US20030207863A1 - Preventives and remedies for central nervous system diseases - Google Patents
Preventives and remedies for central nervous system diseases Download PDFInfo
- Publication number
- US20030207863A1 US20030207863A1 US10/362,901 US36290103A US2003207863A1 US 20030207863 A1 US20030207863 A1 US 20030207863A1 US 36290103 A US36290103 A US 36290103A US 2003207863 A1 US2003207863 A1 US 2003207863A1
- Authority
- US
- United States
- Prior art keywords
- substituted
- group
- ring
- salt
- atom
- Prior art date
- Legal status (The legal status is an assumption and is not a legal conclusion. Google has not performed a legal analysis and makes no representation as to the accuracy of the status listed.)
- Abandoned
Links
- 208000015114 central nervous system disease Diseases 0.000 title claims abstract description 13
- 230000003449 preventive effect Effects 0.000 title 1
- 150000001875 compounds Chemical class 0.000 claims abstract description 206
- 150000003839 salts Chemical class 0.000 claims abstract description 175
- 102000012327 Urotensin II receptors Human genes 0.000 claims abstract description 82
- 108050002984 Urotensin II receptors Proteins 0.000 claims abstract description 82
- 230000003042 antagnostic effect Effects 0.000 claims abstract description 80
- 108010064397 amyloid beta-protein (1-40) Proteins 0.000 claims abstract description 17
- 239000003814 drug Substances 0.000 claims abstract description 14
- 230000028327 secretion Effects 0.000 claims abstract description 14
- 230000002401 inhibitory effect Effects 0.000 claims abstract description 13
- 230000000069 prophylactic effect Effects 0.000 claims abstract description 13
- 229940124597 therapeutic agent Drugs 0.000 claims abstract description 13
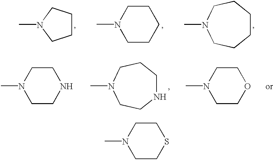
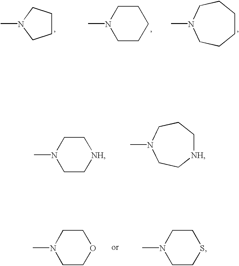
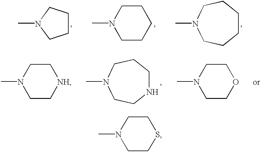
- 125000000623 heterocyclic group Chemical group 0.000 claims description 330
- 125000001424 substituent group Chemical group 0.000 claims description 262
- 125000001997 phenyl group Chemical group [H]C1=C([H])C([H])=C(*)C([H])=C1[H] 0.000 claims description 242
- 125000003277 amino group Chemical group 0.000 claims description 181
- 125000005843 halogen group Chemical group 0.000 claims description 98
- 125000004435 hydrogen atom Chemical group [H]* 0.000 claims description 98
- 125000003118 aryl group Chemical group 0.000 claims description 90
- QJGQUHMNIGDVPM-UHFFFAOYSA-N nitrogen group Chemical group [N] QJGQUHMNIGDVPM-UHFFFAOYSA-N 0.000 claims description 86
- 125000004122 cyclic group Chemical group 0.000 claims description 76
- 125000004178 (C1-C4) alkyl group Chemical group 0.000 claims description 74
- 229910052717 sulfur Inorganic materials 0.000 claims description 68
- 125000000217 alkyl group Chemical group 0.000 claims description 66
- 125000004434 sulfur atom Chemical group 0.000 claims description 57
- 125000004430 oxygen atom Chemical group O* 0.000 claims description 56
- 125000004429 atom Chemical group 0.000 claims description 54
- 238000000034 method Methods 0.000 claims description 48
- 239000003795 chemical substances by application Substances 0.000 claims description 47
- 125000000449 nitro group Chemical group [O-][N+](*)=O 0.000 claims description 46
- 125000002252 acyl group Chemical group 0.000 claims description 37
- 125000006850 spacer group Chemical group 0.000 claims description 36
- 125000002924 primary amino group Chemical group [H]N([H])* 0.000 claims description 26
- 208000027418 Wounds and injury Diseases 0.000 claims description 14
- 230000006378 damage Effects 0.000 claims description 14
- 208000014674 injury Diseases 0.000 claims description 14
- 208000026106 cerebrovascular disease Diseases 0.000 claims description 8
- 238000004519 manufacturing process Methods 0.000 claims description 8
- 230000004770 neurodegeneration Effects 0.000 claims description 8
- 208000015122 neurodegenerative disease Diseases 0.000 claims description 8
- 201000001119 neuropathy Diseases 0.000 claims description 8
- 230000007823 neuropathy Effects 0.000 claims description 8
- 208000033808 peripheral neuropathy Diseases 0.000 claims description 8
- 108090000765 processed proteins & peptides Proteins 0.000 claims description 8
- 208000020016 psychiatric disease Diseases 0.000 claims description 8
- 150000003248 quinolines Chemical class 0.000 claims description 8
- 150000005011 4-aminoquinolines Chemical class 0.000 claims description 7
- 206010033799 Paralysis Diseases 0.000 claims description 7
- 230000002490 cerebral effect Effects 0.000 claims description 7
- 206010014599 encephalitis Diseases 0.000 claims description 7
- OFTYNEUOYQMBHZ-UHFFFAOYSA-N n-[4-methoxy-3-(4-methylpiperazin-1-yl)phenyl]-4-[4-[[(3-methoxy-2-oxopropyl)amino]methyl]-2-methylphenyl]benzamide Chemical compound CC1=CC(CNCC(=O)COC)=CC=C1C1=CC=C(C(=O)NC=2C=C(C(OC)=CC=2)N2CCN(C)CC2)C=C1 OFTYNEUOYQMBHZ-UHFFFAOYSA-N 0.000 claims description 7
- 241000124008 Mammalia Species 0.000 claims description 5
- 239000003112 inhibitor Substances 0.000 claims description 3
- 230000002265 prevention Effects 0.000 claims description 2
- 125000001183 hydrocarbyl group Chemical group 0.000 claims 33
- -1 tetrahydronaphthalen-5-yl Chemical group 0.000 description 638
- 150000002430 hydrocarbons Chemical group 0.000 description 160
- 235000002639 sodium chloride Nutrition 0.000 description 127
- RWRDLPDLKQPQOW-UHFFFAOYSA-N Pyrrolidine Chemical group C1CCNC1 RWRDLPDLKQPQOW-UHFFFAOYSA-N 0.000 description 111
- RAXXELZNTBOGNW-UHFFFAOYSA-N imidazole Natural products C1=CNC=N1 RAXXELZNTBOGNW-UHFFFAOYSA-N 0.000 description 102
- 125000004433 nitrogen atom Chemical group N* 0.000 description 84
- 229910052757 nitrogen Inorganic materials 0.000 description 80
- 125000002496 methyl group Chemical group [H]C([H])([H])* 0.000 description 78
- GLUUGHFHXGJENI-UHFFFAOYSA-N Piperazine Chemical compound C1CNCCN1 GLUUGHFHXGJENI-UHFFFAOYSA-N 0.000 description 76
- NQRYJNQNLNOLGT-UHFFFAOYSA-N Piperidine Chemical compound C1CCNCC1 NQRYJNQNLNOLGT-UHFFFAOYSA-N 0.000 description 74
- 125000000229 (C1-C4)alkoxy group Chemical group 0.000 description 72
- 125000004169 (C1-C6) alkyl group Chemical group 0.000 description 72
- YNAVUWVOSKDBBP-UHFFFAOYSA-N Morpholine Chemical compound C1COCCN1 YNAVUWVOSKDBBP-UHFFFAOYSA-N 0.000 description 72
- UHOVQNZJYSORNB-UHFFFAOYSA-N Benzene Chemical compound C1=CC=CC=C1 UHOVQNZJYSORNB-UHFFFAOYSA-N 0.000 description 69
- KAESVJOAVNADME-UHFFFAOYSA-N Pyrrole Chemical compound C=1C=CNC=1 KAESVJOAVNADME-UHFFFAOYSA-N 0.000 description 64
- 125000003178 carboxy group Chemical group [H]OC(*)=O 0.000 description 58
- 125000001495 ethyl group Chemical group [H]C([H])([H])C([H])([H])* 0.000 description 56
- 125000005115 alkyl carbamoyl group Chemical group 0.000 description 55
- 125000003282 alkyl amino group Chemical group 0.000 description 51
- 229920006395 saturated elastomer Polymers 0.000 description 46
- 125000000753 cycloalkyl group Chemical group 0.000 description 45
- 125000005842 heteroatom Chemical group 0.000 description 45
- SIKJAQJRHWYJAI-UHFFFAOYSA-N Indole Chemical compound C1=CC=C2NC=CC2=C1 SIKJAQJRHWYJAI-UHFFFAOYSA-N 0.000 description 42
- ZAMOUSCENKQFHK-UHFFFAOYSA-N Chlorine atom Chemical compound [Cl] ZAMOUSCENKQFHK-UHFFFAOYSA-N 0.000 description 41
- 125000006615 aromatic heterocyclic group Chemical group 0.000 description 41
- 239000000460 chlorine Substances 0.000 description 41
- 229910052801 chlorine Inorganic materials 0.000 description 41
- WKBOTKDWSSQWDR-UHFFFAOYSA-N Bromine atom Chemical compound [Br] WKBOTKDWSSQWDR-UHFFFAOYSA-N 0.000 description 40
- GDTBXPJZTBHREO-UHFFFAOYSA-N bromine Substances BrBr GDTBXPJZTBHREO-UHFFFAOYSA-N 0.000 description 40
- 229910052794 bromium Inorganic materials 0.000 description 40
- 125000002950 monocyclic group Chemical group 0.000 description 40
- PNDPGZBMCMUPRI-UHFFFAOYSA-N iodine Chemical compound II PNDPGZBMCMUPRI-UHFFFAOYSA-N 0.000 description 39
- 125000003396 thiol group Chemical group [H]S* 0.000 description 39
- BRNULMACUQOKMR-UHFFFAOYSA-N thiomorpholine Chemical compound C1CSCCN1 BRNULMACUQOKMR-UHFFFAOYSA-N 0.000 description 36
- PXGOKWXKJXAPGV-UHFFFAOYSA-N Fluorine Chemical compound FF PXGOKWXKJXAPGV-UHFFFAOYSA-N 0.000 description 35
- 125000002777 acetyl group Chemical group [H]C([H])([H])C(*)=O 0.000 description 35
- 239000011737 fluorine Substances 0.000 description 35
- 229910052731 fluorine Inorganic materials 0.000 description 35
- 229910052736 halogen Inorganic materials 0.000 description 35
- 125000001449 isopropyl group Chemical group [H]C([H])([H])C([H])(*)C([H])([H])[H] 0.000 description 35
- YLQBMQCUIZJEEH-UHFFFAOYSA-N Furan Chemical compound C=1C=COC=1 YLQBMQCUIZJEEH-UHFFFAOYSA-N 0.000 description 34
- 125000001501 propionyl group Chemical group O=C([*])C([H])([H])C([H])([H])[H] 0.000 description 33
- 125000002485 formyl group Chemical group [H]C(*)=O 0.000 description 32
- 125000004170 methylsulfonyl group Chemical group [H]C([H])([H])S(*)(=O)=O 0.000 description 31
- 125000000999 tert-butyl group Chemical group [H]C([H])([H])C(*)(C([H])([H])[H])C([H])([H])[H] 0.000 description 31
- 125000000484 butyl group Chemical group [H]C([*])([H])C([H])([H])C([H])([H])C([H])([H])[H] 0.000 description 30
- 229910052799 carbon Inorganic materials 0.000 description 30
- 125000001436 propyl group Chemical group [H]C([*])([H])C([H])([H])C([H])([H])[H] 0.000 description 30
- 150000001721 carbon Chemical group 0.000 description 29
- WYURNTSHIVDZCO-UHFFFAOYSA-N Tetrahydrofuran Chemical compound C1CCOC1 WYURNTSHIVDZCO-UHFFFAOYSA-N 0.000 description 28
- 150000002367 halogens Chemical class 0.000 description 28
- 125000002914 sec-butyl group Chemical group [H]C([H])([H])C([H])([H])C([H])(*)C([H])([H])[H] 0.000 description 28
- 125000003917 carbamoyl group Chemical group [H]N([H])C(*)=O 0.000 description 27
- 125000001589 carboacyl group Chemical group 0.000 description 27
- 239000002904 solvent Substances 0.000 description 27
- JUJWROOIHBZHMG-UHFFFAOYSA-N Pyridine Chemical compound C1=CC=NC=C1 JUJWROOIHBZHMG-UHFFFAOYSA-N 0.000 description 26
- 125000000959 isobutyl group Chemical group [H]C([H])([H])C([H])(C([H])([H])[H])C([H])([H])* 0.000 description 26
- 125000004051 hexyl group Chemical group [H]C([H])([H])C([H])([H])C([H])([H])C([H])([H])C([H])([H])C([H])([H])* 0.000 description 25
- 229930195733 hydrocarbon Natural products 0.000 description 25
- 125000002887 hydroxy group Chemical group [H]O* 0.000 description 25
- 125000001147 pentyl group Chemical group C(CCCC)* 0.000 description 25
- 125000004769 (C1-C4) alkylsulfonyl group Chemical group 0.000 description 24
- KYQCOXFCLRTKLS-UHFFFAOYSA-N Pyrazine Chemical compound C1=CN=CC=N1 KYQCOXFCLRTKLS-UHFFFAOYSA-N 0.000 description 24
- 125000004414 alkyl thio group Chemical group 0.000 description 24
- 125000000392 cycloalkenyl group Chemical group 0.000 description 24
- 125000004453 alkoxycarbonyl group Chemical group 0.000 description 23
- 239000004215 Carbon black (E152) Substances 0.000 description 22
- YTPLMLYBLZKORZ-UHFFFAOYSA-N Thiophene Chemical compound C=1C=CSC=1 YTPLMLYBLZKORZ-UHFFFAOYSA-N 0.000 description 22
- 125000002023 trifluoromethyl group Chemical group FC(F)(F)* 0.000 description 22
- 125000003710 aryl alkyl group Chemical group 0.000 description 21
- 125000002619 bicyclic group Chemical group 0.000 description 21
- PZOUSPYUWWUPPK-UHFFFAOYSA-N indole Natural products CC1=CC=CC2=C1C=CN2 PZOUSPYUWWUPPK-UHFFFAOYSA-N 0.000 description 21
- RKJUIXBNRJVNHR-UHFFFAOYSA-N indolenine Natural products C1=CC=C2CC=NC2=C1 RKJUIXBNRJVNHR-UHFFFAOYSA-N 0.000 description 21
- 125000003342 alkenyl group Chemical group 0.000 description 20
- 125000000113 cyclohexyl group Chemical group [H]C1([H])C([H])([H])C([H])([H])C([H])(*)C([H])([H])C1([H])[H] 0.000 description 20
- PQNFLJBBNBOBRQ-UHFFFAOYSA-N indane Chemical compound C1=CC=C2CCCC2=C1 PQNFLJBBNBOBRQ-UHFFFAOYSA-N 0.000 description 20
- 125000005530 alkylenedioxy group Chemical group 0.000 description 19
- 125000001797 benzyl group Chemical group [H]C1=C([H])C([H])=C(C([H])=C1[H])C([H])([H])* 0.000 description 19
- 125000001972 isopentyl group Chemical group [H]C([H])([H])C([H])(C([H])([H])[H])C([H])([H])C([H])([H])* 0.000 description 19
- 125000001971 neopentyl group Chemical group [H]C([*])([H])C(C([H])([H])[H])(C([H])([H])[H])C([H])([H])[H] 0.000 description 19
- 125000004043 oxo group Chemical group O=* 0.000 description 19
- 125000004191 (C1-C6) alkoxy group Chemical group 0.000 description 18
- 125000006272 (C3-C7) cycloalkyl group Chemical group 0.000 description 18
- 125000004093 cyano group Chemical group *C#N 0.000 description 18
- 238000006243 chemical reaction Methods 0.000 description 17
- 101150056450 UTS2R gene Proteins 0.000 description 16
- 125000003806 alkyl carbonyl amino group Chemical group 0.000 description 16
- 239000002464 receptor antagonist Substances 0.000 description 16
- 229940044551 receptor antagonist Drugs 0.000 description 16
- 125000004768 (C1-C4) alkylsulfinyl group Chemical group 0.000 description 15
- RTZKZFJDLAIYFH-UHFFFAOYSA-N Diethyl ether Chemical compound CCOCC RTZKZFJDLAIYFH-UHFFFAOYSA-N 0.000 description 15
- ZMXDDKWLCZADIW-UHFFFAOYSA-N N,N-Dimethylformamide Chemical compound CN(C)C=O ZMXDDKWLCZADIW-UHFFFAOYSA-N 0.000 description 15
- YXFVVABEGXRONW-UHFFFAOYSA-N Toluene Chemical compound CC1=CC=CC=C1 YXFVVABEGXRONW-UHFFFAOYSA-N 0.000 description 15
- ZMANZCXQSJIPKH-UHFFFAOYSA-N Triethylamine Chemical compound CCN(CC)CC ZMANZCXQSJIPKH-UHFFFAOYSA-N 0.000 description 15
- 125000003545 alkoxy group Chemical group 0.000 description 15
- 125000000304 alkynyl group Chemical group 0.000 description 15
- 125000005098 aryl alkoxy carbonyl group Chemical group 0.000 description 15
- 125000001995 cyclobutyl group Chemical group [H]C1([H])C([H])([H])C([H])(*)C1([H])[H] 0.000 description 15
- 125000001511 cyclopentyl group Chemical group [H]C1([H])C([H])([H])C([H])([H])C([H])(*)C1([H])[H] 0.000 description 15
- 125000001559 cyclopropyl group Chemical group [H]C1([H])C([H])([H])C1([H])* 0.000 description 15
- VLKZOEOYAKHREP-UHFFFAOYSA-N n-Hexane Chemical compound CCCCCC VLKZOEOYAKHREP-UHFFFAOYSA-N 0.000 description 15
- SMWDFEZZVXVKRB-UHFFFAOYSA-N Quinoline Chemical compound N1=CC=CC2=CC=CC=C21 SMWDFEZZVXVKRB-UHFFFAOYSA-N 0.000 description 14
- 125000003187 heptyl group Chemical group [H]C([*])([H])C([H])([H])C([H])([H])C([H])([H])C([H])([H])C([H])([H])C([H])([H])[H] 0.000 description 14
- 229910052727 yttrium Inorganic materials 0.000 description 14
- 125000000008 (C1-C10) alkyl group Chemical group 0.000 description 13
- 125000002704 decyl group Chemical group [H]C([H])([H])C([H])([H])C([H])([H])C([H])([H])C([H])([H])C([H])([H])C([H])([H])C([H])([H])C([H])([H])C([H])([H])* 0.000 description 13
- 125000001624 naphthyl group Chemical group 0.000 description 13
- 125000001400 nonyl group Chemical group [H]C([*])([H])C([H])([H])C([H])([H])C([H])([H])C([H])([H])C([H])([H])C([H])([H])C([H])([H])C([H])([H])[H] 0.000 description 13
- 125000002347 octyl group Chemical group [H]C([*])([H])C([H])([H])C([H])([H])C([H])([H])C([H])([H])C([H])([H])C([H])([H])C([H])([H])[H] 0.000 description 13
- UMJSCPRVCHMLSP-UHFFFAOYSA-N pyridine Natural products COC1=CC=CN=C1 UMJSCPRVCHMLSP-UHFFFAOYSA-N 0.000 description 13
- 125000004454 (C1-C6) alkoxycarbonyl group Chemical group 0.000 description 12
- WEVYAHXRMPXWCK-UHFFFAOYSA-N Acetonitrile Chemical compound CC#N WEVYAHXRMPXWCK-UHFFFAOYSA-N 0.000 description 12
- YMWUJEATGCHHMB-UHFFFAOYSA-N Dichloromethane Chemical compound ClCCl YMWUJEATGCHHMB-UHFFFAOYSA-N 0.000 description 12
- PCNDJXKNXGMECE-UHFFFAOYSA-N Phenazine Natural products C1=CC=CC2=NC3=CC=CC=C3N=C21 PCNDJXKNXGMECE-UHFFFAOYSA-N 0.000 description 12
- CZPWVGJYEJSRLH-UHFFFAOYSA-N Pyrimidine Chemical compound C1=CN=CN=C1 CZPWVGJYEJSRLH-UHFFFAOYSA-N 0.000 description 12
- 229910052783 alkali metal Inorganic materials 0.000 description 12
- 125000000582 cycloheptyl group Chemical group [H]C1([H])C([H])([H])C([H])([H])C([H])([H])C([H])(*)C([H])([H])C1([H])[H] 0.000 description 12
- 125000000956 methoxy group Chemical group [H]C([H])([H])O* 0.000 description 12
- 150000003536 tetrazoles Chemical class 0.000 description 12
- 125000000882 C2-C6 alkenyl group Chemical group 0.000 description 11
- 125000001931 aliphatic group Chemical group 0.000 description 11
- 150000001340 alkali metals Chemical class 0.000 description 11
- 229930192474 thiophene Natural products 0.000 description 11
- 125000004916 (C1-C6) alkylcarbonyl group Chemical group 0.000 description 10
- JYEUMXHLPRZUAT-UHFFFAOYSA-N 1,2,3-triazine Chemical compound C1=CN=NN=C1 JYEUMXHLPRZUAT-UHFFFAOYSA-N 0.000 description 10
- 125000003903 2-propenyl group Chemical group [H]C([*])([H])C([H])=C([H])[H] 0.000 description 10
- 125000005915 C6-C14 aryl group Chemical group 0.000 description 10
- IMNFDUFMRHMDMM-UHFFFAOYSA-N N-Heptane Chemical compound CCCCCCC IMNFDUFMRHMDMM-UHFFFAOYSA-N 0.000 description 10
- ZCQWOFVYLHDMMC-UHFFFAOYSA-N Oxazole Chemical compound C1=COC=N1 ZCQWOFVYLHDMMC-UHFFFAOYSA-N 0.000 description 10
- WTKZEGDFNFYCGP-UHFFFAOYSA-N Pyrazole Chemical compound C=1C=NNC=1 WTKZEGDFNFYCGP-UHFFFAOYSA-N 0.000 description 10
- CDBYLPFSWZWCQE-UHFFFAOYSA-L Sodium Carbonate Chemical compound [Na+].[Na+].[O-]C([O-])=O CDBYLPFSWZWCQE-UHFFFAOYSA-L 0.000 description 10
- FZWLAAWBMGSTSO-UHFFFAOYSA-N Thiazole Chemical compound C1=CSC=N1 FZWLAAWBMGSTSO-UHFFFAOYSA-N 0.000 description 10
- 229910052784 alkaline earth metal Inorganic materials 0.000 description 10
- 125000002947 alkylene group Chemical group 0.000 description 10
- 125000001153 fluoro group Chemical group F* 0.000 description 10
- MTNDZQHUAFNZQY-UHFFFAOYSA-N imidazoline Chemical compound C1CN=CN1 MTNDZQHUAFNZQY-UHFFFAOYSA-N 0.000 description 10
- AWJUIBRHMBBTKR-UHFFFAOYSA-N isoquinoline Chemical compound C1=NC=CC2=CC=CC=C21 AWJUIBRHMBBTKR-UHFFFAOYSA-N 0.000 description 10
- CTAPFRYPJLPFDF-UHFFFAOYSA-N isoxazole Chemical compound C=1C=NOC=1 CTAPFRYPJLPFDF-UHFFFAOYSA-N 0.000 description 10
- WCPAKWJPBJAGKN-UHFFFAOYSA-N oxadiazole Chemical compound C1=CON=N1 WCPAKWJPBJAGKN-UHFFFAOYSA-N 0.000 description 10
- 125000006024 2-pentenyl group Chemical group 0.000 description 9
- QMEQBOSUJUOXMX-UHFFFAOYSA-N 2h-oxadiazine Chemical compound N1OC=CC=N1 QMEQBOSUJUOXMX-UHFFFAOYSA-N 0.000 description 9
- 125000006041 3-hexenyl group Chemical group 0.000 description 9
- WRYCSMQKUKOKBP-UHFFFAOYSA-N Imidazolidine Chemical compound C1CNCN1 WRYCSMQKUKOKBP-UHFFFAOYSA-N 0.000 description 9
- KWYUFKZDYYNOTN-UHFFFAOYSA-M Potassium hydroxide Chemical compound [OH-].[K+] KWYUFKZDYYNOTN-UHFFFAOYSA-M 0.000 description 9
- HEMHJVSKTPXQMS-UHFFFAOYSA-M Sodium hydroxide Chemical compound [OH-].[Na+] HEMHJVSKTPXQMS-UHFFFAOYSA-M 0.000 description 9
- JZFICWYCTCCINF-UHFFFAOYSA-N Thiadiazin Chemical compound S=C1SC(C)NC(C)N1CCN1C(=S)SC(C)NC1C JZFICWYCTCCINF-UHFFFAOYSA-N 0.000 description 9
- 239000002253 acid Substances 0.000 description 9
- 125000004448 alkyl carbonyl group Chemical group 0.000 description 9
- 125000004397 aminosulfonyl group Chemical group NS(=O)(=O)* 0.000 description 9
- 239000002585 base Substances 0.000 description 9
- 125000004063 butyryl group Chemical group O=C([*])C([H])([H])C([H])([H])C([H])([H])[H] 0.000 description 9
- 125000002915 carbonyl group Chemical group [*:2]C([*:1])=O 0.000 description 9
- DMEGYFMYUHOHGS-UHFFFAOYSA-N heptamethylene Natural products C1CCCCCC1 DMEGYFMYUHOHGS-UHFFFAOYSA-N 0.000 description 9
- 239000001257 hydrogen Substances 0.000 description 9
- 229910052739 hydrogen Inorganic materials 0.000 description 9
- ZLTPDFXIESTBQG-UHFFFAOYSA-N isothiazole Chemical compound C=1C=NSC=1 ZLTPDFXIESTBQG-UHFFFAOYSA-N 0.000 description 9
- 229910052760 oxygen Inorganic materials 0.000 description 9
- USPWKWBDZOARPV-UHFFFAOYSA-N pyrazolidine Chemical compound C1CNNC1 USPWKWBDZOARPV-UHFFFAOYSA-N 0.000 description 9
- DNXIASIHZYFFRO-UHFFFAOYSA-N pyrazoline Chemical compound C1CN=NC1 DNXIASIHZYFFRO-UHFFFAOYSA-N 0.000 description 9
- PBMFSQRYOILNGV-UHFFFAOYSA-N pyridazine Chemical compound C1=CC=NN=C1 PBMFSQRYOILNGV-UHFFFAOYSA-N 0.000 description 9
- RXBYRTSOWREATF-UHFFFAOYSA-N 1,2,3,4-tetrahydroacridine Chemical compound C1=CC=C2C=C(CCCC3)C3=NC2=C1 RXBYRTSOWREATF-UHFFFAOYSA-N 0.000 description 8
- UWYZHKAOTLEWKK-UHFFFAOYSA-N 1,2,3,4-tetrahydroisoquinoline Chemical compound C1=CC=C2CNCCC2=C1 UWYZHKAOTLEWKK-UHFFFAOYSA-N 0.000 description 8
- QWENRTYMTSOGBR-UHFFFAOYSA-N 1H-1,2,3-Triazole Chemical compound C=1C=NNN=1 QWENRTYMTSOGBR-UHFFFAOYSA-N 0.000 description 8
- HBEDSQVIWPRPAY-UHFFFAOYSA-N 2,3-dihydrobenzofuran Chemical compound C1=CC=C2OCCC2=C1 HBEDSQVIWPRPAY-UHFFFAOYSA-N 0.000 description 8
- RSEBUVRVKCANEP-UHFFFAOYSA-N 2-pyrroline Chemical compound C1CC=CN1 RSEBUVRVKCANEP-UHFFFAOYSA-N 0.000 description 8
- BCHZICNRHXRCHY-UHFFFAOYSA-N 2h-oxazine Chemical compound N1OC=CC=C1 BCHZICNRHXRCHY-UHFFFAOYSA-N 0.000 description 8
- AGIJRRREJXSQJR-UHFFFAOYSA-N 2h-thiazine Chemical compound N1SC=CC=C1 AGIJRRREJXSQJR-UHFFFAOYSA-N 0.000 description 8
- 125000006374 C2-C10 alkenyl group Chemical group 0.000 description 8
- HEDRZPFGACZZDS-UHFFFAOYSA-N Chloroform Chemical compound ClC(Cl)Cl HEDRZPFGACZZDS-UHFFFAOYSA-N 0.000 description 8
- FBPFZTCFMRRESA-KVTDHHQDSA-N D-Mannitol Chemical compound OC[C@@H](O)[C@@H](O)[C@H](O)[C@H](O)CO FBPFZTCFMRRESA-KVTDHHQDSA-N 0.000 description 8
- 125000005195 alkyl amino carbonyloxy group Chemical group 0.000 description 8
- 125000004656 alkyl sulfonylamino group Chemical group 0.000 description 8
- 125000003367 polycyclic group Chemical group 0.000 description 8
- BWHMMNNQKKPAPP-UHFFFAOYSA-L potassium carbonate Chemical compound [K+].[K+].[O-]C([O-])=O BWHMMNNQKKPAPP-UHFFFAOYSA-L 0.000 description 8
- 125000006239 protecting group Chemical group 0.000 description 8
- ZVJHJDDKYZXRJI-UHFFFAOYSA-N pyrroline Natural products C1CC=NC1 ZVJHJDDKYZXRJI-UHFFFAOYSA-N 0.000 description 8
- VZGDMQKNWNREIO-UHFFFAOYSA-N tetrachloromethane Chemical compound ClC(Cl)(Cl)Cl VZGDMQKNWNREIO-UHFFFAOYSA-N 0.000 description 8
- RAOIDOHSFRTOEL-UHFFFAOYSA-N tetrahydrothiophene Chemical compound C1CCSC1 RAOIDOHSFRTOEL-UHFFFAOYSA-N 0.000 description 8
- UGUHFDPGDQDVGX-UHFFFAOYSA-N 1,2,3-thiadiazole Chemical compound C1=CSN=N1 UGUHFDPGDQDVGX-UHFFFAOYSA-N 0.000 description 7
- BBVIDBNAYOIXOE-UHFFFAOYSA-N 1,2,4-oxadiazole Chemical compound C=1N=CON=1 BBVIDBNAYOIXOE-UHFFFAOYSA-N 0.000 description 7
- YGTAZGSLCXNBQL-UHFFFAOYSA-N 1,2,4-thiadiazole Chemical compound C=1N=CSN=1 YGTAZGSLCXNBQL-UHFFFAOYSA-N 0.000 description 7
- FKASFBLJDCHBNZ-UHFFFAOYSA-N 1,3,4-oxadiazole Chemical compound C1=NN=CO1 FKASFBLJDCHBNZ-UHFFFAOYSA-N 0.000 description 7
- MBIZXFATKUQOOA-UHFFFAOYSA-N 1,3,4-thiadiazole Chemical compound C1=NN=CS1 MBIZXFATKUQOOA-UHFFFAOYSA-N 0.000 description 7
- VHYFNPMBLIVWCW-UHFFFAOYSA-N 4-Dimethylaminopyridine Chemical compound CN(C)C1=CC=NC=C1 VHYFNPMBLIVWCW-UHFFFAOYSA-N 0.000 description 7
- NSPMIYGKQJPBQR-UHFFFAOYSA-N 4H-1,2,4-triazole Chemical compound C=1N=CNN=1 NSPMIYGKQJPBQR-UHFFFAOYSA-N 0.000 description 7
- RGSFGYAAUTVSQA-UHFFFAOYSA-N Cyclopentane Chemical compound C1CCCC1 RGSFGYAAUTVSQA-UHFFFAOYSA-N 0.000 description 7
- LFQSCWFLJHTTHZ-UHFFFAOYSA-N Ethanol Chemical compound CCO LFQSCWFLJHTTHZ-UHFFFAOYSA-N 0.000 description 7
- 102000050488 Urotensin II Human genes 0.000 description 7
- 108010018369 Urotensin II Proteins 0.000 description 7
- 125000004450 alkenylene group Chemical group 0.000 description 7
- 150000008064 anhydrides Chemical class 0.000 description 7
- XYOVOXDWRFGKEX-UHFFFAOYSA-N azepine Chemical compound N1C=CC=CC=C1 XYOVOXDWRFGKEX-UHFFFAOYSA-N 0.000 description 7
- IOJUPLGTWVMSFF-UHFFFAOYSA-N benzothiazole Chemical compound C1=CC=C2SC=NC2=C1 IOJUPLGTWVMSFF-UHFFFAOYSA-N 0.000 description 7
- 125000003236 benzoyl group Chemical group [H]C1=C([H])C([H])=C(C([H])=C1[H])C(*)=O 0.000 description 7
- 125000003754 ethoxycarbonyl group Chemical group C(=O)(OCC)* 0.000 description 7
- 125000001160 methoxycarbonyl group Chemical group [H]C([H])([H])OC(*)=O 0.000 description 7
- 125000002911 monocyclic heterocycle group Chemical group 0.000 description 7
- 125000003003 spiro group Chemical group 0.000 description 7
- HFNHAPQMXICKCF-USJMABIRSA-N urotensin-ii Chemical compound N([C@@H](CC(O)=O)C(=O)N[C@H]1CSSC[C@H](NC(=O)[C@H](CC=2C=CC(O)=CC=2)NC(=O)[C@H](CCCCN)NC(=O)[C@H](CC=2C3=CC=CC=C3NC=2)NC(=O)[C@H](CC=2C=CC=CC=2)NC1=O)C(=O)N[C@@H](C(C)C)C(O)=O)C(=O)[C@@H]1CCCN1C(=O)[C@@H](NC(=O)[C@@H](N)CCC(O)=O)[C@@H](C)O HFNHAPQMXICKCF-USJMABIRSA-N 0.000 description 7
- 125000003161 (C1-C6) alkylene group Chemical group 0.000 description 6
- 125000004845 (C1-C6) alkylsulfonylamino group Chemical group 0.000 description 6
- LBUJPTNKIBCYBY-UHFFFAOYSA-N 1,2,3,4-tetrahydroquinoline Chemical compound C1=CC=C2CCCNC2=C1 LBUJPTNKIBCYBY-UHFFFAOYSA-N 0.000 description 6
- FQUYSHZXSKYCSY-UHFFFAOYSA-N 1,4-diazepane Chemical compound C1CNCCNC1 FQUYSHZXSKYCSY-UHFFFAOYSA-N 0.000 description 6
- FCEHBMOGCRZNNI-UHFFFAOYSA-N 1-benzothiophene Chemical compound C1=CC=C2SC=CC2=C1 FCEHBMOGCRZNNI-UHFFFAOYSA-N 0.000 description 6
- HYZJCKYKOHLVJF-UHFFFAOYSA-N 1H-benzimidazole Chemical compound C1=CC=C2NC=NC2=C1 HYZJCKYKOHLVJF-UHFFFAOYSA-N 0.000 description 6
- ABQOPHYTASMWLA-UHFFFAOYSA-N 2,3,4,5-tetrahydrooxazepine Chemical compound C1CNOC=CC1 ABQOPHYTASMWLA-UHFFFAOYSA-N 0.000 description 6
- UJOBWOGCFQCDNV-UHFFFAOYSA-N 9H-carbazole Chemical compound C1=CC=C2C3=CC=CC=C3NC2=C1 UJOBWOGCFQCDNV-UHFFFAOYSA-N 0.000 description 6
- XEKOWRVHYACXOJ-UHFFFAOYSA-N Ethyl acetate Chemical compound CCOC(C)=O XEKOWRVHYACXOJ-UHFFFAOYSA-N 0.000 description 6
- 125000005196 alkyl carbonyloxy group Chemical group 0.000 description 6
- 125000005153 alkyl sulfamoyl group Chemical group 0.000 description 6
- 125000004390 alkyl sulfonyl group Chemical group 0.000 description 6
- ZSIQJIWKELUFRJ-UHFFFAOYSA-N azepane Chemical compound C1CCCNCC1 ZSIQJIWKELUFRJ-UHFFFAOYSA-N 0.000 description 6
- QXNDZONIWRINJR-UHFFFAOYSA-N azocane Chemical compound C1CCCNCCC1 QXNDZONIWRINJR-UHFFFAOYSA-N 0.000 description 6
- RFRXIWQYSOIBDI-UHFFFAOYSA-N benzarone Chemical compound CCC=1OC2=CC=CC=C2C=1C(=O)C1=CC=C(O)C=C1 RFRXIWQYSOIBDI-UHFFFAOYSA-N 0.000 description 6
- 125000003739 carbamimidoyl group Chemical group C(N)(=N)* 0.000 description 6
- LPIQUOYDBNQMRZ-UHFFFAOYSA-N cyclopentene Chemical compound C1CC=CC1 LPIQUOYDBNQMRZ-UHFFFAOYSA-N 0.000 description 6
- 150000002148 esters Chemical class 0.000 description 6
- 125000001301 ethoxy group Chemical group [H]C([H])([H])C([H])([H])O* 0.000 description 6
- 125000000286 phenylethyl group Chemical group [H]C1=C([H])C([H])=C(C([H])=C1[H])C([H])([H])C([H])([H])* 0.000 description 6
- 238000002360 preparation method Methods 0.000 description 6
- 125000004742 propyloxycarbonyl group Chemical group 0.000 description 6
- XSCHRSMBECNVNS-UHFFFAOYSA-N quinoxaline Chemical compound N1=CC=NC2=CC=CC=C21 XSCHRSMBECNVNS-UHFFFAOYSA-N 0.000 description 6
- 125000006552 (C3-C8) cycloalkyl group Chemical group 0.000 description 5
- DQFQCHIDRBIESA-UHFFFAOYSA-N 1-benzazepine Chemical compound N1C=CC=CC2=CC=CC=C12 DQFQCHIDRBIESA-UHFFFAOYSA-N 0.000 description 5
- SIQBPWRTJNBBER-UHFFFAOYSA-N 2,3,4,5-tetrahydro-1h-2-benzazepine Chemical compound C1CCNCC2=CC=CC=C21 SIQBPWRTJNBBER-UHFFFAOYSA-N 0.000 description 5
- MWVMYAWMFTVYED-UHFFFAOYSA-N 2,3,4,5-tetrahydro-1h-3-benzazepine Chemical compound C1CNCCC2=CC=CC=C21 MWVMYAWMFTVYED-UHFFFAOYSA-N 0.000 description 5
- 125000000094 2-phenylethyl group Chemical group [H]C1=C([H])C([H])=C(C([H])=C1[H])C([H])([H])C([H])([H])* 0.000 description 5
- VHMICKWLTGFITH-UHFFFAOYSA-N 2H-isoindole Chemical compound C1=CC=CC2=CNC=C21 VHMICKWLTGFITH-UHFFFAOYSA-N 0.000 description 5
- MGADZUXDNSDTHW-UHFFFAOYSA-N 2H-pyran Chemical compound C1OC=CC=C1 MGADZUXDNSDTHW-UHFFFAOYSA-N 0.000 description 5
- 125000000041 C6-C10 aryl group Chemical group 0.000 description 5
- UFHFLCQGNIYNRP-UHFFFAOYSA-N Hydrogen Chemical compound [H][H] UFHFLCQGNIYNRP-UHFFFAOYSA-N 0.000 description 5
- DHXVGJBLRPWPCS-UHFFFAOYSA-N Tetrahydropyran Chemical compound C1CCOCC1 DHXVGJBLRPWPCS-UHFFFAOYSA-N 0.000 description 5
- DZBUGLKDJFMEHC-UHFFFAOYSA-N acridine Chemical compound C1=CC=CC2=CC3=CC=CC=C3N=C21 DZBUGLKDJFMEHC-UHFFFAOYSA-N 0.000 description 5
- 125000004682 aminothiocarbonyl group Chemical group NC(=S)* 0.000 description 5
- 125000001951 carbamoylamino group Chemical group C(N)(=O)N* 0.000 description 5
- 125000001309 chloro group Chemical group Cl* 0.000 description 5
- 125000005982 diphenylmethyl group Chemical group [H]C1=C([H])C([H])=C(C([H])=C1[H])C([H])(*)C1=C([H])C([H])=C([H])C([H])=C1[H] 0.000 description 5
- 239000004210 ether based solvent Substances 0.000 description 5
- 125000004672 ethylcarbonyl group Chemical group [H]C([H])([H])C([H])([H])C(*)=O 0.000 description 5
- 125000004129 indan-1-yl group Chemical group [H]C1=C([H])C([H])=C2C(=C1[H])C([H])([H])C([H])([H])C2([H])* 0.000 description 5
- 125000004130 indan-2-yl group Chemical group [H]C1=C([H])C([H])=C2C(=C1[H])C([H])([H])C([H])(*)C2([H])[H] 0.000 description 5
- 125000004674 methylcarbonyl group Chemical group CC(=O)* 0.000 description 5
- 239000000203 mixture Substances 0.000 description 5
- OOFGXDQWDNJDIS-UHFFFAOYSA-N oxathiolane Chemical compound C1COSC1 OOFGXDQWDNJDIS-UHFFFAOYSA-N 0.000 description 5
- 125000004344 phenylpropyl group Chemical group 0.000 description 5
- 125000004076 pyridyl group Chemical group 0.000 description 5
- 229910000029 sodium carbonate Inorganic materials 0.000 description 5
- 235000017550 sodium carbonate Nutrition 0.000 description 5
- CXWXQJXEFPUFDZ-UHFFFAOYSA-N tetralin Chemical compound C1=CC=C2CCCCC2=C1 CXWXQJXEFPUFDZ-UHFFFAOYSA-N 0.000 description 5
- 150000003852 triazoles Chemical class 0.000 description 5
- 125000006273 (C1-C3) alkyl group Chemical group 0.000 description 4
- 125000004739 (C1-C6) alkylsulfonyl group Chemical group 0.000 description 4
- 125000006700 (C1-C6) alkylthio group Chemical group 0.000 description 4
- SCYULBFZEHDVBN-UHFFFAOYSA-N 1,1-Dichloroethane Chemical compound CC(Cl)Cl SCYULBFZEHDVBN-UHFFFAOYSA-N 0.000 description 4
- PKORYTIUMAOPED-UHFFFAOYSA-N 1,2,3,4-tetrahydroquinazoline Chemical compound C1=CC=C2NCNCC2=C1 PKORYTIUMAOPED-UHFFFAOYSA-N 0.000 description 4
- HORKYAIEVBUXGM-UHFFFAOYSA-N 1,2,3,4-tetrahydroquinoxaline Chemical compound C1=CC=C2NCCNC2=C1 HORKYAIEVBUXGM-UHFFFAOYSA-N 0.000 description 4
- LRANPJDWHYRCER-UHFFFAOYSA-N 1,2-diazepine Chemical compound N1C=CC=CC=N1 LRANPJDWHYRCER-UHFFFAOYSA-N 0.000 description 4
- IMLSAISZLJGWPP-UHFFFAOYSA-N 1,3-dithiolane Chemical compound C1CSCS1 IMLSAISZLJGWPP-UHFFFAOYSA-N 0.000 description 4
- RYHBNJHYFVUHQT-UHFFFAOYSA-N 1,4-Dioxane Chemical compound C1COCCO1 RYHBNJHYFVUHQT-UHFFFAOYSA-N 0.000 description 4
- MZBVNYACSSGXID-UHFFFAOYSA-N 2,3,4,5-tetrahydro-1h-1-benzazepine Chemical compound N1CCCCC2=CC=CC=C21 MZBVNYACSSGXID-UHFFFAOYSA-N 0.000 description 4
- 125000001494 2-propynyl group Chemical group [H]C#CC([H])([H])* 0.000 description 4
- UJVBZCCNLAAMOV-UHFFFAOYSA-N 2h-1,2-benzothiazine Chemical compound C1=CC=C2C=CNSC2=C1 UJVBZCCNLAAMOV-UHFFFAOYSA-N 0.000 description 4
- XDTMQSROBMDMFD-UHFFFAOYSA-N Cyclohexane Chemical compound C1CCCCC1 XDTMQSROBMDMFD-UHFFFAOYSA-N 0.000 description 4
- IAZDPXIOMUYVGZ-UHFFFAOYSA-N Dimethylsulphoxide Chemical compound CS(C)=O IAZDPXIOMUYVGZ-UHFFFAOYSA-N 0.000 description 4
- VEXZGXHMUGYJMC-UHFFFAOYSA-N Hydrochloric acid Chemical compound Cl VEXZGXHMUGYJMC-UHFFFAOYSA-N 0.000 description 4
- JGFZNNIVVJXRND-UHFFFAOYSA-N N,N-Diisopropylethylamine (DIPEA) Chemical compound CCN(C(C)C)C(C)C JGFZNNIVVJXRND-UHFFFAOYSA-N 0.000 description 4
- SJRJJKPEHAURKC-UHFFFAOYSA-N N-Methylmorpholine Chemical compound CN1CCOCC1 SJRJJKPEHAURKC-UHFFFAOYSA-N 0.000 description 4
- UIIMBOGNXHQVGW-DEQYMQKBSA-M Sodium bicarbonate-14C Chemical compound [Na+].O[14C]([O-])=O UIIMBOGNXHQVGW-DEQYMQKBSA-M 0.000 description 4
- HSFWRNGVRCDJHI-UHFFFAOYSA-N alpha-acetylene Natural products C#C HSFWRNGVRCDJHI-UHFFFAOYSA-N 0.000 description 4
- 125000005708 carbonyloxy group Chemical group [*:2]OC([*:1])=O 0.000 description 4
- 150000001924 cycloalkanes Chemical class 0.000 description 4
- HGCIXCUEYOPUTN-UHFFFAOYSA-N cyclohexene Chemical compound C1CCC=CC1 HGCIXCUEYOPUTN-UHFFFAOYSA-N 0.000 description 4
- 125000005047 dihydroimidazolyl group Chemical group N1(CNC=C1)* 0.000 description 4
- ZUOUZKKEUPVFJK-UHFFFAOYSA-N diphenyl Chemical compound C1=CC=CC=C1C1=CC=CC=C1 ZUOUZKKEUPVFJK-UHFFFAOYSA-N 0.000 description 4
- 125000006125 ethylsulfonyl group Chemical group 0.000 description 4
- 125000002534 ethynyl group Chemical group [H]C#C* 0.000 description 4
- RERZNCLIYCABFS-UHFFFAOYSA-N harmaline Chemical compound C1CN=C(C)C2=C1C1=CC=C(OC)C=C1N2 RERZNCLIYCABFS-UHFFFAOYSA-N 0.000 description 4
- LPAGFVYQRIESJQ-UHFFFAOYSA-N indoline Chemical compound C1=CC=C2NCCC2=C1 LPAGFVYQRIESJQ-UHFFFAOYSA-N 0.000 description 4
- 235000010355 mannitol Nutrition 0.000 description 4
- 230000004048 modification Effects 0.000 description 4
- 238000012986 modification Methods 0.000 description 4
- 150000007530 organic bases Chemical class 0.000 description 4
- 125000000951 phenoxy group Chemical group [H]C1=C([H])C([H])=C(O*)C([H])=C1[H] 0.000 description 4
- 125000006678 phenoxycarbonyl group Chemical group 0.000 description 4
- 125000004346 phenylpentyl group Chemical group C1(=CC=CC=C1)CCCCC* 0.000 description 4
- 239000011736 potassium bicarbonate Substances 0.000 description 4
- 235000015497 potassium bicarbonate Nutrition 0.000 description 4
- 229910000028 potassium bicarbonate Inorganic materials 0.000 description 4
- 229910000027 potassium carbonate Inorganic materials 0.000 description 4
- 235000011181 potassium carbonates Nutrition 0.000 description 4
- TYJJADVDDVDEDZ-UHFFFAOYSA-M potassium hydrogencarbonate Chemical compound [K+].OC([O-])=O TYJJADVDDVDEDZ-UHFFFAOYSA-M 0.000 description 4
- 239000000651 prodrug Substances 0.000 description 4
- 229940002612 prodrug Drugs 0.000 description 4
- 230000035484 reaction time Effects 0.000 description 4
- 125000000472 sulfonyl group Chemical group *S(*)(=O)=O 0.000 description 4
- IMNIMPAHZVJRPE-UHFFFAOYSA-N triethylenediamine Chemical compound C1CN2CCN1CC2 IMNIMPAHZVJRPE-UHFFFAOYSA-N 0.000 description 4
- 125000000391 vinyl group Chemical group [H]C([*])=C([H])[H] 0.000 description 4
- 229920002554 vinyl polymer Polymers 0.000 description 4
- KTZQTRPPVKQPFO-UHFFFAOYSA-N 1,2-benzoxazole Chemical compound C1=CC=C2C=NOC2=C1 KTZQTRPPVKQPFO-UHFFFAOYSA-N 0.000 description 3
- FTNJQNQLEGKTGD-UHFFFAOYSA-N 1,3-benzodioxole Chemical compound C1=CC=C2OCOC2=C1 FTNJQNQLEGKTGD-UHFFFAOYSA-N 0.000 description 3
- BCMCBBGGLRIHSE-UHFFFAOYSA-N 1,3-benzoxazole Chemical compound C1=CC=C2OC=NC2=C1 BCMCBBGGLRIHSE-UHFFFAOYSA-N 0.000 description 3
- YNGDWRXWKFWCJY-UHFFFAOYSA-N 1,4-Dihydropyridine Chemical compound C1C=CNC=C1 YNGDWRXWKFWCJY-UHFFFAOYSA-N 0.000 description 3
- 125000004972 1-butynyl group Chemical group [H]C([H])([H])C([H])([H])C#C* 0.000 description 3
- 125000000530 1-propynyl group Chemical group [H]C([H])([H])C#C* 0.000 description 3
- BAXOFTOLAUCFNW-UHFFFAOYSA-N 1H-indazole Chemical compound C1=CC=C2C=NNC2=C1 BAXOFTOLAUCFNW-UHFFFAOYSA-N 0.000 description 3
- UDMSIVPAVKUOKF-UHFFFAOYSA-N 2,3,4,5-tetrahydro-1,2-benzoxazepine Chemical compound C1CCNOC2=CC=CC=C21 UDMSIVPAVKUOKF-UHFFFAOYSA-N 0.000 description 3
- GAMYYCRTACQSBR-UHFFFAOYSA-N 4-azabenzimidazole Chemical compound C1=CC=C2NC=NC2=N1 GAMYYCRTACQSBR-UHFFFAOYSA-N 0.000 description 3
- ZIUYHTQZEPDUCZ-UHFFFAOYSA-N 7h-pyrrolo[2,3-h]quinoline Chemical compound C1=CN=C2C(C=CN3)=C3C=CC2=C1 ZIUYHTQZEPDUCZ-UHFFFAOYSA-N 0.000 description 3
- QTBSBXVTEAMEQO-UHFFFAOYSA-N Acetic acid Chemical compound CC(O)=O QTBSBXVTEAMEQO-UHFFFAOYSA-N 0.000 description 3
- 208000024827 Alzheimer disease Diseases 0.000 description 3
- BVKZGUZCCUSVTD-UHFFFAOYSA-M Bicarbonate Chemical class OC([O-])=O BVKZGUZCCUSVTD-UHFFFAOYSA-M 0.000 description 3
- DGAQECJNVWCQMB-PUAWFVPOSA-M Ilexoside XXIX Chemical compound C[C@@H]1CC[C@@]2(CC[C@@]3(C(=CC[C@H]4[C@]3(CC[C@@H]5[C@@]4(CC[C@@H](C5(C)C)OS(=O)(=O)[O-])C)C)[C@@H]2[C@]1(C)O)C)C(=O)O[C@H]6[C@@H]([C@H]([C@@H]([C@H](O6)CO)O)O)O.[Na+] DGAQECJNVWCQMB-PUAWFVPOSA-M 0.000 description 3
- OKKJLVBELUTLKV-UHFFFAOYSA-N Methanol Chemical compound OC OKKJLVBELUTLKV-UHFFFAOYSA-N 0.000 description 3
- MUBZPKHOEPUJKR-UHFFFAOYSA-N Oxalic acid Chemical compound OC(=O)C(O)=O MUBZPKHOEPUJKR-UHFFFAOYSA-N 0.000 description 3
- DNIAPMSPPWPWGF-UHFFFAOYSA-N Propylene glycol Chemical compound CC(O)CO DNIAPMSPPWPWGF-UHFFFAOYSA-N 0.000 description 3
- 125000005529 alkyleneoxy group Chemical group 0.000 description 3
- 235000001014 amino acid Nutrition 0.000 description 3
- 150000001413 amino acids Chemical class 0.000 description 3
- 239000000872 buffer Substances 0.000 description 3
- 125000006251 butylcarbonyl group Chemical group 0.000 description 3
- 150000004649 carbonic acid derivatives Chemical class 0.000 description 3
- 150000001732 carboxylic acid derivatives Chemical class 0.000 description 3
- WCZVZNOTHYJIEI-UHFFFAOYSA-N cinnoline Chemical compound N1=NC=CC2=CC=CC=C21 WCZVZNOTHYJIEI-UHFFFAOYSA-N 0.000 description 3
- KRKNYBCHXYNGOX-UHFFFAOYSA-N citric acid Chemical compound OC(=O)CC(O)(C(O)=O)CC(O)=O KRKNYBCHXYNGOX-UHFFFAOYSA-N 0.000 description 3
- 150000001925 cycloalkenes Chemical class 0.000 description 3
- MGNZXYYWBUKAII-UHFFFAOYSA-N cyclohexa-1,3-diene Chemical compound C1CC=CC=C1 MGNZXYYWBUKAII-UHFFFAOYSA-N 0.000 description 3
- GVEPBJHOBDJJJI-UHFFFAOYSA-N fluoranthene Chemical compound C1=CC(C2=CC=CC=C22)=C3C2=CC=CC3=C1 GVEPBJHOBDJJJI-UHFFFAOYSA-N 0.000 description 3
- 125000002541 furyl group Chemical group 0.000 description 3
- 150000004679 hydroxides Chemical class 0.000 description 3
- UTCSSFWDNNEEBH-UHFFFAOYSA-N imidazo[1,2-a]pyridine Chemical compound C1=CC=CC2=NC=CN21 UTCSSFWDNNEEBH-UHFFFAOYSA-N 0.000 description 3
- NQEFSENUKXZHRS-UHFFFAOYSA-N isoindolo[4,5-i][1]benzazepine Chemical compound C12=CC=C3C=CC=CN=C3C1=CC=C1C2=CN=C1 NQEFSENUKXZHRS-UHFFFAOYSA-N 0.000 description 3
- 125000000325 methylidene group Chemical group [H]C([H])=* 0.000 description 3
- 125000006518 morpholino carbonyl group Chemical group [H]C1([H])OC([H])([H])C([H])([H])N(C(*)=O)C1([H])[H] 0.000 description 3
- SFJGCXYXEFWEBK-UHFFFAOYSA-N oxazepine Chemical compound O1C=CC=CC=N1 SFJGCXYXEFWEBK-UHFFFAOYSA-N 0.000 description 3
- ATYBXHSAIOKLMG-UHFFFAOYSA-N oxepin Chemical compound O1C=CC=CC=C1 ATYBXHSAIOKLMG-UHFFFAOYSA-N 0.000 description 3
- 239000000546 pharmaceutical excipient Substances 0.000 description 3
- 125000003170 phenylsulfonyl group Chemical group C1(=CC=CC=C1)S(=O)(=O)* 0.000 description 3
- 125000000587 piperidin-1-yl group Chemical group [H]C1([H])N(*)C([H])([H])C([H])([H])C([H])([H])C1([H])[H] 0.000 description 3
- LYKMMUBOEFYJQG-UHFFFAOYSA-N piperoxan Chemical compound C1OC2=CC=CC=C2OC1CN1CCCCC1 LYKMMUBOEFYJQG-UHFFFAOYSA-N 0.000 description 3
- ZCOSUVZGFDGWFV-UHFFFAOYSA-N pyrrolo[2,3-e]indole Chemical compound C1=CC2=NC=CC2=C2N=CC=C21 ZCOSUVZGFDGWFV-UHFFFAOYSA-N 0.000 description 3
- JWVCLYRUEFBMGU-UHFFFAOYSA-N quinazoline Chemical compound N1=CN=CC2=CC=CC=C21 JWVCLYRUEFBMGU-UHFFFAOYSA-N 0.000 description 3
- 239000011734 sodium Substances 0.000 description 3
- 229910052708 sodium Inorganic materials 0.000 description 3
- 125000006296 sulfonyl amino group Chemical group [H]N(*)S(*)(=O)=O 0.000 description 3
- VLLMWSRANPNYQX-UHFFFAOYSA-N thiadiazole Chemical group C1=CSN=N1.C1=CSN=N1 VLLMWSRANPNYQX-UHFFFAOYSA-N 0.000 description 3
- 230000003639 vasoconstrictive effect Effects 0.000 description 3
- 125000005913 (C3-C6) cycloalkyl group Chemical group 0.000 description 2
- DXBHBZVCASKNBY-UHFFFAOYSA-N 1,2-Benz(a)anthracene Chemical compound C1=CC=C2C3=CC4=CC=CC=C4C=C3C=CC2=C1 DXBHBZVCASKNBY-UHFFFAOYSA-N 0.000 description 2
- FHFIDVLRJTYMOD-UHFFFAOYSA-N 1,3,4,5-tetrahydro-2,4-benzoxazepine Chemical compound C1OCNCC2=CC=CC=C21 FHFIDVLRJTYMOD-UHFFFAOYSA-N 0.000 description 2
- BDNKZNFMNDZQMI-UHFFFAOYSA-N 1,3-diisopropylcarbodiimide Chemical compound CC(C)N=C=NC(C)C BDNKZNFMNDZQMI-UHFFFAOYSA-N 0.000 description 2
- ASOKPJOREAFHNY-UHFFFAOYSA-N 1-Hydroxybenzotriazole Chemical compound C1=CC=C2N(O)N=NC2=C1 ASOKPJOREAFHNY-UHFFFAOYSA-N 0.000 description 2
- FPIRBHDGWMWJEP-UHFFFAOYSA-N 1-hydroxy-7-azabenzotriazole Chemical compound C1=CN=C2N(O)N=NC2=C1 FPIRBHDGWMWJEP-UHFFFAOYSA-N 0.000 description 2
- YQTCQNIPQMJNTI-UHFFFAOYSA-N 2,2-dimethylpropan-1-one Chemical group CC(C)(C)[C]=O YQTCQNIPQMJNTI-UHFFFAOYSA-N 0.000 description 2
- HDVHFHONOKCUHQ-UHFFFAOYSA-N 2,3,4,5-tetrahydro-1,4-benzoxazepine Chemical compound C1NCCOC2=CC=CC=C21 HDVHFHONOKCUHQ-UHFFFAOYSA-N 0.000 description 2
- HZAXFHJVJLSVMW-UHFFFAOYSA-N 2-Aminoethan-1-ol Chemical compound NCCO HZAXFHJVJLSVMW-UHFFFAOYSA-N 0.000 description 2
- NGNBDVOYPDDBFK-UHFFFAOYSA-N 2-[2,4-di(pentan-2-yl)phenoxy]acetyl chloride Chemical compound CCCC(C)C1=CC=C(OCC(Cl)=O)C(C(C)CCC)=C1 NGNBDVOYPDDBFK-UHFFFAOYSA-N 0.000 description 2
- WRMNZCZEMHIOCP-UHFFFAOYSA-N 2-phenylethanol Chemical compound OCCC1=CC=CC=C1 WRMNZCZEMHIOCP-UHFFFAOYSA-N 0.000 description 2
- YGLDQFWPUCURIP-UHFFFAOYSA-N 3h-3-benzazepine Chemical compound C1=CNC=CC2=CC=CC=C21 YGLDQFWPUCURIP-UHFFFAOYSA-N 0.000 description 2
- KWIVRAVCZJXOQC-UHFFFAOYSA-N 3h-oxathiazole Chemical group N1SOC=C1 KWIVRAVCZJXOQC-UHFFFAOYSA-N 0.000 description 2
- OMGNOSZSCQGCGV-UHFFFAOYSA-N 6,11-dihydro-5h-benzo[b][1,4]benzodiazepine Chemical compound C1NC2=CC=CC=C2NC2=CC=CC=C12 OMGNOSZSCQGCGV-UHFFFAOYSA-N 0.000 description 2
- HJCUTNIGJHJGCF-UHFFFAOYSA-N 9,10-dihydroacridine Chemical compound C1=CC=C2CC3=CC=CC=C3NC2=C1 HJCUTNIGJHJGCF-UHFFFAOYSA-N 0.000 description 2
- 206010059245 Angiopathy Diseases 0.000 description 2
- CIWBSHSKHKDKBQ-JLAZNSOCSA-N Ascorbic acid Chemical compound OC[C@H](O)[C@H]1OC(=O)C(O)=C1O CIWBSHSKHKDKBQ-JLAZNSOCSA-N 0.000 description 2
- CPELXLSAUQHCOX-UHFFFAOYSA-M Bromide Chemical compound [Br-] CPELXLSAUQHCOX-UHFFFAOYSA-M 0.000 description 2
- OKTJSMMVPCPJKN-UHFFFAOYSA-N Carbon Chemical group [C] OKTJSMMVPCPJKN-UHFFFAOYSA-N 0.000 description 2
- 229920002134 Carboxymethyl cellulose Polymers 0.000 description 2
- QOSSAOTZNIDXMA-UHFFFAOYSA-N Dicylcohexylcarbodiimide Chemical compound C1CCCCC1N=C=NC1CCCCC1 QOSSAOTZNIDXMA-UHFFFAOYSA-N 0.000 description 2
- XTHFKEDIFFGKHM-UHFFFAOYSA-N Dimethoxyethane Chemical compound COCCOC XTHFKEDIFFGKHM-UHFFFAOYSA-N 0.000 description 2
- VZCYOOQTPOCHFL-OWOJBTEDSA-N Fumaric acid Chemical compound OC(=O)\C=C\C(O)=O VZCYOOQTPOCHFL-OWOJBTEDSA-N 0.000 description 2
- PEDCQBHIVMGVHV-UHFFFAOYSA-N Glycerine Chemical compound OCC(O)CO PEDCQBHIVMGVHV-UHFFFAOYSA-N 0.000 description 2
- OAKJQQAXSVQMHS-UHFFFAOYSA-N Hydrazine Chemical compound NN OAKJQQAXSVQMHS-UHFFFAOYSA-N 0.000 description 2
- 229920002153 Hydroxypropyl cellulose Polymers 0.000 description 2
- KFZMGEQAYNKOFK-UHFFFAOYSA-N Isopropanol Chemical compound CC(C)O KFZMGEQAYNKOFK-UHFFFAOYSA-N 0.000 description 2
- FXHOOIRPVKKKFG-UHFFFAOYSA-N N,N-Dimethylacetamide Chemical compound CN(C)C(C)=O FXHOOIRPVKKKFG-UHFFFAOYSA-N 0.000 description 2
- SECXISVLQFMRJM-UHFFFAOYSA-N N-Methylpyrrolidone Chemical compound CN1CCCC1=O SECXISVLQFMRJM-UHFFFAOYSA-N 0.000 description 2
- NBIIXXVUZAFLBC-UHFFFAOYSA-N Phosphoric acid Chemical compound OP(O)(O)=O NBIIXXVUZAFLBC-UHFFFAOYSA-N 0.000 description 2
- XBDQKXXYIPTUBI-UHFFFAOYSA-M Propionate Chemical compound CCC([O-])=O XBDQKXXYIPTUBI-UHFFFAOYSA-M 0.000 description 2
- FAPWRFPIFSIZLT-UHFFFAOYSA-M Sodium chloride Chemical compound [Na+].[Cl-] FAPWRFPIFSIZLT-UHFFFAOYSA-M 0.000 description 2
- 229920002472 Starch Polymers 0.000 description 2
- QAOWNCQODCNURD-UHFFFAOYSA-N Sulfuric acid Chemical compound OS(O)(=O)=O QAOWNCQODCNURD-UHFFFAOYSA-N 0.000 description 2
- GSEJCLTVZPLZKY-UHFFFAOYSA-N Triethanolamine Chemical compound OCCN(CCO)CCO GSEJCLTVZPLZKY-UHFFFAOYSA-N 0.000 description 2
- DTQVDTLACAAQTR-UHFFFAOYSA-N Trifluoroacetic acid Chemical compound OC(=O)C(F)(F)F DTQVDTLACAAQTR-UHFFFAOYSA-N 0.000 description 2
- KXKVLQRXCPHEJC-UHFFFAOYSA-N acetic acid trimethyl ester Natural products COC(C)=O KXKVLQRXCPHEJC-UHFFFAOYSA-N 0.000 description 2
- 150000008065 acid anhydrides Chemical class 0.000 description 2
- 230000002378 acidificating effect Effects 0.000 description 2
- 125000004644 alkyl sulfinyl group Chemical group 0.000 description 2
- 150000001408 amides Chemical class 0.000 description 2
- 239000003963 antioxidant agent Substances 0.000 description 2
- 235000006708 antioxidants Nutrition 0.000 description 2
- 150000004945 aromatic hydrocarbons Chemical class 0.000 description 2
- 125000005161 aryl oxy carbonyl group Chemical group 0.000 description 2
- CIQSAPCIJQOIOF-UHFFFAOYSA-N benzotriazol-1-yl(tripyrrolidin-1-yl)phosphanium Chemical compound C1CCCN1[P+](N1C2=CC=CC=C2N=N1)(N1CCCC1)N1CCCC1 CIQSAPCIJQOIOF-UHFFFAOYSA-N 0.000 description 2
- DXZMZUCQXBXNBS-UHFFFAOYSA-N benzotriazol-1-yl-tris(dimethylamino)phosphanium Chemical compound C1=CC=C2N([P+](N(C)C)(N(C)C)N(C)C)N=NC2=C1 DXZMZUCQXBXNBS-UHFFFAOYSA-N 0.000 description 2
- 150000005130 benzoxazines Chemical class 0.000 description 2
- SESFRYSPDFLNCH-UHFFFAOYSA-N benzyl benzoate Chemical compound C=1C=CC=CC=1C(=O)OCC1=CC=CC=C1 SESFRYSPDFLNCH-UHFFFAOYSA-N 0.000 description 2
- HTZCNXWZYVXIMZ-UHFFFAOYSA-M benzyl(triethyl)azanium;chloride Chemical compound [Cl-].CC[N+](CC)(CC)CC1=CC=CC=C1 HTZCNXWZYVXIMZ-UHFFFAOYSA-M 0.000 description 2
- 125000001584 benzyloxycarbonyl group Chemical group C(=O)(OCC1=CC=CC=C1)* 0.000 description 2
- 239000011230 binding agent Substances 0.000 description 2
- 235000010290 biphenyl Nutrition 0.000 description 2
- 239000004305 biphenyl Substances 0.000 description 2
- 239000001768 carboxy methyl cellulose Substances 0.000 description 2
- 235000010948 carboxy methyl cellulose Nutrition 0.000 description 2
- 239000008112 carboxymethyl-cellulose Substances 0.000 description 2
- 229940105329 carboxymethylcellulose Drugs 0.000 description 2
- 229920002678 cellulose Polymers 0.000 description 2
- 239000001913 cellulose Substances 0.000 description 2
- 235000010980 cellulose Nutrition 0.000 description 2
- OSASVXMJTNOKOY-UHFFFAOYSA-N chlorobutanol Chemical compound CC(C)(O)C(Cl)(Cl)Cl OSASVXMJTNOKOY-UHFFFAOYSA-N 0.000 description 2
- HVYWMOMLDIMFJA-DPAQBDIFSA-N cholesterol Chemical compound C1C=C2C[C@@H](O)CC[C@]2(C)[C@@H]2[C@@H]1[C@@H]1CC[C@H]([C@H](C)CCCC(C)C)[C@@]1(C)CC2 HVYWMOMLDIMFJA-DPAQBDIFSA-N 0.000 description 2
- WDECIBYCCFPHNR-UHFFFAOYSA-N chrysene Chemical compound C1=CC=CC2=CC=C3C4=CC=CC=C4C=CC3=C21 WDECIBYCCFPHNR-UHFFFAOYSA-N 0.000 description 2
- 238000004132 cross linking Methods 0.000 description 2
- 125000006165 cyclic alkyl group Chemical group 0.000 description 2
- 125000006254 cycloalkyl carbonyl group Chemical group 0.000 description 2
- 125000005144 cycloalkylsulfonyl group Chemical group 0.000 description 2
- NKLCHDQGUHMCGL-UHFFFAOYSA-N cyclohexylidenemethanone Chemical group O=C=C1CCCCC1 NKLCHDQGUHMCGL-UHFFFAOYSA-N 0.000 description 2
- 125000004210 cyclohexylmethyl group Chemical group [H]C([H])(*)C1([H])C([H])([H])C([H])([H])C([H])([H])C([H])([H])C1([H])[H] 0.000 description 2
- 125000004851 cyclopentylmethyl group Chemical group C1(CCCC1)C* 0.000 description 2
- 125000004186 cyclopropylmethyl group Chemical group [H]C([H])(*)C1([H])C([H])([H])C1([H])[H] 0.000 description 2
- TXCDCPKCNAJMEE-UHFFFAOYSA-N dibenzofuran Chemical compound C1=CC=C2C3=CC=CC=C3OC2=C1 TXCDCPKCNAJMEE-UHFFFAOYSA-N 0.000 description 2
- IYYZUPMFVPLQIF-UHFFFAOYSA-N dibenzothiophene Chemical compound C1=CC=C2C3=CC=CC=C3SC2=C1 IYYZUPMFVPLQIF-UHFFFAOYSA-N 0.000 description 2
- ZWWWLCMDTZFSOO-UHFFFAOYSA-N diethoxyphosphorylformonitrile Chemical compound CCOP(=O)(C#N)OCC ZWWWLCMDTZFSOO-UHFFFAOYSA-N 0.000 description 2
- BGRWYRAHAFMIBJ-UHFFFAOYSA-N diisopropylcarbodiimide Natural products CC(C)NC(=O)NC(C)C BGRWYRAHAFMIBJ-UHFFFAOYSA-N 0.000 description 2
- MKRTXPORKIRPDG-UHFFFAOYSA-N diphenylphosphoryl azide Chemical compound C=1C=CC=CC=1P(=O)(N=[N+]=[N-])C1=CC=CC=C1 MKRTXPORKIRPDG-UHFFFAOYSA-N 0.000 description 2
- 239000007884 disintegrant Substances 0.000 description 2
- 239000003759 ester based solvent Substances 0.000 description 2
- 210000004211 gastric acid Anatomy 0.000 description 2
- 125000002795 guanidino group Chemical group C(N)(=N)N* 0.000 description 2
- 150000004820 halides Chemical class 0.000 description 2
- 125000000268 heptanoyl group Chemical group O=C([*])C([H])([H])C([H])([H])C([H])([H])C([H])([H])C([H])([H])C([H])([H])[H] 0.000 description 2
- 125000003104 hexanoyl group Chemical group O=C([*])C([H])([H])C([H])([H])C([H])([H])C([H])([H])C([H])([H])[H] 0.000 description 2
- 239000001863 hydroxypropyl cellulose Substances 0.000 description 2
- 235000010977 hydroxypropyl cellulose Nutrition 0.000 description 2
- JBFYUZGYRGXSFL-UHFFFAOYSA-N imidazolide Chemical compound C1=C[N-]C=N1 JBFYUZGYRGXSFL-UHFFFAOYSA-N 0.000 description 2
- 150000007529 inorganic bases Chemical class 0.000 description 2
- 239000007788 liquid Substances 0.000 description 2
- 239000000314 lubricant Substances 0.000 description 2
- HQKMJHAJHXVSDF-UHFFFAOYSA-L magnesium stearate Chemical compound [Mg+2].CCCCCCCCCCCCCCCCCC([O-])=O.CCCCCCCCCCCCCCCCCC([O-])=O HQKMJHAJHXVSDF-UHFFFAOYSA-L 0.000 description 2
- BDAGIHXWWSANSR-UHFFFAOYSA-N methanoic acid Natural products OC=O BDAGIHXWWSANSR-UHFFFAOYSA-N 0.000 description 2
- CXHHBNMLPJOKQD-UHFFFAOYSA-M methyl carbonate Chemical compound COC([O-])=O CXHHBNMLPJOKQD-UHFFFAOYSA-M 0.000 description 2
- 150000007522 mineralic acids Chemical class 0.000 description 2
- CQDGTJPVBWZJAZ-UHFFFAOYSA-N monoethyl carbonate Chemical compound CCOC(O)=O CQDGTJPVBWZJAZ-UHFFFAOYSA-N 0.000 description 2
- 125000002801 octanoyl group Chemical group C(CCCCCCC)(=O)* 0.000 description 2
- 150000007524 organic acids Chemical class 0.000 description 2
- 125000001181 organosilyl group Chemical group [SiH3]* 0.000 description 2
- 238000010647 peptide synthesis reaction Methods 0.000 description 2
- 239000003444 phase transfer catalyst Substances 0.000 description 2
- WVDDGKGOMKODPV-ZQBYOMGUSA-N phenyl(114C)methanol Chemical compound O[14CH2]C1=CC=CC=C1 WVDDGKGOMKODPV-ZQBYOMGUSA-N 0.000 description 2
- UYWQUFXKFGHYNT-UHFFFAOYSA-N phenylmethyl ester of formic acid Natural products O=COCC1=CC=CC=C1 UYWQUFXKFGHYNT-UHFFFAOYSA-N 0.000 description 2
- 125000003356 phenylsulfanyl group Chemical group [*]SC1=C([H])C([H])=C([H])C([H])=C1[H] 0.000 description 2
- NMHMNPHRMNGLLB-UHFFFAOYSA-N phloretic acid Chemical compound OC(=O)CCC1=CC=C(O)C=C1 NMHMNPHRMNGLLB-UHFFFAOYSA-N 0.000 description 2
- 230000004962 physiological condition Effects 0.000 description 2
- 239000001267 polyvinylpyrrolidone Substances 0.000 description 2
- 229920000036 polyvinylpyrrolidone Polymers 0.000 description 2
- 235000013855 polyvinylpyrrolidone Nutrition 0.000 description 2
- 239000003755 preservative agent Substances 0.000 description 2
- BDERNNFJNOPAEC-UHFFFAOYSA-N propan-1-ol Chemical compound CCCO BDERNNFJNOPAEC-UHFFFAOYSA-N 0.000 description 2
- 125000004673 propylcarbonyl group Chemical group 0.000 description 2
- 238000000746 purification Methods 0.000 description 2
- BBEAQIROQSPTKN-UHFFFAOYSA-N pyrene Chemical compound C1=CC=C2C=CC3=CC=CC4=CC=C1C2=C43 BBEAQIROQSPTKN-UHFFFAOYSA-N 0.000 description 2
- UDJFFSGCRRMVFH-UHFFFAOYSA-N pyrido[2,3-d]pyrimidine Chemical compound N1=CN=CC2=CC=CN=C21 UDJFFSGCRRMVFH-UHFFFAOYSA-N 0.000 description 2
- 125000002943 quinolinyl group Chemical group N1=C(C=CC2=CC=CC=C12)* 0.000 description 2
- 229930195734 saturated hydrocarbon Natural products 0.000 description 2
- 238000000926 separation method Methods 0.000 description 2
- 239000007787 solid Substances 0.000 description 2
- 230000003381 solubilizing effect Effects 0.000 description 2
- 239000008107 starch Substances 0.000 description 2
- 235000019698 starch Nutrition 0.000 description 2
- 239000007858 starting material Substances 0.000 description 2
- 235000000346 sugar Nutrition 0.000 description 2
- 230000001629 suppression Effects 0.000 description 2
- 239000000375 suspending agent Substances 0.000 description 2
- 238000012360 testing method Methods 0.000 description 2
- FPGGTKZVZWFYPV-UHFFFAOYSA-M tetrabutylammonium fluoride Chemical compound [F-].CCCC[N+](CCCC)(CCCC)CCCC FPGGTKZVZWFYPV-UHFFFAOYSA-M 0.000 description 2
- 125000001544 thienyl group Chemical group 0.000 description 2
- JOXIMZWYDAKGHI-UHFFFAOYSA-N toluene-4-sulfonic acid Chemical compound CC1=CC=C(S(O)(=O)=O)C=C1 JOXIMZWYDAKGHI-UHFFFAOYSA-N 0.000 description 2
- VZCYOOQTPOCHFL-UHFFFAOYSA-N trans-butenedioic acid Natural products OC(=O)C=CC(O)=O VZCYOOQTPOCHFL-UHFFFAOYSA-N 0.000 description 2
- GETQZCLCWQTVFV-UHFFFAOYSA-N trimethylamine Chemical compound CN(C)C GETQZCLCWQTVFV-UHFFFAOYSA-N 0.000 description 2
- 125000002221 trityl group Chemical group [H]C1=C([H])C([H])=C([H])C([H])=C1C([*])(C1=C(C(=C(C(=C1[H])[H])[H])[H])[H])C1=C([H])C([H])=C([H])C([H])=C1[H] 0.000 description 2
- 125000003774 valeryl group Chemical group O=C([*])C([H])([H])C([H])([H])C([H])([H])C([H])([H])[H] 0.000 description 2
- XLYOFNOQVPJJNP-UHFFFAOYSA-N water Substances O XLYOFNOQVPJJNP-UHFFFAOYSA-N 0.000 description 2
- LNAZSHAWQACDHT-XIYTZBAFSA-N (2r,3r,4s,5r,6s)-4,5-dimethoxy-2-(methoxymethyl)-3-[(2s,3r,4s,5r,6r)-3,4,5-trimethoxy-6-(methoxymethyl)oxan-2-yl]oxy-6-[(2r,3r,4s,5r,6r)-4,5,6-trimethoxy-2-(methoxymethyl)oxan-3-yl]oxyoxane Chemical compound CO[C@@H]1[C@@H](OC)[C@H](OC)[C@@H](COC)O[C@H]1O[C@H]1[C@H](OC)[C@@H](OC)[C@H](O[C@H]2[C@@H]([C@@H](OC)[C@H](OC)O[C@@H]2COC)OC)O[C@@H]1COC LNAZSHAWQACDHT-XIYTZBAFSA-N 0.000 description 1
- BJEPYKJPYRNKOW-REOHCLBHSA-N (S)-malic acid Chemical compound OC(=O)[C@@H](O)CC(O)=O BJEPYKJPYRNKOW-REOHCLBHSA-N 0.000 description 1
- PDHRAMRRABRMLZ-UHFFFAOYSA-N 1,10-diazatetracyclo[12.3.1.03,11.04,9]octadeca-2,4,6,8,10,12,14,16-octaene Chemical compound N=1C2=CC=CC=C2C(=C2)C=1C=CC1=CC=CN2C1 PDHRAMRRABRMLZ-UHFFFAOYSA-N 0.000 description 1
- URHKSNCCOQUNKQ-UHFFFAOYSA-N 1,11-diazatetracyclo[13.2.2.04,12.05,10]nonadeca-2,4,6,8,10,12,14,16-octaene Chemical compound C1=CN(C=C2)CCC2=CC=C2N=C(C=CC=C3)C3=C21 URHKSNCCOQUNKQ-UHFFFAOYSA-N 0.000 description 1
- ICIGEKNQXCHGPN-UHFFFAOYSA-N 1,11-diazatetracyclo[13.3.1.04,12.05,10]nonadeca-2,4(12),5,7,9,13,15,17-octaene Chemical compound C1=CC=C(C=C2)CN1C=CC1=C2NC2=CC=CC=C21 ICIGEKNQXCHGPN-UHFFFAOYSA-N 0.000 description 1
- BKFJNWSVVSOTQC-UHFFFAOYSA-N 1,11-diazatetracyclo[13.3.1.04,12.05,10]nonadeca-3,5,7,9,11,13,15,17-octaene Chemical compound C1C=C2C3=CC=CC=C3N=C2C=CC2=CC=CN1C2 BKFJNWSVVSOTQC-UHFFFAOYSA-N 0.000 description 1
- VSUNFFDHWOAUCF-UHFFFAOYSA-N 1,11-diazatetracyclo[7.7.0.02,7.010,15]hexadeca-2,4,6,8,10,13,15-heptaene Chemical group C12=CC=CC=C2C=C2N1C=C1C=CCN=C12 VSUNFFDHWOAUCF-UHFFFAOYSA-N 0.000 description 1
- YWZNTGMCZGKBHQ-UHFFFAOYSA-N 1,11-diazatetracyclo[7.7.0.02,7.011,15]hexadeca-2,4,6,8,12,15-hexaene Chemical group C1=CC=C2N(C=C3CC=CN3C3)C3=CC2=C1 YWZNTGMCZGKBHQ-UHFFFAOYSA-N 0.000 description 1
- HYVMAJDGZYDEHK-UHFFFAOYSA-N 1,12-diazatetracyclo[6.5.1.04,14.09,13]tetradeca-2,4(14),5,8,10,12-hexaene Chemical group C1=CN=C2C1=C1CC=CC3=C1N2C=C3 HYVMAJDGZYDEHK-UHFFFAOYSA-N 0.000 description 1
- OMWOEWOUIRHCJH-UHFFFAOYSA-N 1,13-diazatetracyclo[7.5.1.05,15.010,14]pentadeca-2,5(15),6,9,11,13-hexaene Chemical group C1=CCC2=C3N1C1=NC=CC1=C3CC=C2 OMWOEWOUIRHCJH-UHFFFAOYSA-N 0.000 description 1
- PZEGCVUWOSSPGV-UHFFFAOYSA-N 1,14-diazatetracyclo[7.7.1.02,8.013,17]heptadeca-2,4,6,8,10,13(17),14-heptaene Chemical compound C1C=CC2=C3C=CC=CC=C3N3C2=C1N=CC3 PZEGCVUWOSSPGV-UHFFFAOYSA-N 0.000 description 1
- QMJYMYVVBVNGJM-UHFFFAOYSA-N 1,15-diazatetracyclo[8.7.1.02,9.014,18]octadeca-2(9),3,5,7,10(18),11,13,15-octaene Chemical compound C1=CC=CC=CC2=C1C1=C3N2CC=NC3=CC=C1 QMJYMYVVBVNGJM-UHFFFAOYSA-N 0.000 description 1
- MFVFAPQCEUCUSG-UHFFFAOYSA-N 1,2,2a,3,4,5-hexahydrobenzo[cd]indole Chemical compound C1CCC2CNC3=CC=CC1=C32 MFVFAPQCEUCUSG-UHFFFAOYSA-N 0.000 description 1
- VOWHONRMOCHCGC-UHFFFAOYSA-N 1,2,3,3a,4,8b-hexahydropyrrolo[2,3-b]indole Chemical compound C1=CC=C2C3CCNC3NC2=C1 VOWHONRMOCHCGC-UHFFFAOYSA-N 0.000 description 1
- RFRZYBRMESKXKP-UHFFFAOYSA-N 1,2,3,4,5,6-hexahydro-1,6-benzodiazocine Chemical compound N1CCCCNC2=CC=CC=C21 RFRZYBRMESKXKP-UHFFFAOYSA-N 0.000 description 1
- VTIJFGNTDHLPLT-UHFFFAOYSA-N 1,2,3,4,5,6-hexahydro-1-benzazocine Chemical compound C1CCCCNC2=CC=CC=C21 VTIJFGNTDHLPLT-UHFFFAOYSA-N 0.000 description 1
- QLEFVMRRZCGFFA-UHFFFAOYSA-N 1,2,3,4,5,6-hexahydro-2-benzazocine Chemical compound C1NCCCCC2=CC=CC=C21 QLEFVMRRZCGFFA-UHFFFAOYSA-N 0.000 description 1
- UPQCFWKOZOXUSC-UHFFFAOYSA-N 1,2,3,4,5,6-hexahydro-3-benzazocine Chemical compound C1CCNCCC2=CC=CC=C21 UPQCFWKOZOXUSC-UHFFFAOYSA-N 0.000 description 1
- WXRSSOIHEAVYLL-UHFFFAOYSA-N 1,2,3,4-tetrahydrocinnoline Chemical compound C1=CC=C2NNCCC2=C1 WXRSSOIHEAVYLL-UHFFFAOYSA-N 0.000 description 1
- IYXJNKJVUJDDPN-UHFFFAOYSA-N 1,2,3,5-tetrahydro-4,1-benzothiazepine Chemical compound N1CCSCC2=CC=CC=C21 IYXJNKJVUJDDPN-UHFFFAOYSA-N 0.000 description 1
- GJKVQTRICWNJOP-UHFFFAOYSA-N 1,2,3,5-tetrahydro-4,1-benzoxazepine Chemical compound N1CCOCC2=CC=CC=C21 GJKVQTRICWNJOP-UHFFFAOYSA-N 0.000 description 1
- KAOYLRLQZXRRBD-UHFFFAOYSA-N 1,2,3-benzothiadiazepine Chemical class S1N=NC=CC2=CC=CC=C12 KAOYLRLQZXRRBD-UHFFFAOYSA-N 0.000 description 1
- WGWSZCGGHNPPNF-UHFFFAOYSA-N 1,2,3-benzotrioxepine Chemical class O1OOC=CC2=CC=CC=C21 WGWSZCGGHNPPNF-UHFFFAOYSA-N 0.000 description 1
- DMTVEFFTCXZRHY-UHFFFAOYSA-N 1,2,3-benzoxadiazepine Chemical class O1N=NC=CC2=CC=CC=C12 DMTVEFFTCXZRHY-UHFFFAOYSA-N 0.000 description 1
- CDBMSMZGGSFCGN-UHFFFAOYSA-N 1,2,4,5-tetrahydro-3,1-benzothiazepine Chemical compound N1CSCCC2=CC=CC=C21 CDBMSMZGGSFCGN-UHFFFAOYSA-N 0.000 description 1
- VUYFCINIZYMAOI-UHFFFAOYSA-N 1,2,4,5-tetrahydro-3,1-benzoxazepine Chemical compound N1COCCC2=CC=CC=C21 VUYFCINIZYMAOI-UHFFFAOYSA-N 0.000 description 1
- RQGQFNXRFWGILF-UHFFFAOYSA-N 1,2,4,5-tetrahydro-3,2-benzothiazepine Chemical compound C1NSCCC2=CC=CC=C21 RQGQFNXRFWGILF-UHFFFAOYSA-N 0.000 description 1
- JSWFONBGIQJDMD-UHFFFAOYSA-N 1,2,4,5-tetrahydro-3,2-benzoxazepine Chemical compound C1NOCCC2=CC=CC=C21 JSWFONBGIQJDMD-UHFFFAOYSA-N 0.000 description 1
- ODRMRGQYRJGWTH-UHFFFAOYSA-N 1,2,5,6-tetrahydro-4h-pyrrolo(3,2,1-ij)quinoline Chemical compound C1CCN2CCC3=CC=CC1=C32 ODRMRGQYRJGWTH-UHFFFAOYSA-N 0.000 description 1
- BRSBSOYUNSDWFK-UHFFFAOYSA-N 1,2,9-triazatetracyclo[10.7.0.03,8.013,18]nonadeca-2,4,6,8,10,12,14,16,18-nonaene Chemical compound C1=CC2=C(C=CC=C3)C3=CN2N=C2C=CC=CC2=N1 BRSBSOYUNSDWFK-UHFFFAOYSA-N 0.000 description 1
- KZNXKMJGYSECTN-UHFFFAOYSA-N 1,2-benzodiazocine Chemical class N1=NC=CC=CC2=CC=CC=C21 KZNXKMJGYSECTN-UHFFFAOYSA-N 0.000 description 1
- BBTZGYABHLIZDN-UHFFFAOYSA-N 1,2-benzodioxocine Chemical class O1OC=CC=CC2=CC=CC=C21 BBTZGYABHLIZDN-UHFFFAOYSA-N 0.000 description 1
- ICBKSCVIBRDGNO-UHFFFAOYSA-N 1,2-benzoxathiocine Chemical class O1SC=CC=CC2=CC=CC=C21 ICBKSCVIBRDGNO-UHFFFAOYSA-N 0.000 description 1
- ZCXLTWVZYXBHJS-UHFFFAOYSA-N 1,2-benzoxazepine Chemical class O1N=CC=CC2=CC=CC=C12 ZCXLTWVZYXBHJS-UHFFFAOYSA-N 0.000 description 1
- NSRNWAUPYYMUHO-UHFFFAOYSA-N 1,3,4,5-tetrahydro-2,1-benzothiazepine Chemical compound C1CCSNC2=CC=CC=C21 NSRNWAUPYYMUHO-UHFFFAOYSA-N 0.000 description 1
- QDKVUHYAPNNKNU-UHFFFAOYSA-N 1,3,4,5-tetrahydro-2,1-benzoxazepine Chemical compound C1CCONC2=CC=CC=C21 QDKVUHYAPNNKNU-UHFFFAOYSA-N 0.000 description 1
- VDSRGNHSXSLUHE-UHFFFAOYSA-N 1,3,4,5-tetrahydro-2,3-benzoxazepine Chemical compound C1ONCCC2=CC=CC=C21 VDSRGNHSXSLUHE-UHFFFAOYSA-N 0.000 description 1
- GCGSNFLZXCXZQA-UHFFFAOYSA-N 1,3,5-benzotrioxepine Chemical compound O1COCOC2=CC=CC=C21 GCGSNFLZXCXZQA-UHFFFAOYSA-N 0.000 description 1
- ZZZHRLNZAJHXHU-UHFFFAOYSA-N 1,3,9-triazatetracyclo[8.7.0.02,7.011,16]heptadeca-2(7),3,5,8,10,12,14,16-octaene Chemical compound C1=CN=C2N3C=C(C=CC=C4)C4=C3N=CC2=C1 ZZZHRLNZAJHXHU-UHFFFAOYSA-N 0.000 description 1
- 150000000183 1,3-benzoxazoles Chemical class 0.000 description 1
- GWYPDXLJACEENP-UHFFFAOYSA-N 1,3-cycloheptadiene Chemical compound C1CC=CC=CC1 GWYPDXLJACEENP-UHFFFAOYSA-N 0.000 description 1
- OGYGFUAIIOPWQD-UHFFFAOYSA-N 1,3-thiazolidine Chemical compound C1CSCN1 OGYGFUAIIOPWQD-UHFFFAOYSA-N 0.000 description 1
- HPARLNRMYDSBNO-UHFFFAOYSA-N 1,4-benzodioxine Chemical class C1=CC=C2OC=COC2=C1 HPARLNRMYDSBNO-UHFFFAOYSA-N 0.000 description 1
- LGGQINSLMDPBAF-UHFFFAOYSA-N 1,4-diazatetracyclo[7.5.1.05,15.010,14]pentadeca-3,5(15),7,9,11,13-hexaene Chemical group N12CC=NC(CC=C3)=C2C3=C2C1=CC=C2 LGGQINSLMDPBAF-UHFFFAOYSA-N 0.000 description 1
- YCHJPZFUSHPXRT-UHFFFAOYSA-N 1,4-diazatetracyclo[7.6.1.05,16.010,15]hexadeca-3,5,7,9(16),10,12,14-heptaene Chemical compound C12=CC=CC=C2N2CC=NC3=CC=CC1=C32 YCHJPZFUSHPXRT-UHFFFAOYSA-N 0.000 description 1
- CUVBOXYJVBLUJN-UHFFFAOYSA-N 1,4-diazatetracyclo[7.7.0.02,7.010,15]hexadeca-2,5,7,9,11,13,15-heptaene Chemical compound N12C=C3C=CC=CC3=C2C=C2C1=CNC=C2 CUVBOXYJVBLUJN-UHFFFAOYSA-N 0.000 description 1
- DNVHDEWHLFTGDP-UHFFFAOYSA-N 1,4-dihydro-2,3-benzodioxine Chemical compound C1=CC=C2COOCC2=C1 DNVHDEWHLFTGDP-UHFFFAOYSA-N 0.000 description 1
- XFBGQMYFOYGSGO-UHFFFAOYSA-N 1,5-diazatetracyclo[7.7.0.02,7.010,15]hexadeca-2,4,7,9,11,13,15-heptaene Chemical compound C1=CC=CC2=CN3C4=CC=NCC4=CC3=C21 XFBGQMYFOYGSGO-UHFFFAOYSA-N 0.000 description 1
- RWYYNSXVFPESMC-UHFFFAOYSA-N 1,5-dihydro-2,4-benzodioxepine Chemical compound C1OCOCC2=CC=CC=C21 RWYYNSXVFPESMC-UHFFFAOYSA-N 0.000 description 1
- XKBZAEGUFRRDCW-UHFFFAOYSA-N 1,5-dihydro-2,4-benzodithiepine Chemical compound C1SCSCC2=CC=CC=C21 XKBZAEGUFRRDCW-UHFFFAOYSA-N 0.000 description 1
- DTPMTEAVENQTBH-UHFFFAOYSA-N 1,6,8-triazatetracyclo[7.7.0.02,7.010,15]hexadeca-2(7),3,5,9,11,13,15-heptaene Chemical compound N1C=CC=C2N3C=C(C=CC=C4)C4=C3N=C21 DTPMTEAVENQTBH-UHFFFAOYSA-N 0.000 description 1
- FNLSBCPQSNEAEI-UHFFFAOYSA-N 1,6-diazatetracyclo[7.6.1.05,16.010,15]hexadeca-2,4,6,9(16),10,12,14-heptaene Chemical compound C1=CC=C2C(CC=N3)=C4C3=CC=CN4C2=C1 FNLSBCPQSNEAEI-UHFFFAOYSA-N 0.000 description 1
- YWPHGRXRAFKYNI-UHFFFAOYSA-N 1,7,9-triazatetracyclo[8.7.0.03,8.011,16]heptadeca-2,4,6,8,10,12,14,16-octaene Chemical compound N1=CC=CC2=CN3C=C(C=CC=C4)C4=C3N=C21 YWPHGRXRAFKYNI-UHFFFAOYSA-N 0.000 description 1
- IIBIAQAPFGUWSN-UHFFFAOYSA-N 1,8-diazatetracyclo[8.6.1.02,7.014,17]heptadeca-2,4,6,8,10,12,14(17),15-octaene Chemical compound C1=NC2=CC=CC=C2N2C=CC3=C2C1=CC=C3 IIBIAQAPFGUWSN-UHFFFAOYSA-N 0.000 description 1
- FRSSSGAJGMDDHR-UHFFFAOYSA-N 1,9-diazatetracyclo[8.6.1.02,7.014,17]heptadeca-2,4,6,8,10,12,14(17),15-octaene Chemical compound N1=CC2=CC=CC=C2N2C=CC3=C2C1=CC=C3 FRSSSGAJGMDDHR-UHFFFAOYSA-N 0.000 description 1
- FLNUUILQMKWMRU-UHFFFAOYSA-N 1-azatetracyclo[10.2.1.05,14.08,13]pentadeca-2,4,6,8,10,12(15),13-heptaene Chemical group C1=CN2C=C(C=CC=C3C=C4)C3=C2C4=C1 FLNUUILQMKWMRU-UHFFFAOYSA-N 0.000 description 1
- LBYRNMPPJPQHAN-UHFFFAOYSA-N 1-azatetracyclo[6.5.2.04,15.011,14]pentadeca-2,4,6,8(15),9,11(14),12-heptaene Chemical compound C1=C2C=CN(C=C3)C2=C2C3=CC=CC2=C1 LBYRNMPPJPQHAN-UHFFFAOYSA-N 0.000 description 1
- QJRWCFPJHAVKTN-UHFFFAOYSA-N 1-azatetracyclo[7.5.1.05,15.010,14]pentadeca-2,5(15),6,9,11,13-hexaene Chemical group C1=CCC2=C3N1C1=CC=CC1=C3CC=C2 QJRWCFPJHAVKTN-UHFFFAOYSA-N 0.000 description 1
- TWTAFRRUNWEFNW-UHFFFAOYSA-N 1-azatetracyclo[7.6.1.02,7.013,16]hexadeca-2,4,6,8,10,13(16),14-heptaene Chemical compound C1C=CC2=CC3=CC=CC=C3N3C2=C1C=C3 TWTAFRRUNWEFNW-UHFFFAOYSA-N 0.000 description 1
- ICFIAXOVKMKWPI-UHFFFAOYSA-N 1-azatetracyclo[7.6.1.05,16.010,15]hexadeca-2,4,6,9(16),10,12,14-heptaene Chemical compound C12=CC=CC=C2N2C=CC=C3C=CCC1=C32 ICFIAXOVKMKWPI-UHFFFAOYSA-N 0.000 description 1
- ZOHHTEHEDKHBFR-UHFFFAOYSA-N 1-azatetracyclo[8.7.1.02,9.014,18]octadeca-2(9),3,5,7,10(18),12,14,16-octaene Chemical compound C1=CC=CC=CC2=C1N1C=CC=C3C=CCC2=C31 ZOHHTEHEDKHBFR-UHFFFAOYSA-N 0.000 description 1
- PSRUDLJIBHOJFX-UHFFFAOYSA-N 1-azatricyclo[6.3.1.04,12]dodeca-2,4(12),5,7,9-pentaene Chemical compound C1C=CC2=CC=CC3=C2N1C=C3 PSRUDLJIBHOJFX-UHFFFAOYSA-N 0.000 description 1
- LQWOEXNSZJKORX-UHFFFAOYSA-N 1-azatricyclo[6.4.1.04,13]trideca-2,4(13),5,7,9,11-hexaene Chemical compound C1=CC=CC2=CC=CC3=C2N1C=C3 LQWOEXNSZJKORX-UHFFFAOYSA-N 0.000 description 1
- NTCZISDRAYPNCW-UHFFFAOYSA-N 1-azatricyclo[6.4.1.04,13]trideca-4,6,8(13)-triene Chemical compound C1CCCN2CCC3=CC=CC1=C32 NTCZISDRAYPNCW-UHFFFAOYSA-N 0.000 description 1
- VBMUMKTZURASIA-UHFFFAOYSA-N 1-azatricyclo[7.4.1.05,14]tetradeca-2,5(14),6,8,10,12-hexaene Chemical compound C1=CC=CC2=CC=CC3=C2N1C=CC3 VBMUMKTZURASIA-UHFFFAOYSA-N 0.000 description 1
- 150000003970 1-benzazocines Chemical class 0.000 description 1
- VBICKXHEKHSIBG-UHFFFAOYSA-N 1-monostearoylglycerol Chemical compound CCCCCCCCCCCCCCCCCC(=O)OCC(O)CO VBICKXHEKHSIBG-UHFFFAOYSA-N 0.000 description 1
- 125000001637 1-naphthyl group Chemical group [H]C1=C([H])C([H])=C2C(*)=C([H])C([H])=C([H])C2=C1[H] 0.000 description 1
- IIZPXYDJLKNOIY-JXPKJXOSSA-N 1-palmitoyl-2-arachidonoyl-sn-glycero-3-phosphocholine Chemical compound CCCCCCCCCCCCCCCC(=O)OC[C@H](COP([O-])(=O)OCC[N+](C)(C)C)OC(=O)CCC\C=C/C\C=C/C\C=C/C\C=C/CCCCC IIZPXYDJLKNOIY-JXPKJXOSSA-N 0.000 description 1
- QPVRHVZEWJTTJT-UHFFFAOYSA-N 10,17-diazatetracyclo[12.3.1.03,11.04,9]octadeca-1(17),3,5,7,9,11,13,15-octaene Chemical compound C1C2=CC=C3N=C(C=CC=C4)C4=C3CC1=NC=C2 QPVRHVZEWJTTJT-UHFFFAOYSA-N 0.000 description 1
- GOUOQOHRQYUIJT-UHFFFAOYSA-N 10,20-diazatetracyclo[11.7.0.03,8.014,19]icosa-1,3,5,7,9,11,13,15,17,19-decaene Chemical compound C1=CN=CC2=CC=CC=C2C=C2N=C(C=CC=C3)C3=C21 GOUOQOHRQYUIJT-UHFFFAOYSA-N 0.000 description 1
- VWKDYZQXCJVCHR-UHFFFAOYSA-N 10-azatetracyclo[10.3.1.02,10.04,9]hexadeca-1(15),2,4,6,8,11,13-heptaene Chemical group C12=CC3=CC=CC=C3N1C=C1CC2=CC=C1 VWKDYZQXCJVCHR-UHFFFAOYSA-N 0.000 description 1
- GIXLQOXILICFTR-UHFFFAOYSA-N 10-azatetracyclo[8.6.1.02,7.013,17]heptadeca-1(16),2,4,6,8,11,13(17),14-octaene Chemical compound C1=CC2=CC=CC=C2C2=CC=CC3=C2N1C=C3 GIXLQOXILICFTR-UHFFFAOYSA-N 0.000 description 1
- UIHRXFQYSLTTIP-UHFFFAOYSA-N 10-azatetracyclo[8.6.1.05,17.011,16]heptadeca-1,3,5(17),6,8,11,13,15-octaene Chemical compound C1=CC=CN2C3=CC=CC=C3C3=CC=CC1=C32 UIHRXFQYSLTTIP-UHFFFAOYSA-N 0.000 description 1
- LFSIZNFMUXMXAF-UHFFFAOYSA-N 10-azatetracyclo[9.8.0.02,9.012,17]nonadeca-1,3,5,7,9,11,14,16,18-nonaene Chemical compound C1=CC=CC=CC2=NC3=C4CC=CC=C4C=CC3=C21 LFSIZNFMUXMXAF-UHFFFAOYSA-N 0.000 description 1
- DWRMCMQRPZIKFI-UHFFFAOYSA-N 10-oxa-4,12-diazatetracyclo[9.7.0.03,8.013,18]octadeca-1,3,6,8,11,13,15,17-octaene Chemical compound O1C2=NC3=CC=CC=C3C2=CC2=NCC=CC2=C1 DWRMCMQRPZIKFI-UHFFFAOYSA-N 0.000 description 1
- INPRFVIJYHBRRO-UHFFFAOYSA-N 10-oxa-4,18-diazatetracyclo[9.7.0.03,8.012,17]octadeca-1,3,6,8,11,13,15,17-octaene Chemical compound O1C2=C(C=CC=C3)C3=NC2=CC2=NCC=CC2=C1 INPRFVIJYHBRRO-UHFFFAOYSA-N 0.000 description 1
- OFPTUMXIEMTUIV-UHFFFAOYSA-N 10-oxa-6,18-diazatetracyclo[9.7.0.03,8.012,17]octadeca-1,3,5,8,11,13,15,17-octaene Chemical compound O1C=C2CN=CC=C2C=C2N=C(C=CC=C3)C3=C21 OFPTUMXIEMTUIV-UHFFFAOYSA-N 0.000 description 1
- UZSFMCHBCJTBFS-UHFFFAOYSA-N 10-oxa-6,19-diazatetracyclo[10.7.0.03,8.013,18]nonadeca-1(19),2,4,6,8,11,13,15,17-nonaene Chemical compound O1C=C2C3=CC=CC=C3N=C2C=C2C=CN=CC2=C1 UZSFMCHBCJTBFS-UHFFFAOYSA-N 0.000 description 1
- SKNZVVVFQHGZFZ-UHFFFAOYSA-N 10-oxa-8-azatetracyclo[7.7.0.02,7.011,15]hexadeca-1(16),2,4,6,8,11(15),12-heptaene Chemical compound O1C2=NC3=CC=CC=C3C2=CC2=C1C=CC2 SKNZVVVFQHGZFZ-UHFFFAOYSA-N 0.000 description 1
- WJFKNYWRSNBZNX-UHFFFAOYSA-N 10H-phenothiazine Chemical compound C1=CC=C2NC3=CC=CC=C3SC2=C1 WJFKNYWRSNBZNX-UHFFFAOYSA-N 0.000 description 1
- TZMSYXZUNZXBOL-UHFFFAOYSA-N 10H-phenoxazine Chemical compound C1=CC=C2NC3=CC=CC=C3OC2=C1 TZMSYXZUNZXBOL-UHFFFAOYSA-N 0.000 description 1
- OSUZEOVWRSRHFA-UHFFFAOYSA-N 10h-indolo[2,3-b][1,8]naphthyridine Chemical compound N1C=CC=C2C=C3C4=CC=CC=C4N=C3N=C21 OSUZEOVWRSRHFA-UHFFFAOYSA-N 0.000 description 1
- DBZDODUGFRGEIK-UHFFFAOYSA-N 10h-indolo[3,2-g]pteridine Chemical compound C1=NC=C2N=C3C4=CC=CC=C4NC3=NC2=N1 DBZDODUGFRGEIK-UHFFFAOYSA-N 0.000 description 1
- XPAMDSRJRWPOBD-UHFFFAOYSA-N 10h-isoindolo[1,2-a]isoindole Chemical compound C1=C2C=CC=CC2=C2N1C=C1C=CCC=C12 XPAMDSRJRWPOBD-UHFFFAOYSA-N 0.000 description 1
- CVQZJCFHJBMKIC-UHFFFAOYSA-N 11,12-dihydro-10h-benzo[b][1]benzoxocine Chemical compound C1CCC2=CC=CC=C2OC2=CC=CC=C21 CVQZJCFHJBMKIC-UHFFFAOYSA-N 0.000 description 1
- SLRAFQZUQSYAFY-UHFFFAOYSA-N 11,14-diazatetracyclo[8.6.0.02,7.012,16]hexadeca-1(10),2,4,6,8,11,13,15-octaene Chemical group C1=CC=CC2=C3C4=CN=CC4=NC3=CC=C21 SLRAFQZUQSYAFY-UHFFFAOYSA-N 0.000 description 1
- NQDNALZRRYHFSB-UHFFFAOYSA-N 11,15-diazatetracyclo[13.3.1.03,11.05,10]nonadeca-1,3,5,7,9,13,17-heptaene Chemical compound C1C=CN(C2)CC=CC2=CC2=CC3=CC=CC=C3N21 NQDNALZRRYHFSB-UHFFFAOYSA-N 0.000 description 1
