anatomy 0.000 description 2
- 229960005277 gemcitabine Drugs 0.000 description 2
- SDUQYLNIPVEERB-QPPQHZFASA-N gemcitabine Chemical compound O=C1N=C(N)C=CN1[C@H]1C(F)(F)[C@H](O)[C@@H](CO)O1 SDUQYLNIPVEERB-QPPQHZFASA-N 0.000 description 2
- 230000014509 gene expression Effects 0.000 description 2
- 208000005017 glioblastoma Diseases 0.000 description 2
- 229930195733 hydrocarbon Natural products 0.000 description 2
- JYGXADMDTFJGBT-VWUMJDOOSA-N hydrocortisone Chemical compound O=C1CC[C@]2(C)[C@H]3[C@@H](O)C[C@](C)([C@@](CC4)(O)C(=O)CO)[C@@H]4[C@@H]3CCC2=C1 JYGXADMDTFJGBT-VWUMJDOOSA-N 0.000 description 2
- XMBWDFGMSWQBCA-UHFFFAOYSA-N hydrogen iodide Chemical compound I XMBWDFGMSWQBCA-UHFFFAOYSA-N 0.000 description 2
- 229960001680 ibuprofen Drugs 0.000 description 2
- 125000001841 imino group Chemical group [H]N=* 0.000 description 2
- 229940124589 immunosuppressive drug Drugs 0.000 description 2
- 229960000905 indomethacin Drugs 0.000 description 2
- 206010022000 influenza Diseases 0.000 description 2
- 238000002347 injection Methods 0.000 description 2
- 239000007924 injection Substances 0.000 description 2
- 230000003993 interaction Effects 0.000 description 2
- 229910052740 iodine Inorganic materials 0.000 description 2
- 239000003835 ketolide antibiotic agent Substances 0.000 description 2
- 125000000468 ketone group Chemical group 0.000 description 2
- 150000003951 lactams Chemical class 0.000 description 2
- 239000008101 lactose Substances 0.000 description 2
- 229960001627 lamivudine Drugs 0.000 description 2
- 239000010410 layer Substances 0.000 description 2
- 150000002632 lipids Chemical class 0.000 description 2
- 239000007788 liquid Substances 0.000 description 2
- PCZOHLXUXFIOCF-BXMDZJJMSA-N lovastatin Chemical compound C([C@H]1[C@@H](C)C=CC2=C[C@H](C)C[C@@H]([C@H]12)OC(=O)[C@@H](C)CC)C[C@@H]1C[C@@H](O)CC(=O)O1 PCZOHLXUXFIOCF-BXMDZJJMSA-N 0.000 description 2
- 229960004844 lovastatin Drugs 0.000 description 2
- QLJODMDSTUBWDW-UHFFFAOYSA-N lovastatin hydroxy acid Natural products C1=CC(C)C(CCC(O)CC(O)CC(O)=O)C2C(OC(=O)C(C)CC)CC(C)C=C21 QLJODMDSTUBWDW-UHFFFAOYSA-N 0.000 description 2
- HQKMJHAJHXVSDF-UHFFFAOYSA-L magnesium stearate Chemical compound [Mg+2].CCCCCCCCCCCCCCCCCC([O-])=O.CCCCCCCCCCCCCCCCCC([O-])=O HQKMJHAJHXVSDF-UHFFFAOYSA-L 0.000 description 2
- 230000014759 maintenance of location Effects 0.000 description 2
- 238000004519 manufacturing process Methods 0.000 description 2
- HAWPXGHAZFHHAD-UHFFFAOYSA-N mechlorethamine Chemical class ClCCN(C)CCCl HAWPXGHAZFHHAD-UHFFFAOYSA-N 0.000 description 2
- 229960001924 melphalan Drugs 0.000 description 2
- GLVAUDGFNGKCSF-UHFFFAOYSA-N mercaptopurine Chemical compound S=C1NC=NC2=C1NC=N2 GLVAUDGFNGKCSF-UHFFFAOYSA-N 0.000 description 2
- 229960001428 mercaptopurine Drugs 0.000 description 2
- 125000000956 methoxy group Chemical group [H]C([H])([H])O* 0.000 description 2
- HQCYVSPJIOJEGA-UHFFFAOYSA-N methoxycoumarin Chemical compound C1=CC=C2OC(=O)C(OC)=CC2=C1 HQCYVSPJIOJEGA-UHFFFAOYSA-N 0.000 description 2
- 239000002480 mineral oil Substances 0.000 description 2
- 235000010446 mineral oil Nutrition 0.000 description 2
- 229910000402 monopotassium phosphate Inorganic materials 0.000 description 2
- 208000029766 myalgic encephalomeyelitis/chronic fatigue syndrome Diseases 0.000 description 2
- 229940014456 mycophenolate Drugs 0.000 description 2
- YCJZWBZJSYLMPB-UHFFFAOYSA-N n-(2-chloropyrimidin-4-yl)-2,5-dimethyl-1-phenylimidazole-4-carboxamide Chemical compound CC=1N(C=2C=CC=CC=2)C(C)=NC=1C(=O)NC1=CC=NC(Cl)=N1 YCJZWBZJSYLMPB-UHFFFAOYSA-N 0.000 description 2
- 208000015122 neurodegenerative disease Diseases 0.000 description 2
- NQDJXKOVJZTUJA-UHFFFAOYSA-N nevirapine Chemical compound C12=NC=CC=C2C(=O)NC=2C(C)=CC=NC=2N1C1CC1 NQDJXKOVJZTUJA-UHFFFAOYSA-N 0.000 description 2
- 150000003833 nucleoside derivatives Chemical class 0.000 description 2
- 150000007524 organic acids Chemical class 0.000 description 2
- 239000001301 oxygen Substances 0.000 description 2
- 239000008188 pellet Substances 0.000 description 2
- 229960002340 pentostatin Drugs 0.000 description 2
- 239000000137 peptide hydrolase inhibitor Substances 0.000 description 2
- 239000003208 petroleum Substances 0.000 description 2
- 239000010452 phosphate Substances 0.000 description 2
- NBIIXXVUZAFLBC-UHFFFAOYSA-K phosphate Chemical compound [O-]P([O-])([O-])=O NBIIXXVUZAFLBC-UHFFFAOYSA-K 0.000 description 2
- 208000005987 polymyositis Diseases 0.000 description 2
- GNSKLFRGEWLPPA-UHFFFAOYSA-M potassium dihydrogen phosphate Chemical compound [K+].OP(O)([O-])=O GNSKLFRGEWLPPA-UHFFFAOYSA-M 0.000 description 2
- MICLTPPSCUXHJT-UHFFFAOYSA-M potassium;4-[3-(6-oxo-3h-purin-9-yl)propanoylamino]benzoate Chemical compound [K+].C1=CC(C(=O)[O-])=CC=C1NC(=O)CCN1C(NC=NC2=O)=C2N=C1 MICLTPPSCUXHJT-UHFFFAOYSA-M 0.000 description 2
- 238000012746 preparative thin layer chromatography Methods 0.000 description 2
- 230000002265 prevention Effects 0.000 description 2
- XSCHRSMBECNVNS-UHFFFAOYSA-N quinoxaline Chemical compound N1=CC=NC2=CC=CC=C21 XSCHRSMBECNVNS-UHFFFAOYSA-N 0.000 description 2
- 150000003254 radicals Chemical class 0.000 description 2
- 208000002574 reactive arthritis Diseases 0.000 description 2
- 238000010992 reflux Methods 0.000 description 2
- 206010039073 rheumatoid arthritis Diseases 0.000 description 2
- 229960000329 ribavirin Drugs 0.000 description 2
- HZCAHMRRMINHDJ-DBRKOABJSA-N ribavirin Natural products O[C@@H]1[C@H](O)[C@@H](CO)O[C@H]1N1N=CN=C1 HZCAHMRRMINHDJ-DBRKOABJSA-N 0.000 description 2
- WVYADZUPLLSGPU-UHFFFAOYSA-N salsalate Chemical compound OC(=O)C1=CC=CC=C1OC(=O)C1=CC=CC=C1O WVYADZUPLLSGPU-UHFFFAOYSA-N 0.000 description 2
- 150000003384 small molecules Chemical class 0.000 description 2
- 229910000030 sodium bicarbonate Inorganic materials 0.000 description 2
- 235000017557 sodium bicarbonate Nutrition 0.000 description 2
- 229910000029 sodium carbonate Inorganic materials 0.000 description 2
- KSAVQLQVUXSOCR-UHFFFAOYSA-M sodium lauroyl sarcosinate Chemical compound [Na+].CCCCCCCCCCCC(=O)N(C)CC([O-])=O KSAVQLQVUXSOCR-UHFFFAOYSA-M 0.000 description 2
- GEHJYWRUCIMESM-UHFFFAOYSA-L sodium sulfite Chemical compound [Na+].[Na+].[O-]S([O-])=O GEHJYWRUCIMESM-UHFFFAOYSA-L 0.000 description 2
- 238000010186 staining Methods 0.000 description 2
- 150000003431 steroids Chemical class 0.000 description 2
- KDYFGRWQOYBRFD-UHFFFAOYSA-L succinate(2-) Chemical compound [O-]C(=O)CCC([O-])=O KDYFGRWQOYBRFD-UHFFFAOYSA-L 0.000 description 2
- 150000008163 sugars Chemical class 0.000 description 2
- 239000006228 supernatant Substances 0.000 description 2
- 239000003826 tablet Substances 0.000 description 2
- 208000004441 taeniasis Diseases 0.000 description 2
- 206010043207 temporal arteritis Diseases 0.000 description 2
- VCMJCVGFSROFHV-WZGZYPNHSA-N tenofovir disoproxil fumarate Chemical compound OC(=O)\C=C\C(O)=O.N1=CN=C2N(C[C@@H](C)OCP(=O)(OCOC(=O)OC(C)C)OCOC(=O)OC(C)C)C=NC2=C1N VCMJCVGFSROFHV-WZGZYPNHSA-N 0.000 description 2
- 125000001544 thienyl group Chemical group 0.000 description 2
- 238000011200 topical administration Methods 0.000 description 2
- 238000013518 transcription Methods 0.000 description 2
- 230000035897 transcription Effects 0.000 description 2
- 230000009466 transformation Effects 0.000 description 2
- 238000000844 transformation Methods 0.000 description 2
- 238000002054 transplantation Methods 0.000 description 2
- 230000008733 trauma Effects 0.000 description 2
- 230000000472 traumatic effect Effects 0.000 description 2
- 201000002311 trypanosomiasis Diseases 0.000 description 2
- 229960000523 zalcitabine Drugs 0.000 description 2
- LSPHULWDVZXLIL-UHFFFAOYSA-N (+/-)-Camphoric acid Chemical compound CC1(C)C(C(O)=O)CCC1(C)C(O)=O LSPHULWDVZXLIL-UHFFFAOYSA-N 0.000 description 1
- XSSYCIGJYCVRRK-RQJHMYQMSA-N (-)-carbovir Chemical compound C1=NC=2C(=O)NC(N)=NC=2N1[C@@H]1C[C@H](CO)C=C1 XSSYCIGJYCVRRK-RQJHMYQMSA-N 0.000 description 1
- YKSVGLFNJPQDJE-YDMQLZBCSA-N (19E,21E,23E,25E,27E,29E,31E)-33-[(2R,3S,4R,5S,6R)-4-amino-3,5-dihydroxy-6-methyloxan-2-yl]oxy-17-[7-(4-aminophenyl)-5-hydroxy-4-methyl-7-oxoheptan-2-yl]-1,3,5,7,37-pentahydroxy-18-methyl-9,13,15-trioxo-16,39-dioxabicyclo[33.3.1]nonatriaconta-19,21,23,25,27,29,31-heptaene-36-carboxylic acid Chemical compound CC(CC(C)C1OC(=O)CC(=O)CCCC(=O)CC(O)CC(O)CC(O)CC2(O)CC(O)C(C(CC(O[C@@H]3O[C@H](C)[C@@H](O)[C@@H](N)[C@@H]3O)\C=C\C=C\C=C\C=C\C=C\C=C\C=C\C1C)O2)C(O)=O)C(O)CC(=O)C1=CC=C(N)C=C1 YKSVGLFNJPQDJE-YDMQLZBCSA-N 0.000 description 1
- QYYZXEPEVBXNNA-QGZVFWFLSA-N (1R)-2-acetyl-N-[4-(1,1,1,3,3,3-hexafluoro-2-hydroxypropan-2-yl)phenyl]-5-methylsulfonyl-1,3-dihydroisoindole-1-carboxamide Chemical compound C(C)(=O)N1[C@H](C2=CC=C(C=C2C1)S(=O)(=O)C)C(=O)NC1=CC=C(C=C1)C(C(F)(F)F)(C(F)(F)F)O QYYZXEPEVBXNNA-QGZVFWFLSA-N 0.000 description 1
- UAOUIVVJBYDFKD-XKCDOFEDSA-N (1R,9R,10S,11R,12R,15S,18S,21R)-10,11,21-trihydroxy-8,8-dimethyl-14-methylidene-4-(prop-2-enylamino)-20-oxa-5-thia-3-azahexacyclo[9.7.2.112,15.01,9.02,6.012,18]henicosa-2(6),3-dien-13-one Chemical compound C([C@@H]1[C@@H](O)[C@@]23C(C1=C)=O)C[C@H]2[C@]12C(N=C(NCC=C)S4)=C4CC(C)(C)[C@H]1[C@H](O)[C@]3(O)OC2 UAOUIVVJBYDFKD-XKCDOFEDSA-N 0.000 description 1
- AOSZTAHDEDLTLQ-AZKQZHLXSA-N (1S,2S,4R,8S,9S,11S,12R,13S,19S)-6-[(3-chlorophenyl)methyl]-12,19-difluoro-11-hydroxy-8-(2-hydroxyacetyl)-9,13-dimethyl-6-azapentacyclo[10.8.0.02,9.04,8.013,18]icosa-14,17-dien-16-one Chemical compound C([C@@H]1C[C@H]2[C@H]3[C@]([C@]4(C=CC(=O)C=C4[C@@H](F)C3)C)(F)[C@@H](O)C[C@@]2([C@@]1(C1)C(=O)CO)C)N1CC1=CC=CC(Cl)=C1 AOSZTAHDEDLTLQ-AZKQZHLXSA-N 0.000 description 1
- ABJSOROVZZKJGI-OCYUSGCXSA-N (1r,2r,4r)-2-(4-bromophenyl)-n-[(4-chlorophenyl)-(2-fluoropyridin-4-yl)methyl]-4-morpholin-4-ylcyclohexane-1-carboxamide Chemical compound C1=NC(F)=CC(C(NC(=O)[C@H]2[C@@H](C[C@@H](CC2)N2CCOCC2)C=2C=CC(Br)=CC=2)C=2C=CC(Cl)=CC=2)=C1 ABJSOROVZZKJGI-OCYUSGCXSA-N 0.000 description 1
- GLGNXYJARSMNGJ-VKTIVEEGSA-N (1s,2s,3r,4r)-3-[[5-chloro-2-[(1-ethyl-6-methoxy-2-oxo-4,5-dihydro-3h-1-benzazepin-7-yl)amino]pyrimidin-4-yl]amino]bicyclo[2.2.1]hept-5-ene-2-carboxamide Chemical compound CCN1C(=O)CCCC2=C(OC)C(NC=3N=C(C(=CN=3)Cl)N[C@H]3[C@H]([C@@]4([H])C[C@@]3(C=C4)[H])C(N)=O)=CC=C21 GLGNXYJARSMNGJ-VKTIVEEGSA-N 0.000 description 1
- SZUVGFMDDVSKSI-WIFOCOSTSA-N (1s,2s,3s,5r)-1-(carboxymethyl)-3,5-bis[(4-phenoxyphenyl)methyl-propylcarbamoyl]cyclopentane-1,2-dicarboxylic acid Chemical compound O=C([C@@H]1[C@@H]([C@](CC(O)=O)([C@H](C(=O)N(CCC)CC=2C=CC(OC=3C=CC=CC=3)=CC=2)C1)C(O)=O)C(O)=O)N(CCC)CC(C=C1)=CC=C1OC1=CC=CC=C1 SZUVGFMDDVSKSI-WIFOCOSTSA-N 0.000 description 1
- OZFAFGSSMRRTDW-UHFFFAOYSA-N (2,4-dichlorophenyl) benzenesulfonate Chemical compound ClC1=CC(Cl)=CC=C1OS(=O)(=O)C1=CC=CC=C1 OZFAFGSSMRRTDW-UHFFFAOYSA-N 0.000 description 1
- XMAYWYJOQHXEEK-OZXSUGGESA-N (2R,4S)-ketoconazole Chemical compound C1CN(C(=O)C)CCN1C(C=C1)=CC=C1OC[C@@H]1O[C@@](CN2C=NC=C2)(C=2C(=CC(Cl)=CC=2)Cl)OC1 XMAYWYJOQHXEEK-OZXSUGGESA-N 0.000 description 1
- BLSQLHNBWJLIBQ-OZXSUGGESA-N (2R,4S)-terconazole Chemical compound C1CN(C(C)C)CCN1C(C=C1)=CC=C1OC[C@@H]1O[C@@](CN2N=CN=C2)(C=2C(=CC(Cl)=CC=2)Cl)OC1 BLSQLHNBWJLIBQ-OZXSUGGESA-N 0.000 description 1
- MQHLMHIZUIDKOO-OKZBNKHCSA-N (2R,6S)-2,6-dimethyl-4-[(2S)-2-methyl-3-[4-(2-methylbutan-2-yl)phenyl]propyl]morpholine Chemical compound C1=CC(C(C)(C)CC)=CC=C1C[C@H](C)CN1C[C@@H](C)O[C@@H](C)C1 MQHLMHIZUIDKOO-OKZBNKHCSA-N 0.000 description 1
- GHYOCDFICYLMRF-UTIIJYGPSA-N (2S,3R)-N-[(2S)-3-(cyclopenten-1-yl)-1-[(2R)-2-methyloxiran-2-yl]-1-oxopropan-2-yl]-3-hydroxy-3-(4-methoxyphenyl)-2-[[(2S)-2-[(2-morpholin-4-ylacetyl)amino]propanoyl]amino]propanamide Chemical compound C1(=CCCC1)C[C@@H](C(=O)[C@@]1(OC1)C)NC([C@H]([C@@H](C1=CC=C(C=C1)OC)O)NC([C@H](C)NC(CN1CCOCC1)=O)=O)=O GHYOCDFICYLMRF-UTIIJYGPSA-N 0.000 description 1
- IUSARDYWEPUTPN-OZBXUNDUSA-N (2r)-n-[(2s,3r)-4-[[(4s)-6-(2,2-dimethylpropyl)spiro[3,4-dihydropyrano[2,3-b]pyridine-2,1'-cyclobutane]-4-yl]amino]-3-hydroxy-1-[3-(1,3-thiazol-2-yl)phenyl]butan-2-yl]-2-methoxypropanamide Chemical compound C([C@H](NC(=O)[C@@H](C)OC)[C@H](O)CN[C@@H]1C2=CC(CC(C)(C)C)=CN=C2OC2(CCC2)C1)C(C=1)=CC=CC=1C1=NC=CS1 IUSARDYWEPUTPN-OZBXUNDUSA-N 0.000 description 1
- RDJGLLICXDHJDY-NSHDSACASA-N (2s)-2-(3-phenoxyphenyl)propanoic acid Chemical compound OC(=O)[C@@H](C)C1=CC=CC(OC=2C=CC=CC=2)=C1 RDJGLLICXDHJDY-NSHDSACASA-N 0.000 description 1
- ITOFPJRDSCGOSA-KZLRUDJFSA-N (2s)-2-[[(4r)-4-[(3r,5r,8r,9s,10s,13r,14s,17r)-3-hydroxy-10,13-dimethyl-2,3,4,5,6,7,8,9,11,12,14,15,16,17-tetradecahydro-1h-cyclopenta[a]phenanthren-17-yl]pentanoyl]amino]-3-(1h-indol-3-yl)propanoic acid Chemical compound C([C@H]1CC2)[C@H](O)CC[C@]1(C)[C@@H](CC[C@]13C)[C@@H]2[C@@H]3CC[C@@H]1[C@H](C)CCC(=O)N[C@H](C(O)=O)CC1=CNC2=CC=CC=C12 ITOFPJRDSCGOSA-KZLRUDJFSA-N 0.000 description 1
- WWTBZEKOSBFBEM-SPWPXUSOSA-N (2s)-2-[[2-benzyl-3-[hydroxy-[(1r)-2-phenyl-1-(phenylmethoxycarbonylamino)ethyl]phosphoryl]propanoyl]amino]-3-(1h-indol-3-yl)propanoic acid Chemical compound N([C@@H](CC=1C2=CC=CC=C2NC=1)C(=O)O)C(=O)C(CP(O)(=O)[C@H](CC=1C=CC=CC=1)NC(=O)OCC=1C=CC=CC=1)CC1=CC=CC=C1 WWTBZEKOSBFBEM-SPWPXUSOSA-N 0.000 description 1
- STBLNCCBQMHSRC-BATDWUPUSA-N (2s)-n-[(3s,4s)-5-acetyl-7-cyano-4-methyl-1-[(2-methylnaphthalen-1-yl)methyl]-2-oxo-3,4-dihydro-1,5-benzodiazepin-3-yl]-2-(methylamino)propanamide Chemical compound O=C1[C@@H](NC(=O)[C@H](C)NC)[C@H](C)N(C(C)=O)C2=CC(C#N)=CC=C2N1CC1=C(C)C=CC2=CC=CC=C12 STBLNCCBQMHSRC-BATDWUPUSA-N 0.000 description 1
- HSINOMROUCMIEA-FGVHQWLLSA-N (2s,4r)-4-[(3r,5s,6r,7r,8s,9s,10s,13r,14s,17r)-6-ethyl-3,7-dihydroxy-10,13-dimethyl-2,3,4,5,6,7,8,9,11,12,14,15,16,17-tetradecahydro-1h-cyclopenta[a]phenanthren-17-yl]-2-methylpentanoic acid Chemical compound C([C@@]12C)C[C@@H](O)C[C@H]1[C@@H](CC)[C@@H](O)[C@@H]1[C@@H]2CC[C@]2(C)[C@@H]([C@H](C)C[C@H](C)C(O)=O)CC[C@H]21 HSINOMROUCMIEA-FGVHQWLLSA-N 0.000 description 1
- FJLGEFLZQAZZCD-MCBHFWOFSA-N (3R,5S)-fluvastatin Chemical compound C12=CC=CC=C2N(C(C)C)C(\C=C\[C@@H](O)C[C@@H](O)CC(O)=O)=C1C1=CC=C(F)C=C1 FJLGEFLZQAZZCD-MCBHFWOFSA-N 0.000 description 1
- QFLWZFQWSBQYPS-AWRAUJHKSA-N (3S)-3-[[(2S)-2-[[(2S)-2-[5-[(3aS,6aR)-2-oxo-1,3,3a,4,6,6a-hexahydrothieno[3,4-d]imidazol-4-yl]pentanoylamino]-3-methylbutanoyl]amino]-3-(4-hydroxyphenyl)propanoyl]amino]-4-[1-bis(4-chlorophenoxy)phosphorylbutylamino]-4-oxobutanoic acid Chemical compound CCCC(NC(=O)[C@H](CC(O)=O)NC(=O)[C@H](Cc1ccc(O)cc1)NC(=O)[C@@H](NC(=O)CCCCC1SC[C@@H]2NC(=O)N[C@H]12)C(C)C)P(=O)(Oc1ccc(Cl)cc1)Oc1ccc(Cl)cc1 QFLWZFQWSBQYPS-AWRAUJHKSA-N 0.000 description 1
- FNHHVPPSBFQMEL-KQHDFZBMSA-N (3S)-5-N-[(1S,5R)-3-hydroxy-6-bicyclo[3.1.0]hexanyl]-7-N,3-dimethyl-3-phenyl-2H-1-benzofuran-5,7-dicarboxamide Chemical compound CNC(=O)c1cc(cc2c1OC[C@@]2(C)c1ccccc1)C(=O)NC1[C@H]2CC(O)C[C@@H]12 FNHHVPPSBFQMEL-KQHDFZBMSA-N 0.000 description 1
- IWZSHWBGHQBIML-ZGGLMWTQSA-N (3S,8S,10R,13S,14S,17S)-17-isoquinolin-7-yl-N,N,10,13-tetramethyl-2,3,4,7,8,9,11,12,14,15,16,17-dodecahydro-1H-cyclopenta[a]phenanthren-3-amine Chemical compound CN(C)[C@H]1CC[C@]2(C)C3CC[C@@]4(C)[C@@H](CC[C@@H]4c4ccc5ccncc5c4)[C@@H]3CC=C2C1 IWZSHWBGHQBIML-ZGGLMWTQSA-N 0.000 description 1
- KYTWXIARANQMCA-PGYIPVOXSA-N (3r,4s,5s,6r,7r,9r,10z,11s,12r,13s,14r)-6-[(2s,3r,4s,6r)-4-(dimethylamino)-3-hydroxy-6-methyloxan-2-yl]oxy-14-ethyl-7,12,13-trihydroxy-10-hydroxyimino-4-[(2r,4r,5s,6s)-5-hydroxy-4-methoxy-4,6-dimethyloxan-2-yl]oxy-3,5,7,9,11,13-hexamethyl-oxacyclotetradec Chemical compound O([C@@H]1[C@@H](C)C(=O)O[C@@H]([C@@]([C@H](O)[C@@H](C)C(=N\O)/[C@H](C)C[C@@](C)(O)[C@H](O[C@H]2[C@@H]([C@H](C[C@@H](C)O2)N(C)C)O)[C@H]1C)(C)O)CC)[C@H]1C[C@@](C)(OC)[C@@H](O)[C@H](C)O1 KYTWXIARANQMCA-PGYIPVOXSA-N 0.000 description 1
- HINZVVDZPLARRP-YSVIXOAZSA-N (4r,5s,6s,7r)-1,3-bis[(3-aminophenyl)methyl]-4,7-dibenzyl-5,6-dihydroxy-1,3-diazepan-2-one;methanesulfonic acid Chemical compound CS(O)(=O)=O.CS(O)(=O)=O.NC1=CC=CC(CN2C(N(CC=3C=C(N)C=CC=3)[C@H](CC=3C=CC=CC=3)[C@H](O)[C@@H](O)[C@H]2CC=2C=CC=CC=2)=O)=C1 HINZVVDZPLARRP-YSVIXOAZSA-N 0.000 description 1
- FPVKHBSQESCIEP-UHFFFAOYSA-N (8S)-3-(2-deoxy-beta-D-erythro-pentofuranosyl)-3,6,7,8-tetrahydroimidazo[4,5-d][1,3]diazepin-8-ol Natural products C1C(O)C(CO)OC1N1C(NC=NCC2O)=C2N=C1 FPVKHBSQESCIEP-UHFFFAOYSA-N 0.000 description 1
- 125000006726 (C1-C5) alkenyl group Chemical group 0.000 description 1
- 125000004209 (C1-C8) alkyl group Chemical group 0.000 description 1
- FDKXTQMXEQVLRF-ZHACJKMWSA-N (E)-dacarbazine Chemical compound CN(C)\N=N\c1[nH]cnc1C(N)=O FDKXTQMXEQVLRF-ZHACJKMWSA-N 0.000 description 1
- RYHBNJHYFVUHQT-UHFFFAOYSA-N 1,4-Dioxane Chemical compound C1COCCO1 RYHBNJHYFVUHQT-UHFFFAOYSA-N 0.000 description 1
- UBCHPRBFMUDMNC-UHFFFAOYSA-N 1-(1-adamantyl)ethanamine Chemical compound C1C(C2)CC3CC2CC1(C(N)C)C3 UBCHPRBFMUDMNC-UHFFFAOYSA-N 0.000 description 1
- KQZLRWGGWXJPOS-NLFPWZOASA-N 1-[(1R)-1-(2,4-dichlorophenyl)ethyl]-6-[(4S,5R)-4-[(2S)-2-(hydroxymethyl)pyrrolidin-1-yl]-5-methylcyclohexen-1-yl]pyrazolo[3,4-b]pyrazine-3-carbonitrile Chemical compound ClC1=C(C=CC(=C1)Cl)[C@@H](C)N1N=C(C=2C1=NC(=CN=2)C1=CC[C@@H]([C@@H](C1)C)N1[C@@H](CCC1)CO)C#N KQZLRWGGWXJPOS-NLFPWZOASA-N 0.000 description 1
- AFNXATANNDIXLG-SFHVURJKSA-N 1-[(2r)-2-[(4-chlorophenyl)methylsulfanyl]-2-(2,4-dichlorophenyl)ethyl]imidazole Chemical compound C1=CC(Cl)=CC=C1CS[C@H](C=1C(=CC(Cl)=CC=1)Cl)CN1C=NC=C1 AFNXATANNDIXLG-SFHVURJKSA-N 0.000 description 1
- IWUCXVSUMQZMFG-RGDLXGNYSA-N 1-[(2s,3s,4r,5s)-3,4-dihydroxy-5-(hydroxymethyl)oxolan-2-yl]-1,2,4-triazole-3-carboxamide Chemical compound N1=C(C(=O)N)N=CN1[C@@H]1[C@@H](O)[C@@H](O)[C@H](CO)O1 IWUCXVSUMQZMFG-RGDLXGNYSA-N 0.000 description 1
- WZZBNLYBHUDSHF-DHLKQENFSA-N 1-[(3s,4s)-4-[8-(2-chloro-4-pyrimidin-2-yloxyphenyl)-7-fluoro-2-methylimidazo[4,5-c]quinolin-1-yl]-3-fluoropiperidin-1-yl]-2-hydroxyethanone Chemical compound CC1=NC2=CN=C3C=C(F)C(C=4C(=CC(OC=5N=CC=CN=5)=CC=4)Cl)=CC3=C2N1[C@H]1CCN(C(=O)CO)C[C@@H]1F WZZBNLYBHUDSHF-DHLKQENFSA-N 0.000 description 1
- ONBQEOIKXPHGMB-VBSBHUPXSA-N 1-[2-[(2s,3r,4s,5r)-3,4-dihydroxy-5-(hydroxymethyl)oxolan-2-yl]oxy-4,6-dihydroxyphenyl]-3-(4-hydroxyphenyl)propan-1-one Chemical compound O[C@@H]1[C@H](O)[C@@H](CO)O[C@H]1OC1=CC(O)=CC(O)=C1C(=O)CCC1=CC=C(O)C=C1 ONBQEOIKXPHGMB-VBSBHUPXSA-N 0.000 description 1
- UNILWMWFPHPYOR-KXEYIPSPSA-M 1-[6-[2-[3-[3-[3-[2-[2-[3-[[2-[2-[[(2r)-1-[[2-[[(2r)-1-[3-[2-[2-[3-[[2-(2-amino-2-oxoethoxy)acetyl]amino]propoxy]ethoxy]ethoxy]propylamino]-3-hydroxy-1-oxopropan-2-yl]amino]-2-oxoethyl]amino]-3-[(2r)-2,3-di(hexadecanoyloxy)propyl]sulfanyl-1-oxopropan-2-yl Chemical compound O=C1C(SCCC(=O)NCCCOCCOCCOCCCNC(=O)COCC(=O)N[C@@H](CSC[C@@H](COC(=O)CCCCCCCCCCCCCCC)OC(=O)CCCCCCCCCCCCCCC)C(=O)NCC(=O)N[C@H](CO)C(=O)NCCCOCCOCCOCCCNC(=O)COCC(N)=O)CC(=O)N1CCNC(=O)CCCCCN\1C2=CC=C(S([O-])(=O)=O)C=C2CC/1=C/C=C/C=C/C1=[N+](CC)C2=CC=C(S([O-])(=O)=O)C=C2C1 UNILWMWFPHPYOR-KXEYIPSPSA-M 0.000 description 1
- IIZPXYDJLKNOIY-JXPKJXOSSA-N 1-palmitoyl-2-arachidonoyl-sn-glycero-3-phosphocholine Chemical compound CCCCCCCCCCCCCCCC(=O)OC[C@H](COP([O-])(=O)OCC[N+](C)(C)C)OC(=O)CCC\C=C/C\C=C/C\C=C/C\C=C/CCCCC IIZPXYDJLKNOIY-JXPKJXOSSA-N 0.000 description 1
- LEZWWPYKPKIXLL-UHFFFAOYSA-N 1-{2-(4-chlorobenzyloxy)-2-(2,4-dichlorophenyl)ethyl}imidazole Chemical compound C1=CC(Cl)=CC=C1COC(C=1C(=CC(Cl)=CC=1)Cl)CN1C=NC=C1 LEZWWPYKPKIXLL-UHFFFAOYSA-N 0.000 description 1
- QXHHHPZILQDDPS-UHFFFAOYSA-N 1-{2-[(2-chloro-3-thienyl)methoxy]-2-(2,4-dichlorophenyl)ethyl}imidazole Chemical compound S1C=CC(COC(CN2C=NC=C2)C=2C(=CC(Cl)=CC=2)Cl)=C1Cl QXHHHPZILQDDPS-UHFFFAOYSA-N 0.000 description 1
- FUFLCEKSBBHCMO-UHFFFAOYSA-N 11-dehydrocorticosterone Natural products O=C1CCC2(C)C3C(=O)CC(C)(C(CC4)C(=O)CO)C4C3CCC2=C1 FUFLCEKSBBHCMO-UHFFFAOYSA-N 0.000 description 1
- AVRPFRMDMNDIDH-UHFFFAOYSA-N 1h-quinazolin-2-one Chemical compound C1=CC=CC2=NC(O)=NC=C21 AVRPFRMDMNDIDH-UHFFFAOYSA-N 0.000 description 1
- PRDFBSVERLRRMY-UHFFFAOYSA-N 2'-(4-ethoxyphenyl)-5-(4-methylpiperazin-1-yl)-2,5'-bibenzimidazole Chemical compound C1=CC(OCC)=CC=C1C1=NC2=CC=C(C=3NC4=CC(=CC=C4N=3)N3CCN(C)CC3)C=C2N1 PRDFBSVERLRRMY-UHFFFAOYSA-N 0.000 description 1
- KLZYRCVPDWTZLH-UHFFFAOYSA-N 2,3-dimethylsuccinic acid Chemical compound OC(=O)C(C)C(C)C(O)=O KLZYRCVPDWTZLH-UHFFFAOYSA-N 0.000 description 1
- CHHHXKFHOYLYRE-UHFFFAOYSA-M 2,4-Hexadienoic acid, potassium salt (1:1), (2E,4E)- Chemical compound [K+].CC=CC=CC([O-])=O CHHHXKFHOYLYRE-UHFFFAOYSA-M 0.000 description 1
- VIWYMIDWAOZEAZ-UHFFFAOYSA-N 2,4-dimethylpentanedioic acid Chemical compound OC(=O)C(C)CC(C)C(O)=O VIWYMIDWAOZEAZ-UHFFFAOYSA-N 0.000 description 1
- UEJJHQNACJXSKW-UHFFFAOYSA-N 2-(2,6-dioxopiperidin-3-yl)-1H-isoindole-1,3(2H)-dione Chemical compound O=C1C2=CC=CC=C2C(=O)N1C1CCC(=O)NC1=O UEJJHQNACJXSKW-UHFFFAOYSA-N 0.000 description 1
- QEBYEVQKHRUYPE-UHFFFAOYSA-N 2-(2-chlorophenyl)-5-[(1-methylpyrazol-3-yl)methyl]-4-[[methyl(pyridin-3-ylmethyl)amino]methyl]-1h-pyrazolo[4,3-c]pyridine-3,6-dione Chemical compound C1=CN(C)N=C1CN1C(=O)C=C2NN(C=3C(=CC=CC=3)Cl)C(=O)C2=C1CN(C)CC1=CC=CN=C1 QEBYEVQKHRUYPE-UHFFFAOYSA-N 0.000 description 1
- VHVPQPYKVGDNFY-DFMJLFEVSA-N 2-[(2r)-butan-2-yl]-4-[4-[4-[4-[[(2r,4s)-2-(2,4-dichlorophenyl)-2-(1,2,4-triazol-1-ylmethyl)-1,3-dioxolan-4-yl]methoxy]phenyl]piperazin-1-yl]phenyl]-1,2,4-triazol-3-one Chemical compound O=C1N([C@H](C)CC)N=CN1C1=CC=C(N2CCN(CC2)C=2C=CC(OC[C@@H]3O[C@](CN4N=CN=C4)(OC3)C=3C(=CC(Cl)=CC=3)Cl)=CC=2)C=C1 VHVPQPYKVGDNFY-DFMJLFEVSA-N 0.000 description 1
- IHXQDDUHQHGGKE-UHFFFAOYSA-N 2-[(6,7-dimethoxy-2-oxochromen-4-yl)methylsulfanyl]acetic acid Chemical compound O1C(=O)C=C(CSCC(O)=O)C2=C1C=C(OC)C(OC)=C2 IHXQDDUHQHGGKE-UHFFFAOYSA-N 0.000 description 1
- JKMHFZQWWAIEOD-UHFFFAOYSA-N 2-[4-(2-hydroxyethyl)piperazin-1-yl]ethanesulfonic acid Chemical compound OCC[NH+]1CCN(CCS([O-])(=O)=O)CC1 JKMHFZQWWAIEOD-UHFFFAOYSA-N 0.000 description 1
- YSUIQYOGTINQIN-UZFYAQMZSA-N 2-amino-9-[(1S,6R,8R,9S,10R,15R,17R,18R)-8-(6-aminopurin-9-yl)-9,18-difluoro-3,12-dihydroxy-3,12-bis(sulfanylidene)-2,4,7,11,13,16-hexaoxa-3lambda5,12lambda5-diphosphatricyclo[13.2.1.06,10]octadecan-17-yl]-1H-purin-6-one Chemical compound NC1=NC2=C(N=CN2[C@@H]2O[C@@H]3COP(S)(=O)O[C@@H]4[C@@H](COP(S)(=O)O[C@@H]2[C@@H]3F)O[C@H]([C@H]4F)N2C=NC3=C2N=CN=C3N)C(=O)N1 YSUIQYOGTINQIN-UZFYAQMZSA-N 0.000 description 1
- TVTJUIAKQFIXCE-HUKYDQBMSA-N 2-amino-9-[(2R,3S,4S,5R)-4-fluoro-3-hydroxy-5-(hydroxymethyl)oxolan-2-yl]-7-prop-2-ynyl-1H-purine-6,8-dione Chemical compound NC=1NC(C=2N(C(N(C=2N=1)[C@@H]1O[C@@H]([C@H]([C@H]1O)F)CO)=O)CC#C)=O TVTJUIAKQFIXCE-HUKYDQBMSA-N 0.000 description 1
- SPCKHVPPRJWQRZ-UHFFFAOYSA-N 2-benzhydryloxy-n,n-dimethylethanamine;2-hydroxypropane-1,2,3-tricarboxylic acid Chemical compound OC(=O)CC(O)(C(O)=O)CC(O)=O.C=1C=CC=CC=1C(OCCN(C)C)C1=CC=CC=C1 SPCKHVPPRJWQRZ-UHFFFAOYSA-N 0.000 description 1
- 229940080296 2-naphthalenesulfonate Drugs 0.000 description 1
- LEACJMVNYZDSKR-UHFFFAOYSA-N 2-octyldodecan-1-ol Chemical compound CCCCCCCCCCC(CO)CCCCCCCC LEACJMVNYZDSKR-UHFFFAOYSA-N 0.000 description 1
- DFRAKBCRUYUFNT-UHFFFAOYSA-N 3,8-dicyclohexyl-2,4,7,9-tetrahydro-[1,3]oxazino[5,6-h][1,3]benzoxazine Chemical compound C1CCCCC1N1CC(C=CC2=C3OCN(C2)C2CCCCC2)=C3OC1 DFRAKBCRUYUFNT-UHFFFAOYSA-N 0.000 description 1
- GEVGRLPYQJTKKS-UHFFFAOYSA-N 3-(phenylmethoxycarbonylamino)propanoic acid Chemical compound OC(=O)CCNC(=O)OCC1=CC=CC=C1 GEVGRLPYQJTKKS-UHFFFAOYSA-N 0.000 description 1
- QGJZLNKBHJESQX-UHFFFAOYSA-N 3-Epi-Betulin-Saeure Natural products C1CC(O)C(C)(C)C2CCC3(C)C4(C)CCC5(C(O)=O)CCC(C(=C)C)C5C4CCC3C21C QGJZLNKBHJESQX-UHFFFAOYSA-N 0.000 description 1
- QBWKPGNFQQJGFY-QLFBSQMISA-N 3-[(1r)-1-[(2r,6s)-2,6-dimethylmorpholin-4-yl]ethyl]-n-[6-methyl-3-(1h-pyrazol-4-yl)imidazo[1,2-a]pyrazin-8-yl]-1,2-thiazol-5-amine Chemical compound N1([C@H](C)C2=NSC(NC=3C4=NC=C(N4C=C(C)N=3)C3=CNN=C3)=C2)C[C@H](C)O[C@H](C)C1 QBWKPGNFQQJGFY-QLFBSQMISA-N 0.000 description 1
- WEVYNIUIFUYDGI-UHFFFAOYSA-N 3-[6-[4-(trifluoromethoxy)anilino]-4-pyrimidinyl]benzamide Chemical compound NC(=O)C1=CC=CC(C=2N=CN=C(NC=3C=CC(OC(F)(F)F)=CC=3)C=2)=C1 WEVYNIUIFUYDGI-UHFFFAOYSA-N 0.000 description 1
- ZRPLANDPDWYOMZ-UHFFFAOYSA-N 3-cyclopentylpropionic acid Chemical compound OC(=O)CCC1CCCC1 ZRPLANDPDWYOMZ-UHFFFAOYSA-N 0.000 description 1
- XMIIGOLPHOKFCH-UHFFFAOYSA-M 3-phenylpropionate Chemical compound [O-]C(=O)CCC1=CC=CC=C1 XMIIGOLPHOKFCH-UHFFFAOYSA-M 0.000 description 1
- CLOUCVRNYSHRCF-UHFFFAOYSA-N 3beta-Hydroxy-20(29)-Lupen-3,27-oic acid Natural products C1CC(O)C(C)(C)C2CCC3(C)C4(C(O)=O)CCC5(C)CCC(C(=C)C)C5C4CCC3C21C CLOUCVRNYSHRCF-UHFFFAOYSA-N 0.000 description 1
- JGODLBJJCNQFII-UHFFFAOYSA-N 4-(bromomethyl)-6,7-dimethoxychromen-2-one Chemical compound O1C(=O)C=C(CBr)C2=C1C=C(OC)C(OC)=C2 JGODLBJJCNQFII-UHFFFAOYSA-N 0.000 description 1
- DQAZPZIYEOGZAF-UHFFFAOYSA-N 4-ethyl-n-[4-(3-ethynylanilino)-7-methoxyquinazolin-6-yl]piperazine-1-carboxamide Chemical compound C1CN(CC)CCN1C(=O)NC(C(=CC1=NC=N2)OC)=CC1=C2NC1=CC=CC(C#C)=C1 DQAZPZIYEOGZAF-UHFFFAOYSA-N 0.000 description 1
- WNWVKZTYMQWFHE-UHFFFAOYSA-N 4-ethylmorpholine Chemical compound [CH2]CN1CCOCC1 WNWVKZTYMQWFHE-UHFFFAOYSA-N 0.000 description 1
- VNZOLPIHDIJPBZ-UHFFFAOYSA-N 4-hydroxypyran-2-one Chemical compound OC=1C=COC(=O)C=1 VNZOLPIHDIJPBZ-UHFFFAOYSA-N 0.000 description 1
- QGAIPGVQJVGBIA-UHFFFAOYSA-N 4-methyl-3-n-(4-pyridin-3-ylpyrimidin-2-yl)benzene-1,3-diamine Chemical compound CC1=CC=C(N)C=C1NC1=NC=CC(C=2C=NC=CC=2)=N1 QGAIPGVQJVGBIA-UHFFFAOYSA-N 0.000 description 1
- ZMGMDXCADSRNCX-UHFFFAOYSA-N 5,6-dihydroxy-1,3-diazepan-2-one Chemical compound OC1CNC(=O)NCC1O ZMGMDXCADSRNCX-UHFFFAOYSA-N 0.000 description 1
- PJJGZPJJTHBVMX-UHFFFAOYSA-N 5,7-Dihydroxyisoflavone Chemical compound C=1C(O)=CC(O)=C(C2=O)C=1OC=C2C1=CC=CC=C1 PJJGZPJJTHBVMX-UHFFFAOYSA-N 0.000 description 1
- VKLKXFOZNHEBSW-UHFFFAOYSA-N 5-[[3-[(4-morpholin-4-ylbenzoyl)amino]phenyl]methoxy]pyridine-3-carboxamide Chemical compound O1CCN(CC1)C1=CC=C(C(=O)NC=2C=C(COC=3C=NC=C(C(=O)N)C=3)C=CC=2)C=C1 VKLKXFOZNHEBSW-UHFFFAOYSA-N 0.000 description 1
- IDPUKCWIGUEADI-UHFFFAOYSA-N 5-[bis(2-chloroethyl)amino]uracil Chemical compound ClCCN(CCCl)C1=CNC(=O)NC1=O IDPUKCWIGUEADI-UHFFFAOYSA-N 0.000 description 1
- WNXNUPJZWYOKMW-UHFFFAOYSA-N 5-bromopentanoic acid Chemical compound OC(=O)CCCCBr WNXNUPJZWYOKMW-UHFFFAOYSA-N 0.000 description 1
- BSYNRYMUTXBXSQ-FOQJRBATSA-N 59096-14-9 Chemical compound CC(=O)OC1=CC=CC=C1[14C](O)=O BSYNRYMUTXBXSQ-FOQJRBATSA-N 0.000 description 1
- XVMSFILGAMDHEY-UHFFFAOYSA-N 6-(4-aminophenyl)sulfonylpyridin-3-amine Chemical compound C1=CC(N)=CC=C1S(=O)(=O)C1=CC=C(N)C=N1 XVMSFILGAMDHEY-UHFFFAOYSA-N 0.000 description 1
- WYWHKKSPHMUBEB-UHFFFAOYSA-N 6-Mercaptoguanine Natural products N1C(N)=NC(=S)C2=C1N=CN2 WYWHKKSPHMUBEB-UHFFFAOYSA-N 0.000 description 1
- GDUANFXPOZTYKS-UHFFFAOYSA-N 6-bromo-8-[(2,6-difluoro-4-methoxybenzoyl)amino]-4-oxochromene-2-carboxylic acid Chemical compound FC1=CC(OC)=CC(F)=C1C(=O)NC1=CC(Br)=CC2=C1OC(C(O)=O)=CC2=O GDUANFXPOZTYKS-UHFFFAOYSA-N 0.000 description 1
- FHVDTGUDJYJELY-UHFFFAOYSA-N 6-{[2-carboxy-4,5-dihydroxy-6-(phosphanyloxy)oxan-3-yl]oxy}-4,5-dihydroxy-3-phosphanyloxane-2-carboxylic acid Chemical compound O1C(C(O)=O)C(P)C(O)C(O)C1OC1C(C(O)=O)OC(OP)C(O)C1O FHVDTGUDJYJELY-UHFFFAOYSA-N 0.000 description 1
- STQGQHZAVUOBTE-UHFFFAOYSA-N 7-Cyan-hept-2t-en-4,6-diinsaeure Natural products C1=2C(O)=C3C(=O)C=4C(OC)=CC=CC=4C(=O)C3=C(O)C=2CC(O)(C(C)=O)CC1OC1CC(N)C(O)C(C)O1 STQGQHZAVUOBTE-UHFFFAOYSA-N 0.000 description 1
- ZCYVEMRRCGMTRW-UHFFFAOYSA-N 7553-56-2 Chemical compound [I] ZCYVEMRRCGMTRW-UHFFFAOYSA-N 0.000 description 1
- HBAQYPYDRFILMT-UHFFFAOYSA-N 8-[3-(1-cyclopropylpyrazol-4-yl)-1H-pyrazolo[4,3-d]pyrimidin-5-yl]-3-methyl-3,8-diazabicyclo[3.2.1]octan-2-one Chemical class C1(CC1)N1N=CC(=C1)C1=NNC2=C1N=C(N=C2)N1C2C(N(CC1CC2)C)=O HBAQYPYDRFILMT-UHFFFAOYSA-N 0.000 description 1
- XASOHFCUIQARJT-UHFFFAOYSA-N 8-methoxy-6-[7-(2-morpholin-4-ylethoxy)imidazo[1,2-a]pyridin-3-yl]-2-(2,2,2-trifluoroethyl)-3,4-dihydroisoquinolin-1-one Chemical compound C(N1C(=O)C2=C(OC)C=C(C=3N4C(=NC=3)C=C(C=C4)OCCN3CCOCC3)C=C2CC1)C(F)(F)F XASOHFCUIQARJT-UHFFFAOYSA-N 0.000 description 1
- 241000224422 Acanthamoeba Species 0.000 description 1
- 241000224424 Acanthamoeba sp. Species 0.000 description 1
- 208000002874 Acne Vulgaris Diseases 0.000 description 1
- 206010001257 Adenoviral conjunctivitis Diseases 0.000 description 1
- 201000011452 Adrenoleukodystrophy Diseases 0.000 description 1
- 208000008190 Agammaglobulinemia Diseases 0.000 description 1
- 208000023434 Alpers-Huttenlocher syndrome Diseases 0.000 description 1
- 229920001450 Alpha-Cyclodextrin Polymers 0.000 description 1
- 208000004881 Amebiasis Diseases 0.000 description 1
- 206010001935 American trypanosomiasis Diseases 0.000 description 1
- 206010001980 Amoebiasis Diseases 0.000 description 1
- 241000498253 Ancylostoma duodenale Species 0.000 description 1
- 201000002045 Ancylostomiasis Diseases 0.000 description 1
- 241000244021 Anisakis simplex Species 0.000 description 1
- 208000033211 Ankylostomiasis Diseases 0.000 description 1
- 208000032467 Aplastic anaemia Diseases 0.000 description 1
- YZXBAPSDXZZRGB-DOFZRALJSA-M Arachidonate Chemical compound CCCCC\C=C/C\C=C/C\C=C/C\C=C/CCCC([O-])=O YZXBAPSDXZZRGB-DOFZRALJSA-M 0.000 description 1
- 241000244186 Ascaris Species 0.000 description 1
- 241000244185 Ascaris lumbricoides Species 0.000 description 1
- 206010065869 Astrocytoma, low grade Diseases 0.000 description 1
- 206010071155 Autoimmune arthritis Diseases 0.000 description 1
- 208000023275 Autoimmune disease Diseases 0.000 description 1
- 206010003827 Autoimmune hepatitis Diseases 0.000 description 1
- NOWKCMXCCJGMRR-UHFFFAOYSA-N Aziridine Chemical compound C1CN1 NOWKCMXCCJGMRR-UHFFFAOYSA-N 0.000 description 1
- 238000009020 BCA Protein Assay Kit Methods 0.000 description 1
- 208000032791 BCR-ABL1 positive chronic myelogenous leukemia Diseases 0.000 description 1
- 241000193830 Bacillus <bacterium> Species 0.000 description 1
- 241000934150 Balamuthia Species 0.000 description 1
- 208000023328 Basedow disease Diseases 0.000 description 1
- 208000009137 Behcet syndrome Diseases 0.000 description 1
- 208000009299 Benign Mucous Membrane Pemphigoid Diseases 0.000 description 1
- DIZWSDNSTNAYHK-XGWVBXMLSA-N Betulinic acid Natural products CC(=C)[C@@H]1C[C@H]([C@H]2CC[C@]3(C)[C@H](CC[C@@H]4[C@@]5(C)CC[C@H](O)C(C)(C)[C@@H]5CC[C@@]34C)[C@@H]12)C(=O)O DIZWSDNSTNAYHK-XGWVBXMLSA-N 0.000 description 1
- 206010004659 Biliary cirrhosis Diseases 0.000 description 1
- 208000033222 Biliary cirrhosis primary Diseases 0.000 description 1
- 208000005740 Blastocystis Infections Diseases 0.000 description 1
- 108010017384 Blood Proteins Proteins 0.000 description 1
- 102000004506 Blood Proteins Human genes 0.000 description 1
- 239000004135 Bone phosphate Substances 0.000 description 1
- 241000283690 Bos taurus Species 0.000 description 1
- CPELXLSAUQHCOX-UHFFFAOYSA-M Bromide Chemical compound [Br-] CPELXLSAUQHCOX-UHFFFAOYSA-M 0.000 description 1
- WKBOTKDWSSQWDR-UHFFFAOYSA-N Bromine atom Chemical compound [Br] WKBOTKDWSSQWDR-UHFFFAOYSA-N 0.000 description 1
- 201000004813 Bronchopneumonia Diseases 0.000 description 1
- 241000244038 Brugia malayi Species 0.000 description 1
- VOVIALXJUBGFJZ-KWVAZRHASA-N Budesonide Chemical compound C1CC2=CC(=O)C=C[C@]2(C)[C@@H]2[C@@H]1[C@@H]1C[C@H]3OC(CCC)O[C@@]3(C(=O)CO)[C@@]1(C)C[C@@H]2O VOVIALXJUBGFJZ-KWVAZRHASA-N 0.000 description 1
- COVZYZSDYWQREU-UHFFFAOYSA-N Busulfan Chemical compound CS(=O)(=O)OCCCCOS(C)(=O)=O COVZYZSDYWQREU-UHFFFAOYSA-N 0.000 description 1
- FERIUCNNQQJTOY-UHFFFAOYSA-M Butyrate Chemical compound CCCC([O-])=O FERIUCNNQQJTOY-UHFFFAOYSA-M 0.000 description 1
- FERIUCNNQQJTOY-UHFFFAOYSA-N Butyric acid Natural products CCCC(O)=O FERIUCNNQQJTOY-UHFFFAOYSA-N 0.000 description 1
- 102100035875 C-C chemokine receptor type 5 Human genes 0.000 description 1
- 101710149870 C-C chemokine receptor type 5 Proteins 0.000 description 1
- 102100031650 C-X-C chemokine receptor type 4 Human genes 0.000 description 1
- JVIDTZHWVXHJDQ-JOFQKKPBSA-N C.CC[C@H]1OC(=O)[C@H](C)[C@@H](O[C@H]2C[C@@](C)(OC)[C@@H](O)[C@H](C)O2)[C@H](C)[C@@H](O[C@@H]2O[C@H](C)CC(N(C)C)[C@H]2OC(=O)CCC(=O)NS(=O)(=O)C2=CC=C(N3N=C(C(F)(F)F)C=C3C3=CC=C(C)C=C3)C=C2)[C@](C)(O)C[C@@H](C)CN(C)[C@H](C)[C@@H](O)[C@]1(C)O Chemical compound C.CC[C@H]1OC(=O)[C@H](C)[C@@H](O[C@H]2C[C@@](C)(OC)[C@@H](O)[C@H](C)O2)[C@H](C)[C@@H](O[C@@H]2O[C@H](C)CC(N(C)C)[C@H]2OC(=O)CCC(=O)NS(=O)(=O)C2=CC=C(N3N=C(C(F)(F)F)C=C3C3=CC=C(C)C=C3)C=C2)[C@](C)(O)C[C@@H](C)CN(C)[C@H](C)[C@@H](O)[C@]1(C)O JVIDTZHWVXHJDQ-JOFQKKPBSA-N 0.000 description 1
- FNDGZYHDEAXPJG-UHFFFAOYSA-N C/C1=C/C(=O)OC2=CC(SCC(=O)NN3CCOCC3)=CC=C21 Chemical compound C/C1=C/C(=O)OC2=CC(SCC(=O)NN3CCOCC3)=CC=C21 FNDGZYHDEAXPJG-UHFFFAOYSA-N 0.000 description 1
- 125000004650 C1-C8 alkynyl group Chemical group 0.000 description 1
- ZWFKFRSNNVZYJI-UHFFFAOYSA-N CC(=O)C1=C(NS(=O)(=O)C2=CC=CC3=C(N(C)C)C=CC=C23)N=CN1 Chemical compound CC(=O)C1=C(NS(=O)(=O)C2=CC=CC3=C(N(C)C)C=CC=C23)N=CN1 ZWFKFRSNNVZYJI-UHFFFAOYSA-N 0.000 description 1
- FVRABNBXQCACJY-UHFFFAOYSA-N CC(C)(C)OC(=O)NC(CSCC(=O)NCCNC1=C2C=CC=C(S(=O)(=O)O)C2=CC=C1)C(=O)O.[HH] Chemical compound CC(C)(C)OC(=O)NC(CSCC(=O)NCCNC1=C2C=CC=C(S(=O)(=O)O)C2=CC=C1)C(=O)O.[HH] FVRABNBXQCACJY-UHFFFAOYSA-N 0.000 description 1
- MRYPHUZDTBFVDA-HTDOYXLGSA-N CC/C(C1=CC=C(O)C=C1)=C(/CC)C1=CC=C(OC(=O)CCC(=O)O[C@@H]2C(N(C)C)C[C@@H](C)O[C@H]2O[C@@H]2[C@@H](C)C(=O)[C@@H](C)C(=O)O[C@H](CC)[C@@](C)(O)[C@H](O)[C@@H](C)N(C)C[C@H](C)C[C@@]2(C)O)C=C1 Chemical compound CC/C(C1=CC=C(O)C=C1)=C(/CC)C1=CC=C(OC(=O)CCC(=O)O[C@@H]2C(N(C)C)C[C@@H](C)O[C@H]2O[C@@H]2[C@@H](C)C(=O)[C@@H](C)C(=O)O[C@H](CC)[C@@](C)(O)[C@H](O)[C@@H](C)N(C)C[C@H](C)C[C@@]2(C)O)C=C1 MRYPHUZDTBFVDA-HTDOYXLGSA-N 0.000 description 1
- YESYQLOVSWTNLR-UHFFFAOYSA-N CC1=CC(=O)OC2=CC(SCC(=O)NCCN3CCOCC3)=CC=C12 Chemical compound CC1=CC(=O)OC2=CC(SCC(=O)NCCN3CCOCC3)=CC=C12 YESYQLOVSWTNLR-UHFFFAOYSA-N 0.000 description 1
- CDYBMPMOPHAYFY-UHFFFAOYSA-N CC1=CC(=O)OC2=CC(SCC(=O)NN3CCN(CCO)CC3)=CC=C12 Chemical compound CC1=CC(=O)OC2=CC(SCC(=O)NN3CCN(CCO)CC3)=CC=C12 CDYBMPMOPHAYFY-UHFFFAOYSA-N 0.000 description 1
- ACULWBOVTHXJMS-ILBQELPZSA-N CCC(C1)([C@]1([C@@H]([C@@H](C)N(C)C[C@H](C)C[C@]1(O)[O]=C(CC/C(/C)=C/Cc(c(O)c(c(CO2)c3C)C2=O)c3OC)O[C@H](C(C[C@@H](C)O2)N(C)C)[C@@H]2O[C@@H]1[C@@H](C)[C@@H]([C@H]1C)O[C@@H](CC2(C)C)O[C@@H](C)[C@@H]2O)O)O)OC1=O Chemical compound CCC(C1)([C@]1([C@@H]([C@@H](C)N(C)C[C@H](C)C[C@]1(O)[O]=C(CC/C(/C)=C/Cc(c(O)c(c(CO2)c3C)C2=O)c3OC)O[C@H](C(C[C@@H](C)O2)N(C)C)[C@@H]2O[C@@H]1[C@@H](C)[C@@H]([C@H]1C)O[C@@H](CC2(C)C)O[C@@H](C)[C@@H]2O)O)O)OC1=O ACULWBOVTHXJMS-ILBQELPZSA-N 0.000 description 1
- OLDOKPYIPBFYLT-UHFFFAOYSA-N CCN(CC)C1=CC=C(NS(=O)(=O)C2=CC=CC3=C(N(C)C)C=CC=C23)C=C1 Chemical compound CCN(CC)C1=CC=C(NS(=O)(=O)C2=CC=CC3=C(N(C)C)C=CC=C23)C=C1 OLDOKPYIPBFYLT-UHFFFAOYSA-N 0.000 description 1
- FWAZKVLRHHXGBF-WMFSDKRHSA-N CCN(CC)CC(COCCCCOCC(CN(CC)CC)OC(=O)CC/C(C)=C/CC1=C(O)C2=C(COC2=O)C(C)=C1OC)OC(=O)CC/C(C)=C/CC1=C(O)C2=C(COC2=O)C(C)=C1OC Chemical compound CCN(CC)CC(COCCCCOCC(CN(CC)CC)OC(=O)CC/C(C)=C/CC1=C(O)C2=C(COC2=O)C(C)=C1OC)OC(=O)CC/C(C)=C/CC1=C(O)C2=C(COC2=O)C(C)=C1OC FWAZKVLRHHXGBF-WMFSDKRHSA-N 0.000 description 1
- DBDLLLGFRUCASL-UHFFFAOYSA-N CCN(CC)CC(O)COCCCCOCC(O)CN(CC)CC Chemical compound CCN(CC)CC(O)COCCCCOCC(O)CN(CC)CC DBDLLLGFRUCASL-UHFFFAOYSA-N 0.000 description 1
- BQXUPNKLZNSUMC-YUQWMIPFSA-N CCN(CCCCCOCC(=O)N[C@H](C(=O)N1C[C@H](O)C[C@H]1C(=O)N[C@@H](C)c1ccc(cc1)-c1scnc1C)C(C)(C)C)CCOc1ccc(cc1)C(=O)c1c(sc2cc(O)ccc12)-c1ccc(O)cc1 Chemical compound CCN(CCCCCOCC(=O)N[C@H](C(=O)N1C[C@H](O)C[C@H]1C(=O)N[C@@H](C)c1ccc(cc1)-c1scnc1C)C(C)(C)C)CCOc1ccc(cc1)C(=O)c1c(sc2cc(O)ccc12)-c1ccc(O)cc1 BQXUPNKLZNSUMC-YUQWMIPFSA-N 0.000 description 1
- MLEFPAQLNPHQHL-ZRDRFQMUSA-N CCOC(=O)CC/C(C)=C/CC1=C(OC(=O)CCC(=O)O[C@@H]2C(N(C)C)C[C@@H](C)O[C@H]2O[C@@H]2[C@@H](C)[C@H](O[C@H]3C[C@@](C)(OC)[C@@H](O)[C@H](C)O3)[C@@H](C)C(=O)O[C@H](CC)[C@@](C)(O)[C@H](O)[C@@H](C)N(C)C[C@H](C)C[C@@]2(C)O)C2=C(COC2=O)C(C)=C1OC Chemical compound CCOC(=O)CC/C(C)=C/CC1=C(OC(=O)CCC(=O)O[C@@H]2C(N(C)C)C[C@@H](C)O[C@H]2O[C@@H]2[C@@H](C)[C@H](O[C@H]3C[C@@](C)(OC)[C@@H](O)[C@H](C)O3)[C@@H](C)C(=O)O[C@H](CC)[C@@](C)(O)[C@H](O)[C@@H](C)N(C)C[C@H](C)C[C@@]2(C)O)C2=C(COC2=O)C(C)=C1OC MLEFPAQLNPHQHL-ZRDRFQMUSA-N 0.000 description 1
- OAYCWBFCZAVKAS-OBBZFCGRSA-N CCOC(=O)C[C@]1(C)C(=O)O[C@H](CC)[C@@](C)(O)[C@H](O)[C@@H](C)N(C)C[C@H](C)C[C@@](C)(O)[C@H](O[C@@H]2O[C@H](C)CC(N(C)C)[C@H]2O)[C@@H](C)C1=O Chemical compound CCOC(=O)C[C@]1(C)C(=O)O[C@H](CC)[C@@](C)(O)[C@H](O)[C@@H](C)N(C)C[C@H](C)C[C@@](C)(O)[C@H](O[C@@H]2O[C@H](C)CC(N(C)C)[C@H]2O)[C@@H](C)C1=O OAYCWBFCZAVKAS-OBBZFCGRSA-N 0.000 description 1
- FZXAJKHXVPWRMB-DWANGVNWSA-N CCOC(=O)C[C@]1(C)C(=O)O[C@H](CC)[C@@](C)(O)[C@H](O)[C@@H](C)N(C)C[C@H](C)C[C@@](C)(O)[C@H](O[C@@H]2O[C@H](C)C[C@H](N(C)C)[C@H]2OC(=O)CC2=CC=CC=C2NC2=C(Cl)C=CC=C2Cl)[C@@H](C)C1=O Chemical compound CCOC(=O)C[C@]1(C)C(=O)O[C@H](CC)[C@@](C)(O)[C@H](O)[C@@H](C)N(C)C[C@H](C)C[C@@](C)(O)[C@H](O[C@@H]2O[C@H](C)C[C@H](N(C)C)[C@H]2OC(=O)CC2=CC=CC=C2NC2=C(Cl)C=CC=C2Cl)[C@@H](C)C1=O FZXAJKHXVPWRMB-DWANGVNWSA-N 0.000 description 1
- ZYZSKZKWZQFQSD-ACGTUMEZSA-N CC[C@H]([C@](C)([C@@H]([C@@H](C)N(C)C[C@H](C)C[C@](C)([C@@H]([C@@H](C)C([C@H]1C)=O)O[C@@H]([C@@H]2OC(CCC(OCC([C@@](CC3)([C@@](C)(C[C@@H]4O)C3[C@H](CC3)C4[C@@](C)(C=C4)C3=CC4=O)O)=O)=O)=O)O[C@H](C)CC2N(C)C)O)O)O)OC1O Chemical compound CC[C@H]([C@](C)([C@@H]([C@@H](C)N(C)C[C@H](C)C[C@](C)([C@@H]([C@@H](C)C([C@H]1C)=O)O[C@@H]([C@@H]2OC(CCC(OCC([C@@](CC3)([C@@](C)(C[C@@H]4O)C3[C@H](CC3)C4[C@@](C)(C=C4)C3=CC4=O)O)=O)=O)=O)O[C@H](C)CC2N(C)C)O)O)O)OC1O ZYZSKZKWZQFQSD-ACGTUMEZSA-N 0.000 description 1
- FNWIWRPKVDCQHG-YDSDNZLDSA-N CC[C@H]([C@](C)([C@@H]([C@@H](C)N(C)C[C@H](C)C[C@](C)([C@@H]([C@@H](C)[C@@H]([C@H]1C)O[C@@H](CC2(C)C)O[C@@H](C)[C@@H]2O)O[C@H](C[C@H](C)CC2N(C)C(CN(C)CCOC(CC/C(/C)=C/Cc(c(O)c(c(CO3)c4C)C3=O)c4OC)=O)=O)[C@@H]2O)O)O)O)OC1=O Chemical compound CC[C@H]([C@](C)([C@@H]([C@@H](C)N(C)C[C@H](C)C[C@](C)([C@@H]([C@@H](C)[C@@H]([C@H]1C)O[C@@H](CC2(C)C)O[C@@H](C)[C@@H]2O)O[C@H](C[C@H](C)CC2N(C)C(CN(C)CCOC(CC/C(/C)=C/Cc(c(O)c(c(CO3)c4C)C3=O)c4OC)=O)=O)[C@@H]2O)O)O)O)OC1=O FNWIWRPKVDCQHG-YDSDNZLDSA-N 0.000 description 1
- GUXMJFVEUBFAPV-DLLDWWONSA-N CC[C@H]1OC(=O)[C@H](C)C(=O)[C@H](C)[C@@H](O[C@@H]2O[C@H](C)CC(N(C)C)[C@H]2O)[C@](C)(O)C[C@@H](C)CN(C)[C@H](C)C(=O)[C@]1(C)O Chemical compound CC[C@H]1OC(=O)[C@H](C)C(=O)[C@H](C)[C@@H](O[C@@H]2O[C@H](C)CC(N(C)C)[C@H]2O)[C@](C)(O)C[C@@H](C)CN(C)[C@H](C)C(=O)[C@]1(C)O GUXMJFVEUBFAPV-DLLDWWONSA-N 0.000 description 1
- COTOGBTXXUSZQC-RLKPJESMSA-N CC[C@H]1OC(=O)[C@H](C)C(=O)[C@H](C)[C@@H](O[C@@H]2O[C@H](C)CC(N(C)C)[C@H]2O)[C@](C)(O)C[C@@H](C)CN(C)[C@H](C)[C@@H](O)[C@]1(C)O Chemical compound CC[C@H]1OC(=O)[C@H](C)C(=O)[C@H](C)[C@@H](O[C@@H]2O[C@H](C)CC(N(C)C)[C@H]2O)[C@](C)(O)C[C@@H](C)CN(C)[C@H](C)[C@@H](O)[C@]1(C)O COTOGBTXXUSZQC-RLKPJESMSA-N 0.000 description 1
- SFKSNZHXKMYOEZ-ICBGRZPWSA-N CC[C@H]1OC(=O)[C@H](C)C(=O)[C@H](C)[C@@H](O[C@@H]2O[C@H](C)CC(N(C)C)[C@H]2OC(=O)C(C)(C)CCCOC2=CC(C)=CC=C2C)[C@](C)(O)C[C@@H](C)CN(C)[C@H](C)[C@@H](O)[C@]1(C)O Chemical compound CC[C@H]1OC(=O)[C@H](C)C(=O)[C@H](C)[C@@H](O[C@@H]2O[C@H](C)CC(N(C)C)[C@H]2OC(=O)C(C)(C)CCCOC2=CC(C)=CC=C2C)[C@](C)(O)C[C@@H](C)CN(C)[C@H](C)[C@@H](O)[C@]1(C)O SFKSNZHXKMYOEZ-ICBGRZPWSA-N 0.000 description 1
- XCUUMDLUSLSWKR-CHKYKBBMSA-N CC[C@H]1OC(=O)[C@H](C)C(=O)[C@H](C)[C@@H](O[C@@H]2O[C@H](C)CC(N(C)C)[C@H]2OC(=O)CC2=CC=CC=C2NC2=C(Cl)C=CC=C2Cl)[C@](C)(O)C[C@@H](C)CN(C)[C@H](C)C(=O)[C@]1(C)O Chemical compound CC[C@H]1OC(=O)[C@H](C)C(=O)[C@H](C)[C@@H](O[C@@H]2O[C@H](C)CC(N(C)C)[C@H]2OC(=O)CC2=CC=CC=C2NC2=C(Cl)C=CC=C2Cl)[C@](C)(O)C[C@@H](C)CN(C)[C@H](C)C(=O)[C@]1(C)O XCUUMDLUSLSWKR-CHKYKBBMSA-N 0.000 description 1
- DOCDMRYSZGYYHT-CSFBNQAHSA-N CC[C@H]1OC(=O)[C@H](C)C(=O)[C@H](C)[C@@H](O[C@@H]2O[C@H](C)CC(N(C)C)[C@H]2OC(=O)CCC(=O)O[C@@H]2CC(=O)O[C@@H](CCN3C(C4=CC=C(F)C=C4)=C(C4=CC=CC=C4)C(C(=O)NC4=CC=CC=C4)=C3C(C)C)C2)[C@](C)(O)C[C@@H](C)CN(C)[C@H](C)[C@@H](O)[C@]1(C)O Chemical compound CC[C@H]1OC(=O)[C@H](C)C(=O)[C@H](C)[C@@H](O[C@@H]2O[C@H](C)CC(N(C)C)[C@H]2OC(=O)CCC(=O)O[C@@H]2CC(=O)O[C@@H](CCN3C(C4=CC=C(F)C=C4)=C(C4=CC=CC=C4)C(C(=O)NC4=CC=CC=C4)=C3C(C)C)C2)[C@](C)(O)C[C@@H](C)CN(C)[C@H](C)[C@@H](O)[C@]1(C)O DOCDMRYSZGYYHT-CSFBNQAHSA-N 0.000 description 1
- ZMMSRUWKNDFTGB-CNLXBLGUSA-N CC[C@H]1OC(=O)[C@H](C)C(=O)[C@H](C)[C@@H](O[C@@H]2O[C@H](C)C[C@H](N(C)C)[C@H]2OC(=O)CC/C(C)=C/CC2=C(O)C3=C(COC3=O)C(C)=C2OC)[C@](C)(O)C[C@@H](C)CN(C)[C@H](C)[C@@H](O)[C@]1(C)O Chemical compound CC[C@H]1OC(=O)[C@H](C)C(=O)[C@H](C)[C@@H](O[C@@H]2O[C@H](C)C[C@H](N(C)C)[C@H]2OC(=O)CC/C(C)=C/CC2=C(O)C3=C(COC3=O)C(C)=C2OC)[C@](C)(O)C[C@@H](C)CN(C)[C@H](C)[C@@H](O)[C@]1(C)O ZMMSRUWKNDFTGB-CNLXBLGUSA-N 0.000 description 1
- TXNRSXFIRUBJEX-HTGJBUDDSA-N CC[C@H]1OC(=O)[C@H](C)C(=O)[C@H](C)[C@@H](O[C@@H]2O[C@H](C)C[C@H](N(C)C)[C@H]2OC(=O)CC2=C(NC3=C(Cl)C=CC=C3Cl)C=CC=C2)[C@](C)(O)C[C@@H](C)CN(C)[C@H](C)[C@@H](O)[C@]1(C)O Chemical compound CC[C@H]1OC(=O)[C@H](C)C(=O)[C@H](C)[C@@H](O[C@@H]2O[C@H](C)C[C@H](N(C)C)[C@H]2OC(=O)CC2=C(NC3=C(Cl)C=CC=C3Cl)C=CC=C2)[C@](C)(O)C[C@@H](C)CN(C)[C@H](C)[C@@H](O)[C@]1(C)O TXNRSXFIRUBJEX-HTGJBUDDSA-N 0.000 description 1
- OFZZTKIHZRLWHH-UHOSHHCGSA-N CC[C@H]1OC(=O)[C@H](C)C(=O)[C@H](C)[C@@H](O[C@@H]2O[C@H](C)C[C@H](N(C)C)[C@H]2OC(=O)CCCC2=CC=C(N(CCCl)CCCl)C=C2)[C@](C)(O)C[C@@H](C)CN(C)[C@H](C)[C@@H](O)[C@]1(C)O Chemical compound CC[C@H]1OC(=O)[C@H](C)C(=O)[C@H](C)[C@@H](O[C@@H]2O[C@H](C)C[C@H](N(C)C)[C@H]2OC(=O)CCCC2=CC=C(N(CCCl)CCCl)C=C2)[C@](C)(O)C[C@@H](C)CN(C)[C@H](C)[C@@H](O)[C@]1(C)O OFZZTKIHZRLWHH-UHOSHHCGSA-N 0.000 description 1
- TWISGAVHMULHRX-QZYAQKDRSA-N CC[C@H]1OC(=O)[C@H](C)[C@@H](O)[C@H](C)[C@@H](O[C@@H]2OC(C)C[C@H](N(C)C)[C@H]2OC(C)=O)[C@](C)(O)C[C@@H](C)CN(C)[C@H](C)[C@@H](O)[C@]1(C)O Chemical compound CC[C@H]1OC(=O)[C@H](C)[C@@H](O)[C@H](C)[C@@H](O[C@@H]2OC(C)C[C@H](N(C)C)[C@H]2OC(C)=O)[C@](C)(O)C[C@@H](C)CN(C)[C@H](C)[C@@H](O)[C@]1(C)O TWISGAVHMULHRX-QZYAQKDRSA-N 0.000 description 1
- LKTPQYFNRXQOSQ-JNDIUEBDSA-N CC[C@H]1OC(=O)[C@H](C)[C@@H](O)[C@H](C)[C@@H](O[C@@H]2O[C@H](C)C[C@@H](N(C)CCO)[C@@H]2N(C)C)[C@](C)(O)C[C@@H](C)CN(C)[C@H](C)[C@@H](O)[C@]1(C)O Chemical compound CC[C@H]1OC(=O)[C@H](C)[C@@H](O)[C@H](C)[C@@H](O[C@@H]2O[C@H](C)C[C@@H](N(C)CCO)[C@@H]2N(C)C)[C@](C)(O)C[C@@H](C)CN(C)[C@H](C)[C@@H](O)[C@]1(C)O LKTPQYFNRXQOSQ-JNDIUEBDSA-N 0.000 description 1
- GMILBAAOWSWJHS-IJLJIINQSA-N CC[C@H]1OC(=O)[C@H](C)[C@@H](O)[C@H](C)[C@@H](O[C@@H]2O[C@H](C)C[C@@H](N(C)CCOC(=O)C3=C(NC4=C(C)C(C)=CC=C4)C=CC=C3)[C@@H]2N(C)C)[C@](C)(O)C[C@@H](C)CN(C)[C@H](C)[C@@H](O)[C@]1(C)O Chemical compound CC[C@H]1OC(=O)[C@H](C)[C@@H](O)[C@H](C)[C@@H](O[C@@H]2O[C@H](C)C[C@@H](N(C)CCOC(=O)C3=C(NC4=C(C)C(C)=CC=C4)C=CC=C3)[C@@H]2N(C)C)[C@](C)(O)C[C@@H](C)CN(C)[C@H](C)[C@@H](O)[C@]1(C)O GMILBAAOWSWJHS-IJLJIINQSA-N 0.000 description 1
- JYDVIAIGKHPOTL-URXFZRNWSA-N CC[C@H]1OC(=O)[C@H](C)[C@@H](O)[C@H](C)[C@@H](O[C@@H]2O[C@H](C)C[C@@H](N(C)CCOC(=O)C3=C(NC4=C(Cl)C(C)=CC=C4Cl)C=CC=C3)[C@@H]2N(C)C)[C@](C)(O)C[C@@H](C)CN(C)[C@H](C)[C@@H](O)[C@]1(C)O Chemical compound CC[C@H]1OC(=O)[C@H](C)[C@@H](O)[C@H](C)[C@@H](O[C@@H]2O[C@H](C)C[C@@H](N(C)CCOC(=O)C3=C(NC4=C(Cl)C(C)=CC=C4Cl)C=CC=C3)[C@@H]2N(C)C)[C@](C)(O)C[C@@H](C)CN(C)[C@H](C)[C@@H](O)[C@]1(C)O JYDVIAIGKHPOTL-URXFZRNWSA-N 0.000 description 1
- YRKOMSDVHCBKEC-KZYNVJSZSA-N CC[C@H]1OC(=O)[C@H](C)[C@@H](O)[C@H](C)[C@@H](O[C@@H]2O[C@H](C)C[C@@H](N(C)CCOC(=O)CC/C(C)=C/CC3=C(O)C4=C(COC4=O)C(C)=C3OC)[C@@H]2N(C)C)[C@](C)(O)C[C@@H](C)CN(C)[C@H](C)[C@@H](O)[C@]1(C)O Chemical compound CC[C@H]1OC(=O)[C@H](C)[C@@H](O)[C@H](C)[C@@H](O[C@@H]2O[C@H](C)C[C@@H](N(C)CCOC(=O)CC/C(C)=C/CC3=C(O)C4=C(COC4=O)C(C)=C3OC)[C@@H]2N(C)C)[C@](C)(O)C[C@@H](C)CN(C)[C@H](C)[C@@H](O)[C@]1(C)O YRKOMSDVHCBKEC-KZYNVJSZSA-N 0.000 description 1
