US20030235538A1 - Method for the administration of an anticholinergic by inhalation - Google Patents
Method for the administration of an anticholinergic by inhalation Download PDFInfo
- Publication number
- US20030235538A1 US20030235538A1 US10/407,019 US40701903A US2003235538A1 US 20030235538 A1 US20030235538 A1 US 20030235538A1 US 40701903 A US40701903 A US 40701903A US 2003235538 A1 US2003235538 A1 US 2003235538A1
- Authority
- US
- United States
- Prior art keywords
- tiotropium
- inhalation
- housing
- kit according
- deck
- Prior art date
- Legal status (The legal status is an assumption and is not a legal conclusion. Google has not performed a legal analysis and makes no representation as to the accuracy of the status listed.)
- Abandoned
Links
- 238000000034 method Methods 0.000 title claims abstract description 39
- 230000001078 anti-cholinergic effect Effects 0.000 title description 2
- 239000000843 powder Substances 0.000 claims abstract description 81
- 239000000546 pharmaceutical excipient Substances 0.000 claims abstract description 60
- 229940110309 tiotropium Drugs 0.000 claims abstract description 51
- LERNTVKEWCAPOY-DZZGSBJMSA-N tiotropium Chemical compound O([C@H]1C[C@@H]2[N+]([C@H](C1)[C@@H]1[C@H]2O1)(C)C)C(=O)C(O)(C=1SC=CC=1)C1=CC=CS1 LERNTVKEWCAPOY-DZZGSBJMSA-N 0.000 claims abstract description 51
- 239000002245 particle Substances 0.000 claims abstract description 42
- MQLXPRBEAHBZTK-SEINRUQRSA-M tiotropium bromide hydrate Chemical compound O.[Br-].C[N+]1(C)[C@H]2C[C@@H](C[C@@H]1[C@H]1O[C@@H]21)OC(=O)C(O)(c1cccs1)c1cccs1 MQLXPRBEAHBZTK-SEINRUQRSA-M 0.000 claims description 26
- 239000002775 capsule Substances 0.000 claims description 13
- CPELXLSAUQHCOX-UHFFFAOYSA-M Bromide Chemical compound [Br-] CPELXLSAUQHCOX-UHFFFAOYSA-M 0.000 claims description 8
- VEXZGXHMUGYJMC-UHFFFAOYSA-M Chloride anion Chemical compound [Cl-] VEXZGXHMUGYJMC-UHFFFAOYSA-M 0.000 claims description 7
- AFVFQIVMOAPDHO-UHFFFAOYSA-N Methanesulfonic acid Chemical compound CS(O)(=O)=O AFVFQIVMOAPDHO-UHFFFAOYSA-N 0.000 claims description 7
- XMBWDFGMSWQBCA-UHFFFAOYSA-N hydrogen iodide Chemical compound I XMBWDFGMSWQBCA-UHFFFAOYSA-N 0.000 claims description 7
- JOXIMZWYDAKGHI-UHFFFAOYSA-N toluene-4-sulfonic acid Chemical compound CC1=CC=C(S(O)(=O)=O)C=C1 JOXIMZWYDAKGHI-UHFFFAOYSA-N 0.000 claims description 7
- JZMJDSHXVKJFKW-UHFFFAOYSA-N methyl sulfate Chemical class COS(O)(=O)=O JZMJDSHXVKJFKW-UHFFFAOYSA-N 0.000 claims 6
- 239000003814 drug Substances 0.000 description 24
- 239000012528 membrane Substances 0.000 description 20
- 238000003860 storage Methods 0.000 description 20
- 239000000203 mixture Substances 0.000 description 15
- LERNTVKEWCAPOY-VOGVJGKGSA-N C[N+]1(C)[C@H]2C[C@H](C[C@@H]1[C@H]1O[C@@H]21)OC(=O)C(O)(c1cccs1)c1cccs1 Chemical compound C[N+]1(C)[C@H]2C[C@H](C[C@@H]1[C@H]1O[C@@H]21)OC(=O)C(O)(c1cccs1)c1cccs1 LERNTVKEWCAPOY-VOGVJGKGSA-N 0.000 description 9
- 239000013543 active substance Substances 0.000 description 9
- 229960000257 tiotropium bromide Drugs 0.000 description 9
- 238000004891 communication Methods 0.000 description 8
- 230000000149 penetrating effect Effects 0.000 description 8
- WSVLPVUVIUVCRA-KPKNDVKVSA-N Alpha-lactose monohydrate Chemical compound O.O[C@@H]1[C@@H](O)[C@@H](O)[C@@H](CO)O[C@H]1O[C@@H]1[C@@H](CO)O[C@H](O)[C@H](O)[C@H]1O WSVLPVUVIUVCRA-KPKNDVKVSA-N 0.000 description 7
- 229960001021 lactose monohydrate Drugs 0.000 description 7
- 238000002156 mixing Methods 0.000 description 7
- 230000010355 oscillation Effects 0.000 description 7
- XLYOFNOQVPJJNP-UHFFFAOYSA-N water Substances O XLYOFNOQVPJJNP-UHFFFAOYSA-N 0.000 description 7
- 208000006545 Chronic Obstructive Pulmonary Disease Diseases 0.000 description 6
- 208000006673 asthma Diseases 0.000 description 6
- 150000001875 compounds Chemical class 0.000 description 5
- 238000002360 preparation method Methods 0.000 description 5
- 208000023504 respiratory system disease Diseases 0.000 description 5
- 239000013078 crystal Substances 0.000 description 4
- 239000004615 ingredient Substances 0.000 description 4
- 238000011068 loading method Methods 0.000 description 4
- CSCPPACGZOOCGX-UHFFFAOYSA-N Acetone Chemical compound CC(C)=O CSCPPACGZOOCGX-UHFFFAOYSA-N 0.000 description 3
- 229960001031 glucose Drugs 0.000 description 3
- GUBGYTABKSRVRQ-XLOQQCSPSA-N Alpha-Lactose Chemical compound O[C@@H]1[C@@H](O)[C@@H](O)[C@@H](CO)O[C@H]1O[C@@H]1[C@@H](CO)O[C@H](O)[C@H](O)[C@H]1O GUBGYTABKSRVRQ-XLOQQCSPSA-N 0.000 description 2
- QGZKDVFQNNGYKY-UHFFFAOYSA-O Ammonium Chemical compound [NH4+] QGZKDVFQNNGYKY-UHFFFAOYSA-O 0.000 description 2
- IJGRMHOSHXDMSA-UHFFFAOYSA-N Atomic nitrogen Chemical compound N#N IJGRMHOSHXDMSA-UHFFFAOYSA-N 0.000 description 2
- VTYYLEPIZMXCLO-UHFFFAOYSA-L Calcium carbonate Chemical compound [Ca+2].[O-]C([O-])=O VTYYLEPIZMXCLO-UHFFFAOYSA-L 0.000 description 2
- OKTJSMMVPCPJKN-UHFFFAOYSA-N Carbon Chemical compound [C] OKTJSMMVPCPJKN-UHFFFAOYSA-N 0.000 description 2
- WQZGKKKJIJFFOK-GASJEMHNSA-N Glucose Natural products OC[C@H]1OC(O)[C@H](O)[C@@H](O)[C@@H]1O WQZGKKKJIJFFOK-GASJEMHNSA-N 0.000 description 2
- GUBGYTABKSRVRQ-QKKXKWKRSA-N Lactose Natural products OC[C@H]1O[C@@H](O[C@H]2[C@H](O)[C@@H](O)C(O)O[C@@H]2CO)[C@H](O)[C@@H](O)[C@H]1O GUBGYTABKSRVRQ-QKKXKWKRSA-N 0.000 description 2
- FAPWRFPIFSIZLT-UHFFFAOYSA-M Sodium chloride Chemical compound [Na+].[Cl-] FAPWRFPIFSIZLT-UHFFFAOYSA-M 0.000 description 2
- 239000004480 active ingredient Substances 0.000 description 2
- 150000001450 anions Chemical class 0.000 description 2
- WQZGKKKJIJFFOK-VFUOTHLCSA-N beta-D-glucose Chemical compound OC[C@H]1O[C@@H](O)[C@H](O)[C@@H](O)[C@@H]1O WQZGKKKJIJFFOK-VFUOTHLCSA-N 0.000 description 2
- 238000006243 chemical reaction Methods 0.000 description 2
- 150000002016 disaccharides Chemical class 0.000 description 2
- 239000008103 glucose Substances 0.000 description 2
- 229960001375 lactose Drugs 0.000 description 2
- 239000008101 lactose Substances 0.000 description 2
- 238000005259 measurement Methods 0.000 description 2
- 150000002772 monosaccharides Chemical class 0.000 description 2
- 239000007858 starting material Substances 0.000 description 2
- 238000012916 structural analysis Methods 0.000 description 2
- 239000000126 substance Substances 0.000 description 2
- 230000001225 therapeutic effect Effects 0.000 description 2
- OSNSWKAZFASRNG-WNFIKIDCSA-N (2s,3r,4s,5s,6r)-6-(hydroxymethyl)oxane-2,3,4,5-tetrol;hydrate Chemical compound O.OC[C@H]1O[C@H](O)[C@H](O)[C@@H](O)[C@@H]1O OSNSWKAZFASRNG-WNFIKIDCSA-N 0.000 description 1
- OWEGMIWEEQEYGQ-UHFFFAOYSA-N 100676-05-9 Natural products OC1C(O)C(O)C(CO)OC1OCC1C(O)C(O)C(O)C(OC2C(OC(O)C(O)C2O)CO)O1 OWEGMIWEEQEYGQ-UHFFFAOYSA-N 0.000 description 1
- XXZPJWQNUJNDML-UHFFFAOYSA-M C.CN1(C)C2CC(OC(=O)C(O)(C3=CC=CS3)C3=CC=CS3)CC1C1OC12.[Br-] Chemical compound C.CN1(C)C2CC(OC(=O)C(O)(C3=CC=CS3)C3=CC=CS3)CC1C1OC12.[Br-] XXZPJWQNUJNDML-UHFFFAOYSA-M 0.000 description 1
- RYGMFSIKBFXOCR-UHFFFAOYSA-N Copper Chemical compound [Cu] RYGMFSIKBFXOCR-UHFFFAOYSA-N 0.000 description 1
- FBPFZTCFMRRESA-FSIIMWSLSA-N D-Glucitol Natural products OC[C@H](O)[C@H](O)[C@@H](O)[C@H](O)CO FBPFZTCFMRRESA-FSIIMWSLSA-N 0.000 description 1
- FBPFZTCFMRRESA-KVTDHHQDSA-N D-Mannitol Chemical compound OC[C@@H](O)[C@@H](O)[C@H](O)[C@H](O)CO FBPFZTCFMRRESA-KVTDHHQDSA-N 0.000 description 1
- FBPFZTCFMRRESA-JGWLITMVSA-N D-glucitol Chemical compound OC[C@H](O)[C@@H](O)[C@H](O)[C@H](O)CO FBPFZTCFMRRESA-JGWLITMVSA-N 0.000 description 1
- YTPLMLYBLZKORZ-UHFFFAOYSA-N Divinylene sulfide Natural products C=1C=CSC=1 YTPLMLYBLZKORZ-UHFFFAOYSA-N 0.000 description 1
- 238000005033 Fourier transform infrared spectroscopy Methods 0.000 description 1
- 238000004566 IR spectroscopy Methods 0.000 description 1
- GUBGYTABKSRVRQ-PICCSMPSSA-N Maltose Natural products O[C@@H]1[C@@H](O)[C@H](O)[C@@H](CO)O[C@@H]1O[C@@H]1[C@@H](CO)OC(O)[C@H](O)[C@H]1O GUBGYTABKSRVRQ-PICCSMPSSA-N 0.000 description 1
- 229930195725 Mannitol Natural products 0.000 description 1
- 229930006000 Sucrose Natural products 0.000 description 1
- CZMRCDWAGMRECN-UGDNZRGBSA-N Sucrose Chemical compound O[C@H]1[C@H](O)[C@@H](CO)O[C@@]1(CO)O[C@@H]1[C@H](O)[C@@H](O)[C@H](O)[C@@H](CO)O1 CZMRCDWAGMRECN-UGDNZRGBSA-N 0.000 description 1
- 238000002441 X-ray diffraction Methods 0.000 description 1
- TVXBFESIOXBWNM-UHFFFAOYSA-N Xylitol Natural products OCCC(O)C(O)C(O)CCO TVXBFESIOXBWNM-UHFFFAOYSA-N 0.000 description 1
- 239000000443 aerosol Substances 0.000 description 1
- PYMYPHUHKUWMLA-WDCZJNDASA-N arabinose Chemical compound OC[C@@H](O)[C@@H](O)[C@H](O)C=O PYMYPHUHKUWMLA-WDCZJNDASA-N 0.000 description 1
- PYMYPHUHKUWMLA-UHFFFAOYSA-N arabinose Natural products OCC(O)C(O)C(O)C=O PYMYPHUHKUWMLA-UHFFFAOYSA-N 0.000 description 1
- SRBFZHDQGSBBOR-UHFFFAOYSA-N beta-D-Pyranose-Lyxose Natural products OC1COC(O)C(O)C1O SRBFZHDQGSBBOR-UHFFFAOYSA-N 0.000 description 1
- GUBGYTABKSRVRQ-QUYVBRFLSA-N beta-maltose Chemical compound OC[C@H]1O[C@H](O[C@H]2[C@H](O)[C@@H](O)[C@H](O)O[C@@H]2CO)[C@H](O)[C@@H](O)[C@@H]1O GUBGYTABKSRVRQ-QUYVBRFLSA-N 0.000 description 1
- 230000015572 biosynthetic process Effects 0.000 description 1
- 229910000019 calcium carbonate Inorganic materials 0.000 description 1
- 229910052802 copper Inorganic materials 0.000 description 1
- 239000010949 copper Substances 0.000 description 1
- 238000002425 crystallisation Methods 0.000 description 1
- 230000008025 crystallization Effects 0.000 description 1
- 230000018044 dehydration Effects 0.000 description 1
- 238000006297 dehydration reaction Methods 0.000 description 1
- -1 dextrane) Chemical class 0.000 description 1
- 238000010586 diagram Methods 0.000 description 1
- 235000013681 dietary sucrose Nutrition 0.000 description 1
- 230000000694 effects Effects 0.000 description 1
- 150000002118 epoxides Chemical class 0.000 description 1
- 238000011049 filling Methods 0.000 description 1
- 150000004676 glycans Chemical class 0.000 description 1
- 238000010438 heat treatment Methods 0.000 description 1
- 150000004677 hydrates Chemical class 0.000 description 1
- 238000002329 infrared spectrum Methods 0.000 description 1
- 230000005923 long-lasting effect Effects 0.000 description 1
- 210000004072 lung Anatomy 0.000 description 1
- 229960002160 maltose Drugs 0.000 description 1
- 239000000594 mannitol Substances 0.000 description 1
- 235000010355 mannitol Nutrition 0.000 description 1
- 238000004519 manufacturing process Methods 0.000 description 1
- 238000002844 melting Methods 0.000 description 1
- 230000008018 melting Effects 0.000 description 1
- HEBKCHPVOIAQTA-UHFFFAOYSA-N meso ribitol Natural products OCC(O)C(O)C(O)CO HEBKCHPVOIAQTA-UHFFFAOYSA-N 0.000 description 1
- JZMJDSHXVKJFKW-UHFFFAOYSA-M methyl sulfate(1-) Chemical compound COS([O-])(=O)=O JZMJDSHXVKJFKW-UHFFFAOYSA-M 0.000 description 1
- 238000012986 modification Methods 0.000 description 1
- 230000004048 modification Effects 0.000 description 1
- 150000004682 monohydrates Chemical class 0.000 description 1
- 229910052757 nitrogen Inorganic materials 0.000 description 1
- 150000002482 oligosaccharides Polymers 0.000 description 1
- 238000012856 packing Methods 0.000 description 1
- 239000008194 pharmaceutical composition Substances 0.000 description 1
- 229920001282 polysaccharide Polymers 0.000 description 1
- 239000005017 polysaccharide Substances 0.000 description 1
- 230000005855 radiation Effects 0.000 description 1
- 230000000241 respiratory effect Effects 0.000 description 1
- 150000003839 salts Chemical class 0.000 description 1
- 239000002002 slurry Substances 0.000 description 1
- 239000011780 sodium chloride Substances 0.000 description 1
- 239000002904 solvent Substances 0.000 description 1
- 239000000600 sorbitol Substances 0.000 description 1
- 235000010356 sorbitol Nutrition 0.000 description 1
- 238000003756 stirring Methods 0.000 description 1
- 229960004793 sucrose Drugs 0.000 description 1
- 150000005846 sugar alcohols Polymers 0.000 description 1
- 238000003786 synthesis reaction Methods 0.000 description 1
- 229930192474 thiophene Natural products 0.000 description 1
- 239000000811 xylitol Substances 0.000 description 1
- 235000010447 xylitol Nutrition 0.000 description 1
- HEBKCHPVOIAQTA-SCDXWVJYSA-N xylitol Chemical compound OC[C@H](O)[C@@H](O)[C@H](O)CO HEBKCHPVOIAQTA-SCDXWVJYSA-N 0.000 description 1
- 229960002675 xylitol Drugs 0.000 description 1
Images
Classifications
-
- A—HUMAN NECESSITIES
- A61—MEDICAL OR VETERINARY SCIENCE; HYGIENE
- A61M—DEVICES FOR INTRODUCING MEDIA INTO, OR ONTO, THE BODY; DEVICES FOR TRANSDUCING BODY MEDIA OR FOR TAKING MEDIA FROM THE BODY; DEVICES FOR PRODUCING OR ENDING SLEEP OR STUPOR
- A61M15/00—Inhalators
- A61M15/0028—Inhalators using prepacked dosages, one for each application, e.g. capsules to be perforated or broken-up
- A61M15/003—Inhalators using prepacked dosages, one for each application, e.g. capsules to be perforated or broken-up using capsules, e.g. to be perforated or broken-up
- A61M15/0033—Details of the piercing or cutting means
- A61M15/0041—Details of the piercing or cutting means with movable piercing or cutting means
-
- A—HUMAN NECESSITIES
- A61—MEDICAL OR VETERINARY SCIENCE; HYGIENE
- A61K—PREPARATIONS FOR MEDICAL, DENTAL OR TOILETRY PURPOSES
- A61K31/00—Medicinal preparations containing organic active ingredients
- A61K31/33—Heterocyclic compounds
- A61K31/395—Heterocyclic compounds having nitrogen as a ring hetero atom, e.g. guanethidine or rifamycins
- A61K31/435—Heterocyclic compounds having nitrogen as a ring hetero atom, e.g. guanethidine or rifamycins having six-membered rings with one nitrogen as the only ring hetero atom
- A61K31/439—Heterocyclic compounds having nitrogen as a ring hetero atom, e.g. guanethidine or rifamycins having six-membered rings with one nitrogen as the only ring hetero atom the ring forming part of a bridged ring system, e.g. quinuclidine
-
- A—HUMAN NECESSITIES
- A61—MEDICAL OR VETERINARY SCIENCE; HYGIENE
- A61K—PREPARATIONS FOR MEDICAL, DENTAL OR TOILETRY PURPOSES
- A61K9/00—Medicinal preparations characterised by special physical form
- A61K9/0012—Galenical forms characterised by the site of application
- A61K9/007—Pulmonary tract; Aromatherapy
- A61K9/0073—Sprays or powders for inhalation; Aerolised or nebulised preparations generated by other means than thermal energy