- GXVGNBCDUCZDOY-UHFFFAOYSA-N 11,15-diazatetracyclo[8.6.0.02,7.012,16]hexadeca-1(10),2,4,6,8,11,13,15-octaene Chemical group C1=CC=CC2=C(C=3C(C=CN=3)=N3)C3=CC=C21 GXVGNBCDUCZDOY-UHFFFAOYSA-N 0.000 description 1
- UDUFRKYBVOTHTH-UHFFFAOYSA-N 11,15-diazatetracyclo[8.8.0.02,7.012,18]octadeca-1(18),2,4,6,8,10,12,14,16-nonaene Chemical compound N1=C2C=CN=CC=C2C2=C1C=CC1=CC=CC=C12 UDUFRKYBVOTHTH-UHFFFAOYSA-N 0.000 description 1
- XHILBCXDZVNFBL-UHFFFAOYSA-N 11,21-diazatetracyclo[12.7.0.04,9.015,20]henicosa-1,3,6,8,10,12,14,16,18,20-decaene Chemical compound C1=NC=CC2=C(C=CC=C3)C3=NC2=CC=C2CC=CC=C21 XHILBCXDZVNFBL-UHFFFAOYSA-N 0.000 description 1
- KVLTVPFIKAUQFL-UHFFFAOYSA-N 11-azatetracyclo[7.6.1.02,7.012,16]hexadeca-1(16),2,4,6,8,10,12,14-octaene Chemical compound N1=CC2=CC3=CC=CC=C3C3=C2C1=CC=C3 KVLTVPFIKAUQFL-UHFFFAOYSA-N 0.000 description 1
- CDYFVOMJMPVXLD-UHFFFAOYSA-N 11-azatetracyclo[8.6.0.02,7.011,15]hexadeca-1(16),2,5,7,9,12,14-heptaene Chemical group C1=C2N3C=CC=C3C=C2C2=CCC=CC2=C1 CDYFVOMJMPVXLD-UHFFFAOYSA-N 0.000 description 1
- JGFOBCXBDKYVKP-UHFFFAOYSA-N 11-azatetracyclo[8.6.0.03,8.011,15]hexadeca-1,3,5,7,9,12,15-heptaene Chemical group C1=CC=C2C=C3N4C=CCC4=CC3=CC2=C1 JGFOBCXBDKYVKP-UHFFFAOYSA-N 0.000 description 1
- CIUBMTLVVRAQSL-UHFFFAOYSA-N 11-azatetracyclo[8.8.0.02,7.012,18]octadeca-1(10),2,4,6,8,11,13,15,17-nonaene Chemical compound N1=C2C=CC=CC=C2C2=C1C=CC1=CC=CC=C12 CIUBMTLVVRAQSL-UHFFFAOYSA-N 0.000 description 1
- MNVIMMGRFVQTIU-UHFFFAOYSA-N 11-azatetracyclo[9.7.0.02,7.013,18]octadeca-1(18),2,5,7,9,12,14,16-octaene Chemical compound C1=CN2C=C(C=CC=C3)C3=C2C2=CCC=CC2=C1 MNVIMMGRFVQTIU-UHFFFAOYSA-N 0.000 description 1
- UZBCBBQCZMDAGU-UHFFFAOYSA-N 11-oxa-1-azatetracyclo[7.5.1.05,15.010,14]pentadeca-3,5(15),6,8,10(14),12-hexaene Chemical group C1=CC(C=2OC=CC=22)=C3N2CC=CC3=C1 UZBCBBQCZMDAGU-UHFFFAOYSA-N 0.000 description 1
- ZEWMZINTEWGGAU-UHFFFAOYSA-N 11-oxa-1-azatetracyclo[7.6.1.05,16.010,15]hexadeca-3,5(16),7,9,12,14-hexaene Chemical compound N12CC=CC(CC=C3)=C2C3=C2C1=CC=CO2 ZEWMZINTEWGGAU-UHFFFAOYSA-N 0.000 description 1
- VJTJKACPVJNFHW-UHFFFAOYSA-N 12-azatetracyclo[10.7.0.03,8.013,18]nonadeca-1(19),2,4,6,8,10,13,15,17-nonaene Chemical compound C1=CN2C3=CC=CC=C3C=C2C=C2C=CC=CC2=C1 VJTJKACPVJNFHW-UHFFFAOYSA-N 0.000 description 1
- IEESACGQJKDVHJ-UHFFFAOYSA-N 12-azatetracyclo[7.5.1.02,7.012,15]pentadeca-1(15),2,4,6,8,10,13-heptaene Chemical group C1=CC=C2C(C=C3)=C4N3C=CC4=CC2=C1 IEESACGQJKDVHJ-UHFFFAOYSA-N 0.000 description 1
- HKBCAPWYMTXNJA-UHFFFAOYSA-N 12-azatetracyclo[8.6.0.02,7.012,16]hexadeca-1,4,6,8,10,13,15-heptaene Chemical group C12=C3CC=CC=C3C=CC2=CN2C1=CC=C2 HKBCAPWYMTXNJA-UHFFFAOYSA-N 0.000 description 1
- QEWVBVSBRRGDQL-UHFFFAOYSA-N 12-azatetracyclo[9.7.0.02,7.013,18]octadeca-1(18),2,4,6,8,10,12,14,16-nonaene Chemical compound C1=CC=C2C=CC=CC2=C2C3=CC=CC=C3N=C21 QEWVBVSBRRGDQL-UHFFFAOYSA-N 0.000 description 1
- QALWZRGAQJAOAZ-UHFFFAOYSA-N 13,16-diazatetracyclo[8.6.0.02,7.011,15]hexadeca-1(10),2,4,6,8,11,13,15-octaene Chemical group C1=CC=C2C=CC3=C4C=NC=C4N=C3C2=C1 QALWZRGAQJAOAZ-UHFFFAOYSA-N 0.000 description 1
- ALESHJSKDYIYKA-UHFFFAOYSA-N 14-azatetracyclo[7.6.1.02,7.013,16]hexadeca-1(16),2,4,6,8,10,12,14-octaene Chemical compound C1=CC=C2C(C=N3)=C4C3=CC=CC4=CC2=C1 ALESHJSKDYIYKA-UHFFFAOYSA-N 0.000 description 1
- SOOKBMPKYDPGQD-UHFFFAOYSA-N 15-azatetracyclo[8.6.0.02,7.011,15]hexadeca-1(16),2,5,7,9,11,13-heptaene Chemical group C1=C2C3=CC=CN3C=C2C2=CCC=CC2=C1 SOOKBMPKYDPGQD-UHFFFAOYSA-N 0.000 description 1
- LVTJFJXZSRDSSL-UHFFFAOYSA-N 15-azatetracyclo[8.6.0.03,8.011,15]hexadeca-1(16),2,4,6,8,10,13-heptaene Chemical group C1=CC=CC2=CC3=C4CC=CN4C=C3C=C21 LVTJFJXZSRDSSL-UHFFFAOYSA-N 0.000 description 1
- AMGDRWIBUKQYTD-UHFFFAOYSA-N 15-oxa-3-azatetracyclo[11.2.2.02,10.04,9]heptadeca-1,3,5,7,9,11,13-heptaene Chemical compound C1=CC(CC2)=COC2=C2N=C(C=CC=C3)C3=C21 AMGDRWIBUKQYTD-UHFFFAOYSA-N 0.000 description 1
- LFVNLPNQKQNMJU-UHFFFAOYSA-N 15h-cyclopenta[a]phenanthrene Chemical compound C1=CC=C2C3=CC=C4C=CCC4=C3C=CC2=C1 LFVNLPNQKQNMJU-UHFFFAOYSA-N 0.000 description 1
- ADGBGCXLIYZPDK-UHFFFAOYSA-N 16-azatetracyclo[8.6.0.02,7.012,16]hexadeca-1,4,6,8,10,12,14-heptaene Chemical group C1=CC2=CC3=CC=CN3C2=C2CC=CC=C21 ADGBGCXLIYZPDK-UHFFFAOYSA-N 0.000 description 1
- OKIZRWYGSLEJNM-UHFFFAOYSA-N 18-azatetracyclo[8.8.0.02,7.011,17]octadeca-1(10),2,4,6,8,11,13,15,17-nonaene Chemical compound C1=CC=CC2=C(C=CC=3C4=CC=CC=3)C4=NC2=C1 OKIZRWYGSLEJNM-UHFFFAOYSA-N 0.000 description 1
- WGVZXTWHPUIBAJ-UHFFFAOYSA-N 18-azatetracyclo[9.7.0.03,8.012,17]octadeca-1,3,5,7,9,11,13,15,17-nonaene Chemical compound C1=C2C=CC=CC2=CC=C2C3=CC=CC=C3N=C21 WGVZXTWHPUIBAJ-UHFFFAOYSA-N 0.000 description 1
- QMNHVXVGCHVHIO-UHFFFAOYSA-N 18-azatetracyclo[9.7.0.03,9.012,17]octadeca-1(18),2,4,6,8,10,12,14,16-nonaene Chemical compound C1=CC=CC=C2C=C3C4=CC=CC=C4N=C3C=C21 QMNHVXVGCHVHIO-UHFFFAOYSA-N 0.000 description 1
- XEZNGIUYQVAUSS-UHFFFAOYSA-N 18-crown-6 Chemical compound C1COCCOCCOCCOCCOCCO1 XEZNGIUYQVAUSS-UHFFFAOYSA-N 0.000 description 1
- WDPFKOMTIDSTRI-UHFFFAOYSA-N 19-oxa-3,13-diazatetracyclo[11.7.0.02,10.04,9]icosa-1,3,5,7,9,11,14,16-octaene Chemical compound C1=CC=CCOCC2=C3N=C4C=CC=CC4=C3C=CN21 WDPFKOMTIDSTRI-UHFFFAOYSA-N 0.000 description 1
- QVWKODLMAFCGLB-UHFFFAOYSA-N 1H-1,2,3-benzotriazepine Chemical class N1N=NC=CC2=CC=CC=C12 QVWKODLMAFCGLB-UHFFFAOYSA-N 0.000 description 1
- ASLUVGUEPYXPRF-UHFFFAOYSA-N 1h-1-benzazonine Chemical class N1C=CC=CC=CC2=CC=CC=C21 ASLUVGUEPYXPRF-UHFFFAOYSA-N 0.000 description 1
- DCPUYTVLUDCKIS-UHFFFAOYSA-N 1h-[1]benzothiepino[5,4-b]indole Chemical compound S1C=CC2=C(C=CC=C3)C3=NC2=C2CC=CC=C21 DCPUYTVLUDCKIS-UHFFFAOYSA-N 0.000 description 1
- JIUNOXLTQSABHH-UHFFFAOYSA-N 1h-[1]benzothiolo[2,3-b]indole Chemical compound C1=CC=C2C3=C4CC=CC=C4SC3=NC2=C1 JIUNOXLTQSABHH-UHFFFAOYSA-N 0.000 description 1
- PMSHETCYZLIFKE-UHFFFAOYSA-N 1h-[1]benzothiolo[3,2-b]indole Chemical compound S1C2=CC=CC=C2C2=C1C1=CC=CCC1=N2 PMSHETCYZLIFKE-UHFFFAOYSA-N 0.000 description 1
- VLFGWXXYGLUDFX-UHFFFAOYSA-N 1h-[2]benzoxepino[4,3-b]indole Chemical compound O1C=C2C=CC=CC2=CC2=C1C1=CC=CCC1=N2 VLFGWXXYGLUDFX-UHFFFAOYSA-N 0.000 description 1
- DHWLQJPHSAMUCH-UHFFFAOYSA-N 1h-benzo[a]carbazole Chemical compound C1=CC=CC2=NC3=C4CC=CC=C4C=CC3=C21 DHWLQJPHSAMUCH-UHFFFAOYSA-N 0.000 description 1
- PWVAIVPOLYRMET-UHFFFAOYSA-N 1h-benzo[b]carbazole Chemical compound C1=CC=CC2=CC3=C4CC=CC=C4N=C3C=C21 PWVAIVPOLYRMET-UHFFFAOYSA-N 0.000 description 1
- CNEBOSRZUQUQMH-UHFFFAOYSA-N 1h-benzo[c]carbazole Chemical compound C1=CC=C2C3=C4CC=CC=C4C=CC3=NC2=C1 CNEBOSRZUQUQMH-UHFFFAOYSA-N 0.000 description 1
- ILVBMVYFCCJABZ-UHFFFAOYSA-N 1h-furo[3,4-a]carbazole Chemical compound C1=CC=CC2=NC3=C4COC=C4C=CC3=C21 ILVBMVYFCCJABZ-UHFFFAOYSA-N 0.000 description 1
- BKRQAKYAHQGEPL-UHFFFAOYSA-N 1h-furo[3,4-c]carbazole Chemical compound C1=CC=C2C3=C4COC=C4C=CC3=NC2=C1 BKRQAKYAHQGEPL-UHFFFAOYSA-N 0.000 description 1
- ACHNFSMXZCQKDG-UHFFFAOYSA-N 1h-imidazo[5,1-a]$b-carboline Chemical group C1=CC=CC2=C3C=CN4C=NCC4=C3N=C21 ACHNFSMXZCQKDG-UHFFFAOYSA-N 0.000 description 1
- ZYMRVPPMCMTLBY-UHFFFAOYSA-N 1h-indolo[1,2-a]benzimidazole Chemical group C1=CC=C2N3C4=CC=CCC4=CC3=NC2=C1 ZYMRVPPMCMTLBY-UHFFFAOYSA-N 0.000 description 1
- MNQYANUEDAOGOH-UHFFFAOYSA-N 1h-indolo[1,2-b][1,2]benzothiazine Chemical group C1=CC=C2N3SC4=CC=CCC4=CC3=CC2=C1 MNQYANUEDAOGOH-UHFFFAOYSA-N 0.000 description 1
- DNNPWHFFLGLMBQ-UHFFFAOYSA-N 1h-indolo[1,2-b][2]benzazepine Chemical group C1=C2C=CC=CC2=CN2C3=CC=CCC3=CC2=C1 DNNPWHFFLGLMBQ-UHFFFAOYSA-N 0.000 description 1
- WQJZQBXSCJENKG-UHFFFAOYSA-N 1h-indolo[1,2-b]indazole Chemical group C1=CC=CC2=NN3C4=CC=CCC4=CC3=C21 WQJZQBXSCJENKG-UHFFFAOYSA-N 0.000 description 1
- RZQWHNDIIDEUKK-UHFFFAOYSA-N 1h-indolo[2,1-b][3]benzazepine Chemical compound C1=CN2C3=CC=CCC3=CC2=CC2=CC=CC=C21 RZQWHNDIIDEUKK-UHFFFAOYSA-N 0.000 description 1
- SHSZUVSWCNQZKP-UHFFFAOYSA-N 1h-indolo[2,1-c][1,4]benzodiazepine Chemical group N1=C2C=CC=CC2=CN2C3=CC=CCC3=CC2=C1 SHSZUVSWCNQZKP-UHFFFAOYSA-N 0.000 description 1
- VGRLZBSXRLEFRX-UHFFFAOYSA-N 1h-indolo[2,3-b][1,6]naphthyridine Chemical compound N1=C2C=CC=CC2=C2C1=NC1=CC=NCC1=C2 VGRLZBSXRLEFRX-UHFFFAOYSA-N 0.000 description 1
- UICYEZZCEFNKDM-UHFFFAOYSA-N 1h-indolo[2,3-b]quinoxaline Chemical compound N1=C2C=CC=CC2=C2C1=NC1=CC=CCC1=N2 UICYEZZCEFNKDM-UHFFFAOYSA-N 0.000 description 1
- SZPUSNJISJSSBR-UHFFFAOYSA-N 1h-indolo[2,3-c][1,5]benzothiazepine Chemical compound S1C=C2N=C(C=CC=C3)C3=C2N=C2CC=CC=C21 SZPUSNJISJSSBR-UHFFFAOYSA-N 0.000 description 1
- JDXKKADFEMOVFY-UHFFFAOYSA-N 1h-indolo[2,3-c][1,6]naphthyridine Chemical compound C1=CC=C2C3=C4CN=CC=C4N=CC3=NC2=C1 JDXKKADFEMOVFY-UHFFFAOYSA-N 0.000 description 1
- WJOXDPRIOPDDAC-UHFFFAOYSA-N 1h-indolo[2,3-c][1,7]naphthyridine Chemical compound C1=CC=C2C3=C4CC=NC=C4N=CC3=NC2=C1 WJOXDPRIOPDDAC-UHFFFAOYSA-N 0.000 description 1
- PCWJQNTWSWNFPI-UHFFFAOYSA-N 1h-indolo[2,3-c][1,8]naphthyridine Chemical compound C1=CC=C2C3=C4CC=CN=C4N=CC3=NC2=C1 PCWJQNTWSWNFPI-UHFFFAOYSA-N 0.000 description 1
- DCJSJHIHVRMIJQ-UHFFFAOYSA-N 1h-indolo[2,3-c]isoquinoline Chemical compound C1=CC=C2C3=C4CC=CC=C4C=NC3=NC2=C1 DCJSJHIHVRMIJQ-UHFFFAOYSA-N 0.000 description 1
- XUZQIVZBNYFTGV-UHFFFAOYSA-N 1h-indolo[2,3-c]quinoline Chemical compound C1=CC=C2C3=C4CC=CC=C4N=CC3=NC2=C1 XUZQIVZBNYFTGV-UHFFFAOYSA-N 0.000 description 1
- VCMPUUFVVGMYRM-UHFFFAOYSA-N 1h-indolo[3,2-b][1,5]benzoxazepine Chemical compound C1=NC2=CC=CC=C2OC2=C3CC=CC=C3N=C21 VCMPUUFVVGMYRM-UHFFFAOYSA-N 0.000 description 1
- ZNRGIVZLGSTRHV-UHFFFAOYSA-N 1h-indolo[3,2-b][1,7]naphthyridine Chemical compound N1=C2C=CC=CC2=C2C1=CC1=CC=NCC1=N2 ZNRGIVZLGSTRHV-UHFFFAOYSA-N 0.000 description 1
- QUWDINSFFRTYDH-UHFFFAOYSA-N 1h-indolo[3,2-b]quinoline Chemical compound C12=CC=CC=C2N=C2C1=NC1=CC=CCC1=C2 QUWDINSFFRTYDH-UHFFFAOYSA-N 0.000 description 1
- ZWICUBJICJPXRA-UHFFFAOYSA-N 1h-indolo[3,2-c][1,8]naphthyridine Chemical compound C1=CC=CC2=NC3=C4CC=CN=C4N=CC3=C21 ZWICUBJICJPXRA-UHFFFAOYSA-N 0.000 description 1
- FBTCOAUYAVZIJO-UHFFFAOYSA-N 1h-indolo[3,2-c]cinnoline Chemical compound C1=CC=CC2=NC3=C4CC=CC=C4N=NC3=C21 FBTCOAUYAVZIJO-UHFFFAOYSA-N 0.000 description 1
- RDCYGEUPYPKSRS-UHFFFAOYSA-N 1h-indolo[3,2-c]isoquinoline Chemical compound C1=CC=CC2=NC3=C4CC=CC=C4C=NC3=C21 RDCYGEUPYPKSRS-UHFFFAOYSA-N 0.000 description 1
- JRZDNXJGTGTWKK-UHFFFAOYSA-N 1h-indolo[3,2-c]quinoline Chemical compound C1=CC=CC2=NC3=C4CC=CC=C4N=CC3=C21 JRZDNXJGTGTWKK-UHFFFAOYSA-N 0.000 description 1
- MBFIHEWEGPVRCS-UHFFFAOYSA-N 1h-indolo[3,2-d][1,2]benzoxazepine Chemical compound O1N=CC2=C(C=CC=C3)C3=NC2=C2CC=CC=C21 MBFIHEWEGPVRCS-UHFFFAOYSA-N 0.000 description 1
- YXKNUSSVLWQPSJ-UHFFFAOYSA-N 1h-isoindolo[1,2-b][1,3,4]benzotriazepine Chemical compound N1=CC2=CC=CC=C2N=C2C3=CC=CCC3=CN21 YXKNUSSVLWQPSJ-UHFFFAOYSA-N 0.000 description 1
- UDKPLGPRNXNJLN-UHFFFAOYSA-N 1h-isoindolo[2,1-a]benzimidazole Chemical compound C1=CC=C2N=C3C4=CC=CCC4=CN3C2=C1 UDKPLGPRNXNJLN-UHFFFAOYSA-N 0.000 description 1
- YFFYBCWMZOKZGP-UHFFFAOYSA-N 1h-isoindolo[2,1-a]indole Chemical compound C1=CC=CC2=CN3C4=CC=CCC4=CC3=C21 YFFYBCWMZOKZGP-UHFFFAOYSA-N 0.000 description 1
- FCKVVTBZKFVLCR-UHFFFAOYSA-N 1h-isoindolo[2,1-b][2,4]benzodiazepine Chemical compound C1=C2C=CC=CC2=CN=C2C3=CC=CCC3=CN21 FCKVVTBZKFVLCR-UHFFFAOYSA-N 0.000 description 1
- KXBOKMDEBKUMHI-UHFFFAOYSA-N 1h-isoindolo[2,1-c][2,3]benzodiazepine Chemical compound C1=NN2C=C(C=CC=C3)C3=C2C=C2CC=CC=C21 KXBOKMDEBKUMHI-UHFFFAOYSA-N 0.000 description 1
- ZLSPAHYPSQJUSA-UHFFFAOYSA-N 1h-naphtho[1,2-e]indole Chemical compound C1=CC=C2C3=C4CC=NC4=CC=C3C=CC2=C1 ZLSPAHYPSQJUSA-UHFFFAOYSA-N 0.000 description 1
- WKGYVPVRNZOQQT-UHFFFAOYSA-N 1h-naphtho[1,2-f]indole Chemical compound C=1C2=NC=CC2=CC2=C3CC=CC=C3C=CC2=1 WKGYVPVRNZOQQT-UHFFFAOYSA-N 0.000 description 1
- TZTCVKKPXQFANW-UHFFFAOYSA-N 1h-naphtho[1,2-f]isoindole Chemical compound C=1C2=CN=CC2=CC2=C3CC=CC=C3C=CC2=1 TZTCVKKPXQFANW-UHFFFAOYSA-N 0.000 description 1
- NFEKHXNXRRLSDQ-UHFFFAOYSA-N 1h-naphtho[1,2-g]indole Chemical compound C1=CC2=CC=CC=C2C(C=C2)=C1C1=C2CC=N1 NFEKHXNXRRLSDQ-UHFFFAOYSA-N 0.000 description 1
- VRJCYHZSBVIFBH-UHFFFAOYSA-N 1h-naphtho[2,1-e]indole Chemical compound C1=CC2=CC=CC=C2C2=C1C(C=CN1)=C1C=C2 VRJCYHZSBVIFBH-UHFFFAOYSA-N 0.000 description 1
- HPWPNDZFMIXHII-UHFFFAOYSA-N 1h-naphtho[2,3-e]indole Chemical compound C1=CC=CC2=CC3=C4CC=NC4=CC=C3C=C21 HPWPNDZFMIXHII-UHFFFAOYSA-N 0.000 description 1
- MGBJZYNOSLZTMO-UHFFFAOYSA-N 1h-naphtho[2,3-e]isoindole Chemical compound C1=CC=CC2=CC3=C4CN=CC4=CC=C3C=C21 MGBJZYNOSLZTMO-UHFFFAOYSA-N 0.000 description 1
- UUAIGYUJQOIJQK-UHFFFAOYSA-N 1h-phenanthro[9,10-b]pyrrole Chemical compound C12=CC=CC=C2C2=CC=CC=C2C2=C1NC=C2 UUAIGYUJQOIJQK-UHFFFAOYSA-N 0.000 description 1
- ZJUNLKXSXGJZLI-UHFFFAOYSA-N 1h-phenanthro[9,10-c]pyrrole Chemical compound C12=CC=CC=C2C2=CC=CC=C2C2=C1CN=C2 ZJUNLKXSXGJZLI-UHFFFAOYSA-N 0.000 description 1
- UWGZZAHKQGGWOT-UHFFFAOYSA-N 1h-pyridazino[3,4-c]carbazole Chemical compound C1=CC=C2C3=C4CC=NN=C4C=CC3=NC2=C1 UWGZZAHKQGGWOT-UHFFFAOYSA-N 0.000 description 1
- IEEFLZAKRQOOSZ-UHFFFAOYSA-N 1h-pyrido[2,3-c]carbazole Chemical compound C1=CC=C2C3=C4CC=CN=C4C=CC3=NC2=C1 IEEFLZAKRQOOSZ-UHFFFAOYSA-N 0.000 description 1
- ZHQQPISCPHVRMO-UHFFFAOYSA-N 1h-pyrido[3,2-a]carbazole Chemical compound C1=CC=CC2=NC3=C4CC=CN=C4C=CC3=C21 ZHQQPISCPHVRMO-UHFFFAOYSA-N 0.000 description 1
- JXQJWVYBJNFWKB-UHFFFAOYSA-N 1h-pyrido[3,4-a]carbazole Chemical compound C1=CC=CC2=NC3=C4CN=CC=C4C=CC3=C21 JXQJWVYBJNFWKB-UHFFFAOYSA-N 0.000 description 1
- JAKRSKKJSSGXJG-UHFFFAOYSA-N 1h-pyrido[3,4-b]carbazole Chemical compound C12=CC=CC=C2N=C2C1=CC1=CC=NCC1=C2 JAKRSKKJSSGXJG-UHFFFAOYSA-N 0.000 description 1
- OQMWMHOBRKWTSN-UHFFFAOYSA-N 1h-pyrido[3,4-c]carbazole Chemical compound C1=CC=C2C3=C4CC=NC=C4C=CC3=NC2=C1 OQMWMHOBRKWTSN-UHFFFAOYSA-N 0.000 description 1
- FBCXDUGTRLVLQF-UHFFFAOYSA-N 1h-pyrido[4,3-a]carbazole Chemical compound C1=CC=CC2=NC3=C4CC=NC=C4C=CC3=C21 FBCXDUGTRLVLQF-UHFFFAOYSA-N 0.000 description 1
- PRGTUZXPNAHAPN-UHFFFAOYSA-N 1h-pyrido[4,3-b]carbazole Chemical compound N1=C2C=CC=CC2=C2C1=CC1=CC=NCC1=C2 PRGTUZXPNAHAPN-UHFFFAOYSA-N 0.000 description 1
- JVIAERXELCDOPJ-UHFFFAOYSA-N 1h-pyrido[4,3-c]carbazole Chemical compound C1=CC=C2C3=C4CN=CC=C4C=CC3=NC2=C1 JVIAERXELCDOPJ-UHFFFAOYSA-N 0.000 description 1
- SHJRBFQBKRFTOV-UHFFFAOYSA-N 1h-pyrimido[4,5-c]carbazole Chemical compound C1=CC=C2C3=C4CN=CN=C4C=CC3=NC2=C1 SHJRBFQBKRFTOV-UHFFFAOYSA-N 0.000 description 1
- ROIYNKKIASBMFV-UHFFFAOYSA-N 1h-pyrimido[5,4-a]carbazole Chemical compound C1=CC=CC2=NC3=C4CN=CN=C4C=CC3=C21 ROIYNKKIASBMFV-UHFFFAOYSA-N 0.000 description 1
- GENCVWCMXQUURX-UHFFFAOYSA-N 1h-thieno[3,4-a]carbazole Chemical compound C1=CC=CC2=NC3=C4CSC=C4C=CC3=C21 GENCVWCMXQUURX-UHFFFAOYSA-N 0.000 description 1
- SRRQNJQLJVJNLU-UHFFFAOYSA-N 2,10-diazatetracyclo[8.7.0.02,7.012,17]heptadeca-1(17),4,6,8,11,13,15-heptaene Chemical compound C1=C2C=CC=CC2=C2N1C=CC1=CC=CCN21 SRRQNJQLJVJNLU-UHFFFAOYSA-N 0.000 description 1
- VTJDQGVLJOECDK-UHFFFAOYSA-N 2,3,10,11,19-pentazatetracyclo[10.7.0.04,9.013,18]nonadeca-1(19),2,4,6,8,10,12,15,17-nonaene Chemical compound N1=NC2=CC=CC=C2N=NC2=C3CC=CC=C3N=C21 VTJDQGVLJOECDK-UHFFFAOYSA-N 0.000 description 1
- MOKQEVNZBIAXIF-UHFFFAOYSA-N 2,3,3a,4,5,6-hexahydro-1h-benzo[de]quinoline Chemical compound C1CNC2=CC=CC3=C2C1CCC3 MOKQEVNZBIAXIF-UHFFFAOYSA-N 0.000 description 1
- HYKFPJAARRNNRX-UHFFFAOYSA-N 2,3,4,4a,9,9a-hexahydro-1h-carbazole Chemical compound C1=CC=C2C3CCCCC3NC2=C1 HYKFPJAARRNNRX-UHFFFAOYSA-N 0.000 description 1
- AVQSBCUVZLVLTM-UHFFFAOYSA-N 2,3,4,5,6,7-hexahydro-1h-1-benzazonine Chemical compound N1CCCCCCC2=CC=CC=C21 AVQSBCUVZLVLTM-UHFFFAOYSA-N 0.000 description 1
- BUIPZMAHWRXQCI-UHFFFAOYSA-N 2,3,4,5,6,7-hexahydro-1h-2-benzazonine Chemical compound C1CCCCNCC2=CC=CC=C21 BUIPZMAHWRXQCI-UHFFFAOYSA-N 0.000 description 1
- FAPSRZXFBIYYBD-UHFFFAOYSA-N 2,3,4,5,6,7-hexahydro-1h-3-benzazonine Chemical compound C1CNCCCCC2=CC=CC=C21 FAPSRZXFBIYYBD-UHFFFAOYSA-N 0.000 description 1
- MXRBNLLHVJRVBD-UHFFFAOYSA-N 2,3,4,5,6,7-hexahydro-1h-4-benzazonine Chemical compound C1CCNCCCC2=CC=CC=C21 MXRBNLLHVJRVBD-UHFFFAOYSA-N 0.000 description 1
- QETIGJLYBPLODY-UHFFFAOYSA-N 2,3,4,5-tetrahydro-1,2-benzothiazepine Chemical compound C1CCNSC2=CC=CC=C21 QETIGJLYBPLODY-UHFFFAOYSA-N 0.000 description 1
- PTUSWSLTZCKOHZ-UHFFFAOYSA-N 2,3,4,5-tetrahydro-1,3,4-benzoxadiazepine Chemical compound O1CNNCC2=CC=CC=C21 PTUSWSLTZCKOHZ-UHFFFAOYSA-N 0.000 description 1
- SCAIPAOUXMHIOT-UHFFFAOYSA-N 2,3,4,5-tetrahydro-1,3,5-benzothiadiazepine Chemical compound N1CNCSC2=CC=CC=C21 SCAIPAOUXMHIOT-UHFFFAOYSA-N 0.000 description 1
- NGRGUSRTFHLYCF-UHFFFAOYSA-N 2,3,4,5-tetrahydro-1,3-benzoxazepine Chemical compound O1CNCCC2=CC=CC=C21 NGRGUSRTFHLYCF-UHFFFAOYSA-N 0.000 description 1
- SUBDEKBXSIKCSA-UHFFFAOYSA-N 2,3,4,5-tetrahydro-1,4-benzothiazepine Chemical compound C1NCCSC2=CC=CC=C21 SUBDEKBXSIKCSA-UHFFFAOYSA-N 0.000 description 1
- XSLBWZNMWUEVMS-UHFFFAOYSA-N 2,3,4,5-tetrahydro-1,5-benzothiazepine Chemical compound S1CCCNC2=CC=CC=C21 XSLBWZNMWUEVMS-UHFFFAOYSA-N 0.000 description 1
- HYLJXJSMGIOVIK-UHFFFAOYSA-N 2,3,4,5-tetrahydro-1,5-benzoxazepine Chemical compound O1CCCNC2=CC=CC=C21 HYLJXJSMGIOVIK-UHFFFAOYSA-N 0.000 description 1
- VVKQAGZCZXGKQI-UHFFFAOYSA-N 2,3,4,5-tetrahydro-1,6-benzodioxocine Chemical compound O1CCCCOC2=CC=CC=C21 VVKQAGZCZXGKQI-UHFFFAOYSA-N 0.000 description 1
- IJESLASSWZKSOR-UHFFFAOYSA-N 2,3,4,5-tetrahydro-1,6-benzoxathiocine Chemical compound O1CCCCSC2=CC=CC=C21 IJESLASSWZKSOR-UHFFFAOYSA-N 0.000 description 1
- XIUAFSINUYCFPP-UHFFFAOYSA-N 2,3,4,5-tetrahydro-1h-1,2,5-benzotriazepine Chemical compound N1NCCNC2=CC=CC=C21 XIUAFSINUYCFPP-UHFFFAOYSA-N 0.000 description 1
- QEYQSYAGLRIYBE-UHFFFAOYSA-N 2,3,4,5-tetrahydro-1h-1,2-benzodiazepine Chemical compound C1CCNNC2=CC=CC=C21 QEYQSYAGLRIYBE-UHFFFAOYSA-N 0.000 description 1
- JNCYCFLRHYWTBL-UHFFFAOYSA-N 2,3,4,5-tetrahydro-1h-1,3-benzodiazepine Chemical compound N1CNCCC2=CC=CC=C21 JNCYCFLRHYWTBL-UHFFFAOYSA-N 0.000 description 1
- MLXBHOCKBUILHN-UHFFFAOYSA-N 2,3,4,5-tetrahydro-1h-1,4-benzodiazepine Chemical compound C1NCCNC2=CC=CC=C21 MLXBHOCKBUILHN-UHFFFAOYSA-N 0.000 description 1
- WFDUOXJKEHADRT-UHFFFAOYSA-N 2,3,4,5-tetrahydro-1h-1,5-benzodiazepine Chemical compound N1CCCNC2=CC=CC=C21 WFDUOXJKEHADRT-UHFFFAOYSA-N 0.000 description 1
- VWJBXSWBRMVRBI-UHFFFAOYSA-N 2,3,4,5-tetrahydro-1h-2,3-benzodiazepine Chemical compound C1NNCCC2=CC=CC=C21 VWJBXSWBRMVRBI-UHFFFAOYSA-N 0.000 description 1
- JFZFEVLGVXWVBK-UHFFFAOYSA-N 2,3,4,5-tetrahydro-1h-2,4-benzodiazepine Chemical compound C1NCNCC2=CC=CC=C21 JFZFEVLGVXWVBK-UHFFFAOYSA-N 0.000 description 1
- CWIBCXKYXZIAHI-UHFFFAOYSA-N 2,3,4,7,8,9-hexahydro-1h-cyclopenta[f]quinoline Chemical compound N1CCCC2=C(CCC3)C3=CC=C21 CWIBCXKYXZIAHI-UHFFFAOYSA-N 0.000 description 1
- JHYFVPQUJJJEMJ-UHFFFAOYSA-N 2,3,5,6,11,11a-hexahydro-1h-pyrrolo[2,1-b][3]benzazepine Chemical compound C1CN2CCCC2CC2=CC=CC=C21 JHYFVPQUJJJEMJ-UHFFFAOYSA-N 0.000 description 1
- WOHLSTOWRAOMSG-UHFFFAOYSA-N 2,3-dihydro-1,3-benzothiazole Chemical compound C1=CC=C2SCNC2=C1 WOHLSTOWRAOMSG-UHFFFAOYSA-N 0.000 description 1
- HRCMXYXVAWHBTH-UHFFFAOYSA-N 2,3-dihydro-1,3-benzoxazole Chemical compound C1=CC=C2OCNC2=C1 HRCMXYXVAWHBTH-UHFFFAOYSA-N 0.000 description 1
- NBWCGDRKSOXZNI-UHFFFAOYSA-N 2,3-dihydro-1h-benzo[de]isoquinoline Chemical compound C1=CC(CNC2)=C3C2=CC=CC3=C1 NBWCGDRKSOXZNI-UHFFFAOYSA-N 0.000 description 1
- USJCYYORIKPOOG-UHFFFAOYSA-N 2,3-dihydro-1h-indole;1,2,3,4-tetrahydroquinoline Chemical compound C1=CC=C2NCCC2=C1.C1=CC=C2CCCNC2=C1 USJCYYORIKPOOG-UHFFFAOYSA-N 0.000 description 1
- SVCOZZFKMLDFKI-UHFFFAOYSA-N 2,4-dihydro-1h-3,1-benzothiazine Chemical compound C1=CC=C2CSCNC2=C1 SVCOZZFKMLDFKI-UHFFFAOYSA-N 0.000 description 1
- DYXWBIIIQALDGP-UHFFFAOYSA-N 2,4-dihydro-1h-3,1-benzoxazine Chemical compound C1=CC=C2COCNC2=C1 DYXWBIIIQALDGP-UHFFFAOYSA-N 0.000 description 1
- CGHRUIBTSJPIJK-UHFFFAOYSA-N 2,6,9,17-tetrazatetracyclo[8.7.0.03,8.011,16]heptadeca-1,3,5,8,10,12,14,16-octaene Chemical compound N1=C2C=CC=CC2=C2C1=NC1=CC=NCC1=N2 CGHRUIBTSJPIJK-UHFFFAOYSA-N 0.000 description 1
- QFXAWVHYKUCXNC-UHFFFAOYSA-N 2,8,16-triazatetracyclo[7.7.0.02,7.010,15]hexadeca-1(16),3,5,7,9,12,14-heptaene Chemical group C1=CC=CC2=NC3=C4CC=CC=C4N=C3N21 QFXAWVHYKUCXNC-UHFFFAOYSA-N 0.000 description 1
- IRPWPPRLSMOSMR-UHFFFAOYSA-N 2,8,17-triazatetracyclo[8.7.0.02,7.011,16]heptadeca-1(17),3,5,7,9,11,13,15-octaene Chemical compound C1=CC=CN2C3=NC4=CC=CC=C4C3=CN=C21 IRPWPPRLSMOSMR-UHFFFAOYSA-N 0.000 description 1
- UIRFVVHRJAVGIV-UHFFFAOYSA-N 2,8,17-triazatetracyclo[8.7.0.03,8.011,16]heptadeca-1(17),2,4,6,9,11,13,15-octaene Chemical compound C1=CC=CN2C=C3C4=CC=CC=C4N=C3N=C21 UIRFVVHRJAVGIV-UHFFFAOYSA-N 0.000 description 1
- MEKKLNRTHDEKIZ-UHFFFAOYSA-N 2,9,18-triazatetracyclo[9.7.0.03,9.012,17]octadeca-1,3,5,7,10,12,15,17-octaene Chemical compound C1=CC=CN2C=C(C=3C(C=CCC=3)=N3)C3=NC2=C1 MEKKLNRTHDEKIZ-UHFFFAOYSA-N 0.000 description 1
- IMDIWXYXMTTYMT-UHFFFAOYSA-N 2,9-diazatetracyclo[5.5.2.04,13.010,14]tetradeca-1(12),2,4(13),5,7(14),8,10-heptaene Chemical group N1=CC2=CC=C3C=NC4=CC=C1C2=C43 IMDIWXYXMTTYMT-UHFFFAOYSA-N 0.000 description 1
- ULUNQYODBKLBOE-UHFFFAOYSA-N 2-(1h-pyrrol-2-yl)-1h-pyrrole Chemical compound C1=CNC(C=2NC=CC=2)=C1 ULUNQYODBKLBOE-UHFFFAOYSA-N 0.000 description 1
- YGZFYDFBHIDIBH-UHFFFAOYSA-N 2-[bis(2-hydroxyethyl)amino]icosan-1-ol Chemical compound CCCCCCCCCCCCCCCCCCC(CO)N(CCO)CCO YGZFYDFBHIDIBH-UHFFFAOYSA-N 0.000 description 1
- JLUXEGBMFXWINF-UHFFFAOYSA-N 2-azatetracyclo[10.3.1.02,10.04,9]hexadeca-1(15),3,5,7,9,11,13-heptaene Chemical group N12C=C3C=CC=CC3=C1C=C1CC2=CC=C1 JLUXEGBMFXWINF-UHFFFAOYSA-N 0.000 description 1
- YXESLIUZRIICIL-UHFFFAOYSA-N 2-azatetracyclo[8.8.0.02,8.012,17]octadeca-1(18),3,5,7,9,11,14,16-octaene Chemical compound N12C=CC=CC=C2C=C2C1=CC1=CC=CCC1=C2 YXESLIUZRIICIL-UHFFFAOYSA-N 0.000 description 1
- 125000005999 2-bromoethyl group Chemical group 0.000 description 1
- BSKHPKMHTQYZBB-UHFFFAOYSA-N 2-methylpyridine Chemical compound CC1=CC=CC=N1 BSKHPKMHTQYZBB-UHFFFAOYSA-N 0.000 description 1
- 125000001622 2-naphthyl group Chemical group [H]C1=C([H])C([H])=C2C([H])=C(*)C([H])=C([H])C2=C1[H] 0.000 description 1
- KFERDGIOWKYRQO-UHFFFAOYSA-N 2-oxa-11,12-diazatetracyclo[10.7.0.03,8.014,19]nonadeca-1(19),3,6,8,10,13,15,17-octaene Chemical compound C1=NN2C=C(C=CC=C3)C3=C2OC2=CCC=CC2=C1 KFERDGIOWKYRQO-UHFFFAOYSA-N 0.000 description 1
- LOGWKMQINKXQFB-UHFFFAOYSA-N 2-oxa-3-azatricyclo[7.3.1.05,13]trideca-1(12),3,5,7,9(13),10-hexaene Chemical compound O1N=CC2=CC=CC3=CC=CC1=C32 LOGWKMQINKXQFB-UHFFFAOYSA-N 0.000 description 1
- RCXKMTMGFADOFM-UHFFFAOYSA-N 2-oxa-4,6,17-triazatetracyclo[8.7.0.03,8.011,16]heptadeca-1(17),3,5,7,9,11,13,15-octaene Chemical compound C1=NC=C2C=C3C4=CC=CC=C4N=C3OC2=N1 RCXKMTMGFADOFM-UHFFFAOYSA-N 0.000 description 1
- KZROIQFTFIKTHK-UHFFFAOYSA-N 2-oxa-4-azatricyclo[7.3.1.05,13]trideca-1(12),3,5,7,9(13),10-hexaene Chemical compound O1C=NC2=CC=CC3=CC=CC1=C32 KZROIQFTFIKTHK-UHFFFAOYSA-N 0.000 description 1
- LGLHTYJGKHRRFA-UHFFFAOYSA-N 2-oxa-5,17-diazatetracyclo[8.7.0.03,8.011,16]heptadeca-1(17),3(8),4,6,9,11,13,15-octaene Chemical compound N1=CC=C2C=C3C4=CC=CC=C4N=C3OC2=C1 LGLHTYJGKHRRFA-UHFFFAOYSA-N 0.000 description 1
- CEVWBARCMFIVTM-UHFFFAOYSA-N 2-oxa-6,19-diazatetracyclo[10.7.0.04,9.013,18]nonadeca-1(19),3,5,7,9,11,13,15,17-nonaene Chemical compound O1C=C2C=NC=CC2=CC=C2C3=CC=CC=C3N=C12 CEVWBARCMFIVTM-UHFFFAOYSA-N 0.000 description 1
- XMKMEAXUUXTHGJ-UHFFFAOYSA-N 2h-1,2-benzothiazocine Chemical class S1NC=CC=CC2=CC=CC=C21 XMKMEAXUUXTHGJ-UHFFFAOYSA-N 0.000 description 1
- SFVYUAJWNYVQDB-UHFFFAOYSA-N 2h-1,2-benzoxazocine Chemical class O1NC=CC=CC2=CC=CC=C21 SFVYUAJWNYVQDB-UHFFFAOYSA-N 0.000 description 1
- ONQMPOOWDWHKFG-UHFFFAOYSA-N 2h-[1,3]thiazino[2,3-a]$b-carboline Chemical compound C1=CC=CC2=C3C=CN(C=CCS4)C4=C3N=C21 ONQMPOOWDWHKFG-UHFFFAOYSA-N 0.000 description 1
- MJBATFHOKIHBCF-UHFFFAOYSA-N 2h-furo[2,3-a]carbazole Chemical compound N1=C2C=CC=CC2=C2C1=C1OCC=C1C=C2 MJBATFHOKIHBCF-UHFFFAOYSA-N 0.000 description 1
- ODMHCTPTGOQGSJ-UHFFFAOYSA-N 2h-furo[2,3-c]carbazole Chemical compound N1=C2C=CC=CC2=C2C1=CC=C1OCC=C12 ODMHCTPTGOQGSJ-UHFFFAOYSA-N 0.000 description 1
- IMWGYTCCKGBHFB-UHFFFAOYSA-N 2h-furo[3,2-a]carbazole Chemical compound C12=CC=CC=C2N=C2C1=CC=C1OCC=C12 IMWGYTCCKGBHFB-UHFFFAOYSA-N 0.000 description 1
- XBILAPGETOZDEU-UHFFFAOYSA-N 2h-furo[3,2-c]carbazole Chemical compound C12=CC=CC=C2N=C2C1=C1OCC=C1C=C2 XBILAPGETOZDEU-UHFFFAOYSA-N 0.000 description 1
- LXWGCNNVWHEYND-UHFFFAOYSA-N 2h-indolo[1,2-d][1,4]benzodiazepine Chemical group C1=CN2C3=CC=CC=C3C=C2C2=CCC=CC2=N1 LXWGCNNVWHEYND-UHFFFAOYSA-N 0.000 description 1
- BUWMQGOVEVCFAS-UHFFFAOYSA-N 2h-indolo[2,1-a][2,3]benzodiazepine Chemical group C1=NN2C3=CC=CC=C3C=C2C2=CCC=CC2=C1 BUWMQGOVEVCFAS-UHFFFAOYSA-N 0.000 description 1
- QLTDCGCVKNHCKO-UHFFFAOYSA-N 2h-indolo[2,1-a][2]benzazepine Chemical compound C1=CN2C3=CC=CC=C3C=C2C2=CCC=CC2=C1 QLTDCGCVKNHCKO-UHFFFAOYSA-N 0.000 description 1
- BHGXRHZYLLGQKW-UHFFFAOYSA-N 2h-indolo[2,1-b][1,3]benzodiazepine Chemical group C1=CC2=CCC=CC2=NC2=CC3=CC=CC=C3N21 BHGXRHZYLLGQKW-UHFFFAOYSA-N 0.000 description 1
- CKUFTQCGKCUYSV-UHFFFAOYSA-N 2h-isoindolo[2,1-a][1,3,4]benzotriazepine Chemical compound N1=NC2=C3C=CC=CC3=CN2C2=CCC=CC2=C1 CKUFTQCGKCUYSV-UHFFFAOYSA-N 0.000 description 1
- VESGUWOKFOGAOD-UHFFFAOYSA-N 2h-isoindolo[2,1-a][3,1]benzoxazine Chemical compound C1=CC=CC2=C3OC=C4C=CCC=C4N3C=C21 VESGUWOKFOGAOD-UHFFFAOYSA-N 0.000 description 1
- JULYFUMVRAVLSR-UHFFFAOYSA-N 2h-isoindolo[2,1-b][2]benzazepine Chemical compound C1=CC2=CCC=CC2=CN2C=C(C=CC=C3)C3=C21 JULYFUMVRAVLSR-UHFFFAOYSA-N 0.000 description 1
- CPXMBCYJSWHCGE-UHFFFAOYSA-N 2h-purino[8,9-a]isoindole Chemical compound C1=CC=CC2=CN(C=3C(C=NCN=3)=N3)C3=C21 CPXMBCYJSWHCGE-UHFFFAOYSA-N 0.000 description 1
- OYZZZESOQRAXMW-UHFFFAOYSA-N 2h-thieno[2,3-b]carbazole Chemical compound C1=CC=C2C3=CC4=CCSC4=CC3=NC2=C1 OYZZZESOQRAXMW-UHFFFAOYSA-N 0.000 description 1
- DOFYTCQBWXSPDX-UHFFFAOYSA-N 2h-thieno[3,2-a]carbazole Chemical compound C12=CC=CC=C2N=C2C1=CC=C1SCC=C12 DOFYTCQBWXSPDX-UHFFFAOYSA-N 0.000 description 1
- FTVJTJJCCXCJEG-UHFFFAOYSA-N 2h-thieno[3,2-b]carbazole Chemical compound C1=CC=CC2=NC3=CC4=CCSC4=CC3=C21 FTVJTJJCCXCJEG-UHFFFAOYSA-N 0.000 description 1
- JLNJCQGGFZWBNV-UHFFFAOYSA-N 3,10,19-triazatetracyclo[10.7.0.04,9.013,18]nonadeca-1(19),2,4,6,8,10,12,15,17-nonaene Chemical compound C1=NC2=CC=CC=C2N=CC2=C3CC=CC=C3N=C21 JLNJCQGGFZWBNV-UHFFFAOYSA-N 0.000 description 1
- DBIOSOLDFNHJFM-UHFFFAOYSA-N 3,11,21-triazatetracyclo[12.7.0.04,9.015,20]henicosa-1,3,6,8,10,12,14,16,18,20-decaene Chemical compound C1=NC=CC2=C(C=CC=C3)C3=NC2=CN=C2CC=CC=C21 DBIOSOLDFNHJFM-UHFFFAOYSA-N 0.000 description 1
- OQFNTRKTYRTJFZ-UHFFFAOYSA-N 3,13-diazatetracyclo[13.3.1.02,10.04,9]nonadeca-1(18),2,4,6,8,10,12,14,16-nonaene Chemical compound C1=NC=CC2=C3C=CC=CC3=NC2=C2C=CC=C1C2 OQFNTRKTYRTJFZ-UHFFFAOYSA-N 0.000 description 1
- ZGIGESVVZBRSHC-UHFFFAOYSA-N 3,17-diazatetracyclo[12.3.1.02,10.04,9]octadeca-2,4,6,8,10,12,14,16-octaene Chemical compound C12=NC3=CC=CC=C3C1=CC=CC1=CC=NC2C1 ZGIGESVVZBRSHC-UHFFFAOYSA-N 0.000 description 1
- HOPRBRUXSBZLAI-UHFFFAOYSA-N 3,18-diazatetracyclo[8.8.0.02,7.011,17]octadeca-1(10),2(7),3,5,8,11,13,15,17-nonaene Chemical compound C1=CC=CC2=C(C=CC=3C4=NC=CC=3)C4=NC2=C1 HOPRBRUXSBZLAI-UHFFFAOYSA-N 0.000 description 1
- LWIMQFKULWQOCV-UHFFFAOYSA-N 3,4,5,6-tetrahydro-2h-1,5-benzothiazocine Chemical compound S1CCCNCC2=CC=CC=C21 LWIMQFKULWQOCV-UHFFFAOYSA-N 0.000 description 1
- XAXMKZQIYBERKA-UHFFFAOYSA-N 3,4,5,6-tetrahydro-2h-1,5-benzoxazocine Chemical compound O1CCCNCC2=CC=CC=C21 XAXMKZQIYBERKA-UHFFFAOYSA-N 0.000 description 1
- UKUULLPPTKMVHI-UHFFFAOYSA-N 3,4,5,6-tetrahydro-2h-1,6-benzothiazocine Chemical compound N1CCCCSC2=CC=CC=C21 UKUULLPPTKMVHI-UHFFFAOYSA-N 0.000 description 1
- UONRTMBLDUAQLR-UHFFFAOYSA-N 3,4,5,6-tetrahydro-2h-1,6-benzoxazocine Chemical compound N1CCCCOC2=CC=CC=C21 UONRTMBLDUAQLR-UHFFFAOYSA-N 0.000 description 1
- YHSVLAIULOEHBG-UHFFFAOYSA-N 3,4-dihydro-1,2-benzodioxine Chemical compound C1=CC=C2OOCCC2=C1 YHSVLAIULOEHBG-UHFFFAOYSA-N 0.000 description 1
- DFPFVXLATMRBDM-UHFFFAOYSA-N 3,4-dihydro-1h-2,1-benzothiazine Chemical compound C1=CC=C2NSCCC2=C1 DFPFVXLATMRBDM-UHFFFAOYSA-N 0.000 description 1
- MLMTVTFCBQQURX-UHFFFAOYSA-N 3,4-dihydro-1h-2,1-benzoxazine Chemical compound C1=CC=C2NOCCC2=C1 MLMTVTFCBQQURX-UHFFFAOYSA-N 0.000 description 1
- ALMQEIVTQAIXSU-UHFFFAOYSA-N 3,4-dihydro-1h-2,3-benzothiazine Chemical compound C1=CC=C2CNSCC2=C1 ALMQEIVTQAIXSU-UHFFFAOYSA-N 0.000 description 1
- QHSWXOMNNUSGTH-UHFFFAOYSA-N 3,4-dihydro-1h-2,3-benzoxazine Chemical compound C1=CC=C2CNOCC2=C1 QHSWXOMNNUSGTH-UHFFFAOYSA-N 0.000 description 1
- QFUBUJCZSJWLPL-UHFFFAOYSA-N 3,4-dihydro-1h-5,2,1-benzoxathiazepine Chemical compound O1CCSNC2=CC=CC=C21 QFUBUJCZSJWLPL-UHFFFAOYSA-N 0.000 description 1
- IDUSJBBWEKNWAK-UHFFFAOYSA-N 3,4-dihydro-2h-1,2-benzothiazine Chemical compound C1=CC=C2SNCCC2=C1 IDUSJBBWEKNWAK-UHFFFAOYSA-N 0.000 description 1
- BGDOLELXXPTPFX-UHFFFAOYSA-N 3,4-dihydro-2h-1,2-benzoxazine Chemical compound C1=CC=C2ONCCC2=C1 BGDOLELXXPTPFX-UHFFFAOYSA-N 0.000 description 1
- AXSAKWAAMLMEHU-UHFFFAOYSA-N 3,4-dihydro-2h-1,3-benzothiazine Chemical compound C1=CC=C2SCNCC2=C1 AXSAKWAAMLMEHU-UHFFFAOYSA-N 0.000 description 1
- WTAVYBAEMMFITK-UHFFFAOYSA-N 3,4-dihydro-2h-1,3-benzoxazine Chemical compound C1=CC=C2OCNCC2=C1 WTAVYBAEMMFITK-UHFFFAOYSA-N 0.000 description 1
- YBBLSBDJIKMXNQ-UHFFFAOYSA-N 3,4-dihydro-2h-1,4-benzothiazine Chemical compound C1=CC=C2NCCSC2=C1 YBBLSBDJIKMXNQ-UHFFFAOYSA-N 0.000 description 1
- YRLORWPBJZEGBX-UHFFFAOYSA-N 3,4-dihydro-2h-1,4-benzoxazine Chemical compound C1=CC=C2NCCOC2=C1 YRLORWPBJZEGBX-UHFFFAOYSA-N 0.000 description 1
- CBXMULHQEVXJDI-UHFFFAOYSA-N 3,4-dihydro-2h-1,5-benzodioxepine Chemical compound O1CCCOC2=CC=CC=C21 CBXMULHQEVXJDI-UHFFFAOYSA-N 0.000 description 1
- XIZWKFJENMQBFI-UHFFFAOYSA-N 3,4-dihydro-2h-1,5-benzodithiepine Chemical compound S1CCCSC2=CC=CC=C21 XIZWKFJENMQBFI-UHFFFAOYSA-N 0.000 description 1
- PRJGUUIFWXQILK-UHFFFAOYSA-N 3,4-dihydro-2h-1,5-benzoxathiepine Chemical compound S1CCCOC2=CC=CC=C21 PRJGUUIFWXQILK-UHFFFAOYSA-N 0.000 description 1
- QULNODLJGVGNPV-UHFFFAOYSA-N 3,4-dihydro-2h-5,1,2-benzoxathiazepine Chemical compound S1NCCOC2=CC=CC=C21 QULNODLJGVGNPV-UHFFFAOYSA-N 0.000 description 1
- WPWNEKFMGCWNPR-UHFFFAOYSA-N 3,4-dihydro-2h-thiochromene Chemical compound C1=CC=C2CCCSC2=C1 WPWNEKFMGCWNPR-UHFFFAOYSA-N 0.000 description 1
- PEQCTBGJSLSDKB-UHFFFAOYSA-N 3,5-dihydro-2h-1,4-benzodioxepine Chemical compound C1OCCOC2=CC=CC=C21 PEQCTBGJSLSDKB-UHFFFAOYSA-N 0.000 description 1
- QRHFTHIZDSEHLB-UHFFFAOYSA-N 3,5-dihydro-2h-1,4-benzodithiepine Chemical compound C1SCCSC2=CC=CC=C21 QRHFTHIZDSEHLB-UHFFFAOYSA-N 0.000 description 1
- HLBLFZVVURWYGV-UHFFFAOYSA-N 3,5-dihydro-2h-1,4-benzoxathiepine Chemical compound O1CCSCC2=CC=CC=C21 HLBLFZVVURWYGV-UHFFFAOYSA-N 0.000 description 1
- XEBFQODWAJUWFR-UHFFFAOYSA-N 3,5-dihydro-2h-4,1-benzoxathiepine Chemical compound C1OCCSC2=CC=CC=C21 XEBFQODWAJUWFR-UHFFFAOYSA-N 0.000 description 1
- JAIILRUSAMGUDW-UHFFFAOYSA-N 3,6,10-triazatetracyclo[8.7.0.02,7.011,16]heptadeca-1(17),2,4,6,8,11,13,15-octaene Chemical group N12C=CC3=NC=C[N]C3=C2C=C2[C]1C=CC=C2 JAIILRUSAMGUDW-UHFFFAOYSA-N 0.000 description 1
- WHBSNLLJWXUEJJ-UHFFFAOYSA-N 3,6,16-triazatetracyclo[8.6.0.02,7.011,15]hexadeca-1(10),2,4,6,8,11,13,15-octaene Chemical compound C1=CN=C2C3=NC4=CC=CC4=C3C=CC2=N1 WHBSNLLJWXUEJJ-UHFFFAOYSA-N 0.000 description 1
- RRCMMMMYNMMBIZ-UHFFFAOYSA-N 3,6,8,9-tetraoxa-11-azatetracyclo[8.7.0.02,7.012,17]heptadeca-1(10),2(7),4,12,14,16-hexaene Chemical compound O1C=COC2=C1OOC1=C2C2=CC=CC=C2N1 RRCMMMMYNMMBIZ-UHFFFAOYSA-N 0.000 description 1
- XMPHGMIVAYSQNR-UHFFFAOYSA-N 3,7,18-triazatetracyclo[9.7.0.02,8.012,17]octadeca-1(18),2,4,6,8,10,12,14,16-nonaene Chemical compound N1=CC=CN=C2C3=NC4=CC=CC=C4C3=CC=C21 XMPHGMIVAYSQNR-UHFFFAOYSA-N 0.000 description 1
- IRQGLLZJEJRXNB-UHFFFAOYSA-N 3,9,17-triazatetracyclo[8.7.0.03,8.011,16]heptadeca-1,4,6,8,10,12,14,16-octaene Chemical compound C1=CC=CC2=NC3=C4C=CC=CC4=NC3=CN21 IRQGLLZJEJRXNB-UHFFFAOYSA-N 0.000 description 1
- QBPGZQLPIJMCHI-UHFFFAOYSA-N 3,9-diazatetracyclo[7.7.0.02,6.010,15]hexadeca-1(16),2(6),4,7,10,12,14-heptaene Chemical group C1=CC=C2N3C=CC(C=CN4)=C4C3=CC2=C1 QBPGZQLPIJMCHI-UHFFFAOYSA-N 0.000 description 1
- AEDQNOLIADXSBB-UHFFFAOYSA-N 3-(dodecylazaniumyl)propanoate Chemical compound CCCCCCCCCCCCNCCC(O)=O AEDQNOLIADXSBB-UHFFFAOYSA-N 0.000 description 1
- LKAGETASAKVQLD-UHFFFAOYSA-N 3-[3-[[(2-phenylmethoxyacetyl)-[2-(4-sulfamoylphenyl)ethyl]amino]methyl]phenyl]-n-(2-pyrrolidin-1-ylethyl)benzamide Chemical compound C1=CC(S(=O)(=O)N)=CC=C1CCN(C(=O)COCC=1C=CC=CC=1)CC1=CC=CC(C=2C=C(C=CC=2)C(=O)NCCN2CCCC2)=C1 LKAGETASAKVQLD-UHFFFAOYSA-N 0.000 description 1
- MZKABBRKDAXETR-UHFFFAOYSA-N 3-[3-[[4-phenylbutanoyl-[2-(4-sulfamoylphenyl)ethyl]amino]methyl]phenyl]-n-(2-pyrrolidin-1-ylethyl)benzamide Chemical compound C1=CC(S(=O)(=O)N)=CC=C1CCN(C(=O)CCCC=1C=CC=CC=1)CC1=CC=CC(C=2C=C(C=CC=2)C(=O)NCCN2CCCC2)=C1 MZKABBRKDAXETR-UHFFFAOYSA-N 0.000 description 1
- BMYNFMYTOJXKLE-UHFFFAOYSA-N 3-azaniumyl-2-hydroxypropanoate Chemical compound NCC(O)C(O)=O BMYNFMYTOJXKLE-UHFFFAOYSA-N 0.000 description 1
- DMGLUDJTJZXMMG-UHFFFAOYSA-N 3-benzazocine Chemical compound C1=CN=CC=CC2=CC=CC=C21 DMGLUDJTJZXMMG-UHFFFAOYSA-N 0.000 description 1
- ONWDVMSEHLQAOC-UHFFFAOYSA-N 3-oxa-1-azatetracyclo[7.6.1.05,16.010,15]hexadeca-5(16),6,8,10,12,14-hexaene Chemical compound C12=CC=CC=C2C2=CC=CC3=C2N1COC3 ONWDVMSEHLQAOC-UHFFFAOYSA-N 0.000 description 1
- WZNAIMLDFIMLOR-UHFFFAOYSA-N 3-oxa-2-azatricyclo[7.3.1.05,13]trideca-1(12),5,7,9(13),10-pentaene Chemical compound C1=CC(CON2)=C3C2=CC=CC3=C1 WZNAIMLDFIMLOR-UHFFFAOYSA-N 0.000 description 1
- UEYMMWKWBYCYFK-UHFFFAOYSA-N 3-oxa-8,18-diazatetracyclo[9.7.0.02,7.012,17]octadeca-1(18),2(7),5,8,10,12,14,16-octaene Chemical compound N1=CC=C2C3=CC=CC=C3N=C2C2=C1C=CCO2 UEYMMWKWBYCYFK-UHFFFAOYSA-N 0.000 description 1
- RWUDHBMJVNLBBN-UHFFFAOYSA-N 3h-1,2,3-benzoxathiazepine Chemical class O1SNC=CC2=CC=CC=C21 RWUDHBMJVNLBBN-UHFFFAOYSA-N 0.000 description 1
- WITJHZRCLVXYCA-UHFFFAOYSA-N 3h-1,2-benzodioxepine Chemical class C1=CCOOC2=CC=CC=C21 WITJHZRCLVXYCA-UHFFFAOYSA-N 0.000 description 1
- OJSLYRSTQAGCCA-UHFFFAOYSA-N 3h-1,2-benzodithiepine Chemical class C1=CCSSC2=CC=CC=C21 OJSLYRSTQAGCCA-UHFFFAOYSA-N 0.000 description 1
- VBUGFYBKMHVART-UHFFFAOYSA-N 3h-furo[3,4-b]carbazole Chemical compound N1=C2C=CC=CC2=C2C1=CC1=COCC1=C2 VBUGFYBKMHVART-UHFFFAOYSA-N 0.000 description 1
- ZAKUXPKAPWYKQK-UHFFFAOYSA-N 3h-oxathiadiazole Chemical group N1SOC=N1 ZAKUXPKAPWYKQK-UHFFFAOYSA-N 0.000 description 1
- ASGZABOKPYSAGX-UHFFFAOYSA-N 4,10-diazatetracyclo[7.7.0.02,7.011,16]hexadeca-1,3,5,7,9,11,13,15-octaene Chemical compound C1=CC=C2C3=C4C=NC=CC4=CC3=NC2=C1 ASGZABOKPYSAGX-UHFFFAOYSA-N 0.000 description 1
- UWUGNBTZGYUYRL-UHFFFAOYSA-N 4,12-diazatetracyclo[9.7.0.03,8.013,18]octadeca-1,3(8),4,6,9,11,13,15,17-nonaene Chemical compound C1=CC2=CC=CN=C2C=C2C3=CC=CC=C3N=C21 UWUGNBTZGYUYRL-UHFFFAOYSA-N 0.000 description 1
- GTZQFOVBNQRWPK-UHFFFAOYSA-N 4,14-diazatetracyclo[12.2.2.03,11.05,10]octadeca-1,3,5,7,9,11,15-heptaene Chemical compound C1N(C=C2)CCC2=CC2=NC3=CC=CC=C3C2=C1 GTZQFOVBNQRWPK-UHFFFAOYSA-N 0.000 description 1
- JPYCMCMJUPHOSD-UHFFFAOYSA-N 4,14-diazatetracyclo[12.3.1.03,11.05,10]octadeca-1(17),2,4,6,8,10,12,15-octaene Chemical compound C1=CC2=C3C=CC=CC3=NC2=CC2=CC=CN1C2 JPYCMCMJUPHOSD-UHFFFAOYSA-N 0.000 description 1
- RPSDGXZWDCPCKQ-UHFFFAOYSA-N 4,16-diazatetracyclo[7.7.0.02,7.010,15]hexadeca-1,3,5,7,9,11,13,15-octaene Chemical compound C1=CC=CC2=C3C=C(C=CN=C4)C4=C3N=C21 RPSDGXZWDCPCKQ-UHFFFAOYSA-N 0.000 description 1
- UPDJROYVFOSHPT-UHFFFAOYSA-N 4,5,9-triazatetracyclo[7.7.0.02,6.011,16]hexadeca-1(16),2(6),4,7,10,12,14-heptaene Chemical compound C1=C2C=CC=CC2=C2N1C=CC1=C2CN=N1 UPDJROYVFOSHPT-UHFFFAOYSA-N 0.000 description 1
- SVXBKNDEIGMGEE-UHFFFAOYSA-N 4,5-dihydro-1,3-benzodioxepine Chemical compound O1COCCC2=CC=CC=C21 SVXBKNDEIGMGEE-UHFFFAOYSA-N 0.000 description 1
- AWVGJNBQPIOJIY-UHFFFAOYSA-N 4,5-dihydro-1h-2,3-benzodioxepine Chemical compound C1OOCCC2=CC=CC=C21 AWVGJNBQPIOJIY-UHFFFAOYSA-N 0.000 description 1
- YQAOQSLCMBWFCU-UHFFFAOYSA-N 4,5-dihydro-1h-2,3-benzodithiepine Chemical compound C1SSCCC2=CC=CC=C21 YQAOQSLCMBWFCU-UHFFFAOYSA-N 0.000 description 1
- BBAWJEFIFYXWQC-UHFFFAOYSA-N 4,5-dihydro-1h-2,3-benzoxathiepine Chemical compound C1OSCCC2=CC=CC=C21 BBAWJEFIFYXWQC-UHFFFAOYSA-N 0.000 description 1
- MWCJVUVUTMQAPI-UHFFFAOYSA-N 4,5-dihydro-3,1,4-benzoxathiazepine Chemical compound S1CONCC2=CC=CC=C21 MWCJVUVUTMQAPI-UHFFFAOYSA-N 0.000 description 1
- UDHFMMOVOPCGRZ-UHFFFAOYSA-N 4,5-dihydro-3h-1,2,5-benzoxathiazepine Chemical compound N1CCSOC2=CC=CC=C21 UDHFMMOVOPCGRZ-UHFFFAOYSA-N 0.000 description 1
- GPYDBWWOYRNOBL-UHFFFAOYSA-N 4,5-dihydro-3h-1,2-benzodioxepine Chemical compound C1CCOOC2=CC=CC=C21 GPYDBWWOYRNOBL-UHFFFAOYSA-N 0.000 description 1
- SDOCGOPIAGYJIN-UHFFFAOYSA-N 4,5-dihydro-3h-1,2-benzoxathiepine Chemical compound C1CCSOC2=CC=CC=C21 SDOCGOPIAGYJIN-UHFFFAOYSA-N 0.000 description 1
- AGDYXEZJCBFGSV-UHFFFAOYSA-N 4,5-dihydro-3h-2,1-benzoxathiepine Chemical compound C1CCOSC2=CC=CC=C21 AGDYXEZJCBFGSV-UHFFFAOYSA-N 0.000 description 1
- IZMMNWJIYRWVCH-UHFFFAOYSA-N 4,6,8,10-tetrazatetracyclo[8.7.0.02,7.011,16]heptadeca-1(17),2,4,6,8,11,13,15-octaene Chemical group N12C=NC3=NC=N[CH]C3=C2C=C2[C]1C=CC=C2 IZMMNWJIYRWVCH-UHFFFAOYSA-N 0.000 description 1
- ZSXVRJDGHMTATP-UHFFFAOYSA-N 4,7,11-triazatetracyclo[8.7.0.02,7.012,17]heptadeca-1,3,5,8,10,12,14,16-octaene Chemical compound C1=CN=CC2=C3C4=CC=CC=C4N=C3C=CN21 ZSXVRJDGHMTATP-UHFFFAOYSA-N 0.000 description 1
- MFULXIQMSMHORV-UHFFFAOYSA-N 4,7-dithia-16-azatetracyclo[7.7.0.02,6.010,15]hexadeca-1(16),2,5,8,10,12,14-heptaene Chemical compound C1=CC=C2N=C3C4=CSC=C4SC=C3C2=C1 MFULXIQMSMHORV-UHFFFAOYSA-N 0.000 description 1
- XVTIKTKNKGZCNU-UHFFFAOYSA-N 4,8-diazatetracyclo[6.6.1.02,7.011,15]pentadeca-1(14),2(7),3,5,9,11(15),12-heptaene Chemical compound C12=CC=NC=C2C2=CC=CC3=C2N1C=C3 XVTIKTKNKGZCNU-UHFFFAOYSA-N 0.000 description 1
- OCHCPHHNZIFFAA-UHFFFAOYSA-N 4,8-dioxa-17-azatetracyclo[8.7.0.02,7.011,16]heptadeca-1(17),2(7),5,9,11,13,15-heptaene Chemical compound C12=CC=CC=C2N=C2C1=COC1=C2COC=C1 OCHCPHHNZIFFAA-UHFFFAOYSA-N 0.000 description 1
- OSWFIVFLDKOXQC-UHFFFAOYSA-N 4-(3-methoxyphenyl)aniline Chemical compound COC1=CC=CC(C=2C=CC(N)=CC=2)=C1 OSWFIVFLDKOXQC-UHFFFAOYSA-N 0.000 description 1
- UMVMGPCEBDBCEI-UHFFFAOYSA-N 4-oxa-1-azatetracyclo[7.6.1.05,16.010,15]hexadeca-2,5,7,9(16),10,12,14-heptaene Chemical compound O1C=CN2C3=CC=CC=C3C3=CC=CC1=C32 UMVMGPCEBDBCEI-UHFFFAOYSA-N 0.000 description 1
- VAPOYJIROBBSFM-UHFFFAOYSA-N 4-oxa-1-azatetracyclo[8.6.1.05,17.011,16]heptadeca-2,5(17),7,9,11,13,15-heptaene Chemical compound C1C=CC=C2C3=CC=CC=C3N3C2=C1OC=C3 VAPOYJIROBBSFM-UHFFFAOYSA-N 0.000 description 1
- YGXATZAESKBTHB-UHFFFAOYSA-N 4-thia-1,12-diazatetracyclo[7.6.1.05,16.010,15]hexadeca-2,5,7,9(16),10(15),11,13-heptaene Chemical compound C1=CSC2=CC=CC3=C2N1C1=CC=NC=C13 YGXATZAESKBTHB-UHFFFAOYSA-N 0.000 description 1
- TWSIYGATPWEKBK-UHFFFAOYSA-N 4h-1,3-benzodioxine Chemical compound C1=CC=C2OCOCC2=C1 TWSIYGATPWEKBK-UHFFFAOYSA-N 0.000 description 1
- HFUJYXOOAWONSD-UHFFFAOYSA-N 4h-[1,3]oxazino[4,3-a]$b-carboline Chemical compound C1=CC=CC2=C3C=CN(COC=C4)C4=C3N=C21 HFUJYXOOAWONSD-UHFFFAOYSA-N 0.000 description 1
- GIGBGPUHBGCCAO-UHFFFAOYSA-N 4h-[1,3]thiazino[4,3-a]$b-carboline Chemical compound C1=CC=CC2=C3C=CN(CSC=C4)C4=C3N=C21 GIGBGPUHBGCCAO-UHFFFAOYSA-N 0.000 description 1
- LZJFERNCMTUAAO-UHFFFAOYSA-N 5,10,11,12-tetrahydrobenzo[b][1]benzazocine Chemical compound C1CCC2=CC=CC=C2NC2=CC=CC=C21 LZJFERNCMTUAAO-UHFFFAOYSA-N 0.000 description 1
- IVURTNNWJAPOML-UHFFFAOYSA-N 5,10-dihydrophenazine Chemical compound C1=CC=C2NC3=CC=CC=C3NC2=C1 IVURTNNWJAPOML-UHFFFAOYSA-N 0.000 description 1
- JIQDQMLEGVOQHK-UHFFFAOYSA-N 5,12-diazatetracyclo[9.7.0.03,8.013,18]octadeca-1,3(8),4,6,9,11,13,15,17-nonaene Chemical compound C1=CC2=CC=NC=C2C=C2C3=CC=CC=C3N=C21 JIQDQMLEGVOQHK-UHFFFAOYSA-N 0.000 description 1
- NKKMXEVEJNKQFT-UHFFFAOYSA-N 5,16-diazatetracyclo[7.7.0.02,7.010,15]hexadeca-1(16),2(7),3,5,8,10,12,14-octaene Chemical compound C1=NC=C2C=C3C4=CC=CC=C4N=C3C2=C1 NKKMXEVEJNKQFT-UHFFFAOYSA-N 0.000 description 1
- WMFXVTTVODXHLE-UHFFFAOYSA-N 5,6,11,12-tetrahydrobenzo[c][1]benzazocine Chemical compound C1CC2=CC=CC=C2NCC2=CC=CC=C12 WMFXVTTVODXHLE-UHFFFAOYSA-N 0.000 description 1
- QCCKSFHMARIKSK-UHFFFAOYSA-N 5,6-dihydro-4h-pyrrolo[3,2,1-ij]quinoline Chemical compound C1CCC2=CC=CC3=C2N1C=C3 QCCKSFHMARIKSK-UHFFFAOYSA-N 0.000 description 1
- GNDBCHFUHBNJPI-UHFFFAOYSA-N 5,6-dihydrobenzo[b][1,4]benzothiazepine Chemical compound C1NC2=CC=CC=C2SC2=CC=CC=C12 GNDBCHFUHBNJPI-UHFFFAOYSA-N 0.000 description 1
- YUFONPPSLOZSAT-UHFFFAOYSA-N 5,6-dihydrobenzo[b][1,4]benzoxazepine Chemical compound C1NC2=CC=CC=C2OC2=CC=CC=C12 YUFONPPSLOZSAT-UHFFFAOYSA-N 0.000 description 1
- DBQYUWWOBWTUPV-UHFFFAOYSA-N 5,6-dihydrobenzo[b][1]benzothiepine Chemical compound C1CC2=CC=CC=C2SC2=CC=CC=C12 DBQYUWWOBWTUPV-UHFFFAOYSA-N 0.000 description 1
- LHRYNURXGHTOSZ-UHFFFAOYSA-N 5,6-dihydrobenzo[b][1]benzoxepine Chemical compound C1CC2=CC=CC=C2OC2=CC=CC=C12 LHRYNURXGHTOSZ-UHFFFAOYSA-N 0.000 description 1
- XHRKFIDEITYQBT-UHFFFAOYSA-N 5,7-dithia-16-azatetracyclo[7.7.0.02,6.010,15]hexadeca-1(16),2(6),3,8,10,12,14-heptaene Chemical compound C12=NC3=CC=CC=C3C2=CSC2=C1C=CS2 XHRKFIDEITYQBT-UHFFFAOYSA-N 0.000 description 1
- PYRCQWLNNFXGBW-UHFFFAOYSA-N 5,8-diazatetracyclo[10.4.0.02,6.07,11]hexadeca-1,3,5,7,9,11,13,15-octaene Chemical group C12=CC=CC=C2C2=CC=NC2=C2C1=CC=N2 PYRCQWLNNFXGBW-UHFFFAOYSA-N 0.000 description 1
- XEVNFLSXPHWWGD-UHFFFAOYSA-N 5,9-dioxa-1-azatetracyclo[8.7.0.02,7.011,16]heptadeca-2,7,10,12,14,16-hexaene Chemical compound C1=CC=CC2=C3OC=C4COCC=C4N3C=C21 XEVNFLSXPHWWGD-UHFFFAOYSA-N 0.000 description 1
- NTMBOBZYGWIPEY-UHFFFAOYSA-N 5-oxa-10-azatetracyclo[8.6.1.02,7.013,17]heptadeca-1,3,6,8,11,13(17),14-heptaene Chemical compound C1=CC2=COC=CC2=C2CC=CC3=C2N1C=C3 NTMBOBZYGWIPEY-UHFFFAOYSA-N 0.000 description 1
- UEWMFBMHUOLESZ-UHFFFAOYSA-N 5h-1,3,4-benzotrioxepine Chemical compound O1COOCC2=CC=CC=C21 UEWMFBMHUOLESZ-UHFFFAOYSA-N 0.000 description 1
- RSTUTFOTDUIHRF-UHFFFAOYSA-N 6,10-diazatetracyclo[8.6.1.05,17.011,16]heptadeca-1(17),2,4,6,8,11,13,15-octaene Chemical compound N1=CC=CN2C3=CC=CC=C3C3=CC=CC1=C32 RSTUTFOTDUIHRF-UHFFFAOYSA-N 0.000 description 1
- ILIAUNZZDNPYMT-UHFFFAOYSA-N 6,11-diazatetracyclo[8.8.0.02,7.012,18]octadeca-1(10),2(7),3,5,8,11,13,15,17-nonaene Chemical compound C1=CC=CC2=C(C=3C(=NC=CC=3)C=C3)C3=NC2=C1 ILIAUNZZDNPYMT-UHFFFAOYSA-N 0.000 description 1
- ZSMRRZONCYIFNB-UHFFFAOYSA-N 6,11-dihydro-5h-benzo[b][1]benzazepine Chemical compound C1CC2=CC=CC=C2NC2=CC=CC=C12 ZSMRRZONCYIFNB-UHFFFAOYSA-N 0.000 description 1
- YSHVGIKWUJCBLY-UHFFFAOYSA-N 6,11-dihydro-5h-benzo[c][1]benzazepine Chemical compound C1NC2=CC=CC=C2CC2=CC=CC=C12 YSHVGIKWUJCBLY-UHFFFAOYSA-N 0.000 description 1
- SLGIBJWUMUWIFH-UHFFFAOYSA-N 6,11-dihydrobenzo[c][1,5]benzoxazepine Chemical compound C1OC2=CC=CC=C2NC2=CC=CC=C12 SLGIBJWUMUWIFH-UHFFFAOYSA-N 0.000 description 1
- GJGNHSWJROFFMV-UHFFFAOYSA-N 6,11-dihydrobenzo[c][1]benzothiepine Chemical compound C1SC2=CC=CC=C2CC2=CC=CC=C12 GJGNHSWJROFFMV-UHFFFAOYSA-N 0.000 description 1
- FPIWJQQRYHEICX-UHFFFAOYSA-N 6,11-dihydrobenzo[c][1]benzoxepine Chemical compound C1OC2=CC=CC=C2CC2=CC=CC=C12 FPIWJQQRYHEICX-UHFFFAOYSA-N 0.000 description 1
- MZNPHMDJQUDZNV-UHFFFAOYSA-N 6,12-diazatetracyclo[9.7.0.02,7.013,18]octadeca-1,3,5,7,9,11,13,15,17-nonaene Chemical compound C1=CC=C2N=CC=CC2=C2C3=CC=CC=C3N=C21 MZNPHMDJQUDZNV-UHFFFAOYSA-N 0.000 description 1
- WXVRFMXISTVFQG-UHFFFAOYSA-N 6,18-diazatetracyclo[9.7.0.03,8.012,17]octadeca-1(18),2,4,6,8,10,12,14,16-nonaene Chemical compound C1=C2C=CN=CC2=CC=C2C3=CC=CC=C3N=C21 WXVRFMXISTVFQG-UHFFFAOYSA-N 0.000 description 1
- PKRGLYVBVDOQGB-UHFFFAOYSA-N 6,7,10-triazatetracyclo[8.6.1.05,17.011,16]heptadeca-1(17),2,4,6,8,11,13,15-octaene Chemical compound N1=NC=CN2C3=CC=CC=C3C3=CC=CC1=C32 PKRGLYVBVDOQGB-UHFFFAOYSA-N 0.000 description 1
- FHYFQRCUSZETDW-UHFFFAOYSA-N 6,7-dihydro-5h-benzo[d][2]benzazepine Chemical compound C1NCC2=CC=CC=C2C2=CC=CC=C12 FHYFQRCUSZETDW-UHFFFAOYSA-N 0.000 description 1
- BYIRQESQSXMGBM-UHFFFAOYSA-N 6,8-diazatetracyclo[6.6.1.02,7.011,15]pentadeca-1(14),2(7),3,5,9,11(15),12-heptaene Chemical compound C12=NC=CC=C2C2=CC=CC3=C2N1C=C3 BYIRQESQSXMGBM-UHFFFAOYSA-N 0.000 description 1
- NKXFWYQALQXTPM-UHFFFAOYSA-N 6,9-diazatetracyclo[7.7.0.02,6.010,15]hexadeca-1(16),2,4,7,10,12,14-heptaene Chemical group C1=CC=C2N(C=CN3C4=CC=C3)C4=CC2=C1 NKXFWYQALQXTPM-UHFFFAOYSA-N 0.000 description 1
- ARCCVRAVFJEGOC-UHFFFAOYSA-N 6-oxa-1-azatetracyclo[7.6.1.05,16.010,15]hexadeca-2,4,7,9(16),10,12,14-heptaene Chemical compound C1=CN2C3=CC=CC=C3C(C=CO3)=C2C3=C1 ARCCVRAVFJEGOC-UHFFFAOYSA-N 0.000 description 1
- RDEHAJAGDNWARF-UHFFFAOYSA-N 6-oxa-10,14-diazatetracyclo[8.6.1.05,17.011,16]heptadeca-1(17),2,4,8,11(16),12,14-heptaene Chemical compound C1=CCOC2=CC=CC3=C2N1C1=CC=NC=C13 RDEHAJAGDNWARF-UHFFFAOYSA-N 0.000 description 1
- FFOJOYKJTTZQAR-UHFFFAOYSA-N 6-oxa-10-azatetracyclo[8.6.1.05,17.011,16]heptadeca-1(17),2,4,8,11,13,15-heptaene Chemical compound C1=CCOC2=CC=CC3=C2N1C1=CC=CC=C13 FFOJOYKJTTZQAR-UHFFFAOYSA-N 0.000 description 1
- IXSLJJJHNYSRBE-UHFFFAOYSA-N 6-oxatetracyclo[6.6.2.04,16.011,15]hexadeca-1(14),2,4,8(16),9,11(15),12-heptaene Chemical compound C1=C2COC=C(C=C3)C2=C2C3=CC=CC2=C1 IXSLJJJHNYSRBE-UHFFFAOYSA-N 0.000 description 1
- UJVRGJMHAULEBY-UHFFFAOYSA-N 6-thia-10,13-diazatetracyclo[8.6.1.05,17.011,16]heptadeca-1(17),2,4,8,11(16),12,14-heptaene Chemical compound C1=CCSC2=CC=CC3=C2N1C1=CN=CC=C13 UJVRGJMHAULEBY-UHFFFAOYSA-N 0.000 description 1
- VJRONOBJRNDIBD-UHFFFAOYSA-N 6-thia-10,14-diazatetracyclo[8.6.1.05,17.011,16]heptadeca-1(17),2,4,8,11(16),12,14-heptaene Chemical compound C1=CCSC2=CC=CC3=C2N1C1=CC=NC=C13 VJRONOBJRNDIBD-UHFFFAOYSA-N 0.000 description 1
- UNZBZWGRUXRNBO-UHFFFAOYSA-N 6-thia-10-azatetracyclo[8.6.1.05,17.011,16]heptadeca-1(17),2,4,8,11,13,15-heptaene Chemical compound C1=CCSC2=CC=CC3=C2N1C1=CC=CC=C13 UNZBZWGRUXRNBO-UHFFFAOYSA-N 0.000 description 1
- VSUKRYSPXQIJCI-UHFFFAOYSA-N 6h-[1,4]benzodioxino[3,2-b]indole Chemical compound O1C2=CC=CC=C2OC2=C1C1=CC=CC=C1N2 VSUKRYSPXQIJCI-UHFFFAOYSA-N 0.000 description 1
- NDMMKGNUCFJQBZ-UHFFFAOYSA-N 6h-[1,4]benzodithiino[3,2-b]indole Chemical compound S1C2=CC=CC=C2SC2=C1C1=CC=CC=C1N2 NDMMKGNUCFJQBZ-UHFFFAOYSA-N 0.000 description 1
- SXRLGVOTIYMYRR-UHFFFAOYSA-N 6h-indolo[1,2-c][1,3]benzoxazine Chemical group C1=CC=C2N3COC4=CC=CC=C4C3=CC2=C1 SXRLGVOTIYMYRR-UHFFFAOYSA-N 0.000 description 1
- JJUQRPHMJPHFBH-UHFFFAOYSA-N 6h-isoindolo[2,1-a]indole Chemical group C1=CC=C2N3CC4=CC=CC=C4C3=CC2=C1 JJUQRPHMJPHFBH-UHFFFAOYSA-N 0.000 description 1
- QICJCIJONCDCML-UHFFFAOYSA-N 7,10-diazatetracyclo[8.6.1.05,17.011,16]heptadeca-1,3,5(17),6,8,11,13,15-octaene Chemical compound C1=NC=CN2C3=CC=CC=C3C3=CC=CC1=C32 QICJCIJONCDCML-UHFFFAOYSA-N 0.000 description 1
- GFAXAHWFLLVFQG-UHFFFAOYSA-N 7,10-diazatetracyclo[8.7.0.02,7.012,17]heptadeca-1(17),2,5,8,11,13,15-heptaene Chemical compound C1=C2C=CC=CC2=C2N1C=CN1C=CCC=C12 GFAXAHWFLLVFQG-UHFFFAOYSA-N 0.000 description 1
- WXMUEGYHAIZFNG-UHFFFAOYSA-N 7,11-diazatetracyclo[9.7.0.02,7.012,17]octadeca-1(18),2,5,9,12,14,16-heptaene Chemical group C1C=CN2C3=CC=CC=C3C=C2C2=CCC=CN21 WXMUEGYHAIZFNG-UHFFFAOYSA-N 0.000 description 1
- BWLBQZXMBNJAAT-UHFFFAOYSA-N 7,11-diazatetracyclo[9.7.0.02,7.013,18]octadeca-1(18),2,5,9,12,14,16-heptaene Chemical compound C1C=CN2C=C(C=CC=C3)C3=C2C2=CCC=CN21 BWLBQZXMBNJAAT-UHFFFAOYSA-N 0.000 description 1
- KUOFPWUKEQIPAH-UHFFFAOYSA-N 7,18-diazatetracyclo[9.7.0.02,7.012,17]octadeca-1(18),2,5,8,10,12,14,16-octaene Chemical compound C1=CC=C2C3=CC=CC=C3N=C2C2=CCC=CN21 KUOFPWUKEQIPAH-UHFFFAOYSA-N 0.000 description 1
- QWEINOWUAQPAIF-UHFFFAOYSA-N 7,19-diazatetracyclo[10.7.0.04,9.013,18]nonadeca-1(19),2,4,6,9,11,13,15,17-nonaene Chemical compound C1=CC2=NC3=CC=CC=C3C2=CC=C2CN=CC=C21 QWEINOWUAQPAIF-UHFFFAOYSA-N 0.000 description 1
- UDNWPCKRDITWIE-UHFFFAOYSA-N 7,8,10-triazatetracyclo[8.6.1.05,17.011,16]heptadeca-1,3,5(17),6,8,11,13,15-octaene Chemical compound C1=NN=CN2C3=CC=CC=C3C3=CC=CC1=C32 UDNWPCKRDITWIE-UHFFFAOYSA-N 0.000 description 1
- QEUQJVRJZHPUIW-UHFFFAOYSA-N 7,9,10-triazatetracyclo[8.6.1.05,17.011,16]heptadeca-1,3,5(17),6,8,11,13,15-octaene Chemical compound C1=NC=NN2C3=CC=CC=C3C3=CC=CC1=C32 QEUQJVRJZHPUIW-UHFFFAOYSA-N 0.000 description 1
- JELWXZXMKLQCSR-UHFFFAOYSA-N 7,9-diazatetracyclo[7.7.0.02,7.011,16]hexadeca-1(16),2,5,10,12,14-hexaene Chemical compound C1=CC=CC2=C3C4=CCC=CN4CN3C=C21 JELWXZXMKLQCSR-UHFFFAOYSA-N 0.000 description 1
- MWQVVDFKLMWQFE-UHFFFAOYSA-N 7-oxa-11,21-diazatetracyclo[12.7.0.04,9.015,20]henicosa-1,3,5,8,10,12,14,16,18,20-decaene Chemical compound C1=NC=CC2=C3C=CC=CC3=NC2=CC=C2C=COC=C21 MWQVVDFKLMWQFE-UHFFFAOYSA-N 0.000 description 1
- CSEAVHPFKUHWFG-UHFFFAOYSA-N 7-oxa-19-azatetracyclo[10.7.0.04,9.013,18]nonadeca-1,3,5,8,10,12,14,16,18-nonaene Chemical compound C1=CC2=COC=CC2=CC=C2N=C(C=CC=C3)C3=C21 CSEAVHPFKUHWFG-UHFFFAOYSA-N 0.000 description 1
- DZVQEBFGLVZLTF-UHFFFAOYSA-N 7-oxa-3,19-diazatetracyclo[10.7.0.03,10.013,18]nonadeca-1,4,8,10,12,14,16,18-octaene Chemical compound C1=CCOC=CC2=CC3=C4C=CC=CC4=NC3=CN21 DZVQEBFGLVZLTF-UHFFFAOYSA-N 0.000 description 1
- BKADDSOGVXGASL-UHFFFAOYSA-N 7-oxa-5-thia-8,18-diazatetracyclo[9.7.0.02,8.012,17]octadeca-1,3,9,11,13,15,17-heptaene Chemical compound C1=CSCON2C=CC3=C4C=CC=CC4=NC3=C21 BKADDSOGVXGASL-UHFFFAOYSA-N 0.000 description 1
- YTFWOVKLJJCMSB-UHFFFAOYSA-N 7-thia-1-azatetracyclo[7.6.1.05,16.010,15]hexadeca-2,4,9(16),10,12,14-hexaene Chemical compound C1=CC=C2C(CSC3)=C4C3=CC=CN4C2=C1 YTFWOVKLJJCMSB-UHFFFAOYSA-N 0.000 description 1
- QQHCKZQENIEFHJ-UHFFFAOYSA-N 7-thia-10,14-diazatetracyclo[8.6.1.05,17.011,16]heptadeca-1,3,5(17),8,11(16),12,14-heptaene Chemical compound C1SC=CN2C3=CC=NC=C3C3=CC=CC1=C23 QQHCKZQENIEFHJ-UHFFFAOYSA-N 0.000 description 1
- RLHBRLLNMZEFKG-UHFFFAOYSA-N 7-thia-16-azatetracyclo[7.7.0.02,6.010,15]hexadeca-1(16),2(6),4,8,10,12,14-heptaene Chemical compound C12=CC=CC=C2N=C2C1=CSC1=C2CC=C1 RLHBRLLNMZEFKG-UHFFFAOYSA-N 0.000 description 1
- ZCYVEMRRCGMTRW-UHFFFAOYSA-N 7553-56-2 Chemical compound [I] ZCYVEMRRCGMTRW-UHFFFAOYSA-N 0.000 description 1
- ZOSCGBOXCBPEPD-UHFFFAOYSA-N 7h-isoindolo[1,2-b][1,3]benzoxazine Chemical compound C1=C2C=CC=CC2=C2N1C=C1C=CCC=C1O2 ZOSCGBOXCBPEPD-UHFFFAOYSA-N 0.000 description 1
- GTWZKFCVSKKUAT-UHFFFAOYSA-N 8,10,12-triazatetracyclo[9.7.0.02,7.013,18]octadeca-1(18),2,4,6,8,10,12,14,16-nonaene Chemical compound N1=CN=C2C=CC=CC2=C2C3=CC=CC=C3N=C21 GTWZKFCVSKKUAT-UHFFFAOYSA-N 0.000 description 1
- FYVLNCRJUYJCEM-UHFFFAOYSA-N 8,10,15-triazatetracyclo[7.7.0.02,7.011,15]hexadeca-1(16),2,4,6,8,10,12-heptaene Chemical group C1=CC=C2C3=CN4CC=CC4=NC3=NC2=C1 FYVLNCRJUYJCEM-UHFFFAOYSA-N 0.000 description 1
- OSKHQYDVHMGFIW-UHFFFAOYSA-N 8,10-diazatetracyclo[7.7.0.02,7.011,15]hexadeca-1,3,5,7,9,11,13,15-octaene Chemical compound C1=CC=CC2=NC3=NC4=CC=CC4=CC3=C21 OSKHQYDVHMGFIW-UHFFFAOYSA-N 0.000 description 1
- QNQUUQSIDABVSF-UHFFFAOYSA-N 8,10-diazatetracyclo[8.7.0.03,8.011,16]heptadeca-1(17),2,4,6,11,13,15-heptaene Chemical group C1=CC=C2N3CN(C=CC=C4)C4=CC3=CC2=C1 QNQUUQSIDABVSF-UHFFFAOYSA-N 0.000 description 1
- WRDWCNFCSNHCIC-UHFFFAOYSA-N 8,11-diazatetracyclo[9.7.0.02,7.013,18]octadeca-1(18),2,5,7,9,12,14,16-octaene Chemical compound C1=CN2C=C(C=CC=C3)C3=C2C2=CCC=CC2=N1 WRDWCNFCSNHCIC-UHFFFAOYSA-N 0.000 description 1
- OBRDYGOHMGFSRU-UHFFFAOYSA-N 8,12-diazatetracyclo[10.7.0.02,7.013,18]nonadeca-1(19),2,4,6,8,10,13,15,17-nonaene Chemical compound N1=CC=CN2C3=CC=CC=C3C=C2C2=CC=CC=C21 OBRDYGOHMGFSRU-UHFFFAOYSA-N 0.000 description 1
- FLKXQKFCRGQOAU-UHFFFAOYSA-N 8,13,15-triazatetracyclo[7.7.0.02,7.011,15]hexadeca-1(16),2,4,6,8,10,13-heptaene Chemical group C1=CC=C2C3=CN4C=NCC4=CC3=NC2=C1 FLKXQKFCRGQOAU-UHFFFAOYSA-N 0.000 description 1
- SUCMMXPXDSBAIP-UHFFFAOYSA-N 8,14-diazatetracyclo[9.5.2.01,9.02,7]octadeca-2,4,6,8,10,12,14-heptaene Chemical compound C1C=NC=CC2=CC3=NC4=CC=CC=C4C31CC2 SUCMMXPXDSBAIP-UHFFFAOYSA-N 0.000 description 1
- STEMPUDMMNXCKS-UHFFFAOYSA-N 8,15-diazatetracyclo[10.5.1.01,9.02,7]octadeca-2,4,6,8,10,12,14,16-octaene Chemical compound C1=NC=CC2(C3)C4=CC=CC=C4N=C2C=CC3=C1 STEMPUDMMNXCKS-UHFFFAOYSA-N 0.000 description 1
- LVGWXQRQPDYTRV-UHFFFAOYSA-N 8,18-diazatetracyclo[9.7.0.02,8.012,17]octadeca-1,4,6,9,11,13,15,17-octaene Chemical compound C1C=CC=CN2C=CC3=C(C=CC=C4)C4=NC3=C12 LVGWXQRQPDYTRV-UHFFFAOYSA-N 0.000 description 1
- YVFLXEIHWMTYOO-UHFFFAOYSA-N 8,18-diazatetracyclo[9.7.0.03,8.012,17]octadeca-1(18),2,4,6,9,11,14,16-octaene Chemical compound C1=CC2=C3CC=CC=C3N=C2C=C2C=CC=CN21 YVFLXEIHWMTYOO-UHFFFAOYSA-N 0.000 description 1
- VHPHSSGVVSQKKD-UHFFFAOYSA-N 8-azatetracyclo[8.8.0.02,8.012,17]octadeca-1,4,6,9,11,13,15,17-octaene Chemical compound C1C=CC=CN2C=C(C=C3C(C=CC=C3)=C3)C3=C12 VHPHSSGVVSQKKD-UHFFFAOYSA-N 0.000 description 1
- AFGUXMUZGOMFGV-UHFFFAOYSA-N 8-oxa-1-azatetracyclo[8.6.1.02,7.014,17]heptadeca-2,4,6,9,11,14(17),15-heptaene Chemical compound O1C2=CC=CC=C2N2C=CC(CC=C3)=C2C3=C1 AFGUXMUZGOMFGV-UHFFFAOYSA-N 0.000 description 1
- MLYCCIVUGHQUQR-UHFFFAOYSA-N 8-oxa-11-azatetracyclo[9.7.0.02,7.013,18]octadeca-1(18),2,4,6,9,12,14,16-octaene Chemical compound O1C=CN2C=C(C=CC=C3)C3=C2C2=CC=CC=C12 MLYCCIVUGHQUQR-UHFFFAOYSA-N 0.000 description 1
- UKZGAHSJYFNKJL-UHFFFAOYSA-N 8-oxa-4,16-diazatetracyclo[7.7.0.02,7.010,15]hexadeca-1,4,6,9,11,13,15-heptaene Chemical compound C1=CC=CC2=NC3=C4CN=CC=C4OC3=C21 UKZGAHSJYFNKJL-UHFFFAOYSA-N 0.000 description 1
- SNPNTBPKXCMHNW-UHFFFAOYSA-N 8-oxa-5,11-diazatetracyclo[8.7.0.02,7.012,17]heptadeca-1(17),2(7),3,5,9,11,13,15-octaene Chemical compound N1=CC=C2C3=C4C=CC=CC4=NC3=COC2=C1 SNPNTBPKXCMHNW-UHFFFAOYSA-N 0.000 description 1
- FRRCVIVXYUBHTH-UHFFFAOYSA-N 8-thia-4,10-diazatetracyclo[7.7.0.02,7.011,16]hexadeca-1,4,6,9,11,13,15-heptaene Chemical compound C1=CC=C2C3=C4CN=CC=C4SC3=NC2=C1 FRRCVIVXYUBHTH-UHFFFAOYSA-N 0.000 description 1
- YVACJHYOKSVYMC-UHFFFAOYSA-N 9,11-diazatetracyclo[9.7.0.02,7.013,18]octadeca-1(18),2,5,7,9,12,14,16-octaene Chemical compound N1=CN2C=C(C=CC=C3)C3=C2C2=CCC=CC2=C1 YVACJHYOKSVYMC-UHFFFAOYSA-N 0.000 description 1
- GGQZJIJCGJPLSK-UHFFFAOYSA-N 9,12-diazatetracyclo[9.7.0.02,7.013,18]octadeca-1(18),2,4,6,8,10,12,14,16-nonaene Chemical compound C1=NC=C2C=CC=CC2=C2C3=CC=CC=C3N=C21 GGQZJIJCGJPLSK-UHFFFAOYSA-N 0.000 description 1
- VFJPOFPSFUYLRH-UHFFFAOYSA-N 9,16-diazatetracyclo[7.7.0.02,7.011,15]hexadeca-1,3,5,7,10,13,15-heptaene Chemical compound C1=CC=CC2=CN(C=C3CC=CC3=N3)C3=C21 VFJPOFPSFUYLRH-UHFFFAOYSA-N 0.000 description 1
- QZJXNDFZTGJXND-UHFFFAOYSA-N 9,19-diazatetracyclo[10.7.0.04,9.013,18]nonadeca-1,3,5,7,10,12,14,16,18-nonaene Chemical compound C1=CC2=C(C=CC=C3)C3=NC2=CC=C2C=CC=CN21 QZJXNDFZTGJXND-UHFFFAOYSA-N 0.000 description 1
- COJHLECINBFIEC-UHFFFAOYSA-N 9-azatetracyclo[7.6.1.02,7.012,16]hexadeca-1(15),2,4,6,12(16),13-hexaene Chemical compound C1CN2CC3=CC=CC=C3C3=C2C1=CC=C3 COJHLECINBFIEC-UHFFFAOYSA-N 0.000 description 1
- LSGJSCKVNFJJIN-UHFFFAOYSA-N 9-azatetracyclo[7.6.1.02,7.012,16]hexadeca-1,3,5,7,10,12(16),13-heptaene Chemical compound C1=C2C=CC=CC2=C2CC=CC3=C2N1C=C3 LSGJSCKVNFJJIN-UHFFFAOYSA-N 0.000 description 1
- LLIKGADQYHAZMA-UHFFFAOYSA-N 9-azatetracyclo[7.7.1.02,7.013,17]heptadeca-1(16),2,4,6,13(17),14-hexaene Chemical compound C1C2=CC=CC=C2C2=CC=CC3=C2N1CCC3 LLIKGADQYHAZMA-UHFFFAOYSA-N 0.000 description 1
- UXKHUOODOITSQQ-UHFFFAOYSA-N 9-oxa-1-azatetracyclo[8.6.1.02,7.014,17]heptadeca-2,4,6,10,12,14(17),15-heptaene Chemical compound C12=CC=CC=C2COC2=CC=CC3=C2N1C=C3 UXKHUOODOITSQQ-UHFFFAOYSA-N 0.000 description 1
- KPRZRMNGLBKLJC-UHFFFAOYSA-N 9-oxa-5,17-diazatetracyclo[8.7.0.02,7.011,16]heptadeca-1,3,5,7,10,12,14,16-octaene Chemical compound C1=NC=CC2=C3N=C(C=CC=C4)C4=C3OC=C21 KPRZRMNGLBKLJC-UHFFFAOYSA-N 0.000 description 1
- WRCSRCHSGXKTKL-UHFFFAOYSA-N 9-thia-3,7,17-triazatetracyclo[8.7.0.03,8.011,16]heptadeca-1,4,7,10,12,14,16-heptaene Chemical compound N1=C2C=CC=CC2=C2C1=CN1C=CCN=C1S2 WRCSRCHSGXKTKL-UHFFFAOYSA-N 0.000 description 1
- PQJUJGAVDBINPI-UHFFFAOYSA-N 9H-thioxanthene Chemical compound C1=CC=C2CC3=CC=CC=C3SC2=C1 PQJUJGAVDBINPI-UHFFFAOYSA-N 0.000 description 1
- GJCOSYZMQJWQCA-UHFFFAOYSA-N 9H-xanthene Chemical compound C1=CC=C2CC3=CC=CC=C3OC2=C1 GJCOSYZMQJWQCA-UHFFFAOYSA-N 0.000 description 1
- SGSCSTANMLBUFM-UHFFFAOYSA-N 9h-indolo[1,2-a]indole Chemical group C1=CC=C2N3C4=CC=CCC4=CC3=CC2=C1 SGSCSTANMLBUFM-UHFFFAOYSA-N 0.000 description 1
- QTBSBXVTEAMEQO-UHFFFAOYSA-M Acetate Chemical compound CC([O-])=O QTBSBXVTEAMEQO-UHFFFAOYSA-M 0.000 description 1
- 102000012440 Acetylcholinesterase Human genes 0.000 description 1
- 108010022752 Acetylcholinesterase Proteins 0.000 description 1
- 208000019901 Anxiety disease Diseases 0.000 description 1
- 239000004475 Arginine Substances 0.000 description 1
- KRKXFEOPJGXHAU-UHFFFAOYSA-N C1=CC2=C3C=CC=CC3=NC2=C2N1C=CN2 Chemical group C1=CC2=C3C=CC=CC3=NC2=C2N1C=CN2 KRKXFEOPJGXHAU-UHFFFAOYSA-N 0.000 description 1
- LCFLQXMVVPQBEB-UHFFFAOYSA-N C1=CC=C2C3=CC4=CNC=CN4C3=NC2=C1 Chemical group C1=CC=C2C3=CC4=CNC=CN4C3=NC2=C1 LCFLQXMVVPQBEB-UHFFFAOYSA-N 0.000 description 1
- UDWMOWKVHBWYCH-UHFFFAOYSA-N C1=CC=C2C3=CN4C=CNC4=CC3=NC2=C1 Chemical group C1=CC=C2C3=CN4C=CNC4=CC3=NC2=C1 UDWMOWKVHBWYCH-UHFFFAOYSA-N 0.000 description 1
- HICVCTTVOZMDQC-UHFFFAOYSA-N C1=CNC2=C3C4=CC=CC=C4N=C3C=CC2=C1 Chemical compound C1=CNC2=C3C4=CC=CC=C4N=C3C=CC2=C1 HICVCTTVOZMDQC-UHFFFAOYSA-N 0.000 description 1
- YTZSHWHJMOXXJS-UHFFFAOYSA-N C1=CNC2=C3C4=CC=CC=C4N=C3C=CC2=N1 Chemical compound C1=CNC2=C3C4=CC=CC=C4N=C3C=CC2=N1 YTZSHWHJMOXXJS-UHFFFAOYSA-N 0.000 description 1
- DKPMQOYNBKTUQF-UHFFFAOYSA-N C1=CNC2=C3N=C(C=CC=C4)C4=C3C=CC2=C1 Chemical compound C1=CNC2=C3N=C(C=CC=C4)C4=C3C=CC2=C1 DKPMQOYNBKTUQF-UHFFFAOYSA-N 0.000 description 1
- FOKYKLIQOKFCNX-UHFFFAOYSA-N C1=CNC2=C3N=C(C=CC=C4)C4=C3C=CC2=N1 Chemical compound C1=CNC2=C3N=C(C=CC=C4)C4=C3C=CC2=N1 FOKYKLIQOKFCNX-UHFFFAOYSA-N 0.000 description 1
- LENZOTVRJKBCJO-UHFFFAOYSA-N C1=CNC2=CC3=C4C=CC=CC4=NC3=CC2=C1 Chemical compound C1=CNC2=CC3=C4C=CC=CC4=NC3=CC2=C1 LENZOTVRJKBCJO-UHFFFAOYSA-N 0.000 description 1
- OLUWRAVYKISCLH-UHFFFAOYSA-N C1=CNC2=CC3=C4C=CC=CC4=NC3=CC2=N1 Chemical compound C1=CNC2=CC3=C4C=CC=CC4=NC3=CC2=N1 OLUWRAVYKISCLH-UHFFFAOYSA-N 0.000 description 1
- WHKSSBYVFRNKPW-UHFFFAOYSA-N C1=CNC2=NC3=C4C=CC=CC4=NC3=CC2=C1 Chemical compound C1=CNC2=NC3=C4C=CC=CC4=NC3=CC2=C1 WHKSSBYVFRNKPW-UHFFFAOYSA-N 0.000 description 1
- JCDVTBSGIKFHRU-UHFFFAOYSA-N C1=CNC2=NC3=C4C=CC=CC4=NC3=NC2=C1 Chemical compound C1=CNC2=NC3=C4C=CC=CC4=NC3=NC2=C1 JCDVTBSGIKFHRU-UHFFFAOYSA-N 0.000 description 1
- 125000003601 C2-C6 alkynyl group Chemical group 0.000 description 1
- OYPRJOBELJOOCE-UHFFFAOYSA-N Calcium Chemical compound [Ca] OYPRJOBELJOOCE-UHFFFAOYSA-N 0.000 description 1
- BVKZGUZCCUSVTD-UHFFFAOYSA-L Carbonate Chemical compound [O-]C([O-])=O BVKZGUZCCUSVTD-UHFFFAOYSA-L 0.000 description 1
- KRKNYBCHXYNGOX-UHFFFAOYSA-K Citrate Chemical compound [O-]C(=O)CC(O)(CC([O-])=O)C([O-])=O KRKNYBCHXYNGOX-UHFFFAOYSA-K 0.000 description 1
- 239000004287 Dehydroacetic acid Substances 0.000 description 1
- 229920001353 Dextrin Polymers 0.000 description 1
- FEWJPZIEWOKRBE-JCYAYHJZSA-N Dextrotartaric acid Chemical compound OC(=O)[C@H](O)[C@@H](O)C(O)=O FEWJPZIEWOKRBE-JCYAYHJZSA-N 0.000 description 1
- XBPCUCUWBYBCDP-UHFFFAOYSA-N Dicyclohexylamine Chemical compound C1CCCCC1NC1CCCCC1 XBPCUCUWBYBCDP-UHFFFAOYSA-N 0.000 description 1
- 108050009340 Endothelin Proteins 0.000 description 1
- 102000002045 Endothelin Human genes 0.000 description 1
- LYCAIKOWRPUZTN-UHFFFAOYSA-N Ethylene glycol Chemical compound OCCO LYCAIKOWRPUZTN-UHFFFAOYSA-N 0.000 description 1
- WHUUTDBJXJRKMK-UHFFFAOYSA-N Glutamic acid Natural products OC(=O)C(N)CCC(O)=O WHUUTDBJXJRKMK-UHFFFAOYSA-N 0.000 description 1
- 238000007341 Heck reaction Methods 0.000 description 1
- 239000004354 Hydroxyethyl cellulose Substances 0.000 description 1
- 229920000663 Hydroxyethyl cellulose Polymers 0.000 description 1
- AHLPHDHHMVZTML-BYPYZUCNSA-N L-Ornithine Chemical compound NCCC[C@H](N)C(O)=O AHLPHDHHMVZTML-BYPYZUCNSA-N 0.000 description 1
- ODKSFYDXXFIFQN-BYPYZUCNSA-P L-argininium(2+) Chemical compound NC(=[NH2+])NCCC[C@H]([NH3+])C(O)=O ODKSFYDXXFIFQN-BYPYZUCNSA-P 0.000 description 1
- CKLJMWTZIZZHCS-REOHCLBHSA-N L-aspartic acid Chemical compound OC(=O)[C@@H](N)CC(O)=O CKLJMWTZIZZHCS-REOHCLBHSA-N 0.000 description 1
- WHUUTDBJXJRKMK-VKHMYHEASA-N L-glutamic acid Chemical compound OC(=O)[C@@H](N)CCC(O)=O WHUUTDBJXJRKMK-VKHMYHEASA-N 0.000 description 1
- KDXKERNSBIXSRK-YFKPBYRVSA-N L-lysine Chemical compound NCCCC[C@H](N)C(O)=O KDXKERNSBIXSRK-YFKPBYRVSA-N 0.000 description 1
- GHSJKUNUIHUPDF-BYPYZUCNSA-N L-thialysine Chemical compound NCCSC[C@H](N)C(O)=O GHSJKUNUIHUPDF-BYPYZUCNSA-N 0.000 description 1
- GUBGYTABKSRVRQ-QKKXKWKRSA-N Lactose Natural products OC[C@H]1O[C@@H](O[C@H]2[C@H](O)[C@@H](O)C(O)O[C@@H]2CO)[C@H](O)[C@@H](O)[C@H]1O GUBGYTABKSRVRQ-QKKXKWKRSA-N 0.000 description 1
- WHXSMMKQMYFTQS-UHFFFAOYSA-N Lithium Chemical compound [Li] WHXSMMKQMYFTQS-UHFFFAOYSA-N 0.000 description 1
- KDXKERNSBIXSRK-UHFFFAOYSA-N Lysine Natural products NCCCCC(N)C(O)=O KDXKERNSBIXSRK-UHFFFAOYSA-N 0.000 description 1
- 239000004472 Lysine Substances 0.000 description 1
- AFVFQIVMOAPDHO-UHFFFAOYSA-N Methanesulfonic acid Chemical compound CS(O)(=O)=O AFVFQIVMOAPDHO-UHFFFAOYSA-N 0.000 description 1
- HSHXDCVZWHOWCS-UHFFFAOYSA-N N'-hexadecylthiophene-2-carbohydrazide Chemical compound CCCCCCCCCCCCCCCCNNC(=O)c1cccs1 HSHXDCVZWHOWCS-UHFFFAOYSA-N 0.000 description 1
- VOVVENLHDBDXOK-UHFFFAOYSA-N N1=C2C=CC=CC2=C2C1=NC1=CC=CCC1=C2 Chemical compound N1=C2C=CC=CC2=C2C1=NC1=CC=CCC1=C2 VOVVENLHDBDXOK-UHFFFAOYSA-N 0.000 description 1
- TWTIRTLNSSSHLT-UHFFFAOYSA-N N1=CNC2=C3C4=CC=CC=C4N=C3C=CC2=C1 Chemical compound N1=CNC2=C3C4=CC=CC=C4N=C3C=CC2=C1 TWTIRTLNSSSHLT-UHFFFAOYSA-N 0.000 description 1
- PSQNHTDNIJJTLY-UHFFFAOYSA-N N1=CNC2=C3N=C(C=CC=C4)C4=C3C=CC2=C1 Chemical compound N1=CNC2=C3N=C(C=CC=C4)C4=C3C=CC2=C1 PSQNHTDNIJJTLY-UHFFFAOYSA-N 0.000 description 1
- CYPPCERGJOKNJI-UHFFFAOYSA-N N1=CNC2=CC3=C4C=CC=CC4=NC3=CC2=C1 Chemical compound N1=CNC2=CC3=C4C=CC=CC4=NC3=CC2=C1 CYPPCERGJOKNJI-UHFFFAOYSA-N 0.000 description 1
- MDDPPBMUVKJUID-UHFFFAOYSA-N N1=CNC2=NC3=C4C=CC=CC4=NC3=NC2=C1 Chemical compound N1=CNC2=NC3=C4C=CC=CC4=NC3=NC2=C1 MDDPPBMUVKJUID-UHFFFAOYSA-N 0.000 description 1
- KKJGEGSVDOCSMI-UHFFFAOYSA-N N1C=CC=C2C=C3C4=CC=CC=C4N=C3C=C21 Chemical compound N1C=CC=C2C=C3C4=CC=CC=C4N=C3C=C21 KKJGEGSVDOCSMI-UHFFFAOYSA-N 0.000 description 1
- MIONMRJCAFTTMM-UHFFFAOYSA-N N1C=CC=C2N=C3C4=CC=CC=C4N=C3C=C21 Chemical compound N1C=CC=C2N=C3C4=CC=CC=C4N=C3C=C21 MIONMRJCAFTTMM-UHFFFAOYSA-N 0.000 description 1
- KRJWJQRAQSHZCW-UHFFFAOYSA-N N1C=CC=C2N=C3C4=CC=CC=C4N=C3N=C21 Chemical compound N1C=CC=C2N=C3C4=CC=CC=C4N=C3N=C21 KRJWJQRAQSHZCW-UHFFFAOYSA-N 0.000 description 1
- GRYLNZFGIOXLOG-UHFFFAOYSA-N Nitric acid Chemical compound O[N+]([O-])=O GRYLNZFGIOXLOG-UHFFFAOYSA-N 0.000 description 1
- SXGUOIIQBLBOJZ-UHFFFAOYSA-N O1C2=C(C=CC=C3)C3=NC2=CC2=CNC=CC2=C1 Chemical compound O1C2=C(C=CC=C3)C3=NC2=CC2=CNC=CC2=C1 SXGUOIIQBLBOJZ-UHFFFAOYSA-N 0.000 description 1
- CYRIUVSGQJAOAM-UHFFFAOYSA-N O1C=C2NC=CC=C2C=C2N=C(C=CC=C3)C3=C21 Chemical compound O1C=C2NC=CC=C2C=C2N=C(C=CC=C3)C3=C21 CYRIUVSGQJAOAM-UHFFFAOYSA-N 0.000 description 1
- AHLPHDHHMVZTML-UHFFFAOYSA-N Orn-delta-NH2 Natural products NCCCC(N)C(O)=O AHLPHDHHMVZTML-UHFFFAOYSA-N 0.000 description 1
- UTJLXEIPEHZYQJ-UHFFFAOYSA-N Ornithine Natural products OC(=O)C(C)CCCN UTJLXEIPEHZYQJ-UHFFFAOYSA-N 0.000 description 1
- 102000016978 Orphan receptors Human genes 0.000 description 1
- 108070000031 Orphan receptors Proteins 0.000 description 1
- WYNCHZVNFNFDNH-UHFFFAOYSA-N Oxazolidine Chemical compound C1COCN1 WYNCHZVNFNFDNH-UHFFFAOYSA-N 0.000 description 1
- 229910019142 PO4 Inorganic materials 0.000 description 1
- 239000002202 Polyethylene glycol Substances 0.000 description 1
- 239000004372 Polyvinyl alcohol Substances 0.000 description 1
- OFOBLEOULBTSOW-UHFFFAOYSA-N Propanedioic acid Natural products OC(=O)CC(O)=O OFOBLEOULBTSOW-UHFFFAOYSA-N 0.000 description 1
- 206010039966 Senile dementia Diseases 0.000 description 1
- VYPSYNLAJGMNEJ-UHFFFAOYSA-N Silicium dioxide Chemical compound O=[Si]=O VYPSYNLAJGMNEJ-UHFFFAOYSA-N 0.000 description 1
- KEAYESYHFKHZAL-UHFFFAOYSA-N Sodium Chemical compound [Na] KEAYESYHFKHZAL-UHFFFAOYSA-N 0.000 description 1
- DBMJMQXJHONAFJ-UHFFFAOYSA-M Sodium laurylsulphate Chemical compound [Na+].CCCCCCCCCCCCOS([O-])(=O)=O DBMJMQXJHONAFJ-UHFFFAOYSA-M 0.000 description 1
- KDYFGRWQOYBRFD-UHFFFAOYSA-N Succinic acid Natural products OC(=O)CCC(O)=O KDYFGRWQOYBRFD-UHFFFAOYSA-N 0.000 description 1
- LSNNMFCWUKXFEE-UHFFFAOYSA-N Sulfurous acid Chemical compound OS(O)=O LSNNMFCWUKXFEE-UHFFFAOYSA-N 0.000 description 1
- 238000006069 Suzuki reaction reaction Methods 0.000 description 1
- FEWJPZIEWOKRBE-UHFFFAOYSA-N Tartaric acid Natural products [H+].[H+].[O-]C(=O)C(O)C(O)C([O-])=O FEWJPZIEWOKRBE-UHFFFAOYSA-N 0.000 description 1
- SLGBZMMZGDRARJ-UHFFFAOYSA-N Triphenylene Natural products C1=CC=C2C3=CC=CC=C3C3=CC=CC=C3C2=C1 SLGBZMMZGDRARJ-UHFFFAOYSA-N 0.000 description 1
- 229940097692 Urotensin II receptor agonist Drugs 0.000 description 1
- 229940123731 Urotensin II receptor antagonist Drugs 0.000 description 1
- STQXSBRPBXCHLQ-UHFFFAOYSA-N [1,2,4]triazino[3,4-a]$b-carboline Chemical compound C1=CN=NC2=C3N=C(C=CC=C4)C4=C3C=CN21 STQXSBRPBXCHLQ-UHFFFAOYSA-N 0.000 description 1
- HQMSMNSXRMDZRH-UHFFFAOYSA-N [1,3]oxazino[6,5-b]carbazole Chemical compound O1C=NC=C2C=C3C4=CC=CC=C4N=C3C=C21 HQMSMNSXRMDZRH-UHFFFAOYSA-N 0.000 description 1
- NLJJQRANYCZOEJ-UHFFFAOYSA-N [1,4]thiazino[2,3-a]carbazole Chemical compound C1=CSC2=C3N=C(C=CC=C4)C4=C3C=CC2=N1 NLJJQRANYCZOEJ-UHFFFAOYSA-N 0.000 description 1
- URTSWKXHLQURTH-UHFFFAOYSA-N [1,4]thiazino[2,3-b]carbazole Chemical compound S1C=CN=C2C=C3C4=CC=CC=C4N=C3C=C21 URTSWKXHLQURTH-UHFFFAOYSA-N 0.000 description 1
- AXXSQMDMDRCQIK-UHFFFAOYSA-N [1,4]thiazino[2,3-c]carbazole Chemical compound S1C=CN=C2C3=C4C=CC=CC4=NC3=CC=C21 AXXSQMDMDRCQIK-UHFFFAOYSA-N 0.000 description 1
- FDNGYKMRSGFXIG-UHFFFAOYSA-N [1,4]thiazino[3,2-b]carbazole Chemical compound C1=CSC2=CC3=C4C=CC=CC4=NC3=CC2=N1 FDNGYKMRSGFXIG-UHFFFAOYSA-N 0.000 description 1
- IGJXLEIENDEMCX-UHFFFAOYSA-N [1,4]thiazino[3,2-c]carbazole Chemical compound C1=CSC2=C3C4=CC=CC=C4N=C3C=CC2=N1 IGJXLEIENDEMCX-UHFFFAOYSA-N 0.000 description 1
- XAKBSHICSHRJCL-UHFFFAOYSA-N [CH2]C(=O)C1=CC=CC=C1 Chemical group [CH2]C(=O)C1=CC=CC=C1 XAKBSHICSHRJCL-UHFFFAOYSA-N 0.000 description 1
- JDPAVWAQGBGGHD-UHFFFAOYSA-N aceanthrylene Chemical group C1=CC=C2C(C=CC3=CC=C4)=C3C4=CC2=C1 JDPAVWAQGBGGHD-UHFFFAOYSA-N 0.000 description 1
- SQFPKRNUGBRTAR-UHFFFAOYSA-N acephenanthrylene Chemical group C1=CC(C=C2)=C3C2=CC2=CC=CC=C2C3=C1 SQFPKRNUGBRTAR-UHFFFAOYSA-N 0.000 description 1
- DPXJVFZANSGRMM-UHFFFAOYSA-N acetic acid;2,3,4,5,6-pentahydroxyhexanal;sodium Chemical compound [Na].CC(O)=O.OCC(O)C(O)C(O)C(O)C=O DPXJVFZANSGRMM-UHFFFAOYSA-N 0.000 description 1
- 229940022698 acetylcholinesterase Drugs 0.000 description 1
- 125000000641 acridinyl group Chemical group C1(=CC=CC2=NC3=CC=CC=C3C=C12)* 0.000 description 1
- 230000009471 action Effects 0.000 description 1
- 239000005456 alcohol based solvent Substances 0.000 description 1
- 125000005236 alkanoylamino group Chemical group 0.000 description 1
- BJEPYKJPYRNKOW-UHFFFAOYSA-N alpha-hydroxysuccinic acid Natural products OC(=O)C(O)CC(O)=O BJEPYKJPYRNKOW-UHFFFAOYSA-N 0.000 description 1
- AZDRQVAHHNSJOQ-UHFFFAOYSA-N alumane Chemical class [AlH3] AZDRQVAHHNSJOQ-UHFFFAOYSA-N 0.000 description 1
- 229910000147 aluminium phosphate Inorganic materials 0.000 description 1
- 150000003863 ammonium salts Chemical class 0.000 description 1
- 239000005557 antagonist Substances 0.000 description 1
- 125000000748 anthracen-2-yl group Chemical group [H]C1=C([H])C([H])=C2C([H])=C3C([H])=C([*])C([H])=C([H])C3=C([H])C2=C1[H] 0.000 description 1
- 230000003078 antioxidant effect Effects 0.000 description 1
- ODKSFYDXXFIFQN-UHFFFAOYSA-N arginine Natural products OC(=O)C(N)CCCNC(N)=N ODKSFYDXXFIFQN-UHFFFAOYSA-N 0.000 description 1
- 125000005018 aryl alkenyl group Chemical group 0.000 description 1
- 125000005418 aryl aryl group Chemical group 0.000 description 1
- 235000010323 ascorbic acid Nutrition 0.000 description 1
- 229960005070 ascorbic acid Drugs 0.000 description 1
- 239000011668 ascorbic acid Substances 0.000 description 1
- 235000003704 aspartic acid Nutrition 0.000 description 1