- GDGQBKWWNNHKNM-UZHTXHBDSA-N CC[C@H]1OC(=O)[C@H](C)[C@@H](OC(=O)CN(CCOC(=O)CCCC(=O)OC)CCOC(=O)CCCC(=O)OC)[C@H](C)[C@@H](O)[C@](C)(O)C[C@@H](C)CN(C)[C@H](C)[C@@H](O)[C@]1(C)O Chemical compound CC[C@H]1OC(=O)[C@H](C)[C@@H](OC(=O)CN(CCOC(=O)CCCC(=O)OC)CCOC(=O)CCCC(=O)OC)[C@H](C)[C@@H](O)[C@](C)(O)C[C@@H](C)CN(C)[C@H](C)[C@@H](O)[C@]1(C)O GDGQBKWWNNHKNM-UZHTXHBDSA-N 0.000 description 1
- OVIPUWDYSDOVRZ-JIIJYHEKSA-N CC[C@H]1OC(=O)[C@H](C)[C@@H](OC(=O)CNCCOC(=O)CC/C(C)=C/CC2=C(O)C3=C(COC3=O)C(C)=C2OC)[C@H](C)[C@@H](O)[C@](C)(O)C[C@@H](C)CN(C)[C@H](C)[C@@H](O)[C@]1(C)O Chemical compound CC[C@H]1OC(=O)[C@H](C)[C@@H](OC(=O)CNCCOC(=O)CC/C(C)=C/CC2=C(O)C3=C(COC3=O)C(C)=C2OC)[C@H](C)[C@@H](O)[C@](C)(O)C[C@@H](C)CN(C)[C@H](C)[C@@H](O)[C@]1(C)O OVIPUWDYSDOVRZ-JIIJYHEKSA-N 0.000 description 1
- OCVCSNDPRCSJTA-JZAOGOJTSA-N CC[C@H]1OC(=O)[C@H](C)[C@@H](OC2C[C@@](C)(OC)[C@@H](O)[C@H](C)O2)[C@H](C)[C@@H](OC2O[C@H](C)C[C@H](N(C)C)[C@H]2O)[C@](C)(O)C[C@@H](C)/C(=N/OCC2=CC(=O)OC3=C2C=C(OC)C(OC)=C3)[C@H](C)[C@@H](O)[C@]1(C)O Chemical compound CC[C@H]1OC(=O)[C@H](C)[C@@H](OC2C[C@@](C)(OC)[C@@H](O)[C@H](C)O2)[C@H](C)[C@@H](OC2O[C@H](C)C[C@H](N(C)C)[C@H]2O)[C@](C)(O)C[C@@H](C)/C(=N/OCC2=CC(=O)OC3=C2C=C(OC)C(OC)=C3)[C@H](C)[C@@H](O)[C@]1(C)O OCVCSNDPRCSJTA-JZAOGOJTSA-N 0.000 description 1
- OCVCSNDPRCSJTA-RNYWFHNQSA-N CC[C@H]1OC(=O)[C@H](C)[C@@H](OC2C[C@@](C)(OC)[C@@H](O)[C@H](C)O2)[C@H](C)[C@@H](O[C@@H]2O[C@H](C)C[C@H](N(C)C)[C@H]2O)[C@](C)(O)C[C@@H](C)/C(=N\OCC2=CC(=O)OC3=C2C=C(OC)C(OC)=C3)[C@H](C)[C@@H](O)[C@]1(C)O Chemical compound CC[C@H]1OC(=O)[C@H](C)[C@@H](OC2C[C@@](C)(OC)[C@@H](O)[C@H](C)O2)[C@H](C)[C@@H](O[C@@H]2O[C@H](C)C[C@H](N(C)C)[C@H]2O)[C@](C)(O)C[C@@H](C)/C(=N\OCC2=CC(=O)OC3=C2C=C(OC)C(OC)=C3)[C@H](C)[C@@H](O)[C@]1(C)O OCVCSNDPRCSJTA-RNYWFHNQSA-N 0.000 description 1
- OYGOWGBNMZNMSG-ZTHOWNMJSA-N CC[C@H]1OC(=O)[C@H](C)[C@@H](OC2C[C@@](C)(OC)[C@@H](O)[C@H](C)O2)[C@H](C)[C@@H](O[C@@H]2O[C@H](C)C[C@H](N(C)C)[C@H]2OC(=O)CCC(=O)OC(CN2C=NC=N2)(CN2C=NC=N2)C2=CC=C(F)C=C2F)[C@](C)(O)C[C@@H](C)CN(C)[C@H](C)[C@@H](O)[C@]1(C)O Chemical compound CC[C@H]1OC(=O)[C@H](C)[C@@H](OC2C[C@@](C)(OC)[C@@H](O)[C@H](C)O2)[C@H](C)[C@@H](O[C@@H]2O[C@H](C)C[C@H](N(C)C)[C@H]2OC(=O)CCC(=O)OC(CN2C=NC=N2)(CN2C=NC=N2)C2=CC=C(F)C=C2F)[C@](C)(O)C[C@@H](C)CN(C)[C@H](C)[C@@H](O)[C@]1(C)O OYGOWGBNMZNMSG-ZTHOWNMJSA-N 0.000 description 1
- DKHYNOUICJTEHU-PJAITKIGSA-N CC[C@H]1OC(=O)[C@H](C)[C@@H](O[C@H]2C[C@@](C)(OC)[C@@H](O)[C@H](C)O2)[C@H](C)[C@@H](O[C@@H]2C[C@H](C)CC(N(C)C(=O)CN(C)CCOC(=O)CC/C(C)=C/CC3=C(O)C4=C(COC4=O)C(C)=C3OC)[C@H]2O)[C@](C)(O)C[C@@H](C)CN(C)[C@H](C)[C@@H](O)[C@]1(C)O Chemical compound CC[C@H]1OC(=O)[C@H](C)[C@@H](O[C@H]2C[C@@](C)(OC)[C@@H](O)[C@H](C)O2)[C@H](C)[C@@H](O[C@@H]2C[C@H](C)CC(N(C)C(=O)CN(C)CCOC(=O)CC/C(C)=C/CC3=C(O)C4=C(COC4=O)C(C)=C3OC)[C@H]2O)[C@](C)(O)C[C@@H](C)CN(C)[C@H](C)[C@@H](O)[C@]1(C)O DKHYNOUICJTEHU-PJAITKIGSA-N 0.000 description 1
- XCSQGHWIQVDFNO-LYSIVIGQSA-N CC[C@H]1OC(=O)[C@H](C)[C@@H](O[C@H]2C[C@@](C)(OC)[C@@H](O)[C@H](C)O2)[C@H](C)[C@@H](O[C@@H]2O[C@H](C)CC(N(C)C(=O)CN(C)CCO)[C@H]2O)[C@](C)(O)C[C@@H](C)CN(C)[C@H](C)[C@@H](O)[C@]1(C)O Chemical compound CC[C@H]1OC(=O)[C@H](C)[C@@H](O[C@H]2C[C@@](C)(OC)[C@@H](O)[C@H](C)O2)[C@H](C)[C@@H](O[C@@H]2O[C@H](C)CC(N(C)C(=O)CN(C)CCO)[C@H]2O)[C@](C)(O)C[C@@H](C)CN(C)[C@H](C)[C@@H](O)[C@]1(C)O XCSQGHWIQVDFNO-LYSIVIGQSA-N 0.000 description 1
- PHPNEJPHVBCAPI-QHTWRQTISA-N CC[C@H]1OC(=O)[C@H](C)[C@@H](O[C@H]2C[C@@](C)(OC)[C@@H](O)[C@H](C)O2)[C@H](C)[C@@H](O[C@@H]2O[C@H](C)CC(N(C)C)[C@H]2OC(=O)C(C)C2=CC=CC=C2)[C@](C)(O)C[C@@H](C)CN(C)[C@H](C)[C@@H](O)[C@]1(C)O Chemical compound CC[C@H]1OC(=O)[C@H](C)[C@@H](O[C@H]2C[C@@](C)(OC)[C@@H](O)[C@H](C)O2)[C@H](C)[C@@H](O[C@@H]2O[C@H](C)CC(N(C)C)[C@H]2OC(=O)C(C)C2=CC=CC=C2)[C@](C)(O)C[C@@H](C)CN(C)[C@H](C)[C@@H](O)[C@]1(C)O PHPNEJPHVBCAPI-QHTWRQTISA-N 0.000 description 1
- DLPPDYANZBADQZ-ROEFNDEQSA-N CC[C@H]1OC(=O)[C@H](C)[C@@H](O[C@H]2C[C@@](C)(OC)[C@@H](O)[C@H](C)O2)[C@H](C)[C@@H](O[C@@H]2O[C@H](C)CC(N(C)C)[C@H]2OC(=O)C(CC2=CC=C(N(CCCl)CCCl)C=C2)N=[Ac])[C@](C)(O)C[C@@H](C)CN(C)[C@H](C)[C@@H](O)[C@]1(C)O Chemical compound CC[C@H]1OC(=O)[C@H](C)[C@@H](O[C@H]2C[C@@](C)(OC)[C@@H](O)[C@H](C)O2)[C@H](C)[C@@H](O[C@@H]2O[C@H](C)CC(N(C)C)[C@H]2OC(=O)C(CC2=CC=C(N(CCCl)CCCl)C=C2)N=[Ac])[C@](C)(O)C[C@@H](C)CN(C)[C@H](C)[C@@H](O)[C@]1(C)O DLPPDYANZBADQZ-ROEFNDEQSA-N 0.000 description 1
- ZSPXJGKDLDESIZ-LRHMCJDXSA-N CC[C@H]1OC(=O)[C@H](C)[C@@H](O[C@H]2C[C@@](C)(OC)[C@@H](O)[C@H](C)O2)[C@H](C)[C@@H](O[C@@H]2O[C@H](C)CC(N(C)C)[C@H]2OC(=O)C2=CC=C(CC(=O)CCN3C=NC4=C3N=CNC4=O)C=C2)[C@](C)(O)C[C@@H](C)CN(C)[C@H](C)[C@@H](O)[C@]1(C)O Chemical compound CC[C@H]1OC(=O)[C@H](C)[C@@H](O[C@H]2C[C@@](C)(OC)[C@@H](O)[C@H](C)O2)[C@H](C)[C@@H](O[C@@H]2O[C@H](C)CC(N(C)C)[C@H]2OC(=O)C2=CC=C(CC(=O)CCN3C=NC4=C3N=CNC4=O)C=C2)[C@](C)(O)C[C@@H](C)CN(C)[C@H](C)[C@@H](O)[C@]1(C)O ZSPXJGKDLDESIZ-LRHMCJDXSA-N 0.000 description 1
- RQLUYGZFVIPTRT-VVHIYRJUSA-N CC[C@H]1OC(=O)[C@H](C)[C@@H](O[C@H]2C[C@@](C)(OC)[C@@H](O)[C@H](C)O2)[C@H](C)[C@@H](O[C@@H]2O[C@H](C)CC(N(C)C)[C@H]2OC(=O)CC/C(C)=C/CC2=C(O)C3=C(COC3=O)C(C)=C2OC)[C@](C)(O)C[C@@H](C)CN(C)[C@H](C)[C@@H](O)[C@]1(C)O Chemical compound CC[C@H]1OC(=O)[C@H](C)[C@@H](O[C@H]2C[C@@](C)(OC)[C@@H](O)[C@H](C)O2)[C@H](C)[C@@H](O[C@@H]2O[C@H](C)CC(N(C)C)[C@H]2OC(=O)CC/C(C)=C/CC2=C(O)C3=C(COC3=O)C(C)=C2OC)[C@](C)(O)C[C@@H](C)CN(C)[C@H](C)[C@@H](O)[C@]1(C)O RQLUYGZFVIPTRT-VVHIYRJUSA-N 0.000 description 1
- KDPNYPUFMFNXDO-XMOQIBISSA-N CC[C@H]1OC(=O)[C@H](C)[C@@H](O[C@H]2C[C@@](C)(OC)[C@@H](O)[C@H](C)O2)[C@H](C)[C@@H](O[C@@H]2O[C@H](C)CC(N(C)C)[C@H]2OC(=O)CC2=CC=CC=C2NC2=C(Cl)C=CC=C2Cl)[C@](C)(O)C[C@@H](C)CN(C)[C@H](C)[C@@H](O)[C@]1(C)O Chemical compound CC[C@H]1OC(=O)[C@H](C)[C@@H](O[C@H]2C[C@@](C)(OC)[C@@H](O)[C@H](C)O2)[C@H](C)[C@@H](O[C@@H]2O[C@H](C)CC(N(C)C)[C@H]2OC(=O)CC2=CC=CC=C2NC2=C(Cl)C=CC=C2Cl)[C@](C)(O)C[C@@H](C)CN(C)[C@H](C)[C@@H](O)[C@]1(C)O KDPNYPUFMFNXDO-XMOQIBISSA-N 0.000 description 1
- FKNFBURMBJVVME-JYQCDGDGSA-N CC[C@H]1OC(=O)[C@H](C)[C@@H](O[C@H]2C[C@@](C)(OC)[C@@H](O)[C@H](C)O2)[C@H](C)[C@@H](O[C@@H]2O[C@H](C)CC(N(C)C)[C@H]2OC(=O)CCC(=O)OC[C@H]2O[C@@H](N3C=C(C)C(=O)NC3=O)CC2N=[N+]=[N-])[C@](C)(O)C[C@@H](C)CN(C)[C@H](C)[C@@H](O)[C@]1(C)O Chemical compound CC[C@H]1OC(=O)[C@H](C)[C@@H](O[C@H]2C[C@@](C)(OC)[C@@H](O)[C@H](C)O2)[C@H](C)[C@@H](O[C@@H]2O[C@H](C)CC(N(C)C)[C@H]2OC(=O)CCC(=O)OC[C@H]2O[C@@H](N3C=C(C)C(=O)NC3=O)CC2N=[N+]=[N-])[C@](C)(O)C[C@@H](C)CN(C)[C@H](C)[C@@H](O)[C@]1(C)O FKNFBURMBJVVME-JYQCDGDGSA-N 0.000 description 1
- AAIYVXGSCLRXOI-ZBYIKINNSA-N CC[C@H]1OC(=O)[C@H](C)[C@@H](O[C@H]2C[C@@](C)(OC)[C@@H](O)[C@H](C)O2)[C@H](C)[C@@H](O[C@@H]2O[C@H](C)CC(N(C)C)[C@H]2OC(=O)CCCC(=O)OC[C@@H]2C=C[C@H](N3/C=N\C4=C3N=C(N)N=C4NC3CC3)C2)[C@](C)(O)C[C@@H](C)CN(C)[C@H](C)[C@@H](O)[C@]1(C)O Chemical compound CC[C@H]1OC(=O)[C@H](C)[C@@H](O[C@H]2C[C@@](C)(OC)[C@@H](O)[C@H](C)O2)[C@H](C)[C@@H](O[C@@H]2O[C@H](C)CC(N(C)C)[C@H]2OC(=O)CCCC(=O)OC[C@@H]2C=C[C@H](N3/C=N\C4=C3N=C(N)N=C4NC3CC3)C2)[C@](C)(O)C[C@@H](C)CN(C)[C@H](C)[C@@H](O)[C@]1(C)O AAIYVXGSCLRXOI-ZBYIKINNSA-N 0.000 description 1
- KNGRLGZKABFZKI-AFUCWAIWSA-N CC[C@H]1OC(=O)[C@H](C)[C@@H](O[C@H]2C[C@@](C)(OC)[C@@H](O)[C@H](C)O2)[C@H](C)[C@@H](O[C@@H]2O[C@H](C)CC(N(C)C)[C@H]2OC(=O)CCNC(=O)CCCC(=O)OC[C@H]2O[C@@H](N3CNC(C(N)=O)=N3)[C@H](O)[C@@H]2O)[C@](C)(O)C[C@@H](C)CN(C)[C@H](C)[C@@H](O)[C@]1(C)O Chemical compound CC[C@H]1OC(=O)[C@H](C)[C@@H](O[C@H]2C[C@@](C)(OC)[C@@H](O)[C@H](C)O2)[C@H](C)[C@@H](O[C@@H]2O[C@H](C)CC(N(C)C)[C@H]2OC(=O)CCNC(=O)CCCC(=O)OC[C@H]2O[C@@H](N3CNC(C(N)=O)=N3)[C@H](O)[C@@H]2O)[C@](C)(O)C[C@@H](C)CN(C)[C@H](C)[C@@H](O)[C@]1(C)O KNGRLGZKABFZKI-AFUCWAIWSA-N 0.000 description 1
- MOWYNDJLMVNNJM-ZJZRTLRRSA-N CC[C@H]1OC(=O)[C@H](C)[C@@H](O[C@H]2C[C@@](C)(OC)[C@@H](O)[C@H](C)O2)[C@H](C)[C@@H](O[C@@H]2O[C@H](C)CC(N(C)C)[C@H]2OC(=O)CN2CCN(C3=CC=C(C(=O)NC4=CC=C(C)C(NC5=NC=CC(C6=CC=CN=C6)=N5)=C4)C=C3)CC2)[C@](C)(O)C[C@@H](C)CN(C)[C@H](C)[C@@H](O)[C@]1(C)O Chemical compound CC[C@H]1OC(=O)[C@H](C)[C@@H](O[C@H]2C[C@@](C)(OC)[C@@H](O)[C@H](C)O2)[C@H](C)[C@@H](O[C@@H]2O[C@H](C)CC(N(C)C)[C@H]2OC(=O)CN2CCN(C3=CC=C(C(=O)NC4=CC=C(C)C(NC5=NC=CC(C6=CC=CN=C6)=N5)=C4)C=C3)CC2)[C@](C)(O)C[C@@H](C)CN(C)[C@H](C)[C@@H](O)[C@]1(C)O MOWYNDJLMVNNJM-ZJZRTLRRSA-N 0.000 description 1
- MCPFHHGCQUJBNN-YUQBCFQUSA-N CC[C@H]1OC(=O)[C@H](C)[C@@H](O[C@H]2C[C@@](C)(OC)[C@@H](O)[C@H](C)O2)[C@H](C)[C@@H](O[C@@H]2O[C@H](C)CC(N(C)CCCCCC(=O)OC[C@H]3O[C@@H](N4C=C(C)C(=O)NC4=O)C[C@@H]3N=[N+]=[N-])[C@H]2O)[C@](C)(O)C[C@@H](C)CN(C)[C@H](C)[C@@H](O)[C@]1(C)O Chemical compound CC[C@H]1OC(=O)[C@H](C)[C@@H](O[C@H]2C[C@@](C)(OC)[C@@H](O)[C@H](C)O2)[C@H](C)[C@@H](O[C@@H]2O[C@H](C)CC(N(C)CCCCCC(=O)OC[C@H]3O[C@@H](N4C=C(C)C(=O)NC4=O)C[C@@H]3N=[N+]=[N-])[C@H]2O)[C@](C)(O)C[C@@H](C)CN(C)[C@H](C)[C@@H](O)[C@]1(C)O MCPFHHGCQUJBNN-YUQBCFQUSA-N 0.000 description 1
- YUMOCVHRTJEUBV-GANVFSRWSA-N CC[C@H]1OC(=O)[C@H](C)[C@@H](O[C@H]2C[C@@](C)(OC)[C@@H](O)[C@H](C)O2)[C@H](C)[C@@H](O[C@@H]2O[C@H](C)C[C@@H](N(C)CCO)[C@@H]2N(C)C)[C@](C)(O)C[C@@H](C)CN(C)[C@H](C)[C@@H](O)[C@]1(C)O Chemical compound CC[C@H]1OC(=O)[C@H](C)[C@@H](O[C@H]2C[C@@](C)(OC)[C@@H](O)[C@H](C)O2)[C@H](C)[C@@H](O[C@@H]2O[C@H](C)C[C@@H](N(C)CCO)[C@@H]2N(C)C)[C@](C)(O)C[C@@H](C)CN(C)[C@H](C)[C@@H](O)[C@]1(C)O YUMOCVHRTJEUBV-GANVFSRWSA-N 0.000 description 1
- AGUHRCIZQMCESS-MNORSQHKSA-N CC[C@H]1OC(=O)[C@H](C)[C@@H](O[C@H]2C[C@@](C)(OC)[C@@H](O)[C@H](C)O2)[C@H](C)[C@@H](O[C@@H]2O[C@H](C)C[C@@H](N(C)CCOC(=O)CC/C(C)=C/CC3=C(O)C4=C(COC4=O)C(C)=C3OC)[C@@H]2N(C)C)[C@](C)(O)C[C@@H](C)CN(C)[C@H](C)[C@@H](O)[C@]1(C)O Chemical compound CC[C@H]1OC(=O)[C@H](C)[C@@H](O[C@H]2C[C@@](C)(OC)[C@@H](O)[C@H](C)O2)[C@H](C)[C@@H](O[C@@H]2O[C@H](C)C[C@@H](N(C)CCOC(=O)CC/C(C)=C/CC3=C(O)C4=C(COC4=O)C(C)=C3OC)[C@@H]2N(C)C)[C@](C)(O)C[C@@H](C)CN(C)[C@H](C)[C@@H](O)[C@]1(C)O AGUHRCIZQMCESS-MNORSQHKSA-N 0.000 description 1
- ORFBUFOYMVNQTJ-WNSRQRFESA-N CC[C@H]1OC(=O)[C@H](C)[C@@H](O[C@H]2C[C@@](C)(OC)[C@@H](O)[C@H](C)O2)[C@H](C)[C@@H](O[C@@H]2O[C@H](C)C[C@@H](O)[C@@H]2N2CCOCC2)[C@](C)(O)C[C@@H](C)CN(C)[C@H](C)[C@@H](O)[C@]1(C)O Chemical compound CC[C@H]1OC(=O)[C@H](C)[C@@H](O[C@H]2C[C@@](C)(OC)[C@@H](O)[C@H](C)O2)[C@H](C)[C@@H](O[C@@H]2O[C@H](C)C[C@@H](O)[C@@H]2N2CCOCC2)[C@](C)(O)C[C@@H](C)CN(C)[C@H](C)[C@@H](O)[C@]1(C)O ORFBUFOYMVNQTJ-WNSRQRFESA-N 0.000 description 1
- CWIFWEZPLUOKSB-BVBBGWQVSA-N CC[C@H]1OC(=O)[C@H](C)[C@@H](O[C@H]2C[C@@](C)(OC)[C@@H](O)[C@H](C)O2)[C@H](C)[C@@H](O[C@@H]2O[C@H](C)C[C@@H](OC(=O)CC/C(C)=C/CC3=C(OC)C(C)=C4COC(=O)C4=C3O)[C@@H]2N2CCOCC2)[C@](C)(O)C[C@@H](C)CN(C)[C@H](C)[C@@H](O)[C@]1(C)O Chemical compound CC[C@H]1OC(=O)[C@H](C)[C@@H](O[C@H]2C[C@@](C)(OC)[C@@H](O)[C@H](C)O2)[C@H](C)[C@@H](O[C@@H]2O[C@H](C)C[C@@H](OC(=O)CC/C(C)=C/CC3=C(OC)C(C)=C4COC(=O)C4=C3O)[C@@H]2N2CCOCC2)[C@](C)(O)C[C@@H](C)CN(C)[C@H](C)[C@@H](O)[C@]1(C)O CWIFWEZPLUOKSB-BVBBGWQVSA-N 0.000 description 1
- BSHRLVUSEWVFKU-ZCWVPNRBSA-N CC[C@H]1OC(=O)[C@H](C)[C@@H](O[C@H]2C[C@@](C)(OC)[C@@H](O)[C@H](C)O2)[C@H](C)[C@@H](O[C@@H]2O[C@H](C)C[C@H](N(C)C)[C@H]2O)[C@](C)(O)C[C@@H](C)CN(CC2=CC(=O)OC3=C2C=CC(OC)=C3)[C@H](C)[C@@H](O)[C@]1(C)O Chemical compound CC[C@H]1OC(=O)[C@H](C)[C@@H](O[C@H]2C[C@@](C)(OC)[C@@H](O)[C@H](C)O2)[C@H](C)[C@@H](O[C@@H]2O[C@H](C)C[C@H](N(C)C)[C@H]2O)[C@](C)(O)C[C@@H](C)CN(CC2=CC(=O)OC3=C2C=CC(OC)=C3)[C@H](C)[C@@H](O)[C@]1(C)O BSHRLVUSEWVFKU-ZCWVPNRBSA-N 0.000 description 1
- OILYSRCLERUSKS-ZEHUMHCESA-N CC[C@H]1OC(=O)[C@H](C)[C@@H](O[C@H]2C[C@@](C)(OC)[C@@H](O)[C@H](C)O2)[C@H](C)[C@@H](O[C@@H]2O[C@H](C)C[C@H](N(C)C)[C@H]2OC(=O)CSCC2=CC(=O)OC3=C2C=C(OC)C(OC)=C3)[C@](C)(O)C[C@@H](C)CN(C)[C@H](C)[C@@H](O)[C@]1(C)O Chemical compound CC[C@H]1OC(=O)[C@H](C)[C@@H](O[C@H]2C[C@@](C)(OC)[C@@H](O)[C@H](C)O2)[C@H](C)[C@@H](O[C@@H]2O[C@H](C)C[C@H](N(C)C)[C@H]2OC(=O)CSCC2=CC(=O)OC3=C2C=C(OC)C(OC)=C3)[C@](C)(O)C[C@@H](C)CN(C)[C@H](C)[C@@H](O)[C@]1(C)O OILYSRCLERUSKS-ZEHUMHCESA-N 0.000 description 1
- ULUSIXKKMDGEKF-FRJSPTQISA-N CC[C@H]1OC(=O)[C@H](C)[C@@H](O[C@H]2C[C@@](C)(OC)[C@@H](O)[C@H](C)O2)[C@H](C)[C@@H](O[C@@H]2O[C@H](C)C[C@H]3O[C@@H]23)[C@](C)(O)C[C@@H](C)CN(C)[C@H](C)[C@@H](O)[C@]1(C)O Chemical compound CC[C@H]1OC(=O)[C@H](C)[C@@H](O[C@H]2C[C@@](C)(OC)[C@@H](O)[C@H](C)O2)[C@H](C)[C@@H](O[C@@H]2O[C@H](C)C[C@H]3O[C@@H]23)[C@](C)(O)C[C@@H](C)CN(C)[C@H](C)[C@@H](O)[C@]1(C)O ULUSIXKKMDGEKF-FRJSPTQISA-N 0.000 description 1
- TYMNWJXNVMQKEJ-QPVPSARVSA-N CC[C@H]1OC(=O)[C@H](C)[C@@H](O[C@H]2C[C@@](C)(OC)[C@@H](OC(C)=O)[C@H](C)O2)[C@H](C)[C@@H](O[C@@H]2O[C@H](C)CC3[C@H]2OS(C)(=O)=ON3C)[C@](C)(O)C[C@@H](C)CN(C)[C@H](C)[C@@H](OC(C)=O)[C@]1(C)O Chemical compound CC[C@H]1OC(=O)[C@H](C)[C@@H](O[C@H]2C[C@@](C)(OC)[C@@H](OC(C)=O)[C@H](C)O2)[C@H](C)[C@@H](O[C@@H]2O[C@H](C)CC3[C@H]2OS(C)(=O)=ON3C)[C@](C)(O)C[C@@H](C)CN(C)[C@H](C)[C@@H](OC(C)=O)[C@]1(C)O TYMNWJXNVMQKEJ-QPVPSARVSA-N 0.000 description 1
- AGZCFUVAHPIIPS-UHFFFAOYSA-N CN(C)C1=C2C=CC=C(S(=O)(=O)N(CCO)CCO)C2=CC=C1 Chemical compound CN(C)C1=C2C=CC=C(S(=O)(=O)N(CCO)CCO)C2=CC=C1 AGZCFUVAHPIIPS-UHFFFAOYSA-N 0.000 description 1
- UFXCEKYVPHNAIU-UHFFFAOYSA-N CN(C)C1=C2C=CC=C(S(=O)(=O)N3CCN(C4=CC=C(O)C=C4)CC3)C2=CC=C1 Chemical compound CN(C)C1=C2C=CC=C(S(=O)(=O)N3CCN(C4=CC=C(O)C=C4)CC3)C2=CC=C1 UFXCEKYVPHNAIU-UHFFFAOYSA-N 0.000 description 1
- OWFFNIVDWMEQBQ-UHFFFAOYSA-N CN(C)C1=C2C=CC=C(S(=O)(=O)N3CCN(CCO)CC3)C2=CC=C1 Chemical compound CN(C)C1=C2C=CC=C(S(=O)(=O)N3CCN(CCO)CC3)C2=CC=C1 OWFFNIVDWMEQBQ-UHFFFAOYSA-N 0.000 description 1
- ATGHQYBANGTSFT-UHFFFAOYSA-N CN(C)C1=C2C=CC=C(S(=O)(=O)NC(C)(CO)CO)C2=CC=C1 Chemical compound CN(C)C1=C2C=CC=C(S(=O)(=O)NC(C)(CO)CO)C2=CC=C1 ATGHQYBANGTSFT-UHFFFAOYSA-N 0.000 description 1
- VMRXCUXSVLKUAS-UHFFFAOYSA-N CN(C)C1=C2C=CC=C(S(=O)(=O)NC3=CC=C(C(=O)O)C=C3O)C2=CC=C1 Chemical compound CN(C)C1=C2C=CC=C(S(=O)(=O)NC3=CC=C(C(=O)O)C=C3O)C2=CC=C1 VMRXCUXSVLKUAS-UHFFFAOYSA-N 0.000 description 1
- OFTJNHOVDDZGBB-UHFFFAOYSA-N CN(C)C1=C2C=CC=C(S(=O)(=O)NC3=CNC(=O)NC3=O)C2=CC=C1 Chemical compound CN(C)C1=C2C=CC=C(S(=O)(=O)NC3=CNC(=O)NC3=O)C2=CC=C1 OFTJNHOVDDZGBB-UHFFFAOYSA-N 0.000 description 1
- MCWQILDZIJHVDP-UHFFFAOYSA-N CN(C)C1=C2C=CC=C(S(=O)(=O)NC3=NNC(O)=C3)C2=CC=C1 Chemical compound CN(C)C1=C2C=CC=C(S(=O)(=O)NC3=NNC(O)=C3)C2=CC=C1 MCWQILDZIJHVDP-UHFFFAOYSA-N 0.000 description 1
- JNFDPZXNKMXBNV-UHFFFAOYSA-N CN(C)C1=C2C=CC=C(S(=O)(=O)NCCCN3CCCC3=O)C2=CC=C1 Chemical compound CN(C)C1=C2C=CC=C(S(=O)(=O)NCCCN3CCCC3=O)C2=CC=C1 JNFDPZXNKMXBNV-UHFFFAOYSA-N 0.000 description 1
- FNRSZWIPZALSPV-UHFFFAOYSA-N CN(C)C1=C2C=CC=C(S(=O)(=O)NN3CCN(CCO)CC3)C2=CC=C1 Chemical compound CN(C)C1=C2C=CC=C(S(=O)(=O)NN3CCN(CCO)CC3)C2=CC=C1 FNRSZWIPZALSPV-UHFFFAOYSA-N 0.000 description 1
- QDJMPJLVUGQLNM-UHFFFAOYSA-N CN(C)C1=CC=CC2=C1C=CC=C2S(=O)(=O)NNC(=N)N Chemical compound CN(C)C1=CC=CC2=C1C=CC=C2S(=O)(=O)NNC(=N)N QDJMPJLVUGQLNM-UHFFFAOYSA-N 0.000 description 1
- AEMJUVLOOXVWEA-UHFFFAOYSA-N COC(=O)C1CN(S(=O)(=O)C2=CC=CC3=C(N(C)C)C=CC=C23)CCC1=O Chemical compound COC(=O)C1CN(S(=O)(=O)C2=CC=CC3=C(N(C)C)C=CC=C23)CCC1=O AEMJUVLOOXVWEA-UHFFFAOYSA-N 0.000 description 1
- JFSZUCNLHILXSH-HDMIYARESA-N COC1=C(C)C2=C(C(=O)OC2)C(O)=C1C/C=C(\C)CCC(=O)OC(COCCCCOCC(CN1CCOCC1)OC(=O)CC/C(C)=C/CC1=C(O)C2=C(COC2=O)C(C)=C1OC)CN1CCOCC1 Chemical compound COC1=C(C)C2=C(C(=O)OC2)C(O)=C1C/C=C(\C)CCC(=O)OC(COCCCCOCC(CN1CCOCC1)OC(=O)CC/C(C)=C/CC1=C(O)C2=C(COC2=O)C(C)=C1OC)CN1CCOCC1 JFSZUCNLHILXSH-HDMIYARESA-N 0.000 description 1
- VUEKOWZAXOAZFR-WDZFZDKYSA-N COC1=CC(C)=C(/C(=C\C(C)=O)CC(N)C(=O)O)C=C1OC Chemical compound COC1=CC(C)=C(/C(=C\C(C)=O)CC(N)C(=O)O)C=C1OC VUEKOWZAXOAZFR-WDZFZDKYSA-N 0.000 description 1
- SNFPEOQFWQJAPR-JYRVWZFOSA-O COC1=CC(C)=C(/C(=C\C(C)=O)CC(NC(=O)C([NH3+])CCC(=O)O)C(=O)O)C=C1OC Chemical compound COC1=CC(C)=C(/C(=C\C(C)=O)CC(NC(=O)C([NH3+])CCC(=O)O)C(=O)O)C=C1OC SNFPEOQFWQJAPR-JYRVWZFOSA-O 0.000 description 1
- SLBVWXHNMAQVIY-JYRVWZFOSA-O COC1=CC(C)=C(/C(=C\C(C)=O)CC(NC(=O)CC[NH3+])C(=O)O)C=C1OC Chemical compound COC1=CC(C)=C(/C(=C\C(C)=O)CC(NC(=O)CC[NH3+])C(=O)O)C=C1OC SLBVWXHNMAQVIY-JYRVWZFOSA-O 0.000 description 1
- VXIQCMSSUAWBKU-UHFFFAOYSA-N COC1=CC2=C(C=C1)C(CSC1=C3N=CNC3=NC=N1)=CC(=O)O2 Chemical compound COC1=CC2=C(C=C1)C(CSC1=C3N=CNC3=NC=N1)=CC(=O)O2 VXIQCMSSUAWBKU-UHFFFAOYSA-N 0.000 description 1
- MKGPDYFOGYJWPG-UHFFFAOYSA-O COC1=CC2=C(C=C1OC)C(CC(NC(=O)C([NH3+])C(C)C)C(=O)O)=CC(=O)O2 Chemical compound COC1=CC2=C(C=C1OC)C(CC(NC(=O)C([NH3+])C(C)C)C(=O)O)=CC(=O)O2 MKGPDYFOGYJWPG-UHFFFAOYSA-O 0.000 description 1
- VTRQJGJTYPFDIM-UHFFFAOYSA-O COC1=CC2=C(C=C1OC)C(CC(NC(=O)C[NH3+])C(=O)O)=CC(=O)O2 Chemical compound COC1=CC2=C(C=C1OC)C(CC(NC(=O)C[NH3+])C(=O)O)=CC(=O)O2 VTRQJGJTYPFDIM-UHFFFAOYSA-O 0.000 description 1
- JZLVIDSXVFTDEY-LCYFTJDESA-N COC1=CC=C(/C(=C\C(C)=O)CSC2=NN=C(C3=CC=C([N+](=O)O)O3)S2)C(C)=C1 Chemical compound COC1=CC=C(/C(=C\C(C)=O)CSC2=NN=C(C3=CC=C([N+](=O)O)O3)S2)C(C)=C1 JZLVIDSXVFTDEY-LCYFTJDESA-N 0.000 description 1
- QAGYKUNXZHXKMR-UHFFFAOYSA-N CPD000469186 Natural products CC1=C(O)C=CC=C1C(=O)NC(C(O)CN1C(CC2CCCCC2C1)C(=O)NC(C)(C)C)CSC1=CC=CC=C1 QAGYKUNXZHXKMR-UHFFFAOYSA-N 0.000 description 1
- BZUNJUAMQZRJIP-UHFFFAOYSA-N CPDA Natural products OCCCCCCCCCCCCCCC(O)=O BZUNJUAMQZRJIP-UHFFFAOYSA-N 0.000 description 1
- 201000002829 CREST Syndrome Diseases 0.000 description 1
- PKMUHQIDVVOXHQ-HXUWFJFHSA-N C[C@H](C1=CC(C2=CC=C(CNC3CCCC3)S2)=CC=C1)NC(C1=C(C)C=CC(NC2CNC2)=C1)=O Chemical compound C[C@H](C1=CC(C2=CC=C(CNC3CCCC3)S2)=CC=C1)NC(C1=C(C)C=CC(NC2CNC2)=C1)=O PKMUHQIDVVOXHQ-HXUWFJFHSA-N 0.000 description 1
- GAWIXWVDTYZWAW-UHFFFAOYSA-N C[CH]O Chemical group C[CH]O GAWIXWVDTYZWAW-UHFFFAOYSA-N 0.000 description 1
- BHPQYMZQTOCNFJ-UHFFFAOYSA-N Calcium cation Chemical compound [Ca+2] BHPQYMZQTOCNFJ-UHFFFAOYSA-N 0.000 description 1
- UXVMQQNJUSDDNG-UHFFFAOYSA-L Calcium chloride Chemical compound [Cl-].[Cl-].[Ca+2] UXVMQQNJUSDDNG-UHFFFAOYSA-L 0.000 description 1
- KLWPJMFMVPTNCC-UHFFFAOYSA-N Camptothecin Natural products CCC1(O)C(=O)OCC2=C1C=C3C4Nc5ccccc5C=C4CN3C2=O KLWPJMFMVPTNCC-UHFFFAOYSA-N 0.000 description 1
- 208000022526 Canavan disease Diseases 0.000 description 1
- GAGWJHPBXLXJQN-UORFTKCHSA-N Capecitabine Chemical compound C1=C(F)C(NC(=O)OCCCCC)=NC(=O)N1[C@H]1[C@H](O)[C@H](O)[C@@H](C)O1 GAGWJHPBXLXJQN-UORFTKCHSA-N 0.000 description 1
- GAGWJHPBXLXJQN-UHFFFAOYSA-N Capecitabine Natural products C1=C(F)C(NC(=O)OCCCCC)=NC(=O)N1C1C(O)C(O)C(C)O1 GAGWJHPBXLXJQN-UHFFFAOYSA-N 0.000 description 1
- 229920002134 Carboxymethyl cellulose Polymers 0.000 description 1
- 201000009030 Carcinoma Diseases 0.000 description 1
- 208000031229 Cardiomyopathies Diseases 0.000 description 1
- DLGOEMSEDOSKAD-UHFFFAOYSA-N Carmustine Chemical compound ClCCNC(=O)N(N=O)CCCl DLGOEMSEDOSKAD-UHFFFAOYSA-N 0.000 description 1
- 108010020326 Caspofungin Proteins 0.000 description 1
- 208000022636 Cestode infectious disease Diseases 0.000 description 1
- ZKLPARSLTMPFCP-UHFFFAOYSA-N Cetirizine Chemical compound C1CN(CCOCC(=O)O)CCN1C(C=1C=CC(Cl)=CC=1)C1=CC=CC=C1 ZKLPARSLTMPFCP-UHFFFAOYSA-N 0.000 description 1
- 208000024699 Chagas disease Diseases 0.000 description 1
- ZAMOUSCENKQFHK-UHFFFAOYSA-N Chlorine atom Chemical compound [Cl] ZAMOUSCENKQFHK-UHFFFAOYSA-N 0.000 description 1
- 206010008583 Chloroma Diseases 0.000 description 1
- 208000004139 Choroid Plexus Neoplasms Diseases 0.000 description 1
- 208000002691 Choroiditis Diseases 0.000 description 1
- 208000030939 Chronic inflammatory demyelinating polyneuropathy Diseases 0.000 description 1
- 208000010833 Chronic myeloid leukaemia Diseases 0.000 description 1
- VWFCHDSQECPREK-LURJTMIESA-N Cidofovir Chemical compound NC=1C=CN(C[C@@H](CO)OCP(O)(O)=O)C(=O)N=1 VWFCHDSQECPREK-LURJTMIESA-N 0.000 description 1
- PTOAARAWEBMLNO-KVQBGUIXSA-N Cladribine Chemical compound C1=NC=2C(N)=NC(Cl)=NC=2N1[C@H]1C[C@H](O)[C@@H](CO)O1 PTOAARAWEBMLNO-KVQBGUIXSA-N 0.000 description 1
- 208000015943 Coeliac disease Diseases 0.000 description 1
- 208000011038 Cold agglutinin disease Diseases 0.000 description 1
- 206010009868 Cold type haemolytic anaemia Diseases 0.000 description 1
- 229940126657 Compound 17 Drugs 0.000 description 1
- 229940126639 Compound 33 Drugs 0.000 description 1
- 206010010741 Conjunctivitis Diseases 0.000 description 1
- MFYSYFVPBJMHGN-ZPOLXVRWSA-N Cortisone Chemical compound O=C1CC[C@]2(C)[C@H]3C(=O)C[C@](C)([C@@](CC4)(O)C(=O)CO)[C@@H]4[C@@H]3CCC2=C1 MFYSYFVPBJMHGN-ZPOLXVRWSA-N 0.000 description 1
- MFYSYFVPBJMHGN-UHFFFAOYSA-N Cortisone Natural products O=C1CCC2(C)C3C(=O)CC(C)(C(CC4)(O)C(=O)CO)C4C3CCC2=C1 MFYSYFVPBJMHGN-UHFFFAOYSA-N 0.000 description 1
- 208000020406 Creutzfeldt Jacob disease Diseases 0.000 description 1
- 208000003407 Creutzfeldt-Jakob Syndrome Diseases 0.000 description 1
- 208000010859 Creutzfeldt-Jakob disease Diseases 0.000 description 1
- 206010011416 Croup infectious Diseases 0.000 description 1
- 208000019707 Cryoglobulinemic vasculitis Diseases 0.000 description 1
- 208000008953 Cryptosporidiosis Diseases 0.000 description 1
- 206010011502 Cryptosporidiosis infection Diseases 0.000 description 1
- 208000012514 Cumulative Trauma disease Diseases 0.000 description 1
- XDTMQSROBMDMFD-UHFFFAOYSA-N Cyclohexane Chemical compound C1CCCCC1 XDTMQSROBMDMFD-UHFFFAOYSA-N 0.000 description 1
- CMSMOCZEIVJLDB-UHFFFAOYSA-N Cyclophosphamide Chemical compound ClCCN(CCCl)P1(=O)NCCCO1 CMSMOCZEIVJLDB-UHFFFAOYSA-N 0.000 description 1
- 241000016605 Cyclospora cayetanensis Species 0.000 description 1
- 206010061802 Cyclosporidium infection Diseases 0.000 description 1
- 201000003808 Cystic echinococcosis Diseases 0.000 description 1
- 201000000077 Cysticercosis Diseases 0.000 description 1
- 102000018832 Cytochromes Human genes 0.000 description 1
- 108010052832 Cytochromes Proteins 0.000 description 1
- 108010076525 DNA Repair Enzymes Proteins 0.000 description 1
- 102000011724 DNA Repair Enzymes Human genes 0.000 description 1
- 230000004544 DNA amplification Effects 0.000 description 1
- 108010092160 Dactinomycin Proteins 0.000 description 1
- MQJKPEGWNLWLTK-UHFFFAOYSA-N Dapsone Chemical compound C1=CC(N)=CC=C1S(=O)(=O)C1=CC=C(N)C=C1 MQJKPEGWNLWLTK-UHFFFAOYSA-N 0.000 description 1
- 201000004624 Dermatitis Diseases 0.000 description 1
- 206010012438 Dermatitis atopic Diseases 0.000 description 1
- FEWJPZIEWOKRBE-JCYAYHJZSA-N Dextrotartaric acid Chemical compound OC(=O)[C@H](O)[C@@H](O)C(O)=O FEWJPZIEWOKRBE-JCYAYHJZSA-N 0.000 description 1
- BXZVVICBKDXVGW-NKWVEPMBSA-N Didanosine Chemical compound O1[C@H](CO)CC[C@@H]1N1C(NC=NC2=O)=C2N=C1 BXZVVICBKDXVGW-NKWVEPMBSA-N 0.000 description 1
- 241000157306 Dientamoeba fragilis Species 0.000 description 1
- 208000004986 Diffuse Cerebral Sclerosis of Schilder Diseases 0.000 description 1
- IIUZTXTZRGLYTI-UHFFFAOYSA-N Dihydrogriseofulvin Natural products COC1CC(=O)CC(C)C11C(=O)C(C(OC)=CC(OC)=C2Cl)=C2O1 IIUZTXTZRGLYTI-UHFFFAOYSA-N 0.000 description 1
- 206010013029 Diphyllobothriasis Diseases 0.000 description 1
- 241001137876 Diphyllobothrium Species 0.000 description 1
- 239000012591 Dulbecco’s Phosphate Buffered Saline Substances 0.000 description 1
- 208000032928 Dyslipidaemia Diseases 0.000 description 1
- 241000244163 Echinococcus multilocularis Species 0.000 description 1
- XPOQHMRABVBWPR-UHFFFAOYSA-N Efavirenz Natural products O1C(=O)NC2=CC=C(Cl)C=C2C1(C(F)(F)F)C#CC1CC1 XPOQHMRABVBWPR-UHFFFAOYSA-N 0.000 description 1
- 241000792859 Enema Species 0.000 description 1
- 241000224431 Entamoeba Species 0.000 description 1
- BRLQWZUYTZBJKN-UHFFFAOYSA-N Epichlorohydrin Chemical compound ClCC1CO1 BRLQWZUYTZBJKN-UHFFFAOYSA-N 0.000 description 1
- 241000283073 Equus caballus Species 0.000 description 1
- PIICEJLVQHRZGT-UHFFFAOYSA-N Ethylenediamine Chemical compound NCCN PIICEJLVQHRZGT-UHFFFAOYSA-N 0.000 description 1
- 208000009386 Experimental Arthritis Diseases 0.000 description 1
- 241000282326 Felis catus Species 0.000 description 1
- 229920001917 Ficoll Polymers 0.000 description 1
- APQPGQGAWABJLN-UHFFFAOYSA-N Floctafenine Chemical compound OCC(O)COC(=O)C1=CC=CC=C1NC1=CC=NC2=C(C(F)(F)F)C=CC=C12 APQPGQGAWABJLN-UHFFFAOYSA-N 0.000 description 1
- PXGOKWXKJXAPGV-UHFFFAOYSA-N Fluorine Chemical compound FF PXGOKWXKJXAPGV-UHFFFAOYSA-N 0.000 description 1
- BDAGIHXWWSANSR-UHFFFAOYSA-M Formate Chemical compound [O-]C=O BDAGIHXWWSANSR-UHFFFAOYSA-M 0.000 description 1
- 208000024160 Fuchs heterochromic iridocyclitis Diseases 0.000 description 1
- 201000010479 Fuchs' heterochromic uveitis Diseases 0.000 description 1
- 241000287828 Gallus gallus Species 0.000 description 1
- 206010017708 Ganglioneuroblastoma Diseases 0.000 description 1
- 208000005577 Gastroenteritis Diseases 0.000 description 1
- 208000018522 Gastrointestinal disease Diseases 0.000 description 1
- 241000224467 Giardia intestinalis Species 0.000 description 1
- 241000224468 Giardia muris Species 0.000 description 1
- 201000010915 Glioblastoma multiforme Diseases 0.000 description 1
- WQZGKKKJIJFFOK-GASJEMHNSA-N Glucose Natural products OC[C@H]1OC(O)[C@H](O)[C@@H](O)[C@@H]1O WQZGKKKJIJFFOK-GASJEMHNSA-N 0.000 description 1
- 239000004471 Glycine Substances 0.000 description 1
- AEMRFAOFKBGASW-UHFFFAOYSA-M Glycolate Chemical compound OCC([O-])=O AEMRFAOFKBGASW-UHFFFAOYSA-M 0.000 description 1
- 102000003886 Glycoproteins Human genes 0.000 description 1
- 108090000288 Glycoproteins Proteins 0.000 description 1
- 208000024869 Goodpasture syndrome Diseases 0.000 description 1
- 206010072579 Granulomatosis with polyangiitis Diseases 0.000 description 1
- 208000015023 Graves' disease Diseases 0.000 description 1
- UXWOXTQWVMFRSE-UHFFFAOYSA-N Griseoviridin Natural products O=C1OC(C)CC=C(C(NCC=CC=CC(O)CC(O)C2)=O)SCC1NC(=O)C1=COC2=N1 UXWOXTQWVMFRSE-UHFFFAOYSA-N 0.000 description 1
- 239000007995 HEPES buffer Substances 0.000 description 1
- CTETYYAZBPJBHE-UHFFFAOYSA-N Haloprogin Chemical compound ClC1=CC(Cl)=C(OCC#CI)C=C1Cl CTETYYAZBPJBHE-UHFFFAOYSA-N 0.000 description 1
- 208000030836 Hashimoto thyroiditis Diseases 0.000 description 1
- 208000006968 Helminthiasis Diseases 0.000 description 1
- 102000001554 Hemoglobins Human genes 0.000 description 1
- 108010054147 Hemoglobins Proteins 0.000 description 1
- HTTJABKRGRZYRN-UHFFFAOYSA-N Heparin Chemical compound OC1C(NC(=O)C)C(O)OC(COS(O)(=O)=O)C1OC1C(OS(O)(=O)=O)C(O)C(OC2C(C(OS(O)(=O)=O)C(OC3C(C(O)C(O)C(O3)C(O)=O)OS(O)(=O)=O)C(CO)O2)NS(O)(=O)=O)C(C(O)=O)O1 HTTJABKRGRZYRN-UHFFFAOYSA-N 0.000 description 1
- 241000700721 Hepatitis B virus Species 0.000 description 1
- 206010019771 Hepatitis F Diseases 0.000 description 1
- 208000007514 Herpes zoster Diseases 0.000 description 1
- 101000922348 Homo sapiens C-X-C chemokine receptor type 4 Proteins 0.000 description 1
- 102000008100 Human Serum Albumin Human genes 0.000 description 1
- 108091006905 Human Serum Albumin Proteins 0.000 description 1
- CPELXLSAUQHCOX-UHFFFAOYSA-N Hydrogen bromide Chemical compound Br CPELXLSAUQHCOX-UHFFFAOYSA-N 0.000 description 1
- MHAJPDPJQMAIIY-UHFFFAOYSA-N Hydrogen peroxide Chemical compound OO MHAJPDPJQMAIIY-UHFFFAOYSA-N 0.000 description 1
- 208000035150 Hypercholesterolemia Diseases 0.000 description 1
- 206010020983 Hypogammaglobulinaemia Diseases 0.000 description 1
- XQFRJNBWHJMXHO-RRKCRQDMSA-N IDUR Chemical compound C1[C@H](O)[C@@H](CO)O[C@H]1N1C(=O)NC(=O)C(I)=C1 XQFRJNBWHJMXHO-RRKCRQDMSA-N 0.000 description 1
- XDXDZDZNSLXDNA-TZNDIEGXSA-N Idarubicin Chemical compound C1[C@H](N)[C@H](O)[C@H](C)O[C@H]1O[C@@H]1C2=C(O)C(C(=O)C3=CC=CC=C3C3=O)=C3C(O)=C2C[C@@](O)(C(C)=O)C1 XDXDZDZNSLXDNA-TZNDIEGXSA-N 0.000 description 1
- XDXDZDZNSLXDNA-UHFFFAOYSA-N Idarubicin Natural products C1C(N)C(O)C(C)OC1OC1C2=C(O)C(C(=O)C3=CC=CC=C3C3=O)=C3C(O)=C2CC(O)(C(C)=O)C1 XDXDZDZNSLXDNA-UHFFFAOYSA-N 0.000 description 1
- 201000009794 Idiopathic Pulmonary Fibrosis Diseases 0.000 description 1
- 208000010159 IgA glomerulonephritis Diseases 0.000 description 1
- 206010021263 IgA nephropathy Diseases 0.000 description 1
- DGAQECJNVWCQMB-PUAWFVPOSA-M Ilexoside XXIX Chemical compound C[C@@H]1CC[C@@]2(CC[C@@]3(C(=CC[C@H]4[C@]3(CC[C@@H]5[C@@]4(CC[C@@H](C5(C)C)OS(=O)(=O)[O-])C)C)[C@@H]2[C@]1(C)O)C)C(=O)O[C@H]6[C@@H]([C@H]([C@@H]([C@H](O6)CO)O)O)O.[Na+] DGAQECJNVWCQMB-PUAWFVPOSA-M 0.000 description 1
- 206010061598 Immunodeficiency Diseases 0.000 description 1
- 208000029462 Immunodeficiency disease Diseases 0.000 description 1
- 206010061216 Infarction Diseases 0.000 description 1
- 208000022559 Inflammatory bowel disease Diseases 0.000 description 1
- 206010022557 Intermediate uveitis Diseases 0.000 description 1
- 208000003456 Juvenile Arthritis Diseases 0.000 description 1
- 206010059176 Juvenile idiopathic arthritis Diseases 0.000 description 1
- KJHKTHWMRKYKJE-SUGCFTRWSA-N Kaletra Chemical compound N1([C@@H](C(C)C)C(=O)N[C@H](C[C@H](O)[C@H](CC=2C=CC=CC=2)NC(=O)COC=2C(=CC=CC=2C)C)CC=2C=CC=CC=2)CCCNC1=O KJHKTHWMRKYKJE-SUGCFTRWSA-N 0.000 description 1
- 229930194542 Keto Natural products 0.000 description 1
- CKLJMWTZIZZHCS-REOHCLBHSA-N L-aspartic acid Chemical compound OC(=O)[C@@H](N)CC(O)=O CKLJMWTZIZZHCS-REOHCLBHSA-N 0.000 description 1
- ZDXPYRJPNDTMRX-VKHMYHEASA-N L-glutamine Chemical compound OC(=O)[C@@H](N)CCC(N)=O ZDXPYRJPNDTMRX-VKHMYHEASA-N 0.000 description 1
- 229930182816 L-glutamine Natural products 0.000 description 1
- FBOZXECLQNJBKD-ZDUSSCGKSA-N L-methotrexate Chemical compound C=1N=C2N=C(N)N=C(N)C2=NC=1CN(C)C1=CC=C(C(=O)N[C@@H](CCC(O)=O)C(O)=O)C=C1 FBOZXECLQNJBKD-ZDUSSCGKSA-N 0.000 description 1
- JVTAAEKCZFNVCJ-UHFFFAOYSA-M Lactate Chemical compound CC(O)C([O-])=O JVTAAEKCZFNVCJ-UHFFFAOYSA-M 0.000 description 1
- 208000004204 Larva Migrans Diseases 0.000 description 1
- 108090001090 Lectins Proteins 0.000 description 1
- 102000004856 Lectins Human genes 0.000 description 1
- 241000222727 Leishmania donovani Species 0.000 description 1
- 208000004554 Leishmaniasis Diseases 0.000 description 1
- 208000017170 Lipid metabolism disease Diseases 0.000 description 1
- 208000002041 Loiasis Diseases 0.000 description 1
- GQYIWUVLTXOXAJ-UHFFFAOYSA-N Lomustine Chemical compound ClCCN(N=O)C(=O)NC1CCCCC1 GQYIWUVLTXOXAJ-UHFFFAOYSA-N 0.000 description 1
- 239000006142 Luria-Bertani Agar Substances 0.000 description 1
- FYYHWMGAXLPEAU-UHFFFAOYSA-N Magnesium Chemical compound [Mg] FYYHWMGAXLPEAU-UHFFFAOYSA-N 0.000 description 1
- JLVVSXFLKOJNIY-UHFFFAOYSA-N Magnesium ion Chemical compound [Mg+2] JLVVSXFLKOJNIY-UHFFFAOYSA-N 0.000 description 1
- OFOBLEOULBTSOW-UHFFFAOYSA-L Malonate Chemical compound [O-]C(=O)CC([O-])=O OFOBLEOULBTSOW-UHFFFAOYSA-L 0.000 description 1
- ZRVUJXDFFKFLMG-UHFFFAOYSA-N Meloxicam Chemical compound OC=1C2=CC=CC=C2S(=O)(=O)N(C)C=1C(=O)NC1=NC=C(C)S1 ZRVUJXDFFKFLMG-UHFFFAOYSA-N 0.000 description 1
- 108010052285 Membrane Proteins Proteins 0.000 description 1
- 241001465754 Metazoa Species 0.000 description 1
- FQISKWAFAHGMGT-SGJOWKDISA-M Methylprednisolone sodium succinate Chemical compound [Na+].C([C@@]12C)=CC(=O)C=C1[C@@H](C)C[C@@H]1[C@@H]2[C@@H](O)C[C@]2(C)[C@@](O)(C(=O)COC(=O)CCC([O-])=O)CC[C@H]21 FQISKWAFAHGMGT-SGJOWKDISA-M 0.000 description 1
- BYBLEWFAAKGYCD-UHFFFAOYSA-N Miconazole Chemical compound ClC1=CC(Cl)=CC=C1COC(C=1C(=CC(Cl)=CC=1)Cl)CN1C=NC=C1 BYBLEWFAAKGYCD-UHFFFAOYSA-N 0.000 description 1
- 101710151805 Mitochondrial intermediate peptidase 1 Proteins 0.000 description 1
- 229930192392 Mitomycin Natural products 0.000 description 1
- 208000012192 Mucous membrane pemphigoid Diseases 0.000 description 1
- 208000031888 Mycoses Diseases 0.000 description 1
- 208000033761 Myelogenous Chronic BCR-ABL Positive Leukemia Diseases 0.000 description 1
- NWIBSHFKIJFRCO-WUDYKRTCSA-N Mytomycin Chemical compound C1N2C(C(C(C)=C(N)C3=O)=O)=C3[C@@H](COC(N)=O)[C@@]2(OC)[C@@H]2[C@H]1N2 NWIBSHFKIJFRCO-WUDYKRTCSA-N 0.000 description 1
- JLTDJTHDQAWBAV-UHFFFAOYSA-N N,N-dimethylaniline Chemical compound CN(C)C1=CC=CC=C1 JLTDJTHDQAWBAV-UHFFFAOYSA-N 0.000 description 1
- ZDZOTLJHXYCWBA-VCVYQWHSSA-N N-debenzoyl-N-(tert-butoxycarbonyl)-10-deacetyltaxol Chemical compound O([C@H]1[C@H]2[C@@](C([C@H](O)C3=C(C)[C@@H](OC(=O)[C@H](O)[C@@H](NC(=O)OC(C)(C)C)C=4C=CC=CC=4)C[C@]1(O)C3(C)C)=O)(C)[C@@H](O)C[C@H]1OC[C@]12OC(=O)C)C(=O)C1=CC=CC=C1 ZDZOTLJHXYCWBA-VCVYQWHSSA-N 0.000 description 1
- OPFJDXRVMFKJJO-ZHHKINOHSA-N N-{[3-(2-benzamido-4-methyl-1,3-thiazol-5-yl)-pyrazol-5-yl]carbonyl}-G-dR-G-dD-dD-dD-NH2 Chemical compound S1C(C=2NN=C(C=2)C(=O)NCC(=O)N[C@H](CCCN=C(N)N)C(=O)NCC(=O)N[C@H](CC(O)=O)C(=O)N[C@H](CC(O)=O)C(=O)N[C@H](CC(O)=O)C(N)=O)=C(C)N=C1NC(=O)C1=CC=CC=C1 OPFJDXRVMFKJJO-ZHHKINOHSA-N 0.000 description 1
- DCPRTMCIOIZTFP-DYYOSQDBSA-N NC(=O)C1=NN([C@H]2O[C@@H](CO)C3OC(C4=CC=CC=C4)OC32)C=N1 Chemical compound NC(=O)C1=NN([C@H]2O[C@@H](CO)C3OC(C4=CC=CC=C4)OC32)C=N1 DCPRTMCIOIZTFP-DYYOSQDBSA-N 0.000 description 1
- ITCHXCGZZGWSSA-UHFFFAOYSA-N NC(CSCC(=O)NCCNC1=CC=CC2=C1C=CC=C2S(=O)(=O)O)C(=O)O Chemical compound NC(CSCC(=O)NCCNC1=CC=CC2=C1C=CC=C2S(=O)(=O)O)C(=O)O ITCHXCGZZGWSSA-UHFFFAOYSA-N 0.000 description 1
- WREGKURFCTUGRC-UHFFFAOYSA-N NC1=NC(=O)N(C2CCC(CO)O2)C=C1 Chemical compound NC1=NC(=O)N(C2CCC(CO)O2)C=C1 WREGKURFCTUGRC-UHFFFAOYSA-N 0.000 description 1
- VIRXEXFEGDYSIV-UHFFFAOYSA-N NC1=NC(=O)N(C2OC(CO)CC2(F)F)C=C1 Chemical compound NC1=NC(=O)N(C2OC(CO)CC2(F)F)C=C1 VIRXEXFEGDYSIV-UHFFFAOYSA-N 0.000 description 1
- UHDGCWIWMRVCDJ-ZTQLWSOOSA-N NC1=NC(=O)N([C@@H]2OC(CO)[C@@H](O)C2O)C=C1 Chemical compound NC1=NC(=O)N([C@@H]2OC(CO)[C@@H](O)C2O)C=C1 UHDGCWIWMRVCDJ-ZTQLWSOOSA-N 0.000 description 1
- PHDRWZXWRBXBOC-VWKQALAWSA-N NC1=NC(N)=C2N=CN(C3O[C@H](CO)CC3F)C2=N1 Chemical compound NC1=NC(N)=C2N=CN(C3O[C@H](CO)CC3F)C2=N1 PHDRWZXWRBXBOC-VWKQALAWSA-N 0.000 description 1
- XSSYCIGJYCVRRK-ULUSZKPHSA-N NC1=NC(O)=C2N=CN(C3C=C[C@@H](CO)C3)C2=N1 Chemical compound NC1=NC(O)=C2N=CN(C3C=C[C@@H](CO)C3)C2=N1 XSSYCIGJYCVRRK-ULUSZKPHSA-N 0.000 description 1
- WJOWACPJSFGNRM-UHFFFAOYSA-N NC1=NC=C2N=CN(CCC(CO)CO)C2=N1 Chemical compound NC1=NC=C2N=CN(CCC(CO)CO)C2=N1 WJOWACPJSFGNRM-UHFFFAOYSA-N 0.000 description 1
- 238000005481 NMR spectroscopy Methods 0.000 description 1
- BLXXJMDCKKHMKV-UHFFFAOYSA-N Nabumetone Chemical compound C1=C(CCC(C)=O)C=CC2=CC(OC)=CC=C21 BLXXJMDCKKHMKV-UHFFFAOYSA-N 0.000 description 1
- 241000224436 Naegleria Species 0.000 description 1
- CMWTZPSULFXXJA-UHFFFAOYSA-N Naproxen Natural products C1=C(C(C)C(O)=O)C=CC2=CC(OC)=CC=C21 CMWTZPSULFXXJA-UHFFFAOYSA-N 0.000 description 1
- 241000498271 Necator Species 0.000 description 1
- 241000498270 Necator americanus Species 0.000 description 1
- DDUHZTYCFQRHIY-UHFFFAOYSA-N Negwer: 6874 Natural products COC1=CC(=O)CC(C)C11C(=O)C(C(OC)=CC(OC)=C2Cl)=C2O1 DDUHZTYCFQRHIY-UHFFFAOYSA-N 0.000 description 1
- 208000034176 Neoplasms, Germ Cell and Embryonal Diseases 0.000 description 1
- 206010029164 Nephrotic syndrome Diseases 0.000 description 1
- PVNIIMVLHYAWGP-UHFFFAOYSA-N Niacin Chemical compound OC(=O)C1=CC=CN=C1 PVNIIMVLHYAWGP-UHFFFAOYSA-N 0.000 description 1
- 229940122313 Nucleoside reverse transcriptase inhibitor Drugs 0.000 description 1
- BOCZQIHSDURJTP-UHFFFAOYSA-N O=C(CN1CCN(C2=C(F)C=C3C(=O)C(C(=O)O)=CN(C4CC4)C3=C2)CC1)NCCNC1=C2C=CC=C(S(=O)(=O)O)C2=CC=C1 Chemical compound O=C(CN1CCN(C2=C(F)C=C3C(=O)C(C(=O)O)=CN(C4CC4)C3=C2)CC1)NCCNC1=C2C=CC=C(S(=O)(=O)O)C2=CC=C1 BOCZQIHSDURJTP-UHFFFAOYSA-N 0.000 description 1
- QERPTGRXAMYUJQ-UHFFFAOYSA-N O=C(CSC1=CC=C(C(=O)O)C=N1)NCCNC1=CC=CC2=C(S(=O)(=O)O)C=CC=C12.[HH] Chemical compound O=C(CSC1=CC=C(C(=O)O)C=N1)NCCNC1=CC=CC2=C(S(=O)(=O)O)C=CC=C12.[HH] QERPTGRXAMYUJQ-UHFFFAOYSA-N 0.000 description 1
- RUJKYBNKKYNUHC-UHFFFAOYSA-M O=C(CSC1=NC=NC2=C1N=CN2)NCCNC1=CC=CC2=C1C=CC=C2S(=O)(=O)[O-] Chemical compound O=C(CSC1=NC=NC2=C1N=CN2)NCCNC1=CC=CC2=C1C=CC=C2S(=O)(=O)[O-] RUJKYBNKKYNUHC-UHFFFAOYSA-M 0.000 description 1
- ACWMTSFPKGASIY-UHFFFAOYSA-N O=C(CSC1OC(CO)C(O)C(O)C1O)NCCNC1=CC=CC2=C(S(=O)(=O)O)C=CC=C12.[HH] Chemical compound O=C(CSC1OC(CO)C(O)C(O)C1O)NCCNC1=CC=CC2=C(S(=O)(=O)O)C=CC=C12.[HH] ACWMTSFPKGASIY-UHFFFAOYSA-N 0.000 description 1
- XXXZRNCWLIXLEM-UHFFFAOYSA-N O=C(O)CCCCCCCCCCCCCCCSCC(=O)NCCNC1=CC=CC2=C(S(=O)(=O)O)C=CC=C12.[HH] Chemical compound O=C(O)CCCCCCCCCCCCCCCSCC(=O)NCCNC1=CC=CC2=C(S(=O)(=O)O)C=CC=C12.[HH] XXXZRNCWLIXLEM-UHFFFAOYSA-N 0.000 description 1
- HFZGDKVWMAIGNG-UHFFFAOYSA-M O=C([O-])CN1N=NN=C1SCC(=O)NCCNC1=CC=CC2=C(S(=O)(=O)O)C=CC=C12.[HH] Chemical compound O=C([O-])CN1N=NN=C1SCC(=O)NCCNC1=CC=CC2=C(S(=O)(=O)O)C=CC=C12.[HH] HFZGDKVWMAIGNG-UHFFFAOYSA-M 0.000 description 1
- XHCADAYNFIFUHF-CGNXWYBLSA-N O=C1C=CC2=CC(O[C@@H]3O[C@H](CO)C(O)[C@H](O)C3O)=C(O)C=C2O1 Chemical compound O=C1C=CC2=CC(O[C@@H]3O[C@H](CO)C(O)[C@H](O)C3O)=C(O)C=C2O1 XHCADAYNFIFUHF-CGNXWYBLSA-N 0.000 description 1
- SOAVLYFOEFBCAG-SELIJELNSA-N OCC1OC(N2/C=N\C3=C(S)N=CN=C32)[C@@H]2OC(C3=CC=CC=C3)O[C@H]12 Chemical compound OCC1OC(N2/C=N\C3=C(S)N=CN=C32)[C@@H]2OC(C3=CC=CC=C3)O[C@H]12 SOAVLYFOEFBCAG-SELIJELNSA-N 0.000 description 1
- 208000008589 Obesity Diseases 0.000 description 1
- 206010030113 Oedema Diseases 0.000 description 1
- 208000012247 Oligodendroglial tumor Diseases 0.000 description 1
- 201000010133 Oligodendroglioma Diseases 0.000 description 1
- 206010068319 Oropharyngeal pain Diseases 0.000 description 1
- 206010033078 Otitis media Diseases 0.000 description 1
- 102000004020 Oxygenases Human genes 0.000 description 1
- 108090000417 Oxygenases Proteins 0.000 description 1
- 229930012538 Paclitaxel Natural products 0.000 description 1
- 208000002606 Paramyxoviridae Infections Diseases 0.000 description 1
- 208000018737 Parkinson disease Diseases 0.000 description 1
- 201000011152 Pemphigus Diseases 0.000 description 1
- 108091005804 Peptidases Proteins 0.000 description 1
- 208000031845 Pernicious anaemia Diseases 0.000 description 1
- 241000009328 Perro Species 0.000 description 1
- ISFHAYSTHMVOJR-UHFFFAOYSA-N Phenindamine Chemical compound C1N(C)CCC(C2=CC=CC=C22)=C1C2C1=CC=CC=C1 ISFHAYSTHMVOJR-UHFFFAOYSA-N 0.000 description 1
- 108091000080 Phosphotransferase Proteins 0.000 description 1
- 201000007286 Pilocytic astrocytoma Diseases 0.000 description 1
- 206010035226 Plasma cell myeloma Diseases 0.000 description 1
- 208000007452 Plasmacytoma Diseases 0.000 description 1
- 241000223960 Plasmodium falciparum Species 0.000 description 1
- 201000007288 Pleomorphic xanthoastrocytoma Diseases 0.000 description 1
- 206010035742 Pneumonitis Diseases 0.000 description 1
- 208000007048 Polymyalgia Rheumatica Diseases 0.000 description 1
- 229920001214 Polysorbate 60 Polymers 0.000 description 1
- 208000003971 Posterior uveitis Diseases 0.000 description 1
- NPYPAHLBTDXSSS-UHFFFAOYSA-N Potassium ion Chemical compound [K+] NPYPAHLBTDXSSS-UHFFFAOYSA-N 0.000 description 1
- TUZYXOIXSAXUGO-UHFFFAOYSA-N Pravastatin Natural products C1=CC(C)C(CCC(O)CC(O)CC(O)=O)C2C(OC(=O)C(C)CC)CC(O)C=C21 TUZYXOIXSAXUGO-UHFFFAOYSA-N 0.000 description 1
- 208000012654 Primary biliary cholangitis Diseases 0.000 description 1
- XBDQKXXYIPTUBI-UHFFFAOYSA-M Propionate Chemical compound CCC([O-])=O XBDQKXXYIPTUBI-UHFFFAOYSA-M 0.000 description 1
- 102000007327 Protamines Human genes 0.000 description 1
- 108010007568 Protamines Proteins 0.000 description 1
- 239000004365 Protease Substances 0.000 description 1
- 108010020147 Protein Corona Proteins 0.000 description 1
- 108010029485 Protein Isoforms Proteins 0.000 description 1
- 102000001708 Protein Isoforms Human genes 0.000 description 1
- 102000004022 Protein-Tyrosine Kinases Human genes 0.000 description 1
- 108090000412 Protein-Tyrosine Kinases Proteins 0.000 description 1
- 208000010362 Protozoan Infections Diseases 0.000 description 1
- 206010037660 Pyrexia Diseases 0.000 description 1
- 239000012980 RPMI-1640 medium Substances 0.000 description 1
- 241000700159 Rattus Species 0.000 description 1
- 208000012322 Raynaud phenomenon Diseases 0.000 description 1
- 206010063837 Reperfusion injury Diseases 0.000 description 1
- 102100037486 Reverse transcriptase/ribonuclease H Human genes 0.000 description 1
- NCDNCNXCDXHOMX-UHFFFAOYSA-N Ritonavir Natural products C=1C=CC=CC=1CC(NC(=O)OCC=1SC=NC=1)C(O)CC(CC=1C=CC=CC=1)NC(=O)C(C(C)C)NC(=O)N(C)CC1=CSC(C(C)C)=N1 NCDNCNXCDXHOMX-UHFFFAOYSA-N 0.000 description 1
- RYMZZMVNJRMUDD-UHFFFAOYSA-N SJ000286063 Natural products C12C(OC(=O)C(C)(C)CC)CC(C)C=C2C=CC(C)C1CCC1CC(O)CC(=O)O1 RYMZZMVNJRMUDD-UHFFFAOYSA-N 0.000 description 1
- SKZKKFZAGNVIMN-UHFFFAOYSA-N Salicilamide Chemical compound NC(=O)C1=CC=CC=C1O SKZKKFZAGNVIMN-UHFFFAOYSA-N 0.000 description 1
- 206010039491 Sarcoma Diseases 0.000 description 1
- 241000242680 Schistosoma mansoni Species 0.000 description 1
- 206010039710 Scleroderma Diseases 0.000 description 1
- 229940124639 Selective inhibitor Drugs 0.000 description 1
- PNUZDKCDAWUEGK-CYZMBNFOSA-N Sitafloxacin Chemical compound C([C@H]1N)N(C=2C(=C3C(C(C(C(O)=O)=CN3[C@H]3[C@H](C3)F)=O)=CC=2F)Cl)CC11CC1 PNUZDKCDAWUEGK-CYZMBNFOSA-N 0.000 description 1
- 208000021386 Sjogren Syndrome Diseases 0.000 description 1
- FKNQFGJONOIPTF-UHFFFAOYSA-N Sodium cation Chemical compound [Na+] FKNQFGJONOIPTF-UHFFFAOYSA-N 0.000 description 1
- HVUMOYIDDBPOLL-XWVZOOPGSA-N Sorbitan monostearate Chemical compound CCCCCCCCCCCCCCCCCC(=O)OC[C@@H](O)[C@H]1OC[C@H](O)[C@H]1O HVUMOYIDDBPOLL-XWVZOOPGSA-N 0.000 description 1
- 101710189490 Spore cortex-lytic enzyme Proteins 0.000 description 1
- 102000005782 Squalene Monooxygenase Human genes 0.000 description 1
- 108020003891 Squalene monooxygenase Proteins 0.000 description 1
- 206010072148 Stiff-Person syndrome Diseases 0.000 description 1
- 208000006011 Stroke Diseases 0.000 description 1
- 230000005867 T cell response Effects 0.000 description 1
- 208000001106 Takayasu Arteritis Diseases 0.000 description 1
- 208000000491 Tendinopathy Diseases 0.000 description 1
- 206010043255 Tendonitis Diseases 0.000 description 1
- GUGOEEXESWIERI-UHFFFAOYSA-N Terfenadine Chemical compound C1=CC(C(C)(C)C)=CC=C1C(O)CCCN1CCC(C(O)(C=2C=CC=CC=2)C=2C=CC=CC=2)CC1 GUGOEEXESWIERI-UHFFFAOYSA-N 0.000 description 1
- ZMZDMBWJUHKJPS-UHFFFAOYSA-M Thiocyanate anion Chemical compound [S-]C#N ZMZDMBWJUHKJPS-UHFFFAOYSA-M 0.000 description 1
- FOCVUCIESVLUNU-UHFFFAOYSA-N Thiotepa Chemical compound C1CN1P(N1CC1)(=S)N1CC1 FOCVUCIESVLUNU-UHFFFAOYSA-N 0.000 description 1
- 208000007536 Thrombosis Diseases 0.000 description 1
- SUJUHGSWHZTSEU-UHFFFAOYSA-N Tipranavir Natural products C1C(O)=C(C(CC)C=2C=C(NS(=O)(=O)C=3N=CC(=CC=3)C(F)(F)F)C=CC=2)C(=O)OC1(CCC)CCC1=CC=CC=C1 SUJUHGSWHZTSEU-UHFFFAOYSA-N 0.000 description 1
- 241000244030 Toxocara canis Species 0.000 description 1
- 201000005485 Toxoplasmosis Diseases 0.000 description 1
- 101800001690 Transmembrane protein gp41 Proteins 0.000 description 1
- 241000243774 Trichinella Species 0.000 description 1
- 206010044608 Trichiniasis Diseases 0.000 description 1
- 208000005448 Trichomonas Infections Diseases 0.000 description 1
- 206010044620 Trichomoniasis Diseases 0.000 description 1
- 241001489145 Trichuris trichiura Species 0.000 description 1
- DTQVDTLACAAQTR-UHFFFAOYSA-M Trifluoroacetate Chemical compound [O-]C(=O)C(F)(F)F DTQVDTLACAAQTR-UHFFFAOYSA-M 0.000 description 1
- UFLGIAIHIAPJJC-UHFFFAOYSA-N Tripelennamine Chemical compound C=1C=CC=NC=1N(CCN(C)C)CC1=CC=CC=C1 UFLGIAIHIAPJJC-UHFFFAOYSA-N 0.000 description 1
- GLNADSQYFUSGOU-GPTZEZBUSA-J Trypan blue Chemical compound [Na+].[Na+].[Na+].[Na+].C1=C(S([O-])(=O)=O)C=C2C=C(S([O-])(=O)=O)C(/N=N/C3=CC=C(C=C3C)C=3C=C(C(=CC=3)\N=N\C=3C(=CC4=CC(=CC(N)=C4C=3O)S([O-])(=O)=O)S([O-])(=O)=O)C)=C(O)C2=C1N GLNADSQYFUSGOU-GPTZEZBUSA-J 0.000 description 1
- 241000223105 Trypanosoma brucei Species 0.000 description 1
- 241000223109 Trypanosoma cruzi Species 0.000 description 1
- 206010067584 Type 1 diabetes mellitus Diseases 0.000 description 1
- 208000027076 Uveal disease Diseases 0.000 description 1