- A61K9/0075—Sprays or powders for inhalation; Aerolised or nebulised preparations generated by other means than thermal energy for inhalation via a dry powder inhaler [DPI], e.g. comprising micronized drug mixed with lactose carrier particles
-
- A—HUMAN NECESSITIES
- A61—MEDICAL OR VETERINARY SCIENCE; HYGIENE
- A61K—PREPARATIONS FOR MEDICAL, DENTAL OR TOILETRY PURPOSES
- A61K9/00—Medicinal preparations characterised by special physical form
- A61K9/14—Particulate form, e.g. powders, Processes for size reducing of pure drugs or the resulting products, Pure drug nanoparticles
- A61K9/141—Intimate drug-carrier mixtures characterised by the carrier, e.g. ordered mixtures, adsorbates, solid solutions, eutectica, co-dried, co-solubilised, co-kneaded, co-milled, co-ground products, co-precipitates, co-evaporates, co-extrudates, co-melts; Drug nanoparticles with adsorbed surface modifiers
- A61K9/145—Intimate drug-carrier mixtures characterised by the carrier, e.g. ordered mixtures, adsorbates, solid solutions, eutectica, co-dried, co-solubilised, co-kneaded, co-milled, co-ground products, co-precipitates, co-evaporates, co-extrudates, co-melts; Drug nanoparticles with adsorbed surface modifiers with organic compounds
-
- A—HUMAN NECESSITIES
- A61—MEDICAL OR VETERINARY SCIENCE; HYGIENE
- A61M—DEVICES FOR INTRODUCING MEDIA INTO, OR ONTO, THE BODY; DEVICES FOR TRANSDUCING BODY MEDIA OR FOR TAKING MEDIA FROM THE BODY; DEVICES FOR PRODUCING OR ENDING SLEEP OR STUPOR
- A61M15/00—Inhalators
- A61M15/0001—Details of inhalators; Constructional features thereof
- A61M15/0021—Mouthpieces therefor
-
- A—HUMAN NECESSITIES
- A61—MEDICAL OR VETERINARY SCIENCE; HYGIENE
- A61M—DEVICES FOR INTRODUCING MEDIA INTO, OR ONTO, THE BODY; DEVICES FOR TRANSDUCING BODY MEDIA OR FOR TAKING MEDIA FROM THE BODY; DEVICES FOR PRODUCING OR ENDING SLEEP OR STUPOR
- A61M15/00—Inhalators
- A61M15/0001—Details of inhalators; Constructional features thereof
- A61M15/0021—Mouthpieces therefor
- A61M15/0025—Mouthpieces therefor with caps
- A61M15/0026—Hinged caps
-
- A—HUMAN NECESSITIES
- A61—MEDICAL OR VETERINARY SCIENCE; HYGIENE
- A61M—DEVICES FOR INTRODUCING MEDIA INTO, OR ONTO, THE BODY; DEVICES FOR TRANSDUCING BODY MEDIA OR FOR TAKING MEDIA FROM THE BODY; DEVICES FOR PRODUCING OR ENDING SLEEP OR STUPOR
- A61M15/00—Inhalators
- A61M15/0028—Inhalators using prepacked dosages, one for each application, e.g. capsules to be perforated or broken-up
- A61M15/0045—Inhalators using prepacked dosages, one for each application, e.g. capsules to be perforated or broken-up using multiple prepacked dosages on a same carrier, e.g. blisters
-
- A—HUMAN NECESSITIES
- A61—MEDICAL OR VETERINARY SCIENCE; HYGIENE
- A61M—DEVICES FOR INTRODUCING MEDIA INTO, OR ONTO, THE BODY; DEVICES FOR TRANSDUCING BODY MEDIA OR FOR TAKING MEDIA FROM THE BODY; DEVICES FOR PRODUCING OR ENDING SLEEP OR STUPOR
- A61M15/00—Inhalators
- A61M15/0028—Inhalators using prepacked dosages, one for each application, e.g. capsules to be perforated or broken-up
- A61M15/0045—Inhalators using prepacked dosages, one for each application, e.g. capsules to be perforated or broken-up using multiple prepacked dosages on a same carrier, e.g. blisters
- A61M15/0046—Inhalators using prepacked dosages, one for each application, e.g. capsules to be perforated or broken-up using multiple prepacked dosages on a same carrier, e.g. blisters characterized by the type of carrier
- A61M15/0051—Inhalators using prepacked dosages, one for each application, e.g. capsules to be perforated or broken-up using multiple prepacked dosages on a same carrier, e.g. blisters characterized by the type of carrier the dosages being arranged on a tape, e.g. strips
-
- A—HUMAN NECESSITIES
- A61—MEDICAL OR VETERINARY SCIENCE; HYGIENE
- A61M—DEVICES FOR INTRODUCING MEDIA INTO, OR ONTO, THE BODY; DEVICES FOR TRANSDUCING BODY MEDIA OR FOR TAKING MEDIA FROM THE BODY; DEVICES FOR PRODUCING OR ENDING SLEEP OR STUPOR
- A61M15/00—Inhalators
- A61M15/0065—Inhalators with dosage or measuring devices
- A61M15/0068—Indicating or counting the number of dispensed doses or of remaining doses
- A61M15/007—Mechanical counters
- A61M15/0071—Mechanical counters having a display or indicator
- A61M15/0075—Mechanical counters having a display or indicator on a disc
-
- A—HUMAN NECESSITIES
- A61—MEDICAL OR VETERINARY SCIENCE; HYGIENE
- A61M—DEVICES FOR INTRODUCING MEDIA INTO, OR ONTO, THE BODY; DEVICES FOR TRANSDUCING BODY MEDIA OR FOR TAKING MEDIA FROM THE BODY; DEVICES FOR PRODUCING OR ENDING SLEEP OR STUPOR
- A61M15/00—Inhalators
- A61M15/0086—Inhalation chambers
-
- A—HUMAN NECESSITIES
- A61—MEDICAL OR VETERINARY SCIENCE; HYGIENE
- A61M—DEVICES FOR INTRODUCING MEDIA INTO, OR ONTO, THE BODY; DEVICES FOR TRANSDUCING BODY MEDIA OR FOR TAKING MEDIA FROM THE BODY; DEVICES FOR PRODUCING OR ENDING SLEEP OR STUPOR
- A61M15/00—Inhalators
- A61M15/0091—Inhalators mechanically breath-triggered
-
- A—HUMAN NECESSITIES
- A61—MEDICAL OR VETERINARY SCIENCE; HYGIENE
- A61M—DEVICES FOR INTRODUCING MEDIA INTO, OR ONTO, THE BODY; DEVICES FOR TRANSDUCING BODY MEDIA OR FOR TAKING MEDIA FROM THE BODY; DEVICES FOR PRODUCING OR ENDING SLEEP OR STUPOR
- A61M15/00—Inhalators
- A61M15/0028—Inhalators using prepacked dosages, one for each application, e.g. capsules to be perforated or broken-up
-
- A—HUMAN NECESSITIES
- A61—MEDICAL OR VETERINARY SCIENCE; HYGIENE
- A61M—DEVICES FOR INTRODUCING MEDIA INTO, OR ONTO, THE BODY; DEVICES FOR TRANSDUCING BODY MEDIA OR FOR TAKING MEDIA FROM THE BODY; DEVICES FOR PRODUCING OR ENDING SLEEP OR STUPOR
- A61M2202/00—Special media to be introduced, removed or treated
- A61M2202/06—Solids
- A61M2202/064—Powder
-
- A—HUMAN NECESSITIES
- A61—MEDICAL OR VETERINARY SCIENCE; HYGIENE
- A61M—DEVICES FOR INTRODUCING MEDIA INTO, OR ONTO, THE BODY; DEVICES FOR TRANSDUCING BODY MEDIA OR FOR TAKING MEDIA FROM THE BODY; DEVICES FOR PRODUCING OR ENDING SLEEP OR STUPOR
- A61M2205/00—General characteristics of the apparatus
- A61M2205/75—General characteristics of the apparatus with filters
Definitions
- the invention relates to a method for the administration of powdered preparations containing tiotropium by inhalation.
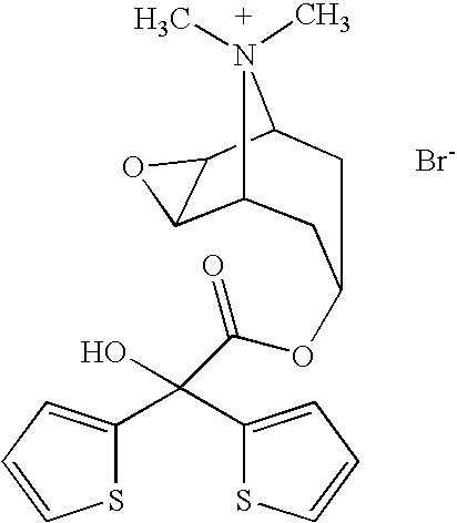
- Tiotropium bromide is known from European Patent Application EP 418 716 A1 and has the following chemical structure:
- Tiotropium bromide is a highly effective anticholinergic with a long-lasting activity which can be used to treat respiratory complaints, particularly chronic obstructive pulmonary disease (COPD) and asthma.
- COPD chronic obstructive pulmonary disease
- tiotropium refers to the free ammonium cation.
- the active substance With active substances which have a particularly high efficacy, only small amounts of the active substance are needed per single dose to achieve the desired therapeutic effect. In such cases, the active substance has to be diluted with suitable excipients in order to prepare the inhalable powder. Because of the large amount of excipient, the properties of the inhalable powder are critically influenced by the choice of excipient. When choosing the excipient, its particle size is particularly important. As a rule, the finer the excipient, the poorer its flow properties.
- inhalable proportion of active substance refers to the particles of the inhalable powder which are conveyed deep into the branches of the lungs when inhaled with a breath.
- the particle size required for this is between 1 ⁇ m and 10 ⁇ m, preferably less than 5 ⁇ m.
- the aim of the invention is to provide for a therapeutically efficient method for the administration of inhalable powders containing tiotropium.
- Another object of the invention is to provide for an inhalation kit comprising a tiotropium containing powder and an inhalation device, the kit being applicable in the method for administration mentioned before.
- an inhalable powder containing tiotropium, preferably in an amount of 0.001% to 5%, in admixture with a physiologically acceptable excipient is administered.
- inhalable powder containing 0.01% to 2%, preferably 0.04% to 0.8%, more preferably 0.08% to 0.64% tiotropium in admixture with a physiologically acceptable excipient is administered.
- an inhalable powder containing 0.1% to 0.4% tiotropium in admixture with a physiologically acceptable excipient is administered.
- tiotropium is meant the free ammonium cation.
- the counter-ion (anion) may be chloride, bromide, iodide, methanesulfonate, p-toluenesulfonate, or methylsulfate. Of these anions, the bromide is preferred.
- the method according to the present invention preferably relates to inhalable powders which contain tiotropium in form of tiotropium bromide in an amount of 0.0012% to 6.02%, in admixture with a physiologically acceptable excipient.
- inhalable powders which contain tiotropium in form of tiotropium bromide in an amount of 0.0012% to 6.02%, in admixture with a physiologically acceptable excipient.
- an inhalable powder containing 0.012% to 2.41%, preferably 0.048% to 0.96%, more preferably 0.096% to 0.77%, tiotropium bromide in admixture with a physiologically acceptable excipient is administered.
- an inhalable powder containing 0.12% to 0.48% tiotropium bromide in admixture with a physiologically acceptable excipient is administered.
- Tiotropium bromide is, depending on the choice of reaction conditions and solvents, obtainable in different crystalline modifications. Most preferred according to the invention are those powder preparations, that contain tiotropium in form of the crystalline tiotropium bromide monohydrate. Accordingly, the powdered preparations obtainable according to the invention preferably contain 0.0012% to 6.25% crystalline tiotropium bromide monohydrate in admixture with a physiologically acceptable excipient is administered.
- an inhalable powder containing 0.0125% to 2.5%, preferably 0.05% to 1%, more preferably 0.1% to 0.8%, crystalline tiotropium bromide monohydrate in admixture with a physiologically acceptable excipient is administered.
- an inhalable powder containing 0.12% to 0.5% crystalline tiotropium bromide monohydrate in admixture with a physiologically acceptable excipient is administered.
- physiologically acceptable excipients which may be used to prepare the inhalable powders applicable according to the invention include, for example, monosaccharides (e.g., glucose or arabinose), disaccharides (e.g., lactose, saccharose, or maltose), oligo- and polysaccharides (e.g., dextrane), polyalcohols (e.g., sorbitol, mannitol, or xylitol), salts (e.g., sodium chloride or calcium carbonate) or mixtures of these excipients with one another.
- mono- or disaccharides are used, while the use of lactose or glucose is preferred, particularly, but not exclusively, in the form of their hydrates, preferably in the form of their monohydrates.
- the average particle size of the physiologically acceptable excipient is preferably between 10 ⁇ m to 500 ⁇ m, more preferably between 15 ⁇ m to 200 ⁇ m, most preferably between 20 ⁇ m to 100 ⁇ m.
- the term average particle size according to the invention is to be understood as the Mass Median Aerodynamic Diameter (MMAD). Methods for the determination thereof are known in the art.
- the excipient can optionally additionally contain a specifically added fraction of excipient of finer particle size.
- This finer particle size fraction is characterized by an average particle size of 1 ⁇ m to 9 ⁇ m, preferably 2 ⁇ m to 8 ⁇ m, more preferably 3 ⁇ m to 7 ⁇ m.
- the proportion of finer excipient in the total amount of excipient is 1% to 20%, preferably 3% to 15%, more preferably 5% to 10%.
- this always means a mixture obtained by mixing together clearly defined components. Accordingly, when an excipient mixture of coarser and finer excipients is mentioned, this can only denote mixtures obtained by mixing a coarser excipient component with a finer excipient component.
- the inhalable powders mentioned hereinbefore may efficiently be administered using inhalers that are characterized by a specific flow resistance (R).
- ⁇ is the volumetric flow rate (L/min);
- p is the pressure drop (kPa).
- R is the flow resistance
- the flow resistance R characterizing the inhaler is in a range of about 0.01 to 0.1 ⁇ square root ⁇ square root over (kPa) ⁇ min/L preferably in the range of about 0.02 to 0.06 ⁇ square root ⁇ square root over (kPa) ⁇ min/L.
- the invention relates to a method for the administration of an inhalable powder containing tiotropium, preferably in an amount of 0.001% to 5%, in admixture with a physiologically acceptable excipient with an average particle size of between 10 ⁇ m to 500 ⁇ m, and further characterized in that the tiotropium containing powder is administered by an inhaler displaying a flow resistance of about 0.01 to 0.1 ⁇ square root ⁇ square root over (kPa) ⁇ min/L.
- the invention relates to a method for the treatment of airway diseases, particularly chronic obstructive pulmonary disease (COPD) and asthma, characterized in that an inhalable powder containing tiotropium, preferably in an amount of 0.001% to 5%, in admixture with a physiologically acceptable excipient with an average particle size of between 10 ⁇ m to 500 ⁇ m, is administered via inhalation by an inhaler displaying a flow resistance of about 0.01 to 0.1 ⁇ square root ⁇ square root over (kPa) ⁇ min/L.
- COPD chronic obstructive pulmonary disease
- the invention relates to the use of an inhaler for the administration of a tiotropium containing inhalable powder via inhalation, characterized in that the inhalable powder contains tiotropium, preferably in an amount of 0.001% to 5%, in admixture with a physiologically acceptable excipient with an average particle size of between 10 ⁇ m to 500 ⁇ m, and further characterized in that the inhaler displays a flow resistance of about 0.01 to 0.1 ⁇ square root ⁇ square root over (kPa) ⁇ min/L.
- the invention relates to an inhalation kit consisting of an inhaler displaying a flow resistance of about 0.01 to 0.1 ⁇ square root ⁇ square root over (kPa) ⁇ min/L and an inhalable powder containing tiotropium, preferably in an amount of 0.001% to 5%, in admixture with a physiologically acceptable excipient with an average particle size of between 10 ⁇ m to 500 ⁇ m.
- the inhaler described in FIG. 1 is applied.
- it is required to fill appropriate amounts of the powder into capsules. Methods for filling powders into capsules are known in the art.