- 230000008901 benefit Effects 0.000 description 1
- 229960000686 benzalkonium chloride Drugs 0.000 description 1
- JUHORIMYRDESRB-UHFFFAOYSA-N benzathine Chemical compound C=1C=CC=CC=1CNCCNCC1=CC=CC=C1 JUHORIMYRDESRB-UHFFFAOYSA-N 0.000 description 1
- SRSXLGNVWSONIS-UHFFFAOYSA-N benzenesulfonic acid Chemical compound OS(=O)(=O)C1=CC=CC=C1 SRSXLGNVWSONIS-UHFFFAOYSA-N 0.000 description 1
- 229940092714 benzenesulfonic acid Drugs 0.000 description 1
- 229960003872 benzethonium Drugs 0.000 description 1
- UREZNYTWGJKWBI-UHFFFAOYSA-M benzethonium chloride Chemical compound [Cl-].C1=CC(C(C)(C)CC(C)(C)C)=CC=C1OCCOCC[N+](C)(C)CC1=CC=CC=C1 UREZNYTWGJKWBI-UHFFFAOYSA-M 0.000 description 1
- 150000001556 benzimidazoles Chemical class 0.000 description 1
- MXMZCLLIUQEKSN-UHFFFAOYSA-N benzimidazoline Chemical compound C1=CC=C2NCNC2=C1 MXMZCLLIUQEKSN-UHFFFAOYSA-N 0.000 description 1
- QVJJKOADQUFGRN-UHFFFAOYSA-N benzo[4,5]cyclohept[1,2-b]indole Chemical compound C1=CC2=CC=CC=C2C=C2C3=CC=CC=C3N=C21 QVJJKOADQUFGRN-UHFFFAOYSA-N 0.000 description 1
- 150000008038 benzoazepines Chemical class 0.000 description 1
- 229940049706 benzodiazepine Drugs 0.000 description 1
- 150000001557 benzodiazepines Chemical class 0.000 description 1
- BNBQRQQYDMDJAH-UHFFFAOYSA-N benzodioxan Chemical compound C1=CC=C2OCCOC2=C1 BNBQRQQYDMDJAH-UHFFFAOYSA-N 0.000 description 1
- 150000007657 benzothiazepines Chemical class 0.000 description 1
- 229960002903 benzyl benzoate Drugs 0.000 description 1
- CADWTSSKOVRVJC-UHFFFAOYSA-N benzyl(dimethyl)azanium;chloride Chemical compound [Cl-].C[NH+](C)CC1=CC=CC=C1 CADWTSSKOVRVJC-UHFFFAOYSA-N 0.000 description 1
- OQFSQFPPLPISGP-UHFFFAOYSA-N beta-carboxyaspartic acid Natural products OC(=O)C(N)C(C(O)=O)C(O)=O OQFSQFPPLPISGP-UHFFFAOYSA-N 0.000 description 1
- 230000015572 biosynthetic process Effects 0.000 description 1
- KDYFGRWQOYBRFD-NUQCWPJISA-N butanedioic acid Chemical compound O[14C](=O)CC[14C](O)=O KDYFGRWQOYBRFD-NUQCWPJISA-N 0.000 description 1
- 125000004369 butenyl group Chemical group C(=CCC)* 0.000 description 1
- 125000000480 butynyl group Chemical group [*]C#CC([H])([H])C([H])([H])[H] 0.000 description 1
- 239000011575 calcium Substances 0.000 description 1
- 229910052791 calcium Inorganic materials 0.000 description 1
- 235000001465 calcium Nutrition 0.000 description 1
- 159000000007 calcium salts Chemical class 0.000 description 1
- CJZGTCYPCWQAJB-UHFFFAOYSA-L calcium stearate Chemical compound [Ca+2].CCCCCCCCCCCCCCCCCC([O-])=O.CCCCCCCCCCCCCCCCCC([O-])=O CJZGTCYPCWQAJB-UHFFFAOYSA-L 0.000 description 1
- 239000008116 calcium stearate Substances 0.000 description 1
- 235000013539 calcium stearate Nutrition 0.000 description 1
- 239000002775 capsule Substances 0.000 description 1
- 229920003123 carboxymethyl cellulose sodium Polymers 0.000 description 1
- 125000002057 carboxymethyl group Chemical group [H]OC(=O)C([H])([H])[*] 0.000 description 1
- 229940063834 carboxymethylcellulose sodium Drugs 0.000 description 1
- 239000000969 carrier Substances 0.000 description 1
- 239000003054 catalyst Substances 0.000 description 1
- 210000000170 cell membrane Anatomy 0.000 description 1
- 229960004926 chlorobutanol Drugs 0.000 description 1
- 125000004218 chloromethyl group Chemical group [H]C([H])(Cl)* 0.000 description 1
- 235000012000 cholesterol Nutrition 0.000 description 1
- 238000004587 chromatography analysis Methods 0.000 description 1
- ILSFFUVCSNZZMB-UHFFFAOYSA-N chromeno[2,3-b]indole Chemical compound C1=CC=C2C=C3C4=CC=CC=C4N=C3OC2=C1 ILSFFUVCSNZZMB-UHFFFAOYSA-N 0.000 description 1
- WTMOCCDXEWRLPM-UHFFFAOYSA-N chromeno[3,2-b]indole Chemical compound N1=C2C=C3C=CC=C[C]3O[C]2C2=C1C=CC=C2 WTMOCCDXEWRLPM-UHFFFAOYSA-N 0.000 description 1
- GEXMYRSNXSVTCT-UHFFFAOYSA-N chromeno[3,4-b]indole Chemical compound C1=CC=C2C3=C4C=CC=CC4=NC3=COC2=C1 GEXMYRSNXSVTCT-UHFFFAOYSA-N 0.000 description 1
- KRLBKAYYJSNNKC-UHFFFAOYSA-N chromeno[4,3-b]indole Chemical compound C1=CC=C2C3=NC4=CC=CC=C4C3=COC2=C1 KRLBKAYYJSNNKC-UHFFFAOYSA-N 0.000 description 1
- 125000000490 cinnamyl group Chemical group C(C=CC1=CC=CC=C1)* 0.000 description 1
- HMDOQWBUBQMLLM-UHFFFAOYSA-N cinnoline;isoquinoline Chemical compound C1=NC=CC2=CC=CC=C21.N1=NC=CC2=CC=CC=C21 HMDOQWBUBQMLLM-UHFFFAOYSA-N 0.000 description 1
- 239000008119 colloidal silica Substances 0.000 description 1
- 239000003086 colorant Substances 0.000 description 1
- 229940125904 compound 1 Drugs 0.000 description 1
- 229940125782 compound 2 Drugs 0.000 description 1
- 238000006482 condensation reaction Methods 0.000 description 1
- 235000005687 corn oil Nutrition 0.000 description 1
- 239000002285 corn oil Substances 0.000 description 1
- 230000008878 coupling Effects 0.000 description 1
- 238000010168 coupling process Methods 0.000 description 1
- 238000005859 coupling reaction Methods 0.000 description 1
- 150000003983 crown ethers Chemical class 0.000 description 1
- 238000002425 crystallisation Methods 0.000 description 1
- 230000008025 crystallization Effects 0.000 description 1
- VAFQHSCSNQDCSP-UHFFFAOYSA-N ctk1a6674 Chemical compound C1=CC2=CC=CC=C2C2=NC3=CC=CC=C3C2=C1 VAFQHSCSNQDCSP-UHFFFAOYSA-N 0.000 description 1
- 125000006637 cyclobutyl carbonyl group Chemical group 0.000 description 1
- 125000004850 cyclobutylmethyl group Chemical group C1(CCC1)C* 0.000 description 1
- ZXIJMRYMVAMXQP-UHFFFAOYSA-N cycloheptene Chemical compound C1CCC=CCC1 ZXIJMRYMVAMXQP-UHFFFAOYSA-N 0.000 description 1
- 125000006622 cycloheptylmethyl group Chemical group 0.000 description 1
- UVJHQYIOXKWHFD-UHFFFAOYSA-N cyclohexa-1,4-diene Chemical compound C1C=CCC=C1 UVJHQYIOXKWHFD-UHFFFAOYSA-N 0.000 description 1
- 125000006639 cyclohexyl carbonyl group Chemical group 0.000 description 1
- 239000004914 cyclooctane Substances 0.000 description 1
- 125000000640 cyclooctyl group Chemical group [H]C1([H])C([H])([H])C([H])([H])C([H])([H])C([H])(*)C([H])([H])C([H])([H])C1([H])[H] 0.000 description 1
- CSKRIMXTGTXVEA-UHFFFAOYSA-N cyclopenta[a]carbazole Chemical compound N1=C2C=CC=CC2=C2C1=C1C=CC=C1C=C2 CSKRIMXTGTXVEA-UHFFFAOYSA-N 0.000 description 1
- NNUPFCCNHWCOQP-UHFFFAOYSA-N cyclopenta[c]carbazole Chemical compound C12=CC=CC=C2N=C2C1=C1C=CC=C1C=C2 NNUPFCCNHWCOQP-UHFFFAOYSA-N 0.000 description 1
- ZSWFCLXCOIISFI-UHFFFAOYSA-N cyclopentadiene Chemical compound C1C=CC=C1 ZSWFCLXCOIISFI-UHFFFAOYSA-N 0.000 description 1
- 125000006638 cyclopentyl carbonyl group Chemical group 0.000 description 1
- 125000006255 cyclopropyl carbonyl group Chemical group [H]C1([H])C([H])([H])C1([H])C(*)=O 0.000 description 1
- 235000019258 dehydroacetic acid Nutrition 0.000 description 1
- JEQRBTDTEKWZBW-UHFFFAOYSA-N dehydroacetic acid Chemical compound CC(=O)C1=C(O)OC(C)=CC1=O JEQRBTDTEKWZBW-UHFFFAOYSA-N 0.000 description 1
- 229940061632 dehydroacetic acid Drugs 0.000 description 1
- PGRHXDWITVMQBC-UHFFFAOYSA-N dehydroacetic acid Natural products CC(=O)C1C(=O)OC(C)=CC1=O PGRHXDWITVMQBC-UHFFFAOYSA-N 0.000 description 1
- 230000008021 deposition Effects 0.000 description 1
- 238000013461 design Methods 0.000 description 1
- 238000011161 development Methods 0.000 description 1
- FYGDTMLNYKFZSV-MRCIVHHJSA-N dextrin Chemical compound O[C@@H]1[C@@H](O)[C@H](O)[C@@H](CO)OC1O[C@@H]1[C@@H](CO)OC(O[C@@H]2[C@H](O[C@H](O)[C@H](O)[C@H]2O)CO)[C@H](O)[C@H]1O FYGDTMLNYKFZSV-MRCIVHHJSA-N 0.000 description 1
- ZBCBWPMODOFKDW-UHFFFAOYSA-N diethanolamine Chemical compound OCCNCCO ZBCBWPMODOFKDW-UHFFFAOYSA-N 0.000 description 1
- 125000001028 difluoromethyl group Chemical group [H]C(F)(F)* 0.000 description 1
- 125000006263 dimethyl aminosulfonyl group Chemical group [H]C([H])([H])N(C([H])([H])[H])S(*)(=O)=O 0.000 description 1
- 125000002147 dimethylamino group Chemical group [H]C([H])([H])N(*)C([H])([H])[H] 0.000 description 1
- 125000006222 dimethylaminomethyl group Chemical group [H]C([H])([H])N(C([H])([H])[H])C([H])([H])* 0.000 description 1
- 239000002552 dosage form Substances 0.000 description 1
- 230000000694 effects Effects 0.000 description 1
- ZUBDGKVDJUIMQQ-UBFCDGJISA-N endothelin-1 Chemical compound C([C@@H](C(=O)N[C@@H](CC(C)C)C(=O)N[C@@H](CC(O)=O)C(=O)N[C@@H]([C@@H](C)CC)C(=O)N[C@@H]([C@@H](C)CC)C(=O)N[C@@H](CC=1C2=CC=CC=C2NC=1)C(O)=O)NC(=O)[C@H]1NC(=O)[C@H](CC=2C=CC=CC=2)NC(=O)[C@@H](CC=2C=CC(O)=CC=2)NC(=O)[C@H](C(C)C)NC(=O)[C@H]2CSSC[C@@H](C(N[C@H](CO)C(=O)N[C@@H](CO)C(=O)N[C@H](CC(C)C)C(=O)N[C@@H](CCSC)C(=O)N[C@H](CC(O)=O)C(=O)N[C@@H](CCCCN)C(=O)N[C@@H](CCC(O)=O)C(=O)N2)=O)NC(=O)[C@@H](CO)NC(=O)[C@H](N)CSSC1)C1=CNC=N1 ZUBDGKVDJUIMQQ-UBFCDGJISA-N 0.000 description 1
- BEFDCLMNVWHSGT-UHFFFAOYSA-N ethenylcyclopentane Chemical compound C=CC1CCCC1 BEFDCLMNVWHSGT-UHFFFAOYSA-N 0.000 description 1
- 239000000796 flavoring agent Substances 0.000 description 1
- 235000013355 food flavoring agent Nutrition 0.000 description 1
- 235000019253 formic acid Nutrition 0.000 description 1
- 239000001530 fumaric acid Substances 0.000 description 1
- 235000011087 fumaric acid Nutrition 0.000 description 1
- 125000000524 functional group Chemical group 0.000 description 1
- 239000004220 glutamic acid Substances 0.000 description 1
- 235000013922 glutamic acid Nutrition 0.000 description 1
- 235000011187 glycerol Nutrition 0.000 description 1
- 239000008187 granular material Substances 0.000 description 1
- 235000019447 hydroxyethyl cellulose Nutrition 0.000 description 1
- 229940071826 hydroxyethyl cellulose Drugs 0.000 description 1
- 229920003063 hydroxymethyl cellulose Polymers 0.000 description 1
- 229940031574 hydroxymethyl cellulose Drugs 0.000 description 1
- 239000001866 hydroxypropyl methyl cellulose Substances 0.000 description 1
- 235000010979 hydroxypropyl methyl cellulose Nutrition 0.000 description 1
- 229920003088 hydroxypropyl methyl cellulose Polymers 0.000 description 1
- 229940071676 hydroxypropylcellulose Drugs 0.000 description 1
- QWSKVXTZLWLEHP-UHFFFAOYSA-N imidazo[4,5-a]carbazole Chemical group N1=C2C=CC=CC2=C2C1=C1N=CN=C1C=C2 QWSKVXTZLWLEHP-UHFFFAOYSA-N 0.000 description 1
- GIAAZEMAROGNHH-UHFFFAOYSA-N imidazo[4,5-c]carbazole Chemical group C12=CC=CC=C2N=C2C1=C1N=CN=C1C=C2 GIAAZEMAROGNHH-UHFFFAOYSA-N 0.000 description 1
- 238000001727 in vivo Methods 0.000 description 1
- XOERMEAUYMRNNZ-UHFFFAOYSA-N indeno[1,2-a]indene Chemical compound C12=CC=CC=C2C=C2C1=C1C=CC=CC1=C2 XOERMEAUYMRNNZ-UHFFFAOYSA-N 0.000 description 1
- DOZCTPAUYJQGBD-UHFFFAOYSA-N indeno[1,2-b]indole Chemical compound C1=CC=C2C=C3C4=CC=CC=C4N=C3C2=C1 DOZCTPAUYJQGBD-UHFFFAOYSA-N 0.000 description 1
- BSPJVRORVHKCQW-UHFFFAOYSA-N indeno[2,1-b]indole Chemical compound C1=CC=C2C3=C4C=CC=CC4=CC3=NC2=C1 BSPJVRORVHKCQW-UHFFFAOYSA-N 0.000 description 1
- KPYKFQNTASVHIG-UHFFFAOYSA-N indolizine Chemical compound C1=CC=CC2=C=C[CH]N21 KPYKFQNTASVHIG-UHFFFAOYSA-N 0.000 description 1
- UUSAUGXNXIRIAZ-UHFFFAOYSA-N indolo[1,2-a][1,8]naphthyridine Chemical group C1=CC=N[C]2N3[C]4C=CC=CC4=CC3=CC=C21 UUSAUGXNXIRIAZ-UHFFFAOYSA-N 0.000 description 1
- IEMLMKXQMBUIKP-UHFFFAOYSA-N indolo[1,2-a]quinazoline Chemical group C1=CC=C[C]2N3[C]4C=CC=CC4=CC3=NC=C21 IEMLMKXQMBUIKP-UHFFFAOYSA-N 0.000 description 1
- DQOGQFCYCWNXAT-UHFFFAOYSA-N indolo[1,2-a]quinoline Chemical group C1=CC=C[C]2N3[C]4C=CC=CC4=CC3=CC=C21 DQOGQFCYCWNXAT-UHFFFAOYSA-N 0.000 description 1
- KDJOTUHTURUWBL-UHFFFAOYSA-N indolo[1,2-a]quinoxaline Chemical group C1=CC=C[C]2N3[C]4C=CC=CC4=CC3=CN=C21 KDJOTUHTURUWBL-UHFFFAOYSA-N 0.000 description 1
- JETHRXBPUVWRTA-UHFFFAOYSA-N indolo[1,2-b][2,6]naphthyridine Chemical group C1=CN=CC2=CC3=CC4=CC=CC=C4N3C=C21 JETHRXBPUVWRTA-UHFFFAOYSA-N 0.000 description 1
- FCZKMMWVSHHJRI-UHFFFAOYSA-N indolo[1,2-b][2,7]naphthyridine Chemical group C1=NC=CC2=CC3=CC4=CC=CC=C4N3C=C21 FCZKMMWVSHHJRI-UHFFFAOYSA-N 0.000 description 1
- IGGPKGVXHMNIDG-UHFFFAOYSA-N indolo[1,2-b]cinnoline Chemical group C1=CC=CC2=CC3=CC4=CC=CC=C4N3N=C21 IGGPKGVXHMNIDG-UHFFFAOYSA-N 0.000 description 1
- CHUDPZHIPMAJFR-UHFFFAOYSA-N indolo[1,2-b]isoquinoline Chemical group C1=CC=CC2=CC3=CC4=CC=CC=C4N3C=C21 CHUDPZHIPMAJFR-UHFFFAOYSA-N 0.000 description 1
- CGCYNUCJTZKIJR-UHFFFAOYSA-N indolo[1,2-c]quinazoline Chemical group N12C=NC3=CC=C[CH]C3=C2C=C2[C]1C=CC=C2 CGCYNUCJTZKIJR-UHFFFAOYSA-N 0.000 description 1
- VVGIUDWGICPXBV-UHFFFAOYSA-N indolo[1,2-h][1,7]naphthyridine Chemical group N12C=CC3=CC=C[N]C3=C2C=C2[C]1C=CC=C2 VVGIUDWGICPXBV-UHFFFAOYSA-N 0.000 description 1
- DXBBLKVCWDOKDH-UHFFFAOYSA-N indolo[1,7-ab][1]benzazepine Chemical compound C1=CC2=CC=CC=C2N2C=CC3=C2C1=CC=C3 DXBBLKVCWDOKDH-UHFFFAOYSA-N 0.000 description 1
- NHJPXGYCHHDLDD-UHFFFAOYSA-N indolo[2,1-a]isoquinoline Chemical group N12C=CC3=CC=C[CH]C3=C2C=C2[C]1C=CC=C2 NHJPXGYCHHDLDD-UHFFFAOYSA-N 0.000 description 1
- BJMBBTAKKFHZSQ-UHFFFAOYSA-N indolo[2,1-b]quinazoline Chemical group C1=CC=CC2=NC3=CC4=CC=CC=C4N3C=C21 BJMBBTAKKFHZSQ-UHFFFAOYSA-N 0.000 description 1
- UIRZHJOYSXPTHG-UHFFFAOYSA-N indolo[2,3-a][3]benzazepine Chemical compound C1=CC2=CC=CC=C2C2=NC3=CC=CC=C3C2=N1 UIRZHJOYSXPTHG-UHFFFAOYSA-N 0.000 description 1
- KRZOXDTVZQLISV-UHFFFAOYSA-N indolo[2,3-b][1,4]benzothiazine Chemical compound C1=CC=C2N=C3C4=CC=CC=C4N=C3SC2=C1 KRZOXDTVZQLISV-UHFFFAOYSA-N 0.000 description 1
- NWKZJCUROCEHBE-UHFFFAOYSA-N indolo[2,3-b][1,5]benzodiazepine Chemical compound N1=C2C=CC=CC2=NC=C2C3=CC=CC=C3N=C21 NWKZJCUROCEHBE-UHFFFAOYSA-N 0.000 description 1
- BVMWPQXYIQXFHP-UHFFFAOYSA-N indolo[2,3-b]indole Chemical compound C1=CC=CC2=NC3=NC4=CC=CC=C4C3=C21 BVMWPQXYIQXFHP-UHFFFAOYSA-N 0.000 description 1
- JETKCJWUQPMQGR-UHFFFAOYSA-N indolo[3,2-b][1,4]benzodiazepine Chemical compound N1=CC2=CC=CC=C2N=C2C3=CC=CC=C3N=C21 JETKCJWUQPMQGR-UHFFFAOYSA-N 0.000 description 1
- NBLKNTZJCCCVFY-UHFFFAOYSA-N indolo[3,2-b][1,4]benzothiazine Chemical compound N1=C2N=C3C=CC=C[C]3S[C]2C2=C1C=CC=C2 NBLKNTZJCCCVFY-UHFFFAOYSA-N 0.000 description 1
- ITSCOGGILDDVCE-UHFFFAOYSA-N indolo[3,2-b][1,4]benzoxazine Chemical compound N1=C2N=C3C=CC=C[C]3O[C]2C2=C1C=CC=C2 ITSCOGGILDDVCE-UHFFFAOYSA-N 0.000 description 1
- JXXZUFLGZLRXSB-UHFFFAOYSA-N indolo[3,2-b][1,5]benzodiazepine Chemical compound C1=NC2=CC=CC=C2N=C2C3=CC=CC=C3N=C21 JXXZUFLGZLRXSB-UHFFFAOYSA-N 0.000 description 1
- KOTZUVKXHGNTNO-UHFFFAOYSA-N indolo[3,2-b]indole Chemical compound N1=C2C=CC=CC2=C2C1=C1C=CC=CC1=N2 KOTZUVKXHGNTNO-UHFFFAOYSA-N 0.000 description 1
- UEFVFNFCRPDLKO-UHFFFAOYSA-N indolo[3,2-c][2,1]benzothiazine Chemical compound C1=CC=CC2=C3N=C(C=CC=C4)C4=C3SN=C21 UEFVFNFCRPDLKO-UHFFFAOYSA-N 0.000 description 1
- NCYSOLIXIKNXKZ-UHFFFAOYSA-N indolo[3,2-d][1,3]benzodiazepine Chemical compound C1=NC2=CC=CC=C2C2=NC3=CC=CC=C3C2=N1 NCYSOLIXIKNXKZ-UHFFFAOYSA-N 0.000 description 1
- GCQHBQAPXPYGMK-UHFFFAOYSA-N indolo[3,2-d][2,3]benzodiazepine Chemical compound N1=CC2=CC=CC=C2C2=NC3=CC=CC=C3C2=N1 GCQHBQAPXPYGMK-UHFFFAOYSA-N 0.000 description 1
- 125000001041 indolyl group Chemical group 0.000 description 1
- 230000006698 induction Effects 0.000 description 1
- 239000011630 iodine Substances 0.000 description 1
- 229910052740 iodine Inorganic materials 0.000 description 1
- 125000005929 isobutyloxycarbonyl group Chemical group [H]C([H])([H])C([H])(C([H])([H])[H])C([H])([H])OC(*)=O 0.000 description 1
- NZYOAECINVVQAS-UHFFFAOYSA-N isochromeno[4,3-b]indole Chemical compound C1=CC=CC2=C3N=C(C=CC=C4)C4=C3OC=C21 NZYOAECINVVQAS-UHFFFAOYSA-N 0.000 description 1
- GWVMLCQWXVFZCN-UHFFFAOYSA-N isoindoline Chemical compound C1=CC=C2CNCC2=C1 GWVMLCQWXVFZCN-UHFFFAOYSA-N 0.000 description 1
- QCZBWAQLNHTIHB-UHFFFAOYSA-N isoindolo[1,2-a]isoquinoline Chemical compound C1=CC=C2C=CN3C=C(C=CC=C4)C4=C3C2=C1 QCZBWAQLNHTIHB-UHFFFAOYSA-N 0.000 description 1
- DDKRADPPCPSYOT-UHFFFAOYSA-N isoindolo[2,1-a]quinazoline Chemical compound C1=CC=C2N3C=C(C=CC=C4)C4=C3N=CC2=C1 DDKRADPPCPSYOT-UHFFFAOYSA-N 0.000 description 1
- XYMZECMKJWVKOZ-UHFFFAOYSA-N isoindolo[2,1-a]quinoline Chemical compound C1=CC=C2N3C=C(C=CC=C4)C4=C3C=CC2=C1 XYMZECMKJWVKOZ-UHFFFAOYSA-N 0.000 description 1
- GQEVCAMBBZKPFN-UHFFFAOYSA-N isoindolo[2,1-a]quinoxaline Chemical compound C1=CC=C2N3C=C(C=CC=C4)C4=C3C=NC2=C1 GQEVCAMBBZKPFN-UHFFFAOYSA-N 0.000 description 1
- WPRCDVLAIYXLBJ-UHFFFAOYSA-N isoindolo[2,1-b]isoquinoline Chemical compound C1=CC=CC2=CN3C=C(C=CC=C4)C4=C3C=C21 WPRCDVLAIYXLBJ-UHFFFAOYSA-N 0.000 description 1
- 125000000904 isoindolyl group Chemical group C=1(NC=C2C=CC=CC12)* 0.000 description 1
- 125000000555 isopropenyl group Chemical group [H]\C([H])=C(\*)C([H])([H])[H] 0.000 description 1
- SAFPQVZCYNOHJA-UHFFFAOYSA-N isothiochromeno[4,3-b]indole Chemical compound C1=CC=CC2=C3N=C(C=CC=C4)C4=C3SC=C21 SAFPQVZCYNOHJA-UHFFFAOYSA-N 0.000 description 1
- 239000008101 lactose Substances 0.000 description 1
- 239000000787 lecithin Substances 0.000 description 1
- 235000010445 lecithin Nutrition 0.000 description 1
- 229940067606 lecithin Drugs 0.000 description 1
- 239000003446 ligand Substances 0.000 description 1
- 229910052744 lithium Inorganic materials 0.000 description 1
- 229960003511 macrogol Drugs 0.000 description 1
- 159000000003 magnesium salts Chemical class 0.000 description 1
- 235000019359 magnesium stearate Nutrition 0.000 description 1
- VZCYOOQTPOCHFL-UPHRSURJSA-N maleic acid Chemical compound OC(=O)\C=C/C(O)=O VZCYOOQTPOCHFL-UPHRSURJSA-N 0.000 description 1
- 239000011976 maleic acid Substances 0.000 description 1
- 239000001630 malic acid Substances 0.000 description 1
- 235000011090 malic acid Nutrition 0.000 description 1
- 239000000463 material Substances 0.000 description 1
- 230000001404 mediated effect Effects 0.000 description 1
- WVJKHCGMRZGIJH-UHFFFAOYSA-N methanetriamine Chemical compound NC(N)N WVJKHCGMRZGIJH-UHFFFAOYSA-N 0.000 description 1
- 125000006261 methyl amino sulfonyl group Chemical group [H]N(C([H])([H])[H])S(*)(=O)=O 0.000 description 1
- 229920000609 methyl cellulose Polymers 0.000 description 1
- 239000001923 methylcellulose Substances 0.000 description 1
- 235000010981 methylcellulose Nutrition 0.000 description 1
- 229960002900 methylcellulose Drugs 0.000 description 1
- 125000005146 naphthylsulfonyl group Chemical group C1(=CC=CC2=CC=CC=C12)S(=O)(=O)* 0.000 description 1
- 229910017604 nitric acid Inorganic materials 0.000 description 1
- 230000003287 optical effect Effects 0.000 description 1
- 229960003104 ornithine Drugs 0.000 description 1
- 235000006408 oxalic acid Nutrition 0.000 description 1
- YJVFFLUZDVXJQI-UHFFFAOYSA-L palladium(ii) acetate Chemical compound [Pd+2].CC([O-])=O.CC([O-])=O YJVFFLUZDVXJQI-UHFFFAOYSA-L 0.000 description 1
- 208000019906 panic disease Diseases 0.000 description 1
- 238000007911 parenteral administration Methods 0.000 description 1
- 239000000813 peptide hormone Substances 0.000 description 1
- CYURWISSTMZTEA-UHFFFAOYSA-N phenaleno[1,2-b]pyrrole Chemical compound C1=CC(C=2C(C=CN=2)=C2)=C3C2=CC=CC3=C1 CYURWISSTMZTEA-UHFFFAOYSA-N 0.000 description 1
- KWIXZEJHQHEQQK-UHFFFAOYSA-N phenaleno[2,1-b]pyrrole Chemical compound C1=CC(C=2C(N=CC=2)=C2)=C3C2=CC=CC3=C1 KWIXZEJHQHEQQK-UHFFFAOYSA-N 0.000 description 1
- HKOOXMFOFWEVGF-UHFFFAOYSA-N phenylhydrazine Chemical compound NNC1=CC=CC=C1 HKOOXMFOFWEVGF-UHFFFAOYSA-N 0.000 description 1
- 229940067157 phenylhydrazine Drugs 0.000 description 1
- NBIIXXVUZAFLBC-UHFFFAOYSA-K phosphate Chemical compound [O-]P([O-])([O-])=O NBIIXXVUZAFLBC-UHFFFAOYSA-K 0.000 description 1
- 239000010452 phosphate Substances 0.000 description 1
- 125000001476 phosphono group Chemical group [H]OP(*)(=O)O[H] 0.000 description 1
- 125000005633 phthalidyl group Chemical group 0.000 description 1
- 125000000612 phthaloyl group Chemical group C(C=1C(C(=O)*)=CC=CC1)(=O)* 0.000 description 1
- 125000004482 piperidin-4-yl group Chemical group N1CCC(CC1)* 0.000 description 1
- 125000003386 piperidinyl group Chemical group 0.000 description 1
- DIJNSQQKNIVDPV-UHFFFAOYSA-N pleiadene Chemical compound C1=C2[CH]C=CC=C2C=C2C=CC=C3[C]2C1=CC=C3 DIJNSQQKNIVDPV-UHFFFAOYSA-N 0.000 description 1
- 229920001223 polyethylene glycol Polymers 0.000 description 1
- 229920001451 polypropylene glycol Polymers 0.000 description 1
- 229920002451 polyvinyl alcohol Polymers 0.000 description 1
- 235000019422 polyvinyl alcohol Nutrition 0.000 description 1
- XAEFZNCEHLXOMS-UHFFFAOYSA-M potassium benzoate Chemical compound [K+].[O-]C(=O)C1=CC=CC=C1 XAEFZNCEHLXOMS-UHFFFAOYSA-M 0.000 description 1
- NTTOTNSKUYCDAV-UHFFFAOYSA-N potassium hydride Chemical compound [KH] NTTOTNSKUYCDAV-UHFFFAOYSA-N 0.000 description 1
- 229910000105 potassium hydride Inorganic materials 0.000 description 1
- 230000003389 potentiating effect Effects 0.000 description 1
- 239000000843 powder Substances 0.000 description 1
- 230000002335 preservative effect Effects 0.000 description 1
- 235000018102 proteins Nutrition 0.000 description 1
- 102000004169 proteins and genes Human genes 0.000 description 1
- 108090000623 proteins and genes Proteins 0.000 description 1
- WSGZNOJDIGUUBC-UHFFFAOYSA-N pyrano[2,3-a]carbazole Chemical compound C1=COC2=C3N=C(C=CC=C4)C4=C3C=CC2=C1 WSGZNOJDIGUUBC-UHFFFAOYSA-N 0.000 description 1
- MVKFHOCXOPQVFR-UHFFFAOYSA-N pyrano[2,3-b]carbazole Chemical compound O1C=CC=C2C=C3C4=CC=CC=C4N=C3C=C21 MVKFHOCXOPQVFR-UHFFFAOYSA-N 0.000 description 1
- RKVCWCQSOXBANS-UHFFFAOYSA-N pyrano[2,3-c]carbazole Chemical compound O1C=CC=C2C3=C4C=CC=CC4=NC3=CC=C21 RKVCWCQSOXBANS-UHFFFAOYSA-N 0.000 description 1
- LZMMZBXPCWKECN-UHFFFAOYSA-N pyrano[3,2-a]carbazole Chemical compound O1C=CC=C2C3=NC4=CC=CC=C4C3=CC=C21 LZMMZBXPCWKECN-UHFFFAOYSA-N 0.000 description 1
- IQSUTEHPXMCFMI-UHFFFAOYSA-N pyrano[3,2-c]carbazole Chemical compound C1=COC2=C3C4=CC=CC=C4N=C3C=CC2=C1 IQSUTEHPXMCFMI-UHFFFAOYSA-N 0.000 description 1
- LDUMAGURRFDVGH-UHFFFAOYSA-N pyrano[3,4-a]carbazole Chemical compound C1=COC=C2C3=NC4=CC=CC=C4C3=CC=C21 LDUMAGURRFDVGH-UHFFFAOYSA-N 0.000 description 1
- JPOWHQHCOVQQQF-UHFFFAOYSA-N pyrano[3,4-c]$b-carboline Chemical compound O1C=CC2=C3C4=CC=CC=C4N=C3C=NC2=C1 JPOWHQHCOVQQQF-UHFFFAOYSA-N 0.000 description 1
- 125000004309 pyranyl group Chemical group O1C(C=CC=C1)* 0.000 description 1
- IJDZCGHECLFRDH-UHFFFAOYSA-N pyrazino[2,1-a]$b-carboline Chemical compound C1=CN=CC2=C3N=C(C=CC=C4)C4=C3C=CN21 IJDZCGHECLFRDH-UHFFFAOYSA-N 0.000 description 1
- DXJFIZNXYSLROX-UHFFFAOYSA-N pyrazolo[3,4-c]carbazole Chemical group C1=CC=C2C3=C4C=NN=C4C=CC3=NC2=C1 DXJFIZNXYSLROX-UHFFFAOYSA-N 0.000 description 1
- HWQAREWPJPBYRJ-UHFFFAOYSA-N pyrido[1',2':1,2]imidazo[4,5-b]quinoxaline Chemical compound C1=CC=C2N=C3N4C=CC=CC4=NC3=NC2=C1 HWQAREWPJPBYRJ-UHFFFAOYSA-N 0.000 description 1
- 125000005400 pyridylcarbonyl group Chemical group N1=C(C=CC=C1)C(=O)* 0.000 description 1
- IIJWHQIXRHUHNS-UHFFFAOYSA-N pyrimido[1,2-b]$b-carboline Chemical compound C1=CC=NC2=CC3=C4C=CC=CC4=NC3=CN21 IIJWHQIXRHUHNS-UHFFFAOYSA-N 0.000 description 1
- YEYGWHZXSZQFMD-UHFFFAOYSA-N pyrimido[2,1-a]$b-carboline Chemical compound C1=CC=NC2=C3N=C(C=CC=C4)C4=C3C=CN21 YEYGWHZXSZQFMD-UHFFFAOYSA-N 0.000 description 1
- 125000002112 pyrrolidino group Chemical group [*]N1C([H])([H])C([H])([H])C([H])([H])C1([H])[H] 0.000 description 1
- QKYLZESNWDGRJB-UHFFFAOYSA-N pyrrolo[2,3-a]carbazole Chemical compound C12=CC=CC=C2N=C2C1=CC=C1C=CN=C12 QKYLZESNWDGRJB-UHFFFAOYSA-N 0.000 description 1
- QZZPTHGQKHGPJN-UHFFFAOYSA-N pyrrolo[2,3-b]carbazole Chemical compound C1=CC=C2C3=CC4=CC=NC4=CC3=NC2=C1 QZZPTHGQKHGPJN-UHFFFAOYSA-N 0.000 description 1
- XADKHXAULAREPM-UHFFFAOYSA-N pyrrolo[2,3-c]carbazole Chemical compound C12=CC=CC=C2N=C2C1=C1C=CN=C1C=C2 XADKHXAULAREPM-UHFFFAOYSA-N 0.000 description 1
- ZXLIDSBHMPQENO-UHFFFAOYSA-N pyrrolo[3,2,1-jk]carbazole Chemical group C12=CC=CC=C2C2=CC=CC3=C2N1C=C3 ZXLIDSBHMPQENO-UHFFFAOYSA-N 0.000 description 1
- QNMMYUBZGLXCCK-UHFFFAOYSA-N pyrrolo[3,2-a]carbazole Chemical compound N1=C2C=CC=CC2=C2C1=C1C=CN=C1C=C2 QNMMYUBZGLXCCK-UHFFFAOYSA-N 0.000 description 1
- GNPYCICLAJBJIL-UHFFFAOYSA-N pyrrolo[3,2-b]carbazole Chemical compound C1=CC=C2C3=CC4=NC=CC4=CC3=NC2=C1 GNPYCICLAJBJIL-UHFFFAOYSA-N 0.000 description 1
- KRLLUZSLSSIQKH-UHFFFAOYSA-N pyrrolo[3,2-c]carbazole Chemical compound C12=CC=CC=C2N=C2C1=C1N=CC=C1C=C2 KRLLUZSLSSIQKH-UHFFFAOYSA-N 0.000 description 1
- DQGPJNIANPZLQC-UHFFFAOYSA-N pyrrolo[3,4-a]carbazole Chemical compound C1=CC=C2N=C3C4=CN=CC4=CC=C3C2=C1 DQGPJNIANPZLQC-UHFFFAOYSA-N 0.000 description 1
- RDGUHJHKUMOOKN-UHFFFAOYSA-N pyrrolo[3,4-b]carbazole Chemical compound C12=CC=CC=C2N=C2C1=CC1=CN=CC1=C2 RDGUHJHKUMOOKN-UHFFFAOYSA-N 0.000 description 1
- GAAWKLUURLVNGE-UHFFFAOYSA-N pyrrolo[3,4-c]carbazole Chemical compound C1=CC=C2C3=C4C=NC=C4C=CC3=NC2=C1 GAAWKLUURLVNGE-UHFFFAOYSA-N 0.000 description 1
- 125000000168 pyrrolyl group Chemical group 0.000 description 1
- 150000003242 quaternary ammonium salts Chemical class 0.000 description 1
- 102000005962 receptors Human genes 0.000 description 1
- 108020003175 receptors Proteins 0.000 description 1
- 238000001953 recrystallisation Methods 0.000 description 1
- 230000009467 reduction Effects 0.000 description 1
- 238000006722 reduction reaction Methods 0.000 description 1
- 230000002829 reductive effect Effects 0.000 description 1
- 238000007363 ring formation reaction Methods 0.000 description 1
- 239000008159 sesame oil Substances 0.000 description 1
- 235000011803 sesame oil Nutrition 0.000 description 1
- RMAQACBXLXPBSY-UHFFFAOYSA-N silicic acid Chemical compound O[Si](O)(O)O RMAQACBXLXPBSY-UHFFFAOYSA-N 0.000 description 1
- 235000012239 silicon dioxide Nutrition 0.000 description 1
- 239000011780 sodium chloride Substances 0.000 description 1
- 239000001509 sodium citrate Substances 0.000 description 1
- NLJMYIDDQXHKNR-UHFFFAOYSA-K sodium citrate Chemical compound O.O.[Na+].[Na+].[Na+].[O-]C(=O)CC(O)(CC([O-])=O)C([O-])=O NLJMYIDDQXHKNR-UHFFFAOYSA-K 0.000 description 1
- 239000012312 sodium hydride Substances 0.000 description 1
- 229910000104 sodium hydride Inorganic materials 0.000 description 1
- 235000019333 sodium laurylsulphate Nutrition 0.000 description 1
- 159000000000 sodium salts Chemical class 0.000 description 1
- JPKGFFGBWAIVAV-UHFFFAOYSA-M sodium;n-methylcarbamothioate Chemical compound [Na+].CNC([O-])=S JPKGFFGBWAIVAV-UHFFFAOYSA-M 0.000 description 1
- 238000000638 solvent extraction Methods 0.000 description 1
- 239000004334 sorbic acid Substances 0.000 description 1
- 235000010199 sorbic acid Nutrition 0.000 description 1
- 229940075582 sorbic acid Drugs 0.000 description 1
- JAQBCYOJNPUODO-UHFFFAOYSA-N spiro[1-azatricyclo[6.3.1.04,12]dodeca-2,4(12),5,7,10-pentaene-9,1'-cycloheptane] Chemical compound C1CCCCCC21C(C=CC=C1C=C3)=C1N3C=C2 JAQBCYOJNPUODO-UHFFFAOYSA-N 0.000 description 1
- UHCJQIDAATYGLB-UHFFFAOYSA-N spiro[1-azatricyclo[6.3.1.04,12]dodeca-2,4(12),5,7,10-pentaene-9,1'-cyclohexane] Chemical compound C1CCCCC21C(C=CC=C1C=C3)=C1N3C=C2 UHCJQIDAATYGLB-UHFFFAOYSA-N 0.000 description 1
- KGZRKVFRLTUSIG-UHFFFAOYSA-N spiro[carbazole-1,1'-cyclohexane] Chemical compound C1CCCCC21C1=NC3=CC=CC=C3C1=CC=C2 KGZRKVFRLTUSIG-UHFFFAOYSA-N 0.000 description 1
- VXUUVFFBTFJEFT-UHFFFAOYSA-N spiro[carbazole-2,1'-cyclohexane] Chemical compound C1CCCCC21C=C1N=C3C=CC=CC3=C1C=C2 VXUUVFFBTFJEFT-UHFFFAOYSA-N 0.000 description 1
- BPARTPJYPWQSFG-UHFFFAOYSA-N spiro[carbazole-3,1'-cyclohexane] Chemical compound C1CCCCC21C=C1C3=CC=CC=C3N=C1C=C2 BPARTPJYPWQSFG-UHFFFAOYSA-N 0.000 description 1
- FOAFJDIDPGVDMT-UHFFFAOYSA-N spiro[cyclohexane-1,5'-pyrrolo[2,1-a]isoindole] Chemical group C1CCCCC21N1C=CC=C1C1=CC=CC=C12 FOAFJDIDPGVDMT-UHFFFAOYSA-N 0.000 description 1
- PYTYLPGVGISLEI-UHFFFAOYSA-N spiro[piperidine-4,9'-xanthene] Chemical compound C1CNCCC21C1=CC=CC=C1OC1=CC=CC=C12 PYTYLPGVGISLEI-UHFFFAOYSA-N 0.000 description 1
- 125000005504 styryl group Chemical group 0.000 description 1
- 239000000126 substance Substances 0.000 description 1
- 238000006467 substitution reaction Methods 0.000 description 1
- 125000000213 sulfino group Chemical group [H]OS(*)=O 0.000 description 1
- 125000000020 sulfo group Chemical group O=S(=O)([*])O[H] 0.000 description 1
- 150000003459 sulfonic acid esters Chemical class 0.000 description 1
- 239000000829 suppository Substances 0.000 description 1
- 239000004094 surface-active agent Substances 0.000 description 1
- 229920001059 synthetic polymer Polymers 0.000 description 1
- 235000020357 syrup Nutrition 0.000 description 1
- 239000006188 syrup Substances 0.000 description 1
- 239000003826 tablet Substances 0.000 description 1
- 239000011975 tartaric acid Substances 0.000 description 1
- 235000002906 tartaric acid Nutrition 0.000 description 1
- 125000005931 tert-butyloxycarbonyl group Chemical group [H]C([H])([H])C(OC(*)=O)(C([H])([H])[H])C([H])([H])[H] 0.000 description 1
- JRMUNVKIHCOMHV-UHFFFAOYSA-M tetrabutylammonium bromide Chemical compound [Br-].CCCC[N+](CCCC)(CCCC)CCCC JRMUNVKIHCOMHV-UHFFFAOYSA-M 0.000 description 1
- IFLREYGFSNHWGE-UHFFFAOYSA-N tetracene Chemical compound C1=CC=CC2=CC3=CC4=CC=CC=C4C=C3C=C21 IFLREYGFSNHWGE-UHFFFAOYSA-N 0.000 description 1
- 125000003554 tetrahydropyrrolyl group Chemical group 0.000 description 1
- SCXFEYLNSLRPRF-UHFFFAOYSA-N thiochromeno[3,2-b]indole Chemical compound N1=C2C=C3C=CC=C[C]3S[C]2C2=C1C=CC=C2 SCXFEYLNSLRPRF-UHFFFAOYSA-N 0.000 description 1
- HXUZGKXEXOURHT-UHFFFAOYSA-N thiochromeno[3,4-b]indole Chemical compound C1=CC=C2C3=C4C=CC=CC4=NC3=CSC2=C1 HXUZGKXEXOURHT-UHFFFAOYSA-N 0.000 description 1
- LVRMUSVWQJOVKM-UHFFFAOYSA-N thiochromeno[4,3-b]indole Chemical compound C1=CC=C2C3=NC4=CC=CC=C4C3=CSC2=C1 LVRMUSVWQJOVKM-UHFFFAOYSA-N 0.000 description 1
- 125000005147 toluenesulfonyl group Chemical group C=1(C(=CC=CC1)S(=O)(=O)*)C 0.000 description 1
- 229910052723 transition metal Inorganic materials 0.000 description 1
- 150000003624 transition metals Chemical class 0.000 description 1
- 125000003866 trichloromethyl group Chemical group ClC(Cl)(Cl)* 0.000 description 1
- 125000005951 trifluoromethanesulfonyloxy group Chemical group 0.000 description 1
- 125000000876 trifluoromethoxy group Chemical group FC(F)(F)O* 0.000 description 1
- 125000005580 triphenylene group Chemical group 0.000 description 1
- 239000005526 vasoconstrictor agent Substances 0.000 description 1
Images
Classifications
-
- A—HUMAN NECESSITIES
- A61—MEDICAL OR VETERINARY SCIENCE; HYGIENE
- A61K—PREPARATIONS FOR MEDICAL, DENTAL OR TOILETRY PURPOSES
- A61K31/00—Medicinal preparations containing organic active ingredients
-
- A—HUMAN NECESSITIES
- A61—MEDICAL OR VETERINARY SCIENCE; HYGIENE
- A61K—PREPARATIONS FOR MEDICAL, DENTAL OR TOILETRY PURPOSES
- A61K31/00—Medicinal preparations containing organic active ingredients
- A61K31/33—Heterocyclic compounds
- A61K31/395—Heterocyclic compounds having nitrogen as a ring hetero atom, e.g. guanethidine or rifamycins
- A61K31/40—Heterocyclic compounds having nitrogen as a ring hetero atom, e.g. guanethidine or rifamycins having five-membered rings with one nitrogen as the only ring hetero atom, e.g. sulpiride, succinimide, tolmetin, buflomedil
-
- A—HUMAN NECESSITIES
- A61—MEDICAL OR VETERINARY SCIENCE; HYGIENE
- A61K—PREPARATIONS FOR MEDICAL, DENTAL OR TOILETRY PURPOSES
- A61K31/00—Medicinal preparations containing organic active ingredients
- A61K31/33—Heterocyclic compounds
- A61K31/395—Heterocyclic compounds having nitrogen as a ring hetero atom, e.g. guanethidine or rifamycins
- A61K31/435—Heterocyclic compounds having nitrogen as a ring hetero atom, e.g. guanethidine or rifamycins having six-membered rings with one nitrogen as the only ring hetero atom
- A61K31/47—Quinolines; Isoquinolines
-
- A—HUMAN NECESSITIES
- A61—MEDICAL OR VETERINARY SCIENCE; HYGIENE
- A61K—PREPARATIONS FOR MEDICAL, DENTAL OR TOILETRY PURPOSES
- A61K31/00—Medicinal preparations containing organic active ingredients
- A61K31/33—Heterocyclic compounds
- A61K31/395—Heterocyclic compounds having nitrogen as a ring hetero atom, e.g. guanethidine or rifamycins
- A61K31/435—Heterocyclic compounds having nitrogen as a ring hetero atom, e.g. guanethidine or rifamycins having six-membered rings with one nitrogen as the only ring hetero atom
- A61K31/47—Quinolines; Isoquinolines
- A61K31/4738—Quinolines; Isoquinolines ortho- or peri-condensed with heterocyclic ring systems
-
- A—HUMAN NECESSITIES
- A61—MEDICAL OR VETERINARY SCIENCE; HYGIENE
- A61K—PREPARATIONS FOR MEDICAL, DENTAL OR TOILETRY PURPOSES
- A61K31/00—Medicinal preparations containing organic active ingredients
- A61K31/33—Heterocyclic compounds
- A61K31/395—Heterocyclic compounds having nitrogen as a ring hetero atom, e.g. guanethidine or rifamycins
- A61K31/55—Heterocyclic compounds having nitrogen as a ring hetero atom, e.g. guanethidine or rifamycins having seven-membered rings, e.g. azelastine, pentylenetetrazole
-
- A—HUMAN NECESSITIES
- A61—MEDICAL OR VETERINARY SCIENCE; HYGIENE
- A61P—SPECIFIC THERAPEUTIC ACTIVITY OF CHEMICAL COMPOUNDS OR MEDICINAL PREPARATIONS
- A61P25/00—Drugs for disorders of the nervous system
Definitions
- the present invention relates to a prophylactic or therapeutic agent for central nervous system diseases and an amyloid ⁇ 40 secretion inhibitor which comprises as an active component a compound having urotensin II receptor antagonistic activity or a salt thereof.
- Urotensin II was discovered as one of peptide hormones having a potent vasoconstrictive activity, and has been proved to have extremely higher vasoconstrictive activity than endothelin, which is the potentest vasoconstrictor among those which are currently known to have vasoconstrictive activity on mammal arteria.
- the receptor for urotensin II is GPR 14 protein, which is one of orphan receptors [Nature, vol. 401, p. 282 (1999)], its antagonist has not yet been reported.
- WO2001/14888 discloses an identification method of a ligand of urotensin II receptor and use of urotensin II receptor agonist and antagonist, but does not suggest amyloid ⁇ 40 secretion inhibitory activity at all.
- JP 3-220189 A discloses a quinoline derivative condensed with pyrrolidine ring or piperidine ring which has acetylcholin esterase inhibitory activity, as a dysmnesia improving agent in senile dementia and Alzheimer's disease, but does not suggest amyloid ⁇ 40 secretion inhibitory activity at all.
- the present invention provides a prophylactic or therapeutic agent for central nervous system diseases such as neurodegenerative diseases, for example, cerebrovascular amyloid angiopathy, Alzheimer's disease, etc., neuropathy at cerebrovascular disorder, etc., dysmnesia, mental diseases, and the like, which is based on amyloid ⁇ 40 secretion inhibitory activity.
- central nervous system diseases such as neurodegenerative diseases, for example, cerebrovascular amyloid angiopathy, Alzheimer's disease, etc., neuropathy at cerebrovascular disorder, etc., dysmnesia, mental diseases, and the like, which is based on amyloid ⁇ 40 secretion inhibitory activity.
- the present inventors have found that urotensin II increases the secretion of amyloid ⁇ 40 for the first time, and have intensively studied compounds having urotensin II receptor antagonistic activity. As a result, the present inventors found that a compound having urotensin II receptor antagonistic activity or a salt thereof suppresses the secretion induction of amyloid ⁇ 40 by urotensin II. The present invention has been completed based on this finding.
- the present invention provides:
- a prophylactic or therapeutic agent for central nervous system diseases which comprises a compound having urotensin II receptor antagonistic activity or a salt thereof;
- the agent according to the above (1) which is a prophylactic or therapeutic agent for (a) neurodegenerative diseases, (b) neuropathy at cerebrovascular disorder, cephal injury or myelo injury, sequelae of encephalitis or cerebral paralysis, (c) dysmnesia, or (d) mental diseases;
- Aa is a benzene ring which may be substituted
- Ba is a 5- to 8-membered ring which may be substituted
- Xa is a divalent group in which the number of atom(s) in a linear chain portion is 1 to 4
- Ra 1 is an amino group which may be substituted
- Ra 2 is a cyclic group which may be substituted, or a salt thereof;
- Aa′ is a benzene ring which may be further substituted in addition to the substituent Ra 3
- Ba is a 5- to 8-membered ring which may be substituted
- Xa is a divalent group in which the number of atom(s) in a linear chain portion is 1 to 4
- Ra 1′ is a substituted amino group
- Ra 2 is a cyclic group which may be substituted
- Ra 3 is a hydrocarbon group which may be substituted, a heterocyclic group which may be substituted, nitro group, a halogen atom, amino group which may be substituted, or a group represented by Ra 4 -Ya- (wherein Ya is oxygen atom or sulfur atom which may be oxidized, and Ra 4 is a hydrocarbon group which may be substituted, or a heterocyclic group which may be substituted), or a salt thereof;
- Aa′′ is a benzene ring which may be further substituted in addition to the substituent Ra 3′
- Ba is a 5- to 8-membered ring which may be substituted
- Xa is a divalent group in which the number of atom(s) in a linear chain portion is 1 to 4
- Ra 1 is an amino group which may be substituted
- Ra 2 is a cyclic group which may be substituted
- Ra 3′ is a hydrocarbon group which may be substituted, a heterocyclic group which may be substituted, a halogen atom, amino group which may be substituted, or a group represented by Ra 4 -Ya- (wherein Ya is oxygen atom or sulfur atom which may be oxidized, and Ra 4 is a hydrocarbon group which may be substituted, or a heterocyclic group which may be substituted), or a salt thereof;
- Rb 1 is a hydrogen atom or a hydrocarbon group which may be substituted
- Xb is a spacer in which the number of atom(s) constituting a linear chain portion is 1 to 8, Rb 1 and Xb may be bonded to form a ring
- Ab is an amino group which may be substituted or a nitrogen-containing heterocyclic group which may be substituted
- each of Rb 2 and Rb 3 is a hydrocarbon group which may be substituted
- each of ring Bb and ring Cb is a benzene ring which may be further substituted (provided that 4′-[[(methoxyacetyl)methylamino]methyl]-N-[4-methoxy-3-(4-methyl-1-piperazinyl)phenyl]-2′-methyl-[1,1′-biphenyl]-4-carboxamide is excluded), or a salt thereof;
- Ar is an aryl group which may be substituted
- X is a spacer in which the number of atom(s) constituting a linear chain portion is 1 to 4, n is an integer of 1 to 10, R is a hydrogen atom or a hydrocarbon group which may be substituted, and may be the same or different in the repetition of n, R may be bonded to Ar or the substituent of Ar to form a ring, and Y is an amino group which may be substituted or a nitrogen-containing heterocyclic group which may be substituted, or a salt thereof;
- R 1 is a hydrogen atom or a hydrocarbon group which may be substituted or an acyl group which may be substituted
- ring A is a benzene ring which may be further substituted
- X is a chain spacer in which the number of atom(s) constituting a linear chain portion is 1 to 4 (provided that —CO— is excluded)
- n is an integer of 1 to 10
- R is a hydrogen atom or a hydrocarbon group which may be substituted, and may be the same or different in the repetition of n
- R may be bonded to ring A or the substituent of ring A to form a ring
- Y is an amino group which may be substituted, or a salt thereof.
- the present invention also provides:
- a method for preventing or treating central nervous system diseases in a mammal which comprises administering an effective amount of a compound having urotensin II receptor antagonistic activity or a salt thereof to the mammal in need of the prevention or treatment of central nervous system diseases;
- Aa is a benzene ring which may be substituted
- Ba is a 5- to 8-membered ring which may be substituted
- Xa is a divalent group in which the number of atom(s) in a linear chain portion is 1 to 4
- Ra 1 is an amino group which may be substituted
- Ra 2 is a cyclic group which may be substituted, or a salt thereof;
- Aa′ is a benzene ring which may be further substituted in addition to a substituent Ra 3
- Ba is a 5- to 8-membered ring which may be substituted
- Xa is a divalent group in which the number of atom(s) in a linear chain portion is 1 to 4
- Ra 1′ is a substituted amino group
- Ra 2 is a cyclic group which may be substituted
- Ra 3 is a hydrocarbon group which may be substituted, a heterocyclic group which may be substituted, nitro group, a halogen atom, amino group which may be substituted, or a group represented by Ra 4 -Ya- (wherein Ya is oxygen atom or sulfur atom which may be oxidized, and Ra 4 is a hydrocarbon group which may be substituted, or a heterocyclic group which may be substituted), or a salt thereof;
- Aa′′ is a benzene ring which may be further substituted in addition to the substituent Ra 3′
- Ba is a 5- to 8-membered ring which may be substituted
- Xa is a divalent group in which the number of atom(s) in a linear chain portion is 1 to 4
- Ra 1 is an amino group which may be substituted
- Ra 2 is a cyclic group which may be substituted
- Ra 3′ is a hydrocarbon group which may be substituted, a heterocyclic group which may be substituted, a halogen atom, amino group which may be substituted, or a group represented by Ra 4 -Ya- (wherein Ya is oxygen atom or sulfur atom which may be oxidized, and Ra 4 is a hydrocarbon group which may be substituted, or a heterocyclic group which may be substituted), or a salt thereof;
- Rb 1 is a hydrogen atom or a hydrocarbon group which may be substituted
- Xb is a spacer in which the number of atom(s) constituting a linear chain portion is 1 to 8, Rb 1 and Xb may be bonded to form a ring
- Ab is an amino group which may be substituted or a nitrogen-containing heterocyclic group which may be substituted
- each of Rb 2 and Rb 3 is a hydrocarbon group which may be substituted
- each of ring Bb and ring Cb is a benzene ring which may be further substituted (provided that 4′-[[(methoxyacetyl)methylamino]methyl]-N-[4-methoxy-3-(4-methyl-1-piperazinyl)phenyl]-2′-methyl-[1,1′-biphenyl]-4-carboxamide is excluded)], or a salt thereof;
- Ar is an aryl group which may be substituted
- X is a spacer in which the number of atom(s) constituting a linear chain portion is 1 to 4, n is integer of 1 to 10, R is a hydrogen atom or a hydrocarbon group which may be substituted, and may be the same or different in the repetition of n, R may be bonded to Ar or the substituent of Ar to form a ring, and Y is an amino group which may be substituted or a nitrogen-containing heterocyclic group which may be substituted, or a salt thereof;
- R 1 is a hydrogen atom or a hydrocarbon group which may be substituted or an acyl group which may be substituted
- ring A indicates benzene ring which may be further substituted
- X is a chain spacer in which the atomic number constituting a linear chain portion is 1 to 4 (provided that —CO— is excluded)
- n is an integer of 1 to 10
- R is a hydrogen atom or a hydrocarbon group which may be substituted, and may be the same or different in the repetition of n
- R may be bonded to ring A or the substituent of ring A to form a ring
- Y is an amino group which may be substituted, or a salt thereof.
- the present invention provides:
- Aa is a benzene ring which may be substituted
- Ba is a 5- to 8-membered ring which may be substituted
- Xa is a divalent group in which the number of atom(s) in a linear chain portion is 1 to 4
- Ra 1 is an amino group which may be substituted
- Ra 2 is a cyclic group which may be substituted, or a salt thereof;
- Aa′ is a benzene ring which may be further substituted in addition to the substituent Ra 3
- Ba is a 5- to 8-membered ring which may be substituted
- Xa is a divalent group in which the number of atom(s) in a linear chain portion is 1 to 4
- Ra 1′ is a substituted amino group
- Ra 2 is a cyclic group which may be substituted
- Ra 3 is a hydrocarbon group which may be substituted, a heterocyclic group which may be substituted, nitro group, a halogen atom, amino group which may be substituted, or a group represented by Ra 4 -Ya- (wherein Ya is oxygen atom or sulfur atom which may be oxidized, and Ra 4 is a hydrocarbon group which may be substituted, or a heterocyclic group which may be substituted), or a salt thereof;
- Aa′′ is a benzene ring which may be further substituted in addition to the substituent Ra 3′
- Ba is a 5- to 8-membered ring which may be substituted
- Xa is a divalent group in which the number of atom(s) in a linear chain portion is 1 to 4
- Ra 1 is an amino group which may be substituted
- Ra 2 is a cyclic group which may be substituted
- Ra 3 is a hydrocarbon group which may be substituted, a heterocyclic group which may be substituted, a halogen atom, amino group which may be substituted, or a group represented by Ra 4 -Ya- (wherein Ya is oxygen atom or sulfur atom which may be oxidized, and Ra 4 is a hydrocarbon group which may be substituted, or a heterocyclic group which may be substituted), or a salt thereof;
- Rb 1 is a hydrogen atom or a hydrocarbon group which may be substituted
- Xb is a spacer in which the number of atom(s) constituting a linear chain portion is 1 to 8, Rb 1 and Xb may be bonded to form a ring
- Ab is an amino group which may be substituted or a nitrogen-containing heterocyclic group which may be substituted
- each of Rb 2 and Rb 3 is a hydrocarbon group which may be substituted
- each of ring Bb and ring Cb is a benzene ring which may be further substituted, (provided that 4′-[[(methoxyacetyl)methylamino]methyl]-N-[4-methoxy-3-(4-methyl-1-piperazinyl)phenyl]-2′-methyl-[1,1′-biphenyl]-4-carboxamide is excluded), or a salt thereof;
- Ar is an aryl group which may be substituted
- X is a spacer in which the number of atom(s) constituting a linear chain portion is 1 to 4, n indicates an integer of 1 to 10, R is a hydrogen atom or a hydrocarbon group which may be substituted, and may be the same or different in the repetition of n, R may be bonded to Ar or the substituent of Ar to form a ring, and Y is an amino group which may be substituted or a nitrogen-containing heterocyclic group which may be substituted, or a salt thereof;
- R 1 is a hydrogen atom or a hydrocarbon group which may be substituted or an acyl group which may be substituted
- ring A is a benzene ring which may be further substituted
- X is a chain spacer in which the number of atom(s) constituting a linear chain portion is 1 to 4 (provided that —CO— is excluded)
- n indicates an integer of 1 to 10
- R is a hydrogen atom or a hydrocarbon group which may be substituted, and may be the same or different in the repetition of n
- R may be bonded to ring A or the substituent of ring A to form a ring
- Y is an amino group which may be substituted, or a salt thereof.
- FIG. 1 illustrates the inhibitory effect of test compound 1 on suppression of increase of amyloid ⁇ 40 induced by urotensin II.
- FIG. 2 illustrates the inhibitory effect of test compound 2 on suppression of increase of amyloid ⁇ 40 induced by urotensin II.
- “Urotensin II receptor antagonistic activity” in the present invention means an activity of competitively or non-competitively inhibiting the coupling of urotensin II to a urotensin II receptor on a cell membrane.
- the compound having urotensin II receptor antagonistic activity or a salt thereof can be used for a prophylactic or therapeutic agent for various central nervous system diseases based on amyloid ⁇ 40 secretion inhibitory activity.
- a prophylactic or therapeutic agent for (1) cerebrovascular amyloid angiopathy which is mainly caused by the deposition of amyloid ⁇ 40, (2) neurodegenerative diseases, (3) neuropathy at cerebrovascular disorder, cephal injury and myelo injury, sequelae of encephalitis or cerebral paralysis, (4) dysmnesia, (5) mental diseases (for example, depression, anxiety disorder, panic disorder, shizophrenia, and the like), or the like.
- a non-peptide compound having urotensin II receptor antagonistic activity or a salt thereof which has an advantage of long duration of action is preferred.
- a quinoline derivative is preferred, and a 4-aminoquinoline derivative is preferably used.
- Aa is a benzene ring which may be substituted
- Ba is a 5- to 8-membered ring which may be substituted
- Xa is a divalent group in which the number of atom(s) in a linear chain portion is 1 to 4
- Ra 1 is an amino group which may be substituted
- Ra 2 is a cyclic group which may be substituted, or a salt thereof; a compound represented by the formula (Ib),
- Rb 1 is a hydrogen atom or a hydrocarbon group which may be substituted
- Xb is a spacer in which the number of atom(s) constituting a linear chain portion is 1 to 8, Rb 1 and Xb may be bonded to form a ring
- Ab is an amino group which may be substituted or a nitrogen-containing heterocyclic group which may be substituted
- each of Rb 2 and Rb 3 is a hydrocarbon group which may be substituted
- each of ring Bb and ring Cb is a benzene ring which may be further substituted, (provided that 4′-[[(methoxyacetyl)methylamino]methyl]-N-[4-methoxy-3-(4-methyl-1-piperazinyl)phenyl]-2′-methyl-[1,1′-biphenyl]-4-carboxamide is excluded)], or a salt thereof; and a compound represented by the formula (Ic);
- Ar is an aryl group which may be substituted
- X is a spacer in which the number of atom(s) constituting a linear chain portion is 1 to 4, n is an integer of 1 to 10, R is a hydrogen atom or a hydrocarbon group which may be substituted, and may be the same or different in the repetition of n, R may be bonded with Ar or the substituent of Ar to form a ring, and Y is an amino group which may be substituted or a nitrogen-containing heterocyclic group which may be substituted, or a salt thereof, and the like.
- examples of the substituent of the benzene ring in the “benzene ring which may be substituted” represented by Aa include a hydrocarbon group which may be substituted, a heterocyclic group which may be substituted, nitro group, a halogen atom, amino group which may be substituted, a group represented by Ra 4 -Ya- (wherein Ya is oxygen atom or sulfur atom which may be oxidized, and Ra 4 is a hydrocarbon group which may be substituted, or a heterocyclic group which may be substituted), cyano group, acyl group which may be substituted, carboxyl group which may be esterified or amidated, and the like.
- Examples of the “hydrocarbon group” in the “hydrocarbon group which may be substituted” as the substituent of the benzene ring in the “benzene ring which may be substituted” represented by Aa, and in the “hydrocarbon group which may be substituted” represented by Ra 4 include:
- alkyl for example, C 1-10 alkyl such as methyl, ethyl, propyl, isopropyl, butyl, isobutyl, sec-butyl, tert-butyl, pentyl, isopentyl, neopentyl, hexyl, heptyl, octyl, nonyl, decyl, and the like, preferably lower (C 1-6 ) alkyl and the like);
- alkyl for example, C 1-10 alkyl such as methyl, ethyl, propyl, isopropyl, butyl, isobutyl, sec-butyl, tert-butyl, pentyl, isopentyl, neopentyl, hexyl, heptyl, octyl, nonyl, decyl, and the like, preferably lower (C 1-6 ) alkyl and the like);
- cycloalkyl for example, C 3-8 cycloalkyl such as cyclopropyl, cyclobutyl, cyclopentyl, cyclohexyl, cycloheptyl, and the like
- said cycloalkyl may be condensed with benzene ring to form indan (for example, indan-1-yl, indan-2-yl, and the like), tetrahydronaphthalene (for example, tetrahydronaphthalen-5-yl, tetrahydronaphthalen-6-yl, and the like), and the like (preferably, indan, and the like);
- said cycloalkyl may be crosslinked through a linear atomic chain having 1 to 2 carbons to form a crosslinked cyclic hydrocarbon residual group such as bicyclo[2.2.1]heptyl, bicyclo[2.2.2]octyl, bicyclo[3.2.1]octyl, bicyclo
- alkenyl for example, C 2-10 alkenyl such as vinyl, allyl, crotyl, 2-pentenyl, 3-hexenyl, and the like, preferably lower (C 2-6 ) alkenyl and the like);
- cycloalkenyl for example, C 3-8 cycloalkenyl such as 2-cyclopentenyl, 2-cyclohexenyl, 2-cyclopentenylmethyl, 2-cyclohexenylmethyl, and the like;
- alkynyl for example, C 2-10 alkynyl such as ethynyl, 1-propynyl, 2-propynyl, 1-butynyl, 2-pentynyl, 3-hexynyl, and the like, preferably lower (C 2-6 ) alkynyl, and the like);
- aryl for example, C 6-14 aryl such as phenyl, naphthyl, and the like, preferably C 6-1 aryl, more preferably phenyl, and the like;
- aralkyl for example, C 1-6 alkyl having 1 to 3 C 6-14 aryls, preferably phenyl-C 1-4 alkyl (for example, benzyl, phenethyl and the like), and the like.
- alkyl is preferred, C 1-4 alkyl such as methyl and ethyl are more preferred and, in particular, methyl is preferably used.
- Said hydrocarbon group may be substituted, and examples of the substituent include halogen (for example, fluorine, chlorine, bromine, iodine and the like), nitro, cyano, hydroxy group, thiol group which may be substituted (for example, thiol, C 1-4 alkylthio and the like), amino group which may be substituted (for example, amino, mono-C 1-4 alkylamino, di-C 1-4 alkylamino, mono-C 2-5 alkanoylamino, 5- to 6-membered cyclic amino such as tetrahydropyrrole, piperazine, piperidine, morpholine, thiomorpholine, pyrrole, imidazole, and the like), phenyl-lower (C 1-4 ) alkyl, C 3-7 cycloalkyl, carboxyl group which may be esterified or amidated (for example, carboxyl, C 1-4 alkoxy-carbonyl, lower (C 7-10 )
- Examples of the “heterocyclic group” in the “heterocyclic group which may be substituted” as the substituent of the benzene in the “benzene ring which may be substituted” represented by Aa, and in the “heterocyclic group which may be substituted” represented by Ra 4 include a group formed by eliminating one hydrogen atom from a 5- to 8-membered aromatic heterocyclic ring which contains at least one (preferably, 1 to 4, and more preferably, 1 to 2) hetero atoms of 1 to 3 kinds (preferably, 1 to 2 kinds) selected from oxygen atom, sulfur atom, nitrogen atom, and the like; a saturated or unsaturated non-aromatic heterocyclic ring (aliphatic heterocyclic ring); and the like.
- Examples of the “aromatic heterocyclic ring” used herein include a 5- to 8-membered (preferably, 5- to 6-membered) aromatic monocyclic heterocyclic ring (for example, furan, thiophene, pyrrole, oxazole, isoxazole, thiazole, isothiazole, imidazole, pyrazole, 1,2,3-oxadiazole, 1,2,4-oxadiazole, 1,3,4-oxadiazole, 1,2,3-thiadiazole, 1,2,4-thiadiazole, 1,3,4-thiadiazole, 1,2,3-triazole, 1,2,4-triazole, tetrazole, pyridine, pyridazine, pyrimidine, pyrazine, triazine, and the like), and the like.
- aromatic monocyclic heterocyclic ring for example, furan, thiophene, pyrrole, oxazole, isoxazole, thi
- non-aromatic heterocyclic ring examples include a 5- to 8-membered (preferably, 5- to 6-membered) saturated or unsaturated monocyclic non-aromatic heterocyclic ring (aliphatic heterocyclic ring) such as pyrrolidine, tetrahydrofuran, tetrahydrothiophene, thiolane, dithiolane, oxathiolane, pyrroline, imidazolidine, imidazoline, pyrazolidine, pyrazoline, oxazine, oxadiazine, thiazine, thiadiazine, piperidine, morpholine, thiomorpholine, tetrahydropyran, piperazine, pyran, oxepine, thiepin, azepine, and the like; a 5- to 8-membered non-aromatic heterocyclic ring in which a part or all of double bonds of the above aromatic monocyclic heterocycl
- examples of the “heterocyclic group” in the “heterocyclic group which may be substituted” as the substituent of the benzene ring in the “benzene ring which may be substituted” represented by Aa, and in the “heterocyclic group which may be substituted” represented by Ra 4 include a group formed by eliminating one hydrogen atom from a condensed ring which is formed by condensing 2 to 3 rings (preferably, 2) selected from the above monocyclic heterocyclic rings (a monocyclic aromatic heterocyclic ring and a monocyclic non-aromatic heterocyclic ring) and 5- to 8-membered cyclic hydrocarbons (5- to 8-membered (preferably, 5- to 6-membered) saturated or unsaturated alicyclic hydrocarbons such as C 5-8 cycloalkane, C 5-8 cycloalkene and C 5-8 cycloalkadiene; 6-membered aromatic hydrocarbons such as benzene; and the like), and the
- These condensed rings may be any one of a saturated condensed ring, a condensed ring partially having unsaturated bond(s), and an aromatic condensed ring.
- Preferred examples of such condensed ring include a ring in which the same or different two heterocyclic rings (preferably, one heterocyclic ring and one aromatic heterocyclic ring, and more preferably, the same or different two aromatic heterocyclic rings) are condensed; one heterocyclic ring and one homocyclic ring (preferably, one heterocyclic ring and one benzene ring, and more preferably, one aromatic heterocyclic ring and one benzene ring) are condensed; and the like.
- condensed ring examples include indole, benzothiophene, benzofuran, benzimidazole, imidazo[1,2-a]pyridine, quinoline, isoquinoline, cinnoline, and the like.
- heterocyclic group in the “heterocyclic group which may be substituted” as the substituent of the benzene ring in the “benzene ring which may be substituted” represented by Aa, and in the “heterocyclic group which may be substituted” represented by Ra 4 may be substituted, and examples of the substituent include those similar to the substituent of the “hydrocarbon group which may be substituted” as the substituent of the benzene ring in the “benzene ring which may be substituted” represented by Aa.
- Examples of the “halogen atom” as the substituent of the benzene ring in the “benzene ring which may be substituted” represented by Aa include fluorine, chlorine, bromine, iodine, and the like.
- Examples of the “amino group which may be substituted” as the substituent of the benzene ring in the “benzene ring which may be substituted” represented by Aa include those similar to the “amino group which may be substituted” represented by Ra 1 described hereinafter.
- amino group which may have 1 to 2 alkyls [for example, C 1-10 alkyls such as methyl, ethyl, propyl, isopropyl, butyl, isobutyl, sec-butyl, tert-butyl, pentyl, isopentyl, neopentyl, hexyl, heptyl, octyl, nonyl, decyl, and the like, preferably lower (C 1-6 ) alkyl, and the like, which may have 1 to 3 substituents selected from, for example, halogen (for example, fluorine, chlorine, bromine, iodine, and the like), nitro, cyano, hydroxy group, thiol group which may be substituted (for example, thiol, C 1-4 alkylthio, and the like), amino group which may be substituted (for example, amino, mono-C 1-4 alkylamino, di-C 1-4
- the substituents of the “amino group which may be substituted” as the substituent of the benzene ring in the “benzene ring which may be substituted” represented by Aa may be bonded to each other to form a cyclic amino group (for example, a cyclic amino group formed by eliminating one hydrogen atom from the ring-constituting nitrogen atom of a 5- to 6-membered ring such as tetrahydropyrrole, piperazine, piperidine, morpholine, thiomorpholine, pyrrole, imidazole, and the like, and has a bonding hand on the nitrogen atom, and the like).
- a cyclic amino group formed by eliminating one hydrogen atom from the ring-constituting nitrogen atom of a 5- to 6-membered ring such as tetrahydropyrrole, piperazine, piperidine, morpholine, thiomorpholine, pyrrole, imidazole, and the like,
- Said cyclic amino group may be substituted, and examples of the substituent include halogen (for example, fluorine, chlorine, bromine, iodine, and the like), nitro, cyano, hydroxy group, thiol group, amino group, carboxyl group, C 1-4 alkyl which may be halogenated (for example, trifluoromethyl, methyl, ethyl, and the like), C 1-4 alkoxy which may be halogenated (for example, methoxy, ethoxy, propoxy, butoxy, trifluoromethoxy, trifluoroethoxy, and the like), formyl, C 2-4 alkanoyl (for example, acetyl, propionyl, and the like), C 1-4 alkylsulfonyl (for example, methanesulfonyl, ethanesulfonyl, and the like), and the like.
- the number of the substituent(s) is preferably 1 to 3.
- Examples of the “acyl group which may be substituted” as the substituent of the benzene ring in the “benzene ring which may be substituted” represented by Aa include those obtained by bonding hydrogen, the “hydrocarbon group which may be substituted” (that similar to the above “hydrocarbon group which may be substituted” as the substituent of the benzene ring in the “benzene ring which may be substituted” represented by Aa), the “heterocyclic group which may be substituted” (that similar to the above “heterocyclic group which may be substituted” as the substituent of the benzene ring in the “benzene ring which may be substituted” represented Aa), and the like, with carbonyl group, sulfonyl group, or the like.
- Preferred examples thereof includes those obtained by bonding:
- alkyl which may be substituted, for example, (C 1-10 alkyl such as methyl, ethyl, propyl, isopropyl, butyl, isobutyl, sec-butyl, tert-butyl, pentyl, isopentyl, neopentyl, hexyl, heptyl, octyl, nonyl, decyl, and the like, preferably lower (C 1-6 ) alkyl, and the like),
- cycloalkyl which may be substituted (for example, C 3-7 cycloalkyl such as cyclopropyl, cyclobutyl, cyclopentyl, cyclohexyl, cycloheptyl, and the like),
- alkenyl which may be substituted (for example, C 2-10 alkenyl such as allyl, crotyl, 2-pentenyl, 3-hexenyl, and the like, preferably lower (C 2-6 ) alkenyl, and the like);
- cycloalkenyl which may be substituted (for example, C 3-7 cycloalkenyl such as 2-cyclopentenyl, 2-cyclohexenyl, 2-cyclopentenylmethyl, 2-cyclohexenylmethyl, and the like);
- carbonyl group or sulfonyl group for example, acetyl, propionyl, butyryl, iso
- Examples of the substituent of the above (2) alkyl which may be substituted, (3) cycloalkyl which may be substituted, (4) alkenyl which may be substituted, (5) cycloalkenyl which may be substituted, and (6) 5- to 6-membered monocyclic aromatic group which may be substituted include halogen (for example, fluorine, chlorine, bromine, iodine, and the like), nitro, cyano, hydroxy group, thiol group which may be substituted (for example, thiol, C 1-4 alkylthio, and the like), amino group which may be substituted (for example, amino, mono-C 1-4 alkylamino, di-C 1-4 alkylamino, 5- to 6-membered cyclic amino such as tetrahydropyrrole, piperazine, piperidine, morpholine, thiomorpholine, pyrrole, and imidazole, and the like), carboxyl group which may be esterified or amidated (for
- Examples of the “carboxyl group which may be esterified” as the substituent of the benzene ring in the “benzene ring which may be substituted” represented by Aa include those obtained by bonding hydrogen, the “hydrocarbon group which may be substituted” (that similar to the above “hydrocarbon group which may be substituted” as the substituent of the benzene ring in the “benzene ring which may be substituted” represented by Aa), and the like, with carbonyloxy group.
- Preferred examples include those obtained by bonding:
- alkyl which may be substituted (C 1-10 alkyl such as methyl, ethyl, propyl, isopropyl, butyl, isobutyl, sec-butyl, tert-butyl, pentyl, isopentyl, neopentyl, hexyl, heptyl, octyl, nonyl, decyl, and the like, preferably lower (C 1-6 ) alkyl, and the like),
- cycloalkyl which may be substituted (for example, C 3-7 cycloalkyl such as cyclopropyl, cyclobutyl, cyclopentyl, cyclohexyl, cycloheptyl, and the like),
- alkenyl which may be substituted (for example, C 2-10 alkenyl such as allyl, crotyl, 2-pentenyl, 3-hexenyl, and the like, preferably lower (C 2-6 ) alkenyl, and the like),
- cycloalkenyl which may be substituted (for example, C 3-7 cycloalkenyl such as 2-cyclopentenyl, 2-cyclohexenyl, 2-cyclopentenylmethyl, 2-cyclohexenylmethyl, and the like),
- aryl which may be substituted (for example, phenyl, naphthyl, and the like), with carbonyloxy group.
- Carboxyl, lower (C 1-6 ) alkoxycarbonyl, aryloxycarbonyl (for example, methoxycarbonyl, ethoxycarbonyl, propoxycarbonyl, phenoxycarbonyl, naphthoxycarbonyl, and the like), and the like are more preferable.
- Examples of the substituent of the above (2) alkyl which may be substituted, (3) cycloalkyl which may be substituted, (4) alkenyl which may be substituted, (5) cycloalkenyl which may be substituted, and (6) aryl which may be substituted include halogen (for example, fluorine, chlorine, bromine, iodine, and the like), nitro, cyano, hydroxy group, thiol group which may be substituted (for example, thiol, C 1-4 alkylthio, and the like), amino group which may be substituted (for example, amino, mono-C 1-4 alkylamino, di-C 1-4 alkylamino, 5- to 6-membered cyclic amino such as tetrahydropyrrole, piperazine, piperidine, morpholine, thiomorpholine, pyrrole, imidazole, and the like), carboxyl group which may be esterified or amidated (for example, carboxyl, C 1-4
- Examples of the “carboxyl group which may be amidated” as the substituent of the benzene ring in the “benzene ring which may be substituted” represented by Aa include those obtained by bonding:
- the substituent of the benzene ring in the “benzene ring which may be substituted” represented by Aa may be one to four (preferably, 1 to 2) the same or different substituents at any possible position(s) of the ring. Further, when the benzene ring in “the benzene ring which may be substituted” represented by Aa has two or more substituents, two substituents may be bonded to each other to form, for example, lower (C 1-6 ) alkylene (for example, trimethylene, tetramethylene, and the like), lower (C 1-6 ) alkyleneoxy (for example, —O—CH 2 —O—, —O—CH 2 —CH 2 —, and the like), lower (C 1-6 ) alkylenedioxy (for example, —O—CH 2 —O—, —O—CH 2 —CH 2 —O—, and the like), lower (C 2-6 ) alkenylene (for example, —CH 2
- Preferred examples of the substituent of the benzene ring in the “benzene ring which may be substituted” represented by Aa include a hydrocarbon group which may be substituted, a heterocyclic group which may be substituted, nitro group, a halogen atom, amino group which may be substituted, a group represented by Ra 4 -Ya- (wherein Ya is oxygen atom or sulfur atom which may be oxidized, and Ra 4 is a hydrocarbon group which may be substituted, or a heterocyclic group which may be substituted), and the like, and more preferably, it is a hydrocarbon group which may be substituted, a heterocyclic group which may be substituted, halogen atom, amino group which may be substituted, a group represented by Ra 4 -Ya- (wherein Ya is oxygen atom or sulfur atom which may be oxidized, and Ra 4 is a hydrocarbon group which may be substituted, or a heterocyclic group which may be substituted), and the like.
- Ya oxygen atom or
- benzene ring which may be substituted represented by Aa
- Ra 3 is a hydrocarbon group which may be substituted, a heterocyclic group which may be substituted, nitro group, a halogen atom, amino group which may be substituted, or a group represented by Ra 4 -Ya- (wherein Ya is oxygen atom or sulfur atom which may be oxidized, and Ra 4 is a hydrocarbon group which may be substituted, or a heterocyclic group which may be substituted), is preferred.
- Ra 3 is as defined above.
- Preferred examples of Ra 3 in the above formula include a hydrocarbon group which may be substituted, a heterocyclic group which may be substituted, a halogen atom, amino group which may be substituted, or a group represented by Ra 4 -Ya- (wherein Ya is oxygen atom or sulfur atom which may be oxidized, and Ra 4 is a hydrocarbon group which may be substituted, or a heterocyclic group which may be substituted).
- hydrocarbon group which may be substituted a heterocyclic group which may be substituted, a halogen atom, and the like are preferred, and in particular, a lower alkyl group which may be substituted or a halogen atom is preferred.
- Examples of the “5- to 8-membered ring which may be substituted” represented by Ba in the above formula include a saturated 5- to 8-membered ring represented by the formula:
- Za is a saturated divalent group in which the ring Ba can form a saturated 5- to 8-membered ring which may be substituted, and may be substituted at any possible position, and the like.
- the saturated 5- to 8-membered ring may have partially unsaturated bond(s) and may further form an aromatic ring.
- ring Ba a saturated 5- to 8-membered ring which may be substituted is preferred.
- examples of the “saturated 5- to 8-membered ring” in the “saturated 5- to 8-membered ring which may be substituted” as ring Ba means a “5- to 8-membered ring in which all of the bonds constituting ring Ba other than the double bond at the site where the ring Ba and the quinoline ring form the condensed ring are saturated single bonds (single bonds)”, and the “unsaturated 5- to 8-membered ring” in the “unsaturated 5- to 8-membered ring which may be substituted” as ring Ba means a “5- to 8-membered ring in which at least one of the bonds constituting ring Ba other than the double bond at a site where the ring Ba and the quinoline ring form the condensed ring is an unsaturated bond”.