- HDOVUKNUBWVHOX-QMMMGPOBSA-N Valacyclovir Chemical compound N1C(N)=NC(=O)C2=C1N(COCCOC(=O)[C@@H](N)C(C)C)C=N2 HDOVUKNUBWVHOX-QMMMGPOBSA-N 0.000 description 1
- 206010047115 Vasculitis Diseases 0.000 description 1
- JXLYSJRDGCGARV-WWYNWVTFSA-N Vinblastine Natural products O=C(O[C@H]1[C@](O)(C(=O)OC)[C@@H]2N(C)c3c(cc(c(OC)c3)[C@]3(C(=O)OC)c4[nH]c5c(c4CCN4C[C@](O)(CC)C[C@H](C3)C4)cccc5)[C@@]32[C@H]2[C@@]1(CC)C=CCN2CC3)C JXLYSJRDGCGARV-WWYNWVTFSA-N 0.000 description 1
- 229940122803 Vinca alkaloid Drugs 0.000 description 1
- 241000700605 Viruses Species 0.000 description 1
- 206010047642 Vitiligo Diseases 0.000 description 1
- 241000244005 Wuchereria bancrofti Species 0.000 description 1
- HCHKCACWOHOZIP-UHFFFAOYSA-N Zinc Chemical compound [Zn] HCHKCACWOHOZIP-UHFFFAOYSA-N 0.000 description 1
- LJOOWESTVASNOG-UFJKPHDISA-N [(1s,3r,4ar,7s,8s,8as)-3-hydroxy-8-[2-[(4r)-4-hydroxy-6-oxooxan-2-yl]ethyl]-7-methyl-1,2,3,4,4a,7,8,8a-octahydronaphthalen-1-yl] (2s)-2-methylbutanoate Chemical compound C([C@H]1[C@@H](C)C=C[C@H]2C[C@@H](O)C[C@@H]([C@H]12)OC(=O)[C@@H](C)CC)CC1C[C@@H](O)CC(=O)O1 LJOOWESTVASNOG-UFJKPHDISA-N 0.000 description 1
- LNUFLCYMSVYYNW-ZPJMAFJPSA-N [(2r,3r,4s,5r,6r)-2-[(2r,3r,4s,5r,6r)-6-[(2r,3r,4s,5r,6r)-6-[(2r,3r,4s,5r,6r)-6-[[(3s,5s,8r,9s,10s,13r,14s,17r)-10,13-dimethyl-17-[(2r)-6-methylheptan-2-yl]-2,3,4,5,6,7,8,9,11,12,14,15,16,17-tetradecahydro-1h-cyclopenta[a]phenanthren-3-yl]oxy]-4,5-disulfo Chemical compound O([C@@H]1[C@@H](COS(O)(=O)=O)O[C@@H]([C@@H]([C@H]1OS(O)(=O)=O)OS(O)(=O)=O)O[C@@H]1[C@@H](COS(O)(=O)=O)O[C@@H]([C@@H]([C@H]1OS(O)(=O)=O)OS(O)(=O)=O)O[C@@H]1[C@@H](COS(O)(=O)=O)O[C@H]([C@@H]([C@H]1OS(O)(=O)=O)OS(O)(=O)=O)O[C@@H]1C[C@@H]2CC[C@H]3[C@@H]4CC[C@@H]([C@]4(CC[C@@H]3[C@@]2(C)CC1)C)[C@H](C)CCCC(C)C)[C@H]1O[C@H](COS(O)(=O)=O)[C@@H](OS(O)(=O)=O)[C@H](OS(O)(=O)=O)[C@H]1OS(O)(=O)=O LNUFLCYMSVYYNW-ZPJMAFJPSA-N 0.000 description 1
- ITSSJGHWEMJYPQ-NUAFBHHWSA-N [H][C@@]12C(=C[C@H](C)C[C@@H]1OC(=O)[C@@H](C)CC)C=C[C@H](C)C2CC[C@@H]1C[C@@H](OC(=O)CCC(=C)OCCN(C)[C@@H]2C[C@@H](C)O[C@@H](O[C@@H]3[C@@H](C)[C@H](O)[C@@H](C)C(=O)O[C@H](CC)[C@@](C)(O)[C@H](O)[C@@H](C)N(C)C[C@H](C)C[C@@]3(C)O)[C@H]2N(C)C)CC(=O)O1 Chemical compound [H][C@@]12C(=C[C@H](C)C[C@@H]1OC(=O)[C@@H](C)CC)C=C[C@H](C)C2CC[C@@H]1C[C@@H](OC(=O)CCC(=C)OCCN(C)[C@@H]2C[C@@H](C)O[C@@H](O[C@@H]3[C@@H](C)[C@H](O)[C@@H](C)C(=O)O[C@H](CC)[C@@](C)(O)[C@H](O)[C@@H](C)N(C)C[C@H](C)C[C@@]3(C)O)[C@H]2N(C)C)CC(=O)O1 ITSSJGHWEMJYPQ-NUAFBHHWSA-N 0.000 description 1
- JBSSMZXUKGSDLY-OCWXCIDGSA-N [H][C@@]12CCC3=CC(=O)C=C[C@]3(C)C1[C@@H](O)C[C@@]1(C)C2CC[C@]1(O)C(=O)CCC(=O)CCC(=O)OCCN(C)[C@@H]1C[C@@H](C)O[C@@H](O[C@@H]2[C@@H](C)[C@H](O)[C@@H](C)C(=O)O[C@H](CC)[C@@](C)(O)[C@H](O)[C@@H](C)N(C)C[C@H](C)C[C@@]2(C)O)[C@H]1N(C)C Chemical compound [H][C@@]12CCC3=CC(=O)C=C[C@]3(C)C1[C@@H](O)C[C@@]1(C)C2CC[C@]1(O)C(=O)CCC(=O)CCC(=O)OCCN(C)[C@@H]1C[C@@H](C)O[C@@H](O[C@@H]2[C@@H](C)[C@H](O)[C@@H](C)C(=O)O[C@H](CC)[C@@](C)(O)[C@H](O)[C@@H](C)N(C)C[C@H](C)C[C@@]2(C)O)[C@H]1N(C)C JBSSMZXUKGSDLY-OCWXCIDGSA-N 0.000 description 1
- NTDUXJZZQFUPQB-VVGGCUSLSA-N [H][C@@]12CCC3=CC(=O)C=C[C@]3(C)C1[C@@H](O)C[C@@]1(C)C2CC[C@]1(O)C(=O)COC(=O)CCC(=O)O[C@@H]1C(N(C)C)C[C@@H](C)O[C@H]1O[C@@H]1[C@@H](C)C(=O)[C@@H](C)C(=O)O[C@H](CC)[C@@](C)(O)[C@H](O)[C@@H](C)N(C)C[C@H](C)C[C@@]1(C)O Chemical compound [H][C@@]12CCC3=CC(=O)C=C[C@]3(C)C1[C@@H](O)C[C@@]1(C)C2CC[C@]1(O)C(=O)COC(=O)CCC(=O)O[C@@H]1C(N(C)C)C[C@@H](C)O[C@H]1O[C@@H]1[C@@H](C)C(=O)[C@@H](C)C(=O)O[C@H](CC)[C@@](C)(O)[C@H](O)[C@@H](C)N(C)C[C@H](C)C[C@@]1(C)O NTDUXJZZQFUPQB-VVGGCUSLSA-N 0.000 description 1
- MDGDODJTUOEOHC-JRUAVZTISA-N [H][C@@]12C[C@@H](C)[C@](O)(C(=O)COC(=O)CCC(=O)O[C@@H]3C(N(C)C)C[C@@H](C)O[C@H]3O[C@@H]3[C@@H](C)[C@H](O[C@H]4C[C@@](C)(OC)[C@@H](O)[C@H](C)O4)[C@@H](C)C(=O)O[C@H](CC)[C@@](C)(O)[C@H](O)[C@@H](C)N(C)C[C@H](C)C[C@@]3(C)O)[C@@]1(C)C[C@H](O)[C@]1(F)[C@@]3(C)C=CC(=O)C=C3CC[C@@]21[H] Chemical compound [H][C@@]12C[C@@H](C)[C@](O)(C(=O)COC(=O)CCC(=O)O[C@@H]3C(N(C)C)C[C@@H](C)O[C@H]3O[C@@H]3[C@@H](C)[C@H](O[C@H]4C[C@@](C)(OC)[C@@H](O)[C@H](C)O4)[C@@H](C)C(=O)O[C@H](CC)[C@@](C)(O)[C@H](O)[C@@H](C)N(C)C[C@H](C)C[C@@]3(C)O)[C@@]1(C)C[C@H](O)[C@]1(F)[C@@]3(C)C=CC(=O)C=C3CC[C@@]21[H] MDGDODJTUOEOHC-JRUAVZTISA-N 0.000 description 1
- HUECCBIJAKZXMF-OLCRLGKWSA-N [H][C@@]12C[C@H]3OC(C)(C)O[C@@]3(C(=O)COC(=O)CCC(=O)O[C@@H]3C(N(C)C)C[C@@H](C)O[C@H]3O[C@@H]3[C@@H](C)C(=O)[C@@H](C)C(=O)O[C@H](CC)[C@@](C)(O)[C@H](O)[C@@H](C)N(C)C[C@H](C)C[C@@]3(C)O)[C@@]1(C)C[C@H](O)[C@]1(F)[C@@]3(C)C=CC(=O)C=C3CC[C@@]21[H] Chemical compound [H][C@@]12C[C@H]3OC(C)(C)O[C@@]3(C(=O)COC(=O)CCC(=O)O[C@@H]3C(N(C)C)C[C@@H](C)O[C@H]3O[C@@H]3[C@@H](C)C(=O)[C@@H](C)C(=O)O[C@H](CC)[C@@](C)(O)[C@H](O)[C@@H](C)N(C)C[C@H](C)C[C@@]3(C)O)[C@@]1(C)C[C@H](O)[C@]1(F)[C@@]3(C)C=CC(=O)C=C3CC[C@@]21[H] HUECCBIJAKZXMF-OLCRLGKWSA-N 0.000 description 1
- SMNRFWMNPDABKZ-WVALLCKVSA-N [[(2R,3S,4R,5S)-5-(2,6-dioxo-3H-pyridin-3-yl)-3,4-dihydroxyoxolan-2-yl]methoxy-hydroxyphosphoryl] [[[(2R,3S,4S,5R,6R)-4-fluoro-3,5-dihydroxy-6-(hydroxymethyl)oxan-2-yl]oxy-hydroxyphosphoryl]oxy-hydroxyphosphoryl] hydrogen phosphate Chemical compound OC[C@H]1O[C@H](OP(O)(=O)OP(O)(=O)OP(O)(=O)OP(O)(=O)OC[C@H]2O[C@H]([C@H](O)[C@@H]2O)C2C=CC(=O)NC2=O)[C@H](O)[C@@H](F)[C@@H]1O SMNRFWMNPDABKZ-WVALLCKVSA-N 0.000 description 1
- 238000002835 absorbance Methods 0.000 description 1
- 229940124532 absorption promoter Drugs 0.000 description 1
- 238000010521 absorption reaction Methods 0.000 description 1
- DPXJVFZANSGRMM-UHFFFAOYSA-N acetic acid;2,3,4,5,6-pentahydroxyhexanal;sodium Chemical compound [Na].CC(O)=O.OCC(O)C(O)C(O)C(O)C=O DPXJVFZANSGRMM-UHFFFAOYSA-N 0.000 description 1
- MKUXAQIIEYXACX-UHFFFAOYSA-N aciclovir Chemical compound N1C(N)=NC(=O)C2=C1N(COCCO)C=N2 MKUXAQIIEYXACX-UHFFFAOYSA-N 0.000 description 1
- 229960004150 aciclovir Drugs 0.000 description 1
- 206010000496 acne Diseases 0.000 description 1
- RJURFGZVJUQBHK-IIXSONLDSA-N actinomycin D Chemical compound C[C@H]1OC(=O)[C@H](C(C)C)N(C)C(=O)CN(C)C(=O)[C@@H]2CCCN2C(=O)[C@@H](C(C)C)NC(=O)[C@H]1NC(=O)C1=C(N)C(=O)C(C)=C2OC(C(C)=CC=C3C(=O)N[C@@H]4C(=O)N[C@@H](C(N5CCC[C@H]5C(=O)N(C)CC(=O)N(C)[C@@H](C(C)C)C(=O)O[C@@H]4C)=O)C(C)C)=C3N=C21 RJURFGZVJUQBHK-IIXSONLDSA-N 0.000 description 1
- 230000004913 activation Effects 0.000 description 1
- 239000004480 active ingredient Substances 0.000 description 1
- 239000013543 active substance Substances 0.000 description 1
- 208000021240 acute bronchiolitis Diseases 0.000 description 1
- 208000016150 acute pharyngitis Diseases 0.000 description 1
- WOZSCQDILHKSGG-UHFFFAOYSA-N adefovir depivoxil Chemical compound N1=CN=C2N(CCOCP(=O)(OCOC(=O)C(C)(C)C)OCOC(=O)C(C)(C)C)C=NC2=C1N WOZSCQDILHKSGG-UHFFFAOYSA-N 0.000 description 1
- 229960003205 adefovir dipivoxil Drugs 0.000 description 1
- WNLRTRBMVRJNCN-UHFFFAOYSA-L adipate(2-) Chemical compound [O-]C(=O)CCCCC([O-])=O WNLRTRBMVRJNCN-UHFFFAOYSA-L 0.000 description 1
- 239000012996 alamarblue reagent Substances 0.000 description 1
- 229940072056 alginate Drugs 0.000 description 1
- 235000010443 alginic acid Nutrition 0.000 description 1
- 229920000615 alginic acid Polymers 0.000 description 1
- 229910052783 alkali metal Inorganic materials 0.000 description 1
- 150000001340 alkali metals Chemical class 0.000 description 1
- 229910052784 alkaline earth metal Inorganic materials 0.000 description 1
- 150000001342 alkaline earth metals Chemical class 0.000 description 1
- 150000003797 alkaloid derivatives Chemical class 0.000 description 1
- 125000004453 alkoxycarbonyl group Chemical group 0.000 description 1
- 125000003282 alkyl amino group Chemical group 0.000 description 1
- 125000002877 alkyl aryl group Chemical group 0.000 description 1
- 125000005196 alkyl carbonyloxy group Chemical group 0.000 description 1
- 125000005277 alkyl imino group Chemical group 0.000 description 1
- 125000004414 alkyl thio group Chemical group 0.000 description 1
- 229940100198 alkylating agent Drugs 0.000 description 1
- 239000002168 alkylating agent Substances 0.000 description 1
- SHGAZHPCJJPHSC-YCNIQYBTSA-N all-trans-retinoic acid Chemical compound OC(=O)\C=C(/C)\C=C\C=C(/C)\C=C\C1=C(C)CCCC1(C)C SHGAZHPCJJPHSC-YCNIQYBTSA-N 0.000 description 1
- 230000000172 allergic effect Effects 0.000 description 1
- 208000004631 alopecia areata Diseases 0.000 description 1
- HFHDHCJBZVLPGP-RWMJIURBSA-N alpha-cyclodextrin Chemical compound OC[C@H]([C@H]([C@@H]([C@H]1O)O)O[C@H]2O[C@@H]([C@@H](O[C@H]3O[C@H](CO)[C@H]([C@@H]([C@H]3O)O)O[C@H]3O[C@H](CO)[C@H]([C@@H]([C@H]3O)O)O[C@H]3O[C@H](CO)[C@H]([C@@H]([C@H]3O)O)O3)[C@H](O)[C@H]2O)CO)O[C@@H]1O[C@H]1[C@H](O)[C@@H](O)[C@@H]3O[C@@H]1CO HFHDHCJBZVLPGP-RWMJIURBSA-N 0.000 description 1
- 229940043377 alpha-cyclodextrin Drugs 0.000 description 1
- AWUCVROLDVIAJX-UHFFFAOYSA-N alpha-glycerophosphate Natural products OCC(O)COP(O)(O)=O AWUCVROLDVIAJX-UHFFFAOYSA-N 0.000 description 1
- PNEYBMLMFCGWSK-UHFFFAOYSA-N aluminium oxide Inorganic materials [O-2].[O-2].[O-2].[Al+3].[Al+3] PNEYBMLMFCGWSK-UHFFFAOYSA-N 0.000 description 1
- CEGOLXSVJUTHNZ-UHFFFAOYSA-K aluminium tristearate Chemical compound [Al+3].CCCCCCCCCCCCCCCCCC([O-])=O.CCCCCCCCCCCCCCCCCC([O-])=O.CCCCCCCCCCCCCCCCCC([O-])=O CEGOLXSVJUTHNZ-UHFFFAOYSA-K 0.000 description 1
- 229940063655 aluminum stearate Drugs 0.000 description 1
- 210000001132 alveolar macrophage Anatomy 0.000 description 1
- 229960003805 amantadine Drugs 0.000 description 1
- DKNWSYNQZKUICI-UHFFFAOYSA-N amantadine Chemical compound C1C(C2)CC3CC2CC1(N)C3 DKNWSYNQZKUICI-UHFFFAOYSA-N 0.000 description 1
- 150000001412 amines Chemical class 0.000 description 1
- 229960003204 amorolfine Drugs 0.000 description 1
- 229960001830 amprenavir Drugs 0.000 description 1
- YMARZQAQMVYCKC-OEMFJLHTSA-N amprenavir Chemical compound C([C@@H]([C@H](O)CN(CC(C)C)S(=O)(=O)C=1C=CC(N)=CC=1)NC(=O)O[C@@H]1COCC1)C1=CC=CC=C1 YMARZQAQMVYCKC-OEMFJLHTSA-N 0.000 description 1
- 230000003698 anagen phase Effects 0.000 description 1
- 208000005067 anisakiasis Diseases 0.000 description 1
- 230000001387 anti-histamine Effects 0.000 description 1
- 230000000340 anti-metabolite Effects 0.000 description 1
- 230000002141 anti-parasite Effects 0.000 description 1
- 230000001028 anti-proliverative effect Effects 0.000 description 1
- 230000000259 anti-tumor effect Effects 0.000 description 1
- 238000009635 antibiotic susceptibility testing Methods 0.000 description 1
- 239000003146 anticoagulant agent Substances 0.000 description 1
- 229940127219 anticoagulant drug Drugs 0.000 description 1
- 229940125715 antihistaminic agent Drugs 0.000 description 1
- 239000000739 antihistaminic agent Substances 0.000 description 1
- 229940100197 antimetabolite Drugs 0.000 description 1
- 239000002256 antimetabolite Substances 0.000 description 1
- 229940045719 antineoplastic alkylating agent nitrosoureas Drugs 0.000 description 1
- 229940045988 antineoplastic drug protein kinase inhibitors Drugs 0.000 description 1
- 239000003096 antiparasitic agent Substances 0.000 description 1
- 239000003443 antiviral agent Substances 0.000 description 1
- 229940121357 antivirals Drugs 0.000 description 1
- 229940114078 arachidonate Drugs 0.000 description 1
- 239000012300 argon atmosphere Substances 0.000 description 1
- 230000002917 arthritic effect Effects 0.000 description 1
- 201000009361 ascariasis Diseases 0.000 description 1
- 229940009098 aspartate Drugs 0.000 description 1
- GXDALQBWZGODGZ-UHFFFAOYSA-N astemizole Chemical compound C1=CC(OC)=CC=C1CCN1CCC(NC=2N(C3=CC=CC=C3N=2)CC=2C=CC(F)=CC=2)CC1 GXDALQBWZGODGZ-UHFFFAOYSA-N 0.000 description 1
- 230000003140 astrocytic effect Effects 0.000 description 1
- XRWSZZJLZRKHHD-WVWIJVSJSA-N asunaprevir Chemical compound O=C([C@@H]1C[C@H](CN1C(=O)[C@@H](NC(=O)OC(C)(C)C)C(C)(C)C)OC1=NC=C(C2=CC=C(Cl)C=C21)OC)N[C@]1(C(=O)NS(=O)(=O)C2CC2)C[C@H]1C=C XRWSZZJLZRKHHD-WVWIJVSJSA-N 0.000 description 1
- 201000008937 atopic dermatitis Diseases 0.000 description 1
- 208000010668 atopic eczema Diseases 0.000 description 1
- 230000001363 autoimmune Effects 0.000 description 1
- 201000000448 autoimmune hemolytic anemia Diseases 0.000 description 1
- 208000036923 autoimmune primary adrenal insufficiency Diseases 0.000 description 1
- VSRXQHXAPYXROS-UHFFFAOYSA-N azanide;cyclobutane-1,1-dicarboxylic acid;platinum(2+) Chemical compound [NH2-].[NH2-].[Pt+2].OC(=O)C1(C(O)=O)CCC1 VSRXQHXAPYXROS-UHFFFAOYSA-N 0.000 description 1
- 229960000383 azatadine Drugs 0.000 description 1
- SEBMTIQKRHYNIT-UHFFFAOYSA-N azatadine Chemical compound C1CN(C)CCC1=C1C2=NC=CC=C2CCC2=CC=CC=C21 SEBMTIQKRHYNIT-UHFFFAOYSA-N 0.000 description 1
- 125000000852 azido group Chemical group *N=[N+]=[N-] 0.000 description 1
- 210000003719 b-lymphocyte Anatomy 0.000 description 1
- 201000008680 babesiosis Diseases 0.000 description 1
- 230000004888 barrier function Effects 0.000 description 1
- 150000007514 bases Chemical class 0.000 description 1
- 235000013871 bee wax Nutrition 0.000 description 1
- 239000012166 beeswax Substances 0.000 description 1
- 229940077388 benzenesulfonate Drugs 0.000 description 1
- SRSXLGNVWSONIS-UHFFFAOYSA-M benzenesulfonate Chemical compound [O-]S(=O)(=O)C1=CC=CC=C1 SRSXLGNVWSONIS-UHFFFAOYSA-M 0.000 description 1
- 125000003785 benzimidazolyl group Chemical group N1=C(NC2=C1C=CC=C2)* 0.000 description 1
- 229940050390 benzoate Drugs 0.000 description 1
- WPYMKLBDIGXBTP-UHFFFAOYSA-N benzoic acid Chemical compound OC(=O)C1=CC=CC=C1 WPYMKLBDIGXBTP-UHFFFAOYSA-N 0.000 description 1
- KGNDCEVUMONOKF-UGPLYTSKSA-N benzyl n-[(2r)-1-[(2s,4r)-2-[[(2s)-6-amino-1-(1,3-benzoxazol-2-yl)-1,1-dihydroxyhexan-2-yl]carbamoyl]-4-[(4-methylphenyl)methoxy]pyrrolidin-1-yl]-1-oxo-4-phenylbutan-2-yl]carbamate Chemical compound C1=CC(C)=CC=C1CO[C@H]1CN(C(=O)[C@@H](CCC=2C=CC=CC=2)NC(=O)OCC=2C=CC=CC=2)[C@H](C(=O)N[C@@H](CCCCN)C(O)(O)C=2OC3=CC=CC=C3N=2)C1 KGNDCEVUMONOKF-UGPLYTSKSA-N 0.000 description 1
- 150000001277 beta hydroxy acids Chemical class 0.000 description 1
- WHGYBXFWUBPSRW-FOUAGVGXSA-N beta-cyclodextrin Chemical compound OC[C@H]([C@H]([C@@H]([C@H]1O)O)O[C@H]2O[C@@H]([C@@H](O[C@H]3O[C@H](CO)[C@H]([C@@H]([C@H]3O)O)O[C@H]3O[C@H](CO)[C@H]([C@@H]([C@H]3O)O)O[C@H]3O[C@H](CO)[C@H]([C@@H]([C@H]3O)O)O[C@H]3O[C@H](CO)[C@H]([C@@H]([C@H]3O)O)O3)[C@H](O)[C@H]2O)CO)O[C@@H]1O[C@H]1[C@H](O)[C@@H](O)[C@@H]3O[C@@H]1CO WHGYBXFWUBPSRW-FOUAGVGXSA-N 0.000 description 1
- XMIIGOLPHOKFCH-UHFFFAOYSA-N beta-phenylpropanoic acid Natural products OC(=O)CCC1=CC=CC=C1 XMIIGOLPHOKFCH-UHFFFAOYSA-N 0.000 description 1
- 229960004853 betadex Drugs 0.000 description 1
- 229960002537 betamethasone Drugs 0.000 description 1
- UREBDLICKHMUKA-DVTGEIKXSA-N betamethasone Chemical compound C1CC2=CC(=O)C=C[C@]2(C)[C@]2(F)[C@@H]1[C@@H]1C[C@H](C)[C@@](C(=O)CO)(O)[C@@]1(C)C[C@@H]2O UREBDLICKHMUKA-DVTGEIKXSA-N 0.000 description 1
- QGJZLNKBHJESQX-FZFNOLFKSA-N betulinic acid Chemical class C1C[C@H](O)C(C)(C)[C@@H]2CC[C@@]3(C)[C@]4(C)CC[C@@]5(C(O)=O)CC[C@@H](C(=C)C)[C@@H]5[C@H]4CC[C@@H]3[C@]21C QGJZLNKBHJESQX-FZFNOLFKSA-N 0.000 description 1
- 230000001588 bifunctional effect Effects 0.000 description 1
- 239000003613 bile acid Substances 0.000 description 1
- 150000001607 bioavailable molecules Chemical class 0.000 description 1
- 239000013060 biological fluid Substances 0.000 description 1
- 238000010170 biological method Methods 0.000 description 1
- 229960001169 brivudine Drugs 0.000 description 1
- GDTBXPJZTBHREO-UHFFFAOYSA-N bromine Substances BrBr GDTBXPJZTBHREO-UHFFFAOYSA-N 0.000 description 1
- 229960000725 brompheniramine Drugs 0.000 description 1
- ZDIGNSYAACHWNL-UHFFFAOYSA-N brompheniramine Chemical compound C=1C=CC=NC=1C(CCN(C)C)C1=CC=C(Br)C=C1 ZDIGNSYAACHWNL-UHFFFAOYSA-N 0.000 description 1
- 229960004436 budesonide Drugs 0.000 description 1
- 208000000594 bullous pemphigoid Diseases 0.000 description 1
- 229960002092 busulfan Drugs 0.000 description 1
- 229960005074 butoconazole Drugs 0.000 description 1
- SWLMUYACZKCSHZ-UHFFFAOYSA-N butoconazole Chemical compound C1=CC(Cl)=CC=C1CCC(SC=1C(=CC=CC=1Cl)Cl)CN1C=NC=C1 SWLMUYACZKCSHZ-UHFFFAOYSA-N 0.000 description 1
- 239000001110 calcium chloride Substances 0.000 description 1
- 229910001628 calcium chloride Inorganic materials 0.000 description 1
- 229910001424 calcium ion Inorganic materials 0.000 description 1
- MIOPJNTWMNEORI-UHFFFAOYSA-N camphorsulfonic acid Chemical compound C1CC2(CS(O)(=O)=O)C(=O)CC1C2(C)C MIOPJNTWMNEORI-UHFFFAOYSA-N 0.000 description 1
- VSJKWCGYPAHWDS-FQEVSTJZSA-N camptothecin Chemical compound C1=CC=C2C=C(CN3C4=CC5=C(C3=O)COC(=O)[C@]5(O)CC)C4=NC2=C1 VSJKWCGYPAHWDS-FQEVSTJZSA-N 0.000 description 1
- 229940127093 camptothecin Drugs 0.000 description 1
- 208000035269 cancer or benign tumor Diseases 0.000 description 1
- 229960004348 candicidin Drugs 0.000 description 1
- 229940041514 candida albicans extract Drugs 0.000 description 1
- 229960004117 capecitabine Drugs 0.000 description 1
- YQXCVAGCMNFUMQ-UHFFFAOYSA-N capravirine Chemical compound C=1C(Cl)=CC(Cl)=CC=1SC1=C(C(C)C)N=C(COC(N)=O)N1CC1=CC=NC=C1 YQXCVAGCMNFUMQ-UHFFFAOYSA-N 0.000 description 1
- 229950008230 capravirine Drugs 0.000 description 1
- 239000004202 carbamide Substances 0.000 description 1
- 239000011203 carbon fibre reinforced carbon Substances 0.000 description 1
- 229960004562 carboplatin Drugs 0.000 description 1
- 235000010948 carboxy methyl cellulose Nutrition 0.000 description 1
- 150000001732 carboxylic acid derivatives Chemical class 0.000 description 1
- 239000008112 carboxymethyl-cellulose Substances 0.000 description 1
- 230000000747 cardiac effect Effects 0.000 description 1
- 229960005243 carmustine Drugs 0.000 description 1
- 208000003295 carpal tunnel syndrome Diseases 0.000 description 1
- 125000002091 cationic group Chemical group 0.000 description 1
- 238000000423 cell based assay Methods 0.000 description 1
- 230000010261 cell growth Effects 0.000 description 1
- 239000013592 cell lysate Substances 0.000 description 1
- 210000000170 cell membrane Anatomy 0.000 description 1
- 230000001413 cellular effect Effects 0.000 description 1
- 239000001913 cellulose Substances 0.000 description 1
- 229920002678 cellulose Polymers 0.000 description 1
- 235000010980 cellulose Nutrition 0.000 description 1
- 210000003169 central nervous system Anatomy 0.000 description 1
- 229960005110 cerivastatin Drugs 0.000 description 1
- SEERZIQQUAZTOL-ANMDKAQQSA-N cerivastatin Chemical compound COCC1=C(C(C)C)N=C(C(C)C)C(\C=C\[C@@H](O)C[C@@H](O)CC(O)=O)=C1C1=CC=C(F)C=C1 SEERZIQQUAZTOL-ANMDKAQQSA-N 0.000 description 1
- 229940081733 cetearyl alcohol Drugs 0.000 description 1
- 229960001803 cetirizine Drugs 0.000 description 1
- 230000008859 change Effects 0.000 description 1
- 150000001793 charged compounds Chemical class 0.000 description 1
- 230000002925 chemical effect Effects 0.000 description 1
- 125000003636 chemical group Chemical group 0.000 description 1
- SOYKEARSMXGVTM-UHFFFAOYSA-N chlorphenamine Chemical compound C=1C=CC=NC=1C(CCN(C)C)C1=CC=C(Cl)C=C1 SOYKEARSMXGVTM-UHFFFAOYSA-N 0.000 description 1
- 229960003291 chlorphenamine Drugs 0.000 description 1
- 210000002987 choroid plexus Anatomy 0.000 description 1
- 238000013375 chromatographic separation Methods 0.000 description 1
- 230000001684 chronic effect Effects 0.000 description 1
- 201000005795 chronic inflammatory demyelinating polyneuritis Diseases 0.000 description 1
- 201000010002 cicatricial pemphigoid Diseases 0.000 description 1
- 229960000724 cidofovir Drugs 0.000 description 1
- 208000019425 cirrhosis of liver Diseases 0.000 description 1
- DQLATGHUWYMOKM-UHFFFAOYSA-L cisplatin Chemical compound N[Pt](N)(Cl)Cl DQLATGHUWYMOKM-UHFFFAOYSA-L 0.000 description 1
- 229960004316 cisplatin Drugs 0.000 description 1
- 229960002436 cladribine Drugs 0.000 description 1
- AGOYDEPGAOXOCK-KCBOHYOISA-N clarithromycin Chemical compound O([C@@H]1[C@@H](C)C(=O)O[C@@H]([C@@]([C@H](O)[C@@H](C)C(=O)[C@H](C)C[C@](C)([C@H](O[C@H]2[C@@H]([C@H](C[C@@H](C)O2)N(C)C)O)[C@H]1C)OC)(C)O)CC)[C@H]1C[C@@](C)(OC)[C@@H](O)[C@H](C)O1 AGOYDEPGAOXOCK-KCBOHYOISA-N 0.000 description 1
- 229960002626 clarithromycin Drugs 0.000 description 1
- 229960002881 clemastine Drugs 0.000 description 1
- YNNUSGIPVFPVBX-NHCUHLMSSA-N clemastine Chemical compound CN1CCC[C@@H]1CCO[C@@](C)(C=1C=CC(Cl)=CC=1)C1=CC=CC=C1 YNNUSGIPVFPVBX-NHCUHLMSSA-N 0.000 description 1
- 229960004022 clotrimazole Drugs 0.000 description 1
- VNFPBHJOKIVQEB-UHFFFAOYSA-N clotrimazole Chemical compound ClC1=CC=CC=C1C(N1C=NC=C1)(C=1C=CC=CC=1)C1=CC=CC=C1 VNFPBHJOKIVQEB-UHFFFAOYSA-N 0.000 description 1
- 230000001112 coagulating effect Effects 0.000 description 1
- 229940110456 cocoa butter Drugs 0.000 description 1
- 235000019868 cocoa butter Nutrition 0.000 description 1
- 239000008119 colloidal silica Substances 0.000 description 1
- 230000000112 colonic effect Effects 0.000 description 1
- 239000003086 colorant Substances 0.000 description 1
- 238000004737 colorimetric analysis Methods 0.000 description 1
- 230000002860 competitive effect Effects 0.000 description 1
- 229940125904 compound 1 Drugs 0.000 description 1
- 229940125773 compound 10 Drugs 0.000 description 1
- 229940125797 compound 12 Drugs 0.000 description 1
- 229940126543 compound 14 Drugs 0.000 description 1
- 229940125758 compound 15 Drugs 0.000 description 1
- 229940126142 compound 16 Drugs 0.000 description 1
- 229940125810 compound 20 Drugs 0.000 description 1
- 229940126086 compound 21 Drugs 0.000 description 1
- 229940126208 compound 22 Drugs 0.000 description 1
- 229940125833 compound 23 Drugs 0.000 description 1
- 229940125961 compound 24 Drugs 0.000 description 1
- 229940125846 compound 25 Drugs 0.000 description 1
- 229940125851 compound 27 Drugs 0.000 description 1
- 229940127204 compound 29 Drugs 0.000 description 1
- 229940125877 compound 31 Drugs 0.000 description 1
- 229940125878 compound 36 Drugs 0.000 description 1
- 229940125807 compound 37 Drugs 0.000 description 1
- 229940127573 compound 38 Drugs 0.000 description 1
- 229940126179 compound 72 Drugs 0.000 description 1
- 238000013329 compounding Methods 0.000 description 1
- 201000001033 conjunctival folliculosis Diseases 0.000 description 1
- 239000003246 corticosteroid Substances 0.000 description 1
- 229960001334 corticosteroids Drugs 0.000 description 1
- 229960004544 cortisone Drugs 0.000 description 1
- 235000001671 coumarin Nutrition 0.000 description 1
- 229960000956 coumarin Drugs 0.000 description 1
- 239000006071 cream Substances 0.000 description 1
- 201000003278 cryoglobulinemia Diseases 0.000 description 1
- 229940097362 cyclodextrins Drugs 0.000 description 1
- 229960004397 cyclophosphamide Drugs 0.000 description 1
- 201000002641 cyclosporiasis Diseases 0.000 description 1
- 229960001140 cyproheptadine Drugs 0.000 description 1
- JJCFRYNCJDLXIK-UHFFFAOYSA-N cyproheptadine Chemical compound C1CN(C)CCC1=C1C2=CC=CC=C2C=CC2=CC=CC=C21 JJCFRYNCJDLXIK-UHFFFAOYSA-N 0.000 description 1
- UHDGCWIWMRVCDJ-ZAKLUEHWSA-N cytidine Chemical class O=C1N=C(N)C=CN1[C@H]1[C@H](O)[C@@H](O)[C@H](CO)O1 UHDGCWIWMRVCDJ-ZAKLUEHWSA-N 0.000 description 1
- 230000009089 cytolysis Effects 0.000 description 1
- GVJHHUAWPYXKBD-UHFFFAOYSA-N d-alpha-tocopherol Natural products OC1=C(C)C(C)=C2OC(CCCC(C)CCCC(C)CCCC(C)C)(C)CCC2=C1C GVJHHUAWPYXKBD-UHFFFAOYSA-N 0.000 description 1
- 229960003901 dacarbazine Drugs 0.000 description 1
- 229960000640 dactinomycin Drugs 0.000 description 1
- 229960000860 dapsone Drugs 0.000 description 1
- STQGQHZAVUOBTE-VGBVRHCVSA-N daunorubicin Chemical compound O([C@H]1C[C@@](O)(CC=2C(O)=C3C(=O)C=4C=CC=C(C=4C(=O)C3=C(O)C=21)OC)C(C)=O)[C@H]1C[C@H](N)[C@H](O)[C@H](C)O1 STQGQHZAVUOBTE-VGBVRHCVSA-N 0.000 description 1
- 229960000975 daunorubicin Drugs 0.000 description 1
- 230000007812 deficiency Effects 0.000 description 1
- 230000003413 degradative effect Effects 0.000 description 1
- 229960005319 delavirdine Drugs 0.000 description 1
- 238000002716 delivery method Methods 0.000 description 1
- 238000010511 deprotection reaction Methods 0.000 description 1
- 238000011161 development Methods 0.000 description 1
- 230000018109 developmental process Effects 0.000 description 1
- SOYKEARSMXGVTM-HNNXBMFYSA-N dexchlorpheniramine Chemical compound C1([C@H](CCN(C)C)C=2N=CC=CC=2)=CC=C(Cl)C=C1 SOYKEARSMXGVTM-HNNXBMFYSA-N 0.000 description 1
- 229960001882 dexchlorpheniramine Drugs 0.000 description 1
- 206010012601 diabetes mellitus Diseases 0.000 description 1
- 238000002405 diagnostic procedure Methods 0.000 description 1
- 125000004663 dialkyl amino group Chemical group 0.000 description 1
- 201000004587 dientamoebiasis Diseases 0.000 description 1
- 235000005911 diet Nutrition 0.000 description 1
- 230000037213 diet Effects 0.000 description 1
- ZBCBWPMODOFKDW-UHFFFAOYSA-N diethanolamine Chemical compound OCCNCCO ZBCBWPMODOFKDW-UHFFFAOYSA-N 0.000 description 1
- HPNMFZURTQLUMO-UHFFFAOYSA-N diethylamine Chemical compound CCNCC HPNMFZURTQLUMO-UHFFFAOYSA-N 0.000 description 1
- RGLYKWWBQGJZGM-ISLYRVAYSA-N diethylstilbestrol Chemical compound C=1C=C(O)C=CC=1C(/CC)=C(\CC)C1=CC=C(O)C=C1 RGLYKWWBQGJZGM-ISLYRVAYSA-N 0.000 description 1
- 229960000452 diethylstilbestrol Drugs 0.000 description 1
- 229960000616 diflunisal Drugs 0.000 description 1
- HUPFGZXOMWLGNK-UHFFFAOYSA-N diflunisal Chemical compound C1=C(O)C(C(=O)O)=CC(C=2C(=CC(F)=CC=2)F)=C1 HUPFGZXOMWLGNK-UHFFFAOYSA-N 0.000 description 1
- PZXJOHSZQAEJFE-UHFFFAOYSA-N dihydrobetulinic acid Natural products C1CC(O)C(C)(C)C2CCC3(C)C4(C)CCC5(C(O)=O)CCC(C(C)C)C5C4CCC3C21C PZXJOHSZQAEJFE-UHFFFAOYSA-N 0.000 description 1
- GXGAKHNRMVGRPK-UHFFFAOYSA-N dimagnesium;dioxido-bis[[oxido(oxo)silyl]oxy]silane Chemical compound [Mg+2].[Mg+2].[O-][Si](=O)O[Si]([O-])([O-])O[Si]([O-])=O GXGAKHNRMVGRPK-UHFFFAOYSA-N 0.000 description 1
- MZDOIJOUFRQXHC-UHFFFAOYSA-N dimenhydrinate Chemical compound O=C1N(C)C(=O)N(C)C2=NC(Cl)=N[C]21.C=1C=CC=CC=1C(OCCN(C)C)C1=CC=CC=C1 MZDOIJOUFRQXHC-UHFFFAOYSA-N 0.000 description 1
- 229960004993 dimenhydrinate Drugs 0.000 description 1
- AYXBAIULRDEVAS-UHFFFAOYSA-N dimethyl-[[4-[[3-(4-methylphenyl)-8,9-dihydro-7h-benzo[7]annulene-6-carbonyl]amino]phenyl]methyl]-(oxan-4-yl)azanium;iodide Chemical compound [I-].C1=CC(C)=CC=C1C1=CC=C(CCCC(=C2)C(=O)NC=3C=CC(C[N+](C)(C)C4CCOCC4)=CC=3)C2=C1 AYXBAIULRDEVAS-UHFFFAOYSA-N 0.000 description 1
- XBDQKXXYIPTUBI-UHFFFAOYSA-N dimethylselenoniopropionate Natural products CCC(O)=O XBDQKXXYIPTUBI-UHFFFAOYSA-N 0.000 description 1
- 229960000520 diphenhydramine Drugs 0.000 description 1
- ZPWVASYFFYYZEW-UHFFFAOYSA-L dipotassium hydrogen phosphate Chemical compound [K+].[K+].OP([O-])([O-])=O ZPWVASYFFYYZEW-UHFFFAOYSA-L 0.000 description 1
- 229910000396 dipotassium phosphate Inorganic materials 0.000 description 1
- 235000019797 dipotassium phosphate Nutrition 0.000 description 1
- 229940042406 direct acting antivirals neuraminidase inhibitors Drugs 0.000 description 1
- 239000006185 dispersion Substances 0.000 description 1
- VSJKWCGYPAHWDS-UHFFFAOYSA-N dl-camptothecin Natural products C1=CC=C2C=C(CN3C4=CC5=C(C3=O)COC(=O)C5(O)CC)C4=NC2=C1 VSJKWCGYPAHWDS-UHFFFAOYSA-N 0.000 description 1
- 229960003668 docetaxel Drugs 0.000 description 1
- MOTZDAYCYVMXPC-UHFFFAOYSA-N dodecyl hydrogen sulfate Chemical compound CCCCCCCCCCCCOS(O)(=O)=O MOTZDAYCYVMXPC-UHFFFAOYSA-N 0.000 description 1
- 229940043264 dodecyl sulfate Drugs 0.000 description 1
- 231100000673 dose–response relationship Toxicity 0.000 description 1
- 229960004679 doxorubicin Drugs 0.000 description 1
- 229960005178 doxylamine Drugs 0.000 description 1
- HCFDWZZGGLSKEP-UHFFFAOYSA-N doxylamine Chemical compound C=1C=CC=NC=1C(C)(OCCN(C)C)C1=CC=CC=C1 HCFDWZZGGLSKEP-UHFFFAOYSA-N 0.000 description 1
- GNJOBORNQQWCJY-LXRBGHIZSA-N dp107 Chemical compound C([C@@H](C(=O)N[C@@H](CC(C)C)C(=O)N[C@@H](CC(C)C)C(=O)N[C@@H](CCC(N)=O)C(=O)N[C@@H](CC(C)C)C(=O)N[C@H](C(=O)N[C@H](C(=O)N[C@@H](CC=1C2=CC=CC=C2NC=1)C(=O)NCC(=O)N[C@@H]([C@@H](C)CC)C(=O)N[C@@H](CCCCN)C(=O)N[C@@H](CCC(N)=O)C(=O)N[C@@H](CC(C)C)C(=O)N[C@@H](CCC(N)=O)C(=O)N[C@@H](C)C(=O)N[C@@H](CCCNC(N)=N)C(=O)N[C@@H]([C@@H](C)CC)C(=O)N[C@@H](CC(C)C)C(=O)N[C@@H](C)C(=O)N[C@@H](C(C)C)C(=O)N[C@@H](CCC(O)=O)C(=O)N[C@@H](CCCNC(N)=N)C(=O)N[C@@H](CC=1C=CC(O)=CC=1)C(=O)N[C@@H](CC(C)C)C(=O)N[C@@H](CCCCN)C(=O)N[C@@H](CC(O)=O)C(=O)N[C@@H](CCC(N)=O)C(N)=O)C(C)C)[C@@H](C)O)NC(=O)[C@H](CCC(N)=O)NC(=O)[C@H](CCC(N)=O)NC(=O)[C@H](C)NC(=O)[C@H](CCC(O)=O)NC(=O)[C@@H](NC(=O)[C@H](C)NC(=O)[C@H](CCCNC(N)=N)NC(=O)[C@H](CC(C)C)NC(=O)[C@H](CC(C)C)NC(=O)[C@H](CC(N)=O)NC(=O)[C@H](CC(N)=O)NC(C)=O)[C@@H](C)CC)C1=CN=CN1 GNJOBORNQQWCJY-LXRBGHIZSA-N 0.000 description 1
- 208000008576 dracunculiasis Diseases 0.000 description 1
- 230000002183 duodenal effect Effects 0.000 description 1
- 229960003913 econazole Drugs 0.000 description 1
- XPOQHMRABVBWPR-ZDUSSCGKSA-N efavirenz Chemical compound C([C@]1(C2=CC(Cl)=CC=C2NC(=O)O1)C(F)(F)F)#CC1CC1 XPOQHMRABVBWPR-ZDUSSCGKSA-N 0.000 description 1
- 229960003804 efavirenz Drugs 0.000 description 1
- 239000003792 electrolyte Substances 0.000 description 1
- 238000000132 electrospray ionisation Methods 0.000 description 1
- 208000014616 embryonal neoplasm Diseases 0.000 description 1
- 238000004836 empirical method Methods 0.000 description 1
- 230000001804 emulsifying effect Effects 0.000 description 1
- 239000008387 emulsifying waxe Substances 0.000 description 1
- 230000003511 endothelial effect Effects 0.000 description 1
- 239000007920 enema Substances 0.000 description 1
- 229940095399 enema Drugs 0.000 description 1
- 229960002062 enfuvirtide Drugs 0.000 description 1
- 229960000980 entecavir Drugs 0.000 description 1
- YXPVEXCTPGULBZ-WQYNNSOESA-N entecavir hydrate Chemical compound O.C1=NC=2C(=O)NC(N)=NC=2N1[C@H]1C[C@H](O)[C@@H](CO)C1=C YXPVEXCTPGULBZ-WQYNNSOESA-N 0.000 description 1
- 206010014881 enterobiasis Diseases 0.000 description 1
- 239000002532 enzyme inhibitor Substances 0.000 description 1
- 238000011067 equilibration Methods 0.000 description 1
- 229960003276 erythromycin Drugs 0.000 description 1
- CCIVGXIOQKPBKL-UHFFFAOYSA-M ethanesulfonate Chemical compound CCS([O-])(=O)=O CCIVGXIOQKPBKL-UHFFFAOYSA-M 0.000 description 1
- BEFDCLMNVWHSGT-UHFFFAOYSA-N ethenylcyclopentane Chemical compound C=CC1CCCC1 BEFDCLMNVWHSGT-UHFFFAOYSA-N 0.000 description 1
- CUWYKVMNNGRAOW-IZZDOVSWSA-N ethyl (e)-6-(4-hydroxy-6-methoxy-7-methyl-3-oxo-1h-2-benzofuran-5-yl)-4-methylhex-4-enoate Chemical compound CC1=C(OC)C(C/C=C(C)/CCC(=O)OCC)=C(O)C2=C1COC2=O CUWYKVMNNGRAOW-IZZDOVSWSA-N 0.000 description 1
- PQJJJMRNHATNKG-UHFFFAOYSA-N ethyl bromoacetate Chemical compound CCOC(=O)CBr PQJJJMRNHATNKG-UHFFFAOYSA-N 0.000 description 1
- 125000001495 ethyl group Chemical group [H]C([H])([H])C([H])([H])* 0.000 description 1
- LYCAIKOWRPUZTN-UHFFFAOYSA-N ethylene glycol Natural products OCCO LYCAIKOWRPUZTN-UHFFFAOYSA-N 0.000 description 1
- 229960005293 etodolac Drugs 0.000 description 1
- XFBVBWWRPKNWHW-UHFFFAOYSA-N etodolac Chemical compound C1COC(CC)(CC(O)=O)C2=N[C]3C(CC)=CC=CC3=C21 XFBVBWWRPKNWHW-UHFFFAOYSA-N 0.000 description 1
- VJJPUSNTGOMMGY-MRVIYFEKSA-N etoposide Chemical compound COC1=C(O)C(OC)=CC([C@@H]2C3=CC=4OCOC=4C=C3[C@@H](O[C@H]3[C@@H]([C@@H](O)[C@@H]4O[C@H](C)OC[C@H]4O3)O)[C@@H]3[C@@H]2C(OC3)=O)=C1 VJJPUSNTGOMMGY-MRVIYFEKSA-N 0.000 description 1
- 229960005420 etoposide Drugs 0.000 description 1
- 230000005284 excitation Effects 0.000 description 1
- 230000029142 excretion Effects 0.000 description 1
- 238000002474 experimental method Methods 0.000 description 1
- 238000000605 extraction Methods 0.000 description 1
- 210000000887 face Anatomy 0.000 description 1
- 229960004396 famciclovir Drugs 0.000 description 1
- GGXKWVWZWMLJEH-UHFFFAOYSA-N famcyclovir Chemical compound N1=C(N)N=C2N(CCC(COC(=O)C)COC(C)=O)C=NC2=C1 GGXKWVWZWMLJEH-UHFFFAOYSA-N 0.000 description 1
- 235000019197 fats Nutrition 0.000 description 1
- 229960001419 fenoprofen Drugs 0.000 description 1
- 210000002950 fibroblast Anatomy 0.000 description 1
- 238000010579 first pass effect Methods 0.000 description 1
- 239000000796 flavoring agent Substances 0.000 description 1
- 229960003240 floctafenine Drugs 0.000 description 1
- 238000000684 flow cytometry Methods 0.000 description 1
- ODKNJVUHOIMIIZ-RRKCRQDMSA-N floxuridine Chemical compound C1[C@H](O)[C@@H](CO)O[C@H]1N1C(=O)NC(=O)C(F)=C1 ODKNJVUHOIMIIZ-RRKCRQDMSA-N 0.000 description 1
- 229960000961 floxuridine Drugs 0.000 description 1
- 229960000390 fludarabine Drugs 0.000 description 1
- GIUYCYHIANZCFB-FJFJXFQQSA-N fludarabine phosphate Chemical compound C1=NC=2C(N)=NC(F)=NC=2N1[C@@H]1O[C@H](COP(O)(O)=O)[C@@H](O)[C@@H]1O GIUYCYHIANZCFB-FJFJXFQQSA-N 0.000 description 1
- 239000012530 fluid Substances 0.000 description 1
- 238000001917 fluorescence detection Methods 0.000 description 1
- 239000011737 fluorine Substances 0.000 description 1
- 229910052731 fluorine Inorganic materials 0.000 description 1
- 125000001153 fluoro group Chemical group F* 0.000 description 1
- 229940124307 fluoroquinolone Drugs 0.000 description 1
- 229960002714 fluticasone Drugs 0.000 description 1
- MGNNYOODZCAHBA-GQKYHHCASA-N fluticasone Chemical compound C1([C@@H](F)C2)=CC(=O)C=C[C@]1(C)[C@]1(F)[C@@H]2[C@@H]2C[C@@H](C)[C@@](C(=O)SCF)(O)[C@@]2(C)C[C@@H]1O MGNNYOODZCAHBA-GQKYHHCASA-N 0.000 description 1
- 229960003765 fluvastatin Drugs 0.000 description 1
- 230000004907 flux Effects 0.000 description 1
- 238000005187 foaming Methods 0.000 description 1
- 229960001447 fomivirsen Drugs 0.000 description 1
- XCWFZHPEARLXJI-UHFFFAOYSA-N fomivirsen Chemical compound C1C(N2C3=C(C(NC(N)=N3)=O)N=C2)OC(CO)C1OP(O)(=S)OCC1OC(N(C)C(=O)\N=C(\N)C=C)CC1OP(O)(=S)OCC1OC(N2C3=C(C(NC(N)=N3)=O)N=C2)CC1OP(O)(=S)OCC1OC(N2C(NC(=O)C(C)=C2)=O)CC1OP(O)(=S)OCC1OC(N2C(NC(=O)C(C)=C2)=O)CC1OP(O)(=S)OCC1OC(N2C(NC(=O)C(C)=C2)=O)CC1OP(O)(=S)OCC1OC(N2C3=C(C(NC(N)=N3)=O)N=C2)CC1OP(O)(=S)OCC1OC(N2C(N=C(N)C=C2)=O)CC1OP(O)(=S)OCC(C(C1)OP(S)(=O)OCC2C(CC(O2)N2C(N=C(N)C=C2)=O)OP(O)(=S)OCC2C(CC(O2)N2C(NC(=O)C(C)=C2)=O)OP(O)(=S)OCC2C(CC(O2)N2C(NC(=O)C(C)=C2)=O)OP(O)(=S)OCC2C(CC(O2)N2C(N=C(N)C=C2)=O)OP(O)(=S)OCC2C(CC(O2)N2C(NC(=O)C(C)=C2)=O)OP(O)(=S)OCC2C(CC(O2)N2C(NC(=O)C(C)=C2)=O)OP(O)(=S)OCC2C(CC(O2)N2C(N=C(N)C=C2)=O)OP(O)(=S)OCC2C(CC(O2)N2C(NC(=O)C(C)=C2)=O)OP(O)(=S)OCC2C(CC(O2)N2C(NC(=O)C(C)=C2)=O)OP(O)(=S)OCC2C(CC(O2)N2C3=C(C(NC(N)=N3)=O)N=C2)OP(O)(=S)OCC2C(CC(O2)N2C(N=C(N)C=C2)=O)OP(O)(=S)OCC2C(CC(O2)N2C3=C(C(NC(N)=N3)=O)N=C2)O)OC1N1C=C(C)C(=O)NC1=O XCWFZHPEARLXJI-UHFFFAOYSA-N 0.000 description 1
- 239000012634 fragment Substances 0.000 description 1
- 238000013467 fragmentation Methods 0.000 description 1
- 238000006062 fragmentation reaction Methods 0.000 description 1
- 230000002538 fungal effect Effects 0.000 description 1
- 150000002243 furanoses Chemical class 0.000 description 1
- ZZUFCTLCJUWOSV-UHFFFAOYSA-N furosemide Chemical compound C1=C(Cl)C(S(=O)(=O)N)=CC(C(O)=O)=C1NCC1=CC=CO1 ZZUFCTLCJUWOSV-UHFFFAOYSA-N 0.000 description 1
- 230000004927 fusion Effects 0.000 description 1
- GDSRMADSINPKSL-HSEONFRVSA-N gamma-cyclodextrin Chemical compound OC[C@H]([C@H]([C@@H]([C@H]1O)O)O[C@H]2O[C@@H]([C@@H](O[C@H]3O[C@H](CO)[C@H]([C@@H]([C@H]3O)O)O[C@H]3O[C@H](CO)[C@H]([C@@H]([C@H]3O)O)O[C@H]3O[C@H](CO)[C@H]([C@@H]([C@H]3O)O)O[C@H]3O[C@H](CO)[C@H]([C@@H]([C@H]3O)O)O[C@H]3O[C@H](CO)[C@H]([C@@H]([C@H]3O)O)O3)[C@H](O)[C@H]2O)CO)O[C@@H]1O[C@H]1[C@H](O)[C@@H](O)[C@@H]3O[C@@H]1CO GDSRMADSINPKSL-HSEONFRVSA-N 0.000 description 1
- 229940080345 gamma-cyclodextrin Drugs 0.000 description 1
- 229960002963 ganciclovir Drugs 0.000 description 1
- IRSCQMHQWWYFCW-UHFFFAOYSA-N ganciclovir Chemical compound O=C1NC(N)=NC2=C1N=CN2COC(CO)CO IRSCQMHQWWYFCW-UHFFFAOYSA-N 0.000 description 1
- 238000004817 gas chromatography Methods 0.000 description 1
- 230000002496 gastric effect Effects 0.000 description 1
- 201000011610 giant cell glioblastoma Diseases 0.000 description 1
- 229940085435 giardia lamblia Drugs 0.000 description 1
- 201000006592 giardiasis Diseases 0.000 description 1
- 230000002518 glial effect Effects 0.000 description 1
- 208000002409 gliosarcoma Diseases 0.000 description 1
- 239000008103 glucose Substances 0.000 description 1
- 125000005456 glyceride group Chemical group 0.000 description 1
- 229960002449 glycine Drugs 0.000 description 1
- 150000002337 glycosamines Chemical class 0.000 description 1
- 239000008187 granular material Substances 0.000 description 1
- 208000017750 granulocytic sarcoma Diseases 0.000 description 1
- 229960002867 griseofulvin Drugs 0.000 description 1
- DDUHZTYCFQRHIY-RBHXEPJQSA-N griseofulvin Chemical compound COC1=CC(=O)C[C@@H](C)[C@@]11C(=O)C(C(OC)=CC(OC)=C2Cl)=C2O1 DDUHZTYCFQRHIY-RBHXEPJQSA-N 0.000 description 1
- 230000009036 growth inhibition Effects 0.000 description 1
- 229960001906 haloprogin Drugs 0.000 description 1
- 230000036541 health Effects 0.000 description 1
- 230000003862 health status Effects 0.000 description 1
- ODZBBRURCPAEIQ-PIXDULNESA-N helpin Chemical compound C1[C@H](O)[C@@H](CO)O[C@H]1N1C(=O)NC(=O)C(\C=C\Br)=C1 ODZBBRURCPAEIQ-PIXDULNESA-N 0.000 description 1
- 201000005787 hematologic cancer Diseases 0.000 description 1
- 208000024200 hematopoietic and lymphoid system neoplasm Diseases 0.000 description 1
- 150000002373 hemiacetals Chemical class 0.000 description 1
- 229960002897 heparin Drugs 0.000 description 1
- 229920000669 heparin Polymers 0.000 description 1
- 208000006454 hepatitis Diseases 0.000 description 1
- 231100000283 hepatitis Toxicity 0.000 description 1
- 206010073071 hepatocellular carcinoma Diseases 0.000 description 1
- MNWFXJYAOYHMED-UHFFFAOYSA-N heptanoic acid Chemical compound CCCCCCC(O)=O MNWFXJYAOYHMED-UHFFFAOYSA-N 0.000 description 1
- 125000004404 heteroalkyl group Chemical group 0.000 description 1
- UBHWBODXJBSFLH-UHFFFAOYSA-N hexadecan-1-ol;octadecan-1-ol Chemical compound CCCCCCCCCCCCCCCCO.CCCCCCCCCCCCCCCCCCO UBHWBODXJBSFLH-UHFFFAOYSA-N 0.000 description 1
- FUZZWVXGSFPDMH-UHFFFAOYSA-N hexanoic acid Chemical compound CCCCCC(O)=O FUZZWVXGSFPDMH-UHFFFAOYSA-N 0.000 description 1
- 238000004128 high performance liquid chromatography Methods 0.000 description 1
- 208000029437 hookworm infectious disease Diseases 0.000 description 1
- 229960000890 hydrocortisone Drugs 0.000 description 1
- ZMZDMBWJUHKJPS-UHFFFAOYSA-N hydrogen thiocyanate Natural products SC#N ZMZDMBWJUHKJPS-UHFFFAOYSA-N 0.000 description 1
- QAOWNCQODCNURD-UHFFFAOYSA-M hydrogensulfate Chemical compound OS([O-])(=O)=O QAOWNCQODCNURD-UHFFFAOYSA-M 0.000 description 1
- 230000003301 hydrolyzing effect Effects 0.000 description 1
- 230000002209 hydrophobic effect Effects 0.000 description 1
- WGCNASOHLSPBMP-UHFFFAOYSA-N hydroxyacetaldehyde Natural products OCC=O WGCNASOHLSPBMP-UHFFFAOYSA-N 0.000 description 1
- 239000002471 hydroxymethylglutaryl coenzyme A reductase inhibitor Substances 0.000 description 1
- ZQDWXGKKHFNSQK-UHFFFAOYSA-N hydroxyzine Chemical compound C1CN(CCOCCO)CCN1C(C=1C=CC(Cl)=CC=1)C1=CC=CC=C1 ZQDWXGKKHFNSQK-UHFFFAOYSA-N 0.000 description 1
- 229960000930 hydroxyzine Drugs 0.000 description 1
- 239000005457 ice water Substances 0.000 description 1
- 229960000908 idarubicin Drugs 0.000 description 1
- 229960004716 idoxuridine Drugs 0.000 description 1
- 229960001101 ifosfamide Drugs 0.000 description 1
- HOMGKSMUEGBAAB-UHFFFAOYSA-N ifosfamide Chemical compound ClCCNP1(=O)OCCCN1CCCl HOMGKSMUEGBAAB-UHFFFAOYSA-N 0.000 description 1
- 150000002460 imidazoles Chemical class 0.000 description 1
- 125000002883 imidazolyl group Chemical group 0.000 description 1
- 150000003949 imides Chemical class 0.000 description 1
- 230000028993 immune response Effects 0.000 description 1
- 210000000987 immune system Anatomy 0.000 description 1
- 230000006028 immune-suppresssive effect Effects 0.000 description 1
- 229940127121 immunoconjugate Drugs 0.000 description 1
- 230000001506 immunosuppresive effect Effects 0.000 description 1
- 238000000099 in vitro assay Methods 0.000 description 1
- 238000012750 in vivo screening Methods 0.000 description 1
- 238000010348 incorporation Methods 0.000 description 1
- CBVCZFGXHXORBI-PXQQMZJSSA-N indinavir Chemical compound C([C@H](N(CC1)C[C@@H](O)C[C@@H](CC=2C=CC=CC=2)C(=O)N[C@H]2C3=CC=CC=C3C[C@H]2O)C(=O)NC(C)(C)C)N1CC1=CC=CN=C1 CBVCZFGXHXORBI-PXQQMZJSSA-N 0.000 description 1
- 229960001936 indinavir Drugs 0.000 description 1
- 125000001041 indolyl group Chemical group 0.000 description 1
- 230000007574 infarction Effects 0.000 description 1
- 230000002458 infectious effect Effects 0.000 description 1
- 238000001802 infusion Methods 0.000 description 1
- 238000007689 inspection Methods 0.000 description 1
- 229940124524 integrase inhibitor Drugs 0.000 description 1
- 239000002850 integrase inhibitor Substances 0.000 description 1
- 230000010354 integration Effects 0.000 description 1
- 208000013275 interstitial granulomatous dermatitis with arthritis Diseases 0.000 description 1
- 208000036971 interstitial lung disease 2 Diseases 0.000 description 1
- 230000000968 intestinal effect Effects 0.000 description 1
- 238000007917 intracranial administration Methods 0.000 description 1
- 239000011630 iodine Substances 0.000 description 1
- UWKQSNNFCGGAFS-XIFFEERXSA-N irinotecan Chemical compound C1=C2C(CC)=C3CN(C(C4=C([C@@](C(=O)OC4)(O)CC)C=4)=O)C=4C3=NC2=CC=C1OC(=O)N(CC1)CCC1N1CCCCC1 UWKQSNNFCGGAFS-XIFFEERXSA-N 0.000 description 1
- 229960004768 irinotecan Drugs 0.000 description 1
- 201000004614 iritis Diseases 0.000 description 1
- 208000002551 irritable bowel syndrome Diseases 0.000 description 1
- 208000028867 ischemia Diseases 0.000 description 1
- SUMDYPCJJOFFON-UHFFFAOYSA-N isethionic acid Chemical compound OCCS(O)(=O)=O SUMDYPCJJOFFON-UHFFFAOYSA-N 0.000 description 1
- 229960004130 itraconazole Drugs 0.000 description 1
- ZLVXBBHTMQJRSX-VMGNSXQWSA-N jdtic Chemical compound C1([C@]2(C)CCN(C[C@@H]2C)C[C@H](C(C)C)NC(=O)[C@@H]2NCC3=CC(O)=CC=C3C2)=CC=CC(O)=C1 ZLVXBBHTMQJRSX-VMGNSXQWSA-N 0.000 description 1
- 229960004125 ketoconazole Drugs 0.000 description 1
- DKYWVDODHFEZIM-UHFFFAOYSA-N ketoprofen Chemical compound OC(=O)C(C)C1=CC=CC(C(=O)C=2C=CC=CC=2)=C1 DKYWVDODHFEZIM-UHFFFAOYSA-N 0.000 description 1
- 229960000991 ketoprofen Drugs 0.000 description 1
- 239000000787 lecithin Substances 0.000 description 1
- 235000010445 lecithin Nutrition 0.000 description 1
- 229940067606 lecithin Drugs 0.000 description 1
- 239000002523 lectin Substances 0.000 description 1
- 208000032839 leukemia Diseases 0.000 description 1
- 239000003446 ligand Substances 0.000 description 1
- 239000002502 liposome Substances 0.000 description 1
- 238000009630 liquid culture Methods 0.000 description 1
- 210000004185 liver Anatomy 0.000 description 1
- 208000019423 liver disease Diseases 0.000 description 1
- KBEMFSMODRNJHE-JFWOZONXSA-N lodenosine Chemical compound C1=NC=2C(N)=NC=NC=2N1[C@@H]1O[C@H](CO)C[C@@H]1F KBEMFSMODRNJHE-JFWOZONXSA-N 0.000 description 1
- 229950003557 lodenosine Drugs 0.000 description 1
- 229960002247 lomustine Drugs 0.000 description 1
- 229960004525 lopinavir Drugs 0.000 description 1
- 229960003088 loratadine Drugs 0.000 description 1
- JCCNYMKQOSZNPW-UHFFFAOYSA-N loratadine Chemical compound C1CN(C(=O)OCC)CCC1=C1C2=NC=CC=C2CCC2=CC(Cl)=CC=C21 JCCNYMKQOSZNPW-UHFFFAOYSA-N 0.000 description 1
- 239000006210 lotion Substances 0.000 description 1
- 239000000314 lubricant Substances 0.000 description 1
- 229940041033 macrolides Drugs 0.000 description 1
- 239000011777 magnesium Substances 0.000 description 1
- 229910052749 magnesium Inorganic materials 0.000 description 1
- 229910001629 magnesium chloride Inorganic materials 0.000 description 1