- the inhaler according to FIG. 1 is characterized by a housing 1 containing two windows 2 , a deck 3 in which there are air inlet ports and which is provided with a screen 5 secured via a screen housing 4 , an inhalation chamber 6 connected to the deck 3 on which there is a push button 9 provided with two sharpened pins 7 and movable counter to a spring 8 , a mouthpiece 12 which is connected to the housing 1 , the deck 3 and a cover 11 via a spindle 10 to enable it to be flipped open or shut and three holes 13 with diameters below 1 mm in the central region around the capsule chamber 6 and underneath the screen housing 4 and screen 5 .
- the main air flow enters the inhaler between deck 3 and base 1 near to the hinge.
- the deck has in this range a reduced width, which forms the entrance slit for the air.
- the flow reverses and enters the capsule chamber 6 through the inlet tube.
- the flow is then further conducted through the filter and filter holder to the mouthpiece.
- a small portion of the flow enters the device between mouthpiece and deck and flows then between filter holder and deck into the main stream. Due to production tolerances, there is some uncertainty in this flow because of the actual width of the slit between filter holder and deck. In case of new or reworked tools, the flow resistance of the inhaler may therefore be a little off the target value.
- the deck has in the central region around the capsule chamber 6 and underneath the screen housing 4 and screen 5 three holes 13 with diameters below 1 mm. Through these holes 13 flows air from the base into the main air stream and reduces such slightly the flow resistance of the inhaler.
- the actual diameter of these holes 13 can be chosen by proper inserts in the tools so that the mean flow resistance can be made equal to the target value.
- the invention relates to a method for the administration of an inhalable powder containing tiotropium, preferably in an amount of 0.001% to 5%, in admixture with a physiologically acceptable excipient with an average particle size of between 10 ⁇ m to 500 ⁇ m, by means of the inhaler according to FIG.
- a housing containing two windows, a deck in which there are air inlet ports and which is provided with a screen secured via a screen housing, an inhalation chamber connected to the deck on which there is a push button provided with two sharpened pins and movable counter to a spring, a mouthpiece which is connected to the housing, the deck and a cover via a spindle to enable it to be flipped open or shut, and three holes with diameters below 1 mm in the central region around the capsule chamber and underneath the screen housing and screen.
- the invention relates to a method for treatment of airway diseases, particularly chronic obstructive pulmonary disease and asthma, characterized in that an inhalable powder containing tiotropium, preferably in an amount of 0.001% to 5%, in admixture with a physiologically acceptable excipient with an average particle size of between 10 ⁇ m to 500 ⁇ m, is administered via inhalation by the inhaler according to FIG.
- a housing containing two windows, a deck in which there are air inlet ports and which is provided with a screen secured via a screen housing, an inhalation chamber connected to the deck on which there is a push button provided with two sharpened pins and movable counter to a spring, a mouthpiece which is connected to the housing, the deck and a cover via a spindle to enable it to be flipped open or shut, and three holes with diameters below 1 mm in the central region around the capsule chamber and underneath the screen housing and screen.
- the invention relates to the use of the inhaler according to FIG. 1, comprising a housing, containing two windows, a deck in which there are air inlet ports and which is provided with a screen secured via a screen housing, an inhalation chamber connected to the deck on which there is a push button provided with two sharpened pins and movable counter to a spring, a mouthpiece which is connected to the housing, the deck and a cover via a spindle to enable it to be flipped open or shut, and three holes with diameters below 1 mm in the central region around the capsule chamber and underneath the screen housing and screen, for the administration of an inhalable powdered containing tiotropium, preferably in an amount of 0.001% to 5%, in admixture with a physiologically acceptable excipient with an average particle size of between 10 ⁇ m to 500 ⁇ m.
- the invention relates to an inhalation kit consisting of an inhalable powdered containing tiotropium, preferably in an amount of 0.001% to 5%, in admixture with a physiologically acceptable excipient with an average particle size of between 10 ⁇ m to 500 ⁇ m, and the inhaler according to FIG.
- a housing containing two windows, a deck in which there are air inlet ports and which is provided with a screen secured via a screen housing, an inhalation chamber connected to the deck on which there is a push button provided with two sharpened pins and movable counter to a spring, a mouthpiece which is connected to the housing, the deck and a cover via a spindle to enable it to be flipped open or shut, and three holes with diameters below 1 mm in the central region around the capsule chamber and underneath the screen housing and screen.
- the inhaler according to U.S. Pat. No. 4,524,769 is applied. This inhaler (or inhalator) is activated by the air flow generated at inhalation.
- This disclosure of U.S. Pat. No. 4,524,769 is incorporated herein by reference in its entirety.
- the invention relates to a method for the administration of an inhalable powder containing tiotropium, preferably in an amount of 0.001 % to 5%, in admixture with a physiologically acceptable excipient with an average particle size of between 10 ⁇ m to 500 ⁇ m, by means of the inhaler according to U.S. Pat. No.
- 4,524,769 comprising a nozzle, a conduit connected to the nozzle, a storage chamber adjacent the conduit for storing the inhalable powder to be dispensed by the inhalator, a perforated membrane having a plurality of preselected perforated portions each holding and dispensing a reproducible unit dose of less than 50 mg of the inhalable powder, the membrane being mounted for movement between the conduit and the storage chamber so that one of the preselected portions is positioned across the conduit whereby the active compound held in the perforation thereof can be dispensed into the conduit and another of the preselected portions thereof is disposed within the storage chamber, dose loading means for introducing the inhalable powder in the storage chamber into the perforation of the preselected portion of the membrane disposed within the storage chamber, and maneuvering means for displacing the perforated membrane through a plurality of positions whereby successive preselected portions of the perforated membrane holding the inhalable powder are positioned across the conduit for dispensing the inhalable powder.
- the invention relates to a method for treatment of airway diseases, particularly chronic obstructive pulmonary disease and asthma, characterized in that an inhalable powder containing tiotropium, preferably in an amount of 0.001% to 5%, in admixture with a physiologically acceptable excipient with an average particle size of between 10 ⁇ m to 500 ⁇ m, is administered via inhalation by the inhaler according to U.S. Pat. No.
- 4,524,769 comprising a nozzle, a conduit connected to the nozzle, a storage chamber adjacent the conduit for storing the inhalable powder to be dispensed by the inhalator, a perforated membrane having a plurality of preselected perforated portions each holding and dispensing a reproducible unit dose of less than 50 mg of the inhalable powder, the membrane being mounted for movement between the conduit and the storage chamber so that one of the preselected portions is positioned across the conduit whereby the active compound held in the perforation thereof can be dispensed into the conduit and another of the preselected portions thereof is disposed within the storage chamber, dose loading means for introducing the inhalable powder in the storage chamber into the perforation of the preselected portion of the membrane disposed within the storage chamber, and maneuvering means for displacing the perforated membrane through a plurality of positions whereby successive preselected portions of the perforated membrane holding the inhalable powder are positioned across the conduit for dispensing the inhalable powder.
- the invention relates to the use of the inhaler according to U.S. Pat. No. 4,524,769 comprising a nozzle, a conduit connected to the nozzle, a storage chamber adjacent the conduit for storing the inhalable powder to be dispensed by the inhalator, a perforated membrane having a plurality of preselected perforated portions each holding and dispensing a reproducible unit dose of less than 50 mg of the inhalable powder, the membrane being mounted for movement between the conduit and the storage chamber so that one of the preselected portions is positioned across the conduit whereby the active compound held in the perforation thereof can be dispensed into the conduit and another of the preselected portions thereof is disposed within the storage chamber, dose loading means for introducing the inhalable powder in the storage chamber into the perforation of the preselected portion of the membrane disposed within the storage chamber, and maneuvering means for displacing the perforated membrane through a plurality of positions whereby successive preselected portions of the
- the invention relates to an inhalation kit consisting of an inhalable powdered containing tiotropium, preferably in an amount of 0.001% to 5%, in admixture with a physiologically acceptable excipient with an average particle size of between 10 ⁇ m to 500 ⁇ m, and the inhaler according to U.S. Pat. No.
- 4,524,769 comprising a nozzle, a conduit connected to the nozzle, a storage chamber adjacent the conduit for storing the inhalable powder to be dispensed by the inhalator, a perforated membrane having a plurality of preselected perforated portions each holding and dispensing a reproducible unit dose of less than 50 mg of the inhalable powder, the membrane being mounted for movement between the conduit and the storage chamber so that one of the preselected portions is positioned across the conduit whereby the active compound held in the perforation thereof can be dispensed into the conduit and another of the preselected portions thereof is disposed within the storage chamber, dose loading means for introducing the inhalable powder in the storage chamber into the perforation of the preselected portion of the membrane disposed within the storage chamber, and maneuvering means for displacing the perforated membrane through a plurality of positions whereby successive preselected portions of the perforated membrane holding the inhalable powder are positioned across the conduit for dispensing the inhalable powder.
- the invention relates to a method for the administration of an inhalable powder containing tiotropium, preferably in an amount of 0.001% to 5%, in admixture with a physiologically acceptable excipient with an average particle size of between 10 ⁇ m to 500 ⁇ m, by means of the inhaler according to U.S. Pat. No.
- 5,590,645 comprising a medicament pack having a plurality of containers for containing medicament in powder form wherein the containers are spaced along the length of and defined between two peelable sheets secured to each other, an opening station for receiving a container of the medicament pack being, means positioned to engage peelable sheets of a container which has been received in the opening station for peeling apart the peelable sheets, to open such a container, an outlet, positioned to be in communication with an opened container, through which a user can inhale medicament in powder form from such an opened container, and indexing means for indexing in communication with the outlet containers of a medicament pack in use with the inhalation device.
- the invention relates to a method for treatment of airway diseases, particularly chronic obstructive pulmonary disease and asthma, characterized in that an inhalable powder containing tiotropium, preferably in an amount of 0.001% to 5%, in admixture with a physiologically acceptable excipient with an average particle size of between 10 ⁇ m to 500 ⁇ m, is administered via inhalation by the inhaler according to U.S. Pat. No.
- 5,590,645 comprising a medicament pack having a plurality of containers for containing medicament in powder form wherein the containers are spaced along the length of and defined between two peelable sheets secured to each other, an opening station for receiving a container of the medicament pack being, means positioned to engage peelable sheets of a container which has been received in the opening station for peeling apart the peelable sheets, to open such a container, an outlet, positioned to be in communication with an opened container, through which a user can inhale medicament in powder form from such an opened container, and indexing means for indexing in communication with the outlet containers of a medicament pack in use with the inhalation device.
- the invention relates to the use of the inhaler according to U.S. Pat. No. 5,590,645, comprising a medicament pack having a plurality of containers for containing medicament in powder form wherein the containers are spaced along the length of and defined between two peelable sheets secured to each other, an opening station for receiving a container of the medicament pack being, means positioned to engage peelable sheets of a container which has been received in the opening station for peeling apart the peelable sheets, to open such a container, an outlet, positioned to be in communication with an opened container, through which a user can inhale medicament in powder form from such an opened container, and indexing means for indexing in communication with the outlet containers of a medicament pack in use with the inhalation device, for the administration of an inhalable powdered containing tiotropium, preferably in an amount of 0.001% to 5%, in admixture with a physiologically acceptable excipient with an average particle size of between 10 ⁇ m to 500 ⁇ m.
- the invention relates to an inhalation kit consisting of an inhalable powdered containing tiotropium, preferably in an amount of 0.001% to 5%, in admixture with a physiologically acceptable excipient with an average particle size of between 10 ⁇ m to 500 ⁇ m, and the inhaler according to U.S. Pat. No.
- 5,590,645 comprising a medicament pack having a plurality of containers for containing medicament in powder form wherein the containers are spaced along the length of and defined between two peelable sheets secured to each other, an opening station for receiving a container of the medicament pack being, means positioned to engage peelable sheets of a container which has been received in the opening station for peeling apart the peelable sheets, to open such a container, an outlet, positioned to be in communication with an opened container, through which a user can inhale medicament in powder form from such an opened container, and indexing means for indexing in communication with the outlet containers of a medicament pack in use with the inhalation device.
- the invention relates to a method for the administration of an inhalable powder containing tiotropium, preferably in an amount of 0.001% to 5%, in admixture with a physiologically acceptable excipient with an average particle size of between 10 ⁇ m to 500 ⁇ m, by means of the inhaler according to U.S. Pat. No.
- 4,627,432 being characterized by a housing with a chamber therein, an air inlet into the chamber, a circular disc having an axis substantially coaxial to the chamber axis and rotatable inside the chamber and provided with a plurality of apertures therethrough arranged in a circle, the apertures being sized and positioned so that each aperture is adapted to be aligned with a different container, the disc being arranged so that the carrier can be placed in contact with one face of the disc with one of the containers located in each one of the apertures, an outlet through which a patient may inhale leading out of the chamber, an opening in the housing alignable with respective ones of the apertures in the disc as the disc is rotated, a plunger operatively connected to the housing and having a penetrating member, the penetrating member being displaceable to pass through the opening and the corresponding aperture in the disc registered with it thereby to penetrate and open a container located in the aperture so that the medicament will be released from the container and entrained in the air flow produced
- the invention relates to a method for treatment of airway diseases, particularly chronic obstructive pulmonary disease and asthma, characterized in that an inhalable powder containing tiotropium, preferably in an amount of 0.001% to 5%, in admixture with a physiologically acceptable excipient with an average particle size of between 10 ⁇ m to 500 ⁇ m, is administered via inhalation by the inhaler according to U.S. Pat. No.
- 4,627,432 being characterized by a housing with a chamber therein, an air inlet into the chamber, a circular disc having an axis substantially coaxial to the chamber axis and rotatable inside the chamber and provided with a plurality of apertures therethrough arranged in a circle, the apertures being sized and positioned so that each aperture is adapted to be aligned with a different container, the disc being arranged so that the carrier can be placed in contact with one face of the disc with one of the containers located in each one of the apertures, an outlet through which a patient may inhale leading out of the chamber, an opening in the housing alignable with respective ones of the apertures in the disc as the disc is rotated, a plunger operatively connected to the housing and having a penetrating member, the penetrating member being displaceable to pass through the opening and the corresponding aperture in the disc registered with it thereby to penetrate and open a container located in the aperture so that the medicament will be released from the container and entrained in the air flow produced
- the invention relates to the use of the inhaler according to U.S. Pat. No. 4,627,432 being characterized by a housing with a chamber therein, an air inlet into the chamber, a circular disc having an axis substantially coaxial to the chamber axis and rotatable inside the chamber and provided with a plurality of apertures therethrough arranged in a circle, the apertures being sized and positioned so that each aperture is adapted to be aligned with a different container, the disc being arranged so that the carrier can be placed in contact with one face of the disc with one of the containers located in each one of the apertures, an outlet through which a patient may inhale leading out of the chamber, an opening in the housing alignable with respective ones of the apertures in the disc as the disc is rotated, a plunger operatively connected to the housing and having a penetrating member, the penetrating member being displaceable to pass through the opening and the corresponding aperture in the disc registered with it thereby
- the invention relates to an inhalation kit consisting of an inhalable powdered containing tiotropium, preferably in an amount of 0.001 to 5%, in admixture with a physiologically acceptable excipient with an average particle size of between 10 to 500 ⁇ m, and the inhaler according to U.S. Pat. No.
- 4,627,432 being characterized by a housing with a chamber therein, an air inlet into the chamber, a circular disc having an axis substantially coaxial to the chamber axis and rotatable inside the chamber and provided with a plurality of apertures therethrough arranged in a circle, the apertures being sized and positioned so that each aperture is adapted to be aligned with a different container, the disc being arranged so that the carrier can be placed in contact with one face of the disc with one of the containers located in each one of the apertures, an outlet through which a patient may inhale leading out of the chamber, an opening in the housing alignable with respective ones of the apertures in the disc as the disc is rotated, a plunger operatively connected to the housing and having a penetrating member, the penetrating member being displaceable to pass through the opening and the corresponding aperture in the disc registered with it thereby to penetrate and open a container located in the aperture so that the medicament will be released from the container and entrained in the air flow produced
- the contents of the apparatus is cooled at 3° C. to 5° C. every 20 minutes to a temperature of 20° C. to 25° C.
- the apparatus is further cooled to 10° C. to 15° C. using cold water and crystallization is completed by stirring for at least one hour.
- the crystals are isolated using a suction drier, the crystal slurry isolated is washed with 9 liters of cold water (10° C. to 15° C.) and cold acetone (10° C. to 15° C.).
- the crystals obtained are dried in a nitrogen current at 25° C. over 2 hours. Yield: 13.4 kg of tiotropium bromide monohydrate (86% of theory)
- the crystalline tiotropium bromide monohydrate thus obtained is micronized by known methods, to bring the active substance into the average particle size which meets the specifications according to the invention.
- the DSC diagram of crystalline tiotropium bromide monohydrate shows two characteristic signals.
- the first, relatively broad, endothermic signal between 50° C. to 120° C. can be attributed to the dehydration of the tiotropium bromide monohydrate to produce the anhydrous form.
- the second, relatively sharp endothermic peak at 230° C. ⁇ 5° C. can be put down to the melting of the substance.
- the crystalline tiotropium bromide monohydrate thus obtained was characterized by IR spectroscopy.
- the data was obtained using a Nicolet FTIR spectrometer and evaluated with the Nicolet OMNIC software package, version 3.1. The measurement was carried out with 2.5 ⁇ mol of tiotropium bromide monohydrate in 300 mg of KBr. Table 1 shows some of the essential bands of the IR spectrum.
- the crystalline tiotropium bromide monohydrate was characterized by X-ray structural analysis.
- the measurements of X-ray diffraction intensity were carried out on an AFC7R-4-circuit diffractometer (Rigaku) using monochromatic copper K a radiation.
- the structural solution and refinement of the crystal structure were obtained by direct methods (SHELXS86 Program) and FMLQ-refinement (TeXsan Program).