- the saturated divalent group represented by Za in the above formula may be any one of those in which ring Ba can form a saturated 5- to 8-membered ring which may be substituted.
- Za may be any one so far as it is a saturated divalent group in which the number of atom(s) in a linear chain portion is 2 to 5 (preferably, a saturated divalent hydrocarbon group in which the number of atom(s) in a linear chain portion is 2 to 5).
- Specific examples include:
- divalent group such as —O—(CH 2 ) k1 — (k1 is an integer of 1 to 4), —(CH 2 ) k1 —O— (k1 is an integer of 1 to 4), —S—(CH 2 ) k1 — (k1 is an integer of 1 to 4), —(CH 2 ) k1 —S— (k1 is an integer of 1 to 4), —NH—(CH 2 ) k1 — (k1 is an integer of 1 to 4), —(CH 2 ) k1 —NH— (k1 is an integer of 1 to 4), (CH 2 ) k2 — (k2 is an integer of 2 to 5), —NH—NH—, —CH 2 —NH—NH—, —NH—NH—CH 2 — and —NH—CH 2 —NH—.
- Examples of the “5- to 8-membered ring which may be substituted” represented by Ba in the above formula include not only the “saturated 5- to 8-membered ring which may be substituted” as exemplified above, but also an “unsaturated 5- to 8-membered ring which may be substituted” having partially unsaturated bond(s), or a “5- to 8-membered aromatic ring which may be substituted”, and in such a case, in a ring represented by the formula:
- Za may be a divalent group in which a portion of the bonds in the “saturated divalent group in which the number of atom(s) in a linear chain portion is 2 to 5” is converted to an unsaturated bond as exemplified above.
- said divalent group may be substituted, and the substituent(s) may be any one so far as it can be bonded with said divalent group.
- substituent(s) include those similar to the “substituent” of “the benzene ring which may be substituted” represented by the above Aa, oxo group, and the like.
- the number of the substituent(s) is 1 to 4 (preferably, 1 to 2), and they are the same or different and may be substituted at any position of said divalent group.
- divalent group has 2 or more substituents
- two substituents thereof are bonded to each other to form, for example, lower (C 1-6 ) alkylene (for example, trimethylene, tetramethylene, and the like), lower (C 1-6 ) alkyleneoxy (for example, —CH—O—CH 2 —, —O—CH 2 —CH 2 —, and the like), lower (C 1-6 ) alkylenedioxy (for example, —O—CH 2 O—, —O—CH 2 —CH 2 —O—, and the like), lower (C 2-6 ) alkenylene (for example, —CH 2 —CH ⁇ CH—, —CH 2 —CH 2 —CH ⁇ CH—, —CH 2 —CH ⁇ CH—CH 2 —, and the like), lower (C 4-6 ) alkadienylene (for example, —CH ⁇ CH—CH ⁇ CH—, and the like), and the like.
- lower (C 1-6 ) alkylene for
- examples of the “divalent group in which the number of atom(s) in a linear chain portion is 1 to 4” represented by Xa include saturated divalent groups and divalent groups in which a part of bonds is converted to unsaturated bond(s), such as
- divalent groups such as —O—(CH 2 ) k3 — (k3 is an integer of 1 to 3), —(CH 2 ) k3 —O— (k3 is an integer of 1 to 3), —S—(CH 2 ) k3 — (k3 is an integer of 1 to 3), (CH 2 ) k3 —S— (k3 is an integer of 1 to 3), —NH—(CH 2 ) k3 — (k3 is an integer of 1 to 3), —(CH 2 ) k3 —NH— (k3 is an integer of 1 to 3), —(CH 2 ) k4 — (k4 is an integer of 1 to 4), —CH ⁇ CH—, —C ⁇ C—, —CO—NH— and —SO 2 —NH—.
- Xa a divalent group other than —CO—O—CH 2 — is preferred, and a divalent group in which the number of carbon atom(s) constituting a linear chain portion is 1 to 4 is more preferred.
- C 1-4 alkylene, C 2-4 alkenylene, and the like are preferred and, in particular, C 2-4 alkylene and methylene is preferably used.
- the divalent group represented by Xa may be substituted at any possible position (preferably, on a carbon atom), and the substituent may be any one so far as it can be bonded to a divalent chain constituting a linear chain portion.
- substituents include those similar to the “substituent” of “the benzene ring which may be substituted” represented by the above Aa, oxo group, and the like.
- the number of substituent(s) is 1 to 4 (preferably, 1 to 2). They may be the same or different and may be substituted at any position of said divalent group.
- Examples of the preferred substituent of the divalent group represented by Xa include lower (C 1-6 ) alkyl (for example, methyl, ethyl, propyl, isopropyl, butyl, isobutyl, sec-butyl, tert-butyl, pentyl, isopentyl, neopentyl, hexyl, and the like), lower (C 3-7 ) cycloalkyl (for example, cyclopropyl, cyclobutyl, cyclopentyl, cyclohexyl, cycloheptyl, and the like), formyl, lower (C 2-7 ) alkanoyl (for example, acetyl, propionyl, butyryl, and the like), lower (C 1-6 ) alkoxycarbonyl, lower (C 1-6 ) alkoxy, a hydroxy group, oxo, and the like.
- lower (C 1-6 ) alkyl for example
- the substituents of the “amino group which may be substituted” represented by Ra 1 may bond to each other to form a cyclic amino group (for example, a cyclic amino group having a bonding hand on nitrogen atom which is formed by eliminating one hydrogen atom from the nitrogen atom constituting the ring of 5- to 6-membered ring such as tetrahydropyrrole, piperazine, piperidine, morpholine, thiomorpholine, pyrrole and imidazole, and the like).
- a cyclic amino group for example, a cyclic amino group having a bonding hand on nitrogen atom which is formed by eliminating one hydrogen atom from the nitrogen atom constituting the ring of 5- to 6-membered ring such as tetrahydropyrrole, piperazine, piperidine, morpholine, thiomorpholine, pyrrole and imidazole, and the like).
- Said cyclic amino group may be substituted, and examples of the substituent include halogen (for example, fluorine, chlorine, bromine, iodine, and the like), nitro, cyano, hydroxy group, thiol group, amino group, carboxyl group, C 1-4 alkyl which may be halogenated (for example, trifluoromethyl, methyl, ethyl, and the like), C 1-4 alkoxy which may be halogenated (for example, methoxy, ethoxy, propoxy, butoxy, trifluoromethoxy, trifluoroethoxy, and the like), formyl, C 2-4 alkanoyl (for example, acetyl, propionyl, and the like), C 1-4 alkylsulfonyl (for example, methanesulfonyl, ethanesulfonyl, and the like), and the like, and the number of the substituent(s) is preferably 1 to 3.
- halogen
- Preferred examples of the substituent of the amino group in “the amino group which may be substituted” represented by Ra 1 include
- alkyl which may be substituted (for example, C 1-10 alkyls such as methyl, ethyl, propyl, isopropyl, butyl, isobutyl, sec-butyl, tert-butyl, pentyl, isopentyl, neopentyl, hexyl, heptyl, octyl, nonyl, decyl, and the like, preferably lower (C 1-6 ) alkyl, and the like);
- C 1-10 alkyls such as methyl, ethyl, propyl, isopropyl, butyl, isobutyl, sec-butyl, tert-butyl, pentyl, isopentyl, neopentyl, hexyl, heptyl, octyl, nonyl, decyl, and the like, preferably lower (C 1-6 ) alkyl, and the like
- cycloalkyl which may be substituted (for example, C 3-8 cycloalkyls such as cyclopropyl, cyclobutyl, cyclopentyl, cyclohexyl, cycloheptyl, and the like); further, said cycloalkyl may be condensed with benzene ring to form indan (for example, indan-1-yl, indan-2-yl, and the like), tetrahydronaphthalene (for example, tetrahydronaphthalen-5-yl, tetrahydronaphthalen-6-yl, and the like), and the like (preferably, indan, and the like); further, said cycloalkyl may be crosslinked through a linear atomic chain having 1 to 2 carbons to form crosslinked cyclic hydrocarbon residual groups such as bicyclo[2.2.1]heptyl, bicyclo[2.2.2]octyl, bicyclo[3.2.1]octyl
- alkenyl which may be substituted (for example, C 2-10 alkenyl such as allyl, crotyl, 2-pentenyl and 3-hexenyl, preferably lower (C 2-6 ) alkenyl, and the like);
- cycloalkenyl which may be substituted (for example, C 3-7 cycloalkenyl such as 2-cyclopentenyl, 2-cyclohexenyl, 2-cyclopentenylmethyl, 2-cyclohexenylmethyl, and the like);
- aralkyl which may be substituted (for example, phenyl-C 1-4 alkyl) (for example, benzyl, phenethyl, and the like);
- (6) formyl or acyl which may be substituted for example, C 2-4 alkanoyl (for example, acetyl, propionyl, butyryl, isobutyryl, and the like), C 1-4 alkylsulfonyl (for example, methanesulfonyl, ethanesulfonyl, and the like);
- aryl which may be substituted (for example, phenyl, naphthyl, and the like);
- a heterocyclic group which may be substituted for example, a group formed by eliminating one hydrogen atom from a 5- to 6-membered aromatic heterocyclic ring which contains 1 to 4 hetero atoms of 1 to 2 kinds selected from nitrogen atom, sulfur atom and oxygen atom such as furan, thiophene, pyrrole, imidazole, pyrazole, thiazole, oxazole, isothiazole, isoxazole, tetrazole, pyridine, pyrazine, pyrimidine, pyridazine, triazole, and the like), a group formed by eliminating one hydrogen atom from a 5- to 8-membered non-aromatic heterocyclic ring which contains 1 to 4 hetero atoms of 1 to 2 kinds selected from nitrogen atom, sulfur atom and oxygen atom such as tetrahydrofuran, tetrahydrothiophene, dithiolane, oxathiolane, pyrrol
- Examples of the substituent of the above (1) alkyl which may be substituted, (2) cycloalkyl which may be substituted, (3) alkenyl which may be substituted, (4) cycloalkenyl which may be substituted, (5) aralkyl which may be substituted, (6) acyl which may be substituted, (7) aryl which may be substituted and (8) a heterocyclic group which may be substituted include halogen (for example, fluorine, chlorine, bromine, iodine, and the like), C 1-4 alkyl which may be substituted with a halogen atom or C 1-4 alkoxy, C 1-4 alkoxy which may be substituted with a halogen atom or C 1-4 alkoxy (for example, methoxy, ethoxy, propoxy, butoxy, trifluoromethoxy, trifluoroethoxy, and the like), C 1-4 alkylenedioxy (for example, —O—CH 2 —O— —O—CH
- Preferred examples of the “amino group which may be substituted” represented by Ra 1 include in particular an amino group which may have 1 to 2 alkyls which may be substituted [for example, C 1-10 alkyl such as methyl, ethyl, propyl, isopropyl, butyl, isobutyl, sec-butyl, tert-butyl, pentyl, isopentyl, neopentyl, hexyl, heptyl, octyl, nonyl and decyl, preferably lower (C 1-6 ) alkyl, and the like, which may have 1 to 3 substituents selected from halogen (for example, fluorine, chlorine, bromine, iodine, and the like), nitro, cyano, hydroxy group, thiol group which may be substituted (for example, thiol, C 1-4 alkylthio, and the like), amino group which may be substituted (for example,
- Examples of the “cyclic group” of the “cyclic group which may be substituted” represented by Ra 2 in the above formula include 5- to 8-membered (preferably, 5- to 6-membered) saturated or unsaturated alicyclic monocyclic hydrocarbon such as C 5-8 cycloalkane (for example, cyclopentane, cyclohexane, cycloheptane, and the like), C 5-8 cycloalkene (for example, 1-cyclopentene, 2-cyclopentene, 3-cyclopentene, 2-cyclohexene, 3-cyclohexene, and the like) and C 5-8 cycloalkadiene (for example, 2,4-cyclopentadiene, 2,4-cyclohexadiene, 2,5-cyclohexadiene, and the like); 6-membered aromatic monocyclic hydrocarbons such as benzene, 5- to 8-membered aromatic monocyclic heterocyclic rings which contain at least one (preferably, 1 to 4 and more
- Examples of the “aromatic monocyclic heterocyclic ring” used herein include a 5- to 8-membered (preferably, 5- to 6-membered) aromatic monocyclic heterocyclic ring (for example, furan, thiophene, pyrrole, oxazole, isoxazole, thiazole, isothiazole, imidazole, pyrazole, 1,2,3-oxadiazole, 1,2,4-oxadiazole, 1,3,4-oxadiazole, 1,2,3-thiadiazole, 1,2,4-thiadiazole, 1,3,4-thiadiazole, 1,2,3-triazole, 1,2,4-triazole, tetrazole, pyridine, pyridazine, pyrimidine, pyrazine, triazine, and the like), and the like.
- aromatic monocyclic heterocyclic ring for example, furan, thiophene, pyrrole, oxazole, isoxazole
- non-aromatic monocyclic heterocyclic ring examples include a 5- to 8-membered (preferably, 5- to 6-membered) saturated or unsaturated monocyclic non-aromatic heterocyclic ring (aliphatic heterocyclic ring) such as pyrrolidine, tetrahydrofuran, tetrahydrothiophene, thiophene, thiolane, oxathiolane, pyrroline, imidazolidine, imidazoline, pyrazolidine, pyrazoline, oxazine, oxadiazine, thiazine, thiadiazine, piperidine, morpholine, thiomorpholine, tetrahydropyran, piperazine, pyran, oxepine, thiepin, azepine, and the like, or a 5- to 8-membered non-aromatic heterocyclic ring in which a part or all of double bonds of the above aromatic
- the cyclic group” of “the cyclic group which may be substituted” represented by Ra may also be a group formed by eliminating one hydrogen atom from a condensed ring formed by condensing 2 to 3 (preferably, 2) the same or different rings selected from the monocyclic homocyclic rings or heterocyclic rings exemplified above, and these condensed rings may be any one of a saturated condensed ring, a condensed ring partially having unsaturated bond(s), and an aromatic condensed ring.
- Preferred examples of the condensed ring include a ring obtained by condensing two the same or different rings (preferably, one heterocyclic ring and one aromatic heterocyclic ring, and more preferably, two the same or different aromatic heterocyclic rings); a ring obtained by condensing one heterocyclic ring and one homocyclic ring (preferably, one heterocyclic ring and one benzene ring, and more preferably, one aromatic heterocyclic ring and one benzene ring); and the like.
- condensed ring examples include indole, benzothiophene, benzofuran, benzimidazole, imidazo[1,2-a]pyridine, quinoline, isoquinoline, cinnoline, and the like.
- Examples of the substituent of the “cyclic group” of “the cyclic group which may be substituted” represented by Ra 2 include those similar to the substituents of the “hydrocarbon group which may be substituted” as the substituent of the benzene ring in the “benzene ring which may be substituted” represented by the above A.
- the “cyclic group” of the “cyclic group which may be substituted” represented by Ra 2 is preferably a 5- to 6-membered cyclic group, a 5- to 6-membered aromatic cyclic group is also preferred, and phenyl, furyl, thienyl, pyrrolyl, pyridyl (preferably, 6-membered ring), and the like are further preferred, in particular, phenyl is preferred.
- Aa′ is a benzene ring which may be further substituted in addition to the substituent Ra 3
- Ba is a 5- to 8-membered ring which may be substituted
- Xa is a divalent group in which the number of atom(s) in a linear chain portion is 1 to 4
- Ra 1′ is an amino group substituted with 1 to 2 lower alkyl groups which may be substituted
- Ra 2 is a cyclic group which may be substituted
- Ra 3 is a hydrocarbon group which may be substituted, a heterocyclic group which may be substituted, nitro group, a halogen atom, amino group which may be substituted, or a group represented by Ra 4 -Ya- (wherein Y is oxygen atom or sulfur atom which may be oxidized, and Ra 4 is a hydrocarbon group which may be substituted, or a heterocyclic group which may be substituted), or a salt thereof, and a compound represented by the formula (IIa′),
- Aa′′ is a benzene ring which may be further substituted in addition to the substituent Ra 3
- Ba is a 5- to 8-membered ring which may be substituted
- Xa is a divalent group in which the number of atom(s) in a linear chain portion is 1 to 4
- Ra 1 is an amino group which may be substituted
- Ra 2 is a cyclic group which may be substituted
- Ra 3′ is a hydrocarbon group which may be substituted, a heterocyclic group which may be substituted, a halogen atom, amino group which may be substituted, or a group represented by Ra 4 -Ya- (wherein Ya is oxygen atom or sulfur atom which may be oxidized, and Ra 4 is a hydrocarbon group which may be substituted, or a heterocyclic group which may be substituted), or a salt thereof.
- examples of the substituent of the “benzene ring” in the “benzene ring which may be further substituted in addition to the substituent Ra 3 ” represented by Aa′ and in the “benzene ring which may be further substituted in addition to the substituent Ra 3′ ” represented by Aa′′ include those similar to the substituent of “the benzene ring” in “the benzene ring which may be substituted” represented by above Aa.
- examples of the “substituted amino group” represented by Ra 1′ include the “amino group which may be substituted” represented by the above Ra 1 except the unsubstituted amino group, namely amino group having 1 to 2 the same or different substituents similar to the substituent of the “amino group” in the “amino group which may be substituted” represented by the above Ra 1 , etc.
- the “amino group substituted with 1 to 2 lower alkyl groups which may be substituted” is preferred.
- amino group substituted with 1 to 2 of lower alkyl groups which may be substituted include amino group substituted with 1 to 2 lower (C 1-6 ) alkyls (for example, methyl, ethyl, propyl, isopropyl, butyl, isobutyl, sec-butyl, tert-butyl, pentyl, isopentyl, neopentyl and hexyl) which may have 1 to 3 substituents selected from
- halogen for example, fluorine, chlorine, bromine, iodine, and the like
- thiol group which may be substituted (for example, thiol, C 1-4 alkylthio, and the like),
- amino group which may be substituted for example, amino, mono-C 1-4 alkylamino, di-C 1-4 alkylamino, 5- to 6-membered cyclic amino such as tetrahydropyrrole, piperazine, piperidine, morpholine, thiomorpholine, pyrrole, imidazole, and the like),
- carboxyl group which may be esterified or amidated (for example, carboxyl, C 1-4 alkoxy-carbonyl, lower (C 7-10 ) aralkyloxy-carbonyl, carbamoyl, mono-C 1-4 alkylcarbamoyl, di-C 1-4 alkylcarbamoyl, and the like),
- C 1-4 alkyl which may be substituted with a halogen atom or C 1-4 alkoxy (for example, trifluoromethyl, methyl, ethyl, and the like),
- examples of the “heterocyclic group which may be substituted” represented by Ra 3 and Ra 3′ include those similar to the “heterocyclic group which may be substituted” as the substituent of the “benzene ring” in the “benzene ring which may be substituted” represented by the above Aa.
- examples of the “amino group which may be substituted” represented by Ra 3 and Ra 3′ include those similar to the “the amino group which may be substituted” as the substituent of the “benzene ring” in the “benzene ring which may be substituted” represented by the above Aa.
- examples of the “hydrocarbon group which may be substituted” and the “heterocyclic group which may be substituted” represented by Ra 4 in the group represented by the formula Ra 4 -Ya- include those similar to the “hydrocarbon group which may be substituted” and the “heterocyclic group which may be substituted” as the substituent of the “benzene ring” in “the benzene ring which may be substituted” represented by the above Aa.
- examples of the “sulfur atom which may be oxidized” represented by Ya in the group represented by the formula Ra 4 -Ya- include S, S(O), S(O) 2 , and the like.
- Ra 3′ the “hydrocarbon group which may be substituted”, in particular, alkyl is preferred and as Ra 1 , amino is preferred.
- the “benzene ring which may be further substituted” represented by Bb or Cb is a benzene ring which may be further substituted in addition to the substituent specifically shown in the formula (Ib), and examples of the substituent (the substituent other than the substituent specifically shown in the formula (Ib)) include a hydrocarbon group which may be substituted, a heterocyclic group which may be substituted, nitro group, a halogen atom, amino group which may be substituted, a group represented by the formula Rb 6 -Yb- (wherein Yb is oxygen atom or sulfur atom which may be oxidized (for example, S, S(O), S (°) 2 , and the like), and Rb 6 indicates a hydrocarbon group which may be substituted, or a heterocyclic group which may be substituted), cyano group, an acyl group which may be substituted, carboxylic group which may be esterified or amidated, and the like.
- Examples of the “hydrocarbon group which may be substituted” as the substituent of the benzene ring in the “benzene ring which may be further substituted” represented by Bb or Cb and the “hydrocarbon group” in “the hydrocarbon group which may be substituted” represented by Rb 6 include:
- alkyl for example, C 1-10 alkyl such as methyl, ethyl, propyl, isopropyl, butyl, isobutyl, sec-butyl, tert-butyl, pentyl, isopentyl, neopentyl, hexyl, heptyl, octyl, nonyl, decyl, and the like, preferably lower (C 1-6 ) alkyl, and the like);
- cycloalkyl for example, C 3-8 cycloalkyl such as cyclopropyl, cyclobutyl, cyclopentyl, cyclohexyl, cycloheptyl, and the like
- said cycloalkyl may be condensed with benzene ring to form indan (for example, indan-1-yl, indan-2-yl, and the like), tetrahydronaphthalene (for example, tetrahydronaphthalen-5-yl, tetrahydronaphthalen-6-yl, and the like), and the like (preferably, indan, and the like);
- said cycloalkyl may be crosslinked through a linear atomic chain having 1 to 2 carbons to form crosslinked cyclic hydrocarbon residual groups such as bicyclo[2.2.1]heptyl, bicyclo[2.2.2]octyl, bicyclo[3.2.1]octyl, bicyclo[3.
- alkenyl for example, C 2-10 alkenyl such as vinyl, allyl, crotyl, 2-pentenyl, 3-hexenyl, and the like, preferably lower (C 2-6 ) alkenyl, and the like);
- cycloalkenyl for example, C 3-8 cycloalkenyls such as 2-cyclopentenyl, 2-cyclohexenyl, 2-cyclopentenylmethyl, 2-cyclohexenylmethyl, and the like;
- alkynyl for example, C 2-10 alkynyl such as ethynyl, 1-propynyl, 2-propynyl, 1-butynyl, 2-pentynyl, 3-hexynyl, and the like, preferably lower (C 2-6 ) alkynyl, and the like);
- aryl for example, C 6-14 aryls such as phenyl, naphthyl, and the like, preferably C 6-10 aryl, more preferably phenyl, and the like;
- aralkyl for example, C 1-6 alkyl having 1 to 3 C 6-14 aryls, preferably phenyl-C 1-4 alkyl (for example, benzyl, phenethyl, and the like), and the like.
- alkyl is preferred, C 1-4 alkyl such as methyl, ethyl, and the like are more preferred and, in particular, methyl is preferably used.
- the hydrocarbon group may be substituted, and examples of the substituent include halogen (for example, fluorine, chlorine, bromine, iodine, and the like), nitro, cyano, oxo, hydroxy group, thiol group which may be substituted (for example, thiol, C 1-4 alkylthio, and the like), amino group which may be substituted (for example, amino, mono-C 1-4 alkylamino, di-C 1-4 alkylamino, 5- to 6-membered cyclic amino such as tetrahydropyrrole, piperazine, piperidine, morpholine, thiomorpholine, pyrrole and imidazole, and the like), phenyl-lower (C 1-4 ) alkyl, C 3-7 cycloalkyl, carboxyl group which may be esterified or amidated (for example, carboxyl, C 1-4 alkoxy-carbonyl, lower (C 7-10 ) aralkyl, carb
- Examples of the “heterocyclic group which may be substituted” as the substituent of the “benzene ring” in the “benzene ring which may be further substituted” represented by Bb and Cb and the “heterocyclic group” in the “heterocyclic group which may be substituted” represented by Rb 6 include a group formed by eliminating one hydrogen atom from a 5- to 8-membered aromatic heterocyclic ring which contains at least one (preferably, 1 to 4, and more preferably, 1 to 2) of 1 to 3 kinds (preferably, 1 to 2 kinds) of hetero atoms selected from oxygen atom, sulfur atom, nitrogen atom, and the like, a saturated or unsaturated non-aromatic heterocyclic ring (aliphatic heterocyclic ring), and the like.
- Examples of the “aromatic heterocyclic ring” used herein include a 5- to 8-membered (preferably, 5- to 6-membered) aromatic monocyclic heterocyclic ring (for example, furan, thiophene, pyrrole, oxazole, isoxazole, thiazole, isothiazole, imidazole, pyrazole, 1,2,3-oxadiazole, 1,2,4-oxadiazole, 1,3,4-oxadiazole, 1,2,3-thiadiazole, 1,2,4-thiadiazole, 1,3,4-thiadiazole, 1,2,3-triazole, 1,2,4-triazole, tetrazole, pyridine, pyridazine, pyrimidine, pyrazine, triazine, and the like), and the like.
- aromatic monocyclic heterocyclic ring for example, furan, thiophene, pyrrole, oxazole, isoxazole, thi
- non-aromatic heterocyclic ring examples include a 5- to 8-membered (preferably, 5- to 6-membered) saturated or unsaturated monocyclic non-aromatic heterocyclic ring (aliphatic heterocyclic ring) such as pyrrolidine, tetrahydrofuran, tetrahydrothiophene, thiolane, dithiolane, oxathiolane, pyrroline, imidazolidine, imidazoline, pyrazolidine, pyrazoline, oxazine, oxadiazine, thiazine, thiadiazine, piperidine, morpholine, thiomorpholine, tetrahydropyran, piperazine, pyran, oxepine, thiepin and azepine, or a 5- to 8-membered non-aromatic heterocyclic ring in which a part or all of double bonds of the above aromatic monocyclic heterocyclic ring
- examples of the “heterocyclic group which may be substituted” as the substituent of the benzene ring in the “benzene ring which may be further substituted” represented by Bb or Cb and “the heterocyclic group” in the “heterocyclic group which may be substituted” represented by Rb 6 include a group formed by eliminating one hydrogen atom from a condensed ring which is formed by condensing 2 to 3 rings (preferably, 2) selected from the above monocyclic heterocyclic rings (a monocyclic aromatic heterocyclic ring and a monocyclic non-aromatic heterocyclic ring) and 5- to 8-membered cyclic hydrocarbons (5- to 8-membered (preferably, 5- to 6-membered) saturated or unsaturated alicyclic hydrocarbons such as C 5-8 cycloalkane, C 5-8 cycloalkene and C 5-8 cycloalkadiene; 6-membered aromatic hydrocarbons such as benzene; and the like).
- Preferred examples of such condensed ring include a ring in which two the same or different heterocyclic rings (preferably, one heterocyclic ring and one aromatic heterocyclic ring, and more preferably, the same or different two aromatic heterocyclic rings) are condensed; one heterocyclic ring and one homocyclic ring (preferably, one heterocyclic ring and one benzene ring, and more preferably, one aromatic heterocyclic ring and one benzene ring): and the like.
- Specific examples of the condensed ring include indole, benzothiophene, benzofuran, benzimidazole, imidazo[1,2-a]pyridine, quinoline, isoquinoline cinnoline, and the like.
- heterocyclic group which may be substituted as the substituent of the benzene ring in the “benzene ring which may be further substituted” represented by Bb or Cb and the “heterocyclic group” in the “heterocyclic group which may be substituted” represented by Rb 6 may be substituted, and examples thereof include those similar to the substituent of “the hydrocarbon group which may be substituted” as the substituent of the benzene ring in “the benzene ring which may be further substituted” represented by the above Bb or Cb.
- Examples of the “halogen atom” as the substituent of the benzene ring in the “benzene ring which may be substituted” represented by Bb or Cb include fluorine, chlorine, bromine, iodine, and the like.
- Examples of the “amino group which may be substituted” as the substituent of the benzene ring in the “benzene ring which may be further substituted” represented by Bb or Cb include those similar to the “amino group which may be substituted” represented by Ab described hereinafter.
- an amino group which may have 1 to 2 alkyls which may be substituted [for example, C 1-10 alkyls such as methyl, ethyl, propyl, isopropyl, butyl, isobutyl, sec-butyl, tert-butyl, pentyl, isopentyl, neopentyl, hexyl, heptyl, octyl, nonyl, decyl, and the like, preferably lower (C 1-6 ) alkyl, and the like which may have 1 to 3 substituents selected, for example, halogen (for example, fluorine, chlorine, bromine, iodine, and the like), nitro, cyano, hydroxy group, thiol group which may be substituted (for example, thiol, C 1-4 alkylthio, and the like), amino group which may be substituted (for example, amino, mono-C 1-4 alkylamino, di
- the substituents of the “amino group which may be substituted” as the substituent of the benzene ring in the “benzene ring which may be further substituted” represented by Bb or Cb may be bonded to each other to form a cyclic amino group (for example, a cyclic amino group formed by eliminating one hydrogen atom from the ring-constituting nitrogen atom of a 5- to 6-membered ring such as tetrahydropyrrole, piperazine, piperidine, morpholine, thiomorpholine, pyrrole, imidazole, and the like and has a bonding hand on the nitrogen atom, and the like).
- a cyclic amino group formed by eliminating one hydrogen atom from the ring-constituting nitrogen atom of a 5- to 6-membered ring such as tetrahydropyrrole, piperazine, piperidine, morpholine, thiomorpholine, pyrrole, imidazole, and
- Said cyclic amino group may be substituted and examples of the substituent include halogen (for example, fluorine, chlorine, bromine, iodine, and the like), nitro, cyano, hydroxy group, thiol group, amino group, carboxyl group, C 1-4 alkyl which may be halogenated (for example, trifluoromethyl, methyl, ethyl, and the like), C 1-4 alkoxy which may be halogenated (for example, methoxy, ethoxy, propoxy, butoxy, trifluoromethoxy, trifluoroethoxy, and the like), formyl, C 2-4 alkanoyl (for example, acetyl, propionyl and the like), C 1-4 alkylsulfonyl (for example, methanesulfonyl, ethanesulfonyl, and the like), and the like.
- the number of the substituent(s) is preferably 1 to 3.
- Examples of the “acyl group which may be substituted” as the substituent of the benzene ring in the “benzene ring which may be further substituted” represented by Bb or Cb include those obtained by bonding hydrogen, the “hydrocarbon group which may be substituted” (that similar to the “hydrocarbon group which may be substituted” as the substituent of the benzene ring in the “benzene ring which may be further substituted” represented by the above Bb or Cb), the “heterocyclic group which may be substituted” (that similar to the “heterocyclic group which may be substituted” as the substituent of the benzene ring in the “benzene ring which may be substituted” represented by the above Bb or Cb), and the like, with carbonyl group or sulfonyl group.
- Preferred examples include those obtained by bonding
- alkyl which may be substituted (C 1-10 alkyl such as methyl, ethyl, propyl, isopropyl, butyl, isobutyl, sec-butyl, tert-butyl, pentyl, isopentyl, neopentyl, hexyl, heptyl, octyl, nonyl, decyl, and the like, preferably lower (C 1-6 ) alkyl, and the like);
- cycloalkyl which may be substituted (for example, C 3-7 cycloalkyl such as cyclopropyl, cyclobutyl, cyclopentyl, cyclohexyl, cycloheptyl, and the like);
- alkenyl which may be substituted (for example, C 2-10 akenyl such as allyl, crotyl, 2-pentenyl, 3-hexenyl, and the like, preferably lower (C 2-6 ) alkenyl, and the like);
- cycloalkenyl which may be substituted (for example, C 3-7 cycloalkenyl such as 2-cyclopentenyl, 2-cyclohexenyl, 2-cyclopentenylmethyl, 2-cyclohexenylmethyl, and the like);
- carbonyl group or sulfonyl group for example, acetyl, propionyl, butyryl, iso
- Examples of the substituent of (2) alkyl which may be substituted, (3) cycloalkyl which may be substituted, (4) alkenyl which may be substituted, (5) cycloalkenyl which may be substituted, and (6) 5- to 6-membered monocyclic aromatic group which may be substituted include halogen (for example, fluorine, chlorine, bromine, iodine, and the like), nitro, cyano, hydroxy group, thiol group which may be substituted (for example, thiol, C 1-4 alkylthio, and the like), amino group which may be substituted (for example, amino, mono-C 1-4 alkylamino, di-C 1-4 alkylamino, 5- to 6-membered cyclic amino such as tetrahydropyrrole, piperazine, piperidine, morpholine, thiomorpholine, pyrrole, imidazole, and the like), carboxyl group which may be esterified or amidated (for example, carb
- Examples of the “carboxyl group which may be esterified” as the substituent of the benzene ring in the “benzene ring which may be further substituted” represented by Bb or Cb include those obtained by bonding hydrogen, the “hydrocarbon group which may be substituted” (that similar to the “hydrocarbon group which may be substituted” as the substituent of the benzene ring in “the benzene ring which may be further substituted” represented by the above Bb or Cb), and the like, with carbonyloxy group.
- Preferred examples include those obtained by bonding:
- alkyl which may be substituted (C 1-10 alkyl such as methyl, ethyl, propyl, isopropyl, butyl, isobutyl, sec-butyl, tert-butyl, pentyl, isopentyl, neopentyl, hexyl, heptyl, octyl, nonyl, decyl, and the like, preferably lower (C 1-6 ) alkyl, and the like);
- cycloalkyl which may be substituted (for example, C 3-7 cycloalkyl such as cyclopropyl, cyclobutyl, cyclopentyl, cyclohexyl, cycloheptyl, and the like);
- alkenyl which may be substituted (for example, C 2-10 alkenyl such as allyl, crotyl, 2-pentenyl, 3-hexenyl, and the like, preferably lower (C 2-6 ) alkenyl, and the like);
- cycloalkenyl which may be substituted(for example, C 3-7 cycloalkenyl such as 2-cyclopentenyl, 2-cyclohexenyl, 2-cyclopentenylmethyl, 2-cyclohexenylmethyl, and the like);
- aryl which may be substituted (for example, phenyl, naphthyl, and the like), with carbonyloxy group.
- Preferred are carboxyl, lower (C 1-6 ) alkoxycarbonyl, aryloxycarbonyl (for example, methoxycarbonyl, ethoxycarbonyl, propoxycarbonyl, phenoxycarbonyl, naphthoxycarbonyl, and the like), and the like.
- Examples of the substituent of (2) alkyl which may be substituted, (3) cycloalkyl which may be substituted, (4) alkenyl which may be substituted, (5) cycloalkenyl which may be substituted, and (6) aryl which may be substituted include halogen (for example, fluorine, chlorine, bromine, iodine, and the like), nitro, cyano, hydroxy group, thiol group which may be substituted (for example, thiol, C 1-4 alkylthio, and the like), amino group which may be substituted (for example, amino, mono-C 1-4 alkylamino, di-C 1-4 alkylamino, 5- to 6-membered cyclic amino such as tetrahydropyrrole, piperazine, piperidine, morpholine, thiomorpholine, pyrrole, imidazole, and the like), carboxyl group which may be esterified or amidated (for example, carboxyl, C 1-4 alk
- Examples of the “carboxyl group which may be amidated” as the substituent of the benzene ring in the “benzene ring which may be further substituted” represented by Bb or Cb include those obtained by bonding
- One to four (preferably, 1 to 2) of the substituent(s) of the benzene ring in the “benzene ring which may be further substituted” represented by Bb or Cb may be the same or different and may be substituted at any position of the ring.
- the benzene ring in the “benzene ring which may be further substituted” represented by Bb or Cb has 2 or more substituents, two substituents among these are bonded to each other, for example, to form lower (C 1-6 ) alkylene (for example, trimethylene, tetramethylene, and the like), lower (C 1-6 ) alkyleneoxy (for example, —CH 2 —O—CH 2 —O—, —O—CH 2 —CH 2 —, and the like), lower (C 1-6 ) alkylenedioxy (for example, —O—CH 2 —O—, —O—CH 2 —CH 2 —O—, and the like), lower (C 2-6 ) alkenylene (for example, —CH 2 —CH ⁇ CH—, —CH 2 —CH 2 —CH ⁇ CH—, —CH 2 —CH ⁇ CH—CH 2 —, and the like), lower (C 4-6 ) alkadienylene (for
- substituent of the benzene ring in the “benzene ring which may be further substituted” represented by Bb or Cb preferred are a hydrocarbon group which may be substituted, a heterocyclic group which may be substituted, nitro group, halogen atom, amino group which may be substituted, a group represented by Rb 6 -Yb- (wherein Yb is oxygen atom or sulfur atom which may be oxidized, and Rb 6 is a hydrocarbon group which may be substituted, or a heterocyclic group which may be substituted), and the like.
- a hydrocarbon group which may be substituted a heterocyclic group which may be substituted, a halogen atom, an amino group which may be substituted, a group represented by Rb 6 -Yb- (wherein Yb indicates oxygen atom or sulfur atom which may be oxidized, and Rb 6 indicates a hydrocarbon group which may be substituted, or a heterocyclic group which may be substituted), and the like.
- Rb 6 -Yb- wherein Yb indicates oxygen atom or sulfur atom which may be oxidized, and Rb 6 indicates a hydrocarbon group which may be substituted, or a heterocyclic group which may be substituted
- lower (C 1-4 ) alkyl, a halogen atom, and the like are preferred.
- Examples of the “hydrocarbon group” in the “hydrocarbon group which may be substituted” represented by Rb 1 , Rb 2 and Rb 3 include
- alkyl for example, C 1-10 alkyl such as methyl, ethyl, propyl, isopropyl, butyl, isobutyl, sec-butyl, tert-butyl, pentyl, isopentyl, neopentyl, hexyl, heptyl, octyl, nonyl, decyl, and the like, preferably lower (C 1-6 ) alkyl, and the like);
- cycloalkyl for example, C 3-8 cycloalkyls such as cyclopropyl, cyclobutyl, cyclopentyl, cyclohexyl, cycloheptyl, and the like
- said cycloalkyl may be condensed with benzene ring to form indan (for example, indan-1-yl, indan-2-yl, and the like), tetrahydronaphthalene (for example, tetrahydronaphthalen-5-yl, tetrahydronaphthalen-6-yl, and the like), and the like (preferably, indan, and the like);
- said cycloalkyl may be crosslinked through a linear atomic chain having 1 to 2 carbons to form crosslinked cyclic hydrocarbon residual groups such as bicyclo[2,2,1]heptyl, bicyclo[2,2,2]octyl, bicyclo[3,2,1]octyl, bi
- alkenyl for example, C 2-10 alkenyl such as vinyl, allyl, crotyl, 2-pentenyl, 3-hexenyl, and the like, preferably lower (C 2-6 ) alkenyl, and the like;
- cycloalkenyl for example, C 3-8 cycloalkenyl such as 2-cyclopentenyl, 2-cyclohexenyl, 2-cyclopentenylmethyl, 2-cyclohexenylmethyl, and the like;
- alkynyl for example, C 2-10 alkynyl such as ethynyl, 1-propynyl, 2-propynyl, 1-butynyl, 2-pentynyl, 3-hexynyl, preferably lower (C 2-6 ) alkynyl, and the like);
- aryl for example, C 6-14 aryl such as phenyl, naphthyl, and the like, preferably C 6-10 aryl, more preferably phenyl, and the like;
- aralkyl for example, C 1-6 alkyl having 1 to 3 C 6-14 aryl, preferably phenyl-C 1-4 alkyl (for example, benzyl, phenethyl, and the like), and the like.
- X′′′ is a C 1-4 alkylene group or a C 1-4 alkenylene group
- G is a bonding hand, —O—, —S—, —CO—NH— or —NH—CO—
- n is an integer of 0 to 3
- J is an aromatic cyclic group which may be substituted, and the like.
- examples the aromatic cyclic group which may be substituted represented by J include an aryl group which may be substituted, an aromatic heterocyclic group which may be substituted, and the like.
- Examples of the “aryl group” in the “aryl group which may be substituted” represented by J include C 6-14 aryl such as phenyl, naphthyl, and the like, preferably C 6-10 aryl, more preferably phenyl, and the like.
- Examples of the “aromatic heterocyclic group” in the “aromatic heterocyclic group which may be substituted” represented by J include those similar to the “aromatic heterocyclic group which may be substituted” in the “heterocyclic group which may be substituted” exemplified with respect to Ra 6 . Among these, preferred is a 5- to 6-membered aromatic monocyclic heterocyclic group which may be substituted.
- Examples of the 5- to 6-membered aromatic monocyclic heterocyclic group include furan, thiophene, pyrrole, oxazole, isoxazole, thiazole, isothiazole, imidazole, pyrazole, 1,2,3-oxadiazole, 1,2,4-oxadiazole, 1,3,4-oxadiazole, 1,2,3-thiadiazole, 1,2,4-thiadiazole, 1,3,4-thiadiazole, 1,2,3-triazole, 1,2,4-triazole, tetrazole, pyridine, pyridazine, pyrimidine, pyrazine, triazine, and the like
- the “aromatic cyclic group” in the “aromatic cyclic group which may be substituted” represented by J may be substituted, and examples of the substituent include halogen (for example, fluorine, chlorine, bromine, iodine, and the like), nitro, cyano, hydroxy group, thiol group which may be substituted (for example, thiol, C 1-4 alkylthio, and the like), amino group which may be substituted (for example, amino, mono-C 1-4 alkylamino, di-C 1-4 alkylamino, 5- to 6-membered cyclic amino such as tetrahydropyrrole, piperazine, piperidine, morpholine, thiomorpholine, pyrrole, imidazole, 2-oxo-1-pyrrolidinyl, 2-oxo-1-piperidinyl, and the like), phenyl-lower (C 1-4 ) alkyl, C 3-7 cycloalkyl, C
- the “hydrocarbon group” in the “hydrocarbon group which may be substituted” represented by Rb 1 , Rb 2 and Rb 3 may be substituted, and examples of the substituent include halogen (for example, fluorine, chlorine, bromine, iodine, and the like), nitro, cyano, oxo, hydroxy group, thiol group which may be substituted (for example, thiol, C 1-4 alkylthio, and the like), amino group which may be substituted (for example, amino, mono-C 1-4 alkylamino, di-C 1-4 alkylamino, 5- to 6-membered cyclic amino such as tetrahydropyrrole, piperazine, piperidine, morpholine, thiomorpholine, pyrrole, imidazole, 2-oxo-1-pyrrolidinyl, 2-oxo-1-piperidinyl, and the like), phenyl-lower (C14) alkyl,
- Examples of the “aryl group” in the “aryl group which may be substituted” as the substituent of the “hydrocarbon group which may be substituted” represented by Rb 1 , Rb 2 and Rb 3 include C 6-14 aryls such as phenyl, naphthyl, and the like, preferably C 6-10 aryl, more preferably phenyl, and the like.
- substituent of said “aryl group” examples include halogen (for example, fluorine, chlorine, bromine, iodine, and the like), nitro, cyano, hydroxy group, thiol group which may be substituted (for example, thiol, C 1-4 alkylthio, and the like), amino group which may be substituted (for example, amino, mono-C 1-4 alkylamino, di-C 1-4 alkylamino, 5- to 6-membered cyclic amino such as tetrahydropyrrole, piperazine, piperidine, morpholine, thiomorpholine, pyrrole, imidazole, and the like), phenyl-lower (C 1-4 ) alkyl, C 3-7 cycloalkyl, a carboxyl group which may be esterified or amidated (for example, carboxyl, C 1-4 alkoxy-carbonyl, lower (C 7-10 ) aralkyloxy-carbonyl
- Examples of the “heterocyclic group which may be substituted” as the substituent of the “hydrocarbon group which may be substituted” represented by Rb 1 , Rb 2 and Rb 3 include those similar to the “heterocyclic group which may be substituted” represented by the above Rb 6 .
- Rb 1 is preferably hydrogen atom or C 1-6 alkyl which may be substituted, more preferably, hydrogen atom or C 1-4 alkyl, and in particular, hydrogen atom.
- the “hydrocarbon group which may be substituted” represented by Rb 2 is preferably a group represented by the formula X′′′-G-(CH 2 ) n -J, wherein X′′′ is a C 1-4 alkylene group or a C 1-4 alkenylene group, G is a bonding hand —O—, —S—, —CO—NH— or —NH—CO—, n is an integer of 0 to 3, and J is an aromatic cyclic group which may be substituted.
- Preferred examples of the aromatic cyclic group which may be substituted represented by J include phenyl which may be substituted, a 5- to 6-membered aromatic monocyclic heterocyclic group which may be substituted, and the like.
- the “hydrocarbon group which may be substituted” represented by Rb 3 is preferably C 1-6 alkyl which may be substituted, and in particular, a group represented by the formula —(CH 2 ) p —K, wherein p is an integer of 1 to 6, and K is an aromatic cyclic group which may be substituted.
- Examples of the “aromatic cyclic group which may be substituted” represented by K include those similar to the “aromatic cyclic group which may be substituted” represented by the fore-mentioned J, and the “aromatic cyclic group” in the “aromatic cyclic group which may be substituted” represented by K is preferably phenyl group.
- the substituent of the “aromatic cyclic group” in the “aromatic cyclic group which may be substituted” represented by K is preferably hydroxy group, sulfamoyl group which may be substituted, and the like.
- the ring when Rb 1 and Xb are bonded to form a ring, “the ring” may be either of a saturated ring or an unsaturated ring so far as it is a nitrogen-containing heterocyclic ring, and the size of the ring is not specifically limited, but among these, preferred is a 3- to 8-membered nitrogen-containing heterocyclic ring, in particular, a 3- to 8-membered saturated nitrogen-containing heterocyclic ring, namely a ring represented by the formula:
- ring Db is a 3- to 8-membered saturated nitrogen-containing heterocyclic ring.
- Examples of the “3- to 8-membered nitrogen-containing heterocyclic ring” include a 3- to 8-membered nitrogen-containing heterocyclic ring which contains one nitrogen atom and may contain 1 to 4 (preferably 1 to 2) of one to three kinds (preferably, one to two kinds) hetero atoms selected from oxygen atom, sulfur atom and nitrogen atom, and the like.
- examples thereof include a 3- to 8-membered (preferably, 5- to 6-membered) saturated or unsaturated (preferably, saturated) monocyclic non-aromatic heterocyclic ring (aliphatic heterocyclic ring) such as pyrrolidine, pyrroline, imidazolidine, imidazoline, pyrazolidine, pyrazoline, oxazine, oxadiazine, thiazine, thiadiazine, piperidine, morpholine, thiomorpholine, piperazine, azepine, and the like.
- a 3- to 8-membered (preferably, 5- to 6-membered) saturated or unsaturated (preferably, saturated) monocyclic non-aromatic heterocyclic ring (aliphatic heterocyclic ring) such as pyrrolidine, pyrroline, imidazolidine, imidazoline, pyrazolidine, pyrazoline, oxazine, oxadiazine, thiazine,
- said “3- to 8-membered nitrogen-containing heterocyclic ring” may be substituted, and examples of the substituent include those similar to the substituent of the “hydrocarbon group which may be substituted” as the substituent of the benzene ring in the “benzene ring which may be further substituted” represented by the above B or C.
- Rb 1 may be bonded to the “amino group which may be substituted” represented by Ab to form a ring, and the “ring” may be either of a saturated ring and an unsaturated ring so far as it is a heterocyclic ring containing at least two nitrogen atoms, and the size of the ring is not limited.
- a 3- to 8-membered nitrogen-containing heterocyclic ring is preferred, and in particular, a 3- to 8-membered saturated nitrogen-containing heterocyclic ring, namely a ring represented by the formula:
- examples of the substituent of the “nitrogen atom” in the “nitrogen atom which may be substituted” represented by Ab′ include those similar to the substituent of the “amino group” in the “amino group which may be substituted” represented by Ab hereinafter.
- Examples of the “3- to 8-membered nitrogen-containing heterocyclic ring” include a 3- to 8-membered nitrogen-containing heterocyclic ring which contains two nitrogen atoms and further 1 to 4 (preferably 1 to 2) of one to three kinds (preferably, one to two kinds) of hetero atoms selected from oxygen atom, sulfur atom and nitrogen atom, and the like.
- examples thereof include a 3- to 8-membered (preferably, 5- to 6-membered) saturated or unsaturated (preferably, saturated) monocyclic non-aromatic heterocyclic ring (aliphatic heterocyclic ring) such as imidazolidine, imidazoline, pyrazolidine, pyrazoline, oxadiazine, thiadiazine, piperazine, diazepine, and the like.
- a 3- to 8-membered (preferably, 5- to 6-membered) saturated or unsaturated (preferably, saturated) monocyclic non-aromatic heterocyclic ring (aliphatic heterocyclic ring) such as imidazolidine, imidazoline, pyrazolidine, pyrazoline, oxadiazine, thiadiazine, piperazine, diazepine, and the like.
- said “3- to 8-membered nitrogen-containing heterocyclic ring” may be substituted, and examples of the substituent include those similar to the substituent of the “hydrocarbon group which may be substituted” as the substituent which the benzene ring in the “benzene ring which may be further substituted” represented by the above Bb or Cb.
- the spacer in which the number of atom(s) constituting a linear chain portion is 1 to 8” represented by Xb may be any one so far as it is “the divalent group in which the number of atom(s) in a linear chain portion is 1 to 8”, and examples thereof include a saturated divalent group and a divalent group in which a part of bonds is converted to unsaturated bond(s), such as
- Specific examples include a divalent group such as —O—(CH 2 ) k5 — (k5 is an integer of 0 to 7), —(CH 2 ) k5 —O— (k5 is an integer of 0 to 7), —S—(CH 2 ) k5 (k5 is an integer of 0 to 7), —(CH 2 ) k5 —S— (k5 is an integer of 0 to 7), —NH—(CH 2 ) k5 — (k5 is an integer of 0 to 7), —(CH 2 ) k5 —NH— (k5 is an integer of 0 to 7), —(CH 2 ) k6 — (k6 is an integer of 1 to 8), —CH ⁇ CH—, —C ⁇ C—, —CO—NH—, —SO 2 —NH—, and the like.
- a divalent group such as —O—(CH 2 ) k5 — (k5 is an integer of 0 to
- Xb more preferred one is a divalent group in which the number of carbon atom(s) constituting a linear chain portion is 1 to 4.
- C 1-4 alkylene, C 2-4 alkenylene, and the like are preferred and, in particular, C 1-4 alkylene is preferably used.
- the divalent group as Xb may be substituted at an arbitrary position (preferably, on a carbon atom), and the substituent may be any one so far as it can be bonded to a divalent chain constituting a linear chin portion.
- the substituent may be any one so far as it can be bonded to a divalent chain constituting a linear chin portion. Examples thereof include those similar to the substituent of the “benzene ring” in the “benzene ring which may be further substituted” represented by the above Bb and Cb may, oxo group, and the like.
- the substituent(s) are the same or different and the number thereof is 1 to 4 (preferably, 1 to 2). They may be substituted at any position of said divalent group.
- substituents of the divalent group as Xb may be bonded to each other to form a ring, and examples of “the ring” include C 1-7 cycloalkanes such as cyclopentane, cyclohexane, cycloheptane, and the like; benzene; and the like.
- Examples of the preferred substituent of the divalent group as Xb include lower (C 1-6 ) alkyl (for example, methyl, ethyl, propyl, isopropyl, butyl, isobutyl, sec-butyl, tert-butyl, pentyl, isopentyl, neopentyl, hexyl, and the like), lower (C 3-7 ) cycloalkyl (for example, cyclopropyl, cyclobutyl, cyclopentyl, cyclohexyl and cycloheptyl, and the like), formyl, lower (C 2-7 ) alkanoyl (for example, acetyl, propionyl, butyryl, and the like), lower (C 1-6 ) alkoxy-carbonyl, lower (C 1-6 ) alkoxy, a hydroxy group, oxo, and the like.
- lower (C 1-6 ) alkyl for example
- a chain spacer is preferred.
- examples of the “amino group which may be substituted” represented by Ab include amino group, and the like which may have 1 or 2 substituents selected from the “hydrocarbon group which may be substituted” (that similar to “the hydrocarbon group which may be substituted” as the substituent of the benzene ring in the “benzene ring which may be further substituted” represented by the above Bb and Cb, and the like), the “heterocyclic group which may be substituted” (that similar to the “heterocyclic group which may be substituted” as the substituent of the benzene ring in the “benzene ring which may be further substituted” represented by the above Bb and Cb, and the like), and the “acyl group which may be substituted” (that similar to the “acyl group which may be substituted” as the substituent of the benzene ring in the “benzene ring which may be further substituted” represented by the above Bb and Cb, and the like).
- the substituents of the “amino group which may be substituted” represented by Ab may bond to each other to form a cyclic amino group (for example, a cyclic amino group having a bonding hand on nitrogen atom which is formed by eliminating one hydrogen atom from the nitrogen atom constituting the ring of 5- to 6-membered rings such as tetrahydropyrrole, piperazine, piperidine, morpholine, thiomorpholine, pyrrole and imidazole, and the like).
- a cyclic amino group for example, a cyclic amino group having a bonding hand on nitrogen atom which is formed by eliminating one hydrogen atom from the nitrogen atom constituting the ring of 5- to 6-membered rings such as tetrahydropyrrole, piperazine, piperidine, morpholine, thiomorpholine, pyrrole and imidazole, and the like).
- Said cyclic amino group may be substituted and examples of the substituent include halogen (for example, fluorine, chlorine, bromine, iodine, and the like), nitro, cyano, hydroxy group, thiol group, amino group, carboxyl group, C 1-4 alkyl which may be halogenated (for example, trifluoromethyl, methyl, ethyl, and the like), C 1-4 alkoxy which may be halogenated (for example, methoxy, ethoxy, propoxy, butoxy, trifluoromethoxy, trifluoroethoxy, and the like), formyl, C 2-4 alkanoyl (for example, acetyl, propionyl, and the like), C 1-4 alkylsulfonyl (for example, methanesulfonyl, ethanesulfonyl, and the like), and the like, and the number of the substituent(s) is preferably 1 to 3.
- halogen for
- alkyl which may be substituted (for example, C 1-10 alkyls such as methyl, ethyl, propyl, isopropyl, butyl, isobutyl, sec-butyl, tert-butyl, pentyl, isopentyl, neopentyl, hexyl, heptyl, octyl, nonyl, decyl, and the like preferably lower (C 1-6 ) alkyl, and the like);
- C 1-10 alkyls such as methyl, ethyl, propyl, isopropyl, butyl, isobutyl, sec-butyl, tert-butyl, pentyl, isopentyl, neopentyl, hexyl, heptyl, octyl, nonyl, decyl, and the like preferably lower (C 1-6 ) alkyl, and the like);
- cycloalkyl which may be substituted (for example, C 3-8 cycloalkyls such as cyclopropyl, cyclobutyl, cyclopentyl, cyclohexyl, cycloheptyl, cyclooctyl, and the like); further, said cycloalkyl may be condensed with benzene ring to form indan (for example, indan-1-yl, indan-2-yl, and the like), tetrahydronaphthalene (for example, tetrahydronaphthalen-5-yl, tetrahydronaphthalen-6-yl, and the like), and the like (preferably, indan, and the like); further, said cycloalkyl may be crosslinked through a linear atomic chain having 1 to 2 carbons to form crosslinked cyclic hydrocarbon residual groups such as bicycio[2,2,1]heptyl, bicyclo[2,2,2]octy
- alkenyl which may be substituted (for example, C 2-10 alkenyl such as allyl, crotyl, 2-pentenyl, 3-hexenyl, and the like, preferably lower (C 2-6 ) alkenyl, and the like);
- cycloalkenyl which may be substituted (for example, C 3-7 cycloalkenyl such as 2-cyclopentenyl, 2-cyclohexenyl, 2-cyclopentenylmethyl, 2-cyclohexenylmethyl, and the like);
- aralkyl which may be substituted (for example, phenyl-C 1-4 alkyl (for example, benzyl, phenethyl, and the like), and the like);
- (6) formyl or acyl which may be substituted for example, C 2-4 alkanoyl (for example, acetyl, propionyl, butyryl, isobutyryl, and the like), C 1-4 alkylsulfonyl having (for example, methanesulfonyl, ethanesulfonyl, and the like);
- aryl which may be substituted (for example, phenyl, naphthyl, and the like);
- a heterocyclic group which may be substituted for example, a group formed by eliminating one hydrogen atom from a 5- to 6-membered aromatic heterocyclic ring which contains 1 to 4 hetero atoms of 1 to 2 kinds selected from nitrogen atom, sulfur atom and oxygen atom such as furan, thiophene, pyrrole, imidazole, pyrazole, thiazole, oxazole, isothiazole, isoxazole, tetrazole, pyridine, pyrazine, pyrimidine, pyridazine, triazole, and the like, a group formed by eliminating one hydrogen atom from a 5- to 6-membered non-aromatic heterocyclic ring which contains 1 to 4 hetero atoms of 1 to 2 kinds selected from nitrogen atom, sulfur atom and oxygen atom such as tetrahydrofuran, tetrahydrothiophene, dithiolane, oxathiolane, pyrrolidine
- Preferred examples of the substituent of the above (1) alkyl which may be substituted, (2) cycloalkyl which may be substituted, (3) alkenyl which may be substituted, (4) cycloalkenyl which may be substituted, (5) aralkyl which may be substituted, (6) acyl which may be substituted, (7) aryl which may be substituted and (8) a heterocyclic group which may be substituted include halogen (for example, fluorine, chlorine, bromine, iodine, and the like), C 1-4 alkyl which may be substituted with a halogen atom or C 1-4 alkoxy, C 1-4 alkoxy which may be substituted with a halogen atom or C 1-4 alkoxy (for example, methoxy, ethoxy, propoxy, butoxy, trifluoromethoxy, trifluoroethoxy, and the like), C 1-4 alkylenedioxy (for example, —O—CH 2 —O—, —
- amino group which may be substituted represented by Ab include, in particular, amino group which may have 1 to 2 alkyls which may be substituted [C 1-10 alkyl such as methyl, ethyl, propyl, isopropyl, butyl, isobutyl, sec-butyl, tert-butyl, pentyl, isopentyl, neopentyl, hexyl, heptyl, octyl, nonyl and decyl, preferably lower (C 1-6 ) alkyl, and the like, each of which may have 1 to 3 substituents selected from, for example, halogen (for example, fluorine, chlorine, bromine, iodine, and the like), nitro, cyano, a hydroxy group, a thiol group which may be substituted (for example, thiol, C 1-4 alkylthio, and the like), an amino group which
- examples of the “nitrogen-containing heterocyclic group” in the “nitrogen-containing heterocyclic group which may be substituted” represented by Ab include a 5- to 8-membered aromatic monocyclic heterocyclic ring which contains one nitrogen atom and may contain 1 to 4 (preferably 1 to 2) of one to three kinds (preferably one to two kinds) of hetero atoms selected from oxygen atom, sulfur atom and nitrogen atom; a saturated or unsaturated non-aromatic monocyclic heterocyclic ring (aliphatic heterocyclic ring), and the like; and a group formed by eliminating one hydrogen atom from a ring in which 2 to 3 the same or different rings selected from these monocyclic rings are condensed.
- the nitrogen-containing heterocyclic group which may be substituted” represented by Ab may be bonded to Xb through either of nitrogen atom and carbon atom. Preferably, it is bonded to Xb through carbon atom.
- aromatic monocyclic heterocyclic ring examples include a 5- to 8-membered (preferably, 5- to 6-membered) aromatic monocyclic heterocyclic ring (for example, pyrrole, oxazole, isoxazole, thiazole, isothiazole, imidazole, pyrazole, 1,2,3-oxadiazole, 1,2,4-oxadiazole, 1,3,4-oxadiazole, 1,2,3-thiadiazole, 1,2,4-thiadiazole, 1,3,4-thiadiazole, 1,2,3-triazole, 1,2,4-triazole, tetrazole, pyridine, pyridazine, pyrimidine, pyrazine, triazine, and the like), and the like.
- aromatic monocyclic heterocyclic ring for example, pyrrole, oxazole, isoxazole, thiazole, isothiazole, imidazole, pyrazole, 1,2,3-o
- non-aromatic monocyclic heterocyclic ring examples include a 5- to 8-membered (preferably, 5- to 6-membered) saturated or unsaturated monocyclic non-aromatic heterocyclic ring (aliphatic heterocyclic ring) such as pyrrolidine, pyrroline, imidazolidine, imidazoline, pyrazolidine, pyrazoline, oxazine, oxadiazine, thiazine, thiadiazine, piperidine, morpholine, thiomorpholine, piperazine, and azepine, or 5- to 8-membered non-aromatic heterocyclic rings in which a part or all of double bonds of the above aromatic monocyclic heterocyclic ring are saturated, and the like.
- aliphatic heterocyclic ring such as pyrrolidine, pyrroline, imidazolidine, imidazoline, pyrazolidine, pyrazoline, oxazine, oxadiazine,
- Examples of the substituent of the “nitrogen-containing heterocyclic group” in the “nitrogen-containing heterocyclic group which may be substituted” represented by Ab include those similar to the substituent of the hydrocarbon group which may be substituted” as the substituent of the benzene ring in the “benzene ring which may be further substituted” represented by the above Bb or Cb.
- the “nitrogen-containing heterocyclic group” in the “nitrogen-containing heterocyclic group which may be substituted” represented by Ab is preferably a 5- to 6-membered nitrogen-containing heterocyclic group, more preferably a 5- to 6-membered saturated nitrogen-containing heterocyclic group, in particular, pyrrolidine, piperidine, piperazine (preferably, a 5- to 6-membered saturated nitrogen-containing heterocyclic group having one nitrogen atom), and the like.
- Rb 1 is as defined above, Xb 1 is a C 1-6 alkylene group which may be substituted, each of Rb 4 and Rb 5 is a hydrogen atom or a C 1-6 alkyl group which may be substituted, and Rb 4 and Rb 5 may be bonded to each other to form a ring, and
- Xb′′ is a bonding hand or a C 1-4 alkylene group which may be substituted, each of ring Db and ring Eb is a 3- to 8-membered saturated nitrogen-containing heterocyclic group], and the like.
- examples of the substituent of the “C 1-6 alkylene group (preferably, a C 1-4 alkylene group)” in the “C 1-6 alkylene group which may be substituted” represented by Xb′ include those similar to the substituent of the divalent bond as Xb.
- examples of the “C 1-6 alkyl group which may be substituted” represented by Rb 4 and Rb 5 include lower (C 1-6 ) alkyl such as methyl, ethyl, propyl, isopropyl, butyl, isobutyl, sec-butyl, tert-butyl, pentyl, isopentyl, neopentyl, hexyl, and the like each of which may have 1 to 3 substituents selected from, for example, halogen (for example, fluorine, chlorine, bromine, iodine, and the like), nitro, cyano, hydroxy group, thiol group which may be substituted (for example, thiol, C 1-4 alkylthio, and the like), an amino group which may be substituted (for example, amino, mono-C 1-4 alkylamino, di-C 1-4 alkylamino, 5- to 6-membered cyclic amino such as t
- Rb 4 and Rb 5 may be bonded to each other and together with the adjacent nitrogen atom to form a cyclic amino group (for example, a cyclic amino group formed by eliminating one hydrogen atom from the ring-constituting nitrogen atom of a 5- to 6-membered ring such as tetrahydropyrrole, piperazine, piperidine, morpholine, thiomorpholine, pyrrole and imidazole, and which has a bonding hand on nitrogen atom, and the like; preferably 5- to 6-membered saturated cyclic amino groups such as pyrrolidino, piperazino, piperidino, and the like; and more preferably pyrrolidino, and the like).
- a cyclic amino group formed by eliminating one hydrogen atom from the ring-constituting nitrogen atom of a 5- to 6-membered ring such as tetrahydropyrrole, piperazine, piperidine, morpholine, thiomorpho
- Said cyclic amino group may be substituted, and examples of the substituent include halogen (for example, fluorine, chlorine, bromine, iodine, and the like), nitro, cyano, hydroxy group, thiol group, amino group, carboxyl group, C 1-4 alkyl which may be halogenated (for example, trifluoromethyl, methyl, ethyl, and the like), C 1-4 alkoxy which may be halogenated (for example, methoxy, ethoxy, propoxy, butoxy, trifluoromethoxy, trifluoroethoxy, and the like), formyl, C 2-4 alkanoyl (for example, acetyl, propionyl, and the like), C 1-4 alkylsulfonyl (for example, methanesulfonyl, ethanesulfonyl, and the like), and the like.
- the number of the substituent(s) is preferably 1 to 3.
- examples of the substituent of the “C 1-4 alkylene group” in the “C 1-4 alkylene group which may be substituted” represented by Xb′′ include those similar to the substituent of the divalent group as Xb.
- examples of the “3- to 8-membered saturated nitrogen-containing heterocyclic ring” represented by ring Db and ring Eb include a 3- to 8-membered nitrogen-containing heterocyclic ring which contains one nitrogen atom and may contain 1 to 4 (preferably 1 to 2) of one to three kinds (preferably one to two kinds) of hetero atoms selected from oxygen atom, sulfur atom and nitrogen atom, and the like.
- examples thereof include a 3- to 8-membered (preferably, 5- to 6-membered) saturated or unsaturated (preferably, saturated) monocyclic non-aromatic heterocyclic ring (aliphatic heterocyclic ring) such as pyrrolidine, pyrroline, imidazolidine, imidazoline, pyrazolidine, pyrazoline, oxazine, oxadiazine, thiazine, thiadiazine, piperidine, morpholine, thiomorpholine, piperazine, azepine, etc.
- a 3- to 8-membered (preferably, 5- to 6-membered) saturated or unsaturated (preferably, saturated) monocyclic non-aromatic heterocyclic ring (aliphatic heterocyclic ring) such as pyrrolidine, pyrroline, imidazolidine, imidazoline, pyrazolidine, pyrazoline, oxazine, oxadiazine, thiazine, thiadia
- said “3- to 8-membered nitrogen-containing heterocyclic ring” may be substituted, and examples of the substituent include those similar to the substituent of the “hydrocarbon group which may be substituted” as the substituent of the benzene ring in the “benzene ring which may be further substituted” represented by the above Bb or Cb.
- the “3- to 8-membered nitrogen-containing heterocyclic ring” represented by ring Db and ring Eb may be bonded to Xb′′ through either of nitrogen atom or carbon atom, with bonding to Xb′′ through carbon atom being preferred.
- the group specifically shown as the substituent of ring Bb and ring Cb may be substituted at any possible position.
- the compound represented by the formula (Ib) or a salt thereof may have any one of structures represented by the formula:
- Ar is the “aryl group which may be substituted”.
- Examples of the “substituent” of said “aryl group which may be substituted” include (i) lower alkyl which may be halogenated, (ii) a halogen atom (for example, fluorine, chlorine, bromine, iodine, and the like), (iii) a lower alkylenedioxy group (for example, C 1-3 alkylenedioxy group such as methylenedioxy, ethylenedioxy, and the like), (iv) nitro group, (v) cyano group, (vi) hydroxy group, (vii) a lower alkoxy group which may be halogenated, (viii) a lower cycloalkyl group (for example, C 3-6 cycloalkyl group such as cyclopropyl, cyclobutyl, cyclopentyl, cyclohexyl, and the like), (ix) a lower alkylthio group which may be halogenated, (x) amino group, (xi)
- lower alkyl group which may be halogenated examples include a lower alkyl group (for example, C 1-6 alkyl group such as methyl, ethyl, propyl, isopropyl, butyl, sec-butyl, tert-butyl, pentyl, hexyl, and the like) which may have, for example, 1 to 3 halogen atoms (for example, chlorine, bromine, iodine, and the like).
- a lower alkyl group for example, C 1-6 alkyl group such as methyl, ethyl, propyl, isopropyl, butyl, sec-butyl, tert-butyl, pentyl, hexyl, and the like
- halogen atoms for example, chlorine, bromine, iodine, and the like
- Specific examples thereof include methyl, chloromethyl, difluoromethyl, trichloromethyl, trifluoromethyl, ethyl, 2-bromoethyl, 2,2,2-trifluorethyl, propyl, 3,3,3-trifluoropropyl, isopropyl, butyl, 4,4,4-trifluorobutyl, isobutyl, sec-butyl, tert-butyl, pentyl, isopentyl, neopentyl, 5,5,5-trifluoropentyl, hexyl, 6,6,6-trifluorohexyl, etc.
- lower alkoxy group which may be halogenated examples include a lower alkoxy group (for example, C 1-6 alkoxy group such as methoxy, ethoxy, propoxy, isopropoxy, n-butoxy, isobutoxy, sec-butoxy, tert-butoxy, and the like) which may have, for example, 1 to 3 halogen atoms (for example, chlorine, bromine, iodine, and the like).
- a lower alkoxy group for example, C 1-6 alkoxy group such as methoxy, ethoxy, propoxy, isopropoxy, n-butoxy, isobutoxy, sec-butoxy, tert-butoxy, and the like
- halogen atoms for example, chlorine, bromine, iodine, and the like
- Examples of the “lower alkylthio group which may be halogenated” include a lower alkylthio group (for example, C 1-6 alkylthio group such as methylthio, ethylthio, n-propylthio, isopropylthio, n-butylthio, isobutylthio, sec-butylthio, tert-butylthio, and the like) which may have, for example, 1 to 3 halogen atoms (for example, chlorine, bromine, iodine, and the like).
- a lower alkylthio group for example, C 1-6 alkylthio group such as methylthio, ethylthio, n-propylthio, isopropylthio, n-butylthio, isobutylthio, sec-butylthio, tert-butylthio, and the like
- halogen atoms for example, chlorine
- Specific examples thereof include methylthio, difluoromethylthio, trifluoromethylthio, ethylthio, n-propylthio, isopropylthio, n-butylthio, 4,4,4-trifluorobutylthio, isobutylthio, sec-butylthio, tert-butylthio, pentylthio, hexylthio, etc.
- Preferred examples of the “substituent” of the “aryl group which may be substituted” include (i) amino group, (ii) a mono-lower alkylamino group (for example, mono-C 1-6 alkylamino group such as methylamino, ethylamino, propylamino, and the like), (iii) a di-lower alkylamino group (for example, di-C 1-6 alkylamino group such as dimethylamino, diethylamino, and the like), (iv) a 5- to 7-membered cyclic amino group which may have 1 to 3 of hetero atoms selected from, for example, nitrogen atom, oxygen atom or sulfur atom, and the like in addition to one nitrogen atom (for example, pyrrolidino, piperidino, piperazino, morpholino, thiomorpholino, and the like), (v) a lower alkyl-carbonylamino group (for example,
- a 5- to 7-membered cyclic amino group which may have 1 to 3 hetero atoms selected from, for example, nitrogen atom, oxygen atom or sulfur atom, and the like in addition to one nitrogen atom (for example, pyrrolidino, piperidino, piperazino, morpholino, thiomorpholino, and the like), etc.
- examples of the “aryl group” in the “aryl group which may be substituted” represented by Ar include C 6-14 aryl such as phenyl, naphthyl, etc., preferably C 6-10 aryl, and more preferably phenyl, etc. Said “aryl group which may be substituted” may form a condensed-ring by bonding the substituents on the “aryl group” to each other, and examples of formation of a condensed ring by the aryl group (preferably, phenyl group) as Ar include
- ring B is a heterocyclic ring which may be substituted
- ring A is a benzene ring which may be substituted, etc.
- Examples of the substituent of ring A include those similar to the above “aryl group which may be substituted”, and the like.
- heterocyclic ring examples include a 4- to 14-membered ring, preferably a 5- to 9-membered ring, and the like, and they may be aromatic or non-aromatic.
- hetero atom(s) there can be used 1 to 3 or 4 atoms selected from nitrogen atom, oxygen atom or sulfur atom, and the like.
- pyridine pyrazine, pyrimidine, imidazole, furan, thiophene, dihydropyridine, azepine, diazepine, oxazepine, pyrrolidine, piperidine, hexamethyleneimine, heptamethyleneimine, tetrahydrofuran, piperazine, homopiperazine, tetrahydrooxazepine, morpholine, thiomorpholine, pyrrole, pyrazole, 1,2,3-triazole, oxazole, oxazolidine, thiazole, thiazolidine, isoxazole, imidazoline, and the like.
- a 5- to 9-membered non-aromatic heterocyclic ring which contains one hetero atom or two the same or different hetero atoms (for example, pyrrolidine, piperidine, hexamethyleneimine, heptamethyleneimine, tetrahydrofuran, piperazine, homopiperazine, tetrahydrooxazepine, morpholine, thiomorpholine, and the like), etc.
- a non-aromatic heterocyclic ring which contains one hetero atom selected from nitrogen atom, oxygen atom or sulfur atom and a non-aromatic heterocyclic ring which contains one nitrogen atom and one hetero atom selected from nitrogen atom, oxygen atom or sulfur atom, etc are often used.
- the “substituent” of the “heterocyclic ring which may be substituted” represented by ring B may be substituted on the arbitrary carbon atom of ring B.
- substituent(s) on the arbitrary carbon atom of ring B include 1 to 5 substituents selected from (i) a halogen atom (for example, fluorine, chlorine, bromine, iodine, and the like), (ii) nitro group, (iii) cyano group, (iv) oxo group, (v) hydroxy group, (vi) a lower alkyl group (for example, C 1-6 alkyl group such as methyl, ethyl, propyl, isopropyl, butyl, isobutyl, tert-butyl, sec-butyl, and the like), (vii) a lower alkoxy group (for example, C 1-6 alkoxy group such as methoxy, ethoxy, n-propyloxy,
- oxo group a lower alkyl group (for example, C 1-6 alkyl group such as methyl, ethyl, propyl, isopropyl, butyl, isobutyl, tert-butyl, sec-butyl, and the like) and the like are preferred, and oxo group is widely used.
- C 1-6 alkyl group such as methyl, ethyl, propyl, isopropyl, butyl, isobutyl, tert-butyl, sec-butyl, and the like
- ring B when the ring B has nitrogen atom in the ring, it may be substituted on the nitrogen atom. Namely, ring B may have
- R 1 is a hydrogen atom, a hydrocarbon group which may be substituted, an acyl group which may be substituted, or a heterocyclic group which may be substituted.
- the “hydrocarbon group” of the “hydrocarbon group which may be substituted” represented by the above R 1 is a group formed by eliminating one hydrogen atom from a hydrocarbon compound, and examples thereof include linear chain or cyclic hydrocarbon groups such as an alkyl group, an alkenyl group, an alkynyl group, a cycloalkyl group, an aryl group, an aralkyl group, and the like. Among these, a C 1-16 hydrocarbon group comprising a linear chain or cyclic hydrocarbon group or a combination thereof is preferably used.
- Preferred examples of the linear chain or cyclic hydrocarbon group include
- a straight or branched chain lower alkyl group for example, C 1-6 alkyl group such as methyl, ethyl, propyl, isopropyl, butyl, isobutyl, tert-butyl, sec-butyl, pentyl, hexyl, and the like
- C 1-6 alkyl group such as methyl, ethyl, propyl, isopropyl, butyl, isobutyl, tert-butyl, sec-butyl, pentyl, hexyl, and the like
- a straight or branched chain lower alkenyl group for example, C 2-6 alkenyl group such as vinyl, allyl, isopropenyl, butenyl, isobutenyl, sec-butenyl, and the like
- a straight or branched chain lower alkynyl group for example, C 2-6 alkynyl such as propargyl, ethynyl, butynyl, 1-hexynyl, and the like
- C 2-6 alkynyl such as propargyl, ethynyl, butynyl, 1-hexynyl, and the like
- a monocyclic lower cycloalkyl group for example, C 3-6 cycloalkyl such as cyclopropyl, cyclobutyl, cyclopentyl, cyclohexyl, and the like
- C 3-6 cycloalkyl such as cyclopropyl, cyclobutyl, cyclopentyl, cyclohexyl, and the like
- a crosslinking ring type lower saturated hydrocarbon group for example, C 8-14 crosslinking ring type saturated hydrocarbon group such as bicyclo[3,2,1]oct-2-yl, bicyclo[3,3,1]non-2-yl and adamanthan-1-yl, and the like
- a crosslinking ring type lower saturated hydrocarbon group for example, C 8-14 crosslinking ring type saturated hydrocarbon group such as bicyclo[3,2,1]oct-2-yl, bicyclo[3,3,1]non-2-yl and adamanthan-1-yl, and the like
- an aryl group for example, C 6-14 aryl group such as phenyl, 1-naphthyl, 2-naphthyl, biphenyl, 2-indenyl, 2-anthryl, and the like), etc.
- hydrocarbon group comprising a combination of a linear chain hydrocarbon group and a cyclic hydrocarbon group
- a lower aralkyl group for example, C 7-16 aralkyl group such as phenyl-C 1-10 alkyl (for example, benzyl, phenylethyl, phenylpropyl, phenylbutyl, phenylpentyl, phenylhexyl, and the like), naphthyl-C 1-6 alkyl (for example, ⁇ -naphthylmethyl, and the like) or diphenyl-C 1-3 alkyl (for example, diphenylmethyl, diphenylethyl, and the like), and the like),
- phenyl-C 1-10 alkyl for example, benzyl, phenylethyl, phenylpropyl, phenylbutyl, phenylpentyl, phenylhexyl, and the like
- naphthyl-C 1-6 alkyl for example, ⁇ -naphthylmethyl,
- an aryl-alkenyl group for example, C 6-14 aryl-C 2-12 alkenyl group such as styryl, cinnamyl, phenyl-C 2-12 alkenyl such as 4-phenyl-2-butenyl, 4-phenyl-3-butenyl, and the like
- aryl-alkenyl group for example, C 6-14 aryl-C 2-12 alkenyl group such as styryl, cinnamyl, phenyl-C 2-12 alkenyl such as 4-phenyl-2-butenyl, 4-phenyl-3-butenyl, and the like
- an aryl-C 2-12 alkynyl group for example, C 6-14 aryl-C 2-12 alkynyl group such as phenyl-C 2-12 alkynyl such as phenylethynyl, 3-phenyl-2-propynyl, 3-phenyl-1-propynyl, and the like
- aryl-C 2-12 alkynyl group for example, C 6-14 aryl-C 2-12 alkynyl group such as phenyl-C 2-12 alkynyl such as phenylethynyl, 3-phenyl-2-propynyl, 3-phenyl-1-propynyl, and the like
- a lower cycloalkyl-lower alkyl group for example, C 3-7 cycloalkyl-C 1-6 alkyl group such as cyclopropylmethyl, cyclobutylmethyl, cyclopentylmethyl, cyclohexylmethyl, cycloheptylmethyl, cyclopropylethyl, cyclobutylethyl, cyclopentylethyl, cyclohexylethyl, cycloheptylethyl, cyclopropylpropyl, cyclobutylpropyl, cyclopentylpropyl, cyclohexylpropyl, cycloheptylpropyl, cyclopropylbutyl, cyclobutylbutyl, cyclopentylbutyl, cyclohexylbutyl, cycloheptylbutyl, cyclopropylpentyl,
- aryl-aryl-C 1-10 alkyl group for example, biphenylmethyl, biphenylethyl, and the like, etc.
- a straight chain, branched chain or cyclic alkyl group preferably, a straight or branched chain C 1-6 alkyl group (for example, C 1-6 alkyl group such as methyl, ethyl, propyl, isopropyl, butyl, isobutyl, tert-butyl, sec-butyl, pentyl, hexyl, and the like), a cyclic C 3-8 alkyl group (for example, cyclopropyl, cyclobutyl, cyclopentyl, cyclohexyl, and the like), or a C 4-12 alkyl group consisting of a combination of a straight chain, branched chain or cyclic alkyl group (for example, cyclopropylmethyl, cyclopentylmethyl, cyclohexylmethyl, cyclohexylethyl, (4-methylcyclohexyl)methyl, and the like),
- C 1-6 alkyl group
- a C 7-16 aralkyl group for example, phenyl-C 1-10 alkyl (for example, benzyl, phenylethyl, phenylpropyl, phenylbutyl, phenylpentyl, phenylhexyl and the like), naphthyl-C 1-6 alkyl (for example, a-naphthylmethyl, and the like) or diphenyl-C 1-3 alkyl (for example, diphenylmethyl, diphenylethyl, and the like), and more preferably a C 1-10 aralkyl group (for example, phenyl-C 1-4 alkyl such as benzyl, phenylethyl, phenylpropyl, and the like), etc.
- a C 7-16 aralkyl group for example, phenyl-C 1-10 alkyl (for example, benzyl, phenylethyl, phenylpropy
- the “hydrocarbon group” represented by R 1 may be substituted and as the substituent, that usually used as a substituent of a hydrocarbon group can be appropriately used.
- substituent(s) include 1 to 5 (preferably, 1 to 3) substituent(s) selected from (i) a halogen atom (for example, fluorine, chlorine, bromine, iodine, and the like), (ii) nitro group, (iii) cyano group, (iv) oxo group, (v) hydroxy group, (vi) a lower alkyl group which may be substituted with halogen or phenyl (for example, C 1-6 alkyl group such as methyl, ethyl, propyl, isopropyl, butyl, isobutyl, tert-butyl, sec-butyl, and the like), (vii) a lower alkoxy group which may be substituted with halogen or phenyl (for example, C
- Preferred examples of the “substituent” of the “hydrocarbon group which may be substituted” include a halogen atom, an alkyl group which may be substituted, an alkoxy group which may be substituted, hydroxy group, nitro group, cyano group, carboxyl group, a C 1-6 alkoxy-carbonyl group, a carbamoyl group, aminothiocarbonyl group, a mono-lower alkylcarbamoyl group, a di-lower alkylcarbamoyl group, a cyclic aminocarbonyl group which may be substituted, amino group, a mono-lower alkylamino group, a di-lower alkylamino group, a 5- to 7-membered cyclic amino group which may have 1 to 3 hetero atoms selected from nitrogen atom, oxygen atom or sulfur atom and the like in addition to carbon atom(s) and one nitrogen atom, a C 1-6 alkylcarbonylamin
- heterocyclic group examples include a group obtained by eliminating one hydrogen atom from a monocyclic heterocyclic ring, a dicyclic heterocyclic ring, and a polycyclic heterocyclic ring such as tricyclic or tetracyclic, etc.
- Said heterocyclic ring may be either of aromatic or non-aromatic.
- the hetero atom(s) are, for example, 1 to 6 atom(s) selected from nitrogen atom, oxygen atom, sulfur atom, and the like.
- the monocyclic heterocyclic group examples include a group obtained by eliminating one hydrogen atom from the “heterocyclic ring” of the “heterocyclic ring which may be substituted”, etc. In addition to those, examples thereof further include a group obtained by eliminating one hydrogen atom from monocyclic heterocyclic rings such as triazole, thiadiazole, oxadiazole, oxathiazole, triazine, tetrazole, etc.
- dicyclic heterocyclic group examples include a group obtained by eliminating one hydrogen atom from dicyclic heterocyclic ring such as indole, dihydroindole, isoindole, dihydroisoindole, benzofuran, dihydrobenzofuran, benzimidazole, benzoxazole, benzisoxazole, benzothiazole, indazole, quinoline, tetrahydroquinoline, isoquinoline, tetrahydroisoquinoline, tetrahydro-1H-1-benzazepin, tetrahydro-1H-2-benzazepin, tetrahydro-1H-3-benzazepin, tetrahydrobenzoxazepin, quinazoline, tetrahydroquinazoline, quinoxaline, tetrahydroquinoxaline, benzodioxane, benzodioxole, benzothiazine, imidazopyr
- polycyclic heterocyclic ring such as tricyclic, tetracyclic, etc.
- examples of the polycyclic heterocyclic ring include acridine, tetrahydroacridine, pyrroloquinoline, pyrroloindole, cyclopentoindole, isoindolobenzazepin, and the like.
- examples of the “heterocyclic ring” of the “heterocyclic ring which may be substituted”, which is often used, include a group obtained by eliminating one hydrogen atom from the above monocyclic heterocyclic ring or dicyclic heterocyclic ring, etc.
- examples of the “substituent” of the “heterocyclic ring which may be substituted” include the “substituent” of the “heterocyclic ring which may be substituted” represented by the above ring B (provided that “the heterocyclic ring which may be substituted” is excluded), etc.
- Examples of the “substituent” of the “alkyl which may be substituted (preferably, C 1-6 alkyl which may be substituted)” or the “alkoxy which may be substituted (preferably, C 1-6 alkoxy which may be substituted)” include the “substituent” shown in (i) to (xxiv) or (xxvii) to (xxxxii) as the “substituent” of the “hydrocarbon group which may be substituted” represented by the above R 1 , etc.
- Examples of the “substituent” of the “ureido group which may be substituted”, the “thioureido group which may be substituted”, the “amidino group which may be substituted”, the “guanidino group which may be substituted”, the “cyclic aminocarbonyl group which may be substituted”, the “aminothiocarbonyl group which may be substituted”, the “aminosufonyl which may be substituted”, or the “phenylsufonylamino which may be substituted” include the “substituent” shown in (i) to (xxvi) or (xxxv) to (xxxxii) as the “substituent” of the “hydrocarbon group which may be substituted” represented by the above R 1 , etc.
- Preferred examples of the “hydrocarbon group which may be substituted” represented by R 1 include (i) a C 1-6 alkyl group or (ii) a phenyl-C 1-6 alkyl group, which may be substituted with a halogen atom, nitro, C 1-6 alkyl, C 1-6 alkoxy, and the like.
- benzyl group which may be substituted with C 1-4 alkyl (methyl, and the like), trihalogeno C 1-4 alkyl (methyl, and the like), a halogen atom (fluoro, chloro, and the like), nitro, cyano, C 1-4 alkoxy (methoxy, and the like), trihalogen C 1-4 alkoxy (methoxy, and the like), hydroxy, carbamoyl, (4-C 1-4 alkyl (methyl, etc,)-1-piperadinyl)carbonyl, amniothiocarbonyl, morpholinocarbonyl, carboxyl, C 1-4 alkoxy (methoxy, etc.)-carbonyl, C 1-4 alkoxy (ethoxy, etc.)-carbonyl-C 1-4 alkoxy (methoxy, etc.), carboxyl-C 1-4 alkoxy (methoxy, etc.), C 1-4 alkoxy (ethoxy, etc.)-carbonyl-C 1-6 alkyl
- R 1 is benzyl group which may be substituted with C 1-4 alkyl (methyl, etc.), trihalogeno (fluoro, etc.)—C 1-4 alkyl (methyl, etc.), a halogen atom (fluoro, chloro, etc.), nitro, cyano, carbamoyl, C 1-4 alkoxy (methoxy, etc.)-carbonyl, C 1-4 alkoxy (ethoxy, etc.)-carbonyl-C 1-4 alkoxy (methoxy, etc.), amino, acetylamino, C 1-4 alkyl (methyl, etc.)-sulfonylamino, 3-C 1-4 alkyl (methyl, etc.)-ureido, amidino, or dihydroimidazolyl.
- benzyl group which may be substituted with C 1-4 alkyl is preferred, and in particular, benzyl group which may be substituted with methyl is preferred.
- Examples of the “acyl group which may be substituted” represented by the above R 1 include —(CO)—R 2c , —SO 2 —R 2c , —SOR 2c , —(C ⁇ O)NR 3 CR 2c —(C ⁇ O)O—R 2c —(C ⁇ S)NR 3c R 3c , [R 2c and R 3c are the same or different and each is (i) hydrogen atom, (ii) a hydrocarbon group which may be substituted or (iii) a heterocyclic group which may be substituted, or R 2c and R 3c may be bonded to each other to form a nitrogen-containing saturated heterocyclic group which may be substituted, together with the adjacent nitrogen atom], and the like.
- the “hydrocarbon group” of the “hydrocarbon group which may be substituted” represented by R 2c and R 3c is a group obtained by eliminating one hydrogen atom from a hydrocarbon compound, and examples thereof include a linear chain or cyclic hydrocarbon group such as an alkyl group, an alkenyl group, an alkynyl group, a cycloalkyl group, an aryl group, an aralkyl group, and the like.
- a liner chain or cyclic C 1-16 hydrocarbon group is preferred, and in particular, a lower (C 1-6 ) alkyl group, a lower (C 2-6 ) alkenyl group, a C 7-16 aralkyl group or a C 6-14 aryl group is preferred.
- a lower (C 1-6 )alkyl group, a C 7-16 aralkyl group or a C 6-14 aryl group is widely used.
- Examples of the “heterocyclic group” of the “heterocyclic group which may be substituted” represented by R 2c and R 3c include a group obtained by eliminating one hydrogen atom from a monocyclic heterocyclic ring, a dicyclic heterocyclic ring, and a polycyclic heterocyclic ring such as tricyclic or tetracyclic, etc.
- the heterocyclic ring may be either of aromatic or non aromatic.
- the hetero atom(s) are, for example, 1 to 6 atom(s) selected from nitrogen atom, oxygen atom or sulfur atom and the like.
- the monocyclic heterocyclic group a group obtained by eliminating one hydrogen atom from the “heterocyclic ring” of the “heterocyclic ring which may be substituted” represented by the above b ring, etc., can be used. Further, in addition to those, for example, a group obtained by eliminating one hydrogen atom from monocyclic heterocyclic rings such as triazole, thiadiazole, oxadiazole, oxathiazole, triazine, tetrazole, etc., can be used.
- dicyclic heterocyclic group examples include a group obtained by eliminating one hydrogen atom from dicyclic heterocyclic ring such as indole, dihydroindole, isoindole, dihydroisoindole, benzofuran, dihydrobenzofuran, benzimidazole, benzoxazole, benzisoxazole, benzothiazole, indazole, quinoline, tetrahydroquinoline, isoquinoline, tetrahydroisoquinoline, tetrahydro-1H-1-benzazepin, tetrahydro-1H-2-benzazepin, tetrahydro-1H-3-benzazepin, tetrahydrobenzoxazepin, quinazoline, tetrahydroquinazoline, quinoxaline, tetrahydroquinoxaline, benzodioxane, benzodioxole, benzothiazine, imidazopyr
- polycyclic heterocyclic ring such as tricyclic or tetracyclic ring
- examples of the polycyclic heterocyclic ring include a group obtained by eliminating one hydrogen atom from polycyclic heterocyclic rings such as acridine, tetrahydroacridine, pyrroloquinoline, pyrroloindole, cyclopentoindole, isoindolobenzazepin, and the like.
- examples of the “heterocyclic ring” of the “heterocyclic ring which may be substituted”, which are often used, include a group obtained by eliminating one hydrogen atom from the above monocyclic heterocyclic ring or dicyclic heterocyclic ring, etc.
- Examples of the “nitrogen-containing saturated heterocyclic group which may be substituted” formed by R 2c and R 3c together with the adjacent nitrogen atom include a 5- to 9-membered nitrogen-containing saturated heterocyclic group which may contain 1 to 3 hetero atoms selected from nitrogen atom, oxygen atom, sulfur atom, and the like in addition to carbon atom(s) and one nitrogen atom, etc.
- Preferred examples thereof include a nitrogen-containing saturated heterocyclic group having a bonding hand on a ring-constituting nitrogen atom.
- a group having a bonding hand on a ring-constituting nitrogen atom for example, a group represented by the formula:
- ring Q 1 is a 5- to 9-membered nitrogen-containing saturated heterocyclic group which may contain 1 to 2 hetero atom(s) selected from nitrogen atom, oxygen atom, sulfur atom, and the like, in addition to carbon atom(s) and one nitrogen atom], etc., is used. More specifically, examples thereof which are often used, include
- Preferred examples of the substituent(s) of the “hydrocarbon group” or the “heterocyclic group” represented by R 2c and R 3c , and the “nitrogen-containing saturated heterocyclic group” represented by NR 2c R 3c include 1 to 5 (preferably, 1 to 3) substituent(s) selected from (i) a halogen atom (for example, fluorine, chlorine, bromine, iodine, and the like), (ii) nitro group, (iii) cyano group, (iv) oxo group, (v) hydroxy group, (vi) a hydrocarbon group which may be substituted, (vii) a lower alkoxy group (for example, C 1-6 alkoxy group such as methoxy, ethoxy, n-propyloxy, isopropyloxy, n-butyloxy, and the like) which may be substituted with phenyl group, (viii) a lower alkylthio group (for example, C
- Said the “lower alkoxy group” and the “lower alkylthio group” may further have phenyl group as a substituent.
- Examples of said the “substituent” and the “hydrocarbon group” of the “hydrocarbon group which may be substituted” include the “substituent” and the “hydrocarbon group” of the “hydrocarbon group which may be substituted” represented by the above R 1 , etc.
- heterocyclic group of said “heterocyclic group which may be substituted”, a group obtained by eliminating one hydrogen atom from the “heterocyclic ring” of the “heterocyclic group which may be substituted” represented by the above ring B, etc. can be used.
- R 2c and R 3c include phenyl which may be substituted with C 1-4 alkyl (methyl, ethyl, and the like) or C 1-4 alkoxy (methoxy, ethoxy, and the like), C 1-4 alkyl (methyl, ethyl, and the like), halogeno (fluoro, chloro, and the like)-C 1-4 alkyl (methyl, ethyl, and the like), benzyl, naphthyl, pyridyl, thienyl, furyl, hydrogen atom, etc.
- acyl group which may be substituted represented by the above R 1 include formyl, acetyl, trihalogeno (fluoro, and the like) acetyl, pyridylcarbonyl, thienylcarbonyl, furylcarbonyl, phenacyl, benzoyl, C 1-4 alkyl (methyl, and the like)-benzoyl, C 1-4 alkoxy (methoxy, and the like)-benzoyl, benzenesulfonyl, naphthylsulfonyl, thienylsulfonyl, and the like, more preferably, —(C ⁇ O)—R 2c [wherein R 2c is phenyl group which may be substituted with a C 1-6 alkyl group and a C 1-6 alkoxy group or a phenyl —C 1-6 alkyl group], etc.
- Said heterocyclic ring may be either of aromatic or non-aromatic.
- the hetero atom(s) include, for example, 1 to 6 atoms selected from nitrogen atom, oxygen atom, sulfur atom, and the like.
- the monocyclic heterocyclic group a group obtained by eliminating one hydrogen atom from the “heterocyclic ring” of the “heterocyclic ring which may be substituted” represented by the above ring B, etc., can be used. Further, in addition to those, a group obtained by eliminating one hydrogen atom from monocyclic heterocyclic rings such as triazole, thiadiazole, oxadiazole, oxathiadiazole, triazine, tetrazole, etc., can be used.
- dicyclic heterocyclic group examples include a group obtained by eliminating one hydrogen atom from a dicyclic heterocyclic ring such as indole, dihydroindole, isoindole, dihydroisoindole, benzofuran, dihydrobenzofuran, benzimidazole, benzoxazole, benzisoxazole, benzothiazole, indazole, quinoline, tetrahydroquinoline, isoquinoline, tetrahydroisoquinoline, tetrahydro-1H-1-benzazepin, tetrahydro-1H-2-benzazepin, tetrahydro-1H-3-benzazepin, tetrahydrobenzoxazepin, quinazoline, tetrahydroquinazoline, quinoxaline, tetrahydroquinoxaline, benzodioxane, benzodioxole, benzothiazine, imid
- polycyclic heterocyclic ring such as tricyclic or tetracyclic
- examples of the polycyclic heterocyclic ring include a group obtained by eliminating one hydrogen atom from a polycyclic heterocyclic ring such as acridine, tetrahydroacridine, pyrroloquinoline, pyrroloindole, cyclopentoindole, isoindolobenzazepin, and the like.
- heterocyclic group of said “heterocyclic group which may be substituted” include a group obtained by eliminating one hydrogen atom from the above monocyclic heterocyclic ring or dicyclic heterocyclic ring, etc., and among these, pyridyl group is preferred.
- examples of the “substituent” of the “heterocyclic group which may be substituted” include the “substituent” of the “heterocyclic ring which may be substituted” represented by the above ring B (provided that the “heterocyclic ring which may be substituted” is excluded), etc.
- R 1 include (i) a hydrogen atom, (ii) a C 1-6 alkyl group, (iii) a halogen atom, nitro, phenyl C 1-6 alkyl group which may be substituted with C 1-6 alkyl or C 1-6 alkoxy-C 1-6 alkyl group, or (iv) —(C ⁇ O)—R 2c [wherein R 2c is phenyl group which may be substituted with a C 1-6 alkyl group and a C 1-6 alkoxy group or a phenyl-C 1-6 alkyl group], etc.
- a group obtained by eliminating one hydrogen atom from a dicyclic condensed benzene ring such as 2,3-dihydrobenzofuran; 3,4-dihydro-2H-1-benzothiopyran; 2,3-dihydro-1H-indole; 1,2,3,4-tetrahydroquinoline; 2,3-dihydro-1H-isoindole; 1,2,3,4-tetrahydroisoquinoline; benzazepines such as 2,3,4,5-tetrahydro-1H-1-benzazepine, 2,3,4,5-tetrahydro-1H-2-benzazepine, 2,3,4,5-tetrahydro-1H-3-benzazepine and the like; benzazocines such as 1,2,3,4,5,6-hexahydro-1-benzazocine, 1,2,3,4,5,6-hexahydro-2-benzazocine, 1,2,3,4,5, 6-hexahydro-3-benzazocine and the like; benzazepines
- benzthiadiazepines such as 2,3,4,5-tetrahydro-1,3,5-benzthiadiazepine and the like; benzotriazepines such as 2,3,4,5-tetrahydro-1H-1,2,5-benzotriazepine and the like; 4,5-dihydro-1,3,2-benzooxathiepine, 4,5-dihydro-1H-2,3-benzoxathiepine, 3,4-dihydro-2H-1,5-benzoxathiepine, 4,5-dihydro-3H-1,2-benzoxathiepine, 4,5-dihydro-3H-2,1-benzoxathiepine, 2,3-dihydro-5H-1,4-benzoxathiepine, 2,3-dihydro-5H-4,1-benzoxathiepine, and the like; and, in particular, 2,3,4,5-tetrahydro-1H-3-benzazepine, 2,3,
- Preferred examples of a case that the “aryl group” of the “aryl group which may be substituted” is condensed with a monocyclic heterocyclic ring which may be substituted include a group represented by the formula;
- ring B′ is a 5- to 9-membered nitrogen-containing heterocyclic ring which may be substituted with oxo group other than R 1 , and ring A and R 1 are as defined above, etc.
- Examples of the “5- to 9-membered nitrogen-containing heterocyclic ring” of said “5- to 9-membered nitrogen-containing heterocyclic ring may be substituted with oxo group” include a 5- to 9-membered nitrogen-containing heterocyclic ring which may contain 1 to 3 of hetero atoms such as, for example, nitrogen atom, oxygen atom, sulfur atom, and the like, in addition to carbon atom(s) and one nitrogen atom.
- a 5- to 9-membered non-aromatic nitrogen-containing heterocyclic ring for example, pyrrolidine, piperidine, hexamethyleneimine, heptamethyleneimine, piperazine, homopiperazine, tetrahydrooxazepine, morpholine, thiomorpholine and the like), etc., can be used.
- R 1 is as defined above, in addition to a group represented by the formula:
- ring A and R 1 are as defined above, and each of k and m is independently an integer of 0 to 5 and 1 ⁇ k+m ⁇ 5, etc.
- preferred examples include a group represented by the formula:
- R 1 is as defined above, in addition to a group represented by the formula:
- ring A is as defined above, one of ring C and ring D is a heterocyclic ring which may be substituted, and the other is a 5- to 9-membered ring which may be substituted and may contain hetero atom(s).
- heterocyclic ring of the “heterocyclic ring which may be substituted” represented by ring C and ring D include a 4- to 14-membered heterocyclic ring, preferably a 5- to 9-membered heterocyclic ring, and the like.
- the hetero atom(s) are, for example, 1 to 3 atoms selected from nitrogen atom, oxygen atom, sulfur atom, and the like. Further, it may be aromatic or non-aromatic.
- pyridine pyrazine, pyrimidine, imidazole, furan, thiophene, dihydropyridine, diazepine, oxazepine, pyrrolidine, piperidine, hexamethyleneimine, heptamethyleneimine, tetrahydrofuran, piperazine, homopiperazine, tetrahydrooxazepine, morpholine, thiomorpholine, and the like.
- Examples of the “5- to 9-membered ring which may contain hetero atom(s)” of the “5- to 9-membered ring which may be substituted and may contain hetero atom(s)” represented by ring C and ring D include a 5- to 9-membered heterocyclic ring (for example, saturated or unsaturated 5- to 9-membered heterocyclic ring such as pyridine, pyrazine, pyrimidine, imidazole, furan, thiophene, dihydropyridine, diazepine, oxazepine, pyrrolidine, piperidine, hexamethyleneimine, heptamethyleneimine, tetrahydrofuran, piperazine, homopiperazine, tetrahydrooxazepine, morpholine, thiomorpholine, and the like), or a 5- to 9-membered carbon ring.
- a 5- to 9-membered heterocyclic ring for example, saturated
- Said “5- to 9-membered carbon ring” may be a saturated or unsaturated ring, and examples thereof include benzene, cyclopentane, cyclopentene, cyclohexane, cyclohexene, cyclohexadiene, cycloheptane, cycloheptene, cycloheptadiene and the like. Among these, benzene, cyclohexane, or the like is preferred.
- the “substituent” of the “5- to 9-membered ring which may be substituted and may contain hetero atom(s)” is as defined with respect to the “substituent on the arbitrary carbon atom of ring B” of the “heterocyclic ring which may be substituted” represented by the above ring B.
- a group obtained by eliminating one hydrogen atom from a tricyclic condensed benzene ring such as 1H,3H-naphtho[1,8-cd][1,2]oxazine, naphtho[1,8-de]-1,3-oxazine, naphtho[1,8-de]-1,2-oxazine, 1,2,2a,3,4,5-hexahydrobenz[cd]indole, 2,3,3a,4,5,6-hexahydro-1H-benzo[de]quinoline, 4H-pyrrolo[3,2,1-ij]quinoline, 1,2,5,6-tetrahydro-4H-pyrrolo[3,2,1-ij]quinoline, 5,6-dihydro-4H-pyrrolo[3,2,1-ij]quinoline, 1H,5H-benzo[ij]quinolidine, azepino[3,2,1-hi]indole, 1,2,4,5,6,7
- Preferred examples of a case that the “aryl group” of the “aryl group which may be substituted” represented by Ar is condensed with a dicyclic heterocyclic ring which may be substituted include a group represented by the formula:
- each of ring C′ and ring D′ is a 5- to 9-membered nitrogen-containing heterocyclic ring which may be substituted with oxo group in addition to R 1 , and ring A, ring D and R 1 are as defined above, etc.
- Examples of the “5- to 9-membered nitrogen-containing heterocyclic ring” of said “5- to 9-membered nitrogen-containing heterocyclic ring which may be substituted with oxo group” include a 5- to 9-membered nitrogen-containing heterocyclic ring which may contain 1 to 3 of hetero atoms such as, for example, nitrogen atom, oxygen atom, sulfur atom and the like, in addition to carbon atom(s) and one nitrogen atom.
- Preferred examples thereof include a 5- to 9-membered non-aromatic nitrogen-containing heterocyclic ring (for example, pyrrolidine, piperidine, hexamethyleneimine, heptamethyleneimine, piperazine, homopiperazine, tetrahydrooxazepine, morpholine, thiomorpholine, and the like), etc.
- a 5- to 9-membered non-aromatic nitrogen-containing heterocyclic ring for example, pyrrolidine, piperidine, hexamethyleneimine, heptamethyleneimine, piperazine, homopiperazine, tetrahydrooxazepine, morpholine, thiomorpholine, and the like
- phenyl group of “phenyl group which may be substituted and may be condensed” is condensed with a tricyclic heterocyclic ring which may be substituted include a group represented by the formula:
- ring A is as defined above, at least one ring among ring E, ring F and ring G is a heterocyclic ring which may be substituted, and the other rings are a 5- to 9-membered ring which may be substituted and may contain hetero atom(s), etc.
- heterocyclic ring and the “substituent” of the “heterocyclic ring which may be substituted” represented by ring E, ring F and ring G are as defined with respect to the “heterocyclic ring” and the “substituent” of the “heterocyclic ring which may be substituted” represented by the above ring C and ring D, etc.
- the “5- to 9-membered ring which may contain hetero atom(s)” and the “substituent” of the “5- to 9-membered ring which may be substituted and may contain hetero atom(s)” represented by ring E, ring F and ring G are as defined with respect to the “5- to 9-membered ring which may contain hetero atom(s)” and the “substituent” of the “5- to 9-membered ring which may be substituted and may contain hetero atom(s)” represented by the above ring C and ring D, etc.