- 229910001425 magnesium ion Inorganic materials 0.000 description 1
- 239000000391 magnesium silicate Substances 0.000 description 1
- 235000019359 magnesium stearate Nutrition 0.000 description 1
- 229910000386 magnesium trisilicate Inorganic materials 0.000 description 1
- 235000019793 magnesium trisilicate Nutrition 0.000 description 1
- 229940099273 magnesium trisilicate Drugs 0.000 description 1
- 238000012423 maintenance Methods 0.000 description 1
- 201000004792 malaria Diseases 0.000 description 1
- VZCYOOQTPOCHFL-UPHRSURJSA-N maleic acid Chemical compound OC(=O)\C=C/C(O)=O VZCYOOQTPOCHFL-UPHRSURJSA-N 0.000 description 1
- 208000030883 malignant astrocytoma Diseases 0.000 description 1
- 230000003211 malignant effect Effects 0.000 description 1
- KJFBVJALEQWJBS-XUXIUFHCSA-N maribavir Chemical compound CC(C)NC1=NC2=CC(Cl)=C(Cl)C=C2N1[C@H]1O[C@@H](CO)[C@H](O)[C@@H]1O KJFBVJALEQWJBS-XUXIUFHCSA-N 0.000 description 1
- 229960003762 maribavir Drugs 0.000 description 1
- 239000003550 marker Substances 0.000 description 1
- 238000004949 mass spectrometry Methods 0.000 description 1
- 229960004961 mechlorethamine Drugs 0.000 description 1
- 229940013798 meclofenamate Drugs 0.000 description 1
- 229960003803 meclofenamic acid Drugs 0.000 description 1
- 229960003464 mefenamic acid Drugs 0.000 description 1
- 229960001929 meloxicam Drugs 0.000 description 1
- 210000002418 meninge Anatomy 0.000 description 1
- 108020004999 messenger RNA Proteins 0.000 description 1
- 230000004060 metabolic process Effects 0.000 description 1
- 229940087646 methanolamine Drugs 0.000 description 1
- 229960000485 methotrexate Drugs 0.000 description 1
- 229960004584 methylprednisolone Drugs 0.000 description 1
- 229960002509 miconazole Drugs 0.000 description 1
- 230000003278 mimic effect Effects 0.000 description 1
- 229940042472 mineral oil Drugs 0.000 description 1
- 150000007522 mineralic acids Chemical class 0.000 description 1
- 210000003470 mitochondria Anatomy 0.000 description 1
- 229960004857 mitomycin Drugs 0.000 description 1
- 229960001156 mitoxantrone Drugs 0.000 description 1
- KKZJGLLVHKMTCM-UHFFFAOYSA-N mitoxantrone Chemical compound O=C1C2=C(O)C=CC(O)=C2C(=O)C2=C1C(NCCNCCO)=CC=C2NCCNCCO KKZJGLLVHKMTCM-UHFFFAOYSA-N 0.000 description 1
- 201000004058 mixed glioma Diseases 0.000 description 1
- 208000014490 mixed neuronal-glial tumor Diseases 0.000 description 1
- 238000002156 mixing Methods 0.000 description 1
- 229950007856 mofetil Drugs 0.000 description 1
- 210000005087 mononuclear cell Anatomy 0.000 description 1
- 210000004877 mucosa Anatomy 0.000 description 1
- 201000006417 multiple sclerosis Diseases 0.000 description 1
- 230000035772 mutation Effects 0.000 description 1
- 206010028417 myasthenia gravis Diseases 0.000 description 1
- 201000000050 myeloid neoplasm Diseases 0.000 description 1
- 201000005987 myeloid sarcoma Diseases 0.000 description 1
- CSYNQJPENMOLHR-UHFFFAOYSA-N n,n-diethylethanamine;ethyl acetate Chemical compound CCOC(C)=O.CCN(CC)CC CSYNQJPENMOLHR-UHFFFAOYSA-N 0.000 description 1
- DUWWHGPELOTTOE-UHFFFAOYSA-N n-(5-chloro-2,4-dimethoxyphenyl)-3-oxobutanamide Chemical compound COC1=CC(OC)=C(NC(=O)CC(C)=O)C=C1Cl DUWWHGPELOTTOE-UHFFFAOYSA-N 0.000 description 1
- GISJHCLTIVIGLX-UHFFFAOYSA-N n-[4-[(4-chlorophenyl)methoxy]pyridin-2-yl]-2-(2,6-difluorophenyl)acetamide Chemical compound FC1=CC=CC(F)=C1CC(=O)NC1=CC(OCC=2C=CC(Cl)=CC=2)=CC=N1 GISJHCLTIVIGLX-UHFFFAOYSA-N 0.000 description 1
- YGBMCLDVRUGXOV-UHFFFAOYSA-N n-[6-[6-chloro-5-[(4-fluorophenyl)sulfonylamino]pyridin-3-yl]-1,3-benzothiazol-2-yl]acetamide Chemical compound C1=C2SC(NC(=O)C)=NC2=CC=C1C(C=1)=CN=C(Cl)C=1NS(=O)(=O)C1=CC=C(F)C=C1 YGBMCLDVRUGXOV-UHFFFAOYSA-N 0.000 description 1
- 229960004270 nabumetone Drugs 0.000 description 1
- 229960004313 naftifine Drugs 0.000 description 1
- OZGNYLLQHRPOBR-DHZHZOJOSA-N naftifine Chemical compound C=1C=CC2=CC=CC=C2C=1CN(C)C\C=C\C1=CC=CC=C1 OZGNYLLQHRPOBR-DHZHZOJOSA-N 0.000 description 1
- KVBGVZZKJNLNJU-UHFFFAOYSA-M naphthalene-2-sulfonate Chemical compound C1=CC=CC2=CC(S(=O)(=O)[O-])=CC=C21 KVBGVZZKJNLNJU-UHFFFAOYSA-M 0.000 description 1
- 125000001624 naphthyl group Chemical group 0.000 description 1
- 229960002009 naproxen Drugs 0.000 description 1
- CMWTZPSULFXXJA-VIFPVBQESA-N naproxen Chemical compound C1=C([C@H](C)C(O)=O)C=CC2=CC(OC)=CC=C21 CMWTZPSULFXXJA-VIFPVBQESA-N 0.000 description 1
- 239000007922 nasal spray Substances 0.000 description 1
- 210000000822 natural killer cell Anatomy 0.000 description 1
- 229930014626 natural product Natural products 0.000 description 1
- 230000017066 negative regulation of growth Effects 0.000 description 1
- 229960000884 nelfinavir Drugs 0.000 description 1
- QAGYKUNXZHXKMR-HKWSIXNMSA-N nelfinavir Chemical compound CC1=C(O)C=CC=C1C(=O)N[C@H]([C@H](O)CN1[C@@H](C[C@@H]2CCCC[C@@H]2C1)C(=O)NC(C)(C)C)CSC1=CC=CC=C1 QAGYKUNXZHXKMR-HKWSIXNMSA-N 0.000 description 1
- MQYXUWHLBZFQQO-UHFFFAOYSA-N nepehinol Natural products C1CC(O)C(C)(C)C2CCC3(C)C4(C)CCC5(C)CCC(C(=C)C)C5C4CCC3C21C MQYXUWHLBZFQQO-UHFFFAOYSA-N 0.000 description 1
- 230000004770 neurodegeneration Effects 0.000 description 1
- 208000027831 neuroepithelial neoplasm Diseases 0.000 description 1
- 210000004498 neuroglial cell Anatomy 0.000 description 1
- 229960000689 nevirapine Drugs 0.000 description 1
- 229930027945 nicotinamide-adenine dinucleotide Natural products 0.000 description 1
- BOPGDPNILDQYTO-NNYOXOHSSA-N nicotinamide-adenine dinucleotide Chemical compound C1=CCC(C(=O)N)=CN1[C@H]1[C@H](O)[C@H](O)[C@@H](COP(O)(=O)OP(O)(=O)OC[C@@H]2[C@H]([C@@H](O)[C@@H](O2)N2C3=NC=NC(N)=C3N=C2)O)O1 BOPGDPNILDQYTO-NNYOXOHSSA-N 0.000 description 1
- 235000001968 nicotinic acid Nutrition 0.000 description 1
- 239000011664 nicotinic acid Substances 0.000 description 1
- 125000004433 nitrogen atom Chemical group N* 0.000 description 1
- QJGQUHMNIGDVPM-UHFFFAOYSA-N nitrogen group Chemical group [N] QJGQUHMNIGDVPM-UHFFFAOYSA-N 0.000 description 1
- 125000006574 non-aromatic ring group Chemical group 0.000 description 1
- 231100000344 non-irritating Toxicity 0.000 description 1
- 229940042402 non-nucleoside reverse transcriptase inhibitor Drugs 0.000 description 1
- 239000002726 nonnucleoside reverse transcriptase inhibitor Substances 0.000 description 1
- 231100000252 nontoxic Toxicity 0.000 description 1
- 230000003000 nontoxic effect Effects 0.000 description 1
- 238000010606 normalization Methods 0.000 description 1
- 229940042404 nucleoside and nucleotide reverse transcriptase inhibitor Drugs 0.000 description 1
- 125000003835 nucleoside group Chemical group 0.000 description 1
- 235000020824 obesity Nutrition 0.000 description 1
- 208000003177 ocular onchocerciasis Diseases 0.000 description 1
- 239000002674 ointment Substances 0.000 description 1
- PIDFDZJZLOTZTM-KHVQSSSXSA-N ombitasvir Chemical compound COC(=O)N[C@@H](C(C)C)C(=O)N1CCC[C@H]1C(=O)NC1=CC=C([C@H]2N([C@@H](CC2)C=2C=CC(NC(=O)[C@H]3N(CCC3)C(=O)[C@@H](NC(=O)OC)C(C)C)=CC=2)C=2C=CC(=CC=2)C(C)(C)C)C=C1 PIDFDZJZLOTZTM-KHVQSSSXSA-N 0.000 description 1
- 208000002042 onchocerciasis Diseases 0.000 description 1
- 235000005985 organic acids Nutrition 0.000 description 1
- 150000007530 organic bases Chemical class 0.000 description 1
- 229960003752 oseltamivir Drugs 0.000 description 1
- NENPYTRHICXVCS-YNEHKIRRSA-N oseltamivir acid Chemical compound CCC(CC)O[C@@H]1C=C(C(O)=O)C[C@H](N)[C@H]1NC(C)=O NENPYTRHICXVCS-YNEHKIRRSA-N 0.000 description 1
- 201000008482 osteoarthritis Diseases 0.000 description 1
- 230000002018 overexpression Effects 0.000 description 1
- 229960002739 oxaprozin Drugs 0.000 description 1
- OFPXSFXSNFPTHF-UHFFFAOYSA-N oxaprozin Chemical compound O1C(CCC(=O)O)=NC(C=2C=CC=CC=2)=C1C1=CC=CC=C1 OFPXSFXSNFPTHF-UHFFFAOYSA-N 0.000 description 1
- 229960003483 oxiconazole Drugs 0.000 description 1
- QRJJEGAJXVEBNE-MOHJPFBDSA-N oxiconazole Chemical compound ClC1=CC(Cl)=CC=C1CO\N=C(C=1C(=CC(Cl)=CC=1)Cl)\CN1C=NC=C1 QRJJEGAJXVEBNE-MOHJPFBDSA-N 0.000 description 1
- 230000033116 oxidation-reduction process Effects 0.000 description 1
- 229960001592 paclitaxel Drugs 0.000 description 1
- 229960005489 paracetamol Drugs 0.000 description 1
- 230000036961 partial effect Effects 0.000 description 1
- 201000001976 pemphigus vulgaris Diseases 0.000 description 1
- 229960001179 penciclovir Drugs 0.000 description 1
- FPVKHBSQESCIEP-JQCXWYLXSA-N pentostatin Chemical compound C1[C@H](O)[C@@H](CO)O[C@H]1N1C(N=CNC[C@H]2O)=C2N=C1 FPVKHBSQESCIEP-JQCXWYLXSA-N 0.000 description 1
- 238000012831 peritoneal equilibrium test Methods 0.000 description 1
- 230000035699 permeability Effects 0.000 description 1
- JRKICGRDRMAZLK-UHFFFAOYSA-L peroxydisulfate Chemical compound [O-]S(=O)(=O)OOS([O-])(=O)=O JRKICGRDRMAZLK-UHFFFAOYSA-L 0.000 description 1
- 239000008177 pharmaceutical agent Substances 0.000 description 1
- 201000001369 pharyngoconjunctival fever Diseases 0.000 description 1
- 239000012071 phase Substances 0.000 description 1
- 229960003534 phenindamine Drugs 0.000 description 1
- 125000001997 phenyl group Chemical group [H]C1=C([H])C([H])=C(*)C([H])=C1[H] 0.000 description 1
- 229960002895 phenylbutazone Drugs 0.000 description 1
- VYMDGNCVAMGZFE-UHFFFAOYSA-N phenylbutazonum Chemical compound O=C1C(CCCC)C(=O)N(C=2C=CC=CC=2)N1C1=CC=CC=C1 VYMDGNCVAMGZFE-UHFFFAOYSA-N 0.000 description 1
- PTMHPRAIXMAOOB-UHFFFAOYSA-L phosphoramidate Chemical compound NP([O-])([O-])=O PTMHPRAIXMAOOB-UHFFFAOYSA-L 0.000 description 1
- 150000003013 phosphoric acid derivatives Chemical class 0.000 description 1
- 102000020233 phosphotransferase Human genes 0.000 description 1
- 230000004962 physiological condition Effects 0.000 description 1
- 230000035479 physiological effects, processes and functions Effects 0.000 description 1
- 239000002504 physiological saline solution Substances 0.000 description 1
- 229940075930 picrate Drugs 0.000 description 1
- OXNIZHLAWKMVMX-UHFFFAOYSA-M picrate anion Chemical compound [O-]C1=C([N+]([O-])=O)C=C([N+]([O-])=O)C=C1[N+]([O-])=O OXNIZHLAWKMVMX-UHFFFAOYSA-M 0.000 description 1
- 229960002702 piroxicam Drugs 0.000 description 1
- QYSPLQLAKJAUJT-UHFFFAOYSA-N piroxicam Chemical compound OC=1C2=CC=CC=C2S(=O)(=O)N(C)C=1C(=O)NC1=CC=CC=N1 QYSPLQLAKJAUJT-UHFFFAOYSA-N 0.000 description 1
- 229950010765 pivalate Drugs 0.000 description 1
- IUGYQRQAERSCNH-UHFFFAOYSA-N pivalic acid Chemical compound CC(C)(C)C(O)=O IUGYQRQAERSCNH-UHFFFAOYSA-N 0.000 description 1
- 239000004033 plastic Substances 0.000 description 1
- 229920003023 plastic Polymers 0.000 description 1
- 150000003057 platinum Chemical class 0.000 description 1
- YIQPUIGJQJDJOS-UHFFFAOYSA-N plerixafor Chemical compound C=1C=C(CN2CCNCCCNCCNCCC2)C=CC=1CN1CCCNCCNCCCNCC1 YIQPUIGJQJDJOS-UHFFFAOYSA-N 0.000 description 1
- 229960002169 plerixafor Drugs 0.000 description 1
- 229920000058 polyacrylate Polymers 0.000 description 1
- 201000006292 polyarteritis nodosa Diseases 0.000 description 1
- 229940113116 polyethylene glycol 1000 Drugs 0.000 description 1
- 229920000642 polymer Polymers 0.000 description 1
- 239000001818 polyoxyethylene sorbitan monostearate Substances 0.000 description 1
- 235000010989 polyoxyethylene sorbitan monostearate Nutrition 0.000 description 1
- 229920002503 polyoxyethylene-polyoxypropylene Polymers 0.000 description 1
- 229920000136 polysorbate Polymers 0.000 description 1
- 229940113124 polysorbate 60 Drugs 0.000 description 1
- 239000001267 polyvinylpyrrolidone Substances 0.000 description 1
- 229920000036 polyvinylpyrrolidone Polymers 0.000 description 1
- 235000013855 polyvinylpyrrolidone Nutrition 0.000 description 1
- 239000013641 positive control Substances 0.000 description 1
- 230000023603 positive regulation of transcription initiation, DNA-dependent Effects 0.000 description 1
- 238000012636 positron electron tomography Methods 0.000 description 1
- 238000012877 positron emission topography Methods 0.000 description 1
- 230000002980 postoperative effect Effects 0.000 description 1
- TYJJADVDDVDEDZ-UHFFFAOYSA-M potassium hydrogencarbonate Chemical compound [K+].OC([O-])=O TYJJADVDDVDEDZ-UHFFFAOYSA-M 0.000 description 1
- 229910001414 potassium ion Inorganic materials 0.000 description 1
- 239000004302 potassium sorbate Substances 0.000 description 1
- 235000010241 potassium sorbate Nutrition 0.000 description 1
- 229940069338 potassium sorbate Drugs 0.000 description 1
- LPNYRYFBWFDTMA-UHFFFAOYSA-N potassium tert-butoxide Chemical compound [K+].CC(C)(C)[O-] LPNYRYFBWFDTMA-UHFFFAOYSA-N 0.000 description 1
- TUZYXOIXSAXUGO-PZAWKZKUSA-N pravastatin Chemical compound C1=C[C@H](C)[C@H](CC[C@@H](O)C[C@@H](O)CC(O)=O)[C@H]2[C@@H](OC(=O)[C@@H](C)CC)C[C@H](O)C=C21 TUZYXOIXSAXUGO-PZAWKZKUSA-N 0.000 description 1
- 229960002965 pravastatin Drugs 0.000 description 1
- 238000001556 precipitation Methods 0.000 description 1
- 229960004618 prednisone Drugs 0.000 description 1
- XOFYZVNMUHMLCC-ZPOLXVRWSA-N prednisone Chemical compound O=C1C=C[C@]2(C)[C@H]3C(=O)C[C@](C)([C@@](CC4)(O)C(=O)CO)[C@@H]4[C@@H]3CCC2=C1 XOFYZVNMUHMLCC-ZPOLXVRWSA-N 0.000 description 1
- 239000003755 preservative agent Substances 0.000 description 1
- 230000001566 pro-viral effect Effects 0.000 description 1
- CPTBDICYNRMXFX-UHFFFAOYSA-N procarbazine Chemical compound CNNCC1=CC=C(C(=O)NC(C)C)C=C1 CPTBDICYNRMXFX-UHFFFAOYSA-N 0.000 description 1
- 229960000624 procarbazine Drugs 0.000 description 1
- 102000004196 processed proteins & peptides Human genes 0.000 description 1
- 230000035755 proliferation Effects 0.000 description 1
- 235000019260 propionic acid Nutrition 0.000 description 1
- 229950008679 protamine sulfate Drugs 0.000 description 1
- 239000003909 protein kinase inhibitor Substances 0.000 description 1
- 238000001243 protein synthesis Methods 0.000 description 1
- 150000003212 purines Chemical class 0.000 description 1
- 150000003214 pyranose derivatives Chemical class 0.000 description 1
- 125000001725 pyrenyl group Chemical group 0.000 description 1
- 125000004076 pyridyl group Chemical group 0.000 description 1
- 150000003230 pyrimidines Chemical class 0.000 description 1
- 125000000714 pyrimidinyl group Chemical group 0.000 description 1
- 125000002943 quinolinyl group Chemical group N1=C(C=CC2=CC=CC=C12)* 0.000 description 1
- 230000002285 radioactive effect Effects 0.000 description 1
- 238000001953 recrystallisation Methods 0.000 description 1
- 229940100618 rectal suppository Drugs 0.000 description 1
- 239000006215 rectal suppository Substances 0.000 description 1
- 210000000664 rectum Anatomy 0.000 description 1
- 239000002824 redox indicator Substances 0.000 description 1
- 230000009467 reduction Effects 0.000 description 1
- 230000008929 regeneration Effects 0.000 description 1
- 238000011069 regeneration method Methods 0.000 description 1
- 208000009169 relapsing polychondritis Diseases 0.000 description 1
- 230000008261 resistance mechanism Effects 0.000 description 1
- 208000023504 respiratory system disease Diseases 0.000 description 1
- 230000000717 retained effect Effects 0.000 description 1
- 229930002330 retinoic acid Natural products 0.000 description 1
- 201000003068 rheumatic fever Diseases 0.000 description 1
- 206010039083 rhinitis Diseases 0.000 description 1
- 210000003705 ribosome Anatomy 0.000 description 1
- 229960000888 rimantadine Drugs 0.000 description 1
- 229960000311 ritonavir Drugs 0.000 description 1
- NCDNCNXCDXHOMX-XGKFQTDJSA-N ritonavir Chemical compound N([C@@H](C(C)C)C(=O)N[C@H](C[C@H](O)[C@H](CC=1C=CC=CC=1)NC(=O)OCC=1SC=NC=1)CC=1C=CC=CC=1)C(=O)N(C)CC1=CSC(C(C)C)=N1 NCDNCNXCDXHOMX-XGKFQTDJSA-N 0.000 description 1
- 239000003419 rna directed dna polymerase inhibitor Substances 0.000 description 1
- RZJQGNCSTQAWON-UHFFFAOYSA-N rofecoxib Chemical compound C1=CC(S(=O)(=O)C)=CC=C1C1=C(C=2C=CC=CC=2)C(=O)OC1 RZJQGNCSTQAWON-UHFFFAOYSA-N 0.000 description 1
- 229960000371 rofecoxib Drugs 0.000 description 1
- 229960000581 salicylamide Drugs 0.000 description 1
- 229960001860 salicylate Drugs 0.000 description 1
- YGSDEFSMJLZEOE-UHFFFAOYSA-M salicylate Chemical compound OC1=CC=CC=C1C([O-])=O YGSDEFSMJLZEOE-UHFFFAOYSA-M 0.000 description 1
- 229960000953 salsalate Drugs 0.000 description 1
- 229960001852 saquinavir Drugs 0.000 description 1
- QWAXKHKRTORLEM-UGJKXSETSA-N saquinavir Chemical compound C([C@@H]([C@H](O)CN1C[C@H]2CCCC[C@H]2C[C@H]1C(=O)NC(C)(C)C)NC(=O)[C@H](CC(N)=O)NC(=O)C=1N=C2C=CC=CC2=CC=1)C1=CC=CC=C1 QWAXKHKRTORLEM-UGJKXSETSA-N 0.000 description 1
- 201000000306 sarcoidosis Diseases 0.000 description 1
- 230000037390 scarring Effects 0.000 description 1
- 201000004409 schistosomiasis Diseases 0.000 description 1
- 238000003375 selectivity assay Methods 0.000 description 1
- 230000035945 sensitivity Effects 0.000 description 1
- 230000009919 sequestration Effects 0.000 description 1
- 238000013207 serial dilution Methods 0.000 description 1
- 239000002911 sialidase inhibitor Substances 0.000 description 1
- 238000010898 silica gel chromatography Methods 0.000 description 1
- 229960002855 simvastatin Drugs 0.000 description 1
- RYMZZMVNJRMUDD-HGQWONQESA-N simvastatin Chemical compound C([C@H]1[C@@H](C)C=CC2=C[C@H](C)C[C@@H]([C@H]12)OC(=O)C(C)(C)CC)C[C@@H]1C[C@@H](O)CC(=O)O1 RYMZZMVNJRMUDD-HGQWONQESA-N 0.000 description 1
- 201000009890 sinusitis Diseases 0.000 description 1
- AWUCVROLDVIAJX-GSVOUGTGSA-N sn-glycerol 3-phosphate Chemical compound OC[C@@H](O)COP(O)(O)=O AWUCVROLDVIAJX-GSVOUGTGSA-N 0.000 description 1
- 239000011734 sodium Substances 0.000 description 1
- 229910052708 sodium Inorganic materials 0.000 description 1
- 235000019812 sodium carboxymethyl cellulose Nutrition 0.000 description 1
- 229920001027 sodium carboxymethylcellulose Polymers 0.000 description 1
- 229910001415 sodium ion Inorganic materials 0.000 description 1
- 235000010265 sodium sulphite Nutrition 0.000 description 1
- YEENEYXBHNNNGV-XEHWZWQGSA-M sodium;3-acetamido-5-[acetyl(methyl)amino]-2,4,6-triiodobenzoate;(2r,3r,4s,5s,6r)-2-[(2r,3s,4s,5r)-3,4-dihydroxy-2,5-bis(hydroxymethyl)oxolan-2-yl]oxy-6-(hydroxymethyl)oxane-3,4,5-triol Chemical compound [Na+].CC(=O)N(C)C1=C(I)C(NC(C)=O)=C(I)C(C([O-])=O)=C1I.O[C@H]1[C@H](O)[C@@H](CO)O[C@]1(CO)O[C@@H]1[C@H](O)[C@@H](O)[C@H](O)[C@@H](CO)O1 YEENEYXBHNNNGV-XEHWZWQGSA-M 0.000 description 1
- 239000008259 solid foam Substances 0.000 description 1
- 230000003381 solubilizing effect Effects 0.000 description 1
- 235000010199 sorbic acid Nutrition 0.000 description 1
- 239000004334 sorbic acid Substances 0.000 description 1
- 229940075582 sorbic acid Drugs 0.000 description 1
- 239000001587 sorbitan monostearate Substances 0.000 description 1
- 235000011076 sorbitan monostearate Nutrition 0.000 description 1
- 229940035048 sorbitan monostearate Drugs 0.000 description 1
- 241000894007 species Species 0.000 description 1
- 238000004611 spectroscopical analysis Methods 0.000 description 1
- 238000010561 standard procedure Methods 0.000 description 1
- 210000000130 stem cell Anatomy 0.000 description 1
- 230000003335 steric effect Effects 0.000 description 1
- 239000011550 stock solution Substances 0.000 description 1
- 238000003860 storage Methods 0.000 description 1
- 229960001052 streptozocin Drugs 0.000 description 1
- ZSJLQEPLLKMAKR-GKHCUFPYSA-N streptozocin Chemical compound O=NN(C)C(=O)N[C@H]1[C@@H](O)O[C@H](CO)[C@@H](O)[C@@H]1O ZSJLQEPLLKMAKR-GKHCUFPYSA-N 0.000 description 1
- 201000004059 subependymal giant cell astrocytoma Diseases 0.000 description 1
- 229960002607 sulconazole Drugs 0.000 description 1
- 125000000446 sulfanediyl group Chemical group *S* 0.000 description 1
- PXQLVRUNWNTZOS-UHFFFAOYSA-N sulfanyl Chemical class [SH] PXQLVRUNWNTZOS-UHFFFAOYSA-N 0.000 description 1
- 229960000894 sulindac Drugs 0.000 description 1
- MLKXDPUZXIRXEP-MFOYZWKCSA-N sulindac Chemical compound CC1=C(CC(O)=O)C2=CC(F)=CC=C2\C1=C/C1=CC=C(S(C)=O)C=C1 MLKXDPUZXIRXEP-MFOYZWKCSA-N 0.000 description 1
- 239000000829 suppository Substances 0.000 description 1
- 239000004094 surface-active agent Substances 0.000 description 1
- 238000001356 surgical procedure Methods 0.000 description 1
- 230000004083 survival effect Effects 0.000 description 1
- 239000000375 suspending agent Substances 0.000 description 1
- 230000002459 sustained effect Effects 0.000 description 1
- 238000013268 sustained release Methods 0.000 description 1
- 239000012730 sustained-release form Substances 0.000 description 1
- 208000011580 syndromic disease Diseases 0.000 description 1
- 230000002194 synthesizing effect Effects 0.000 description 1
- 230000008685 targeting Effects 0.000 description 1
- 229940095064 tartrate Drugs 0.000 description 1
- RCINICONZNJXQF-MZXODVADSA-N taxol Chemical compound O([C@@H]1[C@@]2(C[C@@H](C(C)=C(C2(C)C)[C@H](C([C@]2(C)[C@@H](O)C[C@H]3OC[C@]3([C@H]21)OC(C)=O)=O)OC(=O)C)OC(=O)[C@H](O)[C@@H](NC(=O)C=1C=CC=CC=1)C=1C=CC=CC=1)O)C(=O)C1=CC=CC=C1 RCINICONZNJXQF-MZXODVADSA-N 0.000 description 1
- BESDYXOPYOAWRZ-UHFFFAOYSA-N temacrazine Chemical compound C12=C3C(=O)C4=CC=CC=C4N1N=NC2=CC=C3NCCCN(CC1)CCN1CCCNC1=CC=C2N=NN3C4=CC=CC=C4C(=O)C1=C32 BESDYXOPYOAWRZ-UHFFFAOYSA-N 0.000 description 1
- 201000004415 tendinitis Diseases 0.000 description 1
- NRUKOCRGYNPUPR-QBPJDGROSA-N teniposide Chemical compound COC1=C(O)C(OC)=CC([C@@H]2C3=CC=4OCOC=4C=C3[C@@H](O[C@H]3[C@@H]([C@@H](O)[C@@H]4O[C@@H](OC[C@H]4O3)C=3SC=CC=3)O)[C@@H]3[C@@H]2C(OC3)=O)=C1 NRUKOCRGYNPUPR-QBPJDGROSA-N 0.000 description 1
- 229960001278 teniposide Drugs 0.000 description 1
- 229960004556 tenofovir Drugs 0.000 description 1
- 229960002871 tenoxicam Drugs 0.000 description 1
- LZNWYQJJBLGYLT-UHFFFAOYSA-N tenoxicam Chemical compound OC=1C=2SC=CC=2S(=O)(=O)N(C)C=1C(=O)NC1=CC=CC=N1 LZNWYQJJBLGYLT-UHFFFAOYSA-N 0.000 description 1
- 229960002722 terbinafine Drugs 0.000 description 1
- DOMXUEMWDBAQBQ-WEVVVXLNSA-N terbinafine Chemical compound C1=CC=C2C(CN(C\C=C\C#CC(C)(C)C)C)=CC=CC2=C1 DOMXUEMWDBAQBQ-WEVVVXLNSA-N 0.000 description 1
- 229960000580 terconazole Drugs 0.000 description 1
- 229960000351 terfenadine Drugs 0.000 description 1
- MHXBHWLGRWOABW-UHFFFAOYSA-N tetradecyl octadecanoate Chemical compound CCCCCCCCCCCCCCCCCC(=O)OCCCCCCCCCCCCCC MHXBHWLGRWOABW-UHFFFAOYSA-N 0.000 description 1
- QEMXHQIAXOOASZ-UHFFFAOYSA-N tetramethylammonium Chemical compound C[N+](C)(C)C QEMXHQIAXOOASZ-UHFFFAOYSA-N 0.000 description 1
- 229960003433 thalidomide Drugs 0.000 description 1
- 125000000335 thiazolyl group Chemical group 0.000 description 1
- 230000008719 thickening Effects 0.000 description 1
- 229960001196 thiotepa Drugs 0.000 description 1
- ZFEAMMNVDPDEGE-LGRGJMMZSA-N tifuvirtide Chemical compound C([C@H](NC(=O)[C@H](CCC(O)=O)NC(=O)[C@H](CC(N)=O)NC(=O)[C@H](CCCCN)NC(=O)[C@H](CCC(O)=O)NC(=O)[C@H](CCC(N)=O)NC(=O)[C@H](CCC(N)=O)NC(=O)[C@@H](NC(=O)[C@H](CCC(N)=O)NC(=O)[C@H](C)NC(=O)[C@H](CCC(N)=O)NC(=O)[C@H](CCC(O)=O)NC(=O)[C@H](CC(C)C)NC(=O)[C@H](CC(C)C)NC(=O)[C@H](C)NC(=O)[C@@H](NC(=O)[C@@H](NC(=O)[C@H](CCCCN)NC(=O)[C@H](CCC(N)=O)NC(=O)[C@H](CCC(O)=O)NC(=O)[C@H](CC=1C2=CC=CC=C2NC=1)NC(=O)[C@H](CCC(O)=O)NC(=O)[C@H](CCC(N)=O)NC(=O)[C@H](CC=1C2=CC=CC=C2NC=1)NC(C)=O)[C@@H](C)CC)[C@@H](C)O)[C@@H](C)CC)C(=O)N[C@@H](CCC(O)=O)C(=O)N[C@@H](CC(C)C)C(=O)N[C@@H](CCC(N)=O)C(=O)N[C@@H](CCCCN)C(=O)N[C@@H](CC(C)C)C(=O)N[C@@H](CC(O)=O)C(=O)N[C@@H](CCCCN)C(=O)N[C@@H](CC=1C2=CC=CC=C2NC=1)C(=O)N[C@@H](C)C(=O)N[C@@H](CO)C(=O)N[C@@H](CC(C)C)C(=O)N[C@@H](CC=1C2=CC=CC=C2NC=1)C(=O)N[C@@H](CCC(O)=O)C(=O)N[C@@H](CC=1C2=CC=CC=C2NC=1)C(=O)N[C@@H](CC=1C=CC=CC=1)C(N)=O)C1=CC=C(O)C=C1 ZFEAMMNVDPDEGE-LGRGJMMZSA-N 0.000 description 1
- MIMJSJSRRDZIPW-UHFFFAOYSA-N tilmacoxib Chemical compound C=1C=C(S(N)(=O)=O)C(F)=CC=1C=1OC(C)=NC=1C1CCCCC1 MIMJSJSRRDZIPW-UHFFFAOYSA-N 0.000 description 1
- 229960004214 tioconazole Drugs 0.000 description 1
- 229960003087 tioguanine Drugs 0.000 description 1
- MNRILEROXIRVNJ-UHFFFAOYSA-N tioguanine Chemical compound N1C(N)=NC(=S)C2=NC=N[C]21 MNRILEROXIRVNJ-UHFFFAOYSA-N 0.000 description 1
- 229960000838 tipranavir Drugs 0.000 description 1
- SUJUHGSWHZTSEU-FYBSXPHGSA-N tipranavir Chemical compound C([C@@]1(CCC)OC(=O)C([C@H](CC)C=2C=C(NS(=O)(=O)C=3N=CC(=CC=3)C(F)(F)F)C=CC=2)=C(O)C1)CC1=CC=CC=C1 SUJUHGSWHZTSEU-FYBSXPHGSA-N 0.000 description 1
- 229960000984 tocofersolan Drugs 0.000 description 1
- AOBORMOPSGHCAX-DGHZZKTQSA-N tocofersolan Chemical compound OCCOC(=O)CCC(=O)OC1=C(C)C(C)=C2O[C@](CCC[C@H](C)CCC[C@H](C)CCCC(C)C)(C)CCC2=C1C AOBORMOPSGHCAX-DGHZZKTQSA-N 0.000 description 1
- 229960001017 tolmetin Drugs 0.000 description 1
- UPSPUYADGBWSHF-UHFFFAOYSA-N tolmetin Chemical compound C1=CC(C)=CC=C1C(=O)C1=CC=C(CC(O)=O)N1C UPSPUYADGBWSHF-UHFFFAOYSA-N 0.000 description 1
- JOXIMZWYDAKGHI-UHFFFAOYSA-N toluene-4-sulfonic acid Chemical compound CC1=CC=C(S(O)(=O)=O)C=C1 JOXIMZWYDAKGHI-UHFFFAOYSA-N 0.000 description 1
- 206010044008 tonsillitis Diseases 0.000 description 1
- 230000000699 topical effect Effects 0.000 description 1
- UCFGDBYHRUNTLO-QHCPKHFHSA-N topotecan Chemical compound C1=C(O)C(CN(C)C)=C2C=C(CN3C4=CC5=C(C3=O)COC(=O)[C@]5(O)CC)C4=NC2=C1 UCFGDBYHRUNTLO-QHCPKHFHSA-N 0.000 description 1
- 229960000303 topotecan Drugs 0.000 description 1
- 231100000331 toxic Toxicity 0.000 description 1
- 230000002588 toxic effect Effects 0.000 description 1
- 238000012546 transfer Methods 0.000 description 1
- 230000014616 translation Effects 0.000 description 1
- 238000011269 treatment regimen Methods 0.000 description 1
- 229960005294 triamcinolone Drugs 0.000 description 1
- GFNANZIMVAIWHM-OBYCQNJPSA-N triamcinolone Chemical compound O=C1C=C[C@]2(C)[C@@]3(F)[C@@H](O)C[C@](C)([C@@]([C@H](O)C4)(O)C(=O)CO)[C@@H]4[C@@H]3CCC2=C1 GFNANZIMVAIWHM-OBYCQNJPSA-N 0.000 description 1
- YNDXUCZADRHECN-JNQJZLCISA-N triamcinolone acetonide Chemical compound C1CC2=CC(=O)C=C[C@]2(C)[C@]2(F)[C@@H]1[C@@H]1C[C@H]3OC(C)(C)O[C@@]3(C(=O)CO)[C@@]1(C)C[C@@H]2O YNDXUCZADRHECN-JNQJZLCISA-N 0.000 description 1
- 229960002117 triamcinolone acetonide Drugs 0.000 description 1
- 150000003852 triazoles Chemical class 0.000 description 1
- 208000003982 trichinellosis Diseases 0.000 description 1
- 201000007588 trichinosis Diseases 0.000 description 1
- 208000009920 trichuriasis Diseases 0.000 description 1
- VSQQQLOSPVPRAZ-RRKCRQDMSA-N trifluridine Chemical compound C1[C@H](O)[C@@H](CO)O[C@H]1N1C(=O)NC(=O)C(C(F)(F)F)=C1 VSQQQLOSPVPRAZ-RRKCRQDMSA-N 0.000 description 1
- 229960003962 trifluridine Drugs 0.000 description 1
- 229960003223 tripelennamine Drugs 0.000 description 1
- 150000004043 trisaccharides Chemical class 0.000 description 1
- 239000012137 tryptone Substances 0.000 description 1
- ZDPHROOEEOARMN-UHFFFAOYSA-N undecanoic acid Chemical compound CCCCCCCCCCC(O)=O ZDPHROOEEOARMN-UHFFFAOYSA-N 0.000 description 1
- 229960001055 uracil mustard Drugs 0.000 description 1
- 229940093257 valacyclovir Drugs 0.000 description 1
- 230000002792 vascular Effects 0.000 description 1
- 235000013311 vegetables Nutrition 0.000 description 1
- 229960003048 vinblastine Drugs 0.000 description 1
- JXLYSJRDGCGARV-XQKSVPLYSA-N vincaleukoblastine Chemical compound C([C@@H](C[C@]1(C(=O)OC)C=2C(=CC3=C([C@]45[C@H]([C@@]([C@H](OC(C)=O)[C@]6(CC)C=CCN([C@H]56)CC4)(O)C(=O)OC)N3C)C=2)OC)C[C@@](C2)(O)CC)N2CCC2=C1NC1=CC=CC=C21 JXLYSJRDGCGARV-XQKSVPLYSA-N 0.000 description 1
- OGWKCGZFUXNPDA-XQKSVPLYSA-N vincristine Chemical compound C([N@]1C[C@@H](C[C@]2(C(=O)OC)C=3C(=CC4=C([C@]56[C@H]([C@@]([C@H](OC(C)=O)[C@]7(CC)C=CCN([C@H]67)CC5)(O)C(=O)OC)N4C=O)C=3)OC)C[C@@](C1)(O)CC)CC1=C2NC2=CC=CC=C12 OGWKCGZFUXNPDA-XQKSVPLYSA-N 0.000 description 1
- 229960004528 vincristine Drugs 0.000 description 1
- OGWKCGZFUXNPDA-UHFFFAOYSA-N vincristine Natural products C1C(CC)(O)CC(CC2(C(=O)OC)C=3C(=CC4=C(C56C(C(C(OC(C)=O)C7(CC)C=CCN(C67)CC5)(O)C(=O)OC)N4C=O)C=3)OC)CN1CCC1=C2NC2=CC=CC=C12 OGWKCGZFUXNPDA-UHFFFAOYSA-N 0.000 description 1
- GBABOYUKABKIAF-GHYRFKGUSA-N vinorelbine Chemical compound C1N(CC=2C3=CC=CC=C3NC=22)CC(CC)=C[C@H]1C[C@]2(C(=O)OC)C1=CC([C@]23[C@H]([C@]([C@H](OC(C)=O)[C@]4(CC)C=CCN([C@H]34)CC2)(O)C(=O)OC)N2C)=C2C=C1OC GBABOYUKABKIAF-GHYRFKGUSA-N 0.000 description 1
- 229960002066 vinorelbine Drugs 0.000 description 1
- 230000007502 viral entry Effects 0.000 description 1
- 230000029812 viral genome replication Effects 0.000 description 1
- 239000011782 vitamin Substances 0.000 description 1
- 229940088594 vitamin Drugs 0.000 description 1
- 235000013343 vitamin Nutrition 0.000 description 1
- 229930003231 vitamin Natural products 0.000 description 1
- 150000003722 vitamin derivatives Chemical class 0.000 description 1
- 239000002699 waste material Substances 0.000 description 1
- 239000001993 wax Substances 0.000 description 1
- 210000002268 wool Anatomy 0.000 description 1
- 239000012138 yeast extract Substances 0.000 description 1
- ARAIBEBZBOPLMB-UFGQHTETSA-N zanamivir Chemical compound CC(=O)N[C@@H]1[C@@H](N=C(N)N)C=C(C(O)=O)O[C@H]1[C@H](O)[C@H](O)CO ARAIBEBZBOPLMB-UFGQHTETSA-N 0.000 description 1
- 229960001028 zanamivir Drugs 0.000 description 1
- 150000003751 zinc Chemical class 0.000 description 1
- 229910052725 zinc Inorganic materials 0.000 description 1
- 239000011701 zinc Substances 0.000 description 1
- 239000002076 α-tocopherol Substances 0.000 description 1
- 235000004835 α-tocopherol Nutrition 0.000 description 1
Images
Classifications
-
- B—PERFORMING OPERATIONS; TRANSPORTING
- B82—NANOTECHNOLOGY
- B82Y—SPECIFIC USES OR APPLICATIONS OF NANOSTRUCTURES; MEASUREMENT OR ANALYSIS OF NANOSTRUCTURES; MANUFACTURE OR TREATMENT OF NANOSTRUCTURES
- B82Y5/00—Nanobiotechnology or nanomedicine, e.g. protein engineering or drug delivery
-
- A—HUMAN NECESSITIES
- A61—MEDICAL OR VETERINARY SCIENCE; HYGIENE
- A61K—PREPARATIONS FOR MEDICAL, DENTAL OR TOILETRY PURPOSES
- A61K47/00—Medicinal preparations characterised by the non-active ingredients used, e.g. carriers or inert additives; Targeting or modifying agents chemically bound to the active ingredient
- A61K47/50—Medicinal preparations characterised by the non-active ingredients used, e.g. carriers or inert additives; Targeting or modifying agents chemically bound to the active ingredient the non-active ingredient being chemically bound to the active ingredient, e.g. polymer-drug conjugates
- A61K47/51—Medicinal preparations characterised by the non-active ingredients used, e.g. carriers or inert additives; Targeting or modifying agents chemically bound to the active ingredient the non-active ingredient being chemically bound to the active ingredient, e.g. polymer-drug conjugates the non-active ingredient being a modifying agent
- A61K47/54—Medicinal preparations characterised by the non-active ingredients used, e.g. carriers or inert additives; Targeting or modifying agents chemically bound to the active ingredient the non-active ingredient being chemically bound to the active ingredient, e.g. polymer-drug conjugates the non-active ingredient being a modifying agent the modifying agent being an organic compound
- A61K47/55—Medicinal preparations characterised by the non-active ingredients used, e.g. carriers or inert additives; Targeting or modifying agents chemically bound to the active ingredient the non-active ingredient being chemically bound to the active ingredient, e.g. polymer-drug conjugates the non-active ingredient being a modifying agent the modifying agent being an organic compound the modifying agent being also a pharmacologically or therapeutically active agent, i.e. the entire conjugate being a codrug, i.e. a dimer, oligomer or polymer of pharmacologically or therapeutically active compounds
- A61K47/552—Medicinal preparations characterised by the non-active ingredients used, e.g. carriers or inert additives; Targeting or modifying agents chemically bound to the active ingredient the non-active ingredient being chemically bound to the active ingredient, e.g. polymer-drug conjugates the non-active ingredient being a modifying agent the modifying agent being an organic compound the modifying agent being also a pharmacologically or therapeutically active agent, i.e. the entire conjugate being a codrug, i.e. a dimer, oligomer or polymer of pharmacologically or therapeutically active compounds one of the codrug's components being an antibiotic
-
- A—HUMAN NECESSITIES
- A61—MEDICAL OR VETERINARY SCIENCE; HYGIENE
- A61K—PREPARATIONS FOR MEDICAL, DENTAL OR TOILETRY PURPOSES
- A61K47/00—Medicinal preparations characterised by the non-active ingredients used, e.g. carriers or inert additives; Targeting or modifying agents chemically bound to the active ingredient
- A61K47/50—Medicinal preparations characterised by the non-active ingredients used, e.g. carriers or inert additives; Targeting or modifying agents chemically bound to the active ingredient the non-active ingredient being chemically bound to the active ingredient, e.g. polymer-drug conjugates
- A61K47/51—Medicinal preparations characterised by the non-active ingredients used, e.g. carriers or inert additives; Targeting or modifying agents chemically bound to the active ingredient the non-active ingredient being chemically bound to the active ingredient, e.g. polymer-drug conjugates the non-active ingredient being a modifying agent
- A61K47/54—Medicinal preparations characterised by the non-active ingredients used, e.g. carriers or inert additives; Targeting or modifying agents chemically bound to the active ingredient the non-active ingredient being chemically bound to the active ingredient, e.g. polymer-drug conjugates the non-active ingredient being a modifying agent the modifying agent being an organic compound
- A61K47/555—Medicinal preparations characterised by the non-active ingredients used, e.g. carriers or inert additives; Targeting or modifying agents chemically bound to the active ingredient the non-active ingredient being chemically bound to the active ingredient, e.g. polymer-drug conjugates the non-active ingredient being a modifying agent the modifying agent being an organic compound pre-targeting systems involving an organic compound, other than a peptide, protein or antibody, for targeting specific cells
- A61K47/556—Medicinal preparations characterised by the non-active ingredients used, e.g. carriers or inert additives; Targeting or modifying agents chemically bound to the active ingredient the non-active ingredient being chemically bound to the active ingredient, e.g. polymer-drug conjugates the non-active ingredient being a modifying agent the modifying agent being an organic compound pre-targeting systems involving an organic compound, other than a peptide, protein or antibody, for targeting specific cells enzyme catalyzed therapeutic agent [ECTA]
-
- A—HUMAN NECESSITIES
- A61—MEDICAL OR VETERINARY SCIENCE; HYGIENE
- A61K—PREPARATIONS FOR MEDICAL, DENTAL OR TOILETRY PURPOSES
- A61K47/00—Medicinal preparations characterised by the non-active ingredients used, e.g. carriers or inert additives; Targeting or modifying agents chemically bound to the active ingredient
- A61K47/50—Medicinal preparations characterised by the non-active ingredients used, e.g. carriers or inert additives; Targeting or modifying agents chemically bound to the active ingredient the non-active ingredient being chemically bound to the active ingredient, e.g. polymer-drug conjugates
- A61K47/51—Medicinal preparations characterised by the non-active ingredients used, e.g. carriers or inert additives; Targeting or modifying agents chemically bound to the active ingredient the non-active ingredient being chemically bound to the active ingredient, e.g. polymer-drug conjugates the non-active ingredient being a modifying agent
- A61K47/62—Medicinal preparations characterised by the non-active ingredients used, e.g. carriers or inert additives; Targeting or modifying agents chemically bound to the active ingredient the non-active ingredient being chemically bound to the active ingredient, e.g. polymer-drug conjugates the non-active ingredient being a modifying agent the modifying agent being a protein, peptide or polyamino acid
- A61K47/66—Medicinal preparations characterised by the non-active ingredients used, e.g. carriers or inert additives; Targeting or modifying agents chemically bound to the active ingredient the non-active ingredient being chemically bound to the active ingredient, e.g. polymer-drug conjugates the non-active ingredient being a modifying agent the modifying agent being a protein, peptide or polyamino acid the modifying agent being a pre-targeting system involving a peptide or protein for targeting specific cells
- A61K47/67—Enzyme prodrug therapy, e.g. gene directed enzyme drug therapy [GDEPT] or VDEPT
-
- A—HUMAN NECESSITIES
- A61—MEDICAL OR VETERINARY SCIENCE; HYGIENE
- A61K—PREPARATIONS FOR MEDICAL, DENTAL OR TOILETRY PURPOSES
- A61K49/00—Preparations for testing in vivo
- A61K49/0004—Screening or testing of compounds for diagnosis of disorders, assessment of conditions, e.g. renal clearance, gastric emptying, testing for diabetes, allergy, rheuma, pancreas functions
-
- A—HUMAN NECESSITIES
- A61—MEDICAL OR VETERINARY SCIENCE; HYGIENE
- A61P—SPECIFIC THERAPEUTIC ACTIVITY OF CHEMICAL COMPOUNDS OR MEDICINAL PREPARATIONS
- A61P43/00—Drugs for specific purposes, not provided for in groups A61P1/00-A61P41/00
-
- G—PHYSICS
- G01—MEASURING; TESTING
- G01N—INVESTIGATING OR ANALYSING MATERIALS BY DETERMINING THEIR CHEMICAL OR PHYSICAL PROPERTIES
- G01N33/00—Investigating or analysing materials by specific methods not covered by groups G01N1/00 - G01N31/00
- G01N33/48—Biological material, e.g. blood, urine; Haemocytometers
- G01N33/50—Chemical analysis of biological material, e.g. blood, urine; Testing involving biospecific ligand binding methods; Immunological testing
- G01N33/5005—Chemical analysis of biological material, e.g. blood, urine; Testing involving biospecific ligand binding methods; Immunological testing involving human or animal cells
- G01N33/5008—Chemical analysis of biological material, e.g. blood, urine; Testing involving biospecific ligand binding methods; Immunological testing involving human or animal cells for testing or evaluating the effect of chemical or biological compounds, e.g. drugs, cosmetics
- G01N33/5044—Chemical analysis of biological material, e.g. blood, urine; Testing involving biospecific ligand binding methods; Immunological testing involving human or animal cells for testing or evaluating the effect of chemical or biological compounds, e.g. drugs, cosmetics involving specific cell types
- G01N33/5047—Cells of the immune system
-
- G—PHYSICS
- G01—MEASURING; TESTING
- G01N—INVESTIGATING OR ANALYSING MATERIALS BY DETERMINING THEIR CHEMICAL OR PHYSICAL PROPERTIES
- G01N33/00—Investigating or analysing materials by specific methods not covered by groups G01N1/00 - G01N31/00
- G01N33/48—Biological material, e.g. blood, urine; Haemocytometers
- G01N33/50—Chemical analysis of biological material, e.g. blood, urine; Testing involving biospecific ligand binding methods; Immunological testing
- G01N33/5005—Chemical analysis of biological material, e.g. blood, urine; Testing involving biospecific ligand binding methods; Immunological testing involving human or animal cells
- G01N33/5094—Chemical analysis of biological material, e.g. blood, urine; Testing involving biospecific ligand binding methods; Immunological testing involving human or animal cells for blood cell populations
Definitions
- Successful therapy with a pharmaceutical agent requires that the agent satisfy numerous requirements imposed by the physiology of the host and of the disease or condition.
- the requirements include: (i) adequate ability to interact with the target receptor(s); (ii) appropriate physical properties for presence at the location of the receptors in concentrations that permit the interactions noted above; (iii) appropriate physical properties to allow the agent to enter the body and distribute to the location of the receptors by any means; (iv) sufficient stability in fluids of the body; (v) the absence of toxic effects in compartments where the therapeutic agent is most concentrated, or in any other compartment where the therapeutic agent is located; and (vi) the absence of sequestration into non-physiological compartments and so on.
- the present invention represents a significant advance in that it provides for a means of improving the bioavailability and efficacy of a variety of molecules in vivo using a series of rational and facile assays to select desirable compounds based on known pharmacophores or pharmaceutical lead structures that have not been optimized for in vivo action.
- the invention relates to a compound useful for enhancing efficacy of a therapeutic agent, a method for identifying such a compound, and a method of treating diseases including inflammation, graft rejection, infection, cancer, allergies, metabolic cardiovascular, pulmonary, dermatological, rheumatological and hepatic diseases.
- the invention further comprises compositions and formulations selected using the method and applications for same.
- the invention provides for a method for identifying compounds that act as carriers or “transportophores” (i.e., a transport mediating molecule) that when combined, either directly or via a linker, to a wide variety of therapeutic agents, improves one or more of the following characteristics of the agent: ease of formulation, gastric stability, bioavailability, stability, disposition, elimination, half life, efficacy, safety, duration of action and selectivity.
- transportophores i.e., a transport mediating molecule
- this invention features a compound of the following formula (or referred to as T-L-C hereinafter):
- T is a transportophore
- L is a bond or a linker having a molecular weight up to 240 dalton
- C is a non-antibiotic therapeutic agent
- m is 1, 2, 3, 4, 5, 6, 7, or 8, in which the transportophore has an immune selectivity ratio of at least 2, the transportophore is covalently bonded to the non-antibiotic therapeutic agent via the bond or the linker, and the compound has an immune selectivity ratio of at least 2.
- m is greater than 1
- the L moieties or the C moieties independently, can be the same or different. The same rule applies to other similar situations.
- the transportophore can be a metabolite, a natural product, a metabolite mimic, a metabolite derivative (e.g., a sugar, amino, or peptide derivative), a fatty acid, a bile acid, a vitamin, a nucleobase, an alcohol, or an organic acid or base, a portion of which resembles and is recognized as a substrate for transport protein(s). It can be an amphiphilic molecule having a pKa value of 6.5 to 9.5, or a cyclic or heterocyclic molecule (e.g., lactone, lactam, ether, cyclic acetal or hemi-acetal).
- a metabolite derivative e.g., a sugar, amino, or peptide derivative
- a fatty acid e.g., a sugar, amino, or peptide derivative
- a bile acid e.g., a sugar, amino, or peptide derivative
- the cyclic or heterocyclic molecule can have an attached sugar.
- the cyclic or heterocyclic molecule can be a macrolactone or macroether, including a macrolactone or macroether having an attached sugar.
- the cyclic or heterocyclic molecule can also be a macrolide or ketolide having an amino sugar, including a macrolide having mono-, di-, or tri-basic groups (e.g., an amine).
- the macrolide has no intrinsic antibacterial activity (inactive at 50 uM or higher concentrations when tested against Bacillus invitro see protocol) and a pKa value of less than 9.0 (e.g., 8.5, 8.0, 7.5, 7.0, or any number in between).