- Mixing Container or Powder Mixer Gyrowheel mixer 200 L; type: DFW80N-4; made by: Messrs Engelsmann, D-67059 Ludwigshafen.
- Granulating Sieve Quadro Comil; type: 197-S; made by: Messrs Joisten & Kettenbaum, D-51429 Bergisch-Gladbach.
- lactose monohydrate for inhalation (average particle size 25 ⁇ m) is used as the excipient.
- 22.5 g crystalline tiotropium bromide monohydrate (micronized; average particle size 1 to 3.5 ⁇ m) is used as the active ingredient.
Landscapes
- Health & Medical Sciences (AREA)
- Engineering & Computer Science (AREA)
- Life Sciences & Earth Sciences (AREA)
- Bioinformatics & Cheminformatics (AREA)
- Animal Behavior & Ethology (AREA)
- Veterinary Medicine (AREA)
- Public Health (AREA)
- General Health & Medical Sciences (AREA)
- Pulmonology (AREA)
- Biomedical Technology (AREA)
- Hematology (AREA)
- Heart & Thoracic Surgery (AREA)
- Anesthesiology (AREA)
- Chemical & Material Sciences (AREA)
- Medicinal Chemistry (AREA)
- Pharmacology & Pharmacy (AREA)
- Epidemiology (AREA)
- Otolaryngology (AREA)
- Biophysics (AREA)
- Medicinal Preparation (AREA)
- Emergency Medicine (AREA)
Abstract
Description
- This application claims benefit of U.S. Ser. No. 60/386,794, filed Jun. 7, 2002.
- The invention relates to a method for the administration of powdered preparations containing tiotropium by inhalation.
-
- Tiotropium bromide is a highly effective anticholinergic with a long-lasting activity which can be used to treat respiratory complaints, particularly chronic obstructive pulmonary disease (COPD) and asthma. The term tiotropium refers to the free ammonium cation.
- For treating the abovementioned complaints, it is useful to administer the active substance by inhalation. In addition to the administration of broncholytically active compounds in the form of metered aerosols and inhalable solutions, the use of inhalable powders containing active substance is of particular importance.
- With active substances which have a particularly high efficacy, only small amounts of the active substance are needed per single dose to achieve the desired therapeutic effect. In such cases, the active substance has to be diluted with suitable excipients in order to prepare the inhalable powder. Because of the large amount of excipient, the properties of the inhalable powder are critically influenced by the choice of excipient. When choosing the excipient, its particle size is particularly important. As a rule, the finer the excipient, the poorer its flow properties. However, good flow properties are a prerequisite for highly accurate metering when packing and dividing up the individual doses of preparation, e.g., when producing capsules for powder inhalation or when the patient is metering the individual dose before using a multi-dose inhaler. It has also been found that the particle size of the excipient has a considerable influence on the proportion of active substance in the inhalable powder which is delivered for inhalation. The term inhalable proportion of active substance refers to the particles of the inhalable powder which are conveyed deep into the branches of the lungs when inhaled with a breath. The particle size required for this is between 1 μm and 10 μm, preferably less than 5 μm.
- Finally, it has been found that the intended therapeutic effect upon the administration of a pharmaceutical composition via inhalation can be decisively influenced by the inhalation device.
- Accordingly, the aim of the invention is to provide for a therapeutically efficient method for the administration of inhalable powders containing tiotropium. Another object of the invention is to provide for an inhalation kit comprising a tiotropium containing powder and an inhalation device, the kit being applicable in the method for administration mentioned before.
- In the method according to the invention an inhalable powder containing tiotropium, preferably in an amount of 0.001% to 5%, in admixture with a physiologically acceptable excipient is administered.
- Of particular interest for the method according to the invention is an inhalable powder containing 0.01% to 2%, preferably 0.04% to 0.8%, more preferably 0.08% to 0.64% tiotropium in admixture with a physiologically acceptable excipient is administered.
- More preferably in the method according to the invention an inhalable powder containing 0.1% to 0.4% tiotropium in admixture with a physiologically acceptable excipient is administered.
- By tiotropium is meant the free ammonium cation. The counter-ion (anion) may be chloride, bromide, iodide, methanesulfonate, p-toluenesulfonate, or methylsulfate. Of these anions, the bromide is preferred.
- Accordingly, the method according to the present invention preferably relates to inhalable powders which contain tiotropium in form of tiotropium bromide in an amount of 0.0012% to 6.02%, in admixture with a physiologically acceptable excipient. Of particular interest for the method according to the invention is an inhalable powder containing 0.012% to 2.41%, preferably 0.048% to 0.96%, more preferably 0.096% to 0.77%, tiotropium bromide in admixture with a physiologically acceptable excipient is administered.
- More preferably in the method according to the invention an inhalable powder containing 0.12% to 0.48% tiotropium bromide in admixture with a physiologically acceptable excipient is administered.
- Tiotropium bromide is, depending on the choice of reaction conditions and solvents, obtainable in different crystalline modifications. Most preferred according to the invention are those powder preparations, that contain tiotropium in form of the crystalline tiotropium bromide monohydrate. Accordingly, the powdered preparations obtainable according to the invention preferably contain 0.0012% to 6.25% crystalline tiotropium bromide monohydrate in admixture with a physiologically acceptable excipient is administered. Of particular interest for the method according to the invention is an inhalable powder containing 0.0125% to 2.5%, preferably 0.05% to 1%, more preferably 0.1% to 0.8%, crystalline tiotropium bromide monohydrate in admixture with a physiologically acceptable excipient is administered.
- More preferably in the method according to the invention an inhalable powder containing 0.12% to 0.5% crystalline tiotropium bromide monohydrate in admixture with a physiologically acceptable excipient is administered.
- Examples of physiologically acceptable excipients which may be used to prepare the inhalable powders applicable according to the invention include, for example, monosaccharides (e.g., glucose or arabinose), disaccharides (e.g., lactose, saccharose, or maltose), oligo- and polysaccharides (e.g., dextrane), polyalcohols (e.g., sorbitol, mannitol, or xylitol), salts (e.g., sodium chloride or calcium carbonate) or mixtures of these excipients with one another. Preferably, mono- or disaccharides are used, while the use of lactose or glucose is preferred, particularly, but not exclusively, in the form of their hydrates, preferably in the form of their monohydrates.
- In the method according to the invention, the average particle size of the physiologically acceptable excipient is preferably between 10 μm to 500 μm, more preferably between 15 μm to 200 μm, most preferably between 20 μm to 100 μm. If not otherwise emphasized, the term average particle size according to the invention is to be understood as the Mass Median Aerodynamic Diameter (MMAD). Methods for the determination thereof are known in the art.
- Besides the coarser particle fraction of the excipient mentioned hereinbefore, the excipient can optionally additionally contain a specifically added fraction of excipient of finer particle size. This finer particle size fraction is characterized by an average particle size of 1 μm to 9 μm, preferably 2 μm to 8 μm, more preferably 3 μm to 7 μm.
- If a finer particle fraction is present, the proportion of finer excipient in the total amount of excipient is 1% to 20%, preferably 3% to 15%, more preferably 5% to 10%. When reference is made to a mixture within the scope of the present invention, this always means a mixture obtained by mixing together clearly defined components. Accordingly, when an excipient mixture of coarser and finer excipients is mentioned, this can only denote mixtures obtained by mixing a coarser excipient component with a finer excipient component.
- The percentages given within the scope of the present invention are always percent by weight.
- In the method according to the invention, the inhalable powders mentioned hereinbefore may efficiently be administered using inhalers that are characterized by a specific flow resistance (R).
-
- wherein: ν is the volumetric flow rate (L/min);
- p is the pressure drop (kPa); and
- R is the flow resistance.
- In the method according to the invention, the flow resistance R characterizing the inhaler is in a range of about 0.01 to 0.1 {square root}{square root over (kPa)} min/L preferably in the range of about 0.02 to 0.06 {square root}{square root over (kPa)} min/L.
- Accordingly, the invention relates to a method for the administration of an inhalable powder containing tiotropium, preferably in an amount of 0.001% to 5%, in admixture with a physiologically acceptable excipient with an average particle size of between 10 μm to 500 μm, and further characterized in that the tiotropium containing powder is administered by an inhaler displaying a flow resistance of about 0.01 to 0.1 {square root}{square root over (kPa)} min/L.
- In another embodiment, the invention relates to a method for the treatment of airway diseases, particularly chronic obstructive pulmonary disease (COPD) and asthma, characterized in that an inhalable powder containing tiotropium, preferably in an amount of 0.001% to 5%, in admixture with a physiologically acceptable excipient with an average particle size of between 10 μm to 500 μm, is administered via inhalation by an inhaler displaying a flow resistance of about 0.01 to 0.1 {square root}{square root over (kPa)} min/L.
- In another embodiment, the invention relates to the use of an inhaler for the administration of a tiotropium containing inhalable powder via inhalation, characterized in that the inhalable powder contains tiotropium, preferably in an amount of 0.001% to 5%, in admixture with a physiologically acceptable excipient with an average particle size of between 10 μm to 500 μm, and further characterized in that the inhaler displays a flow resistance of about 0.01 to 0.1 {square root}{square root over (kPa)} min/L.
- In yet another embodiment the invention relates to an inhalation kit consisting of an inhaler displaying a flow resistance of about 0.01 to 0.1 {square root}{square root over (kPa)} min/L and an inhalable powder containing tiotropium, preferably in an amount of 0.001% to 5%, in admixture with a physiologically acceptable excipient with an average particle size of between 10 μm to 500 μm.
- In another preferred embodiment according to the invention, the inhaler described in FIG. 1 is applied. For the administration of tiotropium containing powders by inhalation by means of the inhaler according to FIG. 1, it is required to fill appropriate amounts of the powder into capsules. Methods for filling powders into capsules are known in the art.
- The inhaler according to FIG. 1 is characterized by a housing 1 containing two windows 2, a deck 3 in which there are air inlet ports and which is provided with a
screen 5 secured via a screen housing 4, aninhalation chamber 6 connected to the deck 3 on which there is apush button 9 provided with two sharpened pins 7 and movable counter to aspring 8, amouthpiece 12 which is connected to the housing 1, the deck 3 and acover 11 via aspindle 10 to enable it to be flipped open or shut and threeholes 13 with diameters below 1 mm in the central region around thecapsule chamber 6 and underneath the screen housing 4 andscreen 5. - The main air flow enters the inhaler between deck 3 and base 1 near to the hinge. The deck has in this range a reduced width, which forms the entrance slit for the air. Then the flow reverses and enters the
capsule chamber 6 through the inlet tube. The flow is then further conducted through the filter and filter holder to the mouthpiece. A small portion of the flow enters the device between mouthpiece and deck and flows then between filter holder and deck into the main stream. Due to production tolerances, there is some uncertainty in this flow because of the actual width of the slit between filter holder and deck. In case of new or reworked tools, the flow resistance of the inhaler may therefore be a little off the target value. To correct this deviation, the deck has in the central region around thecapsule chamber 6 and underneath the screen housing 4 andscreen 5 threeholes 13 with diameters below 1 mm. Through theseholes 13 flows air from the base into the main air stream and reduces such slightly the flow resistance of the inhaler. The actual diameter of theseholes 13 can be chosen by proper inserts in the tools so that the mean flow resistance can be made equal to the target value. - Accordingly, in a preferred embodiment the invention relates to a method for the administration of an inhalable powder containing tiotropium, preferably in an amount of 0.001% to 5%, in admixture with a physiologically acceptable excipient with an average particle size of between 10 μm to 500 μm, by means of the inhaler according to FIG. 1, comprising a housing, containing two windows, a deck in which there are air inlet ports and which is provided with a screen secured via a screen housing, an inhalation chamber connected to the deck on which there is a push button provided with two sharpened pins and movable counter to a spring, a mouthpiece which is connected to the housing, the deck and a cover via a spindle to enable it to be flipped open or shut, and three holes with diameters below 1 mm in the central region around the capsule chamber and underneath the screen housing and screen.
- In another embodiment, the invention relates to a method for treatment of airway diseases, particularly chronic obstructive pulmonary disease and asthma, characterized in that an inhalable powder containing tiotropium, preferably in an amount of 0.001% to 5%, in admixture with a physiologically acceptable excipient with an average particle size of between 10 μm to 500 μm, is administered via inhalation by the inhaler according to FIG. 1, comprising a housing, containing two windows, a deck in which there are air inlet ports and which is provided with a screen secured via a screen housing, an inhalation chamber connected to the deck on which there is a push button provided with two sharpened pins and movable counter to a spring, a mouthpiece which is connected to the housing, the deck and a cover via a spindle to enable it to be flipped open or shut, and three holes with diameters below 1 mm in the central region around the capsule chamber and underneath the screen housing and screen.
- In another preferred embodiment, the invention relates to the use of the inhaler according to FIG. 1, comprising a housing, containing two windows, a deck in which there are air inlet ports and which is provided with a screen secured via a screen housing, an inhalation chamber connected to the deck on which there is a push button provided with two sharpened pins and movable counter to a spring, a mouthpiece which is connected to the housing, the deck and a cover via a spindle to enable it to be flipped open or shut, and three holes with diameters below 1 mm in the central region around the capsule chamber and underneath the screen housing and screen, for the administration of an inhalable powdered containing tiotropium, preferably in an amount of 0.001% to 5%, in admixture with a physiologically acceptable excipient with an average particle size of between 10 μm to 500 μm.
- In yet another preferred embodiment, the invention relates to an inhalation kit consisting of an inhalable powdered containing tiotropium, preferably in an amount of 0.001% to 5%, in admixture with a physiologically acceptable excipient with an average particle size of between 10 μm to 500 μm, and the inhaler according to FIG. 1, comprising a housing, containing two windows, a deck in which there are air inlet ports and which is provided with a screen secured via a screen housing, an inhalation chamber connected to the deck on which there is a push button provided with two sharpened pins and movable counter to a spring, a mouthpiece which is connected to the housing, the deck and a cover via a spindle to enable it to be flipped open or shut, and three holes with diameters below 1 mm in the central region around the capsule chamber and underneath the screen housing and screen.
- In another preferred embodiment according to the invention the inhaler according to U.S. Pat. No. 4,524,769 is applied. This inhaler (or inhalator) is activated by the air flow generated at inhalation. The disclosure of U.S. Pat. No. 4,524,769 is incorporated herein by reference in its entirety.
- Accordingly, in a preferred embodiment, the invention relates to a method for the administration of an inhalable powder containing tiotropium, preferably in an amount of 0.001 % to 5%, in admixture with a physiologically acceptable excipient with an average particle size of between 10 μm to 500 μm, by means of the inhaler according to U.S. Pat. No. 4,524,769, comprising a nozzle, a conduit connected to the nozzle, a storage chamber adjacent the conduit for storing the inhalable powder to be dispensed by the inhalator, a perforated membrane having a plurality of preselected perforated portions each holding and dispensing a reproducible unit dose of less than 50 mg of the inhalable powder, the membrane being mounted for movement between the conduit and the storage chamber so that one of the preselected portions is positioned across the conduit whereby the active compound held in the perforation thereof can be dispensed into the conduit and another of the preselected portions thereof is disposed within the storage chamber, dose loading means for introducing the inhalable powder in the storage chamber into the perforation of the preselected portion of the membrane disposed within the storage chamber, and maneuvering means for displacing the perforated membrane through a plurality of positions whereby successive preselected portions of the perforated membrane holding the inhalable powder are positioned across the conduit for dispensing the inhalable powder.
- In another embodiment, the invention relates to a method for treatment of airway diseases, particularly chronic obstructive pulmonary disease and asthma, characterized in that an inhalable powder containing tiotropium, preferably in an amount of 0.001% to 5%, in admixture with a physiologically acceptable excipient with an average particle size of between 10 μm to 500 μm, is administered via inhalation by the inhaler according to U.S. Pat. No. 4,524,769, comprising a nozzle, a conduit connected to the nozzle, a storage chamber adjacent the conduit for storing the inhalable powder to be dispensed by the inhalator, a perforated membrane having a plurality of preselected perforated portions each holding and dispensing a reproducible unit dose of less than 50 mg of the inhalable powder, the membrane being mounted for movement between the conduit and the storage chamber so that one of the preselected portions is positioned across the conduit whereby the active compound held in the perforation thereof can be dispensed into the conduit and another of the preselected portions thereof is disposed within the storage chamber, dose loading means for introducing the inhalable powder in the storage chamber into the perforation of the preselected portion of the membrane disposed within the storage chamber, and maneuvering means for displacing the perforated membrane through a plurality of positions whereby successive preselected portions of the perforated membrane holding the inhalable powder are positioned across the conduit for dispensing the inhalable powder.
- In another preferred embodiment, the invention relates to the use of the inhaler according to U.S. Pat. No. 4,524,769 comprising a nozzle, a conduit connected to the nozzle, a storage chamber adjacent the conduit for storing the inhalable powder to be dispensed by the inhalator, a perforated membrane having a plurality of preselected perforated portions each holding and dispensing a reproducible unit dose of less than 50 mg of the inhalable powder, the membrane being mounted for movement between the conduit and the storage chamber so that one of the preselected portions is positioned across the conduit whereby the active compound held in the perforation thereof can be dispensed into the conduit and another of the preselected portions thereof is disposed within the storage chamber, dose loading means for introducing the inhalable powder in the storage chamber into the perforation of the preselected portion of the membrane disposed within the storage chamber, and maneuvering means for displacing the perforated membrane through a plurality of positions whereby successive preselected portions of the perforated membrane holding the inhalable powder are positioned across the conduit for dispensing the inhalable powder, for the administration of an inhalable powdered containing tiotropium, preferably in an amount of 0.001% to 5%, in admixture with a physiologically acceptable excipient with an average particle size of between 10 μm to 500 μm.