- phenyl group of “phenyl group which may be substituted and may be condensed” is condensed with a tricyclic heterocyclic ring which may be substituted include:
- ring E′ and ring F′ are as defined above, a group obtained by eliminating one hydrogen atom from a tetracyclic condensed benzene ring such as 2H-isoindolo[2,1-e]purine, 1H-pyrazolo[4′,3′:3,4]pyrido[2,1-a]isoindole, 1H-pyrido[2′,3′:4,5]imidazo[2,1-a]isoindole, 2H,6H-pyrido[1′,2′:3,4]imidazo[5,1-a]isoindole, 1H-isoindolo[2,1-a]benzimidazole, 1H-pyrido[3′,4′:4,5]pyrrolo[2,1-a]isoindole, 2H-pyrido[4′,3′:4,5]pyrrolo[2,1-a]isoindole, 2H-
- ring E′ and ring F′ are as defined hereinafter, a group obtained by eliminating one hydrogen atom from tetracyclic condensed benzene rings such as 1H,4H-pyrrolo[3′,2′:4,5]pyrrolo[3,2,1-ij]quinoline, pyrrolo[3,2,1-jk]carbazole, 1H-furo[2′,3′:4,5]pyrrolo[3,2,1-ij]quinoline, 1H,4H-cyclopenta[4,5]pyrrolo[1,2,3-de]quinoxaline, 1H,4H-cyclopenta[4,5]pyrrolo[3,2,1-ij]quinoline, pyrido[3′,4′:4,5]pyrrolo[1,2,3-de]benzoxazine, [1,4]oxazino[2,3,4-jk]carbazole, 1H,3H-[1,3
- ring E′ and ring F′ is as defined hereinafter, a group obtained by eliminating one hydrogen atom from tetracyclic condensed benzene rings such as 1H-indolo[1,2-a]benzimidazole, 1H-indolo[1,2-b]indazole, pyrrolo[2′,1′:3,4]pyrazino[1,2-a]indole, 1H,5H-pyrrolo[1′,2′:4,5]pyrazino[1,2-a]indole, 2H-pyrido[2′,3′:3,4]pyrrolo[1,2-a]indole, 1H-pyrrolo [2′,3′:3,4]pyrido[1,2-a]indole, 1H-indolo[1,2-a]indole, 6H-isoindolo[2,1-a]indo
- ring E′ is as defined hereinafter, a group obtained by eliminating one hydrogen atom from tetracyclic condensed benzene rings such as 1H-imidazo[1′,2′:1,2]pyrido[3,4-b]indole, 1H-imidazo[1′,2′:1,6]pyrido[4,3-b]indole, 1H-imidazo[1′,5′:1,2]pyrido[3,4-b]indole, 1H-imidazo[1′,5′:1,6]pyrido[4,3-b]indole, 1H-pyrido [2′,1′:2,3]imidazo[4,5-b]indole, imidazo[4,5-a]carbazole, imidazo[4,5-c]carbazole, pyrazolo[3,4-c]carbazole, 2H-imidazo[4,5-b]indole, imidazo[
- ring E′ and ring F′ are as defined hereinafter, a group obtained by eliminating one hydrogen atom from tetracyclic condensed benzene rings such as 1H-dipyrrolo[2,3-b:3′,2′,1′-hi]indole, spiro[cyclopentan-1,2′-(1′H)-pyrrolo[3,2,1-hi]indole], spiro[imidazolidin-4,1′-(2′H)-[4H]pyrrolo[3,2,1-ij]quinoline], pyrido[2,3-b]pyrrolo[3,2,1-hi]indole, pyrido[4,3-b]pyrrolo[3,2,1-hi]indole, benzo[de]pyrrolo[3,2,1-ij]quinoline, 3H-pyrrolo[3,2,1-de]acri
- examples of the “phenyl group condensed with a tricyclic heterocyclic ring” include phenyl group condensed with a tricyclic heterocyclic ring exemplified hereinafter, and its dihydro isomer, tetrahydro isomer, hexahydro isomer, octahydro isomer and decahydro isomer, in addition to the above phenyl group condensed with a tricyclic heterocyclic ring including the indole ring or isoindole ring which may be hydrogenated.
- Specific examples thereof include fluoranthene, acephenanthrylene, aceanthrylene, triphenylene, pyrene, chrysene, naphthacene, pleiadene, benzo[a]anthracene, indeno[1,2-a]indene, cyclopenta[a]phenanthrene, pyrido[1′,2′:1,2]imidazo[4,5-b]quinoxaline, 1H-2-oxapyrene, spiro[piperidine-4,9′-xanthene], and the like.
- Preferred examples of a case that the “phenyl group” of the “phenyl group which may be substituted and may be condensed” is condensed with a tricyclic heterocyclic ring which may be substituted include a group represented by the formula:
- each of ring E′, ring F′ and ring G′ is a 5- to 9-membered nitrogen-containing heterocyclic ring which may be substituted with oxo group in addition to R′, and ring A, ring F, ring G and R 1 are as defined above, etc.
- Examples of the “5- to 9-membered nitrogen-containing heterocyclic ring” of the “5- to 9-membered nitrogen-containing heterocyclic ring which may be substituted with oxo group” include the “5- to 9-membered nitrogen-containing heterocyclic ring” represented by the above ring C′ and ring D′, etc.
- Preferred examples of a case that the “aryl group which may be substituted” represented by Ar is condensed with (2) a dicyclic heterocyclic ring which may be substituted, or a case that it is condensed with 2 the same or different monocyclic rings (provided that at least one ring is a monocyclic heterocyclic ring), and a case that it is condensed with (3) a tricyclic heterocyclic ring which may be substituted include a group wherein Ar is represented by the formula:
- aryl group which may be substituted represented by Ar
- aryl group which may be substituted represented by Ar
- R 1 is as defined above, etc.
- R 1 is as defined above, etc.
- particularly preferred one is a group represented by the formula:
- n is an integer of 1 to 10.
- n is preferably an integer of 1 to 6, more preferably an integer of 1 to 5, in particular, further preferably an integer of 2 to 5, and especially preferably 3, 4 or 5.
- R is a hydrogen atom or a hydrocarbon group which may be substituted, and may be different in the repetition of n.
- R may be bonded to Ar or the substituent of Ar.
- Examples of the compound represented by the formula (Ic) in which R is bonded to Ar or the substituent of Ar include a compound represented by the formula:
- R 1 , n, X and Y are as defined above;
- n, X and Y are as defined above;
- n, X and Y are as defined above; etc.
- R preferred is a hydrogen atom.
- Y is an amino group which may be substituted, or a nitrogen-containing heterocyclic ring (preferably, a nitrogen-containing saturated heterocyclic ring) which may be substituted [Y is preferably amino group which may be substituted]. Further, Y′ is an amino group which may be substituted.
- Examples of the “amino group which may be substituted” represented by Y and Y′ include a group represented by the formula:
- R 4 and R 5 are the same or different and are hydrogen atom, a hydrocarbon group which may be substituted, or an acyl group which may be substituted, or R 4 and R 5 may be bonded to each other to form a ring, etc.
- Examples of the “substituent” and the “hydrocarbon group” of the “hydrocarbon group which may be substituted” represented by R 4 and R 5 include the “substituent” and the “hydrocarbon group” of the “hydrocarbon group which may be substituted” represented by the above R 1 , and the like
- Preferred examples of the hydrocarbon group which may be substituted represented by R 4 and R 5 include (a) a straight or branched chain lower alkyl group (for example, C 1-6 alkyl group such as methyl, ethyl, propyl, isopropyl, butyl, isobutyl, tert-butyl, sec-butyl, pentyl, hexyl, and the like) which may have 1 to 3 substituent(s) selected from (i) a halogen atom (,for example, fluoro, chloro, bromo, iodo, and the like), (ii) a lower alkoxy group (for example,
- More preferred examples thereof include (a) a straight or branched chain unsubstituted lower alkyl group (for example, C 1-6 alkyl group such as methyl, ethyl, propyl, isopropyl, butyl, isobutyl, tert-butyl, sec-butyl, pentyl, hexyl, and the like), or (b)an unsubstituted lower aralkyl group (for example, phenyl-C 1-10 alkyl (for example, benzyl, phenylethyl, phenylpropyl, phenylbutyl, phenylpentyl, phenylhexyl, and the like), naphthyl-C 1-6 alkyl (for example, ⁇ -naphthylmethyl, and the like) or C 7-16 aralkyl group such as diphenyl-C 1-3 alkyl (for example, diphenylmethyl,
- Examples of the “acyl group which may be substituted” represented by R 4 and R 5 include the “acyl group which may be substituted” represented by the above R 1 , etc.
- amino group which may be substituted represented by Y and Y′
- specific examples of a case that R 4 and R 5 are bonded to each other to form a ring namely, a case that the “amino group which may be substituted” represented by Y and Y′ are the “cyclic amino group which may be substituted”, include a group represented by the formula:
- ring Q 1 is a 5- to 9-membered nitrogen-containing heterocyclic group (preferably, a nitrogen-containing saturated heterocyclic group) which may contain 1 to 2 hetero atoms selected from nitrogen atom, oxygen atom, sulfur atom, and the like in addition to carbon atom(s) and one nitrogen atom, etc. More specifically, for example,
- Examples of the “substituent” of the “cyclic amino group which may be substituted” as the “amino group which may be substituted” represented by Y and Y′ include the “substituent” of the “nitrogen-containing heterocyclic ring which may be substituted” which may be formed together with nitrogen atom adjacent to the above R 2c and R 3c , and the “hydrocarbon group which may be substituted”, the “acyl group which may be substituted”, or the “heterocyclic group which may be substituted” represented by the above R 1c , etc.
- amino group which may be substituted represented by Y and Y′ include a group represented by the formula (1):
- R 2 is a hydrogen atom, an acyl group which may be substituted, a hydrocarbon group which may be substituted, or a heterocyclic group which may be substituted
- p is an integer of 1 to 3
- each of R′ and R′′ is a hydrogen atom or an alkyl group which may be substituted, or R′ and R′′ may be bonded to each other to form a ring, (2) a piperidino group which may be substituted, etc.
- R 2 is a hydrogen atom, an acyl group which may be substituted, a hydrocarbon group which may be substituted, or a heterocyclic group which may be substituted
- each of R′ and R′′ is a hydrogen atom or an alkyl group which may be substituted, a group represented by the formula (Ib):
- R 2 is a hydrogen atom, an acyl group which may be substituted, a hydrocarbon group which may be substituted, or a heterocyclic group which may be substituted, etc., are used.
- Examples of the “acyl group which may be substituted”, the “hydrocarbon group which may be substituted”, and the “heterocyclic group which may be substituted” represented by R 2 include those similar to the “acyl group which may be substituted”, the “hydrocarbon group which may be substituted”, and the “heterocyclic group which may be substituted” represented by the above R 1 .
- Examples of the “alkyl group” in the “alkyl group which may be substituted” represented by R′ and R′′ include a C 1-6 alkyl group, and the like.
- Examples of the “substituent” of said “alkyl group” include those similar to the “substituent” of the “hydrocarbon group which may be substituted” represented by the above R 1 .
- R′ and R′′ are bonded to each other to form a ring
- preferred examples thereof include, among the “nitrogen-containing heterocyclic group” exemplified with respect to the above ring Q 1 , a 5- to 9-membered nitrogen-containing heterocyclic group (preferably, a nitrogen-containing saturated heterocyclic group) which may contain one hetero atom selected from nitrogen atom, oxygen atom, sulfur atom, and the like, in addition to carbon atom(s) and two nitrogen atoms, and, preferably, the ring is the 5- to 9-membered nitrogen-containing heterocyclic group (preferably, a nitrogen-containing saturated heterocyclic group) which is constituted by carbon atom(s) and two nitrogen atoms. These rings may be further substituted with substituent(s) similar to those of the above ring Q 1 .
- the piperidino group which may be substituted as Y may have the “acyl group which may be substituted”, the “hydrocarbon group which may be substituted”, and the “heterocyclic group which may be substituted” represented by the above R 1 , and the like, as substituent(s).
- These nitrogen-containing heterocyclic groups may be a group having a bonding hand at the nitrogen atom composing the ring, or a group having a bonding hand at the carbon atom composing the ring.
- Examples of the group having a bonding hand at the nitrogen atom composing the ring include a group represented by the formula:
- ring Q 1 is a 5- to 9-membered nitrogen-containing heterocyclic group (preferably, a nitrogen-containing saturated heterocyclic group) which may contain 1 to 2 hetero atoms selected from nitrogen atom, oxygen atom, sulfur atom, and the like in addition to carbon atom(s) and one nitrogen atom, etc. More specifically, for example,
- Examples of the group having the bonding hand at a carbon atom composing the ring include a group represented by the formula:
- ring Q 2 represents a 5- to 9-membered nitrogen-containing heterocyclic group (preferably, a nitrogen-containing saturated heterocyclic group) which may contain 1 to 2 hetero atoms selected from nitrogen atom, oxygen atom, sulfur atom, and the like, in addition to carbon atom(s) and one nitrogen atom, etc. More specifically, for example,
- Examples of the “substituent” of the “nitrogen-containing heterocyclic group (preferably, a nitrogen-containing saturated heterocyclic group) which may be substituted” represented by Y include the “substituent” of the “nitrogen-containing heterocyclic ring which may be substituted” which may be formed together with the nitrogen atom adjacent to the above R 2c and R 3c , and the “hydrocarbon group which may be substituted”, the “acyl group which may be substituted”, or the “heterocyclic group which may be substituted” represented by the above R 1 , etc.
- the ring include benzene ring, a 5- to 8-membered (preferably, 5- to 6-membered) aromatic monocyclic heterocyclic ring (for example, pyrrole, oxazole, isoxazole, thiazole, isothiazole, imidazole, pyrazole, 1,2,3-oxadiazole, 1,2,4-oxadiazole, 1,3,4-oxadiazole, 1,2,3-thiadiazole, 1,2,4-thiadiazole, 1,3,4-thiadiazole, 1,2,3-triazole, 1,2,4-triazole, tetrazole, pyridine, pyridazine, pyrimidine, pyrazine, triazine, and the like), a ring in which a part or all of the unsaturated bonds of these rings converted to saturated bond(s), and the like.
- a 5- to 8-membered (preferably, 5- to 6-membered) aromatic monocyclic heterocyclic ring
- cyclic amino group which may be substituted as the “amino group which may be substituted” represented by Y and Y′; and the “nitrogen-containing heterocyclic group which may be substituted” represented by Y have 2 or more substituents on one carbon atom, said substituents may be bonded to each other to form a spiro ring.
- substituents may be bonded to each other to form a spiro ring.
- Specific examples of the case of forming the spiro ring include spiro(1H-inden-1,4′-piperizinyl) ring, and the like.
- Preferred examples of the “nitrogen-containing heterocyclic group” of the “nitrogen-containing heterocyclic group which may be substituted” represented by Y include a 4-piperidinyl group, 1-piperidinyl group, 1-piperazinyl group, and the like.
- Y is a group represented by the formula:
- R 6 is as defined with respect to the above R 1 ; etc.
- Y is, for example, a group represented by the formula:
- R 6 is (i) phenyl-C 1-6 alkyl which may be substituted with C 1-6 alkyl, C 1-6 alkoxy, a halogen atom, nitro, mono- or di-C 1-6 alkyl-carbamoyloxy, hydroxy, cyano, carboxyl, C 1-6 alkoxy-carbonyl, carbamoyl, cyclic aminocarbonyl, amino, C 1-6 alkylcarbonylamino, phenylsulfonylamino, C 1-6 alkylsulfonylamino, amidino, ureido or a heterocyclic ring (the above C 1-6 alkyl, C 1-6 alkoxy, carbamoyl, cyclic aminocarbonyl, amino, phenylsulfonylamino, amidino, ureido and heterocyclic ring may be further substituted, and as said “substituent”, for example, the “substituent”, for example,
- R 6 is benzyl group which may be substituted with C 1-4 alkyl (methyl, and the like), trihalogeno (fluoro, and the like) C 1-4 alkyl (methyl, and the like), a halogen atom (fluoro, chloro, and the like), nitro, hydroxy, carbamoyl, amino, amidino, or dihydroimidazolyl.
- Y is preferably 1-benzyl-4-piperidinyl group, 4-benzyl-1-piperidinyl group or 4-benzyl-1-piperazinyl group, 1-acetyl-4-piperidinyl group, 1-[(2-methylphenyl)methyl]-4-piperidinyl group, 1-[(3-chlorophenyl)methyl]-4-piperidinyl group, 1-[(2-chlorophenyl)methyl]-4-piperidinyl group, 1-[(3-nitrophenyl)methyl]-4-piperidinyl group, 1-[[3-trifluoromethyl)phenyl]methyl]-4-piperidinyl group, and the like, and 1-benzyl-4-piperidinyl group, 1-acetyl-4-piperidinyl group, 1-[(2-methylphenyl)methyl]-4-piperidinyl group, 1-[(3-chlorophenyl)methyl]-4-piperidinyl group, 1-[(
- examples of the “spacer in which the number of atom(s) constituting a linear chain portion is 1 to 4” represented by X include a saturated divalent group or divalent group in which a part of bonds is converted to unsaturated bond(s) such as
- At least one of X 5 and X 6 is preferably NH); or the “the divalent group in which the number of atom(s) in a linear chain portion is 1 to 4” such as —CO—, —NR 3a —, —SO 2 —, —SO 2 NR 3a —, —SO 2 NHCONR 3a —, —SO 2 NHC( ⁇ NH)NR 3a —, —CS—, —CR 3a (R 3b )—, —C( ⁇ CR 3a (R 3b )—, —C( ⁇ NR 3a )—, —CONR 3a — (wherein each of R 3a and R 3b is independently hydrogen atom, cyano group, hydroxy group, amino group, a C 1-6 alkyl group or a C 1-6 alkoxy group).
- X is more preferably —CO—, —O—, —NR 3a —, —S—, —SO—, —SO 2 —, —SO 2 NR 3a —, —SO 2 NHCONR 3a —, —SO 2 NHC( ⁇ NH)NR 3a —, —CS—, —CR 3a (R 3b )—, —C( ⁇ CR 3a (R 3b )—, —C( ⁇ NR 3a )—, —CONR 3a — (wherein each of R 3a and R 3b is independently hydrogen atom, cyano group, hydroxy group, amino group, a C 1-6 alkyl group or a C 1-6 alkoxy group).
- —CO—, —O—, —SO 2 —, —SO 2 NR 3a —, —CR 3a (R 3b )—, —CONR 3a —, and the like are preferred.
- —SO 2 NR 3a —, —CONR 3a —, —CR 3a (R 3b ), and the like are preferably used.
- the divalent group represented by X may be substituted at an arbitrary position (preferably, on a carbon atom) and examples of the substituent include lower (C 1-6 ) alkyl (for example, methyl, ethyl, propyl, isopropyl, butyl, isobutyl, sec-butyl, tert-butyl, pentyl, isopentyl, neopentyl, hexyl, and the like), lower (C 3-7 ) cycloalkyl (for example, cyclopropyl, cyclobutyl, cyclopentyl, cyclohexyl, cycloheptyl, and the like), formyl, lower (C 2-7 ) alkanoyl (for example, acetyl, propionyl, butyryl, and the like), lower (C 1-6 ) lower alkoxy-carbonyl, lower (C 1-6 ) lower alkoxy, hydroxy group, o
- R 1 is a hydrogen atom, a hydrocarbon group which may be substituted or an acyl group which may be substituted
- ring A is a benzene ring which may be further substituted
- X is a spacer in which the number of atom(s) constituting a linear chain portion is 1 to 4 (provided that —CO— is excluded)
- n is an integer of 1 to 10
- R is a hydrogen atom or a hydrocarbon group which may be substituted, and may be the same or different in the repetition of n
- R may be bonded to ring A or a substituent of ring A to form a ring
- Y is an amino group which may be substituted, or a salt thereof is preferably used.
- a pharmacologically acceptable salt is preferred, and examples thereof include a salt with an inorganic base, a salt with an organic base, a salt with an inorganic acid, a salt with an organic acid, a salt with a basic or acidic amino acid, and the like.
- the salt with an inorganic base for example, there are alkali metal salts such as a sodium salt and a potassium salt; alkali earth metal salts such as a calcium salt and a magnesium salt; and an aluminum salt, an ammonium salt, and the like.
- the salt with an organic base for example, there are trimethylamine, triethylamine, pyridine, picoline, ethanolamine, diethanolamine, triethanolamine, dicyclohexylamine, N,N′-dibenzylethylenediamine, and the like.
- salts with an inorganic acid there are salts with hydrochloric acid, hydrobromic acid, nitric acid, sulfuric acid, phosphoric acid, and the like.
- the salt with an organic acid there are salts with formic acid, acetic acid, trifluoroacetic acid, fumaric acid, oxalic acid, tartaric acid, maleic acid, citric acid, succinic acid, malic acid, methanesulfonate, benzenesulfonic acid, p-toluenesulfonic acid, and the like.
- salts with a basic amino acid there are salts with arginine, lysine, ornithine, and the like, and, as preferred examples of the salt with an acidic amino acid, there are salts with aspartic acid, glutamic acid, and the like.
- the compound having urotensin II receptor antagonistic activity (including the compounds represented by the formulae (Ia), (IIa), (IIa′), (Ib), (Ic) and (IIc)) used in the present invention may be a hydrate or a non hydrate. Further, when the compound having urotensin II receptor antagonistic activity (including the compounds represented by the formulae (Ia), (IIa), (IIa′), (Ib), (Ic) and (IIc)) used in the present invention exists as a configurational isomer, a diastereomer, a conformer and the like, if desired, each can be isolated by per se known separation and purification procedures.
- the compound having urotensin II receptor antagonistic activity (including the compounds represented by the formulae (Ia), (IIa), (IIa′), (Ib), (Ic) and (IIc)) used in the present invention is racemic, it can be separated to a (S) isomer and a (R) isomer by a conventional optical resolution, and any one of the respective optically active isomers and racemates are included in the present invention.
- the compound having urotensin II receptor antagonistic activity may be used as a prodrug.
- prodrug may include compounds which may be converted into UII receptor antagonist through, for example, enzyme- or gastric acid-mediated reaction in vivo under physiological conditions, i.e., compounds which may be enzymatically oxidized, reduced and/or hydrolyzed to be converted into UII receptor antagonist, and compounds which may be hydrolyzed by gastric acid and the like to be converted into UII receptor antagonist.
- prodrug of UII receptor antagonist examples include compounds wherein amino group of UII receptor antagonist has been acylated, alkylated or phosphorylated (e.g., compounds wherein amino group of UII receptor antagonist has been eicosanoylated, alanylated, pentylaminocarbonylated, (5-methyl-2-oxo-1,3-dioxolene-4-yl) methoxycarbonylated, tetrahydrofuranylated, pyrrolidylmethylated, pivaloyloxymethylated, tert-butylated, etc.); compounds wherein hydroxy group of UII receptor antagonist has been acylated, alkylated, phosphorylated or borated (e.g., compounds wherein hydroxy group of UII receptor antagonist has been acetylated, palmitoylated, propanoylated, pivaloylated, succinylated, fumarylated, alanylated or dimethyla
- prodrugs of UII receptor antagonist may be compounds which may be converted into UII receptor antagonist under physiological conditions as described in “Development of pharmaceuticals (Iyakuhinn no Kaihatsu)”, vol. 7, Molecular Design, pp. 163-198, Hirokawa Shoten (1990).
- UII receptor antagonist may be labeled with an isotope such as 3 H, 14 C, 35 S, 125 I, etc.
- UII receptor antagonist of the present invention can be orally or parenterally administrated independently, or by formulating together with pharmacologically acceptable carriers in the form of solid preparations such as tablets, capsules, granules, powders and the like; or liquid preparations such as syrups, injectable preparations, and the like.
- Dosage forms for parenteral administration include, for example, injectable preparations, instillations, suppositories, and the like.
- the pharmacologically acceptable carrier various conventional organic or inorganic carrier substances can be used and such materials are formulated as excipients, lubricants, binders, disintegrants in solid preparations; as solvents, solubilizing aids, suspending agents, isotonicity agents, buffers, soothing agents in liquid preparations, etc. Further, if necessary, pharmaceutical additives such as preservatives, antioxidants, colorants and flavoring agents can be used.
- the excipient include lactose, sugar, D-mannitol, starch, crystalline cellulose, light anhydrous silicic acid, and the like.
- Preferable examples of the lubricant include magnesium stearate, calcium stearate, tarc, colloidal silica, and the like.
- Preferred examples of the binder include crystalline cellulose, sugar, D-mannitol, dextrine, hydroxypropyl cellulose, hydroxypropylmethyl cellulose, polyvinyl pyrrolidone, and the like.
- Preferred examples of the disintegrant include starch, carboxymethyl cellulose, calcium carboxymethyl cellulose, sodium cross calmelose, sodium carboxymethylstarch, and the like.
- Preferred examples of the solvent include injectable water, alcohol, propylene glycol, macrogol, sesame oil, corn oil, and the like.
- solubilizing aid examples include polyethylene glycol, polypropylene glycol, D-mannitol, benzyl benzoate, ethanol, trisaminomethane, cholesterol, triethanolamine, sodium carbonate, sodium citrate, and the like.
- suspending agent examples include surfactants such as stearyltriethanolamine, sodium laurylsulfate, laurylaminopropionic acid, lecithin, benzalkonium chloride, benzetonium chloride, glycerin monostearate, and the like; hydrophilic synthetic polymers such as polyvinyl alcohol, polyvinyl pyrrolidone, carboxymethylcellulose sodium, methyl cellulose, hydroxymethyl cellulose, hydroxyethyl cellulose, hydroxypropyl cellulose, and the like; and the like.
- Preferred example of the isotonicity agent include sodium chloride, glycerin, D-mannitol, and the like.
- Preferred examples of the buffer include buffers such as phosphate, acetate, carbonate, citrate, and the like; and the like.
- Preferred examples of the indolent agent include benzyl alcohol, and the like.
- Preferable examples of the preservative include paraoxybenzoic acid esters, chlorobutanol, benzyl alcohol, phenethyl alcohol, dehydroacetic acid, sorbic acid, and the like.
- Preferred examples of the antioxidant for example, sulfite, ascorbic acid, and the like.
- a protective group generally used in peptide chemistry may be introduced into such a group and, if desired, the objective compound can be obtained by removing the protective group after reaction.
- Examples of the protective group for amino group include lower C 1-6 alkylcarbonyl which may be substituted (for example, acetyl, propionyl, and the like), formyl, phenylcarbonyl, C 1-6 alkyloxycarbonyl (for example, methoxycarbonyl, ethoxycarbonyl, tert-butoxycarbonyl, and the like), phenyloxycarbonyl (for example, benzoxycarbonyl, and the like), C 7-10 aralkyloxycarbonyl (for example, benzyloxycarbonyl, and the like), trityl, phthaloyl, and the like.
- substituents include a halogen atom (for example, fluorine, chlorine, bromine, iodine, and the like), C 1-6 alkylcarbonyl (for example, acetyl, propionyl, butyryl, and the like), nitro group, and the like, and the number of the substituent(s) is about 1 to 3.
- halogen atom for example, fluorine, chlorine, bromine, iodine, and the like
- C 1-6 alkylcarbonyl for example, acetyl, propionyl, butyryl, and the like
- nitro group and the like
- Examples of the protective group for carboxyl group include C 1-6 alkyl which may be substituted (for example, methyl, ethyl, propyl, isopropyl, butyl, tert-butyl, and the like), phenyl, trityl, silyl, and the like.
- substituents include a halogen atom (for example, fluorine, chlorine, bromine, iodine, and the like), C 1-6 alkylcarbonyl (for example, acetyl, propionyl, butyryl, and the like), formyl, a nitro group, and the like, and the number of the substituent(s) is about 1 to 3.
- Examples of the protective group for hydroxy group include C 1-6 alkyl which may be substituted (for example, methyl, ethyl, propyl, isopropyl, butyl, tert-butyl, and the like), phenyl, C 7-10 aralkyl (for example, benzyl, and the like), C 1-6 alkylcarbonyl (for example, acetyl, propionyl, and the like), formyl, phenyloxycarbonyl, C 7-10 aralkyloxycarbonyl (for example, benzyloxycarbonyl, and the like), pyranyl, furanyl, silyl, and the like.
- C 1-6 alkyl which may be substituted
- phenyl, C 7-10 aralkyl for example, benzyl, and the like
- C 1-6 alkylcarbonyl for example, acetyl, propionyl, and the like
- formyl formyl
- substituents include a halogen atom (for example, fluorine, chlorine, bromine, iodine, and the like), C 1-6 alkyl, phenyl, C 7-10 aralkyl, nitro group, and the like, and the number of the substituent(s) is about 1 to 4.
- halogen atom for example, fluorine, chlorine, bromine, iodine, and the like
- C 1-6 alkyl for example, phenyl, C 7-10 aralkyl, nitro group, and the like
- the number of the substituent(s) is about 1 to 4.
- a method for introducing and removing the protective group per se known methods or their modifications [for example, the method described in “Protective Groups in Organic Chemistry” (J. F. W. McOmie et al, Plenam Press Co.)] can be used.
- a method for removing the protective group for example, treatment with an acid, a base, reduction, ultraviolet rays, hydrazine, phenylhydrazine, sodium N-methylthiocarbamate, tetrabutylammonium fluoride, palladium acetate, or the like can be used.
- the compound represented by the formula (Ia) or a salt thereof can be produced by a per se known method. Further, the compound represented by the formula (Ia) or a salt thereof can be produced, for example, by the following method, or a method described in “Tetrahedron Letters” Vol. 40, pp. 5643-5646, JP 3-220189 A), JP 48-30280 B, and the like, or a modification thereof.
- a compound represented by the formula (Ia) [including the compound represented by the formula (IIa) or (IIa′) having a novel structure] or a salt thereof, a compound represented by the formula (Iaa) or a salt thereof in which R 1 is an unsubstituted amino group, or a salt thereof can be produced, for example, by the following scheme:
- the compound represented by the formula (Iaa) or a salt thereof can be obtained by carrying out the cyclization reaction of a compound represented by the formula (Va) or a salt thereof which is obtained by reacting a compound represented by the formula (IIIa) or a salt thereof with a compound represented by the formula (IVa) or a salt thereof.
- the compound represented by the formula (Ia) [including the compound represented by the formula (IIa) or (IIa′) having a novel structure] or a salt thereof can be produced, for example, by the following scheme:
- Za is an alkali metal and the other symbols are as defined above.
- the compound represented by the formula (Ia) or a salt thereof can be obtained by reacting a compound represented by the formula Ra 1 Za with a compound represented by the formula (VIIIa) or a salt thereof which is obtained by reacting a compound represented by the formula (VIa) or a salt thereof with a compound represented by the formula (VIIa) or a salt thereof.
- Examples of the alkali metal represented by Za include lithium, sodium and the like.
- the reaction may be carried out without a solvent or in a solvent.
- the solvent is not specifically limited so far as it does not influence the reaction, but examples thereof include, ether solvents (for example, diethyl ether, tetrahydrofuran, dioxane, and the like), halogen solvents (for example, dichloromethane, dichloroethane, chloroform, carbon tetrachloride, and the like), hydrocarbon solvents (for example, benzene, toluene, hexane, heptane, and the like), amide solvents (for example, dimethylformamide, dimethylacetamide, N-methylpyrrolidone, and the like), ester solvents (for example, methyl acetate, ethyl acetate, and the like), acetonitrile, dimethyl sulfoxide, and the like. Further, a mixture of two or more thereof may be used.
- the compound represented by the formula Ra 1 Za is used in an amount of about 0.5 to 20 mole equivalent, and preferably about 0.8 to 10 mole equivalent based on the compound represented by the formula (VIIIa) or a salt thereof.
- the reaction temperature is about ⁇ 80° C. to 200° C. and preferably about ⁇ 80° C. to 80° C.
- the reaction time is about 0.1 to 96 hours and preferably about 0.5 to 72 hours.
- a compound or a salt thereof in which Ra 1 is not an unsubstituted amino group can be produced by a known method. For example, it can be produced by variously converting in accordance with the following reaction using the compound represented by the formula (Iaa) or a salt thereof synthesized by the above scheme as the starting compound.
- each of Ra 1 ′′ and Ra 1 ′′′ is a substituent of amino group (preferably, a lower alkyl group which may be substituted) and La is a leaving group.
- Examples of the leaving group represented by La include a halogen atom (for example, chlorine, bromine, iodine, and the like), sulfonic acid esters such as a methanesulfonyl group, a toluenesulfonyl group, etc., and the like.
- a halogen atom for example, chlorine, bromine, iodine, and the like
- sulfonic acid esters such as a methanesulfonyl group, a toluenesulfonyl group, etc., and the like.
- the reaction may be carried out without a solvent or in a solvent.
- the solvent is not specifically limited so far as it does not influence the reaction, but examples thereof include ether solvents (for example, diethyl ether, tetrahydrofuran, dioxane, and the like), halogen solvents (for example, dichloromethane, dichloroethane, chloroform, carbon tetrachloride, and the like), hydrocarbon solvents (for example, benzene, toluene, hexane, heptane, and the like), amide solvents (for example, dimethylformamide, dimethylacetamide, N-methylpyrrolidone, and the like), ester solvents (for example, methyl acetate, ethyl acetate, and the like), acetonitrile, dimethyl sulfoxide, and the like.
- ether solvents for example, diethyl ether, tetrahydrofuran, dioxane
- reaction may be carried out in the presence of a base (for example, triethylamine, 4-(dimethylamino)pyridine, 2-tert-butylimino-2-ethylamino-1,3-dimethylperhydro-1,3,2-diazasulfone, sodium bicarbonate, potassium bicarbonate, sodium carbonate, potassium carbonate, sodium hydride, potassium hydride, and the like), or a phase transfer catalyst (for example, quaternary ammonium salts such as tetrabutylammonium bromide, benzyl triethylammonium chloride, crown ethers such as 18-crown-6, and the like), or a base and a phase transfer catalyst.
- a base for example, triethylamine, 4-(dimethylamino)pyridine, 2-tert-butylimino-2-ethylamino-1,3-dimethylperhydro-1,3,2-diazasulfone, sodium bicarbonate
- the amount of the compound represented by the formula Ra 1′′ La based on the compound represented by the formula (Iaa) or a salt thereof, and the amount of the compound represented by the formula Ra 1′′′ La based on the compound represented by the formula (Iab) or a salt thereof are about 0.5 to 20 mole equivalent, and preferably about 0.8 to 10 mole equivalent.
- the reaction temperature is about ⁇ 20° C. to 200° C. and preferably about 20° C. to 150° C.
- the reaction time is about 0.1 to 96 hours and preferably about 0.5 to 72 hours.
- the amount of the base used is usually about 0.5 to 10 mole equivalent, preferably about 1 to 5 mole equivalent based on the compound represented by the formula (Iaa) or (Iab).
- substituent in ring A is a halogen atom such as chlorine, bromine, iodine, and the like, it can be easily converted to various functional groups (a substituent of benzene ring represented by ring Aa, and the like) by known substitution reactions (Suzuki coupling reaction, Still reaction, Heck reaction, and the like).
- the compound (Ia) thus obtained can be isolated and purified by known separation and purification procedures, for example, such as concentration, vacuum concentration, solvent extraction, crystallization, recrystallization, solvent conversion, chromatography, and the like.
- the compound represented by the formula (Ib) or a salt thereof can be produced by reacting the compound represented by the formula (IIb), a carboxylic acid represented by Rb 2 COOH or its reactive derivative or salts thereof in a solvent and, if necessary, in the presence of a base, using a condensing agent.
- Examples of the reactive derivative of the carboxylic acid include acid anhydride, an active ester (for example, p-nitrophenyl ester, N-hydroxysuccinimide ester, pentafkuorophenyl ester, 1-hydroxybenzotriazole ester, and the like), an acid halide (for example, an acid chloride, an acid bromide, and the like), imidazolide, an anhydride of a mix acid (for example, an anhydride with methyl carbonate, an anhydride with ethyl carbonate, and the like), etc.
- an active ester for example, p-nitrophenyl ester, N-hydroxysuccinimide ester, pentafkuorophenyl ester, 1-hydroxybenzotriazole ester, and the like
- an acid halide for example, an acid chloride, an acid bromide, and the like
- imidazolide for example, an anhydride of a mix acid (for example, an anhydride with
- Q is a leaving group (for example, a halogen atom (for example, fluorine, chlorine, bromine, iodine, and the like), a methanesulfonyloxy, benzenesulfonyloxy, p-toluenesulfonyloxy, and the like)], etc.
- Q is a leaving group (for example, a halogen atom (for example, fluorine, chlorine, bromine, iodine, and the like), a methan
- ether solvents for example, diethyl ether, tetrahydrofuran, dioxane, and the like
- hydrocarbon solvents for example, benzene, toluene, hexane, heptane, and the like
- halogen solvents for example, dichloromethane, dichloroethane, chloroform, carbon tetrachloride, and the like
- acetonitrile N,N-dimethylformamide, and the like.
- Examples of the base used include organic bases such as triethylamine, 4-dimethylamino pyridine, N,N-diisopropylethylamine, triethylenediamine, 4-methylmorpholine, and the like; carbonates of an alkali metal or an alkali earth metal (for example, sodium carbonate, potassium carbonate, and the like), bicarbonates of an alkali metal or an alkali earth metal (for example, sodium bicarbonate, potassium bicarbonate, and the like), hydroxides of an alkali metal or an alkali earth metal (for example, sodium hydroxide, potassium hydroxide, and the like), etc.
- Examples of the condensing agent used include those used in peptide synthesis, and the like.
- dicyclohexylcarbodiimide diisopropylcarbodiimide, N-ethyl-N′-3-dimethylaminoropylcarbodiimide and its hydrochloride
- benzotriazol-1-yl-tris(dimethylamino)phosphonium hexafluorophosphorilated salt benzotriazol-1-yl-trispyrrolidinophosphonium hexafluorophosphorilated salt
- diethyl cyanophosphorate diphenylphosphoryl azide, N-hydroxy-5-norbornene-2,3-carboxyimide, and the like.
- the carboxylic acid represented by the formula Rb 2 COOH or a salt thereof is used in an amount of 0.5 to 10 mole equivalent, preferably 1 to 5 mole equivalent, per one mole of the compound represented by the formula (IIb).
- the condensing agent is used in an amount of 0.5 to 10 mole equivalent, preferably 1 to 6 mole equivalent.
- the reaction temperature is ⁇ 50° C. to 200° C. and preferably ⁇ 20° C. to 100° C.
- the reaction time is 0.5 to 96 hours, preferably 0.5 to 72 hours and more preferably 1 to 24 hours.
- the compound represented by the formula (Ib) or a salt thereof can be produced by reacting the compound represented by the formula (IIIb), its reactive derivative or salts thereof, and the compound represented by the formula (IVb) in a solvent and, if necessary, in the presence of a base, using a condensing agent.
- Examples of the reactive derivative of the compound represented by the formula (IIIb) include acid anhydride, an active ester (for example, p-nitrophenyl ester, N-hydroxysuccinimide ester, pentafkuorophenyl ester, 1-hydroxybenzotriazole ester, and the like), an acid halide (for example, an acid chloride, an acid bromide and the like), imidazolide, an anhydride of a mix acid (for example, an anhydride with methyl carbonate, an anhydride with ethyl carbonate, and the like), etc.
- an active ester for example, p-nitrophenyl ester, N-hydroxysuccinimide ester, pentafkuorophenyl ester, 1-hydroxybenzotriazole ester, and the like
- an acid halide for example, an acid chloride, an acid bromide and the like
- imidazolide for example, an anhydride of a mix acid (for example, an anhydr
- Q is a leaving group (for example, a halogen atom (for example, fluorine, chlorine, bromine, iodine, and the like), a methanesulfonyloxy, benzenesulfonyloxy, p-toluenesulfonyloxy, and the like]
- solvent used examples include ether solvents (for example, diethyl ether, tetrahydrofuran, dioxane, and the like), hydrocarbon solvents (for example, benzene, toluene, hexane, heptane, and the like), halogen solvents (for example, dichloromethane, dichloroethane, chloroform, carbon tetrachloride, and the like), acetonitrile, N,N-dimethylformamide, and the like.
- ether solvents for example, diethyl ether, tetrahydrofuran, dioxane, and the like
- hydrocarbon solvents for example, benzene, toluene, hexane, heptane, and the like
- halogen solvents for example, dichloromethane, dichloroethane, chloroform, carbon tetrachloride, and the like
- acetonitrile N,N-d
- Examples of the base used include organic bases such as triethylamine, 4-dimethylaminopyridine, N,N-diisopropylethylamine, triethylenediamine, 4-methylmorpholine, and the like; carbonates of an alkali metal or an alkali earth metal (for example, sodium carbonate, potassium carbonate, and the like), bicarbonates of an alkali metal or an alkali earth metal (for example, sodium bicarbonate, potassium bicarbonate, and the like), hydroxides of an alkali metal or an alkali earth metal (for example, sodium hydroxide, potassium hydroxide, and the like), etc.
- Examples of the condensing agent used include those used peptide synthesis, and the like.
- dicyclohexylcarbodiimide diisopropylcarbodiimide, N-ethyl-N′-3-dimethylaminoropylcarbodiimide and its hydrochloride
- benzotriazol-1-yl-tris(dimethylamino) phosphonium hexafluorophosphorilated salt benzotriazol-1-yl-trispyrrolidinophosphonium hexafluorophosphorilated salt
- diethyl cyanophosphorate diphenylphosphoryl azide, and the like.
- the compound represented by the formula (IVb) or a salt thereof is used in an amount of 0.5 to 10 mole equivalent, preferably 1 to 5 mole equivalent per one mole of the compound represented by the formula (IIIb).
- the condensing agent is used in an amount of 0.5 to 10 mole equivalent, and preferably 1 to 6 mole equivalent.
- the reaction temperature at this time is ⁇ 50° C. to 200° C. and preferably ⁇ 20° C. to 100° C., and the reaction time is 0.5 to 96 hours, preferably 0.5 to 72 hours and more preferably 1 to 24 hours.
- Wb is a halogen atom (for example, fluorine, chlorine, bromine, iodine, and the like) or trifluoromethanesulfonyloxy group, and the other symbols are as defined above.
- halogen atom for example, fluorine, chlorine, bromine, iodine, and the like
- trifluoromethanesulfonyloxy group and the other symbols are as defined above.
- the compound represented by the formula (VIb) or a salt thereof can be produced by reacting the compound represented by the formula (Vb), its reactive derivative or salts thereof, and the compound represented by the formula (IVb). The reaction is carried out under conditions similar to those of the condensation reaction exemplified in the above Scheme 2b.
- the compound represented by the formula (VIIb) or a salt thereof can be produced by reacting the compound represented by the formula (VIb) or a salt thereof, with formylbenzeneboric acid or its ester or anhydride, in a solvent under basic conditions in the presence of a transition metal catalyst.
- solvent used examples include water, alcohol solvents (for example, methanol, ethanol, n-propanol, isopropanol, and the like), ether solvents (for example, diethyl ether, tetrahydrofuran, 1,2-dimethoxyethane, and the like), hydrocarbon solvents (for example, benzene, toluene, hexane, heptane, and the like), N,N-dimethylformamide, and the like. These solvents may be used alone, or a mixture of 2 or more kinds thereof at an appropriate proportion.
- alcohol solvents for example, methanol, ethanol, n-propanol, isopropanol, and the like
- ether solvents for example, diethyl ether, tetrahydrofuran, 1,2-dimethoxyethane, and the like
- hydrocarbon solvents for example, benzene, toluene, hexane, heptane, and the
- Examples of the base used include carbonates of an alkali metal or an alkali earth metal (for example, sodium carbonate, potassium carbonate, and the like), bicarbonates of an alkali metal or an alkali earth metal (for example, sodium bicarbonate, potassium bicarbonate, and the like), hydroxides of an alkali metal or an alkali earth metal (for example, sodium hydroxide, potassium hydroxide, and the like), triethylamine, 4-dimethylaminopyridine, N,N-diisopropylethylamine, triethylenediamine, 4-methylmorpholine, etc.
- transition metal catalysts examples include palladium catalysts [for example, tetrakis(triphenylphosphine) palladium, 1,1-bis(diphenylphosphino)ferocenedichloro palladium, dichlorobis(triphenylphosphine) palladium, and the like], etc.
- the formylbenzeneboric acid or its ester or anhydride is used in an amount of 0.5 to 10 mole equivalent, preferably 1 to 5 mole equivalent per one mole of the compound represented by the formula (VIb) or a salt thereof.
- the transition metal catalyst is used in an mount of 0.01 to 1 mole equivalent, preferably 0.05 to 0.2 mole equivalent.
- the reaction temperature is 0° C. to 200° C. and preferably 50C to 100° C.
- the reaction time is 0.5 to 48 hours, and preferably 1 to 24 hours.
- the compound represented by the formula (IIb) or a salt thereof can be produced under conditions of a reductive amination reaction using the compound represented by the formula (VIIb) or a salt thereof, and amine represented by the formula Rb 3 NH 2 or a salt thereof.
- the reductive amination reaction can be carried out by reacting the compound represented by the formula (VIIb) or a salt thereof, and an amine represented by the formula Rb 3 NH 2 or a salt thereof in the presence of a metal hydride complex compound (for example, sodium borohydride, sodium cyanoborohydride, sodium triacetoxyborohydride, and the like) in a solvent such as an ether solvent (for example, diethyl ether, tetrahydrofuran, dioxane, and the like), a hydrocarbon solvent (for example, benzene, toluene, hexane, heptane, and the like), a halogen solvent (for example, dichloromethane, dichloroethane, chloroform, carbon tetrachloride, and the like), an alcohol solvent (for example, methanol, ethanol, n-propanol, isopropanol, and the like), acetonitrile, N,N-
- the amine represented by the formula Rb 3 NH 2 or a salt thereof is used in an amount of 0.5 to 10 mole equivalent, preferably 1 to 5 mole equivalent per one mole of the compound represented by the formula (VIIb) or a salt thereof.
- the metal hydride complex compound is used in an amount of 0.5 to 10 mole equivalent, preferably 1 to 5 mole equivalent.
- the reaction temperature is 0° C. to 200° C. and preferably 20° C. to 100° C.
- the reaction time is 0.5 to 96 hours, and preferably 1 to 24 hours.
- Rb 5 is C 1-6 alkyl which may be substituted (for example, methyl, ethyl, propyl, isopropyl, butyl, tert-butyl, phenyl, trityl, silyl, and the like), and the other symbols are as defined above.
- the compound represented by the formula (IXb) or a salt thereof can be produced by reacting the compound represented by the formula (VIIIb) or a salt thereof, with formylbenzeneboric acid or its ester body or anhydride, in a solvent under basic conditions in the presence of a transition metal catalyst.
- the reaction is carried out under conditions similar to those exemplified with respect to the reaction of the compound represented by the formula (VIb) or a salt thereof to the compound represented by the formula (VIIb) or a salt thereof shown in the above Scheme 3b, etc.
- the compound represented by the formula (Xb) or a salt thereof can produce by the reaction of the compound represented by the formula (IXb) or a salt thereof and the amine represented by the formula Rb 3 NH 2 or a salt thereof under conditions of a reductive amination reaction.
- the reaction is carried out under conditions similar to those exemplified with respect to the reaction from the compound represented by the formula (VIIb) or a salt thereof to the compound represented by the formula (IIb) or a salt thereof shown in the above scheme 3b, etc.
- the compound represented by the formula (XIb) or a salt thereof can be produced by treating the compound represented by the formula (Xb) or a salt thereof with an acid or a base. Namely, the compound represented by the formula (Xb) or a salt thereof can be produced by treatment at 0° C. to 150° C., and preferably 20° C. to 50° C.
- a solvent such as water, an ether solvent (for example, diethyl ether, tetrahydrofuran, dioxane, and the like), an alcohol solvent (for example, methanol, ethanol, n-propanol, isopropanol, and the like) or a mixed solvent thereof, with a mineral acid (for example, nitric acid, hydrochloric acid, hydrobromic acid, iodic acid, sulfuric acid, and the like) or a hydroxide of an alkali metal (for example, sodium hydroxide, potassium hydroxide, lithium hydroxide, and the like).
- the strength of the acid or base is preferably about 0.1 to 10, and the reaction time is 1 to 72 hours.
- the compound represented by the formula (IIb) or a salt thereof can be produced by reacting the compound represented by the formula (XIb), its reactive derivative or a salt thereof, with the compound represented by the formula (IVb) or a salt thereof.
- the reaction is carried out under conditions similar to those of the condensation reaction exemplified in the above Scheme 2b.
- the compound represented by the formula (XIIb) or a salt thereof can be produced by reacting the compound represented by the formula (Xb) or a salt thereof whose production process is exemplified in the above Scheme 4b, with the carboxylic acid represented by the formula Rb 2 COOH, its reactive derivative or a salt thereof, using a condensing agent, in a solvent and, if necessary, in the presence of a base.
- the reaction is carried out under conditions similar to those of the condensation reaction exemplified in the above Scheme 1b.
- the compound represented by the formula (IIIb) or a salt thereof can be produced by treating the compound represented by the formula (XIIb) or a salt thereof with an acid or a base.
- the reaction is carried out under conditions similar to those exemplified with respect to the reaction from the compound represented by the formula (Xb) or a salt thereof to the compound represented by the formula (XIb) or a salt thereof shown in the above Scheme 4b, etc.
- the compound (Ib) thus obtained can be isolated and purified by known separation and purification procedures, for example, such as concentration, vacuum concentration, solvent extraction, crystallization, recrystallization solvent conversion, chromatography, and the like.
- the compound represented by the formula (Ic) or a salt thereof can be produced by a known method. Further, the compound represented by the formula (Ic) or a salt thereof can be produced, for example, by the following method, or methods described in EP 487071 A, EP 560235 A, WO98/4659, WO00/23437, and the like, or modifications thereof.
- the compound (Ic) of present invention and the compound (the starting compound or the synthesis intermediate) in each process in the production of the compound (Ic) are free compounds, they can be converted into their salt according to a conventional method, and when they form their salts, they can be also converted into free compounds or other salts.
- the compound (Ic) of the present invention and the starting compound or synthesis intermediate may be an optical isomer, a stereo isomer, a positional isomer or a rotational isomer, or a mixture thereof, and these are also included in the compound (Ic) of the present invention and the starting compounds or synthesis intermediates.
- the compound (Ic) may be a racemate, or an optical isomer which is resolved from the racemate. Further, these can be isolated and purified in accordance with known separation procedures.
- the optical isomer can be produced in accordance with known procedures. Specifically, the optical isomer can be produced by using optically active starting compounds or synthesis intermediates, or by optically resolving the racemate of an end compound in accordance with a conventional method. As an optical resolution method, known methods such as a fractional recrystallization method, an optically active column method, a diastereomer method, and the like can be employed. A stereo isomer, a positional isomer or a rotational isomer can be also produced by employing known methods.
- each reaction can be carried out without using a solvent or using an appropriate solvent, if necessary.
- Said solvent is not specifically limited so far as it does not influence with the reaction and, in general, any one of those which can be used for a chemical reaction can be used.
- organic solvents such as hydrocarbon solvents (for example, hexane, toluene, and the like), ether solvents (for example, ethyl ether, tetrahydrofuran, dioxane, dimethoxyethane, and the like), amide solvents (for example, formamide, N,N-dimethylformamide, N,N-dimethylacetamide, hexamethylphosphorictriamide, and the like), urea solvents (for example, 1,3-dimethyl-2-imidazolidinone, and the like), sulfoxide solvents (for example, dimethylsulfoxide, and the like), alcohol solvents (for example, methanol, ethanol, isopropanol, tert-butanol, and the like), nitrile solvents (for example, acetonitrile, propionitrile, and the like), pyridine, etc., or water, and the like.
- organic solvents such as hydrocarbon solvents (
- the amount of said solvent used is usually about 0.5 ml to about 100 ml, preferably about 3 ml to about 30 ml per 1 mmol of the compound.
- the reaction temperature varies depending on the kind of the solvent used, but is usually about ⁇ 30° C. to about 180° C., preferably about 0° C. to about 120° C.
- the reaction time varies depending on the reaction temperature, but is usually about 0.5 hours to about 72 hours, preferably about 1 hours to about 24 hours.
- the reaction is usually carried out at normal pressure, but may be carried out under pressured conditions of about 1 atm to about 100 atm, if necessary.
- the compound obtained in the following each step is isolated and purified by a known procedure, for example, concentration, liquid conversion, solvent conversion, solvent extraction, fractionation, distillation, crystallization, recrystallization, chromatography, preparative high performance liquid chromatography, etc., and is provided for the next reaction, but the reaction mixture as such may be used as a starting material without isolation and purification.
- a “condensation reaction” can be carried out in the presence of a base, if necessary.
- a base include inorganic bases such as sodium carbonate, sodium bicarbonate, potassium carbonate, lithium carbonate, sodium hydroxide, potassium hydroxide, potassium hydride, sodium hydride, sodium methoxide, potassium tert-butoxide, etc.; and organic bases such as pyridine, lutidine, collidine, triethylamine, etc.
- the amount of said base used is usually an equal mol amount to an excessive amount, preferably about 1 mol equivalent to about 5 mol equivalent based on the compound.
- the reaction may be accelerated in the presence of a catalyst amount of an iodine compound such as sodium iodide, potassium iodide, 4-dimethylaminopyridine, etc.
- the known compounds can be produced by the synthetic method described below. Further, they can be also produced by methods described in JP 6-166676 A, JP 11-310532 A, EP-A-487071, EP-A-560235, WO98/46590, WO00/23437, and the like, or their modifications.
- novel compounds in the present invention for example, the compound represented by the formula (IIc) or a salt thereof, can be produced by the synthetic method described below.
- the compound (IIca) can be produced by a condensation reaction of a compound represented by the formula (IIIca) (wherein each symbol is as defined above) (hereinafter, sometimes, abbreviated as compound (IIIca)), with a compound represented by the formula (IVca) (wherein Z 1 is a leaving group and the other symbols are as defined above) (hereinafter, sometimes, abbreviated as compound (IVca)).
- Examples of the leaving group represented by Z 1 include a halogen atom (for example, chloro, bromo, iodo, and the like), a C 1-6 alkylsufonyloxy group (for example, methanesulfonyloxy, ethanesulfonyloxy, trifluoromethanesulfonyloxy, and the like), a C 6-10 arylsufonyloxy group (for example, benzenesulfonyloxy, p-toluenesulfonyloxy, and the like), etc.
- a halogen atom for example, bromo, iodo and the like
- the like are preferably used.
- the solvent to be used include alcohol solvents (for example, ethanol, and the like), or nitrile solvents (for example, acetonitrile, and the like).
- the reaction temperature varies depending on the kind of the solvent used, but is preferably about 0° C. to about 120° C.
- the reaction time varies depending on the reaction temperature, but is preferably about 1 hours to about 24 hours.
- the base for example, sodium carbonate, potassium carbonate, triethylamine, and the like are preferably used.
- the amount of said base used is preferably about one equivalent to about 3 equivalent based on compound (IVca).
- this reaction may be accelerated in the presence of a catalyst amount of an iodine compound (for example, sodium iodide, potassium iodide, and the like, or 4-dimethylaminopyridine, and the like based on compound (IVca), if necessary.
- an iodine compound for example, sodium iodide, potassium iodide, and the like, or 4-dimethylaminopyridine, and the like based on compound (IVca)
- this reaction can be carried out in a solvent, for example, N,N-dimethylformamide, etc., in the presence of, for example, potassium carbonate, sodium hydride, and the like as a base.
- the amount of said base used is preferably about one equivalent to about 3 equivalent based on compound (IVca).
- Compound (IVca) can be produced by a known method or its modification.
- the starting compound (IIIca) or a salt thereof of the step (aa) can be produced, for example, according to the method described in WO00/23437. 1-2)
- compound (IIcb) in which —X— is —NR 3a — or a salt thereof can be produced according to the following reaction formula.
- compound (IIcb) can be produced by the condensation reaction of a compound represented by the formula (IIIcb) [wherein each symbol is as defined above] (hereinafter, sometimes, abbreviated as compound (IIIcb)), with a compound represented by the formula (IVca).
- the condensation reaction of compound (IIIcb) with compound (IVca) can be carried out in a solvent, for example, such as N,N-dimethylformamide, etc., in the presence of, for example, potassium carbonate, sodium hydride, and the like as a base.
- a solvent for example, such as N,N-dimethylformamide, etc.
- the amount of said base used is preferably about one equivalent to about 3 equivalent based on compound (IVca).
- the starting compound (IIIcb) or a salt thereof of the step (ba) can be produced by the following reaction formula 2-2. Namely, compound (IIIcb) can be produced by successively carrying out
- step (bb) a nitration reaction of a compound represented by the formula (Vcb) (hereinafter, sometimes, abbreviated as compound (Vcb)) (wherein each symbol is as defined above),
- step (bc) a reduction reaction of a compound represented by the formula (VIcb) (hereinafter, sometimes, abbreviated as compound (VIcb)) (wherein each symbol is as defined above), and
- step (bd) a condensation reaction of a compound represented by the formula (VIIIcb) (hereinafter, sometimes, abbreviated as compound (VIIIcb)) (wherein each symbol is as defined above), with a compound represented by the formula (IXcb) (hereinafter, sometimes, abbreviated as the compound (IXcb)) (wherein each symbol is as defined above).
- Compound (VIcb)) can be produced by carrying out nitration of compound (Vcb) in the step (bb).
- This reaction can be carried out by known methods (for example, methods described in “Synthesis”, pp. 217-238 (1977), “Chemistry of the Nitro and Nitroso Groups”, pp. 1-48, Wiley (1970), and the like) or their modifications, using an appropriate nitration reagent (for example, nitric acid, nitric acid-sulfuric acid, nitroniumtrifluoroborate, and the like).
- an appropriate nitration reagent for example, nitric acid, nitric acid-sulfuric acid, nitroniumtrifluoroborate, and the like.
- Compound (Vcb)) can be produced by known methods, or their modifications. For example, it can be produced in accordance with known methods described in J. Org. Chem., Vol. 34, pp. 2235 (1969); J. Org. Chem., Vol. 54, pp. 5574 (1989); Tetrahedron Lett., Vol. 35, pp. 3023 (1977); Bull. Chem. Soc. Jpn., Vol. 56, pp. 2300 (1983); Indian, J. Chem., Vol. 2, pp. 211 (1964); Indian J. Chem., Vol. 12, pp. 247 (1974); Bull. Chem. Soc. Jpn., Vol. 43, pp. 1824 (1970); Chem.
- step (bc) compound (VIIIcb) can be produced by a reduction reaction of compound (VIcb).
- This reaction can be carried out using an appropriate reduction reaction (for example, a catalytic reduction using a transition metal catalyst, a reduction reaction using a metal such as tin, etc., in an acidic solvent). Specifically, it can be carried out in accordance with known methods or their modifications described in Organic Synthesis Coll., Vol. 5, pp. 829-833 (1973); Organic Synthesis Coll., Vol. 1, pp. 455 (1941); J. Am. Chem. Soc., Vol. 66, pp. 1781 (1954), and the like.
- an appropriate reduction reaction for example, a catalytic reduction using a transition metal catalyst, a reduction reaction using a metal such as tin, etc., in an acidic solvent.
- compound (IIIcb) can be produced by a condensation reaction of compound (VIIcb) with compound (IXcb).
- compound (IIIcb) can be also produced, for example, by a method according to reductive alkylation (for example, methods described in J. Am. Chem. Soc., Vol.87, pp. 2767 (1965), Organic Synthesis Coll., Vol. 4, pp. 283-285 (1963), and the like), or a method according to Michael addition (for example, methods described in Helv. Chem. Acta., Vol. 43, pp. 1898, (1960), J. Org. Chem., Vol. 39, pp. 2044 (1974), Synthesis, Vol. 5, 375 (1981), and the like), or their modifications, using compound (VIIcc) as a starting material.
- reductive alkylation for example, methods described in J. Am. Chem. Soc., Vol.87, pp. 2767 (1965), Organic Synthesis Coll., Vol. 4, pp. 283-285 (1963), and the like
- Michael addition for example, methods described in Helv. Chem. Acta., Vol. 43,
- compound (IIcc) can be produced by an amidation reaction of compound (IIIcb) and a compound represented by the formula (IVcc) (hereinafter, sometimes, abbreviated as compound (IVcc)) (wherein Z 2 is a leaving group and the other symbols are as defined above).
- Examples of the leaving group represented by Z 2 include a halogen atom (for example, chloro, bromo, iodo, and the like), a C 1-6 alkyloxy group (for example, methoxy, ethoxy, benzyloxy, and the like), a C 6-10 aryloxy group (for example, phenoxy, p-nitrophenoxy, and the like), hydroxy group, etc.
- a halogen atom for example, chloro, bromo, iodo, and the like
- a C 1-6 alkyloxy group for example, methoxy, ethoxy, benzyloxy, and the like
- a C 6-10 aryloxy group for example, phenoxy, p-nitrophenoxy, and the like
- hydroxy group etc.
- a halogen atom for example, chloro, and the like
- hydroxy group, and the like are preferably used.
- the amidation reaction of compound (IIIcb) and compound (IVcc) can also be carried out using an appropriate condensing agent and a base.
- this amidation reaction can be carried out using an appropriate condensing agent, for example, that used in peptide chemistry field, in particular, carbodiimides such as dicyclohexyl carbodiimide, 1-ethyl-3-(3-dimethylaminopropyl)carbodiimide, etc., phosphonic acids such as diphenylphosphoryl azide, diethyl cyanophosphorate, etc., phosgene equivalents such as 1,1′-carbonylbis-1H-imidazole, etc.
- the amount of said condensing agent is usually about 1 equivalent to about 5 equivalent, preferably, about 1 equivalent to about 1.5 equivalent per 1 mmol of the compound (IIIcb).
- Z 2 is a halogen atom
- an appropriate base for example, sodium carbonate, potassium carbonate, triethylamine, and the like.
- the amount of said base is usually about 1 equivalent to about 10 equivalent, preferably, about 1 equivalent to about 2 equivalent based on the compound (IIIcb).
- compound (IIcd) can be produced by carrying out a condensation reaction of compound (IIIcd) and compound (IVca), and successively carrying out oxidation reaction, if necessary.
- Xd is —S—, —SO—, or —SO 2 —, and the other symbols are as defined above].
- the condensation reaction of compound (IIIcb) with compound (IVca) can be carried out in a solvent, for example, such as N,N-dimethylformamide, etc., in the presence of, for example, potassium carbonate, sodium hydride, and the like as a base.
- a solvent for example, such as N,N-dimethylformamide, etc.
- the amount of said base used is preferably about one equivalent to about 3 equivalent based on compound (IVca).
- Compound (IIcd) in which Xd is —S— can be introduced to compound (IIcd) in which Xd is —SO— or —SO 2 — by carrying out oxidation reaction, if necessary.
- any oxidizing agent of sulfide can be used, but for example, meta-chloroperbenzoic acid, peracetic acid, hydrogen peroxide, alkali metal periodate, and the like are preferably used.
- meta-chloroperbenzoic acid, hydrogen peroxide, and the like are preferably used.
- the amount of said oxidizing agent used is preferably about one equivalent to about 1.1 equivalent based on compound (IIcd), in particular, when S is oxidized to SO. Further, it is preferred to use about 2 to 2.5 equivalent based on the compound (IVcd), in particular, when S is oxidized to SO 2 .
- the solvent of this reaction for example, dichloromethane, chloroform, acetic acid, ethyl acetate, and the like are preferred.
- step (db) a chlorosufonylation reaction of compound (Vcb), and
- step (dc) a reduction reaction of a compound represented by the formula (VIcd) (hereinafter, sometimes, abbreviated as compound (VIcd)) (wherein each symbol is as defined above).
- step (db) compound (VIcd) can be produced by carrying out a chlorosufonylation reaction of compound (Vcb).
- Examples of the reagent of this chlorosufonylation reaction include chlorosulfonic acid, sulfuryl chloride, sulfur dioxide-cupric chloride, and the like. In particular, chlorosulfonic acid, and the like are preferred.
- the amount of said chlorosufonylation reagent is about one equivalent to an excessive amount.
- This reaction can be carried out without a solvent or by using a solvent.
- the solvent used for a case of using a solvent preferably, there are, for example, dichloromethane, 1,2-dichloroethane, carbon disulfide, and the like.
- the reaction without a solvent is preferred in particular.
- the reaction temperature is preferably about ⁇ 20° C. to about 100° C.
- chlorosufonyl group is introduced to any position which can be reacted, but, for example, when ring A is unsubstituted, the chlorosufonylation of the 7-position is mainly carried out.
- a compound in which the chlorosufonylation of the 6-position is carried out can be prepared and isolated.
- step (dc) compound (IIIcd) can be produced by reducing compound (VIcd).
- This reduction reaction can be carried out under appropriate reduction conditions, for example, combinations of a metal and an acid such as zinc-acetic acid and tin-hydrochloric acid, etc., a catalytic hydrogenation using a transition metal catalyst, or metal hydrides such as lithium aluminumhydride, and the like.
- a metal and an acid such as zinc-acetic acid and tin-hydrochloric acid, etc.
- a catalytic hydrogenation using a transition metal catalyst or metal hydrides such as lithium aluminumhydride, and the like.
- metal hydrides such as lithium aluminumhydride
- compound (IIce) can be produced by carrying out a condensation reaction of compound (VIcd) and a compound represented by the formula (IVce) (hereinafter, sometimes abbreviated as the compound (IVce)) (wherein each symbol is as defined above).
- the condensation reaction of the compound (VIcd) with the compound (IVce) can be carried in the same manner as, for example, the amidation reaction of the compound (IIIcb) with the compound (IVcc).
- the compound (IVce) or a salt thereof can be produced by a known method or its corresponding method. For example, it can be produced by methods described in J. Med. Chem., Vol. 33, pp. 1880 (1990), and the like or their corresponding methods.
- compound (IIcf) can be produced by acting an alkali metal isocyanate (MOCN, wherein M is an alkali metal) with compound (VIcd), and then reacting compound (IVce).
- MOCN alkali metal isocyanate
- This reaction can be carried out, for example, according to methods described in EP 759431 A, JP 7-118267 A, and the like or their modifications.
- the reaction of compound (VIcd) with an alkali metal isocyanate is carried out in the presence of a base, if necessary.
- a base pyridine, triethylamine, and the like are preferred in particular.
- the amount of said base is preferably about 1 equivalent to about 5 equivalent based on compound (VIcd).
- the reaction solvent acetonitrile, and the like are preferred in particular.
- the alkali metal for example, potassium, and the like are preferably used.
- compound (IIcg) can be produced by a condensation reaction of compound (VIcd) and a compound represented by the formula (IVcg) (hereinafter, sometimes, abbreviated as compound (IVcg)) (wherein each symbol is as defined above).
- Compound (IVcg) can be produced by a known method or its modification, using compound (IVce).
- compound (IVcg) can be produced by a method of reacting S-methylisothiourea with compound (IVce) (for example, a method described in J. Org. Chem., Vol. 13, pp. 924 (1948), and the like), a method of reacting cyanamide with compound (IVce) (for example, Helv. Chem. Acta., Vol. 29, pp.
- compound (IIch) can be produced by reacting a compound represented by the formula (IIIch) (hereinafter, sometimes, abbreviated as compound (IIIch)) (wherein each symbol is as defined above), with an appropriate reagent, to convert the carbonyl group.
- IIIch a compound represented by the formula (IIIch) (hereinafter, sometimes, abbreviated as compound (IIIch)) (wherein each symbol is as defined above), with an appropriate reagent, to convert the carbonyl group.
- reducing agents such as, for example, sodium borohydride, lithium aluminumhydride, triethylsilane, etc.
- organometallic reagents such as, for example, alkyllithium, alkylmagnesiumhydride, additionally nucleophilic reacting agent such as, for example, hydrogen cyanide, etc.
- the conversion of the carbonyl group to —CH(OH)— and —CH 2 — can be carried out under suitable conditions (for example, combinations of triethylsilane-trifluoroacetic acid, lithium aluminumhydride-aluminum chloride, zinc-hydrochloric acid, and the like), using reducing agents such as sodium borohydride, lithium aluminumhydride, triethylsilane, and the like.
- This reaction can be carried out by methods described in, for example, “Reduction with Complex Metal Hydrides”, Interscience, New York (1956), Chem. Soc. Rev., Vol. 5, pp. 23 (1976); Synthesis, pp. 633 (1974); J. Am. Chem. Soc., Vol. 91, pp. 2967 (1969); J. Org. Chem., Vol. 29, pp. 121 (1964); Org. Reactions, Vol. 1, pp. 155 (1942); Angew. Chem., Vol. 71, pp. 726 (1956); Synthesis, pp. 633 (1974); J. Am. Chem. Soc., Vol. 80, pp. 2896 (1958); Org. Reactions; Vol. 4, pp. 378 (1948); J. Am. Chem. Soc., Vol. 108, pp. 3385 (1986); and the like, or their modifications.
- the conversion of the carbonyl group to —CR 3c (OH)— can be carried out by methods described in, for example, “Grignard Reactions of Nonmetallic Substances”, Prentice-Hall: Englewood Cliffs, N.J., 1954, pp. 138-528; “Organolithium Methods”, Academic Press: New York, 1988, pp. 67-75, and the like, or their modifications, using organometallic reagents such as, alkyllithium, alkylmagnesiumhydride, and the like.
- Compound (IIIch) can be produced by known methods or their modifications, for example, methods described in JP 5-140149 A, JP 6-206875 A, J. Med. Chem., Vol. 37, pp. 2292 (1994), and the like, or their modifications.
- compound (IIci) can be produced by reacting compound (IIIch) with an appropriate reagent to convert the carbonyl group.
- This reaction can be carried out by methods described in, for example, Advanced Organic Chemistry, 5 th ed., Wiley-Interscience: New York 1992, pp. 879-981; Organic Synthesis Coll., Vol. 5, pp. 751 (1973); Organic Synthesis Coll., Vol. 5, pp. 509 (1973); Synthesis 384 (1984); Org. Reactions, Vol. 15, pp. 204 (1967); and the like, or their modifications.
- compound (IIcj) can be produced by reacting compound (IIIch) with an appropriate reagent, to convert the carbonyl group.
- reagent used for conversion of the carbonyl group for example, there are mentioned hydrazine which may be substituted, hydroxylamine which may be substituted, and the like.
- substituent a C 1-6 alkyl group, and the like are used.
- This reaction can be carried out by methods described in, for example, Advanced Organic Chemistry, 5 th ed., Wiley-Interscience: New York 1992, pp. 904-907; Organic Functional Group Preparations, Vol. III, Academic (1983); Rodd's Chemistry of Carbon Compounds, Vol. 1, part C, Elsevier Publishing Co. (1965); and the like, or their modifications.
- compound (IIck) can be produced by reacting compound (IIIch) with an appropriate reagent to convert the carbonyl group to the thiocarbonyl group.
- reagent used for conversion of the carbonyl group to the thiocarbonyl group for example, there are mentioned conventional sulfidation reagents such as Lawesson reagent, phosphorous pentasulfide, hydrogen sulfide-hydrochloric acid, etc.
- This reaction can be carried out by methods described in Synthesis, Vol. 7, pp. 543 (1991); J. Am. Chem. Soc., Vol. 106, pp. 934; J. Am. Chem. Soc., Vol. 68, pp. 769 (1946); and the like, or their modifications.
- compound (IIcm) can be produced by carrying out a condensation reaction of a compound represented by the formula (IIIcm) (hereinafter, sometimes, abbreviated as compound (IIIcm)) (wherein each symbol is as defined above), with compound (VIce).
- the starting compound (IIIcm) of the step (ma) can be produced by the reaction formula 12-2 below. Namely, compound (IIIcm) can be produced by successively carrying out the step (mb): an acetylation reaction of compound (Vcb), and the step (mc): an oxidation reaction and functional conversion, if necessary, of a compound represented by the formula (VIcm) (hereinafter, sometimes, abbreviated as compound (VIcm)) (wherein each symbol is as defined above).
- VIcm a compound represented by the formula (VIcm) (hereinafter, sometimes, abbreviated as compound (VIcm)) (wherein each symbol is as defined above).
- step (mb) compound (VIcm) can be produced by carrying out the acetylation of compound (Vcb).
- This reaction can be carried out under conditions of a normal Friedel Crafts reaction.
- acetyl chloride, acetic anhydride and the like are used as the reagent of an acetylation. Specifically, it can be produced by methods described in, for example, JP 5-140149 A, JP 6-206875 A, J. Med. Chem., Vol. 37, pp. 2292 (1994), and the like, or their modifications.
- step (mc) compound (IIIcm), in particular, the compound in which Z 2 is hydroxyl group can be produced by oxidizing compound (VIcm).
- oxidizing agent used in this reaction for example, there are mentioned a hypochlorite, a hypobromite, a halogen simple body (for example, bromine, iodine, and the like) in the presence of an appropriate base (for example, sodium hydroxide, and the like), etc.
- this reaction can be carried out by methods described in Organic Synthesis Coll., Vol. 2, pp. 428 (1943), J. Am. Chem. Soc., Vol. 66, pp. 894 (1944), and the like, or their modifications.
- the functional conversion can be carried out according to methods described in, for example, Advanced Organic Chemistry, 5 th ed., Wiley-Interscience: New York 1992, pp. 393-396, 437-438, Comprehensive Organic Transformations, VCH Publishers Inc. (1989), and the like, or their modifications.
- Compounds (IIc) thus obtained can be isolated and purified by known separation and purification procedures, for example, such as concentration, vacuum concentration, solvent extraction, crystallization, recrystallization, solvent conversion, chromatography, and the like.
- the UII receptor antagonist used in the present invention has a potent effect of inhibiting amyloid ⁇ 40 secretion, it can be used for a prophylactic or therapeutic agent for various central nervous system disorders resulted from or related to amyloid ⁇ protein, particularly, increase in amyloid ⁇ 40 secretion.
- cerebrovascular amyloid angiopathy which is observed to be complicated with Alzheimer's disease brain and the like, (2) neurodegenerative diseases (for example, senile dementia, Alzheimer's disease, Down's disease, Parkinson's disease, Creutzfeldt-Jakob disease, amyotrophic spinal cord lateral sclerosis, diabetic neuropathy, and the like), (3) neuropathy at cerebrovascular disorder (for example, cerebral infarction, cerebral hemorrhage, cerebral circulation disorder accompanied with encepharoartery sclerosis, and the like), head injury and myelo injury, sequelae of encephalitis or cerebral paralysis, (4) dysmnesia (for example, senile dementia, amnesia, and the like), or (5) mental disease (for example, depression, anxiety disorder, panic disorder, shizophrenia, and the like), and the like.
- neurodegenerative diseases for example, senile dementia, Alzheimer's disease, Down's disease, Parkinson's disease, Creutzfeldt-Jakob disease,
- the UII receptor antagonist used in the present invention can be used in combination with, for example, an anti-Alzheimer's disease drug (for example, acetylcholinesterase inhibitor such as Donepezil, Tacrine and the like, vaccine therapy and the like), an antiparkinson drug (for example, Carbidopa+Levodopa, Pergolide, Ropinirole, Cabergolin, Pramipexole, Entacapron, Lazabemide and the like), therapeutic agent for amyotrophic spinal cord lateral sclerosis (for example, Riluzole, Mecasermin, Gabapentin and the like), an antidepressant (for example, Fluoxetine, Sartraline, Peroxetine, Venlafaxine, Nefazodone, Reboxetine, Imipramine hydrochloride, Duloxetine and the like), therapeutic agent for shizophrenia (for example, Olanzapine, Risperidone, Queti
- the UII receptor antagonist used in the present invention has weak toxicity, and is superior in intracerebral transition.
- the UII receptor antagonist is useful for a prophylactic or therapeutic agent for central nervous system diseases in mammals (for example, rat, mouse, guinea pig, rabbit, sheep, horse, pig, cow, monkey, human, and the like)
- mammals for example, rat, mouse, guinea pig, rabbit, sheep, horse, pig, cow, monkey, human, and the like
- the UII receptor antagonist used in the present invention can be formulated in accordance with known procedures, and can be orally or parenterally administered safely (for example, local, rectal, intravenous administration and the like) as UII receptor antagonist as it is, or as a pharmaceutical composition, for example, tablets (including sugar-coating tablet, film-coating tablet, etc.), powders, granules, capsules (including soft capsule, etc.), liquid preparations, injectable preparations, suppositories, sustained-releases, agent and the like, by appropriately mixing with an appropriate amount the antagonist with a pharmacologically acceptable carrier in a production step of the composition.
- tablets including sugar-coating tablet, film-coating tablet, etc.
- powders granules, capsules (including soft capsule, etc.)
- liquid preparations injectable preparations, suppositories, sustained-releases, agent and the like
- the amount of the UII receptor antagonist in the pharmaceutical composition of the present invention is usually about 0.1 to 100% by weight based on the total weight of the preparation.
- the dose varies depending on a particular subject administered, administration route, disease, and the like, but for example, is about 0.01 to 500 mg, preferably about 0.1 to 100 mg, and more preferably about 1 to 100 mg per once as an active ingredient (the compound having urotensin II receptor antagonistic activity) to an adult (about 60 kg), as the oral preparation for a therapeutic agent for Alzheimer's disease, and can be administrated once to several times per day.
- the pharmacologically acceptable carrier to be used for the production of the composition of the present invention may be various conventional organic or inorganic carrier substances for pharmaceutical preparations and examples thereof include excipients, lubricants, binders, disintegrants, etc., for solid preparations; solvents, solubilizing aids, suspending agents, isotonicity agents, buffers, soothing agents, etc., for liquid preparations. Further, if necessary, additives such as preservatives, antioxidants, colorants, sweetening agents, absorbing agents, wetting agents, etc., can be used.
- excipient examples include lactose, sugar, D-mannitol, starch, corn starch, crystalline cellulose, soft anhydrous silicic acid, and the like.
- Examples of the lubricant include magnesium stearate, calcium stearate, tarc, colloid silica, and the like.
- binder examples include crystalline cellulose, sugar, D-mannitol, dextrine, hydroxypropyl cellulose, hydroxypropylmethyl cellulose, polyvinyl pyrrolidone, starch, sucrose, gelatin, methylcellulose, sodium carboxymethyl cellulose, and the like.
- disintegrant examples include starch, carboxymethyl cellulose, calcium carboxymethyl cellulose, sodium cross calmelose, sodium carboxymethylstarch, L-hydroxypropyl cellulose, and the like.
- Examples of the solvent include water for injection, alcohol, propylene glycol, macrogol, sesame oil, corn oil, and the like.
- solubilizing aid examples include polyethylene glycol, polypropylene glycol, D-mannitol, benzyl benzoate, ethanol, trisaminomethane, cholesterol, triethanolamine, sodium carbonate, sodium citrate, and the like.
- suspending agent examples include surfactants such as stearyltriethanolamine, sodium laurylsulfate, laurylaminopropionic acid, lecithin, benzalkonium chloride, benzetonium chloride, glycerin monostearate, etc.; hydrophilic polymers, for example, such as polyvinyl alcohol, polyvinyl pyrrolidone, sodium carboxymethyl cellulose, methyl cellulose, hydroxymethyl cellulose, hydroxyethyl cellulose, hydroxypropyl cellulose, etc.; and the like.
- surfactants such as stearyltriethanolamine, sodium laurylsulfate, laurylaminopropionic acid, lecithin, benzalkonium chloride, benzetonium chloride, glycerin monostearate, etc.
- hydrophilic polymers for example, such as polyvinyl alcohol, polyvinyl pyrrolidone, sodium carboxymethyl cellulose, methyl cellulose,
- Examples of the isotonicity agent include glucose, D-sorbitol, sodium chloride, glycerin, D-mannitol, and the like.
- Examples of the buffer include phosphate, acetate, carbonate, citrate; and the like.
- Examples of the soothing agent include benzyl alcohol, and the like.
- Examples of the preservative include paraoxybenzoate esters, chlorobutanol, benzyl alcohol, phenethyl alcohol, dehydroacetic acid, sorbic acid, and the like.
- antioxidants examples include bisulfate, ascorbic acid, and the like.
- Test compound 1 was added to IMR32 cells at various concentrations ( ⁇ M) 10 minutes before addition of 10 nM of urotensin II. Then, urotensin II was added in the presence or absence of test compound 1, the mixture was cultured for 24 hours, and the amount of amyloid ⁇ protein in the supernatant of the culture was determined by enzyme immunoassay (Biochemistry, Vol.34, No.32, pp. 10272-10278, (1995)).
- test compound 1 concentration-dependently suppressed increase in the selective secretion of amyloid ⁇ 40 by urotensin II to the level without addition of urotensin II.
- ** significant increase at ⁇ 1% with respect to the group without addition of urotensin II
- # ##: significant suppression at ⁇ 1% and ⁇ 5%, respectively, with respect to the group with addition of urotensin II alone).
- Test compound 1 was purchased from ASINEX Co.
- Test compound 2 as described hereinafter (the compound of Synthesis Example 5) was used and added at a concentration of 1 nM, and the amount of amyloid ⁇ protein was determined in the same manner as that of Experimental Example 1.
- IMR32 cells were used and test compound 2 was added at a concentration of 1 nM 10 minutes before addition of 10 nM of urotensin II. After addition of urotensin II, the mixture was cultured for 24 hours and the amount of amyloid ⁇ protein in the supernatant of the culture was determined by enzyme immunoassay.
- test compound 2 completely suppressed increase of amyloid ⁇ 40 by the urotensin II at a concentration of 1 nM. (**: significant increase at ⁇ 1%, and #, ##: significant inhibition at ⁇ 1%, respectively, with respect to the group with addition of urotensin II alone).
- N-Benzylpyrrolidone (1.8 g, 10.4 mmol) was dissolved in 4 ml of chloroform, phosphorous oxychloride (1.8 g, 11.7 mmol) was added thereto, and the mixture was stirred at room temperature for 30 minutes.
- 4-Bromo-2-cyanoaniline (2.0 g, 10 mmol) was added thereto and the mixture was refluxed by heating.
- the reaction mixture was poured on ice water, and neutralized with 20% sodium hydroxide aqueous solution. After extraction by chloroform, the organic layer was dried over anhydrous sodium sulfate.
- Acetic anhydride (18 ml) was added to formic acid (54 ml), and the mixture was stirred at room temperature for one hour.
Landscapes
- Health & Medical Sciences (AREA)
- Chemical & Material Sciences (AREA)
- Medicinal Chemistry (AREA)
- Pharmacology & Pharmacy (AREA)
- Life Sciences & Earth Sciences (AREA)
- Animal Behavior & Ethology (AREA)
- General Health & Medical Sciences (AREA)
- Public Health (AREA)
- Veterinary Medicine (AREA)
- Epidemiology (AREA)
- Engineering & Computer Science (AREA)
- Bioinformatics & Cheminformatics (AREA)
- Biomedical Technology (AREA)
- Neurology (AREA)
- Neurosurgery (AREA)
- Chemical Kinetics & Catalysis (AREA)
- General Chemical & Material Sciences (AREA)
- Nuclear Medicine, Radiotherapy & Molecular Imaging (AREA)
- Organic Chemistry (AREA)
- Pharmaceuticals Containing Other Organic And Inorganic Compounds (AREA)
Abstract
Description
- The present invention relates to a prophylactic or therapeutic agent for central nervous system diseases and an amyloid β40 secretion inhibitor which comprises as an active component a compound having urotensin II receptor antagonistic activity or a salt thereof.
- Urotensin II was discovered as one of peptide hormones having a potent vasoconstrictive activity, and has been proved to have extremely higher vasoconstrictive activity than endothelin, which is the potentest vasoconstrictor among those which are currently known to have vasoconstrictive activity on mammal arteria. The receptor for urotensin II is GPR 14 protein, which is one of orphan receptors [Nature, vol. 401, p. 282 (1999)], its antagonist has not yet been reported.
- WO2001/14888 discloses an identification method of a ligand of urotensin II receptor and use of urotensin II receptor agonist and antagonist, but does not suggest amyloid β40 secretion inhibitory activity at all.
- JP 3-220189 A discloses a quinoline derivative condensed with pyrrolidine ring or piperidine ring which has acetylcholin esterase inhibitory activity, as a dysmnesia improving agent in senile dementia and Alzheimer's disease, but does not suggest amyloid β40 secretion inhibitory activity at all.
- The present invention provides a prophylactic or therapeutic agent for central nervous system diseases such as neurodegenerative diseases, for example, cerebrovascular amyloid angiopathy, Alzheimer's disease, etc., neuropathy at cerebrovascular disorder, etc., dysmnesia, mental diseases, and the like, which is based on amyloid β40 secretion inhibitory activity.
- The present inventors have found that urotensin II increases the secretion of amyloid β40 for the first time, and have intensively studied compounds having urotensin II receptor antagonistic activity. As a result, the present inventors found that a compound having urotensin II receptor antagonistic activity or a salt thereof suppresses the secretion induction of amyloid β40 by urotensin II. The present invention has been completed based on this finding.
- That is, the present invention provides:
- (1) A prophylactic or therapeutic agent for central nervous system diseases which comprises a compound having urotensin II receptor antagonistic activity or a salt thereof;
- (2) The agent according to the above (1), which is an amyloid β40 secretion inhibitor;
- (3) The agent according to the above (1), which is a prophylactic or therapeutic agent for (a) neurodegenerative diseases, (b) neuropathy at cerebrovascular disorder, cephal injury or myelo injury, sequelae of encephalitis or cerebral paralysis, (c) dysmnesia, or (d) mental diseases;
- (4) The agent according to the above (1), wherein the compound having urotensin II receptor antagonistic activity or a salt thereof is a non-peptide compound or a salt thereof;
- (5) The agent according to the above (1), wherein the compound having urotensin II receptor antagonistic activity is a quinoline derivative;
- (6) The agent according to the above (1), wherein the compound having urotensin II receptor antagonistic activity is a 4-aminoquinoline derivative;
-
- wherein Aa is a benzene ring which may be substituted, Ba is a 5- to 8-membered ring which may be substituted, Xa is a divalent group in which the number of atom(s) in a linear chain portion is 1 to 4, Ra 1 is an amino group which may be substituted, and Ra2 is a cyclic group which may be substituted, or a salt thereof;
- (8) The agent according to the above (7), wherein Aa is substituted with a hydrocarbon group which may be substituted;
- (9) The agent according to the above (7), wherein Aa is substituted with a C 1-4 alkyl group which may be substituted;
-
- wherein Aa′ is a benzene ring which may be further substituted in addition to the substituent Ra 3, Ba is a 5- to 8-membered ring which may be substituted, Xa is a divalent group in which the number of atom(s) in a linear chain portion is 1 to 4, Ra1′ is a substituted amino group, Ra2 is a cyclic group which may be substituted, Ra3 is a hydrocarbon group which may be substituted, a heterocyclic group which may be substituted, nitro group, a halogen atom, amino group which may be substituted, or a group represented by Ra4-Ya- (wherein Ya is oxygen atom or sulfur atom which may be oxidized, and Ra4 is a hydrocarbon group which may be substituted, or a heterocyclic group which may be substituted), or a salt thereof;
-
- wherein Aa″ is a benzene ring which may be further substituted in addition to the substituent Ra 3′, Ba is a 5- to 8-membered ring which may be substituted, Xa is a divalent group in which the number of atom(s) in a linear chain portion is 1 to 4, Ra1 is an amino group which may be substituted, Ra2 is a cyclic group which may be substituted, Ra3′ is a hydrocarbon group which may be substituted, a heterocyclic group which may be substituted, a halogen atom, amino group which may be substituted, or a group represented by Ra4-Ya- (wherein Ya is oxygen atom or sulfur atom which may be oxidized, and Ra4 is a hydrocarbon group which may be substituted, or a heterocyclic group which may be substituted), or a salt thereof;
- (12) The agent according to the above (11), wherein R 3′ is a hydrocarbon group which may be substituted;
- (13) The agent according to the above (12), wherein R 3′ is alkyl;
- (14) The agent according to the above (12), wherein Ra 1 is amino;
-
- wherein Rb 1 is a hydrogen atom or a hydrocarbon group which may be substituted, Xb is a spacer in which the number of atom(s) constituting a linear chain portion is 1 to 8, Rb1 and Xb may be bonded to form a ring, Ab is an amino group which may be substituted or a nitrogen-containing heterocyclic group which may be substituted, each of Rb2 and Rb3 is a hydrocarbon group which may be substituted, and each of ring Bb and ring Cb is a benzene ring which may be further substituted (provided that 4′-[[(methoxyacetyl)methylamino]methyl]-N-[4-methoxy-3-(4-methyl-1-piperazinyl)phenyl]-2′-methyl-[1,1′-biphenyl]-4-carboxamide is excluded), or a salt thereof;
- (16) The agent according to the above (15), wherein Xb is a chain spacer;
-
- wherein Ar is an aryl group which may be substituted, X is a spacer in which the number of atom(s) constituting a linear chain portion is 1 to 4, n is an integer of 1 to 10, R is a hydrogen atom or a hydrocarbon group which may be substituted, and may be the same or different in the repetition of n, R may be bonded to Ar or the substituent of Ar to form a ring, and Y is an amino group which may be substituted or a nitrogen-containing heterocyclic group which may be substituted, or a salt thereof;
- (18) The agent according to the above (17), wherein X is a spacer other than —CO—; and
-
- wherein R 1 is a hydrogen atom or a hydrocarbon group which may be substituted or an acyl group which may be substituted, ring A is a benzene ring which may be further substituted, X is a chain spacer in which the number of atom(s) constituting a linear chain portion is 1 to 4 (provided that —CO— is excluded), n is an integer of 1 to 10, R is a hydrogen atom or a hydrocarbon group which may be substituted, and may be the same or different in the repetition of n, R may be bonded to ring A or the substituent of ring A to form a ring, and Y is an amino group which may be substituted, or a salt thereof.
- The present invention also provides:
- (20) A method for preventing or treating central nervous system diseases in a mammal which comprises administering an effective amount of a compound having urotensin II receptor antagonistic activity or a salt thereof to the mammal in need of the prevention or treatment of central nervous system diseases;
- (21) The method according to the above (20), wherein the compound having urotensin II receptor antagonistic activity or a salt thereof is a compound having amyloid β40 secretion inhibitory activity or a salt thereof;
- (22) The method according to the above (20), wherein (a) neurodegenerative diseases, (b) neuropathy at cerebrovascular disorder, cephal injury and myelo injury, sequelae of encephalitis or cerebral paralysis, (c) dysmnesia, or (d) mental diseases are prevented or treated;
- (23) The method according to the above (20), wherein the compound having urotensin II receptor antagonistic activity or a salt thereof is a non-peptide compound or a salt thereof;
- (24) The method according to the above (20), wherein the compound having urotensin II receptor antagonistic activity is a quinoline derivative;
- (25) The method according to the above (20), wherein the compound having urotensin II receptor antagonistic activity is a 4-aminoquinoline derivative;
-
- wherein Aa is a benzene ring which may be substituted, Ba is a 5- to 8-membered ring which may be substituted, Xa is a divalent group in which the number of atom(s) in a linear chain portion is 1 to 4, Ra 1 is an amino group which may be substituted, and Ra2 is a cyclic group which may be substituted, or a salt thereof;
- (27) The method according to the above (26), wherein Aa is substituted with a hydrocarbon group which may be substituted;
-
- wherein Aa′ is a benzene ring which may be further substituted in addition to a substituent Ra 3, Ba is a 5- to 8-membered ring which may be substituted, Xa is a divalent group in which the number of atom(s) in a linear chain portion is 1 to 4, Ra1′ is a substituted amino group, Ra2 is a cyclic group which may be substituted, Ra3 is a hydrocarbon group which may be substituted, a heterocyclic group which may be substituted, nitro group, a halogen atom, amino group which may be substituted, or a group represented by Ra4-Ya- (wherein Ya is oxygen atom or sulfur atom which may be oxidized, and Ra4 is a hydrocarbon group which may be substituted, or a heterocyclic group which may be substituted), or a salt thereof;
-
- wherein Aa″ is a benzene ring which may be further substituted in addition to the substituent Ra 3′, Ba is a 5- to 8-membered ring which may be substituted, Xa is a divalent group in which the number of atom(s) in a linear chain portion is 1 to 4, Ra1 is an amino group which may be substituted, Ra2 is a cyclic group which may be substituted, Ra3′ is a hydrocarbon group which may be substituted, a heterocyclic group which may be substituted, a halogen atom, amino group which may be substituted, or a group represented by Ra4-Ya- (wherein Ya is oxygen atom or sulfur atom which may be oxidized, and Ra4 is a hydrocarbon group which may be substituted, or a heterocyclic group which may be substituted), or a salt thereof;
- (30) The method according to the above (29), wherein R 3′ is a hydrocarbon group which may be substituted;
- (31) The method according to the above (30), wherein R 3′ is alkyl;
- (32) The method according to the above (30), wherein Ra 1 is amino.
-
- wherein Rb 1 is a hydrogen atom or a hydrocarbon group which may be substituted, Xb is a spacer in which the number of atom(s) constituting a linear chain portion is 1 to 8, Rb1 and Xb may be bonded to form a ring, Ab is an amino group which may be substituted or a nitrogen-containing heterocyclic group which may be substituted, each of Rb2 and Rb3 is a hydrocarbon group which may be substituted, and each of ring Bb and ring Cb is a benzene ring which may be further substituted (provided that 4′-[[(methoxyacetyl)methylamino]methyl]-N-[4-methoxy-3-(4-methyl-1-piperazinyl)phenyl]-2′-methyl-[1,1′-biphenyl]-4-carboxamide is excluded)], or a salt thereof;
- (34) The method according to the above (33), wherein Xb is a chain spacer;
-
- wherein Ar is an aryl group which may be substituted, X is a spacer in which the number of atom(s) constituting a linear chain portion is 1 to 4, n is integer of 1 to 10, R is a hydrogen atom or a hydrocarbon group which may be substituted, and may be the same or different in the repetition of n, R may be bonded to Ar or the substituent of Ar to form a ring, and Y is an amino group which may be substituted or a nitrogen-containing heterocyclic group which may be substituted, or a salt thereof;
- (36) The method according to the above (35), wherein X is a spacer other than —CO—; and
-
- wherein R 1 is a hydrogen atom or a hydrocarbon group which may be substituted or an acyl group which may be substituted, ring A indicates benzene ring which may be further substituted, X is a chain spacer in which the atomic number constituting a linear chain portion is 1 to 4 (provided that —CO— is excluded), n is an integer of 1 to 10, R is a hydrogen atom or a hydrocarbon group which may be substituted, and may be the same or different in the repetition of n, R may be bonded to ring A or the substituent of ring A to form a ring, and Y is an amino group which may be substituted, or a salt thereof.
- Further, the present invention provides:
- (38) Use of a compound having urotensin II receptor antagonistic activity or a salt thereof for manufacturing a prophylactic or therapeutic agent for central nervous system diseases;
- (39) The use according to the above (38), wherein the compound having urotensin II receptor antagonistic activity or a salt thereof is a compound having amyloid β40 secretion inhibitory activity or a salt thereof;
- (40) The use according to the above (38) for manufacturing a prophylactic or therapeutic agent of (a) neurodegenerative diseases, (b) neuropathy at cerebrovascular disorder, cephal injury and myelo injury, sequelae of encephalitis or cerebral paralysis, (c) dysmnesia, or (d) mental diseases;
- (41) The use according to the above (38), wherein the compound having urotensin II receptor antagonistic activity or a salt thereof is a non-peptide compound or a salt thereof;
- (42) The use according to the above (38), wherein the compound having urotensin II receptor antagonistic activity is a quinoline derivative;
- (43) The use according to the above (38), wherein the compound having urotensin II receptor antagonistic activity is a 4-aminoquinoline derivative;
-
- wherein Aa is a benzene ring which may be substituted, Ba is a 5- to 8-membered ring which may be substituted, Xa is a divalent group in which the number of atom(s) in a linear chain portion is 1 to 4, Ra 1 is an amino group which may be substituted, and Ra2 is a cyclic group which may be substituted, or a salt thereof;
- (45) The use according to the above (44), wherein Aa is substituted with a hydrocarbon group which may be substituted;
-
- wherein Aa′ is a benzene ring which may be further substituted in addition to the substituent Ra 3, Ba is a 5- to 8-membered ring which may be substituted, Xa is a divalent group in which the number of atom(s) in a linear chain portion is 1 to 4, Ra1′ is a substituted amino group, Ra2 is a cyclic group which may be substituted, Ra3 is a hydrocarbon group which may be substituted, a heterocyclic group which may be substituted, nitro group, a halogen atom, amino group which may be substituted, or a group represented by Ra4-Ya- (wherein Ya is oxygen atom or sulfur atom which may be oxidized, and Ra4 is a hydrocarbon group which may be substituted, or a heterocyclic group which may be substituted), or a salt thereof;
-
- wherein Aa″ is a benzene ring which may be further substituted in addition to the substituent Ra 3′, Ba is a 5- to 8-membered ring which may be substituted, Xa is a divalent group in which the number of atom(s) in a linear chain portion is 1 to 4, Ra1 is an amino group which may be substituted, Ra2 is a cyclic group which may be substituted, Ra3 is a hydrocarbon group which may be substituted, a heterocyclic group which may be substituted, a halogen atom, amino group which may be substituted, or a group represented by Ra4-Ya- (wherein Ya is oxygen atom or sulfur atom which may be oxidized, and Ra4 is a hydrocarbon group which may be substituted, or a heterocyclic group which may be substituted), or a salt thereof;
- (48) The use according to the above (47), wherein R 3′ is a hydrocarbon group which may be substituted;
- (49) The use according to the above (47), wherein R 3′ is alkyl;
- (50) The use according to the above (47), wherein Ra 1 is amino;
-
- wherein Rb 1 is a hydrogen atom or a hydrocarbon group which may be substituted, Xb is a spacer in which the number of atom(s) constituting a linear chain portion is 1 to 8, Rb1 and Xb may be bonded to form a ring, Ab is an amino group which may be substituted or a nitrogen-containing heterocyclic group which may be substituted, each of Rb2 and Rb3 is a hydrocarbon group which may be substituted, and each of ring Bb and ring Cb is a benzene ring which may be further substituted, (provided that 4′-[[(methoxyacetyl)methylamino]methyl]-N-[4-methoxy-3-(4-methyl-1-piperazinyl)phenyl]-2′-methyl-[1,1′-biphenyl]-4-carboxamide is excluded), or a salt thereof;
- (52) The use according to the above (51), wherein Xb is a chain spacer;
-
- wherein Ar is an aryl group which may be substituted, X is a spacer in which the number of atom(s) constituting a linear chain portion is 1 to 4, n indicates an integer of 1 to 10, R is a hydrogen atom or a hydrocarbon group which may be substituted, and may be the same or different in the repetition of n, R may be bonded to Ar or the substituent of Ar to form a ring, and Y is an amino group which may be substituted or a nitrogen-containing heterocyclic group which may be substituted, or a salt thereof;
- (54) The use according to the above (53), wherein X is a spacer other than —CO—; and
-
- wherein R 1 is a hydrogen atom or a hydrocarbon group which may be substituted or an acyl group which may be substituted, ring A is a benzene ring which may be further substituted, X is a chain spacer in which the number of atom(s) constituting a linear chain portion is 1 to 4 (provided that —CO— is excluded), n indicates an integer of 1 to 10, R is a hydrogen atom or a hydrocarbon group which may be substituted, and may be the same or different in the repetition of n, R may be bonded to ring A or the substituent of ring A to form a ring, and Y is an amino group which may be substituted, or a salt thereof.
- FIG. 1 illustrates the inhibitory effect of
test compound 1 on suppression of increase of amyloid β40 induced by urotensin II. - FIG. 2 illustrates the inhibitory effect of test compound 2 on suppression of increase of amyloid β40 induced by urotensin II.
- “Urotensin II receptor antagonistic activity” in the present invention means an activity of competitively or non-competitively inhibiting the coupling of urotensin II to a urotensin II receptor on a cell membrane.
- In the present invention, “the compound having urotensin II receptor antagonistic activity or a salt thereof” can be used for a prophylactic or therapeutic agent for various central nervous system diseases based on amyloid β40 secretion inhibitory activity. Particularly, it is preferably used as a prophylactic or therapeutic agent for (1) cerebrovascular amyloid angiopathy which is mainly caused by the deposition of amyloid β40, (2) neurodegenerative diseases, (3) neuropathy at cerebrovascular disorder, cephal injury and myelo injury, sequelae of encephalitis or cerebral paralysis, (4) dysmnesia, (5) mental diseases (for example, depression, anxiety disorder, panic disorder, shizophrenia, and the like), or the like.
- As the compound having urotensin II receptor antagonistic activity or a salt thereof used in the present invention, a non-peptide compound having urotensin II receptor antagonistic activity or a salt thereof which has an advantage of long duration of action is preferred. In particular, a quinoline derivative is preferred, and a 4-aminoquinoline derivative is preferably used.
-
- wherein Aa is a benzene ring which may be substituted, Ba is a 5- to 8-membered ring which may be substituted, Xa is a divalent group in which the number of atom(s) in a linear chain portion is 1 to 4, Ra 1 is an amino group which may be substituted, and Ra2 is a cyclic group which may be substituted, or a salt thereof; a compound represented by the formula (Ib),
- wherein Rb 1 is a hydrogen atom or a hydrocarbon group which may be substituted, Xb is a spacer in which the number of atom(s) constituting a linear chain portion is 1 to 8, Rb1 and Xb may be bonded to form a ring, Ab is an amino group which may be substituted or a nitrogen-containing heterocyclic group which may be substituted, each of Rb2 and Rb3 is a hydrocarbon group which may be substituted, and each of ring Bb and ring Cb is a benzene ring which may be further substituted, (provided that 4′-[[(methoxyacetyl)methylamino]methyl]-N-[4-methoxy-3-(4-methyl-1-piperazinyl)phenyl]-2′-methyl-[1,1′-biphenyl]-4-carboxamide is excluded)], or a salt thereof; and a compound represented by the formula (Ic);
- wherein Ar is an aryl group which may be substituted, X is a spacer in which the number of atom(s) constituting a linear chain portion is 1 to 4, n is an integer of 1 to 10, R is a hydrogen atom or a hydrocarbon group which may be substituted, and may be the same or different in the repetition of n, R may be bonded with Ar or the substituent of Ar to form a ring, and Y is an amino group which may be substituted or a nitrogen-containing heterocyclic group which may be substituted, or a salt thereof, and the like.
- In the above formula, examples of the substituent of the benzene ring in the “benzene ring which may be substituted” represented by Aa include a hydrocarbon group which may be substituted, a heterocyclic group which may be substituted, nitro group, a halogen atom, amino group which may be substituted, a group represented by Ra 4-Ya- (wherein Ya is oxygen atom or sulfur atom which may be oxidized, and Ra4 is a hydrocarbon group which may be substituted, or a heterocyclic group which may be substituted), cyano group, acyl group which may be substituted, carboxyl group which may be esterified or amidated, and the like.