- the compound has the following formula (in which a bond, drawn without any attached groups, means a methyl group. The same rule applies to other similar situtations):
- alkyl, alkenyl, alkynyl, aryl, and heteroaryl groups are optionally substituted by one to five substituents selected independently from halogen, (C 1 -C 4 )alkyl, (C 1 -C 4 )alkenyl, (C 1 -C 4 ) alkynyl, (C 3 -C 7 )cycloalkyl, (C 1 -C 6 )heterocycloalkyl, (C 6 -C 10 )aryl, (C 1 -C 9 )heteroaryl, C 1 -C 4 )alkoxy, hydroxy, nitro, cyano, azido, mercapto, —NR 18 R 19 , R 18 C( ⁇ O)—, R 18 C( ⁇ O)O—, R 18 OC( ⁇ O)O—, R 18 NHC( ⁇ O)—, R 18 C( ⁇ O)NH—, R 18 R 19 NC( ⁇ O)— and R 18 OC
- alkyl, alkenyl, alkynyl, aryl, and heteroaryl groups are optionally substituted by one to five substituents selected independently from halogen, (C 1 -C 4 )alkyl, (C 1 -C 4 )alkenyl, (C 1 -C 4 ) alkynyl, (C 3 -C 7 )cycloalkyl, (C 1 -C 6 )heterocycloalkyl, (C 6 -C 10 )aryl, (C 1 -C 9 )heteroaryl, (C 1 -C 4 )alkoxy, hydroxy, nitro, cyano, azido, mercapto, —NR 18 R 19 , R 18 C( ⁇ O)—, R 18 C( ⁇ O)O—, R 18 OC( ⁇ O)O—, R 18 NHC( ⁇ O)—, R 18 C( ⁇ O)NH—, R 18 R 19 NC( ⁇ O)— and R 18
- R 17 O—R 20 -aryl
- the compound has the following formula:
- alkyl, alkenyl, alkynyl, cycloalkyl, heterocycloalkyl, aryl and heteroaryl can optionally be substituted by one to three halogen, cyano, hydroxy, (C 1 -C 4 ) alkyloxy, nitro, (C 1 -C 6 )alkyl, (C 1 -C 6 )alkenyl, (C 1 -C 6 )alkynyl, (C 3 -C 7 )cycloalkyl, (C 1 -C 6 )heterocycloalkyl, (C 6 -C 10 )aryl, (C 1 -C 9 )heteroaryl, NR 18 R 19 , R 18 C( ⁇ )O—, R 18 OC( ⁇ O)—, R 18 C( ⁇ O)NH—, R 18 NHC( ⁇ O)—, R 18 R 19 NC( ⁇ O)— and R 18 OC( ⁇ O)
- alkyl, alkenyl, alkynyl, cycloalkyl, heterocycloalkyl, aryl, heteroaryl are optionally substituted by one to three halogen, cyano, hydroxy, (C 1 -C 4 )alkyloxy, nitro, (C 1 -C 6 )alkyl, (C 1 -C 6 ) alkenyl, (C 1 -C 6 )alkynyl, (C 3 -C 7 )cycloalkyl, (C 1 -C 6 )heterocycloalkyl, (C 6 -C 10 )aryl, (C 1 -C 9 )heteroaryl, NR 18 R 19 , R 18 C( ⁇ O)—, R 18 C( ⁇ O)O—,R 18 OC( ⁇ O)—, R 18 C( ⁇ O)NH—, R 18 NHC( ⁇ O)—, R 18 R 19 NC( ⁇ O)— and R 18 OC( ⁇ O)— and R 18
- k is 0, 1 or 2 and alkyl, alkenyl, alkynyl, cycloalkyl, heterocycloalkyl, aryl and heteroaryl can be substituted as defined above.
- R 17 O—R 20 -aryl
- the compound has the following formula:
- R 1 is connected to the oxygen bearing R 4 or R 5 forming a lactone or is connected to a suitable substituent in R 2 forming a lactone or lactam.
- alkyl, alkenyl, alkynyl, cycloalkyl, heterocycloalkyl, aryl, heteroaryl groups are optionally substituted by one to five substituents selected independently from halogen, (C 1 -C 4 )alkyl, (C 1 -C 4 )alkenyl, (C 1 -C 4 )alkynl, (C 3 -C 7 )cycloalkyl, (C 1 -C 6 )heterocycloalkyl, (C 6 -C 10 )aryl, (C 1 -C 9 )heteroaryl, (C 1 -C 4 )alkoxy, hydroxy, nitro, cyano, azido, mercapto, R 20 R 21 N—, R 20 C( ⁇ O)—, R 20 C( ⁇ O)O—, R 20 OC( ⁇ O)—, R 20 NHC( ⁇ O)—, R 20 C( ⁇ O)NH—, R 20 R 21
- alkyl, alkenyl, alkynyl, cycloalkyl, heterocycloalkyl, aryl, heteroaryl groups are optionally substituted by one to five substituents selected independently from halogen, (C 1 -C 4 )alkyl, (C 1 -C 4 )alkenyl, (C 1 -C 4 )alkynl, (C 3 -C 7 )cycloalkyl, (C 1 -C 6 )heterocycloalkyl (C 6 -C 10 )aryl, (C 1 -C 9 )heteroaryl, (C 1 -C 4 )alkoxy, R 20 R 21 N—
- alkyl, alkenyl, alkynyl, cycloalkyl, heterocycloalkyl, aryl, heteroaryl groups are optionally substituted by one to five substituents selected independently from halogen, (C 1 -C 4 )alkyl, (C 1 -C 4 )alkenyl, (C 1 -C 4 )alkynyl, (C 3 -C 7 )cycloalkyl, (C 1 -C 6 ) heterocycloalkyl, (C 6 -C 10 )aryl, (C 1 -C 9 )heteroaryl, (C 1 -C 4 )alkoxy, hydroxy, nitro, cyano, azido, mercapto, R 20 R 21 N—, R 20 C( ⁇ O)—, R 20 C( ⁇ O)O—, R 20 OC( ⁇ O)—, R 20 NHC( ⁇ O)—, R 20 C( ⁇ O)NH—, R 20 R 21 NC
- alkyl, alkenyl, alkynyl, cycloalkyl, heterocycloalkyl, aryl, heteroaryl groups are optionally substituted by one to five substituents selected independently from halogen, (C 1 -C 4 )alkyl, (C 1 -C 4 )alkenyl, (C 1 -C 4 )alkynyl, (C 3 -C 7 )cycloalkyl, (C 1 -C 6 ) heterocycloalkyl, (C 6 -C 10 )aryl, (C 1 -C 9 )heteroaryl, (C 1 -C 4 )alkoxy, hydroxy, nitro, cyano, azido, mercapto, R 20 R 21 N—, R 20 C( ⁇ O)—, R 20 C( ⁇ O)O—, R 20 OC( ⁇ O)—, R 20 NHC( ⁇ O)—, R 20 C( ⁇ O)NH—, R 20 R 21 NC
- R 6 , R 8 independently —C( ⁇ O)R 17 , —Y-therapeutic agent, -therapeutic agent, —S( ⁇ O) 2 R 17 providing R 17 is not hydrogen, —C( ⁇ O)NR 17 R 18
- alkyl, alkenyl, alkynyl, cycloalkyl, heterocycloalkyl, aryl, heteroaryl groups are optionally substituted by one to five substituents selected independently from halogen, (C 1 -C 4 )alkyl, (C 1 -C 4 )alkenyl, (C 1 -C 4 )alkynyl, (C 3 -C 7 )cycloalkyl, (C 1 -C 6 ) heterocycloalkyl, (C 6 -C 10 )aryl, (C 1 -C 9 )heteroaryl, (C 1 -C 4 )alkoxy, hydroxy, nitro, cyano, azido, mercapto, R 20 R 21 N—, R 20 C( ⁇ O)—, R 20 C( ⁇ O)O—, R 20 OC( ⁇ O)—, R 20 NHC( ⁇ O)—, R 20 C( ⁇ O)NH—, R 20 R 21 NC
- alkyl, alkenyl, alkynyl groups are optionally substituted by one to five substituents selected independently from halogen, (C 1 -C 4 )alkyl, (C 1 -C 4 )alkenyl, (C 1 -C 4 )alkynyl, (C 3 -C 7 )cycloalkyl, (C 1 -C 6 )heterocycloalkyl, (C 6 -C 10 )aryl, (C 1 -C 9 )heteroaryl, (C 1 -C 4 )alkoxy, hydroxy, nitro, cyano, azido, mercapto, R 20 R 21 N—, R 20 C( ⁇ O)—, R 20 C( ⁇ O)O—, R 20 OC( ⁇ O)—, R 20 NHC( ⁇ O)—, R 20 C( ⁇ O)NH—, R 20 R 21 NC( ⁇ O)—, and R 20 OC( ⁇ O)O—, —
- alkyl, alkenyl, alkynyl groups are optionally substituted by one to five substituents selected independently from halogen, (C 1 -C 4 )alkyl, (C 1 -C 4 )alkenyl, (C 1 -C 4 )alkynyl, (C 3 -C 7 )cycloalkyl, (C 1 -C 6 )heterocycloalkyl, (C 6 -C 10 )aryl, (C 1 -C 9 )heteroaryl, (C 1 -C 4 )alkoxy, hydroxy, nitro, cyano, azido, mercapto, R 20 R 21 N—, R 20 C( ⁇ O)—, R 20 C( ⁇ O)O—, R 20 OC( ⁇ O)—, R 20 NHC( ⁇ O)—, R 20 C( ⁇ O)NH—, R 20 R 21 NC( ⁇ O)—, and R 20 OC( ⁇ O)O—, —
- alkyl, alkenyl, alkynyl groups are optionally substituted by one to five substituents selected independently from halogen, (C 1 -C 4 )alkyl, (C 1 -C 4 )alkenyl, (C 1 -C 4 )alkynyl, (C 3 -C 7 )cycloalkyl, (C 1 -C 6 )heterocycloalkyl, (C 6 -C 10 )aryl, (C 1 -C 9 )heteroaryl, (C 1 -C 4 )alkoxy, hydroxy, nitro, cyano, azido, mercapto, R 20 R 21 N—, R 20 C( ⁇ O)—, R 20 C( ⁇ O)O—, R 20 OC( ⁇ O)—, R 20 NHC( ⁇ O)—, R 20 C( ⁇ O)NH—, R 20 R 21 NC( ⁇ O)—, R 20 OC( ⁇ O)O—, —Y
- R 11 —Y-therapeutic agent, -therapeutic agent, —C( ⁇ O)R 17
- alkyl, alkenyl, alkynyl, cycloalkyl, heterocycloalkyl, aryl, heteroaryl groups are optionally substituted by one to five substituents selected independently from halogen, (C 1 -C 4 )alkyl, (C 1 -C 4 )alkenyl, (C 1 -C 4 )alkynyl, (C 3 -C 7 )cycloalkyl, (C 1 -C 6 )heterocycloalkyl, (C 6 -C 10 )aryl, (C 1 -C 9 )heteroaryl, (C 1 -C 4 )alkoxy, hydroxy, nitro, cyano, azido, mercapto, R 20 R 21 N—, R 20 C( ⁇ O)—, R 20 C( ⁇ O)O—, R 20 OC( ⁇ O)—, R 20 NHC( ⁇ O)—, R 20 C( ⁇ O)NH—, R 20 R 21 N—, R
- R 12 , R 13 independently —C( ⁇ O)R 17 , —Y-therapeutic agent, -therapeutic agent, —S( ⁇ O) 2 R 17 providing R 17 is not hydrogen, —C( ⁇ O)NR 17 R 18
- alkyl, alkenyl, alkynyl, cycloalkyl, heterocycloalkyl, aryl, heteroaryl groups are optionally substituted by one to five substituents selected independently from halogen, (C 1 -C 4 )alkyl, (C 1 -C 4 )alkenyl, (C 1 -C 4 )alkynyl, (C 3 -C 7 )cycloalkyl, (C 1 -C 6 )heterocycloalkyl, (C 6 -C 10 )aryl, (C 1 -C 9 )heteroaryl, (C 1 -C 4 )alkoxy, hydroxy, nitro, cyano, azido, mercapto, R 20 R 21 N—, R 20 C( ⁇ O)—, R 20 C( ⁇ O)O—, R 20 OC( ⁇ O)—, R 20 NHC( ⁇ O)—, R 20 C( ⁇ O)NH—, R 20 R 21 N—, R
- alkyl, alkenyl, alkynyl, cycloalkyl, heterocycloalkyl, aryl, heteroaryl groups are optionally substituted by one to five substituents selected independently from halogen, (C 1 -C 4 )alkyl, (C 1 -C 4 )alkenyl, (C 1 -C 4 )alkynyl, (C 3 -C 7 )cycloalkyl, (C 1 -C 6 )heterocycloalkyl, (C 6 -C 10 )aryl, (C 1 -C 9 )heteroaryl, (C 1 -C 4 )alkoxy, hydroxy, nitro, cyano, azido, mercapto, R 20 R 21 N—, R 20 C( ⁇ O)—, R 20 C( ⁇ O)O—, R 20 OC( ⁇ O)—, R 20 NHC( ⁇ O)—, R 20 C( ⁇ O)NH—, R 20 R 21 N—, R
- alkyl, alkenyl, alkynyl, cycloalkyl, heterocycloalkyl, aryl, heteroaryl groups are optionally substituted by one to five substituents selected independently from halogen, (C 1 -C 4 )alkyl, (C 1 -C 4 )alkenyl, (C 1 -C 4 )alkynyl, (C 3 -C 7 )cycloalkyl, (C 1 -C 6 )heterocycloalkyl, (C 6 -C 10 )aryl, (C 1 -C 9 )heteroaryl, (C 1 -C 4 )alkoxy, hydroxy, nitro, cyano, azido, mercapto, R 20 R 21 N—, R 20 C( ⁇ O)—, R 20 C( ⁇ O)O—, R 20 OC( ⁇ O)—, R 20 NHC( ⁇ O)—, R 20 C( ⁇ O)NH—, R 20 R 21 N—, R
- R 17 , R 18 may form a cyclic structure of 4 to 7 members (including the nitrogen).
- R 17 and R 18 then can represent a fragment from the type of —[C(AB)] m - ⁇ n -[C(DE)] o - ⁇ p -[C(GJ)] q wherein m, n, o, p and q independently are 0, 1, 2, 3, 4, 5, or 6, ⁇ and ⁇ independently are —O—, —S—, —NK— and
- A, B, D, E, G, J, and K independently are hydrogen, (C 1 -C 4 ) alkyl, (C 1 -C 4 )alkenyl, (C 1 -C 4 )alkynyl, (C 3 -C 7 )cycloalkyl, (C 1 -C 6 )heterocycloalkyl, (C 6 -C 10 )aryl, (C 1 -C 9 )
- S( ⁇ O) 2 R 17 providing R 17 is not hydrogen, —C( ⁇ O)NR 17 R 18 .
- the compound has the following formula:
- (C 1 -C 10 )alkyl optionally substituted by fluoro, cyano, R 4 , R 4 O 2 C, R 4 C( ⁇ O)NH and R 4 S( ⁇ O) k wherein k is 0, 1 or 2
- alkyl, alkenyl, alkynyl, cycloalkyl, heterocycloalkyl, aryl, and heteroaryl groups are optionally substituted by one to three halo, (C 1 -C 4 )alkoxy, hydroxy, nitro, cyano, —C( ⁇ O)—OR 8 , —C( ⁇ O)N(H)R 8 , (C 6 -C 10 )aryl, (C 2 -C 9 )heteroaryl, N*R 5 R 6 R 7 wherein * is no or a positive charge, one or two of R 2 , R 3 can be a directly coupled therapeutic agent
- alkyl, alkenyl, alkynyl, cycloalkyl, heterocycloalkyl, aryl, and heteroaryl groups are optionally substituted by one to three halo, (C 1 -C 4 )alkoxy, hydroxy, nitro, cyano, R 8 , —C( ⁇ O)—OR 8 , —C( ⁇ O)N(H)R 8 , (C 6 -C 10 )aryl, (C 2 -C 9 )heteroaryl, N*R 5 R 6 R 7 wherein * is no or a positive charge, or therapeutic agent
- alkyl, alkenyl, alkynyl, cycloalkyl, heterocycloalkyl, aryl, and heteroaryl groups are optionally substituted by one to three halo, (C 1 -C 4 )alkoxy, hydroxy, nitro, cyano, R 8 , —C( ⁇ O)—OR 8 , —C( ⁇ O)N(H)R 8 , (C 6 -C 10 )aryl, (C 2 -C 9 )heteroaryl, N*R 5 R 6 R 7 wherein * is no or a positive charge, ortherapeutic agent.
- Preferred molecules can be compounds that are recognized by a transport enzyme in the membrane of the cell of the tissue that is to target. This can be a molecule that fulfills the structural requirements in order to be recognized by an oligo-peptide transporter.
- Compounds recognized by transport enzymes can be identified by performing a transport assay with the compound in question in cells expressing the transport protein in question, and comparing the level of compound accumulation with those from parallel uptake assays performed using cells which do not express the target transport protein.
- R may represent a chemical residue that will modify the recognition by the transporting enzyme or at least not inhibit it.
- R may be comprised of the therapeutic agent that is to be delivered or the pharmaceutical entity is for example an amino acid itself as in example A.
- Necessary for transport through an oligopeptide transporter seems to be a basic group spaced 4 or 5 bonds from an hydrogen bond accepting group like preferably carboxylate (example A-C) or less preferred amide (example D).
- R 1 and R 2 are hydrogen or lower alkyl, branched or linear from C 1 to C 5 , or benzyl or p-hydroxy benzyl, or hydroxy or mercapto methyl, or any group responsible for the desired pharmacological effect.
- Example D R2 can be hydrogen or lower alkyl, branched or linear from C1 to C5, or benzyl or p-hydroxy benzyl, or hydroxy or mercapto methyl, while R1 consists of the pharmacologically relevant therapeutic agent.
- the therapeutic agent would contain a carboxylic acid that by linking to the amino function of an amino acid hydrazide would obtain the general structure of example D.
- Therapeutic agents and Transportophores can be directly connected or via a linking element.
- This element typically is a bifunctional molecule of low molecular mass, which can react subsequently with the therapeutic agent and the transportophore.
- the therapeutic agent can be released from this linker under physiological conditions. This may be achieved oxidatively (i.e. by action of a cytochrome C), reductively (i.e. by action of NADH), hydrolytically (i.e. by action of a protease), or initiated by radicals (i.e. by the action of superoxide radicals).
- the mechanisms of therapeutic agent release are not limited to the above examples.
- Linkers have the following formnula:
- F 1 , F 2 independently a functional group, suitable to react with a counterpart in the therapeutic agent or in the transportophore.
- F 1 and F 2 are, but are not limited to
- X 1 wherein X 1 is a halogen atom or a sulfonate ester or another suitable leaving group
- NHR c wherein R c is H, (C 1 -C 4 )alkyl
- NCX 3 wherein X 3 is S or O;
- R and R′ are independently —H, —CH 3 , —Cl, —Br, —F, —O(C 1 -C 4 )alkyl, —C( ⁇ O)O(C 1 -C 4 )alkyl, —NO 2 , —S( ⁇ O) k (O) l (C 1 -C 4 )alkyl wherein k is 0, 1 or 2 and l is 0 or 1, SiR 1 R 2 R 3 wherein R 1 , R 2 and R 3 independently are (C 1 -C 4 )alkyl;
- F 1 and F 2 can be connected to form a cyclic anhydride or di- or trisulfide.
- M is a spacing element which is, but is not limited to
- Alkyl-, alkenyl, alkynyl, cycloalkyl, aryl or heteroaryl spacing elements are optionally substituted by (C 1 -C 6 )alkyl, 1-4 halogens, (C 1 -C 4 )alkoxy, (C 1 -C 4 )alkoxycarbonyl, hydroxy, amino, (C 1 -C 4 )alkylamino, (C 1 -C 4 )dialkylamino, (C 3 -C 10 )cycloalkyl, (C 1 -C 6 )alkylcarbonyloxy, (C 1 -C 6 )alkylcarbonylamido, (C 1 -C 4 )alkylamidocarbonyl, (C 1 -C 4 )dialkylamidocarbonyl, nitro, cyano, (C 1 -C 4 )alkylimino, mercapto and (C 1 -C 4 )alkylmercapto functions
- 2,2- Methoxycarbonyl-4- 2,2-Dimethylsuccinic Dimethylsuccinic acid, hydroxyproline, acid, Succinic acid, Glutaric Glycolic acid, Succinic acid, Glutaric acid, ⁇ -Alanin, ⁇ -hydroxy acid, 2,4- 2,4-Dimethylglutanc propanoic acid Dimethylglutaric acid, acid, Methyl Methyl dicarboxy- dicarboxymethylamino methylamin, 2-Aminoethyl-2- hydroxyethylamino OH 5. N- 2,2-Dimethylsuccinic 6.
- the donor linking function in vertical refers to a functional group on T; the recipient linking function in horizonal refers to a functional group on L; and the chemical groups in the boxes are the linkers (L).
- the non-antibiotic therapeutic agent can be an anti-inflammatory agent, an anti-infectious agent (including anti-virals), an anti-cancer agent, an allergy-suppressive agent, an immune-suppressant agent, an agent for treating a hematopoietic disorder, a lipid lowering agent, an agent for treating a lysosomal storage disorder, a sterol synthesis modifying agent, agents active on protozoa, or an agent for treating a metabolic disease.
- an anti-inflammatory agent including anti-virals
- an anti-cancer agent an allergy-suppressive agent
- an immune-suppressant agent an agent for treating a hematopoietic disorder
- a lipid lowering agent an agent for treating a lysosomal storage disorder
- a sterol synthesis modifying agent agents active on protozoa
- agents active on protozoa or an agent for treating a metabolic disease.
- an “immune selectivity ratio” is the ratio of the concentration of a compound in immune cells (e.g., neutrophils, monocytes, and lymphocytes) to the concentration of the compound in erythrocytic cells after the compound has been incubated in a mixture of blood cells including erythrocytes.
- immune selectivity ratio is described in Example 1.
- a “therapeutic agent,” as used herein, is a molecule with pharmacological activity (e.g., a therapeutic agent, medicine, medicament, or active agent), a disease modification agent, or any other molecule that can be covalently attached to a transportophore via a bond or a linker which may have a desirable mode of action in immune or target cells.
- a therapeutic agent may be released from a compound described above in response to the enzyme activity or the physicochemical environment of the targeted cells.
- the therapeutic agent is selectively accumulated in a cell due to specific characteristics of the cell membranes, specific expression of membrane proteins, specific conditions within the cell, notably to expression of specific proteins such as granule proteins, binding sites in the cytoplasm, or other membrane bound or soluble proteins, and is thus trapped in the cell and therefore exhibits an enhanced or desired activity therein.
- An “amphiphilic molecule,” as used herein, is a molecule having a hydrophilic (polar) and hydrophobic (non-polar) functional groups (e.g., atoms) or a combination of groups (or atoms).
- the pKa of this molecule is in the range of 6.5 to 9.5.
- cyclic refers to a hydrocarbon cyclic ring including fully saturated, partially saturated, and unsaturated mono-, bi-, and tri-cyclic rings having 4 to 34 ring atoms, preferably, 7 to 10, or 10 to 15 ring atoms.
- heterocyclic refers to a hydrocarbon cyclic ring including fully saturated, partially saturated, and unsaturated mono-, bi, and tri-cyclic rings having 4 to 34 ring atoms, preferably, 7 to 10, or 10 to 15 ring atoms having one or more heteroatoms, such as S, O, or N in each ring.
- sugar refers to a mono-, di-, or tri-saccharide including deoxy-, thio-, and amino-saccharides.
- sugar include, but are not limited to, furanose and pyranose.
- halogen and “halo” refer to radicals of fluorine, chlorine, bromine or iodine.
- macrolactone refers to a large lactone ring (i.e., cyclic ester) having at least 10 (e.g., 10 to 25) ring atoms.
- microcyclic ether refers to an ether having at least 10 (e.g., 10 to 25) ring atoms.
- the term “macrolide” refers to a chemical compound characterized by a large lactone ring (having at least 10, e.g., 10 to 25 ring atoms) containing one or more keto and hydroxyl groups, or to any of a large group of antibacterial antibiotics containing a large lactone ring linked glycosidically to one or more sugars; they are produced by certain species of Streptomyces and inhibit protein synthesis by binding to the 50S subunits of 70S ribosomes. Examples include erythromycin, azithromycin, and clarithromycin.
- ketolide refers to a chemical compound characterized by a large lactone ring (having at least 10 ring atoms) containing one or more keto groups.
- alkyl refers to a hydrocarbon chain that may be a straight chain or branched chain, containing the indicated number of carbon atoms.
- C 1 -C 10 indicates that the group may have from 1 to 10 (inclusive) carbon atoms in it.
- Alkenyl groups and alkynyl groups have one or more double or triple carbon-carbon bonds, respectively, in the chain.
- aryl refers to a hydrocarbon ring system (mono-cyclic or bi-cyclic) having the indicated number of carbon atoms and at least one aromatic ring.
- aryl moieties include, but are not limited to, phenyl, naphthyl, and pyrenyl.
- heteroaryl refers to a ring system (mono-cyclic or bi-cyclic) having the indicated number of ring atoms including carbon atoms and at least one aromatic ring.
- the ring system includes at least one heteroatom such as O, N, or S (e.g., between 1 and 4 heteroatoms, inclusive, per ring) as part of the ring system.
- heteroaryl moieties include, but are not limited to, pyridyl, furyl or furanyl, imidazolyl, benzimidazolyl, pyrimidinyl, thiophenyl or thienyl, quinolinyl, indolyl, and thiazolyl.
- alkoxy refers to an —O-alkyl radical.
- cycloalkyl refers to a nonaromatic hydrocarbon ring system (mono-cyclic or bi-cyclic), containing the indicated number of carbon atoms.
- heterocycloalkyl refers to a nonaromatic ring system (mono-cyclic or bi-cyclic), containing the indicated number of ring atoms including carbon atoms and at least one heteroatom such as O, N, or S (e.g., between 1 and 4 heteroatoms, inclusive, per ring) as part of the ring system.
- Alkyliden is a bivalent alkyl group.
- Aryliden is a bivalent aryl group.
- Erythrocytic cell is a mature red blood cell that normally does not have a nucleus: it is a very small, circular disk with both faces concave, and contains hemoglobin, which carries oxygen to the body tissues.
- the compounds described above include the compounds themselves, as well as their salts, if applicable.
- Such salts can be formed between a positively charged substituent (e.g., amino) on a compound and an anion.
- Suitable anions include, but are not limited to, chloride, bromide, iodide, sulfate, nitrate, phosphate, citrate, methanesulfonate, trifluoroacetate, and acetate.
- a negatively charged substituent (e.g., carboxylate) on a compound can form a salt with a cation.
- Suitable cations include, but are not limited to, sodium ion, potassium ion, magnesium ion, calcium ion, and an ammonium cation such as tetramethylammonium ion.
- some of the compounds of this invention have one or more double bonds, or one or more asymmetric centers. Such compounds can occur as racemates, racemic mixtures, single enantiomers, individual diastereomers, diastereomeric mixtures, and cis- or trans- or E- or Z-double isomeric forms.
- N-oxides refers to one or more nitrogen atoms, when present in a compound, are in N-oxide form, i.e., N ⁇ O.
- this invention features a method for treating an inflammatory disorder.
- the method includes administering to a subject in need thereof an effective amount of a compound described above, wherein the compound contains a non-antibiotic therapeutic agent that is an anti-inflammatory agent.
- the method includes co-usage with other anti-inflammatory agents or therapeutic agents.
- the method is able to improve therapy by concentrating a compound preferentially in immune cells including neutrophils, monocytes, eosinophils, macrophage, alveolar macrophage, B and T-lymphocytes, NK cells, giant cells, Kupfer cells, glial cells, and similar target cells using a variety of means of concentrative compound uptake common to such cells.
- the invention is advantageous in that selective concentration of compounds conforming to the definition of “therapeutic agent” above, can improve therapy and that, for the purposes of illustration only, concentration of agents in immune cells can confer improved characteristics on compounds with suitable modes of action for the treatment of inflammatory diseases.
- the invention features a means of improving the action of a compound in vivo by reducing its exposure to the action of detoxification enzymes. Such reduced exposure is a result of the structure of the conjugate molecule causing it to be differently retained in the cells and organs of the organism and thus reducing or limiting the amount of material in a given metabolic compartment.
- the invention provides for means to improve the action of a compound through improved retention in the cells and tissues of the organism such that it is less efficiently eliminated by the normal processes of circulation and filtration. Such avoidance of elimination is, at least in part, a consequence of efficient uptake into cells resulting in reduced concentrations of the drug being available from plasma.
- the invention provides for a means of improving the action of a drug by assisting its uptake from the intestine through the overall effects on membrane permeability of the compound that are associated with the invention.
- Uptake from oral administration is a means of providing sustained exposure to the compound from the parts of the intestine to which it is permeable. Oral availability is not a property of all compounds.
- This invention also features a method of treating a disease (e.g., an infectious disease including viral, fungal, or parasitic diseases, cancer, allergy, metabolic, cardiovascular, pulmonary, dermatological, rheumatological or immune disease).
- the method comprises administering to a subject in need thereof an effective amount of a compound described above, wherein the compound contains a non-antibiotic therapeutic agent (e.g., an anti-infectious agent, an anti-cancer agent, an agent for treating a hematopoietic disorder, an agent for treating a lysosomal storage disorder, an allergy-suppressive agent, a lipid lowering agent, a sterol synthesis modifying agent, agents active on protozoa or an immune-suppressant agent).
- a non-antibiotic therapeutic agent e.g., an anti-infectious agent, an anti-cancer agent, an agent for treating a hematopoietic disorder, an agent for treating a lysosomal storage disorder, an allergy-sup
- the method includes co-usage with other therapeutic agents.
- the method provides for means to improve therapy by concentrating a compound preferentially in any of the myeloid, hepatic, respiratory, epithelial, endothelial, other target and immune cells. Therefore, the invention is advantageous in that selective concentration of compounds conforming to the definition of “therapeutic agent” above, via the methods described, can improve therapy and that, for the purposes of illustration only, concentration of agents in immune cells can confer improved characteristics on compounds with suitable modes of action for the treatment of diseases of infectious, allergic, autoimmune, transplant, traumatic or neoplastic origin or association.
- the present invention also features a pharmaceutical composition including at least one compound of this invention and a pharmaceutically acceptable carrier.
- the pharmaceutical composition includes one or more other therapeutic agents.
- This invention further features a method for making any of the compounds described above.
- the method includes taking any intermediate compound delineated herein, reacting it with any one or more reagents to form a compound of this invention including any processes specifically delineated herein.
- this invention features a method of identifying a compound useful for enhancing efficacy of a therapeutic agent.
- the method includes incubating a compound in blood cells; separating immune cells from erythrocytic cells (e.g., by density gradient centrifugation, antibody mediated capture, lectin based capture, absorption to plastic, setting, simple centrifugation, peptide capture, activation mediated capture, or flow cytometry); and determining the ratio of the concentration of the compound in the immune cells to the concentration of the compound in the erythrocytic cells (e.g., by mass spectrometry, NMR, PET, fluorescence detection, infrared fluorescence, colorimetry, normal detection methods associated with gas chromatography, Fourrier transform spectrometry method, or radioactive detection); wherein the compound comprises a transportophore and a therapeutic agent, in which the transportophore is covalently bonded to the therapeutic agent via a bond or a linker.
- the therapeutic agent can be, for example, an anti-inflammatory agent, an anti-infectious agent, an anti-cancer agent, an allergy-suppressive agent, an immune-suppressant agent, an agent for treating a hematopoietic disorder, a lipid lowering agent, an agent for treating a lysosomal storage disorder, a sterol synthesis modifying agent, agents active on protozoa, or an agent for treating a metabolic disease.
- this invention features a method for delivering a therapeutic agent with a selective concentration.
- the method includes identifying a compound using the just-described method, and delivering the compound to a cell (e.g., a cell of respiratory tissue, a cell of neoplastic tissue, or a cell mediating allergic responses).
- a cell e.g., a cell of respiratory tissue, a cell of neoplastic tissue, or a cell mediating allergic responses.
- compositions having one or more of the compounds of this invention for use in treating various diseases described above, and the use of such a composition for the manufacture of a medicament for the just-described use.
- a compound of this invention achieves one or more of the following improvements relative to a therapeutic agent itself: (i) improved uptake across the intestinal, jejunal, duodenal, colonic, or other mucosa; (ii) reduced first pass effect by mucosal oxygenases; (iii) reduced or altered detoxification by degradative enzymes of the body; (iv) reduced efflux; (v) selective accumulation of the therapeutic agent in one or more immune, fibroblast, hepatic, renal, glial, or other target cells; (vi) potential for hydrolytic or other forms of separation on a timescale compatible with therapy and the other desired disposition events; (vi) enhanced pharmacological effect in the target cells through greater concentration, sustained release, reduced substrate competition effect or other mechanisms; (vii) reduced or modified dose; (viii) modified route of administration; (ix) reduced or altered side effects; (x) alternative uses; and (xi) alternative formulations.
- FIG. 1 depicts comparison of selective uptake of diverse structure types into white blood cells from a complex blood mix. These data show that an amino acid ( 4 ), a macrolide ( 5 ), a sugar ( 1 ), a piperazine ( 2 ), and a macrolide ( 3 ). These data show that diverse properties can be exploited for concentrative uptake and that macrolides can mediate even distribution of their cargo in the cytoplasm.
- FIG. 2 depicts comparison of sugar and piperazine driven uptake of a fluorophore.
- FIG. 3 is bright-field overlay and fluorescent image of polymorphonuclear cells that have taken up a fluorescent macrolide (compound 3). The images suggest even distribution with some concentration near the nucleus.
- FIG. 4 is an example of results from a proliferation assay showing increased efficacy of a T-L-C conjugate following concentrative uptake into lymphocytes.
- FIG. 5 depicts a model to demonstrate the advantage of uptake into target cells.
- FIG. 6 is an example of a response of HeLa cells to a mycophenolic acid conjugate.
- FIG. 7 is an example of guanosine amelioration following treatment of fresh PBMNCs with either mycophenolic acid or a T-L-C conjugate thereof.
- FIG. 8 shows changes in normalized paw thickness (left) and the corresponding arthritic scores (right) of mice treated with different conjugates. Saline and unconjugated compounds are included as controls.
- FIG. 9 shows survival of skin transplant following treatment with an example T-L-C conjugate.
- FIG. 10 shows dose tapering used in skin transplant model to study a T-L-C conjugate.
- the invention describes a method for identifying compounds that act to improve the uptake of therapeutic agents into cells such as those that constitute the immune system in mammals.
- the invention further comprises compounds identified using the method and compounds that could be made based on the teaching provided.
- the invention provides for the rational improvement of therapeutic agents intended for action in inflammatory disease, infection, cancer, allergy, transplantation, cardiovascular, pulmonary, dermatological, rheumatological and metabolic disease.
- the invention also provides for methods to engender unoptimized molecules or those with activity only in vitro with improved properties in vivo through simple conjugation with molecules that meet the criteria outlined herein.
- the method provides for the selection, in vitro, of combinations of a transportophore and a therapeutic agent that exhibits adequate concentrative uptake and also scission with a half life adequate for agent accumulation and agent action.
- a sample of native mammalian blood cells e.g., human blood cell
- which contain at least erythrocytes, neutrophils, monocytes, and lymphocytes e.g., human blood cell
- transportophores e.g., human blood cell
- a transportophore with significantly enhanced concentration in the immune cells and use the transportophore to covalently link to one or more therapeutic agents, via a bond or a linker, to obtain a compound of this invention.
- a compound, containing the transportophore and the therapeutic agent is also concentrated in immune cells after it is incubated with blood cells.
- a linker that provides appropriate cleavage rates between the transportophore and the therapeutic agent in the target cells.
- Example 1 achieves an estimate of immune cell selective uptake in a complex and competitive biological fluid such that the observed uptake is relevant to the in vivo situation while simultaneously measuring cell specific uptake.
- Data from other Examples suggest that the molecules that exhibit preferential uptake in this system are also highly available via the oral route while also being stable in the liver.
- the basic method includes contacting the immune cell-erythrocyte preparation with a compound or known compounds and specifically detecting those molecules and their metabolites.
- a further variation is the use of the method in screening complex mixtures of compounds with separation and detection of the resultant cytoplasmic extracts using Mass selective detection combined with a chromatographic separation technique.
- the compounds designated as transportophores are used in the synthesis of libraries such that the final reaction combines library elements with a transportophore using a labile bond allowing the preferential uptake of a compound and its likely scission in an intracellular compartment.
- Such libraries have the advantage that in cell based assays, there is a reasonable likelihood of adequate therapeutic agent being present at the site of action.
- the compound described in the “Summary” section can be prepared by methods known in the art, as well as by the synthetic routes disclosed herein. For example, one can react a transportophore having a reactive moiety with a therapeutic agent having another reactive moiety.
- One of the two reactive moieties is a leaving group (e.g., —Cl, OR) and the other is a derivatizable group (e.g., —OH, or —NH—). Then, the transportophore is covalently bonded to the therapeutic agent via a reaction between the two reactive moieties.
- each of the two reactive moieties is a leaving group or a derivatizable group, and each reacts with its reactive counterpart in the linker to form a covalent bond.
- Detailed routes including various intermediates are illustrated in the examples herein.
- the chemicals used in the afore-mentioned methods may include, for example, solvents, reagents, catalysts, protecting group and deprotecting group reagents and the like.
- the methods described above may also additionally comprise steps, either before or after the steps described specifically herein, to add or remove suitable protecting groups in order to ultimately allow synthesis of the compound of the formulae described herein.
- a therapeutic agent includes any with modes of action that include anti-inflammatory, anti-viral, anti-fungal, immune suppressant, cytostatic, anti-parasitic, lipid lowering, a sterol synthesis modifying, or metabolaregulatory action.
- modes of action include anti-inflammatory, anti-viral, anti-fungal, immune suppressant, cytostatic, anti-parasitic, lipid lowering, a sterol synthesis modifying, or metabolaregulatory action.
- the following is a non-exclusive list of potentially useful therapeutic agents.
- Diclofenac Diflunisal, Etodolac, Fenoprofen, Floctafenine, Flurbiprofen, Ibuprofen, Indomethacin, Ketoprofen, Meclofenamate, Mefenamic, Meloxicam, Nabumetone, Naproxen, Oxaprozin, Phenylbutazone, Piroxicam, Sulindac, Tenoxicam, Tiaprofenic, Tolmetin, Acetaminophen, Aspirin, Salicylamide, acetylsalicylic acid, salicylsalicylic acid.
- Betamethasone Budesonide, Cortisone, Dexamethasone, Hydrocortisone, Methylprednisolone, Prednisolone, Prednisone, Triamcinolone, Fluticasone
- nucleoside/nucleotide reverse transcriptase inhibitors including but not limited to zidovudine (AZT), didanosine (ddI), zalcitabine (ddC), stavudine (d4T), lamivudine (3TC), abacavir (ABC), emtricitabine [( ⁇ )FTC], tenofovir (PMPA) disoproxil fumarate and phosphoramidate and cyclosaligenyl pronucleotides of d4T or similar chemistries.
- NRTIs nucleoside/nucleotide reverse transcriptase inhibitors
- NRTIs non-nucleoside reverse transcriptase inhibitors
- NRTIs non-nucleoside reverse transcriptase inhibitors
- nevirapine delavirdine
- efavirenz efavirenz
- MKC-442 emivirine
- PTT phenylethylthiazolylthiourea
- MKC-442 emivirine
- protease inhibitors including but not limited to, saquinavir, ritonavir, indinavir, nelfinavir, amprenavir, and lopinavir or those based on alternative non-peptidic scaffolds such as cyclic urea (DMP 450), 4-hydroxy-2-pyrone (tipranavir)
- viral entry through blockade of the viral coreceptors including but not limited to, CXCR4 and CCR5 [bicyclams (i.e. AMD3100), polyphemusins (T22), TAK-779, MIP-1 alpha LD78 beta isoform];
- CXCR4 and CCR5 bicyclams (i.e. AMD3100), polyphemusins (T22), TAK-779, MIP-1 alpha LD78 beta isoform];
- virus-cell fusion through binding to the viral glycoprotein including but not limited to, gp41 [T-20 (pentafuside) (DP-178), T-1249 (DP-107), siamycins, betulinic acid derivatives], and potentially zintevir, L-chicoric acid, CGP64222;
- NCp7 zinc finger-targeted agents including but not limited to, [2,2′-dithiobisbenzamides (DIBAs), azadicarbonamide (ADA) and NCp7 peptide mimics];
- Triazoles fluconazole, itraconazole, Terconazole, Tioconazole (
- Methanesulfonate Ester Busulfan, chronic myelogenous leukemia
- Antitumor antibiotics Dactinomycin, Daunorubicin, Doxorubicin, Idarubicin, Mitomycin, Mitoxantrone,
- Plant Alkaloids (DNA repair enzyme inhibitors)
- composition that contains an effective amount of at least one of the compound of this present invention and a pharmaceutically acceptable carrier.
- Pharmaceutically acceptable salts of the compounds of this invention include those derived from pharmaceutically acceptable inorganic and organic acids and bases.
- suitable acid salts include acetate, adipate, alginate, aspartate, benzoate, benzenesulfonate, bisulfate, butyrate, citrate, camphorate, camphorsulfonate, cyclopentanepropionate, digluconate, dodecylsulfate, ethanesulfonate, formate, fumarate, glucoheptanoate, glycerophosphate, glycolate, hemisulfate, heptanoate, hexanoate, hydrochloride, hydrobromide, hydroiodide, 2-hydroxyethanesulfonate, lactate, maleate, malonate, methanesulfonate, mesylate, 2-naphthalenesulfonate, nicotinate, nitrate, palmoate,
- Salts derived from appropriate bases include alkali metal (e.g., sodium), alkaline earth metal (e.g., magnesium), ammonium and N-(alkyl) 4 + salts.
- alkali metal e.g., sodium
- alkaline earth metal e.g., magnesium
- ammonium e.g., ammonium
- N-(alkyl) 4 + salts e.g., ammonium, sodium, sodium
- This invention also envisions the quatemization of any basic nitrogen-containing groups of the compounds disclosed herein. Water or oil-soluble or dispersible products may be obtained by such quatemization.
- this invention covers a method of administering an effective amount of one or more compounds of this invention to a subject (a human, a mammal, or an animal, e.g., dog, cat, horse, cow, or chicken) in need of treatment for a disease or disease symptom (e.g., an inflammatory disease, an infectious disease, cancer, allergy, or an immune disease, or symptoms thereof).
- a disease or disease symptom e.g., an inflammatory disease, an infectious disease, cancer, allergy, or an immune disease, or symptoms thereof.
- treating refers to administering a compound of this invention to a subject with the purpose to cure, heal, alleviate, relieve, alter, remedy, ameliorate, improve, or affect a disease, the symptoms of the disease or the predisposition toward the disease.
- An effective amount refers to an amount of a compound which confers a therapeutic effect on the treated subject. The therapeutic effect may be objective (i.e., measurable by some test or marker) or subjective (i.e., subject gives an indication of or feels an effect).
- An effective amount of the compound described above may range from about 0.1 mg/Kg to about 20 mg/Kg.
- Effective doses will also vary, as recognized by those skilled in the art, depending on route of administration, excipient usage, and the possibility of co-usage with other agents for treating a disease, including an inflammatory disease, a cardiovascular disease, an infectious disease, cancer, allergy, and an immune disease.
- the methods delineated herein can also include the step of identifying that the subject is in need of treatment of for a disorders and or condition in athe subject.
- the identification can be in the judgment of a subject or a health professional and can be subjective (e.g., opinion) or objective (e.g., measurable by a test or a diagnostic method).
- Post traumatic regeneration injury including but not limited to Ischemia, reperfusion injury, scarring, CNS trauma, spinal section, edema, repetitive strain injuries including tendonitis, carpal tunnel syndrome,
- Alopecia Areata Ankylosing Spondylitis, Antiphospholipid Syndrome, Autoimmune Addison's Disease, aplastic anemia, Autoimmune Hemolytic Anemia, Autoimmune Hepatitis, Behcet's Disease, biliary cirrhosis, Bullous Pemphigoid, Canavan Disease, Cardiomyopathy, Celiac Sprue-Dermatitis, Chronic Fatigue Immune Dysfunction Syndrome (CFIDS), Chronic Inflammatory Demyelinating Polyneuropathy, Churg-Strauss Syndrome, Cicatricial Pemphigoid, CREST Syndrome, Cold Agglutinin Disease, Crohn's Disease, dermatomyositis, Diffuse Cerebral Sclerosis of Schilder, Discoid Lupus, Essential Mixed Cryoglobulinemia, Fibromyalgia-Fibromyositis, Fuch's heterochromic iridocyclitis, Graves' Disease, Gu
- Pharyngitis (“sore throat”), Tonsilitis, Sinusitis & Otitis Media, Influenza, Laryngo-Tracheo Bronchitis (Croup), Acute Bronchiolitis, Pneumonia, Bronchopneumonia, Bronchiolitis, Bronchitis, Acute pharyngitis with fever, Pharyngoconjunctival fever, Acute follicular conjunctivitis, Pneumonia (and pneumonitis in children), COPD, asthma,
- Target viuses include but are not limited to: Paramyxo-, Picoma-, rhino-, coxsackie-, Influenza-, Herpes-, adeno-, parainfluenza-, respiratory syncytial-, echo-, corona-, Epstein-Barr-, Cytomegalo-, Varicella zoster, Hepatitis variants including hepatitis C Virus (HCV), Hepatitis A Virus (HAV), Hepatitis B Virus (HBV), Hepatitis D Virus (HDV), Hepatitis E Virus (HEV), Hepatitis F Virus (HFV), Hepatitis G Virus (HGV), Human immunodeficiency-
- Ependymal cell tumors Ependymal cell tumors, Mixed gliomas, Neuroepithelial tumors of uncertain origin, Tumors of the choroid plexus, Neuronal and mixed neuronal-glial tumors, Pineal Parenchyma Tumors, Tumors with neuroblastic or glioblastic elements (embryonal tumors), Neuroblastoma, ganglioneuroblastoma, Tumors of the Sellar Region, Hematopoietic tumors, Primary malignant lymphomas, Plasmacytoma, Granulocytic sarcoma, Germ Cell Tumors, Tumors of the Meninges
- Rhinitis Rhinitis, bronchitis, asthma and conditions relating to excessively active or stimulated eosinophils.
- the conjugates described here represent improvements on their parent therapeutic agents in two main respects.
- these conjugates provide a facile means of improving the activity of a therapeutic agent through their ability to make the therapeutic agent more easily available either from the gut, or from the blood stream. This is especially important for those therapeutic agents that have good activity in vitro but are unable to exert that activity in vivo.
- simple conjugations according to the schemes described here are an efficient means to generate improved activity.
- the invention also has specific benefits. By targeting cells, and achieving higher concentration in those cells than in plasma or general tissue, the therapeutic agent may exert a more specific action resulting in fewer systemic side effects. Where efficacy is limited by the ability to place sufficient therapeutic agent at the site of action, such concentration effects are significant in achieving improved in vitro effect. This may be understood more clearly by examination of non-limiting but representative examples from different therapeutic areas.
- Examples 10- 16 improved anti-inflammatory therapeutic agents are described in which the active moleculs are concentrated into immune cells in vitro through conjugation with a macrolide. These conjugates display superior immune suppressive and anti-inflammatory action in vivo when compared with the effect of a mixture of the two component molecules in the same system. The mechanism for this action is unknown but the effect in protection appears to be qualitatively similar for the mixture and the conjugate suggesting that the conjugate is largely a delivery mechanism for the therapeutic agent.
- conjugate also has other potential benefits including the prevention of metabolism through steric effects, increased residence time and traffic to sites of inflammation when it is taken up into target cells which are tropic for the inflamed tissues. Some action of the conjugate itself cannot be ruled out when it is present at high concentrations in a cell.
- an anti-viral therapeutic agent conjugate is cited that also achieves higher levels in immune cells which may act as a reservoir of integrated viral material. If therapeutic agent is selectively conjugated such that it is concentrated in these cells, it has two potential benefits including, the ability to suppress viral replication at lower systemic doses, and the ability to prevent resistance through the maintenance of persistently higher concentrations of therapeutic agent such that mutations with minor effect cannot accumulate.
- Example 21 cites conjugates of mycophenolic acid that are highly concentrated in immune cells. These conjugates are also highly bioavailable in the rat and cleave slowly to release mycophenolic acid. Despite slow cleavage, the compounds have very similar anti-proliferative activity in vitro when compared with unconjugated mycophenolic acid suggesting that concentration can compensate for slow hydrolysis such that the conjugate becomes an intracellular reserve for the slow release of mycophenolate.
- neoplasms are of a type that takes up the conjugates to the same extent seen in immune cells.
- Cancers of myeloid origin are a good example of a target neoplasm.
- concentration of the therapeutic agent has potential to compensate for common resistance mechanisms such as gene amplification and the over expression of efflux systems.
- the tumour is associated with an intense local inflammation.
- the inflammatory infiltrate may serve as a means of further concentration of the conjugate drugs in the environs of the tumour.
- the compounds of this invention can be administered to a patient, for example, in order to treat a disease described above.
- the compound can, for example, be administered in a pharmaceutically acceptable carrier such as physiological saline, in combination with other therapeutic agents, and/or together with appropriate excipients.
- the compound described herein can, for example, be administered by injection, intravenously, intraarterially, subdermally, intraperitoneally, intramuscularly, or subcutaneously; or orally, buccally, nasally, transmucosally, topically, in an ophthalmic preparation, by inhalation, by intracranial injection or infusion techniques, with a dosage ranging from about 0.1 to about 20 mg/kg of body weight, preferably dosages between 10 mg and 1000 mg/dose, every 4 to 120 hours, or according to the requirements of the particular therapeutic agent.
- the methods herein contemplate administration of an effective amount of compound or compound composition to achieve the desired or stated effect. Lower or higher doses than those recited above may be required.
- Specific dosage and treatment regimens for any particular patient will depend upon a variety of factors, including the activity of the specific compound employed, the age, body weight, general health status, sex, diet, time of administration, rate of excretion, therapeutic agent combination, the severity and course of the disease, condition or symptoms, the patient's disposition to the disease, condition or symptoms, and the judgment of the treating physician.
- compositions of this invention comprise a compound of this invention or a pharmaceutically acceptable salt thereof; and any pharmaceutically acceptable carrier, adjuvant or vehicle. Such compositions may optionally comprise additional therapeutic agents.
- the compositions delineated herein include the compounds of the formulae delineated herein, as well as additional therapeutic agents if present, in amounts effective for achieving a modulation of a disease.
- pharmaceutically acceptable carrier or adjuvant refers to a carrier or adjuvant that may be administered to a patient, together with a compound of this invention, and which does not destroy the pharmacological activity thereof and is nontoxic when administered in doses sufficient to deliver a therapeutic amount of the compound.
- compositions of this invention include, but are not limited to, ion exchangers, alumina, aluminum stearate, lecithin, self-emulsifying therapeutic agent delivery systems (SEDDS) such as D-alpha-tocopherol polyethyleneglycol 1000 succinate, surfactants used in pharmaceutical dosage forms such as Tweens or other similar polymeric delivery matrices, serum proteins, such as human serum albumin, buffer substances such as phosphates, glycine, sorbic acid, potassium sorbate, partial glyceride mixtures of saturated vegetable fatty acids, water, salts or electrolytes, such as protamine sulfate, disodium hydrogen phosphate, potassium hydrogen phosphate, sodium chloride, zinc salts, colloidal silica, magnesium trisilicate, polyvinyl pyrrolidone, cellulose-based substances, polyethylene glycol, sodium carboxymethylcellulose, polyacrylates, waxes
- SEDDS self-emulsifying therapeutic agent delivery systems
- Cyclodextrins such as ⁇ -, ⁇ -, and ⁇ -cyclodextrin, or chemically modified derivatives such as hydroxyalkylcyclodextrins, including 2- and 3-hydroxypropyl- ⁇ -cyclodextrins, or other solubilized derivatives may also be advantageously used to enhance delivery of compounds of the formulae described herein.
- Oil solutions or suspensions may also contain a long-chain alcohol diluent or dispersant, or carboxymethyl cellulose or similar dispersing agents which are commonly used in the formulation of pharmaceutically acceptable dosage forms such as emulsions and or suspensions.
- compositions of this invention may be orally administered in any orally acceptable dosage form including, but not limited to, capsules, tablets, emulsions and aqueous suspensions, dispersions and solutions.
- carriers which are commonly used include lactose and corn starch.
- Lubricating agents such as magnesium stearate, are also typically added.
- useful diluents include lactose and dried corn starch.
- aqueous suspensions and/or emulsions are administered orally, the active ingredient may be suspended or dissolved in an oily phase is combined with emulsifying and/or suspending agents. If desired, certain sweetening and/or flavoring and/or coloring agents may be added.
- compositions of this invention may also be administered in the form of suppositories for rectal administration.
- These compositions can be prepared by mixing a compound of this invention with a suitable non-irritating excipient which is solid at room temperature but liquid at the rectal temperature and therefore will melt in the rectum to release the active components.
- suitable non-irritating excipient include, but are not limited to, cocoa butter, beeswax and polyethylene glycols.
- Topical administration of the pharmaceutical compositions of this invention is especially useful when the desired treatment involves areas or organs readily accessible by topical application.
- the pharmaceutical composition should be formulated with a suitable ointment containing the active components suspended or dissolved in a carrier.
- Carriers for topical administration of the compounds of this invention include, but are not limited to, mineral oil, liquid petroleum, white petroleum, propylene glycol, polyoxyethylene polyoxypropylene compound, emulsifying wax and water.
- the pharmaceutical composition can be formulated with a suitable lotion or cream containing the active compound suspended or dissolved in a carrier with suitable emulsifying agents.
- Suitable carriers include, but are not limited to, mineral oil, sorbitan monostearate, polysorbate 60, cetyl esters wax, cetearyl alcohol, 2-octyldodecanol, benzyl alcohol and water.
- the pharmaceutical compositions of this invention may also be topically applied to the lower intestinal tract by rectal suppository formulation or in a suitable enema formulation. Topically-transdermal patches are also included in this invention.
- compositions of this invention may be administered by nasal aerosol or inhalation.
- Such compositions are prepared according to techniques well-known in the art of pharmaceutical formulation and may be prepared as solutions in saline, employing benzyl alcohol or other suitable preservatives, absorption promoters to enhance bioavailability, fluorocarbons, and/or other solubilizing or dispersing agents known in the art.
- a suitable in vitro assay can be used to preliminarily evaluate a compound of this invention in treating a disease.
- In vivo screening can also be performed by following procedures well known in the art. See the specific examples below.
- Example number Subject 1. Method for determining immune cell partition 2. Transportophore: Compound 39 3. Transportophore: Compound 40 4. Transportophore: Compound 41 5. Transportophore: Compound 42 6. Transportophore: Compound 44 7. Transportophore: Compound 45 8. Transportophore: Compound 46 9. Transportophore: Compound 47 10. Transportophore: Compound 48 11. Transportophore: Compound 49 12. Transportophore: Compound 50 13. NSAID Conjugate: Diclofenac Conjugates; Compound 52, 53, 54, & 55 14. NSAID Conjugate: Compound 56 15. NSAID Conjugate: Compound 57 16. NSAID Conjugate: Compound 58 17. NSAID Conjugate: Compound 59 18.
- NSAID Conjugate Compound 60 19. NSAID Conjugate: Compound 61 20. Conjugates of cytotoxic agents: Compound 62 21. Conjugates of cytotoxic agents: Compound 64 22. Neotrofin conjugate: Compound 65 23. Gemfibrozil conjugate: Compound 66 24. Mycophenolic Acid conjugates: CompoundS 67, 68, 69, 71, 73, 74, 75, 78, 79, 80,&81 25. Steroid Conjugates: Compounds 82, 83, 84, 85, & 86 26. Statin Conjugates: Compounds 87 & 88 27. Antifungal Conjugate: Compound 89 28.
- Antiviral Nucleoside Conjugates Compounds 90, 92, 94, 97, & 101 29.
- NSAID Conjugate Compound 106 30.
- Coumarin Conjugates Compounds 108, 109 31.
- Imatinab Conjugate Compound 110 32.
- Proliferation Assay 33.
- Cell-Based IMPDH Assay with Guanosine Rescue 34.
- Efficacy Testing of Drugs using Collagen-Induced Arthritis in Mice 35.
- Efficacy Testing of Immunosuppressive Drugs Using a Mouse Skin Transplant Model 36. Testing of Antibiotic Activity of Drugs
- Freshly drawn heparinised blood or buffy coat preparations are used for the determination of immune cell partition ratios.
- Buffy coat preparations are preferred. These may be obtained from donor blood by simple centrifugation of whole blood (4795 g for 10 minutes). Following centrifugation, plasma is collected from the surface, after which immune cells are expressed from the donor bags along with the erythrocytes lying immediately below the leukocyte layer. This ensures high yields and a sufficient population of erythrocytes for partition. 5 ml of the resulting cell suspension are dispensed into T25 culture flasks. Substrates are added to a final concentration between 1 and 10 ⁇ M and the suspensions incubated at 37° C., in a 5% CO 2 atmosphere. For analysis of uptake kinetics, samples are withdrawn at 0, 2, 5, 10, 30, 60, 90, 180, or 240 min after substrate addition. For screening purposes, samples are taken at 0 and 120 minutes.
- Cell fractions were prepared using density gradient centrifugation. Mononuclear cells and polymorphonuclear cells are separated from erythrocytes essentially by layering the cell suspension on a viscous medium typically composed of a solution containing Ficoll or similar (commercial suppliers include: Lymphoprep, Axis Shield, 1031966; Lymphoflot HLA, 824010; or PMN Separation Medium Robbins Scientific 1068-00-0). The layered suspension is then centrifuged at 600 g, 20 min, after which the cell fractions and the plasma (incubation medium) fraction are removed by gentle aspiration, washed twice in PBS buffer, followed by estimation of the cell number and pellet volume.
- a viscous medium typically composed of a solution containing Ficoll or similar (commercial suppliers include: Lymphoprep, Axis Shield, 1031966; Lymphoflot HLA, 824010; or PMN Separation Medium Robbins Scientific 1068-00-0).
- the layered suspension is
- Uptake of fluorescent compounds is monitored using fluorescence microscopy. Excitation and emission wavelengths depend of the fluorescence label in use. A typical label is a methoxy coumarin for which the appropriate wavelengths are 360 and 450 nm respectively. Fluorescent analogs of the compounds under study permit the estimation of appropriate uptake intervals as well as the likely intracellular distribution of the compounds. Fluorescent analogs also allow the estimation of losses in washing or other cell manipulations.
- Compound uptake is normalized according to cytoplasmic volume of cells in order to obtain the average concentration in the cells.
- Cell volume is estimated by correlation of DNA, protein or haem content of lysed cell aliquots to cell number and packed volume prior to lysis.
- Re-equilibration of column was at 5% B, at a flow rate of 750 ⁇ l/min for 2.4 min.
- the HPLC-eluate from retention time 0.0 min to 2.5 min was directed directly to waste.
- Detection was via a UV cell at 214 nm followed by a 1/6 split to an An API-qTOF 1 (Micromass, Manchester, UK) mass spectrometer, (calibrated daily using a mixture of NaI, RbI and CsI).
- the mass spectrometer is routinely operated in the positive electrospray ionization mode using the following settings: Capillary voltage 4000 V; cone voltage 30 V; RF Lens offset 0.38 V; source block temperature 80° C.; desolvation gas temperature 140° C.; desolvation gas 240 l/h; LM/HM Resolution 0.0; Collision energy 4.0 V; Ion energy 5.0 V.
- Masses are monitored according to the known or expected M/Z ratios. Ion currents across the expected range of masses (including metabolites) are recorded and the chromatograms for specific masses used to estimate the peak area for a given molecular ion (area proportional to concentration over a given range). Normalisation to DNA and/or protein and/or haem content of cells (all three measured with standard methods (Bisbenzimide staining (Sigma), BCA protein assay kit (Pierce) and haem absorbance at 535 nm, respectively)) to cell number (hemocytometer count) and cell volume is employed to calculate average compound concentration in the cell fraction (expressed in uM).
- Formation of metabolites or hydrolysis products was also monitored for each T-L-C conjugate and the rate of hydrolysis estimated from both the total uptake and the loss of metabolites to the medium.
- the final ratio is computed by comparing the concentration of a component in the immune cell compartment with that in both the erythrocytes and the plasma.
- the P ISR is then the concentration in immune cells/concentration in erythrocytes using the same concentration units. Thus a P ISR of 2 indicates a two-fold concentration relative to erythrocytes.
- Immune cell selectivity assays provide data in the form of micrographs of fluorescent analogs and quantitative estimates of compound concentration. Micrographs are useful in determining the intracellular disposition of compounds (FIG. 1). It is apparent from the illustrations that compound distribution is generally uniform with some examples appearing granular or nuclear. The analysis of fluorescent libraries by this method provides an efficient means of selecting T molecules that are capable of mediating the transport of diverse substances into a cell. Examples of molecules assayed in this way are summarized in Table 2 along with their uptake data and selectivity.
- a solution of 15 g (20 mmol) of Compound 43 in 50 ml of acetic anhydride is treated with 2 g of potassium carbonate and heated to reflux for 3 h. After cooling the mixture is poured onto ice and neutralized with potassium carbonate. The mixture is extracted with ethyl acetate, washed with water and brine and concentrated after drying (Na 2 SO 4 ). The residue is redissolved in methanol and heated to 50° C. overnight. After removal of the methanol in vacuum the residue id redissolved in chloroform. Triethylamine (10 ml) is added and the solution cooled to 0° C.
- methansulfonic acid chloride (4.6 ml, 60 mmol) is added within 15 min and the mixture is allowed to warm to ambient temperature. After 3 h the mixture is washed with aqueous potassium carbonate solution and brine, dried (Na 2 SO 4 ) and concentrated in vacuum. The residue is chromatographed on silica gel, elution with ethyl acetate to yield 3.5 g (22%) of slightly yellowish foam that is used without further purification.
- reaction mixture was diluted with CH 2 Cl 2 (50 ml) and washed with saturated sodium bicarbonate solution (100 ml). The organic layer was separated, dried over Na 2 SO 4 and concentrated under reduced pressure. A colorless oil was obtained which was redissolved in methanol (75 ml) and stirred at 50° C. overnight. The solvent was removed under reduced pressure and the residue subjected to column chromatography on silica gel with chloroform/methanol/7N ammonia in methanol (30:1:1) as eluent to yield 1.1 g (62%) of compound 49 as a colorless foam.
- the aqueous phase is washed several times with small amounts of toluene and then with potassium carbonate till no foaming occurs any more upon addition.
- the mixture is extracted with dichloromethane and the organic phase is washed with brine, dried and concentrated in vacuum to yield white solid foam that can be used without further purification, or further purified on a silica gel column, eluting with isopropanol.
- aqueous phase was treated with potassium carbonate till gas evolution had stopped and was then extracted with dichloromethane. Drying (sodium sulfate) and concentration in vacuum yielded an oily residue that was purified by filtration through a short pad of silica gel (elution with ethyl acetate-triethylamine) to afford 185 mg (39%).
- aqueous phase was treated with potassium carbonate until gas evolution had stopped and was then extracted with dichloromethane. Drying (Na 2 SO 4 ) and concentration in vacuum yielded an oily residue that was purified by filtration through a short pad of silica gel (elution with ethyl acetate-triethyl amin) to yield 255 mg (52%) of a yellowish oil.
- Prednisolone (180 mg, 0.5 mmol) is suspended in 3 ml of chloroform and 55 mg (0.55 mmol) of succinic anhydride is added. After 24 h at ambient temperature the mixture is cooled to 0° C. and 325 mg of Compound 46 (0.5 mmol) is added followed by chlor-N,N,2-trimethylpropenamine (0.2 ml, 1.5 mmol) in several portions. The resulting solution is subjected to column chromatography on silica gel, elution with isopropanol to yield a white solid.
- Dexamethasone (196 mg, 0.5 mmol) is suspended in 3 ml of chloroform and 55 mg (0.55 mmol) of succinic anhydride is added. After 24 h at ambient temperature 375 mg of Compound 43 (0.5 mmol) is added followed by chloro-N,N,2-trimethylpropenamine (0.2 ml, 1.5 mmol) in several portions. The resulting solution is after 1 h subjected to column chromatography on silica gel, elution with isopropanol to yield 198 mg (32%) of a white solid.
- Prednisolone (180 mg, 0.5 mmol) is suspended in 3 ml of chloroform and 55 mg (0.55 mmol) of succinic anhydride is added. After 24 h at ambient temperature the mixture is cooled to 0° C. and 295 mg of Compound 40 (0.5 mmol) is added followed by chlor-N,N,2-trimethylpropenamine (0.2 ml, 1.5 mmol) in several portions. The resulting solution is subjected to column chromatography on silica gel, elution with isopropanol to yield 165 mg (32%) of a white solid
- BOP (Benzotriazol-1-yloxy)-tris-(dimethylamino)-phosphonium-hexafluorophosphate
- CDI Carbonyldiimidazole
- Imatinab may be selectively altered without compromising the interaction with the kinase and thus its biological activity (Schindler et al., Effects of a selective inhibitor of the Abl tyrosine kinase on the growth of Bcr-Abl positive cells. Science 289, 1938-1942, 2000).
- Lymphocytes are purified out of ant coagulated (CPDA, citrate or heparin) mammalian blood using the LymphoprepTM system (supplier). Purified cells are counted using a hemocytometer following Trypan Blue staining, and a cell concentration of 1 ⁇ 10 6 cells/ml established in RPMi 1640 medium with 10% FCS and antibiotics as required (all from Biochrome).
- CPDA ant coagulated
- heparin heparin mammalian blood
- Purified cells are counted using a hemocytometer following Trypan Blue staining, and a cell concentration of 1 ⁇ 10 6 cells/ml established in RPMi 1640 medium with 10% FCS and antibiotics as required (all from Biochrome).
- a cell proliferation stimulant for example phytohemagglutanin (Sigma) at, for example an end concentration of 5 ⁇ g/ml
- the cells are incubated with different concentrations of the to be investigated compound in 100 ⁇ l end volume in a 96-well microtiter plate in an incubator (37° C., 5% CO 2 , 95% humidity) for 72h.
- Cell proliferation is quantified following BrdU incorporation for 16 h by ELISA and subsequent colorimetric development (Cell Proliferation ELISA BrdU (colorimetric) kit from Roche Diagnostics).
- the IC 50 ( ⁇ M) values are then calculated, and used to compare compound efficacy.
- the above assay is additionally modified and an additional “wash” step included.
- the assay is also run for just 2 h, then compound is washed away in three serial washing steps using 200 ⁇ l of medium at each step, and the cells subsequently incubated for a further 70 h.
- the determined IC 50 ( ⁇ M) values following 2 h and 72 h incubation are compared and a ratio calculated (2 h:72 h).
- HeLa cells (DSMZ, ACC 57) and Jurkat cells (DSMZ, ACC 282) in exponential growth phase are exposed for 3 days to test compounds. The number of surviving cells is then determined by the Alamar Blue assay (Serotec Inc.). This assay incorporates a fluorometric growth indicator based on detection of metabolic activity. Specifically, the system incorporates an oxidation-reduction indicator that fluoresces in response to chemical reduction of the growth medium resulting from cell growth. As cells grow in culture, innate metabolic activity results in a chemical reduction of the immediate surrounding environment. Continued growth maintains a reduced environment while inhibition of growth maintains an oxidized environment. Reduction from growth causes the Redox indicator to change from an oxidized to a reduced form. Fluorescence is monitored at 560 nm (Exc.) and 590 nm Em.
- HeLa cells (1 ⁇ 10 3 ) or JURKAT cells (1 ⁇ 10 3 ) are plated in 100 ⁇ l MEM medium (with Earle's salt; Biochrom KG) containing 10% FBS, 2 mM L-glutamine, and non-essential animo acids in 96-well plates and incubated at 37° C. and 5% CO 2 atmosphere. After 24 hours, the test compounds are added over a concentration range and the cells incubated for a further 48 hours. Alamar Blue reagent (20 ⁇ l) is added to each well, and the cultures incubated for a further 4 to 6 hours. The fluorescence is then measured as described above and the LD 50 is determined based on a sigmoidal dose response regression.
- T-L-C conjugates of mycophenolic acid can be demonstrated directly on freshly isolated mammalian PBMNCs.
- the cells are prepared as described in Example 29, and the level of cytotoxicity determined by the Alamar Blue assay, as described above.
- guanosine can also be used here to ameliorate the effect of mycophenolic acid on the activity of IMPDH.
- the toxicity of mycophenolic acid conjugates may be assessed most conveniently in a cell based system, preferably with a rapidly growing cell line such as HeLa or JURKAT.
- mycophenolic acid has an IC 50 of less than 2 uM, and its effect can be completely removed in the presence of 50 ⁇ M guanosine.
- a cell based system preferably with a rapidly growing cell line such as HeLa or JURKAT.
- mycophenolic acid has an IC 50 of less than 2 uM, and its effect can be completely removed in the presence of 50 ⁇ M guanosine.
- alleviation with guanosine is possible, but this is not always complete, which could for example be due to either to other biological effects of the of T-L-C conjugate of mycophenolic acid, or is due to the very high intracellular concentration of mycophenolic acid, following concentrative uptake into the cell.
- FIG. 9 An example of results obtained with T-L-C conjugates of mycophenolic acid in the mouse skin transplant model are shown in FIG. 9.