- In yet another preferred embodiment, the invention relates to an inhalation kit consisting of an inhalable powdered containing tiotropium, preferably in an amount of 0.001% to 5%, in admixture with a physiologically acceptable excipient with an average particle size of between 10 μm to 500 μm, and the inhaler according to U.S. Pat. No. 4,524,769, comprising a nozzle, a conduit connected to the nozzle, a storage chamber adjacent the conduit for storing the inhalable powder to be dispensed by the inhalator, a perforated membrane having a plurality of preselected perforated portions each holding and dispensing a reproducible unit dose of less than 50 mg of the inhalable powder, the membrane being mounted for movement between the conduit and the storage chamber so that one of the preselected portions is positioned across the conduit whereby the active compound held in the perforation thereof can be dispensed into the conduit and another of the preselected portions thereof is disposed within the storage chamber, dose loading means for introducing the inhalable powder in the storage chamber into the perforation of the preselected portion of the membrane disposed within the storage chamber, and maneuvering means for displacing the perforated membrane through a plurality of positions whereby successive preselected portions of the perforated membrane holding the inhalable powder are positioned across the conduit for dispensing the inhalable powder.
- In another preferred embodiment according to the invention, the inhaler according to U.S. Pat. No. 5,590,645 is applied. The disclosure of U.S. Pat. No. 5,590,645 is incorporated herein by reference in its entirety.
- Accordingly, in a preferred embodiment, the invention relates to a method for the administration of an inhalable powder containing tiotropium, preferably in an amount of 0.001% to 5%, in admixture with a physiologically acceptable excipient with an average particle size of between 10 μm to 500 μm, by means of the inhaler according to U.S. Pat. No. 5,590,645, comprising a medicament pack having a plurality of containers for containing medicament in powder form wherein the containers are spaced along the length of and defined between two peelable sheets secured to each other, an opening station for receiving a container of the medicament pack being, means positioned to engage peelable sheets of a container which has been received in the opening station for peeling apart the peelable sheets, to open such a container, an outlet, positioned to be in communication with an opened container, through which a user can inhale medicament in powder form from such an opened container, and indexing means for indexing in communication with the outlet containers of a medicament pack in use with the inhalation device.
- In another embodiment, the invention relates to a method for treatment of airway diseases, particularly chronic obstructive pulmonary disease and asthma, characterized in that an inhalable powder containing tiotropium, preferably in an amount of 0.001% to 5%, in admixture with a physiologically acceptable excipient with an average particle size of between 10 μm to 500 μm, is administered via inhalation by the inhaler according to U.S. Pat. No. 5,590,645, comprising a medicament pack having a plurality of containers for containing medicament in powder form wherein the containers are spaced along the length of and defined between two peelable sheets secured to each other, an opening station for receiving a container of the medicament pack being, means positioned to engage peelable sheets of a container which has been received in the opening station for peeling apart the peelable sheets, to open such a container, an outlet, positioned to be in communication with an opened container, through which a user can inhale medicament in powder form from such an opened container, and indexing means for indexing in communication with the outlet containers of a medicament pack in use with the inhalation device.
- In another preferred embodiment, the invention relates to the use of the inhaler according to U.S. Pat. No. 5,590,645, comprising a medicament pack having a plurality of containers for containing medicament in powder form wherein the containers are spaced along the length of and defined between two peelable sheets secured to each other, an opening station for receiving a container of the medicament pack being, means positioned to engage peelable sheets of a container which has been received in the opening station for peeling apart the peelable sheets, to open such a container, an outlet, positioned to be in communication with an opened container, through which a user can inhale medicament in powder form from such an opened container, and indexing means for indexing in communication with the outlet containers of a medicament pack in use with the inhalation device, for the administration of an inhalable powdered containing tiotropium, preferably in an amount of 0.001% to 5%, in admixture with a physiologically acceptable excipient with an average particle size of between 10 μm to 500 μm.
- In yet another preferred embodiment, the invention relates to an inhalation kit consisting of an inhalable powdered containing tiotropium, preferably in an amount of 0.001% to 5%, in admixture with a physiologically acceptable excipient with an average particle size of between 10 μm to 500 μm, and the inhaler according to U.S. Pat. No. 5,590,645, comprising a medicament pack having a plurality of containers for containing medicament in powder form wherein the containers are spaced along the length of and defined between two peelable sheets secured to each other, an opening station for receiving a container of the medicament pack being, means positioned to engage peelable sheets of a container which has been received in the opening station for peeling apart the peelable sheets, to open such a container, an outlet, positioned to be in communication with an opened container, through which a user can inhale medicament in powder form from such an opened container, and indexing means for indexing in communication with the outlet containers of a medicament pack in use with the inhalation device.
- In another preferred embodiment according to the invention, the inhaler according to U.S. Pat. No. 4,627,432 is applied. The disclosure of U.S. Pat. No. 4,627,432 is incorporated herein by reference in its entirety.
- Accordingly, in a preferred embodiment, the invention relates to a method for the administration of an inhalable powder containing tiotropium, preferably in an amount of 0.001% to 5%, in admixture with a physiologically acceptable excipient with an average particle size of between 10 μm to 500 μm, by means of the inhaler according to U.S. Pat. No. 4,627,432, being characterized by a housing with a chamber therein, an air inlet into the chamber, a circular disc having an axis substantially coaxial to the chamber axis and rotatable inside the chamber and provided with a plurality of apertures therethrough arranged in a circle, the apertures being sized and positioned so that each aperture is adapted to be aligned with a different container, the disc being arranged so that the carrier can be placed in contact with one face of the disc with one of the containers located in each one of the apertures, an outlet through which a patient may inhale leading out of the chamber, an opening in the housing alignable with respective ones of the apertures in the disc as the disc is rotated, a plunger operatively connected to the housing and having a penetrating member, the penetrating member being displaceable to pass through the opening and the corresponding aperture in the disc registered with it thereby to penetrate and open a container located in the aperture so that the medicament will be released from the container and entrained in the air flow produced by a patient inhaling through the outlet, and means between the disc and the housing for rotatably indexing the disc to register each of the apertures in turn with the housing opening.
- In another embodiment, the invention relates to a method for treatment of airway diseases, particularly chronic obstructive pulmonary disease and asthma, characterized in that an inhalable powder containing tiotropium, preferably in an amount of 0.001% to 5%, in admixture with a physiologically acceptable excipient with an average particle size of between 10 μm to 500 μm, is administered via inhalation by the inhaler according to U.S. Pat. No. 4,627,432, being characterized by a housing with a chamber therein, an air inlet into the chamber, a circular disc having an axis substantially coaxial to the chamber axis and rotatable inside the chamber and provided with a plurality of apertures therethrough arranged in a circle, the apertures being sized and positioned so that each aperture is adapted to be aligned with a different container, the disc being arranged so that the carrier can be placed in contact with one face of the disc with one of the containers located in each one of the apertures, an outlet through which a patient may inhale leading out of the chamber, an opening in the housing alignable with respective ones of the apertures in the disc as the disc is rotated, a plunger operatively connected to the housing and having a penetrating member, the penetrating member being displaceable to pass through the opening and the corresponding aperture in the disc registered with it thereby to penetrate and open a container located in the aperture so that the medicament will be released from the container and entrained in the air flow produced by a patient inhaling through the outlet, and means between the disc and the housing for rotatably indexing the disc to register each of the apertures in turn with the housing opening.
- In another preferred embodiment, the invention relates to the use of the inhaler according to U.S. Pat. No. 4,627,432 being characterized by a housing with a chamber therein, an air inlet into the chamber, a circular disc having an axis substantially coaxial to the chamber axis and rotatable inside the chamber and provided with a plurality of apertures therethrough arranged in a circle, the apertures being sized and positioned so that each aperture is adapted to be aligned with a different container, the disc being arranged so that the carrier can be placed in contact with one face of the disc with one of the containers located in each one of the apertures, an outlet through which a patient may inhale leading out of the chamber, an opening in the housing alignable with respective ones of the apertures in the disc as the disc is rotated, a plunger operatively connected to the housing and having a penetrating member, the penetrating member being displaceable to pass through the opening and the corresponding aperture in the disc registered with it thereby to penetrate and open a container located in the aperture so that the medicament will be released from the container and entrained in the air flow produced by a patient inhaling through the outlet, and means between the disc and the housing for rotatably indexing the disc to register each of the apertures in turn with the housing opening, for the administration of an inhalable powdered containing tiotropium, preferably in an amount of 0.001% to 5%, in admixture with a physiologically acceptable excipient with an average particle size of between 10 μm to 500 μm.
- In yet another preferred embodiment, the invention relates to an inhalation kit consisting of an inhalable powdered containing tiotropium, preferably in an amount of 0.001 to 5%, in admixture with a physiologically acceptable excipient with an average particle size of between 10 to 500 μm, and the inhaler according to U.S. Pat. No. 4,627,432, being characterized by a housing with a chamber therein, an air inlet into the chamber, a circular disc having an axis substantially coaxial to the chamber axis and rotatable inside the chamber and provided with a plurality of apertures therethrough arranged in a circle, the apertures being sized and positioned so that each aperture is adapted to be aligned with a different container, the disc being arranged so that the carrier can be placed in contact with one face of the disc with one of the containers located in each one of the apertures, an outlet through which a patient may inhale leading out of the chamber, an opening in the housing alignable with respective ones of the apertures in the disc as the disc is rotated, a plunger operatively connected to the housing and having a penetrating member, the penetrating member being displaceable to pass through the opening and the corresponding aperture in the disc registered with it thereby to penetrate and open a container located in the aperture so that the medicament will be released from the container and entrained in the air flow produced by a patient inhaling through the outlet, and means between the disc and the housing for rotatably indexing the disc to register each of the apertures in turn with the housing opening.
- The following Examples serve to illustrate the present invention further without restricting its scope to the embodiments provided hereinafter by way of example.
- As a starting material for the synthesis of crystalline tiotropium bromide monohydrate tiotropium bromide obtained according to the disclosure of European patent application EP 418 716 A1 is be used.
- Preparation of Crystalline Tiotropium Bromide Monohydrate
- 15.0 kg of tiotropium bromide as obtained according to the methods disclosed in EP 418 716 A1 are added to 25.7 kg of water in a suitable reaction vessel. The mixture is heated to 80° C. to 90° C. and stirred at constant temperature until a clear solution is formed. Activated charcoal (0.8 kg) moistened with water, is suspended in 4.4 kg of water, this mixture is added to the solution containing the tiotropium bromide and rinsed with 4.3 kg of water. The mixture thus obtained is stirred for at least 15 minutes at 80° C. to 90° C. and then filtered through a heated filter into an apparatus which has been preheated to an outer temperature of 70° C. The filter is rinsed with 8.6 kg of water. The contents of the apparatus is cooled at 3° C. to 5° C. every 20 minutes to a temperature of 20° C. to 25° C. The apparatus is further cooled to 10° C. to 15° C. using cold water and crystallization is completed by stirring for at least one hour. The crystals are isolated using a suction drier, the crystal slurry isolated is washed with 9 liters of cold water (10° C. to 15° C.) and cold acetone (10° C. to 15° C.). The crystals obtained are dried in a nitrogen current at 25° C. over 2 hours. Yield: 13.4 kg of tiotropium bromide monohydrate (86% of theory)
- The crystalline tiotropium bromide monohydrate thus obtained is micronized by known methods, to bring the active substance into the average particle size which meets the specifications according to the invention.
- The DSC diagram of crystalline tiotropium bromide monohydrate shows two characteristic signals. The first, relatively broad, endothermic signal between 50° C. to 120° C. can be attributed to the dehydration of the tiotropium bromide monohydrate to produce the anhydrous form. The second, relatively sharp endothermic peak at 230° C.±5° C. can be put down to the melting of the substance. These data were obtained using a Mettler DSC 821 and evaluated with the Mettler STAR software package. These data, like the other values given in the above Table, were obtained at a heating rate of 10 K/min.
- The crystalline tiotropium bromide monohydrate thus obtained was characterized by IR spectroscopy. The data was obtained using a Nicolet FTIR spectrometer and evaluated with the Nicolet OMNIC software package, version 3.1. The measurement was carried out with 2.5 μmol of tiotropium bromide monohydrate in 300 mg of KBr. Table 1 shows some of the essential bands of the IR spectrum.
TABLE 1 Attribution of Specific Bands Wave Number (cm−1) Attribution Type of Oscillation 3570, 410 O—H elongated oscillation 3105 Aryl C—H elongated oscillation 1730 C—O elongated oscillation 1260 Epoxide C—O elongated oscillation 1035 Ester C—OC elongated oscillation 720 Thiophene cyclic oscillation - The crystalline tiotropium bromide monohydrate was characterized by X-ray structural analysis. The measurements of X-ray diffraction intensity were carried out on an AFC7R-4-circuit diffractometer (Rigaku) using monochromatic copper K a radiation. The structural solution and refinement of the crystal structure were obtained by direct methods (SHELXS86 Program) and FMLQ-refinement (TeXsan Program). The X-ray structural analysis carried out showed that crystalline tiotropium bromide hydrate has a simple monoclinic cell with the following dimensions: a=18.0774 Å, b=11.9711 Å, c=9.9321 Å, β=102.6910° C., V=2096.96 Å3.
- Apparatus
- The following machines and equipment, for example, may be used to prepare the inhalable powders according to the invention:
- Mixing Container or Powder Mixer: Gyrowheel mixer 200 L; type: DFW80N-4; made by: Messrs Engelsmann, D-67059 Ludwigshafen.
- Granulating Sieve: Quadro Comil; type: 197-S; made by: Messrs Joisten & Kettenbaum, D-51429 Bergisch-Gladbach.
- The following examples provide for inhalable powder mixtures applicable according to the invention.
- 5.2 kg of glucose monohydrate for inhalation (average particle size 25 μm) is used as the excipient. 22.5 g crystalline tiotropium bromide monohydrate (micronized; average particle size 1 μm to 3.5 μm) is used as the active ingredient.
- The aforementioned components are sieved in in alternate layers of lactose monohydrate in batches of about 200 g and crystalline tiotropium bromide monohydrate in batches of about 1 g. The ingredients sieved in are then mixed together (mixing at 900 rpm).
- According to the invention, preferably 5.2225 mg of the aforementioned powder is delivered per dose.
- 5.4775 kg of lactose monohydrate for inhalation (average particle size 25 μm) is used as the excipient. 22.5 g crystalline tiotropium bromide monohydrate (micronized; average particle size 1 to 3.5 μm) is used as the active ingredient.
- The aforementioned components are sieved in in alternate layers of lactose monohydrate in batches of about 200 g and crystalline tiotropium bromide monohydrate in batches of about 1 g. The ingredients sieved in are then mixed together (mixing at 900 rpm).
- According to the invention, preferably 5.5 mg of the aforementioned powder are delivered per dose.
- 1.1: Excipient Mixture
- 5.203 kg of lactose monohydrate for inhalation (average particle size 25 μm) is used as the coarser excipient component. 0.27 kg of lactose monohydrate (5 μm) is used as the finer excipient component. In the resulting 5,473 kg of excipient mixture, the proportion of the finer excipient component is 5%.
- The aforementioned components are sieved in in alternate layers of lactose monohydrate (25 μm) in batches of about 200 g and lactose monohydrate (5 μm) in batches of about 10 g. The ingredients sieved in are then mixed together (mixing at 900 rpm).
- 1.2: Final Mixture
- To prepare the final mixture, 5,473 kg of the excipient mixture (1.1) and 22.5 g crystalline tiotropium bromide monohydrate (micronized; average particle size 1 μm to 3.5 μm) are used. The content of active substance in the resulting powder is 0.4%.
- The aforementioned components are sieved in in alternate layers of excipient mixture (1.1) in batches of about 200 g and crystalline tiotropium bromide monohydrate in batches of about 1 g. The ingredients sieved in are then mixed together (mixing at 900 rpm).
- According to the invention preferably about 5.5 mg of the aforementioned powder are delivered per dose.