- Examples of the “hydrocarbon group” in the “hydrocarbon group which may be substituted” as the substituent of the benzene ring in the “benzene ring which may be substituted” represented by Aa, and in the “hydrocarbon group which may be substituted” represented by Ra 4 include:
- (1) alkyl (for example, C 1-10 alkyl such as methyl, ethyl, propyl, isopropyl, butyl, isobutyl, sec-butyl, tert-butyl, pentyl, isopentyl, neopentyl, hexyl, heptyl, octyl, nonyl, decyl, and the like, preferably lower (C1-6) alkyl and the like);
- (2) cycloalkyl (for example, C 3-8 cycloalkyl such as cyclopropyl, cyclobutyl, cyclopentyl, cyclohexyl, cycloheptyl, and the like); further, said cycloalkyl may be condensed with benzene ring to form indan (for example, indan-1-yl, indan-2-yl, and the like), tetrahydronaphthalene (for example, tetrahydronaphthalen-5-yl, tetrahydronaphthalen-6-yl, and the like), and the like (preferably, indan, and the like); further, said cycloalkyl may be crosslinked through a linear atomic chain having 1 to 2 carbons to form a crosslinked cyclic hydrocarbon residual group such as bicyclo[2.2.1]heptyl, bicyclo[2.2.2]octyl, bicyclo[3.2.1]octyl, bicyclo[3.2.2]nonyl, and the like (preferably, cyclohexyl having crosslink through a linear atomic chain having 1 to 2 carbons, and the like, and further preferably, bicyclo[2.2.1]heptyl, and the like);
- (3) alkenyl (for example, C 2-10 alkenyl such as vinyl, allyl, crotyl, 2-pentenyl, 3-hexenyl, and the like, preferably lower (C2-6) alkenyl and the like);
- (4) cycloalkenyl (for example, C 3-8 cycloalkenyl such as 2-cyclopentenyl, 2-cyclohexenyl, 2-cyclopentenylmethyl, 2-cyclohexenylmethyl, and the like);
- (5) alkynyl (for example, C 2-10 alkynyl such as ethynyl, 1-propynyl, 2-propynyl, 1-butynyl, 2-pentynyl, 3-hexynyl, and the like, preferably lower (C2-6) alkynyl, and the like);
- (6) aryl (for example, C 6-14 aryl such as phenyl, naphthyl, and the like, preferably C6-1 aryl, more preferably phenyl, and the like);
- (7) aralkyl (for example, C 1-6alkyl having 1 to 3 C6-14aryls, preferably phenyl-C1-4 alkyl (for example, benzyl, phenethyl and the like), and the like. Among these, alkyl is preferred, C1-4 alkyl such as methyl and ethyl are more preferred and, in particular, methyl is preferably used. Said hydrocarbon group may be substituted, and examples of the substituent include halogen (for example, fluorine, chlorine, bromine, iodine and the like), nitro, cyano, hydroxy group, thiol group which may be substituted (for example, thiol, C1-4 alkylthio and the like), amino group which may be substituted (for example, amino, mono-C1-4 alkylamino, di-C1-4 alkylamino, mono-C2-5 alkanoylamino, 5- to 6-membered cyclic amino such as tetrahydropyrrole, piperazine, piperidine, morpholine, thiomorpholine, pyrrole, imidazole, and the like), phenyl-lower (C1-4) alkyl, C3-7 cycloalkyl, carboxyl group which may be esterified or amidated (for example, carboxyl, C1-4 alkoxy-carbonyl, lower (C7-10) aralkyloxy-carbonyl, carbamoyl, mono-C1-4 alkylcarbamoyl, di-C1-4 alkylcarbamoyl, and the like), C1-4 alkyl which may be substituted with a halogen atom or C1-4 alkoxy (for example, trifluoromethyl, methyl, ethyl, and the like), C1-4 alkoxy which may be substituted with a halogen atom or C1-4 alkoxy (for example, methoxy, ethoxy, trifluoromethoxy, trifluoroethoxy, and the like), C1-4 alkylenedioxy (for example, —O—CH2—O—, —O—CH2—CH2—O—, and the like), formyl, C2-4 alkanoyl (for example, acetyl, propionyl, and the like), C1-4 alkylsulfonyl (for example, methanesulfonyl, ethanesulfonyl, and the like), C1-4 alkylsulfinyl (for example, methanesulfinyl, ethanesulfinyl, and the like), and the like, and the number of the substituent(s) is preferably 1 to 3.
- Examples of the “heterocyclic group” in the “heterocyclic group which may be substituted” as the substituent of the benzene in the “benzene ring which may be substituted” represented by Aa, and in the “heterocyclic group which may be substituted” represented by Ra 4 include a group formed by eliminating one hydrogen atom from a 5- to 8-membered aromatic heterocyclic ring which contains at least one (preferably, 1 to 4, and more preferably, 1 to 2) hetero atoms of 1 to 3 kinds (preferably, 1 to 2 kinds) selected from oxygen atom, sulfur atom, nitrogen atom, and the like; a saturated or unsaturated non-aromatic heterocyclic ring (aliphatic heterocyclic ring); and the like.
- Examples of the “aromatic heterocyclic ring” used herein include a 5- to 8-membered (preferably, 5- to 6-membered) aromatic monocyclic heterocyclic ring (for example, furan, thiophene, pyrrole, oxazole, isoxazole, thiazole, isothiazole, imidazole, pyrazole, 1,2,3-oxadiazole, 1,2,4-oxadiazole, 1,3,4-oxadiazole, 1,2,3-thiadiazole, 1,2,4-thiadiazole, 1,3,4-thiadiazole, 1,2,3-triazole, 1,2,4-triazole, tetrazole, pyridine, pyridazine, pyrimidine, pyrazine, triazine, and the like), and the like. Examples of the “non-aromatic heterocyclic ring” include a 5- to 8-membered (preferably, 5- to 6-membered) saturated or unsaturated monocyclic non-aromatic heterocyclic ring (aliphatic heterocyclic ring) such as pyrrolidine, tetrahydrofuran, tetrahydrothiophene, thiolane, dithiolane, oxathiolane, pyrroline, imidazolidine, imidazoline, pyrazolidine, pyrazoline, oxazine, oxadiazine, thiazine, thiadiazine, piperidine, morpholine, thiomorpholine, tetrahydropyran, piperazine, pyran, oxepine, thiepin, azepine, and the like; a 5- to 8-membered non-aromatic heterocyclic ring in which a part or all of double bonds of the above aromatic monocyclic heterocyclic ring are saturated; and the like.
- Further, examples of the “heterocyclic group” in the “heterocyclic group which may be substituted” as the substituent of the benzene ring in the “benzene ring which may be substituted” represented by Aa, and in the “heterocyclic group which may be substituted” represented by Ra 4 include a group formed by eliminating one hydrogen atom from a condensed ring which is formed by condensing 2 to 3 rings (preferably, 2) selected from the above monocyclic heterocyclic rings (a monocyclic aromatic heterocyclic ring and a monocyclic non-aromatic heterocyclic ring) and 5- to 8-membered cyclic hydrocarbons (5- to 8-membered (preferably, 5- to 6-membered) saturated or unsaturated alicyclic hydrocarbons such as C5-8 cycloalkane, C5-8 cycloalkene and C5-8 cycloalkadiene; 6-membered aromatic hydrocarbons such as benzene; and the like), and the like. These condensed rings may be any one of a saturated condensed ring, a condensed ring partially having unsaturated bond(s), and an aromatic condensed ring. Preferred examples of such condensed ring include a ring in which the same or different two heterocyclic rings (preferably, one heterocyclic ring and one aromatic heterocyclic ring, and more preferably, the same or different two aromatic heterocyclic rings) are condensed; one heterocyclic ring and one homocyclic ring (preferably, one heterocyclic ring and one benzene ring, and more preferably, one aromatic heterocyclic ring and one benzene ring) are condensed; and the like. Specific examples of the condensed ring include indole, benzothiophene, benzofuran, benzimidazole, imidazo[1,2-a]pyridine, quinoline, isoquinoline, cinnoline, and the like.
- The “heterocyclic group” in the “heterocyclic group which may be substituted” as the substituent of the benzene ring in the “benzene ring which may be substituted” represented by Aa, and in the “heterocyclic group which may be substituted” represented by Ra 4 may be substituted, and examples of the substituent include those similar to the substituent of the “hydrocarbon group which may be substituted” as the substituent of the benzene ring in the “benzene ring which may be substituted” represented by Aa.
- Examples of the “halogen atom” as the substituent of the benzene ring in the “benzene ring which may be substituted” represented by Aa include fluorine, chlorine, bromine, iodine, and the like.
- Examples of the “amino group which may be substituted” as the substituent of the benzene ring in the “benzene ring which may be substituted” represented by Aa include those similar to the “amino group which may be substituted” represented by Ra 1 described hereinafter. Among these, preferred examples thereof include amino group which may have one or two substituents selected from the “hydrocarbon group which may be substituted” (that similar to the above “hydrocarbon group which may be substituted” as the substituent of the benzene ring in the “benzene ring which may be substituted” represented by Aa), the “heterocyclic group which may be substituted” (that similar group to the above “heterocyclic group which may be substituted” as the substituent of the benzene ring in the “benzene ring which may be substituted” represented by Aa), and the “acyl group which may be substituted” (that similar to the “acyl group which may be substituted” as the substituent of the benzene ring in the “benzene ring which may be substituted” represented by Aa hereinafter). Among these, preferred are amino group which may have 1 to 2 alkyls [for example, C1-10 alkyls such as methyl, ethyl, propyl, isopropyl, butyl, isobutyl, sec-butyl, tert-butyl, pentyl, isopentyl, neopentyl, hexyl, heptyl, octyl, nonyl, decyl, and the like, preferably lower (C1-6) alkyl, and the like, which may have 1 to 3 substituents selected from, for example, halogen (for example, fluorine, chlorine, bromine, iodine, and the like), nitro, cyano, hydroxy group, thiol group which may be substituted (for example, thiol, C1-4 alkylthio, and the like), amino group which may be substituted (for example, amino, mono-C1-4 alkylamino, di-C1-4 alkylamino, 5- to 6-membered cyclic amino such as tetrahydropyrrole, piperazine, piperidine, morpholine, thiomorpholine, pyrrole, imidazole, and the like), phenyl-lower (C1-4) alkyl, C3-7 cycloalkyl, carboxyl group which may be esterified or amidated (for example, carboxyl, C1-4 alkoxy-carbonyl, lower (C7-10) aralkyloxy-carbonyl, carbamoyl, mono-C1-4 alkyl-carbamoyl, di-C1-4 alkyl-carbamoyl, and the like), C1-4 alkyl which may be substituted with halogen atom or C1-4 alkoxy (for example, trifluoromethyl, methyl, ethyl, and the like), C1-4 alkoxy which may be substituted with halogen atom or C1-4 alkoxy (for example, methoxy, ethoxy, trifluoromethoxy, trifluoroethoxy, and the like), C1-4 alkylenedioxy (for example, —O—CH2 O—, —O—CH2—CH2—O—, and the like), formyl, C2-4 alkanoyl (for example, acetyl, propionyl, and the like), C1-4 alkylsulfonyl (for example, methanesulfonyl, ethanesulfonyl, and the like), C1-4 alkylsulfinyl (for example, methanesulfinyl, ethanesulfinyl, and the like), and the like)].
- Further, the substituents of the “amino group which may be substituted” as the substituent of the benzene ring in the “benzene ring which may be substituted” represented by Aa may be bonded to each other to form a cyclic amino group (for example, a cyclic amino group formed by eliminating one hydrogen atom from the ring-constituting nitrogen atom of a 5- to 6-membered ring such as tetrahydropyrrole, piperazine, piperidine, morpholine, thiomorpholine, pyrrole, imidazole, and the like, and has a bonding hand on the nitrogen atom, and the like). Said cyclic amino group may be substituted, and examples of the substituent include halogen (for example, fluorine, chlorine, bromine, iodine, and the like), nitro, cyano, hydroxy group, thiol group, amino group, carboxyl group, C 1-4 alkyl which may be halogenated (for example, trifluoromethyl, methyl, ethyl, and the like), C1-4 alkoxy which may be halogenated (for example, methoxy, ethoxy, propoxy, butoxy, trifluoromethoxy, trifluoroethoxy, and the like), formyl, C2-4 alkanoyl (for example, acetyl, propionyl, and the like), C1-4 alkylsulfonyl (for example, methanesulfonyl, ethanesulfonyl, and the like), and the like. The number of the substituent(s) is preferably 1 to 3.
- Examples of the “acyl group which may be substituted” as the substituent of the benzene ring in the “benzene ring which may be substituted” represented by Aa include those obtained by bonding hydrogen, the “hydrocarbon group which may be substituted” (that similar to the above “hydrocarbon group which may be substituted” as the substituent of the benzene ring in the “benzene ring which may be substituted” represented by Aa), the “heterocyclic group which may be substituted” (that similar to the above “heterocyclic group which may be substituted” as the substituent of the benzene ring in the “benzene ring which may be substituted” represented Aa), and the like, with carbonyl group, sulfonyl group, or the like. Preferred examples thereof includes those obtained by bonding:
- (1) hydrogen,
- (2) alkyl which may be substituted, for example, (C 1-10 alkyl such as methyl, ethyl, propyl, isopropyl, butyl, isobutyl, sec-butyl, tert-butyl, pentyl, isopentyl, neopentyl, hexyl, heptyl, octyl, nonyl, decyl, and the like, preferably lower (C1-6) alkyl, and the like),
- (3) cycloalkyl which may be substituted (for example, C 3-7 cycloalkyl such as cyclopropyl, cyclobutyl, cyclopentyl, cyclohexyl, cycloheptyl, and the like),
- (4) alkenyl which may be substituted (for example, C 2-10 alkenyl such as allyl, crotyl, 2-pentenyl, 3-hexenyl, and the like, preferably lower (C2-6) alkenyl, and the like);
- (5) cycloalkenyl which may be substituted (for example, C 3-7 cycloalkenyl such as 2-cyclopentenyl, 2-cyclohexenyl, 2-cyclopentenylmethyl, 2-cyclohexenylmethyl, and the like);
- (6) 5- to 6-membered monocyclic aromatic group which may be substituted (for example, phenyl, pyridyl, and the like), and the like, with carbonyl group or sulfonyl group (for example, acetyl, propionyl, butyryl, isobutyryl, valeryl, isovaleryl, pivaloyl, hexanoyl, heptanoyl, octanoyl, cyclobutanecarbonyl, cyclopentanecarbonyl, cyclohexanecarbonyl, cycloheptanecarbonyl, crotonyl, 2-cyclohexenecarbonyl, benzoyl, nicotinoyl, methanesulfonyl, ethanesulfonyl, and the like). Examples of the substituent of the above (2) alkyl which may be substituted, (3) cycloalkyl which may be substituted, (4) alkenyl which may be substituted, (5) cycloalkenyl which may be substituted, and (6) 5- to 6-membered monocyclic aromatic group which may be substituted include halogen (for example, fluorine, chlorine, bromine, iodine, and the like), nitro, cyano, hydroxy group, thiol group which may be substituted (for example, thiol, C 1-4 alkylthio, and the like), amino group which may be substituted (for example, amino, mono-C1-4 alkylamino, di-C1-4 alkylamino, 5- to 6-membered cyclic amino such as tetrahydropyrrole, piperazine, piperidine, morpholine, thiomorpholine, pyrrole, and imidazole, and the like), carboxyl group which may be esterified or amidated (for example, carboxyl, C1-4 alkoxy-carbonyl, carbamoyl, mono-C1-4 alkyl-carbamoyl, di-C1-4 alkyl-carbamoyl, and the like), C1-4 alkyl which may be substituted with a halogen atom or C1-4 alkoxy (for example, trifluoromethyl, methyl, ethyl, and the like), C1-4 alkoxy which may be substituted with a halogen atom or C1-4 alkoxy (for example, methoxy, ethoxy, trifluoromethoxy, trifluoroethoxy, and the like), formyl, C2-4 alkanoyl (for example, acetyl, propionyl, and the like), C1-4 alkylsulfonyl (for example, methanesulfonyl, ethanesulfonyl, and the like), C1-4 alkylsulfinyl (for example, methanesulfinyl, ethanesulfinyl, and the like), and the like, and the number of the substituent(s) is preferably 1 to 3.
- Examples of the “carboxyl group which may be esterified” as the substituent of the benzene ring in the “benzene ring which may be substituted” represented by Aa include those obtained by bonding hydrogen, the “hydrocarbon group which may be substituted” (that similar to the above “hydrocarbon group which may be substituted” as the substituent of the benzene ring in the “benzene ring which may be substituted” represented by Aa), and the like, with carbonyloxy group. Preferred examples include those obtained by bonding:
- (1) hydrogen,
- (2) alkyl which may be substituted (C 1-10 alkyl such as methyl, ethyl, propyl, isopropyl, butyl, isobutyl, sec-butyl, tert-butyl, pentyl, isopentyl, neopentyl, hexyl, heptyl, octyl, nonyl, decyl, and the like, preferably lower (C1-6) alkyl, and the like),
- (3) cycloalkyl which may be substituted (for example, C 3-7 cycloalkyl such as cyclopropyl, cyclobutyl, cyclopentyl, cyclohexyl, cycloheptyl, and the like),
- (4) alkenyl which may be substituted (for example, C 2-10 alkenyl such as allyl, crotyl, 2-pentenyl, 3-hexenyl, and the like, preferably lower (C2-6) alkenyl, and the like),
- (5) cycloalkenyl which may be substituted (for example, C 3-7 cycloalkenyl such as 2-cyclopentenyl, 2-cyclohexenyl, 2-cyclopentenylmethyl, 2-cyclohexenylmethyl, and the like),
- (6) aryl which may be substituted (for example, phenyl, naphthyl, and the like), with carbonyloxy group. Carboxyl, lower (C 1-6) alkoxycarbonyl, aryloxycarbonyl (for example, methoxycarbonyl, ethoxycarbonyl, propoxycarbonyl, phenoxycarbonyl, naphthoxycarbonyl, and the like), and the like are more preferable. Examples of the substituent of the above (2) alkyl which may be substituted, (3) cycloalkyl which may be substituted, (4) alkenyl which may be substituted, (5) cycloalkenyl which may be substituted, and (6) aryl which may be substituted include halogen (for example, fluorine, chlorine, bromine, iodine, and the like), nitro, cyano, hydroxy group, thiol group which may be substituted (for example, thiol, C1-4 alkylthio, and the like), amino group which may be substituted (for example, amino, mono-C1-4 alkylamino, di-C1-4 alkylamino, 5- to 6-membered cyclic amino such as tetrahydropyrrole, piperazine, piperidine, morpholine, thiomorpholine, pyrrole, imidazole, and the like), carboxyl group which may be esterified or amidated (for example, carboxyl, C1-4 alkoxy-carbonyl, carbamoyl, mono-C1-4 alkyl-carbamoyl, di-C1-4 alkyl-carbamoyl, and the like), C1-4 alkyl which may be substituted with a halogen atom or C1-4 alkoxy (for example, trifluoromethyl, methyl, ethyl, and the like), C1-4 alkoxy which may be substituted with a halogen atom or C1-4 alkoxy (for example, methoxy, ethoxy, trifluoromethoxy, trifluoroethoxy, and the like), formyl, C2-4 alkanoyl (for example, acetyl, propionyl, and the like), C1-4 alkylsulfonyl (for example, methanesulfonyl, ethanesulfonyl, and the like), C1-4 alkylsulfinyl (for example, methanesulfinyl, ethanesulfinyl, and the like), and the like, and the number of the substituent(s) is preferably 1 to 3.
- Examples of the “carboxyl group which may be amidated” as the substituent of the benzene ring in the “benzene ring which may be substituted” represented by Aa include those obtained by bonding:
- (1) hydrogen,
- (2) the “amino group which may be substituted” (that similar to the above “amino group which may be substituted” as the substituent of the benzene ring in the “benzene ring which may be substituted” represented by A), and the like, with carbonyl group.
- The substituent of the benzene ring in the “benzene ring which may be substituted” represented by Aa may be one to four (preferably, 1 to 2) the same or different substituents at any possible position(s) of the ring. Further, when the benzene ring in “the benzene ring which may be substituted” represented by Aa has two or more substituents, two substituents may be bonded to each other to form, for example, lower (C 1-6) alkylene (for example, trimethylene, tetramethylene, and the like), lower (C1-6) alkyleneoxy (for example, —O—CH2—O—, —O—CH2—CH2—, and the like), lower (C1-6) alkylenedioxy (for example, —O—CH2—O—, —O—CH2—CH2—O—, and the like), lower (C2-6) alkenylene (for example, —CH2—CH═CH—, —CH2—CH2—CH═CH—, —CH2—CH═CH—CH2—, and the like), lower (C1-6) alkadienylene (for example, —CH═CH—CH═CH—, and the like), and the like.
- Preferred examples of the substituent of the benzene ring in the “benzene ring which may be substituted” represented by Aa include a hydrocarbon group which may be substituted, a heterocyclic group which may be substituted, nitro group, a halogen atom, amino group which may be substituted, a group represented by Ra 4-Ya- (wherein Ya is oxygen atom or sulfur atom which may be oxidized, and Ra4 is a hydrocarbon group which may be substituted, or a heterocyclic group which may be substituted), and the like, and more preferably, it is a hydrocarbon group which may be substituted, a heterocyclic group which may be substituted, halogen atom, amino group which may be substituted, a group represented by Ra4-Ya- (wherein Ya is oxygen atom or sulfur atom which may be oxidized, and Ra4 is a hydrocarbon group which may be substituted, or a heterocyclic group which may be substituted), and the like. Among these, lower (C1-4) alkyl, a halogen atom, and the like are preferred. In particular, (C1-4) alkyl is preferred.
-
-
- wherein Aa′ is a benzene ring which may be further substituted in addition to the substituent Ra 3, Ra3 is a hydrocarbon group which may be substituted, a heterocyclic group which may be substituted, nitro group, a halogen atom, amino group which may be substituted, or a group represented by Ra4-Ya- (wherein Ya is oxygen atom or sulfur atom which may be oxidized, and Ra4 is a hydrocarbon group which may be substituted, or a heterocyclic group which may be substituted), is preferred.
-
- wherein Ra 3 is as defined above, is preferred. Preferred examples of Ra3 in the above formula include a hydrocarbon group which may be substituted, a heterocyclic group which may be substituted, a halogen atom, amino group which may be substituted, or a group represented by Ra4-Ya- (wherein Ya is oxygen atom or sulfur atom which may be oxidized, and Ra4 is a hydrocarbon group which may be substituted, or a heterocyclic group which may be substituted). Among these, a hydrocarbon group which may be substituted, a heterocyclic group which may be substituted, a halogen atom, and the like are preferred, and in particular, a lower alkyl group which may be substituted or a halogen atom is preferred.
-
- wherein Za is a saturated divalent group in which the ring Ba can form a saturated 5- to 8-membered ring which may be substituted, and may be substituted at any possible position, and the like. The saturated 5- to 8-membered ring may have partially unsaturated bond(s) and may further form an aromatic ring. As ring Ba, a saturated 5- to 8-membered ring which may be substituted is preferred.
- In this case, examples of the “saturated 5- to 8-membered ring” in the “saturated 5- to 8-membered ring which may be substituted” as ring Ba means a “5- to 8-membered ring in which all of the bonds constituting ring Ba other than the double bond at the site where the ring Ba and the quinoline ring form the condensed ring are saturated single bonds (single bonds)”, and the “unsaturated 5- to 8-membered ring” in the “unsaturated 5- to 8-membered ring which may be substituted” as ring Ba means a “5- to 8-membered ring in which at least one of the bonds constituting ring Ba other than the double bond at a site where the ring Ba and the quinoline ring form the condensed ring is an unsaturated bond”.
- The saturated divalent group represented by Za in the above formula may be any one of those in which ring Ba can form a saturated 5- to 8-membered ring which may be substituted. Namely, Za may be any one so far as it is a saturated divalent group in which the number of atom(s) in a linear chain portion is 2 to 5 (preferably, a saturated divalent hydrocarbon group in which the number of atom(s) in a linear chain portion is 2 to 5). Specific examples include:
- (1) —(CH 2)a1— (a1 is an integer of 2 to 5),
- (2) —(CH 2)b1—Z1—(CH2)b2— (b1 and b2 are the same or different and are an integer of 0 to 4, provided that the sum of b1 and b2 is 1 to 4. Z1 is NH, O, S, SO or SO2),
- (3) —(CH 2)d1—Z1—(CH2)d2—Z2—(CH2)d3— (d1, d2 and d3 are the same or different and are an integer of 0 to 3, provided that the sum of d1, d2 and d3 is 0 to 3. Each of Z1 and Z2 is NH, O, S, SO or SO2)
- (4) —(CH 2)e1—Z1—(CH2)e2—Z2—(CH2)e3—Z3—(CH2)e4— (e1, e2, e3 and e4 are the same or different and are an integer of 0 to 2, provided that the sum of d1, d2, d3 is 0 to 2. Each of Z1, Z2 and Z3 is NH, O, S, SO or SO2) [preferably, —(CH2)a1— (a1 is an integer of 2 to 5)]. Specific examples include divalent group such as —O—(CH2)k1— (k1 is an integer of 1 to 4), —(CH2)k1—O— (k1 is an integer of 1 to 4), —S—(CH2)k1— (k1 is an integer of 1 to 4), —(CH2)k1—S— (k1 is an integer of 1 to 4), —NH—(CH2)k1— (k1 is an integer of 1 to 4), —(CH2)k1—NH— (k1 is an integer of 1 to 4), (CH2)k2— (k2 is an integer of 2 to 5), —NH—NH—, —CH2—NH—NH—, —NH—NH—CH2— and —NH—CH2—NH—.
- Examples of the “5- to 8-membered ring which may be substituted” represented by Ba in the above formula include not only the “saturated 5- to 8-membered ring which may be substituted” as exemplified above, but also an “unsaturated 5- to 8-membered ring which may be substituted” having partially unsaturated bond(s), or a “5- to 8-membered aromatic ring which may be substituted”, and in such a case, in a ring represented by the formula:
- Za may be a divalent group in which a portion of the bonds in the “saturated divalent group in which the number of atom(s) in a linear chain portion is 2 to 5” is converted to an unsaturated bond as exemplified above.
- Further, said divalent group may be substituted, and the substituent(s) may be any one so far as it can be bonded with said divalent group. Examples of the “substituent(s)” include those similar to the “substituent” of “the benzene ring which may be substituted” represented by the above Aa, oxo group, and the like. The number of the substituent(s) is 1 to 4 (preferably, 1 to 2), and they are the same or different and may be substituted at any position of said divalent group. Further, when said divalent group has 2 or more substituents, two substituents thereof are bonded to each other to form, for example, lower (C 1-6) alkylene (for example, trimethylene, tetramethylene, and the like), lower (C1-6) alkyleneoxy (for example, —CH—O—CH2—, —O—CH2—CH2—, and the like), lower (C1-6) alkylenedioxy (for example, —O—CH2O—, —O—CH2—CH2—O—, and the like), lower (C2-6) alkenylene (for example, —CH2—CH═CH—, —CH2—CH2—CH═CH—, —CH2—CH═CH—CH2—, and the like), lower (C4-6) alkadienylene (for example, —CH═CH—CH═CH—, and the like), and the like.
- In the above formula, examples of the “divalent group in which the number of atom(s) in a linear chain portion is 1 to 4” represented by Xa include saturated divalent groups and divalent groups in which a part of bonds is converted to unsaturated bond(s), such as
- (1) —(CH 2)f1— (f1 is an integer of 1 to 4),
- (2) —(CH 2)g1—X1—(CH2)g2— (g1 and g2 are the same or different and are an integer of 0 to 3, provided that the sum of g1 and g2 is 1 to 3. X1 indicates NH, O, S, SO or SO2),
- (3) —(CH 2)h1—X1—(CH2)h2—X2—(CH2)h3— (h1, h2 and h3 are the same or different and are an integer of 0 to 2, provided that the sum of h1, h2 and h3 is 0 to 2. Each of X1 and X2 is NH, O, S, SO or SO2). However, when h2 is 0, at least one of X1 and X2 is preferably NH). Specific examples include divalent groups such as —O—(CH2)k3— (k3 is an integer of 1 to 3), —(CH2)k3—O— (k3 is an integer of 1 to 3), —S—(CH2)k3— (k3 is an integer of 1 to 3), (CH2)k3—S— (k3 is an integer of 1 to 3), —NH—(CH2)k3— (k3 is an integer of 1 to 3), —(CH2)k3—NH— (k3 is an integer of 1 to 3), —(CH2)k4— (k4 is an integer of 1 to 4), —CH═CH—, —C═C—, —CO—NH— and —SO2—NH—.
- As Xa, a divalent group other than —CO—O—CH 2— is preferred, and a divalent group in which the number of carbon atom(s) constituting a linear chain portion is 1 to 4 is more preferred. Among them, C1-4 alkylene, C2-4 alkenylene, and the like are preferred and, in particular, C2-4 alkylene and methylene is preferably used.
- The divalent group represented by Xa may be substituted at any possible position (preferably, on a carbon atom), and the substituent may be any one so far as it can be bonded to a divalent chain constituting a linear chain portion. Examples of the substituent include those similar to the “substituent” of “the benzene ring which may be substituted” represented by the above Aa, oxo group, and the like. The number of substituent(s) is 1 to 4 (preferably, 1 to 2). They may be the same or different and may be substituted at any position of said divalent group.
- Examples of the preferred substituent of the divalent group represented by Xa include lower (C 1-6) alkyl (for example, methyl, ethyl, propyl, isopropyl, butyl, isobutyl, sec-butyl, tert-butyl, pentyl, isopentyl, neopentyl, hexyl, and the like), lower (C3-7) cycloalkyl (for example, cyclopropyl, cyclobutyl, cyclopentyl, cyclohexyl, cycloheptyl, and the like), formyl, lower (C2-7) alkanoyl (for example, acetyl, propionyl, butyryl, and the like), lower (C1-6) alkoxycarbonyl, lower (C1-6) alkoxy, a hydroxy group, oxo, and the like.
- In the above formula, examples of the “amino group which may be substituted” represented by Ra 1, amino group, and the like which may have 1 or 2 substituents selected from the “hydrocarbon group which may be substituted” (that similar to the “hydrocarbon group which may be substituted” as the substituent of the benzene ring in “the benzene ring which may be substituted” represented by the above Aa, etc.), the “heterocyclic group which may be substituted” (that similar to the “heterocyclic group which may be substituted” as the substituent of the benzene ring in “the benzene ring which may be substituted” represented by the above Aa, etc.), the “acyl group which may be substituted” (that similar to the “acyl group which may be substituted” as the substituent of the benzene ring in “the benzene ring which may be substituted” represented by the above Aa, etc.), and the like. The substituents of the “amino group which may be substituted” represented by Ra1 may bond to each other to form a cyclic amino group (for example, a cyclic amino group having a bonding hand on nitrogen atom which is formed by eliminating one hydrogen atom from the nitrogen atom constituting the ring of 5- to 6-membered ring such as tetrahydropyrrole, piperazine, piperidine, morpholine, thiomorpholine, pyrrole and imidazole, and the like). Said cyclic amino group may be substituted, and examples of the substituent include halogen (for example, fluorine, chlorine, bromine, iodine, and the like), nitro, cyano, hydroxy group, thiol group, amino group, carboxyl group, C1-4 alkyl which may be halogenated (for example, trifluoromethyl, methyl, ethyl, and the like), C1-4 alkoxy which may be halogenated (for example, methoxy, ethoxy, propoxy, butoxy, trifluoromethoxy, trifluoroethoxy, and the like), formyl, C2-4 alkanoyl (for example, acetyl, propionyl, and the like), C1-4 alkylsulfonyl (for example, methanesulfonyl, ethanesulfonyl, and the like), and the like, and the number of the substituent(s) is preferably 1 to 3.
- Preferred examples of the substituent of the amino group in “the amino group which may be substituted” represented by Ra 1 include
- (1) alkyl which may be substituted (for example, C 1-10 alkyls such as methyl, ethyl, propyl, isopropyl, butyl, isobutyl, sec-butyl, tert-butyl, pentyl, isopentyl, neopentyl, hexyl, heptyl, octyl, nonyl, decyl, and the like, preferably lower (C1-6) alkyl, and the like);
- (2) cycloalkyl which may be substituted (for example, C 3-8 cycloalkyls such as cyclopropyl, cyclobutyl, cyclopentyl, cyclohexyl, cycloheptyl, and the like); further, said cycloalkyl may be condensed with benzene ring to form indan (for example, indan-1-yl, indan-2-yl, and the like), tetrahydronaphthalene (for example, tetrahydronaphthalen-5-yl, tetrahydronaphthalen-6-yl, and the like), and the like (preferably, indan, and the like); further, said cycloalkyl may be crosslinked through a linear atomic chain having 1 to 2 carbons to form crosslinked cyclic hydrocarbon residual groups such as bicyclo[2.2.1]heptyl, bicyclo[2.2.2]octyl, bicyclo[3.2.1]octyl, bicyclo[3.2.2]nonyl, and the like (preferably, cyclohexyl having crosslink through a linear atomic chain having 1 to 2 carbons, and the like, and further preferably, bicyclo[2.2.1]heptyl, and the like);
- (3) alkenyl which may be substituted (for example, C 2-10 alkenyl such as allyl, crotyl, 2-pentenyl and 3-hexenyl, preferably lower (C2-6) alkenyl, and the like);
- (4) cycloalkenyl which may be substituted (for example, C 3-7 cycloalkenyl such as 2-cyclopentenyl, 2-cyclohexenyl, 2-cyclopentenylmethyl, 2-cyclohexenylmethyl, and the like);
- (5) aralkyl which may be substituted (for example, phenyl-C 1-4 alkyl) (for example, benzyl, phenethyl, and the like);
- (6) formyl or acyl which may be substituted (for example, C 2-4 alkanoyl (for example, acetyl, propionyl, butyryl, isobutyryl, and the like), C1-4 alkylsulfonyl (for example, methanesulfonyl, ethanesulfonyl, and the like);
- (7) aryl which may be substituted (for example, phenyl, naphthyl, and the like);
- (8) a heterocyclic group which may be substituted (for example, a group formed by eliminating one hydrogen atom from a 5- to 6-membered aromatic heterocyclic ring which contains 1 to 4 hetero atoms of 1 to 2 kinds selected from nitrogen atom, sulfur atom and oxygen atom such as furan, thiophene, pyrrole, imidazole, pyrazole, thiazole, oxazole, isothiazole, isoxazole, tetrazole, pyridine, pyrazine, pyrimidine, pyridazine, triazole, and the like), a group formed by eliminating one hydrogen atom from a 5- to 8-membered non-aromatic heterocyclic ring which contains 1 to 4 hetero atoms of 1 to 2 kinds selected from nitrogen atom, sulfur atom and oxygen atom such as tetrahydrofuran, tetrahydrothiophene, dithiolane, oxathiolane, pyrrolidine, pyrroline, imidazolidine, imidazoline, pyrazolidine, pyrazoline, piperidine, piperazine, oxazine, oxadiazine, thiazine, thiadiazine, morpholine, thiomorpholine, pyran, tetrahydropyran, and the like.
- Examples of the substituent of the above (1) alkyl which may be substituted, (2) cycloalkyl which may be substituted, (3) alkenyl which may be substituted, (4) cycloalkenyl which may be substituted, (5) aralkyl which may be substituted, (6) acyl which may be substituted, (7) aryl which may be substituted and (8) a heterocyclic group which may be substituted include halogen (for example, fluorine, chlorine, bromine, iodine, and the like), C 1-4 alkyl which may be substituted with a halogen atom or C1-4 alkoxy, C1-4 alkoxy which may be substituted with a halogen atom or C1-4 alkoxy (for example, methoxy, ethoxy, propoxy, butoxy, trifluoromethoxy, trifluoroethoxy, and the like), C1-4 alkylenedioxy (for example, —O—CH2—O— —O—CH2—CH2—O—, and the like), formyl, C2-4 alkanoyl (for example, acetyl, propionyl, and the like), C1-4 alkylsulfonyl (for example, methanesulfonyl, ethanesulfonyl, and the like), phenyl-lower (C1-4) alkyl, C3-7 cycloalkyl, cyano, nitro, hydroxy group, thiol group which may be substituted (for example, thiol, C1-4 alkylthio, and the like), amino group which may be substituted (for example, amino, mono-C1-4 alkylamino, di-C1-4 alkylamino, 5- to 6-membered cyclic amino such as tetrahydropyrrole, piperazine, piperidine, morpholine, thiomorpholine, pyrrole, imidazole, and the like), carboxyl group, lower (C1-4) alkoxy-carbonyl, lower (C7-10) aralkyloxy-carbonyl, carbamoyl, mono-C1-4 alkylcarbamoyl, di-C1-4 alkylcarbamoyl (preferably, halogen, lower (C1-4 alkyl which may be halogenated, lower (C1-4) alkoxy which may be halogenated, phenyl-lower (C1-4) alkyl, C3-7 cycloalkyl, cyano, hydroxy group, and the like), and the number of the substituent(s) is preferably 1 to 3.
- Preferred examples of the “amino group which may be substituted” represented by Ra 1 include in particular an amino group which may have 1 to 2 alkyls which may be substituted [for example, C1-10 alkyl such as methyl, ethyl, propyl, isopropyl, butyl, isobutyl, sec-butyl, tert-butyl, pentyl, isopentyl, neopentyl, hexyl, heptyl, octyl, nonyl and decyl, preferably lower (C1-6) alkyl, and the like, which may have 1 to 3 substituents selected from halogen (for example, fluorine, chlorine, bromine, iodine, and the like), nitro, cyano, hydroxy group, thiol group which may be substituted (for example, thiol, C1-4 alkylthio, and the like), amino group which may be substituted (for example, amino, mono-C1-4 alkylamino, di-C1-4 alkylamino, 5- to 6-membered cyclic amino such as tetrahydropyrrole, piperazine, piperidine, morpholine, thiomorpholine, pyrrole, imidazole, and the like), carboxyl group which may be esterified or amidated (for example, carboxyl, C1-4 alkoxy-carbonyl, lower (C1-10)aralkyloxy-carbonyl, carbamoyl, mono-C1-4 alkyl-carbamoyl, di-C1-4 alkyl-carbamoyl, and the like), C1-4 alkyl which may be substituted with a halogen atom or C1-4 alkoxy (for example, trifluoromethyl, methyl, ethyl, and the like), C1-4 alkoxy which may be substituted with a halogen atom or C1-4 alkoxy (for example, methoxy, ethoxy, trifluoromethoxy, trifluoroethoxy, and the like), C1-4 alkylenedioxy (for example, —O—CH2—O—, —O—CH2—CH2—O—, and the like), phenyl-lower (C1-4) alkyl, C1-7 cycloalkyl, formyl, C2-4 alkanoyl (for example, acetyl, propionyl, and the like), C1-4 alkylsulfonyl (for example, methanesulfonyl, ethanesulfonyl, and the like), C1-4 alkylsulfinyl (for example, methanesulfinyl, ethanesulfinyl, and the like), and the like.
- Examples of the “cyclic group” of the “cyclic group which may be substituted” represented by Ra 2 in the above formula include 5- to 8-membered (preferably, 5- to 6-membered) saturated or unsaturated alicyclic monocyclic hydrocarbon such as C5-8 cycloalkane (for example, cyclopentane, cyclohexane, cycloheptane, and the like), C5-8 cycloalkene (for example, 1-cyclopentene, 2-cyclopentene, 3-cyclopentene, 2-cyclohexene, 3-cyclohexene, and the like) and C5-8 cycloalkadiene (for example, 2,4-cyclopentadiene, 2,4-cyclohexadiene, 2,5-cyclohexadiene, and the like); 6-membered aromatic monocyclic hydrocarbons such as benzene, 5- to 8-membered aromatic monocyclic heterocyclic rings which contain at least one (preferably, 1 to 4 and more preferably, 1 to 2) of 1 to 3 kinds (preferably, 1 to 2 kinds) of hetero atoms selected from oxygen atom, sulfur atom, nitrogen atom, and the like; a saturated or unsaturated non-aromatic monocyclic heterocyclic ring (aliphatic heterocyclic ring), and the like; and a group formed by eliminating one hydrogen atom from a ring in which 2 to 3 the same or different rings selected from these monocyclic rings are condensed, etc.
- Examples of the “aromatic monocyclic heterocyclic ring” used herein include a 5- to 8-membered (preferably, 5- to 6-membered) aromatic monocyclic heterocyclic ring (for example, furan, thiophene, pyrrole, oxazole, isoxazole, thiazole, isothiazole, imidazole, pyrazole, 1,2,3-oxadiazole, 1,2,4-oxadiazole, 1,3,4-oxadiazole, 1,2,3-thiadiazole, 1,2,4-thiadiazole, 1,3,4-thiadiazole, 1,2,3-triazole, 1,2,4-triazole, tetrazole, pyridine, pyridazine, pyrimidine, pyrazine, triazine, and the like), and the like. Examples of the “non-aromatic monocyclic heterocyclic ring” include a 5- to 8-membered (preferably, 5- to 6-membered) saturated or unsaturated monocyclic non-aromatic heterocyclic ring (aliphatic heterocyclic ring) such as pyrrolidine, tetrahydrofuran, tetrahydrothiophene, thiophene, thiolane, oxathiolane, pyrroline, imidazolidine, imidazoline, pyrazolidine, pyrazoline, oxazine, oxadiazine, thiazine, thiadiazine, piperidine, morpholine, thiomorpholine, tetrahydropyran, piperazine, pyran, oxepine, thiepin, azepine, and the like, or a 5- to 8-membered non-aromatic heterocyclic ring in which a part or all of double bonds of the above aromatic monocyclic heterocyclic ring are saturated, and the like.
- Further, “the cyclic group” of “the cyclic group which may be substituted” represented by Ra may also be a group formed by eliminating one hydrogen atom from a condensed ring formed by condensing 2 to 3 (preferably, 2) the same or different rings selected from the monocyclic homocyclic rings or heterocyclic rings exemplified above, and these condensed rings may be any one of a saturated condensed ring, a condensed ring partially having unsaturated bond(s), and an aromatic condensed ring.
- Preferred examples of the condensed ring include a ring obtained by condensing two the same or different rings (preferably, one heterocyclic ring and one aromatic heterocyclic ring, and more preferably, two the same or different aromatic heterocyclic rings); a ring obtained by condensing one heterocyclic ring and one homocyclic ring (preferably, one heterocyclic ring and one benzene ring, and more preferably, one aromatic heterocyclic ring and one benzene ring); and the like. Specific examples of the condensed ring include indole, benzothiophene, benzofuran, benzimidazole, imidazo[1,2-a]pyridine, quinoline, isoquinoline, cinnoline, and the like.
- Examples of the substituent of the “cyclic group” of “the cyclic group which may be substituted” represented by Ra 2 include those similar to the substituents of the “hydrocarbon group which may be substituted” as the substituent of the benzene ring in the “benzene ring which may be substituted” represented by the above A.
- The “cyclic group” of the “cyclic group which may be substituted” represented by Ra 2 is preferably a 5- to 6-membered cyclic group, a 5- to 6-membered aromatic cyclic group is also preferred, and phenyl, furyl, thienyl, pyrrolyl, pyridyl (preferably, 6-membered ring), and the like are further preferred, in particular, phenyl is preferred.
-
- wherein Aa′ is a benzene ring which may be further substituted in addition to the substituent Ra 3, Ba is a 5- to 8-membered ring which may be substituted, Xa is a divalent group in which the number of atom(s) in a linear chain portion is 1 to 4, Ra1′ is an amino group substituted with 1 to 2 lower alkyl groups which may be substituted, Ra2 is a cyclic group which may be substituted, Ra3 is a hydrocarbon group which may be substituted, a heterocyclic group which may be substituted, nitro group, a halogen atom, amino group which may be substituted, or a group represented by Ra4-Ya- (wherein Y is oxygen atom or sulfur atom which may be oxidized, and Ra4 is a hydrocarbon group which may be substituted, or a heterocyclic group which may be substituted), or a salt thereof, and a compound represented by the formula (IIa′),
- wherein Aa″ is a benzene ring which may be further substituted in addition to the substituent Ra 3, Ba is a 5- to 8-membered ring which may be substituted, Xa is a divalent group in which the number of atom(s) in a linear chain portion is 1 to 4, Ra1 is an amino group which may be substituted, Ra2 is a cyclic group which may be substituted, Ra3′ is a hydrocarbon group which may be substituted, a heterocyclic group which may be substituted, a halogen atom, amino group which may be substituted, or a group represented by Ra4-Ya- (wherein Ya is oxygen atom or sulfur atom which may be oxidized, and Ra4 is a hydrocarbon group which may be substituted, or a heterocyclic group which may be substituted), or a salt thereof.
- In the above formulae, examples of the substituent of the “benzene ring” in the “benzene ring which may be further substituted in addition to the substituent Ra 3” represented by Aa′ and in the “benzene ring which may be further substituted in addition to the substituent Ra3′” represented by Aa″ include those similar to the substituent of “the benzene ring” in “the benzene ring which may be substituted” represented by above Aa.
- In the above formula, examples of the “substituted amino group” represented by Ra 1′ include the “amino group which may be substituted” represented by the above Ra1 except the unsubstituted amino group, namely amino group having 1 to 2 the same or different substituents similar to the substituent of the “amino group” in the “amino group which may be substituted” represented by the above Ra1, etc. Among these, the “amino group substituted with 1 to 2 lower alkyl groups which may be substituted” is preferred.
- Examples of the amino group substituted with 1 to 2 of lower alkyl groups which may be substituted include amino group substituted with 1 to 2 lower (C 1-6) alkyls (for example, methyl, ethyl, propyl, isopropyl, butyl, isobutyl, sec-butyl, tert-butyl, pentyl, isopentyl, neopentyl and hexyl) which may have 1 to 3 substituents selected from
- (1) halogen (for example, fluorine, chlorine, bromine, iodine, and the like),
- (2) nitro,
- (3) cyano,
- (4) hydroxy group,
- (5) thiol group which may be substituted (for example, thiol, C 1-4 alkylthio, and the like),
- (6) amino group which may be substituted (for example, amino, mono-C 1-4 alkylamino, di-C1-4 alkylamino, 5- to 6-membered cyclic amino such as tetrahydropyrrole, piperazine, piperidine, morpholine, thiomorpholine, pyrrole, imidazole, and the like),
- (7) carboxyl group which may be esterified or amidated (for example, carboxyl, C 1-4 alkoxy-carbonyl, lower (C7-10) aralkyloxy-carbonyl, carbamoyl, mono-C1-4 alkylcarbamoyl, di-C1-4 alkylcarbamoyl, and the like),
- (8) C 1-4 alkyl which may be substituted with a halogen atom or C1-4 alkoxy (for example, trifluoromethyl, methyl, ethyl, and the like),
- (9) C 1-4 alkoxy which may be substituted with a halogen atom or C1-4 alkoxy (for example, methoxy, ethoxy, trifluoromethoxy, trifluoroethoxy, and the like),
- (10) C 1-4 alkylenedioxy (for example, —O—CH2—O—, —O—CH2—CH2—O—, and the like),
- (11) phenyl-lower (C 1-4) alkyl,
- (12) C 3-7 cycloalkyl, formyl, C2-4 alkanoyl (for example, acetyl, propionyl, and the like),
- (13) C 1-4 alkylsulfonyl (for example, methanesulfonyl, ethanesulfonyl, and the like),
- (14) C 1-4 alkylsulfinyl (for example, methanesulfinyl, ethanesulfinyl, and the like), and the like. When the number of substituents of the amino group is two, they may be the same or different. In the above formula, examples of “the hydrocarbon group which may be substituted” represented by Ra3 and Ra3′ include those similar to the “hydrocarbon group which may be substituted” as the substituent of the “benzene ring” in the “benzene ring which may be substituted” represented by the above A.
- In the above formula, examples of the “heterocyclic group which may be substituted” represented by Ra 3 and Ra3′ include those similar to the “heterocyclic group which may be substituted” as the substituent of the “benzene ring” in the “benzene ring which may be substituted” represented by the above Aa.
- In the above formula, examples of the “amino group which may be substituted” represented by Ra 3 and Ra3′ include those similar to the “the amino group which may be substituted” as the substituent of the “benzene ring” in the “benzene ring which may be substituted” represented by the above Aa.
- In the above formula, examples of the “hydrocarbon group which may be substituted” and the “heterocyclic group which may be substituted” represented by Ra 4 in the group represented by the formula Ra4-Ya- include those similar to the “hydrocarbon group which may be substituted” and the “heterocyclic group which may be substituted” as the substituent of the “benzene ring” in “the benzene ring which may be substituted” represented by the above Aa.
- In the above formula, examples of the “sulfur atom which may be oxidized” represented by Ya in the group represented by the formula Ra 4-Ya- include S, S(O), S(O)2, and the like.
- As Ra 3′, the “hydrocarbon group which may be substituted”, in particular, alkyl is preferred and as Ra1, amino is preferred.
- In the above formula, the “benzene ring which may be further substituted” represented by Bb or Cb is a benzene ring which may be further substituted in addition to the substituent specifically shown in the formula (Ib), and examples of the substituent (the substituent other than the substituent specifically shown in the formula (Ib)) include a hydrocarbon group which may be substituted, a heterocyclic group which may be substituted, nitro group, a halogen atom, amino group which may be substituted, a group represented by the formula Rb 6-Yb- (wherein Yb is oxygen atom or sulfur atom which may be oxidized (for example, S, S(O), S (°)2, and the like), and Rb6 indicates a hydrocarbon group which may be substituted, or a heterocyclic group which may be substituted), cyano group, an acyl group which may be substituted, carboxylic group which may be esterified or amidated, and the like.
- Examples of the “hydrocarbon group which may be substituted” as the substituent of the benzene ring in the “benzene ring which may be further substituted” represented by Bb or Cb and the “hydrocarbon group” in “the hydrocarbon group which may be substituted” represented by Rb 6 include:
- (1) alkyl (for example, C 1-10 alkyl such as methyl, ethyl, propyl, isopropyl, butyl, isobutyl, sec-butyl, tert-butyl, pentyl, isopentyl, neopentyl, hexyl, heptyl, octyl, nonyl, decyl, and the like, preferably lower (C1-6) alkyl, and the like);
- (2) cycloalkyl (for example, C 3-8 cycloalkyl such as cyclopropyl, cyclobutyl, cyclopentyl, cyclohexyl, cycloheptyl, and the like); further, said cycloalkyl may be condensed with benzene ring to form indan (for example, indan-1-yl, indan-2-yl, and the like), tetrahydronaphthalene (for example, tetrahydronaphthalen-5-yl, tetrahydronaphthalen-6-yl, and the like), and the like (preferably, indan, and the like); further, said cycloalkyl may be crosslinked through a linear atomic chain having 1 to 2 carbons to form crosslinked cyclic hydrocarbon residual groups such as bicyclo[2.2.1]heptyl, bicyclo[2.2.2]octyl, bicyclo[3.2.1]octyl, bicyclo[3.2.2]nonyl, and the like (preferably, cyclohexyl having crosslink through a linear atomic chain having 1 to 2 carbons, and the like, and further preferably, bicyclo[2.2.1]heptyl, and the like);
- (3) alkenyl (for example, C 2-10 alkenyl such as vinyl, allyl, crotyl, 2-pentenyl, 3-hexenyl, and the like, preferably lower (C2-6) alkenyl, and the like);
- (4) cycloalkenyl (for example, C 3-8 cycloalkenyls such as 2-cyclopentenyl, 2-cyclohexenyl, 2-cyclopentenylmethyl, 2-cyclohexenylmethyl, and the like);
- (5) alkynyl (for example, C 2-10 alkynyl such as ethynyl, 1-propynyl, 2-propynyl, 1-butynyl, 2-pentynyl, 3-hexynyl, and the like, preferably lower (C2-6) alkynyl, and the like);
- (6) aryl (for example, C 6-14aryls such as phenyl, naphthyl, and the like, preferably C6-10 aryl, more preferably phenyl, and the like);
- (7) aralkyl (for example, C 1-6alkyl having 1 to 3 C6-14 aryls, preferably phenyl-C1-4alkyl (for example, benzyl, phenethyl, and the like), and the like. Among these, alkyl is preferred, C1-4 alkyl such as methyl, ethyl, and the like are more preferred and, in particular, methyl is preferably used.
- The hydrocarbon group may be substituted, and examples of the substituent include halogen (for example, fluorine, chlorine, bromine, iodine, and the like), nitro, cyano, oxo, hydroxy group, thiol group which may be substituted (for example, thiol, C 1-4 alkylthio, and the like), amino group which may be substituted (for example, amino, mono-C1-4 alkylamino, di-C1-4 alkylamino, 5- to 6-membered cyclic amino such as tetrahydropyrrole, piperazine, piperidine, morpholine, thiomorpholine, pyrrole and imidazole, and the like), phenyl-lower (C1-4) alkyl, C3-7 cycloalkyl, carboxyl group which may be esterified or amidated (for example, carboxyl, C1-4 alkoxy-carbonyl, lower (C7-10) aralkyloxy-carbonyl, carbamoyl, mono-C1-4 alkylcarbamoyl, di-C1-4 alkylcarbamoyl, and the like), C1-4 alkyl which may be substituted with a halogen atom or C1-4 alkoxy (for example, trifluoromethyl, methyl, ethyl, and the like), C1-4 alkoxy which may be substituted with a halogen atom or C1-4 alkoxy (for example, methoxy, ethoxy, trifluoromethoxy, trifluoroethoxy, and the like), C1-4 alkylenedioxy (for example, —O—CH2—O—, —O—CH2—CH2—O—, and the like), formyl, C2-4 alkanoyl (for example, acetyl, propionyl, and the like), C1-4 alkylsulfonyl (for example, methanesulfonyl, ethanesulfonyl, and the like), C1-4 alkylsulfinyl (for example, methanesulfinyl, ethanesulfinyl, and the like), and the like. The number of the substituent(s) is preferably 1 to 3.
- Examples of the “heterocyclic group which may be substituted” as the substituent of the “benzene ring” in the “benzene ring which may be further substituted” represented by Bb and Cb and the “heterocyclic group” in the “heterocyclic group which may be substituted” represented by Rb 6 include a group formed by eliminating one hydrogen atom from a 5- to 8-membered aromatic heterocyclic ring which contains at least one (preferably, 1 to 4, and more preferably, 1 to 2) of 1 to 3 kinds (preferably, 1 to 2 kinds) of hetero atoms selected from oxygen atom, sulfur atom, nitrogen atom, and the like, a saturated or unsaturated non-aromatic heterocyclic ring (aliphatic heterocyclic ring), and the like.
- Examples of the “aromatic heterocyclic ring” used herein include a 5- to 8-membered (preferably, 5- to 6-membered) aromatic monocyclic heterocyclic ring (for example, furan, thiophene, pyrrole, oxazole, isoxazole, thiazole, isothiazole, imidazole, pyrazole, 1,2,3-oxadiazole, 1,2,4-oxadiazole, 1,3,4-oxadiazole, 1,2,3-thiadiazole, 1,2,4-thiadiazole, 1,3,4-thiadiazole, 1,2,3-triazole, 1,2,4-triazole, tetrazole, pyridine, pyridazine, pyrimidine, pyrazine, triazine, and the like), and the like. Examples of the “non-aromatic heterocyclic ring” include a 5- to 8-membered (preferably, 5- to 6-membered) saturated or unsaturated monocyclic non-aromatic heterocyclic ring (aliphatic heterocyclic ring) such as pyrrolidine, tetrahydrofuran, tetrahydrothiophene, thiolane, dithiolane, oxathiolane, pyrroline, imidazolidine, imidazoline, pyrazolidine, pyrazoline, oxazine, oxadiazine, thiazine, thiadiazine, piperidine, morpholine, thiomorpholine, tetrahydropyran, piperazine, pyran, oxepine, thiepin and azepine, or a 5- to 8-membered non-aromatic heterocyclic ring in which a part or all of double bonds of the above aromatic monocyclic heterocyclic ring are saturated, and the like.
- Further, examples of the “heterocyclic group which may be substituted” as the substituent of the benzene ring in the “benzene ring which may be further substituted” represented by Bb or Cb and “the heterocyclic group” in the “heterocyclic group which may be substituted” represented by Rb 6 include a group formed by eliminating one hydrogen atom from a condensed ring which is formed by condensing 2 to 3 rings (preferably, 2) selected from the above monocyclic heterocyclic rings (a monocyclic aromatic heterocyclic ring and a monocyclic non-aromatic heterocyclic ring) and 5- to 8-membered cyclic hydrocarbons (5- to 8-membered (preferably, 5- to 6-membered) saturated or unsaturated alicyclic hydrocarbons such as C5-8 cycloalkane, C5-8 cycloalkene and C5-8 cycloalkadiene; 6-membered aromatic hydrocarbons such as benzene; and the like). These condensed rings may be any one of a saturated condensed ring, a condensed ring partially having unsaturated bond(s), and an aromatic condensed ring.
- Preferred examples of such condensed ring include a ring in which two the same or different heterocyclic rings (preferably, one heterocyclic ring and one aromatic heterocyclic ring, and more preferably, the same or different two aromatic heterocyclic rings) are condensed; one heterocyclic ring and one homocyclic ring (preferably, one heterocyclic ring and one benzene ring, and more preferably, one aromatic heterocyclic ring and one benzene ring): and the like. Specific examples of the condensed ring include indole, benzothiophene, benzofuran, benzimidazole, imidazo[1,2-a]pyridine, quinoline, isoquinoline cinnoline, and the like.
- The “heterocyclic group which may be substituted” as the substituent of the benzene ring in the “benzene ring which may be further substituted” represented by Bb or Cb and the “heterocyclic group” in the “heterocyclic group which may be substituted” represented by Rb 6 may be substituted, and examples thereof include those similar to the substituent of “the hydrocarbon group which may be substituted” as the substituent of the benzene ring in “the benzene ring which may be further substituted” represented by the above Bb or Cb.
- Examples of the “halogen atom” as the substituent of the benzene ring in the “benzene ring which may be substituted” represented by Bb or Cb include fluorine, chlorine, bromine, iodine, and the like.
- Examples of the “amino group which may be substituted” as the substituent of the benzene ring in the “benzene ring which may be further substituted” represented by Bb or Cb include those similar to the “amino group which may be substituted” represented by Ab described hereinafter. Among these, preferred are amino group which may have one to two substituents selected from the “hydrocarbon group which may be substituted” (that similar to the “hydrocarbon group which may be substituted” as the substituent of the benzene ring in the “benzene ring which may be further substituted” represented by the above Bb or Cb), the “heterocyclic group which may be substituted” (that similar to the “heterocyclic group which may be substituted” as the substituent of the benzene ring in the “benzene ring which may be further substituted” represented by the above Bb or Cb), and the “acyl group which may be substituted” (that similar to the “acyl group which may be substituted” as the substituent of the benzene ring in the “benzene ring which may be further substituted” represented by Bb or Cb hereinafter). Among these, preferred is an amino group which may have 1 to 2 alkyls which may be substituted [for example, C 1-10 alkyls such as methyl, ethyl, propyl, isopropyl, butyl, isobutyl, sec-butyl, tert-butyl, pentyl, isopentyl, neopentyl, hexyl, heptyl, octyl, nonyl, decyl, and the like, preferably lower (C1-6) alkyl, and the like which may have 1 to 3 substituents selected, for example, halogen (for example, fluorine, chlorine, bromine, iodine, and the like), nitro, cyano, hydroxy group, thiol group which may be substituted (for example, thiol, C1-4 alkylthio, and the like), amino group which may be substituted (for example, amino, mono-C1-4 alkylamino, di-C1-4 alkylamino, 5- to 6-membered cyclic amino such as tetrahydropyrrole, piperazine, piperidine, morpholine, thiomorpholine, pyrrole, imidazole, and the like), phenyl-lower (C1-4) alkyl, C3-7 cycloalkyl, carboxyl group which may be esterified or amidated (for example, carboxyl, C1-4 alkoxy-carbonyl, lower (C7-10) aralkyloxy-carbonyl, carbamoyl, mono-C1-4 alkylcarbamoyl, di-C1-4 alkylcarbamoyl, and the like), C1-4 alkyl which may be substituted with a halogen atom or C1-4 alkoxy (for example, trifluoromethyl, methyl, ethyl, and the like), C1-4 alkoxy which may be substituted with a halogen atom or C1-4 alkoxy (for example, methoxy, ethoxy, trifluoromethoxy, trifluoroethoxy, and the like), C1-4 alkylenedioxy (for example, —O—CH2—O—, —O—CH2—CH2—C—, and the like), formyl, C2-4 alkanoyl (for example, acetyl, propionyl, and the like), C1-4 alkylsulfonyl (for example, methanesulfonyl, ethanesulfonyl, and the like), C1-4 alkylsulfinyl (for example, methanesulfinyl, ethanesulfinyl, and the like), and the like].
- Further, the substituents of the “amino group which may be substituted” as the substituent of the benzene ring in the “benzene ring which may be further substituted” represented by Bb or Cb may be bonded to each other to form a cyclic amino group (for example, a cyclic amino group formed by eliminating one hydrogen atom from the ring-constituting nitrogen atom of a 5- to 6-membered ring such as tetrahydropyrrole, piperazine, piperidine, morpholine, thiomorpholine, pyrrole, imidazole, and the like and has a bonding hand on the nitrogen atom, and the like). Said cyclic amino group may be substituted and examples of the substituent include halogen (for example, fluorine, chlorine, bromine, iodine, and the like), nitro, cyano, hydroxy group, thiol group, amino group, carboxyl group, C 1-4 alkyl which may be halogenated (for example, trifluoromethyl, methyl, ethyl, and the like), C1-4 alkoxy which may be halogenated (for example, methoxy, ethoxy, propoxy, butoxy, trifluoromethoxy, trifluoroethoxy, and the like), formyl, C2-4 alkanoyl (for example, acetyl, propionyl and the like), C1-4 alkylsulfonyl (for example, methanesulfonyl, ethanesulfonyl, and the like), and the like. The number of the substituent(s) is preferably 1 to 3.
- Examples of the “acyl group which may be substituted” as the substituent of the benzene ring in the “benzene ring which may be further substituted” represented by Bb or Cb include those obtained by bonding hydrogen, the “hydrocarbon group which may be substituted” (that similar to the “hydrocarbon group which may be substituted” as the substituent of the benzene ring in the “benzene ring which may be further substituted” represented by the above Bb or Cb), the “heterocyclic group which may be substituted” (that similar to the “heterocyclic group which may be substituted” as the substituent of the benzene ring in the “benzene ring which may be substituted” represented by the above Bb or Cb), and the like, with carbonyl group or sulfonyl group. Preferred examples include those obtained by bonding
- (1) hydrogen,
- (2) alkyl which may be substituted (C 1-10 alkyl such as methyl, ethyl, propyl, isopropyl, butyl, isobutyl, sec-butyl, tert-butyl, pentyl, isopentyl, neopentyl, hexyl, heptyl, octyl, nonyl, decyl, and the like, preferably lower (C1-6) alkyl, and the like);
- (3) cycloalkyl which may be substituted (for example, C 3-7 cycloalkyl such as cyclopropyl, cyclobutyl, cyclopentyl, cyclohexyl, cycloheptyl, and the like);
- (4) alkenyl which may be substituted (for example, C 2-10 akenyl such as allyl, crotyl, 2-pentenyl, 3-hexenyl, and the like, preferably lower (C2-6) alkenyl, and the like);
- (5) cycloalkenyl which may be substituted (for example, C 3-7 cycloalkenyl such as 2-cyclopentenyl, 2-cyclohexenyl, 2-cyclopentenylmethyl, 2-cyclohexenylmethyl, and the like);
- (6) 5- to 6-membered monocyclic aromatic group which may be substituted (for example, phenyl, pyridyl, and the like), and the like, with carbonyl group or sulfonyl group (for example, acetyl, propionyl, butyryl, isobutyryl, valeryl, isovaleryl, pivaloyl, hexanoyl, heptanoyl, octanoyl, cyclobutanecarbonyl, cyclopentanecarbonyl, cyclohexanecarbonyl, cycloheptanecarbonyl, crotonyl, 2-cyclohexenecarbonyl, benzoyl, nicotinoyl, methanesulfonyl, ethanesulfonyl, and the like). Examples of the substituent of (2) alkyl which may be substituted, (3) cycloalkyl which may be substituted, (4) alkenyl which may be substituted, (5) cycloalkenyl which may be substituted, and (6) 5- to 6-membered monocyclic aromatic group which may be substituted include halogen (for example, fluorine, chlorine, bromine, iodine, and the like), nitro, cyano, hydroxy group, thiol group which may be substituted (for example, thiol, C 1-4 alkylthio, and the like), amino group which may be substituted (for example, amino, mono-C1-4 alkylamino, di-C1-4 alkylamino, 5- to 6-membered cyclic amino such as tetrahydropyrrole, piperazine, piperidine, morpholine, thiomorpholine, pyrrole, imidazole, and the like), carboxyl group which may be esterified or amidated (for example, carboxyl, C1-4 alkoxy-carbonyl, carbamoyl, mono-C1-4 alkylcarbamoyl, di-C1-4 alkylcarbamoyl, and the like), C1-4 alkyl which may be substituted with a halogen atom or C1-4 alkoxy (for example, trifluoromethyl, methyl, ethyl, and the like), C1-4 alkoxy which may be substituted with a halogen atom or C1-4 alkoxy (for example, methoxy, ethoxy, trifluoromethoxy, trifluoroethoxy, and the like), formyl, C2-4 alkanoyl (for example, acetyl, propionyl, and the like), C1-4 alkylsulfonyl (for example, methanesulfonyl, ethanesulfonyl, and the like), C1-4 alkylsulfinyl (for example, methanesulfinyl, ethanesulfinyl, and the like), and the like, and the number of the substituent(s) is preferably 1 to 3.
- Examples of the “carboxyl group which may be esterified” as the substituent of the benzene ring in the “benzene ring which may be further substituted” represented by Bb or Cb include those obtained by bonding hydrogen, the “hydrocarbon group which may be substituted” (that similar to the “hydrocarbon group which may be substituted” as the substituent of the benzene ring in “the benzene ring which may be further substituted” represented by the above Bb or Cb), and the like, with carbonyloxy group. Preferred examples include those obtained by bonding:
- (1) hydrogen,
- (2) alkyl which may be substituted (C 1-10 alkyl such as methyl, ethyl, propyl, isopropyl, butyl, isobutyl, sec-butyl, tert-butyl, pentyl, isopentyl, neopentyl, hexyl, heptyl, octyl, nonyl, decyl, and the like, preferably lower (C1-6) alkyl, and the like);
- (3) cycloalkyl which may be substituted (for example, C 3-7 cycloalkyl such as cyclopropyl, cyclobutyl, cyclopentyl, cyclohexyl, cycloheptyl, and the like);
- (4) alkenyl which may be substituted (for example, C 2-10 alkenyl such as allyl, crotyl, 2-pentenyl, 3-hexenyl, and the like, preferably lower (C2-6) alkenyl, and the like);
- (5) cycloalkenyl which may be substituted(for example, C 3-7 cycloalkenyl such as 2-cyclopentenyl, 2-cyclohexenyl, 2-cyclopentenylmethyl, 2-cyclohexenylmethyl, and the like);
- (6) aryl which may be substituted (for example, phenyl, naphthyl, and the like), with carbonyloxy group. Preferred are carboxyl, lower (C 1-6) alkoxycarbonyl, aryloxycarbonyl (for example, methoxycarbonyl, ethoxycarbonyl, propoxycarbonyl, phenoxycarbonyl, naphthoxycarbonyl, and the like), and the like. Examples of the substituent of (2) alkyl which may be substituted, (3) cycloalkyl which may be substituted, (4) alkenyl which may be substituted, (5) cycloalkenyl which may be substituted, and (6) aryl which may be substituted include halogen (for example, fluorine, chlorine, bromine, iodine, and the like), nitro, cyano, hydroxy group, thiol group which may be substituted (for example, thiol, C1-4 alkylthio, and the like), amino group which may be substituted (for example, amino, mono-C1-4 alkylamino, di-C1-4 alkylamino, 5- to 6-membered cyclic amino such as tetrahydropyrrole, piperazine, piperidine, morpholine, thiomorpholine, pyrrole, imidazole, and the like), carboxyl group which may be esterified or amidated (for example, carboxyl, C1-4 alkoxy-carbonyl, carbamoyl, mono-C1-4 alkylcarbamoyl, di-C1-4 alkylcarbamoyl, and the like), C1-4 alkyl which may be substituted with a halogen atom or C1-4 alkoxy (for example, trifluoromethyl, methyl, ethyl, and the like), C1-4 alkoxy which may be substituted with a halogen atom or C1-4 alkoxy (for example, methoxy, ethoxy, trifluoromethoxy, trifluoroethoxy, and the like), formyl, C2-4 alkanoyl (for example, acetyl, propionyl, and the like), C1-4 alkylsulfonyl (for example, methanesulfonyl, ethanesulfonyl, and the like), C1-4 alkylsulfinyl (for example, methanesulfinyl, ethanesulfinyl, and the like), and the like, and the number of the substituent(s) is preferably 1 to 3.
- Examples of the “carboxyl group which may be amidated” as the substituent of the benzene ring in the “benzene ring which may be further substituted” represented by Bb or Cb include those obtained by bonding
- (1)hydroxy group,
- (2) “the amino group which may be substituted” (that similar to the “amino group which may be substituted” as the optional substituent of the benzene ring in the “benzene ring which may be further substituted” represented by the above Bb or Cb), and the like, with carbonyl group.
- One to four (preferably, 1 to 2) of the substituent(s) of the benzene ring in the “benzene ring which may be further substituted” represented by Bb or Cb may be the same or different and may be substituted at any position of the ring. Further, when the benzene ring in the “benzene ring which may be further substituted” represented by Bb or Cb has 2 or more substituents, two substituents among these are bonded to each other, for example, to form lower (C 1-6) alkylene (for example, trimethylene, tetramethylene, and the like), lower (C1-6) alkyleneoxy (for example, —CH2—O—CH2—O—, —O—CH2—CH2—, and the like), lower (C1-6) alkylenedioxy (for example, —O—CH2—O—, —O—CH2—CH2—O—, and the like), lower (C2-6) alkenylene (for example, —CH2—CH═CH—, —CH2—CH2—CH═CH—, —CH2—CH═CH—CH2—, and the like), lower (C4-6) alkadienylene (for example, —CH═CH—CH═CH—, and the like), and the like.
- As the substituent of the benzene ring in the “benzene ring which may be further substituted” represented by Bb or Cb, preferred are a hydrocarbon group which may be substituted, a heterocyclic group which may be substituted, nitro group, halogen atom, amino group which may be substituted, a group represented by Rb 6-Yb- (wherein Yb is oxygen atom or sulfur atom which may be oxidized, and Rb6 is a hydrocarbon group which may be substituted, or a heterocyclic group which may be substituted), and the like. More preferred are a hydrocarbon group which may be substituted, a heterocyclic group which may be substituted, a halogen atom, an amino group which may be substituted, a group represented by Rb6-Yb- (wherein Yb indicates oxygen atom or sulfur atom which may be oxidized, and Rb6 indicates a hydrocarbon group which may be substituted, or a heterocyclic group which may be substituted), and the like. Among these, in particular, lower (C1-4) alkyl, a halogen atom, and the like are preferred.
- As the “benzene ring in the “benzene ring which may be further substituted ” represented by Bb or Cb, preferred is a benzene ring which does not have a substituent other than the each substituent represented explicitly.
- Examples of the “hydrocarbon group” in the “hydrocarbon group which may be substituted” represented by Rb 1, Rb2 and Rb3 include
- (1) alkyl (for example, C 1-10 alkyl such as methyl, ethyl, propyl, isopropyl, butyl, isobutyl, sec-butyl, tert-butyl, pentyl, isopentyl, neopentyl, hexyl, heptyl, octyl, nonyl, decyl, and the like, preferably lower (C1-6) alkyl, and the like);
- (2) cycloalkyl (for example, C 3-8 cycloalkyls such as cyclopropyl, cyclobutyl, cyclopentyl, cyclohexyl, cycloheptyl, and the like); further, said cycloalkyl may be condensed with benzene ring to form indan (for example, indan-1-yl, indan-2-yl, and the like), tetrahydronaphthalene (for example, tetrahydronaphthalen-5-yl, tetrahydronaphthalen-6-yl, and the like), and the like (preferably, indan, and the like); further, said cycloalkyl may be crosslinked through a linear atomic chain having 1 to 2 carbons to form crosslinked cyclic hydrocarbon residual groups such as bicyclo[2,2,1]heptyl, bicyclo[2,2,2]octyl, bicyclo[3,2,1]octyl, bicyclo[3,2,2]nonyl, and the like (preferably, cyclohexyl having crosslink through a linear atomic chain having 1 to 2 carbons, and the like, and further preferably, bicyclo[2,2,1]heptyl, and the like);
- (3) alkenyl (for example, C 2-10 alkenyl such as vinyl, allyl, crotyl, 2-pentenyl, 3-hexenyl, and the like, preferably lower (C2-6) alkenyl, and the like);
- (4) cycloalkenyl (for example, C 3-8 cycloalkenyl such as 2-cyclopentenyl, 2-cyclohexenyl, 2-cyclopentenylmethyl, 2-cyclohexenylmethyl, and the like);
- (5) alkynyl (for example, C 2-10 alkynyl such as ethynyl, 1-propynyl, 2-propynyl, 1-butynyl, 2-pentynyl, 3-hexynyl, preferably lower (C2-6) alkynyl, and the like);
- (6) aryl (for example, C 6-14 aryl such as phenyl, naphthyl, and the like, preferably C6-10 aryl, more preferably phenyl, and the like);
- (7) aralkyl (for example, C 1-6 alkyl having 1 to 3 C6-14 aryl, preferably phenyl-C1-4 alkyl (for example, benzyl, phenethyl, and the like), and the like.
- (8) a group represented by the formula
- X′″-G-(CH2)n-J
- wherein X′″ is a C 1-4 alkylene group or a C1-4 alkenylene group, G is a bonding hand, —O—, —S—, —CO—NH— or —NH—CO—, n is an integer of 0 to 3, and J is an aromatic cyclic group which may be substituted, and the like.
- In the above formula, examples the aromatic cyclic group which may be substituted represented by J include an aryl group which may be substituted, an aromatic heterocyclic group which may be substituted, and the like.
- Examples of the “aryl group” in the “aryl group which may be substituted” represented by J include C 6-14 aryl such as phenyl, naphthyl, and the like, preferably C6-10 aryl, more preferably phenyl, and the like.
- Examples of the “aromatic heterocyclic group” in the “aromatic heterocyclic group which may be substituted” represented by J include those similar to the “aromatic heterocyclic group which may be substituted” in the “heterocyclic group which may be substituted” exemplified with respect to Ra 6. Among these, preferred is a 5- to 6-membered aromatic monocyclic heterocyclic group which may be substituted. Examples of the 5- to 6-membered aromatic monocyclic heterocyclic group include furan, thiophene, pyrrole, oxazole, isoxazole, thiazole, isothiazole, imidazole, pyrazole, 1,2,3-oxadiazole, 1,2,4-oxadiazole, 1,3,4-oxadiazole, 1,2,3-thiadiazole, 1,2,4-thiadiazole, 1,3,4-thiadiazole, 1,2,3-triazole, 1,2,4-triazole, tetrazole, pyridine, pyridazine, pyrimidine, pyrazine, triazine, and the like
- The “aromatic cyclic group” in the “aromatic cyclic group which may be substituted” represented by J may be substituted, and examples of the substituent include halogen (for example, fluorine, chlorine, bromine, iodine, and the like), nitro, cyano, hydroxy group, thiol group which may be substituted (for example, thiol, C 1-4 alkylthio, and the like), amino group which may be substituted (for example, amino, mono-C1-4 alkylamino, di-C1-4 alkylamino, 5- to 6-membered cyclic amino such as tetrahydropyrrole, piperazine, piperidine, morpholine, thiomorpholine, pyrrole, imidazole, 2-oxo-1-pyrrolidinyl, 2-oxo-1-piperidinyl, and the like), phenyl-lower (C1-4) alkyl, C3-7 cycloalkyl, carboxyl group which may be esterified or amidated (for example, carboxyl, C1-4 alkoxy-carbonyl, lower (C7-10) aralkyloxy-carbonyl, carbamoyl, mono-C1-4 alkylcarbamoyl, di-C1-4 alkylcarbamoyl, and the like), C1-4 alkyl which may be substituted with a halogen atom or C1-4 alkoxy (for example, trifluoromethyl, methyl, ethyl, and the like), C1-4 alkoxy which may be substituted with a halogen atom or C1-4 alkoxy (for example, methoxy, ethoxy, trifluoromethoxy, trifluoroethoxy, and the like), C1-4 alkylenedioxy (for example, —O—CH2—O—, —O—CH2—CH2—O—, and the like), formyl, C2-4 alkanoyl (for example, acetyl, propionyl, and the like), C1-4 alkylsulfonyl (for example, methanesulfonyl, ethanesulfonyl, and the like), C1-4 alkylsulfinyl (for example, methanesulfinyl, ethanesulfinyl, and the like), sulfamoyl group which may be substituted (for example, sulfamoyl, mono-C1-4 alkylsulfamoyl, di-C1-4 alkylsulfamoyl, and the like), an aryl group which may be substituted, a heterocyclic group which may be substituted, and the like. The number of the substituent(s) is preferably 1 to 3.
- The “hydrocarbon group” in the “hydrocarbon group which may be substituted” represented by Rb 1, Rb2 and Rb3 may be substituted, and examples of the substituent include halogen (for example, fluorine, chlorine, bromine, iodine, and the like), nitro, cyano, oxo, hydroxy group, thiol group which may be substituted (for example, thiol, C1-4 alkylthio, and the like), amino group which may be substituted (for example, amino, mono-C1-4 alkylamino, di-C1-4 alkylamino, 5- to 6-membered cyclic amino such as tetrahydropyrrole, piperazine, piperidine, morpholine, thiomorpholine, pyrrole, imidazole, 2-oxo-1-pyrrolidinyl, 2-oxo-1-piperidinyl, and the like), phenyl-lower (C14) alkyl, C3-7 cycloalkyl, carboxyl group which may be esterified or amidated (for example, carboxyl, C1-4 alkoxy-carbonyl, lower (C710) aralkyloxy-carbonyl, carbamoyl, mono-C1-4 alkylcarbamoyl, di-C1-4 alkylcarbamoyl, and the like), C1-4 alkyl which may be substituted with a halogen atom or C1-4 alkoxy (for example, trifluoromethyl, methyl, ethyl, and the like), C1-4 alkoxy which may be substituted with a halogen atom or C1-4 alkoxy (for example, methoxy, ethoxy, trifluoromethoxy, trifluoroethoxy, and the like), C1-4 alkylenedioxy (for example, —O—CH2—O—, —O—CH2—CH2—O—, and the like), formyl, C2-4 alkanoyl (for example, acetyl, propionyl, and the like), C1-4 alkylsulfonyl (for example, methanesulfonyl, ethanesulfonyl, and the like), C1-4 alkylsulfinyl (for example, methanesulfinyl, ethanesulfinyl, and the like), a sulfamoyl group which may be substituted (for example, sulfamoyl, mono-C1-4 alkylsulfamoyl, di-C1-4 alkylsulfamoyl, and the like), an aryl group which may be substituted, a heterocyclic group which may be substituted, and the like. The number of the substituent(s) is preferably 1 to 3.
- Examples of the “aryl group” in the “aryl group which may be substituted” as the substituent of the “hydrocarbon group which may be substituted” represented by Rb 1, Rb2 and Rb3 include C6-14 aryls such as phenyl, naphthyl, and the like, preferably C6-10 aryl, more preferably phenyl, and the like.
- Examples of the substituent of said “aryl group” include halogen (for example, fluorine, chlorine, bromine, iodine, and the like), nitro, cyano, hydroxy group, thiol group which may be substituted (for example, thiol, C 1-4 alkylthio, and the like), amino group which may be substituted (for example, amino, mono-C1-4 alkylamino, di-C1-4 alkylamino, 5- to 6-membered cyclic amino such as tetrahydropyrrole, piperazine, piperidine, morpholine, thiomorpholine, pyrrole, imidazole, and the like), phenyl-lower (C1-4) alkyl, C3-7 cycloalkyl, a carboxyl group which may be esterified or amidated (for example, carboxyl, C1-4 alkoxy-carbonyl, lower (C7-10) aralkyloxy-carbonyl, carbamoyl, mono-C1-4 alkylcarbamoyl, di-C1-4 alkylcarbamoyl, and the like), C1-4 alkyl which may be substituted with a halogen atom or C1-4 alkoxy (for example, trifluoromethyl, methyl, ethyl, and the like), C1-4 alkoxy which may be substituted with a halogen atom or C1-4 alkoxy (for example, methoxy, ethoxy, trifluoromethoxy, trifluoroethoxy, and the like), C1-4 alkylenedioxy (for example, —O—CH2O—, —O—CH2—CH2—O—, and the like), formyl, C2-4 alkanoyl (for example, acetyl, propionyl, and the like), C1-4 alkylsulfonyl (for example, methanesulfonyl, ethanesulfonyl, and the like), C1-4 alkylsulfinyl (for example, methanesulfinyl, ethanesulfinyl, and the like), a sulfamoyl group which may be substituted (for example, sulfamoyl, mono-C1-4 alkylsulfamoyl, di-C1-4 alkylsulfamoyl, and the like), a 5- to 6-membered aromatic monocyclic heterocyclic group (furan, thiophene, pyrrole, oxazole, isoxazole, thiazole, isothiazole, imidazole, pyrazole, 1,2,3-oxadiazole, 1,2,4-oxadiazole, 1,3,4-oxadiazole, 1,2,3-thiadiazole, 1,2,4-thiadiazole, 1,3,4-thiadiazole, 1,2,3-triazole, 1,2,4-triazole, tetrazole, pyridine, pyridazine, pyrimidine, pyrazine, triazine, and the like). The number of the substituent(s) is preferably 1 to 3.
- Examples of the “heterocyclic group which may be substituted” as the substituent of the “hydrocarbon group which may be substituted” represented by Rb 1, Rb2 and Rb3, include those similar to the “heterocyclic group which may be substituted” represented by the above Rb6.
- In the above formula, Rb 1 is preferably hydrogen atom or C1-6 alkyl which may be substituted, more preferably, hydrogen atom or C1-4 alkyl, and in particular, hydrogen atom.
- In the above formula, the “hydrocarbon group which may be substituted” represented by Rb 2 is preferably a group represented by the formula X′″-G-(CH2)n-J, wherein X′″ is a C1-4 alkylene group or a C1-4 alkenylene group, G is a bonding hand —O—, —S—, —CO—NH— or —NH—CO—, n is an integer of 0 to 3, and J is an aromatic cyclic group which may be substituted. Preferred examples of the aromatic cyclic group which may be substituted represented by J include phenyl which may be substituted, a 5- to 6-membered aromatic monocyclic heterocyclic group which may be substituted, and the like.
- In the above formula, the “hydrocarbon group which may be substituted” represented by Rb 3 is preferably C1-6 alkyl which may be substituted, and in particular, a group represented by the formula —(CH2)p—K, wherein p is an integer of 1 to 6, and K is an aromatic cyclic group which may be substituted.
- Examples of the “aromatic cyclic group which may be substituted” represented by K include those similar to the “aromatic cyclic group which may be substituted” represented by the fore-mentioned J, and the “aromatic cyclic group” in the “aromatic cyclic group which may be substituted” represented by K is preferably phenyl group. The substituent of the “aromatic cyclic group” in the “aromatic cyclic group which may be substituted” represented by K is preferably hydroxy group, sulfamoyl group which may be substituted, and the like.
- Further, in the above formula, when Rb 1 and Xb are bonded to form a ring, “the ring” may be either of a saturated ring or an unsaturated ring so far as it is a nitrogen-containing heterocyclic ring, and the size of the ring is not specifically limited, but among these, preferred is a 3- to 8-membered nitrogen-containing heterocyclic ring, in particular, a 3- to 8-membered saturated nitrogen-containing heterocyclic ring, namely a ring represented by the formula:
- wherein ring Db is a 3- to 8-membered saturated nitrogen-containing heterocyclic ring.
- Examples of the “3- to 8-membered nitrogen-containing heterocyclic ring” include a 3- to 8-membered nitrogen-containing heterocyclic ring which contains one nitrogen atom and may contain 1 to 4 (preferably 1 to 2) of one to three kinds (preferably, one to two kinds) hetero atoms selected from oxygen atom, sulfur atom and nitrogen atom, and the like. More specifically, examples thereof include a 3- to 8-membered (preferably, 5- to 6-membered) saturated or unsaturated (preferably, saturated) monocyclic non-aromatic heterocyclic ring (aliphatic heterocyclic ring) such as pyrrolidine, pyrroline, imidazolidine, imidazoline, pyrazolidine, pyrazoline, oxazine, oxadiazine, thiazine, thiadiazine, piperidine, morpholine, thiomorpholine, piperazine, azepine, and the like.
- Further, said “3- to 8-membered nitrogen-containing heterocyclic ring” may be substituted, and examples of the substituent include those similar to the substituent of the “hydrocarbon group which may be substituted” as the substituent of the benzene ring in the “benzene ring which may be further substituted” represented by the above B or C.
- Further, in the above formula, Rb 1 may be bonded to the “amino group which may be substituted” represented by Ab to form a ring, and the “ring” may be either of a saturated ring and an unsaturated ring so far as it is a heterocyclic ring containing at least two nitrogen atoms, and the size of the ring is not limited. Among these, a 3- to 8-membered nitrogen-containing heterocyclic ring is preferred, and in particular, a 3- to 8-membered saturated nitrogen-containing heterocyclic ring, namely a ring represented by the formula:
- wherein Ab′ is nitrogen atom which may be substituted, and ring Fb is a 3- to 8-membered saturated nitrogen-containing heterocyclic ring, is preferred.
- In the above formula, examples of the substituent of the “nitrogen atom” in the “nitrogen atom which may be substituted” represented by Ab′ include those similar to the substituent of the “amino group” in the “amino group which may be substituted” represented by Ab hereinafter.
- Examples of the “3- to 8-membered nitrogen-containing heterocyclic ring” include a 3- to 8-membered nitrogen-containing heterocyclic ring which contains two nitrogen atoms and further 1 to 4 (preferably 1 to 2) of one to three kinds (preferably, one to two kinds) of hetero atoms selected from oxygen atom, sulfur atom and nitrogen atom, and the like. More specifically, examples thereof include a 3- to 8-membered (preferably, 5- to 6-membered) saturated or unsaturated (preferably, saturated) monocyclic non-aromatic heterocyclic ring (aliphatic heterocyclic ring) such as imidazolidine, imidazoline, pyrazolidine, pyrazoline, oxadiazine, thiadiazine, piperazine, diazepine, and the like.
- Further, said “3- to 8-membered nitrogen-containing heterocyclic ring” may be substituted, and examples of the substituent include those similar to the substituent of the “hydrocarbon group which may be substituted” as the substituent which the benzene ring in the “benzene ring which may be further substituted” represented by the above Bb or Cb.
- In the above formula, “the spacer in which the number of atom(s) constituting a linear chain portion is 1 to 8” represented by Xb may be any one so far as it is “the divalent group in which the number of atom(s) in a linear chain portion is 1 to 8”, and examples thereof include a saturated divalent group and a divalent group in which a part of bonds is converted to unsaturated bond(s), such as
- (1) —(CH 2)f2— (f2 is an integer of 1 to 8, preferably an integer of 1 to 6 and more preferably an integer of 1 to 4),
- (2) —(CH 2)g3—X3—(CH2)g4— (g3 and g4 are the same or different and are an integer of 0 to 7, provided that the sum of g3 and g4 is 0 to 8. X3 is NH, O, S, SO or SO2),
- (3) —(CH 2)h4—X3—(CH2)h5—X4—(CH2)h6— (h4, h5 and h6 are the same or different and are an integer of 0 to 6, provided that the sum of h4, h5 and h6 is 0 to 6. Each of X3 and X4 is NH, O, S, SO or SO2). However, when h5 is 0, at least one of X3 and X4 is preferably NH). Specific examples include a divalent group such as —O—(CH2)k5— (k5 is an integer of 0 to 7), —(CH2)k5—O— (k5 is an integer of 0 to 7), —S—(CH2)k5 (k5 is an integer of 0 to 7), —(CH2)k5—S— (k5 is an integer of 0 to 7), —NH—(CH2)k5— (k5 is an integer of 0 to 7), —(CH2)k5—NH— (k5 is an integer of 0 to 7), —(CH2)k6— (k6 is an integer of 1 to 8), —CH═CH—, —C≡C—, —CO—NH—, —SO2—NH—, and the like.
- As Xb, more preferred one is a divalent group in which the number of carbon atom(s) constituting a linear chain portion is 1 to 4. Among these, C 1-4 alkylene, C2-4 alkenylene, and the like are preferred and, in particular, C1-4 alkylene is preferably used.
- The divalent group as Xb may be substituted at an arbitrary position (preferably, on a carbon atom), and the substituent may be any one so far as it can be bonded to a divalent chain constituting a linear chin portion. Examples thereof include those similar to the substituent of the “benzene ring” in the “benzene ring which may be further substituted” represented by the above Bb and Cb may, oxo group, and the like. The substituent(s) are the same or different and the number thereof is 1 to 4 (preferably, 1 to 2). They may be substituted at any position of said divalent group. Further, the substituents of the divalent group as Xb may be bonded to each other to form a ring, and examples of “the ring” include C 1-7 cycloalkanes such as cyclopentane, cyclohexane, cycloheptane, and the like; benzene; and the like.
- Examples of the preferred substituent of the divalent group as Xb include lower (C 1-6) alkyl (for example, methyl, ethyl, propyl, isopropyl, butyl, isobutyl, sec-butyl, tert-butyl, pentyl, isopentyl, neopentyl, hexyl, and the like), lower (C3-7) cycloalkyl (for example, cyclopropyl, cyclobutyl, cyclopentyl, cyclohexyl and cycloheptyl, and the like), formyl, lower (C2-7) alkanoyl (for example, acetyl, propionyl, butyryl, and the like), lower (C1-6) alkoxy-carbonyl, lower (C1-6) alkoxy, a hydroxy group, oxo, and the like.
- As Xb, in particular, a chain spacer is preferred.
- In the above formula, examples of the “amino group which may be substituted” represented by Ab include amino group, and the like which may have 1 or 2 substituents selected from the “hydrocarbon group which may be substituted” (that similar to “the hydrocarbon group which may be substituted” as the substituent of the benzene ring in the “benzene ring which may be further substituted” represented by the above Bb and Cb, and the like), the “heterocyclic group which may be substituted” (that similar to the “heterocyclic group which may be substituted” as the substituent of the benzene ring in the “benzene ring which may be further substituted” represented by the above Bb and Cb, and the like), and the “acyl group which may be substituted” (that similar to the “acyl group which may be substituted” as the substituent of the benzene ring in the “benzene ring which may be further substituted” represented by the above Bb and Cb, and the like). The substituents of the “amino group which may be substituted” represented by Ab may bond to each other to form a cyclic amino group (for example, a cyclic amino group having a bonding hand on nitrogen atom which is formed by eliminating one hydrogen atom from the nitrogen atom constituting the ring of 5- to 6-membered rings such as tetrahydropyrrole, piperazine, piperidine, morpholine, thiomorpholine, pyrrole and imidazole, and the like). Said cyclic amino group may be substituted and examples of the substituent include halogen (for example, fluorine, chlorine, bromine, iodine, and the like), nitro, cyano, hydroxy group, thiol group, amino group, carboxyl group, C 1-4 alkyl which may be halogenated (for example, trifluoromethyl, methyl, ethyl, and the like), C1-4 alkoxy which may be halogenated (for example, methoxy, ethoxy, propoxy, butoxy, trifluoromethoxy, trifluoroethoxy, and the like), formyl, C2-4 alkanoyl (for example, acetyl, propionyl, and the like), C1-4 alkylsulfonyl (for example, methanesulfonyl, ethanesulfonyl, and the like), and the like, and the number of the substituent(s) is preferably 1 to 3.
- Preferred examples of the substituent of the amino group in the “amino group which may be substituted” represented by Ab include
- (1) alkyl which may be substituted (for example, C 1-10 alkyls such as methyl, ethyl, propyl, isopropyl, butyl, isobutyl, sec-butyl, tert-butyl, pentyl, isopentyl, neopentyl, hexyl, heptyl, octyl, nonyl, decyl, and the like preferably lower (C1-6) alkyl, and the like);
- (2) cycloalkyl which may be substituted (for example, C 3-8 cycloalkyls such as cyclopropyl, cyclobutyl, cyclopentyl, cyclohexyl, cycloheptyl, cyclooctyl, and the like); further, said cycloalkyl may be condensed with benzene ring to form indan (for example, indan-1-yl, indan-2-yl, and the like), tetrahydronaphthalene (for example, tetrahydronaphthalen-5-yl, tetrahydronaphthalen-6-yl, and the like), and the like (preferably, indan, and the like); further, said cycloalkyl may be crosslinked through a linear atomic chain having 1 to 2 carbons to form crosslinked cyclic hydrocarbon residual groups such as bicycio[2,2,1]heptyl, bicyclo[2,2,2]octyl, bicyclo[3,2,1]octyl, and bicyclo[3,2,2]nonyl (preferably, cyclohexyl having crosslink through a linear atomic chain having 1 to 2 carbons, and the like, and further preferably, bicyclo[2,2,1]heptyl, and the like);
- (3) alkenyl which may be substituted (for example, C 2-10 alkenyl such as allyl, crotyl, 2-pentenyl, 3-hexenyl, and the like, preferably lower (C2-6) alkenyl, and the like);
- (4) cycloalkenyl which may be substituted (for example, C 3-7 cycloalkenyl such as 2-cyclopentenyl, 2-cyclohexenyl, 2-cyclopentenylmethyl, 2-cyclohexenylmethyl, and the like);
- (5) aralkyl which may be substituted (for example, phenyl-C 1-4 alkyl (for example, benzyl, phenethyl, and the like), and the like);
- (6) formyl or acyl which may be substituted (for example, C 2-4 alkanoyl (for example, acetyl, propionyl, butyryl, isobutyryl, and the like), C1-4 alkylsulfonyl having (for example, methanesulfonyl, ethanesulfonyl, and the like);
- (7) aryl which may be substituted (for example, phenyl, naphthyl, and the like);
- (8) a heterocyclic group which may be substituted (for example, a group formed by eliminating one hydrogen atom from a 5- to 6-membered aromatic heterocyclic ring which contains 1 to 4 hetero atoms of 1 to 2 kinds selected from nitrogen atom, sulfur atom and oxygen atom such as furan, thiophene, pyrrole, imidazole, pyrazole, thiazole, oxazole, isothiazole, isoxazole, tetrazole, pyridine, pyrazine, pyrimidine, pyridazine, triazole, and the like, a group formed by eliminating one hydrogen atom from a 5- to 6-membered non-aromatic heterocyclic ring which contains 1 to 4 hetero atoms of 1 to 2 kinds selected from nitrogen atom, sulfur atom and oxygen atom such as tetrahydrofuran, tetrahydrothiophene, dithiolane, oxathiolane, pyrrolidine, pyrroline, imidazolidine, imidazoline, pyrazolidine, pyrazoline, piperidine, piperazine, oxazine, oxadiazine, thiazine, thiadiazine, morpholine, thiomorpholine, pyran, tetrahydropyran, and the like).
- Preferred examples of the substituent of the above (1) alkyl which may be substituted, (2) cycloalkyl which may be substituted, (3) alkenyl which may be substituted, (4) cycloalkenyl which may be substituted, (5) aralkyl which may be substituted, (6) acyl which may be substituted, (7) aryl which may be substituted and (8) a heterocyclic group which may be substituted include halogen (for example, fluorine, chlorine, bromine, iodine, and the like), C 1-4 alkyl which may be substituted with a halogen atom or C1-4 alkoxy, C1-4 alkoxy which may be substituted with a halogen atom or C1-4 alkoxy (for example, methoxy, ethoxy, propoxy, butoxy, trifluoromethoxy, trifluoroethoxy, and the like), C1-4 alkylenedioxy (for example, —O—CH2—O—, —O—CH2—CH2—O—, and the like), formyl, C2-4 alkanoyl (for example, acetyl, propionyl, and the like), C1-4 alkylsulfonyl (for example, methanesulfonyl, ethanesulfonyl, and the like), phenyl-lower (C1-4) alkyl, C3-7 cycloalkyl, cyano, nitro, a hydroxy group, a thiol group which may be substituted (for example, thiol, C1-4 alkylthio, and the like), amino group which may be substituted (for example, amino, mono-C1-4 alkylamino, di-C1-4 alkylamino, 5- to 6-membered cyclic amino such as tetrahydropyrrole, piperazine, piperidine, morpholine, thiomorpholine, pyrrole, imidazole, and the like), a carboxyl group, lower (C1-4) alkoxy-carbonyl, lower (C7-10)aralkyloxy-carbonyl, carbamoyl, mono-C1-4 alkylcarbamoyl, di-C1-4 alkylcarbamoyl (preferably, halogen, lower (C1-4 alkyl which may be halogenated, lower (C1-4) alkoxy which may be halogenated, phenyl-lower (C1-4) alkyl, C3-7 cycloalkyl, cyano, hydroxy group, and the like), and the number of the substituent(s) is preferably 1 to 3.
- Preferred examples of the “amino group which may be substituted” represented by Ab include, in particular, amino group which may have 1 to 2 alkyls which may be substituted [C 1-10 alkyl such as methyl, ethyl, propyl, isopropyl, butyl, isobutyl, sec-butyl, tert-butyl, pentyl, isopentyl, neopentyl, hexyl, heptyl, octyl, nonyl and decyl, preferably lower (C1-6) alkyl, and the like, each of which may have 1 to 3 substituents selected from, for example, halogen (for example, fluorine, chlorine, bromine, iodine, and the like), nitro, cyano, a hydroxy group, a thiol group which may be substituted (for example, thiol, C1-4 alkylthio, and the like), an amino group which may be substituted (for example, amino, mono-C1-4 alkylamino, di-C1-4 alkylamino, 5- to 6-membered cyclic amino such as tetrahydropyrrole, piperazine, piperidine, morpholine, thiomorpholine, pyrrole, imidazole, and the like), a carboxyl group which may be esterified or amidated (for example, carboxyl, C1-4 alkoxycarbonyl, lower (C7-10)aralkyloxy-carbonyl, carbamoyl, mono-C1-4 alkylcarbamoyl, di-C1-4 alkylcarbamoyl, and the like), C1-4 alkyl which may be substituted with a halogen atom or C1-4 alkoxy (for example, trifluoromethyl, methyl, ethyl, and the like), C1-4 alkoxy which may be substituted with a halogen atom or C1-4 alkoxy (for example, methoxy, ethoxy, trifluoromethoxy, trifluoroethoxy, and the like), C1-4 alkylenedioxy (for example, —O—CH2—O—, —O—CH2—CH2—O—, and the like), phenyl-lower (C1-4) alkyl, C3-7 cycloalkyl, formyl, C2-4 alkanoyl (for example, acetyl, propionyl, and the like), C1-4 alkylsulfonyl (for example, methanesulfonyl, ethanesulfonyl, and the like), C1-4 alkylsulfinyl (for example, methanesulfinyl, ethanesulfinyl, and the like), and the like.
- In the above formula, examples of the “nitrogen-containing heterocyclic group” in the “nitrogen-containing heterocyclic group which may be substituted” represented by Ab include a 5- to 8-membered aromatic monocyclic heterocyclic ring which contains one nitrogen atom and may contain 1 to 4 (preferably 1 to 2) of one to three kinds (preferably one to two kinds) of hetero atoms selected from oxygen atom, sulfur atom and nitrogen atom; a saturated or unsaturated non-aromatic monocyclic heterocyclic ring (aliphatic heterocyclic ring), and the like; and a group formed by eliminating one hydrogen atom from a ring in which 2 to 3 the same or different rings selected from these monocyclic rings are condensed. Further, “the nitrogen-containing heterocyclic group which may be substituted” represented by Ab may be bonded to Xb through either of nitrogen atom and carbon atom. Preferably, it is bonded to Xb through carbon atom.
- Examples of the “aromatic monocyclic heterocyclic ring” used herein include a 5- to 8-membered (preferably, 5- to 6-membered) aromatic monocyclic heterocyclic ring (for example, pyrrole, oxazole, isoxazole, thiazole, isothiazole, imidazole, pyrazole, 1,2,3-oxadiazole, 1,2,4-oxadiazole, 1,3,4-oxadiazole, 1,2,3-thiadiazole, 1,2,4-thiadiazole, 1,3,4-thiadiazole, 1,2,3-triazole, 1,2,4-triazole, tetrazole, pyridine, pyridazine, pyrimidine, pyrazine, triazine, and the like), and the like. Examples of the “non-aromatic monocyclic heterocyclic ring” include a 5- to 8-membered (preferably, 5- to 6-membered) saturated or unsaturated monocyclic non-aromatic heterocyclic ring (aliphatic heterocyclic ring) such as pyrrolidine, pyrroline, imidazolidine, imidazoline, pyrazolidine, pyrazoline, oxazine, oxadiazine, thiazine, thiadiazine, piperidine, morpholine, thiomorpholine, piperazine, and azepine, or 5- to 8-membered non-aromatic heterocyclic rings in which a part or all of double bonds of the above aromatic monocyclic heterocyclic ring are saturated, and the like.
- Examples of the substituent of the “nitrogen-containing heterocyclic group” in the “nitrogen-containing heterocyclic group which may be substituted” represented by Ab include those similar to the substituent of the hydrocarbon group which may be substituted” as the substituent of the benzene ring in the “benzene ring which may be further substituted” represented by the above Bb or Cb.
- The “nitrogen-containing heterocyclic group” in the “nitrogen-containing heterocyclic group which may be substituted” represented by Ab is preferably a 5- to 6-membered nitrogen-containing heterocyclic group, more preferably a 5- to 6-membered saturated nitrogen-containing heterocyclic group, in particular, pyrrolidine, piperidine, piperazine (preferably, a 5- to 6-membered saturated nitrogen-containing heterocyclic group having one nitrogen atom), and the like.
-
-
- wherein Rb 1 is as defined above, Xb1 is a C1-6 alkylene group which may be substituted, each of Rb4 and Rb5 is a hydrogen atom or a C1-6 alkyl group which may be substituted, and Rb4 and Rb5 may be bonded to each other to form a ring, and
-
- wherein Xb″ is a bonding hand or a C 1-4 alkylene group which may be substituted, each of ring Db and ring Eb is a 3- to 8-membered saturated nitrogen-containing heterocyclic group], and the like.
- In the above formula, examples of the substituent of the “C 1-6 alkylene group (preferably, a C1-4 alkylene group)” in the “C1-6 alkylene group which may be substituted” represented by Xb′ include those similar to the substituent of the divalent bond as Xb.
- In the above formula, examples of the “C 1-6 alkyl group which may be substituted” represented by Rb4 and Rb5 include lower (C1-6) alkyl such as methyl, ethyl, propyl, isopropyl, butyl, isobutyl, sec-butyl, tert-butyl, pentyl, isopentyl, neopentyl, hexyl, and the like each of which may have 1 to 3 substituents selected from, for example, halogen (for example, fluorine, chlorine, bromine, iodine, and the like), nitro, cyano, hydroxy group, thiol group which may be substituted (for example, thiol, C1-4 alkylthio, and the like), an amino group which may be substituted (for example, amino, mono-C1-4 alkylamino, di-C1-4 alkylamino, 5- to 6-membered cyclic amino such as tetrahydropyrrole, piperazine, piperidine, morpholine, thiomorpholine, pyrrole, imidazole, and the like), carboxyl group which may be esterified or amidated (for example, carboxyl, C1-4 alkoxycarbonyl, lower (C7-10) aralkyloxy-carbonyl, carbamoyl, mono-C1-4 alkylcarbamoyl, di-C1-4 alkylcarbamoyl, and the like), C1-4 alkyl which may be substituted with a halogen atom or C1-4 alkoxy (for example, trifluoromethyl, methyl, ethyl, and the like), C1-4 alkoxy which may be substituted with a halogen atom or C1-4 alkoxy (for example, methoxy, ethoxy, trifluoromethoxy, trifluoroethoxy, and the like), C1-4 alkylenedioxy (for example, —O—CH2—O—, —O—CH2—CH2—O—, and the like), phenyl-lower (C1-4) alkyl, C3-7 cycloalkyl, formyl, C2-4 alkanoyl (for example, acetyl, propionyl and the like), C1-4 alkylsulfonyl (for example, methanesulfonyl, ethanesulfonyl, and the like), C1-4 alkylsulfinyl (for example, methanesulfinyl, ethanesulfinyl, and the like), and the like.
- In the above formula, Rb 4 and Rb5 may be bonded to each other and together with the adjacent nitrogen atom to form a cyclic amino group (for example, a cyclic amino group formed by eliminating one hydrogen atom from the ring-constituting nitrogen atom of a 5- to 6-membered ring such as tetrahydropyrrole, piperazine, piperidine, morpholine, thiomorpholine, pyrrole and imidazole, and which has a bonding hand on nitrogen atom, and the like; preferably 5- to 6-membered saturated cyclic amino groups such as pyrrolidino, piperazino, piperidino, and the like; and more preferably pyrrolidino, and the like). Said cyclic amino group may be substituted, and examples of the substituent include halogen (for example, fluorine, chlorine, bromine, iodine, and the like), nitro, cyano, hydroxy group, thiol group, amino group, carboxyl group, C1-4 alkyl which may be halogenated (for example, trifluoromethyl, methyl, ethyl, and the like), C1-4 alkoxy which may be halogenated (for example, methoxy, ethoxy, propoxy, butoxy, trifluoromethoxy, trifluoroethoxy, and the like), formyl, C2-4 alkanoyl (for example, acetyl, propionyl, and the like), C1-4 alkylsulfonyl (for example, methanesulfonyl, ethanesulfonyl, and the like), and the like. The number of the substituent(s) is preferably 1 to 3.
- In the above formula, examples of the substituent of the “C 1-4 alkylene group” in the “C1-4 alkylene group which may be substituted” represented by Xb″ include those similar to the substituent of the divalent group as Xb.