- the TC 50 or MIC procedure for antibiotic sensitivity testing involves an antibiotic dilution assay, which can be performed in microtitre plates. A series of twofold dilutions of each antibiotic are made in the wells, and then all wells are inoculated with a standard amount of the same test organism. After incubation, growth in the presence of the various antibiotics is observed by measuring turbidity. Antibiotic sensitivity is expressed as the concentration of the antibiotic that inhibits 50% of the growth (TC 50 ). Alternatively it could be expressed as the highest dilution of antibiotic that completly inhibits growth (MIC).
- Bacterial cultures are initiated from the plates for 2 to 3 weeks. After this time period bacteria are streaked out on new plates from the backups strored at ⁇ 80° C. Due to the lack of resistance of the bacteria, new cultures are not to be initiated from an old plate or any liquid cultures derived from old plates.
- GM Growth medium (GM)(per liter): 10 g Bacto-tryptone, 5 g Bacto-yeast extract, 6 g HEPES (25 mM), 5.4 g NaCl, pH 7.3
- Controls Wells B2-B4 growth control. Wells B6-B8 blank. Row C growth inhibition control.
Landscapes
- Health & Medical Sciences (AREA)
- Life Sciences & Earth Sciences (AREA)
- Engineering & Computer Science (AREA)
- Chemical & Material Sciences (AREA)
- Bioinformatics & Cheminformatics (AREA)
- Immunology (AREA)
- Molecular Biology (AREA)
- General Health & Medical Sciences (AREA)
- Medicinal Chemistry (AREA)
- Biomedical Technology (AREA)
- Urology & Nephrology (AREA)
- Cell Biology (AREA)
- Veterinary Medicine (AREA)
- Public Health (AREA)
- Animal Behavior & Ethology (AREA)
- Pharmacology & Pharmacy (AREA)
- Hematology (AREA)
- Epidemiology (AREA)
- Pathology (AREA)
- Biotechnology (AREA)
- Microbiology (AREA)
- Nanotechnology (AREA)
- Tropical Medicine & Parasitology (AREA)
- Food Science & Technology (AREA)
- Physics & Mathematics (AREA)
- Analytical Chemistry (AREA)
- Biochemistry (AREA)
- General Physics & Mathematics (AREA)
- Toxicology (AREA)
- Chemical Kinetics & Catalysis (AREA)
- Biophysics (AREA)
- Endocrinology (AREA)
- Crystallography & Structural Chemistry (AREA)
- General Engineering & Computer Science (AREA)
- Genetics & Genomics (AREA)
- Proteomics, Peptides & Aminoacids (AREA)
- Diabetes (AREA)
- Medical Informatics (AREA)
- Gastroenterology & Hepatology (AREA)
- Rheumatology (AREA)
Abstract
Description
- This application claims benefit of U.S. provisional application No. 60/357,589, filed Feb. 15, 2002, the contents of which are incorporated herein by reference.
- Successful therapy with a pharmaceutical agent requires that the agent satisfy numerous requirements imposed by the physiology of the host and of the disease or condition. The requirements include: (i) adequate ability to interact with the target receptor(s); (ii) appropriate physical properties for presence at the location of the receptors in concentrations that permit the interactions noted above; (iii) appropriate physical properties to allow the agent to enter the body and distribute to the location of the receptors by any means; (iv) sufficient stability in fluids of the body; (v) the absence of toxic effects in compartments where the therapeutic agent is most concentrated, or in any other compartment where the therapeutic agent is located; and (vi) the absence of sequestration into non-physiological compartments and so on.
- In general, these compounding requirements limit the nature of pharmaceutical compounds that have utility in vivo and thus reduce the probability of discovering adequately active molecules from de novo starting points. In response to these constraints, significant effort has been applied to the question of predicting ideal physical properties for pharmaceutical molecules. Authors such as Lipinski (Lipinski et al., 2001) have described rules of therapeutic agent design which, amongst other parameters, predicts that ideal therapeutic agents will have few functions such as hydroxy groups, a molecular weight below 500 Da, mild basicity, and moderate lipophilicity (logP<5) (Lipinski et al., 2001). Unfortunately, these parameters are too general to inform the direct synthesis of highly bioavailable compounds. Furthermore, these requirements are not helpful for larger molecule chemistry (MW>500) such as the compounds disclosed here.
- Recently, improvements in the technology of synthetic chemistry and molecular biology have allowed the testing of large numbers of molecules and the discovery of many ligands with adequate affinity to their targets to have some potential in vivo. Many such molecules prove inadequate on in vivo testing largely due to the manifold, stringent, and often conflicting (i.e. stability without toxicity) requirements outlined above.
- In addition to the difficulties facing many new molecules, many existing molecules in clinical use also exhibit inadequate properties of uptake, distribution, stability and toxicity (Lipinski et al. 2001). These observations demonstrate, that in general, deficiencies in uptake, distribution, and stability result in inadequate therapy from existing molecules and inadequate and uneconomical probabilities of success in the discovery of new molecules.
- Such problems often fall within the scope of therapeutic agent delivery—a discipline which combines many aspects of formulation with techniques for introducing the agent into the host body. Delivery methods are frequently designed to permit passage through a single barrier (i.e. the skin) (WO 01/13957) or the intestine (WO 01/20331) after which the agent must again conform with the general requirements above in order to act at the in vivo target. Certain delivery strategies involve a physical preparation such as liposomes (Debs et al. 1990; Jaafari, Foldvari, 2002) or anti-body conjugates (Everts et al., 2002) which further direct the molecules within the host body. Others rely on the addition of cationic lipids to formulations, the use of transport proteins as a route of uptake (WO 01/20331). The use of transport processes deliberately in therapeutic agent design is perhaps best illustrated by the nucleoside therapeutic agents, which to varying degrees, are taken up as metabolites and whose transport to mitochondria is a major cause of toxicity (WO 98/29437) For example, see European Patent No. 0009944B1, European Patent No. 0044090A3, and Japanese Patent No. 05163293. Such methods may enhance performance in therapy or reduce toxicity but they increase cost and require direct introduction into the blood stream which is impractical in chronic use.
- More preferable would be small molecules that possess the appropriate structures and properties to mediate efficient uptake and stability. Such small molecules would ideally be able to carry a range of therapeutic agents of varying properties such that they could be commercialized in more than one indication. However, there is a requirement that they be inactive and stable enough to ensure that the cargo molecule is carried in the periphery (Harada et al. 2000).
- The present invention represents a significant advance in that it provides for a means of improving the bioavailability and efficacy of a variety of molecules in vivo using a series of rational and facile assays to select desirable compounds based on known pharmacophores or pharmaceutical lead structures that have not been optimized for in vivo action.
- The invention relates to a compound useful for enhancing efficacy of a therapeutic agent, a method for identifying such a compound, and a method of treating diseases including inflammation, graft rejection, infection, cancer, allergies, metabolic cardiovascular, pulmonary, dermatological, rheumatological and hepatic diseases. The invention further comprises compositions and formulations selected using the method and applications for same.
- The invention provides for a method for identifying compounds that act as carriers or “transportophores” (i.e., a transport mediating molecule) that when combined, either directly or via a linker, to a wide variety of therapeutic agents, improves one or more of the following characteristics of the agent: ease of formulation, gastric stability, bioavailability, stability, disposition, elimination, half life, efficacy, safety, duration of action and selectivity.
- In one aspect, this invention features a compound of the following formula (or referred to as T-L-C hereinafter):
- TL—C)m,
- wherein T is a transportophore, L is a bond or a linker having a molecular weight up to 240 dalton, C is a non-antibiotic therapeutic agent, and m is 1, 2, 3, 4, 5, 6, 7, or 8, in which the transportophore has an immune selectivity ratio of at least 2, the transportophore is covalently bonded to the non-antibiotic therapeutic agent via the bond or the linker, and the compound has an immune selectivity ratio of at least 2. Note that when there are more than one L or C moieties (i.e., m is greater than 1), the L moieties or the C moieties, independently, can be the same or different. The same rule applies to other similar situations.
- The transportophore can be a metabolite, a natural product, a metabolite mimic, a metabolite derivative (e.g., a sugar, amino, or peptide derivative), a fatty acid, a bile acid, a vitamin, a nucleobase, an alcohol, or an organic acid or base, a portion of which resembles and is recognized as a substrate for transport protein(s). It can be an amphiphilic molecule having a pKa value of 6.5 to 9.5, or a cyclic or heterocyclic molecule (e.g., lactone, lactam, ether, cyclic acetal or hemi-acetal). The cyclic or heterocyclic molecule can have an attached sugar. The cyclic or heterocyclic molecule can be a macrolactone or macroether, including a macrolactone or macroether having an attached sugar. The cyclic or heterocyclic molecule can also be a macrolide or ketolide having an amino sugar, including a macrolide having mono-, di-, or tri-basic groups (e.g., an amine). In some embodiments, the macrolide has no intrinsic antibacterial activity (inactive at 50 uM or higher concentrations when tested against Bacillus invitro see protocol) and a pKa value of less than 9.0 (e.g., 8.5, 8.0, 7.5, 7.0, or any number in between).
-
- Wherein,
- X=N(R 7)—CH2
- CH 2—N(R7)
- C(═O)
- C(═NOR 8)
- CH(OR 9)
- CH(NR 10R11)
- C(═NR 12)
- OC(═O)
- C(═O)O
- Y=independently,
- Linker (as defined below)
- Z=C(═O)—
- CH(R 16)
- R 1=H
- CH 3
- (C 2-C10)alkyl
- (C 1-C10)alkenyl
- (C 1-C10)alkynyl
- (C 1-C8)[(C1-C4)alkoxy]alkyl
- (C 1-C8)[(C1-C4)alkoxy]alkenyl
- (C 6-C10)aryl-(C1-C5)alkyl
- (C 2-C9)heteroaryl-(C1-C5)alkyl
- (C 1-C4)alkyliden-NR18R19
- Y—R 13
- C(═O)—Y—R 15
- C(═O)—R 15
- R 2=H
- (1′,2′-cis)-OH
- (1′,2′-trans)-OH
- (1′,2′-cis)-OR 15
- (1′,2′-trans)-OR 15
- (1′,2′-cis)-SH
- (1′,2′-cis)-S—Y—R 13
- or the R 1 and R2 bearing atoms are connected via a —OC(═O)CHR16-element
- R 3=H
- C(═O)—Y—R 15
- C(═O)—R 15
- R 4=H
- C(═O)—Y—R 15
- C(═O)—R 15
- R 5=H
- or R 4, R5 are connected by Z
- R 6=H
- CH 3
- R 7=H
- CH 3
- Y—R 13
- C(═O)—Y—R 15
- C(═O)—R 15
- R 8=H
- Y—R 13
- R 13
- C(═O)—R 17
- (C 1-C10)alkyl
- (C 1-C10)alkenyl
- (C 1-C10)alkynyl
- (C 1-C8)[(C1-C4)alkoxy]alkyl
- (C 1-C8)[(C1-C4)alkoxy]alkenyl
- (C 6-C10)aryl-(C1-C5)alkyl
- (C 2-C9)heteroaryl-(C1-C5)alkyl
- (C 1-C4)alkyliden-NR18R19
- wherein alkyl, alkenyl, alkynyl, aryl, and heteroaryl groups are optionally substituted by one to five substituents selected independently from halogen, (C 1-C4)alkyl, (C1-C4)alkenyl, (C1-C4) alkynyl, (C3-C7)cycloalkyl, (C1-C6)heterocycloalkyl, (C6-C10)aryl, (C1-C9)heteroaryl, C1-C4)alkoxy, hydroxy, nitro, cyano, azido, mercapto, —NR18R19, R18C(═O)—, R18C(═O)O—, R18OC(═O)O—, R18NHC(═O)—, R18C(═O)NH—, R18R19NC(═O)— and R18OC(═O)—
- R 9=H
- (C 1-C10)alkyl
- (C 1-C10)alkenyl
- (C 1-C10)alkynyl
- (C 1-C8)[(C1-C4)alkoxy]alkyl
- (C 1-C8)[(C1-C4)alkoxy]alkenyl
- (C 6-C10)aryl-(C1-C5)alkyl
- (C 2-C9)heteroaryl-(C1-C5)alkyl
- wherein alkyl, alkenyl, alkynyl, aryl, and heteroaryl groups are optionally substituted by one to five substituents selected independently from halogen, (C 1-C4)alkyl, (C1-C4)alkenyl, (C1-C4) alkynyl, (C3-C7)cycloalkyl, (C1-C6)heterocycloalkyl, (C6-C10)aryl, (C1-C9)heteroaryl, (C1-C4)alkoxy, hydroxy, nitro, cyano, azido, mercapto, —NR18R19, R18C(═O)—, R18C(═O)O—, R18OC(═O)O—, R18NHC(═O)—, R18C(═O)NH—, R18R19NC(═O)— and R18OC(═O)O—
- R 10, R11=independently H
- (C 1-C10)alkyl
- (C 1-C10)alkenyl
- (C 1-C10)akynyl
- (C 1-C8)[(C1-C4)alkoxy]alkyl
- (C 1-C8)[(C1-C4)alkoxy]alkenyl
- (C 6-C10)aryl-(C1-C5)alkyl
- (C 2-C9)heteroaryl-(C1-C5)alkyl
- (C 1-C4)alkyliden-NR18R19
- or R 10=H and R11=—Y—R13
- C(═O)—Y—R 15, —C(═O)—R15
- R 12=H
- (C 1-C10)alkyl
- (C 1-C10)alkenyl
- (C 1-C10)alkynyl
- (C 1-C8)[(C1-C4)alkoxy]alkyl
- (C 1-C8)[(C1-C4)alkoxy]alkenyl
- (C 6-C10)aryl-(C1-C5)alkyl
- (C 2-C9)heteroaryl-(C1-C5)alkyl
- (C 1-C4)alkyliden-NR18R19
- Y—R 13
- R 13=R15=independently, therapeutic agent
- R 16=H
- CH 3
- (C 2-C10)alkyl
- (C 1-C10)alkenyl
- (C 1-C10)alkynyl
- (C 1-C8)[(C1-C4)alkoxy]alkyl
- (C 1-C8)[(C1-C4)alkoxy]alkenyl
- (C 6-C10)aryl-(C1-C5)alkyl
- (C 2-C9)heteroaryl-(C1-C5)alkyl
- (C 1-C4)alkyliden-NR18R19
- Y—R 13,
- R 17=O—R20-aryl
- optionally substituted by —X′—Y-therapeutic agent, X′-therapeutic agent wherein
- X′ is
- S
- O
- NH
- R 18, R19=independently H
- (C 1-C10)alkyl
- (C 1-C10)alkenyl
- (C 1-C10)alkynyl
- (C 1-C8)[(C1-C4)alkoxy]alkyl
- (C 1-C8)[(C1-C4)alkoxy]alkenyl
- (C 6-C10)aryl-(C1-C5)alkyl
- (C 2-C9)heteroaryl-(C1-C5)alkyl
- R 20=independently
- Halogen
- (C 1-C3)alkyl
- NO 2
- CN
- OCH 3
- N(CH 3)2
- N 3
- SH
- S(C 1-C4)alkyl
-
- Wherein,
- X=N(R 7)—CH2
- CH 2—N(R7)
- C(═O)
- C(═NOR 8)
- CH(OR 9)
- CH(NR 10R11)
- C(═NR 12)
- OC(═O)
- C(═O)O
- Y=independently, Linker (as defined below)
- Z=C(═O)—
- CH(R 16)—
- R 1=H
- CH 3
- (C 2-C10)alkyl
- (C 1-C10)alkenyl
- (C 1-C10)alkynyl
- (C 1-C8)[(C1-C4)alkoxy]alkyl
- (C 1-C8)[(C1-C4)alkoxy]alkenyl
- (C 6-C10)aryl-(C1-C5)alkyl
- (C 2-C9)heteroaryl-(C1-C5)alkyl
- (C 1-C4)alkyliden-NR18R19
- Y—R 13
- C(═O)—Y—R 15
- C(═O)—R 15
- S(═O) k(C1-C10)alkyl
- S(═O) k(C1-C10)alkenyl
- S(═O) k(C1-C10)alkynyl
- S(═O) k(C6-C10)aryl
- S(═O) k(C2-C9)heteroaryl
- S(═O) k—Y—R15
- S(═O) k—R15
- wherein k is 0, 1 or 2, and alkyl, alkenyl, alkynyl, cycloalkyl, heterocycloalkyl, aryl and heteroaryl can optionally be substituted by one to three halogen, cyano, hydroxy, (C 1-C4) alkyloxy, nitro, (C1-C6)alkyl, (C1-C6)alkenyl, (C1-C6)alkynyl, (C3-C7)cycloalkyl, (C1-C6)heterocycloalkyl, (C6-C10)aryl, (C1-C9)heteroaryl, NR18R19, R18C(═)O—, R18OC(═O)—, R18C(═O)NH—, R18NHC(═O)—, R18R19NC(═O)— and R18OC(═O)—O—
- R 2=H
- (1′, 2′-cis)-OH
- (1′, 2′-trans)-OH
- (1′, 2′-cis)-OR 15
- (1′, 2′-trans)-OR 15
- (1′, 2′-cis)-SH
- (1′, 2′-cis)-S—Y—R 13
- or the R 1 and R2 bearing atoms are connected via a —OC(═O)CHR16— element
- R 3a, R3b=independently H
- R 1
- OH
- OR 11
- NR 10R11
- or R 3a=R3b=(═O),
- (═NR 1)
- O(CH 2)kO— wherein k is 2 or 3
- R 4=H
- C(═O)—Y—R 15
- C(═O)—R 15
- R 5=H
- or R 4, R5 are connected by —Z—
- R 6=H
- CH 3
- R 7=H
- CH 3
- Y—R 13
- C(═O)—Y—R 15
- C(═O)—R 15
- R 8=H
- Y—R 13
- C(═O)—R 17
- R 9=H
- (C 1-C10)alkyl
- (C 1-C10)alkenyl
- (C 1-C10)alkynyl
- (C 1-C8)[(C1-C4)alkoxy]alkyl
- (C 1-C8)[(C1-C4)alkoxy]alkenyl
- (C 6-C10)aryl-(C1-C5)alkyl
- (C 2-C9)heteroaryl-(C1-C5)alkyl
- R 10, R11=independently H
- (C 1-C10)alkyl
- (C 1-C10)alkenyl
- (C 1-C10)akynyl
- (C 3-C10)cycloalkyl
- (C 1-C9)heterocycloalkyl
- (C 6-C10)aryl
- (C 2-C9)heteroaryl
- wherein alkyl, alkenyl, alkynyl, cycloalkyl, heterocycloalkyl, aryl, heteroaryl are optionally substituted by one to three halogen, cyano, hydroxy, (C 1-C4)alkyloxy, nitro, (C1-C6)alkyl, (C1-C6) alkenyl, (C1-C6)alkynyl, (C3-C7)cycloalkyl, (C1-C6)heterocycloalkyl, (C6-C10)aryl, (C1-C9)heteroaryl, NR18R19, R18C(═O)—, R18C(═O)O—,R18OC(═O)—, R18C(═O)NH—, R18NHC(═O)—, R18R19NC(═O)— and R18OC(═O)—O—
- or R 10=H and
- R 11=Y—R13
- C(═O)—Y—R 15
- C(═O)—R 15
- S(═O) k(C1-C10)alkyl
- S(═O) k(C1-C10)alkenyl
- S(═O) k(C1-C10)alkynyl
- S(═O) k(C6-C10)aryl
- S(═O) k(C2-C9)heteroaryl
- S(═O) k—Y—R15
- S(═O) k—R15
- wherein k is 0, 1 or 2 and alkyl, alkenyl, alkynyl, cycloalkyl, heterocycloalkyl, aryl and heteroaryl can be substituted as defined above.
- R 12=H
- (C 1-C10)alkyl
- (C 1-C10)alkenyl
- (C 1-C10)alkynyl
- (C 1-C8)[(C1-C4)alkoxy]alkyl
- (C 1-C8)[(C1-C4)alkoxy]alkenyl
- (C 6-C10)aryl-(C1-C5)alkyl
- (C 2-C9)heteroaryl-(C1-C5)alkyl
- (C 1-C4)alkyliden-NR18R19
- Y—R 13
- R 13=R15=independently therapeutic agent
- R 16=H
- CH 3
- (C 2-C10)alkyl
- (C 1-C10)alkenyl
- (C 1-C10)alkynyl
- (C 1-C8)[(C1-C4)alkoxy]alkyl
- (C 1-C8)[(C1-C4)alkoxy]alkenyl
- (C 6-C10)aryl-(C1-C5)alkyl
- (C 2-C9)heteroaryl-(C1-C5)alkyl
- (C 1-C4)alkyliden-NR18R19
- Y—R 13
- R 17=O—R20-aryl
- optionally substituted by —X′—Y-therapeutic agent, X′-therapeutic agent wherein
- X′ is
- S, O, NH
- R 18, R19=independently H
- (C 1-C10)alkyl
- (C 1-C10)alkenyl
- (C 1-C10)alkynyl
- (C 1-C8)[(C1-C4)alkoxy]alkyl
- (C 1-C8)[(C1-C4)alkoxy]alkenyl
- (C 6-C10)aryl-(C1-C5)alkyl
- (C 2-C9)heteroaryl-(C1-C5)alkyl
- R 20=independently,
- Halogen
- (C 1-C3)alkyl
- NO 2
- CN
- OCH 3
- N(CH 3)2
- N 3
- SH
- S(C 1-C4)alkyl
-
- Wherein,
- X=N(R 9)—CH2
- CH 2—N(R9)
- C(═O)
- C(═NOR 10)
- C(OR 11)H
- CH(NR 12R13)
- C(═NR 14)
- OC(═O)
- C(═O)O
- Y=independently, Linker (as defined below)
- R 1=OR17
- NR 17R18,
- or R 1 is connected to the oxygen bearing R4 or R5 forming a lactone or is connected to a suitable substituent in R2 forming a lactone or lactam.
-
- H
- X′, wherein X′=halogen
- azido
- nitro
- cyano
- OR 17
- OR 22
- NR 17R18
- SR 17(C1-C6)alkyl
- (C 1-C6)alkenyl
- (C 1-C6)alkynyl
- (C 3-C10)cycloalkyl
- (C 1-C9)heterocycloalkyl
- (C 6-C10)aryl
- (C 1-C9)heteroaryl
- wherein alkyl, alkenyl, alkynyl, cycloalkyl, heterocycloalkyl, aryl, heteroaryl groups are optionally substituted by one to five substituents selected independently from halogen, (C 1-C4)alkyl, (C1-C4)alkenyl, (C1-C4)alkynl, (C3-C7)cycloalkyl, (C1-C6)heterocycloalkyl, (C6-C10)aryl, (C1-C9)heteroaryl, (C1-C4)alkoxy, hydroxy, nitro, cyano, azido, mercapto, R20R21 N—, R 20C(═O)—, R20C(═O)O—, R20OC(═O)—, R20NHC(═O)—, R20C(═O)NH—, R20R21NC(═O)—, and R20OC(═O)O—, —Y-therapeutic agent or -therapeutic agent
- R 3=H
- (C 1-C6)alkyl
- (C 1-C6)alkenyl
- (C 1-C6)alkynyl
- (C 3-C10)cycloalkyl
- (C 1-C9)heterocycloalkyl
- (C 6-C10)aryl
- (C 1-C9)heteroaryl
- wherein alkyl, alkenyl, alkynyl, cycloalkyl, heterocycloalkyl, aryl, heteroaryl groups are optionally substituted by one to five substituents selected independently from halogen, (C 1-C4)alkyl, (C1-C4)alkenyl, (C1-C4)alkynl, (C3-C7)cycloalkyl, (C1-C6)heterocycloalkyl (C6-C10)aryl, (C1-C9)heteroaryl, (C1-C4)alkoxy, R20R21N—
-
- H
- C(═O)R 17
- Y-therapeutic agent
- therapeutic agent
- S(═O) 2R17 providing R17 is not hydrogen
- C(═O)NR 17R18(C1-C6)alkyl
- (C 1-C6)alkenyl
- (C 1-C6)alkynyl
- (C 3-C10)cycloalkyl
- (C 1-C9)heterocycloalkyl
- (C 6-C10)aryl
- (C 1-C9)heteroaryl
- wherein alkyl, alkenyl, alkynyl, cycloalkyl, heterocycloalkyl, aryl, heteroaryl groups are optionally substituted by one to five substituents selected independently from halogen, (C 1-C4)alkyl, (C1-C4)alkenyl, (C1-C4)alkynyl, (C3-C7)cycloalkyl, (C1-C6) heterocycloalkyl, (C6-C10)aryl, (C1-C9)heteroaryl, (C1-C4)alkoxy, hydroxy, nitro, cyano, azido, mercapto, R20R21N—, R20C(═O)—, R20C(═O)O—, R20OC(═O)—, R20NHC(═O)—, R20C(═O)NH—, R20R21NC(═O)—, and R20OC(═O)O—, —Y-therapeutic agent or -therapeutic agent
- or R 4 is connected to a suitable R2 containing a N or a O by —C(═O), S(═O)n wherein n=1 or 2, —CR20R17—, CR20(—Y-therapeutic agent)-, —CR20(-therapeutic agent)- forming in dependence of R2 a 6 or 7-membered ring
- R 5=R20
- C(═O)R 20
- or R 4, R5 are connected by C(═O), S(═O)n wherein n=1 or 2, —CR20R17, CR20(—Y-therapeutic agent)-, —CR20(-therapeutic agent)-
- R 6, R8=independently H
- (C 1-C6)alkyl
- (C 1-C6)alkenyl
- (C 1-C6)alkynyl
- (C 3-C10)cycloalkyl
- (C 1-C9)heterocycloalkyl
- (C 6-C10)aryl
- (C 1-C9)heteroaryl
- wherein alkyl, alkenyl, alkynyl, cycloalkyl, heterocycloalkyl, aryl, heteroaryl groups are optionally substituted by one to five substituents selected independently from halogen, (C 1-C4)alkyl, (C1-C4)alkenyl, (C1-C4)alkynyl, (C3-C7)cycloalkyl, (C1-C6) heterocycloalkyl, (C6-C10)aryl, (C1-C9)heteroaryl, (C1-C4)alkoxy, hydroxy, nitro, cyano, azido, mercapto, R20R21N—, R20C(═O)—, R20C(═O)O—, R20OC(═O)—, R20NHC(═O)—, R20C(═O)NH—, R20R21NC(═O)—, and R20OC(═O)O—, —Y-therapeutic agent or -therapeutic agent,
- or R 6, R8=independently —C(═O)R17, —Y-therapeutic agent, -therapeutic agent, —S(═O)2R17 providing R17 is not hydrogen, —C(═O)NR17R18
- R 7=H
- (C 1-C6)alkyl
- (C 1-C6)alkenyl
- (C 1-C6)alkynyl
- (C 3-C10)cycloalkyl
- (C 1-C9)heterocycloalkyl
- (C 6-C10)aryl
- (C 1-C9)heteroaryl
- wherein alkyl, alkenyl, alkynyl, cycloalkyl, heterocycloalkyl, aryl, heteroaryl groups are optionally substituted by one to five substituents selected independently from halogen, (C 1-C4)alkyl, (C1-C4)alkenyl, (C1-C4)alkynyl, (C3-C7)cycloalkyl, (C1-C6) heterocycloalkyl, (C6-C10)aryl, (C1-C9)heteroaryl, (C1-C4)alkoxy, hydroxy, nitro, cyano, azido, mercapto, R20R21N—, R20C(═O)—, R20C(═O)O—, R20OC(═O)—, R20NHC(═O)—, R20C(═O)NH—, R20R21NC(═O)—, and R20OC(═O)O—, —Y-therapeutic agent or -therapeutic agent
- or two of each R 6, R7, R8 are connected by —C(═O), S(═O)n wherein n=1 or 2, —CR20R17—, CR20(—Y-therapeutic agent)-, —CR20(-therapeutic agent)-
- R 9=H
- CH 3
- Y-therapeutic agent
- therapeutic agent
- (C 1-C6)alkyl
- (C 1-C6)alkenyl
- (C 1-C6)alkynyl,
- wherein alkyl, alkenyl, alkynyl groups are optionally substituted by one to five substituents selected independently from halogen, (C 1-C4)alkyl, (C1-C4)alkenyl, (C1-C4)alkynyl, (C3-C7)cycloalkyl, (C1-C6)heterocycloalkyl, (C6-C10)aryl, (C1-C9)heteroaryl, (C1-C4)alkoxy, hydroxy, nitro, cyano, azido, mercapto, R20R21N—, R20C(═O)—, R20C(═O)O—, R20OC(═O)—, R20NHC(═O)—, R20C(═O)NH—, R20R21NC(═O)—, and R20OC(═O)O—, —Y-therapeutic agent or -therapeutic agent
- R 10=C(═O)-aryl
- therapeutic agent
- H
- (C 1-C6)alkyl
- (C 1-C6)alkenyl
- (C 1-C6)alkynyl,
- wherein alkyl, alkenyl, alkynyl groups are optionally substituted by one to five substituents selected independently from halogen, (C 1-C4)alkyl, (C1-C4)alkenyl, (C1-C4)alkynyl, (C3-C7)cycloalkyl, (C1-C6)heterocycloalkyl, (C6-C10)aryl, (C1-C9)heteroaryl, (C1-C4)alkoxy, hydroxy, nitro, cyano, azido, mercapto, R20R21N—, R20C(═O)—, R20C(═O)O—, R20OC(═O)—, R20NHC(═O)—, R20C(═O)NH—, R20R21NC(═O)—, and R20OC(═O)O—, —Y-therapeutic agent or -therapeutic agent
- R 11=H
- (C 1-C6)alkyl
- (C 1-C6)alkenyl
- (C 1-C6)alkynyl,
- wherein alkyl, alkenyl, alkynyl groups are optionally substituted by one to five substituents selected independently from halogen, (C 1-C4)alkyl, (C1-C4)alkenyl, (C1-C4)alkynyl, (C3-C7)cycloalkyl, (C1-C6)heterocycloalkyl, (C6-C10)aryl, (C1-C9)heteroaryl, (C1-C4)alkoxy, hydroxy, nitro, cyano, azido, mercapto, R20R21N—, R20C(═O)—, R20C(═O)O—, R20OC(═O)—, R20NHC(═O)—, R20C(═O)NH—, R20R21NC(═O)—, R20OC(═O)O—, —Y-therapeutic agent or -therapeutic agent,
- or R 11=—Y-therapeutic agent, -therapeutic agent, —C(═O)R17
- R 12, R13=independently H
- (C 1-C6)alkyl
- (C 1-C6)alkenyl
- (C 1-C6)alkynyl
- (C 3-C10)cycloalkyl
- (C 1-C9)heterocycloalkyl
- (C 6-C10)aryl
- (C 1-C9)heteroaryl,
- wherein alkyl, alkenyl, alkynyl, cycloalkyl, heterocycloalkyl, aryl, heteroaryl groups are optionally substituted by one to five substituents selected independently from halogen, (C 1-C4)alkyl, (C1-C4)alkenyl, (C1-C4)alkynyl, (C3-C7)cycloalkyl, (C1-C6)heterocycloalkyl, (C6-C10)aryl, (C1-C9)heteroaryl, (C1-C4)alkoxy, hydroxy, nitro, cyano, azido, mercapto, R20R21N—, R20C(═O)—, R20C(═O)O—, R20OC(═O)—, R20NHC(═O)—, R20C(═O)NH—, R20R21NC(═O)—, R20OC(═O)O—, —Y-therapeutic agent or -therapeutic agent,
- or R 12, R13=independently —C(═O)R17, —Y-therapeutic agent, -therapeutic agent, —S(═O)2R17 providing R17 is not hydrogen, —C(═O)NR17R18
- R 14=independently
- therapeutic agent
- H
- (C 1-C6)alkyl
- (C 1-C6)alkenyl
- (C 1-C6)alkynyl
- (C 3-C10)cycloalkyl
- (C 1-C9)heterocycloalkyl
- (C 6-C10)aryl
- (C 1-C9)heteroaryl
- wherein alkyl, alkenyl, alkynyl, cycloalkyl, heterocycloalkyl, aryl, heteroaryl groups are optionally substituted by one to five substituents selected independently from halogen, (C 1-C4)alkyl, (C1-C4)alkenyl, (C1-C4)alkynyl, (C3-C7)cycloalkyl, (C1-C6)heterocycloalkyl, (C6-C10)aryl, (C1-C9)heteroaryl, (C1-C4)alkoxy, hydroxy, nitro, cyano, azido, mercapto, R20R21N—, R20C(═O)—, R20C(═O)O—, R20OC(═O)—, R20NHC(═O)—, R20C(═O)NH—, R20R21NC(═O)—, R20OC(═O)O—, —Y-therapeutic agent or -therapeutic agent
- R 15=independently
- H
- C(═O)R 17
- Y-therapeutic agent
- therapeutic agent
- S(═O) 2R17 providing R17 is not hydrogen
- C(═O)NR 17R18
- (C 1-C6)alkyl
- (C 1-C6)alkenyl
- (C 1-C6)alkynyl
- (C 3-C10)cycloalkyl
- (C 1-C9)heterocycloalkyl
- (C 6-C10)aryl
- (C 1-C9)heteroaryl,
- wherein alkyl, alkenyl, alkynyl, cycloalkyl, heterocycloalkyl, aryl, heteroaryl groups are optionally substituted by one to five substituents selected independently from halogen, (C 1-C4)alkyl, (C1-C4)alkenyl, (C1-C4)alkynyl, (C3-C7)cycloalkyl, (C1-C6)heterocycloalkyl, (C6-C10)aryl, (C1-C9)heteroaryl, (C1-C4)alkoxy, hydroxy, nitro, cyano, azido, mercapto, R20R21N—, R20C(═O)—, R20C(═O)O—, R20OC(═O)—, R20NHC(═O)—, R20C(═O)NH—, R20R21NC(═O)—, and R20OC(═O)O—, —Y-therapeutic agent or -therapeutic agent
- R 16=H
- OR 17
- OR 22
- R 17, R18=independently H
- (C 1-C6)alkyl
- (C 1-C6)alkenyl
- (C 1-C6)alkynyl
- (C 3-C10)cycloalkyl
- (C 1-C9)heterocycloalkyl
- (C 6-C10)aryl
- (C 1-C9)heteroaryl
- wherein alkyl, alkenyl, alkynyl, cycloalkyl, heterocycloalkyl, aryl, heteroaryl groups are optionally substituted by one to five substituents selected independently from halogen, (C 1-C4)alkyl, (C1-C4)alkenyl, (C1-C4)alkynyl, (C3-C7)cycloalkyl, (C1-C6)heterocycloalkyl, (C6-C10)aryl, (C1-C9)heteroaryl, (C1-C4)alkoxy, hydroxy, nitro, cyano, azido, mercapto, R20R21N—, R20C(═O)—, R20C(═O)O—, R20OC(═O)—, R20NHC(═O)—, R20C(═O)NH—, R20R21NC(═O)—, and R20OC(═O)O—, —Y-therapeutic agent or -therapeutic agent
- or provided that connected to a nitrogen, R 17, R18 may form a cyclic structure of 4 to 7 members (including the nitrogen). R17 and R18 then can represent a fragment from the type of —[C(AB)]m-Ξn-[C(DE)]o-Ψp-[C(GJ)]q wherein m, n, o, p and q independently are 0, 1, 2, 3, 4, 5, or 6, Ξ and Ψ independently are —O—, —S—, —NK— and A, B, D, E, G, J, and K independently are hydrogen, (C1-C4) alkyl, (C1-C4)alkenyl, (C1-C4)alkynyl, (C3-C7)cycloalkyl, (C1-C6)heterocycloalkyl, (C6-C10)aryl, (C1-C9)heteroaryl, (C1-C4)alkoxy, hydroxy, nitro, cyano, azido, mercapto, R20R21N—, R20C(═O)—, R20C(═O)O—, R20OC(═O)—, R20NHC(═O)—, R20C(═O)NH—, R20R21NC(═O)—, and R20OC(═O)O—
- R 20, R21=independently H
- (C 1-C6)alkyl
- R 22=independently
- C(═O)R 17
- Y-therapeutic agent
- therapeutic agent
- S(═O) 2R17 providing R17 is not hydrogen, —C(═O)NR17R18.
-
- Wherein
- m=independently, 0, 1, 2, 3
- n=0-7
- X=independently
- O
- S
- Se
- NR 1
- PR 1
- with the proviso, that at least one X=—NR 1—
- A=independently
- CH 2
- CHR 2
- CR 2R3
- C(═O)
- with the proviso, that at least one X=—NR 1— is not an amide
- R 1=independently,
- H
- (C 1-C10)alkyl optionally substituted by fluoro, cyano, R4, R4O2C, R4C(═O)NH and R4S(═O)k wherein k is 0, 1 or 2
- R 4C(═O), R4S(═O)k wherein k is 0, 1 or 2
- R 2, R3=independently NH2
- NHR 1
- NR 1R5
- OH,
- OR 4
- R 4C(═O)(C1-C6)alkyl
- (C 2-C12)alkenyl
- (C 2-C12)alkynyl
- (C 3-C10)cycloalkyl(C1-C6)alkyl
- (C 2-C9)heterocycloalkyl(C1-C6)alkyl
- (C 6-C10)aryl(C1-C6)alkyl
- (C 2-C9)heteroaryl(C1-C6)alkyl,
- wherein the alkyl, alkenyl, alkynyl, cycloalkyl, heterocycloalkyl, aryl, and heteroaryl groups are optionally substituted by one to three halo, (C 1-C4)alkoxy, hydroxy, nitro, cyano, —C(═O)—OR8, —C(═O)N(H)R8, (C6-C10)aryl, (C2-C9)heteroaryl, N*R5R6R7 wherein * is no or a positive charge, one or two of R2, R3 can be a directly coupled therapeutic agent
- R 4=independently
- NH 2
- NHR 9
- NR 9R5
- OH
- OR 9
- (C 1-C6)alkyl
- (C 2-C12)alkenyl
- (C 2-C12)alkynyl
- (C 3-C10)cycloalkyl(C1-C6)alkyl
- (C 2-C9)heterocycloalkyl(C1-C6)alkyl
- (C 6-C10)aryl(C1-C6)alkyl
- (C 2-C9)heteroaryl(C1-C6)alkyl,
- wherein the alkyl, alkenyl, alkynyl, cycloalkyl, heterocycloalkyl, aryl, and heteroaryl groups are optionally substituted by one to three halo, (C 1-C4)alkoxy, hydroxy, nitro, cyano, R8, —C(═O)—OR8, —C(═O)N(H)R8, (C6-C10)aryl, (C2-C9)heteroaryl, N*R5R6R7 wherein * is no or a positive charge, or therapeutic agent
- R 5, R6=independently H
- (C 1-C6), optionally substituted by hydroxy
- (C 6-C10)aryl
- (C 2-C9)heteroaryl
- R 7=independently
- lone electron pair
- CH 3
- C 2H5
- C 3H7
- CH 2—C6H5
- R 8=independently,
- therapeutic agent
- R 9=independently,
- (C 1-C6) alkyl
- (C 2-C12)alkenyl
- (C 2-C12)alkynyl
- (C 3-C10)cycloalkyl(C1-C6)alkyl
- (C 2-C9)heterocycloalkyl(C1-C6)alkyl
- (C 6-C10)aryl(C1-C6)alkyl or
- (C 2-C9)heteroaryl(C1-C6)alkyl,
- wherein the alkyl, alkenyl, alkynyl, cycloalkyl, heterocycloalkyl, aryl, and heteroaryl groups are optionally substituted by one to three halo, (C 1-C4)alkoxy, hydroxy, nitro, cyano, R8, —C(═O)—OR8, —C(═O)N(H)R8, (C6-C10)aryl, (C2-C9)heteroaryl, N*R5R6R7 wherein * is no or a positive charge, ortherapeutic agent.
- Preferred molecules can be compounds that are recognized by a transport enzyme in the membrane of the cell of the tissue that is to target. This can be a molecule that fulfills the structural requirements in order to be recognized by an oligo-peptide transporter.
- Compounds recognized by transport enzymes can be identified by performing a transport assay with the compound in question in cells expressing the transport protein in question, and comparing the level of compound accumulation with those from parallel uptake assays performed using cells which do not express the target transport protein.
-
- In these examples R (including R 1 and R2) may represent a chemical residue that will modify the recognition by the transporting enzyme or at least not inhibit it. R may be comprised of the therapeutic agent that is to be delivered or the pharmaceutical entity is for example an amino acid itself as in example A.
- Necessary for transport through an oligopeptide transporter seems to be a basic group spaced 4 or 5 bonds from an hydrogen bond accepting group like preferably carboxylate (example A-C) or less preferred amide (example D).
- Example A: R 1 and R2 are hydrogen or lower alkyl, branched or linear from C1 to C5, or benzyl or p-hydroxy benzyl, or hydroxy or mercapto methyl, or any group responsible for the desired pharmacological effect.
- Example B: R can be the moiety responsible for the pharmacological effect, or the pharmacologically relevant group linked on the carbon chain by a chemical linker like an amide (amido-R═NH(C═O)—R′ (R′=pharmacologically relevant group)).
- Example C: R can be the moiety responsible for the pharmacological effect, or the pharmacologically relevant group linked on the carbon chain by a chemical linker like an amide (amido-R═NH(C═O)—R′ (R′=pharmacologically relevant group)).
- Example D: R2 can be hydrogen or lower alkyl, branched or linear from C1 to C5, or benzyl or p-hydroxy benzyl, or hydroxy or mercapto methyl, while R1 consists of the pharmacologically relevant therapeutic agent. Preferably the therapeutic agent would contain a carboxylic acid that by linking to the amino function of an amino acid hydrazide would obtain the general structure of example D.
- Therapeutic agents and Transportophores can be directly connected or via a linking element. This element typically is a bifunctional molecule of low molecular mass, which can react subsequently with the therapeutic agent and the transportophore. Ideally the therapeutic agent can be released from this linker under physiological conditions. This may be achieved oxidatively (i.e. by action of a cytochrome C), reductively (i.e. by action of NADH), hydrolytically (i.e. by action of a protease), or initiated by radicals (i.e. by the action of superoxide radicals). The mechanisms of therapeutic agent release are not limited to the above examples.
- Linkers have the following formnula:
- F1—M—F2
- Where can be:
- F 1, F2=independently a functional group, suitable to react with a counterpart in the therapeutic agent or in the transportophore. F1 and F2 are, but are not limited to
- X 1 wherein X1 is a halogen atom or a sulfonate ester or another suitable leaving group;
- C(═O)X 2 wherein X2 is Cl, Br or I,
- CHO;
- C(═O)OR a wherein Ra is (C1-C4)alkyl or aryl, optionally substituted by 1-5 halogen atoms;
- C(═O)OC(═O)OR b wherein Rb is (C1-C5)alkyl or (C1-C5)alkenyl;
- OH;
- NHR c wherein Rc is H, (C1-C4)alkyl;
- NCX 3 wherein X3 is S or O;
- C(═O)CR═CHR′, wherein R and R′ are independently —H, —CH 3, —Cl, —Br, —F, —O(C1-C4)alkyl, —C(═O)O(C1-C4)alkyl, —NO2, —S(═O)k(O)l(C1-C4)alkyl wherein k is 0, 1 or 2 and l is 0 or 1, SiR1R2R3 wherein R1, R2 and R3 independently are (C1-C4)alkyl;
- SX 4 wherein X4 is —H, —Cl, —Sk(C1-C4)alkyl, Sk(C6-C10)aryl wherein k is 1 or 2.
- F 1 and F2 can be connected to form a cyclic anhydride or di- or trisulfide.
- M is a spacing element which is, but is not limited to
- (C 1-C8)alkyl,
- (C 1-C8)alkenyl,
- (C 1-C8)alkynyl,
- (C 3-C10)cycloalkyl,
- (C 6-C10)aryl,
- (C 2-C9)heteroalkyl,
- (C 2-C9)heteroaryl.
- Alkyl-, alkenyl, alkynyl, cycloalkyl, aryl or heteroaryl spacing elements are optionally substituted by (C 1-C6)alkyl, 1-4 halogens, (C1-C4)alkoxy, (C1-C4)alkoxycarbonyl, hydroxy, amino, (C1-C4)alkylamino, (C1-C4)dialkylamino, (C3-C10)cycloalkyl, (C1-C6)alkylcarbonyloxy, (C1-C6)alkylcarbonylamido, (C1-C4)alkylamidocarbonyl, (C1-C4)dialkylamidocarbonyl, nitro, cyano, (C1-C4)alkylimino, mercapto and (C1-C4)alkylmercapto functions.
TABLE 1 Non-limiting examples of Linkers useful in the synthesis of T-L-C molecules.* Donor linking Recipient linking function function COOH NH2 OH COOH 1. Ethylendiamine, N-Methoxycarbonyl-4- 2. N- Glycol, hydroxyproline, Methoxycarbonyl-4- (2-Aminoethyl)-(2- Glycolic acid, β-Alanin, hydroxyproline, hydroxyethyl)amino β-hydroxy propanoic Glycolic acid, acid β-Alanin, β-hydroxy propanoic acid NH2 3. N- Ethylendiamine, 4. 2,2- Methoxycarbonyl-4- 2,2-Dimethylsuccinic Dimethylsuccinic acid, hydroxyproline, acid, Succinic acid, Glutaric Glycolic acid, Succinic acid, Glutaric acid, β-Alanin, β-hydroxy acid, 2,4- 2,4-Dimethylglutanc propanoic acid Dimethylglutaric acid, acid, Methyl Methyl dicarboxy- dicarboxymethylamino methylamin, 2-Aminoethyl-2- hydroxyethylamino OH 5. N- 2,2- Dimethylsuccinic 6. 13-Hydroxy Methoxycarbonyl-4- acid, Succinic acid, propanoic acid, hydroxyproline, Glutaric acid, 2,2-Dimethylsuccinic Glycolic acid, 2,4-Dimethylglutaric acid, Succinic acid, β-Alanin, acid, Glutanc acid, β-hydroxy propanoic Methyl dicarboxy- 2,4-Dimethylglutaric acid methylamin, acid, 2-Aminoethyl-2- Methyl hydroxyethylamino dicarboxymethylamino - 7. * The donor linking function in vertical refers to a functional group on T; the recipient linking function in horizonal refers to a functional group on L; and the chemical groups in the boxes are the linkers (L).
- The non-antibiotic therapeutic agent can be an anti-inflammatory agent, an anti-infectious agent (including anti-virals), an anti-cancer agent, an allergy-suppressive agent, an immune-suppressant agent, an agent for treating a hematopoietic disorder, a lipid lowering agent, an agent for treating a lysosomal storage disorder, a sterol synthesis modifying agent, agents active on protozoa, or an agent for treating a metabolic disease.
- As used herein, an “immune selectivity ratio” is the ratio of the concentration of a compound in immune cells (e.g., neutrophils, monocytes, and lymphocytes) to the concentration of the compound in erythrocytic cells after the compound has been incubated in a mixture of blood cells including erythrocytes. A protocol of determining the immune selectivity ratio is described in Example 1.
- A “therapeutic agent,” as used herein, is a molecule with pharmacological activity (e.g., a therapeutic agent, medicine, medicament, or active agent), a disease modification agent, or any other molecule that can be covalently attached to a transportophore via a bond or a linker which may have a desirable mode of action in immune or target cells. A therapeutic agent may be released from a compound described above in response to the enzyme activity or the physicochemical environment of the targeted cells. Thus, the therapeutic agent is selectively accumulated in a cell due to specific characteristics of the cell membranes, specific expression of membrane proteins, specific conditions within the cell, notably to expression of specific proteins such as granule proteins, binding sites in the cytoplasm, or other membrane bound or soluble proteins, and is thus trapped in the cell and therefore exhibits an enhanced or desired activity therein.
- An “amphiphilic molecule,” as used herein, is a molecule having a hydrophilic (polar) and hydrophobic (non-polar) functional groups (e.g., atoms) or a combination of groups (or atoms). The pKa of this molecule is in the range of 6.5 to 9.5.
- The term “cyclic” refers to a hydrocarbon cyclic ring including fully saturated, partially saturated, and unsaturated mono-, bi-, and tri-cyclic rings having 4 to 34 ring atoms, preferably, 7 to 10, or 10 to 15 ring atoms. The term “heterocyclic” refers to a hydrocarbon cyclic ring including fully saturated, partially saturated, and unsaturated mono-, bi, and tri-cyclic rings having 4 to 34 ring atoms, preferably, 7 to 10, or 10 to 15 ring atoms having one or more heteroatoms, such as S, O, or N in each ring.
- The term “sugar” refers to a mono-, di-, or tri-saccharide including deoxy-, thio-, and amino-saccharides. Examples of sugar include, but are not limited to, furanose and pyranose.
- The terms “halogen” and “halo” refer to radicals of fluorine, chlorine, bromine or iodine.
- The term “macrolactone” refers to a large lactone ring (i.e., cyclic ester) having at least 10 (e.g., 10 to 25) ring atoms.
- The term “macrocyclic ether” refers to an ether having at least 10 (e.g., 10 to 25) ring atoms.
- The term “macrolide” refers to a chemical compound characterized by a large lactone ring (having at least 10, e.g., 10 to 25 ring atoms) containing one or more keto and hydroxyl groups, or to any of a large group of antibacterial antibiotics containing a large lactone ring linked glycosidically to one or more sugars; they are produced by certain species of Streptomyces and inhibit protein synthesis by binding to the 50S subunits of 70S ribosomes. Examples include erythromycin, azithromycin, and clarithromycin.
- The term “ketolide” refers to a chemical compound characterized by a large lactone ring (having at least 10 ring atoms) containing one or more keto groups.
- The term “alkyl” (or “alkenyl” or “alkynyl”) refers to a hydrocarbon chain that may be a straight chain or branched chain, containing the indicated number of carbon atoms. For example, C 1-C10 indicates that the group may have from 1 to 10 (inclusive) carbon atoms in it. Alkenyl groups and alkynyl groups have one or more double or triple carbon-carbon bonds, respectively, in the chain.
- The term “aryl” refers to a hydrocarbon ring system (mono-cyclic or bi-cyclic) having the indicated number of carbon atoms and at least one aromatic ring. Examples of aryl moieties include, but are not limited to, phenyl, naphthyl, and pyrenyl.
- The term “heteroaryl” refers to a ring system (mono-cyclic or bi-cyclic) having the indicated number of ring atoms including carbon atoms and at least one aromatic ring. The ring system includes at least one heteroatom such as O, N, or S (e.g., between 1 and 4 heteroatoms, inclusive, per ring) as part of the ring system. Examples of heteroaryl moieties include, but are not limited to, pyridyl, furyl or furanyl, imidazolyl, benzimidazolyl, pyrimidinyl, thiophenyl or thienyl, quinolinyl, indolyl, and thiazolyl.
- The term “alkoxy” refers to an —O-alkyl radical.
- The term “cycloalkyl” refers to a nonaromatic hydrocarbon ring system (mono-cyclic or bi-cyclic), containing the indicated number of carbon atoms.
- The term “heterocycloalkyl” refers to a nonaromatic ring system (mono-cyclic or bi-cyclic), containing the indicated number of ring atoms including carbon atoms and at least one heteroatom such as O, N, or S (e.g., between 1 and 4 heteroatoms, inclusive, per ring) as part of the ring system.
- “Alkyliden” is a bivalent alkyl group.
- “Aryliden” is a bivalent aryl group.
- “Erythrocytic cell” is a mature red blood cell that normally does not have a nucleus: it is a very small, circular disk with both faces concave, and contains hemoglobin, which carries oxygen to the body tissues.
- The compounds described above include the compounds themselves, as well as their salts, if applicable. Such salts, for example, can be formed between a positively charged substituent (e.g., amino) on a compound and an anion. Suitable anions include, but are not limited to, chloride, bromide, iodide, sulfate, nitrate, phosphate, citrate, methanesulfonate, trifluoroacetate, and acetate. Likewise, a negatively charged substituent (e.g., carboxylate) on a compound can form a salt with a cation. Suitable cations include, but are not limited to, sodium ion, potassium ion, magnesium ion, calcium ion, and an ammonium cation such as tetramethylammonium ion.
- In addition, some of the compounds of this invention have one or more double bonds, or one or more asymmetric centers. Such compounds can occur as racemates, racemic mixtures, single enantiomers, individual diastereomers, diastereomeric mixtures, and cis- or trans- or E- or Z-double isomeric forms.
- Further, the aforementioned compounds also include their N-oxides. The term “N-oxides” refers to one or more nitrogen atoms, when present in a compound, are in N-oxide form, i.e., N→O.
- Combinations of substituents and variables envisioned by this invention are only those that result in the formation of stable compounds. The term “stable”, as used herein, refers to compounds which possess stability sufficient to allow manufacture and which maintains the integrity of the compound for a sufficient period of time to be useful for the purposes detailed herein (e.g., treating a disease).
- In another aspect, this invention features a method for treating an inflammatory disorder. The method includes administering to a subject in need thereof an effective amount of a compound described above, wherein the compound contains a non-antibiotic therapeutic agent that is an anti-inflammatory agent. Optionally, the method includes co-usage with other anti-inflammatory agents or therapeutic agents. The method is able to improve therapy by concentrating a compound preferentially in immune cells including neutrophils, monocytes, eosinophils, macrophage, alveolar macrophage, B and T-lymphocytes, NK cells, giant cells, Kupfer cells, glial cells, and similar target cells using a variety of means of concentrative compound uptake common to such cells. As such, the invention is advantageous in that selective concentration of compounds conforming to the definition of “therapeutic agent” above, can improve therapy and that, for the purposes of illustration only, concentration of agents in immune cells can confer improved characteristics on compounds with suitable modes of action for the treatment of inflammatory diseases.
- In another aspect, the invention features a means of improving the action of a compound in vivo by reducing its exposure to the action of detoxification enzymes. Such reduced exposure is a result of the structure of the conjugate molecule causing it to be differently retained in the cells and organs of the organism and thus reducing or limiting the amount of material in a given metabolic compartment.
- In another aspect, the invention provides for means to improve the action of a compound through improved retention in the cells and tissues of the organism such that it is less efficiently eliminated by the normal processes of circulation and filtration. Such avoidance of elimination is, at least in part, a consequence of efficient uptake into cells resulting in reduced concentrations of the drug being available from plasma.
- In another aspect, the invention provides for a means of improving the action of a drug by assisting its uptake from the intestine through the overall effects on membrane permeability of the compound that are associated with the invention. Uptake from oral administration is a means of providing sustained exposure to the compound from the parts of the intestine to which it is permeable. Oral availability is not a property of all compounds.
- This invention also features a method of treating a disease (e.g., an infectious disease including viral, fungal, or parasitic diseases, cancer, allergy, metabolic, cardiovascular, pulmonary, dermatological, rheumatological or immune disease). The method comprises administering to a subject in need thereof an effective amount of a compound described above, wherein the compound contains a non-antibiotic therapeutic agent (e.g., an anti-infectious agent, an anti-cancer agent, an agent for treating a hematopoietic disorder, an agent for treating a lysosomal storage disorder, an allergy-suppressive agent, a lipid lowering agent, a sterol synthesis modifying agent, agents active on protozoa or an immune-suppressant agent). Optionally, the method includes co-usage with other therapeutic agents. As described above, the method provides for means to improve therapy by concentrating a compound preferentially in any of the myeloid, hepatic, respiratory, epithelial, endothelial, other target and immune cells. Therefore, the invention is advantageous in that selective concentration of compounds conforming to the definition of “therapeutic agent” above, via the methods described, can improve therapy and that, for the purposes of illustration only, concentration of agents in immune cells can confer improved characteristics on compounds with suitable modes of action for the treatment of diseases of infectious, allergic, autoimmune, transplant, traumatic or neoplastic origin or association.
- The present invention also features a pharmaceutical composition including at least one compound of this invention and a pharmaceutically acceptable carrier. Optionally, the pharmaceutical composition includes one or more other therapeutic agents.
- This invention further features a method for making any of the compounds described above. The method includes taking any intermediate compound delineated herein, reacting it with any one or more reagents to form a compound of this invention including any processes specifically delineated herein.
- In another aspect, this invention features a method of identifying a compound useful for enhancing efficacy of a therapeutic agent. The method includes incubating a compound in blood cells; separating immune cells from erythrocytic cells (e.g., by density gradient centrifugation, antibody mediated capture, lectin based capture, absorption to plastic, setting, simple centrifugation, peptide capture, activation mediated capture, or flow cytometry); and determining the ratio of the concentration of the compound in the immune cells to the concentration of the compound in the erythrocytic cells (e.g., by mass spectrometry, NMR, PET, fluorescence detection, infrared fluorescence, colorimetry, normal detection methods associated with gas chromatography, Fourrier transform spectrometry method, or radioactive detection); wherein the compound comprises a transportophore and a therapeutic agent, in which the transportophore is covalently bonded to the therapeutic agent via a bond or a linker. The therapeutic agent can be, for example, an anti-inflammatory agent, an anti-infectious agent, an anti-cancer agent, an allergy-suppressive agent, an immune-suppressant agent, an agent for treating a hematopoietic disorder, a lipid lowering agent, an agent for treating a lysosomal storage disorder, a sterol synthesis modifying agent, agents active on protozoa, or an agent for treating a metabolic disease.
- In still further another aspect, this invention features a method for delivering a therapeutic agent with a selective concentration. The method includes identifying a compound using the just-described method, and delivering the compound to a cell (e.g., a cell of respiratory tissue, a cell of neoplastic tissue, or a cell mediating allergic responses).
- Also within the scope of this invention are a composition having one or more of the compounds of this invention (optionally including one or more other therapeutic agents) for use in treating various diseases described above, and the use of such a composition for the manufacture of a medicament for the just-described use.
- The invention provides several advantages. For example, a compound of this invention achieves one or more of the following improvements relative to a therapeutic agent itself: (i) improved uptake across the intestinal, jejunal, duodenal, colonic, or other mucosa; (ii) reduced first pass effect by mucosal oxygenases; (iii) reduced or altered detoxification by degradative enzymes of the body; (iv) reduced efflux; (v) selective accumulation of the therapeutic agent in one or more immune, fibroblast, hepatic, renal, glial, or other target cells; (vi) potential for hydrolytic or other forms of separation on a timescale compatible with therapy and the other desired disposition events; (vi) enhanced pharmacological effect in the target cells through greater concentration, sustained release, reduced substrate competition effect or other mechanisms; (vii) reduced or modified dose; (viii) modified route of administration; (ix) reduced or altered side effects; (x) alternative uses; and (xi) alternative formulations.
- Other advantages, objects, and features of the invention will be apparent from the description and drawings, and from the claims.
- FIG. 1 depicts comparison of selective uptake of diverse structure types into white blood cells from a complex blood mix. These data show that an amino acid ( 4), a macrolide (5), a sugar (1), a piperazine (2), and a macrolide (3). These data show that diverse properties can be exploited for concentrative uptake and that macrolides can mediate even distribution of their cargo in the cytoplasm.
- FIG. 2 depicts comparison of sugar and piperazine driven uptake of a fluorophore.
- FIG. 3 is bright-field overlay and fluorescent image of polymorphonuclear cells that have taken up a fluorescent macrolide (compound 3). The images suggest even distribution with some concentration near the nucleus.
- FIG. 4 is an example of results from a proliferation assay showing increased efficacy of a T-L-C conjugate following concentrative uptake into lymphocytes.
- FIG. 5 depicts a model to demonstrate the advantage of uptake into target cells.
- FIG. 6 is an example of a response of HeLa cells to a mycophenolic acid conjugate.
- FIG. 7 is an example of guanosine amelioration following treatment of fresh PBMNCs with either mycophenolic acid or a T-L-C conjugate thereof.
- FIG. 8 shows changes in normalized paw thickness (left) and the corresponding arthritic scores (right) of mice treated with different conjugates. Saline and unconjugated compounds are included as controls.
- FIG. 9 shows survival of skin transplant following treatment with an example T-L-C conjugate.
- FIG. 10 shows dose tapering used in skin transplant model to study a T-L-C conjugate.
- The invention describes a method for identifying compounds that act to improve the uptake of therapeutic agents into cells such as those that constitute the immune system in mammals. The invention further comprises compounds identified using the method and compounds that could be made based on the teaching provided. The invention provides for the rational improvement of therapeutic agents intended for action in inflammatory disease, infection, cancer, allergy, transplantation, cardiovascular, pulmonary, dermatological, rheumatological and metabolic disease. The invention also provides for methods to engender unoptimized molecules or those with activity only in vitro with improved properties in vivo through simple conjugation with molecules that meet the criteria outlined herein.
- The method provides for the selection, in vitro, of combinations of a transportophore and a therapeutic agent that exhibits adequate concentrative uptake and also scission with a half life adequate for agent accumulation and agent action. To identify such a combination, one can contact a sample of native mammalian blood cells (e.g., human blood cell), which contain at least erythrocytes, neutrophils, monocytes, and lymphocytes, with one or more transportophores and determining the relative concentration of those transportophores in the immune cells (at least neutrophils, monocytes and lymphocytes) relative to the concentration of them in the erythrocytes. Then, one can select a transportophore with significantly enhanced concentration in the immune cells and use the transportophore to covalently link to one or more therapeutic agents, via a bond or a linker, to obtain a compound of this invention. Such a compound, containing the transportophore and the therapeutic agent, is also concentrated in immune cells after it is incubated with blood cells. Finally, one can select a linker that provides appropriate cleavage rates between the transportophore and the therapeutic agent in the target cells.
- More specifically, a method described in Example 1 achieves an estimate of immune cell selective uptake in a complex and competitive biological fluid such that the observed uptake is relevant to the in vivo situation while simultaneously measuring cell specific uptake. Data from other Examples suggest that the molecules that exhibit preferential uptake in this system are also highly available via the oral route while also being stable in the liver.
- A number of variations are possible in the application of the method. The basic method includes contacting the immune cell-erythrocyte preparation with a compound or known compounds and specifically detecting those molecules and their metabolites. A further variation is the use of the method in screening complex mixtures of compounds with separation and detection of the resultant cytoplasmic extracts using Mass selective detection combined with a chromatographic separation technique.
- In a further variation, the compounds designated as transportophores are used in the synthesis of libraries such that the final reaction combines library elements with a transportophore using a labile bond allowing the preferential uptake of a compound and its likely scission in an intracellular compartment. Such libraries have the advantage that in cell based assays, there is a reasonable likelihood of adequate therapeutic agent being present at the site of action.
- The compound described in the “Summary” section can be prepared by methods known in the art, as well as by the synthetic routes disclosed herein. For example, one can react a transportophore having a reactive moiety with a therapeutic agent having another reactive moiety. One of the two reactive moieties is a leaving group (e.g., —Cl, OR) and the other is a derivatizable group (e.g., —OH, or —NH—). Then, the transportophore is covalently bonded to the therapeutic agent via a reaction between the two reactive moieties. In the case when a linker is present, each of the two reactive moieties, independently, is a leaving group or a derivatizable group, and each reacts with its reactive counterpart in the linker to form a covalent bond. Detailed routes including various intermediates are illustrated in the examples herein.
- The chemicals used in the afore-mentioned methods may include, for example, solvents, reagents, catalysts, protecting group and deprotecting group reagents and the like. The methods described above may also additionally comprise steps, either before or after the steps described specifically herein, to add or remove suitable protecting groups in order to ultimately allow synthesis of the compound of the formulae described herein.
- As can be appreciated by the skilled artisan, the synthetic routes herein are not intended to comprise a comprehensive list of all means by which the compounds described and claimed in this application may be synthesized. Further methods will be evident to those of ordinary skill in the art. Additionally, the various synthetic steps described above may be performed in an alternate sequence or order to give the desired compounds. Synthetic chemistry transformations and protecting group methodologies (protection and deprotection) useful in synthesizing the compounds described herein are known in the art and include, for example, those such as described in R. Larock, Comprehensive Organic Transformations, VCH Publishers (1989); T. W. Greene and P. G. M. Wuts, Protective Groups in Organic Synthesis, 2d. Ed., John Wiley and Sons (1991); L. Fieser and M. Fieser, Fieser and Fieser's Reagents for Organic Synthesis, John Wiley and Sons (1994); and L. Paquette, ed., Encyclopedia of Reagents for Organic Synthesis, John Wiley and Sons (1995) and subsequent editions thereof.
- A therapeutic agent includes any with modes of action that include anti-inflammatory, anti-viral, anti-fungal, immune suppressant, cytostatic, anti-parasitic, lipid lowering, a sterol synthesis modifying, or metabolaregulatory action. The following is a non-exclusive list of potentially useful therapeutic agents.
- Anti-Inflammatory Therapeutic Agents
- Non-Steroidal Anti-Inflammatory Therapeutic Agents
- Diclofenac, Diflunisal, Etodolac, Fenoprofen, Floctafenine, Flurbiprofen, Ibuprofen, Indomethacin, Ketoprofen, Meclofenamate, Mefenamic, Meloxicam, Nabumetone, Naproxen, Oxaprozin, Phenylbutazone, Piroxicam, Sulindac, Tenoxicam, Tiaprofenic, Tolmetin, Acetaminophen, Aspirin, Salicylamide, acetylsalicylic acid, salicylsalicylic acid.
- Celecoxib, rofecoxib, JTE-522,
- Corticosteroids
- Betamethasone, Budesonide, Cortisone, Dexamethasone, Hydrocortisone, Methylprednisolone, Prednisolone, Prednisone, Triamcinolone, Fluticasone
- Anti-Viral Systemic:
- (i) nucleoside/nucleotide reverse transcriptase inhibitors (NRTIs) including but not limited to zidovudine (AZT), didanosine (ddI), zalcitabine (ddC), stavudine (d4T), lamivudine (3TC), abacavir (ABC), emtricitabine [(−)FTC], tenofovir (PMPA) disoproxil fumarate and phosphoramidate and cyclosaligenyl pronucleotides of d4T or similar chemistries.
- (ii) non-nucleoside reverse transcriptase inhibitors (NNRTIs) including but not limited to, nevirapine, delavirdine, efavirenz, emivirine (MKC-442) or recent derivatives including capravirine and the novel quinoxaline, quinazolinone, phenylethylthiazolylthiourea (PETT) and emivirine (MKC-442) analogues.
- (iii) protease inhibitors (PIs) including but not limited to, saquinavir, ritonavir, indinavir, nelfinavir, amprenavir, and lopinavir or those based on alternative non-peptidic scaffolds such as cyclic urea (DMP 450), 4-hydroxy-2-pyrone (tipranavir)
- (iv) viral entry, through blockade of the viral coreceptors including but not limited to, CXCR4 and CCR5 [bicyclams (i.e. AMD3100), polyphemusins (T22), TAK-779, MIP-1 alpha LD78 beta isoform];
- (v) virus-cell fusion, through binding to the viral glycoprotein including but not limited to, gp41 [T-20 (pentafuside) (DP-178), T-1249 (DP-107), siamycins, betulinic acid derivatives], and potentially zintevir, L-chicoric acid, CGP64222;
- (vi) viral assembly and disassembly, through NCp7 zinc finger-targeted agents including but not limited to, [2,2′-dithiobisbenzamides (DIBAs), azadicarbonamide (ADA) and NCp7 peptide mimics];
- (vii) proviral DNA integration, through integrase inhibitors such as L-chicoric acid and diketo acids (i.e. L-731,988);
- (viii) viral mRNA transcription, through inhibitors of the transcription (transactivation) process (fluoroquinolone K-12, Streptomyces product EM2487, temacrazine, CGP64222).
- (ix) adefovir dipivoxil, emtricitabine and entecavir, aciclovir, valaciclovir, penciclovir, famciclovir, idoxuridine, trifluridine, brivudin, ganciclovir, foscamet, cidofovir, fomivirsen, maribavir, amantadine and rimantadine, the neuraminidase inhibitors, zanamivir and oseltamivir, ribavirin, levovirin
- Antifungal, Systemic-
- candicidin, echinocandin caspofungin,
- Azole antifungal therapeutic agents
- Imidazoles:
- Clotrimazole, ketoconazole, miconazole, Butoconazole, econazole, oxiconazole,
- Sulconazole,
- Triazoles: fluconazole, itraconazole, Terconazole, Tioconazole (
- Fluorinated pyrimidines, flucytosine/5-fluorocytosine, 5-fluorouracil.