Claims (21)
Priority Applications (6)
| Application Number | Priority Date | Filing Date | Title |
|---|---|---|---|
| US10/407,019 US20030235538A1 (en) | 2002-04-09 | 2003-04-04 | Method for the administration of an anticholinergic by inhalation |
| US11/427,173 US8022082B2 (en) | 2002-04-09 | 2006-06-28 | Method for the administration of an anticholinergic by inhalation |
| US12/053,971 US20080236579A1 (en) | 2002-04-09 | 2008-03-24 | Method for the administration of an anticholinergic by inhalation |
| US13/422,325 US20120211007A1 (en) | 2002-04-09 | 2012-03-16 | Inhaler for the administration of an anticholinergic |
| US14/133,914 US20140116435A1 (en) | 2002-04-09 | 2013-12-19 | Inhaler for the administration of an anticholinergic |
| US15/176,586 US20160279356A1 (en) | 2002-04-09 | 2016-06-08 | Inhaler for the administration of an anticholinergic |
Applications Claiming Priority (4)
| Application Number | Priority Date | Filing Date | Title |
|---|---|---|---|
| EP02007868 | 2002-04-09 | ||
| EP02007868 | 2002-04-09 | ||
| US38679402P | 2002-06-07 | 2002-06-07 | |
| US10/407,019 US20030235538A1 (en) | 2002-04-09 | 2003-04-04 | Method for the administration of an anticholinergic by inhalation |
Related Child Applications (2)
| Application Number | Title | Priority Date | Filing Date |
|---|---|---|---|
| US11/427,173 Continuation US8022082B2 (en) | 2002-04-09 | 2006-06-28 | Method for the administration of an anticholinergic by inhalation |
| US12/053,971 Continuation US20080236579A1 (en) | 2002-04-09 | 2008-03-24 | Method for the administration of an anticholinergic by inhalation |
Publications (1)
| Publication Number | Publication Date |
|---|---|
| US20030235538A1 true US20030235538A1 (en) | 2003-12-25 |
Family
ID=29740410
Family Applications (6)
| Application Number | Title | Priority Date | Filing Date |
|---|---|---|---|
| US10/407,019 Abandoned US20030235538A1 (en) | 2002-04-09 | 2003-04-04 | Method for the administration of an anticholinergic by inhalation |
| US11/427,173 Expired - Lifetime US8022082B2 (en) | 2002-04-09 | 2006-06-28 | Method for the administration of an anticholinergic by inhalation |
| US12/053,971 Abandoned US20080236579A1 (en) | 2002-04-09 | 2008-03-24 | Method for the administration of an anticholinergic by inhalation |
| US13/422,325 Abandoned US20120211007A1 (en) | 2002-04-09 | 2012-03-16 | Inhaler for the administration of an anticholinergic |
| US14/133,914 Abandoned US20140116435A1 (en) | 2002-04-09 | 2013-12-19 | Inhaler for the administration of an anticholinergic |
| US15/176,586 Abandoned US20160279356A1 (en) | 2002-04-09 | 2016-06-08 | Inhaler for the administration of an anticholinergic |
Family Applications After (5)
| Application Number | Title | Priority Date | Filing Date |
|---|---|---|---|
| US11/427,173 Expired - Lifetime US8022082B2 (en) | 2002-04-09 | 2006-06-28 | Method for the administration of an anticholinergic by inhalation |
| US12/053,971 Abandoned US20080236579A1 (en) | 2002-04-09 | 2008-03-24 | Method for the administration of an anticholinergic by inhalation |
| US13/422,325 Abandoned US20120211007A1 (en) | 2002-04-09 | 2012-03-16 | Inhaler for the administration of an anticholinergic |
| US14/133,914 Abandoned US20140116435A1 (en) | 2002-04-09 | 2013-12-19 | Inhaler for the administration of an anticholinergic |
| US15/176,586 Abandoned US20160279356A1 (en) | 2002-04-09 | 2016-06-08 | Inhaler for the administration of an anticholinergic |
Country Status (1)
| Country | Link |
|---|---|
| US (6) | US20030235538A1 (en) |
Cited By (61)
| Publication number | Priority date | Publication date | Assignee | Title |
|---|---|---|---|---|
| US20020110529A1 (en) * | 2000-10-12 | 2002-08-15 | Karoline Bechtold-Peters | Inhalable powder containing tiotropium |
| US20030070679A1 (en) * | 2001-06-01 | 2003-04-17 | Boehringer Ingelheim Pharma Kg | Capsules containing inhalable tiotropium |
| US20030185766A1 (en) * | 2002-03-28 | 2003-10-02 | Boehringer Ingelheim Pharma Gmbh & Co. Kg | HFA suspension formulations of an anhydrate |
| US20040002510A1 (en) * | 2002-03-20 | 2004-01-01 | Boehringer Ingelheim Pharma Gmbh & Co. Kg | Crystalline micronisate, process for the manufacture thereof and use thereof for the preparation of a medicament |
| US20040136919A1 (en) * | 2002-11-28 | 2004-07-15 | Boehringer Ingelheim Pharma Gmbh & Co. Kg | Tiotropium containing powder formulation for inhalation |
| US20050096341A1 (en) * | 2003-11-03 | 2005-05-05 | Boehringer Ingelheim International Gmbh | Novel tiotropium salts, process for the preparation and pharmaceutical compositions thereof |
| US20050124644A1 (en) * | 2003-12-03 | 2005-06-09 | Thomas Nilsson | Medical product |
| US20050121026A1 (en) * | 2003-12-03 | 2005-06-09 | Thomas Nilsson | Method for administration of tiotropium |
| US20050121032A1 (en) * | 2003-12-03 | 2005-06-09 | Microdrug Ag | Pre-metered dry powder inhaler for moisture-sensitive medicaments |
| US20050121027A1 (en) * | 2003-12-03 | 2005-06-09 | Microdrug Ag | Inhalable tiotropium and container therefor |
| US20050131007A1 (en) * | 2003-11-03 | 2005-06-16 | Boehringer Ingelheim International Gmbh | Process for preparing new tiotropium salts, new tiotropium salts as such and pharmaceutical compositions thereof |
| US20050279357A1 (en) * | 2003-11-08 | 2005-12-22 | Boehringer Ingelheim International Gmbh | Powder inhaler |
| US20070020198A1 (en) * | 2003-12-03 | 2007-01-25 | Boehringer Ingelheim Pharma Gmbh & Co. Kg | Medical product containing tiotropium |
| US20070044614A1 (en) * | 2005-08-30 | 2007-03-01 | Rexon Industrial Corp., Ltd. | Sawing machine |
| US20090038612A1 (en) * | 2003-12-03 | 2009-02-12 | Boehringer Ingelheim International Gmbh | Medical product containing tiotropium |
| US20090308391A1 (en) * | 2008-06-13 | 2009-12-17 | Smutney Chad C | Dry Powder Inhaler and System for Drug Delivery |
| US20090314292A1 (en) * | 2008-06-20 | 2009-12-24 | Dennis Overfield | Interactive apparatus and method for real-time profiling of inhalation efforts |
| US20100022790A1 (en) * | 2008-07-24 | 2010-01-28 | Christian Dussarrat | Methods for synthesis of heteroleptic cyclopentadienyl transition metal precursors |
| WO2012047181A1 (en) * | 2010-10-07 | 2012-04-12 | Mahmut Bilgic | Inhaler comprising capsule |
| US8485180B2 (en) | 2008-06-13 | 2013-07-16 | Mannkind Corporation | Dry powder drug delivery system |
| US20130255679A1 (en) * | 2010-12-06 | 2013-10-03 | Laboratorios Liconsa, S.A. | Inhalator |
| AU2014200975B2 (en) * | 2008-06-13 | 2015-02-05 | Mannkind Corporation | A dry powder inhaler and system for drug delivery |
| US20150297844A1 (en) * | 2012-08-28 | 2015-10-22 | Kind Consumer Limited | An inhaler |
| US9220687B2 (en) | 2008-12-29 | 2015-12-29 | Mannkind Corporation | Substituted diketopiperazine analogs for use as drug delivery agents |
| US9233159B2 (en) | 2011-10-24 | 2016-01-12 | Mannkind Corporation | Methods and compositions for treating pain |
| US9241903B2 (en) | 2006-02-22 | 2016-01-26 | Mannkind Corporation | Method for improving the pharmaceutic properties of microparticles comprising diketopiperazine and an active agent |
| US9283193B2 (en) | 2005-09-14 | 2016-03-15 | Mannkind Corporation | Method of drug formulation based on increasing the affinity of crystalline microparticle surfaces for active agents |
| US9358352B2 (en) | 2008-06-13 | 2016-06-07 | Mannkind Corporation | Dry powder drug delivery system and methods |
| US9364436B2 (en) | 2011-06-17 | 2016-06-14 | Mannkind Corporation | High capacity diketopiperazine microparticles and methods |
| US9630930B2 (en) | 2009-06-12 | 2017-04-25 | Mannkind Corporation | Diketopiperazine microparticles with defined specific surface areas |
| WO2017078371A1 (en) * | 2015-11-03 | 2017-05-11 | Hanmi Pharm. Co., Ltd. | Dry powder composition for inhalation comprising tiotropium or pharmaceutically acceptable salt thereof |
| US9675674B2 (en) | 2004-08-23 | 2017-06-13 | Mannkind Corporation | Diketopiperazine salts for drug delivery and related methods |
| USD789517S1 (en) * | 2014-01-28 | 2017-06-13 | Lupin Atlantis Holdings Sa | Inhaler |
| US9700690B2 (en) | 2002-03-20 | 2017-07-11 | Mannkind Corporation | Inhalation apparatus |
| US9706944B2 (en) | 2009-11-03 | 2017-07-18 | Mannkind Corporation | Apparatus and method for simulating inhalation efforts |
| CN107106796A (en) * | 2015-01-09 | 2017-08-29 | 安瑞智能(新西兰)有限公司 | Monitor for inhalant medicator |
| US9796688B2 (en) | 2004-08-20 | 2017-10-24 | Mannkind Corporation | Catalysis of diketopiperazine synthesis |
| US9802012B2 (en) | 2012-07-12 | 2017-10-31 | Mannkind Corporation | Dry powder drug delivery system and methods |
| US9801925B2 (en) | 1999-06-29 | 2017-10-31 | Mannkind Corporation | Potentiation of glucose elimination |
| US20180043111A1 (en) * | 2016-08-15 | 2018-02-15 | Alfred E. Tiefenbacher (Gmbh & Co. Kg) | Dry powder inhaler with reproducible flow resistance |
| US9925144B2 (en) | 2013-07-18 | 2018-03-27 | Mannkind Corporation | Heat-stable dry powder pharmaceutical compositions and methods |
| US9943571B2 (en) | 2008-08-11 | 2018-04-17 | Mannkind Corporation | Use of ultrarapid acting insulin |
| US20180104424A1 (en) * | 2016-10-11 | 2018-04-19 | Microdose Therapeutx, Inc. | Inhaler and Methods of Use Thereof |
| USD816208S1 (en) * | 2014-01-28 | 2018-04-24 | Lupin Limited | Inhaler |
| US9983108B2 (en) | 2009-03-11 | 2018-05-29 | Mannkind Corporation | Apparatus, system and method for measuring resistance of an inhaler |
| US10159644B2 (en) | 2012-10-26 | 2018-12-25 | Mannkind Corporation | Inhalable vaccine compositions and methods |
| US10307464B2 (en) | 2014-03-28 | 2019-06-04 | Mannkind Corporation | Use of ultrarapid acting insulin |
| USD852408S1 (en) | 2016-02-08 | 2019-06-25 | Nicoventures Holdings Limited | Electronic cigarette |
| US10421729B2 (en) | 2013-03-15 | 2019-09-24 | Mannkind Corporation | Microcrystalline diketopiperazine compositions and methods |
| US10561806B2 (en) | 2014-10-02 | 2020-02-18 | Mannkind Corporation | Mouthpiece cover for an inhaler |
| US10625034B2 (en) | 2011-04-01 | 2020-04-21 | Mannkind Corporation | Blister package for pharmaceutical cartridges |
| US20200360631A1 (en) * | 2017-11-23 | 2020-11-19 | Chia Tai Tianqing Pharmaceutical Group Co., Ltd. | New dry powder inhaler |
| US20200384218A1 (en) * | 2017-10-24 | 2020-12-10 | Merxin Ltd | Inhaler |
| US11123501B2 (en) | 2016-03-24 | 2021-09-21 | Nicoventures Holdings Limited | Electronic vapor provision system |
| US11213638B2 (en) | 2016-03-24 | 2022-01-04 | Nicoventures Trading Limited | Vapor provision system |
| US11241043B2 (en) | 2016-03-24 | 2022-02-08 | Nicoventures Trading Limited | Vapor provision apparatus |
| US11324900B2 (en) * | 2014-04-29 | 2022-05-10 | Hovione Technology Ltd. | Hinged capsule inhaler |
| US11446127B2 (en) | 2013-08-05 | 2022-09-20 | Mannkind Corporation | Insufflation apparatus and methods |
| US11452826B2 (en) | 2016-03-24 | 2022-09-27 | Nicoventures Trading Limited | Mechanical connector for electronic vapor provision system |
| US11478591B2 (en) | 2016-05-19 | 2022-10-25 | Mannkind Corporation | Apparatus, system and method for detecting and monitoring inhalations |
| US11524823B2 (en) | 2016-07-22 | 2022-12-13 | Nicoventures Trading Limited | Case for a vapor provision device |
Families Citing this family (27)
| Publication number | Priority date | Publication date | Assignee | Title |
|---|---|---|---|---|
| US20030235538A1 (en) * | 2002-04-09 | 2003-12-25 | Boehringer Ingelheim Pharma Gmbh & Co. Kg | Method for the administration of an anticholinergic by inhalation |
| CA2709071C (en) | 2007-12-14 | 2016-11-15 | Labogroup S.A.S. | Delivering aerosolizable food products |
| JP6110067B2 (en) * | 2009-02-06 | 2017-04-05 | ノースウェスタン ユニバーシティ | Bursable liquid packaging and its use |
| USD670374S1 (en) * | 2010-07-21 | 2012-11-06 | Astrazeneca Uk Limited | Inhaler |
| USD659236S1 (en) * | 2010-07-21 | 2012-05-08 | Astrazeneca Uk Limited | Inhaler |
| USD671207S1 (en) * | 2010-07-21 | 2012-11-20 | Astrazeneca Uk Limited | Inhaler |
| AU337041S (en) * | 2010-11-18 | 2011-06-08 | Pharmachemie Holdings B V | Inhaler |
| AU337042S (en) * | 2010-11-18 | 2011-06-08 | Pharmachemie Holdings B V | Inhaler |
| CN104114213B (en) * | 2011-12-16 | 2016-06-22 | 赛诺菲股份有限公司 | By sucking the device using powdery medicine to patient |
| CA3153463A1 (en) | 2012-10-29 | 2014-05-08 | The University Of North Carolina At Chapel Hill | Methods and compositions for treating mucosal tissue disorders |
| JP5350530B1 (en) * | 2012-12-07 | 2013-11-27 | ニップファーマ株式会社 | Drug inhalation device |
| CN103110584A (en) * | 2013-01-29 | 2013-05-22 | 青岛大学 | Tiotropium bromide powder inhalation and preparation method thereof |
| UA29750S (en) | 2013-11-22 | 2015-07-10 | Гленмарк Фармас& | INHALER |
| USD804015S1 (en) | 2013-12-23 | 2017-11-28 | Glenmark Pharmaceuticals Limited | Inhaler |
| IN2014MU00663A (en) | 2014-02-25 | 2015-09-25 | Lupin Ltd | |
| EP2913332A1 (en) | 2014-02-27 | 2015-09-02 | Euticals S.P.A. | Crystalline form of tiotropium bromide with lactose |
| USD795414S1 (en) | 2014-06-03 | 2017-08-22 | Glenmark Specialty S.A. | Inhaler |
| EP3244952A4 (en) | 2015-01-14 | 2018-11-14 | Respira Therapeutics, Inc. | Powder dispersion methods and devices |
| USD863529S1 (en) | 2016-02-19 | 2019-10-15 | Glenmark Specialty S.A. | Inhaler |
| FI3612259T3 (en) * | 2017-04-17 | 2023-03-03 | Respira Therapeutics Inc | Unit dose dry powder inhaler |
| KR102819530B1 (en) | 2018-10-02 | 2025-06-16 | 보스톤 싸이엔티픽 싸이메드 인코포레이티드 | Device for fluidizing and delivering powder formulations |
| MX2021004643A (en) * | 2018-10-30 | 2021-05-28 | Chiesi Farm Spa | Apparatus to administer drugs to mechanically ventilated patients. |
| MX2022000923A (en) | 2019-07-24 | 2022-05-03 | Trudell Medical Int | Portable holding chamber. |
| WO2021119055A1 (en) * | 2019-12-09 | 2021-06-17 | Genentech, Inc. | Inhaler devices, medication formulations used therewith and methods of manufacture |
| CN115867339B (en) | 2020-05-14 | 2025-11-07 | 伊莱利利公司 | Nasal delivery device |
| USD1010101S1 (en) | 2020-09-18 | 2024-01-02 | Trudell Medical International | Holding chamber |
| US12502490B2 (en) | 2022-04-29 | 2025-12-23 | Merxin Ltd | Manifold |
Citations (26)
| Publication number | Priority date | Publication date | Assignee | Title |
|---|---|---|---|---|
| US70679A (en) * | 1867-11-12 | Biddle arthuks | ||
| US110529A (en) * | 1870-12-27 | Improvement in machines for makfng brushes | ||
| US4042700A (en) * | 1975-09-12 | 1977-08-16 | Boehringer Ingelheim Gmbh | Quaternary N-β-substituted N-alkyl-nortropine benzilates |
| US4524769A (en) * | 1981-07-08 | 1985-06-25 | Aktiebolaget Draco | Dosage inhalator |
| US4608377A (en) * | 1982-03-26 | 1986-08-26 | Boehringer Ingelheim Kg | Quaternary 6,11-dihydro-dibenzo-[b,e]-thiepine-11-N-alkylnorscopine ethers having spasmolytic activity |
| US4627432A (en) * | 1982-10-08 | 1986-12-09 | Glaxo Group Limited | Devices for administering medicaments to patients |