- In the above formula, examples of the “3- to 8-membered saturated nitrogen-containing heterocyclic ring” represented by ring Db and ring Eb include a 3- to 8-membered nitrogen-containing heterocyclic ring which contains one nitrogen atom and may contain 1 to 4 (preferably 1 to 2) of one to three kinds (preferably one to two kinds) of hetero atoms selected from oxygen atom, sulfur atom and nitrogen atom, and the like. More specifically, examples thereof include a 3- to 8-membered (preferably, 5- to 6-membered) saturated or unsaturated (preferably, saturated) monocyclic non-aromatic heterocyclic ring (aliphatic heterocyclic ring) such as pyrrolidine, pyrroline, imidazolidine, imidazoline, pyrazolidine, pyrazoline, oxazine, oxadiazine, thiazine, thiadiazine, piperidine, morpholine, thiomorpholine, piperazine, azepine, etc.
- Further, said “3- to 8-membered nitrogen-containing heterocyclic ring” may be substituted, and examples of the substituent include those similar to the substituent of the “hydrocarbon group which may be substituted” as the substituent of the benzene ring in the “benzene ring which may be further substituted” represented by the above Bb or Cb.
- Further, the “3- to 8-membered nitrogen-containing heterocyclic ring” represented by ring Db and ring Eb may be bonded to Xb″ through either of nitrogen atom or carbon atom, with bonding to Xb″ through carbon atom being preferred.
-
- wherein each symbol is as defined above,
-
- wherein each symbol is as defined above, or
-
- wherein each symbol is as defined above.
- Among the compound represented by the formula (Ib), 3′-{[{2-[4-(aminosulfonyl)phenyl]ethyl}(4-phenylbutanoyl)amino]methyl}-N-[2-(1-pyrrolidinyl)ethyl][1,1′-biphenyl]-3-carboxamide, 3′-({{2-[4-(aminosulfonyl)phenyl]ethyl}[(benzyloxy)acetyl]amino}methyl)-N-[2-(1-pyrrolidinyl)ethyl][1,1′-biphenyl]-3-carboxamide, and the like are preferably used.
- In the above formula, Ar is the “aryl group which may be substituted”.
- Examples of the “substituent” of said “aryl group which may be substituted” include (i) lower alkyl which may be halogenated, (ii) a halogen atom (for example, fluorine, chlorine, bromine, iodine, and the like), (iii) a lower alkylenedioxy group (for example, C 1-3 alkylenedioxy group such as methylenedioxy, ethylenedioxy, and the like), (iv) nitro group, (v) cyano group, (vi) hydroxy group, (vii) a lower alkoxy group which may be halogenated, (viii) a lower cycloalkyl group (for example, C3-6 cycloalkyl group such as cyclopropyl, cyclobutyl, cyclopentyl, cyclohexyl, and the like), (ix) a lower alkylthio group which may be halogenated, (x) amino group, (xi) a mono-lower alkylamino group (for example, mono-C1-6 alkylamino group such as methylamino, ethylamino, propylamino, and the like), (xii) a di-lower alkylamino group (for example, di-C1-6 alkylamino group such as dimethylamino, diethylamino, and the like), (xiii) a 5- to 7-membered cyclic amino group which may have 1 to 3 hetero atoms selected from, for example, nitrogen atom, oxygen atom or sulfur atom, and the like in addition to one nitrogen atom (for example, pyrrolidino, piperidino, piperazino, morpholino, thiomorpholino, and the like), (xiv) a lower alkyl-carbonylamino group (for example, C1-6 alkyl-carbonylamino group such as acetylamino, propionylamino, butyrylamino, and the like), (xv) aminocarbonyloxy group, (xvi) a mono-lower alkylaminocarbonyloxy group (for example, mono-C1-6 alkylaminocarbonyloxy group such as methylaminocarbonyloxy, ethylaminocarbonyloxy, and the like), (xvii) a di-lower alkylamino-carbonyloxy group (for example, di-C1-6 alkylamino-carbonyloxy group such as dimethylaminocarbonyloxy, diethylaminocarbonyloxy, and the like), (xviii) a lower alkylsulfonylamino group (for example, C1-6 alkylsulfonylamino groups such as methylsulfonylamino, ethylsulfonylamino, propylsulfonylamino, and the like), (xix) a lower alkoxycarbonyl group (for example, C1-6 alkoxy-carbonyl group such as methoxycarbonyl, ethoxycarbonyl, propoxycarbonyl and isobutoxycarbonyl, and the like), (xx) carboxyl group, (xxi) a lower alkyl-carbonyl group (for example, C1-6 alkylcarbonyl groups such as methylcarbonyl, ethylcarbonyl, butylcarbonyl, and the like), (xxii) a lower cycloalkyl-carbonyl group (for example, C3-6 cycloalkyl-carbonyl group such as cyclopropylcarbonyl, cyclobutylcarbonyl, cyclopentylcarbonyl, cyclohexylcarbonyl, and the like), (xxiii) carbamoyl group, (xxiv) a mono-lower alkylcarbamoyl group (for example, mono-C1-6 alkyl-carbamoyl group such as methylcarbamoyl, ethylcarbamoyl, propylcarbamoyl, butylcarbamoyl, and the like), (xxv) a di-lower alkyl-carbamoyl group (for example, di-C1-6 alkylcarbamoyl group such as diethylcarbamoyl, dibutylcarbamoyl, and the like), (xxvi) a lower alkylsulfonyl group (for example, C1-6 alkylsulfonyl group such as methylsulfonyl, ethylsulfonyl, propylsulfonyl, and the like), (xxvii) a lower cycloalkylsulfonyl group (for example, C3-6 cycloalkylsulfonyl group such as cyclopentylsulfonyl, cyclohexylsulfonyl, and the like), (xxviii) phenyl group, (xxix) naphthyl group, (xxx) a mono-phenyl-lower alkyl group (for example, mono-phenyl-C1-6 alkyl group such as benzyl, phenylethyl, and the like), (xxxi) a di-phenyl-lower alkyl group (for example, di-phenyl-C1-6 alkyl group such as diphenylmethyl, diphenylethyl, and the like), (xxxii) a mono-phenyl-lower alkyl-carbonyloxy group (for example, mono-phenyl-C1-6 alkyl-carbonyloxy group such as phenylmethylcarbonyloxy, phenylethylcarbonyloxy, and the like), (xxxiii) a di-phenyl-lower alkyl-carbonyloxy group (for example, di-phenyl-C1-6 alkyl-carbonyloxy group such as diphenylmethylcarbonyloxy, diphenylethylcarbonyloxy, and the like), (xxxiv) phenoxy group, (xxxv) a mono-phenyl-lower alkyl-carbonyl group (for example, mono-phenyl-C1-6 alkyl-carbonyl group such as phenylmethylcarbonyl, phenylethylcarbonyl, and the like), (xxxvi) a di-phenyl-lower alkyl-carbonyl group (for example, di-phenyl-C1-6 alkyl-carbonyl group such as diphenylmethylcarbonyl, diphenylethylcarbonyl, and the like), (xxxvii) benzoyl group, (xxxviii) phenoxycarbonyl group, (xxxix) a phenyl-lower alkyl-carbamoyl group (for example, phenyl-C1-6 alkylcarbamoyl group such as phenyl-methylcarbamoyl, phenylethylcarbamoyl, and the like), (xxxx) phenylcarbamoyl group, (xxxxi) a phenyl-lower alkyl-carbonylamino group (for example, phenyl-C1-6 alkyl-carbonylamino group such as phenyl-methylcarbonylamino, phenyl-ethylcarbonylamino, and the like), (xxxxii) a phenyl-lower alkylamino group (for example, phenyl-C1-6 alkylamino group such as phenylmethylamino, phenyl-ethylamino, and the like), (xxxxiii) a phenyl-lower alkylsulfonyl group (for example, phenyl-C1-6 alkylsulfonyl group such as phenyl-methylsulfonyl, phenylethylsulfonyl, and the like), (xxxxiv) phenylsulfonyl group, (xxxxv) a phenyl-lower alkylsulfinyl group (for example, phenyl-C1-6 alkylsulfinyl group such as phenylmethylsulfinyl, phenyl-ethylsulfinyl, and the like), (xxxxvi) a phenyl-lower alkylsulfonylamino group (for example, phenyl-C1-6 alkylsulfonylamino group such as phenyl-methylsulfonylamino, phenyl-ethylsulfonylamino, and the like), (xxxxvii) a phenylsulfonylamino group [said (xxviii) phenyl group, (xxix) naphthyl group, (xxx) a mono-phenyl-lower alkyl group, (xxxi) a di-phenyl-lower alkyl group, (xxxii) a mono-phenyl-lower alkyl-carbonyloxy group, (xxxiii) a di-phenyl-lower alkyl-carbonyloxy group, (xxxiv) a phenoxy group, (xxxv) a mono-phenyl-lower alkyl-carbonyl group, (xxxvi) a di-phenyl-lower alkyl-carbonyl group, (xxxvii) a benzoyl group, (xxxviii) a phenoxycarbonyl group, (xxxix) a phenyl-lower alkyl-carbamoyl group, (xxxx) a phenylcarbamoyl group, (xxxxi) a phenyl-lower alkylcarbonylamino group, (xxxxii) a phenyl-lower alkylamino group, (xxxxiii) a phenyl-lower alkylsulfonyl group, (xxxxiv) a phenylsulfonyl group, (xxxxv) a phenyl-lower alkylsulfinyl group, (xxxxvi) a phenyl-lower alkylsulfonylamino group, (xxxxvii) and a phenylsulfonylamino group may further have 1 to 4 substituent(s) selected from, for example, lower alkyl (for example, C1-6 alkyl such as methyl, ethyl, propyl, isopropyl, butyl, sec-butyl, tert-butyl, pentyl, hexyl, and the like), lower alkoxy (for example, C1-6 alkoxy such as methoxy, ethoxy, propoxy, isopropoxy, n-butoxy, isobutoxy, sec-butoxy, tert-butoxy, and the like), a halogen atom (for example, chlorine, bromine, iodine, and the like), hydroxy, benzyloxy, amino, a mono-lower alkylamino group (for example, mono-C1-6 alkylamino such as methylamino, ethylamino, propylamino, and the like), a di-lower alkylamino group (for example, di-C1-6 alkylamino such as dimethylamino, diethylamino, and the like), nitro, lower alkyl-carbonyl (for example, C1-6 alkyl-carbonyl such as methylcarbonyl, ethylcarbonyl, butylcarbonyl, and the like), benzoyl, and the like], and the like.
- Examples of the “lower alkyl group which may be halogenated” include a lower alkyl group (for example, C 1-6 alkyl group such as methyl, ethyl, propyl, isopropyl, butyl, sec-butyl, tert-butyl, pentyl, hexyl, and the like) which may have, for example, 1 to 3 halogen atoms (for example, chlorine, bromine, iodine, and the like). Specific examples thereof include methyl, chloromethyl, difluoromethyl, trichloromethyl, trifluoromethyl, ethyl, 2-bromoethyl, 2,2,2-trifluorethyl, propyl, 3,3,3-trifluoropropyl, isopropyl, butyl, 4,4,4-trifluorobutyl, isobutyl, sec-butyl, tert-butyl, pentyl, isopentyl, neopentyl, 5,5,5-trifluoropentyl, hexyl, 6,6,6-trifluorohexyl, etc.
- Examples of the “lower alkoxy group which may be halogenated” include a lower alkoxy group (for example, C 1-6 alkoxy group such as methoxy, ethoxy, propoxy, isopropoxy, n-butoxy, isobutoxy, sec-butoxy, tert-butoxy, and the like) which may have, for example, 1 to 3 halogen atoms (for example, chlorine, bromine, iodine, and the like). Specific examples thereof include methoxy, difluoromethoxy, trifluoromethoxy, ethoxy, 2,2,2-trifluorethoxy, n-propoxy, isopropoxy, n-butoxy, 4,4,4-trifluorobutoxy, isobutoxy, sec-butoxy, pentyloxy, hexyloxy, etc.
- Examples of the “lower alkylthio group which may be halogenated” include a lower alkylthio group (for example, C 1-6 alkylthio group such as methylthio, ethylthio, n-propylthio, isopropylthio, n-butylthio, isobutylthio, sec-butylthio, tert-butylthio, and the like) which may have, for example, 1 to 3 halogen atoms (for example, chlorine, bromine, iodine, and the like). Specific examples thereof include methylthio, difluoromethylthio, trifluoromethylthio, ethylthio, n-propylthio, isopropylthio, n-butylthio, 4,4,4-trifluorobutylthio, isobutylthio, sec-butylthio, tert-butylthio, pentylthio, hexylthio, etc.
- Preferred examples of the “substituent” of the “aryl group which may be substituted” include (i) amino group, (ii) a mono-lower alkylamino group (for example, mono-C 1-6 alkylamino group such as methylamino, ethylamino, propylamino, and the like), (iii) a di-lower alkylamino group (for example, di-C1-6 alkylamino group such as dimethylamino, diethylamino, and the like), (iv) a 5- to 7-membered cyclic amino group which may have 1 to 3 of hetero atoms selected from, for example, nitrogen atom, oxygen atom or sulfur atom, and the like in addition to one nitrogen atom (for example, pyrrolidino, piperidino, piperazino, morpholino, thiomorpholino, and the like), (v) a lower alkyl-carbonylamino group (for example, C1-6 alkylcarbonylamino group such as acetylamino, propionylamino, butyrylamino, and the like), (vi) aminocarbonyloxy group, (vii) a mono-lower alkylamino-carbonyloxy group (for example, mono-C1-6 alkylamino-carbonyloxy group such as methylaminocarbonyloxy, ethylaminocarbonyloxy, and the like), (viii) a di-lower alkylamino-carbonyloxy group (for example, di-C1-6 alkylamino-carbonyloxy group such as dimethylaminocarbonyloxy, diethylaminocarbonyloxy, and the like), (ix) a lower alkylsulfonylamino group (for example, C1-6 alkylsulfonylamino group such as methylsulfonylamino, ethylsulfonylamino, propylsulfonylamino, and the like), (x) a phenyl-lower alkylamino group (for example, phenyl-C1-6 alkylamino group such as phenyl-methylamino, phenyl-ethylamino, and the like), (xi) a phenyl-lower alkylsulfonylamino group (for example, phenyl-C1-6 alkylsulfonylamino group such as phenyl-methylsulfonylamino, phenyl-ethylsulfonylamino, and the like), (xii) phenylsulfonylamino group, (xiii) a halogen atom (for example, fluorine, chlorine, and the like), (xiv) a lower alkyl group which may be halogenated (for example, methyl, ethyl, isopropyl, tert-butyl, trifluoromethyl, and the like), (xv) a lower alkoxy group which may be halogenated (for example, methoxy, ethoxy, isopropoxy, tert-butoxy, trifluoromethoxy, and the like), etc. In particular, preferred are a 5- to 7-membered cyclic amino group which may have 1 to 3 hetero atoms selected from, for example, nitrogen atom, oxygen atom or sulfur atom, and the like in addition to one nitrogen atom (for example, pyrrolidino, piperidino, piperazino, morpholino, thiomorpholino, and the like), etc.
- In the above formula, examples of the “aryl group” in the “aryl group which may be substituted” represented by Ar include C 6-14 aryl such as phenyl, naphthyl, etc., preferably C6-10 aryl, and more preferably phenyl, etc. Said “aryl group which may be substituted” may form a condensed-ring by bonding the substituents on the “aryl group” to each other, and examples of formation of a condensed ring by the aryl group (preferably, phenyl group) as Ar include
- (1) a case of being condensed with a monocyclic heterocyclic ring which may be substituted;
- (2) a case of being condensed with a dicyclic heterocyclic ring which may be substituted, or a case of being condensed with 2 the same or different monocyclic rings (provided that at least one ring is a monocyclic heterocyclic ring);
- (3) a case of being condensed with a tricyclic heterocyclic ring which may be substituted; and the like.
-
- wherein ring B is a heterocyclic ring which may be substituted, and ring A is a benzene ring which may be substituted, etc.
- Examples of the substituent of ring A include those similar to the above “aryl group which may be substituted”, and the like.
- Examples of the “heterocyclic ring” of the “heterocyclic ring which may be substituted” represented by ring B include a 4- to 14-membered ring, preferably a 5- to 9-membered ring, and the like, and they may be aromatic or non-aromatic. As the hetero atom(s), there can be used 1 to 3 or 4 atoms selected from nitrogen atom, oxygen atom or sulfur atom, and the like. Specific examples thereof include pyridine, pyrazine, pyrimidine, imidazole, furan, thiophene, dihydropyridine, azepine, diazepine, oxazepine, pyrrolidine, piperidine, hexamethyleneimine, heptamethyleneimine, tetrahydrofuran, piperazine, homopiperazine, tetrahydrooxazepine, morpholine, thiomorpholine, pyrrole, pyrazole, 1,2,3-triazole, oxazole, oxazolidine, thiazole, thiazolidine, isoxazole, imidazoline, and the like. In particular, preferred are a 5- to 9-membered non-aromatic heterocyclic ring which contains one hetero atom or two the same or different hetero atoms (for example, pyrrolidine, piperidine, hexamethyleneimine, heptamethyleneimine, tetrahydrofuran, piperazine, homopiperazine, tetrahydrooxazepine, morpholine, thiomorpholine, and the like), etc. In particular, for example, a non-aromatic heterocyclic ring which contains one hetero atom selected from nitrogen atom, oxygen atom or sulfur atom, and a non-aromatic heterocyclic ring which contains one nitrogen atom and one hetero atom selected from nitrogen atom, oxygen atom or sulfur atom, etc are often used.
- The “substituent” of the “heterocyclic ring which may be substituted” represented by ring B may be substituted on the arbitrary carbon atom of ring B. Examples of the substituent(s) on the arbitrary carbon atom of ring B include 1 to 5 substituents selected from (i) a halogen atom (for example, fluorine, chlorine, bromine, iodine, and the like), (ii) nitro group, (iii) cyano group, (iv) oxo group, (v) hydroxy group, (vi) a lower alkyl group (for example, C 1-6 alkyl group such as methyl, ethyl, propyl, isopropyl, butyl, isobutyl, tert-butyl, sec-butyl, and the like), (vii) a lower alkoxy group (for example, C1-6 alkoxy group such as methoxy, ethoxy, n-propyloxy, isopropyloxy, n-butyloxy and the like), (viii) a lower alkylthio group (for example, C1-6 alkylthio group such as methylthio, ethylthio, propylthio, and the like), (ix) amino group, (x) a mono-lower alkylamino group (for example, mono-C1-6 alkylamino group such as methylamino, ethylamino, propylamino, and the like), (xi) a di-lower alkylamino group (for example, di-C1-6 alkylamino group such as dimethylamino, diethylamino, and the like), (xii) a 5- to 7-membered cyclic amino group which may have 1 to 3 hetero atoms selected from, for example, nitrogen atom, oxygen atom or sulfur atom, and the like in addition to carbon atom(s) and one nitrogen atom (for example, pyrrolidino, piperidino, piperazino, morpholino, thiomorpholino, and the like), (xiii) a lower alkyl-carbonylamino group (for example, C1-6 alkyl-carbonylamino group such as acetylamino, propionylamino, butyrylamino, and the like), (xiv) a lower alkylsulfonylamino group (for example, C1-6 alkylcarbonylamino group such as methylsulfonylamino, ethylsulfonylamino, and the like), (xv) a lower alkoxycarbonyl group (for example, C1-6 alkoxy-carbonyl group such as methoxycarbonyl, ethoxycarbonyl, propoxycarbonyl and the like), (xvi) carboxyl group, (xvii) a lower alkyl-carbonyl group (fore example, C1-6 alkyl-carbonyl group such as methylcarbonyl, ethylcarbonyl, propylcarbonyl, and the like), (xviii), carbamoyl group, (xix) a mono-lower alkylcarbamoyl group (for example, mono-C1-6 alkylcarbamoyl group such as methylcarbamoyl, ethylcarbamoyl, and the like), (xx) a di-lower alkylcarbamoyl group (for example, di-C1-6 alkylcarbamoyl group such as dimethylcarbamoyl, diethylcarbamoyl, and the like), (xxi) a lower alkylsulfonyl group (for example, C1-6 alkylsulfonyl group such as methylsulfonyl, ethylsulfonyl, propylsulfonyl, and the like), and the like.
- Among these, oxo group, a lower alkyl group (for example, C 1-6 alkyl group such as methyl, ethyl, propyl, isopropyl, butyl, isobutyl, tert-butyl, sec-butyl, and the like) and the like are preferred, and oxo group is widely used.
- Further, when the ring B has nitrogen atom in the ring, it may be substituted on the nitrogen atom. Namely, ring B may have
- >N—R1
- wherein R 1 is a hydrogen atom, a hydrocarbon group which may be substituted, an acyl group which may be substituted, or a heterocyclic group which may be substituted.
- The “hydrocarbon group” of the “hydrocarbon group which may be substituted” represented by the above R 1 is a group formed by eliminating one hydrogen atom from a hydrocarbon compound, and examples thereof include linear chain or cyclic hydrocarbon groups such as an alkyl group, an alkenyl group, an alkynyl group, a cycloalkyl group, an aryl group, an aralkyl group, and the like. Among these, a C1-16 hydrocarbon group comprising a linear chain or cyclic hydrocarbon group or a combination thereof is preferably used.
- Preferred examples of the linear chain or cyclic hydrocarbon group include
- (1) a straight or branched chain lower alkyl group (for example, C 1-6 alkyl group such as methyl, ethyl, propyl, isopropyl, butyl, isobutyl, tert-butyl, sec-butyl, pentyl, hexyl, and the like),
- (2) a straight or branched chain lower alkenyl group (for example, C 2-6 alkenyl group such as vinyl, allyl, isopropenyl, butenyl, isobutenyl, sec-butenyl, and the like)
- (3) a straight or branched chain lower alkynyl group (for example, C 2-6 alkynyl such as propargyl, ethynyl, butynyl, 1-hexynyl, and the like),
- (4) a monocyclic lower cycloalkyl group (for example, C 3-6 cycloalkyl such as cyclopropyl, cyclobutyl, cyclopentyl, cyclohexyl, and the like),
- (5) a crosslinking ring type lower saturated hydrocarbon group (for example, C 8-14 crosslinking ring type saturated hydrocarbon group such as bicyclo[3,2,1]oct-2-yl, bicyclo[3,3,1]non-2-yl and adamanthan-1-yl, and the like), or
- (6) an aryl group (for example, C 6-14 aryl group such as phenyl, 1-naphthyl, 2-naphthyl, biphenyl, 2-indenyl, 2-anthryl, and the like), etc.
- Further, preferred examples of the hydrocarbon group comprising a combination of a linear chain hydrocarbon group and a cyclic hydrocarbon group include
- (1) a lower aralkyl group (for example, C 7-16 aralkyl group such as phenyl-C1-10alkyl (for example, benzyl, phenylethyl, phenylpropyl, phenylbutyl, phenylpentyl, phenylhexyl, and the like), naphthyl-C1-6 alkyl (for example, α-naphthylmethyl, and the like) or diphenyl-C1-3 alkyl (for example, diphenylmethyl, diphenylethyl, and the like), and the like),
- (2) an aryl-alkenyl group (for example, C 6-14 aryl-C2-12 alkenyl group such as styryl, cinnamyl, phenyl-C2-12 alkenyl such as 4-phenyl-2-butenyl, 4-phenyl-3-butenyl, and the like),
- (3) an aryl-C 2-12 alkynyl group (for example, C6-14 aryl-C2-12 alkynyl group such as phenyl-C2-12 alkynyl such as phenylethynyl, 3-phenyl-2-propynyl, 3-phenyl-1-propynyl, and the like),
- (4) a lower cycloalkyl-lower alkyl group (for example, C 3-7 cycloalkyl-C1-6 alkyl group such as cyclopropylmethyl, cyclobutylmethyl, cyclopentylmethyl, cyclohexylmethyl, cycloheptylmethyl, cyclopropylethyl, cyclobutylethyl, cyclopentylethyl, cyclohexylethyl, cycloheptylethyl, cyclopropylpropyl, cyclobutylpropyl, cyclopentylpropyl, cyclohexylpropyl, cycloheptylpropyl, cyclopropylbutyl, cyclobutylbutyl, cyclopentylbutyl, cyclohexylbutyl, cycloheptylbutyl, cyclopropylpentyl, cyclobutylpentyl, cyclopentylpentyl, cyclohexylpentyl, cycloheptylpentyl, cyclopropylhexyl, cyclobutylhexyl, cyclopentylhexyl, cyclohexylhexyl, and the like),
- (5) an aryl-aryl group (for example, biphenyl, and the like),
- (6) an aryl-aryl-C 1-10 alkyl group (for example, biphenylmethyl, biphenylethyl, and the like), etc.
- Preferred examples of the “hydrocarbon group” of the “hydrocarbon group which may be substituted” represented by R 1, which is often used, include
- (1) a straight chain, branched chain or cyclic alkyl group, preferably, a straight or branched chain C 1-6 alkyl group (for example, C1-6 alkyl group such as methyl, ethyl, propyl, isopropyl, butyl, isobutyl, tert-butyl, sec-butyl, pentyl, hexyl, and the like), a cyclic C3-8 alkyl group (for example, cyclopropyl, cyclobutyl, cyclopentyl, cyclohexyl, and the like), or a C4-12 alkyl group consisting of a combination of a straight chain, branched chain or cyclic alkyl group (for example, cyclopropylmethyl, cyclopentylmethyl, cyclohexylmethyl, cyclohexylethyl, (4-methylcyclohexyl)methyl, and the like),
- (2) a C 7-16 aralkyl group (for example, phenyl-C1-10alkyl (for example, benzyl, phenylethyl, phenylpropyl, phenylbutyl, phenylpentyl, phenylhexyl and the like), naphthyl-C1-6 alkyl (for example, a-naphthylmethyl, and the like) or diphenyl-C1-3 alkyl (for example, diphenylmethyl, diphenylethyl, and the like), and more preferably a C1-10 aralkyl group (for example, phenyl-C1-4 alkyl such as benzyl, phenylethyl, phenylpropyl, and the like), etc.
- The “hydrocarbon group” represented by R 1 may be substituted and as the substituent, that usually used as a substituent of a hydrocarbon group can be appropriately used. Specifically, examples of the substituent(s) include 1 to 5 (preferably, 1 to 3) substituent(s) selected from (i) a halogen atom (for example, fluorine, chlorine, bromine, iodine, and the like), (ii) nitro group, (iii) cyano group, (iv) oxo group, (v) hydroxy group, (vi) a lower alkyl group which may be substituted with halogen or phenyl (for example, C1-6 alkyl group such as methyl, ethyl, propyl, isopropyl, butyl, isobutyl, tert-butyl, sec-butyl, and the like), (vii) a lower alkoxy group which may be substituted with halogen or phenyl (for example, C1-6 alkoxy group such as methoxy, ethoxy, n-propyloxy, isopropyloxy, n-butyloxy, and the like), (viii) a lower alkylthio group which may be substituted with halogen or phenyl (for example, C1-6 alkylthio group such as methylthio, ethylthio, propylthio, and the like), (ix) amino group, (x) a mono-lower alkylamino group (for example, mono-C1-6 alkylamino group such as methylamino, ethylamino, propylamino, and the like), (xi) a di-lower alkylamino group (for example, di-C1-6 alkylamino group such as dimethylamino, diethylamino, and the like), (xii) a 5- to 7-membered cyclic amino group which may have 1 to 3 hetero atoms selected from, for example, nitrogen atom, oxygen atom or sulfur atom, and the like in addition to carbon atom(s) and one nitrogen atom (for example, pyrrolidino, piperidino, piperazino, morpholino, thiomorpholino, and the like), (xiii) a lower alkyl-carbonylamino group (for example, c16 alkylcarbonylamino group such as acetylamino, propionylamino, butyrylamino, and the like), (xiv) a lower alkylsulfonylamino group (for example, C1-6 alkylsulfonylamino groups such as methylsulfonylamino, ethylsulfonylamino, and the like), (xv) a lower alkoxycarbonyl group (for example, C1-6 alkoxy-carbonyl group such as methoxycarbonyl, ethoxycarbonyl, propoxycarbonyl, and the like), (xvi) carboxyl group, (xvii) formyl, a lower alkyl-carbonyl group (for example, C1-6 alkyl-carbonyl group such as methylcarbonyl, ethylcarbonyl, butylcarbonyl, and the like), (xviii) carbamoyl group, (xix) a mono-lower alkylcarbamoyl group (for example, mono-C1-6 alkylcarbamoyl group such as methylcarbamoyl, ethylcarbamoyl, and the like), (xx) a di-lower alkylcarbamoyl group (for example, di-C1-6 alkylcarbamoyl groups such as dimethylcarbamoyl, diethylcarbamoyl, and the like), (xxi) a lower alkylsulfonyl group (for example, C1-6 alkylsulfonyl group such as methylsulfonyl, ethylsulfonyl, propylsulfonyl, and the like), (xxii) a lower alkoxy-carbonyl-lower alkyl group (for example, C1-6 alkoxy-carbonyl-C1-6 alkyl group such as methoxycarbonylmethyl, ethoxycarbonylmethyl, tert-butoxycarbonylmethyl, methoxycarbonylethyl, methoxycarbonylmethyl, methoxycarbonyl(dimethyl)methyl, ethoxycarbonyl(dimethyl)methyl, tert-butoxycarbonyl(dimethyl)methyl, and the like), (xxiii) a carboxyl-lower alkyl group (for example, carboxyl-C1-6 alkyl group such as carboxylmethyl, carboxylethyl, carboxyl(dimethyl)methyl, and the like), (xxiv) a heterocyclic group which may be substituted, (xxv) an alkyl group which may be substituted, (xxvi) an alkoxy group which may be substituted, (xxvii) ureido group which may be substituted (for example, ureido, 3-methylureido, 3-ethylureido, 3-phenylureido, 3-(4-fluorophenyl)ureido, 3-(2-methylphenyl)ureido, 3-(4-methoxyphenyl)ureido, 3-(2,4-difluorophenyl)ureido, 3-[3,5-bis(trifluoromethyl)phenyl]ureido, 3-benzylureido, 3-(1-naphthyl)ureido, 3-(2-biphenyl-yl)ureido, and the like), (xxviii) thioureido group which may be substituted (for example, thioureido, 3-methylthioureido, 3-ethylthioureido, 3-phenylthioureido, 3-(4-fluorophenyl)thioureido, 3-(4-methylphenyl)thioureido, 3-(4-methoxyphenyl)thioureido, 3-(2,4-dichlorophenyl)thioureido, 3-benzylthioureido, 3-(1-naphthyl)thioureido, and the like), (xxix) amidino group which may be substituted (for example, amidino, N1-methylamidino, N1-ethylamidino, N1-phenylamidino, N1,N1-dimethylamidino, N1, N2-dimethylamidino, N1-methyl-N1-ethylamidino, N1,N1-diethylamidino, N1-methyl-N1-phenylamidino, N1,N1-di(4-nitrophenyl)amidino, and the like), (xxx) guanidino group which may be substituted (for example, guanidino, 3-methylguanidino, 3,3-dimethylguanidino, 3,3-diethylguanidino, and the like), (xxxi) a cyclic aminocarbonyl group which may be substituted (for example, pyrrolidinocarbonyl, piperidinocarbonyl, (4-methylpiperidino)carbonyl, (4-phenylpiperidino)carbonyl, (4-benzylpiperidino)carbonyl, (4-benzoylpiperidino)carbonyl, [4-(4-fluorobenzoyl)piperidino]carbonyl, (4-methylpiperazino)carbonyl, (4-phenylpiperazino)carbonyl, [4-(4-nitrophenyl)piperazino]carbonyl, (4-benzylpiperazino)carbonyl, morpholinocarbonyl, thiomorpholinocarbonyl, and the like), (xxxii) aminothiocarbonyl group which may be substituted (for example, aminothiocarbonyl, methylaminothiocarbonyl, dimethylaminothiocarbonyl, and the like), (xxxiii) aminosulfonyl which may be substituted (for example, aminosulfonyl, methylaminosulfonyl, dimethylaminosulfonyl, and the like), (xxxiv) phenylsulfonylamino which may be substituted (for example, phenylsulfonylamino, (4-methylphenyl)sulfonylamino, (4-chlorophenyl)sulfonylamino, (2,5-dichlorophenyl)sulfonylamino, (4-methoxyphenyl)sulfonylamino, (4-acetylaminophenyl)sulfonylamino, (4-nitrophenyl)phenylsulfonylamino, and the like), (xxxv) sulfo group, (xxxvi) sulfino group, (xxxvii) sulfeno group, (xxxviii) a C1-6 alkylsulfo group (for example, methylsulfo, ethylsulfo, propylsulfo, and the like), (xxxix) a C1-6 alkylsulfino group (for example, methylsulfino, ethylsulfino, propylsulfino, and the like), (xxxx) a C1-6 alkylsulfeno group (for example, methylsulfeno, ethylsulfeno, propylsulfeno, and the like), (xxxxi) a phosphono group, (xxxxii) a di-C1-6 alkoxyphosphoryl group (for example, dimethoxyphosphoryl, diethoxyphosphoryl, dipropoxyphosphoryl, and the like), (xxxxiii) C1-4 alkylenedioxy (for example, —O—CH2—O—, —O—CH2—CH2—O—, and the like), (xxxxiv) phenylthio which may be substituted with halogen, (xxxxv) phenoxy which may be substituted with halogen, etc.
- Preferred examples of the “substituent” of the “hydrocarbon group which may be substituted” include a halogen atom, an alkyl group which may be substituted, an alkoxy group which may be substituted, hydroxy group, nitro group, cyano group, carboxyl group, a C 1-6 alkoxy-carbonyl group, a carbamoyl group, aminothiocarbonyl group, a mono-lower alkylcarbamoyl group, a di-lower alkylcarbamoyl group, a cyclic aminocarbonyl group which may be substituted, amino group, a mono-lower alkylamino group, a di-lower alkylamino group, a 5- to 7-membered cyclic amino group which may have 1 to 3 hetero atoms selected from nitrogen atom, oxygen atom or sulfur atom and the like in addition to carbon atom(s) and one nitrogen atom, a C1-6 alkylcarbonylamino group, phenylsulfonylamino group which may be substituted, a C1-6 alkylsulfonylamino group, an amidino group which may be substituted, ureido group which may be substituted, a heterocyclic group which may be substituted, etc.
- Examples of the “heterocyclic group” of the “heterocyclic group which may be substituted” include a group obtained by eliminating one hydrogen atom from a monocyclic heterocyclic ring, a dicyclic heterocyclic ring, and a polycyclic heterocyclic ring such as tricyclic or tetracyclic, etc. Said heterocyclic ring may be either of aromatic or non-aromatic. The hetero atom(s) are, for example, 1 to 6 atom(s) selected from nitrogen atom, oxygen atom, sulfur atom, and the like. Specific examples of the monocyclic heterocyclic group include a group obtained by eliminating one hydrogen atom from the “heterocyclic ring” of the “heterocyclic ring which may be substituted”, etc. In addition to those, examples thereof further include a group obtained by eliminating one hydrogen atom from monocyclic heterocyclic rings such as triazole, thiadiazole, oxadiazole, oxathiazole, triazine, tetrazole, etc. Examples of the dicyclic heterocyclic group include a group obtained by eliminating one hydrogen atom from dicyclic heterocyclic ring such as indole, dihydroindole, isoindole, dihydroisoindole, benzofuran, dihydrobenzofuran, benzimidazole, benzoxazole, benzisoxazole, benzothiazole, indazole, quinoline, tetrahydroquinoline, isoquinoline, tetrahydroisoquinoline, tetrahydro-1H-1-benzazepin, tetrahydro-1H-2-benzazepin, tetrahydro-1H-3-benzazepin, tetrahydrobenzoxazepin, quinazoline, tetrahydroquinazoline, quinoxaline, tetrahydroquinoxaline, benzodioxane, benzodioxole, benzothiazine, imidazopyridine, and the like. Examples of the polycyclic heterocyclic ring such as tricyclic, tetracyclic, etc., include acridine, tetrahydroacridine, pyrroloquinoline, pyrroloindole, cyclopentoindole, isoindolobenzazepin, and the like.
- In particular, examples of the “heterocyclic ring” of the “heterocyclic ring which may be substituted”, which is often used, include a group obtained by eliminating one hydrogen atom from the above monocyclic heterocyclic ring or dicyclic heterocyclic ring, etc.
- Further, examples of the “substituent” of the “heterocyclic ring which may be substituted” include the “substituent” of the “heterocyclic ring which may be substituted” represented by the above ring B (provided that “the heterocyclic ring which may be substituted” is excluded), etc.
- Examples of the “substituent” of the “alkyl which may be substituted (preferably, C 1-6 alkyl which may be substituted)” or the “alkoxy which may be substituted (preferably, C1-6 alkoxy which may be substituted)” include the “substituent” shown in (i) to (xxiv) or (xxvii) to (xxxxii) as the “substituent” of the “hydrocarbon group which may be substituted” represented by the above R1, etc.
- Examples of the “substituent” of the “ureido group which may be substituted”, the “thioureido group which may be substituted”, the “amidino group which may be substituted”, the “guanidino group which may be substituted”, the “cyclic aminocarbonyl group which may be substituted”, the “aminothiocarbonyl group which may be substituted”, the “aminosufonyl which may be substituted”, or the “phenylsufonylamino which may be substituted” include the “substituent” shown in (i) to (xxvi) or (xxxv) to (xxxxii) as the “substituent” of the “hydrocarbon group which may be substituted” represented by the above R 1, etc.
- Preferred examples of the “hydrocarbon group which may be substituted” represented by R 1 include (i) a C1-6 alkyl group or (ii) a phenyl-C1-6 alkyl group, which may be substituted with a halogen atom, nitro, C1-6 alkyl, C1-6 alkoxy, and the like. More preferred is benzyl group which may be substituted with C1-4 alkyl (methyl, and the like), trihalogeno C1-4 alkyl (methyl, and the like), a halogen atom (fluoro, chloro, and the like), nitro, cyano, C1-4 alkoxy (methoxy, and the like), trihalogen C1-4 alkoxy (methoxy, and the like), hydroxy, carbamoyl, (4-C1-4 alkyl (methyl, etc,)-1-piperadinyl)carbonyl, amniothiocarbonyl, morpholinocarbonyl, carboxyl, C1-4 alkoxy (methoxy, etc.)-carbonyl, C1-4 alkoxy (ethoxy, etc.)-carbonyl-C1-4 alkoxy (methoxy, etc.), carboxyl-C1-4 alkoxy (methoxy, etc.), C1-4 alkoxy (ethoxy, etc.)-carbonyl-C1-6 alkyl (isopropyl, etc.), carboxyl-C1-6 alkyl (isopropyl, etc.), amino, acetylamino, C1-4 alkyl (methyl, etc.)-sulfonylamino, (4-C1-4 alkyl (methyl, etc.)-phenyl)sulfonylamino, ureido, 3-C1-4 alkyl (methyl, etc.)-ureido, amidino, dihydrothiazolyl, dihydroimidazolyl, etc.
- Among these, preferred R 1 is benzyl group which may be substituted with C1-4 alkyl (methyl, etc.), trihalogeno (fluoro, etc.)—C1-4 alkyl (methyl, etc.), a halogen atom (fluoro, chloro, etc.), nitro, cyano, carbamoyl, C1-4 alkoxy (methoxy, etc.)-carbonyl, C1-4 alkoxy (ethoxy, etc.)-carbonyl-C1-4 alkoxy (methoxy, etc.), amino, acetylamino, C1-4 alkyl (methyl, etc.)-sulfonylamino, 3-C1-4 alkyl (methyl, etc.)-ureido, amidino, or dihydroimidazolyl. Among these, benzyl group which may be substituted with C1-4 alkyl is preferred, and in particular, benzyl group which may be substituted with methyl is preferred.
- Examples of the “acyl group which may be substituted” represented by the above R 1 include —(CO)—R2c, —SO2—R2c, —SOR2c, —(C═O)NR3CR2c—(C═O)O—R2c—(C═S)NR3cR3c, [R2c and R3c are the same or different and each is (i) hydrogen atom, (ii) a hydrocarbon group which may be substituted or (iii) a heterocyclic group which may be substituted, or R2c and R3c may be bonded to each other to form a nitrogen-containing saturated heterocyclic group which may be substituted, together with the adjacent nitrogen atom], and the like.
- Among these, preferred is —(C═O)—R 2c, —SO2—R2c, —SO—R2c, —(C═O)NR3cCR2c or —(C═O)O—R2c (R2c and R3c are as defined above), and among these, —(C═O)—R2c or —(C═O)NR3cR2c (R2c and R3c are as defined above) is often used.
- The “hydrocarbon group” of the “hydrocarbon group which may be substituted” represented by R 2c and R3c is a group obtained by eliminating one hydrogen atom from a hydrocarbon compound, and examples thereof include a linear chain or cyclic hydrocarbon group such as an alkyl group, an alkenyl group, an alkynyl group, a cycloalkyl group, an aryl group, an aralkyl group, and the like. Specific examples thereof include those similar to the “hydrocarbon group” of the “hydrocarbon group which may be substituted” represented by the above R1, and among these, a liner chain or cyclic C1-16 hydrocarbon group is preferred, and in particular, a lower (C1-6) alkyl group, a lower (C2-6) alkenyl group, a C7-16 aralkyl group or a C6-14 aryl group is preferred. Among these, a lower (C1-6)alkyl group, a C7-16 aralkyl group or a C6-14 aryl group is widely used.
- Examples of the “heterocyclic group” of the “heterocyclic group which may be substituted” represented by R 2c and R3c include a group obtained by eliminating one hydrogen atom from a monocyclic heterocyclic ring, a dicyclic heterocyclic ring, and a polycyclic heterocyclic ring such as tricyclic or tetracyclic, etc. The heterocyclic ring, may be either of aromatic or non aromatic. The hetero atom(s) are, for example, 1 to 6 atom(s) selected from nitrogen atom, oxygen atom or sulfur atom and the like. Specifically, as the monocyclic heterocyclic group, a group obtained by eliminating one hydrogen atom from the “heterocyclic ring” of the “heterocyclic ring which may be substituted” represented by the above b ring, etc., can be used. Further, in addition to those, for example, a group obtained by eliminating one hydrogen atom from monocyclic heterocyclic rings such as triazole, thiadiazole, oxadiazole, oxathiazole, triazine, tetrazole, etc., can be used. Examples of the dicyclic heterocyclic group include a group obtained by eliminating one hydrogen atom from dicyclic heterocyclic ring such as indole, dihydroindole, isoindole, dihydroisoindole, benzofuran, dihydrobenzofuran, benzimidazole, benzoxazole, benzisoxazole, benzothiazole, indazole, quinoline, tetrahydroquinoline, isoquinoline, tetrahydroisoquinoline, tetrahydro-1H-1-benzazepin, tetrahydro-1H-2-benzazepin, tetrahydro-1H-3-benzazepin, tetrahydrobenzoxazepin, quinazoline, tetrahydroquinazoline, quinoxaline, tetrahydroquinoxaline, benzodioxane, benzodioxole, benzothiazine, imidazopyridine, and the like. Examples of the polycyclic heterocyclic ring such as tricyclic or tetracyclic ring include a group obtained by eliminating one hydrogen atom from polycyclic heterocyclic rings such as acridine, tetrahydroacridine, pyrroloquinoline, pyrroloindole, cyclopentoindole, isoindolobenzazepin, and the like.
- In particular, examples of the “heterocyclic ring” of the “heterocyclic ring which may be substituted”, which are often used, include a group obtained by eliminating one hydrogen atom from the above monocyclic heterocyclic ring or dicyclic heterocyclic ring, etc.
- Examples of the “nitrogen-containing saturated heterocyclic group which may be substituted” formed by R 2c and R3c together with the adjacent nitrogen atom include a 5- to 9-membered nitrogen-containing saturated heterocyclic group which may contain 1 to 3 hetero atoms selected from nitrogen atom, oxygen atom, sulfur atom, and the like in addition to carbon atom(s) and one nitrogen atom, etc. Preferred examples thereof include a nitrogen-containing saturated heterocyclic group having a bonding hand on a ring-constituting nitrogen atom. As the group having a bonding hand on a ring-constituting nitrogen atom, for example, a group represented by the formula:
- wherein ring Q 1 is a 5- to 9-membered nitrogen-containing saturated heterocyclic group which may contain 1 to 2 hetero atom(s) selected from nitrogen atom, oxygen atom, sulfur atom, and the like, in addition to carbon atom(s) and one nitrogen atom], etc., is used. More specifically, examples thereof which are often used, include
- and the like.
- Preferred examples of the substituent(s) of the “hydrocarbon group” or the “heterocyclic group” represented by R 2c and R3c, and the “nitrogen-containing saturated heterocyclic group” represented by NR2cR3c include 1 to 5 (preferably, 1 to 3) substituent(s) selected from (i) a halogen atom (for example, fluorine, chlorine, bromine, iodine, and the like), (ii) nitro group, (iii) cyano group, (iv) oxo group, (v) hydroxy group, (vi) a hydrocarbon group which may be substituted, (vii) a lower alkoxy group (for example, C1-6 alkoxy group such as methoxy, ethoxy, n-propyloxy, isopropyloxy, n-butyloxy, and the like) which may be substituted with phenyl group, (viii) a lower alkylthio group (for example, C1-6 alkylthio group such as methylthio, ethylthio, propylthio, and the like) which may be substituted with phenyl group, (ix) amino group, (x) a mono-lower alkylamino group (for example, mono-C1-6 alkylamino group such as methylamino, ethylamino, propylamino, and the like), (xi) a di-lower alkylamino group (for example, di-C1-6 alkylamino group such as dimethylamino, diethylamino, and the like), (xii) a 5- to 7-membered cyclic amino group which may have 1 to 3 hetero atoms selected from, for example, nitrogen atom, oxygen atom, sulfur atom, and the like in addition to carbon atom(s) and one nitrogen atom (for example, pyrrolidino, piperidino, piperazino, morpholino, thiomorpholino, and the like), (xiii) a lower alkyl-carbonylamino group (for example, C1-6 alkyl-carbonylamino group such as acetylamino, propionylamino, butyrylamino, and the like), (xiv) a lower alkylsulfonylamino group (for example, C1-6 alkylsulfonylamino group such as methylsulfonylamino, ethylsulfonylamino, and the like), (xv) a lower alkoxycarbonyl group (for example, C1-6 alkoxy-carbonyl group such as methoxycarbonyl, ethoxycarbonyl, propoxycarbonyl, and the like), (xvi) carboxyl group, (xvii) a lower alkylcarbonyl group (for example, C1-6 alkyl-carbonyl group such as methylcarbonyl, ethylcarbonyl, propylcarbonyl, and the like), (xviii) carbamoyl group, (xix) a mono-lower alkylcarbamoyl group (for example, mono-C1-6 alkylcarbamoyl group such as methylcarbamoyl, ethylcarbamoyl, and the like), (xx) a di-lower alkylcarbamoyl group (for example, di-C1-6 alkylcarbamoyl group such as dimethylcarbamoyl, diethylcarbamoyl, and the like), (xxi) a lower alkylsulfonyl group (for example, C1-6 alkylsulfonyl group such as methylsulfonyl, ethylsulfonyl, propylsulfonyl, and the like), (xxii) a lower alkoxy-carbonyl-lower alkyl group (for example, C1-6 alkoxy-carbonyl-C1-6 alkyl group such as methoxycarbonylmethyl, ethoxycarbonylmethyl, tert-butoxycarbonylmethyl, methoxycarbonylethyl, methoxycarbonylmethyl, methoxycarbonyl(dimethyl)methyl, ethoxycarbonyl(dimethyl)methyl, tert-butoxycarbonyl(dimethyl)methyl, and the like), (xxiii) a carboxyl-lower alkyl group (for example, carboxyl-C1-6 alkyl groups such as carboxylmethyl, carboxylethyl, carboxyl(dimethyl)methyl, and the like), (xxiv) a heterocyclic group which may be substituted, (xxv) phenylthio which may be substituted with halogen, (xxvi) phenoxy which may be substituted with halogen, and the like.
- Said the “lower alkoxy group” and the “lower alkylthio group” may further have phenyl group as a substituent.
- Examples of said the “substituent” and the “hydrocarbon group” of the “hydrocarbon group which may be substituted” include the “substituent” and the “hydrocarbon group” of the “hydrocarbon group which may be substituted” represented by the above R 1, etc.
- As the “heterocyclic group” of said “heterocyclic group which may be substituted”, a group obtained by eliminating one hydrogen atom from the “heterocyclic ring” of the “heterocyclic group which may be substituted” represented by the above ring B, etc. can be used.
- Further, as the “substituent” of the “heterocyclic group which may be substituted”, the “substituent” of the “heterocyclic ring which may be substituted” represented by the above ring B (provided that the “heterocyclic ring which may be substituted” is excluded), etc., can be used.
- Preferred examples of R 2c and R3c include phenyl which may be substituted with C1-4 alkyl (methyl, ethyl, and the like) or C1-4 alkoxy (methoxy, ethoxy, and the like), C1-4 alkyl (methyl, ethyl, and the like), halogeno (fluoro, chloro, and the like)-C1-4 alkyl (methyl, ethyl, and the like), benzyl, naphthyl, pyridyl, thienyl, furyl, hydrogen atom, etc.
- Preferred examples of the “acyl group which may be substituted” represented by the above R 1 include formyl, acetyl, trihalogeno (fluoro, and the like) acetyl, pyridylcarbonyl, thienylcarbonyl, furylcarbonyl, phenacyl, benzoyl, C1-4 alkyl (methyl, and the like)-benzoyl, C1-4 alkoxy (methoxy, and the like)-benzoyl, benzenesulfonyl, naphthylsulfonyl, thienylsulfonyl, and the like, more preferably, —(C═O)—R2c [wherein R2c is phenyl group which may be substituted with a C1-6 alkyl group and a C1-6 alkoxy group or a phenyl —C1-6 alkyl group], etc.
- Examples of the “heterocyclic group” of the “heterocyclic group which may be substituted” represented by R 1 include a group obtained by eliminating one hydrogen atom from a monocyclic heterocyclic ring, a dicyclic heterocyclic ring, or a polycyclic heterocyclic ring such as tricyclic or tetracyclic, etc. Said heterocyclic ring, may be either of aromatic or non-aromatic. The hetero atom(s) include, for example, 1 to 6 atoms selected from nitrogen atom, oxygen atom, sulfur atom, and the like. Specifically, as the monocyclic heterocyclic group, a group obtained by eliminating one hydrogen atom from the “heterocyclic ring” of the “heterocyclic ring which may be substituted” represented by the above ring B, etc., can be used. Further, in addition to those, a group obtained by eliminating one hydrogen atom from monocyclic heterocyclic rings such as triazole, thiadiazole, oxadiazole, oxathiadiazole, triazine, tetrazole, etc., can be used. Examples of the dicyclic heterocyclic group include a group obtained by eliminating one hydrogen atom from a dicyclic heterocyclic ring such as indole, dihydroindole, isoindole, dihydroisoindole, benzofuran, dihydrobenzofuran, benzimidazole, benzoxazole, benzisoxazole, benzothiazole, indazole, quinoline, tetrahydroquinoline, isoquinoline, tetrahydroisoquinoline, tetrahydro-1H-1-benzazepin, tetrahydro-1H-2-benzazepin, tetrahydro-1H-3-benzazepin, tetrahydrobenzoxazepin, quinazoline, tetrahydroquinazoline, quinoxaline, tetrahydroquinoxaline, benzodioxane, benzodioxole, benzothiazine, imidazopyridine, and the like. Examples of the polycyclic heterocyclic ring such as tricyclic or tetracyclic include a group obtained by eliminating one hydrogen atom from a polycyclic heterocyclic ring such as acridine, tetrahydroacridine, pyrroloquinoline, pyrroloindole, cyclopentoindole, isoindolobenzazepin, and the like.
- In particular, examples of the “heterocyclic group” of said “heterocyclic group which may be substituted” include a group obtained by eliminating one hydrogen atom from the above monocyclic heterocyclic ring or dicyclic heterocyclic ring, etc., and among these, pyridyl group is preferred.
- Further, examples of the “substituent” of the “heterocyclic group which may be substituted” include the “substituent” of the “heterocyclic ring which may be substituted” represented by the above ring B (provided that the “heterocyclic ring which may be substituted” is excluded), etc.
- Preferred examples of R 1 include (i) a hydrogen atom, (ii) a C1-6 alkyl group, (iii) a halogen atom, nitro, phenyl C1-6 alkyl group which may be substituted with C1-6 alkyl or C1-6 alkoxy-C1-6 alkyl group, or (iv) —(C═O)—R2c [wherein R2c is phenyl group which may be substituted with a C1-6 alkyl group and a C1-6 alkoxy group or a phenyl-C1-6 alkyl group], etc.
-
- a group obtained by eliminating one hydrogen atom from a dicyclic condensed benzene ring such as 2,3-dihydrobenzofuran; 3,4-dihydro-2H-1-benzothiopyran; 2,3-dihydro-1H-indole; 1,2,3,4-tetrahydroquinoline; 2,3-dihydro-1H-isoindole; 1,2,3,4-tetrahydroisoquinoline; benzazepines such as 2,3,4,5-tetrahydro-1H-1-benzazepine, 2,3,4,5-tetrahydro-1H-2-benzazepine, 2,3,4,5-tetrahydro-1H-3-benzazepine and the like; benzazocines such as 1,2,3,4,5,6-hexahydro-1-benzazocine, 1,2,3,4,5,6-hexahydro-2-benzazocine, 1,2,3,4,5, 6-hexahydro-3-benzazocine and the like; benzazonines such as 2,3,4,5,6,7-hexahydro-1H-1-benzazonine, 2,3,4,5,6,7-hexahydro-1H-2-benzazonine; 2,3,4,5,6,7-hexahydro-1H-3-benzazonine, 2,3,4,5,6,7-hexahydro-1H-4-benzazonine and the like; benzoxazoles such as 2,3-dihydrobenzoxazole and the like; benzothiazoles such as 2,3-dihydrobenzothiazole and the like; benzimidazoles such as 2,3-dihydro-1H-benzimidazole and the like; benzoxazines such as 3,4-dihydro-1H-2,1-benzoxazine, 3,4-dihydro-1H-2,3-benzoxazine, 3,4-dihydro-2H-1,2-benzoxazine, 3,4-dihydro-2H-1,4-benzoxazine, 3,4-dihydro-2H-1,3-benzoxazine, 3,4-dihydro-2H-3,1-benzoxazine and the like; benzothiazines such as 3,4-dihydro-1H-2,1-benzothiazine, 3,4-dihydro-1H-2,3-benzothiazine, 3,4-dihydro-2H-1,2-benzothiazine, 3,4-dihydro-2H-1,4-benzothiazine, 3,4-dihydro-2H-1,3-benzothiazine, 3,4-dihydro-2H-3,1-benzothiazine and the like; benzodiazines such as 1,2,3,4-tetrahydrocinnoline, 1,2,3,4-tetrahydrophthaladine, 1,2,3,4-tetrahydroquinazoline, 1,2,3,4-tetrahydroquinoxaline and the like; benzoxathines such as 3,4-dihydro-1,2-benzoxathine, 3,4-dihydro-2,1-benzoxathine, 2,3-dihydro-1,4-benzoxathine, 1,4-dihydro-2,3-benzoxathine, 4H-1,3-benzoxathine, 4H-3,1-benzoxathine and the like; benzodioxines such as 3,4-dihydro-1,2-benzodioxine, 2,3-dihydro-1,4-benzodioxine, 1,4-dihydro-2,3-benzodioxine, 4H-1,3-benzodioxine and the like; benzdithines such as 3,4-dihydro-1,2-benzdithine, 2,3-dihydro-1,4-benzdithine, 1,4-dihydro-2,3-benzdithine, 4H-1,3-benzdithine and the like; benzoxazepines such as 2,3,4,5-tetrabydro-1,2-benzoxazepine, 2,3,4,5-tetrahydro-1,3-benzoxazepine, 2,3,4,5-tetrahydro-1,4-benzoxazepine, 2,3,4,5-tetrahydro-1,5-benzoxazepine, 1,3,4,5-tetrahydro-2,1-benzoxazepine, 1,3,4,5-tetrahydro-2,3-benzoxazepine, 1,3,4,5-tetrahydro-2,4-benzoxazepine, 1,2,4,5-tetrahydro-3,1-benzoxazepine, 1,2,4,5-tetrahydro-3,2-benzoxazepine, 1,2,3,5-tetrahydro-4,1-benzoxazepine and the like; benzothiazepines such as 2,3,4,5-tetrahydro-1,2-benzothiazepine, 2,3,4,5-tetrahydro-1,4-benzothiazepine, 2,3,4,5-tetrahydro-1,5-benzothiazepine, 1,3,4,5-tetrahydro-2,1-benzothiazepine, 1,3,4,5-tetrahydro-2,4-benzoxazepine, 1,2,4,5-tetrahydro-3,1-benzothiazepine, 1,2,4,5-tetrahydro-3,2-benzothiazepine, 1,2,3,5-tetrahydro-4,1-benzothiazepine and the like; benzodiazepines such as 2,3,4,5-tetrahydro-1H-1,2-benzodiazepine, 2,3,4,5-tetrahydro-1H-1,3-benzodiazepine, 2,3,4,5-tetrahydro-1H-1,4-benzodiazepine, 2,3,4,5-tetrahydro-1H-1,5-benzodiazepine, 2,3,4,5-tetrahydro-1H-2,3-benzodiazepine, 2,3,4,5-tetrahydro-1H-2,4-benzodiazepine and the like; benzodioxepines such as 4,5-dihydro-1,3-benzodioxepine, 4,5-dihydro-3H-1,2-benzodioxepine, 2,3-dihydro-5H-1,4-benzodioxepine, 3,4-dihydro-2H-1,5-benzodioxepine, 4,5-dihydro-1H-2,3-benzodioxepine, 1,5-dihydro-2,4-benzodioxepine and the like; benzodithiepines such as 4,5-dihydro-1H-2,3-benzodithiepine, 1,5-dihydro-2,4-benzodithiepine, 3,4-dihydro-2H-1,5-benzodithiepine, 2,3-dihydro-5H-1,4-benzodithiepine and the like; benzoxazocines such as 3,4,5,6-tetrahydro-2H-1,5-benzoxazocine, 3,4,5,6-tetrahydro-2H-1,6-benzoxazocine and the like; benzothiazocines such as 3,4,5,6-tetrahydro-2H-1,5-benzothiazocine, 3,4,5,6-tetrahydro-2H-1,6-benzothiazocine, and the like; benzodiazocines such as 1,2,3,4,5,6-hexahydro-1,6-benzodiazocine and the like; benzoxathiocines such as 2,3,4,5-tetrahydro-1,6-benzoxathiocine and the like; benzodioxocines such as 2,3,4,5-tetrahydro-1,6-benzodioxocine and the like; benzotrioxepines such as 1,3,5-benzotrioxepine, 5H-1,3,4-benzotrioxepine and the like; benzoxathiazepines such as 3,4-dihydro-1H-5,2,1-benzoxathiazepine, 3,4-dihydro-2H-5,1,2-benzoxathiazepine, 4,5-dihydro-3,1,4-benzoxathiazepine, 4,5-dihydro-3H-1,2,5-benzoxathiazepine and the like; benzoxadiazepines such as 2,3,4,5-tetrahydro-1,3,4-benzoxadiazepine and the like;
- benzthiadiazepines such as 2,3,4,5-tetrahydro-1,3,5-benzthiadiazepine and the like; benzotriazepines such as 2,3,4,5-tetrahydro-1H-1,2,5-benzotriazepine and the like; 4,5-dihydro-1,3,2-benzooxathiepine, 4,5-dihydro-1H-2,3-benzoxathiepine, 3,4-dihydro-2H-1,5-benzoxathiepine, 4,5-dihydro-3H-1,2-benzoxathiepine, 4,5-dihydro-3H-2,1-benzoxathiepine, 2,3-dihydro-5H-1,4-benzoxathiepine, 2,3-dihydro-5H-4,1-benzoxathiepine, and the like; and, in particular, 2,3,4,5-tetrahydro-1H-3-benzazepine, 2,3,4,5-tetrahydro-1H-2-benzazepine, 2,3-dihydro-1H-indole, 2,3,4,5-tetrahydro-1,4-benzoxazepine, and the like.
-
- wherein ring B′ is a 5- to 9-membered nitrogen-containing heterocyclic ring which may be substituted with oxo group other than R 1, and ring A and R1 are as defined above, etc.
- Examples of the “5- to 9-membered nitrogen-containing heterocyclic ring” of said “5- to 9-membered nitrogen-containing heterocyclic ring may be substituted with oxo group” include a 5- to 9-membered nitrogen-containing heterocyclic ring which may contain 1 to 3 of hetero atoms such as, for example, nitrogen atom, oxygen atom, sulfur atom, and the like, in addition to carbon atom(s) and one nitrogen atom. Preferably, a 5- to 9-membered non-aromatic nitrogen-containing heterocyclic ring (for example, pyrrolidine, piperidine, hexamethyleneimine, heptamethyleneimine, piperazine, homopiperazine, tetrahydrooxazepine, morpholine, thiomorpholine and the like), etc., can be used.
-
-
-
-
- wherein ring A and R 1 are as defined above, etc.
- Specific examples of a case that the “aryl group” of the “aryl group which may be substituted” is condensed with a dicyclic heterocyclic ring which may be substituted, or a case that it is condensed with 2 the same or different monocyclic rings (provided that at least one ring is a monocyclic heterocyclic ring) include a group represented by the formula:
- wherein ring A is as defined above, one of ring C and ring D is a heterocyclic ring which may be substituted, and the other is a 5- to 9-membered ring which may be substituted and may contain hetero atom(s).
- Examples of the “heterocyclic ring” of the “heterocyclic ring which may be substituted” represented by ring C and ring D include a 4- to 14-membered heterocyclic ring, preferably a 5- to 9-membered heterocyclic ring, and the like. The hetero atom(s) are, for example, 1 to 3 atoms selected from nitrogen atom, oxygen atom, sulfur atom, and the like. Further, it may be aromatic or non-aromatic. Specific examples thereof include pyridine, pyrazine, pyrimidine, imidazole, furan, thiophene, dihydropyridine, diazepine, oxazepine, pyrrolidine, piperidine, hexamethyleneimine, heptamethyleneimine, tetrahydrofuran, piperazine, homopiperazine, tetrahydrooxazepine, morpholine, thiomorpholine, and the like.
- The “substituent” of the “heterocyclic ring which may be substituted” are as defined with respect to the “substituent” of the “heterocyclic ring which may be substituted” represented by the above ring B.
- Examples of the “5- to 9-membered ring which may contain hetero atom(s)” of the “5- to 9-membered ring which may be substituted and may contain hetero atom(s)” represented by ring C and ring D include a 5- to 9-membered heterocyclic ring (for example, saturated or unsaturated 5- to 9-membered heterocyclic ring such as pyridine, pyrazine, pyrimidine, imidazole, furan, thiophene, dihydropyridine, diazepine, oxazepine, pyrrolidine, piperidine, hexamethyleneimine, heptamethyleneimine, tetrahydrofuran, piperazine, homopiperazine, tetrahydrooxazepine, morpholine, thiomorpholine, and the like), or a 5- to 9-membered carbon ring. Said “5- to 9-membered carbon ring” may be a saturated or unsaturated ring, and examples thereof include benzene, cyclopentane, cyclopentene, cyclohexane, cyclohexene, cyclohexadiene, cycloheptane, cycloheptene, cycloheptadiene and the like. Among these, benzene, cyclohexane, or the like is preferred.
- The “substituent” of the “5- to 9-membered ring which may be substituted and may contain hetero atom(s)” is as defined with respect to the “substituent on the arbitrary carbon atom of ring B” of the “heterocyclic ring which may be substituted” represented by the above ring B.
- More specific examples of a case that the “aryl group” of the “aryl group which may be substituted” represented by Ar is condensed with a dicyclic heterocyclic ring which may be substituted include:
-
- a group obtained by eliminating one hydrogen atom from a tricyclic condensed benzene ring such as carbazole, 1,2,3,4,4a,9a-hexahydrocarbazole, 9,10-dihydroacridine, 1,2,3,4-tetrahydroacridine, 10,11-dihydro-5H-dibenz[b,f]azepine, 5,6,7,12-tetrahydrodibenz[b,g]azocine, 6,11-dihydro-5H-dibenz[b,e]azepine, 6,7-dihydro-5H-dibenz[c,e]azepine, 5,6,11,12-tetrahydrodibenz[b,f]azocine, dibenzofuran, 9H-xanthene, 10,11-dihydrodibenz[b,f]oxepine, 6,11-dihydrodibenz[b,e]oxepine, 6,7-dihydro-5H-dibenz[b,g]oxocine, dibenzothiophene, 9H-thioxanthene, 10,11-dihydrodibenzo[b,f]thiepin, 6,11-dihydrodibenzo[b,e]thiepin, 6,7-dihydro-5H-dibenzo[b,g]thiosine, 10H-phenothiazine, 10H-phenoxazine, 5,10-dihydrophenazine, 10,11-dibenzo[b,f][1,4]thiazepine, 10,11-dihydrodibenz[b,f][1,4]oxazepine, 2,3,5,6,11,11a-hexahydro-1H-pyrrolo[2,1-b][3]benzazepine, 10,11-dihydro-5H-dibenzo[b,e][1,4]diazepine, 5,11-dihydrodibenz[b,e][1,4]oxazepine, 5,11-dihydrodibenzo[b,f][1,4]thiazepine, 10,11-dihydro-5H-dibenzo[b,e][1,4]diazepine, 1,2,3,3a,8,8a-hexahydropyrrolo[2,3-b]indole, and the like;
-
- a group obtained by eliminating one hydrogen atom from a tricyclic condensed benzene ring such as 1H,3H-naphtho[1,8-cd][1,2]oxazine, naphtho[1,8-de]-1,3-oxazine, naphtho[1,8-de]-1,2-oxazine, 1,2,2a,3,4,5-hexahydrobenz[cd]indole, 2,3,3a,4,5,6-hexahydro-1H-benzo[de]quinoline, 4H-pyrrolo[3,2,1-ij]quinoline, 1,2,5,6-tetrahydro-4H-pyrrolo[3,2,1-ij]quinoline, 5,6-dihydro-4H-pyrrolo[3,2,1-ij]quinoline, 1H,5H-benzo[ij]quinolidine, azepino[3,2,1-hi]indole, 1,2,4,5,6,7-hexahydroazepino[3,2,1-hi]indole, 1H-pyrido[3,2,1-jk][1]benzazepine, 5,6,7,8-tetrahydro-1H-pyrido[3,2,1-jk][l]benzazepine, 1,2,5,6,7,8-hexahydro-1H-pyrido[3,2,1-jk][l]benzazepine, 2,3-dihydro-1H-benz[de]isoquinoline, 1,2,3,4,4a,5,6,7-octahydronaphtho[1,8-bc]-azepine, 2,3,5,6,7,8-hexahydro-1H-pyrido[3,2,1-jk][l]benzazepine, and the like;
-
- a group obtained by eliminating one hydrogen atom from a tricyclic condensed benzene ring such as 1,2,3,5,6,7-hexahydrobenzo[1,2-b:4,5-b′]dipyrrole, 1,2,3,5,6,7-hexahydrocyclopento[f]indole, and the like;
-
- a group obtained by eliminating one hydrogen atom from a tricyclic condensed benzene ring such as 1,2,3,6,7,8-hexahydrocyclopento[e]indole, 2,3,4,7,8,9-hexahydro-1H-cyclopenta[f]quinoline, and the like.
-
- wherein each of ring C′ and ring D′ is a 5- to 9-membered nitrogen-containing heterocyclic ring which may be substituted with oxo group in addition to R 1, and ring A, ring D and R1 are as defined above, etc.
- Examples of the “5- to 9-membered nitrogen-containing heterocyclic ring” of said “5- to 9-membered nitrogen-containing heterocyclic ring which may be substituted with oxo group” include a 5- to 9-membered nitrogen-containing heterocyclic ring which may contain 1 to 3 of hetero atoms such as, for example, nitrogen atom, oxygen atom, sulfur atom and the like, in addition to carbon atom(s) and one nitrogen atom. Preferred examples thereof include a 5- to 9-membered non-aromatic nitrogen-containing heterocyclic ring (for example, pyrrolidine, piperidine, hexamethyleneimine, heptamethyleneimine, piperazine, homopiperazine, tetrahydrooxazepine, morpholine, thiomorpholine, and the like), etc.
-
- wherein R 1 is as defined above, etc.
-
- wherein ring A is as defined above, at least one ring among ring E, ring F and ring G is a heterocyclic ring which may be substituted, and the other rings are a 5- to 9-membered ring which may be substituted and may contain hetero atom(s), etc.
- The “heterocyclic ring” and the “substituent” of the “heterocyclic ring which may be substituted” represented by ring E, ring F and ring G are as defined with respect to the “heterocyclic ring” and the “substituent” of the “heterocyclic ring which may be substituted” represented by the above ring C and ring D, etc.
- The “5- to 9-membered ring which may contain hetero atom(s)” and the “substituent” of the “5- to 9-membered ring which may be substituted and may contain hetero atom(s)” represented by ring E, ring F and ring G are as defined with respect to the “5- to 9-membered ring which may contain hetero atom(s)” and the “substituent” of the “5- to 9-membered ring which may be substituted and may contain hetero atom(s)” represented by the above ring C and ring D, etc.
- More specific examples of a case that “phenyl group” of “phenyl group which may be substituted and may be condensed” is condensed with a tricyclic heterocyclic ring which may be substituted include:
-
- wherein ring E′ and ring F′ are as defined above, a group obtained by eliminating one hydrogen atom from a tetracyclic condensed benzene ring such as 2H-isoindolo[2,1-e]purine, 1H-pyrazolo[4′,3′:3,4]pyrido[2,1-a]isoindole, 1H-pyrido[2′,3′:4,5]imidazo[2,1-a]isoindole, 2H,6H-pyrido[1′,2′:3,4]imidazo[5,1-a]isoindole, 1H-isoindolo[2,1-a]benzimidazole, 1H-pyrido[3′,4′:4,5]pyrrolo[2,1-a]isoindole, 2H-pyrido[4′,3′:4,5]pyrrolo[2,1-a]isoindole, 1H-isoindolo[2,1-a]indole, 2H-isoindolo[1,2-a]isoindole, 1H-cyclopenta[4,5]pyrimido[2,1-a]isoindole, 2H,4H-pyrano[4′,3′:4,5][1,3]oxazino[2,3-a]isoindole, 2H-isoindolo[2,1-a][3,1]benzoxazine, 7H-isoindolo[1,2-b][1,3]benzoxazine, 2H-pyrido[2′,1′:3,4]pyrazino[2,1-a]isoindole, pyrido[2′,3′:4,5]pyrimido[2,1-a]isoindole, pyrido[3′,2′:5,6]pyrimido[2,1-a]isoindole, 1H-pyrido[1′,2′:3,4]pyrimido[2,1-a]isoindole, isoindolo[2,1-a]quinazoline, isoindolo[2,1-a]quinoxaline, isoindolo[1,2-a]isoquinoline, isoindolo[2,1-b]isoquinoline, isoindolo[2,1-a]quinoline, 6H-oxazino[3′,4′:3,4][1,4]diazepino[2,1-a]isoindole, azepino[2′,1′:3,4]pirazino[2,1-a]isoindole, 2H,6H-pyrido[2′,1′:3,4][1,4]diazepino[2,1-a]isoindole, 1H-isoindolo[1,2-b][1,3,4]benzotriazepine, 2H— isoindolo[2,1-a][1,3,4]benzotriazepine, isoindolo[2,1-d][1,4]benzoxazepine, 1H-isoindolo[2,1-b][2,4]benzodiazepine, 1H-isoindolo[2,1-c][2,3]benzodiazepine, 2H-isoindolo[1,2-a][2,4]benzodiazepine, 2H-isoindolo[2,1-d][1,4]benzodiazepine, 5H-indolo[1,2-b][3]benzazepine, 2H-isoindolo[1,2-a][2]benzazepine, 2H-isoindolo[2,1-b][3]benzazepine, 2H-isoindolo[2,1-b][2]benzazepine, 2H-isoindolo[1,2-b][1,3,4]benzoxadiazocine, isoindolo[2,1-b][1,2,6]benzotriazocine, 5H-4,8-methano-1H-[1,5]diazacycloundecino[1,11-a]indole, and the like;
-
- wherein is a single bond or a double bond, and ring E′ and ring F′ are as defined hereinafter, a group obtained by eliminating one hydrogen atom from tetracyclic condensed benzene rings such as 1H,4H-pyrrolo[3′,2′:4,5]pyrrolo[3,2,1-ij]quinoline, pyrrolo[3,2,1-jk]carbazole, 1H-furo[2′,3′:4,5]pyrrolo[3,2,1-ij]quinoline, 1H,4H-cyclopenta[4,5]pyrrolo[1,2,3-de]quinoxaline, 1H,4H-cyclopenta[4,5]pyrrolo[3,2,1-ij]quinoline, pyrido[3′,4′:4,5]pyrrolo[1,2,3-de]benzoxazine, [1,4]oxazino[2,3,4-jk]carbazole, 1H,3H-[1,3]oxazino[5,4,3-jk]carbazole, pyrido[3′,4′:4,5]pyrrolo[1,2,3-de][1,4]benzothiazine, 4H-pyrrolo[3,2,1-de]phenanthridine, 4H,5H-pyrido[3,2,1-de]phenanthridine, 1H,4H-3a,6a-diazafluoroanthene, 1-oxa-4,6a-diazafluoroanthene, 4-oxa-2,10b-diazafluoroanthene, 1-thia-4,6a-diazafluoroanthene, 1H-pyrazino[3,2,1-jk]carbazole, 1H-indolo[3,2,1-de][1,5]naphthyridine, benzo[b]pyrano[2,3,4-hi]indolizine, 1H,3H-benzo[b]pyrano[3,4,5,-hi]indolizine, 1H,4H-pyrano[2′,3′:4,5]pyrrolo[3,2,1-ij]quinoline, 1H,3H-benzo[b]thiopyrano[3,4,5-hi]indolizine, 1H-pyrido[3,2,1-jk]carbazole, 4H-3-oxa-llb-azacyclohepta[jk]fluorene, 2H-azepino[1′,2′:1,2]pyrimidino[4,5-b]indole, 1H,4H-cyclohepta[4,5]pyrrolo[1,2,3-de]quinoxaline, 5H-pyrido[3′,4′:4,5]pyrrolo[1,2,3-ef][1,5]benzoxazepine, 4H-pyrido[3′,4′:4,5]pyrrolo[3,2,1-jk][4,1]benzothiazepine, 5H-pyrido[3′,4′:4,5]pyrrolo[1,2,3-ef][1,5]benzothiazepine, 5H-pyrido[4′,3′:4,5]pyrrolo[1,2,3-ef][1,5]benzothiazepine, [1,2,4]triazepino[6,5,4-jk]carbazole, [1,2,4]triazepino[6,7,1-jk]carbazole, [1,2,5]triazepino[3,4,5-jk]carbazole, 5H-[1,4]oxazepino[2,3,4-jk]carbazole, 5H-[1,4]thiazepino[2,3,4-jk]carbazole, [1,4]diazepino[3,2,1-jk]carbazole, [1,4]diazepino[6,7,1-jk]carbazole, azepino[3,2,1-jk]carbazole, 1H-cycloocta[4,5]pyrrolo[1,2,3-de]quinoxaline, 1H-cycloocta[4,5]pyrrolo[3,2,1-ij]quinoline, and the like;
-
- wherein is a single bond or a double bond, and ring E′ and ring F′ is as defined hereinafter, a group obtained by eliminating one hydrogen atom from tetracyclic condensed benzene rings such as 1H-indolo[1,2-a]benzimidazole, 1H-indolo[1,2-b]indazole, pyrrolo[2′,1′:3,4]pyrazino[1,2-a]indole, 1H,5H-pyrrolo[1′,2′:4,5]pyrazino[1,2-a]indole, 2H-pyrido[2′,3′:3,4]pyrrolo[1,2-a]indole, 1H-pyrrolo [2′,3′:3,4]pyrido[1,2-a]indole, 1H-indolo[1,2-a]indole, 6H-isoindolo[2,1-a]indole, 6H-indolo[1,2-c][1,3]benzoxazine, 1H-indolo[1,2-b][1,2]benzothiazine, pyrimido[4′,5′:4,5]pyrimido[1,6-a]indole, pyrazino[2′,3′:3,4]pyrido[1,2-a]indole, 6H-pyrido[1′,2′:3,4]pyrimido[1,6-a]indole, indolo[1,2-b]cinnoline, indolo[1,2-a]quinazoline, indolo[1,2-c]quinazoline, indolo[2,1-b]quinazoline, indolo[1,2-a]quinoxaline, indolo[1,2-a][1,8]naphthyridine, indolo[1,2-b]-2,6-naphthyridine, indolo[1,2-b][2,7]naphthyridine, indolo[1,2-h]-1,7-naphthyridine, indolo[1,2-b]isoquinoline, indolo[2,1-a]isoquinoline, indolo[1,2-a]quinoline, 2H,6H-pyrido[2′,1′:3,4][1,4]diazepino[1,2-a]indole, 1H-indolo[2,1-c][1,4]benzodiazepine, 2H-indolo[1,2-d][1,4]benzodiazepine, 2H-indolo[2,1-a][2,3]benzodiazepine, 2H-indolo[2,1-b][1,3]benzodiazepine, 1H-indolo[1,2-b][2]benzazepine, 2H-indolo[1,2-a][l]benzazepine, 2H-indolo[2,1-a][2]benzazepine, indolo[1,2-e][1,5]benzodiazocine, indolo[2,1-b][3]benzazocine, and the like;
-
- wherein is a single bond or a double bond, and ring E′ is as defined hereinafter, a group obtained by eliminating one hydrogen atom from tetracyclic condensed benzene rings such as 1H-imidazo[1′,2′:1,2]pyrido[3,4-b]indole, 1H-imidazo[1′,2′:1,6]pyrido[4,3-b]indole, 1H-imidazo[1′,5′:1,2]pyrido[3,4-b]indole, 1H-imidazo[1′,5′:1,6]pyrido[4,3-b]indole, 1H-pyrido [2′,1′:2,3]imidazo[4,5-b]indole, imidazo[4,5-a]carbazole, imidazo[4,5-c]carbazole, pyrazolo[3,4-c]carbazole, 2H-pyrazino[1′,2′:1,5]pyrrolo[2,3-b]indole, 1H-pyrrolo[1′,2′:1,2]pyrimido[4,5-b]indole, 1H-indolidino[6,7-b]indole, 1H-indolidino[8,7-b]indole, indolo[2,3-b]indole, indolo[3,2-b]indole, pyrrolo[2,3-a]carbazole, pyrrolo[2,3-b]carbazole, pyrrolo[2,3-c]carbazole, pyrrolo[3,2-a]carbazole, pyrrolo[3,2-b]carbazole, pyrrolo[3,2-c]carbazole, pyrrolo[3,4-a]carbazole, pyrrolo[3,4-b]carbazole, pyrrolo[3,4-c]carbazole, 1H-pyrido[3′,4′:4,5]furo[3,2-b]indole, 1H-furo[3,4-a]carbazole, 1H-furo[3,4-b]carbazole, 1H-furo[3,4-c]carbazole, 2H-furo[2,3-a]carbazole, 2H-furo[2,3-c]carbazole, 2H-furo[3,2-a]carbazole, 2H-furo[3,2-c]carbazole, 1H-pyrido[3′,4′:4,5]thieno[2,3-b]indole, thieno[3′,2′:5,6]thiopyrano[4,3-b]indole, thieno[3′,4′:5,6]thiopyrano[4,3-b]indole, 1H-[1]benzothieno[2,3-b]indole, 1H-[1]benzothieno[3,2-b]indole, 1H-thieno[3,4-a]carbazole, 2H-thieno[2,3-b]carbazole, 2H-thieno[3,2-a]carbazole, 2H-thieno[3,2-b]carbazole, cyclopenta[4,5]pyrrolo[2,3-f]quinoxaline, cyclopenta[5,6]pyrido[2,3-b]indole, pyrido[2,′3′:3,4]cyclopenta[1,2-b]indole, pyrido[2,′3′:4,5]cyclopenta[1,2-b]indole, pyrido[3′,4′:3,4]cyclopenta[1,2-b]indole, pyrido[3′,4′:4,5]cyclopenta[1,2-b]indole, pyrido[4′,3′:4,5]cyclopenta[1,2-b]indole, 1H-cyclopenta[5,6]pyrano[2,3-b]indole, 1H-cyclopenta[5,6]thiopyrano[4,3-b]indole, cyclopenta[a]carbazole, cyclopenta[c]carbazole, indeno[1,2-b]indole, indeno[2,1-b]indole, [1,2,4]triazino[4′,3′:1,2]pyrido[3,4-b]indole, [1,3,5]triazino[1′,2′:1,1]pyrido[3,4-b]indole, 1H-[l, 4]oxazino[4′,3′:1,2]pyrido[3,4-b]indole, 1H-[l, 4]oxazino[4′,3′:1,6]pyrido[3,4-b]indole, 4H-[1, 3]oxazino[3′,4′:1,2]pyrido[3,4-b]indole, indolo[3,2-b][1,4]benzoxazine, 1,3-oxazino[6,5-b]carbazole, 2H-pyrimido[2′,1′:2,3][1,3]thiazino[5,6-b]indole, 2H-[1,3]thiazino[3′,2′:1,2]pyrido[3,4-b]indole, 4H-[1,3]thiazino[3′,4′:1,2]pyrido[3,4-b]indole, indolo[2,3-b][1,4]benzothiazine, indolo[3,2-b][1,4]benzothiazine, indolo[3,2-c][2,1]benzothiazine, 1,4-thiazino[2,3-a]carbazole, [1,4]thiazino[2,3-b]carbazole, 1,4-thiazino[2,3-c]carbazole, 1,4-thiazino[3,2-b]carbazole, 1,4-thiazino[3,2-c]carbazole, 1H-indolo[2,3-g]pteridine, 1H-indolo[3,2-g]pteridine, pyrazino[1′,2′:1,2]pyrido[3,4-b]indole, pyrazino[1′,2′:1,2]pyrido[4,3-b]indole, 1H-pyrido[2′,3′:5,6]pyrazino[2,3-b]indole, 1H-pyrido[3′,2′:5,6]pyrazino[2,3-b]indole, 1H-pyrido[3′,4′:5,6]pyrazino[2,3-b]indole, pyrido[1′,2′:1,2]pyrimido[4,5-b]indole, pyrido[1′,2′:1,2]pyrimido[5,4-b]indole, pyrido[2′,1′:2,3]pyrimido[4,5-b]indole, pyrimido[1′,2′:1,2]pyrido[3,4-b]indole, pyrimido[1′,2′:1,6]pyrido[3,4-b]indole, pyrimido[5′,4′:5,6]pyrano[2,3-b]indole, pyridazino[4′,5′:5,6]thiopyrano[4,5-b]indole, 1H-indolo[3,2-c]cinnoline, 1H-indolo[2,3-b]quinoxaline, 1H-pyrazino[2,3-a]carbazole, 1H-pyrazino[2,3-b]carbazole, 1H-pyrazino[2,3-c]carbazole, 1H-pyridazino[3,4-c]carbazole, 1H-pyridozino[4,5-b]carbazole, 1H-pyrimido[4,5-a]carbazole, 1H-pyrimido[4,5-c]carbazole, 1H-pyrimido[5,4-a]carbazole, 1H-pyrimido[5,4-b]carbazole, 1H-pyrimido[5,4-c]carbazole, 7H-1,4-dioxino[2′,3′:5,6][1,2]dioxino[3,4-b]indole, 6H-[1,4]benzodioxino[2,3-b]indole, 6H-[1,4]benzodithiino[2,3-b]indole, 1H-indolo[2,3-b]-1,5-naphthiridine, 1H-indolo[2,3-b]-[1,6]-naphthyridine, 1H-indolo[2,3-b]-[1,8]-naphthyridine, 1H-indolo[2,3-c]-1,5-naphthilidine, 1H-indolo[2,3-c]-[1,6]-naphthyridine, 1H-indolo[2,3-c]-[1,7]-naphthyridine, 1H-indolo[2,3-c]-[1,8]-naphthyridine, 1H-indolo[3,2-b]-1,5-naphthyridine, 1H-indolo[3,2-b]-[1,7]-naphthyridine, 1H-indolo[3,2-b]-[1,8]-naphthyridine, 1H-indolo[3,2-c]-[1,8]-naphthyridine, indolo[2,3-a]quinolidine, indolo[2,3-b]quinolidine, indolo[3,2-a]quinolidine, indolo[3,2-b]quinolidine, pyrano[4′,3′:5,6]pyrido[3,4-b]indole, pyrido[4′,3′:4,5]pyrano[3,2-b]indole, pyrido[4′,3′:5,6]pyrano[2,3-b]indole, pyrido[4′,3′:5,6]pyrano[3,4-b]indole, 1H-indolo[2,3-c]isoquinoline, 1H-indolo[3,2-c]isoquinoline, 1H-indolo[2,3-c]quinoline, 1H-indolo[3,2-c]quinoline, 1H-pyrido[2,3-a]carbazole, 1H-pyrido[2,3-b]carbazole, 1H-pyrido[2,3-c]carbazole, 1H-pyrido[3,2-a]carbazole, 1H-pyrido[3,2-b]carbazole, 1H-pyrido[3,2-c]carbazole, 1H-pyrido[3,4-a]carbazole, 1H-pyrido[3,4-b]carbazole, 1H-pyrido[3,4-c]carbazole, 1H-pyrido[4,3-a]carbazole, 1H-pyrido[4,3-b]carbazole, 1H-pyrido[4,3-c]carbazole, 1H-quindoline, 1H-quinindoline, 1H-pyrano[3′,4′:5,6]pyrano[4,3-b]indole, [1]benzopyrano[2,3-b]indole, [1]benzopyrano[3,2-b]indole, [1]benzopyrano[3,4-b]indole, [l]benzopyrano[4,3-b]indole, [2]benzopyrano[4,3-b]indole, pyrano[2,3-a]carbazole, pyrano[2,3-b]carbazole, pyrano[2,3-c]carbazole, pyrano[3,2-a]carbazole, pyrano[3,2-c]carbazole, pyrano[3,4-a]carbazole, 1H-phosphinorino[4,3-b]indole, [l]benzothiopyrano[2,3-b]indole, [1]benzothiopyrano[3,2-b]indole, [1]benzothiopyrano[3,4-b]indole, [1]benzothiopyrano[4,3-b]indole, [2]benzothiopyrano[4,3-b]indole, 1H-benzo[a]carbazole, 1H-benzo[b]carbazole, 1H-benzo[c]carbazole, [1,6,2]oxathiazepino[2′,3′:1,2]pyrido[3,4-b]indole, 1H-azepino[1′,2′:1,2]pyrido[3,4-b]indole, 1H-pyrido[1′,2′:1,2]azepino[4,5-b]indole, 2H-pyrido[1′,2′:1,2]azepino[3,4-b]indole, 1H-pyrido[3′,2′:5,6]oxepino[3,2-b]indole, 1H-pyrido[4′,3′:5,6]oxepino[3,2-b]indole, 2H-pyrido[2′,3′:5,6]oxepino[2,3-b]indole, 2H-pyrido[2′,3′:5,6]oxepino[3,2-b]indole, 2H-pyrido[3′,4′:5,6]oxepino[3,2-b]indole, pyrido[2′,3′:4,5]cyclohepta[1,2-b]indole, pyrido[3′,2′:3,4]cyclohepta[1,2-b]indole, pyrido[3′,4′:4,5]cyclohepta[1,2-b]indole, pyrido[3′,4′:5,6]cyclohepta[1,2-b]indole, 2H-pyrano[3′,2′:2,3]azepino[4,5-b]indole, 1H-indolo[3,2-b][1,5]benzoxazepin, 1H-indolo[3,2-d][1,2]benzoxazepin, 1H-indolo[2,3-c][1,5]benzothiazepin, [1,4]diazepino[2,3-a]carbazole, indolo[2,3-b][1,5]benzodiazepin, indolo[2,3-d][1,3]benzodiazepin, indolo[3,2-b][1,4]benzodiazepin, indolo[3,2-b][1,5]benzodiazepin, indolo[3,2-d][1,3]benzodiazepin, indolo[3,2-d][2,3]benzodiazepin, indolo[2,3-a][3]benzazepin, indolo[2,3-c][l]benzazepin, indolo[2,3-d][l]benzazepin, indolo[2,3-d][2]benzazepin, indolo[3,2-b][l]benzazepin, indolo[3,2-c][l]benzazepin, indolo[3,2-d][l]benzazepin, 1H-indolo[2,1-b][3]benzazepin, 1H-[l]benzoxepino[5,4-b]indole, 1H-[2]benzoxepino[4,3-b]indole, 1H-[l]benzothiepino[4,5-b]indole, 1H-[1]benzothiepino[5,4-b]indole, benzo[3,4]cyclohepta[1,2-b]indole, benzo[4,5]cyclohepta[1,2-b]indole, benzo[5,6]cyclohepta[1,2-b]indole, benzo[6,7]cyclohepta[1,2-b]indole, cyclohepta[b]carbazole, 4H-[1,5]oxazocino[5′,4′:1,6]pyrido[3,4-b]indole, azocino[1′,2′:1,2]pyrido[3,4-b]indole, 2,6-methano-2H-azecino[4,3-b]indole, 3,7-methano-3H-azecino[5,4-b]indole, pyrido[1′,2′:1,8]azocino[5,4-b]indole, pyrido[4′,3′:6,7]oxocino[2,3-b]indole, pyrido[4′,3′:6,7]oxocino[4,3-b]indole, 1,5-methano-1H-azecino[3,4-b]indole, 2,6-methano-1H-azecino[5,4-b]indole, 1H-pyrido[3′,4′:5,6]cycloocta[1,2-b]indole, 1,4-ethanooxocino[3,4-b]indole, pyrano[3′,4′:5,6]cycloocta[1,2-b]indole, 1H-indolo[2,3-c][1,2,5,6]benzotetrazocine, 1H-indolo[2,3-c][1, 6]benzodiazocine, 6,13b-methano-13bH-azecino[5,4-b]indole, oxocino[3,2-a]carbazole, 1H-benzo[g]cycloocta[b]indole, 6,3-(iminomethano)-2H-1,4-thiazonino[9,8-b]indole, 1H,3H-[1,4]oxazonino[4′,3′:1,2]pyrido[3,4-b]indole, 2H-3,6-ethanoazonino[5,4-b]indole, 2H-3,7-methanoazacycloundecino[5,4-b]indole, 1H-6,12b-ethanoazonino[5,4-b]indole, indolo[3,2-e][2]benzazonine, 5,9-methanoazacycloundecino[5,4-b]indole, 3,6-ethano-3H-azecino[5,4-b]indole, 3,7-methano-3H-azacycloundecino[5,4-b]indole, pyrano[4′,3′:8,9]azecino[5,4-b]indole, 1H-indolo[2,3-c][1, 7]benzodiazecine, 1H-indolo[3,2-e][2]benzazecine, and the like.
- Further, there is mentioned a group obtained by eliminating one hydrogen atom from tetracyclic condensed benzene rings such as benzo[e]pyrrolo[3,2-b]indole, benzo[e]pyrrolo[3,2-g]indole, benzo[e]pyrrolo[3,2,1-hi]indole, benzo[e]pyrrolo[3,4-b]indole, benzo[g]pyrrolo[3,4-b]indole, 1H-benzo[f]pyrrolo[1,2-a]indole, 1H-benzo[g]pyrrolo[1,2-a]indole, 2H-benzo[e]pyrrolo[1,2-a]indole, 1H-benzo[f]pyrrolo[2,1-a]isoindole, 1H-benzo[g]pyrrolo[2,1-a]isoindole, 2H-benzo[e]pyrrolo[2,1-a]isoindole, isoindolo[6,7,1-cde]indole, spiro[cyclohexane-1,5′-[5H]pyrrolo[2,1-a]isoindole], isoindolo[7,1,2-hij]quinoline, 7,11-methanoazocino[1,2-a]indole, 7,11-methanoazocino[2,1-a]isoindole, dibenz[cd,f]indole, dibenz[cd,g]indole, dibenz[d,f]indole, 1H-dibenz[e,g]indole, 1H-dibenz[e,g]isoindole, naphtho[1,2,3-cd]indole, naphtho[1,8-ef]indole, naphtho[1,8-fg]indole, naphtho[3,2,1-cd]indole, 1H-naphtho[1,2-e]indole, 1H-naphtho[1,2-f]indole, 1H-naphtho[1,2-g]indole, 1H-naphtho[2,1-e]indole, 1H-naphtho[2,3-e]indole, 1H-naphtho[1,2-f]isoindole, 1H-naphtho[2,3-e]isoindole, spiro[1H-carbazol-1,1′-cyclohexane], spiro[2H-carbazol-2,1′-cyclohexane], spiro[3H-carbazol-3,1′-cyclohexane], cyclohepta[4,5]pyrrolo[3,2-f]quinoline, cyclohepta[4,5]pyrrolo[3,2-h]quinoline, azepino[4,5-b]benz[e]indole, 1H-azepino[1,2-a]benz[f]indole, 1H-azepino[2,1-a]benz[f]isoindole, benzo[e]cyclohepta[b]indole, benzo[g]cyclohepta[b]indole, and the like; or
-
- wherein is a single bond or a double bond, and ring E′ and ring F′ are as defined hereinafter, a group obtained by eliminating one hydrogen atom from tetracyclic condensed benzene rings such as 1H-dipyrrolo[2,3-b:3′,2′,1′-hi]indole, spiro[cyclopentan-1,2′-(1′H)-pyrrolo[3,2,1-hi]indole], spiro[imidazolidin-4,1′-(2′H)-[4H]pyrrolo[3,2,1-ij]quinoline], pyrido[2,3-b]pyrrolo[3,2,1-hi]indole, pyrido[4,3-b]pyrrolo[3,2,1-hi]indole, benzo[de]pyrrolo[3,2,1-ij]quinoline, 3H-pyrrolo[3,2,1-de]acridine, 1H-pyrrolo[3,2,1-de]phenanthridine, spiro[cyclohexan-1,6′-(6H)-pyrrolo[3,2,1-ij]quinoline], 4,9-methanopyrrolo[3,2,1-lm][l]benzazocine, spiro[cycloheptan-1,6′-(6H)-pyrrolo[3,2,1-ij]quinoline], 1H-pyrano[3,4-d]pyrrolo[3,2,1-jk][1]benzazepine, 3H-benzo[b]pyrrolo[3,2,1-jk][4,1]benzoxazepine, 7H-indolo[1,7-ab][4,1]benzoxazepine, benzo[b]pyrrolo[3,2,1-jk][1,4]benzodiazepine, indolo[1,7-ab][1,4]benzodiazepine, indolo[1,7-ab][1]benzazepine, indolo[7,1-ab][3]benzazepine, 1H-cyclohepta[d][3,2,1-jk][1]benzazepine, spiro[azepino[3,2,1-hi]indole-7(4H), 1′-cycloheptane], 4H-5,11-methanopyrrolo[3,2,1-no][l]benzazacycloundecine, spiro[azepino[3,2,1-hi]indole-7(4H),1′-cyclooctane], and the like.
- Further, examples of the “phenyl group condensed with a tricyclic heterocyclic ring” include phenyl group condensed with a tricyclic heterocyclic ring exemplified hereinafter, and its dihydro isomer, tetrahydro isomer, hexahydro isomer, octahydro isomer and decahydro isomer, in addition to the above phenyl group condensed with a tricyclic heterocyclic ring including the indole ring or isoindole ring which may be hydrogenated. Specific examples thereof include fluoranthene, acephenanthrylene, aceanthrylene, triphenylene, pyrene, chrysene, naphthacene, pleiadene, benzo[a]anthracene, indeno[1,2-a]indene, cyclopenta[a]phenanthrene, pyrido[1′,2′:1,2]imidazo[4,5-b]quinoxaline, 1H-2-oxapyrene, spiro[piperidine-4,9′-xanthene], and the like.
-
- wherein each of ring E′, ring F′ and ring G′ is a 5- to 9-membered nitrogen-containing heterocyclic ring which may be substituted with oxo group in addition to R′, and ring A, ring F, ring G and R 1 are as defined above, etc.
-
- and the like are preferred.
- Examples of the “5- to 9-membered nitrogen-containing heterocyclic ring” of the “5- to 9-membered nitrogen-containing heterocyclic ring which may be substituted with oxo group” include the “5- to 9-membered nitrogen-containing heterocyclic ring” represented by the above ring C′ and ring D′, etc.
- Preferred examples of a case that the “aryl group which may be substituted” represented by Ar is condensed with (2) a dicyclic heterocyclic ring which may be substituted, or a case that it is condensed with 2 the same or different monocyclic rings (provided that at least one ring is a monocyclic heterocyclic ring), and a case that it is condensed with (3) a tricyclic heterocyclic ring which may be substituted include a group wherein Ar is represented by the formula:
- wherein each symbol is as defined above.
-
-
- wherein R 1 is as defined above.
- In the above formula, n is an integer of 1 to 10. n is preferably an integer of 1 to 6, more preferably an integer of 1 to 5, in particular, further preferably an integer of 2 to 5, and especially preferably 3, 4 or 5.
- In the above formula, R is a hydrogen atom or a hydrocarbon group which may be substituted, and may be different in the repetition of n.
- The “hydrocarbon group” and the “substituent” of the “hydrocarbon group which may be substituted” represented by R is as defined with respect to the “hydrocarbon group” and the “substituent” of the “hydrocarbon group which may be substituted” represented by the above R 1.
- Further, R may be bonded to Ar or the substituent of Ar.
-
- wherein R 1, n, X and Y are as defined above;
-
- wherein n, X and Y are as defined above;
-
- wherein n, X and Y are as defined above; etc.
- As R, preferred is a hydrogen atom.
- In the above formula, Y is an amino group which may be substituted, or a nitrogen-containing heterocyclic ring (preferably, a nitrogen-containing saturated heterocyclic ring) which may be substituted [Y is preferably amino group which may be substituted]. Further, Y′ is an amino group which may be substituted.
-
- wherein R 4 and R5 are the same or different and are hydrogen atom, a hydrocarbon group which may be substituted, or an acyl group which may be substituted, or R4 and R5 may be bonded to each other to form a ring, etc.
- Examples of the “substituent” and the “hydrocarbon group” of the “hydrocarbon group which may be substituted” represented by R 4 and R5 include the “substituent” and the “hydrocarbon group” of the “hydrocarbon group which may be substituted” represented by the above R1, and the like Preferred examples of the hydrocarbon group which may be substituted represented by R4 and R5 include (a) a straight or branched chain lower alkyl group (for example, C1-6 alkyl group such as methyl, ethyl, propyl, isopropyl, butyl, isobutyl, tert-butyl, sec-butyl, pentyl, hexyl, and the like) which may have 1 to 3 substituent(s) selected from (i) a halogen atom (,for example, fluoro, chloro, bromo, iodo, and the like), (ii) a lower alkoxy group (for example, C1-6 alkoxy group such as methoxy, ethoxy, n-propoxy, isopropoxy, n-butyloxy, and the like), (iii) hydroxy group, and the like; (b)a lower aralkyl group (for example, phenyl-C1-10alkyl (for example, benzyl, phenylethyl, phenylpropyl, phenylbutyl, phenylpentyl, phenylhexyl, and the like), naphthyl-C1-6 alkyl (for example, α-naphthylmethyl, and the like) or C1-6 aralkyl group such as diphenyl-C1-3 alkyl (for example, diphenylmethyl, diphenylethyl, and the like) which may have 1 to 3 substituent(s) selected from (i) a halogen atom (for example, fluoro, chloro, bromo, iodo, and the like), (ii) a lower alkoxy group (for example, C1-6 alkoxy group such as methoxy, ethoxy, n-propoxy, i-propoxy, n-butyloxy, and the like), (iii) hydroxy group, and the like.
- More preferred examples thereof include (a) a straight or branched chain unsubstituted lower alkyl group (for example, C 1-6 alkyl group such as methyl, ethyl, propyl, isopropyl, butyl, isobutyl, tert-butyl, sec-butyl, pentyl, hexyl, and the like), or (b)an unsubstituted lower aralkyl group (for example, phenyl-C1-10 alkyl (for example, benzyl, phenylethyl, phenylpropyl, phenylbutyl, phenylpentyl, phenylhexyl, and the like), naphthyl-C1-6 alkyl (for example, α-naphthylmethyl, and the like) or C7-16 aralkyl group such as diphenyl-C1-3 alkyl (for example, diphenylmethyl, diphenylethyl, and the like)), and the like.
- Examples of the “acyl group which may be substituted” represented by R 4 and R5 include the “acyl group which may be substituted” represented by the above R1, etc.
- Further, in the “amino group which may be substituted” represented by Y and Y′, specific examples of a case that R 4 and R5 are bonded to each other to form a ring, namely, a case that the “amino group which may be substituted” represented by Y and Y′ are the “cyclic amino group which may be substituted”, include a group represented by the formula:
- wherein ring Q 1 is a 5- to 9-membered nitrogen-containing heterocyclic group (preferably, a nitrogen-containing saturated heterocyclic group) which may contain 1 to 2 hetero atoms selected from nitrogen atom, oxygen atom, sulfur atom, and the like in addition to carbon atom(s) and one nitrogen atom, etc. More specifically, for example,
- or the like are often used;
- Examples of the “substituent” of the “cyclic amino group which may be substituted” as the “amino group which may be substituted” represented by Y and Y′ include the “substituent” of the “nitrogen-containing heterocyclic ring which may be substituted” which may be formed together with nitrogen atom adjacent to the above R 2c and R3c, and the “hydrocarbon group which may be substituted”, the “acyl group which may be substituted”, or the “heterocyclic group which may be substituted” represented by the above R1c, etc.
-
- wherein R 2 is a hydrogen atom, an acyl group which may be substituted, a hydrocarbon group which may be substituted, or a heterocyclic group which may be substituted, p is an integer of 1 to 3, each of R′ and R″ is a hydrogen atom or an alkyl group which may be substituted, or R′ and R″ may be bonded to each other to form a ring, (2) a piperidino group which may be substituted, etc. Among these, preferably, a group represented by the formula (Ia):
-
- wherein R 2 is a hydrogen atom, an acyl group which may be substituted, a hydrocarbon group which may be substituted, or a heterocyclic group which may be substituted, etc., are used.
- Examples of the “acyl group which may be substituted”, the “hydrocarbon group which may be substituted”, and the “heterocyclic group which may be substituted” represented by R 2 include those similar to the “acyl group which may be substituted”, the “hydrocarbon group which may be substituted”, and the “heterocyclic group which may be substituted” represented by the above R1.
- Examples of the “alkyl group” in the “alkyl group which may be substituted” represented by R′ and R″ include a C 1-6 alkyl group, and the like. Examples of the “substituent” of said “alkyl group” include those similar to the “substituent” of the “hydrocarbon group which may be substituted” represented by the above R1.
- Further, when R′ and R″ are bonded to each other to form a ring, preferred examples thereof include, among the “nitrogen-containing heterocyclic group” exemplified with respect to the above ring Q 1, a 5- to 9-membered nitrogen-containing heterocyclic group (preferably, a nitrogen-containing saturated heterocyclic group) which may contain one hetero atom selected from nitrogen atom, oxygen atom, sulfur atom, and the like, in addition to carbon atom(s) and two nitrogen atoms, and, preferably, the ring is the 5- to 9-membered nitrogen-containing heterocyclic group (preferably, a nitrogen-containing saturated heterocyclic group) which is constituted by carbon atom(s) and two nitrogen atoms. These rings may be further substituted with substituent(s) similar to those of the above ring Q1.
- The piperidino group which may be substituted as Y may have the “acyl group which may be substituted”, the “hydrocarbon group which may be substituted”, and the “heterocyclic group which may be substituted” represented by the above R 1, and the like, as substituent(s).
- Examples of the “nitrogen-containing heterocyclic group” of the “nitrogen-containing heterocyclic group which may be substituted” represented by Y include a 5- to 9-membered nitrogen-containing heterocyclic group (preferably, a nitrogen-containing saturated heterocyclic group) which may contain one to three hetero atoms selected from nitrogen atom, oxygen atom, sulfur atom, and the like, in addition to carbon atom(s) and one nitrogen atom, etc. These nitrogen-containing heterocyclic groups may be a group having a bonding hand at the nitrogen atom composing the ring, or a group having a bonding hand at the carbon atom composing the ring. Examples of the group having a bonding hand at the nitrogen atom composing the ring include a group represented by the formula:
- wherein ring Q 1 is a 5- to 9-membered nitrogen-containing heterocyclic group (preferably, a nitrogen-containing saturated heterocyclic group) which may contain 1 to 2 hetero atoms selected from nitrogen atom, oxygen atom, sulfur atom, and the like in addition to carbon atom(s) and one nitrogen atom, etc. More specifically, for example,
- or the like is often used.