- Penicillium-derivatives,
- griseofulvin (oral),
- Allylamine and morpholine antifungal therapeutic agents, squalene epoxidase inhibitors
- naftifine, terbinafine, amorolfine,
- Other,
- Dapsone, Haloprogin,
- Cytostatics and Immune Suppressants
- Alkylating agents,
- Nitrogen Mustard Derivatives, Chlorambucil, Cyclophosphamide, Ifosfamide, Mechlorethamine, Melphalan, Uracil Mustard,
- Nitrosoureas, Carmustine, Lomustine, Streptozocin, Aziridine, Thiotepa,
- Methanesulfonate Ester, Busulfan, chronic myelogenous leukemia
- Nonclasic Agents, Dacarbazine, Procarbazine,
- Platinum Complexes, Carboplatin, Cisplatin,
- Antitumor antibiotics, Dactinomycin, Daunorubicin, Doxorubicin, Idarubicin, Mitomycin, Mitoxantrone,
- Antimetabolites, Fluorouracil, Floxuridine, Capecitabine,
- Cytidine Analogs, Cytarabine, Gemcitabine,
- Purines, Cladribine, Fludarabine, Mercaptopurine, Methotrexate, Pentostatin, Thioguanine
- Plant Alkaloids, (DNA repair enzyme inhibitors)
- Semisynthetic Podophylline Derivitives, Etoposide, Teniposide
- Taxoid Plant Alkaloids, Docetaxel, Paclitaxel,
- Synthetic camptothecin
- Plant Alkaloid Derivitives, Irinotecan, Topotecan,
- Vinca Alkaloids, Vinblastine, Vincristine, Vinorelbine,
- Other agents,
- All-trans-retinoic acid, Imatinab mesylate, 2-deoxycoformycin, all-trans retinoic, thalidomide calicheamycin, protein kinase inhibitors
- Therapeutic Agents Active on Allergy
- Anti-Histamines
- Astemizole, Azatadine, Brompheniramine, Cetirizine, Chlorpheniramine, Clemastine, Cyproheptadine, Dexchlorpheniramine, Dimenhydrinate, Diphenhydramine, Doxylamine, Hydroxyzine, Loratadine, Phenindamine, Terfenadine, Tripelennamine.
- Lipid Lowering and Sterol Modifying Agents
- Atorvastatin, Pravastatin, Simvastatin, Lovastatin, Cerivastatin, Roxuvastatin, Fluvastatin, Gemfibrozil
- Also within the scope of this invention is a pharmaceutical composition that contains an effective amount of at least one of the compound of this present invention and a pharmaceutically acceptable carrier.
- Pharmaceutically acceptable salts of the compounds of this invention include those derived from pharmaceutically acceptable inorganic and organic acids and bases. Examples of suitable acid salts include acetate, adipate, alginate, aspartate, benzoate, benzenesulfonate, bisulfate, butyrate, citrate, camphorate, camphorsulfonate, cyclopentanepropionate, digluconate, dodecylsulfate, ethanesulfonate, formate, fumarate, glucoheptanoate, glycerophosphate, glycolate, hemisulfate, heptanoate, hexanoate, hydrochloride, hydrobromide, hydroiodide, 2-hydroxyethanesulfonate, lactate, maleate, malonate, methanesulfonate, mesylate, 2-naphthalenesulfonate, nicotinate, nitrate, palmoate, pectinate, persulfate, 3-phenylpropionate, phosphate, picrate, pivalate, propionate, salicylate, succinate, sulfate, tartrate, thiocyanate, tosylate and undecanoate. Other acids, such as oxalic, while not in themselves pharmaceutically acceptable, may be employed in the preparation of salts useful as intermediates in obtaining the compounds of the invention and their pharmaceutically acceptable acid addition salts. Salts derived from appropriate bases include alkali metal (e.g., sodium), alkaline earth metal (e.g., magnesium), ammonium and N-(alkyl) 4 + salts. This invention also envisions the quatemization of any basic nitrogen-containing groups of the compounds disclosed herein. Water or oil-soluble or dispersible products may be obtained by such quatemization.
- Further, this invention covers a method of administering an effective amount of one or more compounds of this invention to a subject (a human, a mammal, or an animal, e.g., dog, cat, horse, cow, or chicken) in need of treatment for a disease or disease symptom (e.g., an inflammatory disease, an infectious disease, cancer, allergy, or an immune disease, or symptoms thereof).
- The term “treating” or “treated” refers to administering a compound of this invention to a subject with the purpose to cure, heal, alleviate, relieve, alter, remedy, ameliorate, improve, or affect a disease, the symptoms of the disease or the predisposition toward the disease. “An effective amount” refers to an amount of a compound which confers a therapeutic effect on the treated subject. The therapeutic effect may be objective (i.e., measurable by some test or marker) or subjective (i.e., subject gives an indication of or feels an effect). An effective amount of the compound described above may range from about 0.1 mg/Kg to about 20 mg/Kg. Effective doses will also vary, as recognized by those skilled in the art, depending on route of administration, excipient usage, and the possibility of co-usage with other agents for treating a disease, including an inflammatory disease, a cardiovascular disease, an infectious disease, cancer, allergy, and an immune disease.
- The methods delineated herein can also include the step of identifying that the subject is in need of treatment of for a disorders and or condition in athe subject. The identification can be in the judgment of a subject or a health professional and can be subjective (e.g., opinion) or objective (e.g., measurable by a test or a diagnostic method).
- The following is a non-exclusive list of diseases and disease symptoms, which may be treated or prevented by administration of the compounds and compositions thereof herein and by the methods herein.
- Inflammation and Related Disorders
- Inflammation Secondary to Trauma or Injury
- Post traumatic regeneration injury including but not limited to Ischemia, reperfusion injury, scarring, CNS trauma, spinal section, edema, repetitive strain injuries including tendonitis, carpal tunnel syndrome,
- Cardiovascular Diseases
- specifically atherosclerosis, inflamed or unstable plaque associated conditions, restinosis, infarction, thromboses, post-operative coagulative disorders, acute stroke,
- Autoimmune Diseases
- Alopecia Areata, Ankylosing Spondylitis, Antiphospholipid Syndrome, Autoimmune Addison's Disease, aplastic anemia, Autoimmune Hemolytic Anemia, Autoimmune Hepatitis, Behcet's Disease, biliary cirrhosis, Bullous Pemphigoid, Canavan Disease, Cardiomyopathy, Celiac Sprue-Dermatitis, Chronic Fatigue Immune Dysfunction Syndrome (CFIDS), Chronic Inflammatory Demyelinating Polyneuropathy, Churg-Strauss Syndrome, Cicatricial Pemphigoid, CREST Syndrome, Cold Agglutinin Disease, Crohn's Disease, dermatomyositis, Diffuse Cerebral Sclerosis of Schilder, Discoid Lupus, Essential Mixed Cryoglobulinemia, Fibromyalgia-Fibromyositis, Fuch's heterochromic iridocyclitis, Graves' Disease, Guillain-Barré, Hashimoto's Thyroiditis, Idiopathic Pulmonary Fibrosis, Idiopathic Thrombocytopenia Purpura (ITP), IgA Nephropathy, Insulin dependent Diabetes, Intermediate uveitis, Juvenile Arthritis, Lichen Planus, Lupus, Ménière's Disease, Mixed Connective Tissue Disease, Multiple Sclerosis, Myasthenia Gravis, nephrotic syndrome, Pemphigus Vulgaris, Pernicious Anemia, Polyarteritis Nodosa, Polychondritis, Polyglandular Syndromes, Polymyalgia Rheumatica, Polymyositis and Dermatomyositis, Primary Agammag-lobulinemia, Primary Biliary Cirrhosis, Psoriasis, Raynaud's Phenomenon, Reiter's Syndrome, Rheumatic Fever, Rheumatoid Arthritis, Sarcoidosis, Scleroderma, Sjögren's Syndrome, Stiff-Man Syndrome, Takayasu Arteritis, Temporal Arteritis/Giant Cell Arteritis, Ulcerative Colitis, Vasculitis, Vitiligo, VKH (Vogt-Koyanagi-Harada) disease, Wegener's Granulomatosis, Anti-Phospholipid Antibody Syndrome (Lupus Anticoagulant), Churg-Strauss (Allergic Granulomatosis), Dermatomyositis/Polymyositis, Goodpasture's Syndrome, Interstitial Granulomatous Dermatitis with Arthritis, Lupus Erythematosus (SLE, DLE, SCLE), Mixed Connective Tissue Disease, Relapsing Polychondritis, HLA-B27 asssociated conditions including Ankylosing spondylitis, Psoriasis, Ulcerative colitis, Crohn's disease, IBD, Reiter's syndrome, Uveal diseases: Uveitis, Pediatric Uveitis, HLA-B27 Associated Uveitis, Intermnediate Uveitis, Posterior Uveitis, Iritis,
- Dermatological Disease
- Psoriasis, atopic dermatitis, acne
- Rheumatological Disease
- Osteoarthritis and various forms of autoimmune arthritis.
- Neurodegenerative Disease
- Inflammatory Degenerative Diseases
- Including variants and major forms of: Alzheimer's, Huntington's Parkinson's and Creutzfeldt Jakob disease
- Infection
- Respiratory Diseases of Diverse Origin Including:
- Pharyngitis (“sore throat”), Tonsilitis, Sinusitis & Otitis Media, Influenza, Laryngo-Tracheo Bronchitis (Croup), Acute Bronchiolitis, Pneumonia, Bronchopneumonia, Bronchiolitis, Bronchitis, Acute pharyngitis with fever, Pharyngoconjunctival fever, Acute follicular conjunctivitis, Pneumonia (and pneumonitis in children), COPD, asthma,
- Gastrointestinal Diseases
- Gastroenteritis of diverse origin
- Viral Diseases
- Target viuses include but are not limited to: Paramyxo-, Picoma-, rhino-, coxsackie-, Influenza-, Herpes-, adeno-, parainfluenza-, respiratory syncytial-, echo-, corona-, Epstein-Barr-, Cytomegalo-, Varicella zoster, Hepatitis variants including hepatitis C Virus (HCV), Hepatitis A Virus (HAV), Hepatitis B Virus (HBV), Hepatitis D Virus (HDV), Hepatitis E Virus (HEV), Hepatitis F Virus (HFV), Hepatitis G Virus (HGV), Human immunodeficiency-
- Parasitic Diseases
- Helminthiases and similar diseases
- Larva Migrans, Toxocara canis, Hookworm Infections (Ancylostomiasis) Necator spp. Ancylostoma duodenale and Necator americanus, Filariasis, Wuchereria bancrofti & Brugia malayi, Loiasis, Ascariasis, Ascaris lumbricoides-, Dracunculiasis, Schistosomiasis, Schistosoma mansoni, male & female [P Darben]-(AU), Onchocerciasis (River Blindness), Whipworm Infections, Ascaris lumbricoides and Trichuris trichiura, Trichinosis, Trichinella, Cestode Infections, Diphyllobothriasis, Diphyllobothrium spp., Echinococcosis, Echinococcisis (Hydatid Disease), Echinococcus multilocularis, Taeniasis, (Tapeworm Infection), Cysticercosis Leishmaniasis (Kala Azar), Leishmania donovani, Enterobius vermicularis, Anal Pinworms, Dientamoebiasis, Dientamoeba fragilis, Anisakiasis, Anisakis simplex, Giardiasis, Giardia lamblia, Giardia muris
- Protozoan Infection
- Acanthamoeba sp. Flagellates, Amebiasis, Naegleria, Acanthamoeba and Balamuthia, Entamoeba, Trichomonas Infections, Blastocystis hominis infections (not on MeSH), Malaria, Plasmodium falciparum, Toxoplasmosis, Cryptosporidiosis, Cyclosporiasis, Cyclospora cayetanensis, Babesiosis, Trypanosomiasis, Trypanosomiasis, Trypanosoma brucei, Chagas Disease
- Neoplastic Disease
- leukemia, lymphoma, myeloma
- hepatomas, other major organ carcinomas and sarcomas
- glioma, neuroblastoma,
- Astrocytic and glial tumors,
- Invasive or non-invasive (Anaplastic (malignant) astrocytoma, Glioblastoma multiforme variants: giant cell glioblastoma, gliosarcoma, Pilocytic astrocytoma, Subependymal giant cell astrocytoma, Pleomorphic xanthoastrocytoma)
- Oligodendroglial Tumors
- Ependymal cell tumors, Mixed gliomas, Neuroepithelial tumors of uncertain origin, Tumors of the choroid plexus, Neuronal and mixed neuronal-glial tumors, Pineal Parenchyma Tumors, Tumors with neuroblastic or glioblastic elements (embryonal tumors), Neuroblastoma, ganglioneuroblastoma, Tumors of the Sellar Region, Hematopoietic tumors, Primary malignant lymphomas, Plasmacytoma, Granulocytic sarcoma, Germ Cell Tumors, Tumors of the Meninges
- Allergy
- Rhinitis, bronchitis, asthma and conditions relating to excessively active or stimulated eosinophils.
- Transplant Medicine
- Renal, hepatic, corneal, stem cell, pulmonary, cardiac, vascular, and myeloid transplants
- Metabolic Disease,
- Various disorders clustered in the liver cirrhosis, dyslipidemia, diabetes, obesity and hypercholesterolemia groupings.
- Benefits of the Invention:
- The conjugates described here represent improvements on their parent therapeutic agents in two main respects. First, these conjugates provide a facile means of improving the activity of a therapeutic agent through their ability to make the therapeutic agent more easily available either from the gut, or from the blood stream. This is especially important for those therapeutic agents that have good activity in vitro but are unable to exert that activity in vivo. Where the non-manifestation of activity is related to inefficient uptake and distribution, simple conjugations according to the schemes described here are an efficient means to generate improved activity.
- The invention also has specific benefits. By targeting cells, and achieving higher concentration in those cells than in plasma or general tissue, the therapeutic agent may exert a more specific action resulting in fewer systemic side effects. Where efficacy is limited by the ability to place sufficient therapeutic agent at the site of action, such concentration effects are significant in achieving improved in vitro effect. This may be understood more clearly by examination of non-limiting but representative examples from different therapeutic areas.
- In Examples 10- 16, improved anti-inflammatory therapeutic agents are described in which the active moleculs are concentrated into immune cells in vitro through conjugation with a macrolide. These conjugates display superior immune suppressive and anti-inflammatory action in vivo when compared with the effect of a mixture of the two component molecules in the same system. The mechanism for this action is unknown but the effect in protection appears to be qualitatively similar for the mixture and the conjugate suggesting that the conjugate is largely a delivery mechanism for the therapeutic agent. One potential non-exclusive explanation is that immune cells produce high levels of arachidonate, the substrate of cyclooxygenase enzymes, resulting in competition between this substance and NSAID therapeutic agents for sites on cyclo-oxygenase enyzymes (substrate competition is known in the art as a common means of reducing the efficiency of an inhibitor). Enhanced concentration of the therapeutic agent has the potential to overcome this feedback inhibition resulting in a greater inhibition of flux through the enzyme. The conjugate also has other potential benefits including the prevention of metabolism through steric effects, increased residence time and traffic to sites of inflammation when it is taken up into target cells which are tropic for the inflamed tissues. Some action of the conjugate itself cannot be ruled out when it is present at high concentrations in a cell.
- In example 24, an anti-viral therapeutic agent conjugate is cited that also achieves higher levels in immune cells which may act as a reservoir of integrated viral material. If therapeutic agent is selectively conjugated such that it is concentrated in these cells, it has two potential benefits including, the ability to suppress viral replication at lower systemic doses, and the ability to prevent resistance through the maintenance of persistently higher concentrations of therapeutic agent such that mutations with minor effect cannot accumulate.
- Similar themes but contrasting mechanisms apply to the field of graft rejection where one focus of therapy is the prevention of T-cell responses to the donor organ. Various mechanisms are known but all would benefit if a greater proportion of chemical effect were focused on the T-cells themselves such that the systemic dose were reduced. Example 21. cites conjugates of mycophenolic acid that are highly concentrated in immune cells. These conjugates are also highly bioavailable in the rat and cleave slowly to release mycophenolic acid. Despite slow cleavage, the compounds have very similar anti-proliferative activity in vitro when compared with unconjugated mycophenolic acid suggesting that concentration can compensate for slow hydrolysis such that the conjugate becomes an intracellular reserve for the slow release of mycophenolate.
- Similar advantages can be cited for cancer where those neoplasms are of a type that takes up the conjugates to the same extent seen in immune cells. Cancers of myeloid origin are a good example of a target neoplasm. In such cancers, concentration of the therapeutic agent has potential to compensate for common resistance mechanisms such as gene amplification and the over expression of efflux systems. In certain cancers, the tumour is associated with an intense local inflammation. The inflammatory infiltrate may serve as a means of further concentration of the conjugate drugs in the environs of the tumour.
- In cardiovascular diseases such as atherosclerosis, it is commonly known that there is a strong inflammatory component to the events which result in the thickening and fragmentation of the plaque. This inflammation may be effectively reduced by the application of a range of agents including conjugates of compounds that are anti-inflammatory in effect.
- Data to support these observations may be found in various examples and is summarized here by reference in a non-limiting manner.
- To practice the method of treating a disease, the compounds of this invention can be administered to a patient, for example, in order to treat a disease described above. The compound can, for example, be administered in a pharmaceutically acceptable carrier such as physiological saline, in combination with other therapeutic agents, and/or together with appropriate excipients. The compound described herein can, for example, be administered by injection, intravenously, intraarterially, subdermally, intraperitoneally, intramuscularly, or subcutaneously; or orally, buccally, nasally, transmucosally, topically, in an ophthalmic preparation, by inhalation, by intracranial injection or infusion techniques, with a dosage ranging from about 0.1 to about 20 mg/kg of body weight, preferably dosages between 10 mg and 1000 mg/dose, every 4 to 120 hours, or according to the requirements of the particular therapeutic agent. The methods herein contemplate administration of an effective amount of compound or compound composition to achieve the desired or stated effect. Lower or higher doses than those recited above may be required. Specific dosage and treatment regimens for any particular patient will depend upon a variety of factors, including the activity of the specific compound employed, the age, body weight, general health status, sex, diet, time of administration, rate of excretion, therapeutic agent combination, the severity and course of the disease, condition or symptoms, the patient's disposition to the disease, condition or symptoms, and the judgment of the treating physician.
- Pharmaceutical compositions of this invention comprise a compound of this invention or a pharmaceutically acceptable salt thereof; and any pharmaceutically acceptable carrier, adjuvant or vehicle. Such compositions may optionally comprise additional therapeutic agents. The compositions delineated herein include the compounds of the formulae delineated herein, as well as additional therapeutic agents if present, in amounts effective for achieving a modulation of a disease.
- The term “pharmaceutically acceptable carrier or adjuvant” refers to a carrier or adjuvant that may be administered to a patient, together with a compound of this invention, and which does not destroy the pharmacological activity thereof and is nontoxic when administered in doses sufficient to deliver a therapeutic amount of the compound.
- Pharmaceutically acceptable carriers, adjuvants and vehicles that may be used in the pharmaceutical compositions of this invention include, but are not limited to, ion exchangers, alumina, aluminum stearate, lecithin, self-emulsifying therapeutic agent delivery systems (SEDDS) such as D-alpha-tocopherol polyethyleneglycol 1000 succinate, surfactants used in pharmaceutical dosage forms such as Tweens or other similar polymeric delivery matrices, serum proteins, such as human serum albumin, buffer substances such as phosphates, glycine, sorbic acid, potassium sorbate, partial glyceride mixtures of saturated vegetable fatty acids, water, salts or electrolytes, such as protamine sulfate, disodium hydrogen phosphate, potassium hydrogen phosphate, sodium chloride, zinc salts, colloidal silica, magnesium trisilicate, polyvinyl pyrrolidone, cellulose-based substances, polyethylene glycol, sodium carboxymethylcellulose, polyacrylates, waxes, polyethylene-polyoxypropylene-block polymers, polyethylene glycol and wool fat. Cyclodextrins such as α-, β-, and γ-cyclodextrin, or chemically modified derivatives such as hydroxyalkylcyclodextrins, including 2- and 3-hydroxypropyl-β-cyclodextrins, or other solubilized derivatives may also be advantageously used to enhance delivery of compounds of the formulae described herein. Oil solutions or suspensions may also contain a long-chain alcohol diluent or dispersant, or carboxymethyl cellulose or similar dispersing agents which are commonly used in the formulation of pharmaceutically acceptable dosage forms such as emulsions and or suspensions.
- The pharmaceutical compositions of this invention may be orally administered in any orally acceptable dosage form including, but not limited to, capsules, tablets, emulsions and aqueous suspensions, dispersions and solutions. In the case of tablets for oral use, carriers which are commonly used include lactose and corn starch. Lubricating agents, such as magnesium stearate, are also typically added. For oral administration in a capsule form, useful diluents include lactose and dried corn starch. When aqueous suspensions and/or emulsions are administered orally, the active ingredient may be suspended or dissolved in an oily phase is combined with emulsifying and/or suspending agents. If desired, certain sweetening and/or flavoring and/or coloring agents may be added.
- The pharmaceutical compositions of this invention may also be administered in the form of suppositories for rectal administration. These compositions can be prepared by mixing a compound of this invention with a suitable non-irritating excipient which is solid at room temperature but liquid at the rectal temperature and therefore will melt in the rectum to release the active components. Such materials include, but are not limited to, cocoa butter, beeswax and polyethylene glycols.
- Topical administration of the pharmaceutical compositions of this invention is especially useful when the desired treatment involves areas or organs readily accessible by topical application. For application topically to the skin, the pharmaceutical composition should be formulated with a suitable ointment containing the active components suspended or dissolved in a carrier. Carriers for topical administration of the compounds of this invention include, but are not limited to, mineral oil, liquid petroleum, white petroleum, propylene glycol, polyoxyethylene polyoxypropylene compound, emulsifying wax and water. Alternatively, the pharmaceutical composition can be formulated with a suitable lotion or cream containing the active compound suspended or dissolved in a carrier with suitable emulsifying agents. Suitable carriers include, but are not limited to, mineral oil, sorbitan monostearate,
polysorbate 60, cetyl esters wax, cetearyl alcohol, 2-octyldodecanol, benzyl alcohol and water. The pharmaceutical compositions of this invention may also be topically applied to the lower intestinal tract by rectal suppository formulation or in a suitable enema formulation. Topically-transdermal patches are also included in this invention. - The pharmaceutical compositions of this invention may be administered by nasal aerosol or inhalation. Such compositions are prepared according to techniques well-known in the art of pharmaceutical formulation and may be prepared as solutions in saline, employing benzyl alcohol or other suitable preservatives, absorption promoters to enhance bioavailability, fluorocarbons, and/or other solubilizing or dispersing agents known in the art.
- A suitable in vitro assay can be used to preliminarily evaluate a compound of this invention in treating a disease. In vivo screening can also be performed by following procedures well known in the art. See the specific examples below.
- All references cited herein, whether in print, electronic, computer readable storage media or other form, are expressly incorporated by reference in their entirety, including but not limited to, abstracts, articles, journals, publications, texts, treatises, internet web sites, databases, patents, and patent publications.
- The invention will be further described in the following example. It should be understood that these examples are for illustrative purposes only and are not to be construed as limiting this invention in any manner.
-
Example number Subject 1. Method for determining immune cell partition 2. Transportophore: Compound 39 3. Transportophore: Compound 404. Transportophore: Compound 41 5. Transportophore: Compound 42 6. Transportophore: Compound 44 7. Transportophore: Compound 45 8. Transportophore: Compound 46 9. Transportophore: Compound 47 10. Transportophore: Compound 48 11. Transportophore: Compound 49 12. Transportophore: Compound 5013. NSAID Conjugate: Diclofenac Conjugates; Compound 52, 53, 54, &55 14. NSAID Conjugate: Compound 56 15. NSAID Conjugate: Compound 57 16. NSAID Conjugate: Compound 58 17. NSAID Conjugate: Compound 59 18. NSAID Conjugate: Compound 6019. NSAID Conjugate: Compound 61 20. Conjugates of cytotoxic agents: Compound 62 21. Conjugates of cytotoxic agents: Compound 64 22. Neotrofin conjugate: Compound 65 23. Gemfibrozil conjugate: Compound 66 24. Mycophenolic Acid conjugates: CompoundS 67, 68, 69, 71, 73, 74, 75, 78, 79, 80,&81 25. Steroid Conjugates: Compounds 82, 83, 84, 85, & 86 26. Statin Conjugates: Compounds 87 & 88 27. Antifungal Conjugate: Compound 89 28. Antiviral Nucleoside Conjugates: Compounds 90, 92, 94, 97, & 101 29. NSAID Conjugate: Compound 106 30. Coumarin Conjugates: Compounds 108, 109 31. Imatinab Conjugate: Compound 11032. Proliferation Assay 33. Cell-Based IMPDH Assay with Guanosine Rescue 34. Efficacy Testing of Drugs using Collagen-Induced Arthritis in Mice 35. Efficacy Testing of Immunosuppressive Drugs Using a Mouse Skin Transplant Model 36. Testing of Antibiotic Activity of Drugs - Uptake of Compounds
- Freshly drawn heparinised blood or buffy coat preparations are used for the determination of immune cell partition ratios. Buffy coat preparations are preferred. These may be obtained from donor blood by simple centrifugation of whole blood (4795 g for 10 minutes). Following centrifugation, plasma is collected from the surface, after which immune cells are expressed from the donor bags along with the erythrocytes lying immediately below the leukocyte layer. This ensures high yields and a sufficient population of erythrocytes for partition. 5 ml of the resulting cell suspension are dispensed into T25 culture flasks. Substrates are added to a final concentration between 1 and 10 μM and the suspensions incubated at 37° C., in a 5% CO 2 atmosphere. For analysis of uptake kinetics, samples are withdrawn at 0, 2, 5, 10, 30, 60, 90, 180, or 240 min after substrate addition. For screening purposes, samples are taken at 0 and 120 minutes.
- Buffers and Solutions
- PBS 73 mM NaCl, 2.7 mM KCl, 1.5 mM KH 2PO4, 8 mM Na2HPO4, pH 7.4
- DPBS 137 mM NaCl, 3 mM KCl, 8 mM Na 2HPO4, 1 mM KH2PO4, 1 mM CaCl2, 0.5 mM
- MgCl 2, 5 mM Glucose, pH 7.4
- Separation of Blood Cell Fractions—Density Gradient Centrifugation
- Cell fractions were prepared using density gradient centrifugation. Mononuclear cells and polymorphonuclear cells are separated from erythrocytes essentially by layering the cell suspension on a viscous medium typically composed of a solution containing Ficoll or similar (commercial suppliers include: Lymphoprep, Axis Shield, 1031966; Lymphoflot HLA, 824010; or PMN Separation Medium Robbins Scientific 1068-00-0). The layered suspension is then centrifuged at 600 g, 20 min, after which the cell fractions and the plasma (incubation medium) fraction are removed by gentle aspiration, washed twice in PBS buffer, followed by estimation of the cell number and pellet volume.
- Analysis
- Uptake of fluorescent compounds is monitored using fluorescence microscopy. Excitation and emission wavelengths depend of the fluorescence label in use. A typical label is a methoxy coumarin for which the appropriate wavelengths are 360 and 450 nm respectively. Fluorescent analogs of the compounds under study permit the estimation of appropriate uptake intervals as well as the likely intracellular distribution of the compounds. Fluorescent analogs also allow the estimation of losses in washing or other cell manipulations.
- Cell preparations are lysed in water and the debris sedimented at 16100 g, 10 min. The supernatant is recovered and sub-sampled for protein and DNA content. Protein in the supernatant is precipitated by bringing the solution to 100% v/v ethanol and centrifuging again at 16100 g, 10 min.
- Compound uptake is normalized according to cytoplasmic volume of cells in order to obtain the average concentration in the cells. Cell volume is estimated by correlation of DNA, protein or haem content of lysed cell aliquots to cell number and packed volume prior to lysis.
- Cell lysates are analysed using a HP 1100 HPLC System (Agilent Technologies, Waldbronn, Germany) with a Kromasil 3.5μ C18, 50×2.0 mm column and guard cartridge system (both, Phenomenex, Aschaffenburg, Germany) run at 30° C. A gradient elution was performed using water, 0.05% formic acid (A) and acetonitrile 0.05% formic acid (B) (0 min. 5% B, 2.5
min 5% B, 2.8min 40% B, 10.5 min 85% B, 12.0 min 95% B, 16.5 min 95% B) a at flow rate of 300 μl/min. Re-equilibration of column was at 5% B, at a flow rate of 750 μl/min for 2.4 min. The HPLC-eluate from retention time 0.0 min to 2.5 min was directed directly to waste. Detection was via a UV cell at 214 nm followed by a 1/6 split to an An API-qTOF 1 (Micromass, Manchester, UK) mass spectrometer, (calibrated daily using a mixture of NaI, RbI and CsI). The mass spectrometer is routinely operated in the positive electrospray ionization mode using the following settings: Capillary voltage 4000 V; cone voltage 30 V; RF Lens offset 0.38 V;source block temperature 80° C.;desolvation gas temperature 140° C.; desolvation gas 240 l/h; LM/HM Resolution 0.0; Collision energy 4.0 V; Ion energy 5.0 V. - Masses are monitored according to the known or expected M/Z ratios. Ion currents across the expected range of masses (including metabolites) are recorded and the chromatograms for specific masses used to estimate the peak area for a given molecular ion (area proportional to concentration over a given range). Normalisation to DNA and/or protein and/or haem content of cells (all three measured with standard methods (Bisbenzimide staining (Sigma), BCA protein assay kit (Pierce) and haem absorbance at 535 nm, respectively)) to cell number (hemocytometer count) and cell volume is employed to calculate average compound concentration in the cell fraction (expressed in uM). Formation of metabolites or hydrolysis products was also monitored for each T-L-C conjugate and the rate of hydrolysis estimated from both the total uptake and the loss of metabolites to the medium. The final ratio is computed by comparing the concentration of a component in the immune cell compartment with that in both the erythrocytes and the plasma. The P ISR, is then the concentration in immune cells/concentration in erythrocytes using the same concentration units. Thus a PISR of 2 indicates a two-fold concentration relative to erythrocytes.
- Selection and Definition of Carrier Compounds
- Immune cell selectivity assays provide data in the form of micrographs of fluorescent analogs and quantitative estimates of compound concentration. Micrographs are useful in determining the intracellular disposition of compounds (FIG. 1). It is apparent from the illustrations that compound distribution is generally uniform with some examples appearing granular or nuclear. The analysis of fluorescent libraries by this method provides an efficient means of selecting T molecules that are capable of mediating the transport of diverse substances into a cell. Examples of molecules assayed in this way are summarized in Table 2 along with their uptake data and selectivity. These data show that similar molecules with similar properties can exhibit quite different uptake into immune cells, hence the difficulty in employing general specifications known in the art (Lipinski et al., 2001) Further, it is clear from the images obtained during the course of uptake (FIG. 1, FIG. 2, or FIG. 3) that for some structures, the process is a slow one relative to pure lipophilic diffusion. This is indicative of processes in uptake that depend on factors other than diffusion alone. Certain investigators have proposed that compounds of the macrolide type are subject to active, protein mediated concentrative mechanisms although these remain unknown (Labro, 1998). The data presented here for
4 and 5 suggest that uptake is rapid but that it varies with each structure which does not exclude a concentrative mechanism involving protein action.compounds - Compounds exhibiting high uptake are outlined in Table 2 along with similar structures that do not. It is clear from an inspection of the structures that there exist a variety of chemical and physical properties compatible with selective entry into white blood cells. These data are consistent with there being a multiplicity of mechanisms for cell entry and accumulation including passive entry and active uptake. These data further suggest that compounds with properties supposedly compatible with facile uptake into actively metabolizing cells such as immune cells do not exhibit such properties. Simple addition of basic functions is not always effective, even in in vitro screening. In contract, addition of sugars, amino acids, or peptides can enhance entry of fluorescent compounds. Based on both the micrographs above and analysis of immune cells following uptake, it is clear that macrolide structures are very effective at mediating the entry of fluorescent molecules into cells and that other basic compounds did not exhibit this property. In sum, it is clear that an empirical method is the only reliable means of selecting and guiding synthetic chemistry toward compounds that are well distributed and concentrated in immune cells.
TABLE 2 Compounds exhibiting concentrative uptake in white cells Concentrative Substrate Structure cLogP uptake Compound 3 n.d. Y Compound 6 n.d. Y Compound 7 n.d. Y Compound 8 1.02 Y Compound 4 0.01 Y Compound 1 −0.79 Y Compound 9 1.86 N Compound 10 −1.14 N Compound 11 1.48 N Compound 12 −0.68 N Compound 13 −0.56 N Compound 14 −1.63 N Compound 15 n.d. Y Compound 16 n.d. Y Compound 17 n.d. Y Compound 18 n.d. Y Compound 19 n.d. N Compound 20 −1 Y Compound 21 5.95 Y Compound 22 0.84 Y Compound 23 0.89 Y Compound 24 0.58 N Compound 25 0.94 N Compound 26 1.92 Y Compound 27 2.34 Y Compound 28 1.11 Y Compound 29 1.77 N Compound 30 4.04 N Compound 31 1.83 N Compound 32 2.28 N Compound 33 1.56 N Compound 34 0.46 N Compound 35 2.88 N Compound 36 4.68 N Compound 37 3.56 N Compound 38 n.d. N - Transportophores
-
- 15.8 g (21.1 mmol) Azithromycin (9a-aza-9a-methyl-9-deoxo-9a-homoerythromycin A, Compound 43) was dissolved in an icecold 6 N hydrogen chloride solution (100 ml). The reaction mixture was stirred at 0° C. for 4 hours. The solution turned from yellow to green. The solution was poured on ice (200 g) and 28 ml sodium hydroxide solution (50%) were added. The solution was extracted with ethylacetate (300 ml). The organic layer was discarded. After addition of 30 ml sodium hydroxide solution (50%) to the water layer a colorless precipitate formed. The suspension was extracted with dichloromethane (300 ml). The organic layer was separated, dried over Na 2SO4 and concentrated under reduced pressure. After drying in high vacuum 12.8 g (100%) of a colorless foam were obtained which were used without further purification.
- The product was dissolved in dry dichloromethane (150 ml) and 3.1 ml (32.7 mmol) acetic acid anhydride were added. The solution was stirred at room temperature overnight, then diluted with dichloromethane (200 ml) and washed with saturated sodium bicarbonate solution (150 ml). The organic layer was separated, dried over Na 2SO4 and concentrated under reduced pressure. 12.3 g (92%) of compound 39 were obtained as a colorless foam, which was dried in high vacuum and used without further purification.
-
- A solution of 610 mg (4.5 mmol) N-chlorosuccinimide in dry dichloromethane (50 ml) was chilled to −30° C. and 0.59 ml (8 mmol) dimethylsulfide were added. A colorless precipitate forned immediately and the suspension was kept between −30° C. and −10°C. for 30 min. Then the reaction mixture was cooled to −40° C. and 1.9 g (3.0 mmol) of compound 43 were added in one portion. After 20 min the precipitate was completely dissolved and 0.77 ml (4.5 mmol) of ethyl diisopropylamine were added to the colorless solution. The reaction mixture was allowed to reach ambient temperature slowly. Stirring was continued at room temperature for another hour. The reaction mixture was diluted with CH 2Cl2 (50 ml) and washed with saturated sodium bicarbonate solution (100 ml). The organic layer was separated, dried over Na2SO4 and concentrated under reduced pressure. A colorless oil was obtained which was redissolved in methanol (75 ml) and stirred at 50° C. overnight. The solvent was removed under reduced pressure and the residue subjected to column chromatography on silica gel with chloroform/methanol/7N ammonia in methanol (20:1:1) as eluent to yield 1.0 g (59%) of
compound 40 as a colorless oil. -
- To a solution of 35 ml of diethylamine in 50 ml of ethanol was added 1.5 ml of 1,4-butandioldiglycidyl ether. The solution was allowed to stand for 48 h at ambient temperature. All volatiles were evaporated then and the residue used without further purification.
-
- A solution of 15 g (20 mmol) of Compound 43 in 50 ml of acetic anhydride is treated with 2 g of potassium carbonate and heated to reflux for 3 h. After cooling the mixture is poured onto ice and neutralized with potassium carbonate. The mixture is extracted with ethyl acetate, washed with water and brine and concentrated after drying (Na 2SO4). The residue is redissolved in methanol and heated to 50° C. overnight. After removal of the methanol in vacuum the residue id redissolved in chloroform. Triethylamine (10 ml) is added and the solution cooled to 0° C. Under stirring methansulfonic acid chloride (4.6 ml, 60 mmol) is added within 15 min and the mixture is allowed to warm to ambient temperature. After 3 h the mixture is washed with aqueous potassium carbonate solution and brine, dried (Na2SO4) and concentrated in vacuum. The residue is chromatographed on silica gel, elution with ethyl acetate to yield 3.5 g (22%) of slightly yellowish foam that is used without further purification.
-
- To a solution of Compound 42 (850 mg, 1 mmol) in DMF (7 mL), prepared as described before, N-methyl amino-2-ethanol (0.12 ml, 2 mmol) is added. After stirring for 24 h at 70° C. the mixture is concentrated in vacuum and the residue is dissolved in ethyl acetate, washed with water and brine, dried (Na 2SO4) and the solvent evaporated in vacuum to yield 644 mg (80%) of yellowish foam that can be used without further purification.
-
- A solution of 1.1 g (1.5 mmol) of Compound 96 (See Example 24) in 5 ml of dichloromethane was combined with 415 mg (2.25 mmol) of iodo acetic acid and 450 mg (2.25 mmol) of DCC. After 2 h at ambient temperature the mixture was filtered and used without purification or concentration.
-
- A solution of 2.0 g (2.5 mmol) of Compound 44 in 50 ml of 6 M HCl is kept for 15 min at ambient temperature and then extracted with 10 ml of ethyl acetate. The organic phase is discarded and the aqueous phase neutralised with potassium carbonate and extracted with ethyl acetate. The combined organic phases are dried (Na 2SO4) and concentrated in vacuum to yield 1.47 g (91%) of a slightly yellowish solid that is used without further purification.
-
- To a solution of 3.75 g (5.0 mmol) of Compound 43 in 5 ml of DMF is added 2.5 ml of epichlorohydrin and the mixture is heated to 60-65° C. for 2 d. After cooling most of the volatiles are removed in vacuum and the residue poured onto water and extracted with ethyl acetate. The combined organic phases are washed with brine, dried (Na 2SO4) and concentrated in vacuum. The residue is chromatographed on silica gel, elution with ethyl acetate to yield 1.4 g (40%) of a colorless waxy solid.
-
- A solution of 1.5 g (2.1 mmol) of
Compound 47 and 2 ml of morpholine in 15 ml of isopropanol is heated to reflux for 12 h. The mixture is cooled, poured onto water and extracted with ethyl acetate. The organic phase is washed with water, then with brine, dried (Na2SO4) and concentrated in vacuum. The yellowish residue can be used without further purification, or purified by chromatography on silica gel, and eluted with chloroform/isopropanol/ammonia 20:1:1. -
- A solution of 1.63 g (12.0 mmol) N-chlorosuccinimide in dry dichloromethane (50 ml) was chilled to −40° C. and 1.3 ml (18 mmol) dimethylsulfide were added. A colorless precipitate formed immediately and the suspension was kept at −20° C. for 30 min. The reaction mixture was cooled to −40° C. and 1.9 g (3.0 mmol) of compound 43 prepared as described above were added in one portion. After 15 min 2.0 ml (12.0 mmol) of ethyl diisopropylamine were added. The precipitate dissolved and the solution was allowed to reach ambient temperature slowly. Stirring was continued at room temperature for 1 hour. The reaction mixture was diluted with CH 2Cl2 (50 ml) and washed with saturated sodium bicarbonate solution (100 ml). The organic layer was separated, dried over Na2SO4 and concentrated under reduced pressure. A colorless oil was obtained which was redissolved in methanol (75 ml) and stirred at 50° C. overnight. The solvent was removed under reduced pressure and the residue subjected to column chromatography on silica gel with chloroform/methanol/7N ammonia in methanol (30:1:1) as eluent to yield 1.1 g (62%) of compound 49 as a colorless foam.
-
- To a stirred solution of 589 mg (1 mmol) of
Compound 40 in methanol (20 ml) was added 1.26 ml (10 mmol) of hydrogen peroxide (30%). After stirring for 3 days at room temperature the reaction mixture was chilled to −78° C. and a solution of 1.26 g (10 mmol) sodium sulfite in 10 ml of water was added. The suspension was allowed to warm up to room temperature and then all volatile compounds removed under reduced pressure. The residue was resuspended in methanol and filtered. The filtrate was concentrated under reduced pressure to furnish the crude product. Column chromatography on silica gel with chloroform/methanol/7N ammonia in methanol (15:4:1) as the eluent yielded 327 mg (54%) of compound 51 as a colorless oil. - To a stirred solution of 870 mg (1.4 mmol) of Compound 51 in dry N,N′-dimetylacetamide (20 ml) was added 370 mg (3.3 mmol) potassium tert-butoxide. The colorless solution turned slowly orange and was chilled to −15° C. 0.25 ml (2.2 mmol) ethyl bromoacetate were added and the reaction mixture allowed to warm up to room temperature. 2.0 ml of triethylamine were added and stirring continued for another hour. The reaction mixture was diluted with ethanol (20 ml) and acetic acid (2.0 ml) and 0.3 g of Pd/C (10%) were added. The reaction mixture was shaken under an atmosphere of hydrogen overnight. After filtration all volatile compounds were removed under reduced pressure. The crude product was subjected to column chromatography on silica gel with chloroform/methanol/7N ammonia in methanol (15:1:1) as the eluent to yield 340 mg (35%) of
compound 50 as a colorless oil. - Acids
-
- A solution of Diclofenac (0.67 g; 2.25 mmol) in methylene chloride (10 ml), is treated with N,N′-carbonyldiimidazole (0.38 g; 2.25 mmol). After stirring for 30 min at RT, Compound 43 (0.57 g; 0.75 mmol) is added. Reaction is stirred for 3 h at RT. The reaction solution was concentrated in vacuum and the residue purified by column chromatography on silica gel, elution with chloroform/isopropanol/methanolic ammonia 60:1:1 to yield Compound 52 (0.15 g; yield: 20%) as a white foam.
-
- A suspension of 590 mg (2.0 mmol) of diclofenac in 6 ml of dichloromethane is treated with 324 mg (2.0 mmol) of carbonyl diimidazole at 0° C. After 5 min at this temperature 294 mg (0.5 mmol) of
Compound 40 is added and the mixture kept at ambient temperature for 48 h. The mixture is then concentrated and the residue chromatographed on silica gel, elution with chloroform/isopropanol/methanolic ammonia 40:1:1 to yield 330 mg (76%) of a colorless solid. -
- To a turbid solution of 740 mg (2.5 mmol) diclofenac in dry dichloromethane (20 ml) was added a solution of 1N hydrogen chloride in ether (2.5 ml) and 440 mg (2.7 mmol) of 1,1′-carbonyldiimidazole. The solution was stirred for 60 min at room temperature. Then 587 mg (1 mmol) of Compound 49 were added and stirring continued overnight. The mixture was diluted with CH 2Cl2 (30 ml) and washed with saturated sodium bicarbonate solution (50 ml). The organic layer was separated, dried over Na2SO4 and concentrated under reduced pressure to furnish a reddish oil. Column chromatography on silica gel with chloroform/methanol/7N ammonia in methanol (30:1:1) as eluent yielded 450 mg (52%) of compound 54 as a colorless oil.
-
- To a turbid solution of 740 mg (2.5 mmol) diclofenac in dry dichloromethane (20 ml) was added a solution of 1N hydrogen chloride in ether (2.5 ml) and 440 mg (2.7 mmol) of 1,1′-carbonyldiimidazole. The solution was stirred for 60 min at room temperature. Then 340 mg (0.5 mmol) of
compound 50 prepared as described above were added and stirring continued overnight. The mixture was diluted with CH2Cl2 (30 ml) and washed with saturated sodium bicarbonate solution (50 ml). The organic layer was separated, dried over Na2SO4 and concentrated under reduced pressure to furnish a reddish oil. Column chromatography on silica gel with chloroform/methanol/7N ammonia in methanol (10:1:1) as eluent yielded 214 mg (45%) of compound 55 as a colorless oil. -
- A solution of Meclofenamic acid (0.36 g; 1.2 mmol) in methylene chloride (15 ml), is treated with N,N′-carbonyldiimidazole (0.20 g; 1.2 mmol). After stirring for 30 min at RT, Compound 44(0.47 g; 0.75 mmol) is added. Reaction is stirred for 3 h at RT. The reaction solution is concentrated in vacuum and the residue purified by column chromatography on silica gel, elution with chloroforn/isopropanol/methanolic ammonia 60:1:1. The appropriate fractions are collected and concentrated to yield 0.17 g (25%) of Compound 56 as a white foam.
-
- A solution of Mefenamic acid (0.29 g; 1.2 mmol) in methylene chloride (5 ml), is treated with N,N′-carbonyldiimidazole (0.20 g; 1.2 mmol). After stirring for 30 min at ambient temperature, Compound 44 (0.47 g; 0.75 mmol) is added. Reaction is stirred for 3 h at ambient temperature. The reaction solution is concentrated in vacuum and the residue purified by column chromatography, elution with chloroform/isopropanol/methanolic ammonia 60:1:1. The appropriate fractions are collected and concentrated to produce Compound 57 (0.16 g; yield: 25%) as a white foam.
-
- A solution of Indomethacin (0.80 g; 2.25 mmol) in methylene chloride (10 ml), is treated with N,N′-carbonyldiimidazole (0.38 g, 2.25 mmol). After stirring for 30 min at RT, Compound 40 (0.44 g; 0.75 mmol) is added. Reaction is stirred for 3 h at RT. The reaction solution was concentrated in vacuum and the residue purified by column chromatography on silica gel, elution with isopropanol to yield 0.20 g (25%) of Compound 58 a white foam.
-
- A solution of 360 mg (2.0 mmol) of acetyl salicylic acid is treated with 1.5 ml (16 mmol) oxalylic chloride in 10 ml of chloroform. A drop of DMF is added and the mixture is allowed to stand at ambient temperature for 1 h. All volatiles are removed in vacuum and the residue dissolved in 20 ml of dichloromethane. After cooling to 0° C. 376 mg (0.65 mmol) of Compound 104 (See Example 24) is added followed by 1 ml of pyridine. The mixture is allowed to warm to ambient temperature and after 2 h concentrated in vacuum. The residue is chromatographed on silica gel, elution with chloroform/isopropanol/methanolic ammonia 60:1:1 to yield 205 mg (35%) of Compound 59 as a white solid.
-
- A solution of Ibuprofen (0.47 g; 2.25 mmol) in methylene chloride (10 ml), is treated with N,N′-carbonyldiimidazole (0.38 g, 2.25 mmol). After stirring for 30 min. at RT, Compound 43 (0.56 g; 0.75 mmol) is added. Reaction is stirred for 3 h at RT. The reaction solution was concentrated in vacuum and the residue purified by column chromatography on silica gel, elution with isopropanol to yield 0.17 g (25%) of white foam,
Compound 60. - Compound 61
-
- A solution of flurbiprofen (0.27 g; 1.2 mmol) in methylene chloride (5 ml), is treated with N,N′-carbonyldiimidazole (0.20 g; 1.2 mmol). After stirring for 30 min. at ambient temperature, Compound 46(0.47 g; 0.75 mmol) is added. Reaction is stirred for 3 h at ambient temperature. The reaction solution was concentrated in vacuum and the residue purified by column chromatography on silica gel, and elution with chloroform/isopropanol/methanolic ammonia 60:1:1 to yield 0.16 g (25%) of product Compound 61, a white foam.
-
- 600 mg of melphalan (63) is suspended in 25 ml of water containing 500 mg of sodium carbonate. 10 ml of dioxane is added and 1 ml of acetic anhydride. After stirring at ambient temperature for 1 h citric acid is added and the mixture extracted with ethyl acetate. After washing with water and brine the organic phase is dried (sodium sulfate) and concentrated in vacuum. Removal of all volatiles yields the crude N-acetylmelphalan that is carried on to the next step without further purification.
- A solution of N-acetylmelphalan (0.35 g; 1.0 mmol) dissolved in methylene chloride (5 ml), is treated with N,N′-carbonyldiimidazole (0.17 g; 1.0 mmol). After stirring for 30 min. at RT, Compound 43 (0.29 g; 0.50 mmol) is added. After 3 h the reaction solution is concentrated in vacuum and the residue purified by column chromatography on silica gel, elution with chloroform/isopropanol/methanolic ammonia 60:1:1. The appropriate fractions are collected and concentrated to produce 0.12 g (25%) of Compound 62 as a white foam.
-
- To a solution of chlorambucil (303 mg; 1 mmol) in methylene chloride (5 ml), is added N,N′-carbonyldiimidazole (130 mg; 1 mmol). After 30 min stirring at ambient temperature, Compound 43 (750 mg; 1 mmol) is added. After stirring at the same temperature for 3 h the mixture is washed with ice water and ice cold Na 2CO3 solution. The organic layer is dried (Na2SO4), concentrated in vacuum and chromatographed on silica gel, elution with isopropanol to afford 207 mg (20%) of a white foam, Compound 64, MS (M+2H+: 517).
-
- A suspension of neotrofin (0.73 g; 2.25 mmol) in methylene chloride (15 ml), is treated with N,N′-carbonyldiimidazole (0.38 g; 2.25 mmol). After stirring for 2 h at ambient temperature Compound 43 (0.57 g; 0.75 mmol) is added. Reaction is stirred for 48 h at ambient temperature. The reaction solution is concentrated in vacuum and the residue purified by column chromatography on silica gel, elution with chloroform/isopropanol/methanolic ammonia 60:1:1. The appropriate fractions are collected and concentrated to produce Compound 65 (0.20 g; yield: 25%) as a white foam.
-
- A solution of Gemfibrozil (0.56 g; 2.25 mmol) in methylene chloride (10 ml), is treated with N,N′-carbonyldiimidazole (0.38 g; 2.25 mmol). After stirring for 30 min. at ambient temperature, Compound 40 (0.44 g; 0.75 mmol) is added. Reaction is stirred for 48 h at ambient temperature. The reaction solution was concentrated in vacuum and the residue purified by column chromatography on silica gel, elution with chloroform/isopropanol/methanolic ammonia 60:1:1. The appropriate fractions are collected and concentrated to produce Compound 66 (0.15 g; yield: 25%) as a white foam.
-
- To a mixture of 375 mg of Compound 43, 400 mg of triphenyl phosphine and 960 mg of mycophenolic acid is added 4 ml of THF under nitrogen. Diisopropyl azodicarboxylate (0.3 ml) is added drop wise at 0° C. within 4 h while the reaction mixture is rapidly stirred. Cooling is continued for another 4 h and the mixture then allowed to warm to ambient temperature within 5 h. The mixture is then dissolved in a mixture consisting of 50 ml of toluene and 20 ml of ethyl acetate and extracted with ice-cold 0.5 M hydrogen chloride (3×150 ml). The aqueous phase is washed several times with small amounts of toluene and then with potassium carbonate till no foaming occurs any more upon addition. The mixture is extracted with dichloromethane and the organic phase is washed with brine, dried and concentrated in vacuum to yield white solid foam that can be used without further purification, or further purified on a silica gel column, eluting with isopropanol.
-
- To a solution of 170 mg of Compound 41, 400 mg of triphenylphosphine and 500 mg of mycophenolic acid in 3 ml of THF were added under nitrogen 0.3 ml of diisopropyl azodicarboxylate within 4 h at 0°. The mixture was allowed to stir at 0° C. for 3 h and was then allowed to warm to ambient temperature slowly. The reaction mixture was diluted with 70 ml of toluene and 30 ml of ethyl acetate and extracted repeatedly with ice-cold 0.5 M hydrogen chloride. The combined aqueous phases were extracted several times with a small quantity of toluene. The organic phases were discarded. The aqueous phase was treated with potassium carbonate till gas evolution had stopped and was then extracted with dichloromethane. Drying (sodium sulfate) and concentration in vacuum yielded an oily residue that was purified by filtration through a short pad of silica gel (elution with ethyl acetate-triethylamine) to afford 185 mg (39%).
-
- A solution of 750 mg (1.0 mmol) of Compound 43 in 10 ml of dichloromethane is treated with 100 mg (1.0 mmol) of succinic anhydride. After stirring at ambient temperature for 12 h the mixture is concentrated in vacuum to yield
Compound 70, a colorless solid that is used with out further purification. - To a solution of mycophenolic acid ethyl ester (175mg, 0.5 mmol) in chloroform (1 ml) is added ethyldiisopropylamine (85 μL, 0.5 mmol). After stirring for 1 min Compound 70 (425 mg, 0.5mmol) is added under nitrogen at 0-4° C. and afterwards chlor-N,N,2-trimethylpropenamine (1 mL; 0.5 mmol; 0.5 mmol/mL solution in chloroform) is added drop-wise. The mixture is stirred at 0-4° C. for 0.5 h and 12 h at room temperature. The mixture is concentrated in vacuum and the residue chromatographed on silica gel, elution with chloroform/2-propanol/ammonia 30:1:1, affording 147 mg (25%) of a colorless solid.
-
- To mycophenolic acid (0.50 g; 1.5 mmol) and carbonyldiimidazole (0.25 g; 1.5 mmol), dissolved in methylene chloride (2 mL) is added after 1 minute stirring at 0-4° C. a solution of Compound 72(0.27 g, 0.5 mmol) in 1 ml of dichloromethane. After stirring for 30 min at 0-4° C. the mixture is stirred for 12 h at room temperature. The mixture is concentrated in vacuum and the residue chromatographed on silica gel, elution with chloroform/2-propanol/ammonia 30:1:1, affording 98 mg (23%) of a colorless solid.
-
- Mycophenolic acid (0.50 g; 1.5 mmol) is suspended in 3 ml of dichloromethane and treated with carbonyldiimidazole (0.25 g; 1.5 mmol). After 10 min a solution of Compound 44 (0.38 g; 0.5 mmol) in dichloromethane is added. After 30 min at 0° C. the mixture is stirred for 12 h at room temperature. The mixture is concentrated in vacuum and the residue chromatographed on silica gel, elution with chloroform/2-propanol/ammonia 30:1:1, affording 126 mg (22%) of a colorless foam.
-
- A solution of Compound 73 in 6 M HCl (20 ml) is kept at ambient temperature for 15 min and then extracted 5 ml of ethyl acetate. The organic phase is discarded and the aqueous phase neutralized with potassium carbonate and extracted with methylene chloride. The organic phase is dried (Na2SO4) and concentrated in vacuum to yield 400 mg (84%) of a colorless foam.
-
- A solution of 1.1 g (1.5 mmol) of Compound 43 in 5 ml of dichloromethane was combined with 415 mg (2.25 mmol) of iodoacetic acid and 450 mg (2.25 mmol) of DCC. After 2 h at ambient temperature the mixture was filtered and the resulting Compound 76 was used without purification or concentration.
- A solution 720 mg of (0.8 mmol) of Compound 76 in 3 ml of dichloromethane, prepared as described above, is diluted with 20 ml of DMF and 0.1 ml (1.2 mmol) of N-methyl amino ethanol is added. The mixture is kept at ambient temperature for 24 h. The mixture is poured onto a solution of potassium carbonate in water and extracted with dichloromethane. The organic phase is washed with brine, dried (Na2SO4 and concentrated in vacuum. The residue is chromatographed on silica gel, elution with chloroform/isopropanol/methanolic ammonia 80:1:1 to yield 210 mg (31%) of Compound 77, a colorless solid.
- A suspension of mycophenolic acid (0.50 g; 1.5 mmol) in 8 ml of dichloromethane was treated with carbonyldiimidazole (0.25 g; 1.5
mmolat 0° C. After 10 min a solution of Compound 77 (0.40 g, 0.5 mmol) in 2 ml of dichloromethane was added. After stirring for 30 min. at 0-4° C. the mixture is stirred for 24 h at room temperature. The mixture is concentrated in vacuum and the residue chromatographed on silica gel, elution with chloroform/2-propanol/ammonia 30:1:1, affording 175 mg (32%) of Compound 75. -
- A solution of Compound 75 (550 mg, 0.1 mmol) prepared as described before in 20 ml of 6 M HCl is kept at ambient temperature for 10 min and then extracted with diethylether. The organic phase is discarded and the aqueous phase neutralized with potassium carbonate and extracted with dichloromethane. The organic phase is washed with brine, dried (Na 2SO4) and concentrated in vacuum to yield 420 mg (89%) as a slightly yellowish foam.
-
- A suspension of mycophenolic acid (0.30 g; 0.9 mmol) in 8 ml of dichloromethane is treated with carbonyldiimidazole (0.15 g; 0.9 mmol) at 0° C. After 10 min a solution of Compound 40 (0.20 g, 0.3 mmol) in 2 ml of dichloromethane was added. After stirring for 30 min. at 0-4° C. the mixture is stirred for 24 h at room temperature. The mixture is concentrated in vacuum and the residue chromatographed on silica gel, elution with chloroform/2-propanol/ammonia 30:1:1, affording 100 mg (35%) of a colorless foam.
-
- 11.
- A mixture of 120 mg of Compound 48, 320 mg of mycophenolic acid and 300 mg of triphenyl phosphine is dissolved in 2 ml of THF under nitrogen. At 0° C. 0.1 ml (0.5 mmol) diisopropyl azodicarboxylate is added in several portions within 4 h. After this time the mixture is allowed to warm to ambient temperature overnight. The reaction mixture is concentrated in vacuum and chromatographed on silica gel, elution with isopropanol.
-
- To a solution of 188 mg of Compound 41, 400 mg of triphenylphosphine and 500 mg of mycophenolic acid in 3 ml of THF were added under nitrogen 0.3 ml of diisopropyl azodicarboxylate within 4 h at 0° C. The mixture was allowed to stir at 0 20 C. for 3 h and was then allowed to warm to ambient temperature slowly. The reaction mixture was diluted with 70 ml of toluene and 30 ml of ethyl acetate and extracted repeatedly with ice-cold 0.5 M hydrogen chloride. The combined aqueous phases were extracted several times with a small quantity of toluene. The organic phases were discarded. The aqueous phase was treated with potassium carbonate until gas evolution had stopped and was then extracted with dichloromethane. Drying (Na2SO4) and concentration in vacuum yielded an oily residue that was purified by filtration through a short pad of silica gel (elution with ethyl acetate-triethyl amin) to yield 255 mg (52%) of a yellowish oil.
-
- Prednisolone (180 mg, 0.5 mmol) is suspended in 3 ml of chloroform and 55 mg (0.55 mmol) of succinic anhydride is added. After 24 h at ambient temperature the mixture is cooled to 0° C. and 325 mg of Compound 46 (0.5 mmol) is added followed by chlor-N,N,2-trimethylpropenamine (0.2 ml, 1.5 mmol) in several portions. The resulting solution is subjected to column chromatography on silica gel, elution with isopropanol to yield a white solid.
-
- Dexamethasone (196 mg, 0.5 mmol) is suspended in 3 ml of chloroform and 55 mg (0.55 mmol) of succinic anhydride is added. After 24 h at ambient temperature 375 mg of Compound 43 (0.5 mmol) is added followed by chloro-N,N,2-trimethylpropenamine (0.2 ml, 1.5 mmol) in several portions. The resulting solution is after 1 h subjected to column chromatography on silica gel, elution with isopropanol to yield 198 mg (32%) of a white solid.
-
- A solution of 295 mg (0.5 mmol) of
Compound 40 in 4 ml of dichloromethane is treated with 55 mg (0.55 mmol) of succinic anhydride and the mixture stirred at ambient temperature overnight. To the reaction mixture diethylstilbestrol (174 mg, 0.5 mmol) and 0.15 ml of diisopropylethylamine is added followed by 0.133 ml of chloro-N,N,2-trimethylpropenamine (1.0 mmol) in several portions. After 1 h the reaction mixture is concentrated in vacuum and the residue chromatographed on silica gel, elution with ethyl acetate, changing to isopropanol, to yield 74 mg (16%) of a colorless solid. - Compound 85
-
- A solution of 217 mg (0.5 mmol) of triamcinolone acetonide, 55 mg (0.55 mmol) of succinic anhydride in 3 ml of dichloromthane and 1 ml of pyridine is reacted 2 d at ambient temperature. After this period all volatiles are removed and the residue taken up in THF. To this
mixture 100 mg (0.62 mmol) of carbonyldiimidazole is added under nitrogen, followed by 300 mg (0.51 mmol) ofCompound 40. The mixture was heated to 50° C. for 36 h. After cooling the mixture was concentrated in vacuum and the residue chromatographed on silica gel, elution with ethyl acetate, changing to isopropanol to yield 34 mg (6%) of a colorless solid. - Compound 86
-
- Prednisolone (180 mg, 0.5 mmol) is suspended in 3 ml of chloroform and 55 mg (0.55 mmol) of succinic anhydride is added. After 24 h at ambient temperature the mixture is cooled to 0° C. and 295 mg of Compound 40 (0.5 mmol) is added followed by chlor-N,N,2-trimethylpropenamine (0.2 ml, 1.5 mmol) in several portions. The resulting solution is subjected to column chromatography on silica gel, elution with isopropanol to yield 165 mg (32%) of a white solid
-
- A solution of 560 mg (1 mmol) of atorvastatin in 10 ml of dichloromethane is treated with 2 ml of a 1 M solution of HCl in diethyl ether at ambient temperature for 12 h. The reaction mixture is washed with water and brine, dried (Na 2SO4) and concentrated in vacuum. The residue is dissolved in 8 ml of chloroform and treated with 120 mg (1.2 mmol) of succinic anhydride and 123 mg (1.0 mmol) of DMAP under nitrogen. After 24 h at ambient temperature 194 mg (1.2 mmol) of carbonyldiimidazole is added, followed after 10 min by 700 mg (1.2 mmol) of
Compound 40. The mixture is heated to 50° C. for 36 h and then cooled, concentrated in vacuum and chromatographed on silica gel, elution with chloroform/2-propanol/ammonia 30:1:1 to yield 125 mg (10%) of a colorless solid. -
- A solution of 25 mg (0.06 mmol) of lovastatin in 1 ml of dichloromethane was treated with 10 mg (0.1 mmol) of succinic anhydride under nitrogen. The mixture was kept at ambient temperature for 48 h and then 12 mg of carbonyldiimidazole is added followed after 10 min by 70 mg (0.11 mmol) of Compound 46. After stirring for 48 h at ambient temperature the mixture is concentrated in vacuum and the residue chromatographed on silica gel, elution with chloroform/2-propanol/ammonia 30:1:1 to yield 13 mg (19%) a white solid.
-
- To a stirred solution of Fluconazole (0.67 g, 2.2 mmol) in anhydrous CH 2Cl2 (20 ml) was added triethylamine (0.31 ml, 2.2 mmol) and succinic anhydride (0.22 g, 2.2 mmol). After stirring for 2 hours at ambient temperature N,N′-carbonyldiimidazole (0.37 g, 2.3 mmol) was added and stirred for another 2 hours. Subsequently Compound 43 (1.12 g, 1.5 mmol) was added and stirring continued overnight. Then the reaction mixture was diluted with CH2Cl2 (20 ml) und a saturated aqueous solution of sodium bicarbonate (30 ml). After separation, the organic layer was dried over Na2SO4, filtered and then concentrated under reduced pressure to furnish the crude product. Silica gel chromatography with THF-Hexane-NEt3 (10:10:0.1) yielded Compound 89 as a white solid (0.20 g, 12%).
- Alcohols
-
- To a mixture of 800 mg glutaric acid (6 mmol, 6 eq.) and 500 mg CDI (3 mmol, 3 eq.) dissolved in 10 ml dry acetonitrile and stirred for 30 minutes at room temperature under argon, is added a solution of 750 mg Compound 43 (1 mmol) in the presence of a catalytic amount of DMAP dissolved in 5 ml acetonitrile. The reaction is refluxed overnight.
- The solvent is removed in vacuo. The crude mixture is then purified by chromatography with chloroform/methanol/ammonia (94.5:10:0.5). The collected fractions yielded a white solid (340 mg, 45%). The expected Compound 91 is characterized by TLC (R f=0.4 in chloroform/methanol/ammonia (90:9:1)) and by MS ([M+H]+=863).
- 43 mg Compound 91 (0.05 mmol) and 15 mg Abacavir (0.05 mmol) are reacted in the presence of 12 mg DCC (0.06 mmol, 1.2 eq.). The mixture is dissolved in 1 ml of dry THF and stirred overnight at room temperature. The cloudy solution is filtered off and the solvent is removed in vacuo. The crude product is purified by chromatography. The collected fractions are concentrated to yield a white solid (20 mg, 40%). The expected
Compound 90 is characterized by TLC (Rf=0.6 in chloroform/methanol/ammonia (90:9:1)) and by MS (M+2H, 566). - This protocol can be applied to other alcohols, some of which are listed in Table 3
TABLE 3 Representative class of alcohol compounds, which can be used in conjugation reactions. Pencyclovir Zalcitabine Lamivudine Gemcitabine Carbovir Cytarabine Abacavir Levovirin- Benzylidene acetal Lodenosine Ribavirin- Benzyliden acetal Mercaptopurine Riboside- benzylidenacetal -
- 200 mg of Compound 43 (0.27 mmol) are treated with 30 mg succinic anhydride (0.3 mmol, 1.1 eq.) in 1 ml pyridine in the presence of a catalytic amount of DMAP. The reaction is stirred for 5 h at 40° C. After the completion of the reaction the product is separated by precipitation using hexane. The solution is decanted, and the recovered precipitate is washed several times with hexane to remove pyridine. The isolated compound is dried by high vacuum and yielded to a white solid (180 mg, 90%). The expected Compound 93 is characterized by MS ([M+H]+=850).
- 42 mg of Compound 93 (0.05 mmol) and 13 mg AZT (0.05 mmol) are coupled by using 11 mg DCC (0.055 mmol) in 0.5 ml of dry THF. The mixture is stirred overnight at room temperature. The cloudy solution is then filtered off to remove the urea.
- The isolated crude product, obtained after removal of solvent, is purified by chromatography. The collected fractions yield after evaporation to a white solid (30 mg, 50%). The expected compound Compound 92 is characterized by TLC (R f=0.3 in chloroform/methanol/ammonia (90:9:1)) and by MS (M+2H, 549.7).
- This protocol can be applied to other alcohols, some of which are listed in Table 3.
-
- To a cloudy solution of 52 mg AZT (0.2 mmol), 43 mg 5-bromovaleric acid (0.24 mmol, 1.2 eq.), 106 mg BOP (0,24 mmol, 1.2 eq.), and a catalytic amount of DMAP in 1 ml dry THF are added 100 μl triethylamine (72 mg, 700 μmol, 3 eq.). The clear solution is then stirred for 4 h at room temperature. After completion of reaction the crude mixture is purified by preparative TLC. Removal from the plate yields a yellowish oily solid (60 mg, 70%). The expected compound 95 is characterized by TLC (R f=0.7, chloroform/methanol/ammonia 90:9:1).
- A solution of 6.0 g (8.0 mmol) of Compound 43 in 20 ml of THF is treated with 1.97 g (8.8 mmol) of N-iodosuccinic imide in several portions at 0° C. The mixture is kept at 10° C. for 12 h and then poured into a solution of potassium carbonate in water and extracted with dichloromethane. The organic phase is dried (Na2SO4), concentrated in vacuum and the residue chromatographed on silica gel, elution with cyclohexane/ethyl acetate/isopropanol/triethylamin 9:1:0.2:0.2 to yield 1.5 g (34%) of Compound 96, a colorless solid.
- To a cloudy solution of 8 mg Compound 95 (0.02 mmol) and 26 mg Compound 96 (0.035 mmol, 2 eq.) in acetonitrile (0.5 ml) is added am excess of potassium carbonate. The reaction mixture is then set to 50° C. for 48 h. The crude mixture is purified by chromatography to yield a yellowish solid (4.5 mg, 20%). The expected Compound 94 is characterized by TLC (R f=0.5 in chloroforn/methanol/ammonia (90:9:1)) and by MS ([M+H]+=1113).
- This protocol can be applied to other alcohols, some of which are listed in Table 3.
-
- 665 mg benzylidene-protected Ribavirin (2 mmol), 1.34 g glutaric acid (10 mmol, 5 eq.), 1 g CDI (6.2 mmol), and a catalytic amount of DMAP are suspended and heated in 20 ml of Chloroform for 3 h. The solvent is removed and the residue suspended in 1 M HCl, saturated with sodium chloride. The mixture is extracted twice with ethyl acetate, the organic layers are dried over sodium sulphate and evaporated to dryness. The residue is purified by chromatography to yield 760 mg (85%) of Compound 98, characterized by TLC (Rf=0.16 in THF/Hexane/Acetic acid 7:7:0.5) and MS ([M+H]+=447).
- To a solution of 267 mg Z-β-alanine (1.2 mmol, 1.2 eq.) and 190 mg CDI (1.2 mmol, 1.2 eq.) in 2 ml of dry THF, which had been stirred for 30 minutes at room temperature under argon, 749 mg Compound 43 are added (1 mmol). The mixture is then stirred overnight at 40° C. The clear and colorless solution is purified by flash chromatography. The collected fractions are concentrated to yield to a yellow solid (460 mg, 50%). The expected compound is characterized by TLC (R f=0.2 in chloroform/methanol/ammonia (90:9:1)) and by MS ([M+H]+=954.7). 450 mg of this compound (0.45 mmol) are dissolved in 5 ml of ethanol, to which an excess of Pd/C is added under argon. The flask with hydrogen. The mixture is shaken gently overnight at room temperature. The Pd/C is removed passing the solution through a celite plug. The removal of solvent yielded a slighty black solid (280 mg, 76%), a mixture of Compound 99 and Compound 43. The expected Compound 99 is characterized by TLC (Rf=0.2 in chloroform/methanol/ammonia (94.5:5:0.5)) and by MS ([M+H]+=890.5).