| US4783534A (en) * | 1982-04-26 | 1988-11-08 | Boehringer Ingelheim Kg | N-alkylnorscopines and acid addition salts thereof |
| US5544647A (en) * | 1994-11-29 | 1996-08-13 | Iep Group, Inc. | Metered dose inhalator |
| US5590645A (en) * | 1990-03-02 | 1997-01-07 | Glaxo Group Limited | Inhalation device |
| US5610163A (en) * | 1989-09-16 | 1997-03-11 | Boehringer Ingelheim Gmbh | Esters of thienyl carboxylic acids and amino alcohols and their quaternization products |
| US5654314A (en) * | 1991-03-15 | 1997-08-05 | Boehringer Ingelheim Kg | Esters of bi- and tricyclic amino alcohols and their use in pharmaceutical compositions |
| US5770738A (en) * | 1992-03-05 | 1998-06-23 | Boehringer Ingelheim Kg | Esters of bi- and tricyclic amino alcohols, their preparation and their use in pharmaceutical compositions |
| US5785049A (en) * | 1994-09-21 | 1998-07-28 | Inhale Therapeutic Systems | Method and apparatus for dispersion of dry powder medicaments |
| US5826633A (en) * | 1996-04-26 | 1998-10-27 | Inhale Therapeutic Systems | Powder filling systems, apparatus and methods |
| US5952505A (en) * | 1995-04-28 | 1999-09-14 | Boehringer Ingelheim Kg | Process for preparing pure enantiomers of tropic acid esters |
| US6182655B1 (en) * | 1995-12-07 | 2001-02-06 | Jago Research Ag | Inhaler for multiple dosed administration of a pharmacological dry powder |
| US6270869B1 (en) * | 1998-12-02 | 2001-08-07 | Alusuisse Technology & Management Ltd. | Cold formable laminate films |
| US20020053344A1 (en) * | 1990-03-02 | 2002-05-09 | Glaxo Group Limited | Inhalation device |
| US20020110529A1 (en) * | 2000-10-12 | 2002-08-15 | Karoline Bechtold-Peters | Inhalable powder containing tiotropium |
| US6486321B2 (en) * | 2000-12-22 | 2002-11-26 | Boehringer Ingelheim Pharma Kg | Process for preparing an anticholinergic |
| US6506900B1 (en) * | 2001-01-31 | 2003-01-14 | Boehringer Ingelheim Pharma Ag | Process for preparing a scopine ester intermediate |
| US6645466B1 (en) * | 1998-11-13 | 2003-11-11 | Jago Research Ag | Dry powder for inhalation |
| US20050005014A1 (en) * | 2003-07-01 | 2005-01-06 | John Holmes | Transport system for instant messaging |
| US6881398B2 (en) * | 2002-04-12 | 2005-04-19 | Microdrug Ag | Therapeutic dry powder preparation |
| US6884794B2 (en) * | 2000-04-17 | 2005-04-26 | Chiesi Farmaceutici S.P.A. | Pharmaceutical formulations for dry powder inhalers in the form of hard-pellets |
| US20060102511A1 (en) * | 2002-11-02 | 2006-05-18 | Erwin Pasbrig | Blister package for inhalable medicament |
Family Cites Families (50)
| Publication number | Priority date | Publication date | Assignee | Title |
|---|---|---|---|---|
| GB2169265B (en) | 1982-10-08 | 1987-08-12 | Glaxo Group Ltd | Pack for medicament |
| SE8603252L (en) | 1985-07-30 | 1987-01-31 | Glaxo Group Ltd | DEVICE FOR SUPPLYING MEDICINE TO PATIENTS |
| SE453566B (en) | 1986-03-07 | 1988-02-15 | Draco Ab | POWDER INHALATOR DEVICE |
| SE466684B (en) * | 1989-03-07 | 1992-03-23 | Draco Ab | DEVICE INHALATOR AND PROCEDURE TO REGISTER WITH THE DEVICE INHALATOR MEDICATION |
| DE4211475A1 (en) | 1991-12-14 | 1993-06-17 | Asta Medica Ag | POWDER INHALATOR |
| US5239993A (en) | 1992-08-26 | 1993-08-31 | Glaxo Inc. | Dosage inhalator providing optimized compound inhalation trajectory |
| US5533502A (en) * | 1993-05-28 | 1996-07-09 | Vortran Medical Technology, Inc. | Powder inhaler with aerosolization occurring within each individual powder receptacle |
| DE4318455A1 (en) | 1993-06-03 | 1994-12-08 | Boehringer Ingelheim Kg | Capsule holder |
| PT101450B (en) * | 1994-02-02 | 1999-11-30 | Hovione Produtos Farmaceuticos | NEW INHALATION DEVICE |
| JP3856850B2 (en) | 1994-08-18 | 2006-12-13 | 生化学工業株式会社 | Process for producing optically active aminoketone and aminoalcohol |
| JP3320261B2 (en) | 1995-06-01 | 2002-09-03 | 株式会社ユニシアジェックス | Inhaler type dispenser |
| JPH09140796A (en) | 1995-11-24 | 1997-06-03 | Unisia Jecs Corp | Medicator |
| JPH09140794A (en) | 1995-11-27 | 1997-06-03 | Unisia Jecs Corp | Dosing device |
| JPH09206379A (en) | 1996-02-06 | 1997-08-12 | Unisia Jecs Corp | Inhaler |
| JPH09206378A (en) | 1996-02-06 | 1997-08-12 | Unisia Jecs Corp | Inhaler |
| JPH09206381A (en) | 1996-02-06 | 1997-08-12 | Unisia Jecs Corp | Inhaler |
| JPH09206380A (en) | 1996-02-06 | 1997-08-12 | Unisia Jecs Corp | Inhaler |
| US6006747A (en) * | 1997-03-20 | 1999-12-28 | Dura Pharmaceuticals, Inc. | Dry powder inhaler |
| JPH11299891A (en) | 1998-04-21 | 1999-11-02 | Unisia Jecs Corp | Inhalation type dispenser |
| JP2000217917A (en) * | 1999-01-27 | 2000-08-08 | Unisia Jecs Corp | Inhaler type dispenser |
| GB9902689D0 (en) | 1999-02-08 | 1999-03-31 | Novartis Ag | Organic compounds |
| GB9909357D0 (en) * | 1999-04-24 | 1999-06-16 | Glaxo Group Ltd | Medicament carrier |
| GB9924415D0 (en) * | 1999-10-16 | 1999-12-15 | Glaxo Group Ltd | Medicament pack |
| US6810872B1 (en) * | 1999-12-10 | 2004-11-02 | Unisia Jecs Corporation | Inhalant medicator |
| GB0015043D0 (en) * | 2000-06-21 | 2000-08-09 | Glaxo Group Ltd | Medicament dispenser |
| SE517227C2 (en) | 2000-09-25 | 2002-05-14 | Microdrug Ag | Dry powder inhaler with foil cutter |
| SE517229C2 (en) | 2000-09-25 | 2002-05-14 | Microdrug Ag | Continuous dry powder inhaler |
| US6908928B2 (en) * | 2000-10-12 | 2005-06-21 | Bi Pharma Kg. | Crystalline tiotropium bromide monohydrate, processes for the preparation thereof, and pharmaceutical compositions |
| US7776315B2 (en) | 2000-10-31 | 2010-08-17 | Boehringer Ingelheim Pharma Gmbh & Co. Kg | Pharmaceutical compositions based on anticholinergics and additional active ingredients |
| US20020193393A1 (en) | 2001-03-07 | 2002-12-19 | Michel Pairet | Pharmaceutical compositions based on anticholinergics and PDE-IV inhibitors |
| US20020151541A1 (en) | 2000-10-31 | 2002-10-17 | Michel Pairet | Pharmaceutical compositions containing tiotropium salts and antihistamines and their use |
| US20020183292A1 (en) | 2000-10-31 | 2002-12-05 | Michel Pairet | Pharmaceutical compositions based on anticholinergics and corticosteroids |
| US6608054B2 (en) | 2001-03-20 | 2003-08-19 | Boehringer Ingelheim Pharma Kg | Pharmaceutical compositions based on anticholinergics and endothelin antagonists |
| US20020122773A1 (en) | 2000-12-20 | 2002-09-05 | Michel Pairet | Pharmaceutical compositions based on anticholinergics and dopamine agonists |
| DE10110772A1 (en) | 2001-03-07 | 2002-09-12 | Boehringer Ingelheim Pharma | New drug compositions based on anticholinergics and PDE-IV inhibitors |
| UA76435C2 (en) | 2000-10-31 | 2006-08-15 | Boehringer Ingelheim Pharma | Inhalation formulation of tiotropium salt |
| US20030158196A1 (en) | 2002-02-16 | 2003-08-21 | Boehringer Ingelheim Pharma Gmbh Co. Kg | Pharmaceutical compositions based on anticholinergics and EGFR kinase inhibitors |
| DE10062712A1 (en) | 2000-12-15 | 2002-06-20 | Boehringer Ingelheim Pharma | New drug compositions based on anticholinergics and corticosteroids |
| US20020137764A1 (en) | 2000-10-31 | 2002-09-26 | Karin Drechsel | Inhalable formulation of a solution containing a tiotropium salt |
| US6620438B2 (en) | 2001-03-08 | 2003-09-16 | Boehringer Ingelheim Pharma Kg | Pharmaceutical compositions based on anticholinergics and NK1-receptor antagonists |
| ES2337554T3 (en) | 2000-10-31 | 2010-04-27 | BOEHRINGER INGELHEIM PHARMA GMBH & CO.KG | COMPOSITIONS OF MEDICINES BASED ON SALTS OF TIOTROPY AND EPINASTINE FOR THE DISEASE THERAPY OF THE RESPIRATORY ROADS. |
| US20100310477A1 (en) | 2000-11-28 | 2010-12-09 | Boehringer Ingelheim Pharma Gmbh & Co. Kg. | Pharmaceutical compositions based on anticholingerics and additional active ingredients |
| US6693042B1 (en) * | 2000-12-28 | 2004-02-17 | Cypress Semiconductor Corp. | Method for etching a dielectric layer formed upon a barrier layer |
| US20020189610A1 (en) * | 2001-02-01 | 2002-12-19 | Karl-Heinz Bozung | Pharmaceutical compositions containing an ipratropium salt and a betamimetic |
| DE10111843A1 (en) * | 2001-03-13 | 2002-09-19 | Boehringer Ingelheim Pharma | Compounds for the treatment of inflammatory diseases |
| US20030070679A1 (en) | 2001-06-01 | 2003-04-17 | Boehringer Ingelheim Pharma Kg | Capsules containing inhalable tiotropium |
| ITMI20010357U1 (en) * | 2001-06-28 | 2002-12-30 | Plastiape Spa | INHALER DEVICE |
| UA80123C2 (en) | 2002-04-09 | 2007-08-27 | Boehringer Ingelheim Pharma | Inhalation kit comprising inhalable powder of tiotropium |
| US20030235538A1 (en) * | 2002-04-09 | 2003-12-25 | Boehringer Ingelheim Pharma Gmbh & Co. Kg | Method for the administration of an anticholinergic by inhalation |
| WO2005016558A2 (en) | 2003-08-04 | 2005-02-24 | Microchips, Inc. | Methods for accelerated release of material from a reservoir device |
-
2003
- 2003-04-04 US US10/407,019 patent/US20030235538A1/en not_active Abandoned
-
2006
- 2006-06-28 US US11/427,173 patent/US8022082B2/en not_active Expired - Lifetime
-
2008
- 2008-03-24 US US12/053,971 patent/US20080236579A1/en not_active Abandoned
-
2012
- 2012-03-16 US US13/422,325 patent/US20120211007A1/en not_active Abandoned
-
2013
- 2013-12-19 US US14/133,914 patent/US20140116435A1/en not_active Abandoned
-
2016
- 2016-06-08 US US15/176,586 patent/US20160279356A1/en not_active Abandoned
Patent Citations (26)
| Publication number | Priority date | Publication date | Assignee | Title |
|---|---|---|---|---|
| US70679A (en) * | 1867-11-12 | Biddle arthuks | ||
| US110529A (en) * | 1870-12-27 | Improvement in machines for makfng brushes | ||
| US4042700A (en) * | 1975-09-12 | 1977-08-16 | Boehringer Ingelheim Gmbh | Quaternary N-β-substituted N-alkyl-nortropine benzilates |
| US4524769A (en) * | 1981-07-08 | 1985-06-25 | Aktiebolaget Draco | Dosage inhalator |
| US4608377A (en) * | 1982-03-26 | 1986-08-26 | Boehringer Ingelheim Kg | Quaternary 6,11-dihydro-dibenzo-[b,e]-thiepine-11-N-alkylnorscopine ethers having spasmolytic activity |
| US4783534A (en) * | 1982-04-26 | 1988-11-08 | Boehringer Ingelheim Kg | N-alkylnorscopines and acid addition salts thereof |
| US4627432A (en) * | 1982-10-08 | 1986-12-09 | Glaxo Group Limited | Devices for administering medicaments to patients |
| US5610163A (en) * | 1989-09-16 | 1997-03-11 | Boehringer Ingelheim Gmbh | Esters of thienyl carboxylic acids and amino alcohols and their quaternization products |
| US20020053344A1 (en) * | 1990-03-02 | 2002-05-09 | Glaxo Group Limited | Inhalation device |
| US5590645A (en) * | 1990-03-02 | 1997-01-07 | Glaxo Group Limited | Inhalation device |
| US5654314A (en) * | 1991-03-15 | 1997-08-05 | Boehringer Ingelheim Kg | Esters of bi- and tricyclic amino alcohols and their use in pharmaceutical compositions |
| US5770738A (en) * | 1992-03-05 | 1998-06-23 | Boehringer Ingelheim Kg | Esters of bi- and tricyclic amino alcohols, their preparation and their use in pharmaceutical compositions |
| US5785049A (en) * | 1994-09-21 | 1998-07-28 | Inhale Therapeutic Systems | Method and apparatus for dispersion of dry powder medicaments |
| US5544647A (en) * | 1994-11-29 | 1996-08-13 | Iep Group, Inc. | Metered dose inhalator |
| US5952505A (en) * | 1995-04-28 | 1999-09-14 | Boehringer Ingelheim Kg | Process for preparing pure enantiomers of tropic acid esters |
| US6182655B1 (en) * | 1995-12-07 | 2001-02-06 | Jago Research Ag | Inhaler for multiple dosed administration of a pharmacological dry powder |
| US5826633A (en) * | 1996-04-26 | 1998-10-27 | Inhale Therapeutic Systems | Powder filling systems, apparatus and methods |
| US6645466B1 (en) * | 1998-11-13 | 2003-11-11 | Jago Research Ag | Dry powder for inhalation |
| US6270869B1 (en) * | 1998-12-02 | 2001-08-07 | Alusuisse Technology & Management Ltd. | Cold formable laminate films |
| US6884794B2 (en) * | 2000-04-17 | 2005-04-26 | Chiesi Farmaceutici S.P.A. | Pharmaceutical formulations for dry powder inhalers in the form of hard-pellets |
| US20020110529A1 (en) * | 2000-10-12 | 2002-08-15 | Karoline Bechtold-Peters | Inhalable powder containing tiotropium |
| US6486321B2 (en) * | 2000-12-22 | 2002-11-26 | Boehringer Ingelheim Pharma Kg | Process for preparing an anticholinergic |
| US6506900B1 (en) * | 2001-01-31 | 2003-01-14 | Boehringer Ingelheim Pharma Ag | Process for preparing a scopine ester intermediate |
| US6881398B2 (en) * | 2002-04-12 | 2005-04-19 | Microdrug Ag | Therapeutic dry powder preparation |
| US20060102511A1 (en) * | 2002-11-02 | 2006-05-18 | Erwin Pasbrig | Blister package for inhalable medicament |
| US20050005014A1 (en) * | 2003-07-01 | 2005-01-06 | John Holmes | Transport system for instant messaging |
Cited By (121)
| Publication number | Priority date | Publication date | Assignee | Title |
|---|---|---|---|---|
| US9801925B2 (en) | 1999-06-29 | 2017-10-31 | Mannkind Corporation | Potentiation of glucose elimination |
| US20020110529A1 (en) * | 2000-10-12 | 2002-08-15 | Karoline Bechtold-Peters | Inhalable powder containing tiotropium |
| US7070800B2 (en) | 2000-10-12 | 2006-07-04 | Boehringer Ingelheim Pharma Kg | Inhalable powder containing tiotropium |
| US20060039868A1 (en) * | 2000-10-12 | 2006-02-23 | Boehringer Ingelheim Pharma Kg | Inhalable powder containing tiotropium |
| US20030070679A1 (en) * | 2001-06-01 | 2003-04-17 | Boehringer Ingelheim Pharma Kg | Capsules containing inhalable tiotropium |
| US7642268B2 (en) | 2002-03-20 | 2010-01-05 | Boehringer Ingelheim Pharma Gmbh & Co. Kg | Crystalline micronisate, process for the manufacture thereof and use thereof for the preparation of a medicament |
| US7309707B2 (en) * | 2002-03-20 | 2007-12-18 | Boehringer Ingelheim Pharma Gmbh & Co. Kg | Crystalline micronisate, process for the manufacture thereof and use thereof for the preparation of a medicament |
| US9700690B2 (en) | 2002-03-20 | 2017-07-11 | Mannkind Corporation | Inhalation apparatus |
| US20040002510A1 (en) * | 2002-03-20 | 2004-01-01 | Boehringer Ingelheim Pharma Gmbh & Co. Kg | Crystalline micronisate, process for the manufacture thereof and use thereof for the preparation of a medicament |
| US20070015785A1 (en) * | 2002-03-20 | 2007-01-18 | Boehringer Ingelheim Pharma Gmbh & Co. Kg | Crystalline Micronisate, Process for the Manufacture Thereof and Use Thereof for the Preparation of a Medicament |
| US7244415B2 (en) | 2002-03-28 | 2007-07-17 | Boehringer Ingelheim Pharma Gmbh & Co. Kg | HFA suspension formulations of an anhydrate |
| US20030185766A1 (en) * | 2002-03-28 | 2003-10-02 | Boehringer Ingelheim Pharma Gmbh & Co. Kg | HFA suspension formulations of an anhydrate |
| US8197845B2 (en) | 2002-11-28 | 2012-06-12 | Boehringer Ingelheim Pharma Gmbh & Co. Kg | Encapsulated tiotropium containing powder formulation for inhalation |
| US20090311314A1 (en) * | 2002-11-28 | 2009-12-17 | Boehringer Ingelheim International Gmbh | Tiotropium Containing Powder Formulation For Inhalation |
| US20040136919A1 (en) * | 2002-11-28 | 2004-07-15 | Boehringer Ingelheim Pharma Gmbh & Co. Kg | Tiotropium containing powder formulation for inhalation |
| US7763280B2 (en) | 2002-11-28 | 2010-07-27 | Boehringer Ingelheim Pharma Gmbh & Co. Kg | Tiotropium containing powder formulation for inhalation |