-
- wherein ring Q 2 represents a 5- to 9-membered nitrogen-containing heterocyclic group (preferably, a nitrogen-containing saturated heterocyclic group) which may contain 1 to 2 hetero atoms selected from nitrogen atom, oxygen atom, sulfur atom, and the like, in addition to carbon atom(s) and one nitrogen atom, etc. More specifically, for example,
- or the like is often used.
- Examples of the “substituent” of the “nitrogen-containing heterocyclic group (preferably, a nitrogen-containing saturated heterocyclic group) which may be substituted” represented by Y include the “substituent” of the “nitrogen-containing heterocyclic ring which may be substituted” which may be formed together with the nitrogen atom adjacent to the above R 2c and R3c, and the “hydrocarbon group which may be substituted”, the “acyl group which may be substituted”, or the “heterocyclic group which may be substituted” represented by the above R1, etc.
- Further, when the “cyclic amino group which may be substituted” as the “amino group which may be substituted” represented by Y and Y′; and the “nitrogen-containing heterocyclic group which may be substituted” represented by Y have 2 or more substituents, said substituents may be bonded to each other to form a ring. Specific example of the ring include benzene ring, a 5- to 8-membered (preferably, 5- to 6-membered) aromatic monocyclic heterocyclic ring (for example, pyrrole, oxazole, isoxazole, thiazole, isothiazole, imidazole, pyrazole, 1,2,3-oxadiazole, 1,2,4-oxadiazole, 1,3,4-oxadiazole, 1,2,3-thiadiazole, 1,2,4-thiadiazole, 1,3,4-thiadiazole, 1,2,3-triazole, 1,2,4-triazole, tetrazole, pyridine, pyridazine, pyrimidine, pyrazine, triazine, and the like), a ring in which a part or all of the unsaturated bonds of these rings converted to saturated bond(s), and the like.
- Furthermore, when the “cyclic amino group which may be substituted” as the “amino group which may be substituted” represented by Y and Y′; and the “nitrogen-containing heterocyclic group which may be substituted” represented by Y have 2 or more substituents on one carbon atom, said substituents may be bonded to each other to form a spiro ring. Specific examples of the case of forming the spiro ring include spiro(1H-inden-1,4′-piperizinyl) ring, and the like.
- Preferred examples of the “nitrogen-containing heterocyclic group” of the “nitrogen-containing heterocyclic group which may be substituted” represented by Y include a 4-piperidinyl group, 1-piperidinyl group, 1-piperazinyl group, and the like.
-
- wherein R 6 is as defined with respect to the above R1; etc.
-
- wherein R 6 is (i) phenyl-C1-6 alkyl which may be substituted with C1-6 alkyl, C1-6 alkoxy, a halogen atom, nitro, mono- or di-C1-6 alkyl-carbamoyloxy, hydroxy, cyano, carboxyl, C1-6 alkoxy-carbonyl, carbamoyl, cyclic aminocarbonyl, amino, C1-6 alkylcarbonylamino, phenylsulfonylamino, C1-6 alkylsulfonylamino, amidino, ureido or a heterocyclic ring (the above C1-6 alkyl, C1-6 alkoxy, carbamoyl, cyclic aminocarbonyl, amino, phenylsulfonylamino, amidino, ureido and heterocyclic ring may be further substituted, and as said “substituent”, for example, the “substituent” of the “hydrocarbon group which may be substituted” represented by R1, and the like are used), (ii) hydrogen atom, (iii) a C1-6 alkyl group which may be substituted with a halogen atom, hydroxy, C1-6 alkoxy, amino, mono- or di-C1-6 alkylamino, carboxyl, cyano or C1-6 alkoxy-carbonyl, or (iv) a C1-6 alkylcarbonyl group which may be substituted with mono- or di-C1-6 alkylamino or C1-6 alkoxy-carbonyl, and preferably, benzyl group which may be substituted with C1-4 alkyl (methyl, and the like), trihalogeno C1-4 alkyl (methyl, and the like), a halogen atom (fluoro, chloro, and the like), nitro, cyano, C1-4 alkoxy (methoxy, and the like), hydroxy, carbamoyl, (4-C1-4 alkyl (methyl, and the like)-1-piperazinyl) carbonyl, aminothiocarbonyl, morpholinocarbonyl, carboxyl, C1-4 alkoxy (methoxy, and the like) carbonyl, C1-4 alkoxy (ethoxy, and the like), C1-4 alkoxy (ethoxy, and the like), carboxyl-C1-4 alkoxy (methoxy, and the like), C1-4 alkoxy (ethoxy, and the like), carboxyl C1-4 alkoxy (methoxy, and the like)-carbonyl-C1-6alkyl (isopropyl, and the like), carboxyl-C1-6 alkyl (isopropyl, and the like), amino, acetylamino, C1-4 alkyl (methyl, and the like) sulfonylamino, (4-C1-4 alkyl (methyl, and the like) phenyl)sulfonylamino, ureido, 3-C1-4 alkyl (methyl, and the like) ureido, amidino, dihydrothiazolyl or dihydroimidazolyl, and the like.
- Among these, preferred are those in which R 6 is benzyl group which may be substituted with C1-4 alkyl (methyl, and the like), trihalogeno (fluoro, and the like) C1-4 alkyl (methyl, and the like), a halogen atom (fluoro, chloro, and the like), nitro, hydroxy, carbamoyl, amino, amidino, or dihydroimidazolyl.
- In particular, Y is preferably 1-benzyl-4-piperidinyl group, 4-benzyl-1-piperidinyl group or 4-benzyl-1-piperazinyl group, 1-acetyl-4-piperidinyl group, 1-[(2-methylphenyl)methyl]-4-piperidinyl group, 1-[(3-chlorophenyl)methyl]-4-piperidinyl group, 1-[(2-chlorophenyl)methyl]-4-piperidinyl group, 1-[(3-nitrophenyl)methyl]-4-piperidinyl group, 1-[[3-trifluoromethyl)phenyl]methyl]-4-piperidinyl group, and the like, and 1-benzyl-4-piperidinyl group, 1-acetyl-4-piperidinyl group, 1-[(2-methylphenyl)methyl]-4-piperidinyl group, 1-[(3-chlorophenyl)methyl]-4-piperidinyl group, 1-[(2-chlorophenyl)methyl]-4-piperidinyl group, 1-[(3-nitrophenyl)methyl]-4-piperidinyl group, 1-[[3-(trifluoromethyl)phenyl]methyl]-4-piperidinyl group, and the like are often used.
- In the above formula, examples of the “spacer in which the number of atom(s) constituting a linear chain portion is 1 to 4” represented by X include a saturated divalent group or divalent group in which a part of bonds is converted to unsaturated bond(s) such as
- (1) —(CH 2)f3— (f3 is an integer of 1 to 4),
- (2) —(CH 2)g5—X5—(CH2)g6— (g5 and g6 are the same or different and are an integer of 0 to 3, provided that the sum of g5 and g6 is 1 to 3. X5 is NH, O, S, SO or SO2),
- (3) —(CH 2)h7—X5—(CH2)h8—X6—(CH2)h9— (h7, h8 and h9 are the same or different and are an integer of 0 to 2, provided that the sum of h7, h8 and h9 is 0 to 2. Each of X5 and X6 is NH, O, S, SO or SO2). However, when h8 is 0, at least one of X5 and X6 is preferably NH); or the “the divalent group in which the number of atom(s) in a linear chain portion is 1 to 4” such as —CO—, —NR3a—, —SO2—, —SO2NR3a—, —SO2NHCONR3a—, —SO2NHC(═NH)NR3a—, —CS—, —CR3a(R3b)—, —C(═CR3a(R3b)—, —C(═NR3a)—, —CONR3a— (wherein each of R3a and R3b is independently hydrogen atom, cyano group, hydroxy group, amino group, a C1-6 alkyl group or a C1-6 alkoxy group).
- X is more preferably —CO—, —O—, —NR 3a—, —S—, —SO—, —SO2—, —SO2NR3a—, —SO2NHCONR3a—, —SO2NHC(═NH)NR3a—, —CS—, —CR3a (R 3b)—, —C(═CR3a(R3b)—, —C(═NR3a)—, —CONR3a— (wherein each of R3a and R3b is independently hydrogen atom, cyano group, hydroxy group, amino group, a C1-6 alkyl group or a C1-6 alkoxy group). Among these, —CO—, —O—, —SO2—, —SO2NR3a—, —CR3a(R3b)—, —CONR3a—, and the like are preferred. In particular, —SO2NR3a—, —CONR3a—, —CR3a(R3b), and the like are preferably used.
- The divalent group represented by X may be substituted at an arbitrary position (preferably, on a carbon atom) and examples of the substituent include lower (C 1-6) alkyl (for example, methyl, ethyl, propyl, isopropyl, butyl, isobutyl, sec-butyl, tert-butyl, pentyl, isopentyl, neopentyl, hexyl, and the like), lower (C3-7) cycloalkyl (for example, cyclopropyl, cyclobutyl, cyclopentyl, cyclohexyl, cycloheptyl, and the like), formyl, lower (C2-7) alkanoyl (for example, acetyl, propionyl, butyryl, and the like), lower (C1-6) lower alkoxy-carbonyl, lower (C1-6) lower alkoxy, hydroxy group, oxo, and the like.
-
- wherein R 1 is a hydrogen atom, a hydrocarbon group which may be substituted or an acyl group which may be substituted, ring A is a benzene ring which may be further substituted, X is a spacer in which the number of atom(s) constituting a linear chain portion is 1 to 4 (provided that —CO— is excluded), n is an integer of 1 to 10, R is a hydrogen atom or a hydrocarbon group which may be substituted, and may be the same or different in the repetition of n, R may be bonded to ring A or a substituent of ring A to form a ring, and Y is an amino group which may be substituted, or a salt thereof is preferably used.
- As the salt of the compound having urotensin II receptor antagonistic activity [including the compounds represented by the formulae (Ia), (IIa), (IIa′), (Ib), (Ic) and (IIc)] is used in the present invention, a pharmacologically acceptable salt is preferred, and examples thereof include a salt with an inorganic base, a salt with an organic base, a salt with an inorganic acid, a salt with an organic acid, a salt with a basic or acidic amino acid, and the like.
- As the salt with an inorganic base, for example, there are alkali metal salts such as a sodium salt and a potassium salt; alkali earth metal salts such as a calcium salt and a magnesium salt; and an aluminum salt, an ammonium salt, and the like.
- As the salt with an organic base, for example, there are trimethylamine, triethylamine, pyridine, picoline, ethanolamine, diethanolamine, triethanolamine, dicyclohexylamine, N,N′-dibenzylethylenediamine, and the like.
- As preferred examples of the salt with an inorganic acid, there are salts with hydrochloric acid, hydrobromic acid, nitric acid, sulfuric acid, phosphoric acid, and the like.
- As preferred examples of the salt with an organic acid, there are salts with formic acid, acetic acid, trifluoroacetic acid, fumaric acid, oxalic acid, tartaric acid, maleic acid, citric acid, succinic acid, malic acid, methanesulfonate, benzenesulfonic acid, p-toluenesulfonic acid, and the like.
- As preferred examples of the salt with a basic amino acid, there are salts with arginine, lysine, ornithine, and the like, and, as preferred examples of the salt with an acidic amino acid, there are salts with aspartic acid, glutamic acid, and the like.
- The compound having urotensin II receptor antagonistic activity (including the compounds represented by the formulae (Ia), (IIa), (IIa′), (Ib), (Ic) and (IIc)) used in the present invention may be a hydrate or a non hydrate. Further, when the compound having urotensin II receptor antagonistic activity (including the compounds represented by the formulae (Ia), (IIa), (IIa′), (Ib), (Ic) and (IIc)) used in the present invention exists as a configurational isomer, a diastereomer, a conformer and the like, if desired, each can be isolated by per se known separation and purification procedures. Further, when the compound having urotensin II receptor antagonistic activity (including the compounds represented by the formulae (Ia), (IIa), (IIa′), (Ib), (Ic) and (IIc)) used in the present invention is racemic, it can be separated to a (S) isomer and a (R) isomer by a conventional optical resolution, and any one of the respective optically active isomers and racemates are included in the present invention. The compound having urotensin II receptor antagonistic activity (including the compounds represented by the formulae (Ia), (IIa), (IIa′), (Ib), (Ic) and (IIc) and salts thereof) or a salt thereof used in the present invention [hereinafter, sometimes, referred to as UII receptor antagonist] may be used as a prodrug. Examples of such prodrug may include compounds which may be converted into UII receptor antagonist through, for example, enzyme- or gastric acid-mediated reaction in vivo under physiological conditions, i.e., compounds which may be enzymatically oxidized, reduced and/or hydrolyzed to be converted into UII receptor antagonist, and compounds which may be hydrolyzed by gastric acid and the like to be converted into UII receptor antagonist. Examples of prodrug of UII receptor antagonist include compounds wherein amino group of UII receptor antagonist has been acylated, alkylated or phosphorylated (e.g., compounds wherein amino group of UII receptor antagonist has been eicosanoylated, alanylated, pentylaminocarbonylated, (5-methyl-2-oxo-1,3-dioxolene-4-yl) methoxycarbonylated, tetrahydrofuranylated, pyrrolidylmethylated, pivaloyloxymethylated, tert-butylated, etc.); compounds wherein hydroxy group of UII receptor antagonist has been acylated, alkylated, phosphorylated or borated (e.g., compounds wherein hydroxy group of UII receptor antagonist has been acetylated, palmitoylated, propanoylated, pivaloylated, succinylated, fumarylated, alanylated or dimethylamino methylcarbonylated); compounds wherein carboxyl group of UII receptor antagonist has been esterified or amidated (e.g., compounds wherein carboxyl group of UII receptor antagonist has been ethylesterified, phenylesterified, carboxymethyl esterified, dimethylaminomethyl esterified, pivaloyloxymethyl esterified, ethoxycarbonyloxyethyl esterified, phthalidyl esterified, (5-methyl-2-oxo-1,3-dioxolene-4-yl)methyl esterified, cyclohexyloxycarbonylethyl esterified, methylamidated, etc.), and the like. These compounds can be prepared from UII receptor antagonist using per se known method.
- Further, prodrugs of UII receptor antagonist may be compounds which may be converted into UII receptor antagonist under physiological conditions as described in “Development of pharmaceuticals (Iyakuhinn no Kaihatsu)”, vol. 7, Molecular Design, pp. 163-198, Hirokawa Shoten (1990).
- UII receptor antagonist may be labeled with an isotope such as 3H, 14C, 35S, 125I, etc.
- UII receptor antagonist of the present invention can be orally or parenterally administrated independently, or by formulating together with pharmacologically acceptable carriers in the form of solid preparations such as tablets, capsules, granules, powders and the like; or liquid preparations such as syrups, injectable preparations, and the like.
- Dosage forms for parenteral administration include, for example, injectable preparations, instillations, suppositories, and the like.
- As the pharmacologically acceptable carrier, various conventional organic or inorganic carrier substances can be used and such materials are formulated as excipients, lubricants, binders, disintegrants in solid preparations; as solvents, solubilizing aids, suspending agents, isotonicity agents, buffers, soothing agents in liquid preparations, etc. Further, if necessary, pharmaceutical additives such as preservatives, antioxidants, colorants and flavoring agents can be used. Preferred examples of the excipient include lactose, sugar, D-mannitol, starch, crystalline cellulose, light anhydrous silicic acid, and the like. Preferable examples of the lubricant include magnesium stearate, calcium stearate, tarc, colloidal silica, and the like. Preferred examples of the binder include crystalline cellulose, sugar, D-mannitol, dextrine, hydroxypropyl cellulose, hydroxypropylmethyl cellulose, polyvinyl pyrrolidone, and the like. Preferred examples of the disintegrant include starch, carboxymethyl cellulose, calcium carboxymethyl cellulose, sodium cross calmelose, sodium carboxymethylstarch, and the like. Preferred examples of the solvent include injectable water, alcohol, propylene glycol, macrogol, sesame oil, corn oil, and the like. Preferred examples of the solubilizing aid include polyethylene glycol, polypropylene glycol, D-mannitol, benzyl benzoate, ethanol, trisaminomethane, cholesterol, triethanolamine, sodium carbonate, sodium citrate, and the like. Preferred examples of the suspending agent include surfactants such as stearyltriethanolamine, sodium laurylsulfate, laurylaminopropionic acid, lecithin, benzalkonium chloride, benzetonium chloride, glycerin monostearate, and the like; hydrophilic synthetic polymers such as polyvinyl alcohol, polyvinyl pyrrolidone, carboxymethylcellulose sodium, methyl cellulose, hydroxymethyl cellulose, hydroxyethyl cellulose, hydroxypropyl cellulose, and the like; and the like. Preferred example of the isotonicity agent include sodium chloride, glycerin, D-mannitol, and the like. Preferred examples of the buffer include buffers such as phosphate, acetate, carbonate, citrate, and the like; and the like. Preferred examples of the indolent agent include benzyl alcohol, and the like. Preferable examples of the preservative include paraoxybenzoic acid esters, chlorobutanol, benzyl alcohol, phenethyl alcohol, dehydroacetic acid, sorbic acid, and the like. Preferred examples of the antioxidant, for example, sulfite, ascorbic acid, and the like.
- Hereinafter, the production process of the compound having urotensin II receptor antagonistic activity or a salt thereof is shown.
- The compounds used in each production process below may form salts similar to those of the above compound having urotensin II receptor antagonistic activity, so far as it does not interfere with the reaction.
- Further, in each reaction described hereinafter, when the starting compound has amino group, carboxyl group and hydroxy group as a substituent, a protective group generally used in peptide chemistry may be introduced into such a group and, if desired, the objective compound can be obtained by removing the protective group after reaction.
- Examples of the protective group for amino group include lower C 1-6 alkylcarbonyl which may be substituted (for example, acetyl, propionyl, and the like), formyl, phenylcarbonyl, C1-6 alkyloxycarbonyl (for example, methoxycarbonyl, ethoxycarbonyl, tert-butoxycarbonyl, and the like), phenyloxycarbonyl (for example, benzoxycarbonyl, and the like), C7-10 aralkyloxycarbonyl (for example, benzyloxycarbonyl, and the like), trityl, phthaloyl, and the like. Examples of these substituents include a halogen atom (for example, fluorine, chlorine, bromine, iodine, and the like), C1-6 alkylcarbonyl (for example, acetyl, propionyl, butyryl, and the like), nitro group, and the like, and the number of the substituent(s) is about 1 to 3.
- Examples of the protective group for carboxyl group include C 1-6 alkyl which may be substituted (for example, methyl, ethyl, propyl, isopropyl, butyl, tert-butyl, and the like), phenyl, trityl, silyl, and the like. Examples of these substituents include a halogen atom (for example, fluorine, chlorine, bromine, iodine, and the like), C1-6 alkylcarbonyl (for example, acetyl, propionyl, butyryl, and the like), formyl, a nitro group, and the like, and the number of the substituent(s) is about 1 to 3.
- Examples of the protective group for hydroxy group include C 1-6 alkyl which may be substituted (for example, methyl, ethyl, propyl, isopropyl, butyl, tert-butyl, and the like), phenyl, C7-10 aralkyl (for example, benzyl, and the like), C1-6 alkylcarbonyl (for example, acetyl, propionyl, and the like), formyl, phenyloxycarbonyl, C7-10 aralkyloxycarbonyl (for example, benzyloxycarbonyl, and the like), pyranyl, furanyl, silyl, and the like. Examples of these substituents include a halogen atom (for example, fluorine, chlorine, bromine, iodine, and the like), C1-6 alkyl, phenyl, C7-10 aralkyl, nitro group, and the like, and the number of the substituent(s) is about 1 to 4.
- Further, as a method for introducing and removing the protective group, per se known methods or their modifications [for example, the method described in “Protective Groups in Organic Chemistry” (J. F. W. McOmie et al, Plenam Press Co.)] can be used. As a method for removing the protective group, for example, treatment with an acid, a base, reduction, ultraviolet rays, hydrazine, phenylhydrazine, sodium N-methylthiocarbamate, tetrabutylammonium fluoride, palladium acetate, or the like can be used.
- A production process of the compound represented by the formula (Ia) [including the compound represented by the formula (IIa) or (IIa′) having a novel structure] or a salt thereof is shown below.
- The compound represented by the formula (Ia) or a salt thereof can be produced by a per se known method. Further, the compound represented by the formula (Ia) or a salt thereof can be produced, for example, by the following method, or a method described in “Tetrahedron Letters” Vol. 40, pp. 5643-5646, JP 3-220189 A), JP 48-30280 B, and the like, or a modification thereof.
- Among the compound represented by the formula (Ia) [including the compound represented by the formula (IIa) or (IIa′) having a novel structure] or a salt thereof, a compound represented by the formula (Iaa) or a salt thereof in which R 1 is an unsubstituted amino group, or a salt thereof can be produced, for example, by the following scheme:
- wherein each symbols are as defined above.
- In accordance with the method described in JP 3-220189 A, JP 48-30280 B or their modifications, the compound represented by the formula (Iaa) or a salt thereof can be obtained by carrying out the cyclization reaction of a compound represented by the formula (Va) or a salt thereof which is obtained by reacting a compound represented by the formula (IIIa) or a salt thereof with a compound represented by the formula (IVa) or a salt thereof.
-
- wherein Za is an alkali metal and the other symbols are as defined above.
- In accordance with the method described in “Tetrahedron Letters”, Vol. 40, pp. 5643-5646 or its modification, and the like, the compound represented by the formula (Ia) or a salt thereof can be obtained by reacting a compound represented by the formula Ra 1Za with a compound represented by the formula (VIIIa) or a salt thereof which is obtained by reacting a compound represented by the formula (VIa) or a salt thereof with a compound represented by the formula (VIIa) or a salt thereof.
- Examples of the alkali metal represented by Za include lithium, sodium and the like.
- The reaction may be carried out without a solvent or in a solvent. The solvent is not specifically limited so far as it does not influence the reaction, but examples thereof include, ether solvents (for example, diethyl ether, tetrahydrofuran, dioxane, and the like), halogen solvents (for example, dichloromethane, dichloroethane, chloroform, carbon tetrachloride, and the like), hydrocarbon solvents (for example, benzene, toluene, hexane, heptane, and the like), amide solvents (for example, dimethylformamide, dimethylacetamide, N-methylpyrrolidone, and the like), ester solvents (for example, methyl acetate, ethyl acetate, and the like), acetonitrile, dimethyl sulfoxide, and the like. Further, a mixture of two or more thereof may be used.
- The compound represented by the formula Ra 1Za is used in an amount of about 0.5 to 20 mole equivalent, and preferably about 0.8 to 10 mole equivalent based on the compound represented by the formula (VIIIa) or a salt thereof. At this time, the reaction temperature is about −80° C. to 200° C. and preferably about −80° C. to 80° C., and the reaction time is about 0.1 to 96 hours and preferably about 0.5 to 72 hours.
- Further, among the compound represented by the formula (Ia) or a salt thereof, a compound or a salt thereof in which Ra 1 is not an unsubstituted amino group can be produced by a known method. For example, it can be produced by variously converting in accordance with the following reaction using the compound represented by the formula (Iaa) or a salt thereof synthesized by the above scheme as the starting compound.
- wherein each of Ra 1″ and Ra1′″ is a substituent of amino group (preferably, a lower alkyl group which may be substituted) and La is a leaving group.
- Examples of the leaving group represented by La include a halogen atom (for example, chlorine, bromine, iodine, and the like), sulfonic acid esters such as a methanesulfonyl group, a toluenesulfonyl group, etc., and the like.
- The reaction may be carried out without a solvent or in a solvent. The solvent is not specifically limited so far as it does not influence the reaction, but examples thereof include ether solvents (for example, diethyl ether, tetrahydrofuran, dioxane, and the like), halogen solvents (for example, dichloromethane, dichloroethane, chloroform, carbon tetrachloride, and the like), hydrocarbon solvents (for example, benzene, toluene, hexane, heptane, and the like), amide solvents (for example, dimethylformamide, dimethylacetamide, N-methylpyrrolidone, and the like), ester solvents (for example, methyl acetate, ethyl acetate, and the like), acetonitrile, dimethyl sulfoxide, and the like. Further, a mixture of 2 or more of these may be used. Further, if necessary, the reaction may be carried out in the presence of a base (for example, triethylamine, 4-(dimethylamino)pyridine, 2-tert-butylimino-2-ethylamino-1,3-dimethylperhydro-1,3,2-diazasulfone, sodium bicarbonate, potassium bicarbonate, sodium carbonate, potassium carbonate, sodium hydride, potassium hydride, and the like), or a phase transfer catalyst (for example, quaternary ammonium salts such as tetrabutylammonium bromide, benzyl triethylammonium chloride, crown ethers such as 18-crown-6, and the like), or a base and a phase transfer catalyst.
- The amount of the compound represented by the formula Ra 1″La based on the compound represented by the formula (Iaa) or a salt thereof, and the amount of the compound represented by the formula Ra1′″La based on the compound represented by the formula (Iab) or a salt thereof are about 0.5 to 20 mole equivalent, and preferably about 0.8 to 10 mole equivalent. At this time, the reaction temperature is about −20° C. to 200° C. and preferably about 20° C. to 150° C., and the reaction time is about 0.1 to 96 hours and preferably about 0.5 to 72 hours. The amount of the base used is usually about 0.5 to 10 mole equivalent, preferably about 1 to 5 mole equivalent based on the compound represented by the formula (Iaa) or (Iab).
- Further, when the substituent in ring A is a halogen atom such as chlorine, bromine, iodine, and the like, it can be easily converted to various functional groups (a substituent of benzene ring represented by ring Aa, and the like) by known substitution reactions (Suzuki coupling reaction, Still reaction, Heck reaction, and the like).
- The compound (Ia) thus obtained can be isolated and purified by known separation and purification procedures, for example, such as concentration, vacuum concentration, solvent extraction, crystallization, recrystallization, solvent conversion, chromatography, and the like.
- A production process of the compound represented by the formula (Ib) or a salt thereof is shown below.
-
- wherein each symbol is as defined above.
- The compound represented by the formula (Ib) or a salt thereof can be produced by reacting the compound represented by the formula (IIb), a carboxylic acid represented by Rb 2COOH or its reactive derivative or salts thereof in a solvent and, if necessary, in the presence of a base, using a condensing agent. Examples of the reactive derivative of the carboxylic acid include acid anhydride, an active ester (for example, p-nitrophenyl ester, N-hydroxysuccinimide ester, pentafkuorophenyl ester, 1-hydroxybenzotriazole ester, and the like), an acid halide (for example, an acid chloride, an acid bromide, and the like), imidazolide, an anhydride of a mix acid (for example, an anhydride with methyl carbonate, an anhydride with ethyl carbonate, and the like), etc. Specific examples thereof include a compound in which a group represented by the formula —COOH is a group represented by the formula —COQ [wherein Q is a leaving group (for example, a halogen atom (for example, fluorine, chlorine, bromine, iodine, and the like), a methanesulfonyloxy, benzenesulfonyloxy, p-toluenesulfonyloxy, and the like)], etc. Examples of the solvent used, for example, there are mentioned ether solvents (for example, diethyl ether, tetrahydrofuran, dioxane, and the like), hydrocarbon solvents (for example, benzene, toluene, hexane, heptane, and the like), halogen solvents (for example, dichloromethane, dichloroethane, chloroform, carbon tetrachloride, and the like), acetonitrile, N,N-dimethylformamide, and the like.
- Examples of the base used include organic bases such as triethylamine, 4-dimethylamino pyridine, N,N-diisopropylethylamine, triethylenediamine, 4-methylmorpholine, and the like; carbonates of an alkali metal or an alkali earth metal (for example, sodium carbonate, potassium carbonate, and the like), bicarbonates of an alkali metal or an alkali earth metal (for example, sodium bicarbonate, potassium bicarbonate, and the like), hydroxides of an alkali metal or an alkali earth metal (for example, sodium hydroxide, potassium hydroxide, and the like), etc. Examples of the condensing agent used include those used in peptide synthesis, and the like. Specific examples thereof include dicyclohexylcarbodiimide, diisopropylcarbodiimide, N-ethyl-N′-3-dimethylaminoropylcarbodiimide and its hydrochloride, benzotriazol-1-yl-tris(dimethylamino)phosphonium hexafluorophosphorilated salt, benzotriazol-1-yl-trispyrrolidinophosphonium hexafluorophosphorilated salt, diethyl cyanophosphorate, diphenylphosphoryl azide, N-hydroxy-5-norbornene-2,3-carboxyimide, and the like. These may be used alone or in combination with 1-hydroxybenzotriazole, 1-hydroxy-7-azabenzotriazole, and the like. At this time, the carboxylic acid represented by the formula Rb 2COOH or a salt thereof is used in an amount of 0.5 to 10 mole equivalent, preferably 1 to 5 mole equivalent, per one mole of the compound represented by the formula (IIb). The condensing agent is used in an amount of 0.5 to 10 mole equivalent, preferably 1 to 6 mole equivalent. At this time, the reaction temperature is −50° C. to 200° C. and preferably −20° C. to 100° C., and the reaction time is 0.5 to 96 hours, preferably 0.5 to 72 hours and more preferably 1 to 24 hours.
-
- wherein each symbol is as defined above.
- The compound represented by the formula (Ib) or a salt thereof can be produced by reacting the compound represented by the formula (IIIb), its reactive derivative or salts thereof, and the compound represented by the formula (IVb) in a solvent and, if necessary, in the presence of a base, using a condensing agent. Examples of the reactive derivative of the compound represented by the formula (IIIb) include acid anhydride, an active ester (for example, p-nitrophenyl ester, N-hydroxysuccinimide ester, pentafkuorophenyl ester, 1-hydroxybenzotriazole ester, and the like), an acid halide (for example, an acid chloride, an acid bromide and the like), imidazolide, an anhydride of a mix acid (for example, an anhydride with methyl carbonate, an anhydride with ethyl carbonate, and the like), etc. Specific examples thereof include a compound in which a group represented by the formula —COOH is a group represented by the formula —COQ [wherein Q is a leaving group (for example, a halogen atom (for example, fluorine, chlorine, bromine, iodine, and the like), a methanesulfonyloxy, benzenesulfonyloxy, p-toluenesulfonyloxy, and the like], etc. Examples of the solvent used include ether solvents (for example, diethyl ether, tetrahydrofuran, dioxane, and the like), hydrocarbon solvents (for example, benzene, toluene, hexane, heptane, and the like), halogen solvents (for example, dichloromethane, dichloroethane, chloroform, carbon tetrachloride, and the like), acetonitrile, N,N-dimethylformamide, and the like.
- Examples of the base used include organic bases such as triethylamine, 4-dimethylaminopyridine, N,N-diisopropylethylamine, triethylenediamine, 4-methylmorpholine, and the like; carbonates of an alkali metal or an alkali earth metal (for example, sodium carbonate, potassium carbonate, and the like), bicarbonates of an alkali metal or an alkali earth metal (for example, sodium bicarbonate, potassium bicarbonate, and the like), hydroxides of an alkali metal or an alkali earth metal (for example, sodium hydroxide, potassium hydroxide, and the like), etc. Examples of the condensing agent used include those used peptide synthesis, and the like. Specific examples thereof include dicyclohexylcarbodiimide, diisopropylcarbodiimide, N-ethyl-N′-3-dimethylaminoropylcarbodiimide and its hydrochloride, benzotriazol-1-yl-tris(dimethylamino) phosphonium hexafluorophosphorilated salt, benzotriazol-1-yl-trispyrrolidinophosphonium hexafluorophosphorilated salt, diethyl cyanophosphorate, diphenylphosphoryl azide, and the like. These may be used alone or in combination with 1-hydroxybenzotriazole, 1-hydroxy-7-azabenzotriazole, and the like. At this time, the compound represented by the formula (IVb) or a salt thereof is used in an amount of 0.5 to 10 mole equivalent, preferably 1 to 5 mole equivalent per one mole of the compound represented by the formula (IIIb). The condensing agent is used in an amount of 0.5 to 10 mole equivalent, and preferably 1 to 6 mole equivalent. The reaction temperature at this time is −50° C. to 200° C. and preferably −20° C. to 100° C., and the reaction time is 0.5 to 96 hours, preferably 0.5 to 72 hours and more preferably 1 to 24 hours.
-
- wherein Wb is a halogen atom (for example, fluorine, chlorine, bromine, iodine, and the like) or trifluoromethanesulfonyloxy group, and the other symbols are as defined above.
- The compound represented by the formula (VIb) or a salt thereof can be produced by reacting the compound represented by the formula (Vb), its reactive derivative or salts thereof, and the compound represented by the formula (IVb). The reaction is carried out under conditions similar to those of the condensation reaction exemplified in the above Scheme 2b.
- The compound represented by the formula (VIIb) or a salt thereof can be produced by reacting the compound represented by the formula (VIb) or a salt thereof, with formylbenzeneboric acid or its ester or anhydride, in a solvent under basic conditions in the presence of a transition metal catalyst. Examples of the solvent used include water, alcohol solvents (for example, methanol, ethanol, n-propanol, isopropanol, and the like), ether solvents (for example, diethyl ether, tetrahydrofuran, 1,2-dimethoxyethane, and the like), hydrocarbon solvents (for example, benzene, toluene, hexane, heptane, and the like), N,N-dimethylformamide, and the like. These solvents may be used alone, or a mixture of 2 or more kinds thereof at an appropriate proportion. Examples of the base used include carbonates of an alkali metal or an alkali earth metal (for example, sodium carbonate, potassium carbonate, and the like), bicarbonates of an alkali metal or an alkali earth metal (for example, sodium bicarbonate, potassium bicarbonate, and the like), hydroxides of an alkali metal or an alkali earth metal (for example, sodium hydroxide, potassium hydroxide, and the like), triethylamine, 4-dimethylaminopyridine, N,N-diisopropylethylamine, triethylenediamine, 4-methylmorpholine, etc. Examples of the transition metal catalyst used include palladium catalysts [for example, tetrakis(triphenylphosphine) palladium, 1,1-bis(diphenylphosphino)ferocenedichloro palladium, dichlorobis(triphenylphosphine) palladium, and the like], etc. At this time, the formylbenzeneboric acid or its ester or anhydride is used in an amount of 0.5 to 10 mole equivalent, preferably 1 to 5 mole equivalent per one mole of the compound represented by the formula (VIb) or a salt thereof. The transition metal catalyst is used in an mount of 0.01 to 1 mole equivalent, preferably 0.05 to 0.2 mole equivalent. At this time, the reaction temperature is 0° C. to 200° C. and preferably 50C to 100° C., and the reaction time is 0.5 to 48 hours, and preferably 1 to 24 hours.
- The compound represented by the formula (IIb) or a salt thereof can be produced under conditions of a reductive amination reaction using the compound represented by the formula (VIIb) or a salt thereof, and amine represented by the formula Rb 3NH2 or a salt thereof. The reductive amination reaction can be carried out by reacting the compound represented by the formula (VIIb) or a salt thereof, and an amine represented by the formula Rb3NH2 or a salt thereof in the presence of a metal hydride complex compound (for example, sodium borohydride, sodium cyanoborohydride, sodium triacetoxyborohydride, and the like) in a solvent such as an ether solvent (for example, diethyl ether, tetrahydrofuran, dioxane, and the like), a hydrocarbon solvent (for example, benzene, toluene, hexane, heptane, and the like), a halogen solvent (for example, dichloromethane, dichloroethane, chloroform, carbon tetrachloride, and the like), an alcohol solvent (for example, methanol, ethanol, n-propanol, isopropanol, and the like), acetonitrile, N,N-dimethylformamide, acetic acid, and the like, or a mixed solvent thereof. At this time, the amine represented by the formula Rb3NH2 or a salt thereof is used in an amount of 0.5 to 10 mole equivalent, preferably 1 to 5 mole equivalent per one mole of the compound represented by the formula (VIIb) or a salt thereof. The metal hydride complex compound is used in an amount of 0.5 to 10 mole equivalent, preferably 1 to 5 mole equivalent. At this time, the reaction temperature is 0° C. to 200° C. and preferably 20° C. to 100° C., and the reaction time is 0.5 to 96 hours, and preferably 1 to 24 hours.
-
- wherein Rb 5 is C1-6 alkyl which may be substituted (for example, methyl, ethyl, propyl, isopropyl, butyl, tert-butyl, phenyl, trityl, silyl, and the like), and the other symbols are as defined above.
- The compound represented by the formula (IXb) or a salt thereof can be produced by reacting the compound represented by the formula (VIIIb) or a salt thereof, with formylbenzeneboric acid or its ester body or anhydride, in a solvent under basic conditions in the presence of a transition metal catalyst. The reaction is carried out under conditions similar to those exemplified with respect to the reaction of the compound represented by the formula (VIb) or a salt thereof to the compound represented by the formula (VIIb) or a salt thereof shown in the above Scheme 3b, etc.
- The compound represented by the formula (Xb) or a salt thereof can produce by the reaction of the compound represented by the formula (IXb) or a salt thereof and the amine represented by the formula Rb 3NH2 or a salt thereof under conditions of a reductive amination reaction. The reaction is carried out under conditions similar to those exemplified with respect to the reaction from the compound represented by the formula (VIIb) or a salt thereof to the compound represented by the formula (IIb) or a salt thereof shown in the above scheme 3b, etc.
- The compound represented by the formula (XIb) or a salt thereof can be produced by treating the compound represented by the formula (Xb) or a salt thereof with an acid or a base. Namely, the compound represented by the formula (Xb) or a salt thereof can be produced by treatment at 0° C. to 150° C., and preferably 20° C. to 50° C. in a solvent such as water, an ether solvent (for example, diethyl ether, tetrahydrofuran, dioxane, and the like), an alcohol solvent (for example, methanol, ethanol, n-propanol, isopropanol, and the like) or a mixed solvent thereof, with a mineral acid (for example, nitric acid, hydrochloric acid, hydrobromic acid, iodic acid, sulfuric acid, and the like) or a hydroxide of an alkali metal (for example, sodium hydroxide, potassium hydroxide, lithium hydroxide, and the like). The strength of the acid or base is preferably about 0.1 to 10, and the reaction time is 1 to 72 hours.
- The compound represented by the formula (IIb) or a salt thereof can be produced by reacting the compound represented by the formula (XIb), its reactive derivative or a salt thereof, with the compound represented by the formula (IVb) or a salt thereof. The reaction is carried out under conditions similar to those of the condensation reaction exemplified in the above Scheme 2b.
-
- wherein each symbols are as defined above.
- The compound represented by the formula (XIIb) or a salt thereof can be produced by reacting the compound represented by the formula (Xb) or a salt thereof whose production process is exemplified in the above Scheme 4b, with the carboxylic acid represented by the formula Rb 2COOH, its reactive derivative or a salt thereof, using a condensing agent, in a solvent and, if necessary, in the presence of a base. The reaction is carried out under conditions similar to those of the condensation reaction exemplified in the above Scheme 1b.
- The compound represented by the formula (IIIb) or a salt thereof can be produced by treating the compound represented by the formula (XIIb) or a salt thereof with an acid or a base. The reaction is carried out under conditions similar to those exemplified with respect to the reaction from the compound represented by the formula (Xb) or a salt thereof to the compound represented by the formula (XIb) or a salt thereof shown in the above Scheme 4b, etc.
- The compound (Ib) thus obtained can be isolated and purified by known separation and purification procedures, for example, such as concentration, vacuum concentration, solvent extraction, crystallization, recrystallization solvent conversion, chromatography, and the like.
- A production process of the compound represented by the formula (Ic) [including the compound represented by the formula (IIc) having a novel structure] or a salt thereof is shown below.
- The compound represented by the formula (Ic) or a salt thereof can be produced by a known method. Further, the compound represented by the formula (Ic) or a salt thereof can be produced, for example, by the following method, or methods described in EP 487071 A, EP 560235 A, WO98/4659, WO00/23437, and the like, or modifications thereof.
- When the compound (Ic) of present invention and the compound (the starting compound or the synthesis intermediate) in each process in the production of the compound (Ic) are free compounds, they can be converted into their salt according to a conventional method, and when they form their salts, they can be also converted into free compounds or other salts.
- Further, the compound (Ic) of the present invention and the starting compound or synthesis intermediate may be an optical isomer, a stereo isomer, a positional isomer or a rotational isomer, or a mixture thereof, and these are also included in the compound (Ic) of the present invention and the starting compounds or synthesis intermediates. For example, the compound (Ic) may be a racemate, or an optical isomer which is resolved from the racemate. Further, these can be isolated and purified in accordance with known separation procedures.
- The optical isomer can be produced in accordance with known procedures. Specifically, the optical isomer can be produced by using optically active starting compounds or synthesis intermediates, or by optically resolving the racemate of an end compound in accordance with a conventional method. As an optical resolution method, known methods such as a fractional recrystallization method, an optically active column method, a diastereomer method, and the like can be employed. A stereo isomer, a positional isomer or a rotational isomer can be also produced by employing known methods.
- The following each reaction can be carried out without using a solvent or using an appropriate solvent, if necessary. Said solvent is not specifically limited so far as it does not influence with the reaction and, in general, any one of those which can be used for a chemical reaction can be used. Examples thereof include organic solvents such as hydrocarbon solvents (for example, hexane, toluene, and the like), ether solvents (for example, ethyl ether, tetrahydrofuran, dioxane, dimethoxyethane, and the like), amide solvents (for example, formamide, N,N-dimethylformamide, N,N-dimethylacetamide, hexamethylphosphorictriamide, and the like), urea solvents (for example, 1,3-dimethyl-2-imidazolidinone, and the like), sulfoxide solvents (for example, dimethylsulfoxide, and the like), alcohol solvents (for example, methanol, ethanol, isopropanol, tert-butanol, and the like), nitrile solvents (for example, acetonitrile, propionitrile, and the like), pyridine, etc., or water, and the like. The amount of said solvent used is usually about 0.5 ml to about 100 ml, preferably about 3 ml to about 30 ml per 1 mmol of the compound. The reaction temperature varies depending on the kind of the solvent used, but is usually about −30° C. to about 180° C., preferably about 0° C. to about 120° C. The reaction time varies depending on the reaction temperature, but is usually about 0.5 hours to about 72 hours, preferably about 1 hours to about 24 hours. The reaction is usually carried out at normal pressure, but may be carried out under pressured conditions of about 1 atm to about 100 atm, if necessary.
- The compound obtained in the following each step is isolated and purified by a known procedure, for example, concentration, liquid conversion, solvent conversion, solvent extraction, fractionation, distillation, crystallization, recrystallization, chromatography, preparative high performance liquid chromatography, etc., and is provided for the next reaction, but the reaction mixture as such may be used as a starting material without isolation and purification.
- In the following explanation, a “condensation reaction” can be carried out in the presence of a base, if necessary. Examples of said base include inorganic bases such as sodium carbonate, sodium bicarbonate, potassium carbonate, lithium carbonate, sodium hydroxide, potassium hydroxide, potassium hydride, sodium hydride, sodium methoxide, potassium tert-butoxide, etc.; and organic bases such as pyridine, lutidine, collidine, triethylamine, etc. The amount of said base used is usually an equal mol amount to an excessive amount, preferably about 1 mol equivalent to about 5 mol equivalent based on the compound. Further, in the present reaction, the reaction may be accelerated in the presence of a catalyst amount of an iodine compound such as sodium iodide, potassium iodide, 4-dimethylaminopyridine, etc.
- Among compounds (Ic) of the present invention, the known compounds can be produced by the synthetic method described below. Further, they can be also produced by methods described in JP 6-166676 A, JP 11-310532 A, EP-A-487071, EP-A-560235, WO98/46590, WO00/23437, and the like, or their modifications.
- On the other hand, the novel compounds in the present invention, for example, the compound represented by the formula (IIc) or a salt thereof, can be produced by the synthetic method described below.
-
- In the step (aa), the compound (IIca) can be produced by a condensation reaction of a compound represented by the formula (IIIca) (wherein each symbol is as defined above) (hereinafter, sometimes, abbreviated as compound (IIIca)), with a compound represented by the formula (IVca) (wherein Z 1 is a leaving group and the other symbols are as defined above) (hereinafter, sometimes, abbreviated as compound (IVca)).
- Examples of the leaving group represented by Z 1 include a halogen atom (for example, chloro, bromo, iodo, and the like), a C1-6 alkylsufonyloxy group (for example, methanesulfonyloxy, ethanesulfonyloxy, trifluoromethanesulfonyloxy, and the like), a C6-10 arylsufonyloxy group (for example, benzenesulfonyloxy, p-toluenesulfonyloxy, and the like), etc. In particular, for example, a halogen atom (for example, bromo, iodo and the like), and the like are preferably used.
- In the condensation reaction of compound (IIIca) with compound (IVca), preferred examples of the solvent to be used include alcohol solvents (for example, ethanol, and the like), or nitrile solvents (for example, acetonitrile, and the like). The reaction temperature varies depending on the kind of the solvent used, but is preferably about 0° C. to about 120° C. The reaction time varies depending on the reaction temperature, but is preferably about 1 hours to about 24 hours. As the base, for example, sodium carbonate, potassium carbonate, triethylamine, and the like are preferably used. The amount of said base used is preferably about one equivalent to about 3 equivalent based on compound (IVca). Further, this reaction may be accelerated in the presence of a catalyst amount of an iodine compound (for example, sodium iodide, potassium iodide, and the like, or 4-dimethylaminopyridine, and the like based on compound (IVca), if necessary. Specifically, this reaction can be carried out in a solvent, for example, N,N-dimethylformamide, etc., in the presence of, for example, potassium carbonate, sodium hydride, and the like as a base. The amount of said base used is preferably about one equivalent to about 3 equivalent based on compound (IVca).
- Compound (IVca) can be produced by a known method or its modification.
-
- In the step (ba), compound (IIcb) can be produced by the condensation reaction of a compound represented by the formula (IIIcb) [wherein each symbol is as defined above] (hereinafter, sometimes, abbreviated as compound (IIIcb)), with a compound represented by the formula (IVca).
- The condensation reaction of compound (IIIcb) with compound (IVca) can be carried out in a solvent, for example, such as N,N-dimethylformamide, etc., in the presence of, for example, potassium carbonate, sodium hydride, and the like as a base. The amount of said base used is preferably about one equivalent to about 3 equivalent based on compound (IVca).
- Further, the starting compound (IIIcb) or a salt thereof of the step (ba) can be produced by the following reaction formula 2-2. Namely, compound (IIIcb) can be produced by successively carrying out
- the step (bb): a nitration reaction of a compound represented by the formula (Vcb) (hereinafter, sometimes, abbreviated as compound (Vcb)) (wherein each symbol is as defined above),
- the step (bc): a reduction reaction of a compound represented by the formula (VIcb) (hereinafter, sometimes, abbreviated as compound (VIcb)) (wherein each symbol is as defined above), and
- the step (bd): a condensation reaction of a compound represented by the formula (VIIIcb) (hereinafter, sometimes, abbreviated as compound (VIIIcb)) (wherein each symbol is as defined above), with a compound represented by the formula (IXcb) (hereinafter, sometimes, abbreviated as the compound (IXcb)) (wherein each symbol is as defined above).
- Compound (VIcb)) can be produced by carrying out nitration of compound (Vcb) in the step (bb).
- This reaction can be carried out by known methods (for example, methods described in “Synthesis”, pp. 217-238 (1977), “Chemistry of the Nitro and Nitroso Groups”, pp. 1-48, Wiley (1970), and the like) or their modifications, using an appropriate nitration reagent (for example, nitric acid, nitric acid-sulfuric acid, nitroniumtrifluoroborate, and the like).
- Compound (Vcb)) can be produced by known methods, or their modifications. For example, it can be produced in accordance with known methods described in J. Org. Chem., Vol. 34, pp. 2235 (1969); J. Org. Chem., Vol. 54, pp. 5574 (1989); Tetrahedron Lett., Vol. 35, pp. 3023 (1977); Bull. Chem. Soc. Jpn., Vol. 56, pp. 2300 (1983); Indian, J. Chem., Vol. 2, pp. 211 (1964); Indian J. Chem., Vol. 12, pp. 247 (1974); Bull. Chem. Soc. Jpn., Vol. 43, pp. 1824 (1970); Chem. Pharm. Bull., Vol. 20, pp. 1328 (1972); Chem. Pharm. Bull., Vol. 27, pp. 1982 (1979); Helv. Chem. Acta., Vol. 46, pp. 1696, (1963); Synthesis, pp. 541 (1979); U.S. Pat. No. 3,682,962; U.S. Pat. No. 3,991,126; Ger. Offen. 2,314,392; Ger. Patent 1,545,805; J. Chem. Soc., pp. 1381 (1949); Can. J. Chem., Vol. 42, pp. 2904 (1964); J. Org. Chem., Vol. 28, pp. 3058 (1963); J. Am. Chem. Soc., Vol. 76, pp. 3194 (1954), Vol. 87, pp. 1397 (1965), Vol. 88, pp. 4061 (1966); JP 49-41539 A, and the like, or their modifications.
- In the step (bc), compound (VIIIcb) can be produced by a reduction reaction of compound (VIcb).
- This reaction can be carried out using an appropriate reduction reaction (for example, a catalytic reduction using a transition metal catalyst, a reduction reaction using a metal such as tin, etc., in an acidic solvent). Specifically, it can be carried out in accordance with known methods or their modifications described in Organic Synthesis Coll., Vol. 5, pp. 829-833 (1973); Organic Synthesis Coll., Vol. 1, pp. 455 (1941); J. Am. Chem. Soc., Vol. 66, pp. 1781 (1954), and the like.
- In the step (bd), compound (IIIcb) can be produced by a condensation reaction of compound (VIIcb) with compound (IXcb).
- The condensation reaction of compound (VIIcb) with compound (IXcb) can be carried out, for example, in the same manner as that of compound (IIIca) with compound (IVca).
- Further, compound (IIIcb) can be also produced, for example, by a method according to reductive alkylation (for example, methods described in J. Am. Chem. Soc., Vol.87, pp. 2767 (1965), Organic Synthesis Coll., Vol. 4, pp. 283-285 (1963), and the like), or a method according to Michael addition (for example, methods described in Helv. Chem. Acta., Vol. 43, pp. 1898, (1960), J. Org. Chem., Vol. 39, pp. 2044 (1974), Synthesis, Vol. 5, 375 (1981), and the like), or their modifications, using compound (VIIcc) as a starting material.
-
- In the step (ca), compound (IIcc) can be produced by an amidation reaction of compound (IIIcb) and a compound represented by the formula (IVcc) (hereinafter, sometimes, abbreviated as compound (IVcc)) (wherein Z 2 is a leaving group and the other symbols are as defined above).
- Examples of the leaving group represented by Z 2 include a halogen atom (for example, chloro, bromo, iodo, and the like), a C1-6 alkyloxy group (for example, methoxy, ethoxy, benzyloxy, and the like), a C6-10 aryloxy group (for example, phenoxy, p-nitrophenoxy, and the like), hydroxy group, etc. In particular, for example, a halogen atom (for example, chloro, and the like), hydroxy group, and the like are preferably used.
- The amidation reaction of compound (IIIcb) and compound (IVcc) can also be carried out using an appropriate condensing agent and a base. When Z 2 is hydroxy group, this amidation reaction can be carried out using an appropriate condensing agent, for example, that used in peptide chemistry field, in particular, carbodiimides such as dicyclohexyl carbodiimide, 1-ethyl-3-(3-dimethylaminopropyl)carbodiimide, etc., phosphonic acids such as diphenylphosphoryl azide, diethyl cyanophosphorate, etc., phosgene equivalents such as 1,1′-carbonylbis-1H-imidazole, etc. The amount of said condensing agent is usually about 1 equivalent to about 5 equivalent, preferably, about 1 equivalent to about 1.5 equivalent per 1 mmol of the compound (IIIcb).
- Further, when Z 2 is a halogen atom, it is preferable to carry out the reaction using an appropriate base, for example, sodium carbonate, potassium carbonate, triethylamine, and the like. The amount of said base is usually about 1 equivalent to about 10 equivalent, preferably, about 1 equivalent to about 2 equivalent based on the compound (IIIcb).
-
- In the step (da), compound (IIcd) can be produced by carrying out a condensation reaction of compound (IIIcd) and compound (IVca), and successively carrying out oxidation reaction, if necessary. [In the formula, Xd is —S—, —SO—, or —SO 2—, and the other symbols are as defined above].
- The condensation reaction of compound (IIIcb) with compound (IVca) can be carried out in a solvent, for example, such as N,N-dimethylformamide, etc., in the presence of, for example, potassium carbonate, sodium hydride, and the like as a base. The amount of said base used is preferably about one equivalent to about 3 equivalent based on compound (IVca).
- Compound (IIcd) in which Xd is —S— can be introduced to compound (IIcd) in which Xd is —SO— or —SO 2— by carrying out oxidation reaction, if necessary.
- As the oxidizing agent, any oxidizing agent of sulfide can be used, but for example, meta-chloroperbenzoic acid, peracetic acid, hydrogen peroxide, alkali metal periodate, and the like are preferably used. In particular, meta-chloroperbenzoic acid, hydrogen peroxide, and the like are preferably used. The amount of said oxidizing agent used is preferably about one equivalent to about 1.1 equivalent based on compound (IIcd), in particular, when S is oxidized to SO. Further, it is preferred to use about 2 to 2.5 equivalent based on the compound (IVcd), in particular, when S is oxidized to SO 2. As the solvent of this reaction, for example, dichloromethane, chloroform, acetic acid, ethyl acetate, and the like are preferred.
- Starting compound (IIIcd) or a salt thereof of the step (da) can be produced by the reaction formula 4-2 below. Namely, compound (IIIcd) can be produced by
- the step (db): a chlorosufonylation reaction of compound (Vcb), and
-
- In the step (db), compound (VIcd) can be produced by carrying out a chlorosufonylation reaction of compound (Vcb).
- Examples of the reagent of this chlorosufonylation reaction include chlorosulfonic acid, sulfuryl chloride, sulfur dioxide-cupric chloride, and the like. In particular, chlorosulfonic acid, and the like are preferred. The amount of said chlorosufonylation reagent is about one equivalent to an excessive amount. This reaction can be carried out without a solvent or by using a solvent. As the solvent used for a case of using a solvent, preferably, there are, for example, dichloromethane, 1,2-dichloroethane, carbon disulfide, and the like. The reaction without a solvent is preferred in particular. The reaction temperature is preferably about −20° C. to about 100° C.
- Further, chlorosufonyl group is introduced to any position which can be reacted, but, for example, when ring A is unsubstituted, the chlorosufonylation of the 7-position is mainly carried out. However, a compound in which the chlorosufonylation of the 6-position is carried out can be prepared and isolated.
- In the step (dc), compound (IIIcd) can be produced by reducing compound (VIcd).
- This reduction reaction can be carried out under appropriate reduction conditions, for example, combinations of a metal and an acid such as zinc-acetic acid and tin-hydrochloric acid, etc., a catalytic hydrogenation using a transition metal catalyst, or metal hydrides such as lithium aluminumhydride, and the like. In particular, the reduction reaction using zinc-acetic acid is preferred.
-
- In the step (ea), compound (IIce) can be produced by carrying out a condensation reaction of compound (VIcd) and a compound represented by the formula (IVce) (hereinafter, sometimes abbreviated as the compound (IVce)) (wherein each symbol is as defined above).
- The condensation reaction of the compound (VIcd) with the compound (IVce) can be carried in the same manner as, for example, the amidation reaction of the compound (IIIcb) with the compound (IVcc).
- The compound (IVce) or a salt thereof can be produced by a known method or its corresponding method. For example, it can be produced by methods described in J. Med. Chem., Vol. 33, pp. 1880 (1990), and the like or their corresponding methods.
-
- In the step (fa), compound (IIcf) can be produced by acting an alkali metal isocyanate (MOCN, wherein M is an alkali metal) with compound (VIcd), and then reacting compound (IVce). This reaction can be carried out, for example, according to methods described in EP 759431 A, JP 7-118267 A, and the like or their modifications.
- The reaction of compound (VIcd) with an alkali metal isocyanate is carried out in the presence of a base, if necessary. As the base used, pyridine, triethylamine, and the like are preferred in particular. The amount of said base is preferably about 1 equivalent to about 5 equivalent based on compound (VIcd). As the reaction solvent, acetonitrile, and the like are preferred in particular. As the alkali metal, for example, potassium, and the like are preferably used.
-
- In the step (ga), compound (IIcg) can be produced by a condensation reaction of compound (VIcd) and a compound represented by the formula (IVcg) (hereinafter, sometimes, abbreviated as compound (IVcg)) (wherein each symbol is as defined above).
- The condensation reaction of compound (VIcd) with compound (IVcg) can be carried in the same manner as, for example, the amidation reaction of compound (IIIcb) with compound (IVcc).
- Compound (IVcg) can be produced by a known method or its modification, using compound (IVce). For example, compound (IVcg) can be produced by a method of reacting S-methylisothiourea with compound (IVce) (for example, a method described in J. Org. Chem., Vol. 13, pp. 924 (1948), and the like), a method of reacting cyanamide with compound (IVce) (for example, Helv. Chem. Acta., Vol. 29, pp. 324, (1946), and the like), and a method of reacting 1,3-bis(tert-butoxycarbonyl)-2-methyl-2-thiopseudourea with compound (IVce) (for example, Tetrahedron Lett., Vol. 33, pp. 6541-6542 (1992), J. Org. Chem., Vol. 52, pp. 1700-1703 (1987), and the like), etc.
-
- In the step (ha), compound (IIch) can be produced by reacting a compound represented by the formula (IIIch) (hereinafter, sometimes, abbreviated as compound (IIIch)) (wherein each symbol is as defined above), with an appropriate reagent, to convert the carbonyl group.
- As the reagent used for the conversion reaction of the carbonyl group, there are reducing agents such as, for example, sodium borohydride, lithium aluminumhydride, triethylsilane, etc., organometallic reagents such as, for example, alkyllithium, alkylmagnesiumhydride, additionally nucleophilic reacting agent such as, for example, hydrogen cyanide, etc.
- Specifically, the conversion of the carbonyl group to —CH(OH)— and —CH 2— can be carried out under suitable conditions (for example, combinations of triethylsilane-trifluoroacetic acid, lithium aluminumhydride-aluminum chloride, zinc-hydrochloric acid, and the like), using reducing agents such as sodium borohydride, lithium aluminumhydride, triethylsilane, and the like.
- This reaction can be carried out by methods described in, for example, “Reduction with Complex Metal Hydrides”, Interscience, New York (1956), Chem. Soc. Rev., Vol. 5, pp. 23 (1976); Synthesis, pp. 633 (1974); J. Am. Chem. Soc., Vol. 91, pp. 2967 (1969); J. Org. Chem., Vol. 29, pp. 121 (1964); Org. Reactions, Vol. 1, pp. 155 (1942); Angew. Chem., Vol. 71, pp. 726 (1956); Synthesis, pp. 633 (1974); J. Am. Chem. Soc., Vol. 80, pp. 2896 (1958); Org. Reactions; Vol. 4, pp. 378 (1948); J. Am. Chem. Soc., Vol. 108, pp. 3385 (1986); and the like, or their modifications.
- Further, the conversion of the carbonyl group to —CR 3c(OH)— (wherein R3c is a C1-6 alkyl group) can be carried out by methods described in, for example, “Grignard Reactions of Nonmetallic Substances”, Prentice-Hall: Englewood Cliffs, N.J., 1954, pp. 138-528; “Organolithium Methods”, Academic Press: New York, 1988, pp. 67-75, and the like, or their modifications, using organometallic reagents such as, alkyllithium, alkylmagnesiumhydride, and the like.
- Furthermore, the conversion of the carbonyl group can be carried out by methods described in Advanced Organic Chemistry, 5 th ed., Wiley-Interscience: New York 1992, pp. 879-981, and the like, or their modifications.
- Compound (IIIch) can be produced by known methods or their modifications, for example, methods described in JP 5-140149 A, JP 6-206875 A, J. Med. Chem., Vol. 37, pp. 2292 (1994), and the like, or their modifications.
-
- In the step (ia), compound (IIci) can be produced by reacting compound (IIIch) with an appropriate reagent to convert the carbonyl group.
- As the conversion reaction of the carbonyl group, there are mentioned Wittig reaction, Horner-Wadsworth-Emmons reaction, Peterson olefination reaction, Knoevenagel reaction, and the like, and as the reagent, conventional reagents to be used for those reactions are used.
- This reaction can be carried out by methods described in, for example, Advanced Organic Chemistry, 5 th ed., Wiley-Interscience: New York 1992, pp. 879-981; Organic Synthesis Coll., Vol. 5, pp. 751 (1973); Organic Synthesis Coll., Vol. 5, pp. 509 (1973); Synthesis 384 (1984); Org. Reactions, Vol. 15, pp. 204 (1967); and the like, or their modifications.
-
- In the step (ja), compound (IIcj) can be produced by reacting compound (IIIch) with an appropriate reagent, to convert the carbonyl group.
- As the reagent used for conversion of the carbonyl group, for example, there are mentioned hydrazine which may be substituted, hydroxylamine which may be substituted, and the like. As said substituent, a C 1-6 alkyl group, and the like are used.
- This reaction can be carried out by methods described in, for example, Advanced Organic Chemistry, 5 th ed., Wiley-Interscience: New York 1992, pp. 904-907; Organic Functional Group Preparations, Vol. III, Academic (1983); Rodd's Chemistry of Carbon Compounds, Vol. 1, part C, Elsevier Publishing Co. (1965); and the like, or their modifications.
-
- In the step (ka), compound (IIck) can be produced by reacting compound (IIIch) with an appropriate reagent to convert the carbonyl group to the thiocarbonyl group.
- As the reagent used for conversion of the carbonyl group to the thiocarbonyl group, for example, there are mentioned conventional sulfidation reagents such as Lawesson reagent, phosphorous pentasulfide, hydrogen sulfide-hydrochloric acid, etc.
- This reaction can be carried out by methods described in Synthesis, Vol. 7, pp. 543 (1991); J. Am. Chem. Soc., Vol. 106, pp. 934; J. Am. Chem. Soc., Vol. 68, pp. 769 (1946); and the like, or their modifications.
-
- In the step (ma), compound (IIcm) can be produced by carrying out a condensation reaction of a compound represented by the formula (IIIcm) (hereinafter, sometimes, abbreviated as compound (IIIcm)) (wherein each symbol is as defined above), with compound (VIce).
- The condensation reaction of compound (IIIcm) with compound (IVce) can be carried in the same manner as, for example, the amidation reaction of compound (IIIcb) with compound (IVcc).
- Further, the starting compound (IIIcm) of the step (ma) can be produced by the reaction formula 12-2 below. Namely, compound (IIIcm) can be produced by successively carrying out the step (mb): an acetylation reaction of compound (Vcb), and the step (mc): an oxidation reaction and functional conversion, if necessary, of a compound represented by the formula (VIcm) (hereinafter, sometimes, abbreviated as compound (VIcm)) (wherein each symbol is as defined above).
- In the step (mb), compound (VIcm) can be produced by carrying out the acetylation of compound (Vcb).
- This reaction can be carried out under conditions of a normal Friedel Crafts reaction. As the reagent of an acetylation, acetyl chloride, acetic anhydride and the like are used. Specifically, it can be produced by methods described in, for example, JP 5-140149 A, JP 6-206875 A, J. Med. Chem., Vol. 37, pp. 2292 (1994), and the like, or their modifications.
- In the step (mc), compound (IIIcm), in particular, the compound in which Z 2 is hydroxyl group can be produced by oxidizing compound (VIcm).
- As the oxidizing agent used in this reaction, for example, there are mentioned a hypochlorite, a hypobromite, a halogen simple body (for example, bromine, iodine, and the like) in the presence of an appropriate base (for example, sodium hydroxide, and the like), etc. Specifically, this reaction can be carried out by methods described in Organic Synthesis Coll., Vol. 2, pp. 428 (1943), J. Am. Chem. Soc., Vol. 66, pp. 894 (1944), and the like, or their modifications.
- Further, if desired, it can be converted to compound (IIIcm) in which Z 2 is a halogen atom (for example, chloro, bromo, iodo, and the like) or a C1-6 alkyloxy group (for example, methoxy, ethoxy, benzyloxy, and the like), or a C6-10 aryl oxy group (for example, phenoxy, p-nitrophenoxy, and the like), by carrying out a functional conversion of compound (IIIcm) in which Z2 is hydroxy group.
- The functional conversion can be carried out according to methods described in, for example, Advanced Organic Chemistry, 5 th ed., Wiley-Interscience: New York 1992, pp. 393-396, 437-438, Comprehensive Organic Transformations, VCH Publishers Inc. (1989), and the like, or their modifications.
- Compounds (IIc) thus obtained can be isolated and purified by known separation and purification procedures, for example, such as concentration, vacuum concentration, solvent extraction, crystallization, recrystallization, solvent conversion, chromatography, and the like.
- Since the UII receptor antagonist used in the present invention has a potent effect of inhibiting amyloid β40 secretion, it can be used for a prophylactic or therapeutic agent for various central nervous system disorders resulted from or related to amyloid β protein, particularly, increase in amyloid β40 secretion. Particularly, it is useful for a prophylactic or therapeutic agent for (1) cerebrovascular amyloid angiopathy which is observed to be complicated with Alzheimer's disease brain and the like, (2) neurodegenerative diseases (for example, senile dementia, Alzheimer's disease, Down's disease, Parkinson's disease, Creutzfeldt-Jakob disease, amyotrophic spinal cord lateral sclerosis, diabetic neuropathy, and the like), (3) neuropathy at cerebrovascular disorder (for example, cerebral infarction, cerebral hemorrhage, cerebral circulation disorder accompanied with encepharoartery sclerosis, and the like), head injury and myelo injury, sequelae of encephalitis or cerebral paralysis, (4) dysmnesia (for example, senile dementia, amnesia, and the like), or (5) mental disease (for example, depression, anxiety disorder, panic disorder, shizophrenia, and the like), and the like.
- The UII receptor antagonist used in the present invention can be used in combination with, for example, an anti-Alzheimer's disease drug (for example, acetylcholinesterase inhibitor such as Donepezil, Tacrine and the like, vaccine therapy and the like), an antiparkinson drug (for example, Carbidopa+Levodopa, Pergolide, Ropinirole, Cabergolin, Pramipexole, Entacapron, Lazabemide and the like), therapeutic agent for amyotrophic spinal cord lateral sclerosis (for example, Riluzole, Mecasermin, Gabapentin and the like), an antidepressant (for example, Fluoxetine, Sartraline, Peroxetine, Venlafaxine, Nefazodone, Reboxetine, Imipramine hydrochloride, Duloxetine and the like), therapeutic agent for shizophrenia (for example, Olanzapine, Risperidone, Quetiapine, Iloperidone and the like), and the like in the prevention and treatment of said diseases.
- The UII receptor antagonist used in the present invention has weak toxicity, and is superior in intracerebral transition.
- Accordingly, the UII receptor antagonist is useful for a prophylactic or therapeutic agent for central nervous system diseases in mammals (for example, rat, mouse, guinea pig, rabbit, sheep, horse, pig, cow, monkey, human, and the like)
- The UII receptor antagonist used in the present invention can be formulated in accordance with known procedures, and can be orally or parenterally administered safely (for example, local, rectal, intravenous administration and the like) as UII receptor antagonist as it is, or as a pharmaceutical composition, for example, tablets (including sugar-coating tablet, film-coating tablet, etc.), powders, granules, capsules (including soft capsule, etc.), liquid preparations, injectable preparations, suppositories, sustained-releases, agent and the like, by appropriately mixing with an appropriate amount the antagonist with a pharmacologically acceptable carrier in a production step of the composition.
- The amount of the UII receptor antagonist in the pharmaceutical composition of the present invention is usually about 0.1 to 100% by weight based on the total weight of the preparation. The dose varies depending on a particular subject administered, administration route, disease, and the like, but for example, is about 0.01 to 500 mg, preferably about 0.1 to 100 mg, and more preferably about 1 to 100 mg per once as an active ingredient (the compound having urotensin II receptor antagonistic activity) to an adult (about 60 kg), as the oral preparation for a therapeutic agent for Alzheimer's disease, and can be administrated once to several times per day.
- The pharmacologically acceptable carrier to be used for the production of the composition of the present invention may be various conventional organic or inorganic carrier substances for pharmaceutical preparations and examples thereof include excipients, lubricants, binders, disintegrants, etc., for solid preparations; solvents, solubilizing aids, suspending agents, isotonicity agents, buffers, soothing agents, etc., for liquid preparations. Further, if necessary, additives such as preservatives, antioxidants, colorants, sweetening agents, absorbing agents, wetting agents, etc., can be used.
- Examples of the excipient include lactose, sugar, D-mannitol, starch, corn starch, crystalline cellulose, soft anhydrous silicic acid, and the like.
- Examples of the lubricant include magnesium stearate, calcium stearate, tarc, colloid silica, and the like.
- Examples of the binder include crystalline cellulose, sugar, D-mannitol, dextrine, hydroxypropyl cellulose, hydroxypropylmethyl cellulose, polyvinyl pyrrolidone, starch, sucrose, gelatin, methylcellulose, sodium carboxymethyl cellulose, and the like.
- Examples of the disintegrant include starch, carboxymethyl cellulose, calcium carboxymethyl cellulose, sodium cross calmelose, sodium carboxymethylstarch, L-hydroxypropyl cellulose, and the like.
- Examples of the solvent include water for injection, alcohol, propylene glycol, macrogol, sesame oil, corn oil, and the like.
- Examples of the solubilizing aid include polyethylene glycol, polypropylene glycol, D-mannitol, benzyl benzoate, ethanol, trisaminomethane, cholesterol, triethanolamine, sodium carbonate, sodium citrate, and the like.
- Examples of the suspending agent include surfactants such as stearyltriethanolamine, sodium laurylsulfate, laurylaminopropionic acid, lecithin, benzalkonium chloride, benzetonium chloride, glycerin monostearate, etc.; hydrophilic polymers, for example, such as polyvinyl alcohol, polyvinyl pyrrolidone, sodium carboxymethyl cellulose, methyl cellulose, hydroxymethyl cellulose, hydroxyethyl cellulose, hydroxypropyl cellulose, etc.; and the like.
- Examples of the isotonicity agent include glucose, D-sorbitol, sodium chloride, glycerin, D-mannitol, and the like.
- Examples of the buffer include phosphate, acetate, carbonate, citrate; and the like.
- Examples of the soothing agent include benzyl alcohol, and the like.
- Examples of the preservative include paraoxybenzoate esters, chlorobutanol, benzyl alcohol, phenethyl alcohol, dehydroacetic acid, sorbic acid, and the like.
- Examples of the antioxidant include bisulfate, ascorbic acid, and the like.
- The following Experimental Examples, Synthesis Examples and Preparation Examples further illustrate the present invention in detail but they are mere examples and are not to be construed to limit the present invention.
-
Test compound 1 was added to IMR32 cells at various concentrations (μM) 10 minutes before addition of 10 nM of urotensin II. Then, urotensin II was added in the presence or absence oftest compound 1, the mixture was cultured for 24 hours, and the amount of amyloid β protein in the supernatant of the culture was determined by enzyme immunoassay (Biochemistry, Vol.34, No.32, pp. 10272-10278, (1995)). - The results are shown in FIG. 1.
- As seen from FIG. 1, it was found that
test compound 1 concentration-dependently suppressed increase in the selective secretion of amyloid β40 by urotensin II to the level without addition of urotensin II. (**: significant increase at ≦1% with respect to the group without addition of urotensin II, and #, ##: significant suppression at ≦1% and ≦5%, respectively, with respect to the group with addition of urotensin II alone). -
- Test compound 2 as described hereinafter (the compound of Synthesis Example 5) was used and added at a concentration of 1 nM, and the amount of amyloid β protein was determined in the same manner as that of Experimental Example 1.
- Namely, IMR32 cells were used and test compound 2 was added at a concentration of 1
nM 10 minutes before addition of 10 nM of urotensin II. After addition of urotensin II, the mixture was cultured for 24 hours and the amount of amyloid β protein in the supernatant of the culture was determined by enzyme immunoassay. - The results are shown in FIG. 2.
- As seen from FIG. 2, it was found that test compound 2 completely suppressed increase of amyloid β40 by the urotensin II at a concentration of 1 nM. (**: significant increase at ≦1%, and #, ##: significant inhibition at ≦1%, respectively, with respect to the group with addition of urotensin II alone).
- 1-Benzyl-6-bromo-2,3-dihydro-1H-pyrrolo[2,3-b]quinolin-4-ylamine
- N-Benzylpyrrolidone (1.8 g, 10.4 mmol) was dissolved in 4 ml of chloroform, phosphorous oxychloride (1.8 g, 11.7 mmol) was added thereto, and the mixture was stirred at room temperature for 30 minutes. 4-Bromo-2-cyanoaniline (2.0 g, 10 mmol) was added thereto and the mixture was refluxed by heating. The reaction mixture was poured on ice water, and neutralized with 20% sodium hydroxide aqueous solution. After extraction by chloroform, the organic layer was dried over anhydrous sodium sulfate. After concentration under reduced pressure, the residue was dissolved in 100 ml of nitrobenzene, 2 g of zinc chloride was added and the mixture was heated at 160° C. for 3 hours. 20% sodium hydroxide aqueous solution was added to the reaction solution, and it was extracted with ethyl acetate. After the organic layer was dried over anhydrous sodium sulfate, it was concentrated under reduced pressure, and the residue was subjected to silica gel column chromatography (silica gel 50 g, ethyl acetate/hexane=½). The objective fraction was concentrated under reduced pressure, ethanol was added to the residue, and a precipitate was collected by filtration. The precipitate was washed with ethanol, and then dried under reduced pressure to obtain the title compound (1.2 g, 3.4 mmol).
- 1H-NMR (DMSO-d6) δ: 2.86 (2H, t, J=8.0 Hz), 3.41 (2H, t, J=8.0 Hz), 4.59 (2H, s), 7.24-7.33 (6H, m), 7.42 (1H, dd, J=9.2, 2.2 Hz), 8.12 (1H, d, J=2.2 Hz).
- Mass (ESI+); 354 (M+H), 356
- 3′-{({2-[4-(Aminosulfonyl)phenyl]ethyl}[(E)-3-phenyl-2-propenoyl]amino)methyl}-N-[2-(1-pyrrolidinyl)ethyl][1,1′-biphenyl]-3-carboxamide
- 1) 3-Bromo-N-[2-(1-pyrrolidinyl)ethyl]phenyl-carboxamide
- 1-(2-Aminoethyl)pyrrolidine (4.34 g), diethyl cyanophosphate (5.57 ml) and triethylamine (10.4 ml) were added to a solution of 3-bromobenzoic acid (5.00 g) in N,N-dimethylformamide solution (DMF; 60 ml), and the mixture was stirred at room temperature for 16 hours. The reaction mixture was diluted with water, and extracted with diethyl ether. The extract was dried over anhydrous sodium sulfate, and the solvent was distilled off under reduced pressure. Hexane was added to the residue to effect crystallization, and the title compound (6.31 g) was obtained.
- 1H-NMR (CDCl3) δ: 1.70-1.90 (4H, m), 2.50-2.60 (4H, m), 2.70 (2H, t, J=6.0 Hz), 3.45-3.60 (2H, m), 6.86 (1H, s), 7.30 (1H, t, J=8.0 Hz), 7.60 (1H, dm, J=8.0 Hz), 7.70 (1H, dm, 8.0 Hz), 7.93 (1H, t, J=1.6 Hz).
- 2) 3′-Formyl-N-[2-(1-pyrrolidinyl)ethyl][1,1′-biphenyl]-3-carboxamide
- Palladium tetrakistriphenylphosphine (735 mg) and 2M sodium carbonate aqueous solution (21.2 ml) were added to a solution of 3-bromo-N-[2-(1-pyrrolidinyl) ethyl]phenylcarboxamide (6.31 g) in toluene (50 ml), a solution of 3-formylboric acid (3.49 g) in ethanol (15 ml) was further added, and the mixture was stirred at 90° C. for 15 hours. After the reaction mixture was diluted with water, it was extracted with diethyl ether. The extract was washed with saturated saline, and then dried over anhydrous magnesium sulfate. The solvent was distilled off under reduced pressure to obtain the title compound (6.83 g).
- 1H-NMR (CDCl3) δ: 1.95-2.35 (4H, m), 2.95 (2H, m), 3.30-3.50 (2H, m), 3.80-3.40 (4H, m), 7.40-7.60 (2H, m), 7.76 (1H, dm, J=8.0 Hz), 7.85 (1H, dm, J=8.0 Hz), 8.00 (1H, dm, 8.0 Hz), 8.09 (1H, dm, J=8.0 Hz), 8.25 (1H, bs), 8.40 (1H, bs), 8.41 (1H, m), 10.10 (1H, s).
- 3) 3′-[{2[4-(Aminosufonyl)phenyl]ethyl}aminomethyl]-N-[2-(1-pyrrolidinyl)ethyl][1,1′-biphenyl]-3-carboxamide
- 4-(2-Aminoethyl)benzenesulfoneamide (2.37 g) and molecular sieves 3A (4.0 g) were added to a solution of 3′-formyl-N-[2-(1-pyrrolidinyl)ethyl][1,1′-biphenyl]-3-carboxamide (3.81 g) in methanol (50 ml), and the mixture was stirred at room temperature for 1.5 hours. After the reaction mixture was diluted with tetrahydrofuran (THF), molecular sieve was filtered, and the filtrate was concentrated under reduced pressure. The residue was dissolved in methanol-THF (1:1) mixed solvent (100 ml), and sodium borohydride (0.89 g) was added. After the reaction mixture was stirred at room temperature for 5 hours, the solvent was distilled off under reduced pressure. After the residue was diluted with water, it was extracted with ethyl acetate. The extract was washed with saturated saline, then dried over anhydrous magnesium sulfate, and the solvent was distilled off under reduced pressure. Hexane was added to the residue to effect crystallization, and the objective compound (3.71 g) was obtained.
- 1H-NMR (CDCl3) δ: 1.75-1.85 (4H, m), 2.55-2.65 (4H, m), 2.78 (2H, t, J=6.0 Hz), 2.85-3.00 (4H, m), 3.60-3.65 (2H, m), 3.87 (2H, s), 7.05-7.15 (1H, m), 7.20-7.60 (6H, m), 7.65-7.85 3H, m), 7.84 (2H, d, J=8.4 Hz), 8.05 (1H, s).
- 4) 3′-{({2-[4-(Aminosulfonyl)phenyl]ethyl}[(E)-3-phenyl-2-propenoyl]amino)methyl}-N-[2-(1-pyrrolidinyl)ethyl][1,1′-biphenyl]-3-carboxamide
- 3′-[{2[4-(Aminosufonyl)phenyl]ethyl}aminomethyl]-N-[2-(1-pyrrolidinyl)ethyl][1,1′-biphenyl]-3-carboxamide (506 mg), trans-cinnamic acid (163 mg), 1-ethyl-3-(3-dimethylaminopropyl)carbodiimide hydrochlorate (EDCI.HCl; 211 mg) and 1-hydroxybenzotriazole (NOBT; 149 mg) were dissolved in a mixed solvent of dichloromethane (15 ml) and DMF (7 ml), and the mixture was stirred at room temperature for 18 hours. After the solvent was distilled off under reduced pressure, water was added to the residue, and it was extracted with ethyl acetate. The extract was rinsed with saturated saline, then dried over anhydrous magnesium sulfate, and the solvent was distilled off under reduced pressure. The residue was purified with silica gel column chromatography (dichloromethane/methanol=98/2) to obtain the objective compound (284 mg).
- 1H-NMR (CDCl3) δ: 1.73 (4H, m), 2.52 (4H, m), 2.69 (2H, t, J=6.0 Hz), 2.85-3.00 (2H, m), 3.50-3.60 (2H, m), 3.66 (2H, t, J=7.0 Hz), 4.60 (2H,s), 6.57 (1H, d, J=15.6 Hz), 6.85 (1H, d, J=15.6 Hz), 7.10-7.90 (16H, m), 8.05 (1H, s). MS (APCI+): 637 (M+H)
- 3′-{({2-[4-(Aminosulfonyl)phenyl]ethyl}[(E)-3-phenyl-2-propenoyl]amino)methyl}-N-[2-(1-pyrrolidinyl)ethyl][1,1′-biphenyl]-3-carboxamide Hydrochloride
- 3′-{({2-[4-(Aminosulfonyl)phenyl]ethyl}[(E)-3-phenyl-2-propenoyl]amino)methyl}-N-[2-(1-pyrrolidinyl)ethyl][1,1′-biphenyl]-3-carboxamide (200 mg) was treated with a solution of 4 N-hydrogen chloride in ethyl acetate to obtain the objective compound (198 mg).
- 1H-NMR (DMSO-d6) δ: 1.80-2.10 (4H, m), 2.90-3.10 (4H, m), 3.30-3.50 (2H, m), 3.55-3.90 (6H, m), 4.73 (2H, s), 7.05-8.00 (18H, m), 8.25 (1H, s), 9.03 (1H, m).
- Elemental analysis (molecular formula: C 37H40N4O4S HCl.1.5H2O):
- Calcd, C: 63.46; H: 6.33; N: 8.00; Cl: 5.08
- Found, C: 63.65; H: 6.51; N: 7.86; Cl: 5.25
- 3′-{({2-[4-(Aminosulfonyl)phenyl]ethyl}[4-phenylbutanoyl]amino)methyl}-N-[2-(1-pyrrolidinyl)ethyl][1,1′-biphenyl]-3-carboxamide
- The objective compound (277 mg) was obtained in the same manner as Synthesis Example 2.
- 1H-NMR (DMSO-d6) δ: 1.75-1.85 (8H, m), 2.20-2.40 (2H, m), 2.45-2.60 (2H, m), 2.60-2.95 (4H, m), 3.20-3.60 (6H, m), 4.62 (2H,s), 7.05-7.95 (18H, m), 8.13 (1H, s), 8.71 (1H, m).
- MS (ESI+): 653 (M+H)
- 3′-{({2-[4-(Aminosulfonyl)phenyl]ethyl}[4-phenylbutanoyl]amino)methyl}-N-[2-(1-pyrrolidinyl)ethyl][1,1′-biphenyl]-3-carboxamide Hydrochloride
- The compound of Synthesis Example 4 was obtained in the same manner as Synthesis Example 2, and the objective compound (185 mg) was obtained in the same manner as Synthesis Example 3.
- 1H-NMR (DMSO-d6) δ: 1.75-2.10 (8H, m), 2.25-2.45 (2H, m), 2.45-2.60 (2H, m), 2.80-2.90 (2H, m), 2.95-3.10 (2H, m), 3.20-3.50 (2H, m), 3.50-3.75 (4H, m), 4.61 (2H, s), 7.05-8.00 (18H, m), 8.23 (1H, s), 9.02 (1H, m).
- Elemental analysis (molecular formula C 38H44N4O4S.HCl.H2O):
- Calculated value, C: 64.53; H: 6.70; N: 7.92; Cl: 5.01
- Experimental value, C: 64.39; H: 6.82; N: 7.86; Cl: 5.20
- N-[2-(4-Benzylpiperazin-1-yl)ethyl]-2,3,4,5-tetrahydro-1H-3-benzazepine-7-carboxamide Trihydrochloride
- 1) 1,2,4,5-Tetrahydro-3H-3-benzazepine-3-carboaldehyde
- Acetic anhydride (18 ml) was added to formic acid (54 ml), and the mixture was stirred at room temperature for one hour. A solution of 2,3,4,5-tetrahydro-1H-3-benzazepine (9.5 g) in ethyl acetate (5 ml) was added dropwise to the mixture under ice cooling. After stirring at room temperature for 30 minutes, the solvent was concentrated under reduced pressure. Ethyl acetate and an aqueous saturated sodium bicarbonate solution were added to the residue, and then the mixture was extracted with ethyl acetate. The extract was washed with saturated saline, then dried over anhydrous magnesium sulfate, and the solvent was distilled off under reduced pressure to obtain the title compound (9.37 g).
- 1H-NMR (CDCl3) δ: 2.85-3.00 (4H, m), 3.45-3.50 (2H, m), 3.64-3.70 (2H, m), 7.10-7.20 (4H, m), 8.15 (1H, s)
- 2) 7-Acetyl-1,2,4,5-tetrahydro-3H-3-benzazepine-3-carboaldehyde
- Aluminum chloride (12.0 g) was added to a solution of 1,2,4,5-tetrahydro-3H-3-benzazepine-3-carboaldehyde (4.50 g) and acetyl chloride (2.01 ml) in dichloroethane (25 ml). After the reaction mixture was stirred at room temperature for 15 hours, it was poured in ice water, and was extracted with ethyl acetate. The extract was rinsed with saturated saline, then dried over anhydrous magnesium sulfate, and the solvent was concentrated under reduced pressure. The residue was purified with silica gel column chromatography (ethyl acetate) to obtain the title compound (3.26 g).
- 1H-NMR (CDCl3) δ: 2.60 (3H, s), 2.90-3.05 (4H, m), 3.45-3.55 (2H, m), 3.65-3.75 (2H, m), 7.20-7.30 (1H, m), 7.50-7.80 (2H, m), 8.16 (1H, s)
- 3) 3-Formyl-2,3,4,5-tetrahydro-1H-3-benzazepine-7-carboxylic Acid
- An aqueous solution (70 ml) of sodium hydroxide (4.78 g) was added to a solution of 7-acetyl-1,2,4,5-tetrahydro-3H-3-benzazepine-3-carboaldehyde (3.24 g) in dioxane (50 ml), and then bromine (2.31 ml) was added dropwise under ice cooling. After the reaction mixture was stirred under ice cooling for 30 minutes, acetone was added to stop the reaction. After the solvent was concentrated under reduced pressure, the water layer was extracted with ethyl acetate, and 5 N hydrochloric acid was added to the extract. The precipitated crystals were collected by filtration, and successively washed with water and ether to obtain the title compound (2.11 g).
- 1H-NMR (DMSO-d6) δ: 2.85-3.00 (4H, m), 3.45-3.60 (4H, m), 7.32 (1H, dd, J=2.2, 7.6 Hz), 7.72-7.80 (2H, m), 8.12 (1H, s)
- 4) 2,3,4,5-Tetrahydro-1H-3-benzazepine-7-carboxylic Acid
- A solution of 3-formyl-2,3,4,5-tetrahydro-1H-3-benzazepine-7-carboxylic acid (1.0 g) in concentrated hydrochloric acid (50 ml) was stirred at 100° C. for 12 hours. After the solvent was concentrated under reduced pressure, the obtained solid was collected by filtration, and successively washed with water and ether to obtain the title compound (990 mg).
- 1H-NMR (CDCl3) δ: 3.18 (4H, m), 3.46 (4H, m), 7.33 (1H, d, J=7.8 Hz), 7.76 (1H, d, J=7.8 Hz), 7.78 (1H, s)
- 5) 3-(Tert-butoxycarbonyl)-2,3,4,5-tetrahydro-1H-3-benzazepine-7-carboxylic Acid
- 2,3,4,5-Tetrahydro-1H-3-benzazepine-7-carboxylic acid (300 mg) was dissolved in 1 N sodium hydroxide aqueous solution (2.64 ml), water (2.5 ml) and tetrahydrofuran (2.5 ml), then di-tert-butyl dicarbonate (0.33 ml) was added, and the mixture was stirred at room temperature for 2 hours. After tetrahydrofuran was concentrated under reduced pressure, the water layer was made acidic by 5% potassium hydrogensulfate aqueous solution, and it was extracted with ethyl acetate. The extract was washed with saturated saline, then dried over anhydrous magnesium sulfate, and the solvent was concentrated under reduced pressure to obtain the title compound (344 mg).
- 1H-NMR (CDCl3) δ: 1.49 (9H, s), 2.95-3.00 (4H, m), 3.55-3.60 (4H, m), 7.23 (1H, d, J=8.4 Hz), 7.86 (1H, s), 7.89 (1H, d, J=8.4 Hz)
- 6) tert-Butyl 7-({[2-(4-benzylpiperazin-1-yl)ethyl]amino}carbonyl)-1,2,4,5-tetrahydro-3H-3-benzazepine-3-carboxylate
- Diethyl cyanophosphate (0.086 ml) was added to a solution of 3-(tert-butoxycarbonyl)-2,3,4,5-tetrahydro-1H-3-benzazepine-7-carboxylic acid (150 mg), 2-(4-benzylpiperazin-1-yl)ethylamine (124 mg) and triethylamine (0.079 ml) in DMF (5 ml). After the reaction mixture was stirred at room temperature for 15 hours, it was diluted with water. After it was extracted with ethyl acetate, the extract was washed with saturated saline, then dried over anhydrous magnesium sulfate, and the solvent was concentrated under reduced pressure. The residue was purified with silica gel column chromatography (n-hexane/ethyl acetate=½) to obtain the title compound (199 mg).
- 1H-NMR (CDCl3) δ: 1.49 (9H, s), 2.50-2.65 (8H, m), 2.59 (2H, t, J=6.0 Hz), 2.90-3.00 (4H, m), 3.53 (2H, s), 3.45-3.60 (6H, m), 6.81 (1H, m), 7.15-7.35 (6H, m), 7.45-7.60 (2H, m) MS (ESI+): 493 (M+H)
- 7) N-[2-(4-Benzylpiperazin-1-yl)ethyl]-2,3,4,5-tetrahydro-1H-3-benzazepine-7-carboxamide Trihydrochloride
- tert-Butyl 7-({[2-(4-benzylpiperazin-1-yl)ethyl]amino}carbonyl)-1,2,4,5-tetrahydro-3H-3-benzazepine-3-carboxylate (199 mg) was treated with a solution of 1 N hydrogen chloride in ethyl acetate to obtain the objective compound (126 mg).
- 1H-NMR (DMSO-d6) δ: 3.00-4.00 (20H, m), 4.35 (2H, m), 7.30 (1H, d, J=7.8 Hz), 7.40-7.50 (3H, m), 7.60-7.70 (2H, m), 7.70-7.80 (2H, m), 8.84 (1H, m)
- MS (ESI+): 393 (M+H)
- The compounds of Synthesis Examples 7 to 9 were prepared in the same manner as Synthesis Example 6.
- N-[2-(4-Benzhydrylpiperazin-1-yl)ethyl]-2,3,4,5-tetrahydro-1H-3-benzazepine-7-carboxamide trihydrochloride
- Yield: 238 mg
- 1H-NMR (DMSO-d6) δ: 3.00-4.00 (21H, m), 7.25-7.40 (8H, m), 7.60-7.90 (5H, m), 8.89 (1H, m)
- MS (APCI+): 469 (M+H)
- N-[2-[4-(4-Chlorobenzyl)piperazin-1-yl)ethyl]-2,3,4,5-tetrahydro-1H-3-benzazepine-7-carboxamide trihydrochloride
- Yield: 198 mg
- 1H-NMR (DMSO-d6) δ: 3.00-4.00 (20H, m), 4.31 (2H, m), 7.30 (1H, d, J=7.8 Hz), 7.45-7.80 (6H, m), 8.85 (1H, m)
- MS (APCII+): 427 (M+H)
- N-(2-{4-[Bis(4-fluorophenyl)methyl]piperazin-1-yl}ethyl)-2,3,4,5-tetrahydro-1H-3-benzazepine-7-carboxamide Trihydrochloride
- Yield: 148 mg
- 1H-NMR (DMSO-d6) δ: 3.00-3.45 (16H, m), 3.50-3.80 (5H, m), 7.15-7.40 (5H, m), 7.50-8.00 (6H, m), 8.90 (1H, m)
- MS (APCI+): 505 (M+H)
- 1. Capsule
(1) Compound obtained in Synthesis Example 6 40 mg (2) Lactose 70 mg (3) Microcrystalline cellulose 9 mg (4) Magnesium stearate 1 mg 1 capsule 120 mg - (1), (2) and (3) as well as ½ of (4) were kneaded, and granulated. To this granule is added the remaining (4), and the whole is capsulated into a gelatin capsule.
- 2. Tablet
(1) Compound obtained in Synthesis Example 6 40 mg (2) Lactose 58 mg (3) Corn starch 18 mg (4) Microcrystalline cellulose 3.5 mg (5) Magnesium stearate 0.5 mg 1 tablet 120 mg - (1), (2), (3), ⅔ of (4) and ½ of (5) are kneaded, and granulated. Then, the remaining (4) and (5) are added to the granule and the mixture is formulated into tablets by compression molding.
- Since the compound having urotensin II receptor antagonistic activity or a salt thereof has a superior amyloid β40 secretion inhibitory activity, it is useful for a prophylactic or therapeutic agent for (1) cerebrovascular amyloid angiopathy which is observed to be complicated with Alzheimer's disease brain, and the like, (2) neurodegenerative diseases (for example, senile dementia, Alzheimer's disease, Down's disease, Parkinson's disease, Creutzfeldt-Jakob disease, amyotrophic spinal cord lateral sclerosis, diabetic neuropathy, and the like), (3) neuropathy at cerebrovascular disorder (for example, cerebral infarction, cerebral hemorrhage, cerebral circulation disorder accompanied with encepharoartery sclerosis, and the like), head injury and myelo injury, sequelae of encephalitis or head paralysis, (4) dysmnesia (for example, senile dementia, amnesia, and the like), or (5) mental disease (for example, depression, anxiety disorder, panic disorder, shizophrenia, and the like), and the like.
Claims (55)
Applications Claiming Priority (3)
| Application Number | Priority Date | Filing Date | Title |
|---|---|---|---|
| JP2000-255529 | 2000-08-25 | ||
| JP2000255529 | 2000-08-25 | ||
| PCT/JP2001/007237 WO2002015934A1 (en) | 2000-08-25 | 2001-08-24 | Preventives and remedies for central nervous system diseases |
Publications (1)
| Publication Number | Publication Date |
|---|---|
| US20030207863A1 true US20030207863A1 (en) | 2003-11-06 |
Family
ID=18744301
Family Applications (1)
| Application Number | Title | Priority Date | Filing Date |
|---|---|---|---|
| US10/362,901 Abandoned US20030207863A1 (en) | 2000-08-25 | 2001-08-24 | Preventives and remedies for central nervous system diseases |
Country Status (5)
| Country | Link |
|---|---|
| US (1) | US20030207863A1 (en) |
| EP (1) | EP1331010A4 (en) |
| AU (1) | AU2001280133A1 (en) |
| CA (1) | CA2418464A1 (en) |
| WO (1) | WO2002015934A1 (en) |
Cited By (5)
| Publication number | Priority date | Publication date | Assignee | Title |
|---|---|---|---|---|
| US20050096359A1 (en) * | 2001-12-28 | 2005-05-05 | Nobuo Cho | Biaryl compound and use thereof |
| US20060040918A1 (en) * | 2002-12-20 | 2006-02-23 | Bamford Mark J | Benzo d!azepine derivatives for the treatment of neurological disorders |
| US20070093523A1 (en) * | 2005-10-21 | 2007-04-26 | Bristol-Myers Squibb Company | Tetrahydroisoquinoline LXR modulators |
| US20070093470A1 (en) * | 2005-10-21 | 2007-04-26 | Bristol-Myers Squibb Company | LXR modulators |
| WO2012112568A1 (en) * | 2011-02-14 | 2012-08-23 | The Broad Institute, Inc. | Small molecule inhibitors for treating parasitic infections |
Families Citing this family (3)
| Publication number | Priority date | Publication date | Assignee | Title |
|---|---|---|---|---|
| GB0329214D0 (en) * | 2003-12-17 | 2004-01-21 | Glaxo Group Ltd | Novel compounds |
| US20090253908A1 (en) * | 2004-03-11 | 2009-10-08 | Glaxo Group Limited | Novel m3 muscarinic acetylchoine receptor antagonists |
| JP2008520579A (en) | 2004-11-15 | 2008-06-19 | グラクソ グループ リミテッド | Novel M3 muscarinic acetylcholine receptor antagonist |
Citations (5)
| Publication number | Priority date | Publication date | Assignee | Title |
|---|---|---|---|---|
| US5250296A (en) * | 1990-11-29 | 1993-10-05 | Takeda Chemical Industries, Ltd. | Immunostimulant agent containing interleukin-2 and 5'-deoxy-5-fluorouridine |
| US5356893A (en) * | 1991-09-18 | 1994-10-18 | Glaxo Group Limited | Benzanilide derivatives |
| US5462934A (en) * | 1992-03-09 | 1995-10-31 | Takeda Chemical Industries | Condensed heterocyclic ketone derivatives and their use |
| US5608067A (en) * | 1993-12-09 | 1997-03-04 | Afonso; Adriano | 4-substituted pyrazoloquinoline derivatives |
| US5942529A (en) * | 1995-06-19 | 1999-08-24 | Bayer Aktiengesellschaft | Benzisothiazolyl-substituted aminomethylchromans |
Family Cites Families (7)
| Publication number | Priority date | Publication date | Assignee | Title |
|---|---|---|---|---|
| EP0430485A3 (en) * | 1989-11-29 | 1992-01-22 | Ube Industries, Ltd. | Quinoline compound |
| US5851798A (en) * | 1997-01-27 | 1998-12-22 | Smithkline Beecham Corporation | Nucleic acid encoding human GPR14 receptor |
| JP2002500045A (en) * | 1998-01-09 | 2002-01-08 | スミスクライン ビーチャム コーポレーション | Human urotensin II |
| WO2000032627A1 (en) * | 1998-11-30 | 2000-06-08 | Takeda Chemical Industries, Ltd. | Novel physiologically active substance, process for producing the same and utilization thereof |
| EP1248607A4 (en) * | 1999-12-21 | 2004-10-06 | Smithkline Beecham Corp | Urotensin-ii receptor antagonists |
| WO2001045711A1 (en) * | 1999-12-21 | 2001-06-28 | Smithkline Beecham Corporation | Urotensin-ii receptor antagonists |
| WO2001045700A1 (en) * | 1999-12-21 | 2001-06-28 | Smithkline Beecham Corporation | Urotensin-ii receptor antagonists |
-
2001
- 2001-08-24 US US10/362,901 patent/US20030207863A1/en not_active Abandoned
- 2001-08-24 EP EP01958447A patent/EP1331010A4/en not_active Withdrawn
- 2001-08-24 CA CA002418464A patent/CA2418464A1/en not_active Abandoned
- 2001-08-24 AU AU2001280133A patent/AU2001280133A1/en not_active Abandoned
- 2001-08-24 WO PCT/JP2001/007237 patent/WO2002015934A1/en not_active Ceased
Patent Citations (5)
| Publication number | Priority date | Publication date | Assignee | Title |
|---|---|---|---|---|
| US5250296A (en) * | 1990-11-29 | 1993-10-05 | Takeda Chemical Industries, Ltd. | Immunostimulant agent containing interleukin-2 and 5'-deoxy-5-fluorouridine |
| US5356893A (en) * | 1991-09-18 | 1994-10-18 | Glaxo Group Limited | Benzanilide derivatives |
| US5462934A (en) * | 1992-03-09 | 1995-10-31 | Takeda Chemical Industries | Condensed heterocyclic ketone derivatives and their use |
| US5608067A (en) * | 1993-12-09 | 1997-03-04 | Afonso; Adriano | 4-substituted pyrazoloquinoline derivatives |
| US5942529A (en) * | 1995-06-19 | 1999-08-24 | Bayer Aktiengesellschaft | Benzisothiazolyl-substituted aminomethylchromans |
Cited By (13)
| Publication number | Priority date | Publication date | Assignee | Title |
|---|---|---|---|---|
| US20050096359A1 (en) * | 2001-12-28 | 2005-05-05 | Nobuo Cho | Biaryl compound and use thereof |
| US7507753B2 (en) | 2001-12-28 | 2009-03-24 | Takeda Chemical Industries Ltd. | Biaryl compound and use thereof |
| US7799773B2 (en) | 2002-12-20 | 2010-09-21 | Glaxo Group Limited | Benzazepine derivatives for the treatment of neurological disorders |
| US20060040918A1 (en) * | 2002-12-20 | 2006-02-23 | Bamford Mark J | Benzo d!azepine derivatives for the treatment of neurological disorders |
| US8207331B2 (en) | 2002-12-20 | 2012-06-26 | Glaxo Group Limited | Benzazepine derivatives for the treatment of neurological disorders |
| US20070299056A1 (en) * | 2002-12-20 | 2007-12-27 | Bamford Mark J | Benzazepine derivatives for the treatment of neurological disorders |
| US20090105226A1 (en) * | 2002-12-20 | 2009-04-23 | Mark James Bamford | Benzazepine derivatives for the treatment of neurological disorders |
| US7696193B2 (en) | 2002-12-20 | 2010-04-13 | Glaxo Group Limited | Benzazepine derivatives for the treatment of neurological disorders |
| US7704994B2 (en) | 2002-12-20 | 2010-04-27 | Glaxo Group Limited | Benzazepine derivatives for the treatment of neurological disorders |
| US20070093470A1 (en) * | 2005-10-21 | 2007-04-26 | Bristol-Myers Squibb Company | LXR modulators |
| US7790745B2 (en) | 2005-10-21 | 2010-09-07 | Bristol-Myers Squibb Company | Tetrahydroisoquinoline LXR Modulators |
| US20070093523A1 (en) * | 2005-10-21 | 2007-04-26 | Bristol-Myers Squibb Company | Tetrahydroisoquinoline LXR modulators |
| WO2012112568A1 (en) * | 2011-02-14 | 2012-08-23 | The Broad Institute, Inc. | Small molecule inhibitors for treating parasitic infections |
Also Published As
| Publication number | Publication date |
|---|---|
| CA2418464A1 (en) | 2003-02-05 |
| EP1331010A1 (en) | 2003-07-30 |
| EP1331010A4 (en) | 2008-08-06 |
| AU2001280133A1 (en) | 2002-03-04 |
| WO2002015934A1 (en) | 2002-02-28 |
Similar Documents
| Publication | Publication Date | Title |
|---|---|---|
| US6534496B1 (en) | Thermogenic composition and benzazepine thermogenics | |
| AU758802B2 (en) | Drugs for improving vesical excretory strength | |
| JP2001226269A (en) | Melanin-concentrating hormone antagonist | |
| US20030207863A1 (en) | Preventives and remedies for central nervous system diseases | |
| CA2136913A1 (en) | Tetracyclic condensed heterocyclic compounds, their production and use | |
| JP3878178B2 (en) | Anti-urination disorder treatment | |
| US20040063699A1 (en) | Gpr14 antagonist | |
| WO2005000354A1 (en) | Preventive/remedy for urinary disturbance | |
| JP2002138053A (en) | Preventive/therapeutic agent for central nervous system disease | |
| JP2002097142A (en) | Gpr14 antagonist | |
| JPH11310532A (en) | Thermogenesis promoter | |
| EP1308513A1 (en) | Use of polypeptide | |
| JPH07309835A (en) | Tetracyclic condensed heterocyclic derivative, its production and use | |
| JP2000169373A (en) | Bladder-discharging power-improving agent | |
| JP2003335701A (en) | Agent for prevention and treatment of dysuria | |
| JP2007016039A (en) | Preventives/remedies for urinary disturbance | |
| JP2006104208A (en) | Agent for prevention and treatment of urinary disturbance | |
| JP2001335576A (en) | Crystal of tricyclic fused heterocyclic compound | |
| HK1068808A (en) | Preventives/remedies for urinary disturbance |
Legal Events
| Date | Code | Title | Description |
|---|---|---|---|
| AS | Assignment |
Owner name: TAKEDA CHEMICAL INDUSTRIES LTD., JAPAN Free format text: ASSIGNMENT OF ASSIGNORS INTEREST;ASSIGNORS:FUKUMOTO, HIROAKI;MORI, MASAAKI;MIYAMOTO, MASAOMI;REEL/FRAME:014168/0124;SIGNING DATES FROM 20021115 TO 20021121 |
|
| AS | Assignment |
Owner name: TAKEDA PHARMACEUTICAL COMPANY LIMITED,JAPAN Free format text: CHANGE OF NAME;ASSIGNOR:TAKEDA CHEMICAL INDUSTRIES, LTD.;REEL/FRAME:016891/0046 Effective date: 20041013 Owner name: TAKEDA PHARMACEUTICAL COMPANY LIMITED, JAPAN Free format text: CHANGE OF NAME;ASSIGNOR:TAKEDA CHEMICAL INDUSTRIES, LTD.;REEL/FRAME:016891/0046 Effective date: 20041013 |
|
| STCB | Information on status: application discontinuation |
Free format text: ABANDONED -- FAILURE TO RESPOND TO AN OFFICE ACTION |



























































































