- To a cloudy solution of 23 mg Compound 98 (0.05 mmol), and 41 mg free Compound 99. (0.05 mmol), 25 mg BOP (0,055 mmol, 1.1 eq.) and a catalytic amount of DMAP in 0.5 ml of dry THF are added 15 μl of triethylamine (11 mg, 0.11 mmol, 2 eq.). The clear solution is stirred overnight at room temperature. The mixture is purified by chromatography and yields 5 mg (10%) of a light yellowish solid. The expected
Compound 100 is characterized by TLC (Rf=0.25 in chloroform/methanol/ammonia (90:9:1)) and by MS ([M+H]+=1249). - 5 mg of
Compound 100 are dissolved in 5 ml 2-propanol and a tip of a spatula of Pd/C is added. The mixture is hydrogenated overnight. The catalyst is extracted with ethyl acetate and the extract purified by preparative TLC to yield 2.3 mg of the desired Compound 97, characterized by TLC (Rf=0.45, chlororform/2-propanol/methanol/ammonia 25:3:1:1) and MS ([M+H]+=1161). -
- 900 mg of Compound 43 (1.2 mmol) are treated with 10 ml 12 N HCl in an iced-water bath overnight. The completed reaction is worked up by an extraction with chloroform. The aqueous phase is further neutralized at 0° C. by addition of potassium hydroxide pellets to have a pH at 9-10. The orange basic aqueous phase is then extracted several times with chloroform. The combined organic layer is washed with brine and then dried over sodium sulphate. The crude product after evaporation of the solvent is purified by flash column chromatography to yield to a light yellowish solid (400 mg, 90%). The expected Compound 102 is characterized by TLC (Rf=0.35 in chloroform/methanol/ammonia (90:9:1)) and by MS ([M+H]+=434).
- 300 mg of the Compound 102 (0.7 mmol), 190 mg iodoacetic acid (1 mmol, 1.5 eq.) and 210 mg DCC (1 mmol, 1.5 eq.) are dissolved in 5 ml of dry chloroform at 0° C. under argon atmosphere under protection from light. The mixture is stirred overnight at room temperature. The yellowish cloudy solution is filtered off and the filtrate is concentrated under vacuum. Chromatography yields a fraction that contains mainly the monoacetylated product, Compound 103, (yield: 175 mg, 50%) is characterized by TLC (R f=0.35 in chloroform/methanol/ammonia (90:9:1)) and by MS ([M+H]+=602).
- To a solution of 150 mg of Compound 103 (0.25 mmol) in 2 ml of dry acetonitrile are added 50 μl of diethanolamine (0.5 mmol, 2 eq.). The mixture is stirred at room temperature for 1 h. After removal of the solvent the crude mixture is purified by flash chromatography. The collected fractions are concentrated under vacuum and yield a yellowish solid (60 mg, 40%). The expected compound 104 is characterized by TLC (R f=0.15 in chloroform/methanol/ammonia (90:9:1)) and MS ([M+H]+=579).
- To a mixture of 800 mg glutaric acid (6 mmol, 6 eq.) and 500 mg CDI (3 mmol, 3 eq.) dissolved in 10 ml of dry acetonitrile, which is stirred for 30 minutes at room temperature under argon, are added 266 mg AZT (1 mmol) and a catalytic amount of DMAP. The cloudy reaction mixture is stirred overnight at 70° C. Chromatography yields a colorless sticky solid (120 mg, 35%). The expected compound 105 was characterized by TLC (R f=0.25 in chloroform/methanol/ammonia (90:9:1)) and MS ([M+H]+=381).
- To a cloudy solution of 55 mg of Compound 105 (0.15 mmol, 3 eq.), and 29 mg of Compound 104 (0.05 mmol, 1 eq.), 38 mg BOP (0.18 mmol, 3.3 eq.) and a catalytic amount of DMAP in 0.5 ml of dry THF are added 30 μl of triethylamine (0.25 mmol, 4 eq.). The clear solution is then stirred overnight at room temperature. The mixture is purified by chromatography. The collected fractions yielded to a light yellowish solid (5 mg, 10%). The expected double acylated Compound 101 is characterized by TLC (R f=0.25 in chloroform/methanol/ammonia (90:9:1)) and by MS ([M+H]+=1306).
- This protocol can be applied to other alcohols, some of which are listed in Table 3. Abbreviations:
- DMAP=4-(N,N-dimethylamino)pyridine
- BOP=(Benzotriazol-1-yloxy)-tris-(dimethylamino)-phosphonium-hexafluorophosphate
- CDI=Carbonyldiimidazole
- Z-=Benzyloxycarbonyl-
-
- 286 mg of Celecoxib (750 μmol), 300 mg of succinic anhydride (3 mmol, 4 eq.), and 50 mg of DMAP are dissolved in 8 μl of dry acetonitrile. 420 μl (300μg, 3 mmol, 3 eq.) of triethylamine are added, and the reaction mixture is stirred overnight. 3 ml 1M aqueous sodium hydroxide and 5 ml of THF are added to remove excess succinic anhydride, the mixture is stirred for 2 h. 180 μl of acetic acid (3.1 mmol) are added and the mixture is evaporated to dryness. The resulting oil is suspended in ethyl acetate. Diluted aqueous ammonia is added, and the aqueous phase is separated and evaporated until the gas evolution ceases. Concentrated HCl is added to obtain a yellow precipitate. The residue is dissolved in ethanol, evaporated to dryness and dried at 30° C./0.01 mbar for 2 h. The yield of the resulting Compound 107 is 350 mg (93%), and can be used for the following step without further purification.
- 240 mg of Compound 107 (500 μmol) are stirred together with 110 mg of CDI (650 μmol, 1.3 eq.) in 8 ml of dry dichloromethane for 2 h. 300 mg (400 μmol, 0.8 eq.) of Compound 43 are added and the mixture is stirred for an other 2 h. The mixture is subjected to chromatography after evaporation to yield 80 mg (16%) of the desired product, Compound 106 (MS: [M+H]+=1213).
-
- To a stirred solution of 1.12 g erythromycin A oxime (1.5 mmol) in 50 ml THF was added 1.5 ml 1 N potassium hydroxide solution (1.5 mmol) and 0.44 g 4-bromomethyl-6,7-dimethoxycoumarin (1.5 mmol). The reaction mixture was stirred at room temperature for 6 h and then filtered and treated with 44 μl of acetic acid. The solvent was removed under reduced pressure and the residue purified on silica gel, eluting with CHCl 3/MeOH/NH4OH (6:1:0.1) to afford 0.4 g (28%) of Compound 108 a colorless foam. (MS: [M+H]+=968).
-
- To a stirred suspension of 0.46 g (6,7-dimethoxy-2-oxo-2H-chromen-4-yl methylsulfanyl)acetic acid (1.5 mmol) in 20 ml of dry CH 2Cl2 are added 250 mg N,N′-carbonyldiimidazole (1.55 mmol). The reaction mixture is stirred for 2 h, then a solution of 1.0 g Compound 43 (1.3 mmol) in 10 ml of dry CH2Cl2 is added and stirring continued for 48 h. A saturated aqueous solution of sodium bicarbonate (30 ml) is added. The organic layer is dried over Na2SO4, filtered and then concentrated under reduced pressure to furnish the crude product. Chromatography affords the Compound 109 as a white foam (0.7 g, 52%). (MS: [M+H]+=1042).
-
- Imatinab may be selectively altered without compromising the interaction with the kinase and thus its biological activity (Schindler et al., Effects of a selective inhibitor of the Abl tyrosine kinase on the growth of Bcr-Abl positive cells. Science 289, 1938-1942, 2000).
- 2.2 g of 4-(4-Chlorocarbonyl-phenyl)-piperazine-1-carboxylic acid 9H-fluoren-9-ylmethyl ester and 1.15 g 4-Methyl-N3-(4-pyridin-3-yl-pyrimidin-2-yl)-benzene-1,3-diamine (U.S. Pat. No. 5,521,184) are reacted in 50 ml of dimethylformamide in the presence of 600 mg dimethylaniline for 24 h. The mixture is poured into 250 ml of ice-cold water. After filtration, the crude product is dried in vacuo and treated with a mixture of methanol and triethylamine (10:1). After evaporation of the solvent, the residue is subjected to chromatography to yield Compound 111.
- 40 mg of Compound 111 are dissolved in 2 ml dry ethanol at 60° C. and reacted with 31 mg of Compound 111 for 10 h. The mixture is cooled to −21° C. and filtered. The product,
Compound 110, was obtained after recrystallisation. (MS: [M+2H]2+=628). - Biological Methods
- Assay to determine the in vitro rate of, for example, lymphocyte proliferation. Lymphocytes are purified out of ant coagulated (CPDA, citrate or heparin) mammalian blood using the Lymphoprep™ system (supplier). Purified cells are counted using a hemocytometer following Trypan Blue staining, and a cell concentration of 1×10 6 cells/ml established in RPMi 1640 medium with 10% FCS and antibiotics as required (all from Biochrome). Following the addition of a cell proliferation stimulant, for example phytohemagglutanin (Sigma) at, for example an end concentration of 5 μg/ml, the cells are incubated with different concentrations of the to be investigated compound in 100 μl end volume in a 96-well microtiter plate in an incubator (37° C., 5% CO2, 95% humidity) for 72h. Cell proliferation is quantified following BrdU incorporation for 16 h by ELISA and subsequent colorimetric development (Cell Proliferation ELISA BrdU (colorimetric) kit from Roche Diagnostics). The IC50 (μM) values are then calculated, and used to compare compound efficacy.
- To determine the influence of the T-L-C modification on in vitro cellular drug uptake and pharmacology, the above assay is additionally modified and an additional “wash” step included. In addition to running the assay for 72 h with the compounds to be tested, the assay is also run for just 2 h, then compound is washed away in three serial washing steps using 200 μl of medium at each step, and the cells subsequently incubated for a further 70 h. The determined IC 50 (μM) values following 2 h and 72 h incubation are compared and a ratio calculated (2 h:72 h). The lower the number, the better the uptake and drug release from the T-L-C in the cells (see results in Table 4 for examples), and improvement over mycophenolic acid.
TABLE 4 Proliferation assay results of T-L-C conjugates of mycophenolic acid IC50 IC50 Ratio Conjugate (μM) at 2 h (μM) at 72 h (2 h:72 h) Mycophenolic acid 2.5 0.54 4.63 Mycophenolate 1.5 0.33 4.5 mofetil Compound 671.74 1.36 1.3 Compound 79 3.16 1.2 2.63 Compound 74 3.2 2.2 1.45 Compound 801.41 0.4 3.53 Compound 81 1.78 1.12 1.6 Compound 69 2.66 1.4 1.9 - Cytotoxicity Assay
- HeLa cells (DSMZ, ACC 57) and Jurkat cells (DSMZ, ACC 282) in exponential growth phase are exposed for 3 days to test compounds. The number of surviving cells is then determined by the Alamar Blue assay (Serotec Inc.). This assay incorporates a fluorometric growth indicator based on detection of metabolic activity. Specifically, the system incorporates an oxidation-reduction indicator that fluoresces in response to chemical reduction of the growth medium resulting from cell growth. As cells grow in culture, innate metabolic activity results in a chemical reduction of the immediate surrounding environment. Continued growth maintains a reduced environment while inhibition of growth maintains an oxidized environment. Reduction from growth causes the Redox indicator to change from an oxidized to a reduced form. Fluorescence is monitored at 560 nm (Exc.) and 590 nm Em.
- General Procedure:
- HeLa cells (1×10 3) or JURKAT cells (1×103) are plated in 100 μl MEM medium (with Earle's salt; Biochrom KG) containing 10% FBS, 2 mM L-glutamine, and non-essential animo acids in 96-well plates and incubated at 37° C. and 5% CO2 atmosphere. After 24 hours, the test compounds are added over a concentration range and the cells incubated for a further 48 hours. Alamar Blue reagent (20 μl) is added to each well, and the cultures incubated for a further 4 to 6 hours. The fluorescence is then measured as described above and the LD50 is determined based on a sigmoidal dose response regression. In order to determine the toxicity of T-L-C conjugates of mycophenolic acid not due to the inhibition of IMPDH, excess guanosine is added into the culture medium to a final concentration of 50 μM. Any toxicity still detected can then be ascribed either to other biological effects of the of T-L-C conjugate of mycophenolic acid, or is due to the very high intracellular concentration of mycophenolic acid, following concentrative uptake into the cell.
- Cytotoxicity Assay with Fresh PBMNCs
- The cytotoxicity of T-L-C conjugates of mycophenolic acid can be demonstrated directly on freshly isolated mammalian PBMNCs. The cells are prepared as described in Example 29, and the level of cytotoxicity determined by the Alamar Blue assay, as described above. As described for both HeLa and JURKAT cells, guanosine can also be used here to ameliorate the effect of mycophenolic acid on the activity of IMPDH.
- Results:
- The toxicity of mycophenolic acid conjugates may be assessed most conveniently in a cell based system, preferably with a rapidly growing cell line such as HeLa or JURKAT. In normal culture conditions, mycophenolic acid has an IC 50 of less than 2 uM, and its effect can be completely removed in the presence of 50 μM guanosine. For many of the T-L-C conjugates of mycophenolic acid, alleviation with guanosine is possible, but this is not always complete, which could for example be due to either to other biological effects of the of T-L-C conjugate of mycophenolic acid, or is due to the very high intracellular concentration of mycophenolic acid, following concentrative uptake into the cell.
- Skin transplant rejection is a strong immune response and serves as a very sensitive test of the immunosuppressive potential of drugs in organ transplantation and graft rejection. The mouse trunk skin transplant model was established using published methods (Billingham etal., 1954). Donor (Bl 10) trunk skin (approximately 8×8 mm) is removed and kept cold in saline before grafting on recipient Balb C mice. Male mice (n=10) are dosed orally once a day from the day of transplant surgery (day 0) until the day of rejection. For each study, appropriate vehicle-treated control groups are run concurrently. Graft rejection is quantified as the number of days to reach R4 rejection (>75% of graft scabbed).
- Results:
- An example of results obtained with T-L-C conjugates of mycophenolic acid in the mouse skin transplant model are shown in FIG. 9. The mean rejection time for the vehicle, in this experiment saline, was 11.8 days, while the rejection time of the
T-L-C conjugate Compound 67 was 13.5 days. Treatment withCompound 67 using dosage tapering (FIG. 10), resulted in a mean rejection time of 13.4 days. - Assay Summary
- The TC 50 or MIC procedure for antibiotic sensitivity testing involves an antibiotic dilution assay, which can be performed in microtitre plates. A series of twofold dilutions of each antibiotic are made in the wells, and then all wells are inoculated with a standard amount of the same test organism. After incubation, growth in the presence of the various antibiotics is observed by measuring turbidity. Antibiotic sensitivity is expressed as the concentration of the antibiotic that inhibits 50% of the growth (TC50). Alternatively it could be expressed as the highest dilution of antibiotic that completly inhibits growth (MIC).
- Bacteria: B. pumilus and E. coli (DH5α)
- Bacterial cultures are initiated from the plates for 2 to 3 weeks. After this time period bacteria are streaked out on new plates from the backups strored at −80° C. Due to the lack of resistance of the bacteria, new cultures are not to be initiated from an old plate or any liquid cultures derived from old plates.
- Growth medium (GM)(per liter): 10 g Bacto-tryptone, 5 g Bacto-yeast extract, 6 g HEPES (25 mM), 5.4 g NaCl, pH 7.3
-
10 or 100 mM in DMSO stored at −20° C.Compound stocks - Procedure
- 1. Grow B. pumilus from an LB agar plate in a flask (max. 10% volume) up to about 50 ml in growth medium (GM)
- 2. Dilute overnight suspension 1:10 in GM
- 3. Determine OD 600 of diluted bacterial suspension
- 4. Dilute bacterial suspension in GM to an OD 600 of 0.03-0.04. (6 ml/plate)
- 5. Add 200μl GM to the outer wells (Row A, Row H,
Column 1, Column 12) - 6. Add 100 μl GM to each well starting from C2,
row 3. - 7. Controls: Wells B2-B4 growth control. Wells B6-B8 blank. Row C growth inhibition control.
- 7.1. To wells B2-B4 add: 96 μl GM, 4 μl DMSO, and 100 μl bacterial suspension adjusted to an OD 600 of 0.03-0.04.
- 7.2. To wells B6-B8 add: 196 μl GM and 4 μl DMSO
- 7.3. Dilute a 10 mM COMPOUND 43 (positive control) stock to 800 μM (120 μl/plate) in GM. Add 100 μl of 800 μM COMPOUND 43 solution to well C2.
- 8. Samples
- 8.1. Dilute the 10 or 100 mM stock solutions to 800 μM (250 μl/plate) in GM.
- 8.2. Add 100 μl of 800 μM sample in duplicates to wells D2/E2 resp. F2/G2.
- 8.3. 2-fold serial dilution of all samples and Azithromycin
- 8.3.1. Rows C-G, Columns 2: Mix and transfer 100 μl from each row to
Column 3, and continue until column 11. The remaining 100 μl out of column 11 are disposed. - 9. Add 100 μl of bacterial suspension (OD 600 0.03-0.04) to each well from C2-G11.
- 10. Incubate plates on shaker, 750 rpm, 37° C., until the growth controls have reached an OD 600 of 0.6-0.8 (approximately 6-8 h).
- 11. Determine OD 600 on plate reader.
TABLE 5 TC50 values for representative compounds. Compound TC50 in E. coli (μM) COMPOUND 43 2.3 COMPOUND 40>50 COMPOUND 96 28 COMPOUND 53>50 COMPOUND 45 >50 - All of the features disclosed in this specification may be combined in any combination. Thus, unless expressly stated otherwise, each feature disclosed is only an example of a generic series of equivalent or similar features.
- It is to be understood that while the invention has been described in conjunction with the detailed description thereof, the foregoing description is intended to illustrate and not limit the scope of the invention, which is defined by the scope of the appended claims. Other aspects, advantages, and modifications are within the scope of the following claims.
- Alberola A., Antolin L. F., Gonzalez A. M., Laguna M. A., and Pulido F. J.; J. Heterocyclic Chem; 23; 1035; (1986).
- Alberola A., Antolin L. F., Gonzalez A. M., Pulido F. J.; Base-induced Ring Cleavage of 4-Functionalized 3-Unsubstituted Isoxazoles. Synthesis of 2-Aminopyrimidines and Pyrimidine-2(3H)-thiones; Heterocycles; (1987).
- Antoniou E A, Xu M, Howie A, Chondros K, McMaster P, D'Silva M, 1997 Combination treatment effectively intercepts advanced acute cardiac rejection, Transplant Proc November; 29(7):2888-91.
- Arion D, Meijer L, Brizuela L, Beach D, 1988, Cell 55, 371-378.
- Axton et al., 1992, J. Chem. Soc. Perkin Trans. I 2203 ff.
- Bartlett et al., 1991, Agents and Actions, 32 10-21.
- Beeson J M 1999, The neurobiology of pain, Lancet; 353:1610-1615.
- Bennett J E, 1977, Flucytosine. Ann. Intern. Med. 86,319-322.
- Benslay D N and Bendele A M, 1991, Agents Actions 34: 254.
- Billingham et al., 1954. Proc. R. Soc. 143: 43-55.
- Brater D C, 1999, Effects of nonsteroidal anti-inflammatory therapeutic agents on renal function: focus on cyclooxygenase-2-selective inhibition, Am J Med December 13;107(6A):65S-70S; discussion 70S-71S.
- Breedveld F C, Dayer J M, 2000, Leflunomide: mode of action in the treatment of rheumatoid arthritis, Ann Rheum Dis November;59(11):841-9.
- Buchdunger E, Mett H, Trinks U, Regenass U, Muller M, Meyer T, Beilstein P, Wirz B, Schneider P, Traxler P, 1994, 4,5-Dianilinophthalimide: A protein-tyrosine kinase inhibitor with selectivity to the epidermal growth factor receptor signal transduction pathway and potent in vivo antitumor activity. Proc. Nat. Acad. Sci. USA 91, 2334-2338.
- Buchdunger E, Zimmermann J, Mett H, Meyer T, Muller M, Regenass U, Lydon N B, 1995, Selective inhibition of the platelet-derived growth factor signal transduction pathway by a protein-tyrosine kinase inhibitor of the 2-phenylaminopyrimidine class. Proc. Nat. Acad. Sci. USA 92, 2558-2562.
- Carlson R P, Datko Li, O Neil-Davis L, Blazek E M, Delustro F, Beideman R, and Lewis A J, 1985, Comparison of inflammatory changes in established type II collagen and adjuvant induced arthritis using outbred Wistar rats, J.Immunopharmacol. 7: 811-826.
- Churchill L, Graham A G, Shih C- K, Pauletti D, Farina P R, Grob P M, 1996, Selective inhibition of human cyclo-oxygenase-2 by meloxicam. Inflammopharmacology; 4: 125-135.
- Colville-Nash P R and Gilroy D W, 2001, Potential adverse effects of cyclooxygenase-2 inhibition: evidence from animal models of inflammation BioTherapeutic agents;15(1):1-9.
- Conner E M, Grisham M B, 1996, Inflammation, free radicals and antioxidants, Nutrition 12(4), 274-277.
- Cronstein B N, 1995, The antirheumatic agents sulphasalazine and methotrexate share an anti-inflammatory mechanism, Br J Rheumatol November;34 Suppl 2:30-2.
- Curkovic B et al., 2000 Nonsteroidal antirheumatic agents—present status and perspectives, Reumatizam;47(2):7-10.
- Daley, G Q. & Baltimore, O, 1988 Transformation of an interleukin 3-dependent hematopoietic cell line by the chronic myelogenous leukemia-specific p21Obcr-abl protein. Proc. Nat. Acad. Sci. USA 85, 9312-9316.
- De Clercq, E, 1993: Antiviral agents: characteristic activity spectrum depending on the molecular target with which they interact. Academic Press, Inc., New York, N.Y. 1-55
- Debruyne D and Ryckelynck J P, 1993, Clinical pharmacokinetics of fluconazole. Clin. Pharmacokinet. 24,10-27.
- Debs R J, Fuchs H J, Philip R, Brunette E N, Duzgunes N, Shellito J E, Liggitt D, Patton J R, 1990, Immunomodulatory and toxic effects of free and liposome-encapsulated tumor necrosis factor alpha in rats. Cancer Res. January 15; 50(2):375-80.
- Escola J M, Deleuil F, Stang E, Boretto J, Chavrier P, Gorvel J P. Characterization of a lysozyme-major histocompatibility complex class II molecule-loading compartment as a specialized recycling endosome in murine B lymphocytes. J Biol Chem. Nov. 1, 1996;271(44):27360-5.
- Ford C W, Hamel J C, Wilson D M, Moerman J K, Stapert D, Yancey R, Hutchinson D K, Barbachyn M R, Brickner S J, 1996, In vivo Activities of U-100592 and U-100766, Novel Oxazlidinone Antimicrobial Agents, against Experimental Bacterial Infections. Animicrobial Agents and Chemotherapy 1508-1513.
- Fox R I J, 1998, Mechanism of action of leflunomide in rheumatoid arthritis, Rheumatol Suppl July; 53:20-6.
- Fung H B, Kirschenbaum H L, 1999, 57Selective cyclooxygenase-2 inhibitors for the treatment of arthritis, Clin Ther July;21(7):1131-1135.
- Furst D E, 1999, Leflunomide, mycophenolic acid and matrix metalloproteinase inhibitors, Rheumatology (Oxford) November; 38 Suppl 2:14-8.
- Gilbert, B. E. and Knight V., 1986: Biochemistry and clinical applications of ribavirin. Antimicrob. Agents and Chemother. 30:201-205
- Gull K and Trinci A P J, 1973, Griseofulvin inhibits fungal mitosis. Nature. 244, 292-294.
- Harada M, Sakakibara H, Yano T, Suzuki T, Okuno S, 2000, Determinants for the therapeutic agent release from T-0128, camptothecin analogue-carboxymethyl dextran conjugate. J Control Release. December 3;69(3):399-412.
- Hata K, Kimura J, Miki H, Toyosawa T, Moriyama M and Katsu K, 1996, Efficacy of ER-30346, a novel oral triazole antifungal agent, in experimental models of Aspergillosis, Candidiasis and Cryptococcosis. Antimicrobial Agents and Chemotherapy, 40,2243-2247.
- Hawkey C J, 1999, COX-2 inhibitors. Lancet; 353:307-314.
- Hepatology 7: 724-731
- Hial V, De Mello M C, Horakova Z, Beaven M A, 1977, Antiproliferative activity of anti-inflammatory therapeutic agents in two mammalian cell culture lines J Pharmacol Exp Ther.
- August;202(2):446-54.
- Honda S, Migita K, Hirai Y, Origuchi T, Yamasaki S, Kamachi M, Shibatomi K, Fukuda T, Kita M, Hida A, Ida H, Aoyagi T, Kawakami A, Kawabe Y, Oizumi K, Eguchi K, 2001, Expression of membrane-
type 1 matrix metalloproteinase in rheumatoid synovial cells, Clin Exp Immunol October 2001;126(1):131-6. - Hultgren, C., Millich, D. R., Weiland, O., Sälberg, M., 1998: The antiviral compound ribavirin modulates the T-helper (Th)1/Th2 subset balance in hepatitis B and C virus-specific immune response. J. Gen. Virol. 79: 2381-2391
- Hutchins R O, Hoke D, Keogh J, Koharstki D, 1969, Sodium Borohydride in Dimethyl Sulfoxide or Sulfolane. Convenient Systems for Selective Redutions of Primary, Secondary, and Certain Tertiary Halides and Tosylates. Tetrahedron Letters, 3495-3498.
- Iñiguez M A, Punzón C, Fresno M, 1999, Induction of Cyclooxygenase-2 on Activated T Lymphocytes: Regulation of T Cell Activation by Cyclooxygenase-2 Inhibitors, The Journal of Immunology, 163: 111-119.
- Jaafari M R, Foldvari M, 2002, Targeting of Liposomes to Human Keratinocytes Through Adhesive Peptides from Immunoglobulin Domains in the Presence of IFN Therapeutic agent Deliv. 9(1):1-9.
- Kalgutkar A S, Crews B C, Rowlinson S W, Marnett A B, Kozak K R, Remmel R P, Marnett L J, 2000, Biochemically based design of cyclooxygenase-2 (COX-2) inhibitors: facile conversion of nonsteroidal antiinflammatory therapeutic agents to potent and highly selective COX-2 inhibitors, Proc Natl Acad Sci USA January 18;97(2):925-30.
- Kanakura Y, Druker B, Cannistra S A, Furukawa Y, Torimoto Y, Griffin J D, 1990, Signal transduction of the human granulocyte-macrophage colony-stimulating factor and interleukin-3 receptors involves a common set of cytoplasmic proteins. Blood 76, 706-715.
- Kharbanda S, Ren R, Pandey P, Shafman T D, Feller S M, Weichselbaum R R, Kufe D W, 1995, Activation of the c-abl tyrosine kinase in stress response to DNA-damaging agents. Nature 376, 785-788.
- Klegeris A, McGeer P L, 1994, Rat brain microglia and peritoneal macrophages show similar responses to respiratory burst stimulants, Journal of Neuroimmunology 53(1), 83-90.
- Klegeris A, Walker D G, McGeer P L, 1994, Activation of macrophages by Alzheimer b amyloid peptide, Biochemical and Biophysical Research Communications 199(2), 984-991.
- Korba, B. E. and Boy, M. R., 1996: penciclovir is a selective inhibitor of hepatitis B replication in cultured human hepatoblastoma cells. Antimicrob. Agents and Chemother. 40:1282-1284
- Kurtz M B, Heath I B, Marrinan J, Dreikorn S, Onishi J and Douglas C, 1994, Morphological effects of lipopeptides against Aspergillus fumigatus correlate with activities against (1,3)-b-D-glucan synthase. Antimicrob. Agents Chemother. 38,1480-1489.
- Labro M T and Abdelghaffar H, 2001, Immunomodulation by macrolide antibiotics. J. Chemother. February;13(1):3-8. Review.
- Lipinski C A, Lombardo F, Dominy B W, Feeney P J., Experimental and computational approaches to estimate solubility and permeability in therapeutic agent discovery and development settings., Adv Therapeutic agent Deliv Rev. Mar. 1, 2001;46(1-3):3-26. Review.
- Malmstrom K, Daniels S, Kotey P, Seidenberg B C, Desjardins P J, 1999, Comparison of rofecoxib and celecoxib, two cyclooxygenase-2 inhibitors, in postoperative dental pain: a randomized, placebo- and active-comparator-controlled clinical trial, Clin Ther October;21(10):1653-63.
- Marion, P. L., Cullen, J. M., Azcarraga, R. R., Van Davelaar, M. J., Robinson, W. S., 1987: Experimental transmission of duck hepatitis B virus to pekin ducks and to domstic geese.
- Marks D, Belov L, Davey M W, Davey R A, Kidman A, 1992, The MTT cell viability assay for cytotoxicity testing in multitherapeutic agent-resistant human leukemic cells,
Leukemia Research 16, 1165. - Marriott M S and Richardson K, 1987, The discovery and mode of action of fluconazole, p. 81-92. In R. A. Fromtling (ed.), Recent trends in the discovery, development, and evaluation of antifungal agents. J. R. Prous Science Publishers, Barcelona.
- Martin, M. J., Navas, S., Quiroga, J. A., Pardo, M., Carreno, V., 1998: Effects of the ribavirin-interferon alpha combination on cultured peripheral blood mononuclear cells from chronic hepatitis C patients. Cytokine August;10(8):635-44.
- Martin, M. J., Navas, S., Quiroga, J. A., Pardo, M., Carreno, V., 1998: Effects of the ribavirin-interferon alpha combination on cultured peripheral blood mononuclear cells from chronic hepatitis C patients. Cytokine August;10(8):635-44.
- Martin, Pipasha Biswas, Mann, 2000, The incidence of adverse events and risk factors for upper gastrointestinal disorders associated with meloxicam use amongst 19 087 patients in general practice in England: cohort study, British Journal of
Clinical Pharmacology 50Issue 1 35. - Matsuguchi T, Salgia R, Hallek M, Eder M, Druker B, Ernst T J, Griffin J D, SHC phosphorylation in myeloid cells is regulated by GM-CSF, IL-3, and steel factor and is constitutively increased by p2IOBCR-ABL. J. Biol. Chem. 269, 5016-5021.
- Matulonis U, Salgia R, Okuda K, Druker B, Griffin J D, 1993, IL-3 and p21OBCR/ABL activate both unique and overlapping pathways of signal transduction in a factor-dependent myeloid cell line. Exp. Hematol. 21, 1460-1466.
- McGeer E G, McGeer P L, 1997, Inflammatory cytokines in the CNS, CNS
Therapeutic agents 7, 214-228. - McGeer P L, McGeer E G, 1995, The inflammatory system of brain: implications for therapy of Alzheimer and other neurodegenerative disorders, Brain Research Review 21(2),195-218.
- McGeer P L, Rogers J., 1992, Anti-inflammatory agents as a therapeutic approach to Alzheimer's disease, Neurology 42(2), 447-449.
- McGeer P L, Schulzer M, McGeer E G, 1996, Arthritis and antiinflammatory agents as negative risk factors for Alzheimer disease: A review of seventeen epidemiological studies, Neurology 47(2), 425-432.
- Mochitate K, Katagiri K, and Miura T, 2001, Impairment of microbial killing and superoxide-producing activities of alveolar macrophages by a low level of ozone, J. Health Science, 47,302-309.
- Mortellaro A, Songia S, Gnocchi P, Ferrari M, Fornasiero C, D'Alessio R, Isetta A, Colotta F, Golay J, 1999, New immunosuppressive therapeutic agent PNU156804 blocks IL-2-dependent proliferation and NF-kB and AP-1 activation. The Journal of Immunology, 7102-7109.
- Nielsen O H, Bukhave K, Elmgreen J, Ahnfelt-Ronne I., 1987, Inhibition of 5-lipoxygenase pathway of arachidonic acid metabolism in human neutrophils by sulfasalazine and 5-aminosalicylic acid, Dig Dis Sci June;32(6):577-82.
- Pendergast A M, Muller A J, Havlik M H, Clark R, McCormick F, Witte O N, 1991, Evidence for regulation of the human ABL tyrosine kinase by a cellular inhibitor. Proc. Nat. Acad. Sci. USA 88, 5927-5931.
- Penglis P S, James M J, Cleland L G, 200, 1Cyclooxygenase inhibitors: any reservations?, Intern Med J January-February;31(1):37-41.
- Quallich L G, Greenson J, Haftel H M, Fontana R J, 2001, Is it Crohn's disease? A severe systemic granulomatous reaction to sulfasalazine in patient with rheumatoid arthritis, BMC Gastroenterol;1(1):8.
- Rainsford K D, 2001, The ever-emerging anti-inflammatories. Have there been any real advances? J Physiol Paris January-December;95(1-6): 11-9.
- Ramasamy, K. S., Tam, R. C., Bard J, Averett, D. R., 2000: Monocyclic L-nucleosides with
type 1 cytokine-inducing activity. J Med Chem. Mar. 9, 2000;43(5):1019-28. - Rankin, J. T., Eppes, S. B., Antczak, J. B., Joklik, W. K, 1989: Studies on the mechanism of the antiviral activity of ribavirin against reovirus. Virology 168: 147-158
- Roher A E, Chaney M O, Kuo Y M, et al., 1996, Morophology and toxicity of A-beta (1-42) derived from neuritic and vascular amyloid deposits of Alzheimer's disease, Journal of Biological Chemistry 271(34), 20631-20635.
- Rossi L, Brandi G, Fraternale A, Schiavano G F, Chiarantini L, Magnani M., Inhibition of murine retrovirus-induced immunodeficiency disease by dideoxycytidine and
dideoxycytidine 5′-triphosphate., J Acquir Immune Defic Syndr. November 1993;6(11):1179-86. - Schindler T, Bornmann W, Pellicena P, Miller W T, Clarkson B, Kuriyan J, 2000, Structural Mechanism for STI-571 Inhibition of Abelson Tyrosine Kinase, Science 289, 1938-1942.
- Schluesener H J, Seid K, Deininger M, Schwab J, 2001, Transient in vivo activation of rat brain macrophages/microglial cells and astrocytes by immunostimulatory multiple CpG, oligonucleotides., J Neuroimmunol. February 1;113(1):89-94.
- Schrier D J, Moniot S, Gluckman M I, Gilbertsen R B, 1987, The topical anti-inflammatory effects of a topical preparation of meclofenamic acid on carrageenan-induced footpad swelling in mice. J Pharm Pharnacol January;39(1):57-9
- Schroit A J, Madsen J, Nayar R, 1986, Liposome-cell interactions: in vitro discrimination of uptake mechanism and in vivo targeting strategies to mononuclear phagocytes., Chem Phys Lipids. June-July; 40(2-4):373-93.
- Schwab J M, Brechtel K, Nguyen T D, Schluesener H J., Persistent accumulation of cyclooxygenase-1 (COX-1) expressing microglia/macrophages and upregulation by endothelium following, spinal cord injury., J Neuroimmunol. Nov. 1, 2000;111(1-2):122-30.
- Schwab J M, Frei E, Klusman I, Schnell L, Schwab M E, Schluesener H J, 2001, AIF-1 expression defines a proliferating and alert microglial/macrophage phenotype following spinal cord injury in rats., J Neuroimmunol. October 1;119(2):214-22.
- Schwab J M, Seid K, Schluesener H J, 2001, Traumatic brain injury induces prolonged accumulation of cyclooxygenase-1 expressing microglia/brain macrophages in rats, J Neurotrauma. September 2001;18(9):881-90.
- Sheehan D J, Hitchcock C A and Sibley C M, 1999, Current and emerging azole antifungal agents. Clin. Microbiol. Rev. 12,40-79.
- Shen Y, Li R, McGeer E G, McGeer P L, 1997, Neuronal expression of mRNAs for complement proteins of the classical pathway in Alzheimer brain, Brain Research 769(2), 391-395.
- Smedegard G, Bjork J, 1995, Sulfasalazine: mechanism of action in rheumatoid arthritis, Br J Rheumatol November;34 Suppl 2:7-15.
- Stepkowski S M, Erwin-Cohen R A, Behbod F, Wang M E, Qu X, Tejpal N, Nagy Z S, Kahan B D, Kirken R A, 2002, Selective inhibitor of
Janus tyrosine kinase 3, PNU156804, prolongs allograft survival and acts synergistically with cyclosporine but additively with rapamycin. Blood, 99, 680-689. - Strohmeyer R, Rogers J, 2001, Molecular and cellular mediators of Alzheimer's disease inflammation, Journal of Alzheimer's
Disease 3, 131-157. - Tam R. C., Pai, B., Bard, J., Lim, C., Averett, D. R., Phan, U. T., Milovanoviv, T., 1999: Ribavirin polarizes human T cell responses towards a
Type 1 cytokine profile. J. Hepatol. 30: 376-382 - Tam, R. C., Ramasamy, K., bard, J., Pai, B., Lim, C., Averett, D. R., 2000: The Ribavirin Analog ICN 17261 Demonstrates Reduced Toxicity and Antiviral Effects with Retention of both Immunomodulatory Activity and Reduction of Hepatitis-Induced Serum Albumin Alanine Aminotransferase Levels. Antimicrob. Agents and Chemother. 44:1276-1283
- Taupenot L, Ciesielski-Traska J, et al., 1996, Chromogranin A triggers a phenotypic transformation and the generation of nitric oxide in brain microglial cells, Neuroscience 72(2), 377-389.
- Terai K, McGeer E G, McGeer P L, 1997, Neurons express proteins of the classical complement pathway in Alzheimer disease, Brain Research 769(2), 385-390.
- Terrell C L and Hughes C E, 1992, Antifungal agents used for deep-seated mycotic infections. Mayo Clin Proc. 67,69-91.
- Vere Hodge R. A., Sutton, D., Boyd, M. R., Hamden, M. R., Jarvest, R. L., 1989: Selection of an oral protherapeutic agent (BRL 42810; famciclovir) for the antiherpesvirus agent BRL 39123 [9-(4-hydroxy-3-hydroxymethylbut-1-yl)guanine; penciclovir]. Antimicrob Agents Chemother 33(10):1765-73
- Wahl B. C, Liptay S, Adler G, Schmid R M, 1998, Sulfasalazine: a potent and specific inhibitor of nuclear factor kappa, J Clin Invest March 1;101 (5):1163-74.
- Wallace J L, 1999, Distribution and expression of cyclooxygenase (COX) isoenzymes, their physiological roles, and the categorization of nonsteroidal anti-inflammatory therapeutic agents (NSAIDs), Am J Med December 13;107(6A):11S-16S; discussion 16S-17S.
- Weinblatt M E, Dixon J A, Falchuk K R, 2001, Serious liver disease in a patient receiving methotrexate and leflunomide, Prescrire Int October;10(55):149; Arthritis Rheum November;43(11):2609-11.
- Wilson C L, Ouellette A J, Satchell D P, Ayabe T, Lopez-Boado Y S, Stratman J L, Hultgren S J, Matrisian L M, Parks W C,1999, Regulation of intestinal alpha-defensin activation by the metalloproteinase matrilysin in innate host defense. Science October 1;286(5437):113-7.
- Xu X, Shen J, Mall J W, Myers J A, Huang W, Blinder L, Saclarides T J, Williams J W, Chong A S, 1999, In vitro and in vivo antitumor activity of a novel immunomodulatory therapeutic agent, leflunomide: mechanisms of action, Biochem Pharmacol November 1;58(9):1405-13.
Patents: U.S. Pat. No. 3926955 09/1972 Burton et al. 260/239 U.S. Pat. No. 5521184 04/1994 Zimmermann 514/252 U.S. Pat. No. 5721277 04/1995 Tang 514/646 U.S. Pat. No. 6271383 07/1999 Gravestock 546/209 U.S. Pat. No. 6136796 10/00 Kozak 514/75 U.S. Pat. No. 2001/0053782A1 514/258 12/2000 Blumenkopf et al. U.S. Pat. No. 6316425 11/2001 Myhren et al. 514/49 WO9820876 11/1996 McCullough and Koch C07D 521/00 WO9821213 11/1996 MeCullough et al. A61K 31/495 WO98/29437 12/97 Young 14/00 WO9832762 01/1997 Myhren et al. C07H 19/073 WO9945008 03/1998 Hayase et al. C07D 417/06 WO0034281 12/1998 Whittaker et al C07D 475/08 WO0142246A2 10/1999 Blumenkopf et al. C07D 487/04 WO09/963937 07/1999 Griffin WO0114397A1 08/1999 Or et al. C07H 17/08 WO01/20331 09/2000 Dower et al 33/566 WO01/13957 08/2000 Rothbard 47/48 EP0013376B1 05/1982 Kämmerer and Schleyerbach C07D 261/18 EP009944 Firestone 31/13 EP0627406A1 10/1992 Fujita et al. C07C 215/10 EP0632038B1 01/1992 Matsuoka et al. C07C 475/08 EP0676399A1 12/1992 Ohi and Suzuki C07C 475/08 JP05163293 514/252
Claims (18)
Priority Applications (2)
| Application Number | Priority Date | Filing Date | Title |
|---|---|---|---|
| US10/367,624 US20040005641A1 (en) | 2002-02-15 | 2003-02-14 | Conjugates of biologically active compounds, methods for their preparation and use, formulation and pharmaceutical applications thereof |
| US11/895,295 US20080145343A1 (en) | 2002-02-15 | 2007-08-23 | Conjugates of biologically active compounds, methods for their preparation and use, formulation and pharmaceutical applications thereof |
Applications Claiming Priority (2)
| Application Number | Priority Date | Filing Date | Title |
|---|---|---|---|
| US35758902P | 2002-02-15 | 2002-02-15 | |
| US10/367,624 US20040005641A1 (en) | 2002-02-15 | 2003-02-14 | Conjugates of biologically active compounds, methods for their preparation and use, formulation and pharmaceutical applications thereof |
Related Child Applications (1)
| Application Number | Title | Priority Date | Filing Date |
|---|---|---|---|
| US11/895,295 Continuation US20080145343A1 (en) | 2002-02-15 | 2007-08-23 | Conjugates of biologically active compounds, methods for their preparation and use, formulation and pharmaceutical applications thereof |
Publications (1)
| Publication Number | Publication Date |
|---|---|
| US20040005641A1 true US20040005641A1 (en) | 2004-01-08 |
Family
ID=27757644
Family Applications (4)
| Application Number | Title | Priority Date | Filing Date |
|---|---|---|---|
| US10/367,624 Abandoned US20040005641A1 (en) | 2002-02-15 | 2003-02-14 | Conjugates of biologically active compounds, methods for their preparation and use, formulation and pharmaceutical applications thereof |
| US10/504,786 Abandoned US20060099660A1 (en) | 2002-02-15 | 2003-02-14 | Conjugates of biologically active compounds, methods for their preparation and use, formulation and pharmaceutical applications thereof |
| US11/895,295 Abandoned US20080145343A1 (en) | 2002-02-15 | 2007-08-23 | Conjugates of biologically active compounds, methods for their preparation and use, formulation and pharmaceutical applications thereof |
| US12/157,937 Expired - Fee Related US8357506B2 (en) | 2002-02-15 | 2008-06-12 | Method of identifying improved conjugates of biologically active compounds |
Family Applications After (3)
| Application Number | Title | Priority Date | Filing Date |
|---|---|---|---|
| US10/504,786 Abandoned US20060099660A1 (en) | 2002-02-15 | 2003-02-14 | Conjugates of biologically active compounds, methods for their preparation and use, formulation and pharmaceutical applications thereof |
| US11/895,295 Abandoned US20080145343A1 (en) | 2002-02-15 | 2007-08-23 | Conjugates of biologically active compounds, methods for their preparation and use, formulation and pharmaceutical applications thereof |
| US12/157,937 Expired - Fee Related US8357506B2 (en) | 2002-02-15 | 2008-06-12 | Method of identifying improved conjugates of biologically active compounds |
Country Status (5)
| Country | Link |
|---|---|
| US (4) | US20040005641A1 (en) |
| EP (1) | EP1483579A4 (en) |
| AU (1) | AU2003215245A1 (en) |
| HR (1) | HRP20040849A2 (en) |
| WO (1) | WO2003070173A2 (en) |
Cited By (8)
| Publication number | Priority date | Publication date | Assignee | Title |
|---|---|---|---|---|
| US20040014685A1 (en) * | 2002-07-08 | 2004-01-22 | Pliva Pharmaceutical Industry, Incorporated | Compounds, compositions and methods for treatment of inflammatory diseases and conditions |
| US20040077612A1 (en) * | 2002-07-08 | 2004-04-22 | Pliva Dd | Novel compounds, compositions as carriers for steroid/nonsteroid anti-inflammatory; antienoplastic and antiviral active molecules |
| US20040097434A1 (en) * | 2002-07-08 | 2004-05-20 | Pliva Pharmaceutical Industry, Incorporated | Novel nonsteroidal anti-inflammatory substances, compositions and methods for their use |
| US20050080003A1 (en) * | 2003-04-24 | 2005-04-14 | Mladen Mercep | Compounds with anti-inflammatory activity |
| US20050129619A1 (en) * | 2003-12-10 | 2005-06-16 | Board Of Regents, The University Of Texas System | N2S2 chelate-targeting ligand conjugates |
| US20090093014A1 (en) * | 2002-02-15 | 2009-04-09 | Dr. Michael Burnet | Conjugates of biologically active compounds, methods for their preparation and use, formulation and pharmaceutical applications thereof |
| US20090221697A1 (en) * | 2005-07-26 | 2009-09-03 | Merckle Gmbh | Macrolide conjugates of pyrrolizine and indolizine compounds as inhibitors of 5-lipooxygenase and cyclooxygenase |
| CN113166189A (en) * | 2018-04-26 | 2021-07-23 | 纳米医学控股有限公司 | Gemcitabine amphiphilic prodrugs |
Families Citing this family (21)
| Publication number | Priority date | Publication date | Assignee | Title |
|---|---|---|---|---|
| NZ535355A (en) * | 2002-02-15 | 2007-09-28 | Merckle Gmbh | Antibiotic conjugates |
| EP1483277A4 (en) * | 2002-02-15 | 2007-10-03 | Merckle Gmbh | Conjugates of biologically active compounds, methods for their preparation and use, formulation and pharmaceutical applications thereof |
| US7091196B2 (en) | 2002-09-26 | 2006-08-15 | Rib-X Pharmaceuticals, Inc. | Bifunctional heterocyclic compounds and methods of making and using same |
| WO2004110452A1 (en) * | 2003-06-13 | 2004-12-23 | Novartis Ag | 2-aminopyrimidine derivatives as raf kinase inhibitors |
| WO2005085266A2 (en) | 2004-02-27 | 2005-09-15 | Rib-X Pharmaceuticals, Inc. | Macrocyclic compounds and methods of making and using the same |
| RU2007108544A (en) * | 2004-08-12 | 2008-09-20 | Глаксосмитклайн Истраживацки Центар Загреб Д.О.О.(Hr) | APPLICATION OF CELL-SPECIFIC CONJUGATES FOR THE TREATMENT OF INFLAMMATORY DISEASES OF THE GASTROINTESTINAL TRACT |
| US7767797B1 (en) | 2004-09-30 | 2010-08-03 | Synovo Gmbh | Macrocyclic compounds and methods of use thereof |
| GB2427360A (en) | 2005-06-22 | 2006-12-27 | Complex Biosystems Gmbh | Aliphatic prodrug linker |
| WO2007093840A2 (en) * | 2006-02-15 | 2007-08-23 | Glaxosmithkline Istrazivacki Centar Zagreb D.O.O. | Use of cell-specific conjugates for treatment of inflammatory diseases of the gastrointestinal tract |
| CN101619085B (en) * | 2009-08-11 | 2015-04-22 | 沈阳药科大学 | Erythromycin derivative and application as tumor cell proliferation inhibitor thereof |
| US9895449B2 (en) | 2010-05-25 | 2018-02-20 | Syndevrx, Inc. | Polymer-conjugated MetAP2 inhibitors, and therapeutic methods of use thereof |
| WO2011150022A2 (en) | 2010-05-25 | 2011-12-01 | Syndevrx, Inc. | Polymer-conjugated metap2 inhibitors, and therapeutic methods of use thereof |
| WO2011150088A1 (en) * | 2010-05-25 | 2011-12-01 | SynDevRX | Optimized drug conjugates |
| MX386958B (en) | 2013-04-10 | 2025-03-19 | Syndevrx Inc | METHIONINE AMINOPEPTIDASE-2 INHIBITORS AND OBESITY TREATMENT METHODS. |
| CN104710488B (en) * | 2015-03-11 | 2017-09-15 | 江南大学 | A kind of haptens of Tulathromycin and the synthetic method of comlete antigen |
| DK3386956T3 (en) | 2015-12-10 | 2021-10-11 | Syndevrx Inc | FUMAGILLOLD DERIVATIVES AND POLYMORPHES THEREOF |
| WO2017123603A1 (en) | 2016-01-11 | 2017-07-20 | Syndevrx, Inc. | Treatment for tumors driven by metabolic dysfunction |
| EP3870231A1 (en) | 2018-10-26 | 2021-09-01 | Syndevrx, Inc. | Biomarkers of metap2 inhibitors and applications thereof |
| JP7700045B2 (en) | 2019-04-18 | 2025-06-30 | アズーラ オフサルミックス エルティーディー. | Compounds and methods for treating eye disorders |
| WO2022084738A2 (en) * | 2020-10-21 | 2022-04-28 | Azura Ophthalmics Ltd. | Compounds and methods for the treatment of ocular disorders |
| US11459351B1 (en) * | 2021-04-05 | 2022-10-04 | Azura Ophthalmics Ltd. | Compounds and methods for the treatment of ocular disorders |
Citations (18)
| Publication number | Priority date | Publication date | Assignee | Title |
|---|---|---|---|---|
| US3417077A (en) * | 1966-05-16 | 1968-12-17 | Lilly Co Eli | Erythromycin derivative and process for the preparation thereof |
| US3884903A (en) * | 1973-06-21 | 1975-05-20 | Abbott Lab | 4{41 -Deoxy-4{41 -oxoerythromycin B derivatives |
| US4328334A (en) * | 1979-04-02 | 1982-05-04 | Pliva Pharmaceutical And Chemical Works | 11-Aza-10-deoxo-10-dihydroerythromycin A and derivatives thereof as well as a process for their preparation |
| US4382086A (en) * | 1982-03-01 | 1983-05-03 | Pfizer Inc. | 9-Dihydro-11,12-ketal derivatives of erythromycin A and epi-erythromycin A |
| US4474768A (en) * | 1982-07-19 | 1984-10-02 | Pfizer Inc. | N-Methyl 11-aza-10-deoxo-10-dihydro-erytromycin A, intermediates therefor |
| US4517359A (en) * | 1981-03-06 | 1985-05-14 | Sour Pliva Farmaceutska, Kemijska Prehrambena I Kozmeticka Industrija, N.Sol.O. | 11-Methyl-11-aza-4-0-cladinosyl-6-0-desosaminyl-15-ethyl-7,13,14-trihydroxy-3,5,7,9,12,14-hexamethyl-oxacyclopentadecane-2-one and derivatives thereof |
| US4834973A (en) * | 1971-05-20 | 1989-05-30 | Meir Strahilevitz | Immunological methods for treating mammals |
| US5466681A (en) * | 1990-02-23 | 1995-11-14 | Microcarb, Inc. | Receptor conjugates for targeting penicillin antibiotics to bacteria |
| US5486536A (en) * | 1994-08-15 | 1996-01-23 | The Regents Of The University Of Michigan | Sulfatides as anti-inflammatory compounds |
| US5516864A (en) * | 1993-03-29 | 1996-05-14 | Molecular Probes, Inc. | Fluorescent ion-selective diaryldiaza crown ether conjugates |
| US5676971A (en) * | 1988-08-11 | 1997-10-14 | Terumo Kabushiki Kaisha | Agents for inhibiting adsorption of proteins on the liposome surface |
| US5750493A (en) * | 1995-08-30 | 1998-05-12 | Raymond F. Schinazi | Method to improve the biological and antiviral activity of protease inhibitors |
| US5827533A (en) * | 1997-02-06 | 1998-10-27 | Duke University | Liposomes containing active agents aggregated with lipid surfactants |
| US5928868A (en) * | 1996-04-26 | 1999-07-27 | Massachusetts Institute Of Technology | Three hybrid screening assay |
| US6043227A (en) * | 1998-08-19 | 2000-03-28 | Pfizer Inc. | C11 carbamates of macrolide antibacterials |
| US6300316B1 (en) * | 1997-08-06 | 2001-10-09 | Pfizer Inc | C-4 substituted macrolide antibiotics |
| US20030068362A1 (en) * | 1993-02-22 | 2003-04-10 | American Bioscience, Inc. | Methods and formulations for the delivery of pharmacologically active agents |
| US6562796B2 (en) * | 2000-01-14 | 2003-05-13 | Micrologix Biotech Inc. | Derivatives of polyene macrolides and preparation and use thereof |
Family Cites Families (21)
| Publication number | Priority date | Publication date | Assignee | Title |
|---|---|---|---|---|
| ATE3367T1 (en) | 1978-10-02 | 1983-06-15 | Merck & Co. Inc. | LYSOSOMOTROPIC THERAPEUTIC FLUORINATED AMINE COMPOUNDS AND COMPOSITIONS CONTAINING THEM. |
| CA1139956A (en) * | 1978-10-10 | 1983-01-25 | Mark A. Rose | Process for extracting uranium from crude phosphoric acids |
| US4518590A (en) | 1984-04-13 | 1985-05-21 | Pfizer Inc. | 9α-Aza-9α-homoerythromycin compounds, pharmaceutical compositions and therapeutic method |
| US4585759A (en) | 1985-01-22 | 1986-04-29 | Pfizer Inc. | Antibacterial derivatives of a neutral macrolide |
| SI9011409A (en) | 1990-07-18 | 1995-10-31 | Pliva Pharm & Chem Works | O-methyl azitromycin derivates, methods and intermediates for their preparation and methods for preparation of pharmaceuticals products which comprise them |
| JPH07103148B2 (en) | 1991-12-16 | 1995-11-08 | 株式会社ディ・ディ・エス研究所 | Anthracycline-macrolide complex |
| KR100554549B1 (en) | 1997-10-16 | 2006-03-03 | 플리바 파마세우츠카 인두스트리야, 디오닉코, 드러스트보 | New 3,6-hemichemal derived from 9a-azalids |
| HRP980189B1 (en) | 1998-04-06 | 2004-04-30 | Pliva Pharm & Chem Works | Novel 15-membered lactams ketolides |
| AU4549999A (en) | 1998-06-08 | 1999-12-30 | Advanced Medicine, Inc. | Novel polyene macrolide compounds and uses |
| CA2318547A1 (en) | 1998-06-08 | 1999-12-16 | Advanced Medicine, Inc. | Combinatorial synthesis of multibinding libraries |
| AU4543899A (en) | 1998-06-08 | 1999-12-30 | Advanced Medicine, Inc. | Multibinding inhibitors of microsomal triglyceride transferase protein |
| US6100240A (en) | 1998-10-09 | 2000-08-08 | Pfizer Inc | Macrolide derivatives |
| ID27331A (en) | 1999-09-29 | 2001-03-29 | Pfizer Prod Inc | MAKING ANTIBIOTIC-ANTIBIOTIC KETOLIDA CARBAMATE |
| EP1122261A3 (en) | 2000-01-31 | 2001-09-26 | Pfizer Products Inc. | 13 and 14-membered antibacterial macrolides |
| EP1167376B1 (en) | 2000-06-30 | 2004-07-14 | Pfizer Products Inc. | Macrolide antibiotics |
| HRP20010018A2 (en) | 2001-01-09 | 2002-12-31 | Pliva D D | Novel anti-inflammatory compounds |
| AU2002360416A1 (en) | 2001-11-21 | 2003-06-10 | Activbiotics, Inc. | Targeted therapeutics and uses thereof |
| WO2003070173A2 (en) | 2002-02-15 | 2003-08-28 | Sympore Gmbh | Conjugates of biologically active compounds, methods for their preparation and use, formulation and pharmaceutical applications thereof |
| NZ535355A (en) * | 2002-02-15 | 2007-09-28 | Merckle Gmbh | Antibiotic conjugates |
| EP1483277A4 (en) * | 2002-02-15 | 2007-10-03 | Merckle Gmbh | Conjugates of biologically active compounds, methods for their preparation and use, formulation and pharmaceutical applications thereof |
| JP2005536488A (en) * | 2002-07-08 | 2005-12-02 | プリヴァ−イストラジヴァキ・インスティトゥ・ディー・オー・オー | Novel nonsteroidal anti-inflammatory substances, compositions and methods of use thereof |
-
2003
- 2003-02-14 WO PCT/US2003/004596 patent/WO2003070173A2/en not_active Ceased
- 2003-02-14 US US10/367,624 patent/US20040005641A1/en not_active Abandoned
- 2003-02-14 HR HR20040849A patent/HRP20040849A2/en not_active Application Discontinuation
- 2003-02-14 US US10/504,786 patent/US20060099660A1/en not_active Abandoned
- 2003-02-14 AU AU2003215245A patent/AU2003215245A1/en not_active Abandoned
- 2003-02-14 EP EP03711061A patent/EP1483579A4/en not_active Withdrawn
-
2007
- 2007-08-23 US US11/895,295 patent/US20080145343A1/en not_active Abandoned
-
2008
- 2008-06-12 US US12/157,937 patent/US8357506B2/en not_active Expired - Fee Related
Patent Citations (19)
| Publication number | Priority date | Publication date | Assignee | Title |
|---|---|---|---|---|
| US3417077A (en) * | 1966-05-16 | 1968-12-17 | Lilly Co Eli | Erythromycin derivative and process for the preparation thereof |
| US4834973A (en) * | 1971-05-20 | 1989-05-30 | Meir Strahilevitz | Immunological methods for treating mammals |
| US3884903A (en) * | 1973-06-21 | 1975-05-20 | Abbott Lab | 4{41 -Deoxy-4{41 -oxoerythromycin B derivatives |
| US4328334A (en) * | 1979-04-02 | 1982-05-04 | Pliva Pharmaceutical And Chemical Works | 11-Aza-10-deoxo-10-dihydroerythromycin A and derivatives thereof as well as a process for their preparation |
| US4517359A (en) * | 1981-03-06 | 1985-05-14 | Sour Pliva Farmaceutska, Kemijska Prehrambena I Kozmeticka Industrija, N.Sol.O. | 11-Methyl-11-aza-4-0-cladinosyl-6-0-desosaminyl-15-ethyl-7,13,14-trihydroxy-3,5,7,9,12,14-hexamethyl-oxacyclopentadecane-2-one and derivatives thereof |
| US4382086A (en) * | 1982-03-01 | 1983-05-03 | Pfizer Inc. | 9-Dihydro-11,12-ketal derivatives of erythromycin A and epi-erythromycin A |
| US4474768A (en) * | 1982-07-19 | 1984-10-02 | Pfizer Inc. | N-Methyl 11-aza-10-deoxo-10-dihydro-erytromycin A, intermediates therefor |
| US5846458A (en) * | 1988-08-11 | 1998-12-08 | Terumo Kabushiki Kaisha | Inhibition adsorption of proteins on the liposome surface |
| US5676971A (en) * | 1988-08-11 | 1997-10-14 | Terumo Kabushiki Kaisha | Agents for inhibiting adsorption of proteins on the liposome surface |
| US5466681A (en) * | 1990-02-23 | 1995-11-14 | Microcarb, Inc. | Receptor conjugates for targeting penicillin antibiotics to bacteria |
| US20030068362A1 (en) * | 1993-02-22 | 2003-04-10 | American Bioscience, Inc. | Methods and formulations for the delivery of pharmacologically active agents |
| US5516864A (en) * | 1993-03-29 | 1996-05-14 | Molecular Probes, Inc. | Fluorescent ion-selective diaryldiaza crown ether conjugates |
| US5486536A (en) * | 1994-08-15 | 1996-01-23 | The Regents Of The University Of Michigan | Sulfatides as anti-inflammatory compounds |
| US5750493A (en) * | 1995-08-30 | 1998-05-12 | Raymond F. Schinazi | Method to improve the biological and antiviral activity of protease inhibitors |
| US5928868A (en) * | 1996-04-26 | 1999-07-27 | Massachusetts Institute Of Technology | Three hybrid screening assay |
| US5827533A (en) * | 1997-02-06 | 1998-10-27 | Duke University | Liposomes containing active agents aggregated with lipid surfactants |
| US6300316B1 (en) * | 1997-08-06 | 2001-10-09 | Pfizer Inc | C-4 substituted macrolide antibiotics |
| US6043227A (en) * | 1998-08-19 | 2000-03-28 | Pfizer Inc. | C11 carbamates of macrolide antibacterials |
| US6562796B2 (en) * | 2000-01-14 | 2003-05-13 | Micrologix Biotech Inc. | Derivatives of polyene macrolides and preparation and use thereof |
Cited By (14)
| Publication number | Priority date | Publication date | Assignee | Title |
|---|---|---|---|---|
| US20090093014A1 (en) * | 2002-02-15 | 2009-04-09 | Dr. Michael Burnet | Conjugates of biologically active compounds, methods for their preparation and use, formulation and pharmaceutical applications thereof |
| US8357506B2 (en) | 2002-02-15 | 2013-01-22 | Michael Burnet | Method of identifying improved conjugates of biologically active compounds |
| US20040077612A1 (en) * | 2002-07-08 | 2004-04-22 | Pliva Dd | Novel compounds, compositions as carriers for steroid/nonsteroid anti-inflammatory; antienoplastic and antiviral active molecules |
| US20040097434A1 (en) * | 2002-07-08 | 2004-05-20 | Pliva Pharmaceutical Industry, Incorporated | Novel nonsteroidal anti-inflammatory substances, compositions and methods for their use |
| US20040014685A1 (en) * | 2002-07-08 | 2004-01-22 | Pliva Pharmaceutical Industry, Incorporated | Compounds, compositions and methods for treatment of inflammatory diseases and conditions |
| US7091187B2 (en) | 2002-07-08 | 2006-08-15 | Pliva-Istrazivacki Institut D.O.O. | Compounds, compositions and methods for treatment of inflammatory diseases and conditions |
| US7109176B2 (en) | 2002-07-08 | 2006-09-19 | Pliva-Istrazivacki Institut D.O.O. | Nonsteroidal anti-inflammatory substances, compositions and methods for their use |
| US7157433B2 (en) | 2002-07-08 | 2007-01-02 | Glaxosmithkline Istrazivacki Centar Zagreb | Compounds, compositions as carriers for steroid/nonsteroid anti-inflammatory; antienoplastic and antiviral active molecules |
| US20050080003A1 (en) * | 2003-04-24 | 2005-04-14 | Mladen Mercep | Compounds with anti-inflammatory activity |
| US7579334B2 (en) | 2003-04-24 | 2009-08-25 | Glaxosmithkline Istrazivacki Centar Zagreb | Compounds with anti-inflammatory activity |
| US20050129619A1 (en) * | 2003-12-10 | 2005-06-16 | Board Of Regents, The University Of Texas System | N2S2 chelate-targeting ligand conjugates |
| US9050378B2 (en) * | 2003-12-10 | 2015-06-09 | Board Of Regents, The University Of Texas System | N2S2 chelate-targeting ligand conjugates |
| US20090221697A1 (en) * | 2005-07-26 | 2009-09-03 | Merckle Gmbh | Macrolide conjugates of pyrrolizine and indolizine compounds as inhibitors of 5-lipooxygenase and cyclooxygenase |
| CN113166189A (en) * | 2018-04-26 | 2021-07-23 | 纳米医学控股有限公司 | Gemcitabine amphiphilic prodrugs |
Also Published As
| Publication number | Publication date |
|---|---|
| AU2003215245A8 (en) | 2003-09-09 |
| WO2003070173A3 (en) | 2003-12-04 |
| US8357506B2 (en) | 2013-01-22 |
| US20080145343A1 (en) | 2008-06-19 |
| US20060099660A1 (en) | 2006-05-11 |
| US20090093014A1 (en) | 2009-04-09 |
| HRP20040849A2 (en) | 2005-08-31 |
| AU2003215245A1 (en) | 2003-09-09 |
| WO2003070173A2 (en) | 2003-08-28 |
| EP1483579A4 (en) | 2006-07-12 |
| EP1483579A2 (en) | 2004-12-08 |
Similar Documents
| Publication | Publication Date | Title |
|---|---|---|
| US7579324B2 (en) | Conjugates of biologically active compounds, methods for their preparation and use, formulation and pharmaceutical applications thereof | |
| US8357506B2 (en) | Method of identifying improved conjugates of biologically active compounds | |
| Prokai et al. | Targeting drugs to the brain by redox chemical delivery systems | |
| AU740694B2 (en) | Preparation having increased in vivo tolerability | |
| US20040186063A1 (en) | Conjugates of biologically active compounds, methods for their preparation and use, formulation and pharmaceutical applications thereof | |
| US20090062236A1 (en) | Programmable genotoxic agents and uses therefor | |
| Trouet et al. | Extracellularly tumor-activated prodrugs for the selective chemotherapy of cancer: application to doxorubicin and preliminary in vitro and in vivo studies | |
| US9006186B2 (en) | Selective targeting agents for mitochondria | |
| FR2874016A1 (en) | NANOPARTICLES OF DERIVATIVES OF GEMCITABINE | |
| Lelle et al. | Overcoming drug resistance by cell-penetrating peptide-mediated delivery of a doxorubicin dimer with high DNA-binding affinity | |
| Renoux et al. | A β-glucuronidase-responsive albumin-binding prodrug programmed for the double release of monomethyl auristatin E | |
| Swart et al. | Homing of negatively charged albumins to the lymphatic system: general implications for drug targeting to peripheral tissues and viral reservoirs | |
| Ye et al. | Glutathione-responsive prodrug conjugates for image-guided combination in cancer therapy | |
| US6500669B1 (en) | Programmable genotoxic agents and uses therefor | |
| Chaturvedi et al. | Prodrug-based drug delivery systems: strategic approaches and emerging challenges in targeted therapeutics | |
| Chiu et al. | Design, Synthesis, and Evaluation of Glucose Transporter Inhibitor-SN38 Conjugates for Targeting Colorectal Cancer | |
| Plumet et al. | A β-cyclodextrin-albumin conjugate for enhancing therapeutic efficacy of cytotoxic drugs | |
| Tan et al. | Pharmacokinetics of bis (t-butyl-SATE)-AZTMP, a bispivaloylthioethyl prodrug for intracellular delivery of zidovudine monophosphate, in mice | |
| US20100227798A1 (en) | Use of the staudinger ligation in in vivo assembly of a biologically active compound | |
| Delshad et al. | Pharmacokinetics, metabolism, and toxicity of anisomelic acid and ovatodiolide: Guiding route of administration in preclinical studies | |
| Ly et al. | Raman spectroscopy of pH-induced release of zidovudine from lactobionic acid-conjugated PEGylated gold colloids | |
| RU2809635C1 (en) | Conjugates of monomethyl auristatin e with asialoglycoprotein receptor ligands for targeted transport into tumor cells of liver | |
| Laras et al. | Thiazolamide–Ascorbic Acid Conjugate: a?-Secretase Inhibitor with Enhanced Blood–Brain Barrier Permeation | |
| Shah | Strategies to overcome physicochemical and biological barriers in chemotherapy by formulation and drug delivery device combination | |
| KR20100110458A (en) | Targetable complexes using aptamer |
Legal Events
| Date | Code | Title | Description |
|---|---|---|---|
| AS | Assignment |
Owner name: SYMPORE GMBH, GERMANY Free format text: ASSIGNMENT OF ASSIGNORS INTEREST;ASSIGNORS:BURNET, MICHAEL;GUSE, JAN-HINRICH;KIM, GENE;AND OTHERS;REEL/FRAME:014234/0234;SIGNING DATES FROM 20030302 TO 20030602 |
|
| AS | Assignment |
Owner name: SYNOVO GMBH, GERMANY Free format text: ASSIGNMENT OF ASSIGNORS INTEREST;ASSIGNOR:SYMPORE GMBH;REEL/FRAME:015249/0509 Effective date: 20040729 |
|
| AS | Assignment |
Owner name: MERCKLE GMBH, GERMANY Free format text: ASSIGNMENT OF ASSIGNORS INTEREST;ASSIGNOR:SYNOVO GMBH;REEL/FRAME:017269/0914 Effective date: 20051220 |
|
| AS | Assignment |
Owner name: MERCKLE GMBH, GERMANY Free format text: CORRECTED COVER SHEET TO CORRECT PROPERTY NUMBERS, PREVIOUSLY RECORDED AT REEL/FRAME 017269/0914 (ASSIGNMENT OF ASSIGNOR'S INTEREST);ASSIGNOR:SYNOVO GMBH;REEL/FRAME:017826/0975 Effective date: 20051220 |
|
| AS | Assignment |
Owner name: BURNET, DR. MICHAEL, GERMANY Free format text: ASSIGNMENT OF ASSIGNORS INTEREST;ASSIGNOR:MERCKLE GMBH;REEL/FRAME:018655/0558 Effective date: 20061016 |
|
| STCB | Information on status: application discontinuation |
Free format text: ABANDONED -- FAILURE TO RESPOND TO AN OFFICE ACTION |










































































