| US20050096341A1 (en) * | 2003-11-03 | 2005-05-05 | Boehringer Ingelheim International Gmbh | Novel tiotropium salts, process for the preparation and pharmaceutical compositions thereof |
| US20050131007A1 (en) * | 2003-11-03 | 2005-06-16 | Boehringer Ingelheim International Gmbh | Process for preparing new tiotropium salts, new tiotropium salts as such and pharmaceutical compositions thereof |
| US8686148B2 (en) | 2003-11-03 | 2014-04-01 | Boehringer Ingelheim International Gmbh | Process for preparing new tiotropium salts, new tiotropium salts as such and pharmaceutical compositions thereof |
| US20050279357A1 (en) * | 2003-11-08 | 2005-12-22 | Boehringer Ingelheim International Gmbh | Powder inhaler |
| US7252087B2 (en) | 2003-11-08 | 2007-08-07 | Boehringer Ingelheim International Gmbh | Powder inhaler |
| WO2005053646A1 (en) | 2003-12-03 | 2005-06-16 | Microdrug Ag | Inhalable tiotropium and container therefor |
| US20090192185A1 (en) * | 2003-12-03 | 2009-07-30 | Boehringer Ingelheim International Gmbh | Medical product |
| US20080289630A1 (en) * | 2003-12-03 | 2008-11-27 | Boehringer Ingelheim International Gmbh | Pre-metered dry powder inhaler for moisture-sensitive medicaments |
| US20090041682A1 (en) * | 2003-12-03 | 2009-02-12 | Boehringer Ingelheim International Gmbh | Medical product |
| US20090038612A1 (en) * | 2003-12-03 | 2009-02-12 | Boehringer Ingelheim International Gmbh | Medical product containing tiotropium |
| US20090188495A1 (en) * | 2003-12-03 | 2009-07-30 | Boehringer Ingelheim International Gmbh | Pre-metered dry powder inhaler for moisture-sensitive medicaments |
| US20090188496A1 (en) * | 2003-12-03 | 2009-07-30 | Boehringer Ingelheim International Gmbh | Inhalable tiotropium and container therefor |
| US20050121027A1 (en) * | 2003-12-03 | 2005-06-09 | Microdrug Ag | Inhalable tiotropium and container therefor |
| US20070104655A1 (en) * | 2003-12-03 | 2007-05-10 | Boehringer Ingelheim Pharma Gmbh & Co. Kg | Inhalable tiotropium and container therefor |
| US20050124644A1 (en) * | 2003-12-03 | 2005-06-09 | Thomas Nilsson | Medical product |
| US20050121026A1 (en) * | 2003-12-03 | 2005-06-09 | Thomas Nilsson | Method for administration of tiotropium |
| US20050121032A1 (en) * | 2003-12-03 | 2005-06-09 | Microdrug Ag | Pre-metered dry powder inhaler for moisture-sensitive medicaments |
| US20070110678A1 (en) * | 2003-12-03 | 2007-05-17 | Boehringer Ingelheim Pharma Gmbh & Co. Kg | Method for administration of tiotropium |
| US20070020198A1 (en) * | 2003-12-03 | 2007-01-25 | Boehringer Ingelheim Pharma Gmbh & Co. Kg | Medical product containing tiotropium |
| US9796688B2 (en) | 2004-08-20 | 2017-10-24 | Mannkind Corporation | Catalysis of diketopiperazine synthesis |
| US9675674B2 (en) | 2004-08-23 | 2017-06-13 | Mannkind Corporation | Diketopiperazine salts for drug delivery and related methods |
| US10130685B2 (en) | 2004-08-23 | 2018-11-20 | Mannkind Corporation | Diketopiperazine salts for drug delivery and related methods |
| US20070044614A1 (en) * | 2005-08-30 | 2007-03-01 | Rexon Industrial Corp., Ltd. | Sawing machine |
| US9717689B2 (en) | 2005-09-14 | 2017-08-01 | Mannkind Corporation | Method of drug formulation based on increasing the affinity of crystalline microparticle surfaces for active agents |
| US9446001B2 (en) | 2005-09-14 | 2016-09-20 | Mannkind Corporation | Increasing drug affinity for crystalline microparticle surfaces |
| US10143655B2 (en) | 2005-09-14 | 2018-12-04 | Mannkind Corporation | Method of drug formulation |
| US9283193B2 (en) | 2005-09-14 | 2016-03-15 | Mannkind Corporation | Method of drug formulation based on increasing the affinity of crystalline microparticle surfaces for active agents |
| US9241903B2 (en) | 2006-02-22 | 2016-01-26 | Mannkind Corporation | Method for improving the pharmaceutic properties of microparticles comprising diketopiperazine and an active agent |
| US10130581B2 (en) | 2006-02-22 | 2018-11-20 | Mannkind Corporation | Method for improving the pharmaceutic properties of microparticles comprising diketopiperazine and an active agent |
| US9511198B2 (en) | 2008-06-13 | 2016-12-06 | Mannkind Corporation | Dry powder inhaler and system for drug delivery |
| US9662461B2 (en) | 2008-06-13 | 2017-05-30 | Mannkind Corporation | Dry powder drug delivery system and methods |
| US12447293B2 (en) | 2008-06-13 | 2025-10-21 | Mannkind Corporation | Dry powder inhaler and system for drug delivery |
| US9192675B2 (en) | 2008-06-13 | 2015-11-24 | Mankind Corporation | Dry powder inhaler and system for drug delivery |
| US20090308391A1 (en) * | 2008-06-13 | 2009-12-17 | Smutney Chad C | Dry Powder Inhaler and System for Drug Delivery |
| US10201672B2 (en) | 2008-06-13 | 2019-02-12 | Mannkind Corporation | Dry powder inhaler and system for drug delivery |
| US10342938B2 (en) | 2008-06-13 | 2019-07-09 | Mannkind Corporation | Dry powder drug delivery system |
| US8912193B2 (en) | 2008-06-13 | 2014-12-16 | Mannkind Corporation | Dry powder inhaler and system for drug delivery |
| US9339615B2 (en) | 2008-06-13 | 2016-05-17 | Mannkind Corporation | Dry powder inhaler and system for drug delivery |
| US9358352B2 (en) | 2008-06-13 | 2016-06-07 | Mannkind Corporation | Dry powder drug delivery system and methods |
| AU2014200975B2 (en) * | 2008-06-13 | 2015-02-05 | Mannkind Corporation | A dry powder inhaler and system for drug delivery |
| RU2731107C9 (en) * | 2008-06-13 | 2021-03-17 | Маннкайнд Корпорейшн | Inhaler for dry powder and system for drug delivery |
| US9393372B2 (en) | 2008-06-13 | 2016-07-19 | Mannkind Corporation | Dry powder drug delivery system |
| US8636001B2 (en) * | 2008-06-13 | 2014-01-28 | Mannkind Corporation | Dry powder inhaler and system for drug delivery |
| US9446133B2 (en) | 2008-06-13 | 2016-09-20 | Mannkind Corporation | Dry powder inhaler and system for drug delivery |
| US8485180B2 (en) | 2008-06-13 | 2013-07-16 | Mannkind Corporation | Dry powder drug delivery system |
| RU2731107C2 (en) * | 2008-06-13 | 2020-08-28 | Маннкайнд Корпорейшн | Inhaler for dry powder and system for drug delivery |
| US8499757B2 (en) | 2008-06-13 | 2013-08-06 | Mannkind Corporation | Dry powder inhaler and system for drug delivery |
| US10751488B2 (en) | 2008-06-13 | 2020-08-25 | Mannkind Corporation | Dry powder inhaler and system for drug delivery |
| US9364619B2 (en) * | 2008-06-20 | 2016-06-14 | Mannkind Corporation | Interactive apparatus and method for real-time profiling of inhalation efforts |
| AU2009259883B2 (en) * | 2008-06-20 | 2015-02-05 | Mannkind Corporation | An interactive apparatus and method for real-time profiling of inhalation efforts |
| US20090314292A1 (en) * | 2008-06-20 | 2009-12-24 | Dennis Overfield | Interactive apparatus and method for real-time profiling of inhalation efforts |
| US20200246561A1 (en) * | 2008-06-20 | 2020-08-06 | Mannkind Corporation | Interactive apparatus and method for real-time profiling of inhalation efforts |
| US11793952B2 (en) * | 2008-06-20 | 2023-10-24 | Mannkind Corporation | Interactive apparatus and method for real-time profiling of inhalation efforts |
| US10675421B2 (en) | 2008-06-20 | 2020-06-09 | Mannkind Corporation | Interactive apparatus and method for real-time profiling of inhalation efforts |
| US8236979B2 (en) | 2008-07-24 | 2012-08-07 | American Air Liquide, Inc. | Methods for synthesis of heteroleptic cyclopentadienyl transition metal precursors |
| US20100022790A1 (en) * | 2008-07-24 | 2010-01-28 | Christian Dussarrat | Methods for synthesis of heteroleptic cyclopentadienyl transition metal precursors |
| US9943571B2 (en) | 2008-08-11 | 2018-04-17 | Mannkind Corporation | Use of ultrarapid acting insulin |
| US9655850B2 (en) | 2008-12-29 | 2017-05-23 | Mannkind Corporation | Substituted diketopiperazine analogs for use as drug delivery agents |
| US9220687B2 (en) | 2008-12-29 | 2015-12-29 | Mannkind Corporation | Substituted diketopiperazine analogs for use as drug delivery agents |
| US10172850B2 (en) | 2008-12-29 | 2019-01-08 | Mannkind Corporation | Substituted diketopiperazine analogs for use as drug delivery agents |
| US9983108B2 (en) | 2009-03-11 | 2018-05-29 | Mannkind Corporation | Apparatus, system and method for measuring resistance of an inhaler |
| US9630930B2 (en) | 2009-06-12 | 2017-04-25 | Mannkind Corporation | Diketopiperazine microparticles with defined specific surface areas |
| US9706944B2 (en) | 2009-11-03 | 2017-07-18 | Mannkind Corporation | Apparatus and method for simulating inhalation efforts |
| WO2012047181A1 (en) * | 2010-10-07 | 2012-04-12 | Mahmut Bilgic | Inhaler comprising capsule |
| KR101963463B1 (en) * | 2010-12-06 | 2019-03-28 | 라보라토리오스 리콘사, 에스.에이. | Inhalator |
| US10406302B2 (en) * | 2010-12-06 | 2019-09-10 | Laboratorios Liconsa, S.A. | Inhalator |
| KR20130140070A (en) * | 2010-12-06 | 2013-12-23 | 라보라토리오스 리콘사, 에스.에이. | Inhalator |
| US20130255679A1 (en) * | 2010-12-06 | 2013-10-03 | Laboratorios Liconsa, S.A. | Inhalator |
| US10625034B2 (en) | 2011-04-01 | 2020-04-21 | Mannkind Corporation | Blister package for pharmaceutical cartridges |
| US9364436B2 (en) | 2011-06-17 | 2016-06-14 | Mannkind Corporation | High capacity diketopiperazine microparticles and methods |
| US10130709B2 (en) | 2011-06-17 | 2018-11-20 | Mannkind Corporation | High capacity diketopiperazine microparticles and methods |
| US9233159B2 (en) | 2011-10-24 | 2016-01-12 | Mannkind Corporation | Methods and compositions for treating pain |
| US10258664B2 (en) | 2011-10-24 | 2019-04-16 | Mannkind Corporation | Methods and compositions for treating pain |
| US9610351B2 (en) | 2011-10-24 | 2017-04-04 | Mannkind Corporation | Methods and compositions for treating pain |
| US9802012B2 (en) | 2012-07-12 | 2017-10-31 | Mannkind Corporation | Dry powder drug delivery system and methods |
| US20150297844A1 (en) * | 2012-08-28 | 2015-10-22 | Kind Consumer Limited | An inhaler |
| US10441734B2 (en) * | 2012-08-28 | 2019-10-15 | Kind Consumer Limited | Inhaler |
| US10159644B2 (en) | 2012-10-26 | 2018-12-25 | Mannkind Corporation | Inhalable vaccine compositions and methods |
| US10421729B2 (en) | 2013-03-15 | 2019-09-24 | Mannkind Corporation | Microcrystalline diketopiperazine compositions and methods |
| US9925144B2 (en) | 2013-07-18 | 2018-03-27 | Mannkind Corporation | Heat-stable dry powder pharmaceutical compositions and methods |
| US11446127B2 (en) | 2013-08-05 | 2022-09-20 | Mannkind Corporation | Insufflation apparatus and methods |
| USD816208S1 (en) * | 2014-01-28 | 2018-04-24 | Lupin Limited | Inhaler |
| USD789517S1 (en) * | 2014-01-28 | 2017-06-13 | Lupin Atlantis Holdings Sa | Inhaler |
| US10307464B2 (en) | 2014-03-28 | 2019-06-04 | Mannkind Corporation | Use of ultrarapid acting insulin |
| US11324900B2 (en) * | 2014-04-29 | 2022-05-10 | Hovione Technology Ltd. | Hinged capsule inhaler |
| US10561806B2 (en) | 2014-10-02 | 2020-02-18 | Mannkind Corporation | Mouthpiece cover for an inhaler |
| CN107106796A (en) * | 2015-01-09 | 2017-08-29 | 安瑞智能(新西兰)有限公司 | Monitor for inhalant medicator |
| EP3242702A4 (en) * | 2015-01-09 | 2018-08-08 | Adherium (NZ) Limited | Monitor for a medicament inhaler |
| WO2017078371A1 (en) * | 2015-11-03 | 2017-05-11 | Hanmi Pharm. Co., Ltd. | Dry powder composition for inhalation comprising tiotropium or pharmaceutically acceptable salt thereof |
| USD852408S1 (en) | 2016-02-08 | 2019-06-25 | Nicoventures Holdings Limited | Electronic cigarette |
| US11123501B2 (en) | 2016-03-24 | 2021-09-21 | Nicoventures Holdings Limited | Electronic vapor provision system |
| US11241043B2 (en) | 2016-03-24 | 2022-02-08 | Nicoventures Trading Limited | Vapor provision apparatus |
| US11452826B2 (en) | 2016-03-24 | 2022-09-27 | Nicoventures Trading Limited | Mechanical connector for electronic vapor provision system |
| US11213638B2 (en) | 2016-03-24 | 2022-01-04 | Nicoventures Trading Limited | Vapor provision system |
| US11478591B2 (en) | 2016-05-19 | 2022-10-25 | Mannkind Corporation | Apparatus, system and method for detecting and monitoring inhalations |
| US11524823B2 (en) | 2016-07-22 | 2022-12-13 | Nicoventures Trading Limited | Case for a vapor provision device |
| US20180043111A1 (en) * | 2016-08-15 | 2018-02-15 | Alfred E. Tiefenbacher (Gmbh & Co. Kg) | Dry powder inhaler with reproducible flow resistance |
| EP3284499A1 (en) * | 2016-08-15 | 2018-02-21 | Alfred E. Tiefenbacher (GmbH & Co. KG) | Dry powder inhaler with reproducible flow resistance |
| US11020549B2 (en) * | 2016-08-15 | 2021-06-01 | Alfred E. Tiefenbacher (Gmbh & Co. Kg) | Dry powder inhaler with reproducible flow resistance |
| US10238821B2 (en) * | 2016-10-11 | 2019-03-26 | Microdose Therapeutx, Inc. | Inhaler and methods of use thereof |
| US20180104424A1 (en) * | 2016-10-11 | 2018-04-19 | Microdose Therapeutx, Inc. | Inhaler and Methods of Use Thereof |
| US20200384218A1 (en) * | 2017-10-24 | 2020-12-10 | Merxin Ltd | Inhaler |
| US11730898B2 (en) * | 2017-10-24 | 2023-08-22 | Merxin Ltd | Inhaler |
| US20200360631A1 (en) * | 2017-11-23 | 2020-11-19 | Chia Tai Tianqing Pharmaceutical Group Co., Ltd. | New dry powder inhaler |
| US11931506B2 (en) * | 2017-11-23 | 2024-03-19 | Chia Tai Tianqing Pharmaceutical Group Co., Ltd. | Dry powder inhaler |
Also Published As
| Publication number | Publication date |
|---|---|
| US20140116435A1 (en) | 2014-05-01 |
| US8022082B2 (en) | 2011-09-20 |
| US20160279356A1 (en) | 2016-09-29 |
| US20060251586A1 (en) | 2006-11-09 |
| US20120211007A1 (en) | 2012-08-23 |
| US20080236579A1 (en) | 2008-10-02 |
Similar Documents
| Publication | Publication Date | Title |
|---|---|---|
| US8022082B2 (en) | Method for the administration of an anticholinergic by inhalation | |
| CA2481876C (en) | Inhalation kit comprising inhalable powder of tiotropium | |
| AU757008B2 (en) | Novel tiotropium-containing inhalation powder | |
| US20060219242A1 (en) | Method for the Administration of an Anticholinergic by Inhalation | |
| US6881422B2 (en) | Powder formulations containing tiotropium suitable for inhalation | |
| AU2003226775B2 (en) | Inhalation kit comprising inhalable powder of tiotropium | |
| NZ546776A (en) | Inhalation kit comprising inhalable powder of tiotropium | |
| HK1079092B (en) | Inhalation kit comprising inhalable powder of tiotropium | |
| HK1136514B (en) | Inhalation kit comprising inhalable powder of tiotropium |
Legal Events
| Date | Code | Title | Description |
|---|---|---|---|
| AS | Assignment |
Owner name: BOEHRINGER INGELHEIM PHARMA GMBH & CO. KG, GERMANY Free format text: ASSIGNMENT OF ASSIGNORS INTEREST;ASSIGNOR:ZIERENBERG, BERNDT;REEL/FRAME:014435/0880 Effective date: 20030805 |
|
| AS | Assignment |
Owner name: BOEHRINGER INGELHEIM PHARMA GMBH & CO. KG, GERMANY Free format text: ASSIGNMENT OF ASSIGNORS INTEREST;ASSIGNORS:ZIERENBERG, BERND;LUNKENHEIMER, CHRISTINE;MEMMESHEIMER, HOLGER;REEL/FRAME:018677/0457;SIGNING DATES FROM 20061109 TO 20061121 |
|
| STCB | Information on status: application discontinuation |
Free format text: ABANDONED -- FAILURE TO RESPOND TO AN OFFICE ACTION |

